Sundhedsudvalget 2024-25
B 130
Offentligt
3076775_0001.png
Slotsholmsgade 10-12
DK-1216 København K
T +45 7226 9000
M [email protected]
W sum.dk
Folketingets Sundhedsudvalg
Dato: 23-06-2025
Enhed: Forebyggelse,
Borgerhenvendelser og
Strålebeskyttelse
Sagsbeh: rebl
Sagsnr.:2025 - 6557
Dok. nr.: 356702
Hermed sendes besvarelse af spørgsmål nr. 2 (B 130), som Folketingets
Sundhedsudvalg har stillet til indenrigs- og sundhedsministeren den 18. juni. 2025
Spørgsmålet er stillet efter ønske fra Per Larsen (KF).
Spørgsmål nr. 2:
”Vil
ministeren kommentere henvendelse af 17/6-25 fra Dansk Solarie Forening, jf. B
130 - bilag 2?”
Svar:
Først og fremmest glæder jeg mig over at læse, at Dansk Solarie Forening har stort
fokus på - og konkrete forslag til, hvordan sikkerheden i danske solariecentre kan
styrkes, og at foreningen imødeser et kvalitetstjek af solarieloven.
Jeg noterer mig, at Dansk Solarie Forening fremsætter en række betragtninger om
blandt andet unges solarievaner, sundhedsrisici ved solariebrug, erfaringer med en
18 årsaldersgrænse i andre lande, udviklingen i hud- og modermærkekræft samt
tilsynspraksis på området. Jeg noterer mig ligeledes, at Dansk Solarie Forening ser en
række udfordringer og implikationer forbundet med at indføre og håndhæve en 18
års aldersgrænse i Danmark.
Regeringen ønsker som en del af Kræftplan V at indføre en 18 års aldersgrænse for
solariebrug i Danmark for at beskytte børn og unge mod solariernes skadelige
virkning samt foretage et kvalitetstjek af solarieloven. I forbindelse med
kvalitetstjekket af solarieloven skal det afklares, hvordan aldersgrænsen mest
hensigtsmæssigt kan håndhæves, eksempelvis ved brug af elektronisk
aldersverificering.
Jeg kan i den forbindelse oplyse, at det faglige grundlag for arbejdet på
solarieområdet ikke er baseret på enkeltstående studier eller datasæt, men tager
udgangspunkt i en faglig vurdering af den samlede videnskabelige evidens og
udviklinger på området.
En 18 års aldersgrænse på solariebrug i Danmark er anbefalet af Sundhedsstyrelsen i
samarbejde med Solgruppen, som består af Sundhedsstyrelsen, Dansk Dermatologisk
Selskab, Danmarks Meteorologiske Institut, Kræftens Bekæmpelse, Miljø
og
Ligestillingsministeriet, Sikkerhedsstyrelsen og Videncenter for Hudkræft.
Jeg kan desuden henvise til svar på SUU alm. del nr. 567-573.
B 130 - 2024-25 - Endeligt svar på spørgsmål 3: Spm. om kommentar til præsentation fremvist af Dansk Solarie Forening under foretræde for udvalget 4/9-25
Med venlig hilsen
Sophie Løhde
Side 2
B 130 - 2024-25 - Endeligt svar på spørgsmål 3: Spm. om kommentar til præsentation fremvist af Dansk Solarie Forening under foretræde for udvalget 4/9-25
3076775_0003.png
Danmark, juni 2025
Dansk Solarie Forenings kommentar til forslag om forbud mod solariebrug for
personer under 18 år
Dette notat gennemgår relevante forhold i vurderingen af forslag om indførelse af en 18-års
aldersgrænse for brug af solarier. Notatet analyserer de i forslaget fremsatte påstande om
omfanget af unges solariebrug, sundhedsrisici, erfaringer med regulering, potentielle ulemper
ved et aldersforbud samt alternative tiltag til at fremme ansvarlig brug af solarier. Det er
præmissen i notat af forslaget i høj grad anvender Kræftens Bekæmpelse konklusioner og data
ifm. forslaget.
Kræftens Bekæmpelses undersøgelse af unges brug af solarier
Kræftens Bekæmpelse (KB) drager misvisende konklusioner af egne undersøgelser
vedrørende unges brug af solarier.
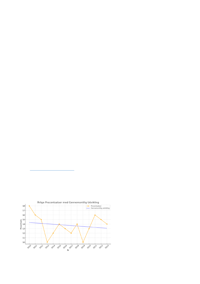
KB’s påstår at antallet af unge under 25 år, der anvender solarier, er stigende. Det stemmer
ikke overens med organisationens data, som viser en jævn nedgang siden 2010 (figur 1).
Variationen i tallene fra år til år afhænger primært af vejret i Danmark. Eksempelvis var
sommeren 2013 den tørreste siden 1996, mens sommeren 2019 var den varmeste siden 1879.
Derimod var sommeren 2021 relativt solfattig.
En anden misvisende påstand er, at 23% af unge aktuelt bruger solarier. I denne opgørelse
indregnes alle, der blot har brugt et solarium en enkelt gang inden for det seneste år. KB’s egne
data viser dog, at 86% af de unge slet ikke har brugt solarier i 2023. Blandt de 14%, der har
benyttet et solarium mindst én gang i løbet af året, er det kun 5% af unge mellem 15-25 år, der
har gjort det mere end én gang om måneden. Danskerne, uanset alder, benytter naturligt nok
ofte solarium når sommeren er kold og regnfuld.
KB har desuden undladt at oplyse omfanget af solariebrug specifikt for unge under 18 år, på
trods af at denne information er relevant i forhold til forbudsforslaget. Organisationen opererer
DSF – Dansk Solarie Forening
1
B 130 - 2024-25 - Endeligt svar på spørgsmål 3: Spm. om kommentar til præsentation fremvist af Dansk Solarie Forening under foretræde for udvalget 4/9-25
3076775_0004.png
alene med aldersspændene 15-25 år eller 15-20/21-25 år. Den metodiske gennemførelse af
undersøgelsen efterlader ingen tvivl om af KB ligger inde med det eksakte tal for hvor mange
unge under 18 år der har benyttet sig af solarie, som, de i henhold til undersøgelsen vælger
ikke at offentliggøre.
Erfaringer fra lande med indført aldersgrænse på 18 år for brug af solarier
I lande der har indført aldersgrænse for brug af solarier, er det meget begrænset hvad der er
foretaget af undersøgelser for afdækningen af udviklingen af unges brug af solarier.
Erfaringerne fra Norge og Tyskland viser dog, at et aldersforbud ikke har haft nogen
signifikant effekt på unges brug af solarier.
I Norge har solariebrug blandt unge i alderen 15-25 år forblevet stabilt trods et forbud indført i
2017 med elektronisk alderskontrol. Unges brug af solarier i Norge er stabilt på et niveau
væsentligt højere end i Danmark. Kontrollen, der skal forhindre unge under 18 år i, at gøre
brug af solarium, kan udføres elektronisk. Alderskontrollen i Norge har ingen effekt haft på
omfanget af unges brug.
Brug af solarier blandt unge i alderen 15-25 år i Norge
2016
27%
2018
27%
2020
28%
2022
20% (covid-pan)
2024
29%
I Tyskland, hvor et forbud blev indført i 2009, har der ikke været et systematisk fald i brugen
af solarie blandt unge.
Brug af solarier blandt unge i Tyskland
2015
14–17 years
18–25 years
15-25 years
10.6%
22.9%
33,5%
2016
12.2%
21.3%
33,5%
2017
8.5%
24.8%
33,3%
2018
10.2%
23.0%
33,2%
DSF – Dansk Solarie Forening
2
B 130 - 2024-25 - Endeligt svar på spørgsmål 3: Spm. om kommentar til præsentation fremvist af Dansk Solarie Forening under foretræde for udvalget 4/9-25
Baseret på de begrænsede tilgængelige data kan det konkluderes, at indførelsen af en
aldersgrænse for brug af solarier har haft begrænset eller ingen effekt på unges solariebrug. I
de lande, hvor en aldersgrænse er blevet implementeret, adskiller udviklingen i unges
solariebrug sig ikke fra udviklingen i Danmark. Derudover er danskernes brug af solarier
markant lavere sammenlignet med unges i lande, hvor en aldersgrænse er indført.
UV-eksponering: Naturlig sol versus solarie
Danmark indførte i 2014 en øvre grænse for UV- stråling på indeks 12. En typisk sommerdag i
Danmark har UV-indeks på 7. En solariebruger eksponeres normalt mellem 10 og 20 minutter,
svarende til 1-1,5 times eksponering i naturligt sollys.
UV-eksponering fra solarier adskiller sig ikke fra naturligt sollys i sammensætning, kun i
intensitet. UV-påvirkningen i Sydeuropa svarer til den, som en person udsættes for i et
solarium i Danmark.
Det er væsentligt at understrege, at eksponeringen for UV-stråling i solarier er tidsbegrænset
og har en intensitet, der svarer til den, som solturister oplever.
Sammenhæng mellem solariebrug og modermærke- eller hudkræft
En omfattende undersøgelse fra Storbritannien har undersøgt sammenhængen mellem
solariebrug og modermærkekræft. Studiet konkluderede, at brug af solarium ikke udgør nogen
signifikant risiko for udvikling af modermærkekræft. Desuden viste analysen, at alderen ved
første solariebrug kun var forbundet med en marginal og ikke-signifikant øget risiko for
personer under 25 år sammenlignet med ikke-brugere.
Sammenholder man den britiske undersøgelse med danske forhold, bør det bemærkes, at
strålingsstyrken i britiske solarier før og under undersøgelsesperioden var markant højere end
den, der har været anvendt i Danmark siden 2014.
Derudover kan der henvises til et studie fra 2018, Solarium Use and Risk for Malignant
Melanoma: Meta-analysis and Evidence-based Medicine, som konkluderer: Den nuværende
videnskabelige viden bygger primært på observationsstudier med data af lav kvalitet, der
identificerer korrelationer, men ikke beviser kausalitet. På nuværende tidspunkt findes der
ingen overbevisende dokumentation for, at moderat og ansvarlig solariebrug øger risikoen for
melanom.
Sammenfattende viser empiriske undersøgelser, at der ikke er belæg for en signifikant
sammenhæng mellem solariebrug og risikoen for at udvikle modermærkekræft.
Overnævnte studie fulgte 30.000 kvinder fra Skåne i Sverige i mere end to årtier, altså et
omfattende datagrundlag for egne breddegrader.
Risikoen for kræft som følge af eksponering for UV-stråling
Ifølge studie baseret på analyse af data hentet i UK Biobank er højere eksponering for UV-
DSF – Dansk Solarie Forening
3
B 130 - 2024-25 - Endeligt svar på spørgsmål 3: Spm. om kommentar til præsentation fremvist af Dansk Solarie Forening under foretræde for udvalget 4/9-25
stråling forbundet med en reduceret risiko for dødelighed relateret til hjerte-kar-sygdomme og
visse former for kræft. Studiet bidrager til den voksende evidens for, at fordelene ved UV-
eksponering kan opveje risiciene i lande med begrænset sollys.
Kvinder med aktive solvaner havde generelt en lavere risiko for hjerte-kar-sygdomme (CVD)
samt lavere dødelighed af andre årsager end kræft og CVD sammenlignet med kvinder, der
undgik sollys. Undersøgelsen viste desuden, at ikke-rygere, der undgik sollys, havde en
forventet levetid på niveau med rygere i gruppen med den højeste soleksponering. Dette
indikerer, at undgåelse af sollys kan udgøre en risikofaktor for dødelighed på linje med
rygning. Studiet er ligeledes baseret på data fra Skåne i Sverige som fulgte 30.000 kvinder i
mere end to årtier.
Fra et sundhedsmæssigt perspektiv kan eksponering for UV-stråling ikke entydigt betragtes
som en risiko. Videnskabelige studier peger på, at en afbalanceret eksponering for UV-stråling
kan bidrage til en længere levetid med lavere risiko for alvorlige sygdomme, hvilket også
anerkendes af dermatologer.
Manglende videnskabelig dokumentation for påstanden om øget kræftrisiko ved
solariebrug i en tidlig alder
Påstanden om, at brug af solarier i en tidlig alder udgør en særlig kræftrisiko – herunder at tre
ud af fire tilfælde af modermærkekræft blandt unge skyldes solariebrug, og at risikoen for
modermærkekræft øges med 60% ved solariebrug i ungdomsårene – er ikke videnskabeligt
underbygget.
Påstanden fremstår utroværdig, dels i lyset af den britiske undersøgelse af sammenhængen
mellem solariebrug og modermærkekræft (se pkt. 4), dels fordi der ikke eksisterer data, der
præcist kortlægger unges eksponering for UV-stråling fra henholdsvis solen og solarier. Uden
sådanne data kan en entydig kausal sammenhæng ikke påvises.
Øget diagnostik som forklaring på flere tilfælde af modermærke- og hudkræft
Stigningen i antallet af diagnosticerede tilfælde af modermærke- og hudkræft de seneste år kan
primært tilskrives øget fokus og medicinske fremskridt. Professor i dermatologi, Richard
Weller, påpeger, at den præcise årsag til den stigende diagnosefrekvens for modermærkekræft
(malignt melanom) er ukendt. Dog tyder meget på, at udviklingen hænger sammen med øget
brug af dermoskopi – en specialiseret hudundersøgelse (dermoskopi) – samt en lavere tærskel
blandt læger for at fjerne mistænkelige modermærker til nærmere undersøgelse.
Derudover kan den markante stigning i tilfælde, hvor kræften har spredt sig til nærliggende
lymfeknuder siden år 2000, forklares ved øget brug af sentinel-lymfeknude-biopsi, en teknik
der gør det muligt at opdage selv meget små spredninger af kræftceller.
Det er samtidig væsentligt at bemærke, at selvom flere diagnosticeres med modermærkekræft,
DSF – Dansk Solarie Forening
4
B 130 - 2024-25 - Endeligt svar på spørgsmål 3: Spm. om kommentar til præsentation fremvist af Dansk Solarie Forening under foretræde for udvalget 4/9-25
har antallet af dødsfald ikke fulgt samme udvikling. Mange forskere mener, at dette skyldes, at
flere midler og langsomt voksende tilfælde opdages og diagnosticeres, uden at de
nødvendigvis udgør en livstruende risiko.
Den stigende diagnosefrekvens gælder dog ikke for unge. Som det fremgår af figur 2, har
antallet af diagnosticerede tilfælde i aldersgrupperne 15-29 år og 30-44 år været faldende i
mere end et årti. Det er dog usikkert, om dette fald kan tilskrives en reduceret brug af solarier
blandt unge, da årsagen lige så vel kan være en generelt lavere UV-eksponering fra solen eller
et fald i opmærksomheden på disse kræftformer hos yngre aldersgrupper.
Samlet set skyldes den konstaterede stigning i modermærke- og hudkræft ikke nødvendigvis
en reel øgning i antallet af tilfælde, men snarere et intensiveret fokus og forbedrede
diagnostiske metoder. Samtidig viser data et fald i både forekomsten af hudkræft og
dødeligheden blandt personer under 45 år, herunder specifikt aldersgruppen 15-29 år (figur 2).
Komplikationer ved indførsel af aldersgrænse for solariebrug
Håndhævelse og omgåelse: Alderskontrol er vanskelig at håndhæve, da selv de mest
avancerede systemer for aldersverifikation kan omgås. Der findes utallige eksempler på, at
sådanne systemer ikke fungerer efter hensigten, hvilket gør effektiv håndhævelse
problematisk.
Konsekvenser for små erhvervsdrivendes overlevelse: Små og mellemstore virksomheder
(SVM’er) vil opleve betydelige økonomiske byrder ved at skulle investere i
aldersverifikationsudstyr eller ansætte personale til bemanding af solcentre. Dette kan føre til
lukning af små udbydere, konsolidering af markedet og en reduktion i den geografiske
dækning af offentligt tilgængelige solarier. Som konsekvens kan flere vælge at investere i
hjemmesolarier eller private solarier, som er uden for offentlig regulering og tilsyn.
Forskydning af markedet væk fra offentlig kontrol: Med færre offentligt tilgængelige solarier
og manglende monitorering vil risikoen for uansvarlig brug af solarier stige. Dette kan
resultere i brud på sikkerhedsstandarder, manglende vedligeholdelse af solarier og en generelt
mere risikabel anvendelse. I stedet for at reducere solariebrug blandt unge kan en aldersgrænse
således føre til det modsatte – en ukontrolleret og potentielt farligere anvendelse af solarier i
private rammer.
Forældreansvar og oplysning: Et forbud kan ikke erstatte forældres ansvar for deres børns
adfærd. En mere effektiv strategi ville være at styrke oplysningen om de potentielle risici ved
misbrug af solarier, så forældre bedre kan vejlede deres børn og gribe ind, hvis de observerer
solariebrug. Solariebrug er let at opdage, og med en informeret indsats kan den allerede lave
frekvens af unges solariebrug i Danmark fastholdes eller endda reduceres yderligere.
Samlet vurdering: Indførelsen af en 18-års aldersgrænse vil i praksis være vanskeligt at
håndhæve og kan nemt omgås. Der er ingen dokumenterbar effekt af en sådan regulering, og
omkostningerne ved implementeringen står ikke i rimeligt forhold til de forventede resultater.
DSF – Dansk Solarie Forening
5
B 130 - 2024-25 - Endeligt svar på spørgsmål 3: Spm. om kommentar til præsentation fremvist af Dansk Solarie Forening under foretræde for udvalget 4/9-25
Derudover vil mange SMV’er blive økonomisk ramt, mens en øget udbredelse af privat
solariebrug uden for sikkerhedsmæssigt tilsyn kan føre til en højere risiko for uansvarlig brug
og solskoldninger.
Uregelmæssigheder og udfordringer ved tilsyn i danske solcentre
Sikkerhedsstyrelsen har siden 2020 gennemført 451 tilsyn i Danmarks ca. 650 solarier. I 247
tilfælde blev der konstateret overtrædelser, hvor de mest almindelige fejl ved manglende
beskyttelsesbriller og fravær af en lovpligtige informationsplakat fra Sundhedsstyrelsen.
Desuden har tilsynene siden 2020 resulteret i 71 politianmeldelser i sager, hvor
kontrolmålinger viste for høj strålingsintensitet.
Selvom branchen har en forpligtelse til at overholde gældende regler og løbende styrke
efterlevelsen af dem, har kontrolmyndigheden et medansvar for at sikre en kompetent og
retvisende tilsynspraksis. I øjeblikket er Sikkerhedsstyrelsens kontrolarbejde præget af
sporadiske tilsyn og fejl i målemetoder og udstyr. Dette har resulteret i påbud og
politianmeldelser på et fejlagtigt grundlag, hvilket giver et misvisende billede af branchens
efterlevelse af lovgivningen og skaber unødig bekymring blandt forbrugerne.
I forbindelse med en kommende revision af den internationale og den europæiske standard for
solarier forventes det, at der fastlægges en korrekt procedure for kontrolmålinger uden for
laboratoriemiljøet, f.eks. solcentre. Dette vil forhåbentlig føre til en mere præcis og retvisende
kontrolpraksis i Danmark.
Manglende faglig kompetence hos tilsynsmyndigheden for solarier skaber et skævt billede af
branchens professionalisme og underminer tilliden til reguleringen.
Alternative løsninger til ansvarlig solariebrug uden forbudsinstrumentets
bivirkninger
Både små som store udbydere af solcentre i Danmark ønsker en modernisering af
lovgivningen for at adressere den udbredte bekymring omkring solariebrug og samtidig sikre,
at danske solarier overholder gældende sikkerhedsstandarder. En opdateret regulering kan ikke
blot øge sikkerheden, men også fremme ansvarlig anvendelse af solarier uden de negative
konsekvenser, som et forbud medfører.
Der er behov for en mere struktureret og effektiv kontrol af solcentre i Danmark. Den
nuværende tilsynspraksis, der primært er baseret på den lovpligtige registrering, er tilfældig og
utilstrækkelig. En løsning kan være at supplere eksisterende tilsyn med en
certificeringsordning, hvor solcentre gennemgår faste kontroller af udstyr, strålingsniveauer og
sikkerhedsprocedurer. En sådan certificering bør ledsages af adgang til vejledning og
information, der understøtter udbydernes efterlevelse af reglerne.
For at skabe gennemsigtighed for forbrugerne kan der indføres en smileyordning efter samme
princip som fødevarekontrollen. Solcentre vil på baggrund af kontrolrapporter blive tildelt en
DSF – Dansk Solarie Forening
6
B 130 - 2024-25 - Endeligt svar på spørgsmål 3: Spm. om kommentar til præsentation fremvist af Dansk Solarie Forening under foretræde for udvalget 4/9-25
3076775_0009.png
synlig vurdering af deres overholdelse af lovgivningen, hvilket gør det lettere for forbrugerne
at vælge et solcenter, der lever op til sikkerhedsstandarderne. En sådan ordning vil belønne
seriøse aktører og motivere hele branchen til at opretholde høj kvalitet.
Intelligent regulering frem for forbud
En veltilrettelagt regulering kan sikre, at solariebrug foregår på en ansvarlig måde. I
modsætning til en aldersgrænse, der risikerer at presse solcentrene økonomisk og dermed gå
ud over kvalitet og sikkerhed, vil intelligent regulering skabe et stabilt og kontrolleret marked.
Forbud har ofte den utilsigtede konsekvens, at forbrugere søger alternative løsninger uden for
offentlig kontrol, hvilket øger risikoen for sundhedsmæssige problemer såsom solskoldninger
og ukontrolleret UV-eksponering. Ved at sikre regulering gennem certificering, øget
vejledning og gennemsigtighed vil forbrugerne forsat have adgang til sikre solarier, samtidig
med at sundhedsmæssige risici minimeres.
Samlet set vil en moderniseret regulering med styrket tilsyn og en smileyordning bidrage til en
højere og mere ensartet kvalitet i branchen, samtidig med at den beskytter forbrugerne uden de
negative bivirkninger, et forbud ville medføre.
Med venlig hilsen
Dansk Solarie Forening
Henrik Marx
Formand
Medlem af S-561 og MT-16
Direkte tlf. +45 2190 6099
www.dansksolarieforening.dk
Bilag
Figur 1. Undersøgelse af unges (15-25 år) brug af solarie, Kræftens Bekæmpelse (2010-2023)
DSF – Dansk Solarie Forening
7
B 130 - 2024-25 - Endeligt svar på spørgsmål 3: Spm. om kommentar til præsentation fremvist af Dansk Solarie Forening under foretræde for udvalget 4/9-25
3076775_0010.png
Figur 2. Udvikling I forekomst og dødelighed af modermærkekræft i Danmark (2008-2022)
DSF – Dansk Solarie Forening
8