Beskæftigelsesudvalget 2024-25
BEU Alm.del
Offentligt
2976429_0001.png
Folketingets Beskæftigelsesudvalg
Christiansborg
7. februar 2025
Svar på Beskæftigelsesudvalgets spørgsmål nr. 177 (Alm. del) af
16. januar 2025
Spørgsmål
Ministeren anfører i sit svar på spørgsmål 88, 89 og 90 (BEU alm. del.), at der er
anvendt fiktive tal i besvarelserne for at illustrere og forklare indfasningsprofilerne
ved en fastholdelse af aldersgrænsen for tidlig pension, og at tallene således ikke
afspejler det konkrete talgrundlag som indgår i Finansministeriets mellemfristede
fremskrivninger. Ministeren bedes på den baggrund genbesvare spørgsmål nr. 22
og 88 med det konkrete talgrundlag i stedet for fiktive tal.
Svar
Det bemærkes indledningsvist, at der til besvarelsen af
Beskæftigelsesudvalgets spørgs-
mål nr. 22 (Alm. del) af 16. oktober 2024
fremgik fiktive tal, da formålet med besva-
relsen var at forklare teknikken bag indfasningsprofilen ved en fastholdelse af al-
dersgrænse for tidlig pension, og ikke størrelsesordenen af effekten ved fastholdel-
sen. I det følgende fremgår besvarelserne, hvor de fiktive tal er erstattet med det
konkrete talgrundlag. Modsat det illustrative eksempel i BEU 22 og 88 vil der i det
faktiske talgrundlag være mindre afvigelser fra en 1:1 parallelforskydning af tilgan-
gen til tidlig pension, hvilket dels afspejler antagelsen om en gradvis indfasnings-
profil af ordningen for tidlig pension frem mod 2030,
jf.
”Opdateret
fremskrivning af
tilbagetrækning før folkepensionsalderen
august 2023”,
dels variationer i årgangens stør-
relser og køns- og herkomstsammensætning
både på tværs af årgange og inden
for årgangene over tid.
I besvarelsen af Beskæftigelsesudvalgets spørgsmål nr. 250 (alm. del) af 25. marts
2024 er det lagt til grund, at alderen for efterløn og tidlig pension fastholdes på 64
år. Denne fastholdelse vil påvirke personer født efter 1. januar 1963, for hvem al-
deren for efterløn og tidlig pension ellers ville blive forhøjet til 65 år på grund af
forhøjelsen af folkepensionsalderen fra 67 til 68 år i 2030.
Det antages, at andelen af befolkningen, der overgår til tidlig pension på første,
andet og tredje mulige år er uændret sammenlignet med grundforløbet, således at
tilgangen til tidlig pension, som er stigende over alder, parallelforskydes relativt til
grundforløbet. Det indebærer konkret, at der for årgang 1963 sker en stigning i
antal modtagere af tidlig pension ved 64, 65 og 66 år (4, 3 og 2 år før
Finansministeriet · Christiansborg Slotsplads 1 · 1218 København K
BEU, Alm.del - 2024-25 - Endeligt svar på spørgsmål 177: Spm. om at ministeren i sit svar på spørgsmål 88, 89 og 90 (BEU alm. del.) anfører, at der er anvendt fiktive tal i besvarelserne for at illustrere og forklare indfasningsprofilerne ved en fastholdelse af aldersgrænsen for tidlig pension, og at tallene således ikke afspejler det konkrete talgrundlag som indgår i Finansministeriets mellemfristede fremskrivninger
2976429_0002.png
Side 2 af 3
folkepensionsalderen), hvorimod antal modtagere af tidlig pension ved 67 år (1 år
før folkepensionsalderen) er uændret,
jf. figur 1.
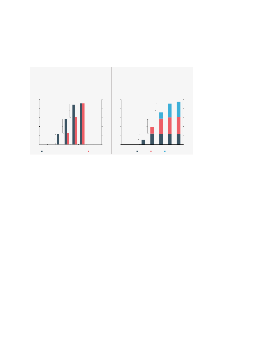
Figur 1
Antal modtagere af tidlig pension fordelt over
alder, ved gældende regler og ved fastholdt
alder for tidlig pension, årgang 1963
1.000 personer
10
1.000 personer
10
Figur 2
Ændring i antal modtagere af tidlig pension
som følge af fastholdt alder for tidlig pension,
over år og opdelt på alderstrin
1.000 personer
10
1.000 personer
10
8
c
6
8
8
c
8
6
6
6
4
b
4
4
b
4
2
a
0
62
63
64
65
66
67
68
69
Fastholdt alder for tidlig pension på 64 år
Grundforløb
2
2
a
2
0
0
2025
2026
2027
64 år
2028
65 år
2029
2030
66 år
2031
0
Anm.: Figurene viser det konkrete talgrundlag som indgår i besvarelsen af Beskæftigelsesudvalgets spørgsmål nr.
250 (alm. del) af 25. marts 2024
Kilde: 2030-planforløb: Grundlag for udgiftslofter 2027 og egne beregninger.
Effekten af forslaget vil træde i kraft fra det år, hvor personer født i 1963 fylder 64
år, dvs. i år 2027. Her vil fastholdelsen medføre, at personer født i år 1963 får mu-
lighed for at overgå til tidlig pension eller efterløn som 64-årige,
jf. figur 2.
Grundet variation i fødselsdatoer over året, vil årgang 1963 være 64 år i en del af
2027 og i en del af 2028. I gennemsnit vil mertilgangen i 2027 således være om-
trent halvt så stor i år 2027 som den fulde førsteårs effekt fra årgang 1963 (dvs.
halvdelen af området markeret med
a
i figur 1 og 2).
I år 2028 vil meraktiviteten som følge af fastholdelse af aldersgrænsen bestå af de
64-årige, som nu er tilgået ordningen et år tidligere end ellers (markeret med
a
i fi-
gur 1 og 2), samt den øgede tilgang ved 65 år, som svarer til forskellen i antal
modtagere af tidlig pension mellem ordningens første til andet mulige alderstrin
(stykket markeret med
b
i figur 1 og 2).
Den øgede tilgang ved 65 år afspejler, at årgang 1963 har fået fastholdt alders-
grænsen for tidlig pension ved 64 år, således at 65 år nu udgør ordningens andet
mulige alderstrin, og ikke det første mulige alderstrin som ved gældende regler. Da
årgang 1963 vil være 65 år i en del af 2028 og i en del af 2029, vil effekten ved 65
år være omtrent halvt så stor i år 2028 som den fulde andetårs effekt. I år 2029 vil
meraktiviteten bestå af de 64-årige, som med regelændringen er overgået til tidlig
pension et år tidligere end ved gældende regler (markeret med
a
i figur 1 og 2).
Dertil kommer meraktiviteten ved 65 år, som afspejler at 65 nu udgør det andet
mulige alderstrin i ordningen, hvor det ved gældende regler er det første mulige år
for modtagelse af tidlig pension (markeret med
b
i figur 1 og 2).
BEU, Alm.del - 2024-25 - Endeligt svar på spørgsmål 177: Spm. om at ministeren i sit svar på spørgsmål 88, 89 og 90 (BEU alm. del.) anfører, at der er anvendt fiktive tal i besvarelserne for at illustrere og forklare indfasningsprofilerne ved en fastholdelse af aldersgrænsen for tidlig pension, og at tallene således ikke afspejler det konkrete talgrundlag som indgår i Finansministeriets mellemfristede fremskrivninger
2976429_0003.png
Side 3 af 3
Endelig kommer desuden meraktiviteten ved 66 år, som afspejler at årgang 1963
nu har 66 år som det tredje mulige alderstrin, hvor det ved gældende regler havde
været andet mulige alderstrin (markeret med
c
i figur 1 og 2). Da årgang 1963 vil
være 66 år i en del af 2029 og i en del af 2030, vil effekten ved 66 år være omtrent
halvt så stor i år 2029 som den fulde tredjeårs effekt. Således vil virkningen af fast-
holdelsen af aldersgrænsen have en gradvis indfasning frem mod år 2030.
Det skal bemærkes, at den opgjorte meraktivitet i ordningen for tidlig pension er
baseret på en række beregningsforudsætninger,
jf. besvarelsen af Beskæftigelsesudvalgets
spørgsmål nr. 250 (alm. del) af 25. marts 2024.
Effekten af udvidelsen er opgjort som
effekten af, at de personer, som ved gældende regler forventes at benytte ordnin-
gen for tidlig pension, vælger at benytte deres ret til tidlig pension i yderligere det
antal år som ordningen udvides med. Dermed tager opgørelsen ikke højde for, at
udvidelsen kan gøre ordningen for tidlig pension mere attraktiv end efterløn og
dermed få nogle efterlønsberettigede, som ikke ved gældende regler benytter deres
ret til tidlig pension, til at skifte fra efterløn til tidlig pension.
De viste tal i figur 1 og 2 fremgår desuden af tabel 1.
Tabel 1
Talgrundlag for figur 1 og 2
64 år
Figur 1
Fastholdt alder for tidlig pension på 64 år
Grundforløb
Figur
2
2027
2028
2029
2030
2031
1,1
2,4
2,4
2,4
2,3
0
1,5
3,4
3,7
3,8
0
0
1,4
3,1
3,4
0
0
0
0
0
2,3
0
65 år
66 år
67 år
--- 1.000 helårspersoner ---
5,7
2,5
8,9
6,1
9,1
9,1
Anm.: Tabellen viser det konkrete talgrundlag som indgår i besvarelsen af Beskæftigelsesudvalgets spørgsmål nr. 250
(alm. del) af 25. marts 2024. Der er afrundet til nærmeste 100 helarspersoner.
Kilde: 2030-planforløb: Grundlag for udgiftslofter 2027 og egne beregninger.
Med venlig hilsen
Nicolai Wammen
Finansminister