Miljø- og Fødevareudvalget 2025-26
MOF Alm.del Bilag 34
Offentligt
3083746_0001.png
Miljø- og Fødevareudvalget
Folketinget
Christiansborg
1218 København K
22. oktober 2025
www.grivita.dk
[email protected]
Tlf. +45 8181 6070
CVR 45948196
Kontrol og sanktioner over for svinetransporter til udlandet og maksimal transporttid
Ifølge samrådsspørgsmål G ønsker udvalget at drøfte kontrol og sanktioner overfor svine-
transporter til udlandet og maksimal transporttid for dyr i et kommende samråd med
ministeren for fødevarer, landbrug og fiskeri.
Grivita arbejder for bedre dyrevelfærd for grise, og vi tillader os hermed at give et fagligt
input til samrådsspørgsmålet.
Skærpet kontrol og sanktioner overfor svinetransporter til udlandet
Grivita anbefaler, at den nye transportforordning sikrer, at myndigheder i Danmark og
udlandet får
realtidsadgang
til transportdata og temperaturdata m.m., som trans-
portørerne forpligtes til at sende til TRACES (Trade Control and Expert System). TRACES
bruges i dag til at registrere og dele oplysninger om fødevare- og veterinærsendinger på
tværs af lande. Det er derfor nærliggende at udvide systemet med
online-deling af
position og temperatur,
så sporbarheden bliver ubrudt, myndigheder kan gribe ind
undervejs, og den manuelle gennemgang af logbøger kan afløses af digital kontrol.
Teknologien til GPS-tracking og realtids temperaturovervågning er allerede udbredt i
fødevaretransport.
Som håndhævelsesmekanisme anbefaler vi en
depositumordning
med krav om
forudbetalt depositum for højrisikotransporter (f.eks. lang transporttid, høje
temperaturer, store sendinger). Depositum tilbagebetales ved regeloverholdende
transport og kan ellers dække kontrolomkostninger. Ordningen er en civilretlig
sikkerhedsstillelse - ikke en straf - og kan derfor gennemføres uden forfatningsmæssige
betænkeligheder.
Løsningen vil kunne forhindre eller afsløre lovovertrædelser, der henvises til i
samrådsspørgsmålet, bl.a. systematiske brug af samlesteder som falske ‘bestemmelses-
steder’. Samtidig imødekommer løsningen den grænseoverskridende kontroludfordring,
som ministeren har peget på, når videre transport sker fra hvile-/samlesteder og
bestemmelsessteder i andre lande, jf. ministerens svar på spørgsmål S 59.
Ovenstående er uddybet i vedlagte
rapport om anbefalinger til ændringer af EU’s
transportforordning, afsnit 5.
Maksimal transporttid
Grivita anbefaler en
maksimal transporttid 8 timer
for alle grise. Hvis dette ikke kan
opnås i forhandlingerne om transportordningen, bør der stilles krav om
aflæsning med
dokumenteret vand- og foderindtag efter 8 timer.
MOF, Alm.del - 2025-26 - Bilag 34: Henvendelse af 22/10-25 fra Grivita om kontrol og sanktioner over for svinetransporter til udlandet og maksimal transporttid
3083746_0002.png
Dyrevelfærdsproblemer opstår uanset transportens formål. En 8-timers grænse er derfor
fagligt velbegrundet for både slagtegrise og levebrugsgrise, da risikoen for tørst, sult,
stress og andre belastninger stiger markant ved længere transport. Den nærmere faglige
begrundelse fremgår af afsnit 1-2 i vedlagte rapport.
De ovenfor nævnte anbefalinger om ændringer af transportforordningen præsenteres
sammen med Grivitas øvrige anbefalinger i en kort video, som kan se
her.
Denne henvendelse vedrører grise. De samme principper vurderes at have overførsels-
værdi til andre produktionsdyr.
For god ordens skyld vedlægger vi kopi af vores tidligere henvendelse til ministeren om
ændringer af transportforordningen.
Kopi af denne henvendelse er sendt til ministeren.
Med venlig hilsen
Jannie Christensen
Christian Bækgaard
Bilag:
Brev af 15/9 2025 til ministeren for fødevare, landbrug og fiskeri.
Grivitas rapport: Anbefalinger om ændringer af EU's forordning om beskyttelse af dyr under
transport.
MOF, Alm.del - 2025-26 - Bilag 34: Henvendelse af 22/10-25 fra Grivita om kontrol og sanktioner over for svinetransporter til udlandet og maksimal transporttid
15. september 2025
Kære minister for fødevarer, landbrug og fiskeri
Vi henvender os for at bidrage til de forestående forhandlinger om EU’s forordning for
beskyttelse af dyr under transport. Danmark eksporterer årligt omkring 16,7 millioner grise,
hvoraf ca. 98 % er smågrise til opfedning. Omkring 13 millioner grise transporteres i mere end 8
timer.
Som verdens største eksportør af grise og med det danske EU-formandskab mener vi, at
Danmark har et særligt ansvar for at fremme regler, der beskytter dyrenes velfærd. Ensartede
ambitiøse krav vil ikke blot gavne dyrevelfærden, men også medvirke til at sikre fair konkurrence
og til at beskytte investeringer, som danske griseproducenter og -transportører allerede har
foretaget.
Kommissionens forslag og kompromisforslaget i Rådet efterlader desværre efter vores
opfattelse et betydeligt gab i forhold til den videnskabelige viden om dyrevelfærd.
Vi værdsætter, at mandatet fra Europaudvalget på flere punkter er mere ambitiøst end Kommis-
sionens forslag. Dog havde vi gerne set, at transportloftet var blevet sat til 8 timer for alle grise
ikke kun slagtegrise.
Grivitas vigtigste anbefalinger til ændringer af transportforordningen:
Maksimal 8 timers transporttid for alle grise,
således de 21 timer for andre grise end slagtegris
nedsættes til 8 timer for alle. Der er ikke videnskabelig begrundelse for at skelne mellem
transport til slagtning og til opfedning og avl. EU's fødevareagentur EFSA dokumenterer, at tørst,
sult og stress opstår uanset transportformål, og at pauser uden aflæsning ikke løser
problemerne. Ifølge undersøgelser ønsker 78 % af danskerne stop for transporter over 8 timer,
og 83 % af EU's borgere ønsker kortere transporttider.
Krav om aflæsning med dokumenteret vand- og foderindtag efter 8 timer.
Hvis transporttiden
ikke nedbringes til 8 timer for alle grise, opstår et alvorligt problem med adgang til vand og foder.
Drikkenipler på lastbilerne tilgodeser ikke grisenes behov for vand i tilstrækkeligt omfang, og
fodring er reelt umuligt.
Forbud mod transport af drægtige søer i sidste tredjedel af drægtigheden (fra dag 77).
Kommissionens forslag for beskyttelse af drægtige søer i sidste fjerdedel af drægtigheden finder
vi ikke tilstrækkeligt i forhold til den videnskabelige dokumentation for søers sårbarhed (fysiologi
og ufødte grises sanser).
Strammere areal- og højdekrav samt strengere temperaturkrav.
Vi hilser det velkomment, at
du ifølge mandatet vil arbejde for strammere areal- og højdekrav samt strengere
temperaturkrav inde blandt dyrene. Med hensyn til temperaturkrav anbefaler vi en model med
maksimalt 25°C og aktiv temperaturregulering.
MOF, Alm.del - 2025-26 - Bilag 34: Henvendelse af 22/10-25 fra Grivita om kontrol og sanktioner over for svinetransporter til udlandet og maksimal transporttid
3083746_0004.png
Realtidsdata og styrket håndhævelse.
Vi anbefaler digital overvågning baseret på live-transport-
data samt en garantiordning og økonomiske incitamenter. Det er paradoksalt, at en pakke
frossen fisk i EU i dag overvåges tættere under transport end en levende gris.
Transport af dyr vil altid være en dyrevelfærdsmæssig belastning som stiger med transporttid-
og afstand. Vi anbefaler, at man fra dansk side udarbejder og arbejder for et forslag til et EU-
forsknings- og udviklingsprojekt, som kan udvikle incitamenter til af udvikling af lokale og mobile
slagterier samt øget eksport af genetisk materiale.
Vi vedhæfter vores rapport med uddybning og dokumentation og imødeser, at vores
anbefalinger får den nødvendige vægt i de videre forhandlinger.
Venlig hilsen
Jannie Christensen og Christian Bækgaard
E-mail:
[email protected]
Web:
www.grivita.dk
Grivita arbejder for bedre forhold for grise. Grise skal behandles med respekt, have mulighed for at udleve deres
naturlige adfærd, og beskyttes mod unødig stress, smerte og angst.
MOF, Alm.del - 2025-26 - Bilag 34: Henvendelse af 22/10-25 fra Grivita om kontrol og sanktioner over for svinetransporter til udlandet og maksimal transporttid
3083746_0005.png
RAPPORT
www.grivita
[email protected]
Anbefalinger om ændringer af EU's forordning om beskyttelse af dyr under transport
Indholdsfortegnelse
0. Sammenfatning af Grivitas anbefalinger ............................................................................................... 2
1. Maksimal transporttid på 8 timer for alle grise..................................................................................... 3
2. Adgang til vand og foder senest efter 8 timers transport ..................................................................... 7
3. Forbud mod transport af drægtige søer i sidste tredjedel af drægtigheden ....................................... 12
4. Skærpede temperaturgrænser under transport og aktiv klimakontrol ............................................... 16
5. Realtidskontrol og grænseoverskridende håndhævelse af dyretransportregler ................................. 18
6. EU-udviklings- og forskningsprojekt om incitamenter til øget lokal slagtning og eksport af genetisk
materiale (sæd og befrugtede æg) ......................................................................................................... 22
Noter/kilder ............................................................................................................................................ 23
Appendix A. Transportdødelighed for grise ved danske griseeksporter ................................................. 34
Appendix B. Eksporterede grise fra Danmark ......................................................................................... 36
Appendix C: Realtidskontrol og grænseoverskridende håndhævelse af dyretransportregler................. 37
Indledning
Rapporten præsenterer Grivitas anbefalinger til ændringer af EU’s forordning om beskyttelse af
dyr under transport. Grivita arbejder for bedre dyrevelfærd for grise, og rapporten omhandler
konkret grisenes forhold. De bærende velfærdsprincipper (rejsetid, håndtering, vand/foder,
temperatur mv.) er generelle, men dokumenteres her for grise.
Rapporten er ikke udtømmende for så vidt angår vores holdning til direktivet. Bl.a. behandles
loftshøjder og arealkrav ikke.
For hver anbefaling er gældende EU-regler, Kommissionens forslag til forordning (2023),
kompromisforslaget fra det tidligere polske formandskab (juni 2025) omtalt tillige med
begrundelser for anbefalingen.
Kilder/noter til hvert afsnit er placeret til sidst i rapporten.
11.oktober 2025, rev. 2 (Præciseringer, indsat Appendix C)
MOF, Alm.del - 2025-26 - Bilag 34: Henvendelse af 22/10-25 fra Grivita om kontrol og sanktioner over for svinetransporter til udlandet og maksimal transporttid
3083746_0006.png
0. Sammenfatning af Grivitas anbefalinger
Tabellen nedenfor sammenligner Grivitas anbefalinger med gældende EU-regler, Kommis-
sionens forslag og ministerens mandat. Anbefalingerne bygger på EFSA’s videnskabelige
vurderinger af grises velfærd under transport. På den baggrund anbefaler Grivita skærpede
regler, som hver især adresserer væsentlige belastninger. De detaljerede begrundelser fremgår
af de enkelte kapitler i rapporten.
Emne
Gældende
EU-regler
Kommissionens
forslag
Kompromis
juni 2025
Danmark
s
mandat
Grivitas anbefaling
Transporttid
slagtedyr
Op til 24 timer
9 timer
Under
forhandling
8 timer
8 timer
Transporttid
levebrugsdyr
Op til 24 timer
21 timer (med
pause)
Under
forhandling
Kortere
end 21
timer
8 timer
Vand/foder
krav
- hvis 8 timers
grænsen ikke
gennemføres
konsekvent
Vage
formuleringer
Vage
formuleringer
Under
forhandling
Ikke i
mandat
Efter 8 timer
Drægtige søer
Transport
tilladt til 90%
af drægtighed
Transport tilladt
til 80% af
drægtighed
Som
kommissionen
Ikke i
mandat
Transport tilladt til 67
% af drægtighed
Temperatur-
grænse
5-30°C (±5°C)
Temp.grænse
fjernes -
"fleksibel"
Sensorer,
ingen
temperatur-
grænse
Strengere
krav
Maks. 25°C absolut
og aktiv klimakontrol
Realtidskontrol
og
håndhævelse
Ikke krav i dag
Obligatorisk
realtids-
positionering,
kobling til TRACES
Som
kommissionen
+ lokale
databaser,
overvågning
af temperatur
Ikke i
mandat
Live adgang til
realtidspositionering,
automatiske alarmer,
digital
kontrol/håndhævelse
2
MOF, Alm.del - 2025-26 - Bilag 34: Henvendelse af 22/10-25 fra Grivita om kontrol og sanktioner over for svinetransporter til udlandet og maksimal transporttid
1. Maksimal transporttid på 8 timer for alle grise
Ifølge ministerens mandat skal han arbejde for en maksimal transporttid på 8 timer for
slagtegrise og for kortere end 21 timer for levebrugsgrise. Vi havde gerne set et loft på 8 timer
for alle grise. Vi medtager her dokumentation og vores begrundelser for denne position, så
beslutningsgrundlaget er så komplet som muligt.
1.1 Gældende regler
Ifølge EU's nuværende transportforordning for dyr (Rådets forordning (EF) nr. 1/2005) kan grise
transporteres i op til 24 timer i træk uden aflæsning
1
. Den såkaldte 8-timersgrænse i
forordningen er ikke en maksimal transporttid, men en administrativ tærskel for "lang
transport", der udløser særlige krav til køretøj og dokumentation. I praksis betyder reglerne, at
mange grise -- både til slagtning og til opfedning -- tilbringer op til et døgn i lastbilen,
hvorefter transporten kan fortsætte efter 24 timers hvile på en kontrolstation (med foder og
vand). Der foreligger dog ikke videnskabelig dokumentation for, at sådanne ophold giver en
særlig velfærdsmæssig gevinst
1.2 Kommissionens forslag
Kommissionens forslag af 7. december 2023 foreslår 9 timer som maksimal transporttid for dyr
til slagtning. For dyr til andre formål (f.eks. avl og opfedning) foreslås 21 timer, med 1 times
pause efter 10 timer -- uden aflæsning
3
. Ca. 98 % af Danmarks eksport af levende grise er netop
smågrise til opfedning
14a
. Efter 21 timer kan transporten fortsætte, hvis dyrene først hviler 24
timer på en godkendt kontrolstation (foder/vand), hvorefter der kan køres op til 21 timer
igen
2,3,4
. Pauser uden aflæsning giver ingen dyrevelfærdsgevinst, og adresserer ikke sult og tørst,
trængsel, manglende hvile eller ophobede ammoniakkoncentrationer. Det er tilmed ikke
dokumenteret, at ophold på kontrolstationer reelt forbedrer dyrevelfærden. Fra et
dyrevelfærds-perspektiv er forslaget derfor utilstrækkeligt: EFSA har dokumenteret, at allerede
efter 8 timer opstår der dehydrering og stress, skader og hygiejneforringelser tiltager også,
ligesom sult opstår efter 12 timer
2
. EFSA fremhæver, at da næsten alle grise fastes i mange timer
inden afgang, når de i praksis den fysiologiske sultgrænse langt tidligere end 12 timer efter
transportens begyndelse².
1.3 Kompromisforslaget
Det polske formandskabs kompromisforslag fra juni 2025 indeholder ikke konkrete tidsgrænser
for transport af dyr, men lægger i stedet op til fortsatte forhandlinger om netop transporttid,
pauser og hvileperioder. Forslaget afspejler uenigheder blandt medlemslandene, hvor nogle
ønsker at forlænge transporttiderne i forhold til Kommissionens udspil, mens andre ønsker mere
restriktive regler
5
.
1.4 Ministerens mandat
Ifølge referatet fra Europaudvalgets møde 20. juni 2025 er ministerens mandat
6
8 timer for dyr til slagtning (skærpelse i forhold til Kommissionens 9 timer).
3
MOF, Alm.del - 2025-26 - Bilag 34: Henvendelse af 22/10-25 fra Grivita om kontrol og sanktioner over for svinetransporter til udlandet og maksimal transporttid
3083746_0008.png
For levebrugsdyr (herunder smågrise til opfedning) som udgør ca. 98% af Danmarks
eksport af levende grise på godt 16 millioner årligt: kortere transporttid end 21 timer,
men uden fast timetal for at bevare forhandlingsrum.
For avlsdyr: mulighed for længere transport end for øvrige levebrugsdyr, hvis særlige
dyrevelfærdskrav opfyldes.
1.5 Konklusion og anbefalinger
Ifølge EU’s nuværende transportforordning (Rådets forordning (EF) nr. 1/2005) kan grise
transporteres i op til 24 timer uden aflæsning, forudsat at de har adgang til vand. Dette betyder,
at mange grise – både til slagtning og opfedning – tilbringer op til et døgn i lastbil, hvilket er
langt over, hvad den videnskabelige evidens og EFSA vurderer som forsvarligt for dyrevelfærd.
EFSA har dokumenteret, at dehydrering og stress opstår allerede efter 8 timers transport, og at
risikoen for sult, skader og hygiejneforringelser stiger markant herefter. Pauser uden aflæsning
har ingen dokumenteret dyrevelfærdsgevinst, da de ikke adresserer de grundlæggende behov
for hvile, foder og frisk luft. Det er veldokumenteret at der ikke er grundlag for at skelne mellem
transport til slagtning og anden transport, da de væsentligste velfærdsrisici for grise under
transport (tørst, sult, stress, skader, hygiejneforringelse, dødelighed) opstår uanset transportens
formål. Kommissionens forslag fra december 2023 foreslår 9 timer for slagtning og 21 timer for
andre formål, men dette er fortsat langt over EFSA’s anbefalinger. Det polske formandskabs
kompromisforslag fastholder disse tider og adresserer ikke de centrale dyrevelfærdsproblemer.
Der er massiv folkelig opbakning til kortere transporttider: 83 % af EU’s borgere og 78 % af
danskerne ønsker at stoppe transporter over 8 timer. Der er ingen videnskabelig begrundelse
for at skelne mellem transport til slagtning og anden transport. Det ændres ikke af muligheden
for efterfølgende ophold på kontrolstationer, jfr. også kap. 2.7. Grivita anbefaler derfor, at EU
indfører en maksimal transporttid på 8 timer for alle grise, i overensstemmelse med den
videnskabelige evidens og befolkningens ønsker.
Grivita anbefaler derfor en maksimal transporttid på 8 timer for alle grise.
1.6 Denne anbefaling begrundes nærmere nedenfor.
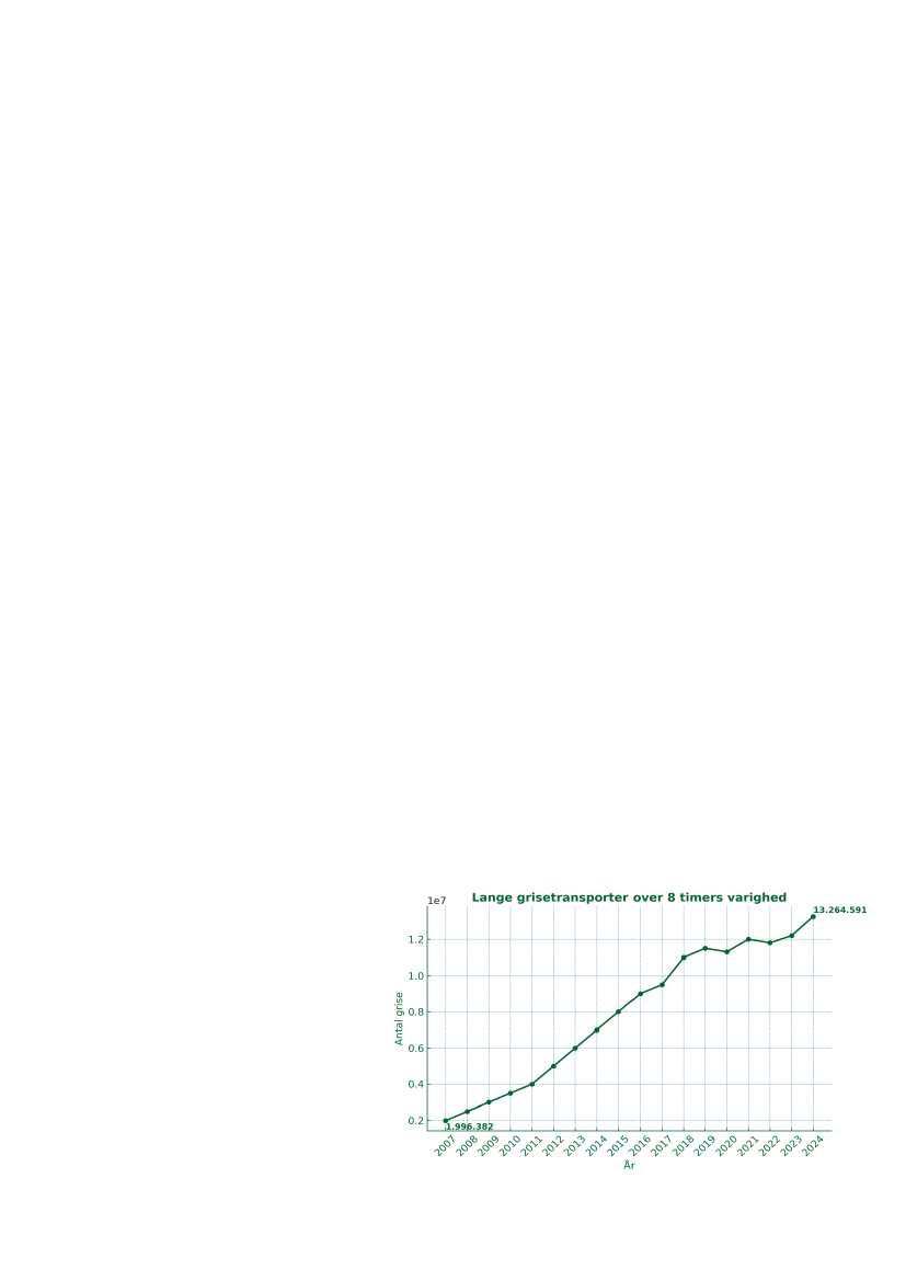
1.6.1 Transport over 8 timer er stærkt stigende
Antallet af grise, der transporteres
over otte timer fra Danmark, er
steget voldsomt. Langt størstedelen
af de mere end 16 millioner grise,
der eksporteres årligt, udsættes for
lange og belastende transporter
gennem Europa – ofte til lande som
Tyskland, Polen, Italien og
Rumænien. Denne udvikling er ifølge
Dyrenes Beskyttelse en
dyrevelfærdskatastrofe, da de lange
transporter øger risikoen for tørst,
sult, overophedning og udmattelse
blandt dyrene
6a
.
Kilde Dyrenes Beskyttelse og Fødevarestyrelsen
4
MOF, Alm.del - 2025-26 - Bilag 34: Henvendelse af 22/10-25 fra Grivita om kontrol og sanktioner over for svinetransporter til udlandet og maksimal transporttid
3083746_0009.png
Danmarks Eksport af smågrise til opfedning udgør ca. 98% af den samlede eksport af levende
grise, og de omfattes således ikke af nedsættelse af transporttiden til de foreslåede 8 eller 9
timer.
År
Smågrise til
opfedning
Andre levende
brugsdyr/avlsdyr
Grise til
slagtning
Total levende
eksport
2000
2005
2010
2015
2020
2023
2024
2,1
5,8
10,2
12,0
14,8
15,1
16,4
0,3
0,4
0,5
0,4
0,2
0,1
0,1
0,1
0,1
0,1
0,1
0,3
0,2
0,2
2,5
6,3
10,8
12,5
15,3
15,4
16,7
Grise der eksporteres fra Danmark
Kilde: Appendix B.
1.6.2 Videnskabelig evidens
EFSA vurderer, at tegn på tørst kan opstå allerede efter ca. 8 timers transport – også når
drikkenipler er tilgængelige – og at risikoen for dehydrering herefter stiger. Tegn på sult ses
typisk efter ca. 12 timer. I praksis indledes transporten dog ofte efter en længere fasteperiode,
fordi næsten alle grise fastes i timerne forud for læsning og afgang. EFSA påpeger, at dette
betyder, at grisene når den fysiologiske sultgrænse langt tidligere end efter 12 timer fra
transportens begyndelse². Den samlede faste- og transporttid forværrer øvrige belastninger
som dehydrering, varmestress, træthed og social stress
6b
.EFSA beskriver desuden, at
stressreaktioner opstår ved læsning og forværres under transport, og at problemer som skader,
varmebelastning, trængsel og manglende hvile tiltager med rejsetiden. Korte pauser uden
aflæsning har ingen dokumenteret dyrevelfærdsgevinst, da de ikke imødekommer dyrenes
grundlæggende behov for hvile, foder, vand og frisk luft (EFSA 2022 - se afsnit 1.6.5).
1.6.3 Belastningsfaktorer under transport
Under transport udsættes grisene for en kombination af belastninger: Begrænset mulighed for
at lægge sig ned, høj dyretæthed, vibrationer, skiftende temperaturer og skadelig ammoniak.
Risikoen for varmestress stiger markant, når temperaturen overskrider grisenes øvre kritiske
temperatur -- for søer ca. 22 °C, for slagtesvin ca. 25 °C, og for smågrise (~30 kg) ca. 30 °C. Grise
har begrænset evne til at svede/køle sig og er derfor særligt udsatte
7,8,9
.
Lange transporter betyder desuden flere timer uden uforstyrret hvile. En større analyse viser, at
dødeligheden for slagtegrise stiger med transportlængden -- fra 0,049 % (<50 km) til 0,145 %
(>300 km) -- og risikoen er højere i varme
10,11
. Belastningen er den samme for dyret, uanset om
det transporteres til slagtning, opfedning eller avl.
1.6.4 Hygiejne og ammoniak
En slagtegris udskiller i størrelsesordenen 1,2–1,4 kg fæces og 3,5–4,0 L urin pr. dag
12
. På lange
transporter - ofte mindst 500 grise på 4-5 etager - ophobes ekskrementer hurtigt - og dyrene
kan ikke adskille toilet- og hvileområde, som de naturligt forsøger. 500 grise producerer ca. 2,5
tons ekskrementer på 24 timer. Ophobningen skaber ammoniak (NH₃), høje ammoniak-niveauer
er forbundet med irritation af luftveje og øjne, hoste og nedsat trivsel
2 11
.
5
MOF, Alm.del - 2025-26 - Bilag 34: Henvendelse af 22/10-25 fra Grivita om kontrol og sanktioner over for svinetransporter til udlandet og maksimal transporttid
3083746_0010.png
1.6.5 Pauser uden aflæsning gavner ikke
Den foreslåede times pause uden aflæsning giver i praksis ingen velfærdsgevinst for grisene.
Pausen reducerer hverken trængsel eller giver dyr mulighed for at ligge uforstyrret — og den
ændrer ikke på den hurtige ophobning af gødning/urin og ammoniak
12 13
. Tørst og sult
adresseres heller ikke, fordi grisene hverken kan fodres og heller ikke drikke effektivt. EFSA har
vist, at tegn på tørst opstår allerede efter ca. 8 timer og forværres med tiden
2 2a
. Drikkeniplerne
sikrer ikke tilstrækkeligt indtag for alle dyr, og høj belægningsgrad begrænser adgangen
yderligere
2a 2b 2c
. Reelt kræver rehydrering og fodring aflæsning på en kontrolpost med ro, plads,
foder og vand
2a
. Dertil kommer, at stilstand kan forværre varme- og luftkvalitet, da
ventilation/udluftning ofte er dårligere ved stop, så mikroklimaet omkring dyrene kan blive
endnu mere belastende
7 8 9
. Samlet set er en pause uden aflæsning derfor uden værdi: Den
fjerner ikke de belastninger, som dokumenteret driver tørst, sult, stress, skader og
hygiejneproblemer
10 11 12 13
— det gør kun kortere rejsetider og/eller aflæsning til kontrollerede
hvile- og forsyningsfaciliteter.
1.6.6 Ingen faglig grund til at skelne mellem transportformål
Den tilgængelige evidens viser, at de samme stressorer og velfærdskonsekvenser (bl.a. tørst,
sult, varme-/kuldepåvirkning, håndteringsstress, skader, træthed og øget dødelighed) optræder
ved svinetransport uanset formål (slagtning, opfedning, avl). EFSA’s faglige vurdering for grise
identificerer 10 højtrelevante velfærdskonsekvenser under transport og anbefaler bl.a. at
rejsetiden holdes på et minimum, uden at skelne efter transportens formål. Det er
rejsetid/varighed, mikroklima (temperatur/fugt), tæthed og manglende adgang til vand/foder,
der driver risikoen—ikke formålet med turen. Studier viser desuden, at dødeligheden stiger med
afstand/varme, på tværs af kategorier. Samlet er der ikke et videnskabeligt grundlag for
lempeligere tidsgrænser for “ikke-slagtetransporter” end for slag-tetransporter
2,2a,2b,2c,10
.
1.6.7 Stor folkelig opbakning til kortere transporttider
Der er stor folkelig opbakning til kortere transporttider. En EU-undersøgelse viser, at 83 % af EU-
borgerne ønsker kortere transporttider for dyr. En dansk undersøgelse viser, at 78 % af
danskerne mener, at transporter over 8 timer bør forbydes.
15,16,17
.
1.6.8 Europa-Parlamentets tilkendegivelse
Europa-Parlamentet har i sin resolution af 20. januar 2022 støttet forslaget om, at transport til
slagtning for husdyr bør begrænses til højst 8 timer²². Denne position bygger på omfattende do-
kumentation for, at dyrevelfærden forringes markant ved længere transporter, og at risikoen for
dehydrering, udmattelse, skader og dødsfald stiger betydeligt, jo længere dyrene er undervejs.
Parlamentets udmelding gjaldt dog kun transport til slagtning. Grivita vurderer, at den videnska-
belige evidens viser de samme belastninger uanset transportens formål, og anbefaler derfor, at
den maksimale transporttid på 8 timer bør gælde for alle grise – både til slagtning, opfedning og
avl. Dermed bygger Grivitas position videre på Parlamentets tilkendegivelse, men udvider den
til at dække alle kategorier i overensstemmelse med evidensen.
6
MOF, Alm.del - 2025-26 - Bilag 34: Henvendelse af 22/10-25 fra Grivita om kontrol og sanktioner over for svinetransporter til udlandet og maksimal transporttid
2. Adgang til vand og foder senest efter 8 timers transport
2.1 Gældende regler
EU's transportforordning (1/2005) fastsætter arts-specifikke grænser for vand og foder under
transport. For grise specificerer forordningen, at de kan transporteres i op til 24 timer med
kontinuerlig adgang til vand, hvorefter de skal aflæsses og hvile mindst 24 timer med vand og
foder¹. I praksis betyder dette, at grise kan være uden foder under 24-timers kørsel, såfremt de
har adgang til vand.
Problemet forværres af, at mange transporter netop planlægges til at vare lige under 24 timer
for at undgå kravet om hvileperiode på kontrolpost. Selvom køretøjerne skal være udstyret med
vandingssystemer, anfører EFSA at grisene bliver tørstige efter omkring 8 timer – også med
nipler². Dette uddybes nedenfor i afsnit 2.5.
EU’s transportforordning bruger vage formuleringer som ‘passende intervaller’ uden konkret
præcisering af hyppighed for vanding og fodring undervejs¹. EFSA dokumenterer, at vandindtag
under transport i praksis ofte er utilstrækkeligt², og Kommissionens evaluering af Regulation
(EC) No 1/2005 (2011/2012) rapporterer, at mange transportkøretøjer mangler tilstrækkelige
vandings- og fodringsfaciliteter²⁶. Denne vaghed i regelsættet muliggør fortolkninger baseret
på logistisk bekvemmelighed snarere end dyrenes fysiologiske behov
2.2 Kommissionens forslag
Kommissionens forslag fra december 2023 forbedrer ikke dette forhold særligt. Forslaget
introducerer lange rejser i to dele á maksimalt 21 timer, med en 1-times pause efter maksimalt
10 timer hvor dyrene forbliver i køretøjet, og 24 timers hvile med foder og vand på kontrolpost
mellem de to dele³. Vandnippel-systemer i transportkøretøjerne anerkendes af EFSA som
problematiske, særligt under kørselsforhold⁴. Kommissionens forslag repræsenterer derfor kun
en marginal forbedring af status quo, idet grise fortsat kan være uden foder i op til 21 timer
under transport.
For ufravænnede smågrise (typisk under 10 kg som stadig har behov for mælk) foreslår
Kommissionen en særlig transportstruktur: maksimalt 9 timers transport, efterfulgt af minimum
1 times obligatorisk pause hvor grisene skal tilbydes mælkeerstatning eller elektrolytopløsning,
hvorefter transporten kan fortsætte i yderligere maksimalt 9 timer⁵. Denne regel anerkender de
særlige behov hos meget unge grise, men ser bort fra, at effektiv mælkefodring i et
transportkøretøj er meget vanskelig - smågrise har brug for ro, varme og kendte omgivelser for
at drikke tilstrækkeligt.
2.3 Kompromisforslaget (juni 2025) og ministerens mandat
Kompromisforslaget fastholder strukturen fra Kommissionens forslag uden eksplicitte krav om,
at alle grise skal have adgang til vand og foder senest efter 8 timers transport. Der fastholdes
krav om adgang til vand under transport via drikkesystemer, men der er ikke indført nye,
kontrollerbare krav, der sikrer, at dyrene faktisk får tilstrækkeligt vand og foder inden for de
første 8 timer⁶.
7
MOF, Alm.del - 2025-26 - Bilag 34: Henvendelse af 22/10-25 fra Grivita om kontrol og sanktioner over for svinetransporter til udlandet og maksimal transporttid
Ministeren har mandat fra Folketingets Europaudvalg til at arbejde for "kortere transport end
21 timer for levebrugsdyr", men det indeholder ingen instruktioner vedrørende dyrenes adgang
til vand og foder undervejs, og emnet blev ikke diskuteret i Europaudvalget.
2.4 Den utilstrækkelige 1-times pause uden aflæsning
Både Kommissionens forslag og kompromisforslaget introducerer et krav om obligatorisk 1-
times pause efter 10 timers kørsel. Det er kritisk for dyrevelfærden, at pausen sker uden
aflæsning - dyrene forbliver i lastbilen mens køretøjet holder stille⁸. Hertil kommer, at der ikke
foreligger dokumentation for, at ophold på kontrolstationer i sig selv giver en væsentlig
velfærdsmæssig gevinst. Tværtimod indebærer de yderligere risici, bl.a. håndteringsstress og
øget smittepres, jfr. kap. 2.7.
EFSA dokumenterer eksplicit, at pauser uden aflæsning ikke adresserer de grundlæggende
velfærdsproblemer som opstår under transport⁹. Dyrene forbliver i samme trange forhold uden
mulighed for at ligge ned uforstyrret, mens gødning og urin fortsætter med at ophobe sig.
Normtal viser at 500 grise producerer cirka 2,5 tons ekskrementer på 24 timer¹⁰. De skadelige
ammoniakkoncentrationer, som allerede har nået kritiske niveauer (fx >20 ppm) efter 8-10
timers transport, fortsætter med at akkumulere¹¹.
2.5 Drikkenipler som systemisk problem
Mest problematisk er, at pausen ikke løser problemet med utilstrækkeligt vand- og foderindtag.
EFSA peger på begrænset vandoptag og reduceret adgang under transport, og at tørst opstår
omkring 8 timer – også med nipler¹². Flere strukturelle faktorer gør drikkenipler fundamentalt
uegnede som vandforsyning under transport:
Fysisk utilgængelighed:
Drikkenipler monteres standardmæssigt langs transportkøretøjets
vægge. Ved kommissionsforslagets pladsformel ((k=0,027) svarer det ved 25 kg til ca. 0,23 m² pr.
gris¹³) står dyrene så tæt pakket at kun en del af de grise, som er yderst mod væggene har direkte
adgang til niplerne. Grise placeret centralt i ladet - typisk 60-70% af dyrene - må navigere
gennem en kompakt masse af andre grise for at nå vandkilderne, hvilket EFSA beskriver som
meget vanskeligt under normale transportforhold¹⁴.
Konkurrence og aggression:
Når mange grise deler få drikkenipler, opstår der konkurrence om
adgangen—et problem der forstærkes, når tørst indtræder efter ~6–8 timers transport (EFSA)¹⁵.
Ukendt teknologi:
For de fleste af danske eksportgrise som er smågrise på 20–30 kg udgør
drikkenipler ofte en fremmed teknologi. Disse dyr er typisk opdrættet med vandskåle eller andre
systemer og skal under ekstrem transportstress pludselig mestre en helt ny drikketeknik¹⁸.
Studier viser, at selv grise trænet i nippelanvendelse reducerer deres vandindtag under
transport sammenlignet med staldforhold
19 20
.
Køretøjsbevægelser:
Transportkøretøjets vibrationer, acceleration og sving er dokumenteret i
feltstudier og reviews og gør det vanskeligere for grise at stå stabilt
21
; samtidig dokumenterer
EFSA, at adgang til vandnipler under transport ofte er begrænset af bevægelser og trængsel
2
.
Tilsammen reducerer det det praktiske vandindtag under kørsel.
Stress-induceret drikkeundertrykkelse:
Transportstress aktiverer grisenes sympatiske
nervesystem, hvilket fysiologisk undertrykker tørst- og sultfornemmelse i de første 4–6 timer²³.
8
MOF, Alm.del - 2025-26 - Bilag 34: Henvendelse af 22/10-25 fra Grivita om kontrol og sanktioner over for svinetransporter til udlandet og maksimal transporttid
3083746_0013.png
Når tørsten senere bliver akut, er dyrene ofte for udmattede eller stressede til at konkurrere om
vandadgang²⁴.
Den omfattende videnskabelige dokumentation viser imidlertid, at selv når de i Kommissionens
vejledning beskrevne god-praksis-tiltag følges, sikrer det ikke tilstrækkelig hydrering for alle dyr
under transport. EFSA har dokumenteret, at vandindtag er alvorligt kompromitteret under
transport (2022)², og Kommissionens egen konsekvensanalyse fandt i 2016, at drikkenipler i
køretøjer i praksis ofte er utilstrækkelige til at dække alle dyrs behov²⁶. Observationsstudier og
reviews bekræfter tilsvarende, at en betydelig andel af grisene slet ikke får adgang til vand, eller
reducerer deres vandindtag under transport¹⁷ ¹⁹ ²⁰. Fra et dyrevelfærdsperspektiv repræsenterer
fastholdelsen af drikkenipler som primær vandforsyning efter vores opfattelse en bevidst accept
af systematisk dehydrering. Når en betydelig andel af dyrene aldrig får vand, og når vandindtaget
for dem der drikker er kraftigt reduceret, kan systemet ikke betragtes som sufficient.
2.6 Ventilationsproblemer under pause
Paradoksalt kan pausen faktisk forværre forholdene. Ventilationen i mange transportkøretøjer
er designet til at fungere gennem passiv luftgennemstrømning under kørsel. Ved stilstand
reduceres eller ophører denne naturlige ventilation, hvilket kan føre til hurtig
temperaturstigning²⁷. Teknologisk Institut har beregnet, at temperaturen i en stillestående
lastbil med grise kan overstige 35 °C selv ved udetemperaturer på kun 16 °C, og at temperaturen
kan stige med op til 1 °C per minut de første 10 minutter efter stop²⁸. Grisefaglige studier
dokumenterer tilsvarende hurtige temperaturspidser på +16–20 °C ved opstart/standsning i
læs²⁷.
Dehydrerede grise mister evnen til effektiv termoregulering gennem øget respiration³⁰. Når
temperaturen overstiger ca. 25 °C – hvilket er almindeligt under sommertransporter – ses en
hurtig stigning i kropstemperatur og risiko for varmebelastning³¹. Dette accelererer væsketabet
yderligere og kan føre til dødeligt hedeslag ved længerevarende transport under varme
forhold³².
FAKTABOKS: Schweiz viser vejen med 8-timers grænse
Schweiz har siden 2015 haft nogle af Europas mest restriktive regler for dyretransport med en
maksimal samlet transporttid på 8 timer for produktionsdyr, herunder grise. Reglen er fastlagt
i Tierschutzverordnung (TSchV) art. 152a og trådte i kraft 1. december 2015
33,34
.
Hovedpunkter i den schweiziske model:
o Maksimalt 8 timers samlet transporttid for produktionsdyr – inklusive både kørsel og
ophold
33,35
o Maksimalt 6 timers køretid uden ophold – herefter kræves pause eller aflæsning
35,36
.
o Gælder både for nationale og internationale transporter ind og ud af Schweiz, så længe
transporten foregår på schweizisk territorium
37
.
o Reglerne er begrundet i dyrevelfærdshensyn (bl.a. for at forebygge sult, tørst, træthed og
skader) og er støttet af omfattende videnskabelig dokumentation om velfærdsproblemer ved
lange transporter
38
.
o Schweiz-eksemplet viser, at et 8-timers loft kan gennemføres og opretholdes i praksis – selv
i et geografisk udfordret land med betydelig transittrafik
39
.
Kilde: Note 33-39
9
MOF, Alm.del - 2025-26 - Bilag 34: Henvendelse af 22/10-25 fra Grivita om kontrol og sanktioner over for svinetransporter til udlandet og maksimal transporttid
2.7 Konklusion og anbefalinger
EFSA vurderer, at grise oplever tørst efter ~8 timer også med drikkenipler i køretøjet, og
fysiologiske tegn på sult efter 12 timer⁴². Kombinationen af sult og tørst forværrer
transportstress markant, særligt for unge dyr med højere stofskifte, hvor problemerne kan
indtræde endnu tidligere.
Det er væsentligt at understrege, at EFSA’s reference til sult efter ca. 12 timer alene vedrører
timerne under selve transporten. Da grise i praksis fastes i mange timer inden afgang, opstår
sult derfor langt tidligere – ofte allerede kort efter transportens begyndelse². Dette understøtter
behovet for at sikre adgang til vand og foder senest efter 8 timers transport, eller alternativt at
begrænse den samlede faste- og transporttid til højst 8 timer
43
.
Grivita anbefaler derfor en maksimal transporttid på 8 timer for alle grise, hvilket i praksis vil
fjerne risikoen for tørst og sult under transport og er i overensstemmelse med EFSA’s
dokumentation. At forudsætte, at grisenes behov for vand dækkes af vandingssystemer, som
dokumenteret i praksis er utilstrækkelige til at dække dyrenes behov, risikerer at udgøre en
accept af systematisk dehydrering.
Ministeren har mandat i EU-forhandlingerne til at arbejde for kortere transporttid end de 21
timer, der aktuelt foreslås for levebrugsdyr.
Hvis et transportloft på 8 timer imidlertid ikke kan forhandles igennem og EU vedtager længere
transporttid end 8 timer, anbefaler Grivita som skadebegrænsende tiltag:
• Krav om dokumenteret adgang til og faktisk indtag af vand og foder senest efter 8 timers
transport, kontrolleret via digitale logbøger og sensorer
• Obligatorisk aflæsning på certificerede kontrolposter efter 8 timer, hvor dyrene kan hvile, spise
og drikke under kontrollerede forhold
Afslutningsvis skal det understreges, at videnskabelig dokumentation viser, at ophold på
kontrolstationer, selv når grisene får adgang til foder, vand og hvile, ikke kan retfærdiggøre
transporter ud over otte timer. Kommissionens forslag om 21 timers transporttid med pauser
adresserer ikke tilstrækkeligt behovet for vand og foder, og der er fortsat betydelige
velfærdsrisici forbundet med så lange transporter
1,44,45,46
.
Der foreligger ikke tilstrækkelig videnskabelig evidens for, at ophold på kontrolstationer under
transport giver en væsentlig velfærdsmæssig gevinst, der kan legitimere, at rejsetiden
overstiger otte timer. EFSA har understreget, at pauser kun kan være gavnlige, hvis dyrene
aflæsses og får adgang til vand, foder og hvile, men der findes ikke evidens for, hvor længe
eller hvor effektivt et sådant ophold skal vare for at skabe en reel forbedring af dyrenes
tilstand¹. Dermed kan brugen af kontrolstationer ikke anvendes som et veldokumenteret
grundlag for at tillade længere transporter end otte timer
1,47,48
.
Samtidig er der betydelige risici forbundet med kontrolstationer. Dyr udsættes for
håndteringsstress i forbindelse med af- og pålæsning, og de kan opleve sult og tørst, mens der
desuden er øget risiko for skader. Hertil kommer en forhøjet sandsynlighed for
smitteoverførsel i miljøer, hvor mange dyr passerer igennem på kort tid². Nyere undersøgelser
fra kontrolstationer i Sydeuropa viser, at især grise er udsatte for dårlig velfærd, og at ophold
10
MOF, Alm.del - 2025-26 - Bilag 34: Henvendelse af 22/10-25 fra Grivita om kontrol og sanktioner over for svinetransporter til udlandet og maksimal transporttid
3083746_0015.png
ved flere kontrolstationer under lange rejser kan forværre frem for at forbedre situationen³.
Forskere peger derfor på, at der mangler systematisk og kontrolleret forskning, som kan
dokumentere, at kontrolstationer faktisk giver en netto velfærdsgevinst
1,45,46,47,48
.
Ophold på kontrolstationer ikke giver videnskabeligt grundlag for at tillade længere
transporttider end 8 timer, da der ikke foreligger solid videnskabelig evidens for, at sådanne
ophold effektivt beskytter eller forbedrer dyrenes velfærd under længerevarende
transport
1,45,46,47,48
.
11
MOF, Alm.del - 2025-26 - Bilag 34: Henvendelse af 22/10-25 fra Grivita om kontrol og sanktioner over for svinetransporter til udlandet og maksimal transporttid
3. Forbud mod transport af drægtige søer i sidste tredjedel af drægtigheden
3.1 Gældende regler
Efter de nuværende EU-regler (Rådets forordning (EF) nr. 1/2005) betragtes hundyr som ikke
transportegnede, når 90% eller mere af drægtigheden er passeret, samt i en uge efter faring¹.
For søer betyder dette konkret, at de kan transporteres frem til dag 103-104 af deres 114-dages
drægtighed, altså helt frem til de sidste 10-11 dage før forventet faring. For transport følger
Danmark EU's minimumsregler (90% af drægtighed + 7 dage efter faring). Danmark har dog et
nationalt forbud mod slagtning og aflivning af drægtige produktionsdyr i sidste tiendedel af
drægtigheden (≈ sidste 11 dage), jf. BEK nr. 817 af 15.6.2023, §§ 8-10². Flere EU-lande har dog
erkendt utilstrækkeligheden af denne regel. Tyskland har indført forbud mod at aflevere
højdrægtige pattedyr til slagtning i sidste tredjedel af drægtigheden, mens transport til andre
formål fortsat følger EU's 90%-regel³. Østrig forbyder specifikt transport til slagtning samt
aflivning af pattedyr i sidste tredjedel, mens transport til andre formål (fx flytning mellem
bedrifter) fortsat er tilladt indtil EU's 90%-grænse⁴. I Holland har regeringen fremlagt udkast til
regler, der forbyder at aflevere dyr til slagtning i sidste tredjedel af drægtigheden⁵.
3.2 Kommissionens forslag og ministerens mandat
Kommissionens forslag af 7. december 2023 skærper gældende ret ved at gøre drægtige dyr ikke
egnede allerede ved ≥80% af den forventede drægtighedsperiode (for søer ≈ dag 92) og
fastholder +7 dage efter faring. Samtidig foreslås, at transport til slagtning kun må være af
kortere varighed (≤ 9 timer)⁸ ⁹. Kommissionens forslag skelner mellem transportformål og
begrænser transport til slagtning til maksimalt 9 timer for drægtige dyr, mens der ikke er
tilsvarende tidsbegrænsning for transport til andre formål, så længe 80%-grænsen
overholdes. Europa-Parlamentet anbefalede den 20. januar 2022 (ikke-bindende resolution), at
transport i sidste tredjedel af drægtigheden kun bør ske - hvis uundgåelig da begrænses til maks.
4 timer¹⁰. Rådets statusrapport fra juni 2025 viser, at der fortsat ikke er enighed om specifikke
grænser for transport af drægtige dyr¹¹. Mens nogle medlemsstater ønsker længere
transporttider end Kommissionens 80%-forslag, kræver andre mere restriktive regler. Det polske
formandskab bekræfter, at drægtige dyr behandles som "vulnerable animals" med særlige
behov. Ministerens mandat indeholder ikke specifikke tilkendegivelser om regler for beskyttelse
af drægtige søer.
3.3 Konklusion og anbefaling
Grivita anbefaler en differentieret tilgang:
Transport til slagtning:
Totalt forbud mod transport til slagtning af drægtige søer fra dag 77 (sidste tredjedel)
Ingen undtagelser
Transport til andre formål:
Forbud mod transport fra dag 77 efter insemination, med følgende strenge undtagelser:
o
Veterinærnødtransport til nærmeste egnet behandlingssted (maks. 4 timer, jf.
EP's anbefaling)
o
Nødvendig flytning ved force majeure (brand, oversvømmelse etc.)
o
Flytning til dokumenteret bedre velfærdsforhold, når:
o
Afstanden er kortere end til nærmeste slagteri
12
MOF, Alm.del - 2025-26 - Bilag 34: Henvendelse af 22/10-25 fra Grivita om kontrol og sanktioner over for svinetransporter til udlandet og maksimal transporttid
o
Transporttiden ikke overstiger 4 timer
o
Der foreligger skriftlig veterinærattest om dyrets transportegnethed
o
Der er mulighed for minimum 48 timers hvile efter ankomst
For begge transporttyper:
Forbud mod transport i 7 dage efter faring
Denne grænse ved dag 77 (sidste tredjedel) er videnskabeligt velbegrundet baseret på
EFSA's dokumentation af fosterudvikling og soens øgede sårbarhed, ligger på niveau
med eller over Kommissionens 80%-forslag, og er mere praktisk kontrollerbar end
tidligere cut-offs.
En daggrænse ved dag 77 efter insemination frem for en abstrakt angivelse som "sidste
tredjedel" vil samtidig forbedre retssikkerheden og håndhævelsen, fordi den gør det
muligt for myndigheder og transportører at foretage en klar og objektiv vurdering
baseret på inseminationsdato, frem for at skulle beregne procenter eller vurdere
faringstidspunkt bagudrettet.
3.4 Begrundelse
3.4.1 Fosterets neurologiske udvikling og smerteregistrering
EFSA’s videnskabelige vurdering fra 2017 fastslår, at grisefostre i den sidste tredjedel af
drægtigheden har udviklet de anatomiske og neurofysiologiske strukturer, der gør dem i stand
til at reagere på stimuli. I denne periode er centrale hjerneområder, herunder thalamus og
somatosensoriske baner, funktionelt udviklede, hvilket muliggør overførsel og bearbejdning af
sensoriske signaler. EFSA understreger, at selv om grisefostre i sidste tredjedel af drægtigheden
har udviklet de neurale strukturer, der gør dem i stand til at reagere på stimuli, er det mest
sandsynligt, at de ikke er bevidste i livmoderen på grund af inhibitoriske mekanismer. Netop
derfor anbefaler EFSA, at der udvises særlig forsigtighed ved håndtering og slagtning af drægtige
dyr i den sidste tredjedel af drægtigheden
13 13a 14
.
3.4.2 Soens stress og fosterudvikling
Forskning viser, at når soen er stresset, stiger hendes niveau af stresshormonet kortisol. En lille
del kan, trods moderkagens beskyttelse (et enzym kaldet 11β-HSD2), passere over til fosteret og
påvirke dets hormon- og nervesystem
16
. Transport og anden håndtering får typisk kortisol til at
stige hos søer
17
, og stress under drægtigheden hænger i svin sammen med ændringer i
grislingenes stresssystem efter fødslen
17a
. Effekterne ses ofte tydeligst i den sidste del af
drægtigheden, men studierne er ikke helt enige
17a
3.4.3 Fysiologisk sårbarhed hos den drægtige so
Fra omkring dag 60–80 i drægtigheden accelererer fostervæksten markant, og fodertildelingen
øges typisk i denne periode, fordi kravene til energi og næringsstoffer stiger; i datagrundlaget
bag SEGES’ kapitel ses bl.a. et breakpoint omkring dag 69 for fosterets protein- og fedtaflejring.¹⁸
Svineproduktion
EURCAW-Pigs beskriver, at søer er mere udsatte for varmestress end lettere svinekategorier,
bl.a. pga. stor kropsstørrelse og relativt lavt overfladeareal i forhold til kropsvægt, højere
13
MOF, Alm.del - 2025-26 - Bilag 34: Henvendelse af 22/10-25 fra Grivita om kontrol og sanktioner over for svinetransporter til udlandet og maksimal transporttid
energitilførsel (især hos diegivende/nyligt fravænnede) og mere subkutant fedt; EFSA estimerer
desuden en øvre grænse for termisk komfortzone ved ~20 °C og en øvre kritisk temperatur på
~22 °C, og sene-drægtige søer foretrækker køligere temperaturer end andre stadier.¹⁹
Uafhængige europæiske fagkilder sammenfatter øget varmefølsomhed, mobilitets-/haltheds-
og skadesrisici samt behov for særlige forholdsregler for søer (fx vurdering af fitness for
transport, belægningsgrad, ventilation og tidsvalg), særligt tæt på faring.¹⁹ ²⁰
3.4.4 Omfanget af problemet
EFSA's omfattende undersøgelse fra 2017 fastslår at 0,5% af alle svin i EU slagtes i sidste
tredjedel af drægtigheden¹³. De danske tal ligger dobbelt så højt - cirka 1% eller ca. 5.000
højdrægtige søer årligt ifølge Københavns Universitets rapport til Fødevarestyrelsen²¹.
3.4.5 Etiske overvejelser
EFSA konkluderer, at fostre sandsynligvis ikke er bevidste i livmoderen på grund af inhibitoriske
mekanismer, men fremhæver, at der i den sidste tredjedel af drægtigheden er sket en væsentlig
anatomisk og neurofysiologisk udvikling, og at der derfor bør udvises særlig forsigtighed ved
slagtning af drægtige dyr i denne periode.¹ Grivita vurderer, at det reelt kun er muligt at udvise
den nødvendige forsigtighed ved at forbyde slagtning i den sidste tredjedel. Hvis der kræves
‘særlig forsigtighed’, er den mest konsekvente og etisk robuste løsning at indføre et klart forbud.
Hertil kommer, at søerne selv er fysiologisk særligt udsatte i de sidste uger af drægtigheden: de
har lav varmetolerance (kritisk temperatur for drægtige søer ca. 20–22 °C), øget vægtbelastning
og markant forhøjet risiko for transportstress og skader.² Et forbud beskytter derfor både so og
foster.
3.4.6 Begrundelse for differentieret tilgang
Transport til slagtning adskiller sig fundamentalt fra anden transport ved at:
o
Være irreversibel og resultere i aflivning af både so og fostre
o
Ofte involvere længere transportafstande
o
Medføre dokumenteret højere stressniveauer ved ankomst til ukendt miljø (slagteri)
med specifikke stressfaktorer som nye lugte, lyde og håndteringsprocedurer¹⁹
o
Mangle mulighed for rehabilitering eller hvile efter transport
o
Have økonomisk incitament til at transportere dyr uanset kondition
o
Transport til andre formål kan i særlige tilfælde være i dyrets interesse:
o
Veterinærbehandling kan redde både so og fostre
o
Flytning til bedre opstaldningsforhold kan forbedre velfærd
o
Evakuering ved naturkatastrofer kan være livsnødvendig
Denne differentiering gælder i Tyskland, Østrig og Holland (forslag), samt afspejler
Kommissionens egen skelnen mellem transportformål. Den sikrer balance mellem dyrevelfærd
og praktisk nødvendighed, samtidig med at risikoen for omgåelse minimeres gennem strenge
dokumentationskrav og tidsbegrænsninger.
14
MOF, Alm.del - 2025-26 - Bilag 34: Henvendelse af 22/10-25 fra Grivita om kontrol og sanktioner over for svinetransporter til udlandet og maksimal transporttid
3083746_0019.png
Aktør/Land
Transport til slagtning
Transport til
andre formål
Ikke
transportegnet
ved ≥ 90% af
drægtighed
Ikke
transportegnet
ved ≥ 90% af
drægtighed
Følger EU-
regler (≥ 90%)
Følger EU-
regler (≥ 90%)
Følger EU-
regler (≥ 90%)
Ikke egnet ved
≥ 80%
Bør ikke
transporteres i
sidste
tredjedel; hvis
uundgåelig
maks. 4 timer
Forbud fra dag
77 (med
snævre
undtagelser*)
Drægtighedsgrænse
(dage)
Dag 103-104
EU gældende ret
Ikke transportegnet ved ≥ 90% af
drægtighed
Danmark
Ikke transportegnet ved ≥ 90% af
drægtighed + nationalt forbud mod
slagtning fra dag 103
Dag 103-104
Tyskland
Forbud mod at aflevere til slagtning i
sidste tredjedel
Forbud mod transport til slagtning i
sidste tredjedel
Forbud mod at aflevere til slagtning i
sidste tredjedel
Ikke egnet ved ≥ 80% + maks. 9 timers
transport
Bør ikke transporteres i sidste
tredjedel; hvis uundgåelig maks. 4
timer
Slagtning: dag 77 /
Andre: dag 103-104
Slagtning: dag 77 /
Andre: dag 103-104
Slagtning: dag 77 /
Andre: dag 103-104
Dag 92
Østrig
Holland (forslag)
Kommissionens forslag
EP-anbefaling (2022)
Dag 77
Grivitas anbefaling
Forbud fra dag 77
Dag 77
*Undtagelser: Veterinærnødtransport til nærmeste egnet behandlings- eller aflivningssted; særlige force
majeure-situationer med skriftlig risikovurdering fra dyrlæge; flytning til bedre velfærdsforhold med
dyrlægeattest.
"Ikke transportegnet (uegnet)" har i praksis samme effekt som et forbud, men formuleringen afspejler, at
vurderingen af egnethed foretages konkret af dyrlæge, transportør eller myndighed. "Forbud" betyder, at
transport slet ikke må finde sted for dyr over den angivne grænse, uanset individuel vurdering.
15
MOF, Alm.del - 2025-26 - Bilag 34: Henvendelse af 22/10-25 fra Grivita om kontrol og sanktioner over for svinetransporter til udlandet og maksimal transporttid
4. Skærpede temperaturgrænser under transport og aktiv klimakontrol
4.1 Gældende regler og deres utilstrækkelighed
Den gældende transportforordning fastsætter, at vejtransportmidler ved lange transporter (> 8
timer) af kvæg, får, geder, svin og ikke-registrerede heste skal kunne holde temperaturen i
lastrummet mellem 5 °C og 30 °C med en tolerancemargen på ± 5 °C afhængigt af
udetemperaturen¹ . I praksis betyder det, at temperaturen i varme perioder kan nå op mod ca.
35 °C². Mange transportkøretøjer mangler kølesystemer (har kun ventilation), hvilket gør det
vanskeligt at opretholde acceptable temperaturer—særligt når udetemperaturen overstiger 30
°C
2a
. Kontrollen med overholdelse har desuden dokumenterede svagheder
2b
.
4.2 Kommissionens forslag (december 2023)
Kommissionens forslag fra december 2023 fjerner den eksisterende faste temperaturgrænse og
erstatter den med et mere fleksibelt system
3
. Reglerne knyttes nu til vejrudsigten (udendørs
temperatur) og enkelte afbødende tiltag, eksempelvis:
Ved udendørstemperaturer mellem 25-30°C må kørsel kl. 21-10 højst vare 9 timer.
Ved temperaturer over 30°C skal transporten foregå om natten (kl. 21-10).
Ved nattetemperaturer over 30°C foreslås blot 20% ekstra plads pr. dyr som
kompensation.
Denne tilgang flytter fokus fra en målt indvendig temperatur til forventede udetemperaturer
kombineret med proceskrav³. Forslaget repræsenterer et betydeligt tilbageskridt for
dyrevelfærden, da det åbner for transport under potentielt dødelige forhold, så længe visse
formelle krav overholdes⁴,
5
. En simpel pladsforøgelse ændrer ikke den termiske belastning, når
den omgivende luft allerede er for varm, og mikroklimaet i rummet er ujævnt
7
. “Natkørsel” er
heller ingen garanti for lave udetemperaturer i Sydeuropa, hvor tropenætter (>20 °C) og nætter
med ≥25 °C er hyppige i sommerperioden
8
.
4.3 Kompromisforslaget (juni 2025)
Det polske formandskabs kompromistekst fra juni 2025 introducerer overvågning af den
indvendige temperatur i dyreområdet undervejs (monitorering i lastrummet), mens arrangøren
fortsat skal tage hensyn til vejrudsigten ved planlægningen
9
. Selvom dette er en teknologisk
forbedring, fastsætter kompromiset fortsat ingen fast maksimaltemperatur. I stedet henvises
der til planlægning efter prognoser og beredskabs-/nødplaner, uden angivelse af konkrete
temperaturtærskler for indgriben
9
.
4.4 Dansk position
Den danske minister har modtaget mandat til at arbejde for strengere krav til temperaturen inde
blandt dyrene end de nuværende regler
10
.
16
MOF, Alm.del - 2025-26 - Bilag 34: Henvendelse af 22/10-25 fra Grivita om kontrol og sanktioner over for svinetransporter til udlandet og maksimal transporttid
4.5 Konklusion og anbefalinger
Grises fysiologiske sårbarhed overfor varme er veldokumenteret. Grise mangler evnen til at
svede effektivt og er derfor ekstremt sårbare overfor varmestress⁴. EFSA’s videnskabelige
vurdering fastsætter de øvre kritiske temperaturer (UCT) for forskellige kategorier af grise: ca.
25 °C for slagtesvin og 22 °C for voksne søer, mens fravænnede grise (~30 kg) har en UCT omkring
30 °C⁴. Over UCT stiger risikoen for varmestress markant, hvilket kan føre til hypertermi
(hedeslag), dehydrering, elektrolytforstyrrelser og i værste fald kredsløbskollaps; selv moderat
varmestress påvirker immunforsvaret negativt og øger modtageligheden for sygdomme⁴.
Risikoen for dødsfald stiger også ved varme forhold; fx viser en stor analyse fra USA, at risikoen
er 1,37× for slagtesvin og 1,93× for udsætter-søer ved en varmeindeks (HI) på 29,4–33,3 °C
sammenlignet med 12,2–26,1 °C
11
.
Nye beregninger fra Teknologisk Institut viser, at temperaturen i en stillestående lastbil med
smågrise kan overstige 35 °C ved udetemperaturer helt ned omkring 16 °C, selv med mekanisk
ventilation⁵. Beregningerne (teoretisk model) tager højde for grisenes varmeproduktion og
ventilationskapaciteten i lastbilen og viser bl.a., at ved 30 °C ude kan ladtemperaturen nå ~48,3
°C ved lovkravets ventilationsrate og ~38,6 °C ved en højere, praksisnær rate⁵. Disse resultater
understreger, at i stilstand (fx kø/pauser/lastning) er ventilation alene ofte utilstrækkelig til at
holde temperaturen under kritiske grænser og peger på behovet for aktiv klimakontrol og et
lavere temperaturloft⁵.
Dyrenes Beskyttelse fremhæver, at millioner af grise transporteres i årets varmeste måneder, og
at mekanisk ventilation ofte er utilstrækkelig til at forhindre overophedning—særligt når
lastbiler holder stille⁶.
4.5 Anbefaling
Baseret på videnskabelig evidens anbefaler Grivita følgende reviderede og konsistente pakke:
1.
Absolut maksimaltemperatur på 25°C målt i dyreområdet (repræsentative "worst-
case"-punkter, ikke ved væg eller i førerhus).
Dette harmonerer med EFSA's UCT for
slagtesvin og søer
4
.
2.
Obligatorisk aktiv klimakontrol (mekanisk ventilation og køling/fordampningskøling
el.lign.) for køretøjer, der opererer på ruter/årstider, hvor udendørs temperatur
forventes >20°C.
Kravet omfatter dokumenteret kapacitet til at holde ≤25°C i
dyreområdet også ved stilstand og ved realistiske "hot-spot"-scenarier.
3.
Forbud mod transport når vejrudsigten viser temperaturer over 30°C,
uanset tidspunkt
på døgnet, for køretøjer uden certificeret klimakontrol. For køretøjer med certificeret
klimakontrol kan transport kun ske ved dokumenteret rute-/tidsplan, beredskabsplan og
automatisk abort-kriterium (fx hvis indetemperatur >26°C i >60 min trods tiltag). Ved
varslede hedebølger/rødvarsel i berørte regioner foreslås generelt stop uanset udstyr.
4.
Realtidsovervågning af indetemperatur og luftfugtighed
med minimum én sensor pr.
rum/dæk plus "hot-spot"-placeringer; data logges, geotagges og telematisk deles i
TRACES/nationalt system; automatisk alarm til chauffør/disponent og myndighedsflag
ved overskridelser.
17
MOF, Alm.del - 2025-26 - Bilag 34: Henvendelse af 22/10-25 fra Grivita om kontrol og sanktioner over for svinetransporter til udlandet og maksimal transporttid
5. Realtidskontrol og grænseoverskridende håndhævelse af dyretransportregler
5.1 Gældende regler og problemets omfang
EU's dyretransportforordning (EF nr. 1/2005) fastslår, at dyr ikke må transporteres på en måde,
der forårsager skade eller unødig lidelse, og stiller krav om objektive og ensartede inspektioner
med årlig rapportering til Kommissionen¹. I praksis er håndhævelsen fragmenteret og
utilstrækkelig med store forskelle mellem landene². Danmark har indført skærpet kontrol,
herunder krav om forhåndsgodkendelse af visse logbøger, men en gennemgang fra
Fødevarestyrelsen viste, at over 26.000 logbøger var blevet indsendt til kontrol siden 2015,
hvoraf omkring 1.000 logbøger med dokumenterede overtrædelser ikke blev fulgt op
systematisk³. Rigsrevisionen dokumenterede i 2020, at Fødevarestyrelsen ikke i tilstrækkelig
grad sanktionerede transportører, der gentagne gange overtrådte reglerne for lange
grise-transporter. Samtidig blev kontrolindsatsen ikke udvidet i takt med den markante stigning
i eksporten, hvilket bidrog til, at overtrædelserne fortsatte
4
. Europa-Parlamentets ANIT-udvalg
og Den Europæiske Revisionsret har dokumenteret, at der findes systematiske mangler i
håndhævelsen af EU’s dyretransportregler i en række medlemsstater – herunder overskridelser
af tilladte transporttider, køretøjer der ikke lever op til godkendelseskrav, og utilstrækkelig
kontrol og sanktionering i praksis
4a
. Flere velfærdsproblemer er veldokumenterede: Ifølge
Dyrenes Beskyttelse dør op mod 9.000 eksportgrise årligt allerede inden de har forladt
Danmark¹². Organisationen har også dokumenteret temperaturer på grisetransporter, der når
ekstreme niveauer, uden myndighedsindgriben¹⁵. Fødevarestyrelsens dyrevelfærdskontrol viste
i 2023 et betydeligt antal regelbrud i besætninger¹⁴, hvilket peger på systemiske problemer i hele
produktionskæden. I oktober 2025 har Dyrenes Beskyttelse afsløret et systematisk trick, hvor
danske grisetransporter registreres til små samlesteder uden de lovpligtige 48 timeres hvile iflg.
den gældende transportforordning. Politiken har også belyst denne systematiske overtrædelse,
hvor antallet af grise er firedoblet fra 45.000 til 194.000 fra 2022 til 2025
17
. Det fremgår heraf,
at ”samlestedstricket” indgår i forhandlingerne om transportforordningen i ministerrådet. Se
også Appendix C.
5.2 Håndhævelsesvakuum for udenlandske transportører
En særlig udfordring er de udenlandske transportører, der står for størstedelen af eksporten.
Ifølge rapporter fra 2024 blev kun én ud af 21 sager om for høje temperaturer under transport
ført til bøde, mens 14 blev henlagt – hovedsageligt på grund af uforholdsmæssigt høje
omkostninger ved retsforfølgelse, forældelsesproblemer og manglende svar fra udenlandske
transportører⁹. Dette skaber et alvorligt håndhævelsesproblem, hvor udenlandske transpor-
tører i praksis kan overtræde reglerne uden nævneværdig risiko for sanktioner.
5.3 Sikkerheds- og depositumordninger i regulerede brancher
Et gennemgående træk ved sikkerheds- og depositumordninger i regulerede brancher er, at der
kræves en økonomisk sikkerhed (fx depositum eller bankgaranti), som kun frigives, hvis aktøren
kan dokumentere, at alle regulatoriske krav er overholdt. Mange af disse ordninger har deres
rod i EU-lovgivning, som fastsætter overordnede rammer og principper, der efterfølgende
implementeres i national ret med variationer mellem medlemslandene. Dette understreger
relevansen af at anvende lignende EU-baserede mekanismer inden for dyretransport, hvor
grænseoverskridende aktiviteter er normen. Ordningerne ses blandt andet i følgende brancher.
18
MOF, Alm.del - 2025-26 - Bilag 34: Henvendelse af 22/10-25 fra Grivita om kontrol og sanktioner over for svinetransporter til udlandet og maksimal transporttid
Bygge- og anlægssektoren. I Danmark er det standard, at entreprenøren i henhold til AB 18
(Almindelige Betingelser for arbejder og leverancer i bygge- og anlægsvirksomhed) skal stille en
økonomisk sikkerhed, typisk i form af en bankgaranti på 10 % af entreprisesummen¹.
Sikkerheden reduceres gradvist til 2% efter afleveringen og frigives kun, hvis byggeriet afsluttes
i overensstemmelse med kontrakt og gældende regler. Hvis der konstateres mangler eller
overtrædelser, kan hele eller dele af sikkerheden tilbageholdes, indtil forholdene er bragt i
orden¹. Disse ordninger suppleres af EU's direktiv om bekæmpelse af forsinket betaling, som
sikrer rettidig betaling og økonomisk beskyttelse af entreprenører².
Råstofudvinding. Virksomheder der driver grusgrave, stenbrud eller anden råstofindvinding skal
stille økonomisk sikkerhed for efterbehandling og retablering af området. Sikkerhedsstillelsen
fastsættes af kommunen og skal dække omkostningerne ved at retablere arealet til natur eller
andet formål efter endt indvinding. Sikkerheden frigives først, når myndighederne har godkendt
den udførte efterbehandling. Ordningen sikrer, at samfundet ikke efterlades med
oprydningsregningen, hvis virksomheden går konkurs eller undlader at opfylde sine
forpligtelser⁴.
Miljø- og affaldssektoren. Virksomheder, der f.eks. driver deponeringsanlæg eller er omfattet af
særlige miljøkrav, skal stille økonomisk sikkerhed. Sikkerheden er et lovmæssigt vilkår for at
kunne sætte virksomheden lovligt i drift og kan anvendes af myndighederne til nedlukning,
efterbehandling eller oprydning, hvis forpligtelser ikke opfyldes. Frigivelse sker først, når
myndigheden har verificeret, at vilkår og miljøkrav er overholdt⁵,⁶. På EU-niveau udstikker
affaldsdirektivet de overordnede rammer og principper (bl.a. "forureneren betaler"), som
medlemsstaterne implementerer i national ret⁷.
Fælles for ordningerne er, at de skaber et økonomisk incitament til at overholde reglerne, fordi
aktøren ellers risikerer at miste hele eller dele af sikkerheden. Samtidig sikrer ordningerne, at
der er midler til rådighed til at afhjælpe skader eller manglende opfyldelse af forpligtelser.
5.3.1 Overførbarhed til dyrevelfærd og dyretransport
En depositumordning for dyretransport kunne eksempelvis indebære, at transportører stiller et
økonomisk depositum, der kun tilbagebetales, hvis transporten gennemføres i
overensstemmelse med dyrevelfærdsreglerne. Ved dokumenterede overtrædelser kan hele
eller dele af depositummet tilbageholdes og anvendes til at finansiere indgreb, sanktioner eller
forbedringer.
5.4 Kommissionens forslag og danske forbehold
Kommissionens forslag fra december 2023 indeholder bl.a. krav om realtids-GPS-sporingsdata
af vejkøretøjer, forbundet med TRACES, digitalisering af logbøger og stærkere sanktioner for
alvorlige overtrædelser
5,6
. Danmark modsætter sig dog administrative bøder af
forfatningsmæssige årsager, da sådanne betragtes som straf og kun kan pålægges af domstole⁸.
5.5 Grivitas anbefalinger
5.5.1. Digitalisering og realtidskontrol
19
MOF, Alm.del - 2025-26 - Bilag 34: Henvendelse af 22/10-25 fra Grivita om kontrol og sanktioner over for svinetransporter til udlandet og maksimal transporttid
Grivita foreslår, at alle dyretransporter som udgangspunkt registreres i det fælleseuropæiske
TRACES-system med et unikt, gennemgående Rejse-ID. Dyr må kun befinde sig på offentlig vej,
hvis de er knyttet til en aktiv TRACES-rejse med gennemgående Rejse-ID. Myndighederne
forudsættes at få adgang til data i TRACES, herunder positionsdata i realtid via GPS-tracking,
temperaturdata og rejse-ID. Det vil give mulighed for, at overskridelser kan opdages og stoppes
undervejs – ikke kun konstateres bagefter. Desuden vil transporternes sporbarhed sikres hele
vejen til slutdestination.
Som en del af denne digitale kontrol forudsættes, at overdragelse af dyr mellem køretøjer
(”digitalt håndtryk”) finder sted i godkendte, geoafgrænsede kontrolzoner som samlesteder,
kontrolstationer og grænseposter. Lukning af Rejse-ID ved ankomst gælder for alle godkendte
slutmodtagere, uanset om de befinder sig i en geoafgrænset kontrolzone eller ej. Dette sikrer,
at transporten digitalt afsluttes og dokumenteres, og at ingen dyr kan forsvinde ud af systemet
uden ansvar.
For at optimere ressourceanvendelsen og minimere den administrative byrde for
lavrisikotransporter, kan kravene differentieres baseret på en dynamisk risikovurdering:
Højrisikotransporter – defineret ud fra faktorer som grænseoverskridende karakter, varighed (fx
>8 timer), antal dyr, sårbarhed af dyregrupper eller transportørens historik for overtrædelser –
vil være underlagt fuld realtidskontrol og skærpede krav. Lavrisikotransporter kan underlægges
forenklede krav, men med mulighed for automatisk opgradering til højrisikokategori ved
mistanke om svindel eller overtrædelser.
Automatiske alarmer/”myndighedsflag” f.eks. ved mere end 8 timers transport og ved
overskridelse af temperaturgrænser kan sendes direkte til både transportør og
kontrolmyndighed. Transportøren kan pålægges at stoppe ved nærmeste rasteplads ved kritiske
alarmer. Teknologien til GPS-tracking og realtids temperaturovervågning er allerede udviklet og
anvendes bredt i fødevaretransport, bl.a. for at sikre efterlevelse af EU’s hygiejneforordninger
852/2004 og 853/2004, som kræver dokumenteret temperaturkontrol under transport¹⁰ ¹¹.
Digital overvågning kan dermed bruges proaktivt til at forebygge dyrelidelser frem for alene at
sanktionere efterfølgende. Det er paradoksalt, at en pakke frossen fisk i praksis overvåges mere
systematisk end levende grise.
5.5.2. Håndhævelsesmekanismer
For at løse håndhævelsesproblemet foreslår Grivita:
• Depositumordning: Krav om forudbetalt depositum for højrisikotransporter (f.eks. over 8
timer, ekstreme temperaturer, over 400 grise). Depositum tilbagebetales ved regelkonform
transport; ved overtrædelser anvendes depositum til dækning af kontrolomkostninger.
Ordningen rejser ingen forfatningsmæssige betænkeligheder, da den udgør en civilretlig
sikkerhedsstillelse – ikke en straf.
• TRACES-suspension: Automatisk blokering af nye transporttilladelser ved dokumenterede
overtrædelser. Genaktivering kræver dokumentation for korrigerende handlinger. Disse
mekanismer er inspireret af eksisterende EU-modeller som trafikbødedirektivet (2015/413/EU),
der sikrer grænseoverskridende opkrævning¹⁸, og GDPR, der demonstrerer effektive
administrative konsekvenser uden strafferetlig karakter.
20
MOF, Alm.del - 2025-26 - Bilag 34: Henvendelse af 22/10-25 fra Grivita om kontrol og sanktioner over for svinetransporter til udlandet og maksimal transporttid
3083746_0025.png
5.5.3 Grænseoverskridende koordinering og håndhævelse
Grivita foreslår en udvidelse af TRACES til at inkludere alle overtrædelser og kontroldata, med
automatisk informationsdeling mellem nationale myndigheder og mulighed for gensidig
anerkendelse af kontrolgebyrer. EU har allerede etableret en sammenlignelig mekanisme i
trafikbødedirektivet (2015/413/EU), som muliggør grænseoverskridende informations-
udveksling om færdselsforseelser – et princip, der kan udvides til dyretransporter
18
.
5.6. Konklusion
Grivita går således længere end både de nuværende regler og Kommissionens forslag, fordi
anbefalingerne fokuserer på realtidsforebyggelse, økonomiske depositum-incitamenter, fuld
digital screening og automatisk grænseoverskridende håndhævelse – hvor Kommissionens
forslag primært styrker digitaliseringen og sanktionerne, men stadig er mere reaktivt.
Danmark modsætter sig administrative bøder af forfatningsmæssige grunde. Anbefalingerne i
afsnit 5 løser dette ved at bruge ikke-strafferetlige virkemidler: midlertidig TRACES-spærring
(administrativ adgangsstyring), krav om depositum/sikkerhed for højrisiko-transporter (med
fortabelse ved misligholdelse som civilretlig konsekvens), samt vilkår i godkendelser og
risikobaseret intensiveret kontrol. Tilsammen skaber det reel efterlevelse og økonomiske
incitamenter uden at pålægge administrative bøder—og uden at kollidere med Grundloven.
21
MOF, Alm.del - 2025-26 - Bilag 34: Henvendelse af 22/10-25 fra Grivita om kontrol og sanktioner over for svinetransporter til udlandet og maksimal transporttid
3083746_0026.png
6. EU-udviklings- og forskningsprojekt om incitamenter til øget lokal slagtning og
eksport af genetisk materiale (sæd og befrugtede æg)
Transport af dyr vil altid være en dyrevelfærdsmæssig belastning, som stiger med transporttid-
og længde. Slagtning på eller tæt på opdrætsstedet er den bedste måde at reducere
transportbelastningen på.
Kommissionen nævner i forslaget, at den ønsker at bidrage til en bæredygtig landbrugs- og
fødevareproduktion ved at sikre et højere dyrevelfærdsniveau og bidrage til et skift i retning af
et økonomisk, miljømæssigt og socialt bæredygtigt fødevaresystem i overensstemmelse med
jord til bord-strategien. Den nævner at forslagene i sig selv medvirker til slagtning af dyr lokalt,
således at transport af levende dyr erstattes af slagtekroppe og kød. Den nævner også at
transport af embryoner (befrugtede æg) og sæd og lignende er langt mere effektivt med hensyn
til at reducere antallet af transporterede dyr og vil være til gavn for miljø og omkostninger.
Grivita anbefaler at man fra dansk side udarbejder og arbejder for et forslag til et EU-udviklings-
og forskningsprojekt som udvikler incitamenter til støtte af udvikling af lokale og mobile
slagterier samt øget eksport af genetisk materiale.
22
MOF, Alm.del - 2025-26 - Bilag 34: Henvendelse af 22/10-25 fra Grivita om kontrol og sanktioner over for svinetransporter til udlandet og maksimal transporttid
Noter/kilder
Afsnit 1. Maksimal transporttid på 8 timer for alle grise
1
Rådets forordning (EF) nr. 1/2005
https://eur-lex.europa.eu/legal-content/DA/TXT/?uri=CELEX:32005R0001
2
EFSA Panel on Animal Health and Welfare (2022). Welfare of pigs during transport (EFSA
Journal 2022;20(9):7445). https://efsa.onlinelibrary.wiley.com/doi/10.2903/j.efsa.2022.7445
2a
EFSA – Plain Language Summary:
Welfare of pigs during transport
(7.9.2022).
https://www.efsa.europa.eu/en/plain-language-summary/welfare-pigs-during-transport
2b Rioja-Lang, F.C. et al. (2019).
A Review of Swine Transportation Research on Priority Welfare
Issues
(Frontiers in Veterinary Science 6:36).
https://www.frontiersin.org/articles/10.3389/fvets.2019.00036/full
2c Grandin, T. (2015).
Welfare of Pigs During Transport
(praktisk oversigt).
https://www.thepigsite.com/articles/welfare-of-pigs-during-transport
3
Forslag COM(2023) 770 final (forslag til forordning om beskyttelse af dyr under transport):
https://eur-lex.europa.eu/legal-content/DA/TXT/?uri=COM%3A2023%3A770%3AFIN
4
Kommissionens Q&A om forslaget:
https://ec.europa.eu/commission/presscorner/api/files/document/print/en/qanda_23_6252/
QANDA_23_6252_EN.pdf
5
Rådet, fremskridtsrapport/Kompromisforslag juni 2025, dok. 9581/25:
https://data.consilium.europa.eu/doc/document/ST-9581-2025-INIT/en/pdf
6
Folketinget, Europaudvalget -- Offentligt referat 20/6-2025 (EUU Alm.del -- Bilag 603):
https://www.ft.dk/samling/20241/almdel/euu/bilag/603/index.htm
6a
Dyrenes
Beskyttelse: Forfærdelig udvikling skal stoppes: Lange grisetransporter sætter igen
rekord:
https://www.dyrenesbeskyttelse.dk/artikler/forfaerdelig-udvikling-skal-stoppes-lange-
grisetransporter-saetter-igen-rekord
6b
Herskin, M.S., Kernberger-Fischer, I., & Gerritzen, M.A. (2023). Review on transport of sows.
EURCAW-Pigs Review, version 1.0, January 2023. Groen Kennisnet.
htps://pure.au.dk/portal/files/358022888/review_on_transport_of_sows_version_groen_ken
nisnet_587502.pdf
7
Huynh et al. (2005) -- termiske grænser for svin:
https://pubmed.ncbi.nlm.nih.gov/15890816/
8
Brown-Brandl et al. (2001) -- miljøstress hos svin:
https://www.sciencedirect.com/science/article/abs/pii/S0301622601001841?utm_source=cha
tgpt.com
23
MOF, Alm.del - 2025-26 - Bilag 34: Henvendelse af 22/10-25 fra Grivita om kontrol og sanktioner over for svinetransporter til udlandet og maksimal transporttid
9
EFSA (infografik) -- temperatur/øvre kritiske niveauer:
https://www.efsa.europa.eu/sites/default/files/2022-09/infographic-animal-free-moving.pdf
10
Sutherland, McDonald & McGlone (2017) – Effects of transport distance and season on the
mortality rate of pigs (AJAS 30(1):119–126)
https://www.animbiosci.org/upload/pdf/ajas-30-1-119.pdf
11
Europe PMC -- temperatur og dødelighed ved transport:
https://europepmc.org/article/MED/27189639
12
Aarhus Universitet (DCA/DCE m.fl.), Normtal for husdyrgødning – Kapitel 2:
Næringsstofudskillelse fra svin, ab dyr (2023/24). Link:
https://pure.au.dk/portal/files/361948152/Kapitel_2_Normtal_for_svin_2023-24_final.pdf
SEGES, Normtal for næringsstoffer i grisegødning (metode og principper for opgørelse). Link:
https://www.landbrugsinfo.dk/-
/media/landbrugsinfo/public/4/3/0/miljoret_normtal_for_naringsstoffer_i_grisegodning.pdf
13
Danmarks Statistik -- animalsk produktion (temaside):
https://www.dst.dk/da/Statistik/emner/erhvervsliv/landbrug-gartneri-og-skovbrug/animalsk-
produktion
14
OEC -- Danmark som stor eksportør af levende svin: https://oec.world/en/profile/bilateral-
product/pigs/reporter/dnk
14a
15
Se Appendix B
Verian-måling (via Ritzau) -- 78 % vil stoppe transporter >8 timer:
https://via.ritzau.dk/pressemeddelelse/14441220/bredt-flertal-af-befolkningen-vil-forbyde-
lange-dyretransporter-kom-sa-politikere?lang=da
16
Dyrenes Beskyttelse -- artikel om samme måling:
https://www.dyrenesbeskyttelse.dk/artikler/bredt-flertal-af-befolkningen-vil-forbyde-lange-
dyretransporter-kom-saa-politikere
17
Eurobarometer 2023 -- holdninger til dyrevelfærd:
https://europa.eu/eurobarometer/surveys/detail/2996
20
21
22
Se Appendix A og B.
Se Appendix C.
Europa-Parlamentets resolution (20. januar 2022) -- opfølgning på ANIT-undersøgelsen:
fastlægger 8-timers grænse for transport til slagtning. Læs her
Afsnit 2. Adgang til vand og foder senest efter 8 timers transport
¹ Rådets forordning (EF) nr. 1/2005 af 22. december 2004 om beskyttelse af dyr under
transport, Bilag I, kapitel V, punkt 1.4(b) og 1.5. https://eur-lex.europa.eu/legal-
content/DA/TXT/?uri=celex%3A32005R0001
² EFSA (2022). Welfare of pigs during transport. EFSA Journal 2022;20(9):7445, s. 62.
https://www.efsa.europa.eu/en/efsajournal/pub/7445
24
MOF, Alm.del - 2025-26 - Bilag 34: Henvendelse af 22/10-25 fra Grivita om kontrol og sanktioner over for svinetransporter til udlandet og maksimal transporttid
³ Kommissionens forslag til revision af Rådets forordning (EF) nr. 1/2005, COM(2023) 770 final.
https://eur-lex.europa.eu/legal-content/DA/TXT/?uri=COM%3A2023%3A770%3AFIN
⁴ EFSA (2022). Op. cit., s. 78. https://www.efsa.europa.eu/en/efsajournal/pub/7445
⁵ Kommissionens forslag COM(2023) 770 final, Annex VI, Part 1, Section 1.2. https://eur-
lex.europa.eu/legal-content/EN/TXT/?uri=CELEX:52023PC0770
⁶ Rådet, fremskridtsrapport/Kompromisforslag juni 2025, dok. 9581/25.
https://data.consilium.europa.eu/doc/document/ST-9581-2025-INIT/en/pdf
⁷ Danmarks Statistik (2024). Eksport af levende svin 2023. Statistikbanken HDYR07.
https://www.statistikbanken.dk/HDYR07
⁸ Rådet, fremskridtsrapport juni 2025, dok. 9581/25, s. 47.
https://data.consilium.europa.eu/doc/document/ST-9581-2025-INIT/en/pdf
⁹ EFSA (2022). Op. cit., s. 89. https://www.efsa.europa.eu/en/efsajournal/pub/7445
¹⁰ Aarhus Universitet (2023). Normtal for husdyrgødning, Kapitel 2, s. 12-14.
https://pure.au.dk/portal/files/361948152/Kapitel_2_Normtal_for_svin_2023-24_final.pdf
¹¹ Lambooij et al. (2012). Ammonia concentrations in livestock vehicles. Livestock Science
148(3), 255-260. https://www.sciencedirect.com/science/article/abs/pii/S1871141312001795
¹² EFSA (2022). Op. cit., s. 62. https://www.efsa.europa.eu/en/efsajournal/pub/7445
¹³ Gerritzen, M.A. et al. (2013). Multistage studies on the effect of loading density on welfare
of pigs. Animal Welfare 22(3), 343-355.
https://pubmed.ncbi.nlm.nih.gov/24001436/?utm_source=chatgpt.com
¹⁴ EFSA (2022). Op. cit., s. 78. https://www.efsa.europa.eu/en/efsajournal/pub/7445
¹⁵ EFSA (2022). Welfare of pigs during transport. EFSA Journal
2022https://www.efsa.europa.eu/en/efsajournal/pub/7445
¹⁶ Vermeer, H.M. et al. (2014). Space allowance and pen design affect welfare indicators in
growing pigs. Livestock Science 160, 206-214.
https://www.sciencedirect.com/science/article/abs/pii/S1871141313005258
¹⁷ Bench, C. et al. (2022). Water consumption patterns and factors affecting water intake in
commercial pig transport. Applied Animal Behaviour Science 247, 105551.
https://brill.com/edcollchap/book/9789086866373/BP000008.pdf
¹⁸ Torrey, S. et al. (2008). Effect of drinker type on water intake and waste in newly weaned
piglets. J. Anim. Sci. 86(6):1439–1445. https://pubmed.ncbi.nlm.nih.gov/18272851/
¹⁹ A multidisciplinary approach to assess the welfare of weaned pigs during transport at three
space allowances. A multidisciplinary approach to assess the welfare of weaned pigs during
transport at three space allowances - PubMed
20
Averós,
X. et al. (2010). Quantitative assessment of the effects of space on welfare of
fattening pigs. Animal Welfare 19(4), 419-431. Quantitative assessment of the effects of space
25
MOF, Alm.del - 2025-26 - Bilag 34: Henvendelse af 22/10-25 fra Grivita om kontrol og sanktioner over for svinetransporter til udlandet og maksimal transporttid
allowance, group size and floor characteristics on the lying behaviour of growing-finishing pigs
- PubMed
²¹ Alambarrio, D. et al. (2022). Commercial straight-deck trailer vibration and microclimate
conditions during market-weight pig transport during summer. Frontiers in Animal Science.
https://www.frontiersin.org/articles/10.3389/fanim.2022.1051572/full
Morris, C. et al. (2021). Three-axis vibration and microclimate conditions in commercial swine
trailers. Animals, 11(2):
406.https://pmc.ncbi.nlm.nih.gov/articles/PMC7904064/?utm_source=chatgpt.com
Rioja-Lang, F.C. et al. (2019). A review of swine transportation research on priority welfare
issues: A Canadian perspective. Frontiers in Veterinary Science, 6:36.
https://pmc.ncbi.nlm.nih.gov/articles/PMC6395376/?utm_source=chatgpt.com
²² Petherick, J.C. & Phillips, C.J.C. (2009). Space allowances for confined livestock and their
determination from allometric principles. Applied Animal Behaviour Science 117, 1-12.
https://www.sciencedirect.com/science/article/abs/pii/S0168159108002633
²³ Martínez-Miró, S. et al. (2016). Causes, consequences and biomarkers of stress in swine: an
update. BMC Veterinary Research 12, 171.
https://bmcvetres.biomedcentral.com/articles/10.1186/s12917-016-0791-8
²⁴ Rioja-Lang, F.C. et al. (2019). A review of swine transportation research on priority welfare
issues. Frontiers in Veterinary Science, 6:36. https://www.frontiersin.org/journals/veterinary-
science/articles/10.3389/fvets.2019.00036/full
²⁵ Europa-Kommissionen, DG SANTE (2018). Guide to good practices for the transport of pigs,
s. 27 (punkt 68) og s. 48 (punkt 148).
https://food.ec.europa.eu/document/download/74387586-9cf4-44f2-a6bf-1d897f12a8c8_en
²⁶ European Commission, Directorate-General for Health and Food Safety (2016). Study on the
impact of Regulation (EC) No 1/2005 on the protection of animals during transport. Final
Report, s. 124. https://food.ec.europa.eu/document/download/670e4f82-7246-46ce-b489-
0e12b600f6a3_en?filename=aw_practice_trans_study_report_en.pdf&utm_source=chatgpt.c
om
²⁷ Kettlewell et al. (2001). Heat and moisture production of livestock during transportation.
Animal Welfare 10(S), S163-S181.
https://www.ingentaconnect.com/content/ufaw/aw/2001/00000010/A00101s1/art00015
²⁸ Teknologisk Institut (2024). Notat om varmeudvikling i en grisetransport, s. 3.
https://www.dyrenesbeskyttelse.dk/sites/dyrenesbeskyttelse.dk/files/grafik/Varme%20transp
orter%202025/Notat%20om%20varmeudvikling%20i%20en%20grisetransport%20D24-
573043%201.0.pdf?utm_source=chatgpt.com
²⁹ Dadgar et al. (2010). Effect of microclimate temperature during transportation on broiler
chicken welfare. Poultry Science 89(5), 1033-1042.
https://www.sciencedirect.com/science/article/pii/S0032579119404473
26
MOF, Alm.del - 2025-26 - Bilag 34: Henvendelse af 22/10-25 fra Grivita om kontrol og sanktioner over for svinetransporter til udlandet og maksimal transporttid
³⁰ Huynh, T.T.T. et al. (2005). Thermal behaviour of growing pigs in response to high
temperature and humidity. Applied Animal Behaviour Science 91, 1-16.
https://www.sciencedirect.com/science/article/abs/pii/S0168159104002771?via%3Dihub
³¹ OMAFRA – varmebelastning hos svin (opdaterede faktaark / tekniske bulletins).
aktaark (PDF, 2023): Avoiding Production Losses in Swine Due to Heat Stress — Government of
Ontario. https://www.ontario.ca/files/2023-09/omafra-avoid-production-losses-in-swine-due-
to-heat-stress-23-041-en-2023-07.pdf
Faktaark (PDF, 2020), inkl. transportråd og stilstands-varme:
https://onswine.wordpress.com/wp-content/uploads/2020/07/omafra-factsheet-17-039-heat-
stress-in-swine.pdf
PorkGateway: Welfare of Pigs During Transport (indeholder passus om at varme opbygges
hurtigt i stillestående køretøj).
https://porkgateway.org/wp-content/uploads/2015/07/welfare-of-pigs-during-transport1.pdf
³² Fitzgerald, R.F. et al. (2009). Factors associated with fatigued, injured, and dead pigs on
arrival at the packing plant. Journal of Animal Science 87, 1156-1166.
https://pubmed.ncbi.nlm.nih.gov/19028860/
Tierschutzverordnung (TSchV), Art. 152a (Transportdauer), Schweiz
(Fedlex): https://www.fedlex.admin.ch/eli/cc/2008/416/de
33
BLV og Viehhandel Schweiz/STS: Retningslinjer for transporter af Nutztiere (klovdyr inkl. svin) og
heste: https://www.viehhandel-
schweiz.ch/fileadmin/files/Infos_Transporte/STS_Richtlinien_Transport_20220301_DE.pdf
34
BLV (2020): Rechtsvorschriften zu Fahrzeit, Fahrunterbruch und Transportdauer
(begrebsafklaring og
grænser): https://www.blv.admin.ch/dam/blv/de/dokumente/tiere/transport-und-
handel/rechtsvorschriften-zu-fahrzeit-fahrunterbruch-und-transportdauer.pdf
35
36
37
Ibid., s. 1: “Die Fahrzeit ab Verladeplatz darf höchstens 6 Stunden betragen.”
BLV: Dyretransporter – schweizisk lov gælder på CH-territorium, inkl. gennemkørende
transporter: https://www.blv.admin.ch/blv/de/home/tiere/transport-und-
handel/tiertransporte.html
SCAHAW (2002): The welfare of animals during
transport: https://food.ec.europa.eu/system/files/2020-12/sci-com_scah_out71_en.pdf; EFSA
(2011): Scientific Opinion on the Welfare of Animals during
Transport: https://www.efsa.europa.eu/en/efsajournal/pub/1966
38
BLV (2018): Vollzugshilfe Tiertransport – praktiske krav og håndhævelse i
Schweiz: https://www.blv.admin.ch/dam/blv/de/dokumente/tiere/transport-und-
handel/vollzugshilfen-tiertransport.pdf
39
⁴² EFSA (2022). Op. cit., Section 5.2. https://www.efsa.europa.eu/en/efsajournal/pub/7445
43
Herskin, M.S., Kernberger-Fischer, I., & Gerritzen, M.A. (2023). Review on transport of sows.
EURCAW-Pigs Review, version 1.0, January 2023. Groen Kennisnet.
htps://pure.au.dk/portal/files/358022888/review_on_transport_of_sows_version_groen_ken
nisnet_587502.pdf
27
MOF, Alm.del - 2025-26 - Bilag 34: Henvendelse af 22/10-25 fra Grivita om kontrol og sanktioner over for svinetransporter til udlandet og maksimal transporttid
44
EFSA BIOHAZ Panel (2022). Slaughterhouse and animal transport as risk factors for AMR
spread. https://doi.org/10.2903/j.efsa.2022.7446
Angeloni, M.G., Padalino, B., Ambra, C.D., Serrapica, M., Iavecchia, C., Nanni Costa, L., Rota
Nodari, S., & Vecchio, D. (2025). Welfare of sheep, cattle, and pigs at control posts during long
distance transportation across Europe. Italian Journal of Animal Science, 24(1), 1893-
1908. https://doi.org/10.1080/1828051X.2025.2549346
45
46
Herskin, M.S. m.fl. (2023). Førende forskere efterlyser dokumentation: Ny EU-lovgivning risikerer
at ende i uvidenskabeligt kompromis. Nationalt Center for Fødevarer og
Jordbrug. https://dca.au.dk/aktuelt/nyheder/vis/artikel/foerende-forskere-efterlyser-
dokumentation-ny-eu-lovgivning-risikerer-at-ende-i-uvidenskabeligt-kompromis
47
DCA (2023). Førende forskere efterlyser dokumentation: Ny EU-lovgivning risikerer at ende i
uvidenskabeligt kompromis. https://dca.au.dk/aktuelt/nyheder/vis/artikel/foerende-forskere-
efterlyser-dokumentation-ny-eu-lovgivning-risikerer-at-ende-i-uvidenskabeligt-kompromis
48
Dansk Veterinærtidsskrift (2025). God intention, tvivlsom effekt – ny dyretransportpolitik
risikerer at halte fagligt. https://dvt.ddd.dk/bladarkiv/2025/nr-5/god-intention-tvivlsom-effekt-
ny-dyretransportpolitik-risikerer-at-halte-fagligt/
Afsnit 3. Forbud mod transport af drægtige søer i sidste tredjedel af drægtigheden
¹ Rådets forordning (EF) nr. 1/2005, bilag I, kapitel I, punkt 2(c). https://eur-lex.europa.eu/legal-
content/DA/TXT/?uri=CELEX%3A32005R0001
² Bekendtgørelse om slagtning og aflivning af dyr, BEK nr. 817 af 15/06/2023, §§ 8-10.
https://www.retsinformation.dk/eli/lta/2023/817
³ Tiererzeugnisse-Handels-Verbotsgesetz (TierErzHaVerbG) § 4, Tyskland. https://www.gesetze-im-
internet.de/khfeverbg/__4.html
⁴ Tierschutzgesetz § 6(2c), Østrig.
https://www.ris.bka.gv.at/GeltendeFassung.wxe?Abfrage=Bundesnormen&Gesetzesnummer=20003
541
https://www.internetconsultatie.nl/verbodhoogdrachtigedieren?utm_source=chatgpt.com
⁸ European Commission (2023): COM(2023) 770 final –
DA hovedtekst (7.12.2023). https://eur-
lex.europa.eu/legal-content/DA/TXT/?uri=COM%3A2023%3A770%3AFIN
⁹ European Commission (2023): COM(2023) 770 final –
Annexes (80 % + 7 dage; korte rejser til
slagtning). https://food.ec.europa.eu/system/files/2023-12/aw_in-transit_reg-proposal_2023-
770_annexes_0.pdf
¹⁰ European Parliament (2022): Resolution of 20 January 2022 on the protection of animals during
transport (sidste tredjedel, 4 timer). https://eur-lex.europa.eu/legal-
content/EN/TXT/PDF/?uri=CELEX:52022IP0015
¹¹ European Parliament: EU legislation in progress - Animal welfare during transport.
https://www.europarl.europa.eu/legislative-train/theme-promoting-our-european-way-of-life/file-
revision-of-animal-welfare-legislation
28
MOF, Alm.del - 2025-26 - Bilag 34: Henvendelse af 22/10-25 fra Grivita om kontrol og sanktioner over for svinetransporter til udlandet og maksimal transporttid
¹¹ᵃ Council of the European Union (2025): Progress report on animal transport regulation.
Document 9581/25, 10 June 2025. https://data.consilium.europa.eu/doc/document/ST-9581-2025-
INIT/en/pdf
¹² Folketinget EU-konsulenten: Samlenotat vedr. COM(2023) 770
Transport af dyr.
https://www.eu.dk/samling/20231/kommissionsforslag/kom(2023)0770/index.htm
¹³ EFSA Panel on Animal Health and Welfare (2017). Animal welfare aspects in respect of the
slaughter or killing of pregnant livestock animals (cattle, pigs, sheep, goats, horses). EFSA Journal
15(5):4782, s. 84–87.
https://efsa.onlinelibrary.wiley.com/doi/10.2903/j.efsa.2017.4782
13a
EFSA (2017). Welfare insights on slaughter of pregnant animals (factsheet og nyhed).
https://www.efsa.europa.eu/en/efsajournal/pub/4782
¹⁴
Mellor, D.J. (2010). Galloping colts, fetal feelings, and reassuring regulations: putting animal
welfare science into practice. Journal of Veterinary Medical Education 37(1):94–100.
https://utppublishing.com/doi/10.3138/jvme.37.1.94?utm_source=chatgpt.com
¹⁵ Mellor, D.J., Diesch, T.J. (2006). Onset of sentience: The potential for suffering in fetal and
newborn farm animals. Applied Animal Behaviour Science 100(1-2), 48-57.
https://www.sciencedirect.com/science/article/abs/pii/S0168159106001110
¹⁶
Klemcke, H.G. et al. (1995). Placental metabolism of cortisol at mid- and late gestation in pigs.
Biol. Reprod. 53:1293–1301. https://academic.oup.com/biolreprod/article-
abstract/53/6/1293/2761817?redirectedFrom=PDF&login=false
Klemcke, H.G. (2003). 11β-hydroxysteroid
dehydrogenase and glucocorticoid receptors in porcine
placenta (early gestation). Biol. Reprod. 69:1945–1950.
https://academic.oup.com/biolreprod/article-
abstract/69/6/1945/2712895?redirectedFrom=fulltext&login=false&utm_source=chatgpt.com
Kanitz, E. et al. (2012). High and Low Protein:Carbohydrate Dietary Ratios during Gestation Alter
Maternal-Fetal Cortisol Regulation in Pigs. PLOS ONE 7:e52748 (viser 11β-HSD1/2 i placenta og
ændringer i fosterhjerne).
https://journals.plos.org/plosone/article?id=10.1371%2Fjournal.pone.0052748
¹⁷Einarsson,
S. (2008). Stress and its influence on reproduction in pigs: a review. Reprod. Domest.
Anim. 43(Suppl 2): 260–267 / Acta Vet. Scand. 50:48 (OA).
https://pmc.ncbi.nlm.nih.gov/articles/PMC2630310/?utm_source=chatgpt.com
Herskin, M.S. et al. (2023). Review on transport of sows (EURCAW-Pigs). Rapport.
https://pure.au.dk/portal/files/358022888/review_on_transport_of_sows_version_groen_kennisnet_5
87502.pdf?utm_source=chatgpt.com
17a
Haussmann, M.F. et al. (2000). Administration of ACTH to restrained, pregnant sows alters their
pigs’ HPA axis.
J. Anim. Sci. 78:2399–2411. https://pubmed.ncbi.nlm.nih.gov/10985416/
Otten, W. et al. (2010). Maternal social stress during late pregnancy affects HPA function and brain
neurotransmitter systems in pig offspring. Domest. Anim. Endocrinol. 38:146–156; se også Otten et
al. (2008) Theriogenology om gentagen. https://pubmed.ncbi.nlm.nih.gov/19879712/
29
MOF, Alm.del - 2025-26 - Bilag 34: Henvendelse af 22/10-25 fra Grivita om kontrol og sanktioner over for svinetransporter til udlandet og maksimal transporttid
¹⁸ SEGES Svineproduktion: Fysiologi og ernæring hos drægtige søer.
Chapter 18: Sow reproduction.
https://svineproduktion.dk/-
/media/PDF/Services/Undervisningsmateriale/Laerebog_fysiologi/Chapter-18.pdf
¹⁹ Herskin, M.S., Kernberger-Fischer,
I., Gerritzen, M.A. (2023). Review on transport of sows.
EURCAW-Pigs, January 2023. https://edepot.wur.nl/587502?utm_source=chatgpt.com
²⁰
EURCAW-Pigs (2021)
– “Review of fitness for transport of pigs –
Review and recommendations.
https://edepot.wur.nl/546057?utm_source=chatgpt.com
²¹ Københavns Universitet (2017): Slagtning af drægtige kvæg og svin. Rapport til
Fødevarestyrelsen.
https://foedevarestyrelsen.dk/Media/638566311141957957/VID_DraegtigeDyr_Afrapportering.pdf
²² Aarhus Universitet (2024): Velfærd hos udsættersøer under transport og på slagteriet
en
overset dyregruppe. DCA
Nationalt Center for Fødevarer og Jordbrug.
https://dca.au.dk/aktuelt/nyheder/vis/artikel/velfaerd-hos-udsaettersoeer-under-transport-og-paa-
slagteriet-en-overset-dyregruppe
²³ EFSA (2017): Welfare insights on slaughter of pregnant animals (news).
https://www.efsa.europa.eu/en/press/news/170530
Afsnit 4. Skærpede temperaturgrænser under transport og aktiv klimakontrol
1
Rådets forordning (EF) nr. 1/2005 af 22. december 2004 om beskyttelse af dyr under
transport, Artikel 3 og Bilag I. https://eur-lex.europa.eu/legal-
content/DA/TXT/?uri=celex%3A32005R0001
2
Europa-Kommissionen (2020): Welfare of animals during transport under high temperatures
(præsentation, gengiver 5–30 °C med ± 5 °C tolerance)
.https://food.ec.europa.eu/document/download/6d3dabde-b766-4d10-8584-
31167f311d20_en?filename=reg-
com_ahw_20200715_pres_trans_eur.pdf&utm_source=chatgpt.com
2a DG SANTE (2020): Overview report on welfare of animals exported by road (anfører at
problemer i varme skyldes fravær af kølesystemer i kreaturtransportkøretøjer).
https://ec.europa.eu/food/audits-
analysis/overview/download/1520?utm_source=chatgpt.com
2b Den Europæiske Revisionsret (2018): Special Report 31/2018 – Animal welfare in the EU:
closing the gap between ambitious goals and practical implementation.
https://op.europa.eu/webpub/eca/special-reports/animal-welfare-31-
2018/en/?utm_source=chatgpt.com
3
COM(2023) 770 final – forslag til ny transportforordning, artikel 31. https://eur-
lex.europa.eu/legal-content/DA/TXT/?uri=CELEX%3A52023PC0770
4
EFSA (2022). Welfare of pigs during transport. EFSA Journal 2022;20(9):7445, særligt afsnit
3.7.3 om termisk stress. https://www.efsa.europa.eu/en/efsajournal/pub/7445
30
MOF, Alm.del - 2025-26 - Bilag 34: Henvendelse af 22/10-25 fra Grivita om kontrol og sanktioner over for svinetransporter til udlandet og maksimal transporttid
5
Teknologisk Institut (2024): Notat om varmeudvikling i en grisetransport.
https://www.dyrenesbeskyttelse.dk/sites/dyrenesbeskyttelse.dk/files/grafik/Varme%20transp
orter%202025/Notat%20om%20varmeudvikling%20i%20en%20grisetransport%20D24-
573043%201.0.pdf?utm_source=chatgpt.com
6
Dyrenes Beskyttelse, "Beregninger peger på voldsom varmeudvikling i grisetransporter,"
pressemeddelelse, 10. august 2025,
https://www.dyrenesbeskyttelse.dk/nyheder/beregninger-peger-paa-voldsom-
varmeudvikling-i-grisetransporter.
7
EURCAW-Pigs
(Bracke et al., 2020): Review of climate control and space allowance during pig
transport. https://edepot.wur.nl/529443
8
Copernicus Climate Change Service (C3S): European State of the Climate 2022,
https://edepot.wur.nl/515292?utm_source=chatgpt.com
9
Rådet (2025): Progress report / Presidency compromise – June 2025, dok. 9581/25.
https://data.consilium.europa.eu/doc/document/ST-9581-2025-INIT/en/pdf?
10
Folketinget – Europaudvalget: Offentligt referat af Europaudvalgets møde 20/6-2025 (EUU
Alm.del – Bilag 603) — se særligt s. 30.
https://www.ft.dk/samling/20241/almdel/EUU/bilag/603/3049792.pdf?utm_source=chatgpt.c
om
11
Peterson
et al. (2017): Use of Temperature, Humidity, and Slaughter Condemnation Data to
Predict Increases in Transport Losses… Frontiers in Veterinary Science 4:67.
https://www.frontiersin.org/journals/veterinary-
science/articles/10.3389/fvets.2017.00067/full
Afsnit 5. Realtidskontrol og grænseoverskridende håndhævelse af dyretransportregler
¹ Rådets forordning (EF) nr. 1/2005 af 22. december 2004 om beskyttelse af dyr under transport,
artikel 27. https://eur-lex.europa.eu/legal-content/DA/TXT/?uri=CELEX:32005R0001
² Review of the rules on the protection of animals during transport
https://www.europarl.europa.eu/RegData/etudes/BRIE/2024/760360/EPRS_BRI(2024)760360_EN.pdf
³ Fødevarestyrelsens kontrol af dyretransporter får dumpekarakter
https://www.dyrenesbeskyttelse.dk/artikler/foedevarestyrelsens-kontrol-af-dyretransporter-faar-
dumpekarakter?utm_source=chatgpt.com
⁴ Rigsrevisionen (2020). Beretning om kontrol med dyretransporter.
https://www.rigsrevisionen.dk/revisionssager-arkiv/2020/jan/beretning-om-kontrol-med-
dyretransporter?utm_source=chatgpt.com
4a
Europa-Parlamentet (2021). Animal transport: Systematic failures revealed
interview med
rapportør Tilly Metz (ANIT‑udvalget).
https://www.europarl.europa.eu/topics/en/article/20211215STO19501/animal-transport-
systematic-failures-revealed-interview
Den Europæiske Revisionsret (2023). Revision af praksis for transport af levende dyr
Beretning nr.
03/2023. https://www.eca.europa.eu/Lists/ECADocuments/RV-2023-03/RV-2023-03_DA.pdf
31
MOF, Alm.del - 2025-26 - Bilag 34: Henvendelse af 22/10-25 fra Grivita om kontrol og sanktioner over for svinetransporter til udlandet og maksimal transporttid
FOUR PAWS
State of Play: Live Animal Transport in Europe (2025). https://media.4-
paws.org/8/1/d/1/81d1f2290dd695e479d29cf2a711923e16048c5a/Live_Animal_Transport_Report_2
025_08.pdf?utm_source=chatgpt.com
⁵ Kommissionens forslag til revision af Rådets forordning (EF) nr. 1/2005, COM(2023) 770 final.
https://eur-lex.europa.eu/legal-content/DA/TXT/?uri=CELEX:52023PC0770
⁶ TRACES –
Trade Control and Expert System. https://food.ec.europa.eu/animals/traces_en
⁷ Europa-Parlamentets
ANIT-udvalg (2022). Betænkning om beskyttelse af dyr under transport i og
uden for EU. https://www.europarl.europa.eu/doceo/document/A-9-2022-0001_DA.html
⁸ Folketinget, Europaudvalget –
Offentligt referat 20/6-2025 (EUU Alm.del
Bilag 603).
https://www.ft.dk/samling/20241/almdel/EUU/bilag/603/index.htm
⁹ Dyrenes Beskyttelse (2024). Transportører går fri for straf: Politiet dropper sager om alt for varme
grisetransporter. https://www.dyrenesbeskyttelse.dk/artikler/transportoerer-gaar-fri-straf-politiet-
dropper-sager-om-alt-varme-grisetransporter
¹⁰ Regulation (EC) 852/2004 on the hygiene of foodstuffs. https://eur-lex.europa.eu/legal-
content/DA/TXT/?uri=CELEX:32004R0852
¹¹ Regulation (EC) 853/2004 laying down specific hygiene rules for food of animal origin.
https://eur-lex.europa.eu/legal-content/DA/TXT/?uri=CELEX:32004R0853
¹² Dyrenes Beskyttelse (2024). Afsløring: Tusindvis af eksportgrise dør inden de har forladt landet.
https://www.dyrenesbeskyttelse.dk/artikler/afsloering-tusindvis-af-eksportgrise-doer-inden-de-har-
forladt-landet
¹⁴ Fødevarestyrelsen (2024). Kontrol af dyrevelfærd i svine-
og kvægbesætninger
Årsrapport 2023.
https://www.foedevarestyrelsen.dk/Kontrol/Kontrolkampagner/Dyrevelfaerd
¹⁵ Dyrenes Beskyttelse (2024). Kontroller afslører ekstrem varme på grisetransporter.
https://www.dyrenesbeskyttelse.dk/artikler/kontroller-afsloerer-ekstrem-varme-paa-
grisetransporter
¹⁷
Se Appendix C.
Rioja-Lang, F. C., Brown, J. A., Brockhoff, E. J., & Faucitano, L. (2019).
https://www.frontiersin.org/journals/veterinary-
science/articles/10.3389/fvets.2019.00036/full?utm_source=chatgpt.com
¹⁸ Direktiv 2015/413/EU om lettere grænseoverskridende udveksling af oplysninger om
trafiksikkerhedsrelaterede færdselslovsovertrædelser. https://eur-lex.europa.eu/legal-
content/DA/TXT/?uri=CELEX:32015L0413
¹⁹ EU-forordning
(EF) nr. 882/2004 om offentlig kontrol. https://eur-lex.europa.eu/legal-
content/DA/TXT/?uri=CELEX:32004R0882
²⁰ EU-forordning
(EU) 2017/625 om offentlig kontrol på fødevare- og foderområdet. https://eur-
lex.europa.eu/legal-content/DA/TXT/?uri=CELEX:32017R0625
21
Almindelige Betingelser for arbejder og leverancer i bygge- og anlægsvirksomhed
(2023). https://www.byggerietsregler.dk/regler/ab18/
32
MOF, Alm.del - 2025-26 - Bilag 34: Henvendelse af 22/10-25 fra Grivita om kontrol og sanktioner over for svinetransporter til udlandet og maksimal transporttid
3083746_0037.png
22
EU-direktiv 2011/7/EU om bekæmpelse af forsinket betaling i handelsforhold. https://eur-
lex.europa.eu/eli/dir/2011/7/oj/
23
Råstofloven (LBK nr. 124 af 26/01/2017) § 10 om
sikkerhedsstillelse. https://www.retsinformation.dk/eli/lta/2017/124
24
Miljøgodkendelsesvejledningen 5.12.5 –
Sikkerhedsstillelse: https://miljogodkendelsesvejledningen.dk/opslag/512-saerlige-
problemstillinger/5125-sikkerhedstillelse
25
Deponeringsbekendtgørelsen – krav om sikkerhedsstillelse (§
7): https://www.retsinformation.dk/eli/lta/2011/719
26
EU's affaldsdirektiv 2008/98/EF: https://eur-lex.europa.eu/legal-
content/DA/ALL/?uri=celex%3A32008L0098
33
MOF, Alm.del - 2025-26 - Bilag 34: Henvendelse af 22/10-25 fra Grivita om kontrol og sanktioner over for svinetransporter til udlandet og maksimal transporttid
3083746_0038.png
Appendix A. Transportdødelighed for grise ved danske griseeksporter
Danmark eksporterede i 2024 16,7 millioner levende grise, hvoraf 98,2% var smågrise til opfedning i
andre EU-lande. På baggrund af en analyse af historiske data og europæiske videnskabelige studier
anslås den samlede årlige dødelighed til:
Bekræftede dødsfald ved danske samlefaciliteter: 8.670 grise (2024)
Anslåede transportrelaterede dødsfald: 13.360 grise (2024)
Total anslået dødelighed: 22.030 grise, svarende til 0,132% af eksporten
Tabel: Anslået transportdødelighed for danske griseeksporter 2000–2024
År
2000
2005
2010
2015
2020
2024
Eksport
(mio.)
0,5
3,9
7,3
11,2
15,1
16,7
Dødelighed
(%)
0,120
0,090
0,090
0,090
0,080
0,080
Transportdødsfald Samlefacilitetsdødsfald
600
3.518
6.586
10.039
12.080
13.360
100
781
5.795
8.115
8.510
8.670
Total
dødsfald
700
4.299
12.381
18.154
20.590
22.030
Dødelighedsprocenten er transportdødelighed (døde under transport). Samlefacilitetsdødsfald er døde ved
opsamlingssteder før eksport.
Beregningen af transportdødelighed bygger på følgende principper:
1. Eksporttal:
Eksporttal for 2000–2024 er interpoleret ud fra dokumenterede årstal (fx 2020: 15,1 mio., 2023:
15,3 mio., 2024: 16,7 mio.) og historisk udvikling fra minimal eksport i 2000 til rekordniveau i
2024.
2. Dødelighedsprocenter:
Dødelighedsrater er baseret på europæiske studier:
o
o
o
0,049% for transport under 50 km
0,145% for transport over 300 km
0,09%
som
gennemsnit
for
typiske
danske
eksportdistancer
For 2000–2005 er en højere rate (0,12% → 0,09%) anvendt, faldende til 0,08% i 2020–
2024 pga. forbedringer i transport og dyrevelfærd.
3. Transportdødsfald:
Beregnes som eksporttal × dødelighedsprocent for det pågældende år.
4. Samlefacilitetsdødsfald:
For 2015–2024 anvendes dokumenterede tal (8.000–9.000 årligt). Tidligere år er skaleret
proportionalt med eksportvolumen.
5. Validering:
Metoden giver for 2024: 13.360 transportdødsfald + 8.670 facilitetsdødsfald = 22.030 total,
svarende til 0,132% af eksporten, hvilket ligger inden for det observerede spænd (0,05–0,15%)
fra europæiske studier.
34
MOF, Alm.del - 2025-26 - Bilag 34: Henvendelse af 22/10-25 fra Grivita om kontrol og sanktioner over for svinetransporter til udlandet og maksimal transporttid
3083746_0039.png
Samlefaciliteter
Samlefaciliteter (også kaldet
samlecentre
eller
omlastningsfaciliteter)
er steder, hvor grise fra forskellige
besætninger samles, sorteres og ofte omlades,
inden
de eksporteres ud af Danmark. Ca. 95% af grise
som eksporteres kommer til et af disse samlesteder, og kun en lille del eksporteres direkte fra
produktionsstedet. På samlestederne opholder grisene sig typisk i kortere tid, inden de læsses på de
lastbiler, der skal køre dem til modtagerlandet. Disse faciliteter er altså før selve
eksporttransporten starter, og dødsfald her tælles ikke med i den egentlige transportdødelighed, men
registreres særskilt.
Årsager til relativt høj dødelighed på samlefaciliteter:
Stress og håndtering: Grisene udsættes for stress ved flytning, sammenblanding med fremmede
dyr, håndtering og evt. ventetid.
Sygdom og svækkelse: Svage eller syge grise kan bukke under for belastningen, især hvis de
allerede er i dårlig stand ved ankomst.
Miljøforhold: Temperatur, ventilation og pladsforhold kan variere, og dårlige forhold øger
risikoen for dødsfald.
Sortering: Grisene sorteres, og de svageste kan blive frasorteret og evt. dø eller aflives på stedet.
35
MOF, Alm.del - 2025-26 - Bilag 34: Henvendelse af 22/10-25 fra Grivita om kontrol og sanktioner over for svinetransporter til udlandet og maksimal transporttid
3083746_0040.png
Appendix B. Eksporterede grise fra Danmark
Fordelt på kategorier 2000-2024. Millioner
År
Smågrise til
opfedning
2,1
2,4
2,7
3,1
3,6
5,8
6,7
7,5
7,3
7,8
10,2
8,0
8,7
10,0
11,3
12,0
12,7
13,5
13,9
14,4
14,8
13,7
13,5
15,1
16,4
+681%
Andre levende
brugsdyr/avlsdyr
0,3
0,3
0,3
0,3
0,3
0,4
0,4
0,4
0,4
0,4
0,5
0,4
0,4
0,4
0,4
0,4
0,4
0,4
0,4
0,4
0,2
0,2
0,2
0,1
0,1
-67%
Grise til
slagtning
0,1
0,1
0,1
0,1
0,1
0,1
0,1
0,1
0,1
0,1
0,1
0,1
0,1
0,1
0,1
0,1
0,1
0,1
0,1
0,1
0,3
0,2
0,2
0,2
0,2
+100%
Total levende
eksport
2,5
2,8
3,1
3,5
4,0
6,3
7,2
8,0
7,8
8,3
10,8
8,5
9,2
10,5
11,8
12,5
13,2
14,0
14,4
14,9
15,3
14,1
13,9
15,4
16,7
+568%
2000
2001
2002
2003
2004
2005
2006
2007
2008
2009
2010
2011
2012
2013
2014
2015
2016
2017
2018
2019
2020
2021
2022
2023
2024
Ændring
2000-2024
Kilder og forklaringer
Smågrise til opfedning: Primært smågrise (7-30 kg) eksporteret til opfedning i andre EU-lande,
hovedsageligt Tyskland og Polen. Tallene for 2020-2024 er baseret på Danish Agriculture & Food Council
Statistics og Frontiers in Veterinary Science (2023).
Datagrundlag:
Dokumenterede år: 2000, 2005, 2008, 2010-2012, 2016-2024 baseret på Danish Agriculture & Food
Council, Danmarks Statistik, Fødevarestyrelsen, Eurogroup for Animals, og Dyrenes Beskyttelse.
Estimerede år: 2001-2004, 2006-2007, 2009, 2013-2015 er interpolerede baseret på kendte datapunkter
og dokumenterede trends.
36
MOF, Alm.del - 2025-26 - Bilag 34: Henvendelse af 22/10-25 fra Grivita om kontrol og sanktioner over for svinetransporter til udlandet og maksimal transporttid
Appendix C: Realtidskontrol og grænseoverskridende håndhævelse af
dyretransportregler
Nedenfor belyses, hvordan anbefalingerne i afsnit 5 kan medvirke til at imødegå nogle
systematiske overtrædelser af transportforordningen.
1. Problemet: Systematiske overtrædelser uden konsekvenser
Aktuelle undersøgelser og aktindsigter dokumenterer omfattende og systematiske
overtrædelser af EU's dyretransportregler, særligt for danske eksportgrise. Problemerne er
veldokumenterede gennem flere kilder:
1.1 Overtrædelse af temperaturkrav
Dyrenes Beskyttelse har gennem aktindsigter og egne undersøgelser dokumenteret, at danske
smågrise på vej til Polen, Tyskland og Serbien rutinemæssigt udsættes for temperaturer langt
over den lovlige grænse på 30°C¹. Konkrete eksempler viser temperaturer op til 40°C inde i
transportkøretøjerne over mange timer². Fødevarestyrelsens egne kontroller har de seneste år
ført til sanktioner i mere end hver tiende sending om sommeren³. Grise udsat for så ekstreme
temperaturer risikerer alvorlig lidelse gennem dehydrering, varmestress, kredsløbskollaps og i
værste fald død⁴.
1.2 Samlestedssvindel og omgåelse af hviletidsregler
Dyrenes Beskyttelse har afsløret et systematisk trick, hvor danske grisetransporter registreres til
små samlesteder i udlandet som "slutdestination"⁵. Her skifter dyrene blot lastbil efter få timer
og køres videre uden de lovpligtige 48 timers hvile, som kræves ved et reelt bestemmelsessted
ifølge forordning (EF) nr. 1/2005⁶. På papiret ser alt lovligt ud, men i virkeligheden fortsætter
den samme rejse uden myndighedsoverblik på tværs af landegrænser⁷. Politiken har belyst den
systematiske omgåelse af transportreglerne gennem brug af samlesteder som falske
bestemmelsessteder, hvor antallet af berørte grise er firdoblet fra 2022 til 2024.
Problemstillingen forhandles aktuelt i EU's ministerråd under revisionen af transport-
forordningen
27a,27b,27c
.
1.3 Svært at retsforfølge transportørerne
Selv når myndighederne dokumenterer klare overtrædelser, forbliver det næsten konsekvensfrit
for de udenlandske transportører⁸. Dyrenes Beskyttelse har afdækket, at mange sager
henlægges, især når transportøren er udenlandsk, eller når overtrædelsen er sket uden for
Danmark⁹. I en konkret undersøgelse modtog kun én ud af femten afsluttede sager en bøde,
mens resten blev droppet på grund af uforholdsmæssigt høje omkostninger ved retsforfølgelse,
forældelsesproblemer og manglende svar fra udenlandske transportører¹⁰. Ifølge rapporter fra
2024 blev kun én ud af 21 sager om for høje temperaturer under transport ført til bøde, mens
14 blev henlagt¹¹.
1.4 Fusk og svigt med kontrol
Der er dokumenteret omfattende fusk med temperaturovervågning og kontrol¹². Dyrenes
Beskyttelse har afsløret, at temperatursensorer periodisk måler forkert, eller at data ikke
registreres korrekt¹³. Dette gør det vanskeligt at dokumentere overtrædelser og gennemføre
37
MOF, Alm.del - 2025-26 - Bilag 34: Henvendelse af 22/10-25 fra Grivita om kontrol og sanktioner over for svinetransporter til udlandet og maksimal transporttid
effektiv kontrol. Organisationen dokumenterer, at hundredvis af sager bliver henlagt, og at store
eksportører ofte undgår ansvar, fordi overtrædelserne sker over landegrænser¹⁴.
Rigsrevisionen dokumenterede i 2020, at Fødevarestyrelsen ikke i tilstrækkelig grad sanktio-
nerede transportører, der gentagne gange overtrådte reglerne for lange grisetransporter¹⁵.
Samtidig blev kontrolindsatsen ikke udvidet i takt med den markante stigning i eksporten, hvilket
bidrog til, at overtrædelserne fortsatte¹⁶.
2. Løsningen: Digital realtidskontrol og økonomiske incitamenter, jfr. afsnit 5.
Løsningspakken i afsnit 5 adresserer de identificerede problemer gennem tre hoved-
komponenter:
2.1 Digitalisering og realtidskontrol
Løsningen bygger på obligatorisk GPS-tracking integreret med TRACES (EU's Trade Control and
Expert System), hvor myndighederne får adgang til positionsdata i realtid¹⁷. Dette muliggør:
Automatiske alarmer ved overskridelse af 8 timers transport eller kritiske temperaturgrænser
(>25°C), sendt direkte til både transportør og kontrolmyndighed¹⁸
Virtuelle kontrolzoner ved samlesteder og grænseovergange, der automatisk registrerer
ankomst og afgang¹⁹
Gennemgående rejse-ID der følger sendingen ved omlæsning, så køre- og hviletider ikke kan
"nulstilles"²⁰
Realtidsovervågning af temperatur og luftfugtighed med minimum én sensor pr. rum/dæk plus
"hot-spot"-placeringer²¹
Teknologien er allerede udviklet og anvendes bredt i fødevaretransport for at sikre efterlevelse
af EU's hygiejneforordninger 852/2004 og 853/2004²². Det er paradoksalt, at en pakke frossen
fisk i praksis overvåges mere systematisk end levende grise.
2.2 Depositumordning for højrisikotransporter
For transporter med høj risiko (f.eks. over 8 timer, ekstreme temperaturer, over 400 grise)
indføres krav om forudbetalt depositum.
Depositum tilbagebetales ved regelkonform transport
Ved dokumenterede overtrædelser anvendes depositum til dækning af kontrolomkostninger og
eventuelle bøder
Ordningen skaber et stærkt økonomisk incitament til regeloverholdelse
Ingen forfatningsmæssige betænkeligheder, da det udgør en civilretlig sikkerhedsstillelse – ikke
en straf
Sådanne ordninger anvendes allerede succesfuldt i bl.a. bygge- og miljøsektoren, jfr. afsnit 5.
2.3 TRACES-suspension og grænseoverskridende koordinering
Systemet kan omfatte automatisk blokering af nye transporttilladelser ved dokumenterede
overtrædelser²⁵ således at genaktivering kræver dokumentation for korrigerende handlinger.
38
MOF, Alm.del - 2025-26 - Bilag 34: Henvendelse af 22/10-25 fra Grivita om kontrol og sanktioner over for svinetransporter til udlandet og maksimal transporttid
Alle overtrædelser og kontroldata deles automatisk mellem nationale myndigheder via TRACES.
Gensidig anerkendelse af kontrolgebyrer på tværs af grænser inspireret af EU's trafikbøde-
direktiv (2015/413/EU) for grænseoverskridende opkrævning²⁶
3. Sådan stopper løsningen de dokumenterede problemer
3.1 Temperaturoverskridelser bliver umulige at skjule
Med realtidsovervågning og automatiske alarmer ved 25°C kan transportører ikke længere
ignorere kritiske temperaturer. Systemet logger kontinuerligt data, som geotagges og deles
telematisk i TRACES. Ved overskridelser pålægges chaufføren at stoppe ved nærmeste
rasteplads, og myndigheder i både afsendelses- og modtagerlandet alarmeres øjeblikkeligt.
3.3.2 Samlestedssvindel lukkes effektivt
Det gennemgående rejse-ID og de virtuelle kontrolzoner lukker hullet, hvor samlesteder bruges
som skalkeskjul²⁷. Når en transport registreres som "ankommet" til et samlested, starter
automatisk et 48-timers opholdstidsur. Kører transporten videre før tid, udløses øjeblikkelig
alarm til myndighederne. GPS- og klimadata deles løbende i TRACES, så den samlede køretid og
dyrenes forhold ikke kan "nulstilles" ved omlæsning²⁸.
3.3.3 Udenlandske transportører kan ikke længere undslippe ansvar
Depositumordningen sikrer, at der altid er økonomiske midler til rådighed ved overtrædelser.
Kombineret med TRACES-suspension betyder det, at selv udenlandske transportører har stærke
incitamenter til at overholde reglerne – ellers mister de både depositum og muligheden for
fremtidige transporter.
3.3.4 Fusk bliver opdaget i realtid
Kontinuerlig temperaturovervågning med automatiske alarmer gør det umuligt at manipulere
med data eller ignorere kritiske forhold. Når temperatursensorer registrerer overskridelser,
sendes alarmer direkte til både chauffør og myndigheder, og transporten kan stoppes mens
overtrædelsen sker – ikke blot konstateres bagefter.
3.3.5 Danmarks forfatningsmæssige udfordring løses elegant
Danmark modsætter sig administrative bøder af forfatningsmæssige grunde²⁹. Løsningen bruger
derfor ikke-strafferetlige virkemidler: midlertidig TRACES-spærring (administrativ
adgangsstyring), krav om depositum for højrisikotransporter (med fortabelse ved misligholdelse
som civilretlig konsekvens), samt vilkår i godkendelser og risikobaseret intensiveret kontrol.
Dette skaber reel efterlevelse og økonomiske incitamenter uden at kollidere med Grundloven³⁰.
4. Konklusion
Denne løsningspakke transformerer dyretransportkontrollen fra reaktiv papirkontrol til proaktiv
digital overvågning, hvor overtrædelser forebygges eller stoppes mens de sker. Med få,
velafprøvede værktøjer – live data, virtuelle kontrolzoner og et ubrudt rejse-ID kombineret med
automatiske spærringer og grænseoverskridende opkrævning – kan vi stoppe både temperatur-
overskridelser og samlestedssvindel, mens det sker. Det giver fair konkurrence, bedre dyrevel-
færd og en kontrol, der virker i hverdagen – ikke kun på papiret.
39
MOF, Alm.del - 2025-26 - Bilag 34: Henvendelse af 22/10-25 fra Grivita om kontrol og sanktioner over for svinetransporter til udlandet og maksimal transporttid
Kilder
¹ Dyrenes Beskyttelse (2024): "Kontroller afslører ekstrem varme på grisetransporter"
https://www.dyrenesbeskyttelse.dk/artikler/kontroller-afsloerer-ekstrem-varme-paa-
grisetransporter
² Dyrenes Beskyttelse (2024): "Kom med på grisetransport: Hvornår trykker du stop?"
https://www.dyrenesbeskyttelse.dk/artikler/kom-med-paa-grisetransport-hvornaar-trykker-
du-stop
³ Fødevarestyrelsen (2023): Kontrol af dyrevelfærd - Årsrapport
https://www.foedevarestyrelsen.dk/Kontrol/Kontrolkampagner/Dyrevelfaerd
⁴ EFSA (2022): Welfare of pigs during transport, EFSA Journal 2022;20(9):7445
https://efsa.onlinelibrary.wiley.com/doi/10.2903/j.efsa.2022.7445
⁵ Dyrenes Beskyttelse (2025): "Se første del af filmen: Dyrenes Beskyttelse følger efter en
grisetransport" https://www.dyrenesbeskyttelse.dk/artikler/se-foerste-del-af-filmen-dyrenes-
beskyttelse-foelger-efter-en-grisetransport-afsloere
⁶ Forordning (EF) nr. 1/2005 om beskyttelse af dyr under transport https://eur-
lex.europa.eu/legal-content/DA/TXT/?uri=CELEX:32005R0001
⁷ Dyrenes Beskyttelse (2025): "Mistanken: Hvor forsvinder de mange danske grise hen?"
https://www.dyrenesbeskyttelse.dk/artikler/mistanken-hvor-forsvinder-de-mange-danske-
grise-hen
⁸ Dyrenes Beskyttelse (2024): "Politiet dropper sager om alt for varme grisetransporter"
https://www.dyrenesbeskyttelse.dk/artikler/transportoerer-gaar-fri-straf-politiet-dropper-
sager-om-alt-varme-grisetransporter
⁹ Dyrenes Beskyttelse (2024): "Transportører går fri for straf"
https://www.dyrenesbeskyttelse.dk/artikler/transportoerer-gaar-fri-straf-politiet-dropper-
sager-om-alt-varme-grisetransporter
¹⁰ Rigsrevisionen (2020): Beretning om kontrol med dyretransporter
https://www.rigsrevisionen.dk/revisionssager-arkiv/2020/jan/beretning-om-kontrol-med-
dyretransporter
¹¹ Dyrenes Beskyttelse (2024): "Fødevarestyrelsens kontrol af dyretransporter får
dumpekarakter" https://www.dyrenesbeskyttelse.dk/artikler/foedevarestyrelsens-kontrol-af-
dyretransporter-faar-dumpekarakter
¹² Dyrenes Beskyttelse (2025): "Kontroller afslører ekstrem varme på grisetransporter"
https://www.dyrenesbeskyttelse.dk/artikler/kontroller-afsloerer-ekstrem-varme-paa-
grisetransporter
¹³ Dyrenes Beskyttelse (2025): "Myndighedernes blinde vinkel ingen ved hvor varmt grisene
har det på transporter "https://www.dyrenesbeskyttelse.dk/artikler/myndighedernes-blinde-
vinkel-ingen-ved-hvor-varmt-grisene-har-det-paa-transporter
40
MOF, Alm.del - 2025-26 - Bilag 34: Henvendelse af 22/10-25 fra Grivita om kontrol og sanktioner over for svinetransporter til udlandet og maksimal transporttid
¹⁴ Dyrenes Beskyttelse (2024): "Afsløring: Tusindvis af eksportgrise dør inden de har forladt
landet" https://www.dyrenesbeskyttelse.dk/artikler/afsloering-tusindvis-af-eksportgrise-doer-
inden-de-har-forladt-landet
¹⁵ Rigsrevisionen (2020): Beretning om kontrol med dyretransporter
https://www.rigsrevisionen.dk/revisionssager-arkiv/2020/jan/beretning-om-kontrol-med-
dyretransporter
¹⁶ Den Europæiske Revisionsret (2023): Revision af praksis for transport af levende dyr –
Beretning nr. 03/2023 https://www.eca.europa.eu/Lists/ECADocuments/RV-2023-03/RV-2023-
03_DA.pdf
¹⁷ TRACES – Trade Control and Expert System, Europa-Kommissionen
https://food.ec.europa.eu/animals/traces_en
¹⁸ COM(2023) 770 final: Forslag til revision af transportforordningen https://eur-
lex.europa.eu/legal-content/DA/TXT/?uri=CELEX:52023PC0770
¹⁹ TRACES NT – Hjælpeportal / Dokumentation https://webgate.ec.europa.eu/IMSOC/tracesnt-
help/Default.htm
²⁰ TRACES NT – Kom godt i gang (officiel vejledning)
https://webgate.ec.europa.eu/IMSOC/tracesnt-help/Content/en/getting-started.html
²¹ Teknologisk Institut (2024): Notat om varmeudvikling i en grisetransport
https://www.dyrenesbeskyttelse.dk/sites/dyrenesbeskyttelse.dk/files/grafik/Varme%20transp
orter%202025/Notat%20om%20varmeudvikling%20i%20en%20grisetransport%20D24-
573043%201.0.pdf
²² Forordning (EF) nr. 852/2004 og 853/2004 om fødevarehygiejne https://eur-
lex.europa.eu/legal-content/DA/TXT/?uri=CELEX:32004R0852
²⁵ Europa-Parlamentets ANIT-udvalg (2022): Betænkning om beskyttelse af dyr under transport
https://www.europarl.europa.eu/doceo/document/A-9-2022-0001_DA.html
²⁶ Direktiv 2015/413/EU om grænseoverskridende trafikbøder https://eur-lex.europa.eu/legal-
content/DA/TXT/?uri=CELEX:32015L0413
27a
Politiken 5/10 -2025: "Den tur viser at der er tale om systematisk snyd"
https://politiken.dk/danmark/art10563451/Den-tur-viser-at-der-er-tale-om-systematisk-snyd
27b
Politiken 11/10 2025: “Grisene skal ikke transporteres, som om de var køleskabe eller
kartofler” https://politiken.dk/danmark/art10574717/%C2%BBGrisene-skal-ikke-
transporteres-som-om-de-var-k%C3%B8leskabe-eller-kartofler%C2%AB
27c
Politiken 11/10 2025: ” Det virker, som om man kan kalde en hvilken som helst rasteplads
for et bestemmelsessted for grisene” https://politiken.dk/danmark/art10578504/%C2%BBDet-
virker-som-om-man-kan-kalde-en-hvilken-som-helst-rasteplads-for-et-bestemmelsessted-for-
grisene%C2%AB
²⁸ EURCAW-Pigs (2020): Review of climate control during pig transport
https://edepot.wur.nl/529443
41
MOF, Alm.del - 2025-26 - Bilag 34: Henvendelse af 22/10-25 fra Grivita om kontrol og sanktioner over for svinetransporter til udlandet og maksimal transporttid
²⁹ Folketinget, Europaudvalget – Offentligt referat 20/6-2025
https://www.ft.dk/samling/20241/almdel/EUU/bilag/603/index.htm
³⁰ Rådet, fremskridtsrapport/Kompromisforslag juni 2025, dok. 9581/25
https://data.consilium.europa.eu/doc/document/ST-9581-2025-INIT/en/pdf
42