Transportudvalget 2023-24
TRU Alm.del
Offentligt
2875537_0001.png
Gummimodificeret asfalt
Vejdirektoratet,
rapport 432, 2013
RappoRt foR demonstRationsstR ækningeR
med gummimodificeRet asfalt med pRoduktet
Road+ (genan a/s)
TRU, Alm.del - 2023-24 - Endeligt svar på spørgsmål 333: Spm. om ministeren vil kommentere materialet fra Genan Holding A/S’ foretræde 7/5-24 og herunder vurdere muligheden for at have genanvendelighed som faktor i offentligt udbudsmateriale om asfaltering, jf. TRU alm. del – bilag 233
2875537_0002.png
GUMMIMODIFICERET ASFALT
med produktet ROAD+ (Genan A/S)
FORFATTER:
FOTOS:
Vejdirektoratet
DATO:
Januar 2013
Maj 2013
ISBN (NET):
9788770607360
LAYOUT:
Vejdirektoratet
COPYRIGHT:
Vejdirektoratet, 2013
2
TRU, Alm.del - 2023-24 - Endeligt svar på spørgsmål 333: Spm. om ministeren vil kommentere materialet fra Genan Holding A/S’ foretræde 7/5-24 og herunder vurdere muligheden for at have genanvendelighed som faktor i offentligt udbudsmateriale om asfaltering, jf. TRU alm. del – bilag 233
iNdHold
sammeNfatNiNG
Konklusion
Uddybende opsummering
BaGGruNd for Projektet
forsøGs- oG måleProGram
raPPorteriNG
Bindemiddel data samt modelforsøg med 70/100 med ROAD+
Baggrund
Identifikation af materialer til prøvning af udgangsbindemidlerne
Resultater for bindemidlerne – traditionelle data
Resultater for bindemidlerne – rheologi
Del-konklusion for bindemidler
Modelforsøg med bitumenmørtel – Vändskak-forsøg
Asfaltmateriale
Kort beskrivelse af de indgående asfaltmaterialer
Resultater af arbejdsmiljøorienteret undersøgelse i Colas Danmark A/S
Produktions- og udlægningsteknisk vurdering
Udtagning af prøvemateriale i relation til udførte prøvninger
Resultater af asfaltprøvninger opdelt efter karakteristika
Bæreevne – resilient modul og elasticitetsmodul
Strukturel holdbarhed – udmattelsesegenskaber
Sporkøring – krybning, Wheel Tracking Test og Sporkøringsmaskinen
rUt
Lavtemperaturegenskaber – TSRST
Feltmålinger på Landevej 411 – friktion, tekstur og støjreducerende
egenskaber
Registrerede problemer ved materialetekniske prøver
Opfølgning på de udførte demonstrationsstrækninger
koNklusioN
aNNex
4
4
4
7
10
11
11
11
11
12
14
15
15
16
16
17
19
20
21
23
24
27
29
30
34
35
36
3
TRU, Alm.del - 2023-24 - Endeligt svar på spørgsmål 333: Spm. om ministeren vil kommentere materialet fra Genan Holding A/S’ foretræde 7/5-24 og herunder vurdere muligheden for at have genanvendelighed som faktor i offentligt udbudsmateriale om asfaltering, jf. TRU alm. del – bilag 233
2875537_0004.png
sammeNfatNiNG
koNklusioN
Den samlede vurdering af demonstrati-
onsstrækningerne og de udførte forsøg
i projektet viser, at ROAD+ kan indgå
som et muligt modificeringskoncept,
hvor asfaltproducenter og entreprenø-
rer må udvikle deres dokumentation for
den specifikke anvendelse (eksempel-
vis asfalttype og placering i belægnin-
gen (slidlag/binderlag/bærelag).
Projektets konklusioner er:
1. Modificering af SMA 11 med
ROAD+ 15 % som bindemiddel
giver ikke egenskaber på højde
med referencen (SBS modificeret
40/100-75 bitumen).
2. Modificering af SMA 11 med
ROAD+ 8 % vil kunne benyttes på
steder, hvor anvendelse af poly-
merer med middel modificeringsni-
veau menes tilstrækkelig i forhold
til trafikken. Der har ikke indgået
sammenlignende reference til
dette niveau i undersøgelsen, men
egenskaberne af ROAD+ 8 % vur-
deres til at være på højere niveau
end almindelig vejbitumen.
3. Der er ikke isoleret set nogen
støjreducerende effekt af ROAD+
modificering.
4. Anvendelse af ROAD+ koncep-
tet kan i forhold til Udbuds- og
anlægsforskrifter for varmblandet
asfalt samt bindemiddel og klæ-
bemiddel finde sted som special-
bindemiddel med dokumenterede
egenskaber.
4
Projektet har ikke omhandlet eventu-
elle energi- og CO
2
-mæssige betragt-
ninger ved ROAD+ konceptet, da det
har været udenfor formålet med det
nærværende projekt.
uddYBeNde oPsummeriNG
Der er til vurdering af modificerings-
konceptet ROAD+ (bildækgummipulver
og Vestenamer®) til asfaltvejbygning
i Danmark udført et stort, sammen-
lignende forsøg med produktet i to
koncentrationer, henholdsvis 8 % og
15 % i bitumen 70/100. Som reference
er valgt en forudfremstillet SBS-modifi-
ceret bitumen af typen 40/100-75, som
er sammenlignelig med ROAD+ i den
høje koncentration (15 % tilsætning
i forhold til bindemidlet eller 0,9 % i
forhold til asfalten).
Asfaltmaterialet til forsøgene har været
en skærvemastiks SMA 11 (ikke støj-
reducerende udgave) til høj trafikinten-
sitet, som er blevet udlagt juni 2011 på
Landevej 411 nær St. Binderup (mel-
lem Viborg og Ålborg) efter et forforsøg
tidligere samme måned på rasteplads
Himmerland Øst. I forbindelse med de
udførte demonstrationsstrækninger er
der tilknyttet et større forsøgsprogram
med laboratorie- og felt-prøvninger,
som er næsten afsluttet oktober 2012.
ROAD+ konceptet, som er udviklet
af Genan a/S, kan benyttes efter to
principper, som ifølge firmaet er lige-
værdige:
den våde proces, hvor der før
asfaltproduktionen laves et modi-
ficeret bindemiddel, som derefter
tilsættes på vanlig vis
den tørre proces, hvor komponen-
terne til ROAD+ tilsættes direkte
i asfaltblanderen på asfaltværket
til produktion af en modificeret
asfalt.
Som udgangspunkt – for at give bedre
data-grundlag til projektet – var det
ønsket at afprøve ROAD+ efter den
våde proces, idet man herved har
mulighed for at analysere bindemidlet
inden produktion af asfalten. Indle-
dende sonderinger i foråret 2011 viste
dog, at proces-udstyret på de danske
asfaltværker (udformning af lager-
tanke og rør-dimensioner) de facto
udelukkede, at den våde proces kan
anvendes i Danmark uden betydelige
investeringer i procesudstyr. Til vur-
dering af hvilke egenskaber man ville
kunne forvente af et bindemiddel, som
er modificeret med ROAD+, er der i
laboratoriet lavet nogle modelforsøg til
demonstration af dette.
Resultaterne af projektet med SMA 11
og det tilknyttede forsøgsprogram kan
sammenfattes i følgende punkter:
5. Der har ikke været problemer ved
produktion af ROAD+ modificeret
skærvemastiks efter den tørre
proces, som ligner meget den ”in
situ” tilsætning, der pt. anvendes
af mange danske asfaltfirmaer til
TRU, Alm.del - 2023-24 - Endeligt svar på spørgsmål 333: Spm. om ministeren vil kommentere materialet fra Genan Holding A/S’ foretræde 7/5-24 og herunder vurdere muligheden for at have genanvendelighed som faktor i offentligt udbudsmateriale om asfaltering, jf. TRU alm. del – bilag 233
2875537_0005.png
6.
7.
8.
produktion of polymermodificeret
asfalt.
Der har ikke i forhold til almindelig
asfalt været udlægningstekniske
problemer med ROAD+, og i
forhold til referencen med SBS-
modificeret 40/100-75, er tilbage-
meldingerne fra personer invol-
veret i forsøgene, at de ROAD+
modificerede versioner af SMA 11
er nemmere at arbejde med end
tilsvarende med 40/100-75 (især
manuel håndtering).
Colas Danmark A/S har udført en
spørgeskemaundersøgelse blandt
de ca. 40 personer, som har været
i kontakt med ROAD+ modificeret
asfalt (fabrik, tilsyn, chauffører,
udlægning, laboratorium).
Lugten er vurderet med en skala
fra 1 til 10, hvor 1 er ”Grimt”, 5 er
”Neutral” og 10 er ”Godt”. Opfat-
telsen er i middel:
– 4,9 for 40/100-75,
– 3,8 for ROAD+ 8 % og
– 3,3 for ROAD+ 15 %.
Der er nogle få tilbagemeldinger
om svimmelhed, kvalme og hoved-
pine (som måske kan tilskrives en
vis gummilugt fra produktet).
Niveauet for gummilugt fra pro-
duktet er ikke tilnærmelsesvis på
niveau med tidligere afprøvede
gummimodificeringer.
”Erstatningsreglen” fra Genan A/S
om, at effekten af en given tilsæt-
ning af SBS polymer kan opnås
ved tilsætning af ROAD+ i 2,5
gange mængden af SBS holder
ikke. (Samme basis-bitumen er
dog ikke anvendt, da de modifi-
cerede bindemidler var tilstræbt
så identisk som muligt i forhold til
anvendelsen på Landevej 411).
9. 15 % ROAD+ i 70/100 giver ikke
resultater helt på niveau med
den benyttede SBS modificerede
40/100-75 bitumen.
10. de to benyttede road+ modi-
ficerede asfalter vurderes til at
give markant bedre resultater end
standard bitumen.
11. Bæreevne (Elasticitetsmodul):
ROAD+ modificeret skærve-
mastiks giver et stivhedsmodul
på samme niveau som referen-
cen. 8 % tilsætning af ROAD+
giver lidt uforklarligt de højeste
værdier.
12. Strukturel holdbarhed (Udmat-
telsesegenskaber): Udmattelses-
forsøgene (efter flere principper)
giver ikke helt entydigt billede.
Resultatet fra den franske trapez-
metode viser, at de to skærvema-
stiks med ROAD+ modificering
ligger på samme niveau men klart
med mindre udmattelsesstyrke
end referencen.
Resultatet for Nottingham Asphalt
Tester hos Colas Danmark A/S og
hos Vejdirektorat viser, at ROAD+
8 % og referencen er på samme
niveau, mens ROAD+ 15 % har
en udmattelsesstyrke under dette
niveau.
13. Sporkøring: Der er fundet gode
sporkøringsegenskaber ved
ROAD+ modificering – både ved la-
boratorieforsøg (”Hamborg”-meto-
den), krybningsforsøg og fuldskala-
prøvning i sporkøringsmaskinen,
RUT – men ikke helt på samme,
høje niveau som referencen.
14. Kuldeegenskaber: ROAD+ modifi-
cering har gode kuldeegenskaber
ved TSRST-metoden; dog ikke
helt på niveau med referencen,
men vurderes ud fra litteraturen
at have bedre egenskaber end
standard bitumen.
15. Støjreducerende egenskaber:
Måling af støjegenskaber efter
CPX- og SPB-metoderne viser i
initialsituationen og efter ca. 1 år,
at der ikke er nogen støjreduce-
rende effekt alene ved anvendelse
af ROAD+ modificeret bindemid-
del. Bindemidlet kan anvendes til
slidlagsbelægninger, hvor overfla-
detekstur eller stenskelet giver en
støjreducerende effekt.
16. De udførte demonstrationsstræk-
ninger har ved måling af friktion
ikke givet årsag til bemærkninger.
Supplerende forsøg:
Modelforsøgene med ROAD+
tilsætning efter den våde proces i
laboratoriet viser:
– Modificering af 70/100 med
15 % ROAD+ har en meget
højere viskositet end den
SBS-modificerede reference,
5
TRU, Alm.del - 2023-24 - Endeligt svar på spørgsmål 333: Spm. om ministeren vil kommentere materialet fra Genan Holding A/S’ foretræde 7/5-24 og herunder vurdere muligheden for at have genanvendelighed som faktor i offentligt udbudsmateriale om asfaltering, jf. TRU alm. del – bilag 233
2875537_0006.png
selv om blødhedspunkt kugle
og ring er betydeligt lavere.
– Den undersøgte kombination
af 70/100 og 8 % tilsætning
af ROAD+ viser en elastisk
tilbagegang ved 10 °C over
50 %, mens målingen ikke
kunne udføres forskriftsmæs-
sigt med 15 % tilsætning.
– Duktilitet ved 25 °C viser, at de
duktile egenskaber af ROAD+
modificerede bindemidler
ikke er gode. Det kan sikkert
tilskrives tilstedeværelsen af
gummipartikler i bindemidlet,
som kan virke som initiatorer
for brud.
Vändskak-forsøg er udført af NCC
Roads i Sverige og beskriver
holdbarhed af bindemiddelmørtel
i kombination med slitage og fugt.
Forsøgene viser med forbehold
for gummipulverets indflydelse på
fremstilling af prøveemnerne:
Slitage (og kvældning) øges
med stigende koncentration
af ROAD+ og ligger over
referencen.
Der er en indflydelse på resul-
tatet for road+ fra
– oprindelsen af den an-
vendte basis-bitumen og
– den anvendte skærve.
Der er en vis variation i
hulrummet for de undersøgte
kombinationer; dog ikke så
stor for skærvetypen Norit,
som også er anvendt til de-
monstrationsstrækningen.
Indflydelse af produktets egenskaber
på de nugældende kvalitetskontrolme-
toder er også vurderet. Der er konsta-
teret problemer i forhold til følgende
metoder i forbindelse med forsøgene:
Det er ikke muligt på reproducer-
bar vis at foretage en ekstrak-
tion og genindvinding af ROAD+
modificeret bindemiddel efter en
nugældende europæisk standard.
De opkvældede gummipartik-
ler fra ROAD+ tilsætningen har
tendens til at sætte sig i maskerne
på de fine sigter og i trådnet i
ekstraktorer. Det kan – ud over
øget rengøringsbesvær – måske
have indflydelse på resultatet af
kornstørrelsesbestemmelse af de
nederste sigter i sigtesøjlen.
Korttidshærdningsmetoden
RTFOT kan ikke anvendes på
ROAD+ modificeret bitumen efter
den våde proces, hvis tilsætningen
af ROAD+ er 15 %, da bindemidlet
er for komplekst.
Visuel bedømmelse af de udførte
demonstrationsstrækningerne og de
opnåede resultater giver forventninger
om en god holdbarhed på vejen.
6
TRU, Alm.del - 2023-24 - Endeligt svar på spørgsmål 333: Spm. om ministeren vil kommentere materialet fra Genan Holding A/S’ foretræde 7/5-24 og herunder vurdere muligheden for at have genanvendelighed som faktor i offentligt udbudsmateriale om asfaltering, jf. TRU alm. del – bilag 233
2875537_0007.png
BaGGruNd for Projektet
Modificering af asfalt med gummi-
granulat/-mel fra gamle bildæk har
været kendt i mange år i forskellige
koncepter. I nyere tid (fra ca. 2005) er
de ”gamle” koncepter blevet revitalise-
ret gennem kombination med nye addi-
tiver og/eller introduktion i forbindelse
med andre teknologier som Warm-Mix
(muligheden for at producere og ud-
lægge asfalt ved temperaturer lavere
end normalt). Det blev bl.a. præsen-
teret på et ISAP symposium i Zürich,
Schweiz i 2008, hvor flere koncepter
via additiver til sænkning af produkti-
onstemperaturer muliggjorde anven-
delse af bildækgummi, som tidligere
skulle produceres ved forholdsvis høje
temperaturer.
Firmaet Genan a/S, som er en stor,
dansk producent af oparbejdede
produkter fremstillet af gamle bildæk,
har i 2008 henvendt sig til Vejdirekto-
ratet for at introducere, at et af deres
produkter – gummimel 0,2–0,8 mm
– indgår i et modificeringskoncept til
asfalt ved navn ROAD+. Vejdirek-
toratet oplyste dengang Genan A/S
om den optimale indgang til asfalt-
branchen som den primære kunde-
gruppe for firmaet. Vejdirektoratet gav
endvidere mulighed for, at NCC Roads
A/S kunne afprøve konceptet den 22.
september 2009 i en demonstrations-
strækning (et asfaltbindelag) ved
Søften ved Århus.
Som følge af nye kontakter i 2010 er
der blevet foretaget en faglig vurdering
af firmaets dokumentation for produk-
tets egenskaber. Notatet fra decem-
ber 2010 peger på, at der er enkelte
elementer, som kunne være bedre
dokumenteret, og foreslår indlednings-
vis rammerne for en demonstrations-
Figur 1 Placering af demonstrationsstrækninger på Landevej 411 og forforsøg på rasteplads Himmerland Øst
7
TRU, Alm.del - 2023-24 - Endeligt svar på spørgsmål 333: Spm. om ministeren vil kommentere materialet fra Genan Holding A/S’ foretræde 7/5-24 og herunder vurdere muligheden for at have genanvendelighed som faktor i offentligt udbudsmateriale om asfaltering, jf. TRU alm. del – bilag 233
2875537_0008.png
Figur 2 Prøveudlægn-
ing af SMA med 15 %
Road+ på rasteplads
Himmerland Øst
og forsøgsstrækning for at tilvejebringe
et bedre grundlag for vurdering af
bl.a. holdbarhed og støjreducerende
egenskaber.
I perioden januar til maj 2011 er der
blevet arbejdet med at præcisere det
ønskede måleprogram og de ønskede
belægningstyper, samt at finde det
optimale sted, som vil tilfredsstille de
trafikaviklingsmæssige og måletekni-
ske krav. Den optimale vejstrækning
er blevet fundet i forbindelse med et
vedligeholdelsesarbejde på landevej
411 ved St. Binderup (mellem Viborg
og Ålborg).
Da der samtidig er ønske om et
omfattende materiale-teknisk ana-
lyseprogram, som skal udføres hos
Vejdirektoratet (Vejteknisk institut/
Vejteknisk Område) og hos den valgte
asfaltentreprenør, Colas Danmark A/S,
bliver det meget tidligt i processen
besluttet at supplere med et forforsøg
på rasteplads Himmerland Øst til
dels at sikre det optimale udbytte
af belægningerne på landevej 411,
da indledende erfaring fra raste-
pladsen kan indarbejdes,
dels at give mulighed for ud-
tagning af en meget stort antal
belægningsprøver, som landevej
411 så vil blive forskånet for bl.a.
af hensyn til trafikafvikling.
Hovedformålet ved det praktiske for-
søg er at sammenligne egenskaberne
af to belægningsmaterialer hvor den
eneste forskel så vidt muligt er det
anvendte bindemiddel-koncept. Da
Road+ som modificering i særlig grad
retter sig mod asfalt til stærkt trafike-
rede eller belastede veje, så beslut-
tes det, at hovedfokus vil være på en
relativ vurdering mellem to sammenlig-
nelige bindemiddel-koncepter til dette
formål. Referencen bliver en færdig-
fremstillet SBS polymermodificeret
bitumen med højt blødhedspunkt kugle
og ring af typen 40/100-75, som skal
holdes op imod en 70/100 bitumen
med 15 % tilsætning af ROAD+. Der
tilføjes endnu en variant af ROAD+,
hvor tilsætningen er reduceret til
8 % ROAD+, da det i følge Genan
A/S oplysninger vil modsvare det SBS
indhold, som anvendes til polymermo-
dificerede asfaltmaterialer med middel
indhold af polymer.
Et af delformålene med projektet er at
undersøge i hvilken udstrækning, der
kan tænkes at være en støjreduce-
rende effekt, som alene kan tilskrives
ROAD+ som bindemiddel, og som ikke
”sløres” af en støjreducerende tekstur
fra asfalttypen. Derfor vælges skær-
vemastiks som belægningstype med
et mix design, som
ikke
er optimeret
for støjreducerende egenskaber, for at
variationen mellem de anvendte binde-
midler kan træde tydeligere frem.
Støjreferencen i Danmark er pt. en
middelværdi over en større gruppe af
tætgraderet asfaltbeton med 11 mm
maksimal stenstørrelse ca. 8 år efter
udlægning. Vejdirektoratet er i færd
med at undersøge mulighederne for et
skift til en ny dansk referencebelæg-
ning i form af skærvemastiks; også
med 11 mm maksimal stenstørrelse,
da AB 11t ikke benyttes så meget på
statsvejnettet, og det derfor vil være
svært i fremtiden med samme sikker-
hed målemæssigt at verificere denne
værdi. Derfor er et sekundært men
vigtigt delformål med demonstrations-
strækningerne, at de kan indgå som
almindelige SMA-belægninger i denne
8
TRU, Alm.del - 2023-24 - Endeligt svar på spørgsmål 333: Spm. om ministeren vil kommentere materialet fra Genan Holding A/S’ foretræde 7/5-24 og herunder vurdere muligheden for at have genanvendelighed som faktor i offentligt udbudsmateriale om asfaltering, jf. TRU alm. del – bilag 233
2875537_0009.png
population på grund af den store grad
af synergi og de velbeskrevne be-
lægninger. Dette indebærer også, at
disse belægninger formentlig i andre
projekter med relationer til emner som
støjreduktion, tekstur og rullemodstand
i fremtiden vil kunne tjene som referen-
cepunkt.
De valgte asfalttyper bliver:
SMA 11 med 40/100-75 SBS
– polymermodificeret bitumen
(reference)
SMA 11 med 70/100, hvortil der
sættes 8 % ROAD+ (i forhold til
bitumenen)
SMA 11 med 70/100, hvortil der
sættes 15 % ROAD+ (i forhold til
bitumenen)
ROAD+ kan tilsættes på to måder;
kaldet henholdsvis våd og tør proces,
som ifølge Genan A/S skulle være
ligeværdig. Til forsøgene har Vejdi-
rektoratet klart foretrukket den våde
proces, da den vil give bedst mulighed
for at måle materialetekniske parame-
tre ved vurdering af produktet før og
efter anvendelse. Men de indledende
møder mellem teknikere fra Genan A/S
og Colas Danmark A/S har opklaret,
at anvendelse af den våde proces i
Danmark umuliggøres af nogle gene-
relle træk i Danmark for lagertanks-
udformninger og rørføringer på
alle
de
danske asfaltfabrikker – uden betyde-
lige investeringer. ROAD+ modificeret
bitumen efter den våde proces kan dog
finde sted, hvis det færdigblandede
bindemiddel importeres på specielle
tankevogne (med omrøring), og der
tilrigges særligt pumpe- og doserings-
udstyr, som kan håndtere tilsætningen
til mixeren på asfaltværket fra disse
tankvogne.
Den tørre proces, som derfor er
anvendt, betyder, at ROAD+ tilsættes
direkte i mixeren på asfaltværket (også
kaldet ”in-situ”), hvorved en modificeret
asfalt fremkommer. Gummimelet bliver
kun delvist opløst/opkvældet i binde-
midlet. Dette forhold betyder, at en
meget væsentlig af forsøgsprogram-
met sideordnet bliver, hvordan produk-
tet påvirker de sædvanlige måle- og
kontrol-metoder, som ikke alle kan
håndtere dette forhold.
Den 6.–8. juni 2011 blev de tre belæg-
ninger i forforsøget udført på raste-
plads Himmerland Øst. På baggrund af
erfaringerne herfra blev der foretaget
marginale justeringer af recepterne til
de to belægninger med tilsætning af
ROAD+. Hovedforsøget blev udført i
perioden 27.–30. juni 2011 på landevej
411. Alle materialerne til forsøgsbe-
lægninger blev produceret fra Colas’
asfaltværk ved Edslev, Århus.
9
TRU, Alm.del - 2023-24 - Endeligt svar på spørgsmål 333: Spm. om ministeren vil kommentere materialet fra Genan Holding A/S’ foretræde 7/5-24 og herunder vurdere muligheden for at have genanvendelighed som faktor i offentligt udbudsmateriale om asfaltering, jf. TRU alm. del – bilag 233
2875537_0010.png
forsøGs- oG
måleProGram
Hovedelementer i forsøgs- og måle-
programmet er skitseret nedenfor. I
denne sammenhæng er det vigtigt
at bemærke, at programmet har lagt
vægt på den relative vurdering mellem
de udlagte belægningsmaterialer, idet
forsøgene kunne give måleresultater,
hvor de forventede forskelle mel-
lem strækningerne kunne forventes
at være i nærheden af målenøjag-
tigheden på prøvningsmetoderne
(holdbarbarhed: udmattelsesforsøg
og støjmålinger: SPB og CPX). Hertil
kommer, at materialetekniske analyser
i laboratoriet i større eller mindre grad
kan påvirkes af materialets specielle
egenskaber (herunder især gummipar-
tiklernes indflydelse), som nødvendig-
gør yderligere tilpasning af metoderne
eller specialtolkning.
Der er på landevej 411 målt friktion
og støjegenskaber (SPB-måling
er efter ca. 2 måneder og flere
CPX-målinger fra 1–60 dage efter
udlægning).
Målinger af eventuelle støjreduce-
rende effekter er ligeledes udført
1 år efter udlægning. CPX- og
SPB-målingerne er foretaget og
analyseret
Da der på grund af det nødven-
dige valg af den tørre proces til
ROAD+ modificeringen ikke har
været et udgangsbindemiddel at
teste, er der hos Vejdirektoratet
lavet nogen simulerede blandinger
(model-forsøg) af den benyttede
bitumen og gummimel/Vestena-
mer® efter den våde proces.
Rasteplads Himmerland Øst (be-
lægningsprøver):
– Der er udtaget belægnings-
prøver til sporkøringsforsøg i
sporkøringsmaskinen RUT.
– der er udtaget borekerner
til måling af stivhedsmodul/
resilient modul (Nottingham
Asphalt Tester). Prøvningerne
er foretaget hos Vejdirektora-
tet. Lignende målinger er ud-
ført hos Colas Danmark A/S.
– Der er udtaget borekerner til
krybningsforsøg (Nottingham
Asphalt Tester). Prøvningerne
er udført hos Vejdirektoratet.
– Der er udtaget borekerner til
udmattelsesforsøg (Notting-
ham Asphalt Tester). Prøvnin-
gerne er udført hos Vejdirek-
toratet, mens et sideløbende
serie af prøvninger hos Colas
Danmark A/S stadig pågår.
Landevej 411 (løst pakket asfalt
udtaget under produktionen):
– der er foretaget komprime-
ringsforsøg hos Vejdirektoratet
(Marshall og gyrator) dels til
bestemmelse af reference-
densitet, dels til komprime-
ringsvillighed.
– Colas Danmark A/S har fået
foretaget udmattelsesforsøg i
Frankrig (2-punkts forsøg på
trapez-formede prøvelege-
mer).
– Colas Danmark A/S har fået
foretaget lavtemperatur-forsøg
i Canada (Temperature Stress
Restrained Specimen Test).
– Colas Danmark A/S har
udtaget materiale og udført
sporkøringstest (Wheel Track-
ing Test).
Kvalitetskontrol i form af genind-
vindinger fra alle de forekommen-
de belægningsprøver er opgivet,
da den eksisterende metode/
procedure ikke kan anvendes
på reproducerbar vis på ROAD+
modificerede materialer. Derfor
indgår der ingen ”før og efter” vur-
deringer af ROAD+ bindemidlerne
i projektet.
Colas Danmark A/S har udført en
stor spørgeskemaundersøgelse
vedr. indtryk af lugt og andre
gener fra berørte medarbejdere
under forforsøget og udlægningen
af landevej 411.
NCC Roads A/S har som sup-
plement udført mørtel-forsøg
(kombinationer af bindemiddel og
stenmel) efter Vändskak-meto-
den, hvori de anvendte ROAD+
bindemidler indgår i de anvendte
blandinger.
10
TRU, Alm.del - 2023-24 - Endeligt svar på spørgsmål 333: Spm. om ministeren vil kommentere materialet fra Genan Holding A/S’ foretræde 7/5-24 og herunder vurdere muligheden for at have genanvendelighed som faktor i offentligt udbudsmateriale om asfaltering, jf. TRU alm. del – bilag 233
2875537_0011.png
raPPorteriNG
BiNdemiddel data samt
modelforsøG med 70/100
med road+
Baggrund
Som tidligere omtalt har det det ikke
været muligt at lave de pågældende
forsøgsstrækninger med ROAD+
modificeret bindemiddel efter den våde
proces, som ville give initial-værdier
for de anvendte bindemidler (det vil
sige som modificeret bindemiddel). Det
ville have givet de bedste muligheder
for at vurdere egenskaber af mate-
rialerne og især de ændringer, som
kunne forekomme under produktion og
udlægning. De herskende lagertanks-
udformninger og rørføringer, som er
typiske på danske asfaltfabrikker selv
til håndtering af polymermodificeret
bitumen med højt SBS-indhold forhin-
drede uden betydelige investeringer
at fremstille og opbevare ROAD+
modificeret bindemiddel. De fabriksde-
signmæssige forhold forhindrede også
indkøb af færdigfremstillet ROAD+
modificeret bindemiddel fra udlandet,
selv om man ville acceptere meget
lange transportafstande.
Derfor er forsøgsstrækningerne baseret
på den tørre proces (in-situ tilsætning i
mixeren på asfaltværket), hvorved der
er tale om ROAD+ modificeret asfalt og
ikke ROAD+ modificeret bindemiddel.
Dette forhold har betydning for senere
kvalitetskontrol-muligheder af udførte
belægningsarbejder.
For dog at få en fornemmelse af hvilke
typer af egenskaber, som man kan for-
mode, der kan forekomme i belægnin-
gerne, er der udført nogle modelforsøg
med fremstilling af ROAD+ modificeret
bindemiddel med de samme udgangs-
produkter; det vil sige bitumen og
ROAD+ (gummimel og Vestenamer®)
til sammenligning med standard
bitumenen 70/100 og den anvendte
reference-bitumen 40/100-75 (SBS-
modificeret).
Identifikation af materialer til prøv-
ning af udgangsbindemidlerne
De benyttede prøver og deres ID nr.
fremgår af Rapport for demonstrations-
strækninger med gummimodificeret
asfalt med produktet ROAD+ (Genan
A/S)1. Prøverne vil ved omtale så vidt
muligt blive refereret til deres karak-
teristika, men i visse sammenhænge
kan det være praktisk blot at henvise
til deres ID nr, eller eksempelvis som
ROAD+ 8% og ROAD+ 15 %, hvis det
ikke formodes at give forståelsesmæs-
sige problemer.
sV nR.
SV11272
SV11273
SV11274
Bindemiddel
naVn
Gummimel GTR
0,2-0,8 mm
Vestenamer®
70/100
(basis bitumen)
tilstedeVæRelse
Produktet udgør sammen med Vestena-
mer® ROAD+ konceptet
Produktet udgør sammen med Gummimel
GTR 0,2-0,8 mm ROAD+ konceptet
Standard-bitumen i henhold til EN 12591,
som blandes af lagerbitumener 40/60 og
250/330. Bindemidlet er udgangspunktet
for fremstilling af den ROAD+-modificerede
asfalt. Bitumenen blandes og leveres af
Colas
Reference bitumen i henhold til EN 14023.
Leveres af Colas
Fremstilles af Vejdirektoratet i laboratoriet
af råvarer (variant A)
Fremstilles af Vejdirektoratet i laboratoriet
af råvarer (variant B)
SV11275
SV11355
SV11356
40/100-75
(Colflex 70S)
ROAD+ 8 %
(lav koncentration)
ROAD+ 15 %
(høj koncentraton)
Tabel 1 Data for bindemiddelprøverne (ID nr. og kort karakteristik)
11
TRU, Alm.del - 2023-24 - Endeligt svar på spørgsmål 333: Spm. om ministeren vil kommentere materialet fra Genan Holding A/S’ foretræde 7/5-24 og herunder vurdere muligheden for at have genanvendelighed som faktor i offentligt udbudsmateriale om asfaltering, jf. TRU alm. del – bilag 233
2875537_0012.png
Figur 3 road+ (sort
gummimel GTR
0,2–0,8 mm og hvide
pellets af Vestena-
mer®)
Fremstilling af ROAD+ modificeret
bindemiddel med en koncentration
på henholdsvis 8 % og 15 % i forhold
til det anvendte bindemiddel følger
de standardbeskrivelser, som findes i
dokumentationsmateriale for konceptet
fra Genan A/S. Blandingsforholdet for
de i ROAD+ indgående komponenter er
Modelforsøg
foRkoRtede BetegnelseR
komponenter
Gummimel GTR 0,2–0,8 mm
(SV11272)
Vestenamer® (SV11273)
70/100 (SV11274)
Road+ 8 %
SV11355
115,47 gram
5,20 gram
1.508,30 gram
Road+ 15 %
SV11356
217,31 gram
9,78 gram
1.513,92 gram
100 dele af Gummimel GTR
0,2–0,8 mm (SV11272) til
4,5 dele af Vestenamer®
(SV11273)
Tabel 2 Vægtsammensætning af de laboratoriefremstillede ROAD+ bindemidler
Ca. 1,5 kg 70/100 (kendt mængde,
med 0,01 grams afvejning) opvarmes
til ca.180 °C (ikke over 180 °C). De
forudberegnede mængder af road+
komponenter tilsættes under omrø-
ring. Når tilsætningen er overstået, og
bindemidlet er nogenlunde homogent,
holdes blandingen på ca. 170 °C i 2
timer under omrøring, hvorefter bin-
demidlet neddeles i passende, mindre
portioner og afkøles til stuetemperatur.
Ved senere brug opvarmes portio-
nerne kortvarigt til 180 °C, omrøres og
ophældes til de specifikke prøvninger.
12
Resultater for bindemidlerne –
traditionelle data
De forskellige bindemidler er analyse-
ret i henhold til forskellige prøvninger,
som fremgår af Tabel 3 Resultater af
traditionelle bitumenprøvninger3 med
referencer til de officielle standarder.
For standardbitumenen 70/100 er
enkelte prøvninger ikke udført, da de
enten ikke er relevante for et umodifi-
ceret bindemiddel, eller ikke har særlig
relevans (hærdningsdata), da det ikke
benyttes til asfalt i det nærværende
projekt.
Den primære sammenligning i denne
del af projektet er mellem værdi-
erne for 70/100 med 15 % ROAD+
(SV11356) og 40/100–75 (SV11275)
i Tabel 3 Resultater af traditionelle
bitumenprøvninger3. Der fremgår – på
trods af at blødhedspunktet kugle og
ring for SV11356 er lavere end for det
SBS modificerede bindemiddel (63,0
°C mod 83,5 °C) – at ROAD+ binde-
midlet er meget stivere (penetration og
viskositeter).
TRU, Alm.del - 2023-24 - Endeligt svar på spørgsmål 333: Spm. om ministeren vil kommentere materialet fra Genan Holding A/S’ foretræde 7/5-24 og herunder vurdere muligheden for at have genanvendelighed som faktor i offentligt udbudsmateriale om asfaltering, jf. TRU alm. del – bilag 233
2875537_0013.png
pRøVning
Penetration ved 25 °C
Blødhedspunkt kugle
& ring
Blødhedspunkt kugle
& ring
Penetrationsindex,
I
p
Dynamisk viskositet
ved 135 °C
Dynamisk viskositet
ved 160 °C
Elastisk tilbagegang
ved 10 °C
Duktilitet ved 25 °C
rtFot masseændring
Penetratrion ved 25 °C
Blødhedspunkt kugle
& ring
Blødhedspunkt kugle
& ring
Penetrationsindex,
I
p
Refe-
Rence
eN 1426
eN 1427 i
vand
eN 1427 i
glycerin
EN 12591
eN 13302
eN 13302
eN 13398
ASTM D-113
EN 12607-1
eN 1426
eN 1427 i
vand
eN 1427 i
glycerin
EN 12591
enhed
x 0,1 mm
°C
°C
sV11274
70/100
77
46,4
-
-1,1
sV11275
40/100-75
64
-
83,5
5,5
1.920
620
84
73
0,041
47
-
82,5
4,5
sV11355
Road+ 8 %
47
55,4
-
-0,1
1.028
283
69
17
0,053
37
63,0
-
0,9
sV11356
Road+15 %
42
63,0
-
1,2
3.860
1.097
knækket ved
8,8 cm
16
-0,013 §
35 §
75,6 §
-
2,8 §
mpa s
mpa s
%
cm
%
0,1 mm
°C
°C
-
431
146,0
Tabel 3 Resultater af traditionelle bitumenprøvninger
§ Prøven har været for struktureret til, at den ved RTFOT (EN 12607-1 Rolling Thin Film Oven Test) ved 163 °C gav en kontinuert bindemiddelfilm. Ved denne
sammenlignende undersøgelse var det ikke relevant at hæve temperaturen forsøgsvis til 180 °C. De angivne værdier skal derfor ses som tilnærmede værdier.
Figur 4 Opstilling til
fremstilling af ROAD+
modificeret bindemid-
del efter den våde
proces
13
TRU, Alm.del - 2023-24 - Endeligt svar på spørgsmål 333: Spm. om ministeren vil kommentere materialet fra Genan Holding A/S’ foretræde 7/5-24 og herunder vurdere muligheden for at have genanvendelighed som faktor i offentligt udbudsmateriale om asfaltering, jf. TRU alm. del – bilag 233
2875537_0014.png
ROAD+ bindemidlet er også så
”komplekst” (struktureret), at kort-
tidshærdningsvurderingen efter EN
12607-1 Rolling Thin Film Oven Test
(RTFOT), som skal simulere hærd-
ning under produktion og udlægning
af asfalt, ikke kan udføres under de
normale betingelser. På trods af, at
det 3-dimensionale SBS netværk i
den højmodificerede 40/100-75 har
denne prøve ikke samme problem.
den europæiske standardisering er
bekendt med, at EN 12607-1 RTFOT
har problemer med meget komplekse
bindemidler, men der er ikke endnu
fundet nogen brugbar løsning på dette,
selv om metode EN 15323 Rotating
Cylinder Ageing Test (RCAT) har været
nævnt som en mulighed.
Elastisk tilbagegang, som igennem
mange år har været en vigtig parame-
ter i Danmark for vurdering af modifi-
ceringsgrad/elastiske egenskaber kan
ikke for ROAD+ bindemidlet i 15 %
tilsætning bestemmes – formentlig på
grund af sit forholdsvis høje indhold
af partikulært materiale (opkvældede
gummipartikler m.v.). Derimod er det
fundet, at kombinationen af den valgte
bitumen 70/100 og bindemidlet i 8 %
tilsætning af ROAD+ med en værdi på
69 % godt kan klare definitionen på
bindemiddel med elastiske egenska-
ber. Hertil kræves en værdi ≥ 50 %.
Med hensyn til duktilitet ved 25 °C er
det igen det partikulære indhold (he-
terogen prøve) der er årsag til, at de
to ROAD+ bindemidler (SV11355 og
SV11356) knækker så meget før det
polymermodificerede (SV11275).
De bindemidler som sammenlignes
i Tabel 3 Resultater af traditionelle
14
bitumenprøvninger3 med hensyn til
ændringer ved produktion og udlæg-
ning af asfalt (d.v.s. data efter RTFOT
hærdning) er alle modificerede, og
derfor kan erfaringer fra standard
vejbitumen ikke anvendes her. Det
SBS modificerede bindemiddel udviser
– som ofte forventet for SBS-holdige
bindemidler – et beskedent fald i blød-
hedspunkt som følge af RTFOT-hærd-
ningen. Vi har beskeden erfaring med
bildækgummi-modificeringer, og sam-
tidigt må det erindres, at ROAD+ i 15
% ikke kan udføres korrekt i henhold
til forskriften. ROAD+ i 8 % udviser en
stigning i blødhedspunkt på 7,6 °C,
mens det tilsvarende for ROAD+ i 15
% er ”12,6” °C. Dette forhold afspejler
måske den reaktive natur af samspillet
mellem bindemiddel og bildækgummi.
Resultater for bindemidlerne –
rheologi
Bitumenprøverne i Tabel 3 Resultater
af traditionelle bitumenprøvninger3
er også målt med Vejdirektoratets
Dynamic Shear Rheometer, hvorved
avanceret materialeparametre for
bindemidlers rheologi kan bestemmes.
Det komplekse forskydningsmodul
(et mål for ”stivheden” af bindemid-
let) betegnes sædvanligvis G* og er
bestemt i to temperatur-intervaller (fra
100 °C ned til 30 °C og fra 55 °C ned
til -5 °C) i et målekoncept analogt til
EN 14770 DSR. Princippet er i korte
træk en vibrationsmåling på en lille
bindmiddelskive udført ved forskellige
frekvenser og temperaturer. Ved hjælp
af noget matematik er de to del-kurver
sammenstykket til en master-kurve for
hvert bindemiddel, hvor alle målinger
er henført til samme temperatur; i dette
tilfælde 60 °C. Disse kurver af forskyd-
ningsmodul og påvirkningsfrekvens
for prøverne er afbildet i en dobbelt-
logaritmisk afbildning i Figur 5.
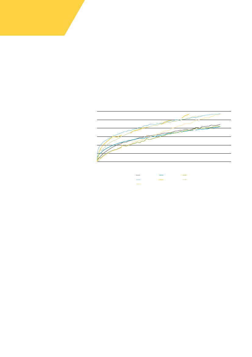
Tolkningen af kurverne er:
1. Kurverne er optegnet for 60 °C for
de angivne påvirkningsfrekvenser.
2. For en fastholdt påvirkningsfre-
kvens svarer punkter til venstre
for
samme påvirkningsfrekvens
med
stigende temperatur og punkter til
højre
for samme påvirkningsfre-
kvens
med faldende temperatur.
3. Kurven for 70/100 viser en typisk
ikke modificeret bitumen.
4. Tilsætning af 8 % ROAD+ udviser
et stivere bindemiddel, idet kurven
er hævet i forhold til 70/100.
5. Tilsætning af 15 % ROAD+ udvi-
ser et endnu stivere bindemiddel,
idet denne kurve er hævet i forhold
til de to foregående (70/100 og
ROAD+ 8 %).
6. Både ROAD+ 8 % og 15 % har
krumme kurver, selvom de er
”fladere” end den umodificerede
70/100.
7. Det SBS højmodificerede binde-
middel (40/100-75) udviser en næ-
sten lineær kurve, hvilket afspejler
at bindemidlet ved både højere
og lavere temperaturer end 60 °C
udviser elastiske egenskaber.
8. ROAD+ tilsætningen skaber altså
et modificeret (stivere) bindemid-
del end udgangspunktet, men dan-
ner ikke som den høje koncentra-
tion af SBS et sammenhængende
tredimensionalt netværk. Det
harmonerer også med opfattelsen
af, at de opkvældede gummipar-
tikler ”svømmer” i en fase af let
modificeret bindemiddel.
9. I et interval på ca. 5 dekader af
frekvens har ROAD+ 15 % et hø-
jere
komplekst
forskydningsmodul
TRU, Alm.del - 2023-24 - Endeligt svar på spørgsmål 333: Spm. om ministeren vil kommentere materialet fra Genan Holding A/S’ foretræde 7/5-24 og herunder vurdere muligheden for at have genanvendelighed som faktor i offentligt udbudsmateriale om asfaltering, jf. TRU alm. del – bilag 233
2875537_0015.png
Forsyningsmodul log G* (log MPa)
end 40/100-75, hvilket maksimalt
skønnes til en faktor 2. Denne
vurdering er uden hensyntagen
til forsøgsunøjagtighed. Faktoren
kan dog ikke oversættes direkte til
en ”praktisk” stivhed, da bindemid-
lernes fase forskydning mellem
kraft og forskydningsspænding
også skal medtages, og disse
fasevinkler er yderst vanskelige
at tolke og sammenligne for de
komplekse bindemidler.
Del-konklusion for bindemidler
På baggrund af de udførte modelfor-
søg efter den våde proces og sam-
menligninger kan konkluderes:
ROAD+ tilsætning med efterføl-
gende reaktion med bindemidlet
giver et modificeret koncept.
Effekten er afhængigt af tilsæt-
ningsmængden (og formentlig
også basis bitumenen)
Modificering af 70/100 med 15 %
ROAD+ har en meget højere vis-
kositet end den SBS-modificerede
reference, selv om blødhedspunkt
kugle og ring er betydeligt lavere.
Den undersøgte kombination
af 70/100 og 8 % tilsætning af
ROAD+ viser en elastisk tilbage-
gang ved 10 °C over 50 %, mens
målingen ikke kunne udføres
forskriftsmæssigt med 15 %
tilsætning.
Duktilitet ved 25 °C viser, at de
duktile egenskaber af ROAD+
modificerede bindemidler ikke er
gode. Det kan sikkert tilskrives
tilstedeværelsen af gummipartikler
i bindemidlet, som kan virke som
initiatorer for brud.
Rheologisk opnås der ikke med
ROAD+ modificering den samme
type 3-dimensionale netværk, som
Mastercurves ved 60 °C
8,0
7,0
6,0
5,0
4,0
3,0
2,0
1,0
0,0
1,0
-0
-5
-4
-3
-2
-1
1
2
3
4
5
6
7
8
log frekvens
reduceret
(log Hz)
Road+8%
Road+15%
70/100
40/100-75
Figur 5 Masterkurver for forskydningsmodul ved 60 °C for de undersøgte bindemidler
det antages at ligge til grund for
egenskaberne af SBS modificeret
bitumen med et højt indhold af
polymer.
Modelforsøg med bitumenmørtel –
Vändskak-forsøg
Som et supplement til vurdering af
holdbarheden af bindemiddelmørtlen
i skærvemastiks er der udført Vänd-
skak-forsøg hos NCC Roads i Sverige.
Metodikken beskriver holdbarhed af
bindemiddelmørtel i kombination med
slitage og fugt. Den fulde rapport over
forsøgene findes gengivet i Annex D.
Forsøgene viser med forbehold for
gummipulverets indflydelse på fremstil-
ling af prøveemnerne:
Slitage (og kvældning) øges med
stigende koncentration af ROAD+
og ligger over referencen.
Der er en indflydelse på resultatet
for road+ fra
– oprindelsen af den anvendte
basis-bitumen og
– den anvendte skærve.
Der er en vis variation i hulrummet
for de undersøgte kombinationer;
dog ikke så stor for skærvetypen
Norit, som også er anvendt til
demonstrationsstrækningen.
15
TRU, Alm.del - 2023-24 - Endeligt svar på spørgsmål 333: Spm. om ministeren vil kommentere materialet fra Genan Holding A/S’ foretræde 7/5-24 og herunder vurdere muligheden for at have genanvendelighed som faktor i offentligt udbudsmateriale om asfaltering, jf. TRU alm. del – bilag 233
2875537_0016.png
asfaltmateriale
Kort beskrivelse af de indgående
asfaltmaterialer
Der indgår i forforsøget og demon-
strationsstrækningen tre modificerede
asfaltmaterialer af typen SMA 11.
Referenceasfaltmateriale
ROAD+ modificeret
SMA (8 % ”in-situ”)
SMA 11 med 40/100-75 med 5,6 % bindemiddel.
”in-situ” tilsat ROAD+ koncept efter Genans
forskrift til brug for asfaltværk ved direkte
tilsætning i mixer af gummimel og Vestenamer i
70/100 svarende til ROAD+ i lav konc. Det for-
ventes at være den koncentration, som vil være
repræsentativ for det modificerings-niveau, som i
dag benyttes til ”in-situ” fremstillet polymermodifi-
ceret asfalt i Danmark.
ROAD+ modificeret
SMA (15 % ”in-situ”)
”in-situ” tilsat ROAD+ koncept efter Genans for-
skrift til brug for asfaltværk ved direkte tilsætning
i mixer af gummimel og Vestenamer i 70/100
svarende til ROAD+ i høj konc., da det er den
koncentration, som vurderes efter Genans oplys-
ninger at være repræsentativ for det modificer-
ings-niveau, som svarer til polymermodificeret
bitumen med blødhedspunkt ≥ 75 °C.
sma 11
11,2 mm
8 mm
5,6 mm
4 mm
2 mm
1 mm
0,5 mm
0,250 mm
0,125 mm
0,063 mm
Bindemiddel
Asfaltdensitet
Hulrum
Tabel 4 Specifika-
tioner for asfalt til
Landevej 411 (gen-
nemfaldsprocenter og
materialedata)
Road+ 8 %
100 %
52 %
35 %
30 %
22 %
18 %
15 %
13 %
9%
6,5 %
5,6 % 70/100 +
0,448% ROAD+.
2,630 Mg/m
3
2,9 %
84,0 %
18,4 %
Road+ 15 %
100 %
52 %
35 %
30 %
22 %
15 %
12 %
9%
8%
6,0 %
5,6 % 70/100 +
0,84% ROAD+
2,630 Mg/m
3
2,3 %
88,0 %
18,8 %
40/100-75 (Ref.)
100 %
52 %
35 %
30 %
22 %
18 %
15 %
13 %
10 %
7,5 %
5,6 % 40/100-
75
2,640 Mg/m
3
3,3 %
81,7 %
17,8 %
Bitumenfyldning
Hulrum i
stenskelet
16
TRU, Alm.del - 2023-24 - Endeligt svar på spørgsmål 333: Spm. om ministeren vil kommentere materialet fra Genan Holding A/S’ foretræde 7/5-24 og herunder vurdere muligheden for at have genanvendelighed som faktor i offentligt udbudsmateriale om asfaltering, jf. TRU alm. del – bilag 233
2875537_0017.png
Resultater af arbejdsmiljøorienteret
undersøgelse i Colas Danmark A/S
Colas Danmark A/S har foretaget en
arbejdsmiljøorienteret undersøgelse
i forbindelse med forarbejderne og
selve produktion og udlægning af
asfalten ved forforsøget på rasteplads
Himmerland Øst og på Landevej 411.
Undersøgelse er foretaget en såkaldt
organoleptisk/sensorisk undersøgelse
i form af en spørgeskema-indhentning
af data. Berørte personalegrupper/
arbejdsfunktioner er vist i Tabel 5
Arbejdsfunktioner for berørte perso-
nalegrupper, som har deltaget i den
arbejdsmiljømæssige spørgeskema-
indsamling af observationer.5, og de er
blevet bedt om at indberette deres ind-
tryk af ROAD+ modificerede produkter
i forhold til SMA 11 med 40/100-75,
som er et gængs produkt for firmaet.
Spørgsmålene har været:
1. Hvordan lugter asfalten? Angiv
på en skala fra 1 til 10, hvor 1 =
”Grimt”, 5 = ”Neutralt” og 10 =
”Godt”.
2. Er du generet af lugten? Angiv på
en skala fra 1 til 10, hvor 1 = ”Slet
ikke”, 5 = ”Noget” og 10 = ”Meget”.
3. Hvordan er du generet? Angiv
hvilken af følgende mulighe-
der: ”Ingen gener”, ”Det lugter”,
”Ubehag”, ”Svimmel”, ”Kvalme” og
”Andet. Skriv hvad”.
4. Hvordan er asfalten at arbejde
med? Angiv på en skala fra 1 til
10, hvor 1 = ”Nemt” og 10 = ”Be-
sværligt”.
hVad aRBejdeR du med?
Miksermand Fabrik
Gedfører Fabrik
Smed/ tilsætning af gummi Fabrik
Udvejning Fabrik
Chauffør lastbil
Snore/Håndmand
Strygejernsmand
Maskinfører
Tromlefører
Traktorfører
Formand
Tilsyn
Laborant
I alt
antal
2
3
4
2
10
4
1
2
3
2
2
0
1
36
Tabel 5 Arbejdsfunktioner for berørte personalegrupper, som har deltaget i den arbejdsmiljømæssige
spørgeskemaindsamling af observationer.
Hvordan lugter asfalten?
60
50
Procent
40
30
20
10
0
1
Grimt
SMA 11 8% Road+
SMA 11 15% Road+
SMA 11 40-100/75
2
14
21
12
3
22
24
5
4
22
17
10
5
Neutral
39
28
49
6
0
0
10
7
0
0
10
8
0
0
5
9
0
0
0
10
Godt
0
0
0
3
7
0
Figur 6 “Hvordan lugter asfalten?” Procentvis fordeling af svar på de tre materialer.
17
TRU, Alm.del - 2023-24 - Endeligt svar på spørgsmål 333: Spm. om ministeren vil kommentere materialet fra Genan Holding A/S’ foretræde 7/5-24 og herunder vurdere muligheden for at have genanvendelighed som faktor i offentligt udbudsmateriale om asfaltering, jf. TRU alm. del – bilag 233
2875537_0018.png
Lugt-indtryk og graden man lader
sig genere af det er sikkert en meget
subjektiv faktor, der selvfølgelig også
påvirkes af, i hvor stor udstrækning
man eksponeres for lugten, og måske
til dels om testobjektet vurderes til at
”lugte grimt” eller ”lugte anderledes”.
Til vurdering af fordelingen af svar i Fi-
gur 6 er de vægtede middelbedømmel-
ser beregnet med følgende resultat:
Er du generet af lugten?
45
40
35
30
Procent
25
20
15
10
5
0
1
slet ikke
SMA 11 8% Road+
SMA 11 15% Road+
4,9 for SMA 11 med 40/100-75,
3,8 for SMA 11 med 8 % ROAD+
og 3,3 for SMA 11 med 15 %
ROAD+.
2
19
24
29
3
19
14
2
4
3
7
7
5
Noget
6
6
7
2
7
3
7
0
8
3
10
0
9
0
0
0
Meget
10
3
3
0
25
14
39
19
14
20
Det ses, at den SBS modificerede
bitumen, 40/100-75, kommer ud med
et stort set neutralt lugtindtryk, mens
der med stigende indhold af ROAD+
registreres en opfattelse, som bevæ-
ger sig i retningen af ”Grimt”. Med
en middelværdi på 3,3 for den høje
koncentration af ROAD+ er der dog
et stykke ned til karateren 1, selv om
der er 3 observationer i denne kategori
(henholdsvis 3 % for ROAD+ 8 %
og 7 % for ROAD+ 15 % ud af de 36
besvarelser).
Med hensyn til gene af lugten er
observationerne mere udspredt, så det
måske ikke giver så meget mening at
beregne vægtede middelbedømmel-
ser. Derimod kan man konstatere, at
de observationer, der er indberettet i
kategorien ”Noget generet” er næsten
ens for de tre materialer, mens det
SMA 11 40-100/75
Figur 7 “Er du generet af lugten?” Procentvis fordeling af svar på de tre materialer.
næsten kun er de ROAD+ modifice-
rede materialer, der er repræsenteret i
kategorierne fra ”Noget” til ”Meget”.
Når indberetningsskemaernes udfald
i Figur 8 for, hvordan man er generet,
sammenholdes med arbejdsfunk-
tion, kan man i det bagvedliggende
datamateriale henføre observationerne
”Ubehag”, ”Svimmel”, ”Kvalme” og
”Hovedpine” til personer, der er tæt
ved produkterne håndteres med ekstra
eksponeringsmulighed for dampe
(eksempelvis chauffører ved læsning,
maskinfører, snoremand og formand).
Figur 9, der beskriver, hvordan ma-
terialer er at arbejde med, viser, at
de to ROAD+ modificerede SMA 11
materialer spreder sig over de forskel-
lige kategorier, men med en svag
forskydning for ROAD+ 8 % i retning af
at være let at arbejde med. Derimod er
der ingen tvivl om, at SMA 11 med den
SBS-modificerede bitumen 40/100-75
er i den besværlige ende af skalaen.
Udover ovennævnte spørgsmål har det
været muligt at komme med generelle
bemærkninger. Af de materialeorien-
terede kommentarer kan fremhæves
en bemærkning om, at ingen af de tre
asfaltmaterialer er velegnet til håndar-
bejde. Ellers kommer de fleste, reste-
rende bemærkninger fra chaufførerne
18
TRU, Alm.del - 2023-24 - Endeligt svar på spørgsmål 333: Spm. om ministeren vil kommentere materialet fra Genan Holding A/S’ foretræde 7/5-24 og herunder vurdere muligheden for at have genanvendelighed som faktor i offentligt udbudsmateriale om asfaltering, jf. TRU alm. del – bilag 233
2875537_0019.png
Figur 10 Indkørslen til
lastbilsparkeringsom-
rådet på rasteplads
Himmerland Øst
under udlægning af
forforsøget.
Hvordan er du generet af lugten?
70
60
50
Procent
40
30
20
10
0
Ingen gener
SMA 11 8% Road+
SMA 11 15% Road+
SMA 11 40-100/75
vedrørende et praktisk punkt, som ikke
har direkte relation til det sammenlig-
nende forsøg.
Produktions- og udlægningstek-
nisk vurdering
På basis af tilbagemeldinger fra Colas
Danmark A/S vedrørende forhold om-
kring produktionen på anlægget og
de udlægningstekniske aspekter ved
håndtering af ROAD+ efter den ”tørre”
metode, oplyser Colas Danmark A/S, at
Tilsætning af ROAD+ på asfalt-
værket efter den ”tørre” proces
ligner enhver anden tilsætning
af modificeringsmidler på den
måde, der sædvanligvis betegnes
”in-situ”, hvor modificeringen sker
direkte i asfaltværkets blander.
der er ikke konstateret nogen
særlige afvigelser fra anden ”in-
situ” håndtering. (Dette var også
tilbagemeldingen, da NCC Roads
i 2009 anvendte ROAD+ efter den
”tørre” proces til et binderlag ved
Søften, Århus)
Der er ikke fundet nogen forhold
ved det udlægningstekniske, som
betyder, at ROAD+ modificerede
asfaltprodukter skal håndteres an-
derledes end andre modificerede
asfaltmaterialer.
Det lugter
42
44
25
Ubehag
16
15
9
Svimmel
3
3
0
Kvalme
3
3
0
Andet
(hovedpine)
5
9
0
32
26
66
Figur 8 “Hvordan er du generet?”. Procentvis fordeling af svar på de tre materialer
Hvordan er asfalten at arbejde med?
50
45
40
35
Procent
30
25
20
15
10
5
0
1
Nemt
SMA 11 8% Road+
SMA 11 15% Road+
SMA 11 40-100/75
2
4
0
0
3
8
26
0
4
25
5
0
5
17
11
3
6
7
21
0
0
8
4
26
18
9
0
11
21
Besvær-
lig
10
0
0
17
0
3
4
21
9
47
Figur 9 “Hvordan er asfalten at arbejde med?”. Procentvis fordeling af svar på de tre materialer.
Colas Danmark A/S har løbende
vurderet belægningerne visuelt fra
deres udlægning og i det første år
efter udlægningen (frem til skrivningen
19
TRU, Alm.del - 2023-24 - Endeligt svar på spørgsmål 333: Spm. om ministeren vil kommentere materialet fra Genan Holding A/S’ foretræde 7/5-24 og herunder vurdere muligheden for at have genanvendelighed som faktor i offentligt udbudsmateriale om asfaltering, jf. TRU alm. del – bilag 233
2875537_0020.png
Figur 11 Håndarbejde
udføres ved udlægn-
ing af SMa 11 road+
15 % på rasteplads
Himmerland Øst.
af denne rapport). Der var efter ca. 6
måneder meldt en lille visuel forskel i
mørtelafslidningen fra trafikkens side
på de tre belægninger på Landevej
411, men denne forskel er nu forsvun-
det, så alle tre belægningsoverflader
fremtræder med samme, ensartede
udseende; måske med en lille ten-
dens til, at referencen (SMA 11 med
40/100-75) fremstår med en lidt tættere
struktur.
Udtagning af prøvemateriale i rela-
tion til udførte prøvninger
Opdeling efter prøvetype
recepterne til forforsøget på rasteplads
Himmerland Øst og Landevej 411 var
identiske.
I store linjer baserer alle prøvninger,
der udføres på udtaget løst pakket
asfaltmateriale, sig fra recepterne for
Landevej 411, mens prøvninger på felt-
komprimeret borekerner og asfaltpla-
der til RUT baserer sig på de udlagte
prøvestrækninger på rasteplads Him-
merland Øst.
Del A – løst pakket asfalt
tester (Nat) udstyret (se
under Del B).
E. til lav temperaturforsøg (GÉ-
CAN International Ltée, 9705
Avenue Duplessis, Saint-
Hyacinthe (Quebec), J2R
1S5, Canada.) efter AASHTO
tp10 temperature Stress
Restrained Specimen Test
(tSrSt)
Der udtages tre typer af asfaltprøver
ved demonstrationsprojektet:
A. Løst pakket asfalt, som afkøles til
senere prøvelegeme-fremstilling
efter genopvarmning og kompri-
mering.
B. Borekerner (150 mm Ø og 100
mm Ø) fra de udførte belægninger
– primært til mekaniske materiale-
forsøg
C. Store belægningsprøver (i sæt à
tre) til forsøg i RUT (Sporkørings-
maskinen i Fløng).
Prøvninger udføres på materiale, som
stammer fra to forskellige kilder. I den
efterfølgende tolkning er det væsent-
ligt at holde sig dette for øje, når der
er tale om ROAD+ modificeret SMA
11 i 8 % tilsætning, mens det ikke har
betydning for SMA 11 med 40/100-75
og SMA 11 med 15 % ROAD+, hvor
20
Der er udtaget, løst pakket materiale af
de tre belægningskombinationerne til:
1. Supplerende komprimeringsunder-
søgelser på udtagne asfaltmasser
udføres af Vejdirektoratet
A. komprimering med Marshall
B. gyratorkomprimering til vurde-
ring af komprimeringsvillighed
2. Der udtages også materiale til
komprimering af asfaltprøvelege-
mer
C. Til Wheel Tracking Test hos
Colas Danmark A/S efter DS/
EN 12697-22 (Model B, vand-
termostateret til 60 °C )
D. til udmattelsesforsøg hos
Colas (France) efter DS/EN
12697-24 Annex A. (trapez-
formede prøvelegemer;
mindst 18 stk.) til understøt-
ning af resultaterne/konklusio-
nerne fra tilsvarende forsøg
med Nottingham Asphalt
Figur 12 opboring af borekerner fra en
af belægningstyperne op rasteplads
Himmerland Øst (Foto: Colas
danmark a/S)
TRU, Alm.del - 2023-24 - Endeligt svar på spørgsmål 333: Spm. om ministeren vil kommentere materialet fra Genan Holding A/S’ foretræde 7/5-24 og herunder vurdere muligheden for at have genanvendelighed som faktor i offentligt udbudsmateriale om asfaltering, jf. TRU alm. del – bilag 233
2875537_0021.png
Figur 13 Areal efter
optagning af belægn-
ingsprøver af SMA
11 40/100-75 fra
rasteplads Himmer-
land Øst (Foto: Colas
danmarks a/S)
Af hensyn til de to sidstnævnte
prøvningers krav til prøvelegemernes
dimensioner kan de ikke udskæres af
de udførte forforsøg, men er tilberedt
specielt. Udtagning af materiale til
disse forsøg er sket under hensynta-
gen til, at transporttiden fra asfaltværk
til udlægningssted også indgår i mod-
ningstiden for ROAD+.
Del B – borekerner
2.
3.
Følgende er optimalt i forhold til de
ønskede prøver af belægningskombi-
nationerne til del B:
1. I sammenhæng med udtagning
af belægningsprøver til RUT
(sporkøringsmaskinen) i arealer
på Himmerland Øst udtages med
ligeledes repræsentative ind-
bygningsforhold ved opboring af
cylindriske prøver. Der opbores
et antal 150 mm Ø og 100 mm Ø
kerner til Colas Danmark A/S og
Vejdirektoratet til afprøvning af de
udlagte asfalttyper.
Der udføres følgende forsøg i Not-
tingham Asphalt Tester (NAT):
A. Resilent modul bestemmelse
(mindst 3 prøvelegemer – DS/
EN 12697-26 Annex C)
B. Krybnings forsøg (5 prøvele-
gemer 150 mm Ø – DS/EN
12697-25 Test metode A)
C. Fatigue (≥ 18 prøvelegemer –
DS/EN 12697-24 Annex E)
Antallet af prøver fremgår af den
nedenfor viste oversigt.
2.
De 3 sæt à 3 belægningsprøver
til RUT (en for hver type af SMA)
er undersøgt efter ”standard”-set-
up (Super-single hjul, 5kN last,
110.000 overkørsler, temperatur-
gradient fra top til bund af belæg-
ningsprøven fra 40 °C til 20 °C).
Resultater af asfaltprøvninger op-
delt efter karakteristika
Komprimeringsforhold
Del C – belægningsprøver
Følgende er optimalt i forhold til de
ønskede prøver af belægningskombi-
nationerne til del C:
1. De store belægningsprøver til
sporkøringsmaskinen, RUT, er
frilagt ved fræsning. Hele den
asfaltbundne del af belægningen
indgår i forsøgene i RUT (3 prøver
per kombination à ca. 110 cm x
140 cm, hvor dimensionen med
110 cm er i udlægningsretningen).
Materialernes komprimeringsforhold er
vurderet med to metoder: dels Mars-
hall komprimering til bestemmelse af
reference asfaltdensiteter for fletmålin-
ger; dels komprimering med gyrator til
vurderings af materialernes komprime-
ringsvillighed.
21
TRU, Alm.del - 2023-24 - Endeligt svar på spørgsmål 333: Spm. om ministeren vil kommentere materialet fra Genan Holding A/S’ foretræde 7/5-24 og herunder vurdere muligheden for at have genanvendelighed som faktor i offentligt udbudsmateriale om asfaltering, jf. TRU alm. del – bilag 233
2875537_0022.png
Figur 14
Marshall-ind-
stampning
Figur 15
Gyrator kom-
primering
I Tabel 6 Asfaltdensiteter for SMA 11
i forskellige varianter6 ses resulta-
terne fra Marshall indstampning (EN
12697-30) hos Vejdirektoratet ved 145
°C med 2 x 50 slag. Værdierne er her
også holdt op imod specifikationen
for materialerne og bestemmelserne i
forbindelse med egenkontrol data fra
Landevej 411.
asfalt-densitet
Vejdirektoratet
Specifikation – Colas
Egenkontrol – Landevej 411
Road+ 8 %
2,633 Mg/m
3
2,630 Mg/m
3
2,631 Mg/m
3
Road+ 15 %
2,632 Mg/m
3
2,630 Mg/m
3
2,609 Mg/m
3
40/100-75
2,648 Mg/m
3
2,640 Mg/m
3
2,649 Mg/m
3
Tabel 6 Asfaltdensiteter for SMA 11 i forskellige varianter
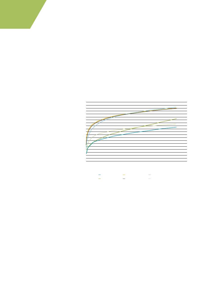
I Figur 16 viser komprimering af de tre
materialer under gyratorkomprimering
efter EN 12697-31 (d.v.s op til 200 gy-
rationer ved 145 °C i 150 mm Ø forme
med en tilstræbt højde på 115 mm un-
der registrering af asfaltdensiteten for
hver gyration for tre prøvelegemer). De
to SMA 11 med tilsætning af ROAD+
følger næsten identiske kurver, som
begge ligger under referencen, men
et en næsten parallelt forløb. Selv om
asfaltdensiteten efter 200 gyrationer
ikke kan sammenlignes med asfaltden-
sisten efter Marshall, så forklarer spe-
cifikationsværdierne i Tabel 6 ganske
udmærket, hvorfor slutværdier for de
to prøver ligger under referencen. Den
næsten parallelle forløb af kurverne i
Figur 16 betyder, at de tre materialer
har stort set samme bearbejdelighed.
Gyratorkomprimering til vurdering af bearbejdelighed
2,700
2,600
Densitet
2,500
2,400
2,300
2,200
2,100
1
10
Antal gyrationer
SMA11 40/100-75
Road +15%
Road +8%
100
1000
Figur 16 Bearbejdelighed af de tre asfalter vurderet ved gyratorkomprimering
22
TRU, Alm.del - 2023-24 - Endeligt svar på spørgsmål 333: Spm. om ministeren vil kommentere materialet fra Genan Holding A/S’ foretræde 7/5-24 og herunder vurdere muligheden for at have genanvendelighed som faktor i offentligt udbudsmateriale om asfaltering, jf. TRU alm. del – bilag 233
2875537_0023.png
Bæreevne – resilient modul og
elasticitetsmodul
Bestemmelser med Nottingham Asphalt
Tester
100 mm ø
BoRe-
keRneR
antal 24
stk.
gennemsnit
spredning
minimum
maksimum
Road+ 8 %
Road+ 15 %
40/100-75
Fra rasteplads Himmerland Øst er der
som tidligere nævnt blevet opboret
et større antal 100 mm Ø borekerner,
hvor der både hos Vejdirektoratet og
Colas Danmark A/S ved hjælp af Not-
tingham Asphalt Tester (NAT) er målt
resilient modul ved 2 °C, 10 °C og 20
°C.
Højde Asfaltden- Højde Asfaltden- Højde Asfaltden-
[mm] sitet [Mg/m
3
] [mm] sitet [Mg/m
3
] [mm] sitet [Mg/m
3
]
36,8
1,82
34
40
2,592
0,027
2,526
2,630
25,1
1,7
22
29
2,564
0,028
2,486
2,608
31,9
2,0
29
35
2,661
0,021
2,625
2,695
Da målingerne kun skulle omfatte
de udlagte slidlagsbelægninger er
denne del af borekernerne isoleret
ved bortsavning af den resterende del.
Tabel 7 viser data fra 24 borekerner af
denne type, som Vejdirektoratet har
bestemt højder og asfaltdensiteter på.
Med henvisning til Tabel 7 Højder og
asfaltdensiteter fra 100 mm Ø bore-
kerner af de tre SMA 11 typer målt hos
Vejdirektoratet7 kan det observeres at
belægningsprøverne for ROAD+ 15
% er tyndere end forventet og ønsket.
Det kan måske have lidt indflydelse
på målinger af disse prøvelegemer
og betyde lidt større spredning i de
senere bestemte resilient moduler.
Det skal også erindres, at recepten
for ROAD+ 8 % blev justeret en lille
smule fra rasteplads Himmerland Øst
til Landevej 411.
Tabel 7 Højder og asfaltdensiteter fra 100 mm Ø borekerner af de tre SMA 11 typer målt hos Vejdirek-
toratet
Colas Ldv. 411
40/100-75
Road+ 15%
Road+ 8%
Colas Him.Øst
VD Him.Øst
Colas Ldv. 411
Colas Him.Øst
VD Him.Øst
Colas Ldv. 411
Colas Him.Øst
VD Him.Øst
0
2.000
4.000
20ºC
6.000
10ºC
8.000
2ºC
10.000
12.000
14.000
Figur 17 Sammenligning af middelværdier for resilient modul [MPa] for SMA 11 typerne udført med
Nottingham Asphalt Tester ved 2 °C, 10 °C og 20 °C hos Colas Danmark A/S og Vejdirektoratet på 100
mm borekerner fra henholdsvis Landevej 411 og rasteplads Himmerland Øst.
23
TRU, Alm.del - 2023-24 - Endeligt svar på spørgsmål 333: Spm. om ministeren vil kommentere materialet fra Genan Holding A/S’ foretræde 7/5-24 og herunder vurdere muligheden for at have genanvendelighed som faktor i offentligt udbudsmateriale om asfaltering, jf. TRU alm. del – bilag 233
2875537_0024.png
I forbindelse med udmattelsesforsøg
på trapez-formede prøvelegemer, som
vil blive omtalt senere, er der også
bestemt elasticitetsmodul på de tre
materialer ved den temperatur (15 °C),
som benyttes til disse forsøg. I Annex
A ses et uddrag af test-rapporten
fra Colas, Campus for Science and
Techniques, Frankrig, hvorfra data i
Tabel 8 er hentet.
Bindemiddel i sma11
Elasticitetsmodul
Road+ 8 %
6.114 MPa
Road+ 15 %
5.452 MPa
40/100-75
5.375 MPa
Tabel 8 Elasticitetsmodul bestemt efter EN 12697-26 Annex (trapez-formede prøvelegemer) ved 15 °C
og 10 Hz.
Figur 17 og Tabel 8 viser, at de tre
materialeversioner af SMA 11 indbyr-
des har resilient og elasticitetsmodu-
ler på samme niveau ved fastholdt
temperatur. Det er dog lidt uforklarligt,
at ROAD+ 8 % systematisk har de
højeste værdier, uanset om det er
borekerner fra rasteplads Himmer-
land Øst, Landevej 411 eller labora-
toriekomprimeret prøve hos Colas i
Frankrig og målemetode (d.v.s EN
12697-26 Annex A og Annex C).
Strukturel holdbarhed –
udmattelsesegenskaber
Baggrund
betragte enkelte aspekter og ikke det
fulde billede, som kun praktisk erfaring
kan give.
Indenfor rammerne af dette projekt har
der været fokuseret på strukturelt hold-
barhed (d.v.s. udmattelsesegenskaber)
som vikarierende prøvning for et af
holdbarhedsaspekterne. Selv denne
forsøgsmetodik har sine begrænsnin-
ger, da mange gentagne påvirkninger,
som skal simulere langtids trafikpåvirk-
ning, udføres på friskfremstillet asfalt.
Hertil kommer at de materialer, som
der her indgår, er modificerede binde-
midler, som bidrager til at vanskelig-
gøre tolkningen. Sidst men ikke mindst
er der en del statistisk spredning i,
hvordan og hvornår revne-initieringen
sker, hvilket betyder, at en forholdsvis
stort antal prøvelegemer må testes til
at skabe en passende sikkerhed for de
fremkomne middelværdier.
Af nævnte årsager er der udført ud-
mattelsesforsøg efter to koncepter:
Ved introduktion af nye materialer er
det naturligt at spørge til deres hold-
barhed, således også i dette projekt,
men det er lettere at fremsætte ønsket
end at give svaret. Den kemiske æld-
ning og klimatiske påvirkning fra vand
og især luftens ilt under de herskende
temperaturforhold i en belægnings
levetid er svær at vurdere med ac-
celererede forsøg, da de ofte kun kan
DS/EN 12697-24 Annex E udført
med Nottingham Asphalt Tester.
Hertil kræves der
18 prøvele-
gemer per undersøgt materiale til
hvert laboratorium, idet disse prøv-
ninger er udført både hos Colas
Danmark A/S og Vejdirektoratet.
de mange 100 mm borekerner er
udtaget på rasteplads Himmerland
Øst.
EN 12697-24 Annex A; udmat-
telsesforsøg med trapez-formede
prøvelegemer efter fransk kon-
cept. Disse prøvninger udføres af
Colas Frankrig på laboratoriekom-
primerede prøver af værkblandet
asfaltmateriale af produktionen til
Landevej 411, hvortil der skal bru-
ges mindst 18 stk. per materiale.
24
TRU, Alm.del - 2023-24 - Endeligt svar på spørgsmål 333: Spm. om ministeren vil kommentere materialet fra Genan Holding A/S’ foretræde 7/5-24 og herunder vurdere muligheden for at have genanvendelighed som faktor i offentligt udbudsmateriale om asfaltering, jf. TRU alm. del – bilag 233
2875537_0025.png
Bestemmelserne af udmattelse med
Nottingham Asphalt Tester udføres ved
15 °C, da dansk erfaring fra tidligere
forsøg har vist at asfalt udviser et
svagt minimum omkring denne tempe-
ratur, som endvidere er repræsentativt
for temperaturer i undersiden af asfalt-
belægninger, hvor udmattelsestøjnin-
gerne sædvanligvis vurderes.
Prøvningerne, der er udført hos Colas
Danmark A/S, fremgår af Figur 18. Der
indgår henholdsvis 16, 15 og 18 prø-
velegemer i datagrundlaget for SMA 11
med respektive bindemidler 40/100-
75, ROAD+ 8 % og ROAD+15 %.
Manglende automatisk dataregistre-
ring under prøvningerne er årsagen
til, at der ikke i alle serier er opnået
de foreskrevne 18 bestemmelser på
prøvelegemer.
Jo højere placeret (og til dels jo
fladere) linje i en afbildning af ini-
tial stress mod antal påvirkninger til
brud-kriteriet ved prøvningen jo bedre
udmattelsesegenskaber har materialet.
I den relative sammenligning har de
tre bindemidler samme hældning, og
ROAD+ 8 % og referencen har udmat-
telsesegenskaber på samme niveau,
mens ROAD+ 15 % ligger under dette
niveau. Om årsagen til dette forhold
kan skyldes, at den større koncentra-
tion af gummipartikler i ROAD+ kan
virke som initiatorer for ”crack initia-
tion” (d.v.s. mikrorevnernes opståen
under påvirkninger) er ikke til at sige,
men kunne være en forklaring sam-
menholdt med materialernes duktilitet
(se Tabel 3).
Bestemmelser med Nottingham Asphalt
Tester
Initial stress som funktion af antal belastninger til brud Colas
1000
Stress i KPa
100
1000
10000
Colas ROAD+ 8%
Colas ROAD+ 15%
100000
Colas 40/100-75
1000000
Belastninger
Figur 18 Udmattelsesegenskaber for de tre SMA 11 materialer med begyndelsesspænding (stress)
som funktion af antal påvirkninger til brud-kriteriet bestemt hos Colas Danmark A/S.
Vejdirektoratets prøvninger fremgår
af Figur 19, der er analog til Figur 18.
Her indgår der henholdsvis 11, 10 og
8 prøvelegemer i datagrundlaget for
SMA 11 med respektive bindemidler
40/100-75, ROAD+ 8 % og
ROAD+15 %, hvilket skyldes en kom-
bination af forhold omkring prøvelege-
mernes tykkelse og personale, samt
at det blev vurderet at de fremkomne
regressionslinjer er tilfredsstillende
bestemt for antal påvirkninger til brud.
Vejdirektoratets prøvninger viser
samme konklusion som data fra Colas
Danmark A/S, idet ROAD+ 8 % stort
set ligger på samme niveau som refe-
rencen med 40/100-75, mens ROAD+
15 % ligger tydeligt under dette niveau.
Årsagen hertil forventes at være den
allerede beskrevne under prøvninger-
ne fra Colas Danmark A/S.
Ved sammenligning af prøvningerne
fra Colas Danmark A/S og Vejdirek-
toratet i Figur 18 og Figur 19 fremgår
det, at der synes at være en vandret
forskydning mellem de to data-sæt,
således at prøvningerne hos Vejdirek-
toratet ligger ca. 0,8 dekade lavere i
antal påvirkninger til brud. Om dette
forhold skyldes forhold ved prøvefor-
beredelsen af legemerne, et off-set
mellem de to prøvningsudstyr eller
andre systematiske variationer er ikke
til at sige på det foreliggende grund-
lag.
25
TRU, Alm.del - 2023-24 - Endeligt svar på spørgsmål 333: Spm. om ministeren vil kommentere materialet fra Genan Holding A/S’ foretræde 7/5-24 og herunder vurdere muligheden for at have genanvendelighed som faktor i offentligt udbudsmateriale om asfaltering, jf. TRU alm. del – bilag 233
2875537_0026.png
Initial stress som funktion af antal belastninger til brud VD
1000
Bestemmelse af udmattelsesegenskaber
med trapez-formede prøvelegemer
100
1000
10000
VD ROAD+ 8%
VD ROAD+ 15%
100000
VD 40/100-75
1000000
Belastninger
En gammel og veletableret fransk me-
tode til bestemmelse af udmattelses-
egenskaber er standardiseret som eN
12697-24 Annex A. Projektet har ud-
nyttet muligheder for at få en alternativ
vurdering af materialerne efter denne
metode, som er udført hos Colas,
Campus for Science and Techniques,
udenfor Paris, Frankrig. Uddrag af
test-rapporten over prøvningerne kan
se i Annex A i denne rapport, hvor
hovedresultatet og tolkningen er gen-
givet samt de grafiske afbildninger af
antal påvirkninger til brud-kriteriet som
funktion af initial-tøjningen i en dobbelt
logaritmisk afbildning. Hovedresulta-
tet er også vist i Tabel 9 og betegnes
ε
6
. Det er den initial-tøjning, der som
vil forårsage brud efter 1.000.000
påvirkninger (jo højere værdi, jo bedre)
bestemt ved 10 °C.
Stress i KPa
Figur 19 Udmattelsesegenskaber for de tre SMA 11 materialer med begyndelsesspænding (stress)
som funktion af antal påvirkninger til brud-kriteriet
Bindemiddel i sma11
Udmattelsesstyrke ε
6
(10
6
cykler, 10 °C, 25 Hz)
Road+ 8 %
149 • 10
-6
Road+ 15 %
144 • 10
-6
40/100-75
180 • 10
-6
Testcenteret konkluderer i oversættel-
se: ”Begge ROAD+ tilsætninger ligger
signifikant under referencen i udmattel-
sesstyrke (ε
6
) og relativt set viser der
to tilsætninger af ROAD+, at jo højere
tilsætning af ROAD+ jo lavere værdi,
men de er i samme størrelsesorden.”
Sammenfatning for udmattelsesstyrke
Tabel 9 Udmattelsesstyrke bestemt på trapez-formede prøvelegemer efter EN 12697-26 Annex A af
Colas, Campus for Science and Techniques, Frankrig
Det er ikke muligt præcist 1 : 1 at sam-
menligne de to måder at bestemme
udmattelsesstyrke, og de to sæt af
data antyder også visse forståelses-
vanskeligheder:
Udmattelsesstyrken vurderet
efter EN 12697-26 Annex E (Not-
tingham Asphalt Tester) antyder
samme afhængighed af initial
26
TRU, Alm.del - 2023-24 - Endeligt svar på spørgsmål 333: Spm. om ministeren vil kommentere materialet fra Genan Holding A/S’ foretræde 7/5-24 og herunder vurdere muligheden for at have genanvendelighed som faktor i offentligt udbudsmateriale om asfaltering, jf. TRU alm. del – bilag 233
2875537_0027.png
stress i forhold til antal påvirknin-
ger til brud, men en lavere værdi
for ROAD+ 15 %.
Udmattelsesstyrken vurderet efter
EN 12697-26 Annex A (fransk
”trapez”-metode) antyder ens
niveau og afhængighed af initial-
tøjning i forhold til påvirkninger til
brud, hvor referencen ligger på et
højere niveau og med en anden
afhængighed af initial-tøjning til
antal påvirkninger til brud.
Dynamisk krybning ved 40°C efter EN 12697-25 Test metode A
2,0
1,9
1,8
1,7
1,6
1,5
1,4
1,3
1,2
1,1
1,0
0,9
0,8
0,7
0,6
0,5
0,4
0,3
0,2
0,1
0,0
Samlet set er udmattelsesstyrken af
ROAD+ modificeret skærvemastiks
nok mindre end referencen, og set iso-
leret med fokus på udmattelsesstyrke
er det ikke en fordel at gå efter en høj
modificeringsgrad (15 % ROAD+).
I sidste ende vil disse forhold også
blive påvirket af, hvor i belægningen
ROAD+ modificeringen benyttes og
hvilke spændings- og tøjningsforhold,
der gælder dér.
Sporkøring – krybning, Wheel
Tracking Test og Sporkøringsma-
skinen RUT
Baggrund
Strain
0
5000
1000
1500
2000
antal pulser
2500
2500
3000
4000
ROAD+ 8% nr. 1
ROAD+ 8% nr. 2
ROAD+ 15% nr. 1
ROAD+ 15% nr. 2
40/100-75 nr. 1
40/100-75 nr. 2
Figur 20 Krybningsforsøg ved 40 °C på sammensatte 150 mm Ø borekerner fra rasteplads Himmer-
land Øst
skala vurdering i Sporkøringsmaski-
nen, RUT, på hele asfaltbelægningen.
Krybning efter EN 12697-25
Testmetode A
Evnen til at modstå permanente
deformationer ved høje belægnings-
temperaturer er en af de væsentligste
parametre ved mange modificeringer
af asfalt. Sporkøringen i vores belæg-
ninger er det synlige resultat, hvis de
permanente deformationer har nået
uacceptable størrelser, hvis materia-
lerne har været fejlproportioneret eller
udsat for påvirkninger udover deres
brugsområde. I dette projekt er spor-
køring som egenskab bestemt ved
to laboratoriemetoder ( krybning og
Wheel Tracking Test) samt ved en fuld
Der er udført krybningsforsøg ved 40
°C efter den europæiske standard EN
12697-25 Test metode A, hvor der på
et 150 mm Ø cylindrisk prøvelegeme
udføres pulserende belastning på en
ca. 100 mm Ø centralt placeret skive.
Efter en indledende forbelastning udfø-
res 3.600 pulser (1 sekund belastning
og 1 sekund aflastning).
Prøvningerne er udført på borekerner
fra rasteplads Himmerland Øst. På
grund af sildlagets beskedne tykkelse
i forhold til prøvelegemets højdekrav
i metoden, er 2 stk. afskårne slidlags-
prøver kombineret til ét prøvningsle-
geme til krybningsforsøget, idet de ikke
skårne overflader vendes mod hinan-
den. Legemerne roteres indbyrdes,
så den mest optimale plan-parallelitet
mellem de skårne endeflader opnås.
Tilbageværende unøjagtigheder forud-
sættes udjævnet af forbelastningen.
Resultaterne i Figur 20 viser det typi-
ske forløb for et krybningsforsøg med
tøjningen (strain) som funktion af antal
pulser. Først Fase I med en indleden-
de ”sætning/komprimering” af prøven,
efterfulgt af Fase II med en næsten
lineært forløb af tøjningen i forhold til
27
TRU, Alm.del - 2023-24 - Endeligt svar på spørgsmål 333: Spm. om ministeren vil kommentere materialet fra Genan Holding A/S’ foretræde 7/5-24 og herunder vurdere muligheden for at have genanvendelighed som faktor i offentligt udbudsmateriale om asfaltering, jf. TRU alm. del – bilag 233
2875537_0028.png
puls-antallet. Ingen af prøvningerne
går over i Fase III, hvor der sker en ac-
celererende nedbrydning/deformation
af prøvelegemet. Gode krybningsegen-
skaber viser sig ved:
A. Prøvelegemet går ikke under
prøvningen over i Fase III (accele-
rerende deformation/nedbrydning),
B. En så lille hældning af det lineære
forløb i Fase II og
C. En generel så lav placering af pla-
cering af Fase I og II som muligt.
Af de nævnte kriterier er a og b de
vigtigste, idet Fase I (med indflydelse
på kriterium c ) kan være påvirket af
individuelle forhold for ”sætningen” af
de enkelte prøvelegemer, som ikke helt
er blevet udlignet under forbelastnin-
gen. Dette forhold er mere sandsyn-
ligt at kunne spille ind, når der som i
dette tilfælde er benyttet sammensatte
prøvelegemer. Resultaterne i Figur 20
viser:
De to ROAD+ 15 % prøvninger
er næsten sammenfaldende med
den ene af prøvningerne med
referencen (nr. 1), mens den sidste
af referencerne (nr. 2) ligger noget
lavere.
De to sammenlignelige binde-
midler udviser lave værdier for
hældningen i det lineære forløb i
Fase II.
De to prøvninger af ROAD+ 8 %
starter ud på en lavere niveau,
men har tydeligt større hældnin-
ger i det lineære forløb i Fase II.
ROAD+ 8 % er relativt set mere
sporkøringsfølsomt end de to
andre bindemidler. Årsagen til
det lavere placeringsniveau er, at
ROAD+ 8 % formentlig har givet
en større initial-sætning under
forbelastningen.
Wheel Tracking Test - EN 12697-22 Model B i vand
passager
0
0,0
0,5
1,0
mm
5000
10000
15000
20000
1,5
2,0
2,5
3,0
3,5
SMA 11 ROAD+ 8 % 60 °C
SMA 11 40/100-75 60 °C
SMA 11 ROAD+ 15 % 60 °C
SMA 11 ROAD+ 8 % 50 °C
Figur 21 Wheel Tracking Test udført ved 60 °C, samt 50 °C for et enkelt materiale.
Wheel Tracking Test efter EN 12697-22
Model B i vand
Der er på værkblandet asfaltmate-
riale udført Wheel Tracking Test ved
60 °C efter EN 12697-22 Model B
(i vand), hvilket også typisk kaldes
“Hamborg”-metoden efter oprindelsen
af prøvnings-konceptet. Referencepro-
ceduren i den europæiske metode er,
at prøvningen udføres “i luft”, men med
“i vand” som en mulig option. Sidst-
nævnte benyttes meget i Danmark, da
det udelukker, at en mager asfaltsam-
mensætning ved prøvningen opnår
en god sporkøringsresistens, uden
dog at være holdbar i forhold til fugt/
vand. Prøvningerne er udført af Colas
Danmark A/S, og uddrag af prøvnings-
rapporten ses i Annex B.
Selvom de to ROAD+ modificeringer af
SMA 11 udviser beskedne sporkørin-
ger i absolutte tal med værdier omkring
2,5 og 3,0 mm sporkøring efter 20.000
enkelt passager, er det dog større end
referencen, hvor sporkøringen kun er
lidt over 1 mm under samme betingel-
ser. Prøvningen af sporkøringsresi-
stens er også for ROAD+ 8 % udført
ved 50 °C, hvor forløbet næsten svarer
til referencens (men altså for 60 °C).
Sporkøringsmaskinen RUT
Lastvognparkeringspladsen på raste-
plads Himmerland Øst blev oprindeligt
valgt som et optimalt sted for udlæg-
ning af forforsøget, idet der på denne
plads beregnet bl.a. til modulvogntog
måtte formodes at være tilstrækkelig
bæreevne af den underliggende vej-
konstruktion, som ensartet udgangs-
punkt for de tre udlagte slidlagstyper.
Fra de tre delparceller (se blandt
andet Figur 2 og Figur 13) er der ved
skæring/fræsning frilagt tre belæg-
ningsprøver per materialetype af hele
den asfaltbundne del af belægningen.
28
TRU, Alm.del - 2023-24 - Endeligt svar på spørgsmål 333: Spm. om ministeren vil kommentere materialet fra Genan Holding A/S’ foretræde 7/5-24 og herunder vurdere muligheden for at have genanvendelighed som faktor i offentligt udbudsmateriale om asfaltering, jf. TRU alm. del – bilag 233
2875537_0029.png
Størrelsen af den enkelte prøve er ca.
110 cm x 140 cm, hvor dimensionen
med 110 cm er i udlægningsretningen.
Disse prøver er derefter hos Vejdirek-
toratet i Fløng indstøbt og konditione-
ret til fuldskala prøvning i Sporkørings-
maskinen RUT. Standardbetingelserne
for prøvningen er Super-single hjul,
5kN last, 110.000 overkørsler, tempe-
raturgradient 40–20 °C. Prøvningen
svarer til, at en ”�½ 10 tons aksel” mon-
teret med Supersingle dæk kører frem
og tilbage over belægningsprøven i et
fastlagt mønster, mens belægningens
overflade holdes på 40 °C og under-
siden holdes på 20 °C. Herved opstår
en temperaturgradient over asfaltbe-
lægningen, som simulerer situationen
i virkeligheden. Under prøvningen
registreres længde- og tværprofiler på
overfladen. Efter de 110.000 overkørs-
ler kan der foretages opboringskontrol i
og udenfor køresporet til bestemmelse
af hvilke lag, der har medvirket til den
konstaterede sporkøring.
Der er desværre ved udførelse af prøv-
ningerne for belægningsprøverne med
ROAD+ 15 % konstateret en revne
diagonalt igennem to af de tre belæg-
ningsprøver for dette materiale. Dette
forhold samt antydning af mangelfuld
sammenhæng i de underliggende lag
har ikke været synligt inden prøvnin-
gen. Forholdet betyder, at der må ses
bort fra disse to prøvningsresultater,
og at der i Figur 22 kun er én kurve for
ROAD+ 15 %.
Sporkøring: mm mod antal overkørsler
6
5
4
3
2
1
0
0
20.000
40/100-75
ROAD+ 8 %
ROAD+ 15 %
40.000
SPOR 143
SPOR 146
SPOR 149
60.000
80.000
100.000
SPOR 145
SPOR 148
120.000
SPOR 144
SPOR 147
Figur 22 Fuldskala prøvning i Sporkøringsmaskinen RUT under standardbetingelserne (Super-single
hjul, 5kN last, 110.000 overkørsler, temperaturgradient 40–20 °C) for de tre varianter af SMA 11
kørsler) udviser lidt større sporkøring.
ROAD+ 8 % ligger ”parallelforskudt”
med en sporkøring ca. 1,5 mm større
end referencen.
Sammenfatning – sporkøring
Sporkøringsegenskaberne er vurderet
med tre forskellige metoder – kryb-
ningsforsøg, Whell Tracking Test og
fuldskala forsøg i Sporkøringsmaski-
nen RUT. Sammenfattende kan siges:
ROAD+ modificering udviser gode
sporkøringsegenskaber, som
selvfølgelig er afhængig af modifi-
ceringsgraden, men ROAD+ 15 %
er ikke helt på samme niveau som
referencen, den SBS modificerede
bitumen 40/100-75.
belægningsmaterialernes modstand
mod revnedannelse under afkøling
(kontraktionsrevner). Den pt. mest
udbredte prøvningsmetode interna-
tionalt til vurdering af dette forhold for
asfalt er den amerikanske prøvnings-
metode, tSrSt (temperature Stress
Restrained Specimen Test – AASHTO
TP10). Her fastholdes en asfaltbjælke
på konstant længde, mens den udsæt-
tes for en faldende temperaturgradient
under samtidig måling af trækstyrke i
materialet. Trækstyrken ved brud samt
temperaturen, hvor det indtræffer, er
resultatet af prøvningen; jo højere
trækstyrke ved brud og jo lavere brud-
temperatur jo bedre.
Prøvningerne er udført af GÉCAN
International Ltée, Quebec, Canada,
på de tre belægningsmaterialer, og
uddrag af prøvningsresultaterne findes
i Annex C. Resultaterne kan sammen-
fattes i.
Resultaterne af prøvningerne viser, at
referencen med den SBS-modificerede
bitumen 40/100-75 har den bedste
sporkøringsresistens, mens ROAD+
15 følger tæt efter, men i den sidste
del af forsøget (efter ca. 60.000 over-
Lavtemperaturegenskaber – TSRST
Kuldeegenskaber af asfalt er specielt
interessant under klimaforhold, der
er lidt barskere end typiske dan-
ske vintre. Et belægningsproblem i
relation til kulde er en vurdering af
29
TRU, Alm.del - 2023-24 - Endeligt svar på spørgsmål 333: Spm. om ministeren vil kommentere materialet fra Genan Holding A/S’ foretræde 7/5-24 og herunder vurdere muligheden for at have genanvendelighed som faktor i offentligt udbudsmateriale om asfaltering, jf. TRU alm. del – bilag 233
2875537_0030.png
Bindemiddel
BRudstyRke
[mpa]
2,8
2,4
3,4
tempeRatuR
Ved BRud
[°c]
-28,0
-28,4
-31,2
Road+ 8 %
Road+ 15 %
40/100-75
I forhold til værdier bl.a. fundet i lit-
teraturen [1] for SMA 8 med varierende
bindemidler (herunder også polymer-
modificerede bindemidler) er resulta-
terne i samme størrelsesorden som
disse. De specifikke værdier i Tabel
10 viser, at referencen har lidt bedre
kuldeegenskaber end de to ROAD+
modificeringer.
Feltmålinger på Landevej 411 –
friktion, tekstur og støjreducerende
egenskaber
Friktion
Tabel 10 Resultater af kuldeegenskaber af de tre SMA 11 varianter bestemt med Temperature Stress
Restrained Specimen Test af GÉCAN International Ltée
Der er på demonstrationsstræknin-
gerne på Landevej 411 målt friktion, og
som Figur 23 viser, er denne fundet i
orden for de tre belægningsvarianter af
SMA 11.
Figur 23 Friktion som funktion af stationering på Landevej 411 (ROAD+ 8 % = rød pil; ROAD+ 15 % = grøn pil og 40/100-75 = blå pil). Mørkeblå linje viser
kravet til friktionen.
30
TRU, Alm.del - 2023-24 - Endeligt svar på spørgsmål 333: Spm. om ministeren vil kommentere materialet fra Genan Holding A/S’ foretræde 7/5-24 og herunder vurdere muligheden for at have genanvendelighed som faktor i offentligt udbudsmateriale om asfaltering, jf. TRU alm. del – bilag 233
2875537_0031.png
Figur 26 eksem-
pel på opstilling til
SPB-måling i bygade
(Statistical Pass-By)
Figur 25 Traileren deciBella, der anvendes til måling efter CPX-metoden (Close ProXimity)
Tekstur-undersøgelser på de udførte
belægninger på Landevej 411
MPD tal som funktion af dage efter udlægning
0,94
0,92
MPD (Mean Profile Depth)
0,90
0,88
0,86
0,84
0,82
0,80
0,78
0,76
0
50
100
150
200
250
300
350
Dage efter udlægning
Road+ 8%
Road+ 15%
40/100-75
I forbindelse med de udførte målinger
med deciBella (CPX-traileren, som
omtales i næste afsnit) er der med
en nøjagtig tekstur-laser foretaget en
opmåling af teksturen i køresporene.
Disse teksturprofiler er omregnet til et
MPD-tal, som beskriver Mean Profile
Depth efter ISO 13473-1. Den kan
ses som en alternativ bestemmelse af
teksturen ved sandplet-metoden.
Figur 24 viser de beregnede MPD-tal
de tre belægninger af SMA 11 som
funktion af dage efter udlægning af
de pågældende materialer. Kurverne
viser typisk fra ca. 30 til 50 dage en
stabilisering af et tekstur-niveau, som
derefter er næsten konstant. De tre be-
lægningsoverflader har ikke identiske
værdier, SMA 11 med ROAD+ 15 % er
stort set samme niveau som referen-
cen med 40/100-75, da standardafvi-
gelsen på de udførte MPD-tal typisk er
i størrelsesordnen af 0,06. SMA med
ROAD+ 8 % ligger lidt lavere end de to
andre belægninger.
Vejdirektoratet har i andre projektsam-
menhænge en interesse i at forske i en
bedre forståelse af tekstur sammen-
holdt med egenskaber som friktion,
Figur 24 Tekstur i form af MPD-tal (Mean Profile Depth) som funktion af dage efter udlægning af SMA
11 på Landevej 411
jævnhed og rullemodstand. Derfor er
der også udført spektral-analyse på
de registrerede teksturer. Resultaterne
ses i Annex E, og figurerne viser hyp-
pigheden af forskellige bølgelængder i
overfladeteksturen. Kurvernes lodrette
placering følger i store træk deres
indbyrdes placering i Figur 24 Tekstur
i form af MPD-tal (Mean Profile Depth)
som funktion af dage efter udlægning
af SMA 11 på Landevej 41124, og de
har alle et toppunkt i bølgelængde-
intervallet 12,5–16 mm, hvilket ikke
ændres over den undersøgte tidspe-
riode (1–12 måneder).
Støjreducerende egenskaber af
ROAD+
Der er efter udlægning af demon-
strationsstrækningerne på Landevej
411 udført målinger af de akustiske
egenskaber, da et væsentligt punkt i
forsøgsprogrammet har været at doku-
mentere, om der er en støjreduceren-
de effekt – isoleret set – fra ROAD+,
når belægningens tekstur ikke bidrager
31
TRU, Alm.del - 2023-24 - Endeligt svar på spørgsmål 333: Spm. om ministeren vil kommentere materialet fra Genan Holding A/S’ foretræde 7/5-24 og herunder vurdere muligheden for at have genanvendelighed som faktor i offentligt udbudsmateriale om asfaltering, jf. TRU alm. del – bilag 233
2875537_0032.png
hertil. Det er også baggrunden for, at
den udlagte SMA 11 er valgt som en
ikke optimeret SMA i forhold til støjre-
ducerende effekt.
Der er foretaget målinger med CPX
målinger (Close ProXimity) med
støjtraileren deciBella (se Figur 25) på
følgende tidspunkter ved henholdsvis
50 km/h og 80 km/h:
straks efter udlægningen
(0–1 dag)
efter 12–15 dage
efter 28–31 dage
efter 49–52 dage (ca. det sædvan-
lige tidspunkter for måling i forhold
til støjdeklaration)
efter ca. 1 år (327–330 dage)
CPX måling ved 50 km/h som funktion af antal dage efter udlægning
92,8
92,6
92,4
92,2
92
dB
91,8
91,6
91,4
91,2
91
90,8
90,6
0
50
100
150
200
250
300
350
Dage fra udlægning
Road+ 8%
Road+ 15%
40/100-75
SRS ref 50 km/h SRTT
Der er foretaget målinger efter SPB
metoden (Statistical Pass-By) opdelt
på personbiler og flerakslede køretøjer
på følgende tidspunkter
efter 12–15 dage
efter 77–80 dage (ca. det sædvan-
lige tidspunkt for måling i forhold
til støjdeklaration; desværre kunne
det ene målepunkt (ROAD+ 8 %)
ikke anvendes på dette tidspunkt
på grund af lysregulering ved et
vejarbejde i rabatten på det på-
gældende sted)
efter ca. 1 år (468–471 dage; lidt
forsinket på grund af arbejdspres
og vejrlig)
Figur 27 CPX-måling ved 50 km/h som funktion af dage efter udlægning. SRS reference er indlagt i
figuren
CPX måling ved 80 km/h som funktion af antal dage efter udlægning
100,0
99,8
99,6
99,4
dB
99,2
99,0
98,8
98,6
98,4
98,2
98,0
0
50
Road+ 8%
100
150
200
40/100-75
250
300
350
Figur 27 og Figur 28 viser resultaterne
for CPX målingerne ved henholdsvis
50 km/h og 80 km/h, hvor der i begge
figurer er indlagt en reference-linje
svarende til SRS reference-niveauet
32
Dage fra udlægning
Road+ 15%
SRS ref 80 km/h SRTT
Figur 28 CPX-måling ved 80 km/h som funktion af dage efter udlægning. SRS reference er lindlagt i
figuren
TRU, Alm.del - 2023-24 - Endeligt svar på spørgsmål 333: Spm. om ministeren vil kommentere materialet fra Genan Holding A/S’ foretræde 7/5-24 og herunder vurdere muligheden for at have genanvendelighed som faktor i offentligt udbudsmateriale om asfaltering, jf. TRU alm. del – bilag 233
2875537_0033.png
ved den pågældende hastighed. Ved
begge hastigheder viser det sig,
at der ikke er nogen forskel mel-
lem ROAD+ og referencebelæg-
ningen på de opnåede støjniveau-
er efter 1 år udlægningen og
at initial-variationerne i de første
uger stort set er indenfor prøv-
ningsmetodens præcision.
SPB måling personbiler ved 80 km/h som funktion af antal dage efter udlægning
79,5
79,0
dB
78,5
78,0
77,5
77,0
76,5
0
50
100
150
200
250
300
350
400
450
500
Dage fra udlægning
Road+ 8%
Road+ 15%
40/100-75
SRS ref 80 km/h SRTT
Figur 29 viser støjniveauet for per-
sonbiler vurderet ved 80 km/h, og
der er igen ingen målbar indflydelse
af ROAD+ modificeringen i forhold til
referencen.
For de flerakslede køretøjer vurderet
ved 70 km/h (Figur 30) er der heller
ikke nogen effekt af ROAD+ 15 % i
forhold til referencen. Derimod er der
fundet et bemærkelsesværdigt lavt
støjniveau for ROAD+ 8 % efter 471
dage. Her er det beklageligt, at der
ikke er en måling for denne belægning
efter 80 dage, da det kunne bidrage
til en vurdering af tendensen i den
observerede periode. Det er ikke sæd-
vanligt, at SPB måling efter ca. 1 år på
nyudført belægning er fundet så meget
lavere end udgangspunktet. Overord-
net set er forklaringen, at Landevej 411
i forhold til SPB måling for tunge køre-
tøjer kun kan tages som et fingerpeg.
Antallet af denne type køretøjer er un-
derrepræsenteret, så der ikke indenfor
en rimelig måleperiode kan registreres
det antal tunge køretøjer, som kræves
i SPB standarden. Dette er ikke et
problem i forhold til personbiler. Siden
det kun har været muligt at registrere i
størrelsesordnen 20–30 tunge køretø-
Figur 29 SPB måling for personbiler ved 80 km/h som funktion af antal dage efter udlægning. SRS
reference er indlagt i figuren
SPB måling flerakslede ved 70 km/h som funktion af antal dage efter udlægning
88,5
88,0
87,5
87,0
dB
86,5
86,0
85,5
85,0
84,5
84,0
0
50
100
150
200
250
300
350
400
450
500
Dage fra udlægning
Road+ 8%
Road+ 15%
40/100-75
SRS ref 70 km/h SRTT
Figur 30 SPB måling for flerakslede køretøjer ved 70 km/h som funktion af antal dage efter udlægning.
SRS reference er indlagt i figuren
33
TRU, Alm.del - 2023-24 - Endeligt svar på spørgsmål 333: Spm. om ministeren vil kommentere materialet fra Genan Holding A/S’ foretræde 7/5-24 og herunder vurdere muligheden for at have genanvendelighed som faktor i offentligt udbudsmateriale om asfaltering, jf. TRU alm. del – bilag 233
2875537_0034.png
Figur 31 rotation-
sinddamper-opstilling
til genindvinding af
bindemiddel efter EN
12697-3
jer i forhold til de krævede mindst 80 til
en korrekt måling for denne kategori,
skal målingen for flerakslede køretøjer
ved 70 km/h på SMA 11 med ROAD+
8 % ikke tillægges for stor vægt.
Registrerede problemer ved mate-
rialetekniske prøver
Et vigtigt element i forsøgsprogrammet
har været at identificere eventuelle
problemstillinger mellem den hetero-
gene struktur af ROAD+ modificering
(bl.a. opkvældede gummipartikler) og
de sædvanligvis anvendte europæi-
ske kvalitetskontrolmetoder. Der er
blevet konstateret nogle forhold, som
påvirker kundens mulighed for at holde
kontroldata op imod tidligere erfaringer
fra belægninger med andre modifice-
ringsmidler.
Genindvinding efter EN 12697-3
Forholdet skyldes til dels at de opk-
vældede gummipartikler kan sætte sig
i de finmaskede net, der kan indgår i
ekstraktionsudstyret. I de tilfælde, hvor
de mindre gummipartikler er sluppet
igennem til centrifugeringstrinet for
bitumenopløsningen, har det været
umuligt at isolere disse partikler, da
nogle centrifugeres til bunden, andre
stiger til overfladen af centrifugeres til
overfladen, mens atter andre stadig
findes ”svævende” i bitumenopløsnin-
gen. Forholdet skyldes partiklernes
varierende optag af olier fra bitumen
og opløsningsmiddel, hvilket giver vari-
erende densitet og dermed varierende
opførsel ved centrifugeringen, der
netop ”sorterer” på basis af densi-
tet i forhold til bitumenopløsningens
densitet.
Prøver man, at overføre denne inho-
mogene opløsning til rotationsinddam-
per-opstillingen til genindvinding af
bindemidlet efter forskriften, så tilstop-
per gummipartiklerne uvægerligt glas-
hanen, der styrer tilføringshastigheden
af bitumenopløsningen. Derfor indgår
der ingen ”før og efter” vurderinger af
ROAD+ bindemidlerne i projektet.
Ændringer eller præciseringer (ind-
snævringer) af proceduren er nød-
vendige for at adaptere nugældende
metoder, men mulige ændringer kan
desværre have karakter af at være
meget apparat-specifikke og på-
virke resultatet betydeligt i en general
europæisk forskrift (tolkningsvanskelig-
heder mellem entreprenør- og bygher-
rekontrol). Samtidigt er det vigtigt, at
kontaminering af benyttet udstyr med
opkvældet gummimel ikke udeluk-
ker anden, sædvanlig anvendelse af
benyttet laboratorieudstyr.
Kornstørrelsesfordeling efter
EN 12697-2
Kvalitetskontrol i form af genindvin-
dinger fra alle de forekommende
belægningsprøver er opgivet, da den
eksisterende metode/procedure ikke
kan anvendes på reproducerbar vis på
ROAD+ modificerede materialer.
Som allerede nævnt under genind-
vindingsmetoden kan ved sigtning af
ekstraheret stenmateriale til bestem-
34
TRU, Alm.del - 2023-24 - Endeligt svar på spørgsmål 333: Spm. om ministeren vil kommentere materialet fra Genan Holding A/S’ foretræde 7/5-24 og herunder vurdere muligheden for at have genanvendelighed som faktor i offentligt udbudsmateriale om asfaltering, jf. TRU alm. del – bilag 233
2875537_0035.png
melse af kornstørrelsesfordeling
tilstedeværelse af opkvældede gum-
mipartikler være med til at tilstoppe de
finere sigtestørrelser. Det kan i yderste
konsekvens i beskedent omfang
påvirke de fundne gennemfaldprocen-
ter på sigterne fra 0,5 mm og ned til
0,063 mm. Fastholdte gummipartikler
(og sortfarvning af Carbon Black fra
bildækgummiet) vil betyde, at rengø-
ring af de benyttede fine sigter bliver
vanskeligere eller i hvert fald mere
omstændeligt.
Hvis kornstørrelsesfordelingen bestem-
mes på stenmateriale, der kommer fra
bestemmelse af bitumenprocent ved
afbrænding (EN 12697-39), forekom-
mer dette problem ikke, da bildækgum-
mi (partikler og Carbon Black) vil være
brændt af. Derved er dette forhold ikke
så betydende for asfaltproducenter, der
benytter EN 12697-39, hvor man har
adgang til de ”jomfruelige” stenmateria-
ler til bestemmelse af kalibreringskon-
stanten for den anvendte ovn. Derimod
til det være generende for modtage-
kontrol og 3. partslaboratorier, da man
sædvanligvis dér ikke har adgang til de
”jomfruelige” sten, og hvor det heller
ikke er økonomisk/praktisk at anvende
denne afbrændingsmetode, fordi sy-
nergi mellem kalibreringskonstant-be-
stemmelse til brug for mange recepter
ikke er til stede.
Korttidshærdning (RTFOT) efter
EN 12607-1
Ved modelfremstilling af ROAD+ mo-
dificering efter den våde proces i høj
koncentration (15 %) er det konstateret
på linje med visse andre modificerings-
typer, at bindemidlet er for ”strukture-
ret”/komplekst til, at det kan flyde som
forudsat ved prøvningens konditio-
nering til dannelse af en homogen,
kontinuert film af bindemiddel, mens
hærdningen foregår.
oPfølGNiNG På de udførte
demoNstratioNsstrækNiN-
Ger
faltbeton (AB 11t) til en tilsvarende re-
ference af skærvemastiksbelægninger
(SMA 11), da sidstnævnte i fremtiden
har en større sandsynlighed for at blive
anvendt på statsvejnettet.
Vejdirektoratet har også interesser i
andre projekter om teksturforhold og
rullemodstand. I disse projekter kan
de udførte demonstrationsstrækninger
også tænkes at indgå som en slags
”reference” punkt i frohold til andre
udførte belægninger, på grund af den
velbeskrevne viden om belægningerne
og deres forhistorie. Isoleret set har
den relative forskel i tekstur i form af
MPD-tal (Mean Profile Depth) mel-
lem de tre belægninger af SMA 11 på
Landevej 411 ikke nogen umiddelbar
interesse, da MPD-tallet nok anses at
være et for ”groft” mål. Dette skyldes at
de tre belægninger er født med samme
kornkurve, bitumenprocent og indbyg-
ningsforhold. Relative forskelle kan
først forventes, hvis andre fortolkninger
af teksturen udvikles end MPD-tallet
eller der ad åre opstår variationer med
baggrund i forskellige nedbrydningsha-
stigheder af belægningerne.
Det planlagte forsøgsprogram i forbin-
delse med forforsøget på rasteplads
Himmerland Øst og demonstrations-
strækningen på Landevej 411 er
hermed afsluttet i dette regi.
Belægningerne på Landevej 411 vil
nu i fremtiden indgå i den almindelige
overvågning/vejinventering af Vejdirek-
toratets vejnet med vurdering af jævn-
hed og profil m.v. Som tidligere nævnt
er det også tænkt at disse tre SMA 11
belægninger skal indgå i den popula-
tion af belægninger, som Vejdirektora-
tets akustikere vil følge med hensyn til
historisk udvikling af støjreducerende
egenskaber i bestræbelserne på, at
ændre den eksisterende støjreference
fra en ca. 8 år gammel tætgraderet as-
35
TRU, Alm.del - 2023-24 - Endeligt svar på spørgsmål 333: Spm. om ministeren vil kommentere materialet fra Genan Holding A/S’ foretræde 7/5-24 og herunder vurdere muligheden for at have genanvendelighed som faktor i offentligt udbudsmateriale om asfaltering, jf. TRU alm. del – bilag 233
2875537_0036.png
koNklusioN
Den samlede vurdering af demonstrati-
onsstrækningerne og de udførte forsøg
i projektet viser, at ROAD+ kan indgå
som et muligt modificeringskoncept,
hvor asfaltproducenter og entreprenø-
rer må udvikle deres dokumentation for
den specifikke anvendelse (eksempel-
vis asfalttype og placering i belægnin-
gen (slidlag/binderlag/bærelag).
Projektets konklusioner er:
1. Modificering af SMA 11 med
ROAD+ 15 % som bindemiddel
giver ikke egenskaber på højde
med referencen (SBS modificeret
40/100-75 bitumen).
2.
Modificering af SMA 11 med
ROAD+ 8 % vil kunne benyttes på
steder, hvor anvendelse af poly-
merer med middel modificeringsni-
veau menes tilstrækkelig i forhold
til trafikken. Der har ikke indgået
sammenlignende reference til
dette niveau i undersøgelsen, men
egenskaberne af ROAD+ 8 % vur-
deres til at være på højere niveau
end almindelig vejbitumen.
Der er ikke isoleret set nogen
støjreducerende effekt af ROAD+
modificering.
Anvendelse af ROAD+ koncep-
tet kan i forhold til Udbuds- og
anlægsforskrifter for varmblandet
asfalt samt bindemiddel og klæ-
bemiddel finde sted som special-
bindemiddel med dokumenterede
egenskaber.
Projektet har ikke omhandlet eventu-
elle energi- og CO
2
-mæssige betragt-
ninger ved ROAD+ konceptet, da det
har været udenfor formålet med det
nærværende projekt.
3.
4.
TRU, Alm.del - 2023-24 - Endeligt svar på spørgsmål 333: Spm. om ministeren vil kommentere materialet fra Genan Holding A/S’ foretræde 7/5-24 og herunder vurdere muligheden for at have genanvendelighed som faktor i offentligt udbudsmateriale om asfaltering, jf. TRU alm. del – bilag 233
2875537_0037.png
aNNex a
udmattelses-forsøG
udført af colas fraNce
TRU, Alm.del - 2023-24 - Endeligt svar på spørgsmål 333: Spm. om ministeren vil kommentere materialet fra Genan Holding A/S’ foretræde 7/5-24 og herunder vurdere muligheden for at have genanvendelighed som faktor i offentligt udbudsmateriale om asfaltering, jf. TRU alm. del – bilag 233
2875537_0038.png
Annex A
Udmattelselse-forsøg udført af Colas France
Uddrag af test rapport nr 110835 fra Colas, Campus for Science and Techniques (24-11-2011):
38
TRU, Alm.del - 2023-24 - Endeligt svar på spørgsmål 333: Spm. om ministeren vil kommentere materialet fra Genan Holding A/S’ foretræde 7/5-24 og herunder vurdere muligheden for at have genanvendelighed som faktor i offentligt udbudsmateriale om asfaltering, jf. TRU alm. del – bilag 233
2875537_0039.png
Afbildninger af udmattelsesforsøg (antal påvirkninger til brud som funktion af tøjning i dobbelt
logaritmisk afbildning, udført ved 2-punkt udbøjning af trapez-formet prøvelegemer ved 10 °C og
25 Hz).
sma 11 40/100-75
sma 11 70/100 +8R
sma 11 70/100 + 15R
39
TRU, Alm.del - 2023-24 - Endeligt svar på spørgsmål 333: Spm. om ministeren vil kommentere materialet fra Genan Holding A/S’ foretræde 7/5-24 og herunder vurdere muligheden for at have genanvendelighed som faktor i offentligt udbudsmateriale om asfaltering, jf. TRU alm. del – bilag 233
2875537_0040.png
aNNex B
WHeel trackiNG test
udført af colas daNmark a/s
40
TRU, Alm.del - 2023-24 - Endeligt svar på spørgsmål 333: Spm. om ministeren vil kommentere materialet fra Genan Holding A/S’ foretræde 7/5-24 og herunder vurdere muligheden for at have genanvendelighed som faktor i offentligt udbudsmateriale om asfaltering, jf. TRU alm. del – bilag 233
2875537_0041.png
Annex B
Wheel Tracking Test udført af Colas Danmark A/S
41
TRU, Alm.del - 2023-24 - Endeligt svar på spørgsmål 333: Spm. om ministeren vil kommentere materialet fra Genan Holding A/S’ foretræde 7/5-24 og herunder vurdere muligheden for at have genanvendelighed som faktor i offentligt udbudsmateriale om asfaltering, jf. TRU alm. del – bilag 233
2875537_0042.png
42
TRU, Alm.del - 2023-24 - Endeligt svar på spørgsmål 333: Spm. om ministeren vil kommentere materialet fra Genan Holding A/S’ foretræde 7/5-24 og herunder vurdere muligheden for at have genanvendelighed som faktor i offentligt udbudsmateriale om asfaltering, jf. TRU alm. del – bilag 233
2875537_0043.png
aNNex c
lavtemPeraturforsøG
udført af GéGaN
iNterNatioNal, QueBec,
caNada
43
TRU, Alm.del - 2023-24 - Endeligt svar på spørgsmål 333: Spm. om ministeren vil kommentere materialet fra Genan Holding A/S’ foretræde 7/5-24 og herunder vurdere muligheden for at have genanvendelighed som faktor i offentligt udbudsmateriale om asfaltering, jf. TRU alm. del – bilag 233
2875537_0044.png
Annex C
Lavtemperaturforsøg udført af GÉCAN International, Quebec, Canada
Prøvning efter AASHTO TP10 Temperature Stress Restrained Specimen Test (TSRST)
Uddrag af Excel-rapporteringsdata
44
TRU, Alm.del - 2023-24 - Endeligt svar på spørgsmål 333: Spm. om ministeren vil kommentere materialet fra Genan Holding A/S’ foretræde 7/5-24 og herunder vurdere muligheden for at have genanvendelighed som faktor i offentligt udbudsmateriale om asfaltering, jf. TRU alm. del – bilag 233
2875537_0045.png
Dansk efterbehandling til bestemmelse af middel for de enkelte asfalttyper:
Maximum
Stress
Prøve ID nr.
m-272-11-2
m-272-11-3
m-272-11-4
m-272-11-5
m-272-11-6
m-272-11-7
m-272-11-8
m-272-11-9
m-272-11-10
m-272-11-11
m-272-11-12
Binder
Road+ 8 %
[MPa]
2,8
T° at maximum
Stress
[°C]
-28,0
Bulk Density
[Mg/m
3
]
2,541
Road+ 15 %
2,4
-28,4
2,522
40/100-75
3,4
-31,2
2,530
45
TRU, Alm.del - 2023-24 - Endeligt svar på spørgsmål 333: Spm. om ministeren vil kommentere materialet fra Genan Holding A/S’ foretræde 7/5-24 og herunder vurdere muligheden for at have genanvendelighed som faktor i offentligt udbudsmateriale om asfaltering, jf. TRU alm. del – bilag 233
2875537_0046.png
aNNex d
väNdskak forsøG udført af
Ncc roads a/s, sveriGe
46
TRU, Alm.del - 2023-24 - Endeligt svar på spørgsmål 333: Spm. om ministeren vil kommentere materialet fra Genan Holding A/S’ foretræde 7/5-24 og herunder vurdere muligheden for at have genanvendelighed som faktor i offentligt udbudsmateriale om asfaltering, jf. TRU alm. del – bilag 233
2875537_0047.png
Annex D
Vändskak forsøg udført af NCC Roads A/S, Sverige
Uddrag af NCC forsöksrapport 2012,
Upplands Väsby 2012
47
TRU, Alm.del - 2023-24 - Endeligt svar på spørgsmål 333: Spm. om ministeren vil kommentere materialet fra Genan Holding A/S’ foretræde 7/5-24 og herunder vurdere muligheden for at have genanvendelighed som faktor i offentligt udbudsmateriale om asfaltering, jf. TRU alm. del – bilag 233
2875537_0048.png
48
TRU, Alm.del - 2023-24 - Endeligt svar på spørgsmål 333: Spm. om ministeren vil kommentere materialet fra Genan Holding A/S’ foretræde 7/5-24 og herunder vurdere muligheden for at have genanvendelighed som faktor i offentligt udbudsmateriale om asfaltering, jf. TRU alm. del – bilag 233
2875537_0049.png
49
TRU, Alm.del - 2023-24 - Endeligt svar på spørgsmål 333: Spm. om ministeren vil kommentere materialet fra Genan Holding A/S’ foretræde 7/5-24 og herunder vurdere muligheden for at have genanvendelighed som faktor i offentligt udbudsmateriale om asfaltering, jf. TRU alm. del – bilag 233
2875537_0050.png
50
TRU, Alm.del - 2023-24 - Endeligt svar på spørgsmål 333: Spm. om ministeren vil kommentere materialet fra Genan Holding A/S’ foretræde 7/5-24 og herunder vurdere muligheden for at have genanvendelighed som faktor i offentligt udbudsmateriale om asfaltering, jf. TRU alm. del – bilag 233
2875537_0051.png
%.
51
TRU, Alm.del - 2023-24 - Endeligt svar på spørgsmål 333: Spm. om ministeren vil kommentere materialet fra Genan Holding A/S’ foretræde 7/5-24 og herunder vurdere muligheden for at have genanvendelighed som faktor i offentligt udbudsmateriale om asfaltering, jf. TRU alm. del – bilag 233
2875537_0052.png
52
TRU, Alm.del - 2023-24 - Endeligt svar på spørgsmål 333: Spm. om ministeren vil kommentere materialet fra Genan Holding A/S’ foretræde 7/5-24 og herunder vurdere muligheden for at have genanvendelighed som faktor i offentligt udbudsmateriale om asfaltering, jf. TRU alm. del – bilag 233
2875537_0053.png
53
TRU, Alm.del - 2023-24 - Endeligt svar på spørgsmål 333: Spm. om ministeren vil kommentere materialet fra Genan Holding A/S’ foretræde 7/5-24 og herunder vurdere muligheden for at have genanvendelighed som faktor i offentligt udbudsmateriale om asfaltering, jf. TRU alm. del – bilag 233
2875537_0054.png
aNNex e
tekstur-sPektre fra
BelæGNiNGerNe På
laNdevej 411
54
TRU, Alm.del - 2023-24 - Endeligt svar på spørgsmål 333: Spm. om ministeren vil kommentere materialet fra Genan Holding A/S’ foretræde 7/5-24 og herunder vurdere muligheden for at have genanvendelighed som faktor i offentligt udbudsmateriale om asfaltering, jf. TRU alm. del – bilag 233
2875537_0055.png
Annex E
Tekstur-spektre fra belægningerne på Landevej 411
I forbindelse med bestemmelse af MPD-tallet er foretaget samtidigt med CPX-målingerne er der
udført spektral-analyse af teksturen. Kurverne viser i princippet hyppigheden af bølgelængder i
den udførte belægningsoverflade. Belægningernes generelle placering i lodret retning afspejler
det niveau, som MPD-tallet viser i
Fejl! Henvisningskilde ikke fundet.
i rapporten. Alle kurverne
viser, at den hyppigste bølgelængde ligger omkring 12,5 – 16 mm, og der er ikke nogen ændring
af dette forhold i den undersøgte tidsperiode (fra 1 – 12 måneder efter udlægning af
belægningerne).
Figur E.1 Tekstur-
spektre efter ca. 30
dage
Figur E.2 Tekstur-
spektre efter ca. 50
dage
55
TRU, Alm.del - 2023-24 - Endeligt svar på spørgsmål 333: Spm. om ministeren vil kommentere materialet fra Genan Holding A/S’ foretræde 7/5-24 og herunder vurdere muligheden for at have genanvendelighed som faktor i offentligt udbudsmateriale om asfaltering, jf. TRU alm. del – bilag 233
2875537_0056.png
Figur E.3 Tekstur-
spektre efter ca.
330 dage
56
TRU, Alm.del - 2023-24 - Endeligt svar på spørgsmål 333: Spm. om ministeren vil kommentere materialet fra Genan Holding A/S’ foretræde 7/5-24 og herunder vurdere muligheden for at have genanvendelighed som faktor i offentligt udbudsmateriale om asfaltering, jf. TRU alm. del – bilag 233
2875537_0057.png
Vejdirektoratet har lokalkontorer i Aalborg, Fløng, Middelfart, Næstved
og Skanderborg samt hovedkontor i København.
Find mere information på vejdirektoratet.dk.
vejdirektoratet
Niels Juels Gade 13
postboks 9018
1022 København K
Telefon 7244 3333
[email protected]
vejdirektoratet.dk