Sundhedsudvalget 2024-25
SUU Alm.del Bilag 218
Offentligt
3000219_0001.png
RAPPORT
SAMFUNDSØKONOMISKE KONSEKVENSER AF
UNDERERNÆRING I DANMARK
MENON-PUBLIKATION NR. 135/2024
Erland Skogli, Mathie Rødal, Caroline Halvorsen, Caroline Vinter og Ole Magnus Stokke
SUU, Alm.del - 2024-25 - Bilag 218: Henvendelse fra Brancheforeningen Fødevarer til Medicinske Formål (FMF) vedr. foretræde om medicinsk underernæring
3000219_0002.png
Forord
Denne rapport kortlægger de samfundsøkonomiske konsekvenser af sygdomsrelateret underernæring i Danmark
med en vurdering af gevinsterne ved opsporing, tidlig indsats og ernæringsbehandling.
Arbejdet er udført på opdrag for ONCA-Danmark. Vi vil rette en særlig tak til Mette Holst (Aalborg
Universitetshospital og Aalborg Universitet), Henrik Højgaard Rasmussen (Aalborg Universitetshospital og
Aalborg Universitet) og arbejdsgruppen i ONCA-Danmark for et godt samarbejde og værdifulde bidrag undervejs
i processen.
November 2024
Erland Skogli
Projektansvarlig
Menon Economics
MENON ECONOMICS
1
RAPPORT
SUU, Alm.del - 2024-25 - Bilag 218: Henvendelse fra Brancheforeningen Fødevarer til Medicinske Formål (FMF) vedr. foretræde om medicinsk underernæring
3000219_0003.png
Indhold
RESUMÉ
ENGLISH SUMMARY
1
1.1
1.2
2
2.1
2.2
2.3
2.4
3
3.1
3.2
3.3
4
4.1
4.2
4.3
5
5.1
5.2
6
6.1
6.2
6.3
INDLEDNING
Kort om samfundsøkonomiske konsekvensanalyser af sygdom
Tidligere relevante samfundsøkonomiske konsekvensanalyser
OM UNDERERNÆRING
Definition og afgrænsning
Komplikationer og risikofaktorer
Risikogrupper
Effekten af ernæringsindsatser
METODISK RAMMEVÆRK OG DATAFUNDAMENT
Metodisk rammeværk
Datafundament og informationskilder
Usikkerhedsanalyse
FOREKOMST AF UNDERERNÆRING I DANMARK
Samlet forekomst af underernæring
Forekomst af underernæring i forskellige plejekategorier
Forekomst i sundhedsvæsenet
SAMFUNDSØKONOMISKE KONSEKVENSER AF UNDERERNÆRING
Meromkostninger i sundhedsvæsenet
Sygdomsbyrden knyttet til underernæring
SAMFUNDSØKONOMISK POTENTIALE VED FOREBYGGELSE AF UNDERERNÆRING
Uden tiltag vil konsekvenserne af underernæring øges i årene fremover
Tiltag som kan forebygge og dæmpe konsekvenserne af underernæring
Mulige gevinster ved opsporing, tidlig indsats og ernæringsbehandling
3
6
9
9
10
11
11
12
13
14
16
16
17
18
20
20
20
22
25
25
27
29
29
30
34
37
42
42
53
57
60
REFERENCER
METODEBILAG
Bilag A: Forekomst
Bilag B: Beregning af sygdomsbyrden
Bilag C: Beregning af sundhedstjenesteomkostninger
Bilag D: Usikkerhedsanalyse
MENON ECONOMICS
2
RAPPORT
SUU, Alm.del - 2024-25 - Bilag 218: Henvendelse fra Brancheforeningen Fødevarer til Medicinske Formål (FMF) vedr. foretræde om medicinsk underernæring
3000219_0004.png
Resumé
Sygdomsrelateret underernæring, herefter kaldet underernæring, er en betydelig udfordring i det danske
sundhedsvæsen. I tillæg til store meromkostninger og øget ressourceforbrug i sundhedsvæsenet, medfører
underernæring et betydeligt tab af gode leveår og forringet helbred for danskere over 18 år. Ifølge denne
rapport er mere end 200.000 danskere underernærede i 2024, og meromkostninger i sundhedsvæsenet som
følge heraf udgør 14,5 milliarder kroner. Som følge af demografiske ændringer forventes omfanget og
konsekvenserne af underernæring at vokse markant i de kommende år. Fundene i rapporten viser, at
opsporing, tidlig indsats og ernæringsbehandling vil kunne begrænse ressourceforbruget i sundhedsvæsenet
betydeligt. Det estimeres, at tiltag mod underernæring vil kunne medføre samlede besparelser på op mod 46
milliarder kroner frem mod 2035.
Rapporten bygger på en omfattende gennemgang af dansk forskningslitteratur og data suppleret med indsigt fra
skandinavisk og øvrig europæisk forskning på området.
Mere end 200.000 danskere har underernæring, og antallet vokser hurtigt
Det anslås, at der samlet set vil være 203.000 borgere i Danmark, der lider af underernæring i 2024. Dette svarer
til godt 3 procent af Danmarks befolkning. Estimatet er baseret på en omfattende gennemgang af litteraturen,
hvor data fra plejehjem, hjemmepleje og hjemmeboende er inkluderet.
Figur A: Estimeret forekomst af underernæring i Danmark fordelt på plejehjem, hjemmepleje og hjemmeboende.
240 000
200 000
160 000
120 000
80 000
40 000
0
Plejehjem
Hjemmepleje
Hjemmeboende
34 000
43 000
126 000
203 000
I alt
Underernæring kan ramme personer i alle aldre, men er
mest udbredt blandt ældre, som har andre sygdomme.
Uden tiltag vil den demografiske udvikling i Danmark
medføre, at omfanget af underernæring og dets relaterede
konsekvenser blandt danskere øges betragteligt i de
kommende år, både i antal og som andel af befolkningen. I
tråd med Sundhedskommissionens estimat af væksten i
antallet af danskere med kroniske sygdomme, forventes
antallet af borgere, der lider af underernæring, at stige til
250.000 uden indgriben frem mod 2035.
Kort om underernæring
”Underernæring” defineres som en
tilstand, der
skyldes manglende eller utilstrækkeligt kostindtag i
forhold til behovet eller i forhold til optagelsen af
indtaget næring. Det medfører vægttab, herunder
reduceret muskelmasse, der igen fører til nedsat
fysisk og
mental funktion, øget risiko
for
komplikationer til medicinsk og kirurgisk behandling
samt reduceret klinisk effekt af sygdomsbehandling.
Det er derfor vigtigt at identificere borgere og
patienter i ernæringsrisiko så tidligt i forløbet som
muligt.
MENON ECONOMICS
3
RAPPORT
SUU, Alm.del - 2024-25 - Bilag 218: Henvendelse fra Brancheforeningen Fødevarer til Medicinske Formål (FMF) vedr. foretræde om medicinsk underernæring
3000219_0005.png
Meromkostning på 14,5 milliarder kroner det i danske sundhedsvæsen i 2024
Underernæring har negative konsekvenser og påfører det danske samfund store meromkostninger.
Meromkostningerne i sundhedsvæsenet i 2024 som følge af underernæring er beregnet til i alt 14,5 milliarder
kroner. Meromkostningerne opstår blandt andet som følge af, at patienter med underernæring har større risiko
for at blive indlagt på sygehus, har flere indlæggelsesdage på sygehus og er mere ressourcekrævende i opfølgning
ved sundhedspersonale. Dette ses tydeligt i flere danske studier, og fundene understøttes af øvrig skandinavisk
og europæisk forskning på området.
Figur B: Meromkostninger i sundhedsvæsenet forbundet med sygdomsrelateret underernæring i Danmark fordelt på sygehus, plejehjem
og hjemmepleje i 2024.
1,4
2,7
14,5
Milliarder kroner
10,4
Hospital
Plejehjem
Hjemmepleje
Totalt
Det er meromkostningerne på sygehuse, som udgør den største andel af det forhøjede ressourceforbrug i
sundhedsvæsenet, med omkring 10,4 milliarder kroner i 2024. Meromkostningerne er en konsekvens af, at
patienter med underernæring har høj risiko for at blive indlagt på sygehus, flere indlæggelsesdage og højere
andel af genindlæggelser sammenlignet med patienter uden ernæringsrisiko, men som ellers er sammenlignelige
(se nedenstående figur).
Figur C: Genindlæggelser (t.v.) og indlæggelsesdage (t.h.) mellem patienter i ernæringsrisiko og ikke i ernæringsrisiko på danske sygehus.
34%
36%
22%
23%
16%
12%
5%
46%
28%
22%
18%
5%
19%
9%
Genindlagt efter 3 mdr
Genindlagt efter 1 mdr
1-2 dage
3-9 dage
10-19 dage 20-29 dage
30+ dage
Patienter som er i ernæringsrisiko
Patienter som ikke er i ernæringsrisiko
Patienter som er i ernæringsrisiko
Patienter som ikke er i ernæringsrisiko
I tillæg til meromkostningerne på 10,4 milliarder kroner på sygehuse, medfører underernæring forhøjet
ressourceforbrug i plejehjem og hjemmepleje, estimeret til henholdsvis 2,7 og 1,4 milliarder kroner.
MENON ECONOMICS
4
RAPPORT
SUU, Alm.del - 2024-25 - Bilag 218: Henvendelse fra Brancheforeningen Fødevarer til Medicinske Formål (FMF) vedr. foretræde om medicinsk underernæring
3000219_0006.png
16.000 tabte gode leveår for danskere i 2024
Underernæring er associeret med øget sygelighed og dødelighed. Samlet set estimeres det, at underernæring
resulterer i godt 16.000 tabte kvalitetsjusterede gode leveår i 2024. De tabte leveår gode udgør et
samfundsøkonomisk tab værdisat til 24,8 milliarder kroner årligt.
Figur D: Tabte gode leveår relateret til underernæring i Danmark i 2024.
18%
~16.000
kvalitetsjusterede
leveår
Reduceret helbredsrelateret livskvalitet
Tidlig død
82%
Underernæring er associeret med forhøjet dødelighed. Tidlig død som følge af underernæring estimeres til at
udgøre ca. 2.900 kvalitetsjusterede leveår i 2024. Underernæring er desuden associeret med reduceret
helbredsrelateret livskvalitet. Dette indebærer, at patienter, som lever med kroniske sygdomme, som fx kræft
eller KOL, i gennemsnit vil have en reduceret helbredstilstand, dersom patienterne er i ernæringsrisiko. Det
samlede tab af helbredsrelateret livskvalitet er estimeret til omkring 13.400 kvalitetsjusterede leveår i 2024.
Betydeligt potentiale for samfundsøkonomiske besparelser
Ved systematisk opsporing, tidlig indsats og effektiv ernæringsbehandling kan der frigøres betydelige ressourcer
og opnås væsentlige økonomiske fordele. Analyser viser, at selv moderate tiltag kan føre til samlede besparelser
i sundhedsvæsenet på op til 20 milliarder kroner frem mod 2035. Højere intensitet i indsatsen kan i bedste fald
resultere i samlede besparelser på op til 46 milliarder kroner frem mod 2035. Ved at investere i forebyggende
tiltag som en nødvendighed understøtter man potentialet for at reducere fremtidige sundhedsudgifter og
forbedre borgernes livskvalitet.
Figur E: Samlede besparelser omkostninger i sundhedsvæsenet ved forskellige scenarier frem mod 2035.
50
40
Moderat indsats
Høj indsats
32
46
39
2024-kroner
30
20
20
10
0
-
2025
2026
2027
2028
2029
2030
2031
1
15
11
5
6
11
26
14
17
20
1
2
2
4
7
3
9
2032
2033
2034
2035
MENON ECONOMICS
5
RAPPORT
SUU, Alm.del - 2024-25 - Bilag 218: Henvendelse fra Brancheforeningen Fødevarer til Medicinske Formål (FMF) vedr. foretræde om medicinsk underernæring
3000219_0007.png
English summary
Disease-related malnutrition, hereafter referred to as malnutrition, is a significant challenge in the Danish
healthcare system. In addition to substantial excess costs and increased resource use in healthcare,
malnutrition leads to a considerable loss of health and life years for Danes at the age of 18 and above. This
report finds that more than 200,000 Danes will be malnourished in 2024 and the resulting excess costs in the
healthcare system will amount to 14.5 billion DKK. Due to demographic changes, the extent and consequences
of malnutrition are expected to grow significantly in the coming years. The findings in the report show that
identification, timely intervention, and nutritional treatment have the potential to significantly reduce
resource use in the healthcare system. It is estimated that initiatives against malnutrition could lead to
cumulative savings of up to 46 billion DKK by 2035.
The report is based on a comprehensive review of Danish research literature and data, supplemented with
insights from Scandinavian and other European research in the field.
More than 200,000 Danish citizens are malnourished, and the number is rapidly increasing
We estimate that a total of 203,000 citizens in Denmark will suffer from malnutrition in 2024. This corresponds
to about 3 percent of the Danish population. The estimate is based on a thorough review of the literature,
including data from nursing homes, home care services, and home-dwelling individuals.
Figure A: Estimated prevalence of malnutrition in Denmark distributed across nursing homes, home care services, and community-dwelling
individuals.
240 000
Number of malnourished
individuals
203 000
200 000
160 000
120 000
126 000
80 000
40 000
-
Nursing home
34 000
43 000
Home care services
Home-dwelling
Total
Malnutrition can affect individuals of all ages but is most
prevalent among the elderly, who often have other
illnesses. Without intervention, demographic changes in
Denmark will lead to a substantial increase in the
prevalence and related consequences of malnutrition
among Danish citizens in the coming years, both in terms of
number and proportion of the population. In line with the
Health Commission's estimates for the growth in the
number of Danes with chronic diseases, the number of
citizens suffering from malnutrition is expected to rise to
250,000 without intervention by 2035.
About Malnutrition
"Malnutrition" is defined as a condition caused by
insufficient or inadequate dietary intake relative to
the body's needs or the absorption of ingested
nutrients. This leads to weight loss, including
reduced muscle mass, which in turn results in
decreased physical and mental function, increased
risk of complications during medical and surgical
treatment, and reduced clinical efficacy of disease
treatment. Therefore, it is crucial to identify
individuals and patients at nutritional risk as early as
possible in the process.
MENON ECONOMICS
6
RAPPORT
SUU, Alm.del - 2024-25 - Bilag 218: Henvendelse fra Brancheforeningen Fødevarer til Medicinske Formål (FMF) vedr. foretræde om medicinsk underernæring
3000219_0008.png
Excess costs of 14.5 billion DKK in the Danish healthcare system in 2024
Malnutrition has negative consequences and imposes large excess costs on Danish society. The excess costs in
the healthcare system in 2024 due to malnutrition are estimated to be 14.5 billion DKK. The excess costs arise,
among other things, because patients with malnutrition have a higher risk of hospital admission, more extended
hospital stays, and require more resources in follow-up care from healthcare professionals. This is clearly shown
in several Danish studies, and the findings are supported by other Scandinavian and European research.
Figure B: Excess healthcare costs associated with disease-related malnutrition in Denmark, distributed across hospitals, nursing homes,
and home care services in 2024. Costs presented in billions of Danish kroner.
1,4
2,7
10,4
14,5
Hospitals
Nursing homes
Home care services
Total
The excess costs at hospitals make up the largest share of the increased resource usage in the healthcare system,
amounting to approximately 10.4 billion DKK in 2024. The excess costs are a consequence of the higher risk of
hospital admission, longer hospital stays, and a higher rate of readmissions for patients with malnutrition
compared to patients without nutritional risk but otherwise comparable.
Figure C: Readmissions (left) and length of stay (right) between patients at risk and not at risk in Danish hospitals. Source: Mikkelsen, et
al.
(2023b)
46%
36%
22%
23%
16%
12%
22%
18%
28%
19%
9%
34%
5%
5%
Readmitted after 3 months
Readmitted after 1 month
1-2 days
3-9 days
10-19 days 20-29 days
30+ days
Patients at nutritional risk
Patients not at nutritional risk
Patients at nutritional risk
Patients not at nutritional risk
In addition to hospital costs, malnutrition also leads to increased resource use in nursing homes and home care
services, estimated at 2.7 billion DKK and 1.4 billion DKK, respectively. This sums up to a total of 14.5 billion DKK
in excess costs in the Danish healthcare system in 2024.
MENON ECONOMICS
7
RAPPORT
SUU, Alm.del - 2024-25 - Bilag 218: Henvendelse fra Brancheforeningen Fødevarer til Medicinske Formål (FMF) vedr. foretræde om medicinsk underernæring
3000219_0009.png
Disease burden: 16,000 lost life years for Danish citizens
Malnutrition is associated with increased morbidity and mortality. We estimate that Danish citizens will lose
approximately 16,000 quality-adjusted life years (QALYs) due to malnutrition in 2024. The lost life years represent
an economic loss valued at 24.8 billion kroner annually.
Figure D: The disease burden related to malnutrition in Denmark in 2024.
18%
~16.000
Quality-Adjusted
Life Years
Years lived with disability (YLD)
Years of life lost (YLL)
82%
Malnutrition is associated with higher mortality. In total, it is estimated that early death due to malnutrition
accounts for approximately 2,900 QALYs in 2024.
Malnutrition is also associated with reduced health-related quality of life. This means that patients living with
chronic diseases, such as cancer or COPD, will generally have a reduced health status if they are at nutritional
risk. The total loss of health-related quality of life is estimated to be around 13,400 QALYs in 2024.
Significant potential for economic savings
Systematic detection, early intervention, and effective nutritional treatment can free up significant resources
and achieve substantial economic gains. Analyses show that even moderate efforts can lead to savings in the
healthcare system of up to 20 billion DKK by 2035. More intensive efforts could potentially result in cumulative
savings of up to 46 billion DKK in the same period. This underscores the importance of investing in preventive
measures as a necessity for reducing future healthcare costs and improving citizens' quality of life.
Figure E: Cumulative savings in healthcare costs under different scenarios through 2035.
50
45
40
35
30
25
20
15
10
5
0
Moderate effort
High effort
32
26
20
15
11
0
1
1
2
2
4
7
3
5
6
9
11
20
39
46
Danish 2024-kroner
14
17
2025
2026
2027
2028
2029
2030
2031
2032
2033
2034
2035
MENON ECONOMICS
8
RAPPORT
SUU, Alm.del - 2024-25 - Bilag 218: Henvendelse fra Brancheforeningen Fødevarer til Medicinske Formål (FMF) vedr. foretræde om medicinsk underernæring
3000219_0010.png
1 Indledning
Denne rapport beskriver omfanget og konsekvenserne af sygdomsrelateret underernæring i Danmark. Udover
at skabe øget bevidsthed og forståelse omkring de betydelige samfundsøkonomiske konsekvenser af
underernæring er det et vigtigt formål med rapporten at vise, at målrettede tiltag reducere
samfundsøkonomiske omkostninger i betydelig grad.
1.1 Kort om samfundsøkonomiske konsekvensanalyser af sygdom
Samfundsøkonomiske konsekvensanalyser giver et overblik over de negative konsekvenser for samfundet ved
en sygdom eller risikofaktor. Oversigten kan være et nyttigt værktøj til at identificere og vurdere tiltag der kan
dæmpe konsekvenserne af den pågældende sygdom eller risikofaktor.
1.1.1 Hvad er inkluderet i samfundsøkonomiske omkostninger forbundet med
underernæring?
Med samfundsøkonomiske omkostninger menes alle de negative konsekvenser, som underernæring har for det
danske samfund. Dette omfatter de ulemper, som kunne være undgået, hvis underernæring ikke fandtes i
Danmark.
Samfundsøkonomiske omkostninger kategoriseres ofte i tre grupper; sygdomsbyrde, produktionstab og
meromkostninger i sundhedsvæsnet. Sygdomsbyrden beskriver tab af sundhedsrelateret livskvalitet, som en
given sygdom eller risikofaktor påfører de individer, der rammes. Produktionstabet beskriver de konsekvenser,
som sygdommen har for samfundets værdiskabelse. Meromkostninger i sundhedsvæsenet beskriver indsatser
relateret til bl.a. forebyggelse og behandling.
Analysen omfatter samfundets totale omkostninger, men ikke hvilke aktører som påtager sig disse omkostninger.
Nogle af omkostningerne dækkes gennem offentlige budgetter, som sundhedsvæsenets meromkostninger.
Andre omkostninger, som indsatsen fra pårørende, vises ikke i offentlige budgetter, men betragtes alligevel som
samfundsøkonomiske omkostninger. Sygdomsbyrden fremgår ikke i offentlige budgetter, men repræsenterer et
samfundsøkonomisk nytteværditab, der "betales" af patienterne gennem reduceret livskvalitet og tidligere død.
1.1.2 Hvilken nytte giver samfundsøkonomiske konsekvensanalyser af sygdom?
I 2023 lancerede Sundhedsstyrelsen to rapporter, som belyser de samfundsøkonomiske omkostninger,
forbundet med henholdsvis som 15 sygdomme og 9 risikofaktorer.
1
Et centralt formål med sådanne analyser er at give et informationsgrundlag om konsekvenserne af udvalgte
sygdomme og risikofaktorer, så man kan identificere effektive modforanstaltninger for at begrænse de
samfundsøkonomiske konsekvenser. Et overblik over fordeling og omfang af samfundsøkonomiske konsekvenser
kan være et værdifuldt værktøj i koordinering og prioritering af tiltag og ressourceanvendelse i
sundhedsvæsenet.
Analyser af sygdomsbyrden bidrager til at identificere vigtige folkesundhedsudfordringer, og til at evaluere status
for politiske mål. På verdensplan er Global Burden of Disease (GBD) den største og mest omfattende kortlægning
1
Hvilke sygdomme og risikofaktorer belaster samfundet, sundhedsvæsenet og borgerne mest? | Sundhedstyrelsen
MENON ECONOMICS
9
RAPPORT
SUU, Alm.del - 2024-25 - Bilag 218: Henvendelse fra Brancheforeningen Fødevarer til Medicinske Formål (FMF) vedr. foretræde om medicinsk underernæring
3000219_0011.png
af
sygdomsbyrde
relateret
til
sygdom,
ulykker
og
risikofaktorer.
2
I
denne
analyse
omfatter
konsekvensberegningerne sygdomsbyrde, meromkostninger i sundhedsvæsenet og produktionstab i samfundet.
På nationalt niveau kan sådanne analyser hjælpe i planlægningen, dimensioneringen og prioriteringen af
sundhedsydelser, forebyggende tiltag og forskning.
1.2 Tidligere relevante samfundsøkonomiske konsekvensanalyser
Denne rapport giver ny viden om konsekvenserne af underernæring i Danmark ved at samle information om
konsekvenserne for patienter, sundhedsvæsenet og andre aktører. Lignende analyser er udført i andre lande og
for andre sygdomsområder.
1.2.1 Samfundsøkonomiske konsekvenser af underernæring i Norge
Menon Economics kortlagde i 2022 samfundsøkonomiske omkostninger ved underernæring i Norge, som blev
anslået til 31,7 milliarder NOK (svarende til omkring 20,4 milliarder danske kroner i 2024-tal).
3
Forskellene skyldes
hovedsageligt forskellige økonomiske værdier, uden at indikere reelle forskelle mellem Norge og Danmark.
Analyserne viser et betydeligt potentiale for besparelser gennem ernæringsindsatser i begge lande.
1.2.2 Samfundsøkonomiske konsekvenser ved andre sygdomsområder
Menon Economics har udviklet et metodisk rammeværk for at kortlægge samfundsøkonomiske omkostninger
ved sygdomme og risikofaktorer. Dette rammeværk anvendes i en række tidligere analyser og ligger til grund for
denne analyse af samfundsøkonomiske omkostninger ved underernæring i Danmark.
Sammenligning med samfundsøkonomiske omkostninger inden for andre sygdomsområder giver kontekst for
underernæringsproblematikken. Eksempler på tidligere analyser på norsk inkluderer:
-
-
-
-
-
-
-
-
Overvekt og fedme:
Samfunnsøkonomiske kostnader (2019 og
2023)
Øyesykdommer:
Samfunnsøkonomiske kostnader (2019)
Hjertesvikt:
Samfunnsøkonomiske kostnader (2019) og vurdering av tiltak (2020)
Demens:
Samfunnsøkonomiske kostnader (2020), konsekvenser for pårørende (2021), og verdi av
sykdomsmodifiserende behandling (2024)
Sjeldne diagnoser:
Samfunnsøkonomiske kostnader og vurdering av tiltak (2022)
Spiseforstyrrelser:
Samfunnsøkonomiske kostnader og vurdering av tiltak (2022)
Multipel sklerose:
Samfunnsøkonomiske kostnader (2023)
Vold i nære relasjoner:
Samfunnsøkonomiske kostnader (2023)
2
GBD Collaborators (2017): Measuring progress and projecting attainment on the basis of past trends of the health-related
Sustainable Development Goals in 188 countries: an analysis from the Global Burden of Disease Study 2016.
Link
3
Menon Economics (2022a):
Samfunnskostnader knyttet til underernæring
MENON ECONOMICS
10
RAPPORT
SUU, Alm.del - 2024-25 - Bilag 218: Henvendelse fra Brancheforeningen Fødevarer til Medicinske Formål (FMF) vedr. foretræde om medicinsk underernæring
3000219_0012.png
2 Om underernæring
Sygdomsrelateret underernæring er en tilstand, der opstår, når kroppens behov for energi og næringsstoffer
ikke tilfredsstilles gennem tilstrækkelig indtagelse eller absorption af næring under akut og kronisk sygdom.
Tilstanden fører til øget risiko for sygdom, komplikationer i forbindelse med sygdom, længere ophold på
sygehus og dødelighed.
2.1 Definition og afgrænsning
Underernæring kan opstå både i forbindelse med sygdom og i forbindelse med sult. Når vi taler om
underernæring i Danmark, er det først og fremmest den sygdomsrelaterede underernæring, som er aktuel og
som kan forekomme uanset personens BMI. Denne kortlægning er koncentreret omkring sygdomsrelateret
underernæring, herefter kaldet underernæring.
2.1.1 Definition
”Underernæring”
defineres som en
tilstand, der skyldes manglende eller utilstrækkeligt kostindtag i forhold til
behovet eller i forhold til optagelsen af indtaget næring. Det medfører vægttab, herunder reduceret muskelmasse,
der igen fører til nedsat fysisk og mental funktion, øget risiko for komplikationer til medicinsk og kirurgisk
behandling samt reduceret klinisk effekt af sygdomsbehandling.
Det er derfor vigtigt at identificere borgere og
patienter i ernæringsrisiko så tidligt i forløbet som muligt.
Nogle borgere og patienter i ernæringsrisiko vil være underernærede. Når man stiller diagnosen
”Underernæring”,
forholder man sig bl.a. til parametre som utilstrækkeligt kostindtag, uplanlagt vægttab og
reduceret muskelmasse. Underernæring kan betragtes som en medicinsk tilstand med en øget risiko for
sygelighed og dødelighed, hvor ernæringsbehandling har en effekt. Derfor bør en ernæringsbehandling
iværksættes, allerede inden underernæring viser sig. Opsporing af borgere og patienter i ernæringsrisiko har til
formål at finde ernæringsrisiko så tidligt som muligt i forløbet, så behandling bliver mest mulig effektiv.
Opsporing bygger på viden om de mekanismer, der udløser underernæring. I Danmark anvendes på sygehuse
værktøjet NRS-2002, og uden for sygehuset anvendes uplanlagt vægttab til at identificere ernæringsrisiko.
4
Underernæring kan være sygdomsrelateret med eller uden inflammation eller relateret til andre faktorer end
sygdom, som fx socioøkonomiske eller psykologiske faktorer eller mangel på mad. Der er opnået global
konsensus om, hvordan konceptet forstås, og hvordan diagnosen stilles.
5
Først vurderes det, om patienten er i
ernæringsrisiko, dernæst stilles diagnosen underernæring.
Underernæring kan inddeles i flg. tre kategorier:
”Sygdomsrelateret underernæring med inflammation”
er en tilstand, der har fere bagvedliggende årsager end
manglende kostindtag. Den systemiske inflammation, som driver nedbrydningen af kroppens væv (særligt
muskulaturen, kaldet ”Sarkopeni”) og giver nedsat appetit (anorexi), ses ved sygdomme som kræft,
kronisk
lungesygdom (KOL) og inflammatoriske tarmsygdomme samt ved sværere grad af inflammation, fx hos patienter
på intensiv afdeling, ved større kirurgiske indgreb og ved svære infektioner. Kakeksi, som er en alvorlig afmagring
4
Sundhedsstyrelsen (2022): Underernæring: Opsporing, behandling og opfølgning af borgere og patienter i ernæringsrisiko.
Tilgængelig
her
5
Cederholm, et al. (2019): GLIM criteria for the diagnosis of malnutrition - A consensus report from the global clinical nutrition
community. Tilgængelig
her
MENON ECONOMICS
11
RAPPORT
SUU, Alm.del - 2024-25 - Bilag 218: Henvendelse fra Brancheforeningen Fødevarer til Medicinske Formål (FMF) vedr. foretræde om medicinsk underernæring
3000219_0013.png
med tydelige tegn på nedbrydning af muskel- og fedtvæv og ses hos patienter med kræft eller anden underliggende
sygdom, ligner denne tilstand.
”Sygdomsrelateret
underernæring uden inflammation”
ses hos patienter med sygdomme, som direkte påvirker
evnen til at spise, så som neurologiske sygdomme (fx Parkinson sygdom og ALS), eller sygdomme, som forårsager
synkeproblemer, men kan også ses hos patienter med psykiske sygdomme, som fx anorexia nervosa.
”Ikke-sygdomsrelateret
underernæring”
kan relateres til sult, socioøkonomiske faktorer (fx uddannelsesniveau og
fattigdom), psykologiske faktorer (fx ensomhed hos ældre) eller dårlig tandstatus samt tygge- og synkeproblemer
(fx hos ældre eller udsatte borgere)
I denne publikation anvendes begrebet ”underernæring”, og dækker både patienter/borgere,
der allerede har
underernæring, og dem, der er i risiko for at blive underernærede.
2.1.2 Afgrænsning
I denne publikation er kortlægningen af samfundsomkostningerne relateret til sygdomsrelateret underernæring
med eller uden inflammation og ikke patienter med fx spiseforstyrrelser (se Figur 2-1).
Figur 2-1: Opdeling af underernæring.
2.2 Komplikationer og risikofaktorer
2.2.1 Komplikationer ved underernæring
Underernæring
hos syge og ældre har negative konsekvenser i form af nedsat immunforsvar, nedsat mobilisering,
dårligere lungefunktion, hjerteinsufficiens, øget infektionsrisiko, langsommere sårheling, forringet livskvalitet,
negativ indflydelse på personens rehabilitering efter sygdom samt hyppigere genindlæggelser og øget
dødelighed. Uplanlagt vægttab har alvorlige konsekvenser for fysisk, psykisk og social funktionsevne. Jo sygere
og jo ældre den udsatte er, og mere øget komplikationerne til underernæring. Uplanlagt vægttab og tab af
funktionsevne følges ad: Uplanlagt vægttab hænger tæt sammen med tab af muskelmasse og muskelstyrke, og
vægttab øger derfor risikoen for nedsat funktionsevne og fysisk formåen. Et sådant fald i funktionsevne ses
allerede efter et ganske lille vægttab. Både muskelmasse og muskelfunktion er vigtige markører for den enkeltes,
MENON ECONOMICS
12
RAPPORT
SUU, Alm.del - 2024-25 - Bilag 218: Henvendelse fra Brancheforeningen Fødevarer til Medicinske Formål (FMF) vedr. foretræde om medicinsk underernæring
3000219_0014.png
risiko for at blive afhængige af hjælp til daglige aktiviteter, som fx at gå, at gå på trapper og at rejse sig fra en
stol. Det samme er gældende for ældre med nedsat kognitiv funktionsevne, fx ved demenssygdomme. For ældre
i plejebolig og hjemmepleje er det påvist, at ethvert uplanlagt vægttab uanset størrelse nedsætter trivsel og øger
behovet for hjælp fra personalet til almindelige dagligdags færdigheder. Når evnen til at klare sig selv bliver
mindre, har det negativ betydning for livskvaliteten, og for udgifterne til hjemmepleje og plejebolig
m.v..
6
,
7
,
8
,
9
,
10
,
14
2.2.2 Risikofaktorer for ernæringsrisiko og underernæring
En lang række risikofaktorer bidrager negativt til ernæringstilstanden og udgør dermed en risiko for uplanlagt
vægttab
11
,
12
,
14
. Risikofaktorer bør derfor vurderes i forhold til den enkelte borger og patient.
De hyppigste risikofaktorer er:
-
-
-
-
-
-
-
-
-
-
-
-
-
Akut sygdom/forværring af kronisk sygdom
Nedsat appetit, fx på grund af kvalme, madlede, tidlig mæthed, opkastning, for stoppelse, smags- og
lugtforandringer
Nedsat fysisk funktionsevne
Træthed
Dårlig tandstatus
Sygdom, infektion og smerter i mundhulen
Nedsat spytproduktion (mundtørhed)
Medicinforbrug samt bivirkninger heraf
Tygge- og synkebesvær
Afhængig af hjælp til at spise
Nedsat kognitiv funktionsevne, fx ved demenssygdomme
Psykiske faktorer
Sociale og miljømæssige faktorer, fx ensomhed og at spise alene
2.3 Risikogrupper
Sygdomsrelateret underernæring forekommer i alle aldre og inden for alle diagnosegrupper og vægtklasser. Der
er dog visse grupper, som skiller sig ud med en særlig høj risiko. Risikoen for underernæring øges med alderen,
og ældre over 75 år er specielt udsatte. Risikoen er højest for ældre på sygehus, efterfulgt af beboere på
plejehjem og ældre, der bor hjemme. Patienter med demens eller andre neurologiske lidelser samt patienter
med kræft og andre kroniske lidelser, som hjertesygdom, tarmsygdom og lungesygdom, er eksempler på
patientgrupper, som er specielt udsatte.
13
6
Hersberger, et al. (2020): Nutritional risk screening (NRS 2002) is a strong and modifiable predictor risk score for short-term and
long-term clinical outcomes: secondary analysis of a prospective randomised trial. Tilgængelig
her
7
Norman, et al. (2008): Prognostic impact of disease-related malnutrition. Tilgængelig
her
8
LeBlanc, et al. (2018): Long-Term Weight Trajectory and Risk of Hip Fracture, Falls, Impaired Physical Function, and Death.
Tilgængelig
her
9
Sundhedstyrelsen (2017): Oplæg om ernæringsindsatser for den ældre medicinske patient. Tilgængelig
her
10
Meyer & Valentini (2019): Disease-Related Malnutrition and Sarcopenia as Determinants of Clinical Outcome. Tilgængelig
her
11
Holst, et al. (2019a): Disease Related Malnutrition in Hospital Outpatients, - Time for Action. Tilgængelig
her
12
Engelstrup, et al. (2023): The association between nutrition impact symptoms, nutritional risk, and risk of reduced overall survival
in patients with head and neck cancer. A retrospective study. Tilgængelig
her
13
Sundhedsstyrelsen (2022): Underernæring: Opsporing, behandling og opfølgning af borgere og patienter i ernæringsrisiko.
Tilgængelig
her
MENON ECONOMICS
13
RAPPORT
SUU, Alm.del - 2024-25 - Bilag 218: Henvendelse fra Brancheforeningen Fødevarer til Medicinske Formål (FMF) vedr. foretræde om medicinsk underernæring
3000219_0015.png
2.3.1 Underernæring og kræft
Kræftpatienter har høj risiko for at udvikle underernæring, især i avancerede stadier af sygdommen. I forskellige
screeningundersøgelser rapporteres der om underernæring hos 20-70 procent af kræftpatienterne. Variationen
er knyttet til blandt andet type af kræftsygdom, stadie i sygdomsforløbet og klinisk kontekst. Det er godt
dokumenteret i en række studier, at underernæring er en betydelig udfordring blandt kræftsyge, med
konsekvenser for både øget sygelighed og forkortet levetid. Underernæring påvirker livskvalitet og prognose
negativt og påvirker både respons på kræftbehandling og total overlevelse. Derudover kan underernæring hos
kræftpatienter medføre reduceret eller afbrudt kræftbehandling og dermed føre til, at overlevelsestiden
forkortes. Studier viser, at 10-20 procent af dødsfaldene hos kræftpatienter kan tilskrives underernæring snarere
end selve kræftdiagnosen
14
,
15
,
16
.
2.3.2 Underernæring og kronisk obstruktiv lungesygdom (KOL)
KOL er den mest udbredte lungesygdom i Danmark, og det anslås, at omkring 300.000 danskere har sygdommen,
heraf ca. halvdelen i betydelig grad og ca. 40.000 i svær grad. KOL forekommer primært hos midaldrende og
ældre. Underernæring er hyppig ved KOL. Mange oplever nedsat appetit og at det kan være fysisk anstrengende
at spise, og risikoen for underernæring er derfor høj for denne patientgruppe. Statistik viser, at 30-60 procent af
de patienter, der er indlagt med KOL, lider af underernæring, mens det gælder 10-45 procent af de ambulante
patienter. Underernæring kan føre til en forværring af prognosen for patienter med KOL. Underernærede
patienter, der deltager i lungerehabilitering, kan have mindre udbytte af træningen og forværre deres tilstand.
En dansk undersøgelse viser, at blandt patienter med KOL, som er henvist til lungerehabilitering, er der en høj
forekomst af utilstrækkeligt energi- og proteinindtag. Dette giver anledning til bekymring, da den fysiske træning,
som er hovedkomponenten i lungerehabilitering, sandsynligvis vil være ineffektiv medmindre patienterne opnår
et tilstrækkeligt energi- og proteinindtag under rehabiliteringsprogrammet
17
,
18
,
19
.
2.4 Effekten af ernæringsindsatser
Det er vist at være effektivt at gennemføre en ernæringsindsats til borgere og patienter i ernæringsrisiko, og jo
tidligere indsatsen opstartes des bedre effekt. Evidensen for ernæringsindsatser omfatter energi- og proteinrig
kost inkl. mellemmåltider, ernæringsdrikke med højt proteinindhold (medicinske ernæringsdrikke eller andre
proteinberigede drikke), sondeernæring, som dækker det fulde ernæringsbehov eller delvist som supplement,
til dem, der ikke kan indtage til strækkeligt per os (gennem munden), samt i særlig grad individuel ernærings
behandling ved klinisk diætist. Derfor anbefales generelt tilskud af energi og protein af høj proteinkvalitet.
14
15
Arends et al. (2017): ESPEN expert group recommendations for action against cancer-related malnutrition. Tilgængelig
her
Martin, et al. (2015): Diagnostic criteria for the classification of cancer-associated weight loss. Tilgængelig
her
16
Arends (2023): Malnutrition in cancer patients: Causes, consequences and treatment options. Tilgængelig
her
17
Holst, et al. (2019b): Insufficient intake of energy and protein is related to physical functional capacity among COPD patients
referred to municipality based pulmonary rehabilitation. Tilgængelig
her
18
Yde, et al. (2023): Unintentional weight loss reflected in worse one-year clinical outcomes in COPD outpatients. Tilgængelig
her
19
Beck, et al. (2023): Optimizing individual benefits of pulmonary rehabilitation including a multifaceted dietary intervention
A
single-arm feasibility study. Tilgængelig
her
MENON ECONOMICS
14
RAPPORT
SUU, Alm.del - 2024-25 - Bilag 218: Henvendelse fra Brancheforeningen Fødevarer til Medicinske Formål (FMF) vedr. foretræde om medicinsk underernæring
3000219_0016.png
Evidensen peger på betydende kliniske fordele og samfunds økonomiske gevinster i form af bedre overlevelse,
færre komplikationer og færre genindlæggelser
14
,
20
,
21
,
22
.
20
Schuetz, et al. (2019): Individualised nutritional support in medical inpatients at nutritional risk: a randomised clinical trial.
Tilgængelig
her
21
Kaegi-Braun, et al. (2022): Nutritional support after hospital discharge improves long-term mortality in malnourished adult medical
patients: Systematic review and meta-analysis. Tilgængelig
her
22
Cawood, et al. (2012): Systematic review and meta-analysis of the effects of high protein oral nutritional supplements. Tilgængelig
her
MENON ECONOMICS
15
RAPPORT
SUU, Alm.del - 2024-25 - Bilag 218: Henvendelse fra Brancheforeningen Fødevarer til Medicinske Formål (FMF) vedr. foretræde om medicinsk underernæring
3000219_0017.png
3 Metodisk rammeværk og datafundament
I kortlægningen af de samfundsøkonomiske konsekvenser af underernæring i Danmark er der primært
anvendt information fra danske studier og dansk statistik, som er kvalitetssikret af danske fageksperter. Hvor
information fra Danmark er mangelfuld, er der suppleret med data fra relevante studier fra Skandinavien og
andre europæiske lande. Informationen er struktureret inden for en veletableret ramme for
samfundsøkonomiske konsekvenser.
3.1 Metodisk rammeværk
Rapporten kortlægger de samfundsøkonomiske meromkostninger forårsaget af underernæring i 2024. Disse
omkostninger er opdelt i tre hovedkategorier: meromkostninger i sundhedsvæsenet, reduceret livskvalitet og
levetid for patienterne (sygdomsbyrde) og tab i værdiskabelse i samfundet.
Beregningen af de samfundsøkonomiske omkostninger ved underernæring er udført inden for et metodisk
rammeværk, som systematiserer forskellige omkostningstyper. Rammeværket sikrer en helhedsorienteret
tilgang uden overlapninger og sørger for, at fundene er konsistente og sammenlignelige med beregningen af
samfundsøkonomiske omkostninger på andre områder.
Figur 3-1: Menon Economics' rammeværk for beregning af samfundsøkonomiske omkostninger
Meromkostninger i
sundhedsvæsenet
Samfundsøkonomiske omkostninger
Sygdomsbyrden ved
underernæring
Tabt værdiskabelse
Mørketal
Omkostningerne er fordelt på følgende tre kategorier:
MENON ECONOMICS
16
RAPPORT
SUU, Alm.del - 2024-25 - Bilag 218: Henvendelse fra Brancheforeningen Fødevarer til Medicinske Formål (FMF) vedr. foretræde om medicinsk underernæring
3000219_0018.png
Meromkostninger i
sundhedsvæsenet
Meromkostninger i sundhedsvæsenet
Dette er omkostninger knyttet
til sundheds- og omsorgstjenester i stat og kommune. Underernæring
behandles både på sygehuset, i plejebolig og på bosteder samt i
hjemmepleje, og omkostninger inden for disse områder indgår i
sundheds- og omsorgsudgifterne ved underernæring. Omkostninger
knyttet til sundhedsydelser omtales også som direkte omkostninger.
Sygdomsbyrden ved
underernæring
Sygdomsbyrde.
Dette er tabet af helbredsrelateret livskvalitet, som
følge af underernæring, der dækker både forringet helbred og tidlig
død, målt i tab af gode kvalitetsjusterede leveår. Dette er ikke en udgift
eller tabt indtægt for staten, men et samfundsøkonomisk tab for
befolkningen. Værdiansættelsen af tabte gode leveår sker i henhold til
retningslinjer fra Finansministeriet.
abt værdiskabelse
Tabt værdiskabelse.
Dette er omkostninger knyttet til tabt
værdiskabelse som følge af underernæring. Tabet opstår, når
underernæring reducerer personens nuværende og fremtidige
arbejdskraftbidrag gennem fravær fra arbejde. Omkostninger knyttet
til tabt produktion omtales også som indirekte omkostninger.
Pårørendes arbejdskraftbidrag gennem fravær fra job anses også som
et indirekte produktionstab.
Mørketal.
På grund af ufuldstændige data vil skøn, der ikke tager
højde for skjulte tal, undervurdere de faktiske konsekvenser. Baseret
på de tilgængelige oplysninger kan der imidlertid laves estimater over
de samlede konsekvenser. Gennem en systematisk håndtering af
usikkerhed giver dette et omkostningsskøn, der inkluderer skjulte tal,
og dermed et mere retvisende estimat over de samlede
samfundsomkostninger ved underernæring.
3.2 Datafundament og informationskilder
Til grund for analysen ligger en sammenstilling af information fra en række forskellige kilder. Dette inkluderer
relevant dansk og international forskningslitteratur, offentligt tilgængelig statistik og interviews med danske
fageksperter på området.
3.2.1 Litteraturstudie
Der er foretaget en gennemgang af relevant forskningslitteratur på området. I litteraturgennemgangen er der
lagt vægt på studier, der kan give information om forekomsten af underernæring i Danmark, fordelt på sygehuse,
plejehjem og i hjemmeplejen og samt hjemmeboende. Litteraturen leverer også relevant information om de
meromkostninger, der følger af underernæring i de forskellige instanser i sundhedsvæsenet, samt om
helbredsrelateret livskvalitet og dødelighed blandt patienterne.
MENON ECONOMICS
17
RAPPORT
SUU, Alm.del - 2024-25 - Bilag 218: Henvendelse fra Brancheforeningen Fødevarer til Medicinske Formål (FMF) vedr. foretræde om medicinsk underernæring
3000219_0019.png
I litteraturgennemgangen prioriteres information fra danske studier. I tilfælde, hvor der mangler tilstrækkelig
information fra danske studier, suppleres der med indsigt fra relevante studier fra Skandinavien og andre
europæiske lande.
De konkrete beregninger, og hvilke kilder der ligger til grund, er dokumenteret i Bilag A, B, C og D:
Bilag A
beskriver forekomsten af underernæring.
Bilag B
omhandler sygdomsbyrden forårsaget af underernæring.
Bilag C
fokuserer på meromkostninger i sundhedsvæsenet.
Bilag D
beskriver usikkerhedsanalysen
I analysen anvendes desuden information om danske kalkulationspriser og metodiske tilgange fra officielle
danske vejledninger.
23
3.2.2 Offentlig tilgængelig statistik
Beregningerne bygger på statistik fra Danmarks Statistik (DST). Dette inkluderer demografiske data,
sundhedsstatistik og anden relevant offentlig statistik. Brugen af DSTs data sikrer en pålidelig og opdateret
forståelse af den demografiske og sundhedsmæssige situation i Danmark.
De konkrete beregninger, og hvilke kilder der ligger til grund, er dokumenteret i Bilag A, B, C og D.
3.2.3 Indspil og samtale med danske fageksperter
Der er gennemført møder og samtaler med flere fageksperter, som arbejder med problemstillinger knyttet til
underernæring. Eksperterne har bidraget med indsigt og opdateret information, som supplerer og bekræfter
dataene fra litteraturstudiet og offentlig statistik.
Vi vil særligt fremhæve Mette Holst, professor i anvendt ernæring ved Aalborg Universitet, og Henrik Højgaard
Rasmussen, professor i klinisk ernæring ved Aalborg Universitet, for deres værdifulde bidrag.
3.3 Usikkerhedsanalyse
Der findes ikke præcise tal for de størrelser, der estimeres. Det har derfor i nogen grad været nødvendigt at
basere analysen på antagelser. De antagelser, der er anvendt, er naturligvis usikre, og usikkerheden varierer fra
område til område. Vi har derfor lagt stor vægt på at tage usikkerheden alvorligt og gennemføre hele projektet
som en usikkerhedsanalyse med det formål at ende op med et forventeligt skøn over de samlede omkostninger
ved underernæring. Hovedformålet med usikkerhedsanalysen er således at kvantificere og vurdere de
forventede samfundsøkonomiske konsekvenser af underernæring i Danmark. I den modellerede
usikkerhedsvurdering er usikkerheden knyttet til individuelle og overordnede antagelser systematiseret, gjort
synlig og kvantificeret.
Konsekvensen af at gennemføre hele projektet som en usikkerhedsanalyse er, at der på alle niveauer i analysen
er taget højde for usikkerheden. Dette er gjort ved at etablere tre skøn for alle størrelser, der prissættes. Det
betyder i praksis, at der for enhver konsekvens konkret er taget stilling til et lavt, et middel og et højt skøn. Disse
23
Finansministeriet (2023): Vejledning i samfundsøkonomiske konsekvensvurderinger. Tilgængelig
her
MENON ECONOMICS
18
RAPPORT
SUU, Alm.del - 2024-25 - Bilag 218: Henvendelse fra Brancheforeningen Fødevarer til Medicinske Formål (FMF) vedr. foretræde om medicinsk underernæring
3000219_0020.png
tre skøn repræsenterer 10-percentilen (lavt skøn), den mest sandsynlige værdi (middel skøn) og 90-percentilen
(højt skøn). De tre skøn sammen med en antagelse om sandsynlighedsfordeling danner grundlag for at estimere
forventningsværdien baseret på simuleringer/trækninger, som illustreret i Figur 3-2. Illustrationen viser en
venstreskæv fordeling, hvilket betyder, at forventningsværdien ligger til højre for den mest sandsynlige værdi. I
tilfælde hvor sandsynlighedsfordelingen er symmetrisk og normalfordelt, er den mest sandsynlige værdi lig med
forventningsværdien. I tilfælde hvor fordelingen er højreskæv, ligger forventningsværdien til venstre for den
mest sandsynlige værdi. I hvilken grad fordelingerne vi ender med, er venstreskæve eller højreskæve, varierer
fra konsekvens til konsekvens.
Figur 3-2: Illustration af en sandsynlighedsfordeling med trippelskøn og forventningsværdi
Sandsynlighed for
forskellige
omkostningsanslag
Mest sandsynlige værdi
(mellem skøn)
Forventningsværdi
10-percentil
(lavt skøn)
90-percentil
(højt skøn)
Sandsynligheds-
fordeling
Omkostninger
ved
underernæring
Baseret på en tredobbelt vurdering af forudsætningerne om sandsynlighedsfordelinger for alle konsekvenserne
af underernæring, som det har været relevant at prissætte, simuleres den samlede usikkerhed for hele
fænomenet underernæring. Resultatet kan vises som en samlet sandsynlighedsfordeling, som vist i Figur 3-2,
eller som en akkumuleret sandsynlighedsfordeling, også kaldet en S-kurve, se Figur 3.3. S-kurven viser den
samlede usikkerhed for vores samlede vurdering af omkostningerne ved underernæring. Fra den akkumulerede
sandsynlighedsfordeling kan vi udlede de samlede forventede omkostninger. I den sammenhæng er det desuden
relevant at se på, hvilke faktorer der har størst indflydelse på de samlede omkostninger ved underernæring.
Figur 3.3 Illustration af en akkumuleret sandsynlighedsfordeling (S-kurve)
Sandsynlighed for
forskellige
omkostningsskøn
10-percentil
(lavt skøn)
Forventnings-
værdi
90-percentil
(højt skøn)
Sandsynligheds-
fordeling
Omkostninger
ved
underernæring
MENON ECONOMICS
19
RAPPORT
SUU, Alm.del - 2024-25 - Bilag 218: Henvendelse fra Brancheforeningen Fødevarer til Medicinske Formål (FMF) vedr. foretræde om medicinsk underernæring
3000219_0021.png
4 Forekomst af underernæring i Danmark
Underernæring er udbredt blandt patienter og ældre i Danmark. I denne kortlægning anslås det, at 203.000
danskere lider af underernæring. Som følge af demografiske ændringer forventes antallet at stige betydeligt i
de kommende år.
4.1 Samlet forekomst af underernæring
Det anslås, at der samlet set vil være 203.000 voksne danskere, der lider af underernæring i 2024. Dette svarer
til omkring 3 procent af Danmarks befolkning. Estimatet er baseret på en sammenligning af oplysninger fra
primært danske forskningsstudier på området og med dansk statistik.
24
Underernæring kan ramme personer i alle aldre, men er mest udbredt blandt ældre, som har anden sygdom. I
fravær af tiltag vil den demografiske udvikling i Danmark indebære, at omfanget af underernæring blandt
danskere vil stige betragteligt i de kommende år, både i antal og i andel af befolkningen.
Befolkningsvæksten drives af demografiske ændringer, med flere og en højere andel ældre borgere i
ernæringsrisiko. Befolkningsfremskrivninger fra Danmarks Statistik viser en forventet stigning på 45 procent i
antallet af borgere over 80 år frem mod 2035. Udviklingen indebærer desuden at andelen af danskere med
multisygdom og kroniske sygdomme, som kræver sygehusindlæggelse i årene fremover, vil stige, inkluderet
underernæring. I Sundhedsstrukturkommissionens nylige rapport beskrives, hvordan denne udvikling vil føre til
store omvæltninger i sundhedsvæsenet.
Ifølge Sundhedsstrukturkommissionens lever én ud af fem danskere med mindst én kronisk sygdom. Frem mod
2035 vil gruppen af patienter med kroniske sygdomme vokse med ca. 20 procent. Hvis der ikke gennemføres
ændringer målrettet med forebyggelse og behandling af underernæring, forventes antallet af danskere, der lider
af underernæring, at stige til op mod 250.000 i 2035, med deraf følgende forhøjede meromkostninger for
sundhedsvæsenet.
4.2 Forekomst af underernæring i forskellige plejekategorier
I kortlægningen af antallet af danskere, med underernæring, skelnes der mellem forskellige plejekategorier:
Beboere på plejehjem
25
, personer, som modtager hjemmepleje, og hjemmeboende personer, der ikke modtager
plejeydelser. Hensigten med kategoriseringen er at inkludere hele den relevante population uden betydelig risiko
for dobbeltregistrering.
For hver af de tre kategorier
plejehjem, hjemmepleje og hjemmeboende
er der anvendt relevante
forskningsstudier til at fastlægge forekomsten af underernæring inden for hver kategori.
26
24
25
Se Bilag A for en detaljeret gennemgang af litteratur, statistik og vores beregninger.
Kategorien ”plejehjem” omfatter også
dem som bor i pleje- og ældreboliger.
26
Hjemmepleje omfatter hjemmeboende personer med underernæring, som modtager enten hjemmehjælp, hjemmesygepleje eller
omsorgsstøtte. Se Bilag A for yderligere forklaring.
MENON ECONOMICS
20
RAPPORT
SUU, Alm.del - 2024-25 - Bilag 218: Henvendelse fra Brancheforeningen Fødevarer til Medicinske Formål (FMF) vedr. foretræde om medicinsk underernæring
3000219_0022.png
Figur 4-1: Estimeret forekomst af underernæring i Danmark fordelt på plejehjem, hjemmepleje og hjemmeboende.
Der er stor usikkerhed forbundet med den faktiske forekomst af underernæring, både i Danmark og i andre
sammenlignelige lande. Det skyldes, at underernæring ofte ikke identificeres eller registreres, hvilket fører til et
mangelfuldt dokumentationsgrundlag. Estimater baseret på registrerede tilfælde vil derfor systematisk
undervurdere den faktiske forekomst, såfremt skjulte tilfælde ikke inkluderes. Estimatet i denne rapport tager
derfor højde for mangelfuld registrering, og inkluderer skjulte tilfælde.
På grund af den store usikkerhed knyttet til forekomsten af underernæring, er der beregnet et interval for
forekomsten inden for henholdsvis plejehjem, hjemmeplejen og hjemmeboende. Disse skøn er taget med i den
usikkerhedsanalyse.
27
Figuren nedenfor giver en opsummering af estimaterne.
Figur 4-2 Skøn over antal med underernæring i Danmark fordelt på plejehjem, hjemmeplejen og hjemmeboende i 2024.
211 000
120 000
43 000
43 000
58 000
42 000
25 000
32 000
29 000
Plejehjem
Lavt skøn
Hjemmepleje
Middels skøn
Hjemmeboende
Højt skøn
Som figuren ovenfor viser, estimerer vi, at der er størst usikkerhed knyttet til forekomsten af underernæring
blandt hjemmeboende, da der ikke findes studier, der har undersøgt forekomsten af underernæring blandt
hjemmeboende i Danmark. Et stærkere dokumentationsgrundlag indebærer lavere usikkerhed omkring
forekomst i plejehjem og hjemmepleje, selv om der også her er en væsentlig usikkerhed knyttet til anslagene.
For plejehjem, hjemmepleje og hjemmeboende samlet estimeres det, at forekomsten ligger mellem 117.000 og
289.000 personer, med en forventet værdi på 203.000.
27
Se Bilag D for en beskrivelse af usikkerhedsanalysen og resultaterne fra usikkerhedsanalysen.
MENON ECONOMICS
21
RAPPORT
SUU, Alm.del - 2024-25 - Bilag 218: Henvendelse fra Brancheforeningen Fødevarer til Medicinske Formål (FMF) vedr. foretræde om medicinsk underernæring
3000219_0023.png
4.2.1 Forekomst af underernæring på plejehjem
På baggrund af litteraturgennemgangen er vores middelskøn, at 45 procent af danske plejehjemsbeboere har
underernæring. I dag bor der omkring 71.900 personer på danske pleje- og ældreboliger, hvilket vil sige, at cirka
32.400 beboere har underernæring. Der findes en række studier, som ser på underernæring på plejehjem.
Andelen af underernærede på plejehjem kan variere betydeligt fra studie til studie. Dette har blandt andet
sammenhæng med forskellige studiedesigns, populationsstørrelser og målemetoder for underernæring mellem
studierne.
4.2.2 Forekomst af underernæring blandt modtagere af hjemmepleje
Ud fra middelskønnet har 30 procent af modtagerne af hjemmepleje underernæring. Det svarer til, at omkring
43.500 af de 145.000 modtagere af hjemmepleje i Danmark lider af underernæring.
Forekomsten af underernæring i hjemmeplejen varierer betydeligt på tværs af forskellige studier. I en norsk
rapport fra 2018 varierer forekomsten af underernæring i hjemmeplejen fra 20-59 procent.
28
Et andet norsk
studie finder, at forekomsten af underernæring er 40 procent. Endelig viser en rapport fra England fra 2019, at
den samlede forekomst af underernæring i hjemmeplejen er 11 procent.
29
I to danske undersøgelser vurderes
det, at ca. 20 procent i hjemmeplejen er underernærede eller at de har uplanlagt vægttab.
30
4.2.3 Forekomst af underernæring blandt hjemmeboende
I vores middelskøn er 9 procent af ældre hjemmeboende underernærede. I dag er der lidt under 1.128.900
hjemmeboende over 60 år, som ikke modtager sundheds- og omsorgstjenester i hjemmet.
31
Det betyder, at i alt
126.000 hjemmeboende ældre i Danmark lider af underernæring.
Forekomsten af underernæring blandt hjemmeboende over 60 år varierer fra 3 procent til 22 procent i forskellige
studier på området. En systematisk litteraturgennemgang af Crichton et al. (2019) fra England angav, at 3 procent
af hjemmeboende over 60 år har underernæring, dette estimat var baseret på 31.000 ældre i Europa. Ifølge en
anden systematisk litteraturgennemgang blev det konkluderet, at 9 procent af hjemmeboende over 60 år i
Europa var i risiko for underernæring.
32
4.3 Forekomst i sundhedsvæsenet
En stor andel af indlagte patienter på sygehuse, ambulante patienter og patienter i almen praksis lider af
underernæring. Kontakten med sundhedsvæsenet er ofte primært knyttet til andre sygdomme, men
underernæring er ofte en medvirkende årsag og bidrager dermed til forhøjet ressourceforbrug og
meromkostninger i sundhedsvæsenet.
28
29
Devik & Olsen (2018): Underernæring og pasientsikkerhet blant eldre i kommunen. Tilgængelig
her
Crichton, et al. (2019): A systematic review, meta-analysis and meta-regression of the prevalence of protein-energy malnutrition:
associations with geographical region and sex. Tilgængelig
her
30
Holst og Beck (2020) refererer til upublicerede data fra Frederiksberg Kommune indsamlet i forbindelse med Dansk Selskab for
Patientsikkerheds projekt "I sikre Hænder". Artiklen fra Holst og Beck er tilgængelig
her
31
Ekskludert population over 65 år, der modtager sundheds- og omsorgstjenester i hjemmet, døgnophold på hospital og plejehjem.
32
Leil-Halwerk, et al. (2019): Prevalence of protein-energy malnutrition risk in European older adults in community, residential and
hospital settings. Tilgængelig
her
MENON ECONOMICS
22
RAPPORT
SUU, Alm.del - 2024-25 - Bilag 218: Henvendelse fra Brancheforeningen Fødevarer til Medicinske Formål (FMF) vedr. foretræde om medicinsk underernæring
3000219_0024.png
4.3.1 Forekomst af underernæring blandt indlagte på sygehus
For patienter, der er indlagt på sygehus, er underernæring associeret med forlænget indlæggelsestid og højere
risiko for genindlæggelse.
33
Ud fra middelskønnet anslås det, at der vil være omkring 185.000 unikke patienter med underernæring indlagt
på danske sygehuse i 2024. Det svarer til at ca. 40 procent af de indlagte patienter over 18 år har underernæring.
Skønnet er baseret på en gennemgang af relevante studier gennemført på danske sygehuse samt øvrige
kortlægningsstudier fra skandinaviske og europæiske sygehuse.
34
Variationerne i studierne viser, at der er
usikkerhed omkring den faktiske andel af indlagte patienter med underernæring. Baseret på disse variationer
vurderes det, at antallet af underernærede indlagte patienter vil være fra 139.000 baseret på det laveste skøn til
232.000 baseret på det højeste skøn (se figur 4-3).
Figur 4-3: Skøn over antal unikke indlagte patienter på sygehus med underernæring i Danmark i 2024.
232 000
185 600
139 200
Lavt skøn
Middels skøn
Højt skøn
4.3.2 Forekomst af underernæring blandt ambulante patienter
Tal fra Danmarks Statistik viser, at der gennemføres over 12,2 millioner ambulante behandlinger i løbet af et år.
35
Et betydeligt antal af disse er knyttet til patienter med underernæring. Et dansk tværsnitsstudie fandt, at 26
procent af patienterne fra fem klinikker på et dansk sygehus havde oplevet utilsigtet vægttab i løbet af de sidste
tre måneder.
36
Resultaterne fra de danske studier indikerer, at underernærede patienter får over 3,1 millioner ambulante
behandlinger pr. år, hvilket betyder, at underernærede personer i Danmark i gennemsnit får 3,9 ambulante
behandlinger pr. år pr. person.
33
Mikkelsen, et al. (2023b): "More2Eat" in patients at nutritional risk during hospital stay lowers the risk of three-month mortality.
Tilgængelig
her
34
Se Bilag A for en detaljeret gennemgang af litteratur, statistik og vores beregninger.
35
Danmarks Statistik (2022): AMBU02: Ambulante behandlinger (LPR3) efter køn, alder, akut/ikke-akut, hoveddiagnosegruppe,
region og tid. Tilgængelig
her
36
Holst, et al. (2019a): Disease Related Malnutrition in Hospital Outpatients, - Time for Action. Tilgængelig
her
MENON ECONOMICS
23
RAPPORT
SUU, Alm.del - 2024-25 - Bilag 218: Henvendelse fra Brancheforeningen Fødevarer til Medicinske Formål (FMF) vedr. foretræde om medicinsk underernæring
3000219_0025.png
Figur 4-4: Skøn over antal ambulante behandlinger (i millioner) knyttet til patienter med underernæring i 2024.
4,1
3,1
2,2
Lavt
Middels
Højt
På samme måde som for patienter indlagt på sygehus vil de ambulante behandlinger hovedsageligt være knyttet
til andre sygdomme, men underernæring kan være en medvirkende årsag til øget behov for behandling og
opfølgning af patienterne. Der mangler imidlertid et solidt datagrundlag for at beregne meromkostninger i
forbindelse med ambulante behandlinger som følge af underernæring. Meromkostninger i ambulant behandling
som følge af underernæring vil derfor komme i tillæg til de meromkostninger, der beregnes i analysen.
4.3.3 Forekomst af underernæring blandt patienter i almen praksis
I en dansk tværsnitsundersøgelse fra 2022, at 14,2 procent af patienterne, som løbende blev fulgt i almen praksis,
havde oplevet et uplanlagt vægttab inden for 2 måneder med en medianværdi på 4 kg.
37
Tal fra Danmarks
Statistik viser, at der blev gennemført tæt på 23,3 millioner konsultationer i almen praksis med offentlig tilskud i
2023.
38
Det betyder, at underernærede patienter står for ca. 3,3 millioner konsultationer i almen praksis om året.
Figur 4-5: Skøn over antal konsultationer i almen praksis (i millioner) knyttet til patienter med underernæring i 2024.
4,2
3,3
2,3
Lavt
Middels
Højt
Konsultationer i almen praksis vil hovedsageligt være knyttet til andre sygdomme, men underernæring kan være
en medvirkende årsag til øget behov for behandling og opfølgning af patienterne. Der mangler imidlertid et solidt
datagrundlag for at beregne meromkostninger i almen praksis som følge af underernæring. Meromkostninger i
almen praksis som følge af underernæring vil derfor komme i tillæg til de meromkostninger, der beregnes i
analysen.
37
Mikkelsen S, Geisler L, Holst M. Malnutrition measured by unintended weight loss among patients in general practice. Nutrition.
Tilgængelig
her
38
Danmarks Statistik (2023): SYGK2: Lægebesøg mv. med offentligt tilskud efter køn, alder, område, tid og ydelsesart. Tilgængelig
her
MENON ECONOMICS
24
RAPPORT
SUU, Alm.del - 2024-25 - Bilag 218: Henvendelse fra Brancheforeningen Fødevarer til Medicinske Formål (FMF) vedr. foretræde om medicinsk underernæring
3000219_0026.png
5 Samfundsøkonomiske konsekvenser af underernæring
Sygdomsrelateret underernæring er et betydeligt problem og rammer mange. Beregningerne i denne analyse
viser, at underernæring medfører meromkostninger i det danske sundhedsvæsen på 14,5 milliarder kroner i
2024. Dertil kommer cirka 16.000 tabte kvalitetsjusterede, gode leveår som følge af øget sygelighed og
dødelighed.
5.1 Meromkostninger i sundhedsvæsenet
Meromkostninger i sundhedsvæsenet som følge af underernæring er beregnet til 14,5 milliarder kroner i 2024.
39
Det omfatter meromkostninger i både sygehus og det kommunale sundhedsvæsen.
Figur 5-1: Meromkostninger i sundhedsvæsenet som følge af underernæring i 2024
1,4
2,7
14,5
Milliarder kroner
10,4
Hospital
Plejehjem
Hjemmepleje
Totalt
Det er meromkostninger på sygehuse, som udgør den største andel af det forhøjede ressourceforbrug i
sundhedsvæsenet, med omkring 10,4 milliarder kroner i 2024. Meromkostningerne er en konsekvens af, at
patienter med underernæring har højere risiko for at blive indlagt på sygehus, flere indlæggelsesdage og højere
andel af genindlæggelser sammenlignet med patienter uden ernæringsrisiko, som ellers er lige (se figur 5.1).
Eksempelvis viser dansk forskning, at patienter i ernæringsrisiko genindlægges hyppigere sammenlignet med
patienter, som ikke er i ernæringsrisiko.
40
39
40
Se Bilag C for beregninger forbundet med meromkostninger i sundhedsvæsenet
Mikkelsen, et al. (2023b): "More2Eat" in patients at nutritional risk during hospital stay lowers the risk of three-month mortality.
Tilgængelig
her
MENON ECONOMICS
25
RAPPORT
SUU, Alm.del - 2024-25 - Bilag 218: Henvendelse fra Brancheforeningen Fødevarer til Medicinske Formål (FMF) vedr. foretræde om medicinsk underernæring
3000219_0027.png
Figur 5.2: Genindlæggelser for patienter i ernæringsrisiko og ikke i ernæringsrisiko på danske sygehuse.
34%
22%
23%
16%
Genindlagt efter 3 mdr
Patienter som er i ernæringsrisiko
Genindlagt efter 1 mdr
Patienter som ikke er i ernæringsrisiko
I det samme studie vises, at patienterne i ernæringsrisiko i gennemsnit havde længere indlæggelser på sygehuset.
I en registreringsperiode på 266 dage havde 19 procent af patienterne med ernæringsrisiko mere end 30
indlæggelsesdage, mens kun 9 procent af patienterne uden ernæringsrisiko havde mere end 30
indlæggelsesdage. Fundene understøttes af resultater fra andre danske og internationale studier. Blandt andet
viser et omfattende studie fra Norge, ernæringsrisiko er associeret med 6,9 flere indlæggelsesdage på sygehus
over et år sammenlignet med patienter uden ernæringsrisiko.
41
Figur 5-3: Indlæggelsesdage på sygehus for patienter i ernæringsrisiko og ikke i ernæringsrisiko på danske sygehus.
46%
36%
28%
22%
12%
5%
5%
18%
19%
9%
1-2 dage
3-9 dage
10-19 dage
20-29 dage
30+ dage
Patienter som er i ernæringsrisiko
Patienter som ikke er i ernæringsrisiko
I tillæg til meromkostninger på sygehus medfører underernæring forhøjet ressourceforbrug på plejehjem og i
hjemmeplejen, estimeret til henholdsvis 2,7 og 1,4 milliarder kroner.
Konsekvenser og omfang af underernæring på plejehjem og i hjemmeplejen er ikke tilstrækkeligt undersøgt,
hvorfor der er usikkerhed omkring de estimerede meromkostninger sammenlignet med meromkostninger på
sygehuse. Kortlægningsstudier indikerer alligevel et betydeligt ressourceforbrug knyttet til opfølgning og
behandling af underernæring på plejehjem og i hjemmeplejen.
Meromkostninger knyttet til ambulante behandlinger, almen praksis og uformel pleje fra pårørende er ikke
medregnet og kommer i tillæg til vores omkostningsestimater.
41
Tangvik, et al. (2013): The nutritional strategy: Four questions predict morbidity, mortality and health care costs. Tilgængelig
her
MENON ECONOMICS
26
RAPPORT
SUU, Alm.del - 2024-25 - Bilag 218: Henvendelse fra Brancheforeningen Fødevarer til Medicinske Formål (FMF) vedr. foretræde om medicinsk underernæring
3000219_0028.png
5.2 Sygdomsbyrden knyttet til underernæring
Underernæring er associeret med øget sygelighed og dødelighed. Samlet set estimeres det, at underernæring
resulterer i godt 16.000 tabte kvalitetsjusteret gode leveår i 2024, og tallet omfatter som angivet ikke ambulante
behandlinger og almen praksis samt omkostninger til uformel pleje.
Tabte leveår udgør et samfundsøkonomisk tab. Til brug for samfundsøkonomiske konsekvensberegninger
anvendes en værdi på 1,5 millioner kroner per tabt leveår.
42
Dette giver et estimeret samfundsøkonomisk tab på
i alt 24,8 milliarder kroner i 2024, som følge af tabte leveår på grund af underernæring.
Figur 5-4: Tabte gode leveår relateret til underernæring i Danmark i 2024.
18%
~16.000
kvalitetsjusterede
leveår
Reduceret helbredsrelateret livskvalitet
Tidlig død
82%
82 procent af sygdomsbyrden i forbindelse med underernæring er knyttet til reduceret helbredsrelateret
livskvalitet, mens 18 procent er relateret til tidlig død.
5.2.1 Tidlig død
Underernæring er associeret med forhøjet dødelighed. Tidlig død som følge af underernæring er estimeret til at
udgøre ca. 2.900 tabte kvalitetsjusterede gode leveår i 2024.
For at måle dødeligheden forbundet med underernæring sammenlignes en befolkning med underernæring mod
en befolkning uden underernæring, alt andet lige. Flere studier har dokumenteret en betydelig overdødelighed
blandt personer med underernæring i afgrænsede patientpopulationer.
43
Dette resultat repræsenterer et
estimat på tabte leveår fra overdødelighed på grund af underernæring i Danmark.
Imidlertid er der flere faktorer, som bidrager til usikkerhed ved estimeringen af tidlig død relateret til
underernæring. For det første er underernæring generelt underdiagnosticeret, hvilket fører til mangelfuld
dokumentation og komplicerer målingen af overdødelighed. Ved dødsfald hos personer med underernæring er
der ofte flere medvirkende årsager, såsom kræft, KOL eller demens. Dette gør det udfordrende at fastslå, om
42
Retningslinjer fra det danske Finansministerium angiver værdien af et
leveår til 1,4 millioner 2019-kroner (tilgængelig
her).
Værdien
er justeret i takt med ændringer i real BNP pr. indbygger, jf. anbefalingerne i "Vejledning i samfundsøkonomiske
konsekvensvurderinger" fra Finansministeriet (2023), tilgængelig
her.
43
Trollebø, et al. (2024): Malnutrition as a prognostic factor for 2-year mortality in hospitalized patients in Norway: A matched cohort
study. Tilgængelig
her
MENON ECONOMICS
27
RAPPORT
SUU, Alm.del - 2024-25 - Bilag 218: Henvendelse fra Brancheforeningen Fødevarer til Medicinske Formål (FMF) vedr. foretræde om medicinsk underernæring
3000219_0029.png
dødsfaldet hovedsageligt skyldes underernæring. Disse metodiske udfordringer er ikke unikke for
underernæring, men gælder også for andre tilstande.
5.2.2 Reduceret helbredsrelateret livskvalitet
Underernæring er associeret med reduceret helbredsrelateret livskvalitet.
44
Dette indebærer at patienter som
lever med kroniske sygdomme, fx kræft eller KOL, i gennemsnit vil have en reduceret helbredstilstand, dersom
patienterne er i ernæringsrisiko.
Det samlede tabet af helbredsrelateret livskvalitet er estimeret til omkring 13.400 tabte kvalitetsjusterede gode
leveår i 2024.
Ikke-dødeligt reduceret helbredsrelateret livskvalitet er beregnet med udgangspunkt i 1) total prævalens og 2)
reduktion i livskvalitet. For at beregne reduktionen i helbredsrelateret livskvalitet anvendes såkaldt vægtning af
graden af tabt helbred. Dette baseres på spørgeskemabesvarelser, hvor man undersøger den helbredsrelaterede
livskvalitet for en population med underernæring og sammenligner dette med den helbredsrelaterede
livskvalitet for en population uden underernæring, alt andet lige. Gennemgangen af datakilder og litteratur er
vurderet i usikkerhedsanalysen.
45
44
Yde, et al. (2023): Unintentional weight loss is reflected in worse one-year clinical outcomes among COPD outpatients. Tilgængelig
her
45
Se Bilag D: Usikkerhedsanalyse
MENON ECONOMICS
28
RAPPORT
SUU, Alm.del - 2024-25 - Bilag 218: Henvendelse fra Brancheforeningen Fødevarer til Medicinske Formål (FMF) vedr. foretræde om medicinsk underernæring
3000219_0030.png
6 Samfundsøkonomisk potentiale ved forebyggelse af
underernæring
Underernæring er en stor udfordring for det danske sundhedsvæsen med årlige meromkostninger på 14,5
milliarder kroner. Optimeret opsporing, tidlig indsats og ernæringsbehandling har potentiale til at reducere
omkostningerne betydeligt. Disse tiltag kan modvirke de negative konsekvenser af underernæring og medføre
betydelige besparelser i sundhedsvæsenet. Det estimeres at tiltag mod underernæring ville kunne medføre en
samlet besparelse på op mod 46 milliarder kroner frem mod 2035.
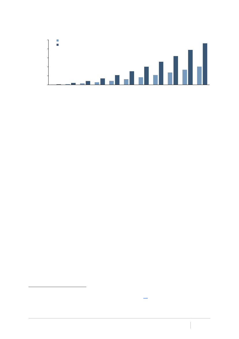
6.1 Uden tiltag vil konsekvenserne af underernæring øges i årene fremover
Analysen har vist, at sygdomsrelateret underernæring har store negative konsekvenser for det danske samfund
med meromkostninger for sundhedsvæsenet på 14,5 milliarder kroner i 2024. I årene fremover kan vi forvente
en stærk vækst i disse negative konsekvenser.
Stigningen
af
antallet
af
borgere
med
underernæring
drives
af
demografiske
ændringer.
Befolkningsfremskrivninger fra Danmarks Statistik viser en forventet stigning på 45 procent i antallet af borgere
over 80 år frem mod 2035 (se figur 6-1).
Figur 6-1: Indekseret udvikling af underernæring i forskellige aldersgrupper frem mod 2035 (2024=100).
150
140
130
59 år eller yngre
60-69 år
70-79 år
80 år og derover
120
110
100
90
Ifølge Sundhedsstrukturkommissionen lever én ud af fem danskere med mindst én kronisk sygdom. Frem mod
2035 vil gruppen af patienter med kroniske sygdomme vokse med 160.000 borgere, hvilket svarer til en stigning
på ca. 20 procent.
Det er naturligt at forvente, at omfanget og konsekvenserne af sygdomsrelateret underernæring vil vise en
lignende udvikling, såfremt der ikke igangsættes indsatser for at forhindre dette. En udvikling uden indsatser vil
betyde, at meromkostninger i sundhedsvæsenet vil stige til 17,4 milliarder kroner i 2035.
MENON ECONOMICS
29
RAPPORT
SUU, Alm.del - 2024-25 - Bilag 218: Henvendelse fra Brancheforeningen Fødevarer til Medicinske Formål (FMF) vedr. foretræde om medicinsk underernæring
3000219_0031.png
Figur 6-2: Estimeret stigning i meromkostninger i sundhedsvæsenet relateret til underernæring frem mod 2035.
20
18
16
14
12
10
8
6
4
2
0
Milliarder 2024-kroner
0,4 0,8
1,3 1,6 1,9 2,1 2,3 2,5 2,6 2,7 2,9
Vækst i meromkostninger på grund af
demografiske ændringer
Dagens meromkostninger
6.2 Tiltag som kan forebygge og dæmpe konsekvenserne af underernæring
Sygdomsrelateret underernæring fører til øget sygelighed og dødelighed for patienterne og medfører øget
ressourceforbrug i sundhedsvæsenet. Det er imidlertid dokumenteret i flere studier, at underernæring i høj grad
kan forebygges og behandles med effektive tiltag. Ved at implementere systematiske og målrettede indsatser,
kan forekomsten af underernæring reduceres og både sundhedsresultater og livskvalitet hos den enkelte
forbedres.
6.2.1 Tidlig opsporing, målrettet behandling og god opfølgning
Underernæring er et komplekst sundhedsproblem, som kræver differentierede indsatser, afhængigt af hvor
patienten befinder sig i sundhedsvæsenet. Der er væsentlige forskelle mellem ambulante patienter, som
modtager behandling uden for sygehuset, og indlagte patienter, som kræver kontinuerlig opfølgning på
sygehuset. Dette påvirker, hvordan opsporing, behandling og opfølgning af underernæring bør gennemføres.
For ambulante patienter, som ofte får en indledende opsporing på sygehuse, vil den videre indsats ofte foregå i
hjemmet gennem kommunale tjenester. Ved sygdomsrelateret underernæring kan dette indebære periodiske
kontroller og ernæringsvurderinger, som udføres af kliniske diætister eller andre ernæringsfaglige.
Indlagte patienter kræver kontinuerlig og omfattende indsats, mens de er under sygehusets omsorg. For disse
patienter er det kritisk med en målrettet behandling, som adresserer deres specifikke ernæringsbehov, samt
efterfølgende støtte ved udskrivning for at sikre fortsat fremgang.
Detaljerne om, hvordan opsporing, behandling og opfølgning af underernærede patienter skal gennemføres,
findes i vejledningen "Underernæring:
Opsporing, behandling og opfølgning af borgere og patienter i
underernæring"
fra Sundhedsstyrelsen.
46
Vejledningen giver omfattende vejledning om de specifikke tiltag, der
skal sættes i værk i de forskellige dele af sundhedsvæsenet inklusiv kommunale indsatser.
46
Sundhedsstyrelsen (2022): Underernæring: Opsporing, behandling og opfølgning af borgere og patienter i ernæringsrisiko.
Vejledning til kommune, sygehus og almen praksis. Tilgængelig
her
MENON ECONOMICS
30
RAPPORT
SUU, Alm.del - 2024-25 - Bilag 218: Henvendelse fra Brancheforeningen Fødevarer til Medicinske Formål (FMF) vedr. foretræde om medicinsk underernæring
3000219_0032.png
6.2.2 Indsats i kommune, almen praksis og på sygehus
Sygdomsrelateret underernæring bør håndteres før negative konsekvenser opstår. Tidlig indsats er afgørende
for at forebygge og behandle underernæring effektivt. Det indebærer systematisk screening af udsatte grupper
og hurtigt iværksættelse af relevante ernæringstiltag.
Medvirkende risikofaktorer til ernæringsrisiko hos ældre og andre i kommunalt regi
Når underernæring identificeres, er tidlig indsats for at forebygge komplikationer til underernæring muligt,
effektivt og ikke omkostningstungt, mens korrektion af alvorlig underernæring ofte er vanskelig, tidskrævende
og økonomisk belastende.
47
For at iværksætte effektive og målrettede tiltag til forebyggelse og behandling af
ernæringsrisiko er det derfor vigtigt at have en god forståelse af de medvirkende årsager til, at patienter udvikler
ernæringsrisiko.
I en dansk undersøgelse er der kortlagt forskellige årsager, som kan bidrage til at forklare, hvorfor ældre kommer
i ernæringsrisiko.
48
Vigtige forklaringsfaktorer inkluderer, at mange ældre oplever reduceret appetit og nedsat
følelse af sult, i tillæg til øget forekomst af kronisk sygdom og episoder med akut sygdom. Andre årsager, der
fremhæves, er "at være alene og spise alene." Flere respondenter i undersøgelsen forklarer blandt andet, at tab
af ægtefælle giver reduceret motivation til at lave mad. Ensomhed, sorg og savn kan, i tillæg til mere praktiske
forhold ved det at være alene, derfor bidrage til ernæringsrisiko hos ældre.
Der findes ikke opgørelser af ernæringsrisiko for borgere der bor på andre kommunale og regionale institutioner
end plejehjem, men ikke nødvendigvis er ældre. Borgere bosiddende på disse steder har også behov for hjælp
og støtte af offentligt ansat personale eller private servicefunktioner, og må derfor medtænkes som kommunale
indsatsområder ligesom borgere der modtager hjælp i eget hjem og ikke nødvendigvis er ældre.
Opsporing af underernæring i almen praksis
En nylig undersøgelse af patienter i almen praksis i Danmark viser, at 14,2 procent af patienterne havde et nyligt,
utilsigtet vægttab, og 12,9 procent af patienterne havde et reduceret madindtag.
49
Resultaterne fra studiet
betyder, at der gennemføres mere end 3 millioner konsultationer hvert år, hvor patienten har haft et nyligt
utilsigtet vægttab. Studiet konkluderer, at utilsigtet vægttab ser ud til at være en relevant og nyttig indikator for
videre opsporing og opfølgning i almen praksis.
Patienter søger ofte hjælp hos deres egen læge for symptomer på alvorlig sygdom. Allerede ved første
konsultation kan lægen med fordel informere patienten om vigtigheden af at undgå yderligere vægttab og give
dem redskaber til at støtte vedligeholdelse af vægten op til udredning på sygehuset. Derudover kan egen læge
notere vægttabsproblematikken og den rådgivning, der er givet til patienten, i henvisningen til sygehuset, så
sygehuspersonalet hurtigt bliver opmærksomme på vægttabet og kan støtte ernæringsindsatsen.
En systematisk gennemgang af litteraturen på området viser, at de fleste studier er knyttet til tiltak på sygehus,
og at det fortsat er mangel på viden om overordnede virkning og effekt af tidlig indsats og forebyggende arbejde
mod underernæring uden for sygehus.
50
Opsporing og kortlægning af ernæringsstatus på sygehuse
47
48
Paur, et al. (2018): Riktig ernæring er viktig for kreftpasienter. Tilgængelig
her
Jensen, et al. (2018): Nutritional impact symptoms evoking unintended weight loss among elderly patients in general practice.
Tilgængelig
her
49
Mikkelsen, et al. (2022): Malnutrition measured by unintended weight loss among patients in general practice. Tilgængelig
her
50
Baldwin, et al. (2016): Supportive interventions for enhancing dietary intake in malnourished or nutritionally at-risk adults (Review).
Tilgængelig
her
MENON ECONOMICS
31
RAPPORT
SUU, Alm.del - 2024-25 - Bilag 218: Henvendelse fra Brancheforeningen Fødevarer til Medicinske Formål (FMF) vedr. foretræde om medicinsk underernæring
3000219_0033.png
Alle patienter, som indlægges på danske sygehuse, skal have foretaget opsporing af ernæringsrisiko med NRS-
2002 indenfor 24 timer efter indlæggelse. Ifølge Sundhedsstyrelsens vejledning anbefales at etablere en
handlingsplan for patienter, som er i ernæringsrisiko. Erfaringen viser, at selvom der findes retningslinjer og
kvalitetsakkrediteringsincitamenter, er der stadig betydeligt rum for forbedring omkring ernæringspraksis på
danske sygehuse.
51
På et dansk sygehus er der gennemført forsøg med brede og systematiske initiativer med formålet at optimere
næringsindtaget for indlagte patienter. I forsøget blev der etableret ernæringsstøtteteam på hver afdeling med
vejledning fra en ekspertgruppe. Desuden blev der iværksat uddannelse, diagnosespecifikke ernæringsplaner
samt forbedringer i menuer og spisemiljø. Efter 1 år viste opfølgning på studiettydelige forbedringer i
patienternes næringsindtag:
-
-
-
-
-
-
Opsporing øgedes fra 56 procent til 77 procent
Flere ernæringsplaner blev udarbejdet (21 procent til 56 procent)
Flere overvågninger af kostindtag blev udført (29 procent til 58 procent)
Energiindtag blev forbedret fra 52 procent til 68 procent (af anbefalet indtag ifølge retningslinjerne)
Proteinindtag blev forøget fra 33 procent til 52 procent
Antallet af tilfælde med næringsindtag mindre end 50 procent af det anbefalede blev reduceret med 50
procent
Studiet viser, at det brede og systematiske arbejde resulterede i tydelige forbedringer af sygehusets
ernæringspraksis og i næringsindtaget blandt patienterne.
Opfølgning efter udskrivelse fra sygehus
Når patienter udskrives fra akutsygehuse, er mange fortsat underernærede, hvilket påvirker deres
sundhedstilstand negativt og øger risiko for genindlæggelse på sygehus. Individuel diætvejledning har vist sig at
have positive effekter på patienter der er i ernæringsrisiko, efter udskrivelse til eget hjem.
En systematisk gennemgang og meta-analyse af randomiserede kontrollerede forsøg undersøgte effekten af
individuel diætvejledning på fysisk funktionsevne og en række andre kliniske udfald, såsom genindlæggelser,
dødelighed, ernæringsstatus, ernæringsindtag og livskvalitet (QoL).
52
I et nyere dansk studie blev effekterne af en multimodal ernæringsintervention efter udskrivelse undersøgt.
Interventionen omfattede diætetisk vejledning, anbefalinger om daglig træning, en individuel ernæringsplan og
en pakke med mad og drikke, der dækkede kostbehovene for de næste 24 timer. Resultaterne viste ingen
signifikant forskel i genindlæggelser inden for de første 6 måneder, men der var en betydelig forbedring i energi-
og proteinindtag samt vægten hos patienterne i interventionsgruppen. Specifikt opnåede flere patienter i
interventionsgruppen mindst 75 procent af deres energi- og proteinbehov sammenlignet med kontrolgruppen
(CG). Derudover var vægttabet signifikant lavere i IG, og der blev observeret en klinisk relevant forbedring i
livskvalitet (EQ-5D-3L VAS-score) og fysisk funktionsevne (30s-CST).
Studierne understøtter vigtigheden af målrettet diætvejledning som en opfølgningsstrategi efter udskrivelse fra
sygehus. Multimodale ernæringsinterventioner kan forbedre ernæringsstatus, livskvalitet og fysisk
51
Holst, et al. (2015): Multi-modal intervention improved oral intake in hospitalized patients. A one year follow-up study. Tilgængelig
her
52
Munk, et al. (2015): Individualised dietary counselling for nutritionally at-risk older patients following discharge from acute hospital
to home: a systematic review and meta-analysis. Tilgængelig
her
MENON ECONOMICS
32
RAPPORT
SUU, Alm.del - 2024-25 - Bilag 218: Henvendelse fra Brancheforeningen Fødevarer til Medicinske Formål (FMF) vedr. foretræde om medicinsk underernæring
3000219_0034.png
funktionsevne hos patienter i ernæringsrisiko, selvom interventioner ikke nødvendigvis altid reducerer
genindlæggelsesraterne.
6.2.3 Ernæringstiltag og behandling
Figuren nedenfor illustrerer data fra et nyligt opfølgningsstudie af 318 patienter på danske sygehuse. Data viser,
at patienter i ernæringsrisiko havde hyppigere genindlæggelser og højere dødelighed end patienter, som ikke
var i ernæringsrisiko. Patienter i ernæringsrisiko var gennemgående ældre, havde lavere BMI og flere
komorbiditeter.
Figur 6-3: Dødelighed og genindlæggelser for patienter i ernæringsrisiko og ikke i ernæringsrisiko (NRS 2002) på danske
sygehuse.
Genindlagt indenfor 1 mdr
16 %
Genindlagt indenfor 3 mdr
23 %
22 %
34 %
Død indenfor 1 mdr
Død indenfor 3 mdr
0%
2%
10 %
8%
10 %
15 %
18 %
20 %
Risiko NRS
25 %
30 %
35 %
40 %
5%
Ikke risiko NRS
Studiet undersøgte sammenhængen mellem energi- og proteinindtag hos risikopatienter under indlæggelse og
uønskede udfald med målepunkter efter 1 og 3 måneder.
53 54
Studiet fandt, at patienter i ernæringsrisiko, som
opnåede mindst 75 procent af anbefalet kostindtag, havde signifikant lavere dødelighed end risikopatienter, som
ikke nåede dette mål, både efter 1 og 3 måneder. Studiet fandt imidlertid ikke, at opnåelse af mindst 75 procent
af anbefalet kostindtag reducerer indlæggelsestiden eller genindlæggelser for patienter i ernæringsrisiko.
Næringsdrikke og energitæt mad er effektive tiltag for at nå ernæringsmål
Ernæringstiltag, eksempelvis brug af protein og energirige ernæringsdrikke er effektive og kan være relevante
tiltag for at reducere omkostningerne på danske sygehuse og forbedre sundhedsudfald hos patienterne. Dette
er undersøgt i flere nylige studier på danske sygehuse.
55
En lang række studier har vist, at det er meget lettere at opfylde det estimerede energibehov hos patienter med
en energitæt kost, sammenlignet med at opfylde det estimerede proteinbehov. En kost rig på energi kan være
en effektiv strategi til at sikre tilstrækkelig kalorietilførsel.
For at kunne imødekomme det estimerede proteinbehov er der ofte behov for ernæringsdrikke (ONS),
proteinberigelse af maden samt brug af enteral og parenteral ernæring når ernæringsmål ikke kan opnås gennem
53
Mikkelsen, et al. (2023a):
Are nutritional sufficiency of ≥75% energy and protein requirements relevant targets in patients at
nutritional risk? - A one month follow-up study. Tilgængelig
her
54
Mikkelsen, et al. (2023b): "More2Eat" in patients at nutritional risk during hospital stay lowers the risk of three-month mortality.
Tilgængelig
her
55
Mikkelsen, et al. (2023a):
Are nutritional sufficiency of ≥75% energy and protein requirements relevant targets in patients at
nutritional risk? - A one month follow-up study. Tilgængelig
her
MENON ECONOMICS
33
RAPPORT
SUU, Alm.del - 2024-25 - Bilag 218: Henvendelse fra Brancheforeningen Fødevarer til Medicinske Formål (FMF) vedr. foretræde om medicinsk underernæring
3000219_0035.png
beriget mad og ernæringsdrikke. ONS og målrettede tilskud kan hjælpe med at øge proteinindtaget, som er
afgørende for at opretholde muskelmasse og -funktion. Dette understøttes af de nyeste internationale
retningslinjer, som også anbefaler konkrete og håndterbare strategier til hvornår enteral og parenteral ernæring
skal implementeres i behandlingen.
56
6.3 Mulige gevinster ved opsporing, tidlig indsats og ernæringsbehandling
Danske studier og kortlægninger har vist, at der inden for realistiske rammer findes et betydeligt potentiale for
at reducere omfanget af underernæring gennem systematisk opsporing, tidlig indsats, ernæringsbehandling
samt øget samarbejde mellem sygehuse og kommuner samt almen praksis om ernæringsbehandling.
6.3.1 Potentiale for at reducere forekomsten af underernæring
Forskellige studier har vist, at målrettede indsatser kan reducere forekomsten af underernæring betydeligt. En
systematisk tilgang til opsporing og tidlig indsats kan forhindre udviklingen af underernæring hos mange
patienter. For eksempel har implementeringen af systematiske opsporingsværktøjer som NRS-2002 på sygehuse
vist sig at være effektive til at identificere patienter i ernæringsrisiko tidligt, hvilket muliggør hurtigere
interventioner.
Med udgangspunkt i dette er der gennemført en analyse for tre forskellige scenarier frem mod 2035. Eftersom
der ikke findes et tilstrækkeligt videnskabeligt grundlag for at kvantificere gevinsterne, skal resultaterne ses som
en eksempelberegning med betydelig usikkerhed. Samtidig er det velunderbygget, at indsatser mod
underernæring kan være omkostningseffektive tiltag, og det vurderes, at estimaterne i eksempelberegningen er
konservative. Formålet med scenarioanalysen er at illustrere omfanget af, hvilke gevinster der kan opnås over
tid med overkommelige tiltag. De tre scenarier er:
-
Fortsætte som i dag (nulalternativ):
Dette scenarie indebærer, at der fortsættes med den opfølgning
og behandling af underernæring som finder sted i dag. Som følge af demografiske ændringer og flere
med kroniske sygdomme vil meromkostningerne knyttet til underernæring fortsætte med at stige.
-
Moderat indsats:
Investering i forbedrede rutiner for opsporing og opfølgning efter konsultationer i
kommuner, almen praksis og på sygehuse. Implementering af ernæringstiltag, der allerede har vist sig
effektive, anvendes mere konsekvent. Derudover etableres et øget samarbejde mellem forskellige
sundhedssektorer og implementering af målrettede ernæringsplaner. Som følge af indsatsen estimeres
en reduktion i forekomsten af underernæring på 2 % årligt i forhold til nulalternativet.
-
Høj indsats:
Ud over de tiltag, der er nævnt i moderat indsats-scenariet, investeres der yderligere i
ernæringsundervisning på sundhedsuddannelserne, omfattende træning og uddannelse af
sundhedspersonale og andre berørte faggrupper, for at sikre en optimal ernæringspraksis. Der etableres
specialiserede ernæringsteam, der arbejder tæt med både sygehuse, kommuner og almen praksis for
at følge op på patienternes ernæringsstatus efter udskrivelse. Der etableres nye indsatsområder til
opsporing af ernæringsrisiko i kommuner og etableres indsatser før indlæggelse hvor det er muligt.
Derudover introduceres en bredere anvendelse af teknologi og digital overvågning for at sikre en mere
56
Mikkelsen, et al. (2023b): "More2Eat" in patients at nutritional risk during hospital stay lowers the risk of three-month mortality.
Tilgængelig
her
MENON ECONOMICS
34
RAPPORT
SUU, Alm.del - 2024-25 - Bilag 218: Henvendelse fra Brancheforeningen Fødevarer til Medicinske Formål (FMF) vedr. foretræde om medicinsk underernæring
3000219_0036.png
effektiv opfølgning. Som følge af denne forstærkede indsats estimeres en reduktion i forekomsten af
underernæring på 5 % årligt i forhold til nulalternativet.
Figur 6-4: Forekomst af underernæring i Danmark ved forskellige scenarier frem mod 2035.
300 000
Antal med underernæring
250 000
Nulalternativ
200 000
Moderat indsats
150 000
Høj indsats
100 000
50 000
-
6.3.2 Sparede omkostninger ved forebyggelse og behandling af underernæring
Resultaterne af analysen i denne rapport viser en årlig meromkostning i det danske sundhedsvæsen på 14,5
milliarder kroner i 2024, hvilket svarer til en gennemsnitlig meromkostning pr. patient med underernæring på
omkring 71.000 kroner årligt.
Studier viser, at der er potentialer knyttet til forskellige tiltag. Mange studier har bekræftet, at der er store
potentielle besparelser ved forebyggelse af underernæring. For eksempel har europæiske studier anslået, at 5-
10 procent af udgifterne til underernæring kan spares ved at behandle underernæring tidligt. Disse besparelser
opnås hovedsageligt ved kortere indlæggelsestider og færre genindlæggelser.
57,58
Hvis underernæring blandt danskere kan reduceres, som beskrevet i eksempelberegningen ovenfor, vil det kunne
medføre en betydelig reduktion i ressourceforbruget i sundhedsvæsenet. Potentialet for reduceret
ressourceforbrug i sundhedsvæsenet som følge af tiltag mod underernæring er også dokumenteret i forskellige
studier.
57
Freijer et al. (2015): The economic value of enteral medical nutrition in the management of disease-related malnutrition: a
systematic review. Tilgængelig
her
58
Schuetz, et al. (2021): Cost savings associated with nutritional support in medical inpatients: an economic model based on data from a
systematic review of randomised trials. Tilgængelig
her
MENON ECONOMICS
35
RAPPORT
SUU, Alm.del - 2024-25 - Bilag 218: Henvendelse fra Brancheforeningen Fødevarer til Medicinske Formål (FMF) vedr. foretræde om medicinsk underernæring
3000219_0037.png
Figur 6-5: Samlede besparelser i omkostninger i sundhedsvæsenet ved forskellige scenarier frem mod 2035.
50
40
Moderat indsats
Høj indsats
32
26
20
15
2
2
4
7
3
2028
11
5
2029
6
9
11
14
17
46
39
2024-kroner
30
20
10
0
1
1
20
-
2025
2026
2027
2030
2031
2032
2033
2034
2035
I eksempelberegningen vil tiltagene kunne medføre sparede omkostninger i sundhedsvæsenet på mellem 0,3 og
7,0 milliarder årligt. I scenariet med moderat indsats vil de samlede besparelser beløbe sig til 20 milliarder kroner
i løbet af perioden frem mod 2035. I scenariet med høj indsats vil de akkumulerede besparelser være på 46
milliarder kroner frem mod 2035.
59
6.3.3 Konklusion og perspektivering
Rapporten er udarbejdet med det formål at vise, at målrettede tiltag kan reducere samfundsøkonomiske
omkostninger. Af rapporten fremgår at der er et meget stort samfundsøkonomisk såvel som menneskeligt
potentiale ved at optimere implementeringen af de indsatser, der allerede er redegjort for i Sundhedsstyrelsens
vejledning af 2022, ”Underernæring:
Opsporing, behandling og opfølgning af borgere og patienter i
ernæringsrisiko - Vejledning til kommune, sygehus og almen praksis”.
Imidlertid er ikke alle omkostninger,
der
beskrives i vejledningen værdisat. Således kan det forventes, at der kan opnås yderligere besparelser ved
implementering af systematisk opsporing af ernæringsrisiko i ambulatorier. Dette kan efterfølgende følges op
enten i almen praksis, kommunalt regi, eller i de tværsektorielle teams der foreslås under ”høj indsats”.
Kommunale og regionale institutioner er grundet manglende data, ubeskrevet i vejledningen fra
Sundhedsstyrelsen, ligesom f.eks. sygeplejeklinikker og kommunale genoptræningsindsatser potentielt kunne
tjene som et sted at gennemføre tidlig opsporing hos patienter, der endnu har bevaret funktionsevne. Den nye
aftale om sundhedsreform (indgået 15. november 2024) byder ligeledes på mulighed for nytænkning af tidlige
ernæringsindsatser til gavn for bedre liv og samfundsøkonomien.
59
Ved en diskonteringsrate på 3,5 % (iht. retningslinjer fra Finansministeriet, tilgængelig
her)
er nutidsværdien af omkostningsbesparelserne
på 15,1 og 34,5 milliarder kroner ved henholdsvis moderat og høj indsats. Det er vigtigt at præcisere, at beregningerne kun indfanger
nyttesiden af indsatsen, og at omkostningerne ved tiltag mod underernæring vil medføre en lavere nettogevinst end det, som fremgår af disse
beregninger.
MENON ECONOMICS
36
RAPPORT
SUU, Alm.del - 2024-25 - Bilag 218: Henvendelse fra Brancheforeningen Fødevarer til Medicinske Formål (FMF) vedr. foretræde om medicinsk underernæring
3000219_0038.png
Referencer
Arends, J. (2023). Malnutrition in cancer patients: Causes, consequences and treatment options.
European
Journal of Surgical Oncology.
Arends, J., Baracos, V., Berts, H., Gossum, A. V., Vaupel, P., & Weimann, A. (2017). ESPEN expert group
recommendations
for
action
against
cancer-related
malnutrition.
Clinical
Nutrition.
doi:DOI:https://doi.org/10.1016/j.clnu.2017.06.017
Baldwin, C., Kimber, K. L., Gibbs, M., & Weekes, C. E. (2016). Supportive interventions for enhancing dietary
intake in malnourished or nutritionally at-risk adults (Review).
Cochrane Database of Systematic
Reviews.
Beck, A. M., Geisler, Mikkelsen, S. L., Rasmussen, H. H., Jørgensen, B. G., Bach-Dal, C., & Holst, M. (2023).
Optimizing individual benefits of pulmonary rehabilitation including a multifaceted dietary intervention
A single-arm feasibility study.
Clinical Nutrition Open Science.
Burman, M., S. Säätelä: M. Carlsson, B., Olofsson, Gustafson, Y., & Hörnsten, C. (5. januar 2015). Body mass index,
mini nutritional assessment, and their association with five-year mortality in very old people.
The journal
of
nutrition,
health
&
aging
volume(4).
Hentet
fra
https://omsorgsforskning.brage.unit.no/omsorgsforskning-
xmlui/bitstream/handle/11250/2491867/Burman.pdf?sequence=1&isAllowed=y
Cawood, A. L., Elia, M., & Stratton, R. J. (2012). Systematic review and meta-analysis of the effects of high protein
oral nutritional supplements.
Ageing Res Rev.
Cederholm, T., Jensen, G. L., Correia, M., Gonzalez, M., Fukushima, R., Higashiguchi, T., . . . Compher, C. (2019).
GLIM criteria for the diagnosis of malnutrition - A consensus report from the global clinical nutrition
community.
Clin Nutr.
Correia, M. I., & Waitzberg, D. L. (2003). The impact of malnutrition on morbidity, mortality, length of hospital
stay and costs evaluated through a multivariate model analysis.
Clin Nutr.
doi:DOI: 10.1016/s0261-
5614(02)00215-7
Crichton, M., Craven, D., Mackay, H., Marx, W., Schueren, M. d., & Marshall, S. (1. Januar 2019). A systematic
review, meta-analysis and meta-regression of the prevalence of protein-energy malnutrition:
associations
with
geographical
region
and
sex
.
Age
and
Ageing.
doi:https://doi.org/10.1093/ageing/afy144
Devik, S. A., & Olsen, R. M. (2018).
Underernæring og pasientsikkerhet blant eldre i kommunen.
Senter for
omsorgsforskning.
nce=3&isAllowed=y
Engelstrup, E., Beck, A., Munk, T., Bardal, P., & Knudsen, A. (2023). The association between nutrition impact
symptoms, nutritional risk, and risk of reduced overall survival in patients with head and neck cancer. A
retrospective study.
Clin Nutr ESPEN.
Finansministeriet. (2023). Vejledning i samfundsøkonomiske konsekvensvurderinger.
Hentet
fra
https://omsorgsforskning.brage.unit.no/omsorgsforskning-
xmlui/bitstream/handle/11250/2583958/Underern%C3%A6ring%20og%20pasientsikkerhet.pdf?seque
MENON ECONOMICS
37
RAPPORT
SUU, Alm.del - 2024-25 - Bilag 218: Henvendelse fra Brancheforeningen Fødevarer til Medicinske Formål (FMF) vedr. foretræde om medicinsk underernæring
3000219_0039.png
Folkehelseinstituttet.
(2019).
Hva
er
sykdomsbyrde?
Folkehelseinstituttet.
Hentet
fra
https://www.fhi.no/div/forskningssentre/senter-sykdomsbyrde/hva-er-sykdomsbyrde/
Freijer, K., Bours, M. J., Nuijten, M. J., Poley, M. J., Meijers, J. M., Halfens, R. J., & Schols, J. M. (2015). The
economic value of enteral medical nutrition in the management of disease-related malnutrition: a
systematic review.
J Am Med Dir Assoc.
doi:10.1016/j.jamda.2013.09.005
Gade, J. Q. (2020). SARC-F in hospitalized, geriatric medical patients - Feasibility, prevalence of risk of sarcopenia,
and
characteristics
of
the
risk
group,
including
one-year
follow-up.
Hentet
fra
https://pubmed.ncbi.nlm.nih.gov/32359760/
Gavriilidou, N. N., Pihlsgård, M., & Elmståhl, S. (2014). High degree of BMI misclassification of malnutrition among
Swedish elderly population: Age-adjusted height estimation using knee height and demispan. Hentet
fra https://www.nature.com/articles/ejcn2014183
GBD Collaborators. (2017). Measuring progress and projecting attainment on the basis of past trends of the
health-related Sustainable Development Goals in 188 countries: an analysis from the Global Burden of
Disease Study 2016.
The Lancet.
Helsedirektoratet. (2017). Botid i sykehjem og varighet av tjenester til hjemmeboende.
Helsedirektoratet.
Hentet
fra
https://www.helsedirektoratet.no/rapporter/botid-i-sykehjem-og-varighet-av-tjenester-til-
hjemmeboende/2017-
02%20Botid%20i%20sykehjem%20og%20varighet%20av%20tjenester%20til%20hjemmeboende.pdf/_
/attachment/inline/9f8fa68c-5969-4147-95d1-2177464084de:8a6b1b6
Henriksen, Gjelstad, Nilssen, & Blomhoff. (2017). A low proportion of malnourished patients receive nutrition
treatment
results
from
nutritionDay.
Food
&
nutrition
research.
doi:10.1080/16546628.2017.1391667
Hersberger, L., Bargetzi, L., Bargetzi, A., Tribolet, P., Fehr, R., Baechli, V., . . . Schuetz, P. (2020). Nutritional risk
screening (NRS 2002) is a strong and modifiable predictor risk score for short-term and long-term clinical
outcomes: secondary analysis of a prospective randomised trial.
Clin Nutr.
Holst M., Z. N. (2019a). Disease related malnutrition in hospital outpatients,—Time for action.
International
Journal of Food Sciences and Nutrition Research.
doi:https://doi.org/10.31546/IJFSNR.1002
Holst, M. B. (2019b). Insufficient intake of energy and protein is related to physical functional capacity among
COPD patients referred to municipality based pulmonary rehabilitation.
Clinical Nutrition ESPEN.
doi:https://doi.org/10.1016/j.clnesp.2019.02.009
Holst, M., & Beck, A. M. (2020). Forekomst af uplanlagt vægttab og ernæringsmæssig risiko blandt sårbare ældre
og
patienter.
Hentet
fra
https://kost.dk/sites/default/files/2021-
03/Di%C3%A6tisten%20nr%20166%20aug.pdf
Holst, M., Beermann, T., Mortensen, M., Skadhauge, L., Lindorff-Larsen, K., & Rasmussen, H. H. (2015). Multi-
modal intervention improved oral intake in hospitalized patients. A one year follow-up study.
Clin Nutr.
James, S. L. (2018). Global, regional, and national incidence, prevalence, and years lived with disability for 354
diseases and injuries for 195 countries and territories, 1990–2017: a systematic analysis for the Global
Burden of Disease Study 2017.
The Lancet.
doi:DOI:https://doi.org/10.1016/S0140-6736(18)32279-7
MENON ECONOMICS
38
RAPPORT
SUU, Alm.del - 2024-25 - Bilag 218: Henvendelse fra Brancheforeningen Fødevarer til Medicinske Formål (FMF) vedr. foretræde om medicinsk underernæring
3000219_0040.png
Jensen, S. A., Rasmussen, H. H., Engsig, A., & Holst, M. (2018). Nutritional impact symptoms evoking unintended
weight loss among elderly patients in general practice.
Kaegi-Braun, N., Kilchoer, F., & Dragusha. (2022). Nutritional support after hospital discharge improves long-term
mortality in malnourished adult medical patients: Systematic review and meta-analysis.
Clin Nutr.
Kondrup, J., Johansen, N., Plum, L., Bærnthsen, H., Bunch, E., & Lauesen, N. (2002). Incidence of nutritional risk
and causes of inadequate nutritional care in hospitals.
Clinical Nutrition.
Kvamme, J.-M., Olsen, J. A., Florholmen, J., & Jacobsen, B. K. (2011). Risk of malnutrition and health-related
quality of life in community-living elderly men and women; The Tromsø study.
Qual Life Res.
doi:DOI
10.1007/s11136-010-9788-0
LeBlanc, E., Rizzo, J., Pedula, K., Yaffe, K., Ensrud, K., Cauley, J., . . . Hillier, T. (2018). Long-Term Weight Trajectory
and Risk of Hip Fracture, Falls, Impaired Physical Function, and Death.
J Am Geriatr Soc.
Leij-Halfwerk, S., Verwijs, M. H., Houdt, S. v., Corish, C. A., & Schueren, M. A. (17. mai 2019). Prevalence of
protein-energy malnutrition risk in European older adults in community, residential and hospital
settings, according to 22 malnutrition screening
tools validated for use in adults ≥65 years.
Maturitas,
s. 80-89. doi:https://doi.org/10.1016/j.maturitas.2019.05.006
Martin, L., Senesse, P., Gioulbasanis, I., Antoun, S., Bozzetti, F., Deans, C., . . . Baracos, V. E. (2015). Diagnostic
criteria for the classification of cancer-associated weight loss.
J Clin Oncol.
doi:DOI:
10.1200/JCO.2014.56.1894
Meijers, J. M., Halfens, R. J., Wilson, L., & Schols, J. M. (2011). Estimating the costs associated with malnutrition
in Dutch nursing homes.
Clin Nutr.
doi:10.1016/j.clnu.2011.08.009
Menon Economics. (2022a). Samfunnskostnader knyttet til underernæring.
Meyer, F., & Valentini, L. (2019). Disease-Related Malnutrition and Sarcopenia as Determinants of Clinical
Outcome.
Visc Med.
Mikkelsen, S. G. (2022). Malnutrition measured by unintended weight loss among patients in general practice.
Nutrition.
doi:https://doi.org/10.1016/j.nut.2021.111554
Mikkelsen, S., Frost, K. H., Engelbreth, E. M., Nilsson, L., Peilicke, K., Tobberud, R., . . . Holst, M. (2023a). Are
nutritional sufficiency of ≥75% energy and protein requirements relevant targets in patients at
nutritional risk? - A one month follow-up study.
Clin Nutr ESPEN.
Mikkelsen, S., Tobberup, R., Skadhauge, L. B., Rasmussen, H. H., & Holst, M. (2023b). "More2Eat" in patients at
nutritional risk during hospital stay lowers the risk of three-month mortality.
Clin Nutr ESPEN.
Munk, T., Tolstrup, U., Beck, A. M., Holst, M., Rasmussen, H. H., Hovhannisyan, K., & Thomsen, T. (2015).
Individualised dietary counselling for nutritionally at-risk older patients following discharge from acute
hospital to home: a systematic review and meta-analysis.
J Hum Nutr Diet.
Maasberg, Knappe-Drzikova., Vonderbeck, Jann, Weylandt, Grieser, . . . Pape. (2017). Malnutrition Predicts
Clinical Outcome in Patients with Neuroendocrine Neoplasia. doi:DOI:10.1159/000442983
MENON ECONOMICS
39
RAPPORT
SUU, Alm.del - 2024-25 - Bilag 218: Henvendelse fra Brancheforeningen Fødevarer til Medicinske Formål (FMF) vedr. foretræde om medicinsk underernæring
3000219_0041.png
Norman, K., Pichard, C., Lochs, H., & Pirlich, M. (2008). Prognostic impact of disease-related malnutrition.
Clin
Nutr.
Paur, I., Slåttholm, M. A., Ryel, A. L., & Smeland, S. (2018). Riktig ernæring er viktig for kreftpasienter.
Tidsskr Nor
Legeforen.
Hentet fra https://tidsskriftet.no/2018/06/kronikk/riktig-ernaering-er-viktig-kreftpasienter
Poulsen, S. H., Rosenvinge, P. M., Modlinski, R. M., Olesen, M., Rasmussen, H. H., & Holst, M. (2021). Signs of
dysphagia and associated outcomes regarding mortality, length of hospital stay and readmissions in
acute geriatric patients: Observational prospective study.
Clin Nutr ESPEN.
Pressoir, M., Desné, S., Berchery, D., Rossignol, G., Poiree, B., Meslier, M., . . . Bachmann, P. (2010). Prevalence,
risk factors and clinical implications of malnutrition in French Comprehensive Cancer Centres.
Br J
Cancer.
doi:doi: 10.1038/sj.bjc.6605578
Rognstad, M.-K., & Brekke, I. (2013).
Underernæring hos eldre hjemmeboende personer med demens.
Sykepleien
Forskning. doi:10.4220/sykepleienf.2013.0137
Sanders, C. L., Wengreen, H. J., Schwartz, S., Behrens, S. J., Corcoran, C., Lyketsos, C. G., & Tschanz, J. T. (2018).
Nutritional Status is Associated with Severe Dementia and Mortality: The Cache County Dementia
Progression Study.
Alzheimer Dis Assoc Disord.
doi:10.1097/WAD.0000000000000274
Schilp, J., Kruizenga, H. M., Wijnhoven, H. A., Leistra, E., Evers, A. M., Binsbergen, J. J., . . . Visser, M. (29. juni
2012). High prevalence of undernutrition in Dutch community-dwelling older individuals.
Nutriotion.
doi:10.1016/j.nut.2012.02.016
Schindler, K., Pernicka, E., Laviano, A., Howard, P., Schütz, T., Bauer, P., . . . Hi, M. (29. oktober 2010). How
nutritional risk is assessed and managed in European hospitals: a survey of 21,007 patients findings from
the
2007-2008
cross-sectional
nutritionDay
survey.
Cliniacl
Nutrition.
doi:DOI:
10.1016/j.clnu.2010.04.001
Schuetz, P., Fehr, R., Baechli, V., Geiser, M., Deiss, M., & Gomes, F. (2019). Individualised nutritional support in
medical inpatients at nutritional risk: a randomised clinical trial.
Lancet.
Schuetz, P., Sulo, S., Walzer, S., Vollmer, L., Brunton, C., Kaegi-Braun, N., . . . Gomes, F. (2021). Cost savings
associated with nutritional support in medical inpatients: an economic model based on data from a
systematic review of randomised trials.
BMJ.
Statens legemiddelverk. (2018). Retningslinjer for dokumentasjonsgrunnlag for hurtig metodevurdering av
legemidler.
Statens
legemiddelverk.
Hentet
fra
https://legemiddelverket.no/Documents/Offentlig%20finansiering%20og%20pris/Dokumentasjon%20
til%20metodevurdering/Retningslinjer%2018.10.2021.pdf
Statistisk sentralbyrå. (2019). Brukere av hjemmetjenester får dårligere ernæringsoppfølging enn beboere på
sykehjem.
sykehjem
Stratton, R., Smith, T., & Gabe, S. (oktober 2018). Managing malnutrition to improve lives and save money.
Hentet fra https://www.bapen.org.uk/pdfs/reports/mag/managing-malnutrition.pdf
Statistisk
sentralbyrå.
Hentet
fra
https://www.ssb.no/helse/artikler-og-
publikasjoner/brukere-av-hjemmetjenester-far-darligere-ernaeringsoppfolging-enn-beboere-pa-
MENON ECONOMICS
40
RAPPORT
SUU, Alm.del - 2024-25 - Bilag 218: Henvendelse fra Brancheforeningen Fødevarer til Medicinske Formål (FMF) vedr. foretræde om medicinsk underernæring
3000219_0042.png
Sundhedsstyrelsen. (2017). Oplæg om ernæringsindsatser for den ældre medicinske patient.
Sundhetsstyrelsen. (2022). Underernæring: Opsporing, behandling og opfølgning af borgere og patienter i
ernæringsrisiko.
Hentet
fra
https://www.sst.dk/-
/media/Udgivelser/2022/Underernaering/Underernaering-opsporing-behandling-og-
opfoelgning.ashx?sc_lang=da&hash=E4A25DCB309C1C821197C8DEC3D0C0BF
Tangvik, R. J., Tell, G. S., Eisman, J. A., Nilsen, R. M., Øyen, J., & Ranhoff, A. H. (2013). The nutritional strategy:
Four
questions
predict
morbidity,
mortality
and
health
care
costs.
Clinical
Nutrition.
doi:DOI:https://doi.org/10.1016/j.clnu.2013.09.008
Tangvik, R. j., Tell, G. S., Guttormsen, A. B., Esiman, J. A., Henriksen, A., Nilsen, R. M., & Ranhoff, A. H. (August
2015).
Nutritional
risk
profile
in
a
university
hospital
population.
Hentet
fra
https://pubmed.ncbi.nlm.nih.gov/25159298/
Trollebø, M., Tangvik, R., Skeie, E., Grønning, M., Nygård, O., Eagan, T., & Dierkes, J. (2024). Malnutrition as a
prognostic factor for 2-year mortality in hospitalized patients in Norway: A matched cohort study.
Journal of Parenteral and Enteral Nutrition.
Vandewoude, M. F. (2019). The prevalence and health burden of malnutrition in Belgian older people in the
community or residing in nursing homes: Results of the NutriAction II study.
Aging Clinical and
Experimental Research.
doi: https://doi.org/10.1007/s40520-018-0957-2
Wilkens Knudsen A, Ø. T. (2020). Assessment of Nutritional Risk and Intake in Danish Hospitalized Patients.
World Health Organization. (2020). WHO methods and data sources for global burden of disease estimates 2000
- 2019.
Department of Information, Evidence and Research WHO, Geneva.
Hentet fra
https://www.who.int/healthinfo/global_burden_disease/GlobalDALY_method_2000_2016.pdf
Yde, S. K., Mikkelsen, S., Brath, M. G., & Holst, M. (2023). Unintentional weight loss is reflected in worse one-
year clinical outcomes among COPD outpatients.
Clin Nutr.
MENON ECONOMICS
41
RAPPORT
SUU, Alm.del - 2024-25 - Bilag 218: Henvendelse fra Brancheforeningen Fødevarer til Medicinske Formål (FMF) vedr. foretræde om medicinsk underernæring
3000219_0043.png
Metodebilag
I dette bilag præsenteres datagrundlag, litteratur og forudsætninger, som ligger til grund for alle
beregningerne i rapporten.
Bilag A: Forekomst
Grundlaget for prævalensestimaterne for sygdomsrelateret underernæring i Danmark er baseret på
forskningslitteratur fra Danmark og suppleret med anden relevant forskningslitteratur fra Skandinavien og
Europa i øvrigt.
Kort om fremgangsmåde og vurderinger
Denne rapport tager udgangspunkt i en analyse af de samfundsøkonomiske konsekvenser af underernæring i
Norge fra 2022.
60
I arbejdet med den norske rapport har der været tæt dialog med ernæringsfaglige miljøer i
Norge,
herunder
”Nasjonal
kompetansetjeneste
for
sykdomsrelatert
underernæring”,
Kliniske
ernæringsfysiologers forening tilsluttet Forskerforbundet (KEFF), Landsforeningen for hjerte- og lungesyke (LHL)
og Kreftforeningen. Den tætte kontakt med fagmiljøerne i Norge var central i kortlægningen af omfanget af
underernæring og hvordan underernæring påvirker ressourceforbruget i forskellige dele af sundhedsvæsenet.
I arbejdet med at kortlægge omfanget og konsekvenserne af underernæring i Danmark, har det været nødvendigt
med en opdatering af litteraturen samt enkelte ændringer knyttet til forskellige retningslinjer for
samfundsøkonomiske analyser fra nationale myndigheder. Denne rapport bygger dermed på information, der er
tilpasset forholdene i Danmark og det danske sundhedsvæsen.
Ved at identificere litteratur, som er relevant for at forstå problemkomplekset knyttet til underernæring i
Danmark, har følgende personer spillet en central rolle:
Mette Holst, professor i anvendt ernæring ved Aalborg Universitet og forskningsleder for ernæring ved
Aalborg Universitetshospital
Henrik Højgaard Rasmussen, professor i klinisk ernæring ved Aalborg Universitet og ledende overlæge
ved Aalborg Universitetshospital
Holst og Rasmussen har givet os forskningslitteratur, som har været central for kortlægningen af forekomst og
konsekvenser af underernæring i Danmark. De har også bidraget med værdifulde input til analyser og vurderinger
undervejs i arbejdet med rapporten.
Her præsenteres de mest relevante studier baseret på litteraturgennemgangen, som er taget med i vurderingen
af vores estimat. Litteratursøgning præsenteres i seks forskellige dele: Sygehuse, plejehjem, hjemmepleje,
hjemmeboende, almen praksis og ambulante patienter. Kortlagt prævalens på plejehjem, i hjemmepleje og
blandt hjemmeboende udgør vores totalestimat for underernæring i Danmark.
60
Menon Economics (2022a):
Samfunnskostnader knyttet til underernæring
MENON ECONOMICS
42
RAPPORT
SUU, Alm.del - 2024-25 - Bilag 218: Henvendelse fra Brancheforeningen Fødevarer til Medicinske Formål (FMF) vedr. foretræde om medicinsk underernæring
3000219_0044.png
Totalestimat
Vores estimering af forekomst er baseret på litteratursøgning fra sygehuser, plejehjem, hjemmepleje,
hjemmeboende ældre, patienter i almen praksis og ambulante patienter.
Tabel 0-1: Lavt, middels og højt skøn for forekomst af underernæring. Forekomsten er også fordelt på sygehuser,
plejehjem, hjemmepleje, hjemmeboende, almen praksis og ambulante.
Underernæring forekomst
Sygehus
andel
Sygehus
antal
Plejehjem
andel
Plejehjem
antal
Hjemmepleje - andel
Hjemmepleje - antal
Hjemmeboende - andel
Hjemmeboende
antal
Almen praksis
andel*
Almen praksis
antal konsultationer
Ambulante patienter
andel
Ambulante patienter– antal
behandlinger
Lavt skøn
30 %
139.200
35 %
25.200
20 %
27.500
3%
42.300
10 %
2 279 800
18 %
2 185 900
Middels skøn
40 %
185.600
45 %
32.400
30 %
42.000
9%
119.700
14%
3 256 800
26 %
3 122 700
Højt skøn
50 %
232.000
60 %
43.100
40 %
57.900
15 %
211.300
18 %
4 233 900
33 %
4 059 500
Underernæring på sygehus
I beregningen af antallet af patienter med underernæring tager vi udgangspunkt i antallet af patienter over 18
år indlagt på danske sygehuse i 2022. Med udgangspunkt i datagrundlaget hentet fra Danmarks Statistik lægger
vi til grund, at der var i alt 464.000 indlagte patienter på danske sygehuse i 2022.
61
Andelen af indlagte patienter med ernæringsrisiko er anslået ud fra en gennemgang af relevant litteratur på
området. Nedenfor præsenteres vores litteratursøgning, som blev brugt til at beregne forekomsten af
underernæring på danske sygehuse. Vi starter med at vise studierne og de omregnede estimater til danske
forhold.
Tabel 0-2: Litteratur for vurdering af forekomsten af underernæring på sygehuse.
Kilde
Forekomst
Antal omgjort til
danske forhold
Land
Sygdom
Studier av forekomst af underernæring hos indlagte patienter på danske sygehuse
Gade, et al.
(2020)
Mikkelsen, et al. (2023)
Wilkens, et al.
(2020)
Holst et al. (2015)
35 %
53 %
68 %
49%
162 400
245 920
315 500
Danmark
Danmark
Danmark
Danmark
Underernæring
blandt ældre
Underernæring
Underernæring
Underernæring
61
https://www.statistikbanken.dk/20050
MENON ECONOMICS
43
RAPPORT
SUU, Alm.del - 2024-25 - Bilag 218: Henvendelse fra Brancheforeningen Fødevarer til Medicinske Formål (FMF) vedr. foretræde om medicinsk underernæring
3000219_0045.png
Landsdækkende
Database for Geriatri
(2012), henvist til i
Sundhetsstyrelsen
(2022)
43 %
199 500
Danmark
Vægttab
Studier af forekomst af underernæring på sygehuse i Skandinavien
Henriksen, et al. (2017)
Tangvik, et al. (2015)
Schindler, et al. (2010)
BAPEN (2018)
30 %
29 %
27 %
29 %
139 200
134 560
125 300
134 500
Norge
Norge
Europa
Storbritannien
Underernæring
Underernæring
Underernæring
Underernæring
Studier af forekomst af underernæring på sygehuse i Europa
Danske studier og videns-opsummeringer om forekomsten af underernæring på danske sygehuse
Der er gennemført flere danske studier og videns-opsummeringer, som giver information om forekomsten af
underernæring på danske sygehuse. I en undersøgelse af 301 patienter over 65 år indlagt på Gentofte Hospital i
Danmark i perioden september 2017 til februar 2018 blev 104 patienter (35 %) vurderet til at være i
ernæringsrisiko ifølge NRS-2002-systemet (Gade, et al. (2020). Eftersom undersøgelsen har et begrænset udvalg
og er rettet mod ældre patienter, er den ikke nødvendigvis repræsentativ for forekomsten af underernæring på
danske sygehuse. I en dansk studie fra Herlev Hospital finder Wilkens, et al. (2020) at 68 procent af patienterne
blev vurderet til at være i ernæringsrisiko. Denne punkt-prævalensundersøgelse inkluderede 197 patienter over
18 år, som havde været indlagt i mere end tre dage, og svarede til ca. 1/3 af de indlagte patienter den
pågældende dag.
Den Landsdækkende Database for Geriatri (NDG) er en national database i Danmark, som blev etableret i 1998
for at overvåge kvaliteten af tværfaglig diagnostik og behandling af patienter indlagt på geriatrisk
sygehusafdeling. Databasen dækker omtrent 90 % af alle geriatriske indlæggelser på danske sygehuse. NDG
samler data om patienternes funktionsevne, ernæringsstatus, mobilitet og behov for rehabilitering, og disse data
registreres af læger, sygeplejersker og terapeuter. Sundhedsstyrelsen (2022) henviser til tal fra Den
Landsdækkende Database for Geriatri fra 2012, der viser, at ca. 43 % af ældre taber sig under indlæggelse. Dette
resultat gælder vægttab og kan derfor ikke bruges direkte til at anslå underernæring på danske sygehuse. Det er
dog en indikation på underernæring og er derfor vurderet til at være relevant.
Skandinaviske studier af forekomsten af underernæring på sygehus
Studier af forekomsten af underernæring på sygehus i andre lande kan også bidrage med relevant information
til at anslå forekomsten i danske sygehuse, især i andre skandinaviske lande, hvor både befolkning og
sundhedsvæsen er sammenligneligt med Danmark.
I en omfattende studie ved Haukeland Universitetssygehus i Norge blev der gennemført en kortlægning af
ernæringsstatus for 3279 indlagte patienter ved brug af NRS 2002.
62
Kortlægningen viste, at i alt 29 procent af
patienterne var i ernæringsrisiko, men at variationen var stor mellem forskellige afdelinger og patienternes
karakteristika. Højst var andelen blandt patienter med infektioner (51%), kræft (44%) og lungesygdom (42%). På
afdelingen for akutbehandling var 74 procent i ernæringsrisiko, mens den tilsvarende andel for kræft- og
62
Tangvik, et al.
(2015):
Nutritional risk profile in a university hospital population. Tilgængelig
her
MENON ECONOMICS
44
RAPPORT
SUU, Alm.del - 2024-25 - Bilag 218: Henvendelse fra Brancheforeningen Fødevarer til Medicinske Formål (FMF) vedr. foretræde om medicinsk underernæring
3000219_0046.png
lungeafdelingen var henholdsvis 49 og 41 procent. Studiet viser også, at patienternes alder er af betydning, hvor
40 procent af dem over 80 år var i risiko for underernæring sammenlignet med 21 procent under 40 år. Studiet
viser desuden, at næsten halvdelen af dem, der var i risiko for underernæring, havde høj komorbiditet (>7
diagnoser).
I en anden prævalensstudie fra Norge var 30 procent af sygehuspatienterne på Universitetssygehuset i Nord-
Norge og Oslo universitetssygehus underernærede eller i risiko for underernæring.
63
Desuden angiver studiet en
stor variation i prævalensen mellem sygehusenes afdelinger, fra 19 procent til 40 procent afhængig af afdeling,
hvor onkologi havde den højeste andel af underernærede patienter. Studiet er baseret på data fra 488 patienter.
Underernæring blev diagnosticeret baseret på kropsmasseindeks (BMI), vægttab og fødeindtag i ugen før, i
henhold til ESPEN-kriterier og nationale retningslinjer.
Europæiske studier af forekomsten af underernæring på sygehus
Der findes også enkelte store studier af forekomsten af underernæring på sygehus i Europa, uden for
Skandinavien. Selvom både forskelle mellem sundhedsvæsenet og befolkningen i disse lande indebærer en
svækket overføringsværdi til Danmark, indebærer størrelsen og kvaliteten af studierne, at de kan give
information, som bidrager til at bekræfte fund i danske og skandinaviske studier.
Et eksempel på en sådan undersøgelse er en stor national undersøgelse fra British Association for Parenteral &
Enteral Nutrition (BAPEN), som viste, at 29 procent var i risiko for underernæring, og at 21 procent var i høj
risiko.
64
APEN-studien viste også en større andel underernæring blandt ældre over 65 år sammenlignet med de
yngre, henholdsvis 33 og 25 procent. Derudover varierede forekomsten også mellem sygehusenes afdelinger, fra
33 procent risiko for underernæring i akutafdelingen sammenlignet med 20 procent ved planlagt indlæggelse. I
studiet blev kortlægningsværktøjet MUST anvendt.
I et andet longitudinelt studie fra 2010 på tværs af 325 europæiske sygehuse med i alt 21.007 patienter, blev det
vist, at i alt 27 procent var i risiko for underernæring.
65
Sygehusene rapporterede om forskellige rutiner for
screening, hvoraf lokalt udviklede metoder blevet anvendt oftere end nationale værktøjer som Nutrition Risk
Screening-2002 eller Malnutrition Universal Screening Tool. Omkring en tredjedel af sygehusene benyttede
subjektive kriterier, hvilket er en kilde til betydelige forskelle mellem forskellige regioner. Uafhængige faktorer,
der påvirkede klassificeringen af ernæringsrisiko, inkluderede blandt andet alder og BMI samt reduceret
fødeindtag i ugen før.
Underernæring på plejehjem
Vores litteratursøgning viser, at forekomsten af underernæring på plejehjem varierer betydeligt. Denne variation
indebærer også en spredning i vores anslag, som indgår i usikkerhedsanalysen. Baseret på fundene i litteraturen,
præsenteret nedenfor, er vores lave, middels og høje anslag for andelen af beboere på danske plejehjem
henholdsvis 35, 45 og 60 procent.
63
Henriksen, et al. (2017): A low proportion of malnourished patients receive nutrition treatment - results from nutritionDay.
Tilgængelig
her
64
Stratton, et al. (2018): Managing malnutrition to improve lives and save money. Tilgængelig
her
65
Schindler, et al. (2010): How nutritional risk is assessed and managed in European hospitals: a survey of 21,007 patients findings
from the 2007-2008 cross-sectional nutritionDay survey. Tilgængelig
her
MENON ECONOMICS
45
RAPPORT
SUU, Alm.del - 2024-25 - Bilag 218: Henvendelse fra Brancheforeningen Fødevarer til Medicinske Formål (FMF) vedr. foretræde om medicinsk underernæring
3000219_0047.png
I litteratursøgning er blandt andet hentet kilder fra en omfattende videns-opsummering
«underernæring og
pasientsikkerhet blant eldre i kommunen»
66
,
kilder som er henvist til i vejledningen
«Underernæring: Opsporing,
behandling og opfølgning af borgere og patienter i ernæringsrisiko»
67
og
Holst og Becks artikel om
«Forekomst
af uplanlagt vægttab og ernæringsmæssig risiko blandt sårbare ældre og patienter i den danske velfærdsstat».
68
Antallet af beboere på danske plejehjem i 2024 er baseret på data fra Danmarks Statistik og vurderes til omkring
72.000.
69
Nedenfor præsenterer vi vores litteratursøgning, som blev brugt til at udregne forekomsten af underernæring
på danske plejehjem. Vi starter med at vise studierne og de omregnede estimater til danske forhold.
Tabel 0-3: Litteratur for vurdering af forekomsten af underernæring på plejehjem.
Kilde
Forekomst
Antal omregnet
til
danske forhold
Land
Sygdom
Studier af forekomsten af underernæring på danske plejehjem
Beck, et al. (2012)
Undersøgelser i danske
kommuner, henvist til i
Holst og Beck (2020)
Studier af forekomst af underernæring på plejehjem i Skandinavien
Devik & Olsen (2018)
Burman, et al. (2015)
Vandewoude, et al.
(2019)
BAPEN (2018)
35 %
25.200
Storbritannien
Underernæring
20
78 %
55 %
49 %
29.000
85.400
39.600
35.200
Skandinavien
Sverige
Belgien
Underernæring
Underernæring
Underernæring
42 %
20 - 97 %
30.200
14.400
70.000
Danmark
Danmark
Uplanlagt
vægttab
Underernæring,
Uplanlagt
vægttab
Studier af forekomst af underernæring på plejehjem i Europa
Danske studier og videns-opsummeringer om forekomsten af underernæring på danske plejehjem
En dansk undersøgelse fra 2012 viste, at 42 % af 441 ældre over 65 år på plejebolig inden for 6 måneder havde
et uplanlagt vægttab. Dette er vurderet som en risikofaktor for underernæring. Undersøgelsen benyttede det
internationale vurderingsværktøj Resident Assessment Instrument (RAI). Dette resultat gælder vægttab og kan
derfor ikke bruges direkte til at anslå ernæringsrisiko på danske plejehjem. Det er dog en indikation på
ernæringsrisiko og er derfor vurderet til at være relevant.
En undersøgelse fra 2015 i Ballerup Kommune i Danmark viser, at 99 % af 321 beboere på kommunens
plejecentre fik mere end 0 i score på ernæringsvurderingsskemaet, hvilket indikerer ernæringsrisiko og behov
for ernæringsindsats. Undersøgelsen anvendte ernæringsvurderingsskemaet, hvoraf 82 % af alle screenede
beboere fik tildelt en risikoscore på to, 18 % fik en risikoscore på én, og resten fik en score på nul. Scoren er
66
67
Devik & Olsen (2018): Underernæring og pasientsikkerhet blant eldre i kommunen
Sundhetsstyrelsen (2022): Underernæring: Opsporing, behandling og opfølgning af borgere og patienter i ernæringsrisiko
68
Holst M, Beck AM. Forekomst af uplanlagt vægttab og ernæringsmæssig risiko blandt sårbare ældre og patienter i den danske
velfærdsstat. Diætisten 2020;166:29-32.
69
https://www.dst.dk/da/Statistik/nyheder-analyser-publ/nyt/NytHtml?cid=44271
MENON ECONOMICS
46
RAPPORT
SUU, Alm.del - 2024-25 - Bilag 218: Henvendelse fra Brancheforeningen Fødevarer til Medicinske Formål (FMF) vedr. foretræde om medicinsk underernæring
3000219_0048.png
defineret som følger: Definition af EVS: Uden for risiko (0 point) - I risiko for dårlig ernæringstilstand (1 point) -
Har gavn af ernæringsindsats (2 point).
I en undersøgelse fra 2019 i Halsnæs Kommune i Danmark fandt man, at 97 % af 110 beboere på kommunens
plejecentre fik mere end 0 i score på ernæringsvurderingsskemaet, hvilket indikerer ernæringsrisiko og behov
for ernæringsindsats. Denne undersøgelse fandt også, at 68 % af beboerne på kommunens plejecentre havde et
uplanlagt vægttab. Ved ernæringsvurdering med ernæringsvurderingsskemaet havde 62 % en score på én, og 35
% havde to point. Scoren er defineret som følger: Definition af EVS: Uden for risiko (0 point) - I risiko for dårlig
ernæringstilstand (1 point) - Har gavn af ernæringsindsats (2 point).
Holst og Beck (2020) refererer til upublicerede data fra Frederiksberg Kommune indsamlet i forbindelse med
Dansk Selskab for Patientsikkerheds projekt "I sikre Hænder", som viser en meget stor variation i andelen med
uplanlagt vægttab i forbindelse med de månedlige vejninger. Forekomsten på plejecentre varierer fra næsten
ingen til knap 20 %. Dette resultat gælder vægttab og kan derfor ikke bruges direkte til at anslå ernæringsrisiko
på danske plejehjem. Det er dog en indikation på ernæringsrisiko og er derfor vurderet til at være relevant.
Skandinaviske studier af forekomsten af underernæring på plejehjem
En videns-opsummering, som inkluderer 78 publikationer fra forsknings- og udviklingsarbejde, der omhandler
underernæring og patientsikkerhed blandt ældre i kommunerne, fandt, at forekomsten af ernæringsrisiko
varierer fra 20-78 %.
70
Ifølge en kohorteundersøgelse udforskede man forekomsten af underernæring blandt ældre personer, der
boede på institution og i samfundet i Nord-Sverige og i Vest-Finland.
71
Populationsudvalget bestod af 823 ældre
over 85 år. Prævalensen for ernæringsrisiko var 55 procent.
Europæiske studier af forekomsten af underernæring på plejehjem
British Association of Parenteral and Enteral Nutrition (BAPEN) udgav en stor national undersøgelse, der
undersøgte prævalensen af risiko for underernæring på 430 plejehjem/omsorgsboliger i Storbritannien.
72
Undersøgelsen inkluderede i alt 3924 beboere med en gennemsnitsalder på 83 år. Prævalensen af risiko for
underernæring blev estimeret til at være 35 procent, hvoraf 23 procent blev vurderet til at være i høj risiko for
underernæring.
I en belgisk kortlægning af 3299 ældre patienter i Belgien var 2480 (86,3±6,3 år) plejehjemsbeboere og 819
(82,7±6,1 år) hjemmeboende, som modtager hjemmepleje.
73
Totalt var 12 % underernærede (MNA-SF score <
8), og 44 % var i risikozonen for underernæring (MNA-SF score 8–11). Blandt plejehjemsbeboere var 49 % i
risikozonen for underernæring. Blandt hjemmeboende, som modtager hjemmepleje, var 29 % i risikozonen for
underernæring.
70
Devik & Olsen
(2018):
Underernæring og pasientsikkerhet blant eldre i kommunene - En oppsummering av kunnskap. Tilgængelig
Burman, et al.
(2015):
Body mass index, Mini Nutritional Assessment, and their association with five-year mortality in very old
Stratton, et al. (2018): Managing malnutrition to improve lives and save money. Tilgængelig
her
Vandewoude, et al.
(2019):
The prevalence and health burden of malnutrition in Belgian older people in the community or residing
her
71
people. Tilgængelig
her
72
73
in nursing homes: results of the NutriAction II study. Tilgængelig
her
MENON ECONOMICS
47
RAPPORT
SUU, Alm.del - 2024-25 - Bilag 218: Henvendelse fra Brancheforeningen Fødevarer til Medicinske Formål (FMF) vedr. foretræde om medicinsk underernæring
3000219_0049.png
Underernæring i hjemmepleje
Gennem den litteratursøgning, vi har foretaget, oplever vi, at begrebsbruget, der omhandler pleje i hjemmet,
varierer fra land til land. Som følge heraf bruges begrebet "hjemmepleje" som en samlebetegnelse for
hjemmehjælp, hjemmesygepleje og plejestøtte (plejebolig, hjemmeplejen). Der kan derfor være nogle
variationer i populationsudvalget på tværs af studierne. Vi mener dog, at studierne samlet set udgør et godt
udgangspunkt for at estimere forekomsten af underernæring blandt modtagere af hjemmepleje.
Baseret på fundene i litteraturen, præsenteret nedenfor, er vores lave, middel og høje estimat for andelen af
beboere på danske plejehjem henholdsvis 20, 30 og 40 procent. Antallet af modtagere af hjemmepleje er
vurderet til 145.000, baseret på datagrundlag fra Danmarks Statistik,
”HJEMSYG:
Modtagere af hjemmesygepleje
i eget hjem efter område, alder og køn”.
74
I vores litteratursøgning har vi blandt andet hentet kilder fra en videns-opsummering, der så på forekomsten af
underernæring blandt ældre over 65 år
75
, vejledningen
«Underernæring: Opsporing, behandling og opfølgning
af borgere og patienter i ernæringsrisiko»
76
og Holst og Beck artikel om
«Forekomst af uplanlagt vægttab og
ernæringsmæssig risiko blandt sårbare ældre og patienter i den danske velfærdsstat»,
inkluderet et par yderligere litteratursøgninger.
Nedenfor præsenterer vi vores litteratursøgning, som blev brugt til at beregne forekomsten af underernæring i
hjemmeplejen. Vi starter med at vise studierne og de omgjorte estimater til danske forhold.
77
men vi har også
Tabel 0-4: Litteratur for vurdering af forekomsten af underernæring i hjemmepleje.
78
Kilde
Forekomst
Antal omregnet til
danske forhold
Land
Sygdom
Studier af forekomst af underernæring i dansk hjemmepleje
Undersøgelser i danske
kommuner, henvist til i
Holst og Beck (2020)
Studier af forekomst af underernæring i hjemmepleje i Skandinavien
Devik & Olsen (2018)
Rognstad og Brekke
(2013)
Bernhardsen og Ulvang
(2010/2012)
Studier af forekomst af underernæring i hjemmepleje i Europa
Vandewoude, et al.
(2019)
Chrichton, et al. (2019)
Schilip (2012)
11 %
35 %
16 200
50 700
Europa
Holland
Underernæring
Underernæring
49 %
35.200
Belgien
Underernæring
16 %
23 200
Norge
Underernæring
20 - 59%
40 %
29 000
85 400
57 900
Skandinavien
Norge
Ernæringsrisiko
Underernæring
19 - 22 %
27.500
31.700
Danmark
Underernæring,
Uplanlagt
vægttab
74
75
https://www.statistikbanken.dk/20050
Chrichton, et al. (2019)
76
Sundhetsstyrelsen (2022): Underernæring: Opsporing, behandling og opfølgning af borgere og patienter i ernæringsrisiko
77
Holst M, Beck AM. Forekomst af uplanlagt vægttab og ernæringsmæssig risiko blandt sårbare ældre og patienter i den danske
velfærdsstat. Diætisten 2020;166:29-32.
78
Flere av studiene viser til et populasjonsutvalg på minimum 65 år. Vårt estimat har tatt høyde for dette.
MENON ECONOMICS
48
RAPPORT
SUU, Alm.del - 2024-25 - Bilag 218: Henvendelse fra Brancheforeningen Fødevarer til Medicinske Formål (FMF) vedr. foretræde om medicinsk underernæring
3000219_0050.png
Danske studier og videns-opsummeringer om forekomsten af underernæring i dansk hjemmepleje
Holst og Beck (2020) henviser til en upubliceret undersøgelse fra Københavns Kommune blandt 260 borgere,
som modtager hjemmesygepleje eller hjemmepleje. Ernæringsscreeningsresultater baseret på en modificeret
version af Sundhedsstyrelsens Ernæringsvurderingsskema (EVS) viser, at 19% af borgerne er i risiko for
underernæring, mens 17% er i høj risiko for underernæring, da de yderligere har en af de fire mest kendte
risikofaktorer for underernæring: tygge- eller synkeproblemer, behov for hjælp til at spise, akut sygdom eller
akut forværring af kronisk sygdom.
I en anden upubliceret undersøgelse fra Odense Kommune med 850 borgere, som modtager madservice dagligt,
er der undersøgt ernæringsstatus blandt borgerne. Undersøgelsen er udført ved, at det er en diætist, som
kontakter borgerne, når de har modtaget madservice i ca. 1-2 måneder, og borgerne spørges bl.a. til deres
ernæringstilstand, herunder om de har tabt sig i vægt. Tal for 2018 viser, at 34% har tabt sig, hvoraf 55% har
været uønsket. I tallene for 2019 har 30% tabt i vægt, hvoraf 73% har været uønsket. Dette resultat gælder ældre,
som modtager madservice og ikke hjemmepleje direkte. Undersøgelsen ser desuden på vægttab. Resultaterne
kan derfor ikke bruges direkte til at anslå ernæringsrisiko i dansk hjemmepleje. Det er dog en indikation på
ernæringsrisiko blandt ældre, som bor hjemme og modtager tjenester, og er derfor vurderet til at være relevant.
Skandinaviske studier af forekomsten af underernæring i hjemmepleje
En videns-opsummering, som inkluderer 78 publikationer fra forsknings- og udviklingsarbejde om underernæring
og patientsikkerhed blandt ældre i kommunerne, fandt, at blandt ældre, der modtager hjemmepleje, varierer
forekomsten af ernæringsrisiko fra 20-59 %.
79
I en norsk undersøgelse har forskere undersøgt prævalensen blandt 282 hjemmeboende patienter over 60 år,
som får hjælp fra hjemmeplejen i fire udvalgte bydele i Oslo.
80
Hensigten var at kortlægge ernæringsstatus for
ældre hjemmeboende med kognitiv svækkelse og demens. MNA-skemaet blev brugt til indsamling af data.
Resultaterne viste, at 10,3 procent var underernærede, mens 40 procent var i risiko for underernæring.
Undersøgelsen viser, at kvinder er særligt udsatte Videre viser et udviklingsprojekt af Bernhardsen og Ulvang
(2010/2012), at 16 procent af ældre, som modtog hjemmepleje, var underernærede.
81
Europæiske studier af forekomsten af underernæring i hjemmepleje
I Holland blev der udført en tværsnitsundersøgelse for at undersøge prævalensen i tre forskellige
populationsudvalg. Det ene populationsudvalg var 814 patienter over 65 år, som modtog hjemmepleje i Holland.
De estimerede, at 35 procent af dem, der modtog hjemmepleje, var underernærede. Undersøgelsen viste også,
at mænd havde en højere sandsynlighed for at blive underernærede end kvinder. Underernæring blev vurderet
ved hjælp af Short Nutritional Assessment Questionnaire 65+ (SNAQ 65+).
I 2019 blev der publiceret en videns-opsummering, som så på prævalensen af underernæring blandt ældre over
65 år, som bor selvstændigt hjemme i kommunen. I alt undersøgte studien 111 studier fra 38 lande (n=69.702).
Ifølge videns-opsummeringen varierer prævalensen af underernæring blandt ældre fra 0,8 procent til 24,6
79
Devik & Olsen
(2018):
Underernæring og pasientsikkerhet blant eldre i kommunene - En oppsummering av kunnskap. Tilgængelig
her
80
81
Rognstad, et al. (2013): Underernæring hos eldre hjemmeboende personer med demens. Tilgængelig
her
Bernhardsen, et al. (2012): Ernæringsrutiner i hjemmebasert omsorg. Utvikling av rutiner for å sikre god kvalitet ved forebygging
og behandling av feilernæring hos hjemmeboende i hjemmebasert omsorg i Finnmark. Tilgængelig
her
MENON ECONOMICS
49
RAPPORT
SUU, Alm.del - 2024-25 - Bilag 218: Henvendelse fra Brancheforeningen Fødevarer til Medicinske Formål (FMF) vedr. foretræde om medicinsk underernæring
3000219_0051.png
procent. Samme opsummering viser også, at 11,2 procent af europæiske ældre, som modtager hjemmepleje, har
underernæring, og at prævalensen af underernæring er dobbelt så høj i distrikterne sammenlignet med i byerne.
I alt blev 3299 ældre patienter i Belgien analyseret af Vandewoude m.fl. (2019). Af de 3299 patienter var 2480
(86,3 ± 6,3 år) plejehjemsbeboere og 819 (82,7 ± 6,1 år) hjemmeboende, som modtager hjemmepleje. I alt var
12 % underernærede (MNA-SF score < 8), og 44 % var i risikozonen for underernæring (MNA-SF score 8–11).
Blandt plejehjemsbeboere isoleret set var 49 % i risikozonen for underernæring. Blandt hjemmeboende, som
modtager hjemmepleje, var 29 % i risikozonen for underernæring.
Hjemmeboende ældre med underernæring
Vores litteratursøgning viser, at forekomsten af underernæring blandt hjemmeboende over 65 år varierer fra 3
procent til 22 procent. Ifølge vores estimering er 9 procent af ældre hjemmeboende underernærede, hvilket vil
sige i alt 125.800 i Danmark.
Tal fra Danmarks Statistik viser, at der er nær 1,6 millioner danskere ældre end 65 år. Hvis vi trækker antallet,
som bor på plejehjem, og de, som får hjemmepleje, fra, er antallet omkring 1,4 millioner borgere.
I vores litteratursøgning har vi afgrænset søgningen til kun at dække studier, som omhandler forekomsten af
underernæring i en generel befolkningspopulation over 65 år. Nedenfor præsenteres vores litteratursøgning,
som blev brugt til at beregne forekomsten af underernæring.
Tabel 0-5: Litteratur for vurdering af forekomst af underernæring blandt hjemmeboende ældre
Kilde
Forekomst
Antal omgjort til
danske forhold
Land
Sygdom
Studier af forekomst af underernæring blandt hjemmeboende ældre i Skandinavien
Burman, et al. (2015)
Gavriilidou, et al. (2014)
Chrichton, et al. (2019)
Leij-Halfwerk, et al.
(2019)
Schilip (2012)
11 %
154.000
Holland
Underernæring
3,4 %
6%
2,8 %
9%
47.600
84.000
39.200
126.000
Sverige
Sverige
Nordeuropa
Europa
Underernæring
Underernæring
Underernæring
Underernæring
Studier af forekomst af underernæring blandt hjemmeboende ældre i Europa
Skandinaviske studier af forekomsten af underernæring blandt hjemmeboende ældre
En kohortestudie fra Skandinavien undersøgte prævalensen af underernæring samt den femårige dødelighed i
en ældre patientgruppe.
82
Udvalget bestod af 823 ældre mellem 85 og 95 år, som boede i Vestfinland og
Nordsverige. Ernæringsstatussen blev vurderet ved brug af både BMI og MNA. Studien konkluderede, at 3,4
procent af de ældre hjemmeboende var underernærede.
82
Burman, et al. (2015): Body mass index, Mini Nutritional Assessment, and their association with five-year mortality in very old
people. Tilgængelig
her
MENON ECONOMICS
50
RAPPORT
SUU, Alm.del - 2024-25 - Bilag 218: Henvendelse fra Brancheforeningen Fødevarer til Medicinske Formål (FMF) vedr. foretræde om medicinsk underernæring
3000219_0052.png
Som en del af Swedish National Study on Aging and Care (SNAC) blev der gennemført en tværsnitsundersøgelse
kaldet «Good Aging in Skåne».
83
Studiet udforskede prævalensen af underernæring i en randomiseret udvalgt
populationsgruppe blandt ældre over 60 år. Studien omfattede i alt fem forskellige kommuner i Sydsverige.
Resultaterne viste, at prævalensen fordelt på køn var 3,9 procent for mænd og 8,6 procent for kvinder.
Europæiske studier af forekomsten af underernæring blandt hjemmeboende ældre
En systematisk gennemgang fra England har undersøgt i alt 111 studier fra 38 lande. Studien opgiver prævalensen
af underernæring i kategorierne: hjemmepleje, ambulatorium, primær sundhedstjeneste, andre, og
hjemmeboende ældre.
84
Resultaterne fra studien viser, at 2,80 % af hjemmeboende over 65 år har
underernæring i Europa. Estimatet er baseret på 31.001 ældre over 65 år. Videre viser studien, at prævalensen
af underernæring blandt ældre hjemmeboende varierer fra 2,1 procent i Sydamerika til 11,5 procent i
Nordamerika.
En anden systematisk gennemgang af 32 studier estimerer Leij-Halfwerk m.fl. (2019), at 8,5 procent af ældre
hjemmeboende over 65 år er i risiko for underernæring.
85
Studierne i gennemgangen brugte forskellige metoder
til at kategorisere patienterne, herunder MNA-SF og NRS-2002.
En tværsnitsundersøgelse fra Holland udforskede prævalensen af underernæring i en stor populationsbaseret
undersøgelse i tre forskellige populationsudvalg, hvor et af udvalgene bestod af 1267 personer over 65 år, som
boede i lokalsamfundet.
86
Resultatet viste, at 11 procent af udvalget havde underernæring, og at forekomsten
steg signifikant med alderen.
Underernæring blandt patienter i almen praksis
Vores litteratursøgning viser, at forekomsten af underernæring blandt patienter som opsøger almen praksis er
estimeret til 14 procent Hvilket vil sige, at underernærede patienter står for ca. 3,3 millioner konsultationer i
almen praksis pr. år, hvilket betyder, at underernærede personer i Danmark i gennemsnit har 7,1 lægebesøg pr.
år pr. person.
Tal fra Danmarks Statistik viser, at det er nær 23,3 millioner konsultationer hos almen praksis med offentligt
tilskud i 2023
87
.
Tabel 0-6: Litteratur for vurdering af forekomst af underernæring blandt patienter i almen praksis
Kilde
Forekomst
Antal
omregnet
til danske
forhold
Land
Sygdom
Studier af forekomst af underernæring blandt patienter i almen praksis i Danmark
83
Gavriilidou, et al. (2014): High degree of BMI misclassification of malnutrition among Swedish elderly population: Age-adjusted
height estimation using knee height and demispan. Tilgængelig
her
84
Chrichton, et al. (2019): A systematic review, meta-analysis and meta-regression of the prevalence of protein-energy malnutrition:
associations with geographical region and sex. Tilgængelig
her
85
Leij-Halfwerk, et al. (2019): Prevalence of protein-energy malnutrition risk in European older adults in community, residential and
hospital settings, according to 22 malnutrition screening tools validated for use in adults ≥65 years: A systematic review and
meta-
analysis. Tilgængelig
her
86
Schilp, et al. (2012): High prevalence of undernutrition in Dutch community-dwelling older individuals. Tilgængelig
her
87
Danmarks Statistik (2023): SYGK2: Lægebesøg mv. med offentligt tilskud efter køn, alder, område, tid og ydelsesart. Tilgængelig
her
MENON ECONOMICS
51
RAPPORT
SUU, Alm.del - 2024-25 - Bilag 218: Henvendelse fra Brancheforeningen Fødevarer til Medicinske Formål (FMF) vedr. foretræde om medicinsk underernæring
3000219_0053.png
Jensen et
al. (2018)
Mikkelsen
et al.
(2022)
17,5 %
14,2 %
755 610
587 700
Danmark
Danmark
Uplanlagt vægttab blandt ældre over 70 år
Uplanlagt vægttab
Danske studier om forekomsten af underernæring blandt patienter i almen praksis
Der er udført et dansk casestudie af 234 patienter over 70 år, der henvender sig i almen praksis. Studien fandt
en prævalens af uplanlagt vægttab på 17,5%.
88
Denne casestudie inkluderede en spørgeskemabaseret
undersøgelse om vægttab hos patienter, der rapporterede om utilsigtet vægttab på mere end 1 kg.
Gennemsnitsalderen for dem med vægttab var knap fem år ældre end den samlede population.
Der blev gennemført et spørgeskemabaseret tværsnitsstudie, som blev besvaret af 964 voksne patienter, der
løbende blev fulgt i almen praksis i Danmark. Spørgeskemaet bestod af otte spørgsmål, herunder utilsigtet
vægttab i løbet af de sidste to måneder. De fandt, at 14,2% af patienterne havde et uplanlagt vægttab inden for
to måneder med en medianværdi på 4 kg. Medianalderen var 58 år
89
.
Underernæring blandt ambulante patienter
Vores litteratursøgning viser, at forekomsten af underernæring blandt ambulante patienter er estimeret til 26
procent. Hvilket vil sige, at underernærede patienter får over 3,1 millioner ambulante behandlinger pr. år, hvilket
betyder, at underernærede personer i Danmark i gennemsnit får 3,9 ambulante behandlinger pr. år pr. person.
Tal fra Danmarks Statistik viser, at det gennemføres over 12,2 millioner ambulante behandlinger i løbet af et år
90
.
I vores litteratursøgning har vi afgrænset søgningen til kun at dække studier, som omhandler forekomsten af
underernæring i en generel befolkningspopulation. Nedenfor præsenteres vores litteratursøgning, som blev
brugt til at beregne forekomsten af underernæring.
Tabel 0-7: Litteratur for vurdering af underernæring blandt ambulante patienter
Kilde
Forekomst
Antal omregnet til danske
forhold
Land
Sygdom
Studier af forekomst af underernæring blandt ambulante patienter i Danmark
Holst et al. (2019a)
Yde et al. (2023)
26 %
13,4 %
635.200
327.400
Danmark
Danmark
Uplanlagt vægttab
Uplanlagt vægttab, KOL
Danske studier om forekomsten af underernæring blandt ambulante patienter
Der blev gennemført et tværsnitsstudie af 713 ambulante patienter fra fem klinikker på Aalborg
Universitetshospital i Danmark
91
. Studien fandt, at 26 % havde utilsigtet vægttab i løbet af de sidste tre måneder,
gennem et spørgeskema. Medianalderen var 59,8 år.
88
89
Jensen et al. (2018). Tilgængelig
her
Mikkelsen et al. (2022). Tilgængelig
her
90
Danmarks Statistik (2022): AMBU02: Ambulante behandlinger (LPR3) efter køn, alder, akut/ikke-akut, hoveddiagnosegruppe,
region og tid. Tilgængelig
her
91
Holst, et al. (2019a): Disease Related Malnutrition in Hospital Outpatients, - Time for Action. Tilgængelig
her
MENON ECONOMICS
52
RAPPORT
SUU, Alm.del - 2024-25 - Bilag 218: Henvendelse fra Brancheforeningen Fødevarer til Medicinske Formål (FMF) vedr. foretræde om medicinsk underernæring
3000219_0054.png
Bilag B: Beregning af sygdomsbyrden
Beregning af sygdomsbyrde ved underernæring
Sygdomsbyrden angiver, hvordan forskellige sygdomme, skader og risikofaktorer påvirker befolkningen. Der
skelnes mellem helbredstab og dødelighed.
92
Beregningerne afhænger både af en bred vifte af kilder, visse
antagelser og nogle principielle metodiske valg. I det følgende beskrives og begrundes vores valg af kilder og
metodik for beregning af sygdomsbyrden forbundet med underernæring.
Sygdomsbyrde forbundet med tabte leveår
Tab af gode leveår (Years of Life Lost, YLL) beregnes ofte ved at bruge statistik over antallet af dødsfald, som er
opført med den pågældende sygdom som hovedårsag til døden, sat op mod forventet resterende gode leveår
for en vilkårlig person i aldersgruppen, hvor dødsfaldet indtræffer.
På samme måde som der er stor usikkerhed forbundet med prævalens, incidens og omfanget af personer, der
har underernæring, er der stor usikkerhed forbundet med antallet af årlige dødsfald, der skyldes underernæring.
Dette skyldes især, at underernæring er en sekundær diagnose, hvilket medfører, at dødsårsagen ofte bliver
relateret til hoveddiagnosen fremfor til underernæring, selvom underernæring kan have haft indflydelse på
dødsfaldet. Derudover er der begrænset forskning, der viser, hvor gamle personerne, som dør af underernæring,
er.
Litteratur forbundet med underernæring og dødelighed
Sammenhængen mellem ernæringsrisiko og øget risiko for død er godt dokumenteret i litteraturen. De fleste
studier er gennemført på patienter i forbindelse med sygehusindlæggelse.
Yde, et al. (2023): Unintentional weight loss is reflected in worse one-year clinical outcomes among COPD
outpatients
En kohortestudie med 200 patienter fra et dansk sygehus undersøgte sammenhængen mellem
kropsmasseindeks (BMI), utilsigtet vægttab (UWL) og kliniske udfald i form af sygehusindlæggelser, længde på
sygehusophold, sygdomsprogression, dødelighed og helbredsmæssig livskvalitet.
93
Studiet finder, at UWL er associeret med flere negative udfald, inklusive reduceret helbredsmæssig livskvalitet
og højere risiko for et forværret sygdomsbillede. Studiet finder dog ingen signifikant effekt på dødelighed som
følge af UWL.
Holst, et al. (2013): Nutritional screening and risk factors in elderly hospitalized patients: association to clinical
outcome?
Formålet med denne studie var at teste indbyrdes validitet af tre forskellige ernæringsscreeningsværktøjer på en
bred befolkning af ældre indlagte patienter i Danmark og Sverige, samt sammenhæng med dødelighed. Studien
viser, at patienter i ernæringsrisiko er associeret med øget mortalitet.
92
93
Folkehelseinstituttet (2019): Hva er sykdomsbyrde?
Yde, et al. (2023): Unintentional weight loss is reflected in worse one-year clinical outcomes among COPD outpatients. Tilgængelig
her
MENON ECONOMICS
53
RAPPORT
SUU, Alm.del - 2024-25 - Bilag 218: Henvendelse fra Brancheforeningen Fødevarer til Medicinske Formål (FMF) vedr. foretræde om medicinsk underernæring
3000219_0055.png
Tangvik, et al. (2013): The nutritional strategy: Four questions predict morbidity, mortality and health care
costs
En undersøgelse udført på Haukeland Universitetshospital i Norge undersøgte, hvordan dårlig ernæringsstatus,
baseret på måleinstrumentet NRS 2002, påvirkede sygelighed, dødelighed og brug af sygehustjenester i løbet af
en etårig periode.
94
Både medicinske og kirurgiske sengeafdelinger samt intensivafdelinger var inkluderet i
undersøgelsen, med undtagelse af afdelinger for obstetrik, pædiatri og psykiatri.
Ernæringstilstanden hos 3.279 indlagte patienter med et bredt udvalg af sygdomme blev vurderet, og 29 procent
af patienterne blev vurderet til at være i risiko for underernæring. Resultaterne fra undersøgelsen viste, at den
etårige dødelighedsrate var 31 procent blandt patienter med ernæringsrisiko sammenlignet med 8 procent for
patienterne, der blev vurderet til ikke at være i risiko for underernæring efter at have justeret for variabler som
alder, køn, højde og antal diagnoser.
Anvender vi fundene i denne undersøgelse, har patienter med risiko for underernæring over fire gange så høj
sandsynlighed for at dø sammenlignet med patienter på sygehuset, der ikke er i risiko for underernæring.
Poulsen, et al.
(2021):
Signs of dysphagia and associated outcomes regarding mortality, length of hospital stay
and readmissions in acute geriatric patients: Observational prospective study
I en observationsstudie er der undersøgt sammenhæng mellem dysfagi og negative kliniske sundhedsudfald,
inklusive dødelighed. Studiet omfattede 444 patienter på akutmedicinske afdelinger på danske sygehuse, hvoraf
344 gennemførte ernæringsscreening og 144 havde symptomer på dysfagi. Patienterne med dysfagi havde,
sammenlignet med dem uden, højere 30-dages dødelighed (12,5 % vs. 1,6 %) og 90-dages dødelighed (21,5 % vs.
5,8 %) samt andre negative sundhedsudfald.
Forskellige europæiske studier af sammenhæng mellem underernæring og dødelighed
En række studier viser, hvordan underernæring påvirker patienter med en anden hoveddiagnose. Især viser
litteraturen til kræftpatienter.
95
Kræftpatienter er en af de patientgrupper, der har størst sandsynlighed for at
blive underernærede. Underernæring hos kræftpatienter kan blandt andet medføre svækket immunforsvar og
afbrudt eller reduceret kræftbehandling, hvilket fører til øget mortalitet og kortere levetid.
96
Baseret på en række kilder viser den britiske forening for enteral og parenteral ernæring (BAPEN), at dødsfaldene
til 10-20 procent af patienterne med kræft kan tilskrives underernæring snarere end selve kræftsygdommen.
97
Tal fra dødsårsagsregistret viste, at der i 2020 døde 10.800 personer af kræft i Norge. Benytter man fundene i
BAPEN-studiet, betyder det, at mellem 1.080 og 2.160 kræftpatienter døde som følge af underernæring snarere
end kræftdiagnosen i 2020.
På samme måde som at underernæring kan fremskynde døden for kræftpatienter, gælder det også for andre
sygdomsområder. Demens og kronisk obstruktiv lungesygdom (KOL) er eksempler på sygdomsområder, hvor
underernæring giver øget risiko for død.
98
En fransk undersøgelse finder, at underernærede kræftpatienter havde næsten tre gange (26,7 procent vs. 11,8
procent) så høj sandsynlighed for at dø sammenlignet med kræftpatienter, der ikke var underernærede, i en to
94
95
Tangvik, et al. (2013): The nutritional strategy: Four questions predict morbidity, mortality and health care costs. Tilgængelig
her
Se f.eks. Arends, et al. (2017), Maasberg, et al. (2017), Martin, et al. (2015)
96
Paur, Slåttholm, Ryel, & Smeland (2018): Riktig ernæring er viktig for kreftpasienter
97
Arends, et al. (2017): ESPEN expert group recommendations for action against cancer-related malnutrition
98
Sanders, et al. (2018): Nutritional Status is Associated with Severe Dementia and Mortality: The Cache County Dementia Progression
Study
MENON ECONOMICS
54
RAPPORT
SUU, Alm.del - 2024-25 - Bilag 218: Henvendelse fra Brancheforeningen Fødevarer til Medicinske Formål (FMF) vedr. foretræde om medicinsk underernæring
3000219_0056.png
måneders opfølgningsperiode.
99
Især var sandsynligheden højere for at dø for patienter, der var diagnosticeret
som alvorligt underernærede.
En anden undersøgelse har fundet en noget lavere dødelighedsrate. Dødeligheden for de underernærede
sygehuspatienter var 12,4 procent sammenlignet med 4,7 procent for dem, der ikke var underernærede (relativ
risiko = 2,63).
100
Beregningerne i denne rapport
Beregningerne bygger på to forskellige faktorer: 1) antallet af personer, der dør af underernæring, og 2)
gennemsnitligt antal forventede gode leveår tilbage for dem, der dør af underernæring.
Der findes ingen gode kilder på, hvor mange der dør af underernæring i Danmark. Dette skyldes, at
underernæring i de fleste underernæringsrelaterede dødsfald kun vil være én af flere medvirkende dødsårsager.
Eksempelvis vil afdøde ofte have mindst én anden alvorlig diagnose som kræft, KOL eller demens. Det kan derfor
være udfordrende at vurdere, om en person dør med eller af underernæring. I registre som dødsårsagsregistret
vil kræft eller KOL ofte blive ført som dødsårsag, mens der ikke foretages undersøgelser eller rapporteres om
betydningen af underernæring ved de enkelte dødsfald. Man kan derfor ikke hente statistik fra
dødsårsagsregistret for at finde antal dødsfald, der skyldes underernæring.
Men selvom underernæring i lav grad opføres som dødsårsag i officielle registre, betyder det ikke, at
ernæringsrisiko i virkeligheden ikke er en betydelig kilde til overdødelighed. Manglen på dokumentation som
medvirkende dødsårsag i dødsårsagsregistret er ikke unik for ernæringsrisiko, men gælder for eksempel også for
influenza, demens og en række andre tilstande, hvor det er teknisk udfordrende at tilskrive betydningen af
forskellige helsetilstande som dødsårsag.
For at beregne dødelighed ved influenza måler man derfor ofte overdødelighed i influenzasæsonen. Den samme
metodiske tilgang anvendes for at beregne antallet af personer, der dør af ernæringsrisiko. Det vil sige, måle
dødeligheden i en population med ernæringsrisiko mod en population uden ernæringsrisiko, alt andet lige. Da
ernæringsrisiko generelt er underdokumenteret, vil der i praksis være måleproblemer med denne metode,
hvilket skaber usikkerhed i estimaterne.
Der er usikkerhed forbundet med den tabte levetid for dødsfald, hvor ernæringsrisiko er en medvirkende
faktor.
101
Gennemsnitsalderen for dem, der døde på plejehjem, var 87 år i 2016.
102
Baseret på dette antager vi, at
gennemsnitsalderen for dem, der døde af ernæringsrisiko, også var 87 år. Forventede resterende QALYs (Quality-
Adjusted Life Years) for en 87 åring er 4,1 år.
103
Trods dette anser vi det for usandsynligt, at en person med
sygdomsrelateret underernæring mister 4,1 gode leveår på grund af ernæringsrisiko. Sygdomsrelateret
underernæring kan være en medvirkende årsag til tidlig død, men patienten har ofte også en anden sygdom,
hvilket gør det sandsynligt, at de forventede resterende gode leveår er kortere sammenlignet med en person,
der ikke har en anden sygdom.
99
Pressoir, et al. (2010): Prevalence, risk factors and clinical implications of malnutrition in French Comprehensive Cancer Centres
Correia & Waitzberg (2003): The impact of malnutrition on morbidity, mortality, length of hospital stay and costs evaluated
through a multivariate model analysis
101
Dette usikkerhedselement er taget med i usikkerhedsanalysen, se Bilag D
102
Helsedirektoratet (2017): Botid i sykehjem og varighet av tjenester til hjemmeboende
103
Statens legemiddelverk (2018): Retningslinjer for dokumentasjonsgrunnlag for hurtig metodevurdering av legemidler
100
MENON ECONOMICS
55
RAPPORT
SUU, Alm.del - 2024-25 - Bilag 218: Henvendelse fra Brancheforeningen Fødevarer til Medicinske Formål (FMF) vedr. foretræde om medicinsk underernæring
3000219_0057.png
Tabel 9 opsummerer vores beregninger forbundet med tabte leveår på grund af underernæring.
Tabel 0-8: Estimat forbundet med tabte leveår grundet ernæringsrisiko, per person. Kilde: Menon
Minimum
Forventet resterende QALY
Antal dødsfald*
1
1000
Forventet
2
1300
Maksimum
3
2000
*Antallet af dødsfald er baseret på estimatet fra Menons rapport om ernæringsrisiko i Norge. Der er stor usikkerhed forbundet
med dette skøn, og den usikkerhed afspejles også i et betydeligt usikkerhedsinterval i usikkerhedsanalysen for vores
beregninger.
Sygdomsbyrde forbundet med ikke-dødeligt helbredstab
Faktorerne, der bestemmer størrelsen på det samlede ikke-dødelige helbredstab (Years Lived with Disability,
YLD) af en sygdom er: (1) hvor mange der lever med sygdommen (prævalens) i et givet år, (2) fordeling af
alvorlighedsgrad blandt dem, der lever med sygdommen, og (3) helbredstabet ved at leve med sygdommen over
et år for en given alvorlighedsgrad. Vi giver her en præsentation af kilderne og metodikken bag beregningerne af
det ikke-dødelige helbredstab.
For at anvende tid som en fælles "valuta" for ikke-dødeligt helbredstab og for tabte leveår på grund af tidlig død,
skal man kunne definere, måle og vægte tid levet med tabt helbred som følge af diagnoser og skader. Mens død
let kan defineres, er dette langt sværere for ikke-dødelige helbredstab. Siden 1990 er der blevet lagt en betydelig
indsats i at indsamle data og udvikle metoder til at måle forskellige helbredstilstande i forhold til fuld helbred/død
og relativt til andre helbredstilstande.
Alvorlighedsgraden af ikke-dødeligt helbredstab forbundet med diagnose eller skade beskrives i GBD-projektet
med en helbredstabsvægt, som er et tal mellem 0 (helt rask) og 1 (død). Helbredstabsvægtene er udviklet som
en del GBD-projektet og omfatter estimerede vægte for 354 diagnoser og skader.
104
Metoderne udvikles og
ændres over tid, men et vigtigt princip, der har udviklet sig over tid, er, at helbredstabsvægtene skal måle
helbredstab
og ikke
socialt tab.
Det vil sige, at helbredstabsvægtene ikke kan sidestilles med f.eks. tabt
livskvalitet. Ændringer i livskvalitet for en given diagnose/skade vil blandt andet afhænge af, hvordan sundheds-
og omsorgstjenesten er indrettet i forskellige lande, mens den økonomiske værdisætning vil variere meget
mellem rige og fattige lande. Principielt er dette altså en vigtig skillelinje, ved at helbredstabsvægtene er
uafhængige af sundhedstjenestetilbud og indkomstniveau.
105
Sammenhæng mellem underernæring og sundhedsrelateret livskvalitet i litteraturen
Yde, et al. (2023): Unintentional weight loss is reflected in worse one-year clinical outcomes among COPD
outpatients
En kohorteundersøgelse med 200 patienter fra et dansk sygehus undersøgte sammenhængen mellem
kropsmasseindeks (BMI), utilsigtet vægttab (UWL) og kliniske resultater i form af sygehusindlæggelser, længden
på sygehusophold, sygdomsprogression, dødelighed og sundhedsrelateret livskvalitet.
106
104
105
For nærmere beskrivelse af metode, se James, et all. (2018)
For en mere dybtgående beskrivelse af datakilder og metodiske overvejelser ved helsetabsvægte, se fx: WHO (2020) Methods and
data sources for global burden of disease estimates 2000-2019
106
Yde, et al. (2023): Unintentional weight loss is reflected in worse one-year clinical outcomes among COPD outpatients. Tilgængelig
her
MENON ECONOMICS
56
RAPPORT
SUU, Alm.del - 2024-25 - Bilag 218: Henvendelse fra Brancheforeningen Fødevarer til Medicinske Formål (FMF) vedr. foretræde om medicinsk underernæring
3000219_0058.png
Undersøgelsen fandt, at UWL er forbundet med flere negative resultater, herunder nedsat sundhedsrelateret
livskvalitet. Blandt patienter med UWL blev der målt en livskvalitetsvægt på 46,8 (fra 0 til 100), sammenlignet
med 50,9 hos patienter uden ernæringsrisiko. Dette giver en forskel på 4,1.
Kvamme, et al.
(2011):
Risk of malnutrition and health-related quality of life in community-living elderly men
and women: the Tromsø study
I en omfattende tværsnitsundersøgelse af befolkningen med 1632 mænd og 1654 kvinder i Tromsø, Norge, blev
betydningen af ernæringsrisiko for sundhedsrelateret livskvalitet undersøgt. Undersøgelsen estimerede
livskvalitetsvægte for personer i alderen 65 til 87 år (gennemsnitsalder i undersøgelsen var 72 år) og
kategoriserede personerne i tre grupper; de med lav, medium og høj risiko for underernæring.
Screeningværktøjet MUST blev brugt til at klassificere og vurdere risikogrupper for ernæringsrisiko, og
måleinstrumentet EQ-5D blev brugt til at beregne livskvaliteten. Undersøgelsen fandt en betydelig reduktion i
sundhedsrelateret livskvalitet med stigende risiko for underernæring.
Ændringen i QALY er estimeret ved at sammenligne den generelle befolknings aldersjusterede
sundhedsrelaterede livskvalitetsvægte estimeret af Lægemiddelstyrelsen.
Tabel 0-9: Beregning af ikke-dødeligt helsetab ved ernæringsrisiko pr. person, estimeret for bedste, forventede og værste
tilfælde, i 2022-kroner. Kilde: Kvamme, et al. (2010), Yde, et al. (2023) og Menon
Livskvalitetsvægt 72 år
Bedste tilfælde
Forventede
tilfælde
Værste tilfælde
0,808
0,808
0,808
EQ-5D
0,794
0,725
0,696
Ændring i QALY
0,015
0,083
0,112
Helsetab i 2024-kroner
21 000
116 200
156 800
Bilag C: Beregning af sundhedstjenesteomkostninger
For at beregne sundhedstjenesteomkostningerne ved ernæringsrisiko har vi forsøgt at estimere, hvad personer
med ernæringsrisiko kræver af ekstra ressourcer på henholdsvis sygehuse, plejehjem og for hjemmeplejen. De
estimerede omkostninger læner sig både på national og international litteratur. Studierne, der fremlægges her,
anser vi som de mest relevante og er brugt til beregning af sundhedstjenesteomkostningerne.
Omkostninger på sygehus
I den danske "More2Eat"-studie analyseres betydningen af underernæring for indlagte patienter, blandt andet i
forhold til indlæggelsens længde og risikoen for genindlæggelse, sammenlignet med patienter, som ikke er i
ernæringsrisiko.
107
107
Mikkelsen, et al. (2023b): "More2Eat" in patients at nutritional risk during hospital stay lowers the risk of three-month mortality.
Tilgængelig
her
MENON ECONOMICS
57
RAPPORT
SUU, Alm.del - 2024-25 - Bilag 218: Henvendelse fra Brancheforeningen Fødevarer til Medicinske Formål (FMF) vedr. foretræde om medicinsk underernæring
3000219_0059.png
Figur 0-1: Genindlæggelser mellem patienter i risiko og ikke i risiko i danske sygehus. Kilde: Mikkelsen, et al. (2023b)
Genindlagt efter 1 mdr
16%
23%
22%
34%
Genindlagt efter 3 mdr
Patienter som ikke er i ernæringsrisiko
Patienter som er i ernæringsrisiko
Den samme studie viser også at patienterne i ernæringsrisiko i gennemsnit havde længere indlæggelser på
sygehus. I en måleperiode på 266 dage havde 19 procent av patienterne med ernæringsrisiko mere end 30
liggedage, mens kun 9 procent af patienterne uden ernæringsrisiko havde mere end 30 liggedage. Fundene
understøttes af resultater fra andre danske og internationale studier.
Figur 0-2: Liggedage på sygehus for patienter i risiko og ikke i risiko i danske sygehus. Kilde: Mikkelsen, et al. (2023b)
46%
36%
28%
22%
18%
5%
19%
12%
5%
9%
Patienter som er i ernæringsrisiko
1-2 dage
3-9 dage
10-19 dage
Patienter som ikke er i ernæringsrisiko
20-29 dage
30+ dage
En undersøgelse fra 2013, gennemført på Haukeland universitetssygehus, har undersøgt sammenhængen
mellem ernæringsstatus og kliniske resultater.
108
Resultater såsom dødelighed, længden på sygehusophold,
genindlæggelser og sygehusomkostninger blev vurderet. Både medicinske og kirurgiske sengeafdelinger og
intensivafdelinger deltog i undersøgelsen, med undtagelse af afdelinger for fødselshjælp, pædiatri og psykiatri.
For at identificere patienter med ernæringsrisiko blev værktøjet NRS 2002 (Nutritional Risk Screening) benyttet.
3.279 patienter blev inkluderet i undersøgelsen, hvoraf 29 procent blev kategoriseret som i risiko for
underernæring.
I undersøgelsen fandt man, at patienter, der er i risiko for underernæring, havde 6,9 dage længere sygehusophold
i løbet af et år sammenlignet med patienter, der ikke var i risiko for underernæring (17,9 dage sammenlignet
med 11,0 dage). Disse estimater er kontrolleret for alder, køn, højde, akutindlæggelser, tidspunktet på året ved
inklusion og antal diagnoser. Derudover er der taget højde for, at patienter, der har længere sygehusophold, har
øget sandsynlighed for at blive udvalgt sammenlignet med patienter, der har kortere sygehusophold.
108
Tangvik, et al. (2013): The nutritional strategy: Four questions predict morbidity, mortality and health care costs. Tilgængelig
her
MENON ECONOMICS
58
RAPPORT
SUU, Alm.del - 2024-25 - Bilag 218: Henvendelse fra Brancheforeningen Fødevarer til Medicinske Formål (FMF) vedr. foretræde om medicinsk underernæring
3000219_0060.png
Dette estimat lægger vi til grund som et forventningsestimat vedrørende indlagte underernærede patienter på
sygehus. Samtidig peger andre internationale studier på, at omkostningerne både kan være lavere og højere
sammenlignet med fundene i denne undersøgelse fra Haukeland universitetssygehus. Baseret på dette er der
beregnet et minimums- og maksimumsestimat, som præsenteres i tabellen nedenfor.
Tabel 0-10: Omkostninger forbundet med ekstra liggedage pr. underernæret person på norske sygehuse forårsaget af
ernæringsrisiko.
Lavt skøn
Omkostning per liggedag på
hospital
Stigning i antal liggedage pr.
patient pr. år ved
ernæringsrisiko
4
5.000 kr
Middels skøn
9.000 kr
6,9
Højt skøn
12.000 kr
9
Omkostninger på plejehjem
En undersøgelse fra Holland har beregnet den ekstra tid og de ressourcer, som sundhedspersonale bruger på at
udføre alle relevante ernæringsaktiviteter hos plejehjemsbeboere med risiko for underernæring og dem, der har
underernæring. Omkostningerne forbundet med tid og ressourcer brugt på diagnostik, overvågning og
behandling af ernæringsrisiko er taget med i beregningerne. De estimerer, at meromkostningerne for at
håndtere plejehjemsbeboere med risiko for underernæring er cirka EUR 8.000 og EUR 10.000 for underernærede
patienter.
109
Estimaterne er baseret på spørgeundersøgelser, interviews og en litteraturgennemgang.
Beregningerne fra undersøgelsen har vi anvendt til at estimere omkostningerne forbundet med ernæringsrisiko
på plejehjem. Ikke desto mindre har vi valgt kun at benytte de beregnede omkostninger forbundet med
behandling
af underernærede personer. Årsagen til, at vi ikke har inkluderet omkostningerne forbundet med
diagnostik, er, at alle patienter indlagt på plejehjem i princippet skal risikovurderes og screenes. Omkostningerne
forbundet med diagnostik kan derfor ikke ses som en meromkostning knyttet. Tabellen nedenfor viser vores
beregninger forbundet med behandling af underernærede patienter på plejehjem, pr. person.
Tabel 0-11: Omkostninger forbundet med behandling af ernæringsrisiko på plejehjem pr. person, i 2024-kroner. Kilde:
Meijers, et al. (2011), Menon
Minimum
Pr. person
60 000
Forventet
75 000
Maksimum
100 000
Omkostninger i hjemmeplejen
Tal fra SSB viser, at væsentligt færre af dem, der modtager sundhedstjenester i hjemmet, bliver kortlagt for risiko
for underernæring sammenlignet med dem, der er på langtidsophold i institution.
110
Tallene viser, at 8 ud af 10
brugere af sundhedstjenester i hjemmet ikke er risikovurderet. Derudover viser tallene, at af dem, der har fået
109
110
Dette er estimater fra 2011
Statistisk sentralbyrå (2019): Brukere av hjemmetjenester får dårligere ernæringsoppfølging enn beboere på sykehjem
MENON ECONOMICS
59
RAPPORT
SUU, Alm.del - 2024-25 - Bilag 218: Henvendelse fra Brancheforeningen Fødevarer til Medicinske Formål (FMF) vedr. foretræde om medicinsk underernæring
3000219_0061.png
påvist risiko for underernæring i hjemmet, er der en lavere andel, der får opfølgning med en ernæringsplan
sammenlignet med dem, der bor på institution.
Ud over dette har vi ikke været i stand til at finde gode estimater på, hvor mange ressourcer hjemmeplejen
bruger på opfølgning og behandling af underernærede personer. Ikke desto mindre indikerer tallene fra SSB, at
omkostningerne pr. underernæret person i hjemmet sandsynligvis er lavere sammenlignet med omkostningerne
for behandling af underernærede på plejehjem. I vores beregninger bruger vi derfor estimatet for
omkostningerne forbundet med plejehjem som en indikator for omkostningerne i hjemmeplejen. Tabel 10 viser
vores beregninger for, hvor mange ressourcer hjemmeplejen bruger på behandling af underernærede i hjemmet.
Tabel 0-12: Omkostninger forbundet med hjemmepleje pr. underernæret person, der modtager hjemmeplejetjenester, i
2024-kroner. Kilde: Menon
Minimum
Pr. person
15 000
Forventet
24 000
Maksimum
50 000
Bilag D: Usikkerhedsanalyse
Der er stor usikkerhed forbundet med de samlede samfundsøkonomiske omkostninger forårsaget af
sygdomsrelateret ernæringsrisiko. Først og fremmest er der usikkerhed omkring forekomsten af ernæringsrisiko
i Danmark. Derudover er der usikkerhed omkring de forskellige parametre, der indgår i beregningen.
Hovedårsagen til dette er, at det er udfordrende at skelne mellem, hvad der er omkostninger knyttet til
ernæringsrisiko, som ofte er en sekundær diagnose, og hoveddiagnosen, individet lider af. For at håndtere dette
har vi gennemført en Monte-Carlo-simulering med 100.000 iterationer.
En Monte-Carlo-simulering bruges til at modellere sandsynligheden for forskellige udfald i en proces, der ikke let
kan forudsiges, og til at forstå usikkerheden i prædiktionsmodeller. Ved gennemførelse af en Monte-Carlo-
simulering tildeles hver usikkerhedsvariabel en fordeling, sådan at resultatet fra hver simulering bliver forskelligt.
Derefter er det muligt at beregne et gennemsnit af resultaterne for at opnå et estimat.
Hvert parameter er tildelt en forventningsværdi, minimumsværdi og maksimumsværdi og antaget en triangulær
fordeling for hver parameter.
111
111
Begrundelsen for forventningsværdi, minimumsværdi og maksimumsværdi for hver parameter er yderligere forklaret i Bilag A,
Bilag B og Bilag C
MENON ECONOMICS
60
RAPPORT
SUU, Alm.del - 2024-25 - Bilag 218: Henvendelse fra Brancheforeningen Fødevarer til Medicinske Formål (FMF) vedr. foretræde om medicinsk underernæring
3000219_0062.png
Tabel 0-13: Parametrene, der indgår i usikkerhedsanalysen, med deres tilhørende forventningsværdi, minimumsværdi og
maksimumsværdi per person. Kilde: Menon
Parameter
Forekomst sygehuse
Forekomst plejehjem
Forekomst hjemmepleje
Forekomst hjemmeboende
Omkostning per sengedag på
sygehus
Stigning i antal sengedage
per patient per år ved
ernæringsrisiko
Omkostninger på plejehjem
Omkostninger i
hjemmeplejen
Reduktion i livskvalitet
(QALY)
Antal dødsfald
Tab af QALY per dødsfald
Lavt
139.175
25.165
28.958
42.259
5.000
4
Middels
185.567
32.355
43.437
119.735
9.000
6,9
Højt
231.959
43.140
57.916
211.297
12.000
9
Fordeling
Triangulær
Triangulær
Triangulær
Triangulær
Triangulær
Triangulær
60.000
15.000
0,015
1.000
1
75.000
24.000
0,083
1.300
2
100.000
50.000
0,112
2.000
3
Triangulær
Triangulær
Triangulær
Triangulær
Triangulær
Ud fra usikkerhedsanalysen ses det, at de samlede samfundsomkostninger med 80 procents sandsynlighed ligger
mellem cirka 8,7 og 21,11 milliarder kroner (se figuren nedenfor). Den længere højre hale i histogrammet
indikerer positiv skævhed i omkostningerne. Dette indebærer, at der er større forskel mellem
forventningsværdien og maksimumsværdien (læs: højeste mulige enhedsomkostning) sammenlignet med
forventningsværdien og minimumsværdien (læs: laveste mulige enhedsomkostning).
MENON ECONOMICS
61
RAPPORT
SUU, Alm.del - 2024-25 - Bilag 218: Henvendelse fra Brancheforeningen Fødevarer til Medicinske Formål (FMF) vedr. foretræde om medicinsk underernæring
3000219_0063.png
Figur 0-3: Monte-Carlo simulering af samlede samfundsomkostninger for ernæringsrisiko i Danmark, årligt, Kilde: Se Bilag,
A, Bilag B, Bilag C
For at se, hvilke parametre der bidrager mest til den totale usikkerhed forbundet med estimeringen af
samfundsomkostningerne, vises et tornado-diagram. Tornado-diagrammet angiver den relative størrelse af de
forskellige usikkerhedsparametre, som er indlagt i Monte-Carlo-simuleringen.
Figur 0-4: Tornado-diagram, der viser oversigten over parametrene, som bidrager mest til usikkerheden forbundet med
estimeringen af de samlede samfundsomkostninger. Kilde: Se Bilag A, Bilag B, Bilag C
Omkostninger per sengedag er den største usikkerhedsparameter og giver et usikkerhedsspænd på cirka 10,6
milliarder kroner. Det vil sige, at hvis alle andre parametre holdes stabile på deres forventningsværdi, og
omkostninger per sengedag er den eneste usikkerhedsparameter, vil de årlige samfundsomkostninger forbundet
med ernæringsrisiko ligge mellem 9,1 og 19,7 milliarder kroner.
MENON ECONOMICS
62
RAPPORT
SUU, Alm.del - 2024-25 - Bilag 218: Henvendelse fra Brancheforeningen Fødevarer til Medicinske Formål (FMF) vedr. foretræde om medicinsk underernæring
3000219_0064.png
T
Menon Economics analyserer økonomiske problemstillinger og rådgiver virksomheder, organisationer og myndigheder. Vi
er et medarbejderejet konsulenthus, som opererer i krydsfeltet mellem økonomi, politik og marked. Menon kombinerer
samfunds- og erhvervsøkonomisk ekspertise inden for områder som samfundsøkonomisk lønsomhed, værdisætning,
konkurrenceøkonomi, strategi, finans og organisationsdesign. Vi anvender forskningsbaserede metoder i vores analyser og
arbejder tæt sammen med førende akademiske miljøer inden for de fleste fagområder. Alle offentlige rapporter fra Menon
er tilgængelige på vores hjemmeside
www.menon.no.
+47 909 90 102 | [email protected] | Sørkedalsveien 10 B, 0369 Oslo | menon.no