Skatteudvalget 2024-25
SAU Alm.del Bilag 336
Offentligt
3070617_0001.png
September 2025
Momsbetalingen er blevet let-
tere for tusindvis af danske
virksomheder
Siden 2021 er administrationen og byrderne ved
momsbetalingen blevet lettet for de danske virk-
somheder. Det skyldes ændrede EU-momsregler
og etablering af et fælles EU-system for momsbe-
taling.
I 2021 trådte nye EU-momsregler i kraft gennem ordningen
Moms One Stop
Shop.
Fremover er beløbsgrænserne for, om virksomheder skal afregne moms i
deres hjemland eller i landet, hvor varen købes, ensrettet på tværs af EU-lan-
dene. Det betyder, at virksomheder i lande med lav moms, i og uden for EU, ikke
længere har en konkurrencefordel i forhold til danske virksomheder.
Ordningen letter momsbetalingen og de byrder, der er forbundet med det for
virksomhederne. Som en del af reglerne har virksomheder bl.a. fået mulighed for
at afregne moms af deres salg til private aktører på tværs af EU i ét it-system kal-
det One Stop Moms 2 (OSM2), hvorefter momsbetalingerne sendes til de rele-
vante lande. Det er samtidig med til at sikre, at Danmark modtager momsbetalin-
ger fra de andre EU-lande. Tidligere skulle virksomhederne betale moms i hvert
enkelt land, som de havde salg til.
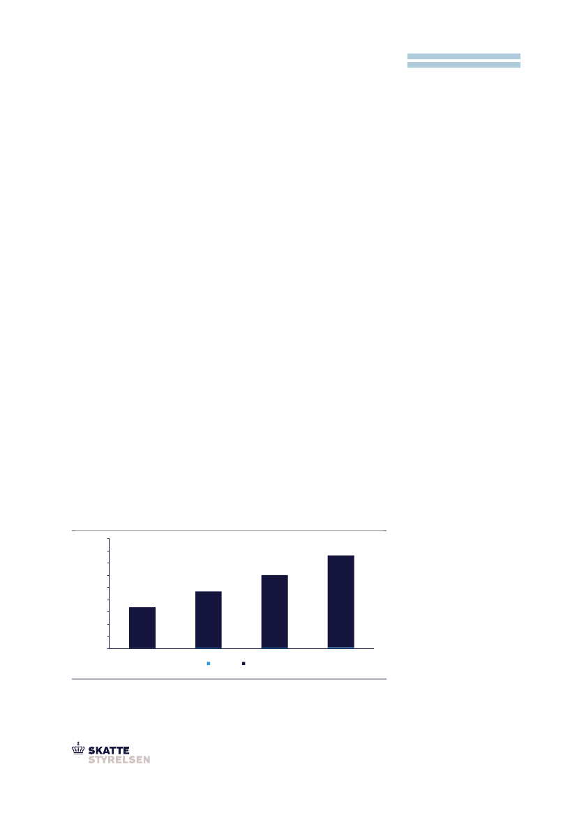
Siden 2021 har et støt stigende antal virksomheder tilmeldt sig ordningen. Ved
udgangen af 2024 havde ca. 152.000 virksomheder på tværs af EU tilmeldt sig
ordningen,
jf. figur 1.
Heraf er mere end 2.400 danske virksomheder.
Figur 1. Antal tilmeldte virksomheder i EU og Danmark
180.000
160.000
140.000
120.000
100.000
80.000
60.000
40.000
20.000
-
2021
2022
Danmark
2023
EU
2024
65.500
93.600
120.000
152.000
2.400
Danske virksomheder i ordningen
Ved udgangen af 2024 havde mere
end 2.400 danske virksomheder til-
meldt sig
OSM2-systemet.
Anm.: De nye momsregler trådte i kraft den 1. juli 2021, men virksomheder har kunnet registrere sig i Moms
OSS-ordningen siden den 1. april 2021.
Kilde: Skattestyrelsen.
SAU, Alm.del - 2024-25 - Bilag 336: Publikation - Resultater fra OSM2, fra skatteministeren
3070617_0002.png
Momsbetalingen er blevet lettere for tusindvis af danske virksomheder
Side 2
Rekordstore momsindberetninger i 2024
I takt med, at flere virksomheder tilmeldes Moms One Stop Shop-ordningen, er
værdien af momsindberetningerne steget markant. Siden ordningen trådte i kraft
i 2021, har andre EU-lande og tredjelande indberettet moms til Danmark for i alt
ca. 18,4 mia. kr. via ordningen,
jf. figur 2.
Alene i 2024 blev afregnet 6,2 mia. kr. gennem ordningen. Det er rekordhøjt og
svarer til en stigning på ca. 16 pct. sammenlignet med året forinden. Det er sam-
tidig en indikation af, at de ændrede regler på Moms One Stop Shop bidrager po-
sitivt til det samlede momsprovenu.
Figur 2. Indberetninger i OSM2-systemet, 2021-2024, mia. kr. (2024-niveau)
Mia. kr.
20
18,4
18,4 mia.
Samlet værdi af indberetninger siden
2021
I perioden fra 2021 til 2024 har andre
EU-lande og tredjelande indberettet
moms i OSM2-systemet til en samlet
værdi af ca. 18,4 mia. kr.
15
10
5
2,3
0
2021
4,6
2022
Værdi, total
5,4
2023
Værdi, akkumuleret
6,2
2024
Anm.: Tallene er korrigeret for udviklingen i BNP (Økonomisk Redegørelse december 2024).
Kilde: Skattestyrelsen.
Skattestyrelsens muligheder for momskontrol er styrket
Foruden de nye fælles EU-momsregler og OSM2-systemet har Skattestyrelsen
fået bedre muligheder for at bekæmpe momssvig i forbindelse med grænse-
overskridende e-handel. Fra den 1. januar 2024 har betalingstjenesteudbydere
pligt til at udveksle oplysninger om visse grænseoverskridende betalinger gen-
nem det fælleseuropæiske system, CESOP. Skattemyndighederne kan bruge op-
lysningerne til at sikre, at den korrekte moms er indbetalt i de respektive lande.
Derudover implementeres EU-direktivet ViDA (VAT in the Digital Age) gradvist
frem mod 2030. Formålet med direktivet er at modernisere momssystemet i hele
EU og bekæmpe momssvindel. Med direktivet får skattemyndighederne fx bedre
muligheder for at gennemføre mere målrettede kontroller. På baggrund af bl.a.
forbedrede data kan der føres kontrol af især udenlandske virksomheder, som
ikke afregner den korrekte moms til Danmark.
Skattestyrelsen vejleder løbende virksomheder om brugen af Moms One Stop
Shop, så de er klædt på til at bruge de nye regler.
www.sktst.dk
Skattestyrelsen er en
del af Skatteforvaltningen