Sundhedsudvalget 2024-25
SUU Alm.del Bilag 302
Offentligt
3035092_0001.png
1
SUU, Alm.del - 2024-25 - Bilag 302: Orientering om Sundhedsstyrelsens afrapportering om den kulegravning af alkoholbehandlingen, fra indenrigs- og sundhedsministeren
3035092_0002.png
SAMMENFATNING
I Finansloven 2023 blev der afsat midler til, at Sundhedsstyrelsen skulle foretage en
grundig kulegravning af den offentligt finansierede alkoholbehandling, som blandt
andet skal have fokus på selvbetaling på området, om der generelt ydes tilstrækkelig
behandling samt inddragelse af kommuner, private behandlere og andre relevante
organisationer.
Rådgivningsvirksomhederne Nordic Healthcare Group (NHG) og Decide har som led i
Sundhedsstyrelsens kulegravning fået til opgave at gennemføre en grundig
undersøgelse af den eksisterende alkoholbehandling i Danmark. Undersøgelsens
formål har været at afdække følgende centrale områder: Personalets kompetencer og
uddannelse, faglig kvalitet i alkoholbehandling, kortlægning af efterbehandling,
brugeroplevet kvalitet og organisatorisk kvalitet, strukturelle faktorer og
styringsmuligheder. Et særskilt formål med undersøgelsen har dertil været at opdatere
resultaterne fra Sundhedsstyrelsens Servicetjek af den offentligt finansierede
alkoholbehandling fra 2019. Derudover skal undersøgelsen inddrage nye analyser og
vidensafdækninger med henblik på at beskrive udviklingen i kvaliteten af
alkoholbehandlingen.
bygger på data indsamlet fra en række forskellige kilder,
herunder følgegruppemøder afholdt i regi af Sundhedsstyrelsen, interviews med
relevante faglige aktører på området samt med behandlingssteder (både offentlige,
private og selvejende). Yderligere er der gennemført interviews med brugere i
alkoholbehandling, en national spørgeskemaundersøgelse blandt behandlingssteder
og dataanalyser fra det Nationale Alkoholbehandlingsregister gennemført af
Sundhedsdatastyrelsen.
Denne sammenfatning samler op på de vigtigste fund inden for hvert af
undersøgelsens udvalgte områder. Hvert område afdækkes i et selvstændigt kapitel i
rapporten, som også inkluderer en uddybende sammenfatning.
Undersøgelsens analyse af personalekapacitet og kompetencer på
alkoholbehandlingsstederne
viser, at der fortsat er visse udfordringer med både
antal ansatte og kompetenceprofiler hos personalet. I overvejende grad indikerer
undersøgelsen, at de samme tendenser som i 2019 eksisterer i forhold til antallet af
ansatte og tilgængelige kompetencer.
Særligt på behandlingssteder beliggende i Region Nordjylland er der begrænset
sundhedsfaglig dækning, hvilket kan udfordre behandlingskvaliteten. Desuden ses der
et fald i sundhedsfaglige ressourcer siden 2019 på flere offentligt finansierede
behandlingssteder. Slutteligt viser analysen på, at de privatfinansierede
behandlingssteder har færre ansatte med sundhedsfaglige kompetencer. Samlet set
peger analyserne på, at disse forskelle og problematikker i personalekapaciteten og
kompetencerne i alkoholbehandlingen kan udfordre muligheden for at levere en
behandling af høj og ensartet kvalitet på tværs af Danmark.
Undersøgelsens analyse af faglig kvalitet i behandlingen
indikerer, at praksis og
kvalitet varierer i nogen grad på tværs af behandlingsstederne. Størstedelen af de
1
SUU, Alm.del - 2024-25 - Bilag 302: Orientering om Sundhedsstyrelsens afrapportering om den kulegravning af alkoholbehandlingen, fra indenrigs- og sundhedsministeren
3035092_0003.png
offentligt finansierede behandlingssteder følger Sundhedsstyrelsens anbefalinger og
nationale kliniske retningslinjer, mens andelen er væsentligt lavere blandt de
privatfinansierede. Undersøgelsen indikerer i den forbindelse, at det kan være en
udfordring i forhold til varierende kvalitet på behandlingsstederne, at
Sundhedsstyrelsens anbefalinger og retningslinjer er af ældre dato. Det skyldes, at
behandlingsstederne kan blive i tvivl om, hvorvidt de stadig er fagligt retvisende, og
dermed hvilket grundlag de kan tilrettelægge behandlingen ud fra. Undersøgelsen
peger desuden på, at visitationen til dag- og døgnbehandling varierer på tværs af
kommuner. Tilmed viser undersøgelsen, at der er forskelle i hvilke behandlingstilbud og
metoder, der er tilgængelige på behandlingsstederne, og at der både anvendes tilbud
og metoder med dokumenteret effekt (fx pårørendetilbud, familieorienteret behandling
og CRA) og uden (fx NADA akupunktur).
Der er fortsat et stort opsporingsgab, hvor borgere med behandlingsbehov overstiger
antallet af borgere i behandling. Det tyder på, at der stadig eksisterer udfordringer med
at få motiveret borgere til at opsøge behandling, hvilket blandt andet kan ske via andre
aktører, såsom praktiserende læge, sygehusene og andre forvaltninger. Analysen
indikerer, at samarbejdet mellem alkoholbehandlingen og disse øvrige aktører på
nuværende tidspunkt er varierende på tværs af landet.
Undersøgelsen af efterbehandling
viser, at efterbehandling som støtte til borgere
efter endt behandlingsforløb er vigtig. Især efter døgnbehandling understreger brugere
og behandlingssteder vigtigheden af en overgang til dag- eller ambulant behandling.
Størstedelen af behandlingsstederne tilbyder efterbehandling, men omfanget og
intensiteten varierer, og der er ikke fælles standarder for, hvordan et
efterbehandlingsforløb af god kvalitet bør se ud. Den nationale kliniske retningslinje
anbefaler også overordnet efterbehandling, men praksis er i dag varieret og tilpasses
på behandlingsstederne, hvilket kan medføre et varieret tilbud til borgerne på tværs af
landet.
Brugerundersøgelsen
viser, at brugerne langt hen ad vejen er tilfredse med kvaliteten
af den alkoholbehandling, som de har modtaget. Brugerinterviewene peger på, at
valget om at komme i alkoholbehandling er vigtigere for brugeren end valget om hvilket
sted, de skal i behandling. Yderligere kender flere ikke til deres rettigheder og
muligheder i forhold til fritvalg og behandling hos forskellige typer af leverandører.
Derudover indikerer undersøgelsen, at valget om selv at betale for behandling først og
fremmest skyldes et specifikt ønske om at komme i døgnbehandling, enten fra
brugeren selv eller deres pårørende. Hvad angår selve behandlingen, viser
brugerperspektivet, at der er mange forskellige præferencer for type af
behandlingssted og -tilbud. Brugerne fremhæver især relationen til behandleren som
en vigtig succesfaktor for deres behandlingsforløb. Dertil foretrækker brugerne, at
deres pårørende inddrages i behandlingen.
Undersøgelsens analyse af de økonomiske og styringsmæssige udfordringer
viser, at det særligt er problematisk for kommunerne at budgettere og styre udgifterne
til offentligt finansieret
ambulant
alkoholbehandling. I den forbindelse viser
undersøgelsen, at langt størstedelen af alkoholbehandlingen i Danmark er ambulant
behandling, samt at den offentligt finansierede behandling dækker over omtrent 92 %
2
SUU, Alm.del - 2024-25 - Bilag 302: Orientering om Sundhedsstyrelsens afrapportering om den kulegravning af alkoholbehandlingen, fra indenrigs- og sundhedsministeren
3035092_0004.png
af den samlede alkoholbehandling i Danmark. Det betyder, at omfanget af
egenbetaling i alkoholbehandlingen er småt.
Det er de forskellige vilkår og patientrettigheder, som udelukkende gælder den
ambulante behandling (fx frit valg og selvhenvenderprincippet), der i kombination med
den frie etableringsret og det forhold, at der ikke eksisterer klare definitioner af de
forskellige behandlingstyper, som skaber disse udfordringer. Det betyder, at borgerne
frit kan vælge ambulante behandlingstilbud med forskellig intensitet, kvalitetsniveau og
pris. Da den ambulante behandling som nævnt udgør langt størstedelen af den
samlede alkoholbehandling i Danmark, er det især vigtigt at forholde sig til de
styringsmæssige udfordringer, som lovgivningen for ambulant alkoholbehandling
afstedkommer.
Det er en udfordring for kommunerne at forudse omkostninger, da der ikke eksisterer
gennemsigtige og standardiserede prissætningsmodeller blandt de offentligt
finansierede behandlingssteder. Derudover viser undersøgelsen, at det forhold, at der
ikke er en eller flere veldefinerede ydelser (forstået som en kvalitetsstandard, en
rammeaftale eller lignende) kan skabe forskelle i serviceniveauet og priser på tværs af
behandlingssteder. Yderligere viser undersøgelsen, at der alene indsamles nationale
data fra offentligt finansierede behandlingssteder, hvilket skaber et ufuldstændigt
datagrundlag, som begrænser det nationale overblik og hæmmer evalueringen af
behandlingsindsatsen.
3
SUU, Alm.del - 2024-25 - Bilag 302: Orientering om Sundhedsstyrelsens afrapportering om den kulegravning af alkoholbehandlingen, fra indenrigs- og sundhedsministeren
3035092_0005.png
INDHOLDSFORTEGNELSE
1.
2.
Baggrund og formål ............................................................................................... 7
1.1 Undersøgelsens datagrundlag ......................................................................... 8
Introduktion til alkoholbehandling i Danmark ........................................................ 11
2.1 Alkoholforbrug i Danmark............................................................................... 11
2.2 Organiseringen af alkoholbehandling i Danmark ............................................ 19
2.3 Beskrivelse af alkoholbehandling i Danmark .................................................. 25
3.
Personalekapacitet og kompetencer .................................................................... 32
3.1 Formål og baggrund....................................................................................... 35
3.2 Personalekapacitet ........................................................................................ 36
3.3 Personalesammensætning og kompetencer .................................................. 39
3.4 Den nye diplomuddannelse i rusmiddelbehandling ........................................ 48
3.5 Opsummering om personalekapacitet og kompetencer.................................. 52
4.
Den faglige kvalitet i alkoholbehandlingen............................................................ 55
4.1 Formål og baggrund....................................................................................... 58
4.2 Opsporing og indgang til alkoholbehandlingsstederne ................................... 60
4.3 Grundlag for behandlingen............................................................................. 66
4.4 Opstart af behandling og den akutte behandling ............................................ 68
4.5 Behandlingstilbud, -form og -metode.............................................................. 79
4.6 Sektorovergange............................................................................................ 94
4.7 Opsummering om den faglige kvalitet i alkoholbehandlingen ......................... 96
5.
Efterbehandling.................................................................................................. 104
5.1 Formål og baggrund..................................................................................... 105
5.2 Retningslinjer for og evidens om efterbehandling......................................... 107
5.3 Praksis for efterbehandling i dag.................................................................. 108
5.4 Matchet mellem udbuddet og behovet for efterbehandling ........................... 114
5.5 Opsummering om efterbehandling ............................................................... 115
6.
Brugeroplevet kvalitet......................................................................................... 118
6.1 Formål og baggrund..................................................................................... 120
6.2 Før behandlingsforløbet ............................................................................... 121
6.3 Undervejs i behandlingsforløbet................................................................... 129
6.4 Efter behandlingsforløbet ............................................................................. 137
6.5 Opsummering om brugeroplevet kvalitet ...................................................... 140
4
SUU, Alm.del - 2024-25 - Bilag 302: Orientering om Sundhedsstyrelsens afrapportering om den kulegravning af alkoholbehandlingen, fra indenrigs- og sundhedsministeren
3035092_0006.png
7.
Styring, struktur, kvalitet og prissætning............................................................. 145
7.1 Formål og baggrund..................................................................................... 148
7.2 De lovmæssige rammer for alkoholbehandling og udfordringer heraf........... 150
7.3 Godkendelse af offentligt finansieret alkoholbehandling og tilsynspraksis blandt
alle alkoholbehandlingssteder .............................................................................. 156
7.4 Rammerne for prissætning og budgetstyring af offentlig finansieret behandling
163
7.5 Data og dokumentation i alkoholbehandlingen ............................................. 168
7.6 Opsummering om styring, struktur, kvalitet og prissætning .......................... 170
Bilag 1. Litteraturliste ............................................................................................... 175
Bilag 2. Metode ....................................................................................................... 182
Bilag 1.1 Interviews og for- og følgegruppemøder med interessenter og eksperter
182
Bilag 1.2 Inddragelse af relevant litteratur ........................................................... 182
Bilag 1.3 Spørgeskemaundersøgelse blandt behandlingsstederne ..................... 182
Bilag 1.4 Casebesøg på behandlingssteder ........................................................ 185
Bilag 1.5 Interviews med almen praksis og akutmodtagelse................................ 186
Bilag 1.6 Interviews med udbydere af den nye rusmiddeluddannelse ................. 187
Bilag 1.7 Interviews med brugere ........................................................................ 187
Bilag 1.8 Liste over identificerede behandlingssteder.......................................... 190
Bilag 1.9 Følgegrupperepræsentanter................................................................. 194
5
SUU, Alm.del - 2024-25 - Bilag 302: Orientering om Sundhedsstyrelsens afrapportering om den kulegravning af alkoholbehandlingen, fra indenrigs- og sundhedsministeren
3035092_0007.png
6
SUU, Alm.del - 2024-25 - Bilag 302: Orientering om Sundhedsstyrelsens afrapportering om den kulegravning af alkoholbehandlingen, fra indenrigs- og sundhedsministeren
3035092_0008.png
1.
Baggrund og formål
Sundhedsstyrelsen skal foretage en grundig kulegravning af den eksisterende
alkoholbehandling i Danmark. Det blev iværksat i Finansloven 2023, hvor det blev
angivet, at:
alkoholbehandling.
Kulegravningen vil bl.a. have fokus på selvbetaling på området, og om der generelt
ydes tilstrækkelig behandling og inddrage kommuner, private behandlere og andre
relevante organisationer. Aftalepartierne er enige om, at der afsættes 3,0 mio. kr. i
en for 2023)
1
Rådgivningsvirksomhederne Nordic Healthcare Group (NHG) og Decide har som led i
Sundhedsstyrelsens kulegravning fået til opgave at gennemføre en grundig
undersøgelse af den eksisterende alkoholbehandling i Danmark.
Undersøgelsens formål har været at afdække følgende centrale områder:
-
-
-
-
-
-
Introduktion til alkoholbehandlingen i Danmark
Personalets kompetencer og uddannelse
Faglig kvalitet i alkoholbehandling
Kortlægning af efterbehandling
Brugeroplevet kvalitet
Organisatorisk kvalitet, strukturelle faktorer og styringsmuligheder
Et særskilt formål med undersøgelsen har været at opdatere resultaterne fra
Sundhedsstyrelsens Servicetjek af den offentligt finansierede alkoholbehandling fra
2019. Derudover skulle undersøgelsen inddrage nye analyser og vidensafdækninger
siden 2019 for at kunne beskrive den udvikling, der er sket i kvaliteten af
alkoholbehandlingen.
Fordi kulegravningen jævnfør formuleringen i Finansloven også skulle afdække emner,
som ikke blev afdækket i 2019, såsom selvbetaling og privatfinansierede
behandlingssteder, skal NHG og Decides undersøgelse også bidrage med ny viden på
områder, som ikke tidligere er blevet belyst. Således har undersøgelsen også særligt
fokus på en udvidet analyse af det privatfinansierede marked for alkoholbehandling,
samt om der er problemer for borgerne med at blive visiteret til et tilstrækkeligt
behandlingstilbud gennem den offentligt finansierede alkoholbehandling
2
, og om dette
kan føre til et incitament i retning af øget brugerbetaling.
Finansministeriet, 2023, s. 10-11.
Aftale mellem regeringen og Socialistisk Folkeparti, Liberal Alliance,
Radikale Venstre og Dansk Folkeparti om finansloven for 2023.
2
Visitationen til alkoholbehandling gælder kun for dag- og døgnbehandling. Således er det ikke
nødvendigt med visitering til ambulant behandling.
7
1
SUU, Alm.del - 2024-25 - Bilag 302: Orientering om Sundhedsstyrelsens afrapportering om den kulegravning af alkoholbehandlingen, fra indenrigs- og sundhedsministeren
3035092_0009.png
1.1
Undersøgelsens datagrundlag
Undersøgelsen er blevet gennemført i perioden april 2024 til oktober 2024 og har
inkluderet følgende dataindsamlingsmetoder:
-
-
-
To følgegruppemøder med en bred kreds af interessenter på
alkoholbehandlingsområdet (afholdt af Sundhedsstyrelsen)
Formøder med relevante interessenter (afholdt af Sundhedsstyrelsen)
Interviews eller møder med repræsentanter fra Social- og Boligstyrelsen,
Styrelsen for Patientsikkerhed, Forsikring og Pension, Dansk Erhverv, Selveje
Danmark samt forskerne som Anette Søegaard, Professor MSO, Cand. phil,
ph.d. og Torben Tranæs, Forskningsdirektør VIVE, ph.d. i økonomi.
Casebesøg på alkoholbehandlingssteder, herunder interviews med ledere og
medarbejdere
Spørgeskemaundersøgelse til alle alkoholbehandlingssteder
Brugerundersøgelse med interviews af borgere i alkoholbehandling
Desk research i eksisterende litteratur og undersøgelser
Interviews med almen praktiserende læger og akutmodtagelser
Dataanalyser fra Det Nationale Alkoholbehandlingsregister (NAB),
Lægemiddelstatistikregisteret (LSR), Landspatientregisteret (LPR),
Sygesikringsregisteret (SSR) og DREAM udført af Sundhedsdatastyrelsen
-
-
-
-
-
-
Undersøgelsen er designet ud fra et overordnet ønske om at kunne sammenligne
resultaterne med COWI og Decides afdækning af den offentligt finansierede
behandling fra 2019. Det har især haft metodiske konsekvenser for udsendelsen og
opgørelsen af den nationale spørgeskemaundersøgelse. For det første har det betydet,
at vi har valgt at udsende den nationale spørgeskemaundersøgelse til besvarelse af
hvert enkelt behandlingssted frem for til den overordnede leverandør (se
begrebsafklaring i boksen nedenfor). For det andet har det betydet, at vi har opdelt
behandlingsstederne i tre typer af behandlingssteder: 1) Offentlige behandlingssteder,
som er kommunale eller regionale, 2) Offentligt finansierede private behandlingssteder,
som både inkluderer selvejende og private behandlingssteder, og 3) Private
behandlingssteder, som er rent privatfinansierede. I 2019-afdækningen er der data på
de to første grupper, og fordi selvejende og private behandlingssteder med offentlig
finansiering er slået sammen i 2019-afdækningen, er de for at opretholde
spørgeskemaundersøgelse
3
. De privatfinansierede behandlingssteder indgik ikke i
2019-afdækningen, og derfor indgår disse spørgeskemabesvarelser ikke, når der
sammenlignes med 2019.
En samlet metodebeskrivelse fremgår af Bilag 2.
På følgegruppemødet blev der gjort opmærksom på, at der er visse udfordringer forbundet med at
sammenlægge selvejende og private behandlingssteder med offentlig finansiering i én kategori. Det
skyldes, at de selvejende behandlingssteder ifølge følgegruppen skiller sig ud fra de private ved dels
primært at inkludere behandlingssteder, som udelukkende udfører offentligt finansieret behandling, og
altså udelukkende udfører behandling ud fra samarbejdsaftaler med kommuner. Dels ved at de er
nonprofitorganisationer.
8
3
SUU, Alm.del - 2024-25 - Bilag 302: Orientering om Sundhedsstyrelsens afrapportering om den kulegravning af alkoholbehandlingen, fra indenrigs- og sundhedsministeren
3035092_0010.png
Boks 1
Leverandør:
En samlet betegnelse for en leverandør af alkoholbehandling, som kan
have flere afdelinger. Betegnelsen indebærer således en koncernlignende struktur.
Betegnelsen bruges om leverandøren og dennes afdelinger samlet set. Det kan for
eksempel være leverandører som Novavi, Tjele, KABS eller Alfa, der har
underafdelinger eller satellitlokationer flere steder i landet. Betegnelsen vil især
dække over private eller selvejende behandlingssteder, men i enkelte tilfælde også
større kommuner, som kan have forskellige behandlingssteder.
har identificeret 113 leverandører af alkoholbehandling.
Behandlingssted:
Anvendes om hver lokalafdeling, satellitlokation eller matrikel, for
eksempel Novavi Lyngby. Det er således det laveste niveau af granularitet.
afdækning har identificeret 162 alkoholbehandlingssteder.
Typer af behandlingssteder:
1) Offentlige behandlingssteder, som er kommunale
eller regionale, 2) Offentligt finansierede private behandlingssteder, som både
inkluderer selvejende og private behandlingssteder, og 3) Private behandlingssteder,
som er rent privatfinansierede.
Behandlingstype:
Anvendes for at skelne mellem ambulant behandling,
dagbehandling og døgnbehandling.
Behandlingstilbud:
Anvendes om de konkrete tilbud, som hvert behandlingssted
har. For eksempel kan et behandlingssted have et tilbud om forløb til pårørende af
personer med alkoholafhængighed eller et tilbud om onlinebehandling.
Ovenstående er mundet ud i følgende rapport til Sundhedsstyrelsen.
9
SUU, Alm.del - 2024-25 - Bilag 302: Orientering om Sundhedsstyrelsens afrapportering om den kulegravning af alkoholbehandlingen, fra indenrigs- og sundhedsministeren
3035092_0011.png
10
SUU, Alm.del - 2024-25 - Bilag 302: Orientering om Sundhedsstyrelsens afrapportering om den kulegravning af alkoholbehandlingen, fra indenrigs- og sundhedsministeren
3035092_0012.png
2.
Introduktion til alkoholbehandling i
Danmark
Dette baggrundskapitel skitserer danskernes alkoholforbrug og den eksisterende viden
om konsekvenser ved et højt alkoholforbrug og -behandling. Derefter beskrives de
overordnede organisatoriske og lovgivningsmæssige rammer for alkoholbehandlingen i
Danmark, samt hvilken type behandling der gennemføres.
2.1
Alkoholforbrug i Danmark
Dette afsnit vil beskrive konsekvenserne ved danskernes alkoholforbrug og antallet af
borgere i alkoholbehandling i Danmark. Det baseres på data fra Det Nationale
Alkoholbehandlingsregister (NAB), udgivne rapporter om alkoholforbrug- og behandling
i Danmark og Europa, samt indsamlet data fra
undersøgelse.
Der bruges forskellige betegnelser til at beskrive borgeres alkoholforbrug. I løbet af
rapporten kan der derfor fremgå forskellige termer, især når der refereres til andre
undersøgelser. I udgangspunktet bruger rapporten
alkoholafhængighed.
Af boksen
nedenfor fremgår en indledende begrebsafklaring om alkoholforbrug.
Boks 2 Begreber om alkoholforbrug
Alkoholafhængighed
er defineret i den internationale diagnoseklassifikation ICD-10
som en neurologisk sygdom. Den er karakteriseret ved tilstedeværelse af mindst tre
af følgende symptomer indenfor det seneste år: Alkoholtrang, kontroltab ved
alkoholindtagelse, abstinenser, tolerance (større og større mængder alkohol er
nødvendig for at opnå samme virkning), fortsat indtag trods kendt skadevirkning og
at alkohol spiller en dominerende rolle i personens liv. Afhængighed kan afdækkes
via AUDIT
4
.
Skadeligt forbrug
af alkohol er kendetegnet ved, at personen har haft psykiske eller
fysiske skader som følge af et stort alkoholindtag indenfor de sidste 12 måneder,
men ikke opfylder kriterierne for afhængighed (ICD-10). Nogle personer med
skadeligt forbrug af alkohol kan have udbytte af alkoholbehandling. Skadeligt forbrug
kan også afdækkes via AUDIT.
5
I befolkningsundersøgelser som den nationale sundhedsprofil kan spørgeskemaer
anvendes til at afdække
tegn på svære
6
på befolkningsniveau, via CAGE-C-metoden . Disse begreber
kan ikke direkte sammenlignes med afhængighed og skadeligt forbrug, fordi de
bygger på nogle andre parametre. Der er dog fælles karakteristika for personer, der
AUDIT står for Alcohol Use Disorders Identification Test og er udviklet af WHO. Testen er udviklet til at
kunne identificere personer med et skadeligt alkoholforbrug. Alkoholscreening (AUDIT) åbner muligheden
for at opspore og hjælpe borgere med et skadeligt alkoholforbrug.
5
Lægehåndbogen sundhed.dk, 2023.
Alkohol, overforbrug.
6
CAGE-C metoden er effektiv til at identificere personer med alkoholproblemer og kan benyttes til at
identificere personer med tegn på moderate alkoholproblemer og tegn på svære alkoholproblemer i den
generelle befolkning via spørgeskemaundersøgelser.
11
4
SUU, Alm.del - 2024-25 - Bilag 302: Orientering om Sundhedsstyrelsens afrapportering om den kulegravning af alkoholbehandlingen, fra indenrigs- og sundhedsministeren
3035092_0013.png
Derudover forholder befolkningsundersøgelser som den nationale sundhedsprofil og
sygdomsbyrderapport sig ofte til antallet af personer, der binge-drikker (dvs. drikker
5 genstande eller mere ved samme lejlighed) eller drikker over Sundhedsstyrelsens
anbefalede genstandsgrænse (10 genstande i løbet af en typisk uge). Mange af
disse vil dog ikke have et behandlingskrævende alkoholforbrug.
7
2.1.1
Danskernes alkoholforbrug og konsekvenser heraf
Danmark har det højeste forbrug af alkohol i Norden
8
og den største andel af borgere,
der binge-drikker minimum en gang om måneden i Europa.
9
Et højt alkoholforbrug er forbundet med en øget risiko for en lang række sygdomme,
herunder flere kræftformer, leverlidelser og sygdomme i fordøjelsessystemet samt en
øget dødelighed.
10
Derudover kan et højt alkoholforbrug føre til en lang række
psykosociale konsekvenser for den enkelte og dennes familie og netværk, samt øge
risikoen for arbejdsløshed, ulykker, vold og selvmord.
11
Ud over konsekvenserne for den enkelte, påvirker et stort alkoholforbrug også
pårørende til borgere med et højt alkoholforbrug. Herunder vokser 109.000 børn,
svarende til hvert tiende barn, op med forældre med alkoholproblemer.
12
Dertil kommer de konsekvenser et højt alkoholforbrug har på samfundsøkonomien.
Dette ses både gennem ekstra sundhedsomkostninger til behandling, pleje og medicin,
men også gennem tabt produktivitet relateret til sygefravær, fravær fra
arbejdsmarkedet generelt, herunder førtidspension, og for tidlig død
13
.
I Sundhedsstyrelsens rapport om sygdomsbyrden i Danmark blev det estimeret, at
135.998 personer i Danmark levede med alkoholrelateret sygelighed i 2017 og 2018.
Alkoholrelateret sygelighed er socialt ulige fordelt blandt den danske befolkning og er
højere blandt personer med kortere uddannelse. Dertil er der en overrepræsentation af
mænd - både blandt personer, der har et skadeligt alkoholforbrug, og blandt personer
ramt af alkoholrelateret sygelighed.
14
Statens Institut for Folkesundhed, SDU. (2022).
Sygdomsbyrden i Danmark risikofaktorer.
Sundhedsstyrelsen, 2021.
Danskernes Sundhed Den Nationale Sundhedsprofil 2021.
9
eurostat, 2021. Alcohol consumption statistics.
10
Statens Institut for Folkesundhed, SDU, 2020.
Alkoholrelaterede helbredskonsekvenser en
systematisk litteraturgennemgang af nyeste evidens.
11
Statens Institut for Folkesundhed, SDU, 2022.
Sygdomsbyrden i Danmark risikofaktorer.
12
Statens Institut for Folkesundhed, SDU, 2023.
Antal danskere med et alkoholproblem
En analyse
baseret på screeningsværktøjet CAGE-C.
13
Statens Institut for Folkesundhed, SDU, 2022.
Sygdomsbyrden i Danmark
risikofaktorer.
14
Statens Institut for Folkesundhed, SDU, 2022.
Sygdomsbyrden i Danmark
risikofaktorer.
12
8
7
SUU, Alm.del - 2024-25 - Bilag 302: Orientering om Sundhedsstyrelsens afrapportering om den kulegravning af alkoholbehandlingen, fra indenrigs- og sundhedsministeren
3035092_0014.png
2.1.2
Borgere i alkoholbehandling i Danmark
Borgere i behandling i 2023
I 2023 var der 25.339 borgere i offentligt finansieret alkoholbehandling, hvilket er det
højeste antal siden 2008.
15
Det samlede omfang af borgere i alkoholbehandling i Danmark i dag er ikke kendt, da
der alene er pligt til at indberette oplysninger om offentligt finansieret alkoholbehandling
til alkoholbehandlingsregisteret, og der dertil kommer borgere i privat finansierede
alkoholbehandling. NHG s undersøgelse samler derfor forskellige datakilder for at vise,
hvor stort et område henholdsvis det offentlige og private marked dækker i 2023
16
.
NHG s opgørelse fremgår af Tabel 1, som viser, at der samlet set var minimum 27.479
borgere i behandling i 2023.
17
NHG s kortlægning viser, at størstedelen af borgerne i alkoholbehandling i Danmark er
i offentligt finansieret alkoholbehandling (cirka 92 %). Den privatfinansierede
behandling fylder således højest sandsynligt med ovenstående forbehold under 10 %
af den samlede behandling i Danmark. Det betyder, at omfanget af egenbetaling i
alkoholbehandlingen er småt.
Tabel 1 Oversigt over samlet antal borgere i alkoholbehandling i 2023 (Kilde: *Det Nationale
Alkoholbehandlingsregister (NAB) og CPR-registeret pr. april 2024, Sundhedsdatastyrelsen, ** Forsikring
& Pension, *** NHG s spørgeskemaundersøgelse 2024)
Finansiering
Offentlig finansieret behandling*
Privat forsikringsbetalt behandling**
Privat selvbetalt behandling***
I alt i behandling i 2023
Antal i 2023
25.339
408
1.732
27.479
Andel af samlet antal i
behandling 2023
92%
1%
6%
100 %
Note: Tallene dækker over ambulant, dag- og døgnbehandling og omfatter altså meget forskellige
behandlingstyper. Fordi tallene er rundet op eller ned til nærmeste hele tal, summerer hver underkategori
ikke til 100 % i alt.
De 27.479 borgere i alkoholbehandling i 2023 svarer til mindre end 1 % af befolkningen
i Danmark. Samtidig viser den nyeste opgørelse, at der i 2021 var 67.000 danskere
(ca. 1,1 % af befolkningen) med tegn på svære alkoholproblemer
18
, samt omkring
402.000 danskere (ca. 6 % af befolkningen) med tegn på moderate alkoholproblemer,
der på den lange bane kan udvikle sig til et svært alkoholproblem. Selvom ikke alle
disse borgeres alkoholforbrug vil være behandlingskrævende, indikerer det, at der
Det Nationale Alkoholbehandlingsregister, u.å. Note: Antallet af unikke personer i behandling inkluderer
både personer med oplyst CPR-nummer og personer, der er i anonym alkoholbehandling. Da man kan
indskrives anonymt i alkoholbehandling, skal man derfor være opmærksom på, at den samme person kan
optræde flere gange samme år.
16
Undersøgelsens metodiske grundlag er præsenteret og beskrevet i bilag 1.
17
Tallet må antages at være en smule større, da vi har opgjort antallet af borgere i privat selvbetalt
privatfinansierede behandlingssteder, som har svaret på spørgeskemaet (11 ud af 21 behandlingssteder).
18
Statens Institut for Folkesundhed, SDU, 2023.
Antal danskere med et alkoholproblem
En analyse
baseret på alkoholscreeningsværktøjet CAGE-C.
13
15
SUU, Alm.del - 2024-25 - Bilag 302: Orientering om Sundhedsstyrelsens afrapportering om den kulegravning af alkoholbehandlingen, fra indenrigs- og sundhedsministeren
3035092_0015.png
eksisterer en
mellem
borgere med et behandlingsbehov og borgere i behandling. Hvor stort alkoholområdets
opsporingsgab i realiteten er, er vanskeligt endeligt at opgøre.
Opsporingsgabet afspejler blandt andet, at de borgere, der modtager
alkoholbehandling i gennemsnit har haft et overforbrug af alkohol i 11 år, før de søger
behandling.
19
Det vil sige, at borgere i alkoholbehandling ofte har haft et
behandlingskrævende forbrug i mange år forud for behandlingen.
Opsporingsgabet blev i Sundhedsstyrelsens Servicetjek af offentligt finansieret
ambulant alkoholbehandling fra 2019 fremhævet som en af de største udfordringer på
alkoholbehandlingsområdet.
20
Nedenfor præsenteres yderligere information om borgere i alkoholbehandling baseret
på data fra Det Nationale Alkoholbehandlingsregister (NAB). Registret indeholder langt
overvejende informationer om offentligt finansieret alkoholbehandling. Fordi det som
nævnt er frivilligt for private behandlingsinstitutioner at indberette data til registret, er
det generelt vurderet, at informationer fra NAB ikke er repræsentative for privat
finansieret alkoholbehandling.
Beregnet skøn af antallet af borgere i forskellige behandlingstyper
Opgørelsen over antallet af borgere i behandling dækker over borgere i tre forskellige
typer af behandling, der har varierende omkostninger og grader af intensitet (se mere
herom i afsnit 2.3.1). I tabellen nedenfor har vi derfor forsøgt at beregne antallet af
borgere i 2023 i offentligt finansieret alkoholbehandling på de tre typer af behandling,
som de har været i.
Opgørelsen i Tabel 2 viser, at dag- og døgnbehandlingen samlet set udgør en lille
andel af den offentlig finansieret alkoholbehandling. Således tyder data på, at langt
størstedelen af borgerne i alkoholbehandlingen er i ambulant behandling (omtrent 97
%).
Antallet i ambulant behandling er fundet ved at tage totalen af antallet af borgere i
behandling indregistreret i NAB i 2023 og fratrække antallet med en startdato for
henholdsvis dag- og døgnbehandling. Der kan være borgere, der er i dag- og
døgnbehandling i 2023, men som har haft en startdato i 2022, og desuden kan der
være borgere, som har været i alle tre behandlingstyper og dermed vil tælle flere
gange. Dertil kommer, at Sundhedsdatastyrelsen gør opmærksom på, at de normalt
ikke laver opgørelser på baggrund af dag- og døgnbehandlingsregistreringerne, da de
har en formodning om, at de er underrepræsenteret. Alligevel har vi i forbindelse med
denne undersøgelse forsøgt at lave et regneeksempel for at kunne komme med et
skøn på størrelsesordenen mellem de tre typer behandling. Det betyder, at der kan
være udsving eller fejl i at opgøre antallet af borgere i ambulant behandling på denne
måde, vi har gjort. Alt andet lige må vi dog antage, at antallet ligger cirka i denne
Sundhedsstyrelsen, 2015.
Alkoholstatistik 2015. Nationale data.
Sundhedsstyrelsen, 2019.
Sundhedsstyrelsens Servicetjek af offentligt finansieret ambulant
alkoholbehandling.
14
20
19
SUU, Alm.del - 2024-25 - Bilag 302: Orientering om Sundhedsstyrelsens afrapportering om den kulegravning af alkoholbehandlingen, fra indenrigs- og sundhedsministeren
3035092_0016.png
størrelsesorden, og at andelene i hver type af behandling må give et nogenlunde
retvisende billede.
Tabel 2 Beregnet skøn over antallet af borgere i behandling i 2023 fordelt på behandlingstyper (Kilde:
Egne beregninger baseret på tal fra Det Nationale Alkoholbehandlingsregister (NAB) og CPR-registeret pr.
april 2024, Sundhedsdatastyrelsen)
Ambulant behandling
Dagbehandling
Døgnbehandling
Total
Antal i 2023
25.270
537
189
25.996
Andel
97%
2%
1%
100%
Note: Tabellen viser alle borgere, hvis behandling er indregistreret i NAB (offentligt - såvel som
privatfinansieret). NAB indeholder primært data på borgere i offentlig finansiering, da der kun er
registreringspligt på disse. NAB indeholder dog også data om en lille andel selvbetalere,
, og tabellen dækker også over disse.
Udvikling i og sammensætning af borgere i offentligt finansieret behandling
Af Tabel 2fremgår det, at antallet af borgere i offentligt finansieret alkoholbehandling er
næsten fordoblet fra 2008 til 2023. Således er der sket en stigning fra 13.048 borgere i
alkoholbehandling i 2008 til 25.996 borgere i 2023.
Figuren viser tilmed udviklingen i antallet af personer, som selv angiver, at de tidligere
har været i behandling.
angiver, at de tidligere har været i behandling
personer, som ikke har angivet dette.
21
Over den 15-årige periode fra 2008 til 2023 ligger andelen af borgere, som selv
angiver, at de tidligere har været i behandling nogenlunde stabilt på omkring halvdelen
af det samlede antal borgere i behandling, med et lille fald fra 51 % til 49 %.
Stigningen i det samlede antal borgere kan forklares af, at der er flere borgere, der
kommer i behandling i 2023 end i 2008, og samtidig, at borgerne i gennemsnit er i
alkoholbehandling i længere tid i 2023, end i 2008 (se mere om længden på
behandlingsforløb i Kapitel 4).
Vi gør opmærksom på, at der kan være visse usikkerheder forbundet med analysen, fordi den er
baseret på selvrapporteret data, og der kan være stor forskel på en borgers fortolkning af spørgsmålet. En
end alkoholbehandling, hvilket ikke er hensigten med datapunktet.
15
21
SUU, Alm.del - 2024-25 - Bilag 302: Orientering om Sundhedsstyrelsens afrapportering om den kulegravning af alkoholbehandlingen, fra indenrigs- og sundhedsministeren
3035092_0017.png
Figur 1 Antal personer i offentligt finansieret alkoholbehandling opgjort på tidligere i behandling eller nye i
behandling (Kilde: Egne beregninger baseret på tal fra Det Nationale Alkoholbehandlingsregister og CPR-
registeret (pr. 20. marts 2024), Sundhedsdatastyrelsen)
30.000
25.996
25.000
20.000
15.000
10.000
5.000
0
13.048
Tidligere i behandling
Nye i behandling
Note: Antallet af unikke personer i behandling inkluderer både personer med oplyst CPR-nummer og
personer, der er i anonym alkoholbehandling. Da man kan indskrives anonymt i alkoholbehandling, kan
den samme person optræde flere gange samme år. Antallet af personer, der var i alkoholbehandling i
2023, er defineret som alle unikke personer, der har et aktivt behandlingsforløb i løbet af 2023. Da man
kan være indskrevet i flere år, kan den samme person også tælle med i flere år.
angive
at fratrække det samlede antal
Figur 2 viser kønsfordelingen af borgere i alkoholbehandling i Danmark. Det er en
generel tendens siden 2008, at mænd udgør cirka to tredjedele af borgerne i
behandling, mens kvinder udgør en tredjedel. Det betyder, at der er mere end dobbelt
så mange mænd som kvinder, der modtager alkoholbehandling i Danmark.
Figur 2 Andel kvinder og mænd i alkoholbehandlingen i 2008, 2016 og 2023. (Kilde: Det Nationale
Alkoholbehandlingsregister og CPR-registeret (pr. 20. marts 2024), Sundhedsdatastyrelsen)
CPR registeret
100%
75%
68%
50%
68%
68%
25%
32%
0%
2008
Kvinder
2016
Mænd
2023
32%
32%
Note:
Antallet af unikke personer i behandling inkluderer både personer med oplyst CPR-nummer og
personer, der er i anonym alkoholbehandling. Da man kan indskrives anonymt i alkoholbehandling, kan
den samme person optræde flere gange samme år. Antallet af personer, der var i alkoholbehandling i
16
SUU, Alm.del - 2024-25 - Bilag 302: Orientering om Sundhedsstyrelsens afrapportering om den kulegravning af alkoholbehandlingen, fra indenrigs- og sundhedsministeren
3035092_0018.png
2023, er defineret som alle unikke personer, der har et aktivt behandlingsforløb i løbet af 2023. Da man
kan være indskrevet i flere år, kan den samme person også tælle med i flere år.
Ser vi på andelen af det samlede antal borgere i alkoholbehandlingen, som er
indskrevet anonymt, fremgår det, at der siden 2008 har været en lille stigning (se Figur
3).
I 2023 var der således 4.051 borgere indskrevet anonymt i behandling, hvilket svarer til
cirka hver sjette borger i behandlingen eller 16 %. I 2008 var 1.580 borgere i anonym
behandling, svarende til en andel på 12 %. Det er ikke muligt at sige, hvad denne
stigning skyldes, men anonymitetsrettigheden belyses nærmere i kapitel 7.
Figur 3 Andel af det samlede antal borgere i alkoholbehandlingen, som er anonymt indskrevet (Kilde: Det
Nationale Alkoholbehandlingsregister og CPR-registeret (pr. 20. marts 2024), Sundhedsdatastyrelsen
CPR registeret
Sundhedsdatastyrelsen).
20%
15%
15%
10%
5%
0%
9%
12%
18%
16%
Anonyme
Note: Antallet af unikke personer i behandling inkluderer både personer med oplyst CPR-nummer og
personer, der er i anonym alkoholbehandling. Da man kan indskrives anonymt i alkoholbehandling, kan
den samme person optræde flere gange samme år. Antallet af personer, der var i alkoholbehandling i
2023, er defineret som alle unikke personer, der har et aktivt behandlingsforløb i løbet af 2023. Da man
kan være indskrevet i flere år, kan den samme person også tælle med i flere år.
Siden 2008 har størstedelen af borgere i alkoholbehandling været mellem 40 og 59 år.
Samtidig har der været en udvikling i fordelingen af borgere i andre aldersgrupper, og
herunder en stigning blandt især de yngste og ældste aldersgrupper. I 2008 udgjorde
borgere under 25 eller over 69 år tilsammen 4 % af borgerne i behandling. I 2023
udgjorde borgere under 25 år 5 %, og borgere over 69 år 4 % af det samlede antal
borgere i behandling
22
. Sammenlignet med 2008 er der således i 2023 en bredere
fordeling af borgere på tværs af aldersgrupper.
Størstedelen af borgere i offentligt finansieret alkoholbehandling (46 %) er enten
midlertidigt eller varigt uden for arbejdsmarkedet, mens to ud af fem (40 %) er tilknyttet
Det Nationale Alkoholbehandlingsregister og CPR-registeret pr. april 2024, Sundhedsdatastyrelsen, u.å.
Note: Alder er opgjort som personens alder ved indskrivning i alkoholbehandling. Alderen beregnes på
baggrund af borgerens CPR-nummer og indskrivningstidspunktet. Antallet af personer der var i
alkoholbehandling i 2023, er defineret som alle unikke personer, der er indskrevet i alkoholbehandling i
2023 samt alle personer, der blev indskrevet før år 2023, men som først blev udskrevet i løbet af 2023
eller senere. Antallet af borgere på 15 år og derover i de forskellige aldersgrupper er opgjort pr. 1 januar i
opgørelsesåret. Samme person kan tælle med flere behandlingsforløb over årene, men dog kun med ét
behandlingsforløb indenfor samme år. Anonyme borgere gives et behandlings-ID og unikke behandlings-
lere anonyme behandlingsforløb i året, kan
disse tælle med dobbelt i året.
17
22
SUU, Alm.del - 2024-25 - Bilag 302: Orientering om Sundhedsstyrelsens afrapportering om den kulegravning af alkoholbehandlingen, fra indenrigs- og sundhedsministeren
3035092_0019.png
det ordinære arbejdsmarked eller er uddannelsessøgende. De resterende 14 %
inkluderer personer, der ikke er arbejdsdygtige eller er døde eller udvandrede.
23
Fra 2008 til 2023 er andelen af borgere i offentligt finansieret behandling, der anses
som færdigbehandlede, steget fra 26 % til 38 % i 2023. Andelen har ligget på et
nogenlunde stabilt niveau i årene fra 2020 til 2023. Andelen af borgere, hvis
behandling afsluttes, fordi borgerne udebliver fra behandlingen, er i samme periode
faldet fra 30 % i 2008 til 17 % i 2023.
Derudover har tendensen siden 2008 været, at cirka 5 % af borgernes
behandlingsforløb afsluttes, fordi borgeren udskrives til anden institution, samt at cirka
17 % af behandlingsforløb afsluttes efter borgerens ønske.
24
Udvikling i og sammensætning af borgere i privatfinansieret behandling
Da der som nævnt ikke er indberetningspligt til det nationale
alkoholbehandlingsregister for privatfinansieret alkoholbehandling, eksisterer der ikke
systematisk indsamlet data om antallet af borgere i privatfinansieret alkoholbehandling.
NHG har dog fået oplysninger fra Forsikring & Pension om de borgere, der er i
behandling finansieret af privat sundhedsforsikring. Dette afsnit vil derfor fokusere på
dem.
Baseret på de data, som NHG har haft adgang til, finansierer forsikringsmarkedet
jævnfør tidligere Tabel 1 en lille del af det samlede antal borgere i alkoholbehandlingen
(cirka 1 %). Det stemmer nogenlunde overens med den rolle, som forsikrings- og
pensionsbranchen generelt varetager på det samlede sundhedsområde. Således
udgør forsikrings- og pensionsbranchen i dag 2% af de samlede udgifter til sundhed
(2022-tal)
25
. De hjælper primært personer i arbejdsstyrken.
Tabel 3 viser dataene oplyst af Forsikrings- og pensionsbranchen og opgør udviklingen
af antallet af borgere fra 2020 til 2023, som har fået finansieret alkoholbehandling af en
privat sundhedsforsikring. I 2023 blev der finansieret 408 alkoholbehandlingsforløb via
sundhedsforsikring eller arbejdsplads. Samtidig viser data, at der er sket en vækst over
to år fra 2021 til 2023 på 36 %. Tallene er dog behæftet med usikkerhed.
Tabel 3 Antal alkoholbehandlinger finansieret af privat sundhedsforsikring (Kilde: Forsikring & Pension)
År
Antal
2021
299
2022
356
2023
408
Nationale Alkoholbehandlingsregister, CPR-registeret u.å.; Styrelsen for Arbejdsmarked og
Rekrutterings forløbsdatabase DREAM (pr. 18. marts 2024), Sundhedsdatastyrelsen. Opgørelsen på
arbejdsmarkedstilknytning er udelukkende lavet på den del af de indskrevne, som har kendt cpr-nummer
dvs. at de anonyme indgår ikke i denne opgørelse.
24
Det Nationale Alkoholbehandlingsregister og CPR-registeret pr, april 2024, Sundhedsdatastyrelsen. u.å.
25
Forsikring & Pension, 2023.
Forsikrings- og pensionsbranchens bidrag til danskernes sundhed
18
23
Det
SUU, Alm.del - 2024-25 - Bilag 302: Orientering om Sundhedsstyrelsens afrapportering om den kulegravning af alkoholbehandlingen, fra indenrigs- og sundhedsministeren
3035092_0020.png
Forsikrings- og pensionsbranchen oplyser, at det primært er mænd, der er i forsikrings-
og pensionsfinansieret alkoholbehandling. I 2023 var der tre gange flere mænd end
kvinder i alkoholbehandling finansieret af forsikrings- og pensionsbranchen. Det kan
indikere, at der er en lidt større overvægt at mænd end kvinder i forhold til den offentligt
finansierede behandling, hvor andelen var dobbelt så mange mænd som kvinder i
behandling. Dertil oplyser Forsikrings- og pensionsbranchen, at borgerne ofte har en
blandingsafhængighed
26
, er yngre og typisk arbejder indenfor for eksempel
håndværksfag og computerteknologi.
2.2
Organiseringen af alkoholbehandling i Danmark
Dette afsnit beskriver de organisatoriske og lovgivningsmæssige rammer for
alkoholbehandlingen i Danmark.
Med kommunalreformen i 2007 blev ansvaret for hele rusmiddelområdet overdraget til
kommunerne. Det betyder, at kommunerne har ansvaret for at tilvejebringe
alkoholbehandling til deres borgere. Der blev med kommunalreformen indført et
enstrenget kommunalt myndigheds- og finansieringsansvar ud fra et princip om, at
kompetencer og økonomisk ansvar skal følges ad
27
. Kommunen har i dag flere roller i
forbindelse med udbuddet af offentligt finansieret alkoholbehandling. I dag er
kommunen både en myndighed, leverandør af alkoholbehandling og indgår evt.
samarbejdsaftaler med private leverandører af offentlig finansieret alkoholbehandling.
Kommunalreformen førte også til, at alkohol- og stofbehandlingen ofte organisatorisk
blev lagt sammen i kommunerne i et samlet rusmiddelområde. I dag tilbyder 75 % af de
offentlige og offentligt finansierede behandlingssteder både alkohol- og
stofbehandling.
28
Alkoholbehandling er omfattet af vejledninger fra Sundhedsstyrelsen og Social- og
Boligstyrelsen. Den lovgivningsmæssige regulering af alkoholbehandlingsområdet er
dog forholdsvis overordnet, hvilket giver kommunerne og behandlingsstederne stor
frihed til selv at definere indhold og form af deres tilbud.
2.2.1
Typer og tilgængelighed af behandlingssteder
Mens kommunerne har ansvaret for at tilvejebringe tilbud om alkoholbehandling til
deres borgere, er det ikke et krav, at de selv skal udbyde den. Kommunerne kan
således tilbyde alkoholbehandling ved at indgå aftaler med andre kommuner, regioner,
selvejende eller private institutioner. Derfor eksisterer der også forskellige typer af
behandlingssteder. Disse kan kategoriseres efter ejerform og finansieringsform.
På baggrund af
ejerforhold
skelnes overordnet mellem
offentlige, selvejende
og
private
alkoholbehandlingssteder.
En blandingsafhængighed er en betegnelse for en afhængighed, der omfatter to eller flere rusmidler
samtidig brug af alkohol og kokain.
27
Sekretariatet for Ekspertudvalget på socialområdet, 2023.
Analyse af markedet på socialområdet.
28
Tilbudsportalen, u.å.
19
26
fx
SUU, Alm.del - 2024-25 - Bilag 302: Orientering om Sundhedsstyrelsens afrapportering om den kulegravning af alkoholbehandlingen, fra indenrigs- og sundhedsministeren
3035092_0021.png
Offentlige behandlingssteder dækker over kommunale og regionale behandlingssteder.
72 af kommunerne i dag selv udbyder alkoholbehandling
på deres egne offentlige behandlingssteder. De resterende kommuner udbyder
alkoholbehandlingen gennem fælleskommunale, regionale eller private
behandlingssteder.
Der eksisterer i dag kun én regional leverandør af alkoholbehandling, i form af Center
for Forsorg og Behandling i Region Hovedstaden, der tilbyder alkohol- og
stofbehandling samt botilbud for hjemløse.
29
Center for Forsorg og Behandling er
organiseret i to behandlingssteder i Hørsholm og Hillerød.
Selvejende alkoholbehandlingssteder dækker over behandlingssteder drevet af
nonprofitorganisationer med afsæt i civilsamfundet, f.eks. fonde. De drives
professionelt med uddannet og lønnet arbejdskraft i samspil med en bestyrelse og
ledelse, hvor bestyrelsen har det overordnede ansvar for den selvejende institution.
selvejende behandlingssteder.
Private alkoholbehandlingssteder dækker over behandlingssteder drevet af private
virksomheder. NHG s kortlægning har identificeret 49 private
alkoholbehandlingssteder.
Tabel 4 viser et overblik over antallet af de forskellige typer af behandlingssteder opdelt
på ejerform. Et samlet overblik over de identificeret behandlingssteder findes i Bilag
1.8.
Tabel 4 Oversigt over antal alkoholbehandlingssteder i Danmark, fordelt på ejerform (Kilde: NHG s
kortlægning af behandlingssteder 2024)
Ejerform
Antal
Kommune
85
Region
2
Privat
49
Fond, selvejende, mv.
26
Total
162
Udover ejerform skelnes der mellem alkoholbehandlingsstedernes finansieringsform,
da alkoholbehandling kan finansieres enten offentligt eller privat (se mere herom i
afsnit 2.2.2 og 2.2.3).
Offentligt finansieret alkoholbehandling kan udbydes af et offentligt behandlingssted,
eller hos private eller selvejende behandlingssteder, som har indgået en
samarbejdsaftale med én kommune herom og er godkendt af Socialtilsynet. Når en
kommune indgår en samarbejdsaftale med en privat eller selvejende leverandør,
indgår den enkelte kommune en aftale om pris, ydelser og kvalitet. De aftalte vilkår er
ikke kendt for andre kommuner. For nogle behandlingssteder med offentlig finansiering
vil prisen for behandlingsforløbet dog være mulig at finde på Tilbudsportalen. Dette
gælder dog ikke alle behandlingssteder. Der kan ikke konstateres nogen systematik i,
29
Center for Forsog og Behandling, u.å.
Center for Forsorg og Behandling.
20
SUU, Alm.del - 2024-25 - Bilag 302: Orientering om Sundhedsstyrelsens afrapportering om den kulegravning af alkoholbehandlingen, fra indenrigs- og sundhedsministeren
3035092_0022.png
for hvilke behandlingssteder og -typer priser fremgår af Tilbudsportalen. Kommunen vil
til en hver tid kunne tilbagekalde eller genforhandle denne samarbejdsaftale.
Privat finansieret alkoholbehandling kan kun udbydes af private eller selvejende
behandlingssteder. Private eller selvejende behandlingssteder, som er godkendt til at
udbyde offentligt finansieret alkoholbehandling, må gerne udbyde privat finansieret
alkoholbehandling samtidig.
Behandlingssteder kan således være udelukkende offentligt finansierede, delvist
offentligt finansierede, eller udelukkende privatfinansierede.
I nærværende afrapportering er private og selvejende behandlingssteder som nævnt
lagt sammen under betegnelsen private behandlingssteder, medmindre andet er
angivet. Dog skelnes der mellem, hvorvidt de udelukkende modtager privat finansiering
eller er godkendt til offentlig finansiering.
Tabel 5 viser antallet af behandlingssteder, der er 1) Offentlige, dvs. udelukkende
offentligt finansierede og offentligt ejet (af kommuner eller regioner), 2) Private (enten
selvejende eller private i ejerform), som er helt eller delvist offentligt finansierede samt
3) Private, som er udelukkende privatfinansierede.
30
Tabel 5 Finansieringen af behandlingssteder (Kilde: NHG s kortlægning af alkoholbehandlingssteder)
Type
behandlingssted
Antal
Offentligt
behandlingssted
87
Offentligt
finansieret privat
behandlingssted
54
Privat finansieret
behandlingssted
21
Total
162
NHG
tilgængeligheden af behandlingssteder på
tværs af landet. Tabellen nedenfor viser resultaterne af afdækningen og opgør antallet
af behandlingssteder beliggende i hver region. Det fremgår, at der er markant flest
behandlingssteder beliggende i Region Hovedstaden, hvilket i en vis grad kan forklares
med det højere indbyggertal i regionen.
30
Opgørelsen over finansieringsformer er baseret på data fra Tilbudsportalen og desk research.
21
SUU, Alm.del - 2024-25 - Bilag 302: Orientering om Sundhedsstyrelsens afrapportering om den kulegravning af alkoholbehandlingen, fra indenrigs- og sundhedsministeren
3035092_0023.png
Tabel 6 R
behandlingssteder, 2024 (desk research))
Hovedstaden
Offentligt
behandlingstilbud
Privat
behandlingstilbud
med offentlig
finansiering
Privat
behandlingstilbud
med privat
finansiering
Antal
identificerede
behandlingssteder
Andel af samlede
antal
behandlingssteder
Midtjylland
Nordjylland
Sjælland
Syddanmark
Total
25
20
12
13
17
87
28
7
4
4
11
54
7
6
3
2
3
21
60
37 %
33
20 %
19
12 %
19
12 %
31
19 %
162
2.2.2
Offentligt finansieret alkoholbehandling
Offentlig finansieret alkoholbehandling betyder, at behandlingen finansieres af
borgerens hjemkommune under Sundhedslovens §141, og således er gratis for
borgeren.
Den formelle markedsplads for udbud af offentligt finansieret alkoholbehandling er
Tilbudsportalen, som hører under Social- og Boligministeriet.
Formålet med Tilbudsportalen er at sikre sammenlignelige og gennemskuelige
oplysninger om behandlingsstederne og deres tilbud såsom målgrupper, metoder,
økonomi, takster, resultater og tilsynsrapporter.
31
Formålet er at styrke den enkelte
borgers grundlag for at kunne vælge et relevant tilbud, at understøtte
tilsynsmyndighedernes arbejde, samt at understøtte lige konkurrence mellem private
og offentlige leverandører.
For at blive godkendt som alkoholbehandlingssted, der kan indgå på Tilbudsportalen
skal to forhold være på plads: 1) Mindst én kommune skal indgå en samarbejdsaftale
med alkoholbehandlingsstedet
32
, og 2) Socialtilsynet skal godkende behandlingsstedet.
For at et alkoholbehandlingssted kan godkendes, kræver det, at der ansøges om
godkendelse hos Socialtilsynet. Socialtilsynet i det pågældende område behandler
derefter ansøgningen ud fra, om tilbuddet kan levere den nødvendige kvalitet - efter en
lovbestemt kvalitetsmodel, der er udviklet af Social og Boligstyrelsen (jf. Lov om
Socialtilsyn), og om tilbuddet lever op til en række økonomiske forhold. Hensigten med
Tilbudsportalen, u.å.
Dette krav er særligt for alkoholbehandlingssteder, og det gælder ikke for de øvrige sociale tilbud, der
skal godkendes for at komme på Tilbudsportalen.
22
32
31
SUU, Alm.del - 2024-25 - Bilag 302: Orientering om Sundhedsstyrelsens afrapportering om den kulegravning af alkoholbehandlingen, fra indenrigs- og sundhedsministeren
3035092_0024.png
denne ordning er at sikre en vis kontrol og kvalitet af de alkoholbehandlingssteder, der
kan opnå offentlig finansiering. Når behandlingsstedet er kommet på Tilbudsportalen,
kan det udbyde sine ydelser til borgere i alle landets 98 kommuner.
2.2.3
Privatfinansieret alkoholbehandling
Privatfinansiering indebærer, at alkoholbehandlingen betales af enten borgeren selv, af
borgerens sundhedsforsikring eller af arbejdsgivere.
Når borgerne opsøger hjælp til behandling gennem deres forsikring, foregår det enten i
samarbejde med deres arbejdsgiver eller på egen hånd.
33
Forsikring og Pension
erfarer, at borgerne ofte selv har fundet det behandlingssted, de gerne vil i behandling
hos, eller også rådgiver forsikringen dem om, hvem de har aftaler med og finder
egnede behandlingssteder.
Forsikringsmarkedet behandler som nævnt et meget lille udsnit af borgere
sammenlignet med det samlede alkoholbehandlingsområde. Forsikringsbranchen
hjælper primært personer i arbejdsstyrken og har et stort incitament for at bidrage til at
forebygge alkoholafhængighed, da der er flere sygedage og tilkendte førtidspensioner
blandt borgere med et højt alkoholforbrug.
34
2.2.4
Lovgivning og patientrettigheder
Alkoholbehandlingen i Danmark reguleres af sundhedsloven og omfatter både
sundhedsfaglige og socialfaglige opgaver.
Personer, der har et ønske om at modtage alkoholbehandling, har jf. Sundhedslovens
§141 fire primære rettigheder:
1.
2. Garanti for at behandling iværksættes senest 14 dage efter at have søgt hjælp
3. Mulighed for frit valg af alkoholbehandlingssted, uanset hvor man bor. Det vil
sige, at borgerens hjemkommune skal dække udgiften for alkoholbehandlingen,
uanset om denne er foregået i eller uden for borgerens hjemkommune.
4. Mulighed for at henvende sig anonymt i ambulant alkoholbehandling
Princippet om anonymitet gælder ambulant alkoholbehandling og indebærer, at navn
og CPR-nummer ikke fremgår af borgerens journal eller registreres i Det Nationale
Alkoholbehandlingsregister. Journalen kan dermed ikke videredeles til andre aktører i
sundhedsvæsenet. Anonymiteten kan ikke opretholdes, hvis der ordineres medicin
som led i alkoholbehandlingen. Borgen kan ikke benytte retten til anonym ambulant
behandling over for behandlingsstedet, hvis der ifm. behandlingen skal ordineres
receptpligtige lægemidler, da alle recepter og medicinordinationer er knyttet op på
CPR-nummer. Dog skal anonymiteten stadig opretholdes over for vedkommendes
33
34
Forsikring & Pension, 2023.
Forsikrings- og pensionsbranchens bidrag til danskernes sundhed.
Statens Institut for Folkesundhed, SDU, 2022.
Sygdomsbyrde i Danmark risikofaktorer.
23
SUU, Alm.del - 2024-25 - Bilag 302: Orientering om Sundhedsstyrelsens afrapportering om den kulegravning af alkoholbehandlingen, fra indenrigs- og sundhedsministeren
3035092_0025.png
kommune, såfremt der er ønske om dette.
35
Personer, der arbejder med
alkoholbehandling, har tavshedspligt men også underretningspligt.
Fritvalgsordningen giver borgerne mulighed for frit at vælge, på hvilket offentligt
finansieret ambulant alkoholbehandlingssted de vil modtage behandling. Det betyder
også, at alkoholbehandlingssteder kan servicere borgere fra andre kommuner.
Derudover eksisterer der på alkoholbehandlingsområdet et selvhenvenderprincip, som
betyder, at borgerne selv kan henvende sig direkte til behandlingsstederne med
henblik på ambulant alkoholbehandling uden en henvisning fra en læge eller anden
aktør.
Selvhenvenderprincippet gælder ikke dag- og døgnbehandling. Hvis borgeren således
har behov for mere intensiv alkoholbehandling i form af dag- eller døgnbehandling,
kræves en visitation fra borgerens hjemkommune. Kommunerne kan visitere til dag- og
døgnbehandlingstilbud på behandlingssteder, der er godkendt til offentlig finansiering.
Med en visitation fra hjemkommunen kan borgerne også gøre brug af
fritvalgsordningen og selv vælge mellem dag- og døgnbehandlingssteder, som er
godkendt til offentlig finansiering. Det er en forudsætning, at borgeren vælger et dag-
eller døgnbehandlingstilbud, som afspejler kommunens visitation.
2.2.5
Tilsyn
Alkoholbehandlingssteder i Danmark kan være underlagt to typer af tilsyn:
Det
socialfaglige tilsyn,
som udføres af Socialtilsynet og vedrører
overholdelse af Socialtilsynslovens §5.
36
Det
sundhedsfaglige tilsyn,
som udføres af Styrelsen for Patientsikkerhed
efter Sundhedslovens $213.
37
Socialtilsynet gennemfører tilsyn med alle offentlige alkoholbehandlingssteder samt
private og selvejende alkoholbehandlingssteder, der har opnået eller ønsker at opnå
godkendelse til offentlig finansiering
38
. Socialtilsynet fører omvendt ikke tilsyn med de
privatfinansierede behandlingssteder.
Socialtilsynet skal aflægge besøg ved et behandlingssteds ansøgning om godkendelse
til offentlig finansiering, ved markante ændringer i organiseringen
39
, samt mindst ét
planlagt driftsbesøg om året med mulighed for flere planlagte og ikke-planlagte
kontrolbesøg.
Styrelsen for Patientsikkerhed gennemfører et sundhedsfagligt tilsyn for at sikre
patientsikkerheden på behandlingsstederne. Alle alkoholbehandlingssteder, der
Indenrigs- og Sundhedsministeriet. (2023).
Folketingets Socialudvalg.
Social- og Boligstyrelsen, u.å.
Fem kommunale socialtilsyn.
37
Styrelsen for Patiensikkerhed, u.å.
Tilsyn.
38
En samarbejdsaftale varer 4 år.
39
Markante ændringer dækker bl.a. over flytning til nye lokaler, omorganisering eller oprettelse af en ny
afdeling.
24
36
35
SUU, Alm.del - 2024-25 - Bilag 302: Orientering om Sundhedsstyrelsens afrapportering om den kulegravning af alkoholbehandlingen, fra indenrigs- og sundhedsministeren
3035092_0026.png
udfører sundhedsfaglig behandling
40
, er underlagt det sundhedsfaglige tilsyn uanset
finansieringstype og ejerform på behandlingsstedet. Det vil sige, at privatfinansierede
behandlingssteder med sundhedsfaglig behandling ligesom de offentligt finansierede
behandlingssteder vil være underlagt tilsyn af Styrelsen for Patientsikkerhed.
Det sundhedsfaglige tilsyn gennemføres ikke årligt, men efter en risikobaseret
tilsynsmodel, der er baseret på stikprøve, samt reaktivt ved bekymringshenvendelser.
Det Sundhedsfaglige tilsyn har mulighed for strakslukning af behandlingssteder, hvis
de observerer fare for borgerens sundhed. I 2023 gennemførte det sundhedsfaglige
tilsyn 22 tilsyn på 20 behandlingssteder i Danmark.
Ovenstående viser, at forskellige forhold afgør, hvilke tilsyn et behandlingssted er
underlagt. I Tabel 7 opsummeres de typer tilsyn, som forskellige behandlingssteder er
underlagt.
Tabellen viser, at behandlingssteder med offentlig finansiering er underlagt de samme
tilsynstyper uanset deres ejerform, altså uanset om de er offentlige, private eller
selvejende. Tabellen illustrerer tilmed, at privat finansierede behandlingssteder, der
ikke udfører sundhedsfaglig behandling, ikke er underlagt nogen tilsyn. Selvom
tilbuddene er privatfinansierede, kan der være en problematik i, at leverandører, som
angiver at have behandlingstilbud til en gruppe af danske borgere med
sundhedsskadelige udfordringer, ikke er underlagt nogen tilsyn.
Tabel 7 Oversigt over hvilke typer tilsyn forskellige behandlingssteder er underlagt
Udfører sundhedsfaglig
behandling
Type
behandlingssted
Underlagt
socialfagligt
tilsyn?
Underlagt
sundhedsfagligt
tilsyn?
Offentligt
Offentligt
finansieret
privat
Privat
finansieret
Udfører ikke sundhedsfaglig
behandling
Offentligt
Offentligt
finansieret
privat
Privat
finansieret
Ja
Ja
Nej
Ja
Ja
Nej
Ja
Ja
Ja
Nej
Nej
Nej
2.3
Beskrivelse af alkoholbehandling i Danmark
Dette afsnit vil give en introduktion til de overordnede typer af alkoholbehandling i
Danmark, samt til indholdet af et behandlingsforløb og borgerens mulige veje til
alkoholbehandling.
Alkoholbehandlingssteder med sundhedsfaglig behandling referer til alkoholbehandlingssteder, som er
registreret som en sundhedsfaglig virksomhed; udfører sundhedsfaglig behandling; har sundhedspersoner
ansat eller har personer ansat, der udfører sundhedsfaglig behandling under ansvar af en autoriseret
sundhedsperson
25
40
SUU, Alm.del - 2024-25 - Bilag 302: Orientering om Sundhedsstyrelsens afrapportering om den kulegravning af alkoholbehandlingen, fra indenrigs- og sundhedsministeren
3035092_0027.png
2.3.1
Typer af behandling
Der udbydes tre grundlæggende typer af alkoholbehandling i Danmark i dag:
1. Ambulant behandling
2. Dagbehandling
3. Døgnbehandling
Intensiteten af de tre behandlingsformer er stigende. Ved opstart af behandlingen
anbefales det, at borgeren får en screening for somatisk og psykiatrisk komorbiditet,
som indebærer en læge- eller sundhedsfaglig vurdering. Afrusning og medicinsk
behandling forudsætter desuden en lægefaglig vurdering.
Ambulant behandling indebærer den mindste indgriben i borgerens liv, da borgeren
kan bo hjemme, passe sine almindelige gøremål og arbejde.
Dagbehandling er mere indgribende end ambulant behandling og foregår typisk tre til
fem dage om ugen af flere timers varighed ad gangen over en periode på nogle uger. I
dagbehandling bor borgeren også hjemme, men indgår i et intenst forløb, hvor det for
eksempel kan være vanskeligt at opretholde et fuldtidsarbejde ved siden af.
Borgere i døgnbehandling bor og overnatter i en kortere eller længere periode (typisk
mellem fire uger og seks måneder) på et alkoholbehandlingssted og tages dermed ud
af deres hjem og hverdag.
41
I Tabel 8 nedenfor opsummeres de primære forskelle mellem de tre behandlingstyper.
Tabel 8 De tre grundlæggende typer af alkoholbehandling i Danmark
Ambulant
behandling
Antal samtaler om
ugen
Varighed samtaler/
sessioner
Intensitet
42
Ca. 1 gang
Ca. 1 time
Ydelse mindst to
gange om måneden
og højst otte gange
om måneden
Ja
Nej
Dagbehandling
3-5 gange
3-4 timer
Ydelse mere end otte
gange om måneden i
ambulant regi
Ja
Ja
Døgnbehandling
Mulighed for mange
Varierer
Ydelse hele døgnet i
minimum en måned
Nej
Ja
Borger overnatter i
eget hjem
Krav om visitering
41
42
Sundhedsstyrelsen, 2018.
National klinisk retningslinje for behandling af alkoholafhængighed.
Alkohol & Samfund. (2020).
Hvilken alkoholbehandling virker (bedst)?.
26
SUU, Alm.del - 2024-25 - Bilag 302: Orientering om Sundhedsstyrelsens afrapportering om den kulegravning af alkoholbehandlingen, fra indenrigs- og sundhedsministeren
3035092_0028.png
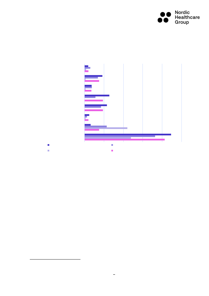
Figur 4 viser, hvor stor en andel af de identificerede behandlingssteder, der udbyder de
forskellige typer af alkoholbehandling.
43
Ambulant behandling er den type behandling, der udbydes af den største andel
behandlingssteder, uanset ejer- og finansieringsform. Det stemmer overens med, at
langt de fleste borgere i alkoholbehandlingen som nævnt i afsnit 2.1.2 er i ambulant
behandling.
Alle de offentlige behandlingssteder udbyder ambulant behandling, mens andelen er
relativt mindre for offentligt finansierede private og privatfinansierede
behandlingssteder (hhv. 63 % og 71 %). Det skyldes, at nogle selvejende og private
alkoholbehandlingssteder udelukkende tilbyder døgnbehandling.
Dagbehandling udbydes af cirka en fjerdedel af offentlige og offentligt finansierede
behandlingssteder (23% og 24 %). Dagbehandling er mindre udbredt blandt de privat
finansierede behandlingssteder, hvor kun hver tiende udbyder det.
Døgnbehandling sker udelukkende på private og selvejende behandlingssteder. Det
betyder, at ingen af kommunerne har deres eget døgnbehandlingssted, og at de alle
altså udbyder døgnbehandling igennem private eller selvejende behandlingssteder. Det
skyldes jævnfør afsnit 2.1.2, at antallet af borgere i døgnbehandling er lavt, og det vil
derfor ikke ressourcemæssigt give mening for kommunerne at have hvert sit eget
kommunale døgnbehandlingssted. Det betyder, at de private og selvejende
behandlingssteder med offentlig finansiering udfylder en væsentlig rolle i den offentlige
alkoholbehandling i den sammenhæng.
Figur 4 Andelen af behandlingssteder der tilbyder forskellige typer behandling, opdelt på type af
behandlingssted, (Kilde: NHG s kortlægning af alkoholbehandlingssteder, n = 162, offentlige = 87,
Offentligt finansierede private = 54, privat finansierede = 21)
120%
100%
80%
60%
40%
20%
0%
Ambulant alkoholbehandling
Offentligt behandlingssted
Privat finansieret behandlingssted
Dagbehandling
23% 24%
10%
22%
0%
Døgnbehandling
100%
84%
63%
71%
41% 38%
20%
Offentligt finansieret privat behandlingssted
Total
Note: Figuren summerer til over 100 %, da hvert behandlingssted kan udbyde flere typer af behandling.
Kortlægningen inkluderer alle alkoholbehandlingssteder på Tilbudsportalen, samt behandlingssteder
identificeret gennem desk research og interviews. Information om hvilke typer af behandling de
behandlingssteder, der ikke fremgår af Tilbudsportalen tilbyder, er baseret på desk research og er derfor
behæftet med en vis usikkerhed.
27
43
SUU, Alm.del - 2024-25 - Bilag 302: Orientering om Sundhedsstyrelsens afrapportering om den kulegravning af alkoholbehandlingen, fra indenrigs- og sundhedsministeren
3035092_0029.png
De forskellige behandlingstyper opdelt efter finansiering og ejerform er opsummeret
nedenfor i Tabel 9.
Tabel 9 Oversigt over forskellige typer behandlingssteder
Offentligt
behandlingssted
Behandlingstype
Ambulant, dag
Udelukkende, efter
godkendelse af
Socialtilsynet
Nej
Selvejende
behandlingssted
Ambulant, dag, døgn
Ja, hvis
samarbejdsaftale
med en kommune og
godkendt af
Socialtilsynet
Varierer
Privat
behandlingssted
Ambulant, dag, døgn
Ja, hvis
samarbejdsaftale
med en kommune og
godkendt af
Socialtilsynet
Ja
Offentlig finansieret
Privat finansieret
2.3.2
Behandlingsforløb
Alkoholbehandling består overordnet af tre faser:
1) Opstart
2) Behandling
3) Efterbehandling og afslutning
Opstartsfasen består af forløbet fra borgeren retter kontakt til et behandlingssted, til
kortlægning og formulering af målet med alkoholbehandlingen og endeligt indskrivning i
behandling.
Når en borger kontakter et behandlingssted med ønske om alkoholbehandling, starter
personalet på behandlingsstedet typisk med at finde ud af, hvor stort omfanget af
forbruget er, hvad borgerens ønsker er, hvilke mål for behandlingen borgeren har, samt
om der skal tages nogle særlige hensyn i behandlingen, fx behov for afrusning,
medicinsk behandling eller inddragelse af pårørende. Det afklares også, hvilken type
behandling (ambulant, dag- eller døgnbehandling), der er mest relevant for borgeren,
og der visiteres eventuelt til denne. Dette samles i praksis ofte i en behandlingsplan
44
.
Borgerens mål og ønsker til alkoholbehandling kan for eksempel være afholdenhed,
hvor borgeren holder helt op med at drikke, eller reduktion, hvor borgeren sænker sit
forbrug til et lavere niveau og gerne til et kontrolleret niveau.
Hvis borgeren har et meget højt alkoholforbrug, kan det være nødvendigt med
afrusning, hvilket i de fleste tilfælde skal udføres før opstarten af behandlingen af
afhængigheden eller overforbruget.
Derudover drøftes eventuelt, om der bør etableres et samarbejde med relevante
instanser, såsom andre offentlige eller civilsamfundsdrevne instanser. Det kan være
Det er på alkoholområdet ikke lovpligtigt at udarbejde individuelle behandlingsplaner for hver borger,
men grundet overlap med og skelen til stofbehandling, hvor det er et lovkrav, udarbejdes disse i praksis
ofte også for borgere i alkoholbehandling.
28
44
SUU, Alm.del - 2024-25 - Bilag 302: Orientering om Sundhedsstyrelsens afrapportering om den kulegravning af alkoholbehandlingen, fra indenrigs- og sundhedsministeren
3035092_0030.png
nødvendigt, hvis der er behov for at handle på borgerens eventuelle udfordringer
udover alkoholforbruget.
Efter opstartsfasen kommer behandlingsfasen, der består af selve behandlingen, hvor
borgeren går i enten ambulant, dag- eller døgnbehandling samt eventuelt medicinsk
behandling af abstinenser eller afhængighed. I behandlingsfasen kan der være behov
for tilpasning af behandlingsplanen, hvis den anvendte behandlingsform ikke er
effektfuld. Det kan for eksempel være i form af skift fra ambulant til dag- eller
døgnbehandling, eller omvendt
45
.
Efter behandlingsfasen kommer afslutningsfasen, der oftest er en nedtrapning af
behandlingsintensiteten og eventuelt opstart i et efterbehandlingstilbud. Formålet med
afslutningsfasen er bl.a. at undersøge, om alkoholbehandlingen har været effektfuld.
Altså hvorvidt det mål, borgerne og behandleren fastlagde i behandlingsplanen, er
opfyldt, samt om borgeren er i stand til at opretholde sine mål for behandlingen, efter
behandlingen afsluttes.
2.3.3
Borgerens vej til alkoholbehandling
I Figur 5 er skitseret de mulige veje, som borgerne kan vælge, når de vil i
alkoholbehandling.
Figur 5 Mulige veje til alkoholbehandling
Figuren illustrerer de forskellige veje, som en borger kan tage for at komme i
alkoholbehandling. Den viser to overordnede adgange - offentlig eller privat - og
beskriver de typiske aktører, som kan være involveret i denne proces.
Offentligt finansieret alkoholbehandling:
Borgeren kan blandt andet henvende sig
gennem kommunen via forskellige forvaltninger (fx gennem jobcentret), deres egen
læge, sygehuset eller direkte til det offentlige eller offentligt finansierede
behandlingssted.
45
Ambulant-, dag- og døgnbehandling beskrives i yderligere detalje i afsnit 2.3.1.
29
SUU, Alm.del - 2024-25 - Bilag 302: Orientering om Sundhedsstyrelsens afrapportering om den kulegravning af alkoholbehandlingen, fra indenrigs- og sundhedsministeren
3035092_0031.png
Kommunen:
Hvis borgeren vælger at gå gennem kommunen, vil kommunen
henvise borgeren til et offentligt eller offentligt finansieret behandlingssted.
Sygehus:
Hvis borgeren er i kontakt med sygehuset af forskellige årsager, og
der identificeres problemer forbundet med borgerens alkoholforbrug, kan
sygehuset hjælpe med at etablere kontakt til et behandlingssted.
Egen læge:
Hvis borgeren kontakter sin egen læge, kan lægen vejlede
borgeren om behandlingsmuligheder. Læger er ofte første kontaktpunkt i
sundhedssystemet og kan vejlede om både offentlige og private muligheder for
behandling.
Offentligt eller offentligt finansieret privat eller selvejende
behandlingssted:
Hvis borgeren kontakter behandlingsstedet direkte, kan
behandlingsstedet vejlede borgeren om behandling, og denne vil jf.
selvhenvenderprincippet kunne startes op i ambulant behandling uden
involvering af andre aktører eller instanser.
Privatfinansieret behandling:
Borgeren kan ved ønske om alkoholbehandling vælge
at henvende sig gennem arbejdsgiver eller deres sundhedsforsikring eller at gå direkte
til et privatfinansieret behandlingssted for at betale selv.
Som nævnt kræver døgnbehandling med offentlig finansiering en visitation fra
borgerens hjemkommune, men borgere kan selv betale for døgnbehandling uden
forudgående visitation hos behandlingssteder med privatfinansiering.
Arbejdsgiver eller sundhedsforsikring:
Nogle borgere kan have adgang til
behandlingsmuligheder gennem deres arbejdsplads eller sundhedsforsikringer,
som kan finansiere behandling hos private behandlingssteder.
Selvbetaling:
Borgeren har også mulighed for at vælge at gå direkte i privat
behandling uden at gå gennem kommunen, lægen eller andre aktører. I dette
tilfælde vil borgeren selv stå for finansieringen af behandlingen.
Modellen viser, at borgeren kan komme ind i alkoholbehandlingen gennem forskellige
adgange og veje. Modellen illustrerer også et system, hvor borgerne har mulighed for
at vælge mellem offentlige, selvejende og private behandlingssteder. Det er dog også
et forholdsvist komplekst system med mange valgmuligheder og mange forskellige
aktører.
I de følgende fem kapitler, gennemgår vi resultaterne om alkoholbehandlingen i
30
SUU, Alm.del - 2024-25 - Bilag 302: Orientering om Sundhedsstyrelsens afrapportering om den kulegravning af alkoholbehandlingen, fra indenrigs- og sundhedsministeren
3035092_0032.png
31
SUU, Alm.del - 2024-25 - Bilag 302: Orientering om Sundhedsstyrelsens afrapportering om den kulegravning af alkoholbehandlingen, fra indenrigs- og sundhedsministeren
3035092_0033.png
3.
Personalekapacitet og kompetencer
Kapitlet belyser, hvor mange og hvilke fagligheder og kompetencer, der er ansat på
alkoholbehandlingsstederne i Danmark, herunder om der er geografiske forskelle og
forskelle mellem offentligt og private behandlingssteder. Kapitlet undersøger også
efteruddannelse og den nye diplomuddannelse i rusmiddelbehandling.
SAMMENFATNING AF RESULTATER OM PERSONALEKAPACITET OG
KOMPETENCER
ansatte på alkoholbehandlingsstederne med de tilgængelige kompetencer og
fagligheder. I overvejende grad ser vi de samme tendenser som i 2019, hvor der kan
være en udfordring med få ansatte og læge- og sygeplejerskeårsværk per
behandlingssted i Region Nordjylland, der kan gøre det svært at opretholde et
tilstrækkeligt fagligt miljø til at levere alkoholbehandling af høj kvalitet.
Dertil er der siden 2019 sket et fald i de sundhedsfaglige kompetencer i den offentligt
finansierede behandling, og undersøgelsen indikerer, at de privatfinansierede
behandlingssteder har færre sundhedsfaglige kompetencer end de offentligt
finansierede. Samlet set peger undersøgelsen på, at der kan være udfordringer
forbundet med forskelle i personalekapaciteten og kompetencerne ift. At kunne sikre en
høj kvalitet og ensartet behandling på tværs af Danmark.
Nedenfor opsummeres resultaterne om antallet af ansatte i alkoholbehandlingen og
deres faglighed og kompetencer.
PERSONALEKAPACITET
Der har været et mindre fald i antallet
af ansatte på de offentligt finansierede
behandlingssteder siden 2019.
I 2019 havde de offentligt finansierede
behandlingssteder i gennemsnit 8,9
årsværk ansat. I 2024 angiver
behandlingsstederne gennemsnitligt at
have 8,6 årsværk. Der er således sket et
fald på 0,3 årsværk.
Opgjort på antal årsværk, ser de
privatfinansierede behandlingssteder
ud til at være mindre end de offentligt
finansierede.
En større andel (70 %) af de privat
finansierede behandlingssteder angiver
at have under fem årsværk sammenholdt
med offentlige (19 %) og offentligt
finansierede (23 %) behandlingssteder.
Der er geografiske forskelle på
personalekapaciteten, hvor især
behandlingssteder beliggende i
Region Nordjylland skiller sig ud med
et lavt antal årsværk per
behandlingssted.
Den største andel af behandlingssteder
er beliggende i Region Hovedstaden,
som har over 11 årsværk ansat (34 %).
Modsat er der ingen af de nordjyske
Der kan være kvalitetsudfordringer
forbundet med primært at kunne
tilbyde alkoholbehandling på
behandlingssteder med få ansatte.
Få ansatte kan gøre det svært at
opretholde et tilstrækkeligt fagligt miljø til
at levere alkoholbehandling af høj
kvalitet, fordi det vanskeligt kan rumme
mange forskellige faglige kompetencer.
Dette kan således gøre sig gældende på
32
SUU, Alm.del - 2024-25 - Bilag 302: Orientering om Sundhedsstyrelsens afrapportering om den kulegravning af alkoholbehandlingen, fra indenrigs- og sundhedsministeren
3035092_0034.png
behandlingssteder, som har besvaret
spørgeskemaet, der har dette. En stor
andel af behandlingsstederne beliggende
i Region Nordjylland (73 %) har under
fem årsværk ansat.
private behandlingssteder og i de mindre
kommuner (herunder behandlingssteder
beliggende i Region Nordjylland).
PERSONALESAMMENSÆTNING OG KOMPETENCER
De offentligt finansierede
behandlingssteder har flere årsværk
af sundhedsfaglige kompetencer -
både læge- og sygeplejefaglige end
privatfinansierede behandlingssteder.
De offentlige behandlingssteder har i
gennemsnit 0,4 lægeårsværk og 1,8
sygeplejerskeårsværk ansat, mens de
offentligt finansierede private har 0,6
lægeårsværk og 1,4 sygeplejerske
årsværk, mod 0,1 lægeårsværk og 0,1
sygeplejerskeårsværk hos
privatfinansierede.
Behandlingssteder i Region
Hovedstaden har det højeste antal
læge- og sygeplejerskeårsværk, mens
behandlingssteder i Region
Nordjylland skiller sig ud med
markant færrest af disse
sundhedsfaglige årsværk.
Behandlingssteder beliggende i Region
Hovedstaden har i gennemsnit 0,69
lægeårsværk og 1,98
sygeplejerskeårsværk.
Behandlingssteder beliggende i Region
Nordjylland har 0,04 lægeårsværk og
0,39 sygeplejerske årsværk.
De privatfinansierede
behandlingssteder ser ud i højere
grad at benytte sig af medarbejdere,
der selv er tidligere alkoholafhængige,
men som ikke nødvendigvis har en
formel kompetencegivende
uddannelse.
De privatfinansierede behandlingssteder
angiver i gennemsnit at have 4,4
-
kategorien, som de uddybende
besvarelser viser især er tidligere
alkoholafhængige. Caseundersøgelsen
bekræfter dette, og at flere private
fortrækker at ansætte tidligere
alkoholafhængige som behandlere.
Flere behandlingssteder giver udtryk
for, at en stor del af deres målgruppe
har behov, som er vanskelige at
håndtere og behandle uden
kompetencer inden for psykologien
eller psykiatrien.
Der er på tværs af offentlige og private
behandlingssteder i gennemsnit 0,4
psykologårsværk. Der er ikke data på,
hvor stor en andel af lægeårsværkene,
der er udgjort af psykiatere. Samtidig
oplever behandlingsstederne, at en stor
del af deres målgruppe har psykologiske
eller psykiatriske udfordringer. Det nye
dobbeltdiagnose behandlingstilbud i
regionalt regi vil behandle borgere med
moderate eller svære psykiske lidelser
og vil derved løfte noget at målgruppen.
Der er sket en nedgang i antallet af
sundhedsfaglige og socialfaglige
årsværk siden 2019 på offentligt
finansierede behandlingssteder.
I 2019 var der i gennemsnit 0,7 læge- og
1,9 sygeplejerskeårsværk på offentligt
finansierede behandlingssteder. I 2024
Der er forskelle mellem offentlige og
private behandlingssteder, hvad
angår medarbejdernes niveau af
efteruddannelse.
Flere ledere og medarbejdere
understreger, at efteruddannelse er
essentielt i alkoholbehandling, fordi
33
SUU, Alm.del - 2024-25 - Bilag 302: Orientering om Sundhedsstyrelsens afrapportering om den kulegravning af alkoholbehandlingen, fra indenrigs- og sundhedsministeren
3035092_0035.png
er det ifølge spørgeskemaundersøgelsen
faldet til gennemsnitligt 0,5 læge- og 1,7
sygeplejerskeårsværk. Socialfaglige er
faldet fra 2,5 til 1,0 årsværk. Der er
samtidig en stigning i personale med
anden baggrund, fx tidligere
alkoholafhængige.
området er komplekst. Der er generelt en
større andel af de offentlige
behandlingssteder, som angiver at have
medarbejdere med de forskellige
kompetencegivende efteruddannelser.
DEN NYE DIPLOMUDDANNELSE I RUSMIDDELBEHANDLING
Hensigten er, at den nye
diplomuddannelse i
rusmiddelbehandling forventes at
løfte det generelle uddannelsesniveau
på sigt.
Ledere og medarbejdere er generelt
positivt stemt i forhold til den nye
diplomuddannelse, herunder muligheden
for at tage enkelte moduler.
Der er bekymringer over, om
uddannelsen vil være
for
teoretisk og
dyr for mange behandlingssteder og
derved udelukke nogle.
Lederne er bekymrede for om, hvorvidt
den nye diplomuddannelse kan bidrage
til at sikre et grundniveau af kompetencer
ligesom den tidligere grunduddannelse,
og om de selv bliver nødt til hver især at
arrangere egen grundundervisning.
Flest offentlige behandlingssteder
forventer at sende medarbejdere på
den nye diplomuddannelse.
60% af de offentlige behandlingssteder
regner med at sende en eller flere
medarbejdere afsted, mens andelen er
40% blandt de offentligt finansierede
private behandlingssteder og 10% blandt
de privat finansierede behandlingssteder.
Da diplomuddannelsen skal sikre et
bredt og systematisk kompetenceløft af
hele rusmiddelbehandlingen, kan det
være en udfordring, hvis kun få private
behandlingssteder sender deres
medarbejdere på uddannelsen.
34
SUU, Alm.del - 2024-25 - Bilag 302: Orientering om Sundhedsstyrelsens afrapportering om den kulegravning af alkoholbehandlingen, fra indenrigs- og sundhedsministeren
3035092_0036.png
3.1
Formål og baggrund
En vigtig forudsætning for at kunne tilbyde alkoholbehandling af høj kvalitet er, at der er
den nødvendige personalekapacitet og de rette kompetencer på
alkoholbehandlingsstederne. Servicetjekket fra 2019 viste, at mens kommunerne
generelt har løftet kompetence- og uddannelsesniveauet i alkoholbehandlingen siden
de påbegyndte opgavevaretagelsen, var der stadig udfordringer med eksempelvis
adgang til sundhedsfaglige kompetencer.
Formålet med dette kapitel er at afdække, hvordan personalekapaciteten samt
kompetence- og uddannelsesniveauet er på alkoholbehandlingsstederne i Danmark. I
forhold til Servicetjekket fra 2019 kan de private behandlingstilbud, der kun modtager
privat finansiering, også belyses
46
. I Servicetjekket fra 2019 indgik kun de private tilbud,
der også varetog offentligt finansieret alkoholbehandling.
Servicetjekket fra 2019 pegede på, at der var behov for at sikre kontinuitet i
kompetenceudvikling og uddannelse på alkoholbehandlingsområdet ved at oprette en
egentlig alkoholbehandleruddannelse eller rusmiddelbehandleruddannelse på en
uddannelsesinstitution, så dette ikke skulle finansieres ad hoc af statslige puljemidler
47
.
Efterfølgende er der blevet udviklet en ny diplomuddannelse i rusmiddelbehandling,
som starter op i efteråret 2024
48
. Derfor har kapitlet også til formål at lave en
indledende vurdering af, hvad alkoholbehandlingsstederne forventer af den nye,
planlagte uddannelse i rusmiddelbehandling. De indledende forventninger er foretaget,
inden de første moduler på den nye diplomuddannelse er afholdt.
Kapitlet adresserer følgende primære spørgsmål om alkoholbehandlingen:
Hvor mange medarbejdere er ansat?
Hvilke uddannelsesbaggrunde og kompetencer er ansat?
Hvordan er behandlernes kompetencer set i forhold til behandlingsstedernes
størrelse?
I hvilken grad modtager personalet efteruddannelse og undervisning?
Hvordan ser den sundhedsfaglige del af behandlingen ud?
Hvilke geografiske forskelle er der i sammensætningen af personalets
kompetencer?
Hvad er de indledningsvise forventninger til den nye
rusmiddelbehandleruddannelse?
3.1.1
Datagrundlag
Personalets kompetencer og uddannelse på alkoholbehandlingsstederne er afdækket
via NHG landsdækkende spørgeskemaundersøgelse til offentlige, selvejende og
private behandlingssteder, hvor 100 behandlingssteder indgik. Der er udover
46
47
Tilbud som alene er finansieret gennem selvbetaling eller private sundhedsforsikringer.
Sundhedsstyrelsen, 2019.
Sundhedsstyrelsens Servicetjek af offentligt finansieret alkoholbehandling.
48
Social- og Boligstyrelsen, 2024.
Nu får vi en diplomuddannelse i rusmiddelbehandling
35
SUU, Alm.del - 2024-25 - Bilag 302: Orientering om Sundhedsstyrelsens afrapportering om den kulegravning af alkoholbehandlingen, fra indenrigs- og sundhedsministeren
3035092_0037.png
spørgeskemaundersøgelsen inkluderet data fra 15 casebesøg på
alkoholbehandlingssteder, hvor ledere og medarbejdere er blevet interviewet.
For en uddybning af metoden se Bilag 2.
Kapitlet inddrager også eksisterende undersøgelser, hvoraf de vigtigste er:
,
Københavns Professionshøjskole og VIA University College, 2023
, Sundhedsstyrelsen, 2019
,
COWI/Decide, 2019
, Enheden for
Klinisk Alkoholforskning, Syddansk Universitet, 2023.
3.2
Personalekapacitet
I 2019 afdækkede COWI og Decide kvaliteten i den offentlige finansierede ambulante
alkoholbehandling og fandt, at der på behandlingsstederne i gennemsnit var 8,9
årsværk ansat pr. behandlingssted. Afdækningen konkluderede, at særligt de små
udbydere af alkoholbehandling med få ansatte kan udgøre et problem for kvaliteten, da
alkoholbehandling kan være en kompleks opgave. Det understøttes af
Sundhedsstyrelsen rådgivningsmateriale om kvalitet i alkoholbehandlingen, hvori det
betyd
.
49
pørgeskemaundersøgelse fra 2024 viser, at de offentligt finansierede
behandlingssteder i gennemsnit har 8,6 årsværk ansat per behandlingssted, hvilket
betyder et gennemsnitlig fald på 0,3 årsværk fra 2019, hvor gennemsnittet var 8,9
årsværk per behandlingssted.
Figur 6 viser fordelingen af antal årsværk blandt offentlige, offentligt finansierede
private behandlingssteder og privat finansierede behandlingssteder i Danmark i 2024.
Data er opdelt på kvartiler efter henholdsvis de 25% mindste behandlingssteder, de
50% mellemste og for de 25% største behandlingssteder opgjort i antal årsværk
50
.
En større andel (70 %) af de privat finansierede behandlingssteder angiver at have
under 5 årsværk sammenholdt med offentlige (19 %) og offentligt finansierede private
(23 %) behandlingssteder. Modsat angiver færre af de private behandlingssteder (10
%) at have ansat mellem fem og 11 årsværk, sammenholdt med offentlige og offentligt
finansierede private behandlingssteder (hhv. 54 % og 50 %).
Sundhedsstyrelsen, 2008.
Kvalitet i alkoholbehandling et rådgivningsmateriale.
Det ville være hensigtsmæssigt at sammenholde antal årsværk med antallet af borgere i behandling,
men da det er vurderet at selvrapporterede data på antallet af borgere i behandling vil indeholde mange
usikre rapporteringer, er dette ikke medtaget. Derfor er behandlingsstedernes størrelse alene opgjort på
antal årsværk.
36
50
49
SUU, Alm.del - 2024-25 - Bilag 302: Orientering om Sundhedsstyrelsens afrapportering om den kulegravning af alkoholbehandlingen, fra indenrigs- og sundhedsministeren
3035092_0038.png
Andelen af behandlingssteder, der har over 11 årsværk ansat, varierer ikke betydeligt
på tværs af typerne af behandlingssteder.
Opgøres behandlingsstedernes størrelse ud fra antal årsværk, er der altså indikationer
på, at de privat finansierede behandlingssteder udgør de mindste behandlingssteder,
da disse primært er udgjort af behandlingssteder på under fem årsværk.
Ligesom det blev konkluderet i COWI og Decides afdækning fra 2019 kan det i
nærværende undersøgelse være en bekymring om de mindre udbydere af
alkoholbehandling kan sikre det tilstrækkelige faglige miljø til at levere
alkoholbehandling af høj kvalitet, dette gør sig særligt gældende blandt de privat
finansierede behandlingssteder, som udgør størstedelen af dem, der har færrest
ansatte per behandlingssted samt mindre kommuner.
Allerede tilbage i 2017 konkluderede Lægeforeningen også, at mange kommuner er for
små til at varetage alle de funktioner, der kræves af en effektiv alkoholbehandling.
51
De
fremhævede videre, at der på daværende tidspunkt var alt for store forskelle i
behandlingstilbuddene imellem kommunerne, hvilket de understregede ikke ville blive
accepteret på noget andet sygdomsområde. NHG s spørgeskemaundersøgelse viser,
at der fortsat er forskelle både i forhold til størrelse og geografi.
Figur 6 Fordeling af antal årsværk ved behandlingssteder* i Danmark fordelt på typen af behandlingssted
, n=99 (offentlige = 59, offentligt finansierede private= 30, private
finansierede = 10))
100%
80%
60%
40%
20%
0%
<5 årsværk
Offentligt behandlingssted
Privat finansieret behandlingssted
5-11 årsværk
>11 årsværk
Offentligt finansieret privat behandlingssted
Total
19%
23%
70%
54%
50%
48%
27% 27%
10%
26%
25%
20%
Note: Et årsværk svarer til en fuldtidsansættelse på 37 timer, og er derfor ikke ensbetydende med antallet
af individuelle personer, der er beskæftiget med alkoholbehandling i organisationen. En organisation der
beskæftiger fire årsværk, kan således have flere end fire ansatte, hvis disse ikke arbejder fuldtid. Data er
opdelt på kvartiler efter henholdsvis de 25% mindste behandlingssteder, de 50% mellemste og for de 25%
største behandlingssteder opgjort i antal årsværk Et behandlingssted udgør en outlier med 156 angivne
årsværk, og er derfor blevet fjernet fra opgørelsen.
Figur 7 viser antal årsværk fordelt efter regionerne. Figuren indikerer, at den størst
andel af behandlingssteder, der er beliggende i Region Hovedstaden, har over 11
51
Larsen, 2017.
Alkoholbehandling: Det sejler stadig
37
SUU, Alm.del - 2024-25 - Bilag 302: Orientering om Sundhedsstyrelsens afrapportering om den kulegravning af alkoholbehandlingen, fra indenrigs- og sundhedsministeren
3035092_0039.png
årsværk (34 %). Modsat har en stor andel af behandlingsstederne beliggende i Region
Nordjylland (73 %) under fem årsværk ansat. Der er ingen af de nordjyske
behandlingssteder, der har besvaret spørgeskemaet, som angiver at have over 11
årsværk ansat.
Figur 7 Fordeling af antal årsværk blandt behandlingssteder i Danmark fordelt på de deres beliggenhed i
de fem regioner
n=99 (Region Hovedstaden = 35, Region
Midtjylland = 21, Region Nordjylland = 11, Region Sjælland = 14, Region Syddanmark = 18)
100%
80%
60%
40%
20%
0%
Region
Hovedstaden
Region
Midtjylland
<5 årsværk
14%
0%
Region
Nordjylland
Region
Sjælland
Region
Syddanmark
Total
73%
51%
43%
34%
29%
29%
27%
14%
29%
22%
22%
57%
56%
48%
25%
26%
5-11 årsværk
>11 årsværk
Note: Et årsværk svarer til en fuldtidsansættelse på 37 timer og er derfor ikke ensbetydende med antallet
af individuelle personer der er beskæftiget med alkoholbehandling i organisationen. En organisation der
beskæftiger 4 årsværk, kan således have flere end 4 ansatte, hvis disse ikke arbejder fuldtid. Et
behandlingssted udgør en outlier med 156 angivne årsværk, og er derfor blevet fjernet fra opgørelsen.
Ved at sammenholde antal årsværk beskæftiget med alkoholbehandling per 1.000
borgere i regionerne, skiller behandlingssteder beliggende i Region Nordjylland sig
fortsat væsentligt ud med færre årsværk pr. 1.000 borgere (0,07 årsværk).
spørgeskemaundersøgelse indikerer omvendt, at behandlingssteder beliggende i
Region Hovedstaden skiller sig ud ved at have flest årsværk pr. 1.000 borgere
beskæftiget i alkoholbehandlingen (0,18). Dog skal man tage særligt forbehold for
disse beregninger, fordi ikke alle behandlingssteder har deltaget i undersøgelsen, og
der kan være væsentlige variationer, hvis for eksempel et stort behandlingssted i
Region Nordjylland ikke har besvaret spørgeskemaet.
Tabel 10 Årsværk beskæftiget med alkoholbehandling pr 1000 beboere på behandlingsstederne i
regionerne *Kilde: NHG s spørgeskemaundersøgelse (n = 99), **Kilde: DST-befolkningstal 2023
Region
Hovedstaden
Totale årsværk
på behandlings-
stederne *
Befolkningstal**
Årsværk på
behandlingssted
erne pr. 1000
borgere
338
1.891.778
0,18
Region
Midtjylland
180
1.358.879
0,13
Region
Nordjylland
41
594.634
0,07
Region
Sjælland
117
849.857
0,14
Region
Syddanmark
141
1.237.413
0,11
Total
817
5.932.561
0,14
38
SUU, Alm.del - 2024-25 - Bilag 302: Orientering om Sundhedsstyrelsens afrapportering om den kulegravning af alkoholbehandlingen, fra indenrigs- og sundhedsministeren
3035092_0040.png
Note: Et behandlingssted udgør en outlier med 156 angivne årsværk, og er derfor blevet fjernet fra
opgørelsen.
således samme tendens som COWI og
Decides afdækning fra 2019, hvor behandlingssteder beliggende i Region Nordjylland
også skilte sig ud med det laveste antal årsværk på alkoholbehandlingsstederne. Der
kan være udfordringer forbundet med primært at kunne tilbyde alkoholbehandling på
behandlingssteder med lille personalekapacitet, da det på sådanne behandlingssteder
kan være vanskeligt at opretholde fagligt bæredygtigt miljøer, der for eksempel rummer
tilstrækkeligt med forskellige faglige kompetencer. Det behøver ikke være en
udfordring, såfremt de mindre behandlingssteder kun behandler borgere med lettere
alkoholproblemer og uden store samtidige sociale eller psykiske udfordringer, mens de
større og mere specialiserede behandlingssteder behandler de mere komplekse og
alvorlige tilfælde, som kræver flere faglige kompetencer.
Det er tydeligt, at de større rusmiddelcentre med flere faggrupper kan noget andet
end dem, hvor man får en ugentlig samtale med en alkoholbehandler... Og nogle
mindre tilbud har en læge fire timer om ugen, og andre større steder er der måske
en læge hver dag
3.3
Personalesammensætning og kompetencer
Allerede tilbage i 2009 og 2012 undersøgte Lægeforeningen
alkoholbehandlingsområdet og fandt, at der var flere medarbejdere med socialfaglige
kompetencer ansat end sundhedsfaglige
52
. Denne tendens eksisterede fortsat i COWI
og Decides undersøgelse fra 2019 for de offentlige finansierede behandlingssteder.
For de offentligt finansierede private behandlingssteder var der relativt flere med
sundhedsfaglige kompetencer end blandt de offentlige behandlingssteder. Dog var der
fortsat flest personer ansat med socialfaglig samt pædagogisk uddannelsesbaggrund.
SDU s evidensgennemgang præciserer ikke klart, hvilken uddannelsesmæssig
baggrund alkoholbehandlere bør have for at kunne varetage alkoholbehandling.
Sundhedsstyrelsens nationale kliniske retningslinjer om alkoholbehandling anbefaler
dog at kombinere struktureret samtalebehandling med medicinsk behandling, hvilket
indikere, at en alkoholbehandling
53
kræver en bred vifte af både sundhedsfaglige,
sundhedspædagogiske og socialfaglige kompetencer.
I det følgende undersøges alkoholbehandlingsstedernes personalesammensætning,
faglighed og erhvervet kompetencer.
3.3.1
Faggrupper
Alkoholbehandling indeholder som oftest både psykosociale og sundhedsfaglige
elementer, hvilket caseundersøgelsen bekræfter som vigtige kompetencer i
personalets sammensætning og uddannelsesmæssige baggrund. Flere ledere og
Statens Institut for Folkesundhed & Lægeforeningen, 2012.
Alkoholbehandling i kommunerne;
Lægeforeningen, 2009.
Alkoholbehandling i kommunerne.
53
Sundhedsstyrelsen, 2018.
National klinisk retningslinje for behandling af alkoholafhængighed.
39
52
SUU, Alm.del - 2024-25 - Bilag 302: Orientering om Sundhedsstyrelsens afrapportering om den kulegravning af alkoholbehandlingen, fra indenrigs- og sundhedsministeren
3035092_0041.png
medarbejdere understreger, at god kvalitet hænger sammen med et veluddannet og
kompetent personale, og med muligheden for at sparre i et tværfagligt miljø, for
samarbejdsmøder og forståelse for snitflader i borgers problemstillinger.
Figur 8 viser, hvor mange årsværk behandlingsstederne i gennemsnit har ansat af
forskellige faggrupper til at varetage alkoholbehandling hos dem. Det fremgår, at det er
forskelligt, hvilke fagligheder de offentlige, offentligt finansierede private og
privatfinansierede behandlingsstederne har ansat til at varetage alkoholbehandlingen.
, at der på tværs af offentlige og private
behandlingssteder med offentlig finansiering i gennemsnit er nogenlunde lige mange
lægeårsværk (0,4-0,6 årsværk), sygeplejerskeårsværk (1,4-1,8 årsværk) og andre
sundhedsfaglige årsværk (0,7-0,8 årsværk). Der er dog væsentligt færre hos de
privatfinansierede behandlingssteder (0,1 årsværk af både læger og sygeplejersker).
Det kan afspejle sig i, at de privatfinansierede også i lavere grad tilbyder medicinsk
behandling, men primært udbyder terapeutisk behandling (se mere i kapitel 4).
Hvad angår personale med socialfaglig baggrund, skiller de offentlige
behandlingssteder sig ud ved at have flere ansatte årsværk med denne faglighed (2,6
årsværk), end de offentligt finansierede private (1,1 årsværk) og de privatfinansierede
behandlingssteder (0 årsværk). Nogenlunde samme tendens gør sig gældende for
pædagogfagligt personale.
Det fremgår af Figur 8, at der på private behandlingssteder både offentligt
finansierede og privatfinansierede - er flere ansat med anden faglighed (henholdsvis
2,3 årsværk og 4,4 årsværk), end på de offentlige behandlingssteder (0,6 årsværk).
Blandt andre fagligheder angives psykomotoriske terapeuter, psykoterapeuter,
familierådgivere, ergoterapeuter samt lærere. De private behandlingssteder angiver
især tidligere alkoholafhængige under
gælder de offentlige behandlingssteder. Caseundersøgelsen bekræfter denne tendens,
hvor flere af de private behandlingssteder beskriver, at de fortrækker at ansætte
tidligere alkoholafhængige som behandlere.
Gennemgående har de privatfinansierede behandlingssteder altså færre ansat af alle
3.2 i alt har færre årsværk per behandlingssted til at varetage alkoholbehandlingen (i
gennemsnit 4,8 årsværk). Det indikerer, at alkoholbehandlingen hos de
privatfinansierede i overvejende grad dels sker på små behandlingssteder, hvor det
ikke nødvendigvis vil være muligt at have tværfaglige kompetencer. Dels at dem der
varetager behandlingen, ikke er sundhedsfagligt eller socialfagligt uddannet, men
tidligere alkoholafhængige som sjældent har en direkte relevant kompetencegivende
uddannelse, men hvoraf flere ifølge casebesøgene har taget efteruddannelser indenfor
det terapeutiske område.
Det fremgår samlet set, opgjort på årsværk, at der er flest socialfaglige- og
pædagogiske kompetencer til stede på alkoholbehandlingsstederne sammenlignet med
alle andre kompetencer. Det fremgår også af Sundhedsstyrelsens rådgivningsmateriale
40
SUU, Alm.del - 2024-25 - Bilag 302: Orientering om Sundhedsstyrelsens afrapportering om den kulegravning af alkoholbehandlingen, fra indenrigs- og sundhedsministeren
3035092_0042.png
om kvalitet i alkoholbehandlingen, at dele af alkoholbehandlingen alene kan varetages
af sundhedsfagligt personale
54
.
Figur 8 Gennemsnitligt antal årsværk af forskellige faggrupper og uddannelsesbaggrunde som er ansat til
beskæftigelse med alkoholbehandling, opdelt på offentlige, offentligt finansieret private og private
behandlingssteder: Spørgeskema, n=99 (offentlige = 59, offentligt finansierede private = 30, privat
finansierede = 10)
)
Læger
Sygeplejersker
Anden sundhedsfaglig (fx social- og
sundhedsassistent)
Social (fx socialrådgiver)
Pædagogisk (fx socialpædagog)
Psykologer
Andre fagligheder
Total
Offentligt behandlingssted
Privat finansieret behandlingssted
0,4
0,6
0,2
0,4
0,1
0,7
0,8
0,7
1,1
1,9
1,7
1,9
2,3
2,6
1,8
1,4
1,5
0,1
0,0
0,0
0,5
0,3
0,1
0,4
0,6
2,3
1,5
4,4
7,3
8,3
8,9
4,8
Offentligt finansieret privat behandlingssted
Total
Note: Et årsværk svarer til én fuldtidsansat på 37 timer. Et behandlingssted udgør en outlier med 156
angivne årsværk, og er derfor blevet fjernet fra opgørelsen.
Figur 9 sammenholder det gennemsnitlige antal årsværk for de offentlige finansierede
behandlingssteder i hhv. 2019 og 2024. Sammenligningen viser, at der er sket en
nedgang i antallet af årsværk med sundhedsfaglig baggrund i den offentligt
finansierede alkoholbehandling - både læger og sygeplejersker. Der er desuden sket
en nedgang i antallet af årsværk med socialfaglig baggrund. Der ses en tilvækst i
personale med anden baggrund.
54
Sundhedsstyrelsen. 2008.
Kvalitet i alkoholbehandlingen
41
et rådgivningsmateriale.
S. 11, 12, 28
SUU, Alm.del - 2024-25 - Bilag 302: Orientering om Sundhedsstyrelsens afrapportering om den kulegravning af alkoholbehandlingen, fra indenrigs- og sundhedsministeren
3035092_0043.png
Figur 9 Gennemsnitligt antal årsværk af forskellige faggrupper og uddannelsesbaggrunde som er ansat til
beskæftigelse med alkoholbehandling, offentlige og offentligt finansierede private steder samt 2019 Kilde:
emaundersøgelse 2019 (n 2024 = 89, n 2019
= 69)
Læger
Sygeplejersker
Anden sundhedsfaglig (fx social- og
sundhedsassistent)
Social (fx socialrådgiver)
Pædagogisk (fx socialpædagog)
Psykologer
Andre fagligheder
Total
0
Total 2024
Note: Et årsværk svarer til én fuldtidsansat på 37 timer.
2
Total 2019
4
6
8
0,4
0,6
1,2
0,8
8,6
8,9
10
0,7
0,7
1,0
2,5
2,1
2,0
0,5
0,7
1,7
1,9
Læge- og sygeplejerskedækning
Lægeforeningens undersøgelse fra 2012 viste, at 23 % havde en fast læge, og 15 %
en fast psykiater tilknyttet alkoholbehandlingen, mens Alkohol og Samfunds
undersøgelse fra 2018 fandt, at 50 % af kommunerne ikke havde en læge fastansat til
at varetage alkoholbehandlingsopgaver
55
.
I 2019 viste COWI og Decides afdækning, at der i alt var 75 % af de offentligt
finansierede behandlingssteder, som havde en eller flere fastansatte læger. 71 % af de
offentlige behandlingssteder havde en eller flere fastansatte læger, mens dette gjorde
sig gældende for 92 % af de offentlige finansierede private behandlingssteder.
NHG s spørgeskemaundersøgelsen indikerer, at 79 % af behandlingsstederne total set
har en læge tilknyttet deres alkoholbehandling. Det betyder, at 21 % omvendt ikke har
en læge tilknyttet.
dog, at der kan være
udfordringer forbundet med at spørge ind til, hvorvidt de har en læge beskæftiget i
behandlingen eller ej, også selvom der spørges ind til lægens tilknytning (fastansat,
deltidsansat, timeansatte, ekstern konsulent). Spørgeskemaundersøgelsen indikerer
således, at der er stor forskel på, hvordan behandlingsstederne har forstået disse
spørgsmål. Derfor er det i højere grad meningsfuldt at opgøre lægedækningen på, hvor
mange lægeårsværk de har beskæftiget (se Figur 9). For eksempel angiver en stor
andel af de private behandlingssteder at have læger beskæftiget i
Alkohol & Samfund, 2019.
Kommunal alkoholbehandling 2018 Landsdækkende undersøgelse af
kommunernes tilbud til mennesker med alkoholproblemer og deres pårørende;
Statens Institut for
Folkesundhed & Lægeforeningen. (2012).
Alkoholbehandling i kommunerne.
42
55
SUU, Alm.del - 2024-25 - Bilag 302: Orientering om Sundhedsstyrelsens afrapportering om den kulegravning af alkoholbehandlingen, fra indenrigs- og sundhedsministeren
3035092_0044.png
alkoholbehandlingen, men opgjort på årsværk er det i gennemsnit blot 0,15 årsværk,
modsat 0,4 lægeårsværk i gennemsnit på de offentlige behandlingssteder og 0,6
lægeårsværk på de offentligt finansierede private behandlingssteder.
Selvom flere behandlingssteder således generelt angiver at have en læge knyttet til
behandlingsstedet, er mange af lægerne ikke fastansatte, og deres tid på
behandlingsstederne kan derfor være begrænset. Flere af de offentlige og private
behandlingssteder oplyser også på NHG s casebesøg, at lægen ofte er begrænset til
kun at være til stede enkelte dage om ugen eller hver 14. dag i kortere tidsrum. Derfor
oplever flere alkoholbehandlingssteder et stort træk på de lægelige kompetencer. Flere
alkoholbehandlingssteder giver
udtryk for, de kan opleve
det som vanskeligt at varetage behandlingen godt nok, hvis deres lægedækning er lav
eller de ikke har en fast læge tilknyttet deres behandlingssted.
Lægedækning og sygeplejedækning fordelt på regioner
Tabel 11 nedenfor viser det gennemsnitlige antal årsværk for læger hos
alkoholbehandlingsstederne fordelt på behandlingsstederne beliggende i de fem
regioner.
Det fremgår, at der på behandlingsstederne i Region Hovedstaden er det højeste
(0,69) gennemsnitlige antal lægeårsværk, mens behandlingsstederne beliggende i
Region Nordjylland har det laveste (0,04). Blandt behandlingsstederne i de resterende
regioner er gennemsnittet nogenlunde ligeligt på omkring 0,3. Lige så er der flest
sygeplejerskeårsværk på behandlingsstederne beliggende i Region Hovedstaden
(1,98) og markant færre på behandlingsstederne i Region Nordjylland (0,39). For
sygplejerskeårsværk er der dog en større spredning mellem behandlingsstederne
beliggende i de øvrige regioner mellem 1,07 og 1,84.
Som tidligere nævnt kan der være forskelle i befolkningssammensætning og
behandlingsbehov mellem regionerne. De færre lægelige årsværk på
behandlingsstederne beliggende i Region Nordjylland kan derfor have en vis faglig
begrundelse. Men beregninger bekræfter, at læge- og sygeplejerskedækningen på
behandlingsstederne også per capita er væsentligt lavere i Region Nordjylland end de
øvrige regioner. Og det er også sandsynligt, at de væsentligt færre læger hænger
sammen med en udkantsproblematik, hvor sundhedssektoren i Region Nordjylland
generelt har svært ved at tiltrække og fastholde læger.
43
SUU, Alm.del - 2024-25 - Bilag 302: Orientering om Sundhedsstyrelsens afrapportering om den kulegravning af alkoholbehandlingen, fra indenrigs- og sundhedsministeren
3035092_0045.png
Tabel 11 Det gennemsnitlige antal lægeårsværk og sygeplejerskeårsværk ansat per behandlingssteder,
fordelt på regioner,
(n=99 (Region Hovedstaden = 35, Region
Midtjylland = 21, Region Nordjylland = 11, Region Sjælland = 14, Region Syddanmark = 18)),
Region
Region
Region
Region
Region
Hovedstaden
Midtjylland
Nordjylland
Sjælland
Syddanmark
Gennemsnit
lægeårsværk
0,69
0,33
0,04
0,30
0,33
behandlings-
stederne
Gennemsnit
syge-
plejerske-
1,98
1,07
0,39
1,84
1,60
årsværk på
behandlings-
stederne
Note: Et årsværk svarer til én fuldtidsansat på 37 timer. Et behandlingssted udgør en outlier med 156
angivne årsværk, og er derfor blevet fjernet fra opgørelsen.
Total
0,42
1,52
Behandlingsstedernes oplevelse af og efterspørgsel efter kompetencer
tværs udtryk for, at de er tilfredse med de faglige kompetencer, som de har til rådighed
på deres behandlingssted - på trods af, at de sundhedsfaglige kompetencer fortsat
fylder relativt mindre end de socialfaglige.
Deres oplevelse er, at samarbejdet på tværs af de sundheds-, social- og
pædagogfaglige ansatte er godt, og at faggrupperne tilsammen skaber gode rammer
for at kunne behandle og sikre et godt forløb for borgerne. Flere understreger fordelen
ved det tværfaglige i alkoholbehandlingen, da mange forskellige sundhedsfaglige-,
social- og pædagogiske kompetencer kan tages i brug med henblik på at matche
borgerens individuelle behov i behandlingen. Sundhedsstyrelsens nationale kliniske
retningslinjer fra 2018 fremhæver også vigtigheden af tværfagligt samarbejde blandt
medarbejderne, som håndterer behandlingen
56
.
Borgerne i alkoholbehandlingen er ifølge de interviewede medarbejdere og ledere i
NHG s caseundersøgelse ofte komplekse, og mange er også udfordret psykisk. Flere
borgere har psykiske eller psykiatriske diagnoser eller problemstillinger og nogle flere
samtidigt. På casebesøg giver nogle offentlige behandlingssteder udtryk for, at de kan
have vanskeligt ved at levere en alkoholbehandling af så høj kvalitet, som de gerne
ville, når de enten har ingen eller få psykologer eller psykiatere til rådighed. Det er i
spørgeskemaundersøgelse indikerer, at der i gennemsnit er færrest af i
alkoholbehandlingen (se Figur 9). Ledere og medarbejdere giver udtryk for, at
psykologernes og psykiaternes kompetencer kan være nødvendige for at finde frem til,
En psykiater
kan varetage psykiatrisk screening, udredning og vurdering, som er vigtig med henblik
på at sikre det bedste behandlingsforløb for borgerne.
56
Sundhedsstyrelsen, 2018.
National klinisk retningslinje for behandling af alkoholafhængighed.
44
SUU, Alm.del - 2024-25 - Bilag 302: Orientering om Sundhedsstyrelsens afrapportering om den kulegravning af alkoholbehandlingen, fra indenrigs- og sundhedsministeren
3035092_0046.png
samarbejdet med psykiatrien, hvor personer med alkoholproblemer ofte afvises. Dette
betyder, at især offentlige behandlingssteder oplever, at det er en udfordring, hvis de
ikke selv har kompetencerne til at kunne varetage dele af eller hele den psykiatriske
udredning og behandling. Problemet opstår, fordi alkoholafhængige med samtidige
psykiske lidelser ofte falder mellem to stole, da kommunerne har ansvaret for
rusmiddelbehandlingen, mens regionerne er ansvarlige for behandling af den psykiske
lidelse.
Som en løsning på denne udfordring er det besluttet at etablere et nyt, specialiseret
dobbeltdiagnosetilbud til mennesker med behandlelige psykiske lidelser af moderat til
svær grad, som har et psykiatrisk behandlingsbehov og samtidig
rusmiddelproblematik
57, 58
.
Det faglige oplæg bag det nye tilbud viste, at mennesker, der har brug for behandling
af både en psykisk lidelse og en alkohol- eller stofafhængighed, dvs. mennesker med
dobbeltdiagnose, ofte oplever at modtage usammenhængende og utilstrækkelig
hjælp
59
. Det skyldes ikke mindst, at behandling af psykiske lidelser som udgangspunkt
er et regionalt ansvar, mens behandling af misbrug som udgangspunkt er et
kommunalt ansvar. Det delte ansvar er en udfordring for behandlingen af de
mennesker, som har behov for integreret behandling af deres psykiske lidelse og
misbrug. Der etableres dermed et samlet og integreret tilbud af høj kvalitet forankret i
regionerne med henblik på at sikre en samtidig og koordineret behandling af både den
psykiske lidelse, misbruget og eventuelle somatiske sygdomme.
Dobbeltdiagnosetilbuddet kan afhjælpe nogle af de eksisterende faglige udfordringer
på behandlingsstederne. Dog vil mange alkoholbehandlingssteder fortsat skulle
håndtere borgere med lettere psykiske eller psykiatriske problemstillinger som angst og
depres
3
viser også fortsat, at forekomsten af angst og depression er høj blandt borgere i
ambulant alkoholbehandling. Hvis disse lidelser ikke opdages og behandles samtidigt
med alkoholafhængigheden, kan prognosen for bedring være væsentligt dårligere
60
. På
den baggrund vurderer ledere og medarbejdere i caseundersøgelsen også, at det er en
udfordring for kvaliteten og effekten af en helhedsorienteret behandling, at der ikke er
Sundhedsstyrelsen & Social- og Boligstyrelsen, 2023.
Faglig visitationsretningslinje. Visitation til
integreret behandling af mennesker med psykisk lidelse og samtidigt rusmiddelproblematik.
58 I
følge visitationsretningslinjen er den specifikke målgruppe for integreret behandling i regionalt regi: Den
overordnede målgruppe for det integrerede behandlingstilbud er mennesker med behandlelige psykiske
lidelser af moderat til svær grad, som har et psykiatrisk behandlingsbehov og samtidig
rusmiddelproblematik. Derudover er funktionsevnen samtidig påvirket i en sådan grad, og den enkeltes
hverdag så kompleks og kaotisk, at den enkelte ikke vurderes at kunne følge eller profitere af behandling i
et parallelt behandlingstilbud. Mennesker med psykisk lidelse og samtidig rusmiddelproblematik, som ikke
har prof
Fra: Sundhedsstyrelsen & Social- og Boligstyrelsen, 2023.
Faglig visitationsretningslinje. Visitation til
integreret behandling af mennesker med psykisk lidelse og samtidigt rusmiddelproblematik.
59
Sundhedsstyrelsen, 2022.
Fagligt oplæg til en 10-årsplan: Bedre mental sundhed og en styrket indsats
til mennesker med psykiske lidelser.
60
Statens Institut for Folkesundhed, SDU. 2023.
Litteraturgennemgang af evidens vedrørende
alkoholbehandling.
45
57
SUU, Alm.del - 2024-25 - Bilag 302: Orientering om Sundhedsstyrelsens afrapportering om den kulegravning af alkoholbehandlingen, fra indenrigs- og sundhedsministeren
3035092_0047.png
tilstrækkelig med psykologer og psykiatere i den almindelige alkoholbehandling, eller
eventuelt psykiatriske sygeplejersker.
3.3.2
Efteruddannelse og kompetenceudvikling
Syddansk Universitet konkluderer i deres evidensgennemgang fra 2023, at
alkoholbehandlere løbende bør modtage metodespecifik kompetenceudvikling, som
feedback og supervision, baseret på lydoptagelser, rollespil eller tilsvarende, idet det
synes at øge behandlerkompetencer signifikant.
61
Figur 10 viser, hvor stor en andel af behandlingsstederne, der har ansat en eller flere
medarbejder med de forskellige kompetencegivende efteruddannelser.
Der fremgår en tendens til, at der generelt er en større andel af de offentlige
behandlingssteder, som har medarbejdere med de forskellige kompetencegivende
efteruddannelser. Alle de nævnte kompetencegivende uddannelser med undtagelse
af
er angivet af en større andel offentlige end private
behandlingssteder. Dette stemmer også overens med NHG s caseundersøgelse, hvor
der af interview med medarbejdere også fremgik, at mange havde to eller flere
kompetencegivende efteruddannelser.
Blandt de offentlige behandlingssteder angiver flest, at deres medarbejdere har
uddannelser indenfor kognitiv adfærdsterapi (93%) efterfulgt af grunduddannelsen for
alkoholbehandlere i offentlig ambulant alkoholbehandling (81%). Ingen af de privat
finansierede behandlingssteder angiver, at deres medarbejdere har taget
grunduddannelsen for alkoholbehandlere i offentlig ambulant behandling.
Blandt de offentligt finansierede private tilbud angiver en stor andel (90%), at deres
medarbejdere er uddannet indenfor kognitiv adfærdsterapi eller at de har en anden
terapeutisk uddannelse (87%). Alle de privat finansierede behandlingssteder der har
besvaret spørgeskemaet angiver, at en eller flere af deres medarbejdere har en anden
terapeutisk uddannelse (100%).
Af anden kompetencegivende uddannelses nævnes Motiverende Interview (MI),
Acceptance and Commitment Therapy (ACT), Compassion Fokuseret Terapi (CFT),
familieorienterede uddannelser, uddannelser i dobbeltdiagnoser og Dialektisk
Adfærdsterapi (DAT).
Statens Institut for Folkesundhed, SDU, 2023.
Alkohol relaterede helbredskonsekvenser
systematisk litteraturgennemgang af nyeste evidens.
46
61
en
SUU, Alm.del - 2024-25 - Bilag 302: Orientering om Sundhedsstyrelsens afrapportering om den kulegravning af alkoholbehandlingen, fra indenrigs- og sundhedsministeren
3035092_0048.png
Figur 10 Andel af behandlingssteder, der har en eller flere medarbejdere med kompetencegivende
efteruddannelser, opdelt på offentlige, offentligt finansieret private og private behandlingssteder. n=100
(offentlige = 59, offentligt finansierede private = 30, privat finansierede = 11)
100%
81%
93%
90%
100%
87%
87%
80%
73%
61%
56%
45%
49%
45%
37%
47%
45%
43%
36%
80%
60%
43%
40%
20%
0%
0%
Grunduddannelse for
alkoholbehandlere i
offentlig ambulant
alkoholbehandling
Kognitiv
adfærdsterapi
Kognitiv eller
systemisk
familieterapi
Anden terapeutisk
uddannelse
Anden
efteruddannelse,
kurser m.fl.
Offentligt behandlingssted
Privat finansieret behandlingssted
Offentligt finansieret privat behandlingssted
Total
Note: Figuren summerer til over 100%, da hvert behandlingssted har kunne angive flere typer
-
fritekstbesvarelser. Grafen viser ikke, hvor stor en andel af medarbejderne, der har uddannelsen, men
hvorvidt der er minimum en medarbejder på behandlingsstedet, der har en given kompetencegivende
efteruddannelse.
I COWI og Decides undersøgelse fra 2019 blev det ikke kortlagt, hvilke specifikke
efteruddannelser personalet havde på behandlingsstederne, men på tværs af
behandlingssteder fandt afdækningen, at der blev tilbudt behandlinger, som knyttede
sig til de nævnte efteruddannelser, såsom kognitiv terapi. I de nationale kliniske
retningslinjer nævnes kognitiv adfærdsterapi i forhold til den familie familieorienterede
,
at
alkoholbehandlingsstederne blandt andet efteruddanner sig på de metoder, som er
angivet i de nationale anbefalinger, men også at andre terapeutiske efteruddannelser
er indeholdt på behandlingsstederne.
I NHG s spørgeskemaundersøgelse angiver 19 %, at der er behov for mere
uddannelse og træning af personale for at sikre kvaliteten i alkoholbehandlingen.
Generelt understreger medarbejdere og ledere i NHG s caseundersøgelse også, at
alkoholbehandling er et komplekst område. Det stiller krav til medarbejdernes
erfaringsniveau og kompetencer. Nogle behandlingssteder påpeger endda, at de ikke
ansætter nyuddannede, da borgerne anses som værende for komplekse. Flere andre
beskriver at have specifikke krav til efteruddannelse ud over de socialfaglige
uddannelser, f.eks. som psykoterapeut eller den tidligere uddannelse som
alkoholbehandler. Selvom mange behandlingssteders medarbejdere har en eller flere
kompetencegivende uddannelser, er det ifølge både offentlige og private
behandlingssteder vigtigt, at der fortsat fokuseres på medarbejderudvikling og
efteruddannelse.
47
SUU, Alm.del - 2024-25 - Bilag 302: Orientering om Sundhedsstyrelsens afrapportering om den kulegravning af alkoholbehandlingen, fra indenrigs- og sundhedsministeren
3035092_0049.png
Alkoholområdet er et område, som man ikke bliver færdig med. Hvis man ikke
opdaterer sig med ny viden, så kan man komme til at stå lidt i stampe som
behandlingsinstitution. Så jeg vil håbe, at lederne bliver ved med at kigge på
Dog oplever behandlingsstederne ofte at være begrænset af de midler og ressourcer,
der er afsat til videreudvikling og efteruddannelse, da det er forskelligt, i hvilken grad
behandlingsstederne prioriterer efteruddannelse. Derfor vil der være forskel på, hvad
de enkelte medarbejdere kan tilbydes.
orsøger med de midler, vi har til rådighed, men det kræver, at det prioriteres,
så midlerne også følger med. Alternativt kan man vidensdele internt og bringe de
kompe
behandlingssted).
3.4
Den nye diplomuddannelse i rusmiddelbehandling
Sundheds- og Ældreministeriet har ad hoc siden 2005 finansieret kurser i
alkoholbehandling for medarbejdere i offentligt finansieret alkoholbehandling via
forskellige puljer. Kurserne var administreret af Center for Offentlig
Kompetenceudvikling (COK) og koordineret af Sundhedsstyrelsen og omfattede basis-
og grundkurser samt kurser i familieorienteret, dobbeltfokuseret og kognitiv
alkoholbehandling. Servicetjekket fra 2019 konkluderede som nævnt, at der for at sikre
kontinuitet var behov for at etablere en formaliseret alkohol- eller
rusmiddelbehandleruddannelse på en uddannelsesinstitution, så uddannelsen af
kommunale og private medarbejdere på alkoholbehandlingssteder kunne ske gennem
det almindelige uddannelsessystem, i stedet for at afhænge af ad hoc finansiering fra
statslige puljemidler.
62
I september 2024 startede en sådan uddannelse den nye
diplomuddannelse i rusmiddelbehandling udbudt af Københavns Professionshøjskole
og VIA University College
63
.
I dette afsnit fremlægges uddannelsens format, og hvilke forventninger
alkoholbehandlingsstederne har til uddannelsens form og indhold. Det er bl.a.
afdækket via interview med uddannelsesansvarlige fra uddannelsesinstitutionerne VIA
University College og Københavns Professionshøjskole samt i interviewene som led i
caseundersøgelsen på de udvalgte alkoholbehandlingssteder. Det skal dog
understreges, at de indledende forventninger er foretaget, inden de første moduler på
den nye diplomuddannelse er afholdt.
Diplomuddannelsen i Rusmiddelbehandling udbydes i København og Aarhus, og i
2024-2025 er der mulighed for at søge om tilskud til deltagerbetaling på ca. 2/3 af
prisen for et modul
64
. Se Boks 3 for en nærmere beskrivelse af de format- og
adgangskrav.
62
63
Sundhedsstyrelsen, 2020.
Servicetjek af offentlig finansieret alkoholbehandling.
VIA Univisity College, u.å.
Diplomuddannelse i rusmiddelbehandling.
64
VIA Univisity College, u.å.
Diplomuddannelse i rusmiddelbehandling.
48
SUU, Alm.del - 2024-25 - Bilag 302: Orientering om Sundhedsstyrelsens afrapportering om den kulegravning af alkoholbehandlingen, fra indenrigs- og sundhedsministeren
3035092_0050.png
Boks 3 Beskrivelse af diplomuddannelsen i rusmiddelbehandling
Diplomuddannelsen i rusmiddelbehandling er en kompetencegivende
uddannelse på 60 ECTS-point.
Uddannelsen svarer til ét års fuldtidsstudie. Du kan også gennemføre hele
uddannelsen ved siden af dit arbejde som deltidsstuderende over flere år (max. 6
år).
For at blive optaget direkte på diplomuddannelsen skal du have gennemført én af
følgende uddannelser, suppleret med to års relevant erhvervserfaring efter endt
adgangsgivende uddannelse: Professionsbacheloruddannelse, Akademiuddannelse,
Diplomuddannelse, Bacheloruddannelse, Kandidatuddannelse, Anden relevant
uddannelse mindst på niveau med en kort, videregående uddannelse eller en
reguleret videregående voksenuddannelse. Har du andre og tilsvarende
forudsætninger, kan du søge om optagelse på baggrund af en
realkompetencevurdering.
Prisen for et modul på 10 ECTS er 15.300 kr. Prisen for et modul på 15 ECTS er
22.950 kr. I alt koster hele uddannelsen 91.800 kr.
65
Offentlige behandlingssteder og
nogle faggrupper kan søge midler fra Kompetencefonden til deltagerbetaling.
De uddannelsesansvarlige forklarer, at intentionen ved at sammenlægge alkohol- og
stofområdet i én samlet uddannelse i rusmiddelbehandling er at skabe et fælles fagligt
fundament, som skal give et bredere og mere helhedsorienteret perspektiv på den
enkelte borger, deres behandling og forløb. Formålet med at udvikle den nye
diplomuddannelse har været følgende:
At styrke rusmiddelbehandleres behandlingskompetencer og viden på
rusmiddelområdet inden for både stof- og alkoholområdet.
At yde et systematisk kompetenceløft af behandlingsområdet.
At styrke kvaliteten og ensartetheden i alkoholbehandlingen og den sociale
stofbehandling i hele landet, så den kvalitet, som borgeren møder, ikke
afhænger af bopæl.
At bidrage til et fælles sprog i alkoholbehandling og social stofbehandling.
Uddannelsen er bygget op af tre obligatoriske moduler, som indfører de studerende i
for eksempel lovgivning, tilgange og metoder på området. Derudover er der
valgmoduler, hvor de studerende kan specialisere sig i enten familieorienteret
rusmiddelbehandling, behandling til unge, behandling til mennesker med komplekse
problematikker eller kognitive metoder. Det er muligt at tage hele diplomuddannelsen
eller at udvælge enkelte moduler.
NHG s spørgeskemaundersøgelsen til alkoholbehandlingsstederne viser:
at 48% af behandlingsstederne forventer at sende medarbejdere på den nye
diplomuddannelse inden for de næste 2 år.
65
VIA Univisity College, u.å.
Diplomuddannelse i rusmiddelbehandling.
49
SUU, Alm.del - 2024-25 - Bilag 302: Orientering om Sundhedsstyrelsens afrapportering om den kulegravning af alkoholbehandlingen, fra indenrigs- og sundhedsministeren
3035092_0051.png
at 60% af de offentlige behandlingssteder regner med at sende en eller flere
medarbejdere afsted, mens andelen er 40 % blandt de offentligt finansierede
private behandlingssteder og 10 % blandt de privat finansierede
behandlingssteder.
I tråd hermed oplyser Københavns Professionshøjskole, at et fuldt hold på 30
studerende startede på første modul på uddannelsen i september 2024. Lige så har
VIA University College startet et fuldt hold på 26 studerende i september 2024. På
Københavns Professionshøjskole starter endnu et hold på første modul i december
2024, og der er allerede 19 tilmeldte. Københavns Professionshøjskole oplyser, at
langt de fleste studerende på første hold har tilkendegivet, at de ønsker at tage en fuld
uddannelse, men at de ikke er forpligtet herpå, og at der indtil videre er 17 tilmeldte til
modul 2 som starter i januar 2025.
aseundersøgelsen viser, at ledere og medarbejdere generelt er positivt stemt i
forhold til den nye diplomuddannelse, og at de forventer at sende medarbejdere afsted
på uddannelsen. Flere ledere nævner i den forbindelse, at det er positivt, at det er
muligt at tage enkelte moduler. Det gør det muligt at sende flere medarbejdere afsted
og udvælge de moduler, som er relevant for den enkelte alkoholbehandler. Nogle
ledere fortæller dog også, at ingen af deres medarbejdere endnu har efterspurgt at
komme på uddannelsen og caseundersøgelsen finder også, at ikke alle medarbejder
kender til den nye uddannelse endnu.
At den nye diplomuddannelse udbydes på to forskellige professionshøjskoler, vil give
større prestige ifølge de interviewede uddannelsesansvarlige, og deres antagelse er, at
det for nogle medarbejdere vil gøre det mere attraktivt at tage uddannelsen. De nye
adgangskrav om to års relevant erhvervserfaring og adgangsgivende uddannelse
66
er
ifølge de uddannelsesansvarlige et signal til behandlingsstederne om, at man bør have
en social- eller sundhedsfaglig baggrund og en vis erhvervsfaring, hvis man skal
varetage rusmiddelbehandling og kunne kalde sig rusmiddelbehandler.
for, at den nye uddannelse bliver for teoretisk og mindre praksisorienteret end den
tidligere grunduddannelse i alkoholbehandling
67
. Andre er bekymrede over, om
diplomuddannelsen bliver for dyr til, at behandlingsstederne vil kunne sende
medarbejdere afsted, og de peger også på, at det kan være en udfordring, at
uddannelsen kan tage flere år at gennemføre, hvor den tidligere grunduddannelse var
68
.
godt rustede. Den nye diplomuddannelse lyder mere teoretisk. Den skal testes, og vi
vil sende nogle afsted for at prøve den af. Der var en masse praktisk i den gamle
VIA Univisity College, u.å.
Diplomuddannelse i rusmiddelbehandling.
Dem, der har været ansvarlige for at udvikle uddannelsen, understreger dog, at den er blevet udviklet
med et stort fokus på at være praksisorienteret, og derfor burde ledernes bekymring løbende afkræftes
efterhånden, som der har været deltagere afsted på uddannelsen
68
Den tidligere grunduddannelse var tilgængelig som kurser, og det var således ikke muligt at få merit
eller etcs-points for denne, modsat den nye diplomuddannelse. Den var således på et andet niveau.
50
67
66
SUU, Alm.del - 2024-25 - Bilag 302: Orientering om Sundhedsstyrelsens afrapportering om den kulegravning af alkoholbehandlingen, fra indenrigs- og sundhedsministeren
3035092_0052.png
uddannelse, det bliver spændende om det findes i den nye uddannelse
offentligt behandlingssted)
Leder på
Lederne på de offentlige
tilfredshed med den tidligere grunduddannelse. Det var ledernes opfattelse, at den
tidligere grunduddannelse sikrede et godt grundniveau af kompetencer for alle på
behandlingsstederne og skabte et fælles sprog på tværs af fagligheder, da det var med
til at sikre en mere homogen alkoholbehandling. De så dette som en styrke ved den
tidligere uddannelse.
Lederne er bekymrede for om, hvorvidt den nye diplomuddannelse også kan bidrage til
at sikre et grundniveau af kompetencer. Lederne frygter, at de kan blive nødt til hver
især at arrangere egen undervisning (f.eks. ved at hyre eksterne konsulenter) for at
sikre nyansatte i alkoholbehandlingen de nødvendige basiskompetencer. Det skal dog
nævnes, at også den gamle grunduddannelse fik etableret to adgangskriterier: 1)
minimum en mellemlang videregående uddannelse indenfor det sociale, pædagogiske
eller sundhedsfaglige område, 2) overvejende arbejdet med behandling af
alkoholproblemer. Derfor har både den nye og den gamle uddannelse haft et krav om
et vidst basisniveau af kompetencer for at sikre et højt fagligt niveau på selve
uddannelserne. Af COWI og Decides afdækning fra 2019 var der omvendt udfordringer
med at komme på den tidligere uddannelse specialerede moduler, hvis man allerede
havde relevant erfaring og ikke måtte deltage på basisuddannelsen (som var
adgangsgivende for de specialiserede moduler). Det lader til, at begge
uddannelsesforløb altså har eller kan give individuelle udfordringer i forhold til adgang.
interesse i den nye uddannelse fra de kommunale behandlingssteder. Men da
diplomuddannelsen skal sikre et bredt og systematisk kompetenceløft af hele
rusmiddelbehandlingen, kan det være en udfordring, hvis kun få private
behandlingssteder ønsker at sende deres medarbejdere på uddannelsen i fremtiden.
De offentlige behandlingssteder har mulighed for at søge tilskud til uddannelsen, mens
private behandlingssteder med og uden offentlig finansiering ikke har mulighed
herfor.
I den forbindelse viser caseundersøgelsen, at nogle af de private behandlingssteder er
ærgerlige over, at der på den nye diplomuddannelse er et krav om mindst to års
erhvervserfaring og relevant uddannelse. Det skyldes, som tidligere vist, at de private
alkoholbehandlingssteder har en anden personalesammensætning og ansætter
tidligere alkoholafhængige, som ikke alle har de adgangsgivende uddannelser. Dog er
der en mulighed for at søge om en realkompetencevurdering, hvis man ikke opfylder
de formelle krav.
Af NHG s caseundersøgelse fremgår det også, at enkelte ledere på de private
behandlingssteder er direkte afvisende overfor at sende deres medarbejdere afsted på
diplomuddannelsen. Dette begrundes med, at de arbejder efter Minnesotabehandling
51
SUU, Alm.del - 2024-25 - Bilag 302: Orientering om Sundhedsstyrelsens afrapportering om den kulegravning af alkoholbehandlingen, fra indenrigs- og sundhedsministeren
3035092_0053.png
eller 12-trins metoden
69
, og derfor ikke vurderer, at det er relevant for deres
medarbejdere at skulle uddannes i andre alkoholbehandlingsmetoder.
På baggrund af NHG s indledende undersøgelse er der blandede forventninger til
uddannelsen.
3.5
Opsummering om personalekapacitet og kompetencer
Den nuværende personalekapacitet på alkoholbehandlingssteder varierer meget
afhængigt af deres størrelse og type. For det første har der været en generel nedgang i
personalekapaciteten på de offentligt finansierede behandlingssteder siden 2019, men
der er betydelige forskelle mellem offentlige og privat finansierede behandlingssteder.
De mindre behandlingssteder med få ansatte kan have svært ved at levere et
tværfagligt miljø. Dette problem er særligt udtalt blandt de privatfinansierede
behandlingssteder og de mindre offentlige behandlingssteder (små kommuner).
En anden væsentlig udfordring er de geografiske forskelle, hvor især
behandlingssteder beliggende i Region Nordjylland skiller sig ud med et lavt antal
årsværk pr. behandlingssted. Dette kan gøre det vanskeligt at opretholde et fagligt
bæredygtigt miljø, hvilket er nødvendigt for at sikre en effektiv behandling.
Generelt er de socialfaglige og pædagogiske kompetencer de mest udbredte på
alkoholbehandlingsstederne målt i årsværk. Da visse dele af alkoholbehandlingen,
såsom akutte og medicinske indsatser, ifølge Sundhedsstyrelsen kun kan varetages af
sundhedsfagligt personale, kan det være en udfordring, hvis adgangen til disse ikke
kan opretholdes og i nogle tilfælde styrkes.
Kapitlet viser, at der er stor forskel på personalesammensætningen i
alkoholbehandlingssteder afhængigt af deres finansieringsform. Offentlige
behandlingssteder har flest socialfagligt uddannede medarbejdere, mens
sundhedsfaglige kompetencer fylder mindre, især på de privatfinansierede steder.
Privatfinansierede behandlingssteder benytter ofte tidligere alkoholafhængige som
behandlere og har færre sundhedsfagligt uddannede ansatte. Samtidig oplever mange
behandlingssteder udfordringer med samarbejdet med psykiatrien, da mange borgere
afvises grundet deres afhængighed.
For fremover at styrke integreret psykiatrisk behandling og rusmiddelbehandling,
etableres et nyt regionalt dobbeltdiagnosetilbud. Med det nye tilbud er det besluttet at
ændre fordelingen af behandlingsansvar mellem regioner og kommuner med henblik
på at sikre en mere sammenhængende og helhedsorienteret indsats. Der etableres et
samlet og integreret tilbud af høj kvalitet forankret i regionerne med henblik på at sikre
Udgangspunktet i Minnesotabehandling er, at alkoholafhængighed er en kronisk og progressiv sygdom,
og målet med behandling er afholdenhed, og personens accept af, at personen ikke kan tåle alkohol.
Derudover kobles en tro på, at højere magter kan støtte. Behandlingen er også udgjort om et
selvhjælpsprogram bestående af 12 trin og borgerne opfordres til at blive aktiv deltager i 12-trins-
sammenholdet (AA). Minnesotabehandling har høj grad af struktur og er ofte manualiseret. I Danmark
tilbydes Minnesotabehandling primært i privat døgnbehandling, men enkelte steder tilbyder også ambulant
behandling. Statens Institut for Folkesundhed, SDU, 2023.
Litteraturgennemgang af evidens vedrørende
alkoholbehandling.
52
69
SUU, Alm.del - 2024-25 - Bilag 302: Orientering om Sundhedsstyrelsens afrapportering om den kulegravning af alkoholbehandlingen, fra indenrigs- og sundhedsministeren
3035092_0054.png
en samtidig og koordineret behandling af både den psykiske lidelse, misbruget og
eventuelle somatiske sygdomme. Dette skal forbedre sammenhængen i
behandlingstilbuddene og sikre, at borgerne ikke falder mellem to stole. Samtidig
fremlægger kapitlet behandlingsstedernes vurdering af, at de fortsat kommer til at
skulle håndtere lettere psykiske problemstillinger, såsom angst og depression, i den
almindelige alkoholbehandling, og at dette kan være vanskeligt for dem, hvis de ikke
har adgang til sundhedsfaglige kompetencer.
Endelig viser kapitlet behandlingsstedernes oplevelse af vigtigheden af
efteruddannelse for behandlingspersonalet, men at der også store forskelle mellem
offentlige og private behandlingssteder, hvad angår niveauet af efteruddannelse. Den
nye diplomuddannelse i rusmiddelbehandling, der starter i 2024, forventes at løfte det
generelle uddannelsesniveau på sigt, men der er bekymringer over, om den vil være
for teoretisk og for dyr for mange behandlingssteder og derved udelukke nogle.
Samlet set peger undersøgelsen på, at der kan være udfordringer forbundet med
forskelle i personalekapaciteten og kompetencerne i forhold til at kunne sikre en høj
kvalitet og ensartet behandling på tværs af Danmark.
53
SUU, Alm.del - 2024-25 - Bilag 302: Orientering om Sundhedsstyrelsens afrapportering om den kulegravning af alkoholbehandlingen, fra indenrigs- og sundhedsministeren
3035092_0055.png
54
SUU, Alm.del - 2024-25 - Bilag 302: Orientering om Sundhedsstyrelsens afrapportering om den kulegravning af alkoholbehandlingen, fra indenrigs- og sundhedsministeren
3035092_0056.png
4.
Den faglige kvalitet i
alkoholbehandlingen
Kapitlet belyser behandlingstilbuddenes indhold og form på tværs af landet og
afdækker kvaliteten og serviceniveauet af disse tilbud på forskellige parametre.
Herunder undersøger kapitlet, hvorvidt behandlingsstederne arbejder med og lever op
til Sundhedsstyrelsens standarder, retningslinjer og anbefalinger.
SAMMENFATNING AF RESULTATER OM DEN FAGLIGE KVALITET
En indikator for, om alkoholbehandlingen har en høj faglig kvalitet er, hvorvidt den
baserer sig på evidensbaserede metoder og følger Sundhedsstyrelsens anbefalinger.
Det er vanskeligt at konkludere noget entydigt, hvor den faglige kvalitet i behandlingen
er bedst, da dette svinger ud fra, hvilken indikator man ser på. Sammenligner vi med
resultaterne fra afdækningen i 2019 er der få områder, som har udviklet sig i en positiv
retning, og flere hvor kvalitetsniveauet er uændret. Dertil kommer indikatorer, hvor
niveauet er faldet siden 2019.
Nedenfor opsummeres resultaterne om serviceniveauet på specifikke indikatorer, og
om hvorvidt og hvordan behandlingsstederne på forskellige områder følger evidensen.
OPSPORING OG INDGANG TIL BEHANDLINGEN
Størstedelen af borgerne i behandlingen
er selvhenvendere.
Ifølge data fra NAB er der en lille andel af
borgerne, som kommer fra andre sektorer og
områder. I 2023 kom 3 % fra
Socialforvaltningen, 5,5 % fra praktiserende
læger, 2 % fra skadestuer eller hospitaler og
3 % fra et psykiatrisk hospital.
Det er meget varierende, hvilken grad af
formaliseret samarbejde
behandlingsstederne har med andre
forvaltningsområder og sektorer, men tæt
samarbejde og øget fokus kan have
positiv effekt på opsporing.
Casebesøgene viser, at der er positive
erfaringer med at have ekstra fokus på
samarbejde med andre forvaltninger,
praktiserende læger eller sygehuse, men
dette er ofte periodevis eller
personafhængigt.
Samarbejdet med andre sektorer og
områder, om at motivere flere borgere til
at opsøge behandling, varierer.
Der er stadig et varierende samarbejde og
grader af indsatser for tidlig opsporing i andre
dele af sundhedsvæsnet (fx praktiserende
læge og sygehusene), andre kommunale
forvaltninger og andre sektorer.
GRUNDLAG FOR BEHANDLINGEN
Der er forskel på, hvorvidt
behandlingsstederne arbejder ud fra
Sundhedsstyrelsens anbefalinger og
Nogle offentlige finansierede
behandlingssteder efterspørger nationale
kvalitetsstandarder.
55
SUU, Alm.del - 2024-25 - Bilag 302: Orientering om Sundhedsstyrelsens afrapportering om den kulegravning af alkoholbehandlingen, fra indenrigs- og sundhedsministeren
3035092_0057.png
retningslinjer for behandling af
alkoholafhængighed.
Størstedelen af de offentligt finansierede
behandlingssteder angiver selv at arbejde ud
fra de nationale kliniske retningslinjer eller
Sundhedsstyrelsens rådgivningsmateriale,
mens andelen af privatfinansierede, der gør
dette, er lav.
Lidt over hver fjerde offentlige såvel som
private behandlingssteder med offentlig
finansiering oplever, at det er en udfordring
for kvaliteten af alkoholbehandlingen, at der
ikke eksisterer er en eller flere veldefinerede
ydelser (forstået som en kvalitetsstandard,
en rammeaftale eller lignende).
Behandlingsstederne oplever, at der uden
sådanne veldefinerede ydelser kan være tvivl
om, hvilke krav, der er til behandlingen, og
hvilket grundlag godkendelser til offentlig
finansiering baseres på.
OPSTART AF BEHANDLING OG DEN AKUTTE BEHANDLING
Langt de fleste behandlingssteder
overholder behandlingsgarantien, der er
en patientrettighed i Sundhedsloven.
96 % af behandlingsstederne samlet set
angiver at have en ventetid for opstart af
behandling på under 14 dage. Dette ligger på
niveau med resultaterne fra Servicetjekket i
2019.
Størstedelen af de offentligt finansierede
alkoholbehandlingssteder varetager
afrusning og abstinensbehandling, mens
det er en mindre andel af rent privat
finansierede behandlingssteder.
Afrusning og abstinensbehandling er en
sundhedsfaglig opgave, som primært
varetages af læger og sygeplejersker på
behandlingsstederne. De steder, som ikke
selv varetager afrusning og
abstinensbehandling, varetages det på
sygehuset eller på udvalgte
behandlingssteder. Nogle private steder er
også imod brugen af medicin.
Langt fra alle behandlingssteder screener
systematisk for somatisk og psykiatrisk
komorbiditet.
Sundhedsstyrelsen anbefaler i deres
rådgivningsmateriale en indledende
systematisk kortlægning af borgeren, som
inkluderer screening for somatisk og
psykiatrisk komorbiditet. Siden 2019 er der
sket fald i, hvor mange der screener
systematisk. I 2019 screenede 70 % af de
offentligt finansierede behandlingssteder
systematisk for begge typer komorbiditet,
mens andelene i 2024 for de offentligt
finansierede er 69 % for somatisk
komorbiditet og 48 % for psykiatrisk.
Visitationen til dag- og døgnbehandling er
uensartet på tværs af kommuner, men
især mennesker i social udsathed
bevilges døgnbehandling i offentligt regi,
hvilket Sundhedsstyrelsen også
anbefaler, mens ressourcestærke
opsøger døgnbehandling i privat regi.
Sundhedsstyrelsen anbefaler dag- eller
døgnbehandling til personer med sociale
problemer udover alkoholafhængighed eller
ved svær alkoholafhængighed. Evidensen på
området finder ingen dokumentation på
forskel i effekt og anbefaler derfor at tage
borgerens præferencer i betragtning ved
behandlingsplanlægning. Der er store
forskelle på, hvilken målgruppe der får
døgnbehandling i privat og offentligt regi.
BEHANDLINGSTILBUD, -FORM OG -METODE
Den gennemsnitlige længde på
behandlingsforløb er fortsat steget.
Behandlingslængden var ifølge NAB-
analyser i gennemsnit lidt over 11 måneder i
2023. Det er længere, end de fra
Sundhedsstyrelsen i udgangspunktet
anbefalede tre måneder for ambulant
Der er indikationer på, at
behandlingsstederne i højere grad er
begyndt at følge evidensen om medicinsk
behandling, men det kan stadig forbedres.
Disulfiram (Antabus) er ligesom i 2019 det
lægemiddel, som anvendes på flest
behandlingssteder, på trods af at dette ikke
56
SUU, Alm.del - 2024-25 - Bilag 302: Orientering om Sundhedsstyrelsens afrapportering om den kulegravning af alkoholbehandlingen, fra indenrigs- og sundhedsministeren
3035092_0058.png
behandling. Længden tilpasses samtidig
individuelt, men de fleste behandlingssteders
standardforløb er omtrent seks måneder.
Nogle steder er standardforløbet op til et år
eller halvandet. Disse forløb vil typisk
inkludere et lavintensivt
(efterbehandlings)forløb.
er førstevalgs- eller andenvalgspræparat.
Selvom salget af disulfiram fortsat er faldet
siden 2019, indikerer data fra Medstat
alligevel, at der stadig er langt flere borgere,
der modtager disulfiram end det anbefalede
acamprosat.
Det kan være en udfordring for kvaliteten
af den ambulante behandling, hvis der går
for lang tid mellem samtalerne.
Travlhed og mangel på ressourcer bliver af
behandlingsstederne håndteret ved at øge
tiden mellem hver ambulante samtale og gør
dermed også forløbet længere. I travle
perioder kan tiden mellem hver samtale blive
øget mere, end hvad er hensigtsmæssigt for
kvaliteten. Det kan også forklare den lange
længde af behandlingsforløbene.
Der er fortsat 17 %, som ikke har tilbud til
pårørende, og selve tilbuddets omfang og
karakter varierer.
Sundhedsstyrelsen anbefaler at have tilbud
til pårørende, og derfor kan det være en
udfordring, at hvert sjette behandlingssted
ikke har dette. Andelen er stort set uændret
ift. tidligere undersøgelser, selvom der er stor
enighed om vigtigheden af tilbuddet.
Involvering af pårørende bliver fremhævet
som afgørende for en succesfuld behandling.
Det primære tilbud til borgerne er på
tværs af behandlingsstederne individuel
terapi, efterfulgt af gruppeterapi.
Denne praksis flugter med
Sundhedsstyrelsens anbefalinger og evidens
på området, som bredt anbefaler at tilbyde
samtalebehandling i enten gruppe eller
individuelt format, da der ikke er fundet
forskel i effekten af de to.
Kognitiv adfærdsterapi (KAT) og
motivational interviewing (MI) er blandt de
mest hyppigst brugte metoder på tværs af
behandlingssteder.
I forhold til disse metodevalg følger
behandlingsstederne evidensen på området.
KAT og MI fremhæves således som de mest
hyppigst anbefalede samtalebaserede
metoder, og dem hvor effekten er mest
veldokumenteret.
Der er bredt set flere behandlingssteder,
der tilbyder NADA-akupunktur end
familieorienteret behandling.
Sundhedsstyrelsen anbefaler at tilbyde
familiebehandling, og der er et stærkt
evidensgrundlag herfor. Samtidig er der
ingen dokumentation for evidensen af NADA-
akupunktur. Undersøgelsen viser, at NADA
anvendes som supplement til den øvrig
evidensbaseret alkoholbehandling.
Udover KAT og MI, er der visse forskelle
på, hvilke metoder de offentligt
finansierede og de privatfinansierede
behandlingssteder benytter sig af.
Især benytter de privatfinansierede
behandlingssteder sig i høj grad af 12-trins
metoden, som er en metode ingen af de
offentlige behandlingssteder angiver at
anvende. Evidensen viser, at 12-trins
metoden formentlig er lige så effektiv som
anden manualbaseret behandling, f.eks.
KAT.
Internetbaseret alkoholbehandling er
endnu ikke et særlig udbredt tilbud.
Et nyligt forskningsprojekt fra SDU finder lige
så god effekt ved onlinebehandling som
fysisk behandling og peger på flere fordele
ved online behandling. Det skal dog
57
SUU, Alm.del - 2024-25 - Bilag 302: Orientering om Sundhedsstyrelsens afrapportering om den kulegravning af alkoholbehandlingen, fra indenrigs- og sundhedsministeren
3035092_0059.png
understreges, at der fortsat ikke er meget
forskning på området.
SEKTOROVERGANGE
Mens sektorovergange ifølge knap
halvdelen af de offentligt finansierede
behandlingssteder er en af de største
udfordringer i alkoholbehandlingen (45
%), oplever ingen af de privatfinansierede
det som et problem.
Sektorovergange i alkoholbehandlingen er
især forbundet med borgernes indgang til
behandling, men kan også være i
samarbejder om fx afrusning. En forklaring
på, at de privatfinansierede ikke ser
sektorovergange som en udfordring, kan
være, at de i lav grad samarbejder med
andre sektorer.
Flere behandlingssteder oplever
samarbejdsvanskeligheder med
psykiatrien, da borgere afvises på grund
af deres afhængighed.
Flere borgere i alkoholbehandlingen har
psykiske eller psykiatriske problemstillinger,
som er tæt knyttet til deres alkoholproblem.
Derfor er samarbejdet med psykiatrien
vigtigt. Fra 1. september 2024 etableres et
samlet og integreret tilbud forankret i
regionerne med henblik på at sikre en
samtidig og koordineret behandling af både
den psykiske lidelse, misbruget og eventuelle
somatiske sygdomme for mennesker med
moderate eller svære psykiske lidelser og
samtidig rusmiddelproblematik. Derfor vil
nogle blive flyttet fra den kommunale
alkoholbehandling til det regionale tilbud,
hvorved udfordringen vil blive mindsket.
4.1
Formål og baggrund
Dette kapitel undersøger behandlingstilbuddenes indhold på tværs af landet og
vurderer kvaliteten og den samlede alkoholbehandling i Danmark.
Der er flere undersøgelser som tidligere har peget på udfordringer med kvaliteten i
alkoholbehandlingen. Alkohol & Samfund konkluderede i 2019 i en landsdækkende
undersøgelse af kommunernes tilbud til mennesker med alkoholproblemer og deres
pårørende, at der stadig var stor forskel på, hvad borgere med alkoholproblemer har
adgang til i landets 98 kommuner. Herunder at der var stor forskel på om kommunerne
tilbød medicinsk behandling, herunder tilbød 23 % ikke afrusning og 28 % ikke
abstinensbehandling, og på selve indholdet i behandlingen - fra udelukkende
individuelle samtaler, til mulighed for gruppeterapi og parterapi.
70
Andre har peget på,
at det er en udfordring, at ikke alle behandlingssteder screener for somatisk eller
psykiatrisk komorbiditet.
71
Servicetjekket fra 2019 vurderede, at der kunne være behov for nationale vejledninger
eller kvalitetsstandarder, som mere detaljeret beskriver indholdet af god
alkoholbehandling, for at sikre, at denne er evidensbaseret og kvalitetssikret,
uafhængig af bopælskommune. Derudover viste undersøgelsen, at
Alkohol & Samfund. 2019.
Kommunal alkoholbehandling 2018 landsdækkende undersøgelse af
kommunernes tilbud til mennesker med alkoholproblemer og deres pårørende.
71
COWI & DECIDE, 2019.
Afdækning af kvalitet i offentligt finansieret ambulant alkoholbehandling;
&
Larsen, 2017.
Alkoholbehandling: Det sejler stadig
58
70
SUU, Alm.del - 2024-25 - Bilag 302: Orientering om Sundhedsstyrelsens afrapportering om den kulegravning af alkoholbehandlingen, fra indenrigs- og sundhedsministeren
3035092_0060.png
Sundhedsstyrelsens anbefaling om, at et behandlingsforløb som udgangspunkt
planlægges af tre måneders varighed, ikke altid blev efterlevet.
Formålet med dette kapitel er derfor at afdække, hvilke behandlingstilbud, der er på
tværs af landet, og hvordan form og indhold på disse tilbud ser ud. Kapitlet har
herunder til formål at afdække, hvorvidt behandlingsstederne arbejder med og lever op
til Sundhedsstyrelsens standarder, retningslinjer og anbefalinger, blandt andet om
ventetid og behandlingstid.
Kapitlet tager udgangspunkt i følgende primære undersøgelsesspørgsmål:
Hvordan ser ventetiden på behandling ud? (Overholdes Sundhedslovens §141
med 14-dages frist for behandling?)
Hvordan arbejdes der med visitation til de forskellige behandlingstyper
(ambulant, dag, døgn), behandlingsplaner og behandlingsforløb ud fra
patientens behov og evidens på området?
Hvordan varetages afrusning og abstinensbehandling?
I hvilket omfang bliver der taget udgangspunkt i retningslinjer, standarder og
rådgivningsmaterialer fra Sundhedsstyrelsen?
Hvad er behandlingstiden?
Hvilke behandlingstilbud, -form og -metoder udbydes til borgere og pårørende?
Hvordan samarbejdes der på tværs af sektorer, og hvordan håndteres
sektorovergange?
Kapitlet er delt op i fem underafsnit: 1) Opsporing og indgang til behandlingen, 2)
Grundlag for behandlingen, 3) Opstart af behandlingen og den akutte behandling, 4)
Behandlingstilbud, -form og -metode, samt 5) Sektorovergange.
4.1.1
Datagrundlag
Den faglige kvalitet i alkoholbehandlingen
spørgeskemaundersøgelse til offentlige, selvejende og private behandlingssteder, som
100 behandlingssteder har besvaret (samlet svarprocent = 62 %, hhv. 59 offentlige
behandlingssteder, 30 private behandlingssteder, som leverer offentligt finansieret
alkoholbehandling, og 11 private behandlingssteder, som kun leverer privat finansieret
behandling).
Udover spørgeskemaundersøgelsen
alkoholbehandlingssteder, hvor ledere og medarbejdere er blevet interviewet. Dertil
kommer seks interviews med relevante samarbejdsaktører til alkoholbehandlingen,
hvoraf fire var med repræsentanter fra akutmodtagelser (herunder
socialsygeplejersker) og to med praktiserende læger.
Kapitlet forholder
anbefalinger på området, som findes i Sundhedsstyrelsens to udgivelser
(2018) og
alkoholbehandling
(2008). Derudover inddrager kapitlet
forskellige eksisterende undersøgelser, hvoraf de vigtigste er:
,
COWI/Decide, 2019
59
SUU, Alm.del - 2024-25 - Bilag 302: Orientering om Sundhedsstyrelsens afrapportering om den kulegravning af alkoholbehandlingen, fra indenrigs- og sundhedsministeren
3035092_0061.png
, Enheden for
Klinisk Alkoholforskning, Syddansk Universitet, 2023
For en uddybning af metoden se Bilag 2.
4.2
Opsporing og indgang til alkoholbehandlingsstederne
Som nævnt konkluderede COWI/Decides afdækning i 2019, at opsporingsgabet, hvor
borgere med et behandlingsbehov overstiger antallet af borgere i behandling, var
blandt de største udfordringer med alkoholbehandlingen. Dette opsporingsgab
eksisterer fortsat, da der som nævnt i kapitel 1, var omtrent 28.000 borgere i
alkoholbehandling i 2023
72
, mens den seneste opgørelse af antallet af borgere med
alkoholproblemer viser, at der i 2021 var omtrent 402.000 borgere med moderate
alkoholproblemer og 67.000 med svære alkoholproblemer
73
, og dette tal må antages at
være i nogenlunde lignende omfang i 2023.
Dette opsporingsgab er et resultat af, at der i gennemsnit går 11 år, før dem, der søger
behandling for deres alkoholproblemer i Danmark, kommer i behandling
74
. Det betyder,
at borgere med en alkoholafhængighed i lang tid går ubehandlet, ligesom der er en
gruppe, som aldrig kommer i behandling.
Opsporingsgabet gør det vigtigt at afdække, hvordan borgernes indgang til
alkoholbehandlingen ser ud.
spørgeskemaundersøgelse angivet, hvor deres borgere bliver henvist fra eller opfordret
til at søge hjælp til deres alkoholforbrug. Ser vi på, hvorfra flest behandlingssteder
angiver at få henvist borgere, fremgår det, at næsten alle behandlingssteder på tværs
af type angiver, at de har selvhenvendere og borgere, som er henvist af familie eller
venner. Der er dog visse forskelle på de offentligt finansierede og privatfinansierede
behandlingssteder, i forhold til hvem flest af dem angiver at få henvisninger fra (se
Figur 11). Udover selvhenvendere og familie eller venner, angiver flest af de offentlige
behandlingssteder at få henvisninger fra hospitalsafdelinger, praktiserende læger, og
kommunale forvaltninger. For de rent privatfinansierede er arbejdsgiveren blandt de
henvisningskilder, som næsten alle behandlingsstederne angiver at modtage
henvisninger fra (91 %). Dernæst kommer også henvisninger fra pensionsordninger
eller sundhedsforsikringer (64 %) og fra praktiserende læge (55 %).
De offentligt finansierede private behandlingssteder ligner meget de offentlige
behandlingssteder, hvad angår henvisningskilderne, udover at en stor andel også
angiver at få henvisninger fra arbejdsgiveren (70 %). Disse fund følger tendenserne fra
afdækningen i 2019.
72
73
74
Statens Institut for Folkesundhed, SDU, 2023.
Antal danskere med et alkoholproblem.,
s. 6
Sundhedsstyrelsen, 2015.
Alkoholstatistik 2015. Nationale data.
60
SUU, Alm.del - 2024-25 - Bilag 302: Orientering om Sundhedsstyrelsens afrapportering om den kulegravning af alkoholbehandlingen, fra indenrigs- og sundhedsministeren
3035092_0062.png
Figur 11 De fem henvendelsestyper flest behandlingssteder angiver, at deres borgere kommer fra (Kilde:
NHG s spørgeskemaundersøgelse, n= 100 (offentlige = 59, offentligt finansierede private = 30, privat
finansierede = 11))
Familie/venner
Selvhenvendere
Hospitalsafdeling
Praktiserende læge
Kommunal forvaltning
Kommunal forvaltning
Selvhenvendere
Familie/venner
Arbejdsgiver
Hospitalsafdeling
Familie/venner
Selvhenvendere
Arbejdsgiver
Pension eller sundhedsforsikring
Praktiserende læge
0%
55%
64%
77%
70%
67%
87%
98%
98%
95%
95%
92%
97%
100%
100%
91%
10% 20% 30% 40% 50% 60% 70% 80% 90% 100%
Note: Figuren summerer til over 100%, da behandlingsstederne har kunne angive flere svar.
Hvor mange henvendelser, der kommer fra de forskellige kilder, registreres i NAB for
de offentligt finansierede behandlingssteder. Af NAB fremgår det, at der er langt flest
selvhenvendere, som opstarter behandling.
75
asebesøg
nuancerer disse fund, idet selvhenvendere også kommer på foranledning af pårørende,
arbejdsgivere eller andre instanser i kommunen. Det kan derudover også indikere en
registreringspraksis, hvor borgere typisk og for ofte - registreres som selvhenvendere
i NAB, selvom de helt eller delvis også kan være blevet motiveret til at opsøge
behandling af andre. I den kommende revision af NAB gives der mulighed for, at
registreringen af opfordringerne eller motivationen uddybes, hvilket sandsynligvis vil
medføre en mere retvisende registreringspraksis.
Indgange til offentligt finansierede private behandlingssteder
Nogle kommuner har som nævnt valgt at udlicitere hele eller størstedelen af deres
alkoholbehandling til private leverandører. Uanset om kommunen har valgt dette eller
ej, har borgerne dog jævnfør tidligere nævnte selvhenvendprincip mulighed for at gå til
et privat behandlingssted med offentlig finansiering i stedet for til deres hjemkommunes
eller en anden kommunes behandlingssted for at få ambulant behandling.
75
eSundhed, u.å.
Alkohol.
61
SUU, Alm.del - 2024-25 - Bilag 302: Orientering om Sundhedsstyrelsens afrapportering om den kulegravning af alkoholbehandlingen, fra indenrigs- og sundhedsministeren
3035092_0063.png
De offentligt finansierede private behandlingssteder beskriver på
casebesøg, at
borgerne ofte finder frem til dem via mund-til-mund (fx via AA) eller via google, og
enkelte beskriver også at få henvisninger gennem samarbejder med kommunerne eller
socialsygeplejersker på sygehusene. Et offentligt finansieret privat behandlingssted
med ambulant og dagbehandling peger på, at det cirka er en fjerdedel af de borgere,
de har i behandling, der har kontakt til kommunerne, inden de kommer til dem. Ifølge
behandlingsstedet skyldes disse tilfælde ikke manglende ressourcer hos kommunen,
men snarere, at kommunen vurderer, at den konkrete borger passer bedre til deres
tilbud.
Derudover beskriver behandlingsstederne
casebesøg, at der også er
borgere, som opsøger de private behandlingssteder, fordi de ikke vil opsøge
kommunale tilbud. Det kan skyldes, at de er bange for, hvad det igangsætter i forhold til
deres børn, men det kan også skyldes, at de arbejder på sundheds- eller socialområdet
(fx læger eller sygeplejersker) eller i andre kommunale forvaltninger, og derfor enten er
bange for konsekvenserne ved at opsøge kommunal behandling, eller at de kender de
ansatte. Samtidig gør de offentligt finansierede private behandlingssteder opmærksom
på, at de har samme underretningspligt som de offentlige behandlingssteder, hvilket de
også oplyser borgerne om, når de opsøger hjælp. Efter § 135 i barnets lov har alle, der
får kendskab til, at et barn eller en ung under 18 år udsættes for vanrøgt eller
nedværdigende behandling eller lever under forhold, der bringer dets sundhed eller
udvikling i fare, således pligt til at underrette kommunen
76
.
En medarbejder på et offentligt finansieret privat behandlingssted beskriver det sådan,
ofte er vores målgruppe dem, som for eksempel ikke har lyst til at gå til egen læge -
en gruppe, som ikke vil have andre skal kende til, at de er i behandling.
At borgerne
ikke ønsker, at andre kender til deres problemer, kan desuden indikere, at der findes en
del selvstigmatisering hos borgere med alkoholproblemer. Sidstnævnte kan være en
barriere for, at de vil opsøge behandling.
Opsporing og rekruttering via samarbejde med andre områder og sektorer
Opsporingsgabet, hvor borgere med behandlingsbehov overstiger antallet i behandling,
betyder, at det er vigtigt, at man via andre sektorer kan få hjælp til at opsøge
behandling så tidligt som muligt. Også taget i betragtning af, at antallet af børn, der
vokser op med forældre med alkoholproblemer, senest er vurderet at være næsten
110.000 børn, svarende til hvert tiende barn, og at dette har store konsekvenser for
disse børns trivsel under opvæksten, men også forventes at få store konsekvenser for
dem i deres voksenliv
77
.
Andre kommunale instanser, de praktiserende læger, hospitalernes akutmodtagelser
med flere kan spille en væsentlig rolle i at få flere i behandling tidligere. Derfor vil
samarbejdet med disse om hjælp til igangsættelse af alkoholbehandling blive beskrevet
herunder.
76
77
Social- og Boligministeriet, u.å.
Underretningspligt.
Sundhedsstyrelsen, 2023.
Hvert 10. barn vokser op med forældre med alkoholproblemer.
62
SUU, Alm.del - 2024-25 - Bilag 302: Orientering om Sundhedsstyrelsens afrapportering om den kulegravning af alkoholbehandlingen, fra indenrigs- og sundhedsministeren
3035092_0064.png
Andre kommunale instanser
Ifølge data fra NAB var der i 2023 ud af de 7.860 nyindskrevne borgere i året i den
offentligt finansierede alkoholbehandling
78
230 borgere, svarende til 3 %
79
, der kom fra
Socialforvaltningen. Data viser ikke indgange fra andre forvaltninger eller centre for
eksempel specifikt fra jobcentret eller sundhedscentret.
COWI og Decides afdækning fra 2019 beskrev, at nogle kommuner og kommunale
behandlingssteder havde tæt samarbejde med f.eks. sundhedscenter og andre
kommunale forvaltninger, mens andre i mindre grad havde dette fokus i deres
opsporing og rekruttering af borgere med alkoholafhængighed.
Af casebesøgene
fremgår, at det blandt de offentlige behandlingssteder er meget forskelligt, hvor tæt og
formaliseret deres samarbejde med for eksempel jobcenteret er. Det er ikke muligt på
kortlægge, hvad graden af samarbejde på tværs
af kommunen kan tilskrives. Casebesøgene viser, at samarbejdet på tværs af
kommunale instanser snarere afhænger af behandlingsstedets eller kommunens
konkrete plan fra år til år på området og ofte ikke er finansieret som en del af
grundbevillingen. Det betyder, at fokus på samarbejde og tidlig opsporing i forskellige
forvaltninger ofte vil være periodevis, og ikke forankres som en fast metode eller fast
ressourcebrug. Andre steder er samarbejdet personbåret. Nogle offentlige
behandlingssteder beskriver, at jobcentret er gode til at henvise borgere, som de ved
eller har mistanke om har et behandlingskrævende alkoholproblem, mens der andre
steder sjældent forekommer henvisninger. Dog indikerer interviewene fra
casebesøgene, at kommunerne kan se, at et øget fokus på samarbejde internt i
kommunen har betydning for, hvor mange borgere de modtager fra for eksempel
jobcentre.
Tværfaglighed i form af samarbejde med andre forvaltninger giver god kvalitet. Vi
har samarbejdsmøder og snitflader, hvor vi snakker sammen med for eksempel
jobcenter, og borgeren oplever, at vi står fælles om at hjælpe dem. Her har vi meget
fokus på det, men det er ikke en selvfølgelighed for andre behandlingssteder.
(Medarbejder på offentligt behandlingssted)
Opsporing via samarbejde med praktiserende læger
Mennesker med alkoholproblemer har større tilbøjelighed til at være i kontakt med
sundhedsvæsenet end mennesker uden alkoholproblemer. Gruppen af personer, der
drikker mere end Sundhedsstyrelsens anbefalinger om 10 genstande i løbet af en
typisk uge, har 138.217 ekstra kontakter årligt til alment praktiserende læge i forhold til
gruppen af personer, der drikker 1-10 genstande i løbet af en typisk uge
80
.
Der er et spring fra at overskride Sundhedsstyrelsens genstandsgrænser på 10
genstande til at have behov for egentlig alkoholbehandling. Men borgere, der drikker
78
79
Der er ikke data fra de privatfinansierede behandlingssteder
eSundhed, u.å.
Alkohol.
80
Statens Institut for Folkesundhed, SDU, 2022.
Sygdomsbyrden i Danmark
63
risikofaktorer.
SUU, Alm.del - 2024-25 - Bilag 302: Orientering om Sundhedsstyrelsens afrapportering om den kulegravning af alkoholbehandlingen, fra indenrigs- og sundhedsministeren
3035092_0065.png
væsentligt mere end 10 genstande, har relativt en endnu større kontakt til almen
praksis, og generelt gælder, at især borgere med et stort alkoholforbrug, har kontakt
med deres egen læge. Derfor kan almen praksis spille en central rolle i at identificere
borgere med alkoholproblemer, vurdere behovet for behandling og motivere borgeren
til at opsøge hjælp. Ifølge data fra NAB fra 2023 var der 435 borgere, svarende til 5,5%
af alle nyindskrevne i den offentligt finansierede alkoholbehandling, som blev henvist
fra egen læge
81
.
Flere undersøgelser har imidlertid peget på, at alkoholproblemer sjældent bliver italesat
af de praktiserende læger, og at alkoholafhængighed generelt kan være vanskeligt at
håndtere i almen praksis
82, 83
interviews med praktiserende læger bekræfter, at
det kan være svært for lægerne at italesætte mulige alkoholproblemer, bl.a. fordi det er
et tabubelagt emne. De interviewede praktiserende læger oplever, at det kan være
vanskeligt at vurdere omfanget af patientens alkoholforbrug, da patienten oftest
kommer til dem med andre helbredsproblemer. Særligt de ressourcestærke borgere er
gode til at skjule deres alkoholproblemer. Samtidig medfører den begrænsede
konsultationstid i almen praksis, at det kan være vanskeligt for lægen at komme i
dybden ved konsultationerne med borgerne og derved opspore et eventuelt
problematisk forbrug.
Der er over tid blevet udviklet forskellige metoder og værktøjer, som skal hjælpe
praktiserende læger med at bringe emnet op. For eksempel har DSAM, Alkohol &
Samfund og Trygfonden udviklet OBS-guiden (Overvej, Bring det op, Spørg)
84
.
Sundhedsstyrelsen har også udviklet et rådgivnings-og implementeringsmateriale
baseret på Very Brief Advice-metoden (VBA), som primært er rettet til kommunalt
sundhedspersonale, for at understøtte kommunernes tidlige opsporing og dialog om
alkohol, som også vil kunne anvendes af praktiserende læger
85
. Senest har Enheden
for Klinisk Alkoholforskning og Forskningsenheden for Almen Praksis i Odense ved
SDU udført et pilotstudie (iTAPP-
-
italesætte og behandle alkoholproblemer blandt patienter i almen praksis. Foreløbige
resultater viser, at der er positive effekter af metoden.
86
Det er ikke muligt på baggrund
af
undersøgelse at vurdere, hvor udbredte disse metoder er, men udtalelserne
fra de interviewede læger indikerer, at det stadig er vanskeligt for læger at identificere
alkoholproblemer og/eller motivere relevante borgere til at opsøge hjælp.
Ligesom i afdækningen fra 2019
et varierende
samarbejde mellem almen praksis og alkoholbehandlingsstederne. På nogle
behandlingssteder opleves der at være et godt samarbejde, især når lægerne kender til
alkoholbehandlingsstederne i nærområdet. Nogle behandlingssteder har gode
erfaringer med at afholde dialogmøder mellem almen praksis og psykiatrien eller
81
82
eSundhed, u.å.
Alkohol.
Nielsen, 2023.
Nyt værktøj skal forbedre alkoholbehandling i almen praksis.
83
Felholt, 2021.
84
Alkohol & Samfund, u.å.
OBS på alkohol i konsultationen.
85
Sundhedsstyrelsen, 2022.
Dialog om alkohol: Rådgivnings- og implementeringsmateriale.
86
Statens Institut for Folkesundhed, SDU, u.å.
Om iTAPP-studiet.
64
SUU, Alm.del - 2024-25 - Bilag 302: Orientering om Sundhedsstyrelsens afrapportering om den kulegravning af alkoholbehandlingen, fra indenrigs- og sundhedsministeren
3035092_0066.png
kommunen for at skabe en bedre forståelse af ansvar, måder at arbejde på, og
hvordan de kan indgå i et tværsektorielt samarbejde.
, efter de praktiserende læger blev introduceret til, hvordan
de kunne hjælpe borgeren hen til rusmiddelcenteret, og hvordan et samarbejde
Andre steder er samarbejdet fortsat vanskeligt, blandt andet fordi det kræver, at
praktiserende læge holder sig opdateret om mulighederne for alkoholbehandling og
gerne vil bidrage i forhold til for eksempel afrusning og abstinensbehandling.
Opsporing via samarbejde med akutmodtagelser og socialsygeplejersker
Mennesker med alkoholproblemer er oftere i kontakt med hospitalsvæsenet både
indenfor det somatiske og psykiatriske område. I 2018 var der i alt 23.482 personer
med alkoholrelaterede hospitalskontakt
87
. Data fra NAB viser, at der i 2023 var 165
borgere, svarende til 2 % af alle nyindskrivninger i den offentligt finansierede
alkoholbehandling, der kom fra skadestuer eller hospitaler
88
, og 255 borgere, svarende
til 3 %, der kom fra et psykiatrisk hospital. Også Sundhedsdatastyrelsens analyser
viser, at flere har kontakt med sygehuset i perioden op til, at de starter i
alkoholbehandling. Således har 70 % af borgerne i alkoholbehandlingen haft minimum
et sygehusophold i perioden op til alkoholbehandlingsforløbet, mens andelen af den
samlede danske befolkning, som har sygehusbesøg er 49 %
89
.
Derfor har blandt andet akutmodtagelser en rolle at spille i forhold til opsporing og
behandling af personer med alkoholproblemer i forbindelse med traumer og
indlæggelse. Især kan afrusning være en indgang til alkoholbehandling for borgere, der
endnu ikke aktivt har opsøgt alkoholbehandling. Der kan for eksempel være tilfælde,
hvor borgeren bliver indlagt på hospitalet med høj alkoholpromille og skal afruses,
hvorefter hospitalspersonalet kontakter et alkoholbehandlingssted med henblik på en
samtale med borgeren. På akutmodtagelserne og sygehusafdelingerne kommer både
ressourcestærke og sårbare borgere ind med alkoholproblematik.
Akutmodtagelserne har ofte tilknyttet én eller flere socialsygeplejersker, hvis opgave er
at støtte mennesker i socialt udsathed patienter under indlæggelsen og sikre en smidig
overgang til ambulante forløb. Socialsygeplejerskerne arbejder som oftest på tværs af
indikerer, at socialsygeplejersker i akutmodtagelserne ofte bidrager med at understøtte,
at patienterne på sygehusene kommer videre i offentligt finansierede
alkoholbehandling. Dette gælder især de sårbare patienter, men interviews med
socialsygeplejersker viser, at de nogle steder også generelt tilkaldes i tilfælde, hvor de
forskellige hospitalsafdelinger vurderer, at der er en alkoholproblematik involveret.
For mange patienter med alkoholproblemer sker henvendelsen til systemet ofte akut,
og deres indlæggelse er kortvarig. Det giver socialsygeplejerskerne et begrænset
87
88
Sundhedsstyrelsen, 2025.
Alkoholstatistik 2015. Nationale data.
eSundhed, u.å.
Alkohol.
89
Sundhedsdatastyrelsen, 2024. Alkoholbehandlingen i Danmark.
65
SUU, Alm.del - 2024-25 - Bilag 302: Orientering om Sundhedsstyrelsens afrapportering om den kulegravning af alkoholbehandlingen, fra indenrigs- og sundhedsministeren
3035092_0067.png
tidsvindue til at tale med patienten, afdække behov og lægge en plan for det videre
forløb. På Bispebjerg Hospital har man afprøvet nye samarbejdsformer med psykiatrien
og de omkringliggende kommuner for borgere i social udsathed, som blandt andet
omhandler alkoholproblemer (se Boks 4).
Boks 4 Casebeskrivelse af Flexklinikken på Bispebjerg Hospital
socialsygeplejersker, sociallæge og en tværsektoriel samarbejdskoordinator. Teamet
går tilsyn på alle afdelinger, laver ambulant opfølgning og samarbejder med alle
afdelinger, kommune og psykiatrien. Flexklinikken har afprøvet et pilotprojekt under
navnet
, hvor Flexklinikken visiterer patienter ind
til drøftelse i et fælles patientteam, bestående af socialsygeplejerske, tilsynsgående
psykiatrisk sygeplejerske og rusmiddelbehandlere fra Københavns kommune.
Patientens aktuelle situation og behandling under og efter indlæggelse drøftes med
henblik at lave en fælles koordineret indsats og fremadrettet plan for patienten.
Eksemplet fra Bispebjerg Hospital er en enkeltstående indsats, og der findes givet en
række andre projekter og indsatser i Danmark, der skal medvirke til bedre at håndtere
patienter med alkoholproblematik i sygehusvæsenet. Det er dog ikke muligt på
kortlægge alle indsatserne, der bredt
findes i sygehusvæsenet.
nterviews med akutmodtagelserne indikerer, at det kan være et
opmærksomhedspunkt, hvilke behandlingssteder sygehusene henviser borgerne til
eller hjælper dem med at opsøge kontakt til. Det bliver fremhævet
for, hvilke alkoholbehandlingssteder sygehusene skal henvise til - hvorfor personalet
ofte henviser til de behandlingssteder, som de kender, fremfor at basere henvisningen
på en vurdering af, hvem der er det rette match i forhold til borgeren.
Nogle af de interviewede socialsygeplejersker oplever, at der er stor forskel på
tilbuddene i alkoholbehandlingen afhængig af kommunernes størrelse. De giver udtryk
for, at det kan være en udfordring, at de mindre kommuner har mindre lægedækning
og ikke har mulighed for at overtage afrusning og abstinensbehandling ambulant akut.
Det kan ifølge socialsygeplejerskerne enten resultere i, at patienterne skal være indlagt
længere tid end nødvendigt, eller at de alene grundet ventetid henviser patienten til
private alkoholbehandlingssteder på trods af, at de ikke ved, hvor kvaliteten af
alkoholbehandlingen er bedst.
4.3
Grundlag for behandlingen
Der er forskelligt materiale, som behandlingsstederne i dag kan basere deres
behandling ud fra, og det er forskelligt hvilke retningslinjer, de følger. Materialet kan
blandt andet omfatte egne standarder, anbefalinger fra udlandet og materiale fra
Sundhedsstyrelsen.
Fra Sundhedsstyrelsen er det primært to forskellige dokumenter, som
alkoholbehandlingsstederne anbefaler, at man kender til og forholder sig til. Det
omfatter
Kvalitet i alkoholbehandling - et rådgivningsmateriale,
som er udgivet af
Sundhedsstyrelsen i 2008, som har til formål at skabe et evidensbaseret fagligt
66
SUU, Alm.del - 2024-25 - Bilag 302: Orientering om Sundhedsstyrelsens afrapportering om den kulegravning af alkoholbehandlingen, fra indenrigs- og sundhedsministeren
3035092_0068.png
fundament for alkoholbehandlingen i Danmark. Dertil kommer
National Klinisk
Retningslinje Behandling af alkoholafhængighed (NKR),
som er udgivet af
Sundhedsstyrelsen i 2018 og har til formål at give evidensbaserede nationale
anbefalinger for behandling af alkoholafhængighed og bidrage til at højne og ensrette
kvaliteten af alkoholbehandling i Danmark.
Sundhedsstyrelsens rådgivningsmateriale er mere omfattende og dybdegående, mens
giver nedslag i specifikke emner med videnskabelig dokumentation og kommer
med konkrete anbefalinger. Begge materialer især rådgivningsmaterialet er af
ældre dato. Dokumenterne er dog den mest opdaterede faglige rådgivning fra
Sundhedsstyrelsen, som styrelsen derfor anbefaler at følge, indtil en opdatering har
fundet sted
90
.
de oplever, som de største udfordringer med kvaliteten af alkoholbehandlingen i
Danmark: 29 % svarer
til
spørgsmålet, og især de offentligt finansierede behandlingssteder angiver det som en
udfordring. Dog har SDU s enhed for klinisk alkoholforskning i 2023 udarbejdet
Litteraturgennemgang af evidens vedrørende alkoholbehandling,
som blandt andet er
udarbejdet med formålet om at kunne anvendes som grundlag for Sundhedsstyrelsens
udformning af opdaterede vejledninger til god alkoholbehandling
91
.
Af figuren nedenfor fremgår det, at der er store forskelle på, hvilket grundlag de
offentligt finansierede behandlingssteder og de rent privatfinansierede
behandlingssteder arbejder ud fra. Det er bemærkelsesværdigt, at 100 % af de
offentlige behandlingssteder og 83 % af de offentligt finansierede private
behandlingssteder angiver at arbejde efter Sundhedsstyrelsens NKR, mens andelen
blot er 9 % af de privatfinansierede behandlingssteder svarende til ét ud af 11. Af de
privatfinansierede behandlingssteder er der flest, som angiver at arbejde ud fra egne
beskrivelser af den faglige kvalitet. Derudover fremgår det, at Sundhedsstyrelsens
rådgivningsmateriale fra 2008 anvendes i mindre grad end NKR, dog med samme
tendens i forhold til typen af behandlingssted. Det vil sige, at der er næsten to
tredjedele af de offentlige behandlingssteder og en tredjedel af de offentligt
finansierede behandlingssteder, der arbejder ud fra rådgivningsmaterialet, og kun én af
de privatfinansierede, der gør det.
Sammenligner vi med 2019-niveauet, fremgår det, at andelen af offentligt finansierede
behandlingssteder, som følger Sundhedsstyrelsens NKR, er uændret: I 2019 var det i
gennemsnit 94 % af de to typer offentligt finansierede behandlingssteder, der fulgte
disse, og det er også 94 % i dag.
Figur 10viser behandlingsstedernes selvrapporterede opfattelse af, hvilket grundlag
deres arbejde tilrettelægges efter. Data angiver derfor ikke, hvorvidt de i praksis også
Sundhedsstyrelsen, 2018.
National klinisk retningslinje for behandling af alkoholafhængighed.
Statens Institut for Folkesundhed, SDU, 2023.
Litteraturgennemgang af evidens vedrørende
alkoholbehandling.
67
91
90
SUU, Alm.del - 2024-25 - Bilag 302: Orientering om Sundhedsstyrelsens afrapportering om den kulegravning af alkoholbehandlingen, fra indenrigs- og sundhedsministeren
3035092_0069.png
følger de faglige anbefalinger. De følgende afsnit efter figuren vil afdække, hvorvidt og
hvordan behandlingsstederne følger anbefalingerne og rådene.
Figur 12 Andel af behandlingsstederne, der arbejder efter forskellige grundlag i deres alkoholbehandling.
(Kilde: Spørgeskema, n=100 (offentlige = 59, offentligt finansierede private= 30, private finansierede = 11))
Sundhedsstyrelsens Nationale Kliniske
Retningslinjer
Læring fra alkoholbehandlingskurser
83%
85%
18%
51%
47%
52%
9%
8%
13%
18%
11%
14%
17%
16%
27%
33%
48%
63%
67%
70%
73%
81%
100%
9%
Egne beskrivelser af den faglige kvalitet
Sundhedsstyrelsens rådgivningsmateriale
Udenlandske anbefalinger
Andet grundlag
0%
Offentligt behandlingssted
Privat finansieret behandlingssted
20%
40%
60%
80%
100%
Offentligt finansieret privat behandlingssted
Total
giver nogle af især de offentlige behandlingssteder også udtryk
for, at de af og til følger retningslinjer på stofområdet, hvis de oplever at mangle klare
vejledninger på alkoholområdet, for eksempel i forhold til visitering (se også afsnittet
om visitation).
Derudover beskriver nogle ledere på casebesøgene, at de forskellige vejledninger,
anbefalinger eller lovkrav giver meget rum for fortolkning, og at de implementeres
forskelligt på behandlingsstederne. Flere efterspørger også, at der etableres et fælles
sprog.
største udfordringer med alkoholbehandlingen i Danmark. Dette angives i lige høj grad
af de offentlige og offentligt finansierede private behandlingssteder (42-43%), men af
ingen af de rent privatfinansierede behandlingssteder. At der ikke eksisterer en eller
flere veldefinerede ydelser (forstået som en kvalitetsstandard, en rammeaftale eller
lignende), fremlægges også af både ledere og medarbejdere i interviewundersøgelsen
som en af udfordringerne i alkoholbehandlingen.
4.4
Opstart af behandling og den akutte behandling
Ventetid
Som nævnt er der en behandlingsgaranti for alkoholbehandling for borgere i Danmark
(jf. sundhedslovens § 141). Behandlingsgarantien foreskriver, at en borger skal have
påbegyndt behandling senest 14 dage efter at have henvendt sig med ønske om
68
SUU, Alm.del - 2024-25 - Bilag 302: Orientering om Sundhedsstyrelsens afrapportering om den kulegravning af alkoholbehandlingen, fra indenrigs- og sundhedsministeren
3035092_0070.png
behandling. Behandlingsgarantien på 14 dages ventetid er således en patientrettighed,
som udgør et lovkrav i sundhedsloven.
Baseret på
kan vi konkludere, at næsten alle
behandlingssteder lever op til lovkravet om behandlingsgarantien. Det er således blot 4
% af behandlingsstederne, der ikke igangsætter behandlingen inden for 14 dage. Få
private behandlingssteder med offentlig finansiering angiver en ventetid over 14 dage,
hvilket kan hænge sammen med, at de udbyder behandling med større intensitet (dag-
og døgnbehandling).
Spørgeskemaundersøgelsen viser samtidig, at der er forskel på ventetiden på
behandlingsopstart (jf. Figur 13). Resultaterne indikerer, at de privatfinansierede
behandlingssteder har den korteste ventetid, da knap tre fjerdedele angiver at opstarte
behandlingen inden for tre dage, mens denne andel er henholdsvis 30 % for de
offentligt finansierede private behandlingssteder og 17 % for de offentlige
behandlingssteder.
Ventetiden på 14 dage er en rettighed i Sundhedsloven, og selvom der er få, der
angiver at overskride denne, giver medarbejdere såvel som brugere udtryk for i
interviews, at det har en betydning,
hvor
hurtigt behandlingen kan opstartes. Det kan
være vigtigt jævnfør det tidligere nævnte opsporingsgab at fastholde borgernes
motivation for og ønske om behandling ved at give dem hurtig mulighed for
gelse peger på som
værende vigtig. 14 dage er for nogle brugere således for lang tid, hvorfor den korte
ventetid hos de privatfinansierede kan være en af årsagerne til, at brugere vælger at
betale selv for behandlingen (se også kapitlet om brugeroplevet kvalitet).
Figur 13 Ventetid fra ønsket behandling til faktisk opstart i behandlingen, opdelt på type behandlingssted
(Kilde: NHG s spørgeskemaundersøgelse, n= 100 (offentlige = 59, offentligt finansierede private = 30,
privat finansierede = 11))
Offentligt behandlingssted
Offentligt finansieret privat behandlingssted
Privat finansieret behandlingssted
17%
30%
34%
50%
73%
47%
2%
10%
10%
27%
0% 10% 20% 30% 40% 50% 60% 70% 80% 90% 100%
< 3 dage
4-7 dage
8-14 dage
> 14 dage
Sammenligner vi med resultaterne fra COWI/Decides afdækning i 2019, kan vi
konkludere, at der ikke er sket en ændring i, hvor mange behandlingssteder, der
overholder behandlingsgarantien på 14 dage. Det er således fortsat en meget lille
andel, der ikke overholder behandlingsgarantien.
69
SUU, Alm.del - 2024-25 - Bilag 302: Orientering om Sundhedsstyrelsens afrapportering om den kulegravning af alkoholbehandlingen, fra indenrigs- og sundhedsministeren
3035092_0071.png
Figur 14 Ventetid fra ønsket behandling til faktisk opstart i behandlingen blandt offentlige og offentligt
finansierede private behandlingssteder, Kilde: NHG s spørgeskemaundersøgelse 2024, COWI/Decides
spørgeskemaundersøgelse 2019 (2024 n = 89, 2019 n = 69)
Total 2024
Total 2019
0%
10%
20%
30%
40%
96%
97%
50%
60%
70%
80%
90%
4%
3%
100%
0-14 dage
>14 dage
Desuden bør det fremhæves, at en kommende revision af det nationale register for
alkoholbehandling (NAB) vil forbedre mulighederne for at få overblik over
behandlingsforløbene fra borgeren har henvendt sig, til borgeren bliver udredt og
påbegynder behandling, og dermed også over ventetiden.
I forbindelse med ovenstående viser NH s spørgeskemaundersøgelse, at i alt 9 % af
behandlingsstederne angiver, at lange ventetider på behandling er en af de største
udfordringer med kvaliteten af alkoholbehandlingen i dag. Det fremgår, at flere af de
offentligt finansierede private behandlingssteder oplever dette som et problem (23 %),
end de offentlige behandlingssteder (2 %) og de private behandlingssteder (9 %).
Det er bemærkelsesværdigt, at så mange af de offentligt finansierede private
behandlingssteder angiver ventetiden, som en udfordring, når det samtidig blot er 10 %
af de offentligt finansierede private behandlingssteder, som ikke overholder de 14
dages ventetid. Det kan forklares med, at de oplever, at ventetiden er for lang hos de
offentlige behandlingstilbud (hvorfor borgerne henvender sig til dem), og/eller at nogen
som tidligere nævnt vurderer, at 14 dages ventetid i sig selv generelt er en for lang
ventetid på behandling. Det bakkes også op af andre interviewede aktører, som giver
udtryk for, at 14 dage i visse sammenhænge er for lang tid at vente på behandling,
som nedenstående citat også indikerer.
tilbud er ikke særlig fleksible og siger: Han kan få en tid om 14
dage. Det er selvfølgelig inden for behandlingsgarantien, men han falder jo i igen
inden da.
Visitation
For at modtage dag- eller døgnbehandling skal borgerne visiteres af deres
hjemkommune. Visiteringsprocessen varierer dog mellem kommunerne. Ifølge
spørgeskemaundersøgelse håndterer flertallet af de offentlige behandlingssteder
visitationen enten gennem et kommunalt visitationsudvalg (33 %) eller ved hjælp af
andre visitationsprocedurer (38 %). De sidstnævnte procedurer omfatter ofte, at
rusmiddelcentrene selv varetager myndighedsfunktionen og anvender forskellige
modeller. Nogle behandlingssteder har etableret interne visitationsudvalg, hvor
ledelsen, repræsentanter fra behandlerteamet og eventuelt en visitator fra den
kommunale forvaltning deltager. Andre har faste planlagte visitationsmøder, der typisk
afholdes med en uges eller fjorten dages mellemrum. Endelig er der modeller, hvor
rusmiddelcentrets ledelse alene har beslutningskompetencen.
Derudover varierer visiteringen ofte alt efter, om der er tale om dag- eller
døgnbehandling. Eksempelvis kan visitering til døgnbehandling foregå i kommunens
70
SUU, Alm.del - 2024-25 - Bilag 302: Orientering om Sundhedsstyrelsens afrapportering om den kulegravning af alkoholbehandlingen, fra indenrigs- og sundhedsministeren
3035092_0072.png
visitationsudvalg eller via en anden forvaltningsenhed, mens dagbehandling typisk
visiteres af rusmiddelcentrets egne medarbejdere. Denne forskel kan forklares ved, at
døgnbehandling er mere omkostningstungt og derfor kræver et højere
beslutningskompetenceniveau.
Figur 15 Hvem der visiterer til dag- og døgnbehandling i de offentlige behandlingssteder (Kilde: NHG s
spørgeskemaundersøgelse 2024 (n = 58))
Visitationsudvalget i kommunen
Alkoholbehandler i den kommunale alkoholbehandling
Kommunal visitator
Anden sagsbehandler fra kommunen
Anden
33%
19%
7%
3%
38%
- eller døgnbehandling
uensartede og varierer betydeligt mellem kommunerne. Hver kommunes standarder for
serviceniveau kan også påvirke, hvem der visiteres til døgnbehandling. For eksempel
kan visse kommuner prioritere borgere, der er i arbejde. Selvom kriterierne for visitation
er uensartede og varierer på tværs af kommunerne, så viser caseundersøgelsen også,
at der generelt foretages en individuel vurdering for hver borger, så vidt muligt, og hvor
samtidige sociale problemer, involvering af børn og historik i behandlingsforløb ofte
tages i betragtning i det omfang det er muligt.
Af de nationale kliniske retningslinjer fremgår det, at døgnbehandling eller intensiv
dagbehandling kan være relevante for personer med svær alkoholafhængighed, og
eller hvis de samtidig har komplekse sociale problemer som arbejdsløshed,
hjemløshed eller psykisk sygdom.
92
,
93
. Ved svær alkoholafhængighed kan begge
behandlingsformer ligeledes overvejes. Det indebærer, at graden af social udsathed
samt omfanget af alkoholproblemet bør være de centrale kriterier for visitation, som
retningslinjerne understøtter.
døgnbehandling generelt er mere effektiv end ambulant behandling. Samtidig peger
evidensgennemgangen på, at patienter med meget svære alkoholproblemer og med
manglende social stabilitet synes at klare sig bedre i døgnregi og mere intensiv
behandling. Mens patienter med knapt så svære alkoholproblemer, som lever i
parforhold og med stabile boligforhold, synes at have bedre udbytte af ambulant eller
mindre intensiv behandling, sammenlignet med døgnbehandling. Slutteligt lyder den
evidensbaserede anbefaling, at patientens præferencer bør vægte tungt i valg af
behandlingsform.
94
caseundersøgelse indikerer, at sociale problemstillinger ofte
bliver det afgørende for, om en borger tildeles døgnbehandling i offentligt regi. Det er
Sundhedsstyrelsen 2018.
National klinisk retningslinje for behandling alkoholafhængighed.
s. 40.
Der er ikke evidens for, at der er forskel på effekten af ambulant eller dag- eller døgnbehandling, og
derfor foretrækkes ambulant behandling ved offentlig finansiering, fordi det er mindre omkostningstungt
end de andre to behandlingstyper.
94
Statens Institut for Folkesundhed, SDU. 2023.
Litteraturgennemgang af evidens vedrørende
alkoholbehandling.
93
92
71
SUU, Alm.del - 2024-25 - Bilag 302: Orientering om Sundhedsstyrelsens afrapportering om den kulegravning af alkoholbehandlingen, fra indenrigs- og sundhedsministeren
3035092_0073.png
dog vigtigt at understrege, at dette datagrundlag ikke er fuldt repræsentativt, og
konklusionerne bør derfor tolkes med forsigtighed. Sammenlignet med de borgere, der
får tildelt døgnbehandling i offentligt regi, er det ofte en anden type borgere, som
benytter privatfinansieret døgnbehandling. Det drejer sig typisk om ressourcestærke
personer eller borgere, der har støtte fra ressourcestærke omgivelser.
brugerundersøgelse peger desuden på, at mange, der vælger at betale for behandling
selv, gør det for at få adgang til døgnbehandling, da de ikke forventer at få den bevilget
gennem det offentlige (se mere i kapitlet om brugeroplevet kvalitet).
I modsætning til stofbehandlingsområdet
95
, har borgere med alkoholproblemer ikke
mulighed for at klage til Ankestyrelsen, hvis deres hjemkommune afviser at bevilge
døgnbehandling. På stofområdet kan kommunerne i stedet støtte sig til tidligere
principafgørelser fra Ankestyrelsen, når de skal træffe beslutninger om visitation. Flere
medarbejdere og ledere på offentlige behandlingssteder fremhæver, at denne mangel
på klagemuligheder på alkoholområdet skaber usikkerhed i visitationen, og det forhold,
at der ikke eksistere nationale retningslinjer betyder, at man ikke ved, hvem der skal
tilbydes døgnbehandling.
I mangel på retningslinjer trækker nogle behandlingssteder derfor paralleller til praksis
på stofbehandlingsområdet, når de skal vurdere, om en borger skal have
døgnbehandling. Enkelte udtrykker bekymring for, om færre alkoholafhængige får
adgang til døgnbehandling, fordi de ikke har samme klageadgang som stofbrugere.
Flere ledere og medarbejdere oplever også, at når kommunerne er økonomisk
pressede, sendes der markant færre eller slet ingen i døgnbehandling på
alkoholområdet. Undersøgelses datagrundlag kan dog ikke be- eller afkræfte dette.
Afrusning og abstinensbehandling
Ved ophør af et stort eller langvarigt alkoholforbrug, er der risiko for udvikling af
abstinenser med symptomer som søvnproblemer, kvalme, opkastning, angst, kramper
samt hallucinationer. Borgere kan derfor have behov for abstinensbehandling eller
afrusning, når de skal modtage alkoholbehandling
96
.
For borgere, der har drukket meget store mængder alkohol i længere tid, kan det være
nødvendigt med afrusning. Afrusning er en proces, hvor en høj alkoholpromille under
observation og kontrollerede forhold langsomt bringes ned. Afrusning kan foregå
ambulant eller ved indlæggelse. Afrusning ved indlæggelse anvendes ved borgere med
krampehistorik eller ved meget høj alkoholpromille, da der her er risiko for udvikling af
voldsomme abstinenssymptomer, der i værste tilfælde kan være livstruende
97
.
Døgnbehandlingsstederne har krav om, at man er afruset, før behandlingen kan starte.
Nogle steder er det dog ikke et krav ved ambulant- og dagbehandling.
Social- og Boligministeriet, 2020.
Vejledning om behandlingstilbud på det sociale stofmisbrugsomåde
mv.
96
Lægehåndbogen, 2023.
Alkoholabstinenssyndrom.
97
Lægehåndbogen, 2023.
Alkoholabstinenssyndrom.
72
95
SUU, Alm.del - 2024-25 - Bilag 302: Orientering om Sundhedsstyrelsens afrapportering om den kulegravning af alkoholbehandlingen, fra indenrigs- og sundhedsministeren
3035092_0074.png
Afrusning kan indgå som en del af behandlingen, hvor borgeren ved fremmøde på
behandlingsstedet aftaler en plan for et afrusningsforløb sammen med personalet, der
efterfølgende igangsættes. Størstedelen af de offentligt finansierede
alkoholbehandlingssteder varetager selv afrusning og abstinensbehandling (66-70 %).
Der er kun 18 % af de udelukkende privat finansierede behandlingssteder, der angiver
selv at varetage afrusning og abstinensbehandling. Det skyldes blandet andet, at nogle
af de større private behandlingssteder med flere filialer har udpeget ét behandlingssted
til at varetage denne specialiserede sundhedsfaglige behandling, som afrusning og
abstinensbehandling bliver. Andre private behandlingssteder giver også udtryk for, at
de er imod medicin.
Andelen af offentligt finansierede behandlingssteder, der udfører afrusning og
abstinensbehandling (69-70 %), stemmer nogenlunde overens med resultatet fra 2019,
hvor 77 % af de offentligt finansierede behandlingssteder angav at kunne varetage
afrusning og abstinensbehandling selv.
Figur 16 Andelen af offentlige og private behandlingssteder, der selvstændigt varetager
abstinensbehandling eller afrusning, n=100
n=10
Offentligt behandlingssted
Offentligt finansieret privat behandlingssted
Privat finansieret behandlingssted
Total
18%
64%
69%
70%
82%
36%
31%
30%
Varetager selvstændigt afrusning og abstinensbehandling
Varetager ikke selvstændigt afrusning og abstinensbehandling
Af NHG s spørgeskemaundersøgelse fremgår det, at 91 % af de behandlingssteder,
der selvstændigt udfører afrusning- og abstinensbehandling, udfører kontrol dagligt og
følger derved anbefalingerne på området
98
. Der er ingen væsentlig forskel blandt de
forskellige typer af behandlingssteder.
Faggrupper der varetager afrusning og abstinensbehandling
Sundhedsstyrelsens rådgivningsmateriale om kvalitet i alkoholbehandlingen angiver, at
behandlingen af abstinenssymptomer er en sundhedsfaglig opgave, der i de fleste
tilfælde kan gennemføres ambulant
99
. Afrusning og abstinensbehandling bliver ifølge
spørgeskemaundersøgelse i tråd hermed på behandlingsstederne udført
primært af læger og sygeplejersker (jf. Figur 17). I 2019-undersøgelsen var der også
flest offentligt finansierede behandlingssteder, som angav, at enten læger eller
sygeplejersker varetog afrusning og abstinensbehandling.
100
Sundhedsstyrelsen, 2008.
Kvalitet i alkoholbehandling et rådgivningsmateriale.
S. 13.
Sundhedsstyrelsen, 2008.
Kvalitet i alkoholbehandling et rådgivningsmateriale.
S. 13-14.
100
COWI & DECIDE, 2019.
Afdækning af kvalitet i offentligt finansieret ambulant alkoholbehandling.
s. 36.
Det er ikke muligt at sammenligne de konkrete andele på hvilke faggrupper, der foretager afrusning og
99
98
73
SUU, Alm.del - 2024-25 - Bilag 302: Orientering om Sundhedsstyrelsens afrapportering om den kulegravning af alkoholbehandlingen, fra indenrigs- og sundhedsministeren
3035092_0075.png
Figur 17 Fagpersonale, der varetager afrusning- og abstinensbehandling, fordelt på typen af
behandlingssted,
n=64 (offentlige = 41, offentligt finansierede
private= 21, private finansierede = 2))
))
Læge
Sygeplejerske
Social- og sundhedsassistent
Social- og sundhedshjælper
Socialrådgiver, psykolog eller pædagog
Anden
2%
5%
5%
2%
10%
5%
5%
5%
5%
Offentligt finansieret privat behandlingssted
Total
14%
38%
50%
51%
90%
100%
100%
94%
93%
86%
88%
Offentligt behandlingssted
Privat finansieret behandlingssted
Note: Summerer til over 100%, da behandlingsstederne kunne angive mere end en valgmulighed. I
spørgeskemaet var socialrådgiver, psykolog og pædagog tre adskilte svarmuligheder, men disse er lagt
sammen, fordi andelene, der havde angivet disse, var små.
Andre aktører som varetager afrusning og abstinensbehandling
Selvom det ikke er alle alkoholbehandlingssteder, der selv varetager afrusning, er
afrusning alligevel et almindeligt udbredt tilbud, der kan foregå i samarbejde med
relevante andre aktører, alt efter behovet for observation og risici for seriøse
abstinenser.
Blandt de behandlingssteder, der
ikke
selvstændigt varetager afrusning og
abstinensbehandling, angiver flest af de offentligt finansierede behandlingssteder, at
det varetages af hospitalet under indlæggelse (70-83 %). Der er ingen af de
privatfinansierede, der angiver, at hospitalet varetager afrusning og
abstinensbehandlingen. Blandt de private, er der flest, der angiver, at en anden filial
under deres organisation varetager afrusningen og abstinensbehandlingen (78 %). Det
stemmer overens med fundene fra NHG s caseundersøgelse, som viser, at nogle
private behandlingssteder, som er under en samlet organisation med flere fysiske
lokationer eller behandlingssteder, har valgt, at det kun er én af deres lokationer eller
behandlingssteder, der skal varetage eller tilbyde afrusning.
74
SUU, Alm.del - 2024-25 - Bilag 302: Orientering om Sundhedsstyrelsens afrapportering om den kulegravning af alkoholbehandlingen, fra indenrigs- og sundhedsministeren
3035092_0076.png
Figur 18 Opgørelse af hvem der varetager afrusning og abstinensbehandling på behandlingssteder, der
ikke selvstændigt varetager det
n=37 (offentlige = 18, offentligt
finansierede private = 10, privatfinansierede = 9)
70%
59%
Praktiserende læge
11%
22%
40%
35%
20%
27%
17%
22%
Andet
0%
Offentligt behandlingssted
Privat finansieret behandlingssted
22%
20%
16%
20%
40%
60%
80%
100%
44%
50%
57%
78%
83%
Hospital under indlæggelse
Anden filial under jeres organisation
78%
Døgninstitution for alkoholbehandling
Ambulant alkoholambulatorie
50%
Offentligt finansieret privat behandlingssted
Total
Brug af lægemidler til abstinensbehandling
Alkoholabstinenser kan behandles medicinsk
101
, typisk ved brug af benzodiazepiner,
der er førstevalgspræparat og kræver ordination af læge
102
. Benzodiazepiner er den
mest veldokumenterede behandling med effekt på abstinenssymptomer og med mindst
risiko for komplikationer
103
. Da benzodiazepiner er afhængighedsskabende, skal al
behandling med benzodiazepiner overholde Sundhedsstyrelsens vejledning om
ordination af afhængighedsskabende lægemidler
104
.
I NHG s spørgeskemaundersøgelse angiver næsten alle behandlingssteder (92 %), at
de anvender lægemidlet Chlordiazepoxid, der er med i benzodiazepinergruppen, til
medicinsk afrusning og abstinensbehandling. Dette er på tværs af typerne af
behandlingssted det lægemiddel som flest angiver at anvende. De øvrige lægemidler i
figuren nedenfor er også benzodiazepiner. Behandlingsstederne følger altså generelt
evidensen for brugen af benzodiazepiner til medicinsk afrusning.
Flere alkoholbehandlingssteder tilbyder også NADA-akupunktur som et led i den videre
alkoholbehandling.
102
Lægehåndbogen, 2023.
Alkoholabstinenssyndrom.
103
Statens Institut for Folkesundhed, SDU, 2023.
Litteraturgennemgang af evidens vedrørende
alkoholbehandling.,
s. 6, 38
104
Indenrigs- og Sundhedsministeriet, 2019.
Vejledning om ordination af afhængighedsskabende
lægemidler.
75
101
SUU, Alm.del - 2024-25 - Bilag 302: Orientering om Sundhedsstyrelsens afrapportering om den kulegravning af alkoholbehandlingen, fra indenrigs- og sundhedsministeren
3035092_0077.png
Figur 19 Andelen af de forskellige typer behandlingssteder der anvender forskellige lægemidler til
afrusning og abstinensbehandling, n=64 (offentlige = 41, offentligt finansierede private= 21, privat
finansierede = 2)
Chlordiazepoxid (fx Klopoxid DAK®)
7%
0%
11%
90%
95%
100%
92%
19%
Diazepam (fx Stesolid®)
Oxazepam (fx Oxabenz ®)
2%
10%
0%
5%
2%
5%
0%
3%
Andet
Offentligt behandlingssted
5%
0%
15%
11%
Offentligt finansieret privat behandlingssted
Total
Privat finansieret behandlingssted
Note: Figuren summerer til over 100 %, da det har været muligt at angive flere svar.
Udredning
Efter eventuel akut behandling, og hvis borgeren vælger at indgå i et længere
behandlingsforløb, vil de indledningsvis blive udredt for deres afhængighed.
Sundhedsstyrelsens rådgivningsmateriale om kvalitet i alkoholbehandlingen angiver, at
der forud for behandlingen bør ske en systematisk kortlægning og screening for
problemstillinger, der kan påvirke den efterfølgende behandlingstilrettelæggelse.
Herunder anbefaler Sundhedsstyrelsen at screene for både somatisk og psykiatrisk
komorbiditet.
105
Herunder afdækkes, om behandlingsstedernes praksis følger
Sundhedsstyrelsens anbefalinger.
Somatisk komorbiditet
Der er stor forskel på, hvorvidt de forskellige typer af behandlingssteder systematisk
screener for somatisk komorbiditet. Det fremgår, at lidt over en tredjedel af de
privatfinansierede behandlingssteder systematisk screener for somatisk komorbiditet
(36 %). Modsat screener næsten alle offentligt finansierede private behandlingssteder
systematisk for somatisk komorbiditet (93 %), og for de offentlige behandlingssteder er
andelen lidt over halvdelen (56 %).
105
Sundhedsstyrelsen, 2008.
Kvalitet i alkoholbehandling
76
et rådgivningsmateriale.,
s. 15-16
SUU, Alm.del - 2024-25 - Bilag 302: Orientering om Sundhedsstyrelsens afrapportering om den kulegravning af alkoholbehandlingen, fra indenrigs- og sundhedsministeren
3035092_0078.png
Figur 20 Andel af behandlingssteder som foretager systematisk screening for somatiske komorbiditeter,
(Kilde: Spørgeskema, n=100 (offentlige = 59, offentligt finansierede private= 30, private finansierede = 11)
Offentligt behandlingssted
Offentligt finansieret privat behandlingssted
Privat finansieret behandlingssted
Total
36%
65%
56%
93%
64%
35%
44%
7%
Screener systematisk for somatisk komorbiditet
Screener ikke systematisk for somatisk komorbiditet
Note: 'Systematisk' har ikke været nærmere defineret i spørgeskemaundersøgelsen, og svarene bør derfor
læses med forbehold for, at behandlingsstederne kan have ment noget forskelligt med deres svar. Det kan
være hensigtsmæssigt i en lignende undersøgelse i fremtiden at definere, hvad 'systematisk' indebærer.
Ser vi samlet på behandlingssteder, som leverer offentligt finansieret behandling,
udgør andelen, der systematisk screener for somatisk komorbiditet 69 %.
Sammenholder vi dette med 2019-niveauet, hvor kun den offentligt finansierede
behandling blev afdækket, var andelen, der angav at screene systematisk for somatisk
komorbiditet 70 %
106
. Andelen, der screener systematisk for somatisk komorbiditet, er
altså stort set uændret siden 2019. Det er fortsat hvert tredje offentligt finansierede
behandlingssted (inklusiv både offentlige og private leverandører af offentlig finansieret
behandling), der ikke screener systematisk for somatisk komorbiditet, selvom
Sundhedsstyrelsen anbefaler det.
flere medarbejdere udtryk for, at somatiske
problemstillinger fylder meget hos en række af deres borgere. Flere medarbejdere
ønsker i højere grad at kunne screene for eller arbejde med borgernes somatiske
problemstillinger. Det er ifølge medarbejderne en barriere for mange af borgerne at
komme til egen læge, og derfor kan alkoholbehandlingsstedets kontakt til borgeren
med fordel være en åbning til at hjælpe borgerne med at håndtere deres andre
komorbiditeter i alkoholbehandlingen. På et af behandlingsstederne forklarer de, at de
ikke decideret screener for somatiske problemstillinger, men at de altid vil berøre
somatiske spørgsmål, og at nogle borgere vil have behov for et sundhedstjek ved
opstart af alkoholbehandling, mens andre har mere behov for en sundhedssamtale
som en del af deres behandlingsforløb.
Det kunne være stor hjælp at have flere ressourcer til at kunne tage sig af borgeren
og også deres komorbiditeter. Når borgeren stopper med at drikke, begynder de at
mærke alt det andet, som er galt.
Og de kommer ikke til egen læge mange af
Psykiatrisk komorbiditet
Sundhedsstyrelsen angiver i deres rådgivningsmateriale, at psykiatrisk komorbiditet
udgør et omfattende problem, der vanskeliggør en effektiv alkoholbehandling, og som
106
COWI & DECIDE, 2019.
Afdækning af kvalitet i offentligt finansieret ambulant alkoholbehandling.
77
SUU, Alm.del - 2024-25 - Bilag 302: Orientering om Sundhedsstyrelsens afrapportering om den kulegravning af alkoholbehandlingen, fra indenrigs- og sundhedsministeren
3035092_0079.png
det derfor er vigtigt at forholde sig til
107
spørgeskemaundersøgelse, at færre af behandlingsstederne screener systematisk for
psykiatrisk komorbiditet end somatisk. Der er 65 % af de samlede
alkoholbehandlingssteder, der screener systematisk for somatisk komorbiditet, men
kun 46 % der screener systematisk for psykiatrisk komorbiditet.
Fordelt på type af behandlingssted, fremgår samme overordnede tendens, som for
somatiske screeninger. Det betyder, at færrest af de privatfinansierede
behandlingssteder screener systematisk for psykiatrisk komorbiditet (27 %), efterfulgt
af de offentlige behandlingssteder (36 %), mens næsten to tredjedele af de offentligt
finansierede private behandlingssteder screener systematisk for psykiatrisk
komorbiditet.
Figur 21 Andel af behandlingssteder, som foretager systematisk screening for psykiatriske komorbiditeter
(Kilde: Spørgeskema, n=100 (offentlige = 59, offentligt finansierede private= 30, private finansierede = 11)
Offentligt behandlingssted
Offentligt finansieret privat behandlingssted
Privat finansieret behandlingssted
Total
36%
73%
27%
46%
64%
27%
73%
54%
Screener systematisk for psykiatrisk komorbiditet
Screener ikke systematisk for psykiatrisk komorbiditet
Note: 'Systematisk' har ikke været nærmere defineret i spørgeskemaundersøgelsen, og svarene bør derfor
læses med forbehold for, at behandlingsstederne kan have ment noget forskelligt med deres svar. Det kan
være hensigtsmæssigt i en lignende undersøgelse i fremtiden at definere, hvad 'systematisk' indebærer.
Sammenlignet med 2019, hvor andelen af offentligt finansierede behandlingssteder,
der screenede systematisk for psykiatrisk komorbiditet, var 70 % (ligesom for
somatiske screeninger)
108
, er andelen af offentligt finansierede behandlingssteder, som
screener systematisk for psykiatrisk komorbiditet, altså faldet, da den i dag er 48 %
blandt de offentligt finansierede.
Også Sundhedsdatastyrelsens rapport om alkoholbehandling i Danmark fra 2024 viser,
at der er en del udsving over årene i antal personer som har modtaget en psykiatrisk
udredningssamtale i forbindelse med et alkoholbehandlingsforløb. Rapporten angiver,
at der i 2023 var 313 personer ud af alle i behandling i året som modtog en psykiatrisk
udredningssamtale, mens der samme år var 7.860 nyindskrevne borgere i den
offentligt finansierede behandling (vel at mærke, at der ikke er behov for, at alle
udredes psykiatrisk).
109
Manglende screening for komorbiditet er tidligere blevet beskrevet som en udfordring.
Allerede i et debatindlæg i Ugeskrift for Læger fra 2017 blev det beskrevet, som et af
107
108
Sundhedsstyrelsen, 2008.
Kvalitet i alkoholbehandling et rådgivningsmateriale.
s. 21
COWI & DECIDE, 2019.
Afdækning af kvalitet i offentligt finansieret ambulant alkoholbehandling.
109
Sundhedsdatastyrelsen. 2024. Alkoholbehandling i Danmark
78
SUU, Alm.del - 2024-25 - Bilag 302: Orientering om Sundhedsstyrelsens afrapportering om den kulegravning af alkoholbehandlingen, fra indenrigs- og sundhedsministeren
3035092_0080.png
de største problemer i alkoholbehandlingen
110
. Selvom andelen af behandlingssteder,
der screenede for psykiatrisk komorbiditet, var steget i 2019 sammenholdt med en
undersøgelse gennemført af Lægeforeningen i 2012, hvor blot 40 % screenede herfor,
ser vi altså i nærværende undersøgelse, at niveauet igen er faldet til næsten det
samme som 2012.
Andelen af de offentligt finansierede behandlingssteder, der ikke screener systematisk
for somatisk komorbiditet, udgør stadigvæk 31 %, og andelen, der ikke screener
systematisk for psykiatrisk komorbiditet, er steget til 52 %. Sundhedsstyrelsens
anbefalinger om screening efterleves altså i stor udstrækning ikke i
alkoholbehandlingen. Især når vi ser på de rent offentlige behandlingssteder, hvoraf 44
% ikke screener systematisk for somatisk komorbiditet og 64 % ikke screener
systematisk for psykiatrisk komorbiditet.
udredning ikke er mulig på de fleste behandlingssteder, da de ikke har ansat
psykologer eller psykiatere. I stedet anbefales det at anvende korte screeningsskalaer,
der kan bruges af ikke psykiatrisktrænet personale.
111
De behandlingssteder, som
angiver at screene for psykiatrisk komorbiditet, angiver at anvende forskellige
værktøjer hertil. Af fremhævede værktøjer nævnes blandt andet ASRS, BDI, PSS, BAI,
AQ10, MAP-plan, MCMI, KL-screener
112
, MINI, SCL, og diverse egne værktøjer. Nogle
behandlingssteder nævner, at deres udredende lægesamtale er ved en psykiater, som
anvender relevante kliniske udredningsredskaber. Samtidig har nogle af
behandlingsstederne angivet værktøjer, såsom MAP-plan, som egentlig ikke er et
værktøj til at screene for psykiatrisk komorbiditet, men for at undersøge psykisk trivsel.
Anvendelsen af de forskellige værktøjer til at screene indikerer, at der er forskel på,
hvad de forskellige behandlingssteder,
og systematisk disse screeninger er. Det betyder, at
der eksisterer uensartede og variation på tværs af behandlingsstederne.
4.5
Behandlingstilbud, -form og -metode
Dette afsnit vil beskrive behandlingsstedernes indhold, herunder metoder som
anvendes i alkoholbehandlingen. Dette vil løbende blive vurderet i forhold til, hvorvidt
alkoholbehandlingsstedernes praksis følger evidensen på området og
Sundhedsstyrelsens anbefalinger.
Længde på behandlingsforløb
Sundhedsstyrelsen angiver i de nationale kliniske retningslinjer, at der mangler viden
om, hvor lang tid et behandlingsforløb bør strække sig over, men at forskning tyder på,
at den største ændring sker i starten af forløbet. Af den årsag foreslår
Sundhedsstyrelsen i NKR, at et ambulant behandlingsforløb som udgangspunkt
Larsen, K. (2017).
Alkoholbehandling: Det sejler stadig.
Statens Institut for Folkesundhed, SDU, 2023.
Litteraturgennemgang af evidens vedrørende
alkoholbehandling,
s. 54.
112
KL, 2019. Basisscreening for psykiske lidelser i misbrugsbehandlingen.
79
111
110
SUU, Alm.del - 2024-25 - Bilag 302: Orientering om Sundhedsstyrelsens afrapportering om den kulegravning af alkoholbehandlingen, fra indenrigs- og sundhedsministeren
3035092_0081.png
planlægges af tre måneders varighed frem for seks, og at der efter tre måneder tages
aktivt stilling til, om målet med behandlingen er nået, eller om forløbet skal
forlænges.
113
Af data fra Det Nationale Alkoholbehandlingsregister fremgår det, at der ligesom ved
Servicetjekket i 2019 endnu ikke er sket et fald i den gennemsnitlige behandlingstid.
Siden 2019 er længden på alkoholbehandlingsforløb kun steget
114
. Den gennemsnitlige
behandlingstid i 2023 var lidt over 11 måneder, hvilket er væsentligt længere end de i
udgangspunktet anbefalede tre måneder.
115
Det er dog muligt, at borgeren tilbydes
kortere forløb som udgangspunkt, men efter behov bliver forlænget.
Behandlingsstederne giver på casebesøgene netop udtryk for, at længden på de
ambulante behandlingsforløb netop tilpasses individuelt efter hver borgers behov.
Samtidig viser casebesøgene, at de fleste behandlingssteder har en form for
retningslinje for, hvad et standardforløb i udgangspunktet er, og her beskriver de fleste
behandlingssteder, at det typisk er omtrent seks måneder og nogle steder op til et år
eller halvandet, og dette er altså også over de tre. Derudover kan der være mange
faktorer, som kan forklare de længere behandlingsforløb, og der er således en del
usikkerhed forbundet hermed
116
.
Figur 22 Gennemsnitligt antal måneder en person er i alkoholbehandling (Kilde: Det Nationale
Alkoholbehandlingsregister)
14
12
10
8
6
4
2
0
2008
2011
2014
2017
2020
2023
7,5
7,8
11,1
9,4
9,5
11,4
Note: Gennemsnitligt antal måneder er beregnet ud fra antal dage ud fra en antagelse om, at en måned
varer 30,4 dage.
Nogle alkoholbehandlingssteder giver udtryk for, at der også er en problematik i at
fastholde borgerne for længe i behandling, og at de skal ændre eller stoppe
behandlingen, hvis der over tid ikke er effekt. Mange beskriver at have forskellige
Sundhedsstyrelsen (2018).
National klinisk retningslinje for behandling af alkoholafhængighed.,
s. 50.
En del af stigningen i behandlingstid fra 2020 og frem kan skyldes Corona-pandemien, hvor det var
vanskeligt for alkoholbehandlere fysisk, at mødes med borgerne, men der er ikke undersøgelser, der
nærmere belyser betydningen af pandemien på behandlingstid.
115
Samtidig blev der ifm. Servicetjekket i 2019 gjort opmærksom på, at data i NAB registreres fra
borgerens første kontakt, så afrusning, afklaring og motivation samt udredning også indgår i længden på
behandlingsforløbet, mens anbefalingen fra Sundhedsstyrelsen kun omhandler den strukturerede
samtalebehandling. Derfor vil behandlingsforløbet naturligt fremgå som længere i NAB end tre måneder.
116
Det er ikke muligt at vurdere, om de længere behandlingsforløb skyldes, at der siden udgivelsen af de
nationale kliniske retningslinjer, er sket en generel tilvækst i mere belastede borgere, som kan forklare den
generelle forlængelse af længden på et behandlingsforløb.
80
114
113
SUU, Alm.del - 2024-25 - Bilag 302: Orientering om Sundhedsstyrelsens afrapportering om den kulegravning af alkoholbehandlingen, fra indenrigs- og sundhedsministeren
3035092_0082.png
tidspunkter, hvor de gør nedslag i borgerens behandling og vurderer, hvorvidt den skal
fortsætte. Det stemmer overens med Sundhedsstyrelsens anbefalinger. Samtidig
fremgår det af brugerundersøgelsen, at der er borgere, der oplever at være blevet
afsluttet, før end at de var klar (se mere i kapitlet om brugeroplevet kvalitet).
i sigter efter, at en borger er færdigbehandlet efter et halvt til et helt år med 12
samtaler. For når vi kigger på statistikken, så peaker man typisk de tre-fire måneder.
Vi læner os op ad anbefalinger og erfaringer. Det er også rart for borgeren at vide,
Medarbejder på offentligt behandlingssted)
Derudover beskriver både offentlige behandlingssteder og offentligt finansierede
private behandlingssteder, at de nogle gange forlænger forløbet med f.eks. seks
måneder som en form for efterbehandling, men hvor der kun gives en samtale om
måneden eller hver anden eller tredje måned. Det kan være med til at forklare, hvorfor
behandlingsforløbene ifølge NAB-data ser så lange ud. Mens nogle behandlingssteder
differentierer taksten på behandlingen, så prisen afspejler intensiteten, er det usikkert,
om alle har differentierede takster, bl.a. fordi priserne på behandling ikke fremgår for
alle behandlingssteder på Tilbudsportalen.
De fleste behandlingssteder beskriver på casebesøgene en model, hvor der vil være
flere eller hyppigere samtaler i starten af et forløb. Behandlingsstederne angiver i den
forbindelse, at én samtale om ugen i starten er hensigtsmæssigt for at opretholde en
behandling af god kvalitet. Dog oplever nogle medarbejdere fra offentlige
behandlingssteder, at det kan være en udfordring, at kadencen for samtalerne nogle
gange skrider, og at dette især skyldes et ressourcespørgsmål og periodevis travlhed.
Dette er også med til at gøre længden af et behandlingsforløb svær at styre og kan
være en del af forklaringen på de længere behandlingsforløb
117
. Ifølge nogle
medarbejdere forringer det kvaliteten af behandlingen, fordi udviklingen bremses, hvis
der går for lang tid mellem samtalerne især i opstarten af behandlingsforløbet.
Man
har fra ledelsens side forsøgt at lave tydelige rammer og afkorte forløb, og det er jo i
princippet en god ide. Omvendt er der så øget risiko for, at de står her igen. Og vi
kan ikke altid imødekomme, hvor lang tid der optimalt set skal gå mellem
samtalerne på grund af travlhed. Når vi er nede med økonomi, må vi få en
behandler mindre. Så den største udfordring er derfor økonomi. Når vi er knappe, så
smører vi bare tyndere ud med flere grupper og længere varighed mellem samtaler.
Altså serviceniveauet bliver også noget andet, hvis der er mange borgere, fordi der
bliver længe mellem samtalerne. (Medarbejder offentligt behandlingssted)
I forhold til længden på døgnbehandling
den offentligt finansierede døgnbehandling er tre måneder med eventuel mulighed for
forlængelse. De offentligt finansierede behandlingssteder giver udtryk for, at dette er en
Det er ikke muligt i NAB at få data om, hvor mange samtaler en borger er blevet tilbudt. Således kan vi
ikke vurdere, om de længere behandlingsforløb afspejler et forløb med det samme antal ambulante
samtaler, men hvor samtalerne er mere spredte.
81
117
SUU, Alm.del - 2024-25 - Bilag 302: Orientering om Sundhedsstyrelsens afrapportering om den kulegravning af alkoholbehandlingen, fra indenrigs- og sundhedsministeren
3035092_0083.png
passende længde, udover i tilfælde hvor der er brugt lang tid på afrusning, stabilisering,
tandlæge eller lignende. I nogle tilfælde kan døgnbehandlingsstederne bruge de første
14 dage til en måned på dette, og hvor borgeren ikke kan deltage i behandlingen.
Derfor kunne de offentligt finansierede døgnbehandlingssteder i disse tilfælde ønske
sig, at der var en mulighed for automatisk at få forlænget forløbet derefter.
en selvbetalte døgnbehandling ud til at
være væsentligt kortere af fire til otte ugers varighed. Men som nævnt varetager
denne også som oftest en meget anden og ressourcestærk målgruppe.
4.5.1
Behandlingstilbud
blevet bedt om at angive, hvilke typer af
tilbud, de har (se nedenstående figur).
Figur 23 Oversigt over hvilke tilbud behandlingsstedernes udbyder (Kilde: Spørgeskema, n=100 (offentlige
= 59, offentligt finansierede private= 30, private finansierede = 11)
Individuel terapi
66%
74%
45%
78%
70%
72%
67%
64%
43%
10%
9%
64%
60%
37%
18%
82%
75%
85%
91%
83%
91%
100%
100%
Gruppeterapi
NADA-akupunktur
Medicinsk behandling
0%
Familieorienteret behandling
Internetbaseret behandling
Offentligt behandlingssted
Privat finansieret behandlingssted
Offentligt finansieret privat behandlingssted
Total
Note: Figuren summerer til over 100 %, da det har været muligt at angive flere svar.
Det fremgår ikke overraskende, at individuel terapi er det behandlingstilbud, som flest
af behandlingsstederne på tværs angiver at tilbyde (91 %). Dernæst kommer
gruppeterapi, der tilbydes af 74 % af behandlingsstederne. Der er en tendens til, at
flere af de private behandlingssteder angiver at have dette tilbud, end de offentlige.
Samlet set stemmer det dog overens med de nationale kliniske retningslinjer, som
bredt anbefaler at tilbyde samtalebehandling i enten et gruppeformat eller et individuelt
format og angiver, at der ikke er fundet forskel i effekten af de to formater
118
.
Sidstnævnte er også bekræftet af SDU s evidensgennemgang i 2023
119
.
Sundhedsstyrelsen (2018).
National klinisk retningslinje for behandling af alkoholafhængighed.,
s. 6.
Statens Institut for Folkesundhed, SDU, 2023.
Litteraturgennemgang af evidens vedrørende
alkoholbehandling,
s. 130.
82
119
118
SUU, Alm.del - 2024-25 - Bilag 302: Orientering om Sundhedsstyrelsens afrapportering om den kulegravning af alkoholbehandlingen, fra indenrigs- og sundhedsministeren
3035092_0084.png
Samtidig er det bemærkelsesværdigt, at omtrent tre fjerdedele af de offentligt
finansierede behandlingssteder angiver at tilbyde NADA-akupunktur. Andelen er ikke
faldet siden COWI/Decides afdækning i 2019, hvor 71 % af de offentlige og 54 % af de
offentligt finansierede private behandlingssteder angav at tilbyde dette. Der er dog
stadig ikke dokumentation for, at NADA-akupunktur har effekt
120
. De nationale kliniske
retningslinjer nævner heller ikke dette tilbud, så i denne praksis følger
behandlingsstederne ikke evidensen på området. Der kan dog være andre årsager til,
at behandlingsstederne bruger NADA-akupunktur, og casebesøgene indikerer, at det
gives som supplement til den øvrig evidensbaseret alkoholbehandling og hjælper til at
give ro på bl.a. tankemylder. Herunder nævner nogle behandlingssteder også, at det er
med til at forbedre relationen til borgeren og kan skabe et stærkere tilhørsforhold til
alkoholbehandlingsstedet. FLOR fremhæver også, at nogle behandlingssteder ser
NADA som et uspecifikt beroligende tiltag, hvilket er givtigt, fordi mange borgere i
alkoholbehandling har problemer med uro, tankemylder eller søvnløshed, og tidligere
har brugt alkohol for at finde ro. FLOR forklarer, at NADA ikke bruges med
forventningen om en effekt på abstinenssymptomer eller trang, men at NADA kan
opfylde et behov, som alkohol ellers opfylder.
Hvad angår familieorienteret behandling, er dette et tilbud, som der er færre af
behandlingsstederne, der udbyder. Det er dog stadig størstedelen af de offentlige
behandlingssteder (64 %) og de rent privatfinansierede behandlingssteder (82 %), men
færre af de offentligt finansierede private behandlingssteder (43 %). At den
familieorienterede behandling er blevet et mindre hyppigt tilbud, er i modstrid med de
nationale kliniske retningslinjer, der stærkt anbefaler denne behandlingsform
121
. Også
effekten af familie- og parterapi, og at effekten på enkelte parametre er større end
effekten af individuel behandling inden for samme referenceramme
122
.
Internetbaseret eller online behandling er en nyere behandlingsform, hvor den
samtalebaserede behandling, der typisk foregår ved fysisk fremmøde, i stedet foregår
via videoopkald. Den internetbaserede behandling er især begyndt at udbrede sig efter
Covid-19.
spørgeskemaundersøgelse viser, at den internetbaserede behandling
endnu ikke er et særlig udbredt tilbud. Det er blot lige under hvert femte af
behandlingsstederne i spørgeskemaundersøgelsen, som har dette tilbud. Der er dog
flere af de offentligt finansierede private behandlingssteder (37 %), som tilbyder
internetbaseret behandling, end de øvrige typer af behandlingssteder. Et nyt
forskningsprojekt fra SDU, som er finansieret af Novavi, har undersøgt, om
alkoholbehandling via skærm er lige så effektiv som fysisk fremmøde.
Forskningsprojektet indikerer, at de to behandlingsformer er lige effektive til at skabe
reduktioner i alkoholforbrug, men at den internetbaserede behandling er bedre til at få
borgere tidligere i behandling og fastholde dem, fordi det giver fleksibilitet og er let at
Statens Institut for Folkesundhed, SDU, 2023.
Litteraturgennemgang af evidens vedrørende
alkoholbehandling,
s. 44.
121
Sundhedsstyrelsen (2018).
National klinisk retningslinje for behandling af alkoholafhængighed,
s. 5
122
Statens Institut for Folkesundhed, SDU, 2023.
Litteraturgennemgang af evidens vedrørende
alkoholbehandling,
s. 77
83
120
SUU, Alm.del - 2024-25 - Bilag 302: Orientering om Sundhedsstyrelsens afrapportering om den kulegravning af alkoholbehandlingen, fra indenrigs- og sundhedsministeren
3035092_0085.png
integrere i hverdagen.
123, 124
Det understreges, at dette er resultaterne fra et enkelt
studie, og at forskningen på området fortsat er snæver.
Desuden indikerer resultaterne af NHG s spørgeskemaundersøgelse, at der er en
tendens til, at jo større behandlingsstedet er (opgjort på antal årsværk), jo flere tilbud
har de. Især tre behandlingstilbud bliver mere udbredt, jo større behandlingsstedet er.
Således fremgår det overordnet, at behandlingssteder med flere årsværk har: 1) En lille
stigning i, hvor stor en andel af behandlingsstederne, der tilbyder familieorienteret
behandling, 2) en markant stigning i andelen, som tilbyder medicinsk behandling, 3) en
stigning i andelen, der tilbyder gruppeterapi.
behandlingen at kombinere den klassiske behandling med samtaleterapi med andre
tilbud, som borgerne kan deltage i, hvis de har brug for mere støtte. For eksempel
nævnes:
Tilbud af social karakter, såsom fælles drop-in morgenmad på en bestemt
ugedag
Modulundervisning, hvor man kan dukke op til x-antal undervisningsgange med
andre, enten før opstart af behandling med en behandler eller efter, som en
fastholdelsesstrategi.
Sportsaktiviteter (ofte på døgnophold), såsom yoga, svømning eller
styrketræning.
Mindfulness tilbud.
NADA-akupunktur nævnes også i den forbindelse.
Behandlingsstederne fremhæver på casebesøg generelt, at muligheden for individuelt
tilpassede forløb er vigtigt for en behandling af god kvalitet. Der fremhæves, at
forskellige faktorer såsom tid til den enkelte, tid til fordybelse, tilgængelighed ud fra
borgerens behov, mulighed for at se hele borgeren og at imødekomme dem på deres
brugeroplevelse (se mere i kapitlet om brugeroplevet kvalitet).
casebesøg viser, at de offentligt finansierede private behandlingssteder ofte kan
have en bredere pallette af tilbud end de offentlige, f.eks. udekørende eller matrikelløse
tilbud, hvor behandlingen tilbydes i borgerens hjem eller et andet sted. Et udekørende
tilbud kan ifølge behandlingsstederne være en styrke, hvis borgerne ikke ønsker at
dukke op på et behandlingssted, eller til socialt udsatte borgere som kan have
vanskeligt ved fremmøde. En socialsygeplejerske nævner også, at det kan være
nødvendigt til mindre mobile ældre borgere. Det udekørende tilbud kan således nå en
målgruppen, som ellers ikke nås. Derudover italesætter nogle private
behandlingssteder, at de også oplever, at de har en højere grad af tilgængelighed i
Statens Institut for Folkesundhed, SDU. (2024).
Anbefalinger til rekruttering og fastholdelse af borgere i
alkoholbehandling.
124
Vi gør opmærksom på, at det publicerede studie ikke tager højde for forskellige grupper af brugere,
herunder brugere i social udsathed.
84
123
SUU, Alm.del - 2024-25 - Bilag 302: Orientering om Sundhedsstyrelsens afrapportering om den kulegravning af alkoholbehandlingen, fra indenrigs- og sundhedsministeren
3035092_0086.png
ydertimerne, og at de for eksempel har aftengrupper eller behandling tidligt om
morgenen dette for at sikre, at de imødekommer borgerens behov.
uanset, hvor borgeren er. (
Det vigtigste ved vores tilbud
af offentligt finansieret privat behandlingstilbud).
***
ambulante tilbud kræver jo et vist niveau af ressourcer. Det mobile team kunne
hjælpe med at stabilisere borgeren, så de kunne komme herind. Men vi laver ikke
alkoholbehandling i folks hjem. Så der er en målgruppe, der faktisk måske ikke får
***
komme ned i rusmiddelcentret på grund af manglende mobilitet. Så vi mangler
virkelig noget udgående abstinensbehandling til dem, der ikke kan komme ud.
(Socialsygeplejerske på akutmodtagelse)
De private behandlingstilbud vurderer, at det i nogle tilfælde kan være en styrke i det
offentlige, at de har hurtigere kanaler til blandt andet psykiatrien, jobcenter og
familiecenter, hvilket øger deres mulighed for helhedsorienteret behandling. Derfor
fremhæver et privat behandlingssted også, at det er afgørende for kvaliteten af deres
behandling, at de har et godt kommunalt kendskab og samarbejde.
Generelt peger interviewene under casebesøgene på, at de offentlige og private
behandlingstilbud omfavner forskellige målgrupper. Både offentlige og private
behandlingstilbud fortæller, at der kan være en tendens til, at de ressourcestærke
borgere ofte er dem, der vælger de offentligt finansierede private behandlingstilbud
frem for kommunernes tilbud. Det kan indikere, at tilbuddene i nogen grad henvender
sig til forskellige målgrupper. Dette blev også beskrevet i COWI/Decides afdækning fra
2019
125
.
Medicinsk behandling af alkoholafhængighed
Medicinsk behandling af afhængighed er i modsætning til afrusning og
abstinensbehandling behandling med lægemidler, der har til formål at reducere trangen
til at drikke alkohol under behandlingen. Hvis en borger har været i
abstinensbehandling, kan den medicinske behandling af afhængighed begynde, når
abstinensbehandlingen er overstået.
Medicinsk behandling af alkoholafhængighed anvendes oftest ved svær
alkoholafhængighed, hvor borgeren er udfordret af stor drikketrang. Det er altså ikke
alle borgere i alkoholbehandling, der modtager medicinsk behandling af deres
alkoholafhængighed. I den forbindelse viser Sundhedsdatastyrelsens rapport om
125
COWI & DECIDE, 2019.
Afdækning af kvalitet i offentligt finansieret ambulant alkoholbehandling.,
s.32
85
SUU, Alm.del - 2024-25 - Bilag 302: Orientering om Sundhedsstyrelsens afrapportering om den kulegravning af alkoholbehandlingen, fra indenrigs- og sundhedsministeren
3035092_0087.png
alkoholbehandling i Danmark fra 2024, at omtrent hver femte borger, der var
nyindskrevet i alkoholbehandling i 2022 fik medicinsk behandling samtidig med
alkoholbehandlingen
126
.
alkoholafhængighed er udbredt blandt behandlingssteder i Danmark.
Spørgeskemaundersøgelsen viser således, at 78 % af behandlingsstederne tilbyder
medicinsk behandling af afhængighed (se Figur 24). Samtidig er der stor forskel på de
offentligt og privatfinansierede behandlingssteder. Således er der ingen af de 11
privatfinansierede behandlingssteder, der i spørgeskemaundersøgelsen, angiver at
tilbyde medicinsk behandling, mens andelen af de offentlige behandlingssteder, som
ikke tilbyder medicinsk behandling, kun er 8 %. Dette er i tråd med viden fra
caseundersøgelse, hvor flere af de privatfinansierede behandlingssteder giver udtryk
for at være imod brugen af for eksempel antabus.
Dertil viser NHG s spørgeskemaundersøgelse, at andelen af behandlingsstederne, der
tilbyder medicinsk behandling, er markant mindre på behandlingssteder med under fem
årsværk. Således tilbyder 36 % af behandlingsstederne med under fem årsværk
medicinsk behandling, mens andelen er 77 % for behandlingssteder med 5-11
årsværk, og 67 % for behandlingssteder med over 11 årsværk.
Figur 24 Behandlingssteder, der anvender lægemidler til behandling af alkoholafhængighed (Kilde: NHG s
spørgeskemadata, n = 100 (Offentlige = 59, Offentligt finansierede private = 30, Privat finansierede = 11))
Offentligt behandlingssted
Offentligt finansieret privat behandlingssted
Privat finansieret behandlingssted
Total
Anvender lægemidler til behandling af afhængighed
78%
92%
80%
100%
22%
8%
20%
Anvender ingen lægemidler
I Danmark er fire lægemidler godkendt til behandling af alkoholafhængighed:
Naltrexon, acamprosat, disulfiram og nalmefen. Sundhedsstyrelsen anbefaler
acamprosat eller naltrexon til personer som ønsker afholdenhed, og naltrexon til
personer som ønsker reduktion i forbruget. Acamprosat er førstevalgspræparat til
behandling af alkoholafhængighed, og naltrexon er andenvalgspræparat
127
. Disulfiram,
også kendt som Antabus, anbefales kun, hvor acamprosat eller naltrexon ikke har haft
effekt.
128
I de nationale kliniske retningslinjer anbefales det, at alkoholafhængighed kun
behandles med disulfiram
efter nøje overvejelse, da effekten er usikker, og der
kan være bivirkninger.
Generelt anbefaler Sundhedsstyrelsen, at lægemidler til
Sundhedsdatastyrelsen, 2024.
Alkoholbehandling i Danmark,
s. 19.
Statens Institut for Folkesundhed, SDU, 2023.
Litteraturgennemgang af evidens vedrørende
alkoholbehandling,
103
128
Statens Institut for Folkesundhed, SDU, 2023.
Litteraturgennemgang af evidens vedrørende
alkoholbehandling.;
Becker, U. & Nielsen, A. S., 2023.
Alkoholproblemer, behandling.
86
127
126
SUU, Alm.del - 2024-25 - Bilag 302: Orientering om Sundhedsstyrelsens afrapportering om den kulegravning af alkoholbehandlingen, fra indenrigs- og sundhedsministeren
3035092_0088.png
behandling af alkoholafhængighed kun tilbydes som supplement til samtalebehandling,
da effekten af lægemidlerne i sig selv er lille.
129
På trods af anbefalingerne fra Sundhedsstyrelsen er disulfiram det lægemiddel, der
ifølge spørgeskemaundersøgelsen anvendes på flest af de behandlingssteder, der
tilbyder medicinsk afhængighedsbehandling (95 %) (se Figur 25). Det kan skyldes, at
disulfiram er et velkendt lægemiddel, som har været i brug i mange år. Nogle borgere
efterspørger derfor selv behandling med dette lægemiddel.
130
Sammenlignet med
resultaterne fra COWI/Decides afdækning i 2019 er andelen af offentlige
behandlingssteder, der anvender disulfiram mere eller mindre uændret
131
.
Samtidig er både første- og andenvalgspræparaterne acamprosat og naltrexon
udbredte på alkoholbehandlingssteder i Danmark i 2024 (jf. Figur 25). Nalmefen
fremgår som det mindst udbredte lægemiddel, men mere end hvert fjerde offentligt
finansierede behandlingssted angiver stadig at anvende dette.
Figur 25 Andelen af de offentlige og offentligt finansierede private behandlingssteder, der behandler
afhængighed medicinsk, der anvender forskellige lægemidler, n=78 (offentlige = 54, offentligt finansierede
private = 24)
)
100%
80%
65%67%65%
60%
40%
20%
0%
Disulfiram
(Antabus®)
Acamprosat (fx
Campral®)
Naltrexon (fx
Naltrexon AOP®)
Nalmefen
(Selinco®)
Andet
Total
100%
95%
93%
89%92%90%
29%
7%
14%
6% 4% 5%
Offentligt behandlingssted
Offentligt finansieret privat behandlingssted
Note: Figuren summerer til over 100 %, da hvert behandlingssted kan tilbyde eller henvise til flere former
for efterbehandling. De private behandlingssteder er ikke inkluderet, da samtlige 11 angav ikke at anvende
lægemidler.
Selvom, der er en større andel af behandlingssteder, som angiver, at de anvender
disulfiram end acamprosat, giver spørgeskemaundersøgelsen ikke svar på, hvor
hyppigt og i hvilken dosis behandlingsstederne anvender de enkelte lægemidler.
Sundhedsdatastyrelsens rapport om alkoholbehandling i Danmark fra 2024 finder
samtidig også, at Disulfiram var det mest anvendte lægemiddel til medicinsk
alkoholbehandling, både før, under og efter et alkoholbehandlingsforløb. Blandt
129
130
Sundhedsstyrelsen, 2018.
National klinisk retningslinje for behandling af alkoholafhængighed, s.
59
Alkohol & Samfund. 2019.
Antabussen kører danske veje tynde.
131
COWI & DECIDE, 2019.
Afdækning af kvalitet i offentligt finansieret ambulant alkoholbehandling,
s. 37
87
SUU, Alm.del - 2024-25 - Bilag 302: Orientering om Sundhedsstyrelsens afrapportering om den kulegravning af alkoholbehandlingen, fra indenrigs- og sundhedsministeren
3035092_0089.png
personer i medicinsk alkoholbehandling udgjorde disulfiram ca. 73 % før
behandlingsforløbet, ca. 54 % under forløbet og ca. 65 % efter forløbet.
132
Dertil offentliggør Sundhedsdatastyrelsen på Medstat.dk statistik for det årlige salg af
lægemidler i Danmark, som er udskrevet på recept. Der fremgår opgørelser for
omfanget af forskellige lægemiddeltyper, som er blevet solgt på danske apoteker, og
altså ikke medicin udleveret af kommunerne som vederlagsfri medicin. Ser vi på data
fra Medstat over salget fordelt på definerede døgndoser (DDD) af de forskellige
lægemidler (se Figur 26), fremgår det, at salget af disulfiram har været støt faldende
siden 2019, mens salget af acamprosat og naltrexon langsomt er steget. Disulfiram er
dog fortsat langt det mest solgte lægemiddel opgjort i definerede døgndoser, hvilket
indikerer, at der stadig er langt flere borgere, der modtager dette lægemiddel til
behandling af deres alkoholafhængighed. Salget af lægemidlet nalmefen har gennem
perioden været meget lavere end de andre lægemidler til behandling for
alkoholafhængighed og i konstant fald. Det er i overensstemmelse med
Sundhedsstyrelsens Nationale Kliniske Retningslinje for behandling af
alkoholafhængighed.
Samlet set kan ovenstående indikere, at læger, der behandler patienter mod
alkoholafhængighed, siden Servicetjekket i 2019 er begyndt i højere grad at følge
Sundhedsstyrelsens anbefalinger til medicinsk behandling, men at der stadigvæk er
grund til at arbejde for, at de nationale anbefalinger bliver fulgt i højere grad.
Figur 26 Udvikling i receptsalget af disulfiram, acamprosat og naltrexon fra 2019 til 2023
primær- og sekundærsektor, og for begge køn. Kilde: Medstat.dk
3.000
2.500
2.000
1.500
1.000
500
0
402
194
171
7
2019
Disulfiram
364
2020
Acamprosat
2021
Naltrexon
2022
Nalmefen
2
2023
1.456
2.729
total for både
Der er forskellige holdninger
til
anvendelsen af medicin til behandling af alkoholafhængighed, samt hvilke lægemidler,
som er bedst at anvende. Flere af behandlingsstederne beskriver, at medicinsk
behandling af afhængighed kan gøre, at borgeren har lettere ved at indgå i den øvrige
132
Sundhedsdatastyrelsen. 2024. Alkoholbehandling i Danmark
88
SUU, Alm.del - 2024-25 - Bilag 302: Orientering om Sundhedsstyrelsens afrapportering om den kulegravning af alkoholbehandlingen, fra indenrigs- og sundhedsministeren
3035092_0090.png
samtalebaserede behandling, hvor der for eksempel er krav om afholdenhed, men at
det ikke kan stå alene. Dette stemmer overens med Sundhedsstyrelsens anbefaling.
Omvendt giver flere af de privatfinansierede behandlingssteder som nævnt udtryk for at
være imod brugen af medicinsk behandling, herunder Antabus.
Tilbud til pårørende
I de nationale kliniske retningslinjer anbefales det stærkt at tilbyde rådgivning eller
vejledning til pårørende til personen med alkoholafhængighed. Især beskrives
pårørendeforløb som relevant til pårørende til personer, som ikke har erkendt deres
problematiske forhold til alkohol eller pårørende til personer, der har vist sig
behandlingsresistente. Pårørendevejledningen har to formål: 1) At skabe øget trivsel
hos den pårørende, 2) at skabe forandringer i den pårørendes tanker og adfærd, som
kan få den drikkende til at begynde i behandling eller ændre drikkeadfærd.
133
Kommunerne beslutter hver især via deres serviceniveau om de vil tilbyde
pårørendebehandling.
Det er tidligere blevet beskrevet som en udfordring, at der er flere behandlingssteder,
som ikke har haft tilbud til pårørende. Det blev for eksempel fremhævet i Alkohol &
Samfunds undersøgelse fra 2019 af kommunal alkoholbehandling, at en femtedel af
kommunerne ikke havde tilbud til pårørende
134
viser, at denne andel er nærmest uændret, da 17 % af de offentlige behandlingssteder
angiver ikke at have tilbud til pårørende (se Figur 27). Der er ej heller sket de store
ændringer på de offentligt finansierede behandlingssteder siden COWI/Decides
afdækning i 2019
135
.
18 % af alkoholbehandlingsstederne samlet set lever altså ikke op til
Sundhedsstyrelsens stærke anbefaling om at tilbyde vejledning eller rådgivning til
pårørende uden personen med alkoholafhængighed. Nogle af disse kan dog antages
at have familieorienteret behandling, som Sundhedsstyrelsen som nævnt også har en
stærk anbefaling om, men i den familieorienterede behandling modtager den
pårørende behandling sammen med personen med alkoholafhængighed, og det er
således et andet slags tilbud.
Sundhedsstyrelsen, 2018.
National klinisk retningslinje for behandling af alkoholafhængighed.
s. 6
Alkohol & Samfund. 2019.
Kommunal alkoholbehandling 2018 landsdækkende undersøgelse af
kommunernes tilbud til mennesker med alkoholproblemer og deres pårørende,
s. 4
135
COWI & DECIDE, 2019.
Afdækning af kvalitet i offentligt finansieret ambulant alkoholbehandling,
s. 39
89
134
133
SUU, Alm.del - 2024-25 - Bilag 302: Orientering om Sundhedsstyrelsens afrapportering om den kulegravning af alkoholbehandlingen, fra indenrigs- og sundhedsministeren
3035092_0091.png
Figur 27 Andel af de forskellige typer behandlingssteder med tilbud til pårørende sammenlignet med 2019,
(Kilde: NHG s spørgeskemaundersøgelse 2024 (n=100 (offentlige = 59, offentligt finansierede private= 30,
private finansierede = 11), samt COWI/Decides afdækning 2019
11)
Offentligt behandlingssted 2024
Offentligt behandlingssted 2019
Offentligt finansieret privat behandlingssted 2024
Offentligt finansieret privat behandlingssted 2019
Privat finansieret behandlingssted 2024
Total 2024
Tilbyder pårørendeforløb
83%
75%
77%
92%
91%
82%
Tilbyder ikke pårørendeforløb
17%
25%
23%
8%
9%
18%
Det er i den forbindelse også relevant at fremhæve, at der er 28 % af
kvaliteten af alkoholbehandlingen i Danmark.
brugerundersøgelse peger på behovet for inddragelse af pårørende fra et
brugerperspektiv, men at det er forskelligt, hvorvidt dette behov er oplevet
imødekommet (se mere under kapitlet om brugeroplevet kvalitet).
af mange.
FLOR understreger ligeledes, at behandling af pårørende er en vigtig del af
alkoholbehandlingen.
Nogle af behandlingsstederne nævner at have særskilte tilbud til pårørende, såsom
CRAFT-grupper, der også nævnes i de nationale kliniske retningslinjer. Andre nævner
vigtigheden af at involvere de pårørende i behandlingen sammen med den
alkoholafhængige altså familiebehandling. Behandlingsstederne, som har
pårørendetilbud eller familiebehandling som en del af deres behandlingstilbud,
understreger, at det er med til at øge kvaliteten af deres behandling.
Nogle behandlingssteder på casebesøgene understreger, at der kan være en
udfordring i, at pårørende ikke har ens vilkår på tværs af kommunerne.
De forskellige vilkår for pårørende betyder dels, at der er forskel på, om der eksisterer
tilbud til pårørende, og at der er forskel på, hvilken karakter og omfang tilbuddene har.
For eksempel har nogle alkoholbehandlingssteder et par møder eller arrangementer
årligt, hvor de samler pårørende, andre har kurser for pårørende, og nogle har tilbud
om individuel samtaleterapi for pårørende, men med et varierende antal samtaler.
Nogle medarbejdere og ledere på casebesøgene frygter, at der vil blive skåret
yderligere i pårørendetilbuddene, hvis kommunerne skæres økonomisk, og at de
pårørende derfor ikke kan få den støtte og hjælp, som de har behov for. Også i
følgegruppen bliver det understreget, at selvom 82 % af behandlingsstederne angiver
at have pårørendetilbud, er pårørendebehandlingen en kan-opgave, som derfor ofte vil
blive nedprioriteret ved travlhed.
90
SUU, Alm.del - 2024-25 - Bilag 302: Orientering om Sundhedsstyrelsens afrapportering om den kulegravning af alkoholbehandlingen, fra indenrigs- og sundhedsministeren
3035092_0092.png
Følgegruppen fremhæver også, at de angivne pårørendetilbud kan være af varierende
omfang og karakter, herunder at det kan være forskelligt, hvorvidt behandlingsstederne
kræver, at den drikkende er i alkoholbehandling, for at de pårørende kan få hjælp.
Alkohol er ikke kun den drikkendes problem. Det er også meget belastende for de
pårørende. Nogle kommuner giver nul samtaler til de pårørende. Andre giver for
Medarbejder på offentligt finansieret privat behandlingssted)
God kvalitet handler også om ikke kun at behandle alkoholikeren. Det er vigtigt at få
baglandet med. Vi har familiebehandling familiesamtaler eller parsamtaler og
også pårørende grupper. Det giver et helhedssyn vi kigger ikke kun på den
enkelte borger, men også på dem, som er omkring dem. Netværket betyder enormt
meget for, at man ikke står alene. Offentligt behandlingssted)
Tilbud på behandlingssteder med både alkohol- og rusmiddelbehandling
Der er 69 ud af de 100
, som
både tilbyder alkohol- og stofbehandling. Spørgeskemaundersøgelsen viser
overordnet, at medarbejderne på disse 69 behandlingssteder typisk arbejder med både
alkohol- og stofbehandlingen, og at behandlingen typisk foregår på samme lokation og
under samme ledelse.
Dertil viser spørgeskemaundersøgelsen, at 38 % af behandlingsstederne med både
alkohol- og stofbehandling altid blander borgerne på hold- eller gruppeaktiviteter. Dertil
kommer, at 25 % blander borgerne i udvalgte hold- eller gruppeaktiviteter, og 9 %
blander dem, hvis den enkelte borger ønsker det. Kun 12 % holder
behandlingsaktiviteterne adskilt. Heraf er der flest offentligt finansierede private
behandlingssted, der angiver dette (21 %).
Det fremgår desuden af andet -besvarelserne
, at
behandlingsstederne kan have udfordringer med at rekruttere borgere til grupperne, og
at der ikke er efterspørgsel på det. Enkelte af besvarelserne indikerer, at dette for
nogle behandlingssteder er årsagerne til at blande alkohol- og stofafhængighed i en
gruppe, og at det selv med disse kombinerede grupper er svært at samle nok.
91
SUU, Alm.del - 2024-25 - Bilag 302: Orientering om Sundhedsstyrelsens afrapportering om den kulegravning af alkoholbehandlingen, fra indenrigs- og sundhedsministeren
3035092_0093.png
Figur 28 Oversigt over, hvordan behandlingssteder med både alkohol- og stofbehandling sammensætter
deres gruppeaktiviteter. (Kilde: NHG s spørgeskemaundersøgelse, n = 69 (offentlige = 45, offentligt
finansierede private = 19, privat finansierede = 5))
Vi blander altid borgere i alkohol- og
stofmisbrugsbehandling på hold-/gruppeaktiviteter
Vi blander borgere i alkohol- og stofmisbrugsbehandling
på udvalgte hold-/gruppeaktiviteter
Vi holder behandlingsaktiviteter for alkohol- og
stofmisbrugsbehandling adskilt
Vi blander borgere i alkohol- og stofmisbrugsbehandling,
men kun hvis den enkelte borger ønsker det
Vi tilbyder ingen hold- og gruppeaktiviteter
9%
12%
7%
9%
9%
7%
20%
16%
40%
32%
40%
38%
22%
26%
25%
21%
40%
Andet
13%
5%
10%
Offentligt finansieret privat behandlingssted
Total
Offentligt behandlingssted
Privat finansieret behandlingssted
behandlingssteder ser mange faglige fordele ved at samle behandlingerne på samme
behandlingssted. Blandt andet forklarer ledere på behandlingsstederne, at de
følelsesmæssige udfordringer og afhængighedsmønstre kan være ens for de to typer
afhængighed. Set fra behandlernes perspektiv giver et samlet behandlingssted
desuden mulighed for sparring og læring på tværs af faggrupperne, hvilket styrker
behandlingens kvalitet.
Desuden oplever behandlingsstederne, at flere og flere borgere med
alkoholafhængighed også har problemer med stoffer, selvom deres primære
afhængighed er alkohol, eller omvendt. I tilfælde af blandingsafhængighed er der ifølge
behandlingsstederne naturlige fordele ved integreret behandling. Ifølge ledere og
behandlere er det især blandt unge, at der er blandingsafhængigheder.
Samtidig beskriver nogle medarbejdere og ledere på casebesøgene, at flere borgere i
alkoholbehandling føler sig utrygge ved at modtage behandling sammen med
stofafhængige. Denne utryghed skyldes ofte forskelle i livssituationer og
problemstillinger, såsom kriminalitet, sociale udfordringer og psykisk ustabilitet, der er
mere udbredt blandt stofafhægngige. Ligesom de også kan have forskellige
adfærdsmønstre, hvor personer med stofafhængighed ofte har mere udadreagerende
adfærd. Disse oplevelser bekræftes af
om brugeroplevet kvalitet) og var de samme i COWI/Decides afdækning i 2019.
Undersøgelsen peger således på, at der både er ulemper, i form af borgernes
behandlingstilfredshed og oplevelse af tryghed, men også faglige samt økonomiske
fordele ved en integreret alkohol- og stofbehandling.
92
SUU, Alm.del - 2024-25 - Bilag 302: Orientering om Sundhedsstyrelsens afrapportering om den kulegravning af alkoholbehandlingen, fra indenrigs- og sundhedsministeren
3035092_0094.png
4.5.2
Behandlingsmetoder
Ser vi på, hvilke behandlingsmetoder behandlingsstederne anvender, viser
spørgeskemaundersøgelsen
(MI) er de metoder, der anvendes af flest og især blandt de offentligt finansierede
behandlingssteder (jf. Figur 29). Nedenstående figur indikerer, at kognitiv
adfærdsterapi er den behandlingsmetode som oftest tilbydes til borgere med
alkoholproblemer på tværs af alle typer af behandlingssteder. Motivational
interviewning
er den metode som
næstflest af behandlingsstederne anvender. Dog er der en vis forskel mellem typerne
af behandlingssted, og det er især udbredt blandt de offentlige behandlingssteder,
hvoraf næsten alle anvender metoden (98 %). For de privat finansierede
behandlingssteder er andelen to tredjedele. At disse to behandlingsmetoder er blandt
de mest hyppigst anvendte er positivt set i lyset af, at SDU s evidensgennemgang fra
2023 peger på, at kognitiv adfærdsterapi og MI er de hyppigst anbefalede
samtalebaserede metoder med mest veldokumenteret effekt.
Spørgeskemaundersøgelsen viser samtidig, at der er visse forskelle på, hvilke metoder
de offentligt finansierede og de privatfinansierede behandlingssteder benytter sig af.
Næsten alle de privat finansierede behandlingssteder (91 %) anvender 12-trins
behandling, mens ingen af de offentlige behandlingssteder anvender metoden. Hver
femte af de offentligt finansierede private behandlingssteder angiver også at anvende
metoden. 12-trins metoden nævnes ikke i de nationale kliniske retningslinjer, men
sgennemgang beskriver, at metoden formentlig er lige så effektiv som
anden manualbaseret behandling, f.eks. kognitiv adfærdsterapi, og muligvis højere,
hvis behandlingsmålet er afholdenhed, men evidensen er usikker. På den baggrund
vurderes det, at de private behandlingssteders praksis med at anvende 12-trins
metoden i behandlingsforløbet ikke er i uoverensstemmelse med evidensen på
området.
136
Casebesøgene med de offentligt finansierede behandlingssteder viser, at
nogle af dem er imod 12-trins metoden og ikke mener, at der er evidens for metoden,
mens andre blot ikke ønsker at anvende metoden hos dem selv.
Jeg har stor respekt for, at 12-trinsmetoden virker for nogle mennesker, men vi
arbejder på en anden måde. Der er noget i den måde at definere sig som
alkoholiker på, som stritter på os. Det er noget med menneskesynet og forståelsen
af,
(Leder af offentligt finansieret privat
behandlingstilbud)
Foruden 12-trins metoden fremgår det også, at flere af de rent privatfinansierede
behandlingssteder angiver at anvende narrativ terapi og psykodynamisk behandling
end de offentligt finansierede behandlingssteder. Begge er metoder, som effekten af
ikke beskrives i SDU s evidensgennemgang.
137
Statens Institut for Folkesundhed, SDU, 2023.
Litteraturgennemgang af evidens vedrørende
alkoholbehandling,
s. 79
137
Statens Institut for Folkesundhed, SDU, 2023.
Litteraturgennemgang af evidens vedrørende
alkoholbehandling,
(bl.a. s. 81)
93
136
SUU, Alm.del - 2024-25 - Bilag 302: Orientering om Sundhedsstyrelsens afrapportering om den kulegravning af alkoholbehandlingen, fra indenrigs- og sundhedsministeren
3035092_0095.png
Den mindst anvendte behandlingsmetode på tværs af behandlingsstederne er
Community Reinforcement Approach (CRA). Den lave grad af anvendelse af CRA er
iøjnefaldende, da metoden fremhæves i en anbefaling i den nationale kliniske
retningslinje som en behandlingsmetode til borgere i social udsathed.
138
Også SDU s
evidensgennemgang konkluderer på et lavt evidensgrundlag, at metoden for borgere
med et spinkelt socialt netværk og/eller dårligt fysisk og psykisk helbred kan være
udbytterig
139
. Der er ikke undersøgt i NHG s undersøgelse, hvorfor metoden ikke
anvendes mere.
interviews viser, at det især er de offentlige behandlingssteder,
som behandler borgere i social udsathed. Derfor kan det undre, at kun 12 % af de
offentlige behandlingssteder angiver at anvende metoden.
Figur 29 Fordeling af behandlingsmetoderne behandlingsstederne anvender, n=100
Kognitiv adfærdsterapi
Motivational Interviewing
Narrativ terapi
Dobbeltfokuseret terapi
Psykodynamisk behandling
12-trins behandling
Community Reinforcement Approach (CRA)
Offentligt behandlingssted
Privat finansieret behandlingssted
0%
18%
44%
37%
46%
46%
33%
39%
27%
40%
35%
64%
80%
73%
98%
97%
91%
97%
98%
90%
82%
20%
16%
12%
7%
91%
0%
0%
Offentligt finansieret privat behandlingssted
Total
4.6
Sektorovergange
Sektorovergange er som nævnt i starten af dette kapitel især vigtige i forbindelse med
at sikre, at borgere med alkoholafhængighed oplyses om og motiveres til at opsøge
behandling. Sektorovergangene i forbindelse med opsporingsarbejdet beskrives altså i
afsnit 4.2. Derudover kan en borger i løbet af sin behandling være i kontakt med flere
dele af sundhedssektoren, hvorfor sektorovergange er relevante at afdække.
Sundhedsdatastyrelsens fremhæver således også, at størstedelen af borgerne i
alkoholbehandling har kontakt med almen praksis og/eller sygehuset både før og under
behandlingsforløbet
140
.
NHG s spørgeskemaundersøgelse peger på sektorovergange, som en af de største
udfordringer med kvaliteten af alkoholbehandlingen i Danmark (45 %). Det er dog også
værd at bemærke, at det kun er offentligt finansierede behandlingssteder, der har
Sundhedsstyrelsen, 2018.
National klinisk retningslinje for behandling af alkoholafhængighed,
s. 44-45
Statens Institut for Folkesundhed, SDU, 2023.
Litteraturgennemgang af evidens vedrørende
alkoholbehandling,
s. 83
140
Sundhedsdatastyrelsen, 2024.
Alkoholbehandlingen i Danmark.
94
139
138
SUU, Alm.del - 2024-25 - Bilag 302: Orientering om Sundhedsstyrelsens afrapportering om den kulegravning af alkoholbehandlingen, fra indenrigs- og sundhedsministeren
3035092_0096.png
angivet dette som en udfordring, men ingen af de rent privatfinansierede. NHG
vurderer, at en mulig forklaring på, at ingen af de privatfinansierede angiver dette som
en udfordring kan være, at de i mindre grad samarbejder med andre sektorer, og
dermed ikke bekymrer sig om dette.
Samarbejde med den praktiserende læge
Som nævnt tidligere, kan praktiserende læger spille en rolle i forhold til at vejlede
borgere med alkoholproblemer. Derudover kan der i løbet af alkoholbehandlingen også
være samarbejder med praktiserende læge om afrusning og abstinensbehandling.
Således er en relevant sektorovergang i alkoholbehandlingen den til almen praksis.
hvorvidt de orienterer borgernes praktiserende læge om behandlingen (såfremt
borgeren har givet samtykke). Det fremgår af
Figur 30, at 30 % af behandlingsstederne orienterer praktiserende læge både ved
opstart og afslutning af et behandlingsforløb, og 35 % orienterer på andre tidspunkter. I
alt 15 % orienterer ikke praktiserende læger om behandlingsforløbet. Der er er ikke
væsentlige forskelle mellem de to typer af behandlingssteder med offentlig finansiering,
mens ingen af de privatfinansierede behandlingssteder angiver at orientere borgerens
praktiserende læge ved behandlingsopstart. Flest af de privatfinansierede orienterer
borgerens praktiserende læge på anden vis eller på andre tidspunkter. Dansk Selskab
for Almen Medicin oplyser, at almen praksis sjældent oplever at få information fra de
privatfinansierede behandlingssteder.
Figur 30 Andel af behandlingssteder i Danmark der orienterer borgerens praktiserende læge om
behandlingsforløbet (såfremt borgeren har givet samtykke) (Kilde: Spørgeskema, n=100 (offentlige = 59,
offentligt finansierede private= 30, private finansierede = 11))
100%
80%
60%
40%
20%
0%
14%
13% 12%
0%
Ja, ved opstart
55%
37%
32%
30%
27%
13% 8%
2%
Ja, ved afslutning
af patienterne
15% 18%
13% 15%
Nej
37%
23%
35%
0%
Ja, både ved
opstart og
afslutning
Ja, på anden
vis/på andre
tidspunkter
Offentligt behandlingssted
Privat finansieret behandlingssted
Offentligt finansieret privat behandlingssted
Total
Som nævnt tidligere oplever kommunerne samarbejdet med praktiserende læger
varierende, og nogle kommuner oplever, at de praktiserende læger ikke vil stå for
afrusning og abstinensbehandling, da alkoholbehandling er et kommunalt ansvar. I tråd
med de varierende oplevelser af de praktiserende læger fra behandlingsstederne, har
de praktiserende læger også en oplevelse af, at behandlingstilbuddene varierer fra
kommune til kommune. Samarbejdet mellem disse parter kunne styrkes betydeligt,
særligt fordi de kunne hjælpe hinanden i deres respektive arbejde.
95
SUU, Alm.del - 2024-25 - Bilag 302: Orientering om Sundhedsstyrelsens afrapportering om den kulegravning af alkoholbehandlingen, fra indenrigs- og sundhedsministeren
3035092_0097.png
Samarbejde med psykiatrien
COWI/Decides afdækning i 2019 viste ligesom for almen praksis, at nogle steder
havde formaliserede samarbejder med psykiatrien, og nogle ikke havde, samt at dem
med formaliserede samarbejder generelt oplevede et godt og tæt samarbejde, mens
steder uden sådanne aftaler ofte oplevede samarbejdet som vanskeligere
141
.
NHG s undersøgelse viser, at flere behandlingssteder giver udtryk for
samarbejdsvanskeligheder med psykiatrien. Behandlingsstederne oplever, at deres
borgere afvises i psykiatrien netop på grund af deres afhængighed. Dette er en
udfordring, da borgernes psykiske problemstillinger fylder i deres alkoholafhængighed.
Dette gør sig gældende i både offentlige og private behandlingssteder, og er ikke en ny
problemstilling. Per 1. september 2024 får mennesker med behandlelige psykiske
lidelser af moderat til svær grad, som har et psykiatrisk behandlingsbehov og samtidig
rusmiddelproblematik da også et nyt samlet regionalt behandlingstilbud også kaldet
dobbeltdiagnose tilbuddet
142
.
4.7
Opsummering om den faglige kvalitet i alkoholbehandlingen
Der er fortsat et stort opsporingsgab, hvor borgere med behandlingsbehov (omtrent
67.000 borgere med tegn på svære alkoholproblemer og 402.000 borgere med tegn på
moderate alkoholproblemer, hvoraf nogle er behandlingskrævende
143
) langt overstiger
antallet af borgere i behandling (omtrent 28.000 borgere i offentlig såvel som
privatfinansieret behandling
144
).
Af de borgere, der starter i behandling, er der overvejende flest selvhenvendere. Det er
således stadig potentiale for at motivere borgere til at opsøge behandling via andre
aktører, såsom praktiserende læge, sygehusene, og andre forvaltninger. Samtidig
d at have ekstra fokus på
samarbejde med forskellige af disse andre aktører, men at det er meget varierende,
hvorvidt de offentlige behandlingssteder har disse. Samlet set kan det indikere, at der
stadig er en udfordring med, at flere borgere med alkoholproblemer kommer i
behandling via identificering og motivering af borgere med alkoholafhængighed hos
praktiserende læger og andre kommunale forvaltninger.
behandlingssteder selv angiver at arbejde ud fra Sundhedsstyrelsens nationale kliniske
retningslinje for behandling af alkoholafhængighed. Andelen af privatfinansierede, som
arbejder ud fra de nationale kliniske retningslinjer eller Sundhedsstyrelsens
rådgivningsmateriale, er lav (én ud af 11). Samtidig er de nationale kliniske
retningslinjer af ældre dato, og tæt på en tredjedel af behandlingsstederne angiver
COWI & DECIDE, 2019.
Afdækning af kvalitet i offentligt finansieret ambulant alkoholbehandling,
s. 30
Sundhedsstyrelsen, 2023.
Visitation til integreret behandling af mennesker med psykisk lidelse og
samtidig rusmiddelproblematik. Faglig visitatoinsretningslinje.
143
Statens Institut for Folkesundhed, SDU, 2023.
Antal danskere med et alkoholproblem
En analyse
baseret på screeningsværktøjet CAGE-C,
s. 6
142
144
141
96
SUU, Alm.del - 2024-25 - Bilag 302: Orientering om Sundhedsstyrelsens afrapportering om den kulegravning af alkoholbehandlingen, fra indenrigs- og sundhedsministeren
3035092_0098.png
også forældede eller mangelfulde nationale kliniske retningslinjer, som en af de største
udfordringer i alkoholbehandlingen i dag.
Opstart af behandlingen
Tabellen nedenfor samler op på udvalgte kvalitetsindikatorer for opstarten af
alkoholbehandlingen og sammenligner på tværs af offentlige og private
behandlingssteder med offentlig finansiering og rent privatfinansierede
behandlingssteder, og på tværs af 2019 og 2024. De væsentligste forhold uddybes i
det følgende.
Tabel 12 Kvalitetsindikatortabel for opstart af behandlingen, sammenligning af typer af behandlingssteder
og COWI og Decides
spørgeskemaundersøgelse)
Opstart af behandlingen
Offentligt
behandlingssted
2024
Overholder
behandlingsgarantien
Screener systematisk for
somatisk komorbiditet
Screener systematisk for
psykiatrisk komorbiditet
98%
56%
36%
2019
97%
70%
70%
Offentligt finansieret
privat
behandlingssted
2024
90%
93%
73%
2019
97%
70%
70%
Privat finansieret
behandlingssted
2024
100%
36%
27%
2019
ved behandlingsopstart, og
at de privat finansierede behandlingssteder ser ud til at kunne opstarte behandlingen
hurtigere end de offentligt finansierede. Samtidig kan vi konkludere, at langt de fleste
formår at overholde behandlingsgarantien (96 %), og at dette ligger på niveau med
resultaterne fra Servicetjekket i 2019.
Hvad angår screening for somatisk og psykiatrisk komorbiditet, som
Sundhedsstyrelsen i deres rådgivningsmateriale anbefaler sker i en indledende
systematisk kortlægning af borgeren, viser
siden 2019. Især er der sket et fald på screening for psykiatrisk komorbiditet fra 70 % til
46 %. Samtidig kan der være stor forskel på, hvordan de 52 %, som faktisk screener
for psykiatrisk komorbiditet gør det, og hvor omfattende, grundig og systematisk
screeningen er. Det er primært de offentlige behandlingssteder og de rent
privatfinansierede, der i mindre grad følger anbefalingerne fra Sundhedsstyrelsen om
at screene for psykiatrisk komorbiditet.
Det fremgår, at den gennemsnitlige længde på behandlingsforløb fortsat er steget.
Således var behandlingslængden af den offentligt finansierede behandling i 2023 i
gennemsnit lidt over 11 måneder, hvilket er væsentligt længere end de i
udgangspunktet anbefalede tre måneder fra Sundhedsstyrelsen. Der kan dog være
mange usikkerheder og forbehold i forhold til behandlingslængden, blandt andet fordi
data dækker forskellige behandlingstyper (ambulant-, dag- og døgnbehandling), samt
97
SUU, Alm.del - 2024-25 - Bilag 302: Orientering om Sundhedsstyrelsens afrapportering om den kulegravning af alkoholbehandlingen, fra indenrigs- og sundhedsministeren
3035092_0099.png
vi ikke ved hvornår man afsluttes.
viser, at længden på især
ambulante behandlingsforløb som udgangspunkt tilpasses individuelt efter den enkelte
borgers behov. De fleste behandlingssteder har dog standardprincipper for, hvad et
typisk behandlingsforløb indebærer, og beskriver, at et standardforløb typisk varer
omkring seks måneder og nogle steder op til et år eller halvandet.
Undersøgelsen peger også på, at det kan være en udfordring for kvaliteten af
behandlingen, hvis den lange ventetid skyldes, at behandlingsstederne på grund af
travlhed og begrænsede ressourcer må øge tiden mellem samtalerne med den
enkelte borger. Dette kan resultere i for lange intervaller mellem møderne, hvilket kan
være uhensigtsmæssigt for behandlingsforløbet. I den afsluttende fase af behandlingen
tilbydes ofte et lavintensivt forløb. Mens nogle behandlingssteder differentierer taksten
på behandlingen, så prisen afspejler intensiteten, er det usikkert, om alle har
differentierede takster, bl.a. fordi priserne på behandling ikke fremgår for alle
behandlingssteder på Tilbudsportalen.
Behandlingstilbud, -form og metoder
Tabellen nedenfor samler op på udvalgte kvalitetsindikatorer for behandlingstilbud, -
form og -metoder og sammenligner på tværs af offentlige og private behandlingssteder
med offentlig finansiering og rent privatfinansierede behandlingssteder, og på tværs af
2019 og 2024. De væsentligste forhold uddybes i det følgende.
Tabel 13 Kvalitetsindikatortabel for behandlingstilbud, -form og -metoder, sammenligning af typer af
behandlingssteder og 2019 og 2024
spørgeskemaundersøgelse)
BEHANDLINGSTILBUD, -FORM OG -METODER
Offentligt
Offentligt finansieret
behandlingssted
privat behandlingssted
2024
TILBYDER PÅRØRENDE
FORLØB
TILBYDER
FAMILIEBEHANDLING
ANVENDER KOGNITIV
ADFÆRDSTERAPI
ANVENDER
MOTIVATIONAL
INTERVIEWING
ANVENDER COMMUNITY
REINFORCEMENT
APPROACH
ANVENDER
MINNESOTA-/12-TRINS
BEHANDLING
83%
64%
98 %
98 %
2019
75%
70%
96 %
2024
77%
43%
97 %
80 %
2019
92%
85%
92 %
Privatfinansieret
behandlingssted
2024
91%
82%
91 %
73 %
2019
12 %
0%
0%
0%
2%
20 %
69 %
91 %
98
SUU, Alm.del - 2024-25 - Bilag 302: Orientering om Sundhedsstyrelsens afrapportering om den kulegravning af alkoholbehandlingen, fra indenrigs- og sundhedsministeren
3035092_0100.png
ARBEJDER
SYSTEMATISK MED
EFTERBEHANDLING
86%
87%
100%
En indikator for, om alkoholbehandlingen i Danmark har en høj faglig kvalitet er,
hvorvidt den baserer sig på evidensbaseret metoder. Nedenfor opsummeres
ehandlingsstederne i deres tilbud
og metoder følger evidensen på området.
Det primære tilbud til borgerne er på tværs af behandlingsstederne individuel terapi,
efterfulgt af gruppeterapi. Dette flugter med Sundhedsstyrelsens anbefalinger og
evidens på området, som bredt anbefaler at tilbyde samtalebehandling i enten gruppe-
eller individuelt format, da der ikke er fundet forskel i effekten af de to. Samtidig kan vi
konkludere, at der fortsat er en relativt stor andel, der tilbyder NADA-akupunktur,
selvom der stadig ikke er evidens for, at NADA-akupunktur har effekt.
Der er en mindre andel af de offentlige behandlingssteder, der tilbyder
familieorienterede behandling, som der ellers er evidensgrundlag for, og som
Sundhedsstyrelsen anbefaler at tilbyde. Dertil viser undersøgelsen, at den
internetbaserede behandling ikke er et særlig udbredt tilbud. Efterhånden som
forskning viser, at der er god effekt af den internetbaserede behandling, kan der være
potentiale i at udbrede dette tilbud.
ikke tilbyder dette, og der er også bemærkninger om, at de udbudte tilbud til pårørende
er meget varierende i omfang. At der er en andel af behandlingsstederne, som ikke har
tilbud til pårørende, er tidligere blevet fremhævet som en udfordring, også set i lyset af,
at der er en stærk anbefaling fra Sundhedsstyrelsen om at tilbyde dette. Andelen der
ikke har dette tilbud, er stort set uændret i forhold til tidligere undersøgelser, til trods for
motiverende samtale (motivational interviewing) er blandt de mest hyppigst brugte
metoder i selve behandlingen bredt set på tværs af typer af behandlingssteder. Det
viser, at behandlingsstederne i forhold til metodevalg følger evidensen på området, da
disse fremhæves som de mest hyppigst anbefalede samtalebaserede metoder, og dem
hvor effekten er mest veldokumenteret.
Derudover er der dog visse forskelle på, hvilke metoder de offentligt finansierede og de
privatfinansierede behandlingssteder benytter sig af. Hvor de privatfinansierede
behandlingssteder i høj grad anvender 12-trins metoden, anvender ingen af de
offentlige behandlingssteder denne. Da evidensen viser, at metoden formentlig er lige
så effektiv som anden manualbaseret behandling, f.eks. kognitiv adfærdsterapi, og
muligvis højere, vurderes denne praksis at stemme overens med evidensen på
området.
Den mindst anvendte behandlingsmetode på tværs af behandlingsstederne er
Community Reinforcement Approach (CRA), selvom denne fremhæves i den nationale
kliniske retningslinje, som en god metode til borgere i social udsathed.
99
SUU, Alm.del - 2024-25 - Bilag 302: Orientering om Sundhedsstyrelsens afrapportering om den kulegravning af alkoholbehandlingen, fra indenrigs- og sundhedsministeren
3035092_0101.png
Medicinsk og sundhedsfaglig behandling
Tabellen nedenfor samler op på udvalgte kvalitetsindikatorer for medicinsk og
sundhedsfaglig behandling og sammenligner på tværs af offentlige og private
behandlingssteder med offentlig finansiering og rent privatfinansierede
behandlingssteder, og på tværs af 2019 og 2024. De væsentligste forhold uddybes i
det følgende.
Tabel 14 Kvalitetsindikatortabel for medicinsk og sundhedsfaglig behandling, sammenligning af typer af
behandlingssteder og 2019 og 2024
spørgeskemaundersøgelse og COWI og Decides
spørgeskemaundersøgelse)
MEDICINSK OG SUNDHEDSFAGLIG BEHANDLING
Offentligt
behandlingssted
2024
LÆGEÅRSVÆRK
SYGEPLEJERSKEÅRSVÆRK
VARETAGER
AFRUSNING/ABSTINENSBEHANDLING
HAR TILBUD OM MEDICINSK
BEHANDLING
ANVENDER ACAMPROSAT
0,4
1,8
69%
92%
81%
2019
0,6
1,8
77%
87%
80%
Offentligt
finansieret privat
behandlingssted
2024
2019
0,6
1,4
70%
80%
73%
0,9
1,9
77%
100%
77%
Privatfinansieret
behandlingssted
2024
0,2
0,1
18%
0%
2019
Størstedelen af de offentligt finansierede alkoholbehandlingssteder varetager
selvstændigt afrusning og abstinensbehandling, mens det er en mindre andel af de rent
privat finansierede behandlingssteder. Det er primært læger og sygeplejersker, som
foretager afrusningen og abstinensbehandlingen.
viser, at disulfiram (Antabus) stadig er det lægemiddel, som
anvendes på flest alkoholbehandlingssteder, på trods af at dette ikke er førstevalgs-
eller andenvalgspræparat. Desuden fremgår det, at salget af disulfiram opgjort i
definerede døgndoser (DDD) har været støt faldende siden 2019, mens salget af
acamprosat og naltrexon langsomt er steget. Disulfiram er dog fortsat langt det mest
solgte lægemiddel opgjort i definerede døgndoser, hvilket indikerer, at der stadig er
langt flere borgere, der modtager disulfiram til behandling af deres
alkoholafhængighed, end det anbefalede acamprosat. Samtidig kan vi konkludere, at
læger, der behandler patienter for alkoholafhængighed, siden Servicetjekket i 2019 i
højere grad er begyndt at følge Sundhedsstyrelsens anbefalinger til medicinsk
behandling, men at der stadigvæk er grund til at arbejde for, at de nationale
anbefalinger bliver fulgt i højere grad.
Den faglige kvalitet i alkoholbehandlingen varierer afhængigt af, om behandlingen
foregår på offentlige behandlingssteder, offentlig finansierede private
100
SUU, Alm.del - 2024-25 - Bilag 302: Orientering om Sundhedsstyrelsens afrapportering om den kulegravning af alkoholbehandlingen, fra indenrigs- og sundhedsministeren
3035092_0102.png
behandlingssteder eller rent privatfinansierede behandlingssteder. Generelt tilpasses
behandlingsforløbene efter borgernes individuelle behov, men der er forskelle i de
anvendte metoder, det sundhedsfaglige behandlingstilbud og fleksibiliteten på tværs af
disse tilbud. Det er vanskeligt endeligt at vurdere, hvor den faglige kvalitet i
behandlingen er bedst.
På offentlige behandlingssteder er der ofte en klarere struktur og overensstemmelse
med Sundhedsstyrelsens retningslinjer, hvilket sikrer en vis ensartethed i
behandlingskvaliteten på tværs af kommunerne. De offentlige behandlingssteder har
en styrke i forhold til mulighederne for at samarbejde på tværs af forskellige
kommunale og offentlige instanser. En udfordring omhandler visitationen til dag- og
døgnbehandling, som typisk ifølge Sundhedsstyrelsen skal baseres på en vurdering af
både alkoholafhængighedens sværhedsgrad og sociale faktorer som hjemløshed,
arbejdsløshed eller psykisk sygdom, men hvor de sociale forhold synes at gives mest
vægt. Den primære udfordring omhandler dog, at der er indikationer på en geografisk
variation i visitationskriterierne til dag- og døgnbehandling. Det kan betyde, at der er
forskel på, hvilket behandlingstilbud man får, alt efter hvor man bor.
De offentligt finansierede private behandlingssteder ser ud til i et vidst omfang at
varetage en anden målgruppe end de offentlige behandlingssteder. Det kan være et
tegn på, at de to typer behandlingssteder imødekommer forskellige behov. De private
behandlingssteder med offentlig finansiering har for eksempel ofte større mulighed for
at imødekomme borgernes behov i forhold til tilgængelighed, herunder i ydertimer.
Derudover indikerer undersøgelsen, at de offentligt finansierede private
behandlingssteder i overvejende grad arbejder efter samme standarder, retningslinjer
og metoder, som de offentlige tilbud. Kvaliteten og brugen af evidensbaserede metoder
kan dog variere afhængigt af leverandøren.
De privatfinansierede behandlingssteder er ikke underlagt de samme kriterier, som den
offentligt finansierede behandling, da borgerne selv betaler for behandlingen. Det
betyder også, at det i udgangspunktet er mere ressourcestærke borgere, der benytter
sig af tilbuddene. Privatfinansierede behandlingssteder tilbyder dermed dels adgang til
døgnbehandling til en målgruppe, som sandsynligvis ikke ville kunne få adgang til
døgnbehandling gennem det offentlige system. Dels tilbyder de hurtig adgang til
døgnbehandling. De privatfinansierede adskiller sig dertil fra de offentlige
behandlingssteder ved typisk at anvende 12-trinsmetoden, hvilket ikke nødvendigvis
betyder en lavere kvalitet, men at tilbuddet er et andet. Derudover tilbyder de
privatfinansierede i langt mindre grad end de offentligt finansierede behandlingssteder
medicinsk og sundhedsfaglig behandling.
Samlet set peger undersøgelsen på, at der er forskelle mellem offentlige, offentlig
finansierede private og privatfinansierede behandlingssteder i forhold til
behandlingstilbud, -metoder og overholdelse af nationale retningslinjer. Herunder viser
undersøgelsen, at der kan være udfordringer forbundet med at sikre tilgængeligheden
af tilbud, der er dokumenteret effekt af, såsom pårørende tilbud og familiebehandling. I
forbindelse hermed fremgår det, at nogle evidensbaserede metoder anvendes i vidt
omfang (for eksempel kognitiv adfærdsterapi og motivational interviewing), mens andre
ikke næsten anvendes (Community Reinforcement approach), og andre metoder, der
101
SUU, Alm.del - 2024-25 - Bilag 302: Orientering om Sundhedsstyrelsens afrapportering om den kulegravning af alkoholbehandlingen, fra indenrigs- og sundhedsministeren
3035092_0103.png
ikke er dokumentation for effekten af, samtidig er udbredt (for eksempel NADA-
akupunktur).
Ovenstående peger gennemgående på, at retningslinjer og standarder ikke er
opdaterede og ikke-bindende, hvilket bidrager til varierende kvalitet på tværs af
behandlingssteder.
102
SUU, Alm.del - 2024-25 - Bilag 302: Orientering om Sundhedsstyrelsens afrapportering om den kulegravning af alkoholbehandlingen, fra indenrigs- og sundhedsministeren
3035092_0104.png
103
SUU, Alm.del - 2024-25 - Bilag 302: Orientering om Sundhedsstyrelsens afrapportering om den kulegravning af alkoholbehandlingen, fra indenrigs- og sundhedsministeren
3035092_0105.png
5.
Efterbehandling
Kapitlet beskriver, hvad evidensen og de nationale anbefalinger om efterbehandling er,
samt hvordan efterbehandling ser ud i praksis i Danmark i dag med et fokus på,
hvorvidt udbud og efterspørgsel på efterbehandling stemmer overens. Derudover har
kapitlet afdækket, hvordan praksis generelt ser ud i Norden.
SAMMENFATNING OM RESULTATER OM EFTERBEHANDLING
Der er nogen evidens for, at effekten af et behandlingsforløb er større, hvis der tilbydes
efterbehandling, end hvis der ikke gør. Denne evidens har ført til en generel anbefaling
i de nationale kliniske retningslinjer om at tilbyde efterbehandling. Men der findes ikke
konkrete anbefalinger til, hvordan et tilstrækkeligt efterbehandlingsforløb af god kvalitet
bør se ud.
Den
stor mulighed for, at behandlingsstederne selv kan tilrettelægge efterbehandlingen.
Derfor kan de fleste behandlingssteder siges at leve op til anbefalingen om
ndersøgelse
synliggør således samlet set, at der bredt set eksisterer et efterbehandlingstilbud i
Danmark i dag, men under forskellige navne, typer, former og grader af intensitet.
De konkrete fund, som dette baseres på, opsummeres nedenfor.
RETNINGSLINJER OG EVIDENS FOR EFTERBEHANDLING
Der er evidens for, at der er (en lille) effekt
af efterbehandling, men evidensen er
svag.
De nationale kliniske retningslinjer beskriver,
at effekten af et behandlingsforløb er større
efter endt forløb, hvis der tilbydes et
efterbehandlingsforløb, end hvis der ikke gør.
En yderligere videnskabelig
litteraturgennemgang viser en generel positiv
betydning af efterbehandling til trods for, at
der ofte findes en relativt begrænset effekt.
De nationale kliniske retningslinjer for
behandling af alkoholafhængighed
anbefaler overordnet at tilbyde
efterbehandling.
På baggrund af evidensen på området
anbefaler de nationale kliniske retningslinjer
efterbehandling, men der foreligger ikke
konkrete instrukser om form, indhold og
længde. Desuden fremgår det ikke klart, om
efterbehandling kan ses som opfølgning,
forlængelse af et eksisterende forløb eller
bør være et separat tilbud.
PRAKSIS FOR EFTERBEHANDLING I DAG
Langt de fleste af behandlingsstederne på
tværs af finansieringstype (88 %) arbejder
enten selv med efterbehandling eller
henviser til det hos andre.
at den hyppigste form for efterbehandling,
der tilbydes i dag, er opfølgende samtaler i
egen organisation. Størstedelen af
behandlingsstederne angiver at tilbyde dette,
som kan antages i mange tilfælde at svare til
en langsom udfasning af et forløb.
Efterbehandling omfatter i praksis tre
overordnede tilgange med forskellige
intensiteter og indhold.
Efterbehandling udformes typisk som
forskellige udgaver af 1) en indbygget
lavintensiv fase i den sidste del af især det
ambulante behandlingsforløb, 2)
behandlerfacilitererede
efterbehandlingsgrupper eller 3) peer-drevne
efterbehandlingstilbud. Det er uvist, hvorvidt
de forskelligartede typer af efterbehandling,
som har forskellig intensitet og dermed
104
SUU, Alm.del - 2024-25 - Bilag 302: Orientering om Sundhedsstyrelsens afrapportering om den kulegravning af alkoholbehandlingen, fra indenrigs- og sundhedsministeren
3035092_0106.png
behandlingsomkostninger, altid honoreres
med en pris, der afspejler intensiteten, eller
om de i nogle tilfælde honoreres efter samme
takster - og også som det øvrige
behandlingsforløb.
De privatfinansierede behandlingssteder
tilbyder i højere grad
efterbehandlingsgrupper i egen
organisation eller henviser til AA eller NA.
Mens samtlige af de privatfinansierede
behandlingssteder i
spørgeskemaundersøgelsen har egne
efterbehandlingsgrupper eller henviser til AA
eller NA, er andelen 39 % blandt de offentlige
behandlingstilbud.
Danmark skiller sig ud i Norden ved
eksplicit at beskrive efterbehandling i
deres NKR, men praksis ser ud til at være
relativt ens.
I de øvrige nordiske landes nationale kliniske
retningslinjer for alkoholbehandling nævner
nogle selvhjælps- eller støttegrupper, eller
andre sociale og frivillige tilbud, herunder
religiøse grupper, men ikke eksplicit
efterbehandling, ligesom i Danmark. Dog
indikerer desk research, at efterbehandling i
andre nordiske lande i praksis på
behandlingsstederne omfatter de samme
overordnede tilgange.
MATCHET MELLEM UDBUD OG BEHOV FOR EFTERBEHANDLING
Der er bred enighed om det store behov
for efterbehandling.
Brugere såvel som ledere og medarbejdere
på behandlingssteder offentlige og private -
understreger vigtigheden af efterbehandling,
idet brugerne har brug for at understøttes i
overgangen fra behandling til hverdag. Især
oplever behandlingsstederne, at
døgnbehandling set fra et brugerperspektiv
aldrig kan stå alene
.
5.1
Formål og baggrund
I dette kapitel undersøges et delområde i alkoholbehandlingen, nemlig efterbehandling.
Efterbehandling er den behandling, der finder sted efter et struktureret
alkoholbehandlingsforløb (enten ambulant, dag eller døgn) i et forsøg på at fastholde
borgerens nye vaner og følge op på deres forløb.
Der har ikke tidligere været et stort eller systematisk fokus på efterbehandling, og
emnet blev for eksempel ikke berørt i servicetjekket af alkoholbehandlingsområdet fra
2019. Dog anbefaler de nationale kliniske retningslinjer stadig, at man som led i
alkoholbehandlingen etablerer efterbehandling
145
.
Formålet med kapitlet er at kortlægge udbuddet af efterbehandling i Danmark i dag
med fokus på, hvordan dette stemmer overens med behovet.
145
Sundhedsstyrelsen, 2018.
National klinisk retningslinje for behandling af alkoholafhængighed,
s. 8.
105
SUU, Alm.del - 2024-25 - Bilag 302: Orientering om Sundhedsstyrelsens afrapportering om den kulegravning af alkoholbehandlingen, fra indenrigs- og sundhedsministeren
3035092_0107.png
Kapitlet har været centreret om følgende primære undersøgelsesspørgsmål:
Hvilke efterbehandlinger og tilbud findes der i Danmark, Norden eller andre
lande med samme sundhedsstruktur?
Hvilken effekt er der af efterbehandling?
Er der eksempler på efterbehandling, der med fordel kunne udbredes?
Mangler der tilbud om efterbehandling i Danmark?
Kapitlet er delt op i tre underafsnit: 1) Retningslinjer for og evidens om efterbehandling,
2) Efterbehandling i praksis i dag, og 3) Matchet mellem udbuddet og behovet for
efterbehandling, som beskriver, hvorvidt der er et overset potentiale i at udvikle
efterbehandling og et ikke-imødekommet behov.
5.1.1
Datagrundlag
Kapitlet bygger på
landsdækkende spørgeskemaundersøgelse til offentlige
såvel som selvejende og private behandlingssteder. Spørgeskemaundersøgelsen er
besvaret af 62 % af de danske behandlingssteder, som vi har identificeret i forbindelse
med denne undersøgelse. Dertil bygger kapitlet især på de 15 kvalitative casebesøg
med interviews med ledere og medarbejdere på offentligt såvel som privatfinansierede
behandlingssteder, som er gennemført i forbindelse med
. De
kvantitative og kvalitative data vil i løbet af kapitlet supplere hinanden.
Kapitlet trækker også på Sundhedsstyrelsens nationale kliniske retningslinje for
behandling af alkoholafhængighed fra 2018, samt den videnskabelige litteratur bag.
Dertil er diverse dokumenter og hjemmesider fra de besøgte alkoholbehandlingssteder
anvendt som baggrundsmateriale. Endelig er der inddraget oplysninger fra blandt
andet
www.sundhed.dk
og interesseorganisationen Alkohol og Samfund.
For at
afdække effekten af efterbehandling baserer kapitlet sig derfor også på en systematisk
litteratursøgning i videnskabelige databaser som PubMed, Scopus, Cochrane Library
og Google Scholar. Denne er også blevet anvendt til at afdække praksis vedrørende
efterbehandling i Norden, og i den forbindelse er forskellige svenske, norske og finske
myndigheders og behandlingstilbuds hjemmesider også blevet gennemgået.
106
SUU, Alm.del - 2024-25 - Bilag 302: Orientering om Sundhedsstyrelsens afrapportering om den kulegravning af alkoholbehandlingen, fra indenrigs- og sundhedsministeren
3035092_0108.png
5.2
Retningslinjer for og evidens om efterbehandling
Ifølge Sundhedsstyrelsens nationale kliniske retningslinjer anbefales
efterbehandlingstilbud til flertallet af personer med alkoholafhængighed efter
afslutningen af en struktureret alkoholbehandling
146
. Evidens på området viser ifølge
den nationale kliniske retningslinje, at en person med alkoholafhængighed, som indgår
i et efterbehandlingsforløb, vil have flere afholdende dage end personer, som ikke
deltager i efterbehandlingsforløb. Desuden beskriver retningslinjen, at flere personer
med alkoholafhængighed vil være afholdende ved etårs opfølgning, hvis de får eller har
fået efterbehandling. Altså peger evidensen på, at effekten af et behandlingsforløb er
større efter endt forløb, hvis der tilbydes efterbehandling, end hvis der ikke gør. Dog er
evidensen, der beskrives i den
nationale kliniske retningslinje,
forholdsvis svag og alene
Som supplement til et
baseret på fire randomiserede
alkoholbehandlingsforløb anbefales
kontrollerede videnskabelige
efterbehandling
studier. Samtidig er det
Overvej at tilbyde efterbehandling efter et
nødvendigt at være
struktureret alkoholbehandlingsforløb til personen
opmærksom på, at det ofte er
med alkoholafhængighed.
præmissen for studier af
denne karakter, der er
Et efterbehandlingsforløb kan strække sig over 3-
multifacetterede, og evidensen
12 måneder, udføres af professionelle
derfor sjældent vil være stærk.
alkoholbehandlere og er af vedligeholdende
Også
videnskabelige
forebygge tilbagefald og at hjælpe hurtigt i tilfælde
litteratursøgning bekræfter, at
af tilbagefald. Efterbehandlingen kan fx være
efterbehandling og effekten af
telefonopkald hver anden uge i et år eller
samme er et underbelyst
gruppebaserede/individuelle samtaler med brug af
kognitive og/eller motivationssøgende teknikker.
område inden for
videnskabelig litteratur. Der
Kilde:
https://www.sst.dk/-
findes således få artikler om
/media/Udgivelser/2018/NKR-
emnet, der er publiceret for
alkoholbehandling.ashx
mindre end ti år siden. De
eksisterende studier har ofte
begrænsninger i form af lavt
datagrundlag, bias med mere
147
. Den videnskabelige litteratur fremhæver
efterbehandlingens positive betydning for behandlingsresultater, selvom evidensen
viser, at effekten er begrænset
148
. En systematisk litteraturgennemgang fra 2021 viser,
at den samlede effekt af efterbehandling er svag, når resultater fra individuelle studier
karakter. Fokus for efterbehandlingen er at
Sundhedsstyrelsen, 2018.
National klinisk retningslinje for behandling af alkoholafhængighed.
Mellentin, A. et al. 2017.
Cue exposure therapy for the treatment of alcohol use disorders: A meta-
analytical review.
148
McKay 2021.
Impact of Continuing Care on Recovery From Substance Use Disorder;
Kelly, P. et al.
2021.
Predictors of consent and engagement to participate in telephone delivered continuing care
following specialist residential alcohol and other drug treatment;
Mellentin Angelina et al. 2019.
A Mobile
Phone App Featuring Cue Exposure Therapy As Aftercare for Alcohol Use Disorders: an Investigator-
Blinded Randomized Controlled Trial;
107
147
146
SUU, Alm.del - 2024-25 - Bilag 302: Orientering om Sundhedsstyrelsens afrapportering om den kulegravning af alkoholbehandlingen, fra indenrigs- og sundhedsministeren
3035092_0109.png
sammenlægges
149
. Dog fremgår det, at efterbehandling over en længere periode, hvor
der fokuseres på at fastholde brugeren i efterbehandlingen, har en højere grad af
effekt. Derudover fremgår det af den videnskabelige søgning, at der i stigende grad
eksperimenteres med forskellige metoder til efterbehandling, herunder telefonsamtaler,
apps, mindfulness, hvoraf nogle metoder vises at have lav til moderat effekt, mens
andre har ingen effekt under studierne
150
.
På basis af den tilgængelige viden kan personer med alkoholafhængighed ifølge de
nationale kliniske retningslinjer med fordel tilbydes et mindre intensivt
efterbehandlingsforløb efter et alkoholbehandlingsforløb, hvor formålet bør være at
støtte personen i vedligeholdelse af alkoholafvænningen og forebyggelse af eventuelle
tilbagefald
151
.
På grund af den svage evidens på området fremgår det ikke tydeligt af den nationale
kliniske retningslinje, hvordan et efterbehandlingsforløb skal opbygges eller
struktureres, herunder i forhold til længde og indhold. Desuden er det ikke klart, om
efterbehandlingen bør være 1) en del af borgerens primære behandlingsplan, 2) en
forlængelse af et eksisterende alkoholbehandlingsforløb eller 3) et separat tilbud. I den
nationale kliniske retningslinje beskrives dog nogle hovedlinjer for efterbehandling som
et forløb, der bør gennemføres af professionelle alkoholbehandlere og kan strække sig
over en periode på 3-12 måneder. Forløbet kan basere sig på for eksempel jævnlige
telefonopkald, gruppebaserede eller individuelle samtaler med brug af kognitive
og/eller motivationssøgende teknikker. Disse meget overordnede retningslinjer giver
stor fleksibilitet til, at behandlingsstederne kan tilpasse efterbehandlingsforløbet til den
enkelte borger og dennes ønsker og behov. Det betyder samtidig, at der er stor
mulighed for, at behandlingsstederne selv inden for de overordnede rammer kan
tilrettelægge og beslutte, hvilket efterbehandlingstilbud de vil stille til rådighed.
Den offentlige portal
www.sundhed.dk
beskriver, at efterbehandling kan bestå af
deltagelse i støttegrupper med andre, der har været i alkoholbehandling, eller af
kontrolbesøg hos alkoholbehandleren, telefonopkald eller deltagelse i andre tilbud
152
.
Dette er også en forholdsvis løs beskrivelse, der åbner for, at efterbehandling kan
tilrettelægges på flere forskellige måder. Desuden er der ikke angivelser af intensiteten
eller ressourceforbruget ved efterbehandling.
I det følgende afsnit beskrives, hvordan efterbehandling konkret udformes på
alkoholbehandlingssteder.
5.3
Praksis for efterbehandling i dag
Af den landsdækkende spørgeskemaundersøgelse til behandlingsstederne, som er
gennemført i forbindelse med
, fremgår det, at samlet set 88% af
McKay, 2021.
Impact of Continuing Care on Recovery From Substance Use Disorder.
Mellentin et al., 2019
A Mobile Phone App Featuring Cue Exposure Therapy As Aftercare for Alcohol
Use Disorders: an Investigator-Blinded Randomized Controlled Trial;
McKay 2021.
Impact of Continuing
Care on Recovery From Substance Use Disorder.
151
Sundhedsstyrelsen, 2018.
National klinisk retningslinje for behandling af alkoholafhængighed.
152
Becker, U. & Nielsen, A. S., 2023.
Alkoholproblemer, behandling.
108
150
149
SUU, Alm.del - 2024-25 - Bilag 302: Orientering om Sundhedsstyrelsens afrapportering om den kulegravning af alkoholbehandlingen, fra indenrigs- og sundhedsministeren
3035092_0110.png
de adspurgte behandlingssteder enten selv arbejder systematisk med efterbehandling
eller henviser til en anden institution for modtagelse af efterbehandling (se Figur 31).
Opdelt på type af behandlingssted er fordelingen fortsat relativt lige, udover at alle de
privatfinansierede behandlingssteder angiver at arbejde med efterbehandling enten
selv eller via henvisning til anden institution.
Figur 31 Behandlingssteder i Danmark der systematisk arbejder med efterbehandling, n=100 (Kilde:
Spørgeskema, n= 100, offentlige behandlingstilbud = 59, Offentligt finansierede private tilbud = 30, Privat
finansieret private tilbud = 11)
Offentligt behandlingssted
Privat behandlingssted med offentlig finansiering
Privat behandlingssted med privat finansiering
Total
Arbejder systematisk med efterbehandling
86%
87%
100%
88%
12%
14%
13%
Arbejder ikke systematisk med efterbehandling
Casebesøgene på de 15 alkoholbehandlingssteder bekræfter, at de fleste har fokus på
efterbehandling, da majoriteten af de besøgte behandlingssteder fortalte, at de havde et
efterbehandlingstilbud. En motiverende faktor for enkelte behandlingssteder er også, at
de med et fokus på efterbehandling får bedre mulighed for at monitorere på effekten af
deres alkoholbehandling, altså på systematisk måle på succes og tilbagefald for
borgerne, der har indgået i et behandlingsforløb.
Af Figur 32 fremgår det, hvilke typer af efterbehandling behandlingsstederne tilbyder.
Næsten alle behandlingssteder (92 %), der angiver at arbejde med efterbehandling,
tilbyder efterbehandling gennem opfølgende samtaler i egen organisation (for
eksempel fysiske eller telefoniske samtaler). Der er nogen variation mellem typerne af
behandlingssteder, hvor andelen af offentligt finansierede private behandlingssteder,
som tilbyder efterbehandling ved opfølgende samtaler (81 %) er mindre end for de
øvrige to typer af behandlingssteder (91-98 %).
For de andre slags efterbehandlingstilbud er der store forskelle på, hvorvidt de
forskellige typer af behandlingssteder tilbyder disse. Således fremgår det for eksempel,
at alle de privatfinansierede behandlingssteder tilbyder både efterbehandlingsgrupper i
egen organisation eller henviser til AA (Anonyme Alkoholikere) - eller NA (Narcotics
Anonymous) -møder
153
. Modsat er andelen af de offentligt finansierede
behandlingssteder, som tilbyder eller henviser til disse typer efterbehandling, blot 39 %.
Samme tendens gør sig gældende for sociale begivenheder i egen organisation (for
eksempel ved højtider), hvor det fremgår, at der er flest privatfinansierede
behandlingssteder, der tilbyder dette (73 %), dernæst offentligt finansierede private
behandlingssteder (42 %), og færrest offentligt finansierede behandlingssteder (12 %).
Hvis et alkoholbehandlingssted alene henviser til AA eller NA kan det diskuteres, om dette er
tilstrækkeligt til at sige, at de har fokus på efterbehandling eller har et tilbud herom.
109
153
SUU, Alm.del - 2024-25 - Bilag 302: Orientering om Sundhedsstyrelsens afrapportering om den kulegravning af alkoholbehandlingen, fra indenrigs- og sundhedsministeren
3035092_0111.png
Generelt set er der få behandlingssteder som anvender de øvrige slags
efterbehandlingstilbud
Blandt de behandlingssteder, som har angivet at tilbyde andre typer efterbehandling,
nævnes bl.a. oplysning om kommunale tilbud i hjemkommunen, selvhjælpsgrupper
med SMART recovery, og generelt selvhjælpsgrupper drevet af borgere selv eller
henvisning til aktivitetstilbud eller sociale netværk (f.eks. foreningsliv eller frivilligt
arbejde). Det stemmer overens med NHG s casebesøg, hvor nogle ledere og
medarbejdere nævnte vigtigheden af at aktivere borgerne og facilitere, at de kunne
integreres i lokalsamfundet efter endt behandling. Aktiveringen kunne eksempelvis
bestå af henvisning til fritidsaktiviteter såsom fitness eller svømning. I
spørgeskemaundersøgelsen angiver enkelte døgnbehandlingssteder også at henvise
til kommunale tilbud i hjemkommunen, såsom ambulant behandling.
Figur 32 Typen af efterbehandlingstilbud der enten tilbydes på behandlingsstedet, eller der henvises til,
n=88 (Kilde: Spørgeskema: n=88, offentlige = 51, Offentligt finansierede private = 26, Privat finansierede
private = 11)
98%
91%
92%
100%
100%
73%
Opfølgende samtaler hos jer selv
Efterbehandlingsgrupper i egen organisation
AA- eller NA-møder
Sociale begivenheder i egen organisation
Andre efterbehandlingsgrupper hos
civilsamfundsaktører
Lænken
Andet
0%
12%
28%
14%
15%
13%
23%
14% 23%
15%
39%
53%
39%
38%
47%
62%
81%
42%
2%
0% 8%
0%
0%
20%
40%
60%
80%
100%
Offentligt behandlingssted
Privat finansieret behandlingssted
Offentligt finansieret privat behandlingssted
Total
Note: Figuren summerer til over 100 %, da hvert behandlingssted kan tilbyde eller henvise til flere former
for efterbehandling.
casebesøg har behandlingsstederne beskrevet, hvordan deres
efterbehandling ser ud i praksis. Med henblik på at belyse, om der er eksempler på
efterbehandling, der med fordel kunne udbredes, beskrives forskellige typer af
behandlingssteders efterbehandlingstilbud mere indgående nedenfor.
Efterbehandling som udfasning af ambulant forløb
Af caseundersøgelsen fremgår det, at efterbehandling hos kommunerne ofte betragtes
som en forlængelse af borgernes ambulante forløb og altså ikke som et særskilt
efterbehandlingsforløb. Det betyder, at efterbehandlingen er udgjort af en fortsættelse
af de ambulante samtaler, men hvor hyppigheden af samtalerne er blevet mindsket, fx
til en gang månedligt. Dette kan for eksempel være i de sidste tre til seks måneder af
110
SUU, Alm.del - 2024-25 - Bilag 302: Orientering om Sundhedsstyrelsens afrapportering om den kulegravning af alkoholbehandlingen, fra indenrigs- og sundhedsministeren
3035092_0112.png
det ambulante behandlingsforløb, og i den type samtaler fokuseres der på
vedligeholdelse. Denne form for efterbehandling som en indbygget, sidste lavintensiv
fase af det ambulante behandlingsforløb vil især være det eneste
efterbehandlingstilbud på mindre behandlingssteder.
Behandlerfaciliterede efterbehandlingsgrupper
Caseundersøgelsen viser, at flere af de enten offentligt- eller privatfinansierede private
behandlingssteder tilbyder efterbehandling som et separat tilbud efter enten dag- eller
døgnbehandling. Det kan for eksempel være som et gruppeforløb på mellem 4-12
måneder, hvor grupperne mødes typisk en til to gange ugentligt og faciliteres af en
behandler. Fokus vil være på bevarelse af ens bedring og alkoholafvænning samt
tryghed til
slivet. For eksempel Blå Kors, Plan A og Tjele
tilbyder en form for efterbehandling, der ligner dette.
Ligesom de behandlerfaciliterede efterbehandlingsgruppeforløb ved de private
dette. Eksempelvis har Helsingør Kommune en efterbehandlingsgruppe, som består af
højest otte deltagere. Formålet er at fastholde alkohol- eller rusmiddelstoppet, og
medarbejdere fra Helsingør Rusmiddelcenter holder oplæg om strategier til at holde
borgeren fra alkoholen og stofferne. Gruppedeltagerne giver også hinanden feedback.
Gruppen mødes en gang om ugen.
154
Caseundersøgelsen viser, at også andre kommuner har forsøgt sig med sådanne
efterbehandlingsgrupper, men oplever, at det kan være svært at rekruttere et
tilstrækkeligt antal borgere til grupperne. Det begrundes med, at mange borgere anser
behandlingsforløb, og derfor ikke ønsker yderligere kontakt. Herudover kræver det
samtykke fra borgerne, hvis de skal kontaktes efter endt forløb
155
.
Peer- eller frivilligdrevne efterbehandlingstilbud
Frivilligdrevne efterbehandlingstilbud hos kommunerne
Nogle kommuner har også valgt at oprette primært frivilligt drevne selvhjælpsgrupper,
cafeer, væresteder, mødested eller lignende. Disse sker som oftest med minimal hvis
nogen - behandlerstøtte og har til formål at skabe alkoholfrie fællesskaber og sociale
aktiviteter for de tidligere alkoholafhængige - ofte kombineret med tidligere
stofafhængige. Der er eksempler at finde herpå i
Kolding Kommune,
Kommune. Sidstnævnte efterbehandlingstilbud er et eksempel, der tidligere er blevet
fremhævet på Alkohol & Samfunds nationale Alkoholkonference i 2024. Det beskrives
nedenfor.
Helsingør Rusmiddelcenter.dk, u.å.
Hvordan foregår efterbehandlingen?
Udfordringen med samtykke er også en forklaring på, at flere af alkoholbehandlingssteder ser
efterbehandlingen, som en integreret del af deres samlede alkoholbehandlingsforløb, fordi de så kan
undgå at skulle sikre et samtykke til at kunne kontakte borgerne igen med henblik på et særskilt
efterbehandlingsforløb.
111
155
154
SUU, Alm.del - 2024-25 - Bilag 302: Orientering om Sundhedsstyrelsens afrapportering om den kulegravning af alkoholbehandlingen, fra indenrigs- og sundhedsministeren
3035092_0113.png
Boks 5
Efterværn
er Ringsted Kommunes efterbehandlingstilbud. Tilbuddet er delvist
frivilligt drevet og gives til alle borgere, under og efter endt behandling på
rusmiddelcenteret. Efterværn er en form for værested med aktiviteter, der har lokaler
samme sted, som hvor Ringsted Kommunes dagbehandling foregår.
Målet med Efterværn er at støtte tidligere alkohol- og stofafhængige i at fortsætte
med at udvikle sig i en positiv retning og at skabe et fællesskab uden alkohol.
Efterværn tilbyder i udgangspunktet blandt andet morgenmøder fem gange om ugen
(+ 1 gang på zoom), morgenmad og morgenkaffe, mindfulness, månedlig speak
lørdags fællesspisning, og der er generelt åbent i weekenden og på helligdage.
Derudover kan der være gruppemøder, samtaler, mentorordninger og sociale
arrangementer på frivilligt initiativ. Sociale arrangementer kan for eksempel være
filmaftener, søndagsfodbold, ture ud af huset på museum, bakken etc., samt
sommerfest. Det er muligt at blive frivillig i Efterværn efter et års ædruelighed eller
stoffrihed.
156
Efterværn er primært kommunalt finansieret, men noget er for borgernes egen
kan der være en selvbetaling fra borgeren.
Anonyme Alkoholikere (AA)
Som det fremgår af
spørgeskemaundersøgelse, henviser i alt 47 % af
behandlingsstederne og herunder især de privatfinansierede behandlingssteder - til
AA- og/eller NA-møder efter endt behandlingsforløb. AA er det mest kendte og
almindelige peer-drevne tilbud
157
. Det er et landsdækkende fællesskab, hvor der ifølge
dem selv
deles erfaringer, styrke og håb med fokus på løsninger til udfordringer og
herigennem til at komme af med ens afhængighed eller støtte vedligeholdelse af en
alkoholafvænning
158
. AA fungerer som frivilligt drevne selvhjælpsgrupper, der er åbent
for alle, og deltagelse er anonymt. I AA er der ingen terapeuter eller behandlere, men
gruppeforløbene består af borgere, der alle selv har haft alkoholproblemer, og de fleste
er såkaldt ædru alkoholikere . AA-møder varer typisk en time, og de vil oftest være
ledet af en person med erfaring fra mange AA-møder. AA-møderne foregår mange
steder i landet og afholdes flere gange ugentligt, afhængigt af stedet
159
.
SMART Recovery grupper
Et andet efterbehandlingskoncept, som går igen er de anonyme selvhjælpsgrupper
SMART Recovery grupper findes i nogle kommuner og i regi af Novavi. SMART
Recovery er et alternativ til AA, som fokuserer på et nedsat alkoholforbrug frem for
Trier, C. & Andersen, J. L., 2024.
Den Nationale Alkoholkonference 2024.
Statens Institut for Folkesundhed, SDU, 2023.
Litteraturgennemgang af evidens vedrørende
alkoholbehandling.
158
Anonyme-alkoholikere., u.å.
Frontpage. Velkomment til AA.
159
Anonyme-alkoholikere. u.å.
Mødeliste for anonyme alkoholikere i Danmark.
112
157
156
SUU, Alm.del - 2024-25 - Bilag 302: Orientering om Sundhedsstyrelsens afrapportering om den kulegravning af alkoholbehandlingen, fra indenrigs- og sundhedsministeren
3035092_0114.png
udelukkende ædruelighed. Derudover tager SMART afsæt i den kognitive
referenceramme og ikke i en sygdomsmodel, som AA og 12-trins metoden.
SMART Recovery er et amerikansk koncept, som er drevet af frivillige og målrettet
mennesker med et ønske om at ændre en skadelig adfærd, som for eksempel
alkoholafhængighed. SMART står for Self -Management And Recovery Training.
Ligesom AA er SMART Recovery selvhjælpsgrupperne et manualbaseret koncept med
en fast struktur. I SMART Recovery grupperne skelnes der ikke mellem forskellige
typer af afhængighed eller vanedannende adfærd.
I 2016 blev SMART Recovery konceptet afprøvet i Danmark under et projekt igangsat
af Social- og Boligstyrelsen. Afprøvningsprojektet var målrettet borgere, som efter endt
stofafhængighedsbehandling, ønskede støtte og netværk for at opretholde resultaterne
af deres behandling. Målgruppen var dermed ikke borgere med alkoholafhængighed,
og der blev ikke målt på effekten af indsatsen. Dog tydede evalueringen på, at
brugerne oplevede positive resultater i forhold til deres stofbrug.
160
SDU s evidensgennemgang fra 2023 berører ikke efterbehandling specifikt, men
beskriver effekten af peerstøttede indsatser, herunder AA og SMART Recovery. SDU
konkluderer, at de peerdrevne grupper, som AA-møder, som tillæg til behandling øger
sandsynligheden for total afholdenhed, blandt andet ved at tilbyde et ædru netværk.
Evidensen er dog usikker.
161
Efterbehandling efter døgnbehandling
Døgnbehandling tilbydes som nævnt udelukkende via private og selvejende
behandlingssteder, og disse private eller selvejende døgnbehandlingssteder tilbyder
enten kun offentligt finansieret behandling eller både offentligt og privatfinansieret
behandling.
Udover at en stor andel af døgnbehandlingsstederne ifølge
spørgeskemaundersøgelsen tilbyder opfølgende samtaler og efterbehandlingsgrupper i
egen organisation, samarbejder døgnbehandlingsstederne ofte med de offentlige
behandlingssteder om at få borgerne opstartet i enten ambulant- eller dagbehandling i
hjemkommunen efter endt døgnophold. Enkelte private behandlingssteder har også
egne ambulante behandlingstilbud (såsom Tjele og Danskmisbrugsbehandling). En
typisk efterbehandling efter døgnbehandling vil således være, at borgeren fortsætter i
en ny, men mindre intensiv behandlingstype.
Der er desuden eksempler på, at især de store kommuner kan tilbyde såkaldte
kan tilbydes borgere efter endt døgnbehandling. I halvvejshuset kan borgeren vende
tilbage til sin egen kommune og altså komme tæt på egen bopæl og sine gamle
omgivelser, men bo i et miljø frit for alkohol og rusmidler. Et sådant tilbud findes for
Social- og Boligstyrelsen, 2016.
SMART Recovery selvhjælpsgrupper til borgere med stofmisbrug.
Evalueringsrapport.
161
Statens Institut for Folkesundhed, SDU, 2023.
Litteraturgennemgang af evidens vedrørende
alkoholbehandling.
s. 136
113
160
SUU, Alm.del - 2024-25 - Bilag 302: Orientering om Sundhedsstyrelsens afrapportering om den kulegravning af alkoholbehandlingen, fra indenrigs- og sundhedsministeren
3035092_0115.png
eksempel i Aarhus Kommune, der som oftest ser et ophold på halvvejshuset som en
nødvendighed efter døgnbehandling. Borgerne skal henvises til tilbuddet og vil typisk
kunne bo der i seks måneder til to år. Halvvejshuset har to medarbejdere med primær
arbejdstid i dagtimerne og foruden at være et sted, hvor borgerne kan bo, er der
forskellige praktisk-forpligtende fællesskaber, som har til formål at sætte struktur for
dagligdagen. I halvvejshuset kan borgere også få støtte til at afklare og forfølge
beskæftigelses- og/eller uddannelsesønsker.
162
Samlet kan vi altså konkludere, at der ikke eksisterer en ensartet praksis for
efterbehandling i Danmark. Selvom de fleste offentlige såvel som private
behandlingssteder kan siges at følge de nationale kliniske retningslinjer og udbyde
efterbehandling, er der stor forskel på, hvad det vil sige. Det betyder altså, at borgerne
vil blive tilbudt noget forskelligt efter eller i udfasningen af deres behandlingsforløb alt
efter, hvor de har været i behandling. Den begrænsede evidens vedrørende
efterbehandling og den heraf følgende uklarhed i den nationale kliniske retningslinje på
området, kan givetvis være med til at forklare heterogeniteten på
efterbehandlingsområdet.
Erfaringer fra Norden
Desk research på andre nordiske landes kliniske retningslinjer (Sverige, Norge,
Finland) og behandlingssteders hjemmesider viser, at efterbehandling generelt følger
det samme mønster i disse lande. Desk researchen indikerer, at Danmark skiller sig ud
som det eneste land i Norden, der eksplicit beskriver efterbehandling i sine nationale
kliniske retningslinjer. I de norske og finske kliniske retningslinjer nævnes
selvhjælpsgrupper og støttegrupper, men kun som tilbud sundhedspersonalet bør
anbefale brugere i alkoholbehandling
163
. De finske retningslinjer fremhæver desuden
andre sociale og frivillige tilbud under alkoholbehandling, herunder religiøse grupper
eller krisetjenester
164
. I de svenske nationale kliniske retningslinjer for
alkoholbehandling er selvhjælpsgrupper ikke nævnt, og støttegrupper nævnes kun som
tilbud til pårørende til personer i alkoholbehandling
165
. Af hjemmesiderne fra
behandlingssteder i de forskellige nordiske lande fremgår det også, at deres
efterbehandlingstilbud i praksis stemmer meget overens med det danske.
5.4
Matchet mellem udbuddet og behovet for efterbehandling
For at besvare, om der mangler efterbehandlingstilbud i Danmark, forsøger dette afsnit
at sammenholde behovet for efterbehandling med udbuddet.
elvom der er forskel på typer,
tilgange og metoder til efterbehandling hos de forskellige offentlige og private
alkoholbehandlingssteder, er der bred enighed om at et efterbehandlingstilbud er
vigtigt. Det stemmer også overens med den høje andel af behandlingssteder, der i
162
163
Aarhus Kommune, u.å.
Halvvejshuset.
Helsedirektoratet, 2017.
Behandling og rehabilitering av rusmiddelproblemer og avhengighet.
164
Duodecim Käypä hoito, 2018.
Alkoholiongelmat.
165
Social- og Boligstyrelsen, 2018.
Nationella riktlinjer för vård och stöd vid missbruk och beroende.
114
SUU, Alm.del - 2024-25 - Bilag 302: Orientering om Sundhedsstyrelsens afrapportering om den kulegravning af alkoholbehandlingen, fra indenrigs- og sundhedsministeren
3035092_0116.png
NHG s spørgeskemaundersøgelse angiver at tilbyde eller henvise til forskellige typer
efterbehandling.
også, at borgerne er bekymrede for, hvad der skal
ske efter behandlingen og har brug for støtte i overgangen til hverdagen. Mens mange
har haft en god oplevelse, og for eksempel har oplevet den gradvise mindskning af
hyppigheden eller intensiteten i behandlingen som tilstrækkelig, er der også enkelte,
som oplever decideret at have manglet efterbehandlingstilbud.
NHG s brugerundersøgelse peger på, at flere oplever et behov for et alkoholfrit socialt
rum eller netværk efter endt behandling. Mange af brugerne har fundet dette gennem
AA, der opleves som en nødvendig hjælp til vedligeholdelse af deres afholdenhed.
Dette gælder både for borgere, der har eller ikke har fået tilbudt efterbehandling
andetsteds. Andre af brugerne giver udtryk for, at de ikke ønsker at deltage i AA
grundet dets religiøse karakter. Som nævnt eksisterer der i nogle kommuner forskellige
typer af frivilligdrevne efterbehandlingsgrupper eller SMART recovery grupper, men det
er langt fra i alle kommuner, og der kan derfor mange steder være et ikke-
imødekommet behov.
Dertil understreger brugere såvel som ledere og medarbejdere, at det er vigtigt med en
form for efterbehandling efter endt døgnbehandlingsforløb. Det skyldes, at borgere i
døgnbehandling tages ud af deres vanlige rammer og omgivelser, hvorfor det kan være
en særlig stor udfordring at komme tilbage til hverdagen efter et ophold på
døgninstitution og med stor risiko for tilbagefald
166
. Nogle borgere har ikke oplevet
støtten efter døgnophold som tilstrækkelig. Der er både eksempler på brugere samt
medarbejdere og ledere, som giver udtryk for, at der efter døgnophold bør være et krav
om efterbehandling eller overgang til dagbehandling eller ambulant behandling i
hjemkommunen.
5.5
Opsummering om efterbehandling
Der er nogen evidens for, at effekten af et behandlingsforløb er større efter endt forløb,
hvis der tilbydes efterbehandling, end hvis der ikke gør. Denne evidens er dog relativt
svag, men har ført til en overordnet anbefaling i de nationale kliniske retningslinjer om
at tilbyde efterbehandling. Der er dog ikke klare instrukser i de nationale kliniske
retningslinjer om, hvad efterbehandling bør indebære.
ndersøgelse indikerer i tråd hermed, at der er stor forskel på, hvad
behandlingsstederne tilbyder under
konkludere, at mens der er bred enighed på tværs af de nationale kliniske
retningslinjer, alkoholbehandlingsstederne og brugerne selv om vigtigheden af
efterbehandling, er der ikke nødvendigvis enighed om, hvad denne efterbehandling bør
indeholde.
adspurgte behandlingssteder enten selv tilbyder en form for efterbehandling eller
henviser til det hos andre, varierer typen, indhold, form og længde på
efterbehandlingstilbuddene og ofte er det fleksibelt i forhold til borgerens behov.
166
Yazici & Bardakci, 2023.
Factors Associated with Relapses in Alcohol and Substance Use Disorder.
115
SUU, Alm.del - 2024-25 - Bilag 302: Orientering om Sundhedsstyrelsens afrapportering om den kulegravning af alkoholbehandlingen, fra indenrigs- og sundhedsministeren
3035092_0117.png
Hvorvidt disse meget varierede efterbehandlingstilbud skyldes begrænset evidens og
manglende afgrænsning i de nationale kliniske retningslinjers anbefaling, eller skyldes
et behov for at kunne tage hensyn til og tilrettelægge efterbehandling ud fra hver
borger, er uvist.
Baseret på
spørgeskemaundersøgelse kan vi konkludere, at størstedelen af
behandlingsstederne på tværs af finansieringstype tilbyder en form for efterbehandling
gennem opfølgende samtaler i egen organisation. Dog er der en tendens til, at en langt
større andel af de privatfinansierede behandlingssteder tilbyder
efterbehandlingsgrupper i egen organisation og henviser til AA- eller NA-møder
(100%), end de offentlige behandlingssteder (39%). Variationen i
efterbehandlingstilbuddene kan skyldes forskelle i for eksempel behandlingsstedernes
størrelse, ressourcer og rekrutteringsgrundlag.
Ud af de forskellige tilgange til efterbehandling peger
aseundersøgelse på, at
de primære tilgange i dag er omfattet af 1) en indbygget lavintensiv fase i den sidste
del af det ambulante behandlingsforløb eller efter døgnbehandling, 2)
behandlerfaciliterede efterbehandlingsgrupper eller 3) peerdrevne
efterbehandlingstilbud (såsom AA og SMART recovery grupper). I forlængelse heraf
forklarer behandlingsstederne og brugerne, at især efterbehandling efter
døgnbehandling er vigtig for fastholdelse.
Fordi ikke alle offentlig finansierede behandlingssteder offentliggør deres takster på
Tilbudsportalen er det uvist, hvorvidt de forskelligartede typer af efterbehandling, som
har forskellig intensitet og dermed behandlingsomkostninger, altid honoreres med en
pris, der afspejler intensiteten, eller om de i nogle tilfælde honoreres efter samme
takster - og også som det øvrige behandlingsforløb. Taksterne er ikke reguleret
nationalt i lovgivningen, og der er altså ikke lovmæssigt krav om differentierede takster
baseret på forskellige behandlingstyper og -intensiteter, herunder fx en
efterbehandlingstakst, som er adskilt fra taksten for det øvrige behandlingsforløb.
ndersøgelse synliggør altså samlet set, at der bredt set eksisterer et
efterbehandlingstilbud i Danmark i dag, men under forskellige navne og forskellige
typer, former og grader af intensitet på tværs af landet. Det betyder i sidste ende også,
at der kan være stor forskel på, hvad brugerne vil blive tilbudt som efterbehandling fra
behandlingssted til behandlingssted. Det behøver ikke nødvendigvis at være
problematisk, og de fleste behandlingssteder vurderer ej heller, at manglende mulighed
for efterbehandling er blandt de væsentligste udfordringer i alkoholbehandlingen i dag.
116
SUU, Alm.del - 2024-25 - Bilag 302: Orientering om Sundhedsstyrelsens afrapportering om den kulegravning af alkoholbehandlingen, fra indenrigs- og sundhedsministeren
3035092_0118.png
117
SUU, Alm.del - 2024-25 - Bilag 302: Orientering om Sundhedsstyrelsens afrapportering om den kulegravning af alkoholbehandlingen, fra indenrigs- og sundhedsministeren
3035092_0119.png
6.
Brugeroplevet kvalitet
Kapitlet undersøger brugernes oplevelser af alkoholbehandlingen i Danmark og deres
tilfredshed med denne. Det kan bidrage med indsigt i, hvordan behandlingsforløbene
kan forbedres fra et brugerperspektiv. Et specifikt fokuspunkt for kapitlet er desuden at
give indsigt i de brugere, som vælger at betale selv for alkoholbehandlingen, og hvorfor
de vælger dette.
SAMMENFATNING AF RESULTATER OM BRUGEROPLEVET KVALITET
den alkoholbehandling, som de har modtaget. Brugerne er glade for den hjælp, de har
modtaget, og vurderer, at behandlingen er af høj kvalitet. Samtidig indikerer
brugerinterviewene, at der er mange forskellige præferencer for type af
behandlingssted og -tilbud, og at brugerne skal tilgås på forskellige måder.
Nedenfor opsummeres brugerperspektivet på alkoholbehandlingen i Danmark.
FØR BEHANDLINGSFORLØBET
Der er forskellige årsager til, at brugerne
vælger at starte i behandling, men ofte
hænger det sammen med oplevelsen af at
nå et vendepunkt eller at ramme bunden.
Vendepunktet sker oftest som følge af en
særlig hændelse eller særlige
omstændigheder, der gør, at brugerne
endelig bliver motiverede til at opsøge hjælp
og komme i behandling. Der er to
overordnede katalysatorer til vendepunktet:
en indre og en ydre, alt afhængig, om den
starter fra dem selv eller indgriben fra
pårørende.
Der er forskellige præferencer i forhold til
behandlingstyper og -leverandører.
Brugere med et stærkt ønske om at
opretholde deres hverdag under
behandlingen foretrækker ambulant
behandling. Døgnbehandling virker for andre
som det eneste rigtige grundet et behov for
afsondretheden og for at komme væk.
Derudover eksisterer der en del fordomme
om det private og offentlige, som ikke
nødvendigvis beror på egne erfaringer, men
som kan farve brugernes præferencer.
Valget om at komme i behandling er
vigtigere for brugeren end valget om
behandlingssted.
Et resultat af oplevelsen af at have ramt
bunden er, at valget om det konkrete
behandlingssted ofte falder i baggrunden for
valget om overhovedet at opsøge
behandling. Flere hverken undersøger det
grundigt eller tager eksplicit stilling til, hvor de
vil i behandling - i sidste ende oplever mange
ikke at have truffet et egentlig valg herom.
Retten til anonymitet er for flere en vigtig
rettighed i starten, men vigtigheden falder
gradvist i forløbet.
Ved oplysning om, hvad anonymitet og
ophævelsen af samme betyder, kommer det
til at betyde mindre for brugerne undervejs i
behandlingsforløbet. De fleste ender med at
ophæve anonymiteten.
Brugerne kender ikke deres rettigheder
og muligheder, og der er misforståelser
og fejlslutninger om både offentlig og
privat behandling og behandlingstyperne.
Selvbetaling handler for de fleste om et
specifikt ønske om døgnbehandling, men
også for nogle om at komme i hurtig
(døgn)behandling, og for andre om
manglende viden om deres muligheder.
118
SUU, Alm.del - 2024-25 - Bilag 302: Orientering om Sundhedsstyrelsens afrapportering om den kulegravning af alkoholbehandlingen, fra indenrigs- og sundhedsministeren
3035092_0120.png
Nogle tror, at det kun er muligt at komme i
døgnbehandling ved privat finansiering.
Andre tror omvendt, at ambulant behandling
kun findes hos offentlige leverandører.
Manglende oplysning om brugernes
valgmuligheder kan være problematisk, fx
hvis brugere gentagne gange har prøvet en
behandlingstype eller -sted uden succes.
Valget om at betale selv skyldes ofte først og
fremmest et specifikt ønske om at komme i
døgnbehandling enten fra en selv eller
pårørende. Men det kan også skyldes et
behov for hurtigt at komme i behandling eller
manglende viden om, at det offentlige også (i
nogle tilfælde) kan bevilge døgnbehandling.
UNDERVEJS I BEHANDLINGSFORLØBET
Brugerne oplever det at blive mødt
gennem en helhedsorienteret tilgang og
blive set og hørt som et individ, som
afgørende for en god behandling.
En helhedsorienteret tilgang kan for brugerne
handle om at møde forskellige fagligheder og
om at opleve et fokus på dem som et helt
menneske frem for blot på afhængigheden,
herunder at få hjælp til kontakten til andre
organisationer eller forvaltninger. Nogle har
dårlige oplevelser med at føle sig puttet i
kasser fremfor at få et forløb tilpasset til dem.
En klar struktur og faste rammer styrker
behandlingsforløbet fra brugernes
perspektiv.
Brugerne er tilfredse med, at der ofte er en
klar struktur på behandlingsforløbet. For
brugere i døgnbehandlingen handler det om
en oplevet værdi i at have et stramt
skemalagt program hver dag. 12-
trinsprogrammet eller Minnesota-modellen,
som anvendes hos nogle private
behandlingssteder, giver især nogle brugere
denne oplevelse af struktur.
Behandlerrelationen er for mange den
vigtigste faktor for et succesfuldt forløb.
Alle brugerne peger på vigtigheden af at
have en god relation til deres behandlere, og
anser det for essentielt for at opnå fuldt
udbytte af deres behandling. De bærende
elementer for en positiv relation med
behandlerne er tryghed og tillid og ikke at
blive dømt. En dårlig behandlerrelation kan
være årsag til at stoppe i behandling.
Det er vigtigt, at brugerne kan identificere
sig med og spejle sig i de andre i
behandlingen.
Brugernes oplevelse af at få udbytte af
behandlingen afhænger af at have noget til
fælles med de andre i behandlingen. Især tre
forhold fremhæves: 1) Hvad de er afhængige
af (alkohol eller stoffer), 2) socioøkonomi,
eller 3) motivationsniveau. En oplevelse af
ikke at have noget til fælles især i
gruppebehandling, kan få brugere til at
stoppe i behandlingen.
Nogle brugere oplever det som en stor
styrke, at behandleren er tidligere
afhængig, mens en mindre andel
foretrækker fagligt uddannet personale.
Flere oplever, at de i højere grad kan spejle
sig i tidligere afhængige, og oplever
omvendt, at behandlere som blot har
en bog
er nemme at snøre. Det er med til
at gøre, at nogle brugere foretrækker private
leverandører frem for offentlige.
Brugerne oplever, at en
alkoholbehandling af høj kvalitet bør
inddrage såvel som hjælpe de pårørende.
Brugerne understreger, at deres
alkoholforbrug ikke kun rammer dem, men
også deres pårørende, der derfor har brug
for hjælp. Brugerne oplever, at deres
pårørende kan være en ressource i
behandlingsforløbet som støtter op om dem
som alkoholafhængige. Derfor anbefaler
Sundhedsstyrelsen også i de nationale
kliniske retningslinjer at tilbyde rådgivning til
pårørende.
119
SUU, Alm.del - 2024-25 - Bilag 302: Orientering om Sundhedsstyrelsens afrapportering om den kulegravning af alkoholbehandlingen, fra indenrigs- og sundhedsministeren
3035092_0121.png
EFTER BEHANDLINGSFORLØBET
Brugerne har stort behov for at blive
støttet i overgangen fra behandling til
hverdag.
Der er mange bekymringer eller nervøsitet
over, hvad der skal ske, når behandlingen
afsluttes. Derfor peger brugerne på
vigtigheden af, at der lægges en klar plan for
forløbet efter afslutningen af behandlingen,
eller af at have drøftelser om, hvad der skal
ske efter forløbet og hvilke redskaber, de kan
bruge i svære situationer. Nogle oplever
decideret at have manglet
efterbehandlingstilbud.
Brugerne kan efter endt behandling have
behov for et socialt rum, hvor de uformelt
kan sparre og få alkoholfrie relationer.
Flere har især behov for at kunne indgå i et
socialt fællesskab eller i sociale
arrangementer i overgangen fra behandling
til hverdag. Enten for at kunne indgå i nye
alkoholfri sociale fællesskaber eller for at få
en ekstra støtte i hverdagen, som ikke er
deres pårørende. Mange finder det gennem
AA, men der kan være behov for fokus på, at
disse fællesskaber også eksisterer for dem,
Der er især behov for endnu mere fokus
på overgangen til hverdagen efter
døgnbehandling.
Fordi brugerne i døgnbehandlingen trækkes
ud af deres omgivelser og sociale miljø, kan
det være udfordrende at vende tilbage hertil
efter behandlingen. Enkelte brugere oplever
ikke, at støtten efter døgnopholdene har
været nok. Nogle brugere anser det som
vigtigt, at behandlingsstederne gør en
indsats for at få brugerne til at deltage i
efterbehandling.
6.1
Formål og baggrund
Hvor de andre kapitler på forskellig vis har belyst organisatorisk og klinisk kvalitet,
fokuserer dette kapitel på brugerperspektivet på alkoholbehandlingen i Danmark. Den
brugeroplevede kvalitet er blevet identificeret som et relativt underbelyst område indtil
den første undersøgelse i 2022 af Syddansk Universitet (SDU) om brugeroplevet
kvalitet i
offentligt finansieret
alkoholbehandling. På den baggrund udgør brugernes
oplevelser på tværs af offentlige og private leverandører også et vigtigt aspekt i
forbindelse med NHG s undersøgelse af kvaliteten af alkoholbehandlingen i dag.
Formålet med kapitlet er således at undersøge brugernes oplevelser af
alkoholbehandlingen i Danmark og deres tilfredshed med denne. Det kan bidrage med
indsigt i, hvordan behandlingsforløbene kan forbedres fra et brugerperspektiv.
Kapitlet har været centreret om følgende primære undersøgelsesspørgsmål:
Hvordan oplever brugerne alkoholbehandlingen i Danmark og er de tilfredse
med denne?
o
Hvordan har processen op til, at de begyndte i behandling, set ud,
herunder hvordan har de valgt behandlingssted?
o
Hvordan har brugerne oplevet selve behandlingen?
o
Hvordan har brugerne oplevet forløbet efter behandlingen?
120
SUU, Alm.del - 2024-25 - Bilag 302: Orientering om Sundhedsstyrelsens afrapportering om den kulegravning af alkoholbehandlingen, fra indenrigs- og sundhedsministeren
3035092_0122.png
o
Hvordan er brugernes tilfredshed med behandlingen?
Kapitlet har herunder haft til formål at afdække, om der er væsentlige forskelle i
oplevelsen af offentligt finansieret og privatfinansieret alkoholbehandling.
Kapitlet er delt op efter tre emner: 1) Før behandlingsforløbet, 2) undervejs i
behandlingsforløbet, og 3) efter behandlingsforløbet.
6.1.1
Datagrundlag
Kapitlet om den brugeroplevede kvalitet baserer sig på oplevelser og erfaringer fra i alt
23 brugere. Disse er blevet indsamlet via kvalitative interviews i forskellige formater.
Interviewene har således været af varierende varighed og nogle er blevet afholdt fysisk
og andre telefonisk, og et enkelt som et fokusgruppeinterview (se mere i Bilag 1.7).
Disse interviews udgør kapitlets primære datagrundlag, og da formålet er at give
indsigt i brugernes perspektiver på kvalitet i alkoholbehandlingen, er det de pointer,
som har fyldt mest hos brugerne, der fremhæves i kapitlet.
Derudover trækker kapitlet løbende på følgende undersøgelser fra Enheden for Klinisk
Alkoholforskning ved SDU.
Brugeroplevet kvalitet i offentligt finansieret alkoholbehandling fra december
2022 (for Alkohol og Samfund)
Litteraturgennemgang af evidens vedrørende alkoholbehandling fra 2024 (for
Sundhedsstyrelsen)
Afdækningen af den brugeroplevede kvalitet har så vidt muligt skulle sikre en bred
inddragelse af forskellige brugere. Således er der forsøgt at opnå en spredning, for
eksempel i forhold til geografi, socioøkonomi og køn, samt ud fra hvilken
behandlingstype og finansieringsform, brugerne er blevet behandlet under. Der er ikke
søgt spredning på samtidige psykiske eller somatiske lidelser eller hjemløshed
specifikt. Den ønskede spredning er i vidt omfang lykkes (se mere i Bilag 1.7).
Brugerne opfylder således kriterierne, som det har været ønsket at undersøge, på nær
brugere i social udsathed, hvoraf der blot er interviewet én. Derfor vil vi afslutningsvis
perspektivere til SFI s (nu VIVE)
borgere
6.2
Før behandlingsforløbet
Det følgende afsnit vil berøre de forskellige aspekter af, hvad der sker før selve
behandlingsforløbet. Afsnittet vil først beskrive, hvad der ligger til grund for, at brugerne
vælger at opsøge behandling. Dernæst vil vi beskrive processen med at vælge
behandlingssted og brugernes kendskab til behandlingstilbud og deres rettigheder.
Afsnittet beskriver desuden brugernes forskellige præferencer for typer af
alkoholbehandling (ambulant-, dag- eller døgnbehandling) og leverandør (privat eller
offentlig). Dertil kommer et afsnit, der specifikt fokuserer på selvbetalere, og hvorfor de
vælger at betale selv. Slutteligt vil vi beskrive brugernes holdninger til
anonymitetsrettigheden.
121
SUU, Alm.del - 2024-25 - Bilag 302: Orientering om Sundhedsstyrelsens afrapportering om den kulegravning af alkoholbehandlingen, fra indenrigs- og sundhedsministeren
3035092_0123.png
Årsag til at starte behandling
Årsagerne til, at brugerne vælger at søge hjælp gennem behandling, varierer fra
person til person, men gældende for alle interviewpersoner er dog, at de i løbet af
deres fortælling beskriver at nå et
vendepunkt,
hvor en særlig hændelse eller særlige
omstændigheder gør, at de endelig bliver motiverede til at opsøge hjælp og komme i
behandling. Brugernes forskellige erfaringer peger på, at disse vendepunkter kunne
inddeles i to overordnede katalysatorer:
en indre
og
en ydre.
De indre katalysatorer udløses oftest af specifikke hændelser, der gør brugeren
opmærksom på, at de har en udfordring med deres alkoholforbrug, hvilket skaber en
drivkraft og motivation i dem selv for at søge behandling. Det kunne for eksempel være
en indlæggelse, bortvisning fra arbejde eller ikke at kunne dukke op til sit barns bryllup
på grund af alkoholpåvirkning.
mig fuldstændig. Jeg prøvede at tage livet af mig selv. Det var så tabuiseret og
pinligt for mig, at jeg ikke kunne magte det. Jeg skulle gøre noget. Det kunne jeg
Lea, 52 år, offentlig ambulant behandling)
De ydre katalysatorer, som kan blive drivkraften og motivationen til at starte i
behandling, kommer som oftest af indgriben fra pårørende. Denne type kan spænde
fra velmenende kommentarer til deciderede ultimatummer. En del af brugerne
beskriver således, hvordan deres familie og venner italesætter deres alkoholforbrug,
hvilket gør dem bevidst om, at de har brug for hjælp, hvis det ikke skal gå ud over
deres primære relationer. For nogle skaber dette i sidste ende motivationen og bliver
drivkraften til at opsøge behandling.
Min bror tropper op og fortæller, at han og nogle af mine venner har besluttet, at
han skulle komme forbi og sige, at jeg har brug for hjælp. Der erkender jeg mit
overforbrug. Han kører mig ud på psyk til afrusning. (Hans, 54 år, offentligt
finansieret ambulant behandling hos privat leverandør)
Brugerne beskriver gennemgående, hvordan det at have opnået motivationen for at
ændre deres alkoholforbrug eller liv er alfa og omega for at opsøge behandling (og for
at opnå et succesfuldt behandlingsforløb). Disse fund ligger i tråd med
undersøgelse af brugeroplevet kvalitet i offentligt finansieret alkoholbehandling fra
2022. Undersøgelsen konkluderer, at en brugers oplevelse af egen
forandringsparathed er afgørende for, at vedkommende vælger at opsøge behandling,
men at der også er en gruppe brugere, for hvem det er særlig vigtigt, at der er nogen,
som kan agere støtte ved forandringsprocessen. Sidstnævnte peger hen imod, hvad vi
ovenfor har beskrevet som en ydre katalysator.
167
Hvad end ovennævnte vendepunkt er forårsaget af indre eller ydre katalysatorer,
hænger erkendelsen af at have brug for hjælp og den endelige motivation til at opsøge
167
Syddansk Universitet, 2022.
Brugeroplevet kvalitet i offentligt finansieret alkoholbehandling.
s. 19.
122
SUU, Alm.del - 2024-25 - Bilag 302: Orientering om Sundhedsstyrelsens afrapportering om den kulegravning af alkoholbehandlingen, fra indenrigs- og sundhedsministeren
3035092_0124.png
behandling for langt de fleste brugere sammen med en oplevelse af at have ramt
bunden.
eg kunne ikke gå 500 meter selv. Jeg havde ikke
offentligt ambulant behandling)
Valg af behandling
Valget om det konkrete behandlingssted eller -tilbud falder i baggrunden for valget om
overhovedet at opsøge behandling. Således er det eneste, der fylder for nogle brugere,
at de endelig har valgt, at de skal i behandling, og så bliver det af mindre betydning,
hvor
de skal i behandling. For nogle er det at have ramt bunden ensbetydende med, at
behandlingstilbud og -sted. Enkelte har ramt bunden så hårdt, at de ikke føler sig i
stand til at undersøge deres muligheder og rettigheder.
jeg ikke kom i behandling ville det gå galt jeg ville miste min mand. Så derfor var
det vigtigste for mig at komme i behandling
ambulant behandling).
eg var slet ikke et sted, hvor jeg kunne undersøge eller
(Lea, 52 år, offentlig ambulant behandling).
Flere tager således ikke eksplicit stilling til, hvor de vil i behandling og i sidste ende
oplever mange, at de ikke har truffet et egentlig valg om behandlingssted- eller tilbud.
brugerundersøgelse viser, at brugernes vej til behandlingstilbud kan se ud som
følger:
1) De vælger det første og det bedste, de finder ved en internetsøgning og
enten ringer eller møder op der (i f.eks. det kommunale
rusmiddelcenter),
2) De opsøger deres egen læge for at få hjælp til, hvordan de starter i
behandling, og vælger, hvad lægen foreslår,
3) De vælger det, de bliver anbefalet af pårørende.
4) Hvis de er i en situation, hvor de fra kommunen får en visitering til dag-
eller døgnbehandling, vælger de som oftest det, kommunen henviser til.
Kendskab til behandlingstilbud og egne rettigheder
Brugere har som nævnt tidligere ret til uden henvisning at vælge ambulant behandling
på et offentligt finansieret alkoholbehandlingssted efter eget valg. Også brugere, der
visiteres til dag- eller døgnbehandling, kan frit vælge, hvilket dag- eller
døgnbehandlingssted, de vil behandles på, så længe behandlingsstedet er godkendt af
det offentlige, og brugeren vælger et behandlingstilbud, som svarer til kommunens
visitation. Der er gennemgående en tendens til, at brugerne tror, at deres valg af
behandlingstilbud og -sted er mere snævert, end det i virkeligheden er, fordi de ikke
123
SUU, Alm.del - 2024-25 - Bilag 302: Orientering om Sundhedsstyrelsens afrapportering om den kulegravning af alkoholbehandlingen, fra indenrigs- og sundhedsministeren
3035092_0125.png
kender disse rettigheder. Derudover er der mange fejlslutninger hos brugerne. Disse
gennemgås nedenfor.
Mange af brugerne tror, at det kun er muligt at komme i døgnbehandling, hvis de selv
eller en sundhedsforsikring kan betale. De ved altså ikke, at de kunne spørge deres
kommune, om de kunne blive visiteret til døgnbehandling og få det offentlig finansieret.
I forlængelse heraf tror de fleste omvendt, at ambulant behandling (og dagbehandling)
kun er noget, der kan finde sted i offentligt regi. Således ved de enten ikke, at der også
er private leverandører, som tilbyder ambulant offentligt finansieret behandling. For
mange ses valget derfor mellem enten ambulant behandling i kommunen, eller
selvbetalt behandling i et privat døgnophold, selvom dette valg i virkeligheden ikke
afspejler den reelle valgsituation. Et sådant bredere valg kunne for eksempel være
relevant i tilfælde, hvor der er dårlig kemi mellem brugeren og behandlerne på et
behandlingssted, eller hvor de gentagne gange har prøvet en bestemt behandlingstype
uden succes.
Det er samtidig nødvendigt at påpege, at der højest sandsynligt er mange af dem, som
har valgt selv at betale deres døgnbehandling, som ikke ville have opnået en
døgnvisitation fra kommunen. Data fra NAB viser, at der i 2023 var 189 personer, som
startede i døgnbehandling. Det indikerer således, at det er en lille andel af borgere, der
modtager en døgnvisitation. I den forbindelse er det også vigtigt at understrege, at
selvom der eksisterer et tilbud om offentligt finansieret døgnbehandling, er det ikke
ensbetydende med, at brugerne frit kan vælge, hvilken behandlingsintensitet de skal
modtage (med offentlig finansiering). Brugernes behov for behandlinger af forskellig
intensitet vurderes altid fagligt for at retfærdiggøre en eventuel offentlig finansiering af
et mere intensivt og omkostningstungt tilbud, og det er derfor der er krav om
døgnvisitation i det offentlige.
stedet for at møde op i Rusmiddelcentret [ambulant]. Det var kun: Enten skulle jeg
bo et sted en given tid, ellers var det det kommunale rusmiddelcenter. Jeg har aldrig
sat mig grundigt nok ind i det, hvad det egentlig bestod i. (Karsten, 52 år, offentlig
ambulant behandling)
NHG s samlede undersøgelse indikerer, at der både kan være udfordringer hos
offentlige og private leverandører med manglende oplysning om brugernes rettigheder.
På offentlige behandlingssteder giver brugerne samt ledere og medarbejdere udtryk
for, at fritvalgsordningen ikke er noget, de typisk oplyser om. På et behandlingssted
fortæller medarbejderne, at de kun oplyser om det i tilfælde af, at de ikke kan
overholde behandlingsgarantien på opstart af behandling inden for 14 dage. Andre
steder virker kutymen til at være, at det kun er, hvis borgerne selv spørger. Og også
der har enkelte af brugerne haft en oplevelse af, at det i dialogen med kommunen var
underforstået, at de kun accepterer behandling hos en anden offentlig leverandør og
ikke privat behandling. Samtidig har vi eksempler på medarbejdere i
alkoholbehandlingen, som nævner, at de kun henviser til frit valg blandt andre
offentlige alkoholambulatorier og ikke nævner private aktører. Andre medarbejdere
bekræfter, at borgerne ikke ved, at de kan vælge private leverandører, som er offentligt
finansieret.
124
SUU, Alm.del - 2024-25 - Bilag 302: Orientering om Sundhedsstyrelsens afrapportering om den kulegravning af alkoholbehandlingen, fra indenrigs- og sundhedsministeren
3035092_0126.png
misbrugskonsulent i kommunen valgte det
(Jens, 40 år, offentligt finansieret døgnbehandling (tidligere offentlig ambulant
behandling))
tilbud, hvor jeg kunne gå hen. Jeg har manglet oplysning om, hvilken hjælp der
- havde jeg ikke været desperat, så
havde jeg da sparret pengene og valgt det offentlige. Eller hvis jeg havde kendt
(Sofie, 37 år, offentlig ambulant behandling (tidligere selvbetalt døgnophold))
Derudover indikerer NHG s interviews med ledere og medarbejdere på offentlige
behandlingssteder, at de helst ser, at brugerne vælger bestemte
døgnbehandlingstilbud, og at de derfor så at sige visiterer til dem, underforstået, at de
ikke nødvendigvis oplyser borgeren samtidig om, at de også frit kan vælge et andet
sted. I sidste ende er det ikke sikkert, at det anbefalede sted stemmer overens med
brugerens behov, og det kan være problematisk, hvis brugerne ikke ved, at de kan
vælge et andet sted. For eksempel har Christian en oplevelse med at være blevet
sendt til et døgnbehandlingssted på en offentlig visitering, hvor de andre beboere var
meget mere ressourcestærke end ham, og han derfor ikke passede ind:
har du frit valg. Du er ikke pålagt at gå til [behandlingssted]. Du kan lige så godt tage
tende
behandlingstyper og private eller offentlige leverandører, alle offentligt finansieret)
Omvendt kan vi også konstatere på baggrund af brugerinterviewene, at de godkendte
private leverandører af offentlig finansieret døgnbehandling som oftest ej heller oplyser
brugerne om, at de kunne vælge at forsøge at få en visitation fra kommunen til et
døgnophold fremfor at betale selv.
Generelt viser brugerundersøgelsen, at brugerne altså i vidt omfang ikke er bekendte
med deres rettigheder eller med den brede pallette af behandlingstilbud, som de kan
opsøge. Det kan blive et problem i de tilfælde, hvor en bruger flere gange prøver
samme aktør uden effekt, og hvor de til sidst giver op, fordi de tror, at der ikke er
alternativer.
Præferencer i forhold til typer af behandling (ambulant-, dag-, døgnbehandling) og leverandører
Mens brugerne ikke træffer et bevidst valg om behandlingstilbud og -sted, er det for
nogle vigtigt enten at komme især i ambulant eller døgnbehandling. Disse træffer altså
et valg om, hvilken behandlingstype de vil i, og nogle anser en bestemt
behandlingstype som den eneste rigtige for dem.
For størstedelen af de brugere, som har et arbejde og har hjemmeboende børn, er det
et krav, at de kan opretholde deres hverdag, mens de er i behandling. At de fortsat kan
indgå i familie- og arbejdsliv, bliver derfor den primære betingelse for, at de vil starte op
i behandling. De foretrækker derfor ambulant behandling, og at dette ligger i nærheden
125
SUU, Alm.del - 2024-25 - Bilag 302: Orientering om Sundhedsstyrelsens afrapportering om den kulegravning af alkoholbehandlingen, fra indenrigs- og sundhedsministeren
3035092_0127.png
af deres hjem eller arbejdsplads, så det er nemt tilgængeligt i deres hverdag. For
eksempel beskriver Anders, som er primærforælder for sit barn, at hans valg af
behandlingstype primært beror på hensynet til barnet, da det er vigtigt, at han kan være
der for barnet i hverdagen:
Efter mit sidste tilbagefald har min familie luftet, om jeg i virkeligheden har brug for
døgnbehandling. Men vi er blevet enige om, at det nok er ok med dagbehandling
igen for nu. Jeg har ikke selv overvejet døgnbehandling [da jeg vil være der for mig
barn]. Anders, 47 år, offentlig dagbehandling (tidligere ambulant)).
Omvendt har andre brugere en stærk holdning om, at de vil i døgnbehandling, og at det
kun vil virke for dem. Disse brugeres argumenter centrerer sig om, at de har behov for
at blive taget ud af de vante rammer eller deres sociale omgangskreds for at være i
stand til at hengive sig til behandlingen og få det optimale udbytte af den. Andre
brugere beskriver også, at de har brug for ikke at blive efterladt til sig selv og at komme
væk fra for eksempel supermarkeder, barer og lignende (om end kun i en periode),
hvor risikoen for tilbagefald opstår. Derfor ønsker brugerne, der får visiteret eller selv vil
betale for døgnbehandling, som oftest, at behandlingsstedet ligger så langt væk fra
deres hjem og omgangskreds som muligt.
Det skulle være en ny start. Der er ikke nogen, der stopper min udvikling her. Man
(Morten, 22 år, offentligt
finansieret døgnbehandling)
Ovenstående præferencer for især enten ambulant eller døgnbehandling bør ses i
forhold til evidensen på området om, hvilken behandlingstype der er mest virkningsfuld.
om alkoholbehandling fra 2023 konkluderer, at der ikke er
indikationer på, at der generelt er bedre effekt af døgnbehandling fremfor ambulant
eller dagbehandling, men at der samtidig er forskning, der antyder, at effekten af døgn,
dag- og ambulant behandling afhænger af sværhedsgraden af patientens problemer
168
.
Derudover fremhæver SDU i tråd med NHG s resultater, at evidensen indikerer, at det
er meget præferencebestemt, hvad brugeren foretrækker, og at eftersom der er fordele
og ulemper ved alle behandlingstyperne, er det vigtigt at tage brugerens præferencer i
betragtning ved behandlingsplanlægning
169
.
Derudover eksisterer der hos brugerne en del fordomme, som former deres valg om
behandlingstilbud og -sted. Disse beror altså ikke nødvendigvis på egne erfaringer,
men blot ideer om, hvad der er bedst. De kan også bero på løse fortællinger fra andre,
men uden konkrete begrundelser for, hvorfor det skulle forholde sig sådan. Derudover
offentlige er bedre. Det er altså i tilfælde, hvor brugerne har været i behandling enten
hos det offentlige eller private, men kun ved én af leverandørerne. Såfremt deres
oplevelse hos den leverandørtype (offentlig eller privat) har været god, bekræfter det
Statens Institut for Folkesundhed, SDU, 2023.
Litteraturgennemgang af evidens vedrørende
alkoholbehandling,
s. 128
169
Statens Institut for Folkesundhed, SDU, 2023.
Litteraturgennemgang af evidens vedrørende
alkoholbehandling,
s. 8
126
168
SUU, Alm.del - 2024-25 - Bilag 302: Orientering om Sundhedsstyrelsens afrapportering om den kulegravning af alkoholbehandlingen, fra indenrigs- og sundhedsministeren
3035092_0128.png
dem i, at denne leverandørtype er bedre end den anden, og det er fremover den
fortælling, de deler.
at have vendt noget af det. Måske var det mest baseret på det med ventetider, som
man hørte at der går lang tid i det offentlige. Men kvaliteten skulle også være
bedre i det private. Så det har været noget med tid og kvalitet. Det er kun fra, hvad
selvbetalt døgnophold)
(Niels, 42 år, forsikringsfinansieret
ambulant behandling)
Selvbetaling
I forbindelse med Sundhedsstyrelsens kulegravning har der været en specifik interesse
i at få mere viden om dem, som selv betaler for alkoholbehandlingen. Det kan nemlig
undre, hvorfor nogle ville vælge at betale selv, når der i Danmark er et tilbud om
offentligt finansieret alkoholbehandling.
For de selvbetalere, som er interviewet i forbindelse med brugerundersøgelsen, gælder
det som oftest, at der er et sammenfald mellem valget om at betale selv og ønsket om
døgnbehandling. Som nævnt har nogle brugere nemlig i udgangspunktet stærke
præferencer for døgnophold. Og denne præference fører for mange til selvbetaling.
Der er primært tre veje til det udfald. Som indikeret i de foregående afsnit, føler nogle
sig nødsaget til at betale for et døgnophold, fordi deres kommune ikke har kunne give
dem en visitation til døgnbehandling, mens de selv eller deres pårørende mener, at
døgnbehandling er det eneste rigtige for dem. For andre fordi de, som nævnt i
foregående afsnit, i første omgang slet ikke ved, at der er en mulighed, at kommunerne
kan visitere til døgnbehandlingen, og altså tror, at den eneste mulighed for at komme i
døgnbehandling er ved at betale selv. For den tredje gruppe handler det om den
førnævnte oplevelse af at have ramt bunden og have behov for at komme væk på
døgnbehandling, og at det derefter skal gå meget stærkt, så de enten ikke undersøger,
om kommunen ville kunne visitere til døgnbehandling eller antager, at denne proces
ville tage for lang tid. Det kan også være en kombination af disse, der fører til
selvbetaling.
betale selv for behandlingen. De
døgnophold))
Anne-
Jeg har prøvet at få kommunen til at bevilge døgnbehandling. Det var
no go. Og sådan er det altså i [min] kommune. Jeg prøvede at få dem til at bevilge
det dengang jeg fik antabus så over fire år siden. Men så var det min mand døde,
og så arvede jeg en masse penge, og så havde jeg selv råd til behandling. (...)
127
SUU, Alm.del - 2024-25 - Bilag 302: Orientering om Sundhedsstyrelsens afrapportering om den kulegravning af alkoholbehandlingen, fra indenrigs- og sundhedsministeren
3035092_0129.png
Interviewer: Betød prisen noget?
Anne-
Nej overhovedet ikke. Jeg skulle bare afsted. Du kan ikke se prisen på
deres hjemmeside. For jeg må indrømme, at da jeg kom [her] første gang og skulle
skrive under på en faktura, var jeg ved at kaste op og kiggede en ekstra gang men
okay det er pengene værd.
jo ikke betale, for det har de ikke råd til. (Anne-Marie, 66 år, selvbetalt
døgnbehandling (tidligere offentlig ambulant))
Tid er dog ikke kun vigtigt for selvbetalerne, men er som tidligere indikeret en vigtig
parameter for de fleste af brugerne. Det hænger som nævnt sammen med, at de først
er klar til at opsøge behandling efter at have ramt bunden, hvorfor det også er vigtigt
for dem at kunne starte hurtigt op.
Sidste gang
var det værre for mig, og da jeg så skulle vente
et er for lang tid. Man
(Alexander, 33 år, offentlig ambulant behandling)
Anonymitet
Blandt flere brugere fremhæves muligheden for at kunne være anonym i behandlingen,
som en afgørende faktor, inden behandlingen påbegyndes. Det skyldes først og
fremmest, at der ofte er meget skyld, skam og flovhed forbundet med
alkoholafhængigheden, hvorfor der kan være frygt for, at ens nærmeste eller
arbejdsplads får viden om behandlingsforløbet. Dernæst er der for nogle en bekymring
for, hvad det betyder internt i kommunernes systemer, hvis de først fremgår som
alkoholafhængig. Enkelte brugere er således bekymrede for, at det at opsøge
alkoholbehandling vil få konsekvenser for deres muligheder for at modtage andre
offentlige ydelser. En gennemgående overvejelse hos brugere med hjemmeboende
børn er også, at de frygter, at kommunen vil tage børnene fra dem, hvis det fremgår, at
de har en alkoholafhængighed. Sidstnævnte nævner også flere medarbejdere og
ledere i NHG s caseundersøgelse som en årsag til, at flere indledningsvis har ønsket at
være anonyme. Private leverandører oplever samme frygt hos brugerne for, hvad det
igangsætter i forhold til deres børn, hvis de opsøger kommunal behandling, men de
private leverandører må i den forbindelse oplyse brugerne om, at de som private
leverandører også har underretningspligt.
Da jeg startede med at lede efter behandling, var det vigtigt, at jeg kunne være
anonym. Det var fordi, der var meget skyld, skam og fordomme forbundet med at gå
i alkoholbehandling, og mange af mine nærmeste kendte ikke til mit problem. Jeg
tror også, at det er nogle af grundene til, at mange ikke søger hjælp i kommunerne.
Jeg tror, at mange er bange for, hvilken betydning det kan have for dem at gå i
alkoholbehandling - for eksempel hvis man samtidig er i udredning for førtidspension
eller er sygemeldt. (Christina, 49 år, privat ambulant behandling)
NHG s brugerundersøgelse indikerer dog, at de ovenstående bekymringer som oftest
udspringer fra manglende viden om både, hvad der konkret ligger i at være anonym, og
hvilken betydning det har for den enkelte ikke at være det. Brugerne giver således
udtryk for, at denne viden øges med tiden, og at de undervejs eller ved deres andet
128
SUU, Alm.del - 2024-25 - Bilag 302: Orientering om Sundhedsstyrelsens afrapportering om den kulegravning af alkoholbehandlingen, fra indenrigs- og sundhedsministeren
3035092_0130.png
eller tredje behandlingsforløb har fundet ud af, at anonymitet ikke er vigtigt. Mange
oplever, at det i stigende grad bliver vigtigt for dem at være ærlige og stå frem om
deres afhængighed.
Jeg fandt ud af, at det ikke var så slemt, som jeg havde frygtet, og at kommunen
slet ikke talte sammen på tværs af de andre områder, for eksempel med
sygedagpenge og førtidspension. Det har stor betydning, at man ikke vil kendes i
Jeg var jo bange for, at de ville tage mine børn fra
mig. Christina, 49 år, privat ambulant behandling)
***
At kunne være anonym har ingen betydning nu, men det havde stor betydning i
starten. Det er blevet en vigtig
år, offentlig dagbehandling (tidligere ambulant))
Ovenstående kan pege på vigtigheden af, at det i højere grad og allerede ved kontakt
til behandlingsstedet tydeliggøres, hvilken betydning det har for den enkelte, hvis
anonymiteten fravælges. Dette for at sikre, at brugerne træffer beslutninger i relation til
deres behandling på et velinformeret grundlag, inden behandlingen opstartes.
6.3
Undervejs i behandlingsforløbet
Næste afsnit beskriver de faktorer, som ifølge brugerne kan have betydning for,
hvorvidt selve behandlingsforløbet opleves som godt eller dårligt. Afsnittet vil først
beskrive brugernes perspektiver på behandlingstilgange og -metoder, efterfulgt af
rammerne for forløbet. Dernæst beskrives, hvordan forskellige behandlerfaktorer
påvirker oplevelsen af behandlingen. Det efterfølges af en beskrivelse af betydningen
af gruppesammensætning. Derudover beskrives behovet for inddragelse af pårørende
og slutteligt brugernes perspektiver på behandlingsfaciliteterne.
Det er vigtigt at understrege, at de faktorer, som beskrives i løbet af afsnittet, er dem,
som brugerne selv mest gennemgående har fremhævet som vigtige for deres
oplevelse af et godt behandlingsforløb. Således er afsnittet tro mod brugernes
oplevelse.
Behandleren
Behandlerrelation
Alle brugerne peger på vigtigheden af at have en god relation til deres behandlere, og
anser det for essentielt for at opnå fuldt udbytte af deres behandling. Mange
fremhæver det, som det vigtigste for en god alkoholbehandling.
andre. Hun [behandleren] er virkelig god og rummende. Vi har en god kemi, og de
samtaler vi har er rigtig gode og trygge, og vi kommer altid frem til nogle gode
punkter og måder jeg skal arbejde med. Hun har ramt en god mellemvej imellem at
(tidligere selvbetalt døgnbehandling))
129
SUU, Alm.del - 2024-25 - Bilag 302: Orientering om Sundhedsstyrelsens afrapportering om den kulegravning af alkoholbehandlingen, fra indenrigs- og sundhedsministeren
3035092_0131.png
Brugerne beskriver, hvordan de bærende elementer for en positiv relation med
behandlerne bygger på tryghed og tillid, eftersom de ved opstart i behandlingen som
nævnt
følelse af tryghed og tillid varierer fra person til person. For nogle er faglig ballast
vigtigt, for andre er personlig spejling essentielt. Det fremhæves særligt, at
behandlerne fremstår professionelle, formår at møde brugerne der, hvor de er, ser på
mønstre i brugernes liv og ikke taler ned til eller udskammer dem, men i stedet hjælper
tryghed og tillid til behandleren både i den individuelle behandling og i
gruppebehandlingen - opstår der et rum, hvor de kan arbejde med sig selv og deres
alkoholafhængighed. Gør dette sig ikke gældende øges risikoen for, at brugeren
stopper i behandling og fortsætter sit skadelige forbrug af alkohol.
Vigtigheden af en god behandlerrelation underbygges også af resultaterne fra SDU s
undersøgelser af henholdsvis brugeroplevet kvalitet og af evidens på området. Således
behandler og bruger er en forudsætning for god behandling uanset
behandlingsmetode. Det er dog vanskeligt at afgøre, hvor stor en del af
behandlingseffekten, der afgøres af behandlerrelationen. Evidensen på området
bekræfter tilmed, at en stærk alliance mellem bruger og behandler omhandler, at
behandlingen skal være respektfuld over for bruger, modsvare patientens præferencer,
behov og værdier og inddrage dem i beslutninger, der tages i forbindelse med
behandlingen
170
.
Behandlernes baggrund
Udover behandlerrelationen, lægger flere af brugerne særlig vægt på, hvorvidt deres
behandler er tidligere alkoholafhængig. For mange har dette faktum været en
afgørende forskel på et godt og et dårligt behandlingsforløb. Mange brugere oplever, at
en behandler, som er tidligere alkoholafhængig, har en anden forståelse for deres
situation, og at de i højere grad kan spejle sig i dem. Således oplever de også en
stærkere behandlerrelation til tidligere afhængige. Omvendt kritiserer de behandlere,
disse
behandlere kan se igennem brugerne og derfor er nemme at lyve overfor.
Det kunne man virkelig mærke på ham. Han var så god til at møde mig, hvor jeg
var. Han gennemskuede mig meget hurtigt og stillede alle de træls, men gode og
vigtige spørg
døgnbehandling)
Brugerundersøgelsen viser, at der er forskellige præferencer i forhold til behandlernes
baggrund. Det er et udtryk for, at brugerne er forskellige og skal tilgås på forskellige
måder. Det peger på, at det er væsentligt med et bredt udbud af behandlingstilbud for
at kunne imødekomme brugernes behov i forhold til behandlerpræferencer og derved
Statens Institut for Folkesundhed, SDU, 2023.
Litteraturgennemgang af evidens vedrørende
alkoholbehandling.,
s. 144
130
170
SUU, Alm.del - 2024-25 - Bilag 302: Orientering om Sundhedsstyrelsens afrapportering om den kulegravning af alkoholbehandlingen, fra indenrigs- og sundhedsministeren
3035092_0132.png
skabe grobund for den vigtige stærke behandleralliance. Dette gælder dog ikke kun i
forhold til behandlerne, men også i forhold til behandlingsmetoderne.
Gruppesammensætning
Det at kunne spejle sig i andre brugere er en anden fremtrædende faktor, der nævnes
som vigtig af mange brugere på tværs af ambulant-, dag- eller døgnbehandling. For
brugerne er det vigtigt, at de er omgivet af andre, der ligner dem. Det kan være på
selve behandlingsstedet, men især i gruppebehandling.
Især fremhæves det af de brugere, som har haft oplevelser, hvor de andre i
behandlingen
ikke
lignede dem selv. Især tre forhold fremhæves: 1) Forskel i hvilken
substans brugerne er afhængige af (alkohol eller stoffer), 2) forskel i socioøkonomi,
eller 3) forskel i motivationsniveauet. Ofte kan det være en kombination af disse tre
forhold. For nogle kan det blive en årsag til at stoppe i behandlingen, hvis de andre
deltagere opleves som for forskellige fra dem selv, og at brugeren slet ikke oplever at
have noget tilfælles med de andre. For andre kan det føre til mindre udbytte af
behandlingen.
Flere, som har været i gruppebehandling med stofafhængige, oplever, at det kan
påvirke behandlingen negativt. Det skyldes dels, at de oplever, at der er stor forskel på
dem selv og de stofafhængige, da stofafhængige ofte har andre sociale problemer,
hvilket gør det svært at spejle sig i dem. Dels skyldes det, at brugerne oplever, at det
kan være en udfordring, fordi det er ressourcekrævende for behandleren og stiller store
krav til dem at favne de stofafhængige. Det kan ifølge nogle brugere påvirke hele
gruppedynamikken og i sidste ende gå udover behandlingen for de alkoholafhængige.
jeg kom i en gruppe var der mange jeg ikke kunne identificere mig selv
med. De havde hardcore sociale problemer, såsom manglende betaling af husleje
siden af en ung pige engang til gruppebehandlingen, og vi havde jo slet ikke samme
passede mig. For at give noget kontekst, og så vi var mere samhørige.
år, offentlig ambulant behandling).
***
stofmisbrugere. Det stiller nogle andre krav til behandlerne. Første gang var det kun
alkoholikere, men nu er det delt, og jeg synes at det er en lidt for stor mundfuld for
terapeuterne
dagbehandling
(tidligere ambulant)).
Vigtigheden af at opleve at have noget til fælles med de andre i gruppen, handler om,
at gruppebehandlingens styrke netop er, at brugerne oplever at få øjnene op for, at der
er andre ligesom dem, nogle man kan identificere sig med, dele deres erfaringer med,
samt lære af og sparre med. Når gruppesammensætningen er succesfuld, er det et
sted, hvor brugerne oplever at blive mødt med oprigtig forståelse for deres
alkoholafhængighed, som er noget, deres pårørende ikke nødvendigvis kan give dem.
Det er vigtigt at understrege, at brugerne også accepterer nogle forskelligheder i
grupperne.
131
SUU, Alm.del - 2024-25 - Bilag 302: Orientering om Sundhedsstyrelsens afrapportering om den kulegravning af alkoholbehandlingen, fra indenrigs- og sundhedsministeren
3035092_0133.png
rer utroligt godt i en gruppe. Selvom vi er forskellige, går vi igennem det
ambulant behandling).
Inddragelse af pårørende
En anden pointe, der går igen hos flere brugere, er, at det er vigtigt for dem, at deres
pårørendes behov også imødekommes som led i behandlingen. Det styrker i brugernes
øjne behandlingsforløbet, hvis de pårørende på forskellig vis inddrages i behandlingen.
Brugerne kommer med to årsager til det. For det første understreger de, at deres
alkoholforbrug også påvirker de pårørende, som derfor bør tilbydes hjælp til at
bearbejde deres oplevelser. Brugerne kan for eksempel have behov for
de snakker de ting igennem, som de har gjort, mens de har
været afhængige. Ifølge brugerne kan det også hjælpe de pårørende til bedre at forstå
den alkoholafhængige. For det andet forklarer de, at de pårørende kan være en vigtig
ressource i behandlingsforløbet, og derfor bør gives værktøjer til, hvordan de som
pårørende bedst støtter op om den alkoholafhængiges ændrede alkoholforbrug. Det er
forskelligt, hvorvidt brugerne har oplevet, at deres pårørende er blevet tilbudt
behandling i tilstrækkelig grad.
alkoholforbrug, og de har også brug for hjælp. Man burde have det som en del af
leverandør)
***
samtale. Min behandler tog imod dem, som var de hans egen familie. Han talte
personligt med dem, og kunne give dem nogle gode råd til, hvordan man skal tilgå
en med misbrug. Og efterfølgende i min behandling gav det et godt udgangspunkt
for samtalerne med min behandler, at behandleren kunne referere til det, han havde
ambulant behandling)
Nogle brugere oplever også, at der burde være mere fokus på pårørende i forhold til
den opsøgende indsats for at få alkoholafhængige til at starte i behandling. Morten
fortæller for eksempel, hvordan han startede i behandling efter at være gået med sin
mor til et pårørendetilbud. Han beskriver således, hvordan dette blev hans vej ind i
behandling.
Pårørendetilbud opleves for nogle brugere, som et vigtigt element i god
alkoholbehandling, fordi det i nogle tilfælde er nødvendigt at hjælpe de pårørende til at
opnå en større forståelse for brugerens behandling, og hvordan de som pårørende kan
støtte dem i deres proces, mens det i andre tilfælde kan danne broen til at få brugerne i
132
SUU, Alm.del - 2024-25 - Bilag 302: Orientering om Sundhedsstyrelsens afrapportering om den kulegravning af alkoholbehandlingen, fra indenrigs- og sundhedsministeren
3035092_0134.png
behandling. Dette stemmer også overens med Sundhedsstyrelsens nationale kliniske
retningslinjer, hvor de anbefaler at tilbyde rådgivning til pårørende
171
.
Behandlingstilgang og -metoder
En helhedsorienteret tilgang
På tværs af offentlige og private behandlingssteder og af ambulant-, dag- og
døgnbehandling giver brugerne udtryk for vigtigheden af, hvorvidt behandlingen møder
dem, som et helt menneske. Det er forskelligt, hvad det at blive tilgået som et helt
menneske betyder for dem hver især.
For nogle handler det om at blive mødt at forskellige fagligheder. Herunder fremhæves
det som en styrke at have mulighed for at snakke med en læge eller sygeplejerske
udover selve ens behandler, men også adgangen til psykologer fremhæves. For
eksempel nævner brugere at have fået et sundhedstjek ved siden af deres terapi, eller
at kontakten med det sundhedsfaglige personale har været med til sikre, at eventuelle
andre diagnoser er blevet velbehandlede ved siden af alkoholbehandlingen. Blandt
dem, der har oplevet det, beskrives det som essentielt, at behandlingen er i stand til at
hjælpe med psykiske problemer udover alkoholen.
For andre handler det om selve behandlingstilgangen. Brugerne italesætter det som et
s et
hele
,
frem for blot på alkoholafhængigheden. I forlængelse
heraf peger mange også på, at det har været vigtigt for deres behandling at have
identificeret adfærdsmønstre, triggers, forhindringer, eller andre udfordringer, som de
er nødt til at kende og reagere på for at ændre deres alkoholforbrug. Det, at lære om
sig selv og sine begrænsninger, fremhæves også i
om
brugeroplevet kvalitet, som noget, der bidrager til en positiv brugeroplevelse sammen
med vigtigheden af få en følelse af at være et unikt menneske og ikke blot en tilfældig
bruger
172
.
, som fokuserer
360 grader på brugeren. De har en forståelse for alle de ting, der kan vælte læsset. I
mit tilfælde omstændigheder i min familie. Det er vigtigt at få kortlagt, hvad det er,
der er årsagen, og at fjerne de forhindringer i det daglige. Grundlæggende er det
vigtigt at se på hele brugeren og ikke kun misbruget for ellers kommer misbruget i
90 % af tilfældene tilbage igen . (Anders, 47 år, offentlig dagbehandling (tidligere
ambulant))
***
På behandlingsstedet arbejder de ud fra, hvordan man er som menneske og laver
De går op i diagnoser og adfærdsmønstre og
arbejder ud fra, hvilke udfordringer man har, så det er mere muligt at arbejde med
dem
det er
171
172
Sundhedsstyrelsen, 2018.
National klinisk retningslinje for behandling af alkoholafhængighed,
s. 29
Syddansk Universitet, 2022.
Brugeroplevet kvalitet i offentligt finansieret alkoholbehandling,
s. 22
133
SUU, Alm.del - 2024-25 - Bilag 302: Orientering om Sundhedsstyrelsens afrapportering om den kulegravning af alkoholbehandlingen, fra indenrigs- og sundhedsministeren
3035092_0135.png
mere helhedsorienteret (Pernille, 44 år, dagbehandling ved privat leverandør
(tidligere forskellige behandlings- og finansieringstyper)
For andre handler det mere systemisk om, at det er essentielt, at de i behandlingen er
blevet sat i kontakt med andre forvaltninger eller organisationer, der har hjulpet dem
med at løse andre udfordringer i deres liv. Både brugere i behandling hos offentlige og
private leverandører har oplevet dette og fremhæver det som en god kvalitet i
behandlingsforløbet. Enkelte ser det netop som styrken i det offentlige
behandlingssystem, da det offentlige opleves som havende nemmere kommunikation
på tværs af forvaltninger, såsom jobcenter eller børns skole.
I alle de tre ovennævnte tilfælde handler det om, at behandlingen er helhedsorienteret
og har fokus på at give støtte i det, der sker omkring dem som mennesker - udover
afhængigheden.
Et andet perspektiv i den forbindelse handler om brugernes oplevelse af at blive tilgået
som et individ. At have fokus på det hele menneske, handler for mange brugere
således også om, at de har haft en positiv oplevelse af, at behandlingsforløbet har
imødekommet dem som en unik person. Omvendt begrunder nogle af brugerne med
negative behandlingsoplevelser det med, at de har følt sig misforstået eller har oplevet
at blive puttet i prædefinerede kasser
, som ikke
passer til dem. Altså fremhæver brugerne, at det er vigtigt for dem, hvorvidt deres
behandlingsforløb enten har eller ikke har været tilpasset til dem og deres behov. Det
kunne eksempelvis omhandle længden på forløbet, hyppigheden af ambulante
samtaler, eller tidspunktet af døgnet for behandlingen. Men det kan også omhandle,
hvorvidt de oplever, at behandleren i selve samtalerne har været i stand til at møde
dem på deres niveau og have forståelse for dem som person. Det at have tilstrækkelig
tid i sit behandlingsforløb, fremhæves også i SDU s undersøgelse af brugeroplevet
kvalitet
173
. NHG s brugerundersøgelse såvel som SDU-undersøgelsen bekræfter, at det
er vigtigt for brugerne, at længden på deres behandlingsforløb tilpasses det, der giver
mening for den enkelte bruger og at nogle har brug for længere tid end andre. Det
vigtige for brugerne er, at behandlingsforløbene kan være fleksible i forhold til deres
individuelle behov.
-
klar til at komme videre og sagde, at jeg troede, at behandlingen var længere. Så fik
jeg at vide, at det var det, man var normeret til. Så skulle jeg søge om
behandlingsperiode igen, og så startede man forfra. Jeg fortalte, at det at afslutte
forløbet nu var ensbetydende med, at jeg begyndte at drikke igen. Det kunne
behandleren godt se, men der var ingen tilgængelige redskaber for eksempel
udslusningsforløb, ligesom hvis man har brækket benet og skal genoptrænes.
Sidste gang var min behandler god til at se, hvad jeg havde behov for at komme ud
på den rigtige side, og forløbet var længere. Nok 1,5 års tid. Men min behandler
kunne ikke få endnu længere, for hun måtte ikke bruge længere tid på hvert enkelt.
173
Syddansk Universitet, 2022.
Brugeroplevet kvalitet i offentligt finansieret alkoholbehandling,
s. 21
134
SUU, Alm.del - 2024-25 - Bilag 302: Orientering om Sundhedsstyrelsens afrapportering om den kulegravning af alkoholbehandlingen, fra indenrigs- og sundhedsministeren
3035092_0136.png
Jeg ved ikke, om det gælder alle behandlingssteder. Måske skulle man lave forløb,
der mere passede til hver enkelt. Det er det jeg ser som den største udfordring, at
du ikke skelner mellem, hvilken person du har med at gøre at det er over en kam.
(Karsten, 52 år, offentlig ambulant behandling)
***
behandling til alle. Man skal se det enkelte menneske. Vi er alle sammen forskellige,
(Morten, 22 år, offentligt
finansieret døgnbehandling (tidligere ambulant og dagbehandling))
Dertil oplever nogle, at de ikke har haft nok individuel behandling eller samtaler, eller at
der ikke har været tid nok til hver enkelt. Der er dog forskel herpå og enkelte
foretrækker gruppebehandling, mens flere fremhæver det som en styrke både at have
haft individuel- og gruppebehandling. S
finder
også, at der er forskel på, hvordan deltagerne oplever henholdsvis individuelle
samtaler og en gruppebehandling. SDU beskriver, at værdien brugerne især oplever
forbundet med individuel behandling omhandler, at samtalerne kan tilpasses til den
enkelte, samt at der er tid til at dykke ned i den enkeltes erfaringer og problematikker
med alkohol frem for de generelle problemstillinger. Det bekræfter altså tendensen til,
at en oplevelse af på forskellig vis at blive mødt som et individ, er vigtig for en
alkoholbehandling af god kvalitet set fra et brugerperspektiv.
evidensgennemgang konkluderer dertil, at der ikke er noget der tyder på, at
gruppebehandlingsforløb er hverken mere eller mindre effektive end individuelle
samtalebaserede behandlingsforløb
174
. Da der ikke er stærkt evidensbaseret belæg for
at vælge individuel eller gruppebaseret behandling kan det være hensigtsmæssigt at
sammensætte forløbet det ud fra den konkrete brugers behov og præferencer.
virkeligheden er, at grupperne trækker ud, for eksempel fordi der er mange
spørgsmål
så skærer man ned i det individuelle. Man siger, at vi skal have
flest muligt i mål, og det går udover det individuelle. Men det er vigtigt at tilgodese
- og leverandørtyper, alle
offentligt finansieret)
Nedsat forbrug eller afholdenhed
Brugerne oplever, at flere offentlige behandlingssteders tilgang til behandlingen er at få
et kontrolleret alkoholforbrug. Brugerne oplever dog ofte efter at have været i
behandling flere gange, at det er urealistisk, og at fuld afholdenhed er den eneste vej
frem. For flere brugere bliver det et karakteristikum ved det offentlige over for det
private, at de offentlige fejlagtigt tror, at de kan få et kontrolleret forbrug, mens de
private mener, at 100 % afholdenhed er den eneste farbare vej. Af NHG s
caseundersøgelse blandt ledere og medarbejdere på offentlige behandlingssteder
Statens Institut for Folkesundhed, SDU, 2023.
Litteraturgennemgang af evidens vedrørende
alkoholbehandling,
s. 130
135
174
SUU, Alm.del - 2024-25 - Bilag 302: Orientering om Sundhedsstyrelsens afrapportering om den kulegravning af alkoholbehandlingen, fra indenrigs- og sundhedsministeren
3035092_0137.png
fremgår det dog, at det offentlige som oftest også vil anbefale afholdenhed, men at de
næsten altid vil imødekomme brugernes egne ønsker, og at det kan tage tid at indse,
at afholdenhed er vejen frem. I forlængelse heraf viser spørgeskemaundersøgelsen
som SDU har gennemført blandt brugere i offentlig finansieret behandling, at 77 % har
været enige eller i høj grad enige med behandlerne om målet for deres behandling.
SDU s undersøgelse peger på, at et sådant mål netop kan omhandle, hvorvidt målet er
afholdenhed eller nedsat forbrug. Brugerperspektivet i NHG s undersøgelse indikerer
dog en oplevelse af, at brugerne gerne tidligere ville have indset, at de skulle leve uden
alkohol.
Jeg deltog i noget behandling i det offentlige. Jeg fik indtrykket af, at man kunne
lære at håndtere sit alkoholforbrug og drikke med måde. Jeg tænkte dengang, at det
var fint. Det var det også, for jeg holdt jo en lang pause fra alkohol efter. På den
anden side, så faldt jeg i igen. At drikke med måde eskalerede, og jeg røg i
behandling igen.
alkohol, og den eneste måde man kan komme det til livs, er 100% afholdenhed. Jeg
kan ikke drikke som andre mennesker kan. Jeg tror ikke på de
behandlingsinstitutioner, som giver mulighed for at lære at drikke med måde. (Ib, 67
år, selvbetalt døgnbehandling, tidligere offentlig ambulant behandling)
12-trins program
Hvor SDU-undersøgelsen udelukkende har fokuseret på offentligt finansieret
alkoholbehandling, har NHG s undersøgelse også inkluderet privat finansieret
alkoholbehandling. Vi ser en klar tendens til, at mange af brugerne i den privat
finansierede alkoholbehandling sammenkobler det at have en plan og struktur med det
faktum, at deres behandlingsforløb har fulgt 12-trins program, også kaldet Minnesota-
modellen. Minnesota-modellen udbydes ofte i regi af private døgnbehandlingssteder,
og ifølge SDU s evidensgennemgang er den netop karakteriseret ved blandt andet at
have en høj grad af struktur og ofte at være manualbaseret. Fra et brugerperspektiv
fremgår 12-trins programmets struktur som en af de ting, der for nogle brugere øger
kvaliteten i de private behandlingsforløb, da de oplever, at denne er med til at holde
Minnesotabehandling formentlig er lige så effektiv som anden manualiseret behandling,
såsom kognitiv adfærdsterapi
175
. Brugere fortæller blandt andet om 12-trins modellen:
der fælles undervisning om formiddagen, så er der middagspause, eftermiddag er
der undervisning igen, gåture og mulighed for afslapning. Så er der lysmøde om
aftenen. Der er et stra
frem efter slavisk de 12 trin. Det fungerer godt for mig, og jeg kunne hurtigt se
logikken og fornuften i den behandlingsform. Jeg kan godt lide, at der har været den
her kontinuerlige og lige overskuelige vej fremad. Første trin, andet trin og så
Statens Institut for Folkesundhed, SDU, 2023.
Litteraturgennemgang af evidens vedrørende
alkoholbehandling,
s. 79
136
175
SUU, Alm.del - 2024-25 - Bilag 302: Orientering om Sundhedsstyrelsens afrapportering om den kulegravning af alkoholbehandlingen, fra indenrigs- og sundhedsministeren
3035092_0138.png
behandling))
***
-trinsbehandlingen burde være en inkarneret del af programmet. Også i det
6.4
Efter behandlingsforløbet
Som nævnt i kapitel 5 om efterbehandling, har der ikke tidligere været et stort eller
systematisk fokus på efterbehandling, og mens de nationale kliniske retningslinjer for
alkoholbehandling anbefaler at tilbyde efterbehandling, indeholder de ikke klare
instrukser om, hvad efterbehandlingen bør indebære. I forbindelse med
Sundhedsstyrelsens kulegravning har det derfor også været essentielt at få indsigt
brugernes oplevelse af og tilfredshed med efterbehandlingen, herunder hvilke behov
de har efter afslutningen af det egentlige behandlingsforløb.
Behov for en plan eller værktøjer, der kan anvendes efter forløbet
Mange af brugerne udtrykker bekymring, nervøsitet eller ligefrem frygt over, hvad der
skal ske, når deres behandling afsluttes. Bekymringerne beror sig især på en frygt for
, når de vender tilbage til hverdagen, hvor de før har været vant til at drikke,
men der nu skal håndteres en hverdag uden alkohol.
. Det er jo en ny hverdag, som jeg
Hans, 46 år, forsikringsdækket
døgnbehandling)
***
men jeg har også en mindre frygt for det. Jeg
føler mig måske ikke helt klar
(Morten, 22 år, offentligt finansieret døgnbehandling)
Bekymringerne om, hvad der kommer til at ske, får brugerne til at pege på vigtigheden
af, at der ligges en klar plan for forløbet efter afslutningen af behandlingen. Andre giver
udtryk for, at det er vigtigt at have drøftelser om, hvad der skal ske efter forløbet, og at
behandlingen giver redskaber til at håndtere svære situationer, som de senere må
støde ind i.
hverdag til at fungere. Det er vigtigt, at overgangen er der
af telefonnumre, som vi kan ringe til 24/7 . (Emil, 30 år, selvbetalt døgnbehandling
(tidligere offentlig ambulant behandling))
***
Under behandlingen bør man også se på, hvad der skal ske, når behandlingen er
slut. Du kommer ud til de samme mennesker og de samme omgivelser.
Sandsynligheden for at du ender det samme sted er ret stor. Du skal have
redskaberne til at komme videre . (Karsten, 52 år, offentlig ambulant behandling)
137
SUU, Alm.del - 2024-25 - Bilag 302: Orientering om Sundhedsstyrelsens afrapportering om den kulegravning af alkoholbehandlingen, fra indenrigs- og sundhedsministeren
3035092_0139.png
Brugernes oplevelse af tiden efter at have været i behandling viser, at der er et stort
behov for at blive støttet i processen med at blive fastholdt i deres nye alkoholvaner.
Mange giver udtryk for et behov for ikke at blive sluppet fuldstændig, men derimod
gennemgå en glidende overgang til hverdagen. Hvilken form for støtte, der er behov
for, er forskelligt, men brugerne nævner for eksempel muligheden for at skrue ned i
intensiteten i behandlingstype, og altså at sikre en overgang fra dag- til ambulant
behandling eller fra døgn-, til dag-, eller ambulant behandling. For andre kan denne
gradvise formindskelse af intensiteten også blot handle om hyppigheden af deres
samtaler i den ambulante behandling, så der sker en løbende udtrapning af
behandlingen. For andre handler det mere om trygheden i at vide, at de kan ringe eller
skrive til deres behandler, hvis der skulle opstå svære situationer. Nærmest alle
brugerne italesætter altså generelt vigtigheden af forløbet efter endt behandling, men
det er forskelligt, hvorvidt de har oplevet, at det, de er blevet tilbudt, har været
tilstrækkeligt eller ej.
Jeg manglede et egentligt efterbehandlingstilbud. Mit forløb var ikke
langt nok til at se på, hvad gør vi bagefter. For eksempel: Hvordan tackler jeg det, at
jeg skal ud og se fodboldkamp på søndag?
Det ville være rart, hvis man efter
behandlingen kunne møde sin behandler en gang om måneden, eller havde lov til at
kontakte dem f.eks. i et år efter. Det kunne også være kontakt gennem e-mail, hvor
jeg kunne skrive, hvis jeg tumlede med nogle tanker. Så kunne det være, at jeg
havde brug for at mødes en gang imellem, men det kunne også være, at vi kunne
klare det på telefonen eller ved en e-mail
(Karsten, 52 år, offentlig ambulant
behandling)
***
Der er noget angstprovokerende ved at blive sluppet helt fri. Jeg synes ikke, at det
er en rar tanke, at behandlingen slutter, fordi det føles trygt. Jeg er jo tidligere faldet
Jeg synes, at det
ville være kanon med en form for opfølgning. Det kan sagtens være mindre intenst,
men hvor man fortsat havde lidt kontakt, så man ikke er helt afsluttet. Jeg tænker, at
det måske kunne være, at man mødtes en gang om måneden. Jeg har nok mest
behov for, at man skalerer stille og roligt ned. Det er vigtigt at have en
døgnophold))
Efter døgnbehandling
Især efter døgnbehandling oplever brugerne, at der er behov for understøttelse i
overgang til hverdagen. Det skyldes, at brugerne i døgnbehandlingen som nævnt
trækkes ud af deres omgivelser, og at det kan være udfordrende at vende tilbage til de
gamle omgivelser og miljø efter behandlingen. Enkelte brugere oplever ikke, at støtten
efter døgnopholdene har været nok. Andre, som Anne-Marie, beskriver, hvordan
efterbehandling altid har været en del af den pakke, hun betalte for, men at hun først
efter fjerde behandling, var klar til at anvende tilbuddet. Hun mener efterfølgende, at
hun burde have benyttet sig af tilbuddet fra første gang. Hendes og lignende historier
får enkelte brugere til at mene, at deltagelse i en form for efterbehandling efter
138
SUU, Alm.del - 2024-25 - Bilag 302: Orientering om Sundhedsstyrelsens afrapportering om den kulegravning af alkoholbehandlingen, fra indenrigs- og sundhedsministeren
3035092_0140.png
døgnbehandling burde være et krav, og at det er vigtigt, at behandlingsstederne gør en
stor indsats for at få brugerne til at deltage i efterbehandling. Der er også brugere i
privat døgnbehandling, der ser det som en styrke ved deres nuværende
behandlingssted, at de kræver ugentlig deltagelse i AA-møder under opholdet, så der
er større sandsynlighed for, at brugerne fortsætter heri efter endt forløb.
Der er mindre indikationer på, at der kan være flere udfordringer med efterbehandling
efter endt døgnbehandling hos private leverandører. Der er en tendens til, at dem i
offentligt finansieret døgnbehandling har en klar plan for, hvad der skal ske, når de
kommer hjem, som kan involvere, at de fortsætter i dag- eller ambulant behandling, og
hvad der eventuelt skal ske med deres jobsituation eller uddannelsessituation. Nogle
private leverandører har dog også ambulante tilbud, som brugerne kan fortsætte i.
til at lave en overgang fra udskrivelse. Det er svært fra et rammebaseret miljø til at
gå hjem og være fri med egen fri vilje. At tage det rigtige valg om ikke at drikke og
selv begynde at styre sit liv. Der måtte gerne være en mellemting - kommunen er jo
kun i dagtimerne, og der er jo ikke hjælp hele tiden. Jeg ved ikke, hvad det skulle
være, men det er meget sort/hvidt at gå fra døgn til ingenting. Der burde være mere
støtte hele dagen og mere støtte, end der var - nogle der fulgte lidt mere op på mig.
Jeg har også haft brugt c
(Sofie, 37 år, offentlig
ambulant behandling (tidligere selvbetalt døgnophold))
Behov for nye sociale fællesskaber
Flere brugere giver udtryk for, at de især har behov for at kunne indgå i et socialt
fællesskab eller i sociale arrangementer i overgangen fra behandling til hverdag. For
nogle brugere handler det om, at de har behov for at indgå i nye alkoholfri sociale
fællesskaber, fordi de ved, at de ikke kan indgå i deres gamle omgangskreds uden at
falde i. For andre handler det om blot at udvide deres omgangskreds med nogle
bekendtskaber, hvor de kan støtte og sparre med hinanden. Flere brugere beskriver, at
fællesskaberne er med til at forebygge tilbagefald, idet det bliver muligt at kunne spejle
sig i hinanden og samtidig danne relationer udenom alkoholen. Det samme fremgår af
SDU s undersøgelse, hvor alle brugerne har fremhævet vigtigheden af, at der findes et
netværk af andre brugere, som selv har haft et problematisk alkoholforbrug, og nogle
beskriver, hvordan fællesskabet bidrager til vedligeholdelse af alkoholafholdenhed
176
.
Hvordan disse fællesskaber skal opnås, eller hvor de findes, er forskelligt fra bruger til
bruger. Mange af brugerne har fundet fællesskabet gennem AA-møder. Andre brugere
kan dog ikke se sig selv i AA, hvilket de begrunder med dets religiøse karakter. Derfor
indikerer brugerinterviewene, at det er vigtigt, at der også er andre
efterbehandlingstilbud eller såkaldte selvhjælpsgrupper. Enkelte beskriver da også at
have fundet det i forskellige efterbehandlingstilbud. For mange handler de forskellige
gruppetilbud eller efterværn (både AA og ikke) efter endt behandling om at minde dem
om, hvor de kommer fra, og hvor meget de har rykket sig. Nogle brugere nævner, at
176
Syddansk Universitet, 2022.
Brugeroplevet kvalitet i offentligt finansieret alkoholbehandling,
s. 27, s. 30
139
SUU, Alm.del - 2024-25 - Bilag 302: Orientering om Sundhedsstyrelsens afrapportering om den kulegravning af alkoholbehandlingen, fra indenrigs- og sundhedsministeren
3035092_0141.png
disse fællesskaber gerne må være målrettede forskellige brugere på forskellig vis,
såsom specifikke kvindetilbud eller at det er vigtigt, at de er opdelt i alkohol- og
stofafhængighed. Også SDU konkluderer, at det kan være et værdifuldt supplement til
behandlingstilbuddet at have tilbud, hvor brugerne kan komme, som de ønsker, og tale
uformelt med andre personer, der har haft lignende eller samme erfaringer som dem
selv
177
.
er også et fint tilbud. Det tænker jeg, at jeg vil gøre brug af, hvis det
skurer lidt. Jeg kunne jo godt tænke mig, at det var et koncept flere steder. Det er
frivilligkulturen, der fungerer, og som skaber og bærer det. De frivillige bærer folk
videre, og det bliver mere kontinuerligt. At der for eksempel er morgenmøder, hvor
man mødes, så man kan starte sin dag godt ud. Det er så vigtigt, at tidligere
alkoholafhængige har noget at stå op til, og noget som sætter en retning for dagen
særligt for dem, der måske ikke har et job eller lignende. Man føler sig aldrig
efterladt. Lea, 52 år, offentlig ambulant behandling)
***
[navn på behandlingssted] er, at der altid er noget socialt som man
kan koble sig på. Så hvis man sidder derhjemme, så kan man altid tage ud til noget
socialt
(Charlotte, 53 år
offentligt finansieret ambulant behandling ved privat leverandør)
***
Man har også brug for nye og sundere relationer, som man også bliver hjulpet på
vej til ved at dukke op i AA for eksempel. Jeg har fået nye kontakter her.
år, selvbetalt døgnbehandling)
6.5
Opsummering om brugeroplevet kvalitet
undersøgelse viser, at brugerne langt hen ad vejen er tilfredse med
alkoholbehandlingen. Brugerne er glade for den hjælp, de har modtaget, og vurderer,
at behandlingen er af høj kvalitet på både offentlige og private tilbud.
Der er mange forskellige årsager til, at brugerne vælger at starte i behandling, men i
sidste ende er det oplevelsen af, at nå et
vendepunkt,
eller ligefrem ramme bunden
eller være tæt på, som gør, at de endelig bliver motiverede nok til at opsøge hjælp.
Oplevelsen af at ramme bunden, betyder også, at valget om behandling for brugerne
mere handler om endelig at være klar til at vælge at starte i behandling, end det
handler om at vælge et bestemt behandlingssted -eller tilbud.
Et vigtigt fund er, at brugerne ikke er bekendte med deres rettigheder og muligheder,
og der florerer flere fordomme, misforståelser eller fejlslutninger om både offentlig og
privat behandling og om de forskellige behandlingstyper (ambulant-, dag- og
døgnbehandling). Generelt er der dog også forskellige præferencer i forhold til
behandlingstyper, hvor nogle brugere har et stærkt ønske om at opretholde deres
177
Syddansk Universitet, 2022.
Brugeroplevet kvalitet i offentligt finansieret alkoholbehandling,
s. 27.
140
SUU, Alm.del - 2024-25 - Bilag 302: Orientering om Sundhedsstyrelsens afrapportering om den kulegravning af alkoholbehandlingen, fra indenrigs- og sundhedsministeren
3035092_0142.png
hverdag under behandlingen og derfor foretrækker ambulant behandling, mens
døgnbehandling for andre virker som det eneste rigtige, fordi de vil væk fra hverdagen.
Hvad angår brugernes ret til anonymitet, er det for flere brugere en vigtig rettighed i
starten, men undervejs i forløbet, og efterhånden som brugeren får forståelse for, hvad
anonymitet og ophævelsen af samme betyder, bliver det mindre vigtigt.
har haft et særskilt fokus på at få indblik i selvbetaling og
privatfinansieret alkoholbehandling og resultaterne indikerer, at selvbetaling dels kan
handle om et specifikt ønske om at komme i døgnbehandling (enten fra brugeren selv
eller fra pårørende), dels om at ville hurtigt i behandling (også hurtigere end
behandlingsgarantien på 14 dage), eller om manglende viden om, at det offentlige
også kan bevilge døgnbehandling.
Om selve behandlingen viser NHG s brugerundersøgelse, at brugerne gennemgående
oplever det at blive mødt gennem en helhedsorienteret tilgang og blive set og hørt som
et individ, som afgørende for en god behandling. Derudover fremgår
behandlerrelationen som den vigtigste faktor for et succesfuldt forløb. I forlængelse
heraf oplever mange brugere, at det styrker kvaliteten af behandlingen, når
behandleren er tidligere afhængig, mens en mindre andel foretrækker fagligt uddannet
personale. Det skal sammenholdes med, at offentlige behandlingstilbud sjældent har
tidligere afhængige ansat, og at dette netop er et typisk karakteristikum for private
leverandører. Flere brugere oplever også, at en klar struktur og faste rammer styrker
behandlingsforløbet, og nogle brugere finder, at 12-trins programmet (også kendt som
Minnesotabehandling) giver dem denne struktur. Et andet fremtrædende ønske fra
brugerne er, at de gerne vil være omgivet af andre, der ligner dem selv i behandlingen.
Derudover understreger brugerne vigtigheden af at inddrage de pårørende i
behandlingen, da et problematisk alkoholforbrug ikke kun rammer den afhængige, men
også de nærmeste pårørende.
Hvis nogle af ovenstående faktorer mangler for brugerne, og de for eksempel har en
oplevelse af en dårlig behandlerrelation eller af ikke at kunne spejle sig i de andre
brugere i behandlingen, er der risiko for, at de vælger at stoppe behandlingen.
Vigtigheden af at forberede brugerne på forløbet efter endt behandling fremhæves på
tværs, herunder behov for hjælp til at lægge en plan og få de rette værktøjer. Især giver
brugerne udtryk for et behov for endnu mere fokus på overgangen efter
døgnbehandling. Nogle oplever decideret at have manglet efterbehandling. Desuden
kan brugerne efter endt behandling have behov for et socialt rum, hvor de uformelt kan
sparre og få alkoholfrie relationer.
Samlet set indikerer brugerinterviewene, at der er mange forskellige præferencer, og
brugerne skal tilgås på forskellige måder. Således er det et ønske fra brugerne i
alkoholbehandlingen at fastholde en bred pallette af behandlingstilbud både hvad
gælder metoder og behandlerkompetencer - for at imødekomme brugernes behov.
Herunder findes perspektiveringen til SFIs brugerundersøgelse blandt brugere i social
udsathed i alkoholbehandlingen.
141
SUU, Alm.del - 2024-25 - Bilag 302: Orientering om Sundhedsstyrelsens afrapportering om den kulegravning af alkoholbehandlingen, fra indenrigs- og sundhedsministeren
3035092_0143.png
systemets tilbud i
Som nævnt begrænser datagrundlaget i NHG s brugerundersøgelse sig til blot at
inkludere en enkelt interviewperson i social udsathed. Derfor vil vi i følgende afsnit
perspektivere brugerundersøgelsen resultater til SFIs brugerundersøgelse om
alkoholbehandling til brugere i social i udsathed. Det er interessant, at mange af de
behov og ønsker til behandlingen, som SFI konkluderer er fremtrædende hos de
brugere i social udsathed, går igen i NHG s brugerundersøgelse.
Størstedelen (78 %) af brugerne i social udsathed i SFI s undersøgelse vurderer, at
alkoholbehandlingen med afholdenhed som målsætning har hjulpet dem. Men en
femtedel oplever ikke at have fået den hjælp de har behov for og en fjerdedel mangler
relevante behandlingstilbud. De udsatte brugere efterlyser også flere opsøgende
indsatser og finder, at der er mangel på psykologer i de eksisterende tilbud, samt er
kritiske overfor ventetiden på behandling.
178
De to sidstnævnte forhold går igen hos
brugerne, der er interviewet i forbindelse med NHG s undersøgelse.
SFI s undersøgelse viser desuden først og fremmest, at brugerne i social udsathed er
en gruppemed meget sammensatte problemer, der også ofte har fysiske, psykiske,
økonomiske og sociale problemer samt mangler meningsfulde aktiviteter i hverdagen.
Ifølge SFI kan deres sammensatte problemer medføre, at de oplever at blive tilgået
med et andet fokus, end det de ønsker, fx brugere, der ønsker alkoholbehandling, men
kun får tilbudt stofbehandling.
179
Ingen af brugerne i NHG s undersøgelse har oplevet
denne specifikke udfordring, og derfor er det givetvis en problematik, der har fundet
sted for brugere i social udsathed.
At brugerne i social udsathed har forskellige ønsker og behov og derfor har brug for en
individualiseret og differentieret tilgang, som adresserer de forhold brugerne selv
oplever som problematiske, er dog meget tilsvarende NHG s konklusioner. SFI
understreger, at brugerne i social udsathed i særlig grad har brug for at opleve, at der
bliver lyttet til deres oplevelser og prioriteringer og at modtage fleksible tilbud og
, der kan imødekomme dem, der hvor de er både i selve
behandlingstilgangen, men også hvad angår for eksempel åbningstider og
tilgængelighed.
180
Disse ønsker er nok mere udtalte for brugerne i social udsathed end
for brugerne, der indgår i NHG s brugerundersøgelse. Ønsket om at blive tilgået
helhedsorienteret og set som et individ ringer genklang for begge brugergrupper.
NHG s brugerundersøgelse viser, at brugerne har behov for at kunne identificere sig
med de andre brugere i alkoholbehandling. Brugerne fra SFI s undersøgelse har i
forlængelse heraf negative erfaringer med at opleve, at alkoholbehandlingsstederne
SFI Det Nationale Forskningscenter for Velfærd., 2016.
Alkoholbehandling til socialt udsatte borgere,
s. 12, 105
179
SFI
Det Nationale Forskningscenter for Velfærd. 2016.
Alkoholbehandling til socialt udsatte borgere,
s. 13-14
180
SFI
Det Nationale Forskningscenter for Velfærd. 2016.
Alkoholbehandling til socialt udsatte borgere,
s. 17
142
178
SUU, Alm.del - 2024-25 - Bilag 302: Orientering om Sundhedsstyrelsens afrapportering om den kulegravning af alkoholbehandlingen, fra indenrigs- og sundhedsministeren
3035092_0144.png
passer bedre til mennesker med hus og familie end til folk fra gaden
181
. Det
understreger altså pointen om vigtigheden af at kunne spejle sig og have noget til
fælles med de andre brugere i behandlingen og viser derfor, at målretning af
behandlingstilbuddene er vigtigt.
Desuden peger SFI s undersøgelse på, at brugere i social udsathed især oplever, at
døgnbehandling har hjulpet dem - samtidig med, at det er den behandling som færrest
af borgerne i social udsathed er blevet tilbudt
182
.
Det stemmer overens med Christian,
der er interviewet i forbindelse med
, som også erfarer, at
døgnbehandling har virket bedst for ham. Der er som nævnt også nogle af de øvrige
brugere, der
behandlingstilbud. Der er dog også flere i NHG s undersøgelse, som foretrækker den
ambulante behandling, fordi de ønsker at opretholde en hverdag ved siden af.
SFI fremhæver dertil, at brugerne i social udsathed oplever, at kontrasten mellem dét
at være i døgnbehandling og det at vende tilbage til ens vante miljø er for stor, og at
der mangler opfølgning. Undersøgelsen konkluderer, at brugerne i social udsathed
oplever, at mens døgnbehandlingens afsondrethed virker, kan det være svært at
bevare den positive forandring, når de vender tilbage til det miljø, de kom fra. Desuden
peger brugerne i social udsathed på, at de som følge af deres sociale udsathed har et
behov for efterbehandling og særlig støtte som opfølgning på alkoholbehandlingen.
183
Dette stemmer godt overens med, hvad de øvrige brugere har fremhævet i forbindelse
med NHG s undersøgelse, hvilket kan indikere, at det er et mere generelt behov i
alkoholbehandlingen.
Samlet set finder vi altså, at hvor brugerne i social udsathed nok hyppigere vil have
mere sammensatte og komplekse problemstillinger, og i højere grad end de øvrige
brugere foretrækker døgnbehandling, er der mange mere almengyldige ønsker og
behov i forhold til at give brugerne en oplevelse af en alkoholbehandling af god kvalitet.
Disse omfatter blandt andet nem tilgængelighed, en individuelt tilpasset behandling, en
gruppesammensætning som det er muligt at identificere sig med, samt fokus på
efterbehandling og opfølgning.
SFI Det Nationale Forskningscenter for Velfærd. 2016.
Alkoholbehandling til socialt udsatte borgere,
s.
16
182
SFI
Det Nationale Forskningscenter for Velfærd. 2016.
Alkoholbehandling til socialt udsatte,
s. 12
183
SFI
Det Nationale Forskningscenter for Velfærd. 2016.
Alkoholbehandling til socialt udsatte,
s. 93-94,
105-106
143
181
SUU, Alm.del - 2024-25 - Bilag 302: Orientering om Sundhedsstyrelsens afrapportering om den kulegravning af alkoholbehandlingen, fra indenrigs- og sundhedsministeren
3035092_0145.png
144
SUU, Alm.del - 2024-25 - Bilag 302: Orientering om Sundhedsstyrelsens afrapportering om den kulegravning af alkoholbehandlingen, fra indenrigs- og sundhedsministeren
3035092_0146.png
7.
Styring, struktur, kvalitet og
prissætning
Dette kapitel omhandler styringsmekanismer, strukturer, kvalitet og prissætning i
alkoholbehandlingen i Danmark. Kapitlet afdækker problemstillinger relateret til
strukturer, lovgivning og økonomiske rammer, som kan skabe udfordringer for
kommunernes styring af udgifter til offentlig finansieret alkoholbehandling.
Formålet med kapitlet er at tydeliggøre rammerne for offentligt finansieret
alkoholbehandling, samt om der er tilstrækkelig gennemsigtighed i prissætning og
takster. Yderligere belyser kapitlet, hvordan den nuværende lovgivning påvirker
kommunernes mulighed for at sikre en sammenhæng mellem pris og kvalitet i
alkoholbehandlingen. Der perspektiveres til andre områder inden for velfærds- og
sundhedssystemet, hvor lignende problemstillinger opstår, eller hvor der er fundet
løsninger på tilsvarende udfordringer.
SAMMENFATNING AF RESULTATER OM STYRING, STRUKTUR, KVALITET
OG PRISSÆTNING
række udfordringer i alkoholbehandlingen i
forhold til styring, struktur, lovgivning og økonomiske rammer, da der ikke eksisterer en
eller flere veldefinerede ydelser (forstået som en kvalitetsstandard, en rammeaftale
eller lignende).
Alkoholbehandling er et "tillidsgode," hvilket betyder, at borgerne stoler på
behandlingssystemet og fagpersonerne uden selv at kunne vurdere kvaliteten på
forhånd. Dette understreger udfordringen i uigennemsigtige prissætnings- og
kvalitetsmodeller.
En central udfordring er, at der mangler en klar definition af alkoholbehandlingens
indhold, varighed og intensitet alt efter behandlingstype, hvilket fører til varierende
tilbud, priser og forståelse af behandlingsformål blandt offentlige og private aktører. Det
forhold, at der ikke eksisterer standarder og struktur i behandlingsforløbene resulterer i
forskellige faglige tilgange og kvalitetsniveauer afhængigt af behandlingssted. Samtidig
oplever kommunerne udfordringer med at styre økonomien grundet en begrænset
gennemsigtighed i behandlingsforløb og prissætning, hvilket skaber uforudsigelighed i
behandlingsudgifterne.
De konkrete fund, som dette baseres på, opsummeres nedenfor.
DE LOVMÆSSIGE RAMMER
Patientrettighederne på
alkoholbehandlingsområdet om
fritvalg og anonymitet samt
selvhenvenderprincippet sikrer nem
adgang for borgerne til
alkoholbehandling.
Anonymitetsretten giver, ligesom de
to øvrige patientrettigheder, nogle
udfordringer i forhold til
gennemsigtighed mellem leverandør
og betaler.
145
SUU, Alm.del - 2024-25 - Bilag 302: Orientering om Sundhedsstyrelsens afrapportering om den kulegravning af alkoholbehandlingen, fra indenrigs- og sundhedsministeren
3035092_0147.png
Nem adgang til behandling er et centralt
redskab til at sikre behandling til den
relevante målgruppe. Dette understøttes
af det eksisterende "opsporingsgab" på
området altså forskellen mellem
antallet af borgere, som modtager
behandling og som antageligvis kunne
have gavn af behandling.
Den manglende gennemsigtighed giver
bekymringer hos kommunerne, når de
samtidig oplever at få regninger fra
private leverandører med manglende
information om anonyme borgeres
ambulante behandlingsforløb (indhold og
varighed og ikke cpr-nummer).
Retten til frit valg og selvhenvendelse
giver borgere, der skal i offentlig
finansieret ambulant behandling,
mulighed for at vælge mellem tilbud
med forskellig intensitet og indhold
og dermed også med forskellige
takster.
Kommunernes økonomistyring påvirkes
negativt i de tilfælde, hvor borgerens valg
af behandlingssted afviger fra det
serviceniveau, kommunen har
budgetteret med.
Lovgivningen for ambulant
alkoholbehandling afstedkommer
vigtige styringsmæssige udfordringer.
Da den ambulante behandling udgør
omtrent 97 % af den samlede
alkoholbehandling i Danmark, er
udfordringerne som specifikt omhandler
ambulant behandling essentielle. Disse
afstedkommes af
selvhenvenderprincippet,
fritvalgsordningen og anonymitetsretten.
De offentlige betalere (som i dette
tilfælde er kommunen) oplever, at det
af og til kan være vanskeligt at
indhente information om borgere fra
de private behandlingssteder med
offentlig finansiering.
De offentlige betalere anmoder i nogle
tilfælde om indsigt i ambulante
behandlingsforløb for borgere fra deres
kommune, herunder anvendte metoder,
antallet af gennemførte samtaler og
deltagelse i aktiviteter. De oplever, der
kan være stor forskel på, hvor meget
information de offentligt finansierede
private behandlingssteder vil dele - nogle
gange med argumenter om anonymitet.
GODKENDELSE AF ALKOHOLBEHANDLINGSSTEDER OG TILSYNSPRAKSIS
Den frie etableringsret bidrager til den
konkurrencemæssige
markedssituation, hvor alle aktører
kan tilbyde alkoholbehandling.
Den frie etableringsret har udvidet
markedet og med tiden skabt nye
udbydere af alkoholbehandling. Men
kombinationen af den frie etableringsret
og det forhold, at der ikke eksisterer
Den frie etableringsret gør det
udfordrende at styre
behandlingskapaciteten.
Kombinationen af den fri etableringsret
og det faktum, at Socialtilsynets
godkendelse af behandlingssteder til
offentlig finansiering ikke beror på en
vurdering af kapacitetsbehovet på
markedet, kan resultere i overkapacitet.
146
SUU, Alm.del - 2024-25 - Bilag 302: Orientering om Sundhedsstyrelsens afrapportering om den kulegravning af alkoholbehandlingen, fra indenrigs- og sundhedsministeren
3035092_0148.png
klare ydelsesdefinitioner på typerne af
alkoholbehandling, kan resultere i en
udfordring. Årsagen hertil er, at der på et
sundhedsfagligt behandlingsområde ikke
eksisterer et minimumskrav til
bundniveau af kvalitet for at kunne slå
Godkendelsesproceduren, hvor én
kommune kan godkende et
behandlingssted til offentlig
finansiering på vegne af landets
øvrige kommuner, opleves som en
udfordring.
Den nuværende lovgivning betyder, at en
privat leverandør, der er godkendt af én
kommune til offentlig finansieret
behandling, kan tilbyde behandling til alle
borgere i landet. Kommunerne oplever
det som en udfordring, fordi
godkendelsen ikke hviler på hverken
ensartede serviceniveauer eller en eller
flere veldefinerede ydelser (forstået som
en kvalitetsstandard, en rammeaftale
eller lignende), og kommunerne således
vil godkende forskellige tilbud.
Det er udfordrende for Socialtilsynet
at føre tilsyn med anonyme borgeres
forløb.
Der eksisterer i dag ikke en
kontrolmekanisme, som gør det muligt
for Socialtilsynet at tjekke om anonyme
borgerne findes, hvilken behandling
borgeren har fået, herunder hvor meget
og af hvilket personale. Det skaber en
udfordring i forhold til at sikre ansvarlig
og effektiv brug af offentlige midler og
kan i værste fald resultere i misbrug af
offentlige midler.
Det er ikke muligt at bekræfte
kommunernes bekymringer om, at
private leverandører, som er godkendt
til offentligt finansieret
alkoholbehandling i én kommune, kan
oprette filialer i andre kommuner.
Ifølge Socialtilsynet er oprettelse af en ny
filial en væsentlig ændring af et
behandlingssteds virke, hvorfor de nye
faciliteter, udbuddet og personale-
sammensætningen skal besigtiges af.
Socialtilsynet. Udfordringen er, at
Socialtilsynet i mindre grad tager stilling
til behandlingskapaciteten.
Tilsynet af private og selvejende
behandlingssteder indebærer en
ekstra økonomisk kontrol
sammenholdt med tilsynet af
offentlige behandlingssteder.
Private leverandører oplever, at forskelle
i niveau af tilsyn skaber ulige
markedsvilkår. Socialtilsynet
understreger dog, at de offentlige
behandlingssteder i stedet er underlagt
kommunal revision.
RAMMERNE FOR PRISSÆTNING OG BUDGETSTYRING
Det er uigennemsigtigt, hvordan
forskellige leverandører i dag
sammensætter og prissætter deres
ambulante behandling.
Varierende tilbud og priser er en
naturlig konsekvens af det
kommunale selvstyre, men uden klare
ydelsesdefinitioner (også forstået
som en kvalitetsstandard, en
rammeaftale eller lignende) er der
147
SUU, Alm.del - 2024-25 - Bilag 302: Orientering om Sundhedsstyrelsens afrapportering om den kulegravning af alkoholbehandlingen, fra indenrigs- og sundhedsministeren
3035092_0149.png
Uigennemsigtigheden gælder både
offentlige og offentligt finansieret private
behandlingstilbud. For kommunerne er
det uklart, hvad de betaler for hos
offentligt finansierede private tilbud, samt
hvor meget de i sidste ende skal betale
for en borgers forløb. For de private
leverandører er det uklart, hvilket
prisniveau de offentlige leverandører har,
idet der ikke er gennemsigtighed i deres
driftsomkostninger.
intet bund- eller topniveau, hvilket kan
give en udfordring i kombinationen
med fritvalg og selvhenvendelse.
I et sundhedsfagligt perspektiv kan det
være en udfordring, at der ikke er fastsat
et nationalt bundniveau for
behandlingskvaliteten. Fra et
økonomistyringsperspektiv kan det være
en udfordring, at der ikke er et defineret
topniveau af, hvad man fra nationalt
niveau er villig til at betale under offentlig
finansiering, da kommunerne kan skulle
betale for takster, der er godkendt af
andre kommuner.
DATA OG DOKUMENTATION I ALKOHOLBEHANDLINGEN
Der mangler viden om den
privatfinansierede behandling, da
private behandlingssteder uden
offentlig finansiering ikke benytter sig
af muligheden for frivilligt at
indrapportere data til det Nationale
Alkoholbehandlingsregister (NAB)
Fra centralt hold mangler der viden om,
hvor mange borgere der er i
privatfinansieret behandling, samt hvor
længe og i hvilken behandlingstype.
Dertil er det ikke muligt nationalt at koble
borgerne til andre registre og få viden om
deres øvrige brug af sundhedsydelser.
Der er stor variation i
dokumentationen af data i NAB blandt
behandlingssteder med offentlig
finansiering
Behandlingsstederne har oplevelsen af,
at der udgives for få rapporter baseret på
NAB-data. Dette giver en opfattelse af, at
dokumentationen ikke giver den
forventede værdi, hvilket påvirker
behandlingsstedernes motivation til at
indberette data.
Der er indikationer på, at
alkoholbehandlingsområdet samlet
set er underdokumenteret.
Underdokumenteringen medfører et
ufuldstændigt billede af
behandlingsindsatsen i Danmark.
7.1
Formål og baggrund
Dette kapitel omhandler styringsmekanismer, strukturer, kvalitet og prissætning ved
alkoholbehandlingen i Danmark.
Kapitlet berører problemstillinger, der er fremhævet i COWI og Decides afdækning af
den offentligt finansieret alkoholbehandling fra 2019 samt bemærkninger fra
følgegruppen for nærværende kulegravning
. Over en årrække
er det således i forskellige undersøgelser og fora blevet fremhævet, at strukturerne,
lovgivningen og de økonomiske rammer på alkoholbehandlingsområdet kan give
148
SUU, Alm.del - 2024-25 - Bilag 302: Orientering om Sundhedsstyrelsens afrapportering om den kulegravning af alkoholbehandlingen, fra indenrigs- og sundhedsministeren
3035092_0150.png
udfordringer i forhold til blandt andet at styre de kommunale udgifter til
alkoholbehandling.
184
Formålet med kapitlet er at tydeliggøre rammerne for den offentligt finansierede
alkoholbehandling, herunder at afdække hvorvidt der er gennemsigtighed i prissætning
og takster og undersøge, hvordan nuværende lovgivning på området vanskeliggør, at
kommunerne kan sikre en sammenhæng mellem pris og kvalitet i alkoholbehandlingen.
I kapitlet vil der blive perspektiveret til andre områder i velfærds- og sundhedssystemet,
hvor lignende udfordringer opstår, eller hvor lovgivningen eller rammerne er
sammensat anderledes på en måde, der mindsker disse udfordringer.
Kapitlet undersøger følgende spørgsmål:
Hvilken betydning har de lovgivningsmæssige rammer: Fritvalgsordningen,
selvhenvenderprincippet og retten til anonymitet for den økonomiske og
strukturelle styring af alkoholbehandlingen?
Hvilke muligheder findes der for kommunernes styring af alkoholbehandlingen,
som samtidig sikrer optimal behandling indenfor de eksisterende
lovgivningsmæssige og økonomiske rammer?
Hvordan godkendes private behandlingssteder til offentlig finansieret
behandling? Herunder hvilke krav der stilles til private leverandører af offentligt
finansieret alkoholbehandling.
Hvordan fungerer tilsyn på alkoholbehandlingsområdet?
Hvordan anvendes data på behandlingsstederne, og hvilke dokumentationskrav
findes der til at understøtte kvaliteten?
Kapitlet er opdelt i fire underafsnit: 1) De lovgivningsmæssige rammer for
alkoholbehandlingen, 2) Godkendelse af leverandører af offentlig finansieret
alkoholbehandling og tilsynspraksis blandt alle alkoholbehandlingssteder, 3)
Rammerne for prissætning og budgetstyring af offentlig finansieret behandling, 4) Data
og dokumentation i alkoholbehandlingen.
7.1.1
Datagrundlag
Kapitlet er baseret på interviews med eller inddragelse af en række aktører og
eksperter, som NHG har udvalgt til denne undersøgelse. Eksperterne er professor
Torben Tranæs, der var formand for Ekspertudvalget på socialområdet
185
, Anette
Søgaard Nielsen, Professor MSO på Psykiatrisk forskningsenhed, Syddansk
Universitet. Forskningsfeltet er alkohol og alkoholafhængighed og professor Mette
Hartlev fra Det Juridiske Fakultet Københavns Universitet. Aktørerne er repræsentanter
Tidligere undersøgelser og pressen i Danmark har tidligere sat fokus på, at lovgivningen og den
økonomiske styring af alkoholbehandlingsområdet kan give udfordringer i forhold til bl.a. at styre de
kommunale udgifter. Se eksempelvis:
Regninger til alkoholbehandling er "stukket helt af", mener kommune
- TV 2
og COWI & DECIDE, 2019.
Afdækning af kvalitet i offentligt finansieret ambulant alkoholbehandling.
185
184
et ekspertudvalg med inddragelse af faglige eksperter og forskningsmiljøer på socialområdet, som skal
give anbefalinger til, hvordan man kan sikre en bæredygtig faglig og økonomisk udvikling på
149
SUU, Alm.del - 2024-25 - Bilag 302: Orientering om Sundhedsstyrelsens afrapportering om den kulegravning af alkoholbehandlingen, fra indenrigs- og sundhedsministeren
3035092_0151.png
fra Dansk Erhverv, Selveje Danmark, Forsikring og Pension, Alkohol og Samfund,
Socialtilsynet og Styrelsen og Patientsikkerhed. Derudover inddrages perspektiver fra
interviews med ledere og medarbejdere, der er gennemført i forbindelse med NHG s
caseundersøgelse på offentlige og private alkoholbehandlingssteder.
Desuden indgår inputs fra nøgleaktører på feltet, som er givet på formøder arrangeret
af Sundhedsstyrelsen samt følgegruppemøder med repræsentanter fra
forskningsinstitutioner, interesseorganisationer og lignende. Deltagende aktører
fremgår af Bilag 1.9.
Kapitlet inddrager desuden relevante fund fra COWI og Decides
vedrørende retten til
af Rambøll og BDO samt Ekspertudvalget på socialområdets endelige rapport:
Anbefalinger til en bæredygtig faglig og økonomisk udvikling på socialområdet fra april
2024.
7.2
De lovmæssige rammer for alkoholbehandling og udfordringer heraf
I dette afsnit vil vi undersøge, hvordan de lovmæssige rammer fungerer i praksis (jf.
Sundhedslovens §141, gengivet i rapportens kapitel 2), og hvilken betydning de har for
den økonomiske og strukturelle styring af alkoholbehandlingen. Herunder vil vi beskrive
fritvalgsordningen, selvhenvenderprincippet og anonymitetsretten for offentligt
finansieret behandling.
Disse patientrettigheder er især gældende for den ambulante alkoholbehandling, som
samtidig udgør den primære anvendte behandlingstype i Danmark (udregnet ca. 97%).
Omfanget af de styringsmæssigeudfordringer, som lovgivningen for ambulant
alkoholbehandling afstedkommer, er derfor vigtige at forholde sig til.
7.2.1
Selvhenvenderprincippet
Et vigtigt princip på alkoholbehandlingsområdet er selvhenvenderprincippet, som også
er nævnt i kapitel 2. Princippet indebærer, at borgerne selv kan opsøge offentlig
finansieret ambulant alkoholbehandling. Borgerne behøver ikke en henvisning eller
visitation fra en læge, hvor de skal opfylde visse krav for at modtage behandling, som
ellers typisk er et krav i sundhedsvæsenet for at blive udredt eller behandlet ved
speciallægepraksis eller på et sygehus. Selvhenvenderprincippet findes dog i nogle
andre områder af sundheds- og socialområdet, hvor der er behov for hurtig og nem
tilgængelig adgang til hjælp, såsom på det akutpsykiatriske område og
familierådgivningscentre.
Selvhenvenderprincippet muliggør, at en borger til en hver tid og efter egen oplevelse
af problemets omfang, kan opsøge ambulant behandling. Fordelen ved
selvhenvenderprincippet er, at en borger kan starte op i ambulant behandling med det
samme uden først at skulle igennem forskellige trin eller en gatekeeperfunktion
peger på, at muligheden for hurtig behandlingsopstart når
motivationen opstår er yderst vigtig for en succesfuld behandling (se mere i kapitel 6).
150
SUU, Alm.del - 2024-25 - Bilag 302: Orientering om Sundhedsstyrelsens afrapportering om den kulegravning af alkoholbehandlingen, fra indenrigs- og sundhedsministeren
3035092_0152.png
På den baggrund kan selvhenvenderprincippet bidrage til at øge tilgængeligheden af
alkoholbehandlingen og mindsker barriererne for at søge behandling
Samtidig giver selvhenvenderprincippet visse udfordringer i forhold til kommunernes
budgetstyring. Kommunerne oplever, at selvhenvenderprincippet betyder, at de ikke
har nogen styring med, hvor mange borgere, der hvert år vælger at modtage ambulant
alkoholbehandling. En kommune kan således ikke vide, hvor mange borgere der et
givent år har tænkt sig at opsøge ambulant behandling hverken hos dem selv eller
hos andre kommuner eller private leverandører af offentligt finansieret behandling. Det
gør det vanskeligt for kommunerne at sætte et årligt budget for alkoholbehandlingen,
når de ikke kan forudsige, hvor mange borgeres behandlinger, de skal betale for. Da
kommunerne ikke har en gatekeeper funktion i forhold til den ambulante
alkoholbehandling, opstår der således en budgetmæssig styringsudfordring, når de
ikke kender til antallet af borgere, der vil modtage behandling. Det skal dog
understreges, at det set fra et sundhedsfagligt perspektiv ikke er en udfordring, at
kommunerne ikke har styring over antallet af borgere, der kommer i behandling.
Ifølge de offentlige betalere (som i dette tilfælde er kommunen) er det ikke et problem,
at borgere opsøger offentlig finansieret behandling hos private leverandører.
Udfordringen er, hvis de offentlige betalere først sent eller ved afslutningen af et
behandlingsforløb får information om, at en borger fra deres kommune er i behandling
hos en privat leverandør med offentlig finansiering. Således er det ikke altid, at de
private behandlingssteder med offentlig finansiering ved behandlingsopstart informerer
hjemkommunerne om, at de har en af deres borgere i behandling, som de senere vil
sende en regning på. Samlet set betyder det, at det både er antallet af borgere, antallet
af regninger og størrelsen på regningerne, der er ukendte.
7.2.2
Fritvalgsordning
Frit valg af ambulant alkoholbehandlingssted er en grundlæggende rettighed i
alkoholbehandlingen for borgerne i Danmark. Rettigheden indebærer som nævnt i
kapitel 2, at borgerne frit kan vælge mellem alle de alkoholbehandlingssteder, der er
godkendt til offentligt finansieret
ambulant
alkoholbehandling. Det frie valg indebærer
derudover, at borgeren efter visitation til dag- og døgnbehandling fra sin hjemkommune
kan vælge mellem de forskellige offentligt finansierede leverandører af de intensive
behandlingsformer. Sidstnævnte kræver, at leverandørerne er godkendt til at levere
offentligt finansieret behandling og leverer et tilbud, som matcher kommunens
visitation. Fritvalg er en grundlæggende rettighed i det danske sundhedsvæsen
generelt, og gælder også frit sygehusvalg og valg af praktiserende læge.
I NHG s caseundersøgelse fremhæver særligt de offentligt finansierede private
behandlingssteder vigtigheden af fritvalgsordningen, og at den giver borgerne mulighed
for at vælge det behandlingssted, der passer til deres individuelle behov. Borgerne kan
f.eks. lægge vægt på bestemte behandlingstilbud (familiebehandling,
gruppebehandling, online behandling, udkørende behandling), placering (nærhed til
arbejdspladsen eller bopæl), ønske om særlige åbningstider eller lignende. Dette er
illustreret af eksemplet i Boks 6.
Generelt vurderer de offentlige behandlingssteder også, at fritvalgsordningen fungerer
godt, når den anvendes til at modtage behandling hos andre offentlige
151
SUU, Alm.del - 2024-25 - Bilag 302: Orientering om Sundhedsstyrelsens afrapportering om den kulegravning af alkoholbehandlingen, fra indenrigs- og sundhedsministeren
3035092_0153.png
behandlingssteder (kommuner). Ligeledes fungerer fritvalgsordningen godt hos private
leverandører af offentlig finansieret behandling, hvor kommunen allerede har et kendt
samarbejde og selv har indgået samarbejdsaftaler.
Boks 6 viser et eksempel på, hvordan fritvalgsordningen fungerer i praksis.
Boks 6 Eksempel på anvendelse af det frie valg
En mand i slutningen af 30'erne med bopæl i en sjællandsk kommune henvender sig til et
alkoholbehandlingssted i en anden kommune på grund af alkoholproblemer. Han pendler til
sit job i den kommune, hvor behandlingsstedet ligger. Hans arbejdsgiver og hans ægtefælle
har stillet krav om, at han skal starte i alkoholbehandling, men det lokale rusmiddelcenter i
hans hjemkommune har ikke åbent på tidspunkter, der harmonerer med hans arbejdstider. I
stedet vælger han at modtage sin behandling hos et behandlingssted tæt på hans
arbejdsplads, hvor behandling er tilgængelig, så han kan bevare tilknytningen til
arbejdsmarkedet.
bygger på virkelige personer, men er anonymiseret.
Det frie valg om ambulant behandlingssted kan samtidig resultere i en styringsmæssig
udfordring, da rammen for offentligt finansieret ambulant behandling ifølge
kommunerne er forholdsvis bred og ukonkret. Der er i dag ikke nogen klar afgrænsning
af, hvad der kan tilbydes under ambulant behandling, og hvad dette må koste. Det
betyder, at en kommune eksempelvis kan fastsætte et serviceniveau for ambulant
behandling på to timers samtalebehandling om ugen, mens et privat behandlingstilbud
eller en anden kommune kan tilbyde ambulant behandling i seks timer om ugen. Det
offentligt finansierede private behandlingssted eller den anden kommune vil i disse
tilfælde opkræve en takst for den ambulante behandling en takst og intensitet, der
kan ligge langt fra den betalende kommunes fastsatte serveniveau. Det skaber
kommunale varierende serviceniveauer. Det betyder, at en borgers frie valg så at sige
gælder et valg mellem æbler og pærer, og at den betalende kommune skal betale,
uanset hvad borgeren vælger. Fra et sundhedsfagligt perspektiv er det også en
udfordring, idet der ikke er defineret et ydelsesmæssigt bundniveau for kvaliteten, og
dermed ikke et minimum krav til, hvad alkoholbehandlingen skal indeholde, og hvilke
kompetencer der skal være til stede i behandlingen.
Dog gør Selveje Danmark og Dansk Erhverv opmærksom på, at såfremt et offentligt
finansieret privat behandlingssted (eller en anden kommune) tilbyder for eksempel
seks timers ambulant behandling ugentligt, vil det være, fordi en kommune har
godkendt det gennem en samarbejdsaftale.
På NHG s casebesøg giver de offentlige behandlingssteder udtryk for, at ovenstående
særligt er en udfordring i forhold til de små, for kommunen ukendte, private
leverandører af offentlig finansieret ambulant alkoholbehandling. Med disse
leverandører er det mindre tydeligt for kommunerne, hvilket serviceniveau de reelt yder
til borgerne, og hvad prisen pr. forløb er.
Nogle kommuner har forsøgt at imødekomme ovenstående budgetmæssige
styringsudfordringer ved at indgå klare samarbejdsaftaler med udvalgte private og
selvejende leverandører om de offentligt finansierede ambulante forløb. I disse
152
SUU, Alm.del - 2024-25 - Bilag 302: Orientering om Sundhedsstyrelsens afrapportering om den kulegravning af alkoholbehandlingen, fra indenrigs- og sundhedsministeren
3035092_0154.png
samarbejdsaftaler defineres og afgrænses rammerne for og indholdet af den
ambulante behandling tydeligt, herunder pris per forløb.
NHG s undersøgelse viser, at disse samarbejdsaftaler oftest indgås med de større
private og selvejende leverandører. Det er medvirkende til, at styringsudfordringen
primært gælder de små private leverandører af offentlig finansieret ambulant
behandling, som kommunerne i mindre grad har kendskab til, idet få kommuner har
samarbejdsaftaler med dem. De offentlige aktører forklarer, at det bl.a. skyldes at de
ikke har indsigt i til disses kvalitetsniveau.
7.2.3
Retten til anonymitet
Borgere i Danmark har jævnfør §141 i Sundhedsloven ret til anonym ambulant
behandling for alkoholafhængighed. Retten til anonymitet er en rettighed, som findes
ganske få steder på sundheds- og socialområdet, hvor der er behov for særlig
diskretion, såsom krisecentre og test for kønssygdomme.
I NHG s caseundersøgelse peger ledere og medarbejdere på tværs af
behandlingssteder på, at retten til anonymitet er afgørende for mange borgere i det
øjeblik, hvor de opsøger behandling. Analyser fra NAB vedrørende borgere i offentlig
finansieret alkoholbehandling viser, at der i 2023 var 16 % indskrevet i anonym offentlig
finansieret behandling, svarende til cirka hver sjette borger (se afsnit 2.1.2 for overblik
over udviklingen i andelen af borgere i anonym behandling).
NHG s caseundersøgelse indikerer, at de borgere, som vælger anonym behandling,
ofte har bekymringer i forhold til deres erhverv, såsom skolelærere, læger,
sygeplejersker og chauffører. Den lovgivningsmæssige mulighed for at være anonym
kan derved bidrage til at mindske barriererne for at opsøge behandling for særlige
typer af borgere. Dertil kommer borgere med børn under 18 år. Ifølge ledere og
medarbejdere kan særligt borgere med børn frygte, at der vil ske underretning til de
sociale myndigheder, hvis det figurerer i et offentligt system, at de er i
alkoholbehandling
186
. Viljen til at opstarte i behandling afhænger således af, at disse
borgere kan være anonyme (se Boks 7 for eksempel). Det er værd at være
opmærksom på, at behandlingsstedet i eksemplet ifølge lovgivningen har
underretningspligt.
At flere (givetvis) opsøger behandling, fordi de har mulighed for at være anonym, er en
vigtig fordel set i lyset af det tidligere nævnte opsporingsgab på
alkoholbehandlingsområdet. På den baggrund er det vigtigt, at alkoholbehandlingen er
så lettilgængelig som muligt. Ovenstående viser, at fordelen ved anonymitetsretten
netop er øget tilgængelighed for en bestemt gruppe borgere.
Boks 7 Eksempel på anvendelse af anonymitet
En mand i 40'erne og hans samlever, som han har to mindreårige børn sammen med,
henvender sig til et alkoholbehandlingssted. Manden har udviklet en alkoholafhængighed, og
Såfremt, der er bekymring i forhold til en borgers erhverv eller mindreårige børn, vil anonymitetsretten
dog ophæves uanset, da alle har underretningspligt jf. Barnets lov. I praksis kan underretningen dog blive
vanskelig, hvis ikke behandlingsstedet har nogen oplysninger på borgeren.
153
186
SUU, Alm.del - 2024-25 - Bilag 302: Orientering om Sundhedsstyrelsens afrapportering om den kulegravning af alkoholbehandlingen, fra indenrigs- og sundhedsministeren
3035092_0155.png
parret er meget bange for, at kommunen vil tvangsfjerne deres børn. De har begge paranoide
tilbøjeligheder og vil ikke oplyse, hvem de er. De indleder et anonymt ambulant
behandlingsforløb, som faciliteres af en socialrådgiveruddannet alkoholbehandler, der
foruden alkoholbehandling, kan rådgive om den kommunale håndtering af børnesager. Efter
nogle ugers behandling indvilger parret i at oplyse deres identitet og udarbejder sammen med
socialrådgiveren på alkoholbehandlingsstedet en børneunderretning til kommunen, så deres
børn kan få hjælp og forblive i familien.
Note: Et alkoholbehandlingssted i
bygger på virkelige personer, men er anonymiseret.
har bidraget med eksemplet, der
Ledere og medarbejdere på offentlige og private behandlingssteder understreger, at
retten til anonymitet er vigtig for nogle borgeres mod på at starte i behandling. Samtidig
erfarer de, at anonymiteten for nogle bliver mindre relevant, når borgerne har været i
alkoholbehandling i et stykke tid.
Nogle borgere vælger i løbet af behandlingsforløbet at ophæve anonymiteten. Ifølge
ledere og medarbejdere kan det skyldes, at borgerne ikke fuldt ud har forstået
betydningen og konsekvenserne af anonymitetsretten. Nogle ledere og medarbejdere
beskriver i den forbindelse
hvor
borgerne tror, at de skal være anonyme for at sikre, at deres behandler ikke videregiver
deres oplysninger til andre offentlige systemer. Borgeren skal uafhængigt af
anonymitetsretten - give samtykke til videregivelse af oplysninger i forbindelse med
behandling (jf. blandt andet §9, §10). NHG s undersøgelse viser, at borgernes behov i
virkeligheden handler om at blive betrygget i, at behandlerne, uanset om de er
anonyme eller ej, har tavshedspligt og ikke videregiver deres oplysninger medmindre
der netop er bekymring for deres erhverv eller involverede børn.
Kun få borgere ønsker ifølge de offentlige behandlingssteder at opretholde
anonymiteten i længere tid efter behandlingsopstart. Det skyldes også, at et ikke-
anonymt forløb indebærer nogle fordele, som borgerne undervejs bliver gjort bevidste
om - såsom mulighed for koordinering med egen læge, samt hensyntagen til andre
diagnoser. Desuden peger NHG s brugerundersøgelse på, at ophævelsen af
anonymiteten kan være et vigtigt trin til at mindske borgernes selvstigmatisering
omkring alkoholproblemer, hvor de begynder at være åbne og ærlige om deres
afhængighed. Samtidig viser data fra NAB dog, at der stadig er 16 % borgere i
anonyme forløb i 2023, hvilket udfordrer oplevelsen af at flere vælger at ophæve
anonymiteten løbende.
NH
peger dertil på, at anonymitetsretten bidrager til nogle
styringsmæssige udfordringer.
For det første oplever de offentlige behandlingssteder (i myndighedsrollen), at det er en
udfordring, at de som betalere af behandlingen ikke har mulighed for at følge op på de
anonyme borgeres forløb. Med opfølgning menes ikke deling af cpr-nr. (som jf.
lovgivningen ikke er mulig), men først og fremmest deling af information om, at en
borger fra deres kommune er opstartet i behandling samt information om
behandlingstype- og længde. Denne udfordring omhandler især de anonyme borgere,
som får behandling hos private behandlingssteder med offentlig finansiering. De
offentlige behandlingssteder efterspørger information fra de offentligt finansierede
154
SUU, Alm.del - 2024-25 - Bilag 302: Orientering om Sundhedsstyrelsens afrapportering om den kulegravning af alkoholbehandlingen, fra indenrigs- og sundhedsministeren
3035092_0156.png
private behandlingssteder om de anonyme borgere fra deres kommune. De offentlige
behandlingssteder oplever dog forskel i informationsniveauet.
I tilfælde af manglende information om anonyme borgere fra et offentligt finansierede
privat behandlingssted, opstår der en skepsis hos de offentlige betalere (som i dette
tilfælde er kommunen). Denne skepsis sker når nogle kommuner samtidig med
manglende information oplever at modtage høje regninger fra private leverandører med
offentlig finansiering uden god dokumentation. Blandt de offentlige betalere kan
manglende deling af information og høje regninger for anonyme borgere skabe
bekymring om, hvorvidt borgerne faktisk eksisterer.
Ovenstående udfordring forstærkes af, at Socialtilsynet heller ikke har mulighed for at
føre tilsyn eller kontrol med anonyme borgeres forløb og offentlige midler, der
anvendes (se også afsnit 7.3.3). Udfordringen illustreres i nedenstående citater:
få indsigt i de borgere, de [offentligt finansierede private
behandlingssteder] siger, at de har haft i forløb. Der er altid 100 %
gennemførselsrate og mange anonyme borgere. Når vi spørger ind til borgerne, får
vi ingen info
anonyme forløb fra private
behandlingssteder (m. offentlig finansiering). Det er vi begyndt at udfordre. Der er
nogle eksempler på borgere, som går i behandling hos de private i lang tid (5-6 år),
og det er vi begyndt at følge op på. Det er for at sikre, at vores borgere får det rette
tilbud. Så vi kontakter behandlingsstederne for at se om, vi ikke kan tilbyde en lige
så god eller anden behandling. Vi hører også, at andre kommuner er begyndt at
offentligt
behandlingssted).
For det andet viser NHG s undersøgelse, at der er en generel udfordring i forhold til
manglende dokumentation og data om de anonyme forløb både hos offentlige
behandlingssteder og ved de offentligt finansierede private behandlingssteder. I den
forbindelse er det også en udfordring, at man ikke har kendskab til de anonyme
borgere tilknytning til det øvrige sundhedsvæsen. Dette uddybes i afsnit 7.5.
På grund af de omtalte udfordringer fik udvalgte frikommuner i 2012-2015 lov til som et
forsøg at fjerne muligheden for anonym alkoholbehandling. En evaluering af Rambøll
og BDO fra 2016 af frikommuneforsøget viste, at efterspørgslen på anonymitet var
begrænset, og at kommunerne lykkedes med at få størstedelen af borgerne til at gå i
ambulant alkoholbehandling, selvom de ikke havde muligheden for anonymitet.
Endeligt konkluderede evalueringen, at kommunerne ikke oplevede en ændring i det
samlede antal af borgere, der søgte om alkoholbehandling trods den manglende
mulighed for anonymitet.
187
Rambøll & BDO, 2016.
Evaluering af frikommuneforsøg vedrørende retten til anonym ambulant
alkoholbehandling.
155
187
SUU, Alm.del - 2024-25 - Bilag 302: Orientering om Sundhedsstyrelsens afrapportering om den kulegravning af alkoholbehandlingen, fra indenrigs- og sundhedsministeren
3035092_0157.png
7.3
Godkendelse af offentligt finansieret alkoholbehandling og tilsynspraksis blandt alle
alkoholbehandlingssteder
I dette afsnit vil vi indledningsvis beskrive betydningen af den frie etableringsret.
Derefter vil afsnittet belyse, hvordan alkoholbehandlingssteder godkendes, og hvilke
krav der stilles til private leverandører, som vil levere offentligt finansieret
alkoholbehandling. Afslutningsvis vil en række forhold vedrørende tilsynene på
alkoholbehandlingsområdet blive belyst.
7.3.1
Den frie etableringsret
På alkoholbehandlingsområdet eksisterer der en fri etableringsret. Det betyder, at
offentlige såvel som private og selvejende aktører kan etablere sig som udbydere af
alkoholbehandling uden at skulle leve op til særlige krav. Retten udspringer af ønsket
om at skabe et åbent marked, der fremmer økonomisk frihed, konkurrence, innovation
og fri bevægelighed.
Den frie etableringsret har bidraget til, at markedet for alkoholbehandling over tid er
opstået, og at der er etableret en række forskellige private leverandører af
alkoholbehandling. Det betyder, at man i dag kan få varierende behandling på det
private marked. Det kan set fra sundhedsfagligt perspektiv være en udfordring, at der
inden for et behandlingsområde ikke er defineret et minimumskrav til, hvad
Med den frie etableringsret er det desuden ikke muligt at styre antallet af private
behandlingssteder og dermed den samlede behandlingskapacitet. Dertil kommer, at
Socialtilsynet som udgangspunkt ikke forholder sig til kapacitetsbehovet, når de
godkender offentlig finansieret behandling til private behandlingssteder, hvilket kan
resultere i overkapacitet på det offentlige marked for alkoholbehandling. Dette er ikke
en udfordring i de tilfælde, hvor en given kommune vælger at indgå en
samarbejdsaftale med en privat leverandør, fordi de har behov for at øge deres
behandlingskapacitet. Det bliver dog en udfordring, når denne private leverandør frit
kan etablere en ny filial eller matrikel i en anden kommune, og når Socialtilsynet i
godkendelsen af denne nye matrikel ikke forholder sig til behandlingskapaciteten
hverken i den givne kommune, hvor den nye filial etableres, eller på nationalt niveau.
7.3.2
Krav til behandlingssteder og godkendelsesprocedure for offentligt finansieret behandling
De manglende krav til kvaliteten af alkoholbehandling samt fraværet af klare
ydelsesmæssige definitioner (på ambulant, dag- og døgnbehandling) gør sig både
gældende for alkoholbehandlingsstederne med privat og offentlig finansiering.
Som tidligere nævnt er der to overordnede krav for at blive godkendt som
behandlingssted til offentligt finansieret alkoholbehandling. Hvis behandlingen foregår
på et alkoholbehandlingssted, som ikke er etableret af kommunalbestyrelsen selv, skal
behandlingsstedet: 1) være godkendt efter § 5 i lov om socialtilsyn, og 2) have en
aftale med minimum én kommune for at kunne indgå i kommunalbestyrelsens tilbud
om alkoholbehandling.
De offentlige behandlingssteder udtrykker bekymring om en godkendelsesmodel. Med
godkendelsesmodellen kan en privat leverandør, der er godkendt af én kommune til
156
SUU, Alm.del - 2024-25 - Bilag 302: Orientering om Sundhedsstyrelsens afrapportering om den kulegravning af alkoholbehandlingen, fra indenrigs- og sundhedsministeren
3035092_0158.png
offentlig finansieret behandling, i dag tilbyde behandling til alle borgere i landet. Det
betyder, at lovgivningen reelt tillader én kommune at godkende en leverandør på
vegne af de øvrige 97 kommuner. I
kritiseres dette, fordi
kommunernes serviceniveau kan variere, og det derfor kan være forskelligt, hvilke
tilbud og serviceniveau, kommunerne vil vælge at godkende.
Set fra et effektiviseringsperspektiv kan det være rationelt, at én kommune bidrager til
at godkende et offentlige finansieret behandlingstilbud for alle øvrige kommuner.
Udfordringen er ifølge en af undersøgelsens faglige eksperter, at hele
godkendelsesproceduren ikke hviler på en veldefineret ydelse. Det vanskeliggør
processen og skaber ikke ensartede godkendte tilbud. Det er også en væsentlig
styringsmæssig udfordring, at en kommune (gennem sin godkendelse) kan øge landets
samlede behandlingskapacitet, da borgere fra hele landet i princippet kan møde ind på
tilbuddet. Det skyldes, som tidligere nævnt, at Socialtilsynet ikke tager stilling til
behandlingskapaciteten i det givne område og på landsplan, når de godkender nye
behandlingssteder fra private leverandører
Socialtilsynets godkendelse af en privat leverandør baserer sig på kriterier i tilsynets
kvalitetsmodel og en række økonomiske forhold, f.eks. et revisorpåtegnet årsregnskab.
Det skyldes, at de offentlige tilbud er underlagt tilsvarende i den kommunale revision.
Argumentationen er, at Socialtilsynet undersøger dette ved de private tilbud for at
ligestille dem med de offentlige tilbud, da de offentlige tilbud ellers vil være underlagt
strammere regler for ansvarlig anvendelse af offentlige midler. Socialtilsynet vurderer
ikke kvalitetsniveauet for ambulant alkoholbehandling, da der ikke eksisterer
veldefinerede ydelser på området (også forstået som en kvalitetsstandard, en
rammeaftale eller lignende).
En af bekymringerne fra de offentlige behandlingssteder omhandler, at der er set
eksempler på, at en privat leverandør, som er godkendt til offentligt finansieret
alkoholbehandling i én kommune, opretter filialer andre steder i landet. På
viser dog, at denne udfordring i praksis ikke burde være så stor, idet leverandøren skal
have en ny godkendelse hos Socialtilsynet til at åbne en filial på en anden geografisk
lokation. Socialtilsynet forklarer, at en oprettelse af en ny filial er en væsentlig ændring
af et eksisterende behandlingssteds (koncerns) virke og betyder, at Socialtilsynet skal
besigtige de nye faciliteter, udbuddet og personalesammensætningen.
modellen har ført til en modvilje blandt de
offentlige behandlingssteder over for en række private leverandører på markedet for
offentlig finansieret alkoholbehandling. Behandlingsstederne og tilsynene giver udtryk
for, at der er opstået en stigende tilbageholdenhed fra kommunernes side med at lukke
nye private leverandører ind på markedet. På længere sigt kan kommunernes
tilbageholdenhed betyde, at private leverandører, der tidligere har været godkendt til at
levere offentlig finansieret ambulant behandling, bliver udelukket fra markedet, når
deres aftaler udløber uden mulighed for fornyelse eller konkurrence.
"Vi har ikke længere samarbejdsaftaler med private, som vi tidligere havde. For når
én kommune indgik en aftale, betød det, at andre kommuner også skulle betale,
157
SUU, Alm.del - 2024-25 - Bilag 302: Orientering om Sundhedsstyrelsens afrapportering om den kulegravning af alkoholbehandlingen, fra indenrigs- og sundhedsministeren
3035092_0159.png
hvis deres borgere benyttede tilbuddet [hvilket var en udfordring]." (Leder af
offentligt behandlingssted).
Denne situation kan betyde, at muligheden for at etablere sig som privat
alkoholbehandlingssted vanskeliggøres, og at konkurrencen mellem offentlige og
private leverandører og mellem de private leverandører mindskes. Hvis antallet af
private leverandører mindskes, og kommunerne ikke vælger at oprette tilsvarende, vil
der være et mindre udbud af tilbud til borgerne, hvilket også kan medføre
kapacitetsudfordringer.
caseundersøgelse har vist, at der er forskelle mellem de offentlige og private
behandlingssteder bl.a. med hensyn til personalets uddannelsesmæssige baggrund og
anvendte behandlingsmetoder. En indsnævring i udvalget af behandlingstilbud kan
derved også have negative konsekvenser for borgernes valgmuligheder, herunder
mulighederne for at imødekomme deres forskellige ønsker og behov. En af de faglige
eksperter, som har bidraget til NHG s undersøgelse, uddyber videre, at med færre
tilbud vil konkurrencen mellem leverandører blive forringet, og det kan resultere i et
forringet kvalitetsniveau.
Godkendelse på andre områder
Godkendelse af private leverandører til levering af offentlig finansieret tilbud sker også
inden for andre dele af sundheds- og socialområdet. For eksempel bliver der af flere
På stofområdet skal leverandører på stofbehandlingsområdet på samme måde
godkendes af Socialtilsynet. Hvis den private leverandør godkendes, skal leverandøren
imidlertid indgå en samarbejdsaftale med hver enkelte kommune om behandling. En
sådan samarbejdsaftale beskriver vilkår og betingelser for leveringen af
behandlingsydelser, herunder finansiering, visitationsprocedurer og behandlingsforløb.
Der kan være forskel på kommunernes krav og procedurer i forhold til indgåelse af
disse samarbejdsaftaler på stofområdet, da kommunerne kan have forskellige
serviceniveauer.
På stofområdet har kommunen desuden visitationsmyndighed og står for at henvise
borgere til stofbehandling indenfor 14 dage. Det betyder, at selvom der eksisterer et
offentligt finansieret marked med offentlige såvel som private leverandører for
stofbehandling, skal en kommune på baggrund af deres visitation godkende borgernes
valg af behandling hos en privat leverandør. Visitationen kan i den sammenhæng
overkomme nogle problemstillinger i forhold af valg af leverandør for den enkelte og
hermed sikre et kendt behandlingsgrundlag og pris. Dette er anderledes end på
alkoholbehandlingsområdet, hvor en borger som nævnt frit selv kan henvende sig til
ambulant behandling uden visitering fra kommunen. Dog er målgrupperne for alkohol-
og stofbehandling forskellige, hvorfor det ikke er muligt at lave en fuldstændig
sidestilling af visitationsforholdene.
Modellen på stofområdet med lokale samarbejdsaftaler mellem de enkelte kommuner
og leverandører i kombination med den kommunale visitation til alle typer eller niveauer
af stofbehandling, giver den betalende kommune større kontrol med udgifter og
serviceniveau. Det skal understreges, at en kommune på stofområdet ikke kan afvise
et tilbud på grund af en højere pris, men kun hvis indholdet ikke stemmer overens med
158
SUU, Alm.del - 2024-25 - Bilag 302: Orientering om Sundhedsstyrelsens afrapportering om den kulegravning af alkoholbehandlingen, fra indenrigs- og sundhedsministeren
3035092_0160.png
det behov, deres visitation har afdækket og kommunens serviceniveau. Dette opleves
nogle tilfælde som en udfordring.
Samme model, som på stofområdet, gør sig gældende på det specialiserede
socialområde. Her forslog ekspertudvalget på socialområdet (Tranæs-udvalget) at
ændre betingelserne, så en borger ikke kan vælge en dyrere løsning for at
imødekomme ovennævnte udfordring.
188
I dag kan kommunerne afvise et tilbud, der er
kan få ret til at afvise ethvert tilbud, der er dyrere, end det tilbud, som kommunen
vurderer, kan tilgodese borgerens behov jf. Servicelovens §108 og 192. Det kræver
dog, at der er et konkret serviceniveau at hægte sine ydelser op på. Modellen betyder,
at den betalende kommune ikke får de samme økonomisk-styringsmæssige
udfordringer, som eksisterer på alkoholbehandlingsområdet i dag.
7.3.3
Tilsynsordning
Tilsynsordningen på alkoholbehandlingsområdet spiller en afgørende rolle i at sikre
patientsikkerheden og kvaliteten af behandlingerne. Alkoholbehandlingsstederne er
som nævnt i kapitel 2 underlagt to forskellige tilsynsinstanser - det sundhedsfaglige
tilsyn og det socialfaglige tilsyn.
I Tabel 7 opsummeres de to typer af tilsyn, som behandlingsstederne er underlagt
afhængigt af deres faglige sammensætning, tilgængelige behandling og
behandlingsstedets finansieringsform. Tabellen viser, at de offentligt finansierede
behandlingssteder, hvad end de er offentlige eller private, har socialfagligt tilsyn, men
at de privatfinansierede behandlingssteder ikke har dette tilsyn. De privatfinansierede
er underlagt sundhedsfaglige tilsyn, hvis de udfører sundhedsfaglige opgaver.
Ekspertudvalget på socialområdet Endelig rapport: Anbefalinger til en bæredygtig faglig og økonomisk
udvikling på socialområdet. April 2024
159
188
SUU, Alm.del - 2024-25 - Bilag 302: Orientering om Sundhedsstyrelsens afrapportering om den kulegravning af alkoholbehandlingen, fra indenrigs- og sundhedsministeren
3035092_0161.png
Tabel 15 Oversigt over hvilke typer tilsyn forskellige behandlingssteder er underlagt
Udfører sundhedsfaglige
opgaver og har sundhedsfagligt
personale ansat
Udfører
ikke
sundhedsfaglige
opgaver og har
ikke
sundhedsfagligt personale ansat
eller personale som udfører
opgaver efter instruktion af
sundhedspersonale
Offentligt
Offentligt
finansieret
privat
Privat
finansieret
Type
behandlingssted
Underlagt
socialfagligt
tilsyn?
Underlagt
sundhedsfagligt
tilsyn?
Offentligt
Offentligt
finansieret
privat
Privat
finansieret
Ja
Ja
Nej
Ja
Ja
Nej
Ja
Ja
Ja
Nej
Nej
Nej
Det socialfaglige og sundhedsfaglige tilsyn har forskellige formål og ansvar.
Det sundhedsfaglige tilsyn ved Styrelsen for Patientsikkerhed
har et overordnet
ansvar for patientsikkerheden og tilsyn med de medicinske og kliniske aspekter af en
behandling. Tilsynet har beføjelse til at gribe ind med det samme og evt. lukke et
behandlingssted, hvis der konstateres alvorlige brud på patientsikkerheden.
Det sundhedsfaglige tilsyn er et nationalt tilsyn, som er geografisk delt i to
tilsynsafdelinger, øst og vest. Tilsynet arbejder ud fra en risikobaseret tilsynsmodel.
Modellen skal sikre, at tilsynsindsatsen overordnet rettes mod områder med størst
risiko, skaber målrettede forbedringer og anvender ressourcer effektivt. Modellen
bygger på tre forhold:
1) En risikovurdering på baggrund af tidligere tilsynsdata, klager, utilsigtede
hændelser og stedets egenrapportering.
2) Nationale temaområder, som årligt udvælges fx medicinhåndtering eller
patientsikkerhedskultur, baseret på aktuelle trends og udfordringer.
3) En prioriteret tilsynsindsats ud fra en evidensbaseret vurdering af, hvor der er
størst sandsynlighed for problemer.
Det socialfaglige tilsyn ved Socialtilsynet
har til formål at sikre, at borgeren ydes en
indsats, der er i overensstemmelse med formålet for offentlige og private tilbud efter lov
om social service. Socialtilsynets opgavevaretagelse er baseret på en national tilgang,
som understøtter systematisk, ensartet, uvildig og faglig kompetent varetagelse af
tilsynsopgaven, kombineret med kommunalt kendskab, indsigt og ansvar.
Tilsynet har to opgaver: De godkender tilbud, der er omfattet af serviceloven og
sundhedsloven, jf. §4. stk. 4 i lov om socialtilsyn, og de har ansvaret for driftstilsyn med
de godkendte tilbud for at sikre, at de lever op til gældende krav og standarder.
Socialtilsynet rejser bekymringer, hvis der er problemer i tilbuddene og følger op med
besøg og dialog for at sikre, at fejl og mangler bliver udbedret. Socialtilsynets har
følgende sanktionsmuligheder: Påbud, skærpet tilsyn, lukning af tilbud og at give fem
års lederkarantæne.
160
SUU, Alm.del - 2024-25 - Bilag 302: Orientering om Sundhedsstyrelsens afrapportering om den kulegravning af alkoholbehandlingen, fra indenrigs- og sundhedsministeren
3035092_0162.png
Socialtilsynet består af fem kommunale tilsyn, der geografisk er fordelt mellem de fem
regioner. Tilsynet anvender en generel kvalitetsmodel, der gælder for alle sociale tilbud
underlagt socialfagligt tilsyn. Kvalitetsmodellen har til formål at sikre, at tilbuddene
understøtter borgerens potentiale for at uddanne sig, komme i beskæftigelse, indgå i
sociale relationer og have selvbestemmelse, samt at borgeren trives og har mulighed
for at være selvstændig. Derudover er det et kriterium, at behandlingsstedet arbejder
systematisk med afsæt i en tydelig målgruppebeskrivelse og anvender faglige tilgange
og metoder, der fører til positive resultater for borgerne, samt at de arbejder med
resultatdokumentation.
De socialfaglige tilsyn undersøger derudover også behandlingsstedets fysiske rammer,
økonomi og regnskab, normering, samt hvorvidt medarbejdernes kompetencer,
sammensætning og uddannelser er relevante og allokeret på den mest
hensigtsmæssige måde, samt om ledelsen er kompetent.
Socialtilsynet fremhæver, at de primært oplever, at der kan være kvalitetsudfordringer
relateret til størrelsen på behandlingsstederne og de tilstedeværende faglige
kompetencer. I den forbindelse, oplever Socialtilsynet ikke udtalte forskelle i kvaliteten
på offentlige behandlingssteder og private behandlingssteder med offentlig
finansiering. NHG s undersøgelse peger på, at dette også gælder for det
sundhedsfaglige tilsyn, som beskriver, at de ikke skelner mellem offentlige og private
leverandører, og at de ikke har mulighed for at opgøre resultaterne af deres tilsyn på
ejerforhold.
viser, at det i perioder kan være omfattende for et
behandlingssted at være underlagt to tilsynsordninger. Fra behandlingsstedernes
perspektiv kan det at blive kontrolleret af flere tilsynsmyndigheder betyde en betragtelig
administrativ byrde, fordi de skal navigere i forskellige tilsynsmodeller.
Behandlingsstederne oplever, at det kræver både tid og ressourcer, som de kunne
have brugt på deres primære opgave: At sikre høj kvalitet i behandlingen.
Repræsentanter fra begge tilsyn påpeger, at behandlingssteder sjældent kan se
samme værdi i deres tilsynsbesøg, fordi det ikke er rart at blive monitoreret af tredje
part. Tilsynene beskriver dog, at selvom behandlingsstederne kan være underlagt to
forskellige tilsyn, giver det ikke i praksis nogle udfordringer for dem, idet de
grundlæggende har fokus på forskellige forhold. Det sundhedsfaglige tilsyn har fokus
på den sundhedsfaglige behandling, som er et afgrænset område i
alkoholbehandlingen, mens Socialtilsynet har fokus på det samlede
alkoholbehandlingstilbud, herunder målgrupper, socialfaglige metoder og resultater.
Ifølge
oplever behandlingsstederne, at tilsynsprocesserne er
meget formaliserede med varierende relevans i fokusområder, f.eks. gennemgang af
fakturaer fremfor af behandlingsmetoder. Socialtilsynet forklarer, at hvis ikke de har
bekymringer om behandlingsforhold, fokuserer de på bl.a. behandlingsstedernes
økonomi. Dog har Socialtilsynet på private behandlingssteder med offentlig finansiering
et større fokus på gennemgang af regnskaber (jf. tidligere forklaring), da de har en
forpligtelse for at sikre, at de offentlige midler ikke misbruges. Tilsynet kan også have
et særligt fokus på de organisatoriske rammer, ejerskabsforhold, forretningsmodeller,
budgetter og lønninger hos de private behandlingssteder, især hvis der er tale om
profitdrevne private organisationer. Der kan dog være vanskeligheder med at
161
SUU, Alm.del - 2024-25 - Bilag 302: Orientering om Sundhedsstyrelsens afrapportering om den kulegravning af alkoholbehandlingen, fra indenrigs- og sundhedsministeren
3035092_0163.png
kontrollere en række regnskabsmæssige og ejermæssige forhold, f.eks. i tilfælde hvor
kapitalfonde opkøber og organiserer sig med et holdingselskab
189
. Ifølge en af
undersøgelsens faglige eksperter kræver det samtidig specialiserede kompetencer en
at føre tilsyn med de regnskabstekniske forhold.
På følgegruppemødet blandt de private leverandører (og repræsentanter heraf), blev
der peget på, at tilsynsreglerne, for så vidt angår tilbuddenes økonomi, er forskelligt
afhængigt af om socialtilsynet sker på private eller offentlige behandlingssteder. Dansk
Erhverv og Selveje Danmark peger på, at det er en udfordring, at de offentlige
behandlingssteder ikke er underlagt samme økonomiske tilsyn, som de private, da det
kan forvride markedet og skabe ulige markedsvilkår for offentligt finansieret
alkoholbehandling. Repræsentanter fra Socialtilsynet understreger imidlertid, at de ikke
skelner mellem offentlige og private leverandører under tilsynet. De bruger de samme
regler og den samme kvalitetsmodel. Ifølge Socialtilsynet er årsagen til, at der er
økonomiske forhold, som alene undersøges blandt private leverandører, at offentlige
behandlingssteder er underlagt tilsvarende økonomisk tilsyn, blot i den kommunale
revision. Altså foretager Socialtilsynet dette økonomiske tilsyn for, at offentlige og
private behandlingssteder underlægges sammenlignelige tilsyn.
Flere ledere fra både offentlige og offentligt finansierede private behandlingssteder
udtrykker utilfredshed med, at tilsynsordningen i dens nuværende form ikke i
tilstrækkelig grad tager højde for behandlingsstedernes forskelligartede målgrupper og
dermed behov. Der er for eksempel forskel på de udfordringer, der findes hos små
behandlingssteder sammenlignet med større behandlingssteder. Tilsynene opleves af
nogle personer i NHG s undersøgelse som værende for standardiserede, hvilket
skaber uensartede vilkår for de forskellige aktører på markedet.
I NHG s undersøgelse peger offentlige såvel som private aktører på det forhold, at der
ikke eksisterer bindende kvalitetsstandarder, som kunne være udgangspunktet for den
faglige vurdering af behandlingsstedet metoder og indhold. De giver udtryk for, at det
er en udfordring, da det ikke giver grundlaget for et fagligt funderet tilsyn.
En anden og selvstændig pointe i NHG s undersøgelse er, at Socialtilsynet har svært
ved at føre tilsyn med anonyme forløb, som nævnt tidligere. Her menes ikke kontrol via
cpr-nr., men manglende mulighed for at følge borgere i anonyme forløb. Det skyldes, at
tilsynet ikke kan tjekke om borgerne findes, hvilken behandling borgeren har fået, hvor
meget og af hvilket personale. Ligesom det ikke er muligt at følge op på typer af
behandlingsforløb i anonyme forløb. Socialtilsynet efterspørger selv en løsning, hvor de
som tilsynsmyndighed kan få lov til at se cpr. nummeret, selvom borgeren er i anonym
behandling. Anonymiteten skal i den model kun være overfor dem, der er behandlere,
men ikke for de tilsynsførende. Blandt de bidragende faglige eksperter i nærværende
undersøgelse samt caseundersøgelsen fremhæves den manglende tilsynskontrol med
anonyme forløb, som en vigtig udfordring, idet der bør kunne føres kontrol med
alkoholbehandling for offentlige midler.
Denne pointe har professor Torben Tranæs fremført, da en parallel situation gør sig gældende på
socialområdet.
162
189
SUU, Alm.del - 2024-25 - Bilag 302: Orientering om Sundhedsstyrelsens afrapportering om den kulegravning af alkoholbehandlingen, fra indenrigs- og sundhedsministeren
3035092_0164.png
7.4
Rammerne for prissætning og budgetstyring af offentlig finansieret behandling
I dette afsnit beskrives de økonomiske styringsmuligheder af alkoholbehandlingen.
Kommunerne oplever en række udfordringer i forhold til prissætning og budgetstyring,
grundet de lovgivningsmæssige rammer, samt det forhold, at der ikke eksisterer en
eller flere veldefinerede ydelser (også forstået som en kvalitetsstandard, en
rammeaftale eller lignende) samt markedsvilkårene.
I de følgende afsnit skitseres disse udfordringer.
7.4.1
Prissætning og kommunernes budgetstyring
Alkoholbehandling i Danmark opererer i dag som nævnt under markedslignende vilkår,
der fremmer konkurrence mellem alle leverandører af offentligt finansieret behandling
samt på det private marked. Et velfungerende marked kræver gennemsigtighed i
priser, kvalitet og behandlingsforløb på tværs af leverandørerne.
Markedslignende vilkår findes på andre social- og sundhedsområder i Danmark, såsom
friplejehjem og privathospitaler. På friplejehjemsområdet konkurrerer private aktører
også med offentlige leverandører under borgernes frie valg af plejehjem, men de
private aktører er stadig underlagt offentlige finansieringsmodeller og reguleringer. En
central forskel til det ambulante alkoholbehandlingsområde er dog, at man som borger
skal visiteres til et plejehjem af kommunen. Privathospitaler er et andet eksempel, der
understøtter en del af den offentlige kapacitet via henholdsvis den nationale aftale om
det udvidede frie sygehusvalg og regionale udbud på konkrete aktiviteter. Her stilles
der krav om ensartet rapportering, kvalitetsstandarder og prisrammer, hvilket gør det
muligt at sammenligne tilbuddene. Dette adskiller sig fra alkoholbehandlingsområdet,
hvor tilbuddene er mere vanskelige at sammenligne.
COWI og Decides afdækning fra 2019 såvel som NHG s undersøgelse fra 2024 peger
på, at det nuværende system på alkoholbehandlingsområdet har udfordringer med at
leve op til principperne om et effektivt, ensartet og gennemsigtigt marked. En af de
største udfordringer består i prissætningen af ambulante behandlingsforløb, hvor det er
uigennemsigtigt, hvordan forskellige leverandører, sammensætter og prissætter deres
behandlinger. Det gælder både offentlige og offentligt finansieret private
behandlingssteder. For kommunerne (som i dette tilfælde er den offentlige betaler) er
det uklart, hvad de betaler for hos offentlig finansierede private tilbud, da borgeren selv
kan initiere behandlingen hos en leverandør, samt hvad de i sidste ende skal betale for
en borgers forløb, da prisen kan variere mellem behandlingssteder.
Ovenstående gælder kun i tilfælde, hvor en borger vælger at modtage behandling ved
et behandlingssted, som borgerens hjemkommune ikke selv har indgået en
samarbejdsaftale med. En gennemgang på Tilbudsportalen viser, at priserne på
alkoholbehandlingsforløb ikke fremgår for alle offentligt finansierede selvejende og
private behandlingssteder. Der kan i den forbindelse ikke konstateres nogen
systematik i, for hvilke behandlingssteder og -typer priser fremgår af Tilbudsportalen.
Det er altså en udfordring, at man ikke kan se de aftalte offentlige priser. Selvom alle
priser fremgik af Tilbudsportalen ville den tidligere nævnte udfordring om, at den
betalende myndighed ikke får tilstrækkelig med information ved behandlingsopstart og
senere løbende status på progression i behandlingen, stadig give udfordringer i forhold
til pris og budgetstyring for kommunerne.
163
SUU, Alm.del - 2024-25 - Bilag 302: Orientering om Sundhedsstyrelsens afrapportering om den kulegravning af alkoholbehandlingen, fra indenrigs- og sundhedsministeren
3035092_0165.png
Dansk Erhverv og Selveje Danmark fremlægger omvendt, at der ikke er
gennemsigtighed om omkostningerne for kommunale alkoholbehandlingsforløb, og at
det er en udfordring, fordi det er uklart for de offentligt finansierede private
behandlingssteder, hvilke prisniveauer de offentlige behandlingssteder har. Herunder
også indirekte omkostninger såsom husleje, vand, varme, HR, IT og andre
supportfunktioner, der i dag opgøres forskelligt mellem offentlige og ikke-offentlige
tilbud. Der fremlægges for eksempel ikke årsregnskab for de offentlige
behandlingssteder, hvilket giver manglende gennemsigtighed.
Ovenstående problematik resulterer i manglende gennemsigtighed i prissætningen for
både de offentlige og private behandlingssteder med offentlig finansiering.
Alkoholbehandlingen har styringsmæssigt paralleller til ydelser på socialområdet
(kvindekrisecentre efter servicelovens § 109 samt boformer efter servicelovens § 110
forsorgshjem og herberger). Ekspertudvalget på socialområdet fremhæver i deres
analyse fra 2023, at markedet på socialområdet havde nogle økonomiske- og
styringsmæssige udfordringer, som er i tråd med dem vi finder på alkoholområdet:
samt kvindekrisecentre bindende, og taksten svarer dermed til prisen. Som
sikkerhed er der krav om, at taksterne for forsorgshjem mv. og kvindekrisecentre
skal være revisorpåtegnede. Uagtet heraf har kommunen som betalende myndighed
ikke mulighed for at forhandle prisen fx på baggrund af kommunens vurdering af
støttebehov. Forsorgshjem og herberg samt kvindekrisecentre kan derfor have
incitament til at yde en øget indsats for borgeren og dermed fastsætte en højere
190
Som tidligere nævnt kan offentligt finansierede private alkoholbehandlingssteder også
fakturere kommunerne for den fulde takst for et ambulant behandlingsforløb uden, at
kommunen har vurderet konkrete behandlingsbehov hos borgeren eller taget højde for
det kommunalt besluttede serviceniveau. Ligesom for ovennævnte servicelovstilbud,
kan det skabet et incitament blandt de offentligt finansierede private
alkoholbehandlingssteder til at yde en øget behandlingsindsats for borgerne, da
leverandøren dermed kan fakturere kommunen en højere pris. Omvendt understreger
de offentligt finansierede private behandlingssteder, at de altid vurderer borgerens
behandlingsbehov lægefagligt med afsæt i sundhedsloven.
Udfordringen er således, at samme ydelse (fx ambulant behandling) kan prissættes
meget forskelligt, både blandt offentlige behandlingssteder og blandt offentligt
finansierede private behandlingssteder. Disse varierende prissætninger hænger
sammen med intensiteten af behandlingsforløbet, samt kommunernes individuelle
fastsættelse af eget serviceniveau. Dette resulterer naturligt i varierende offentligt
finansierede behandlingstilbud og varierende priser, som ikke i sig selv er en
udfordring, men blot en del af det kommunale selvstyre. Udfordringen opstår set fra et
økonomistyringsperspektiv, da offentlige betalere kan risikere at betale for en borgers
behandling ved en takst og serviceniveau fastsat af en anden kommune, idet der ikke
190
Sekretariatet for Ekspertudvalget på socialområdet, 2023.
Analyse af markedet på socialområdet,
s. 12.
164
SUU, Alm.del - 2024-25 - Bilag 302: Orientering om Sundhedsstyrelsens afrapportering om den kulegravning af alkoholbehandlingen, fra indenrigs- og sundhedsministeren
3035092_0166.png
er fast sat et øvre topniveau for offentlig finansieret behandling. De offentlige betalere
(som i dette tilfælde er kommunen)
defineret ved en eller flere veldefinerede ydelser (forstået som en kvalitetsstandard, en
rammeaftale eller lignende), kan kommunerne på den baggrund fastsætte deres
serviceniveau.
De faglige eksperter, som har bidraget til undersøgelsen, peger ligesom
caseundersøgelse på en udfordring med et varierende pris-, kvalitets- og serviceniveau
i den ambulante alkoholbehandling, som følge af, at der ikke eksisterer en eller flere
veldefinerede ydelser (gennemsigtighed om omkostningerne for kommunale
alkoholbehandlingsforløb) og dertilhørende takster. En leder i alkoholbehandlingen
udtrykker det sådan:
else af kvalitetsstandarder eller et prisloft kunne også være en mulighed,
men det skal være ledsaget af kvalitetskrav. Tillid mellem kommuner og private
leverandører er afgørende." (Leder fra offentlig finansieret privat behandlingstilbud)
Derudover er manglende viden om antallet af borgere i behandling en udfordring for
kommunerne i forhold til budgetstyring. En kommune fastsætter typisk en økonomisk
ramme for, hvor mange midler der forventes brugt på alkoholbehandling hvert år - ofte
inden for et samlet budget på rusmiddelområdet. Kommunerne må kalkulere med en
vis økonomisk buffer for at kunne håndtere, hvis et større antal borgere end forventet
ønsker behandling et givent år.
i den sammenhæng, at manglen på forudsigelighed
skaber budgetmæssige udfordringer for kommunerne. Lederne af de offentlige
behandlingssteder giver udtryk for, at de kan blive tvunget til at træffe
uhensigtsmæssige beslutninger som led i økonomiske prioriteringer inden for den
samlede kommunale økonomi for at håndtere uforudsete budgetudgifter. Det kan i
sidste ende påvirke kvaliteten og tilgængeligheden af den offentlige alkoholbehandling.
7.4.2
Erfaringer fra andre områder
Der er andre social- og sundhedsområder, hvor der kan drages paralleller til
alkoholbehandlingsområdet. NHG s undersøgelse har tidligere peget på friplejehjem og
privathospitaler, som områder, hvor lignende styringsudfordringer er forsøgt
overkommet. De to områder illustrerer forskellige samarbejdsformer mellem offentlige
og private aktører og kan inspirere til strukturer på alkoholbehandlingsområdet, hvor
man både kan drage nytte af lokal tilpasning og national ensartethed.
Friplejehjem og privathospitaler adskiller sig ved deres lokale og nationale forankring.
Friplejehjem er lokalt forankrede, da deres etablering og drift afhænger af kommunale
forhåndsaftaler og godkendelser, hvilket kræver tæt samarbejde med den enkelte
kommune. Privathospitaler opererer derimod under en national aftale om udvidet frit
sygehusvalg, som sikrer ensartede vilkår og kvalitetskrav på landsplan, uafhængigt af
lokale beslutninger. I det følgende gennemgås de to modeller.
Friplejehjem
Friplejehjem og alkoholbehandling har ligheder, når det gælder borgernes frie valg og
konkurrence mellem offentlige og private aktører. På friplejehjemsområdet kan private
aktører oprette tilbud, men for at modtage borgere kræves en forhåndsaftale med
165
SUU, Alm.del - 2024-25 - Bilag 302: Orientering om Sundhedsstyrelsens afrapportering om den kulegravning af alkoholbehandlingen, fra indenrigs- og sundhedsministeren
3035092_0167.png
kommunen. Det betyder, at kommunen allerede før etableringen vurderer, om de
ønsker at benytte friplejehjemmet. Dette er modsat alkoholområdet, som ikke kræver
en forhåndsaftale med kommunerne forud for etablering (såfremt de allerede er
godkendt af Socialtilsynet til at udbyde offentlig finansieret alkoholbehandling).
Tilblivelsen af friplejehjem er en krævende proces, da den indebærer en lokal
godkendelsesproces, som kan afholde mange private aktører fra at etablere sådanne
tilbud.
191
Denne proces kræver tæt dialog og tilpasning til kommunens behov, hvilket
gør oprettelsen både kompleks og ressourcekrævende. Tilblivelsen og processen for
friplejehjem står i kontrast til alkoholbehandling, hvor private behandlingssteder kan
tilbyde offentligt finansieret behandling uden krav om en kommunal forhåndsaftale.
Nedenfor beskrives tre centrale strukturer på friplejehjemsområdet, som kan bidrage til
at løse den type udfordringer, der ses på alkoholbehandlingsområdet.
For det første drives friplejehjem uden for det kommunale system, men hvor
opholdsbetalingen er offentligt finansieret af borgerens hjemkommune. Kommunerne
har pligt til at dække udgifterne for en borger, der er visiteret til en plejehjemsplads på
et friplejehjem på samme måde som for borgere, der bor på et kommunalt plejehjem.
Friplejehjemmene kan dog kun opkræve kommunale betalinger inden for bestemte
rammer og serviceniveauer. Denne struktur sikrer, at der er en klar forbindelse mellem
den ydelse, der aftales og leveres, og den pris, der betales af kommunen, hvilket giver
gennemsigtighed og økonomisk kontrol. Modellen ses også på friskoleområdet, der har
eksisteret i mange år.
For det andet er friplejehjem forpligtede til at overholde de nationale eller kommunale
retningslinjer for prissætning, så der ikke opkræves uforholdsmæssigt høje priser for
ydelserne. Det system forhindrer vilkårlige prisstigninger og giver kommunerne
forudsigelighed i forhold til deres budgetter. Friplejehjem kan dog tilbyde ekstra
ydelser, som borgerne kan vælge at betale for af egen lomme, hvilket giver fleksibilitet,
men uden at belaste de offentlige budgetter.
For det tredje er friplejehjemmene forpligtet til at dokumentere deres forløb og
rapportere tilbage til kommunen om borgernes udvikling. Denne rapportering er ikke
kun nødvendig for at sikre, at plejen lever op til standarderne, men også for at sikre, at
kommunen har kontrol over, hvilke ydelser der bliver leveret, og at de matcher de
takster, som kommunen betaler for.
Erfaringerne med friplejehjem viser, at den nuværende godkendelsesproces og
prissætningsmodel for friplejehjemmene generelt fungerer godt, men at der stadig er
udfordringer. Ifølge en evaluering fra VIVE oplever både kommuner og friplejehjem
overordnet set, at afregningssystemet er rimeligt og sikrer sammenhæng mellem
kommunale omkostninger og serviceniveauer, fordi der er etableret økonomiske
rammer for, hvad friplejehjem kan opkræve og dermed bedre forudsigelighed og
transparens i økonomien.
192
En udfordring er dog, at mange friplejehjem oplever
vanskeligheder med at gennemskue de kommunale takstberegninger. Det skyldes
191
192
https://www.horten.dk/viden/artikel2023/friplejeboliger-hvem-og-hvordan
VIVE, 2023.
Evaluering af afregningssystemet for friplejehjem.
166
SUU, Alm.del - 2024-25 - Bilag 302: Orientering om Sundhedsstyrelsens afrapportering om den kulegravning af alkoholbehandlingen, fra indenrigs- og sundhedsministeren
3035092_0168.png
komplekse beregningsmetoder og manglende gennemsigtighed, hvilket gør det svært
for friplejehjemmene at sikre, at de får en retvisende betaling. Denne udfordring er
sammenligne med de private leverandører af offentlig finansieret alkoholbehandling.
Privathospitaler
Alkoholbehandlingsområdet kan sammenlignes med privathospitalerne, fordi begge
områder omfatter et samarbejde mellem offentlige og private aktører under en ramme,
der sikrer borgerens frie valg.
Privathospitalerne i Danmark understøtter den offentlige sundhedskapacitet gennem
en struktureret samarbejdsmodel, der hviler på den nationale aftale om udvidet frit
sygehusvalg samt regionale udbud af specifikke ydelser. Denne model består af flere
nøgleelementer, som skaber et formaliseret og standardiseret samarbejde mellem
offentlige og private aktører.
Nedenfor beskrives fem centrale principper på privathospitalsområder, som kan have
bidraget til at løse den type udfordringer, der ses på alkoholbehandlingsområdet.
For det første er den nationale aftale om udvidet frit sygehusvalg, reguleret af
Sundhedslovens §87, indgået mellem Danske Regioner og privathospitalernes
brancheorganisation. Aftalen giver patienter ret til at vælge behandling på et
privathospital, hvis ventetiden i det offentlige system overstiger de fastsatte grænser
(typisk 30 eller 60 dage afhængigt af behandlingen). For at et privathospital kan
deltage i denne aftale, skal det gennemgå en godkendelsesproces og leve op til
fastsatte krav.
For det andet skal privathospitaler godkendes til at tilbyde specifikke behandlinger
under aftalen. Godkendelsen omfatter en vurdering af, om hospitalet lever op til
kvalitetsstandarder, og sikrer, at de kan tilbyde den nødvendige ekspertise til de
pågældende ydelser.
For det tredje er privathospitalerne under aftalen forpligtede til løbende at arbejde med
kvaliteten af deres behandlingstilbud. Dette indebærer, at hospitalerne skal følge
nationale standarder og gennemgå evalueringer og audits for at sikre, at deres ydelser
opfylder de krav, der stilles til offentligt finansieret sundhedsydelser.
For det fjerde specificeres hver behandlingsydelse med en beskrivelse af
patientgruppen, relevante procedurer og opfølgningskrav. Priserne for de enkelte
ydelser er også fastsat, hvilket sikrer transparens og sammenlignelighed for både
patienter og offentlige myndigheder.
Til sidst vælger regionerne at gennemføre udbud for visse ydelser med stor privat
aktivitet, hvor private hospitaler konkurrerer på pris. Disse udbud følger ofte de faglige
retningslinjer i rammeaftalen om udvidet frit sygehusvalg, hvilket sikrer, at der er et
ensartet kvalitetsniveau og fagligt grundlag på tværs af udbydere.
Privathospitalernes samarbejdsmodel med det offentlige er baseret på en struktureret,
national aftale, som sikrer ensartethed og transparens i hele landet. I modsætning hertil
er alkoholbehandlingsområdet præget af en decentral model, hvor der ikke findes en
tilsvarende national rammeaftale. Her afhænger samarbejdet med private aktører af
kommunale beslutninger og individuelle samarbejdsaftaler, hvilket resulterer i større
variation i standarder og praksis på tværs af kommunerne.
167
SUU, Alm.del - 2024-25 - Bilag 302: Orientering om Sundhedsstyrelsens afrapportering om den kulegravning af alkoholbehandlingen, fra indenrigs- og sundhedsministeren
3035092_0169.png
7.5
Data og dokumentation i alkoholbehandlingen
I dette afsnit vil vi undersøge, hvilke dokumentationskrav der er til
alkoholbehandlingen, og hvordan data anvendes i praksis på behandlingsstederne i
dag.
Som nævnt i kapitel 1 er det lovpligtigt for både offentlige og private
alkoholbehandlingssteder, der udfører offentlig finansieret alkoholbehandling, at
indberette data til Det Nationale Alkoholbehandlingsregister (NAB). Dermed er der kun
krav om dokumentation for den offentligt finansierede behandling, mens private
behandlingssteder, der behandler privatbetalere, kan vælge frivilligt at indberette data i
NAB.
Formålet med NAB-registeret er at tilvejebringe statistiske oplysninger, der viser
udviklingen for personer i behandling for alkoholafhængighed. Disse oplysninger
anvendes til overvågning (nationalt og kommunalt), politisk og faglig planlægning samt
forskning og evaluering af behandlingskvalitet. Registeret indeholder
baggrundsoplysninger om borgeren samt information om rusmiddelbrug, udredning og
behandling.
NHG s undersøgelse viser, at data og dokumentation inden for
alkoholbehandlingsområdet i praksis kan anvendes på forskellige niveauer. På
nationalt niveau er der behov for data, der kan understøtte den nationale indsats på
alkoholbehandlingsområdet og danne grundlag for beslutningstagning, herunder
udvikling af behandlingskvaliteten. Det er denne type data, der indsamles i NAB og
som også bidrager til forskning. Derudover er der data, som anvendes på det enkelte
behandlingssted til at monitorere, planlægge, dokumentere og udvikle egen
behandlingsindsats. Disse data kan f.eks. omfatte brugerfeedback og evalueringer,
samt lokal monitorering af behandlingsforløb.
Analyser fra Det Nationale Alkoholbehandlingsregister (NAB) viser, at private
behandlingssteder uden offentlig finansiering generelt ikke udnytter muligheden for
frivilligt at indrapportere data til NAB. Det betyder en mangel på viden om antal borgere
i behandling samt behandlingstype- og længde. Dertil kan Sundhedsdatastyrelsen
heller ikke koble borgerne til andre registre og få viden om deres øvrige brug af
sundhedsydelser.
-
registrering i udredningen til at udforme individuelle behandlingsplaner. Dette indikerer
en misforståelse af NAB's funktion, da registeret primært er beregnet til nationale
formål og ikke til individuel planlægning på de enkelte behandlingssteder.
I NHG s undersøgelse udtrykker flere ledere på de offentligt finansierede
behandlingssteder frustration over, at de indberettede data ikke i højere grad bliver
brugt til at generere ny viden eller forbedre kvaliteten på nationalt niveau, og at de har
oplevelsen af, at der udgives for få rapporter baseret på dataene. Dette skaber en
opfattelse af, at dokumentationen ikke giver den forventede værdi, hvilket
undersøgelsen resultater tyder på at påvirke motivationen til at indberette data præcist
og tilstrækkeligt. Trods kritik om manglende udgivelse om NAB har
Sundhedsdatastyrelsen siden 2019 gjort flere data fra NAB offentligt tilgængelige på
deres hjemmeside.
168
SUU, Alm.del - 2024-25 - Bilag 302: Orientering om Sundhedsstyrelsens afrapportering om den kulegravning af alkoholbehandlingen, fra indenrigs- og sundhedsministeren
3035092_0170.png
ikke meget tilbage. Vi samler selv data, som
vi bruger i vores eget arbejde. Det er vigtigt for at følge op på, hvordan det går i
privat behandlingssted)
en analyse fra Komiteen for Sundhedsoplysning og
TrygFonden peger på, at NAB-data primært indberettes, fordi det er lovpligtigt, og at
der ikke er en opfattelse af, at dataene anvendes systematisk til kvalitetsudvikling på
nationalt eller kommunalt niveau. I undersøgelsen fra Komiteen for Sundhedsoplysning
og TrygFonden peger de på en stor variation i hvor meget NAB-data, der
dokumenteres og hvornår.
193
I undersøgelsen fandt de, at nogle behandlingssteder
udfylder hele NAB-skemaet under den første samtale, mens andre vælger at sprede
registreringen ud over flere sessioner. Enkelte behandlingssteder oplever, at
skemaerne er omfattende og kan forstyrre den terapeutiske kontakt med borgerne.
Samtidig er der klare indikationer på, at alkoholbehandlingsområdet er
underdokumenteret, og at NAB er utilstrækkeligt til at evaluere bl.a. antallet af borgere i
dag- og døgnbehandling, antal anonyme forløb fordelt på ejerforhold, antallet af nye
borgere i behandling, og hvilken type behandling, der virker bedst. Denne mangel på
data gør det vanskeligt at træffe kvalificerede beslutninger om kvalitetsudvikling og
behandlingstiltag på centralt niveau. NHG s undersøgelse viser yderligere, at det er en
udfordring, at private behandlingssteder, som leverer privat behandlinger, ikke er
forpligtet til at indberette data til NAB. Dette medfører et ufuldstændigt billede af
behandlingsindsatsen i Danmark.
Der er erfaringer fra andre dele af sundhedsvæsenet, hvor alle behandlingssteder -
uanset finansierings- og ejerform - er forpligtet til at indrapportere i offentlige registre.
Således er private hospitaler og klinikker bl.a. forpligtet til at indrapportere oplysninger
til Landspatientregistret hos Sundhedsdatastyrelsen og relevante kliniske registre hos
Regionernes Kliniske Kvalitets Program (RKKP).
Udover de nationale dokumentationskrav i NAB, så viser NHG s undersøgelse, at
størstedelen af behandlingsstederne lokalt registrerer data, som de anvender til at
monitorere, evaluere og forbedre egne indsatser. Registreringerne er ikke ensartede
og anvendes forskelligt. NHG s spørgeskemaundersøgelse viser bl.a., at kun 23 % af
behandlingsstederne arbejder systematisk med dokumentation af effekten af deres
behandling, og blandt de offentlige behandlingssteder er tallet 31 %. En af
forklaringerne på, at der ikke eksisterer dokumentation af effekten af behandlingen, er
manglende opfølgning på afsluttede behandlingsforløb.
Denne fragmenterede tilgang til dataopsamling gør det svært at få et klart billede af,
hvor mange borgere, der opnår varig alkoholafholdenhed eller nedsat forbrug, hvad
tilbagefald egentlig er, hvor ofte tilbagefald opstår, og hvad de konkrete
Komiteen for Sundhedsoplysning og Trygfonden, 2021.
DATADREVET ALKOHOLBEHANDLING - En
afdækning af borgerens rejse gennem den kommunale alkoholbehandling med fokus på anvendelse af
data og digitale muligheder.
169
193
SUU, Alm.del - 2024-25 - Bilag 302: Orientering om Sundhedsstyrelsens afrapportering om den kulegravning af alkoholbehandlingen, fra indenrigs- og sundhedsministeren
3035092_0171.png
behandlingsresultater er for de enkelte metoder og behandlingsvarigheder. NHG s
undersøgelse indikerer, at det kan blive en udfordring, at der ikke er en national
dataopsamling med fokus på at standardisere og dele viden om behandlingseffekter på
tværs af alle aktører.
Der pågår som tidligere nævnt allerede arbejde på området. Der er i 2024 i et
samarbejde mellem Sundhedsdatastyrelsen og Sundhedsstyrelsen og andre aktører
udarbejdet et forslag til revision af NAB, som skal resultere i en række forbedringer.
Disse ændringer skal gøre NAB-registeret mere brugervenligt og anvendeligt ved at
fokusere på at indsamle data, der også kan understøtte kvalitetsudviklingen, lokalt og
nationalt. Der er blandt andet forslag om at integrere data fra eksisterende registre for
at reducere administrative byrder og sikre, at oplysninger om hele behandlingsforløbet,
herunder behandlingsindhold, behandlingsmål og opnåede resultater, bliver
dokumenteret på en standardiseret måde. Forbedringerne forventes implementeret i
2025.
I fremtiden vil NAB også indeholde information om behandlingsintensitet (ambulant,
dag- eller døgnbehandling), behandlingstype (individuel, gruppebaseret,
familieorienteret og pårørenderådgivning), og om behandlingsmålet (alkoholreduktion
eller total afholdenhed) er opnået ved afslutningen af forløbet.
7.6
Opsummering om styring, struktur, kvalitet og prissætning
Ovenstående analyse identificerer en række styringsmæssige udfordringer på
alkoholbehandlingsområdet i Danmark angående struktur, kvalitet og prissætning.
Fri etableringsret og varierende ydelser
Den frie etableringsret bidrager til den konkurrencemæssige markedssituation, hvor
både offentlige, private og selvejende aktører kan tilbyde alkoholbehandling.
Etableringsretten har udvidet markedet og med tiden skabt en række nye udbydere af
alkoholbehandling. Der er to centrale forhold, der spiller ind på den frie etableringsrets
betydning for kvaliteten i alkoholbehandling:
1.
I den danske lovgivning er ydelserne i alkoholbehandling ikke klart defineret
med beskrivelser af indhold, varighed og intensitet (gælder både ambulant,
dag- og døgnbehandling).
2. Manglen på fastsatte kvalitetsstandarder i behandlingen, skaber uensartede
tilbud og uigennemsigtighed i forhold til prissætning, indhold og kvalitet.
De varierende behandlingstilbud er ikke nødvendigvis en udfordring i sig selv, da det vil
være udtryk for det kommunale selvstyre. I et sundhedsfagligt perspektiv kan det dog
være en udfordring, at der ikke er defineret et ydelsesmæssigt bundniveau for
behandlingskvaliteten. Det er således en udfordring, at der på et sundhedsfagligt
behandlingsområde ikke er et minimumskrav til, hvad alkoholbehandlingen skal
indeholde, og hvilke kompetencer der skal være til stede i behandlingen.
Fra et økonomistyringsperspektiv kan det være en udfordring, at der ikke er et defineret
topniveau af, hvad man fra nationalt niveau er villig til at betale under offentlig
finansiering. Det kan give budgetudfordringer i kommunerne, når de varierende
behandlingstilbud kobles med fritvalg og selvhenvendelse, fordi man som offentlig
170
SUU, Alm.del - 2024-25 - Bilag 302: Orientering om Sundhedsstyrelsens afrapportering om den kulegravning af alkoholbehandlingen, fra indenrigs- og sundhedsministeren
3035092_0172.png
betaler kan risikere at betale for en takst og serviceniveau, som er fastsat af en anden
kommune.
Med den frie etableringsret kan man ikke styre antallet (kapaciteten) af private
behandlingssteder. Dette er ikke en udfordring i de tilfælde, hvor en given kommune
vælger at indgå en samarbejdsaftale med en privat leverandør, fordi de har behov for
at øge deres behandlingskapacitet eller udbud. Det bliver dog en udfordring, når denne
private leverandør frit kan etablere en ny filial eller matrikel i en anden kommune, samt
når Socialtilsynet i godkendelsen af denne nye matrikel ikke forholder sig til
behandlingskapaciteten hverken i den givne kommune, hvor den nye filial etableres,
eller på nationalt niveau.
Lovgivning og patientrettigheder
Patientrettighederne for den ambulante alkoholbehandling om selvhenvendelse, frit
valg og anonymitet giver nogle fordele set i lyset af opsporingsgabet, men skaber
ligeledes en række styrings- og økonomiudfordringer for kommunerne. Da den
ambulante behandling udgør omtrent 97 % af den samlede alkoholbehandling i
Danmark, er det især vigtigt at forholde sig til netop disse udfordringer, som
lovgivningen for ambulant alkoholbehandling afstedkommer.
Retten til frit valg og selvhenvendelse giver borgere, der vil i offentligt finansieret
ambulant behandling, mulighed for at vælge mellem tilbud med forskellig intensitet,
indhold, serviceniveau og dermed også med forskellig pris. Det er en udfordring for
borgernes hjemkommuner, som skal betale behandlingen. Kommunernes
økonomistyring påvirkes således negativt i de tilfælde, hvor borgerens valg af
behandlingssted eller antallet af borgere, der søger behandling, afviger fra det,
kommunen har budgetteret med. Det er særligt en udfordring i forhold til de små private
leverandører af alkoholbehandling, som kommunerne ikke i forvejen har en relation til
eller samarbejdsaftale med, og hvor de dermed ikke kender ydelser, serviceniveau og
pris.
Anonymitetsretten giver udfordringer i forhold til gennemsigtighed mellem leverandør
og betaler. Den manglende gennemsigtighed giver bekymringer hos kommunerne, når
de samtidig oplever manglende information om anonyme borgeres ambulante
behandlingsforløb, herunder indhold og varighed (ikke cpr-nummer), og dertilhørende
høje regninger fra private leverandører uden ordentlig dokumentation.
Prissætning og budgetstyring
Den nuværende prissætningsmodel fungerer under markedslignende vilkår, men fordi
der ikke eksisterer en eller flere veldefinerede ydelser (forstået som en
kvalitetsstandard, en rammeaftale eller lignende) og et ikke-defineret top- og bund
niveau af serviceniveauet for offentlig finansieret alkoholbehandling, opstår der
uensartede og uigennemsigtige behandlingstilbud med varierende priser. Det er en
udfordring, at der er begrænset gennemsigtighed i behandlingsindhold og prissætning,
da det skaber uforudsigelighed i behandlingsudgifterne og dermed vanskeliggør den
kommunale økonomistyring.
171
SUU, Alm.del - 2024-25 - Bilag 302: Orientering om Sundhedsstyrelsens afrapportering om den kulegravning af alkoholbehandlingen, fra indenrigs- og sundhedsministeren
3035092_0173.png
Prissætningen varierer mellem offentlige og offentligt finansierede private leverandører,
og begge oplever forskellige udfordringer forbundet med manglende transparens i
prissætningen.
Godkendelsesprocedurer for og tilsyn med offentligt finansieret behandling
NHG s undersøgelse viser, at godkendelses- og tilsynsmodellen for offentligt
finansieret alkoholbehandling står over for flere udfordringer. De offentlige aktører
oplever, at det er uhensigtsmæssigt, at en enkelt kommune kan godkende et tilbud på
vegne af alle andre, fordi kommunerne baserer deres godkendelse på forskellige
serviceniveauer (idet der ikke er et veldefineret top- og bundniveau for offentlig
finansieret behandling). Flere kommuner har således været tilbageholdende med at
samarbejde med nogle private leverandører af offentlig finansieret behandling, hvilket
mindsker konkurrencen og kan reducere behandlingskvaliteten og borgernes
behandlingsmuligheder samt ekskludere private leverandører fra markedet.
Socialtilsynets godkendelse af en privat leverandør til offentlig finansiering baserer sig
på kriterier i tilsynets kvalitetsmodel og en række økonomiske forhold bl.a.
revisorpåtegnet årsregnskab. Det økonomisk tilsyn er ekstra for private leverandører,
men det skyldes, at de offentlige behandlingssteder er underlagt tilsvarende i den
kommunale revision. Socialtilsynet foretager således dette økonomiske tilsyn for, at
offentlige og private behandlingssteder underlægges sammenlignelige tilsyn for så vidt
angår ansvarlig anvendelse af offentlige midler. Alligevel oplever private leverandører
af offentlig finansieret behandling, at denne tilsynsproces med ekstra økonomisk tilsyn
skaber ulige markedsvilkår.
Socialtilsynet forholder sig ikke til, hvilket kvalitetsniveau den ambulante
alkoholbehandling generelt skal ligge på, da der ikke eksisterer en eller flere
veldefinerede ydelser (forstået som en kvalitetsstandard, en rammeaftale eller
lignende). Dette fremlægges som en udfordring blandt både offentlige og private
aktører indenfor offentlig finansieret behandling samt blandt de faglige eksperter, som
har bidraget til undersøgelsen. En yderligere udfordring opstår ved tilsyn af anonyme
ambulante behandlingsforløb, hvor Socialtilsynet ikke har adgang til borgerdata, hvilket
forhindrer effektiv kontrol med offentligt finansierede midler.
Erfaringer fra andre områder
Erfaringer fra friplejehjem og privathospitaler kan tjene som inspiration, da begge
områder opererer under strukturerede modeller, som sikrer ensartede vilkår og
prissætning. Friplejehjem kræver en lokal godkendelse og er forpligtede til at overholde
prisrammer og kvalitetsstandarder, hvilket giver kommunerne forudsigelighed i
økonomistyringen. Privathospitaler arbejder under en national aftale med fastlagte
kvalitetskrav, som sikrer transparens og ensartethed i ydelsesniveau og prissætning.
Data og dokumentation i alkoholbehandlingen
NHG s undersøgelse fremhæver dertil udfordringer med dokumentationskrav og
dataanvendelse i alkoholbehandlingen i Danmark. Offentligt finansierede
behandlingssteder er forpligtet til at indberette data til Det Nationale
Alkoholbehandlingsregister (NAB), mens private behandlingssteders indberetning er
frivillig, hvilket giver et ufuldstændigt billede af behandlingsindsatsen i Danmark.
172
SUU, Alm.del - 2024-25 - Bilag 302: Orientering om Sundhedsstyrelsens afrapportering om den kulegravning af alkoholbehandlingen, fra indenrigs- og sundhedsministeren
3035092_0174.png
Undersøgelsen indikerer derudover, at NAB i sin nuværende form ikke giver
tilstrækkelige data til at evaluere behandlingseffekten. Planlagte ændringer af NAB,
herunder detaljer om behandlingsintensitet og målopfyldelse, forventes at gøre NAB
mere brugbart til kvalitetsudvikling. En anden udfordring i den sammenhæng er, at
selvom NAB-data anvendes til national overvågning, oplever behandlingsstederne, at
dataene sjældent bruges til kvalitetsudvikling, hvilket skaber frustration. Desuden finder
undersøgelsen, at behandlingssteder indsamler egne data til monitorering af indsatsen,
men kun få arbejder systematisk med effektmåling, hvilket kan være en udfordring for
den lokale datadrevne monitorering og udvikling.
173
SUU, Alm.del - 2024-25 - Bilag 302: Orientering om Sundhedsstyrelsens afrapportering om den kulegravning af alkoholbehandlingen, fra indenrigs- og sundhedsministeren
3035092_0175.png
174
SUU, Alm.del - 2024-25 - Bilag 302: Orientering om Sundhedsstyrelsens afrapportering om den kulegravning af alkoholbehandlingen, fra indenrigs- og sundhedsministeren
3035092_0176.png
Bilag 1.Litteraturliste
Aarhus Kommune. (u.å.)
Halvvejshuset.
Besøgt den 17. oktober 2024 via
https://aarhus.dk/borger/personlig-hjaelp-og-stoette/psykisk-sygdom-og-
saarbarhed/voksne-med-psykisk-sygdom-eller-saarbarhed-og-hjemloese/botilbud-og-
bofaellesskaber/botilbud/halvvejshuset
Alkohol & Samfund. (2019).
Antabussen kører danske veje tynde.
Besøgt den 17.
oktober 2024 via
https://alkohologsamfund.dk/nyheder/antabussen-koerer-danske-
veje-tynde
Alkohol & Samfund. (2020).
Hvilken alkoholbehandling virker (bedst)?
Besøgt den 17.
oktober 2024 via
https://alkohologsamfund.dk/nyheder/hvilken-alkoholbehandling-
virker-bedst
Alkohol & Samfund. (2019).
Kommunal alkoholbehandling 2018 Landsdækkende
undersøgelse af kommunernes tilbud til mennesker med alkoholproblemer og deres
pårørende.
Udarbejdet af: Øllgaard, I. F., Elholm, B. S., Linde, E. & Nielsen, A. S.
https://www.alkohologsamfund.dk/sites/alkohologsamfund.dk/files/media/document/Ko
mmunal%20alkoholbehandling%202018_FINAL.pdf
Alkohol & Samfund. (u.å.)
OBS på alkohol i konsultationen.
Besøgt den 16. oktober
2024 via
https://alkohologsamfund.dk/obs-paa-alkohol-i-konsultationen
Anonyme-alkoholikere. (u.å.).
Frontpage. Velkomment til AA.
Besøgt den 17. oktober
2024 via
https://anonyme-alkoholikere.dk/
Anonyme-alkoholikere. (u.å.).
Mødeliste for anonyme alkoholikere i Danmark.
https://anonyme-alkoholikere.dk/pdf.php
Altinget. 2021.
https://www.altinget.dk/social/artikel/sidste-aar-brugte-koebenhavn-igen-
flere-millioner-paa-alkoholbehandling-men-socialborgmester-ved-ikke-hvad-hun-faar-
for-stoerstedelen-af-pengene
Becker, U. & Nielsen, A. S. (2023).
Alkoholproblemer, behandling.
Besøgt den 17.
oktober via
https://www.sundhed.dk/borger/patienthaandbogen/psyke/sygdomme/alkohol/alkoholpr
oblemer-behandling/
Center for Forsorg og Behandling. (u,å).
Center for Forsorg og Behandling.
Besøgt den
13. september 2024.
https://www.densocialevirksomhed.dk/CFB/Sider/default.aspx
COWI & Decide. (2019).
Afdækning af kvalitet i offentligt finansieret ambulant
alkoholbehandling.
Udarbejdet for Sundhedsstyrelsen.
https://sundhedsstyrelsen.dk/-
/media/Udgivelser/2020/Alkoholservicetjekket/Rapport_Alkoholbehandling-COWI-
DECIDE.ashx?sc_lang=da&hash=EB23EFCA3ED44D3D7D490387BAACFAE5
175
SUU, Alm.del - 2024-25 - Bilag 302: Orientering om Sundhedsstyrelsens afrapportering om den kulegravning af alkoholbehandlingen, fra indenrigs- og sundhedsministeren
3035092_0177.png
Det Nationale Alkoholbehandlingsregister. (u.å). Besøgt den 4. oktober 2024 via
https://sundhedsdatastyrelsen.dk/da/registre-og-services/om-de-nationale-
sundhedsregistre/sygdomme-laegemidler-og-
behandlinger/alkoholbehandlingsregisteret
Duodecim Käypä hoito, (2018).
Alkoholiongelmat,
https://www.kaypahoito.fi/hoi50028
eSundhed. (u.å).
Alkohol.
Besøgt den 15. oktober 2024 via
https://www.esundhed.dk/Emner/Hvad-doer-vi-af/Alkohol
Eurostat. (2021).
Alcohol consumption statistics.
Besøgt d. 4. September 2024 via
https://sundhedsdatastyrelsen.dk/da/registre-og-services/om-de-nationale-
sundhedsregistre/sygdomme-laegemidler-og-
behandlinger/alkoholbehandlingsregisteret
Felholt, L. (2021).
Trykt i:
Ugeskrift for Læger.
https://sundhedsdatastyrelsen.dk/da/registre-og-services/om-de-
nationale-sundhedsregistre/sygdomme-laegemidler-og-
behandlinger/alkoholbehandlingsregisteret
Finansministeriet (2023).
Aftale mellem regeringen og Socialistisk Folkeparti, Liberal
Alliance, Radikale Venstre og Dansk Folkeparti om finansloven for 2023.
https://fm.dk/media/27034/aftale-om-finansloven-for-2023.pdf
Forsikring & Pension (2023).
Forsikrings- og pensionsbranchens bidrag til danskernes
sundhed.
https://fogp.dk/media/ztbiz5sw/forsikrings-og-pensionsbranchens-bidrag-til-
danskernes-sundhed.pdf
Helsedirektoratet, (2017).
Behandling og rehabilitering av rusmiddelproblemer og
avhengighet.
https://www.helsedirektoratet.no/retningslinjer/behandling-og-
rehabilitering-av-rusmiddelproblemer-og-avhengighet
Helsingør Rusmiddelcenter.dk. (u.å.).
Hvordan foregår efterbehandlingen?
Besøgt den
17. oktober 2024 via
https://helsingorrusmiddelcenter.dk/efterbehandling/hvordan-
foregaar-efterbehandlingen/
Indenrigs- og Sundhedsministeriet. (2023).
Folketingets Socialudvalg.
https://www.ft.dk/samling/20222/almdel/sou/spm/315/svar/1976951/2747437.pdf
Indenrigs- og Sundhedsministeriet (2019).
Sundhedsloven §141.
Sundhedsloven.
https://www.retsinformation.dk/eli/lta/2019/903#P141
Indenrigs- og Sundhedsministeriet. (2019).
Vejledning om ordination af
afhængighedsskabende lægemidler.
Udarbejdet af: Nielsen, C. M.
https://www.retsinformation.dk/eli/retsinfo/2019/9523
Horten. 2023.
https://www.horten.dk/viden/artikel2023/friplejeboliger-hvem-og-hvordan
176
SUU, Alm.del - 2024-25 - Bilag 302: Orientering om Sundhedsstyrelsens afrapportering om den kulegravning af alkoholbehandlingen, fra indenrigs- og sundhedsministeren
3035092_0178.png
Kelly, P., Ingram. I., Deane, F., Baker, A., McKay, J., Robinson, L., Byrne, G., Degan,
T., Osborne, B., Townsend, C., Nunes, J., Lunn, J. (2021).
Predictors of consent and
engagement to participate in telephone delivered continuing care following specialist
residential alcohol and other drug treatment.
https://doi.org/10.1016/j.addbeh.2021.106840
KL. (2019).
Basisscreening for psykiske lidelser i misbrugsbehandlingen.
Udarbejdet
af: Guldager, S. & Hesse, M.
https://www.kl.dk/media/a3hhvnry/kls-basisscreening-for-
psykiske-lidelser-i-misbrugsbehandlingen-2012.pdf?format=noforma
t
Komiteen for Sundhedsoplysning & Trygfonden. (2021).
Datadrevet alkoholbehandling.
En afdækning af borgerens rejse gennem den kommunale alkoholbehandling med
fokus på anvendelse af data og digitale muligheder.
https://www.sundhedsoplysning.dk/wp-content/uploads/2024/07/Datadrevet-
Alkoholbehandling_HENT-RAPPORT.pdf
Larsen, K. (2017).
Alkoholbehandling: Det sejler stadig.
Trykt i: Ugeskriftet for læger.
https://ugeskriftet.dk/nyhed/alkoholbehandling-det-sejler-stadig
Lægeforeningen. (2009).
Alkoholbehandling i kommunerne: Rapport udarbejdet af
Lægeforeningens Misbrugsudvalg.
Udarbejdet af: U. Becker, S. Barfod,
Forskningsenheden for Almen Praksis, Afdeling for Almen Medicin, Københavns
Universitet.
Lægehåndbogen. (2023).
Alkoholabstinenssyndrom.
Besøgt den 17. oktober 2024 via
https://www.sundhed.dk/sundhedsfaglig/laegehaandbogen/psykiatri/tilstande-og-
sygdomme/alkohol/abstinenssyndrom/
Lægehåndbogen. (2023).
Alkohol, overforbrug.
Besøgt den 14. november 2024 via
https://www.sundhed.dk/sundhedsfaglig/laegehaandbogen/generelt/symptomer-og-
tegn/alkohol-overforbrug/
McKay, J. R. (2021).
Impact of Continuing Care on Recovery From Substance Use
Disorder.
Alcohol Research, vomume 41(1)
https://doi.org/10.35946/arcr.v41.1.01
Mellentin., A. I., Nielsen, B., Nielsen, A. S., Yu, F., Mejldal, A., Nielsen, D. G. &
Stenager, E. (2019).
A Mobile Phone App Featuring Cue Exposure Therapy As
Aftercare for Alcohol Use Disorders: An Investigator-Blinded Randomized Controlled
Trial.
JMIR Publications, volume 7(8). DOI: 10.2196/13793
Mellentin, A., Skøt, L., Nielsen, B., Schippers, G. M., Nielsen, A. S., Stenager, E. &
Juhl, C. (2017).
Cue exposure therapy for the treatment of alcohol use disorders: A
meta-analytical review.
Clinical Phsycology Review, volume 57, s. 195-207.
https://doi.org/10.1016/j.cpr.2017.07.006
Nielsen, J. (2023).
Nyt værktøj skal forbedre alkoholbehandling i almen praksis.
Trykt i:
Ugeskrift for Læger.
https://ugeskriftet.dk/nyhed/nyt-vaerktoj-skal-forbedre-
alkoholbehandling-i-almen-praksis
177
SUU, Alm.del - 2024-25 - Bilag 302: Orientering om Sundhedsstyrelsens afrapportering om den kulegravning af alkoholbehandlingen, fra indenrigs- og sundhedsministeren
3035092_0179.png
Olesen, A. N. (2022).
Mindst 40 procent af de kommende ældre kender ikke til frit valg
på ældreområdet.
Udgivet på: www.danskerhverv.dk Besøgt den 17. oktober 2024 via
https://www.danskerhverv.dk/presse-og-nyheder/nyheder/2022/november/40-procent-
af-de-kommende-aldre-kender-ikke-til-frit-valg-pa-aldreomradet/
Rambøll & BDO. (2016).
Evaluering af frikommuneforsøg vedrørende retten til anonym
ambulant alkoholbehandling.
https://www.ism.dk/Media/638157016390642897/evaluering-af-frikommuneforsoeg-
vedroerende-retten-til-anonym-ambulant-alkoholbehandling.pdf
Regeringen & KL (2020).
Aftale om kommunes økonomi for 2021.
https://www.kl.dk/media/salhm20b/aftale-om-kommunernes-oekonomi-2021.pdf
Region Nordjylland:Aalborg Universitetshospital:Klinik Medicin og
Akut:Infektionsmedicin. (2024).
HIV-test.
Udarbejdet af: Petersen, K. T.
https://pri.rn.dk/Sider/11799.aspx
Region Sjælland. (u.å.).
Procedure for svarafgivelse ved henvendelse til laboratoriet.
Besøgt den 17. oktober 2024 via
https://dok.regionsjaelland.dk/view.aspx?DokID=266037
Sekretariatet for Ekspertudvalget på Socialområdet (2023).
Analyse af markedet på
socialområdet.
https://www.sm.dk/Media/638519661265511953/Supplerende_Bilagsmateriale_10_An
alyse_af_markedet_p%c3%a5_socialomr%c3%a5det_UA.pdf
Social-og Boligministeriet. (u.å).
Underretningspligt.
Besøgt den 15. oktober 2024 via
https://www.sm.dk/arbejdsomraader/boern-og-unge-i-udsatte-
positioner/underretningspligt
Social- og Boligministeriet. (2020).
Vejledning om behandlingstilbud på det sociale
stofmisbrugsomåde mv.
Udarbejdet af: Eriksen, M. H.
https://www.retsinformation.dk/eli/retsinfo/2020/9449
Social- og Boligstyrelsen, (2024).
Fem kommunale socialtilsyn.
Besøgt den 4. oktober
2024.
https://www.sbst.dk/tvaergaende-omrader/Social- og Boligstyrelsens-
auditfunktion/om-socialtilsyn
Social- og Boligstyrelsen, (2024).
Nu får vi en diplomuddannelse i
rusmiddelbehandling.
https://www.sbst.dk/nyheder/2024/nu-faar-vi-en-
diplomuddannelse-i-rusmiddelbehandling
Socialstyrelsen (Sverige), (2018).
Nationella riktlinjer för vård och stöd vid missbruk
och beroende Stöd for string och ledning.
https://www.Socialstyrelsen.se/globalassets/sharepoint-
dokument/artikelkatalog/nationella-riktlinjer/2019-1-16.pdf
178
SUU, Alm.del - 2024-25 - Bilag 302: Orientering om Sundhedsstyrelsens afrapportering om den kulegravning af alkoholbehandlingen, fra indenrigs- og sundhedsministeren
3035092_0180.png
Social- og Boligstyrelsen. (2016).
SMART Recovery selvhjælpsgrupper til borgere med
stofmisbrug. Evalueringsrapport.
https://www.sbst.dk/media/11162/Publikation%20-
%20SMART%20Recovery.pdf
Statens Institut for Folkesundhed, SDU. (2024).
Anbefalinger til rekruttering og
fastholdelse af borgere i alkoholbehandling.
Besøgt den 17. oktober 2024 via
https://www.sdu.dk/da/sif/ugens_tal/ut_36_anbefalinger_til_rekruttering_og_fastholdels
e_af_borgere_i_alkoholbehandling
Statens Institut for Folkesundhed & Lægeforeningen. (2012).
Alkoholbehandling i
kommunerne.
Udarbejdet af Becker, U., Hansen, A. B. G., Kloster, S. & Tolstrup, J. S.
Udarbejdet for Lægeforegningen.
https://www.sdu.dk/da/sif/rapporter/2012/alkoholbehandling_i_kommunerne_2012
Statens Institut for Folkesundhed, SDU. (2020).
Alkoholrelaterede
helbredskonsekvenser en systematisk litteraturgennemgang af nyeste evidens.
Udarbejdet af: Lassen, T. H., Petersen, M. N. S., Hviid, S. S., Jespersgaard, N.
Bjerregard, P., Grønbæk, M. K. Tolstrup, J. S. & Becker, U.
https://www.sst.dk/da/Udgivelser/2020/Alkoholrelaterede-
helbredskonsekvenser#:~:text=Statens%20Institut%20for%20Folkesundhed,%20Sydd
ansk%20Universitet,%20har%20for
Statens Institut for Folkesundhed, SDU. (2023).
Antal danskere med et alkoholproblem
En analyse baseret på screeningsværktøjet CAGE-C.
Udarbejdet af Hjarnaa, L.,
Tolstrup, J., Becker, U. & Ekholm, O.
https://www.sdu.dk/da/sif/rapporter/2023/antal_danskere_med_et_alkoholproblem#:~:t
ext=For%20at%20unders%C3%B8ge%20validiteten%20af%20CAGE-
C%20laves%20der
Statens Institut for Folkesundhed, SDU. (2023).
Litteraturgennemgang af evidens
vedrørende alkoholbehandling.
Udarbejdet af: Becker, U., Andersen, K., Christiansen,
R., Mellentin, A., Mistarz, N., Nielsen, B., Olsen, C. D. H., Skøtt., L., Volke, K. H.,
Nielsen, A. S.
https://www.sst.dk/-
/media/Udgivelser/2024/Alkoholbehandling/Litteraturgennemgang-evidens-
vedroerende-alkoholbehandling.ashx
Statens Institut for Folkesundhed, SDU. (u.å.).
Om iTAPP-studiet.
Besøgt den 17.
oktober 2024 via
https://www.sdu.dk/da/forskning/almenpraksis/forskningsomraader/projekter/alle_proje
kter/itapp/om_itapp
Statens Institut for Folkesundhed, SDU. (2022).
Sygdomsbyrden i Danmark
risikofaktorer.
Udarbejdet af: Schramm, S., Bramming, M., Davidsen, M., Jensen, H. A.
R. & Tolstrup, J.
https://www.sst.dk/-/media/Udgivelser/2023/Sygdomsbyrden-
2023/Risikofaktorer-Sygdomsbyrden-2023.ashx
Styrelsen for Arbejdsmarked og Rekrutterings forløbsdatabase DREAM (pr. 18. marts
2024), Sundhedsdatastyrelsen.
179
SUU, Alm.del - 2024-25 - Bilag 302: Orientering om Sundhedsstyrelsens afrapportering om den kulegravning af alkoholbehandlingen, fra indenrigs- og sundhedsministeren
3035092_0181.png
Styrelsen for Patientsikkerhed (u.å.).
Tilsyn.
Besøgt den 4. oktober 2024 via
https://stps.dk/sundhedsfaglig/tilsyn
Sundhedsdatastyrelsen. (2024).
Alkoholbehandlingen i Danmark.
Sundhedsdatastyrelsen. (u.å).
Erstatnings-CPR-numre.
Besøgt den 17. oktober 2024
via
https://sundhedsdatastyrelsen.dk/da/registre-og-services/ecpr
Sundhedsdatastyrelsen. (2021).
Status på alkoholområdet i sundhedssektoren.
https://sundhedsdatastyrelsen.dk/-/media/sds/filer/find-tal-og-analyser/sygdomme-og-
behandlinger/alkoholstatistik/status_alkoholomraadet.pdf
Sundhedsstyrelsen (2015).
Alkoholstatistik 2015. Nationale data.
https://www.sst.dk/-
/media/Udgivelser/2015/Alkoholstatistik-
2015.ashx?sc_lang=da&hash=F864BDB3EE65B01E2D876BB871CF6D22
Sundhedsstyrelsen. (2022).
Dialog om alkohol: Rådgivnings- og
implementeringsmateriale.
Udarbejdet af: Hansen, A. B. G., Andersen, A-K. M., Foxvig,
I., Birch, S. D. Det Sektorfri Forebyggelseslaboratorium, Center for Klinisk Forskning
og Forebyggelse.
https://www.sst.dk/-
/media/Udgivelser/2022/Alkohol/Rapport_Dialog_om_alkohol.ashx?sc_lang=da&hash=
496E588367E4492433E6486A6C44B264
Sundhedsstyrelsen. (2023).
Hvert 10. barn vokser op med forældre med
alkoholproblemer.
https://www.sst.dk/da/nyheder/2023/Hvert-10_-barn-vokser-op-med-
foraeldre-med-alkoholproblemer
Sundhedsstyrelsen. (2022).
Fagligt oplæg til en 10-årsplan. Bedre mental sundhed og
en styrket indsats til mennesker med psykiske lidelser.
https://www.sst.dk/-
/media/Udgivelser/2022/psykiatriplan/10AARS_PSYK-
PLAN_260122_LOW.ashx?sc_lang=da&hash=AAEF690AFCD2E7998A4E687613C90
5ED
Sundhedsstyrelsen (2008).
Kvalitet i alkoholbehandling et rådgivningsmateriale.
https://www.sst.dk/-
/media/Udgivelser/2008/Publ2008/CFF/Alkohol/Alkoholbehl_kvalitet,-d-,pdf.ashx
Sundhedsstyrelsen (2018).
National klinisk retningslinje for behandling af
alkoholafhængighed.
https://www.sst.dk/-/media/Udgivelser/2018/NKR-
alkoholbehandling.ashx
Sundhedsstyrelsen, (2019).
Sundhedsstyrelsens Servicetjek af offentligt finansieret
alkoholbehandling.
https://www.sst.dk/da/Udgivelser/2020/Servicetjek-af-offentligt-
finansieret-alkoholbehandling
Sundhedsstyrelsen, (2021).
Danskernes sundhed Den Nationale Sundhedsprofil
2021.
https://www.sst.dk/-
/media/Udgivelser/2022/Sundhedsprofil/Sundhedsprofilen.ashx?sc_lang=da&hash=5C
9A9A81483F6C987D5651976B72ECB2
180
SUU, Alm.del - 2024-25 - Bilag 302: Orientering om Sundhedsstyrelsens afrapportering om den kulegravning af alkoholbehandlingen, fra indenrigs- og sundhedsministeren
3035092_0182.png
Sundhedsstyrelsen, (2023).
Visitation til integreret behandling af mennesker med
psykisk lidelse og samtidig rusmiddelproblematik. Faglig visitatoinsretningslinje.
https://www.sst.dk/-/media/Udgivelser/2023/Visitation-til-integreret-
behandling/Visitationsretningslinje-dobbeltdiagnose.ashx
Sundhedsstyrelsen & Social- og Boligstyrelsen. (2023).
Faglig visitationsretningslinje.
Visitationen til integreret behandling af mennesker med psykisk lidelse og samtidig
rusmiddelproblematik.
https://www.sbst.dk/udgivelser/2023/faglig-
visitationsretningslinje-visitation-til-integreret-behandling-af-mennesker-med-psykisk-
lidelse-og-samtidig-rusmiddelproblematik
Syddansk Universitet. (2022).
Brugeroplevet kvalitet i offentligt finansieret
alkoholbehandling.
Udarbejdet af: Christiansen, R., Nielsen, J. G., Volke K. H. &
Nielsen A. S Enhed for Klinisk Alkoholforskning (UCAR).
https://alkohologsamfund.dk/files/media/document/16180_SDU_Rapport_Brugeropleve
t_kvalitet_A4-web-final-3.pdf
Tilbudsportalen (u.å.).
Find sociale tilbud og plejefamilier Voksne tilbud.
Besøgt den
4. oktober 2024 via
https://tilbudsportalen.dk/tilbudssoegning/soegVoksneTilbud/index
Trier, C. & Andersen, J. L. (2024).
Den Nationale Alkoholkonference 2024.
https://alkohologsamfund.dk/files/media/document/Talk%20Efterv%C3%A6rnet%20Jan
nie%20Lilli%20Laugesen%20Ringsted%20Dagbehandling.pdf
VIA University College (u.å.).
Diplomuddannelse i rusmiddelbehandling.
Besøgt den
09. oktober 2024.
https://www.via.dk/efter-og-
videreuddannelse/uddannelsestilbud/uddannelser/diplomuddannelse-i-
rusmiddelbehandling
VIVE. (2023).
Evaluering af afregningssystemet for friplejehjem.
Udarbejdet af: Foged,
S. K. & Hjelmar, U.
https://www.vive.dk/media/pure/yzey70vk/15707672
SFI Det Nationale Forskningscenter for Velfærd. (2016).
Alkoholbehandling til socialt
udsatte borgere.
Udarbejdet af Andersen, D. Holtet M. B. & Gliese, T.
https://www.vive.dk/media/pure/bxqlgrvk/394142
Yazici, A. B. & Bardakci, M. R. (2023).
Factors Associated with Relapses in Alcohol
and Substance Use Disorder.
The Eruasian Journal of Medicine volime 55(1) doi:
10.5152/eurasianjmed.2023.23335
181
SUU, Alm.del - 2024-25 - Bilag 302: Orientering om Sundhedsstyrelsens afrapportering om den kulegravning af alkoholbehandlingen, fra indenrigs- og sundhedsministeren
3035092_0183.png
Bilag 2.Metode
Dette kapitel beskriver alle de aktiviteter, som har indgået NHG s undersøgelse af
alkoholbehandlingen i Danmark. Undersøgelsen er gennemført som en mixed methods
undersøgelse, der både har anvendt kvantitative og kvalitative metoder. Alle
aktiviteterne bliver beskrevet i det følgende.
Bilag 1.1 Interviews og for- og følgegruppemøder med
interessenter og eksperter
I forbindelse med undersøgelsen har vi inddraget relevante interessenter og eksperter
på området. Vi har herunder interviewet eller afholdt møder med Alkohol og Samfund,
Dansk Erhverv ogSelveje Danmark, Socialtilsynet og Styrelsen for Patientsikkerhed om
deres perspektiver og erfaringer fra området. Vi har interviewet og fået faglige input fra
professor Anette Søgaard Nielsen, professor Torben Tranæs og professor Mette
Hartlev undervejs i gennemførsel af undersøgelsen.
Derudover har vi inddraget referater fra følgegruppemøde og formøder med udvalgte
interesseret afholdt af Sundhedsstyrelsen.
Bilag 1.2 Inddragelse af relevant litteratur
Vi har inddraget relevant litteratur i undersøgelsen, særligt med fokus på at
sammenligne med tidligere undersøgelser gennemført på området.
Vi har i den forbindelse særligt inddraget Sundhedsstyrelsens Servicetjek af det
offentlig finansieret alkoholbehandlingsområde fra 2020 og COWI og Decides
afdækning af offentlig finansieret alkoholbehandling fra 2019. Dertil har vi inddraget
SDU s undersøgelse om brugeroplevet kvalitet i offentligt finansieret alkoholbehandling
fra 2022 samt SDU s Litteraturgennemgang af evidens vedrørende alkoholbehandling
fra 2023.
Bilag 1.3 Spørgeskemaundersøgelse blandt
behandlingsstederne
Som led i undersøgelsen blev alle alkoholbehandlingssteder i Danmark kortlagt. Dette
havde til formål at afdække det faktiske antal behandlingssteder i Danmark, da der ikke
eksisterer et samlet overblik, der inkluderer privat finansierede behandlingssteder.
Behandlingsstederne blev identificeret gennem Tilbudsportalen og desk research.
Der blev i alt identificeret 162 alkoholbehandlingssteder. Dette inkluderer 87 offentlige
behandlingssteder, hvoraf 2 er regionale og 85 kommunale, 54 private
behandlingssteder med mulighed for offentlig finansiering og 21 privat finansierede
behandlingssteder.
182
SUU, Alm.del - 2024-25 - Bilag 302: Orientering om Sundhedsstyrelsens afrapportering om den kulegravning af alkoholbehandlingen, fra indenrigs- og sundhedsministeren
3035092_0184.png
Tabel 16
behandlingssteder, 2024
Kommunalt
behandlingssted
85
Regionalt
behandlingssted
2
Privat
behandlingssted
med offentlig
finansiering
54
Privat
behandlingssted
med privat
finansiering
21
Total
162
Alle de 162 identificerede behandlingssteder blev bedt om at besvare et spørgeskema,
der havde til formål at undersøge og sammenligne kompetencer og
uddannelsesniveauet blandt behandlingstilbuddene, herunder også hvorvidt der var
geografiske forskelle.
Spørgeskemaet blev udarbejdet for at være sammenligneligt med den
spørgeskemaundersøgelse, som blev gennemført ved servicetjekket af offentlig
finansieret alkoholbehandling i 2019 af COWI og Decide. Dette bl.a. for at kunne
undersøge udviklingen fra 2019 til 2024. Spørgerammen blev udvidet da
spørgeskemaet også skulle besvares af privat finansierede behandlingssteder, med
henblik på at indsamle ikke-kendt viden om disse.
Spørgeskemaet spurgte ind til organiseringen af behandlingsstedet, indholdet i
alkoholbehandlingen samt personale og kompetencer.
Spørgeskemaet blev udarbejdet og udsendt på e-mail til behandlingsstederne via
surveyprogrammet Zef.fi og er rettet til lederne af behandlingsstederne. Det var en
forudsætning, at ledelsen havde den nødvendige viden om personalesammensætning
mm. Derfor blev det i e-mail invitationen beskrevet, hvilken viden de på forhånd skulle
have.
Spørgeskemaet blev udsendt d. 10. juni 2024. Enkelte behandlingssteder blev
identificeret efterfølgende, og fik derfor tilsendt spørgeskemaet senere. Frist for
besvarelse var d. 27. juni 2024. Behandlingssteder, der ikke havde besvaret
spørgeskemaet fik tilsendt en påmindelses-e-mail d. 19. og 26. juni 2024.
I alt svarede 100 behandlingssteder på undersøgelsen, svarende til en svarprocent på
62 %. Blandt de 100 gennemførte besvarelser er 59 fra offentlige behandlingssteder,
30 fra offentlig finansierede private eller selvejende behandlingssteder og 11 fra private
finansierede behandlingssteder. Svarprocenten er således på over 50 % for alle
tilbudstyperne, men er højest blandt offentlige behandlingssteder, hvor 68 % har
besvaret.
183
SUU, Alm.del - 2024-25 - Bilag 302: Orientering om Sundhedsstyrelsens afrapportering om den kulegravning af alkoholbehandlingen, fra indenrigs- og sundhedsministeren
3035092_0185.png
Figur 33 Svarprocent, opdelt på type af behandlingssted (n = 162)
100%
90%
80%
70%
60%
50%
40%
30%
20%
10%
0%
68%
56%
52%
62%
Offentligt
behandlingssted
Privat
Privat
behandlingssted med behandlingssted med
offentlig finansiering
privat finansiering
Hovedtotal
Note: Behandlingsstederne blev bedt om selv at angive, hvorvidt de var kommunalt, fælleskommunalt,
regionalt, selvejende eller privatejet behandlingssted, samt hvorvidt de leverede udelukkende offentligt
finansieret behandling, udelukkende privat finansieret behandling eller både offentligt og privat finansieret
behandling.
Fordi spørgeskemaet er udsendt per behandlingssted eller lokalmatrikel og ikke per
adresse at opgøre, hvilken Region behandlingsstedet fysisk er bosiddende i og dermed
ligger i. 37 % af de identificerede behandlingssteder ligger i Region Hovedstaden, 20 %
i Region Midtjylland, 12 % i henholdsvis Region Nordjylland og Region Sjælland, mens
de resterende 19 % ligger i Region Syddanmark. Besvarelserne fra spørgeskemaet
følger stort set samme fordeling, med maksimale afvigelser på 2 procentpoint for
enkelte regioner.
Svarprocenten for behandlingssteder fordelt på regioner, giver over 50% i alle regioner.
MMen svarprocenten er højest for behandlingssteder beliggende i Region Sjælland,
hvor 74% af behandlingsstederne har besvaret spørgeskemaet.
Tabel 17 Den regionale fordeling af de identificerede behandlingssteder og spørgeskemabesvarelserne
(
, NHG s spørgeskemaundersøgelse, Desk research
n = 162, Spørgeskema n = 100)
Region Hovedstaden
Antal
behandlingssteder
identificeret
Andel af samlede
antal
behandlingssteder
Antal besvarelser i
spørgeskema
Svarprocent for
behandlingssteder i
regionen
Region
Midtjylland
33
Region
Nordjylland
19
Region
Sjælland
19
Region
Syddanmark
31
60
37%
20%
12%
12%
19%
36
60%
21
64%
11
58%
14
74%
18
58%
184
SUU, Alm.del - 2024-25 - Bilag 302: Orientering om Sundhedsstyrelsens afrapportering om den kulegravning af alkoholbehandlingen, fra indenrigs- og sundhedsministeren
3035092_0186.png
Det vurderes således på baggrund af ovenstående, at spørgeskemaundersøgelsens
resultater er repræsentative for alkoholbehandlingstilbud i Danmark, hvad angår
tilbudstype og geografisk fordeling.
Dog skal spørgeskemaundersøgelsens resultater tolkes med forbehold for
svarprocenten, som alt andet lige er lavest for de privat finansierede
behandlingssteder. Der er dog stor usikkerhed forbundet med besvarelserne fra de
private finansierede tilbud, da der ikke er et samlet register eller overblik denne type
behandlingstilbud, og resultaterne skal således ses i lyset af dette.
Bilag 1.4 Casebesøg på behandlingssteder
Der blev som led i undersøgelsen udført casebesøg på udvalgte
alkoholbehandlingstilbud. Formålet med casebesøgene var at få et dybdegående
indblik i udvalgte behandlingstilbud, samt at få afdækket deres erfaringer med og
vurdering af kvaliteten af alkoholbehandling.
Der blev gennemført i alt 15 casebesøg, ligeligt fordelt over offentlige, offentligt
finansierede private og privat finansierede behandlingssteder. I udvælgelsen af de 15
behandlingstilbud blev der lagt vægt på en fordeling efter:
Geografisk spredning behandlingssteder beliggende i alle regioner skal være
repræsenteret
Størrelse store, mellemstore og små alkoholbehandlingssteder skal indgå for
alle tilbudstyper
By og land - både by- og landkommuner skal være repræsenteret
Casebesøgene inkluderede rundvisninger på matriklerne, interviews med ledere og
medarbejdere, samt mere ustrukturerede samtaler med borgere i behandling. Til
interviewene blev en semistruktureret interviewguide anvendt, der undersøgte
temaerne organisering, rekruttering, opsporing og screening, samarbejde og
sektorovergange, udredning og behandling, kompetencer, kvalitetsstandarder og-
sikring, efterbehandling, data og dokumentation, udfordringer i praksis samt ønsker for
fremtiden. Sundhedsstyrelsen deltog som observatører på tre casebesøg.
Tabel 18 viser en oversigt over inkluderede behandlingssteder, som var repræsenteret
i casebesøgene. Det var generelt sværere at rekruttering private behandlingssteder til
undersøgelsen. Vi fik i alt 7 afslag fra behandlingssteder.
185
SUU, Alm.del - 2024-25 - Bilag 302: Orientering om Sundhedsstyrelsens afrapportering om den kulegravning af alkoholbehandlingen, fra indenrigs- og sundhedsministeren
3035092_0187.png
Tabel 18 Oversigt over udvalgte behandlingssteder, som indgik i undersøgelsen.
Sted
Offentlig aktør
Århus Kommune*
Aalborg Kommune
Helsingør kommune
Fredericia
kommune*
Ringsted kommune
Kolding kommune
Jammerbugt
kommune*
Midtjylland
Nordjylland
Hovedstaden
Syddanmark
Sjælland
Syddanmark
Nordjylland
Ca. 360.000 (stor)
ca. 220.000 (stor)
Ca. 63.000
(mellemstor)
Ca. 50.000 (mellem)
ca. 37.000 (lille)
(mellem)
(lille)
Ambulant
behandling
Dag-, døgn- og
ambulant
behandling
Ambulant
behandling
Ambulant
behandling
Dag- og
ambulant
behandling
Dag- og
ambulant
behandling
Ambulant
behandling
Ambulant
behandling
Ambulant, dag-
og
døgnbehandling
Døgn- og
ambulant
behandling
Ambulant, dag-
og
døgnbehandling
Døgnbehandling
Århus
Aalborg
Helsingør
Fredericia
Ringsted
Kolding
Jammerbugt
Region
Størrelse på
kommune /dækning
Type
behandling
Geografisk
placering
Offentlig finansieret privat aktør
Novavi -
Sjælland
lokalafdeling
AlfaRehab
Blå Kors
Behandlingscenter
Plan A - terapi og
kursuscenter
Ringgården
Privat aktør
Behandlingscenter
Møllen
Tjele
Behandlingscenter -
Orelund
Føniks
Misbrugsbehandling
Syddanmark
Sjælland
Hovedstaden
Hovedstaden
Hovedstaden
Hovedstaden
Syddanmark
Hovedstadsområdet
Landsdækkende
Landsdækkende
Hovedstadsområdet
Landsdækkende
Køge
København
Høje Taastrup
Frederiksberg
Middelfart
Syddanmark
Landsdækkende
Hovedstadsområdet
Døgnbehandling
Døgn- og
ambulant
behandling
Dagbehandling
Tørring
Mørkøv
København
Bilag 1.5 Interviews med almen praksis og akutmodtagelse
Der blev i undersøgelsen udført interviews med repræsentanter fra almen praksis og
akutmodtagelser, med henblik på at opnå forståelse for hvordan opsporing og
henvisning til alkoholbehandlingen foregår i praksis hos praktiserende læger og i
akutmodtagelser.
Der blev i juni 2024 gennemført seks interviews, hvoraf fire var med repræsentanter fra
akutmodtagelser og to med praktiserende læger. Interviewpersonerne er blevet
rekrutteret med henblik på geografisk spredning.
Til interviewene blev der anvendt en semistruktureret interviewguide, opdelt i temaerne
opsporing, henvisning, samarbejder, behandling, materiale og efteruddannelse, data
186
SUU, Alm.del - 2024-25 - Bilag 302: Orientering om Sundhedsstyrelsens afrapportering om den kulegravning af alkoholbehandlingen, fra indenrigs- og sundhedsministeren
3035092_0188.png
og dokumentation, kvalitetssikring samt rollen som almen praksis. Interviewene blev
gennemført online eller over telefon, alt efter deltagernes præferencer.
Bilag 1.6 Interviews med udbydere af den nye
rusmiddeluddannelse
I forbindelse med undersøgelsen blev der udført interviews med udbydere af den nye
diplomuddannelse i rusmiddelbehandling. Formålet med interviewene var at få indblik i
indholdet og kvaliteten af den nye diplomuddannelse i rusmiddelbehandling,
forventningerne til uddannelsen i forhold til de behov, der er i alkoholbehandlingen og
miljøet omkring, samt det forventede udbytte af diplomuddannelsen.
Der blev til interviewene anvendt en semistruktureret interviewguide, opdelt i temaerne
formål, målgruppe, opbygning, indhold og kompetencer og kvalitet. Interviewene blev
gennemført enten online eller over telefon, alt efter deltagernes præferencer.
Der blev i maj 2024 gennemført to interviews med uddannelsesansvarlige på hhv.
Københavns Professionshøjskole og VIA University College.
Bilag 1.7 Interviews med brugere
I forbindelse med undersøgelsen blev der udført brugerinterviews med personer, der
var eller havde været i alkoholbehandling. Formålet med interviewene var at
undersøge brugernes oplevelser af alkoholbehandlingen i Danmark og deres
tilfredshed med denne, samt motivationen for valget af behandlingssted herunder for
selvbetalere. Brugerinterviewene skulle desuden afdække, om der er væsentlige
forskelle i oplevelsen af offentligt finansieret og privatfinansieret alkoholbehandling.
Der blev i perioden maj - august 2024 gennemført interviews i forskellige formater med
23 personer, der var i eller havde været i alkoholbehandling. Interviewene blev
over telefon, alt efter deltagernes præferencer. Interviewene blev gennemført ud fra en
semistruktureret interviewguide. Interviewene omfattede:
14 dybdegående særskilte individuelle interviews af en times til halvanden
times varighed
Et fokusgruppeinterview med tre personer i forbindelse med et casebesøg
Fire individuelle interviews i forbindelse med et casebesøg
To observationer af behandlingssamtaler inklusiv korte interviews med
brugeren
Afdækningen af den brugeroplevede kvalitet sikrede så vidt muligt en bred inddragelse
af forskellige brugere. Således blev der forsøgt at opnå en spredning, for eksempel i
forhold til geografi, socioøkonomi og køn, samt ud fra hvilken behandlingstype og
finansieringsform, brugerne var behandlet under. Flere af interviewpersonerne havde
været igennem flere forskellige typer af behandling, og i interviewene delte de som
regel deres erfaringer med alle disse typer af behandling og sammenlignede dem. I
tabellen nedenfor fremgår det, hvilke behandlingstyper interviewpersonerne havde
187
SUU, Alm.del - 2024-25 - Bilag 302: Orientering om Sundhedsstyrelsens afrapportering om den kulegravning af alkoholbehandlingen, fra indenrigs- og sundhedsministeren
3035092_0189.png
været igennem. Behandlingstypen, der er markeret med fed, angiver den
behandlingstype, som brugeren senest var i behandling under.
Tabel 19Oversigt over hvilke behandlingstyper de interviewede brugere havde modtaget
Pseudonym
Christian
Jens
Anne-Marie
Karsten
Ib
Morten
Anders
Lea
Sofie
Christina
Niels
Hans
Mads
Anja
Peter
Poul-Erik
Charlotte
Hans
Emil
Mia
Alexander
Bjarke
Pernille
Sum
Alder
35
40
66
52
67
22
47
52
37
49
42
54
54
37
72
60
53
46
30
59
33
35
44
Beskæftigelse
Arbejdsløs
Arbejdsløs
Ukendt
I arbejde
Pensionist
Studerende
Arbejdsløs
I arbejde
Sygemeldt
I arbejde
I arbejde
Sygemeldt
Virksomheds-
praktik
I arbejde
Pensionist
Ukendt
I arbejde
Sygemeldt
Sygemeldt
Ukendt
Ukendt
I arbejde
Sygemeldt
Offentlig
ambulant
1
1
1
1
1
1
1
1
1
Privat eller
selvejet
ambulant
Dag-
behandling
1
Offentligt
finansieret
døgn
1
1
Privat
finansieret
døgn
1
1
1
1
1
1
1
1
1
1
1
1
1
1
1
1
1
1
1
15
1
1
7
1
4
1
4
1
1
1
1
7
Note: Fed angiver den behandlingstype som interviewpersonen senest har været i behandling i.
Rekruttering
Brugerne blev rekrutteret gennem behandlingstilbuddene, hvor interesserede brugere
gennem opslag blev tilbudt at deltage i et interview. Vi kontaktede både offentlige og
private behandlingstilbud i hele landet. Disse blev tilfældigt udvalgt, men for at sikre
bredest mulig repræsentation, delte vi behandlingsstederne op efter deres beliggenhed
i regionerne og finansieringstype. I første omgang udvalgte vi ti steder per region,
hvoraf fem var private og fem var offentlige. Ved negativ tilbagemelding ift. ønske om
at hjælpe til med rekruttering, kontaktede vi et andet behandlingssted i stedet.
For særligt at rekruttere deltagere, der havde afbrudt deres behandling, bidrog Alkohol
& Samfund til rekruttering gennem et opslag på deres sociale mediekanaler, og Rådet
for Socialt Udsatte bidrog med kontaktinformation til behandlingssteder, der har særligt
fokus på brugere i udsathedsocial udsathed, der efterfølgende delte vores opslag med
188
SUU, Alm.del - 2024-25 - Bilag 302: Orientering om Sundhedsstyrelsens afrapportering om den kulegravning af alkoholbehandlingen, fra indenrigs- og sundhedsministeren
3035092_0190.png
deres medarbejdere og på deres fysiske lokationer. Der blev desuden lavet et
Facebook opslag på gruppen
Endvidere tog vi efter aftale, fysisk ud med rekrutteringsopslag på otte - både private
og offentlige - behandlingstilbud i Københavnsområdet, samt Nordsjælland.
I praksis var det især igennem behandlingsstederne, hvor vi havde gennemført
casebesøg, der endte med at blive rekrutteret brugere til interviews.
189
SUU, Alm.del - 2024-25 - Bilag 302: Orientering om Sundhedsstyrelsens afrapportering om den kulegravning af alkoholbehandlingen, fra indenrigs- og sundhedsministeren
3035092_0191.png
Bilag 1.8 Liste over identificerede behandlingssteder
Der blev i desk researchen identificeret samlet 162 behandlingssteder, drevet af i alt
113 leverandører. Disse fremgår af Tabel 20 nedenfor.
Tabel 20 Oversigt over identificerede behandlingssteder
Offentlige behandlingssteder (n=87)
Albertslund Rusmiddelcenter
Alkoholbehandling Fredericia Misbrugscenter
Alkoholbehandling, Rusmiddelcenter Nyborg
Alkoholbehandlingen Odense
Alkoholbehandlingen Svendborg
Alkoholbehandlingen Svendborg - Lokalafdeling Langeland
Alkoholbehandlingen Svendborg - Lokalafdeling Ærø
Alkoholrådgivningen Næstved Kommune
Alkoholrådgivningen, Frederiksberg Kommunes Rusmiddelcenter
Assens Misbrugscenter
BCB - BehandlingsCenter Brøndby
Behandlingscenter Frederikshavn
Brydehuset
Brønderslev Rusmiddelcenter
Center for Alkohol- og Stofbehandling, Afdeling for Alkoholbehandling
Center for Forsorg og Behandling - Hillerød
Center for Forsorg og Behandling - Hørsholm
Center for Misbrug, Esbjerg Kommune
Center for Social Indsats - Rusmiddel og forebyggelse
CFR - Alkoholrådgivning
CROS
Den Ambulante Behandlingsenhed, Center for Rusmiddelbehandling
Egedal Rusmiddelteam
Favrskov Rusmiddelcenter
Forebyggelse & Rusmidler, Odder Kommune
Greve Rusmiddelcenter
Halsnæs Kommune Alkohol- og Stofrådgivningen
Hedensted Rusmiddelcenter
Horsens Kommunes Rusmiddelrådgivning
KABS City
KABS Gentofte
KABS KASA
KABS Stjernevang
Kagshuset
Kolding Misbrugscenter
Køge Rådgivning- og Behandlingscenter
Mariagerfjord Rusmiddelcenter
190
SUU, Alm.del - 2024-25 - Bilag 302: Orientering om Sundhedsstyrelsens afrapportering om den kulegravning af alkoholbehandlingen, fra indenrigs- og sundhedsministeren
3035092_0192.png
Misbrugsafdelingen, Løgstør (Klinikken)
Misbrugsafdelingen, Aars
Misbrugscenter Sønderborg
Norddjurs Kommune - Rusmiddelcentret
Pitstop: Voksne
Rebild Kommunes Rusmiddelteam
Rudersdal Rusmiddelcenter
Rusmiddel- og Støttecentret Haderslev Kommune
Rusmiddelafsnittet Aalborg Kommune
Rusmiddelbehandling afd. Jægergårdsgade
Rusmiddelbehandling afd. Sumatravej
Rusmiddelbehandling Guldborgsund
Rusmiddelbehandling Hørsholmsgade
Rusmiddelbehandling Nyropsgade
Rusmiddelbehandling Rusfri indsats
Rusmiddelbehandling Spaniensgade
Rusmiddelcenter Fredensborg
Rusmiddelcenter Faaborg-Midtfyn
Rusmiddelcenter Gribskov
Rusmiddelcenter Herning alkohol
Rusmiddelcenter Hjørring
Rusmiddelcenter Holbæk
Rusmiddelcenter Jammerbugt
Rusmiddelcenter Lolland
Rusmiddelcenter Middelfart
Rusmiddelcenter Randers
Rusmiddelcenter Ringkøbing-Skjern
Rusmiddelcenter Silkeborg
Rusmiddelcenter Skive
Rusmiddelcenter Slagelse
Rusmiddelcenter Syddjurs
Rusmiddelcenter Vejle, Alkoholmisbrugsbehandling
Rusmiddelcenter Viborg, Alkoholbehandling
Rusmiddelcenter Aabenraa
Rusmiddelcenter Aarhus - Alkoholbehandling Samsø
Rusmiddelcentret - Faxe
Rusmiddelcentret i Gladsaxe
Rusmiddelcentret, Allingåbro-afdelingen
Rusmiddelteam Morsø Kommune
Rusmiddelteam Odsherred
Rusmiddelteamet Billund Kommune
Rusmiddelteamet Kalundborg
Rusmiddelteamet Thisted Kommune - Alkoholbehandling
Rådgivnings - og Behandlingscenter
191
SUU, Alm.del - 2024-25 - Bilag 302: Orientering om Sundhedsstyrelsens afrapportering om den kulegravning af alkoholbehandlingen, fra indenrigs- og sundhedsministeren
3035092_0193.png
Rådgivningscenter Tønder - Misbrug
Rådgivningscentret Nørregade 56
Skanderborg Rusmiddelcenter
Stof- og Alkoholbehandling, Bornholms Regionskommune
Torvehuset
VAMiS
Selvejende behandlingssteder (n=26)
Alfa Fredensborg
Betesda Rehabilitering
Blå Kors - Alkoholrådgivningscenter for misbrugere og pårørende
Blå Kors Behandlingscenter Taastrup
Blå Kors Rold Skov
Fonden Den Selvejende Institution Sydgården
Fonden Himmerlandshus
Fonden Klippen
Gydevang Dagbehandling
KKUC København
KKUC Taastrup
Kongens Ø Munkerup
Midtgaarden - døgntilbud til misbrugere og dobbeltdiagnosticerede
Novavi Amager
Novavi Frederikssund
Novavi Glostrup
Novavi Herlev
Novavi Hvidovre
Novavi Køge
Novavi Lyngby
Novavi Roskilde
Nørbygård Alkoholbehandlingscenter
Ringgården
Sct. Ols S/I Dagbehandling København
Sct. Ols S/I Døgnbehandling
Stofrådgivningen
Private behandlingssteder med offentlig finansiering (n=29)
Abstinens-teamet
Addiktiv Klinik
Alfa Rehab, Helsingørgade 8c, 3400 Hillerød
Alfa Rehab, Sankt Kjelds Plads 12, 2100 Kbh Ø
Alfa Rehab, Vestergade 48, Odense
Alfa Rehab, Østerbrogade 62, 2100 Kbh Ø
Alfa Aarhus
AlfaRehab, Vesterbro 16-18, 9000 Ålborg C
Alkoholrådgivningen
Behandlingscenter Tjele
192
SUU, Alm.del - 2024-25 - Bilag 302: Orientering om Sundhedsstyrelsens afrapportering om den kulegravning af alkoholbehandlingen, fra indenrigs- og sundhedsministeren
3035092_0194.png
Behandlingscenter Tjele Skringstruphus
Behandlingscenter Tjele Søgården
Behandlingscenter Tjele-Vingehus
Halsnæs Alkoholambulatorium
Hillerød Alkoholbehandling
Høybyegård bo- og behandlingstilbud
Kastaniegården
Kompagniet
Plan A alkoholbehandling
Plan A Terapi- og Kursuscenter
Roskilde Behandlingscenter
Stiens Behandlingscenter
Tjele Søvang
Toftehuset
Udveje Behandling Holbæk
Udveje Behandling Svendborg
Vejen Behandlingscenter
Aalborg Behandlingscenter
Aarhus Behandlingscenter
Private behandlingssteder med privat finansiering (n=20)
A misbrugsbehandling Aalborg
Anders Nebelong
Behandlingscenter Møllen
Behandlingscenter Søby Park
Behandlingscenter Tjele Langsødal
Dansk Misbrugsbehandling Kolding
Dansk Misbrugsbehandling København
Dansk Misbrugsbehandling Odense
Dansk Misbrugsbehandling Aalborg
Dansk Misbrugsbehandling Aarhus
Den Ambulante Misbrugsbehandling
Dyscon Hillerød
Dyscon Ringkøbing
Føniks Misbrugsbehandling
Privat Misbrugsbehandling
Skovhus Privathospital
Tjele Orelund
Tjele Tågelund
Ulrichsen Klinik
Aalborg Alkoholbehandling
Sum af behandlingssteder: 162
193
SUU, Alm.del - 2024-25 - Bilag 302: Orientering om Sundhedsstyrelsens afrapportering om den kulegravning af alkoholbehandlingen, fra indenrigs- og sundhedsministeren
3035092_0195.png
Bilag 1.9 Følgegrupperepræsentanter
Patientforeninger:
Alkohol og Samfund
Rådet for Socialt Udsatte
Behandlingssteder/-ansvarlige
Dansk Erhverv
Selveje Danmark
Kommunernes Landsforening
Danske Regioner
Ringgården, Nationalt Kompetencecenter for Dobbeltfokuseret
Afhængighedsbehandling
Fonden Novavi
Blå Kors
Faglige selskaber og behandlingssteder
Dansk Psykiatrisk Selskab
Dansk Selskab for Addiktiv Medicin
Dansk Selskab for Almen Medicin
FLOR (Foreningen af ledere af offentlige rusmiddelbehandling)
Addiktiv Sygepleje
Forskningsinstitutioner
Statens Institut for Folkesundhed, SDU
Center for Rusmiddelforskning, AU
Tilsynsmyndigheder
Styrelsen for Patientsikkerhed
Socialtilsyn
Øvrige/observatører
Social- og Boligstyrelsen
Indenrigs- og Sundhedsministeriet
194