Skatteudvalget 2024-25
SAU Alm.del Bilag 252
Offentligt
3040780_0001.png
Juni 2025
Rekordhøjt provenu inddrevet
fra 23.000 virksomheder
Gældsstyrelsens indsats mod virksomheder med
stor gæld til det offentlige blev styrket som led i
gældsaftalen fra 2022. Det medførte i 2024 en be-
tydelig stigning i inddrivelsesprovenuet.
Når en virksomhed fx undlader at betale skat eller moms, sendes de ubetalte
krav til inddrivelse hos Gældsstyrelsen, der gennemfører en screening af virk-
somheden. Screeningindsatsen har til formål at forebygge virksomheders yderli-
gere gældsopbygning. Her gennemgår styrelsen en virksomheds økonomiske si-
tuation for at vurdere, hvordan gælden til det offentlige kan betales.
Screeningen og de efterfølgende indsatser sikrer ikke alene provenu, men gør
det også muligt at identificere virksomheder, som vurderes at kunne stifte yderli-
gere gæld, der ikke kan inddrives. Dermed reducerer indsatsen risikoen for frem-
tidige tab for staten og bidrager til fair konkurrencevilkår blandt virksomhederne.
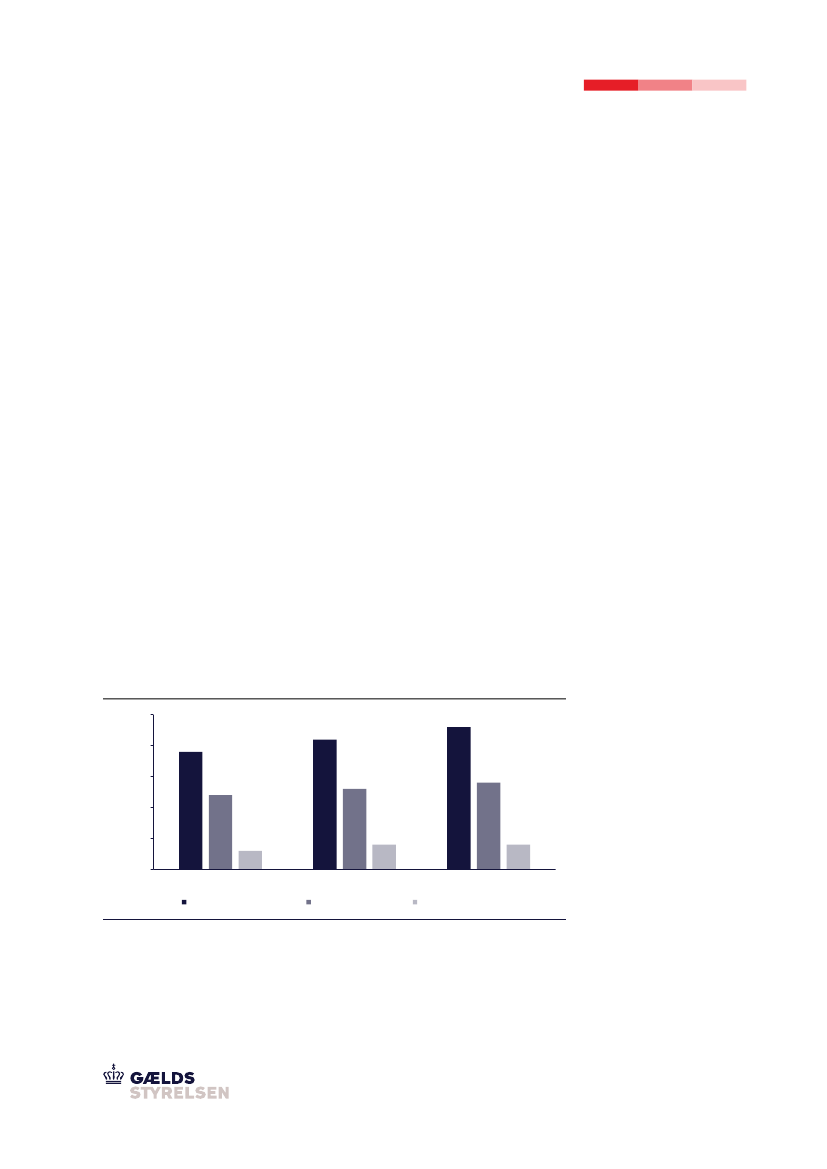
Antallet af screenede virksomheder er steget fra 19.000 i 2022 til flere end
23.000 i 2024,
jf. figur 1.
Det svarer til en stigning på ca. 21 pct. Ud af det sam-
lede antal screenede virksomheder, blev ca. 14.000 virksomheder tilsagt i 2024.
Ved tilsigelse indkaldes virksomheden til møde med fogeden for at undersøge
muligheden for at foretage udlæg i virksomhedens værdier.
Figur 1. Antal virksomheder screenet, tilsagt og konkursvarslet eller -begæret i 2022-2024
25.000
21.000
20.000
15.000
10.000
5.000
0
2022
Screenede virksomheder
2023
Virksomheder tilsagt
2024
Konkursbegæringer
4.000
4.000
19.000
14.000
23.000
21 pct.
Udvikling i antal screeninger
I 2024 screenede Gældsstyrelsen
over 23.000 virksomheder. Det sva-
rer til en på stigning på ca. 21 pct.
sammenlignet med 2022.
12.000
13.000
3.000
Anm: Antal af screenede virksomheder er kun for inddrivelsessystemet DMI, mens de øvrige kategorier
omfatter både DMI og PSRM. Virksomheder kan både fremgå i søjlen for tilsagte virksomehder og i søjlen for
konkursbegæringer.
Kilde: Gældsstyrelsen
SAU, Alm.del - 2024-25 - Bilag 252: Publikation fra Gældsstyrelsen: Tidlig indsats overfor virksomheder med stor gæld
3040780_0002.png
Rekordhøjt provenu inddrevet fra 23.000 virksomheder
Side 2
Endeligt førte screeningindsatsen i 2024 til, at 4.000 virksomheder enten mod-
tog varsel om konkurs, eller at Gældsstyrelsen indgav konkursbegæring uden
forudgående varsel. Det er en stigning fra 3.000 virksomheder i 2022.
Provenuet er øget
I 2024 har Gældsstyrelsen inddrevet i alt ca. 4,5 mia. kr. fra virksomheder med
gæld til det offentlige gennem screeningsindsatsen. Det svarer til en stigning på
ca. 32 pct. sammenlignet med resultatet i 2022.
En stor del af provenuet kommer fra udlæg, hvor fogeden foretager udlæg i virk-
somhedens værdier som sikkerhed for gælden. Provenuet fra udlæg omfatter
både indbetalinger, der direkte er hentet via beslaglagte værdier og frivillige ind-
betalinger, som virksomheder foretager efter at være blevet indkaldt til møde
med fogeden. I 2024 udgjorde provenuet fra udlæg ca. 2,3 mia. kr.
Særligt provenuet fra konkurssager er steget markant fra ca. 0,4 mia. kr. i 2022
til ca. 1,9 mia. kr. i 2024. Udviklingen peger på, at flere virksomheder foretager
indbetalinger efter at have modtaget varsel om konkurs for dermed at afværge
en egentlig konkursbehandling.
Derudover er der også en stigning i øvrigt provenu, som blandt andet tæller be-
talinger på baggrund af telefonvejledning eller varsling om sanktioner. Fx har
Gældsstyrelsen mulighed for at tvangsafmelde en virksomhed, hvis denne ikke
betaler sin gæld. Nogle virksomheder vælger derfor at foretage indbetalinger, ef-
ter at have modtaget et varsel om tvangsafmeldelse.
Figur 2. Provenu fra screeningsindsatsen, 2022-2024, mia. kr. (2024-niveau)
Mia. kr.
5
4
0,4
3
1,0
1,9
2
3,0
1
0,1
2022
Øvrige
3,0
2,3
0
0,3
2023
Udlæg
Konkurssager
0,4
2024
Anm.: Tallene er korrigeret for udviklingen i BNP (Økonomisk Redegørelse december 2024). Tallene er
afrundet til nærmeste 100 mio.
Kilde: Gældsstyrelsen.
Sagsbehandling er blevet mere effektiv
Screeningsindsatsen sikrer både inddrivelsesprovenu til det offentlige og fore-
bygger restancetilvæksten hos virksomheder. I 2024 har Gældsstyrelsen digitali-
seret og effektiviseret screeningsprocesserne. Det betyder, at der kan foretages
flere faglige vurderinger af virksomhedernes økonomi end tidligere.
www.gaeldst.dk
Gældsstyrelsen er en
del af Skatteforvaltningen