Beskæftigelsesudvalget 2024-25
BEU Alm.del
Offentligt
2976403_0001.png
Notat
Opdateret fremskrivning af tilbagetrækning før
folkepensionsalderen – august 2023
1
Der er i de senere år indført nye ordninger, som har givet flere muligheder for til-
bagetrækning før folkepensionsalderen med hhv. seniorpension i 2020 og ret til
tidlig pension i 2022.
2
Denne udvikling har, sammen med ændringer i efterlønnen
som følge af
Aftale om senere tilbagetrækning
fra 2011, medvirket til, at efterlønsord-
ningen i dag og i fremtiden omfatter langt færre personer end tidligere.
3
Dertil har
der været mulighed for en kontant og skattefri udmeldelse af efterlønsordningen i
flere omgange, senest i første halvdel af 2022.
De seneste erfaringer med brugen af de forskellige ordninger samt udmeldelser af
efterlønsordningen har givet anledning til at genbesøge de beregningsforudsætnin-
ger, der ligger til grund for den forventede udvikling i tilbagetrækning før folke-
pensionsalderen. Eftersynet har medført en række justeringer i fremskrivnings-
principperne, som der redegøres nærmere for i det følgende, og som vil danne
grundlag for beregninger og fremskrivninger på området fremover.
I de opdaterede fremskrivninger skønnes det, at antallet af efterlønsmodtagere fal-
der fra 46.700 helårspersoner i 2022 til 11.400 helårspersoner i 2030,
jf. tabel 1.
Omvendt skønnes antallet af seniorpensionister og modtagere af tidlig pension at
vokse fra 19.200 og 7.200 helårspersoner i 2022 til hhv. 30.600 og 13.200 helårs-
personer i 2030. Samlet skønnes antallet af personer på de tre ordninger at falde
med 17.800 helårspersoner fra 2022 til 2030.
Tabel 1
Aktivitetsskøn for udvalgte førtidige ordninger, 1.000 helårspersoner
2022
Efterløn
Seniorpension
Tidlig pension
I alt
46,7
19,2
7,2
73,1
2023
34,9
25,7
12,3
73,0
2024
27,1
29,0
14,2
70,3
2025
21,9
30,0
14,5
66,3
2026
18,9
29,9
14,1
62,9
2027
14,8
29,5
13,4
57,7
2028
12,3
29,3
11,5
53,2
2029
10,2
28,5
9,7
48,3
2030
11,4
30,6
13,2
55,3
August 2023
Kilde:
2030-planforløb: Grundlag for udgiftslofter 2027 og
egne beregninger.
Dette er en opdateret udgave af dokumentationsnotatet offentliggjort i forbindelse med
Danmarks Konvergens-
program 2023.
I forhold til den tidligere version er fremskrivningen af tidlig pension blevet genbesøgt og for
seniorpension er den tidligere aftalte lempelse af arbejdsevnekravet fra 15 til 18 timer pr. uge taget ud af frem-
skrivningen, idet den ikke er vedtaget af folketinget og ikke er en del af
Finanslovsforslaget for 2024.
2
Seniorpensionen erstattede seniorførtidspensionen, som var indført med
Aftale om senere tilbagetrækning
(2011).
3
I
Aftale om senere tilbagetrækning
(2011) blev der indført en treårig efterlønsmodel med højere efterlønssats, og
hvor efterlønnen i højere grad afhænger af størrelsen af ens pensionsformue. Efterlønsperioden er forkortet
gradvist fra fem til tre år fra 2018 til 2023.
1
BEU, Alm.del - 2024-25 - Endeligt svar på spørgsmål 172: Spm. om, T Finansministeriet tidligere har oplyst, at på baggrund af den observerede tilgang i 2022 er fremadrettede skøn for antal modtagere af tidlig pension frem mod 2030 reduceret betydeligt sammenlignet med reformskønnet
2976403_0002.png
Side 2 af 18
I det følgende gennemgås først den nye fremskrivning af efterløn, dernæst følger
seniorpension og tidlig pension.
Efterløn
Antallet af efterlønsmodtagere afhænger dels af andelen, som er medlem af ord-
ningen og dermed har mulighed for at overgå til ordningen i efterlønsaldrene, dels
af hvor stor en andel blandt de berettigede, der vælger at udnytte retten (benyttel-
sesandelen). Efterlønsberettigede, der forbliver på arbejdsmarkedet, kan optjene
skattefrie præmier ved at arbejde frem for at overgå til efterløn. I det følgende be-
skrives først opgørelsen af antal efterlønsberettigede, dernæst benyttelsesandelen
og det skønnede antal efterlønsmodtagere fremover.
4
Opgørelse af antal efterlønsberettigede
I det følgende skelnes mellem
efterlønsberettigede
og
medlemmer af efterlønsordningen.
Ef-
terlønsberettigede angiver personer i efterlønsaldrene, som er berettiget til efter-
løn. Medlemmer af efterlønsordningen angiver personer, som indbetaler til efter-
lønsordningen.
Antal medlemmer opgøres på baggrund af registerdata om indbetalinger til efter-
lønsordningen. En person defineres som medlem af efterlønsordningen, når ved-
kommende er registreret med mindst ét indbetalt efterlønsbidrag i den femårige
periode fra 2015-2019 og ikke i samme periode har registreret tilbagebetalte efter-
lønsbidrag som følge af udmeldelse.
5
Således tager opgørelsen så vidt muligt højde
for ordinære udmeldelser i perioden, vinduet for ekstraordinær skattefri udmel-
delse i 2018, samt mulighed for midlertidigt at sætte indbetalinger til efterlønsperi-
oden på pause uden at miste retten til efterløn.
Det er endnu ikke muligt at observere de ekstraordinære skattefrie udmeldelser af
efterlønsordningen i første halvdel af 2022 i registerdata. I stedet korrigeres den
registerbaserede opgørelse for det seneste skøn for antal skattefrie udmeldelser i
2022 fordelt på køn og alder, som samlet set opgøres til ca. 47.000 personer.
6
Det er ikke alle, som i dag er medlem af efterlønsordningen, som reelt bliver efter-
lønsberettigede, når de når efterlønsalderen. Det skyldes bl.a., at medlemmer, som
overgår til førtidspension eller seniorpension, automatisk bliver udmeldt af efter-
lønsordningen. Derfor medregnes et ventet frafald blandt de nuværende medlem-
mer af efterlønsordningen på baggrund af årgangenes forventede tilgang til før-
tidspension og seniorpension.
Antal modtagere af fleksydelse (efterløn for fleksjobbere) antages som hidtil at følge samme relative udvik-
ling som antallet af efterlønsmodtagere. Fremskrivningen af fleksydelsesmodtagere er derfor opdateret på til-
svarende vis. Der var i 2022 ca. 3.200 modtagere af fleksydelse. Fleksydelse indgår ikke i de rapporterede skøn
for efterløn i indeværende notat.
5
Det vil principielt være muligt for de yngste årgange at holde mere end fem års pause i indbetalinger til efter-
lønsordningen uden at miste efterlønsretten. Den valgte afgrænsning afspejler imidlertid hensynet til at be-
grænse antallet af personer i opgørelsen, som har stoppet indbetalinger til efterlønsordningen med henblik på
udmeldelse, uden reelt at have udmeldt sig af ordningen.
6
Skønnet er baseret på oplysninger fra a-kasserne, som er indsamlet af Styrelsen for Arbejdsmarked og Re-
kruttering, og er betydeligt højere end det oprindelige aftaleskøn på ca. 19.000 personer.
4
BEU, Alm.del - 2024-25 - Endeligt svar på spørgsmål 172: Spm. om, T Finansministeriet tidligere har oplyst, at på baggrund af den observerede tilgang i 2022 er fremadrettede skøn for antal modtagere af tidlig pension frem mod 2030 reduceret betydeligt sammenlignet med reformskønnet
2976403_0003.png
Side 3 af 18
På baggrund af registerdata for 2020-2021 vurderes det, at sandsynligheden for
overgang til førtidspension er mindre blandt medlemmer af efterlønsordningen
end blandt den generelle befolkning, men at overgangssandsynligheden til senior-
pension er omtrent den samme for medlemmer af efterlønsordningen som for re-
sten af befolkningen. Dette skal ses i sammenhæng med, at både efterlønsordnin-
gen og seniorpensionsordningen er målrettet personer med langvarig tilknytning
til arbejdsmarkedet.
Opgørelsen viser, at markant færre blandt de yngre generationer vælger at være
medlem af efterlønsordningen sammenlignet med de ældre generationer. Således
er der knap 40.000 personer født i 1955, der indbetaler til efterlønsordningen,
mens det for personer født i 1960 skønnes at være knap 20.000 personer,
jf. figur 1.
Medlemstallet falder til knap 5.000 personer for generationerne født efter 1983,
som med
Aftale om senere tilbagetrækning
(2011) ikke længere automatisk bliver med-
lem af efterlønsordningen via a-kassen, men aktivt skal melde sig ind i efterløns-
ordningen. Det bemærkes også, at andelen af kvinder i efterlønsordningen stiger
fra ca. 52 pct. til 63 pct. fra fødselsårgang 1955 til 1990.
Det skønnes, at der i 2022 var godt 100.000 potentielle efterlønsmodtagere, dvs.
medlemmer af efterlønsordningen, som var i efterlønsaldrene i 2022. Antallet ven-
tes at falde betydeligt i de kommende år. Konkret skønnes der at være ca. 33.000
potentielle efterlønsmodtagere i 2030. På lang sigt, dvs. efter år 2050, skønnes der
at være ca. 7.000 potentielle efterlønsmodtagere årligt,
jf. figur 2.
Faldet afspejler
det faldende antal medlemmer af efterlønsordningen over fødselsårgangene samt
at efterlønsperioden gradvis forkortes fra fem til tre år.
Figur 1
Antal medlemmer af efterlønsordningen, over
fødselsårgange
1.000 personer
45
40
35
30
25
20
15
10
5
1.000 personer
45
40
35
30
25
20
15
10
5
20
0
20
0
60
40
60
40
Figur 2
Antal efterlønsberettigede, over år
1.000 personer
120
100
80
1.000 personer
120
100
80
0
0
G1955 G1960 G1965 G1970 G1975 G1980 G1985 G1990
Medlemmer før 2022-udmeldelser
Medlemmer efter 2022-udmeldelser
Medlemmer efter 2022-udmeldelser og ventet frafald
Anm.: Antal efterlønsberettigede angiver antallet af efterlønsmedlemmer (efter 2022-udmeldelser og ventet frafald)
i efterlønsaldrene. Faldet ved årgang 1983 i figur 1 kan forklares ved, at man i 2013 stoppede for automatisk
indmeldelse i efterlønsordningen ved medlemskab af en a-kasse.
Kilde: Egne beregninger på baggrund af Danmarks Statistik, data fra Styrelsen for Arbejdsmarked og Rekruttering
samt befolknignsregnskabet.
BEU, Alm.del - 2024-25 - Endeligt svar på spørgsmål 172: Spm. om, T Finansministeriet tidligere har oplyst, at på baggrund af den observerede tilgang i 2022 er fremadrettede skøn for antal modtagere af tidlig pension frem mod 2030 reduceret betydeligt sammenlignet med reformskønnet
2976403_0004.png
Side 4 af 18
Andel af de efterlønsberettigede, der benytter retten til efterløn
Når en efterlønsberettiget bliver på arbejdsmarkedet i stedet for at benytte sin ef-
terlønsret, kan vedkommende optjene skattefrie præmier på op til 170.448 kr.
(2023-niveau), som udbetales ved folkepensionsalderen. I 2022 var det omtrent
halvdelen af de efterlønsberettigede, som benyttede deres mulighed for at gå på
efterløn.
For at beregne benyttelsesandelen sammenholdes antallet af efterlønsmodtagere
med det skønnede antal efterlønsberettigede. Opgørelsen viser, at der både for
mænd og kvinder er sket et betydeligt fald i andelen af berettigede, som benytter
efterlønsordningen fra årgang 1955 til 1958,
jf. de fuldt optrukne kurver i figur 3 og 4.
Faldet i benyttelsesandelen mellem årgangene afspejler bl.a. øget målretning af
ydelsens størrelse efter pensionsformue, som trådte i kraft for personer født efter
1956, og at efterlønsperioden gradvist er forkortet fra fem til tre år, hvilket har
gjort det mere attraktivt at optjene præmien frem for at gøre brug af ordningen.
Derudover kan indførelse af seniorpension og tidlig pension have påvirket sam-
mensætningen af de tilbageværende efterlønsberettigede, så disse i højere grad be-
står af personer, som optjener skattefrie præmier frem for at benytte retten til ef-
terløn. Faldet i benyttelsesandelen
inden
for årgangene 1956-1958 ved den sidste
observation afspejler, at nogle efterlønsmodtagere havde mulighed for og valgte at
skifte til tidlig pension.
7
Figur 3
Andel efterlønsberettigede mænd som
benytter ordningen, udvalgte halvårgange,
over alder
Pct.
60
50
40
30
20
10
0
60
61
62
1955 H2
1957 H1
1958 og frem
63
64
1956 H1
1957 H2
65
66
67
1956 H2
1958 H1
Pct.
60
50
40
30
20
10
0
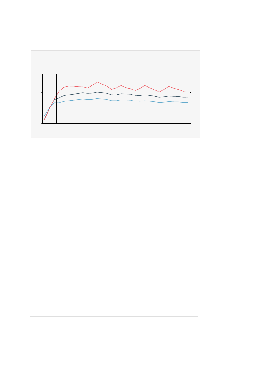
Figur 4
Andel efterlønsberettigede kvinder som
benytter ordningen, udvalgte halvårgange,
over alder
Pct.
80
70
60
50
40
30
20
10
0
60
61
62
63
64
1956 H1
1957 H2
65
66
67
1956 H2
1958 H1
1955 H2
1957 H1
1958 og frem
Pct.
80
70
60
50
40
30
20
10
0
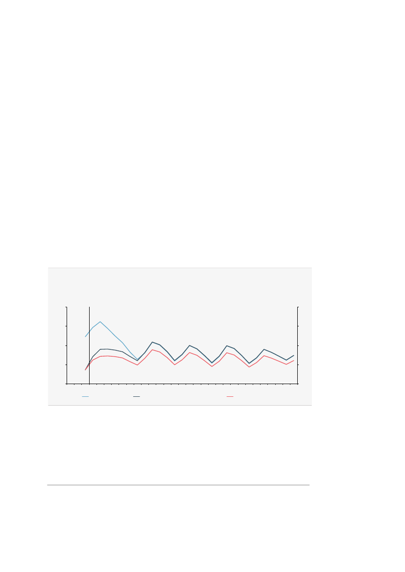
Anm.: Fuldt optrukne linjer angiver observeret udnyttelse, stiplede linjer angiver skøn for årgangenes fremtidige
udnyttelse. Faldet i udnyttelsen over alder afspejler, at nogle efterlønsmodtagere overgår til tidlig pension.
Kilde.: Egne beregninger på baggrund af registerdata.
7
En overgangsordning gav personer med ret til tidlig pension, som inden 1. januar 2022 var overgået til efter-
løn, mulighed for at træde ud af efterlønsordningen og i stedet overgå til tidlig pension på gunstige vilkår,
jf.
Aftale om en ny ret til tidlig pension (2020).
BEU, Alm.del - 2024-25 - Endeligt svar på spørgsmål 172: Spm. om, T Finansministeriet tidligere har oplyst, at på baggrund af den observerede tilgang i 2022 er fremadrettede skøn for antal modtagere af tidlig pension frem mod 2030 reduceret betydeligt sammenlignet med reformskønnet
2976403_0005.png
Side 5 af 18
Den skønnede udvikling i benyttelsesandelen tager udgangspunkt i den seneste
observerede efterlønshalvårgang, som er personerne født i første halvår af 1958.
Grundlaget for fremskrivningen vil blive opdateret i fremtidige fremskrivninger, i
takt med at nyere data for yngre årgange bliver tilgængelige.
Finansministeriets efterlønsfremskrivning har indtil
Danmarks Konvergensprogram
2023
beroet på et princip om, at benyttelsesandelen blandt de efterlønsberettigede
ville stige i takt med, at der er færre efterlønsberettigede. Baggrunden for denne
tilgang var en antagelse om, at personer, som ikke påtænker at benytte retten til ef-
terløn, i højere grad melder sig ud af ordningen.
Data tyder imidlertid ikke på, at der er en sådan sammenhæng. Sammenholdes
den historiske udvikling i andelen af efterlønsberettigede med andelen af de efter-
lønsberettigede, som benytter efterlønsordningen, ses der ingen tegn på, at et fald
i andelen af efterlønsberettigede har medført en stigning i benyttelsesandelen. Fra
årgang 1948 til 1953 faldt andelen af efterlønsberettigede med ca. 5 pct.-point for
kvinder og 12 pct.-point for mænd, mens benyttelsesandelen faldt med ca. 5 pct.-
point for både mænd og kvinder,
jf. figur 5 og 6.
Figur 5
Observeret sammenhæng mellem andel
efterlønsberettigede og benyttelsesesandel i
halvrågangene født i 1948-1953, kvinder
Pct.
80
75
Pct.
80
75
Figur 6
Observeret sammenhæng mellem andel
efterlønsberettigede og benyttelsesesandel i
halvrågangene født i 1948-1953, mænd
Pct.
80
75
Faldende andel
efterlønsberettigede
Pct.
80
75
70
65
60
55
50
70
65
60
55
70
65
60
55
50
70
65
60
55
Faldende andel
efterlønsberettigede
Benyttelsesandel
Benyttelsesandel
70
65
60
55
50
70
65
60
55
50
Andel efterlønsberettigede
Andel efterlønsberettigede
Anm.: Halvårgangene født i 1948-1953 havde alle en femårig efterlønsperiode fra 60-64 år. Benyttelsesandelen er
målt lige inden folkepensionsalderen.
Kilde: Egne beregninger på baggrund af registerdata.
Et stigende uddannelsesniveau blandt de efterlønsberettigede trækker ligeledes i
retning af, at benyttelsesandelen ikke kommer til at stige i fremtiden. Det skal ses i
sammenhæng med, at benyttelsesandelen historisk set har været lavere for perso-
ner med højere uddannelsesniveau,
jf. figur 7.
Benyttelsesandelen er fx omtrent 30
pct.-point højere for ufaglærte end for personer med lang videregående uddan-
nelse.
BEU, Alm.del - 2024-25 - Endeligt svar på spørgsmål 172: Spm. om, T Finansministeriet tidligere har oplyst, at på baggrund af den observerede tilgang i 2022 er fremadrettede skøn for antal modtagere af tidlig pension frem mod 2030 reduceret betydeligt sammenlignet med reformskønnet
2976403_0006.png
Side 6 af 18
Uddannelsessammensætningen forskydes markant, fra at de ufaglærte udgjorde 26
pct. af efterlønsmedlemmerne i årgang 1955 til kun at udgøre 6 pct. af efterløns-
medlemmerne i årgang 1989,
jf. figur 8.
Modsat stiger andelen med lang videregå-
ende uddannelse fra 6 til 36 pct. fra årgang 1955 til 1989.
Figur 7
Benyttelsesandel for efterlønsberettigede
opdelt på uddannelsesniveau, årgang 1956
Pct.
70
60
50
40
30
20
10
0
Ufaglært
Faglært
Mænd
MVU
Kvinder
LVU
Pct.
70
60
50
40
30
20
20
20
60
60
Figur 8
Uddannelsessammensætning blandt
efterlønsmedlemmer, over fødselsårgange
Pct.
100
Pct.
100
80
80
40
40
10
0
0
0
G1955 G1960 G1965 G1970 G1975 G1980 G1985
Ufaglært
Faglært
KVU/MVU
LVU
Anm.: Benyttelsesandelen er målt på den sidst mulige efterlønsalder. Uddannelsessammensætningen er målt på
antal efterlønsmedlemmer, før der tages højde for udmeldelserne i 2022 og ventet frafald fremover.
Kilde: Egne beregninger på baggrund af registerdata, bl.a. DREAM-databasen.
Muligheden for at optjene skattefrie præmier bidrager til, at efterlønsordningen
har karakter af en opsparings- og forsikringsordning, som giver
mulighed
for tidli-
gere tilbagetrækning. Prisen for denne forsikring er lav, da man får udbetalt en
skattefri præmie, hvis man er beskæftiget frem for at gøre brug af ordningen. De
skattefrie præmier er på op til i alt 170.448 kr. (2023-niveau), hvilket er mere end
efter-skat værdien af 30 års indbetalinger, svarende til omtrent 140.000 kr. (ekskl.
evt. merforrentning ud over satsregulering).
Dertil kommer, at beslutningen om medlemskab af efterlønsordningen skal træf-
fes, inden en person fylder 30 år, dvs. mange år før tilbagetrækningsalderen.
8
Disse omstændigheder bidrager til at forklare, hvorfor benyttelsesandelen blandt
de efterlønsberettigede forventes at forblive relativt lav fremover, på trods af at
færre er med i ordningen.
Med de opdaterede beregningsforudsætninger er der forudsat en benyttelsesandel,
som er uafhængig af hvor stor en del af årgangen, der har valgt at være medlem af
efterlønsordningen.
Fortrydelsesordningen gør det muligt for personer, som har været uafbrudt medlem af en a-kasse fra det 24.
år eller siden 1997, at tilmelde sig efterlønsordningen efter det 30. år. Efterlønsydelsen og præmien bliver i
dette tilfælde reduceret i forhold til det antal år og måneder, hvor der ikke er betalt bidrag i forhold til de al-
mindelige vilkår.
8
BEU, Alm.del - 2024-25 - Endeligt svar på spørgsmål 172: Spm. om, T Finansministeriet tidligere har oplyst, at på baggrund af den observerede tilgang i 2022 er fremadrettede skøn for antal modtagere af tidlig pension frem mod 2030 reduceret betydeligt sammenlignet med reformskønnet
2976403_0007.png
Side 7 af 18
Andelen af efterlønsberettigede, som fremover ventes at gøre brug af efterløns-
ordningen, baseres aktuelt på den seneste observerede efterlønsårgang, dvs. år-
gang 1958 første halvår. Her skønnes det, at op mod 30 pct. af mændene og 60
pct. af kvinderne vil gøre brug af deres efterlønsret,
jf. figur 3 og 4 ovenfor.
Grundla-
get opdateres ligeledes i takt med, at nyere data bliver tilgængelig.
Konkret skønnes det på baggrund af årgang 1958 første halvår, at ca. 16/32 pct.-
point af de efterlønsberettigede mænd/kvinder benytter efterlønsordningen på
den først mulige efterlønsalder, og at benyttelsesandelen stiger med 4/7,5 pct.-po-
int pr. alderstrin i efterlønsperioden.
9
Dertil indregnes effekter fra årgangenes vok-
sende pensionsformue og fra ændret forventet pensionsperiode (dvs. forventet
restlevetid målt ved folkepensionsalderen), som beskrevet nedenfor.
Når pensionsformuen stiger, falder efterlønsydelsen som følge af reglerne for fra-
drag i efterløn. På baggrund af registerdata for årgang 1956 observeres en sam-
menhæng mellem de efterlønsberettigedes pensionsformuer og sandsynligheden
for, at den efterlønsberettigede benytter efterlønsordningen. Sammenhængen sva-
rer til, at en stigning i pensionsformuen på 1 mio. kr. (2023-niveau) i gennemsnit
reducerer andelen, som benytter efterlønsretten med ca. 7 pct.-point for mænd og
8 pct.-point for kvinder. Sammenholdt med den ventede udvikling i årgangenes
gennemsnitlige pensionsopsparing, indregnes et mindre fald i andelen, som benyt-
ter efterlønsordningen. For fx årgang 1980 reduceres benyttelsesandelen med i
størrelsesordenen 2 pct.-point for mænd og 4 pct.-point for kvinder sammenlignet
med årgang 1956.
Med levetidsindekseringen af folkepensionsalderen er der tilsvarende udsigt til en
højere efterlønsalder i fremtiden i takt med stigende levetid. Indekseringen forven-
tes at være i en indhentningsfase frem mod midten af århundredet, da levetiden er
steget betydeligt siden indførelsen af levetidsindekseringen. Det medfører, at den
forventede periode med ret til folkepension gradvist bliver kortere for kommende
årgange på pension. En kortere forventet pensionsperiode gør det alt andet lige
mere attraktivt at benytte efterlønsordningen for derigennem at opveje for den
kortere tid som pensionist.
De fem halvårgange født mellem andet halvår af 1953 og andet halvår af 1955
havde samme efterlønsregler og en femårig efterlønsperiode, men en gradvis sti-
gende folkepensionsalder fra 65 til 67 år. Det har medført, at den forventede pen-
sionsperiode blev reduceret med knap to år for personer født i 2. halvår af 1955
sammenlignet med personer født i 2. halvår af 1953.
Med udgangspunkt i de observerede benyttelsesandele for de fem halvårgange
lægges det til grund, at ét års reduceret pensionsperiode øger benyttelsesandelen
med 3,1 pct.-point for mænd og 4,2 pct.-point for kvinder. Virkningen er indar-
bejdet i beregningsforudsætningerne som den afledte effekt på benyttelsesandelen
Der modelleres ikke en særskilt effekt af udskydelsesreglen, da denne er fuldt udfaset for personer født efter
2. halvår 1959.
9
BEU, Alm.del - 2024-25 - Endeligt svar på spørgsmål 172: Spm. om, T Finansministeriet tidligere har oplyst, at på baggrund af den observerede tilgang i 2022 er fremadrettede skøn for antal modtagere af tidlig pension frem mod 2030 reduceret betydeligt sammenlignet med reformskønnet
2976403_0008.png
Side 8 af 18
af ændringer i hhv. folkepensionsalderen og restlevetiden (dvs. en reduktion i den
forventede pensionsperiode uanset årsagen).
Samlet virkning på efterlønsfremskrivningen
På baggrund af principperne beskrevet ovenfor skønnes den gennemsnitlige be-
nyttelsesandel at falde med 21 og 15 pct.-point for hhv. mænd og kvinder fra år-
gang 1955 til 1958. For de efterfølgende årgange skønnes et forsat, men mere af-
dæmpet, fald i benyttelsesandelen som følge af voksende pensionsformue og kor-
tere forventet pensionsperiode,
jf. figur 9.
De opdaterede beregningsforudsætninger resulterer i et betydeligt fald i det skøn-
nede antal efterlønsmodtagere fremover. Sammenlignet med den mellemfristede
fremskrivning,
DK2030 – et grønnere, sikrere og stærkere Danmark 2030
(september
2022), reduceres antallet af efterlønsmodtagere i 2030 fra ca. 27.000 til 11.400
modtagere,
jf. figur 10.
Reduktionen skyldes særligt to forhold. For det første at det ikke længere antages,
at en faldende andel efterlønsberettigede fører til højere benyttelsesandel, og for
det andet den opdaterede registerbaserede opgørelse af antal efterlønsberettigede,
som tager højde for 2022-udmeldelserne samt et løbende frafald grundet overgang
til seniorpension og førtidspension.
Figur 9
Gennemsnitlig benyttelsesandel blandt
efterlønsberettigede, over fødselsårgange
Pct.
70
60
50
40
30
20
10
Pct.
70
60
50
40
30
20
10
Figur 10
Skønnet antal efterlønsmodtagere, over år
1.000 personer
140
120
100
80
60
40
20
0
1.000 personer
140
120
100
80
60
40
20
0
0
0
G1955 G1960 G1965 G1970 G1975 G1980 G1985 G1990
Kvinder
Mænd
2010 2015 2020 2025 2030 2035 2040 2045 2050
DK2030 (september 2022)
Opdaterede regneprincipper
Anm.: Den gennemsnitlige udnyttelsesgrad i figur 9 angiver gennemsnittet af årgangens skønnede benyttelsesandel i
hele efterlønsperioden.
Kilde:
DK2030 – et grønnere, sikrere og stærkere Danmark 2030
(september 2022) og egne beregninger.
Modsvarende virkninger på beskæftigelse og andre grupper i fremskrivningen
Efterlønsfremskrivningen indebærer, at en væsentligt lavere andel af befolkningen
i efterlønsaldrene vil være på ordningen i fremtiden. Da der skønnes at være færre
på efterløn, må der omvendt forventes at være flere i beskæftigelse og i andre
BEU, Alm.del - 2024-25 - Endeligt svar på spørgsmål 172: Spm. om, T Finansministeriet tidligere har oplyst, at på baggrund af den observerede tilgang i 2022 er fremadrettede skøn for antal modtagere af tidlig pension frem mod 2030 reduceret betydeligt sammenlignet med reformskønnet
2976403_0009.png
Side 9 af 18
overførselsgrupper.
10
De modsvarende virkninger på andre sociogrupper beregnes
med udgangspunkt i sammensætningen af arbejdsstyrken lige inden den første ef-
terlønsalder. Det vurderes at være en relevant sammenligningsgruppe, da efter-
lønsmodtagerne, givet kravene i ordningen, har en høj arbejdsmarkedstilknytning.
Fordelingen vil løbende blive opdateret i takt med, at nyere data bliver tilgængelig.
Et fald i antallet af efterlønsmodtagere modsvares isoleret set af en stigning i de
øvrige socioøkonomiske grupper, der udgør arbejdsstyrken, opgjort året inden år-
gangens første efterlønsalder i fremskrivningen. For 2030 modsvares langt største-
delen (omtrent 86 pct.) af faldet i en stigning i den ordinære beskæftigelse. Der-
næst modsvares ca. 12 pct. i hhv. fleksjob og dagpenge/sygedagpenge,
jf. tabel 2.
11
Tabel 2
Alternativ socioøkonomisk status for efterlønsmodtagere i 2030, pct.
Kvinder
Ordinær beskæftigelse
Fleksjob
Sygedagpenge
Dagpenge
Andre ydelser
Samlet
84
7
4
3
2
100
Mænd
89
4
3
3
2
100
Anm.: Da der er afrundet til nærmeste hele pct., summer tallene ikke, som ellers angivet i tabellen. Tabellen viser,
hvilke sociogrupper der beregningsteknisk tilpasses i Finansministeriets fremskrivninger som følge af en æn-
dring i antal efterlønsmodtagere. Der ses konkret på årgang 1964, som kan være på efterløn i 2029-2031.
Fordelingen er bestemt ud fra en fødselsårgangs sammensætning af arbejdsstyrken lige inden den første ef-
terlønsalder og vil derfor ændre sig en smule over fødselsårgangene. Fordelingen opdateres i takt med, at
nyere data bliver tilgængelig.
Kilde: Egne beregninger på baggrund af registerdata.
Seniorpension
Seniorpensionsordningen blev indført i 2020 med
Aftale om ret til seniorpension for
nedslidte
(2019), hvor den erstattede seniorførtidspensionsordningen. I 2022 var der
ca. 19.200 helårspersoner, som modtog seniorpension. De seneste tal for antal mod-
tagere af seniorpension viser, at ca. 2.600 flere end ventet gjorde brug af ordningen
i 2022,
jf. tabel 3.
Fremskrivningen indgår i Finansministeriets Befolkningsregnskab. Når andelen på efterløn falder sammen-
lignet med seneste historiske dataår, må der derfor tages stilling til hvilke andre socioøkonomiske grupper, der
omvendt skal udgøre en større andel af befolkningen i efterlønsaldrene i fremskrivningen, for at regnskabet
stemmer – dvs. at alle i befolkningen får tildelt en socioøkonomisk status.
11
Det bemærkes, at selvpension (tilbagetrækning for egne midler) og tidlig pension ikke fremgår som alterna-
tiv socioøkonomisk status for ændringer i antallet af efterlønsmodtagere. Det skyldes den beregningstekniske
opbygning af fremskrivningen. Fremskrivningen af antal selvpensionister påvirkes af antallet af efterlønsberet
-
tigede.
Tidlig pension er fortsat en ny ordning, hvor der ikke foreligger tilstrækkeligt direkte empirisk grundlag,
og fremskrivningen er derfor baseret på reformskønnene,
jf. nedenfor.
10
BEU, Alm.del - 2024-25 - Endeligt svar på spørgsmål 172: Spm. om, T Finansministeriet tidligere har oplyst, at på baggrund af den observerede tilgang i 2022 er fremadrettede skøn for antal modtagere af tidlig pension frem mod 2030 reduceret betydeligt sammenlignet med reformskønnet
2976403_0010.png
Side 10 af 18
Tabel 3
Reformskøn samt faktisk antal modtagere af seniorpension
1.000 helårspersoner
Reformskøn
Faktisk antal modtagere
Forskel
2020
6,2
3,3
-2,9
2021
12,6
11,9
-0,7
2022
16,6
19,2
2,6
-
-
-
2023
16,6
2024
17,6
2025
18,3
Kilde: Beregningsgrundlag til
Aftale om ret til seniorpension for nedslidte
(2019) og
Tillægsaftale: Aftale om ret til seniorpension
for nedslidte
(2019) samt tal fra Danmarks Statistik.
Med
Aftale om en ny ret til tidlig pension
(2020) blev det aftalt at lempe arbejdsevne-
kravet for at opnå ret til seniorpension fra maks. 15 timer per uge til maks. 18 ti-
mer per uge fra 2024. Lempelsen er dog ikke vedtaget i Folketinget og er ikke en
del af Finanslovsforslaget for 2024. Arbejdsevnekravet fastholdes derfor på 15 ti-
mer per uge i fremskrivningen. Annulleringen af lempelsen medfører, at skønnet
for antal seniorpensionsmodtagere reduceres med knap 3.000 personer i 2024 og
knap 4.000 personer i 2025 og frem sammenlignet med den seneste mellemfri-
stede fremskrivning fra maj.
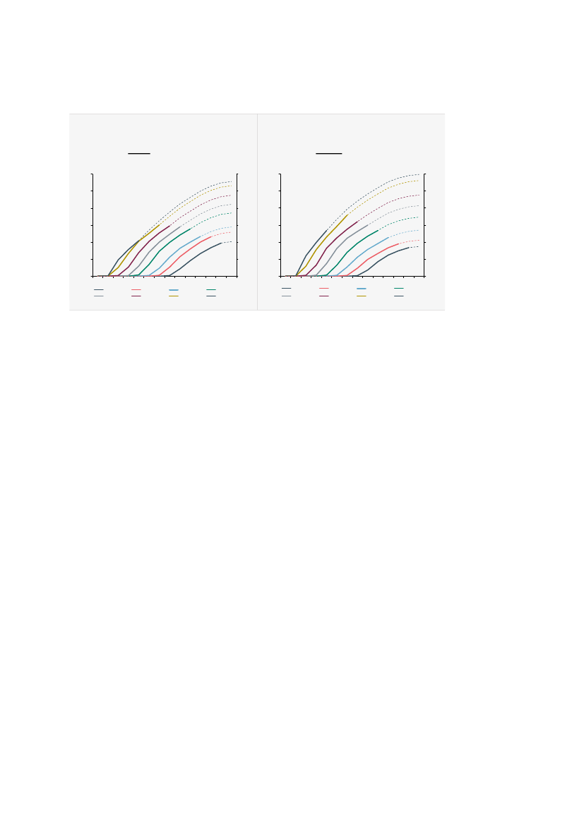
Den observerede andel af årgangene på seniorpensionsordningen i 2020-2022 læg-
ges til grund for fremskrivningen af seniorpensionsmodtagere i de lange- og mel-
lemfristede fremskrivninger. Konkret opgøres for hver halvårgang af hhv. mænd
og kvinder hvor stor en andel, som modtog seniorpension på et givet alderstrin,
jf.
de fuldt optrukne linjer i figur 11 og 12.
På de efterfølgende alderstrin skønnes andelen
af seniorpensionister at vokse med den gennemsnitlige observerede tilgang på det
relevante alderstrin for de forudgående fødselsårgange. Dermed skønnes det, at
11-12 pct. af en årgang vil være på seniorpension året inden folkepensionsalderen,
når ordningen er fuldt indfaset,
jf. de stiplede linjer i figur 11 og 12.
Fremtidige årgange
skønnes at have samme andel seniorpensionister som årgangen født i første halvår
af 1960 i hvert af de seks år op til folkepensionsalderen.
Tilgangen til seniorpension er lavere på det første alderstrin, hvorfra årgangene
født før 1960 kunne søge om seniorpension. Dette forhold afspejler, at man først
kunne søge om seniorpension fra 1. januar 2020, hvorfor sagsbehandlingstiden
forklarer en lavere tilgang i de første måneder af 2020. Muligheden for at søge om
seniorpension blev givet til alle personer med mindre end seks år til
folkepensionsalderen i 2020, således at nogle årgange fik mulighed for at tilgå
ordningen i mindre end seks år.
Figur 11 og 12 viser, at årgangene med mulighed for få år på seniorpension
anvender ordningen i mindre grad end årgangene med mulighed for flere år på
seniorpension. Dette forhold forklarer, at ordningen skønnes at have en
indfasningsperiode på omtrent seks år. Den skønnede andel modtagere af
seniorpension vil løbende blive opdateret i takt med, at nyere data bliver
tilgængelig.
BEU, Alm.del - 2024-25 - Endeligt svar på spørgsmål 172: Spm. om, T Finansministeriet tidligere har oplyst, at på baggrund af den observerede tilgang i 2022 er fremadrettede skøn for antal modtagere af tidlig pension frem mod 2030 reduceret betydeligt sammenlignet med reformskønnet
2976403_0011.png
Side 11 af 18
Figur 11
Andel modtagere af seniorpension for udvalgte
halvårgange, mænd
Pct.
12
10
8
6
4
2
0
7
6
1956 H1
1958 H1
5
4
1956 H2
1958 H2
3
2
1957 H1
1959 H1
1
1957 H2
1960 H1
Pct.
12
10
8
6
4
2
0
Figur 12
Andel modtagere af seniorpension for udvalgte
halvårgange, kvinder
Pct.
12
10
8
6
4
2
0
7
6
1956 H1
1958 H1
5
4
1956 H2
1958 H2
3
2
1957 H1
1959 H1
1
1957 H2
1960 H1
Pct.
12
10
8
6
4
2
0
Anm.: De fuldt optrukne linjer markerer observerede frekvenser, stiplede linjer angiver skøn.
Kilde: DREAM-databasen (til og med november 2022) samt egne beregninger.
Baseret på årgangenes størrelser og de skønnede andele mænd og kvinder på seni-
orpension i hver af de seks år op til folkepensionsalderen, skønnes der at være
omtrent 26.000-33.000 seniorpensionsmodtagere fra 2024 og frem,
jf. figur 13.
Le-
vetidsindekseringen af pensionsalderen hvert femte år indebærer, at der i hvert af
årene vil være fem og ikke seks hele årgange på seniorpension. Da antallet af seni-
orpensionister inden for en årgang stiger, jo tættere årgangen er på pensionsalde-
ren, medfører den stigende folkepensionsalder regelmæssige udsving i fremskriv-
ningen af antal seniorpensionister.
BEU, Alm.del - 2024-25 - Endeligt svar på spørgsmål 172: Spm. om, T Finansministeriet tidligere har oplyst, at på baggrund af den observerede tilgang i 2022 er fremadrettede skøn for antal modtagere af tidlig pension frem mod 2030 reduceret betydeligt sammenlignet med reformskønnet
2976403_0012.png
Side 12 af 18
Figur 13
Skønnet antal modtagere af seniorpension, over år
1.000 personer
40
35
30
25
20
15
10
5
0
2020
2025
Reformskøn
2030
2035
2040
2045
Opdaterede regneprincipper
2050
DK2030 ekskl. 2024-lempelse (september 2022)
1.000 personer
40
35
30
25
20
15
10
5
0
Anm: I den betragtede periode ventes folkepensionsalderen at stige med et år hvert femte år som følge af levetidsin-
dekseringen. Det betyder, at der i hvert af årene vil være fem og ikke seks hele årgange på seniorpension. Af-
hængigt af, om det er en årgang tæt på pensionsalderen, som udgår i et givet år, vil antallet af seniorpensioni-
ster variere over årene som følge af, at der er flere seniorpensionister på alderstrin tæt på folkepensionsalderen.
Det skønnede antal modtagere af seniorpension er i alle tre tilfælde baseret på uændret arbejdsevnekrav på
maks. 15 timer om ugen. Niveauerne er derfor lavere sammenlignet med
Danmarks Konvergensprogram 2023
(maj
2023), hvor det var lagt til grund, at arbejdsevnekravet ville blive lempet til maks. 18 timer per uge fra 2024.
Kilde: Beregningsgrundlag til
Aftale om ret til seniorpension for nedslidte
(2019),
Tillægsaftale: Aftale om ret til seniorpension for
nedslidte
(2019),
DK2030 – et grønnere, sikrere og stærkere Danmark 2030,
september 2022 samt egne beregninger på
baggrund af registerdata.
Sammenlignet med reformskønnet er antallet af seniorpensionister blevet opjuste-
ret med omtrent 10.000 personer i 2030,
jf. figur 13.
I Finansministeriets mellemfri-
stede fremskrivninger er reformskønnet løbende blevet opjusteret i takt med, at
data har indikeret en større tilgang end hidtil skønnet. Den opdaterede fremskriv-
ning indebærer således en mindre opjustering i det skønnede antal seniorpensioni-
ster på ca. 4-8.000 personer årligt (og ca. 6.000 personer i 2030) sammenlignet
med den mellemfristede fremskrivning i
DK2030 – et grønnere, sikrere og stærkere
Danmark 2030
(september 2022),
jf. figur 13.
Modsvarende virkninger på beskæftigelse og andre grupper i fremskrivningen
Indfasningen af seniorpensionsordningen samt det opdaterede datagrundlag for
seniorpensionsfremskrivningen indebærer en væsentlig stigning i andelen af senio-
rer, som vil være på ordningen i fremtiden. Når der skønnes at være flere på seni-
orpension, må der omvendt forventes at være færre i beskæftigelse og i andre
overførselsgrupper i fremskrivningen.
12
Princippet for de modsvarende virkninger
er baseret på en vurdering af, hvad seniorpensionisterne ville have lavet, hvis seni-
orpensionsordningen ikke eksisterede. Da seniorpension er en visiteret ordning,
Fremskrivningen indgår i Finansministeriets Befolkningsregnskab. Når andelen på seniorpension stiger
sammenlignet med seneste historiske dataår, må der derfor tages stilling til hvilke andre socioøkonomiske
grupper, der omvendt skal udgøre en mindre andel af befolkningen seks år før folkepensionsalderen i frem-
skrivningen, for at regnskabet stemmer – dvs. at alle i befolkningen får tildelt en socioøkonomisk status.
12
BEU, Alm.del - 2024-25 - Endeligt svar på spørgsmål 172: Spm. om, T Finansministeriet tidligere har oplyst, at på baggrund af den observerede tilgang i 2022 er fremadrettede skøn for antal modtagere af tidlig pension frem mod 2030 reduceret betydeligt sammenlignet med reformskønnet
2976403_0013.png
Side 13 af 18
hvor mange overgår fra midlertidige ydelser som fx sygedagpenge, er det vanske-
ligt at fastlægge den alternative status i den op til seks år lange ydelsesperiode i et
scenarie uden seniorpension.
For at få et tilnærmet empirisk grundlag for alternativ socioøkonomisk status er
der anvendt en matching tilgang. Personer på seniorpension i 2022 sammenholdes
med personer med nogenlunde ens karakteristika i perioden før ordningen blev
indført. Konkret er seniorpensionisterne i 2022 inddelt i tre overordnede grupper
for hhv. sygedagpenge/jobafklaring, fleksjobordning og beskæftigelse, baseret på
status tre måneder før overgang til seniorpension. Herfra dannes sammenlignings-
grupper bestående af udvalgte 61-årige fra 2016.
13
Disse gruppers forløb og forde-
ling på bl.a. beskæftigelse, fleksjob, samt overgang til førtidspension mv. i årene
2016-2020 danner grundlag for seniorpensionisternes alternative status.
En stigning i antallet af seniorpensionister modregnes svarende til den opgjorte
fordeling af alternativ status, hvoraf førtidspension udgør 29 pct., fleksjob 23 pct.
og ordinær beskæftigelse 13 pct.,
jf. tabel 4.
Personer, som har ordinær beskæfti-
gelse som alternativ status, antages i gennemsnit at arbejde ca. 27,5 timer pr. uge.
Den gennemsnitlige arbejdstid svarer til den observerede arbejdstid blandt perso-
ner, der 3 måneder inden overgang til seniorpension var ordinært beskæftigede.
Timeomfanget stemmer desuden overens med matching-analysen beskrevet oven-
for, som også viser et omtrent uændret arbejdsomfang for sammenlignelige 61-
årige personer i 2016, i takt med at disse nærmer sig folkepensionsalderen. Forde-
lingen af alternativ socioøkonomisk status vil blive opdateret i takt med, at nyere
data evt. viser tegn på en ændring af personkredsen, som overgår til seniorpen-
sion.
Seniorpensionister, som kommer fra sygedagpenge, sammenlignes med 61-årige i 2016, som har modtaget
sygedagpenge eller været på jobafklaringsforløb i minimum 52 ud af de seneste 72 uger. Seniorpensionister,
som kommer fra fleksjobordningen, sammenlignes med 61-årige i fleksjobordningen i 2016, som inden for
det sidste år har modtaget sygedagpenge i minimum 20 uger. Seniorpensionister, som kommer fra beskæfti-
gelse, sammenlignes med 61-årige beskæftigede i 2016, som inden for det sidste år har modtaget sygedag-
penge i minimum 10 uger. Personer, der overgår fra kontanthjælp samt øvrige uden offentlig forsørgelse, an-
tages at have samme alternativ status som deres status før overgang til seniorpension.
13
BEU, Alm.del - 2024-25 - Endeligt svar på spørgsmål 172: Spm. om, T Finansministeriet tidligere har oplyst, at på baggrund af den observerede tilgang i 2022 er fremadrettede skøn for antal modtagere af tidlig pension frem mod 2030 reduceret betydeligt sammenlignet med reformskønnet
2976403_0014.png
Side 14 af 18
Tabel 4
Alternativ socioøkonomisk status for modtagere af seniorpension i 2030, pct.
Førtidspension
Fleksjob
Ordinær beskæftigelse
Øvrige uden offentlig forsørgelse, herunder selvpensionister
Sygedagpenge
Efterløn
Ledighedsydelse
Jobafklaring
Øvrige ydelser
Samlet
29
23
13
13
8
4
3
3
4
100
Anm.: Tabellen viser, hvilke sociogrupper der beregningsteknisk tilpasses i Finansministeriets fremskrivninger som
følge af en ændring i antal modtagere af seniorpension i 2030. Der antages samme alternativ status for
mænd og kvinder. At kun 4 pct. har efterløn som alternativ status skal bl.a. ses i lyset af den faldende tilslut-
ning til efterlønsordningen,
jf. figur 1,
samt at efterlønsperioden er treårig, dvs. halvt så lang som seniorpensi-
onsordningen. Det bemærkes, at tidlig pension ikke indgår i tabellen. Det skyldes, at det er en nyere ordning
og fremskrivningen af tidlig pension derfor fortsat er baseret på reformskønnene,
jf. nedenfor.
Der vil bereg-
ningsteknisk være en lille effekt fra kalibrering til bruttoledighed i fremskrivningen. Fordelingen vil blive op-
dateret i takt med, at nyere data bliver tilgængelig.
Kilde: Egne beregninger på baggrund af registerdata.
Tidlig pension
Ordningen for tidlig pension blev indført i 2022 med
Aftale om en ny ret til tidlig pen-
sion (2020).
I løbet af ordningens første år har der været godt 10.700 personer på
ordningen, svarende til 7.200 helårspersoner. Det er markant lavere end de 24.500
helårspersoner i 2022, som med betydelig usikkerhed blev skønnet i forbindelse
med aftaleindgåelsen,
jf. tabel 5.
Tabel 5
Reformskøn samt faktisk antal modtagere af tidlig pension
1.000 helårspersoner
Reformskøn
Faktisk antal modtagere
Forskel
2022
24,5
7,2
-17,3
2023
29,3
-
-
2024
32,3
-
-
2025
28,8
-
-
Kilde: Beregningsgrundlag til
Aftale om en ny ret til tidlig pension
(2020) samt jobindsats.dk.
På baggrund af den observerede tilgang i 2022 og 2023 er skønnet for antal mod-
tagere af tidlig pension frem mod 2030 gradvist blevet reduceret sammenlignet
med reformskønnet,
jf. nedenfor.
Der følges løbende op på forudsætningerne i re-
formøkonomien samt den observerede tilgang til tidlig pension og de andre førti-
dige tilbagetrækningsordninger.
Der vurderes dog ikke på nuværende tidspunkt at være tilstrækkeligt erfaringsba-
seret grundlag til at overgå fra at basere fremskrivningen for tidlig pension i 2030
BEU, Alm.del - 2024-25 - Endeligt svar på spørgsmål 172: Spm. om, T Finansministeriet tidligere har oplyst, at på baggrund af den observerede tilgang i 2022 er fremadrettede skøn for antal modtagere af tidlig pension frem mod 2030 reduceret betydeligt sammenlignet med reformskønnet
Side 15 af 18
og fremover på reformskønnene til et skøn baseret på observeret adfærd (som for
seniorpension og efterløn). Det skyldes, at der fortsat kun er datagrundlag for bru-
gen af ordningen i et enkelt komplet år, samt at indfasningen af tidlig pension kan
være påvirket af en række midlertidige forhold.
Grundlag for reformskøn
Reformskønnet for brugen af ordningen for tidlig pension er baseret på en regi-
sterdataopgørelse, hvor detaljerede anciennitetsopgørelser afgør hvor mange, der
kan opnå ret til hhv. et, to og tre år på tidlig pension. Anciennitetsopgørelsen sam-
menholdes med bl.a. løn-, pensionsformue- og efterlønsdata for at skønne over
andelen af dem med ret til tidlig pension, som skønnes at ville benytte ordningen
for tidlig pension frem til 2035. Fra 2035 fremskrives antallet på tidlig pension be-
regningsteknisk ved at fastholde andelen af befolkningen, der antages at ville be-
nytte ordningen.
Reformskønnene lagde til grund, at ca. 50-60 pct. af dem med ret til tidlig pension
vælger at benytte deres ret, og at en væsentlig andel af personerne på tidlig pen-
sion i de første år ville komme fra efterløn som følge af en overgangsordning,
samt at mange efterlønsberettigede fremover ville vælge tidlig pension. De første
erfaringer peger dog på, at færre efterlønsberettigede end ventet vælger tidlig pen-
sion frem for efterløn. Denne usikkerhed i fremskrivningen reduceres i takt med,
at antallet af efterlønsberettigede falder markant frem mod 2030. Andelen af per-
soner på tidlig pension, som blev skønnet at have efterløn som alternativ overfør-
sel, falder fra at udgøre 67 pct. i 2022 til at udgøre 21 pct. i 2030. Hertil kommer
den gunstige konjunktursituation med meget lav ledighed i 2022-2023, som mid-
lertidigt kan have reduceret tilgangen til tidlig pension fra beskæftigelse.
Da seniorpensionen har fået et større omfang end ventet, og for at sikre konsi-
stens i fremskrivningerne af de førtidige ordninger, indarbejdes der en korrektion
for overlap i fremskrivningen for tidlig pension,
jf. nedenfor.
Den forventede udvik-
ling i ordningen for tidlig pension vil blive opdateret til et fuldt erfaringsbaseret
skøn, når der foreligger tilstrækkelig data for brug af ordningen.
Korrektion for overlap mellem seniorpension og tidlig pension i reformskøn for tidlig pension
Blandt de observerede personer på seniorpension har en betydelig andel ligeledes
ret til tidlig pension og efterløn. Der tages udgangspunkt i registerdata for årgang
1959, hvor der er flest observerede modtagere af seniorpension. Blandt årgangens
5.700 seniorpensionister primo 2023 skønnes det, at ca. 20 pct. også har ret til tid-
lig pension, og at 23 pct. også har ret til efterløn, mens 26 pct. har ret til alle tre
ordninger,
jf. figur 14 og tabel 6.
Ud af de i alt ca. 28.800 personer i årgang 1959 med
ret til tidlig pension overgik ca. 9 pct. til seniorpension.
BEU, Alm.del - 2024-25 - Endeligt svar på spørgsmål 172: Spm. om, T Finansministeriet tidligere har oplyst, at på baggrund af den observerede tilgang i 2022 er fremadrettede skøn for antal modtagere af tidlig pension frem mod 2030 reduceret betydeligt sammenlignet med reformskønnet
2976403_0016.png
Side 16 af 18
Figur 14
Illustration af observeret overlap mellem
efterløn, tidlig pension og seniorpension for
årgang 1959
Tabel 6
Andel med overlap, opdelt på efterløn (EL),
seniorpension (SP) og tidlig pension (TP), pct.
EL
Ingen overlap
EL+TP
EL+SP
TP+SP
EL+TP+SP
I alt
40
51
4
0
5
100
TP
37
54
0
4
5
100
SP
31
0
23
20
26
100
Anm.: Opgørelsen af efterlønsberettigede tager ikke højde for udmeldelser i 2022, samt frafald grundet overgang til
seniorpension/førtidspension. Ret til tidlig pension baseres på anciennitetsopgørelser brugt til reformskøn
for tidlig pension. Der skelnes ikke mellem personer med 1, 2 og 3 års ret til tidlig pension, som alle indgår
med samme vægt, samt om personer med ret til efterløn og tidlig pension forventes at gøre brug af deres ret.
Kilde: Egne beregninger på baggrund af registerdata og beregningsgrundlag til
Aftale om en ny ret til tidlig pension
(2020).
Reformskønnet for tidlig pension tager ikke eksplicit højde for, at en andel af
gruppen med ret til tidlig pension også kan visiteres til seniorpension. På bag-
grund af de observerede overlap i årgang 1959 foretages der således en nedjuste-
ring af det tidligere skøn for antal modtagere af tidlig pension i 2030. Nedenfor re-
degøres nærmere for denne nedjustering.
Virkningen af overlappet mellem seniorpension og tidlig pension på den skønnede
anvendelse af tidlig pension kan opdeles i to: den første er en
mekanisk
effekt som
følger af, at nogle vælger seniorpension frem for tidlig pension. Den anden er en
sammensætningseffekt,
som følger af, at målgruppen for tidlig pension bliver en gen-
nemsnitlig stærkere gruppe, når de, der kan overgå til seniorpension, udgår af mål-
gruppen. Dette bygger på en antagelse om, at personer, som vælger seniorpension
frem for tidlig pension, kan forventes at have et større umiddelbart behov for før-
tidig tilbagetrækning, sammenlignet med gennemsnittet af alle personer med ret til
tidlig pension.
Den mekaniske effekt skønnes med udgangspunkt i det observerede overlap for
årgang 1959, som tilskriver en nedjustering af reformskønnet for tidlig pension på
ca. 9 pct.,
jf. tabel 6.
Men da årgang 1959 kun har kunnet tilgå seniorpension i godt
3 ud af ordningens 6 år i det observerede data, må overlappet mellem tidlig pen-
sion og seniorpension forventes at vokse som følge af, at der kommer flere seni-
orpensionister til i de sidste 3 år af seniorpensionsperioden. Desuden vil der for
årgange født efter 1959 være færre med ret til efterløn og tidlig pension. Det er
derfor nødvendigt at foretage en række justeringer af antal på hhv. seniorpension
og med ret til efterløn og tidlig pension, så overlappet bliver repræsentativt for år-
gang 1964, som kan være på tidlig pension i 2029-2031. Samlet set skønnes det, at
12 pct. af årgangen med ret til tidlig pension i stedet vil overgå til seniorpension i
BEU, Alm.del - 2024-25 - Endeligt svar på spørgsmål 172: Spm. om, T Finansministeriet tidligere har oplyst, at på baggrund af den observerede tilgang i 2022 er fremadrettede skøn for antal modtagere af tidlig pension frem mod 2030 reduceret betydeligt sammenlignet med reformskønnet
2976403_0017.png
Side 17 af 18
2030. Det vil sige, at den mekaniske effekt tilskriver en nedjustering af reforms-
kønnet for tidlig pension i 2030 på 12 pct.
Sammensætningseffekten påvirker den gennemsnitlige benyttelsesandel for den
tilbageværende og reducerede målgruppe for tidlig pension. I reformskønnet for
tidlig pension blev det vurderet, at benyttelsesandelen blandt berettigede til tidlig
pension i årgang 1959 var 50 pct. Det antages, at personer, der overgår til senior-
pension, men opfylder anciennitetskriterierne for tidlig pension, vil være mere til-
bøjelige til at gøre brug af retten til tidlig pension, end den gennemsnitlige person
med ret til tidlig pension, såfremt seniorpension ikke eksisterede. Konkret antages
det, at benyttelsesandelen for denne gruppe er 75 pct., svarende til antagelse an-
vendt for seniorpensionsskøn.
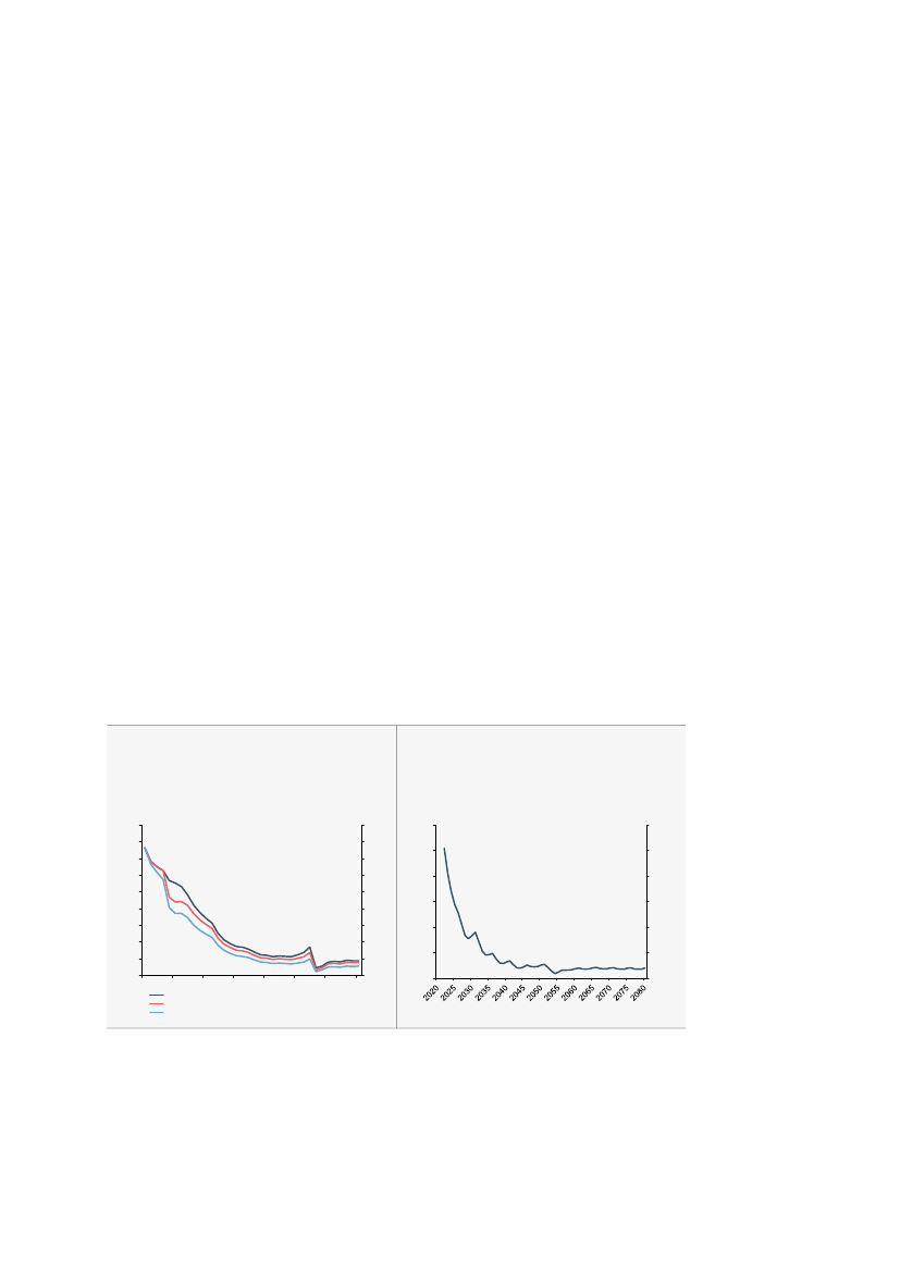
På den baggrund korrigeres det anvendte reformskøn for tidlig pension i 2030 ved
samlet set at nedjusteres det skønnede antal med ca. 18 pct.,
14
svarende til en ned-
justering fra 16.200 til 13.200 helårspersoner. Det lægges beregningsteknisk til
grund, at antal modtagere af tidlig pension i fremskrivningen gradvist vil nærme
sig det nye skøn i 2030. Dermed skønnes det, at der i hvert af årene 2023-2030 vil
være i størrelsesordenen 13.000 personer på tidlig pension,
jf. figur 15.
Figur 15
Skønnet antal modtagere af tidlig pension, over år
1.000 personer
40
1.000 personer
40
30
30
20
20
10
10
0
2020
2022
2024
2026
2028
2030
2032
2034
2036
2038
2040
2042
2044
2046
2048
2050
Reformskøn
Danmarks Konvergensprogram 2023
Opdaterede regneprincipper
0
Anm. Det opdaterede skøn udgør ca. 42 pct. af reformskønnet i 2023, 44 pct. i 2024, 50 pct. i 2025, 57 pct. i 2026,
63 pct. i 2027, 69 pct. i 2028, 76 pct. i 2029 og 82 pct. i 2030 og frem.
Kilde: Beregningsgrundlag til
Aftale om en ny ret til tidlig pension (2020) og Danmarks Konvergensprogram 2023
samt egne
beregninger.
For at tage højde for sammensætningseffekten ganges den mekaniske effekt med forholdet mellem den an-
taget benyttelsesandel for personer, der overgår til seniorpension, men opfylder anciennitetskriterierne for
tidlig pension og den gennemsnitlige benyttelsesandel blandt berettigede til tidlig pension i årgang 1959 (12
pct. * 75/50 = 18 pct.)
14
BEU, Alm.del - 2024-25 - Endeligt svar på spørgsmål 172: Spm. om, T Finansministeriet tidligere har oplyst, at på baggrund af den observerede tilgang i 2022 er fremadrettede skøn for antal modtagere af tidlig pension frem mod 2030 reduceret betydeligt sammenlignet med reformskønnet
2976403_0018.png
Side 18 af 18
Modsvarende virkninger på beskæftigelse og andre grupper i fremskrivningen
Den opdaterede fremskrivning af tidlig pension indebærer en reduktion i andelen
på tidlig pension sammenlignet med tidligere fremskrivninger. Når der skønnes at
være færre på tidlig pension, må der omvendt forventes at være flere i beskæfti-
gelse og i andre socioøkonomiske grupper i fremskrivningen.
15
Da fremskrivningen af tidlig pension er baseret på reformskønnet for ordningen,
er det den skønnede alternativstatus fra reformskønnet, som anvendes til at mod-
svare et ændret antal modtagere af tidlig pension i de øvrige socioøkonomiske
grupper. Med reformskønnet blev det anslået, at en betydelig andel af modtagerne
af tidlig pension, særligt i ordningens første år, ville have efterløn som alternativ
status. At nogle vælger tidlig pension frem for efterløn, er imidlertid indarbejdet i
den opdaterede efterlønsfremskrivning,
jf. ovenfor,
og derfor skal der ikke modreg-
nes i gruppen af efterlønsmodtagere.
En ændring i antal modtagere af tidlig pension modsvares således særligt af grup-
pen af ordinært beskæftigede, som isoleret set udgør knap 80 pct. Dernæst udgør
gruppen af øvrige uden offentlig forsørgelse, herunder selvpensionister, knap 15
pct. af modregningen,
jf. tabel 7.
Tabel 7
Alternativ socioøkonomisk status for modtagere af tidlig pension, pct.
Ordinær beskæftigelse
Øvrige uden offentlig forsørgelse, herunder selvpensionister
Kontanthjælp
Dagpenge
Øvrige ydelser
Samlet
80
15
2
2
2
100
Anm.: Da der er afrundet til nærmeste hele pct., summer tallene ikke, som ellers angivet i tabellen. Tabellen viser,
hvilke sociogrupper der beregningsteknisk tilpasses i Finansministeriets fremskrivninger som følge af en æn-
dring i antal modtagere af tidlig pension. Der antages samme alternativstatus for mænd og kvinder og over
tid. Der modregnes ikke i gruppen af efterlønsmodtagere, da den opdaterede efterlønsfremskrivning,
jf. oven-
for,
allerede indregner effekten fra tidlig pension på antallet af efterlønsmodtagere.
Kilde: Egne beregninger på baggrund af registerdata.
Fremskrivningen indgår i Finansministeriets Befolkningsregnskab. Når andelen på tidlig pension reduceres
sammenlignet med reformskønnet, må der derfor tages stilling til hvilke andre socioøkonomiske grupper, der
omvendt skal udgøre en større andel af befolkningen i aldrene for tidlig pension, for at regnskabet stemmer –
dvs. at alle i befolkningen får tildelt en socioøkonomisk status.
15