Erhvervsudvalget 2024-25
ERU Alm.del Bilag 248
Offentligt
3038575_0001.png
Meget mere end forskning
Juni 2025
Fra innovationskløft til konkurrenceløft
TStøttet
af Industriens Fond
ERU, Alm.del - 2024-25 - Bilag 248: Meget mere end forskning – Fra innovationskløft til konkurrenceløft rapport udarbejdet af POMUS, Deloitte m.fl. udgivet i juni 2025 som et dansk svar på EU’s Draghi- og Letta-rapporter
3038575_0002.png
Meget mere end forskning
| Foreword by Enrico Letta
Foreword by Enrico Letta
President of the Jacques Delors Institute & author of "Much More Than a Market"
In an era defined by rapid global shifts and increasingly complex challenges, the Danish report "Much More than
Science" offers a timely and invaluable contribution. It provides concrete recommendations and a clear roadmap to
address the innovation gaps that exist between foundational knowledge, vibrant industrial ecosystems, sustained
competitiveness, and enhanced security. While the discourse surrounding research, innovation, and economic
security often remains abstract, this report brings clarity by shedding light on our well-known "innovation gaps" and
identifies novel ways to address them.
The report thus resonates significantly with the central tenets of my "Much More Than a Market" report, particularly
its emphasis on introducing a Fifth Freedom to the Single Market's four fundamental freedoms: the free movement
of goods, services, people, and capital. This proposed Fifth Freedom, centered on research, innovation, knowledge,
and education, is crucial for enhancing the Single Market's capacity for innovation within the evolving global
landscape. The "Much More Than Science" report provides a timely and detailed articulation of how to foster a more
robust connection between science, innovation, technology, and security. It offers a clear pathway to support the
journey from curiosity-driven research to the successful creation and scaling of European companies in the global
market.
Furthermore, a significant contribution of this report lies in its emphasis on two crucial concepts: research and
innovation capacity, and diffusion capacity. These concepts, often overlooked, should become integral to political
discourse across Europe. Systematically monitoring research and innovation capacity and diffusion is essential for
each European country to strengthen the impact of its innovation efforts.
This analytical framework extends to the green transition. It has long been clear that embracing a circular economy
is not merely an environmental preference but an economic necessity for a sustainable future. Achieving this
fundamental shift from linear to circular models demands a profound increase in knowledge, intensified innovation,
and deeper cooperation. A robust and integrated market is indispensable as a springboard to global leadership in
this vital transformation.
Therefore, I find the core message of this report to be compelling: research and innovation must occupy the very top
of our political agenda. A bold, ambitious, and long-term strategy for research and innovation must inform all levels
of policymaking, industrial strategy, and economic governance
nationally and across the European Union. These
are not secondary considerations; they are the bedrock of our collective prosperity and security. Ultimately, this
endeavor is about much more than science; it is about how science, innovation, and technology can decisively boost
our industrial strength, foster prosperity, and safeguard our security.
2
ERU, Alm.del - 2024-25 - Bilag 248: Meget mere end forskning – Fra innovationskløft til konkurrenceløft rapport udarbejdet af POMUS, Deloitte m.fl. udgivet i juni 2025 som et dansk svar på EU’s Draghi- og Letta-rapporter
3038575_0003.png
Meget mere end forskning
| Organisationerne bag rapporten
Organisationerne bag rapporten
er en uafhængig handletank for forskning og innovation, der vil udvikle og styrke
sammenhængen mellem forskning, innovation, teknologi og sikkerhed. Et initiativ med det
lange lys og fokus på de næste 5-10-20 år, og hvad vi skal leve af. PÒMUS vil arbejde for at
løfte det politiske mod til at turde satse og fejle.
er verdens største revisions- og rådgivningsvirksomhed med næsten en halv million ansatte
og er repræsenteret i mere end 150 lande. Deloitte er leverandør af revisions- og
erklæringsopgaver, konsulentydelser, finansiel rådgivning, risikostyring og skatterådgivning.
Det er Deloitte Economics i Danmark, der som analysepartner for PÒMUS har stået for
udarbejdelsen af denne rapport og varetaget projektledelsen i tæt samarbejde med PÒMUS’
stifter.
Tak til bidragsyderne
En særlig tak rettes til de mange bidragsydere, som har engageret sig aktivt i arbejdet med rapporten. Gennem deres
indsigt, erfaringer og idéer har de ydet væsentlige bidrag, der har styrket rapportens indhold og perspektiv.
Styregruppe
David Dreyer Lassen, rektor, Københavns Universitet
Jeppe Kofod, tidl. udenrigsminister, MF og MEP
Natasha Friis Saxberg, CEO, IT-Branchen
Philipp Schröder, professor, Aarhus Universitet
Torben Möger Pedersen, bestyrelsesformand, CIP Fonden
Advisory Board
Allan von Mehren, chefanalytiker, Danske Bank
Anders Overvad, cheføkonom, IDA
Daria Krivonos, CEO, Instituttet for Fremtidsforskning
Emil Drevsfeldt Nielsen, erhvervspolitisk chef, Dansk Metal
Lars Frølund, Deep Tech Investment-ekspert
Lasse H. Kjældgaard, CEO, Carlsbergfondet
Thomas Dalsgaard, partner, CIP Fonden
Tommy Ahlers, investor og iværksætter
Andre eksperter, der har bidraget til rapporten
Peer H. Kristensen, CEO, Security Tech Space
Lars Bo Larsen, CEO, Nationalt Forsvarsteknologisk Center
Maja Horst, dekan, Aarhus Universitet
Thomas Bjørnholm, professor og forskningsdirektør, Villum Fonden
Niels-Jakob Hansen, økonom, IMF
Tak til Industriens Fond for at støtte projektet.
3
ERU, Alm.del - 2024-25 - Bilag 248: Meget mere end forskning – Fra innovationskløft til konkurrenceløft rapport udarbejdet af POMUS, Deloitte m.fl. udgivet i juni 2025 som et dansk svar på EU’s Draghi- og Letta-rapporter
3038575_0004.png
Meget mere end forskning
| Meget mere end forskning
Indholdsfortegnelse
1.
Meget mere end forskning ......................................................................................................................... 6
1.1.
1.2.
2.
2.1.
Rapportens bidrag .......................................................................................................................... 6
Fra ”happy-go-lucky” til handling
.................................................................................................... 7
En verdensorden i opbrud ............................................................................................................... 9
2.1.1.
2.1.2.
2.1.3.
2.1.4.
Mens udfordringerne vokser, opstår også nye muligheder for Danmark og EU ........................ 9
En ny definition af konkurrenceevne .................................................................................. 12
Rapportens konceptuelle ramme og metode ..................................................................... 13
Introduktion til rapportens hovedbegreber ......................................................................... 15
En verdensorden i opbrud ......................................................................................................................... 9
2.2. Forskning og innovation som fundament for Danmarks fremtidige konkurrenceevne, velstand og
sikkerhed ............................................................................................................................................... 17
3.
Forskning og innovation som katalysator for fremtidens konkurrenceevne og sikkerhed ............................. 20
3.1.
Det danske forsknings- og innovationslandskab ............................................................................. 20
3.1.1.
3.1.2.
3.1.3.
3.2.
3.2.1.
3.2.2.
3.3.
3.3.1.
3.3.2.
3.3.3.
3.3.4.
3.4.
3.4.1.
3.4.2.
3.4.3.
4.
4.1.
4.2.
Offentlig-private investeringer i forskning følger nationale målsætninger ............................. 20
Danmark hjemtager en relativ stor del af EU-forskningsmidlerne ........................................ 26
Private fonde spiller en unik rolle i støtten til forskning og innovation i Danmark................... 27
Den danske forsknings- og innovationskapacitet ............................................................... 34
Den danske spredningskapacitet ...................................................................................... 37
Forskning og innovation kan forklare produktivitet og vækst ............................................... 40
Faldende produktivitetsafkast af forsknings- og innovationsinvesteringer............................ 43
Innovative lande er generelt lykkelige lande ....................................................................... 44
Øget usikkerhed kan være drivkraft for banebrydende, højteknologisk innovation ................ 45
Grundforskning har betydning for innovation og dual-use-løsninger .................................... 45
Forskning og innovation skal være udgangspunktet for nye industripolitikker ....................... 47
Argumentet for implementeringen af en ny form for industripolitikker er styrket ................... 47
Den samfundsmæssige værdi af dansk forskning og innovation ...................................................... 30
Koblingen til konkurrenceevne, sikkerhed og velstand .................................................................... 40
Industripolitik i en ny verdensorden ............................................................................................... 45
Fra innovationskløft til konkurrenceløft .................................................................................................... 50
Forskning og innovation bør igen være en politisk topprioritet.......................................................... 50
Kløfterne skal mindskes, hvis spredningskapaciteten skal øges ...................................................... 51
4.2.1.
4.2.2.
4.3.
4.3.1.
4.3.2.
4.3.3.
Der er ikke kun én innovationskløft, men flere .................................................................... 51
Særligt tre kløfter skal overvindes på vejen fra forskning til marked ..................................... 55
Danske afhængigheder til lande uden for EU ...................................................................... 59
Danske afhængigheder og relationer til EU ........................................................................ 60
Industrialisering på tværs af grænser ................................................................................ 62
Danmarks afhængigheder til andre lande skal kortlægges og adresseres ......................................... 59
4
ERU, Alm.del - 2024-25 - Bilag 248: Meget mere end forskning – Fra innovationskløft til konkurrenceløft rapport udarbejdet af POMUS, Deloitte m.fl. udgivet i juni 2025 som et dansk svar på EU’s Draghi- og Letta-rapporter
3038575_0005.png
Meget mere end forskning
| Meget mere end forskning
5.
Realisering af potentialet ........................................................................................................................ 63
5.1.
Anbefalinger, konkurrencestjerne, roadmap og visioner for fremtidens innovationssystem ............... 63
5.1.1.
5.1.2.
5.2.
5.2.1.
5.2.2.
5.2.3.
5.2.4.
5.2.5.
5.2.6.
Konkurrencestjernen
et nyt monitoreringsværktøj ........................................................... 67
Roadmap og visioner for fremtidens innovationssystem ..................................................... 68
Strategi2040. Forskning, innovation, teknologi og sikkerhed. 5 anbefalinger ........................ 73
#6 Mere ”MIT” og styrk knudepunkter
................................................................................ 79
#7 Nytænk forskningsstøtten ............................................................................................ 82
#8 Styrk markedsdannelse og finansiering ......................................................................... 83
#9 Teknologisk og digital satsning ..................................................................................... 86
#10 Frem villighed til at satse og fejle ................................................................................ 87
Anbefalinger................................................................................................................................. 73
BAGGRUND
6.
Dansk konkurrenceevne og sikkerhed under pres ..................................................................................... 91
6.1.
Danmark i krydspres: geopolitiske trusler, økonomisk usikkerhed og megatrends ............................ 91
6.1.1.
6.1.2.
6.1.3.
6.2.
6.2.1.
6.2.2.
7.
Sikkerhedsspørgsmål er øverst på den politiske dagsorden ................................................ 91
Økonomisk sikkerhed er blevet en topprioritet i lyset af geopolitisk udvikling ....................... 94
Globale megatrends har også stor indvirkning på dansk økonomi ..................................... 101
Dansk økonomi står stærkt, men usikkerhed om verdensøkonomien truer ........................ 104
Danmarks styrkepositioner er sårbare ............................................................................. 108
Danmark står på et solidt fundament til at imødekomme fremtidige udfordringer ........................... 104
Kildeliste .............................................................................................................................................. 111
5
ERU, Alm.del - 2024-25 - Bilag 248: Meget mere end forskning – Fra innovationskløft til konkurrenceløft rapport udarbejdet af POMUS, Deloitte m.fl. udgivet i juni 2025 som et dansk svar på EU’s Draghi- og Letta-rapporter
3038575_0006.png
Meget mere end forskning
| Meget mere end forskning
1. Meget mere end forskning
Hvordan kan forskning og innovation udvikle Danmarks teknologiske og industrielle
kapacitet og styrke vores konkurrenceevne og sikkerhed i en ny, teknologidrevet
verdensorden?
Det er dette centrale spørgsmål, som PÒMUS og Deloitte besvarer i denne rapport.
Mario Draghi’s rapport om EU’s konkurrenceevne var en øjenåbner for europæiske ledere og har på mange måder
indvarslet et opgør med et Europa, der i årtier har sejlet under bekvemmelighedsflag i ly af den amerikanske
sikkerhedsparaply og en regelbaseret verdensorden.
1
Draghi-rapporten har, i kombination med den nye Trump-
administration, tydeliggjort behovet for politisk handling;
styrkelse af EU’s indre marked, forenkling og satsning på
forskning, innovation, teknologi og industripolitik, som nøglen til at fremme konkurrenceevne og sikkerhed.
Særligt den voksende ”innovationskløft” mellem EU,
Kina og
USA er bekymrende. Alene i 2021 var USA’s private
investeringer i forskning, udvikling og digitale teknologier ca. 2.000 mia.kr. større end i EU.
1
Parallelt har Kina gennem
en langsigtet og målrettet integration af forskning, innovation og industripolitik taget kvantespring inden for strategisk
vigtige teknologier som biotech, microchips, cleantech og kunstig intelligens (AI), og i marts lancerede landet en ny
venturekapitalfond med næsten 1.000 mia.kr. til langsigtede investeringer i banebrydende teknologier.
Den voksende afhængighed af AI og digitale teknologier udfordrer Europas økonomiske, politiske og militære
sikkerhed. Mere end 80% af Europas digitale infrastruktur og teknologi er importeret, og ca. 70% af de grundlæggende
AI-modeller er udviklet i USA.
2
En omfattende teknologisk oprustning er derfor afgørende, ikke kun for
konkurrenceevnen, men for at sikre Europas digitale suverænitet, sikkerhed og værdier; bl.a. ved at sikre, at de
voksende forsvarsbudgetter understøtter forskning og udvikling af dual-use og digitale teknologier.
Samtidig står vi i en opbrudstid, hvor geopolitisk rivalisering, militære trusler og globale megatrends som klimakrise
og den demografiske udvikling medfører samfundsomspændende udfordringer, der kalder på fremsynethed,
risikovillighed og løsninger, som balancerer her-og-nu-handling med langsigtede, missionsdrevne tiltag.
Trods det dystre bagtæppe står Danmark stærkt; økonomien er god, ledigheden lav, og der er overskud på de
offentlige finanser. Men som en lille, åben økonomi, hvor størstedelen af væksten kan tilskrives få store
virksomheder, og hvor vækstpotentialet i danske styrkepositioner i høj grad afhænger af globalt samarbejde og
samhandel, kan vi ikke forholde os afventende, hvis vi skal sikre, at dansk økonomi også i fremtiden er
konkurrencedygtig internationalt.
1.1.
Rapportens bidrag
Rapportens overordnede fokus er, hvordan vi kan få mere værdi og bedre resultater ud af vores forskning og
innovation. Et centralt spørgsmål er, hvordan vi bedst bygger videre på Danmarks fundament og styrker i
bestræbelserne på at fremtidssikre dansk konkurrenceevne og sikkerhed? Her er forskning og innovation et
afgørende instrument,
hvilket også fremhæves i EU’s Draghi-
og Letta-rapporter.
1,3
Rapporten adskiller sig fra
tidligere analyser ved at betragte Danmarks aktuelle situation gennem forskningens og innovationens prisme. Med
dette fokus identificerer rapporten nye muligheder, som er opstået i kølvandet på globale forandringer, og
analyserer, hvad der skal til for at realisere dem. Først og fremmest peger vi på behovet for at udvikle en langsigtet
strategisk ramme; en 2040-strategi, der sammentænker forskning, innovation, teknologi og sikkerhed. Målet er at
udløse det fulde potentiale af dansk forskning og innovation ved at koble det til iværksætteri, teknologi, AI og
industripolitik for at fremtidssikre vores samfundsmodel og styrke erhvervslivets rammer i mødet med en
uforudsigelig og mere teknologidrevet verdensorden.
1
2
Europa-Kommissionen, 2024a
Peressotti et al., 2025
3
Letta, 2024
6
ERU, Alm.del - 2024-25 - Bilag 248: Meget mere end forskning – Fra innovationskløft til konkurrenceløft rapport udarbejdet af POMUS, Deloitte m.fl. udgivet i juni 2025 som et dansk svar på EU’s Draghi- og Letta-rapporter
3038575_0007.png
Meget mere end forskning
| Meget mere end forskning
Danmark udfører forskning og innovation af høj kvalitet med frontforskning inden for en lang række områder.
4,5
Men
det er vores grundlæggende hypotese, at en mere strategisk og systemisk tilgang til forskning og innovation med en
tættere integration til andre politikområder, som fx teknologi og industripolitik, kan udvikle og styrke den danske
konkurrenceevne, velstand og sikkerhed. Det er samtidig fundamentet for, at Danmark forbliver et af verdens mest
velstående, velfungerende, inklusive og bæredygtige samfund og fortsat kan tiltrække talent og kapital.
Danmark har potentialet til at blive en førende forsknings- og industrination. Men det kræver et tættere europæisk
samarbejde med et dynamisk indre marked, fælles industripolitik og et mere missionsdrevet og risikovilligt
innovationssystem, der kan bidrage til at styrke vores position i den geopolitiske teknologikamp og mødet med
klimakrise og andre megatrends.
Med afsæt i Draghi-rapportens
fokus på ”innovationskløften” som en barriere for øget konkurrenceevne og
sikkerhed, bidrager denne rapport med en konkretisering af, hvad den danske
“innovationskløft” reelt består af.
Gennem introduktion af InnoScope-modellen nedbrydes
”kløften”
i en række delkløfter langs den forskningsdrevne
vej til innovation og kommercialisering.
Et væsentligt bidrag i rapporten er kortlægningen af Danmarks forsknings- og innovationskapacitet samt evnen til at
sprede og absorbere ny viden i samfundet. Kortlægningen giver et billede af, hvor kapaciteterne er stærkest, og hvor
der eksisterer barrierer og muligheder for øget værdiskabelse. Denne indsigt danner grundlag for rapportens
anbefalinger til, hvordan forsknings- og innovationssystemet kan styrkes og bringes bedre i spil til gavn for dansk
konkurrenceevne, velstand og sikkerhed.
Det handler ikke kun om at investere mere, men om at investere klogere og mere systemisk. Vi skal gentænke vores
tilgang til innovation, så markedet får bedre betingelser for at omsætte forskning til værdi. Det kræver stærkere
brobygning og incitamentsstrukturer på tværs af forskningens værdikæde for at fremme og accelerere banebrydende
innovation og kommercialisering. Målet er at øge muligheden for, at fremragende forskning og idéer omsættes til
fremragende løsninger og forretning. Det kræver en nytænkning af eksisterende kultur, strukturer og risikovillighed.
Med denne rapport ønsker vi at bidrage til at accelerere denne udvikling ved at give beslutningstagere i politik,
erhvervsliv og forskningsverdenen et samlet overblik over potentialet i en forsknings- og innovationsdrevet tilgang til
strategi- og politikudvikling og ved at vise, hvordan Danmark kan positionere sig i den nye teknologidrevne
verdensorden med afsæt i egne styrker og demokratiske værdier.
For at inspirere til handling præsenterer vi to scenarier for fremtidens innovationssystemer i henholdsvis 2030 og
2040. Det er ambitiøse visioner, og deres realisering kræver en målrettet og vedvarende indsats. Derfor har vi udviklet
en ny, fremadskuende konkurrenceevne-tracker,
baseret på EU’s "Konkurrenceevnekompas",
til løbende at vurdere
status for at kunne tilpasse indsatsen.
Vores håb er, at rapporten kan bidrage til nytænkning, risikovillighed og handlekraft ved at komme med konkrete bud
på, hvordan vi kan få mere værdi ud af vores forskning og innovation til at tackle og navigere fremtidens trusler og
muligheder.
I den forstand er rapporten mere end blot en analyse med anbefalinger; det er en opfordring til politisk handling.
Handling, der bygger på en langt mere strategisk sammentænkning af forskning, innovation, teknologi og sikkerhed
for at udvikle vores samfundsmodel og sikre vores strategiske autonomi, resiliens og værdier.
1.2.
Fra
”happy-go-lucky”
til handling
Tiden er ikke til hurtige fix og kortsigtet tænkning, men til strategisk handling og rettidig omhu. Hvis vi skal styrke og
accelerere vejen fra forskning og innovation til marked og kommercialisering er der behov for en langsigtet strategi
afstemt med EU, der sammentænker forskning, innovation, teknologi og sikkerhed - vi kalder den Strategi2040.
Strategi2040 består af følgende 10 hovedanbefalinger, der underbygges og udfoldes i rapporten.
4
5
Patent- og Varemærkestyrelsen, 2024
Europa-Kommissionen, 2024b
7
ERU, Alm.del - 2024-25 - Bilag 248: Meget mere end forskning – Fra innovationskløft til konkurrenceløft rapport udarbejdet af POMUS, Deloitte m.fl. udgivet i juni 2025 som et dansk svar på EU’s Draghi- og Letta-rapporter
3038575_0008.png
Meget mere end forskning
| Meget mere end forskning
Innovationstrepart mellem Uddannelses- og Forskningsministeriet, Erhvervsministeriet og
Forsvarsministeriet:
Opret et strategisk partnerskab, der koordinerer implementeringen af
Strategi2040 med fokus på forskning og udvikling, test og kommercialisering af dual-use-løsninger,
forsvars- og digital teknologi.
Langsigtet F&I-strategi med kobling til iværksætteri, teknologi, produktion og industripolitik:
Lav en forsknings- og innovationsstrategi, der integrerer og accelererer udbredelsen af innovation,
teknologi og industrielt knowhow, særligt gennem missionsdrevet innovation og industripolitik
afstemt med EU.
Styrk videnskaben i politikudvikling og strategisk fremsyn:
Opret et videnskabsråd og/eller chief
scientific advisor, der sikrer efterspørgselsdrevet videnskabsrådgivning og strategisk fremsyn til at
håndtere geopolitisk usikkerhed, klimakrise og banebrydende teknologier.
Mere ”MIT” og styrk knudepunkter:
Skab et sammenhængende universitetslandskab med bedre
mobilitet og interdisciplinære muligheder, fx i Greater Copenhagen.
Nytænk forskningsstøtten:
Forskningsreserven: Prioriter fundamentet
(basismidler/grundforskning) og flagskibe (styrkepositioner) med mulighed for femårige satsninger.
Styrk markedsdannelse og finansiering:
Indfør et F&U-mål på 2,5% for forsvarsudgifter og
pensionsmidler, og udnyt offentlige indkøb i en samlet indsats til investering i startups, scale-ups
og højteknologiske satsninger.
Teknologisk og digital satsning:
Positioner Danmark som den førende aktør inden for
digitalisering, deeptech og AI i EU, bl.a. ved at udnytte historiske data og teknologisk kapacitet.
Frem villighed til at satse og fejle:
Gør risikovillighed og iterativ læring til en konkurrencefordel
gennem stærke incitamenter og DARPA-kultur.
Nationalt barometer til måling af F&I-kapacitet og spredningskapacitet:
Lav et nationalt
barometer og indfør årlig måling af dansk forsknings- og innovationskapacitet og
spredningskapacitet via en central analyseenhed, der kvantificerer økonomiske, sociale og
miljømæssige resultater, for at styrke bæredygtig politikudvikling.
Metascience initiativ til nytænkning af F&I-systemet og teknologiudvikling:
Foretag en
fokuseret metascience-indsats til analyse af organisering og incitamentsstrukturer for forskning,
innovation og teknologiudvikling for at fremme gennembrud, løsninger og kommercialisering.
Vi ønsker dig rigtig god læsning.
Majbritt Skov, Partner og cheføkonom
Deloitte Economics
Kaare Nielsen, stifter
PÒMUS
8
ERU, Alm.del - 2024-25 - Bilag 248: Meget mere end forskning – Fra innovationskløft til konkurrenceløft rapport udarbejdet af POMUS, Deloitte m.fl. udgivet i juni 2025 som et dansk svar på EU’s Draghi- og Letta-rapporter
3038575_0009.png
Meget mere end forskning
| En verdensorden i opbrud
2. En verdensorden i opbrud
Danmark
og resten af Europa
befinder sig i en opbrudstid, hvor militære trusler,
geopolitisk rivalisering og globale megatrends medfører samfundsomspændende
udfordringer, som samtidig skaber nye muligheder for Danmark. Det fordrer en ny
2040-strategi med fokus på udvikling af dansk forskning, innovation, teknologi og
sikkerhed samt opretholdelse af demokratiske værdier.
En 2040-strategi skal bygge på en ny forståelse af, hvad der gør Danmark konkurrencedygtig. En moderne definition,
der ikke alene bygger på traditionelle økonomiske parametre, men som inkluderer centrale aspekter som sikkerhed,
teknologisk suverænitet og samfundsresiliens. Dette indledende kapitel danner grundlaget for resten af rapporten
ved at underbygge dette argument.
2.1.
2.1.1.
En verdensorden i opbrud
Mens udfordringerne vokser, opstår også nye muligheder for Danmark og EU
Begyndelsen på en mulig ny verdensorden skaber grundlæggende forskydninger i
internationale alliancer, økonomiske afhængigheder og globale magtstrukturer. Hvor visse
lande møder øget usikkerhed, åbner situationen samtidig for nye muligheder, bl.a. i EU og
herunder særligt i små, agile medlemslande som Danmark, Holland og Estland.
De europæiske ledere har reageret på krigen i Ukraine ved at udvise handlekraft og
accelerere beslutninger, der skal realisere ambitionerne inden for strategisk autonomi,
fælles sikkerhed, energiuafhængighed og kritiske forsyningskæder. Draghi- og Letta-
rapporterne er nogle af de mest tydelige eksempler på, hvilken fremtid man ønsker for EU,
og hvordan medlemslandene skal samarbejde for at nå derhen.
6,7
Dette skaber en platform
for en ny type europæisk vækst og innovation, forankret i grøn teknologi, digital suverænitet
og robust infrastruktur, og med et tydeligt forsvars- og sikkerhedsmæssigt sigte.
Eksperter peger på, at udviklingen for et land som Danmark skaber strategiske muligheder
på flere fronter. Med styrkepositioner inden for grøn energi, digitalisering og
sikkerhedspolitisk troværdighed kan Danmark bidrage aktivt til og samtidig drage fordel af
udviklingen i EU. Danmarks evne til at tænke helhedsorienteret, handle hurtigt og levere
konkrete løsninger gør landet til en oplagt partner i udformningen af fremtidens europæiske
samarbejde.
Afsæt for ny type
europæisk vækst og
innovation
Behov for en
samlende strategi,
der kan omsætte de
nye muligheder for
Danmark
Hvis Danmark skal udnytte det nye strategiske udgangspunkt fuldt ud, vil det kræve en ny
målrettet, national indsats, hvor forskning, innovation, teknologi og sikkerhed
sammentænkes i en fælles strategisk ramme. Som rapporten vil fremhæve, har Danmark
stærke værdier, solide institutioner og et højt vidensniveau, men disse kapaciteter bør
nytænkes og sættes i spil på nye måder i lyset af den fremvoksende verdensorden, hvis
potentialet skal realiseres fuldt ud. I en sådan proces vil videnproduktion og politiske
beslutningsprocesser i langt højere grad skulle kobles for at fremme mere konsekvent
videnskabsbaseret politikudvikling. Det vil forudsætte en styrket tværministeriel
koordinering
særligt mellem nøgleområder som uddannelse, forskning, erhverv og
sikkerhed. Hvis Danmark skal sikre en langsigtet effekt, vil det også kræve en systematisk
og strategisk anvendelse af datadrevne effektanalyser af en sådan ny strategi.
6
7
Europa-Kommissionen, 2024a
Letta, 2024
9
ERU, Alm.del - 2024-25 - Bilag 248: Meget mere end forskning – Fra innovationskløft til konkurrenceløft rapport udarbejdet af POMUS, Deloitte m.fl. udgivet i juni 2025 som et dansk svar på EU’s Draghi- og Letta-rapporter
3038575_0010.png
Meget mere end forskning
| En verdensorden i opbrud
Fra amerikansk
dominans til
europæisk ansvar
EU udpeges i medier verden over som en mulig ny global garant for orden og demokrati, i
takt med at USA’s rolle som ledende garant for det internationale system svækkes. Det
europæiske samarbejde bliver i stigende grad opfattet som den nye kerne for orden,
stabilitet og forankrede demokratiske værdier i kontrast til stormagter, der udfordrer de
internationale spilleregler. EU positionerer sig allerede som en værdibåret magtfaktor, fx i
de nuværende bestræbelser på at understrege den europæiske forskningsfrihed over for
amerikanske forskere. Dette skaber også muligheder for Danmark, der kan medvirke til at
drive udviklingen af et mere selvstændigt og handlekraftigt EU. Danmark har i de seneste år
vist, hvordan det trods sin størrelse både har kapaciteten og legitimiteten til at påvirke,
hvordan EU håndterer globale kriser og bygger en ny geopolitisk orden.
I takt med at USA i stigende grad vender sig indad med et politisk fokus på at beskytte egne
industrier og indskrænke den akademiske frihed
særligt inden for områder som klima og
diversitet
opstår der en strategisk mulighed for Danmark og EU. Netop i en tid, hvor
videnskabelig frihed, demokratiske værdier og internationale forskningsmiljøer er under
pres flere steder i verden, kan Danmark og Europa tilbyde det, som mange af verdens
førende forskningstalenter søger: et åbent, frit og værdibåret forskningslandskab.
8,9
Det er
i dette lys, at EU i maj 2025 har lanceret Choose-Europe-initiativet og afsat 500 mio. euro
til at styrke Europas evne til at tiltrække og fastholde internationale topforskere. Danmark
kan
med sine stærke forskningsinstitutioner, progressive erhvervssektor og tætte kobling
mellem viden og værdiskabelse
blive et naturligt epicenter for denne satsning.
10
Samtidig kan den amerikanske udvikling åbne for, at danske kapitalfonde i stigende grad vil
rette blikket mod europæiske forskningsprojekter som langsigtede investeringer i både
samfundsnytte og international positionering. Dermed står Danmark og EU ikke kun over
for en talentmulighed, men en løftestang til fremtidig konkurrenceevne, innovation og
velstand.
Danmark og EU står
med en unik mulighed
for at tiltrække
globalt
forskningstalent
Store forsvars-
investeringer er en
mulighed for at
revitalisere forsvars-
sektoren og fremme
innovation, bl.a.
gennem dual-use-
løsninger
Krigen i Ukraine, tvivl om USA’s position i forhold til NATO og et generelt usikkert geopolitisk
klima har ført til en oprustning i Danmark og de fleste andre vestlige lande i et omfang, der
sætter et markant aftryk på de offentlige finanser. De europæiske allierede og Canada
investerede 19,4% mere i Forsvaret i 2024 end året før.
11
Nye tal viser desuden, at mere end
100 lande på verdensplan har oprustet, og at udgifterne til militær i disse lande samlet set
er vokset med 9,4%, svarende til ca. 18 mia.kr. i 2024.
12
Mens Ruslands militære udgifter
fra 2023-2024 er steget med 38%, har også lande som Sverige (+34%), Polen (+31%) og
Tyskland (+28%) øget udgifterne markant.
12
I Danmark er stigningen opgjort til 20%, hvilket er udtryk for en omfattende udbygning af
Forsvaret. Den økonomiske ramme under forsvarsforliget 2024-2033 udgør 195 mia.kr., og
i februar 2025 blev der yderligt afsat 120 mia.kr. til en Accelerationsfond og afledte
merudgifter frem mod 2033.
13
Den danske regering og eksperter forventer dog, at udgifterne
til militær og sikkerhed vil stige yderligere,
bl.a. for at kunne leve op til NATO’s nye
styrkemål, men beløbet er ukendt. Den danske statsminister har erklæret sig parat til at øge
forsvarsudgifterne med op mod 5% af BNP, og i slutningen af maj 2025 udtalte NATO’s
generalsekretær Mark Rutte, at han forventede enighed om forsvarsmål på 5%.
14,15
Den øgede finansiering skaber muligheder for private forsvarsvirksomheder til at udvikle
deres kompetencer inden for modulopbygget skibsfart, rum- og kvanteteknologier, droner,
8
9
Nature, 2025
Fundats, 2025
10
Reuters, 2025a
11
NATO, 2025a
12
Sipri, 2025
13
Forsvarsministeriet, 2025
14
Reuters, 2025b
15
Børsen, 2025a
10
ERU, Alm.del - 2024-25 - Bilag 248: Meget mere end forskning – Fra innovationskløft til konkurrenceløft rapport udarbejdet af POMUS, Deloitte m.fl. udgivet i juni 2025 som et dansk svar på EU’s Draghi- og Letta-rapporter
3038575_0011.png
Meget mere end forskning
| En verdensorden i opbrud
radar- og autonome systemer
områder, der er i overensstemmelse med militære
prioriteter. Privatsektorens deltagelse gennem direkte partnerskaber og indkøbskontrakter
kan også fremme innovation gennem udviklingen af skræddersyede militærløsninger og
samtidig styrke eksportmulighederne til andre lande.
Denne udvikling udgør en unik mulighed for at formulere og afprøve fremtidens
industripolitikker og skabe dual-use-teknologier i et økosystem med europæiske aktører,
som i fællesskab kan imødekomme Danmarks nuværende forsvarsmæssige mangler.
Mens strategisk autonomi bør være et fokuspunkt for kommende investeringer, bør det
anskues holistisk på tværs af værdikæder, færdigheder og resulterende komparative
fordele, og ikke udelukkende fra et produktionsmæssigt synspunkt. Forsknings- og
innovationsdrevne industripolitikker kan bl.a. være det udgangspunkt, der muliggør denne
helhedsorienterede tilgang til strategisk autonomi.
Der er afsat en
økonomiske ramme
til løft af Forsvaret på
315 mia.kr. frem mod
2033
Figur 1: Afsat økonomisk ramme til løft af Forsvaret (mia.kr.), 2024-2033
50
40
30
20
10
22
13
2024
2025
21
20
25
25
10
10
10
10
10
10
10
19
2028
20
20
20
20
21
0
2026
2027
2029
2030
2031
2032
2033
Forsvarsforliget
Kilde: Forsvarsministeriet, 2024
Reserve til afledte varige merudgifter
Accelerationsfonden
Klima- og
forsvarsinvesteringer
bør sammentænkes
for at sikre
bæredygtig
innovation
Danmarks klimamål kræver betydelige investeringer i klimaforebyggelse og
tilpasningsforanstaltninger. Som vist i Figur 2 forventes opnåelse af klimaneutralitet i
Danmark alene frem mod 2050 at ville kræve kumulative investeringer på 200 mia. euro.
16
Allerede nu sker en massiv omlægning til klimavenlige investeringer, hvor tidligere
investeringer i grøn teknologi er firdoblet mellem 2019 og 2023.
17
De kommende
investeringer forventes at blive kanaliseret på tværs af områder som transport,
opvarmning, energisystemer og bredere dekarbonisering i både offentlige og private
sektorer.
18
Denne udvikling skaber ikke blot et grønt momentum; den åbner også en strategisk
mulighed: at sammenkoble klima- og forsvarsinvesteringer. Ligesom forsvars- og
sikkerhedspolitiske prioriteringer skal styrke resiliens og teknologisk autonomi, bør
klimainvesteringer understøttes af samme strategiske tænkning. Ved at integrere
klimaindsatsen med et innovations- og forsvarsfokus kan det bedre sikres, at de
teknologier og løsninger, der udvikles, ikke kun er grønne, men også bæredygtige i et
sikkerhedspolitisk og økonomisk perspektiv.
Det vil kræve en forsknings- og innovationscentreret tilgang, hvor investeringer kanaliseres
til skalerbare løsninger, industrielt samarbejde og udvikling af fremtidige kompetencer.
Dermed kan Danmark bygge videre på sin styrkeposition inden for grøn teknologi og
samtidig styrke sin langsigtede modstandsdygtighed og konkurrenceevne samt sit
teknologiske lederskab.
16
17
BCG, 2022
Danmarks Eksport- og Investeringsfond (EIFO), 2024
18
Verdensbanken, 2025
11
ERU, Alm.del - 2024-25 - Bilag 248: Meget mere end forskning – Fra innovationskløft til konkurrenceløft rapport udarbejdet af POMUS, Deloitte m.fl. udgivet i juni 2025 som et dansk svar på EU’s Draghi- og Letta-rapporter
3038575_0012.png
Meget mere end forskning
| En verdensorden i opbrud
Der forventes at
skulle investeres
yderligere 202 mia.
euro frem mod 2050,
hvis Danmark skal nå
i mål med klima-
neutralitet
Figur 2: Store danske investeringer (mia. euro) er nødvendige for sikre, at Danmark kommer i
mål med at reducere sit klimaaftryk
Kilde: BCG, 2022
2.1.2.
En ny definition af konkurrenceevne
Den spirende nye verdensorden betyder, at det ikke længere er tilstrækkeligt at betragte
konkurrenceevne isoleret, men at se konkurrenceevne og sikkerhed som integrerede
strategiske mål. Fremtidens stærke samfund er dem, som formår at forene økonomisk
styrke med sikkerhedsmæssig robusthed i en samlet strategisk indsats, der kobler
afgørende aspekter for fremtidens konkurrenceevne, såsom forskning, innovation,
teknologi og industriel kapacitet.
Rapporten definerer på den baggrund konkurrenceevne som evnen til at opretholde
velstand, resiliens og strategisk autonomi, mens sikkerhed skal forstås som evnen til at
beskytte nationale interesser, herunder økonomisk sikkerhed og teknologi samt territoriale
interesserer og sikkerhed relateret til samfund og miljø som energi og forsyning. I forhold til
sikkerhed skal det understreges, at rapporten hovedsageligt behandler den økonomiske
sikkerhed.
Denne redefinering af konkurrenceevne er i tråd med Draghi-rapporten, men her udvides
rammen betydeligt ved at inkludere flere økonomiske og sikkerhedspolitiske perspektiver,
samtidig med at udgangspunktet for rapporten er Danmark.
Konkurrenceevne og
sikkerhed i den nye
verdensorden
12
ERU, Alm.del - 2024-25 - Bilag 248: Meget mere end forskning – Fra innovationskløft til konkurrenceløft rapport udarbejdet af POMUS, Deloitte m.fl. udgivet i juni 2025 som et dansk svar på EU’s Draghi- og Letta-rapporter
3038575_0013.png
Meget mere end forskning
| En verdensorden i opbrud
En ny definition:
Konkurrenceevne og
sikkerhed som
integrerede
strategiske mål
Figur 3: Definition af konkurrenceevne og sikkerhed
t st rkt re t dens
n
rk
onkurren ee ne
e st nd
Finansiel, socialt og miljømæssigt
Kan modstå, tilpasse sig og komme
sig over chok og stress hvad enten
de er nansielle, miljømæssige,
sociale eller politiske samtidig med
at stabilitet og fremskridt bevares
Et ansvarligt afhængighedsniveau.
kkerhed
M t r
ors r
Militær sikkerhed og territorialt forsvar
mod eksterne og interne trusler
såsom krig, terrorisme og væbnet
kon ikt
es ens
kono
tekno og
konomisk stabilitet,
ressourceadgang, energisikkerhed,
teknologisk infrastruktur og
cybersikkerhed
Politisk stabilitet, klima, sociale
forhold, miljøtrusler, migration og
kulturel identitet
tr teg sk
Kan håndtere vitale trusler national
sikkerhed, fødevarer, energi,
utono
sundhed relativt selvstændigt
Kilde: Deloitte
und
2.1.3.
Rapportens konceptuelle ramme og metode
Rapporten er, så vidt vides, den første af sin art i EU, som omsætter Draghi- og Letta-
rapporternes indsigter til en national kontekst. Den positionerer sig i det nye og højaktuelle
samspil mellem forskning og innovation, teknologisk-industriel kapacitet og sikkerhed,
som illustreret i Figur 4. Det skal understreges, at rapporten primært fokuserer på den
innovation, som udspringer af Danmarks forskningsmæssige styrkepositioner i regi af
universiteter, forskningsinstitutioner og det private erhvervslivs forsknings -og
udviklingsafdelinger. Mens forskningsdrevet innovation har spillet en afgørende rolle for
udviklingen af virksomheder som Novo Nordisk og Carlsberg, er der også eksempler på
succesfulde virksomheder som CIP og Pandora, der har opnået global gennemslagskraft
uden en direkte kobling til forskningsmiljøerne. Denne form for markedsdrevet innovation
og kommercialisering har ligeledes stor betydning for dansk konkurrenceevne og
illustrerer, hvordan innovationskraft bygger på en bred vifte af styrker og tværfaglige
kompetencer lige fra STEM-fagene
19
og humaniora til entreprenørskab.
Rapporten omsætter
Draghi- og Letta-
rapporternes
indsigter til en dansk
kontekst
19
STEM står for Science, Technology, Engineering og Mathematics
13
ERU, Alm.del - 2024-25 - Bilag 248: Meget mere end forskning – Fra innovationskløft til konkurrenceløft rapport udarbejdet af POMUS, Deloitte m.fl. udgivet i juni 2025 som et dansk svar på EU’s Draghi- og Letta-rapporter
3038575_0014.png
Meget mere end forskning
| En verdensorden i opbrud
Figur 4: Rapportens konceptuelle ramme
Rapporten
positionerer sig i det
nye og højaktuelle
samspil mellem
forskning og
innovation,
teknologisk-industriel
kapacitet og
Teknologisk -
industriel
sikkerhed
kapacitet
Rapportens
konceptuelle
ramme
Forskning &
innovation
Sikkerhed
Kilde: Deloitte
Rapporten er baseret
på en syntese af
eksisterende viden
Rapporten tager afsæt i et dokumentstudie, der har kvalificeret en række hypoteser om,
hvordan forsknings- og innovationsdrevet politik kan styrke Danmarks konkurrenceevne og
sikkerhed.
20
Analyserne i rapporten er herefter baseret på offentligt tilgængelige data og
viden, herunder forskningsartikler, konsulentrapporter og journalistisk materiale, af
relevans for rapportens problemformulering. Rapportens genstandsfelt er højaktuelt,
hvorfor fx avisartikler og pressemeddelelser også indgår i det samlede kildemateriale.
Gennem en syntese af eksisterende viden beskriver rapporten dermed den nuværende
situation og underbygger argumenterne for forandring. Den nye viden, som rapporten
tilfører til debatten, er en beskrivelse af et nyt innovationssystem og anbefalinger til,
hvordan dette kan realiseres. Desuden introducerer rapporten en bredere definition af
konkurrenceevne og et konkret redskab til, hvordan dette udvidede konkurrencebegreb kan
måles og monitoreres.
Rapportens konklusioner og anbefalinger er kvalificeret på baggrund af interviews,
workshops og drøftelser med rapportens styregruppe, advisory board samt udvalgte
videnspersoner, betegnet som eksperter i rapporten.
20
Dette spørgsmål udgør rapportens problemformulering
14
ERU, Alm.del - 2024-25 - Bilag 248: Meget mere end forskning – Fra innovationskløft til konkurrenceløft rapport udarbejdet af POMUS, Deloitte m.fl. udgivet i juni 2025 som et dansk svar på EU’s Draghi- og Letta-rapporter
3038575_0015.png
Meget mere end forskning
| En verdensorden i opbrud
2.1.4.
Introduktion til rapportens hovedbegreber
InnoScope-modellen
Danmarks konkurrenceevne afhænger af landets kapacitet til at opbygge viden og til at omsætte viden til
samfundsnyttig brug; kommercielt eller ikke-kommercielt. InnoScope-modellen visualiserer i en simplificeret
form, hvordan denne proces udspiller sig i Danmark i dag. Det starter med opbygning af viden i samfundet via
grunduddannelser frem til introduktionen af nye produkter, serviceydelser og processer i erhvervslivet eller i
den offentlige sektor og civilsamfund. Rapporten fokuserer udelukkende på den kommercielle del.
I denne vej fra viden til konkret værdiskabelse er det bredt anerkendt, at viden går tabt, hvilket betyder, at
Danmark ikke opnår det fulde potentiale af den tilgængelige forskning og innovation samt de ressourcer, der er
lagt i at skabe den. Disse hindringer
eller kløfter
illustreres i modellen med pilene. Mindskes kløfterne, vil
udbyttet af dansk forskning og innovation stige. De systemiske komponenter (Figur 5), som medvirker til at
skabe de respektive kløfter, bør derfor adresseres effektivt for at maksimere værdien af dansk forskning og
innovation. De fem komponenter relaterer sig i forskellig grad til den enkelte kløft. Dvs. at en eller flere faktorer
kan forklare, at der er en kløft.
I rapporten udforskes særligt de tre største kløfter med henblik på at give en række anbefalinger til, hvad danske
politikere og beslutningstagere kan gøre for at mindske dem
og dermed styrke dansk konkurrenceevne og
sikkerhed.
Figur 5: InnoScope-modellen; rapportens grundlæggende billede af situationen i dag
Ikke ko
orskn ngs kt
rundudd nne ser
Fra folkeskole til
videregående
uddannelse
er e t
ivil
teter
rundforskning, anvendt forskning og
eksperimentel udvikling
um samf erhverv
Natur og
sundhedsvidenskab
Sundhed og biovidenskab
Inno
Inno
t on
t on
O entlig
Produkt
Service
Proces
o
er
ser ng
Store
virksomheder
Små og mellemstore virksomheder
Entreprenører
Startups
Scale ups
d k ngsk
t
d k ngsk
t
I p
tk
ten
Inno
t onsk
ten
Udenlandsk arbejdskraft og kapital
h
p on k
ten
ternes
u ge ko potenter
u
nk p t
o ern n e
Incitamentsstrukturer
edelse
Politiske virkemidler
pt
Kapital nansiering
O entlige subsidier og støtteprogrammer
ælds nansiering
Private fonde og anden nansiering
In r struktur
Fysiske ressourcer
Digitale ressourcer
Understøttende ressourcer
u tur
Innovationskultur
Mindset
Adfærd
Talent
Kommunikation
Kilde: Deloitte
15
ERU, Alm.del - 2024-25 - Bilag 248: Meget mere end forskning – Fra innovationskløft til konkurrenceløft rapport udarbejdet af POMUS, Deloitte m.fl. udgivet i juni 2025 som et dansk svar på EU’s Draghi- og Letta-rapporter
3038575_0016.png
Meget mere end forskning
| En verdensorden i opbrud
Forsknings- og innovationskapacitet og spredningskapacitet
En metode til at opgøre den samlede værdi af forskning og innovation kaldes i denne rapport for
forsknings- og
innovationskapacitet.
Når viden spredes og absorberes bredt i samfundet, anvender rapporten
spredningskapacitet
til at beskrive, hvordan Danmark klarer sig. Hvis landet ikke får et udbytte af sin forskning
og innovation, der modsvarer spredningen, vil Danmark have et underskud i sin spredningskapacitet.
Begge typer kapaciteter er tæt forbundet til kløfterne i dansk forskning og innovation, idet opgørelsen af dem er
et samlet udtryk for kløfternes omfang. Jo større kløfter, jo lavere kapaciteter. Kløfterne kan derfor ses som et
udtryk for de underliggende systemiske udfordringer, der hindrer højere spredningskapacitet. Disse
underliggende udfordringer er integrerede og selvforstærkende, og evnen til at sprede og absorbere viden beror
på samspillet.
En optimeret spredningskapacitet gennem en mindskelse af kløfterne vil styrke og fremtidssikre den danske
konkurrenceevne, hvilket i rapporten beskrives med særligt fokus på bl.a. dual-use-tilgangen og regionalt
samarbejde med især EU. Dette kan lykkes ved bl.a. igen at gøre forskning og innovation til en politisk
topprioritet samt via nye industripolitiske tiltag, der tager udgangspunkt i danske forsknings- og
innovationsstyrker og landets sikkerhedsmæssige behov.
Industripolitiske tiltag og missionsdrevet industripolitik
Rapporten anvender en
moderne forståelse af begrebet ”industripolitiske tiltag” som reference til politiske
strategier og initiativer, der fremmer konkurrenceevne, strategisk autonomi, erhvervslivets
modstandsdygtighed samt den grønne og digitale omstilling.
21
Tiltagene kan omfatte alt fra regulering og
statsstøtte til investeringer i forskning, innovation og infrastruktur, men handler ikke kun om at styrke
eksisterende industrier, men også om at skabe nye markeder og teknologier, der kan sikre langsigtet vækst og
bæredygtighed.
Missionsdrevet industripolitik beskriver, hvordan en ny og moderne tilgang kan skabe rammerne for udviklingen
af danske styrkepositioner baseret på en langsigtet forsknings- og innovationsstrategi. Hermed forstås, at
forskning og innovation integreres i industripolitiske tiltag. Disse tiltag skal etablere de mest gunstige
erhvervsmæssige betingelser for at maksimere værdiskabelsen af dansk forskning og innovation og skabe
synergier mellem forskning, innovation, teknologi og erhvervsliv.
21
Det Europæiske Råd, 2024
16
ERU, Alm.del - 2024-25 - Bilag 248: Meget mere end forskning – Fra innovationskløft til konkurrenceløft rapport udarbejdet af POMUS, Deloitte m.fl. udgivet i juni 2025 som et dansk svar på EU’s Draghi- og Letta-rapporter
3038575_0017.png
Meget mere end forskning
| En verdensorden i opbrud
Definitioner af forskning og innovation
Definitionerne af forskning og innovation anvendt i denne rapport følger retningslinjerne fra Uddannelses- og
Forskningsministeriet, baseret på OE D’s Frascati-manual
fra 2015.
22
Dog anvender OE D begrebet “forskning
og udvikling”, som i denne rapport blot vil blive betegnet “forskning”.
Grundforskning dækker over
eksperimenterende eller teoretisk arbejde foretaget med det primære formål at opnå ny viden om fænomeners
underliggende fundament og observerbare kendsgerninger uden nogen bestemt anvendelse i sigte. Anvendt
forskning er originale undersøgelser foretaget med henblik på opnåelsen af ny viden rettet mod et bestemt
praktisk mål. Eksperimentel udvikling er systematisk arbejde, der er baseret på viden opnået gennem forskning
og praktisk erfaring, og som resulterer i ny viden, der er rettet mod at producere nye produkter eller forbedre
eksisterende produkter eller processer. Grundforskning, anvendt forskning og eksperimentel udvikling
benævnes i rapporten samlet som ”forskningsaktiviteter”.
Når forskningsaktiviteter omsættes til nye produkter, serviceydelser eller processer, opstår innovationsfasen.
Innovation defineres som et nyt eller forbedret produkt eller proces, hvilket vil sige, at de skal adskille sig
væsentligt fra tidligere produkter og processer. Derudover skal produktet eller processen være blevet gjort
tilgængelig for potentielle brugere (produktinnovation) eller være taget i anvendelse af enheden
(procesinnovation). Disse innovationsaktiviteter kan forekomme i alle sektorer af samfundet.
2.2.
Forskning og innovation som fundament for Danmarks fremtidige
konkurrenceevne, velstand og sikkerhed
Det handler om
meget mere end forskning.
Det handler om, hvordan forskning kan drive
banebrydende innovation, ny teknologi og industriel kapacitet til at styrke Danmarks
fremtidige konkurrenceevne, velstand og sikkerhed.
Rapportens ti anbefalinger sigter mod at realisere dette potentiale. De udfordrer
eksisterende strukturer og dogmer og udgør et bud på, hvad der skal til, for at Danmark kan
indtage en global førerposition inden for forskning, innovation og teknologi. Alle
anbefalinger knytter sig til hovedanbefalingen om udvikling af en Strategi2040, der skal
integrere forskning, innovation, teknologi og sikkerhed.
Fem af anbefalingerne er tværgående og skal sikre en vedvarende og effektiv
implementering af strategien. De øvrige fem anbefalinger vedrører systemiske
komponenter, der driver processerne i innovationssystemet, og som i rapporten er anvendt
særligt med henblik på at identificere kløfterne i det danske innovationssystem.
Anbefalingerne beskriver, hvordan potentialerne forbundet med disse respektive
systemiske komponenter kan blive udløst for derved at lukke kløfterne og opnå større
samfundsmæssig værdiskabelse. Samtlige anbefalinger skal således bidrage til at styrke
forsknings- og innovationskapaciteten og spredningskapaciteten i Danmark.
Strategi2040 og de tilhørende ti anbefalinger ses Figur 6. I kapitel 5 fremgår den fulde
anbefalingsramme med tilhørende forslag til handlinger.
Det handler om
meget mere end
forskning
22
OECD, 2015
17
ERU, Alm.del - 2024-25 - Bilag 248: Meget mere end forskning – Fra innovationskløft til konkurrenceløft rapport udarbejdet af POMUS, Deloitte m.fl. udgivet i juni 2025 som et dansk svar på EU’s Draghi- og Letta-rapporter
3038575_0018.png
Meget mere end forskning
| En verdensorden i opbrud
Figur 6: Strategi2040 og tilhørende ti anbefalinger skal bidrage til styrket konkurrenceevne, velstand og sikkerhed
Kilde: Deloitte
18
ERU, Alm.del - 2024-25 - Bilag 248: Meget mere end forskning – Fra innovationskløft til konkurrenceløft rapport udarbejdet af POMUS, Deloitte m.fl. udgivet i juni 2025 som et dansk svar på EU’s Draghi- og Letta-rapporter
3038575_0019.png
Meget mere end forskning
| En verdensorden i opbrud
Konkurrencestjernen
et nyt monitorerings-
værktøj til en
verdensorden i
forandring
Roadmap og visioner
for fremtidens
innovationssystem
Konkurrencestjernen er udviklet til at beskrive og monitorere den danske konkurrenceevne
i et bredere perspektiv, som også medtager forhold som samfundsresiliens samt
forsknings- og innovationskapacitet og spredningskapacitet. Konkurrencestjernen måler
konkurrenceevne på ni parametre, der afspejler de centrale faktorer for vækst, velstand og
sikkerhed i det 21. århundredes nye verdensorden.
Roadmappet viser, hvordan rapportens grundlæggende, strategiske anbefaling om
udvikling af Strategi2040 og de ti anbefalinger i sammenhæng med Konkurrencestjernen og
to transformerede InnoScope-modeller kan danne grundlag for realiseringen af en vision
for henholdsvis 2030 og 2040.
Anbefalinger, Konkurrencestjernen, roadmap og visioner for fremtidens innovationssystem
uddybes i kapitel 5.
19
ERU, Alm.del - 2024-25 - Bilag 248: Meget mere end forskning – Fra innovationskløft til konkurrenceløft rapport udarbejdet af POMUS, Deloitte m.fl. udgivet i juni 2025 som et dansk svar på EU’s Draghi- og Letta-rapporter
3038575_0020.png
Meget mere end forskning
| Forskning og innovation som katalysator for fremtidens konkurrenceevne og sikkerhed
3. Forskning og innovation som katalysator
for fremtidens konkurrenceevne og
sikkerhed
Forskning og innovation spiller en central rolle i videreudviklingen af Danmarks
styrkepositioner, hvilket er afgørende for at øge produktiviteten og sikre en
langsigtet økonomisk vækst. Værdiskabelsen afhænger af kapaciteten til at udføre
forskning og innovation samt evnen til at sprede og integrere denne viden i
samfundet.
Kapitlet kortlægger først det danske forsknings- og innovationslandskab og derefter Danmarks nuværende
forsknings- og innovationskapacitet
og ikke mindst evnen til at omsætte viden og innovation i erhvervslivet såvel
som i det bredere samfund. En af nøglerne til at opnå maksimal værdiskabelse af denne forsknings- og
innovationsspredning i det 21. århundrede er at sikre en stærk kobling mellem forskning og innovation samt nye
industripolitiske tiltag, herunder udviklingen af dual-use-teknologier.
3.1.
3.1.1.
Det danske forsknings- og innovationslandskab
Offentlig-private investeringer i forskning følger nationale målsætninger
Stolt tradition for
Danmark har en stolt tradition for forskning og innovation, der understøttes af et økosystem
investeringer i
af både offentlige og private investeringer, herunder fra staten, private fonde, EU og
forskning og udvikling
virksomheder. I 2023 blev 85,6 mia.kr., svarende til 3% af BNP, anvendt til forskning og
udvikling i Danmark
23
. Dette afspejler Barcelona-målsætningen, som er en fælles EU-
målsætning, der fastsætter, at medlemslandene skal udføre forskning og udvikling for 3%
af BNP, opgjort på basis af forskningsregnskabet (opgjort ud fra, hvor forskningen er udført
uanset finansieringskildens geografiske oprindelse). Selvom alle EU-lande har forpligtet sig
til 3%-målet, ligger Danmark med 3% investeret højere end EU-gennemsnittet, men dog
lavere end en række lande som Sydkorea, USA, Sverige og Schweiz (jf. Figur 7).
I tillæg til Barcelona-målsætningen har Danmark vedtaget 1%-målsætningen, som
indebærer, at Danmark skal investere minimum 1% af BNP i offentligt finansieret forskning.
Samlet udgør disse to målsætninger de danske forskningsmålsætninger. Til forskel fra
Barcelona-målsætningen omhandler den nationale 1%-målsætning niveauet for offentlige
midler, inkl. EU-midler, afsat til forskning og udvikling. Det offentlige forskningsbudget
består af det statslige forskningsbudget samt kommunale, regionale og internationale
midler.
24
23
Rapporten fokuserer på forskning og innovation. Flere datakilder bruger imidlertid betegnelsen forskning og udvikling. Forskning, udvikling og
innovation er tre relaterede, men forskellige begreber. Forskning handler om at opnå ny viden, udvikling om at anvende eksisterende viden til at
skabe nye eller forbedrede produkter, processer eller systemer, og innovation om at implementere disse ændringer i praksis. Innovation dækker
efter vores definition også udvikling, som dermed kan opfattes som en delmængde af innovationsbegrebet. Men opgørelser af fx investeringer i
forskning og udvikling undervurderer derfor også investeringer i forskning og innovation, som er et bredere begreb.
24
Uddannelses- og Forskningsministeriet, 2024a
20
ERU, Alm.del - 2024-25 - Bilag 248: Meget mere end forskning – Fra innovationskløft til konkurrenceløft rapport udarbejdet af POMUS, Deloitte m.fl. udgivet i juni 2025 som et dansk svar på EU’s Draghi- og Letta-rapporter
3038575_0021.png
Meget mere end forskning
| Forskning og innovation som katalysator for fremtidens konkurrenceevne og sikkerhed
En sund balance
mellem fri og
strategisk forskning
er vigtig
Inden for forskning skelnes der mellem fri forskning (eller forskerinitieret
forskning/”curiosity-driven research”) og strategisk forskning. Fri forskning betyder, at der
er frit emnevalg. Baggrunden for fri forskning er forankret i ideen om, at det tjener
samfundet at overlade en betydelig del af forskningsmidlerne til forskerne selv, fordi det
ofte er, når forskningen drives af forskernes nysgerrighed, at den mest banebrydende
forskning opstår.
25
Midlerne kan både komme som basismidler via universiteterne eller
være konkurrenceudsatte, dvs. at forskerne skal ansøge om midler via offentlige fonde
(Danmarks Frie Forskningsfond og Danmarks Grundforskningsfond (DG)) eller private
fonde. Der er dog kun få private fonde, som målrettet støtter fri forskning inden for alle
videnskaber. Dette skyldes bl.a., at fondene er underlagt bestemmelser i deres fundatser,
som kan hindre uddeling af helt frie midler.
Strategisk forskning er omvendt emnebestemt og associeres typisk med en tilstræbt
udvikling og problemløsning af et mere eller mindre veldefineret mål af samfundsmæssig
betydning.
26
Eksempler er udvikling af teknologier som kvantecomputeren eller
bioteknologi. Ligesom for midler til fri forskning kan midler til strategisk forskning komme
direkte fra staten, fx via forskningsreserven, eller være konkurrenceudsatte via offentlige
fonde, fx Innovationsfonden, DG eller EU, eller via private fonde.
En sund balance mellem fri og strategisk forskning er således afgørende, da begge tilgange
spiller en unik og komplementær rolle i samfundets videnskabelige og teknologiske
udvikling. Der er dog relativt få finansieringskilder til fri forskning sammenlignet med
strategisk forskning i det danske forskningslandskab.
Innovationsfonden er
den vigtigste
offentlige aktør for
støtte til innovation
Innovationsfonden bevilliger midler til strategiske forsknings- og innovationsprojekter
inden for viden og teknologi, med særligt fokus på udvikling af løsninger på
samfundsudfordringer. Midlerne kan tilgå iværksættere, forskere og virksomheder. I 2024
uddelte fonden 1,9 mia.kr. til forskning og videnbaseret innovation samt iværksætteri, og
den har en aktiv portefølje bestående af 1.843 bevillinger med en samlet værdi på 7,7
mia.kr.
27
Fonden har bl.a. bidraget til fire missionsdrevne grønne partnerskaber, udpeget af
Folketinget, som skal indfri danske klimamål og derigennem styrke konkurrenceevnen.
Derudover har fonden fx også særligt fokus på AI og kvanteteknologi.
27,28
Innovationsfonden er således den vigtigste offentlige aktør for støtte til innovation og
bidrager aktivt til udviklingen af danske styrkepositioner. Det er samtidig vigtigt at erkende
betydningen af diversitet i finansieringskilder for at sikre en bredere vifte af
innovationsprogrammer og øge den langsigtede stabilitet og kontinuitet i forskningsmiljøet.
25
26
Forskningspolitisk Udvalg, 2019
Forskningspolitisk Udvalg, 2024
27
Innovationsfonden, 2024a
28
Innovationsfonden, 2023
21
ERU, Alm.del - 2024-25 - Bilag 248: Meget mere end forskning – Fra innovationskløft til konkurrenceløft rapport udarbejdet af POMUS, Deloitte m.fl. udgivet i juni 2025 som et dansk svar på EU’s Draghi- og Letta-rapporter
3038575_0022.png
Meget mere end forskning
| Forskning og innovation som katalysator for fremtidens konkurrenceevne og sikkerhed
Figur 7: Andel af BNP brugt på forskning og udvikling, 2023
De danske
investeringer i
6%
forskning og udvikling
5,0%
5%
ligger over EU-
3,6% 3,5% 3,4%
4%
gennemsnittet
3,3% 3,3% 3,1%
3,1%
3%
2%
1%
0%
3,0%
2,6%
2,3%
2,2%
2,2%
1,9%
1,5%
1,3%
Tyskland
Spanien
Sydkorea
USA
Belgien
Østrig
Danmark
Finland
Sverige
Sydkorea
Holland
Kilde: Eurostat, 2024a
en i forhold til
bl.a. USA og Kina er
investeringerne
stagneret
Danmark og EU har oplevet en stagnation i investeringerne i forskning og udvikling
sammenlignet med lande uden for EU, fx USA, Sydkorea og Kina (se Figur 8). I det seneste
årti har de tre lande øget deres investeringer i forskning og udvikling målt i forhold til BNP.
Hvis Danmark og EU vil holde trit med globale innovationsledere og sikre teknologisk
suverænitet, økonomisk robusthed og strategisk autonomi i en ny geopolitisk virkelighed,
er betydelige investeringer i forskning og innovation en grundlæggende forudsætning.
29
Set
i dette perspektiv tegner udviklingen
op igennem 10’erne og starten af 20’erne
et
udfordrende billede.
Figur 8: Forsknings- og udviklingsinvesteringer som andel af BNP
5%
4%
3%
2%
1%
2012
2013
EU
Kilde: Eurostat, 2024a
EU og Danmark har op
genne 10’erne og
st rten 20’erne
reduceret sine
investeringer i
forskning og udvikling
som andel af BNP
Hundreds
2014
2015
Danmark
2016
2017
USA
2018
Eurooområdet– 20 lande (fra
2023)
2019
Kina
2020
Frankrig
2021
2022
29
Europa-Kommissionen, 2024a
22
Italien
Japan
Island
Norge
ERU, Alm.del - 2024-25 - Bilag 248: Meget mere end forskning – Fra innovationskløft til konkurrenceløft rapport udarbejdet af POMUS, Deloitte m.fl. udgivet i juni 2025 som et dansk svar på EU’s Draghi- og Letta-rapporter
3038575_0023.png
Meget mere end forskning
| Forskning og innovation som katalysator for fremtidens konkurrenceevne og sikkerhed
Danske investeringer
i forskning og
udvikling toppede
sidst i 2009
Danmarks investeringer i forskning og udvikling var opadgående indtil 2009, hvor Danmark
gik fra at investere knap 2% af BNP i 1997 til 3% i 2009 (jf. Figur 9). Denne udvikling kan
særligt tilskrives den daværende VK-regerings opprioritering af forskning og innovation (se
også afsnit 4.1). Udviklingen blev hovedsageligt drevet af erhvervslivet, som stod for 61% af
investeringerne i forskning og innovation i 1997 og øgede sin andel til 70% i 2009.
Efterfølgende er erhvervslivets andel faldet tilbage til udgangspunktet med 62% i 2023.
Således bidrog den offentlige sektor samme år med 38% af forsknings- og
udviklingsmidlerne.
Figur 9: Forsknings- og udviklingsinvesteringer som andel af BNP, Danmark
4%
Erhvervslivet
finansierer 62% af
forsknings- og
udviklings-
investeringerne i
Danmark
3%
2%
1%
0%
1997
2002
I alt
Kilde: Danmarks Statistik, 2023a
2007
Erhvervslivet
2012
2017
Den offentlige sektor
2022
Forskningsreserven
er rekordhøj og
indeholder for første
gang basismidler
Som en del af det offentlige forskningsbudget, der i 2025 er på 30,3 mia.kr. (1% af BNP),
laver Folketinget hvert år en delaftale, kaldet forskningsreserven, hvor politikerne fordeler
midler til specifikke områder med henblik på at adressere danske samfundsudfordringer.
30
Andelen af statslige forskningsmidler, der kanaliseres gennem forskningsreserven, er
steget med over 16% på syv år.
31
Det afspejler, at det offentlige forskningsbudget er steget
i takt med BNP grundet 1%-målsætningen. Alene fra 2023 til 2025 er forskningsreserven
vokset fra 3,8 mia.kr. til 5,5 mia.kr., hvilket er det højeste nogensinde.
32
2,3 mia.kr. afsættes
til grønne forskningsinitiativer, mens 1,2 mia.kr. målrettes kritisk teknologi, sikkerhed og
digitalisering. Endelig afsættes 0,8 mia.kr. til sundhed og life science samt 0,1 mia.kr. til
trivsel, læring og sammenhængskraft. Desuden afsættes der for første gang frie midler
0,5 mia.kr.
som ikke er konkurrenceudsatte, ligesom yderligere 0,5 mia.kr. målrettes
fremtidens talentbase.
30
De frie midler tildeles universiteterne som basismidler (modsat konkurrenceudsatte
midler), og det er dermed første gang, at universiteterne får basismidler ud over den andel,
de modtager baseret på en fordelingsnøgle fra det offentlige forskningsbudget.
Beslutningen herom skyldes bl.a. et politisk ønske om at mindske ubalancer, hvormed der
henvises til en dynamik, der, i takt med at private fonde har øget deres bevillinger til
forskning, er blevet en udfordring. For at kunne absorbere fondsstøtten har universiteterne
måttet kanalisere en større del af deres basismidler til de fagområder, som fondene støtter.
I 2022 gik 80% af universiteternes eksterne forskningsfinansiering til naturvidenskabelig,
sundhedsvidenskabelig eller teknisk forskning, mens ca. 15% blev tildelt humanistisk eller
samfundsvidenskabelig forskning.
33
Det er en kompleks problemstilling: På den ene side er
en
såkaldt ”skævvridning” uønsket,
men på den anden side kræver naturvidenskabelig og
30
31
Uddannelses- og Forskningsministeriet, 2024b
Altinget, 2025
32
Uddannelses- og Forskningsministeriet, 2024c
33
Fondenes Videnscenter, 2024a
23
ERU, Alm.del - 2024-25 - Bilag 248: Meget mere end forskning – Fra innovationskløft til konkurrenceløft rapport udarbejdet af POMUS, Deloitte m.fl. udgivet i juni 2025 som et dansk svar på EU’s Draghi- og Letta-rapporter
3038575_0024.png
Meget mere end forskning
| Forskning og innovation som katalysator for fremtidens konkurrenceevne og sikkerhed
sundhedsvidenskabelig forskning flere ressourcer, bl.a. i form af infrastruktur m.m. Uanset
hvad, er den høje fondsfinansiering et unikt dansk aktiv og positiv for forskningen.
At midlerne er
”frie”
betyder, at universiteterne har mulighed for at investere i forskning,
som ikke er politisk rammesat. Når midlerne ikke er konkurrenceudsatte, frigives
ressourcer for forskerne, idet de ikke skal bruge tid på ansøgninger.
34
Det er positivt for dansk forskning og innovation, at både det samlede forskningsbudget og
forskningsreserven er rekordhøje. Men det er en udfordring for universiteterne og
forskningsmiljøerne, at midlerne fordeles årligt frem for i en langsigtet ramme, der kan
skabe mere økonomisk stabilitet og give bedre mulighed for igangsættelse af langsigtede
projekter. Det er bl.a. denne langsigtede investering i kapacitet i forskningsmiljøerne, der
kan medvirke til at sikre et styrket grundlag for universiteternes impact i samfundet. Hvis
forskning og innovation opnår stigende politisk interesse, er det vigtigt at erkende
dynamikker (skævvridning og forskningens langsigtede natur) for at mindske uønskede
effekter.
Der bruges mange
flere midler på
anvendt forskning
end grundforskning i
det private erhvervsliv
og offentligt
Af de offentlige midler til grundforskning og anvendt forskning går ca. 25% til
grundforskning, mens andelen i det private erhvervsliv er 13%.
35
Da anvendt forskning
udføres med henblik på opnåelsen af ny viden rettet mod et bestemt praktisk mål, er det
naturligt, at virksomheder i langt højere grad investerer i anvendt forskning. Men, som
rapporten også vil vise, er grundforskning en central drivkraft for fremtidige videnskabelige
nybrud og dermed et vidensmæssigt fundament for samfundet, som bidrager til fremtidens
velstand og livskvalitet. Det er derfor vigtigt, at grundforskning ikke nedprioriteres til fordel
for anvendt forskning, som kan give hurtigere og mere konkrete resultater.
Sundhedsvidenskab er den videnskab, der modtager flest midler. I 2023 udgjorde
sundhedsvidenskab 39% af de samlede offentlige forsknings- og innovationsmidler. Til
sammenligning udgjorde humaniora 6%. Sundhedsområdet er dermed det største
offentligt finansierede forskningsområde i Danmark efterfulgt af naturvidenskab med 20%
af de offentlige midler. Et tilsvarende mønster ses også i de private fondes
forskningsbevillinger (se afsnit 3.1.3).
Figur 10: Fordeling af omkostninger til forskning og innovation i den offentlige sektor, 2023
6%
14%
5%
16%
39%
20%
Naturvidenskab
Teknisk videnskab
Sundhedsvidenskab
Jordbrugs- og veterinærvidenskab
Samfundsvidenskab
Humaniora
Kilde: Danmarks Statistik, 2023b
Sundhedsvidenskab
har været den største
modtager af offentlige
forsknings- og
innovationsmidler
Næsten 40% af de
offentlige forsknings-
og innovationsmidler
går til
sundhedsvidenskab
34
35
Uniavisen, 2024
Danmarks Statistik, 2023c
24
ERU, Alm.del - 2024-25 - Bilag 248: Meget mere end forskning – Fra innovationskløft til konkurrenceløft rapport udarbejdet af POMUS, Deloitte m.fl. udgivet i juni 2025 som et dansk svar på EU’s Draghi- og Letta-rapporter
3038575_0025.png
Meget mere end forskning
| Forskning og innovation som katalysator for fremtidens konkurrenceevne og sikkerhed
Forskning inden for
humaniora er blevet
relativt nedprioriteret
Fordelingen af de offentlige forsknings- og innovationsmidler viser (jf. Figur 11), at
humaniora igennem mange år er blevet marginaliseret i forhold til naturvidenskab og
samfundsvidenskab. I 2007 udgjorde humaniora 9% af den totale offentligt finansierede
forskning, men var faldet til 6% i 2023.
36
I samme periode er udgifter til natur- og
samfundsvidenskaberne steget med henholdsvis 58% og 45%, mens udgifter til humaniora
kun er steget med 10%.
Fordelingen af de private forsknings- og innovationsmidler på de store videnskabsområder
viser samme mønster. I 2023 gik 83% af donationerne til tekniske videnskaber og
sundhedsvidenskab, jf. Figur 11. I et langsigtet perspektiv peger eksperter på, at denne
fordeling kan være problematisk, da humaniora bidrager med afgørende viden, fx for en
effektiv spredning og anvendelse af nye teknologier i samfundet.
37
I et langsigtet perspektiv
peger eksperter på, at denne fordeling kan være problematisk, da humaniora bidrager med
afgørende viden, fx for en effektiv spredning og anvendelse af nye teknologier i samfundet.
37
Stor forskel i
fordelingen af midler
til de store
videnskabsområder
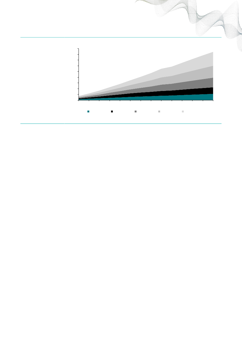
Figur 11: Omkostninger til offentligt finansieret forskning, årsværk
6000
5000
4000
3000
2000
1000
0
2007 2008 2009 2010 2011 2012 2013 2014 2015 2016 2017 2018 2019 2020 2021 2022 2023
Naturvidenskab
Kilde: Danmarks Statistik, 2023b
Samfundsvidenskab
Humaniora
83% af erhvervslivets
Figur 12: Erhvervslivets omkostninger til forskning- og innovation, 2023
midler til forskning og
3%
0%
0%
innovation gik i 2023
Naturvidenskab
til de tekniske
14%
Teknisk videnskab
videnskaber og
sundhedsvidenskab
Sundhedsvidenskab
41%
Jordbrugs- og veterinærvidenskab
42%
Samfundsvidenskab
Humaniora
Kilde: Danmarks Statistik, 2023d
36
37
Danmarks Statistik, 2023b
Danske Universiteter, 2023a
25
ERU, Alm.del - 2024-25 - Bilag 248: Meget mere end forskning – Fra innovationskløft til konkurrenceløft rapport udarbejdet af POMUS, Deloitte m.fl. udgivet i juni 2025 som et dansk svar på EU’s Draghi- og Letta-rapporter
3038575_0026.png
Meget mere end forskning
| Forskning og innovation som katalysator for fremtidens konkurrenceevne og sikkerhed
3.1.2.
Danmark hjemtager en relativ stor del af EU-forskningsmidlerne
EU har flere initiativer til fremme af forskning og innovation i medlemslandene. Det største
program er Horizon Europe, som fra 2021 til 2027 har et forskningsbudget på 712 mia.kr.
38
Det primære fokus er på missionsdrevet forskning og innovation, som forsøger at løse store
samfundsmæssige udfordringer, herunder klimakrisen.
Som illustreret i Figur 13 er 20% af dansk forskning finansieret af udenlandske aktører. EU
står for mere end halvdelen af den udenlandske finansiering. Danmark modtog i 2023 2,6
mia.kr. i forsknings- og innovationsstøtte fra EU. Dette placerer Danmark i top tre på listen
over lande, som hjemtager de fleste europæiske forsknings- og innovationsmidler, set i
forhold til indbyggertallet.
39
EU bidrager markant
til europæisk
forskning
20% af dansk
forskning bliver
finansieret af
udenlandske aktører
Figur 13: Finansieringskilder til dansk forskning, 2023
43%
11%
20%
6%
6%
10%
5%
4%
15%
Forskningsråd
Danske virksomheder
EU
Kilde: Danmarks Statistik, 2023e
Andre statslige midler
Organisationer, fonde mv.
Andre udenlandske kilder
Andre offentlige midler
Udenlandske virksomheder
38
39
Europa-Kommissionen, 2021a
Altinget, 2024
26
ERU, Alm.del - 2024-25 - Bilag 248: Meget mere end forskning – Fra innovationskløft til konkurrenceløft rapport udarbejdet af POMUS, Deloitte m.fl. udgivet i juni 2025 som et dansk svar på EU’s Draghi- og Letta-rapporter
3038575_0027.png
Meget mere end forskning
| Forskning og innovation som katalysator for fremtidens konkurrenceevne og sikkerhed
3.1.3.
Private fonde spiller en unik rolle i støtten til forskning og innovation i Danmark
I 2023 bidrog alle landets private fonde med 26,1 mia.kr. til almennyttige formål, hvilket er
historisk højt og svarende til 0,93% af det danske BNP. Heraf gik 10,6 mia.kr. til forskning
(jf. Figur 14).
40
Det er dog et fald på 1 mia.kr. i forhold til 2022, men nogle områder, fx
sundhed, fik samtidig over 1 mia.kr. mere end året før, hvilket til dels kan tilskrives Novo
Nordisk Fonden (jf. Figur 15). Støtten til grøn forskning reduceredes samtidig med 2 mia.kr.
Private fonde spiller
en stor rolle for dansk
forskning og
innovation
Private fonde bidrog i
Figur 14: Fordeling af bevilligede almennyttige midler 2019-2023 (mio.kr.)
2023 med 10,6 mia.kr.
1.162
til forskning
2.182
2.126
4.481
1.569
2.116
7.876
701
810
2.167
5.327
431
749
2.510
1.895
12.242
6.477
3.559
2.830
262
848
419
1.015
1.456
5.885
2.421
3.801
486
1.437
4.636
1.068
2.615
7.957
11.551
10.580
2019
2020
Forskning
Innovation
Ikke-øremærkede midler
Kilde: Fondenes Videnscenter, 2025
2021
Anlæg
Anskaffelser/Erhvervelser
2022
2023
Formidling
Andet /ikke fordelt
40
Fondenes Videnscenter, 2025
27
ERU, Alm.del - 2024-25 - Bilag 248: Meget mere end forskning – Fra innovationskløft til konkurrenceløft rapport udarbejdet af POMUS, Deloitte m.fl. udgivet i juni 2025 som et dansk svar på EU’s Draghi- og Letta-rapporter
3038575_0028.png
Meget mere end forskning
| Forskning og innovation som katalysator for fremtidens konkurrenceevne og sikkerhed
Sundhed tiltrækker
flest støttekroner fra
fondene
Figur 15: Midler tildelt et formål, fx sundhed, opdelt på ekskl. forskning og inkl. forskning i
2023 og 2022 (mio.kr.)
Ikke-
almennyttige
2023
2022
8206
5347
Erhvervs- og
Andre
regionaludvikling almennyttige
2023
2022
439
460
2.475
2.313
2023
929
1.028
31
127
2022
Sociale
formål
2023
2022
2.223
3.007
21
499
Internationale
humanitære
2023
2022
2.277
3.032
17
4
Natur-, klima-
og miljøformål
2023
2022
1.539
1.055
991
1.107
Kulturelle
formål
2023
2022
2.764
2.438
132
161
Uddannelse og
folkeoplysning
2023
2022
1.852
2.938
403
1.965
Sundheds-
formål
2023
2022
2.510
6.510
5.374
Midler til forskning under formålet
1.502
Midler til formålet ekskl. forskning
Kilde: Fondenes Videnscenter, 2025
Erhvervsdrivende
fonde er unikke for
Danmark og af stor
betydning for
samfundet
Ca. 23,5 mia.kr. af de bevilligede midler kom i 2023 fra meget store fonde (+500 mio.kr.),
hvilket er en stigning, som bl.a. skyldes, at flere fonde uddeler større beløb. Blandt de større
fonde er en stor del erhvervsdrivende, dvs. at de er stiftet med det dobbelte formål at
kontrollere en virksomhed eller drive forretning samt udføre filantropiske aktiviteter. De er
”superlangsigtede
ejere”, og mange af dem uddeler størstedelen af deres midler til
forskning, herunder fonde som Novo Nordisk Fonden, LEGO Foundation, A.P. Møller
Fonden, VILLUM FONDEN og Carlsbergfondet.
41
Det er bredt anerkendt, at den danske fondsmodel
med henvisning til de erhvervsdrivende
fonde
er unik for Danmark og har en væsentlig indflydelse på styrken og kvaliteten af
41
Fondenes Videnscenter, 2023
28
ERU, Alm.del - 2024-25 - Bilag 248: Meget mere end forskning – Fra innovationskløft til konkurrenceløft rapport udarbejdet af POMUS, Deloitte m.fl. udgivet i juni 2025 som et dansk svar på EU’s Draghi- og Letta-rapporter
3038575_0029.png
Meget mere end forskning
| Forskning og innovation som katalysator for fremtidens konkurrenceevne og sikkerhed
dansk forskning, også historisk.
42,43
I 2022 var 74 ud af de 100 mest bevilligende fonde og
foreninger erhvervsdrivende fonde, hvilket indikerer, at virksomhederne ejet af disse fonde
har klaret sig godt, og at fondene derigennem har fået flere midler, som de kunne uddele til
samfundet.
De erhvervsdrivende fonde spiller en større rolle i den danske erhvervssektor end i noget
andet land. I 2021 bidrog fondsejede danske virksomheder til 18% af Danmarks samlede
værdiskabelse (254 mia.kr. i værditilvækst), 26% af den danske eksport, og de
beskæftigede omkring 180.000 personer, svarende til 6% af den samlede private
arbejdsstyrke.
44
Denne relation kan anskues som en samfundskontrakt, hvor store danske virksomheder
via deres fondsejerskab giver tilbage til det danske samfund. Det er vigtigt at understrege,
at al fondsstøtte
ikke kun til forskning
bidrager til samfundets udvikling, opretholder
vigtige funktioner og styrker civilsamfundet, hvilket er fundamentalt for en stærk
konkurrenceevne. Med fondsstøtten til dansk forskning og innovation stiger både omfang
og kvalitet, hvilket alle danske aktører
inkl. de fondsejede virksomheder selv
drager
fordel af.
CASESTUDIE
BioInnovation Institute (BII)
en model med stort inspirations-potentiale
For at styrke Danmarks evne til at omsætte forskning til nye løsninger, produkter og virksomheder fremstår
BioInnovation Institute (BII) som en model med stort inspirationspotentiale
særligt i forhold til, hvordan man
kan accelerere vejen fra forskning til innovation og kommercialisering.
Siden opstarten i 2018 har BII haft som kerneopgave at bringe forskningsbaserede løsninger tættere på
markedet. Med støtte fra Novo Nordisk Fonden har BII hjulpet over 100 startups og arbejder nu på at opskalere
indsatsen yderligere, med en målsætning om at støtte op mod 40 startups årligt inden for områder som life
science, kvanteteknologi, biovidenskab og kunstig intelligens.
45
Det særlige ved BII er den helhedsorienterede tilgang. Hvor mange fonde primært yder finansiel støtte,
kombinerer BII finansiering med adgang til laboratorier, forretningsudvikling, faglig sparring og internationale
netværk. Det gør instituttet til et økosystem i sig selv, med kapacitet til at løfte virksomheder i deres tidligste
og mest sårbare faser.
Et eksempel er Ousia Pharma, en virksomhed udsprunget fra Novo Nordisk Fondens metabolismecenter
(CBMR) på Københavns Universitet. Ousia Pharma modtog i opstartsfasen 14 mio.kr. i støtte fra BII og har i
2025 sikret en trecifret millioninvestering fra den internationale venturefond Omega Funds.
46
BII og Ousia Pharma illustrerer det store potentiale i at tænke nyt i forhold til, hvordan vi understøtter
innovation. De viser, hvordan stærke faglige miljøer, målrettet kapital og forretningsforståelse kan bindes
sammen i effektive rammer, med hastighed og skalering som nøgleparametre. Erfaringerne fra BII kan således
inspirere til udviklingen af lignende initiativer på andre strategiske områder, hvor Danmark har
styrkepositioner og globale ambitioner.
42
43
Thomsen, 2016
Mandag Morgen, 2016
44
Fondenes Videnscenter, 2024b
45
BioInnovation Institute, 2025a
46
BioInnovation Institute, 2025b
29
ERU, Alm.del - 2024-25 - Bilag 248: Meget mere end forskning – Fra innovationskløft til konkurrenceløft rapport udarbejdet af POMUS, Deloitte m.fl. udgivet i juni 2025 som et dansk svar på EU’s Draghi- og Letta-rapporter
3038575_0030.png
Meget mere end forskning
| Forskning og innovation som katalysator for fremtidens konkurrenceevne og sikkerhed
Fondene medvirker til
en ubalance af midler
til forskning og
innovation
Som beskrevet i afsnit 3.1.1 gør særligt to tendenser sig gældende inden for
forskningsfinansiering i disse år. Den ene tendens vedrører, at der relativt set ikke gives
mange midler til fri forskning sammenlignet med strategisk forskning, som tildeles midler
til specifikke områder som klima eller AI. Når forskere frit kan undersøge emner uden
politiske eller økonomiske begrænsninger, kan det føre til banebrydende opdagelser og nye
teknologier.
Den anden tendens vedrører den ubalance, som opstår på universiteterne i forbindelse
med støtten fra de private fonde. Over de seneste ti år er forskningsstøtten fra private fonde
steget med 135%, hvilket har medført, at den nu ligger på omtrent samme niveau som det
offentlige forskningsbudget.
47
Samtidig har universiteternes offentligt tildelte
basisbevillinger været relativt stabile. Denne mere markante forskel i ekstern finansiering
og basismidler medfører en udhuling af basismidlerne, idet de skal understøtte driften af
eksternt finansierede forskningsprojekter. Universiteterne har dermed færre midler til
rådighed til andre vigtige formål.
Samlet set risikerer disse dynamikker bl.a. at skabe blinde vinkler og begrænse udviklingen
af nye forskningsmæssige styrkepositioner og teknologiske gennembrud, som på lang sigt
kan påvirke Danmarks konkurrenceevne negativt. Det er vigtigt at tilpasse
forskningsmidlerne konsekvent, så de bidrager optimalt til at styrke Danmarks
konkurrencesituation på lang sigt. Det er ligeledes vigtigt med en vedvarende dialog med
alle forskningsfinansierende instanser
staten, offentlige fonde, private fonde
og
universiteterne for at sikre bedst mulig brug af Danmarks samlede forskningsressourcer.
Alle typer forskning er afgørende, men det er vigtigt, at der eksisterer en afbalanceret
forskningsindsats, hvor forskningstyperne styrker hinanden og bidrager til et dynamisk og
fremtidssikrende vidensmiljø.
3.2.
Den samfundsmæssige værdi af dansk forskning og innovation
Mens niveauet af investeringer i forskning og innovation har betydning for Danmarks
fremtidige konkurrenceevne, velstand og sikkerhed, er det også af væsentlig betydning,
hvilken forsknings- og innovationskapacitet Danmark har, og især i hvor høj grad denne
kapacitet formår at blive omsat til samfundsnyttigt brug
både kommercielt og ikke-
kommercielt. Der er derfor behov for indsigt i, hvordan dansk forskning og innovation opstår
og udvikles, hvilket dette afsnit belyser.
InnoScope-modellen, udviklet af Deloitte til projektets formål, visualiserer i en simplificeret
form, hvordan denne proces fra
”viden
til konkurrenceevne” udspiller sig i Danmark.
InnoScope-modellen giver således et samlet overblik over de vigtigste faser og aktører i det
danske forsknings- og innovationssystem
med særlig vægt på, hvor viden skabes,
udvikles, spredes og absorberes i samfundet.
Danmarks
konkurrenceevne
afhænger også af dets
kapacitet til at
opbygge og omsætte
viden og innovation
Fra viden til
samfundsmæssig
værdi, øget
konkurrenceevne og
sikkerhed
47
Altinget, 2025
30
ERU, Alm.del - 2024-25 - Bilag 248: Meget mere end forskning – Fra innovationskløft til konkurrenceløft rapport udarbejdet af POMUS, Deloitte m.fl. udgivet i juni 2025 som et dansk svar på EU’s Draghi- og Letta-rapporter
3038575_0031.png
Meget mere end forskning
| Forskning og innovation som katalysator for fremtidens konkurrenceevne og sikkerhed
InnoScope-modellen
Figur 16: InnoScope-modellen
Ikke ko
orskn ngs kt
rundudd nne ser
Fra folkeskole til
videregående
uddannelse
er e t
ivil
teter
rundforskning, anvendt forskning og
eksperimentel udvikling
um samf erhverv
Natur og
sundhedsvidenskab
Sundhed og biovidenskab
Inno
Inno
t on
t on
O entlig
Produkt
Service
Proces
o
er
ser ng
Store
virksomheder
Små og mellemstore virksomheder
Entreprenører
Startups
Scale ups
Udenlandsk arbejdskraft og kapital
Kilde: Deloitte
Grunduddannelserne
er fundamentet for ny
viden og innovation;
her udvikles
nysgerrighed og
kritisk tænkning
Modellen tager afsæt i grunduddannelserne, fra folkeskole til videregående uddannelse.
Danmarks konkurrenceevne hviler på et solidt og inkluderende uddannelsessystem. Fra
folkeskole til gymnasium og erhvervsuddannelser opbygges de basale og videregående
kompetencer, som udgør fundamentet for fremtidens arbejdsstyrke og
forskningskapacitet. Det er her, at viden, nysgerrighed og kritisk tænkning udvikles. Samlet
bidrager uddannelserne til almen dannelse og grundlæggende boglige og praktiske
færdigheder inden for bl.a. sprog, matematik, naturvidenskab og håndværk. Universiteter
udvikler og specialiserer studerendes viden og kompetencer, så de er rustet til forskning,
innovation og de skiftende behov på arbejdsmarkedet.
Herfra bevæger modellen sig videre ind i forskningssystemet, som rummer grundforskning,
anvendt forskning og eksperimentel udvikling, hvilket samlet betegnes som
forskningsaktiviteter. En forskningsaktivitet kan være rettet både mod specifikke og
generelle spørgsmål og skal opfylde følgende kernekriterier: ny, original/kreativ, usikker,
systematisk og overførbar og/eller reproducerbar. Begrebet dækker over både privat og
offentlig forskning inden for alle videnskaber, her opdelt i humaniora, samfundsvidenskab
og privat sektorforskning samt naturvidenskab og sundheds- og biovidenskab. Sidstnævnte
spiller en særlig stor rolle for Danmark både i erhvervslivet og forskningen, som beskrevet
tidligere i rapporten.
Teknologisk forskning er afgørende for innovation og vækst i både erhvervslivet og den
offentlige sektor. Teknologisk forskning bygger bl.a. på viden fra naturvidenskab,
samfundsvidenskab og humaniora og har betydelig samfundsøkonomisk effekt; fx sker
95% af erhvervslivets investeringer i forskning og udvikling inden for teknologisk forskning.
48
Teknologisk forskning er dog ikke fremhævet i modellen, da dens primære formål er at
identificere de store kløfter fra forskning til kommercialisering (jf. afsnit 4.2.1).
Definition af
forskningssystemet
og overgangen til
innovationsfasen
Den kommercielle og
ikke-kommercielle
værdi af dansk
forskning og
innovation
Når innovation omsættes af private, offentlige eller civilsamfundsorganisationer, opstår
selve impacten af forskningen og innovationen. Grundet rapportens opdrag, er der her
udelukkende fokus på den kommercielle proces, men det skal understreges, at værdien af
ikke-kommerciel aktivitet er afgørende for både konkurrenceevne og sikkerhed. Det kan fx
være nye metoder udviklet til bedre uddannelse af folkeskoleelever og mere effektive
behandlingsprocesser på et hospital. En uddybning af det nationale innovationssystem kan
derfor med fordel føjes til nærværende analyse på et senere tidspunkt.
I modellen opdeles SMV’er
i entreprenørvirksomheder, startups og scale-ups. Som
beskrevet i kapitel 1 har Danmark relativt få store virksomheder, men de har stor betydning
for dansk økonomi
og derigennem også for udviklingen af dansk forskning og innovation
48
Uddannelses- og Forskningsministeriet, 2019
31
ERU, Alm.del - 2024-25 - Bilag 248: Meget mere end forskning – Fra innovationskløft til konkurrenceløft rapport udarbejdet af POMUS, Deloitte m.fl. udgivet i juni 2025 som et dansk svar på EU’s Draghi- og Letta-rapporter
3038575_0032.png
Meget mere end forskning
| Forskning og innovation som katalysator for fremtidens konkurrenceevne og sikkerhed
med deres store innovationsmuskler i forhold til mindre virksomheder. Bl.a. derfor sætter
modellen også specifikt fokus på de store virksomheder.
Definition af
kommercielle
virksomheder
Tabel 1: Definition af kommercielle virksomheder
Virksomheder i de tidlige faser af deres drift, typisk i en hurtig vækstfase.
Der er ingen etableret statistisk definition på en startup. Definitioner
involverer typisk en øvre medarbejdergrænse (fra 50 til 250) og en
aldersgrænse (fra fem år til ti år).
Scale-ups er højvækstvirksomheder, der er større end startups.
Statistisk set defineres
”højvækst”
ofte som en gennemsnitlig årlig
vækst på mindst 10% over en treårig periode (på omsætning eller
fuldtidsbeskæftigelse). Scale-ups kan strække sig ud over SMV’er (250
ansatte og mere). Unicorns er typisk scale-ups.
Virksomheder med 250 ansatte eller flere. Nogle nationale
statistikkontorer i Europa skelner mellem mellemstore virksomheder
(250-4999 ansatte) og store virksomheder (5000 og derover).
Virksomheder med over 5000 vil også blive benævnt som
”champions”
(nationale mestre) i Danmark.
Startups
Scale-ups
Store
virksomheder
Kilde: OECD, 2022a
Global viden og
kapitaltilgang er
også vigtig
Introduktion til
forsknings-,
innovations- og
spredningskapacitet
En vigtig pointe i modellen er, at viden ikke kun er national; Danmark importerer og
anvender global viden både via medier og tilgang af humankapital. Tilgang af kapital har
også stor betydning for omfanget og kvaliteten af forsknings- og innovationseffekterne på
dansk økonomi og konkurrenceevne, hvilket uddybes nedenfor.
InnoScope-modellen introducerer begreberne forsknings- og innovationskapacitet og
spredningskapacitet. En metode til at opgøre den samlede værdi af forskning og innovation
kaldes i denne rapport for forsknings- og innovationskapacitet. Det er med andre ord
Danmarks samlede evne til at introducere nye videnskabelige og teknologiske fremskridt.
Når viden spredes og absorberes bredt i samfundet, anvender rapporten
spredningskapacitet til at beskrive, hvordan Danmark klarer sig. Hvis landet ikke får et
udbytte af sin forskning og innovation, som modsvarer spredningen, vil Danmark have et
underskud i sin spredningskapacitet.
Spredningskapacitet overses ofte, men er afgørende for innovationens gennemslagskraft
og værdiskabelse i samfundet. Den hastighed, hvormed nye teknologier tages i brug og
integreres i produktive processer, bør ikke tages for givet.
49
Fordelen ved at være den første
til at innovere kan blive opvejet af faktorer, som påvirker, hvor hurtigt et land tager nye
innovationer i brug i stor skala
fx styrken af kommunikationskanaler eller tætheden af
samarbejder mellem forskningsinstitutioner og virksomheder. Når der opstår en kløft, har
innovationscentrerede vurderinger af nationale videnskabs- og teknologikapaciteter
tendens til at være misvisende, da de undervurderer nationens evne til at integrere nye
fremskridt i produktive processer.
50
Særligt debatten om magtbalancen mellem USA og
Kina fokuserer ofte på Kinas evne til at innovere, men overser hvor langsomt Kina faktisk
spreder og integrerer teknologier. Helt konkret viser et studie, hvordan Kina ligger langt bag
USA, når det kommer til spredningskapacitet på flere områder. Fx har Kina haft succes med
teknologier som mobilbetalinger og e-handel, men kinesiske industrier har været betydeligt
langsommere til at omfavne automatisering og digitale produktionssystemer
sammenlignet med USA. Dette betyder, at mange af Kinas fabrikker stadig opererer med
49
50
Rosenberg, 1982
Jeffrey Ding, 2024
32
ERU, Alm.del - 2024-25 - Bilag 248: Meget mere end forskning – Fra innovationskløft til konkurrenceløft rapport udarbejdet af POMUS, Deloitte m.fl. udgivet i juni 2025 som et dansk svar på EU’s Draghi- og Letta-rapporter
3038575_0033.png
Meget mere end forskning
| Forskning og innovation som katalysator for fremtidens konkurrenceevne og sikkerhed
relativt lav digital modenhed, hvilket kan være en begrænsende faktor for
produktivitetsvækst og konkurrencedygtighed.
51
Uden effektiv spredning af nye innovationer i hele det indenlandske økosystem vil selv de
mest ekstraordinære innovationer ikke få nogen mærkbar effekt. Desuden viser studier, at
innovation oftest spredes mere uden for de steder, hvor den oprindeligt er opstået.
52
Derfor
er en spredningscentreret tilgang afgørende for at forstå Danmarks konkurrenceevne.
En opgørelse af
Danmarks
kapaciteter kræver en
ny tilgang
Da der ikke eksisterer en etableret metode, har Deloitte udviklet en ny model til at
kortlægge Danmarks forsknings- og innovationskapacitet samt spredningskapacitet, som
beror på en omfattende litteraturgennemgang og kvalitative ekspertinterviews. Der er
identificeret fem systemiske komponenter, som anses for at have særlig høj relevans for en
opgørelse af de to slags kapaciteter. Som netop beskrevet er især spredningskapaciteten
relevant, men det skyldes også, at både data og eksperter indikerer, at Danmarks primære
udfordringer vedrører denne. Komponenterne opgøres i rapporten baseret på hypoteser,
understøttet af eksisterende data, litteratur og eksperter. En fremtidig metode kan med
fordel indeholde en afgrænsning af selvstændige proxy-variabler for henholdsvis
forsknings- og innovationskapaciteten og spredningskapaciteten.
Som en slags temperaturmåling på Danmarks forsknings- og innovationsimpact afdækker
de følgende to afsnit den nuværende status over dansk forsknings- og innovationskapacitet
samt spredningskapacitet. Begge kapaciteter analyseres, men det primære fokus er på
spredningskapaciteten. De fem komponenter (Figur 17) uddybes derfor kun struktureret for
spredningskapaciteten, mens de indgår implicit i beskrivelsen af forsknings- og
innovationskapaciteten.
Deloittes model for
beskrivelse og
opgørelse af
forsknings- og
innovationskapacitet
samt sprednings-
kapacitet
Figur 17: Metode til opgørelse af forsknings- og innovationskapacitet og spredningskapacitet
u n
k pt
pt
p tet og
spredn ng
I
In r struktur
o ern n e
u tur
Kilde: Deloitte
51
52
Rosenberg, 1982
Jakob B. Madsen, 2007
33
ERU, Alm.del - 2024-25 - Bilag 248: Meget mere end forskning – Fra innovationskløft til konkurrenceløft rapport udarbejdet af POMUS, Deloitte m.fl. udgivet i juni 2025 som et dansk svar på EU’s Draghi- og Letta-rapporter
3038575_0034.png
Meget mere end forskning
| Forskning og innovation som katalysator for fremtidens konkurrenceevne og sikkerhed
Beskrivelse af de fem
komponenter
1.
Humankapital:
Færdigheder og kompetencer til at implementere og optimere ny viden
og teknologi (national og international), inkl. befolkningens uddannelsesniveau, antal
højtuddannede inden for videnskab og teknologi, træning og udvikling af
medarbejderfærdigheder, digitale færdigheder og brugskompetencer samt job-til-job
mobilitet.
2.
Infrastruktur:
Vurdering af fysisk og digital infrastruktur, inkl. offentlige investeringer i
infrastruktur, internetadgang, adgang til data, adgang til avanceret teknologi og
anvendelsesintensitet af nye teknologier.
3.
Kultur:
Kulturelle aspekter som åbenhed over for nye idéer, deltagelse i offentlige
debatter, samarbejdsnetværk og risikovillighed.
4.
Governance:
Politiske og regulatoriske rammer og offentlige støttestrukturer, der kan
fremme eller hæmme åbenhed og deling af innovation, fx statsstøtte til erhvervsliv,
innovationspolitik og adgang til at etablere selskaber.
5.
Kapital:
Finansielle ressourcer til at støtte de andre komponenter, inkl. offentlige
innovationsfonde, private fonde og adgang til risikovillig kapital.
3.2.1.
Den danske forsknings- og innovationskapacitet
Menneskelige kompetencer er et vigtigt element i forsknings- og innovationskapacitet. Den
danske folkeskole er fundamentet for en veluddannet befolkning og påvirker således
elevers præstationer og videre uddannelsesmuligheder samt generel evne til at tilegne sig
nye færdigheder, som er nødvendige i en stadig mere teknologisk og videnbaseret økonomi.
Den såkaldte PISA-score anvendes ofte for at få en indikation af, hvor godt forberedt den
kommende generation er til at deltage i og bidrage til forsknings- og innovationsaktiviteter.
Den viser, hvordan danske elever klarer sig i forhold til internationale standarder inden for
læsning, matematik og naturvidenskab. Med en samlet score på 1.472 ligger Danmark midt
i feltet blandt de deltagende lande (jf. Figur 18). Denne placering indikerer, at danske elever
har en solid uddannelsesbase, men også at der er plads til forbedring sammenlignet med
toppræsterende lande som Singapore og Kina.
Figur 18: PISA-score
53
: Resultater i læsning, matematik og naturvidenskab fordelt på lande
543
Danske elever har en
solid uddannelses-
base, som skaber
fundament for en
veluddannet
befolkning
Kilde: OECD, 2022b
53
Resultater i læsning, matematik og naturvidenskab fordelt på lande. Programme for International Student Assessment (PISA) evaluerer 15-
årige elevers evne til at anvende deres viden og færdigheder inden for læsning, matematik og naturvidenskab i virkelige situationer. Resultaterne
er fra 2022
34
Singapore
Kina
Japan
Sydkorea
Canada
Irland
Schweiz
Australien
Finland
New Zealand
Storbritannien
Tjekkiet
Danmark
USA
Sverige
Belgien
Østrig
Slovenien
Letland
Tyskland
Holland
Frankrig
Portugal
Spanien
Lithauen
Italien
Norge
Kroatien
Israel
Malta
Slovakiet
Island
Grækenland
Cypern
Matematik
Naturvidenskab
Læsning
Danske elevers
resultater ligger over
OECD-gennemsnittet
og er på niveau med
eller over de øvrige
nordiske lande i både
læsning, matematik
og naturfag - bortset
fra de finske
resultater i naturfag
510
516
515
507
516
483
498
490
501
494
489
489
487
479
504
480
469
475
480
459
474
474
477
472
482
477
475
474
445
447
436
447
459
438
441
430
561
543
547
528
515
504
503
507
511
500
498
494
491
504
491
500
494
494
492
488
487
499
484
485
484
477
478
483
466
465
462
575
552
536
527
497
508
492
489
489
487
487
489
487
484
485
479
482
483
475
493
474
472
473
475
471
468
465
466
463
458
464
418
411
381
ERU, Alm.del - 2024-25 - Bilag 248: Meget mere end forskning – Fra innovationskløft til konkurrenceløft rapport udarbejdet af POMUS, Deloitte m.fl. udgivet i juni 2025 som et dansk svar på EU’s Draghi- og Letta-rapporter
3038575_0035.png
Meget mere end forskning
| Forskning og innovation som katalysator for fremtidens konkurrenceevne og sikkerhed
Erhvervsuddannelser
og faglærte spiller en
betydelig rolle for
forsknings- og
innovations-
kapaciteten
Faglærte udgør en vigtig komponent i forsknings- og innovationskapaciteten og det
samlede økosystem. Danmark står over for en mangel på faglært arbejdskraft, især i
industrien, hvor aldersfordelingen blandt de faglærte er skæv. En stor andel af de faglærte
er over 50 år, mens tilgangen af nye lærlinge er utilstrækkelig til at opretholde det
nødvendige kompetenceniveau i fremtiden. Ifølge en fremskrivning fra
Arbejderbevægelsens Erhvervsråd forventes Danmark at mangle op mod 99.000 faglærte i
2030.
54
Denne udvikling understreger en udfordring for den danske forsknings- og
innovationskapacitet. Det er ikke kun vigtigt at have stærke erhvervsuddannelser. Der bør
også være en stærk kobling mellem forskning og produktion. Det er i samspillet mellem
faglærte og fx ingeniører og forskere, at ny viden omsættes til praksis og skalerbar
produktion. Dette gælder særligt inden for højteknologiske og specialiserede områder, hvor
præcis viden om materialer, maskiner og processer er nødvendig for at implementere nye
løsninger effektivt og konkurrencedygtigt.
Danmark er et
innovativt land med
forskning i
verdensklasse og
gode universiteter
Danmark udmærker sig ved et velfungerende forskningssystem med en høj grad af
internationalt samarbejde. Landet scorer 289% over EU-gennemsnittet for internationale
videnskabelige fællespublikationer og 489% for offentlig-private fællespublikationer. Det
attraktive forskningsmiljø afspejler sig også i en tiltagende forbedret evne til at tiltrække
udenlandske ph.d.-studerende, som ligger på 168% af EU-gennemsnittet. Danmarks
forskningsinstitutioner er internationalt anerkendte, hvor Københavns Universitet rangerer
som nummer 75 eller 100 i verden, afhængigt af den specifikke rangliste, mens Aarhus
Universitet placeres som nummer 134 eller 144, alt efter ranglisten.
55,56
Danmarks forsknings- og innovationskapacitet er god i forhold til andre EU-lande, og i 2024
blev Danmark
for andet år i træk kåret som EU’s førende innovationsland. Ifølge EU’s
Innovation Scoreboard 2024 præsterer Danmark 13% over EU-gennemsnittet på grund af
investeringer i forskning, publikationer og patenter (jf. Figur 19). Derudover vokser dansk
innovation 10% hurtigere end gennemsnittet i EU.
57
Men interessen for
undervisning halter
Det er centralt for kvaliteten af dansk forskning at have talentfulde forskere. En bred
talentbase kræver, at børn og unge får en solid faglig base samt interesse for
forskningsverdenen allerede fra grundskolen. De Økonomiske Råd har vist, at en lærers
faglige kvalifikationer kan ændre elevers resultater ved afgangsprøven med op til 0,88
karakterpoint.
58
Det er derfor essentielt at uddanne kompetente og dygtige lærere. Det er
dog en stor udfordring at tiltrække dygtige kandidater til lærerfaget i Danmark, hvor mindre
end halvdelen af de lærerstuderende i 2019 opfyldte det officielle karakterkrav om et
gennemsnit på 7 fra gymnasiet. I 2024 blev samtlige ansøgere til læreruddannelsen
optaget.
59,60
Der er derfor plads til forbedring i bevidstheden og interessen for undervisning
i den brede danske befolkning.
54
55
Arbejderbevægelsens Erhvervsråd, 2021
QS Top Universities, 2025
56
EduRank, 2025
57
Europa-Kommissionen, 2024b
58
De Økonomiske Råd, 2022
59
Folkeskolen, 2021
60
Børne- og Undervisningsministeriet, 2025
35
ERU, Alm.del - 2024-25 - Bilag 248: Meget mere end forskning – Fra innovationskløft til konkurrenceløft rapport udarbejdet af POMUS, Deloitte m.fl. udgivet i juni 2025 som et dansk svar på EU’s Draghi- og Letta-rapporter
3038575_0036.png
Meget mere end forskning
| Forskning og innovation som katalysator for fremtidens konkurrenceevne og sikkerhed
Samlede innovationsindeks
Danmark er det land,
der - lige efter
Schweiz
har højest
innovationskapacitet
per indbygger
Figur 19: BNP per indbygger målt i PPP
61
og innovationskapacitet
62
160
150
SWE
FIN
KOR
CAN
DNK
NLD
NOR
USA
ISR
CHE
140
130
GBR
120
EST
110
100
90
20.000
CHN
PRT
40.000
JPN
ESP
BEL
AUT
DEU
LUX
CYP AUS
FRA
SVN
ITA
CZE
LTU
60.000
MLT
80.000
100.000
120.000
140.000
BNP pr. indbygger, faste priser (PPP)
Kilde: Den Internationale Valutafond, 2024a; Europa-Kommissionen, 2024b;
Greater Copenhagen
som innovations-
distrikt
Greater Copenhagen udgør som innovationsdistrikt en væsentlig dansk styrkeposition med
sin relativt stærke koncentration af viden, talent og forskningsmiljøer på tværs af
Østdanmark og Sydsverige. Regionen ligger i top i OECD, når det gælder udviklingen af grøn
teknologi, og fungerer som en motor for innovation i både det offentlige og private.
63
Den
relative tætte kobling mellem universiteter, virksomheder og offentlige aktører øger ikke
blot innovationskapaciteten, men sikrer også effektiv spredning og skalering af nye
løsninger til resten af landet og internationalt.
61
62
Purchasing power parity (PPP) refererer til bruttonationalproduktet (BNP) per person, justeret for købekraftsparitet (PPP) og inflation
Det samlede innovationsindeks (SII), præsenteret i European Innovation Scoreboard (EIS) 2024, tilbyder en omfattende vurdering, der
kombinerer flere indikatorer på tværs af forskellige innovationsdimensioner. Indekset inkluderer humankapital, forskningssystemer,
virksomhedsinvesteringer og økonomiske effekter for at give et helhedsblik på hvert lands innovationskapacitet og udvikling
63
OECD, 2024a
36
ERU, Alm.del - 2024-25 - Bilag 248: Meget mere end forskning – Fra innovationskløft til konkurrenceløft rapport udarbejdet af POMUS, Deloitte m.fl. udgivet i juni 2025 som et dansk svar på EU’s Draghi- og Letta-rapporter
3038575_0037.png
Meget mere end forskning
| Forskning og innovation som katalysator for fremtidens konkurrenceevne og sikkerhed
3.2.2.
Den danske spredningskapacitet
Danmark har generelt en veluddannet og oplyst befolkning, som understøtter forståelse på
tværs af innovationsøkosystemets aktører. Danske voksne har en høj læsefærdighed, der
muliggør bred videnanvendelse i samfundet.
64
Danmark har også en højtuddannet
befolkning. 1,6 mio. danskere har gennemført en videregående uddannelse, svarende til
omtrent en fjerdedel af befolkningen.
65
Denne andel er 132% af EU-gennemsnittet
57
, og
placerer Danmark over OECD-gennemsnittet, som er på niveau med lande som Finland,
men under Norge og Sverige.
66
Derudover har danskerne mere end dobbelt så høj
deltagelse i ”livslang læring”
i forhold til EU-gennemsnittet.
67
Dertil kommer befolkningens relativt høje digitale færdigheder. I 2023 havde 69,6% af
danskerne mellem 16 og 74 år grundlæggende digitale færdigheder, hvilket er betydeligt
over EU-gennemsnittet på 55,6%.
68
Desuden vurderer 76% af danskerne, at de har høje
digitale brugskompetencer, hvilket afspejler en befolkning, der er komfortabel med at
anvende digitale værktøjer i hverdagen.
69
Tilsammen afspejler dette et kontinuerligt fokus på opkvalificering af arbejdsstyrken, som
bidrager til, at danske medarbejdere tilpasser sig nye teknologiske og markedsmæssige
krav, hvilket er en solid basis for forsknings- og innovationskapaciteten såvel som
spredningskapaciteten.
70
Danmark har en
relativt veluddannet
befolkning
Danmark har en af de
bedste digitale
infrastrukturer i
verden
Danmarks fysiske og digitale infrastruktur er relativt stærk og understøtter en effektiv
spredningskapacitet. Landet har en velfungerende fysisk infrastruktur og fokus på at
håndtere udfordringer i forhold til mobilitet mellem by og land, fx med Infrastrukturplan
2035, der indeholder over 160 mia.kr. til forbedring af vej- og jernbanenetværk.
71
Danmarks avancerede digitale infrastruktur bidrager positivt til spredningskapaciteten.
96% af danske husstande har adgang til højkapacitetsnetværk (VHCN), og 5G-dækningen
er på 98%, hvilket placerer Danmark i top blandt EU-lande.
72
Danmark er et af de mest
digitaliserede lande i verden, både i den offentlige og private sektor. Ud over at være et tegn
på god anvendelse af innovation på tværs af sektorer, giver den omfattende digitalisering
samtidig et unikt datagrundlag, som er centralt for forskning og innovation. Dette muliggør
banebrydende registerforskning, hvor data om bl.a. sundhedsmæssige, sociale og
miljømæssige forhold analyseres på tværs af sektorer.
Den digitale infrastruktur er understøttet af investeringer i avanceret teknologi, såsom AI-
supercomputeren Gefion, der er finansieret af Novo Nordisk Fonden, hvilket styrker
kapaciteten inden for datadrevet innovation. Ligeledes har Danmark et højt niveau af
teknologisk implementering og tilpasning blandt virksomheder. I 2024 anvendte 27,6% af
danske virksomheder AI-løsninger, hvilket er over dobbelt så mange som EU-
gennemsnittet på 13,5%.
73
Danmark er også førende inden for industriel IoT (Internet of
Things), cloud computing og big data-analyse, der alle er afgørende for at kunne omsætte
store datamængder til praktisk anvendelig viden.
74
Denne teknologiske parathed gør det
muligt for organisationer hurtigt at implementere nye forskningsresultater og teknologiske
fremskridt, hvilket styrker deres konkurrenceevne.
64
65
Our World in Data, 2024
Danmarks Statistik, 2024
66
OECD, 2022b
67
Europa-Kommissionen, 2024b
68
Eurostat, 2024a
69
ADD, 2023
70
Danmarks Statistik, 2024
71
Transportministeriet, 2021
72
Europa-Kommissionen, 2023a
73
Eurostat, 2024b
74
Erhvervsministeriet, 2022
37
ERU, Alm.del - 2024-25 - Bilag 248: Meget mere end forskning – Fra innovationskløft til konkurrenceløft rapport udarbejdet af POMUS, Deloitte m.fl. udgivet i juni 2025 som et dansk svar på EU’s Draghi- og Letta-rapporter
3038575_0038.png
Meget mere end forskning
| Forskning og innovation som katalysator for fremtidens konkurrenceevne og sikkerhed
Men der er
udfordringer i SMV-
segmentet
SMV’er har dog ofte en lavere grad af teknologianvendelse sammenlignet med større
virksomheder, og der er tegn på, at implementeringen af avancerede digitale teknologier er
faldet siden 2022. IMD’s World Digital Competitiveness Ranking viser, at Danmark er gået
fra en førsteplads i 2022 til en fjerdeplads i 2023, hvilket bl.a. skyldes en nedgang i landets
evne til at tage nye teknologier i brug. Specifikt er Danmark rykket fra en førsteplads til en
tredjeplads i kategorien
”Future
Readiness”.
Danmark har en god forsknings- og innovationskultur præget af demokratiske værdier,
forskningsfrihed og social tryghed, hvilket skaber et stabilt grundlag for vidensudveksling
og spredningskapacitet. Den danske velfærdsstat tilbyder økonomisk tryghed, hvilket
betyder, at den økonomiske risiko ved at eksperimentere og tage chancer er relativ lille.
Netop risikovilligheden er en vigtig forudsætning for radikal innovation. Dette suppleres af
en lang tradition for offentlig debat og vidensdeling, der er funderet i den danske
ytringsfrihed og pressefrihed. Dette skaber en kultur, hvor idéer frit udveksles og spredes,
og hvor der er lav barriere for deltagelse i den offentlige debat. Desuden er der en stigende
tendens til, at udenlandske studerende bliver og arbejder i Danmark efter endt uddannelse,
hvilket bidrager med mere internationalt tilgået viden og kulturel mangfoldighed.
75
Danmark scorer imidlertid højt på usikkerhedsundvigelse, hvilket indikerer en præference
for stabile, forudsigelige rammer og begrænset risikovillighed. Samtidig er den danske
erhvervskultur præget af lav magtdistance og høj individualisme, hvilket på den ene side
kan fremme selvstændig tænkning, men på den anden side også føre til silotænkning og
svække tværfagligt samarbejde.
76
Derudover er dansk innovationskultur ofte præget af lav
fejltolerance. Hvor miljøer som Silicon Valley generelt anser fejl som en naturlig del af
læringsprocessen, er der ifølge eksperter en tendens i Danmark til at undgå risici for at
bevare konsensus og stabilitet. Dette begrænser radikal innovation og eksperimenter, som
er afgørende for både at kunne skabe og sprede banebrydende teknologier.
Samtidig viser undersøgelser fra 2020, at Danmark interagerer mindre med omverdenen på
centrale vidensparametre sammenlignet med andre små, åbne økonomier. Der er bl.a.
observeret et fald i andelen af udenlandske investeringer i forskning og innovation, hvilket
hæmmer internationalt samarbejde og vidensudveksling, som er nøglefaktorer for at
udvikle teknologier med global rækkevidde.
77
Manglende
risikovillighed kan
være en forhindring
for både innovations-
og sprednings-
kapacitet
Gode rammer for
spredning af viden
men mangel på
strategisk retning
med en samlende
forsknings- og
innovationsstrategi
Samlet set er de danske rammer og økosystemet for forskning og innovation veludviklede,
hvilket styrker landets kapacitet til at sprede innovation. Danmark er blandt de letteste
lande i verden at starte en virksomhed i. Ifølge Verdensbankens seneste
”Doing
Business”-
rapport er Danmark det nemmeste sted i Europa, og det fjerde mest tilgængelige land
globalt at etablere og drive en virksomhed, kun overgået af New Zealand, Singapore og
Hongkong.
78
Dette kan reducere barrierer for iværksætteri og fremme hurtigere
implementering af innovation.
Offentlige institutioner som GTS-institutterne (Godkendt Teknologisk Service),
Innovationsnetværk Danmark og nationale klyngeorganisationer spiller en central rolle i at
facilitere samarbejdet mellem forskning, erhvervsliv og det offentlige. Disse strukturer
fremmer teknologiudvikling og vidensspredning ved at bygge bro mellem virksomheder og
forskningsinstitutioner. I 2023 betjente GTS-institutterne over 20.000 private danske
kunder, hvoraf 89%
var SMV’er,
79
hvilket viser deres betydning for innovationssamarbejder
på tværs af landet. Ligeledes understøtter Innovationsnetværk Danmark virksomheder
inden for områder, hvor Danmark har styrkepositioner, såsom produktion, it, energi, miljø,
75
76
Danske Universiteter, 2023b
The Culture Factor Group, 2023
77
Uddannelses- og Forskningsministeriet, 2020
78
Udenrigsministeriet, 2020
79
Uddannelses- og Forskningsministeriet, 2025a
38
ERU, Alm.del - 2024-25 - Bilag 248: Meget mere end forskning – Fra innovationskløft til konkurrenceløft rapport udarbejdet af POMUS, Deloitte m.fl. udgivet i juni 2025 som et dansk svar på EU’s Draghi- og Letta-rapporter
3038575_0039.png
Meget mere end forskning
| Forskning og innovation som katalysator for fremtidens konkurrenceevne og sikkerhed
transport, livsstil, sundhed og fødevarer, gennem matchmaking, udviklingsprojekter og
internationalisering.
80
Dette gør det lettere for danske virksomheder at implementere nye
teknologier og bidrager samtidig til løsningen af samfundsmæssige udfordringer gennem
offentlig-private samarbejder. Desuden spiller organisationer som Innovation Centre
Denmark en vigtig rolle i Danmarks spredningskapacitet ved at give danske virksomheder
og forskningsinstitutioner adgang til global viden og netværk gennem centre i
innovationshubs som Silicon Valley, Shanghai og Tel Aviv.
Danmark har en innovationsstrategi fra 2012, men mangler en samlet forsknings- og
innovationsstrategi.
81
Danmarks Forsknings- og Innovationspolitiske Råd (DFIR) påpeger i
deres seneste årsrapport behovet for en sådan strategi, bl.a. i lyset af Draghi-rapporten og
den sikkerheds- og geopolitiske udvikling.
82
Et betydeligt antal politiske aftaler og strategier
fra 2024
herunder en rumstrategi, en lifescience-strategi og en iværksætterstrategi
hvor
forskning og innovation spiller en central rolle, understreger også behovet for en ny
forsknings- og innovationsstrategi. Aktører i forsknings- og innovationsmiljøet efterlyser
desuden en national teknologistrategi, da Udenrigsministeriets strategi for "teknologisk
diplomati" anses for ikke at være tilstrækkelig.
83
Dette fravær af en national forsknings- og innovationsstrategi, eventuelt supplereret med
en tværgående teknologistrategi, skaber manglende retning og sammenhæng i, hvordan
offentlige og private investeringer målrettes, og hvordan forskningsindsatsen omsættes til
innovation, teknologi og samfundsværdi gennem kommercialisering. En manglende
strategisk ramme medfører, at stærke forskningsmiljøer og teknologiske potentialer ikke
systematisk kobles til konkrete samfundsudfordringer, markedsskabende indsatser eller
nationale prioriteringer. Det svækker både spredningen af viden og kapaciteten til at
skalere danske løsninger
og betyder i praksis, at viden forbliver uforløst i det danske
system.
Akademiet for de Tekniske Videnskaber (ATV) har dokumenteret, at Danmark har tabt
terræn i 12 ud af 16 nøgleområder inden for fremtidens teknologier, når det gælder evnen
til at udvikle og patentere nye løsninger
sammenlignet med verdens 30 førende
teknologiregioner
herunder Kina.
84
Det understreger, at globalt teknologisk lederskab ikke
opstår af sig selv, men kræver strategisk retning og langsigtet prioritering.
Derudover ligger statens direkte og indirekte støtte til erhvervslivets FoU-aktiviteter under
EU-gennemsnittet (75,3%), og EU fremhæver dette som en svaghed i Danmarks
forsknings- innovationskapacitet og spredningskapacitet.
85
Fraværet af en koordineret strategi betyder også, at det danske system har svære ved at
samle aktører om fælles missioner, og at incitamenterne for videndeling og
kommercialisering svækkes og fragmenteres. Hvis Danmark skal løse
spredningsudfordringen og øge værdien af sin store videnskapacitet, er et tydeligt
strategisk kompas afgørende.
80
81
Uddannelses- og Forskningsministeriet, 2024d
Uddannelses- og Forskningsministeriet, 2012
82
Danmarks Forsknings- og Innovationspolitiske Råd, 2025
83
Akademiet for de Tekniske Videnskaber, 2024a
84
Akademiet for de Tekniske Videnskaber, 2025
85
Europa-Kommissionen, 2024b
39
ERU, Alm.del - 2024-25 - Bilag 248: Meget mere end forskning – Fra innovationskløft til konkurrenceløft rapport udarbejdet af POMUS, Deloitte m.fl. udgivet i juni 2025 som et dansk svar på EU’s Draghi- og Letta-rapporter
3038575_0040.png
Meget mere end forskning
| Forskning og innovation som katalysator for fremtidens konkurrenceevne og sikkerhed
Danmark har et
veludviklet system for
forsknings- og
innovations-
finansiering
Danmark har et veludviklet system for innovationsfinansiering, der også understøtter
spredningen af innovation. Den offentlige innovationsfinansiering i Danmark er struktureret
gennem flere nøgleinstitutioner. Innovationsfonden fungerer som en central aktør ved at
investere i forskning og innovation via forskellige programmer, herunder Grand Solutions,
Innobooster og Innoexplorer, som dækker hele innovationsværdikæden fra grundforskning
til implementering (se også afsnit 3.1.1).
86,87
Derudover spiller Danmarks Frie
Forskningsfond (DFF) en vigtig rolle i at støtte den frie forskning. DFF finansierer
forskningsprojekter baseret på forskernes egne idéer og initiativer, hvilket skal bidrage til at
fremme forskningsdiversitet og -kvalitet.
88
Ligeledes tilbyder Danmarks Eksport- og
Investeringsfond (EIFO) risikovillig kapital via lån og egenkapitalinvesteringer til
virksomheder i alle vækstfaser.
Sammenlignet med forsknings- og innovationskapaciteten er det især sprednings-
kapaciteten, som skal styrkes, hvis det fulde potentiale ved dansk forskning og innovation
skal realiseres.
Danmark har et solidt fundament for effektiv spredning af forskning og innovation.
Styrkerne ligger primært i en højtuddannet befolkning, avanceret digital infrastruktur og
stærke infrastrukturrammer som GTS-institutterne og klynger, der understøtter
samarbejde og vidensdeling. Samtidig fremmer den danske kultur generelt innovation, hvor
forskningsfrihed, digital parathed og teknologisk anvendelse understøtter hurtig
implementering af nye teknologier.
Dog er der udfordringer, som begrænser den danske spredningskapacitet
særligt
manglen på en national forsknings- og innovationsstrategi. Mens den sociale tryghed i
velfærdsstaten kan skabe et godt miljø for innovation og eksperimenter, kan den også
reducere motivationen til at drive innovation. Desuden kan en udbredt nulfejlskultur
bremse radikal innovation. Der er svagheder i den direkte og indirekte offentlige støtte til
erhvervslivet samt en lav grad af risikovillig kapital til SMV’er, hvilket kan hæmme
virksomhedernes evne til bredt at implementere innovative løsninger. Disse faktorer skaber
flaskehalse for videnoverførsel og implementering, hvilket kan begrænse Danmarks evne
til at skalere nye teknologier og viden globalt.
Samlet set er Danmarks spredningskapacitet solid, men den kan forbedres via målrettede
tiltag. Rapporten dykker senere ned i (afsnit 4.2), hvor de største udfordringer er for
spredningskapaciteten og vil med anbefalingerne komme med forslag til sådanne
målrettede tiltag.
Danmarks
spredningskapacitet
er solid, men lavere
end forsknings- og
innovations-
kapaciteten
3.3.
3.3.1.
Koblingen til konkurrenceevne, sikkerhed og velstand
Forskning og innovation kan forklare produktivitet og vækst
For at sikre sekulær, dvs. permanent, økonomisk vækst skal produktiviteten i samfundet
stige. Produktiviteten viser grundlæggende, hvor meget output der skabes for en given
mængde input. Hvis produktiviteten i et samfund stiger, er det udtryk for, at der skabes
mere output for det samme eller mindre input. Nøglen til varig vækst er en kontinuerlig
forbedring af de inputfaktorer i et lands produktion, der
i modsætning til kapital og
arbejdskraft
ikke umiddelbart kan observeres og måles, herunder
arbejdskraftsproduktivitet, ressourceallokering, international handel, vidensproduktion
samt udvikling af nye og forbedrede produkter, processer og serviceydelser. Disse ikke-
observerbare inputfaktorer tilskrives således den største del af fremskridtene i
Innovation spiller en
afgørende rolle for
produktivitet og
økonomisk vækst,
især i udviklede
økonomier
86
87
Innovationsfonden, 2024b
Uddannelses- og Forskningsministeriet, 2024e
88
Disruptionrådet, 2017
40
ERU, Alm.del - 2024-25 - Bilag 248: Meget mere end forskning – Fra innovationskløft til konkurrenceløft rapport udarbejdet af POMUS, Deloitte m.fl. udgivet i juni 2025 som et dansk svar på EU’s Draghi- og Letta-rapporter
3038575_0041.png
Meget mere end forskning
| Forskning og innovation som katalysator for fremtidens konkurrenceevne og sikkerhed
levestandarden siden den industrielle revolution.
89
I udviklede, konkurrenceudsatte
økonomier med en veluddannet arbejdsstyrke er potentialerne fra optimerede
arbejdsprocesser relativt begrænsede, hvilket gør, at den teknologiske udvikling og
innovation er blandt de vigtigste kilder til at sikre produktivitet og varig økonomisk vækst.
Væksten - eller værdiskabelsen - i et samfund måles typisk med afsæt i BNP. BNP viser
værdien i markedspriser af et lands årlige produktion, som skabes på landets
arbejdspladser. Både værdiskabelse og produktivitet kan opgøres på forskellige måder,
men det mest retvisende mål for produktiviteten er totalfaktorproduktiviteten (TFP).
90
Hvor
andre produktivitetsmål alene medtager kapital og arbejdskraft som inputfaktorer, måler
TFP netop den reale værdiskabelse i forhold til en sammenvejning af både kapital,
arbejdskraft og andre relevante produktionsinput.
91
Der er stor korrelation mellem TFP og
BNP, hvilket indikerer, at væksten skal forklares med et produktivitetsmål, der også
inkluderer bl.a. teknologiforbedringer og innovation som inputfaktorer (jf. Figur 20).
Stor sammenhæng
mellem BNP per
indbygger og TFP
Figur 20: BNP per indbygger og TFP (målt i 2010 PPP, USD)
80.000
70.000
CHE
USA
DEU
NLD
DNK
SWE
BEL
GBR
NOR
BNP per indbygger
60.000
50.000
40.000
30.000
20.000
10.000
4
6
8
10
MEX
GRC
CHL
AUS
AUT
CAN
FIN
JPN
NZL ITA
FRA
PRT
ESP
12
14
16
18
TFP
Kilde: Bergeaud et al., 2016; Note: Data for 2022, BNP per indbygger i forhold til TFP for en
række udvalgte lande. BNP og TFP er baseret på USD 2010 PPP justeret.
Grundforskning har
en direkte effekt på
produktiviteten
Grundforskning har en direkte betydning for produktiviteten. Nye undersøgelser fra IMF
viser, at en stigning på 10% i udgifterne til indenlandsk grundforskning øger produktiviteten
med 0,3%. Udenlandsk grundforskning øger produktiviteten med 0,6%, dvs. dobbelt så
meget som den indenlandske (jf. Figur 21).
92
Dette understreger både vigtigheden af
grundforskning for at fastholde national konkurrenceevne og betydningen af internationalt
forskningssamarbejde.
89
90
OECD, 2009
Solow, 1956
91
Den Internationale Valutafond, 2024b
92
Den Internationale Valutafond, 2021a
41
ERU, Alm.del - 2024-25 - Bilag 248: Meget mere end forskning – Fra innovationskløft til konkurrenceløft rapport udarbejdet af POMUS, Deloitte m.fl. udgivet i juni 2025 som et dansk svar på EU’s Draghi- og Letta-rapporter
3038575_0042.png
Meget mere end forskning
| Forskning og innovation som katalysator for fremtidens konkurrenceevne og sikkerhed
Udenlandsk
grundforskning har
relativ stor betydning
for den indenlandske
produktivitet
Figur 21: Estimeret effekt på produktiviteten af en stigning på 10% i udgifter til
grundforskning, målt i real BNP per beskæftiget
0,60%
0,50%
0,40%
0,30%
0,3%
0,6%
0,20%
0,10%
0,00%
Egen grundforskning
Kilde: Den Internationale Valutafond, 2021a
Udenlandsk grundforskning
Ingen begrænsninger i
En forklaring på forskningens positive bidrag til produktivitet og konkurrenceevne er, at
brugen af resultater
forskning og innovation er ikke-rivaliserende goder, dvs. at en persons eller virksomheds
fra grundforskning
brug af forskningsresultaterne ikke begrænser andres mulighed for at benytte dem
samtidigt.
100 93
Dette gælder især for grundforskning. En indikation på dette er illustreret i
Figur 22. Videnskabelige artikler fra grundforskning citeres i længere tid sammenlignet med
antallet af artikler fra anvendt forskning, som opgøres i patenter.
92
Videnskabelige
artikler citeres i
relativt længere tid
end artikler fra
anvendt forskning
Figur 22: Alder på citationer for forskningsartikler, antal år efter publikation
0,07
0,06
0,05
Densitet
0,04
0,03
0,02
0,01
0
0
2
4
6
8 10 12 14 16 18 20 22 24 26 28 30 32 34 36 38 40 42 44 46 48 50
År efter publikation
Artikler fra grundforskning
Artikler fra anvendt forskning
Kilde: Den Internationale Valutafond, 2021a
Grundforskning
bidrager til en styrket
konkurrenceevne
gennem
produktivitets-
forbedringer
En vedvarende stigning i produktiviteten er som nævnt ovenfor en afgørende drivkraft for
økonomisk vækst. Dette betyder, at både den private og offentlige sektor kontinuerligt skal
kunne generere mere output med det samme
eller mindre - input.
Teknologi og innovation er en væsentlig forklaring på produktivitetsvæksten i de udviklede
økonomier i de seneste årtier. Nye teknologier og digitale løsninger muliggør hurtigere,
mere effektive og mindre ressourcekrævende arbejdsmetoder.
94
Fundamentet for
teknologisk innovation er resultater fra både grundforskning og anvendt forskning. Dette
understreges bl.a. af European Research Council (ERC), som fandt, at 40% af den ERC-
finansierede forskning efterfølgende blev citeret i patenter. Dette viser, at grundforskning
ofte er med til at fremme innovation og konkret produktudvikling, hvilket styrker
virksomheders teknologiske kapacitet og dermed konkurrenceevne.
95
Et godt eksempel er
93
94
Jones, 2019
Industriens Fond, 2024
95
European Research Council, 2023
42
ERU, Alm.del - 2024-25 - Bilag 248: Meget mere end forskning – Fra innovationskløft til konkurrenceløft rapport udarbejdet af POMUS, Deloitte m.fl. udgivet i juni 2025 som et dansk svar på EU’s Draghi- og Letta-rapporter
3038575_0043.png
Meget mere end forskning
| Forskning og innovation som katalysator for fremtidens konkurrenceevne og sikkerhed
coronavaccinen, som blev skabt på rekordtid og reddede potentielt millioner af liv. Den
hurtige udvikling af mRNA-vaccinerne skyldtes flere årtiers forskning inden for forskellige
videnskabelige discipliner.
96
Også i den offentlige sektor spiller grundforskning en stor rolle. Den teknologiske udvikling,
særligt inden for informationsteknologi, har skabt nye muligheder for både organiseringen
og udførelsen af offentlige myndighedsopgaver og serviceproduktion. Disse fremskridt gør
det muligt at forbedre effektiviteten og optimere løsninger, der kan komme borgere og
virksomheder til gode. Den offentlige sektor står over for et stigende økonomisk og
demografisk pres, hvor efterspørgslen efter offentlige serviceydelser vokser. For at
imødekomme disse udfordringer kan nye innovative organisationsformer og serviceydelser
være afgørende til at sikre en bæredygtig og effektiv offentlig sektor i fremtiden.
97,98
Grundforskning har
formet den verden, vi
kender i dag
Forskning har spillet en afgørende rolle i samfundets udvikling, idet teknologiske fremskridt
og videnskabelige gennembrud har formet den verden, vi kender i dag. Grundforskning er
en central drivkraft i denne proces, da den danner det vidensmæssige fundament, der på
sigt forbedrer både velstand, livskvalitet og økonomi. Et af de mest markante eksempler på
vigtigheden af grundforskning er Niels Bohrs forskning, som bidrog til en grundlæggende
forståelse af atomets struktur og kvanteteori.
99
Selvom hans teorier ikke påvirkede
samfundet direkte, dannede de fundamentet for udviklingen af moderne elektronik, såsom
computere og mobiltelefoner. Dette tydeliggør, hvordan videnskabelige gennembrud kan
tage årtier at materialisere sig i kommercielle produkter. Forskning og innovation styrker
den økonomiske vækst og bidrager således til et bredere skattegrundlag, hvilket muliggør
investeringer i vigtige samfundsområder som uddannelse, sundhedsvæsen og
infrastruktur. På den måde skaber innovation varige positive effekter for samfundet.
3.3.2.
Faldende produktivitetsafkast af forsknings- og innovationsinvesteringer
De ressourcer, som et samfund investerer i forskning og innovation, samt måden, hvorpå
ressourcerne anvendes, har betydning for den økonomiske vækst. Sammenhængen
mellem investeringer i forskning og innovation samt produktivitet (opgjort ved TFP) og
økonomisk vækst er dokumenteret i flere teoretiske og empiriske studier.
100,101
Til trods for
dette er der indikationer på, at de banebrydende idéer bliver stadig sværere at udvikle.
102
De ressourcer, der er afsat til forskning og udvikling i USA, er steget med mere end faktor
20 siden 1930’erne, hvorimod TFP-væksten
i samme periode har været relativ stabil. Denne
stagnation forklares bl.a. med en nedgang i forskningsproduktiviteten. Forsknings-
produktiviteten er også faldende i både Kina og Tyskland, hvilket vidner om en global
udfordring.
103
Når hver ny idé eller innovation kræver et stigende ressourceforbrug at opnå,
bliver det et stadigt mere knapt gode, hvorfor det største potentiale findes i
implementeringen og spredningskapaciteten af forskning og innovation.
Banebrydende
forskning og
innovation bliver
fortsat sværere at
skabe
96
97
Den Internationale Valutafond, 2021b
Uddannelses- og Forskningsministeriet, 2025b
98
Hansen et al., 2013
99
Københavns Universitet, 2014
100
Coe et al., 2008
101
Romer, 1990
102
Bloom et al., 2019
103
Boeing et al., 2020
43
ERU, Alm.del - 2024-25 - Bilag 248: Meget mere end forskning – Fra innovationskløft til konkurrenceløft rapport udarbejdet af POMUS, Deloitte m.fl. udgivet i juni 2025 som et dansk svar på EU’s Draghi- og Letta-rapporter
3038575_0044.png
Meget mere end forskning
| Forskning og innovation som katalysator for fremtidens konkurrenceevne og sikkerhed
Relativt færre
ressourcer er en
forklarende faktor på
innovations- og
produktivitetsgabet
mellem EU og USA
eller Kina
Relativt færre ressourcer til forskning og innovation kan forklare innovations- og
produktivitetsgabet mellem EU og USA eller Kina. I USA investeres der omkring 80% mere
venturekapital
i
virksomheder
sammenlignet
med
EU,
afhængigt
af
104
virksomhedsstørrelsen. Kina har et politisk system og en stor økonomi, som tilsammen
muliggør store ressourcemæssige satsninger på specifikke projekter. Det giver USA og Kina
en fordel i at bryde nye grænser for innovation i forhold til EU og Danmark. For at kunne
konkurrere med USA og Kina inden for forskning og innovation peger Letta-rapporten på, at
EU skal styrke det indre marked og samle ressourcer og arbejdskraft på tværs af
medlemslande.
105
3.3.3.
Innovative lande er generelt lykkelige lande
Innovation og lykke i et samfund har en positiv sammenhæng. Lande, som scorer højt på
målinger som Global Innovation Index eller European Innovation Scoreboard, placerer sig
ofte blandt de bedste i globale undersøgelser om lykke. De nordiske lande, herunder
Danmark, Sverige og Finland, er gode eksempler, da de kombinerer gode
innovationsmiljøer med høje niveauer af livstilfredshed, jf. Figur 23.
Innovation kan bidrage til øget trivsel på forskellig måde. Det kan skabe nye jobmuligheder,
hæve levestandarden og drive fremskridt inden for sundhed, uddannelse og ulighed.
106
Samtidig kan lykkeligere samfund skabe miljøer, der i højere grad fremmer innovation og
iværksætteri.
107
Fx anses de omfattende velfærdssystemer i Danmark og resten af Norden
ofte som en faktor bag regionens relativt gode innovationspræstationer sammenlignet med
andre europæiske lande.
108
Dette skyldes, at lykkelige borgere har en tendens til at være
mere produktive, hvilket styrker den nationale konkurrenceevne.
Den positive sammenhæng mellem innovation og lykke indikerer et potentiale ved at
fremme innovation inden for områder som grøn teknologi, sundhedsvæsen og
socialøkonomi i Danmark, da disse områder forbindes med øget samfundsmæssig
trivsel.
109,110
Dette kan også skabe en forstærkende cyklus, hvor forbedringer i trivsel
yderligere stimulerer innovation.
Danmark og de
nordiske lande ligger
højt på både
innovations- og
lykkeindekser
Lykke og innovation
har en moderat
korrelation
Figur 23: Sammenhæng mellem innovationspræstationer
111
og lykkeniveau i udvalgte lande
70,0
KOR
USA
GBR
DEU
AUT
CZE
SVN
CAN
BEL
CHE
SWE
NLD
ISR
NOR
DNK
Globalt innovationsindeks
60,0
CHN
50,0
40,0
30,0
5,5
6,0
CYP
GRC
HRV
PRT
JPN
SGP
FRA
EST
ITA
FIN
ISR
MLT
LVA
SVK
ESP
LUX
AUS
NZL
LTU
7,0
7,5
8,0
6,5
Globalt lykkeindeks
Kilde: World Intellectual Property Organization, 2024; World Happiness Report, 2025
104
105
Europa-Kommissionen, 2024a
Letta, 2024
106
Den Internationale Valutafond, 2024c
107
Usai et al., 2008
108
Hajighasemi et al., 2022
109
Aldieri et al., 2019
110
OECD, 2022c
111
Det globale innovationsindeks er en årlig rangordning af lande efter deres evne til og succes inden for innovation, udgivet af World Intellectual
Property Organization
44
ERU, Alm.del - 2024-25 - Bilag 248: Meget mere end forskning – Fra innovationskløft til konkurrenceløft rapport udarbejdet af POMUS, Deloitte m.fl. udgivet i juni 2025 som et dansk svar på EU’s Draghi- og Letta-rapporter
3038575_0045.png
Meget mere end forskning
| Forskning og innovation som katalysator for fremtidens konkurrenceevne og sikkerhed
3.3.4.
Øget usikkerhed kan være drivkraft for banebrydende, højteknologisk innovation
Eksterne trusler er en væsentlig forklaring, når nationer øger deres investeringer i forskning
og udvikling markant inden for en relativ kort periode. Lande, som er under et geopolitisk
pres, vil ofte prioritere forskning og innovation i militærteknologiske løsninger og alternative
produktionsmetoder, der kan styrke landenes sikkerhed, økonomiske stabilitet og
teknologiske konkurrenceevne.
112
Et eksempel på dette er udviklingen af droneteknologi i
Ukraine, som hurtigt er blevet en central del af det moderne forsvar, også uden for
Ukraine.
113
Senest har USA fx besluttet at udstyre kampdivisioner med 1.000 droner, mens
militærkøretøjer kasseres.
114
Denne form for nødvendighedsdrevet innovation illustrerer,
hvordan geopolitisk usikkerhed kan accelerere teknologisk udvikling og skabe nye
muligheder, også på tværs af sektorer via et dual-use-perspektiv på forskning og
innovation.
Geopolitisk pres har
historisk styrket
innovationen i et
samfund
3.4.
Industripolitik i en ny verdensorden
Der er i de seneste år kommet stort fokus på industripolitik, især som reaktion på den
geopolitiske udvikling og den tiltagende rivalisering mellem stormagter, herunder særligt
Kina, USA og EU. Den moderne industripolitik har fokus på politiske initiativer, som kan
understøtte hjemtagelsen og udviklingen af industrier, der er kritiske for den nationale
sikkerhed.
115,116
Industripolitik etablerer rammevilkår for og økonomisk støtte til strategisk
udvalgte områder eller industrier for at styrke eller omforme specifikke økonomiske
aktiviteter, fx gennem regulering, der sigter mod at understøtte innovationsfremmende
miljøer, såsom regulatoriske sandkasser
117
, erhvervsstøtteordninger og etablering af
teknologiske udviklingscentre.
118
Den geopolitiske
situation har givet
industripolitik et
comeback
3.4.1.
Grundforskning har betydning for innovation og dual-use-løsninger
Den aktuelle geopolitiske situation har skabt fornyet fokus på udvikling af teknologier og
løsninger, der kan benyttes til både militære og civile formål, også kaldet dual-use (dobbelt
anvendelse). Ved at innovere med sigte på både militær og civil anvendelse øges
målgruppen betragteligt og dermed også det forventede samfundsøkonomiske afkast af
investeringerne i forskning og innovation. Mens løsningerne i en militær sammenhæng er
en sikkerhedsforanstaltning, kan løsningerne i en civil sammenhæng skabe øjeblikkelig
værdi i samfundet. Med et fokus på dual-use i forsknings- og innovationsindsatsen kan
Danmark og EU understøtte den igangværende militære og forsvarsmæssige oprustning
samtidig med, at erhvervsudvikling og kompetenceopbygning styrkes. Eksempler på dual-
use omfatter fx avancerede materialer, kunstig intelligens og kvanteteknologi, der kan have
stor indvirkning på dansk konkurrenceevne og sikkerhed i fremtiden. Dette kunne være
teknologier som internettet og GPS, oprindeligt udviklet til militære formål, der nu er
uundværlige for moderne samfund.
119
Den nye
verdensorden skaber
fornyet fokus på dual-
use-løsninger
112
113
Taylor, 2016
New York Times, 2025
114
Politiken, 2025a
115
United Nations Industrial Development Organization, 2023
116
Tænketanken Europa, 2023
117
En regulatorisk sandkasse er et kontrolleret miljø, hvor virksomheder, myndigheder og organisationer kan sparre med relevante myndigheder
om potentielle konkrete problemstillinger vedrørende de regulatoriske rammer.
118
Refererer til “other transaction authority” OTA
119
Caviggioli et al., 2023
45
ERU, Alm.del - 2024-25 - Bilag 248: Meget mere end forskning – Fra innovationskløft til konkurrenceløft rapport udarbejdet af POMUS, Deloitte m.fl. udgivet i juni 2025 som et dansk svar på EU’s Draghi- og Letta-rapporter
3038575_0046.png
Meget mere end forskning
| Forskning og innovation som katalysator for fremtidens konkurrenceevne og sikkerhed
Europa kan mindske
afhængigheden til
udenlandske
teknologileverandører
igennem mere fokus
på dual-use-løsninger
Dual-use-teknologier, som både kan anvendes civilt og militært, kan bidrage til at sikre, at
investeringer i forskning og innovation får maksimal samfundsøkonomisk effekt. Dette er
særligt relevant inden for kritiske sektorer som rumfart, satellitkommunikation og
avancerede sensorer, hvor EU i dag er stærkt afhængig af udenlandske leverandører,
hvilket kan blive en strategisk sårbarhed. Eksperter peger også på, at EU har behov for at
opbygge egne kapaciteter inden for kritiske teknologier som raketopsendelser og
satellitkommunikation for at reducere afhængigheden af udenlandske leverandører.
120
For at realisere dette potentiale kræves opdaterede juridiske rammer, risikovillige
investeringsmiljøer og en innovationskultur, der tillader eksperimenter og hurtige
beslutninger.
Modeller som DARPA
og den israelske
forsvarsindustri kan
anvendes som
inspiration
Modeller som
USA’s Defense Advanced Research Projects Agency DARPA)
og den
israelske forsvarsindustri kan være til inspiration for Danmarks og EU’s nye bestræbelser
på at opbygge et mere dynamisk og risikovilligt innovationsmiljø. DARPA har været ansvarlig
for udviklingen af nogle af de mest transformative teknologier i det 20. og 21. århundrede,
herunder internettet, GPS og stealth-teknologi.
DARPA’s succes bygger på en model, hvor
små, tværfaglige teams arbejder med høj grad af frihed og et klart mandat til at fejle hurtigt
for at opnå banebrydende gennembrud. Dette har skabt et innovationsmiljø, hvor forskere
og ingeniører kan fokusere på radikale løsninger uden at være begrænset af bureaukratiske
processer. Ved at prioritere hurtige, iterative udviklingsforløb og tæt samarbejde med
industrien har DARPA været i stand til at levere teknologier, der både styrker den nationale
sikkerhed og skaber kommercielle markeder, hvilket har styrket den amerikanske
konkurrenceevne.
120
Israel har ligeledes aktivt anvendt sin forsvarsindustri strategisk som en katalysator for
økonomisk vækst og en globalt konkurrencedygtig teknologisektor ved at fokusere på dual-
use-teknologier inden for områder som cybersikkerhed, droneteknologi og avanceret
dataanalyse, hvor israelske virksomheder som NSO Group og Rafael Advanced Defense
Systems har opnået en global førerposition.
121
Grundforskning er
grundlaget for dual-
use-teknologier
For at skabe et stærkt fundament for dual-use-teknologier og reducere afhængigheden af
udenlandske teknologileverandører er det vigtigt at bygge på to komplementære tilgange.
Erfaringer fra modeller som DARPA viser, at investering i grundforskning kan skabe en
pipeline af nye teknologier, der styrker både national sikkerhed og økonomisk
konkurrenceevne. Denne type forskning danner grundlaget for teknologiske gennembrud,
der senere kan finde bred anvendelse på tværs af sektorer. Grundforskning skaber således
den nødvendige vidensbase og teknologiske fleksibilitet, som gør det muligt at reagere
hurtigt på nye sikkerhedsudfordringer og markedskrav. Samtidig er det også vigtigt at have
kapaciteten til at indkøbe, videreudvikle og integrere eksternt udviklet innovation på et
tidligt stadie og skabe markeder, hvor denne innovationen kan modnes og omsættes til
samfundsnyttige løsninger.
120
121
Project Syndicate, 2025a
Project Syndicate, 2025b
46
ERU, Alm.del - 2024-25 - Bilag 248: Meget mere end forskning – Fra innovationskløft til konkurrenceløft rapport udarbejdet af POMUS, Deloitte m.fl. udgivet i juni 2025 som et dansk svar på EU’s Draghi- og Letta-rapporter
3038575_0047.png
Meget mere end forskning
| Forskning og innovation som katalysator for fremtidens konkurrenceevne og sikkerhed
3.4.2.
Forskning og innovation skal være udgangspunktet for nye industripolitikker
Industripolitik er igen blevet et centralt instrument for økonomisk konkurrenceevne og
teknologisk udvikling i flere af verdens største økonomier. Kina har længe haft en strategisk
tilgang til industripolitik, som har vist sig særdeles effektiv. Landets målrettede
investeringer i sektorer som kunstig intelligens, batteriteknologi og solenergi har givet
landet en konkurrencefordel og gjort Kina globalt førende på disse områder.
122
USA har i de
seneste år også taget industripolitiske greb i brug, bl.a. med infrastrukturloven, chiploven
og
”Inflation
Reduction Act”, som specifikt har til hensigt at skabe massive investeringer i
grøn teknologi og ny produktionskapacitet i USA.
123
Formålet med sådanne tiltag er ikke blot
at styrke USA’s teknologiske kapacitet, men
også at reducere afhængigheden af
udenlandske leverandører.
Industripolitikker har i de seneste år ligeledes fundet vej ind i EU med vedtagelsen af bl.a.
European Green Deal i 2020, som satte et fælles europæisk mål om at blive klimaneutral i
2050, og Net-Zero Industry Act i 2024, der skal øge EU’s produktionskapacitet af grønne
teknologier for at forbedre
EU’s
konkurrenceevne, skabe jobs og mindske
energiafhængigheder.
124
Danske industripolitikker har i nyere tid været præget af et stærkt fokus på den grønne
omstilling, særligt inden for energi- og transportsektoren, hvilket i 2021 udgjorde 0,54% af
BNP. Derudover er politikkerne generelt karakteriseret ved udbredt brug af tilskud og
skatterabatter i forhold til andre EU-lande.
125
Industripolitik har
længe været brugt
strategisk i Kina, hvor
Danmark primært har
brugt det til at
fremme den grønne
omstilling
Industripolitikker skal
bruges til at sætte
strategiske rammer
for danske industrier
og skabe markeder
Danmark har en stærk og succesfuld tradition for forskning og innovation, men udfordres,
når det kommer til at omsætte viden til konkrete teknologiske og kommercielle løsninger.
Her kan moderne industripolitikker med fordel benyttes til at understøtte og styrke
kapaciteten og spredningen af dansk forskning og innovation. Industripolitik bør ikke
fokusere på at udpege specifikke vindere i markedet, men derimod stimulere en bred
udvikling inden for udvalgte sektorer og sikre, at innovation kan blomstre. Denne tilgang kan
kaldes for ”missionsdrevne industripolitikker”.
Det frie marked opretholdes, men staten
kan sætte nogle strategiske rammer, som skal mindske sikkerhedspolitiske udfordringer,
samtidig med at forsknings- og innovationskapaciteten samt spredningskapaciteten inden
for det givne område styrkes.
Der kan dog opstå risiko for rent-seeking, hvor særinteresser profiterer, ressourcerne
fordeles suboptimalt, og ineffektive virksomheder tildeles statslige tilskud.
Industripolitikker bør derfor ikke blot fastlægge brede mål og strategier, men også have
klare mekanismer for, hvordan de realiseres gennem regulering, erhvervsstøtte,
skatteincitamenter og samarbejde mellem offentlige og private aktører.
3.4.3.
Argumentet for implementeringen af en ny form for industripolitikker er styrket
Med udgangspunkt i en ny definition af konkurrenceevne, der bl.a. inkorporerer
sikkerhedsmæssige hensyn, kan strategisk designede industripolitiske tiltag reducere
vejen fra forskning til kommercialisering, og også mindske de forskellige kløfter inden for
kommercialisering,
fx ”champion”-kløften.
Dette skyldes, at virksomheder får bedre
vækstvilkår og stærkere incitamenter til at blive i Danmark, da industripolitikkerne aktivt
skal understøtte deres udvikling og ekspansion. Det gavner dansk økonomi, hvilket kan
Industripolitikker kan
mindske kløfterne fra
viden til
kommercialisering
122
123
Børsen, 2024
US Department of Energy, 2023
124
Europa-Kommissionen, 2025a
125
OECD, 2022d
47
ERU, Alm.del - 2024-25 - Bilag 248: Meget mere end forskning – Fra innovationskløft til konkurrenceløft rapport udarbejdet af POMUS, Deloitte m.fl. udgivet i juni 2025 som et dansk svar på EU’s Draghi- og Letta-rapporter
3038575_0048.png
Meget mere end forskning
| Forskning og innovation som katalysator for fremtidens konkurrenceevne og sikkerhed
mindske risikoen for, at kraftigt øgede forsvarsudgifter reducerer finansiering og ressourcer
til fx den grønne omstilling og velfærd. Industripolitikker, der bygger på ny forsknings- og
innovationsstrategi, kan således være et effektivt redskab til bedre at balancere sådanne
konkurrerende prioriteter, især gennem udvikling dual-use-løsninger.
Industripolitikker kan
skabe økonomisk
tryghed og øge
investeringsvillig-
heden
Industripolitikker spiller også en afgørende rolle i at styrke investorernes tryghed. Ved at
skabe stabile rammer og incitamenter for investeringer kan industripolitik medvirke
til at
sikre, at både nationale og internationale aktører ser Danmark som et attraktivt sted at
investere i forskning og innovation. Desuden kan industripolitikker reducere barrierer for
kommercialisering af dansk innovation gennem målrettede støtteordninger,
skatteincitamenter og forbedrede rammebetingelser for virksomheder, der ønsker at
bringe ny viden til markedet. Hvis især store virksomheder oplever et stabilt og
innovationsfremmende erhvervsklima, reduceres risikoen for, at de flytter deres aktiviteter
til andre lande med mere fordelagtige betingelser og bedre adgang til finansiering, hvilket
ligeledes kan mindske ”champion”-kløften.
Missionsdrevne industripolitikker kan desuden generere betydelige spillover-effekter, hvor
offentlige investeringer fører til bredere teknologiske og økonomiske fremskridt. Når
forskellige industrier arbejder hen mod det samme komplekse mål, udvikles ny viden og
innovation, som kan udløse multiplikatoreffekter i samfundet. Et af de mest klassiske
eksempler
herpå er USA’s
månemission, hvor massive offentlige investeringer ikke kun
førte til teknologiske landvindinger inden for rumfart, men også resulterede i spillover-
effekter, der har fundet anvendelse i en lang række kommercielle og samfundsmæssige
innovationer som kameratelefoner, folietæpper og software.
En mindre globaliseret verden kan skabe ny relevans for brugen af industripolitik.
Globaliseringen har hidtil fremmet åben innovation samt faciliteret udenlandske direkte
investeringer (FDI) og talentmobilitet, hvilket har reduceret effekten af nationale politisk-
økonomiske instrumenter som industripolitik.
126
Ligeledes har der været begrænset effekt,
fordi instrumenterne anvendt i industripolitikken har kunnet omgås eller har mistet
konkurrenceevne til offshore-markeder, hvor investeringsmuligheder har været mere
attraktive og givet bedre muligheder for virksomheders vækst.
Med både Letta- og Draghi-rapporterne har EU desuden sat kursen for en markant styrkelse
af EU’s indre marked, hvilket kan forbedre markedsadgangen for danske virksomheder til
EU-landene, som samlet set udgør verdens største handelsblok. Dette medvirker ligeledes
til, at tidspunktet for at gentænke traditionel industripolitik med udgangspunkt i målrettet
forskning og innovation nu er særligt gunstigt.
Industripolitikker
skal tænkes i en
europæisk
sammenhæng
Danmarks tætte tilknytning til resten af Europa indebærer, at danske industripolitikker skal
udvikles og tænkes ind i en europæisk kontekst, både med hensyn til, hvordan Danmark
kan bidrage til EU’s visioner, og hvordan EU kan støtte danske mål. Dermed
vil Danmark fx
kunne yde et bidrag til at mindske EU’s kritiske eksterne afhængigheder, hvilket kan få
positiv sikkerhedspolitisk betydning og gavne Danmark.
Under den forrige og nuværende Europa-Kommission er industripolitik blevet et centralt
redskab til at realisere klimamålene i den Europæiske Grønne Pagt (EU Green Deal).
Gennem initiativer som Next Generation EU og RePowerEU er grøn og digital omstilling
blevet integreret i EU’s krisehåndtering
i de seneste år, hvilket samtidig har givet ny politisk
legitimitet til en mere aktiv industripolitik.
Missionsdrevne
industripolitikker kan
skabe spillover-
effekter
Industripolitik har
potentiale til større
effekt i en mindre
globaliseret verden
126
OECD, 2009
48
ERU, Alm.del - 2024-25 - Bilag 248: Meget mere end forskning – Fra innovationskløft til konkurrenceløft rapport udarbejdet af POMUS, Deloitte m.fl. udgivet i juni 2025 som et dansk svar på EU’s Draghi- og Letta-rapporter
3038575_0049.png
Meget mere end forskning
| Forskning og innovation som katalysator for fremtidens konkurrenceevne og sikkerhed
I policyudviklingen skal flere politiske interesser håndteres, og her kan Danmark tage ved
lære af erfaringer fra udviklingen af EU’s industripolitik for bl.a. at overkomme visse
barrierer. Fx
er EU’s grønne ambitioner i stigende grad udfordret af andre politiske hensyn,
hvilket betyder, at industripolitikken bliver trukket i flere retninger. Der er pres på at styrke
forsyningssikkerhed, genetablere kritisk produktion i EU, sikre økonomisk robusthed og
ikke mindst svare igen på USA’s og Kinas industrielle oprustning
og innovationskapacitet.
Disse mål er ikke nødvendigvis forenelige med en konsekvent grøn omstilling.
127
For at Danmark bedst lykkes med nye missionsdrevne industripolitikker, skal der være
opmærksomhed på læringen fra EU parallelt med fokus på synergier. Det vil kræve, at
danske styrkepositioner udnyttes, fx inden for grøn teknologi, life science og digitalisering,
og at nye missionsdrevne industripolitikker har tydelige mål, fokus og sammenhæng
mellem ambitioner, investeringer og virkemidler samt aktivt skaber synergier mellem
forskning, erhverv og myndigheder.
127
Tænketanken Europa, 2025
49
ERU, Alm.del - 2024-25 - Bilag 248: Meget mere end forskning – Fra innovationskløft til konkurrenceløft rapport udarbejdet af POMUS, Deloitte m.fl. udgivet i juni 2025 som et dansk svar på EU’s Draghi- og Letta-rapporter
3038575_0050.png
Meget mere end forskning
| Fra innovationskløft til konkurrenceløft
4. Fra innovationskløft til konkurrenceløft
Et integreret samspil mellem forskning, innovation og marked med fokus på
kommercialisering og værdiskabelse forudsætter, at en række innovationskløfter
nedbrydes gennem en øget spredningskapacitet af viden og med blik for
afhængighederne til EU og andre lande i den forbindelse.
Kapitlet beskriver, hvordan forskning og innovation er gået fra at være en politisk topprioritet til gradvist at glide i
baggrunden over årene. Derefter afdækkes de kløfter, der eksisterer på vejen fra forskning til markedet
med særligt
fokus på de mest kritiske barrierer. I kapitlets sidste del analyseres Danmarks relationer og afhængigheder i forhold
til EU og resten af verden, og hvordan regional integration kan styrke innovation og dansk konkurrenceevne.
4.1.
Forskning og innovation bør igen være en politisk topprioritet
Forskning og innovation var højt på den politiske dagsorden i 00’erne, men
får ikke længere
den samme opmærksomhed, hvilket bl.a. kan ses på udviklingen af offentlige
investeringer. Den daværende VK-regering med statsminister Anders Fogh Rasmussen i
spidsen etablerede Globaliseringsrådet i 2005 med det formål at styrke Danmarks
konkurrenceevne og sammenhængskraft i en globaliseret verden.
128
Langsigtede
investeringer i viden og teknologi blev anset som afgørende for Danmarks
konkurrenceevne, og via Globaliseringsrådet blev forskning og innovation således løftet til
et højpolitisk niveau baseret på erkendelsen af, at forskning og innovation var altafgørende,
hvis Danmark skulle matche lande som Kina i fremtiden.
Mens andre nationer, som netop Kina, har øget deres investeringer i forskning og innovation
på et strategisk niveau, er det samme ikke sket i Danmark.
129
Der er dog tegn på, at det er
ved at vende. I den politiske begrundelse for den øgede forskningsreserve for 2025 fremgår
det bl.a., at forskning og innovation er en del af løsningen på de aktuelle
samfundsudfordringer, ligesom der i 2024 blev indgået en række nye forskningsstrategier
for forskellige områder.
130,131,132
Også Draghi- og Letta-rapporternes opmærksomhed på
betydningen af forskning og innovation for konkurrenceevne og resiliens virker til at have en
afsmittende effekt på dansk politik.
Forskning og
innovation var
tidligere en politisk
topprioritet; det skal
de blive igen
Modsat andre lande
er værdien af
forskning og viden
ikke bredt anerkendt
Forskning beskues meget forskelligt i et globalt perspektiv. I den kinesiske befolkning anses
forskning for at have stor strategisk betydning for landets fremtid, hvilket bevirker, at
forskere har en høj status i samfundet. Ifølge eksperter er der begrænset prestige forbundet
med forskning i Danmark. Fx vidste 56% af danskerne ikke, hvem Danmarks nuværende
uddannelses- og forskningsminister var i 2023; en tendens som har gjort sig gældende
igennem årene.
133
De danske fonde uddeler ca. 40% af deres almennyttige midler til
forskningsaktiviteter, men alligevel er det kun 2% af danskerne, der faktisk associerer
fondene med forskning.
134
128
129
Danmarks Radio, 2006
Uddannelses- og Forskningsministeriet, 2025c
130
Europa-Kommissionen, 2024a
131
Letta, 2024
132
Uddannelses- og Forskningsministeriet, 2024f
133
Altinget, 2023a
134
Fondenes Videnscenter, 2024c
50
ERU, Alm.del - 2024-25 - Bilag 248: Meget mere end forskning – Fra innovationskløft til konkurrenceløft rapport udarbejdet af POMUS, Deloitte m.fl. udgivet i juni 2025 som et dansk svar på EU’s Draghi- og Letta-rapporter
3038575_0051.png
Meget mere end forskning
| Fra innovationskløft til konkurrenceløft
4.2.
4.2.1.
Kløfterne skal mindskes, hvis spredningskapaciteten skal øges
Der er ikke kun én innovationskløft, men flere
Der er ikke én
innovationskløft, men
adskillige kløfter,
som hindrer
maksimalt udbytte af
dansk forskning og
innovation
Kløfterne udgøres af
en række
underliggende
komponenter, som
rapportens
anbefalinger vil
adressere
Hvor er kløfterne?
Typisk omtales den såkaldte innovationskløft som én samlet kløft uden nærmere
præcisering. Et væsentligt bidrag fra denne rapport er derfor, at den med udviklingen af
InnoScope-modellen bryder innovationskløften op i flere delkløfter. Med viden om de
underliggende komponenter, der skaber kløfterne, bliver det muligt at iværksætte nye
tiltag, der effektivt og målrettet kan mindske dem. Denne viden hjælper ligeledes med at
tydeliggøre, hvordan forskellige aktører bedst kan bidrage, og hvordan ressourcerne med
fordel kan prioriteres og fordeles.
For at kunne udforme rapportens anbefalinger, der har til formål at mindske disse kløfter,
er det nødvendigt at forstå, hvad der skaber og opretholder dem. De mulige systemiske
komponenter, der udgør kløfterne, er beskrevet i Figur 24. Mens nogle komponenter kan
være mere relevante end andre for en given kløft, påvirker de også kløfterne med forskellig
styrke.
I processen fra grunduddannelser og frem til kommercialisering i stor skala, som vist i
InnoScope-modellen, eksisterer en række meget forskelligartede kløfter, der alle i
forskellig grad hæmmer den samfundsnyttige anvendelse af forskning og innovation. Pilene
illustrerer, hvor kritiske kløfterne anses for at være. I det følgende beskrives kun de kløfter,
som rapportens analyser har identificeret som de mest kritiske: Impact-kløften,
innovationskløften og ”champion”-kløften.
Der ses også to mindre udviklingskløfter
mellem entreprenører, startups og scale-ups, som er velbelyste i andre rapporter og
inddrages her for at understrege, hvordan overgangen fra idéudvikling til etableret
virksomhed ofte er præget af betydelige udfordringer. Særligt finansiering, ledelse og
markedsadgang udgør kritiske barrierer, der bør adresseres for at mindske disse kløfter og
styrke dansk konkurrenceevne og velstand. Desuden ses en kløft fra innovation tilbage til
forskning, ligesom der inden for forskningen både er kløfter mellem de store fagdiscipliner,
men også i stigende grad hen mod sundheds- og biovidenskab. Det skyldes især, at
sundhedsvidenskab modtager ca. 40% af de samlede offentlige forsknings- og
innovationsmidler.
51
ERU, Alm.del - 2024-25 - Bilag 248: Meget mere end forskning – Fra innovationskløft til konkurrenceløft rapport udarbejdet af POMUS, Deloitte m.fl. udgivet i juni 2025 som et dansk svar på EU’s Draghi- og Letta-rapporter
3038575_0052.png
Meget mere end forskning
| Fra innovationskløft til konkurrenceløft
Figur 24: InnoScope-modellen
InnoScope-modellen: Nuværende forsknings- og innovationskløfter på vejen fra viden til marked i Danmark
Ikke ko
orskn ngs kt
rundudd nne ser
Fra folkeskole til
videregående
uddannelse
er e t
ivil
teter
rundforskning, anvendt forskning og
eksperimentel udvikling
um samf erhverv
Natur og
sundhedsvidenskab
Sundhed og biovidenskab
Inno
t on
O entlig
Produkt
Service
Inno t on
Proces
o
er
ser ng
Store
virksomheder
Små og mellemstore virksomheder
Entreprenører
Startups
Scale ups
d k ngsk
t
d k ngsk
t
I p
tk
ten
Inno
t onsk
ten
Udenlandsk arbejdskraft og kapital
h
p on k
ten
ternes
u ge ko potenter
u
nk p t
o ern n e
Incitamentsstrukturer
edelse
Politiske virkemidler
pt
Kapital nansiering
O entlige subsidier og støtteprogrammer
ælds nansiering
Private fonde og anden nansiering
In r struktur
Fysiske ressourcer
Digitale ressourcer
Understøttende ressourcer
u tur
Innovationskultur
Mindset
Adfærd
Talent
Kommunikation
Kilde: Deloitte
52
ERU, Alm.del - 2024-25 - Bilag 248: Meget mere end forskning – Fra innovationskløft til konkurrenceløft rapport udarbejdet af POMUS, Deloitte m.fl. udgivet i juni 2025 som et dansk svar på EU’s Draghi- og Letta-rapporter
3038575_0053.png
Meget mere end forskning
| Fra innovationskløft til konkurrenceløft
Den indre kulturkløft i
dansk forskning
hindrer maksimal
værdiskabelse
Den indre kulturkløft inden for forskningen bør fremhæves selvstændigt, fordi den har stor
betydning for den type forskning, som tilvejebringes, og dermed den innovation, som når
markederne. Den indre kulturkløft er den vedvarende organisatoriske og kulturelle opdeling
mellem de store videnskabelige discipliner, med humaniora og samfundsvidenskaberne
over for natur-, sundheds- og biovidenskaberne, og den forskning, der udføres af private
aktører. Der er i stigende grad fokus på værdien af interdisciplinært samarbejde og behovet
for at bringe flere videnskaber i spil for at kunne løse de globale udfordringer som fx
klimakrisen. Samtidig er danske forskningsinstitutioner dog i overvejende grad struktureret
omkring traditionelle fagdiscipliner, hvilket skaber organisatoriske og kulturelle siloer. Den
organisatoriske barriere gennem fysisk adskillelse af forskere fra forskellige fagområder
reducerer fx muligheden for spontan interaktion og samarbejde.
Denne fragmentering begrænser potentialet for radikal nytænkning, som er afgørende for
at håndtere komplekse samfundsudfordringer. Når forskningsfelterne ikke integreres på
tværs, risikerer den efterfølgende innovation at miste værdi, da den kan mangle et holistisk
fundament. Dette er særligt kritisk i udviklingen af nye teknologier, hvor forskere fra
humaniora bør inddrages for at sikre en mere nuanceret og anvendelsesorienteret tilgang,
fx inden for robotteknologi og AI.
Politiske prioriteringer kan forstærke eksisterende kløfter, særligt når visse videnskabelige
discipliner vurderes at være mere værdifulde end andre. Dette afspejles fx i finansiering,
uddannelsespolitik og studielinjer, hvor ressourcer kanaliseres til specifikke fagområder.
Sådanne politiske udmeldinger og beslutninger kan have langsigtede konsekvenser både
for forskningsmiljøer og for samfundets innovationskapacitet, især hvis det mindsker
støtten til grundforskningen, da denne type forskning er meget langsigtet, og ingen kan
forudsige, hvilken viden fremtiden særligt kalder på.
53
ERU, Alm.del - 2024-25 - Bilag 248: Meget mere end forskning – Fra innovationskløft til konkurrenceløft rapport udarbejdet af POMUS, Deloitte m.fl. udgivet i juni 2025 som et dansk svar på EU’s Draghi- og Letta-rapporter
3038575_0054.png
Meget mere end forskning
| Fra innovationskløft til konkurrenceløft
CASESTUDIE
Building 20: Hvordan dynamiske miljøer fremmer radikal og spontan innovation
Et illustrativt eksempel på, hvordan samspillet mellem humankapital, fysisk infrastruktur og kultur kan
fremme innovation, er den ikoniske Building 20 ved Massachusetts Institute of Technology (MIT). Oprindeligt
blev bygningen opført som en midlertidig løsning under Anden Verdenskrig for at huse det såkaldte Radiation
Laboratory (Rad Lab). Men siden udviklede bygningen sig hurtigt til en af de mest produktive og banebrydende
forskningsmiljøer i MIT’s historie.
Bygningen samlede forskere fra mere en 20 forskellige fagområder, herunder fysik, elektroteknik,
materialeteknologi og senere lingvistik, kognitionsvidenskab og akustik. En tidligere forsker nævner, at mere
end 20% af fysikerne i USA (inkl. ni nobelprismodtagere) havde arbejdet i bygningen.
135
Denne koncentration
af højt kvalificeret, men forskelligartet ekspertise, muliggjorde en interdisciplinær udveksling, som i dag anses
for at være en afgørende faktor for innovation.
Bygningens fysiske rammer var langt fra imponerende. Bygningen blev konstrueret hurtigt og billigt i træ og
gips uden fokus på æstetik eller langtidsholdbarhed. Netop denne midlertidige og improviserede karakter gav
imidlertid forskerne en sjælden grad af frihed. De kunne bore huller i vægge, trække ledninger gennem gulve
og ombygge laboratorier uden bureaukratiske begrænsninger. Denne fleksibilitet i infrastrukturen
understøttede forskernes behov for eksperimenter og tilpasning og skabte en eksperimentel legeplads.
Den arkitektoniske udformning
en kompleks F-formet struktur med lange, snørklede gange
betød, at
forskere ofte for vild og dermed utilsigtet stødte ind i kolleger fra helt andre forskningsområder. Disse
tilfældige møder førte ofte til uformelle samtaler, som blev afsæt for nye samarbejder og idéer. Bygningen
fungerede således som et fysisk og mentalt kollisionsfelt for viden, hvor innovation opstod i spændingsfeltet
mellem plan og tilfældighed.
En afgørende faktor bag Building 20’s succes var den kultur, der voksede frem i takt med brugen af bygningen.
Den komplicerede infrastruktur understøttede en åben-dør-politik, og fraværet af hierarkiske strukturer
skabte en demokratisk og dialogbaseret arbejdsform, hvor idéer blev vurderet på deres merit snarere end
afsenderens titel. Forskere var samtidig opmuntret til at eksperimentere og tage chancer, hvilket bidrog til en
kultur, hvor fejl blev anset som en integreret del af idéudviklingen.
Building 20’s arv understreger, at innovation ikke nødvendigvis kræver avancerede faciliteter eller
arkitektonisk perfektion. Tværtimod kan en simpel, fleksibel infrastruktur
kombineret med stærk
humankapital og en kultur præget af åbenhed og tværfaglig interaktion
skabe ideelle betingelser for
banebrydende nytænkning. Bygningen blev med tiden kendt
som ”the magical incubator”, netop fordi den
viste, hvordan samtale, samarbejde og intellektuel frihed kan føre til nogle af de mest transformative
fremskridt i videnskabens og teknologiens historie.
135
New York Times, 1998
54
ERU, Alm.del - 2024-25 - Bilag 248: Meget mere end forskning – Fra innovationskløft til konkurrenceløft rapport udarbejdet af POMUS, Deloitte m.fl. udgivet i juni 2025 som et dansk svar på EU’s Draghi- og Letta-rapporter
3038575_0055.png
Meget mere end forskning
| Fra innovationskløft til konkurrenceløft
4.2.2.
Særligt tre kløfter skal overvindes på vejen fra forskning til marked
Den første af de tre kritiske kløfter opstår, når forskning ikke formår at skabe konkret værdi
gennem udvikling af nye produkter, serviceydelser eller processer. Rapporten har tidligere
påpeget, at en manglende national forsknings- og innovationsstrategi og tværgående
teknologistrategi hæmmer den danske spredningskapacitet, og det er en betydelig faktor
bag eksistensen af især impact-kløften, hvor forskningen netop skal omsættes til ny
innovation og teknologi.
Mellem 2010 og 2021 blev der ved danske offentlige forskningsinstitutioner registreret
5.068 opfindelser og indsendt 1.845 patentansøgninger. Dette resulterede i 1.670 salgs-,
licens- og optionsaftaler samt etableringen af 242 spinout-virksomheder. Disse tal
indikerer, at en del forskningsresultater ikke omsættes til ny innovation og dermed, at der
er et uforløst potentiale.
136
Impact-kløften omhandler især kulturen og incitamentet for forskere til at skabe impact,
dvs. bred samfundsmæssig værdi baseret på deres forskning. Selvom det er bredt
anerkendt, at forskning og forskere ikke kun kan bedømmes på akademiske publikationer
og citationer frem for fx tværfagligt engagement eller samarbejde med erhvervsliv, gør
denne incitamentsstruktur sig alligevel i høj grad fortsat gældende. Det betyder, at
incitamentet for forskerne til at bruge mindre tid på artikler og mere tid på fx et samarbejde
med en startup ikke er klart til stede. Der eksisterer heller ikke klare incitamenter for
forskere til selv at starte virksomhed og opgive deres økonomiske sikkerhedsnet. Samtidig
er der kendte sager, hvor forskere, som samarbejder tæt med industrien, møder kritik i
akademiske kredse for uafhængighed, og selvom bekymringen kan være forståelig, er
denne skepsis udtryk for en udfordring i styrkelsen af samspillet mellem forskning og
erhvervslivet generelt. En mere integreret tilgang, hvor forskningsfriheden bevares, men
samtidig understøtter innovation og teknologisk udvikling, er vigtig for at sikre et dynamisk
og konkurrencedygtigt vidensmiljø.
Eksperter peger dog på, at der er et større kulturskifte undervejs på universiteterne, hvor
især yngre forskere, men også etablerede forskere, ser vigtigheden i at skabe impact, der
rækker ud over artikler. Incitamentsstrukturen understøtter dog ikke tilstrækkeligt denne
tendens, ligesom det også påpeges, at universitetsledelser ikke opfanger vigtig
vidensspredning, fx når enkelte forskere holder oplæg mv. Så længe sådanne tiltag ikke
værdisættes i samme omfang som publikationer og citationer i det universitære system, vil
den kulturelle kløft mellem forskning og innovation blive svær at mindske.
En anden væsentlig barriere er den fagspecifikke tilgang til forskning, tidligere beskrevet
som den indre kulturkløft. Mange forskere i Danmark følger en lineær karrierevej fra
bachelor til kandidat uden væsentlig erhvervserfaring uden for den akademiske verden.
Dette skaber en afhængighed af tværfagligt samarbejde med ingeniører, entreprenører og
andre med kommerciel erfaring; samarbejder, som dog ofte er vanskelige at etablere på
tværs af traditionelle universitetsstrukturer. Enkelte danske universiteter har forsøgt at
modvirke denne tendens, fx gennem initiativer som DTU Skylab og The Kitchen på Aarhus
Universitet, der sigter mod at skabe et stærkt miljø for entreprenørskab og bringe forskning
tættere på erhvervslivet. Eksperter påpeger også, at manglende organiserede
samarbejdsveje mellem forskere med idéer og entreprenører med viljen og evnen til at
omsætte dem er en af de helt store udfordringer for udviklingen af mere innovation.
Adgang til testfaciliteter og avancerede laboratorier har ligeledes betydning for
udviklingsomkostninger og tempoet i innovation. Desuden kan sikring af kapital og adgang
til offentlige støtteordninger være kompleks og administrativt krævende. Dette svækker
overgangen fra forskning til innovation. Danmarks GTS-institutter har samstemmende
Fra forskning til
innovation: Impact-
kløften
136
Statsrevisorerne Folketinget, 2022
55
ERU, Alm.del - 2024-25 - Bilag 248: Meget mere end forskning – Fra innovationskløft til konkurrenceløft rapport udarbejdet af POMUS, Deloitte m.fl. udgivet i juni 2025 som et dansk svar på EU’s Draghi- og Letta-rapporter
3038575_0056.png
Meget mere end forskning
| Fra innovationskløft til konkurrenceløft
udtrykt bekymring for, at udviklingen og etableringen af nødvendige test-, demonstrations-
og udviklingsfaciliteter og anden teknologisk infrastruktur i Danmark kan blive forsinket
grundet manglende eksterne finansieringsmuligheder.
137
Dette kan have en indvirkning på,
hvordan ressourcer og kapaciteter udnyttes og påvirke de strukturelle forskelle, som
præger innovationslandskabet.
Derudover er dansk forskning i stigende grad koncentreret i et lille antal store,
forskningsintensive virksomheder, hvilket kan skabe sårbarhed over for globale
konkurrencevilkår. En ATV-analyse viser også, at mange af disse virksomheder oplever
mangel på højt specialiseret arbejdskraft som en væsentlig barriere for yderligere
innovation.
138
Over halvdelen af virksomhederne rapporterer om udfordringer med at
rekruttere ingeniører og kandidater inden for tekniske, naturvidenskabelige og
sundhedsvidenskabelige fag.
InnoScope-modellen identificerer også en
måske ofte overset
kløft i den modsatte
retning fra innovation tilbage til forskning. Denne kløft behandles ikke dybere i denne
rapport, men den er strategisk vigtig. Når ny innovation og teknologiske gennembrud ikke
systematisk fødes tilbage i forskningssystemet, tabes værdifuld viden, data og erfaringer,
som kunne generere nye forskningsspørgsmål og styrke den videnskabelige relevans. Fx
kan erfaringer fra udvikling og anvendelse af ny sundhedsteknologi eller AI-løsninger give
afgørende indsigter i etiske og tekniske problemstillinger, som bør bearbejdes i
forskningsmæssig kontekst. Manglende strukturer, incitamenter og anerkendelse af dette
feedback-loop gør forskningssystemet mindre selvrefererende og afkoblet fra
virkelighedens kompleksitet. Det kan svække både værdiskabelsen af forskning samt
innovationssystemets langsigtede fornyelsesevne.
Fra innovation til
kommercialisering:
Innovationskløften
Innovationskløften opstår, når færdigudviklede prototyper, nye serviceydelser eller
processer ikke formår at nå markedet eller at blive implementeres bredt i samfundet. Her
er udfordringen ikke alene udvikling, men snarere markedstilpasning, skalering og effektiv
spredning. Innovationskløften markerer således det kritiske skift fra teknisk
gennemførlighed til markedsmæssig succes og samfundsmæssig implementering. I
perioden 2010-2021 blev der i Danmark etableret 242 spinout-virksomheder baseret på
forskningsresultater. Samtidig viser data, at kun 25% af danske virksomheder gennemførte
produktinnovation mellem 2018 og 2020, hvilket er lavere end i Norge og Sverige.
139
Denne
forskel indikerer en innovationskløft, hvor færdigudviklede prototyper og nye serviceydelser
eller processer ikke formår at nå markedet eller bliver implementeret bredt i samfundet.
Særlig adgangen til risikovillig kapital er en stor udfordring, da mange danske startups har
svært ved at tiltrække tilstrækkelig risikovillig kapital, især i de tidlige faser, hvor
innovationen stadig er umoden.
140
En analyse fra Dansk Erhverv viser, at 66% af danske
iværksættere vurderer, at adgang til kapital er en barriere for vækst, hvilket er omtrent
dobbelt blandt svenske iværksættere.
140
Det danske aktiemarked er et af de største i
Europa i forhold til landets størrelse, hvilket især skyldes fremgang i store danske
virksomheder, særligt Novo Nordisk.
141
For mindre virksomheder er aktiemarkedet dog
svagt udviklet sammenlignet med andre nordiske lande som Sverige. En af hovedårsagerne
er, at Danmark har færre børsnoteringer af små virksomheder, og udenlandske investorer
fokuserer primært på de største danske selskaber.
141142
Sverige har et mere aktivt marked
for små virksomheder, bl.a. fordi der er bedre adgang til kapital og en stærkere tradition for
137
138
Dansk Center for Forskningsanalyse, 2023
Akademiet for de Tekniske Videnskaber, 2024b
139
Danmarks Statistik, 2021
140
Dansk Erhverv, 2021a
141
Finans Danmark, 2024
142
Dansk Industri, 2023
56
ERU, Alm.del - 2024-25 - Bilag 248: Meget mere end forskning – Fra innovationskløft til konkurrenceløft rapport udarbejdet af POMUS, Deloitte m.fl. udgivet i juni 2025 som et dansk svar på EU’s Draghi- og Letta-rapporter
3038575_0057.png
Meget mere end forskning
| Fra innovationskløft til konkurrenceløft
ventureinvesteringer.
143
Høje skatter på investeringer gør det desuden mindre attraktivt at
stille kapital til rådighed for nye virksomheder, og kun få virksomheder formår at komme i
markante vækstforløb.
144
De høje skatter på investeringer og et mindre udviklet
venturekapitalmiljø sammenlignet med fx USA og Sverige gør det mindre attraktivt for
investorer at støtte nye teknologier. Dette gør det vanskeligt for mindre virksomheder at
tiltrække den nødvendige vækstkapital.
Små virksomheder har helt naturligt grundet deres størrelse ikke nødvendigvis ressourcer
til at ansatte højtspecialiserede talenter med både teknisk og forretningsmæssig
forståelse. Derudover har små virksomheder begrænsede ressourcer til bl.a. at
implementere nye teknologier, hvilket kan øge kløften mod videre kommercialisering.
145,146
Som resultat heraf prioriterer mange virksomheder kortsigtet produktivitet over langsigtet
innovation, hvilket kan hæmme væksten og reducere innovationsevnen i erhvervslivet på
sigt.
Offentlige støtteprogrammer og innovationsfremmende politikker er ofte komplekse og kan
være vanskelige at navigere for små virksomheder. En undersøgelse fra Dansk Statistik om
brugen af AI-teknologier viser, at manglende viden og erfaring angående juridiske
konsekvenser er den største barriere for anvendelse. Dette kan skabe en skævhed, hvor
større virksomheder drager store fordele af avancerede teknologier, mens mindre
virksomheder ikke kobles på den nyeste digitale udvikling. Samtidigt er mange offentlige
innovationsordninger i Danmark primært udbudsorienterede og fokuserer på teknologisk
udvikling frem for markedsimplementering. Dette kan betyde, at nye teknologier aldrig når
markedet eller får begrænset kommerciel succes.
147
Offentlige indkøb udgør også en stor rolle i dansk økonomi, men der er få systematiske
bestræbelser på at udnytte denne motor til at støtte innovation og skabe
markedsefterspørgsel. Danmark er derfor klassificeret som en "low performer" i politiske
rammevilkår for innovative offentlige indkøb i EU.
148
I Danmark eksisterer også i vis grad en kulturelt betinget frygt for at fejle og en stigmatisering
ved konkurs, hvilket hindrer innovation og entreprenørskab. Sammenlignet med visse
andre lande, hvor "fail fast, learn faster"-mentaliteten er mere udbredt, kan danske
iværksættere opleve sociale og økonomiske konsekvenser ved fiasko, hvilket begrænser
villigheden til at tage risici, som er afgørende for at bringe innovation videre kommercielt. I
lande som USA og Israel eksisterer en
”genstartsmentalitet” og
en mere positiv tilgang til
”second chances”, hvor tidligere fejl ses som værdifuld læring.
Fra startup til
“ h p on”:
“ h p on”-kløften
” hampion”-kløften
beskriver den kløft, hvor mindre virksomheder har svært ved at skalere
til mellemstore (250+ medarbejdere) og særligt til store virksomheder (5000+
medarbejdere).
149
Selvom små virksomheder
150
udgør 99% af alle danske virksomheder og
er afgørende for økonomien, er det kun en lille andel, der formår at opnå betydelig vækst.
151
I perioden 2017-2020 var der i alt ca. 1.600 små højvækstsvirksomheder
152
i Danmark, som
tilsammen skabte ca. 37.000 helårsbeskæftiget personer (årsværk). Ud af disse voksede
143
144
Dansk Erhverv, 2021b
Erhvervsministeriet, 2023
145
Danmarks Forsknings- og Innovationspolitiske Råd, 2023
146
Erhvervsstyrelsen, 2021
147
Uddannelses- og Forskningsministeriet, 2024f
148
Dansk Industri, 2025a
149
Jf. definition afsnit 3.2
150
Kilden anvender små virksomheder som færre end 100 medarbejdere
151
SMVdanmark, 2022
152
Højvækst-SMV'er er defineret ved at have haft en gennemsnitlig årlig vækst i antallet af årsværk på mindst 20% over en treårig periode, og
som var registreret med minimum fem og færre end 100 årsværk i starten af vækstperioden. Kilde: Danmarks Statistik og DI.
57
ERU, Alm.del - 2024-25 - Bilag 248: Meget mere end forskning – Fra innovationskløft til konkurrenceløft rapport udarbejdet af POMUS, Deloitte m.fl. udgivet i juni 2025 som et dansk svar på EU’s Draghi- og Letta-rapporter
3038575_0058.png
Meget mere end forskning
| Fra innovationskløft til konkurrenceløft
kun 110 virksomheder (7%) ud af segmentet for små virksomheder og blev mellemstore
virksomheder.
153
Derudover er der siden år 2000 stiftet tolv unicorn-virksomheder i Danmark.
154
Af disse har
otte flyttet deres hovedkvarter til udlandet, ofte USA. Det står i kontrast til Sverige, hvor kun
6% af unicorns har forladt landet.
155
Det indikerer, at det kun er en begrænset andel af de
små virksomheder, der formår at bryde gennem vækstbarriererne og blive store
virksomheder, og at dem, der gør, flytter til udlandet for at fortsætte deres vækstrejse.
Manglende adgang til risikovillig kapital udgør
ligesom det gør sig gældende i
innovationskløften
en betydelig komponent i denne kløft. Høj aktiebeskatning (op til 42%)
og en begrænset venturekapitalsektor betyder, at mange virksomheder søger udenlandsk
kapital, især i USA, hvor investorer har en større risikovillighed og et mere modent finansielt
økosystem.
155
EU's andel af venturekapitalfonde er 5% sammenlignet med 52% i USA og
40% i Kina.
156
Dette skaber en økonomisk asymmetri, hvor virksomheder, der kunne blive
fremtidens ”champions”, flytter væk fra Danmark for at vokse
(se også afsnit 4.3.2).
Eksperter påpeger også, at det begrænsede antal store virksomheder i Danmark har den
betydning, at talenter med erfaring inden for skalering, særligt international skalering, er
begrænset. Danske selskaber med potentiale for vækst står over for en betydelig
konkurrence om talent, hvor Danmark risikerer at konkurrere om talent, ikke kun fra andre
europæiske lande, men også fra USA og Asien, hvor mulighederne for vækst og innovation
ofte er større.
En anden væsentlig barriere for startups og scale-ups
er EU’s reguleringsmiljø, som for
mange opleves komplekst og administrativt tungt, og de kan have svært at navigere mellem
nationale og internationale regler, især med henblik på markedsekspansion. Danske
SMV'er rapporterer, at de bruger uforholdsmæssigt meget tid og ressourcer på at efterleve
regulatoriske krav, hvilket mindsker ressourcer til innovation og vækst.
157
Samtidigt er der ifølge eksperter en tendens til, at virksomheder med potentiale til at udvikle
sig til helt store virksomheder, bevidst fravælger at forfølge mulighederne, fordi gevinsten
ikke anses for at kunne opveje kompleksiteten og risikoen. Mens der i nogle andre lande er
en mere udpræget kultur af vedvarende jagt på vækst og rigdom, medvirker det
højtudviklede danske velfærdssystem til stabilitet og tilbyder et komfortabelt
sikkerhedsnet. Det kan forårsage en forsigtighedskultur, hvor stabil og moderat vækst
prioriteres over risikofyldt, hurtig vækst, hvilket medvirker til
”champion”-kløften.
153
154
Dansk Industri, 2022a
Unicorn virksomheder er defineret som virksomheder, der har været, eller i øjeblikket er vurderet til 1 milliard USD (ved exit)
155
Dansk Erhverv, 2024
156
Europa-Kommissionen, 2024a
157
Dansk Industri, 2024b
58
ERU, Alm.del - 2024-25 - Bilag 248: Meget mere end forskning – Fra innovationskløft til konkurrenceløft rapport udarbejdet af POMUS, Deloitte m.fl. udgivet i juni 2025 som et dansk svar på EU’s Draghi- og Letta-rapporter
3038575_0059.png
Meget mere end forskning
| Fra innovationskløft til konkurrenceløft
En ny forsknings- og
innovationsstrategi
koblet med
industripolitiske tiltag
skal bygge bro over
kløfterne
Alle kløfterne på vejen fra forskning til storskala kommercialisering skal mindskes. Det
gælder den beskrevne
”interne kulturkløft” i
dansk forskning og ikke mindst de tre kritiske
kløfter; impact- innovations-
og ”champion”-kløfterne.
Det er afgørende for Danmarks
langsigtede industrielle og teknologiske kapacitet og herigennem konkurrenceevne,
velstand og sikkerhed. Uden en sammenhængende innovationskæde risikerer Danmark at
miste nuværende førerpositioner, blive kritisk afhængig af udenlandske teknologier
løsninger og stå svagere i globale forsyningskæder. Samtidig stiger risikoen for at miste dele
af værdien af den udførte forskning, når den ikke omsættes til ny innovation. Ved at bygge
bro over disse kløfter kan Danmark bedre udnytte sin forsknings- og innovationskapacitet,
lægge fundamentet for fremtidens banebrydende ideer og innovation, skabe flere
vækstvirksomheder og generelt bedre sikre, at nye opdagelser hurtigt omsættes til
kommercielle produkter og løsninger.
En visionær forsknings- og innovationsstrategi vil kunne bidrage til at opnå dette mål. I
kombination med nye industripoliske tiltag kan strategien skabe nye markeder, hvor dansk
forskning og innovation kan omsættes til kommerciel og samfundsmæssig værdi.
Fremtidens førende nationer vil være dem, som formår at skabe efterspørgsel og nye
markeder, hvor teknologi kan kommercialiseres og skaleres. Kort sagt: Vejen fra forskning
til marked skal mindskes, og vice versa.
Nye muligheder for en
reduktion af særligt
“ h p on”-kløften
genne
’s
”Startup
and Scaleup
Strategy”
EU har i maj 2025 lanceret ”Startup and Scaleup Strategy”, der har til formål at skabe bedre
rammevilkår for europæiske vækstvirksomheder i EU.
158
Strategien fokuserer på fem
centrale områder: Fremme af et innovationsvenligt miljø, bedre adgang til kapital, støtte til
markedsadgang og -ekspansion, tiltrækning og fastholdelse af toptalent og facilitering af
adgang til infrastruktur, netværk og serviceydelser. Strategien kan således give nye
muligheder for danske startups, fx via bedre adgang til nye markeder og vækstkapital.
Særligt inden for grøn teknologi, life science og digital innovation har Danmark startups,
som kan drage fordel af en styrket europæisk ramme for vækst. Strategien giver også
anledning til, at Danmark kan øge fokus på at mindske nationale barrierer for skalering, fx
omkring rekruttering af internationale talenter og lettere veje til eksport for at øge
spredningen af dansk innovation.
Strategien indeholder også en række konkrete tiltag, som kan gavne danske startups og
scale-ups.
Fx skal ”Lab
to Unicorn”-initiativet forbinde universitetsøkosystemer på tværs
af EU fx gennem udvikling af blueprint for licenser, royalty- og indtægtsdeling samt
aktieejerskab for akademiske institutioner og deres opfindere ved kommercialisering af
intellektuel ejendom (IP) og oprettelse af spinoffs.
”Blue
Carpet”-initiativet skal fokusere
på iværksætteruddannelse, skatteforhold ved medarbejderaktieoptioner og ansættelser
på tværs af grænser.
4.3.
4.3.1.
Danmarks afhængigheder til andre lande skal kortlægges og adresseres
Danske afhængigheder til lande uden for EU
Danmarks stærke tilknytning til verdensmarkedet har bidraget til landets økonomiske
styrke, men har også skabt strukturelle afhængigheder, der kræver løbende evaluering og
strategisk opmærksomhed. Den danske produktionsindustri og højteknologiske sektor er i
høj grad afhængige af komponenter fra lande uden for EU, hvilket øger risikoen i takt med
den stigende geoøkonomiske fragmentering.
159
Fx vil restriktive handelsforanstaltninger
begrænse adgangen til vigtige råmaterialer og komponenter, hvilket kan få konsekvenser
En stor del af de
danske
afhængigheder til
lande uden for EU
skal adresseres på -
EU-niveau
158
159
Europa-Kommissionen, 2025b
Den Internationale Valutafond, 2024d
59
ERU, Alm.del - 2024-25 - Bilag 248: Meget mere end forskning – Fra innovationskløft til konkurrenceløft rapport udarbejdet af POMUS, Deloitte m.fl. udgivet i juni 2025 som et dansk svar på EU’s Draghi- og Letta-rapporter
3038575_0060.png
Meget mere end forskning
| Fra innovationskløft til konkurrenceløft
for indenlandsk produktion og reducere indtjeningen for danske multinationale
virksomheder (se kapitel 6).
Nogle af disse afhængigheder, såsom energi, bliver adresseret gradvist, i takt med at
Danmark styrker sin kapacitet inden for vedvarende energi og opretholder en vis forsyning
af kulbrinter, fx via Tyra-feltet. Selvom fossile brændstoffer ikke bør være et fokusområde
for fremtidssikring af dansk økonomi, er de forsat en vigtig komponent for strategisk
autonomi på grund af deres rolle i energiprisfastsættelsen.
Andre afhængigheder, såsom indkøb af kritiske råstoffer, kan ikke håndteres nationalt, men
forskning og innovation spiller en væsentlig rolle i at mindske fremtidige afhængigheder, da
de bidrager til udvikling af nye alternative materialer og bedre materialeeffektivitet.
Affaldshåndtering og særligt materialegenindvinding samt genbrug, undersøges også for at
mitigere kritiske afhængigheder.
Den mest direkte metode til at mindske kritiske afhængigheder er gennem diversificering af
udbuddet, hvilket primært udforskes på EU-niveau gennem forhandlinger med afrikanske
lande i regionen omkring Afrikas Store Søer, fx Den Demokratiske Republik Congo.
Derudover fastsætter den europæiske forordning om kritiske råstoffer mål for udvinding,
forarbejdning og genbrug af kritiske råstoffer inden for unionen.
160
Teknologiske afhængigheder uden for EU bliver også i højere grad adresseret på EU-niveau.
Lovgivning som fx
EU’s forordning om kunstig intelligens
er et effektivt tiltag, der skaber
klare rammer for ensartet håndtering i medlemslandene. Risikoen er dog samtidig, at den
fælles implementering skaber bureaukrati, der kan hæmme forskning og innovation.
161
4.3.2.
Danske afhængigheder og relationer til EU
Danmark er tæt forbundet med EU og nyder betydelige økonomiske og strategiske fordele
ved det indre marked. EU-medlemskabet har bidraget til at opretholde en positiv
handelsbalance og styrke den økonomiske stabilitet, ligesom Danmark drager fordel af
EU’s fælles indsats for at øge forsyningskæders
robusthed og sikre stabil
energiforsyning.
162,163
Det nuværende fokus på at styrke det fælles forsvarssamarbejde
forbedrer også dansk robusthed og reducerer strategiske sårbarheder.
Relationen til EU er vigtig for Danmark, der som en lille, åben økonomi med en begrænset
industriel base naturligt kan have vanskeligt ved at udvikle og fastholde ekspertise på tværs
af en bred vifte af nye videnskabelige og teknologiske områder. Fremskridt inden for
halvledere, kvanteteknologi og rumfart kræver vedvarende investeringer, langsigtet
forskning og innovation samt stabil adgang til kritiske ressourcer, hvilket kan håndteres
mere effektivt gennem samarbejde med EU-partnere.
164
Visse industrier, fx forsvar og
rumfart, er desuden afhængige af storskalafordele for at fastholde innovation og en
omkostningseffektiv produktion, hvilket kan være en udfordring for et mindre land som
Danmark at realisere på egen hånd.
164
EU’s indre marked bidrager til at løse en af de største udfordringer for udbredelsen af
innovation: Adgangen til et marked der er stort nok til, at virksomheder kan skalere deres
løsninger effektivt. I USA fremhæves hjemmemarkedet størrelse ofte som en vigtig
konkurrencemæssig fordel. Med 340 mio. forbrugere med relativ høj købekraft og
Danmark drager
betydelige
økonomiske,
strategiske og
sikkerhedsmæssige
fordele ved det indre
marked
’s ndre
rked er
et kraftfuldt redskab
til at skalere
innovation og opnå
konkurrenceevne i
160
161
Europa-Kommissionen, 2025c
Europa-Kommissionen, 2025d
162
Europa-Kommissionen, 2023b
163
Deloitte og Kraka, 2021
164
Project Syndicate, 2025c
60
ERU, Alm.del - 2024-25 - Bilag 248: Meget mere end forskning – Fra innovationskløft til konkurrenceløft rapport udarbejdet af POMUS, Deloitte m.fl. udgivet i juni 2025 som et dansk svar på EU’s Draghi- og Letta-rapporter
3038575_0061.png
Meget mere end forskning
| Fra innovationskløft til konkurrenceløft
verdensklasse, men
markedet er fortsat
relativt fragmenteret
omfattende offentlige indkøbsprogrammer får virksomheder i dette marked mulighed for at
samarbejde med statslige aktører, og de kan opnå langsigtede, gennemsigtige kontrakter.
Virksomheder i Danmark har omvendt et meget begrænset hjemmemarked. De opererer
dog inden for EU’s indre marked, hvilket skaber
muligheder for ekspansion ud over
nationale grænser med en forbrugerbase på næsten 450 mio. mennesker. I praksis er det
dog ikke altid så enkelt. EU’s markeder er præget af en fragmenteret struktur, hvor
ensartningen af normer og regulering stadig er langt fra fuldt gennemført; selv i kritiske
sektorer såsom energi, hvilket Letta-rapporten bl.a. sætter fokus på. Dertil kommer
fraværet af en fælles strategi for offentlige indkøb, som kan gøre det sværere for danske og
europæiske virksomheder at opnå skalerbarhed. Mens nogle barrierer som fx
sprogforskelle kan være vanskelige at overvinde i en EU-kontekst, kan andre barrierer som
regulatorisk harmonisering og centraliseret indkøb give virksomheder langt bedre
muligheder for at udbrede innovation og skalere effektivt.
Adgang til kapital er endnu en hyppig barriere for skalering af innovative løsninger. En af de
største problematikker i EU er tilgængelighed af langsigtet kapital.
165
En udbredt indikator
til at vurdere størrelsen på nationale kapitalmarkeder med et langsigtet fokus er mængden
af aktiver afsat til pensionsopsparing. Ifølge denne opgørelsesmetode er den relative
størrelse, dvs. som en andel af BNP, af det danske kapitalmarked faktisk det største i OECD
(jf. Figur 25).
166
Denne kapital afspejler sig dog ikke i en relativ stor andel indenlandske
investeringer.
Udfordringen kan ikke blot løses på EU-plan. De samlede EU-aktiver afsat til pension er
forsat beskedne i forhold til det amerikanske marked, idet de samlede amerikanske
pensionsaktiver på er 37,7 bio. USD, hvilket er omtrent syv gange større end det europæiske
marked. Pensionsfonde udgør 47% af BNP i gennemsnit i EU sammenlignet med 148% i
USA. I Norden er denne ratio dog 122% (149% uden inddragelse af Norge).
167
Adgang til langsigtet
kapital er en
udfordring på EU-
niveau, hvor de
nordiske lande kan
udvise lederskab
Danmark har den
største andel af
pensionsaktiver i
forhold til BNP blandt
OECD-landene
Figur 25: Pensionsaktiver som % af BNP
250%
200%
150%
100%
50%
192%
148%
0%
Danmark
Island
Canada
Schweiz
Holland
USA
Australien
Sverige
Finland
Storbritannien
Israel
Korea
Japan
Chile
New Zealand
Costa Rica
Belgien
Luxembourg
Irland
Portugal
Colombia
Mexico
Italien
Letland
Frankrig
Slovakiet
Norge
Estland
Spanien
Litauen
Tjekkiet
Polen
Tyskland
Slovenien
Østrig
Ungarn
Tyrkiet
Grækenland
Kilde: OECD, 2023
Strenge og
forskelligartede
regulerings- og
beskatningsregimer
hæmmer udviklingen
af risikovillig kapital
En anden udfordring omhandler regulering, hvor især danske og europæiske regler generelt
opfattes som mindre gunstige for den type risikovillig kapital, som innovative virksomheder
søger. Som tidligere nævnt, er EU's andel af venturekapitalfonde 5% sammenlignet med
52% i USA og 40% i Kina.
168
Mange faktorer bidrager til denne situation, men især hensyn til
forsigtighedskrav, dvs. de regler som dikterer finansielle institutioners risikohåndtering,
165
166
NYU Stern / Demodoran, 2025. Dækker Europa som region, herunder fx Storbritannien og Schweiz
Omfang og definition kan variere. Vi henviser til OECD's måling af aktiver, der er øremærket til pension, almindeligvis omtalt som
"pensionsfonde". Jf. OECD, 2023
167
OECD, 2023
168
Europa-Kommissionen, 2024a
61
ERU, Alm.del - 2024-25 - Bilag 248: Meget mere end forskning – Fra innovationskløft til konkurrenceløft rapport udarbejdet af POMUS, Deloitte m.fl. udgivet i juni 2025 som et dansk svar på EU’s Draghi- og Letta-rapporter
3038575_0062.png
Meget mere end forskning
| Fra innovationskløft til konkurrenceløft
udgør en årsag. Situationen forværres yderligt af det faktum, at finansiel regulering på tværs
af EU-lande forbliver forskelligartet.
En tredje udfordring er den høje beskatning af kapitalgevinster, hvilket har en tendens til at
begrænse risikovilligheden, da beskatning opfattes som begrænsende for det mulige
afledte afkast. Her har Danmark med 42% den højeste marginalbeskatning af
kapitalgevinster i EU, mens kapitalgevinster i USA generelt beskattes til omtrent halvdelen
af denne sats, hvilket er tæt på den gennemsnitlige sats, der observeres i EU
om end den
spænder fra 0% og 42%.
169
Imidlertid forbliver dobbeltbeskatning og heterogene
skatteregler i EU et fortsat problem.
Kapital bliver i
stigende grad
allokeret uden for
’s gr nser
Endeligt er det også en stor udfordring, at den tilgængelige kapital i stigende grad investeres
uden for EU's grænser. Denne tendens ses også for danske forsikringsselskaber og
pensionskasser, idet andelen af danske aktiver er mindsket med næsten 10%-point over
de sidste ti år, mens porteføljeinvesteringer i USA er øget med 300% (jf. Figur 26).
Tendensen er lignende i EU, hvor udenlandske porteføljeinvesteringer til USA er steget med
126% i perioden 2013-2023.
170
Figur 26: Danmarks forsikrings- og pensionssektors investeringer (mia.kr.)
3.000
2.000
+40%
+39%
Forsikringsselskaber
og pensionskasser i
Danmark har i
stigende grad
investeret udenfor
’s gr nser
1.000
-
Danmark
Kilde: Danmarks Nationalbank, 2025a
+301%
+61%
EU-28 excl. DK
2015M01
USA
2025M01
Resten af verden
4.3.3.
Industrialisering på tværs af grænser
Regional integration fremmer innovation gennem samarbejde. Gennem en fælles tilgang til
forskning og udvikling kan EU og de nordiske lande samle deres ressourcer og ekspertise
med henblik på at håndtere komplekse udfordringer mere effektivt og med mere styrke. En
sådan fælles indsats kan føre til gennembrud inden for vigtige sektorer som grøn teknologi,
digital transformation og sundhed. Den delte viden og ressourcer kan derudover
fremskynde udviklingen af nye produkter og serviceydelser, hvilket vil øge
konkurrenceevnen for danske virksomheder.
Letta-rapporten understreger vigtigheden af at udnytte komplementariteten mellem
europæiske landes industrielle kapaciteter til at understøtte projekter af fælles interesse.
Denne tilgang er ligeledes anvendelig inden i Norden, hvor samarbejde kan føre til udvikling
af dual-use-teknologier og nye innovative løsninger. Ved at integrere innovative aktører i et
bredere industrielt økosystem, kan både EU og Norden skabe en mere robust og
diversificeret industriel base, der forbedrer konkurrenceevnen og fremmer innovation og
sikkerhed.
Regional integration
herunder fælles
tilgang til forskning og
udvikling i EU og
Norden kan forbedre
konkurrenceevne og
fremme innovation og
sikkerhed
169
170
Tax Foundation, 2025
Den Internationale Valutafond, 2025b
62
ERU, Alm.del - 2024-25 - Bilag 248: Meget mere end forskning – Fra innovationskløft til konkurrenceløft rapport udarbejdet af POMUS, Deloitte m.fl. udgivet i juni 2025 som et dansk svar på EU’s Draghi- og Letta-rapporter
3038575_0063.png
Meget mere end forskning
| Realisering af potentialet
5. Realisering af potentialet
Danmark har potentialet til at udvikle sig til en førende industrination funderet på
en solid forskningskapacitet. Men det kræver en visionær 2040-strategi, der bygger
på demokratiske værdier og forbinder forskning og innovation med den nyeste
teknologi, industripoliske tiltag og sikkerhedshensyn. Det handler ikke blot om at
investere mere, men om at investere smartere
og skabe de rette vilkår for både
forskning, innovation og kommerciel skalering.
Dette kapitel præsenterer en række handlingsorienterede anbefalinger til, hvad der kræves for at skabe
banebrydende og samfundsnyttige løsninger, styrke dansk sikkerhed og opnå fremtidige konkurrencefordele.
Anbefalingerne er samlet i et visions- og mål-roadmap og komplementeres af illustrative ambitioner for fremtidens
danske innovationssystem i 2030 og 2040. Kapitlet præsenterer også Konkurrencestjernen, som er et nyt
monitoreringsværktøj, der kan kortlægge konkurrenceevnen i det 21. århundrede
og dermed skabe grundlag for, at
beslutninger kan træffes på et oplyst grundlag.
5.1.
Anbefalinger, konkurrencestjerne, roadmap og visioner for fremtidens
innovationssystem
Rapporten har vist, at det handler om
meget mere end forskning.
Gennem analyserne står
det klart, hvordan forskning og innovation kan fungere som drivkræfter bag en styrket
teknologisk og industriel kapacitet i Danmark
og dermed bidrage til øget
konkurrenceevne, højere velstand og større sikkerhed.
Samtidig står det klart, at forskning er helt central. Det handler om at styrke fundamentet
grundforskningen
hvor de banebrydende idéer fødes. Og det handler om at fremme den
type strategisk forskning, der skaber viden på områder med særligt potentiale for Danmark
de nye flagskibe. En god balance mellem fri og strategisk forskning er dog afgørende for at
sikre høj diversitet og kvalitet i det samlede forskningsoutput.
Men forsknings- og innovationskapaciteten skal også i langt højere grad bringes i
anvendelse. Skal den skabe øget værdi for erhvervsliv og samfund
og levere det afkast,
Danmark har brug for
kræver det større fokus på spredning, integration og anvendelse af
viden, der rækker ud over citationer og patenter.
Rapportens ti anbefalinger sigter mod at realisere dette potentiale. De bygger på
rapportens datagrundlag og tager afsæt i Danmarks styrkepositioner; fra et demokratisk
værdigrundlag og en velfungerende samfundsmodel til et unikt aktiv som de
erhvervsdrivende fonde og til globale flagskibepositioner inden for grøn omstilling og
digitalisering. Anbefalingerne skal bidrage til at udnytte disse styrker endnu bedre og skabe
nye synergieffekter på tværs.
Det har været et defineret kriterie, at anbefalingerne ikke skal koste statskassen dyrt, men
derimod anvise nye, effektive veje inden for de eksisterende ressourcemæssige rammer.
Anbefalingerne fokuserer således i højere grad på, hvordan eksisterende midler kan bruges
på nye måder. Dette kriterie har
sammen med rapportens konklusioner i de forudgående
kapitler
udgjort de centrale faktorer for udviklingen af anbefalingerne.
De seneste års erfaringer har også vist, at det usandsynlige kan blive til virkelighed, som det
fx er sket med nye massive investeringer i forsvar. Tiden kræver, at vi tør tænke nyt. At vi
erkender, at nye tider kalder på nye svar.
Vejen frem: Strategisk
sammentænkning af
forskning, innovation,
teknologi og
sikkerhed
63
ERU, Alm.del - 2024-25 - Bilag 248: Meget mere end forskning – Fra innovationskløft til konkurrenceløft rapport udarbejdet af POMUS, Deloitte m.fl. udgivet i juni 2025 som et dansk svar på EU’s Draghi- og Letta-rapporter
3038575_0064.png
Meget mere end forskning
| Realisering af potentialet
Anbefalingerne er derfor ikke detaljerede handlingsplaner. De sætter en strategisk og
visionær retning, men er samtidig konkrete nok til at fungere som løftestang for handling og
videre analyse. Målet er at skabe momentum; en kædereaktion af initiativer, der styrker
Danmarks position i et forandret globalt landskab.
Figur 27 præsenterer de ti anbefalinger, som alle knytter sig til hovedanbefalingen om at
udvikle en samlet Strategi2040, der integrerer forskning, innovation, teknologi og
sikkerhed:
Fem anbefalinger (1-5) er tværgående og har til formål at sikre en vedvarende og effektiv
implementering. De vedrører bl.a. governance, effektmåling og en langsigtet strategi,
som kobler forskning og innovation med teknologiudvikling, iværksætteri, produktion
og industripolitik.
Fem anbefalinger (6-10) er systemiske og adresserer de fem komponenter
(humankapital, governance, kapital, infrastruktur og kultur), som analysen har brugt til
at identificere kløfterne i det danske innovationssystem. Kløfter, som med de rette
indsatser, kan vendes til nye styrkepositioner med betydelig samfundsværdi.
Handlingskatalog: Hver af de fem systemanbefalinger ledsages af et handlingskatalog med
yderligere fem konkrete forslag. Handlingskataloget er ikke udtømmende, men udvalgt
med baggrund i analysen og for deres strategiske relevans og effektpotentiale
og skal
inspirere til handling både på kort og langt sigt.
Som gennemgående pointeret i rapporten skal Danmark tænke europæisk. Det afspejles
også i anbefalingerne, bl.a. gennem opbakning til EU’s ”Startup
and Scaleup Strategy” og
målsætningen om at tiltrække europæiske investeringer
fx til udviklingen af en ny dansk
AI-fabrik.
Samlet set skal anbefalingerne styrke sammenhængen mellem forskning, innovation og
kommercialisering.
I afsnit 5.2 uddybes anbefalingerne.
64
ERU, Alm.del - 2024-25 - Bilag 248: Meget mere end forskning – Fra innovationskløft til konkurrenceløft rapport udarbejdet af POMUS, Deloitte m.fl. udgivet i juni 2025 som et dansk svar på EU’s Draghi- og Letta-rapporter
3038575_0065.png
Meget mere end forskning
| Realisering af potentialet
Figur 27: Rapportens anbefalinger og handlingskatalog
Kilde: Deloitte
65
ERU, Alm.del - 2024-25 - Bilag 248: Meget mere end forskning – Fra innovationskløft til konkurrenceløft rapport udarbejdet af POMUS, Deloitte m.fl. udgivet i juni 2025 som et dansk svar på EU’s Draghi- og Letta-rapporter
3038575_0066.png
Meget mere end forskning
| Realisering af potentialet
Sådan kan bidrage
anbefalingerne
bidrage til at øge
værdiskabelsen af
samspillet mellem
forskning, innovation
og marked
Figur 28 viser, hvordan de fem systemanbefalinger mere konkret anses for at kunne bidrage
til at mindske kløfterne på vejen fra forskning til kommercialisering.
Figur 28: Mapping af anbefalingerne i InnoScope-modellen
Ikke ko
orskn ngs kt
rundudd nne ser
Fra folkeskole til
videregående
uddannelse
er e t
ivil
teter
rundforskning, anvendt forskning og
eksperimentel udvikling
um samf erhverv
Natur og
sundhedsvidenskab
Sundhed og biovidenskab
Inno
t on
O entlig
Produkt
Inno
10
Service
o
10
er
10
ser ng
Store
virksomheder
Proces
t on
10
Små og mellemstore virksomheder
Entreprenører
Startups
Scale ups
10
d k ngsk
t
d k ngsk
t
I p
tk
ten
Inno
t onsk
ten
Udenlandsk arbejdskraft og kapital
h
p on k
ten
Kilde: Deloitte. Note: Anbefaling 6: Humankapital, 7: Governance, 8: Kapital, 9: Infrastruktur, 10: Kultur
Anbefalingerne
omdanner hindringer
til mulige løsninger og
potentialer og
vurderer strategisk
robusthed
Anbefalingen om en 2040-strategi, inkl. de fem tværgående anbefalinger, beskrives samlet.
For hver af de fem anbefalinger beskrives hindringen, anbefalingen og potentialet.
De fem systemanbefalinger beskrives hver for sig efter en ensartet struktur, jf. Figur 29.
Startende med en beskrivelse af de nuværende hindringer identificeret i rapporten, følger
en uddybning af tiltag, der kan bidrage til at realisere anbefalingen i form af et
handlingskatalog samt en beskrivelse af anbefalingens potentiale. Det vurderes implicit,
men konsekvent, om anbefalingen mest effektivt udmøntes på nationalt eller regionalt
niveau, samt hvilken tilgang der med fordel kan anvendes, fx dual-use-løsninger.
For at styrke anbefalingernes langsigtede bæredygtighed afsluttes hver af
systemanbefalingerne med en analyse af dens strategiske robusthed, baseret på de
centrale elementer i rapporten, herunder økonomisk sikkerhed
171
og megatrends, men
også andre risici, der negativt vil kunne influere implementeringen af anbefalingen.
Rapporten har anvendt en tragtmetode til systematisk udvælgelse af anbefalingerne. Først
blev potentielle anbefalinger kortlagt baseret på data, ekspertinput og analyser, og
grupperet efter relevans for kritiske kløfter og komponenter som humankapital og
infrastruktur. Herefter blev mindre effektfulde anbefalinger elimineret og kategoriseret. De
ti mest lovende anbefalinger blev dernæst formuleret og analyseret for at vurdere deres
potentiale og strategiske robusthed.
171
Forsyningskædernes modstandsdygtighed, energisikkerhed; cybersikkerhed i forbindelse med kritisk infrastruktur; risici i forbindelse med
teknologisk sikkerhed og teknologilækage; risici for våbenliggørelse af økonomisk afhængighed eller økonomisk tvang.
66
ERU, Alm.del - 2024-25 - Bilag 248: Meget mere end forskning – Fra innovationskløft til konkurrenceløft rapport udarbejdet af POMUS, Deloitte m.fl. udgivet i juni 2025 som et dansk svar på EU’s Draghi- og Letta-rapporter
3038575_0067.png
Meget mere end forskning
| Realisering af potentialet
Anbefalingernes
struktur
Figur 29: Anbefalingernes struktur
ndr ng
Kløftens mulige
komponenter
umankapital
overnance
Kapital
Infrastruktur
T t g or re
ser ng
n e
ngen
otent
e
tr teg sk ro usthed
Aktivering af anbefalingen
National tilgang
fx via dual use
Regionalt
samarbejde
konomisk
sikkerhed
Megatrends
Andre risici
Kultur
Kilde: Deloitte
5.1.1.
Konkurrencestjernen
et nyt monitoreringsværktøj
I en tid præget af intens global konkurrence, teknologiske kvantespring og nye
sikkerhedspolitiske realiteter er det vigtigere end nogensinde, at politiske beslutninger
træffes på et solidt, videnbaseret grundlag. Kun derved kan danske ressourcer og
investeringer prioriteres strategisk, målrettet og effektivt. For at understøtte dette
introducerer rapporten konkurrencestjernen
et nyt værktøj til at måle og forstå et lands
konkurrenceevne i en forandret verdensorden. Værktøjet er udviklet med udgangspunkt i
rapportens bredere forståelse af konkurrenceevne, som ikke blot handler om økonomisk
performance, men også inkluderer faktorer som social sammenhængskraft,
bæredygtighed, sikkerhed samt et lands forsknings- og innovationskapacitet og evne til at
sprede og omsætte viden
aspekter som alle indgår i værktøjet.
Inspireret af EU’s
Konkurrenceevnekompas overvåger konkurrencestjernen udviklingen på
tværs af ni centrale parametre og 29 indikatorer fordelt inden for tre områder
konkurrencesøjler, konkurrencekatalysatorer og samfundsresiliens (jf. Figur 30 og Tabel 2).
Formålet er at give et mere nuanceret og strategisk relevant billede af, hvordan Danmark
klarer sig i en omskiftelig og geopolitisk kompleks verden.
En første status for Danmarks nuværende position forventes offentliggjort i løbet af
efteråret.
Konkurrencestjernen
bygger på rapportens
redefinering af
konkurrenceevne
Konkurrencestjernen
Figur 30: Konkurrencestjernen
styrker datadrevet
Samfundsresiliens
Konkurrencesøjler
beslutningstagning og
Økonomisk lighed
policyudvikling
Livskvalitet
Konkurrencekatalysatorer
Konkurrencestjernens styrke
F&I kapacitet og spredning
Bæredygtig vækst
Social sammenhængskraft
Økonomisk sikkerhed og
afhængigheder
Kompetencer og
beskæftigelse
Finansiering
Kilde: Deloitte
Forenkling
67
ERU, Alm.del - 2024-25 - Bilag 248: Meget mere end forskning – Fra innovationskløft til konkurrenceløft rapport udarbejdet af POMUS, Deloitte m.fl. udgivet i juni 2025 som et dansk svar på EU’s Draghi- og Letta-rapporter
3038575_0068.png
Meget mere end forskning
| Realisering af potentialet
Indikatorerne i
konkurrencestjernen
Tabel 2: 29 indikatorer fordelt på ni parameter og tre områder i konkurrencestjernen
o p s
r
etre
Ind k torer
Investeringer i grundforskning % BNP
itater pr. forskere pr. million
I k p tet og
spredn ng
Andel af nystartede virksomheder 2 år gamle i erhvervspopulationen, samlet industri
IKT adgang og brug af virksomheder
Ingeniørtæthed
Ressourcee ektivitet
redygt g
kst
Total faktorproduktivitet
Kulsto ntensitet af BNP
Nettoimportafhængighed af kritiske mineraler %
kono sk
Afhængighed af energiimport %
s kkerhed og
Afhængighed af udenlandsk teknologi
h ng gheder
Trusselsvurdering af cyberspionage
Statslig reguleringsbyrde
orenk ng
Andel af virksomheder efter andel af personale ansat til at opfylde lovgivningsmæssige krav
Investeringsreguleringer for pensionskasser
Mangel på adgang til ekstern nansiering som en barriere
Venturekapitalinvestering i forhold til BNP
n ns er ng
Pensionsfondsbidrag % af BNP
Markedsværdi af børsnoterede indenlandske virksomheder % af BNP
PISA resultater matematik, naturvidenskab, læsning
o peten er og
Befolkning 25 3 med videregående uddannelse
esk t ge se
Antal timer brugt på uddannelse i den aktive befolkning
Politisk polarisering
o
Frihed til akademisk udveksling og formidling
s
enh ngskr t
Tillid
sk
kono
tet
sk ghed
Verdens lykkeindeks
ivskvalitetsindeks
Indkomstfordeling
Velstandsfordeling
onkurren es
er
onkurren e
k t ys torer
undsres ens
Kilde: Deloitte
Det europæiske
potentiale i
konkurrencestjernen
er en pendant til
’s
Konkurrenceevne-
kompas
Fordi konkurrencestjernen bygger på principperne fra EU's Konkurrenceevnekompas, har
det en europæisk relevans og mulighed for integration i bredere politiske og økonomiske
strategier. Dette bidrager til at sikre, at den danske forståelse og opgørelse af
konkurrenceevne komplementerer EU’s tilgang, så nationale og regionale indsatser
bedre
kan koordineres og eventuelt sammenlignes.
Ved at afspejle EU's metode kan Konkurrencestjernen blive en brobygger mellem nationale
og europæiske prioriteter og muliggøre, at medlemslandene kan evaluere deres udvikling i
relation til EU’s strategiske mål, hvilket
vil kunne skabe en række fordele for EU og dets
medlemslande:
Sammenlignelighed på tværs af medlemslande
Understøttelse af EU’s konkurrencepolitiske målsætninger
Bidrage
til EU’s mål om en modstandsdygtig, innovativ og bæredygtig økonomi
Bedre koordinering og prioritering af investeringer på EU-niveau, hvor fonde som
Horizon Europe og European Innovation Council kan målrettes strategiske områder
Styrket politisk legitimitet: Når medlemslandene anvender et måleredskab, der
harmonerer med EU’s konkurrenceværktøjer, kan nationale beslutninger forankres i en
europæisk ramme og dermed opnå bredere legitimitet.
5.1.2.
Roadmap og visioner for fremtidens innovationssystem
Rapportens anbefalinger er samlet i
et ”visions-
og mål-roadmap” Figur 31), der inkluderer
fremtidens to InnoScope-modeller (visionerne) og konkurrencestjernen (målet). Det er
således et strategisk værktøj, der sætter en retning med konkrete mål, snarere end at
fastlægge en detaljeret og statisk tidsplan for udførsel af tiltagene. Den hastige forandring
i verden betyder, at forudsætningerne for prioriteringer og investeringer kan ændre sig
markant fra dag til dag. Et roadmap, der i dag fastlægger handlinger for 2030 eller 2040,
risikerer hurtigt at blive forældet, og derfor fokuserer roadmappet på det strategiske behov
for handling nu. Rapportens vigtigste budskab er ikke, hvad vi skal gøre i 2030, men hvad vi
skal begynde at gøre i dag, og hvor vi skal hen.
Fra ord til handling;
vejen mod en styrkelse
af den danske
konkurrenceevne,
velstand og sikkerhed
68
ERU, Alm.del - 2024-25 - Bilag 248: Meget mere end forskning – Fra innovationskløft til konkurrenceløft rapport udarbejdet af POMUS, Deloitte m.fl. udgivet i juni 2025 som et dansk svar på EU’s Draghi- og Letta-rapporter
3038575_0069.png
Meget mere end forskning
| Realisering af potentialet
Figur 31: Roadmap med rapportens anbefalinger samt visioner, potentialer og mål for fremtiden
Kilde: Deloitte
69
ERU, Alm.del - 2024-25 - Bilag 248: Meget mere end forskning – Fra innovationskløft til konkurrenceløft rapport udarbejdet af POMUS, Deloitte m.fl. udgivet i juni 2025 som et dansk svar på EU’s Draghi- og Letta-rapporter
3038575_0070.png
Meget mere end forskning
| Realisering af potentialet
Visioner for
fremtidens samspil
mellem forskning,
innovation og
konkurrenceevne
I form af to transformerede InnoScope-modeller skitserer roadmappet også, hvordan
fremtidens danske innovationssystem kan tage form, hvis anbefalingerne omsættes til
handling og visionerne realiseres. Formålet er at konkretisere disse visioner og samtidig
inspirere til handling. Frem for alt fungerer modellerne som en påmindelse om, at fremtiden
ikke formes af intentioner alene, men af evnen til at forbinde ambitioner med strukturel
forandring. De skal bidrage til at fastholde politikere og beslutningstagere i
nødvendigheden af et stærkere og mere integreret samspil mellem forskning, innovation og
værdiskabelse, hvis Danmark skal styrke sin konkurrenceevne og position i en kompleks og
omskiftelig verden. Derfor er modellerne
ligesom den nuværende InnoScope-model
forenklede og skal ses som hypoteser.
Fremtidens innovationssystem bør udvikle sig gradvist fra en lineær til en mere systemisk
struktur. Det betyder, at forskningsindsatser og markedsudvikling ikke sker i siloer, men i et
tæt og selvforstærkende samspil. I dette samspil bliver efterspørgselssiden
markedets
behov og muligheder
en aktiv driver for innovation. Det land, eller den region, der mestrer
dette samspil, vil både opnå en høj spredningskapacitet af sin forskning og innovation samt
effektiv være i stand til at udvikle nye markeder i takt med generering af ny viden. Derfor skal
fremtidens innovationssystem ikke alene fremme vidensproduktion, men aktivt
understøtte markedsskabelse og værdirealisering. Et effektivt system øger
sandsynligheden for gennembrud ved at skabe rammer, hvor vidensproduktion,
teknologisk udvikling og kommercialisering ikke blot sameksisterer, men forstærker
hinanden.
Ligesom den nuværende InnoScope-model beror på fem systemiske komponenter, vil
fremtidens system også gøre det. Men i takt med at kløfterne mindskes, bliver disse
komponenter i stigende grad en form for økosystem, hvor innovation kan opstå som et
resultat af både strategisk planlægning og uforudsete synergier.
Humankapital er fundamentet for innovation. Det handler ikke kun om at sikre
kvalificeret arbejdskraft og nyt talent, men i stigende grad om at fremme tværfaglighed
og livslang læring. Udfordringen er ikke blot et kompetencegap, men også et mindset-
gap
der skal styrkes en kultur, hvor evnen og viljen til at tænke og handle innovativt
bliver central.
Governance skal være agil, strategisk og koordinerende. Det kræver en
helhedsorienteret tilgang, der nedbryder siloer og sikrer, at regulering, offentlige
investeringer og incitamentsstrukturer spiller sammen med systemets øvrige
komponenter, fx i forhold til regler og lovgivning.
Finansiering skal understøtte både grundforskning og anvendelsesorienteret
innovation mere ligeligt. Ligesom pensionskasserne er et vigtigt aktiv, spiller også
Danmarks unikke samfundskontrakt en central rolle: Mange store virksomheder er
fondsejede og bidrager aktivt til forskningen gennem donationer og investeringer. Dette
skaber et dynamisk samspil mellem erhvervsliv og videninstitutioner, som forpligter
begge parter.
Infrastruktur skal være fleksibel og fremtidssikret
fra digitale platforme og
testfaciliteter til fysiske innovationsmiljøer, hvor aktører mødes og ideer kan afprøves i
praksis.
Kulturen skal skabe det mentale rum for forskning og innovation. Det handler om at
fremme åbenhed, risikovillighed og en fælles forståelse af værdien ved at
eksperimentere og samarbejde på tværs af sektorer.
70
ERU, Alm.del - 2024-25 - Bilag 248: Meget mere end forskning – Fra innovationskløft til konkurrenceløft rapport udarbejdet af POMUS, Deloitte m.fl. udgivet i juni 2025 som et dansk svar på EU’s Draghi- og Letta-rapporter
3038575_0071.png
Meget mere end forskning
| Realisering af potentialet
InnoScope-modellen
2030: Den markante
transformation
Figur 32: InnoScope-modellen 2030 - visionen for fremtidens af samspil mellem forskning,
innovation og marked
Kilde: Deloitte
I 2030 er visionen et
begyndende cirkulært
flow med skabelse af
værdifulde synergier
mellem forskning,
innovation og marked
I 2030 skal de anbefalede tiltag i rapporten og nye lignende initiativer opstået som resultat
heraf have bidraget til at reducere de nuværende kløfter mellem forskning og marked. Dette
skal føre til en positiv udvikling, hvor kommercielle aktiviteter integreres tættere med
forsknings- og innovationsprocesser. Disse forbedringer er forsøgt illustreret i en
InnoScope-model for 2030, som derved adskiller sig markant fra den model, der anvendes
i rapporten til at beskrive det nuværende system. De fem komponenter, som rapporten
benytter til at identificere og beskrive hindringer, er nu aktivt integreret i modellen for at
illustrere, hvordan de vil blive centrale drivkræfter for den samlede spredningskapacitet af
dansk forskning og innovation.
Samtidig er modellen ændret fra en tragtmodel, så grunduddannelser, forskning og
innovation nu er sidestillet. Dette symboliserer, at prioriteringen af uddannelse og
forskning igen er blevet en politisk topprioritet og spiller en mere aktiv og central rolle i
udviklingen af den danske konkurrenceevne. Det skal også bemærkes, at der inden for
forskningen ikke længere eksisterer tydelige kløfter mellem videnskaberne. Visionen er, at
der er igangsat en bevægelse væk fra en videnskabelig monokultur med en fast
fakultetsstruktur mod tværfaglige enheder, hvor interdisciplinært samarbejde trives.
I 2030 forventes en styrkelse af den danske forsknings- og innovationskapacitet samt
spredningskapacitet at kunne bidrage til, at kommercielle virksomheder i stigende grad
stimulerer forskning og innovation drevet af samfundsbehov og efterspørgsel. Dette skaber
et begyndende cirkulært flow, hvor den oprindelige innovative tanke kan opstå i alle led, og
hvor værdiskabende synergier mellem forskning, innovation og erhvervsliv styrker
Danmarks konkurrenceevne samt teknologiske og industrielle kapaciteter.
71
ERU, Alm.del - 2024-25 - Bilag 248: Meget mere end forskning – Fra innovationskløft til konkurrenceløft rapport udarbejdet af POMUS, Deloitte m.fl. udgivet i juni 2025 som et dansk svar på EU’s Draghi- og Letta-rapporter
3038575_0072.png
Meget mere end forskning
| Realisering af potentialet
InnoScope-modellen
2040: Den
banebrydende
transformation
Figur 33: InnoScope-modellen 2040 - visionen for fremtidens af samspil mellem forskning,
innovation og markedet
rund
udd nne ser
Kilde: Deloitte
I 2040 er visionen en
dynamisk og
integreret proces
mellem forskning,
innovation og marked
Hvis eksekvering og videreudvikling af en langsigtet og visionær forsknings- og
innovationspolitik fortsat integreres med industripolitiske tiltag, er det rapportens
hypotese, at fremtidens forsknings- og innovationssystem
InnoScope-modellen 2040
vil
kunne skabe en dynamisk og cirkulær sammenhæng mellem forskning, innovation og
marked. Det handler ikke længere om en trinvis tilgang til innovation og udvikling, men
snarere om en integreret proces.
Udgangspunktet er fortsat, at grunduddannelser udgør fundamentet for hele systemet, da
befolkningens uddannelsesniveau og talentmasse i høj grad har betydning for forsknings-
og innovationskapaciteten. Ligeledes er de fem systemiske komponenter sammenflettet
som positive drivkræfter, der bidrager til en styrkelse af den danske spredningskapacitet af
forskning og innovation. Visionen i modellen er, at forskning i mindre grad bedrives inden
for de store klassiske videnskaber, men i stedet inden for rammerne af brede
tværdisciplinære samarbejder, der fx også inddrager andre fagdiscipliner som
entreprenører, designere mv. Det inkluderer også optag af ekstern viden. Alt dette
understøttes af den danske teknologisk-industrielle kapacitet og fortsat nye
missionsdrevne industripolitiske tiltag. Endelig er regionale samarbejder, især med EU,
afgørende for at sikre, at innovation og kommercielle produkter får adgang til større
markeder og viden. Dette kan også bidrage til bedre finansieringsmuligheder for forskning,
innovation og virksomheder samt sikre en voksende talentmasse, der skaber bedre
forudsætninger for virksomheders fremtidige vækst.
72
ERU, Alm.del - 2024-25 - Bilag 248: Meget mere end forskning – Fra innovationskløft til konkurrenceløft rapport udarbejdet af POMUS, Deloitte m.fl. udgivet i juni 2025 som et dansk svar på EU’s Draghi- og Letta-rapporter
3038575_0073.png
Meget mere end forskning
| Realisering af potentialet
5.2.
5.2.1.
Anbefalinger
Strategi2040. Forskning, innovation, teknologi og sikkerhed. 5 anbefalinger
Rapporten har besvaret spørgsmålet om, hvordan forskning og innovation kan danne
grundlag for at udvikle Danmarks teknologiske og industrielle kapacitet samt styrke den
danske konkurrenceevne, velstand og sikkerhed, i takt med at en ny teknologidrevet
verdensorden udfolder sig.
Vi anbefaler på den baggrund, at første skridt er udviklingen af Strategi2040, der forener
forskning, innovation, teknologi og sikkerhed
og som står på det solide demokratiske
værdigrundlag, der kendetegner Danmark. Strategien skal baseres på den nye forståelse af
konkurrenceevne, som rapporten har uddybet. Rapporten har vist, at Danmarks stærke
forsknings- og innovationskapacitet, robuste samfundsinstitutioner samt høje grad af tillid
og værdibaserede tilgang er fundamentale styrkepositioner. Strategi2040 skal bygge videre
på disse
inkl. teknologiske og industrielle styrkepositioner
men nytænke måden, hvorpå
de integreres. Strategien skal sikre en klar og samlet strategisk ramme, så Danmark kan
realisere sit fulde potentiale.
Målet er at mindske de eksisterende kløfter i den forskningsdrevne innovation for at øge
forsknings- og innovationskapaciteten - men især at øge spredningen og integrationen af
forskning og innovation for at styrke det private erhvervsliv, da det er her, Danmark har et
uforløst potentiale. Det vil styrke Danmarks evne til at skabe nye markeder, som
understøtter innovation
særligt inden for grøn omstilling, digitalisering og AI.
Strategiens formål skal også være at sikre en klar sammenhæng mellem forsknings- og
innovationsindsatser og politiske prioriteter samt policyinitiativer (fx industripolitik), så
udbyttet af indsatserne maksimeres. Blandt de politiske prioriteringer skal målet om en
styrkelse af dansk sikkerhed og strategisk autonomi stå helt centralt, da global
afhængighed af kritiske værdikæder og teknologier udgør en stigende national og
økonomisk risiko. Strategien skal således være det strategiske fundament, der balancerer
disse hensyn og sikrer, at Danmark i den nye verdensorden kan opnå størst mulig
værdiskabelse, så landet også fremover vil være et velstående velfærdssamfund med en
stærk teknologisk og industriel kapacitet.
Danmarks strategiske indsatser og tiltag bør samtænkes med EU, og særligt med henblik
på rammerne af en fælles europæisk industripolitik samt den nyligt lancerede EU
”Startup
and Scaleup Strategy”.
Ved at koble nationale initiativer tæt sammen med EU’s
overordnede strategier kan der opnås en mere harmoniseret indsats, der udnytter
synergier, fremmer fælles markedstilgang og understøtter vækst på tværs af grænser.
Danmark kan således styrkes gennem et stærkere og mere samlet EU, hvor fælles mål,
ressourcer og politikudvikling accelererer mulighederne for innovation, teknologisk
udvikling og international konkurrenceevne. En sådan forankring kan også positionere
Danmark som en aktiv og indflydelsesrig partner i den europæiske udvikling, hvor nationale
og europæiske ambitioner går hånd i hånd for at skabe bæredygtig vækst og teknologisk
suverænitet.
Strategi2040 er den
strategiske ramme,
der skal bidrage til en
styrkelse af dansk
konkurrenceevne,
velstand og sikkerhed
Behov for mere
politisk mod og
risikovillighed
For at Danmark kan udnytte sit nuværende momentum og sine styrkepositioner inden for
forskning og innovation, er det nødvendigt med en højere politisk risikovillighed. Det kræver
strukturelle greb, der gør det lettere og mere trygt at træffe modige beslutninger. Dette kan
bl.a. understøttes gennem krydsministerielle strategier og partnerskaber, der fordeler
ansvar og fremmer fælles ejerskab
hvilket den anbefalede Innovationstrepart skal
medvirke til. Derudover kan parlamentariske aftalemodeller skabe bredere politisk
opbakning og langsigtet retning, hvilket øger trygheden ved at træffe beslutninger med
usikre eller langsigtede afkast. Samtidig bør "fail fast and learn" i højere grad udbredes som
et styringsprincip i politikudvikling.
73
ERU, Alm.del - 2024-25 - Bilag 248: Meget mere end forskning – Fra innovationskløft til konkurrenceløft rapport udarbejdet af POMUS, Deloitte m.fl. udgivet i juni 2025 som et dansk svar på EU’s Draghi- og Letta-rapporter
3038575_0074.png
Meget mere end forskning
| Realisering af potentialet
Et andet instrument til at fremme politisk risikovillighed er vidensbaserede analyser,
scenarier og konsekvensvurderinger, som både den anbefalede videnskabsfunktion og
Innovationstreparten kan bidrage til. Effektmåling og evaluering kan også understøtte en
kulturændring, hvilket især det foreslåede monitoreringsredskab vil kunne understøtte.
Strategien skal
udvikles nu
Vi anbefaler, at et hurtigt arbejdende politisk udvalg i tæt samarbejde med repræsentanter
fra forskningsinstitutioner, erhvervsliv og civilsamfund udarbejder, hvad vi i rapporten
kalder Strategi2040. Strategiens horisont anbefales at være 2040 for at sikre momentum og
handling og for at afspejle den tidshorisont, som EU i flere sammenhænge arbejder med på
dette område. De fem tværgående anbefalinger bør kunne implementeres inden for den
nærmeste fremtid, mens de systemiske anbefalinger vil kræve en længere
implementeringsfase, da de har til hensigt at ændre fundamentale strukturer og
tankegange
fx en højere villighed til at satse og fejle eller et mere sammenhængende
universitetslandskab.
For at dette kan lykkes, skal vidensproduktion og politiske beslutningsprocesser i langt
højere grad kobles for at fremme mere vidensbaseret politikudvikling. Det er
udgangspunktet for de følgende fem tværgående anbefalinger, som vi anbefaler bliver en
del af Strategi2040:
5.2.1.1. De fem tværgående anbefalinger
strategi, governance og effektmåling
Fem tværgående
1. Innovationstrepart mellem Uddannelses- og Forskningsministeriet,
anbefalinger, der skal Erhvervsministeriet og Forsvarsministeriet
udgøre fundamentet
Opret et strategisk partnerskab, der koordinerer implementeringen af Strategi2040 med
for Strategi2040
fokus på forskning og udvikling, test og kommercialisering af dual-use-løsninger, forsvars-
og digital teknologi
Hindring:
I dag mangler Danmark en fast struktur, der samler forskning, innovation, erhverv,
teknologi og sikkerhedspolitik. Det kan føre til ukoordinerede investeringer, svagt strategisk
overblik og forspildte muligheder for at udvikle og anvende teknologier med stor
samfundsværdi. Uden en samlet enhed til at prioritere, analysere og binde aktører sammen
risikerer Danmark at reagere for sent
og at miste både innovationskraft og strategisk
handlefrihed i et stadig mere komplekst globalt landskab.
Anbefaling:
For at sikre en koordineret og fremsynet implementering af Strategi2040
anbefaler vi regeringen at etablere et formaliseret strategisk partnerskab
en såkaldt
innovationstrepart inspireret af den grønne trepart
mellem Uddannelses- og
Forskningsministeriet, Erhvervsministeriet og Forsvarsministeriet. Partnerskabet skal
fungere som den centrale koordinerende enhed for Strategi2040 og sikre, at forskning,
teknologiudvikling og kommercialisering tænkes sammen med sikkerhedspolitiske og
økonomiske hensyn. Særligt skal trekanten have fokus på digitale teknologier, dual-use-
løsninger og fremtidens forsvars- og sikkerhedsteknologier
områder, hvor Danmark har
mulighed for at opbygge styrkepositioner og reducere kritiske afhængigheder.
Partnerskabet bør arbejde tæt sammen med relevante aktører
herunder offentlige fonde
og vidensinstitutioner
og spille en central rolle i at målrette investeringer og politiske
initiativer mod områder med størst samfundsværdi og strategisk betydning.
Centrale opgaver for innovationstreparten kan bl.a. være at:
Styrke det analytiske beslutningsgrundlag i områder med betydning for økonomisk og
teknologisk sikkerhed
74
ERU, Alm.del - 2024-25 - Bilag 248: Meget mere end forskning – Fra innovationskløft til konkurrenceløft rapport udarbejdet af POMUS, Deloitte m.fl. udgivet i juni 2025 som et dansk svar på EU’s Draghi- og Letta-rapporter
3038575_0075.png
Meget mere end forskning
| Realisering af potentialet
Kortlægge og fremme synergier mellem forskning, innovation og erhvervsudvikling,
med særligt fokus på strategiske teknologier og dual-use-potentiale
Udføre løbende risiko- og sikkerhedsanalyser, som identificerer kritiske
afhængigheder (høj risiko og høj afhængighed) og anbefaler nationale handlingstiltag
Samarbejde med private fonde, investorer, erhvervsliv og forskningsmiljøer om at sikre
koordinerede investeringer og strategiske missionsudviklinger
Vurdere, hvor internationale samarbejder, især i EU-regi, bør intensiveres
og hvor
national kapacitet skal opbygges af sikkerhedshensyn
Potentiale:
En sådan innovationstrepart vil kunne skabe den strukturelle kapacitet, der er
nødvendig for at Danmark kan agere mere samordnet, strategisk og rettidigt
og det vil
kunne styrke landets teknologiske suverænitet, forsyningssikkerhed og langsigtede
konkurrenceevne i et globalt risikopræget landskab.
2. Langsigtet forskning- og innovationsstrategi med kobling til iværksætteri, teknologi,
produktion og industripolitik
Lav en forsknings- og innovationsstrategi, der integrerer og accelererer udbredelsen af
innovation, teknologi og industrielt knowhow, særligt gennem missionsdrevet innovation
og industripolitik
afstemt med EU
Hindring:
Danmark står over for et strategisk skifte, hvor forskning og innovation i stigende
grad bliver afgørende for både konkurrenceevne, velstand og national sikkerhed. I denne
nye geopolitisk og teknologisk virkelighed er der behov for en gentænkning af den måde,
Danmark arbejder med forskning og innovation som politisk redskab. Der eksisterer dog
ikke en samlet forsknings- og innovationsstrategi, som tager højde for denne nye virkelig.
Anbefaling:
Som led i Strategi2040 anbefaler vi, at der udarbejdes en samlet forsknings- og
innovationsstrategi, som integrerer den nyeste internationale viden om, hvordan forskning,
innovation og teknologi bedst understøtter dansk konkurrenceevne, velstand og sikkerhed.
Strategien kan med fordel indeholde en tværgående teknologistrategi. DFIR har i 2023 lavet
en kortlægning af innovationspolitiske instrumenter og nyere strategier for dansk
innovationspolitik, som bør inddrages i dette arbejde.
Strategien skal medvirke til at sikre, at den nyeste viden og forskning i langt højere grad
informerer politiske beslutninger og skaber værdifulde synergier mellem politiske
initiativer, forskningsmiljøer og erhvervsliv. En sådan tilgang kan accelerere omsætningen
af dansk viden samt teknologisk og industriel knowhow til konkrete løsninger i samfundet.
I lighed med rapportens tilgang bør en sådan strategi bygge på danske styrkepositioner og
erfaringer, men samtidig have blik for de seneste erkendelser inden for innovations- og
industripolitisk tænkning: At rettidige, målrettede og koordinerede forsknings- og
innovationsinvesteringer er afgørende for at fremme både produktivitetsvækst, strategisk
autonomi og en grøn, digital omstilling.
Missionsdrevet industripolitik, der
baseret på forskning og innovation
har til formål at
skabe de mest optimale rammer for denne kobling, vil ikke alene kunne styrke dansk
konkurrenceevne, men også understøtte udviklingen af nye teknologier og markeder med
strategisk betydning for Danmarks fremtidige konkurrenceevne, velstand og sikkerhed.
Strategien bør bl.a.:
Forankre missionsdreven innovation og teknologisk kapacitetsopbygning som centrale
virkemidler
Tydeliggøre statens rolle som aktiv medskaber af nye markeder og strategiske
værdikæder
75
ERU, Alm.del - 2024-25 - Bilag 248: Meget mere end forskning – Fra innovationskløft til konkurrenceløft rapport udarbejdet af POMUS, Deloitte m.fl. udgivet i juni 2025 som et dansk svar på EU’s Draghi- og Letta-rapporter
3038575_0076.png
Meget mere end forskning
| Realisering af potentialet
Skabe bedre samspil mellem forskning, industri og erhvervsudvikling
herunder i hele
landet
Inddrage ny viden om incitamenter, organisering og risikodeling i offentlig
politikudvikling
Gøre forsknings- og innovationspolitik mere agil og eksperimenterende
med rum for
test, læring og tilpasning
Potentiale:
Ved at kombinere forskningens fremsyn, erhvervslivets behov og statens
strategiske ansvar kan en sådan strategi danne fundamentet for en ny generation af dansk
missionsdrevet industripolitik. Rapporten har beskrevet, at der netop i disse år er en åbning
og et behov for moderne industripolitik, som øger et lands evne til at accelerere innovation
og teknologisk knowhow og gør forsknings- og innovationspolitik til en aktiv løftestang for
konkurrenceevne, økonomisk modstandsdygtighed og sikkerhed.
3. Styrk videnskaben i politikudvikling og strategisk fremsyn
Opret et videnskabsråd og/eller chief scientific advisor, der sikrer efterspørgselsdrevet
videnskabsrådgivning og strategisk fremsyn til at håndtere geopolitisk usikkerhed,
klimakrise og banebrydende teknologier
Hindring:
I dag sker vidensproduktion og politikudvikling ofte i hver deres system, hvilket
kan hindre robust videnskabsbaseret beslutningstagning og den form for strategisk
fremsyn, som i stigende grad er afgørende på grund af den høje grad af usikkerhed i
verdensudviklingen. Danmark brug for en mere systematisk og uafhængig videnskabelig
rådgivning, der kan medvirke til at sikre, at politiske beslutninger træffes på et oplyst,
langsigtet og forskningsbaseret grundlag.
Anbefaling:
Derfor anbefaler vi, at Danmark etablerer et uafhængigt forsknings- og
innovationsråd og/eller en national chief scientific advisor, der kan fungere som et
nationalt
vidensorgan
for
efterspørgselsdrevet
og
strategisk
relevant
videnskabsrådgivning. Rådet bør være apolitisk, tværvidenskabeligt sammensat og
permanent forankret, med inspiration fra bl.a. USA’s Office of Science and Technology
Policy, Europa-Kommissionens Group of Chief Scientific Advisors, samt nationale
modeller som Det Økonomiske Råd og Klimarådet. Medlemmerne kan med fordel
benævnes som "de videnskabelige vismænd", hvilket signalerer uafhængighed, autoritet
og kontinuitet.
Formålet er ikke at erstatte eksisterende faglige råd og ekspertudvalg, men at styrke den
samlede forskningsforankring af dansk politikudvikling på tværs af ressortområder
og
særligt sikre langsigtet fremsyn i sager med stor teknologisk, samfundsmæssig eller
sikkerhedsmæssig betydning.
Rådets opgaver bør omfatte:
At levere uafhængige analyser og vurderinger af tværgående videns- og
teknologiudfordringer
At fremme tiltag, der kan integrere den nyeste viden i erhvervsliv og det bredere
samfund gennem øget spredning af dansk forskning og innovation
At sikre, at den nyeste forskning bringes systematisk i spil i dansk politikudvikling
At fremme langsigtet
beslutningsprocesser
tænkning
og
robust
risikohåndtering
i
politiske
At bidrage til åbenhed, gennemsigtighed og tillid i den forskningspolitiske debat
Potentiale:
Et sådant vidensorgan vil styrke kvaliteten og legitimiteten af dansk
politikudvikling og gøre Danmark bedre i stand til at navigere i en fremtid præget af
76
ERU, Alm.del - 2024-25 - Bilag 248: Meget mere end forskning – Fra innovationskløft til konkurrenceløft rapport udarbejdet af POMUS, Deloitte m.fl. udgivet i juni 2025 som et dansk svar på EU’s Draghi- og Letta-rapporter
3038575_0077.png
Meget mere end forskning
| Realisering af potentialet
teknologisk kompleksitet, globale spændinger og hastigt skiftende videnslandskaber. Det
er samtidig et afgørende redskab til at sikre, at forskning og innovation bringes strategisk i
spil som motorer for konkurrenceevne, velstand og sikkerhed.
4. Nationalt barometer til måling af forsknings- og innovationskapacitet og
spredningskapacitet
Lav et nationalt barometer og indfør årlig måling af dansk forsknings- og
innovationskapacitet og spredningskapacitet via en central analyseenhed, der
kvantificerer økonomiske, sociale og miljømæssige resultater, for at styrke bæredygtig
politikudvikling
Hindring:
Danmark udnytter ikke i tilstrækkelig grad potentialet inden for anvendelse af
datadrevet effektanalyse af innovationssystemet, hvilket bl.a. betyder, at der mangler
viden om landets samlede forsknings- og innovationskapacitet samt spredningskapacitet.
Hvis Danmark skal udnytte sin stærke videnskapacitet fuldt ud, er det afgørende at kunne
måle, forstå og styre, hvordan denne viden omsættes til samfundsværdi. I dag findes der
ikke et samlet, operationelt værktøj, som løbende kan følge med i, hvor effektivt viden
bevæger sig fra forskning og innovation til praksis
på tværs af sektorer, fagfelter og
regioner. Uden et fælles analytisk grundlag risikerer Danmark at reagere for sent på
systemiske svagheder og at miste momentum i den globale innovationskonkurrence. Det
er også afgørende for en mere effektiv implementering af dels den anbefalede forsknings-
og innovationsstrategi, dels Strategi2040.
Anbefaling:
Derfor anbefaler vi, at der etableres et nationalt barometer for forsknings- og
innovationskapacitet og spredningskapacitet, der kan bygge videre på modellen udviklet af
Deloitte og rapportens kvalitative analyse heraf, som beror på en omfattende
litteraturgennemgang og kvalitative ekspertinterviews. Viden og erfaringer fra DFIR og
Uddannelses- og Forskningsministeriet- og Styrelsen er centrale aktører for udarbejdelsen.
Det kan forankres i den foreslåede videnskabsfunktion og i tæt samarbejde med DFIR.
Barometeret bør:
Trække på både kvantitative og kvalitative data og opbygge en systematisk
indikatorramme for kapaciteter og spredningsevne
Måle, hvordan forskningsresultater bevæger sig gennem innovationssystemet
og
hvor der opstår tab, forsinkelser eller strukturelle barrierer (kløfter)
fx gennem
kortlægning i InnoScope-modellen
Bygge videre på eksisterende nationale og internationale målinger og supplere dem
med dybere analyser af vidensflows, adfærdsbarrierer og samfundseffekter
Opdateres løbende som en del af strategisk ledelsesinformation
Potentiale:
Barometeret kan styrke Danmarks evne til at holde fokus på den centrale
udfordring
at få langt mere ud af den viden, vi allerede tilgår og producerer. Det kan være
med til at bringe Danmark i et reelt spredningsoverskud, hvor den forskningsbaserede
værdiskabelse øges.
Danmark kan gå foran i EU med udviklingen af det anbefalede barometer. Det kan inspirere
til etableringen af et europæisk innovationsbarometer
og dermed give Draghi-rapportens
begreb om "innovationskløften" konkret målelighed og politisk styrke. Det vil styrke EU’s
position i det teknologiske og industrielle kapløb med USA og Kina
og kan placere
Danmark som en af de ledende nationer i opbygningen af en fornyet, europæisk
innovationsarkitektur.
77
ERU, Alm.del - 2024-25 - Bilag 248: Meget mere end forskning – Fra innovationskløft til konkurrenceløft rapport udarbejdet af POMUS, Deloitte m.fl. udgivet i juni 2025 som et dansk svar på EU’s Draghi- og Letta-rapporter
3038575_0078.png
Meget mere end forskning
| Realisering af potentialet
5. Metascience initiativ til nytænkning af forsknings- og innovationssystemet og
teknologiudvikling
Foretag en fokuseret metascience-indsats til analyse af organisering og
incitamentsstrukturer for forskning, innovation og teknologiudvikling for at fremme
gennembrud, løsninger og kommercialisering
Hindring:
I dag er der ingen dansk instans, som systematisk analyserer, evaluerer og
udvikler selve de mekanismer, der styrer forskning og innovation. Det betyder, at centrale
beslutninger træffes uden et udviklet overblik over eventuelle utilsigtede konsekvenser,
skjulte barrierer og strukturel skævhed. Forskning og innovation er i stigende grad
samfundsbærende funktioner
men systemet bag dem er sjældent genstand for kritisk og
systematisk refleksion.
Anbefaling:
For at sikre, at Danmarks forsknings- og innovationssystem er bedre rustet til
fremtidens teknologiske og samfundsmæssige krav, anbefaler vi, at der etableres et
uafhængigt nationalt organ for metascience. Metascience handler om at bruge
forskningens egne metoder til at studere, hvordan forskning og innovation bedst
organiseres, understøttes og omsættes
fra bevillingssystemer og incitamenter til
samarbejdsformer, evalueringspraksis og kommercialiseringsruter. Et metascience-organ
kan således blive en ny, vigtig kapacitetsbygger i Danmarks forsknings- og
innovationsøkosystem
ikke mindst i en tid, hvor innovation skal være hurtig, ansvarlig og
bredt forankret.
Hvis det skal kunne udfordre eksisterende praksisser og bidrage til reel nytænkning af,
hvordan forskning og innovation organiseres, belønnes og omsættes, bør det agere frit i
forhold til de systemer og institutioner, det undersøger. Uden armslængde risikerer
metascience-organet at bekræfte status quo i stedet for at udfordre den
og analysen af
systemiske barrierer, skjulte bias og strukturelle blinde vinkler vil blive udvandet. Det
uafhængige mandat skal derfor sikre, at organet kan stille spørgsmål ved gængse normer
og incitamenter, teste alternative modeller og fremme diversitet i forskningens og
innovationens strukturer
uden at blive begrænset af eksisterende interesser,
forvaltningslogikker eller politiske hensyn.
Samtidig kan organet:
Skabe mere diversitet i systemets strukturer og styringslogikker ved at undersøge og
dokumentere, hvordan forskellige modeller og praksisser fungerer
og hvilke
konsekvenser de har for innovation, tværfaglighed, inklusion og risikovillighed
Fremme refleksion og eksperimentering i et system, der ofte er præget af stabilitet og
reproduktion
Understøtte policyudvikling og reformer med uafhængig, evidensbaseret indsigt i, hvad
der virker
og hvorfor
Potentiale:
Etableringen vil kunne placere Danmark i front af en international bevægelse,
hvor lande som Storbritannien, Holland og Canada allerede eksperimenterer med lignende
modeller
og hvor EU så småt begynder at rette blikket mod systemisk læring og refleksion
som et konkurrenceparameter.
Det samlede
potentiale for
Strategi2040 og de
fem tværgående
anbefalinger er stort
Samlet set udgør disse fem tværgående anbefalinger kernen i en kommende Strategi2040,
og de forventes indirekte at kunne bidrage til at mindske kløfterne identificeret i analysen
af det det danske innovationssystem (jf. InnoScope-modellen). En tilhørende visionær
forsknings- og innovationsstrategi skal medvirke til at sikre overensstemmelse mellem
initiativer specifikt vedr. forskning og innovation versus de andre tiltag, som iværksættes
med Strategi2040. Kombinationen af en videnskabsfunktion og en innovationstrepart kan
understøtte, at politiske beslutninger baseres på den nyeste videnskabelige forskning og
78
ERU, Alm.del - 2024-25 - Bilag 248: Meget mere end forskning – Fra innovationskløft til konkurrenceløft rapport udarbejdet af POMUS, Deloitte m.fl. udgivet i juni 2025 som et dansk svar på EU’s Draghi- og Letta-rapporter
3038575_0079.png
Meget mere end forskning
| Realisering af potentialet
strategiske fremsyn, samtidig med at dansk sikkerhed og strategisk autonomi styrkes.
Brugen af effektvurderinger gennem et nyt nationalt barometer for forsknings- og
innovationskapacitet samt spredningskapacitet og forskning i metascience kan medvirke
til at sikre både et stærkt politisk beslutningsgrundlag og fastholde politisk fokus på
betydningen af forskning og innovation for dansk konkurrenceevne, velstand og sikkerhed.
Fem system-
anbefalinger i
Strategi2040 bidrager
særligt til at øge
spredningen af dansk
forskning og
innovation
De fem tværgående anbefalinger peger på nødvendige strukturelle og strategiske greb, der
skal skabe en mere sammenhængende, risikovillig og fremtidssikret ramme for udviklingen
og sammenspillet mellem dansk forskning, innovation, teknologi og sikkerhed. De handler
om retning, kapacitet og koordinering.
Men for alvor at realisere potentialet, kræver det også, at der sættes mere direkte og
konkret ind der, hvor innovationssystem i dag er udfordret; hvor der er kløfter, som
forhindrer, at viden omsættes effektivt til værdi i samfundet.
De følgende fem anbefalinger tager derfor fat på de mest centrale systemkløfter, som
analysen har afdækket
og viser, hvordan vi kan øge spredningskapaciteten og deraf den
samfundsmæssige værdiskabelse. Det er her, forbindelsen mellem forskning, innovation,
teknologi og kommercialisering skal styrkes, hvis Danmark skal kunne stå stærkere
økonomisk, strategisk og sikkerhedspolitisk
i de næste årtier.
5.2.2.
#6
Mere ”MIT” og styrk knudepunkter
Mere ”MIT” og styrk knudepunkter
Skab et sammenhængende universitetslandskab med bedre mobilitet og interdisciplinære
muligheder, fx i Greater Copenhagen
Danmark har stærke forskningsinstitutioner og internationale styrkepositioner både
kommercielt og forskningsmæssigt, men der mangler et formaliseret økosystem
bestående af alle aktørerne i innovationssystemet
forskere, entreprenører, virksomheder,
fonde, investorer m.v.
forbundet i et knudepunkt, fx i Greater Copenhagen eller Aarhus.
Danmark går glip af værdifulde synergier og den type banebrydende innovation, som kan
opstå i sådanne innovationsdistrikter.
Den eksisterende struktur er præget af faglige og institutionelle siloer, begrænset mobilitet
mellem miljøer og utilstrækkelig understøttelse af interdisciplinære samarbejder og tidlige
iværksætterinitiativer. Det svækker både Danmarks evne til at udnytte sit fulde forsknings-
og innovationspotentiale og til at fastholde og tiltrække globalt talent i en tid, hvor
konkurrencen om talent er intens. Siloerne mellem fakulteter på universiteterne, mellem
uddannelser, mellem sektorer og brancher skal nedbrydes, så forskellige mennesker
mødes, tværfagligheden fremmes og sandsynligheden for, at den gode idé ikke bare opstår,
men forfølges og kan blive til en kommerciel succes.
Anbefaling for
humankapital
Hindringer
Handlingskatalog
På den baggrund foreslår vi følgende fem anbefalinger til handlinger:
Styrk innovationsdistrikter med fokus på at fremme mobilitet og samarbejde på tværs af
aktører i hele økosystemet og tiltrække talent og kapital
Der findes allerede spirende knudepunkter i og omkring de danske universitetsbyer, og det
er netop disse knudepunkter, der skal styrkes. Konkret foreslår vi at fokusere på Greater
Copenhagen, der ifølge OECD drager stor fordel af stærke partnerskaber mellem
universiteter, virksomheder og offentlige organisationer, der fungerer som motor for
innovation i både det offentlige og private. Regionen ligger i top i OECD inden for udviklingen
af grøn teknologi, men står over for udfordringer fx med at sikre adgang til grønne
79
ERU, Alm.del - 2024-25 - Bilag 248: Meget mere end forskning – Fra innovationskløft til konkurrenceløft rapport udarbejdet af POMUS, Deloitte m.fl. udgivet i juni 2025 som et dansk svar på EU’s Draghi- og Letta-rapporter
3038575_0080.png
Meget mere end forskning
| Realisering af potentialet
kompetencer og finansiering. En vigtig anbefaling fra OECD såvel som rapportens
konklusioner er derfor at styrke de eksisterende samarbejdsstrukturer i Greater
Copenhagen; både inden for og på tværs af den dansk-svenske grænse.
På den baggrund anbefaler vi at udvikle af et dansk MIT-inspireret økosystem, der skal
udvikles som et nationalt flagskib med fokus på talenttiltrækning, skalering og international
synlighed. Kernen i samarbejdet er et tæt og ambitiøst samarbejde mellem regionens
forskningsinstitutioner, herunder Københavns Universitet, DTU, CBS, IT-Universitetet,
Lund Universitet, samt underafdelinger fra landets andre universiteter repræsenteret i
København, med inspiration fra bl.a. Kendall Square i Boston. Målet er at fremme
tværfaglighed og koble forskning, teknologi og innovation tættere med
kommercialiseringskompetencer og entreprenørskab i regionen, der dermed kan fungere
som løftestang for Danmarks fremtidige konkurrenceevne, velstand og sikkerhed.
Konkret foreslår vi at udarbejde en fælles governancestruktur og finansieringsmodel med
klare incitamenter for samarbejde, og design af fysisk og digital infrastruktur, der fremmer
samarbejde mellem universiteter, startups og etablerede virksomheder.
Skab nye tværfaglige studieretninger og uddannelsesformater, der systematisk integrerer
viden på tværs af akademiske og institutionelle grænser
både internt på universiteter og
imellem dem
Nedbryd de traditionelle akademiske strukturer, og udvikl interdisciplinære
uddannelsesforløb og forskningsprogrammer på tværs af institutionerne. Giv mulighed for
frit flow af forskere mellem universiteterne; både i forhold til forskningssamarbejde,
undervisningsforpligtelser og adgang til faciliteter og infrastruktur.
Hamburg University of Technology (TU Hamburg) har fx bevidst fravalgt traditionelle
fakulteter og organiserer i stedet undervisning og forskning i tværgående skoler og
forskningsfelter.
Etabler acceleratorer til at bygge bro mellem forskning og erhverv fx med inspiration fra BII
Opret programmer, der udmærker sig ved ekspertise inden for, hvordan man accelererer
vejen fra forskning til innovation og kommercialisering. Fx med inspiration fra BioInnovation
Institute’s (BII’s) helhedsorienterede tilgang (se case i afsnit 3.2.1). BII kombinerer
finansiering med adgang til laboratorier, forretningsudvikling, faglig sparring og
internationale netværk. Det gør instituttet til et økosystem i sig selv med kapacitet til at løfte
virksomheder i deres tidligste og mest sårbare faser.
Giv forskere og entreprenører økonomiske incitamenter til samarbejde
Honorer erhvervserfaring og kommercielle succeser i forskningsvurderinger og
ansættelsesprocesser på universiteterne for at skabe en kultur, hvor praktiske resultater
og erhvervssamarbejde fremmes. Etabler programmer med økonomisk støtte til
universiteter, der skaber succesfulde spinouts og scale-ups, og dermed øger
kommercialiseringen af forskningsresultater og bidrager til dansk økonomisk vækst.
Styrk indsatsen for tiltrækning af talent til videregående uddannelsesinstitutioner
Et dansk MIT-inspireret økosystem vil også kunne benyttes som platform til at tiltrække nyt
talent. Talent er fundamentet for al forskning og innovation. Uden stærke, nysgerrige og
kreative mennesker kan ingen teknologisk udvikling, vidensproduktion eller
samfundsforandring finde sted. Derfor er Danmarks evne til at tiltrække, fastholde og
udvikle talent afgørende. Et nyt dansk innovationsmiljø bør derfor have talent som sit
strategiske omdrejningspunkt. Jo bedre talent vi tiltrækker, desto stærkere bliver den
danske forskningskapacitet og innovationskraft.
Det vil bl.a. kræve, at der er, åbne, tilgængelige og attraktive rammer for studerende,
forskere og iværksættere. Samtidig skal Danmark tydeligt kommunikere landets styrker:
80
ERU, Alm.del - 2024-25 - Bilag 248: Meget mere end forskning – Fra innovationskløft til konkurrenceløft rapport udarbejdet af POMUS, Deloitte m.fl. udgivet i juni 2025 som et dansk svar på EU’s Draghi- og Letta-rapporter
3038575_0081.png
Meget mere end forskning
| Realisering af potentialet
Demokratiske værdier, tryghed, akademisk frihed og høj livskvalitet. Det er træk, som i en
global kontekst
ikke mindst i kontrast til tendenser i USA og dele af Asien
gør Danmark
til et oplagt førstevalg for mange af verdens klogeste hoveder.
Det anbefales også at kigge bredt. Lige nu udvikler fx unge talenter i Ukraine avancerede
teknologier til landets forsvar
mange med direkte overførbarhed til civil anvendelse.
Denne type skjult talent findes også andre steder, og Danmark bør arbejde for, at disse
talenter kender og vælger Danmark som stedet, hvor de kan udfolde deres potentiale i et
nyt, åbent og ambitiøst innovationsmiljø. Det kræver tydelig kommunikation og stærke
internationale partnerskaber.
Potentiale
Det er vores forventning, at et dansk MIT-inspireret økosystem vil styrke
innovationskapaciteten og sikre, at flere idéer omsættes til værdi (øgning af
spredningskapacitet), samtidig med, at det kan bidrage til at tiltrække og fastholde talent i
verdensklasse. Anbefalingen har især potentiale til at mindske en af de større udfordringer
i det nuværende innovationssystem (impact-kløften, jf. InnoScope-modellen): Behovet for
bedre mulighed for, at forskerne med idéerne og entreprenørerne, der kan omsætte
ideerne, kan mødes. Anbefalingen kan bl.a. også øge adgangen til risikovillig kapital, som
er en anden betydelig udfordring (innovationskløften, jf. InnoScope-modellen).
Anbefalingen vil kunne styrke både mobilitet, tværfaglighed og evnen til at udvikle løsninger
på tværs af siloer
kvaliteter, der bliver afgørende i en fremtid præget af kompleksitet,
teknologisk hastighed og global konkurrence. Den vil også fremme resiliens i form af en
mere international talentpulje og stærkere regional udvikling.
Blandt de største risici er træghed i eksisterende strukturer og incitamentssystemer. Derfor
kræver forandringen politisk lederskab, tæt dialog med universiteter og målrettet
investering i infrastruktur og uddannelsesreformer. Samtidig vil et stort og dynamisk
innovationsdistrikt med høj mobilitet, tæt samarbejde og delte faciliteter indebære
sikkerhedsrisici. Når flere aktører kobles tættere sammen på tværs af sektorer og systemer,
opstår flere grænseflader og potentielle sårbarheder, særligt i forhold til databeskyttelse
og informationssikkerhed. Deling af følsomme forskningsdata eller samarbejde om
teknologier med strategisk betydning kræver derfor klare governance-strukturer,
cybersikkerhedsløsninger og fælles standarder, som beskytter både akademisk frihed og
national sikkerhed.
Strategisk robusthed
81
ERU, Alm.del - 2024-25 - Bilag 248: Meget mere end forskning – Fra innovationskløft til konkurrenceløft rapport udarbejdet af POMUS, Deloitte m.fl. udgivet i juni 2025 som et dansk svar på EU’s Draghi- og Letta-rapporter
3038575_0082.png
Meget mere end forskning
| Realisering af potentialet
5.2.3.
#7 Nytænk forskningsstøtten
Nytænk forskningsstøtten
Forskningsreserven: Prioriter fundamentet (basismidler/grundforskning) og flagskibe
(styrkepositioner) med mulighed for femårige satsninger
Danmark har en stærk forskningskapacitet, men den samfundsmæssige og økonomiske
værdi heraf realiseres ikke i tilstrækkelig grad, og området har mistet politisk prioritet over
årene. Udfordringen for fremtidig værdiskabelse handler derfor i højere grad om, hvordan
midler til forskning og innovation prioriteres og anvendes snarere end om investeringsgrad.
Den nuværende investeringsgrad ligger allerede over EU-gennemsnittet, og især de danske
private fonde spiller en stigende betydelig rolle i finansieringen. Baseret på rapportens
analytiske perspektiv er der især disse udfordringer i det nuværende finansieringssystem:
Kort tidshorisont og fragmentering: Den årlige forhandling om forskningsreserven
skaber usikkerhed og modarbejder langsigtet, risikovillig grundforskning
Ubalance i midler: Der er et skævt forhold mellem støtten til strategisk og fri forskning.
Grundforskning og frie midler er relativt underprioriterede, hvilket reducerer
mangfoldighed og innovation, og det er en udfordring i lyset af behovet for at skabe et
robust grundlag for fremtidens forskningsmæssige nybrud
Basismidler udhules: Den eksterne finansiering stiger, hvilket udfordrer
universiteternes kerneopgaver og drift og skaber en ubalance i forhold til, hvilke
forskningsfelter, der investeres i
Begrænset samspil med private fonde: Der findes ingen systematisk koordinering
mellem statslige og private forskningsmidler, hvilket svækker potentialet for fælles
investeringer
Underudnyttet europæisk potentiale: EU’s indre marked bruges ikke tilstrækkeligt
strategisk til at fremme forskning, innovation og videnbaseret konkurrenceevne
Anbefaling for
governance
Hindringer
Handlingskatalog
Vi foreslår følgende fem anbefalinger til handlinger:
Gør forskningsreserven langsigtet ved brug af tidssvarende instrumenter og med mulighed
for en 3-5-årig tidshorisont fx for basismidler
Forskningens natur er langsigtet, hvorfor der bør undersøges muligheder for alternative,
tidssvarende finansieringsinstrumenter frem for den nuværende årlige opsætning af
forskningsreserven. Indfør herunder 3-5-årige finansieringsrammer i forskningsreserven for
relevante satsninger
især for universiteternes basismidler og for grundforskning samt for
flagskibsprojekter, dvs. projekter, hvor nuværende styrkepositioner skal styrkes eller nye
skal udvikles. Det afgørende er, at der satses både på grundforskning og på
styrkepositioner fx grøn teknologi og AI. Det vil øge stabiliteten og muliggøre dybere, mere
risikobårne forskningsforløb.
Omdøb ”basismidler” til ”dynamiske midler” og øg andelen uddelt i forskningsreserven for
bl.a. at fremme grundforskning
Omdøb
"basismidler" som “dynamiske midler” for at understrege deres strategiske
betydning for investeringer i især grundforskning
og ”vilde” forskningsideer,
som er
grundlaget for fremtidens videnskapacitet. Øg også basismidlernes andel i
forskningsreserven markant mere end for 2025. Det vil styrke forskernes råderum og
fremme videnskabelige nybrud.
Øg støtten til den frie forskning for at sikre en mere lige balance i forhold til strategisk
forskning og mere diversitet i forskningen
82
ERU, Alm.del - 2024-25 - Bilag 248: Meget mere end forskning – Fra innovationskløft til konkurrenceløft rapport udarbejdet af POMUS, Deloitte m.fl. udgivet i juni 2025 som et dansk svar på EU’s Draghi- og Letta-rapporter
3038575_0083.png
Meget mere end forskning
| Realisering af potentialet
Hæv andelen af midler til fri forskning for at opnå bedre balance mellem strategisk og fri
forskning. Det øger diversiteten i ideer og gør forskningssystemet mere robust over for
politiske og samfundsmæssige skift og prioriteter.
Forstærk synergieffekter med private fonde for at skabe en bedre samlet forsknings- og
innovationsindsats
Afsøg mulighederne for at gøre samarbejdet med private fonde mere formaliseret, fx
gennem partnerskaber og flere fælles projekter. Det vil være vigtigt at fastholde og
anerkende fondenes autonomi, men grundet de beskrevne ubalancer mellem midlerne fra
det offentlige og fondene, bør der være en fælles interesse i at afsøge nye og mere
koordinerede samarbejdsmuligheder, hvor partnerne styrker hinanden og bidrager til et
dynamisk og robust vidensmiljø.
Potentiale
En mere strategisk, risikovillig og mobiliserende forskningsstøtte er en vigtig brik for
Danmarks evne til at skabe ny viden, som kan omsættes i løsninger og på markeder. En
reform af forskningsstøtten skal bidrage til at opnå dette. Den vil kunne udløse mere
langsigtet, risikovillig og uafhængig forskning
og samtidig skabe stærkere koblinger til
danske styrkepositioner og samfundsbehov. Det kan gøre forskningssystemet mere
innovativt, mangfoldigt og internationalt orienteret. Især vil et øget fokus på grundforskning
styrke fundamentet for den danske videnskabelig og teknologisk udvikling. Samtidig kan
grundforskning styrke fremtidig økonomisk vækst og bidrage til udviklingen af nye
industrier, arbejdspladser og en styrket konkurrenceevne. En parallel satsning på udvikling
af danske styrkepositioner
flagskibe
kan ligeledes bidrage til sådan en værdiskabelse.
Et mere strategisk samspil mellem offentlige og private fonde samt europæiske
programmer kan medvirke til at sikre, at Danmark får bedre udbytte af den høje
forskningskapacitet. Det vil kunne styrke forskernes handlekraft og skabe bedre
sammenhæng mellem forskning og samfundsbehov.
Strategisk robusthed
Anbefalingen vil kunne medvirke til at styrke Danmarks vidensmæssige autonomi og evne
til at fastholde og udvikle forskningsmæssige styrkepositioner i en tid præget af geopolitisk
konkurrence, teknologisk kapløb og globale kriser. De største risici ligger i politisk vilje og
implementeringskraft. En reform vil kræve tværpolitisk opbakning, tæt koordinering med
universiteter og fonde
og et bredt engagement i forskningsmiljøerne.
5.2.4.
#8 Styrk markedsdannelse og finansiering
Styrk markedsdannelse og finansiering
Indfør et forsknings- og udviklingsmål på 2,5% for forsvarsudgifter og pensionsmidler, og
udnyt offentlige indkøb i en samlet indsats til investering i startups, scale-ups og
højteknologiske satsninger
Anbefaling for kapital
Hindringer
Danmark står over for et skift i den globale orden, hvor investeringer i sikkerhed og teknologi
smelter sammen med behovet for at accelerere innovation og bæredygtig vækst. Samtidig
stiger de offentlige udgifter til forsvar markant
bare fra 2023 til 2024 var stigningen 20% (jf.
afsnit 2.1.1). Udgifterne vil stige yderligere, hvis NATO bliver enige om en ny målsætning for
forbrug på forsvar til 3,5% og 1,5% på andre sikkerhedsudfordringer, sådan som den
danske statsminister i juni 2025 har opfordret til.
172
Danmark har en relativt stor offentlig sektor, men midlerne anvendes i dag kun i
begrænset omfang til at fremme danske forsknings- og innovationsaktiviteter, så de
172
Berlingske, 2025
83
ERU, Alm.del - 2024-25 - Bilag 248: Meget mere end forskning – Fra innovationskløft til konkurrenceløft rapport udarbejdet af POMUS, Deloitte m.fl. udgivet i juni 2025 som et dansk svar på EU’s Draghi- og Letta-rapporter
3038575_0084.png
Meget mere end forskning
| Realisering af potentialet
hurtigere kan nå markedet og accelerer kommercialisering. Der mangler koordinering og
strategisk retning, og som påpeget i rapporten,
er Danmark klassificeret som en “low
performer” i EU, når det gælder politiske rammer for innovative offentlige indkøb.
Derudover udnyttes heller ikke pensionsformuernes potentiale til risikovillig kapital, som
vil kunne understøtte ny teknologi, højrisikosatsninger og dual-use-løsninger samt
dannelsen af nye markeder, der skal bidrage til succesfuld kommercialisering og vækst.
Danmark har pensionsopsparinger svarende til 192% af BNP, hvilket er den største
mængde indenlandsk langsigtet kapital i OECD
næsten en tredjedel højere end USA
(148%). De nuværende forsigtighedsregler forhindrer, at en større del af denne kapital
investeres i innovative, voksende danske virksomheder. Selvom højere afkast er muligt i
den danske økonomi, søger investeringerne i stedet i udlandet. Den danske pensions- og
livsforsikringssektors beholdning i USA er steget med 300% i løbet af de seneste 10 år.
Slutteligt anvendes
det strategiske råderum i EU’s nye industripolitiske dagsorden
heller
ikke tilstrækkeligt.
Handlingskatalog
Vi foreslår følgende fem anbefalinger til handlinger:
Benyt offentlige indkøb til at understøtte ny innovation fx i innovationsdistrikter
Det er i høj grad markedet, der driver innovation, og den offentlige sektor i Danmark udgør
en stor del af efterspørgselssiden. Offentlige indkøb bør derfor kobles til en Strategi2040 og
den anbefalede forsknings- og innovationsstrategi for derigennem aktivt at kunne drive
efterspørgsel på fx grønne teknologier, digitale løsninger og dual-use-teknologier
særligt i
innovationsdistrikter, herunder Greater Copenhagen, og sektorielle testmiljøer.
Danmark kan også
bl.a. som en del af sit EU-formandskab
aktivt fremme en fælles
europæisk strategi for offentlige indkøb. En sådan strategi vil styrke den markedsdrevne
efterspørgsel efter innovation og teknologi, hvilket kan accelerere udviklingen af nye
løsninger og skabe bedre vækstmuligheder for danske og europæiske virksomheder.
Opret en ”forsknings-
og innovationsreserve”
på 2,5% af forsvarsudgifterne til forskning og
udvikling af dual-use-teknologi og -løsninger
Det anbefales, at 2,5%, svarende til ca. 1,2 mia. kr. i 2025
173
, af de samlede
forsvarsinvesteringer øremærkes til en ny ”forsknings-
og innovationsreserve”,
der
målrettet understøtter forskning og innovation
herunder udvikling af dual-use-teknologier
med både civil og militær anvendelse. Reserven er tænkt som en parallel til
forskningsreserven, og skal udmøntes på baggrund af strategiske anbefalinger fra
innovationstreparten og af Folketinget i tæt samspil med erhvervsliv og vidensinstitutioner.
Danmarks stigende forsvarsbudget bør fokusere mindre på ”køb”, men i stedet på en
strategisk overgang til "innovate". Den første fase af budgetudvidelsen kan fokusere på at
styrke de basale kapaciteter gennem investeringer i materiel for at sikre grundlæggende
robusthed og beredskab. I den næste fase bør fokus gradvist skifte mod udvikling af
avancerede teknologier, dual-use-løsninger og opbygning af en dansk og europæisk
forsvarsindustri. Ved at integrere forskning og innovation i den danske forsvarsstrategi kan
Danmark positionere sig stærkere både sikkerhedspolitisk og teknologisk, samtidig med at
investeringernes langvarige værdiskabelse øges.
Afsøg mulighed for en bindende aftale med pensionskasser om 2,5% af pensionsaktiver til
risikovillig teknologi og innovation
Myndighederne bør afsøge mulighed for en national aftale med pensionsselskaber om, at
minimum 2,5% af de samlede aktiver investeres i risikovillig kapital til teknologiske
satsninger, startups og skalerbare innovationsprojekter. Det kan sikre, at en større del af
173
Forsvarsministeriet og Deloittes beregninger
84
ERU, Alm.del - 2024-25 - Bilag 248: Meget mere end forskning – Fra innovationskløft til konkurrenceløft rapport udarbejdet af POMUS, Deloitte m.fl. udgivet i juni 2025 som et dansk svar på EU’s Draghi- og Letta-rapporter
3038575_0085.png
Meget mere end forskning
| Realisering af potentialet
Danmarks store pensionskapital understøtter fremtidens danske vækst og sikkerhed. At
øge risikoprofilen vil også delvist løse udfordringen med kapitalflugt til især USA, hvor
afkastet er højere end i det lavrisiko-investeringsunivers, hvor pensionsaktiver typisk
investeres i Danmark.
Dette forslag til tiltag afspejler også Draghi-rapporten, som påpeger, at EU har store
mængder langsigtet kapital, især i pensionsformuer, men at disse midler ikke udnyttes
optimalt til at understøtte innovation og vækst. Det fremhæves bl.a., at forsigtighedsregler
og investeringsbegrænsninger ofte forhindrer pensionskapital i at blive kanaliseret mod
højrisikoinvesteringer, som kan styrke europæisk konkurrenceevne. Det skal dette forslag
afhjælpe.
Samlet sigter disse tre handlingsforslag vedrørende offentlige indkøb, forsvarsudgifter og
pensionskapital mod at skabe en koordineret indsats for investering i innovation,
højrisikosatsninger og dual-use-løsninger. Hvert enkelt tiltag vil i sig selv kunne bidrage
markant til at accelerere kommercialisering og styrke fremtidens markeder, men i samspil
vil den samlede effekt være langt mere gennemgribende og mærkbar.
Prioriter særligt digital teknologi til startups og scale-ups fx understøttelse af test og
demonstration
For at reducere udviklingskløfterne (jf. InnoScope-modellen) og sikre hurtigere
markedsgennemslag bør digitale teknologier prioriteres med adgang til test- og
demonstrationsfaciliteter samt strategisk offentlig efterspørgsel
især for virksomheder i
tidlige vækstfaser.
Match og komplementer EU’s nye ”Startup and Scaleup Strategy”
Danmark bør aktivt spille ind i den nye europæiske strategi
”Startup and Scaleup Strategy”
ved at målrette nationale indsatser til at komplementere den
fx ved at tilbyde lettere
adgang til kapital, harmonisering af regler og bedre rammer for offentligt-private
innovationspartnerskaber.
Potentiale
Denne anbefaling har potentiale til at udløse en ny generation af strategiske investeringer,
der understøtter innovation, teknologisk fremskridt fx inden for klima, digitalisering og AI,
og industriel kapacitet. En systematisk brug af offentlige indkøb, forsvarsinvesteringer og
pensionskapital kan accelerere udviklingen og markedsmodningen af teknologier, der har
betydning for både dansk erhvervsliv og sikkerhed. Det vil kunne bidrage til en mere optimal
anvendelse af offentlige midler og ikke mindst styrke Danmarks rolle i EU ved at blive en
foregangsnation for, hvordan økonomisk sikkerhed og grøn, digital omstilling kan forenes i
praksis.
En indfrielse af Danmarks mål om klimaneutralitet frem mod 2050 anslås at kræve
investeringer på op mod 200 mia. euro (jf. afsnit 2.1.1). Der eksisterer derfor også en
strategisk mulighed for at integrere klimaindsatsen i et innovations- og forsvarsfokus for
bedre at sikre, at de teknologier og løsninger, der udvikles inden for klima, også er
bæredygtige i et sikkerhedspolitisk og økonomisk perspektiv. I tillæg til
forsvarsinvesteringer, pensionsmidler og offentlige indkøb kan blot en lille del af
klimainvesteringerne i årene frem på samme vis understøtte ny innovation, flere
højrisikosatsninger og udvikling af dual-use løsninger.
Danmark kan sikre sin position blandt fremtidens førende nationer ved aktivt at skabe nye
markeder, hvor innovation og teknologi kommercialiseres og skaleres. Denne anbefaling
har potentiale til at styrke Danmarks evne til at omsætte forskning og udvikling til
konkurrencefordele, så landet fastholder sin teknologiske og økonomiske førerposition.
85
ERU, Alm.del - 2024-25 - Bilag 248: Meget mere end forskning – Fra innovationskløft til konkurrenceløft rapport udarbejdet af POMUS, Deloitte m.fl. udgivet i juni 2025 som et dansk svar på EU’s Draghi- og Letta-rapporter
3038575_0086.png
Meget mere end forskning
| Realisering af potentialet
Strategisk robusthed
Reformen kan gøre Danmark mindre afhængig af globale værdikæder og udenlandske
investeringer i kritisk teknologi
og i stedet fremme national kapacitet og autonomi.
Samtidig øges robustheden over for fremtidige kriser ved, at investeringer gennem den
strategiske kobling til Strategi2040 kanaliseres til områder med samfundskritisk betydning.
De største risici knytter sig til implementering og politisk mod: At sikre stærk koordinering
mellem ministerier, erhvervsliv og fonde, og at der etableres de rette strukturer og
incitamenter for at gøre midlerne langsigtede og strategisk virkningsfulde.
5.2.5.
#9 Teknologisk og digital satsning
Teknologisk og digital satsning
Positioner Danmark som den førende aktør inden for digitalisering, deeptech og AI i EU,
bl.a. ved at udnytte historiske data og teknologisk kapacitet
Selvom Danmark i international sammenhæng er digitalt førende, udnyttes potentialet i
den digitale infrastruktur ikke fuldt ud til at understøtte innovation og værdiskabelse.
Særligt offentlige datasæt, digitale testmiljøer og teknologiadgang forbliver
underudnyttede ressourcer, hvilket bremser udviklingen af nye løsninger inden for fx
kunstig intelligens, 5G og IoT. Små virksomheder og startups møder ofte barrierer i form af
fragmenteret adgang, juridisk kompleksitet (fx omkring databeskyttelse) og manglende
infrastruktur til at teste og skalere nye teknologier. Dette skaber en kløft mellem digital
kapacitet og faktisk anvendelse i forsknings- og innovationspraksis, med særligt negative
konsekvenser for geografiske områder uden etablerede innovationsmiljøer.
Et unikt punkt for Danmark er den historiske sundhedsdata, der går flere generationer
tilbage, men der er også her et uudnyttet potentiale, som kunne give Danmark en
konkurrencefordel.
Anbefaling for
infrastruktur
Hindringer
Handlingskatalog
Vi foreslår følgende fem anbefalinger til handlinger:
Prioriter etablering af en EU AI-fabrik i Danmark og fokuser på udvikling og
kommercialisering af kvanteteknologi
Danmark bør gå forrest i EU og byde sig til som hjemsted for en europæisk AI-fabrik med
fokus på udvikling og træning af modeller i sikker digital infrastruktur. Samtidig bør
kvanteteknologi fremmes som en strategisk parallelindsats med fokus på
kommercialisering og anvendelsesnære forskningsmiljøer.
Nedsæt en national taskforce for offentlig dataspredning
Etabler en tværministeriel enhed med ansvar for at identificere, katalogisere og åbne
relevante offentlige datakilder. Taskforcen kan fx levere standardiseret vejledning om
datasikkerhed og yde gratis rådgivning til forskere og iværksættere om anvendelse af
offentlige data. En central funktion vil være at fungere som en "one-stop-shop" for
datatilgængelighed og GDPR-afklaring med særligt fokus på især små virksomheders
adgang til værdiskabende data.
Lav strukturerede programmer for testpartnerskaber for skalerbare teknologier på tværs af
innovationsøkosystemet
Etabler en årlig runde af innovationsudbud, hvor staten i samarbejde med kommuner og
erhvervsliv medfinansierer test- og udviklingsmiljøer for teknologier med
skaleringspotentiale (fx AI, IoT og 5G). Disse testmiljøer skal muliggøre tidlig validering og
fremme markedsmodning af digitale løsninger samtidig med, at offentlige aktører kan få
adgang til nye teknologier gennem fælles pilotprojekter.
86
ERU, Alm.del - 2024-25 - Bilag 248: Meget mere end forskning – Fra innovationskløft til konkurrenceløft rapport udarbejdet af POMUS, Deloitte m.fl. udgivet i juni 2025 som et dansk svar på EU’s Draghi- og Letta-rapporter
3038575_0087.png
Meget mere end forskning
| Realisering af potentialet
Opret "Innovation Labs-as-a-Service"
adgang til universitetsinfrastruktur
Gør universitetsinfrastruktur og laboratorier tilgængelige som serviceydelser for
iværksættere, SMV’er og offentlige innovationsaktører. Det reducerer adgangsbarrierer og
accelererer udvikling og afprøvning af nye løsninger.
Indret bygninger til ”forsknings-
og innovations-legepladser”
med inspiration fra MIT’s
Building 20
Med inspiration fra MIT’s Building 20 bør Danmark skabe bygninger og miljøer, der fremmer
tværfagligt samarbejde, eksperimentering og spontan innovation
særligt for digitale og
datadrevne teknologier.
Potentiale
Indsatserne kan relativt hurtigt reducere adgangsbarrierer og sikre bedre udnyttelse af
eksisterende digitale ressourcer. En styrket data-infrastruktur vil gøre det lettere for
startups og forskere at udvikle digitale produkter baseret på offentlige ressourcer, mens
testpartnerskaber kan accelerere validering og markedsmodning af nye teknologier,
herunder også deeptech.
På længere sigt kan anbefalingen skabe en mere inkluderende, decentral og skalerbar
digital innovationsinfrastruktur. Ved at etablere strukturer, der systematisk understøtter
adgang til data og testmiljøer, styrkes hele værdikæden fra idé til marked. Dette vil fremme
teknologisk suverænitet, øge konkurrencedygtigheden og styrke Danmarks position som
digital frontløber med stærk kommerciel og samfundsmæssig forankring.
Strategisk robusthed
En øget integration af digital infrastruktur i innovationsindsatsen vil gøre det danske
økosystem mere resilient over for teknologisk disruption og global konkurrence. Den
foreslåede tilgang fremmer agilitet og omstillingsparathed ved at muliggøre hurtig respons
på nye teknologiske muligheder. Samtidig mindskes den regionale skævhed i adgangen til
innovationsressourcer
et centralt aspekt for langsigtet sammenhængskraft og
inkluderende vækst.
5.2.6.
#10 Frem villighed til at satse og fejle
Frem villighed til at satse og fejle
Gør risikovillighed og iterativ læring til en konkurrencefordel gennem stærke incitamenter
og DARPA-kultur
Anbefaling for kultur
Hindringer
Den danske velfærdsmodel og stærke forskningsposition skaber et solidt og trygt
fundament for innovation og eksperimenter. Alligevel hæmmes radikal, højrisiko-
innovation af en forsigtighedskultur og frygten for at fejle af en mangel på “fail fast, learn
faster”-mentalitet. Dette påvirker bl.a. den enkeltes karrierevalg og kommer også til udtryk
i adgangen til kapital til denne type innovation. I det tidlige udviklingsstadie, impact-kløften,
er det især incitamentsstrukturer, der fastholder forskere i akademia frem for at udforske
kommercielle eller tværsektorielle muligheder. Når dette spring er taget, er det i højere grad
manglen på risikovillig kapital, der hindrer eller forsinker kommercialiseringen af nye
teknologier og således medvirker til innovationskløften.
Udfordringen i ”champion”-kløften
er, at virksomheder kan tøve med at satse på ”vilde” vækstmuligheder med en oplevet høj
usikkerhed, men også stort potentiale. Denne kultur resulterer i færre eksperimenter,
længere udviklingscyklusser og en svagere satsning på risikofyldt innovation. Samlet set
mangler der strukturer og incitamenter, som belønner eksperimenter med høj risiko og
usikkerhed
og som gør det legitimt at fejle og starte forfra.
87
ERU, Alm.del - 2024-25 - Bilag 248: Meget mere end forskning – Fra innovationskløft til konkurrenceløft rapport udarbejdet af POMUS, Deloitte m.fl. udgivet i juni 2025 som et dansk svar på EU’s Draghi- og Letta-rapporter
3038575_0088.png
Meget mere end forskning
| Realisering af potentialet
Handlingskatalog
Vi foreslår følgende fem anbefalinger til handlinger:
Introducer “challenge missioner” og DARPA-inspirerede
højrisikosatsninger
Etabler programmer med afgrænsede samfundsudfordringer, hvor tværgående teams
konkurrerer om at udvikle radikale løsninger. Disse missioner skal have høj tolerance for
fejl og kort tidshorisont, inspireret af DARPA-modellen (jf. afsnit 3.4.1).
Skab “fail fast, learn faster”-programmer
og
”second chance”-mentorordning
Etabler statsstøttede prototyping-forløb, der støtter op om tidlig fejlfinding og kursjustering
for at optimere innovationsprocesser og reducere udviklingsrisici. Succes bør måles på
læring og tilpasning, ikke blot resultater.
Etabler et nationalt mentorprogram for iværksættere med konkursoplevelser, så deres
erfaringer kan hjælpe andre aktører i forsknings- og innovationsøkosystemet. Programmet
bør evalueres løbende bl.a. målt på antal deltagere og nye virksomhedsetableringer for at
sikre effekt og værdiskabelse.
Skab boomerang-ordninger for fleksible forskerkarrierer, der understøtter forskere i
entreprenørskab
Indfør en national meriteringsmekanisme, der gør det muligt for forskere at bevæge sig ind
og ud af erhvervslivet uden karrieremæssige omkostninger. Det kan fx ske ved at oprette en
statslig støtteordning til delestillinger, hvor universitet og virksomhed medfinansierer
ansættelsen. Evalueringen bør inkludere nye parametre for videnoverførsel og innovation,
og ikke udelukkende baseres på akademiske publikationer. Dette vil kunne fremme
integration af praktisk erfaring i forskningsmiljøet og mindske den omtalte kløft fra
innovation til forskning (jf. afsnit 4.2.2).
Opret “lessons learned”-formater
på uddannelsesinstitutioner og for iværksætteri
Uddannelsesinstitutioner og innovationsprogrammer bør indføre faste læringsformater,
hvor refleksion over fejl, afbrydelser og modstand gøres til en integreret del af faglig
udvikling og forretningsudvikling. Udbredelse af events og præsentationsformater, hvor
forskere og startups deler fejl og læring kan ligeledes være et væsentligt bidrag til
kulturforandringen. Overvej også at gøre det til et evalueringskriterium i
forskningsansøgninger, at ansøgere skal beskrive iterationsplaner og potentielle
læringsudbytter ved fejl. Initier eventuelt dialog med private fonde om at indføre et lignende
kriterium i deres ansøgningsskabeloner.
Forøg samfundets evne til kalkuleret risikotagning gennem “foresight labs”, der fremmer
akademisk og professionel scenarietænkning
Etabler tværfaglige “foresight labs”, hvor både studerende, embedsfolk og iværksættere
trænes i scenarietænkning, risikovurdering og systemiske konsekvensanalyser.
Potentiale
Hvis Danmark lykkedes med aktivt at fremme en kultur, hvor risikovillighed anerkendes
som en drivkraft for innovation og fejl ses som værdifulde erfaringer snarere end fiaskoer,
vil det kunne danne grundlag for en styrkelse af den fremtidige danske forsknings- og
innovationskapacitet samt spredningskapacitet ved at fremme hurtigere cyklusser af
idéudvikling, test og læring. Det kan accelerere teknologioverførsel fra laboratorium til
marked og understøtte en dynamisk genstartsmentalitet i dansk innovationskultur og
iværksætteri.
”Fail fast, learn faster”-programmer
vil kunne fremme hurtigere læringsloops- og validering
af idéer, mens ”second chance”-mentorordning
kan skabe rollemodeller og medvirke til,
at tillærte erfaringer bliver en systemisk kapital, som katalyserer innovation.
” essons
learned”-formater
kan bidrage til synlighed og normalisere iteration i forskning og
iværksætteri. Der er også mulighed for, at disse tiltag kan tilskynde forskere til at engagere
sig mere i tværfagligt samarbejde og kommercialisering, hvis fejleksperimenter vurderes
88
ERU, Alm.del - 2024-25 - Bilag 248: Meget mere end forskning – Fra innovationskløft til konkurrenceløft rapport udarbejdet af POMUS, Deloitte m.fl. udgivet i juni 2025 som et dansk svar på EU’s Draghi- og Letta-rapporter
3038575_0089.png
Meget mere end forskning
| Realisering af potentialet
som positivt for deres karriere. Iværksættere vil kunne tage større, men kvalificerede
chancer, der kan resultere i mere radikal innovation og flere vækstvirksomheder.
I et bredere perspektiv vil en styrkelse af en risikovillig kultur og iterativ læring bidrage til at
opbygge en stærkere og mere bredt funderet innovationskultur i Danmark præget af høj
eksperimentvilje og lavere stigma omkring ”fejl”, som vil kunne
frigøre et betydeligt
innovationspotentiale. I alle led af innovationssystemet vil en større risikovillighed og brug
af iterativ læring således være et væsentligt bidrag til et mere integreret system uden de
samme synlige kløfter, som der ses i dag.
Andre mulige afledte effekter:
Styrkelse af samfundets og erhvervslivets adaptive evne til at tilpasse sig skiftende
omgivelser, uforudsete disruptioner og nye muligheder, der bidrager til en mere
dynamisk og robust modstandsdygtig innovationsøkonomi
Styrkelse af Danmarks samlede evne til at udvikle, teste og skalere nye idéer
Øget innovationskapacitet gennem eksperimentering
Forbedret spredningskapacitet ved fremskyndelse af vidensdeling- og overførsel
Positionering af Danmark som en førende nation for iterativ innovation
Strategisk robusthed
Kulturændringer er tidskrævende og kan møde modstand fra forskningsinstitutioner og
finansieringsorganer, der traditionelt belønner sikre resultater. Uden en strategisk tilgang
kan en overfladisk implementering skabe mistillid, mens misforstået tolerance for fejl
risikerer at underminere ansvar og kvalitet. Selektiv adgang til risikovillighed kan føre til
elitære strukturer, hvor kun de mest ressourcestærke tør forfølge chancer. Fragmentering
og manglende koordinering vil svække effekten af indsatsen, mens urealistiske
forventninger og politisk utålmodighed kan presse investeringer til at levere hurtigere afkast
end realistisk. En langsigtet og systematisk indsats er essentiel
suppleret med det
politiske mod, der er afgørende for realiseringen af Strategi2040.
89
ERU, Alm.del - 2024-25 - Bilag 248: Meget mere end forskning – Fra innovationskløft til konkurrenceløft rapport udarbejdet af POMUS, Deloitte m.fl. udgivet i juni 2025 som et dansk svar på EU’s Draghi- og Letta-rapporter
3038575_0090.png
Meget mere end forskning
| BAGGRUND
BAGGRUND
90
ERU, Alm.del - 2024-25 - Bilag 248: Meget mere end forskning – Fra innovationskløft til konkurrenceløft rapport udarbejdet af POMUS, Deloitte m.fl. udgivet i juni 2025 som et dansk svar på EU’s Draghi- og Letta-rapporter
3038575_0091.png
Meget mere end forskning
| Dansk konkurrenceevne og sikkerhed under pres
6. Dansk konkurrenceevne og sikkerhed
under pres
Rammerne for Danmarks konkurrenceevne er under hastig forandring og sætter
stigende pres på dansk økonomi. Det handler ikke alene om øgede militær- og
forsvarsinvesteringer, men også om voksende geopolitiske og økonomiske
udfordringer såsom forsyningssikkerhed, kritiske afhængigheder af råmaterialer og
sårbarheder i den digitale infrastruktur. Samtidig påvirkes Danmarks fremtidige
vækst og robusthed af dybtgående strukturelle forandringer
særligt inden for
demografi, klima og kunstig intelligens.
Dette kapitel danner baggrund for analyserne i de forrige kapitler. Første del giver en dybere indsigt i de udfordringer,
der kan underminere Danmarks langsigtede konkurrenceevne, velstand og sikkerhed. Indledningsvis belyses de
militære og sikkerhedspolitiske risici, efterfulgt af en vurdering af Danmarks økonomiske sikkerhed i lyset af globale
spændinger og afhængigheder. Dernæst rettes fokus på globale megatrends, som i stigende grad påvirker både
konkurrenceevne og sikkerhed
og som samtidig er tæt forbundet med Danmarks eksisterende og mulige fremtidige
forsknings- og innovationsstyrker: demografisk udvikling, klimaforandringer og kunstig intelligens.
Anden del af kapitlet viser, at Danmark i dag har et økonomisk stærkt udgangspunkt for at møde disse udfordringer.
Med en sund økonomi, lav arbejdsløshed og overskud på de offentlige finanser står Danmark godt rustet. Det er
netop denne gunstige position, der
som rapporten viser
giver Danmark en historisk mulighed for at omsætte
komplekse udfordringer til nye styrkepositioner og langsigtet værdiskabelse.
6.1.
6.1.1.
Danmark i krydspres: geopolitiske trusler, økonomisk usikkerhed og
megatrends
Sikkerhedsspørgsmål er øverst på den politiske dagsorden
Siden Berlinmurens fald i 1989 er den europæiske forsvars- og sikkerhedspolitik primært
blevet varetaget gennem medlemskabet af NATO. Forventningen om langsigtet fred i
Europa har betydet, at Danmark og de fleste andre europæiske lande har høstet en
”fredsdividende”, hvor reducerede udgifter til forsvar og sikkerhed har betydet flere
ressourcer til kernevelfærd. Efter næsten 80 år er der med Ruslands invasion af Ukraine i
februar 2022 atter krig i Europa. Samtidig sår USA tvivl om landets opbakning til NATO, og
dermed er forsvar og sikkerhed nu igen et højaktuelt emne. Det kommer bl.a. til udtryk med
EU’s oprustningsplan og nye udenrigs-
og sikkerhedspolitiske strategi. I Danmark har den
geografiske beliggenhed ved Østersøen, den markante støtte til Ukraine samt
rigsfællesskabet med Grønland forstærket de geopolitiske risici og gjort forsvar og
sikkerhed til en politisk topprioritet.
At der er krig på det europæiske kontinent, afspejler sig også i danskernes verdenssyn og
trusselsvurdering. 56% af danskerne sagde i februar 2025, at forsvar og sikkerhed er den
mest presserende politiske prioritet i de kommende år, mens kun 24% udtrykte det samme
om klimakrisen. Figur 34 viser, hvordan danskernes trusselsbillede har ændret sig siden
Ruslands invasion af Ukraine. Den største udvikling ses i bekymringen for en konventionel
krig samt energi- og forsyningssikkerheden. Sidstnævnte kan sandsynligvis være udløst af
sprængningerne af Nord Stream-gasledningerne. I 2024 er niveauet for begge disse trusler
forblevet omtrent det samme som året før.
Europa og Danmark
står over for en ny
virkelighed på
bagkant af Ruslands
invasion af Ukraine
Krigen har ændret
danskernes
trusselsvurdering
91
ERU, Alm.del - 2024-25 - Bilag 248: Meget mere end forskning – Fra innovationskløft til konkurrenceløft rapport udarbejdet af POMUS, Deloitte m.fl. udgivet i juni 2025 som et dansk svar på EU’s Draghi- og Letta-rapporter
3038575_0092.png
Meget mere end forskning
| Dansk konkurrenceevne og sikkerhed under pres
Danskerne er blevet
mere bekymrede for
konventionel krig og
energi- og
forsyningssikkerhed
Figur 34: Danskernes trusselsbillede, relativ ændring fra 2021 til 2024
Konventionel krig
Terrorisme
Energi- og forsyningssikkerhed
Transnational kriminalitet
Politisk subversion
Ustabilitet i Europa
Migration
Skrøbelige stater
Masseødelæggelsesvåben
Cyberangreb
Global opvarmning
Global ulighed
Økonomisk krise
Handelskrig og protektionisme
Pandemier
(0,8)
(0,6)
(0,4)
(0,2)
0,0
0,2
0,4
0,6
Kilde: Center for Militære Studier - Københavns Universitet, 2024; Note: Positiv værdi betyder, at kategorien betragtes som en
større trussel i 2024 end i 2021 (skala fra 0 til 5, hvor 5 er det højeste trusselsniveau)
USA’s nye
geopolitiske retorik
og prioriteter øger det
militære fokus i EU og
Danmark
Med valget af Trump-administrationen og det
politiske fokus på ”Amerika først” opleves
behovet for oprustning i EU som endnu mere aktuelt. Der kan spores en voksende divergens
mellem USA’s og Europas sikkerhedspolitiske interesser. USA har
gentagne gange udtalt
stor skepsis over for EU som institution og de europæiske landes bidrag til den vestlige
verdens forsvar og sikkerhed. Grundet tvetydig retorik fra Trump administrationen, opleves
det som usikkert, hvorvidt USA vil overholde NATO’s musketered om, at et angreb på et
NATO-land er et angreb på hele alliancen, og dermed vil hjælpe, hvis fx europæiske lande
kommer under angreb. Denne situation er problematisk for EU, herunder Danmark, fordi
USA historisk har bidraget markant til NATO’s samlede forsvarsudgifter, ligesom USA’s
atomparaply spiller en central rolle i den europæiske sikkerhedsstrategi. Blandt NATO-
landene stod USA for 66% af de samlede omkostninger til forsvar i 2024 (se Figur 35).
Samtidig bidrager USA dog kun med 16% til NATO’s fælles finansiering
174
, herunder NATO-
specifikke missioner, træningsaktiviteter og andre tiltag, der kommer alle medlemslande
direkte til gavn igennem alliancen.
175,176
USA er dermed ubestridt det land i NATO, som
isoleret set afholder flest omkostninger til forsvar. Tyskland bidrager dog i lige så høj grad
til NATO’s fælles operationelle omkostninger. Den fælles finansiering på 16%
afspejler
imidlertid ikke, at amerikansk udstyr udgør en stor del af NATO’s materiel, hvilket også øger
afhængigheden af USA i vestens forsvar.
Figur 35: Fælles finansiering og totale forsvarsomkostninger per NATO-land, 2024
80%
60%
40%
20%
0%
USA
Tyskland
UK
Frankrig
Italien
Canada
Forsvarsomkostninger (V)
Kilde: Sipri, 2024
USA bidrager med
66% af forsvars-
omkostningerne i
NATO, men kun 16%
til den fælles
finansiering
66%
2.895
1.044
1.186
1.670
639
742
514
522
25%
16%
16%
6%
11%
5%
10%
4%
5000
3000
1000
973
3%
9%
2%
7%
2%
6%
11%
1% 1%
Andre
Spanien Danmark
Fælles finansiering (V)
Forsvarsomkostninger per capita (H)
174
175
Refererer til NATO’s ”common funds”
NATO, 2025b
176
Sipri, 2024
92
ERU, Alm.del - 2024-25 - Bilag 248: Meget mere end forskning – Fra innovationskløft til konkurrenceløft rapport udarbejdet af POMUS, Deloitte m.fl. udgivet i juni 2025 som et dansk svar på EU’s Draghi- og Letta-rapporter
3038575_0093.png
Meget mere end forskning
| Dansk konkurrenceevne og sikkerhed under pres
Amerikansk krav i
NATO om forsvars-
investeringer på op
imod 5% af BNP årligt
Allerede i præsident Trumps første præsidentperiode fra 2017 til 2021 gjorde USA det klart,
at det var et absolut minimumskrav for medlemslandene at bruge 2% af deres
bruttonationalprodukt (BNP) på forsvar. Selvom 2%-kravet blev indført i NATO i 2014, var
der ti år senere kun 22 ud af 32 NATO-lande, som levede op til forpligtelsen. Senest har
Trump-administrationen udtalt, at NATO-medlemslandene kraftigt skal opprioritere deres
militærinvesteringer med op imod 5% af BNP, og han har skærpet retorikken, bl.a. med
gentagne advarsler om, at USA ikke vil forsvare NATO-lande, der ikke lever op til deres
forpligtelser.
177
USA brugte 3,2% af sit BNP på forsvarsudgifter i 2024 som vist i Figur 36, og kun tre NATO-
lande
Polen, Estland og Letland
ligger over dette niveau, hvilket især skyldes deres
historie med Rusland og geografiske beliggenhed. Det gør den militære trussel relativt mere
udtalt, hvorfor forsvars- og sikkerhedspolitik konsekvent har ligget højt på den politiske
dagsorden og haft befolkningens opbakning. Til sammenligning brugte Danmark 2,4% af
BNP på militær inkl. støtten til Ukraine.
NATO-landenes andel
Figur 36: Andel af BNP brugt på Forsvaret, 2024
af BNP brugt på
5%
4,1%
Forsvaret
4%
3%
2%
1%
0%
3,2%
2,4%
NATO's 2%-mål
Kilde: Sipri, 2024
Årtiers under-
investering har sat
den danske
forsvarsindustri i en
udfordrende position
Historisk underinvestering i forsvarsudgifter har dog begrænset udviklingen af den danske
forsvarsindustri sammenlignet med andre europæiske lande. I løbet af det sidste årti har
Danmark brugt ca. 1,2% af BNP på militære udgifter, hvilket ligger væsentligt under NATO-
målet på 2%.
178
Denne finansieringsmangel har sandsynligvis bidraget til, at flere små
forsvarsvirksomheder er blevet underudnyttet og underkapitaliseret, hvilket har resulteret
i tabte innovations- og vækstmuligheder.
179
Det resulterende tab af den sektorspecifikke
konkurrenceevne afspejles i Danmarks tildeling per indbygger fra projektmidler under Den
Europæiske Forsvarsfond, hvor Danmark lå lavest blandt flere sammenlignelige nordiske
og europæiske økonomier i 2021 (jf. Figur 37).
180
Den begrænsede udvikling af den
indenlandske industri afspejles også i, at mindre end 15% af forsvarsmateriellet indkøbes
lokalt, sammenlignet med betydeligt højere andele i Sverige (60%) og Norge (30%).
177
178
Politico, 2025
Verdensbanken, 2025
179
Erhvervslivets Tænketank, 2023
180
Terma A/S, 2024
93
Polen
Estland
Letland
USA
Litauen
Grækenland
Danmark
UK
Finland
Rumænien
Sverige
Norge
Ungarn
Tyskland
Tyrkiet
Tjekkiet
Nederlandene
Albanien
Bulgarien
Frankrig
Nordmakedonien
Slovakiet
Kroatien
Montenegro
Italien
Portugal
Canada
Slovenien
Luxembourg
Belgien
Spanien
ERU, Alm.del - 2024-25 - Bilag 248: Meget mere end forskning – Fra innovationskløft til konkurrenceløft rapport udarbejdet af POMUS, Deloitte m.fl. udgivet i juni 2025 som et dansk svar på EU’s Draghi- og Letta-rapporter
3038575_0094.png
Meget mere end forskning
| Dansk konkurrenceevne og sikkerhed under pres
Spanien
Litauen
Belgien
Tyskland
Luxembourg
Kilde: Terma A/S, 2024
6.1.2.
Økonomisk sikkerhed er blevet en topprioritet i lyset af geopolitisk udvikling
Den nuværende usikre verdenssituation kræver en dybere og bredere forståelse af
Danmarks økonomiske sikkerhed. For at opnå denne helhedsorienterede tilgang anvender
rapporten de fire søjler, som danner rammen om
EU’s strategi for økonomisk sikkerhed fra
2023. Strategien beskriver en tilgang til vurdering af risiciene for den økonomiske sikkerhed
på følgende fire områder:
181
Risici for forsyningskædernes modstandsdygtighed, herunder energisikkerhed
Risici for den fysiske sikkerhed og cybersikkerheden i forbindelse med kritisk
infrastruktur
Risici i forbindelse med teknologisk sikkerhed og teknologilækage
Risici for våbenliggørelse af økonomisk afhængighed eller økonomisk tvang
De stigende
geopolitiske risici
kræver en helheds-
orienteret tilgang til
vurdering af Dan-
marks økonomiske
sikkerhed
6.1.2.1. Forsyningskædernes modstandsdygtighed, herunder energisikkerhed og adgang
til kritiske mineraler
Danmark betragtes
som en af de globale
ledere inden for
energisikkerhed-
og omstilling
Danmark opretholder en høj grad af energisikkerhed, hvilket er understøttet af en stigende
andel af vedvarende energikilder og et velintegreret energisystem. I 2023 udgjorde vind-,
sol- og biomasse 45% af det danske energiforbrug, mens Danmarks selvforsyningsgrad lå
på 59%.
182
Energiinfrastrukturen i Danmark er tæt forbundet med elnettet i de andre
nordiske og europæiske lande, hvilket sikrer en stabil forsyning og bidrager til et af Europas
mest pålidelige elnet.
183
Disse strukturelle styrker placerer Danmark blandt de globale
frontløbere inden for energisikkerhed og lige adgang til energi, hvilket fremgår af Figur 38.
Danmark sigter mod at lede den grønne omstilling med en lovfæstet målsætning om
klimaneutralitet i 2045, og landet har veletablerede styrkepositioner inden for havvind,
biometan og fjernvarme.
184
Disse teknologier har medført en strukturel transformation af
energisystemet, hvor den næsten fuldstændige udfasning af kul i fjernvarmeproduktionen
har reduceret afhængigheden af fossile brændsler.
185
For at nå reduktionsmålet for CO2-
181
182
Europa-Kommissionen, 2023c
Energistyrelsen, 2024
183
Udenrigsministeriet, 2018
184
Energistyrelsen, 2024
185
IEA Bioenergy, 2024
94
Danmark
Sverige
Estland
Finland
Italien
Norge
Frankrig
Holland
Letland
Figur 37: Den Europæiske Forsvarsfond, allokering per indbygger (euro), 2021
Danske
forsvarsvirksomheder
10
8,21
modtog betydeligt
8
5,82
mindre finansiering
4,99 4,74
6
4,19
under EDF per
3,34
3,31
2,71 2,33 2,31
4
2,09 1,65
indbygger end
2
sammenlignelige
0
regionale økonomier i
2021
1,33
1,01
ERU, Alm.del - 2024-25 - Bilag 248: Meget mere end forskning – Fra innovationskløft til konkurrenceløft rapport udarbejdet af POMUS, Deloitte m.fl. udgivet i juni 2025 som et dansk svar på EU’s Draghi- og Letta-rapporter
3038575_0095.png
Meget mere end forskning
| Dansk konkurrenceevne og sikkerhed under pres
udledning forventes produktionen af landvind og solenergi at blive firdoblet i løbet af det
kommende årti, mens kapaciteten for havvind forventes at stige til det syvdobbelte fra 2023
til 2030.
186
Dette medfører større mængder af vedvarende energi, og den grønne
energitransformation understøttes derfor af en planlagt markant udbygning af elnettet med
årlige investeringer på 9 mia.kr. i perioden 2024 til 2027.
187
Danmark har det
mest velintegrerede
energisystem, som
effektivt balancerer
energisikkerhed,
energimæssig lighed
og bæredygtighed
Figur 38: Avancerede økonomier på Energi Trilemma-indekset 2024
90
80
70
60
50
40
83 83 83 82
81 81 81 80 80 80 80 80
79 78 78 78 78
77 77 77 77 76 76 76 76
76
75 75
74
74 73
71 70 70
66
64
Kilde: World Energy Council, 2024; Note: Score mellem 0 og 100
Samtidig er dansk
energi noget af
verdens dyreste
På trods af Danmarks førerposition inden for energisikkerhed og den grønne omstilling har
den seneste geopolitiske og strukturelle udvikling tydeliggjort landets sårbarhed over for
chok på energimarkedet. På bagkant af krigen mellem Rusland og Ukraine oplevede
Danmark en af de største stigninger i el- og gaspriser i Europa.
188
Uden de rette
markedsmekanismer kan den gradvise omstilling fra fossile brændsler til vedvarende
energi føre til øget risiko for prisvolatilitet på elmarkedet, hvilket kan skabe en væsentlig
hindring for konkurrenceevnen, da Danmark samtidig har nogle af verdens højeste elpriser
(se Figur 39).
189
De volatile energipriser i Europa har vist sig at presse virksomhedernes
profitmarginer, svække den økonomiske aktivitet og øge usikkerheden, hvilket potentielt
kan føre til strammere finansielle vilkår for de europæiske virksomheder.
190
Disse
konsekvenser kan på længere sigt påvirke investeringer i fast realkapital, forskning og
innovation, som alle er kritiske faktorer for at styrke produktivitetsvækst og dermed
fastholde Danmarks generelle konkurrenceevne globalt.
191
Den seneste udvikling har også
skabt øget debat om atomkraft i Danmark. Der har siden 1985 været forbud mod atomkraft,
da Folketinget vedtog, at atomkraft ikke måtte indgå i den danske energiplanlægning, men
nu vil to ud af fem danskere indføre atomkraft i Danmark, mens ledende partier vil have
undersøgt atomkraftens muligheder og konsekvenser i Danmark.
192
Der er også forslag om
at genåbne en forskningsreaktor på Risø for at styrke forskning i kernekraft.
193
186
187
IEA, 2023
Energinet, 2024
188
Eurostat, 2025
189
World Population Review, 2025
190
Den Europæiske Centralbank, 2024
191
Danmarks Nationalbank, 2023
192
Voxmeter, 2025
193
Danmarks Radio, 2025
95
Danmark
Sverige
Finland
Schweiz
Canada
Østrig
Frankrig
Estland
Tyskland
Storbritannien
Norge
New Zealand
USA
Slovenien
Tjekkiet
Spanien
Holland
Luxembourg
Belgien
Portugal
Slovakiet
Irland
Letland
Island
Kroatien
Australien
Japan
Litauen
Italien
Israel
Sydkorea
Grækenland
Malta
Singapore
Cypern
Kina
ERU, Alm.del - 2024-25 - Bilag 248: Meget mere end forskning – Fra innovationskløft til konkurrenceløft rapport udarbejdet af POMUS, Deloitte m.fl. udgivet i juni 2025 som et dansk svar på EU’s Draghi- og Letta-rapporter
3038575_0096.png
Meget mere end forskning
| Dansk konkurrenceevne og sikkerhed under pres
Figur 39: Elpriser for erhvervskunder (inkl. skatter og afgifter)
top-5 lande, gennemsnit for
Elpriser for
EU og euroområdet (DKK/kWh)
virksomheder i
Danmark er blandt de
4,00
højeste i Europa
3,00
2,00
1,00
0,00
2020-S1 2020-S2 2021-S1 2021-S2 2022-S1 2022-S2 2023-S1 2023-S2 2024-S1 2024-S2
Europæiske Union
Norge
Sverige
Kilde: Eurostat, 2025
Euroområdet
Tyskland
Danmark
Italien
Stabil adgang til
kritiske råmaterialer
er afgørende for at
fastholde Danmarks
momentum i den
grønne omstilling
I 2019 bidrog kritiske råmaterialer samlet med 215,4 mia.kr. i bruttoværditilvækst, hvilket
svarer til 9,1% af Danmarks BNP, gennem deres anvendelse i vigtige danske industrier
såsom informations- og kommunikationsteknologi, forsvarssektoren, medicinalindustrien
og grøn teknologi.
194
Den økonomiske betydning af kritiske råmaterialer forventes at stige
markant, bl.a. i takt med at disse industrier vokser og grundet Danmarks ambitiøse
positionering på den globale klimascene og egne klimamål, som medfører en øget
efterspørgsel. Sjældne jordarter som fx neodym er essentielle komponenter i
energiteknologier, herunder bl.a. vindmøller.
195
Forsyningskæderne for nogle af disse
ressourcer, såsom kobolt, bor, neodym og platinmetaller, står dog over for moderate til
høje risici for forstyrrelser som vist i Figur 40. Da manglen på disse mineraler kan have store
konsekvenser for den grønne omstilling, er det altafgørende at sikre en stabil og sikker
forsyning af kritiske råmaterialer for at opretholde energiuafhængighed og nå Danmarks
langsigtede klimaambitioner.
194
Figur 40: EU forsyningssikkerhedsscore for kritiske råmaterialer, 2023
6
5
4
3
2
1
0
5,1
4,4
4,1 3,9
3,7 3,6
Råmaterialer såsom
neodym, kobolt og
bor er kritiske for den
grønne omstilling,
men er behæftet med
betydelige
forsyningsrisici
3,3
2,8 2,7
2,6
2,4 2,3
1,9 1,9 1,9 1,8 1,8 1,8 1,8
1,6 1,5 1,5
1,3 1,3 1,3
1,2 1,2 1,2 1,1
1
1
0,5
0,2 0,1
Kilde: Europa-Kommissionen, 2023d; Note: Score mellem 0 og 10
194
195
GEUS, 2023
IEA, 2024
96
Tunge sjældne jordarter
Niobium
Magnesium
Gallium
Lettere sjældne jordarter
Bor
Fosfor
Kobolt
Platinmetaller
Strontium
Scandium
Vanadium
Arsen
Vismut
Litium
Antimon
Beryllium
Germanium
Naturlig grafit
Titanmetal
Feldspat
Hafnium
Baryt
Silicium metal
Tantal
Helium
Mangan
Wolfram
Fluorit
Koks kul
Fosfatsten
Nikkel
Aluminium
Kobber
ERU, Alm.del - 2024-25 - Bilag 248: Meget mere end forskning – Fra innovationskløft til konkurrenceløft rapport udarbejdet af POMUS, Deloitte m.fl. udgivet i juni 2025 som et dansk svar på EU’s Draghi- og Letta-rapporter
3038575_0097.png
Meget mere end forskning
| Dansk konkurrenceevne og sikkerhed under pres
Danmark er meget
afhængig af import af
kritiske råmaterialer
fra få lande
Figur 41 viser, at dansk import af kritiske råmaterialer er koncentreret på få lande. Fx
dækker Storbritannien og Japan tilsammen al dansk import af det kritiske råmateriale
litium. Storbritannien dækker alene 99,99%, hvilket afspejles i Figur 41. Hvad angår ikke-
europæiske leverandører, importeres bl.a. fra Kina, USA og Indien. Denne afhængighed
afspejler den begrænsede indenlandske udvinding, der primært omfatter ikke-metalliske
mineraler såsom kalksten, kridt, salt, ler og aggregater som sand og grus.
196
Figur 41: Andel af den største leverandør til Danmarks import af kritiske mineraler*
100%
90%
Danmarks forsyning
af kritiske mineraler
er koncentreret på få
leverandører og
mange fra ikke EU-
lande
80%
70%
60%
50%
40%
30%
20%
10%
0%
Kilde: Dansk Industri, 2024c; Note: Europæiske leverandører inkluderer Norge og Storbritannien, mens ikke-europæiske
leverandører omfatter bl.a. Kina, Indien, Tyrkiet, og Kasakhstan
6.1.2.2. Kritisk infrastruktur er udsat for fysiske og digitale trusler
Risikoen for
oversvømmelse
udgør den største
fysiske trussel mod
den kritiske
infrastruktur
Sammenlignet med andre veludviklede lande har Danmark en høj grad af robusthed over
for fysiske risici i kritisk infrastruktur, uanset om de skyldes klimaforandringer, jordskælv
eller brande (jf. Figur 42).
197,198
Selvom landet står over for stigende risici for tørke og
hedebølger, forekommer disse relativt sjældent, og på trods af at risikoen for skovbrande
er stigende, forbliver den væsentligt lavere end i de fleste europæiske lande.
199,200
Ligeledes
er der minimal risiko for jordskælv. Dog oplever Danmark moderate til høje risici som følge
af bl.a. stigende havniveauer, hyppigere og kraftigere stormfloder samt intens nedbør og
oversvømmelser.
201
Det anslås, at de samlede forventede skader på boliger,
erhvervsbygninger, fritidshuse, landbrug og turisme vil beløbe sig til 406 mia.kr. over de
næste 100 år.
202
Disse risici kan svække danske virksomheders konkurrenceevne ved at
true driftsstabiliteten og forsyningskæderne, hvilket gør omfattende investeringer i
klimatilpasning afgørende for at begrænse økonomiske konsekvenser.
203
196
197
IRENA, 2023
WorldAtlas, 2024
198
GEUS, 2015
199
Beredskabsstyrelsen, 2022
200
The Joint Research Centre: EU Science Hub, 2023
201
Danmarks Nationalbank, 2025b
202
DTU, 2024
203
World Economic Forum, 2024
97
Litium
Fluorit
Platinmetaller
Naturlig grafit
Fosfatsten
Feldspat
Nikkel
Magnesium
Sjældne jordarter
Scandium
Wolfram
Fosfor
Aluminium
Vismut
Baryt
Kobolt
Germanium
Antimon
Kobber
Koks kul
Beryllium
Vanadium
Silicium metal
Helium
Titanmetaller
Mangan
Gallium
Hafnium
Strontium
Borater
Europæisk leverandør
Ikke-europæisk leverandør
ERU, Alm.del - 2024-25 - Bilag 248: Meget mere end forskning – Fra innovationskløft til konkurrenceløft rapport udarbejdet af POMUS, Deloitte m.fl. udgivet i juni 2025 som et dansk svar på EU’s Draghi- og Letta-rapporter
3038575_0098.png
Meget mere end forskning
| Dansk konkurrenceevne og sikkerhed under pres
Danmark er blandt de
Figur 42: Avancerede økonomiers
præstation på den fysiske risikokomponent i FM’s globale
204
bedste lande globalt,
modstandsdygtighedsindeks
når det gælder fysisk
100 99 99 98 96 96
95 95
94
94 93 92 92
100
92 91 90 90 89
87 87 86 85 85 85
modstandsdygtighed
84 83
80
60
40
20
0
82 80
78
78
78
73
71
69
61
Kilde: Factory Mutual, 2025
Danmark klarer sig
godt inden for
cybersikkerhed, men
trusselsbilledet for
kritisk infrastruktur er
voksende
Danmark betragtes i EU som en global frontløber inden for cybersikkerhed og opnår her en
topplacering.
205
Dette understøttes af landets meget lave forekomst af angreb fra skadelig
software og finansielle cyberangreb.
206
Dog har 40% af små og mellemstore danske
virksomheder SMV’er et digitalt sikkerhedsniveau, der vurderes
at være for lavt i forhold
til deres risikoprofil.
207
Desuden er risici i forbindelse med cybersikkerhed blevet mere
fremtrædende i de seneste år, især i relation til kritisk infrastruktur. Danmark blev fx udsat
for et omfattende cyberangreb i 2023, der kompromitterede industrielle kontrolsystemer
hos 22 virksomheder inden for energiinfrastruktur.
208
Andre kritiske sektorer, såsom
vandforsyning, telekommunikation og finansielle serviceydelser, oplever ligeledes
stigende trusler fra cyberkriminalitet og cyberspionage som illustreret i Tabel 3.
209
Center for Cybersikkerhed hævede i 2024 risikovurderingen for destruktive cyberangreb,
der forårsager fysisk skade på mennesker eller materiel, fra lav til middel.
210
Dette var
primært forårsaget af Ruslands øgede sandsynlighed for at anvende cyberangreb mod
europæiske NATO-medlemmer. Disse risici kan bl.a. sprede sig gennem forsyningskæder
og føre til omfattende økonomiske tab samt øgede driftsomkostninger.
211
Hvis
omkostningerne videreføres, kan det skade konkurrenceevnen.
204
205
Evaluerer et lands sårbarhed over for naturkatastrofer og cybertrusler
Europa-Kommissionen, 2023a
206
Udenrigsministeriet, 2025
207
Styrelsen for Samfundssikkerhed, 2024
208
SektorCERT, 2023
209
Center for Cybersikkerhed, 2025
210
Center for Cybersikkerhed, 2024
211
Harvard Business Review, 2023
98
Tjekkiet
Spanien
Belgien
Danmark
Norge
Tyskland
Finland
Frankrig
Sverige
Luxembourg
USA
Australien
Singapore
Storbritannien
Malta
Estland
Østrig
Slovakiet
Portugal
Canada
Litauen
Schweiz
Cypern
Israel
Letland
Kroatien
Italien
Irland
New Zealand
Grækenland
Sydkorea
Slovenien
Holland
Japan
Kina
ERU, Alm.del - 2024-25 - Bilag 248: Meget mere end forskning – Fra innovationskløft til konkurrenceløft rapport udarbejdet af POMUS, Deloitte m.fl. udgivet i juni 2025 som et dansk svar på EU’s Draghi- og Letta-rapporter
3038575_0099.png
Meget mere end forskning
| Dansk konkurrenceevne og sikkerhed under pres
Nye vurderinger
fremhæver en
voksende trussel fra
cyberspionage og
destruktive
cyberangreb i
Danmark
Tabel 3: Vurdering af cybersikkerhedsrisici
Sektor (år for
risikovurdering)
Overordnet (2024)
Vand (2025)
Finansielle serviceydelser
(2024)
Energi (2023)
Havne og logistik (2023)
Telekommunikation (2022)
Land- og lufttransport (2022)
Luftfart (2022)
Kilde: Center for Cybersikkerhed, 2025
Cyber-
kriminalitet
Meget høj
Meget høj
Meget høj
Meget høj
Meget høj
Meget høj
Meget høj
Meget høj
Cyber-
spionage
Meget høj
Medium
Medium
Meget høj
Meget høj
Medium
Meget høj
Meget høj
Cyber-
Destruktive
Cyber-
aktivisme cyberangreb terrorisme
Høj
Medium
Høj
Høj
Høj
Medium
Medium
Medium
Medium
Medium
Medium
Lav
Lav
Lav
Lav
Lav
Ingen
Ingen
Ingen
Ingen
Ingen
Ingen
Ingen
Ingen
6.1.2.3. Teknologisikkerhed og -lækage
Danmark er blandt
verdens bedste til
beskyttelse af
ejendomsrettigheder,
men der er
udfordringer i SMV-
segmentet
Danmark nyder godt af et velfungerende system til beskyttelse af intellektuelle
ejendomsrettigheder (IPR) og placerer sig konsekvent blandt verdens førende nationer som
illustreret i Figur 43. Ifølge International Property Rights Index (IPRI) 2024 opnår Danmark
en samlet score på 7,8, hvilket placerer landet som nummer tre globalt ud af 125 lande og
som nummer to blandt vesteuropæiske nationer.
212
Danmark scorer særligt højt på det
juridiske og politiske miljø samt fysiske ejendomsrettigheder, men halter bagefter inden for
beskyttelsen af immaterielle rettigheder. Her overgås Danmark af lande som USA,
Singapore og Holland, især når det gælder håndhævelse af IPR. Udfordringerne er særligt
udtalte blandt SMV’er, hvor kun 10% angiver at have IP-rettigheder.
213
Det afspejler en
generel mangel på viden om IPR blandt danske virksomheder og indikerer et behov for
oplysningsindsatser. Samtidig er der et tydeligt forbedringspotentiale i forhold til dansk
patentaktivitet, især inden for strategisk vigtige teknologier som kunstig intelligens (AI) og
robotteknologi.
212
En målrettet styrkelse af IP-kompetencer og -beskyttelse er derfor
afgørende for at fremme innovation og sikre danske virksomheders konkurrenceevne
globalt.
Danmark står i stigende grad over for trusler i form af teknologilækage og IP-tyveri.
Udenlandske statslige aktører målretter sig mod danske forskningsinstitutioner og
teknologivirksomheder for at opnå uautoriseret adgang til viden og teknologi
ofte gennem
cyberspionage, ulovlig teknologianskaffelse og rekruttering af personer med adgang til
kontrollerede teknologier. Center for Cybersikkerhed vurderer truslen fra cyberspionage
mod danske forskningsinstitutioner som værende
”meget
høj”.
214
En undersøgelse fra
Patent-
og Varemærkestyrelsen 2022 viser også, at 16% af danske SMV’er har oplevet
krænkelse af deres IP-rettigheder eller kopiering af idéer og produkter.
215
På EU-niveau
estimeres de årlige tab som følge af IP-tyveri at være ca. 60 mia. euro
med op mod 290.000
arbejdspladser i fare.
216
Teknologityveri udhuler virksomhedernes first mover-fordele og
mindsker incitamentet til at investere i innovation, hvilket på sigt kan svække dansk
erhvervslivs globale position.
Øget trussel fra IP-
tyveri og
teknologilækage
212
213
Property Rights Alliance, 2024
Patent- og Varemærkestyrelsen, 2025
214
Ministeriet for Samfundssikkerhed og Beredskab, 2024
215
Patent- og Varemærkestyrelsen, 2022
216
Europa-Kommissionen, 2024c
99
ERU, Alm.del - 2024-25 - Bilag 248: Meget mere end forskning – Fra innovationskløft til konkurrenceløft rapport udarbejdet af POMUS, Deloitte m.fl. udgivet i juni 2025 som et dansk svar på EU’s Draghi- og Letta-rapporter
3038575_0100.png
Meget mere end forskning
| Dansk konkurrenceevne og sikkerhed under pres
Figur 43: Danmarks placering på Intellectual Property Rights Index 2024
Danmark klarer sig
relativt dårligst inden
Legal and political
environment
for beskyttelse af
10
varemærker, patenter
Trademark protection
Judicial independence
8
og intellektuelle
ejendomsrettigheder
6
Patent protection
Rule of law
(IPR)
4
Intellectual property
protection
Intellectual property
rights (IPR)
Access to financing
Registering process
Denmark
Kilde: Property Rights Alliance, 2024
2
0
Political stability
Control of corruption
Physical property rights
Physical property
protection
Maximum score
6.1.2.4. Udnyttelse af økonomiske afhængigheder som våben eller tvang
Voksende eksport-
restriktioner blandt
nøgleproducenter af
kritiske råmaterialer
eksponerer Danmark
for økonomisk tvang
Danmark er afhængig af importerede kritiske råmaterialer til fx transport- og
teknologisektoren. Den globale minedrift og forarbejdning af kritiske materialer er præget
af en høj grad af koncentration, hvor få lande dominerer markedet.
217
Danmarks adgang til
disse materialer er underlagt globale markedsdynamikker og geopolitiske skift, hvilket
skaber kritiske afhængigheder til få udenlandske lande. Den danske økonomi oplever i
stigende grad udfordringer som følge af den voksende handelsprotektionisme.
218
Fx er
eksportrestriktioner på kritiske råmaterialer (CRMs) femdoblet mellem 2009 og 2020, og
10% af den globale CRM-handel er underlagt mindst én restriktion.
219
Kina og Indien, som
er blandt Danmarks vigtigste CRM-leverandører, stod alene for 40% af disse nye
restriktioner.
220
En høj koncentration af råmaterialeleverandører kan give eksportlande incitament for at
udnytte markedsdynamikkerne til at forfølge både økonomiske og politiske mål. Dette kan
ske ved at hæve globale priser, hvilket underminerer konkurrenceevnen for importerende
lande som Danmark.
218
Figur 44 viser, at Danmark i april 2025 stod over for 40
eksportrestriktioner af CRMs, hvor Kina alene stod for to tredjedele af disse. Kritiske
afhængigheder er særlig kritiske, hvis der er politisk usikkerhed forbundet med de lande, vi
er afhængige af. Dette blev tydeligt, da Rusland i 2022 lukkede for gassen til bl.a. Danmark,
hvilket statsministeren omtalte
som ”ren afpresning”.
221
Det kan få alvorlige konsekvenser
for Danmark og Europas industri og forsyningskæder, hvis lignende afpresningsmetoder
benyttes i forbindelse med andre CRMs.
217
218
IRENA, 2023
Verdensbanken, 2023a
219
OECD, 2024b
220
OECD, 2024c
221
Altinget, 2022
100
ERU, Alm.del - 2024-25 - Bilag 248: Meget mere end forskning – Fra innovationskløft til konkurrenceløft rapport udarbejdet af POMUS, Deloitte m.fl. udgivet i juni 2025 som et dansk svar på EU’s Draghi- og Letta-rapporter
3038575_0101.png
Meget mere end forskning
| Dansk konkurrenceevne og sikkerhed under pres
Danmarks import af
kritiske råmaterialer
er udsat for
eksportrestriktioner,
især fra Kina
Figur 44: Aktive eksportrestriktioner af kritiske råmaterialer, der påvirker Danmark
Indonesien; 1; 3%
Australien; 1; 2%
Argentina; 1; 2%
Rusland; 2; 5%
Totale aktive
eksport-
restriktioner:
40
Kina; 27; 67%
Ukraine; 1; 3%
Vietnam; 1; 3%
Malaysia; 2; 5%
Indien; 4; 10%
Kilde: Global Trade Alert, 2025; Note: Aktive eksportrestriktioner af kritiske råmaterialer, der påvirker Danmark, og som er
klassificeret af lobal Trade Alert som ”rød” eller ”orange”, april 2025
6.1.3.
Globale megatrends har også stor indvirkning på dansk økonomi
Dansk økonomi er også påvirket af strukturelt pres fra globale megatrends, som skaber
betydelige udfordringer, men også nye muligheder. Særligt tre gennemgribende
udviklingstræk
klimaforandringer, demografiske forandringer, herunder migration, og
teknologisk udvikling med vægt på generativ AI
ændrer fundamentalt betingelserne for
vækst og konkurrenceevne og tegner tilsammen et billede af en ny normal, hvor
forandringstempoet overstiger mange organisationers tilpasningsevne. Klima og kunstig
intelligens er blandt de tre eksistentielle kriser
for det globale samfund, som FN’s
generalsekretær i maj 2025 har fremhævet; den tredje værende atomkrig.
222
Danmarks
evne til at tilpasse sig og udnytte potentialet i disse megatrends afhænger bl.a. af, hvorvidt
samfundet formår at udnytte og styrke sin forsknings- og innovationskapacitet samt
spredningskapacitet; begreber som denne rapport belyser. Lykkes det, vil både den
fremtidige konkurrenceevne og sikkerhed stå stærkere.
Klimaforandringer udgør en strukturel megatrend, der i stigende grad påvirker dansk
økonomi og samfund. Fysiske konsekvenser som stigende vandstand (jf. Figur 45) og
ekstrem nedbør kræver omfattende klimatilpasning, men det er først og fremmest de
økonomiske og politiske følgeeffekter, der vil ændre rammevilkårene for dansk vækst og
konkurrenceevne. Overgangen til en lavemissionsøkonomi
drevet af dansk og europæisk
klimapolitik og globale ESG-krav
kræver omstilling af sektorer såsom energi, landbrug,
byggeri og transport. Ifølge Klimarådet kræves investeringer på over 20 mia.kr. årligt frem
mod 2030 alene i Danmark. Samtidig øges omstillingspresset af stigende globale CO2-
priser og rapporteringskrav, især for eksporttunge virksomheder. Ydermere har
klimaforandringerne fordelingsmæssige konsekvenser, idet lavindkomstgrupper kan
rammes relativt hårdere af omkostningerne ved den grønne omstilling.
223
For at sikre en
bred samfundsmæssig opbakning er det afgørende, at klimaomstillingen er socialt
balanceret.
Stigende strukturelt
pres fra globale
megatrends
Klimaforandringer
ændrer fundamentalt
dansk økonomi
222
223
Politiken, 2025b
Fagbevægelsens Hovedorganisation, 2024
101
ERU, Alm.del - 2024-25 - Bilag 248: Meget mere end forskning – Fra innovationskløft til konkurrenceløft rapport udarbejdet af POMUS, Deloitte m.fl. udgivet i juni 2025 som et dansk svar på EU’s Draghi- og Letta-rapporter
3038575_0102.png
Meget mere end forskning
| Dansk konkurrenceevne og sikkerhed under pres
Meter
Danmark risikerer at
opleve en stigning i
havniveauet på 0,5 til
1,2 meter inden 2150;
op til tre gange mere
end i Sverige eller
Finland
Figur 45: Forventet ændring i havniveauet i meter
224
4,5
4,0
3,5
3,0
2,5
2,0
1,5
1,0
0,5
0,0
2020
2030
2040
2050
2060
SSP 1.26
2070
2080
2090
2100
2110
2120
2130
2140
2150
SSP 1.19
Kilde: Verdensbanken, 2021
SSP 2.45
SSP 3.70
SSP 5.85
Et forventet fald i
arbejdsstyrken vil
lægge pres på de
offentlige finanser og
produktivitets-
væksten
Danmark forventer at se en voksende ældrebefolkning og en faldende arbejdsstyrke, hvilket
fører til højere aldersrelaterede udgifter i form af sundhedspleje og pensioner. Andelen af
den økonomisk afhængige befolkning forventes at stige fra 42% til 47% fra 2024 til 2070,
mens andelen af befolkningen i den erhvervsaktive alder forventes at falde fra 58% til
53%.
225
Denne udvikling skyldes bl.a., at fertiliteten i Danmark har været faldende gennem
de seneste årtier. Fertiliteten lå tidligere på 1,9 børn per kvinde, men er nu reduceret til
1,5.
226
Tendensen forstærkes yderligere af, at danske unge generelt ønsker færre børn,
hvilket tyder på, at der er tale om en vedvarende udvikling frem for et midlertidigt fald. Ud
over en reduceret arbejdsstyrke påvirker det dog også de offentlige finanser positivt,
eftersom færre børn medfører lavere udgifter til dagtilbud og grundskoler.
227
Uden
migration, som forventes at være den primære drivkraft bag befolkningsvæksten, ville
andelen af erhvervsaktive være endnu lavere; 50% i 2070.
228,229
Figur 46 viser, at den
demografiske udvikling forventes at føre til en moderat stigning i de samlede
aldersrelaterede udgifter på 24,4% til 25,8% af BNP over perioden fra 2019 til 2070.
Sammenlignet med andre nordiske lande forventes Danmark dog at stå over for et
begrænset finanspolitisk pres. I Finland og Norge forventes stigninger på henholdsvis
26,4% til 29,0% og 30,1% til 35,1%.
224
Den forventede stigning i havniveauet i forhold til 2005 (referenceperioden 1995-2015) under fem Shared Socioeconomic Pathway (SSP)-
scenarier som defineret af IPCC
225
Befolkning i alderen 0 til 20 år og 65 år og derover
226
Deloitte og Kraka, 2025a
227
Arbejderbevægelsens Erhvervsråd, 2025
228
Danmarks Statistik, 2025
229
Europa-Kommissionen, 2024d
102
ERU, Alm.del - 2024-25 - Bilag 248: Meget mere end forskning – Fra innovationskløft til konkurrenceløft rapport udarbejdet af POMUS, Deloitte m.fl. udgivet i juni 2025 som et dansk svar på EU’s Draghi- og Letta-rapporter
3038575_0103.png
Meget mere end forskning
| Dansk konkurrenceevne og sikkerhed under pres
Danmarks
forsørgelsesbyrde
forventes at stige
sammen med et
forventet fald i
pensionsydelser, i
takt med at andelen
af ældre vokser
Figur 46: Forventede demografirelaterede trends i Danmark
60%
50%
40%
30%
20%
10%
0%
2019
2030
2040
2050
2060
2070
Samlede omkostninger ved aldring
Fordelsratio (% af offentlige pensioner)
41,1%
40,3%
24,4%
56,6%
30,1%
25,8%
Økonomisk ældreafhængighedsratio (20-64 år)
Kilde: Europa-Kommissionen, 2021b
Kunstig intelligens i
form af generativ AI
kan øge produktivi-
teten og understøtte
økonomisk vækst,
men forudsætter
omskoling af dele af
arbejdsstyrken
Generativ AI har et betydeligt potentiale til at øge arbejdsproduktiviteten i Danmark, og det
anslås, at BNP vil stige med op til 8% årligt ved bred AI-implementering, svarende til
samlede gevinster på 200 til 250 mia.kr.
230
Disse gevinster forventes primært at komme fra
produktivitetsforbedringer, hvor generativ AI kan styrke menneskelige evner,
arbejdskvalitet og operationel effektivitet.
231
De teknologiske fremskridt kan samtidig
bidrage til at lette strukturelle pres relateret til arbejdskraftmangel og en aldrende
befolkning.
232
AI forventes at øge produktivitetsvæksten i Danmark med 1,5%-point.
233
Studier viser, at
effekten af generativ AI, og især LLM, kan føre til signifikante forbedringer i produktiviteten,
som varierer mellem 10% og 56%, afhængigt af opgavetypen.
,234
I en analyse konkluderer
Deloitte og Kraka, at 46% af alle arbejdsopgaver kan automatiseres ved hjælp af generativ
AI.
235
Det forventes desuden, at implementeringen af generativ AI åbner nye muligheder for
innovation og forbedret konkurrenceevne for virksomheder.
236
Danmark er særligt godt
placeret til at drage fordel af denne udvikling og ligger konsekvent blandt de bedste lande i
internationale vurderinger af AI-parathed.
237
Udbredelsen af generativ AI er dog ikke uden udfordringer. Teknologien forventes særligt at
vinde indpas i videnintensive erhverv, der involverer rutinemæssige kognitive opgaver, og
kan potentielt erstatte op mod 6% af arbejdsstyrken, svarende til omkring 200.000 danske
jobs.
238
Dette omfatter bl.a. kontor- og supportpersonale, juridiske medarbejdere og
sælgere i nogle af de industrier, der er mest påvirket af generativ AI (jf. Figur 47).
Håndteringen af denne overgang forventes at kræve betydelige investeringer i
opkvalificering og omskoling, og det anslås, at 10.000 til 20.000 arbejdstagere skal
omskoles og genansættes hvert år i løbet af det kommende årti.
238
AI kan særligt blive en
udfordring for ældre arbejdstagere, som kan have sværere ved at finde nyt arbejde, tilpasse
sig ny teknologi og tillære sig nye færdigheder.
239
230
231
Implement Consulting and Google, 2024
BFA, 2024
232
SAP, 2025
233
MIT Management Sloan School, 2023
234
OECD, 2024d
235
Deloitte og Kraka, 2024a
236
Holmstrom et al., 2024
237
Den Internationale Valutafond, 2024e
238
Europa-Kommissionen, 2024d
239
Den Internationale Valutafond, 2024f
103
ERU, Alm.del - 2024-25 - Bilag 248: Meget mere end forskning – Fra innovationskløft til konkurrenceløft rapport udarbejdet af POMUS, Deloitte m.fl. udgivet i juni 2025 som et dansk svar på EU’s Draghi- og Letta-rapporter
3038575_0104.png
Meget mere end forskning
| Dansk konkurrenceevne og sikkerhed under pres
Figur 47: De ti mest og mindst AI-udsatte erhvervsaktiviteter i Danmark baseret på AI-
Erhverv, der
eksponeringsscore
involverer kognitive
rutineopgaver, vil
1,6
1,2 1,2 1,2
være blandt de mest
1,0 1,0 1,0 1,1
1,1 1,1
1,1
påvirkede af generativ
0,6
kunstig intelligens
0,1
1,2
(0,4)
(0,9)
(1,4)
(1,1) (1,1)
(1,0) (0,9)
(0,7) (0,7) (0,7)
(0,8) (0,8) (0,8)
Advertising & market…
Manufacture of wood
Services to buildings
Radio and television
Legal activities
Construction
Agricutlure
Forestry
Building completion
Mortgate credit institutes
Manufacture of concrete
Insurance and pension
Kilde: Københavns Universitet, 2024; Note: baseret ud fra ændringer i jobbeskrivelsen eller jobtab
6.2.
6.2.1.
Danmark står på et solidt fundament til at imødekomme fremtidige
udfordringer
Dansk økonomi står stærkt, men usikkerhed om verdensøkonomien truer
Med et af de mest robuste økonomiske fundamenter i verden er Danmark i en stærk
position til at imødekomme fremtidige udfordringer. Danmark er et af de mest produktive
lande globalt set, og befolkningen oplever en høj livskvalitet og udviser tillid til samfundets
institutioner. Dette giver et godt udgangspunkt for gennemførelsen af reformer og politiske
initiativer, som skal sikre, at landet forbliver konkurrencedygtigt og kan investere i forsvar
og sikkerhed i en hastigt foranderlig verden. Den stigende fragmentering i verdenshandlen
udgør dog en risiko for en lille åben økonomi som den danske.
En opgørelse fra 2022 konkluderer, at antallet af handelsrestriktioner i verdens største
økonomier er tidoblet på ti år, bl.a. grundet stormagters handelskrige, geopolitiske
spændinger, stigende fokus på forsyningssikkerhed og beskyttelse af strategiske industrier
samt brug af statsstøtte til nationale virksomheder. I 2024 advarede
Verdenshandelsorganisationen (WTO) om, at en stigende protektionisme, hvor handlen
vokser hurtigere mellem ligesindede lande end på tværs af forskellige blokke, ifølge WTO-
og IMF-estimater kan koste den globale økonomi 5-7% i tabt produktion.
240
Det er
problematisk for dansk økonomi, hvor 875.000 arbejdspladser beror på global
samhandel.
241
Siden 2015 er verdenshandlen i forhold til økonomiens størrelse gået i stå,
men Danmark er blandt de relativt få lande, der i perioden har øget handlens andel af
BNP.
242
Danmark er unikt
positioneret til at
skabe de rette
forudsætninger for en
bæredygtig
økonomisk fremtid,
men der er risici
Stigende
protektionisme og
handelskrig kan
påvirke konkurrence-
evnen
240
241
BBC, 2024
Dansk Industri, 2022b
242
Deloitte og Kraka, 2024b
104
Monetary intermediation
Other financial activities
Public administration
Higher education
Civil engineering
Accounting
Bricklaying
Fishing
ERU, Alm.del - 2024-25 - Bilag 248: Meget mere end forskning – Fra innovationskløft til konkurrenceløft rapport udarbejdet af POMUS, Deloitte m.fl. udgivet i juni 2025 som et dansk svar på EU’s Draghi- og Letta-rapporter
3038575_0105.png
Meget mere end forskning
| Dansk konkurrenceevne og sikkerhed under pres
”Slowbalisation” af verdensøkonomien blev i april 2025 forstærket af Trump-
administrationens omfattende toldsatser mod alle verdens lande, herunder en straftold på
20% mod EU.
243
Denne toldkrig udfordrer principperne for fri handel, og konsekvenserne
mærkes tydeligt på aktiemarkedet og i den globale handel, men den er særligt bekymrende
for en mindre økonomi som den danske. Stabile handelsrelationer og åbne markeder er
afgørende for Danmarks konkurrenceevne, især når det kommer til effektive
forsyningskæder, produktivitet og innovation. Ifølge en analyse fra Dansk Industri kan en
handelskrig mellem USA og EU potentielt koste Danmark op mod 47 mia.kr. og føre til tab
af 16.000 arbejdspladser.
244
Desuden vurderer Dansk Erhverv, at toldkrigen kan resultere i
et velstandstab på 35 mia.kr., hvilket svarer til et økonomisk tab på 6.000 kr. per dansker.
245
Selvom det lige nu er uvist, om der vil blive indført told efter pågående forhandlinger, er
usikkerheden en stor byrde for erhvervslivet.
Danmark er et af de
mest produktive
lande i verden
Med en rangering som nummer ti, opgjort ved BNP per indbygger i købekraftsparitet
(Purchasing Power Parities, PPP), er Danmark blandt de mest produktive lande i verden,
kun overgået af relativt få økonomier som Luxembourg, Qatar og USA.
246
I en ny analyse
dokumenterer Deloitte og Kraka endvidere, at Danmarks produktivitetsniveau er på højde
med USA.
247
Både den nominelle arbejdsproduktivitet og den samlede faktorproduktivitet
(TFP), et mål for den samlede produktivitet i økonomien, er blandt de højeste i verden (jf.
Figur 48). Desuden er Danmark dygtig til at udnytte sin produktivitet i brancher, som er
særligt vigtige for at imødekomme fremtidens udfordringer, herunder klimaforandringer,
sundhed og vedvarende energi.
Figur 48: Nominel produktivitet i 2010-priser, PPP, USD
120
100
80
60
40
20
0
18
16
14
12
10
8
6
4
2
0
Den danske
arbejdsproduktivitet
er kun 1,7% lavere
end den amerikanske
DEU
DNK
SWE
GBR
USA
FIN
CAN
CHE
AUS
NZL
AUT
PRT
ITA
NOR
CHL
BEL
FRA
Arbejdsproduktivitet
Kilde: Bergeaud et al., 2016 (data fra 2016 til 2023)
Euro Area
Total faktorproduktivitet
243
244
Beslutningen er - i skrivende stund - midlertidigt udskudt i tre måneder, modsat straftolden mod Kina, der er gensidigt eskaleret.
Dansk Industri, 2025b
245
Børsen, 2025b
246
PPP er et mål, der justerer for forskelle i prisniveauer mellem lande for at sammenligne økonomisk produktivitet og levestandard
247
Deloitte og Kraka, 2024c
105
GRC
NLD
MEX
ESP
JPN
ERU, Alm.del - 2024-25 - Bilag 248: Meget mere end forskning – Fra innovationskløft til konkurrenceløft rapport udarbejdet af POMUS, Deloitte m.fl. udgivet i juni 2025 som et dansk svar på EU’s Draghi- og Letta-rapporter
3038575_0106.png
Meget mere end forskning
| Dansk konkurrenceevne og sikkerhed under pres
Danmark har sunde
offentlige finanser
Danmark er også et af de lande i verden med de bedste offentlige finanser. Landet har den
næstlaveste gældsratio (28%) og det femtehøjeste budgetoverskud i forhold til BNP (1,8%)
blandt de udviklede økonomier (jf. Figur 49). Faktisk er Danmark det eneste land i EU med
en positiv budgetbalance og en gældsratio under 30%. Dette afspejler sig også i et stort
finanspolitisk
eller økonomisk
råderum og en overholdbar økonomi, hvilket betyder, at
der er plads til at reducere skatterne og/eller øge udgifterne, uden at den offentlige gæld vil
vokse. Dermed er der også plads til offentlige investeringer, som skal imødekomme de
langsigtede udfordringer for dansk økonomi og velfærd. Det er netop rettidige reformer i
fortiden, der er hovedforklaringen på de sunde offentlige finanser, som Danmark nyder godt
af i dag, og som giver troværdighed til den position, som Danmark forsvarer i EU-
institutionerne, hvor landet er en del af de ”sparsommelige fire”.
248
Figur 49: Offentligt overskud/underskud (x) og offentlig bruttogæld (y), 2025
-15%
-10%
-5%
0%
0%
20%
40%
60%
80%
100%
Italy
5%
10%
15%
Danmark er det
eneste land i EU med
et offentligt overskud
og en gældsratio på
under 30% af BNP
Sweden
Netherlands
Denmark
Israel
China
Austria
Finland
Ireland
Switzerland
Cyprus
Germany
Portugal
Norway
120%
140%
160%
180%
200%
Singapore
United States
Greece
Kilde: Den Internationale Valutafond, 2025a; Note: indeholder udviklede økonomier undtagen Japan
Danmark er en
handelsnation
Dansk økonomi er meget afhængig af udenrigshandlen, da landet er en relativt lille og åben
markedsøkonomi. En indikator for konkurrenceevnen er det danske bytteforhold (terms of
trade), der beskriver forholdet mellem eksport- og importpriser. Det relativt høje
bytteforhold for Danmark (se Figur 50) betyder, at priserne på landets eksportprodukter
generelt er højere end priserne på de importerede varer. Danmark kan med andre ord
importere flere varer og serviceydelser for den eksport, landet leverer, ligesom danske
eksportvarer er relativt konkurrencedygtige på verdensmarkedet
249
Samtidig har dansk
økonomi oplevet betydelig produktivitetsvækst. Siden 2000 er dansk produktivitet steget
mere end i EU, USA, Sverige og Tyskland, hvilket har haft en positiv effekt på
betalingsbalancen. En væsentlig del af produktivitetsvæksten kommer fra produktion i
danske virksomheder uden for landets grænser samt medicinalindustrien. Denne udvikling
har forstærket billedet af Danmark som en handelsøkonomi, og landets andel af BNP fra
udenrigshandel er vokset relativt mere end fx hos de nordiske naboer Norge og Sverige.
250
248
Med henvisning til navnet givet til et uformelt samarbejde mellem Østrig, Danmark, Nederlandene og Sverige for at fremme finanspolitisk
konservatisme i EU
249
Terms of trade er et begreb for et lands værdi af eksportvarer og serviceydelser i forhold til importvarer og serviceydelser. En værdi over
hundrede betyder, at et lands værdi af eksport er relativt højere end værdien af import
250
Danmarks Nationalbank, 2025c
106
ERU, Alm.del - 2024-25 - Bilag 248: Meget mere end forskning – Fra innovationskløft til konkurrenceløft rapport udarbejdet af POMUS, Deloitte m.fl. udgivet i juni 2025 som et dansk svar på EU’s Draghi- og Letta-rapporter
3038575_0107.png
Meget mere end forskning
| Dansk konkurrenceevne og sikkerhed under pres
Danmarks
bytteforhold er
særligt gunstigt
Figur 50: Bytteforhold (terms of trade)
130
120
110
100
90
80
70
60
Danmark
Kilde: Landenes nationale statistikbureauer
Kina
Tyskland
USA
Graden af
globalisering har
været nedadgående,
drevet af geopolitisk
usikkerhed
For et lille land som Danmark er international samhandel og samarbejde afgørende for
økonomisk vækst og konkurrenceevne. Globalisering og handelsvilkår har derfor stor
betydning for den økonomiske aktivitet. Deloittes geoøkonomiske dynamiske indeks måler
globalisering på baggrund af data om de geopolitiske, finansielle og handelsmæssige
relationer mellem regioner og lande.
251
Indekset viser, at graden af globalisering har været
faldende i årene efter Covid-19. Dette skyldes primært en svækkelse af de finansielle
afhængigheder samt geopolitiske relationer mellem landene. Derimod er samhandlen
forblevet relativ stabil. Særligt de geopolitiske faktorer, opgjort ved bl.a. sanktioner,
dødsfald i militærkonflikter og enstemmighed i fx FN’s generalforsamling,
er med til at
trække det geoøkonomiske indeks ned.
251
Danmark ligger også højt i målinger af de faktorer, som karakteriserer veludviklede og
demokratiske samfund, fx høj livskvalitet, tilfredshed og tryghed i befolkningen (jf. Figur 51).
Danmark rangerer konsekvent blandt de tre mest tilfredse lande i internationale opgørelser
som World Happiness Index og OECD Better Life Index.
252,253
Den generelle tryghed i det
danske samfund, balancen mellem arbejde og fritid samt den generelle jobkvalitet er ifølge
OECD de stærkeste bidragsydere til danskernes livstilfredshed. Danmark rangerer også
som det land i verden, hvor tilliden til medmennesker er højest, og danskerne har generelt
en markant højere tillid til nationale og internationale institutioner sammenlignet med EU-
gennemsnittet.
254
Fx har 89% af den danske befolkning tillid til retssystemet, mens tallet for
EU som helhed kun ligger på 52%. Den samme tendens gør sig gældende for institutioner
såsom politiske partier, forsvar og internationale institutioner som EU, NATO og FN.
255
Disse faktorer udgør et solidt fundament til at sikre social stabilitet og sammenhængskraft
i Danmark, hvilket skaber et tryggere og mere velstående samfund.
256
Danmark er det mest
tillidsfulde samfund i
verden
251
252
Deloitte, 2025
World Happiness Report, 2025
253
OECD, 2024e
254
European Values Study, 2022: Personer, der svarer positivt på udsagnet
”de
fleste mennesker kan stoles på”
255
Altinget, 2023b
256
Københavns Universitet, 2022
107
2024M01
2010M01
2011M01
2012M01
2013M01
2014M01
2015M01
2016M01
2017M01
2018M01
2019M01
2020M01
2021M01
2022M01
2023M01
ERU, Alm.del - 2024-25 - Bilag 248: Meget mere end forskning – Fra innovationskløft til konkurrenceløft rapport udarbejdet af POMUS, Deloitte m.fl. udgivet i juni 2025 som et dansk svar på EU’s Draghi- og Letta-rapporter
3038575_0108.png
Meget mere end forskning
| Dansk konkurrenceevne og sikkerhed under pres
Danskerne er blandt
verdens lykkeligste
Figur 51: Livstilfredsheds- og lykkeindeks
10
8
6
4
2
0
Kilde: OECD, 2024e; World Happiness Report, 2025
6.2.2.
Danmarks styrkepositioner er sårbare
Danmark har i de sidste årtier effektivt formået at høste frugterne af international handel og
vundet markedsandele globalt. Men i en omskiftelig tid med opbrud i den globale
samhandel er det en risikofyldt strategi at fastholde ”business as usual”. En opdateret
og
udvidet forståelse af den danske konkurrenceposition skal være en drivkraft for ny
innovation og fremme opblomstringen af store danske virksomheder, som bliver globale
markedsledere på deres felt.
Den danske opskrift
på succes skal
fremtidssikres
6.2.2.1. Handelsafhængigheder
Fragmentering af den
globale handel er en
risiko for dansk
økonomi
Dansk økonomi er meget afhængig af international handel. Import og eksport udgør 128%
af Danmarks BNP (se Figur 52). Dermed er dansk økonomi afhængig af både udenlandsk
efterspørgsel og udbud, særligt i USA. Næsten 8% af den danske vækst kommer fra eksport
til USA.
257
Mere end 20% af det danske BNP kan desuden tilskrives handels- og
transportaktiviteter, hvoraf vand- og landtransport udgør halvdelen. Dette understreger
betydningen af et frit globalt marked for dansk økonomi og behovet for at flytte varer rundt
i verden.
Den stigende tendens mod en mere regionaliseret handel og geopolitiske spændinger, som
ændrer markedsdynamikkerne, kalder derfor på en dybere forståelse af kritiske gensidige
afhængigheder for dansk økonomi samt en effektiv strategi for at håndtere dem.
257
Deloitte og Kraka, 2025b
108
Grækenland
Kroatien
Kina
Cypern
Portugal
Sydkorea
Japan
Letland
Slovakiet
Malta
Italien
Estland
Spanien
Singapore
Frankrig
USA
Storbritannien
Tyskland
Tjekkiet
Slovenien
Canada
Østrig
Litauen
Irland
Belgien
Schweiz
New Zealand
Australien
Luxembourg
Israel
Norge
Holland
Sverige
Island
Danmark
Finland
Verdens lykkeindeks
Livstilfredshedsindeks
ERU, Alm.del - 2024-25 - Bilag 248: Meget mere end forskning – Fra innovationskløft til konkurrenceløft rapport udarbejdet af POMUS, Deloitte m.fl. udgivet i juni 2025 som et dansk svar på EU’s Draghi- og Letta-rapporter
3038575_0109.png
Meget mere end forskning
| Dansk konkurrenceevne og sikkerhed under pres
Danmark tilhører en
gruppe af små lande,
der er meget
afhængige af
international handel
Figur 52: International handels andel af BNP, 2023
400%
300%
200%
128%
100%
0%
394%
100%
Kilde: Verdensbanken, 2023b
6.2.2.2. Afhængighed af få, meget store nationale virksomheder
En stor del af væksten
i dansk økonomi kan
tilskrives en lille
gruppe af store
virksomheder
En betydelig del af væksten i dansk økonomi kan desuden tilskrives en lille gruppe af meget
store eksportvirksomheder. Disse virksomheder har været en væsentlig drivkraft for den
danske velstand i de seneste årtier. I 2022 kunne 12,8% af det danske BNP henføres til kun
25 virksomheder (jf. Figur 53). I 2024 nåede Novo Nordisks markedsværdi et niveau, der
oversteg Danmarks årlige BNP
258
. Det har fået nogle eksperter til at debattere muligheden
for en potentiel
”Nokia-risiko”
for Danmark, med henvisning til betydningen af den finske
økonomis afhængighed af telekommunikationsgiganten i begyndelsen af 00’erne.
259,260
Risikoen ligger ikke i, at virksomhederne er meget store, tværtimod. Det er den begrænsede
risikospredning og store afhængighed af få markedsaktører i forhold til både eksport og
investeringer i forskning og innovation, der giver anledning til risiko.
Figur 53: De 25 største danske virksomheders andel af BNP
20%
15%
10%
5%
0%
2009 2010 2011 2012 2013 2014 2015 2015 2016 2017 2018 2019 2020 2021 2022
Andel af BNP for de 25 største danske virksomheder
Kilde: Danmarks Nationalbank, 2025c
De 25 største danske
virksomheder har
øget deres bidrag til
den danske
bruttoværdi-tilvækst
med mere end 50%
mellem 2009 og 2022
258
259
Markedsværdien er dog siden faldet med ca. 60%
Danmarks Radio, 2024
260
Arbejderbevægelsens Erhvervsråd, 2024
109
Luxembourg
Singapore
Irland
Malta
Cypern
Slovakiet
Belgien
Holland
Slovenien
Estland
Litauen
Schweiz
Letland
Tjekkiet
Danmark
Østrig
Kroatien
Sverige
Portugal
Grækenland
Sydkorea
Island
Finland
Tyskland
Norge
Spanien
Frankrig
Canada
Italien
Storbritannien
Israel
New Zealand
Østrig
Japan
Kina
USA
Eksport af varer og tjenester (% af BNP)
Import af varer og tjenester (% af BNP)
18,0%
7,6%
12,8%
Lineær trend
ERU, Alm.del - 2024-25 - Bilag 248: Meget mere end forskning – Fra innovationskløft til konkurrenceløft rapport udarbejdet af POMUS, Deloitte m.fl. udgivet i juni 2025 som et dansk svar på EU’s Draghi- og Letta-rapporter
3038575_0110.png
Meget mere end forskning
| Dansk konkurrenceevne og sikkerhed under pres
Den næste generation
En svaghed for Danmark er landets
manglende evne til at fastholde sine ”unicorns”
af nationale fyrtårne
(virksomheder med en værdi på 1 mia. USD eller derover
261
). Dette kan udgøre en risiko for
forsvinder
landets langsigtede velstand. På trods af Danmarks succes med at fremme lovende
startups, har hele 67% af de unicorns, som er grundlagt i landet, flyttet deres hovedkontor
til udlandet, sammenlignet med blot 7% i Sverige og 0% i Finland (jf. Figur 54).
262
Denne
tendens medfører tab af jobskabelse, skatteindtægter og innovation og svækker Danmarks
evne til at skabe den næste generation af meget store virksomheder. Når unicorns forlader
landet, kan det hæmme udviklingen af et robust iværksætterøkosystem og mindske
konkurrenceevnen på det globale marked.
Otte ud af 12 danske
unicorns har forladt
Danmark
Figur 54: Unicorns, der har forladt deres grundlæggelsesland siden år 2000
80%
60%
67%
60%
27%
21%
20%
5%
6%
150
120
90
60
30
0
40%
20%
0%
11%
8%
3%
0%
Danmark
Østrig
Storbritannien
Tyskland
Irland
Estland
Andel af "unicorns", som er flyttet ud (V)
Kilde: Dansk Erhverv, 2024
Frankrig
Antal nationale "unicorns" (H)
261
Mens den gængse definition på en unicorn er en værdiansættelse på over 1 mia. USD, identificerer metoden brugt af Dansk Erhverv
virksomheder grundlagt efter år 2000, som har sikret mere end 50 mio. USD i finansiering
262
Dansk Erhverv, 2024
110
Holland
Finland
Sverige
Norge
ERU, Alm.del - 2024-25 - Bilag 248: Meget mere end forskning – Fra innovationskløft til konkurrenceløft rapport udarbejdet af POMUS, Deloitte m.fl. udgivet i juni 2025 som et dansk svar på EU’s Draghi- og Letta-rapporter
3038575_0111.png
Meget mere end forskning
| Kildeliste
7. Kildeliste
ADD, 2023, Danskernes digitale kompetencer
Akademiet for de Tekniske Videnskaber, 2024a, Stor opbakning til en dansk teknologistrategi
Akademiet for de Tekniske Videnskaber, 2024b, Tæt på 94 Science & Engineering-virksomheder
Akademiet for de Tekniske Videnskaber, 2025, 16 kritiske teknologiområder
Aldieri et al., 2019, Does environmental innovation make us happy? An empirical investigation
Altinget, 2022, Rusland lukker for gassen til rsted: ”Det er ren afpresning”
Altinget, 2023a, Se listen: Så kendte og populære er SVM-regeringens ministre
Altinget, 2023b, Roger Buch: Dukselandet Danmark ser stort på international korruptionskritik
Altinget, 2024, DM Universitet: De nuværende regler for hjemtagelse af EU-midler til forskning er mere straf end
støtte
Altinget, 2025, Carlsbergfondet: Private fonde rykker ved balancen i forskningen. Det skaber blinde vinkler og
enøjet forskning
Arbejderbevægelsens Erhvervsråd, 2021, Mangel på faglærte kan øge uligheden
Arbejderbevægelsens Erhvervsråd, 2024, Nej, Novo bliver ikke det nye Nokia
Arbejderbevægelsens Erhvervsråd, 2025, Faldende fertilitetsrate kan medføre stor opjustering af de offentlige
finanser
BBC, 2024, 'Protectionism eroding global business' - world trade chief
B
, 2022, Denmark’s path to Net Zero
Beredskabsstyrelsen, 2022, National Risk Profile 2022
Bergeaud et al., 2016, "Productivity Trends in Advanced Countries between 1890 and 2012," Review of Income and
Wealth, vol. 62(3), pages 420–444.
Berlingske, 2025, Mette Frederiksen siger ja til Nato-forslag om forsvar
BFA, 2024, Kunstig intelligens: Muligheder og udfordringer for arbejdsmiljøet på danske arbejdspladser
Bioinnovation Institute, 2025a, Dansk rugekasse vil være verdensførende accelerator senest i 2035
Bioinnovation Institute, 2025b, Lovende biotekselskab rejser trecifret millionbeløb til udvikling af banebrydende
fedmebehandling
Bloom et al., 2019, Are Ideas getting harder to find?
Boeing et al., 2020, A global decline in research productivity? Evidence from China and Germany
Børne- og Undervisningsministeriet, 2025, Lærer i folkeskolen
Børsen, 202 , “EU bliver nødt til at lære af Kinas industripo­litik, inden det er for sent”
Børsen, 2025a, Frederiksen: Forsvar-sudgifter skal tættere på 5 pct. af bnp
Børsen, 2025b, Cheføkonom: Trumps toldkrig kan koste hver dansker 6000 kr.
111
ERU, Alm.del - 2024-25 - Bilag 248: Meget mere end forskning – Fra innovationskløft til konkurrenceløft rapport udarbejdet af POMUS, Deloitte m.fl. udgivet i juni 2025 som et dansk svar på EU’s Draghi- og Letta-rapporter
3038575_0112.png
Meget mere end forskning
| Kildeliste
Caviggioli et al., 2023, Dual use inventions: identification and characterization using patent data
Center for Cybersikkerhed, 2024, Threat Assessment
Center for Cybersikkerhed, 2025, Cybertruslen
Center for Militære Studier - Københavns Universitet, 2024, Sikkerhedspolitisk barometer: CMS Survey 2024
Coe et al., 2008, International R&D spillovers and institutions
Danmarks Eksport- og Investeringsfond (EIFO), 2024, Green tech market trends and returns
Danmarks Forsknings- og Innovationspolitiske Råd, 2023, Kortlægning af innovationspolitiske instrumenter og
nyere strategier for dansk innovationspolitik
Danmarks Forsknings- og Innovationspolitiske Råd, 2025, Årsrapport
Danmarks Nationalbank, 2023, Denmark risks a period of energy price fluctuations, impacting inflation and
monetary policy
Danmarks Nationalbank, 2025a, Insurance and pension datasets
Danmarks Nationalbank, 2025b, Klima
Danmarks Nationalbank, 2025c, The increasing importance of the largest companies
Danmarks Radio, 2006, Regeringens plan for globaliseringen
Danmarks Radio, 2024, Klar melding til Danmark fra Nobelpris-modtager: Pas på, at Novo Nordisk ikke bliver for
stor
Danmarks Radio, 2025, Kræver opgør med atom-forbud: Vil have gang i forskningsreaktor på Sjælland
Danmarks Statistik, 2021, Halvdelen af de danske virksomheder er innovative
Danmarks Statistik, 2023a, CFABNP: FoU udgifter i pct. Af BNP
Danmarks Statistik, 2023b, FOUOFF07: FoU-omkostninger i den offentlige sektor efter fag og omkostningstyper
Danmarks Statistik, 2023c, RDCE042: Udgifter til FoU efter sektor og forskningstype
Danmarks Statistik, 2023d, FORSK112: Erhvervslivets udgifter til egen FoU efter branche - størrelsesgruppe - region
og fag
Danmarks Statistik, 2023e, FOUOFF09: Eksternt finansierede FoU-omkostninger efter sektor, fag og
finansieringskilde
Danmarks Statistik, 2024, Befolkningens højest fuldførte uddannelse
Danmarks Statistik, 2025, Population projections
Dansk Center for Forskningsanalyse, 2023, Evaluering af de danske GTS-institutter- Tværgående rapport
Dansk Erhverv, 2021a, Adgang til kapital er største barriere for vækst I startups
Dansk Erhverv, 2021b, Danmark er fortsat bagud med risikovillig kapital og investeringer til iværksættere
Dansk Erhverv, 2024, Danmark er en unicorn-fabrik - men hvorfor forlader vækstvirksomhederne Danmark
Dansk Industri, 2022a, Færre højvækst-SMV’er
for tredje år i træk
Dansk Industri, 2022b, Protektionismen i verdens største økonomier er tidoblet på ti år
Dansk Industri, 2023, Færre børsnotererede virksomheder i Danmark
Sverige stormer frem
112
ERU, Alm.del - 2024-25 - Bilag 248: Meget mere end forskning – Fra innovationskløft til konkurrenceløft rapport udarbejdet af POMUS, Deloitte m.fl. udgivet i juni 2025 som et dansk svar på EU’s Draghi- og Letta-rapporter
3038575_0113.png
Meget mere end forskning
| Kildeliste
Dansk Industri, 2024a, Forskning og innovation for Danmark i en ny verdensorden
Dansk Industri, 2024b, Papirarbejde er dyrt for danske virksomheder og deres medarbejdere
og regningen vokser
Dansk Industri, 2024c, Danmarks import af kritiske råmaterialer
Dansk Industri, 2025a, Landerapport: Danmark halter bagefter i innovative offentlige indkøb
Dansk Industri, 2025b, EU-USA handelskrig kan ramme Danmark hårdt: Op til 47 mia. kr. og 16.000 jobs på spil
Danske Universiteter, 2023a, Humaniora til tiden
Danske Universiteter, 2023b, Tal om danske universiteter 2023
De Økonomiske Råd, 2022, Dansk Økonomi Efterår 2022
Deloitte og Kraka, 2021, Small Great Nation. EU-samarbejdet - en god deal for Danmark?
Deloitte og Kraka, 2024a, Small Great Nation. Fra hype til håb
hvordan kan AI generere et rigere Danmark?
Deloitte og Kraka, 2024b, Small Great Nation. Rystet eller rustet? Dansk økonomi i en slowbaliseret virkelighed
Deloitte og Kraka, 2024c, Small Great Nation. Danmark 2050
fodnote eller fyrtårn?
Deloitte og Kraka, 2025a, Officielt børnetal for 2050 er stærkt overvurderet
Deloitte og Kraka, 2025b, Vækstpotentialet i danske styrkepositioner er sårbart
Deloitte, 2025, The new rules of globalization - geopolitical clusters and the fragile resilience of global trade
Den Europæiske Centralbank, 2024, Energy shocks, corporate investment and potential implications for future EU
competitiveness
Den Internationale Valutafond, 2021a, Why Basic Science Matters for Economic Growth
Den Internationale Valutafond, 2021b, Global recovery continues, but the momentum has weakened and
uncertainty has increased
Den Internationale Valutafond, 2024a, World Economic Outlook Database, October
Den Internationale Valutafond, 2024b, Finance and Development: Productivity
Den Internationale Valutafond, 2024c, Economists can play a crucial role in the development of innovations for
serving social, environmental, and other human needs
Den Internationale Valutafond, 2024d, Denmark: 2024 Article IV Consultation-Press Release; Staff Report; and
Statement by the Alternate Executive Director for Denmark
Den Internationale Valutafond, 2024e, AI Preparedness Index
Den Internationale Valutafond, 2024f, Gen-AI: Artificial Intelligence and the Future of Work
Den Internationale Valutafond, 2025a, World Economic Outlook Database, April 2025
Den Internationale Valutafond, 2025b, Portfolio Investment Positions by Counterpart Economy (formerly CPIS)
Det Europæiske Råd, 2024, EU's industripolitik
Disruptionrådet, 2017, Dansk forskning og innovation
DTU, 2024, The cost of flooding from torrential rain and storm surges could reach DKK 406 billion
EduRank, 2025, List of 27 best universities in Denmark
Energinet, 2024, Årsrapport
113
ERU, Alm.del - 2024-25 - Bilag 248: Meget mere end forskning – Fra innovationskløft til konkurrenceløft rapport udarbejdet af POMUS, Deloitte m.fl. udgivet i juni 2025 som et dansk svar på EU’s Draghi- og Letta-rapporter
3038575_0114.png
Meget mere end forskning
| Kildeliste
Energistyrelsen, 2024, Rekordhøj produktion af sol- og vindkraft sidste år
Erhvervslivets Tænketank, 2023, DANSK ERHVERVSLIV SKAL BIDRAGE TIL UDVIKLINGEN AF DANMARKS FORSVAR
Erhvervsministeriet, 2022, Redegørelse om Danmarks økonomiske vækst 2022
Erhvervsministeriet, 2023, Iværksætteri I Danmark: Aktuelle udfordringer
Erhvervsstyrelsen, 2021, Status for den digitale omstilling i danske SMV’er i 2021
Europa-Kommissionen, 2021a, Horizon Europe
Europa-Kommissionen, 2021b, The 2021 Ageing Report
Europa-Kommissionen, 2023a, Country reports - Digital Decade report 2023
Europa-Kommissionen, 2023b, EVP Vestager speech at the Danish Association for European Law - "Europe in
Denmark, Denmark in Europe: 50 years of EU membership"
Europa-Kommissionen, 2023c, An EU approach to enhance economic security
Europa-Kommissionen, 2023d, Study on the Critical Raw Materials for the EU
Europa-Kommissionen, 2024a, The future of European competitiveness
Europa-Kommissionen, 2024b, European innovation scoreboard
Europa-Kommissionen, 2024c, European Commission launches cyber-theft
prevention toolkit to protect SMEs’
trade secrets in high-risk sectors
Europa-Kommissionen, 2024d, The 2024 Ageing Report
Europa-Kommissionen, 2025a, The Net-Zero Industry Act: Making the EU the home of clean technologies
manufacturing and green jobs
Europa-Kommissionen, 2025b, Commission launches ambitious Strategy to make Europe a startup and scaleup
powerhouse
Europa-Kommissionen, 2025c, European Critical Raw Materials Act
Europa-Kommissionen, 2025d, AI Continent
new cloud and AI development act
European Research Council, 2023, New study reveals how frontier research spurs patented inventions
European Values Study, 2022, Integrated Values Surveys
Eurostat, 2024a, Eurostat Data
Eurostat, 2024b, Usage of AI technologies increasing in EU enterprises
Eurostat, 2025, Electricity prices for non-household consumers - bi-annual data (from 2007 onwards)
Factory Mutual, 2025, FM resiliance index
Fagbevægelsens Hovedorganisation, 2024, Retfærdig grøn omstilling kræver årlig evaluering
Finans Danmark, 2024, Novo gør Danmark til et af de største aktiemarkeder i Europa
Folkeskolen, 2021, Halvdelen af de optagne på læreruddannelsen opfylder ikke karakterkravet
Fondenes Videnscenter, 2023, De 100 mest bevilgende danske fonde og foreninger i 2022
Fondenes Videnscenter, 2024a, Fondenes bevillinger til forskning 2022
Fondenes Videnscenter, 2024b, Vidensnotat: Fondsdanmark
114
ERU, Alm.del - 2024-25 - Bilag 248: Meget mere end forskning – Fra innovationskløft til konkurrenceløft rapport udarbejdet af POMUS, Deloitte m.fl. udgivet i juni 2025 som et dansk svar på EU’s Draghi- og Letta-rapporter
3038575_0115.png
Meget mere end forskning
| Kildeliste
Fondenes Videnscenter, 2024c, Kendskab til og opfattelse af Danmarks fonde i den danske befolkning 2024
Fondenes Videnscenter, 2025, Fondsbevillinger 2019 - 2023
Forskningspolitisk Udvalg, 2019, Fri forskning
Forskningspolitisk Udvalg, 2024, Dansk strategisk forskning
nu og i fremtiden
Forsvarsministeriet, 2024, Bredt flertal bag fremrykning af investeringer i Forsvaret
Forsvarsministeriet, 2025, Forsvarets kampkraft skal accelereres med yderligere 120 mia. kr.
Fundats, 2025, Trumps krig mod videnskaben styrker dansk forskningssatsning
GEUS, 2015, Earthquake Hazard in Denmark
GEUS, 2023, Dansk industris brug af mineralske råstoffer
økonomisk betydning og forsyningsudfordringer
Global Trade Alert, 2025, GTA Data Center
Hajighasemi et al., 2022, The impact of welfare state systems on innovation performance and competitiveness:
European country clusters
Hansen et al., 2013, Offentlig sektor-innovation: Hvad er det? Og hvad er værd at vide om det?
Harvard Business Review, 2023, The Devastating Business Impacts of a Cyber Breach
Holmstrom et al., 2024, How organizations can innovate with generative AI
IEA Bioenergy, 2024, Implementation of bioenergy in Denmark
2024 update
IEA, 2023, Denmark 2023 - Executive Summary
IEA, 2024, Critical Minerals
Implement Consulting and Google, 2024, The economic opportunity of AI in Denmark
Industriens Fond, 2024, Teknologi er en motor for høj produktivitet
Innovationsfonden, 2023, Innovative svar på komplekse udfordringer
Innovationsfonden, 2024a, Årsrapport
Innovationsfonden, 2024b, Om Innovationsfonden
IRENA, 2023, Geopolitics of the Energy Transition
Jakob B. Madsen, 2007, Technology spillover through trade and TFP convergence: 135 years of evidence for the
OECD countries
Jeffrey Ding, 2024, Technology and the Rise og Great Powers: How Diffusion Shapes Economic Competition
Jones, 2019, Paul Romer: Ideas, Nonrivalry, and Endogenous Growth
Københavns Universitet, 2014, Niels Bohr - danskeren, der forandrede verden
Københavns Universitet, 2022, Tillid til institutioner er nødvendig
Københavns Universitet, 2024, Large language models and the Danish labour market
Letta, 2024, Much more than a market
Mandag Morgen, 2016, Virksomhedsledelse: Den danske fondsmodel er på vej ud i verden
Ministeriet for Samfundssikkerhed og Beredskab, 2024, Cybertruslen mod Danmark 2024
115
ERU, Alm.del - 2024-25 - Bilag 248: Meget mere end forskning – Fra innovationskløft til konkurrenceløft rapport udarbejdet af POMUS, Deloitte m.fl. udgivet i juni 2025 som et dansk svar på EU’s Draghi- og Letta-rapporter
3038575_0116.png
Meget mere end forskning
| Kildeliste
MIT Management Sloan School, 2023, ow generative AI can boost highly skilled workers’ productivity
NATO, 2025a, The Secretary General's Annual Report
NATO, 2025b, Funding NATO
Nature, 2025, How Trump's attack on universities is putting research in peril
New York Times, 1998, Last Rites for a 'Plywood Palace' That Was a Rock of Science
New York Times, 2025, Amid uncertainty about U.S. support, Ukraine pins its hopes on innovation
NYU Stern / Demodoran, 2025, Damodoran Online Current Data
OECD, 2009, Innovation and Growth: Chasing a moving frontier
OECD, 2015, Frascati Manual 2025: Guidelines for Collecting and Reporting Data on Research and Experimental
Development
OECD, 2022a, Promoting Start‑Ups and Scale‑Ups in Denmark’s Sector Strongholds and Emerging Industries
OECD, 2022b, Education attainment
OECD, 2022c, Recommendation of the Council on the Social and Solidarity Economy and Social Innovation
OECD, 2022d, Denmark: Quantifying Industrial Strategy
OECD, 2023, Pensions at a glance
OECD, 2024a, The geography of green innovation hubs in OECD regions
OECD, 2024b, Export restrictions on critical raw materials
OECD, 2024c, OECD Inventory of Export Restrictions on Industrial Raw Materials 2024
OECD, 2024d, The impact of Artificial Intelligence on productivity, distribution and growth: Key mechanisms, initial
evidence and policy challenges
OECD, 2024e, OECD Data Explorer - Archive
Our World in Data, 2024, Data: Literacy rate
Patent- og Varemærkestyrelsen, 2022, Undersøgelse af danske virksomheders brug af- og kendskab til
immaterielle rettigheder
Patent- og Varemærkestyrelsen, 2024, Danmark har førertrøjen i grøn innovation
Patent- og Varemærkestyrelsen, 2025, Intellectual Property Rights: Action plan for an innovative Denmark
Peressotti et al., 2025, Europas digitale afhængighed truer vores sikkerhed. Men vi kan stadig genvinde
suveræniteten
Politico, 2025, Europe splits on Trump’s call to dramatically boost defense spending
Politiken, 2025a, Ukraine tilfører nu krigen mod Rusland et makabert pointsystem
Politiken, 2025b, Michael Jarlner interviewer António Guterres:
FN’s
generalsekretær advarer om et truende kaos
Project Syndicate, 2025a, Europe must pursue collective sovereignty over tech
Project Syndicate, 2025b, What Europe an earn From Israel’s Defense Industry
Project Syndicate, 2025c, Europe Needs Shared Defense Capabilities
Property Rights Alliance, 2024, International Property Rights Index (IPRI)
116
ERU, Alm.del - 2024-25 - Bilag 248: Meget mere end forskning – Fra innovationskløft til konkurrenceløft rapport udarbejdet af POMUS, Deloitte m.fl. udgivet i juni 2025 som et dansk svar på EU’s Draghi- og Letta-rapporter
3038575_0117.png
Meget mere end forskning
| Kildeliste
QS Top Universities, 2025, QS World University Rankings
Reuters, 2025a, Europe pledges half a billion euros to lure scientists as Trump battles universities
Reuters, 2025b,
NATO’s Rutte says he assumes alliance will agree on 5% spending target
Romer, 1990, "Endogenous Technical Change"
Rosenberg, 1982, Inside the black box: Technology and economics
SAP, 2025, GenAI is doing some heavy lifting in 5 labor-intensive industries
SektorCERT, 2023, The attack against Danish, critical infrastructure
Sipri, 2024, SIPRI Military Expenditure Database
Sipri, 2025, TRENDS IN WORLD MILITARY EXPENDITURE
SMVdanmark, 2022, De små og mellemstore virksomheder er rygraden i dansk erhvervsliv
Solow, 1956, A contribution to the theory of economic growth
Statsrevisorerne Folketinget, 2022, Statens kommercialisering af opfindelser og investeringer i virksomheder
Styrelsen for Samfundssikkerhed, 202 , Digital sikkerhed i danske SMV’er 202
Tax Foundation, 2025, Capital Gains Tax Rates in Europe, 2025
Taylor, 2016, The politics of innovation: Why some countries are better than others at science and technology
Terma A S, 202 , VA UE FOR MONEY? DENMARK’S PARTI IPATION IN T E EUROPEAN DEFEN E FUND EDF
The Culture Factor Group, 2023, Country comparison tool
The Joint Research Centre: EU Science Hub, 2023, AOI charts - Global Wildfire Information System (GWIS)
Thomsen, 2016, The Danish Industrial Foundations
Transportministeriet, 2021, Ny infrastrukturplan på over 160 mia. kroner skal samle Danmark frem mod 2035
Tænketanken Europa, 2023, Hvad skal prioriteres i den europæiske industripolitik?
Tænketanken Europa, 2025, New Report: Building Industrial Strength
Uddannelses- og Forskningsministeriet, 2012, Innovationsstrategi
Uddannelses- og Forskningsministeriet, 2019, Teknologisk forskning i Danmark
Uddannelses- og Forskningsministeriet, 2020, Viden kender ingen grænser
Uddannelses- og Forskningsministeriet, 2024a, Danske forskningsmålsætninger
Uddannelses- og Forskningsministeriet, 2024b, Aftaler om fordeling af forskningsreserven mv. i 2025
Uddannelses- og Forskningsministeriet, 2024c, Aftaler om fordeling af forskningsreserven mv. i 2023
Uddannelses- og Forskningsministeriet, 2024d, Innovationsnetværk Danmark Programmet
Uddannelses- og Forskningsministeriet, 2024e, Danmarks Innovationsfond
Uddannelses- og Forskningsministeriet, 2024f, Nybrud i dansk innovationspolitik
Uddannelses- og Forskningsministeriet, 2025a, Godkendt Teknologisk Service (GTS)
Uddannelses- og Forskningsministeriet, 2025b, Bedre styring af den offentlige sektor
117
ERU, Alm.del - 2024-25 - Bilag 248: Meget mere end forskning – Fra innovationskløft til konkurrenceløft rapport udarbejdet af POMUS, Deloitte m.fl. udgivet i juni 2025 som et dansk svar på EU’s Draghi- og Letta-rapporter
3038575_0118.png
Meget mere end forskning
| Kildeliste
Uddannelses- og Forskningsministeriet, 2025c, Danmark - Kina
Udenrigsministeriet, 2018, Danish security of electricity supply remains among the best in Europe
Udenrigsministeriet, 2020, Denmark continues to be the easiest place in Europe to do business
Udenrigsministeriet, 2025, Denmark ranked as the most cyber-secure country in the world
Uniavisen, 2024, Ny aftale sikrer universiteterne 500 millioner til fri forskning
United Nations Industrial Development Organization, 2023, Mission-oriented industrial strategy
US Department of Energy, 2023, Inflation reduction act of 2022
Usai et al., 2008, Happiness as a driver of entrepreneurial initiative and innovation capital
Verdensbanken, 2021, Sea level change projections
Verdensbanken, 2023a, Protectionism Is Failing to Achieve Its Goals and Threatens the Future of Critical Industries
Verdensbanken, 2023b, World Bank Data
Verdensbanken, 2025, Military expenditure (% of GDP)
Voxmeter, 2025, Måling: To ud af fem vil indføre atomkraft i Danmark
World Economic Forum, 2024, Business on the Edge: Building Industry Resilience to Climate Hazards
World Energy Council, 2024, World Energy Trilemma 2024: Evolving with Resilience and Justice
World Happiness Report, 2025, World Happiness Report 2025
World Intellectual Property Organization, 2024, Global Innovation Index 2024 - Unlocking the Promise og Social
Entrepreneurship
World Population Review, 2025, Cost of Electricity by Country 2025
WorldAtlas, 2024, What Countries Have The Least Risk Of Earthquakes?
118
ERU, Alm.del - 2024-25 - Bilag 248: Meget mere end forskning – Fra innovationskløft til konkurrenceløft rapport udarbejdet af POMUS, Deloitte m.fl. udgivet i juni 2025 som et dansk svar på EU’s Draghi- og Letta-rapporter
3038575_0119.png
Deloitte refers to one or more of Deloitte Touche Tohmatsu Limited (DTTL), its global network of
member firms, and their related entities collectively, the “Deloitte organization” . DTT also
referred to as “Deloitte lobal” and each of its member firms and
related entities are legally
separate and independent entities, which cannot obligate or bind each other in respect of third
parties. DTTL and each DTTL member firm and related entity is liable only for its own acts and
omissions, and not those of each other. DTTL does not provide services to clients. Please see
www.deloitte.com/about to learn more.
Deloitte provides industry-leading audit and assurance, tax and legal, consulting, financial
advisory, and risk advisory services to nearly 90% of the Fortune Global 500® and thousands of
private companies. Our people deliver measurable and lasting results that help reinforce public
trust in capital markets, enable clients to transform and thrive, and lead the way toward a
stronger economy, a more equitable society, and a sustainable world. Building on its 175-plus
year history, Deloitte spans more than 150 countries and territories. Learn how
Deloitte’s more
than 450.000 people worldwide make an impact that matters at www.deloitte.com.
© 2025. For information, contact Deloitte Global.