Uddannelses- og Forskningsudvalget 2024-25
UFU Alm.del Bilag 131
Offentligt
3073864_0001.png
NR. 55
19-09-2025
Det nye klyngeprogram: 2025-2028
Danmarks Erhvervsfremmebestyrelse (DEB) tildelte i
maj 2025 i alt 662 mio. kr. til 11 klyngeorganisationer.
1
Danmarks Forsknings- og Innovationspolitiske Råd
(DFIR) har i den anledning afholdt konferencen
De nye
viden- og erhvervsklyngers rolle i innovationsfremme-
systemet
i Videnbyen, Syddanske Forskerparker den 3.
september 2025. Det var en eftermiddag, hvor klynger-
nes rolle, udfordringer og muligheder i det danske in-
novationsfremmesystem blev sat til debat.
DFIR har i rapporten ”Det danske klyngeprogram: Klynge-
programmet Innovationskraft 2021-2024”
2
samlet erfarin-
ger fra det seneste klyngeprogram. Klyngerne indtager en
central rolle i forhold til at styrke SMV’ernes innovations-
kraft, og det er i DFIR’s optik vigtigt, at klyngeorganisatio-
nernes rolle og samarbejdsflader i det samlede innovati-
onsfremmesystem diskuteres og eventuelt justeres.
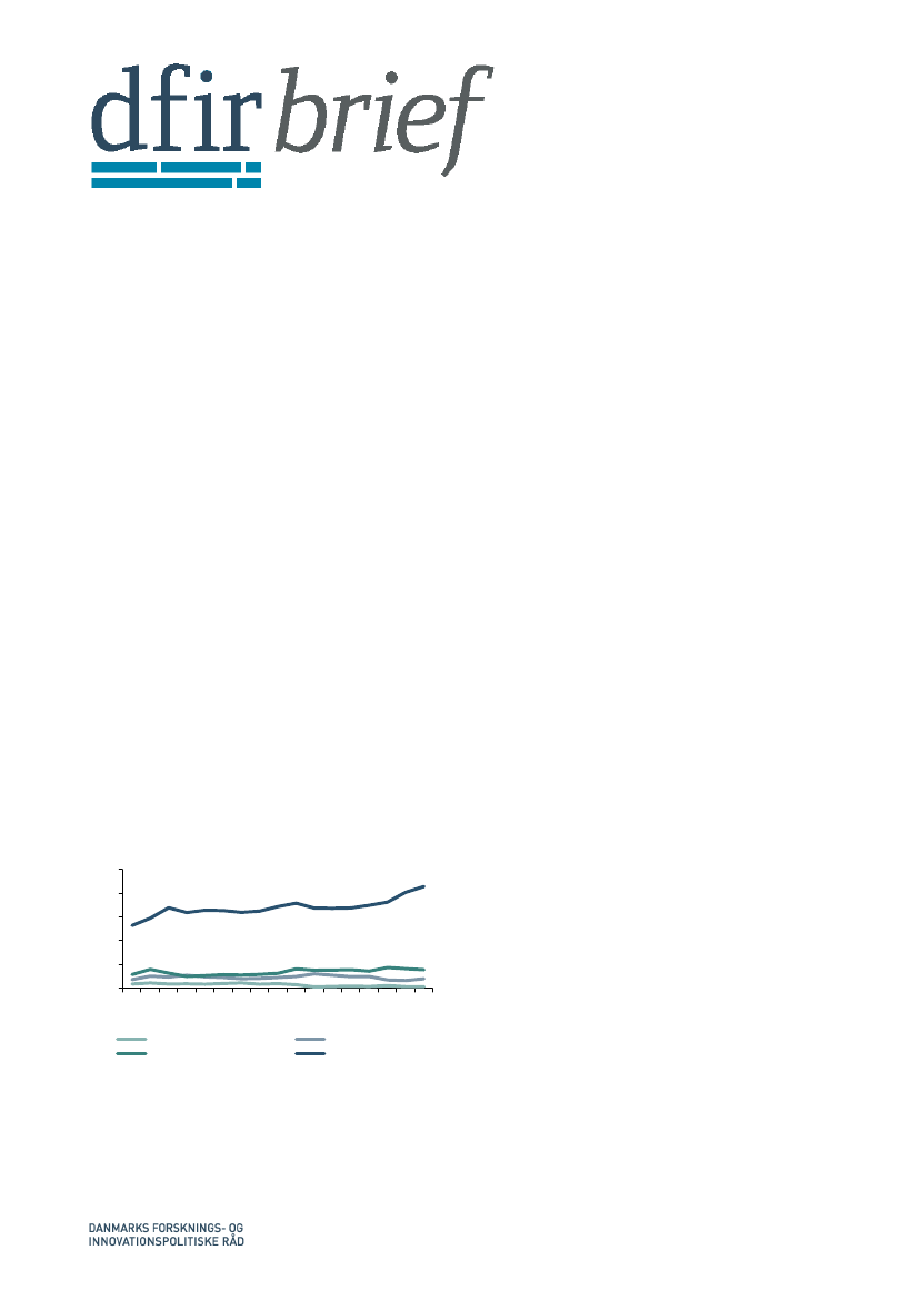
Bagtæppet for klyngeprogrammet er, at SMV’ernes andel
af de danske forsknings- og udviklingsinvesteringer er vi-
gende. Over de seneste 20 år er dansk forskning og udvik-
ling (FoU) blevet stadig mere koncentreret i de største virk-
somheder, jf. Figur 1. Der investeres samtidigt betydelige
ressourcer i at opbygge attraktive miljøer for nystartede
virksomheder, især på de danske universiteter. SMV’erne
og mere specifikt gruppen af virksomheder, som DFIR tid-
ligere har kaldt innovationsmodne virksomheder
3
, er imid-
lertid det danske innovationssystems akilleshæl. De sidste
knap 10 år er SMV’ernes FoU-investeringer
stagneret
Figur 1
Erhvervslivets udgifter til egen FoU efter udgifter til
egen FoU efter størrelsesgruppe og tid. Mia. kr. 2024-priser
Mia. kr. (2024-priser)
dere afgørende for SMV’ernes vækst og produktivitet.
4
SMV’er udgør samtidigt 99 pct. af de private virksomheder
og står for ca. to tredjedele af den samlede omsætning i
Danmark. De spiller en betydelig rolle for dansk erhvervs-
livs vækst, produktivitetsudvikling og konkurrenceevne.
Klyngeprogrammet 2025-2028
Investeringen i det nye klyngeprogram har til hensigt at
styrke SMV’ernes
produktivitet og konkurrenceevne ved at
fremme og accelerere SMV’ers egen innovation og samar-
bejde om innovation. Det nye program indeholder en
række ændringer i forhold til tidligere klyngeprogrammer.
For første gang i klyngernes historie, er administrationen
og den offentlige finansiering samlet hos en myndighed,
nemlig Danmarks Erhvervsfremmebestyrelse under Er-
hvervsministeriet. Programmet er også blevet mere foku-
seret, idet kun 11 klyngeorganisationer modtager finansie-
ring. I sidste runde fik 14 klyngeorganisationer finansiering
og det er særligt de spirende klynge-indsatser, der er ble-
vet valgt fra. Klyngeprogrammet 2025-2028 er også søsat
med en tydelig ambition om at øge klyngernes evne til at
tiltrække privat finansiering. Endelig lægger klyngepro-
grammet 2025-2028 op til, at klyngerne skal være mere fo-
kuserede i deres støtte. De skal støtte færre virksomheder,
men med et større beløb og med fokus på mere omfat-
tende innovationssamarbejder. Klyngerne kan fremover til-
byde op til 70 pct. finansiering
af SMV’ernes forsknings-
og
udviklingsaktiviteter samt tilbyde et overhead til admini-
stration. Det vil gøre klyngerne mere finansielt attraktive
for SMV’erne i forhold til andre offentlige programmer,
men for en mindre andel af SMV’erne.
Samlet står de danske klynger midt i en periode præget af
forandringer, ambitioner og nye muligheder. Og klyngeor-
ganisationerne har travlt. Programmet evalueres i 2026 og
udløber i 2028. Der er kun 3,5 år tilbage af bevillingsperio-
den.
Debatarrangement 3. september i Odense
De nye strukturer og behovet for forandringer var omdrej-
ningspunktet for drøftelserne ved arrangementet den 3.
september. En vigtig reference for diskussionen ses i Figur
2, der fremstiller klyngeorganisationernes rolle som en uaf-
hængig mægler, der skal bringe interessenter sammen og
skabe værdi for alle. Flere klyngeorganisationer har besty-
relsesmedlemmer fra mere end 10 forskellige sektorer og
organisationer. De har forskellige tilgange til retningen for
klyngerne og hvordan de skaber værdi. Det kan opleves
som at stå på et vippebræt, hvor der skal balanceres imel-
lem mange interesser.
50
40
30
20
10
0
2019
2007
2008
2009
2010
2011
2012
2013
2014
2015
2016
2017
2018
2020
2021
2022
Under 10 årsværk
50-249 årsværk
Kilde: Danmarks Statistik og egne beregninger.
10-49 årsværk
250(+) årsværk
Det er et systemisk problem, at SMV’erne ikke tager til-
strækkelig del i FoU-investeringer, fordi vi ved at FoU-ak-
tive SMV’er ofte er mere risikovillige og
oftere indgår i dis-
ruptiv forskning og innovation end større og mere etable-
rede FoU-aktive virksomheder. FoU-investeringer er endvi-
2023
1
UFU, Alm.del - 2024-25 - Bilag 131: Henvendelse af 30/9-25 om det nye klyngeprogram fra Danmarks Forsknings- og Innovationspolitiske Råd
3073864_0002.png
Figur 2.
Klyngernes interaktion med det omgivende samfund.
etableres en tydelig fællesmængde på tværs af klyngerne.
DFIR bemærker, at der er et stærkt samarbejde i kredsen af
klyngedirektører, hvilket giver gode forudsætninger for, at
klyngeorganisationerne lykkes i denne balancegang.
Når DFIR ser på tværs af klyngeorganisationerne, er der
overordnet behov for at styrke samarbejdet til videninsti-
tutionerne. De er afgørende for klyngeinstrumentets egen-
art og værditilbud. Det er en opgave som bør tages alvor-
ligt i klyngeorganisationerne, men som også bør være et
fokusområde i Danmarks Erhvervsfremmebestyrelse i for-
bindelse med evalueringen af det nuværende program og
i forbindelse med fremtidige justeringer af programmet.
Det gælder ikke kun samarbejdet med universiteterne, men
også GTS-institutionerne, erhvervsakademierne og profes-
sionshøjskolerne.
Endelig er det vigtigt at fremhæve, at der er tale om orga-
nisationer, der lever af at bringe mennesker sammen. Det
er afgørende, at der er tillid til relationerne og instrumen-
tet. Relationsopbygningen er udfordret i det nuværende
system, hvor der er 3,5 år tilbage af bevillingen og dermed
begrænset tid til at levere på de nye målsætninger. Det må
forventes, at der skal træffes beslutning om videreførelse
af programmet i 2027. I forlængelse heraf bemærker DFIR,
at der i netværket omkring klyngerne er en meget positiv
indstilling til at løfte opgaven. Det kunne være relevant at
kredsen omkring klyngerne mødes igen om et par år for at
drøfte udviklingen.
Yderligere oplysninger:
Frede Blaabjerg
Formand for DFIR
Telefon: 21 29 24 54
E-mail:
[email protected]
Kilde: Bolette Van Ingen Bro, den 3. september i Odense.
En specifik udfordring ses i det faktum, at klyngeorganisa-
tionerne skal blive mere kommercielle og styrke den pri-
vate medfinansiering. Det vil give klyngerne incitament til
at bevæge sig ind på markeder, hvor der allerede findes
private udbydere. Det gælder f.eks. eksportfremme og po-
litisk interessevaretagelse. I disse grænseområder skal
klyngeorganisationerne udvikle deres kommercielle tilbud
med en bevidsthed om, at de har offentlige støtte i ryggen.
Relationen mellem klyngerne og uddannelses- og forsk-
ningsinstitutionerne blev også diskuteret. Der blev stillet
spørgsmålstegn ved, om klyngerne tilbyder universiteterne
tilstrækkeligt værdifuldt samarbejde. Der blev dog også gi-
vet en række eksempler på samarbejder, der har skabt
værdi. Rollefordelingen imellem klynger, erhvervshuse,
GTS-institutionerne, universiteter og andre uddannelses-
og forskningsinstitutioner var også til debat. Igen blev der
fremhævet konkrete eksempler på gode samarbejder, men
det blev også problematiseret, at der ikke er tilstrækkeligt
incitament til at sende virksomhederne videre til andre ak-
tører i systemet. Derfor er der behov for kontinuerlig og
gensidig dialog for at styrke kendskabet aktørerne imellem
og dermed sikre, at samarbejdet glider mere gnidningsfrit.
Det blev her fremhævet, at personlige relationer er afgø-
rende.
Til sidst fulgte en drøftelse af hvordan klyngerne arbejder
med tiltrækning af kapital. Det kom frem, at det er interes-
sant for investorer at samarbejde tæt med klyngerne, idet
klyngerne kan modne virksomheder og forberede dem på
samarbejdet med investorer.
DFIR’s observationer
DFIR tager en række observationer med fra debatarrange-
mentet. Det er i udgangspunktet vanskeligt at diskutere
klyngerne som et samlet instrument. De 11 klynger er vok-
set ud af forskellige regionale og institutionelle sammen-
hænge og leverer ydelser til virksomheder, der opererer på
meget forskellige markeder. Derfor bør klyngeorganisatio-
nerne heller ikke udvikle helt den samme forretningsmo-
del. Det vil imidlertid styrke klyngeinstrumentet, hvis der
Poul Toft Frederiksen,
Medlem af DFIR
Telefon: 23255050
Mail:
[email protected]
Noter
Danmarks Erhvervsfremmebestyrelse (2025),
En stærk klyngeindsats
skal styrke virksomhedernes produktivitet og konkurrenceevne
2
DFIR (2024).
Det danske klyngeprogram: Klyngeprogrammet Inno-
vationskraft 2021 - 2024
3
DFIR (2019).
Innovationsmodne virksomheder
4
OECD (2023).
OECD SME and Entrepreneurship Outlook 2023,
og
OECD (2021),
Understanding Firm Growth
1
2