Skatteudvalget 2024-25
SAU Alm.del Bilag 96
Offentligt
2959789_0001.png
December 2024
Rekordhøjt antal fejl fundet i
kontrol med indtægter fra di-
gitale platforme
I 2023 fandt Skattestyrelsen fejl i mere end 9 ud af
10 kontroller med indtægter fra udlejning via digi-
tale platforme. Det har samtidig ført til, at styrelsen
har udsendt opkrævninger for et rekordhøjt beløb.
Digitale platforme har gjort det nemmere for borgere at tjene penge ved fx at ud-
leje deres bolig eller bil. Sådanne digitale platforme kaldes kapitalplatforme. De
nye indtægtsmuligheder er dog også med til at øge risikoen for fejl og sort øko-
nomi, da borgerne i høj grad selv skal oplyse Skattestyrelsen om deres indtægter.
Skattestyrelsen kontrollerer derfor borgernes og platformenes oplysninger efter
en vurdering af risiko og væsentlighed. Kontrollerne skal sikre, at indtægter fra ka-
pitalplatforme bliver beskattet korrekt. I 2023 fandt Skattestyrelsen fejl i 92 pct. af
kontrollerne,
jf. figur 1.
Til sammenligning fandt styrelsen fejl i 38 pct. af kontrol-
lerne i 2020. Udviklingen er blandt andet et udtryk for, at Skattestyrelsen er blevet
bedre til at udvælge de rigtige sager.
I samme periode har Skattestyrelsen øget kontroltrykket. Siden 2020 har styrelsen
gennemført i alt knap 4.000 kontroller. I 2023 blev indsatsen styrket med flere res-
sourcer, hvilket førte til en rekordhøj stigning i antallet af kontroller,
jf. figur 1.
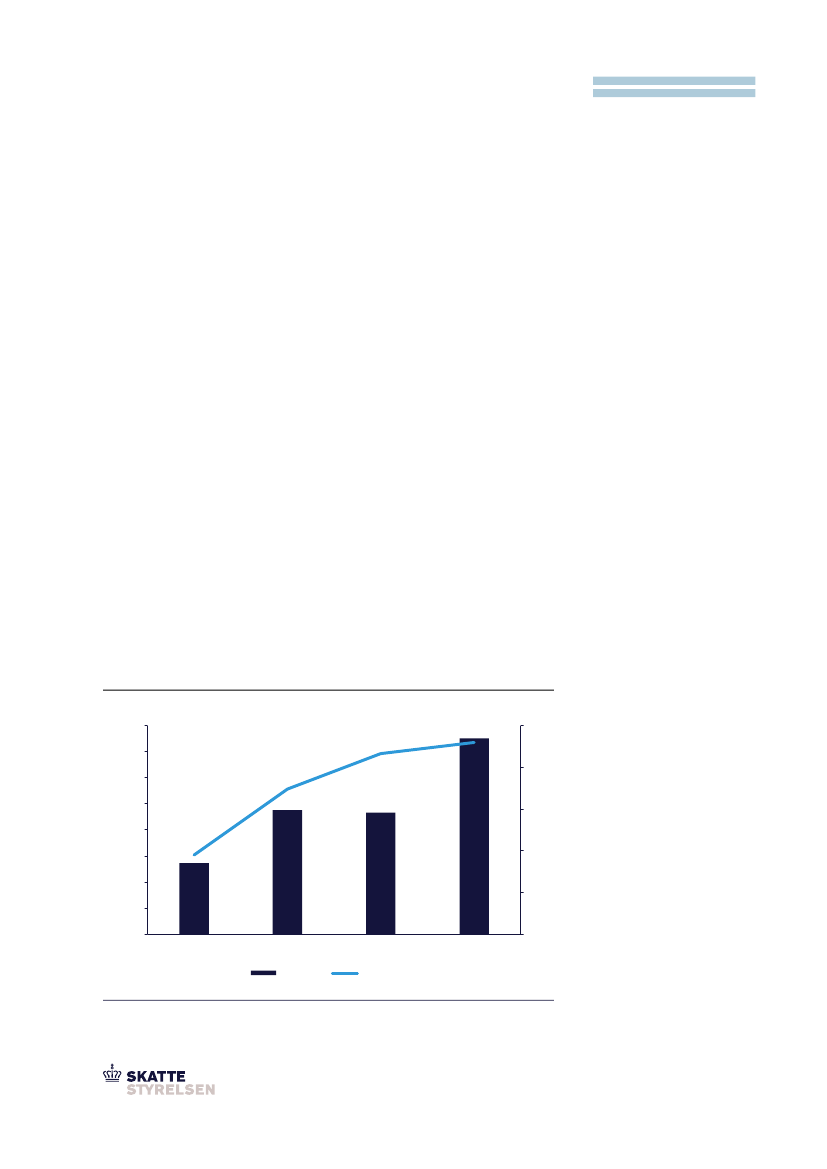
Figur 1. Antal kontroller og træfprocent, 2020-2023
Antal
1.600
87
1.400
1.200
1.000
800
38
600
400
200
-
2020
2021
Kontroller
2022
Træfprocent
2023
545
952
932
20
70
80
92
Pct.
100
92 %
Kontroller med træf
I 2023 fandt Skattestyrelsen fejl i
92 pct. af kontrollerne med ind-
tægter fra kapitalplatforme.
60
1.501
40
0
Kilde: Skattestyrelsen.
SAU, Alm.del - 2024-25 - Bilag 96: Publikation fra Skattestyrelsen, dec. 2024: Rekordhøjt antal fejl fundet i kontrol med indtægter fra digitale platforme
2959789_0002.png
Rekordhøjt antal fejl fundet i kontrol med indtægter fra digitale platforme
Side 2
Rekordhøjt opkrævningsbeløb
Skattestyrelsens kontroller peger på, at den mest hyppige fejl er, at borgerne helt
eller delvist undlader at oplyse indtægterne fra kapitalplatforme på deres årsop-
gørelse. Siden 2020 har styrelsens kontrolindsats ført til, at der er udsendt op-
krævninger for i alt ca. 40 mio. kr. Alene i 2023 førte kontrolindsatsen til et rekord-
højt opkrævningsbeløb på knap 17 mio. kr.,
jf. figur 2.
Generelt har værdien af de udsendte opkrævninger i perioden været stigende. Det
skyldes blandt andet, at Skattestyrelsen de seneste år har modtaget flere indbe-
retninger og bedre oplysninger fra tredjeparter end tidligere. I 2022 faldt værdien
af de udsendte opkrævninger dog sammenlignet med de andre år. Det skyldes
blandt andet, at styrelsen havde fokus på en ny platform, der resulterede i op-
krævninger af mindre værdi sammenlignet med tidligere kontroller.
Figur 2. Udsendte opkrævninger i mio. kr., 2020-2023 (2023-niveau)
Mio.
18
16
14
12
10
8
6
4
2
0
2020
2021
2022
2023
5
11
7
17
40 mio.
Samlet opkrævningsbeløb
I perioden 2020 til 2023 har kontrol-
indsatsen ført til udsendte opkrævnin-
ger for et samlet beløb på ca. 40 mio.
kr.
Anm.: Tallene er korrigeret for udviklingen i BNP (Økonomisk Redegørelse, august 2024).
Kilde: Skattestyrelsen.
Europæisk samarbejde skal reducere skatteunddragelse
Fra 2023 er kapitalplatforme forpligtede til at indsamle og indberette oplysninger
til Skattestyrelsen om borgernes indtægter. Kravet er en del af et nyt EU-direktiv,
det såkaldte DAC7, som skal styrke samarbejdet mellem EU-landene og reducere
risikoen for skatteundgåelse og -unddragelse ved indtægter fra udlejning af fast
ejendom og transportmidler samt køb og salg af varer og tjenesteydelser.
Med direktivet får Skattestyrelsen pligt til at udveksle oplysninger med andre euro-
pæiske lande om borgere, som har indtægter fra danske digitale platforme. Lige-
ledes vil styrelsen modtage oplysninger om danske borgeres udlejningsaktivitet
via udenlandske platforme. Direktivet er således med til at understøtte Skattesty-
relsens kontrolindsats og vil samtidig gøre det lettere for borgere med indtægter
fra kapitalplatforme at oplyse deres indtægter på årsopgørelsen, idet det i højere
grad bliver automatiseret.
For at sikre at danskerne har de bedste betingelser for at betale korrekt skat af de-
res indtægter fra platformene, vejleder Skattestyrelsen på området på skat.dk for
at understøtte målgruppens behov.
www.sktst.dk
Skattestyrelsen er en
del af Skatteforvaltningen