Transportudvalget 2023-24
TRU Alm.del
Offentligt
2841680_0001.png
Klimaprogram
2023
TRU, Alm.del - 2023-24 - Endeligt svar på spørgsmål 261: MFU spm. om ministeren vil oversende en opdateret oversigt over de klimabegrundede initiativer, der på nationalt og europæisk niveau får betydning på transportområdet inden for de kommende ca. 5 år
2841680_0002.png
2
KLIMAPROGRAM 2023
Klimaprogrammets indhold
1.
2.
3.
4.
5.
6.
7.
8.
9.
Ministerens forord – Vi bygger vejen til 2025 og 2030 færdig ................................................................. 3
Resumé ................................................................................................................................................. 4
Seneste klimavidenskabelige udvikling ................................................................................................ 22
Tilgang til anskueliggørelsen af klimalovens mål ................................................................................. 28
Status for målopfyldelse ...................................................................................................................... 44
EU’s klima- og energipolitik ................................................................................................................. 57
Tekniske veje til målopfyldelse ............................................................................................................ 62
Forskning ............................................................................................................................................ 82
Sektorkøreplaner ................................................................................................................................. 92
Energi- og forsyningssektoren .................................................................................................................. 93
Industrisektoren........................................................................................................................................ 108
Affaldssektoren ........................................................................................................................................ 119
Transportsektoren .................................................................................................................................... 127
Land- og skovbrugssektoren.................................................................................................................... 139
10.
Køreplaner for realisering af tekniske potentialer ............................................................................... 154
Carbon Capture and Storage (CCS) ......................................................................................................... 155
Power-to-X ................................................................................................................................................ 158
Metanreducerende foder .......................................................................................................................... 160
Gylle- og gødningshåndtering .................................................................................................................. 162
Brun bioraffinering (pyrolyse) ................................................................................................................. 165
11.
Global strategi ................................................................................................................................... 167
TRU, Alm.del - 2023-24 - Endeligt svar på spørgsmål 261: MFU spm. om ministeren vil oversende en opdateret oversigt over de klimabegrundede initiativer, der på nationalt og europæisk niveau får betydning på transportområdet inden for de kommende ca. 5 år
2841680_0003.png
KLIMAPROGRAM 2023
3
1. Ministerens forord – Vi
bygger vejen til 2025 og
2030 færdig
Vi har vidst det længe. Menneskers brug af energi fra kul, olie og gas kombineret med produktion af kød og mæl-
keprodukter udleder drivhusgasser, som varmer vores jord op. Sommerens varmerekorder vidner om, at foran-
dringerne ikke er teoretiske eller noget, som sker en gang langt ude i fremtiden. De er i fuld gang. Klimaudfordrin-
gerne er massive, og de vil påvirke den verden, nuværende og kommende generationer skal leve i.
Derfor har regeringen øget tempoet i den grønne omstilling. Vi har med regeringsgrundlaget sat os de mest ambi-
tiøse danske klimamål nogensinde – og nogle af de mest ambitiøse i verden. I 2045 skal Danmark være klima-
neutralt, og i 2050 skal vi fjerne flere drivhusgasser, end vi udleder. Samtidig har vi i 2023 foreslået virkemidler,
som kan indfri 2025-målets nedre spænd, og vi har skitseret en vej til at nå 2030-målet.
Siden nytår har vi indgået politisk aftale om rammerne for danmarkshistoriens største udbud af havvind på poten-
tielt 14 gigawatt - nok grøn strøm til at forsyne mere end 14 millioner danske og europæiske husstande. Vi har
lagret den første CO
2
i den danske undergrund i Nordsøen og afholdt et 8 mia. kr. stort udbud på fangst og lag-
ring af CO
2
– fra 2026 skal der årligt fanges 430.000 ton CO
2
.
Vi har kickstartet dansk produktion af grøn brint med danmarkshistoriens første udbud på 1,25 mia. kr., så vi kan
udvikle bæredygtige brændstoffer til fly, skibe og industri. Vi har taget første skridt mod et brintrør mellem Tysk-
land og Danmark, så vi kan eksportere grøn brint til industrivirksomheder i vores naboland. Vi har nedsat en natio-
nal energikrisestab (NEKST), der skal sikre hurtigere handling på akutte grønne udfordringer.
Vi har afsat 440 mio. kroner, så endnu flere danskere kan konvertere olie- og gasfyret til fjernvarme eller en var-
mepumpe. Vi fortsætter med at understøtte salget af elbiler, der for nylig rundede 160.000. Og vi støtter plantning
af mere skov, freder havarealer og fremmer biodiversitet i vores natur. Men vi er ikke i mål. The job ain’t done yet.
Senere i år vil vi derfor præsentere nye skridt, der skal skabe rammer, der muliggør en firedobling af produktionen
fra sol og vind på land. Vi vil udmønte ca. 30 mia. kr. til fangst og lagring af CO
2
. Og vi vil skabe rammerne for et
grønnere dansk landbrug, når vi har modtaget ekspertgruppens anbefalinger. Vi vil løbende genbesøge alle sekto-
rer, så vi fx kan træffe nye beslutninger i tide, hvis ikke de reduktioner, vi har forventet, realiseres. Vi vil implemen-
tere de mange politiske aftaler, der allerede er indgået og indgå nye, hvor det er nødvendigt. Vi vil med andre ord
gøre, hvad der kræves, for at Danmark når sine klimamål. Og vi vil gøre det på en ansvarlig måde.
For der findes ingen realistisk eller ansvarlig vej, hvor vi erstatter sort business med ingen business. Derfor skal vi
lave en grøn omstilling af vores samfund fra olie, kul og gas til grøn energi samtidig med, at vi bevarer et Dan-
mark i balance. Et Danmark, hvor vi udvikler dansk erhvervsliv. Hvor vi tager sociale hensyn og har råd til velfærd.
Og hvor vi også går forrest globalt. For klimakampen er en global kamp.
Vi bliver flere og flere mennesker på kloden. Mennesker, der er helt afhængige af at nyde energiens glæder og
som efterspørger animalske produkter. Derfor er klimaudfordringerne en global udfordring. Selvom Danmark kun
tegner sig for under 0,1 pct. af de globale udledninger, så har vi med vores kapital, viden og vilje meget at byde på
globalt. Vi skal blive ved med at stille vores arealer til rådighed, så vi kan producere grøn strøm til vores naboer i
EU og lagre CO
2
i vores undergrund. Det er klimahandling på den store klinge.
Vi skal blive ved at presse på for mere global klimahandling. Vi skal fortsætte med at udvikle grønne teknologier
og løsninger, som resten af verden også kan bruge til at nå deres klimamål. Det kommer også Danmark og dan-
skerne til gode. Og vi skal vise verden, at man både kan sætte ambitiøse klimamål og bevare et land i balance.
Opgaven er ikke let, men den skal løses.
TRU, Alm.del - 2023-24 - Endeligt svar på spørgsmål 261: MFU spm. om ministeren vil oversende en opdateret oversigt over de klimabegrundede initiativer, der på nationalt og europæisk niveau får betydning på transportområdet inden for de kommende ca. 5 år
2841680_0004.png
4
KLIMAPROGRAM 2023
2. Resumé
Med klimaloven er der sat en ambitiøs retning for den grønne omstilling i Danmark samt den klimapolitiske rolle,
som Danmark kan spille i verden. Loven fastsætter, at Danmark skal reducere drivhusgasudledningerne med 70
pct. i 2030 i forhold til niveauet i 1990, og at Danmark skal være et klimaneutralt samfund i senest 2050. Samtidig
fastsætter loven et indikativt mål om at reducere drivhusgasudledningerne med 50-54 pct. i 2025 i forhold til
1990. Regeringen vil i forlængelse heraf fremrykke målet om klimaneutralitet til 2045, fastsætte et nyt mål om
110 pct. reduktion i 2050 og vil foreslå et ambitiøst reduktionsmål for 2035,
jf. regeringsgrundlaget.
I klimaprogrammet skal klima-, energi- og forsyningsministeren hvert år bl.a. give sin vurdering af, om det kan an-
skueliggøres, at de nationale klimamål nås samt give en status for det indikative 2025-mål.
Ifølge klimaloven skal klima-, energi- og forsyningsministerens anskueliggørelse baseres på en samlet vurdering
af effekterne af initiativer på kort og lang sigt, hvor det for kortsigtede initiativer vil være muligt at skønne over en
konkret reduktionseffekt, mens der for langsigtede initiativer foretages en vurdering af forventningerne til redukti-
onseffekten baseret på faglige antagelser. Det forudsættes, at der hvert år frem mod 2030 i klimaprogrammet
skal ske en øget konkretisering i de fremlagte initiativer, hvor balancen skal gå mod, at der i tiltagende grad frem-
sættes initiativer med effekter på kortere sigt med henblik på at sikre målopfyldelsen i 2030. Hensynet til klimalo-
vens guidende principper skal også ligge til grund for ministerens vurdering.
Klimarådet anerkender i Statusrapport 2023, at
"regeringen har på et overordnet plan skitseret en vej til at opfylde
70 pct. målet. Det skyldes blandt andet skattereformen for industrien fra 2022 og retningen i det nye regerings-
grundlag."
Klimarådet vurderede dog samlet set, at regeringen ikke havde anskueliggjort at 70 pct. målet indfries.
Klimarådet har i sin vurdering af regeringens klimaindsats lagt vægt på, at
"der på nuværende tidspunkt for høj
risiko for, at regeringens skitserede vej ikke vil bringe Danmark i mål."
Regeringen vurderer med
Klimaprogram 2023,
at det i overensstemmelse med klimaloven kan anskueliggøres, at
klimalovens mål om 70 pct. reduktion i 2030 og målet om klimaneutralitet senest i 2050, nås,
jf. boks 2.1.
Rege-
ringen har med regeringsgrundlaget fremlagt, at
"70 pct.-målsætningen skal bl.a. nås ved at realisere land- og
skovbrugssektorens reduktionsmål",
og at
"regeringen vil fremlægge et forslag til klimaafgift på landbruget, når Ek-
spertgruppen for en Grøn skattereform har fremlagt deres konklusioner".
Regeringen fremlægger med Klimaprogram 2023 et samlet grønt arbejdsprogram, der indeholder byggestenene
til at indfri klimamålene. Regeringen fortsætter samtidig arbejdet for at implementere de indgåede aftaler og præ-
senterer derudover en plan med centrale byggesten i implementeringen. Herunder præsenteres implementerings-
status og forventningerne til, hvornår initiativerne er gennemført. Dertil præsenteres der individuelle planer for
henholdsvis energi- og forsyning-, industri-, affald-, transport- og landbrugssektoren, så målene indfries.
Regeringen har også høje ambitioner på globalt plan, hvor regeringen også har påtaget sig et ansvar for at redu-
cere drivhusgasudledninger,
jf. kapitel 11.
TRU, Alm.del - 2023-24 - Endeligt svar på spørgsmål 261: MFU spm. om ministeren vil oversende en opdateret oversigt over de klimabegrundede initiativer, der på nationalt og europæisk niveau får betydning på transportområdet inden for de kommende ca. 5 år
2841680_0005.png
KLIMAPROGRAM 2023
5
Figur 2.1
Regeringens
Arbejdsprogram for klimapolitikken
Klimaprogrammets anskueliggørelse
Klimaprogrammets anskueliggørelse bygger på klimalovens rammer og er en videreudvikling af metoden fra kli-
maprogrammet i 2020-2022 samt Klimarådets metode,
jf. kapitel 4 og boks 2.1.
Der er lavet en række understøt-
tende analyser af teknologiske reduktionspotentialer samt potentielle virkemidlers konsekvenser.
Boks 2.1
Regeringens anskueliggørelse
Med
Klimaprogram 2023
anskueliggøres det, at Danmarks klimamål kan realiseres på baggrund af føl-
gende:
Da klimaloven blev vedtaget i 2020 var der et reduktionsbehov på ca. 19,9 mio. ton CO
2
e i 2030
for at indfri 70 pct. målet. Siden er der indgået en række politiske aftaler, som skønnes at med-
virke til at indfri næsten tre fjerdedele af reduktionsbehovet.
Reduktionsmankoen skønnes i
Klimastatus og –fremskrivning 2023
til ca. 5,4 mio. ton CO2e i
2030 og kan bl.a. indfries ved opfyldelse af det bindende reduktionsmål for land- og skovbrugs-
sektoren, hvor der skønnes at udestå et reduktionsbehov på ca. 5,1-7,2 mio. ton CO
2
e i 2030. Re-
geringen vil fremlægge et forslag til klimaafgift på landbruget, når Ekspertgruppen for en Grøn
Skattereform har fremlagt deres konklusioner.
Regeringen har fremlagt
Arbejdsprogram for klimapolitikken,
der viser byggestenene til at reali-
sere klimamålene. Regeringen fremlægger også en samlet plan for hver sektor til at implemen-
tere de aftalte initiativer og følge op på de politiske ambitioner og mål.
Der er identificeret en række tekniske reduktionspotentialer med kendte omkostninger på tværs
af sektorerne, som til sammen skønnes at have tekniske reduktionspotentialer for ca. 21 mio.
ton CO
2
e i 2030, hvilket overstiger reduktionsmankoen. Hertil kommer yderligere potentialer,
hvor det endnu ikke er muligt at estimere de forbundene omkostninger. Der er dermed teknisk
TRU, Alm.del - 2023-24 - Endeligt svar på spørgsmål 261: MFU spm. om ministeren vil oversende en opdateret oversigt over de klimabegrundede initiativer, der på nationalt og europæisk niveau får betydning på transportområdet inden for de kommende ca. 5 år
2841680_0006.png
6
KLIMAPROGRAM 2023
mulighed for at igangsætte yderligere tiltag på tværs af sektorerne, såfremt de skønnede udled-
ninger i 2030 ikke reduceres i det forventede omfang. De tekniske reduktionspotentialer kan
også være med til at indfri mål om klimaneutralitet, om end de ikke er estimeret for 2050. Derud-
over kan der iværksættes strukturelle tiltag.
Tekniske eksempler for 2030 viser, at der er flere veje til målopfyldelse – og at der fx er andre
teknologier, hvis planen for CCS skrider.
Vurderingen af omstillingshastigheder fra
Klimaprogram 2022
viser, at de planlagte genbesøg af
de udledende sektorer ligger i tide, så der er mulighed for at korrigere og styrke indsatsen yderli-
gere.
Den grønne fond skal bidrage til den grønne omstilling af Danmark, herunder indfrielse af Dan-
marks klimamål. Samlet set blev der med
Aftale om etablering af en grøn fond
reserveret 53�½
mia. kroner til grønne investeringer fra 2024 til 2040 (2022-PL).
Regeringen følger op på målopfyldelsen gennem klimalovens årshjul, herunder årlige fremskriv-
ninger af udledningerne i Klimastatus- og fremskrivning og risici i forbindelse med implemente-
ring af klimaaftalerne.
Regeringen fastsætter hvert femte år klimamål med et tiårigt perspektiv bl.a. under hensynsta-
gen til mål om klimaneutralitet i 2050,
jf. klimaloven.
Det understøtter indfrielse af klimaneutrali-
tet. Regeringen vil i forlængelse heraf foreslå et ambitiøst reduktionsmål for 2035,
jf. regerings-
grundlaget.
Da klimaloven blev vedtaget var der et reduktionsbehov på ca. 19,9 mio. ton CO
2
e i 2030 for at indfri 70 pct. må-
let. Siden er der besluttet tiltag, som skønnes at medvirke til at indfri næsten tre fjerdedele af reduktionsbehovet.
Det resterende reduktionsbehov skønnes i
Klimastatus og –fremskrivning 2023
til ca. 5,4 mio. ton CO
2
e, der bl.a.
skal indfries med opfyldelsen af det bindende reduktionsmål for land- og skovbrugssektoren, hvor der i
Klimasta-
tus og Fremskrivning 2023
skønnes at udestå et reduktionsbehov på ca. 5,1-7,2 mio. ton CO
2
e i 2030,
jf. kapitel 5.
Regeringen vil dertil fremlægge et forslag til klimaafgift på landbruget, når Ekspertgruppen for en Grøn skattere-
form har fremlagt deres konklusioner.
Figur 2.2
Udvikling i reduktionsmankoen i 2030 siden klimalovens vedtagelse
19,9
8,1
1,7
4,7
5,4
55 pct.
65 pct.
Klimalovens
vedtagelse
(juni 2020)
1
1
2
3
4
2020
2
2021
3
2022
4
Manko i KF23
Landbrugsmålet
55-65 pct.
Manko fra BF20. Denne er udgivet i juni 2020 og indeholder politikker frem til 1. maj 2020.
Ændring i manko fra BF2020 til KF2021. KF2021 indeholder effekter af politikker frem til d. 31. dec. 2020.
Ændring i manko fra KF2021 til KF2022. KF2022 indeholder effekter af politikker frem til 31. dec. 2021
Ændring i manko fra KF2022 til KF2023. KF2023 indeholder effekter af politikker frem til 31. dec. 2022
TRU, Alm.del - 2023-24 - Endeligt svar på spørgsmål 261: MFU spm. om ministeren vil oversende en opdateret oversigt over de klimabegrundede initiativer, der på nationalt og europæisk niveau får betydning på transportområdet inden for de kommende ca. 5 år
2841680_0007.png
KLIMAPROGRAM 2023
7
Der skønnes at udestå en manko på ca. 0,5-3,7 mio. ton CO
2
e til at indfri 2025-målet, når der tages højde for resul-
tatet af det første udbud fra CCUS-puljen,
jf. kapitel 5.
I tillæg til de nationale klimamål, er der fastsat en række gældende EU-forpligtelser, eksempelvis LULUCF-forord-
ningen og byrdefordelingsaftalen,
jf. kapitel 5.
Status er, at Danmarks reduktionsforpligtelser under byrdeforde-
lingsaftalen og LULUCF-forordningen som led i EU’s Fit for 55-lovpakke, er blevet opjusteret. Danmark skønnes at
have en akkumuleret reduktionsmanko på ca. 16,1 ton CO
2
e i byrdefordelingsaftalen for perioden 2021-2030 og
en reduktionsmanko i LULUCF-forordningen på ca. 8,8 mio. ton CO
2
e i perioden 2026-2029 og ca. 2,0 mio. ton
CO
2
e i 2030.
Byrdefordelingsaftalens og LULUCF-forordningens reduktionsforpligtelser kan indfries via 1) nationale redukti-
onstiltag, og 2) ved brug af fleksibilitetsmekanismer
jf. kapitel 5.
Det fremgår derudover af kommissoriet til Ek-
spertgruppen for en Grøn Skattereform, at ekspertgruppen skal inddrage hensyn til kommende EU-lovgivning på
området, herunder en potentiel ny tilgang til regulering af landbrugets klimapåvirkning efter revisionen af bl.a. LU-
LUCF-forordningen og byrdefordelingsaftalen samt en særskilt landbrugssøjle i EU’s kvotesystem.
Figur 2.3
illustrerer med udgangspunkt i Klimarådets overordnede metode, at der i forhold til
Klimaprogram 2022
er fremlagt strategier for henholdsvis metanreducerende foder samt gylle- og gødningshåndtering, hvilket er en
styrkelse og konkretisering af anskueliggørelsen. Samtidig arbejder regeringen målrettet på at implementere de
aftalte initiativer, og der er derudover identificeret tekniske reduktionspotentialer, der overstiger reduktionsman-
koen i 2030. Det flugter med klimaloven samt Klimarådets anbefalinger om, at der i årene frem mod 2030 skal
ske en øget konkretisering i de fremlagte initiativer i klimaprogrammet.
Figur 2.3
Regeringens initiativer og konkretisering i klimaprogrammet
Mio. ton CO2e
45
40
35
30
25
20
15
10
5
0
BF20
A
Vedtagne
virkemidler*
B
Udspil
C
Strategier
D
Analyser
Andre***
55 pct.
65 pct.
PtX-strategi**
CCS-strategi**
Opfyldelse af landbrugsmålet
på 55-65 pct.
70 pct. mål
E
Tekniske
potentialer
Anm.: * Angiver ændring fra BF20 til KF23. ** Angiver de tekniske reduktionspotentialer ved hhv. grønne brændstoffer og CCS,
jf. kapitel 7.
*** Angiver det
resterende tekniske reduktionspotentiale (udover grønne brændstoffer og CCS) eksklusive potentialer i landbruget,
jf. kapitel 7.
Kilde: Klima-, Energi- og Forsyningsministeriet.
For at et vedtaget virkemiddel skal få reel effekt kræver det fuld og rettidig implementering og gennemførsel af
virkemidlet. I takt med at der vedtages politiske initiativer, der skønnes at indfri mankoerne i 2025 og 2030, vil den
faktiske indfrielse i højere grad afhænge af implementeringen af de eksisterende aftaler. Dette års klimaprogram
gennemgår den aktuelle status på implementeringen af de vedtagne politiske aftaler. I gennemgangen skelnes
TRU, Alm.del - 2023-24 - Endeligt svar på spørgsmål 261: MFU spm. om ministeren vil oversende en opdateret oversigt over de klimabegrundede initiativer, der på nationalt og europæisk niveau får betydning på transportområdet inden for de kommende ca. 5 år
2841680_0008.png
8
KLIMAPROGRAM 2023
mellem den forvaltningsmæssige implementering, som direkte drives af staten og den samfundsmæssige gen-
nemførsel, der i højere grad drives af andre samfundsaktører. Forvaltningsmæssig implementering er en forud-
sætning for at opnå reduktionseffekter af initiativerne. Hvornår effekten af tiltaget indtræffer, og hvor stor den
bliver, er dog behæftet med usikkerhed, da det vil afhænge af den samfundsmæssige gennemførsel samt øvrig
teknologisk og samfundsmæssig udvikling.
Implementeringsstatus kortlægges i de enkelte sektorer for initiativer efter klimalovens vedtagelse med effekt på
udledningerne i 2030, der viser status for implementeringen og forventningerne til, hvornår initiativerne er gen-
nemført. Samlet er initiativer med skønnet effekt på 7,2 mio. ton CO
2
e implementeret og initiativer med 7,2 mio.
ton CO
2
e er under implementering,
jf. figur 2.4.
Figur 2.4
Status på initiativer med reduktionseffekt i 2030
Mio. t. CO2e
25
20
5,4
15
10
5
0
7,2
7,2
Implementeret
Under implementering
Manko til 70 pct. mål
At et initiativ er under implementering er ikke ensbetydende med, at det er forsinket. Nogle initiativer tager læn-
gere tid end andre. Fx kræver forberedelse af stort udbud til et CCS-anlæg typisk længere tid end tilførsel af mid-
ler til en eksisterende pulje. For at skabe gennemsigtighed i forventningerne implementering er der derfor udar-
bejdet en plan for forventet implementering og gennemførsel af initiativer, hvoraf de største er vist nedenfor,
jf.
figur 2.5.
TRU, Alm.del - 2023-24 - Endeligt svar på spørgsmål 261: MFU spm. om ministeren vil oversende en opdateret oversigt over de klimabegrundede initiativer, der på nationalt og europæisk niveau får betydning på transportområdet inden for de kommende ca. 5 år
2841680_0009.png
KLIMAPROGRAM 2023
9
Figur 2.5.
Implementeringsstatus for initiativer med skønnet effekt over 0,1 mio. t. CO
2
e i 2030
Anm: Figur baserer sig på afsnit
Status for implementering af aftaler
i de enkelte sektorkøreplaner,
jf. kapitel 9 i Klimaprogram 2023.
Estimater for CO
2
-effekt
er effekter, som estimeret ved aftaleindgåelse. Figuren angiver ikke, hvornår en effekt indtræder. Forvaltningsmæssig implementering er en forudsætning for
at opnå reduktionseffekter af initiativerne. Hvornår effekten af tiltaget indtræffer, og hvor stor den bliver, er dog behæftet med usikkerhed, da det vil afhænge
af den samfundsmæssige gennemførsel samt øvrig teknologisk og samfundsmæssig udvikling.
TRU, Alm.del - 2023-24 - Endeligt svar på spørgsmål 261: MFU spm. om ministeren vil oversende en opdateret oversigt over de klimabegrundede initiativer, der på nationalt og europæisk niveau får betydning på transportområdet inden for de kommende ca. 5 år
2841680_0010.png
10
KLIMAPROGRAM 2023
Tekniske reduktionspotentialer og privatøkonomiske omkostninger
Der eksisterer en lang række nye og kendte teknologier, der kan bidrage med nye drivhusgasreduktioner i Dan-
mark. De tekniske reduktionspotentialer af disse teknologier skønnes at overstige den resterende reduktions-
manko betydeligt, der skønnes til ca. 5,4 mio. ton CO
2
e i 2030. Dette års klimaprogram giver et første bud på en
udvidelse af tidligere klimaprogrammers analyse af de tekniske reduktionspotentialer ved at tilføje de dertilhø-
rende skønnede privatøkonomiske omkostninger for de potentialer, hvor det er muligt,
jf. kapitel 7.
De privatøkonomiske omkostninger viser omkostninger fra privataktørernes perspektiv (dvs. virksomheden eller
borgeren), og afskiller sig fra samfundsøkonomiske omkostninger, som viser omkostningen for samfundet (og
inkluderer omkostninger for staten, geneomkostninger og eksternaliteter fx miljøomkostninger). De privatøkono-
miske omkostninger kan således være meget forskellige fra de samfundsøkonomiske omkostninger, fx hvis bru-
gen af teknologien giver anledning til et statsligt afgiftstab, eller teknologien af forbrugeren ikke anses som en
fuldgod erstatning.
Analysen kan således ikke bruges til at give information om den samfundsøkonomisk mest omkostningseffektive
opnåelse af klimamålene, og kan dermed ikke bruges som beslutningsgrundlag for klimapolitikken, men analysen
er et element i at analysere de samfundsøkonomiske omkostninger forbundet med virkemidler, som kan realisere
teknologiernes potentialer. Der arbejdes således videre med at konsolidere analysemetode samt forudsætninger
og antagelser både i forhold til at opgøre de privatøkonomiske omkostninger, men også i forhold til at videreud-
vikle metoden, så der på sigt kan udvikles skøn for de samfundsøkonomiske omkostninger, hvorved der kan tilve-
jebringes et egentligt grundlag for at vurdere omkostningseffektiviteten ved forskellige veje til målopfyldelse.
Samlet set er der identificeret tekniske potentialer på i alt ca. 21 mio. ton CO
2
e, med betydelige variationer i de
privatøkonomiske omkostninger,
jf. figur 2.5.
Dette svarer til ca. 70 pct. af de i
Klimastatus og –fremskrivning
2023
skønnede totale danske drivhusgasudledninger i 2030 og til en reduktion på ca. 90 pct. i 2030 ift. 1990. Der
er således identificeret væsentligt flere tekniske reduktionspotentialer end den skønnede reduktionsmanko til 70
pct.-målet i 2030 på 5,4 mio. ton CO
2
e. Hertil kommer tekniske reduktionspotentialer, hvor det pt. ikke er muligt at
estimere omkostningerne med tilstrækkelig sikkerhed. Der kan for en række af teknologierne være udfordringer
med at iværksætte konkrete virkemidler, der kan indfri det fulde potentiale, da der i beregningerne ikke er taget
højde for juridiske, regulatoriske eller administrative forhold, ligesom der kan være store samfundsøkonomiske
og/eller statsfinansielle omkostninger forbundet med konkrete initiativer, der indfrier de tekniske potentialer.
Beregningerne viser, at den grønne omstilling er forbundet med betydelige omkostninger for forbrugere og virk-
somheder, hvorfor klimapolitikken skal tilrettelægges ud fra de guidende principper i klimaloven. De privatøkono-
miske omkostninger varierer på tværs af områder, bl.a. afhængig af teknologiernes modenhed og de nuværende
økonomiske incitamenter. Fx har varmepumper i erhvervene relativt lave privatøkonomiske omkostninger, mens
grønne brændstoffer for varebiler har væsentligt højere privatøkonomiske omkostninger. Det bemærkes, at denne
type beregninger er behæftet med betydelig usikkerhed. Derudover er estimaterne gennemsnit, hvilket vil dække
over en variation mellem forskellige husholdninger i de faktiske udgifter.
Overordnet set er ensartede incitamenter til CO
2
-reduktion den samfundsøkonomisk mest omkostningseffektive
måde at nå CO
2
-reduktioner. Med ensartede incitamenter er der samme prissignal på tværs af teknologier, hvor-
med de teknologier som er billigst for de enkelte virksomheder og husholdninger mv. vil blive gennemført.
Transportsektoren skønnes i denne analyse at have de største tekniske reduktionspotentialer med et samlet tek-
nisk reduktionspotentiale på ca. 10,1 mio. ton CO
2
e. Potentialerne vedrører især elbiler samt grønne brændstof-
fer, men forudsætter en villighed til og mulighed for at omstille den fulde bilpark inden 2030. De øvrige fire sekto-
rer skønnes at have tekniske potentialer for samlet ca. 10,9 mio. ton CO
2
e.
TRU, Alm.del - 2023-24 - Endeligt svar på spørgsmål 261: MFU spm. om ministeren vil oversende en opdateret oversigt over de klimabegrundede initiativer, der på nationalt og europæisk niveau får betydning på transportområdet inden for de kommende ca. 5 år
2841680_0011.png
KLIMAPROGRAM 2023
11
Figur 2.6
Tekniske reduktionspotentialer og privatøkonomiske omkostninger
Kr. per ton
5.000
4.000
3.000
2.000
1.000
0
-1.000
-2.000
-3.000
-4.000
1
2
3
4
5
6
7
8
9
10 11 12 13 14 15 16 17 18 19 20 21 22 23 24
Mio. t. CO2e
Landbrug og skovbrug
Transport
Affald
Industri
Energi og forsyning
Eksempler på forskellige tekniske veje til målopfyldelse
Givet de store tekniske reduktionspotentialer er der flere veje til målopfyldelsen i 2030, og realisering af klimamå-
lene er dermed ikke afhængig af bestemte teknologier. Hvis én eller flere af teknologierne viser sig ikke at kunne
bidrage med den skønnede effekt i forhold til målopfyldelse, er det teknisk muligt at nå reduktioner andre steder.
Med udgangspunkt i analysen af tekniske reduktionspotentialer er der konstrueret en række eksempler, der viser
forskellige muligheder for, hvordan målopfyldelse teknisk set kan nås,
jf. figur 2.6 og kapitel 7.
Derudover kan ud-
ledningerne reduceres gennem strukturelle ændringer.
Såfremt der ses bort fra tekniske reduktionspotentialer i landbruget
udgør det resterende analyserede reduktions-
potentiale ca. 18,9 mio. ton CO
2
e, hvilket er væsentligt større end reduktionsmankoen på 5,4 mio. ton CO
2
e.
Såfremt tekniske reduktionspotentialer i transport alene lægges til grund
vil der være et teknisk potentiale på 10,1
mio. ton CO
2
e i 2030, hvilket svarer til ca. 95 pct. af de skønnede drivhusgasudledninger i transportsektoren i
2030. Potentialet for elbiler i persontransport udgør mere end halvdelen af det samlede potentiale.
Såfremt der ses bort fra yderligere CCS
vil det potentielt både øge reduktionsmankoen ift. 70 pct.-målet fra 5,4
mio. ton CO
2
e op til 8,2 mio. ton CO
2
e, ligesom en række store reduktionspotentialer i nærliggende analyse ikke
længere er tilgængelige. Selv i dette tilfælde er der dog større reduktionspotentialer end reduktionsmankoen til 70
pct.-målet, idet der skønnes tekniske reduktionspotentialer for ca. 14 mio. ton CO
2
e.
Der er stadig tid til at træffe de nødvendige beslutninger
Omstillingen fra et teknisk reduktionspotentiale til den endelige drivhusgasreduktion sker ikke fra den ene dag til
den anden, men er forbundet med en implementeringstid, der kan strække sig over flere år. Der er derudover be-
hov for, at en teknologi skal modnes tilstrækkeligt, før teknologien kan implementeres. For at sikre et bredt be-
slutningsrum i forhold til hvilke reduktionspotentialer, der skal indfries, er det nødvendigt at træffe politiske be-
slutninger om virkemidler i tide, så implementeringen kan nå at få reduktionseffekt i 2030. Inden da er der behov
for at få modnet teknologierne tilstrækkeligt til, at der kan træffes beslutninger om at implementere dem på et
oplyst grundlag.
TRU, Alm.del - 2023-24 - Endeligt svar på spørgsmål 261: MFU spm. om ministeren vil oversende en opdateret oversigt over de klimabegrundede initiativer, der på nationalt og europæisk niveau får betydning på transportområdet inden for de kommende ca. 5 år
2841680_0012.png
12
KLIMAPROGRAM 2023
Figur 2.7
Eksempler på muligheder for målopfyldelse under forskellige betingelser (kr. per ton
CO
2
e)
Tekniske reduktionspotentialer såfremt der ses
bort fra land- og skovbrugssektoren
Kr. per ton
5.000
4.000
3.000
2.000
1.000
0
-1.000
-2.000
-3.000
-4.000
Tekniske reduktionspotentialer i transportsektoren
Kr. per ton
5.000
4.000
3.000
2.000
1.000
0
-1.000
-2.000
1
2
3
4
5
6
7
8
9
10
11
Mio. t. CO
2
e
1
2
3
4
5
6
7
8
9 10 11 12 13 14 15 16 17 18 19 20 21 22
Mio. t. CO
2
e
-3.000
-4.000
Personbiler (inkl. taxi): Elbiler
Lastbiler: Ellastbiler
Færger: Elfærger
Færger: Grønne brændstoffer (og grøn brint)
Busser: Grønne brændstoffer (og grøn brint)
Fritidsfartøjer: Grønne brændstoffer (og grøn brint)
Grænsehandel: Grønne brændstoffer (og grøn brint)
Varebiler: Grønne brændstoffer (og grøn brint)
Motorcykler: Grønne brændstoffer (og grøn brint)
Indenrigsluftfart: Grønne brændstoffer (og grøn brint)
Transport
Affald
Industri
Energi og forsyning
Tekniske reduktionspotentialer eksklusive CCS-
potentialer
Kr. per ton
5.000
4.000
3.000
2.000
1.000
0
-1.000
-2.000
-3.000
-4.000
Landbrug og skovbrug
Transport
Industri
Energi og forsyning
1
2
3
4
5
6
7
8
9
10
11
12
13
14
15
Mio. t. CO
2
e
Kilde: Energistyrelsen
Baseret på vurderingen af beslutningsrum,
jf. analyser af omstillingshastighed fra Klimaprogram 2022
sikrer
Ar-
bejdsprogram for klimapolitikken,
at udledende sektorer genbesøges i tide, så der kan træffes beslutning om yder-
ligere tiltag med effekt i 2030, fx i det tilfælde at udledningerne ikke reduceres i det forventede omfang.
TRU, Alm.del - 2023-24 - Endeligt svar på spørgsmål 261: MFU spm. om ministeren vil oversende en opdateret oversigt over de klimabegrundede initiativer, der på nationalt og europæisk niveau får betydning på transportområdet inden for de kommende ca. 5 år
2841680_0013.png
KLIMAPROGRAM 2023
13
Ud fra analysen i
Klimaprogram 2022
om forskellige tekniske reduktionspotentialers omstillingshastighed vurde-
res det, at potentialerne for reduktioner i 2030 falder markant efter 2025,
jf. figur 2.8.
Regeringen vil i tide træffe
de nødvendige beslutninger for at indfri 70 pct. målet.
Figur 2.8
Beslutningsrum frem mod 2030 (mio. ton CO
2
e)
2022
Affald
2023
Industri
2024
2025
2026
Energi
2027
Grønne køretøjer
2028
2029
2030
Landbrug
Grønne brændstoffer
Anm.: Figuren viser hvordan de tekniske reduktionspotentialer i 2030 er afhængig af hvornår der implementeres virkemidler. I 2030 er potentialerne 0, idet der
ikke er tid til at implementere virkemidlerne. De tekniske reduktionspotentialer er baseret på det høje skøn, hvor der ikke taget højde for overlap i
reduktionspotentialerne inden for de enkelte sektorer og på tværs. Udvikling i potentialerne baserer sig på det lave spænd i en vurdering af
omstillingshastighed i intervaller. Metode for opgørelse fremgår af Energistyrelsens baggrundsnotat herom.
Kilde: Energistyrelsen (2022)
Regeringens arbejdsprogram for at indfri klimamål
Regeringen fremlægger et samlet grønt arbejdsprogram med en detaljeret sektorkøreplan for alle sektorer og de
centrale teknologier, der skal sikre realiseringen af 70 pct. målet, så de indgåede politiske aftaler implementeres
grundigt og rettidigt,
jf. kapitel 9 og 10.
Planen er tilrettelagt ud fra bl.a. analyser om tekniske reduktionspotentialer og deres omstillingshastigheder, så
sektorerne genbesøges i tide, og der kan træffes beslutning om supplerende virkemidler, fx hvis udledningerne
ikke udvikler sig som forventet.
TRU, Alm.del - 2023-24 - Endeligt svar på spørgsmål 261: MFU spm. om ministeren vil oversende en opdateret oversigt over de klimabegrundede initiativer, der på nationalt og europæisk niveau får betydning på transportområdet inden for de kommende ca. 5 år
2841680_0014.png
14
KLIMAPROGRAM 2023
Energi- og forsyningssektoren
Energisektoren skønnes at stå for en meget begrænset CO
2
e-udledning i 2030. En sikker og pålidelig forsyning af
grøn strøm og grøn varme er central for at mindske udledningerne fra øvrige sektorers energiforbrug fx via øget
grøn elektrificering og øget brug af brint og grønne gasser,
jf. kapitel 9.
Nøgletal viser, at sektoren står over for en
stor udvikling, hvor den samlede elproduktion fra vedvarende energi (VE) skønnes at vokse med 41 TWh fra 2023
til 2030. Stigningen svarer til mere end elforbruget i 2021, der var ca. 38 TWh.
Med en række politiske aftaler og EU-lovgivning er der vedtaget initiativer, som skønnes at medføre aftalebe-
stemte reduktioner på ca. 2 mio. ton CO
2
e i 2030. For at realisere den forventede effekt af de eksisterede tiltag
monitoreres implementeringen af de indgåede politiske aftaler tæt. Hovedparten af initiativer med reduktioner
svarende til ca. 65 pct. af reduktionerne er implementeret, hvor reduktionerne primært vedrører fx ændring af var-
meafgifter, puljer til udfasning af olie- og gasfyr samt metantabsregulering. Et initiativ vedrørende støtteudbud til
biogas mv. er under implementering, idet der afventes statsstøttegodkendelse. Initiativet har reduktionseffekt
svarede til 35 pct. af reduktionerne i 2030.
Der er ligeledes indgået politiske aftaler, der vil medføre udbud af havvind på 9 GW, med mulighed for overplan-
ting, som muliggør potentielt 14 GW eller mere i 2030. Udbuddene er under implementering, hvor udbudskontrak-
ter forventes indgået i 2024-2025.
Regeringen har derudover nedsat den nationale energikrisestab (NEKST), som bl.a. skal identificere løsninger på
udfordringer, og bidrage til at skabe den smidigste vej fra aftale til VE-opsætning, hurtigere omlægning til grøn
varme og udbygning af elnet med forskellige grønne fast track arbejdsspor,
jf. figur 2.9.
Næste skridt er, at rege-
ringen i 2023 vil følge op på energiparker på land og ambitionen om at sikre rammevilkår, der kan muliggøre en
firedobling af den samlede elproduktion fra solenergi og landvind frem mod 2030. Dertil vil regeringen præsen-
tere et udspil om forsyningssikkerhed mv. Regeringen vil derudover følge op på
Klimaaftale om grøn strøm og
varme,
ligesom regeringen vil understøtte hurtigere udbygning og bedre udnyttelse af elnettet, ligesom regeringen
vil præsentere et udspil om forsyningssikkerhed mv.
Figur 2.9
Regeringens arbejdsprogram for energi- og forsyningssektoren (grøn varme, gas og
energieffektivisering)
Anm.: Figuren er ikke udtømmende og viser udvalgte, centrale indsatser i energi- og forsyningssektoren. Figuren viser kun, hvilket år indsatser iværksættes.
Placeringen af indsatser i de enkelte år er således ikke udtryk for hvornår på året, indsatsen iværksættes.
TRU, Alm.del - 2023-24 - Endeligt svar på spørgsmål 261: MFU spm. om ministeren vil oversende en opdateret oversigt over de klimabegrundede initiativer, der på nationalt og europæisk niveau får betydning på transportområdet inden for de kommende ca. 5 år
2841680_0015.png
KLIMAPROGRAM 2023
15
Figur 2.10
Regeringens arbejdsprogram for energi- og forsyningssektoren (vedvarende
energi)
Anm.: Figuren er ikke udtømmende og viser udvalgte, centrale indsatser i energi- og forsyningssektoren. Figuren viser kun, hvilket år indsatser iværksættes.
Placeringen af indsatser i de enkelte år er således ikke udtryk for hvornår på året, indsatsen iværksættes.
TRU, Alm.del - 2023-24 - Endeligt svar på spørgsmål 261: MFU spm. om ministeren vil oversende en opdateret oversigt over de klimabegrundede initiativer, der på nationalt og europæisk niveau får betydning på transportområdet inden for de kommende ca. 5 år
2841680_0016.png
16
KLIMAPROGRAM 2023
Industri
Industrisektorens udledninger skønnes at udgøre ca. 4,0 mio. ton CO
2
e i 2030
1
, hvilket skønnes at svare til ca. 14
pct. af Danmarks samlede CO
2
e-udledninger,
jf. kapitel 9.
Nøgletal viser, at sektoren står over for en stor omstil-
ling, hvor andelen af grøn energi i fremstillingserhverv skønnes at stige fra ca. 60 pct. til ca. 91 pct. Det betyder, at
industrisektoren skønnes at bruge ca. 10 gange mere grøn energi end fossil energi i 2030.
Med en række politiske aftaler og EU-lovgivning er der vedtaget initiativer, som skønnes at medføre reduktioner
på ca. 3,5 mio. ton CO
2
e i 2030. For at realisere den forventede effekt af de eksisterede tiltag monitoreres imple-
menteringen af de indgåede politiske aftaler tæt. Initiativer med knap en femtedel af sektorens reduktioner er im-
plementeret, hvor fx lovforslag om forhøjelse af energiafgift på fossile brændsler for erhverv er vedtaget. En
række initiativer med ca. 70 pct. af reduktionerne i 2030 er under implementering, hvor fx lovforslag om høj og
mere ensartet CO
2
-afgift forventes fremsat i 2024.
Regeringen har indgået
Aftale om styrkede rammevilkår for CCS i Danmark
i 2023, der tager næste skridt mod at
realisere reduktionspotentialerne inden for sektoren. Næste skridt er, at regeringen i 2023 vil udmønte omstil-
lingsstøtten som led i
Aftale om Grøn Skattereform for industri mv., jf. figur 2.11.
Figur 2.11
Regeringens arbejdsprogram for industrisektoren
Anm.: Figuren er ikke udtømmende og viser udvalgte, centrale indsatser i industrisektoren. Figuren viser kun, hvilket år indsatser iværksættes. Placeringen af
indsatser i de enkelte år er således ikke udtryk for hvornår på året, indsatsen iværksættes.
Det bemærkes, at aftalte reduktioner fra CCS ikke er fordelt på sektorer i Klimastatus- og fremskrivning 2023, hvorfor reduktioner fra CCS ikke er inkluderet i
skøn over de enkelte sektorernes udledning, men er regnet med i opgørelser over Danmarks samlede udledninger.
1
TRU, Alm.del - 2023-24 - Endeligt svar på spørgsmål 261: MFU spm. om ministeren vil oversende en opdateret oversigt over de klimabegrundede initiativer, der på nationalt og europæisk niveau får betydning på transportområdet inden for de kommende ca. 5 år
2841680_0017.png
KLIMAPROGRAM 2023
17
Affald
Affaldssektorens udledninger skønnes at udgøre ca. 1,7 mio. ton CO
2
e i 2030, hvilket skønnes at svare til ca. 6
pct. af Danmarks samlede CO
2
e-udledninger i 2030,
jf. kapitel 9.
Sektoren er i gang med en markant omstilling, da
udledningerne fra affaldsforbrænding skønnes at falde med knap 0,8 mio. ton fra 2023 til 2030.
Med politisk aftale om
Klimaplanen for en grøn affaldssektor og cirkulær økonomi fra 2020
er der vedtaget initiati-
ver, som ved aftalens vedtagelse blev skønnet til at medføre reduktioner på ca. 0,7 mio. ton CO
2
e i 2030,
jf. kapitel
9.
Hovedparten af initiativer med reduktioner er implementeret med en skønnet reduktionseffekt på ca. 0,5 mio.
ton CO
2
e i 2030. Enkelte initiativer med knap 30 pct. af reduktionerne i 2030 er under implementering. Hertil kom-
mer en række puljer, der skal fremme udbredelsen af CCS/CCUS,
jf. kapitel 9.
Regeringen har i 2023 i Folketinget fået vedtaget
Lov om ny organisering af forbrændingssektoren og konkurrence-
udsættelse af forbrændingsegnet affald, jf. figur 2.12.
Næste skridt er, at regeringen præsenterer en løsning for
langsigtede rammevilkår for CO
2
-fangst i forsyningssektoren, herunder affaldsforbrændingssektoren, inden ud-
gangen af 2023. Regeringen vil derudover følge op på
Klimaplan for en grøn affaldssektor og cirkulær økonomi.
Figur 2.12
Regeringens arbejdsprogram for affaldssektoren
Anm.: Figuren er ikke udtømmende og viser udvalgte, centrale indsatser i affaldssektoren. Figuren viser kun hvilket år indsatser iværksættes. Placeringen af
indsatser i de enkelte år er således ikke udtryk for hvornår på året indsatsen iværksættes.
TRU, Alm.del - 2023-24 - Endeligt svar på spørgsmål 261: MFU spm. om ministeren vil oversende en opdateret oversigt over de klimabegrundede initiativer, der på nationalt og europæisk niveau får betydning på transportområdet inden for de kommende ca. 5 år
2841680_0018.png
18
KLIMAPROGRAM 2023
Transportsektoren
Transportsektorens udledninger skønnes i
Klimastatus og –fremskrivning 2023
at udgøre ca. 10,5 mio. ton CO
2
e i
2030, hvilket skønnes at svare til ca. 35 pct. af Danmarks samlede CO
2
e-udledninger i 2030,
jf. kapitel 9.
Nøgletal
viser, at sektoren står over for en stor omstilling, hvor der skønnes at komme ca. 500.000 flere elbiler på vejene
fra 2023 til 2030. Det svarer til, at antallet af elbiler på vejene bliver mere end tredoblet i forhold til i dag.
Med en række politiske aftaler og EU-lovgivning er der vedtaget initiativer, som skønnes at medføre reduktioner
på ca. 2,6 mio. ton CO
2
e i 2030,
jf. kapitel 9.
Hovedparten af initiativer med reduktioner svarende til 96 pct. er im-
plementeret, hvor lovgrundlag for flere afgifter samt regulering af VE brændstoffer er vedtaget. En række initiati-
ver med ca. 4 pct. af reduktionerne i 2030 er under implementering, hvor bekendtgørelse om effektivisering af
vejgodstransporten er under udarbejdelse i 2023.
Næste skridt er, at regeringen vil præsentere en
status på grøn vejtransport i Danmark.
Regeringen vil derudover
præsentere udspil om grøn luftfart med henblik på at indføre en passerafgift, som skal anvendes til bl.a. at gøre
det muligt at etablere en grøn indenrigsrute i 2025 og senest i 2030 fuld grøn indenrigsflyvning.
Figur 2.13
Regeringens arbejdsprogram for transportsektoren
Anm.: Figuren er ikke udtømmende og viser udvalgte, centrale indsatser i transportsektoren. Figuren viser kun, hvilket år indsatser iværksættes. Placeringen
af indsatser i de enkelte år er således ikke udtryk for hvornår på året, indsatsen iværksættes.
TRU, Alm.del - 2023-24 - Endeligt svar på spørgsmål 261: MFU spm. om ministeren vil oversende en opdateret oversigt over de klimabegrundede initiativer, der på nationalt og europæisk niveau får betydning på transportområdet inden for de kommende ca. 5 år
2841680_0019.png
KLIMAPROGRAM 2023
19
Land- og skovbrugssektoren
Land- og skovbrugssektorens udledninger skønnes i
Klimastatus og –fremskrivning 2023
at udgøre ca. 15,3 mio.
ton CO
2
e i 2030, hvilket skønnes at svare til ca. 53 pct. af Danmarks samlede CO
2
e-udledninger i 2030,
jf. kapitel
9.
Nøgletal viser, at sektoren står over for en stor omstilling, da der udestår en væsentlig manko for at indfri det
bindende reduktionsmål for land- og skovbrugssektoren i 2030.
Med
Aftale om grøn omstilling af dansk landbrug
(herefter ”landbrugsaftalen”) er der sat et bindende reduktions-
mål for land- og skovbrugssektorens drivhusgasudledninger på 55-65 pct. i 2030 i forhold til udledningen i 1990,
svarende til 5,1-7,2 mio. ton CO
2
e,
jf. Klimastatus og –fremskrivning 2023.
Med aftalen gennemføres konkrete ini-
tiativer, der skønnes at medføre en reduktion af udledninger på 1,9 mio. ton CO
2
e i 2030. Hertil har aftalens udvik-
lingsspor et teknisk reduktionspotentiale på yderligere ca. 5 mio. ton CO
2
e i 2030,
jf. landbrugsaftalen.
Hovedparten af de konkrete initiativer med reduktioner svarende til ca. 60 pct. er implementeret, hvor Danmark fx
har fået godkendt den nationale strategiske plan (CAP-plan) til gennemførelse af EU’s landbrugsreform og etable-
ret de tilskudsordninger, der kan bidrage til reduktion af landbrugets udledninger. Tre initiativer med ca. 40 pct. af
reduktionerne i 2030 er under implementering. Dertil arbejdes der løbende for, at teknologier og løsninger fra ud-
viklingssporet hurtigst mulig kan blive overført til implementeringsporet. Regeringen har i september præsenteret
en strategi for de tekniske reduktionspotentialer inden for henholdsvis metanreducerende foder samt gylle- og
gødningshåndtering.
Næste store skridt er, at regeringen vil præsentere et forslag til en klimaafgift på landbruget, når Ekspertgruppen
for en Grøn Skattereform i efteråret 2023 har fremlagt deres anbefalinger. Dertil vil regeringen inden udgangen af
2023 følge op på udviklingssporet i landbrugsaftalen, mens den samlede aftale genbesøges senest i 2023/2024,
jf. figur 2.14.
Der skal desuden udarbejdes en visionsplan for dansk landbrug, ligesom regeringen vil præsentere
en skovplan med et mål om etablering af 250.000 ha ny skov i Danmark.
Figur 2.14
Regeringens arbejdsprogram for land- og skovbrugssektoren
Anm.: Figuren er ikke udtømmende og viser udvalgte, centrale indsatser i land- og skovbrugssektoren. Figuren viser kun, hvilket år indsatser iværksættes.
Placeringen af indsatser i de enkelte år er således ikke udtryk for hvornår på året, indsatsen iværksættes.
TRU, Alm.del - 2023-24 - Endeligt svar på spørgsmål 261: MFU spm. om ministeren vil oversende en opdateret oversigt over de klimabegrundede initiativer, der på nationalt og europæisk niveau får betydning på transportområdet inden for de kommende ca. 5 år
2841680_0020.png
20
KLIMAPROGRAM 2023
Regeringens håndtering af risiko i forbindelse med anskueliggørelse
I takt med, at vejen til 70 pct. målet i stigende grad dækkes af besluttede tiltag, er det helt centralt, at der følges
op på fremdriften i implementeringen af de største initiativer i de politiske aftaler, som skal bidrage til målopfyl-
delsen,
jf. kapitel 4 og tabel 2.1.
Hvis udledningerne ikke reduceres som forventet, er genbesøgene af aftalerne
planlagt i tide til at igangsætte yderligere tiltag med effekt i 2030.
Tabel 2.1
Regeringens håndtering af risici i forbindelse med anskueliggørelse
Risikohåndteringsele-
ment
Indhold
Klimalovens årshjul sikrer opfølgning på, om klimamålene nås. Klimarådet og regeringen
vurderer i henholdsvis februar og september, hvorvidt klimaindsatsen anskueliggør, at kli-
mamålene nås. Folketinget vurderer i december om regeringen lever op til klimaloven.
Klimalovens årshjul, her-
under den årlige klima-
status og –fremskrivning
Den årlige klimastatus og –fremskrivning gør status over målopfyldelse og reduktionsbeho-
vet. Der indgår risikovurderinger i metoden bag opgørelsen af mankoen, idet der arbejdes
med middelskøn, ligesom reduktioner medregnes i fremskrivningen, såfremt de vurderes
realistiske. Fremskrivningen er baseret på viden om konkrete besluttede initiativer fra politi-
ske aftaler, forventninger til teknologisk udvikling samt forventninger til bl.a. vækst og pris-
udvikling. Hvis et politisk tiltag ikke implementeres til fulde eller rettidigt, eller effekten af
andre grunde forsinkes eller formindskes, vil det afspejle sig i den årlige klimastatus og –
fremskrivning.
Regeringen fremlægger i hver sektorkøreplan væsentlige risici ved de største initiativer i de
indgående aftaler, der har betydning for at opnå 70 pct. målet og fremlægger sin plan for
håndtering af de risici.
Genbesøg af alle aftaler sikrer, at der kan igangsættes yderligere tiltag, fx såfremt udlednin-
gerne ikke reduceres som forventet frem mod 2030. Genbesøg er fastlagt i tide, så der kan
skrides ind med yderligere tiltag, der vil kunne få effekt i 2030.
De tekniske reduktionspotentialer og scenarierne viser, at der er flere mulige veje til at indfri
den resterende manko. Der er derudover mulighed for at iværksætte yderligere tiltag, hvis
drivhusgasudledningerne ikke reduceres som forventet.
Implementeringsoversigt
Genbesøg af alle aftaler
Reduktionspotentialer og
scenarier
TRU, Alm.del - 2023-24 - Endeligt svar på spørgsmål 261: MFU spm. om ministeren vil oversende en opdateret oversigt over de klimabegrundede initiativer, der på nationalt og europæisk niveau får betydning på transportområdet inden for de kommende ca. 5 år
2841680_0021.png
KLIMAPROGRAM 2023
21
Global klimapolitik og danske prioriteringer
Regeringens indsats for global klimapolitik bygger videre på den tidligere regerings strategi,
Regeringens langsig-
tede strategi for global klimaindsats
fra september 2020. Kapitlet beskriver den danske klimaindsats i verden i
fem hovedspor,
jf. boks 2.2
Boks 2.2
Fem hovedspor i regeringens langsigtede strategi for global klimaindsats
Øge de globale klimaambitioner
Reducere de globale drivhusgasudledninger ved at vise vejen for grøn omstilling
Drive tilpasnings- og modstandsdygtighedsinitiativer i kampen mod klimaforandringerne
Vende de globale finansieringsstrømme fra sort til grøn
Samarbejde med erhvervet om grønne løsninger, der gør en forskel
Stadig flere lande leverer mere ambitiøse klimamål, også verdens største udledere. Den seneste rapport fra FN’s
klimapanel, IPCC, der udkom tidligere på året, bekræfter dog den bydende nødvendighed for yderligere og accele-
reret forøgelse af de globale klimaambitioner, hvis verden skal nå Parisaftalens temperaturmål om ikke at over-
stige 1,5 grader i det 21. århundrede. Derfor opstiller Danmark en række prioriteter, der skal bidrage til at øge de
globale klimaambitioner, styrke klimasårbare landes tilpasnings- og modstandsdygtighed samt reducere de glo-
bale drivhusgasudledninger.
FN’s klimapanel anslår, at mere end tre mia. mennesker er særligt sårbare over for klimaforandringer. Derfor fort-
sætter Danmark arbejdet for at styrke indsatsen for klimatilpasning og modstandsdygtighed over for klimaskabte
tab og skader samt bidrage til finansiering af klimaomstilling i disse lande. Da mange udviklingslandes største
udfordringer i stigende grad hænger sammen med klimaforandringer, hænger indsatsen mellem klima og udvik-
ling uløseligt sammen. Samtidig er det afgørende at beskytte og genoprette økosystemer og biodiversitet.
For at nå målene i
Parisaftalen
er det vigtigt med markante løft af grøn finansiering fra alle kilder. Der er særligt et
behov for at øge mobiliseringen af private investeringer på globalt plan for at imødekomme de finansielle behov
inden for klimadagsordenen. FN’s miljøprogram, UNEP, anslår et globalt investeringsbehov i omegnen af 4-6 billi-
oner dollars årligt for at levere tilstrækkelige reduktionsindsatser til at indfri Parisaftalens 1,5-gradsmålsætning.
IPCC vurderer, at der er tilstrækkelig global kapital og likviditet til at foretage de nødvendige investeringer, men
den grønne kapitalstrøm er blokeret af barrierer, der skal adresseres, før investeringerne sker. Regulatoriske barri-
erer, fossile energisubsidier og investeringsrisici står bl.a. i vejen for den nødvendige private kapital skifter fra
fossile til grønne investeringer, særligt i udviklingslandene. En ekspertgruppe under COP26 og COP27 estimerer
at vækstøkonomier og udviklingslande har behov for 1.000 mia. dollars årligt i ekstern finansiering fra 2030 for at
nå 1,5-gradsmålsætning i Parisaftalen. Derfor har Danmark taget konkrete skridt for at fremme en større mobili-
sering af finansiering fra den private sektor til klimadagsordenen.
For at opnå en effektiv global klimaindsats er det vigtigt, at Danmark opretholder det stærke samarbejde mellem
myndigheder i partnerlande og erhvervsliv. Danske myndigheder og virksomheder er i stand til at skabe løsninger,
der ikke kun bidrager til jobskabelse i hjemlandet, men også til en grøn, bæredygtig og socialt retfærdig global
omstilling. Dansk erhvervslivs position som førende inden for grøn og bæredygtig innovation på de globale mar-
keder skal bevares og styrkes.
TRU, Alm.del - 2023-24 - Endeligt svar på spørgsmål 261: MFU spm. om ministeren vil oversende en opdateret oversigt over de klimabegrundede initiativer, der på nationalt og europæisk niveau får betydning på transportområdet inden for de kommende ca. 5 år
2841680_0022.png
22
KLIMAPROGRAM 2023
3. Seneste klimavidenskabe-
lige udvikling
DMI er regeringens klimavidenskabelige rådgiver og giver hvert år i klimaprogrammet en status på den seneste
klimavidenskabelige udvikling. DMI er også det danske kontaktpunkt til FN’s klimapanel (IPCC), og Nationalt Cen-
ter for Klimaforskning ved DMI forsker og indsamler viden om klimaforandringer. I marts 2023 udgav IPCC som
afslutning på den sjette arbejdscyklus en synteserapport
2
, der ser på tværs af de tre delrapporter fra 2021 og
2022, og derfor er baseret på det samme data- og videngrundlag. Synteserapporten danner grundlag for dette
kapitel sammen med de øvrige delrapporter og forskningsresultater fra bl.a. National Center for Klimaforskning.
Status på den globale opvarmning
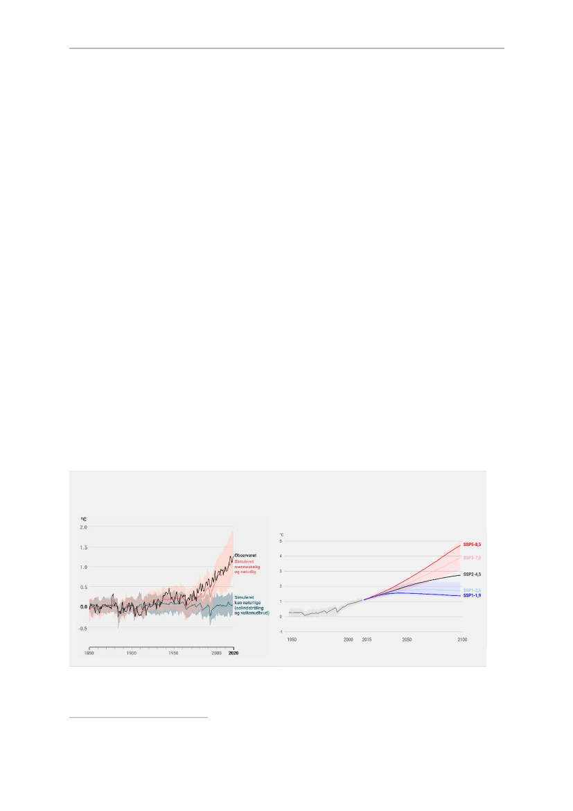
Den gennemsnitlige globale opvarmning er på 1,1°C for perioden 2011-2020 (sammenlignet med 1850-1900),
jf.
figur 3.1.
IPCC slår fast, at det er utvetydigt, at menneskelig indflydelse har påvirket vores klima, og at udledning
af drivhusgasser kan forklare stort set hele den observerede opvarmning.
Parisaftalens målsætning er at begrænse den globale opvarmning til et godt stykke under 2 °C og helst til 1,5 °C.
Den globale temperaturstigning har både i marts, juni og juli i år midlertidigt været på mere end 1,5 °C. Det er tidli-
gere forekommet både i 2015, 2016 og 2020 på forskellige tidspunkter af året. Den globale udledning af drivhus-
gasser leder til en gradvist stigende temperatur, mens temperaturen i den enkelte måned og år er yderligere påvir-
ket af naturlige udsving. Klimaets tilstand og Parisaftalens temperaturmålsætning skal derfor vurderes over læn-
gere årrækker.
Fremtidens globale opvarmning afhænger af udviklingen af de globale drivhusgasudledninger, og IPCC benytter
derfor forskellige udledningsscenarier. For fire af scenarierne estimeres det, at den globale opvarmning oversti-
ger 1,5 °C i de tidlige 2030’ere, mens dette sker tidligere i det højeste udledningsscenarie. Hvis udledningerne re-
duceres tilstrækkeligt og i overensstemmelse med Parisaftalens målsætninger, vil opvarmningen dog igen kunne
falde til et lavere niveau efterfølgende, som det fremgår af de to laveste scenarier i figur 3.1.
Figur 3.1
Global opvarmning i forhold til 1850-1900
Kilde: IPCC AR6, første delrapport (2021). Til venstre: Den observerede (sort linje) og den modelberegnede (rød linje) globale middeltemperatur sammenlig-
net med gennemsnittet fra 1850-1900. Til sammenligning vises den beregnede middeltemperatur, hvis der ses bort fra menneskelig indflydelse, og klimaet
kun påvirkes af naturlige variationer det vil sige solindstråling og vulkanudbrud (grøn linje). Til højre: Fremskrivninger af den globale middeltemperatur frem
mod år 2100 baseret på de fem udledningsscenarier (Shared Socioeconomic Pathways, SSP), der benyttes af IPCC. Disse omfatter et meget lavt (SSP1-1,9),
lavt (SSP1-2,6), middelhøjt (SSP2-4,5), højt (SSP3-7,0) og meget højt (SSP5-8,5) udledningsscenarie.
2
https://www.ipcc.ch/report/ar6/syr/
TRU, Alm.del - 2023-24 - Endeligt svar på spørgsmål 261: MFU spm. om ministeren vil oversende en opdateret oversigt over de klimabegrundede initiativer, der på nationalt og europæisk niveau får betydning på transportområdet inden for de kommende ca. 5 år
2841680_0023.png
KLIMAPROGRAM 2023
23
Den fremtidige globale opvarmning afhænger af alle landes klimapolitikker
IPCC estimerer de fremtidige globale udledninger og den globale opvarmning ud fra de samlede klimapolitikker,
som alle lande melder ind til FN’s klimakonvention. Disse klimapolitikker kaldes nationalt besluttede bidrag (Nati-
onally Determined Contributions, NDC’s). IPCC’s seneste analyse tager udgangspunkt i summen af de klimapoli-
tikker, som var meldt ind forud for COP26 (pr. oktober 2021). IPCC sondrer desuden mellem implementerede og
annoncerede politikker.
Figur 3.2 viser, at hvis de klimapolitikker, der var implementeret før COP26, forlænges efter 2030, og der ikke sker
yderligere tiltag, vil drivhusgasudledningen fortsat stige frem mod 2050 (rød kurve), svarende til en temperatur-
stigning på 3,2 °C. Hvis der ikke sker yderligere handling inden 2030 end den klimapolitik, der var annonceret, men
endnu ikke implementeret, før COP26, vil det kræve bratte reduktioner fra 2030 at begrænse opvarmningen til 2
°C (lilla kurve). Derudover vil det samlet set kræve større reduktioner, hvis omstillingen først accelereres i 2030
frem for tidligere. Med et omgående øget ambitionsniveau i klimapolitikker kan opvarmningen begrænses til 2 °C
(grøn kurve). Hvis der omgående igangsættes markante klimapolitikker, kan opvarmningen også begrænses til
1,5 °C i slutningen af århundredet, med et forløb hvor temperaturen på intet tidspunkt overstiger 1,6 °C i løbet af
århundredet (blå kurve). I alle scenarier, der begrænser den globale temperaturstigning til 1,5 °C eller 2 °C, topper
de globale drivhusgasudledninger senest i 2025, hvorefter der skal være markante reduktioner i udledningerne.
Figur 3.2
Policy scenarier for udviklingen i drivhusgasudledninger frem mod 2050
Kilde: IPCC AR6, Synteserapport (2023). Sammenligning af de samlede årlige drivhusgasudledninger under fire forskellige policyscenarier.
Den lidt nyere analyse Emissions Gap Report 2022 fra FN’s Miljøprogram (UNEP) vurderer også den globale op-
varmning på baggrund af henholdsvis de annoncerede og de implementerede klimapolitikker. Analysen er gen-
nemført på et senere tidspunkt, og derfor medtager den i et vist omfang klimapolitikker frem til midten af 2022.
UNEP’s estimater for den forventede globale opvarmning er derfor lavere, end hvad der fremgår af IPCC’s synte-
serapport. UNEP finder, at de annoncerede ambitioner vil føre til en global opvarmning på 2,4-2,6 °C i 2100. Når
kun de implementerede klimapolitikker medtages, vurderer UNEP, at det vil føre til en global opvarmning på 2,8
°C.
TRU, Alm.del - 2023-24 - Endeligt svar på spørgsmål 261: MFU spm. om ministeren vil oversende en opdateret oversigt over de klimabegrundede initiativer, der på nationalt og europæisk niveau får betydning på transportområdet inden for de kommende ca. 5 år
2841680_0024.png
24
KLIMAPROGRAM 2023
Boks 3.1
Udvalgte hovedpointer fra IPCC’s synteserapport
FN’s Klimapanel (IPCC) har til opgave at give en videnskabelig vurdering af klimaforandringerne og deres
konsekvenser for mennesker, natur og samfund. IPCC gennemgår al tilgængelig viden og fremstiller sin
vurdering i rapporter skrevet af et repræsentativt udsnit af verdens førende eksperter inden for klima-
forskning. IPCC’s grundige høringer sikrer rapporternes høje videnskabelige autoritet. I marts 2023 ud-
kom synteserapporten til IPCC’s sjette hovedrapport, som bl.a. indeholder følgende udvalgte hovedbud-
skaber:
Menneskelige aktiviteter har utvetydigt, primært gennem drivhusgasudledninger, forårsaget global op-
varmning med en stigning i på 1,1°C fra perioden 1850-1900 til perioden 2011-2020.
Fortsatte drivhusgasudledninger vil lede til stigende global opvarmning, og enhver decimal, som tempera-
turen stiger med, vil intensivere ekstreme vejrhændelser, herunder sammenfaldende hændelser.
Med den globale opvarmning vil klimaskabte tab og skader øges. Klimatilpasningsmuligheder, som er
gennemførlige og effektive i dag, vil blive begrænsede og mindre effektive i takt med den globale opvarm-
ning.
Globale drivhusgasudledninger skal toppe senest i 2025, og global netto-nul CO
2
e-udledning er nødvendig
i midten af dette århundrede for at holde opvarmningen under 1,5 °C.
De reduktionsmål, som verdens lande har meldt ind til FN’s klimakonvention inden COP26 (oktober 2021),
vil føre til en global opvarmning på 2,8°C i år 2100.
Det kræver større investeringer end de nuværende at nå klimamålene på tværs af alle sektorer og regio-
ner.
Store reduktionsbidrag med lave omkostninger kan komme fra sol- og vindenergi og energieffektivise-
ring.
Tiltag, der reducerer drivhusgasudledninger og fremmer klimatilpasning, har flere fordele end ulemper i
forhold til FN’s mål for bæredygtig udvikling.
Reduktion af drivhusgasudledninger
IPCC beskriver forskellige tiltag, der kan reducere udledningen af drivhusgasser på tværs af sektorer. I 2020 var
der klimalovgivning med primært fokus på drivhusgasudledninger i 56 lande, hvilket dækker 53 pct. af de globale
udledninger. Samtidig var 20 pct. af de globale drivhusgasudledninger dækket af beskatning, afgifter eller kvote-
systemer, om end dækningen og prissætningen ikke har været tilstrækkelig til at opnå kraftige udledningsredukti-
oner. De nye rammer har allerede mindsket udledninger og ført til øget investering i lavemissionsteknologier. Det
vil kræve kraftige reduktioner i drivhusgasudledninger på tværs af alle sektorer og regioner at begrænse den glo-
bale opvarmning til 1,5 eller 2 °C,
jf. ovenfor.
Nogle af IPCC’s hovedpointer, der vedrører mulige globale omstillingstiltag, er at:
Reduktion af drivhusgasudledninger på tværs af hele energisektoren kræver gennemgribende omstilling,
herunder en væsentlig reduktion i brug af fossile brændsler, øget udnyttelse af vedvarende energi, et
skift til alternative energilagringsmetoder og energieffektivisering. Fangst og lagring af CO
2
kan bidrage
til at nedbringe udledninger fra evt. tilbageværende fossile brændsler,
jf. boks 3.2.
Netto-nuludledning af CO
2
e er nødvendigt i midten af dette århundrede for at begrænse opvarmningen til
1,5 °C. For at opnå det, er udrulning af metoder til fjernelse af allerede udledt CO
2
e uundgåelig (negative
TRU, Alm.del - 2023-24 - Endeligt svar på spørgsmål 261: MFU spm. om ministeren vil oversende en opdateret oversigt over de klimabegrundede initiativer, der på nationalt og europæisk niveau får betydning på transportområdet inden for de kommende ca. 5 år
2841680_0025.png
KLIMAPROGRAM 2023
25
udledninger). Det skyldes, at de tilbageværende udledninger, som er svære at omstille, skal modbalance-
res. Det kan fx ske gennem skovrejsning, hvor ny skov optager CO
2
e fra atmosfæren eller ved teknisk
CO
2
-fangst fra atmosfæren. Energiafgrøder kan bidrage til CO
2
e-fjernelse, hvis afbrændingen af afgrø-
derne kombineres med fangst og lagring af CO
2
.
Omfattende ændringer på efterspørgselssiden på tværs af alle sektorer kan alt andet lige medføre en
global udledningsreduktion på 40-70 pct. i 2050. Adfærdsændringer med højt reduktionspotentiale kan
fx være mere plantebaseret kost, ændrede transportvalg og anvendelse af produkter, der holder længere
og kan repareres.
Den globale økonomiske fordel ved at begrænse opvarmningen til 2 °C vurderes at overstige prisen for
den krævede omstilling. IPCC vurderer, at tiltag, der koster maksimalt 100 USD (ca. 700 kr.) pr. nedbragt
ton CO
2
e, kan halvere den globale udledning af drivhusgasser i 2030 i forhold til udledningsniveauet i
2019. Mindst halvdelen af disse tiltag koster under 20 USD (ca. 150 kr.) pr. nedbragt ton CO
2
e.
Boks 3.2
Omstilling fra fossil til vedvarende energi
IPCC vurderer, at det globale forbrug af kul, olie og gas skal reduceres betydeligt i 2050, hvis den globale
opvarmning skal begrænses til både 1,5 og 2
℃.
Det gælder særligt, hvis der ikke anvendes teknologier
til fangst og lagring af CO
2
(CSS).
Tabel 3.1
Nødvendig reduktion af fossile brændsler i forhold til Parisaftalens målsætninger
Scenarie
1,5 °C
1,5 °C (uden CCS)
2 °C
Kul
95 pct.
100 pct.
85 pct.
Olie
60 pct.
60 pct.
30 pct.
Gas
45 pct.
70 pct.
15 pct.
Kilde: IPCC AR6, 3. delrapport (2022). Nødvendige reduktioner sammenlignet med 2019 for at begrænse den globale opvarmning til 1,5 og 2
℃.
Globalt set vurderer IPCC, at sol- og vindenergi er de energiformer, som har det største reduktionspoten-
tiale. Enhedsprisen for både sol- og vindenergi har været faldende de sidste ti år eller mere. På globalt
plan er enhedsprisen for vindenergi faldet med 55 pct. og for solenergi med 85 pct. fra 2010 til 2019.
Omlægning til vindenergi kan potentielt reducere den globale udledning med knap fire gigaton CO
2
e pr.
år indtil 2030 med en pris for reduktionen på under 20 USD (ca. 150 kr.) pr. CO
2
e.
Klimaforandringernes konsekvenser nu og i fremtiden
IPCC konkluderer, at menneskeskabte klimaforandringer allerede påvirker mange vejr- og klimaekstremer i alle
regioner verden over. Sårbare samfund, som historisk set har bidraget mindst til de nuværende klimaforandringer,
er påvirket uforholdsmæssigt meget.
Det globale havniveau er steget med 0,20 (0,15-0,25) meter mellem 1901 og 2018, og menneskelig aktivitet var
med stor sandsynlighed hovedårsagen til stigningen i hvert fald siden 1971. Både havets varmeudvidelse og af-
smeltning fra både mindre gletsjere og de store iskapper i Grønland og på Antarktis har bidraget til stigningen.
Temperaturen i Arktis er over de seneste årtier steget fire gange så hurtigt som det globale gennemsnit. En med-
virkende årsag er, at havisen i Arktis har trukket sig gradvist tilbage, hvilket øger opvarmningen både sommer og
vinter. Tabet af havis skyldes ifølge IPCC hovedsageligt den menneskeskabte opvarmning. Det Arktiske Ocean vil
sandsynligvis være helt isfrit i september måned mindst én gang inden år 2050, uanset den fremtidige drivhus-
gasudledning.
TRU, Alm.del - 2023-24 - Endeligt svar på spørgsmål 261: MFU spm. om ministeren vil oversende en opdateret oversigt over de klimabegrundede initiativer, der på nationalt og europæisk niveau får betydning på transportområdet inden for de kommende ca. 5 år
2841680_0026.png
26
KLIMAPROGRAM 2023
Nogle fremtidige klimaforandringer er uundgåelige og/eller irreversible. Uanset hvor stor udledningen af drivhus-
gasser bliver fremadrettet, vil havniveauet stige i århundreder fremover. Det skyldes den gradvise og langsomme
opvarmning af dybhavet og afsmeltning fra de store iskapper i Grønland og på Antarktis. De fremtidige udlednin-
ger vil dog stadig afgøre, hvor meget og hvor hurtigt havniveauet stiger.
Klimaforandringerne har konsekvenser for mennesker, natur og samfund
Enhver yderligere stigning i den globale opvarmning vil intensivere en række risici, fx ekstremt vejr. Det vil øge risi-
koen for flere sammenfaldende hændelser, såsom når store nedbørsmængder er sammenfaldende med en
stormflodshændelse, hvilket forstærker oversvømmelsesrisikoen. Generelt kommer det ekstreme vejr til at ændre
sig mere end gennemsnitsvejret. Temperaturen på de varmeste dage vil således stige mere end gennemsnits-
temperaturen. For nedbør ændrer ekstremer og gennemsnit sig også forskelligt. Selvom nedbørsændringerne
overordnet set gør tørre områder tørrere og våde områder vådere, så bliver de ekstreme nedbørshændelser krafti-
gere i hele verden.
IPCC vurderer, at mange klimarelaterede risici er højere ved lavere temperaturer end tidligere vurderet. Derudover
vurderes det, at klimarelaterede og ikke-klimarelaterede risici i stigende grad vil påvirke hinanden. Det fører til
sammenfaldende risici og kaskadeeffekter, som er mere komplekse og sværere at håndtere.
Med stigende opvarmning stiger også risikoen for arters uddøen og irreversibelt tab af biodiversitet, bl.a. i skove,
koralrev og i arktiske egne. Op mod 14 pct. af de undersøgte arter på landjorden risikerer at uddø ved en global
opvarmning på 1,5 °C. Klimaforandringer påvirker allerede nu sundheden bl.a. pga. sygdomme relateret til hede-
bølger, hvilket vil forstærkes yderligere med fortsat opvarmning. Yderligere opvarmning vil øge udbredelsen af
vektorbårne sygdomme, så fx denguefeber vil udgøre en risiko for flere milliarder mennesker pga. øget udbre-
delse i Europa, Asien, Central- og Sydamerika samt Afrika. Ifølge IPCC vil flere mennesker fordrives som følge af
klimaforandringer, og særligt i udsatte regioner med lav tilpasningsevne må mennesker migrere ufrivilligt.
Klimatilpasningsmuligheder, som er gennemførlige og effektive i dag, vil blive begrænsede og mindre effektive i
takt med den globale opvarmning. Med hver stigning i den globale opvarmning, vil tab og skader stige, og flere
menneskelige og naturlige systemer vil nå deres grænser for tilpasning. En fleksibel, tværsektoriel, inddragende,
langsigtet planlægning og implementering af klimatilpasningsindsatser kan dermed medføre fordele for mange
sektorer og systemer.
Fremtidens klima i Danmark
Fremtidens klimaforandringer i Danmark afhænger af udviklingen af de globale drivhusgasudledninger. DMI’s Kli-
maatlas udstiller detaljerede beregninger af fremtidens klima i Danmark med udgangspunkt i tre udledningssce-
narier: det lave udledningsscenarie begrænser den globale opvarmning til under 2 °C,
jf. Parisaftalen,
det mellem-
høje scenarie svarer omtrent til et udledningsniveau, hvor nuværende klimapolitikker og -ambitioner
3
implemente-
res, og det høje udledningsscenarie svarer til en fremtid, hvor udledningerne bliver højere, end de allerede imple-
menterede politikker indikerer. Alle tre udledningsscenarier vil medføre et behov for klimatilpasning, hvis ændrin-
gerne ikke skal udgøre en øget risiko for det danske samfund. Tabel 3.2 viser, hvordan det danske klima vil ændre
sig ud fra de tre udledningsscenarier.
I takt med opvarmningen forventes vækstsæsonen i Danmark at blive længere som følge af mindre frostvejr, og
antallet af årlige hedebølgedage forventes at stige. Nedbøren på årsbasis forventes at stige, hvor særligt vintrene
men også forår og efterår bliver vådere. Dette medfører større risiko for langvarige perioder med vedvarende regn
og dermed potentielt oversvømmelser. Om sommeren stiger oversvømmelsesrisikoen også, selvom sommerens
samlede nedbør forventes at være omtrent samme mængde som i dag. Til gengæld vil nedbøren i højere grad
falde som kraftige byger, og antallet af skybrud vil stige. I takt med opvarmningen stiger risikoen for tørke og ud-
tørring af jorden. Ud over risikoen for de enkeltstående vejrhændelser er der også en øget risiko for samfundet,
når flere ekstreme vejrhændelser sker samtidigt eller kort efter hinanden.
3
Nationalt besluttede bidrag (Nationally Determined Contributions, NDCs)
TRU, Alm.del - 2023-24 - Endeligt svar på spørgsmål 261: MFU spm. om ministeren vil oversende en opdateret oversigt over de klimabegrundede initiativer, der på nationalt og europæisk niveau får betydning på transportområdet inden for de kommende ca. 5 år
2841680_0027.png
KLIMAPROGRAM 2023
27
Tabel 3.2
Fremtidens klima i Danmark
Lavt udledningsscenarie
Årstemperatur – ændring
Årlige hedebølgedage -
antal
Nedbør i vinterhalvåret -
ændring
Årligt antal skybrud -
ændring
Middelvandstand –
ændring
Stormflod, hyppighed i for-
hold til nuværende 20-års
hændelse – ændring
1,0 °C
3 dage
6 pct.
30 pct.
30 cm
7 gange oftere
(ca. hvert tredje år)
Mellemhøjt udledningssce-
narie
2,0 °C
5 dage
12 pct.
40 pct.
40 cm
12 gange oftere
(ca. hvert andet år)
Højt udledningsscenarie
3,4 °C
9 dage
23 pct.
70 pct.
60 cm
39 gange oftere
(ca. to gange om året)
Kilde: Danmarks Meteorologiske Institut på baggrund af tal fra Klimaatlas, version 2022a. Ændringer er vist relativt til gennemsnittet i perioden 1981-2010.
Med et stigende havniveau øges hyppigheden af stormfloder og risikoen for oversvømmelser langs kysterne. En
stormflod, som statistisk i dag kun forekommer én gang hvert 20. år, vil mod slutningen af århundredet være en
hændelse, der statistisk vil vise sig henholdsvis ca. hvert tredje år, hvert andet år eller to gange årligt afhængigt af
udledningsscenarie,
jf. tabel 3.2.
Figur 3.3 herunder viser, at gennemsnittet dækker over store regionale forskelle
henover landet, hvor nogle landsdele vil opleve en større forøgelse i hyppigheden – jo mørkere farve, jo hyppigere
forventes de nuværende 20-års hændelser at forekomme.
Figur 3.3
Hyppigheden af nuværende 20-års hændelse, stormflod, i slutningen af århundredet
Lavt udledningsscenarie
Mellemhøjt udledningsscenarie
Højt udledningsscenarie
Anm: Vist som antal forventede hændelser per 20 år. Vist for lavt (til venstre), mellemhøjt (i midten) og højt udledningsscenarie (til højre) – den tilsvarende
globale opvarmning er indikeret i overskriften.
Kilde: Danmarks Meteorologiske Institut (DMI), DMI’s Klimaatlas
TRU, Alm.del - 2023-24 - Endeligt svar på spørgsmål 261: MFU spm. om ministeren vil oversende en opdateret oversigt over de klimabegrundede initiativer, der på nationalt og europæisk niveau får betydning på transportområdet inden for de kommende ca. 5 år
2841680_0028.png
28
KLIMAPROGRAM 2023
4. Tilgang til anskueliggørel-
sen af klimalovens mål
Klimaloven fastsætter et mål om, at Danmark skal reducere udledningen af drivhusgasser i 2030 med 70 pct. i
forhold til niveauet i 1990, og at Danmark skal være et klimaneutralt samfund i senest 2050. I 2021 supplerede S,
SF, RV og EL loven med et indikativt mål om at reducere drivhusgasudledningerne med 50-54 pct. i 2025 i forhold
til 1990. Regeringen vil i forlængelse heraf fremrykke målet om klimaneutralitet til 2045 og vil foreslå et ambitiøst
reduktionsmål for 2035,
jf. regeringsgrundlaget.
Det fremgår af klimaloven, at klimaindsatsen skal ske under hensyntagen til en række guidende principper,
jf.
boks 4.1.
Boks 4.1
Klimalovens guidende principper
Klimaudfordringerne er en global problemstilling. Derfor skal Danmark være et foregangsland i
den internationale klimaindsats, som kan inspirere og påvirke resten af verden. Danmark har
derudover både et historisk og moralsk ansvar for at gå forrest.
Indfrielsen af Danmarks klimamål skal ske så omkostningseffektivt som muligt under hensynta-
gen til både den langsigtede grønne omstilling, bæredygtig erhvervsudvikling og dansk konkur-
rencekraft, sunde offentlige finanser og beskæftigelse, samt at dansk erhvervsliv skal udvikles
og ikke afvikles.
Danmark skal vise, at der kan laves en grøn omstilling og samtidig bibeholdes et stærkt vel-
færdssamfund, hvor sammenhængskraften og den sociale balance sikres.
De tiltag, der skal anvendes for at reducere udledningen af drivhusgasser, skal medføre reelle,
indenlandske reduktioner, men samtidig skal det sikres, at danske tiltag ikke blot flytter hele driv-
husgasudledningen uden for Danmarks grænser.
Klima-, energi- og forsyningsministeren skal i henhold til klimaloven årligt udarbejde et klimaprogram til Folketin-
get. Loven rummer en række krav til indholdet af programmet, som understøtter, at der løbende følges op på den
samlede klimaindsats,
jf. boks 4.2.
Boks 4.2
Klimalovens krav til klimaprogrammet
§ 7, stk. 2 Klimaprogrammet skal indeholde følgende:
Status på klimavidenskabelig udvikling, herunder nyeste IPCC-rapport: Kapitel 3
En redegørelse for Klimarådets anbefalinger og klima-, energi- og forsyningsministerens stilling-
tagen hertil: Kapitel 4
Status på opfyldelse af de nationale klimamål: Kapitel 5
Beskrivelse af og status for opfyldelse af internationale klimamålsætninger: Kapitel 5
TRU, Alm.del - 2023-24 - Endeligt svar på spørgsmål 261: MFU spm. om ministeren vil oversende en opdateret oversigt over de klimabegrundede initiativer, der på nationalt og europæisk niveau får betydning på transportområdet inden for de kommende ca. 5 år
2841680_0029.png
KLIMAPROGRAM 2023
29
Status på forskning og udvikling af nye klimatiltag: Kapitel 8
Planlagte klimatiltag og virkemidler med effekt på kort og lang sigt og forventet fremtidig effekt
heraf: Kapitel 9 og 10
En global klimastrategi: Kapitel 11
Klima-, energi- og forsyningsministeren skal i klimaprogrammet give sin vurdering af, om det kan anskueliggøres,
at de nationale klimamål nås,
jf. boks 4.3.
I klimaprogrammet skal der over årene ske en øget konkretisering i de
fremlagte initiativer, hvor balancen skal gå mod, at der i tiltagende grad fremsættes initiativer med effekter på
kortere sigt med henblik på at sikre målopfyldelse i 2030.
Boks 4.3
Klimaloven om anskueliggørelse
§7, Stk. 3. Klima-, energi- og forsyningsministeren skal i klimaprogrammet give sin vurdering af, om det kan
anskueliggøres, at de nationale klimamål nævnt i § 1, stk. 1, og § 2, stk. 1, nås.
§7, Stk. 4. Kan det ikke anskueliggøres, at de nationale klimamål nås, skal klima-, energi- og forsyningsmi-
nisteren i klimaprogrammet tillige fremlægge nye initiativer med reduktionseffekt på kortere sigt og initiati-
ver med reduktionseffekt på længere sigt, som viser vejen mod opfyldelse af de nationale klimamål.
Bemærkninger til Klimaloven om anskueliggørelse
For at forpligte den til enhver tid siddende klima-, energi- og forsyningsminister til konkret handling fore-
slås det i stk. 3, at det skal fremgå af klimaprogrammet, om det kan anskueliggøres, at de nationale kli-
mamål i § 1, stk. 1, og § 2, stk. 1 nås. Det påhviler således klima-, energi- og forsyningsministeren at of-
fentliggøre sin vurdering af, om det på grundlag af igangsatte og fremsatte klimatiltag samt forventet
effekt af fx forskning og udviklingstiltag og teknologisk udvikling kan anskueliggøres, at klimamålene
nås. Igangsatte og fremsatte initiativer vil eksempelvis dække over initiativer vedtaget gennem lovgiv-
ning eller initiativer, som offentligt i anden sammenhæng er foreslået igangsat af regeringen, mens anta-
gelser om forventede effekter af fx teknologisk udvikling vil have karakter af fagligt baserede antagelser
og forventninger til fremtidig teknologisk udvikling.
Anskueliggørelsen af, om klimamålene nås, baseres altså på en samlet vurdering af effekterne af initiati-
ver på kort og lang sigt, hvor det for kortsigtede initiativer vil være muligt at estimere en konkret redukti-
onseffekt, mens der for langsigtede initiativer foretages en vurdering af forventningerne til reduktionsef-
fekten baseret på faglige antagelser.
Det indgår i aftale om klimalov, at hvis klima-, energi- og forsyningsministeren vurderer, at handlepligten
indtræder, skal ministeren i klimaprogrammet fremlægge konkrete nye initiativer og initiativer besluttet i
årets løb, som viser vejen mod opfyldelsen af klimalovens mål. Der skal fremlægges initiativer med ef-
fekt på både kort og lang sigt.
Det forudsættes, at der frem mod 2030 over årene i klimaprogrammet skal ske en øget konkretisering i
de fremlagte initiativer, hvor balancen skal gå mod, at der i tiltagende grad fremsættes initiativer med
effekter på kortere sigt med henblik på at sikre målopfyldelsen i 2030.
Klimarådets metode til vurdering af anskueliggørelse
Ifølge
Aftale om klimalov,
skal Klimarådet hvert år i februar give sin faglige vurdering af, hvorvidt regeringens kli-
maindsats anskueliggør, at klimamålene nås sammen med sine anbefalinger til regeringens klimaindsats.
Klimarådet lægger grundlæggende vægt på to hovedkomponenter i sin metode til vurdering af anskueliggørelse,
jf. figur 4.1:
TRU, Alm.del - 2023-24 - Endeligt svar på spørgsmål 261: MFU spm. om ministeren vil oversende en opdateret oversigt over de klimabegrundede initiativer, der på nationalt og europæisk niveau får betydning på transportområdet inden for de kommende ca. 5 år
2841680_0030.png
30
KLIMAPROGRAM 2023
At der foreligger en klar og konkret plan og proces fra regeringen for, hvordan den forventer at opfylde
reduktionsbehovet. Planen skal også tage hånd om risikoen for, at de enkelte elementer i planen mulig-
vis ikke lever op til deres potentiale.
At en betydelig del af reduktionsbehovet dækkes af politisk vedtagne virkemidler under hensyntagen til
risikoen for, at virkemidlerne ikke leverer de forventede bidrag.
Klimarådets metode er sammenfattet i fire trin, som regeringens indsats i hver sektor vurderes ud fra:
Trin 1
består af en vurdering af fremskrivningen af udledningerne inden for hver udledningssektor base-
ret på Energistyrelsens årlige fremskrivning af drivhusgasudledningerne.
Trin 2
vurderer, hvor konkret regeringens klimaindsats er i forhold til de initiativer, hvor regeringen har
anvist en reduktionseffekt eller et reduktionspotentiale i 2025 og 2030.
Trin 3
foretager en eventuel justering af regeringens opgørelse af reduktionseffekter og –potentiale for
at kunne vurdere den samlede risiko for, at regeringens initiativer ikke leverer de angivne effekter og po-
tentialer i 2030.
Trin 4
giver en risikovurdering af regeringens initiativer med reduktionseffekter og –potentiale for at
kunne vurdere den samlede risiko for, at regeringens initiativer ikke leverer de angivne effekter og poten-
tialer i 2025 og 2030.
Klimarådet tager også højde for understøttende og øvrige initiativer, som ikke er omfattet af trin 1-4. Understøt-
tende initiativer leverer ikke reduktioner i sig selv, men kan understøtte initiativer med opgjorte reduktionseffek-
ter. Effekten af øvrige initiativer kan ikke opgøres på nuværende tidspunkt, men de kan have en effekt i 2025 og
2030.
Klimarådets opdaterede metode i 2022 og 2023
Klimarådet opdaterer løbende sin vurderingsmetode. I statusrapporterne for
2022
og
2023
har Klimarådet uddy-
bet sin vurdering af anskueliggørelse med to kriterier.
Det første kriterie omhandler et kontinuerligt mindsket reduktionsbehov:
”Regeringens årlige klimaindsats bør medføre, at reduktionsbehovet i målåret mindskes i forhold til året
forinden, så længe der stadig er et behov for yderligere reduktioner for at nå klimamålet.”
Kriteriet betyder, at reduktionsbehovet altid bør være blevet mindsket siden sidste statusrapport. Det vil dermed
ikke være tilstrækkeligt at have anskueliggjort målopfyldelse ét år, såfremt det ikke følges op af yderligere initiati-
ver året efter.
Det andet kriterie skærper vægtningen af øget konkretisering, når der er fem år tilbage til et givent klimamål:
”Regeringens klimaindsats, som fremlægges fem år før et givent klimamål og i efterfølgende år frem til
målåret, bør være konkretiseret i et omfang, der sikrer, at reduktionsbehovet stort set udelukkende dækkes
af vedtagne virkemidler (konkretiseringsstadie A).”
Kriteriet betyder, at Folketinget skal have vedtaget stort set alle virkemidler samt have taget hånd om alle finan-
sieringsmæssige spørgsmål senest i 2025.
Som supplement til de to ovenstående kriterier, har Klimarådet i 2023 inkluderet et yderligere kriterie i deres vur-
dering af anskueliggørelse, der adresserer konkretiseringsniveau frem til fem år før et klimamål:
”Regeringens
klimaindsats bør være konkretiseret i et omfang, der sikrer, at reduktionsbehovet i væsentligt
omfang dækkes af vedtagne virkemidler, udspil til virkemidler og strategier (konkretiseringsstadie A, B og
C).”
TRU, Alm.del - 2023-24 - Endeligt svar på spørgsmål 261: MFU spm. om ministeren vil oversende en opdateret oversigt over de klimabegrundede initiativer, der på nationalt og europæisk niveau får betydning på transportområdet inden for de kommende ca. 5 år
2841680_0031.png
KLIMAPROGRAM 2023
31
Klimarådets definition af en strategi er,
at ”reduktionspotentialet er en ambition, som regeringen tager ejerskab
over og melder ud, at den arbejder for at realisere. Endvidere lægger Klimarådet vægt på, at regeringen beskriver
typen af virkemidler, tidsangivelser, ansvarsfordeling på aktørgrupper, samt hvordan regeringen forventer at hånd-
tere de væsentligste barrierer og risici.”, jf. Statusrapport 2022.
Figur 4.1
illustrerer Klimarådets samlede, opdaterede vurderingsmetode.
Figur 4.1
Klimarådets opdaterede vurderingsmetode
Kilde:
Klimarådets Statusrapport 2022
Klimarådets inddragelse af risikovurdering i deres samlede vurdering af anskueliggørelse
En del af Klimarådets samlede vurdering er en risikovurdering af regeringens fremlagte initiativer med reduktions-
effekt og –potentiale,
jf. boks 4.4.
Klimarådet vurderer risiko for alle initiativer.
Boks 4.4
Klimarådets tre risikoparametre
En del af Klimarådets samlede vurdering er en risikovurdering af de fremlagte initiativer med reduktions-
effekt og -potentiale, hvilket gøres ud fra tre parametre:
1) Implementeringsudfordringer:
Klimarådet vurderer risikoen forbundet med de teknologiske, admini-
strative og lovgivningsmæssige udfordringer, som skal løses inden for den tidshorisont, som regeringen
har lagt til grund i sin opgørelse af reduktionseffekt eller -potentiale i målåret. Hvis der er tale om ikke-
afprøvet teknologi, inddrager Klimarådet også en vurdering af, om regeringen har forsøgt at understøtte
indfrielsen af reduktionspotentialet fx ved at prioritere området via forskningsaktiviteter.
2)
Incitamentsstyrke:
Klimarådet vurderer risikoen forbundet
med incitamentet
i initiativet. Det vil sige,
om der er risiko for, at incitamentet ikke er stærkt nok til at opnå de ændringer i adfærd og beslutninger,
som regeringen har lagt til grund i sin opgørelse af reduktionseffekten i målåret. Klimarådet vurderer in-
citamentet ud fra alle instrumenter, som regeringen sætter i spil for at få virksomheder, husholdninger,
kommuner med flere til at ændre handlinger. Det kan fx være krav, praksisændring, afgift, tilskud, oplys-
ning eller inspiration.
TRU, Alm.del - 2023-24 - Endeligt svar på spørgsmål 261: MFU spm. om ministeren vil oversende en opdateret oversigt over de klimabegrundede initiativer, der på nationalt og europæisk niveau får betydning på transportområdet inden for de kommende ca. 5 år
2841680_0032.png
32
KLIMAPROGRAM 2023
3)
System- og arealsammenhæng:
Risikoparameteret dækker over afledte effekter eller konkurrerende
arealanvendelser, der kan udgøre en risiko for, at det angivne reduktionsmål ikke opnås. Risikoen kan
eksempelvis sænkes ved at iværksætte understøttende initiativer, som er nødvendige for at kunne opnå
reduktionseffekten eller -potentialet eller ved at sikre, at tiltaget ikke øger udledningen i en anden sektor.
Det kan også være at sikre sig, at det samme areal eller den samme ressource ikke allerede er dispone-
ret til andre virkemidler, hvormed reduktionseffekten ikke kan tilskrives begge virkemidler.
Klimarådets samlede risikovurdering af initiativer:
For hvert af regeringens initiativer vurderer Klimarå-
det, om der er lav, moderat eller høj risiko for hvert af de tre ovennævnte parametre. På den baggrund
foretages en samlet vurdering for hvert initiativ.
Lav samlet risiko:
Gives ved tildeling af lav risiko for alle tre parametre. Initiativer på konkretiseringssta-
die E tildeles dog mindst moderat risiko, da initiativets karakter ikke gør det muligt at vurdere alle tre risi-
koparametre, hvilket medfører en iboende risiko.
Moderat samlet risiko:
Gives ved tildeling af moderat risiko for en eller flere af de tre parametre og/eller
tildeling af høj risiko for én parameter, hvis parameteren ikke vurderes væsentlig for initiativets effekt i
målåret.
Høj samlet risiko:
Gives ved tildeling af høj risiko for en eller flere af de tre parametre, hvoraf mindst én
vurderes væsentlig for initiativets effekt i målåret.
Kilde:
Klimarådets Statusrapport 2023
Klimarådets vurdering af status på opfyldelsen af 2030-målet
Klimarådet vurderer i
Statusrapport 2023,
at
"Regeringen har på et overordnet plan skitseret en vej til at opfylde 70-
procentsmålet. Det skyldes blandt andet skattereformen for industrien fra 2022 og retningen i det nye regerings-
grundlag."
Klimarådet vurderer dertil, at
"indsatsen er blevet mere konkret. Klimarådet har et kriterie om, at redukti-
onsbehovet stort set skal dækkes af vedtagne virkemidler, udspil og strategier (konkretiseringsstadie A, B og C).
Dette kriterie er opfyldt. Der er også vedtaget væsentlige understøttende initiativer, som øger realismen i indsatsen."
På trods af dette vurderer Klimarådet ikke, at regeringens indsats anskueliggør, at 70 pct. målet nås. Klimarådet
skriver:
"Klimarådet vurderer samlet set, at 70-procentsmålet ikke er anskueliggjort […] Rådet finder det på nuværende tids-
punkt for usikkert, om regeringen kan finde reduktioner for 5 mio. ton CO
2
e i 2030 med de anviste virkemidler [inden
for landbrugssektoren]. […] Når risikoen ved landbrugets udledninger lægges sammen med risiciene ved de struktu-
relle effekter af den vedtagne skattereform og med den store satsning på CCS, og når disse risici ses i sammen-
hæng med usikkerhederne i de fremskrevne udledninger, fremstår den samlede plan så risikabel, at regeringens
klimaindsats ikke anskueliggør, at 70-procentsmålet i 2030 nås."
TRU, Alm.del - 2023-24 - Endeligt svar på spørgsmål 261: MFU spm. om ministeren vil oversende en opdateret oversigt over de klimabegrundede initiativer, der på nationalt og europæisk niveau får betydning på transportområdet inden for de kommende ca. 5 år
2841680_0033.png
KLIMAPROGRAM 2023
33
Figur 4.2 illustrerer Klimarådets vurdering af regeringens klimaindsats i februar i
Statusrapport 2023.
Figur 4.2
Klimarådets vurdering af regeringens klimaindsats
Kilde:
Klimarådets Statusrapport 2023
Klima-, Energi- og Forsyningsministeriets stillingtagen til Klimarådets
vurdering af status på opfyldelsen af 2030-målet
Klima-, Energi- og Forsyningsministeriet afgav i forbindelse med Klimarådets
Statusrapport 2023
kommentarer til
Klimarådets metode til vurdering af anskueliggørelse. Boks 4.5 gengiver dele af svaret i forhold til den overord-
nede metode til at vurdere anskueliggørelsen, klimalovens guidende principper samt vurdering af risici.
Boks 4.5
Klima-, Energi- og Forsyningsministeriets kommentarer til Klimarådets metode til
vurdering af anskueliggørelse
"Det påhviler således klima-, energi- og forsyningsministeren at offentliggøre sin vurdering af, om det på
grundlag af igangsatte og fremsatte klimatiltag samt forventet effekt af f.eks. forskning og udviklingstiltag
og teknologisk udvikling kan anskueliggøres, at klimamålene nås. Igangsatte og fremsatte initiativer vil
eksempelvis dække over initiativer vedtaget gennem lovgivning eller initiativer, som offentligt i anden sam-
menhæng er foreslået igangsat af regeringen, mens antagelser om forventede effekter af f.eks. teknolo-
gisk udvikling vil have karakter af fagligt baserede antagelser og forventninger til fremtidig teknologisk ud-
vikling.
TRU, Alm.del - 2023-24 - Endeligt svar på spørgsmål 261: MFU spm. om ministeren vil oversende en opdateret oversigt over de klimabegrundede initiativer, der på nationalt og europæisk niveau får betydning på transportområdet inden for de kommende ca. 5 år
2841680_0034.png
34
KLIMAPROGRAM 2023
Anskueliggørelsen af, om klimamålene nås, baseres altså på en samlet vurdering af effekterne af initiativer
på kort og lang sigt, hvor det for kortsigtede initiativer vil være muligt at estimere en konkret reduktionsef-
fekt, mens der for langsigtede initiativer foretages en vurdering af forventningerne til reduktionseffekten
baseret på faglige antagelser. (…)
Det indgår i aftale om klimalov, at hvis klima-, energi- og forsyningsministeren vurderer, at handlepligten
indtræder, skal ministeren i klimaprogrammet fremlægge konkrete nye initiativer og initiativer besluttet i
årets løb, som viser vejen mod opfyldelsen af klimalovens mål. Der skal fremlægges initiativer med effekt
på både kort og lang sigt.
Det forudsættes, at der frem mod 2030 over årene i klimaprogrammet skal ske en øget konkretisering i de
fremlagte initiativer, hvor balancen skal gå mod, at der i tiltagende grad fremsættes initiativer med effekter
på kortere sigt med henblik på at sikre målopfyldelsen i 2030. Initiativer med effekt på længere sigt vil, ef-
terhånden som 2030 nærmer sig, i stigende grad sigte mod at nå 2035-målet eller mål længere fremme.
Det følger heraf, at det i Klimaloven er en grundpræmis for realiseringen af klimamålene, at vejen til 2030-
målet indebærer betydelige risici og effekter af forskning og teknologisk udvikling. Derfor bemærker KEFM,
at Klimarådets vurdering af anskueliggørelse ligeledes bør have øje herfor.
Klima-, Energi- og Forsyningsministeriet bemærker derudover, at der indgår risikovurderinger i metoden
bag opgørelsen af mankoen i den årlige Klimastatus- og fremskrivning, herunder at der arbejdes med mid-
delskøn og løbende tages stilling til realisering og påvirkning fra eksterne faktorer fx ændringer i kvotepri-
sen. Klimalovens årshjul sikrer desuden, at der løbende følges op på de aftalte initiativer.
Fsva. risikoen forbundet med potentialerne i landbrugssektoren vil regeringen fremlægge et forslag til en
klimaafgift på landbruget, når Ekspertgruppen for en grøn skattereform har fremlagt deres konklusioner.
Regeringen vil desuden, pba. landbrugsaftalen, fremlægge strategier for nye teknologier mv. i landbruget,
der skal understøtte det samlede reduktionspotentiale.
Fsva. risikoen forbundet med effekten af Aftale om grøn skattereform for industri mv. er der aftalt genbe-
søg i 2023, 2026 og 2028. Genbesøgene skal bl.a. ses i lyset af, at der helt overordnet er stor usikkerhed
forbundet med at skønne over Danmarks udledninger frem mod 2030, opgørelser af fremtidige CO
2
e-re-
duktioner, den teknologiske udvikling og den nuværende udvikling på energimarkederne, senest som følge
af krigen i Ukraine. Klimarådet bemærker, at der er særligt stor usikkerhed om de strukturelle effekter af
aftalen. Klima-, Energi- og Forsyningsministeriet er enige i dette.
Klima-, Energi- og Forsyningsministeriet vil frem mod Statusrapport 2024 arbejde for at håndtere væsent-
lige risici i implementeringen og monitorere realisering af diverse mål.
Klima-, Energi- og Forsyningsministeriet bemærker, at det fremgår af Klimalovens bemærkninger, at ”det er
centralt for den danske klimaindsats, at Klimarådet fortsat bistår regering og Folketing med uafhængig,
faglig rådgivning og udarbejder årlige anbefalinger til regeringens klimapolitik, som det er praksis i dag. (…)
Det følger af den foreslåede bestemmelse i stk. 1, 2. pkt., at Klimarådet i dets anbefalinger skal forholde
sig til de guidende principper, som fremgår af forslaget til § 1, stk. 2. Det betyder, at Klimarådet som en del
af deres anbefalinger skal anføre overvejelser omkring, hvordan anbefalingerne forholder sig til de angivne
principper.
KEFM bemærker, at Klimarådet kun i begrænset omfang forholder sig aktivt til samfundsøkonomiske om-
kostninger, og hvordan klimaindsatsen bedst indrettes under hensyntagen til alle klimalovens principper,
herunder den langsigtede grønne omstilling, omkostningseffektivitet, beskæftigelse og social balance, når
de udformer deres anbefalinger."
Kilde: Klima-, Energi- og Forsyningsministeriets skriftlige kommentarer til
Klimarådets Statusrapport 2023
i Klimadialogforum.
Regeringen har forholdt sig til de konkrete anbefalinger, som Klimarådet har givet i
Statusrapport 2023, jf. tabel 4.1.
TRU, Alm.del - 2023-24 - Endeligt svar på spørgsmål 261: MFU spm. om ministeren vil oversende en opdateret oversigt over de klimabegrundede initiativer, der på nationalt og europæisk niveau får betydning på transportområdet inden for de kommende ca. 5 år
2841680_0035.png
KLIMAPROGRAM 2023
35
Tabel 4.1
Opfølgning på Klimarådets anbefalinger i
Statusrapport 2023
Anbefaling
Stillingtagen
Der skal sikres både hurtig og grundig implementering af
de politiske aftaler. Regeringen har nedsat NEKST, der
skal afdække barrierer og præsentere anbefalinger til bl.a.
hurtigere udrulning af sol- og landvind samt grøn varme.
Klimaprogram 2023
præsenterer en plan for implemente-
ringen i hver sektor, der viser skridtene fra aftale til reelle
reduktioner. Arbejdsprogrammet viser de planlagte gen-
besøg og sikrer, at der løbende følges op på, om aftalerne
implementeres som forventet. Hvis det ikke er tilfældet,
eller udledningerne ikke reduceres som forventet, er der
mulighed for at korrigere og styrke indsatsen yderligere.
Regeringen har præsenteret virkemidler til indfrielse af
2025-målet og inviteret til forhandlinger om målindfrielse.
Implementering.
Der er vedtaget mange nye klimapoliti-
ske tiltag, som betyder, at der skal ske store forandringer
på ganske kort tid. For mange af tiltagene gælder det, at
implementeringen vil kræve en stor indsats fra myndighe-
dernes side.
2025-indsats.
2025-målet er få år ude i horisonten, og der
er for nuværende stadig et udestående reduktionsbehov
selv for at nå målets nedre grænse på 50 pct. reduktion.
Folketinget bør snarest muligt vedtage virkemidler, der kan
opfylde behovet.
Regulering af landbrugets udledninger.
Der er sat et mål
for reduktioner i landbruget, som ser ud til at kunne sikre,
at 2030-målet nås, hvis det opfyldes. Men der mangler sta-
dig en konkret regulering af landbrugets udledninger. Kli-
marådet anbefaler, at der snarest vedtages en regulering
af landbrugets udledninger, hvor en ensartet afgift på driv-
husgasudledninger bør udgøre grundstenen.
Regeringen vil fremlægge et forslag til klimaafgift på
landbruget, når Ekspertgruppen for en Grøn Skattereform
har fremlagt deres konklusioner.
Med
Klimastatus og -fremskrivning 2023
skønnes antallet
af gasfyr til opvarmning af boliger reduceret fra ca.
350.000 i 2020 til ca. 150.000 i 2035.
Regeringen har etableret den nationale energikrisestab
(NEKST), der bl.a. skal understøtte hurtigere udrulning af
grøn varme og andre grønne varmekilder. NEKST skal
samle op på kommunernes varmeplaner og skal kort-
lægge og adressere konkrete barrierer for både fjernvar-
men og andre grønne varmekilder som fx individuelle var-
mepumper.
Regeringen har samtidig med
Aftale om inflationshjælp
afsat 200 mio. kr., så flere husholdninger får tilskud til af-
kobling af gasnettet, og til at flere kan blive tilkoblet fjern-
varmenettet. Regeringen foreslår desuden med finans-
lovsforslaget 2024 at tilføre yderligere 100 mio. kr. i 2024
og 2025 samt 40 mio. kr. i 2026 til afkoblingsordningen.
Midlerne i afkoblingsordningen bliver fordoblet i 2024 og
2025. Det vil medføre, at dobbelt så mange husstande
kan få støtte til at koble sig af gasnettet.
Regeringen har indgået aftale om udbudsrammer for 9
GW havvind, der potentielt kan blive til 14 GW eller mere,
såfremt havvindsopstillerne udnytter den frihed, der ind-
går i aftalen til at opføre mest muligt kapacitet på area-
lerne. De 9 GW består af henholdsvis 6 GW radial havvind
Udfasning af gasfyr.
Der er taget beslutning om at udfase
gas til rumopvarmning. Omstillingen skal gå stærkt, samti-
dig med at de valgte løsninger skal fungere på lang sigt.
Det kræver bl.a., at der tages hånd om en række barrierer i
forbindelse med omstillingen.
Tilstrækkeligt med grøn strøm.
Den grønne omstilling in-
debærer en kraftigt stigende efterspørgsel efter strøm. Det
kræver en omfattende udbygning af vind- og solenergi og
et fokus på at sikre elforsyningssikkerheden.
TRU, Alm.del - 2023-24 - Endeligt svar på spørgsmål 261: MFU spm. om ministeren vil oversende en opdateret oversigt over de klimabegrundede initiativer, der på nationalt og europæisk niveau får betydning på transportområdet inden for de kommende ca. 5 år
2841680_0036.png
36
KLIMAPROGRAM 2023
samt 3 GW ifm. Energiø Bornholm. Minimumskapaciteten
på 9 GW skal være færdigetableret inden udgangen af
2030 (Hesselø allerede i 2029). Evt. overplantingkapacitet
skal være fuldt etableret senest to år efter fristen for mini-
mumskapaciteten. Derudover arbejder regeringen på at
skabe mulighed for at tre projekter ansøgt under åben dør
ordningen for VE på havet kan fortsætte inden for ram-
merne af EU-reglerne. Det kan potentielt medføre udbyg-
ning af havvind på yderligere 2,4 GW.
Med
Klimaaftale om grøn strøm og varme 2022
er der bl.a.
aftalt en ambition om at sikre rammevilkår, der kan mulig-
gøre en firedobling af den samlede elproduktion fra sol-
energi og landvind frem mod 2030. Der følges i 2023 op
på energiparker på land og tiltag, der øger lokal opbak-
ning. Udbygning af grøn strøm ud over Danmarks behov
skal som udgangspunkt opføres støttefrit. NEKST præ-
senterer i 2023 en række anbefalinger, der kan øge ha-
stigheden i udbygningen af VE på land.
Prioritering af kulstoffri Power-to-X.
Der er planer om en
betydelig udbygning af Power-to-X i Danmark. Men da
nogle elektrobrændstoffer indeholder kulstof, som er en
knap ressource, bør det nøje overvejes, hvornår elek-
trobrændstoffer skal anvendes. Som udgangspunkt bør de
elektrobrændstoffer uden kulstof prioriteres.
Klimaaftryk fra forbrug herunder fødevarer.
Danmark har
et stort klimaaftryk fra forbrug. Klimarådet peger på, at et
pejlemærke for forbrugets klimaaftryk kan være en god
idé til at guide indsatsen, der skal mindske dette aftryk.
Særligt danskernes nuværende forbrug af fødevarer er
ikke klimamæssigt bæredygtigt, og der er behov for at om-
stille forbruget, så vi serverer og spiser en mere klimaven-
lig kost.
Det aftalte Power-to-X-udbud er målrettet produktion af
brint, som er et kulstoffrit elektrobrændstof. Som ud-
gangspunkt sættes rammevilkår, der lader markedet ud-
vælge hvilke teknologier, der indfrier klimamålene mest
effektivt.
Regeringen vil undersøge konsekvenserne af at vedtage
mål for forbrugsbaserede udledninger,
jf. regeringsgrund-
laget.
Regeringen ønsker derudover at hæve ambitionerne
for Danmarks aftryk i verden ved at opstille et mål for den
danske klimaeffekt forstået som den internationale kli-
maeffekt, der følger af den danske eksport af energitek-
nologi og tjenesteydelser.
Med nuværende rammevilkår forventes forbruget af træ-
biomasse til el og fjernvarme reduceret med ca. 44 pct.
frem til 2035. Uden kompenserende tiltag vurderes en
yderligere reduktion at udfordre elforsyningssikkerheden.
Det følger af
Opfølgende aftale ifm. Klimaftale for energi
og industri mv.,
at bæredygtighedskravene for biomasse
skal evalueres i 2023. Evalueringen forventes afsluttet ul-
timo 2023
Biomasse med omtanke.
Danmarks forbrug af biomasse
er højere, end hvad der er klimamæssigt velbegrundet og
langsigtet bæredygtigt. Der bør derfor laves en samlet
langsigtet strategi for at mindske Danmarks forbrug af
biomasse. Sideløbende bør der sikres mere retvisende in-
citamenter til anvendelse af biomasse.
Regeringens metode for anskueliggørelse og risikohåndtering af opnå-
else af klimalovens mål
Regeringens metode for anskueliggørelse følger af klimaloven,
jf. boks 4.3,
og bygger i år videre på tilgangen fra
tidligere års klimaprogrammer, en række analyser og Klimarådets anbefalinger, herunder Klimarådets fokus på
risikohåndtering og implementering. Regeringens anskueliggørelse består af følgende elementer:
Den årlige klimastatus og -fremskrivning,
som fremskriver drivhusgasudledningerne fra dansk grund
frem til 2035. Fremskrivningen er baseret på viden om konkrete besluttede initiativer fra politiske aftaler,
forventninger til teknologisk udvikling samt forventninger til bl.a. vækst og prisudvikling.
TRU, Alm.del - 2023-24 - Endeligt svar på spørgsmål 261: MFU spm. om ministeren vil oversende en opdateret oversigt over de klimabegrundede initiativer, der på nationalt og europæisk niveau får betydning på transportområdet inden for de kommende ca. 5 år
2841680_0037.png
KLIMAPROGRAM 2023
37
Et overblik over tekniske reduktionspotentialer fra kendte og nye teknologier,
som skal bidrage til at
realisere målene i 2030,
jf. kapitel 7.
Forskellige tekniske veje til målopfyldelse for 2030
viser forskellige eksempler på, hvordan målopfyl-
delse rent teknisk kan indfries under forskellige omstændigheder,
jf. kapitel 7.
Vurderinger af implementeringstid og omstillingshastighed
for forskellige teknologiske reduktionspo-
tentialer,
jf. Klimaprogram 2022.
Vurderingerne blev foretaget af Energistyrelsens og relevante ministeri-
ers faglige eksperter på baggrund af daværende viden om de enkelte teknologier. Beslutningsvinduerne
skal sikre, at beslutningerne ikke træffes for sent til, at de kan nå at få tilstrækkelig effekt i 2030 for at
opfylde målet,
jf. kapitel
7.
Skøn for omkostningerne og konsekvenser ved forskellige virkemidler,
som potentielt vil kunne bidrage
til at realisere de tekniske reduktionspotentialer. Skønnene illustrerer de potentielle samfundsøkonomi-
ske omkostninger, klimaeffekter og statsfinansielle konsekvenser mv. ved anvendelse af forskellige vir-
kemidler,
jf. kapitel 7.
Samlet tilgang til håndtering af risici,
der følger op på målopfyldelse og implementering af væsentligste
aftaler inden for hver sektor.
Analyserne udgør sammen med yderligere faktorer, såsom EU-regulering og teknologimodning, grundlaget for
regeringens arbejdsprogram for hver sektor og realisering af de tekniske reduktionspotentialer. Analyserne indgår
i regeringens tilgang til risikohåndtering i forhold til målopfyldelse af klimalovens mål.
Køreplaner for realisering af de tekniske reduktionspotentialer,
som vurderer teknologiernes risici og
barrierer og angiver, hvornår de tekniske potentialer konkretiseres og realiseres i overensstemmelse
med Klimarådets metodeapparat og inden for et beslutningsvindue, som sikrer, at beslutninger træffes
rettidigt,
jf. kapitel 10.
Et samlet arbejdsprogram med udspil og initiativer,
som viser, hvornår regeringen vil fremlægge de cen-
trale udspil, der skal realisere 70 pct. målet, og næste skridt i implementeringen af de indgåede aftaler,
jf. kapitel 9 og 10.
Regeringens tilgang til håndtering af risici
I takt med at vejen til 70 pct. målet i stigende grad dækkes af besluttede tiltag, er det afgørende, at der følges op
på fremdriften i implementeringen af de politiske aftaler, som skal bidrage til målopfyldelsen. Det er vigtigt for
indfrielsen af klimamålet at overvåge, om de aftalte initiativer implementeres rettidigt, og om udledningerne redu-
ceres som forventet, så indsatsen kan korrigeres, hvis der bliver behov herfor. Regeringen følger opfyldelsen af
klimamålene tæt både i forhold til reduktionsmankoen og i forhold til hver aftale.
TRU, Alm.del - 2023-24 - Endeligt svar på spørgsmål 261: MFU spm. om ministeren vil oversende en opdateret oversigt over de klimabegrundede initiativer, der på nationalt og europæisk niveau får betydning på transportområdet inden for de kommende ca. 5 år
2841680_0038.png
38
KLIMAPROGRAM 2023
Klimalovens årshjul
sikrer opfølgning på, om klimamålene nås,
jf. figur 4.3.
Klimarådet og regeringen vurderer i
henholdsvis februar og september, hvorvidt klimaindsatsen anskueliggør, at klimamålene nås. Folketinget vurde-
rer i december, om regeringen lever op til klimaloven. Det er således i sidste ende Folketinget, som vurderer, om
initiativerne er tilstrækkelige,
jf. klimaloven.
Figur 4.3
Risiko for samlet manglende målopfyldelse håndteres gennem klimalovens årshjul
Den årlige klimastatus og –fremskrivning
gør årligt status over målopfyldelsen gennem fremskrivninger af driv-
husgasudledningerne fra dansk grund. Den beskriver dermed de løbende ændringer i reduktionsbehovet. Der ind-
går risikovurderinger i metoden bag opgørelsen af mankoen i den årlige klimastatus- og fremskrivning, herunder
arbejdes der med middelskøn, ligesom reduktioner kun medtages i mankoen, såfremt de vurderes realistiske.
Fremskrivningen er baseret på viden om konkrete besluttede initiativer fra politiske aftaler, forventninger til tekno-
logisk udvikling samt forventninger til bl.a. vækst og prisudvikling. Hvis et politisk tiltag ikke implementeres til
fulde eller rettidigt, eller effekten af andre grunde forsinkes eller formindskes, vil det afspejle sig i den årlige kli-
mastatus og –fremskrivning.
I implementeringsplanerne
adresserer regeringen de væsentligste risici ved de største initiativer i aftalerne i hver
sektorkøreplan, der har betydning for at opnå klimamålene for 2025 og 2023. Dertil fremlægger regeringen sin
plan for håndteringen af de risici,
jf. kapitel 9.
De planlagte genbesøg af klimaaftalerne
sikrer, at der løbende følges op på, om aftalerne implementeres som
forventet. Hvis det ikke er tilfældet, eller udledningerne ikke reduceres som forventet, er der mulighed for at korri-
gere og styrke indsatsen yderligere.
Arbejdsprogrammet
tager højde for teknologiernes omstillingshastighed og
modenhed, der sikrer, at sektorerne genbesøges i tide, så der kan aftales yderligere tiltag med effekt i 2030.
Tekniske reduktionspotentialer
i 2030 udgør til sammen ca. 21 mio. ton CO
2
e i 2030, hvilket overstiger redukti-
onsmankoen betydeligt. De tekniske potentialer viser, der er andre teknologier, der potentielt kan bringes i spil til
indfrielse af 70 pct. målet, såfremt drivhusgasudledningerne ikke reduceres som forventet. Potentialerne er ikke
vurderet i forhold til de samfundsøkonomiske omkostninger samt klimalovens hensyn. Det bemærkes, at analy-
sen af tekniske potentialer i dette års klimaprogram afviger fra sidste års klimaprograms analyse på en række
punkter, og resultaterne er derfor ikke direkte sammenlignelige,
jf. kapitel 7.
TRU, Alm.del - 2023-24 - Endeligt svar på spørgsmål 261: MFU spm. om ministeren vil oversende en opdateret oversigt over de klimabegrundede initiativer, der på nationalt og europæisk niveau får betydning på transportområdet inden for de kommende ca. 5 år
2841680_0039.png
KLIMAPROGRAM 2023
39
Forskellige tekniske veje til målopfyldelse
for 2030 viser, at opfyldelse af målene kan opnås på forskellig vis af-
hængig af, hvordan omstillingen udformes, og at en række forskellige teknologier vil kunne bidrage til målopfyl-
delse i tilfælde af, at reduktionen på nogle områder ikke bliver så store som forventet.
Regeringens anskueliggørelse
Med regeringsgrundlaget og indgåede politiske aftaler er vejen til at indfri klimamål,
jf. boks 4.6.
Boks 4.6
Regeringens anskueliggørelse
Med
Klimaprogram 2023
anskueliggøres det, at Danmarks klimamål kan realiseres på baggrund af føl-
gende:
Da klimaloven blev vedtaget i 2020 var der et reduktionsbehov på ca. 19,9 mio. ton CO
2
e i 2030
for at indfri 70 pct. målet. Siden er der indgået en række politiske aftaler, som skønnes at med-
virke til at indfri næsten tre fjerdedele af reduktionsbehovet.
Reduktionsmankoen skønnes i
Klimastatus og –fremskrivning 2023
til ca. 5,4 mio. ton CO2e i
2030 og kan bl.a. indfries ved opfyldelse af det bindende reduktionsmål for land- og skovbrugs-
sektoren, hvor der skønnes at udestå et reduktionsbehov på ca. 5,1-7,2 mio. ton CO
2
e i 2030. Re-
geringen vil fremlægge et forslag til klimaafgift på landbruget, når Ekspertgruppen for en Grøn
Skattereform har fremlagt deres konklusioner.
Regeringen har fremlagt
Arbejdsprogram for klimapolitikken,
der viser byggestenene til at reali-
sere klimamålene. Regeringen fremlægger også en samlet plan for hver sektor til at implemen-
tere de aftalte initiativer og følge op på de politiske ambitioner og mål.
Der er identificeret en række tekniske reduktionspotentialer med kendte omkostninger på tværs
af sektorerne, som til sammen skønnes at have tekniske reduktionspotentialer for ca. 21 mio.
ton CO
2
e i 2030, hvilket overstiger reduktionsmankoen. Hertil kommer yderligere potentialer,
hvor det endnu ikke er muligt at estimere de forbundene omkostninger. Der er dermed teknisk
mulighed for at igangsætte yderligere tiltag på tværs af sektorerne, såfremt de skønnede udled-
ninger i 2030 ikke reduceres i det forventede omfang. De tekniske reduktionspotentialer kan
også være med til at indfri mål om klimaneutralitet, om end de ikke er estimeret for 2050. Derud-
over kan der iværksættes strukturelle tiltag.
Tekniske eksempler for 2030 viser, at der er flere veje til målopfyldelse – og at der fx er andre
teknologier, hvis planen for CCS skrider.
Vurderingen af omstillingshastigheder fra
Klimaprogram 2022
viser, at de planlagte genbesøg af
de udledende sektorer ligger i tide, så der er mulighed for at korrigere og styrke indsatsen yderli-
gere.
Den grønne fond skal bidrage til den grønne omstilling af Danmark, herunder indfrielse af Dan-
marks klimamål. Samlet set blev der med
Aftale om etablering af en grøn fond
reserveret 53�½
mia. kroner til grønne investeringer fra 2024 til 2040 (2022-PL).
Regeringen følger op på målopfyldelsen gennem klimalovens årshjul, herunder årlige fremskriv-
ninger af udledningerne i Klimastatus- og fremskrivning og risici i forbindelse med implemente-
ring af klimaaftalerne.
Regeringen fastsætter hvert femte år klimamål med et tiårigt perspektiv bl.a. under hensynsta-
gen til mål om klimaneutralitet i 2050,
jf. klimaloven.
Det understøtter indfrielse af klimaneutrali-
tet. Regeringen vil i forlængelse heraf foreslå et ambitiøst reduktionsmål for 2035,
jf. regerings-
grundlaget.
TRU, Alm.del - 2023-24 - Endeligt svar på spørgsmål 261: MFU spm. om ministeren vil oversende en opdateret oversigt over de klimabegrundede initiativer, der på nationalt og europæisk niveau får betydning på transportområdet inden for de kommende ca. 5 år
2841680_0040.png
40
KLIMAPROGRAM 2023
Regeringen har derudover præsenteret virkemidler til indfrielse af 2025-målet og inviteret til forhandlinger om
målindfrielse. Regeringens anskueliggørelse i forhold til 2030 er opsummeret i
figur 4.4
herunder:
Figur 4.5
Klimarådets overordnede metode og regeringens klimaindsats
Mio. ton CO2e
45
40
35
30
25
20
15
10
5
0
BF20
A
Vedtagne
virkemidler*
B
Udspil
C
Strategier
D
Analyser
Andre***
55 pct.
65 pct.
PtX-strategi**
CCS-strategi**
Opfyldelse af landbrugsmålet
på 55-65 pct.
70 pct. mål
E
Tekniske
potentialer
Anm.: *Angiver ændring fra BF20 til KF23. ** Angiver de tekniske reduktionspotentialer ved henholdsvis grønne brændstoffer og CCS,
jf. kapitel 7.
*** Angiver
det resterende tekniske reduktionspotentiale (udover grønne brændstoffer og CCS) eksklusive potentialer i landbruget,
jf. kapitel 7.
Kilde: Klima-, Energi- og Forsyningsministeriet.
For at et vedtaget virkemiddel skal få reel effekt kræver det fuld og rettidig implementering og gennemførsel af
virkemidlet. I takt med at der vedtages politiske initiativer, der skønnes at indfri mankoerne i 2025 og 2030, vil den
faktiske indfrielse i højere grad afhænge af implementeringen af de eksisterende aftaler. Dette års klimaprogram
gennemgår den aktuelle status på implementeringen af de vedtagne politiske aftaler. I gennemgangen skelnes
mellem den forvaltningsmæssige implementering, som direkte drives af staten og den samfundsmæssige gen-
nemførsel, der i højere grad drives af andre samfundsaktører. Status på de forvaltningsmæssige rammer for im-
plementering samt samfundsmæssige gennemførsel af initiativerne monitoreres, hvor staten direkte driver imple-
menteringen,
jf. boks 4.7.
TRU, Alm.del - 2023-24 - Endeligt svar på spørgsmål 261: MFU spm. om ministeren vil oversende en opdateret oversigt over de klimabegrundede initiativer, der på nationalt og europæisk niveau får betydning på transportområdet inden for de kommende ca. 5 år
2841680_0041.png
KLIMAPROGRAM 2023
41
Boks 4.7
Implementering
Status på de forvaltningsmæssige rammer for implementering af initiativerne monitoreres, hvor staten
direkte driver implementeringen. Det vil sige om relevant lovgivning er vedtaget, og/eller afsatte puljer er
åbnet, og/eller udbudskontrakter er indgået.
Derudover vises den samfundsmæssige gennemførelse af initiativet efter relevans, der typisk drives af
andre samfundsaktører end staten fx konstruktion af et CCS-anlæg eller udmøntning af puljer gennem
ansøgninger fra borgere og virksomheder.
Kriterierne for, hvornår et initiativ er implementeret eller gennemført afhænger af, om initiativet indebæ-
rer lovgivning, skatter, puljer eller udbud. Vurderingen af implementeringsstatus har på den baggrund ta-
get udgangspunkt i nedenstående kriterier:
Tabel 4.2
Kriterier for implementeringsstatus
Type af initiativ
Lovgivning eller skat
Pulje
Udbud
Forvaltningsmæssig implementering
Lovgivning vedtaget
Pulje åbnet
Udbudskontrakt indgået
Samfundsmæssig gennemførsel
Lovgivning trådt i kraft
Pulje udmøntet
Er anlæg fra udbud opført
Figur 4.5
Status på initiativer med reduktionseffekt
(implementeringsmanko) og figur 4.6
Implemente-
ringsstatus for initiativer med skønnet effekt over 0,1 mio. CO
2
e i 2030
baserer sig på denne afgrænsning
og
Status for implementering af aftaler
i de enkelte sektorkøreplaner
jf. kapitel 9.
Forvaltningsmæssig implementering er en forudsætning for at opnå reduktionseffekter af initiativerne.
Hvornår effekten af tiltaget indtræffer, og hvor stor den bliver, er dog behæftet med usikkerhed, da det vil
afhænge af den samfundsmæssige gennemførsel samt øvrig teknologisk og samfundsmæssig udvik-
ling.
TRU, Alm.del - 2023-24 - Endeligt svar på spørgsmål 261: MFU spm. om ministeren vil oversende en opdateret oversigt over de klimabegrundede initiativer, der på nationalt og europæisk niveau får betydning på transportområdet inden for de kommende ca. 5 år
2841680_0042.png
42
KLIMAPROGRAM 2023
Implementeringsstatus kortlægges i de enkelte sektorer for initiativer efter klimalovens vedtagelse med effekt på
udledningerne i 2030, der viser status for implementeringen og forventningerne til, hvornår initiativerne er gen-
nemført. Samlet er initiativer med skønnet effekt på 7,2 mio. ton CO
2
e implementeret, og initiativer med 7,2 mio.
ton CO
2
e er under implementering,
jf. figur 4.5.
Figur 4.5
Status på initiativer med reduktionseffekt
Mio. t. CO2e
25
20
5,4
15
10
5
0
7,2
7,2
Implementeret
Under implementering
Manko til 70 pct. mål
At et initiativ er under implementering er ikke ensbetydende med, at det er forsinket. Nogle initiativer tager læn-
gere tid end andre. Fx kræver forberedelse af stort udbud til fx et CCS-anlæg typisk længere tid end tilførsel af
midler til en eksisterende pulje. For at skabe gennemsigtighed i forventningerne implementering er der derfor ud-
arbejdet en plan for forventet implementering og gennemførsel af initiativer, hvoraf de største er vist nedenfor,
jf.
figur 4.6.
TRU, Alm.del - 2023-24 - Endeligt svar på spørgsmål 261: MFU spm. om ministeren vil oversende en opdateret oversigt over de klimabegrundede initiativer, der på nationalt og europæisk niveau får betydning på transportområdet inden for de kommende ca. 5 år
2841680_0043.png
KLIMAPROGRAM 2023
43
Figur 4.6.
Implementeringsstatus for initiativer med skønnet effekt over 0,1 mio. t. CO2e i 2030
Anm: Figur baserer sig på afsnit
Status for implementering af aftaler
i de enkelte sektorkøreplaner,
jf. kapitel 9
i
Klimaprogram 2023.
Estimater for CO
2
-effekt
er effekter, som estimeret ved aftaleindgåelse. Figuren angiver ikke, hvornår en effekt indtræder. Forvaltningsmæssig implementering er en forudsætning for
at opnå reduktionseffekter af initiativerne. Hvornår effekten af tiltaget indtræffer, og hvor stor den bliver, er dog behæftet med usikkerhed, da det vil afhænge
af den samfundsmæssige gennemførsel samt øvrig teknologisk og samfundsmæssig udvikling.
TRU, Alm.del - 2023-24 - Endeligt svar på spørgsmål 261: MFU spm. om ministeren vil oversende en opdateret oversigt over de klimabegrundede initiativer, der på nationalt og europæisk niveau får betydning på transportområdet inden for de kommende ca. 5 år
2841680_0044.png
44
KLIMAPROGRAM 2023
5. Status for målopfyldelse
Danmarks klimaforpligtelser består både af nationale mål, som er fastsat med klimaloven, og internationale for-
pligtelser, der bl.a. følger af EU-forpligtelser og Parisaftalens globale temperaturmål.
I klimaprogrammet skal klimaministeren give sin vurdering af, om det kan anskueliggøres, at de nationale mål
fastsat med klimaloven kan nås. Regeringen har siden dens tiltrædelse i fællesskab med Folketinget og erhvervs-
livet vedtaget tiltag, som har medvirket til, at det skønnes, at der næsten er nået tre fjerdedele af vejen til at indfri
70 pct. målet. Der skønnes nu at være en reduktionsmanko i 2030 på yderligere ca. 5,4 mio. ton CO
2
e for at leve
op til 70 pct. målet. Forventningerne til drivhusgasudledningerne frem mod 2030 beror på
Klimastatus- og frem-
skrivning 2023.
Der er store usikkerheder forbundet med at lave klimafremskrivninger mange år frem i tiden - særligt i disse år
med en hastig teknologisk udvikling, Ruslands invasion af Ukraine, store fluktuationer på energimarkederne og et
højt klimapolitisk ambitionsniveau på europæisk plan.
Danmarks nationale og europæiske klimaforpligtelser
Danmark har forpligtet sig til at leve op til en række nationale klimamålsætninger og nationale forpligtelser i for-
hold til klima og energi gennem EU-lovgivning,
jf. tabel 5.1.
Regeringen vil fremrykke målet om klimaneutralitet til
2045 og sætte et nyt mål om 110 pct. reduktion i 2050 i forhold til 1990.
Tabellen omfatter nationale klimaforpligtelser fastsat ved lov samt det bindende reduktionsmål for land- og skov-
brugssektoren. Tabellen omfatter ikke forpligtelser eller målsætninger fastsat på globalt plan (som fx FN's 1,5
graders målsætning) eller EU’s overordnede målsætninger.
Tabel 5.1
Danmarks nationale og europæiske klimaforpligtelser
Forpligtelse
Beskrivelse
Nationale forpligtelser
Indikativt delmål om 50-54 pct. reduktion i 2025 i forhold til 1990
70 pct. reduktion af drivhusgasudledninger i 2030 i forhold til
1990
Danmark skal være klimaneutralt senest i 2050.
Reduktionsmål for land- og skovbrugssektoren på 55-65 pct. i
2030 i forhold til 1990
Danmark skal med byrdefordelingsaftalen reducere udlednin-
gerne i ikke-kvotebelagte sektorer med 50 pct. i 2030 i forhold til
2005
I perioden 2021-2025 skal Danmark sikre, at kulstofbalancen i LU-
LUCF-sektoren ikke forringes. I perioden 2026-2030 skal Danmark
efterleve to adskilte forpligtelser:
o
1) nettoudledningerne i LULUCF-sektoren skal reduce-
res med 0,44 mio. ton CO
2
e i 2030 sammenlignet med
det gennemsnitlige niveau for referenceperioden 2016-
2018
o
2) opfylde et nationalt budgetmål for 2026-2029, der
fastsættes af Kommissionen i 2025 på baggrund af se-
neste emissionsopgørelse.
Ambitiøst bidrag til EU’s fælles VE-mål om 32 pct. samlet
14 pct. VE-andel i transporten i 2030
EU-forpligtelser
TRU, Alm.del - 2023-24 - Endeligt svar på spørgsmål 261: MFU spm. om ministeren vil oversende en opdateret oversigt over de klimabegrundede initiativer, der på nationalt og europæisk niveau får betydning på transportområdet inden for de kommende ca. 5 år
2841680_0045.png
KLIMAPROGRAM 2023
45
Minimumskrav til avancerede biobrændsler i transport: Min. 0,2
pct. i 2022, 1,0 pct. i 2025 og 3,5 pct. i 2030
Årlig forhøjelse på 1,1 pct.-point i VE-andelen i opvarmning og pro-
ces-energi
0,8 pct. årlige energibesparelser i perioden 2021- 2023 og 1,49
pct. årlige energibesparelser i perioden 2024-2030.
Anm.: Det gælder desuden for Danmarks EU-forpligtelser, at de generelt er blevet opjusteret som led i EU’s Fit for 55-pakke,
jf. kapitel 6.
I tabellen er det dog
kun EU-forpligtelserne under byrdefordelingsaftalen og LULUCF-sektoren, der fremgår opjusteret. De øvrige EU-forpligtelser er angivet ved deres hidtidige
niveau, da opjusteringen ikke er trådt i kraft endnu.
Kilde: Klima-, Energi og Forsyningsministeriet
Status på nationale forpligtelser
Danmarks drivhusgasudledninger er reduceret fra 78,4 mio. ton CO
2
e i 1990 (FN’s basisår under Parisaftalen) til
46,2 mio. ton CO
2
e i 2021, svarende til en reduktion på 41 pct.,
jf. figur 5.1.
I
Klimastatus- og fremskrivning 2023
forventes udledningerne at være reduceret til henholdsvis 39,7 og 28,9 mio. ton CO
2
e i 2025 og 2030, når der ta-
ges højde for resultatet af det første udbud fra CCUS-puljen vedtaget med Klimaaftalen om energi og industri mv.
2020.
Figur 5.1
Udviklingen i Danmarks drivhusgasudledninger i Klimastatus- og fremskrivning
2023
Mio. ton CO
2
e
100
90
80
70
60
50
40
30
20
10
0
-10
1990
CCS
1995
2000
2005
Affald
2010
Transport
2015
2020
2025
2030
2035
Industri
Land- og skovbrug
Energi og forsyning
Kilde:
Klimastatus og –fremskrivning 2023
Regeringen vil træffe de fornødne beslutninger, der bringer Danmark helt i mål med reduktionsmålet for 2025 og
2030. Reduktionsmankoen til 2025-målet på 50-54 pct. reduktion i forhold til 1990 skønnes med
Klimastatus og –
fremskrivning 2023
til at være ca. 0,5-3,7 mio. ton CO
2
e, når der tages højde for resultatet af det første udbud fra
CCUS-puljen vedtaget med
Klimaaftalen om energi og industri mv.
2020. Regeringen har i foråret 2023 foreslået
virkemidler, der skønnes at reducere udledningen i 2025 med 0,5 mio. ton CO
2
e og dermed indfri 2025-målet.
TRU, Alm.del - 2023-24 - Endeligt svar på spørgsmål 261: MFU spm. om ministeren vil oversende en opdateret oversigt over de klimabegrundede initiativer, der på nationalt og europæisk niveau får betydning på transportområdet inden for de kommende ca. 5 år
2841680_0046.png
46
KLIMAPROGRAM 2023
Tabel 5.2
Aftaler med reduktionseffekt siden klimalovens vedtagelse
Udledninger
(mio. ton CO
2
e)
1990
2025
2030
Reduktion ift. 1990
(pct.)
2025
2030
Manko
(mio. ton CO
2
e)
2025
2030
Fremskrivning juni 2020 (BF20)
Grøn boligaftale 2020 (19. maj 2020)
Klimaplan for en grøn affaldssektor og cirkulær
økonomi (16. juni 2020)
Klimaaftale for energi og industri mv 2020 (22. juni
2020)
Aftale om fremtiden for olie- og gasindvinding i
Nordsøen (3. december 2020)
Aftale om grøn omstilling af vejtransporten (ekskl.
kilometerbaseret vejafgift for lastbiler)
(4. december 2020)
Aftale om finansloven for 2021 og aftale om stimuli
og grøn genopretning (6. december 2020)
Aftale om grøn skattereform (8. december 2020)
Andre ændringer fra BF20 til KF21
Fremskrivning april 2021 (KF21)
Aftale om grøn omstilling af dansk landbrug (4. ok-
tober 2021)
Delaftale om Investeringer i et fortsat grønnere Dan-
mark 2022 (4. december 2021) og aftale om finans-
loven for 2022 (6. december 2021)
Andre ændringer fra KF21 til KF22
Fremskrivning april 2022 (KF22)
Aftale om grøn skattereform for industri mv. (24.
juni 2022)
Aftale om kilometerbaseret vejafgift for lastbiler
(24. juni 2022) og Aftale om kilometerbaseret vejaf-
gift for lastbiler (29. marts 2023)
Klimaaftale om grøn strøm og varme 2022 (25. juni
2022)
Andre ændringer fra KF22 til KF23
Fremskrivning april 2023 (KF23)
77,2
45,7
0
0
-1,3
0
43,1
-0,05
-0,7
-2,7
-0,01
41
44
7-10,1
19,9
-1
-1,9
-0,2
-0,5
-1,8
77,4
40,8
-1,2
-0,2
-0,5
-2,0
35,0
-1,9
47
55
2,1-5,2
11,8
-0,5
2,3
78,0
41,4
-1,3
-0,51
0,9
33,6
-4,3
47
57
2,4-5,5
10,1
-0,3
-0,4
-0,4
+0,3
78,4
39,7
-0,4
+0,5
28,9
49,3
63,1
0,5-3,7
5,4
Anm: Drivhusgasreduktioner af aftaler er angivet som de estimater, der blev lavet ved aftalernes indgåelse.
Kilde:
Klimaprogram 2022
og
Klimastatus og –fremskrivning 2023.
Der er i KF23 taget højde for resultatet af det første udbud fra CCUS-puljen vedtaget
med Klimaaftalen om energi og industri mv. 2020.
Status på 2025-målet
Reduktionsmankoen i 2025 er i høj grad blevet påvirket af både politiske aftaler og andre ændringer mellem kli-
mafremskrivningerne. Ved indgåelse af
Aftale om et indikativt drivhusgasreduktionsmål for 2025
i maj 2021 blev
2025-mankoen skønnet til 2,1-5,2 mio. ton CO
2
e,
jf. tabel 5.3.
Siden da er der indgået aftaler, som på baggrund af
partielle effektvurderinger er blevet skønnet til at reducere udledningerne med ca. 3,7 mio. ton CO
2
e. Der har imid-
lertid været andre ændringer i fremskrivningerne, som isoleret set har medført en stigning i mankoen på 2,1 mio.
ton CO
2
e. Dette understreger usikkerheden, der er forbundet med den årlige fremskrivning af Danmarks fremti-
dige drivhusgasudledning.
TRU, Alm.del - 2023-24 - Endeligt svar på spørgsmål 261: MFU spm. om ministeren vil oversende en opdateret oversigt over de klimabegrundede initiativer, der på nationalt og europæisk niveau får betydning på transportområdet inden for de kommende ca. 5 år
2841680_0047.png
KLIMAPROGRAM 2023
47
Regeringen har i foråret 2023 foreslået virkemidler, der skønnes at reducere udledningen i 2025 med 0,5 mio. ton
CO
2
e, der på baggrund af
Klimastatus og –fremskrivning 2023
skønnes at være reduktionsmankoen til det nedre
spænd i 2025-målet, når der tages højde for resultatet af første udbud fra CCUS-puljen.
Tabel 5.3
Udvikling i 2025-mankoen siden vedtagelse af 2025-målet
Reduktions-
manko i 2025
Reduktionsmanko ved vedtagelse af indikativt 2025-mål (KF21)
Skøn for partiel effekt af aftaler:
Aftale om grøn omstilling af dansk landbrug 2021
Delaftale om Investeringer i et fortsat grønnere Danmark 2022 og Aftale om finansloven
for 2022
Aftale om grøn skattereform for industri mv. 2022
Aftale om kilometerbaseret vejafgift for lastbiler 2022
Klimaaftale om grøn strøm og varme 2022
2,1 - 5,2
-3,7
Andre ændringer fra KF21 til KF23
Skøn for forventet reduktionsmanko i 2025
Kilde: Klima-, Energi- og Forsyningsministeriet
+2,1
0,5 - 3,7
For at illustrere hvor meget udviklingen i forskellige eksterne faktorer kan påvirke udledningerne i 2025, er der
foretaget en række følsomhedsberegninger,
jf. tabel 5.4.
Beregningerne viser bl.a., at selv relativt små ændrin-
ger i forventningerne til aktiviteten i forskellige sektorer kan have stor betydning for CO
2
e-udledningerne. Hvis
trafikarbejdet fra personbiler fx er 10 pct. højere eller lavere end forudsat i
Klimastatus- og fremskrivning 2023
skønnes udledningerne i 2025 at være omtrent 0,3 mio. ton højere eller lavere henholdsvis. Tallene i tabel 5.4
illustrerer den store usikkerhed forbundet med at skønne over de præcise udledninger i et enkelt år, særligt på
tidspunkter hvor der er ekstra stor usikkerhed.
Tabel 5.4
Udvalgte følsomhedsberegninger for CO
2
e-udledningerne i 2025
Ændring i forudsætninger ift.
Klimastatus- og fremskriv-
ning 2023
+/- 10 pct. ændring i trafikarbejde fra personbiler
Ét raffinaderi lukker i 2025 / Begge raffinaderier fasthol-
der fuld produktion uden installation af CCS
+/- 10 pct. ændring i VE-gasproduktion
+/- 15 pct. svin (både søer, smågrise og slagtesvin) i 2025
Anm.: * Baseret på forudsætningerne i
Klimastatus og –fremskrivning 2022.
Kilde:
Klimastatus og –fremskrivning 2023.
Størrelsesorden for ændring i 2025 udledning ift. KF23
(mio. ton CO
2
e)
+/- 0,3
-0,3 / +0,1
+/- 0,05
+/- 0,2 *
Status på øvrige nationale klimamål
Med klimaloven fastsattes et mål om, at Danmark skal være klimaneutral i 2050. Regeringen vil fremrykke målet
om klimaneutralitet til 2045, og sætte et nyt mål om 110 pct. reduktion i 2050 i forhold til 1990. Da
Klimastatus og
–fremskrivning 2023
kun fremskriver drivhusgasudledningerne til 2035, er det ikke muligt at foretage en vurdering
af, hvor langt Danmark er i forhold de langsigtede mål.
TRU, Alm.del - 2023-24 - Endeligt svar på spørgsmål 261: MFU spm. om ministeren vil oversende en opdateret oversigt over de klimabegrundede initiativer, der på nationalt og europæisk niveau får betydning på transportområdet inden for de kommende ca. 5 år
2841680_0048.png
48
KLIMAPROGRAM 2023
I efteråret 2021 blev der med
Aftale om grøn omstilling af dansk landbrug
fastsat et bindende reduktionsmål for
land- og skovbrugssektorens drivhusgasudledninger på 55-65 pct. i 2030 i forhold til udledningen i 1990 under
hensyntagen til Klimalovens principper. Med
Klimastatus og –fremskrivning 2023
skønnes et reduktionsbehov i
land- og skovbrugssektoren på ca. 5,1-7,2 mio. ton CO
2
e i 2030.
Status på internationale forpligtelser
Med Fit for 55-pakken er der vedtaget en lang række direktiver og forordninger i EU, der skal understøtte indfriel-
sen af EU’s klimamål på mindst 55 pct. reduktion i 2030. I april 2023 vedtog Rådet og Europa-Parlamentet en op-
justering af reduktionsforpligtelserne under henholdsvis byrdefordelingsaftalen og LULUCF-forordningen. De revi-
derede forpligtelser forhøjede kravene til Danmarks reduktionsindsats i byrdefordelingssektorerne og LULUCF-
sektoren væsentligt. Byrdefordelingsaftalen omfatter drivhusgasudledninger i landbrug (ekskl. LULUCF), vejtrans-
port, individuel opvarmning af bygninger, mindre industrivirksomheder, øvrigt affald (ikke affaldsforbrænding) og
øvrige mindre udledninger. LULUCF-forordningen omfatter udledninger fra dyrket jord, græsarealer, vådområder,
skov og bebyggelse.
Derudover er Danmark underlagt en række forpligtigelser fra EU’s gældende VE-direktiv, herunder et mål for det
samlede VE-andel (RES), VE-andel i transport (RES-T), VE-andel i opvarmning og procesenergi (RES-H&C) samt
mål for andel af avancerede biobrændstoffer i transport. Endelig fastlægger EU’s direktiv for energieffektivitet en
national energispareforpligtelse.
Danmark skønnes at have en akkumuleret reduktionsmanko på ca. 16,1 ton CO
2
e i byrdefordelingsaftalen for pe-
rioden 2021-2030 og en reduktionsmanko i LULUCF-forordningen på ca. 8,8 mio. ton CO
2
e i perioden 2026-2029
og ca. 2,0 mio. ton CO
2
e i 2030,
jf. tabel 5.5.
Tabel 5.5
Danmarks internationale forpligtelser
EU-forpligtigelser
Byrdefordelingsaftalen
LULUCF-forordningen (2021-2025)
LULUCF-forordningen (2026-2029)
LULUCF-forordningen (2030)
Skøn for reduktionsmanko
1
(mio. ton CO
2
e)
16,1 mio. ton CO
2
e (2021-2030)
0
8,8 mio. ton CO
2
e (2026-2029)
2,0 mio. ton CO
2
e (i 2030)
Status på indfrielse
VE-andel (RES)
VE-andel i transport (RES-T)
VE-andel i opvarmning, køling og procesenergi
(RESH&C)
Avancerede biobrændsler i transport
VE-andel på 71 pct. ift. mål på 55 pct. i 2030
VE-andel på 41 pct. ift. mål på 14 pct. i 2030
VE-andel over 60 pct. og årlig stigning over 1,1 pct.-point.
Andel på 0,4 pct. i 2022 ift. mål på 0,2 pct.
Manko på 0,5 pct.-point ift. mål på 1,0 pct. i 2025
Manko på 0,6-2,0 pct.-point ift. mål på 3,5 pct. i 2030
Energibesparelser
Under afklaring
Anm: 1) Akkumulerede reduktionsmankoer (uden brug af fleksibilitetsmekanismer) baseret på
Klimastatus og -fremskrivning 2023.
Kilde: Klima-, Energi- og Forsyningsministeriet.
Danmarks reduktionsforpligtelse under byrdefordelingsaftalen
I byrdefordelingsaftalen er der for alle EU-medlemslande fastlagt en reduktionssti med årlige forpligtelser i årene
2021-2030 for omfattede sektorer. Danmarks reduktionssti for byrdefordelingssektoren er med den opjusterede
regulering fastlagt med henblik på en udledningsreduktion på 50 pct. i 2030 i forhold til 2005 (opjusteret fra 39
pct.). Danmarks reduktionsmanko opgøres som forskellen mellem den fastlagte reduktionssti og de forventede
udledninger i årene 2021-2030. Med den seneste
Klimastatus og -fremskrivning 2023
skønnes det, at der for Dan-
TRU, Alm.del - 2023-24 - Endeligt svar på spørgsmål 261: MFU spm. om ministeren vil oversende en opdateret oversigt over de klimabegrundede initiativer, der på nationalt og europæisk niveau får betydning på transportområdet inden for de kommende ca. 5 år
2841680_0049.png
KLIMAPROGRAM 2023
49
mark udestår en akkumuleret reduktionsmanko på ca. 16,1 mio. ton CO
2
e i perioden 2021-2030 i byrdefordelings-
sektoren,
jf. figur 5.2.
Skønnet er behæftet med betydelig usikkerhed, da fremskrivningen bl.a. baseres på følsomme
antagelser og er underlagt usikkerhed forbundet med udefrakommende variable, uforudsete udviklinger i adfærd,
teknologi og priser m.m.
Figur 5.2
Status på Danmarks indfrielse af byrdefordelingsmål
Mio. ton CO
2
e
45
40
35
30
25
20
15
10
5
0
2005
2021
Reduktionssti
Udledninger - 2005
2022
2023
2024
2025
2026
2027
2028
2029
2030
45
40
35
30
25
20
15
10
5
0
-50%
Udledninger - Landbrug
Udledninger - Transport
Udledninger - Øvrig
Kilde:
Klimastatus og -fremskrivning 2023.
Byrdefordelingsaftalens reduktionsforpligtelse kan indfris via 1) nationale reduktionstiltag og 2) ved brug af fleksi-
bilitetsmekanismer. Der er tre fleksibilitetsmekanismer under byrdefordelingsaftalen, henholdsvis 1) annullering af
ETS-kvoter, 2) anvendelse af LULUCF-kreditter og 3) køb af andre landes udledningsrettigheder,
jf. boks 5.1.
Boks 5.1
Fleksibilitetsmekanismer under byrdefordelingsaftalen
Byrdefordelingsaftalen indeholder tre typer fleksibiliteter, som Danmark kan benytte som bidrag til at
indfri sine forpligtelser. Der skal tages stilling til eventuel brug af fleksibilitetsmekanismer efter hver endt
forpligtelsesperiode, dvs. i 2027 for perioden 2021-2025 og i 2032 for perioden 2026-2030.
1)
Annullering af ETS-kvoter.
Forordningen giver ni medlemslande, herunder Danmark, mulighed for årligt
maksimalt at annullere ETS-kvoter svarende til 2 pct. af udledningerne i 2005 fra sektorer omfattet af
byrdefordelingsaftalen til opfyldelsen af reduktionsforpligtelsen. For Danmark er det svarende til samlet
set 8 mio. ton CO
2
e for perioden 2021-2030. Danmark har indtil videre forpligtet sig til annullering af 4
mio. kvoter for perioden 2021-2025. Anvendelse af de annullerede kvoter vil således ikke være forbundet
med en yderligere statslig omkostning. Hvis det besluttes at annullere op til yderligere 4 mio. kvoter for
perioden 2026-2030, vil det være forbundet med en statslig omkostning afhængig af kvoteprisen, som
følge af tabt auktioneringsprovenu. Beslutning om yderligere kvoteannullering af 4 mio. kvoter for
perioden 2026-2030 skal træffes i 2024, og i 2027 vil der være mulighed for at tage stilling til en eventuel
justering af antallet af kvoter, der annulleres i perioden 2028-2030.
2)
LULUCF-kreditter.
Der ikke er overlap mellem de omfattede udledninger i byrdefordelingsaftalen og LU-
LUCF-forordningen, men det er muligt at anvende en eventuel overopfyldelse af det ene mål til at opfylde
TRU, Alm.del - 2023-24 - Endeligt svar på spørgsmål 261: MFU spm. om ministeren vil oversende en opdateret oversigt over de klimabegrundede initiativer, der på nationalt og europæisk niveau får betydning på transportområdet inden for de kommende ca. 5 år
2841680_0050.png
50
KLIMAPROGRAM 2023
det andet mål, fx ved brug af LULUCF-kreditter, hvor fx den forventede overopfyldelse af LULUCF-forplig-
telsen fra 2021-2025 delvist kan bidrage til byrdefordelingsmålet i samme periode.
3)
Gemme, låne, købe og sælge.
Medlemsstater kan i de år, hvor udledningerne er lavere end deres årlige
mål, gemme overskudet og overføre reduktionen til senere år. I år, hvor udledninger er højere end det
årlige mål, kan medlemsstaterne låne en begrænset mængde tildelinger fra det efterfølgende år. Det giver
medlemsstaterne fleksibilitet til at håndtere årlige udsving i udledninger som følge af vejrforhold eller
økonomiske forhold. Medlemsstaterne kan derudover købe og sælge tildelinger fra og til andre
medlemsstater. Det er på nuværende tidspunkt usikkert, i hvilket omfang der vil være udledningsrettighe-
der til rådighed, og til hvilken pris disse handles.
Danmarks reduktionsforpligtelser under LULUCF-forordningen
Danmarks forpligtigelser i LULUCF-forordningens er opdelt i to perioder. I perioden 2021-2025 skal Danmark
sikre, at kulstofbalancen i sektoren ikke forringes. I perioden 2026-2030 skal Danmark efterleve to adskilte for-
pligtelser: 1) nettoudledningerne i sektoren skal reduceres med 0,44 mio. ton CO
2
e i 2030 i forhold til gennemsnit-
tet for LULUCF-udledninger i Danmark i perioden 2016-2018, svarende til ca. 2,0 mio. ton CO
2
e i 2030, og 2) opnå-
else af årlige CO
2
e-reduktioner i sektoren i perioden 2026-2029. De præcise årlige reduktionsforpligtelser for
2026-2029 fastsættes endeligt af Europa-Kommissionen i 2025 på baggrund af den, på tidspunktet, nyligste
emissionsopgørelse. I figur 5.3 nedenfor, og i
Klimastatus og -fremskrivning 2023,
er de årlige reduktionsforplig-
telser for 2026-2029 skønnet på baggrund af fremskrevne udledninger i sektoren.
Med
Klimastatus og –fremskrivning 2023
skønnes Danmark at opfylde forpligtelserne i LULUCF-forordningen for
perioden 2021-2025, mens reduktionsmankoen skønnes at være ca. 8,8 mio. ton CO
2
e i perioden 2026-2029 og
ca. 2,0 mio. ton CO
2
e til punktmålet i 2030,
jf. figur 5.3.
Figur 5.3
Status på Danmarks opfyldelse af LULUCF-forordningen
Mio. ton CO
2
e
7
6
5
4
3
2
1
0
-1
-2
-3
2016
-18
Bebyggelse
Skov
Vådområder
Græsarealer, andet
Dyrket jord, andet
Græsarealer, lavbund
Kilde:
Klimastatus og -fremskrivning 2023.
-0,4 mio. ton CO
2
e
2021
2022
2023
2024
2025
2026
2027
2028
2029
2030
Dyrket jord, lavbund
Nettoudledning
Reduktionsmål 2021-25
Budgetmål 2026-29
Reduktionsmål 2030
TRU, Alm.del - 2023-24 - Endeligt svar på spørgsmål 261: MFU spm. om ministeren vil oversende en opdateret oversigt over de klimabegrundede initiativer, der på nationalt og europæisk niveau får betydning på transportområdet inden for de kommende ca. 5 år
2841680_0051.png
KLIMAPROGRAM 2023
51
LULUCF-forordningens reduktionsforpligtelser kan indfris via 1) nationale reduktionstiltag og 2) fleksibilitetsme-
kanismer. Der er tre fleksibilitetsmekanismer under LULUCF-forordningen, henholdsvis 1) annullering af udled-
ningsrettigheder i byrdefordelingsaftalen, 2) køb af andre medlemsstaters LULUCF-kreditter og 3) fleksibilitet for
arealanvendelse,
jf. boks 5.2.
Boks 5.2
Fleksibilitetsmekanismer under LULUCF-forordningen
LULUCF-forordningen indeholder tre typer fleksibiliteter, som Danmark kan benytte som bidrag til at indfri
sine forpligtelser. Der skal tages stilling til eventuel brug af fleksibilitetsmekanismer efter hver endt
forpligtelsesperiode, det vil sige i 2027 for perioden 2021-2025 og i 2032 for perioden 2026-2030.
1) Fleksibilitet med byrdefordelingsaftalen:
Hvis en medlemsstat ikke lever op til sine forpligtelser i
LULUCF-forordningen, kan forpligtelsen indfris gennem annullering af udledningsrettigheder i
byrdefordelingsaftalen. Fleksibiliteten kan benyttes inden for hver forpligtelsesperiode, men ikke på tværs
af perioderne 2021-2025 og 2026-2030.
2) Handel med kreditter:
Medlemsstater kan købe og sælge LULUCF-kreditter fra og til andre
medlemsstater, såfremt disse er til rådighed. En medlemsstat får adgang til en mængde LULUCF-
kreditter svarende til sin eventuelle overopfyldelse af dens nationale forplgitelser efter hver
forpligtelsesperiode, hvilket kan tilskynde medlemsstaterne til at overimplementere deres egen
forpligtelse. Det er uvist, i hvilket omfang der vil være LULUCF-kreditter til rådighed efter endt
forpligtelsesperiode, og til hvilken pris disse evt. ville handles, da det vil være op til en indbyrdes aftale
mellem medlemsstaterne.
3) Fleksibilitet for arealanvendelse:
Danmark har adgang til en begrænset fleksibilitet for en eventuel
manglende målopfyldelse i perioden 2026-2030 på 0,05 mio. ton CO
2
e under forudsætning af, at EU lever
op til sit samlede mål for LULUCF-sektoren på 310 mio. ton CO
2
e i 2030. Medlemsstaterne har adgang til
en lignende fleksibilitetsmekanisme for perioden 2021-2025, som dog i praksis ikke er relevant for
Danmark af regnskabstekniske årsager.
Sammenhæng mellem Danmarks nationale klimamål og EU-forpligtigelser i byrdefordelingsaftalen og LULUCF-for-
ordningen
Der er overlap mellem de reduktioner, der bidrager til indfrielsen af Danmarks nationale mål og de reduktioner, der
bidrager til indfrielsen af Danmarks EU-forpligtigelser. Eksempelvis vil reduktioner i landbrugssektoren bidrage til
indfrielsen af både Danmarks 70 pct.-mål, Danmarks forpligtigelse under byrdefordelingsaftalen samt Danmarks
reduktionsmål for landbrugssektoren,
jf. Aftale om grøn omstilling af dansk landbrug.
Det kan derfor være hensigtsmæssigt, at indfrielsen af de nationale klimamål, herunder 70 pct.-målet og land-
brugsmålet, og EU-forpligtelserne tænkes sammen. Sammenhængen mellem indfrielse af byrdefordelings- og
LULUCF forpligtigelserne og de nationale klimamål vil afhænge af, i hvilke sektorer udledningerne reduceres,
hvornår reduktionerne indtræffer samt eventuel anvendelse af fleksibilitetsmekanismer.
Danmarks forpligtelser i EU for vedvarende energi
Danmarks har tre forskellige EU-forpligtelser inden for vedvarende energi, som alle forventes opfyldt,
jf. tabel 5.6.
Der er opnået en foreløbig aftale i EU-forhandlingerne om revision af VE-direktivet, hvor der lægges op til ændrede
mål. Den endelige vedtagelse af revisionen af VE-direktivet udestår.
Tabel 5.6
Danmarks forpligtelser i EU for vedvarende energi
Nuværende forpligtelse
Foreløbig aftale om revision af
VE-direktivet
Status på indfrielse
TRU, Alm.del - 2023-24 - Endeligt svar på spørgsmål 261: MFU spm. om ministeren vil oversende en opdateret oversigt over de klimabegrundede initiativer, der på nationalt og europæisk niveau får betydning på transportområdet inden for de kommende ca. 5 år
2841680_0052.png
52
KLIMAPROGRAM 2023
Danmark skal bidrage til EU’s fælles
VE-mål om en samlet VE-andel
(RES) på
32 pct.
Danmark skal bidrage til EU’s fælles
VE-mål om en samlet VE-andel
(RES) på
42,5 pct.
Forventes opfyldt med nuværende
politikker.
Med Klimastatus og –
fremskrivning 2023 skønnes Dan-
mark at opfylde EU-forpligtelsen om
VE-andel (RES) i 2030 med en for-
ventet andel på
71 pct.,
hvilket over-
stiger de 55 pct., som blev vurderet
”tilstrækkeligt ambitiøst” af Europa-
Kommissionen ifm. afrapportering
vedr. Danmarks Nationale Energi- og
Klimaplan i 2020.
Forventes opfyldt med nuværende
politikker.
Med Klimastatus og –
fremskrivning 2023 skønnes VE-an-
delen i transport (RES-T) i 2030 til
41 pct.
Forventes opfyldt fra 2022 og frem
med nuværende politikker.
RES-
H&C forventes til at stige fra 51 pct.
i 2020 til 77 pct. i 2030, og den årlige
stigningstakt forventes at være hø-
jere end 1,1 pct.-point i årene frem
mod 2030.
Danmark skal bidrage til en VE-andel
i transport (RES-T) på
min. 14 pct.
i
2030
Danmark skal bidrage til en VE-andel
i transport (RES-T) på
min. 29 pct.
i
2030. Alternativt til målet om 29 pct.
er det muligt for medlemslandene at
indføre et fortrængningskrav på 14,5
pct.
Danmark skal bidrage til en årlig for-
højelse på 1,1 pct.-point i VE-ande-
len af opvarmning, køling og proces-
energi, undtaget når RES-H&C over-
stiger 60 pct.
Kilde: Klima-, Energi- og Forsyningsministeriet
Danmarks forpligtelser i EU for avancerede biobrændstoffer i transport
Danmark er derudover forpligtet til at have min. 0,2 pct. avancerede biobrændstoffer i transport i 2022, 1,0 pct. i
2025 og 3,5 pct. i 2030.
Med
Klimastatus og –fremskrivning 2023
forventes Danmarks forpligtelse for 2022 opfyldt, mens forpligtelserne
for 2025 og 2030 ikke forventes opfyldt uden yderligere tiltag.
Med den foreløbige aftale om en revision af VE II-direktivet mellem henholdsvis Europa-Parlamentet, Europa-
Kommissionen og Rådet bliver kravet om avancerede biobrændstoffer udvidet til at omfatte hele transportsekto-
ren, inklusiv international søfart og -luftfart, hvilket isoleret set bringer Danmark længere fra en opfyldelse af kra-
vet.
Der er i den endelige tekst for det reviderede direktiv indsat en mulighed for medlemsstaterne til at medtælle al
biogas injiceret i gasnettet uanset, om biogassen er brugt til opvarmning, industri eller brændstof ved opfyldelse
af transportmålene i VE-direktivet. Det er den foreløbige vurdering, at Danmark vil kunne efterleve forpligtigelsen
om avancerede biobrændstoffer i transportsektoren i 2025 og 2030, som følge af muligheden for at medtælle
injicering af biogas i gasnettet.
Aftale om det reviderede VE II-direktiv forventes endeligt vedtaget i efteråret 2023, og skal implementeres i dansk
lovgivning senest foråret 2025.
Danmarks forpligtelser i EU for energieffektivisering
Danmark er forpligtet til i 2021-2030 at opnå kumulative energibesparelser i det endelige energiforbrug svarende
til en gennemsnitligt årlig forpligtelse på 0,8 pct. i perioden 2021-2023 og på 1,49 pct. i perioden 2024-2030 set i
forhold til det gennemsnitlige årlige energiforbrug i 2016-2018. Det svarer til en akkumuleret energispareforplig-
telse på 386,1 PJ i perioden 2021-2030.
TRU, Alm.del - 2023-24 - Endeligt svar på spørgsmål 261: MFU spm. om ministeren vil oversende en opdateret oversigt over de klimabegrundede initiativer, der på nationalt og europæisk niveau får betydning på transportområdet inden for de kommende ca. 5 år
2841680_0053.png
KLIMAPROGRAM 2023
53
Energispareforpligtelsen er blevet forhøjet i revisionen af energieffektivitetsdirektivet, der er vedtaget i EU som led
i Fit for 55-pakken,
jf. kapitel 6.
Danmark er i gang med implementeringen af direktivet, herunder afklaring af sta-
tus på indfrielsen af Danmarks energispareforpligtelse.
I
tabel 5.7
vises en statusoversigt for Danmarks lovfæstede internationale klimaforpligtigelser.
Tabel 5.7
Statusoversigt for Danmarks lovfæstede internationale klimaforpligtigelser
EU-forpligtelser
Forventet status
Usikkerhed
Indfrielse af reduktionsmålet for
land- og skovbrugssektoren vil på-
virke mankoen. Effekten vil dog af-
hænge af, hvordan indsatsen til-
rettelægges. Fleksibilitetsmeka-
nismer tillader Danmark at indfri
en del af mankoen gennem LU-
LUCF-kreditter, annullering af ETS-
kvoter eller køb af udledningsret-
tigheder fra andre lande.
Byrdefordelingsaftalen:
Danmark skal reducere udlednin-
gerne i ikke-kvotebelagte sektorer
med 50 pct. i 2030 med årlige re-
duktionsforpligtelser for perioden
2021-2030.
Forventes ikke opfyldt i fravær af
yderligere politiske tiltag.
Der skønnes
en akkumuleret manko på ca. 16,1 mio.
ton CO
2
e i perioden 2021-30, jf.
Klima-
status og -fremskrivning 2023.
LULUCF:
I perioden 2021-2025 skal Danmark
sikre, at kulstofbalancen i LULUCF-
sektoren ikke forringes.
I perioden 2026-2030 skal Danmark
efterleve to adskilte forpligtelser:
1) nettoudledningerne i LULUCF-
sektoren skal reduceres med 0,44
mio. ton CO
2
e i 2030 sammenlignet
med det gennemsnitlige niveau for
referenceperioden 2016-2018.
2) opfylde et nationalt budgetmål
for 2026-2029, der fastsættes af
Kommissionen i 2025 på baggrund
af seneste emissionsopgørelse.
Der er stor usikkerhed forbundet
med at estimere fremtidig udled-
ning og optag fra skovarealer æl-
dre end 30 år samt emissionsfak-
torer for organiske landbrugsarea-
ler og optag i mineraljorde i land-
bruget. Fleksibilitetsmekanismer
tillader Danmark at indfri en del af
mankoen gennem annullering af
udledningsrettigheder under byr-
defordelingsaftalen og/eller køb
af LULUCF-udledningsrettigheder
fra andre medlemsstater.
Første periode forventes opfyldt, mens
anden periode ikke forventes opfyldt i
fravær af yderligere politiske tiltag.
Dan-
mark skønnes på baggrund af
Klimasta-
tus og -fremskrivning 2023
at overop-
fylde målene i LULUCF-forordningen for
perioden 2021-25, mens Danmarks re-
duktionsmanko skønnes at være ca. 8,8
mio. ton CO
2
e i perioden 2026-2029 og
ca. 2,0 mio. ton CO
2
e i 2030.
VE-andel (RES):
Ambitiøst bidrag til EU’s fælles VE-
mål om 32 pct. samlet.
Forventes opfyldt med nuværende po-
litik.
I
Klimastatus og -fremskrivning
2023
skønnes en VE-andel på 71 pct. i
2030. Dette overstiger de 55 pct., som
blev vurderet ”tilstrækkeligt ambitiøst”
af Europa-Kommissionen ved NECP-
rapporteringen i 2020.
Forventes opfyldt med nuværende po-
litik.
RES-T skønnes i
Klimastatus og -
fremskrivning 2023
at nå 41 pct. i 2030.
Andelen af avancerede biobrændstof-
fer forventes at udgøre ca. 0,4 pct. i
2022, ca. 0,5 pct. i 2025 og 0,6-2,0 pct.
i 2030, jf. KF23. Ved den forventede re-
Usikkerhed om VE-andel i trans-
port (RES-T) og elforbrug (RES-E),
især for så vidt angår tidspunkt for
havvindmølleparkers og solcelle-
parkers idriftsættelse.
VE-andel i transport (RES-T):
Min. 14 pct. i 2030.
Avancerede biobrændsler i trans-
port:
Min. 0,2 pct. i 2022, 1,0 pct. i 2025
og 3,5 pct. i 2030.
Usikkerhed om omfanget af elek-
trificeringsgrad og elforbruget
(RES-E) i transporten.
Usikkerhed om markedsudviklin-
gen for avancerede biobrændsler.
TRU, Alm.del - 2023-24 - Endeligt svar på spørgsmål 261: MFU spm. om ministeren vil oversende en opdateret oversigt over de klimabegrundede initiativer, der på nationalt og europæisk niveau får betydning på transportområdet inden for de kommende ca. 5 år
2841680_0054.png
54
KLIMAPROGRAM 2023
vision af VE-II direktivet er det dog ble-
vet muligt for medlemsstaterne at
medtælle injiceret biogas til at opfylde
forpligtigelsen. Hvis Danmark medtæl-
ler biogas, vurderes Danmark at op-
fylde forpligtigelsen.
Forventes opfyldt med nuværende po-
litik.
RES-HC forventes i
Klimastatus og
-fremskrivningen 2023
at overstige 60
pct. fra 2022, men derudover forventes
også en årlig stigningstakt større end
1,1 pct.-point i hovedparten af årene
frem mod 2030.
Er under implementering.
Energispare-
forpligtelsen er forhøjet i den nyligt
vedtagne revision af energieffektivi-
tetsdirektivet. Danmark er ved at af-
klare status på indfrielsen af energi-
spareforpligtelsen.
VE-andel i opvarmning, køling og
procesenergi (RESH&C):
Årlig forhøjelse på 1,1 pct.-point,
undtaget når RESH&C overstiger 60
pct.
Usikkerhed om udviklingen i fjern-
varmeudrulningen samt udbredel-
sen af varmepumper i husholdnin-
ger og industri.
Energispareforpligtelsen:
0,8 pct. årligt i perioden 2021- 2023
og 1,49 pct. årligt i perioden 2024-
2030.
Usikkerhed om forventede energi-
besparelser som følge af forskel-
lige aftaler og tiltag frem mod
2030.
Anm.: Tabellen omfatter ikke forpligtelser eller målsætninger fastsat på globalt eller EU-plan, der ikke er byrdefordelt, som fx FN's 1,5 graders målsætning.
Store usikkerheder i fremskrivningen
De danske drivhusgasudledninger fremskrives årligt, så den fremtidige udvikling kan følges.
Klimastatus og –
fremskrivning 2023
viser et "frozen policy"
4
basisforløb frem til 2035, som baserer sig på politisk besluttede tiltag.
Fremskrivningen er et samlet kvalificeret skøn over udviklingen i fremtidens klima- og energirelaterede aktiviteter.
Fremskrivningen indeholder desuden den, med nuværende viden, forventede teknologiske udvikling og forventnin-
ger til samfundets øvrige tiltag for at reducere drivhusgasudledningerne under de givne rammevilkår.
Fremskrivningen er baseret på et stort underliggende arbejde på tværs af departementer, styrelser og forsknings-
institutioner. Energifremskrivningerne trækker på Energistyrelsens tre modeller til fremskrivning af henholdsvis
forsyningssiden (Ramses), forbrugssiden (IntERACT) og transporten (FREM). National Center for Miljø og Energi
(DCE) fra Aarhus Universitet fremskriver de ikke-energirelaterede landbrugs- og LULUCF-emissioner baseret på
bl.a. landbrugsfremskrivningen og skovfremskrivningen fra henholdsvis IFRO og IGN på Københavns Universitet.
DCE fremskriver desuden de affaldsrelaterede emissioner bl.a. ud fra prognoser fra Miljøstyrelsen.
På trods af det omfattende arbejde med fremskrivningerne vil det ikke være muligt fuldstændig at udelukke usik-
kerheder i fremskrivningen. Særligt de sidste par år er der udefrakommende faktorer, som er svære at forudsige.
Den aktuelle krig i Ukraine skaber fx en usikkerhed om udviklingen på energimarkedet, ligesom der er stor usikker-
hed om den fremtidige økonomiske aktivitet. Usikkerheden i fremskrivningen har en størrelse, så udfaldsrum-
mene vil kunne variere i begge retninger med flere mio. ton CO
2
e i forventningerne til drivhusgasudledningerne i
2025 og i endnu højere grad i 2030 og 2035.
Tabel 5.4
indeholder en række følsomhedsberegninger, der viser at
udsving i forskellige forudsætninger kan påvirke udledningerne markant i 2025. Følsomme antagelser og usikker-
heder vil dermed kunne påvirke resultaterne i væsentlig grad. Fremskrivningen skuer mere end 10 år frem i tid, og
resultaterne kan variere fra år til år uafhængig af om nye politiske tiltag er medregnet. Fremskrivningerne er både
underlagt en generel metodeusikkerhed samt en betydelig usikkerhed forbundet med udefrakommende variable,
herunder uforudsete udviklinger i energipriser, adfærd, teknologi, udsving i vejret mv.
1
Klimastatus og -fremskrivning
er en frozen policy fremskrivning, hvilket indebærer, at forudsætningerne for fremskrivningen
afspejler et ”politisk fastfrossent” fravær af nye tiltag på klima- og energiområdet ud over dem, som Folketinget eller EU har
besluttet før 1. januar 2022 eller som følger af bindende aftaler
TRU, Alm.del - 2023-24 - Endeligt svar på spørgsmål 261: MFU spm. om ministeren vil oversende en opdateret oversigt over de klimabegrundede initiativer, der på nationalt og europæisk niveau får betydning på transportområdet inden for de kommende ca. 5 år
2841680_0055.png
KLIMAPROGRAM 2023
55
COVID-19-pandemien er et eksempel på en udefrakommende påvirkning af drivhusgasudledningerne, som havde
en markant effekt på CO
2
e-udledningerne og var meget svær eller umulig at forudsige. For eksempel faldt oliefor-
bruget markant under COVID-19, hvilket medførte et fald i CO
2
-udledningerne fra forbrug af olie på 3,3 mio. ton
CO
2
fra 2019 til 2020,
jf. figur 5.4.
En lille del af faldet kan givetvis skyldes en generel tendens til et faldende olie-
forbrug de seneste mange år, men langt størstedelen af faldet skyldtes COVID-19-pandemien. Eksemplet illustre-
rer hvor stor en effekt en udefrakommende begivenhed, som er meget svær at forudsige, kan have på Danmarks
drivhusgasudledninger. Der kan potentielt også være en langsigtet effekt, som der ikke er godt nok kendskab til
endnu. Forbruget af olie i 2021 fastholdt nogenlunde samme niveau om end med en lille stigning på 0,5 mio. ton
CO
2
. Ruslands invasion af Ukraine er et andet eksempel på en begivenhed, der var svær at forudsige og som kan
have en markant påvirkning på Danmarks drivhusgasudledninger. Hvordan situationen i Ukraine påvirker udled-
ningerne, bl.a. gennem udviklingen i energipriserne afhænger i høj grad af bl.a., hvor langsigtede stigningerne i
energipriserne er samt de relative ændringer på tværs af energivarer.
Figur 5.4
Udviklingen i Danmarks drivhusgasudledninger fra forbruget af olie (mio. ton CO
2
)
Mio. ton CO
2
25
20
15
10
5
-
2010
2011
2012
2013
2014
2015
2016
2017
2018
2019
2020
2021
Kilde: Energistatistikken 2021
Den store usikkerhed i fremskrivningen forstærkes af, at der ikke kun er usikkerhed om fremtidige drivhusgasud-
ledninger, men også de historiske udledninger. Datagrundlag og opgørelsesmetoder forbedres løbende gennem
forbedrede modeller, indsigt i teknologiudvikling og dybere sektorkendskab. På den baggrund er der foretaget
regelmæssige justeringer i historiske data, siden opgørelserne startede i 1990erne,
jf. tabel 5.8.
Seneste større
korrektion var i 2020 med ændringen af opgørelsen af udledningerne fra lavbundsjorder, som betød en stigning i
opgørelsen af udledningerne i 1990 på 2,0 mio. ton CO
2
e. Da de nationale reduktionsmål er opgjort i forhold til
udledninger i 1990, vil en justering af de historiske udledninger også kunne påvirke, hvor meget det er nødvendigt
at reducere udledningerne med for at indfri klimamålene.
TRU, Alm.del - 2023-24 - Endeligt svar på spørgsmål 261: MFU spm. om ministeren vil oversende en opdateret oversigt over de klimabegrundede initiativer, der på nationalt og europæisk niveau får betydning på transportområdet inden for de kommende ca. 5 år
2841680_0056.png
56
KLIMAPROGRAM 2023
Tabel 5.8
Ændringer i opgørelsen af drivhusgasudledningen (inklusive LULUCF) i 1990
(mio. ton CO
2
e)
Opgørel-
sesår
Udlednin-
ger
i 1990
Ændring ift.
året før
1994
1997
2003
2005
2009
2013
2017
2018
2019
2020
2021
2022
2023
67,5
-
70,7
66,1
66,5
69,6
74,2
75,3
75,2
75,2
77,2
77,4
78,0
78,4
+3,2
-4,6
+0,4
+3,1
+4,6
+1,1
-0,1
+0,0
+2,0
+0,2
+0,6
+0,4
Anm.: Opgørelserne er indmeldt til FN under konventionen UNFCCC.
Kilde: Klima-, Energi og Forsyningsministeriet
TRU, Alm.del - 2023-24 - Endeligt svar på spørgsmål 261: MFU spm. om ministeren vil oversende en opdateret oversigt over de klimabegrundede initiativer, der på nationalt og europæisk niveau får betydning på transportområdet inden for de kommende ca. 5 år
2841680_0057.png
KLIMAPROGRAM 2023
57
6. EU’s klima- og energipolitik
EU fastlægger en stor del af rammen for Danmarks klimaindsats. Det sker bl.a. i form af målsætninger, overord-
nede og mere detaljerede krav til forskellige sektorer. Effektiv fælles regulering i EU er generelt til fordel for Dan-
mark, da det kan bidrage til indfrielse af det nationale 70 pct. mål på en omkostningseffektiv måde samt skabe
lige konkurrencevilkår og bedre eksportmuligheder for danske virksomheder. Regeringen arbejder derfor for en
ambitiøs og omkostningseffektiv klima- og energiregulering i EU, der bidrager til realisering af Danmarks 70 pct.
mål, og som samtidig kan gøre EU uafhængig af fossil energi fra Rusland.
Ved at påvirke EU’s klima- og energipolitik og forhandlingsposition kan Danmark præge EU i en grønnere retning.
For regeringen er det derfor afgørende, at Danmark går foran i EU på klimaområdet, så EU kan gå foran i verden.
EU står for omkring 7 pct. af de globale drivhusgasudledninger, og ved at gå foran kan EU lægge pres på andre
lande til at følge EU’s eksempel og øge deres bidrag til Parisaftalens 1,5-gradsmålsætning.
Fit for 55-lovpakken - ambitiøs implementering af EU’s 2030-klimamål
De sidste to år har EU-Kommissionens Fit for 55-lovpakke været omdrejningspunktet for EU’s klima- og energipo-
litik,
jf. boks 6.1.
Forhandlingerne i EU om Fit for 55-lovpakken har været præget af mange forskelligrettede inte-
resser, hensyn og politiske prioriteter på tværs af EU’s medlemslande og Europa-Parlamentet, ligesom krigen i
Ukraine og særligt de ekstraordinære høje energipriser i 2022 har haft en indvirkning. Der er nu indgået endelige
aftaler om langt de fleste Fit for 55-forslag, hvor kun beslutning om revisionen af energibeskatningsdirektivet og
de tre forslag fra Vinterpakken om henholdsvis revision af bygningsdirektivet, forslag om en brint- og gasmar-
kedspakke og forslag om reduktion af metanemissioner i energisektoren udestår.
Boks 6.1
EU’s klimaambitioner for 2030
I december 2020 traf de europæiske regeringsledere beslutning om at hæve EU’s 2030-klimamål fra
mindst 40 pct. til mindst 55 pct. reduktion af drivhusgasudledningerne i forhold til 1990-niveauet, hvilket
blev lovfæstet i EU’s klimalov i juli 2021.
Som opfølgning på beslutningen om at forhøje EU’s klimamål for 2030 fremlagde EU-Kommissionen i juli
2021 Fit for 55-lovpakken, som sidenhen blev suppleret med en yderligere lovpakke i december 2021
(Vinterpakken).
Fit for 55 indeholdt en lang række lovforslag, der indebærer en historisk bred revision af EU’s klima- og
energiregulering, hvor der ligeledes blev foreslået ny regulering inden for bl.a. transport (luftfart og sø-
fart) samt i forhold til tredjelandes klimapåvirkning gennem den nye CO
2
-grænsetilpasningsmekanisme,
som pålægger en CO
2
-pris på visse CO
2
-intensive varer importeret fra lande uden for EU.
Danmark har arbejdet aktivt for, at resultatet af forhandlingerne blev så ambitiøst og omkostningseffektivt som
muligt. Trods de svære forhandlingsbetingelser er det lykkedes at sikre forhandlingsresultater, som sætter ram-
merne for, at EU vil nå sit mål om mindst 55 pct. i 2030. Hvis der sikres en effektiv implementering af lovgivnin-
gen, vil det betyde, at EU leverer ca. 57 pct. reduktion i 2030 i forhold til 1990-niveauet, og dermed et større reduk-
tionsbidrag end målet på mindst 55 pct. Samtidig tages der vigtige skridt mod en mere omkostningseffektiv kli-
maregulering, hvor andelen af udledninger i EU omfattet af kvotehandel øges fra ca. 40 pct. til ca. 80 pct. Dermed
er det alene landbrug, affald og F-gasser samt LULUCF (optag og udledninger fra jorde og skove), der i 2030 ikke
vil være omfattet af kvotehandel. Hertil er der opnået enighed om en ny Social klimafond på ca. 65 mia. euro, der
har til formål at afhjælpe sociale konsekvenser ved udvidelsen af kvotehandel blandt de mest udsatte husholdnin-
ger og virksomheder.
TRU, Alm.del - 2023-24 - Endeligt svar på spørgsmål 261: MFU spm. om ministeren vil oversende en opdateret oversigt over de klimabegrundede initiativer, der på nationalt og europæisk niveau får betydning på transportområdet inden for de kommende ca. 5 år
2841680_0058.png
58
KLIMAPROGRAM 2023
Boks 6.2
Fit for 55-pakkens krav på tværs af sektorer
EU’s kvotehandelssystem styrkes væsentligt og udvides til søfart. Vejtransporten og bygninger bliver
omfattet af et nyt særskilt kvotehandelssystem frem mod 2027, og luftfartens gratiskvoter udfases
frem mod 2026.
Samtidig oprettes en ny CO
2
-grænsetilpasningsmekanisme, som for visse sektorer erstatter gratis-
kvoter som modvirkning til lækage og kan bidrage til øget klimaambition uden for EU’s grænser
På transportområdet har EU vedtaget et 100 pct. CO
2
e-reduktionskrav for nye personbiler og vare-
vogne i 2035, og fra 2025 kommer der gradvist stigende iblandingskrav for luftfarten og fortræng-
ningskrav for søfarten.
EU’s fælles mål under byrdefordelingsaftalen, som dækker udledninger fra bl.a. transport, landbrug
og opvarmning af bygninger, hæves fra 30 til 40 pct. i 2030 i forhold til 2005, og LULUCF-forordnin-
gen, som dækker arealanvendelse og skov, strammes for derved at skabe et øget incitament for op-
tag af CO
2
e.
På energiområdet øges EU’s fælles mål for andel af vedvarende energi (VE) i EU’s samlede energifor-
brug fra 32 til 42,5 pct., med mulighed for at nå op til 45 pct., og EU’s fælles energieffektivitetsmål er
landet på 11,7 pct. reduktion i 2030 sammenlignet med prognoser for energiforbruget i 2020.
Danmark har på tværs af forhandlingerne om Fit for 55-pakken arbejdet for et højt ambitionsniveau – også selvom
dette måtte føre til, at Danmark ikke med vished på nuværende tidspunkt vil leve op til alle EU-forpligtelser gennem
indfrielsen af Danmarks nationale klimamål. Ved at gå forrest kan Danmark agere løftestang for et øget ambitionsni-
veau uden for Danmarks grænser både i forhold til EU’s medlemslande og derigennem EU’s mulighed for at presse
på for øget global handling. Regeringen er nu i gang med at se nærmere på indfrielsen af disse nyligt vedtagne øgede
EU-forpligtelser,
jf. kapitel 10.
Nyt forslag om certificeringsramme for kulstoffjernelse og nyt forslag om reduktionskrav til nye tunge køretøjer
EU-Kommissionen har i november 2022 fremsat et forslag om en certificeringsramme for kulstoffjernelse. Forslaget
har til formål at øge kulstoffjernelse i EU ved at skabe en frivillig, regulatorisk ramme for en troværdig certificering af
kulstoffjernelsesaktiviteter. Kulstoffjernelsesaktiviteter dækker over 1) permanent lagring af CO2, 2) kulstofbindende
dyrkning fx CO2e-optag i skove og lavbundsjorder, samt 3) langvarig lagring i produkter og materialer. Regeringen
hilser forslaget velkomment med henblik på at understøtte kulstoffjernelsesaktiviteter i Danmark og EU. Udbredelsen
af CO2-fangst og lagring er væsentligt for at indfri Danmarks og EU’s klimaneutralitetsmål. Det er på nuværende tids-
punkt ikke muligt at estimere forslagets nærmere betydning for Danmark, da det er frivilligt for aktører at søge om
certificering.
EU-Kommissionen har i februar 2023 fremsat et forslag om revision af CO
2
e-reduktionskrav til nye tunge køretøjer
(lastbiler mv.). Forslaget lægger bl.a. op til at hæve det nuværende CO
2
-reduktionskrav i 2030 fra 30 procent til 45
pct. i forhold til niveauet i 2019 samt sætte nyt CO
2
e-reduktionskrav i 2035 på 65 pct. og nyt krav i 2040 på 90 pct.
Forslaget lægger også op til, at alle nye bybusser skal være nulemission fra 2030. Regeringen er positivt indstillet
over for forslaget, men havde gerne set et endnu højere ambitionsniveau. Derfor arbejder regeringen på, at der på sigt
fastsættes et mål for 100 pct. udfasning af nye, fossile tunge køretøjer.
Begge forslag forhandles i øjeblikket i henholdsvis Rådet og Europa-Parlamentet, som muligvis når at fastlægge sine
respektive holdninger til forslagene i løbet af 2023, hvorefter trilogforhandlingerne mellem Rådet, Europa-Parlamen-
tet og EU-Kommissionen kan påbegynde.
Forslag om EU-klimamål for 2040 på vej
Parisaftalens parter, herunder EU, skal forud for COP30-klimakonferencen i 2025 under dansk EU-formandskab ind-
melde et opdateret klimabidrag for perioden efter 2030. Det fremgår af EU's klimalov, at der skal fremlægges et for-
slag til et nyt EU 2040-klimamål senest seks måneder efter den globale statusopgørelse på COP28 i december 2023.
EU-Kommissionen forventes i 1. kvartal 2024 at præsentere en meddelelse om et nyt EU-klimamål for 2040. Det nye
TRU, Alm.del - 2023-24 - Endeligt svar på spørgsmål 261: MFU spm. om ministeren vil oversende en opdateret oversigt over de klimabegrundede initiativer, der på nationalt og europæisk niveau får betydning på transportområdet inden for de kommende ca. 5 år
2841680_0059.png
KLIMAPROGRAM 2023
59
klimamål vil udgøre hovedrammen for europæisk klimapolitik frem mod 2040, og det er derfor vigtigt, at der vedtages
en ambitiøs målsætning. Regeringen vil sammen med ligesindede arbejde for, at EU-Kommissionens kommende for-
slag er ambitiøst og i overensstemmelse med Parisaftalens 1,5-gradsmålsætning. Et ambitiøst 2040-mål er en forud-
sætning for, at EU fortsat kan gå foran globalt og lægge pres på andre store udledere til at følge EU’s eksempel. Par-
ter traf på COP26 i 2021 beslutning om, at parternes bidrag bør følge en 5-årig tidsramme. Regeringen vil derfor også
arbejde for, at forslaget indeholder et delmål for EU i 2035.
Det er vigtigt, at højere klimaambitioner kan implementeres på en måde, som både sikrer en omkostningseffektiv re-
duktion af EU’s udledninger, reducerer risikoen for lækage og sikrer en fortsat social balance og sammenhængskraft.
Regeringen vil derfor også arbejde for, at EU’s 2040-klimamål indfris gennem en så omkostningseffektiv EU-lovgiv-
ning som muligt, der også kan bidrage til realisering af Danmarks nationale klimamål. Konkret vil regeringen bl.a. ar-
bejde for, at der sikres et ensartet prissignal for de udledninger, som fremadrettet er omfattet af kvotehandel som
følge af Fit for 55-pakken, samt at landbrugets udledninger omfattes af kvotehandel. Regeringen vil ligeledes opfor-
dre til, at Kommissionen reviderer og moderniserer EU’s energiregulering, så den indrettes på en måde, der tager
hånd om og fremmer et grønt integreret energisystem på tværs af grænser, og som kan levere store mængder grøn
strøm til europæiske husholdninger og industrier,
se også tabel 6.1.
Tabel 6.1
Regeringens prioriteter for udmøntningen af EU’s 2040-klimamål
Prioritet
Beskrivelse
Samlet kvotehandelssystem for fossilt energiforbrug og
industrielle processer
De to separate kvotehandelssystemer (ETS for energi, in-
dustri mv. og ETS for vejtransport og bygninger) sammen-
lægges i et kvotehandelssystem for alle udledninger fra
fossilt energiforbrug og industrielle processer.
Kvotehandelssystemet udvides med integration af nega-
tive udledninger, der kan bidrage til EU’s ambition om net-
tonegativ drivhusgasudledning efter 2050 og regeringens
mål om 110 pct. reduktion i 2050. Dette er under forud-
sætning af troværdige opgørelser, langtidslagring og bæ-
redygtighed.
Fælleseuropæisk regulering vil øge omkostningseffektivi-
tet og reducere risiko for lækage ved nationale klimatiltag.
Omfattes landbrug af kvotehandel, kan der være en efter-
spørgsel på at understøtte omstillingen, fx ved at en andel
af kvoteprovenuet tilbageføres til investeringer i ny tekno-
logi samt til støtte af ændringer i landbrugsaktiviteter for
at mindske klimabelastningen. Et kvotesystem for land-
bruget vil skulle ses i relation til en national klimaafgift,
der med fordel kan udformes under hensyntagen til klima-
arkitekturen i EU efter 2030.
Yderligere lækageudsatte produkter, herunder evt. kvote-
belagte landbrugsprodukter, kan evt. indgå i EU’s CO
2
-
grænsetilpasningsmekanisme (CBAM) for at sikre lige
konkurrencevilkår med tredjelande under hensyntagen til
overensstemmelse med WTO-reglerne og behov for føde-
vareforsyningssikkerhed i EU og globalt.
Fælles EU-mål og fællesregulering af skovsektorens og
øvrig arealanvendelses CO
2
e-optag og –udledninger for at
sikre incitamenter til øget CO
2
e-optag. Muligheder for via
en selvstændig regulering af skov i højere grad end i dag
at kunne designe incitamenter til langsigtede tiltag, der
Integration af negative udledninger i kvotehandelssyste-
met
Fælles landbrugssøjle med EU-mål og –regulering af land-
brugets udledninger og optag, herunder indførsel af kvote-
handel i størst muligt omfang
Styrket lækagebeskyttelse
Fælles EU-mål og fællesregulering af skovsektorens og
øvrig arealanvendelses CO
2
e-optag og udledninger
TRU, Alm.del - 2023-24 - Endeligt svar på spørgsmål 261: MFU spm. om ministeren vil oversende en opdateret oversigt over de klimabegrundede initiativer, der på nationalt og europæisk niveau får betydning på transportområdet inden for de kommende ca. 5 år
2841680_0060.png
60
KLIMAPROGRAM 2023
kan bidrage positivt til klimaneutralitet og nettonegative
emissioner, bør undersøges nøjere. For nu vurderes det
ikke umiddelbart muligt at implementere kvotehandel for
skovsektoren.
Kvotehandel komplementeres med fælleseuropæisk sek-
torregulering og produktstandarder inden for fx energi og
transport, herunder også skibsfart og luftfart, hvor dette
kan bidrage til en omkostningseffektiv udvikling og udrul-
ning af nødvendige teknologier.
Ambitiøs og omkostningseffektiv modernisering af EU’s
sektorregulering
Energi øverst på EU-dagsordenen
Energi er et centralt politikområde i EU, som siden Ruslands invasion af Ukraine kun er rykket endnu højere op på
dagsordenen. Det gælder både i forhold til at styrke forsyningssikkerheden, udbygge vedvarende energi og modvirke
høje energipriser.
REPowerEU-planen
Som svar på Ruslands invasion af Ukraine fremlagde EU-Kommissionen i marts og maj 2022 henholdsvis en REPo-
wer-strategi og —plan, som banede vejen for EU i forhold til at udfase russiske fossile brændsler hurtigst muligt fra
EU’s energisystem. Planen indebar en række tiltag, der på den kortere bane har fokus på at sikre mere diversitet i EU-
landenes gasindkøb. Dette via fælles EU-gasindkøb og LNG-forsyninger fra pålidelige tredjelande, tiltag som fremmer
energibesparelser samt styrker og fremskynder den grønne omstilling via VE-udbygning og udbredelse af grønne
gasser som biogas og brint. Hensigten er at skabe et mere robust og energiuafhængigt energisystem i Europa.
Til at understøtte planen fremlagde EU-Kommissionen bl.a. en pakke med to lovforslag. Det ene var et finansierings-
forslag af REPowerEU-planen, der primært lagde op til, at EU-landene udvider deres genopretningsplaner med tiltag,
der bidrager til REPowerEU. Det andet var et energireguleringsforslag, som primært lagde op til ændringer af EU’s
direktiv til fremme af vedvarende energi (VE-direktivet), hvor det blev foreslået at inkludere bestemmelser til at sikre
hurtigere og smidigere tilladelsesprocesser for VE-projekter samt et øget VE-mål for 2030 på 45 pct. EU-Kommissio-
nen foreslog også at forhøje EU’s energieffektivitetsmål og indføre nye forpligtelser om opsætning af solcelleanlæg
på tagene af bygninger i EU’s bygningsdirektiv. Endelig aftale om REPowerEU-planen blev indgået i december 2022,
jf. boks 6.3.
Boks 6.3
Endelig aftale om REPower EU-planen
Der blev indgået endelig aftale mellem Rådet og Europa-Parlamentet om finansieringsforslaget i december
2022. Der lægges op til en samlet finansiering på ca. 280 mia. euro, herunder ved omprioritering af ubrugt
lånekapacitet fra genopretningsfaciliteten og ny direkte støtte på i alt 20 mia. euro finansieret inden for kvo-
tehandelssystemet. Regeringen har i forhandlingerne arbejdet for, at forslaget skulle styrke den grønne om-
stilling, herunder at begrænse finansieringen via øget kvotesalg samt undgå støtte til unødig binding til fossil
infrastruktur. Hvad angår energieffektivitetsdirektivet, er der indgået endelig aftale, hvor Rådet og Europa-
Parlamentet blev enige om et fælles energieffektivitetsmål for EU på 11,7 pct. reduktion i 2030 sammenlig-
net med prognoser for energiforbruget i 2020, det vil sige forøgelse af nuværende mål (2007-ref.) fra 32,5
pct. til knap 38 pct. Der er endvidere indgået en foreløbig aftale om VE-direktivet, som indebærer, at EU’s fæl-
les VE-mål øges til 42,5 pct. i 2030 med mulighed for at nå op på 45 pct. Bygningsdirektivet forhandles for
nuværende i trilog mellem Rådet, Europa-Parlamentet og EU-Kommissionen. Regeringen har i forhandlin-
gerne om energireguleringsforslagene generelt arbejdet for et højt ambitionsniveau, herunder høje VE- og
EE-mål samt hurtigere og smidigere tilladelsesprocesser for VE-projekter.
Dansk havvind i europæisk storskala
EU-Kommissionen har i sin strategi for vedvarende energi fra havvind fra 2020 estimeret, at der i EU er behov for 300
GW havvindsudbygning frem mod 2050, hvis EU skal nå målet om klimaneutralitet. Ud over EU-lovgivning på klima-
og energiområdet har Danmark et stærkt samarbejde på havvindsområdet med en række andre lande. Danmark har
TRU, Alm.del - 2023-24 - Endeligt svar på spørgsmål 261: MFU spm. om ministeren vil oversende en opdateret oversigt over de klimabegrundede initiativer, der på nationalt og europæisk niveau får betydning på transportområdet inden for de kommende ca. 5 år
2841680_0061.png
KLIMAPROGRAM 2023
61
høje ambitioner på havvindsområdet, da Danmark har gode forudsætninger for havvindsudbygningen i både Nord- og
Østersøen. Derfor har Danmark også et ønske om at gå foran. Danmark var i 2022 vært for to internationale havvind-
stopmøder for henholdsvis Nord- og Østersøen, hvor stats- og regeringschefer, formanden for EU-Kommissionen,
samt energiministrene fra en række havvindsnationer og ledere fra erhvervslivet deltog med henblik på at sikre høje
ambitioner og stærkere samarbejde om udbygningen af havvind i regionerne. Til begge topmøder underskrev både
regeringsledere og energiministre erklæringer og aftaler, som cementerer dette. Møderne er i 2023 blevet fulgt op af
et Nordsøtopmøde i Belgien, hvor fem nye lande tilsluttede sig erklæringerne. Samlet har de ni lande ambitioner om
udbygning af havvind, der i svarer til ca. 120 GW i 2030 og mindst 300 GW i 2050.
Danmark har i forbindelse med topmøderne underskrevet en række bi- og multilaterale samarbejdsaftaler, som dan-
ner grundlag for bl.a. at afsøge potentialerne i el- og evt. brintforbindelser mellem de danske energiøer og aftalelan-
dene med henblik på at sikre forsyningssikkerhed og grøn strømforsyning til Europa.
Forslag om revision af EU’s elmarkedsdesign
EU-Kommissionen fremsatte i marts 2023 en reform af EU’s elmarked, der består af en pakke med to forslag om hen-
holdsvis EU’s elmarkedsdesign og revision af EU’s REMIT- og ACER-forordninger. Forslagene er fremsat med afsæt i
den energikrise, som opstod i Europa i 2022, og de ekstraordinært høje energipriser, der især var til stede i 2022. Re-
visionen af EU’s elmarkedsdesign har bl.a. til formål at sikre bedre forbrugerbeskyttelse, skabe mere stabile og forud-
sigelige elpriser og styrke investeringer i vedvarende energi. Reformen indfører alene målrettede justeringer, og de
centrale principper i det eksisterende design fastholdes og bygges ovenpå. EU har generelt set en velfungerende
markedsmodel for el, som er med til at sikre forsyningssikkerheden i EU og understøtte investeringer i vedvarende
energi og den mest effektive produktion af el til lavest mulige priser, hvilket generelt har været med til at sikre lave
elpriser. Det var dermed ikke det europæiske markedsdesign, som lå til grund for de stigende elpriser i 2021 og 2022
på tværs af Europa, men derimod eksterne chok på eludbuddet.
Revisionen af REMIT- og ACER-forordningerne har fokus på at styrke kontrollen, herunder også ACER’s (det europæi-
ske agentur for energiregulatorer) rolle, i forhold til forsøg på markedsmanipulation over grænserne. For regeringen
er det centralt, at revisionen af EU’s elmarkedsdesign fokuserer på målrettede justeringer, der fastholder elmarkedets
centrale principper. Regeringen er overordnet positiv over for forslagets formål om at øge forbrugerbeskyttelsen,
styrke rammerne for fleksibilitet samt øge investeringer i vedvarende energi og forbedre integrationen heraf i elsyste-
met. Forslagene om en elmarkedsreform forhandles fortsat i EU.
Grøn industripolitik i EU
I EU har industripolitikken fået fornyet fokus med det formål at sikre europæisk konkurrenceevne, understøtte egen-
produktion i Europa, nedbringe kritiske afhængigheder og understøtte en hurtig omstilling af den europæiske industri
til at opnå klimaneutralitet. Den 1. februar 2023 præsenterede EU-Kommissionen en grøn industriplan,
A Green Deal
Industrial Plan for the Net-Zero Age.
Planen fastsætter EU-Kommissionens industripoliske prioriteter for den grønne
omstilling i lyset af stigende global strategisk konkurrence om knappe ressourcer og nødvendigheden af en stærk
grøn europæisk industri for at realisere de fastlagte klimamål om klimaneutralitet senest i 2050.
Boks 6.4
Net Zero Industry Act (NZIA) og Critical Raw Materials Act (CRMA)
På baggrund af den grønne industriplan har EU-Kommissionen den 16. marts 2023 fremsat to forslag. For-
ordningen om Nettonulindustri,
Net Zero Industry Act (NZIA),
der skal understøtte produktionen af elementer
og teknologier, som er centrale for den grønne omstilling, og forordningen om kritiske råstoffer,
Critical Raw
Materials Act (CRMA),
der skal sikre EU's adgang til en sikker, diversificeret og mere bæredygtig forsyning af
kritiske råstoffer. Begge forslag forhandles fortsat i EU. Regeringen arbejder generelt for en mere robust in-
dustripolitik, der sikrer gode rammevilkår for den grønne omstilling, ved at fokusere på at mindske kritiske
afhængigheder og målrettet fremme grønne teknologier og deres produktionsfaciliteter i Europa, som er
særligt vigtige for at komme i mål med den grønne omstilling. Forslaget forhandles fortsat i EU.
Kommissionens forslag til NZIA lægger op til at fastsætte en række krav for medlemslandene til at sikre
simplere og kortere procedurer for anlægstilladelser til virksomheder, der producerer grønne løsninger. Her-
udover indeholder forslaget også tiltag, der skal fremme miljømæssig bæredygtighed og europæisk konkur-
renceevne i udbud, samt en udpegelse af særligt vigtige strategiske teknologier.
TRU, Alm.del - 2023-24 - Endeligt svar på spørgsmål 261: MFU spm. om ministeren vil oversende en opdateret oversigt over de klimabegrundede initiativer, der på nationalt og europæisk niveau får betydning på transportområdet inden for de kommende ca. 5 år
2841680_0062.png
62
KLIMAPROGRAM 2023
7. Tekniske veje til målopfyl-
delse
Der eksisterer en lang række nye og kendte teknologier, der kan bidrage med nye drivhusgasreduktioner i Dan-
mark.
De tekniske reduktionspotentialer af disse teknologier vurderes markant at overstige den resterende reduk-
tionsmanko på ca. 5,4 mio. ton CO
2
e i 2030. Dette års klimaprogram giver et første bud på en udvidelse af tidli-
gere klimaprogrammers analyse af de tekniske reduktionspotentialer ved at tilføje de dertilhørende privatøkono-
miske omkostninger ved potentialerne. De privatøkonomiske omkostninger viser omkostninger fra privataktørens
synspunkt (det vil sige virksomheden eller borgeren), og adskiller sig fra samfundsøkonomiske omkostninger,
som viser omkostningen for samfundet (og inkluderer omkostninger for staten, geneomkostninger og eksternali-
teter fx miljøomkostninger). De privatøkonomiske omkostninger kan således være meget forskellige fra de sam-
fundsøkonomiske omkostninger fx hvis brugen af teknologien giver anledning til et statsligt afgiftstab eller et nyt-
tetab for brugeren, der skal kompenseres for at teknologien tages i brug. I vurderingerne er der ikke taget højde
for hvordan omstillingen evt. kan fremmes ved politiske virkemidler, herunder de økonomiske konsekvenser her-
ved samt om implementeringen af virkemidler kan ske juridisk (herunder inden for EU-retten) og om det tidsmæs-
sigt kan realiseres inden 2030. Analysen kan således
ikke
bruges til at give information om den samfundsøkono-
misk mest omkostningseffektive opnåelse af klimamålene, og kan dermed ikke bruges som beslutningsgrundlag
for klimapolitikken. Analysen udgør dog et element i at analysere de samfundsøkonomiske omkostninger forbun-
det med virkemidler, som kan realisere teknologiernes potentialer. Der arbejdes således videre med at konsoli-
dere analysemetode samt forudsætninger og antagelser både i forhold til at opgøre de privatøkonomiske om-
kostninger. Derudover arbejdes der videre med at videreudvikle metoden, så der kan udvikles skøn for de sam-
fundsøkonomiske omkostninger, hvorved der kan tilvejebringes et egentligt grundlag for at vurdere omkostnings-
effektiviteten ved forskellige veje til målopfyldelse.
Givet de store reduktionspotentialer er der flere veje til målopfyldelsen i 2030, og realisering af klimamålene er
dermed ikke afhængig af enkeltstående teknologier.
Hvis én eller flere af teknologierne viser sig ikke at kunne
bidrage med den skønnede effekt i forhold til målopfyldelse, er det teknisk muligt at nå reduktioner andre steder.
Det vil dog kræve en vurdering af de økonomiske konsekvenser samt afklaring af eventuelle juridiske og imple-
menteringsmæssige udfordringer. Med udgangspunkt i analysen af reduktionspotentialer og omkostninger kon-
strueres forskellige eksempler på, hvordan målopfyldelse teknisk kan nås, såfremt fx at udrulningen af CCS for-
sinkes i forhold til det forudsatte.
For at realisere de opgjorte tekniske reduktionspotentialer er det nødvendigt at implementere politiske virke-
midler, som fremmer omstillingen.
Reduktionseffekten af opgjorte tekniske potentialer vil først blive realiseret på
det tidspunkt, hvor fx erhverv og husholdninger ændrer deres adfærd mod mere klimavenlige og bæredygtige løs-
ninger. Flere skal fx købe en elbil frem for en benzinbil, for at der sker yderligere elektrificering i vejtransporten.
Denne adfærdsændring kan udløses gennem mange forskellige kanaler (fx afgifter, tilskud eller krav), og forskel-
lige virkemidler vil have forskellige samfunds- og privatøkonomiske konsekvenser. Overordnet set er ensartede
incitamenter til drivhusgasreduktion den samfundsøkonomisk mest omkostningseffektive måde at nå drivhus-
gasreduktioner. Med ensartede incitamenter er der samme prissignal på tværs af teknologier, hvormed de tekno-
logier, som er billigst for de enkelte virksomheder og husholdninger mv., vil blive gennemført.
Tekniske reduktionspotentialer og privatøkonomiske omkostninger
Analysen i dette års klimaprogram viser et første bud på en tilnærmelsesvis fuld teknisk omstilling af drivhusgas-
udledningerne fra det danske energiforbrug inklusive udvalgte potentialer for at reducere ikke-CO
2
-udledninger i
landbrugssektoren
5
, samt de privatøkonomiske omkostninger herved. Analysen kan bruges til at opstille en pri-
vatøkonomisk marginal reduktionsomkostningskurve (en såkaldt privatøkonomisk MAC-kurve), hvori teknologier
5
Dvs. drivhusgasudledninger, som ikke er CO
2
fx metan eller lattergas.
TRU, Alm.del - 2023-24 - Endeligt svar på spørgsmål 261: MFU spm. om ministeren vil oversende en opdateret oversigt over de klimabegrundede initiativer, der på nationalt og europæisk niveau får betydning på transportområdet inden for de kommende ca. 5 år
2841680_0063.png
KLIMAPROGRAM 2023
63
rangordnes efter privatøkonomisk omkostning. De privatøkonomiske omkostninger indebærer tekniske omkost-
ninger ved de grønne løsninger og evt. afgiftsændringer i forhold til det fossile udgangspunkt. Dermed beskues
omkostningerne fra den private aktørs synspunkt (fx virksomhedens eller borgerens). Analysen er som nævnt en
første analyse, og der arbejdes videre med metodeudviklingen og konsolidering af forudsætninger og antagelser
både i forhold til skøn for de privatøkonomiske omkostninger, men også i forhold til på længere sigt at videreud-
vikle metoden i retning af samfundsøkonomiske omkostninger.
En MAC-kurve kan være med til at kvalificere arbejdet med, at identificere mulige veje til målindfrielse. Det skal
dog bemærkes, at de privatøkonomiske omkostninger ved omstillingen ikke giver et retvisende billede for de
samfundsøkonomiske omkostninger ved et politisk virkemiddel, som fremmer omstillingen. Der kan samtidig
være meget stor forskel på de privatøkonomiske og samfundsøkonomiske omkostninger. Som eksempel herpå
kan nævnes elbiler, idet der i gennemsnit med nuværende afgiftsstrukturer med stor usikkerhed skønnes en pri-
vatøkonomisk gevinst ved, at privatpersoner køber en elbil frem for en benzin- eller dieselbil. Den samfundsøko-
nomiske omkostning ved at implementere et virkemiddel, som tilskynder det valg yderligere (ud over eksisterende
afgiftsstrukturer) vil dog bl.a. inkludere en yderligere markedsforvridning, idet der fx skal tages højde for, at elbiler
og fossil- og dieselbiler ikke nødvendigvis kan anses som perfekte substitutter på markedet. Det skal ligeledes
ses i forhold til, at det med nuværende afgiftsstrukturer vurderes, at forskellen i beskatningen af fossile biler og
elbiler allerede langt overstiger forskellen i de samfundsøkonomiske eksterne omkostninger (bl.a. støj, luftforure-
ning og CO
2
e-udledning).
6
På baggrund af analysen skønnes der at være tekniske reduktionspotentialer på i alt ca. 18,9 mio. ton CO
2
e i 2030
i energi-, forsyning-, affald-, industri- og transportsektorerne,
jf. figur 7.1
og
tabel 7.1.
Analysen viser, at der er stor
variation i de privatøkonomiske omkostninger for forskellige teknologier. I transportsektoren varierer det fx fra -
3.450 kr. pr. ton (dvs. en privatøkonomisk gevinst) til 4.300 kr. per ton (en privatøkonomisk omkostning). Det
skønnede reduktionspotentiale svarer til ca. 140 pct. af den skønnede drivhusgasudledning i 2030 i disse sekto-
rer. Reduktionspotentialet på over 100 pct. dækker over, at der i nogle sektorer er større potentialer end udlednin-
ger, idet der er potentiale for CCS på biogene CO
2
-udledninger, mens der i andre sektorer er mindre tekniske po-
tentialer end drivhusgasudledningen.
Det tekniske reduktionspotentiale for elbiler i persontransporten på ca. 5,7 mio. ton CO
2
e med en skønnet privat-
økonomisk
gevinst
på 3.450 kr. pr. ton skyldes, at det over bilens levetid skønnes at være billigere at købe, eje og
køre en elbil frem for en benzin- eller dieselbil set fra privatpersonens synspunkt i gennemsnit.
7
Det skyldes i høj
grad de nuværende afgiftsstrukturer på bl.a. registreringsafgiften og benzin- og dieselafgifter, som giver et incita-
ment til køb af elbiler, men som samtidig medfører store statsfinansielle konsekvenser ved skift fra benzin- og
dieselbiler til elbiler. Det er også den væsentligste grund til, at den samfundsøkonomiske skyggepris ved ændrin-
gerne i
Aftale om grøn omstilling af vejtransporten
blev skønnet til 2.600 kr. pr. ton og dermed giver anledning til
en samfundsøkonomisk
omkostning
og ikke en gevinst.
8
Alt andet lige burde en identificeret privatøkonomisk
gevinst føre til omstilling uden yderligere incitamenter. Men den opgjorte gevinst afspejler en gennemsnitsbe-
tragtning, og at der må forventes at være stor variation i den enkelte bilist konkrete omkostninger. Skønnet bl.a.
for så vidt angår de løbende omkostninger for elbiler er behæftet med betydelig usikkerhed og der beregningstek-
nisk er forudsat fuld scrap-værdi af velfungerende benzin- og dieselbiler. Der er endvidere ikke indregnet eventu-
elle geneomkostninger mv. fx i form af evt. dårlige lademuligheder for den enkelte bilist.
For landbrug- og skovbrugssektoren er der identificeret tekniske potentialer – hvor der pt. er relativt konsolide-
rede skøn for de privatøkonomiske omkostninger – på i alt 2,1 mio. ton CO
2
e (hvilket svarer til ca. 14 pct. af de
skønnede drivhusgasudledninger i 2030). Dette identificerede potentiale udgør dog kun den andel af kendte tek-
nologier, hvor både størrelsen på potentialet og omkostningen kan skønnes over. Der er en række yderligere
kendte teknologier, hvor størrelsen på potentialet og/eller omkostninger er under afklaring (bl.a. økologi, lav-
bundsjorde og pyrolyse). Der arbejdes løbende på at konsolidere størrelsen på de tekniske reduktionspotentialer
og deres omkostninger.
Skatteministeriet (2021)
Skatteøkonomisk Redegørelse 2021:
Kapitel 8.
Der er ikke taget højde for eventuelle omkostninger ved at udskifte en nuværende fossil bil med en elbil. Det er således beregningstek-
nisk antaget, at det er muligt at sælge en nuværende fossil bil til udlandet til afskrivningsværdien.
8
Skatteministeriet (2021)
Skatteøkonomisk Redegørelse 2021:
Kapitel 8.
6
7
TRU, Alm.del - 2023-24 - Endeligt svar på spørgsmål 261: MFU spm. om ministeren vil oversende en opdateret oversigt over de klimabegrundede initiativer, der på nationalt og europæisk niveau får betydning på transportområdet inden for de kommende ca. 5 år
2841680_0064.png
64
KLIMAPROGRAM 2023
Samlet set er der identificeret tekniske potentialer (med kendte omkostninger) for i alt ca. 21 mio. ton CO
2
e. Det
svarer til ca. 70 pct. af de skønnede totale danske drivhusgasudledninger i 2030 og til en reduktion på ca. 90 pct. i
2030 i forhold til 1990. Der er således identificeret flere tekniske reduktionspotentialer end den skønnede redukti-
onsmanko til 70 pct. målet i 2030 på 5,4 mio. ton CO
2
e. Hertil kommer tekniske potentialer i bl.a. landbrug- og
skovbrugssektoren, hvor der fortsat er væsentlig usikkerhed om omkostninger.
Det skal bemærkes, at dette overblik over tekniske potentialer og privatøkonomiske omkostninger ikke kan bru-
ges til at give information om den samfundsøkonomisk mest omkostningseffektive opnåelse af klimamålene, og
analysen kan dermed ikke bruges som beslutningsgrundlag for klimapolitikken. Dette skyldes bl.a., at der er for-
skel på privatøkonomiske og samfundsøkonomiske omkostninger, jf. ovenfor. Analysen udgør dog et element i at
analysere de samfundsøkonomiske omkostninger forbundet med virkemidler, som kan realisere teknologiernes
potentialer. Der vil således blive arbejdet videre med analysen for at konsolidere skønnene for de privatøkonomi-
ske omkostninger samt i fremtiden i højere grad også at kunne belyse de samfundsøkonomiske omkostninger
ved indfrielsen af reduktionspotentialerne.
Figur 7.1
Tekniske reduktionspotentialer og privatøkonomiske omkostninger
Kr. per ton
5.000
4.000
3.000
2.000
1.000
0
-1.000
-2.000
-3.000
-4.000
1
2
3
4
5
6
7
8
9
10 11 12 13 14 15 16 17 18 19 20 21 22 23 24
Mio. t. CO2e
Landbrug og skovbrug
Transport
Affald
Industri
Energi og forsyning
Tabel 7.1
Tekniske reduktionspotentialer og privatøkonomiske omkostninger i 2030
Sektor og teknologi
Energi og forsyning
Husholdninger: Varmepumper
Serviceerhverv: Varmepumper
El- og fjernvarmeproduktion: CCS
Teknisk potentiale
(mio. ton CO
2
e)
4,7
0,09
0,03
4,43
Privatøkonomisk om-
kostning (kr. per ton)
1.200
1.200
1.400
TRU, Alm.del - 2023-24 - Endeligt svar på spørgsmål 261: MFU spm. om ministeren vil oversende en opdateret oversigt over de klimabegrundede initiativer, der på nationalt og europæisk niveau får betydning på transportområdet inden for de kommende ca. 5 år
2841680_0065.png
KLIMAPROGRAM 2023
65
El- og fjernvarmeproduktion: Grønne brændstoffer (og
grøn brint)
Industri
Biogasanlæg: CCS
Fremstillingserhverv: Varmepumper
Raffinaderier (inkl. flaring): CCS
Fremstillingserhverv: Energieffektiviseringer
Fremstillingserhverv: Omstilling til ledningsgas
Fremstillingserhverv: Biomasse & alternative brændsler
Fremstillingserhverv: Elkedler, elvarme, direkte el & bat-
terier
Raffinaderier (inkl. flaring): Omstilling til ledningsgas
Raffinaderier (inkl. flaring): Elkedler, elvarme, direkte el &
batterier
Bygge-anlæg: Energieffektiviseringer
Fremstillingserhverv: CCS
Bygge-anlæg: Elkedler, elvarme, direkte el & batterier
Fremstillingserhverv: Grønne brændstoffer (og grøn
brint)
Bygge-anlæg: Grønne brændstoffer (og grøn brint)
Udvinding (inkl. flaring): Elkedler, elvarme, direkte el &
batterier
Affald
Affaldsforbrænding: CCS
Transport
Personbiler (inkl. taxi): Elbiler
Lastbiler: Ellastbiler
Færger: Elfærger
Færger: Grønne brændstoffer (og grøn brint)
Busser: Grønne brændstoffer (og grøn brint)
Fritidsfartøjer: Grønne brændstoffer (og grøn brint)
Grænsehandel: Grønne brændstoffer (og grøn brint)
Varebiler: Grønne brændstoffer (og grøn brint)
Motorcykler: Grønne brændstoffer (og grøn brint)
Indenrigsluftfart: Grønne brændstoffer (og grøn brint)
Landbrug, skovbrug, gartneri og fiskeri
Energirelaterede udledninger: Varmepumper
Teltoverdækning + flydelag
0,10
1.500
4,3
1,40
0,01
0,20
0,02
0,18
0,06
0,04
0,19
0,19
0,03
0,90
0,09
0,17
0,19
0,66
460
550
600
625
675
675
825
900
900
950
1.000
1.050
1.275
1.700
1.800
2,6
2,59
10,1
5,68
1,28
0,04
0,31
0,19
0,09
0,81
1,53
0,05
0,08
2,1
0,01
0,16
125
400
-3.450
1.700
1.700
2.000
2.300
2.400
2.400
2.500
3.700
4.300
1.450
TRU, Alm.del - 2023-24 - Endeligt svar på spørgsmål 261: MFU spm. om ministeren vil oversende en opdateret oversigt over de klimabegrundede initiativer, der på nationalt og europæisk niveau får betydning på transportområdet inden for de kommende ca. 5 år
2841680_0066.png
66
KLIMAPROGRAM 2023
Metanreducerende foder
1
Energirelaterede udledninger: Energieffektiviseringer
Staldforsuring, kvæg
Energirelaterede udledninger: Biomasse & alternative
brændsler
Nitrifikationshæmmere
2
Fiskeri: Grønne brændstoffer (og grøn brint)
Energirelaterede udledninger: Grønne brændstoffer (og
grøn brint)
Gyllekøling
Pyrolyse, lavbund, økologi ect.
Total (minimum)
Heraf CCS-potentialer indregnet i KF23 sfa. CCUS-,
NECCS- og GSR-pulje.
Tekniske reduktionspotentialer i alt
0,51
0,02
0,04
0,02
0,54
0,23
0,52
0,02
Afklaring udestår
23,7
2,8
425
550
820
825
1.250
2.000
2.400
4.700
Afklaring udestår
20,9
Anm.: Generelt er de tekniske reduktionspotentialerne forbundet med en betydelig usikkerhed, idet der ikke tages stilling til nørmere forhold og implika-
tioner i forbindelse med evt. implementering af enkelte omstillingselementer, herunder de juridiske, tekniske og praktiske forhold.
1.
Inkluderer kun metanreducerende foder, hvor både potentiale og omkostninger er kendt - i dette tilfælde Bovaer.
Klimaeffekten ved anven-
delse af Bovaer under danske forhold er usikker og forventes først endeligt konsolideret i 2024.
2. Klimaeffekten for nitrifikationshæmmere, samt miljøeffekter ved anvendelse, under danske forhold, er usikker og forventes først endeligt kon-
solideret i 2024.
Kilde: Klima-, Energi- og Forsyningsministeriet
Metodisk tilgang og afgrænsning
Analysen giver et første bud på en oversigt over hvilke tekniske reduktionspotentialer, der kan ligge i en tilnærmel-
sesvis fuld teknisk omstilling af det danske samfund i 2030 fordelt på teknologier og sektorer. Der er dog ikke en
udtømmende liste af mulige tekniske løsninger, hvorfor der vil være andre teknologier, der kan bringes i spil. Til-
svarende er det konkrete potentiale usikkert. Fx i fremstillingserhverv kan det privatøkonomisk opgjorte potenti-
ale knyttet til energieffektivisering (omstilling til biomasse, varmepumpe mv.), ved de givne omkostninger reelt
være anderledes, og det kan vise sig, at en anden fordeling mellem de tekniske virkemidler vil være det mest om-
kostningseffektive for virksomhederne. Analysens formål er at belyse, hvilken rolle forskellige teknologier kan
spille i omstillingen, ved at vise potentialer i en tilnærmelsesvis fuld teknisk omstilling af alle aktiviteter, som for-
årsager drivhusgasudledninger i 2030, samt at skønne de privatøkonomiske omkostninger forbundet hermed. Der
arbejdes således videre med at konsolidere analysemetode samt forudsætninger og antagelser.
Analysen indeholder en række forskellige underanalyser, der tilsammen præsenterer et samlet billede af en mulig
tilnærmelsesvis fuld teknisk omstilling af det danske samfund med udgangspunkt i brugen af forskellige teknolo-
gier på tværs af sektorer. Analysen forsøger således ikke at give et indblik i mulige strukturelle omstillinger. I ste-
det fastholdes aktivitetsniveauet, som er udtrykt ved efterspørgslen efter forskellige energitjenester. Analysen
laves i forhold til de skønnede udledninger og aktiviteter i 2030 som skønnet i
Klimastatus og –fremskrivning
2023.
Reduktionspotentialer i land- og skovbrugssektoren er uddybet i boks 7.1.
For hvert teknisk reduktionspotentiale (dvs. for hver anvendt teknologi i hver sektor) er der skønnet de privatøko-
nomiske omkostninger ved realiseringen af potentialet. De privatøkonomiske omkostninger viser omkostningen
fra markedsaktørens synspunkt (fx en virksomhed eller en privatperson). Det inkluderer fx sparede afgifter (her-
under fx benzinafgifter eller energiafgifter) og sparede udgifter afholdt i forbindelse med køb og salg af CO
2
e-
kvoter.
9
Omkostningerne er opgjort som de annuiserede omkostninger ved reduktionspotentialet for at tage højde
Besparelser af selskabsskat og andre skatter (herunder specielt brint-ilte beskatningen), der er baseret på virksomhedens overskud, er
ikke inkluderet.
9
TRU, Alm.del - 2023-24 - Endeligt svar på spørgsmål 261: MFU spm. om ministeren vil oversende en opdateret oversigt over de klimabegrundede initiativer, der på nationalt og europæisk niveau får betydning på transportområdet inden for de kommende ca. 5 år
2841680_0067.png
KLIMAPROGRAM 2023
67
for, at der kan være afholdt investerings- eller ophørsomkostninger, som ikke falder i 2030. Skønnene gør det mu-
ligt at beregne de gennemsnitlige privatøkonomiske omkostninger ved de enkelte teknologier pr. reduceret ton
CO
2
e i 2030.
Omkostningsskønnene tager ikke højde for hverken sideeffekter (herunder eksternaliteter mv.) eller tab for andre
aktører i samfundet (herunder afledt afgiftstab). Omkostningerne kan dermed ikke sammenlignes med sam-
fundsøkonomiske omkostninger og skyggepriser. Disse kan for mange tekniske potentialer være betydeligt
større. Samtidig anvises der ikke konkrete politiske virkemidler til at realisere potentialerne (fx forøgelse af CO
2
-
afgifter). De samfundsøkonomiske omkostninger ved at realisere et teknisk reduktionspotentiale kan variere be-
tydeligt afhængig af det konkrete virkemiddel. Fx vil afgifter i mange tilfælde medføre lavere samfundsøkonomi-
ske omkostninger end et forbud, krav eller tilskud.
Det skal bemærkes, at nærværende analyse af tekniske reduktionspotentialer har en række forskelligheder i for-
hold til tidligere års klimaprogrammers analyse af tekniske reduktionspotentialer. Tidligere års analyse af redukti-
onspotentialer har vist partielle skøn for en længere række teknologier og løsningers isolerede tekniske redukti-
onspotentialer, hvor der ses bort fra omkostninger og overlap til andre potentialer (der blev dog taget højde for
overlap, når de forskellige potentialer blev summeret). Nærværende analyse viser ét bud på en tilnærmelsesvis
fuld teknisk omstilling, hvori der er taget højde for overlap mellem forskellige teknologier i specifikke sektorer.
Der er generelt taget udgangspunkt i, at de privatøkonomisk billigere potentialer bruges før de privatøkonomisk
dyrere potentialer. Dermed er potentialerne for de enkelte teknologier i dette års klimaprogram ikke udtryk for det
maksimalt tænkelige potentiale for teknologien og kan dermed ikke direkte sammenlignes med potentialer i tidli-
gere års klimaprogrammer. Dertil vil der i dette års analyse som udgangspunkt ikke fremgå reduktionspotentialer
på teknologier i konkrete sektorer, såfremt billigere teknologier skønnes at kunne reducere samme udledning.
Dette gælder fx for grønne brændstoffer i personbiler, hvor elbiler skønnes at kunne indfri samme potentiale pri-
vatøkonomisk billigere.
Boks 7.1
Reduktionspotentialer i land- og skovbrugssektoren
Med
Aftale om grøn omstilling af dansk landbrug
blev S, V, SF, RV, EL, K, NB, LA og KD enige om at iværk-
sætte et udviklingsspor, hvor det samlede reduktionspotentiale blev vurderet til ca. 5 mio. ton CO
2
e i 2030
jf.
tabel 7.2.
Tabel 7.2
Reduktionspotentialer i landbrugs- og skovbrugssektoren (ekskl. energirelaterede
udledninger)
Udviklingstiltag
Brun bioraffinering (strategi)
Gyllehåndtering (strategi)
Metanreducerende foder (fx fodertilsætning)
(strategi)
Fordobling af økologi (strategi)
Udvidet lavbundspotentiale
Kilde: Ministeriet for Fødevarer, Landbrug og Fiskeri og Klima-, Energi-, og Forsyningsministeriet
Landbrugsaftale
2
1
1
0,5
0,5
Indsatser (september 2023)
Under afklaring
1,2
0,8
Under afklaring
Under afklaring
Vurderingerne af de tekniske reduktionspotentialer i landbrugssektoren er under løbende konsolidering i
takt med at bl.a. nye strategier præsenteres og nye forskningsresultater foreligger. Regeringen har netop
præsenteret strategierne for de tekniske reduktionspotentialer inden for metanreducerende foder og gylle-
og gødningshåndtering. Her er potentialerne opdateret fra 1 mio. ton til henholdsvis 0,8 og 1,2 mio. ton
CO
2
e i 2030. Dermed er det samlede potentiale for de to teknologiområder fortsat ca. 2 mio. ton CO
2
e i
2030.
TRU, Alm.del - 2023-24 - Endeligt svar på spørgsmål 261: MFU spm. om ministeren vil oversende en opdateret oversigt over de klimabegrundede initiativer, der på nationalt og europæisk niveau får betydning på transportområdet inden for de kommende ca. 5 år
2841680_0068.png
68
KLIMAPROGRAM 2023
Strategierne for brun bioraffinering (pyrolyse)og økologi er under udarbejdelse, hvorfor en opdatering af
potentialerne inden for de områder forsat er under konsolidering. Arbejdet med at øge det tekniske potenti-
ale for lavbundsjorder indgår i arbejdet for ekspertgruppen for udtagning af lavbundsjorder, som blev ned-
sat med landbrugsaftalen. Ekspertgruppen har afleveret første delrapport i 2023 og skal aflevere anden
delrapport i andet halvår af 2023.
I de tekniske potentialer for
Klimaprogram 2023
er der alene inkluderet teknologier, hvor både potentialer
og tekniske omkostninger er kendte. Inden for metanreducerende foder inkluderer det fodertilsætnings-
stoffet Bovaer med et potentiale på 0,51 mio. ton CO
2
e. For håndtering af gylle og gødning inkluderes nitri-
fikationshæmmere, staldforsuring, gyllekøling samt teltoverdækning med flydelag med et potentiale på
henholdsvis 0,54, 0,04, 0,02 og 0,16 mio. ton CO
2
e.
Strategiernes vurdering af det fulde tekniske potentiale omfatter således en række yderligere kendte tekno-
logier, hvor omkostninger endnu ikke kendes med tilstrækkelig sikkerhed. Der arbejdes løbende på at kon-
solidere størrelsen på de tekniske reduktionspotentialer og deres omkostninger.
Eksempler på forskellige tekniske veje til målopfyldelse
Da de tekniske reduktionspotentialer overstiger reduktionsmankoen til 2030-målet betyder det, at der er flere veje
til at indfri 70 pct. målet. Underliggende samfundstendenser og uforudset teknologisk udvikling kan spille en cen-
tral rolle for fremtidens klimapolitik. For at vise, at der ikke kun er én vej til at indfri 70 pct. målet i 2030, opstilles
en række eksempler, der viser forskellige tekniske muligheder for, hvordan målopfyldelse i 2030 kan indfries. Det
bemærkes, at det er eksempler, og at der vil være andre mulige veje til en teknisk omstilling, ligesom der kan gen-
nemføres strukturelle tiltag. Der er i de tekniske muligheder ikke beregnet samfundsøkonomiske omkostninger
ved de forskellige tekniske veje, herunder afledte afgiftstab, præferencer for virksomheder og forbruger mv. Over-
ordnet set bemærkes, at ensartede prissignaler vil medføre den samfundsøkonomisk mest omkostningseffektive
omstilling, hvormed virksomheder og husholdninger gennemfører det tiltag, der for dem, er de billigste.
Muligheder for målopfyldelse såfremt der ses bort fra land- og skovbruget
Regeringen har allerede anvist den primære vej til at opfylde 2030-målet, idet regeringen vil fremlægge et forslag
til en klimaafgift på landbruget, når Ekspertgruppen for en Grøn skattereform har fremlagt deres konklusioner.
Klimaafgiften skal sikre implementering af udviklingssporet og opfyldelse af det bindende reduktionsmål for land-
og skovbrugssektoren på 55-65 pct. i 2030 i forhold til 1990. Reduktionsmankoen til opfyldelsen af landbrugsmå-
let er med
Klimastatus og –fremskrivning 2023
skønnet til ca. 5,1-7,2 mio. ton CO
2
e, hvormed reduktionsmankoen
til 70 pct. målet i 2030, der skønnes at være ca. 5,4 mio. ton, ligger en smule højere end den nedre del af spændet.
De identificerede tekniske potentialer i land- og skovbrugssektoren (hvor de privatøkonomiske omkostninger er
kendt) har et samlet reduktionspotentiale på alt 2,1 mio. ton CO
2
e,
jf. tabel 7.1.
Dertil kommer yderligere potentia-
ler (pyrolyse, lavbund, økologi mv.), som er under afklaring. Såfremt der ses bort fra de tekniske potentialer i land-
og skovbrugssektoren, udgør det resterende analyserede reduktionspotentiale ca. 18,9 mio. ton CO
2
e, når der fra-
regnes de CCS-potentialer, som allerede er indregnet i
Klimastatus og –fremskrivning 2023
sfa. CCUS-, NECCS- og
GSR-puljerne. Potentialet er således væsentligt større end reduktionsmankoen på 5,4 mio. ton CO
2
e,
jf. figur 7.2.
TRU, Alm.del - 2023-24 - Endeligt svar på spørgsmål 261: MFU spm. om ministeren vil oversende en opdateret oversigt over de klimabegrundede initiativer, der på nationalt og europæisk niveau får betydning på transportområdet inden for de kommende ca. 5 år
2841680_0069.png
KLIMAPROGRAM 2023
69
Figur 7.2
Tekniske reduktionspotentialer såfremt der ses bort fra land- og skovbrugssekto-
ren
Kr. per ton
5.000
4.000
3.000
2.000
1.000
0
-1.000
-2.000
-3.000
-4.000
1
2
3
4
5
6
7
8
9
10
11
12
13
14
15
16 17
18
19
20 21
22
Mio. t. CO2e
Transport
Affald
Industri
Energi og forsyning
Muligheder for målopfyldelse i transportsektoren
Transportsektoren skønnes at have et samlet reduktionspotentiale på 10,1 mio. ton CO
2
e i 2030, hvilket svarer til
ca. 95 pct. af de skønnede drivhusgasudledninger i transportsektoren i 2030. Potentialet for elbiler i persontrans-
port udgør mere end halvdelen af det samlede potentiale, hvilket bygger på en antagelse om fuld omstilling af den
danske bilpark (privatbilisme) i 2030. En indfrielse af hele reduktionspotentialet for elbiler skønnes (med nuvæ-
rende aftaler om fremtidige afgiftsstrukturer) at give anledning til et betydeligt statsligt provenutab på knap 30
mia. kr. om året i 2030, hvilket svarer til ca. 2,5 pct. af statens samlede indtægter i 2022.
Der er således et større teknisk reduktionspotentiale alene i transportsektoren end reduktionsmankoen på 5,4
mio. ton CO
2
e,
jf. figur 7.3.
TRU, Alm.del - 2023-24 - Endeligt svar på spørgsmål 261: MFU spm. om ministeren vil oversende en opdateret oversigt over de klimabegrundede initiativer, der på nationalt og europæisk niveau får betydning på transportområdet inden for de kommende ca. 5 år
2841680_0070.png
70
KLIMAPROGRAM 2023
Figur 7.3
Tekniske reduktionspotentialer i transportsektoren
Kr. per ton
5.000
4.000
3.000
2.000
1.000
0
-1.000
-2.000
-3.000
-4.000
1
2
3
4
5
6
7
8
9
10
11
Mio. t. CO2e
Personbiler (inkl. taxi): Elbiler
Lastbiler: Ellastbiler
Færger: Elfærger
Færger: Grønne brændstoffer (og grøn brint)
Busser: Grønne brændstoffer (og grøn brint)
Fritidsfartøjer: Grønne brændstoffer (og grøn brint)
Grænsehandel: Grønne brændstoffer (og grøn brint)
Varebiler: Grønne brændstoffer (og grøn brint)
Motorcykler: Grønne brændstoffer (og grøn brint)
Indenrigsluftfart: Grønne brændstoffer (og grøn brint)
Som nævnt indledningsvist er potentialet for elbiler større end reduktionsmankoen og skønnes med betydelig
usikkerhed at have en privatøkonomisk
gevinst
på ca. 3.450 kr. pr. ton i gennemsnit. Dette svarer til ca. 6.000 kr. i
sparede omkostninger pr. bil per år. Disse besparelser drives af sparede afgifter i forhold til det fossile udgangs-
punkt i form af registreringsafgifter og energiafgifter på brændslet. Såfremt der ses bort fra afgiftsforskelle i den
gennemsnitlige omkostning ændres denne fra en
gevinst
på 3.450 kr. pr. ton til en
omkostning
på 1.400 kr. pr.
ton. Dette afspejler, at hvis der ingen afgifter eller registreringsafgifter var på hverken elbiler eller fossile biler (el-
ler at afgifterne var ens), vil det samlet set være dyrere at have en elbil frem for en benzin- eller dieselbil på trods
af lavere driftsomkostninger grundet elbilens gennemsnitlige højere pris.
Muligheder for målopfyldelse såfremt der ses bort fra yderligere CCS
Klimarådet har tidligere kritiseret, at der er usikkerhed om reduktionerne fra kommende CCS-udbud, da disse
endnu ikke er udbudt. Hvis det frem mod 2030 viser sig, at CCS som teknologi ikke kan bidrage med flere redukti-
oner end reduktionerne som følge af første udbud af CCUS-puljen, vil det potentielt både øge reduktionsmankoen
i forhold til 70 pct. målet fra ca. 5,4 mio. ton CO
2
e op til ca. 8,2 mio. ton CO
2
e, ligesom en række store reduktions-
potentialer i nærliggende analyse ikke længere er tilgængelige. I det tilfælde skønnes de tekniske reduktionspo-
tentiale reduceret fra ca. 21 mio. ton CO
2
e til ca. 14 mio. ton CO
2
e,
jf. figur 7.4.
Selv i det tilfælde er der således
væsentligt større reduktionspotentiale end reduktionsmankoen til 70 pct. målet.
Det vurderes dog at være meget usandsynligt, at yderligere CCS-udbud ikke bidrager til klimamålene. Dette skal
ses i lyset af, at det første CCS-udbud er afsluttet med en forpligtelse til at fange og lagre 0,43 mio. ton CO
2
fra
2026. Hertil kommer, at der er sat midler af til en række kommende CCS-udbud. Samtidig er der indgået
Aftale om
styrkede rammevilkår for CCS i Danmark,
der understøtter udviklingen af CCS-området og styrker sandsynligheden
for at de forudsatte reduktioner opnås.
TRU, Alm.del - 2023-24 - Endeligt svar på spørgsmål 261: MFU spm. om ministeren vil oversende en opdateret oversigt over de klimabegrundede initiativer, der på nationalt og europæisk niveau får betydning på transportområdet inden for de kommende ca. 5 år
2841680_0071.png
KLIMAPROGRAM 2023
71
Figur 7.4
Tekniske reduktionspotentialer eksklusive CCS-potentialer
Kr. per ton
5.000
4.000
3.000
2.000
1.000
0
-1.000
-2.000
-3.000
-4.000
Landbrug og skovbrug
Transport
Industri
Energi og forsyning
1
2
3
4
5
6
7
8
9
10
11
12
13
14
15
Mio. t. CO2e
Virkemidler og samfundsøkonomiske omkostninger
For at indfri tekniske reduktionspotentialer helt eller delvist, kan der iværksættes en række virkemidler. CO
2
e-ef-
fekten af opgjorte tekniske potentialer vil først blive realiseret på det tidspunkt, hvor erhverv og husholdninger
ændrer deres adfærd mod mere klimavenlige og bæredygtige løsninger. Flere skal fx købe en elbil frem for en
benzinbil for at reduktionspotentialet for elektrificering i vejtransporten realiseres. Der blev i
Klimaprogram 2022
gennemført samfundsøkonomiske beregninger for en længere række kendte virkemidler, som viste stor variation
i de samfundsøkonomiske omkostninger pr. ton (skyggepris), og at fordelingen af omkostningen på tværs af hus-
holdninger, erhverv og stat også kan være meget forskellig.
I dette års klimaprogram dykkes der dybere ned i konsekvenserne ved udvalgte virkemidler. Omkostningen ved
forskellige virkemidler kan som nævnt have meget forskellig karakter og ramme forskellige samfundsgrupper.
Disse forskelligheder er relevante i forhold til at belyse, i hvilken grad virkemidlerne flugter med klimalovens
guidende principper for klimaindsatsen. Nogle virkemidler vil fx medføre risiko for drivhusgaslækage (dvs. at ud-
landets drivhusgasudledninger stiger som følge af et drivhusgasreducerende tiltag i Danmark fx gennem udflyt-
ning af produktion), mens andre kan pålægge omkostninger på enkelte grupper. For at tydeliggøre forskellighe-
derne fokuseres der i dette års klimaprogram på følgende eksempler på tiltag:
Afgiftsforhøjelse på CO
2
e-udledning for industri mv.
Afgiftsforhøjelse på CO
2
e-udledning for rumvarme
Afgiftsforhøjelse på dieselafgift og modsvarende nedsættelse af udligningsafgift for dieselkøretøjer
Sænkelse af prisloftet for salg af affaldsvarme
Fremme af metanreducerende foder i landbrugssektoren
De samfundsøkonomiske vurderinger af de fem virkemidler følger Finansministeriets ”Vejledning i samfundsøko-
nomiske konsekvensvurderinger”,
jf. boks 7.2.
Derudover er der udarbejdet eksempelberegninger på, hvordan om-
kostninger kan ramme forskelligt på tværs af samfundet.
TRU, Alm.del - 2023-24 - Endeligt svar på spørgsmål 261: MFU spm. om ministeren vil oversende en opdateret oversigt over de klimabegrundede initiativer, der på nationalt og europæisk niveau får betydning på transportområdet inden for de kommende ca. 5 år
2841680_0072.png
72
KLIMAPROGRAM 2023
Boks 7.2
Samfundsøkonomiske omkostninger ved virkemidler (skyggepriser)
Den samfundsøkonomiske nettoomkostning ved et virkemiddel er summen af virkemidlets omkostninger
for alle medlemmer af samfundet fratrukket gevinsterne. Dette opdeles typisk i omkostninger for hus-
holdninger, erhverv og det offentlige. Herunder skal der tages højde for de forvridningseffekter, som virke-
midlet giver anledning til (fx dødsvægtstab).
CO
2
e-skyggeprisen er et centralt resultat af vurderingen af virkemidlet. Skyggeprisen beregnes som for
holdet mellem virkemidlets samfundsøkonomiske nettoomkostning (undtagen gevinsten forbundet med
selve CO
2
e-reduktionen) og den CO
2
e-reduktionen, som virkemidlet skønnes at medføre. Skyggeprisen
angiver dermed den gennemsnitlige pris, som samfundet betaler for at reducere CO
2
e-udledningerne med
et ton ved hjælp af det pågældende virkemiddel. Jo lavere skyggepris, jo mere omkostningseffektivt er
virkemidlet. Dermed kan skyggepriserne bruges til at bestemme hvilke virkemidler, der vil opfylde en given
målsætning om drivhusgasreduktion til den laveste samfundsøkonomiske omkostning.
En negativ skyggepris er udtryk for, at virkemidlet er samfundsøkonomisk rentabelt, selv i fravær af den
forbundne CO
2
e-reduktion.
Skyggepriserne er et øjebliksbillede i den forstand, at de afspejler de forventede omkostninger og effekter
ved nuværende teknologier. Skyggepriserne vil fx ændre sig, hvis den teknologiske udvikling betyder, at de
eksisterende indsatser bliver mere effektive eller billigere. Den teknologiske udvikling kan også betyde, at
der kommer nye virkemidler, der er mere omkostningseffektive (har lavere skyggepris). Det bemærkes
endvidere, at skyggeprisen ved et givent virkemiddel kan være meget følsom over for hvor stor en del af
det tekniske reduktionspotentiale, der sigtes mod at indfri, og at der generelt kan være stor usikkerhed
omkring både effekt- og omkostningsskøn.
Et virkemiddel der ændrer CO
2
e-udledningerne kan være forbundet med sideeffekter, som vil påvirke den
samfundsøkonomiske velfærd. Det kan fx dreje sig om miljømæssige sideeffekter fxreduceret udledning
af kvælstof til vandmiljøet, udledning af SO2, NOX og partikler til luft og forbedret biodiversitet. Sideeffek-
terne behøver ikke nødvendigvis at være positive, men kan også være negative. Værdien af sideeffekterne
er indregnet som en del af skyggeprisberegningen, medmindre andet er angivet.
TRU, Alm.del - 2023-24 - Endeligt svar på spørgsmål 261: MFU spm. om ministeren vil oversende en opdateret oversigt over de klimabegrundede initiativer, der på nationalt og europæisk niveau får betydning på transportområdet inden for de kommende ca. 5 år
2841680_0073.png
KLIMAPROGRAM 2023
73
De overordnede resultater af de samfundsøkonomiske beregninger af virkemidlerne fremgår af tabel 7.3. De ud-
dybes i efterfølgende underkapitler.
Tabel 7.3
Udvalgte virkemidlers CO
2
e-effekter og samfundsøkonomiske omkostninger
2023-priser
CO
2
e-reduktion,
mio. ton
2025
Afgiftsforhøjelse på 100
kr. pr. ton på CO
2
e-udled-
ning for industri mv.
Afgiftsforhøjelse på 100
kr. pr. ton på CO
2
e-udled-
ning for rumvarme
Afgiftsforhøjelse på die-
selafgift med 47 øre pr. li-
ter og modsvarende ned-
sættelse af udligningsaf-
gift for dieselkøretøjer
Sænkelse af prisloftet for
salg af affaldsvarme
Fremme af metanreduce-
rende foder (fx krav)
0,7
2030
0,7
Statsfinansielle
omkostninger,
mio. kr.
2025
-575
2030
-200
Erhverv, mio. kr.
2025
875
2030
575
Husholdninger,
mio. kr.
2025
0
2030
0
Skygge-
pris,
kr. pr.
ton CO
2
e
550
0,1
0,0
-150
-25
50
25
225
125
5.850
0,5
0,5
200
150
900
800
-
-
1.850
0,3
0,5
0,3
0,5
280
0
270
0
-80
250
-70
250
-180
-
-130
-
1.600
540
Kilde:Skatteministeriet; Klima-, Energi- og Forsyningsministeriet; og Ministeriet for Fødevarer, Landbrug og Fiskeri.
Afgiftsforhøjelse på 100 kr. pr. ton på CO
2
-udledning for industri mv. og rumvarme
Med
Aftale om grøn skattereform for industri mv.
indgået mellem den daværende regering (Socialdemokratiet),
Venstre, Socialistisk Folkeparti, Radikale Venstre og Det Konservative Folkeparti er det aftalt, at der skal indføres
en høj og mere ensartet CO
2
-afgift, som også skal udvides til områder, som efter gældende regler ikke er afgifts-
belagt.
Som en del af aftalen indgår det at indføre en CO
2
-afgift på 750 kr. pr. ton (2022-priser) for industri mv., som ikke
er omfattet af EU’s kvotehandelssystem og en afgift på 375 kr. pr. ton (2022-priser) for industri mv. omfattet af
kvotehandelssystemet
10
. For mineralogiske processer mv. indføres en CO
2
-afgift på 125 kr./ton (2022-priser).
Afgifterne indfases fra 2025 frem mod 2030. Afgifterne på rumvarme og vejtransport forhøjes ikke med aftalen
men omlægges, da de gældende afgifter (energi- og CO
2
-afgift) overstiger det aftalte niveau for industri mv. på
750 kr. pr. ton. For så vidt angår rumvarmeafgiften omlægges denne, sådan CO
2
-afgiften så vidt muligt forhøjes
til 750 kr. pr. ton, mens energiafgiften reduceres, så den samlede energi- og CO
2
-afgift for rumvarme fra naturgas
er uændret.
En yderligere forhøjelse af afgiften på udledninger fra industri mv. fra deres produktionsprocesser vil kunne bi-
drage til yderligere CO
2
-reduktioner. Der er regnet på yderligere forhøjelser af CO
2
-afgiften på 100 kr. pr. ton, dvs.
på en forhøjelse op til 850 kr. pr. ton uden for kvotesektoren, 475 kr. pr. ton inden for kvotesektoren og 225 kr. pr.
ton for mineralogiske processer mv. i 2030. Det er lagt til grund, at forhøjelserne på 100 kr. pr. ton indføres med
fuld virkning fra 2025. Forhøjelsen er beregningsmæssigt antaget at blive udmeldt i 2023.
En forhøjelse af CO
2
-afgiften på rumvarme vil tilsvarende kunne bidrage til CO
2
e-reduktioner. Rumvarme omfatter
udledninger fra individuel rumvarme (primært olie- og gasfyr) samt fra fjernvarmen inkl.
affaldsforbrændingsanlæg, og omfatter såvel husholdninger som erhvervs rumvarmeforbrug. Der er som for indu-
stri mv. uden for kvotesektoren regnet på en forhøjelse af CO
2
-afgiften på 100 kr. pr. ton, dvs. på en forhøjelse fra
Afgiften omfatter energirelaterede udledninger fra erhvervenes produktionsprocesser, herunder landbrug mv. og fiskeri, raffinaderier
samt Nordsøen. Herudover omfatter den udledninger fra fossile brændsler til elproduktion samt udledninger fra ikke-vejgående trans-
port, dvs. indenrigsluftfart, jernbane og indenrigsfærger.
10
TRU, Alm.del - 2023-24 - Endeligt svar på spørgsmål 261: MFU spm. om ministeren vil oversende en opdateret oversigt over de klimabegrundede initiativer, der på nationalt og europæisk niveau får betydning på transportområdet inden for de kommende ca. 5 år
2841680_0074.png
74
KLIMAPROGRAM 2023
750 kr. pr. ton til 850 kr. pr. ton. Det er lagt til grund, at forhøjelsen på 100 kr. pr. ton indføres med fuld virkning fra
2025. Forhøjelsen er beregningsmæssigt antaget at blive udmeldt i 2023.
Samfundsøkonomiske omkostninger og konsekvenser af forhøjelse af CO
2
-afgift på industri mv.
En forhøjelse af CO
2
-afgiften for industri mv. på 100 kr. pr. ton skønnes at medføre CO
2
-reduktioner på ca. 0,7
mio. ton i 2025 og 2030. Forhøjelsen skønnes at medføre et umiddelbart merprovenu på ca. 875 mio. kr. i 2025
og ca. 575 mio. kr. i 2030, hvilket svarer til den umiddelbare belastning af industri mv. Den umiddelbare belast-
ning er opgjort efter effekter af
Aftale om grøn skattereform for industri mv.
Forhøjelsen skønnes at medføre et
merprovenu efter tilbageløb og adfærd for staten på ca. 575 mio. kr. i 2025 og ca. 200 mio. kr. i 2030.
Den gennemsnitlige skyggepris i 2030, hvor det er lagt til grund at effekten af afgiftsforhøjelsen er fuldt indfaset,
skønnes at udgøre ca. 550 kr. pr. ton. Skyggeprisen trækkes bl.a. op af, at forventes det således, at der opgørel-
sesmæssigt er 100 pct. bionaturgas i ledningsnettet fra 2030. Hvis det realiseres afgiftsforhøjelsen potentielt fra
2030 omfatter et grundlag, som ikke medfører CO
2
e-reduktioner. Med
Klimastatus og -fremskrivning 2023,
inde-
bærer det med nuværende opgørelse af udledninger, at der ikke vil være danske CO
2
e-reduktioner ved yderligere
reduktion af ledningsgasforbrug fra 2030.
Tabel 7.4
CO
2
e-effekter og samfundsøkonomiske omkostninger for industri mv.
2023-priser
CO
2
e-reduktion,
mio. ton
2025
Afgiftsforhøjelse på 100
kr. pr. ton på CO
2
e-udled-
ning for industri mv.
0,7
2030
0,7
Statsfinansielle
omkostninger, mio.
kr.
2025
-575
2030
-200
Erhverv, mio. kr.
2025
875
2030
575
Husholdninger,
mio. kr.
2025
0
2030
0
Skygge-
pris,
kr. pr.
ton CO
2
e
550
Anm.: Statsfinansielle omkostninger og omkostninger for erhverv er opgjort i faktorpriser i 2023-niveau, mens skyggepris er opgjort i markedspriser i 2023-
priser ekskl. sideeffekter. Skyggeprisen er opgjort i 2030, hvor det er forudsat at effekten af afgiften er fuldt indfaset. Der er taget udgangspunkt i
udledninger fra
Klimastatus- og fremskrivning 2023,
hvor effekter af
Aftale om grøn skattereform for industri mv.
er indarbejdet. Det er lagt til grund, at
afgiftsforhøjelsen pålægges al ledningsført gas i ledningsnettet. Der er ikke taget højde for, at afgiftsforhøjelsen potentielt kan påvirke effekten af allerede
afsatte CCS-puljemidler.
Kilde: Skatteministeriet.
CO
2
e-reduktioner som følge af tekniske effekter skønnes at udgøre i alt ca. 30 pct. af de samlede reduktioner,
mens CO
2
e-reduktioner som følge af struktureffekter, skønnes at udgøre ca. 70 pct. De tekniske effekter dækker
over omstilling af produktion via energieffektivisering samt omstilling fra anvendelse af fossile brændsler til VE
eller el, fx via investering i varmepumpe og i nogle tilfælde også skift mellem fossile brændsler. Effekter på er-
hvervsstrukturen udgøres dels af grænsehandelseffekter, dels af forskydning af produktion fra CO
2
e-intensive
virksomheder mod ikke-CO
2
e-intensive, herunder via udflytning af produktion. Særligt CO
2
e-reduktionerne via æn-
dret erhvervsstruktur kan potentielt medføre lækage, men der er ikke skønnet over graden af lækage.
En stor del af CO
2
e-reduktionerne kommer fra mineralogiske processer mv., hvor den umiddelbare belastning via
afgiftsforhøjelsen skønnes at udgøre ca. 275 mio. kr. i 2025, heraf skønnes ca. 175 mio. kr. at vedrøre cementpro-
duktion. For fx Nordsøen og raffinaderier skønnes en umiddelbar belastning på henholdsvis ca. 100 og ca. 75
mio. kr. i 2025.
Samfundsøkonomiske omkostninger og konsekvenser af forhøjelse af CO
2
-afgift på rumvarme
En forhøjelse af CO
2
-afgiften for rumvarme på 100 kr. pr. ton skønnes at medføre CO
2
e-reduktioner på ca. 0,1
mio. ton i 2025 og 0,0 mio. ton i 2030. Forhøjelsen skønnes at medføre et umiddelbart merprovenu på ca. 275
mio. kr. i 2025 og ca. 150 mio. kr. i 2030, hvilket svarer til den umiddelbare belastning af husholdninger og er-
hverv, som anvender afgiftsbelagt rumvarme. Erhvervene skønnes at få en meromkostning på ca. 50 mio. kr. i
2025 og ca. 25 mio. kr. i 2030, mens husholdningerne skønnes at få en meromkostning på ca. 225 og 125 mio.
kr. i henholdsvis 2025 og 2030. Den umiddelbare belastning er opgjort efter effekter af
Aftale om grøn skattere-
form for industri mv.
Forhøjelsen skønnes at medføre et merprovenu efter tilbageløb og adfærd for staten på ca.
150 mio. kr. i 2025 og ca. 25 mio. kr. i 2030.
TRU, Alm.del - 2023-24 - Endeligt svar på spørgsmål 261: MFU spm. om ministeren vil oversende en opdateret oversigt over de klimabegrundede initiativer, der på nationalt og europæisk niveau får betydning på transportområdet inden for de kommende ca. 5 år
2841680_0075.png
KLIMAPROGRAM 2023
75
Den gennemsnitlige skyggepris i 2030, hvor det er lagt til grund at effekten af afgiftsforhøjelsen er fuldt indfaset,
skønnes at udgøre ca. 5.850 kr. pr. ton. Skyggeprisen trækkes betydeligt op af, at afgiftsforhøjelsen potentielt fra
2030 omfatter et grundlag, som ikke medfører CO
2
e-reduktioner. Med
Klimastatus og -fremskrivning 2023
forven-
tes det således, at der opgørelsesmæssigt er 100 pct. bionaturgas i ledningsnettet fra 2030. Hvis det realiseres,
indebærer det med nuværende opgørelse af udledninger, at der ikke vil være danske CO
2
e-reduktioner ved yderli-
gere reduktion af ledningsgasforbrug fra 2030. Mere end halvdelen af afgiftsgrundlaget i 2030 skønnes således
at være ledningsgas, særligt til individuelle naturgasfyr, hvor skyggeprisen isoleret set vil være uendelig stor. Den
resterende del er helt overvejede fossilt affald.
Tabel 7.5
CO
2
e-effekter og samfundsøkonomiske omkostninger for rumvarme
2023-priser
CO
2
e-reduktion,
mio. ton
2025
Afgiftsforhøjelse på 100
kr. pr. ton på CO
2
e-udled-
ning for rumvarme
0,1
2030
0,0
Statsfinansielle
omkostninger, mio.
kr.
2025
-150
2030
-25
Erhverv, mio. kr.
2025
50
2030
25
Husholdninger,
mio. kr.
2025
225
2030
125
Skygge-
pris,
kr. pr.
ton CO
2
e
5.850
Anm.: Statsfinansielle omkostninger og omkostninger for erhverv og husholdninger er opgjort i faktorpriser i 2023-niveau, mens skyggepris er opgjort i
markedspriser i 2023-priser ekskl. sideeffekter. Det er lagt til grund, at 80 pct. af rumvarmen vedrører husholdninger (inkl. det offentlige) og 20 pct. vedrører
erhverv. Skyggeprisen er opgjort i 2030, hvor det er forudsat at effekten af afgiften er fuldt indfaset. Der er taget udgangspunkt i udledninger fra
Klimastatus-
og fremskrivning 2023,
hvor effekter af
Aftale om grøn skattereform for industri mv.
er indarbejdet. Det er lagt til grund, at afgiftsforhøjelsen pålægges al
ledningsført gas i ledningsnettet. Der er ikke taget højde for ETS2.
Kilde: Skatteministeriet.
En forhøjelse af CO
2
-afgiften på rumvarme på 100 kr. pr. ton CO
2
e indebærer en forhøjelse af varmeregningen for
en husholdning i et standardhus, som opvarmes med ledningsgas på ca. 460 kr. årligt inkl. moms og ca. 600 kr.
årligt inkl. moms i et standardhus som opvarmes med olie,
jf. tabel 7.6.
Varmeforbruget vil i praksis variere bl.a.
med boligens energistandard og størrelse. For husholdninger som opvarmes med fjernvarme, vil den leverede
fjernvarme ofte være baseret på en kombination af flere brændsler, inkl. biomasse og andre grønne brændsler,
som ikke påvirkes ved en forhøjelse af CO
2
-afgiften. For fjernvarmekunden er det dermed afgørende, hvordan af-
giften slår igennem samlet set, herunder om en højere CO
2
-afgift kan påvirke prisen på VE-varme.
Tabel 7.6
CO
2
e-effekter og samfundsøkonomiske omkostninger for rumvarme
2023-priser
Husholdning med gasfyr
Husholdning med oliefyr
Stigning i årlig varmeregning inkl. moms
(kr. per år)
460
600
Anm.: Der er taget udgangspunkt i et standardhus med et varmeforbrug på 65 GJ årligt. Der er ikke taget højde for evt. varmetab samt virkningsgrad.
Kilde: Skatteministeriet.
Boks 7.3
Kort beskrivelse af metode
Effekter af en forhøjelse af CO
2
-afgiften på industri mv. samt rumvarme er opgjort med udgangspunkt i
udledningerne fra
Klimastatus og –fremskrivning 2023.
Det er forudsat, at reduktion af forbruget af led-
ningsført gas frem til 2029 indebærer 100 pct. fossile CO
2
e-reduktioner, mens det i 2030 ikke indebærer
CO
2
e-reduktioner, da det med
Klimastatus og -fremskrivning 2023
forventes, at der opgørelsesmæssigt er
100 pct. bionaturgas i ledningsnettet fra 2030.
Det er lagt til grund, at den langsigtede adfærdseffekt udgør to tredjedele af den samlede adfærdseffekt,
og at den indfases fra udmeldingstidspunktet over otte år, mens den kortsigtede adfærdseffekt på en
TRU, Alm.del - 2023-24 - Endeligt svar på spørgsmål 261: MFU spm. om ministeren vil oversende en opdateret oversigt over de klimabegrundede initiativer, der på nationalt og europæisk niveau får betydning på transportområdet inden for de kommende ca. 5 år
2841680_0076.png
76
KLIMAPROGRAM 2023
tredjedel indtræffer i året, hvor afgiften har virkning. En senere udmelding af afgiften vil dermed reducere
CO
2
e-effekterne i 2025 og 2030.
Effekter er estimeret på baggrund af samme modelapparat, som er anvendt til Ekspertgruppen for en
Grøn Skattereforms første delrapport. Fastsættelsen af beregningsmetode, modelapparat og de bagved-
liggende forudsætninger er beskrevet yderligere i et dokumentationsnotat
Dokumentation og følsomheds-
beregninger af effekter for erhverv og rumvarme,
der er offentliggjort i tilknytning til Ekspertgruppens før-
ste delrapport. Der er efter offentliggørelsen af rapporten foretaget opdatering af modelapparat, som
først og fremmest skyldes opdatering af fremskrivning af CO
2
e-udledninger samt konsolidering af model.
For så vidt angår erhverv, blev der i forbindelse med udarbejdelsen af rapporten opstillet en partiel analy-
semodel, hvor der for hver af de omfattede brancher er fastlagt en efterspørgselskurve efter CO
2
e, dvs. en
sammenhæng mellem branchens CO
2
-udledning og prisen på denne. Det er lagt til grund for alle brancher,
at efterspørgselskurven har en konstant semielasticitet. Det betyder, at en ændring af prisen med én en-
hed altid medfører samme ændring af CO
2
e-udledningerne. Dermed får efterspørgselskurverne en form,
hvor de første kroners afgiftsforhøjelse giver større CO
2
e-reduktioner (opgjort i ton) end de sidste kroners
afgiftsforhøjelser. Semielasticiteten, som bestemmer hældningen på kurverne, skønnes at variere meget
på tværs af de enkelte brancher. Det afspejler bl.a., at nogle brancher vurderes at have bedre omstillings-
muligheder end andre. Desuden skønnes det, at der i nogle brancher kan ske større forskydninger væk fra
CO
2
e-intensiv produktion end i andre brancher, ligesom der for nogle brancher kan ske forskydning via
grænsehandel.
For så vidt angår rumvarme er der anvendt semielasticiteter for henholdsvis individuel og kollektiv varme,
som for kollektiv rumvarme har beregningsteknisk karakter. Det gælder dermed også de skønnede effek-
ter. For kollektiv varme udgøres langt det største fossile energiforbrug af affald i 2030. Inden for de sene-
ste år er der vedtaget en række gennemgribende tiltag for at reducere udledningen af CO
2
inden for af-
faldssektoren, som endnu ikke er trådt i kraft. De her skønnede effekter kan afvige meget fra en egentlig
analyse af effekter i affaldsforbrændingssektoren.
Det bemærkes, at det indgår som en del af
Aftale om grøn skattereform for industri mv.
at omlægge rum-
varmeafgiften (som efter gældende regler består af energi- og CO
2
-afgift), sådan at CO
2
-afgiften forhøjes
til 750 kr. pr. ton, mens energiafgiften reduceres, så den samlede energi- og CO
2
-afgift for rumvarme fra
naturgas er uændret. Det skyldes, at rumvarmeafgiften efter gældende regler overstiger 750 kr. pr. ton. På
tilsvarende vis er aftalt en omlægning, men ikke en egentlig forhøjelse af afgiften på vejtransport, hvor
den samlede energi- og CO
2
-afgift også overstiger de aftale 750 kr. pr. ton.
En yderligere forhøjelse af CO
2
-afgiften i forhold til det aftalte, med fx 100 kr. pr. ton, skal alt andet lige
også omfatte transport, da det ellers vil indebære en yderligere differentiering af CO
2
-afgiften. Energiafgif-
terne på transport vil kunne reduceres for at neutralisere virkningen af forhøjelsen af CO
2
-afgiften på det
samlede afgiftsniveau. For vejtransport kan effekten alt andet lige neutraliseres for henholdsvis benzin og
diesel, således at effekten er begrænset. Der er set bort fra ovenstående i beregningerne.
Afgiftsforhøjelse på dieselafgift med ca. 50 øre pr. liter ekskl. moms og modsvarende
nedsættelse af udligningsafgift for dieselkøretøjer
Al diesel til transport er pålagt energiafgift. Afgiften på diesel (energi- og CO
2
-afgift) fra tankstanderen (hvor der
tages højde for iblanding af VE-brændstoffer) er 329 øre pr. liter i 2023. Derudover er dieselperson- og -varebiler
pålagt udligningsafgift, som er fastsat, så den svarer til besparelsen ved at energiafgiften for diesel er lavere end
for benzin for en bil med en gennemsnitlig årskørsel på 22.000 km. Udligningsafgiften betales halvårligt som en
del af ejerafgiften, mens dieselafgiften betales løbende ved tankning.
En forhøjelse af dieselafgiften vil give et incitament, for de køretøjer, der allerede passerer Danmarks grænse, til
at købe mindre diesel i Danmark, hvormed CO
2
e-udledningen forbundet hermed reduceres. For at anskueliggøre
de samfundsøkonomiske konsekvenser ved dette regnes der på en afgiftsforhøjelse af energiafgiften på diesel
med 47 øre pr. liter ekskl. moms og en forholdsmæssig nedsættelse af udligningsafgift for dieselkøretøjer. En
TRU, Alm.del - 2023-24 - Endeligt svar på spørgsmål 261: MFU spm. om ministeren vil oversende en opdateret oversigt over de klimabegrundede initiativer, der på nationalt og europæisk niveau får betydning på transportområdet inden for de kommende ca. 5 år
2841680_0077.png
KLIMAPROGRAM 2023
77
forhøjelse af afgiften på diesel vil reducere forskellen mellem benzin og dieselafgiften. Udligningsafgiften på die-
selkørertøjer kan derfor reduceres forholdsmæssigt. Herved vil person- og varebiler i gennemsnit ikke opleve en
afgiftsstigning, mens lastbiler vil opleve en afgiftsstigning. Afgiftsforhøjelsen omfatter diesel til vejtransport (og
diesel til entreprenørmaskiner mv., der betaler samme dieselafgift som vejtransport).
Samfundsøkonomiske omkostninger og konsekvenser
Tiltaget skønnes med betydelig usikkerhed at reducere CO
2
e-udledningerne med ca. 0,5 mio. ton i 2025 og 0,5
mio. ton CO
2
i 2030,
jf. tabel 7.8.
I 2030 skønnes forhøjelsen at medføre et mindreprovenu efter tilbageløb og ad-
færd på ca. 150 mio. kr. Mindreprovenuet skyldes, at forhøjelsen skønnes at medføre, at nettoeksporten (dvs.
grænsehandel) af diesel (for særligt lastbiler) reduceres markant. Det medvirker samtidig til, at en betydelig del
(ca. 0,4 mio. ton) af Danmarks reduktioner skønnes erstattet af øgede CO
2
e-udledninger i andre EU-lande, som
samtidig vil kunne få et øget afgiftsprovenu for afgifter på brændstof. Det er ikke entydigt, hvordan de omkringlig-
gende landes regulering vil påvirke den danske grænsehandel, idet der pågår mange forskelligrettede initiativer i
vore nabolande. For nuværende (inkl. en forhøjelse på 47 øre pr. liter) vurderes Danmark dog fortsat at være net-
toeksportør, dvs. at det er attraktivt at tanke i Danmark. De resterende reduktioner kommer fra mere energieffek-
tive køretøjer og et mindre trafikarbejde i Danmark. Størstedelen af effekten af afgiftsforhøjelsen forventes at ind-
finde sig inden for et år, herunder ændret grænsehandel.
Tabel 7.7
CO
2
e-effekter og samfundsøkonomiske omkostninger
2023-priser
CO
2
e-reduktion,
mio. ton
2025
2030
Statsfinansielle
omkostninger, mio.
kr.
2025
2030
Erhverv, mio. kr.
2025
2030
Husholdninger,
mio. kr.
2025
2030
Skygge-
pris,
kr. pr.
ton CO
2
e
Afgiftsforhøjelse på die-
selafgift med 47 øre pr.
liter og modsvarende
nedsættelse af udlig-
ningsafgift for dieselkø-
retøjer
0,5
0,5
200
150
900
800
-
1)
-
1)
1.850
Anm.: Det er lagt til grund, at den fremadrettede prisudvikling følger den faktiske indeksering af afgifterne. Statsfinansielle omkostninger og omkostninger
for erhverv er opgjort i faktorpriser i 2023-niveau, mens skyggepris er opgjort i markedspriser i 2023-priser. Det er lagt til grund, at adfærdseffekt indtræffer
fuldt fra første år. 1) Som følge af,at udligningsafgiften forholdsmæssigt nedsættes.
Kilde: Skatteminiteriet.
Prisen på diesel stiger knap 60 øre pr. liter (inkl. moms) ved tankstanderen. I gennemsnit bliver bilister imidlertid
ikke påvirket af afgiftsforhøjelsen, da udligningsafgiften nedsættes tilsvarende,
jf. tabel 7.7.
Der er dog stor varia-
tion i, hvor mange km den enkelte bilist kører i sin dieselbil. Såfremt en bilist kører mere eller mindre end 22.000
km på et år, vil tiltaget have en økonomisk påvirkning. For en dieselbil, som kører ca. 30.000 km årligt, vil omlæg-
ningen medføre en ekstra udgift årligt på ca. 200 kr. inkl. moms, mens en tilsvarende dieselbil med en lavere års-
kørsel (14.000 km) vil opnå en årlig besparelse på ca. 200 kr. inkl. moms,
jf. tabel 7.8.
Tabel 7.8
Ekstra årlig omkostning ved forhøjelse af dieselafgift for personbiler
2023-priser
Årskørsel på 30.000 km
Årskørsel på 14.000 km
Ekstra omkostning (inkl. moms) ved forhøjelse af
dieselafgift med 47 øre pr. liter ekskl. moms samt
tilpasning af udligningsafgiften
Anm.: Der er taget udgangspunkt i en 5 år gammel bil. Minus indikerer en besparelse.
Kilde: Skatteministeriet.
200
-200
Tiltaget medfører merudgifter for erhverv, idet lastbiler mv. ikke betaler udligningsafgift. For en gennemsnitlig
TRU, Alm.del - 2023-24 - Endeligt svar på spørgsmål 261: MFU spm. om ministeren vil oversende en opdateret oversigt over de klimabegrundede initiativer, der på nationalt og europæisk niveau får betydning på transportområdet inden for de kommende ca. 5 år
2841680_0078.png
78
KLIMAPROGRAM 2023
lastbil
11
skønnes det, at der skal betales ca. 7.800 kr. ekskl. moms ekstra årligt som følge af forhøjelsen. Den gen-
nemsnitlige skyggepris i 2030 skønnes at udgøre ca. 1.850 kr. pr. ton. En større forhøjelse af dieselafgiften (end
det her forudsatte) vil give en højere skyggepris (og vice versa).
Boks 7.4
Kort beskrivelse af metode
Effekter af en afgiftsforhøjelse på dieselafgift med 47 øre pr. liter er opgjort med udgangspunkt i gæl-
dende afgiftssatser samt afgiftspligtigt salg og udviklingen i salg af diesel fra
Klimastatus og –fremskriv-
ning 2023.
I beregningerne er anvendt beregningsforudsætninger fra Skatteministeriets grænsehandelsberegninger
med konsekvensvurderinger af afgiftsforhøjelser for diesel til vejtransport. Det bemærkes, at der er meget
betydelig usikkerhed forbundet med forudsætningerne vedrørende grænsehandelseffekterne og de af-
ledte effekter vedrørende de øvrige bilafgifter (registrerings- og ejerafgift).
I beregningerne er der taget højde for, at højere brændstofafgifter skønnes at medføre, at der sælges
færre, mindre og mere brændstoføkonomiske køretøjer. Der er derimod ikke taget højde for de potentielt
betydelige effekter via ændringer af andelene af henholdsvis konventionelle biler og grønne biler (med
lavere registrerings- og ejerafgift).
Modelleringen baserer sig på det initiale afgiftsgrundlag samt adfærdseffekter forbundet med en ændring
i afgifter på diesel. På baggrund heraf sker beregning af provenueffekter samt samfundsøkonomi, inkl.
CO
2
e-skyggepriser. Adfærden i modelleringen består af adfærdseffekter i tilknytning til forbruget af diesel
samt arbejdsudbudsvirkning.
Adfærdseffekter i tilknytning til forbruget af diesel kan opdeles i tre forskellige typer af adfærd:
Forbrugsadfærd: Forvridningen der sker ved, at forbrugerne substituerer væk fra (hen imod) den af-
giftsbelagte vare, dvs. diesel. Denne forbrugsadfærd dækker over to adfærdskanaler:
Trafikarbejde: Prisen på diesel påvirker omfanget af trafikarbejde (antal kørte km).
Brændstoføkonomi: Prisen på diesel påvirker brændstoføkonomien i forbindelse med trafik-
arbejdet via skift i retning af mere eller mindre brændstofeffektive køretøjer.
Grænsehandel: En forhøjelse (henholdvis nedsættelse) af danske afgifter kan føre til at de
køretøjer, der allerede passerer Danmarks grænse, i højere (henholdsvis mindre) grad vil
være tilbøjelige til at tanke brændstof i udlandet frem for i Danmark.
Sænkelse af prisloftet for salg af affaldsvarme
Affaldsforbrændingsanlæggenes primære indtægter kommer i dag fra affaldstakster ved modtagelse af affald,
salg af varme og for størstedelen af anlæggene salg af el (fastsat ved markedsprisen på el). Salg af affalds-
varme er underlagt prisregulering, herunder bl.a. et affaldsvarmeprisloft som forventes at blive erstattet med et
kommende VE-prisloft. VE-prisloftet vil blive fastsat ud fra alternative VE-kilder. Der er i nedenstående teoretiske
beregning skønnet over et fastsat prisloft som er lavere end det kommende VE-prisloft. Det vil betyde, at affalds-
forbrænding ikke sidestilles med VE-alternativer, hvilket alt andet lige vil reducere indtægterne fra affaldsvarme
og reducere kapaciteten i sektoren og derigennem reducere sektorens udledninger.
Det bemærkes, at der ikke er afklaring i forhold til eventuelle juridiske barrierer ved virkemidlet, ligesom der er væ-
sentlige usikkerheder i de angivne effekt- og omkostningsskøn, som baserer sig på et øjebliksbillede af foreløbig
11
Baseret på en årskørsel på ca. 55.000 km og en brændstoføkonomi på ca. 3,3 km pr. liter.
TRU, Alm.del - 2023-24 - Endeligt svar på spørgsmål 261: MFU spm. om ministeren vil oversende en opdateret oversigt over de klimabegrundede initiativer, der på nationalt og europæisk niveau får betydning på transportområdet inden for de kommende ca. 5 år
2841680_0079.png
KLIMAPROGRAM 2023
79
viden og antagelser. Hertil kommer, at den konkrete implementering vil have stor betydning for de forventede om-
kostninger og skyggepriser.
Samfundsøkonomiske omkostninger og konsekvenser
Det kommende VE-prisloft skal afspejle varmeprisen på alternative VE-teknologier. VE-prisloftet er endnu ikke
fastlagt, men Energistyrelsen skønner foreløbigt, at det vil ligge på godt 70 kr. pr. GJ inkl. afgifter. Skønnet bygger
bl.a. på Energistyrelsens teknologikatalog og tager udgangspunkt i fliskedel, varmepumper og flis-kraftvarmean-
læg som vedvarende energikilder.
Det teoretiske prisloft er fastlagt som en reduktion af VE-prisloftet fra godt 70 kr. pr. GJ inkl. afgifter til et prisloft
på 60 kr. pr. GJ. inkl. afgifter. Et reducerende prisloft i forhold til det kommende VE-prisloft vil medføre, at prislof-
tet ikke længere afspejler prisen på alternativ VE-varmeproduktion. Et prisloft på salg af affaldsvarme som er la-
vere end et VE-prisloft vil betyde, at forbrændingsanlæggene kan indhente færre indtægter fra affaldsvarme. Der
skønnes to overordnede effekter:
1) For anlæg, hvor det forsat er rentabelt at afbrænde affald, og som derfor vil blive på markedet, skønnes det la-
vere prisloft at slå igennem som en reduktion i anlæggenes overskud. For de anlæg vil der være tale om omforde-
ling fra affaldsvarmeanlæg til varmeforbrugere, hvor varmeforbrugeren vil stå over for en besparelse tilsvarende
anlæggets tab.
2) For anlæg, hvor det ikke er rentabelt at afbrænde affald, og som derfor vil udgå af markedet, vil prisloftet med-
føre en reduktion i forbrændingskapaciteten. Såfremt anlægget har restgæld vil det resultere i løbende tab og
strandede omkostninger for anlægsejeren. Samtidigt vil varmeforbrugeren overgå til alternative og dyrere varme-
kilder, der i beregningerne er antaget at være VE-kilder og følge prisen på alternative VE-kilder. For disse anlæg vil
reduktionen i varmeprisloftet således komme som et tab for både affaldsforbrændingsanlægget og varmeforbru-
geren.
Samlet set skønnes det teoretiske prisloft på salg af affaldsvarme fastsat til 60 kr. pr. GJ. inkl. afgifter at lede til
en reduktion på 0,3 mio. ton CO
2
e og en skyggepris på 1.600 kr. pr. ton CO
2
e. Staten skønnes at have et mindre-
provenu på 280 mio. kr. i 2025 og 270 mio. kr. i 2030 som følge af, at det forudsættes at varmeforbrugeren over-
går fra affaldsvarme til et ikke-afgiftsbelagt VE-alternativ. Ligeledes skønnes kommunerne at have et løbende tab
og strandede omkostninger, svarende til ca. 340 mio. kr. årligt i perioden 2025-2030. Endeligt skønnes hushold-
ninger og erhvervet at få en gevinst på ca. 250 mio. kr. i 2025 og 180 mio. kr. i 2030. Det skyldes, at forbrugerge-
vinsten ved de generelt lavere affaldsvarmepriser for de resterende affaldsforbrændingsanlæg dominerer tabet
for de anlæg, der lukker, og hvor varmeforbrugeren skal dække sit forbrug gennem alternative og dyrere varmekil-
der.
Tabel 7.9
CO
2
e-effekter og samfundsøkonomiske omkostninger (2023-priser)
2023-priser
CO
2
e-reduktion,
mio. ton
2025
Sænkelse af prisloftet for
salg af affaldsvarme
0,3
2030
0,3
Statsfinansielle
omkostninger,
mio. kr.
2025
280
2030
270
Erhverv, mio. kr.
2025
-70
2030
-50
Husholdninger,
mio. kr.
2025
-180
2030
-130
1.600
Skyggepris,
kr. pr. ton
CO
2
e
Anm.: Det bemærkes, at kommunerne som anlægsejer kan stå over for betydelig tab. Samlet set skønnes kommunerne at have et tab på ca. 330 mio.
kr. årligt. Effekten er indregnet I skyggeprisen. Desuden bemærkes det, at effekterne er regnet før Grøn Skattereform, i overensstemmelse med
forudsætningerne anvendt i forbindelse med lovforslag om konkurrenceudsættelsen,
jf. L 745.
Kilde: Klima-, Energi-, og Forsyningsministeriet
Det bemærkes, at der ikke er afklaring i forhold til eventuelle juridiske barrierer ved virkemidlet, ligesom der
væsentlige usikkerheder i de angivne effekt- og omkostningsskøn, som baserer sig på et øjebliksbillede af
foreløbig viden og antagelser. Hertil kommer, at den konkrete implementering vil have stor betydning for de
forventede omkostninger og skyggepriser.
TRU, Alm.del - 2023-24 - Endeligt svar på spørgsmål 261: MFU spm. om ministeren vil oversende en opdateret oversigt over de klimabegrundede initiativer, der på nationalt og europæisk niveau får betydning på transportområdet inden for de kommende ca. 5 år
2841680_0080.png
80
KLIMAPROGRAM 2023
Boks 7.5
Kort beskrivelse af metode
Effektvurderingen beror på en økonomisk model for affaldsforbrændingssektoren, der blev udviklet i for-
bindelse med
L 745.For
en gennemgang af metode og beregningsforudsætninger henvises der derfor til
L
745 bilag 2, Dokumentationsnotat – Effektvurdering af lovforslag om ny organisering af affaldsforbræn-
dingssektoren.
Fremme af metanreducerende foder i landbrugssektoren
I 2022 blev det første metanreducerende fodertilsætningsstof, Bovaer (med det videnskabelige navn 3-Nitro-
oxypropanol eller bare 3-NOP), EU-godkendt til malke- og avlskvæg. Produktet markedsføres i dag både inden for
og uden for EU, hvorfor TRL-niveauet er højt.
Bovaer fungerer ved at hæmme et enzym i metandannelsesprocessen, når primært kulhydrater fermenteres i ko-
ens vom. Den anbefalede dosis af Bovaer er ifølge Den Europæiske Fødevaresikkerhedsautoritet (EFSA) mellem
60-100 mg/kg tørstof, hvor 60 mg er den forventede dosis i Danmark. På baggrund af det forventes op til 30 pct.
reduktion i enterisk metan under danske forhold. Klimaeffekten af Bovaer er genstand for et igangværende forsk-
ningsprojekt på Aarhus Universitet, som har til formål at dokumentere effekten under danske forhold, således den
potentielt kan tælles med i den nationale emissionsopgørelse. Forsøget forventes færdiggjort i 2024.
Foruden manglende dokumentation af Bovaers klimaeffekt under danske forhold, udgør særligt mangel på øko-
nomisk incitament for anvendelse en barriere for udbredelsen af virkemidlet i Danmark. Der er for nuværende ikke
noget økonomisk incitament for anvendelse af metanreducerende fodertilsætningsstoffer som Bovaer.
Af landbrugsaftalen fremgår det, at der, hvis muligt, skal fastsættes et generelt reduktionskrav fra 2025 svarende
til en effekt på 0,16 mio. ton CO
2
e i 2030 baseret på øget andel af fedt i foderet til konventionelle malkekøer. Det
er siden landbrugsaftalens indgåelse blevet afklaret, at det er muligt at indføre et generelt krav om reduktion af
udledningerne fra husdyrs fordøjelse, dvs. et krav med metodefrihed for landbrugeren. Det forventes således, at
Bovaer vil kunne indgå som en teknologimulighed til opfyldelse af et evt. generelt reduktionskrav fra og med 2025
afhængigt af resultaterne fra det igangværende forskningsprojekt. Det vil potentielt være muligt at øge det gene-
relle krav med op til 0,5 mio. ton CO
2
e svarende til niveauet af Bovaer, hvilket der i så fald vil skulle tages særskilt
politisk stilling til. Med et generelt krav lægges der ikke op til anvendelsen af et specifikt produkt, men derimod at
opnå en reduktionseffekt svarende til, hvad der kan opnås med et givent produkt, som i dette tilfælde Bovaer.
Der vil være forskellige modeller, hvorpå anvendelse af metanreducerende foder kan fremmes yderligere. Det kan
fx enten indføres som et krav, hvor der vil være erhvervsøkonomiske konsekvenser som følge af, at det vil udgøre
en meromkostning for den enkelte landbrugere. Alternativt vil metanreducerende foder kunne implementeres
som led i en tilskudsordning, hvor landbrugeren vil kunne blive kompenseret for anvendelse af fodertilsætnings-
stoffer.
Samfundsøkonomiske omkostninger og konsekvenser
Omkostningerne ved implementeringen af Bovaer i konventionelle malke- og avlsbesætninger er behæftet med
usikkerhed, da bred tilgængelighed af Bovaer endnu ikke er etableret i Danmark. COWI har foretaget en vurdering
af indkøbsomkostningerne for Bovaer gennem dialog med producenten og med udgangspunkt i prisen for et spe-
cifikt produkt.
Den anslåede pris for daglig tildeling af Bovaer pr. ko er omkring 1,7 kr. Undersøgelser med Bovaer har ikke påvist
negative virkninger på mælkens ydelse og kvalitet ved den anbefalede dosis. Der er ingen indikationer på andre
negative eller positive sideeffekter af Bovaer. På den baggrund skønnes omkostningerne forbundet med at an-
vende Bovaer i alle konventionelle malkebesætninger med betydelig usikkerhed at beløbe sig til ca. 250 millioner
kr. årligt.
TRU, Alm.del - 2023-24 - Endeligt svar på spørgsmål 261: MFU spm. om ministeren vil oversende en opdateret oversigt over de klimabegrundede initiativer, der på nationalt og europæisk niveau får betydning på transportområdet inden for de kommende ca. 5 år
2841680_0081.png
KLIMAPROGRAM 2023
81
Det er behæftet med stor usikkerhed at estimere omkostningerne forbundet med anvendelse af Bovaer på nuvæ-
rende tidspunkt, hvorfor tallene i nedenstående tabel er baseret på en overslagsmæssig vurdering og udgør grove
estimater. I vurderingen af omkostningerne antages, at teknologierne vil blive anvendt svarende til det tekniske
reduktionspotentiale oven for med fuld anvendelse af virkemidler for de relevante kvægtyper.
Tabel 7.10
Udvalgte virkemidlers CO
2
e-effekter og samfundsøkonomiske omkostninger
2022-priser
CO
2
e-reduktion,
mio. ton
2025
Fremme af metanreduce-
rende foder (fx krav)
0,5
2030
0,5
Statsfinansielle
omkostninger, mio.
kr.
2025
0
2030
0
Erhverv, mio. kr.
2025
250
2030
250
Husholdninger,
mio. kr.
2025
-
2030
-
Skygge-
pris,
kr. pr.
ton CO
2
e
540
Anm.: Potentialet og omkostningerne er afrundet og behæftet med usikkerhed. Der bemærkes, at ikke er foretaget vurdering af omkostninger til
administration og eventuel it. .
Kilde: Potentialer og omkostningsskøn er baseret på Ministeriet for Fødevarer, Landbrug og Fiskeris egne beregninger pba. rådgivningsnotater fra
Aarhus Universitet og rapporten:
Analyse af drivhusgasreduktionspotentiale for fodertilsætningsstofferog -midler
af COWI 2023.
Boks 7.6
Kort beskrivelse af metode
Udover de undersøgelser, der er blevet udført i forbindelse med EFSA-godkendelsen, findes der flere vi-
denskabelige artikler, hvor konklusionen er, at Bovaer i gennemsnit kan mindske daglig metanproduktion
med op til 30 pct., hvilket er blevet anvendt i beregningerne. Bovaers effekt på andre drøvtyggere (kød-
kvæg, får og geder) er ikke lige så veldokumenteret i litteraturen som effekten på malkekvæg. Det mest
omfattende metastudie af 108 videnskabelige undersøgelser finder, at 3-NOP giver en gennemsnitlig dag-
lig metanreduktion på 23,3 pct. og 18-39 pct., når emission af metan udtrykkes som metan pr. kg foder-
tørstof hos drøvtyggere generelt. Variationen skyldes bl.a. forskelle i dosis mellem studierne.
Det tekniske potentiale udspringer af prognoserne for antallet af malkekøer i 2030 i klimafremskrivnin-
gen. I denne sammenhæng fratrækkes andelen af økologiske kvæg, og der tages højde for korrektionen til
fordel for malkekøer på græs. Realiseringen af potentialet afhænger dermed af den forventede fordeling
mellem konventionelle og økologiske kvæg. Det forventes, at andelen af økologiske kvæg vil bevare en
nogenlunde stabil kurs i perioden år 2025-2030.
Den samlede effekt af reduktion er blevet estimeret til 0,5 mio. ton CO
2
e i 2030. Det er vigtigt at bemærke,
at der er foretaget en korrektion i forhold til
Klimastatus og -fremskrivning 2023,
hvor reduktionskravet fra
landbrugsaftalen er indarbejdet. Dette krav er baseret på en øget fedtandel i foderet fra og med 2025, og
er fraregnet, da der ikke er en additiveffekt ved at bruge flere typer metanreducerende foder samtidig. Ef-
fekten af reduktion ved at tilføje fedtfoder er blevet vurderet til at være omkring 0,13-0,15 mio. ton CO
2
e.
TRU, Alm.del - 2023-24 - Endeligt svar på spørgsmål 261: MFU spm. om ministeren vil oversende en opdateret oversigt over de klimabegrundede initiativer, der på nationalt og europæisk niveau får betydning på transportområdet inden for de kommende ca. 5 år
2841680_0082.png
82
KLIMAPROGRAM 2023
8. Forskning
For at nå klimalovens 70 pct. mål kan der være behov for at modne nye teknologier som fx CCS,
jf. kapitel 10.
En
sammenhængende indsats fra grundforskning til kommercialisering af grønne teknologier kan dermed understøtte
indfrielsen af klimalovens mål,
jf. figur 8.1.
Indsatserne til teknologimodning kan opdeles i tre overordnede temaer:
1.
2.
3.
Forskning
Udvikling og demonstration
Markedsmodning
Figur 8.1
Indsatser til modning af teknologier fra forskning til marked
Forskning
Grøn forskningsstrategi.
Fire forskningsmissioner og
partnerskaber på områder med
store reduktionspotentialer.
Statslige investeringer i grøn
forskning.
Udvikling og demonstration
Udviklings- og
demonstrationsprogrammer.
Europæiske programmer til
udvikling og demonstration af
grøn teknologi.
Markedsmodning
Etablering af Danmarks Eksport-
og Investeringsfond.
Danmarks Grønne Fremtidsfond.
Erhvervsfyrtårne.
EU’s Regionalfond og EU’s
Socialfond Plus.
IPCEI.
Forskning
Der er afsat betydelige midler til grøn forskning og innovation på områder med store reduktionspotentialer, bl.a. til
fire forsknings- og innovationspartnerskaber mellem erhvervslivet og vidensinstitutioner inden for de udpegede
grønne forskningsmissioner. Desuden er der nedsat et ekspertudvalg, der skal afdække forskningens betydning
for den grønne omstilling, og Danmarks Forsknings- og Innovationspolitiske Råd (DFiR) har udgivet rapporten
Kli-
mamål og midler 2022,
som i sin undersøgelse sammenfatter paradigmeskiftet i finansieringen af grøn forskning
og innovation indvarslet i klimaloven 2020. Rapporten indeholder ni konkrete anbefalinger fra rådet til den fort-
satte grønne forsknings- og innovationsindsats. Regeringen vil bl.a. på den baggrund præsentere et politisk ud-
spil om grøn forskning og innovation, der har til formål at accelerere udviklingen af grønne løsninger og under-
støtte indfrielse af klimalovens mål.
TRU, Alm.del - 2023-24 - Endeligt svar på spørgsmål 261: MFU spm. om ministeren vil oversende en opdateret oversigt over de klimabegrundede initiativer, der på nationalt og europæisk niveau får betydning på transportområdet inden for de kommende ca. 5 år
2841680_0083.png
KLIMAPROGRAM 2023
83
Markante investeringer i grøn forskning
I 2023 er der i alt øremærket 2,4 mia. kr. til grøn forskning,
jf. figur 8.2.
Samtidig har regeringen aftalt med Folke-
tingets partier at fastholde niveauet for de grønne forskningsmidler på det statslige forskningsbudget på mindst
2,4 mia. kr. (2023-pl) frem til og med 2025.
Figur 8.2
Øremærkede statslige grønne forskningsbevillinger 2017-2023
mia. kr. (2023-pl)
3
2,5
3,0
2,4
2,4
2
1,2
1
1,2
1,3
0
2017
2018
2019
2020
2021
2022
2023
Øvrige grønne forskningsinitiativer
PSO-finansieret forskning mv.
Danmarks Frie Forskningsfond
Klimaforskning ved DMI og GEUS
Udviklings- og demonstrationsprogrammer
Danmarks Innovationsfond
Anm.: Øremærkede grønne bevillinger bygger på konkrete vurderinger af de enkelte bevillinger.
Kilde: Uddannelses- og Forskningsministeriet
De statslige midler til grøn forskning og innovation bliver udmøntet gennem forskellige kanaler, herunder primært
Danmarks Innovationsfond og Danmarks Frie Forskningsfond samt de tre Udviklings- og demonstrationspro-
grammer: Energiteknologisk Udviklings- og demonstrationsprogram (EUDP), Miljøteknologisk Udviklings- og de-
monstrationsprogram (MUDP) og Grønt Udviklings- og demonstrationsprogram (GUDP). Derudover anvendes
midler til grøn forskning og innovation under bl.a. universiteternes basismidler, ministeriernes forskningsbase-
rede myndighedsbetjening samt de statslige innovationsfremmeordninger, herunder GTS-institutterne, de natio-
nale viden- og erhvervsklynger samt Innovation Centre Denmark, der alle i mere eller mindre omfang arbejder med
grøn omstilling.
Kortlægning af finansieringen af grøn forskning og innovation i 2022
De statslige bevillinger til grøn forskning og innovation er steget markant fra og med 2020 sammenlignet med
forudgående år. Samtidig foretages der også markante investeringer i grøn forskning fra private fonde. En kort-
lægning, som Uddannelses- og Forskningsministeriet har gennemført i 2023 viser, at der i 2022 samlet blev ud-
delt ca. 4,6 mia. kr. til grønne forsknings- og innovationsprojekter fra offentlige, europæiske og en række private
fonde og programmer. Herudover er der finansiering af grøn forskning fra universiteternes basismidler, fra private
virksomheder og den forskningsbaserede myndighedsbetjening som ikke indgår i opgørelsen. Der kan konstate-
res et fald i den samlede uddeling sammenlignet med 2020 og 2021, hvor der blev der uddelt henholdsvis 4,8
mia. kr. og 5,3 mia. kr. Faldet vurderes ikke at være udtryk for et mønster, men snarere en årlig fluktuation, hvor fx
flere store enkeltbevillinger blev givet i 2021. I perioden 2020-2022 varierer størrelsen af uddelte midler fra de for-
skellige fonde og programmer fra år til år.
Trods den markante stigning i grønne forskningsmidler fra og med 2020, vurderes der fortsat ikke at være knap-
hed på kvalificerede ansøgere. Succesraterne i Danmarks Frie Forskningsfond er således på 6-15 pct. Dog havde
Innovationsfonden i 2022 succesrater på 35-40 pct., hvilket er væsentligt højere end foregående år. For de virk-
somhedsrettede programmer i Innovations-fonden er succesraterne sammenlignelige med succesraterne i udvik-
lings- og demonstrationsprogrammerne, som ligger på 30-40 pct.
TRU, Alm.del - 2023-24 - Endeligt svar på spørgsmål 261: MFU spm. om ministeren vil oversende en opdateret oversigt over de klimabegrundede initiativer, der på nationalt og europæisk niveau får betydning på transportområdet inden for de kommende ca. 5 år
2841680_0084.png
84
KLIMAPROGRAM 2023
Kortlægningen afdækker, hvor mange af de udmøntede midler i 2022, der er gået til projekter, der falder inden for
et af de fire missionsområder fra grøn forskningsstrategi. Grøn forskningsstrategi er med til at sætte en langsig-
tet retning for grøn forskning, innovation, udvikling og demonstration for at accelerere udviklingen af nye grønne
løsninger og teknologiske spring inden for fire konkrete forskningsmissioner. Inden for de fire missioner er der
uddelt knap 1,1 mia. kr. til projekter inden for landbrug og fødevarer, godt 625 mio. kr. til grønne brændstoffer
(Power-to-X m.v.), ca. 353 mio. kr. til fangst og lagring eller anvendelse af CO₂ (CCUS), og 263 mio. kr. til cirkulær
økonomi. Tallene omfatter projektbevillinger fra alle de fonde og programmer, som indgår i kortlægningen.
Figur 8.3
Projektbevillinger i 2022 fordelt på missioner, mio. kr. (2023-pl)
Fangst og lagring eller anvendelse af CO2 (CCUS)
Grønne brændstoffer til transport og industri
(Power-to-X mv.)
Klima og miljøvenligt landbrug og
fødevareproduktion
Cirkulær økonomi med fokus på plastik og tekstiler
0
200
263
400
600
800
1.000
1.200
353
625
1.135
Anm.: Det har i 2022 ikke været muligt at fordele Horizon Europe midler på de fire missioner, hvorfor størrelsen på de bevilligede beløb til de fire missioner i
praksis er større end illustreret.
Kilde: Uddannelses- og Forskningsstyrelsen 2023
I den grønne forskningsstrategi blev der derudover fremlagt syv temaer, hvor der er væsentlige forskningsbehov
og -potentialer inden for grøn forskning. Det fremgår af kortlægningen af de syv temaer i den grønne forsknings-
strategi, at der gives flest midler inden for områderne energiproduktion (inkl. CCUS og grønne brændstoffer (PtX)
samt landbrug og fødevareproduktion,
jf. figur 8.4.
Figur 8.4
Projektbevillinger i 2022 fordelt inden for de syv grønne temaer i, mio. kr. (2023-
pl)
281
347
1.314
727
Bæredygtige energiteknologier og -
produktion mv.
Energieffektivisering
Bæredygtig fødevareproduktion, landbrug og
skove
Grøn transport
Miljøbeskyttelse, cirkulær økonomi og
miljøteknologi
520
Naturbeskyttelse, biodiversitet og
klimaforandringer
Bæredygtig adfærd og
samfundskonsekvenser
313
1.140
Kilde: Uddannelses- og Forskningsministeriet 2023.
TRU, Alm.del - 2023-24 - Endeligt svar på spørgsmål 261: MFU spm. om ministeren vil oversende en opdateret oversigt over de klimabegrundede initiativer, der på nationalt og europæisk niveau får betydning på transportområdet inden for de kommende ca. 5 år
2841680_0085.png
KLIMAPROGRAM 2023
85
Udmøntning af grøn forskningsstrategi og missioner
Den tidligere regering lancerede i september 2020 en samlet national strategi for grøn forskning og udvikling
Fremtidens grønne løsninger – Strategi for investeringer i grøn forskning, teknologi og innovation,
der skal sikre en
målrettet, sammenhængende og styrket grøn forsknings- og innovationsindsats i forhold til de udfordringer, der
er vigtigst at udvikle svar på for at indfri Danmarks klimamål, og hvor der i kraft af forsknings- og erhvervsmæs-
sige styrkepositioner er gode forudsætninger for at udvikle nye teknologier og skabe eksportmuligheder og
grønne arbejdspladser i Danmark.
Den tidligere regering udpegede i grøn forskningsstrategi fire grønne missioner:
Fangst og lagring eller anvendelse af CO
2
Grønne brændstoffer til transport og industri (PtX mv.)
Klima- og miljøvenligt landbrug og fødevareproduktion
Cirkulær økonomi med fokus på plastik og tekstiler
Missionerne vedrører konkrete udfordringer inden for sektorer, hvor behovet for nye løsninger og potentialet for at
indfri grønne målsætninger er størst i såvel Danmark som globalt. I anskueliggørelsen af vejen til at nå 70 pct.
målet indgår reduktioner inden for missionerne.
Med aftalerne om fordeling af forskningsreserven i 2021, 2022 og 2023 har regeringen sammen med aftaleparti-
erne prioriteret i alt ca. 1,3 mia. kr. til de fire grønne missioner, som skal bidrage til forskning og udvikling af tek-
nologierne. Partnerskaber bestående af universiteter, videns- og innovationsinstitutioner og virksomheder har
udviklet fælles roadmaps for en samlet forsknings- og innovationsindsats, der kan bidrage til at indfri de fire mis-
sioner. Innovationsfonden har givet bevilling til fire partnerskaber, der skal realisere de mål og milepæle, som er
opstillet i de roadmaps, som en bred kreds af aktører har udarbejdet inden for hver af de fire missionsområder
frem mod 2030 og 2050,
jf. boks 7.3.
De fire partnerskaber er nu etableret, og der er igangsat en række projekter inden for hvert missionsområde, her-
iblandt fx CORT-projektet, som arbejder med kemisk CO
2
-fangst ved Aalborg Portland. Projektet fokuserer på at
nedbringe både kapital- og driftsomkostninger for kemiske fangst anlæg, som er den største begrænsning for
udbredelsen af metoden. De mange projekter kan ses på de fire partnerskabers hjemmesider henholdsvis Inno-
ccus.dk; missiongreenfuels.dk; agrifoodture.com; trace-im4.dk
De fire partnerskaber har i 2023 organiseret en proces for udvælgelse af yderligere projekter til deres portefølje
med henblik på at understøtte og accelerere indfrielse af målene for de respektive roadmaps. Bestyrelserne i
partnerskaberne har med input fra internationale eksperter vurderet og behandlet en stor mængde ansøgninger
og på den baggrund besluttet, hvilke projekter der skulle modtage støtte og dermed blive en del af partnerskabet.
Dette har også resulteret i en række nye partnerskabsmedlemmer, som dermed har bidraget til partnerskabernes
fortsatte udvikling og inddragelse af relevante netværk - herunder institutioner og virksomheder.
Boks 8.1
Fire grønne forsknings- og innovationspartnerskaber
Mission 1 – Fangst og lagring eller anvendelse af CO
2
: INNO-CCUS-partnerskabet
Partnerskabet skal bidrage til at nå klimamålene ved at udvikle løsninger til at sikre effektiv fangst og
lagring af CO
2
samt udvikling af metoder til at genbruge CO
2
som byggesten til nye materialer. Fokus er
bl.a. på kemisk og biologisk fangst af CO
2
samt lagring og anvendelse af CO
2
.
INNO-CCUS er et bredt funderet partnerskab med 54 forskellige aktører. Partnerne er offentlige og pri-
vate aktører, herunder universiteter, vidensinstitutioner og store og små virksomheder. Partnerskabet
TRU, Alm.del - 2023-24 - Endeligt svar på spørgsmål 261: MFU spm. om ministeren vil oversende en opdateret oversigt over de klimabegrundede initiativer, der på nationalt og europæisk niveau får betydning på transportområdet inden for de kommende ca. 5 år
2841680_0086.png
86
KLIMAPROGRAM 2023
blev lanceret i juni 2022. Med indtil videre 20 projekter inden for de fem områder er der både fokus på
kort- og langsigtede løsninger, som sammen kan nedbringe CO
2
-udledningerne mest effektivt.
Mission 2 – Grønne brændstoffer til transport og industri: MissionGreenFuels-partnerskabetPartner-
skabet skal udvikle løsninger, der kan bidrage til at udfase de fossile brændsler i skibsfart, tung vejtrans-
port, luftfarten og den maritime shippingindustri. Partnerskabet arbejder i to spor. Det ene spor fokuserer
på kommerciel opskalering af allerede kendte teknologier, realisering af store demonstrationsprojekter
og opbygning af nye værdikæder målrettet aftagerne i transportsektoren på relativt kort sigt. Det andet
spor handler på den korte bane om forskning i nye forretningsmodeller og former for finansiering, ad-
færd og borgerinddragelse ved opførelse af PtX-anlæg. PtX-Partnerskabet blev lanceret i juni 2022.
Mission 3 – Klima- og miljøvenligt landbrug og fødevareproduktion: AgriFoodTure-partnerskabet
Partnerskabet er samlet om en fælles vision for den grønne omstilling af den danske landbrugs- og føde-
varesektor. Partnerskabet er resultatet af et fælles roadmap, som ca. 300 forskere og eksperter fra alle
danske universiteter og adskillige udviklingsorganisationer i den danske fødevareklynge skrev og ind-
sendte i forbindelse med Innovationsfondens Innomission call i april 2021
Partnerskabet blev lanceret i april 2022, og har allerede igangsat 11 projekter, som skal genere ny viden
og nye løsninger til landbrugs- og fødevaresektoren. Det drejer sig fx om reduktion af drivhusgasser fra
planteproduktion, udvikling af plantebaserede fødevarer og alternative proteiner samt udvikling af helt
nye typer af foderadditiver til at reducere metanudledningen fra køer.
Mission 4 – Cirkulær økonomi med fokus på plastik og tekstiler: Partnerskabet for Cirkulær Økonomi
for Plast og Tekstil
Partnerskabet skal arbejde med at udvikle, levere og implementere løsninger, der kan bidrage til en mere
bæredygtig brug og genanvendelse med fokus på plastik og tekstil.
Foreløbigt vil 14 projekter i partnerskabet bl.a. undersøge, hvordan informationsteknologi kan bidrage til
bedre affaldssortering, og hvordan ingeniører og modeskabere via bedre design og genanvendelsestek-
nologier kan mindske CO
2
e-udledningen fra plastik, tekstiler og andre produkter. Hertil hvordan der kan
etableres cirkulære forretningsmodeller og materialekredsløb så udtjente produkter ikke brændes af,
men i stedet bliver genanvendt. Partnerskabet blev lanceret i august 2022.
Status på ekspertgruppen om forskningens betydning for den grønne
omstilling
Ekspertgruppen har fået til opgave at udvikle en analytisk ramme, som kan være med til at belyse betydningen af
forsknings- og innovationsindsatsen på udviklingen og modningen af løsninger, der bidrager til reduktionen af
drivhusgasudledninger. Ekspertgruppen er halvvejs i deres arbejde og har i den forbindelse udgivet deres første
publikation
Rapport 1: Baggrunden for ekspertgruppen om forskningens betydning for den grønne omstilling.
Ekspertgruppen har identificeret en række udfordringer, som vurderes væsentlige for forskningens betydning for
den grønne omstilling. For det første er der et behov for mere viden om, hvordan samfundet får størst effekt for
de investeringer, der gives til forskning og innovation i den grønne omstilling. Der er begrænset viden om, hvilke
betingelser der skal være tilstede for, at forsknings- og innovationsindsatsen bidrager til de størst mulige redukti-
oner i drivhusgasudledningerne. For det andet løser udviklingen af teknologier som biobrændsler, PtX og CO
2
-
fangst først klimaudfordringerne, når de omsættes til praksis og anvendes i storskala. For det tredje, er der behov
for at vurdere betydningen af forskning på den grønne omstilling. Der skal derfor inddrages viden og erfaringer fra
en lang række nationale og internationale aktører, der beskæftiger sig med området.
I forlængelse af ovenstående udfordringer har ekspertgruppen fastsat en række principper,
jf. boks 8.2,
som de
lægger til grund for deres videre arbejde med at udvikle en analytisk ramme til vurdering af forskningens betyd-
ning for den grønne omstilling. Ekspertgruppen har også identificeret en række parametre, som de på nuværende
tidspunkt vurderer skal indgå i den analytiske ramme. Fælles for parametrene er, at de vurderes at betinge effek-
TRU, Alm.del - 2023-24 - Endeligt svar på spørgsmål 261: MFU spm. om ministeren vil oversende en opdateret oversigt over de klimabegrundede initiativer, der på nationalt og europæisk niveau får betydning på transportområdet inden for de kommende ca. 5 år
2841680_0087.png
KLIMAPROGRAM 2023
87
ten af en given forsknings- og innovationsindsats på drivhusgasreduktioner. I den kommende tid vil ekspertgrup-
pen derfor afprøve de nuværende parametre på en række eksisterende indsatser, herunder forskningsmissio-
nerne fra den grønne forskningsstrategi 2020.
Boks 8.2
Seks principper for ekspertgruppens arbejde om forskningens betydning for den
grønne omstilling
En missionsdrevet forskning- og innovationsindsats er et vigtigt middel:
Realiseringen af klimamålsæt-
ningerne om reduktion af drivhusgasudledninger er en kompliceret og omfattende udfordring. Af den
grund er det afgørende, at alle indsatser og tiltag målrettes løsningen, hvorfor en missionsdrevet indsats
er et vigtigt middel.
Missioner skal ”pick the challenges” og “tilt the playing field”:
I en missionsdrevet indsats kan missio-
ner forstås som konkrete og ambitiøse målsætninger, der adresserer udvalgte samfundsudfordringer.
Her udvælges udfordringer og der sættes en retning for indsatsen, hvor grønne løsninger prioriteres over
de forurenende alternativer.
Hele værdikæden fra grundforskning til adoption er vigtig:
Det er afgørende, at hele værdikæden ind-
tænkes i indsatsen, lige fra grundforskning på universiteterne til efterspørgsel og implementering af tek-
nologier i virksomhederne og ved forbrugerne.
Skalerbarhed nationalt og globalt er central:
Grønne løsninger og teknologier skal kunne skaleres, både
så de bidrager til at nedbringe de nationale udledninger, men i særdeleshed også så de tages i brug i an-
dre lande og nedbringer de globale udledninger.
Inddragelse af eksterne aktører og fokus på anvendelighed:
Udviklingen af den analytiske ramme forud-
sætter, at ekspertgruppen inddrager de store mængder ekspertviden, der allerede eksisterer og bliver
produceret. Ligeledes er der en række interessenter, som påvirkes af arbejdet, hvorfor alle relevante per-
spektiver skal med.
Opgaven er et styrket videngrundlag og at udvikle en analytisk ramme – ikke at give specifikke anbefa-
linger:
Ekspertgruppens opgave består ikke i at give konkrete anbefalinger eller forslag til prioriteringer.
Opgaven er at styrke det eksisterende videngrundlag og udarbejde en analytisk ramme. Dette skal for-
bedre det politiske vurderings- og beslutningsgrundlag for igangsættelsen af forsknings- og innovations-
indsatser.
Internationalt samarbejde om grøn forskning og innovation
Regeringen lancerede i december 2021 en handlingsplan med initiativer inden for rådgivning, kommunikation og
interessevaretagelse for at fremme dansk deltagelse i EU’s grønne programmer, herunder EU’s rammeprogram
for forskning og innovation, Horizon Europe. Med et budget på knap 700 mia. kr. over syv år, er Horizon Europe
den væsentligste finansieringskilde til internationale samarbejdsprojekter, ikke mindst i forhold til klimaforskning
(mindst 35 pct. af budgettet er målrettet klima- og miljøprojekter). Horizon Europe omfatter bl.a. flere store part-
nerskaber samt missioner om klimaresiliens og bæredygtige byer. Danmark har relativt høj deltagelse i EU’s ram-
meprogram, og er således i top-tre blandt de 20 mest succesfulde lande og nummer to i forhold til deltagelse på
det grønne område.
Regeringen arbejder også globalt for at øge samarbejdet om forskning og teknologiudvikling og for hjemtag af
viden, erfaringer og løsninger, bl.a. via de danske innovationscentre og myndighedssamarbejdet. Fx leder Dan-
mark en international mission om dekarbonisering af skibsfarten under det internationale forum, Mission Innova-
tion, i samarbejde med USA, Norge, Global Maritime Forum og Mærsk McKinney Møller Center for Zero Carbon
Shipping. Derudover indgik Danmark en samarbejdsaftale med USA om energiteknologisk forskning i april 2021.
Udvikling, test og demonstration
TRU, Alm.del - 2023-24 - Endeligt svar på spørgsmål 261: MFU spm. om ministeren vil oversende en opdateret oversigt over de klimabegrundede initiativer, der på nationalt og europæisk niveau får betydning på transportområdet inden for de kommende ca. 5 år
2841680_0088.png
88
KLIMAPROGRAM 2023
Hovedparten af de nye teknologier, som kan bidrage til at indfri 70 pct. målet, kræver primært udvikling, test og
demonstration med henblik på kommercialisering og opskalering. Det er teknologier, der er udviklede og efterhån-
den velafprøvede og har bevist sin funktion i sin endelige form.
Støtte til udviklings- og demonstrationsprojekter
Danmark har tre konkrete programmer til udmøntning af offentlige midler til udvikling og demonstration: Miljøtek-
nologisk Udviklings- og Demonstrationsprogram (MUDP)
12
, Grønt Udviklings- og Demonstrationsprogram
(GUDP)
13
og Det Energiteknologiske Udviklings- og Demonstrationsprogram (EUDP).
EUDP støtter innovative projekter inden for udvikling, test og demonstration af energiteknologi og energisystem-
løsninger. Programmet har til formål at understøtte Danmarks energi- og klimapolitiske målsætninger om indfri-
else af 2030-målet og klimaneutralitet i 2045, udfasning af fossile brændsler og understøttelse af høj forsynings-
sikkerhed. Siden etableringen af EUDP i 2007, har programmet støttet over 1.000 projekter med mere end 5,7 mia.
kr.
EUDP har fokus på strategiske investeringer, der giver CO
2
e-reduktioner,
jf. boks 8.3.
Den seneste evaluering af
EUDP-programmet fra foråret 2023
14
viser, at hver tilskudskrone fra EUDP i gennemsnit tiltrækker 1,1 kr. i egenfi-
nansiering fra projektdeltagerne og private kilder. Evalueringen viser desuden, at EUDP-støttede virksomheder 3-5
år efter afsluttet projektperiode gennemsnitligt har opnået en meromsætning på 6,0-9,7 mio. kr. for hver mio. kr. i
EUDP-bevilling.
Boks 8.3
Eksempler på projekt støttet af EUDP
Project Greensand
har til formål at teste, udvikle og demonstrere, at udtømte olie- og gasfelter i den dan-
ske Nordsø kan bruges til sikker og langsigtet CO2-lagring til indfrielse af de danske klimamål. Med pro-
jektet blev der i december 2022 taget et historisk skridt mod udviklingen af en værdikæde for fangst og
lagring af CO
2
(CCS) i Danmark, da Energistyrelsen gav projektet den første tilladelse nogensinde til in-
jektion og lagring af CO
2
i den danske undergrund. Project Greensand fokuserer på CO
2
-lagring i det tidli-
gere oliefelt Nini West i den danske del af Nordsøen, hvor projektkonsortiet forventer at kunne levere la-
gerkapacitet på 0,5-1,5 mio. ton CO
2
om året fra 2025. Projektet har i perioden 2020-2023 modtaget
206,61 mio. kr. i støtte fra EUDP.
Godkendte Teknologiske serviceinstitutter
Uddannelses- og Forskningsministeriet medfinansierer de syv Godkendte Teknologiske Serviceinstitutter (GTS),
der er almennyttige institutioner, der drives som private virksomheder med det formål at opbygge og formidle tek-
nologiske kompetencer til dansk erhvervsliv. GTS-institutterne understøtter virksomhedernes teknologiudvikling
og innovation ved at give adgang til specialistkompetencer og til udviklings- test- og demonstrationsfaciliteter.
Virksomheder benytter GTS-institutter til test, rådgivning og F&U-opgaver samt til uddannelse af medarbejdere.
Omkring 16.000 danske virksomheder benytter årligt GTS-institutternes ydelser. De syv institutter varierer i stør-
relse og fagområder og har tilsammen en omsætning på ca. 3,5 mia. kr. årligt og ca. 3.500 ansatte.
Uddannelses- og Forskningsministeriet indgår resultatkontrakter med GTS-institutterne
15
og investererede i 2022
ca. 317 mio. kr. inden for en række tematiske områder
16
, hvilket udgør samlet set knap 10 pct. af institutternes
omsætning. Grøn omstilling er en væsentlig prioritet under de igangværende resultatkontrakter, idet relevans for
den grønne dagsorden var et vurderingskriterium for ansøgning af resultatkontraktmidler for perioden 2021-2024.
Alle GTS-institutters igangværende indsatsområder indeholder således grønne elementer i større eller mindre
grad, herunder også inden for de fire grønne missioner.
Boks 8.4
12 https://ecoinnovation.dk/
13 https://gudp.lbst.dk/
14 Epinion & Amsterdam Data Collective (2023). Evaluering af EUDP.
15 Beskrivelser af GTS-institutternes resultatkontrakter og indsatsområder er tilgængelige på Bedreinnovation.dk.
16 Op mod 8,5 mio. kr. af bevillingen forventes dog anvendt til rådgivning og vejledning af danske opfindere, studerende mv. via GTS-nettet.
TRU, Alm.del - 2023-24 - Endeligt svar på spørgsmål 261: MFU spm. om ministeren vil oversende en opdateret oversigt over de klimabegrundede initiativer, der på nationalt og europæisk niveau får betydning på transportområdet inden for de kommende ca. 5 år
2841680_0089.png
KLIMAPROGRAM 2023
89
Eksempler på GTS-institutternes indsatser inden for de grønne missioner
Under indsatsen ”Emissioner i den grønne omstilling” udvikler GTS-instituttet FORCE Technology tekno-
logiske serviceydelser, som kan forudse og dokumentere luftforurening fra nye grønne teknologier med
henblik på at kunne reducere forureningen. Indsatsen omfatter dels emissioner fra nye grønne brænd-
stoffer såsom biobrændsler og elektrofuels og dels emissioner fra CO
2
-fangstanlæg. Ved projektets af-
slutning i 2024 er målet, at FORCE Technology kan bistå industrien med uvildig dokumentation af emissi-
oner fra brændsler og CCUS-teknologier, således at de kan imødekomme gældende og kommende krav
til grænseværdier. Desuden vil FORCE Technology kunne rådgive om, hvordan miljø- og sundhedsskade-
lige emissioner fra teknologierne kan reduceres.
Teknologisk Institut vil med indsatsen ”Klima- og miljøeffektivt landbrug” etablere et test-, demonstrati-
ons- og udviklingscenter for klima- og miljøteknologier til landbruget og agroindustrien for at accelerere
implementeringen af nye grønne teknologier. Målet er at fremme dansk landbrug og agroindustris ad-
gang til test- og demonstrationsfaciliter, der kan bidrage til at virksomheder i sektoren kan udnytte
vækstmulighederne i den grønne omstilling. Indsatsen skal bringe nye teknologier og målemetoder i spil,
som kan styrke en produktion, der både er miljøvenlig og konkurrencedygtig. Teknologisk Institut samar-
bejder bl.a.med en række private virksomheder som Chr. Hansen og Novozymes, samt Landbrug og Fø-
devarer, SEGES og Hortiadvice, Food & Bio Cluster. Der er endvidere igangsat forsknings- og udviklings-
projekter med AAU, AU, KU og SDU.
Europæiske programmer til udvikling og demonstration af grøn teknologi
EU Innovation Fund støtter demonstrationsprojekter inden for innovative kulstoffattige teknologier og processer,
herunder: 1) Kulstoffattige teknologer og processer i den energiintensive industri, som er omfattet af
EU ETS,
2)
CCU, 3) CCS, 4) Energilagring og 5) Innovation inden for vedvarende energi.
Fonden finansieres i 2020-2030 af provenu ved auktionering af mindst 450 mio. CO
2
-kvoter fra EU’s kvotehandels-
system samt evt. overskydende støttemidler fra programmet NER300. Finansministeriet har i juni 2023 estimeret,
at der vil være lidt over 400 mia. kr. til rådighed i 2021-2030 samlet i EU. Det endelige beløb afhænger af kvotepri-
sen, der er steget betydeligt over de seneste år.
Som et led i en indsats for at styrke dansk hjemtag af midler fra europæiske støtteprogrammer for forskning, ud-
vikling og demonstration, er der i 2023 etableret et sekretariat og rejsehold i Energistyrelsen, der arbejder for at
understøtte hjemtag af midler til danske projekter fra især EU Innovation Fund. Sekretariatet bistår med udvikling
og kvalificering af projektansøgninger, hvilket understøttes af aktiv tilstedeværelse i fondsrelaterede aktiviteter.
Der er i 2023 været aktiv dialog over for nuværende og potentielle danske ansøgere samt over for CINEA, der va-
retager administrationen af EU Innovation Fund, og i juli 2023 blev det annonceret, at der for første gang tildeles
midler fra EU Innovation Fund til storskala projekter i Danmark. Der er tildelt støtte til henholdsvis Topsøes elek-
trolysefabrik i Herning og Siemens Gamesas udvikling og test af verdens største havmølle i Danmark. Med EU's
flerårige budget etableres desuden den nye EU-fond, Fonden for Retfærdig Omstilling (FRO). Fondens midler mål-
rettes til investeringer i teknologiudvikling- og modningen inden for nye grønne teknologier som samtidig skal
styrke erhvervsudviklingen i områder, der er særlig berørt af omstillingen til klimaneutralitet. FRO er i Danmark
målrettet erhvervsudviklingen i Nordjylland og Sydjylland inden for bl.a. CCS, PtX, pyrolyse og grøn omstilling af
små og mellemstore virksomheder (SMV'er).
Markedsmodning
Når teknologier er modne, er det afgørende at få fremmet et marked for teknologien. Regeringen har igennem en
række initiativer understøttet private aktører i at fremme markedsudbredelsen af grønne teknologier. Dette indbe-
fatter en række finansieringsmuligheder samt støtteordninger til teknologier såsom CCS og PtX,
jf.de tekniske
køreplaner for CCS og PtX.
Erhvervsfyrtårne
De lokale erhvervsfyrtårne skal bidrage til at understøtte udviklingen af eksisterende og nye styrkepositioner. Er-
TRU, Alm.del - 2023-24 - Endeligt svar på spørgsmål 261: MFU spm. om ministeren vil oversende en opdateret oversigt over de klimabegrundede initiativer, der på nationalt og europæisk niveau får betydning på transportområdet inden for de kommende ca. 5 år
2841680_0090.png
90
KLIMAPROGRAM 2023
hvervsfyrtårnene skal bl.a. modne grønne teknologier inden for bl.a. PtX, sektorkobling, CCS, vandteknologi, bio-
solutions og bæredygtigt byggeri til konkrete løsninger i erhvervslivet,
jf. boks 8.5.
Der blev i efteråret 2022 ind-
gået en partnerskabsaftale for hvert erhvervsfyrtårn mellem bl.a. staten og de lokale aktører bestående af bl.a.
virksomheder, universiteter, klynger, erhvervshuse og kommuner mv., som står i spidsen for at opbygge erhvervs-
fyrtårnet. Partnerskaberne understøtter den langsigtede udvikling af erhvervsfyrtårnene. Der investeres samlet
set 1 mia. kr. i EU-midler frem mod 2027 til etablering og udvikling af de lokale erhvervsfyrtårne.
Boks 8.5
Oversigt over de otte lokale erhvervsfyrtårne
Erhvervsfyrtårn for fangst, transport, anvendelse og lagring af CO
2
(Nordjylland):
Nordjylland har et
særligt potentiale på området, både fordi der er store CO
2
-udledere, for hvem CO
2
-fangst er meget rele-
vant, og grundet gode muligheder for at lagre CO
2
i undergrunden, både på havet, kystnært og på land.
Erhvervsfyrtårn for vandteknologi (Midtjylland):
Midtjylland har gode muligheder på området, da der er
markante virksomheder inden for vand og et tæt samarbejde mellem virksomheder, vandselskaber og
videninstitutioner om vandteknologiske løsninger.
Erhvervsfyrtårn for grøn energi og sektorkobling (Sydjylland):
Sydjylland har gode muligheder for er-
hvervsudvikling af energiteknologiske løsninger, da landsdelen har stærke virksomheder på området, an-
erkendte videninstitutioner, store kommende private investeringer i bl.a. havvindmølleparker langs den
jyske vestkyst, samt en velfungerende el- og gasinfrastruktur med gode forbindelser til eksportmarkeder,
fx Tyskland.
Erhvervsfyrtårn for fremtidens industri og næste generation af robotter (Fyn):
Fyn har gode muligheder
inden for området, da landsdelen allerede i dag er verdensførende inden for robotteknologi og autonome
løsninger.
Erhvervsfyrtårn for biosolutions (Sjælland og øerne):
Sjælland og øerne har gode muligheder på områ-
det, da regionen har en høj koncentration af verdensførende bioteknologiske virksomheder, innovative
iværksættere, forskning og uddannelse af høj kvalitet samt velfungerende innovationssamarbejder mel-
lem universiteter, GTS-institutter og virksomheder.
Erhvervsfyrtårn for bæredygtigt byggeri og erhvervsudvikling med afsæt i Femern Bælt-forbindelsen
(Sjælland og øerne):
Sjælland og øerne har gode muligheder på området, idet der i landsdelen er et
stærkt erhvervsliv inden for byggeri og anlæg, og anlægget af Femern Bælt-forbindelsen kan danne
grundlag for udvikling af nye bæredygtige løsninger til bygge- og anlægserhvervet.
Erhvervsfyrtårn for life science (Hovedstaden):
Hovedstaden har gode muligheder på området, da regio-
nen i forvejen har markante life science- og velfærdsteknologiske virksomheder og et stærkt økosystem
med videninstitutioner, kvalificeret arbejdskraft og god adgang til kapital mv.
Erhvervsfyrtårn for Bornholm som knudepunkt for udvikling, test og demonstration af grøn energi
(Bornholm):
Bornholm har gode udviklingsmuligheder på området med sin placering i Østersøen nær
eksisterende og planlagte havvindmølleparker og med unikke muligheder for at teste innovative energi-
teknologier i et afgrænset område.
Danmarks Eksport- og Investeringsfond
Regeringen har etableret Danmarks Eksport- og Investeringsfond ved at samle Vækstfonden, EKF Danmarks Ek-
sportkredit og Danmarks Grønne Investeringsfond. Med én samlet fond får virksomhederne adgang til én sam-
menhængende indsats for statslig medfinansiering, der kan hjælpe med kapital og vejledning, hvor det private
marked ikke kan løfte opgaven på egen hånd. Samtidig fastholdes og styrkes de eksisterende fondes nuværende
finansieringsindsatser og specialiserede kompetencer, fx inden for finansiering af den grønne omstilling. For at
TRU, Alm.del - 2023-24 - Endeligt svar på spørgsmål 261: MFU spm. om ministeren vil oversende en opdateret oversigt over de klimabegrundede initiativer, der på nationalt og europæisk niveau får betydning på transportområdet inden for de kommende ca. 5 år
2841680_0091.png
KLIMAPROGRAM 2023
91
styrke fondens grønne indsats indskydes 1,7 mia. kr. varigt til styrkelse af eksportindsatsen gennem kommerci-
elle storskala demonstrationsprojekter.
Investeringsstøtteordning for innovative grønne nøgleteknologier
Som opfølgning på
Aftale om udvikling og fremme af brint og grønne brændstoffer
er der etableret en investerings-
støtteordning til at understøtte virksomhedernes investeringer i nye grønne teknologier og løsninger med fokus
på test, demonstration og skalering af de nye teknologier og derved bidrage til at understøtte øget innovation, ud-
vikling og markedsmodning af grønne teknologier. Der er i alt afsat 344 mio. kr. i EU-midler til investeringsstøtte-
ordningen, hvoraf de første 244 mio. kr. er udmøntet af Danmarks Erhvervsfremmebestyrelse. De resterende 100
mio. kr. er afsat under Fonden for Retfærdig Omstilling, og udmøntes af et særskilt indstillingsudvalg.
EU’s Regionalfond og EU’s Socialfond Plus (EU’s strukturfonde)
Danmark modtager 2,7 mia. kr. i programperioden 2021-2027. Danmarks Erhvervsfremmebestyrelse indstiller om
anvendelse af hovedparten af midlerne, hvoraf mere end halvdelen af de danske programmer forventes at være
udmøntet inden udgangen af 2023. Midlerne understøtter bl.a. udvikling af grønne SMV’er og udvikling af grønne
styrkepositioner, hvoraf fem ud af otte erhvervsfyrtårne skal fremme grønne styrkepositioner og omstilling bl.a.
inden for CO
2
-fangst og lagring, PtX og sektorkobling, biosolutions og vandteknologi samt udvikling af relevante
grønne kompetencer, grønt iværksætteri mv.
IPCEI
Danmark deltager i et såkaldt vigtigt projekt af fælleseuropæisk interesse (IPCEI) for brint, hvortil der er afsat i alt
850 mio. kr. Erhvervsstyrelsen har på baggrund af en national udvælgelsesproces udpeget to projekter til at del-
tage i det fælleseuropæiske projekt og modtage støtte. Projekterne vil opbygge store mængder elektrolysekapaci-
tet og producere alternative brændsler samt dekarbonisere industrielle processer. Begge projekter har opnået
statsstøttegodkendelse fra Kommissionen og på den baggrund blev der i december 2022 givet endeligt bindende
tilsagn om støtte til de to projekter og udmøntningen af de afsatte midler. Realisering af projekterne kontrolleres
løbende.
TRU, Alm.del - 2023-24 - Endeligt svar på spørgsmål 261: MFU spm. om ministeren vil oversende en opdateret oversigt over de klimabegrundede initiativer, der på nationalt og europæisk niveau får betydning på transportområdet inden for de kommende ca. 5 år
2841680_0092.png
92
KLIMAPROGRAM 2023
9. Sektorkøreplaner
Som led i anskueliggørelsen er der udarbejdet en plan for omstillingen af hver sektor, der anviser de næste skridt i
omstillingen inden for de enkelte sektorer. De indgåede politiske aftaler skal implementeres grundigt og rettidigt,
så de forventede reduktioner realiseres, og de politiske mål og ambitioner indfries.
Der er allerede en betydelig udvikling i gang i de forskellige sektorer. Kapitlet viser en status for de resterende ud-
ledninger i hver sektor frem mod 2030. Det bemærkes, at aftalte reduktioner fra CCS ikke er fordelt på sektorer i
Klimastatus- og fremskrivning 2023,
hvorfor reduktioner fra CCS ikke er inkluderet i skøn over de enkelte sektorer-
nes udledning, men er regnet med i opgørelser over Danmarks samlede udledninger. Derudover vises indfrielse af
centrale udviklinger, mål og ambitioner for at identificere, hvor langt hver sektor er i omstillingen. Nøgletal for sek-
torerne viser derudover, hvor stor en omstilling sektoren står overfor.
Der er mulighed for at reducere udledningerne yderligere gennem en række teknologier, som kan realisere de tek-
niske reduktionspotentialer helt eller delvist. Omstillingen fra et reduktionspotentiale til den endelige drivhusgas-
reduktion sker ikke fra den ene dag til den anden, men er forbundet med en implementeringstid, der i de fleste
tilfælde strækker sig over flere år,
jf. analyser fra Klimaprogram 2022.
Kapitlet gennemgår for hver sektor de pri-
vatøkonomiske – altså borgere og virksomheders – omkostninger ved teknologierne.
I takt med at en større del af mankoen dækkes af vedtagne virkemidler, bliver det afgørende, at der følges op på
implementeringen af de eksisterende aftaler, så de forventede reduktioner realiseres. Derfor gennemgår kapitlet
også planen for implementering og håndtering af forbundne risici ved indgåede klimapolitiske aftaler. I gennem-
gangen skelnes mellem den forvaltningsmæssige implementering, som direkte drives af staten og den sam-
fundsmæssige gennemførsel, der i højere grad drives af andre samfundsaktører. Status på de forvaltningsmæs-
sige rammer for implementering af initiativerne monitoreres, hvor staten direkte driver implementeringen. Dvs.
om relevant lovgivning er vedtaget, og/eller afsatte puljer er åbnet, og/eller udbudskontrakter er indgået. Derud-
over vises den samfundsmæssige gennemførelse af initiativet efter relevans, der typisk drives af andre sam-
fundsaktører end staten fx konstruktion af et CCS-anlæg.
Et centralt element i risikohåndteringen er, at der er planlagt en række genbesøg og opfølgninger på aftaler, hvor
er der mulighed for at iværksætte tiltag, som kan støtte op om de aftalte ambitioner og initiativer. Dertil er der
med
Aftale om etablering af en grøn fond
reserveret 53,5 mia. kr. frem mod 2040 til at bidrage til den grønne om-
stilling af Danmark, herunder indfrielse af Danmarks klimamål, så der er mulighed for yderligere investeringer.
Arbejdsprogrammet for den enkelte sektor viser en samlet plan med byggestenene til at implementere de aftalte
initiativer og følge på de politiske ambitioner og mål for. Planen er tilrettelagt bl.a. ud fra analyser om tekniske
reduktionspotentialer og deres omstillingshastigheder, så sektorerne genbesøges i tide, og der kan træffes be-
slutning om supplerende virkemidler, fx hvis udledningerne ikke udvikler sig som forventet. Rammevilkårene for
grønne løsninger i sektoren styrkes gennem Grøn skattereform for industri mv., og regeringen arbejder løbende
for ambitiøse rammevilkår i EU,
jf. kapitel 6 EU’s klima- og energipolitik.
Nogle teknologier kan anvendes i flere
sektorer som, fx CSS, hvorfor arbejdet for at indfri disse potentialer er beskrevet i særskilte tekniske køreplaner,
jf.
kapitel 10.
TRU, Alm.del - 2023-24 - Endeligt svar på spørgsmål 261: MFU spm. om ministeren vil oversende en opdateret oversigt over de klimabegrundede initiativer, der på nationalt og europæisk niveau får betydning på transportområdet inden for de kommende ca. 5 år
2841680_0093.png
KLIMAPROGRAM 2023
93
Energi- og forsyningssektorens udledninger er fra 1990 til 2021 faldet fra ca. 31 mio. ton CO
2
e til ca. 7,5 mio. ton
CO
2
e,
jf. figur 9.1.
Energi- og forsyningssektorens udledninger skønnes at udgøre ca. 0,7 mio. ton CO
2
e i 2030,
svarende til 2,3 pct. af Danmarks samlede CO
2
e-udledninger i 2030,
jf. Klimastatus og –fremskrivning 2023.
De
resterende udledninger i 2030 forventes bl.a. at komme fra opvarmning i husholdninger og serviceerhverv med
gas- og oliefyr samt fra el- og fjernvarmeproduktion baseret på fossile brændsler.
Figur 9.1
Energi- og forsyningssektoren
Udledningerne i energi- og forsyningssektoren i 1990-2035 (mio. ton CO
2
e)
Mio.
ton
CO
2
e
35
30
25
20
15
10
5
0
1990
2021
El og fjernvarme
Kilde:
Klimastatus- og fremskrivning 2023
(”tal bag figurer”).
2025
Serviceerhverv
2030
Husholdninger
2035
Nøgletal og status på mål mv. i energi- og forsyningssektoren
For at reducere udledningerne og understøtte omstillingen af energi- og forsyningssektoren har en række partier
aftalt flere initiativer samt fastsat mål og politiske ambitioner. Der er tilsvarende i EU vedtaget regulering inden
for energi- og forsyningssektoren, der udmønter EU’s 2030-klimamål og understøtter sektorens omstilling. I det
følgende præsenteres status på centrale udviklinger, mål og ambitioner inden for sektoren. En række nøgletal vi-
ser derudover, hvor stor en omstilling sektoren står overfor frem mod 2030.
Med
klimaaftale om grøn strøm og varme 2022
er der fastsat en række ambitioner, herunder at der ikke skal an-
vendes gas til rumvarme i danske husstande fra 2035. Med
Klimastatus og –fremskrivning 2023
forventes antal-
let af gasfyr til opvarmning af boliger at falde fra ca. 340.000 i 2020 til ca. 110.000 i 2035. Dertil forventes stort
set alle olie- og gasfyr i brug i staten – over 98 pct. i forhold til 2023 – at være udfaset i 2035 med nuværende
tiltag. Derudover er der en ambition om, at Danmark senest i 2030 vil være 100 pct. forsynet med grøn gas, hvor
andelen af grøn gas skønnes at stige fra ca. 16 pct. i 2020 til 108 pct. i 2030 med allerede vedtagne initiativer,
jf.
Klimastatus og –fremskrivning 2023.
Med
Aftale om udvikling og fremme af brint og grønne brændstoffer
er der fastsat mål om 4-6 GW elektrolyseka-
pacitet i 2030, hvor det i
Klimastatus og -fremskrivning 2023
er lagt til grund, at kapaciteten alene med allerede
vedtagne initiativer stiger til ca. 1 GW frem mod 2030. Private aktører har i januar 2023 udmeldt konkrete planer
for PtX-projekter med en elektrolysekapacitet svarende til 9,4 GW frem mod 2030, hvilket giver en indikation om
markedets forventninger for sektorens udvikling. Det vides ikke på forhånd hvor stor en andel heraf, der bliver rea-
liseret.
Et flertal i Folketinget har ønsket en plan for udbygning af vedvarende energi, der sikrer, at Danmark skal være
nettoeksportør af grøn energi i 2030, hvilket forventes indfriet, da den samlede elproduktion fra VE forventes at
vokse med 41 TWh fra 2023 til 2030. EU har revideret EE-direktivet i 2023, hvor det fælles energieffektivitetsmål
for EU er fastsat til 11,7 pct. reduktion i 2030 i forhold til Kommissionens 2020 referencescenarie for udviklingen i
energiforbruget. Implementeringen af målet er under afklaring.
TRU, Alm.del - 2023-24 - Endeligt svar på spørgsmål 261: MFU spm. om ministeren vil oversende en opdateret oversigt over de klimabegrundede initiativer, der på nationalt og europæisk niveau får betydning på transportområdet inden for de kommende ca. 5 år
2841680_0094.png
94
KLIMAPROGRAM 2023
Nøgletal i boks 9.1 viser, at sektoren står over for en stor omstilling frem mod 2030. Den samlede elproduktion
fra VE skønnes at stige med 41 TWh fra 2023 til 2030,
jf. figur 9.2.
Stigningen svarer til mere end elforbruget
i
2021, der var ca. 38 TWh. Til sammenligning skønnes der at blive opsat VE svarende til en elproduktion på 12
TWh fra 2016-2023. Elektrolysekapaciteten skønnes at stige til ca. 1 GW fra 2023 til 2030,
jf. figur 9.3.
Boks 9.1
Udbygning af VE
Figur 9.2
Forventet udvikling i samlet VE-elproduktion
2022-2035
TWh
160,0
140,0
120,0
100,0
80,0
60,0
40,0
20,0
0,0
2010
2015
2020
2025
2030
2035
Figur 9.3
Forventet udvikling i elektrolyse-
kapacitet 2020-2035
GW
7
6
5
4
3
2
1
0
Energiø Nordsøen (3GW)
Firedobling af land-VE
4 GW fra KA22 og overplantning
Solenergi
Havvind
Landvind
Elforbrug inkl. nettab
Mål
Elektrolysekapacitet
Kilde:
Klimastatus og fremskrivning 2023
og Klima-, Energi-, og Forsyningsministeriet.
Andelen af grøn gas forventes at stige fra 39 pct. til 108 pct. fra 2023 til 2030,
jf. figur 9.4.
Til sammenligning
skønnes andelen at stige fra 5 pct. til 39 pct. i perioden 2016 til 2023.Antallet af gasfyr til opvarmning af boliger
skønnes at falde med ca. 100.000 fra 2023 til 2030,
jf. figur 9.5.
Til sammenligning skønnes antallet af gasfyr at
være faldet med ca. 10.000 i perioden 2016 til 2023.
TRU, Alm.del - 2023-24 - Endeligt svar på spørgsmål 261: MFU spm. om ministeren vil oversende en opdateret oversigt over de klimabegrundede initiativer, der på nationalt og europæisk niveau får betydning på transportområdet inden for de kommende ca. 5 år
2841680_0095.png
KLIMAPROGRAM 2023
95
Boks 9.2
Boks x.x
Mere grøn varme
Mere grøn varme
Figur 9.4.
Antallet af gasfyr til opvarmning af
Forventet udvikling i grøn gas 2010-2035
boliger skønnes at falde med ca.
gasfyr som
2023 til 2030. Til
Forventet udvikling i
100.000 fra
sammenligning skønnes antallet af gasfyr at falde med ca. 10.000 i perioden 2016 til 2023.
primær opvarmning 2011-2035
Pct.
140%
120%
100%
Figur 9.5
Andelen af grøn gas forventes at stige fra 39 pct. til
stk.
pct. fra 2023 til 2030. Til sammenligning
1.000
108
400
skønnes andelen at stige fra 5 pct. til 39 pct. i perioden 2016 til 2023.
350
300
80%
60%
40%
20%
0%
Figur x. Forventet udvikling i grøn gas 2010-
2035
Figur
250
150
100
50
0
x. Forventet udvikling i gasfyr som primær
2011-2035
opvarmning
200
. Antal tilsagn om tilskud til opsætning af varmepumper og fjernvarme samt afkoblinger fra gassyste-
met i 2022
VE-andel
Fremskrivning
Ambition
Gasfyr
Fremskrivning
Ambition
Figur 9.6
Antal tilsagn om tilskud til opsætning af varmepumper og fjernvarme samt afkoblinger fra gassystemet i
2022
Antal
35.000
30.000
25.000
20.000
15.000
10.000
5.000
0
3.800
5.000
28.620
23.300
16.970
14.800
23.875
Tilsagn til fjernvarme
Tilsagn til varmepumper
2020
2021
2022
Afkoblingsordningen
Kilde:
Klimastatus og –fremskrivning 2023,
Energistyrelsen.
Tekniske potentialer
Der findes en række teknologier, som kan reducere drivhusgasudledningen i energi- og forsyningssektoren. Om-
stillingen til disse teknologier er forbundet med en implementeringstid, ligesom teknologierne er forbundet med
samfundsøkonomiske omkostninger, herunder privatøkonomiske og statsfinansielle.
De tekniske potentialer angiver potentielle reduktioner ud over det, der skønnes realiseret ved vedtagen politik.
Det skønnes, at der er tekniske potentialer i energi- og forsyningssektoren på ca. 4,7 mio. ton CO
2
e i 2030,
jf. tabel
9.1.
Dette overstiger de skønnede drivhusgasudledninger i sektoren i 2030 i Klimastatus og –fremskrivning 2023
grundet potentialer for fangst af biogene CO
2
-udledninger ved CCS.
TRU, Alm.del - 2023-24 - Endeligt svar på spørgsmål 261: MFU spm. om ministeren vil oversende en opdateret oversigt over de klimabegrundede initiativer, der på nationalt og europæisk niveau får betydning på transportområdet inden for de kommende ca. 5 år
2841680_0096.png
96
KLIMAPROGRAM 2023
Det bemærkes, at analysen i dette års klimaprogram viser en første analyse på en tilnærmelsesvis fuld teknisk
omstilling af drivhusgasudledningerne fra det danske energiforbrug inklusive udvalgte potentialer for at reducere
ikke-CO
2
-udledninger i landbrugssektoren, samt de privatøkonomiske omkostninger herved. Der er ikke skønnet
over de samfundsøkonomiske omkostninger. Det bemærkes at der ligeledes vil være andre veje til en teknisk om-
stilling. Se uddybning af metode og antagelser i kapitel 7.
Tabel 9.1
Tekniske potentialer for energi- og forsyningssektoren i 2030
Teknologi
Teknisk reduktions-
potentiale (mio. ton
CO
2
e i 2030)
0,09
0,03
4,43
0,10
4,7
Privatøkonomisk om-
kostning
(kr. per ton)
1.200
1.200
1.400
1.500
Husholdninger: Varmepumper
Serviceerhverv: Varmepumper
El- og fjernvarmeproduktion: CCS
El- og fjernvarmeproduktion: Grønne brændstoffer (og grøn brint)
I alt
Anm.: Se metoder, antagelser og forudsætninger for beregningerne i kapitel 7. Generelt er de tekniske reduktionspotentialerne forbundet med en betydelig
usikkerhed, idet der ikke tages stilling til nærmere forhold og implikationer i forbindelse med evt. implementering af enkelte omstillingselementer, herunder
de juridiske, tekniske og praktiske forhold.
Der er særligt CCS, som viser et stort teknisk reduktionspotentiale,
jf. figur 9.7.
Der er samtidig en vis variation i
de privatøkonomiske omkostninger, hvor varmepumper skønnes at have privatøkonomiske omkostninger på
1.200 kr. pr. ton, mens grønne brændstoffer (og grøn brint) skønnes at have privatøkonomiske omkostninger på
1.500 kr. pr. ton.
Figur 9.7
Tekniske reduktionspotentialer og privatøkonomiske omkostninger i energi- og for-
syningssektoren
Kr. per ton
2.000
1.500
1.000
500
0
0,0
0,5
1,0
1,5
2,0
2,5
3,0
3,5
4,0
4,5
5,0
Husholdninger: Varmepumper
Serviceerhverv: Varmepumper
El- og fjernvarmeproduktion: CCS
El- og fjernvarmeproduktion: Grønne brændstoffer (og grøn brint)
Mio. t. CO
2
e
TRU, Alm.del - 2023-24 - Endeligt svar på spørgsmål 261: MFU spm. om ministeren vil oversende en opdateret oversigt over de klimabegrundede initiativer, der på nationalt og europæisk niveau får betydning på transportområdet inden for de kommende ca. 5 år
2841680_0097.png
KLIMAPROGRAM 2023
97
Anm.: Se metoder, antagelser og forudsætninger for beregningerne i kapitel 7.
Hvis de tekniske reduktionspotentialer i energi- og forsyningssektoren skal bidrage til indfrielsen af 70 pct. målet i
væsentlig grad, skønnes det nødvendigt at træffe beslutninger senest i 2025,
jf. analyser i Klimaprogram 2022.
Herefter skønnes beslutningsrummet for energi- og forsyningssektoren at blive væsentligt indskrænket,
jf. figur
9.8.
Det skal dog bemærkes, at vurderingen af beslutningsrummet er underlagt betydelig usikkerhed.
17
Figur 9.8
Beslutningsrum i energi- og forsyningssektoren frem mod 2030 (mio. ton CO
2
e)
Varmepumper og fjernvarme i
serviceerhverv
CCS på el-, fjernvarme- og
biogasanlæg
Biogasomlægning fra
kraftvarme til opgradering
Energibesparelser i
husholdninger
Varmepumper og fjernvarme i
husholdninger
2022
2023
2024
2025
2026
2027
2028
2029
2030
Anm.: Figuren viser, hvordan tekniske reduktionspotentialer i 2030 er afhængig af, hvornår der implementeres virkemidler. Der er ikke taget højde for overlap i
reduktionspotentialerne.
Kilde:
Klimaprogram 2022.
For at indfri tekniske reduktionspotentialer helt eller delvist kan der iværksættes en række virkemidler. CO
2
e-effek-
ten af opgjorte tekniske potentialer vil først blive realiseret på det tidspunkt, hvor erhverv og husholdninger æn-
drer deres adfærd mod mere klimavenlige og bæredygtige løsninger. Virkemiddelskataloget fra
Klimaprogram
2022
viste en række virkemidler, hvor der er stor variation i de samfundsøkonomiske omkostninger per ton (skyg-
gepris). Det viste samtidig, at fordelingen af omkostningen på tværs af husholdninger, erhverv og stat kan være
meget forskellig.
Klimaindsatsen skal ske under hensyntagen til en række guidende principper om bl.a. omkostningseffektivitet,
dansk erhvervsliv, social balance og lækage,
jf. klimaloven.
Boks 9.3 viser samfundsøkonomiske omkostninger og
konsekvenser ved virkemiddel om afgiftsforhøjelse på rumvarme for at illustrere flere principper, der skal tages
hensyn til i klimaindsatsen. Virkemidlet er beskrevet i flere detaljer i kapitel 7.
Boks 9.3
Afgiftsforhøjelse på 100 kr. pr. ton på CO
2
e-udledning for rumvarme
En forhøjelse af CO
2
-afgiften på rumvarme vil tilsvarende kunne bidrage til CO
2
e-reduktioner. Rumvarme
omfatter udledninger fra individuel rumvarme (primært olie- og gasfyr) samt fra fjernvarmen inkl. affalds-
forbrændingsanlæg, og omfatter såvel husholdninger som erhvervsrumvarmeforbrug. Der er som for in-
dustri mv. uden for kvotesektoren regnet på en forhøjelse af CO
2
-afgiften på 100 kr. pr. ton, det vil sige på
en forhøjelse fra 750 kr. pr. ton til 850 kr. pr. ton. Det er lagt til grund, at forhøjelsen på 100 kr. pr. ton ind-
føres med fuld virkning fra 2025. Forhøjelsen er beregningsmæssigt antaget at blive udmeldt i 2023.
Beslutningsrummet er defineret ved at sammenholde en teknologis potentiale med omstillingshastigheden. Dette viser, hvornår der
sidst skal påbegyndes implementering af et omstillingselement, for at kunne realisere dets tekniske reduktions potentiale. I Klimapro-
gram 2022 blev der i forlængelse af skøn for reduktionspotentialer skønnet beslutningsrum for reduktionspotentialerne.
17
TRU, Alm.del - 2023-24 - Endeligt svar på spørgsmål 261: MFU spm. om ministeren vil oversende en opdateret oversigt over de klimabegrundede initiativer, der på nationalt og europæisk niveau får betydning på transportområdet inden for de kommende ca. 5 år
2841680_0098.png
98
KLIMAPROGRAM 2023
Samfundsøkonomiske omkostninger og konsekvenser af forhøjelse af CO
2
-afgift på rumvarme
En forhøjelse af CO
2
-afgiften for rumvarme på 100 kr. pr. ton skønnes at medføre CO
2
e-reduktioner på ca.
0,1 mio. ton i 2025 og 0,0 mio. ton i 2030. Forhøjelsen skønnes at medføre et umiddelbart merprovenu på
ca. 275 mio. kr. i 2025 og ca. 150 mio. kr. i 2030, hvilket svarer til den umiddelbare belastning af hushold-
ninger og erhverv, som anvender afgiftsbelagt rumvarme. Erhvervene skønnes at få en meromkostning på
ca. 50 mio. kr. i 2025 og ca. 25 mio. kr. i 2030, mens husholdningerne skønnes at få en meromkostning
på ca. 225 og 125 mio. kr. i 2025 henholdsvis 2030. Den umiddelbare belastning er opgjort efter effekter
af
Aftale om grøn skattereform for industri mv.
Forhøjelsen skønnes at medføre et merprovenu efter tilba-
geløb og adfærd for staten på ca. 150 mio. kr. i 2025 og ca. 25 mio. kr. i 2030.
Den gennemsnitlige skyggepris i 2030, hvor det er lagt til grund, at effekten af afgiftsforhøjelsen er fuldt
indfaset, skønnes at udgøre ca. 5.850 kr. pr. ton. Skyggeprisen trækkes betydeligt op af, at afgiftsforhøjel-
sen potentielt fra 2030 omfatter et grundlag, som ikke medfører CO
2
e-reduktioner. Med
Klimastatus og -
fremskrivning 2023
forventes det således, at der opgørelsesmæssigt er 100 pct. bionaturgas i lednings-
nettet fra 2030. Hvis det realiseres, indebærer det med nuværende opgørelse af udledninger, at der ikke
vil være danske CO
2
e-reduktioner ved yderligere reduktion af ledningsgasforbrug fra 2030. Mere end halv-
delen af afgiftsgrundlaget i 2030 skønnes således at være ledningsgas, særligt til individuelle naturgasfyr,
hvor skyggeprisen isoleret set vil være uendelig stor. Den resterende del er helt overvejende fossilt affald.
Tabel 9.2
CO
2
e-effekter og samfundsøkonomiske omkostninger for rumvarme
2023-priser
CO
2
e-reduktion,
mio. ton
Statsfinansielle
omkostninger,
mio. kr.
2025
0,0
-150
2030
-25
Erhverv, mio. kr.
Husholdninger,
mio. kr.
Skygge-
pris,
kr. pr.
ton
CO
2
e
2025
Afgiftsforhøjelse på 100
kr. pr. ton på CO
2
-udled-
ning for rumvarme
0,1
2030
2025
50
2030
25
2025
225
2030
125
5.850
Anm.: Statsfinansielle omkostninger og omkostninger for erhverv og husholdninger er opgjort i faktorpriser i 2023-niveau, mens skyggepris er op-
gjort i markedspriser i 2023-priser ekskl. sideeffekter. Det er lagt til grund, at 80 pct. af rumvarmen vedrører husholdninger (inkl. det offentlige) og 20
pct. vedrører erhverv. Skyggeprisen er opgjort i 2030, hvor det er forudsat at effekten af afgiften er fuldt indfaset. Der er taget udgangspunkt i udled-
ninger fra Klimastatus- og fremskrivning 2023, hvor effekter af
Aftale om grøn skattereform for industri mv.
er indarbejdet. Det er lagt til grund, at
afgiftsforhøjelsen pålægges al ledningsført gas i ledningsnettet. Der er ikke taget højde for ETS2.
Kilde: Skatteministeriet.
En forhøjelse af CO
2
-afgiften på rumvarme på 100 kr. pr. ton CO
2
indebærer en forhøjelse af varmeregnin-
gen for en husholdning i et standardhus, som opvarmes med ledningsgas på ca. 460 kr. årligt inkl. moms
og ca. 600 kr. årligt inkl. moms i et standardhus som opvarmes med olie,
jf. tabel 9.3.
Varmeforbruget vil i
praksis variere bl.a. med boligens energistandard og størrelse. For husholdninger som opvarmes med
fjernvarme, vil den leverede fjernvarme ofte være baseret på en kombination af flere brændsler, inkl. bio-
masse og andre grønne brændsler, som ikke påvirkes ved en forhøjelse af CO
2
-afgiften. For fjernvarme-
kunden er det dermed afgørende, hvordan afgiften slår igennem samlet set, herunder om en højere CO
2
-
afgift kan påvirke prisen på VE-varme.
Tabel 9.3
Konsekvenser for varmeregningen for husholdninger (eksemper)
2023-priser
Husholdning med gasfyr
Husholdning med oliefyr
Anm.: Der er taget udgangspunkt i et standardhus med et varmeforbrug på 65 GJ årligt. Der er ikke taget højde for evt. varmetab samt
virkningsgrad.
Kilde: Skatteministeriet.
Stigning i årlig varmeregning inkl. moms
(kr. per år)
460
600
TRU, Alm.del - 2023-24 - Endeligt svar på spørgsmål 261: MFU spm. om ministeren vil oversende en opdateret oversigt over de klimabegrundede initiativer, der på nationalt og europæisk niveau får betydning på transportområdet inden for de kommende ca. 5 år
2841680_0099.png
KLIMAPROGRAM 2023
99
Status for implementering af aftaler i energi- og forsyningssektoren
For at sikre den forventede effekt af de eksisterende tiltag monitoreres implementeringen af de indgåede politi-
ske aftaler og EU-regulering tæt. Tabel 9.4 viser status for henholdsvis forvaltningsmæssig implementering og
samfundsgennemførsel af initiativer efter klimalovens vedtagelse med effekt på udledningerne i 2030. Hertil
kommer initiativer om CCS og PtX, der forventes at kunne bidrage yderligere til reduktioner i 2030 og understøtte
omstilling af sektoren,
jf. de tekniske køreplaner for CCS og PtX.
Dertil er der en plan for implementering af kon-
kret VE-produktion.
De forvaltningsmæssige rammer er implementeret for initiativer med en skønnet reduktionseffekt på 1,3 mio. ton
CO
2
e i 2030. Initiativer med reduktioner på 0,7 mio. ton CO
2
e i 2030 er under implementering,
jf. figur 9.9.
Figur 9.9
Status på initiativer med reduktionseffekter i energi- og forsyningssektoren i 2030
Mio
. t. CO
2
e
2,5
2
1,5
1
0,5
0
1,3
0,7
Implementeret
Under implementering
Kilde: Tabel 9.4.
Tabel 9.4
Oversigt over initiativer med CO
2
e-effekter i 2030 i energi- og forsyningssektoren
2025
Initiativer
Grøn varme
Grøn omlægning af afgifter
på varme
Grøn fjernvarme
Klimaaftale for energi og
industri mv. 2020
Klimaaftale for energi og
industri mv. 2020
Udfasning af olie- og gasfyr
Klimaaftale for energi og
industri mv. 2020
-0,2
-0,35
-0,05
-0,02
-0,25
-0,35
Implementeret
Lov vedtaget i 2020
Implementeret
Bekendtgørelse ud-
stedt i 2020
Implementeret
Pulje åbnet i
2020/2021 med afløb
for 2,5 mia. kr. i 2020-
2022. Indeholder i alt
ca. 4,7 mia. kr.
Lov trådte i
kraft i 2021.
Bekendtgø-
relse trådte i
kraft i 2021.
2026
Aftale
2030
mio. ton CO
2
e
Forvaltningsmæssig
implementering
Samfunds-
mæssig gen-
nemførsel
TRU, Alm.del - 2023-24 - Endeligt svar på spørgsmål 261: MFU spm. om ministeren vil oversende en opdateret oversigt over de klimabegrundede initiativer, der på nationalt og europæisk niveau får betydning på transportområdet inden for de kommende ca. 5 år
2841680_0100.png
100
KLIMAPROGRAM 2023
Øgede puljer til udfasning af
olie- og gasfyr frem mod
2025
Aftale om finansloven
for 2021 og Aftale om
stimuli og grøn genop-
retning
-0,06
-0,04
Implementeret
Pulje åbnet i
2020/2021 med afløb
for 2,5 mia. kr. i 2020-
2022. Indeholder i alt
ca. 4,7 mia. kr.
2026
Støtteudbud til biogas og an-
dre grønne gasser
Klimaaftale for energi og
industri mv. 2020
-0,2
-0,7
Under
implementering
Afventer statsstøtte-
godkendelse
Midler afsat fra 2024-
2050
2024-2030
Grønne tiltag ved renovering
af almene boliger (grøn afvik-
ling af venteliste, grønt tilde-
lingskriterie, grøn garanti,
grøn forsøgspulje)
Grøn boligaftale 2020
-
-0,05
Implementeret
Lovændringer vedta-
get i 2020
Pulje til grønne forsøg
åbnet i 2022 med af-
løb for 4 mio. kr. ud af
50 mio. kr. i 2022-
2026
Lovændringer
trådte i kraft i
2020 og 2021
Grøn forsøgs-
pulje udmøn-
tes i 2022-
2026**
Øvrige
Slutdato for olieudvinding og
stop for 8. udbudsrunde
Metantabsregulering af bio-
gasanlæg
I alt
Implementeret
Under implementering
Aftale om fremtiden for
olie- og gasindvinding i
Nordsøen
Klimaaftale om grøn
strøm og varme 2022
-
-0,01
Implementeret
Lov vedtaget i 2021
-0,36
-0,45
Implementeret
Lov vedtaget i 2022
-1,1
-0,9
-0,2
-2
-1,3
-0,7
Lov trådte i
kraft i 2022.
Lov træder i
kraft i 2023.
Anm.: *CO
2
e-effekter er angivet som de estimater, der blev lavet ved aftalens indgåelse. Forvaltningsmæssige rammer for implementering defineres som om
relevant lovgivning er vedtaget, og/eller afsatte bevillinger er fuldt udmøntet, og/eller udbudskontrakter er indgået. Samfundsmæssig gennemførelse af initia-
tivet defineres som den fase, der typisk drives af andre samfundsaktører end staten fx konstruktion af et CCS-anlæg.
**Effekten af puljer varierer alt efter puljens formål og karakter. Derudover er der en forskydning mellem puljens afløb og effekterne heraf.
Der er ligeledes indgået politiske aftaler, der vil medføre udbygning af havvind, som muliggør at Danmark at have
en samlet kapacitet på 13 GW i 2030 ifølge
Klimastatus og -fremskrivning.
Tabel 9.5 viser derfor status for hen-
holdsvis forvaltningsmæssig implementering og samfundsgennemførsel af initiativer om konkret VE-produktion.
Derudover arbejder regeringen for en overgangsordning på åben dør-ordningen, som potentielt kan medføre ud-
bygning af yderligere havvind. I forbindelse med
Klimaaftale om grøn strøm og varme 2022
blev det besluttet at
sikre rammevilkår, der kan muliggøre en firedobling af den samlede elproduktion fra solenergi og landvind frem
mod 2030. De forvaltningsmæssige rammer for VE-produktion fra
Tillægsaftale om udbudsrammer for 6 GW hav-
vind og Energiø Bornholm
på potentielt 14 GW eller mere i 2030 er under implementering,
jf. figur 9.10.
De forvalt-
ningsmæssige rammer forventes at være implementeret i 2025.
TRU, Alm.del - 2023-24 - Endeligt svar på spørgsmål 261: MFU spm. om ministeren vil oversende en opdateret oversigt over de klimabegrundede initiativer, der på nationalt og europæisk niveau får betydning på transportområdet inden for de kommende ca. 5 år
2841680_0101.png
KLIMAPROGRAM 2023
101
Figur 9.10
Status på initiativer fra
Tillægsaftale om udbudsrammer for 6 GW havvind og Ener-
giø Bornholm
med konkret VE-produktion
16
14
12
10
8
6
4
2
0
Implementeret
Under implementering
GW
5
9
Anm.: Det skraverede område angiver potentialet for 5 GW overplanting, såfremt havvindsopstillerne udnytter den frihed, der indgår i aftalen, til at opføre
mest muligt kapacitet på arealerne.
Kilde: Tabel 9.5.
Tabel 9.5
Oversigt over initiativer med konkret VE-produktion
Initiativer
Aftale
2025
2030
Forvaltningsmæssig implemen-
teret
Samfunds-
mæssig gen-
nemført
Udbygning af VE
Hesselø hav-
vindmøllepark
Energiaftale 2018
-
0,8-1,2 GW
Under implementering
Aftale om udbudsrammer ind-
gået
Udbudskontrakt forventes ind-
gået i 2024*
Energiø Born-
holm
Klimaaftale for
energi og
industri mv. 2020
Tillægsaftale om
Energiø Born-
holm 2022
Energiø Nord-
søen
Klimaaftale for
energi og
industri mv. 2020
-
3 GW
Under implementering
Aftale om udbudsrammer ind-
gået
Udbudskontrakt forventes ind-
gået i 2025
-
-
Under implementering
Nye modeller for Energiø Nord-
søen skal analyseres
Implementering under afklaring
Udvidet havvind
i 2030
Aftale om finans-
loven for 2022
-
1 GW
Under implementering
Aftale om udbudsrammer ind-
gået
Udbudskontrakt forventes ind-
gået i 2024*
2030
2033
2030
2029
TRU, Alm.del - 2023-24 - Endeligt svar på spørgsmål 261: MFU spm. om ministeren vil oversende en opdateret oversigt over de klimabegrundede initiativer, der på nationalt og europæisk niveau får betydning på transportområdet inden for de kommende ca. 5 år
2841680_0102.png
102
KLIMAPROGRAM 2023
Yderligere hav-
vind i 2030
Klimaaftale for
grøn strøm og
varme mv. 2022
4 GW
-
Under implementering
Aftale om udbudsrammer ind-
gået
Udbudskontrakt forventes ind-
gået i 2024*
2030
Mulighed for
overplanting
Tillægsaftale om
udbudsrammer
for 6 GW havvind
og Energiø Born-
holm 2023
Klimaaftale om
grøn strøm og
varme mv. 2022
-
Potentielt
5 GW eller
mere
Under implementering
Aftale om udbudsrammer ind-
gået
Udbudskontrakt forventes ind-
gået i 2024*
Under implementering
Regeringsudspil i efteråret 2023
Implementering under afklaring
-
2032
Rammevilkår,
der kan mulig-
gøre en firedob-
ling af den sam-
lede elproduk-
tion fra sol-
energi og land-
vind frem mod
2030.
I alt (havvind)
2030
-
Implementeret
Under imple-
mentering
-
-
Potentielt
14 GW el-
ler mere
0
Potentielt
14 GW el-
ler mere
Anm.: *Første runde af udbudskontrakter forventes afholdt i 2024.
Håndtering af væsentligste risici i implementeringen i energi- og forsyningssektoren
Der er behov for at vurdere og håndtere risici i implementeringen af tiltagene for at sikre den forventede effekt.
Overordnet set er der planlagt en række opfølgninger på
Klimaaftale om grøn strøm og varme mv.,
så der følges
op på implementeringen af aftalen, herunder initiativer med konsekvenser for nationale og internationale mål i
henholdsvis 2025 og 2030. Her vil der være mulighed for at iværksætte tiltag, som kan støtte op om de aftalte
ambitioner og initiativer, og dermed håndtere risici i tilfælde af, at de materialiserer sig. Nedenfor uddybes de væ-
sentligste risici, der kan have betydning for indfrielsen af henholdsvis 2025 og 2030 samt indfrielse af EU-mål og
de relevante tiltag for at mitigere disse.
Udbygning af VE
Der er en risiko for forsinkelser ved store anlægsprojekter. Det gælder særligt for energiøprojekter, som er store
komplekse anlægsprojekter, hvor der ikke blot skal etableres havvind, men også udvikles nye tekniske løsninger
og eksempelvis etableres udlandsforbindelser til nabolande. Risikoen for forsinkelser for bl.a. Energiø Bornholm,
PtX anlægsprojekter, nye vedvarende energianlæg og energiparker på land samt netudbygning frem mod 2030
vurderes ikke isoleret set at få betydning for indfrielse af 70 pct. målet i 2030,
jf. tabel 9.5.
Det vurderes også at
have begrænset betydning for opfyldelse af EU’s VE-mål, da Danmark pt. forventes at overopfylde disse.
Aftalepartierne bag
Klimaaftale om grøn strøm og varme 2022
er enige om en væsentlig udbygning af VE-projekter
på land. Derudover er der med aftalen også vedtaget en række initiativer til at fremme udbygningen og fjerne bar-
rierer. Initiativerne omhandler fx planlægning af energiparker på land og tiltag til at styrke lokal opbakning, da
mangel på lokal opbakning vurderes at udgøre en væsentlig barriere for opstilling af VE på land. Den nationale
energikrisestab (NEKST) skal med arbejdsgruppen
Mere sol og vind på land
understøtte udbygningen af VE på
land og bidrage med at identificere barrierer og fremlægge forslag til indsatser for øget hastighed i udbygningen.
Fokus er her på hurtigere processer, samspil mellem myndigheder og lokal opbakning. For energiøerne arbejdes
der løbende på at optimere tilrettelæggelsen af projekterne med henblik på monitorering og mitigation af risici i
TRU, Alm.del - 2023-24 - Endeligt svar på spørgsmål 261: MFU spm. om ministeren vil oversende en opdateret oversigt over de klimabegrundede initiativer, der på nationalt og europæisk niveau får betydning på transportområdet inden for de kommende ca. 5 år
2841680_0103.png
KLIMAPROGRAM 2023
103
både den indledende planlægningsfase og efterfølgende implementering. Risikoen for forsinkelse af Energiø
Bornholm undersøges i forbindelse med henholdsvis Energinets og Energistyrelsens markedsdialoger.
Udbygning af VE og stigende elforbrug til elektrificering kræver en betydelig udbygning af elnettet. Med
Klimaafta-
len for grøn strøm og varme 2022
er der igangsat yderligere analyser for at sikre en hurtigere og mere proaktiv
udbygning af elnettet, ligesom der er gennemført en række initiativer for at reducere udbygningsbehovet, herun-
der
geografisk differentierede producent- og forbrugstariffer og direkte linjer.
Der skal ligeledes ses på elnetudbyg-
ningen i regi af NEKST. Udbygningen af VE, udfasningen af regulerbar, termisk kapacitet og et stigende elforbrug
til elektrificering forventes at udfordre elforsyningssikkerheden frem mod og efter 2030. Regeringen forventer at
adressere udfordringen i forbindelse med kommende forsyningsudspil om bl.a. elforsyningssikkerhed.
En øget PtX-produktion vil øge efterspørgslen efter vedvarende energi. Regeringen følger op på de langsigtede
ambitioner for havvind mod 2050 for at sikre, at der løbende følges op på implementeringen af
Klimaaftale om
grøn strøm og varme 2022
og internationale forpligtelser i form af bl.a. Esbjerg-erklæringen. Her vil der være mu-
lighed for at iværksætte tiltag inden for havvind, som kan støtte op om initiativerne.
Udrulning af grøn varme
Der er risiko for, at private husholdninger, virksomheder og fjernvarmeselskaber mv. ikke træffer de nødvendige
beslutninger i forhold til investeringer i grønne varmekilder. Kommuner og fjernvarmeskaber kan blive forsinkede i
deres godkendelsesprocesser for fjernvarme ligesom manglende arbejdskraft og ressourcer, samt stigende om-
kostninger forbundet med finansiering skaber fordyrelser på implementering af allerede planlagte fjernvarmepro-
jekter, hvilket medfører en risiko for, at projekter bliver udskudt eller aflyst. For husholdningerne kan mangel på
information, økonomi mv. forsinke beslutningen om at udskifte gas- eller oliefyret. Hvis de angivne risici indtræ-
der, kan det få betydning for reduktionseffekter i 2025 og 2030.
Der følges derfor løbende op på udviklingen. Det sker for det første på baggrund af aftale mellem den daværende
S-regering og Kommunernes Landsforening (KL) om
fremskyndet planlægning for udfasning af gas til opvarmning
og klar besked til borgerne,
hvor der afrapporteres på status for varmeplanlægningen i kommunerne og fjernvar-
meselskabernes projektforslag. Der skal i 2025 gøres status på udrulningen af fjernvarme og individuelle varme-
pumper med henblik på at vurdere, om der er behov for at justere på de aftalte rammer for godkendelse af fjern-
varmeprojekter. For det andet skal den nationale energikrisestab (NEKST) understøtte, at omlægningen til grøn
varme i danske hjem kan ske hurtigere, herunder bl.a. at fjernvarme er udrullet inden 2028, de steder, hvor det er
besluttet at udrulle. Arbejdsgruppen
farvel til gas i danske hjem
afrapporterer ultimo 2023.
Endelig vil regeringen,
jf. Klimaaftale om grøn strøm og varme 2022,
i 2026 fremlægge mulige initiativer samt den
finansiering, der skal til for at indfri ambitionen om udfasning af gasfyr i boliger i 2035 og 100 pct. grøn gas i
2030.
I
forbindelse med ambitionen om udfasning af gasfyr er der enighed om, at der skal findes løsninger til bor-
gere, der ikke har andre muligheder for opvarmning end naturgasfyr, og der skal afdækkes løsninger for borgere,
hvis gasfyr har lang restlevetid. Derudover skal produktionen af støttet biogas begrænses, såfremt den indenland-
ske produktion af støttet biogas overstiger forbruget.
Støtteudbud til biogas og andre grønne gasser skal godkendes af EU-Kommissionen, inden det kan afholdes. EU-
Kommissionens godkendelse er forsinket, da der er kommet udfordringer, som følge af en EU-dom over den sven-
ske afgiftsfritagelse for anvendelse af biogas fra december 2022, som vedrører akkumulation af støtte til samme
biogas på tværs af medlemslande. Godkendelsen foreligger derfor endnu ikke, men regeringen arbejder på, at det
sker hurtigst muligt. Afhængigt af hvor meget godkendelsen forsinkes, kan det få betydning for 2025-effekten.
For så vidt angår metantabsregulering er den forudsatte effekt behæftet med stor usikkerhed i forhold til hvor
tætte biogasanlæggene kan blive. Effekten afhænger af lækagesøgning og udbedringer af evt. lækager på hver
enkelt anlæg. De første kontrolrapporter peger på, at en lang række lækager vil blive udbedret som følge af regu-
leringen. For at vurdere effekten af reguleringen vil der blive udført en målekampagne med kvantificering af an-
læggenes metantab i 2025.
Energieffektivisering
Med den nylige revision af EU’s energiregulering gennem Fit for 55-lovpakken hæves også EU’s målsætninger for
energieffektiviseringer, hvilket har indflydelse på den danske energieffektiviseringsindsats. I Fit for 55-lovpakken
TRU, Alm.del - 2023-24 - Endeligt svar på spørgsmål 261: MFU spm. om ministeren vil oversende en opdateret oversigt over de klimabegrundede initiativer, der på nationalt og europæisk niveau får betydning på transportområdet inden for de kommende ca. 5 år
2841680_0104.png
104
KLIMAPROGRAM 2023
indgår det nyligt vedtagne omarbejdede energieffektivitetsdirektiv (EED) samt direktivet for bygningers energi-
mæssige ydeevne (EPBD), hvoraf sidstnævnte fortsat er under forhandling. Direktiverne øger kravene til energief-
fektiviseringsindsatsen i Danmark og er samtidig med til at sætte rammerne for den danske energirenoverings-
indsats frem mod ambitionen om en nulemissionsbygningsmasse i 2050. I hvilken grad energieffektiviseringsdi-
rektivet bidrager til CO
2
e-reduktioner afhænger af implementeringen, mens CO
2
e-reduktionseffekten af bygnings-
direktivet forventes at være meget begrænset, da der skønnes 100 pct. grøn strøm fra 2030, men det afhænger af
kravene i det endelige direktiv. Direktivet spiller dog en rolle i reduktionen af energiforbrug i Danmark og særligt
resten af EU. Ydermere skal Danmark bidrage til et fælles EU-mål om energieffektivisering i 2030. Energieffektivi-
tetsdirektivet er færdigforhandlet i EU og skal implementeres i Danmark, mens Bygningsdirektivet fortsat er under
forhandling i EU, hvorfor dansk implementering heraf afventer.
Regeringens arbejdsprogram for energi- og forsyningssektoren
Der er dermed en plan for at implementere de indgåede aftaler, der også illustreres i regeringens arbejdsprogram
for sektoren. Arbejdsprogrammet viser regeringens plan for implementering af centrale initiativer med effekter i
2030. Derudover viser den, hvornår regeringen vil følge op på yderligere ambitioner og mål, og hvor regeringen har
mulighed for at iværksætte nye tiltag, hvis implementeringsplanen ikke holder som forudsat. Hertil kommer initia-
tiver om CCS, der forventes at kunne bidrage yderligere til eller understøtte reduktioner i 2030,
jf. den tekniske kø-
replan for CCS.
Regeringen har for så vidt angår konkret udrulning af grøn varme mv. etableret NEKST,
jf. figur 9.11.
Regeringen
vil derudover følge op på Opfølgning på
Klimaaftale om grøn strøm og varme.
TRU, Alm.del - 2023-24 - Endeligt svar på spørgsmål 261: MFU spm. om ministeren vil oversende en opdateret oversigt over de klimabegrundede initiativer, der på nationalt og europæisk niveau får betydning på transportområdet inden for de kommende ca. 5 år
2841680_0105.png
KLIMAPROGRAM 2023
105
Figur 9.11
Regeringens arbejdsprogram for energi- og forsyningssektoren (grøn varme, gas og
energieffektivisering)
Anm.: Figuren er ikke udtømmende og viser udvalgte, centrale indsatser i energi- og forsyningssektoren. Figuren viser kun, hvilket år indsatser iværk-
sættes. Placeringen af indsatser i de enkelte år er således ikke udtryk for hvornår på året, indsatsen iværksættes. Forordninger implementeres direkte i
dansk lov og fremgår derfor ikke af regeringens plan.
Etablering af NEKST:
Regeringen har oprettet den nationale energikrisestab (NEKST). NEKST har til opgave
at løse og koordinere de akutte grønne udfordringer på tværs af myndigheder, kommuner og andre aktører.
Der er nedsat to arbejdsgrupper henholdsvis
Farvel til gas i danske hjem
og
Mere sol og vind på land.
Projektgodkendelser, varme:
Kommunal godkendelse af projektforslag for fjernvarmeudrulning inden ud-
gangen af 2023.
Implementering af energieffektivitetsdirektivet (DK):
Energieffektivitetsdirektivet er et bindende regelsæt
for, hvordan EU-landene kan udnytte energi bedre, spare ressourcer og skåne miljøet. Omarbejdningen af
energieffektivitetsdirektivet er forhandlet færdigt i EU og skal implementeres i Danmark. Kravene til energief-
fektiviseringsindsatsen i Danmark er med til at sætte rammerne for den danske energirenoveringsindsats
frem mod ambitionen om en nulemissionsbygningsmasse i 2050.
Implementering af bygningsdirektivet (DK):
EU’s direktiv om bygningers energimæssige ydeevne, også kal-
det bygningsdirektivet, skal medvirke til at øge energieffektiviteten i bygninger. Direktivet for bygningers ener-
gimæssige ydeevne (EPBD) skal forhandles færdigt i EU og implementeres i Danmark. Tidspunktet for imple-
menteringen afhænger af, hvornår direktivet er færdigforhandlet.
Første støtteudbud til fremme af grønne gasser åbnet:
Første støtteudbud til biogas og andre grønne gasser
fra
Klimaaftale for energi og industri mv. 2020.
Initiativer til udfasning af gas og 100 pct. grøn gas:
Regeringen vil,
jf. klimaaftale om grøn strøm og varme
2022,
senest i 2026 fremlægge mulige initiativer samt den finansiering, der skal til for at indfri ambitionerne
om udfasning af gasfyr i 2035 og 100 pct. forsyning af grøn gas i 2030. I forbindelse med ambitionen om
udfasning af gasfyr er der enighed om, at der skal findes løsninger til borgere, der ikke har andre muligheder
for opvarmning end naturgasfyr, og der skal afdækkes løsninger for borgere, hvis gasfyr har lang restlevetid.
Derudover skal produktionen af støttet biogas begrænses, såfremt den indenlandske produktion af støttet
biogas overstiger forbruget.
Analyse af tilskudspuljer til udfasning af olie- og gasfyr:
Regeringen forventes at præsentere opfølgningen
på analysearbejde af varmepuljerne i 2024.
Modeller for stop for ny-installation af olie- og gasfyr:
Regeringen forventer at præsentere en modeller for
stop for ny-installation af olie- og gasfyr i 2024.
TRU, Alm.del - 2023-24 - Endeligt svar på spørgsmål 261: MFU spm. om ministeren vil oversende en opdateret oversigt over de klimabegrundede initiativer, der på nationalt og europæisk niveau får betydning på transportområdet inden for de kommende ca. 5 år
2841680_0106.png
106
KLIMAPROGRAM 2023
Regeringen har for så vidt angår konkret VE-produktion bl.a. indgået en aftale om udbudsrammer for realisering
af havvind og Energiø Bornholm (EØB),
jf. figur 9.12.
Næste skridt er, at regeringen præsenterer opfølgning på VE
på land i 2024. Regeringen vil derudover understøtte hurtigere udbygning og bedre udnyttelse af elnettet bl.a. ved
at følge op på en række analyser besluttet med
Klimaaftale om grøn strøm og varme
om hurtigere udbygning af
elnettet og øget fleksibilitet mv., der afrapporteres løbende i 2023-2025, samt sætte fokus på netudbygning i et
nyt arbejdsspor i regi af NEKST. Regeringen vil derudover præsentere et udspil om forsyningssikkerhed mv., lige-
som regeringen følger op på de langsigtede ambitioner for havvind mod 2050 for at sikre, at der løbende følges
op på implementeringen af
Klimaaftale om grøn strøm og varme 2022
og internationale forpligtelser i form af bl.a.
Esbjerg-erklæringen.
Figur 9.12
Regeringens arbejdsprogram for energi- og forsyningssektoren (vedvarende
energi)
Anm.: Figuren er ikke udtømmende og viser udvalgte, centrale indsatser i energi- og forsyningssektoren. Figuren viser kun, hvilket år indsatser iværksæt-
tes. Placeringen af indsatser i de enkelte år er således ikke udtryk for hvornår på året, indsatsen iværksættes. Forordninger implementeres direkte i dansk
lov og fremgår derfor ikke af regeringens plan.
Etablering af NEKST:
Regeringen har oprettet den nationale energikrisestab (NEKST). NEKST har til opgave at
løse og koordinere de akutte grønne udfordringer på tværs af myndigheder, kommuner og andre aktører. Der er
nedsat to arbejdsgrupper henholdsvis
Farvel til gas i danske hjem
og
Mere sol og vind på land.
Lovforslag om direkte linjer mm. vedtaget:
Med vedtagelsen af den reviderede elforsyningslov i 2023 er der nu
banet vej for, at der kan ske en større grad af samplacering af VE-produktion og forbrug via såkaldte direkte
linjer. Direkte linjer skal give energisektorens mange aktører et bedre incitament til at koble elproduktion og
elforbrug direkte, helt eller delvist uden om det kollektive elforsyningsnet.
Samarbejdsaftale om brintinfrastruktur til Tyskland:
Der er indgået en aftale om sammen at arbejde for en
landbaseret brintledning fra Danmark til Tyskland. Med den dansk-tyske erklæring er der taget et vigtigt skridt
på vejen mod at realisere Danmarks PtX-aftale, så energi fra solceller og vindmøller kan omdannes til brint,
som kan bruges til grønne brændstoffer til fly, lastbiler og skibe samt i industrien.
Aftale om udbudsrammer for realisering af havvind og EØB:
Danmarkshistoriens største havvindsudbud på 9
GW og potentielt op til 14 GW eller mere. Udbud forventes åbnet og afgjort i 2024.
Ny havplan:
Aftale om Danmarks havplan,
der bl.a. sikrer at dobbelt så meget af havarealet fremover skal ud-
lægges til vedvarende energi.
Aftale om mulighed for etablering af brintinfrastruktur:
De statslige selskaber Energinet og Evida skal eje og
drive de rørledninger, som i fremtiden skal transportere brint rundt i Danmark og til eksport. Aftalen er næste
milepæl, som skal bidrage til at få etableret en PtX-sektor i Danmark.
TRU, Alm.del - 2023-24 - Endeligt svar på spørgsmål 261: MFU spm. om ministeren vil oversende en opdateret oversigt over de klimabegrundede initiativer, der på nationalt og europæisk niveau får betydning på transportområdet inden for de kommende ca. 5 år
2841680_0107.png
KLIMAPROGRAM 2023
107
Analyser i forhold til udbygning af elnettet igangsat:
Analyser fra
Klimaaftale om grøn strøm og varme mv.
om
bl.a. mere proaktiv udbygning af transmissionsnettet og incitamenter til hurtig nettilslutning i eldistributions-
nettet samt optimering af processen for tilslutning af VE-anlæg og netudbygning.
Internationale erklæringer om udbygning af havvind:
Ved Nordsøtopmøde i Oostende i Belgien har ni lande ud
over en energiministererklæring underskrevet fem aftaler, der skal bidrage til at sikre, at de grønne ambitioner
bliver til virkelighed. De ni lande har bl.a. skrevet under på et fælles mål om ca. 120 GW havvind i 2030 og
mindst 300 GW havvind i 2050.
Opfølgning på udbud i forbindelse med Energiø Nordsøen:
Regeringen vil følge op på udbud i forbindelse med
Energiø Nordsø på baggrund af analyser af nye modeller for gennemførsel.
Drøftelser med KL om arealplanlægning af VE:
Regeringen vil,
jf. klimaaftale om grøn strøm og varme 2022,
indgå i dialog med KL om forpligtende målsætninger for kommunernes arealplanlægning for VE-anlæg.
VE på land:
Regeringen vil,
jf. klimaaftale om grøn strøm og varme 2022,
følge op over for aftalekredsen på,
hvordan staten skal spille en aktiv rolle i planlægningen af energiparker som supplement til den kommunale
planlægning af vedvarende energiprojekter
Øget VE-mål (EU):
Fastsættelse af nyt fælles VE-mål i EU med revision af VE-direktivet.
Solcellestrategi:
Regeringen vil,
jf. klimaaftale om grøn strøm og varme 2022,
fremlægge en solcellestrategi,
som skal præsentere regeringens strategi for en markedsdrevet udbygning med solenergi.
Evaluering af bæredygtighedskrav til biomasse:
Bæredygtighedskriterierne skal
jf. Klimaftale for energi og in-
dustri mv. 2020
evalueres i 2023 med henblik på grundlag for beslutning om justering af bæredygtighedskriteri-
erne fra 2025.
TRU, Alm.del - 2023-24 - Endeligt svar på spørgsmål 261: MFU spm. om ministeren vil oversende en opdateret oversigt over de klimabegrundede initiativer, der på nationalt og europæisk niveau får betydning på transportområdet inden for de kommende ca. 5 år
2841680_0108.png
108
KLIMAPROGRAM 2023
Industrisektorens udledninger er fra 1990 til 2021 faldet fra ca. 10,0 mio. ton CO
2
e til ca. 7,8 mio. ton CO
2
e,
jf. fi-
gur 9.13.
Industrisektorens udledninger skønnes at udgøre ca. 4,0 mio. ton CO
2
e i 2030, svarende til ca. 14 pct. af
Danmarks samlede CO
2
e-udledninger,
jf. Klimastatus og –fremskrivning 2023.
Fremstillings- og bygge-anlægssek-
torens drivhusgasudledninger skønnes i 2030 at udgøre ca. 53 pct. af udledningerne i industrisektoren, mens pro-
duktion af olie, gas og VE-brændsler skønnes at udgøre ca. 47 pct. af sektorens udledninger.
Industrisektoren
Figur 9.13
Status på udledningerne i industrisektoren i 1990-2035 (mio. ton CO
2
e)
Mio. ton CO
2
e
12
10
8
6
4
2
0
1990
2021
2025
2030
2035
Produktion af olie, gas og VE-brændstoffer
Fremstillingserhverv og bygge-anlæg
Kilde:
Klimastatus- og fremskrivning 2023
(”tal bag figurer”)
Nøgletal og status på mål mv. i industrisektoren
For at reducere udledningerne og understøtte omstillingen af industrisektoren har en række partier aftalt flere ini-
tiativer. I det følgende præsenteres status på centrale udviklinger inden for sektoren.
Der er indgået flere politiske aftaler for industrisektoren.
Aftale om grøn skattereform for industri mv.
af 24. juni
2022 er indgået af S, V, SF, RV og K. Med aftalen indføres bl.a. en ny, høj og mere ensartet CO
2
-afgift, ligesom der
blev afsat midler til bl.a. omstillingsstøtte til industrien samt fangst og lagring af CO
2
(CSS). Derudover indgik S,
V, DF, RV, SF, EL, K, LA og AL
Klimaaftale for energi og industri mv.,
hvor der bl.a. blev afsat yderligere tilskudsmid-
ler til erhvervspuljen.
Nøgletal i boks 9.4 viser derudover, at sektoren står over for en stor omstilling frem mod 2030. Andelen af grøn
energi i fremstillingserhverv skønnes fx at stige fra ca. 60 pct. til ca. 91 pct. fra 2023 til 2030. Til sammenligning
skønnes andelen af grøn energi i fremstillingserhverv at være steget fra ca. 47 pct. til ca. 60 pct. fra 2016 til 2023.
Det betyder, at industrisektoren vil bruge ca. 10 gange mere grøn energi end fossil energi i 2030. Fremstillingser-
hverv skønnes i 2030 at udlede over 80 pct. færre drivhusgasser per produceret enhed (målt i kroner) end i 2019.
TRU, Alm.del - 2023-24 - Endeligt svar på spørgsmål 261: MFU spm. om ministeren vil oversende en opdateret oversigt over de klimabegrundede initiativer, der på nationalt og europæisk niveau får betydning på transportområdet inden for de kommende ca. 5 år
2841680_0109.png
KLIMAPROGRAM 2023
109
Boks 9.4
Grøn energi i industrien
Figur 9.14
Figur 9.15
Udviklingen i andelen af grøn energi
fremstillingserhverv
PJ
Udvikling i CO
2
-intensitet og energiintensitive i
fremstillingserhverv
2019=100
120
100
80
60
40
20
0
2020
2025
2030
2035
90
80
70
60
50
40
30
20
10
0
Grøn energi
Fossil energi
CO2-intensitet
Energiintensitet
Kilde:
Klimastatus og –fremskrivning 2023.
Tekniske potentialer
Der findes en række teknologier, som kan reducere drivhusgasudledningen i industrisektoren. Omstillingen til
disse teknologier er forbundet med en implementeringstid, ligesom teknologierne er forbundet med samfunds-
økonomiske (herunder privatøkonomiske og statsfinansielle) omkostninger.
De tekniske potentialer angiver potentielle reduktioner ud over det, der skønnes realiseret ved vedtagen politik.
Det skønnes, at der er tekniske potentialer i industrisektoren på ca. 4,3 mio. ton CO
2
e i 2030,
jf. tabel 9.6.
Dette er
mere end de skønnede drivhusgasudledninger i sektoren i 2030 i
Klimastatus og –fremskrivning 2023
grundet po-
tentialer for optag af biogene CO
2
-udledninger ved CCS.
Det bemærkes, at analysen i dette års klimaprogram viser en første analyse på en tilnærmelsesvis fuld teknisk
omstilling af drivhusgasudledningerne fra det danske energiforbrug inklusive udvalgte potentialer for at reducere
ikke-CO
2
-udledninger i landbrugssektoren, samt de privatøkonomiske omkostninger herved. Der er ikke skønnet
over de samfundsøkonomiske omkostninger. Det bemærkes, at der ligeledes vil være andre veje til en teknisk om-
stilling. Se uddybning af metode og antagelser i kapitel 7.
Tabel 9.6
Tekniske potentialer for industrisektoren i 2030
Teknologi
Teknisk reduktions-
potentiale (mio. ton
CO
2
e i 2030)
1,40
0,01
0,20
0,02
0,18
0,06
Privatøkonomisk om-
kostning
(kr. per ton)
460
550
600
625
675
675
Biogasanlæg: CCS
Fremstillingserhverv: Varmepumper
Raffinaderier (inkl. flaring): CCS
Fremstillingserhverv: Energieffektiviseringer
Fremstillingserhverv: Omstilling til ledningsgas
Fremstillingserhverv: Biomasse & alternative brændsler
TRU, Alm.del - 2023-24 - Endeligt svar på spørgsmål 261: MFU spm. om ministeren vil oversende en opdateret oversigt over de klimabegrundede initiativer, der på nationalt og europæisk niveau får betydning på transportområdet inden for de kommende ca. 5 år
2841680_0110.png
110
KLIMAPROGRAM 2023
Fremstillingserhverv: Elkedler, elvarme, direkte el & batterier
Raffinaderier (inkl. flaring): Omstilling til ledningsgas
Raffinaderier (inkl. flaring): Elkedler, elvarme, direkte el &
batterier
Bygge-anlæg: Energieffektiviseringer
Fremstillingserhverv: CCS
Bygge-anlæg: Elkedler, elvarme, direkte el & batterier
Fremstillingserhverv: Grønne brændstoffer (og grøn brint)
Bygge-anlæg: Grønne brændstoffer (og grøn brint)
Udvinding (inkl. flaring): Elkedler, elvarme, direkte el & batterier
I alt
0,04
0,19
0,19
0,03
0,90
0,09
0,17
0,19
0,66
4,3
825
900
900
950
1.000
1.050
1.275
1.700
1.800
Anm.: Se metoder, antagelser og forudsætninger for beregningerne i kapitel 7. Generelt er de tekniske reduktionspotentialerne forbundet med en betydelig
usikkerhed, idet der ikke tages stilling til nærmere forhold og implikationer i forbindelse med evt. implementering af enkelte omstillingselementer, herunder
de juridiske, tekniske og praktiske forhold.
Det er særligt CCS og elektrificering af olie- og gasudvinding, som viser store tekniske reduktionspotentialer,
jf.
figur 9.16.
Der er samtidig variation i de privatøkonomiske omkostninger, hvor CCS på biogasanlæg skønnes at
have en privatøkonomisk omkostninger på 460 kr. per ton, mens elektrificering af olie- og gasudvinding skønnes
at have privatøkonomiske omkostninger på 1.800 kr. per ton.
TRU, Alm.del - 2023-24 - Endeligt svar på spørgsmål 261: MFU spm. om ministeren vil oversende en opdateret oversigt over de klimabegrundede initiativer, der på nationalt og europæisk niveau får betydning på transportområdet inden for de kommende ca. 5 år
2841680_0111.png
KLIMAPROGRAM 2023
111
Figur 9.16
Tekniske reduktionspotentialer og privatøkonomiske omkostninger i industrisektoren
Kr. per ton
2.000
1.500
1.000
500
0
0,5
1,0
1,5
2,0
2,5
3,0
3,5
4,0
4,5
Biogasanlæg: CCS
Fremstillingserhverv: Varmepumper
Raffinaderier (inkl. flaring): CCS
Fremstillingserhverv: Energieffektiviseringer
Fremstillingserhverv: Omstilling til ledningsgas
Fremstillingserhverv: Biomasse & alternative brændsler
Fremstillingserhverv: Elkedler, elvarme, direkte el & batterier
Raffinaderier (inkl. flaring): Omstilling til ledningsgas
Raffinaderier (inkl. flaring): Elkedler, elvarme, direkte el & batterier
Bygge-anlæg: Energieffektiviseringer
Fremstillingserhverv: CCS
Bygge-anlæg: Elkedler, elvarme, direkte el & batterier
Fremstillingserhverv: Grønne brændstoffer (og grøn brint)
Bygge-anlæg: Grønne brændstoffer (og grøn brint)
Udvinding (inkl. flaring): Elkedler, elvarme, direkte el & batterier
Anm.: Se metoder, antagelser og forudsætninger for beregningerne i kapitel 7.
Mio. t. CO
2
e
TRU, Alm.del - 2023-24 - Endeligt svar på spørgsmål 261: MFU spm. om ministeren vil oversende en opdateret oversigt over de klimabegrundede initiativer, der på nationalt og europæisk niveau får betydning på transportområdet inden for de kommende ca. 5 år
2841680_0112.png
112
KLIMAPROGRAM 2023
Hvis de ovenstående tekniske reduktionspotentialer i industrisektoren skal bidrage til indfrielsen af 70 pct. målet i
væsentlig grad, skønnes det nødvendigt at træffe beslutninger senest i 2025,
jf. analyser i Klimaprogram 2022.
Herefter skønnes beslutningsrummet for industrisektoren at blive væsentligt indskrænket,
jf. figur 9.17.
Det skal
dog bemærkes, at vurderingen af beslutningsrummet er underlagt betydelig usikkerhed.
18
Figur 9.17
Reduktionspotentialer i industrisektoren frem mod 2030 (mio. ton CO
2
e)
Energieffektivisering i procesenergi og intern
transport
Elektrificering i procesenergi og intern transport
CCS i fremstillingserhverv
CCS på raffinaderier
Skift til bio-feedstock på raffinaderier
Elektrificering af olie- og gasindvinding i
Nordsøen
Elektrificering af raffinaderier
Bio- og PtX-brændstoffer i intern transport
Gas og PtX-brændsler i direkte fyrede processer
Metanisering af CO2 fra biogasanlæg
2022
2023
2024
2025
2026
2027
2028
2029
2030
Anm.: Figuren viser, hvordan tekniske reduktionspotentialer i 2030 er afhængig af, hvornår der implementeres virkemidler. Der er ikke taget højde for overlap i
reduktionspotentialerne.
Kilde:
Klimaprogram 2022.
For at indfri tekniske reduktionspotentialer helt eller delvist kan der iværksættes en række virkemidler. CO
2
e-effek-
ten af opgjorte tekniske potentialer vil først blive realiseret på det tidspunkt, hvor erhverv og husholdninger æn-
drer deres adfærd mod mere klimavenlige og bæredygtige løsninger. Virkemiddelskataloget fra
Klimaprogram
2022
viste en række virkemidler, hvor der er stor variation i de samfundsøkonomiske omkostninger per ton (skyg-
gepris). Det viste samtidig, at fordelingen af omkostningen på tværs af husholdninger, erhverv og stat kan være
forskellig.
Klimaindsatsen skal ske under hensyntagen til en række guidende principper om bl.a. omkostningseffektivitet,
dansk erhvervsliv, social balance og lækage,
jf. klimaloven.
Boks 9.5 viser samfundsøkonomiske omkostninger og
konsekvenser ved virkemiddel om forhøjelse af CO
2
-afgift for erhverv mv. for at illustrere flere principper, der skal
tages hensyn til i klimaindsatsen. Virkemidlet er beskrevet i flere detaljer i kapitel 7.
18
Beslutningsrummet er defineret ved at sammenholde en teknologis potentiale med omstillingshastigheden. Dette viser, hvornår der
sidst skal påbegyndes implementering af et omstillingselement, for at kunne realisere dets tekniske reduktions potentiale. I
Klimapro-
gram 2022
blev der i forlængelse af skøn for reduktionspotentialer skønnet beslutningsrum for reduktionspotentialerne.
TRU, Alm.del - 2023-24 - Endeligt svar på spørgsmål 261: MFU spm. om ministeren vil oversende en opdateret oversigt over de klimabegrundede initiativer, der på nationalt og europæisk niveau får betydning på transportområdet inden for de kommende ca. 5 år
2841680_0113.png
KLIMAPROGRAM 2023
113
Boks 9.5
Afgiftsforhøjelse på 100 kr. pr. ton på CO
2
-udledning for industri
Med
Aftale om grøn skattereform for industri mv. (af 24. juni 2022)
indgået mellem den daværende regering
(S), V, SF, RV og K er det aftalt, at der skal indføres en høj og mere ensartet CO
2
-afgift, som også skal udvi-
des til områder, som efter gældende regler ikke er afgiftsbelagt.
Som en del af aftalen indgår det at indføre en CO
2
-afgift på 750 kr./ton (2022-priser) for industri mv., som
ikke er omfattet af EU’s kvotehandelssystem og en afgift på 375 kr./ton (2022-priser) for industri mv. omfat-
tet af kvotehandelssystemet
19
. For mineralogiske processer mv. indføres en CO
2
-afgift på 125 kr./ton (2022-
priser). Afgifterne indfases fra 2025 frem mod 2030. Afgifterne på rumvarme og vejtransport forhøjes ikke
med aftalen men omlægges, da de gældende afgifter (energi- og CO
2
-afgift) overstiger det aftalte niveau for
industri mv. på 750 kr. pr. ton. For så vidt angår rumvarmeafgiften omlægges denne, sådan CO
2
-afgiften så
vidt muligt forhøjes til 750 kr. pr. ton, mens energiafgiften reduceres, så den samlede energi- og CO
2
-afgift
for rumvarme fra naturgas er uændret.
En yderligere forhøjelse af afgiften på udledninger fra industri mv. fra deres produktionsprocesser vil kunne
bidrage til yderligere CO
2
e-reduktioner. Der er regnet på yderligere forhøjelser af CO
2
-afgiften på 100 kr. pr.
ton, dvs. på en forhøjelse op til 850 kr. pr. ton uden for kvotesektoren, 475 kr. pr. ton inden for kvotesektoren
og 225 kr. pr. ton for mineralogiske processer mv. i 2030. Det er lagt til grund, at forhøjelserne på 100 kr. pr.
ton indføres med fuld virkning fra 2025. Forhøjelsen er beregningsmæssigt antaget at blive udmeldt i 2023.
Samfundsøkonomiske omkostninger og konsekvenser af forhøjelse af CO
2
-afgift på industri mv.
En forhøjelse af CO
2
-afgiften for industri mv. på 100 kr. pr. ton skønnes at medføre CO
2
-reduktioner på ca.
0,7 mio. ton i 2025 og 2030. Forhøjelsen skønnes at medføre et umiddelbart merprovenu på ca. 875 mio. kr.
i 2025 og ca. 575 mio. kr. i 2030, hvilket svarer til den umiddelbare belastning af industri mv. Den umiddel-
bare belastning er opgjort efter effekter af
Aftale om grøn skattereform for industri mv.
Forhøjelsen skønnes
at medføre et merprovenu efter tilbageløb og adfærd for staten på ca. 575 mio. kr. i 2025 og ca. 200 mio. kr.
i 2030.
Den gennemsnitlige skyggepris i 2030, hvor det er lagt til grund at effekten af afgiftsforhøjelsen er fuldt ind-
faset, skønnes at udgøre ca. 550 kr. pr. ton. Skyggeprisen trækkes bl.a. op af, at afgiftsforhøjelsen potentielt
fra 2030 omfatter et grundlag, som ikke medfører CO
2
e-reduktioner. Med
Klimastatus og -fremskrivning 2023
forventes det således, at der opgørelsesmæssigt er 100 pct. bionaturgas i ledningsnettet fra 2030. Hvis det
realiseres, indebærer det med nuværende opgørelse af udledninger, at der ikke vil være danske CO
2
-reduktio-
ner ved yderligere reduktion af ledningsgasforbrug fra 2030.
Tabel 9.7
CO
2
e-effekter og samfundsøkonomiske omkostninger for industri mv.
Statsfinansielle
omkostninger, mio. Erhverv, mio. kr.
kr.
2025
-575
2030
-200
2025
875
2030
575
Skygge-
pris,
kr. pr.
ton CO
2
e
2023-priser
CO
2
e-reduktion,
mio. ton
2025
2030
0,7
Husholdninger,
mio. kr.
2025
0
2030
0
Afgiftsforhøjelse på 100
kr. pr. ton på CO
2
-udled-
ning for industri mv.
0,7
550
Anm.: Statsfinansielle omkostninger og omkostninger for erhverv er opgjort i faktorpriser i 2023-niveau, mens skyggepris er opgjort i markedspriser i
2023-priser ekskl. sideeffekter. Skyggeprisen er opgjort i 2030, hvor det er forudsat at effekten af afgiften er fuldt indfaset. Der er taget udgangspunkt
i udledninger fra
Klimastatus- og fremskrivning 2023,
hvor effekter af
Aftale om grøn skattereform for industri mv.
er indarbejdet. Det er lagt til grund,
Afgiften omfatter energirelaterede udledninger fra erhvervenes produktionsprocesser, herunder landbrug mv. og fiskeri, raffinaderier
samt Nordsøen. Herudover omfatter den udledninger fra fossile brændsler til elproduktion samt udledninger fra ikke-vejgående trans-
port, dvs. indenrigsluftfart, jernbane og indenrigsfærger
.
19
TRU, Alm.del - 2023-24 - Endeligt svar på spørgsmål 261: MFU spm. om ministeren vil oversende en opdateret oversigt over de klimabegrundede initiativer, der på nationalt og europæisk niveau får betydning på transportområdet inden for de kommende ca. 5 år
2841680_0114.png
114
KLIMAPROGRAM 2023
at afgiftsforhøjelsen pålægges al ledningsført gas i ledningsnettet. Der er ikke taget højde for, at afgiftsforhøjelsen potentielt kan påvirke effekten af
allerede afsatte CCS-puljemidler.
Kilde: Skatteministeriet.
CO
2
e-reduktioner som følge af tekniske effekter skønnes at udgøre i alt ca. 30 pct. af de samlede reduktio-
ner, mens CO
2
e-reduktioner som følge af struktureffekter, skønnes at udgøre ca. 70 pct. De tekniske effekter
dækker over omstilling af produktion via energieffektivisering samt omstilling fra anvendelse af fossile
brændsler til VE eller el, fx via investering i varmepumpe og i nogle tilfælde også skift mellem fossile
brændsler. Effekter på erhvervsstrukturen udgøres dels af grænsehandelseffekter, dels af forskydning af
produktion fra CO
2
-intensive virksomheder mod ikke-CO
2
-intensive, herunder via udflytning af produktion.
Særligt CO
2
e-reduktionerne via ændret erhvervsstruktur kan potentielt medføre lækage, men der er ikke
skønnet over graden af lækage.
En stor del af CO
2
e-reduktionerne kommer fra mineralogiske processer mv., hvor den umiddelbare belast-
ning via afgiftsforhøjelsen skønnes at udgøre ca. 275 mio. kr. i 2025, heraf skønnes ca. 175 mio. kr. at ved-
røre cementproduktion. For fx Nordsøen og raffinaderier skønnes en umiddelbar belastning på henholdsvis
ca. 100 og ca. 75 mio. kr. i 2025.
Status for implementering af aftaler i industrisektoren
For at realisere den forventede effekt af de eksisterede tiltag monitoreres implementeringen af de indgåede politi-
ske aftaler tæt. Tabel 9.8 viser status for henholdsvis forvaltningsmæssig implementering og samfundsgennem-
førsel af initiativer efter klimalovens vedtagelse med effekt på udledningerne i 2030. Hertil kommer bl.a. initiativer
om CCS og Power-to-X (PtX), der forventes at kunne bidrage yderligere til reduktioner i 2030 og understøtte om-
stilling af sektoren,
jf. de tekniske køreplaner for CCS og PtX samt køreplan for energi og forsyning.
De forvaltningsmæssige rammer er implementeret for initiativer med en skønnet reduktionseffekt på ca. 1,0 mio.
ton CO
2
e i 2030. Initiativer der skønnes at medføre reduktioner på ca. 2,5 mio. ton CO
2
e i 2030 er under imple-
mentering,
jf. figur 9.18.
Figur 9.18
Status på initiativer med reduktionseffekter i industrisektoren i 2030
Mio. t. CO
2
e
4
3,5
3
2,5
2
1,5
1
0,5
0
2,5
1
Implementeret
Under implementering
Kilde: Tabel 9.8
TRU, Alm.del - 2023-24 - Endeligt svar på spørgsmål 261: MFU spm. om ministeren vil oversende en opdateret oversigt over de klimabegrundede initiativer, der på nationalt og europæisk niveau får betydning på transportområdet inden for de kommende ca. 5 år
2841680_0115.png
KLIMAPROGRAM 2023
115
Tabel 9.8
Oversigt over initiativer med CO
2
e-effekter i 2030 i industrisektoren
Initiativer
Aftale
2025
2030
Mio. ton CO
2
e
Forvaltningsmæs-
sigt implementeret
Samfundsmæssig gen-
nemførsel
Under implemente-
ring
Høj og mere ensartet
CO
2
-afgift
Aftale om Grøn
skattereform
for industri mv.
2022
Lovforslag under ud-
arbejdelse
Lovforslag forventes
fremsat 1. kvartal
2024
Afgiften indfases lø-
bende fra 2025 frem
mod 2030
1,2
2,5
Forhøjelse af energi-
afgift på fossile
brændsler for er-
hverv med 6 kr. pr.
GJ
Danmarks grønne in-
vesteringsfond (Fra
2023 Danmarks Ek-
sport- og Investe-
ringsfond, EIFO)*
Aftale om Grøn
skattereform
2020
0,5
0,5
Implementeret
Lov vedtaget i 2023
Forhøjelsen indfases
fra 2023 frem mod
2025
Af den samlede ramme
på 8 mia. kr. (heraf 6
mio. kr. på FL20) er ca.
3,2 mia. kr. anvendt pr
1 kvartal. 2023.
Finanslov 2020
0
0,2
Implementeret
Lov vedtaget i 2019
Erhvervspuljen (tilfø-
jelse af midler)
Klimaaftale for
energi og indu-
stri mv 2020
samt Aftale om
grøn skattere-
form 2020
Implementeret
0,1
0,3
Puljen er åben.
Pulje udmøntes lø-
bende
Under implemente-
ring.
-
***
Lovforslag forventes
fremsat 4. kvartal
2023.
Puljen udmøntes lø-
bende fra 2020 frem
mod 2029**
Styrket kvotehan-
delssystem samt ud-
videlse til søfart
Revision af EU
ETS 1
Styrket kvotehandelssy-
stem samt udvidelse til
søfart
I alt
Implementeret
Ikke implementeret
1,8
0,6
1,2
3,5
1,0
2,5
Anm.:CO
2
-effekter er angivet som de estimater, der blev lavet ved aftalens indgåelse. Forvaltningsmæssige rammer for implementering defineres som om
relevant lovgivning er vedtaget, og/eller afsatte bevillinger er fuldt udmøntet, og/eller udbudskontrakter er indgået. Samfundsmæssige gennemførelse af
initiativet defineres som den fase, der typisk drives af andre samfundsaktører end staten fx konstruktion af et CCS-anlæg.
* Der kan ske revision i opgørelsesmetoder, som kan medføre justeringer i skøn.
** Effekten af puljer varierer alt efter puljens formål og karakter. Derudover er der en forskydning mellem puljens afløb og effekterne heraf.
***Et lovforslag forventes fremsat i efteråret 2023. I forbindelse med lovforslaget beregnes konsekvenserne, herunder reduktionspotentialerne. Tallene er
fortsat under konsolidering.
TRU, Alm.del - 2023-24 - Endeligt svar på spørgsmål 261: MFU spm. om ministeren vil oversende en opdateret oversigt over de klimabegrundede initiativer, der på nationalt og europæisk niveau får betydning på transportområdet inden for de kommende ca. 5 år
2841680_0116.png
116
KLIMAPROGRAM 2023
Håndtering af væsentligste risici i implementeringen i industrisektoren
Der er behov for at vurdere og håndtere risici i implementeringen af tiltagene for at realisere den skønnede effekt.
Genbesøg af
Aftale om Grøn skattereform for industri mv.
i 2026 og 2028 vil indebære, at der følges op på imple-
menteringen af aftalen. Her vil der være mulighed for at iværksætte tiltag med henblik på at håndtere evt. risici i
forhold til indfrielse. Nedenfor uddybes de væsentligste risici, der kan have betydning for indfrielsen af klimamå-
lene for 2025 og 2030.
Højere og mere ensartet CO
2
-afgift
Gennemførelse af afgiftsinitiativerne i
Aftale om grøn skattereform for industri mv.,
inklusiv den lavere sats for
mineralogiske processer mv. og omlægning af energiafgifter, skal sammen med de øvrige elementer i aftalen,
herunder fond til grøn omstilling, gennemføres i overensstemmelse med EU’s statsstøtteregler og energibeskat-
ningsdirektivet. Dette indebærer bl.a., at der skal opnås en statsstøttegodkendelse, før afgifts- og støtteelemen-
terne kan træde i kraft.
Det er aftalt at indføre en bundpris, der kan træde i kraft, hvis EU’s kvotehandelssystem ikke udvikler sig som lagt
til grund i beregningerne. De aftalte genbesøg i 2026 og 2028 er en anledning til at vurdere om CO
2
-afgiften er i
overensstemmelse med bundprisen, så der er et stabilt prissignal. Med aftalen er regeringen forpligtet til at ind-
kalde partierne, hvis der sker ekstraordinære afvigelser fra den forventede udvikling i kvoteprisen.
Med aftalen indføres en lavere afgift for mineralogiske processer mv. end for øvrige udledninger, hvilket skal ses i
lyset af, at virksomheder inden for denne kategori er konkurrenceudsatte i forhold til lande uden for EU. Der vurde-
res derfor at være særlig risiko for udflytning og kulstoflækage ved en høj afgift. I forbindelse med genbesøgene i
2026 og 2028 er det bl.a. aftalt at foretage en vurdering af afgiftsniveauet for mineralogiske processer mv. i for-
hold til, om virksomhedernes investeringer i den grønne omstilling står mål med afgiftsniveauet. I 2028 tages
endvidere initiativ til justeringer af aftalen, hvis udviklingen i perioden har betydet, der kommer markant færre re-
duktioner end skønnet.
Erhvervspuljen
Effekten af Erhvervspuljen afhænger af, at der er tilstrækkelig kommerciel interesse for at søge puljen. Erfarin-
gerne fra de første ansøgningsrunder viste lavt afløb fra puljen. Med
Klimaaftale om grøn strøm og varme 2022
blev parterne enige om at foretage en række omfattende justeringer af Erhvervspuljen. Som følge heraf er der per
november 2022 gennemført i alt syv konkrete tiltag med formål at sikre et større afløb fra Erhvervspuljen, herun-
der at virksomheder får mulighed for at søge tilskud til både CO
2
e-reducerende såvel som energibesparende til-
tag. Der er set en stigning i søgningen til Erhvervspuljen siden justeringerne, og der er per 19. september 2023
givet tilsagn for over henholdsvis 114,5 mio. kr. og 122,5 mio. kr. mere end ved samme tidspunkt i 2022 og 2021.
Regeringens arbejdsprogram for industrisektoren
Der er dermed en plan for at implementere de indgåede aftaler, der også illustreres i regeringens arbejdsprogram
for sektoren. Arbejdsprogrammet viser regeringens plan for implementering af centrale initiativer med effekter i
2030. Derudover viser den, hvornår regeringen vil følge op på yderligere ambitioner og mål, og hvor regeringen har
mulighed for at iværksætte nye tiltag, hvis implementeringsplanen ikke holder som forudsat. Hertil kommer yder-
ligere initiativer, der forventes at kunne bidrage yderligere til eller understøtte reduktioner i 2030,
jf. de teknisk kø-
replaner for CCS og PtX samt køreplaner for energi og forsyning og transport.
Regeringen har indgået
Aftale om styrkede rammevilkår for CCS i Danmark
i 2023, der tager næste skridt mod at
realisere reduktionspotentialerne inden for sektoren,
jf. den tekniske køreplan for CCS.
Regeringen vil derudover
udmønte omstillingsstøtten som led i
Aftale om Grøn skattereform for industri mv, jf. figur 9.19.
TRU, Alm.del - 2023-24 - Endeligt svar på spørgsmål 261: MFU spm. om ministeren vil oversende en opdateret oversigt over de klimabegrundede initiativer, der på nationalt og europæisk niveau får betydning på transportområdet inden for de kommende ca. 5 år
2841680_0117.png
KLIMAPROGRAM 2023
117
Figur 9.19
Regeringens arbejdsprogram for industrisektoren
Anm.: Figuren er ikke udtømmende og viser udvalgte, centrale indsatser. Figuren viser kun, hvilket år indsatser iværksættes. Placeringen af indsatser i de
enkelte år er således ikke udtryk for hvornår på året, indsatsen iværksættes. Forordninger implementeres direkte i dansk lov og fremgår derfor ikke af
regeringens plan.
CO
2
e-grænsetilpasningmekanisme vedtaget i EU (CBAM):
Med CBAM pålægges visse produkter, der importe-
res fra 3. lande en CO
2
e-kompensation, såfremt eksportlandet ikke prissætter CO
2
e-udledninger ved fx et kvo-
tesystem eller CO
2
-afgift. Når mekanismen er fuldt indfaset vil det være importøren af produkterne, der skal
betale importprisen. Prisen vil svare til den kvotepris, som virksomheder pålægges i EU's kvotehandelssystem.
Udmøntning af omstillingsstøtte (Grøn skattereform):
Som en del af
Aftale om grøn skattereform for industri
mv.
blev der frem mod 2030 afsat ca. 2. mia. kr. til omstillingsstøtte i en overgangsperiode målrettet de virk-
somheder, som rammes hårdest af den nye CO
2
-afgift og som har sværest ved at omstille sig. Som opfølgning
herpå kommer regeringen med et udspil til den konkrete udmøntning af omstillingsstøtten mv.
Revision af EU’s kvotehandelsdirektiv vedtaget i EU og dansk lovforslag om ny CO
2
-kvotelov forventes frem-
sat:
Med revisionen af kvotehandelsdirektivet (maj 2023) udvides kvotehandelssystemet til søfart, og gratis-
kvoter udfases gradvist for sektorer, som underlægges den kommende CO
2
e-grænsetilpasningsmekanisme
(CBAM). Dertil oprettes et nyt, separat kvotehandelssystem for bl.a. vejtransport og opvarmning af bygninger
(ETS2), hvilket bl.a. betyder, at brændstofleverandører omfattes af kvotehandelssystemet. Lovforslaget om ny
CO
2
-kvotelov implementerer revision af EU's kvotehandelsdirektiv i dansk lov. CBAM, som er vedtaget ved se-
parat forordning, medfører, at importører af udvalgte særligt energiintensive varer skal betale CO
2
e-bidrag ved
import til EU tilsvarende kvoteprisen ved produktion i EU.
Lovforslag om høj og ensartet CO
2
-afgift forventes fremsat:
Med lovforslaget foreslås en høj og mere ensar-
tet CO
2
-afgift, der gradvist indfases fra 2025. Når afgiftet er fuldt indfaset, vil afgiftssatsen være 750 kr. pr. ton
udledt CO
2
for de virksomheder, som ikke er omfattet af EU´s kvotehandelssystem og 375 kr. for de virksomhe-
der, som er omfattet af EU´s kvotehandelssystem på aftaletidspunktet (2022-priser). Dertil foreslås det, at mi-
neralogiske processer mv. skal have en afgift på 125 kr. pr. ton udledt CO
2
i 2030, og at afgiften skal gælde
både udledninger forbundet med anvendelse af energiprodukter og ikke-energirelaterede udledninger fra pro-
duktionsprocesser
Åbning af omstillingsstøtte (Grøn skattereform):
Omstillingsstøtten skal målrettes de virksomheder, som ram-
mes hårdest af den nye CO
2
-afgift og har sværest ved at omstille sig. Der afsat midler til puljen fra 2025-2029.
Genbesøg af Aftale om Grøn skattereform:
Genbesøgene af Aftale om grøn skattereform for industri mv. i
2026 og 2028 kan bl.a. bruges til at justere CO
2
-afgiften i overensstemmelse med bundprisen, hvis kvoteprisen
ikke udvikler sig som forventet, så der er et stabilt prissignal samt vurdere afgiftsniveauet for mineralogiske
processer. Senest ved genbesøget i 2028 skal der tages stilling til indretning af afgiften efter 2030 og justerin-
ger af aftalen, hvis der kommer markant færre reduktioner end forventet.
TRU, Alm.del - 2023-24 - Endeligt svar på spørgsmål 261: MFU spm. om ministeren vil oversende en opdateret oversigt over de klimabegrundede initiativer, der på nationalt og europæisk niveau får betydning på transportområdet inden for de kommende ca. 5 år
2841680_0118.png
118
KLIMAPROGRAM 2023
Erhvervspuljen løber til og med 2029:
Erhvervspuljen er en tilskudspulje til dansk erhvervsliv på 3,5 mia. kr.,
der løber frem til 2029. Både små og store private virksomheder i langt de fleste brancher kan få tilskud til næ-
sten alle typer projekter, der sparer energi eller CO
2
e fra energiudledninger.
TRU, Alm.del - 2023-24 - Endeligt svar på spørgsmål 261: MFU spm. om ministeren vil oversende en opdateret oversigt over de klimabegrundede initiativer, der på nationalt og europæisk niveau får betydning på transportområdet inden for de kommende ca. 5 år
2841680_0119.png
KLIMAPROGRAM 2023
119
Affaldssektoren
Affaldssektorens udledninger skønnes fra 1990 til 2021 reduceret fra ca. 2,5 mio. ton CO
2
e til ca. 2,3 mio. ton
CO
2
e,
jf. figur 9.20.
Affaldssektorens udledninger skønnes at udgøre knap 1,7 mio. ton CO
2
e i 2030, hvilket skøn-
nes at svare til ca. 6 pct. af Danmarks samlede CO
2
e-udledninger,
jf. Klimastatus og –fremskrivning 2023.
Affaldsforbrændingens drivhusgasudledninger skønnes i 2030 at udgøre knap 60 pct. af udledningerne i affalds-
sektoren, mens deponi, spildevand, kompostering og øvrige skønnes at udgøre henholdsvis 20 pct., 10 pct., 10
pct. og 2 pct. af sektorens udledninger.
Figur 9.20
Udledningerne i affaldssektoren i 1990-2035 (mio. ton CO
2
e)
Mio. ton
CO
2
e
3
2,5
2
1,5
1
0,5
0
1990
2021
Deponi
2025
Spildevand
2030
Kompostering
Øvrige
2035
Affaldsforbrænding
Kilde:
Klimastatus og –fremskrivning 2023.
Nøgletal og status på mål mv. i affaldssektoren
For bl.a. at reducere udledningerne og understøtte omstillingen af affaldssektoren har en række partier indgået en
politisk aftale om
Klimaplanen for en grøn affaldssektor og cirkulær økonomi fra 2020,
der indebærer en væsentlig
omorganisering af sektoren. I det følgende præsenteres status på centrale udviklinger, mål og politiske visioner
inden for sektoren. Nøgletal viser derudover, hvor stor en omstilling sektoren står overfor frem mod 2030.
Klimaplanen for en grøn affaldssektor og cirkulær økonomi
fra 2020 indeholder en vision om en klimaneutral af-
faldssektor i 2030. Drivhusgasudledningerne fra affaldssektoren i 2021 er opgjort til 2,3 mio. ton CO
2
e, hvoraf af-
faldsforbrænding stod for knap 1,6 mio. ton CO
2
e. Frem mod 2030 skønnes udledningerne at falde til knap 1,7
mio. ton CO
2
e, som følge af forventet øget udsortering med henblik på genanvendelse og et skønnet fald i mæng-
den af importeret affald til forbrænding. Derudover skønnes sektoren at udlede knap 2 mio. ton biogene udlednin-
ger i 2030, og vil derigennem potentielt kunne bidrage væsentligt til negative emissioner gennem CO
2
-fangst og
lagring.
Aftalen indeholder endvidere en vision om, at affaldskurven skal knækkes. De samlede danske affaldsmængder
skønnes dog at stige med knap 0,5 mio. ton fra 2023 til 2030, mens mængden af husholdningslignende affald per
indbygger forventes at være nogenlunde konstant.
Aftalen fastsætter derudover en vision om, at 80 pct. af dansk plast skal udsorteres fra forbrænding i 2030. Der
foreligger ikke for nuværende data vedrørende udviklingen i dansk plast til forbrænding. Initiativer i Klimaplanen
såsom øget og strømlinet affaldssortering, udvidet producentansvar for emballage, udsorteringsmål for sektor-
samarbejder for henholdsvis landbrug og byggeri samt reduktionsmål for restaurantionsbranchen kan bidrage til
at understøtte visionen.
TRU, Alm.del - 2023-24 - Endeligt svar på spørgsmål 261: MFU spm. om ministeren vil oversende en opdateret oversigt over de klimabegrundede initiativer, der på nationalt og europæisk niveau får betydning på transportområdet inden for de kommende ca. 5 år
2841680_0120.png
120
KLIMAPROGRAM 2023
Forbrændingskapaciteten skal derudover tilpasses de danske forbrændingsegnede affaldsmængder (ekskl. far-
ligt affald, haveaffald og slam) i 2030, så den ledige kapacitet ikke fyldes op af importeret affald. Mængden af
importeret affald til forbrænding skønnes gradvist udfaset frem mod 2035.
Nøgletal i
boks 9.6
viser derudover, at sektoren er i gang med en omstilling frem mod 2030. Udledningerne fra
affaldsforbrænding skønnes at falde med ca. 0,7 mio. ton fra 2023 til 2030,
jf. figur 9.21.
Det svarer til en reduk-
tion på ca. 40 pct. af udledningerne affaldsforbrænding i forhold til i dag. Reduktionerne skyldes øget udsortering
med henblik på genanvendelse og en skønnet reduktion i affaldsforbrændingskapaciten, der bl.a. medfører, at
importeret affald, som skønnes at indeholde en højere fossil andel end det danske forbrændingsegnede affald,
gradvist udfases frem mod 2035,
jf. figur 9.21.
Til sammenligning skønnes udledningerne fra 2016 til 2023 at
være steget med 0,1 mio. ton.
Boks 9.6
Udledninger fra affaldsforbrænding
Figur 9.21
Figur 9.22
Udledninger fra affaldsforbrænding
Mio. ton CO
2
e
2
1,8
1,6
1,4
1,2
1
0,8
0,6
0,4
0,2
0
2014
2017
2020
2023
2026
2029
2032
2035
Afbrændt affald i Danmark
Mio. ton afbrændt affald
4
3,5
3
2,5
2
1,5
1
0,5
0
2014
2017
2020
2023
2026
2029
2032
2035
Udledninger fra affaldsforbrænding
Fremskrivning
Kilde:
Klimastatus og –fremskrivning 2023
Importeret affald til forbrænding
Dansk affald til forbrænding
Tekniske potentialer
Der er flere måder hvorpå de resterende udledninger fra affaldssektoren i 2030 kan reduceres:
1. Teknologier til fx design med henblik på forlænget holdbarhed og reparerbarhed for produkter, samt digitale
teknologier til cirkulære forretningsmodeller, der reducerer mængden af fossilt affald, som sendes til forbræn-
ding.
2. Sorterings- og genanvendelsesteknologier, der øger genanvendelsen og dermed reducerer mængden af affald
til forbrænding, herunder også fossilt affald.
3. Materialeteknologi vedrørende omstilling fra fossile til bio- og CCU-baserede materialer (indfanget CO
2
kan an-
vendes i nye produkter og materialer) for at reducere mængden af fossilt affald, der sendes til forbrænding, så-
fremt den samlede miljø- og klimabelastning er lavere end for de fossile alternativer.
4. Etablere CCS på forbrændingsanlæggene. CCS på forbrændingsanlæggene kan reducere fossile udledninger
og levere negative udledninger fra biobaseret affald.
5. Teknologier til biologisk behandling af affald og deponi som fx pyrolyse og reaktorkompostering, der begræn-
ser udledninger af drivhusgasser i forbindelse med biologisk behandling af fx haveaffald og spildevandsslam.
De tekniske potentialer angiver potentielle reduktioner ud over det, der skønnes realiseret ved vedtagen politik.
Det skønnes, at der er tekniske potentialer for CCS i affaldsforbrændingssektoren på ca. 2,6 mio. ton CO
2
e i 2030,
TRU, Alm.del - 2023-24 - Endeligt svar på spørgsmål 261: MFU spm. om ministeren vil oversende en opdateret oversigt over de klimabegrundede initiativer, der på nationalt og europæisk niveau får betydning på transportområdet inden for de kommende ca. 5 år
2841680_0121.png
KLIMAPROGRAM 2023
121
jf. tabel 9.9.
Dette er mere end de skønnede drivhusgasudledninger i sektoren i 2030 som fremgår af
Klimastatus
og –fremskrivning 2023,
grundet potentialer for optag af biogene CO
2
-udledninger ved CCS. Se uddybning i kapitel
7.
Det bemærkes, at analysen i dette års klimaprogram viser en første analyse på en tilnærmelsesvis fuld teknisk
omstilling af drivhusgasudledningerne fra det danske energiforbrug inkl. udvalgte potentialer for at reducere ikke-
CO
2
-udledninger i landbrugssektoren samt de privatøkonomiske omkostninger herved. Der er ikke skønnet over
de samfundsøkonomiske omkostninger.
Der er alene opgjort teknisk reduktionspotentiale for CCS. CCS vil kunne reducere fossile udledninger såvel som
biogene udledninger, der vil kunne bidrage til negative udledninger gennem BECCS. Dertil beror beregningen af
det tekniske reduktionspotentiale på en antagelse om, at udviklingen i energiydelser inden for de enkelte sektorer
holdes konstante. Der er ikke regnet på det tekniske reduktionspotentialer for de øvrige teknologier, der påvirker
affaldskapaciteten, affaldsmængderne og affaldssammensætningen, og derigennem det samlede energiinput til
affaldsforbrænding. CCS på affaldsforbrændingsanlæg skønnes at have privatøkonomiske omkostninger på
1.450 kr. pr. ton,
jf. figur 9.23 og tabel 9.6.
Tabel 9.9
Tekniske potentialer for affaldsforbrændingssektoren i 2030
Teknologi
Teknisk reduktionspo-
tentiale (mio. ton
CO
2
e i 2030)
2,6
Privatøkonomisk om-
kostning
(kr. per ton)
1.450
Affaldsforbrænding: CCS
Figur 9.23
Tekniske reduktionspotentialer og privatøkonomiske omkostninger i affaldssekto-
ren
Kr. per ton
1.500
1.000
500
0
0,5
Affald: CCS
1,0
1,5
2,0
2,5
3,0
Mio. t. CO
2
e
Anm.: Se metoder, antagelser og forudsætninger for beregningerne i kapitel 7. Generelt er de tekniske reduktionspotentialerne forbundet med en betydelig
usikkerhed, idet der ikke tages stilling til nørmere forhold og implikationer i forbindelse med evt. implementering af enkelte omstillingselementer, herunder de
juridiske, tekniske og praktiske forhold.
Anm.: Se metoder, antagelser og forudsætninger for beregningerne i kapitel 7.
TRU, Alm.del - 2023-24 - Endeligt svar på spørgsmål 261: MFU spm. om ministeren vil oversende en opdateret oversigt over de klimabegrundede initiativer, der på nationalt og europæisk niveau får betydning på transportområdet inden for de kommende ca. 5 år
2841680_0122.png
122
KLIMAPROGRAM 2023
Hvis ovenstående tekniske reduktionspotentiale i affaldssektoren skal bidrage til indfrielsen af 70 pct. målet,
skønnes det nødvendigt at træffe en beslutning om CCS senest i 2025,
jf. figur 9.24.
Det skal dog bemærkes, at
vurderingen af beslutningsrummet er underlagt betydelig usikkerhed.
20
Figur 9.24
Reduktionspotentialer i affaldssektoren frem mod 2030 (mio. ton CO
2
e)
2022
2023
2024
2025
2026
2027
2028
2029
2030
CCS på affaldsforbrænding
Anm.: Figuren viser, hvordan tekniske reduktionspotentialer i 2030 er afhængig af, hvornår der implementeres virkemidler. Der er ikke taget højde for overlap i
reduktionspotentialerne.
For at indfri tekniske reduktionspotentialer helt eller delvist, kan der iværksættes en række virkemidler. Virkemid-
delskataloget fra
Klimaprogram 2022
viste en række virkemidler, hvor der er stor variation i de samfundsøkonomi-
ske omkostninger pr. ton (skyggepris). Det viste samtidig, at fordelingen af omkostningen på tværs af hushold-
ninger, erhverv og stat kan være meget forskellig. Klimaindsatsen skal ske under hensyntagen til en række
guidende principper om bl.a. omkostningseffektivitet, hensyn til dansk erhvervsliv, social balance og lækage,
jf.
klimaloven.
Boks 9.7 viser samfundsøkonomiske omkostninger og konsekvenser ved virkemiddel om sænkelse af prisloftet
for salg af affaldsvarme for at kvalificere de valgte virkemidler. Virkemidlet er beskrevet i flere detaljer i kapitel 7.
Boks 9.7
Sænkelse af et prisloft for salg af affaldsvarme
Affaldsforbrændingsanlæggenes primære indtægter kommer i dag fra affaldstakster ved modtagelse af
affald, salg af varme og for størstedelen af anlæggene salg af el (fastsat ved markedsprisen på el). Salg
af affaldsvarme er underlagt prisregulering, herunder bl.a. et affaldsvarmeprisloft som forventes at blive
erstattet med et kommende VE-prisloft. VE-prisloftet vil blive fastsat ud fra alternative VE-kilder. Der er i
nedenstående teoretiske beregning skønnet over et fastsat prisloft som er lavere end det kommende VE-
prisloft. Det vil betyde at affaldsforbrænding ikke sidestilles med VE-alternativer, hvilket alt andet lige vil
reducere indtægterne fra affaldsvarme og reducere kapaciteten i sektoren og derigennem reducere sekto-
rens udledninger.
Det bemærkes, at der ikke er afklaring i forhold til eventuelle juridiske barrierer ved virkemidlet, ligesom
der er væsentlige usikkerheder i de angivne effekt- og omkostningsskøn, som baserer sig på et øjebliks-
billede af foreløbig viden og antagelser. Hertil kommer, at den konkrete implementering vil have stor be-
tydning for de forventede omkostninger og skyggepriser.
Beslutningsrummet er defineret ved at sammenholde en teknologis potentiale med omstillingshastigheden. Det viser, hvornår der
sidst skal påbegyndes implementering af et omstillingselement, for at kunne realisere dets tekniske reduktions potentiale. I Klimapro-
gram 2022 blev der i forlængelse af skøn for reduktionspotentialer skønnet beslutningsrum for reduktionspotentialerne.
20
TRU, Alm.del - 2023-24 - Endeligt svar på spørgsmål 261: MFU spm. om ministeren vil oversende en opdateret oversigt over de klimabegrundede initiativer, der på nationalt og europæisk niveau får betydning på transportområdet inden for de kommende ca. 5 år
2841680_0123.png
KLIMAPROGRAM 2023
123
Samfundsøkonomiske omkostninger og konsekvenser
Det kommende VE-prisloft skal afspejle varmeprisen på alternative VE-teknologier. VE-prisloftet er endnu
ikke fastlagt, men Energistyrelsen skønner foreløbigt, at det vil ligge på godt 70 kr. pr. GJ inkl. afgifter.
Skønnet bygger bl.a. på Energistyrelsens teknologikatalog og tager udgangspunkt i fliskedel, luft/vand
varmepumpe og flis-kraftvarmeanlæg som vedvarende energikilder.
Det teoretiske prisloft er fastlagt som en reduktion af VE-prisloftet fra godt 70 kr. pr. GJ inkl. afgifter til et
prisloft på 60 kr. pr. GJ. inkl. afgifter. Et reducerende prisloft i forhold til det kommende VE-prisloft vil
medføre, at prisloftet ikke længere afspejler prisen på alternativ VE-varmeproduktion. Et prisloft på salg af
affaldsvarme som er lavere end et VE-prisloft vil betyde, at forbrændingsanlæggene kan indhente færre
indtægter fra affaldsvarme. Der skønnes to overordnede effekter:
1) For anlæg, hvor det forsat er rentabelt at afbrænde affald, og som derfor vil blive på markedet, skønnes
det lavere prisloft at slå igennem som en reduktion i anlæggenes overskud. For disse anlæg vil der være
tale om omfordeling fra affaldsvarmeanlæg til varmeforbrugere, hvor varmeforbrugeren vil stå over for en
besparelse tilsvarende anlæggets tab.
2) For anlæg, hvor det ikke er rentabelt at afbrænde affald, og som derfor vil udgå af markedet, vil prislof-
tet medføre en reduktion i forbrændingskapaciteten. Såfremt anlægget har restgæld vil det resultere i lø-
bende tab og strandede omkostninger for anlægsejeren. Samtidigt vil varmeforbrugeren overgå til alter-
native og dyrere varmekilder, der i beregningerne er antaget at være VE-kilder og følge prisen på alterna-
tive VE-kilder. For disse anlæg vil reduktionen i varmeprisloftet således komme som et tab for både af-
faldsforbrændingsanlægget og varmeforbrugeren.
Samlet set skønnes det teoretiske prisloft på salg af affaldsvarme fastsat til 60 kr. pr. GJ. inkl. afgifter at
lede til en reduktion på 0,3 mio. ton CO
2
e og en skyggepris på 1.600 kr. pr. ton CO
2
e. Staten skønnes at
have et mindreprovenu på 280 mio. kr. i 2025 og 270 mio. kr. i 2030 som følge af, at det forudsættes at
varmeforbrugeren overgår fra affaldsvarme til et ikke-afgiftsbelagt VE-alternativ. Ligeledes skønnes kom-
munerne at have et løbende tab og strandede omkostninger, svarende til ca. 340 mio. kr. årligt i perioden
2025-2030. Endeligt skønnes husholdninger og erhvervet at få en gevinst på ca. 250 mio. kr. i 2025 og
180 mio. kr. i 2030. Det skyldes, at forbrugergevinsten ved de generelt lavere affaldsvarmepriser for de
resterende affaldsforbrændingsanlæg dominerer tabet for de anlæg, der lukker, og hvor varmeforbruge-
ren skal dække sit forbrug gennem alternative og dyrere varmekilder.
Tabel 9.10
CO
2
e-effekter og samfundsøkonomiske omkostninger (2024-priser)
2024-priser
CO
2
e-reduk-
tion, mio. ton
2025
2030
0,3
Statsfinan-
sielle omkost-
ninger, mio. kr.
2025
280
2030
270
Erhverv, mio.
kr.
2025
-70
2030
-50
Husholdnin-
ger, mio. kr.
2025
-180
2030
-130
Skyggepris,
kr. pr. ton
CO
2
e
Virkemiddel
0,3
1.600
Anm.: Det bemærkes, at kommunerne som anlægsejer kan stå over for betydelig tab. Samlet set skønnes kommunerne at have et tab på ca. 340
mio. kr. årligt. Effekten er indregnet I skyggeprisen. Desuden bemærkes det, at effekterne er regnet før Grøn Skattereform, i overensstemmelse med
forudsætningerne anvendt i forbindelse med lovforslag om konkurrenceudsættelsen, jf. L 745.
Status for implementering af aftaler i affaldssektoren
For at realisere den forventede effekt af de eksisterede tiltag monitoreres implementeringen af de indgåede politi-
ske aftaler tæt. Tabel 9.11 viser status for henholdsvis forvaltningsmæssig implementering og samfundsmæssig
gennemførsel af initiativer efter klimalovens vedtagelse med effekt på udledningerne i 2030. Der er besluttet initi-
ativer, der ved aftalens indgåelse i 2020 samlet set blev skønnet at medføre reduktioner på ca. 0,7 mio. ton CO
2
e i
2030 i affaldssektoren. Hertil kommer initiativer om CCS/CCUS, der forventes at kunne bidrage yderligere til re-
duktioner i 2030 og understøtte omstilling af sektoren,
jf. den teknisk køreplan for CCS.
TRU, Alm.del - 2023-24 - Endeligt svar på spørgsmål 261: MFU spm. om ministeren vil oversende en opdateret oversigt over de klimabegrundede initiativer, der på nationalt og europæisk niveau får betydning på transportområdet inden for de kommende ca. 5 år
2841680_0124.png
124
KLIMAPROGRAM 2023
De forvaltningsmæssige rammer er implementeret for størstedelen af initiativer med en samlet skønnet redukti-
onseffekt på ca. 0,5 mio. ton CO
2
e i 2030
jf. figur 9.25.
Initiativer med reduktioner på ca. 0,2 mio. ton CO
2
e i 2030
er under implementering,
jf. figur 9.25.
Figur 9.25
Status på initiativer med reduktionseffekter i affaldssektoren i 2030
Mio. t. CO
2
e
0,8
0,7
0,6
0,5
0,4
0,3
0,2
0,1
0
0,5
0,2
Implementeret
Under implementering
Anm: Ved indgåelsen af Klimaplanen for en grøn affaldssektor og cirkulær økonomi blev aftalen vurderet til samlet set at medføre reduktioner på 0,7 mio. ton
CO
2
e. En opdeling på initiativniveau er behæftet med stor usikkerhed, men det skønnes, at der på nuværende tidspunkt er 0,2 mio. ton. CO
2
e reduktioner
under implementering. Det skyldes, at det udvidede producentansvar for emballage og engangsplastprodukter samt styrket affaldstilsyn og strømlinet prak-
sis udgør delelementer i reduktionseffekten af Klimaplanen, som endnu ikke er forvaltningsmæssigt implementeret, og som først forventes samfundsmæs-
sigt gennemført i 2025.
Kilde: Tabel 9.11
Tabel 9.11
Oversigt over større milepæle med samlede CO
2
e-effekter i 2030 i affaldssektoren
Aftale
Initiativ
2025
Mio. ton
CO
2
e
2030
Forvaltningsmæssigt
implementeret
Samfundsmæssigt gen-
nemført
Strømlinet affalds-
sortering i 10 fraktio-
ner
Udbudspligt på be-
handling af genan-
vendeligt hushold-
ningsaffald
Ny organisering af
forbrændingssekto-
ren og konkurrence-
udsættelse af for-
brændingsegnet af-
fald
Grænseværdi for lat-
tergasemissioner for
renseanlæg
Implementeret.
-0,7
Bekendtgørelse udstedt i
2021.
Implementeret.
Klimaplan for
en grøn af-
faldssektor og
cirkulær øko-
nom og opføl-
gende aftale
Lovgivning vedtaget i
2022.
Kommunerne skal etab-
lere husstandsnær ind-
samling af 10 affalds-
fraktioner fra 2023.
Kommuner skal udbyde
genanvendeligt affald
fra 2023.
Implementeret.
Lovgivning vedtaget i
2023.
Kommuner skal udbyde
behandling af forbræn-
dingsegnet affald fra
2025. Kapacitetstilpas-
ning sker frem mod
2030.
Miljøstyrelsen fastsæt-
ter målemetoder og
grænseværdier for lat-
tergasemissioner i 2024
Under implementering.
Forventes implementeret
fra 2025.
TRU, Alm.del - 2023-24 - Endeligt svar på spørgsmål 261: MFU spm. om ministeren vil oversende en opdateret oversigt over de klimabegrundede initiativer, der på nationalt og europæisk niveau får betydning på transportområdet inden for de kommende ca. 5 år
2841680_0125.png
KLIMAPROGRAM 2023
125
med henblik på ikraft-
trædelse i 2025.
Udvidet producentan-
svar for emballage
og engangsplastik-
produkter
Under implementering.
Forventes implementeret
fra 2025.
Under implementering.
Styrket affaldstilsyn
og strømlinet praksis
Forventes implementeret
fra 2025.
0
-0,7
-0,5
-0,2
Producenterne får an-
svaret for håndteringen
af det emballageaffald,
de producerer i 2025.
Der indføres et styrket
affaldstilsyn i 2025, så
forbrænding af genan-
vendeligt affald undgås.
I alt
Implementeret
Under implementering
0
0
Anm.: CO
2
e-effekter er angivet som de estimater, der blev lavet ved aftalens indgåelse. Forvaltningsmæssige rammer for implementering defineres som om
relevant lovgivning er vedtaget, og/eller afsatte bevillinger er fuldt udmøntet, og/eller udbudskontrakter er indgået. Samfundsmæssige gennemførelse af
initiativet defineres som den fase, der typisk drives af andre samfundsaktører end staten fx konstruktion af et CCS-anlæg.
Håndtering af væsentligste risici i implementeringen i affaldssektoren
Der er behov for at vurdere og håndtere risici i implementeringen af tiltagene for at realisere den forventede ef-
fekt. Der bliver fulgt op på
Klimaplanen for en grøn affaldssektor og cirkulær økonomi,
herunder på initiativer med
konsekvenser for klimamål om 2025 og 2030. Her vil der være mulighed for at iværksætte tiltag, som kan støtte
op om de aftalte visioner og initiativer for 2030, og dermed bl.a. håndtere risici i tilfælde af, at de materialiserer
sig. Nedenfor uddybes de væsentligste risici, der kan have betydning for indfrielsen af nationale klimamål i hen-
holdsvis 2025 og 2030 samt indfrielse af EU-mål og de relevante tiltag for at mitigere disse.
Udledninger fra forbrænding
Med ny organisering af affaldsforbrændingssektoren skal forbrændingsanlæg fremover konkurrere om at for-
brænde affaldet. Der vurderes særligt at være risici, som kan påvirke en løbende kapacitetstilpasning og dermed
udledningerne i affaldsforbrændingssektoren: 1) Risiko for at anlæggene reagerer anderledes på de nye ramme-
vilkår end lagt til grund i effektskønnene og 2) den udenlandske betalingsvillighed, der er bestemmende for im-
portprisen på udenlandsk affald til forbrænding i Danmark, udvikler sig anderledes end skønnet. Udviklingen i ka-
paciteten og de forbrændingsegnede mængder vil fra 2024 monitoreres. Det fremgår af
Klimaplanen for en grøn
affaldssektor og cirkulær økonomi,
at såfremt kapacitetsudviklingen ikke udvikler sig i takt med de forbrændings-
egnede affaldsmængder, indføres en afgift på forbrænding, medmindre et alternativt virkemiddel viser sig at være
bedre egnet. Der bliver fulgt op med en afgiftsanalyse, der bl.a. skal belyse, hvordan afgifterne kan understøtte, at
affaldsforbrændingskapaciteten udvikler sig i takt med de forbrændingsegnede affaldsmængder og dermed bi-
drage til yderligere CO
2
e-reduktioner.
Parallelt hermed er der igangsat et arbejde med at afklare de langsigtede rammevilkår for CO
2
-fangst i forsy-
ningssektoren, hvor regeringen fremlægger oplæg til løsning i 2023. Klare langsigtede rammevilkår for CO
2
-fangst
vil understøtte, at forsyningsvirksomhederne reagerer på de incitamenter til investering i CO
2
-fangst, som følger
af de overordnede rammevilkår for CCS.
Regeringens arbejdsprogram for affaldssektoren
Der er dermed en plan for at implementere de indgåede aftaler, der illustreres nedenfor i regeringens arbejdspro-
gram for sektoren. Arbejdsprogrammet viser regeringens plan for implementering af centrale initiativer med ef-
fekter i 2030. Derudover viser arbejdsprogrammet, hvornår regeringen vil følge op på yderligere visioner og mål,
og hvor regeringen har mulighed for at iværksætte nye tiltag, hvis implementeringsplanen ikke holder som forud-
sat. Hertil kommer initiativer om CCS, der forventes at kunne bidrage yderligere til eller understøtte reduktioner i
2030,
jf. den tekniske køreplan for CCS.
TRU, Alm.del - 2023-24 - Endeligt svar på spørgsmål 261: MFU spm. om ministeren vil oversende en opdateret oversigt over de klimabegrundede initiativer, der på nationalt og europæisk niveau får betydning på transportområdet inden for de kommende ca. 5 år
2841680_0126.png
126
KLIMAPROGRAM 2023
Næste skridt er at regeringen fremlægger løsning for langsigtede rammevilkår for CO
2
-fangst i forsyningssekto-
ren i 2023,
jf. figur 9.26.
Regeringen vil derudover følge op på
Klimaplan for en grøn affaldssektor og cirkulær øko-
nomi.
Figur 9.26
Regeringens arbejdsprogram for affaldssektoren
Anm.: Figuren er ikke udtømmende og viser udvalgte, centrale indsatser. Figuren viser kun, hvilket år indsatser iværksættes. Placeringen af indsatser i de
enkelte år er således ikke udtryk for hvornår på året, indsatsen iværksættes. Forordninger implementeres direkte i dansk lov og fremgår derfor ikke af
regeringens plan
Lov om ny organisering af forbrændingssektoren og konkurrenceudsættelse af forbrændingsegnet affald:
Loven implementerer en ny organisering af affaldsforbrændingssektoren, hvor forbrændingsanlæggene sel-
skabsgøres og skal konkurrere om at behandle affaldet med henblik på, at affaldet behandles, hvor det kan
gøres mest miljørigtigt, bedst og billigst. De nye rammevilkår skønnes at medvirke til, at anlæg, der ikke kan
klare sig i konkurrencen, reducerer deres kapacitet eller lukker, og at der fremadrettet investeres mere hen-
sigtsmæssigt i sektoren.
Endelig afrapportering fra ekspertgruppe for en grøn skattereform:
Ekspertgruppen for en Grøn Skattereform
afleverer sin endelige afrapportering i 2023, hvor ekspertgruppen bl.a. skal forholde sig til affaldssektorens
ikke-energirelaterede udledninger.
Langsigtede rammevilkår for CO
2
-fangst i forsyningssektoren:
Der er igangsat et arbejde med et beslutnings-
oplæg vedrørende de langsigtede rammevilkår for CO₂-fangst i forsyningssektoren. Resultaterne af arbejdet vil
blive forelagt politisk inden udgangen af 2023.
Afgiftsanalyse:
Med
Klimaplan for en grøn affaldssektor og cirkulær økonomi
er der aftalt en afgiftsanalyse.
Den forventes at komme i 2024.
Genbesøg af Aftale om grøn skattereform for industri mv.:
Genbesøg af Aftale om grøn skattereform for indu-
stri mv.
kan bruges til at justere CO
2
-afgiften i overensstemmelse med bundprisen, så der er et stabilt prissig-
nal. Ved genbesøget ses på, i hvilket omfang virksomhedernes investeringer i den grønne omstilling står mål
med afgiftsniveauet, mens der i 2028 tages initiativ til justeringer af aftalen, hvis udviklingen i perioden har
betydet, der kommer markant færre reduktioner end forventet.
TRU, Alm.del - 2023-24 - Endeligt svar på spørgsmål 261: MFU spm. om ministeren vil oversende en opdateret oversigt over de klimabegrundede initiativer, der på nationalt og europæisk niveau får betydning på transportområdet inden for de kommende ca. 5 år
2841680_0127.png
KLIMAPROGRAM 2023
127
Transportsektoren
Transportsektorens udledninger er fra 1990 til 2021 steget fra ca. 11,7 mio. ton CO
2
e til ca. 12,4 mio. ton CO
2
e,
jf.
figur 9.27.
Udledningerne skønnes at falde til ca. 10,5 mio. ton CO
2
e frem mod 2030,
jf. figur 9.27.
Transportsekto-
rens udledninger skønnes at udgøre ca. 10,5 mio. ton CO
2
e i 2030, svarende til ca. 35 pct. af Danmarks samlede
CO
2
e-udledninger,
jf. Klimastatus- og fremskrivning 2023.
Personbilernes drivhusgasudledninger skønnes i 2030 at udgøre ca. 5,8 mio. ton CO
2
e svarende til over 60 pct. af
udledningerne i transportsektoren. Varebiler, lastbiler, grænsehandel, busser og motorcykler skønnes sammen
med personbilerne at udgøre ca. 9,6 mio. ton CO
2
e svarende til ca. 90 pct. af sektorens udledninger, mens bane-
transport, indenrigssøfart og indenrigsluftfart samt øvrig transport tilsammen skønnes at udgøre ca. 0,9 mio. ton
CO
2
e svarende til mindre end 10 pct. af sektorens udledninger.
Figur 9.27
Udledningerne i transportsektoren i 1990-2035 (mio. ton CO
2
e)
Mio. ton CO
2
e
14
12
10
8
6
4
2
0
1990
Personbiler
Varebiler
2021
Lastbiler
2025
Busser, motorcykler og grænsehandel
2030
2035
Bane, indenrigssø- og luftfart samt øvrige
Kilde:
Klimastatus- og fremskrivning 2023
(”tal bag figurer”)
Nøgletal og status på mål mv. i transportsektoren
For at reducere udledningerne og understøtte omstillingen af transportsektoren har en række partier aftalt flere
initiativer samt fastsat politiske ambitioner. Der er tilsvarende i EU vedtaget regulering inden for transportsekto-
ren, der udmønter EU’s 2030-klimamål og understøtter sektorens omstilling. I det følgende præsenteres status på
centrale udviklinger, mål og politiske ambitioner inden for sektoren.
Danmark har en EU-forpligtelse om minimum 14 pct. VE-andel i transportsektoren i 2030, der forventes opfyldt
med nuværende politik, da VE-andelen i transportsektoren skønnes at nå 41 pct. i 2030,
jf. figur 9.30.
EU-forpligtel-
sen for iblanding af avancerede biobrændstoffer på 1,0 pct. i 2025 og 3,5 pct. i 2030 forventes opfyldt ved anven-
delse af muligheden i det reviderede VEII-direktiv om medtælling af biogas injiceret i gasnettet til målopfyldelse,
jf. Status for målopfyldelse.
Nøgletal i boks 9.8 viser derudover, at sektoren står over for en stor omstilling frem mod 2030. Fx skønnes antal-
let af elbiler på vejene at stige med 500.000 fra 2023 til 2030. Til sammenligning er der kommet ca. 140.000 flere
elbiler i perioden 2016-2023,
jf. figur 9.28.
Det svarer til, at antallet af elbiler på vejene bliver mere end tredoblet i
forhold til antallet i dag. Desuden udgør elbiler gennemsnitligt ca. 31. pct. af de nyregistrerede personbiler i perio-
den fra januar 2023 til august 2023, hvilket er en markant stigning fra ca. 6 pct. i 2016. Derudover skønnes
antallet af fossile biler at falde fra ca. 2,5 mio. i 2023 til ca. 2,2 mio. fossile biler i 2030,
jf. figur 9.28.
Forbruget af benzin og diesel i transportsektoren og den interne transport i øvrige sektorer skønnes at falde med
ca. 28 PJ fra 2023 til 2030. Til sammenligning skønnes forbruget at være faldet med ca. 6,5 PJ fra 2016-2023.
Der skønnes fortsat at være begrænset brug af VE-brændsler i 2030,
jf. figur 9.29.
TRU, Alm.del - 2023-24 - Endeligt svar på spørgsmål 261: MFU spm. om ministeren vil oversende en opdateret oversigt over de klimabegrundede initiativer, der på nationalt og europæisk niveau får betydning på transportområdet inden for de kommende ca. 5 år
2841680_0128.png
128
KLIMAPROGRAM 2023
Boks 9.9
Udviklingen i andelen af vedvarende energi og antallet af ladepunkter
Figur 9.28
Udviklingen i bestanden af elbiler og fossile biler
1.000
stk
.
3000
2500
2000
1500
Figur 9.29
Forbrug af flydende brændstoffer
PJ
250
200
150
100
1000
500
0
50
0
2010 2013 2016 2019 2022 2025 2028 2031 2034
Benzin og diesel
VE-brændsler
2012
2015
2018
2021
2024
2027
2030
2033
Plug-in Hybrid
Samlet fossile
Kilde:
Klimastatus og –fremskrivning 2023.
El
Fremskrivning fossile
Derudover skønnes VE-andelen i transportsektoren skønnes at stige til 41 pct i 2030.,
jf. figur 9.30.
Antallet af
offentligt tilgængelige ladepunkter skønnes at være steget med 8.800 fra 2018 til 2023, hvilket svarer til en
stigning på 380 pct.,
jf. figur 9.31.
Boks 9.8
Udviklingen i andelen af vedvarende energi og antallet af ladepunkter
Figur 9.30
Udviklingen i VE-andel i transport
VE-andel
100%
90%
80%
70%
60%
50%
40%
30%
20%
10%
0%
2019 2021 2023 2025 2027 2029 2031 2033 2035
Transport (RES-T)
Mål
Fremskrivning
Figur 9.31
Udviklingen i antallet af offentligt
tilgængelige ladepunkter
Antal
14.000
12.000
10.000
8.000
6.000
4.000
2.000
0
apr-19
apr-20
apr-21
apr-22
dec-18
dec-19
dec-20
dec-21
aug-18
aug-19
aug-20
aug-21
aug-22
dec-22
apr-23
Ladepunkter i alt
Kilde: Udviklingen i VE- andel i transportsektoren er baseret på
Klimastatus og –fremskrivning 2023.
Udviklingen i antallet af offentligt tilgængelige
ladepunkter er baseret påTransportministeriets beregninger på baggrund af data fra ChargeX Analytics, hvor tal er tilgængelige fra 2018-2023.
TRU, Alm.del - 2023-24 - Endeligt svar på spørgsmål 261: MFU spm. om ministeren vil oversende en opdateret oversigt over de klimabegrundede initiativer, der på nationalt og europæisk niveau får betydning på transportområdet inden for de kommende ca. 5 år
2841680_0129.png
KLIMAPROGRAM 2023
129
Tekniske potentialer
Der findes en række teknologier, som kan reducere drivhusgasudledningen i transportsektoren. Omstillingen til
disse teknologier er forbundet med en implementeringstid, ligesom teknologierne er forbundet med samfunds-
økonomiske (herunder privatøkonomiske og statsfinansielle) omkostninger.
De tekniske potentialer angiver potentielle reduktioner ud over det, der skønnes realiseret ved vedtagen politik.
Det skønnes, at der er tekniske potentialer i transportsektoren på ca. 10,1 mio. ton CO
2
e i 2030,
jf. tabel 9.12.
Det
svarer til ca. 95 pct. af de skønnede drivhusgasudledninger i sektoren i 2030,
jf. Klimastatus og –fremskrivning
2023.
Det bemærkes, at analysen i dette års klimaprogram viser en første analyse på en tilnærmelsesvis fuld teknisk
omstilling af drivhusgasudledningerne fra det danske energiforbrug inkl. udvalgte potentialer for at reducere ikke-
CO
2
-udledninger i landbrugssektoren, samt de privatøkonomiske omkostninger herved. Der er ikke skønnet over
de samfundsøkonomiske omkostninger. Det bemærkes, at der ligeledes vil være andre veje til en teknisk omstil-
ling. Se uddybning af metode og antagelser i kapitel 7.
Det samlede potentiale inkluderer et reduktionspotentiale på ca. 5,7 mio. ton CO
2
e for elbiler, når det antages, at
alle benzin- og dieselbiler kan udskiftes med en elbil på ethvert givent tidspunkt. Reduktionspotentialet er dermed
et udtryk for det maksimalt mulige, idet udskiftningen af bilparken reelt sker langsommere, da den gennemsnit-
lige levetid for en bil er ca. 13,5 år.
21
Tabel 9.12
Tekniske potentialer for transportsektoren i 2030
Teknologi
Teknisk reduktionspo-
tentiale (mio. ton
CO
2
e i 2030)
5,68
1,28
0,04
0,31
0,19
0,09
0,81
1,53
0,05
0,08
Privatøkonomisk
omkostning
(kr. per ton)
-3.450
1.700
1.700
2.000
2.300
2.400
2.400
2.500
3.700
4.300
Personbiler (inkl. taxi): Elbiler
Lastbiler: Ellastbiler
Færger: Elfærger
Færger: Grønne brændstoffer (og grøn brint)
Busser: Grønne brændstoffer (og grøn brint)
Fritidsfartøjer: Grønne brændstoffer (og grøn brint)
Grænsehandel: Grønne brændstoffer (og grøn brint)
Varebiler: Grønne brændstoffer (og grøn brint)
Motorcykler: Grønne brændstoffer (og grøn brint)
Indenrigsluftfart: Grønne brændstoffer (og grøn brint)
Anm.: Se metoder, antagelser og forudsætninger for beregningerne i kapitel 7. Generelt er de tekniske reduktionspotentialerne forbundet med en betydelig
usikkerhed, idet der ikke tages stilling til nørmere forhold og implikationer i forbindelse med evt. implementering af enkelte omstillingselementer, herunder de
juridiske, tekniske og praktiske forhold.
21
Jf. sektorforudsætningsnotat for transport fra
Klimastatus og –fremskrivning 2023.
TRU, Alm.del - 2023-24 - Endeligt svar på spørgsmål 261: MFU spm. om ministeren vil oversende en opdateret oversigt over de klimabegrundede initiativer, der på nationalt og europæisk niveau får betydning på transportområdet inden for de kommende ca. 5 år
2841680_0130.png
130
KLIMAPROGRAM 2023
Det er særligt elektrificering i persontransporten (dvs. elbiler), som viser store tekniske reduktionspotentialer,
jf.
figur 9.32.
Der er samtidig variation i de privatøkonomiske omkostninger, hvor grønne brændstoffer for i fly skøn-
nes at have privatøkonomiske omkostninger på ca. 4.300 kr. pr. ton, mens ellastbiler skønnes at have privatøko-
nomiske omkostninger på ca. 1.700 kr. pr. ton.
Det tekniske reduktionspotentiale for elbiler i persontransporten (på 5,7 mio. t. CO
2
e) med en skønnet privatøko-
nomisk
gevinst
på 3.450 kr. pr. ton skyldes, at det over bilens levetid skønnes at være billigere at købe, eje og køre
en elbil frem for en benzin- eller dieselbil set fra privatpersonens synspunkt i gennemsnit.
22
Det skyldes i høj grad
de nuværende afgiftsstrukturer på bl.a. registreringsafgiften og benzin- og dieselafgifter, som giver et incitament
til køb af elbiler, men som samtidig medfører store statsfinansielle konsekvenser ved skift fra benzin- og dieselbi-
ler til elbiler. Dette er også den væsentligste grund til, at den samfundsøkonomiske skyggepris ved ændringerne i
Aftale om grøn omstilling af vejtransporten (4. december 2020)
blev skønnet til 2.600 kr. pr. ton og dermed giver
anledning til en samfundsøkonomisk
omkostning
og ikke en gevinst.
23
Det bemærkes endvidere, at det er en gen-
nemsnitsbetragtning, og at der må forventes at være stor variation i den enkelte bilists konkrete omkostninger.
Skønnet bl.a. for så vidt angår de løbende omkostninger for elbiler er behæftet med betydelig usikkerhed, og der
er beregningsteknisk forudsat fuld scrapværdi af velfungerende benzin- og dieselbiler.
Der er ikke taget højde for eventuelle omkostninger ved at udskifte en nuværende fossil bil med en elbil. Det er således beregningstek-
nisk antaget, at det er muligt at sælge en nuværende fossil bil til udlandet til afskrivningsværdien.
3
Skatteministeriet (2021)
Skatteøkonomisk Redegørelse 2021:
Kapitel 8.
22
TRU, Alm.del - 2023-24 - Endeligt svar på spørgsmål 261: MFU spm. om ministeren vil oversende en opdateret oversigt over de klimabegrundede initiativer, der på nationalt og europæisk niveau får betydning på transportområdet inden for de kommende ca. 5 år
2841680_0131.png
KLIMAPROGRAM 2023
131
Figur 9.32
Tekniske reduktionspotentialer og privatøkonomiske omkostninger i transportsek-
toren
Kr. per ton
5.000
4.000
3.000
2.000
1.000
0
-1.000
-2.000
-3.000
-4.000
Personbiler (inkl. taxi): Elbiler
Lastbiler: Ellastbiler
Færger: Elfærger
Færger: Grønne brændstoffer (og grøn brint)
Busser: Grønne brændstoffer (og grøn brint)
Fritidsfartøjer: Grønne brændstoffer (og grøn brint)
Grænsehandel: Grønne brændstoffer (og grøn brint)
Varebiler: Grønne brændstoffer (og grøn brint)
Motorcykler: Grønne brændstoffer (og grøn brint)
Indenrigsluftfart: Grønne brændstoffer (og grøn brint)
Anm.: Se metoder, antagelser og forudsætninger for beregningerne i kapitel 7.
1
2
3
4
5
6
7
8
9
10
11
Mio. t. CO
2
e
Reduktionspotentialet i transportsektoren udgøres af elektrificering og grønne brændstoffer. Beslutningsrummet
for elektrificering skønnes gradvist indskrænket frem mod 2030, mens beslutningsrummet for grønne brændstof-
fer skønnes indskrænket få år før målåret,
jf. analyser i Klimaprogram 2022 og figur 9.32.
Det skal dog bemærkes,
at vurderingen af beslutningsrummet er underlagt betydelig usikkerhed.
24
Det bemærkes, at det tekniske reduktionspotentiale for elbiler i dette års klimaprogram adskiller sig fra potentia-
let i
Klimaprogram 2022,
idet der tages udgangspunkt i en beregningsteknisk antagelse, at alle personbiler kan
udskiftes til enhver given tid (se kapitel 7 for en uddybning). I
Klimaprogram 2022
blev det antaget, at indfasnin-
gen af elbiler hurtigst kunne stige i takt med den normale udskiftning af bilparken.
Beslutningsrummet er defineret ved at sammenholde en teknologis potentiale med omstillingshastigheden. Dette viser, hvornår der
sidst skal påbegyndes implementering af et omstillingselement, for at kunne realisere dets tekniske reduktions potentiale. I
Klimapro-
gram 2022
blev der i forlængelse af skøn for reduktionspotentialer skønnet beslutningsrum for reduktionspotentialerne.
24
TRU, Alm.del - 2023-24 - Endeligt svar på spørgsmål 261: MFU spm. om ministeren vil oversende en opdateret oversigt over de klimabegrundede initiativer, der på nationalt og europæisk niveau får betydning på transportområdet inden for de kommende ca. 5 år
2841680_0132.png
132
KLIMAPROGRAM 2023
Figur 9.33
Reduktionspotentialer for elektrificering frem mod 2030 i transportsektoren
(mio. ton CO
2
e)
2022
2023
2024
2025
2026
2027
2028
2029
2030
Elektrificering og brint i vejtransport
Elektrificering og brint i søfart
Anm.: Figuren viser hvordan de tekniske reduktionspotentialer i 2030 er afhængig af hvornår der implementeres virkemidler. Der er ikke taget højde for over-
lap i reduktionspotentialerne.
Kilde:
Klimaprogram 2022.
Figur 9.34
Reduktionspotentialer for grønne brændstoffer frem mod 2030 i transportsektoren
(mio. ton CO
2
e)
2022
2023
2024
2025
2026
2027
2028
2029
VISUAL-Y-AXIS
2030
Bio- og PtX-brændstoffer i søfart
Bio- og PtX-brændstoffer i vejtransport
Anm.: Figuren viser hvordan de tekniske reduktionspotentialer i 2030 er afhængig af hvornår der implementeres virkemidler. Der er ikke taget højde for over-
lap i reduktionspotentialerne.
Kilde: Klimaprogram 2022.
For at indfri tekniske reduktionspotentialer helt eller delvist, kan der iværksættes en række virkemidler. CO
2
e-ef-
fekten af opgjorte tekniske potentialer vil først blive realiseret på det tidspunkt, hvor erhverv og husholdninger
ændrer deres adfærd mod mere klimavenlige og bæredygtige løsninger. Virkemiddelskataloget fra
Klimaprogram
2022
viste en række virkemidler med stor variation i de samfundsøkonomiske omkostninger pr. ton (skyggepris).
Det viste samtidig, at fordelingen af omkostningen på tværs af husholdninger, erhverv og stat kan være meget
forskellig.
TRU, Alm.del - 2023-24 - Endeligt svar på spørgsmål 261: MFU spm. om ministeren vil oversende en opdateret oversigt over de klimabegrundede initiativer, der på nationalt og europæisk niveau får betydning på transportområdet inden for de kommende ca. 5 år
2841680_0133.png
KLIMAPROGRAM 2023
133
Klimaindsatsen skal ske under hensyntagen til en række guidende principper om bl.a. omkostningseffektivitet,
dansk erhvervsliv, social balance og lækage,
jf. klimaloven.
Boks 9.10 viser samfundsøkonomiske omkostninger
og konsekvenser ved virkemiddel om forhøjelse af CO
2
-afgift for erhverv mv. for at illustrere flere principper, der
skal tages hensyn til i klimaindsatsen. Virkemidlet er beskrevet i flere detaljer i kapitel 7.
Boks 9.10
Afgiftsforhøjelse på dieselafgift med ca. 50 øre pr. liter ekskl. moms og modsvarende
nedsættelse af udligningsafgift for dieselkøretøjer
Al diesel til transport er pålagt energiafgift. Afgiften på diesel (energi- og CO
2
-afgift) fra tankstanderen (hvor
der tages højde for iblanding af VE-brændstoffer) er 329 øre pr. liter i 2023. Derudover er dieselperson- og -
varebiler pålagt udligningsafgift, som er fastsat, så den svarer til besparelsen ved, at energiafgiften for diesel
er lavere end for benzin for en bil med en gennemsnitlig årskørsel på 22.000 km. Udligningsafgiften betales
halvårligt som en del af ejerafgiften, mens dieselafgiften betales løbende ved tankning.
En forhøjelse af dieselafgiften vil give et incitament, for de køretøjer, der allerede passerer Danmarks
grænse, til at købe mindre diesel i Danmark, hvormed CO
2
-udledningen forbundet hermed reduceres. For at
anskueliggøre de samfundsøkonomiske konsekvenser ved det, regnes der på en afgiftsforhøjelse af energi-
afgiften på diesel med 47 øre pr. liter ekskl. moms og en forholdsmæssig nedsættelse af udligningsafgift for
dieselkøretøjer. En forhøjelse af afgiften på diesel vil reducere forskellen mellem benzin og dieselafgiften, og
udligningsafgiften på dieselkørertøjer kan derfor reduceres forholdsmæssigt. Herved vil person- og varebiler
i gennemsnit ikke opleve en afgiftsstigning, mens lastbiler vil opleve en afgiftsstigning. Afgiftsforhøjelsen
omfatter diesel til vejtransport (og diesel til entreprenørmaskiner mv., der betaler samme dieselafgift som
vejtransport).
Samfundsøkonomiske omkostninger og konsekvenser
Tiltaget skønnes med betydelig usikkerhed at reducere CO
2
e-udledningerne med ca. 0,5 mio. ton i 2025 og
0,5 mio. ton CO
2
e i 2030,
jf. tabel 9.13.
I 2030 skønnes forhøjelsen at medføre et mindreprovenu efter tilbage-
løb og adfærd på ca. 150 mio. kr. Mindreprovenuet skyldes, at forhøjelsen skønnes at medføre, at nettoek-
sporten (dvs. grænsehandel) af diesel (for særligt lastbiler) reduceres markant. Det medvirker samtidig til, at
en betydelig del (ca. 0,4 mio. ton) af Danmarks reduktioner skønnes erstattet af øgede CO
2
e-udledninger i
andre EU-lande, som samtidig vil kunne få et øget afgiftsprovenu for afgifter på brændstof. Det er ikke enty-
digt, hvordan de omkringliggende landes regulering vil påvirke den danske grænsehandel, idet der pågår
mange forskelligrettede initiativer i vore nabolande. For nuværende (inkl. en forhøjelse på 47 øre pr. liter) vur-
deres Danmark dog fortsat at være nettoeksportør, dvs. at det er attraktivt at tanke i Danmark. De resterende
reduktioner kommer fra mere energieffektive køretøjer og et mindre trafikarbejde i Danmark. Størstedelen af
effekten af afgiftsforhøjelsen forventes at indfinde sig inden for et år, herunder ændret grænsehandel.
Tabel 9.13
CO
2
e-effekter og samfundsøkonomiske omkostninger
2023-priser
CO
2
e-reduktion,
mio. ton
2025
Afgiftsforhøjelse på die-
selafgift med 47 øre pr. li-
ter og modsvarende ned-
sættelse af udligningsaf-
gift for dieselkøretøjer
0,5
2030
0,5
Statsfinansielle
omkostninger, mio.
kr.
2025
200
2030
150
Erhverv, mio. kr.
2025
900
2030
800
Husholdninger,
mio. kr.
2025
-
1)
2030
-
1)
Skygge-
pris,
kr. pr.
ton CO
2
e
1850
Anm.: Det er lagt til grund, at den fremadrettede prisudvikling følger den faktiske indeksering af afgifterne. Statsfinansielle omkostninger og
omkostninger for erhverv er opgjort i faktorpriser i 2024-niveau, mens skyggepris er opgjort i markedspriser i 2024-priser. Det er lagt til grund, at
adfærdseffekt indtræffer fuldt fra første år. 1) Som følge af, at udligningsafgiften forholdsmæssigt nedsættes
Kilde: Skatteminiteriet.
Prisen på diesel stiger knap 60 øre pr. liter (inkl. moms) ved tankstanderen. I gennemsnit bliver bilister imid-
lertid ikke påvirket af afgiftsforhøjelsen, da udligningsafgiften nedsættes tilsvarende,
jf. tabel 9.13.
Der er
dog stor variation i, hvor mange km den enkelte bilist kører i sin dieselbil, og såfremt en bilist kører mere eller
TRU, Alm.del - 2023-24 - Endeligt svar på spørgsmål 261: MFU spm. om ministeren vil oversende en opdateret oversigt over de klimabegrundede initiativer, der på nationalt og europæisk niveau får betydning på transportområdet inden for de kommende ca. 5 år
2841680_0134.png
134
KLIMAPROGRAM 2023
mindre end 22.000 km på et år vil tiltaget have en økonomisk påvirkning. For en dieselbil, som kører ca.
30.000 km årligt, vil omlægningen medføre en ekstra udgift årligt på ca. 200 kr. inkl. moms, mens en tilsva-
rende dieselbil med en lavere årskørsel (14.000 km) vil opnå en årlig besparelse på ca. 200 kr. inkl. moms,
jf.
tabel 9.14.
Tabel 9.14
Ekstra årlig omkostning ved forhøjelse af dieselafgift for personbiler
(2023-priser)
Ekstra omkostning (inkl. moms) ved forhøjelse af dieselafgift med
47 øre pr. liter ekskl. moms samt tilpasning af udligningsafgiften
Anm.: Der er taget udgangspunkt i en 5 år gammel bil. Minus indikerer en besparelse.
Kilde: Skatteministeriet.
Årskørsel på 30.000 km Årskørsel på 14.000 km
200
-200
Tiltaget medfører merudgifter for erhverv, idet lastbiler mv. ikke betaler udligningsafgift. For en gennemsnit-
lig lastbil
25
skønnes det, at de skal betale ca. 7.800kr. ekskl. moms ekstra årligt som følge af forhøjelsen.
Den gennemsnitlige skyggepris i 2030 skønnes at udgøre ca. 1.850kr. pr. ton. En større forhøjelse af diesel-
afgiften (end det her forudsatte) vil give en højere skyggepris (og vice versa).
Status for implementering af aftaler i transportsektoren
For at realisere den forventede effekt af de eksisterede tiltag monitoreres implementeringen af de indgåede politi-
ske aftaler og EU-lovgivning tæt. Tabel 9.15 viser status for henholdsvis forvaltningsmæssig implementering og
samfundsgennemførsel af initiativer efter klimalovens vedtagelse med effekt på udledningerne i 2030. Der er be-
sluttet initiativer, der skønnes at medføre reduktioner på ca. 2,6-2,7 mio. ton CO
2
e i 2030 i transportsektoren.
De forvaltningsmæssige rammer er implementeret for initiativer med en skønnet reduktionseffekt på 2,5-2,6 mio.
ton CO
2
e i 2030,
jf. tabel 9.15.
Initiativer med reduktioner på ca. 0,1 mio. ton CO
2
e i 2030 er under implementering,
jf. figur 9.35.
Derudover er der vedtaget initiativer, hvor reduktionseffekterne fortsat er under opdatering, og derfor
ikke indgår i det nuværende skøn for den samlede reduktionseffekt på ca. 2,5-2,6 mio. ton CO
2
e i 2030. Alle initia-
tiver fremgår af tabel 9.15.
Figur 9.35
Status på initiativer med reduktionseffekter i transportsektoren i 2030
Mio.t. CO
2
e
3
2,5
2
1,5
2,5
1
0,5
0
Kilde: Tabel 9.15
0,1
0,1
25
Baseret på en årskørsel på ca. 55.000 km og en brændstoføkonomi på ca. 3,3 km pr. liter
.
TRU, Alm.del - 2023-24 - Endeligt svar på spørgsmål 261: MFU spm. om ministeren vil oversende en opdateret oversigt over de klimabegrundede initiativer, der på nationalt og europæisk niveau får betydning på transportområdet inden for de kommende ca. 5 år
2841680_0135.png
KLIMAPROGRAM 2023
135
Tabel 9.15
Oversigt over initiativer med CO
2
e-effekter i 2030 i transportsektoren
2025
2030
Mio. ton CO
2
e
Initiativ
Vejtransport
Omlægning af regi-
streringsafgiften
CO
2
e-fortrængnings-
krav for VE-brænd-
stoffer
Fremrykning og for-
øgelse af pulje til grøn
transport
CO
2
e-differentieret og
kilometerbaseret vej-
afgift
Effektivisering af vej-
godstransporten
Aftale
Forvaltningsmæssigt imple-
menteret
Samfundsmæssigt
gennemført
Aftale om grøn
omstilling af
vejtransporten
Aftale om grøn
omstilling af
vejtransporten
Klimaaftale for
energi og indu-
stri mv. 2020
Aftale om Kilo-
meterbaseret
vejafgift for
lastbiler
Aftale om Kilo-
meterbaseret
vejafgift for
lastbiler
Revision af re-
duktionskrav
til nye lette kø-
retøjers
CO
2
-
udledninger
(EU)
Aftale om EU
ETS 2
-0,2
-0,5
Implementeret.
Lov er vedtaget i 2021.
Trådte i kraft i 2021.
Indfases frem mod
2030.
Trådte i kraft i 2021.
Indfases frem mod
2030.
Puljen er udmøntet i
2022**
Træder i kraft fra
2025. Indfases frem
mod 2028.
Forventes at træde i
kraft i 2024.
-0,7
-1,4
Implementeret.
Bekendtgørelse udstedt i
2021.
-0,1
-0,1
Implementeret.
Puljen er udmøntet i 2022.
-0,2
-0,3
Implementeret.
Lov er vedtaget i 2023.
-0,1
-0,1
Under implementering.
Bekendtgørelse under udar-
bejdelse i 2023
Stop for salg af nye
fossile personbiler og
varevogne i 2035.
-
*-0,1/-0,2
Implementeret.
Forordning er vedtaget i 2023
og har direkte virkning i
dansk lov.
Træder i kraft fra
2030.
Nyt kvotehandelssy-
stem til vejtransport
og opvarmning af
bygninger
-
*-
Under implementering.
Direktiv vedtaget i 2023.
Lovforslag forventes fremsat
i 2023.
Træder i kraft fra
2027.
Indenrigssøfart og –luftfart samt jernbanetransport
Udrulning af batteri-
tog
Aftale om in-
frastrukturplan
2035
-
-0,002
Under implementering.
Tog til Holstebro-Skjern er
indkøbt, og ladeinfrastruktur
er i udbud.
Pulje til privatbaner har bevil-
ling i 2025-2035.
Pulje til grøn omstil-
ling af kommunalt
drevne og kommerci-
elle indenrigsfærger
Aftale om ud-
møntning af
midler fra grøn
transportpulje I
-
-0,02
Implementeret.
Puljerne er udmøntet i 2021
og 2022.
Udmøntet i 2021 og
2022.
Puljen udmøntes fra
2025-2035**
TRU, Alm.del - 2023-24 - Endeligt svar på spørgsmål 261: MFU spm. om ministeren vil oversende en opdateret oversigt over de klimabegrundede initiativer, der på nationalt og europæisk niveau får betydning på transportområdet inden for de kommende ca. 5 år
2841680_0136.png
136
KLIMAPROGRAM 2023
og II til omstil-
ling af inden-
rigsfærger i
2021og 2022
Omlægning af færge-
ruterne Ballen-Kalund-
borg og Bøjden-Fyns-
hav til grønne færge-
ruter
Politisk aftale
om fremtidens
grønne færge-
betjening af
Ballen-Kalund-
borg og Bøj-
den-Fynshav
2022
FuelEU Mari-
time
-0,01
-0,01
Implementeret.
Udbud gennemført og kon-
trakter underskrevet i 2022.
Grønne færger indsættes i
2024 og 2025.
Gennemført i 2022.
CO
2
-fortrængnings-
krav i søfarten
-
***-0,02
Implementeret.
Forordning er vedtaget i 2023
og har direkte virkning i
dansk lov.
Regeringen skal tage stilling
til en række optioner for im-
plementering frem mod
ikrafttræden i 2025.
Træder i kraft fra
2025. Indfases frem
mod 2050.
Iblandingskrav i luft-
farten
ReFuelEU Avia-
tion
-
***-0,02
Under implementering.
Forordning forventes vedta-
get i 2023 og vil have direkte
virkning i dansk lov.
Regeringen forventes at
skulle tage stilling til imple-
menteringsoptioner frem
mod forventet ikrafttræden i
2025.
Forventes at træde i
kraft fra 2025. For-
ventes indfaset
frem mod 2050.
I alt
Implementeret
Under implemente-
ring
-1,3
-1,2
-0,1
-2,6-(-2,7)
-2,5-(-2,6)
-0,1
Anm.: CO
2
-effekter er angivet som de estimater, der blev lavet ved aftalens indgåelse. Forvaltningsmæssige rammer for implementering defineres som om
relevant lovgivning er vedtaget, og/eller afsatte bevillinger er fuldt udmøntet, og/eller udbudskontrakter er indgået. Samfundsmæssige gennemførelse af
initiativet defineres som den fase, der typisk drives af andre samfundsaktører end staten fx konstruktion af et CCS-anlæg.
*Et lovforslag forventes fremsat i efteråret 2023. I forbindelse med lovforslaget beregnes konsekvenserne, herunder reduktionspotentialerne. Tallene er
fortsat under konsolidering. ETS2 omfatter fossile brændstoffer til vejtransport, intern transport samt opvarmning og nedkøling af bygninger i ikke-land-
brugssektoren. Herudover omfattes mindre anlæg med begrænsede udledninger i sektorer, hvor større anlæg allerede er omfattet af ETS.
**Effekten af puljer varierer alt efter puljens formål og karakter. Derudover er der en forskydning mellem puljens afløb og effekterne heraf.
***Beregninger er foretaget på baggrund af Klimafremskrivning 2021 og er ikke opdateret med de seneste klimafremskrivninger. Beregninger opdateres
frem mod ikrafttrædelse.
Håndtering af væsentligste risici i implementeringen i transportsektoren
Der er behov for at vurdere og håndtere risici i implementeringen af tiltagene for at realisere den forventede ef-
fekt. Overordnet vil regeringen gøre status på grøn vejtransport i Danmark. Regeringen vil derudover sætte yderli-
gere handling bag fremme af nulemissionslastbiler med afsæt i puljen til drivemiddelinfrastruktur til tung vej-
transport fra
Aftale om infrastrukturplan 2035, jf. regeringsgrundlaget.
Her vil der være mulighed for at iværksætte
tiltag, som kan støtte op om de aftalte ambitioner og initiativer samt håndtere eventuelle risici. Nedenfor uddybes
de væsentligste risici, der kan have betydning for indfrielsen af klimamålene for 2025 og 2030.
TRU, Alm.del - 2023-24 - Endeligt svar på spørgsmål 261: MFU spm. om ministeren vil oversende en opdateret oversigt over de klimabegrundede initiativer, der på nationalt og europæisk niveau får betydning på transportområdet inden for de kommende ca. 5 år
2841680_0137.png
KLIMAPROGRAM 2023
137
Generelt for transportsektoren kan det fremhæves, at produktionen af elbiler og biler på kort sigt har været påvir-
ket af bl.a. mangel på mikrochips, hvilket har medført prisstigninger og forlængede leveringstider. Fremadrettet
kan der ligeledes opstå ressourceknaphed på kritiske råstoffer eller andre komponenter til produktion af elbiler.
Omstillingen af vejtransporten kan desuden på kort sigt blive udfordret af udbygningen af ladeinfrastruktur og
hastigheden på tilslutning til elnettet. Med
Klimaftale om grøn strøm og varme fra 2022
igangsatte regeringen en
række analyser, der bl.a. skal medføre en mere proaktiv netudbygning, hurtigere nettilslutning og fremme fleksibi-
litet. Den Nationale Energikrisestab (NEKST) skal desuden sætte fokus på at afkorte netudbygningsprocessen
end-to-end.
Med
Aftale om Kilometerbaseret vejafgift for lastbiler
blev der aftalt en konkret model for en kilometerbaseret vej-
afgift for tung vejtransport fra 2025. Vejafgiften har sit ophæng i
Aftale om grøn omstilling af vejtransporten
og
baseres på et nyt GPS-baseret afgiftssystem, der vil skulle udvikles. Med planlagt implementering fra 2025 kan
det have en indvirkning på opfyldelse af 2025-målet ved en evt. forsinkelse.
Implementeringen af flere EU-forordninger udestår. Der vurderes ikke at være risici forbundet hermed, idet forord-
ninger har direkte virkning i EU-landene. Danmark er derfor forpligtet til at implementere forordningerne i dansk
lovgivning.
Regeringens arbejdsprogram for transportsektoren
Der er dermed en plan for at implementere de indgåede aftaler, der også illustreres i regeringens arbejdsprogram
for sektoren. Arbejdsprogrammet viser regeringens plan for implementering af centrale initiativer med effekter i
2030. Derudover viser den, hvornår regeringen vil følge op på yderligere ambitioner og mål, og hvor regeringen har
mulighed for at iværksætte nye tiltag, hvis implementeringsplanen ikke holder som forudsat.
Regeringen vil gøre status på grøn vejtransport i Danmark, ligesom regeringen vil præsentere et udspil om grøn
luftfart. Regeringen vil i den forbindelse indføre en passerafgift og gøre det muligt at etablere en grøn indenrigs-
rute i 2025 og senest i 2030 fuld grøn indenrigsflyvning finansieret af passagerafgiften. Rammevilkårene for
grønne løsninger i transportsektoren styrkes yderligere gennem grøn skattereform, og regeringen vil sikre en ef-
fektiv implementering af EU’s Fit for 55-lovpakke. Derudover arbejder regeringen for en ambitiøs og omkostnings-
effektiv regulering på EU-niveau, der stiller krav til, hvor meget nye lastbiler eller andre nye tunge køretøjer må ud-
lede.
Figur 9.36
Regeringens arbejdsprogram for transportsektoren
Anm.: Figuren er ikke udtømmende og viser udvalgte, centrale indsatser. Figuren viser kun, hvilket år indsatser iværksættes. Placeringen af indsatser i de
enkelte år er således ikke udtryk for hvornår på året, indsatsen iværksættes. Forordninger implementeres direkte i dansk lov.
Lov mv. om kilometerbaseret vejafgift:
Der indføres fra 2025 en kilometerbaseret og CO
2
e-differentieret vejaf-
gift for lastbiler med højere satser i miljøzoner såsom København, Aarhus og Aalborg. Fra og med 2028 øges
TRU, Alm.del - 2023-24 - Endeligt svar på spørgsmål 261: MFU spm. om ministeren vil oversende en opdateret oversigt over de klimabegrundede initiativer, der på nationalt og europæisk niveau får betydning på transportområdet inden for de kommende ca. 5 år
2841680_0138.png
138
KLIMAPROGRAM 2023
satserne og det afgiftspligtig vejnet udvides til at omfatte hele det offentlige vejnet. De nationale regler om
vægt og dimensionering af lastbiler lempes desuden for at effektivisere vejgodstransporten.
Genbesøg af 2025-mål og CO
2
e-fortrængningskrav:
Regeringen har præsenteret virkemidler til indfrielse af
2025-målet og inviteret til forhandlinger om målindfrielse.
Lovforslag om udvidelse af kvotehandelssystemet forventes:
Med lovforslaget udvides kvotehandelssyste-
met til søfart. Gratiskvoter udfases gradvist for sektorer, som underlægges den kommende CO
2
-grænsetilpas-
ningsmekanisme (CBAM). CBAM, som er vedtaget ved separat forordning, medfører, at importører af udvalgte
særligt energiintensive varer skal betale CO
2
-bidrag ved import til EU tilsvarende kvoteprisen ved produktion i
EU. Lovforslaget implementerer revision af EU's kvotehandelsdirektiv (maj 2023). Dertil oprettes et nyt, separat
kvotehandelssystem for bl.a. vejtransport og opvarmning af bygninger (ETS2), hvilket bl.a. betyder, at brænd-
stofleverandører omfattes af kvotehandelssystemet.
RFuelEU Aviation:
Der forventes et gradvist stigende iblandingskrav i luftfarten fra 2 pct. i 2025 til 70 pct. i
2050 inkl. et underkrav om minimumsandel syntetiske brændstoffer fra 2030. Dertil forventes lufthavne at
blive pålagt krav til infrastruktur, mens flyselskaber forventes at blive pålagt krav om minimumspåfyldning i
europæiske lufthavne.
FuelEU Maritime:
Der indføres et gradvist stigende fortrængningskrav på søfartens udledninger fra 2 pct. i
2025 til 80 pct. i 2050. Der indføres endvidere krav til etablering af fx ladestrøm til skibe, når de ligger ved kaj.
TRU, Alm.del - 2023-24 - Endeligt svar på spørgsmål 261: MFU spm. om ministeren vil oversende en opdateret oversigt over de klimabegrundede initiativer, der på nationalt og europæisk niveau får betydning på transportområdet inden for de kommende ca. 5 år
2841680_0139.png
KLIMAPROGRAM 2023
139
Land- og skovbrugssektoren
Land- og skovbrugssektorens udledninger er fra 1990 til 2021 reduceret fra ca. 23,2 mio. ton CO
2
e til ca. 15,9 mio.
ton CO
2
e,
jf. figur 9.37.
De sidste 10 år er de samlede udledninger fra land- og skovbrugssektoren dog stort set
uændret. Land- og skovbrugssektorens samlede udledninger skønnes at udgøre ca. 15,3 mio. ton CO
2
e i 2030,
svarende til ca. 53 pct. af Danmarks samlede netto-CO
2
e-udledning,
jf. Klimastatus og –fremskrivning 2023.
Heraf
skønnes landbrugets ikke-energirelaterede udledninger at udgøre ca. 14,4 mio. ton CO
2
e i 2030.
Landbrugets udledninger kan deles op i udledninger fra landbrugsprocesser og -arealer. Landbrugets processer
skønnes i 2030 at udgøre ca. 68 pct. af udledningerne i land- og skovbrugssektoren og stammer bl.a. fra husdyre-
nes fordøjelse, lattergasudledning fra marker og gødningshåndtering. I 2022 stod disse kategorier for ca. 76 pct.
af land- og skovbrugssektorens udledninger. Udledninger fra landbrugsarealer stammer især fra drænede og dyr-
kede lavbundsjorder, der i 2030 skønnes at udgøre ca. 24 pct. af sektorens udledninger.
Fra 2021 til 2030 skønnes med usikkerhed nettooptaget i skov ifølge Institut for Geovidenskab og Naturforvalt-
nings skovfremskrivning reduceret med ca. 2 mio. ton CO
2
årligt set i forhold til det gennemsnitlige nettooptag i
skov siden 1990,
jf. figur 9.37,
selvom skovarealet forventes øget frem mod 2030. Det skønnede fald hænger bl.a.
sammen med træernes alder, hvor forskydninger påvirker både, hvor stor en del af de eksisterende træer der bli-
ver fældet, og hvor mange nye træer der bliver plantet på eksisterende arealer samt de med aldersgrupperne vari-
erende tilvækstniveauer.
Figur 9.37
Udledningerne i land- og skovbrugssektoren i 1990-2035 (mio. ton CO
2
e)
Mio. ton CO
2
e
30
25
20
15
10
5
0
-5
1990
2021
2025
2030
Landbrugsprocesser
By- og vådområder (LULUCF)
2035
Energiforbrug
Landbrugets arealanvendelse (LULUCF)
Kilde:
Klimastatus- og fremskrivning 2023
(”tal bag figurer”)
Nøgletal og status på mål mv. i land- og skovbrugssektoren
For at reducere udledningerne og understøtte omstillingen af land- og skovbrugssektoren har en række partier
aftalt flere initiativer samt fastsat politiske ambitioner, særligt i forbindelse med
Aftale om grøn omstilling af
dansk landbrug
af oktober 2021. I det følgende præsenteres status på centrale udviklinger, mål og politiske ambi-
tioner inden for sektoren.
Med landbrugsaftalen er der vedtaget et bindende reduktionsmål for land- og skovbrugssektoren ekskl. energifor-
brug på 55-65 pct. i 2030 i forhold til 1990. Der skønnes i
Klimastatus og –fremskrivning 2023
at være en manko
på 5,1-7,2 mio. ton CO
2
e i 2030,
jf. figur 9.38 og kapitel 5 Status på målopfyldelse.
I EU sættes klimamål for arealanvendelse og skov i LULUCF-forordningen, mens udledninger i landbrugssektoren
fra bl.a. husdyrhold og gødningshåndtering er omfattet af byrdefordelingsaftalens reduktionsforpligtelser,
jf. kapi-
tel 5.
Ved den seneste revision af LULUCF-forordningen, som trådte i kraft i 2023, blev Danmarks forpligtelser i
TRU, Alm.del - 2023-24 - Endeligt svar på spørgsmål 261: MFU spm. om ministeren vil oversende en opdateret oversigt over de klimabegrundede initiativer, der på nationalt og europæisk niveau får betydning på transportområdet inden for de kommende ca. 5 år
2841680_0140.png
140
KLIMAPROGRAM 2023
LULUCF-sektoren opjusteret, så Danmarks nettoudledninger skal reduceres med 0,44 mio. ton CO
2
e i 2030 i for-
hold til gennemsnittet i 2016-2018,
jf. figur 9.39.
Dertil skal Danmark opfylde særskilte budgetmål for perioderne
2021-2025 og 2026-2029. Målet for 2026-2029 fastsættes endeligt i 2025 på baggrund af de senest tilgængelige
historiske udledningsdata, men der er lavet et foreløbigt skøn for mankoen på baggrund af fremskrevne udlednin-
ger.
Danmark skønnes på baggrund af
Klimastatus og –fremskrivning 2023
at opfylde målet for perioden 2021-2025.
Der skønnes en samlet manko for perioden 2026-2029 på ca. 8,8 mio. ton CO
2
e og på ca. 2,0 mio. ton CO
2
e for
punktmålet i 2030. Danmarks reduktionsforpligtelse under byrdefordelingsaftalen er ligeledes blevet opjusteret
ved den seneste revision. Danmark skønnes at have en akkumuleret reduktionsmanko på ca. 16,1 ton CO
2
e i byr-
defordelingsaftalen for perioden 2021-2030,
jf. kapitel 5.
Boks 9.11
Opfyldelse af landbrugsmål
Bindende reduktionsmål i land- og
skovbrugssektor (55-65 pct.) 2010-2035
Mio. t.
CO
2
e
18
16
14
12
10
8
6
4
2
0
2010
2015
2020
2025
2030
2035
Figur 9.38
Opfyldelse af LULUCF-forpligtelse i 2021-2030
Mio. t.
CO2e
7,00
6,00
5,00
4,00
3,00
2,00
1,00
0,00
2021 2022 2023 2024 2025 2026 2027 2028 2029 2030
Årlig nettoudledning
Budgetmål 2026-2029
Budgetmål 2021-2025
Mål i 2030
Figur 9.39
Mål
Landbrugssektorens udledninger (ekskl. energi)
Fremskrivning 2023
Kilde: Klimastatus og –fremskrivning 2023.
Med landbrugsaftalen er der en ambition om, at der i alt skal udtages 100.000 ha lavbundsjorder inkl. randarealer
i 2030. Heraf skal 38.000 ha ekstensiveres. Ekstensivering defineres som ophør af gødskning men fortsat dyrk-
ning med slæt (græs med henblik på høst heraf) og uden vådgøring. Status på udtagningsindsatsen i april 2023
var, at der var ca. 4.000 ha lavbundsjorder under realisering, ca. 26.000 ha under forundersøgelse og ca. 6.000 ha
ekstensiveret. På baggrund af nuværende forudsætninger i
Klimastatus og –fremskrivning 2023
skønnes der i alt
at blive udtaget og vådlagt 57.000 ha lavbundsjorder inkl. randarealer fra 2020-2030
26
, mens op til 38.000 ha
skønnes ekstensiveret med en årlig bioordning,
jf. figur 9.40
27
.
I landbrugsaftalen har parterne aftalt en ambition om at øge skovarealet i Danmark. Status er, at der med land-
brugsaftalens indgåelse skønnes en skovrejsning på ca. 28.000 ha frem mod 2030. Regeringen har med rege-
ringsgrundlaget tilkendegivet, at den vil fremlægge en ambitiøs skovplan med et mål om etablering af 250.000 ha
ny skov i Danmark. Skovarealet skønnes forøget med ca. 20.000 ha fra 2023 til 2030,
jf. figur 9.41.
Til sammenlig-
ning skønnes skovarealet at stige med ca. 13.000 ha. fra 2016 til 2023,
i hht. Klimastatus- og fremskrivning 2023.
26
Det bemærkes, at tal fra Klimastatus og –fremskrivning 2023 er behæftet med stor usikkerhed, både hvad angår udtagningshastighe-
den og størrelsen på udtagningsarealet.
27
Heri indgår således ikke den del af det tekniske reduktionspotentiale for lavbundsjorder, der skal føre til ambitionen om udtagning af
100.000 ha inkl. randarealer i 2030.
TRU, Alm.del - 2023-24 - Endeligt svar på spørgsmål 261: MFU spm. om ministeren vil oversende en opdateret oversigt over de klimabegrundede initiativer, der på nationalt og europæisk niveau får betydning på transportområdet inden for de kommende ca. 5 år
2841680_0141.png
KLIMAPROGRAM 2023
141
Nøgletal i figur 9.40, figur 9.41 og figur 9.42 viser derudover, at sektoren står over for en stor omstilling frem mod
2030. Ud over ekstensivering skal der for at nå ambitionen om udtagning af lavbundsjorder fx frem mod 2030
udtages og vådgøres ca. dobbelt så meget lavbund, som ved seneste opgørelse er under realisering og forunder-
søgelse.
Boks 9.12
Udvikling i lavbundsjorder og skovareal
Figur 9.40
Figur 9.41
Udviklingen i udtagning af lavbundsjorder i 2021-
2035
1000 ha
120
100
80
60
40
20
0
Udvikling skovareal i perioden 1990-2035
1000 ha
800
700
600
500
400
300
200
100
2021
2023
2025
2027
2029
2031
2033
2035
0
1990
2000
2010
Skov
2020
2030
Ekstensivering
Udtaget mineraljord og kulstofrig jord
Ambition
Kilde: Klimastatus- og fremskrivning 2023
Udledningerne fra husdyrenes fordøjelse skønnes at falde med ca. 0,3 mio. ton CO
2
e fra 4,11 mio. ton CO2e
til 3,88 ton CO
2
e fra 2023 til 2030. Til sammenligning skønnes udledningerne fra husdyrenes fordøjelse at
være reduceret med under 0,02 mio. ton CO
2
e fra 2016 til 2023,
jf. figur 9.42.
Figur 9.42
Udviklingen i udledninger fra husdyrenes fordøjelse i perioden 1990-2035
Mio. t. CO
2
e
4,5
4
3,5
3
2,5
2
1,5
1
0,5
0
2010
2015
Andre husdyr
2020
Øvrige kvæg
2025
Malkekvæg
2030
Grise
2035
Kilde: Klimastatus og –fremskrivning 2023.
TRU, Alm.del - 2023-24 - Endeligt svar på spørgsmål 261: MFU spm. om ministeren vil oversende en opdateret oversigt over de klimabegrundede initiativer, der på nationalt og europæisk niveau får betydning på transportområdet inden for de kommende ca. 5 år
2841680_0142.png
142
KLIMAPROGRAM 2023
Tekniske potentialer
Der findes en række teknologier, som kan reducere drivhusgasudledningerne i land- og skovbrugssektoren. Om-
stillingen til disse teknologier er forbundet med en implementeringstid, ligesom teknologierne er forbundet med
samfundsøkonomiske (herunder privatøkonomiske og statsfinansielle) omkostninger.
De tekniske potentialer angiver potentielle reduktioner ud over det, der skønnes realiseret ved vedtagen politik.
Det skønnes, at der er tekniske potentialer i landbrug- og skovbrugssektoren, hvor der både foreligger skøn over
det tekniske potentiale og de privatøkonomiske omkostninger herved, på 2,1 mio. ton CO
2
e i 2030,
jf. tabel 9.16.
Det svarer til ca. 14 pct. af de skønnede drivhusgasudledninger i sektoren i Klimastatus og –fremskrivning 2023.
Der er ikke skønnet over de samfundsøkonomiske omkostninger.
Dette identificerede potentiale udgør dog kun den andel af kendte teknologier, hvor både størrelsen på potentialet
og omkostningen kan skønnes over. Der er en række yderligere kendte teknologier, hvor størrelsen på potentialet
og/eller omkostningen endnu ikke kendes med tilstrækkelig sikkerhed. Der arbejdes løbende på at konsolidere
størrelsen på de tekniske reduktionspotentialer og deres omkostninger. Det bemærkes at der ligeledes vil være
andre veje til en teknisk omstilling. Se uddybning af metode og antagelser i kapitel 7.
Tabel 9.16
Tekniske potentialer for land- og skovbrugssektoren i 2030
Teknologi
Teknisk reduktionspo-
tentiale (mio. ton CO
2
e i
2030)
0,01
0,16
0,51
0,02
0,04
0,02
0,54
0,23
0,52
0,02
2,1
Se metoder, antagelser og forudsætninger for beregningerne i kapitel 7. Generelt er de tekniske reduktionspotentialerne forbundet med en
betydelig usikkerhed, idet der ikke tages stilling til nørmere forhold og implikationer i forbindelse med evt. implementering af enkelte omstil-
lingselementer, herunder de juridiske, tekniske og praktiske forhold.
1. Inkluderer kun metanreducerende foder, hvor både potentiale og omkostninger er kendt - i dette tilfælde Bovaer. Klimaeffekten ved anven-
delse af Bovaer under danske forhold er usikker og forventes først endeligt konsolideret i 2024.
2. Klimaeffekten for nitrifikationshæmmere, samt miljøeffekter ved anvendelse, under danske forhold, er usikker og forventes først endeligt
konsolideret i 2024.
Privatøkonomisk
omkostning
(kr. per ton)
125
400
425
550
820
825
1.250
2.000
2.400
4.700
Energirelaterede udledninger: Varmepumper
Teltoverdækning + flydelag
Metanreducerende foder
1
Energirelaterede udledninger: Energieffektiviseringer
Staldforsuring, kvæg
Energirelaterede udledninger: Biomasse & alternative
brændsler
Nitrifikationshæmmere
2
Fiskeri: Grønne brændstoffer (og grøn brint)
Energirelaterede udledninger: Grønne brændstoffer (og grøn
brint)
Gyllekøling
I alt
Anm.:
Der skønnes bl.a. reduktionspotentialer ved grønne brændstoffer, fodertilsætningsstoffer og nitrifikationshæm-
mere med kendte omkostninger,
jf. figur 43.
Der er samtidig variation i de privatøkonomiske omkostninger.
TRU, Alm.del - 2023-24 - Endeligt svar på spørgsmål 261: MFU spm. om ministeren vil oversende en opdateret oversigt over de klimabegrundede initiativer, der på nationalt og europæisk niveau får betydning på transportområdet inden for de kommende ca. 5 år
2841680_0143.png
KLIMAPROGRAM 2023
143
Figur 9.43
Tekniske reduktionspotentialer og privatøkonomiske omkostninger i land- og skov-
brugssektoren
Kr. per ton
5.000
4.000
3.000
2.000
1.000
0
0,5
1,0
1,5
2,0
2,5
Mio. t. CO
2
e
Energirelaterede udledning: Varmepumper
Teltoverdækning + flydelag
Metanreducerende foder
Energirelaterede udledning: Energieffektiviseringer
Staldforsuring, kvæg
Energirelaterede udledning: Biomasse & alternative brændsler
Nitrifikationshæmmere
Fiskeri : Grønne brændstoffer (og grøn brint)
Energirelaterede udledning: Grønne brændstoffer (og grøn brint)
Gyllekøling
Anm.: Se metoder, antagelser og forudsætninger for beregningerne i kapitel 7.
Beslutningsrummet for realiseringen af teknologiernes potentiale falder væsentligt efter 2026,
jf. analyser i klima-
program 2022.
En del af potentialet særligt fra fodertilsætningsstoffer har dog en kort omstillingshastighed. Det
skal dog bemærkes, at vurderingen af beslutningsrummet er underlagt betydelig usikkerhed.
28
Beslutningsrummet er defineret ved at sammenholde en teknologis potentiale med omstillingshastigheden. Dette viser, hvornår der
sidst skal påbegyndes implementering af et omstillingselement, for at kunne realisere dets tekniske reduktions potentiale. I
Klimapro-
gram 2022
blev der i forlængelse af skøn for reduktionspotentialer skønnet beslutningsrum for reduktionspotentialerne.
28
TRU, Alm.del - 2023-24 - Endeligt svar på spørgsmål 261: MFU spm. om ministeren vil oversende en opdateret oversigt over de klimabegrundede initiativer, der på nationalt og europæisk niveau får betydning på transportområdet inden for de kommende ca. 5 år
2841680_0144.png
144
KLIMAPROGRAM 2023
Figur 9.44
Reduktionspotentialer i land- og skovbrugssektoren frem mod 2030 (mio. ton
CO
2
e)
2022
2023
2024
2025
2026
2027
2028
2029
2030
Skovrejsning
Omlægning til økologi
Håndtering af gylle og gødning
Elektrificering i procesenergi og intern transport
Energieffektiviseringer i procesenergi og intern transport
Biokul fra pyrolyse af halm
Udtag af lavbundsjord
Fodertilsætningsstoffer
Bio- og PtX-brændstoffer i intern transport
Anm.: Figuren viser, hvordan de tekniske reduktionspotentialer i 2030 er afhængig af, hvornår der implementeres virkemidler. Der er ikke taget højde for over-
lap i reduktionspotentialerne.
Kilde:
Klimaprogram 2022
For at indfri tekniske reduktionspotentialer helt eller delvist kan der iværksættes en række virkemidler. CO
2
e-effek-
ten af opgjorte tekniske potentialer vil først blive realiseret på det tidspunkt, hvor erhverv og husholdninger æn-
drer deres adfærd mod mere klimavenlige og bæredygtige løsninger. Virkemiddelskataloget fra
Klimaprogram
2022
viste en række virkemidler, hvor der er stor variation i de samfundsøkonomiske omkostninger per ton (skyg-
gepris). Det viste samtidig, at fordelingen af omkostningen på tværs af husholdninger, erhverv og stat kan være
meget forskellig.
Klimaindsatsen skal ske under hensyntagen til en række guidende principper om bl.a. omkostningseffektivitet,
erhvervsliv, social balance og lækage,
jf. klimaloven.
Boks 9.13 viser som eksempel samfundsøkonomiske om-
kostninger og konsekvenser ved virkemiddel om fremme af metanreducerende foder i landbrugssektoren. Virke-
midlet er beskrevet i flere detaljer i kapitel 7.
Boks 9.13
Fremme af metanreducerende foder i landbrugssektoren
I 2022 blev det første metanreducerende fodertilsætningsstof, Bovaer (med det videnskabelige navn 3-
Nitrooxypropanol eller bare 3-NOP), EU-godkendt til malke- og avlskvæg. Produktet markedsføres i dag
både inden for og uden for EU, hvorfor TRL-niveauet er højt.
Bovaer fungerer ved at hæmme et enzym i metandannelsesprocessen, når primært kulhydrater fermente-
res i koens vom. Den anbefalede dosis af Bovaer er ifølge Den Europæiske Fødevaresikkerhedsautoritet
(EFSA) mellem 60-100 mg/kg tørstof, hvor 60 mg er den forventede dosis i Danmark. På baggrund af
TRU, Alm.del - 2023-24 - Endeligt svar på spørgsmål 261: MFU spm. om ministeren vil oversende en opdateret oversigt over de klimabegrundede initiativer, der på nationalt og europæisk niveau får betydning på transportområdet inden for de kommende ca. 5 år
2841680_0145.png
KLIMAPROGRAM 2023
145
dette forventes op til 30 pct. reduktion i enterisk metan under danske forhold. Klimaeffekten af Bovaer er
genstand for et igangværende forskningsprojekt på Aarhus Universitet, som har til formål at dokumentere
effekten under danske forhold, således den potentielt kan tælles med i den nationale emissionsopgø-
relse. Forsøget forventes færdiggjort i 2024.
Foruden manglende dokumentation af Bovaers klimaeffekt under danske forhold udgør særligt mangel
på økonomisk incitament for anvendelse en barriere for udbredelsen af virkemidlet i Danmark. Der er for
nuværende ikke noget økonomisk incitament for anvendelse af metanreducerende fodertilsætningsstof-
fer som Bovaer.
Af landbrugsaftalen fremgår det, at der – hvis muligt – skal fastsættes et generelt reduktionskrav fra
2025 svarende til en effekt på 0,16 mio. ton CO
2
e i 2030 baseret på øget andel af fedt i foderet til konven-
tionelle malkekøer. Det er siden landbrugsaftalens indgåelse blevet afklaret, at det er muligt at indføre et
generelt krav om reduktion af udledningerne fra husdyrs fordøjelse, dvs. et krav med metodefrihed for
landbrugeren. Det forventes således, at Bovaer vil kunne indgå som en teknologimulighed til opfyldelse af
et evt. generelt reduktionskrav fra og med 2025 afhængigt af resultaterne fra det igangværende forsk-
ningsprojekt. Det vil potentielt være muligt at øge det generelle krav med op til 0,5 mio. ton CO
2
e sva-
rende til niveauet af Bovaer, hvilket der i så fald vil skulle tages særskilt politisk stilling til. Med et gene-
relt krav lægges der ikke op til anvendelsen af et specifikt produkt, men derimod at opnå en reduktionsef-
fekt svarende til, hvad der kan opnås med et givent produkt – i dette tilfælde Bovaer.
Der vil være forskellige modeller, hvorpå anvendelse af metanreducerende foder kan fremmes yderligere.
Det kan fx. enten indføres som et krav, hvor der vil være erhvervsøkonomiske konsekvenser som følge af,
at det vil udgøre en meromkostning for den enkelte landbrugere. Alternativt vil metanreducerende foder
kunne implementeres som led i en tilskudsordning, hvor landbrugeren vil kunne blive kompenseret for
anvendelse af fodertilsætningsstoffer.
Samfundsøkonomiske omkostninger og konsekvenser
Omkostningerne ved implementeringen af Bovaer i konventionelle malke- og avlsbesætninger er behæftet
med usikkerhed, da bred tilgængelighed af Bovaer endnu ikke er etableret i Danmark. COWI har foretaget
en vurdering af indkøbsomkostningerne for Bovaer gennem dialog med producenten og med udgangs-
punkt i prisen for et specifikt produkt.
Den anslåede pris for daglig tildeling af Bovaer pr. ko er omkring 1,7 kr. Undersøgelser med Bovaer har
ikke påvist negative virkninger på mælkens ydelse og kvalitet ved den anbefalede dosis. Der er ingen indi-
kationer på andre negative eller positive sideeffekter af Bovaer. På baggrund af dette skønnes omkost-
ningerne forbundet med at anvende Bovaer i alle konventionelle malkebesætninger med betydelig usik-
kerhed at beløbe sig til ca. 250 millioner kr. årligt.
Det er behæftet med stor usikkerhed at estimere omkostningerne forbundet med anvendelse af Bovaer
på nuværende tidspunkt, hvorfor tallene i nedenstående tabel er baseret på en overslagsmæssig vurde-
ring og udgør grove estimater. I vurderingen af omkostningerne antages, at teknologierne vil blive an-
vendt svarende til det tekniske reduktionspotentiale ovenfor med fuld anvendelse af virkemidler for de
relevante kvægtyper.
Tabel 9.17
Udvalgte virkemidlers CO
2
e-effekter og samfundsøkonomiske omkostninger
Statsfinansielle
omkostninger,
mio. kr.
2025
0
2030
0
Skygge-
pris,
kr. pr.
ton CO
2
e
2022-priser
CO
2
e-reduktion,
mio. ton
2025
2030
0,5
Erhverv, mio. kr.
Husholdninger,
mio. kr.
2025
-
2030
-
2025
250
2030
250
Fremme af metanredu-
cerende foder (fx krav)
0,5
540
TRU, Alm.del - 2023-24 - Endeligt svar på spørgsmål 261: MFU spm. om ministeren vil oversende en opdateret oversigt over de klimabegrundede initiativer, der på nationalt og europæisk niveau får betydning på transportområdet inden for de kommende ca. 5 år
2841680_0146.png
146
KLIMAPROGRAM 2023
Anm.: Potentialet og omkostningerne er afrundet og behæftet med usikkerhed. Der bemærkes, at ikke er foretaget
vurdering af omkostninger til administration og eventuel it. .
Kilde: Potentialer og omkostningsskøn er baseret på Ministeriet for Fødevarer, Landbrug og Fiskeris egne beregninger
pba. rådgivningsnotater fra Aarhus Universitet og rapporten:
Analyse af drivhusgasreduktionspotentiale for
fodertilsætningsstofferog -midler
af COWI 2023.
Status for implementering af aftaler i land- og skovbrugssektoren
For at sikre den forventede effekt af de eksisterede tiltag monitoreres implementeringen af de indgåede politiske
aftaler og EU-lovgivning tæt i land- og skovbrugssektoren. Derudover præsenteres risici ved initiativerne og hånd-
teringen heraf i det følgende afsnit. Tabel 9.18 viser status for henholdsvis forvaltningsmæssig implementering
og samfundsgennemførsel af initiativer efter klimalovens vedtagelse med effekt på udledningerne i 2030. Der er
besluttet initiativer, der på aftaletidspunktet skønnes at medføre reduktioner på ca. 2,4 mio. ton CO
2
e i 2030 i
land- og skovbrugssektoren. Dette inkluderer effekten af landbrugsaftalen samt effekten af øvrige tiltag besluttet
forud for landbrugsaftalen.
De forvaltningsmæssige rammer er implementeret for initiativer med en skønnet reduktionseffekt på ca. 1,5 mio.
ton CO
2
e i 2030. Dette er under antagelse af fuldt afløb på frivillige ordninger. Initiativer med skønnede reduktio-
ner på ca. 0,9 mio. ton CO
2
e i 2030 er fortsat under implementering,
jf. figur 9.45.
Der pågår sideløbende arbejde
med at få initiativer fra udviklingssporet over i implementeringsporet,
jf. boks 9.14.
Figur 9.45
Status på initiativer med reduktionseffekter i land- og skovbrugssektoren i 2030
Mio. t. CO
2
e
3
2,5
2
1,5
1
1,5
0,5
0
0,9
Implementeret
Under implementering
Kilde: Tabel 9.18
Tabel 9.18
Oversigt over initiativer med CO
2
e-effekter i 2030 i land- og skovbrugssektoren
Initiativer
Aftale
2025
2030
Mio. ton CO
2
e
Forvaltningsmæssig im-
plementering
Samfundsmæssig gen-
nemførsel
Reduktionstiltag
Reduktionskrav for
husdyrenes fordøjelse
Aftale om
grøn om-
stilling af
dansk
landbrug
0,17
0,16*
Under implementering.
Hjemmelsgrundlag etable-
ret ved lovforslag, som
trådte i kraft 1. maj 2023.
Bekendtgørelse under ud-
arbejdelse i 2024.
Lov trådt i kraft 2023.
Bekendtgørelse med re-
duktionskrav forventes
at kunne udstedes, så
den træder i kraft 1. ja-
nuar 2025.
TRU, Alm.del - 2023-24 - Endeligt svar på spørgsmål 261: MFU spm. om ministeren vil oversende en opdateret oversigt over de klimabegrundede initiativer, der på nationalt og europæisk niveau får betydning på transportområdet inden for de kommende ca. 5 år
2841680_0147.png
KLIMAPROGRAM 2023
147
Hyppigere udslusning
af svinegylle
Aftale om
grøn om-
stilling af
dansk
landbrug
0,15
0,17**
Implementeret.
Lov og bekendtgørelse
med krav om hyppigere
udslusning i svinestalde
trådte i kraft 2023.
Lov og konditionalitet
(GLM-krav) trådt i kraft
2023.
Puljerne udmøntes lø-
bende fra 2023-2027***.
Reform af EU's land-
brugspolitik
Aftale om
grøn om-
stilling af
dansk
landbrug
Implementeret.
Lov om administration af
den fælles landbrugspolitik
endeligt vedtaget 2023.
0,38
0,38
Bio-ordningerne udgør i alt
797 mio. kr. i 2023 og er
åbnet for søgning og kon-
ditionalitet (GLM-krav) er
trådt i kraft.
Implementeret.
Aftale om
grøn om-
stilling af
dansk
landbrug
Åbning af ansøgningsrun-
den til den samlede pulje
på 90. mio. kr. i 2023 er
forsinket på grund af den
forsinkede offentliggørelse
af vandområdeplanerne
2021-2027.
Implementeret.
0,1
0,1
Puljen er åbnet i 2022. I
2023 havde puljen et afløb
på 23 mio. kr. ud af en
samlet pulje på 134 mio.
kr.
Under implementering.
Tilskudsordninger for kol-
lektive virkemidler åbnet i
2022 med afløb på 513,2
mio. kr. ud af afsatte 765,0
mio. kr. Kvælstofindsats
udgøres af målrettet kvæl-
stofregulering og kollektive
kvælstofvirkemidler.
Ny model for kvælstofregu-
lering er under udarbej-
delse.
Privat skovrejsning
Puljen udmøntes lø-
bende 2022-2030***.
0,0
0,05
Ekstensivering af lav-
bundsjorder
Aftale om
grøn om-
stilling af
dansk
landbrug
Puljen udmøntes lø-
bende 2022-2027***.
Kvælstofindsats
Bekendtgørelser er trådt
i kraft 2023 og i årene
frem mod 2030.
Indfasning af kvælstof-
indsatsen løber fra
2023-2027.
Aftale om
grøn om-
stilling af
dansk
landbrug
0,31
0,64
Udtagning af 22.000
ha lavbundsjorder inkl.
randarealer
Aftale om
grøn om-
stilling af
dansk
landbrug
Aftale om
grøn om-
stilling af
dansk
landbrug
Implementeret.
0,04
0,33
Der er samlet afsat 2.923
mio. kr., som udmøntes lø-
bende til indsatser under
Landbrugsstyrelsen og Na-
turstyrelsen.
Under implementering.
-
0,07
Forberedende undersøgel-
ser igangsat.
Midlerne er afsat i årene
2022-2027, men udbeta-
les frem til 2030 som
følge af projekternes
gennemførsel.
Tiltag løber fra 2026 til
2031
Midlertidig reduceret
hugst i skove
I alt for reduktionstiltag
Tiltag besluttet før landbrugsaftalen
Udtagning af 22.000
ha lavbundsjorder inkl.
randarealer
Finanslov
2020, Fi-
nanslov
1,2
-
1,9
0,3
Implementeret.
Midlerne er afsat i årene
2020-2026, men udbeta-
les frem til 2029, som
TRU, Alm.del - 2023-24 - Endeligt svar på spørgsmål 261: MFU spm. om ministeren vil oversende en opdateret oversigt over de klimabegrundede initiativer, der på nationalt og europæisk niveau får betydning på transportområdet inden for de kommende ca. 5 år
2841680_0148.png
148
KLIMAPROGRAM 2023
2021,
Landdi-
strikts-
program-
met frem
til 2021
Øvrige tiltag (bl.a. for-
bud mod gødskning på
§ 3-beskyttede arealer,
justering af krav for
udnyttelse af kvælstof
i husdyrgødning.
Bl.a. æn-
dring af
naturbe-
skyttel-
sesloven,
og til-
lægsaf-
tale til af-
tale om
målrettet
regule-
ring
-
1,2
0,7
0,5
-
0,2
Der er samlet afsat 2.926
mio. kr., som udmøntes lø-
bende til indsatser under
Miljøstyrelsen og Natursty-
relsen.
Implementeret.
Tiltag om forbud mod
gødskning af § 3-beskyt-
tede arealer i trådt i kraft i
2022.
Justering af udnyttelses-
krav i husdyrgødning er
trådt i kraft i 2020.
følge af projekternes
gennemførsel.
Relevante bekendtgørel-
ser er trådt i kraft med
ophæng i forskellige
love, herunder gødsk-
ningsloven. Gødsknings-
bekendtgørelse trådte i
kraft 2020. Forbud mod
gødskning af § 3-be-
skyttede arealer trådte i
kraft med ændring af
lov om naturbeskyttelse
2022
I alt for tiltag besluttet før
landbrugsaftalen
I alt
Implementeret
Under implemente-
ring
0,5
2,4
1,5
0,9
Anm.: CO
2
e-effekter er angivet som de estimater, der blev lavet ved aftalens indgåelse. Forvaltningsmæssige rammer for implementering defineres som, at
relevant lovgivning er vedtaget, og/eller afsatte bevillinger er fuldt udmøntet, og/eller udbudskontrakter er indgået. Samfundsmæssig gennemførelse af initia-
tivet defineres som den fase, der typisk drives af andre samfundsaktører end staten fx konstruktion af et CCS-anlæg.
* Den reelle effekt ved tiltaget afhænger af udviklingen i antal kvæg. Der tages højde for dette i de årlige klimastatus- og fremskrivninger.
** Som en del af implementering af kravet er der i dialog med forligskredsen fundet behov for enkelte yderligere undtagelser, der gør, at effekten rundes ned
til 0,16 mio. ton CO
2
e i 2030, i stedet for – som ved landbrugsaftalens indgåelse – at runde op til 0,17 mio. ton CO
2
e i 2030. Der tages højde for dette i de
årlige klimastatus- og fremskrivninger.
**Effekten af puljer varierer alt efter puljens formål og karakter. Derudover er der en forskydning mellem puljens afløb og effekterne heraf.
Hertil kommer initiativer i udviklingssporet, der på aftaletidspunktet blev skønnet at have et teknisk reduktionspo-
tentiale på ca. 5 ton CO
2
e i 2030,
jf. boks 9.14.
Indsatser i strategierne for metanreducerende foder og gylle- og
gødningshåndtering uddybes i de tekniske køreplaner herom,
jf. kapitel 10.
Boks 9.14
Reduktionspotentialer i land- og skovbrugssektoren
Med
Aftale om grøn omstilling af dansk landbrug
blev S, V, SF, RV, EL, K, NB, LA og KD enige om at iværk-
sætte et udviklingsspor, hvor det samlede reduktionspotentiale blev vurderet til ca. 5 mio. ton CO
2
e i 2030
jf.
tabel 7.2.
Tabel 7.19
Reduktionspotentialer i landbrugs- og skovbrugssektoren (ekskl. energirelaterede
udledninger)
Udviklingstiltag
Brun bioraffinering (strategi)
Gyllehåndtering (strategi)
Metanreducerende foder (fx fodertilsætning)
(strategi)
Fordobling af økologi (strategi)
Udvidet lavbundspotentiale
Kilde: Ministeriet for Fødevarer, Landbrug og Fiskeri og Klima-, Energi-, og Forsyningsministeriet
Landbrugsaftale
2
1
1
0,5
0,5
Indsatser (september 2023)
Under afklaring
1,2
0,8
Under afklaring
Under afklaring
TRU, Alm.del - 2023-24 - Endeligt svar på spørgsmål 261: MFU spm. om ministeren vil oversende en opdateret oversigt over de klimabegrundede initiativer, der på nationalt og europæisk niveau får betydning på transportområdet inden for de kommende ca. 5 år
2841680_0149.png
KLIMAPROGRAM 2023
149
Vurderingerne af de tekniske reduktionspotentialer i landbrugssektoren er under løbende konsolidering i
takt med at bl.a. nye strategier præsenteres og nye forskningsresultater foreligger. Regeringen har netop
præsenteret strategierne for de tekniske reduktionspotentialer inden for metanreducerende foder og gylle-
og gødningshåndtering. Her er potentialerne opdateret fra 1 mio. ton til henholdsvis 0,8 og 1,2 mio. ton
CO
2
e i 2030. Dermed er det samlede potentiale for de to teknologiområder fortsat ca. 2 mio. ton CO
2
e i
2030.
Strategierne for brun bioraffinering (pyrolyse) og økologi er under udarbejdelse, hvorfor en opdatering af
potentialerne inden for de områder forsat er under konsolidering. Arbejdet med at øge det tekniske potenti-
ale for lavbundsjorder indgår i arbejdet for ekspertgruppen for udtagning af lavbundsjorder, som blev ned-
sat med landbrugsaftalen. Ekspertgruppen har afleveret første delrapport i 2023 og skal aflevere anden
delrapport i andet halvår af 2023.
I de tekniske potentialer for
Klimaprogram 2023
er der alene inkluderet teknologier, hvor både potentialer
og tekniske omkostninger er kendte. Inden for metanreducerende foder inkluderer det fodertilsætnings-
stoffet Bovaer med et potentiale på 0,51 mio. ton CO
2
e. For håndtering af gylle og gødning inkluderes nitri-
fikationshæmmere, staldforsuring, gyllekøling samt teltoverdækning med flydelag med et potentiale på
henholdsvis 0,54, 0,04, 0,02 og 0,16 mio. ton CO
2
e.
Strategiernes vurdering af det fulde tekniske potentiale omfatter således en række yderligere kendte tekno-
logier, hvor omkostninger endnu ikke kendes med tilstrækkelig sikkerhed. Der arbejdes løbende på at kon-
solidere størrelsen på de tekniske reduktionspotentialer og deres omkostninger.
Håndtering af væsentligste risici i implementeringen i land- og skovbrugssektoren
Der er behov for at vurdere og håndtere risici i implementeringen af tiltagene for at sikre den forventede effekt.
Overordnet vil genbesøg af landbrugsaftalen og anbefalingerne fra Ekspertgruppe for en Grøn Skattereform inde-
bære, at der følges op på implementeringen af landbrugsaftalen, herunder initiativer med konsekvenser for 2025-
målet og 2030-målet. Her vil der være mulighed for at iværksætte tiltag, som kan støtte op om de aftalte ambitio-
ner og initiativer og dermed håndtere risici i tilfælde af, at de materialiserer sig.
Nedenfor uddybes de væsentligste risici, der kan have betydning for indfrielsen af klimamålene for 2025 og 2030
samt indfrielse af Danmarks EU-forpligtelse for LULUCF og byrdefordelingsaftalen samt relevante tiltag for at mi-
tigere disse.
Initiativer i landbrugsaftalen
Der er på nuværende tidspunkt ikke identificeret risici ved implementeringen af midlertidig reduceret hugst i
skove, ved implementering af hyppig udslusning i svinestalde eller det generelle reduktionskrav for husdyrs fordø-
jelse. Hyppig udslusning af gylle i svinestalde er implementeret som et lovkrav, og moniteres gennem kommunalt
tilsyn. For reduktionskrav for husdyrenes fordøjelse er det afklaret, at det er muligt at indføre et generelt redukti-
onskrav med metodefrihed. Det vil dog fortsat været muligt at anvende øget fedtandel i foderet til at opfylde kra-
vet i 2025, hvorfor der samlet set ikke er usikkerhed om effekten ved reduktionskravet. Disse initiativer skønnes
at have en reduktionseffekt på samlet 0,4 mio. ton CO
2
e i 2030.
Det planlagte genbesøg af landbrugsaftalen i 2023/2024 vil overordnet sikre, at der følges op på implementerin-
gen af initiativerne i aftalen. Genbesøget i 2023/2024 skal ses i sammenhæng med anden fase af Grøn Skattere-
form. På baggrund af et oplæg fra regeringen skal aftaleparterne bag landbrugsaftalen træffe beslutning om
håndtering af klima- og kvælstofindsatsen under hensyntagen til bl.a. fremdriften i de frivillige indsatser i land-
brugsaftalen. For en række initiativer er der forventede reduktioner i både 2025 og 2030,
jf. tabel 9.18.
EU’s landbrugspolitik
Den nye reform af EU’s fælles landbrugspolitik 2023-2027 er trådt i kraft. Reformen betyder, at en væsentlig del af
landbrugsstøtten nu kun er tilgængelig for landbruget gennem søgningen af en række frivillige grønne ordninger.
Ordningerne havde en søgning på 62 pct. i 2023. Mindresøgningen på 38 pct. betyder overordnet, at de effekter,
der er angivet for enkelte af ordningerne, ikke er fuldt indfriet i 2023. Der er en forventning om, at søgningen vil
være større i 2024, men der er derudover igangsat tiltag for at styrke søgningen i de kommende ansøgningsrun-
TRU, Alm.del - 2023-24 - Endeligt svar på spørgsmål 261: MFU spm. om ministeren vil oversende en opdateret oversigt over de klimabegrundede initiativer, der på nationalt og europæisk niveau får betydning på transportområdet inden for de kommende ca. 5 år
2841680_0150.png
150
KLIMAPROGRAM 2023
der, med henblik på, at de skønnede effekter realiseres. Der vil blive fulgt op på tiltagene ifm. genbesøget af land-
brugsaftalen i 2023/2024. For at effekten for 2025 og 2030 kan siges at være opnået, skal ordningerne være 100
pct. søgt i 2030. Det samme gælder for udtagningsambitionen.
Privat skovrejsning
Med landbrugsaftalen er det aftalt at afsætte i alt 613 mio. kr. til privat skovrejsning i perioden 2022-30 udmøntet
som årlige ansøgningsrunder. Herunder er der afsat 379 mio. kr. til privat skovrejsning som kollektivt virkemiddel
i 2022-2027 og 234 mio. kr. til privat skovrejsning med klimaformål i 2022-2030. Midlerne udmøntes samlet gen-
nem tilskudsordningen privat skovrejsning. Der er i 2022 søgt for ca. 35 mio. kr. ud af den afsatte pulje på 70 mio.
kr. Der er igangsat tiltag for at styrke søgningen, herunder mulighed for at kommuner kan ansøge om tilskud til
skovrejsning.
Ekstensivering af lavbundsjorder (1- årig ordning)
Ordningen er frivillig og havde 17 pct. søgning i 2023 og var endnu mindre søgt i 2022, hvor ordningen åbnede for
ansøgninger. Ekspertgruppen for udtagning af lavbundsjorder har som del af deres arbejde til opgave at komme
med forslag, der kan øge søgningen på ordningen. For at klimaeffekten for 2025 og 2030 kan siges at være op-
nået, skal ordningen være 100 pct. søgt. Det samme gælder for udtagningsambitionen.
Kvælstofindsatsen
i landbrugsaftalen består af to særskilte indsatser: Kollektive kvælstofvirkemidler og den mål-
rettede kvælstofregulering. Det er teknisk budgetteret, at der skal gennemføres en reduktion i kvælstofudlednin-
gen på 6.500 ton via målrettet regulering og 1.500 ton via kollektive virkemidler. De kollektive virkemidler består
af tilskudsordningerne kvælstofvådområder, minivådområder, privat skovrejsning og lavbundsprojekter. Denne
indsats er baseret på frivillighed, hvorfor effekten afhænger af søgning på tilskudsordningerne. Der arbejdes lø-
bende på at forbedre tilskudsordningerne, så de er attraktive at ansøge og simple at administrere. I 2022 har der
samlet set været 156 pct. søgning på kvælstofvådområder, 39 pct. søgning på minivådområder, 49 pct. søgning
på privat skovrejsning og 39 pct. søgning på lavbundsprojekter. I 2023 er ansøgningsrunderne for tilskudsordnin-
gerne til de kollektive virkemidler forsinkede på grund af den forsinkede offentliggørelse af vandområdeplanerne
2021-2027.
Miljøgarantien indebærer, at såfremt den forudsatte kollektive kvælstofindsats på 1.500 ton kvælstofreduktion
ikke kan løses ved frivillige virkemidler, gennemføres regulering med kompensation. Der gøres status på denne
ordning ifm. genbesøget af landbrugsaftalen i 2023/2024 samt i 2025/2026. Miljøgarantien sikrer opnåelse af
kvælstofmålsætningerne og har ikke CO
2
e-effekten som formål. Derved kan en justering mellem indsatserne be-
tyde, at den forudsatte CO
2
e-effekt af målrettet regulering og kollektive virkemidler justeres. Det følger af land-
brugsaftalen, at den målrettede regulering skal fungere frem til og med 2025 og herfra erstattes af en ny og mere
omkostningseffektiv kvælstofreguleringsmodel. Modellen er fortsat under udvikling, og der skal træffes beslut-
ning om den nye reguleringsmodel i forbindelse med genbesøget af landbrugsaftalen i 2023/2024.
Udtagning af Lavbundsjorder (varig udtagning)
Udtagning af lavbundsjorder beror på frivillighed og er en løbende indsats frem mod 2030. Hastigheden i udtag-
ningsindsatsen undersøges som led i
Klimastatus og -Fremskrivningen 2024.
Der er med landbrugsaftalen nedsat
en taskforce og en ekspertgruppe for udtagning af lavbundsjorder. Taskforcen skal afdække udfordringer for ud-
tagningsindsatsen og identificere mulige løsninger. Ekspertgruppe for udtagning af lavbundsjorder skal bl.a.
komme med anbefalinger til, hvordan der kan udtages mest muligt lavbundsjord hurtigst muligt og bidrage til at
indfri det tekniske reduktionspotentiale. Ekspertgruppen har afleveret deres første delrapport i 2023, hvor de er
kommet med anbefalinger til at udtage mest muligt lavbundsjord hurtigst muligt. I slutningen af 2023 kommer
ekspertgruppen med anden delrapport, hvori der bl.a. vil være anbefalinger til at nå det sidste stykke i forhold til
ambitionen om udtagning af 100.000 ha. Derudover er der afsat 10 mio. kr. årligt i 2022-2027 til udtagningskon-
sulenter, der skal bistå indsatser for udtagning af lavbundsjorder samt de kollektive kvælstofvirkemidler, bl.a. ved
at understøtte lodsejere i at indgå i projekter. I 2023 blev der afsat yderligere 519,5 mio. kr. til indsatsen til udtag-
ning af lavbundsjorder, der sikrer finansiering af yderligere 3.700 ha lavbundsjord inkl. randarealer. Effekten heraf
estimeres til 0,06 mio. ton CO
2
e.
Udviklingssporet
Der er med landbrugsaftalen bl.a. afsat over 2 mia. kr. til at modne teknologier og fremme plantebaserede føde-
varer. Regeringen er endvidere på vej med strategier for pyrolyse, økologi, grønne proteiner til dyr og mennesker,
TRU, Alm.del - 2023-24 - Endeligt svar på spørgsmål 261: MFU spm. om ministeren vil oversende en opdateret oversigt over de klimabegrundede initiativer, der på nationalt og europæisk niveau får betydning på transportområdet inden for de kommende ca. 5 år
2841680_0151.png
KLIMAPROGRAM 2023
151
plantebaserede fødevarer samt en strategi for grønne job i landbruget og følgeerhverv. Det fremgår af landbrugs-
aftalen, at der skal følges op på aftalens udviklingstiltag inden udgangen af 2023. Genbesøget skal ses i sam-
menhæng med anden fase af Grøn Skattereform.
Regeringen har netop præsenteret en strategi for henholdsvis de tekniske reduktionspotentialerne inden for me-
tanreducerende foder samt gylle- og gødningshåndtering, herunder fordeling af 110 mio. kr. afsat med
Aftale om
fordeling af forskningsreserven mv. i 2023, jf. boks 9.15.
Boks 9.15
Strategier for tekniske reduktionspotentialer inden for metanreducerende foder
samt gylle- og gødningshåndtering
Strategi for metanreducerende foder
Med strategien for metanreducerende foder har regeringen præsenteret en samlet strategi for, hvordan
man vil fremme udviklingen og anvendelsen af metanreducerende fodertilsætningsstoffer og -midler. Det
samlede potentiale inden for metanreducerende foder vurderes med strategien at være ca. 0,8 mio. ton
CO
2
e i 2030. I strategien identificeres forskellige barrierer for implementering af teknologierne, herunder
manglende dokumentation af klimaeffekt og begrænset økonomisk incitament for anvendelse samt ud-
bredelse. Regeringen har som led i strategien iværksat en række initiativer, som har til formål at håndtere
disse barrierer. Dette inkluderer bl.a. igangsætning af forskningsprojekter, som skal dokumentere klima-
effekterne af afgræsning under danske forhold.
Strategi for håndtering af gylle og- gødning
Strategien for det tekniske reduktionspotentialer inden for gylle- og gødningshåndtering viser vejen for,
hvordan regeringen vil styrke indsatsen for at modne og udvikle lovende teknologier til reduktion af driv-
husgasser fra særligt stald og lager. Konkret har strategien fokus på følgende teknologier: Staldforsuring,
nitrifikationshæmmere, gyllekøling, fakkelafbrænding, lav-dosis lagerforsuring, teltoverdækning med kon-
trolleret ventilation og flydelag, biofilter, gylletilsætningsstoffer og vaskerobotter. En væsentlig barriere
for udbredelse af teknologierne, er manglende dokumentation af teknologiernes reduktionseffekt og de-
res mulige sideeffekter. I strategien sammenfattes den aktuelle status for teknologierne, samtidig med at
der lægges en konkret plan for, hvordan regeringen vil styrke den fortsatte udvikling. Det samlede potenti-
ale inden for håndtering af gylle og gødning vurderes med strategien at være ca. 1,2 mio. ton CO
2
e i 2030.
Grøn Skattereform og Danmarks EU-forpligtigelser
Det fremgår af kommissoriet til Ekspertgruppen for en Grøn Skattereform, at ekspertgruppen skal inddrage hen-
syn til kommende EU-lovgivning på området, herunder en potentiel ny tilgang til regulering af landbrugets klima-
påvirkning efter revisionen af bl.a. LULUCF-forordningen og byrdefordelingsaftalen samt særskilt landbrugssøjle i
EU’s kvotesystem. Håndteringen af de opjusterede forpligtelser i LULUCF-forordningen og byrdefordelingsaftalen
skal derfor ses i sammenhæng med den grønne omstilling af landbruget og de konklusioner, som Ekspertgruppen
for en Grøn Skattereform efter planen skal komme med i efteråret 2023.
Der er dermed en plan for at implementere de indgåede aftaler i bund, der også illustreres i regeringens arbejds-
program for sektoren,
jf. figur 9.46.
Arbejdsprogrammet viser regeringens plan for implementering af centrale ini-
tiativer med effekter i 2030. Derudover viser den, hvornår regeringen vil følge op på yderligere ambitioner og mål,
og hvor regeringen har mulighed for at iværksætte nye tiltag, hvis implementeringsplanen ikke holder som forud-
sat. Hertil kommer yderligere initiativer, der forventes at kunne bidrage yderligere til eller understøtte reduktioner i
2030,
jf. de tekniske køreplaner for metanreducerende foder, gylle- og gødningshåndtering og brun bioraffinering
(pyrolyse).
Regeringen vil præsentere et forslag til en klimaafgift på landbruget, når Ekspertgruppen for en Grøn Skattereform
i efteråret 2023 har fremlagt deres anbefalinger. Dertil vil regeringen i 2023 følge op på udviklingssporet i land-
brugsaftalen, ligesom den samlede aftale genbesøges senest i 2023/2024, hvor der tager næste skridt mod at
Regeringens arbejdsprogram for land- og skovbrugssektoren
TRU, Alm.del - 2023-24 - Endeligt svar på spørgsmål 261: MFU spm. om ministeren vil oversende en opdateret oversigt over de klimabegrundede initiativer, der på nationalt og europæisk niveau får betydning på transportområdet inden for de kommende ca. 5 år
2841680_0152.png
152
KLIMAPROGRAM 2023
realisere reduktionspotentialerne inden for sektoren,
jf. figur 9.46.
Regeringen vil endvidere fremlægge en skov-
plan med et mål om etablering af 250.000 ha ny skov i Danmark,
jf. regeringsgrundlaget.
Hertil kommer bl.a. en
række strategier, som fx strategi for økologi.
Figur 9.46
Regeringens arbejdsprogram for land- og skovbrugssektoren
Anm.: Figuren er ikke udtømmende og viser udvalgte, centrale indsatser. Figuren viser kun, hvilket år indsatser iværksættes. Placeringen af indsat-
ser i de enkelte år er således ikke udtryk for, hvornår på året indsatsen iværksættes. Forordninger implementeres direkte i dansk lov og fremgår
derfor ikke af regeringens plan.
Kvælstofindsats:
I forlængelse af Lov om Vandplanlægning (senest ændret i 2017) er kvælstofindsatsen
aftalt i landbrugsaftalen implementeret i Vandområdeplanerne for 2021-2027, og de tilhørende bekendt-
gørelser er trådt i kraft. Indfasningen løber fra 2023-2027. Vandområdeplanerne skal opfylde målene i
Vandrammedirektivet i 2027. Frem mod 2027 skal gødskningsloven ændres for at sikre implementering
af den udestående indsats til indfrielse af vandrammedirektivet. Herefter skal der sikres ikke-forringelse i
kommende vandområdeplanperioder.
Strategier for de tekniske reduktionspotentialer:
Regeringen har præsenteret to ud af tre strategier, der
har fokus på at fremme udviklingen og dokumentationen inden for de specifikke teknologiområder. Kon-
kret har regeringen i september 2023 præsenteret en strategi for metanreducerende foder samt en stra-
tegi for håndtering af gylle og gødning, mens regeringen vil præsentere en strategi for brun bioraffinering
(fx pyrolyse) i løbet af efteråret 2023.
Strategi for grønne proteiner til dyr og mennesker:
Strategien skal bidrage til at fremme produktion af
grønne proteiner i Danmark, som bl.a. kan understøtte overgangen til en mere plantebaseret landbrugs-
og fødevaresektor samt erstatte importeret foder.
Strategi for grønne jobs og følgeerhverv:
Strategien skal bidrage til at realisere de erhvervs- og beskæfti-
gelsespotentialer, der ligger i den grønne omstilling af landbruget.
Endelige anbefalinger fra ekspertgruppe for lavbundsjorder:
Ekspertgruppe for udtagning af lavbundsjor-
der skal bl.a. komme med anbefalinger til, hvordan der kan udtages mest muligt lavbundsjord hurtigst
muligt og bidrage til at indfri det tekniske reduktionspotentiale.
Strategi for økologi:
Strategien skal understøtte en fordobling af det økologiske areal, samt efterspørgsel
efter økologiske fødevarer, forbrug og eksport.
Handlingsplan for plantebaserede fødevarer:
Handlingsplanen vil indeholde et overblik over den plante-
baserede fødevaresektor i Danmark samt en oversigt over indsatser, der kan fremme plantebaserede fø-
devarer i hele værdikæden.
TRU, Alm.del - 2023-24 - Endeligt svar på spørgsmål 261: MFU spm. om ministeren vil oversende en opdateret oversigt over de klimabegrundede initiativer, der på nationalt og europæisk niveau får betydning på transportområdet inden for de kommende ca. 5 år
2841680_0153.png
KLIMAPROGRAM 2023
153
Bekendtgørelse til lov om generelt reduktionskrav for kvæg – lovforberedende arbejde:
Der skal udar-
bejdes en bekendtgørelse i husdyrbrugloven til udstedelse 2024, som fastsætter et reduktionskrav på ud-
ledninger fra kvæg med ikrafttrædelse fra 2025.
Opfølgning på udviklingssporet i landbrugsaftalen:
Der skal følges op på udviklingsinitiativerne inden
udgangen af 2023. Opfølgningen skal ses i sammenhæng med afrapportering på ekspertgruppen for en
grøn skattereform.
Afrapportering fra Ekspertgruppen for en Grøn Skattereform:
Ekspertgruppen for en Grøn Skattereform
skal ifølge kommissoriet aflevere sin endelige rapport, som adresserer landbrugets ikke-energirelaterede
udledninger. Regeringen vil fremlægge et forslag til klimaafgift på landbruget, når ekspertgruppen har
fremlagt sine konklusioner.
Genbesøg af
Aftale om grøn omstilling af dansk landbrug:
Den samlede aftale genbesøges senest i
2023/2024, hvor parterne – på baggrund af et oplæg fra regeringen – træffer beslutning om håndtering af
reduktionsmålet, kvælstofindsatsen og søgningen på frivillige virkemidler. Genbesøget skal ses i sam-
menhæng med endelig afrapportering fra Ekspertgruppe for en Grøn Skattereform.
Status på miljøgaranti:
I medfør af landbrugsaftalen er der indført en miljøgaranti. Garantien indebærer,
at såfremt den forudsatte kollektive kvælstofindsats på 1.500 ton kvælstofreduktion ikke kan løses ved
frivillige virkemidler, gennemføres regulering med kompensation. Der gøres status ifm. genbesøget af
landbrugsaftalen i 2023/2024 samt i 2025/2026.
TRU, Alm.del - 2023-24 - Endeligt svar på spørgsmål 261: MFU spm. om ministeren vil oversende en opdateret oversigt over de klimabegrundede initiativer, der på nationalt og europæisk niveau får betydning på transportområdet inden for de kommende ca. 5 år
2841680_0154.png
154
KLIMAPROGRAM 2023
10. Køreplaner for realisering
af tekniske potentialer
For at nå klimalovens mål er der behov for at modne centrale teknologier, som fx CCS og pyrolyse, og understøtte
at de tages i anvendelse. Fælles for størstedelen af de tekniske potentialer, som behandles i dette kapitel, er at de
kræver forskning og udvikling, før de kan bidrage med reduktioner i 2030. Visse tekniske potentialer i kapitlet går
på tværs af sektorer, fx CCS, PtX og gas, mens andre er specifikke for fx landbrugssektoren.
Køreplanerne tager højde for status for den teknologiske modning af potentialerne, samt hvilke barrierer der er for
udbredelsen og anvendelsen af teknologien. Realisering af et reduktionspotentiale forudsætter, at den pågæl-
dende teknologi, der skal realisere potentialet, er tilstrækkelig moden til, at den kan tages i anvendelse. Herefter
præsenteres regeringens arbejdsprogram for, hvornår der forventes at være et tilstrækkeligt politisk beslutnings-
grundlag til at træffe beslutninger om teknologien. Det vil fx afhænge af kommende ændringer af rammevilkår fra
EU, en grøn skattereform eller kommende centrale analyser eller strategier, som kan indgå i et politisk beslut-
ningsgrundlag om teknologien.
Omstillingen fra et reduktionspotentiale til den endelige drivhusgasreduktion sker ikke fra den ene dag til den an-
den, men er forbundet med en implementeringstid, der i de fleste tilfælde strækker sig over flere år. Hertil kom-
mer den nødvendige modningsfase, før teknologien eventuelt er implementeringsklar. Derfor tager planen også
hensyn til analyser fra
Klimaprogram 2022
om omstillingshastighed. Således sikres det, at der kan træffes beslut-
ning om det tekniske reduktionspotentiale, før det vurderes at være for sent at se en effekt i 2030. Der vil være
visse potentialer, hvor der ud fra en teknisk modenhedsvurdering vil kunne træffes beslutning allerede nu, mens
det seneste beslutningstidspunkt for at opnå reduktionseffekt i 2030 for en række teknologier – ud fra en teknisk
vurdering – først ligger senere i perioden.
TRU, Alm.del - 2023-24 - Endeligt svar på spørgsmål 261: MFU spm. om ministeren vil oversende en opdateret oversigt over de klimabegrundede initiativer, der på nationalt og europæisk niveau får betydning på transportområdet inden for de kommende ca. 5 år
2841680_0155.png
KLIMAPROGRAM 2023
155
Der skønnes at være et teknisk reduktionspotentiale for CO₂-fangst på ca. 6,8 mio. ton CO₂e i 2030 ud over de 3,2
mio. ton CO₂e-reduktioner, der skønnes at blive realiseret med de allerede besluttede støttepuljer og initiativer,
jf.
kapitel 7 om tekniske veje.
GEUS vurderer, at Danmarks undergrund har en kapacitet for lagring af CO
2
, der svarer
til 500 års udledninger (på Danmarks nuværende niveau for udledninger). Det følger af CCS-strategien, som et
flertal af Folketingets partier står bag, at Danmark skal blive en europæisk CO
2
-lagringshub med henblik på at bi-
drage til indfrielsen af både danske og europæiske klimamål.
Det skønnes, at besluttet regulering og støttetiltag vil medføre, at der i 2026 vil være etableret fangstanlæg i fuld-
skala i Danmark og en værdikæde, der fanger, transporterer og lagrer CO
2
. Der er afsat samlet 38 mia. kr. til at
støtte udviklingen af fuldskala CCS-værdikæder og reduktioner på 3,2 mio. ton årligt fra 2030. Regeringen følger
derudover EU Kommissionens arbejde med en europæisk CCUS-strategi (”Industrial Carbon Management Stra-
tegy”) samt arbejde med udvikling af en europæisk platform for certificering af kulstofoptag. Danmark er i novem-
ber 2023 vært for EU Kommissionens CCUS Forum, der afholdes i Aalborg.
De forvaltningsmæssige rammer er implementeret for initiativer med en skønnet reduktionseffekt på 0,4 mio. ton
CO
2
e i 2030. Initiativer med reduktioner på 2,8 mio. ton CO
2
e i 2030 er fortsat under implementering,
jf. figur 10.1.
Carbon Capture and Storage (CCS)
Figur 10.1
Status på initiativer med reduktionseffekter for CCS
Mio. t. CO2e
3,5
3
2,5
2
1,5
1
0,5
0
0,4
Implementeret
Under implementering
2,8
Kilde: Tabel 10.1
Tabel 10.1
Oversigt over initiativer med skønnede CO
2
e-effekter i 2030 for CCS
Større milepæle
Aftale
2025
2030
Forvaltningsmæs-
sigt implementeret
Samfundsmæs-
sig gennemfør-
sel
Mio. ton CO
2
e
Første CCUS-pulje på
omkring 8 mia. kr. over
20 år
Klimaaftale for
energi og indu-
stri mv 2020
Implementeret
0,03
0,43
Udbud afsluttet
Kontrakt indgået i
2023
2026
TRU, Alm.del - 2023-24 - Endeligt svar på spørgsmål 261: MFU spm. om ministeren vil oversende en opdateret oversigt over de klimabegrundede initiativer, der på nationalt og europæisk niveau får betydning på transportområdet inden for de kommende ca. 5 år
2841680_0156.png
156
KLIMAPROGRAM 2023
Under implementering
NECCS på 2,6 mia. kr.
over 8 år
Udbud annonceret i
august 2023, støtte-
kontrakt forventes ind-
gået i 2023
Finanslov 2022
0,5
0,5
2025
CCS pulje på 26,8 mia.
kr. over 15 år
Klimaaftale for
energi og indu-
stri mv 2020
samt Aftale om
Grøn skattere-
form for industri
mv. 2022
Ikke implementeret
0
2,3
Forventes tildelt med
2 udbud i henholdsvis
2024 og 2025
2029
I alt
Implementeret
Ikke implementeret
0,5
0,03
0,5
3,2
0,4
2,8
Regeringen har i 2023 indgået
Aftale om styrkede rammevilkår for CCS i Danmark,
der har til formål at skabe sik-
kerhed om rammevilkår for CCS-markedet. Med aftalen samles to eksisterende støttepuljer til CCS i en samlet
pulje, med hensigten at dette kan skabe større sikkerhed for de forventede reduktioner seneste fra 2029. Samti-
dig skabes der større sikkerhed om rammevilkår ved en ny hovedlov om rørført transport af CO
2
og det statslige
medejerskab af kommende licensrunder til CO
2
-lagring. Regeringen vil derudover i 2023 fremlægge et oplæg til
de langsigtede rammevilkår for CO
2
-fangst på kommunale anlæg, især affaldsforbrændingsanlæg,
jf. figur 10.2.
Regeringen vil også arbejde for at understøtte et europæisk marked for CO
2
-lagring.
Der er dertil tildelt de første tre tilladelser til geologisk CO
2
-lagring i Nordsøen, og der er indgået aftale om økono-
misk støtte på ca. 8 mia. kr. over 20 år til Danmarks første fuldskalaprojekt, hvor der skal fanges og lagres 0,43
mio. ton CO
2
årligt fra 2026 med opstart i 2025.
Figur 10.2
Regeringens køreplan for CCS
Anm.: Figuren viser kun, hvilket år indsatser iværksættes. Placeringen af indsatser i de enkelte år er således ikke udtryk for hvornår på året, indsatsen
iværksættes. Forordninger implementeres direkte i dansk lov og fremgår derfor ikke af regeringens plan.
TRU, Alm.del - 2023-24 - Endeligt svar på spørgsmål 261: MFU spm. om ministeren vil oversende en opdateret oversigt over de klimabegrundede initiativer, der på nationalt og europæisk niveau får betydning på transportområdet inden for de kommende ca. 5 år
2841680_0157.png
KLIMAPROGRAM 2023
157
Lovforslag om gratis-kvoter vedtaget:
I marts 2023 blev der vedtaget et lovforslag, der gør det muligt for
kommunalt ejede affaldsforbrændings- og biomasseanlæg, at indtægter for ubrugte CO₂-kvoter, der er tildelt
gratis, kan medfinansiere CO₂-fangst.
3 fuldskala efterforskningstilladelser til lagring givet:
I februar 2023 blev de første tre efterforskningstilla-
delser til fuldskala CO₂-lagring offshore meddelt. De blev tildelt henholdsvis TotalEnergies, INEOS og Win-
thershall Dea. Nordsøfonden deltager på vegne af staten med 20 pct. medejerskab.
Første runde CCUS-puljen afgjort (ca. 8 mia. kr.):
I maj 2023 blev det første danske udbud af støtte til CCS
afgjort. Vinderbuddet har forpligtet sig på at levere 0,43 mio. ton reduktioner fra 2026 med opstart i 2025.
Aftale om styrkede rammevilkår for CCS i Danmark:
Regeringen har indgået en aftale som skal sikre ram-
merne for CCS. Formålet er bl.a. at skabe øget sikkerhed for de forventede reduktioner på 2,3 mio. ton i
2030.
Udbud for CCS på biogene kilder åbnes (NECCS-puljen):
I august 2023 er det såkaldte NECCS-udbud åbnet
med frist for bud 1. december 2023. Puljen har til formål at levere reduktioner fra 2025-2026.
Oplæg om CCS i forsyningssektoren:
regeringen præsenterer oplæg til langsigtede rammer for CO
2
-fangst i
forsyningssektoren, herunder fordele og ulemper ved at krav om CO
2
-fangst.
Første udbud af onshore lagringslicenser åbner:
Energistyrelsen åbner for udbud af CO
2
-lagringslicenser på
land.
Lovforslag om rørført CO
2
-transport:
Det følger af regeringens udspil fra august 2023, at regeringen i januar
2024 vil fremsætte lovforslag om rørført transport af CO
2
. Formålet er at sikre klare rammer for CO2-trans-
port med henblik på at øge investeringssikkerheden og derved realiseringen af CCS i Danmark.
CCS-pulje på ca. 26,8 mia. kr.:
Første og andet udbud af den foreslåede samlede CCS-pulje, som følger af
regeringens udspil fra august 2023. Der lægges op til at udbuddene afholdes i henholdsvis juni 2024 og juni
2025, da der til den tid forventes afklaret en række regulatoriske spørgsmål og aktørerne samtidig vil have
tid til idriftsættelse inden 2029.
Først fuldskalaanlæg i drift, værdikæde etableret:
Det forventes, at det første fuldskala CO
2
-fangst og –lag-
ringsprojekt er idriftsat i 2025 som følge af afgørelsen af den første fase af CCUS-puljen.
TRU, Alm.del - 2023-24 - Endeligt svar på spørgsmål 261: MFU spm. om ministeren vil oversende en opdateret oversigt over de klimabegrundede initiativer, der på nationalt og europæisk niveau får betydning på transportområdet inden for de kommende ca. 5 år
2841680_0158.png
158
KLIMAPROGRAM 2023
Power-to-X
Anvendelsen af Power-to-X (PtX) i Danmark skønnes at have et teknisk reduktionspotentiale på ca. 4,3 mio. ton
CO
2
e i 2030,
jf. kapitel 7 om tekniske veje til målopfyldelse.
PtX-brændstoffer kan for nuværende ikke konkurrere
prismæssigt med fossile brændstoffer eller biobrændstoffer. Dog skønnes prisen på PtX-brændstoffer på sigt at
falde som følge af opskalering af produktion og forbedrede rammevilkår. Det er derfor muligt, at PtX-brændstof-
fer på sigt bliver billigere end avancerede biobrændstoffer og dermed bliver et konkurrencedygtigt alternativ i de
sektorer, hvor det ikke er muligt eller meget dyrt at elektrificere direkte. Det drejer sig primært om sektorer såsom
søfart, luftfart samt dele af en række sektorer, herunder den tunge vejtransport, industrien, landbruget, fiskeriet,
samt bygge- og anlægssektoren. Fordelingen mellem elektrificering og PtX-brændstoffer vil afhænge af teknolo-
giudviklingen og prissætningen for både direkte elektrificering og PtX-brændstoffer.
Danmark har endnu ikke en etableret brintinfrastruktur, som kan understøtte en fleksibel drift af elektrolyse anlæg
samt transport og lagring af brint. Aktuelt eksisterer der ikke et bredt europæisk eller internationalt marked for
PtX-produkter. Dog kan en række initiativer fra EU, herunder
REPowerEU, Fit for 55 og EU’s brint- og gasmarkeds-
pakke
samt det reviderede
VE-direktiv,
forventeligt skabe en efterspørgsel på PtX-produkter på sigt.
Med
Aftale om udvikling og fremme af brint og grønne brændstoffer
er der fastsat mål om 4-6 GW elektrolyseka-
pacitet i 2030. Regeringen har i 2023 indgået en delaftale med et bredt flertal i Folketinget om regulering af ejer-
skab og drift af fremtidens danske, rørbundne brintinfrastruktur. Regeringen vil dertil i 2023 præsentere oplæg til
økonomiske rammevilkår for rørbunden brintinfrastruktur,
jf. figur 9.10,
ligesom det første PtX-udbud på 1,25 mia.
kr. afholdes.
Figur 9.10
Regeringens arbejdsprogram for Power-to-X
Anm.: Figuren viser kun, hvilket år indsatser iværksættes. Placeringen af indsatser i de enkelte år er således ikke udtryk for hvornår på året, indsatsen
iværksættes. Forordninger implementeres direkte i dansk lov og fremgår derfor ikke af regeringens plan.
EU’s delegerede retsakter om krav til grøn brint træder i kraft:
Retsakterne indebærer bl.a., at definitionen
af grøn brint er blevet fastlagt på EU-niveau. Det sikrer, at brintsektoren på tværs af EU har samme vilkår, og
at producenter er bekendte med kravene til EU-certificeret grøn brint.
Bilateral aftale om brintrør til Tyskland:
I marts 2023 underskrev Danmark og Tyskland en bilateral aftale
om at understøtte etableringen af grænseoverskridende landbaseret brintinfrastruktur mellem vores to
lande fra 2028.
TRU, Alm.del - 2023-24 - Endeligt svar på spørgsmål 261: MFU spm. om ministeren vil oversende en opdateret oversigt over de klimabegrundede initiativer, der på nationalt og europæisk niveau får betydning på transportområdet inden for de kommende ca. 5 år
2841680_0159.png
KLIMAPROGRAM 2023
159
Brint indskrevet i gasforsyningsloven:
Brint er indskrevet i gasforsyningsloven som led i at sikre den lov-
mæssige regulering af sektoren. Lovændringen trådte i kraft d. 1. januar 2023.
Lovforslag om direkte linjer og differentierede forbrugstariffer:
Lovforslaget muliggør, at der kan søges
om og oprettes direkte linjer og mulighed for geografisk differentierede tariffer, så PtX-anlæg kan kobles
direkte til elektricitetskilden.
Mulighed for etablering af brintinfrastruktur:
Med 1. delaftale om ejerskab og drift af fremtidens danske,
rørbundne brintinfrastruktur blev aftalepartierne bl.a. enige om, at rørbunden brintinfrastruktur som ud-
gangspunkt skal være offentligt ejet gennem Evida og Energinet.
National investeringsstøtteordning:
Med
Aftale om udvikling og fremme af brint og grønne brændstoffer
er
der afsat 344 mio. kr. til en national investeringsstøtteordning med særligt fokus på PtX og brint, hvoraf 244
mio. kr. allerede er udmøntet. Der blev yderligere afsat 100 mio. kr. fra Fonden for Retfærdig Omstilling
(FRO) til investeringsstøtteordningen, som forventes annonceret i 2023.
PtX-udbud afholdes:
Som led i
Aftale om udvikling og fremme af brint og grønne brændstoffer
er der
igangsat et udbud på 1,25 mia. kr. til understøttelse af produktion af grøn brint i Danmark.
Oplæg til økonomiske rammevilkår for brintinfrastruktur forventes præsenteret:
Jf. Aftale om udvikling og
fremme af brint og grønne brændstoffer
vil regeringen præsentere aftalepartierne for et oplæg, der skal fast-
sætte de økonomiske rammevilkår for brintinfrastruktur i Danmark.
EU’s brint- og gasmarkedspakke forventes vedtaget i EU:
Lovpakken sætter rammerne for den overord-
nede europæiske regulering af brintsektoren og brintmarkedet. Pakken forventes vedtaget i løbet af efter-
året 2023.
Første pilotauktion i EU’s brintbank forventes åbnet:
Kommissionen forventer inden udgangen af 2023 at
igangsætte pilotudbud til støtte af produktionen af grøn brint i EU. Udbuddet er finansieret med 800 mio.
EUR gennem midler fra EU’s innovationsfond.
TRU, Alm.del - 2023-24 - Endeligt svar på spørgsmål 261: MFU spm. om ministeren vil oversende en opdateret oversigt over de klimabegrundede initiativer, der på nationalt og europæisk niveau får betydning på transportområdet inden for de kommende ca. 5 år
2841680_0160.png
160
KLIMAPROGRAM 2023
Metanreducerende foder vurderes at have et teknisk reduktionspotentiale på ca. 0,8 mio. ton CO
2
e i 2030
29
,
jf.
boks 7.1 i kapitel 7 om tekniske veje til målopfyldelse.
Stoffet Bovaer (3-NOP) er det første EU-godkendte metanre-
ducerende fodertilsætningsstof. På baggrund af udenlandske studier skønnes det umiddelbart, at Bovaer kan re-
ducere CO
2
e-udledningen fra kvægs fordøjelse med op til 30 pct., svarende til en effekt på op til ca. 0,5 mio. ton
CO
2
e i 2025 og 2030. Ud over den økonomiske barriere for anvendelse af Bovaer, er klimaeffekten ved anven-
delse under danske forhold genstand for et igangværende forskningsprojekt, der afsluttes i 2024.
Med henblik på at modne grønne teknologier på landbrugsområdet er klima- og miljøvenligt landbrug og fødeva-
reproduktion udpeget som en af fire grønne forskningsmissioner i forskningsprogrammet. Der er efterfølgende
blevet afsat og udmøntet yderligere ca. 126 mio. kr. med
Aftale om fordeling af forskningsreserven m.v. i 2022
til
projekter, som falder inden for landbrugsmissionen. I 2023 er der afsat yderligere 301,8 mio. kr. til de fire grønne
missioner, herunder missionen om klima- og miljøvenligt landbrug og fødevareproduktion. Midlerne er endnu ikke
udmøntet. Derudover er der afsat midler i bl.a. landbrugsaftalen og til Grønt Udviklings- og Demonstrationspro-
gram (GUDP) til forskning og udvikling af metanreducerende foder.
Regeringen har i september 2023 præsenteret en strategi for de tekniske reduktionspotentialer inden for metanre-
ducerende foder. Strategien omfatter en række indsatser med det formål at fremme udviklingen af nye typer me-
tanreducerende foder. Strategien igangsætter bl.a. en undersøgelse af klimaeffekten ved afgræsning, mens der
tages initiativ til nedsættelsen af et sektorforum for metanreducerende foder,
jf. figur 10.4.
Regeringens
arbejdsprogram for metanreducerende foder skal læses i forlængelse af de initiativer, som fremgår af
regeringens arbejdsprogram for land- og skovbrugssektoren,
jf. figur 9.46.
Figur 10.4
Metanreducerende foder
Regeringens arbejdsprogram for metanreducerende foder
Anm.: Figuren viser kun, hvilket år indsatser iværksættes. Placeringen af indsatser i de enkelte år er således ikke udtryk for hvornår på året, indsat-
sen iværksættes.
Lovgrundlag for implementering af det generelle reduktionskrav i 2025:
Det fornødne hjemmelsgrund-
lag til at fastsætte krav om reduktion af udledninger fra erhvervsmæssige dyrehold i Danmark blev etab-
leret i husdyrbrugloven den 1. maj 2023.
Igangsætning af forsøg vedr. klimaeffekten ved afgrænsning:
Der igangsættes med strategien for me-
tanreducerende foder et forskningsforsøg, som skal belyse evt. klimaeffekter ved at lade kvæg græsse
under danske forhold.
29
Nedjusteret fra 1 mio. ton i Landbrugsaftalen, som følge af bl.a. forventninger til antal kvæg i 2030.
TRU, Alm.del - 2023-24 - Endeligt svar på spørgsmål 261: MFU spm. om ministeren vil oversende en opdateret oversigt over de klimabegrundede initiativer, der på nationalt og europæisk niveau får betydning på transportområdet inden for de kommende ca. 5 år
2841680_0161.png
KLIMAPROGRAM 2023
161
Opfølgning på udviklingssporet i landbrugsaftalen:
Der skal følges op på udviklingsinitiativerne inden
udgangen af 2023. Opfølgningen skal ses i sammenhæng med afrapportering på ekspertgruppen for en
grøn skattereform.
Afrapportering fra Ekspertgruppen for en Grøn Skattereform:
Ekspertgruppen for en Grøn Skattereform
skal ifølge kommissoriet aflevere sin endelige rapport, som adresserer landbrugets ikke-energirelaterede
udledninger. Regeringen vil fremlægge et forslag til klimaafgift på landbruget, når ekspertgruppen har
fremlagt sine konklusioner.
Genbesøg af
Aftale om grøn omstilling af dansk landbrug:
Den samlede aftale genbesøges senest i
2023/2024, hvor parterne – på baggrund af et oplæg fra regeringen – træffer beslutning om håndtering af
reduktionsmålet, kvælstofindsatsen og søgningen på frivillige virkemidler. Genbesøget skal ses i sam-
menhæng med endelig afrapportering fra Ekspertgruppe for en Grøn Skattereform.
Afrapportering fra Bovaer forsøg:
Forskningsprojekt skal sikre tilstrækkelig dokumentation af klimaef-
fekterne ved anvendelse af Bovaer til, at effekten af stoffet potentielt kan medregnes i den nationale
emissionsopgørelse. Forsøget forventes afsluttet med endelig afrapportering i 1. halvår 2024.
Forskningsresultater fra MABICOW-forskningsprojekt vedr. metanreducerende foder til kvæg:
Påbe-
gyndt af Aarhus Universitet med støtte fra AgriFoodTure Innomission 3 under Innovationsfonden. Projek-
tet har til formål at undersøge, om nordiske tangarter har metanreducerende komponenter, som kan
mindske udskillelsen af metan hos kvæg.
Ikrafttrædelse af generelt reduktionskrav for husdyrs fordøjelse:
Af landbrugsaftalen fremgår det, at der
– hvis muligt – skal fastsættes et generelt reduktionskrav fra 2025 svarende til en effekt på 0,16 mio. ton
CO
2
e i 2030 baseret på øget andel af fedt i foderet. Det er siden landbrugsaftalens indgåelse blevet afkla-
ret, at det er muligt at indføre et generelt krav om reduktion af udledningerne fra husdyrs fordøjelse, dvs.
et krav med metodefrihed for landbrugeren. Det forventes således, at Bovaer potentielt vil kunne indgå
som en teknologimulighed til opfyldelse af et generelt reduktionskrav fra og med 2025 afhængigt af re-
sultaterne fra det igangværende forskningsprojekt med Bovaer.
Ny periode for EU’s Fælles Landbrugspolitik (CAP):
Rammerne for landbrugsstøtten fastlægges i en ny
fireårig periode fra 2027-2031. Det skal undersøges, om anvendelsen af metanreducerende foder kan
støttes økonomisk for at give større incitament til klimavenlig landbrugsdrift.
TRU, Alm.del - 2023-24 - Endeligt svar på spørgsmål 261: MFU spm. om ministeren vil oversende en opdateret oversigt over de klimabegrundede initiativer, der på nationalt og europæisk niveau får betydning på transportområdet inden for de kommende ca. 5 år
2841680_0162.png
162
KLIMAPROGRAM 2023
Det tekniske reduktionspotentiale for at reducere udledninger for gylle- og gødningshåndtering skønnes at være
1,2 mio. ton CO
2
e i 2030
30
, når der er taget højde for overlap mellem gylle- og gødningshåndteringsteknologi-
erne
31
,
jf. boks 7.1 i kapitel 7 om tekniske veje til målopfyldelse.
Potentialet dækker over en række teknologier på
forskellige udviklingsstadier rangerende fra konceptuelle ideer til færdigudviklede teknologier, hvor der alene ude-
står dokumentation af effekt. Barriererne for anvendelsen af teknologierne er bl.a. manglende dokumentation af
reduktionseffekt, høje omkostninger og usikkerhed om potentielle sideeffekter på miljøet.
Med henblik på at modne teknologier er klima- og miljøvenligt landbrug og fødevareproduktion udpeget som en
af fire grønne forskningsmissioner. Derudover er midler bl.a. afsat i landbrugsaftalen til forskning og udvikling af
gylle- og gødningsteknologier. Det forventes, at fremskaffelsen af dokumentation for reduktionseffekt af de en-
kelte teknologier ved gennemførelse af konkrete målinger vil tage minimum to til fire år fra igangsættelsestids-
punktet.
Regeringen har i september 2023 præsenteret en strategi for de tekniske reduktionspotentialer inden for håndte-
ring af gylle og gødning. Strategien anviser vejen for fortsat modning, udvikling og implementering af lovende tek-
nologier til reduktion af drivhusgasser fra stald og lager samt tilsætningsstoffer til gødning. I strategien sammen-
fattes den aktuelle status for teknologierne, samtidig med at der lægges en konkret plan for, hvordan regeringen
ønsker at styrke den fortsatte udvikling. Derudover er lovforslag om krav om hyppig udslusning af svinegylle fra
2023 vedtaget og trådt i kraft,
jf. figur 10.5.
Regeringens arbejdsprogram for gylle- og gødningshåndtering skal
læses i forlængelse af de initiativer, som fremgår af regeringens arbejdsprogram for land- og skovbrugssektoren,
jf. figur 9.46.
Figur 10.5
Gylle- og gødningshåndtering
Regeringens arbejdsprogram for gylle- og gødningshåndtering
Anm.: Figuren viser kun, hvilket år indsatser iværksættes. Placeringen af indsatser i de enkelte år er således ikke udtryk for hvornår på året, indsat-
sen iværksættes. Forordninger implementeres direkte i dansk lov og fremgår derfor ikke af regeringens plan.
Lovgrundlag for implementering af teknologier på plads:
Folketinget har den 1. maj 2023 vedtaget et
lovforslag, som sikrer, at der er lovgrundlag i husdyrbrugloven til regulering af drivhusgasudledninger fra
erhvervsmæssige dyrehold i stald og lager. Lovgrundlaget kan anvendes til at fastsætte regler i bekendt-
gørelse om indretning og drift af anlæg med henblik på at reducere udledning af drivhusgasser, såfremt
der træffes politisk beslutning herom.
Potentialet er opjusteret ift. potentialet på 1 mio. ton i landbrugsaftalen, som følge af flere faktorer bl.a. nye fremskrivninger for gylle
og gødning, og nye vurderinger af relevante teknologier.
31
Potentialet dækker over følgende teknologier: Nitrifikationshæmmere, gyllekøling, teltoverdækning i kombination med flydelag, stald-
forsuring, biofilter på lager, lavdosis lagerforsuring og fakkelafbrænding ved lager.
30
TRU, Alm.del - 2023-24 - Endeligt svar på spørgsmål 261: MFU spm. om ministeren vil oversende en opdateret oversigt over de klimabegrundede initiativer, der på nationalt og europæisk niveau får betydning på transportområdet inden for de kommende ca. 5 år
2841680_0163.png
KLIMAPROGRAM 2023
163
Forskningsprojekt i kombinationseffekter ved anvendelse af flere stald- og lagerteknologier på samme
tid:
Regeringen forventer at igangsætte en række nye forskningsprojekter for at undersøge kombinati-
onsmuligheder mellem forskellige stald- og lagerteknologier i 2023. Regeringen har med
Aftale om forde-
ling af forskningsreserven mv.
afsat 20 mio. kr. på forskningsreserven 2023 til forskning i gylle- og gød-
ningsteknologier, herunder kombinationseffekter. Resultaterne fra disse samt fra allerede igangværende
projekter forventes at bringe de flere af teknologierne tættere på implementering.
Lov om hyppigere udslusning af svinegylle vedtaget:
Fra den 1. maj 2023 er der indført lovkrav om hyp-
pig udslusning i eksisterende slagtegrisestalde samt for alle nye grisestalde,
jf. landbrugsaftalen.
Ved
hyppig udslusning begrænses gyllens opholdstid i stalden, idet den flyttes til det udendørs lager. Her er
temperaturen lavere, hvorved udledningerne reduceres. Der er tale om en kendt teknik, der allerede an-
vendes med henblik på at begrænse lugtgener.
Opfølgning på udviklingssporet i landbrugsaftalen:
Der skal følges op på udviklingsinitiativerne inden
udgangen af 2023. Opfølgningen skal ses i sammenhæng med afrapportering på ekspertgruppen for en
grøn skattereform.
Afrapportering fra Ekspertgruppen for en Grøn Skattereform:
Ekspertgruppen for en Grøn Skattereform
skal ifølge kommissoriet aflevere sin endelige rapport, som adresserer landbrugets ikke-energirelaterede
udledninger. Regeringen vil fremlægge et forslag til klimaafgift på landbruget, når ekspertgruppen har
fremlagt sine konklusioner.
Genbesøg af
Aftale om grøn omstilling af dansk landbrug:
Den samlede aftale genbesøges senest i
2023/2024, hvor parterne – på baggrund af et oplæg fra regeringen – træffer beslutning om håndtering af
reduktionsmålet, kvælstofindsatsen og søgningen på frivillige virkemidler. Genbesøget skal ses i sam-
menhæng med endelig afrapportering fra Ekspertgruppe for en Grøn Skattereform.
Forventede forskningsresultater ang. nitrifikationshæmmere:
Lattergasudledningen fra gødning med
og uden nitrifikationshæmmere tilsat undersøges i et igangværende forskningsprojekt, der forventes af-
sluttet i 2024. Nitrifikationshæmmeres evt. påvirkning af bl.a. jordlevende organismer undersøges ligele-
des i et igangværende forskningsprojekt. Det er et fokuspunkt, at anvendelsen af nitrifikationshæmmere
ikke forurener grund- og drikkevand.
Forventede forskningsresultater ang. klimaeffekt ved lav-dosis lagerforsuring, staldforsuring samt fak-
kelafbrænding:
Ved lavdosis forsuring i lager anvendes koncentreret svovlsyre som sænker pH-værdien i
gyllelageret, hvorved omsætningen og dannelsen af metan hæmmes. Projektet forventes afsluttet i
2025. Ved fakkelafbrænding opsamles den udledte metan fra gyllen i luften over gyllelageret under et
tætsluttende telt for derefter at blive ledt ud i en fakkel og brændt af. Projektet forventes afsluttet ultimo
2024. Ved forsuring i stalden sænkes pH-værdien i gyllen ved tildeling af svovlsyre via et staldforsurings-
anlæg, hvorved omsætningen og dannelsen af metan og ammoniak i gyllen hæmmes. Projektet forven-
tes afsluttet i 2025.
Forventede forskningsresultater ang. reduktionseffekter ved hyppigere udslusning:
Der forskes i flere
mulige måder at udsluse oftere end ugentligt, herunder linespil. Linespil fungerer ved at skrabe gyllen
ned i en tværkanal minimum en gang dagligt i svinestalde. Projektet om udslusning forventes afrapporte-
ret ultimo 2025.
Forventede forskningsresultater ang. kombinationseffekter:
De forskellige løsninger kan anvendes til
reduktion af drivhusgasser fra enten i stald eller lager, men vil potentielt også kunne kombineres. Derud-
over vil nogle teknologier i første led af gylle-kæden (stalden) potentielt også have en effekt i andre led af
gylle-kæden (fx gyllelageret eller marken). Regeringen har med
Aftale om fordeling af forskningsreserven
mv.
afsat 20 mio. kr. til forskning i gylle- og gødningsteknologier, herunder kombinationseffekter. Miljø-
ministeriet forventer at kunne udmelde de endelige projekter i efteråret 2023.
TRU, Alm.del - 2023-24 - Endeligt svar på spørgsmål 261: MFU spm. om ministeren vil oversende en opdateret oversigt over de klimabegrundede initiativer, der på nationalt og europæisk niveau får betydning på transportområdet inden for de kommende ca. 5 år
2841680_0164.png
164
KLIMAPROGRAM 2023
Ny periode for EU’s Fælles Landbrugspolitik (CAP):
Rammerne for landbrugsstøtten fastlægges i en ny
fireårig periode fra 2027-2031. Det skal undersøges, om anvendelsen af teknologier inden for håndtering
af gylle og gødning kan støttes økonomisk for at give større incitament til klimavenlig landbrugsdrift.
TRU, Alm.del - 2023-24 - Endeligt svar på spørgsmål 261: MFU spm. om ministeren vil oversende en opdateret oversigt over de klimabegrundede initiativer, der på nationalt og europæisk niveau får betydning på transportområdet inden for de kommende ca. 5 år
2841680_0165.png
KLIMAPROGRAM 2023
165
Reduktionspotentialet af brun bioraffinering (pyrolyse) blev skønnet til 2,0 mio. ton CO
2
e i landbrugsaftalen. Po-
tentialet opdateres frem mod at regeringen præsenterer sin strategi for pyrolyse i efteråret 2023. Potentialet for
biokul som klimavirkemiddel i landbrugssektoren afhænger bl.a. af den tilgængelige landbrugsjord, den tilgænge-
lige mængde bæredygtig biomasse (fx dansk eller importeret biomasse), og hvor meget biokul der kan bringes ud
på landbrugsjord, uden at det medfører negative konsekvenser for miljøet eller dyrkningen af jorden. Derudover
kan der være potentiale for reduktioner forbundet med fortrængning af fossile brændsler ved anvendelse af pyro-
lysegas og –olie, der også dannes i pyrolyseprocessen. Barrierer for anvendelsen af biokul i landbruget omfatter
bl.a. manglende dokumentation af klimamæssige-, miljømæssige og agronomiske effekter samt manglende øko-
nomiske incitamenter til at lagre kulstof.
Der er i de seneste år afsat samlet 396 mio. kr. gennem landbrugsaftalen samt
Finansloven for 2021
til udvikling
af brun bioraffinering, ligesom der i år er afsat 50 mio. kr. til udvikling og demonstration igennem Energiteknolo-
gisk Udviklings- og Demonstrationsprogram (EUDP). Der er endvidere afsat midler i både GUDP og Innovations-
fonden til udvikling og demonstration af brun bioraffinering såsom pyrolyse og biokul. Midlerne går bl.a. til etable-
ring af fuldskala demonstrationsanlæg.
Regeringen vil snarest præsentere en strategi for pyrolyse
jf. figur 10.6.
Der er med
Aftale om fordeling af forsk-
ningsreserven mv.
i 2023 afsat 110 mio. kr. til forskning i de tekniske reduktionspotentialer på landbrugsområdet,
herunder 80 mio. kr. til pyrolyse. Regeringen vil præsentere anvendelsen af forskningsmidlerne, når pyrolysestra-
tegien offentliggøres. Regeringens arbejdsprogram for pyrolyse skal læses i forlængelse af de initiativer, som
fremgår af regeringens arbejdsprogram for land- og skovbrugssektoren,
jf. figur 9.46.
Figur 10.6
Brun bioraffinering (pyrolyse)
Regeringens arbejdsprogram for brun bioraffinering (pyrolyse)
Anm.: Figuren viser kun, hvilket år indsatser iværksættes. Placeringen af indsatser i de enkelte år er således ikke udtryk for hvornår på året, indsat-
sen iværksættes. Forordninger implementeres direkte i dansk lov og fremgår derfor ikke af regeringens plan.
Udmøntning af EUDP-midler til udvikling af pyrolyse:
Der er i 2023 EUDP-regi afsat 50 mio. kr. til udvik-
ling og demonstration af pyrolyse.
Midler fra landbrugsaftalen til udvikling af pyrolyse i 2023-2024:
Med aftalen blev der afsat 196 mio. kr.
til pyrolyse i 2023-2024, ud over de 200 mio. kr. der blev afsat med
Finansloven for 2021.
Midlerne er fi-
nansieret gennem den nye EU-fond Fonden for Retfærdig Omstilling (FRO) og udmøntes af Erhvervssty-
relsen.
Lancering af pyrolysestrategi:
Regeringen vil præsentere en strategi for pyrolyse i efteråret 2023.
Udvikling af metode til opgørelse af klimaeffekten fra biokul:
Der skal udvikles en metode, så klimaef-
fekten fra biokul kan tælles med i den nationale drivhusgasopgørelse. Det forberedende arbejde er i
TRU, Alm.del - 2023-24 - Endeligt svar på spørgsmål 261: MFU spm. om ministeren vil oversende en opdateret oversigt over de klimabegrundede initiativer, der på nationalt og europæisk niveau får betydning på transportområdet inden for de kommende ca. 5 år
2841680_0166.png
166
KLIMAPROGRAM 2023
gang, og metoden ventes færdig i 2026, hvorefter reduktioner fra biokul kan medtælles i emissionsregn-
skabet.
TRU, Alm.del - 2023-24 - Endeligt svar på spørgsmål 261: MFU spm. om ministeren vil oversende en opdateret oversigt over de klimabegrundede initiativer, der på nationalt og europæisk niveau får betydning på transportområdet inden for de kommende ca. 5 år
2841680_0167.png
KLIMAPROGRAM 2023
167
11. Global strategi
Danmark har med klimaloven og 70 pct. målet sat et højt ambitionsniveau for klimahandling. Den nationale klima-
indsats gør Danmark til et førende land inden for grøn omstilling. Klimaloven fastslår desuden, at Danmark har et
ansvar for at reducere drivhusgasudledninger både på nationalt og globalt plan. Selvom Danmark er et lille land,
kan den nationale indsats i Danmark have betydelig indvirkning på globale udledninger. Det gælder både når dan-
ske teknologier, løsninger og ekspertise anvendes i udlandet, og når Danmark viser, at grøn omstilling kan lykkes,
fx når reduktionsforanstaltninger går hånd i hånd med skabelsen af grønne jobs, opretholdelsen af et stærkt vel-
færdssamfund og med fastholdelse af bred opbakning i befolkningen. Hertil kommer de reduktioner, som Dan-
mark direkte kan medvirke til i den europæiske region, fx gennem produktion af grøn elektricitet og med tiden
grøn brint til europæiske forbrugere og erhverv, samt gennem lagring af CO
2
i den danske del af Nordsøen. På
globalt plan er myndighedssamarbejder et konkret værktøj, der hjælper partnerlande med den grønne omstilling.
Danmark kan dele erfaringer og løsninger med fx grøn energitransition, bæredygtige vand- og miljøløsninger og
bæredygtig fødevareproduktion med partnerlandene. Desuden spiller Danmark en vigtig rolle i internationale kli-
maforhandlinger som COP-forhandlingerne, som et land med store ambitioner for den grønne omstilling, men
som også har blik for klimaudsatte landes særlige udfordringer. Dertil skal lægges den danske indsats for at op-
fylde de finansielle behov inden for klimadagsordenen.
Regeringens indsats bygger videre på forrige regerings globale strategi,
Regeringens langsigtede strategi for glo-
bal klimaindsats
fra september 2020. Kapitlet beskriver den danske klimaindsats i verden i fem hovedspor:
1.
2.
3.
4.
5.
Øge de globale klimaambitioner
Reducere de globale drivhusgasudledninger ved at vise vejen for grøn omstilling
Drive tilpasnings- og modstandsdygtighedsinitiativer i kampen mod klimaforandringerne
Vende de globale finansieringsstrømme fra sort til grøn
Samarbejde med erhvervet om grønne løsninger, der gør en forskel
Danmarks placering på internationale bæredygtighedsmålinger
Flere tænketanke, NGO’er og forskningsinstitutioner har placeret Danmark i toppen på en række bæredygtigheds-
målinger,
jf. tabel 11.1.
Tabel 11.1
Danmarks placering på internationale bæredygtighedsmålinger
Institution
Environmental Performance Index
(Yale University & Columbia Univer-
sity)
The Green Future Index
(MIT Tech-
nology Review under Massachusetts
Institute of Technology (MIT))
Climate Change Performance Index
(Climate Action Network, Ger-
manWatch & NewClimate Institute)
Energy Transition Index
(World Eco-
nomic Forum)
4.
Danmarks placering
1.
Indhold
Vurderer 180 lande ud fra 40 bæredygtighedskrite-
rier, der både ser på miljømæssig sundhed og øko-
systemers vitalitet, herunder tiltag til at imødegå
klimaforandringer.
Rangerer 76 lande efter deres klimaforpligtelser og
fremskridt mod en lavemissionsfremtid.
Vurderer landes klimahandling ud fra 4 kategorier:
Udledninger, vedvarende energi, energiforbrug og
klimapolitik.
Vurderer 120 landes omstilling i energisektoren.
4.
(1-3 plads er sym-
bolsk tomme)
2.
TRU, Alm.del - 2023-24 - Endeligt svar på spørgsmål 261: MFU spm. om ministeren vil oversende en opdateret oversigt over de klimabegrundede initiativer, der på nationalt og europæisk niveau får betydning på transportområdet inden for de kommende ca. 5 år
2841680_0168.png
168
KLIMAPROGRAM 2023
Regeringens globale indsatser det kommende år
Nedenfor præsenteres regeringens indsatser inden for de fem hovedspor, herunder de 10 flagskibsindsatser,
som udgør en særlig prioritet for regeringen i den danske globale klimaindsats i det kommende år. Indsatserne
for de to første hovedspor om at øge de globale klimaambitioner og reducere de globale drivhusgasudledninger
ved at vise vejen for grøn omstilling præsenteres samlet. De resterende hovedspor præsenteres særskilt.
Hovedspor 1 og 2: Øge de globale klimaambitioner og reducere de globale drivhusgasud-
ledninger ved at vise vejen for grøn omstilling
Stadig flere lande leverer mere ambitiøse klimamål, også verdens største udledere. Den seneste rapport fra FN’s
klimapanel, IPCC bekræfter dog nødvendigheden af yderligere og accelereret forøgelse af de globale klimaambiti-
oner, hvis verden skal nå Parisaftalens temperaturmål om ikke at overstige 1,5 grader i det 21. århundrede. Derfor
opstiller Danmark en række prioriteter, der skal bidrage til at øge de globale klimaambitioner og reducere de glo-
bale drivhusgasudledninger,
jf. boks 11.1.
Boks 11.1
Flagskibe for hovedspor 1 og 2: Arbejde for øgede ambitioner og reduktioner i in-
ternationale fora og styrket myndighedssamarbejde i Det Globale Syd
Danmark arbejder gennem multilaterale alliancer, COP-forhandlinger, styrket klimadiplomati i EU og bila-
teralt samarbejder for at reducere de globale udledninger.
Beslutning om fossil udfasning på COP28:
Ved COP26 i 2021 lykkedes det for første gang at få en
reference til fossile brændsler gennem en opfordring til nedfasning af kulkraft. Danmark vil som en ho-
vedprioritet arbejde for, at COP28 bidrager til en generel udfasning af fossil energi. Danmark
arbejder derudover for at udfasningsdagsordenen suppleres med etablering af globale 2030 målsætnin-
ger for udbredelse af vedvarende energi og energieffektivitet.
Myndighedssamarbejde:
Regeringen har med regeringsgrundlaget og med den nye udenrigs- og sikker-
hedspolitiske strategi fra 2023 slået fast, at myndighedssamarbejdet er et af vores vigtigste redskaber
til at skabe ligeværdige partnerskaber.
På energiområdet
indgår Danmark i bilaterale myndighedssamarbejder med statslige, regionale
og lokale myndigheder i 24 landelande, som tilsammen står for omkring ca. 70 pct. af verdens
CO
2
e-udledninger. Indsatserne bygger på danske kernekompetencer inden for langsigtet energi-
planlægning, integration af vedvarende energi, vindenergi (særligt havvind), energieffektivitet og
fjernvarme. Udover den tekniske viden inden for disse områder deles også best practice fra den
danske lovgivningsmæssige- og politiske ramme.
På fødevareområdet
fokuserer danske myndighedssamarbejder på grønne omstillingsudfor-
dringer i ti lande. Projekterne arbejder med kapacitetsopbygning inden for klimaeffektiv og bæ-
redygtig fødevareproduktion., særligt inden for forbedring af fødevaresystemer, fødevaresikker-
hed, dyresundhed, fødevaretab og madspild, økologiske produktionsmetoder og antibiotikaresi-
stens.
På vand- og miljøområdet
samarbejder Danmark med 14 lande. Visse samarbejder omhandler
en effektiv forsyning af drikkevand og rensning af spildevand, ofte med fokus på at sikre en bæ-
redygtig forvaltning og en klima- og energieffektiv vandhåndtering. Andre samarbejder omhand-
ler cirkulær økonomi og affald med særligt fokus på indsamling af affald og muligheder for gen-
anvendelse for derved at kunne reducere ressourceforbruget.
TRU, Alm.del - 2023-24 - Endeligt svar på spørgsmål 261: MFU spm. om ministeren vil oversende en opdateret oversigt over de klimabegrundede initiativer, der på nationalt og europæisk niveau får betydning på transportområdet inden for de kommende ca. 5 år
2841680_0169.png
KLIMAPROGRAM 2023
169
Figur 11.1
Verdenskort over danske myndighedssamarbejder inden for energi-, miljø- og fø-
devareområdet
Anm. Danmark har myndighedssamarbejde med følgende 33 lande: Bangladesh, Brasilien, Indien, Ghana, Kenya, Indonesien, Kina, Colombia, Egypten, Etio-
pien, Marokko, Mexico, Nigeria, Sydafrika, Thailand, Tyrkiet, Vietnam, USA, UK, Polen, Frankrig, NL, Tyskland, Litauen, Letland, Estland, Ukraine, Italien, Spa-
nien, Portugal, Sydkorea, Japan, UAE.
Ud over flagskibsindsatserne har regeringen også en række yderligere indsatser, som skal bidrage til at øge de
globale klimaambitioner og reducere de globale drivhusgasudledninger ved at vise vejen for grøn omstilling,
jf.
boks 11.2.
Boks 11.2
Danske prioriteter i forhold til hovedspor 1 og 2: Øge de globale klimaambitioner og
reducere de globale drivhusgasudledninger ved at vise vejen for grøn omstilling
Global Stocktake:
På COP28 afsluttes det første såkaldte ”globale stocktake” (GST), hvor landene hvert
femte år skal gøre status på de kollektive fremskridt i implementeringen af Parisaftalen. Danmark arbej-
der for, at GST munder ud i konkrete fremadskuende anbefalinger til regeringer, privatsektoren og lokale
myndigheder om at øge ambitioner, samarbejde og implementering for at nå 1,5 graders målet, og at der
meldes ambitiøse reduktionsmål ind for perioden efter 2030. Det emiratiske COP28-formandskab har
bedt minister for udviklingssamarbejde og global klimapolitik, Dan Jørgensen, på COP28-præsidentens
vegne at forberede den del af COP28-forhandlingerne, der handler om det globale stocktake. Danmark vil
søge en nøglerolle på selve COP28 for i størst mulig grad at være med til at påvirke udfaldet af forhand-
lingerne.
Øge klimaambitioner inden for skibsfart:
Danmark arbejder for klimaneutral international skibsfart i
2050. I juli 2023 vedtog FN’s Søfartsorganisation (IMO) en revideret klimastrategi for international skibs-
fart med målet om klimaneutral skibsfart i eller tæt på 2050. Danmark vil arbejde aktivt for, at strategi-
ens målsætninger bliver opfyldt gennem udvikling og vedtagelse af globale ambitiøse regler i IMO. Dan-
mark vil også arbejde for at fremme grønne løsninger til skibsfarten internationalt. Det vil ske i regi af de
maritime SSC-myndighedssamarbejder med Kina, Ghana, Indonesien, Indien og Kenya samt i eksiste-
rende samarbejder med andre maritime nationer som Sydkorea og Singapore.
Mitigation Work Programme:
I forbindelse med COP27 blev der vedtaget et nyt arbejdsprogram for re-
duktioner, det såkaldte
Mitigation Work Programme
(MWP), der skal bidrage til at øge ambitioner og im-
plementering af reduktionsmål i perioden før 2030. Danmark vil arbejde for, at MWP følger op på redukti-
onsmålsætninger fra tidligere COP-konferencer samt arbejde for, at den efterfølgende politiske drøftelse
TRU, Alm.del - 2023-24 - Endeligt svar på spørgsmål 261: MFU spm. om ministeren vil oversende en opdateret oversigt over de klimabegrundede initiativer, der på nationalt og europæisk niveau får betydning på transportområdet inden for de kommende ca. 5 år
2841680_0170.png
170
KLIMAPROGRAM 2023
af MWP på COP28 skaber et fundament for et ambitiøst resultat, der bl.a. inkluderer udfasning af fossile
brændsler. Ydermere er arbejdet ifm. MWP en mulighed for at fremvise danske løsninger.
Copenhagen Climate Ministerial frem mod COP29:
I de sidste to år har Danmark været vært for et klima-
ministermøde i foråret, senest med Copenhagen Climate Ministerial i marts 2023. Ministermøderne har
været afholdt i samarbejde med det ind- og udgående COP-formandskab, og har budt på tidlige diskussi-
oner af centrale spørgsmål forud for årets COP. Danmark vil igen stå til rådighed som vært for et mini-
stermøde i 2024, hvis COP-formandskaberne vurderer, at det er nyttigt for forhandlingerne. Målet med
møderne i København er at gøde jorden for så stærke resultater på de efterfølgende COP-konferencer
som muligt.
Dansk formandsrolle i NDC-partnerskabet:
Nationally Determined Contribution Partnerskabet (NDC-P)
spiller en nøglerolle i at hæve klimaambitionerne i form af forbedrede NDC’er (beskriver hvert lands am-
bitioner for at reducere de nationale emissioner og tilpasse sig virkningerne af klimaforandringerne), og i
at facilitere implementering af disse. Danmark har stillet sig i spidsen ved at påtage sig en medfor-
mandsrolle for NDC-P’s styrekomite sammen med Rwanda, og planlægger en ny stor bevilling til NDC-P.
Aktiv medvirken i G20 på arbejdsspor for energitransition og miljø og klima:
Danmark blev for første
gang inviteret med til G20-forhandlingerne under indisk formandskab og deltog i arbejdsgrupperne for
miljø og klima samt energitransition. Formålet med arbejdsgrupperne var at forhandle centrale punkter
på de to spor, som afslutningsvist indgik i slutdokumentet til vedtagelse på G20-topmødet i september
2023. I slutdokumentet indgik bl.a. en målsætning om at arbejde for en global tredobling af vedvarende
energi inden 2030.
Fortsætte med at udbrede stop for offentlig støtte til fossil energi internationalt:
Regeringen besluttede
i 2021 at stoppe offentlig dansk finansiering og eksportfremmeydelser til fossile brændsler i energisek-
toren i udlandet fra d. 1. januar 2022. Danmark vil fortsætte med at arbejde for, at andre lande træffer
lignende beslutninger via samarbejde med bl.a. UK om implementering og udbredelse af COP26-erklæ-
ringen om international offentlig støtte til grøn energiomstilling (kaldet Clean Energy Transition Partner-
ship, CETP).
Øget eksportfinansiering af grønne projekter:
I 2023 blev eksportlåneordningen i Danmarks Eksport- og
Investeringsfond (EIFO’s) udvidet og forlænget, ligesom EIFO’s Genforsikringsordning til finansiering af
grønne eksportprojekter blev forlænget. Eksportlåneordningen udvides fra 25 til 50 mia. kr. og forlænges
fra 2025 til 2035, mens genforsikringsordningen til finansieringen af grønne eksportprojekter udvides fra
14 til 24 mia. kr. Udvidelsen af ordningerne understøtter grønne danske eksportørers forsatte adgang til
at vinde eksportordrer. Udvidelsen understøtter samtidig regeringens ambitioner om øget eksport af
grønne danske teknologier og dansk bidrag til den grønne omstilling.
EU’s globale rolle:
Det danske EU-formandskab falder sammen med det år, hvor alle parter til
Parisafta-
len
senest skal indmelde nye klimabidrag. Danmarks klimaindsats indgår i det fælles EU-klimabidrag. Fra
dansk side advokeres der for en ambitiøs opdatering af EU’s samlede klimabidrag, der skal trække store
udledere hen mod mere ambitiøse indmeldinger af nationale klimabidrag. Danmarks indsats koordineres
med ligesindede lande, herunder som grundlægger af gruppen ’group of friends’ i samarbejde med bl.a.
Tyskland.
International bindende aftale om plastikforurening:
Plastikforurening udgør en global krise med indvirk-
ning på økosystemer, biodiversitet, klima og menneskers sundhed. Danmark påtager sig en ledende rolle
i de verserende forhandlinger om en kommende global aftale om plastikforurening, for at aftalen skal
blive ambitiøs, juridisk bindende, og for at dens overordnede mål bliver at stoppe plastikforurening. Dan-
mark er et af de første lande til at tilslutte sig den koalition af ambitiøse lande, "High Ambition Coalition
to end Plastic Pollution", der har som mål at stoppe plastikforurening pr. 2040. Det er målet, at aftalen
skal være vedtaget inden udgangen af 2024.
Fremme af carbon pricing internationalt:
Danmark vil på baggrund af arbejdet med grøn skattereform
nationalt samt EU’s Fit for 55-pakke arbejde for at fremme udbredelsen af carbon pricing internationalt,
TRU, Alm.del - 2023-24 - Endeligt svar på spørgsmål 261: MFU spm. om ministeren vil oversende en opdateret oversigt over de klimabegrundede initiativer, der på nationalt og europæisk niveau får betydning på transportområdet inden for de kommende ca. 5 år
2841680_0171.png
KLIMAPROGRAM 2023
171
herunder gennem OECD’s Inclusive Forum on Carbon Mitigation Approaches og Coalition of Finance Mi-
nisters for Climate Action og i regi af IMF.
Beyond Oil and Gas Alliance (BOGA):
Som aktiv medformand i den globale klimaalliance BOGA vil Dan-
mark fortsætte arbejdet for en gradvis og retfærdig udfasning af olie- og gasproduktionen internationalt.
Alliancens nyetablerede fond på 10 mio. USD skal yde hurtig og fleksibel støtte til lande i det globale syd,
der ønsker at udvikle deres planer for at gøre deres økonomier uafhængige af olie- og gasproduktion.
Danmark vil fortsætte arbejdet med at øge tilslutningen til alliancen, sætte udfasningen af fossile
brændsler på den internationale dagsorden, herunder bidrage til ambitiøse COP-beslutninger, og samar-
bejde tæt med produktionslande både i det globale nord og syd med henblik på at belyse alternativer til
olie og gas.
Just Energy Transition Partnerships:
G7-landene har siden 2021 lanceret en række internationale part-
nerskaber, Just Energy Transition Partnerships (JET-P), som skal understøtte en grøn omstilling af ener-
gisystemerne og udfasning af særligt kulproduktion i højtudledende udviklingslande. G7 har annonceret
partnerskaber i Senegal, Vietnam, Indonesien og Sydafrika, hvor Danmark deltager i de tre sidstnævnte
og bl.a. bidrager via vores mangeårige myndighedssamarbejder i landene, finansiering gennem de dan-
ske finansieringsinstitutioner og private investeringer.
Global Offshore Wind Alliance (GOWA):
GOWA blev lanceret på COP27 med det formål at bidrage til op-
nåelsen af mindst 380 GW installeret havvind i 2030 og 2000 GW i 2050. I den kommende periode vil fo-
kus være på udvidelse af GOWA’s medlemskab, særligt med tilslutning af flere lande fra det globale syd,
etableringen af en styregruppe og af et sekretariat, som kan drive arbejdet i det daglige, samt lancerin-
gen af arbejdsspor om tilladelser til opstilling af havvindmølleparker og om markedsregulering og finan-
siering. Der vil endvidere arbejdes på at opretholde politisk momentum omkring initiativet gennem højni-
veaumøder i margen af UNGA og COP.
Grønne energiinitiativer i Afrika med fokus på vedvarende energi og energieffektivitet:
Danmark samar-
bejder med Den Afrikanske Union (AU) og Det International Energiagentur (IEA) om energieffektivitet i
Afrika og spiller, bl.a. på opfordring fra FN’s generalsekretær, en aktiv rolle i at styrke fokus på vedva-
rende energi i Afrika. Danmark har sammen med Tyskland og IRENA taget initiativ til et afrikansk-ledet
samarbejde med Kenya, Etiopien, Namibia, Rwanda, Sierra Leone og Zimbabwe om accelereret udbyg-
ning af vedvarende energi. Initiativet blev præsenteret ved det afrikanske klimatopmøde i Nairobi i sep-
tember 2023 under titlen ”Accelerated Partnership for Renewables in Africa” (APRA).
Grøn genopbygningsindsats i Ukraine:
Myndighedssamarbejdet inden for energiområdet med Ukraine er
fortsat med fokus på mellem- og langsigtet genopretning af energisektoren, herunder integration af det
ukrainske elnet til de europæiske el-markeder, energieffektivitet i industrien og fjernvarme. Myndigheds-
samarbejdet blev i april 2023, på ukrainsk foranledning, udvidet til også at omfatte
samarbejde om at udvikle vindenergi. Danmark arbejder yderligere med genopbygningen af vandinfra-
strukturen (drikkevand og rensning af spildevand) med særligt fokus på byen Mykolaiv, og der vil ved
genopbygningen i Ukraine være fokus på en klima- og energieffektiv vandforsyning fra dansk side.
Hovedspor 3: Drive tilpasnings- og modstandsdygtighedsinitiativer i kampen mod klima-
forandringer
FN’s klimapanel anslår, at mere end tre mia. mennesker er særligt sårbare over for klimaforandringer. Derfor fort-
sætter Danmark arbejdet for at styrke indsatsen for klimatilpasning og modstandsdygtighed over for klimaskabte
tab og skader samt bidrage til finansiering af klimaomstilling i disse lande. Da mange udviklingslandes største
udfordringer i stigende grad hænger sammen med klimaforandringer, hænger indsatsen mellem klima og udvik-
ling uløseligt sammen. Samtidig er det afgørende at beskytte og genoprette økosystemer og biodiversitet.
Boks 11.3
Flagskibe for hovedspor 3: Sammenhæng mellem klima og udvikling
Der er behov for en gentænkning – og sammentænkning - af klima og udviklingsindsatser, der opbygger
modstandsdygtighed i de mest skrøbelige lande. Når vi bekæmper klimaforandringerne, bekæmper vi
samtidig ulighed.
TRU, Alm.del - 2023-24 - Endeligt svar på spørgsmål 261: MFU spm. om ministeren vil oversende en opdateret oversigt over de klimabegrundede initiativer, der på nationalt og europæisk niveau får betydning på transportområdet inden for de kommende ca. 5 år
2841680_0172.png
172
KLIMAPROGRAM 2023
Styrket samspil mellem klima og udvikling:
Regeringen har styrket ambitionerne for den grønne udvik-
lingsbistand, hvor der med
Forslag til finanslov for 2024
lægges op til, at mindst 30 pct. målrettes klima-
indsatser. Heraf skal ca. 60 pct. af klimabistanden gå til tilpasning med særligt fokus på de mest sårbare
og skrøbelige lande. Med en minister for udviklingssamarbejde og global klimapolitik vil regeringen ar-
bejde for at skabe positiv synergi mellem grøn omstilling og opnåelsen af andre verdensmål.
Tab og skader:
Danmark vil fortsat gå foran i dagsordenen for tab og skader, som blev understreget med
lanceringen af 100 mio. kr. til indsatser rettet mod tab og skader i 2022. Danmark er aktivt engageret i
den såkaldte transitionskomité, som vil fremlægge anbefalinger på COP28 om nye finansieringsarrange-
menter og en fond til tab og skader. Desuden støttes sårbare østater i Stillehavet samt indsatser om
varslingssystemer, tidlig handling og forsikringsordninger i sårbare udviklingslande.
Øget fokus på vanddagsordenen:
Danmark vil i samarbejde med relevante danske fonde og den danske
vandbranche fortsætte det stærke engagement inden for vandsektoren for at sikre forbedret adgang til
vand i sårbare lande. Derudover vil fokus være på at fremme sammenhængen mellem klimatilpasning og
vand og dermed styrke synergien mellem vand- og klimadiplomati. Der er på
Forslag til finanslov for 2024
afsat 50 mio. kr. til en fælles EU udviklingsindsats om grænseoverskridende vandforvaltning i Afrika. Bi-
draget er en del af en samlet forventet støtte på 300 mio. kr. for perioden 2024-2028. Fokus på vand-
dagsorden afspejles også i Danmarks myndighedssamarbejder på området. Danmark indgår bl.a. i sam-
arbejde herom med Etiopien, der er et af de lande i verden, der er hårdest ramt af klimaforandringer.
Bidrag til en styrket indsats for skov og biodiversitet
. Der afsættes bl.a. 150 mio. kr. til Amazonfonden for at bidrage til at stoppe skovrydning i Amazonas.
Støtten vil derudover fokusere på udsatte skovområder og andre træbevoksede områder, som er under
stigende pres som resultat af skovrydning og skovforringelse. Med programmet bidrager Danmark som
grønt foregangsland til klimatilpasning, beskyttelse af biodiversitet, reduktion af CO
2
e-udledninger og
fattigdomsbekæmpelse ved at skabe grundlaget for en mere bæredygtig social og økonomisk udvikling
for lokalsamfund, herunder oprindelige folk.
Ud over flagskibsindsatserne har regeringen også en række yderligere indsatser, som skal bidrage til at drive til-
pasnings- og modstandsdygtighedsinitiativer i kampen mod klimaforandringer,
jf. boks 11.4.
Boks 11.4
Yderligere danske prioriteter i forhold til hovedspor 3: Drive tilpasnings- og mod-
standsdygtighedsinitiativer i kampen mod klimaforandringer
Et rammeværk for det globale klimatilpasningsmål:
Danmark vil fortsætte sit øgede engagement i inter-
nationale forhandlinger om klimatilpasning under FN’s Klimakonvention (UNFCCC). På COP28 skal ram-
meværket for det globale mål for klimatilpasning fra Parisaftalen vedtages. Danmark arbejder i regi af EU
for, at rammeværket bliver et robust værktøj til at styrke tilpasningsindsatser globalt med særlig vægt på
at skabe øget modstandsdygtighed mod klimaforandringer i de fattigste og mest sårbare lande.
Øget fokus på biodiversitet og naturbaserede løsninger (NbS):
Danmark støtter Kunming-Montreal-afta-
len om biodiversitet fra COP15 under FN’s biodiversitetskonvention og arbejder for en effektiv implemen-
tering af målsætningerne heri. Regeringen har på
Forslag til finanslov for 2024
afsat et bidrag på 100
mio. kr. til den nye globale biodiversitetsfond under den Globale Miljøfacilitet (GEF), såfremt fonden ope-
rationaliseres tilfredsstillende.
Aktivt dansk medlemskab i Systematic Observations Financing Facility:
Verdens Meteorologiske Orga-
nisation (WMO) har igangsat initiativet kaldet Systematic Observations Financing Facility (SOFF). SOFF
er en FN-finansieringsmekanisme, der skal udbrede og styrke det meteorologiske observationsnetværk i
regioner, hvor der i dag er et særligt stort problem med manglende vejrobservationer. Vejrdata er afgø-
TRU, Alm.del - 2023-24 - Endeligt svar på spørgsmål 261: MFU spm. om ministeren vil oversende en opdateret oversigt over de klimabegrundede initiativer, der på nationalt og europæisk niveau får betydning på transportområdet inden for de kommende ca. 5 år
2841680_0173.png
KLIMAPROGRAM 2023
173
rende for den rettidige forudsigelse og dermed forebyggelse og tilpasning til ekstremt vejr. Danmark til-
sluttede sig SOFF ved COP26 og bidrager med 25 mio. kr. til initiativet over en årrække. I regi af SOFF
giver DMI teknisk og faglig vejledning til Tanzanias meteorologiske myndigheder.
DMI-myndighedssamarbejde i Ghana:
DMI har i 2022 indledt et strategisk sektorsamarbejde med Gha-
nas Meteorologiske Institut (GMET). Igennem sektorsamarbejdet vil DMI støtte GMET i at etablere et vi-
dens- og datagrundlag for planlægning og klimatilpasning for Ghana. Dette vil gøre GMET i stand til at
levere klimafremskrivninger som andre myndigheder, civilsamfund og privatsektoren kan anvende til
styrkede klimatilpasningsaktiviteter. DMI vil i regi af sektorsamarbejdet også støtte GMET i at spille en
større rolle i tværmyndighedsopgaver internt i Ghana, såsom kortlægning af risici forbundet med klima-
forandringer samt varsling af farligt vejr.
Deltagelse i Forest, Agriculture and Commodity Trade (FACT) Dialogue:
Danmark deltager som et af 28
lande. Initiativet fokuserer på globalt samarbejde mod skovrydning. Fra dansk side lægges vægt på at
finde løsninger på tværs af producent- og aftagerlande, der bidrager til at fremme skovrydningsfri værdi-
kæder.
Dansk tilslutning til Forest and Climate Leaders’ Partnership (FCLP).
FCLP fremmer bl.a. internationalt
samarbejde, mobiliserer finansiering og arbejder for at ændre det finansielle system for at sikre efterle-
velse af Glasgow Leaders’ Declaration on Forests and Land Use, hvor over 140 lande tilsluttede sig mål
om bl.a. at standse skovrydning og fremme genopretning af skov senest i 2030.
Dansk støtte til Verdensbankens Food Systems 2030 – Scaling up Action for Transformative Change:
Fra dansk side støttes Verdensbankens fond, der skal bistå lande med omstilling af fødevaresystemer til
at blive mere bæredygtige og grønnere, samt styrke global fødevaresikkerhed.
Deltagelse i Agriculture Innovation Mission for Climate (AIM for Climate):
Et globalt samarbejde om
øget forskning, udvikling og innovation inden for landbruget i forhold til klima. Fra dansk side ønsker
man at støtte initiativets position som en bærende platform for fremme af bæredygtige globale fødeva-
resystemer på COP28.
Deltagelse i Agriculture Breakthrough:
Fra dansk side støtter man arbejdet med anbefalinger baseret på
data og viden som et grundlag for både at fremme omstilling i sektoren og fastholde fødevareforsy-
ningssikkerheden.
Hovedspor 4: Vende de globale finansieringsstrømme fra sort til grøn
For at nå målene i Parisaftalen er det nødvendigt med markante løft af grøn finansiering fra alle kilder. Der er sær-
ligt et påtrængende behov for at øge mobiliseringen af private investeringer på globalt plan for at imødekomme
de finansielle behov inden for klimadagsordenen. United Nations Environment Programme (UNEP) anslår et glo-
balt investeringsbehov i omegnen af 4-6 mia. USD årligt for at levere tilstrækkelige reduktionsindsatser til at indfri
Parisaftalens 1,5-gradsmålsætning. IPCC vurderer, at der er tilstrækkelig global kapital og likviditet til at foretage
de nødvendige investeringer, men den grønne kapitalstrøm er blokeret af barrierer, der skal adresseres før inve-
steringerne sker. Regulatoriske barrierer, fossile energisubsidier og investeringsrisici står bl.a. i vejen for at den
nødvendige private kapital skifter fra sorte til grønne investeringer, særligt i udviklingslandene. En ekspertgruppe
under COP26/27 estimerer, at vækstøkonomier og udviklingslande har behov for 1 mia. USD årligt i ekstern finan-
siering fra 2030 for at nå 1,5-gradsmålsætningen i Parisaftalen. Derfor har Danmark taget konkrete skridt for at
fremme en større mobilisering af finansiering fra den private sektor til klimadagsordenen.
Boks 11.5
Flagskibe for hovedspor 4: Turbo på mobilisering af klimafinansiering
På COP29 i 2024 skal der vedtages et nyt mål for international klimafinansiering, som efter 2025 skal er-
statte det nuværende mål om 100 mia. USD til international klimafinansiering. Parallelt påbegyndes drøftel-
ser om, hvordan Parisaftalens selvstændige mål om at ”vende globale finansieringsstrømme i grøn retning”
(artikel 2.1c), kan omsættes til konkrete tiltag. Danmark giver et markant bidrag til målet om 100 mia. USD,
TRU, Alm.del - 2023-24 - Endeligt svar på spørgsmål 261: MFU spm. om ministeren vil oversende en opdateret oversigt over de klimabegrundede initiativer, der på nationalt og europæisk niveau får betydning på transportområdet inden for de kommende ca. 5 år
2841680_0174.png
174
KLIMAPROGRAM 2023
men som internationale rapporter anviser, skal mobiliseringen af klimafinansiering løftes markant til de
nødvendige grønne investeringer.
Grønning af de multilaterale udviklingsbanker:
De multilaterale udviklingsbanker skal reformeres, så de i
højere grad bidrager til fx klimaforandringer, skrøbelighed og pandemier. Reformprocessen er startet i Ver-
densbanken, og Danmark arbejder aktivt for en grøn og inkluderende reform, som fastholder fokus på fat-
tigdomsbekæmpelse. Med baggrund i sluterklæringen fra COP27 er mobilisering af mere finansiering og
særligt privatkapital til klima en dansk prioritet for reformprocessen. Senest har ministeren for udviklings-
samarbejde og global klimapolitik deltaget i Verdensbankens forårsmøde i april 2023 i Washington. Her var
ministeren vært for en uformel højniveaudialog om klimafinansiering og en grøn reform af Verdensbanken.
Reform af Investeringsfonden for udviklingslande (IFU):
Der er indledt en reformproces mod en styrkelse
af IFU. Målsætningen er frem mod 2030 at tredoble IFU’s bidrag til mobilisering af klimafinansiering fra 2
mia. kr. til ca. 6 mia. kr. om året. Frem mod 2030 investerer regeringen 3,5 mia. kr. i IFU. Herudover får IFU
adgang til statslige lån på 13,7 mia. kr. Formålet er at øge IFU’s investeringsomfang og herunder investerin-
ger med fokus på klima, økonomisk udvikling og jobskabelse i fattige og skrøbelige lande, særligt i Afrika.
Reformen skal samtidig sikre, at IFU i højere grad kan mobilisere privat finansiering primært til at under-
støtte den globale, grønne omstilling.
Nordisk/amerikansk samarbejde om blended finance:
Et nyt samarbejde mellem nordiske lande
og USA til mobilisering af klimafinansiering lanceres efter planen i forbindelse med COP28. Samarbejdet
forventes at mobilisere betydelig ny nordisk/amerikansk klimafinansiering til udviklingslande bl.a. til grøn
energiomstilling og adgang til grøn energi, men også til tilpasning og innovative finansieringsløsninger
i forbindelse med klimakrisen.
Figur 11.2
Grøn udviklingsbistand på forslag til finanslov 2024
Bilaterale landeprogrammer, strategiske partnerskaber med
civilsamfundsorganisationer mv.
11%
26%
Global grøn omstilling (bl.a. udfasning af fossile brændsler)
28%
Naboskabsprogrammet (Ukraine og Georgien) og regionalt program
vedr. klima, konflikt, fordrivelse og irregulær migration med særligt fokus
på Sahel og Afrikas Horn.
3%
5%
Indsatser til sikring af energi- og vandressourcer samt miljøbidrag og
modstandsdygtighed mod klimaforandringer mv. (fx Den Grønne
Klimafond (GCF))
Privatsektorinstrumenter, myndighedssamarbejde og netværksinitiativer
(fx Investeringsfonden for udviklingslande, Partnering for Green Growth
and Global Goals, World Ressource Institute).
Multilaterale grønne indsatser (UNDP, UNICEF, Verdensbanken, samt
regionale udviklingsbanker)
27%
Anm. Grønne indsatser dækker bidrag under § 6.3. Bistand til udviklingslandene, der forventes at kunne rapporteres til OECD DAC, som støtte til klima, biodi-
versitet eller miljø generelt. For indsatser hvor det grønne element er et vigtigt delmål, men ikke hovedmålet, er 50 pct. af budgettet som hovedregel medreg-
net som grøn indsats.
Ud over flagskibsindsatserne har regeringen også en række yderligere indsatser, som skal bidrage at vende de
globale finansieringsstrømme fra sort til grøn,
jf. boks 11.6.
Boks 11.6
Yderligere danske prioriteter i forhold til hovedspor 4: Vende de globale finansie-
ringsstrømme fra sort til grøn
TRU, Alm.del - 2023-24 - Endeligt svar på spørgsmål 261: MFU spm. om ministeren vil oversende en opdateret oversigt over de klimabegrundede initiativer, der på nationalt og europæisk niveau får betydning på transportområdet inden for de kommende ca. 5 år
2841680_0175.png
KLIMAPROGRAM 2023
175
Dansk indsats i Coalition of Finance Ministers for Climate Action:
Danmark vil i tæt samarbejde med
USA i Coalition of Finance Ministers for Climate Action arbejde for at styrke finansministeriers kapacitet
til at integrere klimahensyn i Finansministeriets økonomiske og finanspolitiske værktøjer. Danmark vil
bl.a. udbrede erfaringer med udvikling af den grønne makroøkonomiske regnemodel GrønREFORM og
bidrage til at fremme udvikling af modelværktøjer, der kan bidrage til mere velinformerede beslutnings-
grundlag for finansministeriernes håndtering af klimaudfordringer relateret til reduktion af drivhusgasser,
udbredelse af nye teknologier og håndtering af konsekvenserne af klimaforandringer.
Formandskab i Export Finance for Future:
Danmark varetager formandskabet for E3F-koalitionen, der
arbejder for at stoppe offentlig international finansiering til kulrelaterede projekter, offentlig finansiering
af olie og gas samt styrke incitamenter for grønne investeringer. Det danske formandskab arbejder bl.a.
for at identificere nye samarbejdspartnere og lave forarbejde til et muligt nyt statement for samarbejdet
om eksportfinansiering.
Bidrag til den Grønne Klimafond:
Den Grønne Klimafond (GCF) er verdens største fond dedikeret udeluk-
kende til klima og spiller en unik rolle i at støtte udviklingslandenes overgang til en lavemissions- og
modstandsdygtig udvikling. Fonden har godkendt 228 projekter i over 120 lande med 12,8 mia. USD i
GCF-støtte og48,3 mia. USD inkl. mobiliseret samfinansiering. Projekterne forventes at medføre reduce-
ret sårbarhed for 1 mia. mennesker i udviklingslande samt 2,9 mia. ton CO
2
e-reduktioner. Danmark har
bidraget med 800 mio. kr. under fondens 1. genopfyldning for perioden 2020-2023. Med
Forslag til fi-
nanslov for 2024
er der afsat i alt 1,6 mia. kr. for 2024-2027 til fondens 2. genopfyldning.
Hovedspor 5: Samarbejde med erhvervet om grønne løsninger
Danske virksomheder er i stand til at skabe løsninger, der ikke kun bidrager til jobskabelse i hjemlandet, men
også til en grøn, bæredygtig og socialt retfærdig global omstilling. Sammen skal vi bevare og styrke dansk er-
hvervslivs position som førende inden for grøn og bæredygtig innovation på de globale markeder.
Boks 11.7
Flagskibe for hovedspor 5: Samarbejde med erhvervet om grønne løsninger
Biodiversitetspartnerskab:
Mange danske virksomheder vil gerne reducere deres biodiversitetsaftryk,
både i egen forretning og i deres leverandørkæder. Mange virksomheder har dog svært ved at vurdere,
hvordan de bedst kan mindske deres aftryk. Miljøministeren har derfor nedsat et nyt biodiversitetspart-
nerskab til understøttelse og fremme af virksomheders frivillige biodiversitetsindsatser. Partnerskabets
medlemmer kommer fra erhvervsliv, civilsamfund, fagforening og vidensinstitutioner. Som led i partner-
skabets indsats vil der blive udarbejdet en række notater og mindre analyser om bl.a. regulatoriske ram-
mevilkår, metoder og andre værktøjer.
Inden for 1 år skal partnerskabet:
Levere konkrete anbefalinger til danske virksomheder om, hvordan de bedst handler på biodiversi-
tetsområdet.
Levere anbefalinger til myndigheder om oplevede barrierer og mulige incitamentsstrukturer.
Identificere videnshuller, som bør afdækkes for at give virksomheder bedre redskaber til at mindske
aftryk på natur, biodiversitet og økosystemer og dermed den globale klimapåvirkning.
Reflektere over eventuelle videre indsatser.
Klimapartnerskaber og Grønt Erhvervsforum:
Regeringen vil samarbejde med erhvervslivet om at akti-
vere klimapartnerskaberne i en global sammenhæng, der bl.a. handler om at reducere dansk erhvervslivs
udledninger i udlandet, øge eksport af dansk teknologi og løsninger og skabe et tættere samspil mellem
den private og offentlige sektor i det danske, klimadiplomatiske arbejde. Grønt Erhvervsforum spiller en
nøglerolle i at sikre en fortsat stærk dialog mellem regeringen og erhvervslivet, særligt når det kommer til
implementering af de seneste års ambitiøse politiske aftaler.
Partnerskaber for at styrke den grønne eksport:
Der er veletablerede partnerskaber og tæt samarbejde
mellem fagministerier, myndigheder og dansk erhvervsliv inden for de tre grønne sektorer: Energi, vand,
TRU, Alm.del - 2023-24 - Endeligt svar på spørgsmål 261: MFU spm. om ministeren vil oversende en opdateret oversigt over de klimabegrundede initiativer, der på nationalt og europæisk niveau får betydning på transportområdet inden for de kommende ca. 5 år
2841680_0176.png
176
KLIMAPROGRAM 2023
og fødevarer. Samarbejdet er forankret i sektorfora, hvor sektorernes aktører samles og i fællesskab bi-
drager til regeringsstrategier, afholder eksportdage og gennemfører målrettede strategiske indsatser
med henblik på at styrke eksporten af danske grønne løsninger og hermed samtidig den grønne omstil-
ling globalt.
Ud over flagskibsindsatserne har regeringen også en række yderligere indsatser, som skal bidrage til at samar-
bejde med erhvervet om grønne løsninger,
jf. boks 11.8.
Boks 11.8
Yderligere danske prioriteter i forhold til hovedspor 5: Samarbejde med erhvervet
om grønne løsninger
Skibsfartsinitiativer:
I 2023-2024 vil regeringen fortsat prioritere dansk lederskab af Zero-Emission Ship-
ping Mission, som er et offentligt-privat partnerskab om dekarbonisering af skibsfarten. Formålet med
Shipping Missionen er at accelerere den grønne omstilling af skibsfarten gennem innovation og konkrete
skalerbare pilotprojekter frem mod 2030 med henblik på at realisere målsætningen om klimaneutral in-
ternational skibsfart i 2050. Regeringen har nedsat Partnerskabet for udvikling af danske erhvervshavne,
som skal komme med anbefalinger til, hvordan danske erhvervshavne kan udvikles gennem kommerci-
elle investeringer, så havnene kan imødekomme hele eller dele af omstillingsbehovet til grønne teknolo-
gier.
Handlingsplaner for at styrke den grønne eksport til EU og USA:
I 2021 iværksatte den daværende rege-
ring i partnerskab med erhvervslivet to centrale initiativer for at styrke primært grøn dansk eksport til
henholdsvis EU og USA i kølvandet på COVID-19. Initiativerne har gennem styrket sektorfokus, myndig-
hedssamarbejde og målrettede kommercielle initiativer, bidraget til at styrke eksporten af grønne danske
løsninger inden for energi-, vand- og fødevaresektoren. Initiativerne løber frem til udgangen af 2023.
Styrket indsats for ansvarlige og skovrydningsfrie værdikæder:
Regeringen vil arbejde for en effektiv og
effektfuld dansk implementering af EU’s skovrydningsforordning. Sidste år lancerede Udenrigsministe-
riet to nye partnerskaber med henholdsvis Verdensnaturfonden og International Trade Initiative (IDH).
Formålet er at sikre en grøn og fattigdomsorienteret udvikling via bæredygtig omstilling af udvalgte sek-
torer og værdikæder med særligt fokus på landbrugsråvarer, hvor produktionen kan være forbundet med
skovrydning (specifikt fokus på afskovningsfri soja fra Brasilien og kakao fra Vestafrika).
Styrket vejledning og krav til bæredygtige og ansvarlige værdikæder:
Et kommende EU-direktiv vil gøre
det lovpligtigt for visse store virksomheder at gennemføre såkaldte due diligence-processer for at identi-
ficere, forebygge og håndtere negative indvirkninger på mennesker og miljø i deres globale værdikæder.
Regeringen har i forlængelse heraf igangsat en række indsatser, herunder en øget vejledningsindsats, for
at understøtte virksomheders arbejde med opgørelse og dokumentation af bæredygtighed. Desuden un-
derstøttes både Etisk Handel Danmark (EHD) og UN Global Compact Network Danmark i deres arbejde
med at fremme danske virksomheders sociale- og miljømæssige ansvarlighed globalt.
Mobilisering af klimafinansiering til grønne partnerskaber:
Udviklingsbistanden er langt fra nok, hvis
Verdensmålene og Paris-dagsordenen skal nås. Det er nødvendigt at mobilisere privat kapital. Samtidig
er det en barriere, at der ikke er tilstrækkeligt med investerebare projekter. P4G (Partnering for Green
Growth and the Global Goals 2030) støtter grønne og inkluderende forretningsmodeller i partnerlande i
det globale syd i at nå kommerciel levedygtighed og dermed samtidig mobilisere privat kapital til klimafi-
nansiering. Danmark støtter fase 2 af initiativet (2023-27) med 190 mio. kr.
Hjemtage viden, erfaringer og løsninger gennem Innovation Center Denmark og udvalgte myndigheds-
samarbejder:
Regeringen vil gennem Innovation Centre Denmark og udvalgte myndighedssamarbejder
og i dialog med relevante fonde søge at øge hjemtaget af viden, erfaringer og løsninger inden for ram-
merne af
Grøn Forskningsstrategi.
Fokus vil være på at facilitere netværk og projektsamarbejde med In-
dien, Sydkorea, USA og Sydafrika på specifikke områder inden for energi, klima, vand, miljø, landbrug og
fødevarer.
TRU, Alm.del - 2023-24 - Endeligt svar på spørgsmål 261: MFU spm. om ministeren vil oversende en opdateret oversigt over de klimabegrundede initiativer, der på nationalt og europæisk niveau får betydning på transportområdet inden for de kommende ca. 5 år TRU, Alm.del - 2023-24 - Endeligt svar på spørgsmål 261: MFU spm. om ministeren vil oversende en opdateret oversigt over de klimabegrundede initiativer, der på nationalt og europæisk niveau får betydning på transportområdet inden for de kommende ca. 5 år TRU, Alm.del - 2023-24 - Endeligt svar på spørgsmål 261: MFU spm. om ministeren vil oversende en opdateret oversigt over de klimabegrundede initiativer, der på nationalt og europæisk niveau får betydning på transportområdet inden for de kommende ca. 5 år TRU, Alm.del - 2023-24 - Endeligt svar på spørgsmål 261: MFU spm. om ministeren vil oversende en opdateret oversigt over de klimabegrundede initiativer, der på nationalt og europæisk niveau får betydning på transportområdet inden for de kommende ca. 5 år
2841680_0180.png
September 2023
Klima-, Energi- og Forsyningsministeriet
Holmens Kanal 20
1060 København K
Tlf. : +45 3392 2800
E-mail: [email protected]
2022/23:15
ISBN 978-87-94224-60-4 (trykt version)
ISBN 978-87-94224-61-1 (digital version)
NEM
ÆRKE
VA
Design: Klima-, Energi- og Forsyningsministeriet
Layout: Klima-, Energi- og Forsyningsministeriet
Fotos: Adobe Stock / Klima-, Energi- og Forsyningsministeriet
Publikationen kan hentes på
www.kefm.dk
www.regeringen.dk
Fotokreditering:
Forside: Adobe Stock
S
T