Beskæftigelsesudvalget 2024-25
BEU Alm.del
Offentligt
3063710_0001.png
Beskæftigelsesudvalget
Christiansborg
4. september 2025
Svar på Beskæftigelsesudvalgets spørgsmål nr. 468 (Alm. del) af
7. august 2025 stillet efter ønske fra Sigurd Agersnap (SF)
Spørgsmål
Vil ministeren redegøre for de økonomiske konsekvenser, herunder saldovirkning,
finanspolitisk holdbarhed, beskæftigelse, meraktivitet på tidlig pension og afledt
virkning på aktiviteten på relaterede ydelser for både hvert af de nedenstående for-
slag og samlet for alle fire forslag, og vil ministeren desuden redegøre for den
samlede virkning på den offentlige saldo, antal berettigede og antal modtagere vist
i en figur frem til år 2080:
1. Perioden for tidlig pension udvides med ét år fra 2026, idet anciennitets-
kravet sænkes med ét år, så personer, der ved gældende regler opnår ret til
henholdsvis 0, 1, 2, og 3 år fremover får ret til 1, 2, 3, og 4 år med tidlig
pension.
2. Den maksimale ydelse hæves med 3.058 kr. om måneden (2025-niveau).
3. Grænsen for modregning af arbejdsindkomst hæves med 51.800 kr. årligt
(2025-niveau).
4. Modregning af pensionsformue lempes, så livsvarige pensioner modregnes
med 64 pct. mod de nuværende 80 pct. over fradragsgrænsen, og ikke-livs-
varige pensioner modregnes med 4 pct. mod de nuværende 5 pct. over
fradragsgrænsen?
Svar
Finansministeriet og Beskæftigelsesministeriet opdaterede i juni 2025 fremskriv-
ningen for tidlig pension. Opgørelserne til svaret er baseret på den opdaterede
fremskrivning og er desuden tilpasset den seneste mellemfristede fremskrivning
fra august 2025. Med gældende regler forventes der over årene 2036 til 2040 i gen-
nemsnit at være ca. 24.200 helårspersoner, som er berettigede til tidlig pension og
5.400 helårspersoner, som benyttere deres ret til tidlig pension. Det skønnes, at
udgifterne til ordningen udgør 1.100 mio. kr. (2025-niveau) og at ordningen bidra-
ger til en reduktion i arbejdsudbuddet svarende til 1.800 fuldtidspersoner,
jf. tabel
1.
Finansministeriet · Christiansborg Slotsplads 1 · 1218 København K
BEU, Alm.del - 2024-25 - Endeligt svar på spørgsmål 469: Spm. om ministeren vil redegøre for de økonomiske konsekvenser for tidlig pension
3063710_0002.png
Side 2 af 8
Tabel 1
Nuværende skøn for tidlig pension
Gns.
2036-2040
2026
2027
2028
2029
2030
Mio. kr. (2025-niveau)
Samlet saldovirkning
-1.400
-1.200
-1.100
Helårspersoner
Antal berettigede
Antal benyttere
51.400
11.200
44.400
9.700
33.800
7.200
24.400
5.500
31.200
6.800
24.200
5.400
-900
-1.100
-1.100
Fuldtidspersoner
Virkning på arbejdsudbud
-2.500
-2.300
-1.800
-1.400
-1.900
-1.800
Anm.: Der er afrundet til nærmeste 100 mio. kr. og 100 personer.
Kilde: Beregninger på basis af Finansministeriets mellemfristede fremskrivning fra august 2025.
Af tabel 2-6 nedenfor fremgår virkningen af de fire ændringer nævnt i spørgsmålet
både hver for sig og samlet. Effekterne er vist som ændringer til de nuværende
skøn for tidlig pension.
Udvidelse af tidlig pension og lempelse af anciennitetskravet med ét år
Det er i beregningerne lagt til grund, at udvidelsen af tidlig pension og lempelse af
anciennitetskravet med ét år sker for årgang 1963 og yngre. Årgang 1963 er den
ældste årgang i 2026, som har minimum fire år til folkepensionsalderen
1
. Ændrin-
gen betyder, at 41 års anciennitet giver ret til 1 år på tidlig pension, 42 års ancien-
nitet giver ret til 2 år på tidlig pension, 43 års anciennitet giver ret til 3 år og 44 års
anciennitet giver ret til 4 år. Anciennitetskravet indekseres med stigninger i folke-
pensionsalderen, som det også er tilfældet ved gældende regler.
Det skønnes, at en udvidelse og lempelse af anciennitetskravet med ét år øger an-
tallet af berettiget med 16.700 helårspersoner, svarende til en stigning på 70 pct.,
mens antallet af benyttere øges med 4.300 helårspersoner, svarende til en stigning
på 80 pct., i gennemsnit over årene 2036 til 2040. Meraktiviteten afspejler, at flere
får ret til tidlig pension (personer med 41 års anciennitet får som følge af lempel-
sen af anciennitetskravet tildelt ét års ret til tidlig pension), samt at personer, som
efter de nuværende regler har ret til henholdsvis ét, to og tre års tidlig pension, får
tildelt ret til ét år mere med tidlig pension.
De ekstra personer, som skønnes at benytte ordningen med ændringen, skønnes
alternativt primært at være i beskæftigelse eller selvforsørgende (herunder selvpen-
sionister).
Ændringen skønnes at reducere arbejdsudbuddet med 1.300 fuldtidspersoner i
gennemsnit over årene 2036-2040, mens udgifterne skønnes øget med 700 mio.
Der er ikke en årgang i 2026, som har 4 år til folkepensionsalderen. Det skyldes, at folkepensionsalderen sti-
ger til 68 år for årgang 1963.
1
BEU, Alm.del - 2024-25 - Endeligt svar på spørgsmål 469: Spm. om ministeren vil redegøre for de økonomiske konsekvenser for tidlig pension
3063710_0003.png
Side 3 af 8
kr. (2025-niveau). Det skønnes, at virkningen på den finanspolitisk holdbarhed er
-0,4 mia. kr. (2025-niveau),
jf. tabel 2.
Tabel 2
Skøn over effekten af at udvide og lempe anciennitetkravet med ét år for årgang 1963 og yngre
2026
Ændringer i forhold til nuværende skøn
Merudgifter til tidlig pension efter skat, til-
bageløb og adfærd
0
200
2027
2028
2029
2030
Gns.
2036-2040
Mio. kr. (2025-niveau)
500
700
900
700
Helårspersoner
Ændring i antal berettigede
Ændring i antal benyttere
0
0
2.800
600
10.500
2.500
18.200
4.800
25.000
6.700
16.700
4.300
Fuldtidspersoner
Virkning på arbejdsudbud
0
-100
-600
-1.100
-1.600
-1.300
Alternativt forsørgelsesgrundlag for de
”nye” personer på
ordningen
Beskæftigelse
Efterløn
Selvforsørgelse, herunder selvpension
Dagpenge/sygedagpenge/fleksydelse
0
0
0
0
340
0
280
10
Helårspersoner
1.160
390
850
80
1.880
1.240
1.530
150
2.380
2.110
2.030
190
1.640
710
1.780
160
Anm.: Der er afrundet til nærmeste 100 mio. kr. og 100 personer. For opgørelsen af alternativt forsørgelsesgrundlag
er der afrundet til nærmeste 10 personer.
Kilde: Beregninger på basis af Finansministeriets mellemfristede fremskrivning fra august 2025.
Ydelsesstigning på 3.058 kr. om måneden
En ydelsesstigning på 3.058 kr. om måneden vil betyde, at den samlede månedlige
ydelse er 18.034 kr. (2025-niveau). Det er i beregningerne lagt til grund, at ydelses-
stigningen træder i kraft for alle på tidlig pension fra 2026. Det skal bemærkes, at
en ydelse på 18.034 kr. er højere end efterlønsydelsen, når der tages højde for
egetbidraget til efterlønsordningen, og højere end seniorpensionsydelsen for per-
soner, der er samlevende.
Forhøjelsen skønnes at øge antallet af personer på tidlig pension med 900 helårs-
personer i gennemsnit over årene 2036-2040, svarende til en stigning på godt 15
pct. Stigningen skal ses i sammenhæng med, at det nu er økonomisk mere attrak-
tivt at vælge tidlig pension for dem, som er berettiget. Forslaget skønnes at redu-
cere arbejdsudbuddet svarende til 300 fuldtidspersoner og at indebære årlige mer-
udgifter på omkring 300 mio. kr. (2025-niveau) i gennemsnit over årene 2036 til
2040. Det skønnes, at ydelsesstigningen vil indebære en svækkelse af den finans-
politisk holdbarhed med 0,1 mia. kr. (2025-niveau).
De ekstra personer, som skønnes at benytte ordningen med ændringen, skønnes
alternativt primært at være på efterløn. Efter 2030 skønnes de alternativt primært
at være i beskæftigelse,
jf. tabel 3.
Det antages, at ingen af de ekstra personer
BEU, Alm.del - 2024-25 - Endeligt svar på spørgsmål 469: Spm. om ministeren vil redegøre for de økonomiske konsekvenser for tidlig pension
3063710_0004.png
Side 4 af 8
alternativt ville have været på seniorpension, selvom ydelsesforhøjelsen medfører,
at ydelsen på tidlig pension er en smule højere end seniorpensionsydelsen for per-
soner, der er samlevende. Der er fortsat lempeligere modregningsregler i senior-
pensionsordningen, hvorfor det antages, at ingen vil vælge tidlig pension over se-
niorpension.
Tabel 3
Skøn over effekten af at hæve ydelsen med 3.058 kr. (2025-niveau) om måneden for alle fra 2026
2026
Ændringer i forhold til nuværende skøn
Merudgifter til tidlig pension efter skat, til-
bageløb og adfærd
500
400
2027
2028
2029
2030
Gns.
2036-2040
Mio. kr. (2025-niveau)
300
300
300
300
Helårspersoner
Ændring i antal berettigede
Ændring i antal benyttere
0
2.500
0
2.200
0
1.600
0
1.000
0
1.300
0
900
Fuldtidspersoner
Virkning på arbejdsudbud
-500
-400
-300
-200
-300
-300
Alternativt forsørgelsesgrundlag for de
”nye” personer på ordningen
Beskæftigelse
Efterløn
Selvforsørgelse, herunder selvpension
Dagpenge/sygedagpenge/fleksydelse
850
1.300
290
30
740
1.200
230
30
Helårspersoner
560
860
180
20
400
470
110
20
510
540
160
20
500
200
100
20
Anm.: Der er afrundet til nærmeste 100 mio. kr. og 100 personer. For opgørelsen af alternativt forsørgelsesgrundlag
er der afrundet til nærmeste 10 personer.
Kilde: Beregninger på basis af Finansministeriets mellemfristede fremskrivning fra august 2025.
Forhøjelse af grænsen for modregning af arbejdsindkomst med 51.800 kr. årligt
De nuværende modregningsregler for arbejdsindkomst skal ses i sammenhæng
med sigtet med ordningen for tidlig pension som en mulighed for en værdig tilba-
getrækning for dem med mange år på arbejdsmarkedet og ikke som en tillægs-
ydelse til de, der kan og vil fortsætte på arbejdsmarkedet.
En forhøjelse af grænsen for modregning af arbejdsindkomst med 51.800 kr.
(2025-niveau) årligt vil betyde, at den enkelte kan tjene op til 78.900 kr. (2025-ni-
veau) om året inden der sker modregning i ydelsen for tidlig pension.
Det er i beregningerne lagt til grund, at forhøjelsen af grænsen træder i kraft for
alle på tidlig pension fra 2026. Forhøjelsen skønnes med de anvendte regneprin-
cipper at have relativt begrænset betydning for aktiviteten på tidlig pension,
jf. tabel
4.
Det skal hertil bemærkes, at regneprincipperne sigter på at skønne over virknin-
ger af marginale ændringer til gældende regler. Ved store ændringer, herunder fx
en afskaffelse af modregning af arbejdsindkomst, vil regneprincipperne for
BEU, Alm.del - 2024-25 - Endeligt svar på spørgsmål 469: Spm. om ministeren vil redegøre for de økonomiske konsekvenser for tidlig pension
3063710_0005.png
Side 5 af 8
marginale ændringer undervurdere beskæftigelsesvirkningen og dermed de økono-
miske konsekvenser.
Den begrænsede virkning på aktiviteten betyder også, at virkningen på den finans-
politiske holdbarhed er meget begrænset.
Tabel 4
Skøn for effekten at hæve grænsen for modregning af arbejdsindkomst med 51.800 kr. årligt for alle
fra 2026
2026
Ændringer i forhold til nuværende skøn
Merudgifter til tidlig pension efter skat, til-
bageløb og adfærd
5
5
2027
2028
2029
2030
Gns.
2036-2040
Mio. kr. (2025-niveau)
5
Helårspersoner
5
5
0
Ændring i antal berettigede
Ændring i antal benyttere
0
75
0
60
0
40
Fuldtidspersoner
0
30
0
30
0
20
Virkning på arbejdsudbud
-5
-5
0
0
-5
0
Alternativt forsørgelsesgrundlag for de
”nye” personer på ordningen
Beskæftigelse
Efterløn
Selvforsørgelse, herunder selvpension
Dagpenge/sygedagpenge/fleksydelse
35
40
0
0
30
35
0
0
Helårspersoner
20
20
0
0
20
15
0
0
20
15
0
0
20
5
0
0
Anm.: Der er afrundet til nærmeste 5 mio. kr. og 5 personer. For opgørelsen af alternativt forsørgelsesgrundlag er
der afrundet til nærmeste 10 personer.
Kilde: Beregninger på basis af Finansminsiereits mellemfristede fremskrivning fra august 2025.
Lempeligere modregning af pensionsformuer
De nuværende modregningsregler for pensionsformuer skal ses i sammenhæng
med sigtet med ordningen for tidlig pension som en mulighed for en værdig tilba-
getrækning for dem, som ikke har de økonomiske ressourcer til førtidig tilbage-
trækning for egne midler.
En lempelse af modregning af pensionsformuer, så livsvarige pensioner modreg-
nes med 64 pct. i stedet for 80 pct. over fradragsgrænsen og depotværdien af ikke-
livsvarige pensioner modregnes med 4 pct. i stedet for de nuværende 5 pct., skøn-
nes at øge antallet af personer på tidlig pension med 150 helårspersoner, da det nu
er økonomisk mere attraktivt at vælge tidlig pension. I gennemsnit over årene
2036 til 2040 skønnes den lempeligere modregning i ydelsen til tidlig pension at
bidrage til en reduktion i arbejdsudbuddet svarende til 50 fuldtidspersoner og at
indebære årlige merudgifter på omkring 50 mio. kr. (2025-niveau). Det er lagt til
grund, at lempelsen sker fra 2026. Virkningen på den finanspolitiske holdbarhed
skønnes at være begrænset.
BEU, Alm.del - 2024-25 - Endeligt svar på spørgsmål 469: Spm. om ministeren vil redegøre for de økonomiske konsekvenser for tidlig pension
3063710_0006.png
Side 6 af 8
De ekstra personer, som skønnes at benytte ordningen med den lempeligere mod-
regning af pensionsformuer, skønnes alternativt primært at have været selvforsør-
gende, herunder selvpensionister,
jf. tabel 5.
Tabel 5
Skøn for effekten at lempe modregning af pensionsformue for alle fra 2026
2026
Ændringer i forhold til nuværende skøn
Merudgifter til tidlig pension efter skat, til-
bageløb og adfærd
50
50
2027
2028
2029
2030
Gns.
2036-2040
Mio. kr. (2025-niveau)
50
Helårspersoner
50
50
50
Ændring i antal berettigede
Ændring i antal benyttere
0
400
0
300
0
250
0
150
0
250
0
150
Fuldtidspersoner
Virkning på arbejdsudbud
-100
-100
-50
-50
-50
-50
Alternativt forsørgelsesgrundlag for de
”nye” personer på ordningen
Beskæftigelse
Efterløn
Selvforsørgelse, herunder selvpension
Dagpenge/sygedagpenge/fleksydelse
100
10
270
0
90
10
220
0
Helårspersoner
60
10
170
0
50
10
110
0
60
10
160
0
50
0
110
0
Anm.: Der er afrundet til nærmeste 50 mio. kr. og 50 personer. For opgørelsen af alternativt forsørgelsesgrundlag er
der afrundet til nærmeste 10 personer.
Kilde: Beregninger på basis af Finansministeriets mellemfristede fremskrivning fra august 2025.
Samlet virkning af alle fire forslag
Merudgifterne forbundet med at implementere alle fire ændringer til tidlig pension
samtidig, er væsentlig højere end summen af merudgifterne ved at implementere
de fire ændringer hver for sig. Det skyldes såkaldte krydseffekter, som kommer af,
at udvidelsen af tidlig pension og lempelse af anciennitetskravet med ét år medfø-
rer væsentlig højere meraktivitet på ordningen. Jo flere der er på tidlig pension de-
sto dyrere vil det være at hæve hhv. ydelsesniveauet og fradraget for arbejdsind-
komst, samt lempe pensionsmodregningen.
Samlet skønnes alle fire ændringer at øge antallet af berettigede med 16.700 helårs-
personer og antallet af benyttere med 5.900 helårspersoner i gennemsnit over
årene 2036 til 2040.
De ekstra personer, som skønnes at benytte ordningen med ændringerne, skønnes
alternativt primært at være på efterløn. Efter 2030 skønnes de alternativt primært
at være i beskæftigelse eller selvforsørgende (herunder selvpensionister),
jf. tabel 6.
Tiltagene skønnes samlet set at reducere arbejdsudbuddet med 1.900 fuldtidsper-
soner i gennemsnit over årene 2036-2040, mens udgifterne skønnes øget med
BEU, Alm.del - 2024-25 - Endeligt svar på spørgsmål 469: Spm. om ministeren vil redegøre for de økonomiske konsekvenser for tidlig pension
3063710_0007.png
Side 7 af 8
1.300 mio. kr. (2025-niveau). Virkningen på den finanspolitiske holdbarhed skøn-
nes at være -0,7 mia. kr. (2025-niveau).
Tabel 6
Skøn for samlet effekt af alle fire forslag
2026
Ændringer i forhold til nuværende skøn
Merudgifter til tidlig pension efter skat, til-
bageløb og adfærd
600
700
2027
2028
2029
2030
Gns.
2036-2040
Mio. kr. (2025-niveau)
1.000
1.300
1.600
1.300
Helårspersoner
Ændring i antal berettigede
Ændring i antal benyttere
0
3.300
2.800
3.600
10.500
4.800
18.200
6.200
25.000
8.300
16.700
5.900
Fuldtidspersoner
Virkning på arbejdsudbud
-500
-700
-1.100
-1.600
-2.300
-1.900
Alternativt forsørgelsesgrundlag for de
”nye” personer på ordningen
Beskæftigelse
Efterløn
Selvforsørgelse, herunder selvpension
Dagpenge/sygedagpenge/fleksydelse
1.170
1.580
470
30
1.450
1.450
700
40
Helårspersoner
2.340
1.180
1.230
100
3.120
1.040
1.910
180
3.980
1.580
2.550
230
2.930
640
2.120
200
Anm.: Der er afrundet til nærmeste 100 mio. kr. og 100 personer. For opgørelsen af alternativt forsørgelsesgrundlag
er der afrundet til nærmeste 10 personer.
Kilde: Beregninger på basis af Finansministeriets mellemfristede fremskrivning fra august 2025.
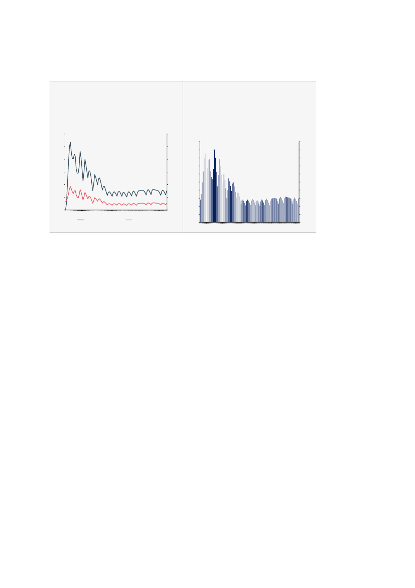
Af figur 1 fremgår det forventede antal berettigede og antal modtagere fra 2026 til
2080, hvis de fire ændringer implementeres samtidig, mens de offentlige merudgif-
ter efter skat, tilbageløb og adfærd fremgår af figur 2. Stigningen i antallet af beret-
tigede i forhold til gældende regler sker alene som følge af den udvidede periode-
længde og lavere anciennitetskrav (tiltag 1), mens alle fire tiltag påvirker antallet af
modtagere af tidlig pension.
BEU, Alm.del - 2024-25 - Endeligt svar på spørgsmål 469: Spm. om ministeren vil redegøre for de økonomiske konsekvenser for tidlig pension
3063710_0008.png
Side 8 af 8
Figur 1
Forventet antal berettigede og modtagere af
tidlig pension i et scerarie, hvor de fire tiltag i
spørgsmålet er implementeret
1.000 helårspersoner
Tusinde
Figur 2
Virkningen på den offentlige saldo af at
implementere de fire tiltag nævnt i
spørgsmålet
1.000 helårspersoner
Tusinde
30
25
20
15
30
25
20
15
Mia. kr. (2025-niveau)
Tusinde
Mia. kr. (2025-niveau)
1,8
1,8
1,6
1,4
1,6
1,4
1,2
1,0
0,8
1,2
1,0
0,8
0,6
0,4
0,2
0,0
2041
2056
2071
2086
2101
2116
10
5
10
5
0,6
0,4
0,2
0,0
2026
0
2026
0
2041
2056
2071
2086
2101
2116
Antal berettigede
Antal benytter
Kilde: Beregninger på basis af grundlaget for Finansministeriets mellemfristede fremskrivning fra august 2025.
Med venlig hilsen
Nicolai Wammen
Finansminister
Tusinde
2,0
2,0