Finansudvalget 2024-25
FIU Alm.del Bilag 256
Offentligt
3062736_0001.png
Økonomisk vækst og velstand
en sammenligning af Kina,
USA, EU27 og Danmark de sidste to årtier
Sammenfatning
I den såkaldte Draghi-rapport fra september 2024
1
påpeger Mario Draghi,
at EU27-området (fremover EU27) på flere centrale områder er blevet
overhalet af både USA og Kina
særligt hvad angår økonomisk vækst og
produktivitet. Dette notat undersøger det økonomiske efterslæb, som
Draghi identificerer for EU27, samt om samme udvikling gør sig gæl-
dende for Danmark.
USA og Kina har haft højere vækst i produktionen af goder
Notatet finder, at USA og Kina har haft en højere realvækst end Danmark
og EU27 fra 2000 til 2024, men at dansk økonomi, især i det seneste årti,
haft en højere realvækst end EU27.
Der argumenteres nedenfor for, at Kinas ekstraordinære vækst primært
skyldes en indhentningseffekt
dvs. at det kinesiske produktivitetsniveau
haler ind på det europæiske og amerikanske.
Når det gælder Danmarks og
EU27’s
lavere realvækst i forhold til USA,
skyldes det primært en svagere produktivitetsudvikling: Dvs. at væksten i
det antal varer og tjenester, der produceres pr. arbejdstime, har været
større i USA end i EU27 og Danmark de sidste knap 25 år.
Den højere amerikanske realvækst, skyldes imidlertid også, at USA's be-
folkningstal er steget med godt 20 pct. fra 2000-24, mens befolkningen
kun er vokset med hhv. knap 6 pct. i EU27 og 12 pct. i Danmark.
USA har det højeste velstandsniveau
I tråd med Draghi finder analysen nedenfor, at det økonomiske velstands-
niveau i Danmark og EU27 ligger under det amerikanske niveau i 2023,
målt ved det såkaldt købekraftkorrigerede bruttonationalprodukt (BNP) pr.
indbygger.
For EU27 skyldes forskellen primært et lavere produktivitetsniveau, mens
forskellen for Danmarks vedkommende primært kan tilskrives, at vi arbej-
27. juni 2025
Kathrine Lange
Økonomisk chefkonsulent
[email protected]
+45 3337 3323
1
Jf. »The future of European competitiveness«, Mario Draghi m.f., september 2024.
Side 1 | 27
OFFENTLIG
FIU, Alm.del - 2024-25 - Bilag 256: EU-note om Draghi-rapporten: økonomisk vækst og velstand – en sammenligning af Kina, USA, EU27 og Danmark de sidste to årtier
3062736_0002.png
der færre timer pr. beskæftiget end i USA. Således ligger det danske pro-
duktivitetsniveau på niveau med den amerikanske, når der korrigeres for
forskelle i prisniveauerne i de to lande.
Forskellen i velstands- og produktivitetsniveauer er blevet mindre
gennem de seneste næsten 25 år
I lighed med en analyse fra Kraka m.fl. fra maj 2025
2
viser denne under-
søgelse, at USA ganske vist har haft en højere vækst i produktionen af
mængden af varer og tjenester pr. arbejdstime siden år 2000, men at for-
skellen i produktivitetsniveauet målt i købekraft er blevet indsnævret. Så-
ledes har både EU27 og i sær
Danmark nærmet sig USA’s
produktivitets-
niveau, når man ser på, hvor meget der kan købes for en arbejdstime. På
den baggrund konkluderer Kraka m.fl., at Draghi-rapporten tegner et for
dystert billede.
Indsnævringen af produktivitetsniveauet relativt til USA siden 2000 bety-
der, at EU27 og Danmark har formået at reducere velstandsspændet til
USA, dvs. når udviklingen i købekraftkorrigeret BNP pr. indbygger i lø-
bende priser betragtes og niveauet i 2000 sammenlignes med niveauet i
2024.
Men siden 2019 er velstandsgabet igen vokset
Kraka påpeger dog, at udviklingen fra 2019 til 2023/24 har været mindre
gunstig for Danmark og EU27. Således er såvel produktivitetsvæksten,
målt som væksten i antal producerede goder pr. arbejdstime, som pro-
duktivitet- og velstandsniveauet i Danmark og EU27 i denne periode hal-
tet efter USA. Kraka stiller i den forbindelse spørgsmålet, om dette er be-
gyndelsen på en ny, længerevarende tendens, eller om det skyldes mid-
lertidige udsving
3
.
Nettonationalindkomsten er et mere præcist velstandsmål
Afslutningsvis viser analysen nedenfor, at brugen af nettonationalindkom-
sten (NNI) pr. indbygger i stedet for BNP pr. indbygger ikke ændrer nota-
tets hovedkonklusioner væsentligt. Dog har forskellen mellem BNP og
NNI bidraget til at indsnævre det danske velstandsgab til USA de sidste
knap 25 år.
Gangen i notatet
I det følgende uddybes disse hovedpointer. Først beskrives forskellen på re-
alvæksten i den samlede økonomi for hhv. Kina, USA, EU27 og Danmark.
2
Se kapitel 2 i »Small Great nation Danmark 2050
fodnote eller fyrtårn« Kraka og Deloitte maj
2025.
Se kapitel 2 i »Small Great nation Danmark 2050
fodnote eller fyrtårn« Kraka og Deloitte maj
2025.
3
Side 2 | 27
OFFENTLIG
FIU, Alm.del - 2024-25 - Bilag 256: EU-note om Draghi-rapporten: økonomisk vækst og velstand – en sammenligning af Kina, USA, EU27 og Danmark de sidste to årtier
3062736_0003.png
Dernæst beskriver afsnit 2 den kinesiske udvikling, mens afsnit 3 analyserer
årsagerne til forskellene i den realøkonomiske vækst i BNP for USA, EU27
og Danmark. Afsnit 4 undersøger forskelle i den økonomiske velstand målt
ved købekraftkorrigeret BNP pr. indbygger samt de bagvedliggende årsager
til disse forskelle og den historiske udvikling. Afslutningsvis diskuteres det i
afsnit 5, hvordan økonomisk velstand bør opgøres med udgangspunkt i NNI.
1.
EU27’s reale
økonomiske aktivitet sakker bagud
EU27’s økonomi
er igennem de sidste 24 år vokset mindre end såvel USA’s
som Kinas økonomi
det gælder, både når man sammenligner BNP i lø-
bende valutaomregnede priser, samt når man sammenligner den realøkono-
miske vækst.
BNP i løbende (valutaomregnede) priser
Kina har lukket gabet i BNP i forhold til EU27 fra 2000 til 2024, og
USA’s
BNP er i løbende priser særligt efter finanskrisen vokset hurtigere end
EU27’s.
Hvor EU27s BNP udgjorde 71
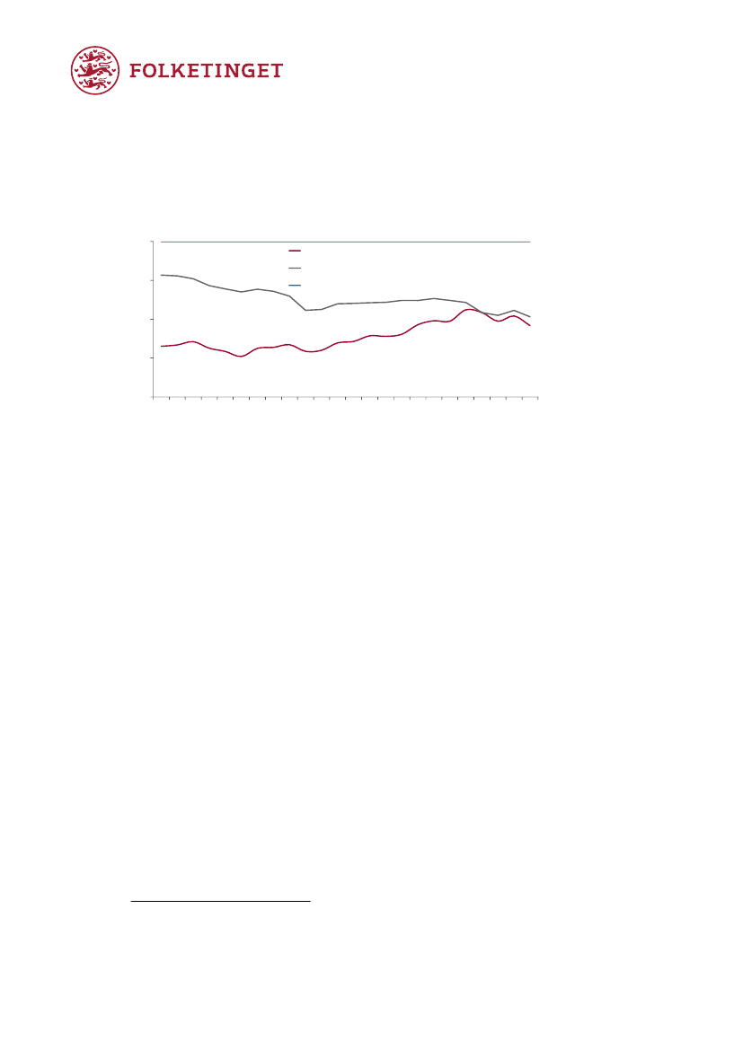
pct. af USA’s BNP i 2000,
og BNP-ga-
bet således udgjorde 29 pct., udgør gabet i 2024 34 pct., jf. figur 1.
4
Figur 1. Efter finanskrisen er USA's BNP i løbende priser stukket af
BNP i løbende priser, dvs. alene valutakuromregnet
Mia. US dollar
35.000
30.000
25.000
20.000
15.000
10.000
5.000
0
2000
2002
2004
2006
2008
2010
2012
2014
2016
2018
2020
2022
2024
-29 pct.
-34 pct.
EU27
USA
Kina
Kilde: OECD Data Explorer og egne beregninger.
Anm.: Tuborgklammen markerer den procentivse forskel i BNP relativt til USA.
Det er imidlertid ofte misvisende
som ovenfor i figur 1
at sammenligne
BNP i løbende priser. Det skyldes blandt andet, at forskelle i BNP i høj grad
påvirkes af valutakursudsving, som igen kan være resultatet af faktorer som
4
OECD’s datasæt definerer den europæiske union som »27 countries from 01/02/2020« –
dvs.
datoen for Storbritanniens Brexit. Data for EU27 præsenteret i dette notat, er et aggregat af de
nuværende 27 lande. Det betyder, at det præsenterede data for EU27 i et givent år ikke repræ-
senterer daværende års EU, men hvordan indikatorerne i det nuværende EU var i et givent år.
Side 3 | 27
OFFENTLIG
FIU, Alm.del - 2024-25 - Bilag 256: EU-note om Draghi-rapporten: økonomisk vækst og velstand – en sammenligning af Kina, USA, EU27 og Danmark de sidste to årtier
3062736_0004.png
spekulation, renteændringer og politiske indgreb, jf. også bilag 1. Samtidig er
det ikke alle dele af økonomien, der kan handles på det internationale mar-
ked, hvorfor en umiddelbar sammenligning i løbende valutaomregnede enhe-
der kan blive misvisende.
Når Mario Draghi sammenligner BNP-væksten, anvender han da også enten
BNP i faste priser eller såkaldt købekraftkorrigeret BNP i faste priser, jf. ne-
denfor.
EU27 har haft lavere vækstrater end såvel Kina som USA
Udviklingen i BNP i faste priser giver et overblik over forskellen på den real-
økonomiske vækst i de forskellige økonomier
dvs. i væksten i det antal va-
rer og tjenesteydelser, der produceres. Også opgjort på denne måde er Ki-
nas
økonomi vokset væsentligt hurtigere end såvel EU27’s og USA’s.
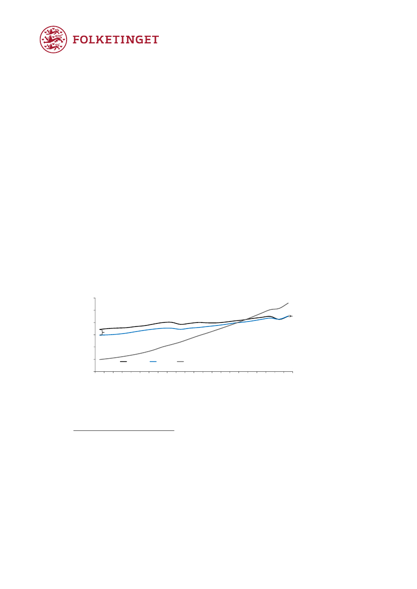
USA har ligeledes også efter dette mål udvidet sit spænd til EU27. Således
er BNP spændet mellem EU27 og USA vokset fra at udgøre 16 pct. i 2000 til
at udgøre 29 pct. i 2024., jf. figur 2.
5
Figur 2. EU27 oplever et realt vækstspænd i forhold til USA og Kina
BNP i faste 2020-priser
Mia. US dollar
25.000
20.000
15.000
-29 pct.
-16 pct.
10.000
5.000
EU27
USA
Kina
0
2000
2002
2004
2006
2008
2010
2012
2014
2016
2018
2020
2022
2024
Kilde: OECD Data Explorer og egne beregninger. Anm.: Tuborgklammen markerer den procentivse forskel i BNP relativt til
USA. Figuren svarer til den første figur i figur 3 side 12 i "The future of European competitiveness, part A", M. Drahgi m.fl.,
september 2024. I følge denne rapport udgjorde BNP-gabet imidlertid hhv. -17 pct. i 2002 og -30 pct. i 2023. Udover
afvigelsen i forhold til perioden skyldes forskellen formentlig også, at M. Drahgi anvender en serie, der er mængde
kædeindekseret ud fra 2015.
Købekraftkorrigeret er EU27’s
økonomi nu mindre end USA’s
og Kinas
5
OECD har fornyeligt ændret basisår fra 2015 til 2020, hvorfor det ikke har været muligt at gen-
skabe de nøjagtig samme dataserier, som dem der anvendes i Draghi-rapporten. Skiftet fra
2015 til 2020 ændrer imidlertid ikke den overordnede fortælling, ligesom de gennemsnitlige år-
lige vækstrater stort set er de samme.
Side 4 | 27
OFFENTLIG
FIU, Alm.del - 2024-25 - Bilag 256: EU-note om Draghi-rapporten: økonomisk vækst og velstand – en sammenligning af Kina, USA, EU27 og Danmark de sidste to årtier
3062736_0005.png
Sammenligningen af BNP i faste priser korrigerer ikke for, at der (til at starte
med) er forskel på prisniveauerne i de forskellige lande. Prisniveauerne er ty-
pisk højere i højindkomstlande end i lavindkomstlande. Hvis der ikke tages
højde for dette, når BNP'erne i lande omregnes til en fælles valuta, vil størrel-
sen af højindkomstlande blive overvurderet, og størrelsen af lavindkomst-
lande vil blive undervurderet. Sat på spidsen betyder det, at en frisørydelse i
eksempelvis Danmark
som udgangspunkt
vil være dyrere og dermed
blive tillagt en højere værdi end en frisørydelse i Kina. En sammenligning af
købekraftskorrigeret BNP tager højde for sådanne forskelle i prisniveauer og
sikrer dermed grundlæggende, at en frisørydelse i Kina tæller lige så meget,
som en frisørydelse i Danmark
6
.
Kinas økonomi er i dag langt større end såvel USA's som EU27s økonomi,
når BNP købekraftskorrigeres. Samtidig er EU27’s BNP-spænd stadig vokset
i forhold til USA. Hvor det købekraftskorrigerede BNP i 2000 i EU27 var 16
pct.
højere end USA’s,
er det i dag 3
pct. mindre end USA’s,
jf. figur 3
7
.
Figur 3. Købekraftkorrigeret er Kinas økonomi nu større end USA's og EU27's
PPP-korigeret BNP faste 2020-priser
Mia. US dollar
30.000
25.000
-3 pct.
20.000
15.000
16 pct.
10.000
5.000
0
2000
2002
2004
2006
2008
2010
2012
EU27
USA
Kina
Gennemsnitlig årlig vækstrate i pct, 2000-24
EU27
1,4
USA
2,1
Gennemsnitlig årlig vækstrate i pct, 2002-23
Kina
8,3
2014
2016
2018
2020
Kilde: OECD Data Explorer og egne beregninger. Anm.: Tuborgklammen markerer den procentivse forskel i BNP relativt til
USA. Figuren svarer til den anden figur i figur 3 side 12 i "The future of European competitiveness, part A", M. Drahgi m.fl.,
september 2024. I følge denne rapport udgjorde BNP-gabet imidlertid hhv. +4 pct. i 2002 og -12 pct. i 2023. Udover
afvigelsen i forhold til perioden skyldes forskellen formentlig også, at M. Drahgi anvender serie, der er mængde
kædeindekseret ud fra 2015.
6
OECD's købekraftskorrigerede BNP valutakurs bygger på en omfattende og detaljeret kurv af
varer og tjenester, som er beskrevet i den fælles Eurostat-OECD Methodological Manual on
Purchasing Power Parities, jf. også bilag 1. Priskurven er sammensat, så den afspejler hele
økonomien og inkluderer bl.a. forbrugsprodukter- og services, offentlige services samt kapital-
goder. Den beregnes fra anvendelsessiden med udgangspunkt i priserne for det endelige og
samlede forbrug, der tilsammen udgør BNP.
Væksten i BNP i faste 2020 priser svarer til væksten i købekraftskorrigeret BNP i faste 2020
priser i OECDs database. Det afspejler, at der alene købekraftskorrigeres i et år, nemlig 2020,
hvorefter udviklingen tilbage i tiden afspejler den reale vækstrate. Dermed er det lidt uklart,
hvad datapunkterne tilbage i tid konkret afspejler. Når figuren medtages her, er det, fordi Draghi
anvender denne serie i rapporten.
7
Side 5 | 27
OFFENTLIG
FIU, Alm.del - 2024-25 - Bilag 256: EU-note om Draghi-rapporten: økonomisk vækst og velstand – en sammenligning af Kina, USA, EU27 og Danmark de sidste to årtier
3062736_0006.png
Udviklingen i dansk BNP
Realvæksten i dansk BNP fra 2000 til 2024
dvs. væksten i den produce-
rede mængde varer og tjenester
adskiller sig ikke væsentligt fra udviklingen
i EU27. Hvor den gennemsnitlige reale årlige vækstrate var 1,4 pct. i EU27
fra 2000-24, har den været 1,5 pct. i Danmark, jf. tabel 1.
Tabel 1. Gennemsnitlig årlig real vækstrate i samlet BNP, 2014-24
Pct.
DK
EU27
USA
Kina
1)
Fra 2000-2024
1,5
1,4
2,1
8,2
Fra 2014-2024
2,5
1,6
2,5
5,8
Note: Egne beregninger foretaget på baggrund af OECD’s databank. Væksten i BNP faste 2020
priser er lig væksten i købekraftskorrigeret BNP i faste 2020-priser og svarer til væksten i BNP i
de nationale valutaer i OECDs databank. Anm.: 1) Vækstrater for Kina er for perioden 2000-
2023.
De sidste ti år har Danmark imidlertid haft en væsentlig højere vækstrate end
EU27 på 2,5 pct. årligt, det svarer til væksten i USA, jf. tabel 1.
2. Kinas vækst er udtryk for en indhentningseffekt
Kina har oplevet en bemærkelsesværdig økonomisk fremgang. I perioden fra
2000 til 2024 voksede den kinesiske økonomi i gennemsnit med over 8 pct.
om året i reale termer
en vækstrate, der er mere end fem gange højere end
den tilsvarende for EU, jf. tabel 1. Ifølge OECD steg beskæftigelsen i Kina i
samme periode alene med omkring 0,5 pct. årligt, hvilket betyder, at største-
delen af væksten kan tilskrives en stigning i BNP pr. beskæftiget
8
.
Denne udvikling afspejler en såkaldt indhentningseffekt, hvor Kinas produkti-
vitet
målt som BNP pr. beskæftiget
gradvist nærmer sig niveauet i EU27.
Der er dog fortsat et betydeligt kinesisk gab, jf. figur 4.
8
Egen beregning på baggrund af OECD Data Explorer.
Side 6 | 27
OFFENTLIG
FIU, Alm.del - 2024-25 - Bilag 256: EU-note om Draghi-rapporten: økonomisk vækst og velstand – en sammenligning af Kina, USA, EU27 og Danmark de sidste to årtier
3062736_0007.png
Figur 4. Kina har stadig et stort vækstpotentiale
Købekraftkorigeret BNP i faste 2020-priser pr. beskæftiget
US 2020-dollar pr.
beskæftiget
145.000
125.000
105.000
85.000
65.000
45.000
25.000
5.000
2000
2002
2004
2006
2008
2010
2012
2014
2016
2018
2020
2022
DK
EU27
USA
Kina
Kilde: Egne beregninger på baggrund af OECD Data Explorer Anm.: Databasen indeholder ikke oplysninger om antallet
af timer pr. beskæftiget i Kina, hvorfor sammenligningen må bassere sig på BNP pr. beskæftiget.
Selvom Kinas befolkning er mere end tre gange så stor som EU27’s, er Kinas
BNP kun godt 34 pct. højere
selv når der korrigeres for købekraft og der-
med tages højde for det generelt lavere prisniveau i Kina. På den baggrund
kan det stadig forventes, at Kinas økonomi vil opleve højere vækstrater end
EU27 i fremtiden.
Givet potentialet i indhentningseffekten vil det også i fremtiden være muligt
med en højere kinesisk vækst, selvom landets arbejdsstyrke påvirkes nega-
tivt af demografiske ændringer. Antallet af personer i alderen 15 til 64 år for-
ventes således ifølge OECD at falde med over 20 pct. i Kina, mens faldet i
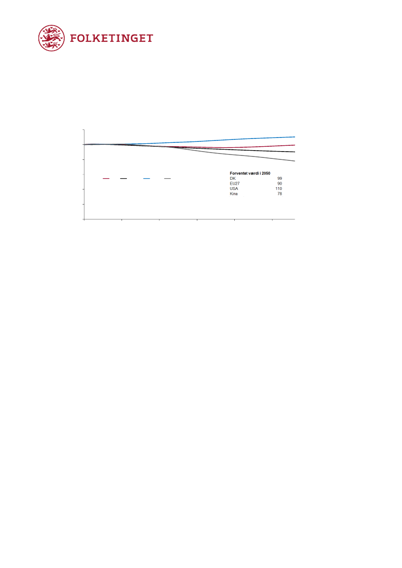
EU27 kun ventes at være omkring 10 pct. fra 2002 til 2050, jf. figur 5.
Side 7 | 27
OFFENTLIG
FIU, Alm.del - 2024-25 - Bilag 256: EU-note om Draghi-rapporten: økonomisk vækst og velstand – en sammenligning af Kina, USA, EU27 og Danmark de sidste to årtier
3062736_0008.png
Figur 5. Forventet nedgang i arbejdsdygtig befolkning er mere markant i Kina
Den forventede udvikling i antallet af personer i aldersgruppen 15-64 år fra 2022 til 2050
2022 = 100
120
100
80
60
40
20
DK
EU27
USA
Kina
0
2022
2027
2032
2037
2042
2047
Kilde: Egne beregninger på baggrund af OECD Data Explorer, Population projections.
Bemærk, at selvom Kinas BNP pr. indbygger stadig er væsentlig mindre end
EU27, kan problematikken vedrørende Kinas dominans indenfor strategiske
sektorer stadig være relevant. Der er imidlertid i givet fald ikke tale om en ge-
nerel økonomisk vækstproblematik, men snarere en mere politisk strategisk
problemstilling.
3. Den højere amerikanske vækst skyldes primært
produktivitet
Figur 2 og 3 ovenfor illustrer, at
USA’s økonomi
er vokset hurtigere end
EU27’s
og dansk økonomi
når man betragter mængden af producerede va-
rer og tjenester. Hvor amerikansk økonomi er steget med godt 60 pct. fra
2000 til 2023, er EU27's og dansk økonomi steget med hhv. knap 37 pct. og
knap 39 pct., jf. også figur 6.
Side 8 | 27
OFFENTLIG
FIU, Alm.del - 2024-25 - Bilag 256: EU-note om Draghi-rapporten: økonomisk vækst og velstand – en sammenligning af Kina, USA, EU27 og Danmark de sidste to årtier
3062736_0009.png
Figur 6. Realt vækstspænd har primært været drevet af produktivitsudviklingen
Vækst i BNP i faste 2020-priser fra 2000 til 2023, samt dekomponering af denne
Pct. og pct.point.
70
60
50
40
30
20
10
0
-10
Dekomponering
Dekomponering
Dekomponering
DK
EU27
USA
Samlet vækst i BNP faste 2020-priser, (pct.)
Bidrag fra produktivitetsudvikling (BNP pr. time, faste 2020-priser, procentpoint)
Bidrag fra udvikling i antal indbyggere (procentpoint)
Bidrag fra udvikling i antal timer pr indbygger (procentpoint)
Kilde: Egne beregninger på baggrund af OECD Data Explorer. For USA foreligger endnu ikke oplysninger om antallet af
arbejdstimer i 2024, hvorfor dekomponeringen foretages for 2000-23. Anm.: Udregningen af bidraget afhænger af
rækkefølgen.
Forskellen i væksten mellem Danmark og EU27 på den ene side og så USA
på den anden side skyldes primært en højere amerikansk produktivitetsudvik-
ling. Af den samlede forskel på realvæksten i forhold til USA kan hhv. 22 pro-
centpoint for Danmark og 24 procentpoint for EU27, dvs. over 80 pct. af den
samlede forskel, forklares med forskelle i produktivitetsudviklingen. De reste-
rende knap 20 pct. af forskellen skyldes en større vækst i den amerikanske
befolkning, der kun delvist opvejes af et fald i antallet af arbejdstimer pr. ind-
bygger i USA, jf. figur 6.
Det er værd at bemærke, at udviklingen i arbejdsstyrken formentlig også i
fremtiden må forventes at lægge en dæmper på væksten i særligt EU27 sam-
menlignet med USA. Således forventer OECD, at antallet af indbyggere i
EU27 mellem 15 og 64 år vil falde med 10 pct., hvorimod antallet forventes at
stige med 10 pct. i USA
9
, jf. figur 5.
Højere amerikansk vækst i antallet af goder pr. arbejdstime
Som tidligere nævnt skyldes forskellen i væksten i antallet af goder i Dan-
mark og EU27 på den ene side og USA på den anden primært, at den ameri-
kanske produktivitetsvækst har været højere. Produktivitetsudviklingen, målt
som BNP i faste priser pr. arbejdstime, har således været højere i USA end i
både EU27 og Danmark, jf. figur 7.
9
Fremskrivninger som disse må nødvendigvis hvile på en række antagelser om blandt andet
ind- og udvandring og er dermed behæftet med usikkerhed.
Side 9 | 27
OFFENTLIG
FIU, Alm.del - 2024-25 - Bilag 256: EU-note om Draghi-rapporten: økonomisk vækst og velstand – en sammenligning af Kina, USA, EU27 og Danmark de sidste to årtier
3062736_0010.png
Figur 7. USA har haft større vækst i antallet af producerede goder pr. arbejdstime
Udvikling i BNP i faste 2020-priser pr. arbejdstime
Værdi i 2000 = 100
160
140
120
100
80
60
40
EU27
USA
DK
20
0
2000
2002
2004
2006
2008
2010
2012
2014
2016
2018
2020
2022
2024
Kilde: Egne beregninger på baggrund af OECD Data Explorer. Der findes endnu ikke oplysninger for USA i 2024.
For Danmarks vedkommende har væksten i antallet af goder pr. arbejdstime
dog kun at have været en anelse svagere end den amerikanske de sidste 10
år. Væksten var således 1,1 pct. årligt i Danmark fra 2013-2023, mens den
var 1,2 pct. i USA
10
, jf. figur 7.
Det skal her fremhæves, at Økonomiministeriet i maj 2025-udgaven af Øko-
nomisk Redegørelse påpeger, at metodemæssige forskelle kan bidrage med
en nedadgående bias for realvæksten i EU27 og Danmark sammenlignet
med USA. Ifølge ministeriet gør USA i højere grad brug af en metode, der ta-
ger højde for kvalitetsændringer, når den indenlandske realvækst opgøres.
Det resulterer ifølge ministeriet i lavere målte prisstigninger og dermed højere
realvækst sammenlignet med EU
11
.
4. USA har et større økonomisk velstandsniveau
De foregående afsnit har fokuseret på udviklingen i den samlede økonomi. I
dette afsnit fokuseres på den individuelle økonomiske velstand. Først sam-
menlignes niveauet i 2023 og dernæst ses på udviklingen fra 2000 til 2023
12
.
10
Kraka skriver i »
Danmark 2050
fodnote eller fyrtårn?
«
fra maj 2025, at USA’s vækstrater
faldt til omtrent samme niveauet som EU27 efter 2010. Men såvel fra 2010-2023, som fra 2013-
2023 og fra 2018-2023 har de amerikanske vækstrater imidlertid været højere end de europæi-
ske.
Jf. side 45 i Økonomisk Redegørelse, maj 2025.
11
12
Der er endnu ikke oplysninger om antal arbejdstimer i 2024 for USA, hvorfor der ses på udvik-
lingen fra 2000-23.
Side 10 | 27
OFFENTLIG
FIU, Alm.del - 2024-25 - Bilag 256: EU-note om Draghi-rapporten: økonomisk vækst og velstand – en sammenligning af Kina, USA, EU27 og Danmark de sidste to årtier
3062736_0011.png
BNP per indbygger er en økonomisk indikator, der ofte bruges til at måle et
lands økonomiske velstand på individuel basis. Indikatoren beregnes ved at
dividere et lands samlede BNP med dets befolkningstal, hvilket giver et gen-
nemsnit af den økonomiske værdiskabelse pr. indbygger i et land. Også målt
i forhold til BNP per indbygger er USA et mere velstående land end såvel
Danmark som EU27, jf. figur 8.
Figur 8. Købekraftskorrektion reducerer forskelle i velstandsniveau
BNP og købekraftskorrigeret BNP pr. indbygger i 2023
US-dollar pr.
person , 23-priser
90.000
80.000
70.000
60.000
50.000
40.000
30.000
20.000
10.000
0
DK
EU27
USA
Kina
Kilde: OECD's Data Explorer og egne beregninger.
16
16
50
90
83
91
72
72
100
100
BNP pr. indbygger
Købekraftkorrigeret BNP pr.
indbygger
Tal i søjler angiver
niveauet
i
forhold til
USA =100
31
31
31
En sammenligning af velstandsniveauet på tværs af lande, bør imidlertid
ifølge OECD tage hensyn til forskelle på prisniveauet, jf. bilag 1. Dvs., at man
kan købe flere varer og tjenester for en dollar i EU27, end man kan i USA.
Denne købekraftskorrektion reducerer forskellen til USA. Hvor det ukorrige-
rede BNP pr. indbygger udgør hhv. 50 og 83 pct. af niveauet for USA for hhv.
EU27 og Danmark, udgør det købekraftsjusterede BNP pr. indbygger hhv. 90
pct. og 73 pct. af niveauet i USA, jf. figur 8.
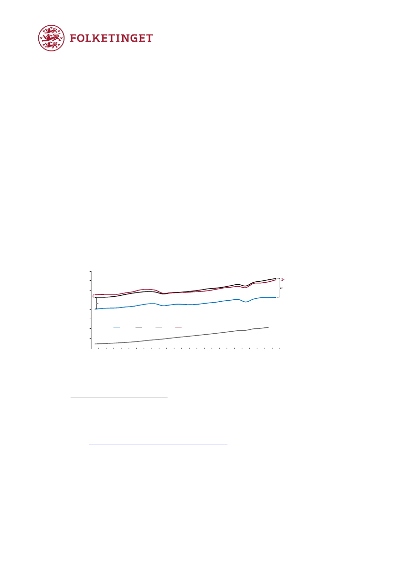
Produktivitet forklarer velstandsgab for EU27, arbejdstiden gabet for DK
Den største del
eller 84 pct.
af forskellen på det økonomiske velstandsni-
veau (BNP pr. indbygger) mellem EU27 og USA i 2023 skyldes produktivitet,
mens 82 pct. af forskellen mellem Danmark og USA kan forklares med, at an-
tallet af arbejdstimer pr. indbygger er lavere i Danmark, jf. figur 9.
Side 11 | 27
OFFENTLIG
FIU, Alm.del - 2024-25 - Bilag 256: EU-note om Draghi-rapporten: økonomisk vækst og velstand – en sammenligning af Kina, USA, EU27 og Danmark de sidste to årtier
3062736_0012.png
Figur 9. For EU27 skyldes velstandsgab til USA primært produktivitet, for DK at vi
arbejder mindre
Købekraftkorrigeret BNP pr. indbygger i 2023, USA, EU27 og DK samt dekomponering af forskellen
til USA
Dollar pr. indbygger
i 2023 priser
90.000
Bidrag fra produktivitetsniveau
80.000
(købekraftskorrigeret BNP pr.
70.000
arbejdstime)
Bidrag fra beskæftigelse
60.000
(arbejdstimer pr. indbygger)
50.000
40.000
30.000
BNP pr. Capita
20.000
10.000
0
USA
EU27
DK
USA- USA-DK
EU27
Egne beregninger baseret på
OECD’s
Data Explorer. I forbindelse med dekomponeringen af forskellen mellem USA og
Danmark er den danske produktivitet nedjusteret med cirka 1 procent, mens
USA’s
produktivitet er opjusteret med cirka 3
procent. Dermed bliver
USA’s
produktivitet højere end den danske. Denne justering svarer til den korrektion, som Kraka
anvender i deres analyse "Gode takter for Europas produktivitet og konkurrenceevne" fra juni 2025, idet Kraka henviser til
den korrektion, som Produktivitetskommissionen benyttede med udgangspunkt i data fra 2002.
Produktivitetsforskelle driver således hovedparten af EU27s velstandsgab til
USA, men antallet af arbejdstimer pr. indbygger er imidlertid også lavere i
EU27 end i USA og driver således de resterende 16 pct. af velstandsgabet.
Det lavere antal arbejdstimer pr. indbygger i såvel EU27 som Danmark i for-
hold til USA, kan forklares med et lavere antal arbejdstimer pr. beskæftiget, jf.
figur 10.
Figur 10. USA skiller sig ud med flere arbejdstimer pr. beskæftiget
Antal arbejdstimer pr. beskæftiget samt andel beskæftiget pr. indbygger i 2023
Årlige antal
arbejdstimer pr.
beskæftiget
Beskæftigede pr.
indbygger, pct.
1800
Timer pr. beskæftiget
Beskæftigede pr. indbygger pct. (højre akse)
60
50
40
30
20
10
1600
1400
1200
1000
800
600
400
200
0
USA
EU27
DK
0
Kilde: OECD Data Explorer: Productivity levels og egne beregninger. Anm: Der er foretaget en korrektion for antallet af
arbejdstimer pr. beskæftiget i DK og USA svarende til den korrektion, som Kraka m.fl. foretager i "Gode takter for Europas
produktivitet og konkurrenceevne" fra juni 2025.
Det lavere danske økonomiske velstandsniveau i forhold til USA i 2023 kan
dermed forklares med, at antallet af arbejdstimer pr. beskæftiget er godt 22
Side 12 | 27
OFFENTLIG
FIU, Alm.del - 2024-25 - Bilag 256: EU-note om Draghi-rapporten: økonomisk vækst og velstand – en sammenligning af Kina, USA, EU27 og Danmark de sidste to årtier
3062736_0013.png
pct. lavere end i USA
13
. Således ligger produktivitetsniveauet på niveau med
det amerikanske, og antallet af beskæftigede pr. indbygger er højere i Dan-
mark, end det er i USA, jf. figur 10.
Velstanden i EU27 og Danmark har ikke haltet bagud i knap 25 år
En del af forklaringen på, at realvæksten i USA har været højere end i EU27,
er, at USA's befolkning er steget med godt 20 pct. fra 2000-2024, hvorimod
befolkningen i EU27 alene er steget med knap 6 pct.
Den højere amerikanske befolkningstilvækst betyder, at
EU27’s forøgelse af
det reale vækstgab i forhold til USA alene udgør 3 procentpoint, når dette op-
gøres med udgangspunkt i købekraftkorrigeret BNP pr. indbygger i faste pri-
ser, jf. figur 11. Det er mindre end forskellen på væksten i den samlede øko-
nomi.
.
Figur 11. I faste priser er EU27s velstandsspænd øget med 3 pct. point fra
2000 til 2024
Købekraftskorrigeret BNP pr. indbygger i faste 2020-priser
US dollar pr.
person, 2020 priser
80.000
70.000
60.000
5 pct.
-24 pct.
Gennemsnitlig årlig vækstrate i pct, 2000-24
EU27
1,1
USA
1,3
DK
1,0
Gennemsnitlig årlig vækstrate i pct, 2000-23
Kina
7,7
-2 pct.
-27 pct.
50.000
40.000
30.000
20.000
10.000
EU27
USA
Kina
DK
0
2000 2002 2004 2006 2008 2010 2012 2014 2016 2018 2020 2022 2024
Kilde: OECD's Data Explorer og egne beregninger. Anm.: Tuborgklammen markerer den procentivse forskel i BNP pr. capita
relativt til USA. .
13
Ifølge OECD’s database var den danske produktivitet i 2023 –
målt som BNP pr. arbejdstime
korrigeret for købekraft
højere end den amerikanske. Denne sammenligning er dog forbundet
med metodiske udfordringer, særligt i forhold til opgørelsen af arbejdstimer, jf. bilag 2. Derfor
foretog Produktivitetskommissionen i 2014 en justering af både dansk og amerikansk produkti-
vitet. Justeringen var baseret på data fra 2002. Denne metode er også anvendt i Krakas ana-
lyse »
Gode takter for Europas produktivitet og konkurrenceevne«
fra juni 2025. Justeringen in-
debærer en opregulering af dansk arbejdstid med ca. 1 pct., hvilket reducerer den danske pro-
duktivitet tilsvarende. Omvendt nedjusteres amerikansk arbejdstid med ca. 3 pct., hvilket øger
den amerikanske produktivitet. Efter denne korrektion er den amerikanske produktivitet en
smule højere end den danske. På baggrund af disse overvejelser konkluderes det her, at dansk
produktivitet ligger på niveau med den amerikanske. Det er de justerede produktivitets- og ar-
bejdstidstal, der ligger til grund for dekomponeringen mellem USA og Danmark i figur 9 og som
også anvendes i figur 10 og figur 13. I alle øvrige figurer anvendes ikke-justeret data direkte fra
OECD’s database.
Side 13 | 27
OFFENTLIG
FIU, Alm.del - 2024-25 - Bilag 256: EU-note om Draghi-rapporten: økonomisk vækst og velstand – en sammenligning af Kina, USA, EU27 og Danmark de sidste to årtier
3062736_0014.png
Det er igen udviklingen i den mængdemæssige produktivitet
dvs. væksten i
det antal varer og tjenesteydelser, der produceres pr. arbejdstime
der driver
forøgelsen velstandsspændet i faste priser mellem USA på den ene side og
EU27 og Danmark på den anden side. Selvom antallet af arbejdstimer pr.
indbygger er faldet mere i USA end i Danmark
og endda er steget i EU27
opvejes denne effekt mere end fuldt ud af den stærkere produktivitetsvækst
målt som den amerikanske vækst i det antal varer og tjenester, der produce-
res pr. time, jf. figur 12.
Figur 12. Produktivitet driver forøgelsen af det realøkonomiske velstandsgab
Dekomponering af vækst i købekraftkorrigeret BNP pr. indbygger i faste 2020-priser, fra 2000 til 2023
Pct. og pct.point.
50
40
30
20
10
0
-10
DK
EU27
USA
Bidrag produktivitet opgjort som antal goder pr. arbejdstime, procentpoint
Bidrag arbejdstimer pr. indbygger, procentpoint
Vækst i købekraftskorrigeret BNP pr. indbygger i faste 2020-priser, pct.
Kilde: Egne beregninger på baggrund af OECD Data Explorer. Databasen indeholder endnu ikke oplysninger om
beskæftigelse og timer for USA i 2024. Anm.: Bidraget afhænger af rækkefølgen.
Når Mario Draghi opgør EU27’s vækst-
og produktivitetsudfordring
14
, sker det
på baggrund af købekraftkorrigeret BNP i faste priser. OECD konstruerer
imidlertid købekraftskorrigeret BNP i faste priser ved at købekraftskorrigere
BNP i basisåret (nu 2020) og derefter anvende de reale vækstrater i BNP
dvs. væksten i det antal goder, der produceres
til at frem- og tilbageskrive
BNP til andre år. Det betyder imidlertid, at der ikke tages hensyn til prisudvik-
lingen, og dermed afspejler beregningen ikke den egentlige udvikling i vel-
standen pr. indbygger.
Udviklingen i priserne trækker i modsat retning
Analysen ovenfor tager ikke hensyn til, hvordan priserne på varer og tjene-
ster har udviklet sig i forhold til priserne på de varer, som det givne land pro-
ducerer. Tages dette forhold i betragtning, viser det sig, at væksten i velstan-
den har været højere i EU27 og Danmark sammenlignet med USA fra 2000-
2024, jf. figur 13.
14
Jf. figur 3 side 12 samt figur 1 side 23 i »The future of European competitiveness«, Mario
Draghi m.f., september 2024.
Side 14 | 27
OFFENTLIG
FIU, Alm.del - 2024-25 - Bilag 256: EU-note om Draghi-rapporten: økonomisk vækst og velstand – en sammenligning af Kina, USA, EU27 og Danmark de sidste to årtier
3062736_0015.png
Figur 13. EU27 og DK har indsnævret velstandsspændet til USA fra 2000-24
Købekraftskorrigeret BNP pr. indbygger i løbende priser
US dollar pr.
person
100.000
90.000
80.000
70.000
60.000
50.000
40.000
30.000
20.000
10.000
0
2000 2003 2005 2007 2009 2011 2013 2015 2017 2019 2021 2023
-39pct.
-21 pct.
-10 pct.
-30 pct.
EU27
USA
Kina
DK
Kilde: OECD's Data Explorer og egne beregninger. Der er endnu ikke tal for Kina i 2024. Anm.: Tuborgklammen markerer
den procentvise forskel i BNP pr. capita relativt til USA.
Opgjort i løbende købekraftskorrigeret BNP pr. indbygger lukkede Danmark
ligefrem velstandsspændet til USA frem mod 2022.
Betragtes udviklingen siden 2019 har EU27 og Danmark imidlertid øget vel-
standsspændet i forhold til USA, jf. at de amerikanske gennemsnitlige årlige
vækstrater i figur 13 har været større siden 2019. For Danmarks vedkom-
mende ledte udviklingen i 2023 således til en kraftig udvidelse af spændet, jf.
figur 13.
15
Når væksten i købekraftskorrigeret BNP pr. indbygger i løbende priser har
været højere i EU27 og DK end i USA, afspejler det, en gunstigere udvikling i
produktivitetsniveauet i EU27 og DK, figur 14.
15
Det skyldes blandt andet en kraftig bytteforholdsforværring i 2023. Hvor BNP i faste priser vok-
sede med 2,4 pct. fra 2022 til 2023, faldt det bytteforholdskorrigerede BNP i faste priser med
3,5 pct., jf. NAN2 i Statistikbanken.
Side 15 | 27
OFFENTLIG
FIU, Alm.del - 2024-25 - Bilag 256: EU-note om Draghi-rapporten: økonomisk vækst og velstand – en sammenligning af Kina, USA, EU27 og Danmark de sidste to årtier
3062736_0016.png
Figur 14. EU27 indsnævrer købekraftsjusteret produktivitetsgab i løbende priser fra
2000-2023
Købekraftkorrigeret BNP pr. arbejdstime i løbende priser
US dollar
pr. arbejstime
120
100
80
-24
pct.
60
40
20
-29 pct.
EU27
0
2000
2002
2004
2006
USA
2008
DK
2010
2012
2014
2016
2018
2020
2022
2024
Kilde: OECD Data Explorer og egne beregninger. Der er endnu ikke data for USA i 2024. Anm: Der er foretaget
en korrektion for antallet af arbejdstimer pr. beskæftiget og dermed produktivitetsniveauet i DK og USA svarende
til den korrektion, som Kraka m.fl. foretager i "Gode takter for Europas produktivitet og konkurrenceevne" fra juni
Bemærk dog det kraftigere danske fald i købekraftkorrigeret BNP pr. arbejds-
time fra 2022 til 2023, samt at produktivitetsniveauet i EU27 de seneste år
synes at sakke bagud, jf. at vækstraterne i figur 14 siden 2019 har været hø-
jere i USA.
Opsummerende har den amerikanske produktivitetsudvikling været gunsti-
gere end udviklingen i Danmark og EU27, når den opgøres i mængder, mens
væksten i produktivitetsniveauet i Danmark og EU27 har overgået væksten i
USA fra 2000 til 2023, når denne opgøres i løbende købekraftjusteret BNP
pr. time, jf. tabel 2.
Tabel 2. Udvikling i produktivitet samt produktivitetsniveauer 2000-23
Gennemsnitlig årlig stigning BNP pr.
arbejdstime, pct.
Produktivitetsniveau (Løbende købe-
kraftsjusteret BNP pr. arbejdstime)
Produktivitet (Antal varer og tjene-
ster pr. arbejdstime) (Faste 2020-pri-
ser)
DK
4,3
1,0
EU27
4,2
1,0
USA
3,9
1,5
Kilde: Egen beregning på baggrund af data fra OECD Data Explorer.
Økonomiministeriet fandt også i maj-udgaven af Økonomisk Redegørelse, at
EU27 og Danmark klarer sig relativt dårligere i forhold til USA, når der tages
Side 16 | 27
OFFENTLIG
FIU, Alm.del - 2024-25 - Bilag 256: EU-note om Draghi-rapporten: økonomisk vækst og velstand – en sammenligning af Kina, USA, EU27 og Danmark de sidste to årtier
3062736_0017.png
udgangspunkt i udviklingen i mængder, mens det modsatte gør sig gæl-
dende, når der løbende købekraftkorrigeres, og udviklingen siden år 2000 be-
tragtes, jf. Økonomisk Redegørelse maj 2025
16
.
Økonomiministeriet skriver imidlertid, at ministeriet som udgangspunkt anbe-
faler at anvende indkomst- og produktivitetsmål opgjort købekraftsjusteret i
faste priser, når
udviklingen
i levestandarden og produktiviteten over tid på
tværs af lande skal vurderes. Det hænger ifølge ministeriet sammen med, at
der løbende sker ændringer i forbrugs- og produktionsmønstre og ændringer
i de varer og tjenester mv., der bruges i købekraftsundersøgelsen. De lø-
bende ændringer af »varekurven« i købekraftkorrektionen har betydning for
variabler opgjort i
løbende
købekraftskorrigerede priser, mens varekurven
fastholdes, når udviklingen opgøres i faste priser
17
.
Omvendt skriver ministeriet imidlertid, at opgørelser af bruttonationalindkom-
sten og bruttonationalproduktet pr. indbygger med købekraftkorrektion i lø-
bende priser er bedre egnet til at sammenligne niveauer på et givet tidspunkt
samt, at købekraftkorrektion i løbende priser i højere grad tager højde for byt-
teforholdsforbedringer.
Hvis købekraftkorrigeret BNP pr. indbygger i løbende priser er bedre egnet til
at sammenligne niveauer på et givet tidspunkt
må det vel imidlertid også
være mere velegnet til at sammenligne velstandsudviklingen mellem to tids-
punkter. Det ledte til, at de økonomiske konsulenter i forbindelse med Økono-
misk Redegørelse maj 2025 anbefalede Finansudvalget at stille ministeriet
følgende spørgsmål: »Holder Mario Draghis konklusion mht., at EU sakker
bagud i forhold til USA? «
18
.
Kraka m.fl. har da også i en nylig Small Great Nation analyse
19
påpeget, at
det er købekraftsjusteret BNP pr. arbejdstime i løbende priser, der bør anven-
des, når udviklingen i produktivitetsniveauet mellem to lande skal analyseres,
jf. figur 15, der bygger på Krakas analyse.
16
Her betragter ministeriet købekraftkorrigeret BNI pr. indbygger i hhv. faste og løbende priser.
17
Fastprisberegningen konstrueres netop ved at fastholde priserne i kurven på et bestemt ni-
veau.
Folketinget, Det internationale sekretariat, maj 2025, » Notat om Økonomisk Redegørelse maj
2025«.
» Small Great nation Danmark 2050
fodnote eller fyrtårn«, Kraka og Delotte maj 2025.
18
19
Side 17 | 27
OFFENTLIG
FIU, Alm.del - 2024-25 - Bilag 256: EU-note om Draghi-rapporten: økonomisk vækst og velstand – en sammenligning af Kina, USA, EU27 og Danmark de sidste to årtier
3062736_0018.png
Figur 15. EU27 har indsnævret produktivitetsniveauet i forhold til USA
Købekraftkorrigeret BNP i EU27 pr. arbejdstime i hhv. løbende priser samt faste 2020 priser i forhold
USA=1
1
EU27 - Løbende købekraftjusteret produktivitet, USA = 1
EU27 - Alene købekraftjusteret i 2020 samt faste priser, USA = 1
0,9
USA
0,8
0,7
0,6
2000
2002
2004
2006
2008
2010
2012
2014
2016
2018
2020
2022
Kilde: Egne beregninger på baggrund af data fra OECD Data Explorer. Der er endnu ikke data for USA i 2024. Figuren
svarer til figur 2.1 i "Small Great Nation, Danmakr - fodnote eller fyrtårn". Kraka og Deloitte maj 2025, idet tidsperioden
dog er en anden.
Den røde kurve i figur 15
viser EU’s købekraftsjusterede produktivitet i for-
hold til USA’s. Europa har halet ind på USA’s produktivitetsniveau over perio-
den 2000 til 2023. Europæerne kunne i 2023 købe ca. 78 pct. af det, som
amerikanerne kunne købe for en times arbejde. Tilbage i 2000 var denne for-
skel større, og europæerne kunne kun købe 73 pct. af det, som amerika-
nerne kunne købe
for en times arbejde. Dermed har EU’s købekraftsjuste-
rede produktivitet halet ind på den amerikanske købekraftsjusterede produkti-
vitet siden årtusindeskiftet, hvilket ifølge Kraka står i skarp kontrast til konklu-
sionen i Draghi-rapporten.
Den grå kurve
viser EU’s produktivitet i forhold til USA’s,
som Draghi-rappor-
ten beregner den. Denne kurve sammenligner væksten i det antal varer og
tjenester, der produceres pr. arbejdstime.
Her ses det, at EU’s vækst i forhold
til USA’s har været lavere siden årtusindeskiftet, idet den
grå kurve falder.
Den grå kurve kan dog ifølge Kraka nemt misfortolkes, for det kan se ud, som
om niveauet af den europæiske produktivitet er faldet yderligere bagud i for-
hold til USA siden årtusindeskiftet. Men det er ifølge Kraka ikke korrekt. For
der købekraftsjusteres kun i et enkelt år (2020), og derfor kan man kun sam-
menligne niveauet mellem de to kurver i dette år. Jo længere væk man kom-
mer fra 2020, desto mere misvisende bliver sammenligningen
20
.
Kraka påpeger imidlertid også, at udviklingen i EU27 og Danmark har været
mindre gunstig siden 2019. Således viser begge kurver i figur 15 en faldende
tendens siden 2019. Det betyder, at Europa har sakket bagud i forhold til
20
Jf. side 21 i » Small Great nation Danmark 2050
fodnote eller fyrtårn«, Kraka og Delotte maj
2025.
Side 18 | 27
OFFENTLIG
FIU, Alm.del - 2024-25 - Bilag 256: EU-note om Draghi-rapporten: økonomisk vækst og velstand – en sammenligning af Kina, USA, EU27 og Danmark de sidste to årtier
3062736_0019.png
USA både hvad angår væksten i det antal varer og tjenester, der produceres
pr. arbejdstime, samt hvad angår produktivitetsniveauet siden 2019. Den
samme tendens gør sig gældende for Danmark, jf. tabel 3.
Tabel 3. Udvikling i produktivitet og produktivitetsniveauer fra 2019-23
Gennemsnitlig årlig stigning BNP pr. ar-
bejdstime, pct.
Produktivitetsniveau (Løbende købe-
kraftsjusteret BNP pr. arbejdstime)
Produktivitet (Antal varer og tjenester
pr. arbejdstime) (Faste 2020-priser)
DK
EU27
USA
3,8
0,6
4,5
0,5
5,8
1,6
Kilde: Egen beregning på baggrund af data fra OECD Data Explorer.
5. Historien er stort det den samme, når NNI anvendes
Udviklingen i BNP bruges ofte til at opgøre, hvordan et samfunds velstand
udvikler sig over tid. Det hænger sammen med, at de forbrugsmuligheder et
land har i høj grad afhænger af den økonomiske aktivitet i landet. Men det
skyldes også, at BNP er et relativt enkelt mål. Hertil kommer, at BNP er et in-
ternationalt anerkendt mål, der opgøres for de fleste lande.
Finansministeriet påpegede imidlertid i Finansredegørelsen fra 2014 farerne
ved helt mekanisk at anvende BNP som synonym for økonomisk velstand.
Det skyldes blandt andet, at BNP netop er et bruttobegreb, hvor der ikke er
taget hensyn til, at der skal afsættes midler til at vedligeholde kapitalappara-
tet. Det skyldes også, at BNP indeholder indtægter, der tilfalder udlændinge,
ligesom BNP ikke indeholder overførsler fra udlandet til danskere. Eksempel-
vis i form af afkast fra udenlandske investeringer.
I lyset af disse problematikker er nettonationalindkomsten (fremover NNI) pr.
indbygger et bedre mål for velstanden. Korrektionen til NNI pr. indbygger i
2023 indebærer imidlertid primært en forskydning, hvorved den relative for-
skel til USA stort set forbliver uændret, der er dog en lille forbedring for Dan-
mark relativt til USA, mens der er en lille forværring for EU27, jf.de hvide tal i
figur 16.
Side 19 | 27
OFFENTLIG
FIU, Alm.del - 2024-25 - Bilag 256: EU-note om Draghi-rapporten: økonomisk vækst og velstand – en sammenligning af Kina, USA, EU27 og Danmark de sidste to årtier
3062736_0020.png
Figur 16. Velstanden er også højere i USA målt ved nettonationalindkomsten
Købekraftskorrigeret BNP samt købekraftskorrigeret NNI pr. indbygger i 2023
US-dollar pr.
person, 23-priser
90.000
80.000
100
90
91
72
70
Købekraftkorrigeret BNP pr.
indbygger
Købekraftkorrigeret NNI pr.
indbygger
Tal i søjler angiver
niveauet i forhold til
USA =100
70.000
60.000
50.000
100
40.000
30.000
20.000
10.000
0
31
DK
EU27
USA
Kina
Kilde: OECD's Data Explorer og egne beregninger. Databasen indeholder ikke oplysninger om NNI for Kina.
Sammenlignes velstandsniveauet i 2002 med velstandsniveauet i 2023 viser
det sig også, at velstandsspændet mellem EU27 og Danmark på den ene
side og USA på den anden side reduceres. Væksten i købekraftskorrigeret
NNI pr. indbygger i løbende priser har således været større i EU27 og DK
end i USA fra 2002-2023, jf. figur 17.
Figur 17. EU27 og Danmark har fra 2002-23 halet ind på USA's velstandsniveau
Købekraftkorigeret NNI pr. indbygger løbende priser
Mia. US dollar
80.000
70.000
60.000
50.000
40.000
30.000
20.000
10.000
EU27
USA
DK
2000 2002 2004 2006 2008 2010 2012 2014 2016 2018 2020 2022 2024
Kilde: OECD Data Explorer og egne beregninger. Databasen indeholder ikke oplysninger om NNI for EU27 fra før 2022,
og endnu ikke oplysninger om NNI for USA i 2024.
0
Igen ser vi, at udviklingen fra 2022 til 2023 har været særlig ugunstig for Dan-
mark. Således var det danske velstandsniveau højere end det amerikanske i
Side 20 | 27
OFFENTLIG
FIU, Alm.del - 2024-25 - Bilag 256: EU-note om Draghi-rapporten: økonomisk vækst og velstand – en sammenligning af Kina, USA, EU27 og Danmark de sidste to årtier
3062736_0021.png
2022
dette på trods af, at danskerne arbejdede mindre
21
, men derefter faldt
det i 2023.
Svarende til udviklingen i BNP pr. indbygger har såvel Danmark som EU27
udvidet velstandsspændet siden 2019, idet de amerikanske vækstrater har
været større end de europæiske, jf. figur 17.
Af tabel 4 og 5 nedenfor fremgår det, at det er væksten i produktivitetsniveau-
erne, der driver udviklingen. Forskellen på udviklingen i købekraft
korrigeret
BNP pr. time i løbende priser bidrager med hhv. 25 og 20 procentpoint af
mervæksten i hhv. Danmark og EU27 i forhold til USA fra 2002 til 2023, jf. ta-
bel 4.
Tabel 4. Dekomponering af reduktion af velstandsgab fra 2002 til 2023
2002-2023
Dan-
mark-
USA
40
EU27-
USA
28
Mervækst i NNI pr. indbygger i løbende priser,
pct.
Dekomponering
Procentpoint
Bidrag fra vækst i antal timer pr beskæftiget
Bidrag fra vækst i beskæftiget pr. indbygger
Bidrag fra vækst i købekraft korrigeret BNP pr.
time (løbende priser)
Bidrag fra vækst i NNI relativt til vækst i BNP
4
-4
25
16
10
-4
20
3
Kilde: Egen beregning på baggrund af data fra OECD Data Explorer. Såfremt tallene ikke sum-
mer skyldes det afrunding. Der findes ikke oplysninger om NNI for EU27 før end i 2002.
For Danmarks vedkommende bidrager korrektionen fra BNP til NNI dog også
med hele 16 procentpoint.
Tilsvarende finder vi også, at selvom antallet af arbejdstimer pr. beskæftiget
udvikler sig mere gunstigt i Danmark og EU27 end i USA fra 2019 til 2023,
kan det ikke opveje effekten af den mindre gunstige udvikling i produktivitets-
niveauerne fra 2019, jf. tabel 5.
21
Dvs. at antallet af arbejdstimer pr. indbygger var lavere i Danmark end i USA.
Side 21 | 27
OFFENTLIG
FIU, Alm.del - 2024-25 - Bilag 256: EU-note om Draghi-rapporten: økonomisk vækst og velstand – en sammenligning af Kina, USA, EU27 og Danmark de sidste to årtier
3062736_0022.png
Tabel 5. Dekomponering af forøgelse af velstandsgab fra 2019 til 2023
2019-2023
Dan-
mark-
USA
-3,4
EU27-
USA
-4,3
Mervækst i NNI pr. indbygger i løbende priser,
pct.
Dekomponering
Procentpoint
Bidrag fra vækst i antal timer pr beskæftiget
Bidrag fra vækst i beskæftiget pr. indbygger
Bidrag fra vækst i købekraft korrigeret BNP pr.
time (løbende priser)
Bidrag fra vækst i NNI relativt til vækst i BNP
4,1
0,0
-8,6
1,0
2,5
-1,7
-6,1
1,0
Kilde: Egen beregning på baggrund af data fra OECD Data Explorer. Såfremt tallene ikke sum-
mer skyldes det afrunding. Der findes ikke oplysninger om NNI for EU27 før end i 2002.
Side 22 | 27
OFFENTLIG
FIU, Alm.del - 2024-25 - Bilag 256: EU-note om Draghi-rapporten: økonomisk vækst og velstand – en sammenligning af Kina, USA, EU27 og Danmark de sidste to årtier
3062736_0023.png
Bilag 1: Prisniveauet og sammenligninger
Når BNP i løbende US-dollar sammenlignes, antages det implicit, at valuta-
kursbevægelser alene er drevet af international handel, og at alle goder han-
dels internationalt. I praksis påvirkes valutakurser imidlertid af spekulation,
rentesatser, regeringsindgreb og kapitalstrømme mellem lande. Desuden
handles mange varer og tjenester, såsom bygninger, offentlige tjenester og
mange markedsservices ikke internationalt.
OECD påpeger på denne baggrund, at selvom valutakurser giver BNP'er, der
er udtrykt i samme valutaenhed, så giver de ikke BNP'er, der er værdiansat til
samme prisniveau. BNP'erne forbliver værdiansat til nationale prisniveauer,
og som et resultat afspejler de ikke kun forskelle i de producerede mængder i
de sammenlignede lande, men også forskelle i prisniveauerne i disse lande.
En konsekvens er, at BNP opgjort ved valutakurser normalt er misvisende
med hensyn til de relative størrelser af økonomier. Prisniveauerne er typisk
højere i højindkomstlande end i lavindkomstlande. Hvis der ikke tages højde
for dette, når BNP'erne i lande omregnes til en fælles valuta, vil størrelsen af
højindkomstlande blive overvurderet, og størrelsen af lavindkomstlande vil
blive undervurderet.
OECD skriver, at det i mange tilfælde, særligt ved sammenligning af vel-
standsniveauer, vil være relevant at købekraftkorrigere data.
Købekraftskorrektion
I deres enkleste form er PPP'er (købekraftspariteter) ikke andet end pris-rela-
tioner, der viser forholdet mellem priserne i nationale valutaer for den samme
vare eller tjeneste i forskellige lande.
For eksempel, hvis prisen på en liter flaskevand er 0,80 euro i Frankrig og
1,10 dollars i USA, så er PPP'en for flaskevand mellem Frankrig og USA for-
holdet 0,80 euro til 1,10 dollars eller 0,73 euro til dollaren. Dette betyder, at
for hver dollar, der bruges på flaskevand i USA, skal der bruges 0,73 euro i
Frankrig for at opnå samme mængde og kvalitet
eller med andre ord,
samme volumen
af flaskevand.
I deres mere komplekse form refererer PPP'er til de forskellige niveauer af
aggregering, der udgør BNP. Men de er stadig prisrelationer. Når man bevæ-
ger sig op i hierarkiet af aggregering, refererer prisrelationerne til stadig mere
omfattende samlinger af varer og tjenester. Derfor, hvis PPP'en for BNP mel-
lem Frankrig og USA er 0,70 euro til dollaren, kan det udledes, at for hver
dollar, der bruges på BNP i USA, skal der bruges 0,70 euro i Frankrig for at
købe en tilsvarende mængde varer og tjenester.
Side 23 | 27
OFFENTLIG
FIU, Alm.del - 2024-25 - Bilag 256: EU-note om Draghi-rapporten: økonomisk vækst og velstand – en sammenligning af Kina, USA, EU27 og Danmark de sidste to årtier
3062736_0024.png
Fra 2000 til 2023 er dollarkursen faldet. Hvor en dollar kostede 1,08 euro i
2002 kostede den alene godt 0,92 euro i 2024. Det har ledt til en forbedring
af købekraften i EU27. Hvor man i 2000 skulle anvende godt 0,83 euro i
EU27 for at få den samme mængde goder som for én dollar i USA, skal man
i 2024 anvende 0,66 euro, jf. figur 18.
Figur 18. Købekraften af én euro er forbedret i perioden
Gennemsnitlig årlig valutakurs samt købekraftkorrigeret valutakurs
Euro pr. dollar
1,2
1,0
0,8
0,6
Valutakurs: Euro pr. dollar
0,4
0,2
0,0
Købekraftkorrigeret valutakurs for BNP: Antallet af Euro, der skal
anvendes i EU27, for at få den samme mængde varer og tjenester som
for en dollar i USA
2000 2002 2004 2006 2008 2010 2012 2014 2016 2018 2020 2022 2024
Kilde: OECD Data Explorer.
Det bemærkelsesværdige ved figuren ovenfor er vel, at den købekraftkorrige-
rede dollarkurs bliver ved med at blive forringet selv om dollarkursen trend-
mæssig forbedres fra ca. 2011 og frem. Kraka m.fl. begrunder dette med, at
der har været en relativ højere inflation i USA
22
.
Figur 19 illustrer, at vi ser den samme udvikling for Danmark
USA.
Figur 19. Købekraften af én krone er forbedret i perioden
Gennemsnitlig årlig valutakurs samt købekraftkorrigeret valutakurs
DK kr. pr. US dollar
10,0
9,0
8,0
7,0
6,0
5,0
4,0
3,0
2,0
1,0
0,0
2000 2002 2004 2006 2008 2010 2012 2014 2016 2018 2020 2022 2024
Kilde: OECD Data Explorer.
Valutakurs: US dollar pr. Krone
Købekraftkorrigeret valutakurs for BNP: Antallet af kroner, der skal
anvendes i Danmark, for at få den samme mængde varer og tjenester
som for en dollar i USA
OECD skriver, at PPP'er bruges til at generere de pris- og volumenindeks,
der er nødvendige for økonomisk forskning og politikanalyse, som involverer
22
Kraka og Deloitte, juni 2025, »Gode takter for Europas produktivitet og konkurrenceevne«
Side 24 | 27
OFFENTLIG
FIU, Alm.del - 2024-25 - Bilag 256: EU-note om Draghi-rapporten: økonomisk vækst og velstand – en sammenligning af Kina, USA, EU27 og Danmark de sidste to årtier
3062736_0025.png
sammenligninger af BNP mellem lande. Volumenindeksene bruges til at sam-
menligne økonomiernes størrelse og deres niveauer af materiel velstand, for-
brug, investeringer, offentlige udgifter og overordnede produktivitet. Prisin-
deksene bruges til at sammenligne prisniveauer, prisstrukturer, prisudvikling
og konkurrenceevne.
At købe det 'samme volumen af varer og tjenester' betyder ifølge OECD ikke,
at identiske kurve af varer og tjenester vil blive købt i begge lande. Sammen-
sætningen af kurvene vil variere mellem lande og afspejle forskelle i politik-
ker, smag, kulturer, klimaer, prisstrukturer, produktudbud og indkomstni-
veauer, men begge kurve vil i princippet ifølge OECD give tilsvarende til-
fredsstillelse eller nytte.
Kilde:
Eurostat-OECD Methodological Manual on Purchasing Power Parities
2023 edition.
Side 25 | 27
OFFENTLIG
FIU, Alm.del - 2024-25 - Bilag 256: EU-note om Draghi-rapporten: økonomisk vækst og velstand – en sammenligning af Kina, USA, EU27 og Danmark de sidste to årtier
3062736_0026.png
Bilag 2: Usikkerheder mht. opgørelse af arbejdstid
Produktivitetsberegninger gør brug af flere forskellige parametre, herunder ni-
veauet for produktion målt oftest i BNP og antallet af arbejdstimer.
Her er der især usikkerhed mht. opgørelsen af antallet af arbejdstimer. Ifølge
OECD
23
er der således forskel på de opgørelsesmetoder landene bruger.
EUROSTAT har opgjort en tabel over tilgangen til timeberegning i forskellige
EU-lande
24
. Størstedelen af EU-lande bruger en af to metoder (component
method og direct method), mens fire lande (heriblandt Danmark) bruger en
tredje metode.
De forskellige metoder medfører særligt en usikkerhed i forhold til sammen-
ligninger af produktivitetsniveauet på tværs af lande. Derimod vil der ikke
være lige så stor usikkerhed forbundet med sammenligningerne af udviklin-
gen over tid
ikke så længe det enkelte land ikke skifter opgørelsesmetode.
Dermed er vækstraterne for produktivitet stadig meget relevante, og potenti-
elt en bedre indikator end produktivitetsniveauerne.
23
OECD, 2024
»OECD
Compendium of Productivity Indicators 2024
s.28
24
EU Kommissionen, 2021 »EUROSTAT’S LABOUR PRODUCTIVITY INDICATORS (LPIS)
Methodological note and quality aspects»,
Side 26 | 27
OFFENTLIG
FIU, Alm.del - 2024-25 - Bilag 256: EU-note om Draghi-rapporten: økonomisk vækst og velstand – en sammenligning af Kina, USA, EU27 og Danmark de sidste to årtier
3062736_0027.png
Kilder:
Draghi m.f., september 2024, »The
future of European competitiveness«
EU Kommissionen, 2021 »EUROSTAT’S LABOUR PRODUCTIVITY INDICA-
TORS (LPIS) Methodological note and quality aspects»
Eurostat 2024,
»Eurostat-OECD
Methodological Manual on Purchasing
Power Parities 2023 edition.
«
Folketinget, Det internationale sekretariat, maj 2025,
”Notat om Økonomisk
Redegørelse maj 2025.”
Kraka og Deloitte, maj 2025, »Small
Great nation Danmark 2050
fodnote
eller fyrtårn«.
Kraka og Deloitte, juni 2025, »Gode
takter for Europas produktivitet og kon-
kurrenceevne«
OECD, 2024
»OECD
Compendium of Productivity Indicators 2024
«
Økonomiministeriet maj 2025, »Økonomisk
Redegørelse, maj 2025«.
Dette dokument er udarbejdet af Folketingets Administration til brug for med-
lemmer af Folketinget. Efter ønske fra Folketingets Præsidium understøtter
Folketingets Administration det parlamentariske arbejde i Folketinget, herun-
der lovgivningsarbejdet og den parlamentariske kontrol med regeringen ved at
yde upartisk faglig bistand til medlemmerne. Faglige noter udarbejdet af Fol-
ketingets Administration er i udgangspunktet offentligt tilgængelige.
Side 27 | 27
OFFENTLIG