Uddannelses- og Forskningsudvalget 2023-24
UFU Alm.del
Offentligt
2831992_0001.png
Ministeren
Uddannelses- og Forskningsudvalget
Folketinget
Christiansborg
1240 København K
I brev af 1. februar har udvalget efter ønske fra Katrine Robsøe (RV) stillet mig føl-
gende spørgsmål:
Alm. del spørgsmål 196
Hvordan fordeler de kandidatstuderende sig i dag i forhold til ugentlig tid brugt på
studiejob målt via Danmarks Studieundersøgelse? Svaret bedes opgøre, hvor stor
andel af de kandidatstuderende, der bruger hhv. 0, 0-5, 5-10, 10-15, 15-20, 20-25,
25-30 eller 30+ timer om ugen på job ved siden af studierne. For hver kategori be-
des samtidig anført, hvor meget tid, den pågældende gruppe studerende i gen-
nemsnit bruger på deres uddannelse om ugen.
Svar
I Danmarks Studieundersøgelse angiver de studerende, hvor mange timer de an-
vender på lønnet arbejde på en typisk uge og ligeledes hvor mange timer, de an-
vender på hhv. undervisning, forberedelse og praktik på en typisk uge. Tidsforbrug
for både lønnet arbejde og uddannelsen er således et udtryk for, hvor mange timer
de studerende selv har angivet, de anvender om ugen.
Til besvarelsen af den første del af spørgsmålet anvendes de studerendes
ugent-
lige arbejdstimer,
som består af deres selvangivne tidsforbrug på lønnet arbejde
på en typisk uge. I denne forbindelse skal det bemærkes, at
lønnet arbejde
kan
dække over arbejde, der ikke nødvendigvis er af studierelevant karakter, og at fri-
villigt arbejde ikke indgår i opgørelsen. Derudover indeholder kategorien med stu-
derende, der anvender 0 timer på lønnet arbejde også personer, der arbejder i pe-
rioder, hvor studiet er lukket, som f.eks. i sommerferien.
I anden del af besvarelsen af spørgsmålet anvendes de studerendes
samlede
ugentlige tidsforbrug på uddannelsen
(dvs. tidsforbrug på hhv. undervisning, for-
beredelse og praktik). Her skal det tilsvarende bemærkes, at opgørelsen er selv-
rapporteret og dermed ikke tager ikke højde for hvor mange undervisningstimer,
der udbydes på den pågældendes uddannelse. Hvor mange timer, den enkelte
studerende bruger på uddannelsen, kan derudover være påvirket af øvrige studie-
mæssige forhold eller personlige faktorer omkring den studerende.
I opgørelsen anvendes seneste indsamling af data fra Danmarks Studieundersø-
gelse fra 2023. Opgørelsen er afgrænset til kandidatstuderende.
29. februar 2024
Uddannelses- og
Forskningsministeriet
Børsgade 4
Postboks 2135
1015 København K
Tel. 3392 9700
www.ufm.dk
CVR-nr. 1680 5408
Ref.-nr.
Click here to enter text.
Side 1/3
UFU, Alm.del - 2023-24 - Endeligt svar på spørgsmål 196: Spm. om hvordan de kandidatstuderende fordeler sig i dag i forhold til ugentlig tid brugt på studiejob målt via Danmarks Studieundersøgelse
2831992_0002.png
Ifølge de studerendes selvrapporterede tidsforbrug har 32 pct. af de kandidatstu-
derende ikke lønnet arbejde ved siden af studiet og bruger altså 0 timer om ugen.
Den næststørste andel af kandidatstuderende (22 pct.) anvender 11-15 timer om
ugen på lønnet arbejde,
jf. figur 1.
Figur 1
Andele af kandidatstuderende fordelt efter antal ugentlige timer anvendt på lønnet ar-
bejde, procent, 2023
Procent af kandidatstuderendel
35
30
25
22
17
15
32
20
15
10
5
0
0
1-5
7
4
1
6-10
11-15
16-20
21-25
26-30
2
31+
Ugentlige arbejdstimer
Procent
Anm.:
Kilde:
Antal respondenter: 17.346.
Opgjort på baggrund af kandidatstuderende selvangivne tidsforbrug på lønnet arbejde på en
typisk uge. Lønnet arbejde kan dække over arbejde, der ikke nødvendigvis er af studierele-
vant karakter. Herudover indgår frivilligt arbejde ikke i opgørelsen af lønnet arbejde. Katego-
rien med studerende, der anvender 0 timer på lønnet arbejde også personer, der arbejder i
perioder, hvor studiet er lukket, som f.eks. i sommerferien.
Danmarks Studieundersøgelse (studerende) 2023, Uddannelses- og Forskningsstyrelsen.
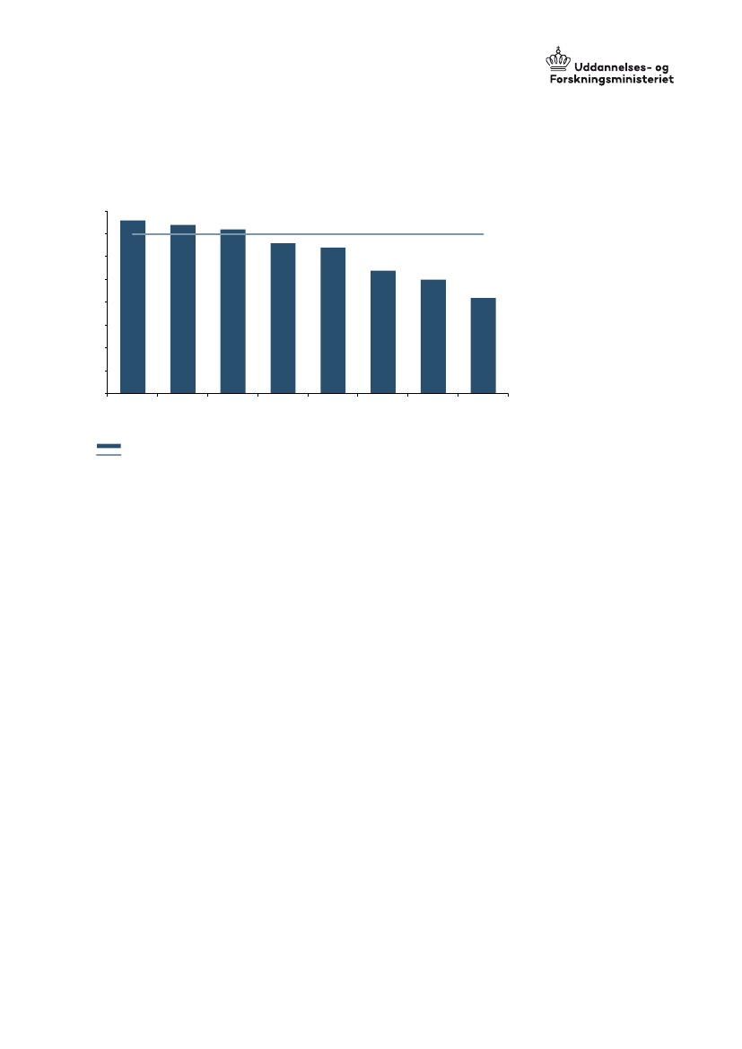
Samlet set angiver kandidatstuderende, at de anvender 35 timer om ugen (me-
dian) på deres uddannelse (på hhv. undervisning, forberedelse og praktik). Kandi-
datstuderende, der ikke har lønnet arbejde ved siden af studiet, anvender 38 timer
om ugen på studiet (median), mens f.eks. kandidatstuderende, der bruger 11-15
timer om ugen på lønnet arbejde, anvender 33 timer om ugen (median) på studiet.
Endelig anvender kandidatstuderende, der bruger 31 eller flere timer om ugen på
lønnet arbejde, 21 timer om ugen på studiet (median),
jf. figur 2.
Side 2/3
UFU, Alm.del - 2023-24 - Endeligt svar på spørgsmål 196: Spm. om hvordan de kandidatstuderende fordeler sig i dag i forhold til ugentlig tid brugt på studiejob målt via Danmarks Studieundersøgelse
2831992_0003.png
Figur 2
Kandidatstuderendes samlede ugentlige tidsforbrug på uddannelsen fordelt på ugentlige
timer anvendt på lønnet arbejde, antal timer pr. uge (median), 2023
Ugentlige studietidsforbrug (timer, median)
40
35
30
25
20
15
10
5
0
0
1-5
6-10
11-15
16-20
21-25
26-30
31+
Ugentlige arbejdstimer
Timer
Median (35 timer)
38
37
36
33
32
27
25
21
Anm.:
Kilde:
Antal respondenter: 16.225. Ugentligt studietidsforbrug indeholder hhv. undervisning, forbere-
delse og praktik.
Opgjort på baggrund af kandidatstuderendes selvangivne tidsforbrug om deres samlede
ugentlige tidsforbrug på uddannelsen (dvs. undervisning, forberedelse og praktik). Da opgø-
relsen er selvrapporteret tages ders ikke højde for hvor mange undervisningstimer, der udby-
des på den pågældendes uddannelse.
Danmarks Studieundersøgelse (studerende) 2023, Uddannelses- og Forskningsstyrelsen.
Med venlig hilsen
Christina Egelund
Side 3/3