Uddannelses- og Forskningsudvalget 2024-25
UFU Alm.del Bilag 132
Offentligt
3073877_0001.png
NR. 56
25-09-2025
Balancen i forskningssamarbejde og -sikkerhed
Vilkårene for dansk forskning er under forandring. Geo-
politiske spændinger og global konkurrence har skærpet
kravene til, hvordan danske forskere skal håndtere andre
landes interesse i internationalt forskningssamarbejde. I
Danmark har retningslinjerne for internationalt forsk-
nings- og innovationssamarbejde (URIS) dannet ramme
for institutionernes tilgang til sikkerhed siden 2022.
1
Spørgsmålet er, om danske institutioner og sikkerheds-
myndigheder har fundet den rette balance mellem sam-
arbejde og sikkerhed, og hvordan vi følger udviklingen.
Kinas videnskabelige dominans
Kina, Iran og Rusland udgør ifølge vurderingen fra PET risi-
kolande i forhold til Danmarks forskningssikkerhed.
2
Kina
er særligt vanskelig at håndtere for de danske forsknings-
miljøer. Det skyldes, at Kina over de sidste årtier har inve-
steret massivt og strategisk i forskning og udvikling (F&U)
og i dag investerer langt mere end EU og på niveau med
USA.
3
Resultatet af Kinas F&U-investering er markant. Op-
gjort som antal publikationer og citationer dominerer Kina
37 af 44 kritiske teknologier inden for bl.a. energi, biotek-
nologi, kunstig intelligens, avancerede materialer, kvante-
teknologi og rumfart.
4
Det stiller Danmark og danske for-
skere i et dilemma. Hvis Danmark skal følge med udviklin-
gen i kritiske teknologier, må danske forskere forholde sig
til samarbejdet med de førende miljøer i Kina.
Samtidig har Kina i stigende omfang fokus på også at om-
sætte forskningsresultaterne til innovation og udvikling. I
sammenligning med Kinas førende tech-regioner har Dan-
mark som resten af EU og USA tabt terræn og udtager i
dag en langt mindre andel af kvalitetspatenterne per ind-
bygger for hovedparten af 16 kritiske teknologiområder.
5
Det kan skyldes, at Kinas investeringer i eksperimentel ud-
vikling udgør ca. 80 pct. af de samlede F&U-investeringer,
mens investeringer i grund- og anvendt forskning udgør
20 pct. Samtidig tegner den private sektor sig for 80 pct. af
de samlede F&U-investeringer. I Europa går ca. 60 pct. af
F&U-investeringerne til grund- og anvendt forskning og 40
pct. til eksperimentel udvikling. Endelig udgør private inve-
steringer i Europa under 60 pct. af F&U-investeringerne.
6
Internationale samarbejder under pres
URIS-retningslinjerne skal bidrage til at beskytte dansk
forskning mod andre landes påvirkning, spionage og tyveri
uden at stække Danmarks internationale videnudveksling
og -samarbejde. Retningslinjerne bygger på tre centrale
principper: At identificere og beskytte kritisk forskning, at
kende sine samarbejdspartnere og at beskytte institutio-
nerne, deres ansatte og studerende.
7
Institutionerne er an-
svarlige for implementeringen af URIS-retningslinjerne
understøttet af Forum for International Koordination og
Samarbejde (FIKS). Initiativerne omfatter baggrundsscree-
ning, kontrol med bibeskæftigelse og procedurer for gæ-
steadgang, kurser for ansatte mv. Konsekvenserne af det
øgede sikkerhedsfokus bør følges, f.eks. af FIKS, så institu-
tioner og myndigheder kan justere tilgangen, hvis man ikke
opnår de ønskede resultater. DFIR belyser her udviklingen
i to centrale metrikker; antal internationale sampublikatio-
ner og optaget af internationale ph.d.-studerende.
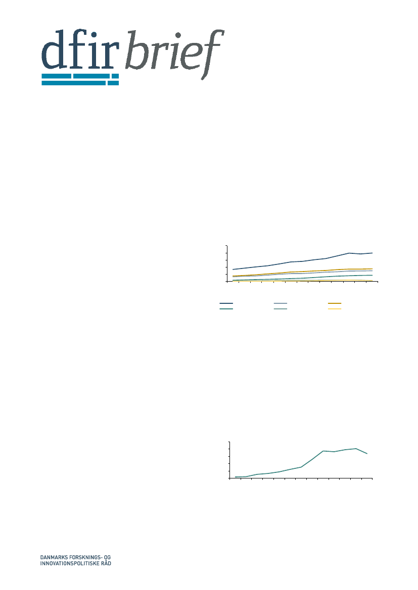
Figur 1
Antal sampublikationer for udvalgte samarbejds-
lande og -regioner. 2011-2023. (Ændring i procent fra
2020 til 2023 angivet i parentes)
Antal, 1000
25
20
15
10
5
0
2011
2012
2013
2014
2015
2016
2017
2018
2019
2020
2021
2022
2022
2023
Europa (17,0%)
Kina (12,0%)
Norden (11,6%)
Rusland (-43,1%)
USA (8,3%)
Iran (-22,4%)
Kilde: Danmarks Forskningsportal og egne beregninger
Antallet af sampublikationer med forskere fra Europa, Nor-
den og USA udgør langt hovedparten af de sampublice-
rede videnskabelige artikler og er generelt steget støt si-
den 2011. Derimod er antallet af sampublikationer med
forskere fra Rusland og Iran faldet fra 2020 til 2023, jf. Figur
1, mens antallet af sampublikationer med forskere fra Kina
fortsat stiger, men med aftagende hastighed. De forelø-
bige tal for 2024 er fortsat usikre, men indikerer, at antallet
af sampublikationer med forskere fra Kina er faldet i 2024.
Figur 2
Antal sampublikationer med forskere fra de syv
universiteter tilknyttet Kinas ministerium for industri og
informationsteknologi. 2011-2023.
Antal
250
200
150
100
50
0
Kilde: Danmarks Forskningsportal og egne beregninger
Antallet af sampublikationer med forskere fra de syv uni-
versiteter, der er tilknyttet Kinas ministerium for industri og
informationsteknologi, er faldet siden 2022 og er nu på ni-
veau med antallet i 2019 jf. Figur 2. De syv universiteter
1
2021
2011
2012
2013
2014
2015
2016
2017
2018
2019
2020
2023
UFU, Alm.del - 2024-25 - Bilag 132: Henvendelse af 30/9-25 om balancen i forskningssamarbejde og -sikkerhed fra Danmarks Forsknings- og Innovationspolitiske Råd
3073877_0002.png
anses for at være strategisk vigtige for Kinas militær om
end det ikke kun er samarbejde med disse miljøer, der ud-
gør en sikkerhedsmæssig risiko.
8
I perioden fra 2020 til
2023 er optaget af kinesiske ph.d.-studerende endvidere
faldet med 39 pct. Det svarer til ca. 90 ph.d.-studerende og
er særligt inden for teknisk og naturvidenskabelig forsk-
ning. Det skyldes især, at de danske universiteter i langt
højere grad end tidligere afviser ph.d.-studerende med sti-
pendier fra China Scholarship Council. Derimod er optaget
af ph.d.-studerende fra Iran steget, mens optaget af ph.d.-
studerende fra Rusland er stabilt, jf. Figur 3.
Figur 3
Optaget af ph.d.-studerende særskilt for udvalgte
lande og regioner. 2011-2023. (Ændring i procent fra
2020 til 2023 angivet i parentes)
Antal
600
400
200
0
2011
2012
2013
2014
2015
2016
2017
2018
2019
2020
2021
2022
2023
den førte politik. Sikkerhedsprocedurerne bør være diffe-
rentierede, proportionale og præcise for at sikre mindst
muligt indgriben. OECD arbejder netop nu på udformnin-
gen af anbefalinger, der kan understøtte den tilgang. En
differentieret sikkerhedsprocedure kan f.eks. referere til
teknologiernes Technology Readiness Level (TRL) og kritisk
strategiske betydning. Vi kan i vid udstrækning tillade sam-
arbejde om teknologier på lavere TRL-niveauer og af lavere
kritisk strategisk betydning. Det omfatter især grundforsk-
ning, men også store dele af den problemorienterede
forskning. Derudover kan sikkerhedsgodkendelserne
bygge på samarbejdets strategiske værdi for Danmark.
Hvis kinesisk forskning bidrager til forskningsfronten, kan
det være gavnligt for Danmark at samarbejde. Det betyder,
at der skal anvendes holistiske godkendelsesprocedurer,
der tager højde for flere typer af risici og potentialer, inte-
ressenter, og potentielt diplomatiske forbindelser. Generelt
har forskellige kritiske teknologier varierende potentiale
for militær anvendelse, og lande har forskellige evner til at
udnytte dem. Det anbefales derfor, at sikkerhedsprocedu-
rerne udvikles i partnerskab med involverede forskere og
forskningsinstitutioner og justeres efter behov.
En nutidig sikkerhedspolitik for forskning kræver ikke alene
kontrol og sikkerhedsprocedurer, men også overvejelser
om videnskabsdiplomati, teknologialliancer og strategisk
fremsyn. Det handler også om at sikre, at Danmark ikke bli-
ver hægtet af de internationale samarbejder, men forbliver
en relevant og ansvarlig aktør i det globale videnlandskab.
Yderligere oplysninger:
Frede Blaabjerg
Formand for DFIR
Telefon: 21 29 24 54
E-mail:
[email protected]
Europa (8,4%)
Kina (-38,9%)
Norden (-9,5%)
Rusland (0%)
USA (-16,1%)
Iran (18%)
Kilde: Danmarks Statistik og egne beregninger
Anm.: EU inkluderer Liechtenstein, Storbritannien og Schweiz
Fra 2020 til 2023 er optaget af ph.d.-studerende fra Europa
kun steget i begrænset omfang, og optaget fra Norden er
faldet. Antallet af ph.d.-studerende fra USA ligger på et sta-
bilt lavt niveau med et optag på ca. 25 ph.d.-studerende
årligt. Det tal er betydeligt under et land som Iran, hvorfra
der i 2023 blev optaget 59. Dog er optaget af udenlandske
ph.d.-studerende samlet kun faldet med 1,1 pct. fra 2020
til 2023 svarende til blot 15 færre udenlandske ph.d.-stu-
derende. Det tyder på, at danske universiteter er lykkedes
med at kompensere for det vigende optag fra Kina. EU-
landene udgør en del heraf, men der er tale om rekrutte-
ring fra en langt bredere geografi. Det øger alt andet lige
diversiteten i ph.d.-bestanden. Det finder DFIR positivt.
Strategisk balance og fremsyn
Det er almindeligt anerkendt, at internationale forsknings-
samarbejder bidrager til kvalitet, relevans og fremdrift i
forskning og innovation, ligesom transparens i forsknings-
resultater, -procedurer og -data underbygger stringens og
reproducerbarhed. Principperne er vigtige for dansk forsk-
nings høje kvalitet, produktivitet og effekt, der er medvir-
kende til, at danske forskningsmiljøer er attraktive samar-
bejdspartnere internationalt.
Der er behov for en løbende drøftelse af, hvilke metrikker,
der bør indgå i monitoreringen af internationalt samar-
bejde og for at følge udviklingen samt konsekvenserne af
Mette Birkedal Bruun
Næstformand for DFIR
Telefon: 24 87 46 48
E-mail:
[email protected]
Noter
1
URIS (2022),
Afrapportering. Udvalg om retningslinjer for internationalt forsk-
nings- og innovationssamarbejde.
2
PET (2023),
Vurdering af spionagetruslen mod DK, Færøerne og Grønland
OECD (2025),
Main Science and Technology Indicators Database.
ASPI (2023),
Critical Technology Tracker - The global race for future power.
5
ATV (2025),
16 kritiske teknologiområder som Danmark skal forholde sig til.
5
EU kommissionen (2025),
A comparative analysis of public R&I funding in the
EU, US, and China.
6
UFM (2023),
Kommissorium for FIKS.
8 ASPI (2025),
China Defence Universities Tracker.
3
4
2