Retsudvalget 2023-24
REU Alm.del
Offentligt
2938919_0001.png
HVIDVASKSEKRETARIATET
DANMARKS FINANSIELLE EFTERRETNINGSENHED
DEN NATIONALE
RISIKOVURDERING
AF HVIDVASK
Hvidvasksekretariatet 2022
REU, Alm.del - 2023-24 - Endeligt svar på spørgsmål 1456: Spm. om hvor mange overførsler, der indføres udeklarerede til Danmark, herunder om der findes skøn herfor
2938919_0002.png
2
DEN NATIONALE RISIKOVURDERING AF HVIDVASK
INDHOLDSFORTEGNELSE
Forord�½�½�½�½�½�½�½�½�½�½�½�½�½�½�½�½�½�½�½�½�½�½�½�½�½�½�½�½�½�½�½�½�½�½�½�½�½�½�½�½�½�½�½�½�½�½�½�½�½�½�½�½�½�½�½�½�½�½�½�½�½�½�½�½�½�½�½�½ 4
Hovedfund og analysedesign �½�½�½�½�½�½�½�½�½�½�½�½�½�½�½�½�½�½�½�½�½�½�½�½�½�½�½ 5
3.
3.1
3.2
3.3
3.4
3.5
3.6
3.7
3.8
3.9
NATIONALE TRUSLER
45
Sammenfatning �½�½�½�½�½�½�½�½�½�½�½�½�½�½�½�½�½�½�½�½�½�½�½�½�½�½�½�½�½�½�½�½�½�½�½�½�½46
Udbyttegivende kriminalitet�½�½�½�½�½�½�½�½�½�½�½�½�½�½�½�½�½47
Skatte- og momskriminalitet �½�½�½�½�½�½�½�½�½�½�½�½�½�½�½48
It-relateret økonomisk kriminalitet
og cyberkriminalitet �½�½�½�½�½�½�½�½�½�½�½�½�½�½�½�½�½�½�½�½�½�½�½�½�½�½�½�½�½�½�½53
Narkotika- og dopingkriminalitet�½�½�½�½�½�½�½�½�½56
Miljøkriminalitet �½�½�½�½�½�½�½�½�½�½�½�½�½�½�½�½�½�½�½�½�½�½�½�½�½�½�½�½�½�½�½�½�½�½�½�½�½59
Menneskehandel �½�½�½�½�½�½�½�½�½�½�½�½�½�½�½�½�½�½�½�½�½�½�½�½�½�½�½�½�½�½�½�½�½�½�½63
Varemærkeforfalskning
og piratkopiering �½�½�½�½�½�½�½�½�½�½�½�½�½�½�½�½�½�½�½�½�½�½�½�½�½�½�½�½�½�½�½�½�½�½�½�½67
Fødevarekriminalitet �½�½�½�½�½�½�½�½�½�½�½�½�½�½�½�½�½�½�½�½�½�½�½�½�½�½�½�½�½70
1.
1.1
1.2
1.3
1.4
1.5
1.6
1.7
1.8
HVIDVASK I DANMARK
10
Hvidvask er at få ulovligt
udbytte til at se lovligt ud �½�½�½�½�½�½�½�½�½�½�½�½�½�½�½�½�½�½�½�½�½11
Hvidvask er skadeligt
for vores samfund �½�½�½�½�½�½�½�½�½�½�½�½�½�½�½�½�½�½�½�½�½�½�½�½�½�½�½�½�½�½�½�½�½�½14
Der hvidvaskes for
milliarder i Danmark �½�½�½�½�½�½�½�½�½�½�½�½�½�½�½�½�½�½�½�½�½�½�½�½�½�½�½�½�½15
Hvidvasksekretariatet er en
finansiel efterretningsenhed �½�½�½�½�½�½�½�½�½�½�½�½�½�½�½�½17
De underretningspligtige sender
mange underretninger �½�½�½�½�½�½�½�½�½�½�½�½�½�½�½�½�½�½�½�½�½�½�½�½�½�½18
Hvad fortæller underretningerne? �½�½�½�½�½�½21
Nyttiggørelse af underretninger �½�½�½�½�½�½�½�½�½�½23
Afgørelser om hvidvask �½�½�½�½�½�½�½�½�½�½�½�½�½�½�½�½�½�½�½�½�½�½�½�½26
3.10
Indbrud og tyveri �½�½�½�½�½�½�½�½�½�½�½�½�½�½�½�½�½�½�½�½�½�½�½�½�½�½�½�½�½�½�½�½�½�½�½�½72
3.11
Markedsmanipulation
og insiderhandel �½�½�½�½�½�½�½�½�½�½�½�½�½�½�½�½�½�½�½�½�½�½�½�½�½�½�½�½�½�½�½�½�½�½�½�½74
3.12
Korruption �½�½�½�½�½�½�½�½�½�½�½�½�½�½�½�½�½�½�½�½�½�½�½�½�½�½�½�½�½�½�½�½�½�½�½�½�½�½�½�½�½�½�½�½�½�½�½76
3.13
Illegal handel med
vilde dyr og planter �½�½�½�½�½�½�½�½�½�½�½�½�½�½�½�½�½�½�½�½�½�½�½�½�½�½�½�½�½�½�½�½79
3.14
Menneskesmugling �½�½�½�½�½�½�½�½�½�½�½�½�½�½�½�½�½�½�½�½�½�½�½�½�½�½�½�½�½�½�½81
3.15
Udbytte fra kriminalitet begået i
udlandet, der hvidvaskes i Danmark �½�½�½84
3.16
Organiserede kriminelle aktører �½�½�½�½�½�½�½�½�½�½88
3.17
Professionelle rådgivere �½�½�½�½�½�½�½�½�½�½�½�½�½�½�½�½�½�½�½�½�½�½�½90
3.18
Professionelle hvidvaskere �½�½�½�½�½�½�½�½�½�½�½�½�½�½�½�½�½�½91
2.
2.1
2.2
2.3
2.4
DANMARK 2022-2025
30
Samfund og økonomi �½�½�½�½�½�½�½�½�½�½�½�½�½�½�½�½�½�½�½�½�½�½�½�½�½�½�½�½31
Teknologi og digitalisering�½�½�½�½�½�½�½�½�½�½�½�½�½�½�½�½�½�½�½�½38
Miljø �½�½�½�½�½�½�½�½�½�½�½�½�½�½�½�½�½�½�½�½�½�½�½�½�½�½�½�½�½�½�½�½�½�½�½�½�½�½�½�½�½�½�½�½�½�½�½�½�½�½�½�½�½�½�½�½�½�½42
Politik �½�½�½�½�½�½�½�½�½�½�½�½�½�½�½�½�½�½�½�½�½�½�½�½�½�½�½�½�½�½�½�½�½�½�½�½�½�½�½�½�½�½�½�½�½�½�½�½�½�½�½�½�½�½�½43
Kolofon
Den Nationale Risikovurdering af Hvidvask
Hvidvasksekretariatet
Danmarks finansielle efterretningsenhed, FIU
Kampmannsgade 1, 1604 København V
www�½hvidvask�½dk
National enhed for Særlig Kriminalitet, NSK
Udgivet: Januar 2023
Version: 1�½0
Design: Anders Cold
REU, Alm.del - 2023-24 - Endeligt svar på spørgsmål 1456: Spm. om hvor mange overførsler, der indføres udeklarerede til Danmark, herunder om der findes skøn herfor
2938919_0003.png
DEN NATIONALE RISIKOVURDERING AF HVIDVASK
3
4.
SÅRBARHEDER
I DEN DANSKE
HVIDVASKINDSATS
6.5
Livsforsikringsselskaber og
tværgående pensionskasser �½�½�½�½�½�½�½�½�½�½�½�½ 180
Betalingstjenesteområdet �½�½�½�½�½�½�½�½�½�½�½�½�½�½�½�½�½ 184
Finansiel leasing �½�½�½�½�½�½�½�½�½�½�½�½�½�½�½�½�½�½�½�½�½�½�½�½�½�½�½�½�½�½�½�½�½ 191
Advokater �½�½�½�½�½�½�½�½�½�½�½�½�½�½�½�½�½�½�½�½�½�½�½�½�½�½�½�½�½�½�½�½�½�½�½�½�½�½�½�½�½�½�½�½�½ 194
Godkendte revisorer, skatterådgivere,
eksterne bogholdere mv�½ �½�½�½�½�½�½�½�½�½�½�½�½�½�½�½�½�½�½ 200
94
6.6
6.7
6.8
6.9
4.1
4.2
4.3
4.4
4.5
4.6
4.7
Sammenfatning �½�½�½�½�½�½�½�½�½�½�½�½�½�½�½�½�½�½�½�½�½�½�½�½�½�½�½�½�½�½�½�½�½�½�½�½�½95
Strukturelle faktorer �½�½�½�½�½�½�½�½�½�½�½�½�½�½�½�½�½�½�½�½�½�½�½�½�½�½�½�½�½�½�½97
Politiske og samfunds-
mæssige faktorer �½�½�½�½�½�½�½�½�½�½�½�½�½�½�½�½�½�½�½�½�½�½�½�½�½�½�½�½�½�½�½�½�½�½�½98
Sociale og kulturelle faktorer �½�½�½�½�½�½�½�½�½�½�½�½�½�½100
Økonomiske og teknologiske
faktorer �½�½�½�½�½�½�½�½�½�½�½�½�½�½�½�½�½�½�½�½�½�½�½�½�½�½�½�½�½�½�½�½�½�½�½�½�½�½�½�½�½�½�½�½�½�½�½�½�½�½�½�½114
Geografiske faktorer �½�½�½�½�½�½�½�½�½�½�½�½�½�½�½�½�½�½�½�½�½�½�½�½�½�½�½�½�½�½�½ 20
Lovgivningsmæssige faktorer�½�½�½�½�½�½�½�½�½�½�½�½�½122
6.10
Ejendomsmæglere �½�½�½�½�½�½�½�½�½�½�½�½�½�½�½�½�½�½�½�½�½�½�½�½�½�½�½�½�½ 208
6.11
Udbydere af tjenesteydelser
til virksomheder�½�½�½�½�½�½�½�½�½�½�½�½�½�½�½�½�½�½�½�½�½�½�½�½�½�½�½�½�½�½�½�½�½�½�½ 212
6.12
Valutavekslingsvirksomhed �½�½�½�½�½�½�½�½�½�½�½�½�½�½ 215
6.13
Spiludbydere �½�½�½�½�½�½�½�½�½�½�½�½�½�½�½�½�½�½�½�½�½�½�½�½�½�½�½�½�½�½�½�½�½�½�½�½�½�½�½ 218
6.14
Handel, formidling af handel
samt opbevaring af kunst �½�½�½�½�½�½�½�½�½�½�½�½�½�½�½�½�½�½ 223
5.
5.1
5.2
METODER TIL HVIDVASK
126
Sammenfatning �½�½�½�½�½�½�½�½�½�½�½�½�½�½�½�½�½�½�½�½�½�½�½�½�½�½�½�½�½�½�½�½�½�½ 127
Konto- og pengeoverførsler,
herunder uformelle penge-
overførselssystemer �½�½�½�½�½�½�½�½�½�½�½�½�½�½�½�½�½�½�½�½�½�½�½�½�½�½�½�½�½129
Nye digitale banker�½�½�½�½�½�½�½�½�½�½�½�½�½�½�½�½�½�½�½�½�½�½�½�½�½�½�½�½�½ 133
Ind- og udførsel af kontanter
via kurerer og pengetransporter
samt valutaveksling�½�½�½�½�½�½�½�½�½�½�½�½�½�½�½�½�½�½�½�½�½�½�½�½�½�½�½�½ 135
Digitale varer og tjenester�½�½�½�½�½�½�½�½�½�½�½�½�½�½�½�½�½�½�½�½138
Kontanthævninger og -indsættelser�½�½140
Handel med højværdivarer �½�½�½�½�½�½�½�½�½�½�½�½�½�½�½ 141
Investering i fast ejendom �½�½�½�½�½�½�½�½�½�½�½�½�½�½�½�½�½ 143
Legale virksomhedsstrukturer �½�½�½�½�½�½�½�½�½�½�½�½144
6.15
Udbydere af services
vedrørende kryptoaktiver�½�½�½�½�½�½�½�½�½�½�½�½�½�½�½�½�½�½�½ 227
7.
7.1
7.2
7.3
7.4
7.5
7.6
RISICI FOR HVIDVASK
I GRØNLAND
233
5.3
5.4
Sammenfatning �½�½�½�½�½�½�½�½�½�½�½�½�½�½�½�½�½�½�½�½�½�½�½�½�½�½�½�½�½�½�½�½�½�½ 234
Det grønlandske samfund �½�½�½�½�½�½�½�½�½�½�½�½�½�½�½�½�½ 235
Underretninger fra Grønland �½�½�½�½�½�½�½�½�½�½�½�½�½ 238
Trusler: Udbyttegivende
kriminalitet i Grønland �½�½�½�½�½�½�½�½�½�½�½�½�½�½�½�½�½�½�½�½�½�½�½�½ 240
Sårbarheder �½�½�½�½�½�½�½�½�½�½�½�½�½�½�½�½�½�½�½�½�½�½�½�½�½�½�½�½�½�½�½�½�½�½�½�½�½�½�½�½�½ 243
Risikovurdering af udvalgte
hvidvaskmetoder i Grønland �½�½�½�½�½�½�½�½�½�½�½�½�½ 246
5.5
5.6
5.7
5.8
5.9
5.10
Spil�½�½�½�½�½�½�½�½�½�½�½�½�½�½�½�½�½�½�½�½�½�½�½�½�½�½�½�½�½�½�½�½�½�½�½�½�½�½�½�½�½�½�½�½�½�½�½�½�½�½�½�½�½�½�½�½�½ 147
5.11
Kryptoaktiver �½�½�½�½�½�½�½�½�½�½�½�½�½�½�½�½�½�½�½�½�½�½�½�½�½�½�½�½�½�½�½�½�½�½�½�½�½�½�½ 149
5.12
Leasing �½�½�½�½�½�½�½�½�½�½�½�½�½�½�½�½�½�½�½�½�½�½�½�½�½�½�½�½�½�½�½�½�½�½�½�½�½�½�½�½�½�½�½�½�½�½�½�½�½ 151
5.13
Fortrydelse af køb og brug
af tredjeparter til sløring �½�½�½�½�½�½�½�½�½�½�½�½�½�½�½�½�½�½�½�½�½�½�½152
5.14
Peer-to-peer lån og crowdfunding �½�½�½ 153
5.15
Tværgående fænomen:
Handelsbaseret hvidvask �½�½�½�½�½�½�½�½�½�½�½�½�½�½�½�½�½�½ 155
8.1
8.2
8.3
8.4
8.5
8.
RISICI FOR HVIDVASK
PÅ FÆRØERNE
248
Sammenfatning �½�½�½�½�½�½�½�½�½�½�½�½�½�½�½�½�½�½�½�½�½�½�½�½�½�½�½�½�½�½�½�½�½�½ 249
Det færøske samfund �½�½�½�½�½�½�½�½�½�½�½�½�½�½�½�½�½�½�½�½�½�½�½�½�½�½�½250
Underretninger fra Færøerne �½�½�½�½�½�½�½�½�½�½�½�½ 252
Trusler: Udbyttegivende
kriminalitet på Færøerne �½�½�½�½�½�½�½�½�½�½�½�½�½�½�½�½�½�½�½ 254
Sårbarheder �½�½�½�½�½�½�½�½�½�½�½�½�½�½�½�½�½�½�½�½�½�½�½�½�½�½�½�½�½�½�½�½�½�½�½�½�½�½�½�½�½ 257
Risikovurdering af udvalgte
hvidvaskmetoder på Færøerne �½�½�½�½�½�½�½�½ 260
6.
6.1
6.2
6.3
6.4
RISICI FOR HVIDVASK I
UDVALGTE BRANCHER
8.6
163
9.
9.1
9.2
Sammenfatning �½�½�½�½�½�½�½�½�½�½�½�½�½�½�½�½�½�½�½�½�½�½�½�½�½�½�½�½�½�½�½�½�½�½ 164
Pengeinstitutter �½�½�½�½�½�½�½�½�½�½�½�½�½�½�½�½�½�½�½�½�½�½�½�½�½�½�½�½�½�½�½�½�½�½�½ 167
Realkreditinstitutter �½�½�½�½�½�½�½�½�½�½�½�½�½�½�½�½�½�½�½�½�½�½�½�½�½�½�½�½�½�½174
Fondsmægler-selskaber �½�½�½�½�½�½�½�½�½�½�½�½�½�½�½�½�½�½�½ 177
KILDER OG LINKS
262
Kildeliste�½�½�½�½�½�½�½�½�½�½�½�½�½�½�½�½�½�½�½�½�½�½�½�½�½�½�½�½�½�½�½�½�½�½�½�½�½�½�½�½�½�½�½�½�½�½�½ 263
Vil du vide mere? �½�½�½�½�½�½�½�½�½�½�½�½�½�½�½�½�½�½�½�½�½�½�½�½�½�½�½�½�½�½�½�½ 281
REU, Alm.del - 2023-24 - Endeligt svar på spørgsmål 1456: Spm. om hvor mange overførsler, der indføres udeklarerede til Danmark, herunder om der findes skøn herfor
2938919_0004.png
4
DEN NATIONALE RISIKOVURDERING AF HVIDVASK
FORORD
Det er med stor glæde, at Hvidvasksekretariatet udgiver
sin tredje nationale risikovurdering. Risikovurderingen
sætter retningen for en stærkere samlet indsats mod
hvidvask. Tidligere har der været både en offentlig
version og en klassificeret version, men for at øge værnet
mod hvidvask, offentliggør vi denne gang hele rapporten.
Risikovurderingen er ikke blot blevet offentlig
tilgængelig�½ Den er også blevet mere omfangs-
rig end tidligere�½ Det er der god grund til�½ Det
skyldes, at vi undervejs i vores arbejde med
rapporten har identificeret et behov for mere
viden hos såvel underretningspligtige som hos
myndigheder�½ Når den er blevet længere end
tidligere, skyldes det også, at risikovurderingen
denne gang indeholder særskilte vurderinger af
risiko for hvidvask i Grønland og på Færøerne�½
Manglende viden om, hvor de ulovlige midler
stammer fra, hvem der hvidvasker, og hvor-
dan de gør det i praksis, udgør en sårbarhed�½
Derfor har vi udarbejdet en detaljeret analyse
af udbyttegivende kriminalitet og de kriminelle
aktører, og vi har lagt vægt på at beskrive kon-
krete hvidvaskmetoder�½ Det er håbet, at risiko-
vurderingen dermed kan bidrage til at øge for-
ståelsen for hvidvask og skærpe blikkene i alle
dele af hvidvaskkæden�½
Det er afgørende for nyttiggørelsen af risikovur-
deringen, at risici forstås i deres rette kontekst�½
De analyserede trusler, sårbarheder og risiko-
niveauer skal ikke ses som karakterer, der viser,
hvor godt myndigheder eller underretnings-
pligtige løser opgaven�½ Analysen skal pege
på, hvor der er områder, vi skal være særligt
opmærksomme på�½ Når vi forstår, hvilke risici
der er tilstede, kan vi – i tråd med anbefalin-
gerne fra Financial Action Taskforce (FATF) –
indrette os i forhold til de risici, der er gældende
for det område, vi hver især arbejder indenfor�½
Hvidvasksekretariatet vil gerne takke alle myn-
digheder, brancheforeninger, private aktører
og internationale samarbejdspartnere for jeres
bidrag til udarbejdelsen af risikovurderingen�½
Vi ser frem til det videre samarbejde i kampen
mod hvidvask�½
God læselyst
JØRGEN ANDERSEN
Chef for Hvidvask-
sekretariatet
REU, Alm.del - 2023-24 - Endeligt svar på spørgsmål 1456: Spm. om hvor mange overførsler, der indføres udeklarerede til Danmark, herunder om der findes skøn herfor
2938919_0005.png
DEN NATIONALE RISIKOVURDERING AF HVIDVASK
5
HOVEDFUND OG
ANALYSEDESIGN
Den Nationale Risikovurdering af Hvidvask tegner et
billede af risikoen for hvidvask i Danmark, i Grønland og
på Færøerne i dag og frem mod 2025. Risikovurderingen
skal understøtte indsatsen mod hvidvask.
Risikovurderingen skal bruges af myndighe-
derne og af de virksomheder og personer, som
er omfattet af hvidvaskloven, og som dermed
er underretningspligtige�½ De skal bruge risiko-
vurderingen i deres arbejde med at indrette sig
i forhold til de risici, der er gældende for det
område eller den branche, de arbejder indenfor�½
Endvidere er risikovurderingen til brug for dansk
politi og anklagemyndigheden, da den beskri-
ver, hvor pengene, der skal hvidvaskes, kommer
fra�½ Den beskriver også nogle af de metoder, de
kriminelle aktører bruger til at hvidvaske deres
penge, og peger på, hvor myndighederne bør
være særligt opmærksomme i de kommende
år�½ Risikovurderingen skal samtidig bidrage til
større offentlig indsigt i hvidvaskområdet og
give det politiske niveau, myndigheder og den
private sektor et endnu stærkere grundlag for
at tilrettelægge den samlede indsats mod hvid-
vask i Danmark�½
Basel Institute on Governance udarbejder hvert
år en rangordning over hvilke lande, der har
størst risiko for hvidvask og terrorfinansiering�½
Den viser, at risikoen for, at Danmark misbruges
til hvidvask, i et internationalt perspektiv er lav�½
1
I Danmark er indsatsen mod hvidvask øget, hvil-
ket navnligt ses i en stigning i antallet af under-
retninger, et stigende antal fældende afgørelser,
forbedret lovgivning og det øgede samarbejde
mellem myndigheder og private aktører�½ Der
foregår dog stadig hvidvask i Danmark�½ Derfor
er det helt essentielt, at vi forstår de trusler og
sårbarheder, som eksisterer i Danmark, for at
kunne bekæmpe hvidvask�½
HOVEDFUND
Den Nationale Risikovurdering af Hvidvask er
inddelt i tre hovedområder:
Del 1
Nationale trusler og sårbarheder samt
risikovurdering af udvalgte hvidvaskmetoder�½
Del 2
Risikovurdering af udvalgte brancher�½
Del 3
Risikovurdering af Grønland og
Færøerne�½
Konklusionerne i de tre dele skitseres i det
følgende�½
Del 1: Nationale trusler og sårbarheder
samt risikovurdering af
udvalgte hvidvaskmetoder
Nationale trusler
Det økonomiske udbytte fra kriminalitet skal
hvidvaskes, hvis de kriminelle aktører skal
kunne bruge pengene i den legale økonomi�½ For
at blive klogere på, hvor mange penge der skal
hvidvaskes, og hvor pengene forventeligt vil
komme fra i de kommende år, er det væsentligt
at belyse den forbrydelse, der ligger forud for
det økonomiske udbytte – også kaldet førforbry-
delsen�½ Det gør vi ved at belyse, hvilke kriminali-
tetsformer der genererer et økonomisk udbytte�½
Det er Hvidvasksekretariatets vurdering, at
de kriminalitetsformer begået i Danmark,
der genererer størst økonomisk udbytte for
de kriminelle aktører, er skatte- og momskri-
minalitet, it-relateret økonomisk kriminalitet
og handel med narkotika og doping�½ Truslen
for hvidvask vurderes at være høj for skatte-
og momskriminalitet og it-relateret økono-
misk kriminalitet og betydelig for handel
med narkotika og doping�½
1�½ I rangordningen for 2022 var Danmark nr�½ 118 ud af 128
lande, hvor nr�½ 1 er det land med størst risiko (Basel
Institute on Governance 2022: 25-27)�½
REU, Alm.del - 2023-24 - Endeligt svar på spørgsmål 1456: Spm. om hvor mange overførsler, der indføres udeklarerede til Danmark, herunder om der findes skøn herfor
2938919_0006.png
6
DEN NATIONALE RISIKOVURDERING AF HVIDVASK
Udbytte fra kriminalitet, som er blevet
begået i udlandet, udgør en høj risiko for at
blive hvidvasket i Danmark�½ Det kan fx være
penge fra korruption, handel med narkotika
og it-relateret økonomisk kriminalitet�½
Organiserede kriminelle aktører i Danmark
og udlandet udøver i stigende grad udbyt-
tegivende kriminalitet, og kompleksiteten i
deres kriminalitet er stigende�½
Professionelle rådgivere bistår kriminelle
aktører med ekspertviden og øger dermed
de kriminelle aktørers kapacitet til at begå
kriminalitet�½ Det er Hvidvasksekretariatets
vurdering, at det er få rådgivere, der udøver
stor aktivitet�½
Ligesom i udlandet opererer professionelle
hvidvaskere også i Danmark, og det øger de
kriminelle aktørers muligheder for at få hvid-
vasket deres økonomiske udbytte fra kri-
minalitet�½ Det gør også hvidvaskprocessen
mere effektiv for de kriminelle aktører, og
dermed bliver det vanskeligere for myndig-
heder og underretningspligtige at forebygge,
opdage og retsforfølge�½
Manglende viden om hvidvask og hvidva-
skrisici i særligt de ikke-finansielle bran-
cher: Hvidvasksekretariatet vurderer, at
til trods for, at indsatsen mod hvidvask er
intensiveret de senere år, har nogle under-
retningspligtige stadig utilstrækkelig viden
på hvidvaskområdet�½ Det er en sårbarhed, at
de underretningspligtige i et vist omfang har
vanskeligt ved at identificere, hvad de skal
se efter i deres hvidvaskindsats�½ De vil have
udfordringer med at arbejde risikobaseret,
og de vil ligeledes have vanskeligheder med
at implementere de relevante og nødven-
dige forebyggende foranstaltninger�½ Den sår-
barhed øges, når kriminelle aktører bevæger
sig væk fra de finansielle institutioner og
mod de ikke-finansielle brancher i takt med,
at den finansielle sektor intensiverer arbej-
det med at imødegå hvidvask�½
Kriminelle aktørers brug af kontanter skaber
en kontantbaseret undergrundsøkonomi:
Kriminelle aktører anvender kontanter,
fordi det muliggør anonymitet�½ Kontanterne
anvender de til yderligere kriminalitet fx ved
at sælge dem til virksomhedsejere, der vil
aflønne ansatte sort, eller ved at udføre dem
til lande med større kontantøkonomier og/
eller lande med ringere hvidvaskforanstalt-
ninger end Danmark�½ Denne undergrunds-
økonomi gør det også muligt for kriminelle
aktører at overføre værdier til Danmark
gennem blandt andet uformelle pengeover-
førselssystemer som fx hawala�½
Begrænset udveksling af informationer
mellem myndigheder om international vare-
handel: Hvidvasksekretariatet vurderer, at
kriminelle aktører anvender det nationale
og internationale handelssystem til hvid-
vask af ulovlige midler, herunder over- og
underfakturering og over- og underdrivelse
af handelsvolumen�½ Hvidvasksekretariatet
modtager kun få underretninger om han-
delsbaseret hvidvask�½
Utilstrækkeligt internationalt samarbejde:
Hvidvask på tværs af landegrænser udfor-
drer myndighedernes tilsynsarbejde og
efterforskningen af hvidvask�½ Det skyldes
blandt andet, at tilsynsforpligtelser, hånd-
hævelser og efterforskninger fortsat er
skarpt opdelt i jurisdiktioner, hvilket stiller
høje krav til internationalt samarbejde�½
På tilsynsområdet er der i flere tilfælde et
begrænset samarbejde med andre europæ-
iske tilsynsmyndigheder, og særligt de euro-
pæiske spillemyndigheder er udfordret�½
Nationale sårbarheder
Nationale sårbarheder er de strukturer i det
danske samfund, der gør os sårbare over for
hvidvask�½ Hvidvasksekretariatet vurderer, at de
største sårbarheder udgøres af:
Det globale og fragmenterede betalings-
landskab: Introduktionen af nye betalings-
teknologier og -produkter betyder et mere
fragmenteret og internationalt betalingsmar-
ked, og det vurderer Hvidvasksekretariatet
får betydning for hvidvaskområdet på flere
niveauer:
— Det bliver vanskeligere for de underret­
ningspligtige at have overblik over kunder­
nes samlede finansielle forhold og dermed
også vanskeligere at identificere afvigende
og mistænkelig adfærd.
— Flere hvidvaskaktiviteter foregår
gennem betalingsstrukturer i udlandet
og er dermed delvist skjult for danske
myndigheder.
— Handel med kryptoaktiver på udenlandske
platforme er vanskelig at identificere, fordi
Skattestyrelsen ikke per automatik mod­
tager oplysninger om beholdninger.
REU, Alm.del - 2023-24 - Endeligt svar på spørgsmål 1456: Spm. om hvor mange overførsler, der indføres udeklarerede til Danmark, herunder om der findes skøn herfor
2938919_0007.png
DEN NATIONALE RISIKOVURDERING AF HVIDVASK
7
Den grænseoverskridende kriminalitet
udfordrer også efterforskningen af sager:
Erfaringerne herhjemme og i udlandet viser,
at det er vanskeligere at indhente oplysnin-
ger fra udenlandske pengeinstitutter, beta-
lingstjenester, kryptobørser med videre end
fra danske tjenester�½
værdier mellem personer og virksomheder
gennem det internationale handelssystem,
fx gennem over- eller underfakturering�½
Del 2: Risikovurdering af udvalgte brancher
Formålet med at vurdere risici på brancheni-
veau er at belyse, hvor hvidvaskrisici er størst
blandt de underretningspligtige�½ Det er også
formålet, at så mange som muligt kan læse om
risikoen ved deres egen branche eller ved andre
brancher, som man samarbejder med eller har
som kunder�½ Følgende tre brancher har den
højeste risiko for at blive brugt til hvidvask:
Pengeinstitutter: I vurderingen lægger Hvid-
vasksekretariatet blandt andet vægt på,
at langt de fleste transaktioner i Danmark
involverer brugen af et pengeinstitut – og
det gælder også for transaktioner, der finder
sted som led i en hvidvaskproces�½ Volumen
af transaktioner er i sig selv en risikofaktor�½
Det samme gælder pengeinstitutternes
størrelse, deres mange forskellige produkter,
det store antal kunder og eksponeringen
mod udlandet, som alt sammen er med til at
øge risikoen for hvidvask�½ Trade finance og
private banking er eksempler på produkter,
der indebærer høj risiko�½
Valutavekslingsvirksomhed: I vurderingen
lægger Hvidvasksekretariatet blandt andet
vægt på, at valutavekslingsvirksomheder er
attraktive for kriminelle aktører med kontant
udbytte fra kriminalitet�½ Valutavekslings-
branchens lette tilgængelighed og kontant-
baserede karakter begrænser sporbarheden
af midlerne og udgør en sårbarhed over for
hvidvask�½ I Danmark er der eksempler på,
at kriminelle aktører anvender valutaveks-
lingsvirksomheder til hvidvask af udbytte fra
blandt andet narkotikakriminalitet�½
Udbydere af tjenesteydelser til virksomhe-
der: I vurderingen lægger Hvidvasksekreta-
riatet blandt andet vægt på, at tjenesterne
hver især har en betydelig risiko, mens
de i kombination har en høj risiko�½ Ved at
kombinere to eller flere af de ydelser, som
udbydere af tjenesteydelser til virksomheder
tilbyder, kan denne branche benyttes til at
sløre ejerskab, tilhørsforhold, adresse med
videre�½ Det kan fx være en udbyder, der stil-
ler en postadresse til rådighed og derudover
tilbyder telefonpasningsydelser, bestyrel-
sesmedlemmer, videresendelse af post
og lignende for kunder, der ikke er fysisk til
stede på adressen�½
Metoder til hvidvask
Hvidvasksekretariatet vurderer, at følgende
metoder til hvidvask udgør de største risici i
Danmark:
Kriminelle aktører hvidvasker via pengeover-
førsler, herunder uformelle pengeoverfør-
selssystemer, fx hawala�½ Både formelle og
uformelle finansielle kanaler bliver anvendt
af kriminelle aktører til at flytte midler på
tværs af landegrænser�½
Kriminelle aktører hvidvasker via nye, digi-
tale banker, som ofte er placeret i udlandet,
og som dermed ikke er underretningspligtige
i Danmark�½ Når kunderne i stigende grad
bruger flere forskellige finansielle tjenester,
sker der en fragtmentering af betalings-
landskabet, hvilket er en udfordring for de
danske myndigheder�½
Kriminelle aktører udfører kontanter via
kurerer og pengetransporter samt bruger
valutaveksling til hvidvask�½ Hvidvask-
sekretariatet vurderer, at der årligt trans-
porteres store mængder kontanter over de
danske landegrænser, heraf også en del
ulovlige midler�½ Fordi det er vanskeligt at
integrere store kontantbeløb i det danske
finansielle system, må de kriminelle aktø-
rer bruge kontanterne til ny kriminalitet
eller transportere kontanterne over lande-
grænserne, enten som rejsende eller via
kurer eller værdihåndteringsselskaber�½
Kriminelle aktører hvidvasker gennem legale
virksomhedsstrukturer og anvender flere for-
skellige virksomheder til at hvidvaske midler�½
Dette kan fx ske ved at sammenblande
ulovlige midler med legal omsætning eller
anden misbrug af handelssystemet�½
Kriminelle aktører hvidvasker gennem han-
delsbaseret hvidvask, herunder gennem
misbrug af det internationale handels-
system�½ Denne hvidvaskmetode er et
tværgående højrisikoområde, hvor mange
forskellige brancher, hvidvaskmetoder og
kriminelle aktører er involveret�½ Det er van-
skeligt at opdage og efterforske handels-
baseret hvidvask, og der kan flyttes store
REU, Alm.del - 2023-24 - Endeligt svar på spørgsmål 1456: Spm. om hvor mange overførsler, der indføres udeklarerede til Danmark, herunder om der findes skøn herfor
2938919_0008.png
8
DEN NATIONALE RISIKOVURDERING AF HVIDVASK
Del 3: Risici for hvidvask i Grønland
og på Færøerne
Denne risikovurdering beskriver de risici for
hvidvask, der er til stede i hele rigsfælleskabet�½
Derfor behandler risikovurderingen også risici
for hvidvask i Grønland og på Færøerne�½
Grønland
Hvidvasksekretariatet har kortlagt en række
sårbarheder i Grønland, som kan have ind-
flydelse på omfanget af hvidvask�½ De største
sårbarheder er følgende:
Fraværet af en liste over politisk ekspo-
nerede personer (PEP) i Grønland gør det
vanskeligt at risikovurdere og monitere
transaktioner for grønlandske politisk
eksponerede personer�½
Det kan være vanskeligt for myndigheder
og underretningspligtige at kortlægge uden-
landske ejerforhold, hvilket øger risikoen for,
at udenlandske virksomheder i Grønland
bliver brugt som led i hvidvask�½
Hvidvasksekretariatet har ikke tidligere haft
selvstændigt fokus på grønlandske forhold,
og derfor er underretninger fra Grønland ikke
i tilstrækkelig grad blevet videreformidlet til
andre myndigheder�½
Skráseting Føroya fører kontrol med
de underretningspligtige, og grundet få
ressourcer er kontroltrykket lavt�½
Indregistrering af skibe under færøsk flag
øger risikoen for, at udenlandske selskaber
kan kanalisere midler gennem færøske sel-
skaber, hvorved det kan være vanskeligt at
kortlægge midlernes oprindelse�½
Forsinket implementering af hvidvaskloven
på Færøerne betyder, at eventuelle sårbar-
heder, som er imødekommet i den danske
lovgivning, fortsat kan misbruges på Færø-
erne�½ Fx er Virtual Asset Service Providere
(VASP’ere) og kunsthandlere ikke omfattet
af den færøske hvidvasklov og dermed ikke
underretningspligtige�½
Der forekommer kun begrænset deling af
oplysninger mellem Danmark og Færøerne,
idet Hvidvasksekretariatet har begrænset
adgang til færøske registre�½ Den manglende
adgang til oplysninger betyder, at det er
vanskeligere for Hvidvasksekretariatet at
berige og udfinde relevante underretninger
til Færøsk Politi�½
Hvidvasksekretariatet vurderer, at de meto-
der, der udgør de største risici for hvidvask på
Færøerne er:
Hvidvask via selskaber, som ejer skibe regi-
streret i det færøske skibsregister�½
Handelsbaseret hvidvask via legale
virksomhedsstrukturer�½
Simpel hvidvask gennem kontantindsættel-
ser, kontanthævninger og pengeoverførsler�½
Hvidvasksekretariatet vurderer, at de hvidvask-
metoder, der udgør de største risici for hvidvask
i Grønland er:
Hvidvask via legale virksomhedsstrukturer�½
Simpel hvidvask af mindre, ulovligt udbytte
gennem kontantindsættelser�½
Hvidvask af kontanter gennem direkte
integration i den legale økonomi�½
ANALYSEDESIGN
En risikovurdering er orienteret mod fremtiden
og handler om de trusler og sårbarheder, vi som
samfund skal håndtere de kommende år�½ I en
fremtids- og problemorienteret analyse må vi
derfor turde sige noget om fremtiden�½ Selvom
der er meget, vi ikke ved om fremtiden, er der
også noget, vi på baggrund af efterretninger,
analyser, trends og tendenser samt erfaringer fra
udlandet, vurderer med stor sandsynlighed kan
ske�½ I en omskiftelig verden må vi holde øje med
forhold, der ændrer sig og påvirker de identifice-
rede trusler, sårbarheder og risici, så vi kan korri-
gere indsatserne, hvis der er behov for det�½
Færøerne
Hvidvasksekretariatet har også kortlagt en
række sårbarheder på Færøerne, som kan have
indflydelse på omfanget af hvidvask�½ De største
sårbarheder er følgende:
Det færøske selskabsregister har i en læn-
gere periode været mangelfuldt i forhold til
at kunne identificere reelt ejerskab�½ Det gør
det vanskeligt for de underretningspligtige at
identificere ejerskab i de virksomheder, som
de har som kunder�½ Det øger risikoen for, at
virksomhederne bliver brugt til hvidvask�½
REU, Alm.del - 2023-24 - Endeligt svar på spørgsmål 1456: Spm. om hvor mange overførsler, der indføres udeklarerede til Danmark, herunder om der findes skøn herfor
2938919_0009.png
DEN NATIONALE RISIKOVURDERING AF HVIDVASK
9
Analysedesignet i Den Nationale Risiko-
vurdering af Hvidvask 2022 tager udgangspunkt
i Financial Action Task Forces
2
guide for udar-
bejdelse af nationale risikovurderinger for hvid-
vask og terrorfinansiering
(FATF 2013a)�½
FATF’s guide tager udgangspunkt i en analyse af
trusler, sårbarheder og konsekvenser:
En trussel
er en person eller en gruppe af
personer, et objekt eller en aktivitet, som har
potentiale til at skade personer, brancher
eller samfund�½ I forhold til hvidvask kan det
være kriminelle aktører, facilitatorer og deres
nuværende og fremtidlige hvidvaskaktiviteter�½
Sårbarhederne
er de strukturer i en branche
eller et samfund, som de kriminelle aktører
udnytter, eller som understøtter deres aktivi-
teter�½ Det kan fx være særlige finansielle pro-
dukter, let adgang til markeder samt system-
eller lovgivningsmæssige udfordringer�½
Konsekvenserne
er de effekter og skader på
personer, brancher og samfund, som trus-
lerne og sårbarhederne kan forårsage�½ I rela-
tion til hvidvask kan det fx være mængden af
penge, der potentielt skal hvidvaskes, under-
minering af tillid til brancher og samfunds-
mæssige institutioner samt øget kriminalitet�½
Det gør det vanskeligt at være præcis i vurderin-
gen af risikoen for, at de kriminelle aktører anven-
der én bestemt metode til hvidvask – ofte anven-
der de også flere i kombination med hinanden�½
På samme måde er sårbarhederne heller ikke
uafhængige variable�½ De kriminelle aktører
hvidvasker deres ulovlige midler igennem de
strukturer, hvor de vurderer, at risikoen for at
blive opdaget er relativt mindre end gennem
andre strukturer�½ Hvis en sårbarhed mindskes (fx
gennem strammere lovgivning i forhold til beta-
ling med kontanter), kan det betyde, at andre
sårbarheder bliver relativt større (fx kontrol ved
grænsen), og at risici for andre hvidvaskmodus
øges (fx hvidvask gennem pengeudførsler)�½
Disse korrelationer gælder inden for Danmarks
grænser, men de gælder også i forhold til udlan-
det, hvor fx øget regulering af en branche i et
andet land, kan påvirke kriminelle aktørers inci-
tament til at søge mod andre lande, hvor der
endnu ikke er samme regulering�½ Hvis fx vores
nabolande strammer reglerne på et område,
vil det øge risikoen for, at kriminelle aktører vil
begynde at se mod Danmark i stedet�½ Da poli-
tiske, samfundsmæssige, sociale og kulturelle,
økonomiske, teknologiske, geografiske og lov-
givningsmæssige faktorer ændres over tid, gør
de kriminelle aktørers adfærd det også�½
Risici inden for de forskellige virksomhedstyper
og brancher påvirker også hinanden�½ De krimi-
nelle aktører vil anvende de brancher, der er rela-
tivt mere sårbare end andre, og derfor vil risici
i én branche være påvirket af flere eller færre
reguleringer af en anden branche�½ Det betyder,
at hvis en branche øger foranstaltningerne mod
hvidvask, øger det risikoen i de andre brancher�½
Kilder
Risikovurderingen bygger på såvel kvantita-
tive som kvalitative analyser og baserer sig
på flere forskellige kilder, herunder data fra
Hvidvasksekretariatet, dansk politi, danske
myndigheder, efterretninger, nationale og
internationale rapporter, bidrag fra faglige
eksperter hos myndigheder, brancheforeninger
og private aktører�½
I risikovurderingen henviser vi løbende til tal
og opgørelser�½ For at lette læsningen er det
kun udvalgte tabeller og grafer, der indgår�½ Du
kan læse mere om grundlaget for de enkelte
kapitler i metoderapporten�½ I metoderapporten
redegør vi for den overordnede tilgang og for
de informationer, de enkelte kapitlet bygger
p� Metoderapporten for den nationale risiko-
vurdering kan du finde på
www�½hvidvask�½dk�½
På flere områder i rapporten bemærker vi, at
Hvidvasksekretariatet ikke har kendskab til eller
adgang til oplysninger om specifikke forhold eller
emner og heller ikke har kunne finde yderligere
hos myndigheder eller andre eksperter�½ I henhold
til FATF’s guidelines, kan manglende viden om
relevante forhold i sig selv øge risikoen på et
område
(FATF 2013a: 11)�½
Vi vurderer risiko som enten
begrænset,
moderat,
betydelig
eller
høj�½
Du kan læse mere
om, hvilke kriterier, der afgør risikoniveauet i
Hvidvasksekretariatets metoderapport til Den
Nationale Risikovurdering af Hvidvask 2022
(Hvidvasksekretariatet 2022�½ Metoderapport)�½
Deri kan du også se de matricer, der ligger til
grund for vurderingerne�½
Trusler og sårbarheder er ikke
uafhængige variable
Det er værd at holde sig for øje, at trusler og
sårbarheder ikke er uafhængige variable på
hvidvaskområdet�½ Kriminelle aktørers virke (trus-
lerne) i ind- og udland afhænger blandt andet
af samfundsudviklingen, samfundsmæssige
strukturer, lovgivningen med videre�½
2�½ FATF er et mellemstatsligt samarbejde om
bekæmpelse af hvidvask og terrorfinansiering�½
REU, Alm.del - 2023-24 - Endeligt svar på spørgsmål 1456: Spm. om hvor mange overførsler, der indføres udeklarerede til Danmark, herunder om der findes skøn herfor
2938919_0010.png
10
HVIDVASK I DANMARK
1.
HVIDVASK I
DANMARK
REU, Alm.del - 2023-24 - Endeligt svar på spørgsmål 1456: Spm. om hvor mange overførsler, der indføres udeklarerede til Danmark, herunder om der findes skøn herfor
2938919_0011.png
DEN NATIONALE RISIKOVURDERING AF HVIDVASK
11
Udbytte fra kriminalitet begået i Danmark og i udlandet hvidvaskes
i Danmark. Det er vanskeligt at opgøre omfanget af hvidvask
herhjemme, men det handler om mange milliarder kroner hvert år,
som kriminelle aktører anbringer, slører og integrerer i og igennem
Danmark – til stor skade for vores samfund.
HVIDVASK SKER I FLERE FASER
Langt det meste kriminalitet sker for pengenes
skyld, men før de kriminelle aktører kan bruge
pengene i den legale økonomi, skal pengene
vaskes hvide�½ Hvidvask foregår typisk i flere
faser: Anbringelse, sløring og integrering�½
Anbrin-
gelse
Sløring
Integrering
Sløring:
Sløringsfasen er et vigtigt led i at få
ulovligt udbytte til at se legalt ud�½ I denne
fase adskilles det ulovlige udbytte fra dets
oprindelse gennem forskellige transaktioner
for at skjule, hvor det stammer fra�½ Alt efter
størrelsen af det beløb, der skal hvidvaskes,
kan sløringsfasen indeholde flere led og derfor
være mere eller mindre kompleks�½ I nogle af
de mest simple sager sløres midlerne ved at
flytte mellem forskellige personers bankkonti�½ I
andre større og mere professionelle hvidvask-
netværk indgår der flere hundrede virksomhe-
der
1
placeret i flere forskellige lande, herunder
skattelylande eller lande med ringere hvidvask-
foranstaltninger end i Danmark, som pengene
føres ind og ud af for at sløre sporene�½
Integrering:
I denne fase tilbageføres midlerne
til gerningspersonen, der dermed har fået
sit ulovlige udbytte hvidvasket�½ Når midlerne
tilbageføres, blandes de med gerningspersonens
øvrige økonomi, og han eller hun kan nu anvende
pengene ligesom lovligt tjente penge�½ Det er
ikke en forudsætning, at midlerne tilbageføres til
Danmark�½ De kan også placeres i udlandet, hvor
den kriminelle aktør kan disponere over dem�½
Hvordan faserne konkret udspiller sig afhæn-
ger af, hvilken kriminalitetsform pengene
kommer fra, de kriminelle aktørers intentioner
og kapaciteter samt de muligheder for hvid-
vask, som er i samfundet�½ Hvidvaskmetoderne
varierer og udvikler sig hele tiden�½
Anbringelse:
Det økonomiske udbytte fra den
kriminelle aktivitet skal ind i det finansielle
system�½ Det kan fx være kontanter fra handel
med narkotika, der skal ind på en bankkonto
eller via kontantudførsler til udlandet�½ Hvis det
ulovlige udbytte allerede er i det finansielle
system – det gælder fx udbytte fra internet-
svindel og indbrud i netbank – er denne fase
ikke nær så tydelig, da pengene allerede er i
det finansielle system�½
1�½ I risikovurderingen anvender vi ordene virksomhed og
selskab synonymt af hensyn til læsevenligheden�½
HVIDVASK I DANMARK
HVIDVASK ER AT FÅ
ULOVLIGT UDBYTTE
TIL AT SE LOVLIGT UD
1.1
REU, Alm.del - 2023-24 - Endeligt svar på spørgsmål 1456: Spm. om hvor mange overførsler, der indføres udeklarerede til Danmark, herunder om der findes skøn herfor
2938919_0012.png
12
DEN NATIONALE RISIKOVURDERING AF HVIDVASK
HVIDVASK I DANMARK
Illustration 1:
Eksempel på faserne i hvidvask
Cyklus for hvidvask
Virksomhed ‘Y’
betaler virksomhed ‘X’
via en falsk faktura
Placering
Sløring
Transaktion på
virksomhed ‘X’s
bankkonto
Integrering
Indsamling af
kriminelt udbytte
Kriminelt udbytte
placeres i det
finansielle system
Lån til
virksomhed ‘Y’
Udenlandsk bank
Midler anvendes til
investeringer og køb af
aktiver med høj værdi
HVAD STÅR DER I HVIDVASKLOVEN?
Hvidvask er bredt defineret i hvidvaskloven�½
De virksomheder og personer, der er omfattet
af hvidvaskloven (de underretningspligtige), er
ikke forpligtede til at dokumentere eller bevise,
at der foregår hvidvask, men skal underrette
Hvidvasksekretariatet, hvis der er en mistanke
om hvidvask, som ikke umiddelbart kan afkræf-
tes�½ Pligterne til at undersøge og underrette
fremgår af hvidvasklovens kapitel 5�½
De vil typisk kun kunne se en del af aktiviteterne
i de enkelte faser�½ Derfor gælder pligten til at
underrette både, når man er ”vidende om, har
mistanke om eller rimelig grund til at formode”
at der kan forekomme hvidvask eller finansie-
ring af terrorisme�½ Det fremgår af hvidvask-
lovens § 26, stk�½ 1�½
Hvidvaskloven § 26, stk. 1
Virksomheder og personer skal omgå-
ende underrette Hvidvasksekretariatet,
hvis virksomheden eller personen er
vidende om, har mistanke om eller
rimelig grund til at formode, at en trans-
aktion, midler eller en aktivitet har eller
har haft tilknytning til hvidvask eller
finansiering af terrorisme�½ Det samme
gælder ved mistanke, der er opstået i
forbindelse med kundens forsøg på at
foretage en transaktion eller en henven-
delse fra en mulig kunde med ønske om
gennemførelse af en transaktion eller
aktivitet�½
Hvidvask defineres i hvidvask­
lovens § 3, stk. 1, som:
1�½ uberettiget at modtage eller skaffe
sig eller andre del i økonomisk
udbytte eller midler, der er opnået
ved en strafbar lovovertrædelse�½
2�½ uberettiget at skjule, opbevare,
transportere, hjælpe til afhændelse
eller på anden måde efterfølgende
virke til at sikre det økonomiske
udbytte eller midlerne fra en straf-
bar lovovertrædelse�½
3�½ forsøg på eller medvirken til
sådanne dispositioner�½
Som underretningspligtig behøver man ikke
have en formodning om førforbrydelsen, og hvor
de ulovlige midler stammer fra�½ Den enkelte
underretningspligtige vil nemlig sjældent kunne
se, hvordan hele hvidvaskprocessen forløber�½
Der findes tilfælde, hvor det økonomiske udbytte
allerede i forbindelse med den strafbare hand-
ling fremstår legalt, men hvor der alligevel er tale
om hvidvask�½ Et eksempel kunne være insider-
handel�½ Her vil udbyttet fra den kriminelle hand-
ling være et aktieudbytte eller en kursgevinst, der
eksempelvis kanaliseres fra en handelsplatform
til en bankkonto�½
REU, Alm.del - 2023-24 - Endeligt svar på spørgsmål 1456: Spm. om hvor mange overførsler, der indføres udeklarerede til Danmark, herunder om der findes skøn herfor
2938919_0013.png
DEN NATIONALE RISIKOVURDERING AF HVIDVASK
13
Hvidvask er selvstændigt
kriminaliseret i straffeloven
Strafferetligt er hvidvask dækket af
straffelovens § 290 a, der tager sigte på
hvidvask af penge, både når det direkte
udbytte af førforbrydelsen er penge,
og når et udbytte i form af andet end
penge er blevet omsat til penge, som
derefter hvidvaskes�½
Bestemmelsen kriminaliserer en del af
de handlinger vedrørende håndtering af
udbytte fra en strafbar lovovertrædelse,
der tidligere var omfattet af straffe-
lovens § 290 om hæleri�½
I eksemplet med insiderhandel vil forbrydel-
sen omfattes af hvidvasklovens definition
af hvidvask, og der skal underrettes herom�½
Derimod vil der ikke være tale om hvidvask i
straffelovens forstand�½ I straffelovens forstand
er der alene begået én forbrydelse, og det er
insiderhandel�½ Dette skyldes, at straffen for
førforbrydelsen (insiderhandlen) blandt andet
fastsættes under hensyn til gerningspersonens
mulighed for at få overført beløbet til sin konto
og på denne måde at få nytte af udbyttet�½
Der kan dog blive tale om hvidvask (selvhvid-
vask), hvis gerningspersonen til førforbrydelsen
(fx insiderhandel) foretager handlinger, der går
væsentligt ud over sædvanlig håndtering af
udbyttet fra førforbrydelsen�½ Hvis gerningsper-
sonen fx overfører sit udbyttet til en konto, som
tilhører en anden person eller til en konto i et
andet land, når det sker for at skjule eller tilsløre
udbyttets ulovlige oprindelse, skal der rejses
tiltale både for selve førforbrydelsen og for
hvidvask�½ National enhed for Særlig Kriminalitet
(NSK) oplyser, at der formentlig er mulighed for
at straffe i feltet mellem en berigelsesforbry-
delse og gerningspersonens selvhvidvask, men
det er uafklaret i retspraksis i dag�½
HVIDVASK I DANMARK
I dette tilfælde vil den, der uretmæssigt har
sikret sig en kursgevinst på baggrund af oplys-
ninger opnået ved insiderhandel, ikke have et
behov for at sløre det ulovlige udbytte, da det
fremstår som legal aktieindkomst, der i øvrigt
beskattes�½ Men der er stadig tale om hvidvask i
hvidvasklovens forstand�½
REU, Alm.del - 2023-24 - Endeligt svar på spørgsmål 1456: Spm. om hvor mange overførsler, der indføres udeklarerede til Danmark, herunder om der findes skøn herfor
2938919_0014.png
14
DEN NATIONALE RISIKOVURDERING AF HVIDVASK
HVIDVASK I DANMARK
1.2
HVIDVASK ER SKADELIGT
FOR VORES SAMFUND
Når kontanter fra fx salg af narkotika smugles
over grænsen, hvidvaskes gennem stråmands-
virksomheder og genindføres som legale midler
gennem danske virksomheder, forårsager de
kriminelle aktører på én og samme tid skader
på personer, der indtager stoffer, forvrider
konkurrencen i de brancher, der benyttes til at
hvidvaske igennem, og snyder samfundet for
skatter og afgifter�½ Når de kriminelle aktører
ikke betaler skat, men hvidvasker midlerne og
køber dyre ure, biler, huse eller virksomheder,
reduceres statens indtægter, som kunne have
kommet samfundet til gode�½ Det gælder ikke
kun Danmark, men i alle lande, hvor befolknin-
gerne frarøves midler�½ Derfor skal vi bekæmpe,
at Danmark bliver brugt til hvidvask�½
Hvidvask forvrider konkurrenceevnen
inden for de involverede brancher
Når kriminelle aktører bruger virksomheder til at
hvidvaske igennem, medfører det ofte dårligere
konkurrencevilkår for de legale virksomheder�½
De kriminelle aktører har heller ikke nødvendigvis
samme fokus på at drive en rentabel forretning,
da formålet er at hvidvaske penge og ikke nød-
vendigvis drive en økonomisk sund forretning�½
Hvidvask reducerer integriteten
på de finansielle markeder
Når kriminelle aktører misbruger dansk finansiel
infrastruktur til hvidvask kan det have negative
effekter på de finansielle markeder, give dårligt
omdømme både herhjemme og i udlandet og
derigennem skade dansk økonomi�½
Hvidvask forårsager faldende tillid
til myndighederne og retsstaten
Hvidvask kan medføre forringet tillid til det
politiske system og de offentlige institutioner,
der skal føre tilsyn, pågribe og retsforfølge
personer og virksomheder, der hvidvasker�½
Det kan virke stødende på retsfølelsen, hvis
borgerne får indtryk af, at hvidvask ikke rets-
forfølges og straffes i tilstrækkelig grad�½
Jo sværere det er for de kriminelle aktører at
hvidvaske deres penge i Danmark, des mere
stiger omkostningerne for dem – både i form af
de økonomiske omkostninger og i form af risi-
koen for at blive opdaget�½ Det er ikke muligt at
estimere den gennemsnitlige omkostning ved
hvidvask, men hvis det er muligt at hvidvaske
penge fra udbyttegivende kriminalitet til relativt
lave omkostninger i Danmark, er der et incita-
ment for de kriminelle aktører til at fortsætte
deres kriminelle aktiviteter og til at hvidvaske
deres penge her�½
DER ER EN RÆKKE SAMFUNDS-
SKADELIGE KONSEKVENSER
FORBUNDET MED HVIDVASK
Hvidvask øger de kriminelle aktørers
incitament til at begå mere kriminalitet
Når kriminelle aktører kan anvende udbyttet
fra den kriminalitet, de begår, er der fortsat et
incitament til at begå kriminalitet�½
Hvidvask forudsætter en række
andre kriminelle handlinger
At hvidvaske penge kræver ofte misbrug af
andres identiteter, dokumentfalsk, opsæt-
ning af virksomheder til kriminelle formål,
deltagelse i konkurskriminalitet med videre�½
Hvidvask forudsætter således en række andre
kriminalitetsformer�½
REU, Alm.del - 2023-24 - Endeligt svar på spørgsmål 1456: Spm. om hvor mange overførsler, der indføres udeklarerede til Danmark, herunder om der findes skøn herfor
2938919_0015.png
DEN NATIONALE RISIKOVURDERING AF HVIDVASK
15
Hvidvask er et globalt problem og foregår
gennem flere led og på tværs af landegrænser�½
Det er derfor vanskeligt at måle, hvor mange
penge der hvidvaskes i Danmark�½
For at kunne anslå, hvor mange penge der skal
hvidvaskes, vil det kræve et estimat for, hvor
mange penge de kriminelle aktører ”tjener” på
deres kriminalitet�½ Der findes ikke en samlet
opgørelse over, hvor mange penge der genere-
res ved kriminalitet i Danmark, og vi ved heller
ikke, hvor stor en andel af disse penge der
potentielt skal hvidvaskes for at kunne anven-
des i den legale økonomi�½ Da definitionen af
hvidvask også omfatter hvidvask af udbytte fra
kriminalitet begået i udlandet, vil en opgørelse
over, hvor mange midler der genereres ved
kriminalitet i udlandet, og hvor stor en del af
disse penge der potentielt vil skulle hvidvaskes
i Danmark, også skulle medregnes�½ Den opgø-
relse findes heller ikke�½
Der findes derfor ikke et tal for, hvor mange
penge der hvidvaskes i Danmark�½ Men vi kan
alligevel få en fornemmelse af, hvor stort pro-
blemet er, ved at tage udgangspunkt i et skøn
for det globale omfang af hvidvask, og se på,
hvad Danmarks andel kan anslås at udgøre�½
OMFANGET AF HVIDVASK I
DANMARK
Hvis vi skal komme tættere på et beløb, der
med de nødvendige forbehold kan virke som
en horisont for det problem, vi skal bekæmpe
i Danmark, kan vi tage udgangspunkt i FN’s tal
(se boks 1 nedenfor) og se på, hvad der i en
dansk kontekst taler for eller imod, at niveauet
i Danmark skulle være over eller under de 2,7
pct�½ af bruttonationalproduktet, hvilket i 2021
vil svare til, at Danmarks andel udgør knap 68
milliarder kroner (løbende priser)�½
1
1�½ I Den Nationale Risikovurdering fra 2018 (Hvidvaskse-
kretariatet 2018: 8) refereres to ældre studier, der begge
estimerer et noget lavere niveau�½ Da usikkerheden om
niveauet er stor, forholder vi os til de estimater, som FN og
Den Internationale Valutafond (IMF) anvender�½ Danmarks
andel er beregnet ud fra Danmarks bruttonationalprodukt i
2021 på 2�½504�½178�½000�½000 kroner�½
Boks 1
Omfanget af hvidvask er svært at opgøre
Et ofte anvendt estimat for hvidvask på verdensplan stammer fra International
Monetary Fond (IMF) der har anslået, at der årligt hvidvaskes for, hvad der svarer til
cirka 2-5 pct�½ af det globale bruttonationalprodukt
(International Monetary Fund 1998)�½
I et FN-studie fra 2011 anslog United Nations Office on Drugs and Crimes (UNODC),
at det samlede udbytte fra kriminalitet eksklusiv skatteunddragelse i 2009 var i en
størrelse, der svarede til 3,6 pct�½ af det globale bruttonationalprodukt�½ Heraf vurderede
UNODC, at 2,7 procent var ”available for money-laundering”
(UNODC 2011: 5)�½
I 2020
refererede High Level Panel on International Financial Accountability Transparency
and Integrity (FACTI Panel) også til de 2,7 pct�½ svarende til 1�½600 milliarder dollars
(UNDESA 2020)�½
På Finanstilsynets hvidvaskseminar i 2021 refererede FATF, at der
på verdensplan hvidvaskes for omkring 2�½000 milliarder dollars�½ Det svarer til godt
13�½000 milliarder kroner�½ Det er således de samme estimater, der gentages i forskellige
sammenhænge�½ Europol konstaterer, at omfanget og kompleksiteten af hvidvasknings-
aktiviteter tidligere er blevet undervurderet
(Europol 2021a: 11)�½
Tallene skal med
andre ord vurderes med varsomhed�½
HVIDVASK I DANMARK
DER HVIDVASKES FOR
MILLIARDER I DANMARK
1.3
REU, Alm.del - 2023-24 - Endeligt svar på spørgsmål 1456: Spm. om hvor mange overførsler, der indføres udeklarerede til Danmark, herunder om der findes skøn herfor
2938919_0016.png
16
DEN NATIONALE RISIKOVURDERING AF HVIDVASK
HVIDVASK I DANMARK
Forskellige forhold i Danmark taler for og
imod, at tallet skulle være over eller under
gennemsnittet�½
Eksempelvis kan det tale for, at Danmark ligger
over
gennemsnittet, at
Danmark er en åben økonomi med et højt
niveau af grænseoverskridende aktiviteter for
såvel handels- og finansmarkedet�½
Hvidvask foregår i stigende omfang digitalt,
og Danmark er et af verdens mest digitalise-
rede samfund�½
Danmarks begrænsede korruption kan virke
attraktivt for kriminelle aktører, da det at drive
virksomhed i Danmark kan give en form for
blåstempling af aktiviteterne�½
Omvendt kan det eksempelvis tale for, at
Danmark ligger
under
gennemsnittet, at
I et internationalt perspektiv vurderes risikoen
for, at Danmark misbruges til hvidvask som
lav
(Basel Institute on Governance 2021: 25)�½
Danmark er et transparent samfund�½
Danmark har færre kontanter i økonomien
end landene i euroområdet
(Danmarks
Nationalbank 2022d: 8)�½
Digitaliseringen betyder, at handel med
udlandet registreres elektronisk, og at de
indenlandske transaktioner samt trans-
aktioner til udlandet kan moniteres�½
Omfanget af hvidvask i Danmark er vanskeligt
at estimere, og det vil også ændre sig fra år til
år�½ Hvor meget der hvidvaskes i Danmark, er
ikke alene afhængigt af, hvor meget kriminalitet
der sker herhjemme, men også af omfanget af
udbyttegivende kriminalitet i udlandet, som skal
hvidvaskes�½ Omfanget vil også afhænge af ind-
satsen mod hvidvask i Danmark, men også af
indsatsen mod hvidvask i andre lande, da større
eller mindre sårbarheder i deres systemer bety-
der, at Danmark bliver relativt mindre eller mere
attraktivt at hvidvaske penge i�½ Vandet søger
derhen, hvor der er sprækker, og det gælder også
de kriminelle aktørers forsøg på at hvidvaske�½ De
kriminelle aktører er omstillingsparate og kan få
rådgivning af eksperter om, hvordan de lettest og
billigst kan få hvidvasket deres ulovlige midler�½
Hvis de opdager en mulighed, er de hurtige til at
få sat et system op og hvidvaske deres ulovlige
midler, indtil det opdages, og muligheden lukkes�½
Det har vi fx set med fakturafabrikkerne, hvor
de kriminelle aktører på få måneder har kunnet
hvidvaske flere hundrede millioner kroner�½
Omfanget kan derfor skifte meget hurtigt�½
Større sager om hvidvask i Danmark viser os
med al tydelighed, at vi ikke kender omfanget,
men også at det er vanskeligt at tale om et gen-
nemsnit på hvidvaskområdet, hvor såvel trusler
som sårbarheder er dynamiske og korrelerer�½ Da
vi ikke kender det præcise omfang, skal tallet
68 milliarder kroner derfor tages med stort for-
behold�½ Tallet kan lige så vel være mindre eller
større�½ Det vigtigste budskab er, at det er mange
penge, og at det i mange tilfælde vil kræve pro-
fessionelle strukturer og organisationer at hvid-
vaske så store beløb�½
Ovenstående er blot eksempler på, hvad der
kan trække op eller ned i forhold til, om Danmark
ligger over eller under gennemsnittet på 2,7 pct�½
REU, Alm.del - 2023-24 - Endeligt svar på spørgsmål 1456: Spm. om hvor mange overførsler, der indføres udeklarerede til Danmark, herunder om der findes skøn herfor
2938919_0017.png
DEN NATIONALE RISIKOVURDERING AF HVIDVASK
17
HVIDVASK-
SEKRETARIATET ER
EN FINANSIEL EFTER-
RETNINGSENHED
En finansiel efterretningsenheds kerneopgave
er at modtage, analysere og videregive oplys-
ninger om potentiel hvidvask og terrorfinan-
siering til de kompetente myndigheder, der
vurderer, hvordan efterretningsoplysningerne
kan anvendes�½ Derfor er alle underretnin-
ger om mistanke om hvidvask eller førfor-
brydelsen som udgangspunkt relevante for
Hvidvasksekretariatet�½ Hvidvasksekretariatet
samler og beriger underretninger, men har ikke
mandat til at efterforske og retsforfølge�½
Alle personer og virksomheder, der er omfattet
af hvidvaskloven, er forpligtede til at underrette
Hvidvasksekretariatet ved mistanke om hvid-
vask eller terrorfinansiering�½ Underretningerne,
som Hvidvasksekretariatet modtager, er én af
de vigtigste kilder til informationer om hvidvask
og terrorfinansiering�½
1
En underretning er en oplysning om mulig
kriminalitet og skal ikke forveksles med en
politianmeldelse�½
Underretningerne er udtryk for de underret-
ningspligtiges opfattelser af mistænkelige akti-
viteter, men indholdet er ikke beviseligt krimi-
nelt, førend der – efter sigtelse og tiltalerejsning
– er faldet dom i retten�½ Underretningerne er
alene udtryk for, hvad de underretningspligtige
kan se, og hvad de finder mistænkeligt, og
detaljegraden varierer betydeligt�½
Underretningerne er vigtige for bekæmpelsen
af hvidvask og for vores forståelse af området�½
Nogle gange kan underretningerne stå alene og
i sig selv udgøre en sag, men i mange tilfælde
er der brug for flere underretninger fra forskel-
lige underretningspligtige og også andre typer
informationer, fx fra andre registre eller fra nati-
onale og internationale samarbejdspartnere,
for at det er muligt at tegne et samlet billede
af den hvidvask, der foregår, eller i al fald have
oplysninger nok til at sende videre til en anden
myndighed, der kan efterforske sagen�½
1�½ Den nationale risikovurdering af terrorfinansiering i
Danmark udarbejdes som et selvstændigt produkt af
Politiets Efterretningstjeneste (PET)�½
HVIDVASK I DANMARK
1.4
REU, Alm.del - 2023-24 - Endeligt svar på spørgsmål 1456: Spm. om hvor mange overførsler, der indføres udeklarerede til Danmark, herunder om der findes skøn herfor
2938919_0018.png
18
DEN NATIONALE RISIKOVURDERING AF HVIDVASK
HVIDVASK I DANMARK
1.5
DE UNDERRETNINGS-
PLIGTIGE SENDER MANGE
UNDERRETNINGER
I Danmark er indsatsen mod hvidvask blevet
styrket over en årrække�½ Dels er lovgivningen
strammet på en række punkter, dels fremsender
de underretningspligtige flere underretninger til
Hvidvasksekretariatet�½ Hertil kommer, at flere
brancher er blevet omfattet af hvidvaskloven og
underretningspligten�½
Siden 2015 har Hvidvasksekretariatet modtaget
et stigende antal underretninger�½ I 2021 modtog
Hvidvasksekretariatet godt 70�½000 underretnin-
ger�½ Det er mere end fire gange så mange som
i 2015, jf�½ figuren nedenfor�½ Danmark modtager
mange underretninger sammenlignet med de
øvrige nordiske lande�½ Blandt årsagerne er for-
mentlig de store hvidvasksager, der har været i
Danmark, fx Danske Bank-sagen og Operation
Greed, som har øget opmærksomheden og
styrket de underretningspligtiges kapaciteter
på området, herunder ressourcer og teknologi
til at identificere mistænkelige aktiviteter�½ En
anden årsag kan være, at niveauet for, hvornår
de underretningspligtige rapporterer, er lavere
i Danmark end i andre lande�½ Finanstilsynet
har det indtryk, at pengeinstitutter i Danmark
har en lavere grænse for, hvornår der udarbej-
des en underretning i forhold til fx de andre
skandinaviske lande, hvor mistankegrundlaget
skal være større og den mistænkelige aktivitet
bliver undersøgt grundigere, før pengeinstitutter
sender en underretning�½
Antallet af underretninger kan ikke i sig selv
bruges til at estimere omfanget af hvidvask�½
En stigning i antallet af underretninger kan
skyldes en stigning i hvidvaskaktiviteter, men
Figur 1
Udviklingen i antal underretninger sendt til Hvidvasksekretariatet*
80�½000
60�½000
40�½000
20�½000
0
2015
2016
2017
2018
2019
2020
2021
Kilde:
Hvidvasksekretariatet 2022�½ Antal underretninger opgjort 20�½ januar 2022�½
*) I opgørelsen indgår rapporttyperne Suspicious Transaction Report (STR), Suspicious Activity Report (SAR) og Terror Financing Report (TFR)�½ 90 pct�½ af
underretningerne er Suspicious Transaction Report (STR), som omhandler mistænkelige transaktioner, fx overførsel fra konto til konto, kontanthævning eller
kontantindsættelse�½ Hvidvasksekretariatet modtager også andre typer af informationer ud over underretninger, fx efterretninger fra nationale og internatio-
nale kilder, herunder fra andre landes FIUer�½ Hvidvasksekretariatet modtager også oplysninger fra Toldstyrelsen om alle deklarerede midler, der krydser den
danske grænse, såkaldte Cross-Border-Reports�½ I perioden fra 2018 til 2021 har Toldstyrelsen sendt mere end 10�½000 rapporter om deklarerede midler�½
REU, Alm.del - 2023-24 - Endeligt svar på spørgsmål 1456: Spm. om hvor mange overførsler, der indføres udeklarerede til Danmark, herunder om der findes skøn herfor
2938919_0019.png
DEN NATIONALE RISIKOVURDERING AF HVIDVASK
19
det kan også skyldes andre forhold, som fx et
øget fokus på hvidvask, at flere aktører er gjort
underretningspligtige, og at området har fået
flere ressourcer�½ Ikke desto mindre kan det
konstateres, at der frem mod 2021 har været
en markant vækst i underretninger om mulig
hvidvask og terrorfinansiering�½ Faldet fra 2020
til 2021 skyldes særligt færre underretninger
fra bankerne, men Hvidvasksekretariatet er ikke
bekendt med årsagen til faldet�½
Fordelingen af underretningerne fortæller ikke
nødvendigvis, i hvilke brancher der foregår mest
hvidvask, men den kan fortælle noget om, hvor
opmærksomheden på hvidvask er størst, hvor
kapaciteten til at monitere er størst, og hvor de
underretningspligtige har nemmest ved at se
indikationer på potentiel hvidvask�½
Tabel 1
Antal underretninger fordelt efter type af underretter
 Underrettere*
Advokater (Hvidvaskloven §1, stk�½ 1, nr�½ 13)
Ejendomsmæglere og ejendomsmæglervirksomheder
(Hvidvaskloven §1, stk�½ 1, nr�½ 15)
Finansiel leasing (Hvidvaskloven §1, stk�½ 1, nr�½ 8)
Fondsmæglerselskaber (Hvidvaskloven §1, stk�½ 1, nr�½ 3)
Forsikringsformidlere (Hvidvaskloven §1, stk�½ 1, nr�½ 7)
Godkendte revisorer og revisionsvirksomheder
(Hvidvaskloven §1, stk�½ 1, nr�½ 14)
Investeringsselskaber, -fonde og -forvaltere
(Hvidvaskloven §1, stk�½ 1, nr�½ 9 og 10)
Kunsthandlere, gallerier og auktionshuse mv�½
(Hvidvaskloven §1, stk�½ 1, nr�½ 21)
Livsforsikringsselskaber og tværgående pensionskasser
(Hvidvaskloven §1, stk�½ 1, nr�½ 4)
Offentlige myndigheder mv�½
(Hvidvaskloven §28 + §1, stk�½ 1, nr�½ 20)
Pengeinstitutter (Hvidvaskloven §1, stk�½ 1, nr�½ 1)
Realkreditinstitutter (Hvidvaskloven §1, stk�½ 1, nr�½ 2)
Skatterådgivere, eksterne bogholdere mv�½
(Hvidvaskloven §1, stk�½ 1, nr�½ 16)
Sparevirksomheder (Hvidvaskloven §1, stk�½ 1, nr�½ 5)
Spiludbydere (Hvidvaskloven §1, stk�½ 1, nr�½ 19)
Udbydere af tjenesteydelser til virksomheder**
(Hvidvaskloven §1, stk�½ 1, nr�½ 17)
Udbydere af tjenesteydelser vedrørende virtuelle
aktiver, VASP (Hvidvaskloven §1, stk�½ 1, nr�½ 22-26)
Udstedere af elektroniske penge og udbydere af
betalingstjenester (Hvidvaskloven §1, stk�½ 1, nr�½ 6)
Valutavekslingsvirksomhed
(Hvidvaskloven §1, stk�½ 1, nr�½ 18)
Øvrige virksomheder og personer (Hvidvaskloven
§1, stk�½ 1, nr�½ 8, 11 og 12)
Andre
I alt
2018
7
5
26
0
0
32
0
-
8
69
26�½417
39
3
48
6�½623
7
-
1�½740
592
150
3
 35.769
2019
19
5
52
0
0
177
0
-
20
382
40�½996
47
18
137
8�½433
2
18
1�½870
1153
131
21
53.481
2020
25
3
77
0
2
1�½907
0
1
12
851
58�½928
25
58
200
7�½625
1
39
2�½970
622
84
17
73.447
2021
8
4
103
0
1
1�½677
2
1
25
758
54�½415
46
76
109
9�½215
15
37
3�½508
349
77
14
70.440
Kilde:
Hvidvasksekretariatet 2022�½ Opgørelse af antal underretninger opgjort 20�½ januar 2022�½
*) De underretningspligtige angiver selv, hvilken kategori de tilhører, når de opretter sig i GoAML�½ Det er de angivelser, der er anvendt i tabellen�½
**) Udbydere af tjenesteydelser til virksomheder: selskabsoprettere, professionelle ledelsesmedlemmer, virtuelle kontorhoteller med videre�½
HVIDVASK I DANMARK
PENGEINSTITUTTERNE SENDER
FLEST UNDERRETNINGER
REU, Alm.del - 2023-24 - Endeligt svar på spørgsmål 1456: Spm. om hvor mange overførsler, der indføres udeklarerede til Danmark, herunder om der findes skøn herfor
2938919_0020.png
20
DEN NATIONALE RISIKOVURDERING AF HVIDVASK
HVIDVASK I DANMARK
Langt den største del af underretningerne
kommer fra pengeinstitutterne�½ I 2021 tegnede
bankerne sig for 77 pct�½ af underretningerne,
mens spiludbyderne tegnede sig for 13 pct�½ De
resterende 10 pct�½ udgøres primært af revisorer,
udstedere af elektroniske penge og udbydere af
betalingstjenester�½ En række brancher underret-
ter meget sjældent eller aldrig�½
Inden for kategorien pengeinstitutter er der stor
variation i, hvor meget de forskellige banker
underretter�½ Det samme gør sig gældende for de
øvrige underretningspligtige brancher�½ I nogle
brancher er det kun nogle få virksomheder, der
sender underretninger, mens andre aktører
aldrig sender en underretning�½ En del af variati-
onen skyldes formentligt, at der er stor forskel
på virksomhedernes markedsandele og deres
forretningsmodeller�½
Men det kan ikke være hele forklaringen�½ For
størstedelen af de virksomheder, som er omfat-
tede af hvidvaskloven, har aldrig sendt en under-
retning�½ Hvidvasksekretariatet vurderer, at der
er minimum 17�½000 personer og virksomheder,
der er omfattet af hvidvaskloven
1
, men per 1�½ juli
2022 har kun cirka 1�½850 underretningspligtige
virksomheder, myndigheder og andre oprettet sig
i GoAML, som er det system, der kan underrettes
igennem, og hvorigennem Hvidvasksekretariatet
sender informationer og meddelelser�½ Trækker
vi dobbeltregistreringer og fejlregistreringer fra,
svarer det til, at godt ti pct�½ af de underretnings-
pligtige har tilmeldt sig GoAML�½
I de kommende år forventer Hvidvasksekre-
tariatet stigninger i antallet af underretninger
fra udbydere af tjenesteydelser vedrørende
virtuelle aktiver (VASP), dels fordi der forven-
teligt kommer flere udbydere og kunder på
markederne for kryptoaktiver og dels på grund
af den øgede regulering af virtuelle aktiver på
globalt plan�½ 
1�½ Skønnet er fremkommet ved at indhente information fra
tilsynsmyndighederne, hvor de hver især har estimeret, hvor
mange underretningspligtige der er under deres tilsyn�½
REU, Alm.del - 2023-24 - Endeligt svar på spørgsmål 1456: Spm. om hvor mange overførsler, der indføres udeklarerede til Danmark, herunder om der findes skøn herfor
2938919_0021.png
DEN NATIONALE RISIKOVURDERING AF HVIDVASK
21
Underretningerne indeholder oplysnin-
ger om personer og virksomheder, som de
underretningspligtige har mistanke om eller
rimelig grund til at formode, har tilknytning
til hvidvask eller finansiering af terrorisme�½
Underretningerne indeholder ofte også oplys-
ninger om den potentielle kriminelle handling,
der ligger forud for hvidvasken, den såkaldte
førforbrydelse�½ De underretningspligtige er dog
ikke forpligtede til at kende til førforbrydelsen
for at lave en underretning�½
I enkelte tilfælde indeholder underretningerne
også beskrivelser af de hvidvaskmetoder,
som de mistænkelige aktører bruger�½ Andre
gange er det meget sparsomt med oplysninger�½
Underretningerne kan desuden indeholde en
række oplysninger som fx cpr- og cvr-numre
samt oplysninger om transaktioner�½ Alle disse
oplysninger fra underretningerne kan kædes
sammen til at give indikationer af, hvordan der
hvidvaskes i Danmark�½
De mest fyldestgørende underretninger inde-
holder både oplysninger om den/dem under-
retningen vedrører, fx navne, cvr-numre,
samt hvad det er, der har forårsaget det mis-
tankegrundlag, som gør, at der sendes en
underretning�½
DER UNDERRETTES OFTERE OM
PERSONER END OM VIRKSOMHEDER
Hvidvasksekretariatet vurderer, at langt den
overvejende del af underretningerne handler
om personer�½ Kun en mindre andel handler om
virksomheder�½ Underretningerne om personer
handler ofte om skatte- og momssvig�½ Det kan
fx være personer, som deltager i sort arbejde
eller begår socialt bedrageri�½
Underretninger om virksomheder drejer sig oftest
om virksomheder med færre end ti ansatte�½
De fleste af disse underretninger dækker over
personer, der mistænkes for at benytte mindre
virksomheder til svindel, fx sammenblanding af
privatøkonomien og virksomhedens økonomi�½
I cirka én pct�½ af underretningerne angår mis-
tanken en virksomhed med flere end ti ansatte�½
Det fremgår af figuren nedenfor�½
Figur 2
Underretninger fordelt efter hvem mistanken vedrører
Personer
Virksomheder
med færre
end10
ansatte
Virksomheder
med 10 eller
flere ansatte
8%
1%
91 %
Kilde:
Hvidvasksekretariatet 2022�½ Opgørelsen bygger på datamæssig identifikation af
hovedaktøren – person eller virksomhed – i underretningen (strong main-agent)�½
HVIDVASK I DANMARK
HVAD FORTÆLLER
UNDERRETNINGERNE?
1.6
REU, Alm.del - 2023-24 - Endeligt svar på spørgsmål 1456: Spm. om hvor mange overførsler, der indføres udeklarerede til Danmark, herunder om der findes skøn herfor
2938919_0022.png
22
DEN NATIONALE RISIKOVURDERING AF HVIDVASK
HVIDVASK I DANMARK
De største værdier, der underrettes om, findes
blandt virksomhederne�½ Beløbsmæssigt vurderer
Hvidvasksekretariatet, at virksomhederne udgør
cirka 67 pct�½ af underretningerne, mens enkelt-
personerne udgør de resterende cirka 33 pct�½
Selvom virksomheder med flere end ti ansatte
kun udgør én pct�½ af underretningerne, udgør de
knap 11 pct�½, af den samlede beløbsstørrelse,
og med et markant højere gennemsnitligt beløb
per underretning�½ Hvidvasksekretariatet anven-
der med forbehold de beløb, som er angivet i
underretningerne, som indikationer�½ Det skyl-
des, at de i visse tilfælde er behæftet med fejl,
der slår markant ud i opgørelserne�½
En forklaring på, at der oftere underrettes om
personer end om virksomheder, kan være, at
det er nemmere for de underretningspligtige
at se indikationer på hvidvask hos personer,
da hvidvasken ofte er mere simpel og ofte
involverer personer med en NemKonto�½
DER UNDERRETTES OFTERE OM
TRANSAKTIONER I DANMARK END
MELLEM DANMARK OG UDLANDET
De fleste underretninger handler om trans-
aktioner inden for landets grænser�½ Når vi ser
på antallet af underretninger med tilknyttede
udlandstransaktioner, hvor enten modtager eller
afsender er en dansk bank, udgør de mellem 15
og 20 pct�½ af underretningerne�½ Det er primært
Tyskland, England, Tyrkiet, Sverige, USA, Polen,
Spanien, Litauen, Holland og Thailand midlerne
sendes til og fra�½
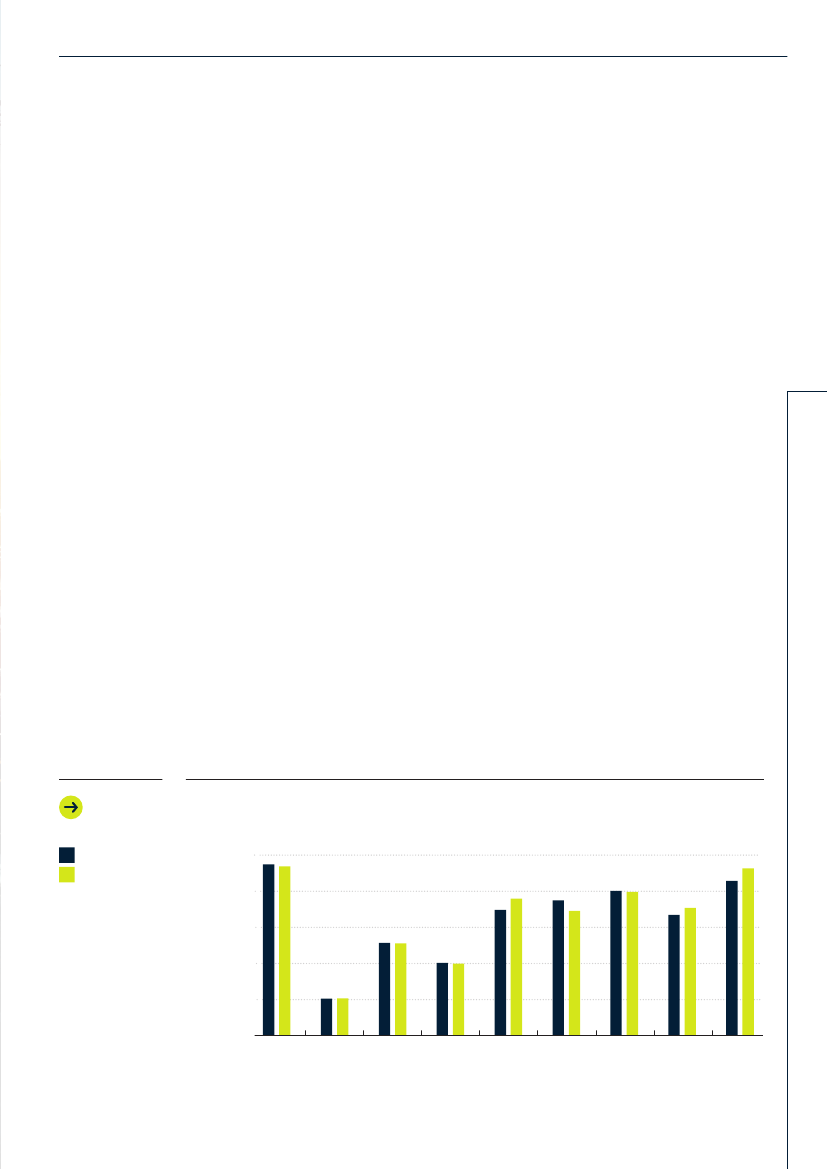
Figur 3
Underretninger
uden udlands-
transaktioner
Underretninger
med udlands-
transaktioner
Antal underretninger med og uden udlandstransaktioner*
80�½000
60�½000
40�½000
20�½000
0
2018
Kilde:
Hvidvasksekretariatet 2022�½ Data trukket 10�½ maj 2022�½
*) Her medregnes alene underretninger med tilknyttede transaktioner, der ikke omhandler korrespondentbankstransaktioner samt transaktioner, hvor enten
modtager eller afsender er dansk�½ Tallene indeholder ikke transaktioner fra korrespondentbanker, fordi den type underretninger altid omhandler udlandet og
ofte ikke er særligt informative, da den danske bank ikke har kontekst på transaktionen, men blot administrerer transaktionen på vegne af en udenlandsk bank�½
2019
2020
2021
REU, Alm.del - 2023-24 - Endeligt svar på spørgsmål 1456: Spm. om hvor mange overførsler, der indføres udeklarerede til Danmark, herunder om der findes skøn herfor
2938919_0023.png
DEN NATIONALE RISIKOVURDERING AF HVIDVASK
23
Hvidvasksekretariatet nyttiggør underretnin-
gerne gennem:
Videregivelser til andre nationale myndighe-
der og internationale samarbejdspartnere�½
Udarbejdelse af måludpegningsoplæg, hvil-
ket typisk vedrører større sager, som Hvid-
vasksekretariatet på baggrund af underret-
ninger og andre oplysninger har identificeret,
undersøgt og beriget, inden de formidles til
rette kompetente myndighed�½
Analyser af trends og tendenser samt udar-
bejdelse af risikovurderinger�½
Oplysninger i underretningerne bliver ikke nød-
vendigvis videregivet i den samme periode,
de er modtaget i�½ Det skyldes, at underretnin-
gerne kan vise sig først at være relevante at
videresende i forbindelse med en efterforsk-
ning eller i forbindelse med andre underret-
ninger, der kommer til Hvidvasksekretariatet
på et senere tidspunkt�½ Modtagerne af Hvid-
vasksekretariatets videregivelser fremgår i
tabellen nedenfor�½
Hvidvasksekretariatet modtager og sender
også underretninger til internationale sam-
arbejdspartnere via FIU-net, som er struktu-
ren til udveksling af oplysninger mellem EU/
EØS-landene, og via Egmont-samarbejdet,
der handler om udveksling af oplysninger med
lande uden for EU�½ I de senere år er der sket en
opbygning af såvel kapacitet som struktur til
mere effektiv deling af oplysninger i EU-regi, og
det har fået antallet af underretninger mellem
FIUer i Europa til at stige�½
VIDEREGIVELSER TIL ANDRE
MYNDIGHEDER
Når Hvidvasksekretariatet videregiver oplysnin-
ger til en anden myndighed, sker det som en
efterretning, der kan indeholde oplysninger fra
mere end én underretning�½ Næsten 40 pct�½ af
videregivelserne indeholder to eller flere under-
retninger og knap ti pct�½ af videregivelserne
indeholder fem eller flere underretninger�½
Tabel 2
Antal videregivelser fordelt efter modtagere*
Modtagere
Anden offentlig myndighed (herunder underretninger
om svindel med kompensationsordninger)
Administrative oplysninger til PET
Understøttelse af PET’s operative virke**
Politikredsene
Skatteforvaltningen
SØIK (Statsadvokaten for Særlig
Økonomisk og International Kriminalitet)
2018
286
442
802
2�½137
98
2019
233
1�½726
1�½285
1�½926
222
2020
3�½301
282
2�½166
1�½752
2�½084
280
2021
3�½051
1�½159
567
1�½483
4�½976
418
Kilde:
Hvidvasksekretariatet 2022�½ Opgørelse af antal underretninger opgjort 20�½ januar 2022�½
*) Oplysninger fra samme underretning kan være videregivet til flere myndigheder, fx både til en politikreds og
Skatteforvaltningen�½ Antallet af videregivelser kan derfor ikke summeres�½
**) Stigningen i antallet af videregivelser til PET i årene 2019 og 2020 er resultatet af et generelt stigende antal underretninger og
understøttelse af flere områder i PET�½ Faldet i 2021 er et udtryk for et databrud i andet halvår 2020, hvor Hvidvasksekretariatet
deler videregivelser til PET op i to kategorier: ’Understøttelse af PET’s operative virke’ og ’Administrative oplysninger til PET’�½
HVIDVASK I DANMARK
NYTTIGGØRELSE AF
UNDERRETNINGER
1.7
REU, Alm.del - 2023-24 - Endeligt svar på spørgsmål 1456: Spm. om hvor mange overførsler, der indføres udeklarerede til Danmark, herunder om der findes skøn herfor
2938919_0024.png
24
DEN NATIONALE RISIKOVURDERING AF HVIDVASK
HVIDVASK I DANMARK
Underretninger kan føre til
beslaglæggelser og konfiskation
Når Hvidvasksekretariatet modtager en under-
retning, hvor der er mulighed for at beslag-
lægge penge, foretager Hvidvasksekretariatet
en beslaglæggelse i henhold til retspleje-
loven�½ Hvidvasksekretariatet fremsender
herefter sagen samt oplysningen om beslag-
læggelsen til den relevante politikreds eller
NSK til videre foranstaltning�½ I 2021 modtog
Hvidvasksekretariatet 550 underretninger, hvor
der var mulighed for at beslaglægge i alt godt
315 millioner kroner�½ Foreløbige tal viser, at der i
2021 blev foretaget beslaglæggelse i 34 pct�½ af
sagerne og beslaglagt i alt 47,6 millioner kroner,
heraf er foreløbig 1,6 millioner kroner konfiske-
ret�½ De 1,6 millioner kroner er et resultat af de
beslaglæggelser, som er foretaget i 2021�½ Det
skal bemærkes, at 1,6 millioner kroner ikke er
endegyldigt, idet flere af sagerne stadig kører�½
Den 1�½ januar 2022 blev § 26, stk�½ 4 i hvid-
vaskloven ændret�½ Samtidig trådte bekendt-
gørelse nr�½ 2644 af 28�½ december 2021 om
transaktioner omfattet af § 26, stk�½ 4, i kraft�½
Af hvidvasklovens § 26, stk�½ 4, fremgår nu, at
virksomheder og personer skal undlade at gen-
nemføre transaktioner, hvor der er viden om,
mistanke om eller rimelig grund til at formode,
at transaktionen relaterer sig til hvidvask, jf�½ §
26, stk�½ 1, og transaktionen er af særlig mistæn-
kelig karakter�½ En transaktion er omfattet af §
26, stk�½ 4, hvis den vedrører indestående pen-
gebeløb på én million kroner eller derover�½ De
skal i stedet sende en Fast Track-underretning�½
Ved modtagelsen af en Fast Track-underretning
skal Hvidvasksekretariatet inden udløbet af
den efterfølgende bankdag træffe beslutning
om, hvorvidt der i medfør af retsplejelovens §
807 f, skal foretages en midlertidig beslaglæg-
gelse af beløbet�½ Såfremt Hvidvasksekretariatet
vurderer, at der er grundlag for at foretage
midlertidig beslaglæggelse af beløbet, giver
Hvidvasksekretariatet det relevante penge-
institut besked, ligesom den, som indgrebet
retter sig mod, underrettes om den midlertidige
beslaglæggelse og om muligheden for at få den
midlertidige beslaglæggelse indbragt for retten�½
Derefter fremsender Hvidvasksekretariatet hur-
tigst muligt sagen til den relevante politikreds
eller NSK til videre foranstaltning, herunder til
vurdering af, hvorvidt sagen skal efterforskes,
og om beslaglæggelsen skal opretholdes�½
Politiet har herefter syv dage til at påbegynde
en eventuel efterforskning og vurdere grund-
laget for, om beslaglæggelsen skal opretholdes
som en almindelig beslaglæggelse jf�½ retspleje-
lovens § 802�½
I de første tre kvartaler af 2022 har Hvidvask-
sekretariatet identificeret 33 tilfælde af Fast-
Track-hvidvaskunderretninger�½ Disse tilfælde
indeholdt mulighed for beslaglæggelse af i alt
godt 128 millioner kroner�½ Hvidvasksekretariatet
har i 22 af disse sager foretaget midlertidig
beslaglæggelse af et samlet beløb på cirka
97 millioner kroner�½ Disse er i perioden blevet
videregivet til politikredsene, der i ti af sagerne
har foretaget beslaglæggelse af samlet 32
millioner kroner�½
Politiet bruger blandt andet
underretningerne i efterforskninger
Når Hvidvasksekretariatet videregiver oplys-
ninger fra en underretning til en politikreds eller
NSK, kan oplysningerne anvendes:
som grundlag for en ny efterforskning om
hvidvask eller anden kriminalitet�½
som materiale til at underbygge en igang-
værende efterforskning og som muligt bevis
i en straffesag�½
som efterretninger, der kan indgå i politiets
samlede forståelse af kriminalitetsbilledet
eller risici inden for forskellige områder�½
Siden maj 2019 er dele af Hvidvasksekretari-
atets database blevet integreret med dansk
politis analyseplatform, POL-INTEL�½ Det
betyder, at efterforskere i hele dansk politi
kan se, hvorvidt Hvidvasksekretariatet er i
besiddelse af oplysninger om personer eller
virksomheder�½ Dansk politi har ikke adgang til
oplysningerne, men kan efter anmodning hos
Hvidvasksekretariatet få adgang til oplysnin-
gerne, hvis det skønnes relevant�½
Under-
retning
Videre-
givelse
Efter-
forskning
Sigtelse
Tiltale
Dom
REU, Alm.del - 2023-24 - Endeligt svar på spørgsmål 1456: Spm. om hvor mange overførsler, der indføres udeklarerede til Danmark, herunder om der findes skøn herfor
2938919_0025.png
DEN NATIONALE RISIKOVURDERING AF HVIDVASK
25
Efterretningsoplysninger til Skattefor­
valtningen giver penge i statskassen
I de tilfælde, hvor underretningerne i for-
bindelse med den indledende visitering i
Hvidvasksekretariatet ikke har givet anledning
til at iværksætte en politimæssig efterforskning,
kan Hvidvasksekretariatet sende efterretnings-
oplysningerne til Skatteforvaltningen, hvis der
er mistanke om skatte- og momsunddragelse�½
De underretninger, som Hvidvasksekretariatet
har delt med skattemyndighederne, har givet
anledning til godt 6�½700 kontroller i perio-
den 2018-2021 og et samlet nettoprovenu
1
på 2�½281 millioner kroner�½ Alene i 2021
var provenuet på over 800 millioner kroner
(Skattestyrelsen 2021d: 1-2)�½
Langt hovedparten af de efterretningsoplysnin-
ger, som Hvidvasksekretariatet fremsender på
baggrund af underretninger, nyttiggøres med
resultat, fx forhøjelse af momstilsvar eller andre
reguleringer�½
Erhvervsstyrelsen og Slots­ og Kultur­
styrelsen bruger underretningerne til
at stoppe snyd med hjælpepakker
I perioden fra 1�½ april 2020 til 31�½ december
2021 videresendte Hvidvasksekretariatet
oplysninger fra mere end 5�½300 unikke under-
retninger til Erhvervsstyrelsen samt Slots- og
Kulturstyrelsen�½
Underretninger kan blive til
måludpegningsoplæg
Hvidvasksekretariatet bruger også under-
retningerne til at identificere personer, virk-
somheder, mistænkelige netværk med videre
og udarbejder måludpegningsoplæg til fx
politikredsene, NSK, skattemyndighederne
og PET�½ Måludpegningsoplæg er typisk
større analyser af potentiel hvidvask, som
Hvidvasksekretariatet på baggrund af under-
retninger og andre oplysninger har identificeret,
undersøgt og beriget, inden de formidles til rette
kompetente myndighed�½ I 2021 fremsendte
Hvidvasksekretariatet 25 måludpegningsoplæg�½
Underretningerne indgår i analyser af
hvidvasktendenser og risikovurderinger
Det er langt fra alle underretninger, der sendes
videre til andre myndigheder�½ Det betyder dog
ikke, at de ikke bliver nyttiggjort�½ Alle underret-
ninger indgår i Hvidvasksekretariatets samlede
efterretningsbillede og bruges til oparbejdelse
af viden om de metoder, de mistænkelige aktø-
rer anvender, og til at blive klogere på hvidvask
inden for specifikke kriminalitetsområder og
brancher�½ Hvidvasksekretariatet bruger under-
retningerne til at analysere trends og tendenser,
som formidles i kvartalsrapporter, temarappor-
ter, oplæg, møder og orienteringsskrivelser til
de underretningspligtige, myndighederne og
offentligheden�½
1�½ Begrebet nettoprovenu anvendes ved opgørelsen af re-
sultatet af kontrolindsatsen�½ Nettoprovenuet opgøres som
ændringens størrelse multipliceret med den procentsats,
der er fastsat for den pågældende skatteart�½ Der er således
tale om en standardiseret beregning af det beløb, der
bliver opkrævet ved den enkelte borger eller virksomhed�½
HVIDVASK I DANMARK
Hvorvidt en underretning videresendt til politiet
fører til efterforskning, sigtelse, tiltalerejsning
og dom afhænger af en række faktorer, fx poli-
tiets prioritering af hvidvask i forhold til andre
typer kriminalitet samt muligheden for at bevise
forbrydelsen�½
Underretningerne var primært sendt af ban-
kerne på grund af mistanke om svindel med
kompensationsordningerne i forbindelse med
coronapandemien�½ Blandt andet på baggrund
af underretningerne har styrelserne fremsendt
godt 450 politianmeldelser med svindel for over
200 millioner kroner�½
REU, Alm.del - 2023-24 - Endeligt svar på spørgsmål 1456: Spm. om hvor mange overførsler, der indføres udeklarerede til Danmark, herunder om der findes skøn herfor
2938919_0026.png
26
DEN NATIONALE RISIKOVURDERING AF HVIDVASK
HVIDVASK I DANMARK
1.8
AFGØRELSER
OM HVIDVASK
Der er sket en stor stigning i antallet af afgørel-
ser om hvidvask fra 2018 til 2021�½ I både sager
om simpel og grov hvidvask (straffelovens §
290a stk�½ 1 og 2) er antallet af fældende og
ikke-fældende afgørelser steget�½ Stigningen i
antallet af fældende afgørelser fortsatte ind i
første halvår 2022�½
Stigningen skyldes en vækst i antallet af betin-
gede domme for simpel hvidvask og ubetin-
gede domme for grov hvidvask samt en mar-
kant vækst i antallet af påtaler, der opgives�½ De
markante stigninger skal ses i sammenhæng
med, at § 290a blev implementeret i straffelo-
ven per 1�½ juli 2018, hvormed det blev muligt at
få kriminelle aktører dømt for hvidvask, uden at
anklagemyndigheden skal bevise, hvilken form
for kriminalitet de hvidvaskede penge stammer
fra�½ Der går ofte tid fra den kriminelle gerning,
til der falder afgørelse�½ Det kan forklare, hvorfor
antallet af fældende afgørelser er lavere i star-
ten af perioden�½
En gennemgang af udvalgte domme viser, at
sagerne navnlig handler om muldyrsaktivitet og
stråmandsvirksomhed�½
I det følgende afsnit har Hvidvasksekretariatet
alene anvendt tal om simpel og grov hvidvask�½ I
opgørelserne kan der være hvidvasksager, som
af registreringsmæssige årsager ikke indgår i de
analyserede domme�½
I perioden er der truffet 1�½139 fældende afgø-
relser, hvor 60 pct�½ vedrører simpel hvidvask og
de resterende 40 pct�½ vedrører grov hvidvask�½
87 pct�½ af de fældende afgørelser resulterer i en
betinget eller ubetinget dom�½
Fældende afgørelser for simpel hvidvask afgøres
oftest med en betinget dom, imens fældende
afgørelser for grov hvidvask oftest afgøres med
en ubetinget dom�½ Det skal dog bemærkes, at
en ubetinget dom ikke altid er et udtryk for, at
omfanget af hvidvask er stort, da den ubetingede
dom også kan træffes på baggrund af andre
faktorer, som fx gentagen kriminalitet�½
Samlet set er der sket en stigning i antallet af
fældende afgørelser om både simpel og grov
hvidvask fra én fældende afgørelse i 2018 til
499 i 2021�½
Det højere antal fældende afgørelser ser ud til
at fortsætte ind i 2022, hvor der er truffet 581
fældende afgørelser for simpel eller grov hvid-
vask i 1�½ halvår 2022�½ Stigningen indikerer, at
politiet og anklagemyndigheden har prioriteret
indsatsen på hvidvaskområdet inden for de
seneste år, men Hvidvasksekretariatet er ikke
nærmere bekendt med årsagen til stigningen�½
Det bemærkes, at der i tillæg til fængselsstraf
kan gives bøder�½ Det er fx tilfældet i
Operation
Greed,
som er en af de største sager om svindel
og hvidvask i Danmark�½ I byretten blev 16 per-
soner idømt fængselsdomme og bøder for i alt
875 millioner kroner
(Københavns Byret 2022a)�½
14 af de dømte har anket dommen til lands-
retten med påstand om frifindelse, og sagen
er dermed ikke afgjort (per 1�½ oktober 2022)�½ I
august 2022 blev en 45-årig mand idømt fem
års fængsel for sin rolle som bagmand i en sag
om hvidvask af cirka 130 millioner kroner�½ Han
blev også idømt en tillægsbøde på 128 millioner
kroner for blandt andet at have faciliteret over-
førsler fra danske virksomheder til bankkonti i
udlandet
(Københavns Politi 2022)�½
STIGNING I ANTALLET AF
FÆLDENDE AFGØRELSER – FLEST
DOMME FOR SIMPEL HVIDVASK
I nedenstående tabel fremgår antallet af fæl-
dende afgørelser for simpel og grov hvidvask i
perioden 2018 til første halvår 2022 fordelt efter
afgørelsestype�½
REU, Alm.del - 2023-24 - Endeligt svar på spørgsmål 1456: Spm. om hvor mange overførsler, der indføres udeklarerede til Danmark, herunder om der findes skøn herfor
2938919_0027.png
DEN NATIONALE RISIKOVURDERING AF HVIDVASK
27
Bøde
Betinget dom samt
betinget dom og bøde
Ubetinget dom
Tiltalefrafald uden vilkår
(rpl�½ § 722, stk�½ 1, nr�½ 4)
Tiltalefrafald uden vilkår
(rpl�½ § 722, stk�½ 1, nr�½ 5)
I alt
Grov hvidvask
Bøde
Betinget dom samt
betinget dom og bøde
Ubetinget dom
Tiltalefrafald uden vilkår
(rpl�½ § 722, stk�½ 1, nr�½ 4)
Tiltalefrafald uden vilkår
(rpl�½ § 722, stk�½ 1, nr�½ 5)
I alt
Simpel og grov hvidvask, i alt
Kilde:
Særtræk fra Rigsadvokaten 27�½ september 2022�½
1
0
0
0
0
1
2018
0
0
0
0
0
0
1
0
1
0
0
0
1
2019
0
0
26
0
0
26
27
3
3
3
2
0
11
2020
8
2
10
0
0
20
31
3
294
7
59
9
372
1
26
99
0
1
127
499
206
50
28
2
308
372
0
0
272
1
0
273
581
29
504
60
89
11
693
I alt
9
28
407
1
1
446
1.139
2021 2022 H1
ENDNU STØRRE STIGNING I
IKKE-FÆLDENDE AFGØRELSER
Der har ligeledes været en stor stigning i antal-
let af ikke-fældende afgørelser fra én i 2018 til
2�½849 i 2021, jf�½ tabellen nedenfor�½ I første halvår
af 2022 er antallet af ikke-fældende afgørelser
dog faldet til 387�½
Ikke-fældende afgørelser er afgørelser, der ender
med en frifindelse ved dom, eller ved at påtalen
opgives, eller politiet vurderer sigtelsen grundløs�½
En påtaleopgivelse er en afgørelse, anklagemyn-
digheden kan træffe, hvis beviserne er mangel-
fulde og ikke vil kunne føre til domfældelse�½
En stor del af de ikke fældende-afgørelser i
2021 kan henføres til to sagskomplekser med
fire mistænkte i Københavns Politi, og er op-
givet efter retsplejelovens § 721, stk�½ 1 nr�½ 2�½ I
disse tilfælde blev påtalen opgivet i afgørelser
om grov hvidvask, fordi anklageren vurderede,
at videre efterforskning ikke ville føre til, at de
sigtede ville blive dømt skyldige�½
I 155 af de ikke-fældende afgørelser for hen-
holdsvis simpel og grov hvidvask er der sket
frifindelse ved dom�½ De resterende afgørelser
er ikke ført ved domstolene, men afgjort ved
påtaleopgivelse, inden forholdet er blevet rejst
ved domstolene�½
HVIDVASK I DANMARK
Tabel 3
Fældende afgørelser fordelt efter afgørelsestype for simpel og grov hvidvask
 Simpel hvidvask
2018
2019
2020
2021 2022 H1
I alt
REU, Alm.del - 2023-24 - Endeligt svar på spørgsmål 1456: Spm. om hvor mange overførsler, der indføres udeklarerede til Danmark, herunder om der findes skøn herfor
2938919_0028.png
28
DEN NATIONALE RISIKOVURDERING AF HVIDVASK
HVIDVASK I DANMARK
Tabel 4
Ikke­fældende afgørelser fordelt efter afgørelsestype for simpel og grov hvidvask
 Simpel hvidvask
Frifundet
Påtale opgivet
(rpl�½ § 721, stk�½ 1, nr�½ 2)
Påtale opgivet
(rpl�½ § 721, stk�½ 1, nr�½ 3)
I alt
Grov hvidvask
Frifundet
Påtale opgivet
(rpl�½ § 721, stk�½ 1, nr�½ 2)
I alt
Simpel og grov hvidvask, i alt
2018
0
1
0
1
2018
0
0
0
1
2019
0
17
0
17
2019
0
2
2
19
2020
0
33
4
37
2020
0
2
2
39
2021 2022 H1
96
511
35
642
35
2�½172
2.207
2.849
19
289
59
367
5
14
20
387
I alt
115
851
98
1.064
I alt
40
2�½190
2.231
3.295
2021 2022 H1
Kilde:
Særtræk fra Rigsadvokaten 27�½ september 2022�½
INDHOLD I DE FÆLDENDE
AFGØRELSER, HVOR HVIDVASK
ER HOVEDFORHOLDET
Hvidvasksekretariatet har analyseret indhol-
det af fældende afgørelser om simpel og grov
hvidvask, hvor hvidvask er sagens hoved-
forhold�½ Analysen omfatter 31 afgørelser fra
politikredsene, hvor 20 er resulteret i dom for
simpel hvidvask, og 11 er resulteret i dom
vedrørende grov hvidvask�½ Dertil kommer syv
fældende afgørelser, som er ført af det tidligere
SØIK (Statsadvokaten for Særlig Økonomisk og
International Kriminalitet)�½
Gennemgangen af de udvalgte fældende afgø-
relser viser, at der i størstedelen af sagerne er
tale om såkaldte muldyr�½ Det vil sige personer,
som har stillet deres konto til rådighed for over-
førsler af ulovlige midler�½ Her modtager tiltalte
typisk en mindre overførsel, som stammer fra
eksempelvis et indbrud i en netbank, hvor-
efter pengene hæves i en kontantautomat eller
videreføres gennem bankoverførsler�½ I enkelte
fældende afgørelser anvender muldyrene
andre betalingsløsninger til at videreformidle
pengene – herunder anvendelse af forud-
betalte betalingskort�½
Der er også fældende afgørelser om rekruttering
af muldyr, hvor de tiltalte hjælper med at sløre
midlernes oprindelse�½ Fælles for disse afgørel-
ser er, at der ikke er tale om reelle bagmænd for
kriminaliteten, men medskyldige, som hjælper
bagmændene med at facilitere sløringen�½
Andre fældende afgørelser omhandler forsøg
på hvidvask gennem smugling af kontanter�½ Her
er de tiltalte blevet stoppet ved en grænseover-
gang med ikke-deklarerede kontanter, typisk
euro, gemt i køretøjer�½
Der er også fældende afgørelser, der omhand-
ler anvendelsen af stråmænd, hvor tiltalte har
givet adgang til konti og virksomhed til bag-
mænd, hvorefter kontoen er blevet anvendt
til at modtage midler fra fakturaindbetalinger�½
Hvidvasksekretariatet bemærker, at fældende
afgørelser, hvor tiltalte har ageret stråmand,
ofte indeholder større beløb end simple sager
med muldyr�½ Nogle af afgørelserne, hvor der er
anvendt stråmænd, vedrører således grov hvid-
vask for større millionbeløb�½
REU, Alm.del - 2023-24 - Endeligt svar på spørgsmål 1456: Spm. om hvor mange overførsler, der indføres udeklarerede til Danmark, herunder om der findes skøn herfor
2938919_0029.png
DEN NATIONALE RISIKOVURDERING AF HVIDVASK
29
Der er også fældet afgørelse i en sag om grov
hvidvask gennem et vekselbureau�½ Her er ejeren
af vekselbureauet dømt for at lade kriminelle
aktører anvende vekselbureauet til at veksle
svensk og dansk valuta til euro, uden at regi-
strere identiteten på personerne, der foretager
vekslingen�½ Beløbene blev delt op i mindre dele
for at komme under grænsen på 1�½000 euro,
og dermed undgå kravet om indhentning af
kundekendskabsoplysninger�½
I sager med fældende afgørelser ført af SØIK er
beløbene større end i sagerne i landets politi-
kredse�½ I afgørelserne ført af SØIK er beløbsstør-
relsen 100 til 400 millioner kroner, men der er
også fældende afgørelser i Danmark, som løber
op i flere milliarder�½ Til trods for at beløbene er
store, er der ofte tale om relativt simple hvid-
vaskmetoder, men typisk med et internationalt
aspekt�½ Fx er der anvendt udenlandske penge-
institutter og udenlandske betalingstjenester, og
flere midler er blevet placeret i udlandet�½
Fælles for de fleste fældende afgørelser ført af
SØIK er, at der er gjort brug af stråmandsaktivitet
og en såkaldt transitkonto�½ De dømte personer
har modtaget midler på deres bankkonti, herun-
der erhvervskonti, som de derefter har viderefor-
midlet til andre konti i Danmark eller i udlandet�½
Selvom sagerne varierer, er den grundlæggende
metode den samme: Danske virksomheder
eller personer har midler, som mistænkes at
stamme fra kriminelle forhold – oftest kædesvig,
momssvig eller lignende kriminalitet�½ De dømte
personer har haft varierende kontrol over de
bankkonti, der er anvendt som transitkonto�½ Der
indgår typisk fakturabetalinger som en metode
til at overføre penge til udenlandske konti�½
Enkelte domme omhandler brug af betalingstje-
nester eller nye digitale banker i udlandet�½
De fældende afgørelser handler alle om slørings-
fasen, hvor penge fra ulovligt udbytte bliver
kanaliseret gennem flere lag af bankkonti for
at sløre midlernes oprindelse�½ Der er altså ikke
fældet afgørelse i sager, hvor hvidvaskede penge
bliver integreret i den legale økonomi, fx gennem
køb af ejendomme og andre højværdivarer�½
HVIDVASK I DANMARK
REU, Alm.del - 2023-24 - Endeligt svar på spørgsmål 1456: Spm. om hvor mange overførsler, der indføres udeklarerede til Danmark, herunder om der findes skøn herfor
2938919_0030.png
30
DANMARK 2022-2025
2.
DANMARK
2022-2025
REU, Alm.del - 2023-24 - Endeligt svar på spørgsmål 1456: Spm. om hvor mange overførsler, der indføres udeklarerede til Danmark, herunder om der findes skøn herfor
2938919_0031.png
DEN NATIONALE RISIKOVURDERING AF HVIDVASK
31
SAMFUND OG ØKONOMI
Samfundsudviklingen påvirker omfanget og typen af kriminalitet og
hvidvask. I det følgende ser vi derfor nærmere på de økonomiske,
sociale, miljømæssige, teknologiske og lovgivningsmæssige
faktorer, som kan have betydning for motivationen til og
mulighederne for at begå kriminalitet og hvidvask.
2.1
DANMARK 2022-2025
ET DEMOKRATISK OG
TILLIDSBASERET SAMFUND
Danmark er et demokratisk samfund med en lille
og åben økonomi�½ Udefrakommende faktorer
og internationale tendenser påvirker derfor det
danske samfund�½ Udviklingen i samfundets
demografi, strukturer og økonomi har betydning
på hvidvaskområdet, fordi det påvirker forskel-
lige risikofaktorer (trusler og sårbarheder)�½
Den demografiske udvikling og udviklingen i øko-
nomien generelt påvirker fx omfanget af krimina-
litet, hvilke typer udbyttegivende kriminalitet, der
begås, og hvilke aktører, der udøver de kriminelle
handlinger�½ Eksempelvis kan en aldrende befolk-
ning betyde, at flere ældre mennesker kan blive
ofre for fx it-relateret økonomisk kriminalitet,
og en økonomisk krise kan betyde en stigning i
visse former for økonomisk kriminalitet fx inve-
steringssvindel eller skattesvig�½
Udviklingen i demografi, strukturer og økonomi
kan også have betydning for andre risikofaktorer
på hvidvaskområdet fx antal og typer af virksom-
heder i Danmark�½ Sammensætningen af de, der
bor og arbejder i Danmark kan også have betyd-
ning for pengestrømme ind og ud af Danmark�½
Fx vil en større gruppe borgere eller arbejds-
tagere fra et bestemt område i udlandet betyde
naturlige pengestrømme fra Danmark og til de
områder, når de sender penge til de lande, hvor
de har venner og familie�½
Udviklingen i samfundets demografi, strukturer
og økonomi påvirker også de værn, vi stiller
op for at beskytte samfundet mod økonomisk
kriminalitet, herunder hvidvask�½
Figur 4
2021
2025
Udviklingen i befolkningssammensætningen
1�½000�½000
800�½000
600�½000
400�½000
200�½000
0
0-14 år
15-17 år 18-24 år 25-29 år 30-39 år 40-49 år 50-59 år 60-69 år
70+ år
Kilde:
Egen fremstilling baseret på Danmarks Statistik (2021a)�½ Bemærk, at alderskategorierne har forskellig størrelse, idet ungdomsårgangen er
særligt interessante for visse former for kriminalitet�½
REU, Alm.del - 2023-24 - Endeligt svar på spørgsmål 1456: Spm. om hvor mange overførsler, der indføres udeklarerede til Danmark, herunder om der findes skøn herfor
2938919_0032.png
32
DEN NATIONALE RISIKOVURDERING AF HVIDVASK
Danmarks befolkning var ved udgangen af 2021
på knap 5,85 millioner�½ Frem til 2025 stiger
befolkningstallet til godt 5,9 millioner, herunder
kommer der flere ældre, som det fremgår af
Figur 4 på den foregående side�½
Danmarks Statistiks befolkningsfremskrivninger
viser, at antallet af indvandrere og efterkommere
vil fortsætte med at stige i Danmark�½ Samlet
set viser fremskrivningerne, at antallet af ind-
vandrere og efterkommere vil stige fra knap
820�½000 til knap 886�½000 personer�½ Samlet set
udgør gruppen i 2021 14 pct�½ af den danske
befolkning�½ Indvandrere og efterkommere fra
ikke vestlige-lande udgør ni pct�½ af gruppen,
imens de resterende fem pct�½ består af ind-
vandrere og efterkommere fra vestlige-lande�½
FN meddelte i foråret 2022, at antallet af for-
drevne i verden for første gang nogensinde
udgjorde mere end 100 millioner mennesker
(UNHCR 2022)�½
Stigningen skyldes blandt
andet konflikter, forfølgelse og krænkelser af
menneskerettigheder�½ Det Europæiske Agentur
for Grænse- og Kystbevogtning, Frontex, peger
på, at konflikter, klimaforandringer, demogra-
fisk ubalance, sundhedsudfordringer og øget
ulighed er forhold, som vil påvirke omfanget af
personer, der søger mod Europa
(Frontex 2022:
6, 9-12)�½
Det er vanskeligt at vurdere konse-
kvenserne af flygtninge- og migranttilstrømnin-
gerne på befolkningsudviklingen i Danmark,
da disse også er afhængige af den politiske
udvikling i Danmark, Europa og på verdens-
plan�½ En stigning i migration mod Europa kan
også medføre en stigning i menneskesmugling
samt flere personer uden lovligt ophold, som
kan udnyttes til eksempelvis sort arbejde og
stråmandsvirksomhed�½
Danmark er et moderne og velstående land,
og det gør landet attraktivt for borgere i andre
lande både at arbejde og bo i�½ Borgerne i
Danmark har generelt stor tillid til samfundets
institutioner og til hinanden, og Danmark er et
af verdens mindst korrupte lande
(Transparency
International 2022: 2)�½
Det, der kaldes den 4�½ industrielle revolution,
påvirker også det danske samfund�½ Begrebet
dækker over den voksende digitalisering af
arbejdsprocesser, automatisering, brug af
kunstig intelligens og nye teknologier som
3D-printning, robotter og alternative valutaer�½
Udviklingen ændrer det globale handels-
og arbejdsmarked og stiller os som sam-
fund over for nye udfordringer i forhold til fx
beskæftigelse, finansielle transaktioner og
skatteindtægter�½
I forhold til økonomisk kriminalitet og hvidvask
har de mange læk af informationer i fx Panama
Papers og Dubai Uncovered vist, at kriminelle
aktører bruger udviklingen i globaliseringen,
teknologier og digitalisering af samfundsstruk-
turer til at udnytte sårbarheder i de globale
handels- og transaktionssystemer til at berige
sig selv og deres nærmeste i større omfang,
end vi hidtil har været klar over�½ Det øger ulig-
heden internt i landene og går ud over velfær-
den for borgere i hele verden – også i Danmark�½
Udviklingen giver os imidlertid også nye mulig-
heder for at skabe gennemsigtighed og trans-
parens på markederne, hvilket kan hjælpe os i
kampen mod hvidvask�½
Danmarks geografiske placering med grønne og
blå grænser til EU’s største økonomi, Tyskland,
bro til Sverige og hurtige færgeforbindelser til
fx Norge og Polen samt vores medlemskab
af EU og Schengen-aftalen har betydning for
såvel befolkningsudvikling som økonomi og
kultur�½ Men det har også betydning for poten-
tielle trusler om hvidvask af ulovlige midler fra
kriminalitet begået i de lande, vi har mange og
tætte relationer til�½
For de lande gælder, at der er opsat en effektiv
infrastruktur, og den kan misbruges af krimi-
nelle aktører til hvidvask�½ Det kan være lande
i vores geografiske nærområde eller lande, vi
er tæt forbundet med via anden infrastruktur
som fx Københavns internationale lufthavn, der
er knudepunkt for internationale flyvninger i
Norden�½ Det kan også være trusler fra kriminelle
aktører i lande, vi er forbundet til via finansiel
infrastruktur eller anden infrastruktur som fx
handelsforbindelser�½
At vi i Danmark opererer med danske kroner
kan have betydning for hvidvaskaktiviteter i
landet, fordi kriminelle aktører kan have behov
for at veksle deres ulovlige midler i kroner til
euro, som qua deres større værdi er nemmere
at transportere ud af landet og også nemmere
at integrere i lande med større kontantøkono-
mier og/eller ringere hvidvaskforanstaltninger
end i Danmark fx til køb af ejendomme�½
DANMARK 2022-2025
REU, Alm.del - 2023-24 - Endeligt svar på spørgsmål 1456: Spm. om hvor mange overførsler, der indføres udeklarerede til Danmark, herunder om der findes skøn herfor
2938919_0033.png
DEN NATIONALE RISIKOVURDERING AF HVIDVASK
33
DANMARKS ÅBNE ØKONOMI
Danmark er afhængig af samhandel med udlan-
det og er fuldt integreret i det internationale
finansielle system�½ Derfor påvirker udefrakom-
mende faktorer og internationale, økonomiske
tendenser landet relativt hurtigt�½ Danmarks
medlemskab af EU betyder adgang til det indre
marked, der sikrer fri bevægelighed for varer,
tjenester, kapital og arbejdskraft�½
De kriminelle aktører udnytter de sårbarheder,
som den økonomiske udvikling åbner op for�½
Det kan fx være mangel på arbejdskraft, forsy-
ningsudfordringer, prisstigninger, stigende mil-
jøafgifter og udviklingen i renterne, som de kri-
minelle omsætter til udbud af sort arbejdskraft
og salg af kontanter, infiltrering af virksomheder
til skatte- og momskriminalitet, miljøkrimina-
litet, salg af kopivarer og investeringssvindel�½
I de senere år har vi set, at de lave renter har
haft betydning for borgernes motivation til
at investere penge, og det har de kriminelle
aktører udnyttet til at øge og professionalisere
deres aktiviteter inden for investeringssvindel i
Europa, herunder også i Danmark�½ Svindel med
kompensationsordningerne i forbindelse med
coronapandemien er også et eksempel på, at
en samfundsmæssig krise har betydning for
den kriminalitet, der bliver begået, og dermed
de penge, der skal hvidvaskes�½
Det er altid forbundet med usikkerhed at sige
noget om udviklingen i samfundsøkonomien, og
i denne tid er der faktorer, som fx uro på kapital-
markederne, energikrise, inflation med videre,
der gør det særligt vanskeligt�½ I afsnittet neden-
for følger vi de officielle danske forventninger og
fremskrivninger fra ministerier og styrelser�½
Den fremgang, vi har set i den nationale og glo-
bale efterspørgsel de senere år, har betydet, at
mange virksomheder oplever, at det er vanske-
ligt at rekruttere arbejdskraft�½ I 2021 var der flere
end tre millioner beskæftigede i Danmark, hvil-
ket er det højeste nogensinde, og beskæftigel-
sen forventes at stige yderligere de kommende
år, dog i mere moderat tempo
(Finansministeriet
2022b: 105)�½
Manglen på arbejdskraft løses
blandt andet ved en fortsat udvidelse af
arbejdsstyrken gennem senere tilbagetræk-
ning fra arbejdsmarkedet og gennem tilgang af
udenlandsk arbejdskraft�½ I juni 2022 indgik et
bredt flertal i Folketinget
Aftale om international
rekruttering,
som skal hjælpe virksomhederne
med manglen på arbejdskraft, herunder lavere
midlertidig beløbsgrænse
(Finansministeriet
2022b: 28, 29)�½
Aftalen er ved analysens afslut-
ning endnu ikke behandlet i Folketinget�½
Udenlandsk arbejdskraft udgør cirka 10-15 pct�½
af den samlede danske lønmodtagerbeskæfti-
gelse, og arbejdstagerne er i sær statsborgere
fra EU-/EØS-lande og særligt fra Polen og
Rumænien, som samlet står for cirka 75�½000
beskæftigede i Danmark�½ Udenlandske arbejds-
kraft, der kommer fra lande uden for EU/EØS,
udgøres især af statsborgere fra Ukraine og
Tyrkiet
(Finansministeriet 2022b: 111)�½
Ifølge
Finansministeriet synes arbejdskraftens fri
bevægelighed inden for EU/EØS at være en
afgørende faktor for den udenlandske arbejds-
kraft
(Finansministeriet 2022b: 111)�½
I forhold til udenrigshandel vurderer Finans-
ministeriet, at eksporten stiger med henholds-
vis 3,6 og 2,3 pct�½ i 2022 og 2023, men at
væksttempoet på eksportmarkederne trækkes
ned som følge af virkningerne af krig, inflation
og renter samt usikkerheden om den fremtidige
energiforsyning i Europa
(Finanisministeriet
2022b: 131)�½
POSITIVE FORVENTNINGER TIL
DANSK ØKONOMI DE KOMMENDE
ÅR, MEN OGSÅ STOR USIKKERHED
I 2021 var det danske bruttonationalprodukt på
2�½504 milliarder kroner�½ Vi importerede varer og
tjenester for 1�½315 milliarder og eksporterede
for 1�½494 milliarder kroner
(Finansministeriet
2022b: 211)�½
Finansministeriet vurderer, at
bruttonationalproduktet vokser med knap 2,8
pct�½ i 2022, mens væksten i 2023 ventes at
ligge på 0,8 pct�½
(Finansministeriet 2022b: 18)�½
I såvel verdensøkonomien som i dansk økonomi
er der tegn på opbremsning�½ Finansministeriet
vurderer, at dansk økonomi har et godt udgangs-
punkt for at modstå de økonomiske udfor-
dringer, men at såvel opbremsningen i den
DANMARK 2022-2025
internationale økonomi og krigen i Ukraine,
herunder udvidelsen af EU’s sanktionsliste, som
også har retsvirkning i Danmark, får betydning
for produktion, handel og forbrug, blandt andet
gennem stigende energipriser og forbrugere og
virksomheders reaktioner på usikkerhederne i
verdensøkonomien
(Finansministeriet 2022b:
14-16)�½
Selvom Danmark er i en ny konjunk-
turfase, forventer Finansministeriet fortsat høj
aktivitet og beskæftigelse samt lav ledighed
herhjemme
(Finansministeriet 2022b: 11,
19)�½
Finansministeriet gør i deres redegørelse
opmærksom på, at prognosen er behæftet med
stor usikkerhed
(Finansministeriet 2022b: 12)�½
REU, Alm.del - 2023-24 - Endeligt svar på spørgsmål 1456: Spm. om hvor mange overførsler, der indføres udeklarerede til Danmark, herunder om der findes skøn herfor
2938919_0034.png
34
DEN NATIONALE RISIKOVURDERING AF HVIDVASK
DANMARK 2022-2025
I Europa er der også udsigt til økonomisk frem-
gang, men i et mere behersket tempo�½ Det er
blandt andet den lempelige økonomiske politik,
der understøtter væksten, herunder udmøntning
af EU’s genopretningsplan NextGeneration EU
på mere end 800 milliarder euro svarende til
6�½000 milliarder danske kroner, som skal under-
støtte den økonomiske aktivitet i de kommende
år�½ Genopretningsplanen skal blandt andet
bidrage til den grønne og digitale omstilling�½
Danmark fik i 2021 bevilliget cirka 11 milliar-
der kroner til projekter, der blandt andet skal
styrke den grønne omstilling
(Finansministeriet
2021c)�½
Midlerne udbetales frem mod 2023�½
En stor del af Danmarks relativt store uden-
rigshandel sker via containere til og fra danske
havne�½ I Danmark går 90 pct�½ af dansk import
og eksport gennem havnene, heraf håndteres
to tredjedele fra Aarhus Havn, svarende til
mere end 700�½000 TEU (20-fodscontainere)
eller mere end ti millioner tons gods om året
(Stiften 2022)�½
DET DANSKE VIRKSOMHEDS-
LANDSKAB OG FORVENTNINGERNE
TIL DEN FREMTIDIGE UDVIKLING
Virksomheder i Danmark
Ifølge Erhvervsstyrelsen var der i 2021 godt
892�½000 aktive virksomheder i Det Centrale
Virksomhedsregister (cvr-registreret) i
Danmark, jf�½ tabellen nedenfor�½ I perioden 2018-
2021 er der sket en stigning i antallet af virk-
somheder registreret i CVR på knap ti pct�½
Danmarks Statistik opgør antallet af erhvervs-
aktive virksomheder ved at sammenstille
forskellige oplysninger om virksomheden,
herunder virksomhedens omsætning�½ Disse
opgørelser viser, at der i 2019 var knap 321�½500
erhvervsaktive virksomheder, hvilket fører til,
at der er knap 525�½000 virksomheder, der ikke
opfylder Danmarks Statistiks kriterier for at
være erhvervsaktiv�½
1
Der bliver oprettet cirka 33�½000 virksomheder
om året i Danmark, hvor de fleste er enkelt-
mandsvirksomheder
(Danmarks Statistik 2022a:
1)�½
I Danmark er det nemt og hurtigt at oprette
en virksomhed�½ Personer eller virksomheder kan
selv anmelde en ny virksomhed til registrering
med MitID på virk�½dk�½ Når oplysninger om navn,
adresse, ejerskab med videre er registreret,
sendes sagen via systemet til en godkendt revi-
sor, advokat eller pengeinstitut, som anmelderen
selv har tilknyttet, som skal godkende kapitalind-
skuddet�½ Herefter behandler Erhvervsstyrelsen
oprettelsen�½ De fleste virksomheder oprettes
som en straksregistrering og får ved godkendelse
tildelt et cvr-nummer, som i de fleste tilfælde
giver adgang til en erhvervskonto i en bank�½
Antallet af konkurser i perioden fra 2018-2021
ligger i intervallet 5�½600-8�½500
(Danmarks
Statistik 2022b)�½
Tallet for konkurser er påvirket
af coronapandemien og de politiske tiltag, som
fx kompensationsordninger�½
HØJ AKTIVITET PÅ
KAPITALMARKEDERNE
På kapitalmarkederne handles der med finan-
sielle produkter som aktier, obligationer og kredit�½
De senere års økonomiske opsving har skabt høj
aktivitet på markedet og også høj risikoappetit,
fordi investorerne har været villige til at påtage
sig risiko for at få afkast blandt andet på grund
af det lave renteniveau�½ Finanstilsynet oplyser,
at der i disse år er en stigende tendens til, at
også privatpersoner øger deres aktiviteter på
kapitalmarkederne fx gennem køb af aktier eller
gennem investeringsforeninger�½ Digitaliseringen
skaber øget tilgængelighed til markederne, og de
negative renter kan have fået private til at søge
nye steder at placere deres penge�½ Politisk uro
og sanktioner, finanspolitiske tiltag og flaskehals-
problemer på varemarkedet påvirker de finan-
sielle markeder, og særligt kan renteændringer
og ønske om mere økonomisk sikkerhed have
betydning for, hvor pengene placeres�½
1�½ Tallene for erhvervsaktive virksomheder er trukket på Dan-
marks Statistik den 24�½ marts 2022�½ Tabel GF1 er anvendt�½
Tabel 5
Antal aktive virksomheder registreret i CVR i Danmark
 
Aktive virksomheder
2018
812�½254
2019
846�½413
2020
872�½125
2021
892�½679
Kilde:
Særtræk fra Erhvervsstyrelsen februar 2022�½
REU, Alm.del - 2023-24 - Endeligt svar på spørgsmål 1456: Spm. om hvor mange overførsler, der indføres udeklarerede til Danmark, herunder om der findes skøn herfor
2938919_0035.png
DEN NATIONALE RISIKOVURDERING AF HVIDVASK
35
Ejerforhold i de danske virksomheder
Det Centrale Virksomhedsregister er statens
stamregister med oplysninger om alle danske
virksomheder�½ I cvr-registeret kan man finde
oplysninger om alle registrerede virksomheder
Tabel 6
Antal virksomheder fordelt på virksomhedsform
 
Personligt ejede virksomheder
Selskaber
Diverse foreninger og fonde
Andre virksomhedsformer
I alt
2018
339�½103
341�½517
115�½635
22�½032
818.287
2019
349�½536
358�½254
125�½538
22�½263
855.591
2020
359�½728
367�½616
132�½810
22�½272
882.426
2021
369�½860
389�½384
131�½572
22�½390
913.206
Kilde:
Særtræk fra Erhvervsstyrelsen februar 2022�½
De personligt ejede virksomheder har det, der
hedder
fuldt ansvarlige deltagere
(FAD)�½ For
selskaber (fx ApS og A/S) findes der to typer
ejere:
Legale ejere
og
reelle ejere�½
En
legal ejer
er en fysisk person eller en juridisk
person (virksomhed), der har ejerandele eller
stemmerettigheder i en virksomhed�½
Alle virksomheder og personer, der råder over
mere end fem pct�½ af et selskabs kapital, skal
registreres i cvr-registret�½ I Danmark ejes lidt
mere end halvdelen af virksomhederne af per-
soner og resten af andre virksomheder�½
Langt hovedparten af de legale ejere af
virksomheder i Danmark er registreret med
dansk adresse�½ De legale ejere, der er regi-
stret med udenlandsk adresse, kommer pri-
mært fra Sverige, England, Tyskland, Norge,
Luxembourg, Holland og USA�½
I lovgivningen defineres
reelle ejere
for virk-
somheder som en fysisk person, der ultimativt
direkte eller indirekte ejer eller kontrollerer en
tilstrækkelig stor del af ejerandelene eller stem-
merettighederne i en virksomhed, eller som
udøver kontrol ved hjælp af andre midler�½
Tabel 7
Antal legale ejere i virksomheder registreret i CVR
 
Personer
Virksomheder
2018
264�½955
206�½913
2019
276�½956
218�½221
2020
282�½075
228�½399
2021
290�½752
239�½691
Kilde:
Særtræk fra Erhvervsstyrelsen februar 2022�½
DANMARK 2022-2025
Trods de positive udsigter for den danske
økonomi er der en risiko for, at et større antal
virksomheder end normalt må lukke i de kom-
mende år på grund af tab, udskydelse af beta-
linger, forskydninger i efterspørgslen og for-
styrrelser i forsyningskæderne�½ De politiske og
økonomiske konsekvenser på verdensmarkedet
som følge af Ruslands invasion af Ukraine kan
også få betydning for antallet af konkurser�½
i Danmark og i Grønland�½ Oplysninger om
færøske virksomheder findes i det færøske
virksomhedsregister
(www�½skraseting�½fo/en/
companies)�½
I cvr-registret kan man finde
oplysninger om virksomhedens navn, adresse,
branche, deltagere og ejerstruktur�½
Man kan groft inddele virksomhederne efter, om
deltageren hæfter personligt, eller om deltagerne
hæfter begrænset�½ Andelen af personligt ejede
virksomheder, hvor deltagerne hæfter personligt,
udgør 40 pct�½, selskaber udgør ligeledes godt
40 pct�½, mens fonde og øvrige virksomheder
udgør knap 20 pct�½ Det bemærkes, at virksom-
heder kan indgå flere gange i tabellen, hvis de
skifter fra en virksomhedsform til en anden�½
REU, Alm.del - 2023-24 - Endeligt svar på spørgsmål 1456: Spm. om hvor mange overførsler, der indføres udeklarerede til Danmark, herunder om der findes skøn herfor
2938919_0036.png
36
DEN NATIONALE RISIKOVURDERING AF HVIDVASK
Boks 2
Særligt om iværksætterselskaber
Pr�½ 1�½ januar 2014 blev det tilladt at drive Iværksætterselskaber (IVS) med en kapital på 1
krone�½ Formålet med indførelsen af selskabsformen var at styrke iværksætteriet i Danmark,
men selskabsformen tiltrak sig andre typer end iværksættere og blev flittigt brugt af kriminelle
aktører�½ Fx oprettede revisor Johnny Hast Hansen 300 IVS’er, hvoraf mere end 150 af dem
blev begæret konkurs�½ Han blev i 2020 dømt otte års konkurskarantæne�½ På grund af den
forhøjede risiko blev selskabsformen i april 2019 afskaffet med krav om, at selskaberne enten
blev omregistreret til anpartsselskab (ApS) inden 15�½ oktober 2021 eller tvangsopløst�½
DANMARK 2022-2025
En tilstrækkelig stor ejerandel eller andel af
stemmerettigheder svarer som udgangspunkt
til, at man ejer eller kontrollerer mere end 25
pct�½ af virksomheden�½ Ikke alle virksomheds-
typer skal registrere reelle ejere, og undtaget
er fx enkeltmandsvirksomheder, personligt
ejede mindre virksomheder og børsnoterede
selskaber�½ For fonde er reelle ejere defineret
som den personkreds, der direkte eller indirekte
kontrollerer fonden eller på anden måde har
ejerskabslignende beføjelser�½
Muligheden for at identificere reelle ejere er helt
centralt i bekæmpelsen af hvidvask�½ Hvis man
ikke kan identificere, hvem der ejer hvilke virk-
somheder, er det vanskeligt at bekæmpe krimi-
nalitet og stille de rette til ansvar�½ Både globalt
og nationalt er der fokus på at få oprettet natio-
nale registre over ejerskabet i virksomhederne,
så oplysningerne er let tilgængelige for de
aktører, der skal udarbejde kundekendskabs-
procedurer, foretage tilsyn med videre, som led i
kampen mod hvidvask�½
Som nationale registre er cvr- og cpr-registrene
gode udgangspunkter�½ Men registrene er også
sårbare, når det handler om identificering af
ejerskaber i mere komplekse strukturer med
udenlandske reelle ejere eller reelle ejere af
udenlandske virksomheder, fordi oplysningerne
i de fleste andre lande er mangelfulde eller
svært tilgængelige�½
DANMARKS FINANSIELLE SYSTEM
Danmarks finansielle sektor opererer med vær-
dier (aktiver) på mere end 630 pct�½ af Danmarks
bruttonationalprodukt�½ Den Internationale Valuta-
fond (IMF) vurderer, at den finansielle sektor i
Danmark er stor sammenlignet med andre lande
(International Monetary Fund 2020: 10)�½
Hovedparten af den finansielle sektor består
af 87 danske og udenlandske pengeinstitutter
og seks realkreditinstitutter�½ Sektoren består
af nogle få store, internationale koncerner og
mange mindre institutter, herunder knap 30
filialer af udenlandske institutter, som primært
er nordiske og andre europæiske banker�½
Sektoren domineres i øjeblikket af otte danske
systemisk vigtige finansielle institutter (SIFI)
samt to på Færøerne og en i Grønland�½ SIFIer er
penge- og realkreditinstitutter, der er så store,
at de hver især har betydning for samfundsøko-
nomien�½ Den finansielle sektors betydning for
den danske samfundsøkonomi er så central,
at de finansielle virksomheder er underlagt
mere omfattende lovgivning end sædvanlige
erhvervsvirksomheder, og disse krav er blevet
yderligere skærpet efter finanskrisen i 2008�½
Den internationale valutafond, IMF, har oplyst
til Hvidvasksekretariatet, at Danmark er en
central aktør for korrespondentbankforbindel-
ser i det Nordisk-Baltiske område�½ Danmark
står for cirka halvdelen af alle Nordisk-Baltiske
korrespondentbank-transaktioner�½
2
2�½ En korrespondentbank fører konti for andre banker og foreta-
ger betalinger på vegne af disse�½ Det kan fx være en kunde i
en dansk bank, der gerne vil overføre penge til en modtager
i et andet land, som banken ikke har en selvstændig aftale
med�½ Se mere om korrespondentbanker i kapitel 6
Risici for
hvidvask i udvalgte brancher
i afsnittet om
Pengeinstitutter.
REU, Alm.del - 2023-24 - Endeligt svar på spørgsmål 1456: Spm. om hvor mange overførsler, der indføres udeklarerede til Danmark, herunder om der findes skøn herfor
2938919_0037.png
DEN NATIONALE RISIKOVURDERING AF HVIDVASK
37
Digitale betalingsløsninger og digitale banker
I de senere år er en række nye betalingstjenester
og -løsninger, der udelukkende eller næsten ude-
lukkende opererer digitalt og uden fysisk kontakt
med kunderne, kommet til�½ Typisk tilbyder disse
tjenester simple banklignende ydelser til privat-
og erhvervskunder, herunder udenlandstrans-
aktioner�½ Et betalingsinstitut eller en udbyder af
en betalingstjeneste skal, for at kunne drive virk-
somhed i Danmark, have en tilladelse udstedt
af Finanstilsynet, og de er under hvidvasktilsyn
af myndigheden på lige fod med eksempel-
vis banker�½ Det gælder også disse nye digitale
banker, hvis de har etableret filialer eller datter-
selskaber i Danmark�½ En digital bank vil derimod
ikke være omfattet af hvidvaskloven i Danmark,
hvis det ikke er etableret med filial eller datter-
selskab i Danmark, heller ikke selvom den har
danske kunder
(Justitsministeriet 2021c: 4)�½
Dermed vil den digitale bank heller ikke være
under tilsyn af Finanstilsynet eller underretnings-
pligtig til Hvidvasksekretariatet�½ Men de vil natur-
ligvis være omfattet af deres egne landes hvid-
vaskregler�½ For en nærmere beskrivelse af nye
digitale banker, se kapitel 5
Metoder til hvidvask.
Nogle digitale banker anvender opsamlingskonti
i danske pengeinstitutter�½ Det foregår ved, at
den digitale bank har en konto i et pengeinstitut,
hvor alle transaktionerne til og fra den digitale
bank bliver opsamlet�½ Herefter bliver pengene
videreført i større transaktioner ad gangen, fx til
en filial i udlandet�½ Anvendelse af opsamlings-
konti svækker myndigheders muligheder for
at forbinde transaktioner mellem personer, da
opsamlingskonti kommer til at virke som et slø-
rende led mellem to parters transaktioner�½
Såvel antallet af nye digitale banker som deres
kunder er stigende�½ De nye digitale bankers glo-
bale marked udgjorde i 2021 godt 47 milliarder
dollars, svarende til godt 305 milliarder kroner�½
I 2030 vurderes det tal at stige til mere end
2�½000 milliarder dollars, svarende til 13�½000
milliarder kroner
(Statista 2022)�½
Nye finansielle systemer vinder frem
Blockchainteknologi og kryptovaluta byder på
nye finansielle muligheder�½ Det gælder både for
borgere og virksomheder, der kan bruge krypto-
valuta som investeringsaktiv eller som led i
deres betalinger�½
De karakteristika ved kryptovaluta, der er appel-
lerende for investorer og forbrugere, rummer
også nye muligheder for kriminelle aktører, der
ønsker at hvidvaske udbyttet af deres kriminelle
aktiviteter�½ Udviklingen på kryptovalutamarkedet
går stærkt, og ’blockchainteknologi’ og ’kryp-
tovaluta’ er ikke længere fremmede begreber�½
DeFi er en forkortelse for
decentralised finance.
Det er et område inden for blockchaintekno-
logien, der bliver mere og mere udbredt�½ Med
DeFi kan leddet mellem afsender og modtager
i en finansiel transaktion erstattes af såkaldte
smart contracts�½
Smart contracts er software,
der sørger for, at transaktionerne sker på de
betingelser, smart kontraktens kode foreskriver�½
Når betingelserne er opfyldt, sker transaktionen
uden et centralt mellemled som fx en bank�½
Dette kan ske gennem en decentral børs eller
direkte mellem parterne, peer-to-peer
(FATF
2021a: 18, 26-27)�½
DeFi-teknologien og smart contracts muliggør
mange forskellige former for finansielle pro-
dukter så som indlån, udlån og forsikring uden
involvering af et mellemled som fx en bank�½
I de seneste år er det globale DeFi-marked
vokset hastigt�½ DeFi byder på nye teknologiske
løsninger for brugerne, og kan også bruges til
hvidvask�½ DeFi indgår som et sløringselement
fx i forbindelse med hvidvask af kryptoaktiver,
hvor aktiver veksles til nye aktiver
(The Elliptic
2022: 21)�½
De nye og alternative virtuelle aktiver og finan-
sielle løsninger udfordrer vores forståelse af
den finansielle sektor og myndighedernes
mulighed for kontrol med fortsat mere globale
og fragmenterede betalingslandskaber, hvor
transaktioner mellem parter i stigende grad
involverer flere og flere finansielle aktører,
herunder aktører i udlandet�½ Selvom nogle af
teknologierne er relativt nye og nogle mere
risikofyldte end andre, vil de løsninger, der
klarer sig på markederne, med tiden modnes
og blive mere sikre�½ Den udvikling vil fortsætte
de kommende år, men den vil forventeligt også
blive påvirket af det reguleringsarbejde, der er
i gang (se afsnit om lovgivning nedenfor)�½ Øget
regulering af dele af markedet for kryptoaktiver
vil formentlig få de kriminelle aktører til at søge
mod mere decentraliserede strukturer på DeFi-
markedet, særligt uden for EU�½
DANMARK 2022-2025
REU, Alm.del - 2023-24 - Endeligt svar på spørgsmål 1456: Spm. om hvor mange overførsler, der indføres udeklarerede til Danmark, herunder om der findes skøn herfor
2938919_0038.png
38
DEN NATIONALE RISIKOVURDERING AF HVIDVASK
2.2
DANMARK 2022-2025
TEKNOLOGI OG
DIGITALISERING
NYE TEKNOLOGIER UDFORDRER
MYNDIGHEDERNE, MEN GIVER
OGSÅ NYE KORT PÅ HÅNDEN
Den teknologiske og digitale udvikling går hur-
tigt, og det kan være svært at forudsige, hvilken
retning teknologien fører os i, og hvilke konse-
kvenser det får�½ Den teknologiske udvikling og
den øgede forbundethed mellem mennesker
påvirker myndigheder, virksomheder og befolk-
ningen, herunder også i forhold til kriminalitet,
og stiller os over for nye udfordringer�½
Kriminelle bruger teknologi
til at sløre deres spor
I relation til kriminalitet skaber de nye teknolo-
gier grundlag for både videreudvikling af kendte
kriminalitetsformer som fx bedrageri og intro-
duktion af nye former for økonomisk kriminalitet
som fx tyveri fra kryptobørser og salg af identi-
tetsoplysninger�½ De nye teknologier skaber også
nye metoder til hvidvask�½ Disse nye metoder er
i høj grad knyttet til de teknologiske muligheder
for at anonymisere aktører og sløre forbindelsen
mellem transaktioner og ejerskaber�½
Kriminalitetstyper, der tidligere krævede fysisk
kontakt mellem kriminelle aktører og forurette-
de, sker i dag i større omfang online, hvor den
samme kriminelle gerning kan ramme mange
forurettede på samme tid, uden at den krimi-
nelle aktør behøver at stå ansigt til ansigt med
sine ofre�½ Yderligere gør internettet det muligt
for kriminelle aktører hurtigt at skabe kontakter
og netværk, der kan give dem adgang til nye
kompetencer og muligheder gennem rådgivning
eller direkte salg af kriminelle ydelser, såkaldt
crime-as-a-service�½
Den teknologiske og digitale udvikling har gjort
det muligt for de kriminelle aktører hurtigere at
få hvidvasket deres ulovlige midler, fordi de bag
en computer eller fra deres mobiltelefoner kan
flytte pengene på sekunder mellem konti i for-
skellige banker i Danmark og til udlandet�½ Hvis
de kriminelle aktører ikke selv kan finde ud af at
hvidvaske pengene, kan de betale sig fra det og
få hjælp fra professionelle rådgivere eller hvid-
vaskere, som de får kontakt med på internettet�½
Disse sælger hvidvask som en ’crime-as-a-ser-
vice’ i mere komplekse setup�½
Boks 3
To eksempler: Infiltrering af krypterede kriminelle netværk
I 2021
blev den smartphonebaserede beskedapplikation ANOM taget ned af amerikanske
og australske myndigheder�½ ANOM blev anvendt af kriminelle netværk, men i stedet for at
være en sikker kommunikationskanal for de kriminelle, var ANOM i virkeligheden udviklet og
kontrolleret af amerikanske og australske politimyndigheder, så de kunne følge med i kommu-
nikationen mellem kriminelle aktører i perioden fra 2018-2021�½ Da ANOM blev taget ned, blev
mere end 800 mistænkte fra 16 lande arresteret, herunder kriminelle fra den italienske og
albanske mafia og andre organiserede kriminelle grupperinger�½
I 2020
infiltrerede Europol sammen med fransk politi kommunikationsplatformen
Encrochat, der blandt andet fungerede som en markedsplads for organiserede kriminelle
aktører�½ Her kommunikerede de kriminelle frit om blandt andet narkosalg, lejemord og
hvidvask af millionbeløb�½ Politiet i flere lande kunne følge kommunikationen mellem de
kriminelle i realtid og kunne dermed forhindre en række kriminelle aktiviteter�½ Encrochat blev
siden taget ned, og mere end 1�½000 personer på tværs af Europa er blevet anholdt�½
REU, Alm.del - 2023-24 - Endeligt svar på spørgsmål 1456: Spm. om hvor mange overførsler, der indføres udeklarerede til Danmark, herunder om der findes skøn herfor
2938919_0039.png
DEN NATIONALE RISIKOVURDERING AF HVIDVASK
39
De professionelle hvidvaskere kan have opret-
tet selskaber og konti i flere lande, og det
netværk stiller de til rådighed for de kriminelle
aktører imod et gebyr�½ Den udvikling ser vi også
i Danmark – det vender vi tilbage til�½
Digitaliseringen bidrager til at gøre det nemmere
for borgere at komme i kontakt med myndig-
hederne og sikrer hurtigere levering af ydelser
gennem selvbetjeningsløsninger�½ Fx er det
relativt simpelt at oprette bankkonti og virksom-
heder i ind- og udland�½ De muligheder benytter
de kriminelle aktører også til at oprette konti og
virksomheder i eget navn eller gennem brug
eller misbrug af andres identitet, fx ved brug af
stråmand, ved at fabrikere falske identiteter eller
ved brug af stjålne identiteter eksempelvis købt
på den dybere og mørkere del af internettet�½
1
FATF påpeger, at onlineydelser og fravær af
ansigt-til-ansigt kommunikation øger sårbar-
hederne i sektorer og brancher, fordi det gør
det muligt for de kriminelle aktører at svindle
gennem dokumentfalsk enten ved at give urig-
tige oplysninger eller ved at udgive sig for at
være en anden
(FATF 2018b: 58, 68, 82)�½
Kryptering
Krypteringsteknologier anvendes til mange
formål og sikrer privatliv, fortrolighed, datain-
tegration og beskytter personlige oplysninger i
vores datakommunikation�½ Kryptering kommer
borgere til gode, men også de kriminelle aktø-
rer, der anvender teknologien til at gemme sig,
og det giver dem mulighed for at kommunikere
relativt frit med andre kriminelle aktører på
tværs af lande
(Europol 2021a: 32-33)�½
Den teknologiske udvikling giver dog også
myndighederne, herunder tilsynsmyndigheder
og politiet, nye muligheder for at opdage før-
kriminalitet og hvidvask gennem monitering af
transaktioner på tværs af værdikæder og sam-
køring af registre�½
Det er lykkedes myndighederne at dekryptere
krypteret kommunikation og nedtage krypterede
netværk samt foretage strafferetlige skridt�½ Det
giver myndighederne et unikt indblik i, hvem de
kriminelle aktører er, deres forbindelser og de
metoder, de anvender�½
DANMARK 2022-2025
Myndighederne bliver fortsat bedre til at infil-
trere og nedtage kriminelle platforme, men det
er et kapløb, hvor myndighederne ofte er bagud,
fordi teknologi altid kommer før lovgivning, og
fordi myndighederne er underlagt en række
regler for deres virke, herunder regulering af
tvangsindgreb efter retsplejeloven�½
DANMARK ER ET AF VERDENS
MEST DIGITALISEREDE SAMFUND
Danmark er et af verdens mest digitaliserede
samfund�½ 96 ud af 100 familier har internet-
adgang i hjemmet, 96 pct�½ har en mobiltele-
fon og 91 pct�½ har en pc
(Danmarks Statistik
2022d: 12)�½
Danmark er det land i EU, hvor
flest borgere handler på internettet
(Danmarks
Nationalbank (2022e: 9),
og stadigt flere virk-
somheder har egen netbutik�½ Netbank og mobil-
bank er populært blandt de danske internet-
brugere, og i dag bruger 95 pct�½ af befolkningen
tjenesterne til at betale regninger og overføre
penge
(Danmarks Statistik 2022d: 30)�½
En stor del af borgernes kommunikation
med offentlige myndigheder foregår i dag
digitalt, ligesom størstedelen af offentlige
services også er digitale�½ Kontakten mellem
det offentlige og borgere foregår via den digi-
tale postkasse, e-Boks, og langt de fleste
udbetalinger fra offentlige myndigheder sker
digitalt til borgerens NemKonto�½ De offentlige
services kan borgerne tilgå gennem brug af
de centrale onlineidentiteter NemID/MitID�½
Digitaliseringsstyrelsen har lanceret digitalt
kørekort og sundhedskort, som gør det muligt at
opbevare kortene på mobiltelefonen�½
1�½ Kaspersky (u�½d) skelner mellem det åbne net, det dybe net
og det mørke net�½
Det åbne net
udgøres af de sider, der er
indekseret og kan tilgås via fx Google�½
Det dybe internet
udgøres af de dele af internettet, der ikke umiddelbart
kan søges frem�½ Det kan fx dreje sig om virksomheder-
nes intranet og databaser, men også om mere lyssky
foretagender�½ En mindre del af det dybe net udgøres af
det
mørke internet,
som udgøres af hjemmesider, der ikke er
indekseret og kun kan tilgås via specielle webbrowsere�½
For læsevenlighedens skyld anvender vi i risikovurderingen
begreberne det åbne net og det mørke net, når vi har behov
for at differentiere adgang til materiale på internettet�½
REU, Alm.del - 2023-24 - Endeligt svar på spørgsmål 1456: Spm. om hvor mange overførsler, der indføres udeklarerede til Danmark, herunder om der findes skøn herfor
2938919_0040.png
40
DEN NATIONALE RISIKOVURDERING AF HVIDVASK
DANMARK 2022-2025
Dermed har offentlige digitale innovationer
medvirket til, at borgerne i dag kan samle
betalings- og identifikationskort digitalt ét sted
(Danmarks Nationalbank 2022e: 10)�½
Den
udvikling udnytter de kriminelle aktører�½ Det kan
du læse mere om i kapitel 3
Nationale trusler
i
afsnittet om
It-relateret økonomisk kriminalitet
og cyberkriminalitet�½
EU arbejder på at udvikle en europæisk digital
identitet, som EU-borgere og virksomheder kan
benytte i Europa til at betale sin skat, ansøge
om et banklån, leje en cykel og meget mere
(Europa-Kommissionen 2019c)�½
Forbedrede muligheder for at
bekræfte onlineidentiteter
Digitaliseringen og selvindberetninger skal gøre
det nemmere og hurtigere for borgere og virk-
somheder at agere i det danske samfund og
bygger grundlæggende på den tillidsbaserede
tilgang, vi har til hinanden�½ Den tillid er der des-
værre nogle, der misbruger�½ Derfor er der brug for
modeller og teknologier, der kan opfange svindel
og derved sikre, at det er de rigtige borgere, der
har adgang til systemer og konti�½ Systemerne
skal kunne vurdere, om der er en fornuftig
balance mellem det, der indberettes af virksom-
heder og personer, og de faktiske handlinger�½
Der udvikles stadigt mere avanceret teknologi
og modeller, der kan hjælpe borgere, virksom-
heder og myndigheder med at identificere og
verificere, at de, der sidder bag ved skærmen, er
dem, de udgiver sig for at være�½ Det kan fx være
identifikation af, at det er den rette kunde, der
har adgang til kontoen i banken, at det er den
rette borger, der skal have nyt pas, at sælgeren
på dba er den, som han eller hun udgiver sig for,
eller at det er den rigtige person, der står som
reel ejer af en virksomhed�½
Danskerne har taget digitale betalingsløsnin-
ger til sig�½ Ni ud af ti danskere har mindst tre
betalingsløsninger til rådighed ud over kontan-
ter fordelt på betalingskort, MobilePay, øvrige
mobilbetalingsløsninger samt kontooverførsler
(Danmarks Nationalbank 2020a: 6)�½
Det er især
de ældre borgeres anvendelse af digitale beta-
lingsløsninger, som gør Danmark til et af de
mest digitaliserede lande på betalingsområdet
både sammenlignet med Europa og resten af
verden
(Danmarks Nationalbank 2022e: 9-10)�½
Færre bruger kontanter, men der
er flere i omløb end tidligere
Stadigt flere danskere fravælger kontanter som
betalingsmiddel�½ Halvdelen af befolkningen har
under 100 kroner på sig i kontanter til betalin-
ger
(Danmarks Nationalbank 2022d: 7)�½
Der
er også stadig færre muligheder for at betale
med kontanter som følge af hvidvasklovens §
5 om Kontantforbud�½ I 2020 blev kontantfor-
buddet sænket, således at erhvervsdrivende
må modtage op til 20�½000 kroner i kontanter,
med mindre de er omfattet af hvidvaskloven�½
Omvendt sikrer Lov om betalinger §81, at
alle butikker i fysisk handel er forpligtet til at
modtage betalinger med kontanter i langt de
fleste situationer mellem klokken 06 og 20�½
Danmarks Nationalbank forventer, at brugen
af kontanter som betalingsmiddel vil fortsætte
med at falde, men et samfund helt uden kon-
tanter forventer Danmarks Nationalbank ikke
inden for en overskuelig fremtid
(Danmarks
Nationalbank 2020a: 8)�½
Trods den faldende brug af kontanter er det
samlede seddel- og møntomløb steget de
senere år, og der har været en stigende efter-
spørgsel efter kontanter�½ Det samlede ude-
stående af sedler og mønter i Danmark var
77,6 milliarder kroner ultimo 2021�½ Det er en
stigning på godt tre milliarder kroner på ét år
(74,5 milliarder kroner i 2020)
(Danmarks
Nationalbank 2022b: 16)�½
Danmarks
Nationalbank vurderer blandt andet, at stig-
ningen kan skyldes ophobning af kontanter
hos borgere og virksomheder i forbindelse
med coronapandemien og de lave indlånsren-
ter, som kan have øget incitamentet i retning
mod yderligere værdiopbevaring i kontanter
(Danmarks Nationalbank (2022d: 8-9)�½
DIGITALISERING AF
FINANSIELLE PROCESSER
Digitalisering af finansielle processer er et bredt
begreb, der blandt andet dækker over alminde-
lige kontooverførsler, overførsler via vekselbu-
reauer samt køb og salg af virtuelle gavekort og
kryptoaktiver�½ I det følgende sætter vi fokus på
udviklingen i danskernes betalingsmønstre�½
REU, Alm.del - 2023-24 - Endeligt svar på spørgsmål 1456: Spm. om hvor mange overførsler, der indføres udeklarerede til Danmark, herunder om der findes skøn herfor
2938919_0041.png
DEN NATIONALE RISIKOVURDERING AF HVIDVASK
41
I 2020 udgjorde det samlede kontantomløb
i Danmark cirka tre pct�½ af bruttonationalpro-
duktet�½ Det er et lavt niveau i forhold til landene
i euroområdet, hvor gennemsnittet er mere
end 12 pct�½ af bruttonationalprodukt i 2020
(Danmarks Nationalbank 2022d: 8)�½
Danskerne bruger betalingskort
og straksbetalinger
De fleste betalinger i butikkerne sker med dansk
udstedte betalingskort, mens straksbetalinger
er den foretrukne afregningsform mellem privat-
personer�½ Færre borgere betaler for deres varer
og tjenester med kontanter i fysiske butikker�½ 12
pct�½ af betalinger i fysisk handel blev foretaget
med kontanter i 2021
(Danmarks Nationalbank
2022d: 3)�½
Danskerne betaler i stedet med
betalingskort i butikkerne, endda i langt højere
grad end andre EU-borgere, og bruger i stigende
grad mobilbetalinger i butikkerne, fx MobilePay
(Danmarks Nationalbank 2022e: 3, 9)�½
Den
stigende tendens til at betale med mobiltelefo-
nen gør sig også gældende i onlinebutikkerne
(Danmarks Nationalbank 2022e: 10)�½
Langt størstedelen (70 pct�½) af betalinger
mellem privatpersoner sker gennem straks-
betalinger via fx MobilePay
(Danmarks
Nationalbank 2022e: 7)�½
Den samlede værdi af betalinger med kontanter
mellem privatpersoner løb i 2019 op i 27 milliar-
der kroner
(Danmarks Nationalbank 2020a: 5)�½
Kontanterne er fx givet i gave og lommepenge
eller brugt til betalinger til privatpersoner, fx
betalinger for varer købt på handelsplatforme�½
Betaling med kryptoaktiver,
herunder kryptovaluta
Tidligere har det været vanskeligt at betale med
kryptovaluta, da ejeren af kryptoaktiverne selv
først skulle veksle til fiat-valuta
2
, før de kunne
omsættes til varer og tjenester�½ Det er ikke helt
så besværligt længere�½
Hvis man ejer kryptovaluta, kan man hos en
kryptobørs få udstedt et betalingskort, som man
kan bruge i fx detailhandlen�½ Flere kryptobørser
har nemlig indgået samarbejder med udbydere
af betalingstjenester og tilbyder debitkort, der
kan anvendes som et almindeligt betalingskort�½
Selvom kontanter stadig er det primære beta-
lingsmiddel inden for visse kriminalitetsområ-
der, og kriminelle aktørers brug af kryptoaktiver
stadig udgør en mindre andel af deres trans-
aktioner, betyder digitaliseringen af finansielle
processer, at det er lettere og hurtigere at flytte
penge rundt i verden og dermed både at sløre
spor og integrere midlerne i andre lande�½
Anvendelse af visse kryptoaktiver gør det nem-
mere at spore transaktionerne, men for flere
aktiver er det vanskeligere, og tjenester, der kan
anonymisere transaktioner gennem såkaldte
mixere og tumblere, udfordrer også sporingen�½
Det gælder udbytte fra kriminelle aktiviteter
i Danmark, som flyttes til udlandet, og enten
kommer retur til Danmark eller integreres i
udenlandske økonomier�½ Men det gælder også
udbytte fra kriminelle aktiviteter i andre lande,
som kan sløres via den danske finansielle infra-
struktur og eventuelt integreres i den danske
økonomi fx via privatforbrug, køb af luksusvarer,
ejendomme, virksomheder eller andet�½ Disse
aktiviteter gør det vanskeligere for myndighe-
derne at opdage, monitere og efterforske de
kriminelle aktiviteter�½
De mange finansielle tjenester
gør det sværere at have et samlet
overblik over transaktionerne
Det fragmenterer betalingslandskabet, at bor-
gere og virksomheder kan betale deres regnin-
ger på mange forskellige måder og gennem
forskellige tjenester, herunder udenlandske
tjenester, og med den udvikling, vi allerede har
set, bliver det forventeligt mere udbredt i de
kommende år�½
2�½ Fiat-valuta dækker over lovlige betalingsmidler
udstedt af en centralbank�½
DANMARK 2022-2025
Det betyder, at man kan bruge sine krypto-
aktiver i fx detailhandlen eller i web-shops
uden først selv at veksle dem til fiat-valuta�½
Vekslingen mellem kryptovaluta og fiat-valuta
sker stadig, men nu sker den automatisk i
forbindelse med købet, uden at brugeren skal
gøre andet end at betale med kortet ligesom
med alle andre betalingskort�½ Butikkerne mod-
tager således ikke kryptoaktiver�½ Vekslingen
sker gennem en tjeneste (Virtual Asset Service
Provider), der veksler i købsøjeblikket og over-
fører midlerne til kortet, hvorefter der foretages
en betaling i almindelig midler�½
REU, Alm.del - 2023-24 - Endeligt svar på spørgsmål 1456: Spm. om hvor mange overførsler, der indføres udeklarerede til Danmark, herunder om der findes skøn herfor
2938919_0042.png
42
DEN NATIONALE RISIKOVURDERING AF HVIDVASK
DANMARK 2022-2025
Danskerne får samtidig flere bankkonti i for-
skellige banker (delkunder), så betalingerne
udgår fra forskellige bankkonti, og hertil kommer
anvendelsen af korrespondentbanker i forbin-
delse med internationale overførsler, som frag-
menterer landskabet yderligere�½ Mens det kan
være godt for danskerne med øget konkurrence
og billigere produkter, så gør fragmenteringen
det vanskeligere for de underretningspligtige at
have overblik over virksomhedernes og borge-
rens finansielle situation og transaktioner�½ Det
bliver dermed vanskeligere at se, hvornår en
økonomisk aktivitet eller adfærd er mistænkelig�½
Et eksempel på denne fragmentering er et køb
på internettet, hvor en dansk kunde anvender
sit dankort til at købe en vare hos en dansk
webshop�½ Webshoppen benytter en betalings-
formidler hjemmehørende i Sverige�½ Pengene
bliver trukket fra kundens konto, overført til
betalingsformidlerens konto i et svensk penge-
institut�½ Herfra overføres pengene til den danske
webshops konto i et dansk pengeinstitut�½
Altså kan en transaktion mellem to danske
parter reelt set blive formidlet gennem Sverige�½
Udvides eksemplet med nye digitale banker,
bliver betalingsstrukturen endnu mere kom-
pleks�½ Her skal en dansk kunde bosat i Danmark
købe en vare hos en dansk webshop�½ Kunden
anvender et debitkort udstedt af en digital bank
i Tyskland som betalingsmiddel�½ Pengene bliver
overført via en betalingsformidler, som har
hovedsæde i Irland, men anvender en opsam-
lingskonto i et pengeinstitut i Sverige til nord-
europæiske betalinger�½ Herefter bliver kundens
betaling, sammen med en række andre beta-
linger fra andre kunder, overført fra det svenske
pengeinstitut til webshoppens konto i en digital
bank i Litauen�½ I dette eksempel på et simpelt
varekøb er der fire forskellige underretnings-
pligtige involveret i fire forskellige jurisdiktioner�½
Selvom købet er foregået mellem en dansk
kunde og en dansk webshop, er transaktionerne
og underretningspligten ikke i Danmark�½
2.3
MILJØ
Den grønne omstilling er essentiel for en mindre
ressourceintensiv og mere bæredygtig levevis�½
Klima- og miljøpolitik fylder stadig mere i den
offentlige debat herhjemme�½ Danmarks medlem-
skab af EU betyder, at Danmark er omfattet af
EU’s klima- og miljøpolitik�½ I 2020 vedtog EU den
første klimalov som en del af den europæiske
grønne pagt,
The Green Deal,
der blandt andet
handler om øget brug af vedvarende energi og
energieffektiviseringer
(Europa-Kommissionen
2019d)�½
Vi udvikler nye produktionsformer og
varer, investerer mange penge i nye teknologier,
og vi beskytter i stigende omfang naturen via
lovgivning, certifikater og afgifter�½ I dansk regi
er det i forbindelse med den opdaterede 2030-
plan
DK2030 – et grønnere, sikrere og stærkere
Danmark 2030
blevet besluttet at prioritere
offentlige investeringer i den grønne omstilling i
perioden frem mod 2030 (se fx
Aftale om etab-
lering af en grøn fond)
(Finansministeriet 2022c
og Finansministeriet 2022d)�½
Et eksempel på de investeringer, der finder sted
i EU-regi, er som tidligere nævnt hjælpepakken
NextGenerationEU på mere end 800 milliarder
euro, hvoraf en del af pengene skal gå til den
grønne omstilling�½
Europol vurderer, at der er høj risiko for, at orga-
niserede kriminelle aktører vil søge at få del i de
penge, der udbydes i EU-regi, og Europol har
i den forbindelse igangsat Operation Sentinel,
som skal sikre, at pengene ikke går til kriminelle
aktører
(Europol 2021d)�½
De kriminelle aktører vil forsøge at udnytte den
grønne omstilling�½ Europol vurderer, at de krimi-
nelle vil søge at svindle sig til midler fx ved at
lokke borgere til at investere i grønne projekter
og ved at udnytte energicertificeringssystemer
og andre kvotesystemer
(Europol 2022c: 9)�½
Hvidvasksekretariatet er bekendt med, at
forsøg på denne type svindel også finder sted i
Danmark�½
Europol vurderer, at særligt affaldshåndte-
ring og genbrug vil være sårbare brancher for
kriminelle aktiviteter, ligesom svindel med
fødevarer vil blive mere sofistikeret fremover
(Europol 2021a: 54, 79)�½
Disse områder er også
relevante i en dansk kontekst�½
REU, Alm.del - 2023-24 - Endeligt svar på spørgsmål 1456: Spm. om hvor mange overførsler, der indføres udeklarerede til Danmark, herunder om der findes skøn herfor
2938919_0043.png
DEN NATIONALE RISIKOVURDERING AF HVIDVASK
43
POLITIK
De danske regler på hvidvaskområdet har afsæt
i internationale standarder og direktiver�½ Det er
navnlig FATF, EU, Folketinget og regeringen,
der sætter rammen for hvidvaskindsatsen i
Danmark�½ For at styrke indsatsen mod hvidvask
er der i løbet af de seneste år blevet foretaget
markante politiske prioriteringer på området,
ligesom hvidvaskloven er blevet revideret af
flere omgange i overensstemmelse med EU’s
hvidvaskdirektiver og FATF’s anbefalinger�½
I de almindelige bemærkninger til hvidvasklo-
ven bliver det fremhævet, at de virksomheder
og personer, som til dagligt håndterer penge-
overførsler og andre finansielle transaktioner,
er væsentlige aktører i kampen mod hvidvask
og terrorfinansiering�½ Loven indførte derfor en
opmærksomhedspligt, som pålægger virksom-
heder og personer, omfattet af hvidvaskloven,
en særlig opmærksomhed på deres kunders
aktiviteter, hvor disse på grund af deres sær-
lige karakter menes at kunne have tilknytning
til hvidvask eller finansiering af terrorisme�½ I
forlængelse heraf har aktørerne en underret-
ningspligt, som betyder, at de skal underrette
Hvidvasksekretariatet, hvis de efter at have
undersøgt forholdet ikke kan afvise, at der kan
være tale om hvidvask eller terrorfinansiering�½
Loven stiller skærpede krav i forhold til virksom-
heders og personers kundekendskabsproce-
durer, hvor det er vurderingen, at der er en øget
risiko for hvidvask og finansiering af terrorisme�½
Loven er løbende blevet ændret for at styrke
den eksisterende forebyggende ramme og mere
effektivt bekæmpe hvidvask og finansiering af
terrorisme�½ Reglerne på hvidvaskområdet er i
dag i det væsentligste samlet i ”lovbekendtgø-
relse nr�½ 316 af 11�½ marts 2022”�½
2.4
DANMARK 2022-2025
DEN LOVGIVNINGSMÆSSIGE
UDVIKLING PÅ HVIDVASKOMRÅDET
Hvidvaskloven trådte for første gang i kraft i
1993 og er blevet ændret flere gange efterføl-
gende, blandt andet i 2017 ved ”lov nr�½ 651 af
8�½ juni 2017 om forebyggende foranstaltninger
mod hvidvask og finansiering af terrorisme
(hvidvaskloven)”�½ Hvidvaskloven har til formål
at implementere dele af EU’s hvidvaskdirektiver
og dele af FATF’s internationale standarder�½
Hvidvaskloven implementerer desuden den
brede politiske aftale fra 21�½ juni 2017, hvor
aftalepartierne blandt andet blev enige om en
række væsentlige skærpelser af sanktionerne
for overtrædelse af reglerne om hvidvask med
videre og om at iværksætte udarbejdelsen af en
samlet strategi til bekæmpelse af hvidvask og
terrorfinansiering�½ Der er siden indgået to poli-
tiske aftaler om stramninger og øget indsats på
området i 2018 og 2019�½
Med hvidvaskloven blev reguleringen ændret
fra at være regelbaseret til i højere grad at være
risikobaseret�½ Det har skabt rammerne for et
mere fleksibelt system, der giver virksomhe-
derne mulighed for at fokusere indsatsen mod
de reelle risikoområder�½
EUROPA-KOMMISSIONENS
KOMMENDE ANTI-MONEY-
LAUNDERING-PAKKE
Europa-Kommissionen fremlagde i 2021 et
forslag til en Anti-Money-Laundering-pakke
(AML-pakke), der skal understøtte og ensrette
det koordinerede europæiske samarbejde mod
hvidvask og terrorfinansiering�½ Det er uvist, hvor-
når AML-pakken vedtages, samt hvornår den
træder i kraft�½
REU, Alm.del - 2023-24 - Endeligt svar på spørgsmål 1456: Spm. om hvor mange overførsler, der indføres udeklarerede til Danmark, herunder om der findes skøn herfor
2938919_0044.png
44
DEN NATIONALE RISIKOVURDERING AF HVIDVASK
Kommissionen angiver, at det generelle formål
med den samlede pakke er at styrke effekti-
viteten i bekæmpelsen af hvidvask og terror-
finansiering, og fremhæver tre overordnede
problemer:
1)
Mangel på klare og konsistente regler på
hvidvaskområdet i EU,
2)
Inkonsekvent tilsyn på tværs af det indre
marked og
3)
Utilstrækkelig koordinering og udveksling af
information mellem finansielle efterretnings-
enheder (FIUer)�½
Den samlede pakke af lovforslag indeholder:
Ny fælles EU-hvidvasktilsynsmyndighed�½
EU opretter en fælles hvidvasktilsynsmyn-
dighed, der skal føre tilsyn med udvalgte
finansielle institutioner, føre indirekte tilsyn
med de øvrige finansielle institutioner og
monitere/koordinere tilsynet med ikke-finan-
sielle aktører�½
Ny hvidvaskforordning�½ Store dele af det
nuværende hvidvaskdirektiv overføres til en
hvidvaskforordning, som vil være direkte
gældende i medlemsstaterne�½
Ændring af EU’s hvidvaskdirektiv�½ Et nyt
hvidvaskdirektiv (det sjette) træder i stedet
for det nuværende�½ Det indebærer blandt
andet krav om risikovurderinger, registre
over reelle ejere af virksomheder samt en
præcisering af opgaver og kompetencer til
hvidvasktilsynsmyndigheder�½
Ændring af pengeoverførselsforordningen
med hensyn til kryptoaktiver�½ Den informa-
tion, som skal angives i forbindelse med
pengeoverførsler, skal også gælde overførs-
ler af kryptoaktiver�½
Styrket indsats mod kompleks kriminalitet
gennem oprettelse af National enhed for
Særlig Kriminalitet (NSK) og Statsadvo-
katen for Særlig Kriminalitet (SSK) den
1�½ januar 2022�½
• Krav om at flere underretninger om hvidvask
skal nyttiggøres og føre til sager, herunder
en styrkelse af Hvidvasksekretariatets data-
og analysekapacitet�½
• Etablering af Fast Track-ordning for beslag-
læggelser ved mistænkelige transaktioner
per den 1�½ januar 2022, så flere penge kan
beslaglægges og konfiskeres�½
• Oprettelse af operativt samarbejde mellem
myndigheder og private aktører mod hvid-
vask og terrorfinansiering, så relevante
aktører kan dele informationer og identi-
ficere kriminelle netværk�½
(Justitsministeriet 2021a)
National strategi for forebyggelse
og bekæmpelse af hvidvask og
terrorfinansiering 2022­2025
Justitsministeriet, Erhvervsministeriet og
Skatteministeriet udgav i juli 2022 en ny natio-
nal strategi for forebyggelse og bekæmpelse af
hvidvask og terrorfinansiering�½ Strategien bygger
videre på strategien for 2018-2021 og skal
understøtte en sammenhængende og risikoba-
seret fælles indsats på tværs af relevante myn-
digheder og private aktører samt sikre, at indsat-
sen udvikles og tilpasses i takt med ændringer i
kriminalitetsbilledet og den generelle udvikling i
samfundet�½ Strategien har fokus på:
Styrkelse af indsatsen mod kompleks og
organiseret kriminalitet�½
• Digitale og teknologiske løsninger som en
afgørende del af kampen mod hvidvask og
terrorfinansiering�½
• En sammenhængende, risikobaseret og mål-
rettet tilsynsindsats�½
• Et stærkt og tæt samarbejde mellem myndig-
heder og private aktører�½
• Et styrket fokus på internationalt samarbejde�½
(Justitsministeriet, Erhvervsministeriet
og Skatteministeriet 2022)
Den kommende AML-pakke fra EU og de politi-
ske initiativer i øvrigt vil forventeligt få betydning
for bekæmpelse af udbyttegivende kriminalitet
og hvidvask i de kommende år�½
DANMARK 2022-2025
ØVRIGE POLITISKE INITIATIVER
Flerårsaftalen 2021­2023
Et bredt flertal i Folketinget blev i 2020 enige om
en ny flerårsaftale om politiets og anklagemyn-
dighedens økonomi�½ De mest relevante punkter
for indsatsen mod hvidvask er:
REU, Alm.del - 2023-24 - Endeligt svar på spørgsmål 1456: Spm. om hvor mange overførsler, der indføres udeklarerede til Danmark, herunder om der findes skøn herfor
2938919_0045.png
45
3.
NATIONALE
TRUSLER
NATIONALE TRUSLER
REU, Alm.del - 2023-24 - Endeligt svar på spørgsmål 1456: Spm. om hvor mange overførsler, der indføres udeklarerede til Danmark, herunder om der findes skøn herfor
2938919_0046.png
46
DEN NATIONALE RISIKOVURDERING AF HVIDVASK
3.1
SAMMENFATNING
De mest udbyttegivende kriminalitetsformer i Danmark er skatte­
og momskriminalitet, it­økonomisk kriminalitet samt handel
med narkotika og doping. Men udbyttet kommer også fra andre
kriminalitetsformer, herunder også fra kriminalitet begået i
udlandet. Vi ser nærmere på, hvor de ulovlige midler kommer fra,
hvem der er involveret, hvem der skal have vasket deres penge
hvide og dermed udgør nationale trusler på hvidvaskområdet.
NATIONALE TRUSLER
Hvidvasksekretariatet vurderer, at udbytte fra
kriminalitet begået i Danmark primært stammer
fra skatte- og momskriminalitet, it-relateret
økonomisk kriminalitet og narkotika- og doping-
kriminalitet�½ Udbytte fra kriminalitet begået i
udlandet, som hvidvaskes via Danmark, kan fx
stamme fra korruption eller it-relateret økono-
misk kriminalitet og udgør også en høj trussel i
forhold til hvidvask i Danmark�½
Hvidvasksekretariatet vurderer, at kriminelle
aktører, grupper og netværk køber sig til ydelser
via crime-as-a-service, herunder også rådgiv-
ningsbistand fra fx advokater, andre juridiske
rådgivere, revisorer og ejendomsmæglere og
anvender professionelle hvidvaskere�½ Det er
Hvidvasksekretariatets vurdering, at professio-
nelle hvidvaskere og rådgivere udgør en betyde-
lig trussel i forhold til hvidvask�½
Tabel 8
Trusselsvurdering i forhold til ulovligt udbytte, der skal
hvidvaskes fordelt efter kriminalitetsområder og aktører
Kriminalitetsområder
Udbytte fra kriminalitet begået i udlandet
Skatte- og momskriminalitet
It-relateret økonomisk kriminalitet
Narkotika- og dopingkriminalitet
Miljøkriminalitet
Menneskehandel
Varemærkeforfalskning og piratkopiering
Fødevarekriminalitet
Indbrud og tyveri
Markedsmanipulation og insiderhandel
Korruption
Illegal handel med vilde dyr og planter
Menneskesmugling
Aktører
Organiserede kriminelle aktører
Professionelle hvidvaskere
Professionelle rådgivere
Risiko
Høj
Høj
Høj
Betydelig
Betydelig
Moderat
Moderat
Moderat
Moderat
Begrænset
Begrænset
Begrænset
Begrænset
Risiko
Høj
Betydelig
Betydelig
REU, Alm.del - 2023-24 - Endeligt svar på spørgsmål 1456: Spm. om hvor mange overførsler, der indføres udeklarerede til Danmark, herunder om der findes skøn herfor
2938919_0047.png
DEN NATIONALE RISIKOVURDERING AF HVIDVASK
47
UDBYTTEGIVENDE
KRIMINALITET
Det økonomiske udbytte fra kriminalitet skal
hvidvaskes, hvis de kriminelle aktører skal
bruge pengene i den legale økonomi�½ For at
blive klogere på, hvor mange penge der skal
hvidvaskes, og hvor de forventeligt vil komme
fra i de kommende år, er det væsentligt at
belyse den forbrydelse, der ligger forud for det
økonomiske udbytte – også kaldet
førforbrydel-
sen�½
Det gør vi ved at belyse kriminalitetsformer,
som genererer et økonomisk udbytte�½
Det er selvsagt en vanskelig opgave at opgøre
det økonomiske udbytte ved forskellige krimi-
nalitetsformer, fordi kriminalitet foregår i det
skjulte�½ Derfor vil det økonomiske omfang være
et skøn�½ Skønnet kan vi bruge til at identificere,
hvilke kriminalitetsformer og kriminelle aktører
der udgør de største trusler på hvidvaskom-
rådet�½ Der er også kriminalitetsformer, som vi
ikke belyser i kapitlet, fordi vi vurderer, at disse
former ikke har en afgørende betydning for, hvor
mange penge der skal hvidvaskes i Danmark for
nuværende�½
Kapitlet behandler ulovlige midler fra kriminali-
tet begået i Danmark, men det er ikke sikkert, at
midlerne bliver hvidvasket i Danmark�½ Ligeledes
kan der være midler, som stammer fra krimina-
litet begået i udlandet, som bliver hvidvasket
i Danmark�½ Udbyttet fra kriminalitet begået i
udlandet, som bliver hvidvasket i Danmark,
bliver behandlet senere i dette kapitel i afsnittet
Udbytte fra kriminalitet i udlandet, der hvid-
vaskes i Danmark.
Hvert kriminalitetsområde er inddelt i fire
dele: En skadesanalyse, en trusselsanalyse,
en sårbarhedsanalyse samt en vurdering
af det fremtidige udbytte af kriminaliteten�½
Skadesanalysen har til hensigt at belyse
omfanget og skadesvirkningerne ved kri-
minaliteten�½ Trusselsanalysen har fokus på
gerningspersonerne og den motivation og kapa-
citet, de har til at begå kriminaliteten�½ I sårbar-
hedsanalysen analyserer vi de strukturerer i
det danske samfund, som gør os sårbare over
for kriminaliteten�½ Det er fx mulighederne for
at begå kriminaliteten, potentialet for hvidvask
og opdagelsesrisikoen�½ På baggrund af disse
faktorer, belyser vi den fremtidige udvikling i det
forventede udbytte fra den pågældende krimi-
nalitetsform og vurderer truslen for hvidvask
som
begrænset,
moderat,
betydelig
eller
høj.
Grundlaget for vurderingerne er udfoldet nær-
mere i metoderapporten
(Hvidvasksekretariatet
2022)�½
Det bemærkes, at der er kriminalitets-
former, hvor midlerne allerede fremstår legale i
forbindelse med den kriminelle handling�½ Det er
fx tilfældet ved insiderhandel, hvor det ulovlige
udbytte ligner legale afkast fra aktiehandler�½ I
det tilfælde vil der oftest ikke være behov for
at sløre, hvor midlerne kommer fra�½ Hvis det
ulovlige udbytte derimod stammer fra fx salg
af narkotika, som ofte afregnes kontant, vil det
være oplagt, at den kriminelle aktør forsøger at
placere, sløre og integrere udbyttet�½ I det første
tilfælde, hvor det ulovlige udbytte ser legalt ud,
er truslen for hvidvask lavere, end det andet til-
fælde, hvor de kriminelle aktører har brug for at
placere, sløre og integrere det ulovlige udbytte�½
Metoden for hvidvask af det ulovlige udbytte
er afhængig af pengenes format�½ Genererer
det ulovlige udbytte kontanter, fiat-valuta på
konti eller kryptoaktiver? Formatet kan i nogle
tilfælde hjælpe os med at forstå, hvor pengene
stammer fra, og det kan også hjælpe til at forstå
den metode, som de kriminelle aktører skal
bruge for at hvidvaske midlerne�½ Dette udfoldes
nærmere i kapitel 5
Metoder til hvidvask.
I nær-
værende kapitel uddyber vi for hvert kriminali-
tetsområde potentialet for hvidvask og forsøger
her at give et bud på pengenes format�½
3.2
»Den største motivation for organiserede kriminelle er det
økonomiske udbytte, og det meste kriminalitet bliver begået,
fordi de kriminelle aktører ønsker et økonomisk udbytte«.
Kilde:
Europol (2021c: 10)�½
NATIONALE TRUSLER
REU, Alm.del - 2023-24 - Endeligt svar på spørgsmål 1456: Spm. om hvor mange overførsler, der indføres udeklarerede til Danmark, herunder om der findes skøn herfor
2938919_0048.png
48
DEN NATIONALE RISIKOVURDERING AF HVIDVASK
3.3
SKATTE- OG
MOMSKRIMINALITET
Skatte- og momskriminalitet er en af de mest
udbyttegivende kriminalitetsformer i Danmark�½
Hvidvasksekretariatet vurderer, at det er meget
sandsynligt, at det økonomiske udbytte herfra
vil stige frem mod 2025�½ Skattestyrelsen og
politiet ser en tendens til, at kriminaliteten er
blevet mere kompleks og dermed også mere
ressourcekrævende at forebygge og opklare
for myndighederne�½ De høje servicekrav til
myndighederne, fx at det skal være nemt at
oprette virksomheder og få et personnummer
for udlændinge, øger risikoen for skatte- og
momskriminalitet�½
Hvidvasksekretariatet vurderer, at
truslen i forhold til hvidvask er
høj.
Overtrædelse af særlovgivningen inden for
skatte-, told- afgifts- eller tilskudslovgivningen
straffes med bøde�½ Skatte-, moms-, og toldsvig
kan også i særligt grove tilfælde straffes efter
straffelovens § 289, og strafferammen er fæng-
sel i op til otte år�½
I perioden 2018-2021 er antallet af bøder for-
doblet fra 1�½371 bødeforlæg i 2018 til 2�½753
i 2021�½ Det samlede bødebeløb er mere end
fordoblet i perioden fra knap 47 millioner kroner
per år til godt 116 millioner kroner per år
(se
Hvidvasksekretariatet 2022�½ Metoderapport)�½
Skatteforvaltningen bemærker, at opgørelsen af
bødeforlæg er behæftet med usikkerhed�½
I særligt grove tilfælde straffes skatte- og
momskriminalitet efter straffelovens § 289,
som efterforskes af politiet�½ I perioden 2018-
2021 er der i alt anmeldt 7�½249 sager om over-
trædelse i form af grov skatte- eller momssvig,
svig med EU-midler, socialt bedrageri, bedra-
geri med arbejdsløshedskasse eller bedrageri
med øvrig afgifts- eller tilskudslovgivning�½ Godt
halvdelen af anmeldelserne handler om grov
skattesvig og grov momssvig�½ Socialt bedra-
geri og bedrageri med arbejdsløshedskasse
udgør også en væsentlig del af anmeldelserne,
da disse anmeldelser samlet set udgør godt
en tredjedel
(Hvidvasksekretariatet 2022�½
Metoderapport)�½
Svig med skatter, afgifter og moms kan foregå
på forskellige måder�½ Skattestyrelsen har blandt
andet fokus på kædesvig og momskarruselsvin-
del�½ For så vidt angår sager om kædesvig benyt-
ter bagmænd typisk kæder af underleverandører
i kombination med stråmænd, fiktive virksomhe-
der og falske fakturaer med det formål at begå
skatte- og momsunddragelse�½ I kæderne sløres
det, hvem der reelt har udført et stykke arbejde,
modtaget betaling og skal betale moms og skat
(Skattestyrelsen 2021b: 1)�½
1
Skattestyrelsens
kontrolindsats mod kædesvig resulterede i skat-
teopkrævninger for i alt 3,7 milliarder kroner i
perioden 2015-2020�½ Skattestyrelsen fandt i
gennemsnit fejl eller svig i 89 pct�½ af kontrollerne
(Skattestyrelsen 2021b: 1)�½
NATIONALE TRUSLER
TRUSSEL
SKADESANALYSE
Det er vanskeligt at opgøre det faktiske omfang
af skatte- og momskriminalitet, fordi de offi-
cielle tal i høj grad er resultat af myndigheder-
nes indsats�½
For overtrædelse inden for skatte-, told- afgifts-
eller tilskudslovgivningen kan Skattestyrelsen i
visse tilfælde straffe personer eller virksomhe-
der med bøde�½ Skattestyrelsen er tillagt kom-
petence til at afslutte sager om overtrædelser,
hvor straffen er bøde, i overtrædelser af alle
skatte- og afgiftslove, der rummer straffebe-
stemmelser�½ Administrative bødeforlæg kan fx
gives for unddragelse af skatter og afgifter�½
1�½ Det Kriminalpræventive Råd har udarbejdet en kort anime-
ret film om kædesvig�½ Den kan du se, hvis du følger linket
her: dkr�½dk/tyveri/kaedesvig�½
REU, Alm.del - 2023-24 - Endeligt svar på spørgsmål 1456: Spm. om hvor mange overførsler, der indføres udeklarerede til Danmark, herunder om der findes skøn herfor
2938919_0049.png
DEN NATIONALE RISIKOVURDERING AF HVIDVASK
49
Boks 4
Operation Greed: Kriminelt netværk dømt for hvidvask ved
fakturasvindel for en halv milliard kroner
I august 2022 blev 16 personer og tre selskaber i Københavns Byret dømt skyldige i at have
snydt statskassen for 297 millioner kroner i skat og moms�½ Nogle af personerne i netvær-
ket er også dømt for at have hvidvasket op til 400 millioner kroner ved at køre store beløb
gennem valutavekselbureauer i København�½
14 af de dømte har anket dommen til landsretten med påstand om frifindelse�½ Sagen er ved
analysens afslutning endnu ikke afgjort�½
Det er anklagemyndigheden og politiets opfattelse, at svindlen er foregået ved, at et større
antal selskaber på baggrund af falske fakturaer har betalt for ydelser, som aldrig er blevet
udført af et af det kriminelle netværks 12 skraldespandsselskaber�½ Et skraldespandssel-
skab (som er et selskab, der oprettes med det formål at gå konkurs med den gæld, som
oparbejdes til fx Skattestyrelsen, så gælden ikke kan inddrages) sender en fiktiv faktura til
selskabet, som udfører sort arbejde, så det ser ud som om, at skraldespandsselskabet har
udført arbejdet�½ Beløbet på fakturaen overføres til skraldespandsselskabet, som sender
pengene videre til et valutavekselbureau�½ Selskabet, som har udført sort arbejde, kan få
moms tilbage�½ Skraldespandsselskabet skylder moms til Skattestyrelsen, som det aldrig
betaler, men går i stedet konkurs, og derved kan gælden ikke inddrages�½ Pengene sløres
ved at køre dem igennem et valutavekselbureau, hvilket gør det vanskeligt at finde dem, når
selskabet er gået konkurs�½ Nogle af pengene hæves i kontanter og bruges til udbetaling af
sort arbejde, og nogle af pengene overføres til udlandet�½
Kilde:
Københavns Byret (2022a) og National enhed for Særlig Kriminalitet (2022)�½
Momskarruselsvindel
foregår ved, at virk-
somheder køber varer eller tjenester moms-
frit fra et andet EU-land og opkræver moms
ved videresalg uden at indberette moms til
Skattestyrelsen�½ Skattestyrelsens kontrolindsats
mod momskarruselsvig medførte opkrævnin-
ger for i alt cirka to milliarder kroner i perioden
2016-2020
(Skattestyrelsen 2021c: 1-2)�½
Hvidvasksekretariatet vurderer, at omfanget af
skatte- og momskriminalitet formentligt er bety-
deligt større end det, der fremgår af tallene oven-
for for kædesvig og momskarruselsvindel, idet
tallene er baseret på myndighedernes indsats,
men mørketallet er ikke nærmere undersøgt�½
For så vidt angår svig med EU-midler, peger
EU’s anti-svindel enhed (OLAF) på, at det
blandt andet foregår ved dobbeltbevillinger,
aftalt spil, interessekonflikter, manipulation af
ansøgninger, hvidvask og underfakturering og
forkert angivelse af moms�½ OLAF fremhæver
også, at der er en tendens til, at bedragerierne
bliver mere sofistikerede, i højere grad udnytter
sårbarheder på tværs af grænser og jurisdikti-
oner, i højere grad udnytter digitalisering og er
mere professionelle
(OLAF 2022: 3)�½
Svig med skat foregår også ved at arbejde sort,
hvilket adskiller sig fra virksomhedsmæssig
skatte- og momsunddragelse som momskar-
ruseller og kædesvig�½ Rockwool Fondens
Forskningsenhed har via en spørgeskemaun-
dersøgelse forsøgt at opgøre omfanget�½ Sort
arbejde defineres i undersøgelsen som lovlige
aktiviteter, der burde beskattes, men ikke bliver
det�½ Undersøgelsen peger på, at der i 2017 blev
arbejdet sort for det, der svarer til to til tre pct�½
af bruttonationalproduktet
(Rockwool Fondens
Forskningsenhed 2018: 44)�½
En opdateret rap-
port fra 2022 viser, at andelen af danskere, der
arbejder sort, stort set er den samme i 2020
som i 2017
(Rockwool Fonden Forskning
2022: 1)�½
Dog vurderer Rockwool Fondens
Forskningsenhed i en rapport fra 2017, at kun en
tredjedel af det udførte sorte arbejde ville blive
udført, hvis der skulle betales fuld pris for arbej-
det�½ Resten ville blive udført som gør-det-selv-
arbejde eller ville ikke blive udført, hvis man ikke
kunne få det sort til en særlig lav pris
(Rockwool
Fondens Forskningsenhed 2017: 139)�½
To til tre
pct�½ af bruttonationalproduktet svarer til mellem
50 og 75 milliarder kroner om året, hvis vi anven-
der bruttonationalproduktet for 2021 (løbende
priser), og en tredjedel heraf svarer til mellem
17-25 milliarder kroner om året�½
NATIONALE TRUSLER
REU, Alm.del - 2023-24 - Endeligt svar på spørgsmål 1456: Spm. om hvor mange overførsler, der indføres udeklarerede til Danmark, herunder om der findes skøn herfor
2938919_0050.png
50
DEN NATIONALE RISIKOVURDERING AF HVIDVASK
Europa-Kommissionen anslår ifølge Europol,
at der svindles med moms i Europa for godt
375 milliarder kroner årligt (50 milliarder euro)
(Europol 2021a: 65)�½
Hvidvasksekretariatet
er ikke bekendt med analyser af det sam-
lede omfang af skatte- og momskriminalitet i
Danmark, men på baggrund af danske sager
og efterretninger om aktører og virksomheder,
vurderer Hvidvasksekretariatet, at omfanget er
stort og stigende�½
For så vidt angår snyd med sociale ydelser
vurderer Det Nationale Forsknings- og Analyse-
center for Velfærd, VIVE, at omfanget af ube-
rettigede udbetalinger af sociale ydelser, som
følger af fejl og snyd, udgør to til fire pct�½ af de
samlede udbetalinger�½ Det skal dog bemærkes,
at estimatet er baseret på udenlandsk erfaring
af ældre dato
(SFI 2011: 9)�½
Kommunernes
Landsforening, Udbetaling Danmark og Styrelsen
for Arbejdsmarked og Rekruttering offentliggør
analyser af effekten af deres kontrolindsats�½
Analyserne er kortfattet gengivet herunder:
Kommunernes Landsforening gennemfører
hvert år en effektmåling af kommunernes
kontrolindsats�½ En samlet opgørelse på
landsplan for 2021 viser, at kommunernes
kontrolindsats opgøres til en samlet effekt på
440 millioner kroner
(Kommunernes Lands-
forening 2022: 8)�½
Kommunernes kontrolind-
sats dækker blandt andet over kontanthjælp,
sygedagpenge og økonomisk friplads�½
Udbetaling Danmark gennemfører kontro-
lindsatser for at forhindre snyd�½ I 2021 er
provenuet fra disse kontroller opgjort til 101
millioner kroner
(Udbetaling Danmark 2021:
10)�½
Kontrolindsatsen dækker blandt andet
over førtidspension, barselsdagpenge, fami-
lieydelser, begravelseshjælp og fleksydelse�½
Styrelsen for Arbejdsmarked og Rekrutte-
ring gennemfører kontrol med udbetaling til
arbejdsløshedskassernes medlemmer�½ Det
dækker over dagpenge, efterløn og ferie-
dagpenge�½ Skatteforvaltningen oplyser, at
kontrollen resulterede i tilbagebetalinger for
99 millioner kroner i 2019�½
NATIONALE TRUSLER
Momssvig resulterer i økonomisk ubalance og
et skævt marked, idet virksomheder, der snyder,
kan få større profit end virksomheder, der ikke
snyder�½ Således svækkes de nationale og inter-
nationale markeder og det finansielle systems
integritet, samtidig med at momssvig under-
støtter ulovlige økonomier
(Europol 2021a: 65)�½
Afgifter er med til at regulere adfærd og har
blandt andet til hensigt at forbedre folkesund-
heden og miljøet�½ De indsatser undergraves i
tilfælde af svig�½ Skatte- og momskriminalitet
medfører også forskellige former for følge-
kriminalitet som dokumentfalsk, brug af strå-
mænd til sløring af reelle ejere og hvidvask�½
TRUSLER OG SÅRBARHEDER
I perioden 2018-2021 er der i alt rejst 11�½334
sigtelser for skattesvig efter straffelovens § 289�½
Der er rejst flest sigtelser for grov skattesvig og
grov momssvig
(Hvidvasksekretariatet 2022�½
Metoderapport)�½
I samme periode er der truffet
2�½432 fældende afgørelser�½ Langt størstedelen
af de fældende afgørelser vedrører bedrageri
med arbejdsløshedskasse, grov skatte- og
momskriminalitet samt socialt bedrageri
(Hvidvasksekretariatet 2022�½ Metoderapport)�½
Baseret på Skattestyrelsens erfaringer fra
kæde- og momskarruselsvig er aktørerne ofte
personer, som har en legal virksomhed og
sideløbende udøver kriminelle aktiviteter�½ Det
gælder også udenlandske aktører, der driver
virksomhed eller har forretningsmæssige for-
bindelser til Danmark�½
Sort arbejde er mest udbredt blandt
personer i kontantbaserede brancher
Rockwool Fondens undersøgelse af sort
arbejde i 2017 viser, at sort arbejde er mest
udbredt blandt personer, der er beskæftiget i
kontantbaserede brancher
(Rockwool Fondens
Forskningsenhed 2018: 24-25)�½
Det er særligt
personer i bygge- og anlægsbranchen samt
inden for personlige tjenesteydelser som frisør-
arbejde eller massage, der er aktive med sort
arbejde
(Rockwool Fondens Forskningsenhed
2018: 28)�½
Det skal dog bemærkes, at sort
arbejde adskiller sig væsentligt fra organiseret
skatteunddragelse, der udøves af mere organi-
serede grupper�½
Ved skatte- og momskriminalitet bliver statens
indtægter reduceret, og det underminerer det
økonomiske fundament for velfærdsstaten�½
Det er afgørende for borgernes retsfølelse og
samfundets sammenhængskraft, at der betales
korrekte skatter og afgifter�½
REU, Alm.del - 2023-24 - Endeligt svar på spørgsmål 1456: Spm. om hvor mange overførsler, der indføres udeklarerede til Danmark, herunder om der findes skøn herfor
2938919_0051.png
DEN NATIONALE RISIKOVURDERING AF HVIDVASK
51
Boks 5
Svindel med udbytteskat
Sagen om svindel med udbytteskat handler om tilbagebetaling af udbytteskat, som investo-
rer påstod, de havde betalt i Danmark�½ Svindlen fandt angiveligt sted ved, at udenlandske
selskaber søgte om at få tilbagebetalt dansk udbytteskat, uden at de reelt ejede de aktier,
som de ville have tilbagebetalt udbytteskat for�½ Dokumentationen for tilbagebetaling af udbyt-
teskat var baseret på fiktive handler med danske aktier mellem investorer og selskaber�½ Den
samlede svindel er på cirka 12,7 milliarder kroner, hvor der samlet set er rejst tiltale mod de
formodede gerningsmænd for i alt mere end 10 milliarder kroner�½ Frem mod april 2022 er ni
personer blevet tiltalt i sagen, som ved analysens afslutning endnu ikke er afgjort�½
Kilde:
Anklagemyndigheden (2021c, 2021d, 2022c)�½
Personer med tilknytning til rocker­
eller bandemiljøet og facilitatorer
Politiet vurderer, at rocker- og bandemed-
lemmer er aktive inden for kædesvig, strå-
mandsvirksomhed og opsætningen af såkaldte
skraldespandsvirksomheder fx konstruktion af
underleverandørvirksomheder, der er med til at
skjule, hvilket selskab der skal betale moms og
skat�½ Kriminaliteten omfatter ofte andre krimi-
nalitetsformer som dokumentfalsk, fx i form af
fakturafabrikker, forfalskning af lønsedler eller
identitetspapirer�½ Der er en tendens til, at krimi-
naliteten er koncentreret omkring service- og
byggebranchen, herunder byggeri, nedrivning
og rengøring�½ Det kan skyldes, at det er nem-
mere at producere falske fakturaer på baggrund
af tjenesteydelser som mandskabstimer sam-
menlignet med fysiske varer�½
Facilitatorer, som sælger deres professionelle
kompetencer til kriminelle aktører
(crime-as-
a-service)
inden for økonomisk kriminalitet,
fx revisorer, jurister, advokater eller andre råd-
givere, er også aktive i dette marked�½ Disse
personer bistår med specialistviden inden for
fx opsætning af selskaber, bankkonti i skatte-
lylande, fiktive fakturaer og lønsedler, konkurser
og hvidvask�½ Politiet har også indikationer på,
at rocker- og bandemedlemmerne indgår i et
større netværk af økonomiske kriminelle aktører,
hvor de egentlige bagmænd ikke er rocker- eller
bandemedlemmerne�½
Skattestyrelsen peger på, at økonomisk kri-
minalitet i rocker- og bandemiljøet er blevet
mere organiseret, og at der er tendenser til, at
der gennemføres mere avancerede former for
svindel, som i visse tilfælde involverer professi-
onelle rådgivere
(Skattestyrelsen 2021a: 2)�½
De kriminelle aktører udnytter høje
servicekrav til myndigheder
I Danmark er der høje servicekrav til myndig-
heder, hvilket betyder, at det skal være nemt at
oprette og drive virksomhed i Danmark�½ Det er
godt for de fleste erhvervsdrivende, men det
bliver også udnyttet af kriminelle aktører til at
begå skatte- og momskriminalitet�½ For at leve
op til det høje servicekrav bygger skatte- og
momsangivelser på et selvangivelsesprin-
cip�½ Det betyder, at borgere og virksomheder
selv skal angive deres mellemværende, og
det øger risikoen for svig�½ Fra en virksomhed
bliver oprettet, til virksomheden skal aflægge
regnskab, kan der gå op til to år�½ I den periode
har virksomheden gunstige muligheder for at
svindle�½ Samtidig betyder digitaliseringen af
den offentlige sektor, at kriminelle aktører kan
trække flere penge ud af det offentlige system,
end det var muligt, da borgerne skulle møde op
eller udfylde blanketter manuelt�½
NATIONALE TRUSLER
REU, Alm.del - 2023-24 - Endeligt svar på spørgsmål 1456: Spm. om hvor mange overførsler, der indføres udeklarerede til Danmark, herunder om der findes skøn herfor
2938919_0052.png
52
DEN NATIONALE RISIKOVURDERING AF HVIDVASK
Boks 6
Fakturafabrik
Seks personer er samlet set blevet idømt knap 25 års fængsel for organiseret hvidvask
for mere end 200 millioner kroner, der har haft karakter af fakturafabrik med udstedelse af
falske fakturaer�½
Personerne brugte et setup med udstedelse af fiktive fakturaer for levering af arbejdskraft,
varer eller ydelser til flere hundrede danske virksomheder med det formål, at virksomhe-
derne kunne anvende fakturaerne til at få hvidvasket penge�½ En af personerne var direktør i
en virksomhed, der udstedte fiktive fakturaer og sendte millionbeløb til udlandet og dermed
stillede konti til rådighed for hvidvask�½
Kilde:
Anklagemyndigheden (2021a, 2021b)�½
NATIONALE TRUSLER
Digitaliseringen i Danmark udnyttes
til svindel med identiteter
Danmark er, som tidligere beskrevet, et af de
mest digitaliserede lande i verden�½ Det bety-
der, at borgere let kan få adgang til offentlige
ydelser og lånoptag, hvis de har et dansk per-
sonnummer�½ I sager som fx
Operation Greed
har
NemID været anvendt til svindel med lånean-
søgninger�½ Oprettelsen af person- og cvr-numre
har været et led i et større svig-setup�½ NemID
er typisk stjålet fra eller lånt ud af sårbare bor-
gere�½ Hvidvasksekretariatet er også bekendt
med udenlandsk arbejdskraft, der arbejder
i Danmark i en periode og ved hjemrejse
”sælger” deres identitet til kriminelle aktører,
som derefter misbruger identiteten til at optage
lån eller modtage offentlige ydelser�½
Potentiale for hvidvask
Skatte- og momsunddragelse involverer både
simple og komplekse hvidvasksetup�½ Ved sort
arbejde udbetales løn ofte i kontanter eller
gavekort, som kan hvidvaskes fx gennem køb
af højværdivarer eller føres til udlandet via
kontantudførsler�½
Lønnen indbetales også i nogle tilfælde på
konti i digitale banker�½ Det er Hvidvasksekre-
tariatets vurdering, at svindel med skatter- og
moms udgør adskillige milliarder hvert år�½
FREMTIDIG UDVIKLING
Det er Hvidvasksekretariatets vurdering, at
skatte- og momskriminalitet vil stige frem
mod 2025�½ Dette skyldes, at den økonomiske
kriminalitet bliver mere organiseret og interna-
tional, og at svindlen tilrettelægges, udføres og
sløres i et mere fragmenteret betalingslandskab
med hjælp fra professionelle rådgivere�½ Hertil
kommer, at økonomisk usikkerhed, varemangel
og mangel på arbejdskraft kan føre til, at virk-
somheder kommer i økonomiske vanskelig-
heder, og det kan få flere til at ty til skatte- og
momskriminalitet for at komme igennem krisen�½
Et øget fokus på moms- og skatteområdet
og forbedret samarbejdet mellem myndig-
heder samt udvikling af nye kontrolmekanis-
mer vil forventeligt resultere i flere sager de
kommende år�½
Hvidvasksekretariatet vurderer, at det er meget sandsynligt,
at skatte­ og momskriminalitet i Danmark vil stige, hvorved
det ulovlige udbytte vil øges i de kommende år, og at truslen
i forhold til hvidvask er
høj.
REU, Alm.del - 2023-24 - Endeligt svar på spørgsmål 1456: Spm. om hvor mange overførsler, der indføres udeklarerede til Danmark, herunder om der findes skøn herfor
2938919_0053.png
DEN NATIONALE RISIKOVURDERING AF HVIDVASK
53
IT-RELATERET ØKONOMISK
3.4
KRIMINALITET OG
CYBERKRIMINALITET
Professionelle kriminelle aktører øger truslen
for it-relateret økonomisk kriminalitet og cyber-
kriminalitet de kommende år�½ Dertil kommer
ændrede samlivs- og arbejdsformer som følge
af coronapandemien, hvilket øger sårbarheden
for it-relateret økonomisk kriminalitet og cyber-
kriminalitet�½ Det er meget sandsynligt, at den
forventede udvikling inden for it-relateret økono-
misk kriminalitet i Danmark vil øge det ulovlige
udbytte i de kommende år�½
Hvidvasksekretariatet vurderer, at
truslen i forhold til hvidvask er
høj.
It-relateret økonomisk kriminalitet er typisk
omfattet af straffelovens bestemmelser om
bedrageri og databedrageri (§ 279), afpres-
ning (§ 281), ulovlig tvang samt diverse sær-
love�½ Straffen for overtrædelse af en eller flere
bestemmelser er fra seks måneders fængsel
indtil otte års fængsel�½
I de senere år har anmeldelser om it-relateret
økonomisk kriminalitet fyldt meget i politiet�½
Allerede i 2018 udgjorde it-relateret økonomisk
kriminalitet omkring to tredjedele af anmeldel-
serne inden for økonomisk kriminalitet�½ Alene i
2021 modtog politiets Landsdækkende Center
for It-relateret økonomisk Kriminalitet (LCIK –
nu Nationalt Center for It-Kriminalitet (NCIK))
godt 26�½500 anmeldelser om it-relateret økono-
misk kriminalitet
(Nationalt Center for it-krimi-
nalitet 2022: 8)�½
It-relateret økonomisk kriminalitet bliver opgjort
på otte forskellige sagsområder, hvor samhan-
del, misbrug af kortoplysninger og kreditbe-
drageri udgør størstedelen af anmeldelserne
(Nationalt Center for it-kriminalitet 2022: 14,
Hvidvasksekretariatet 2022�½ Metoderapport)�½
I en dansk kontekst er der særligt fokus på
investeringssvindel, hvor kriminelle aktører
lokker borgere/forurettede med attraktive inve-
steringsmuligheder på fx fuphjemmesider på
internettet
(Nationalt Center for it-kriminalitet
2022: 6)�½
Det øgede fokus skyldes navnlig et
stigende antal anmeldelser på området�½ I nogle
af disse sager ser politiet, at enkeltpersoner har
tabt flere millioner kroner
(Rigspolitiet 2021a)�½
Politiet vurderer, at stigningen i investerings-
svindel blandt andet er sket som følge af de
negative renter i 2021 samt nedlukningen af
samfundet i forbindelse med coronapande-
mien, som har givet flere private investorer inci-
tament og tid til at investere
(LCIK 2021: 58)�½
Det skal dog bemærkes, at der i første halvår
af 2022 har været et fald i antallet af sager om
investeringssvindel i bankerne til 288 sager
sammenlignet med 676 sager i første halvår
2021�½ I første halvår 2022 svindlede de kri-
minelle aktører bankkunder for 4,5 millioner
kroner i forbindelse med investeringssvindel,
som i første halvår 2021 lå på svindel for 39,4
millioner kroner�½ Det er dog endnu for tidligt
at vurdere, om nedgangen fortsætter
(Finans
Danmark 2022b)�½
NATIONALE TRUSLER
TRUSSEL
SKADESANALYSE
It-relateret økonomisk kriminalitet kan bestå af
flere former for berigelseskriminalitet, og der
findes ikke en entydig definition af begrebet�½ I
politiet er området beskrevet som økonomisk
kriminalitet, hvor kriminaliteten foregår på inter-
nettet, eller hvor it-systemer bruges til at opnå
berigelse (cyberkriminalitet)�½ I dette afsnit har
vi fokus på de sager, der genererer økonomisk
udbytte, som efterfølgende skal hvidvaskes�½
Afsnittet dækker over kriminalitet med et øko-
nomisk sigte rettet mod enkeltpersoner eller
virksomheder, hvor it eller internettet anvendes
til at begå kriminaliteten�½ Det kan fx være krimi-
nalitet i forbindelse med samhandel, misbrug
af kortoplysninger, kreditbedrageri, afpresning,
direktørbedrageri (CEO-fraud) og investerings-
svindel�½ Afsnittet behandler også angreb rettet
mod it-systemer, som fx ransomewareangreb,
hvor kriminelle aktører angriber de it-systemer,
der understøtter forretningskritiske opgaver i
det private eller offentlige med henblik på at få
udbetalt en løsesum�½
REU, Alm.del - 2023-24 - Endeligt svar på spørgsmål 1456: Spm. om hvor mange overførsler, der indføres udeklarerede til Danmark, herunder om der findes skøn herfor
2938919_0054.png
54
DEN NATIONALE RISIKOVURDERING AF HVIDVASK
Ifølge Center for Cybersikkerhed (CFCS) rammes
danske virksomheder og myndigheder hyppigt
af ransomware-angreb, og det udgør den mest
alvorlige trussel for cyberkriminalitet mod
Danmark
(FE 2022: 3)�½
Ved et ransomware-
angreb bliver virksomhedens data og systemer
krypteret og derved gjort utilgængelige for virk-
somheden�½ For at få adgang til data eller syste-
mer kræver angriberen en løsesum
(FE 2022:
12)�½
I 2020 håndterede CFCS 477 hændelser,
heraf 443 mindre alvorlige, 31 moderat alvorlige
og tre alvorlige eller større, hvor kritiske systemer
blev berørt eller kompromitteret
(FE 2021: 13)�½
NATIONALE TRUSLER
Nogle områder inden for it-relateret økonomisk
kriminalitet, herunder cybercrime, forudsætter
specialviden�½ Denne specialviden kan tilkøbes
hos facilitatorer, der udbyder kriminelle ydelser
som fx ransomware-angreb og dermed under-
støtter flere kriminelle aktørers virke på området�½
Brugen af professionelle facilitatorer øger de
kriminelle aktørers kapacitet til at begå flere og
mere sofistikerede angreb
(Europol 2021g: 17)�½
Europol fremhæver, at den øgede overvågning
af kriminelle aktører online har resulteret i, at de
kriminelle aktører har øget deres sikkerhed, fx
gennem øget brug af krypteret kommunikation,
og at de foretrækker at placere servere i lande,
hvor både lovgivningen og samarbejdet med
myndighederne er udfordrende
(Europol 2021g:
9)�½
Det er Europols vurdering, at coronapan-
demien har haft en stor indflydelse på online-
bedrageri�½ Modus er ikke ændret, men angre-
bene er blevet mere sofistikerede, tekniske
og målrettede
(Europol 2021g: 30)�½
Her peger
Europol blandt andet på professionaliseringen
af såkaldt
CEO-bedrageri
og investeringssvindel
(Europol 2021b: 32)�½
Erhvervsstyrelsens undersøgelse af it-sikkerhed
i små og mellemstore virksomheder viser, at
det digitale sikkerhedsniveau i 40 pct�½ af virk-
somhederne vurderes at være utilstrækkeligt i
forhold til deres risikoprofil
(Erhvervsstyrelsen
2021: 1)�½
Dette er med til at øge risikoen for, at
virksomhederne bliver udsat for cyberkriminali-
tet og it-relateret økonomisk kriminalitet�½
Der er en række forhold, som gør it-relateret
økonomisk kriminalitet attraktivt�½ For det første
er det særlige ved kriminaliteten, at den fysiske
afstand mellem offer og gerningsperson typisk
er stor, og at én gerningsperson på relativt kort
tid kan udsætte mange ofre for fx bedrageri�½
Derudover giver teknologien bedre mulighe-
der for anonymitet, og straffen er forholdsvis
lav sammenlignet med fx salg af narkotika�½
Yderligere er Danmark et tillidsbaseret sam-
fund, hvilket de kriminelle aktører ofte udnytter�½
Der er i disse år stor opmærksomhed på både
trusler og sårbarheder i relation til it-relateret
økonomisk kriminalitet�½ Den stigende digitalise-
ring i samfundet øger risikoen for at blive udsat
for it-relateret økonomisk kriminalitet�½ Med en
øget trussel mod cybersikkerheden i Danmark
er der kommet mere fokus på forebyggelse�½
Det er vanskeligt at opgøre omfanget af tab
for angreb mod it-systemer, herunder cyber-
kriminalitet, men når det sker, er tabene store,
særligt i større virksomheder�½ Eksempelvis kan
det nævnes, at Mærsk i 2017 blev ramt af et
malware-angreb, som kostede mellem 1,6 og
1,9 milliarder kroner i tabt omsætning og gen-
opbygning
(DR 2017)�½
Ud over økonomiske skadevirkninger kan it-re-
lateret økonomisk kriminalitet medføre andre
alvorlige samfundsmæssige skadevirkninger
som fx tab af tillid til offentlige myndigheder,
sikkerheds- eller driftsmæssige omkostninger i
form af svækket drift i samfundskritiske instituti-
oner�½ Hertil kommer de personlige omkostninger
for den enkelte borger eller medarbejder, der
oplever at blive offer for omfattende bedrageri�½
TRUSLER OG SÅRBARHEDER
De kriminelle aktører på området spænder fra
danske kriminelle aktører, som handler alene,
til danske og udenlandske organiserede krimi-
nelle grupperinger og netværk over fremmede
stater, der er på jagt efter efterretninger fra
offentlige myndigheder, forretningshemmelig-
heder og midler til at drive deres nationer�½ De
større sager involverer ofte organiserede uden-
landske kriminelle aktører, hvilket gør det van-
skeligere at spore, efterforske og retsforfølge
gerningspersonerne�½
Dansk politi vurderer, at omfanget og kompleksi-
teten af økonomisk kriminalitet i rocker- og ban-
demiljøet er stigende, herunder også i relation til
it-relateret økonomisk kriminalitet, hvor særligt
bandemedlemmer har øget deres aktivitet�½
REU, Alm.del - 2023-24 - Endeligt svar på spørgsmål 1456: Spm. om hvor mange overførsler, der indføres udeklarerede til Danmark, herunder om der findes skøn herfor
2938919_0055.png
DEN NATIONALE RISIKOVURDERING AF HVIDVASK
55
Potentiale for hvidvask
Den grænseoverskridende it-relaterede økono-
miske kriminalitet, herunder cyberkriminalitet,
betyder, at potentialet for udbytte er stort, både
fra kriminelle aktører i Danmark og i udlandet�½
Da der ofte ikke er tale om kontanter, er pen-
gene allerede i det digitale finansielle system
og overføres gennem forskellige betalingstje-
nester og strukturer, typisk til udlandet�½ For så
vidt angår danske gerningspersoner, anven-
der de blandt andet muldyr til at sløre deres
kriminelle aktiviteter�½ Pengene hæves ofte i
kontanter blandt andet for at undgå, at politiet
beslaglægger pengene hos bankerne
(Det
Kriminalpræventive Råd 2022)�½
For angreb rettet mod it-systemer er der en
tendens til, at pengene ønskes udbetalt i bit-
coin
(FE 2018: 9)�½
Bitcoin har været den mest
anvendte kryptovaluta i de kriminelle miljøer,
men Europol vurderer, at der er en øget ten-
dens til at bruge andre former for kryptovaluta,
såsom Monero eller andre privacy coins�½ Dertil
kommer, at de kriminelle aktører også anven-
der swapping eller mixing services til at sløre
pengenes oprindelse og gør brug af lande med
svagere hvidvasklovgivning og kundekend-
skabsprocedurer
(Europol 2021g: 36-38)�½
Det er vanskeligt at opgøre det økonomiske
udbytte ved it-relateret kriminalitet, men det er
Hvidvasksekretariatets vurdering, at det drejer
sig om op til flere milliarder hvert år�½
FREMTIDIG UDVIKLING
Det er Hvidvasksekretariatets vurdering, at vi
i de kommende år vil se en fortsat udvikling i
modus i sager om it-relateret økonomisk kri-
minalitet og cyberkriminalitet�½ Det er også vur-
deringen, at udbyttet vil være højt�½ Det gælder
både den kriminalitet, der bliver begået mod
virksomheder, og den kriminalitet, der bliver
begået mod private borgere�½ Det skyldes, at
både personer og virksomheder fortsat færdes
mere online, og at en større andel af vores
finansielle virke foregår digitalt�½ Samtidig bliver
de, der udnytter de sårbarheder, der opstår,
mere professionelle, fx gennem forbedrede
oversættelser og brug af falsk billed- og video-
materiale�½ Det, at kriminalitetsformen involverer
udenlandske kriminelle aktører, som kan begå
kriminaliteten fra udlandet, gør det vanskeligere
for myndighederne at efterforske�½ Disse forhold
vil øge omfanget af denne type kriminalitet�½
Det øgede fokus på it-sikkerhed, verifika-
tionsteknologier, oplysningskampagner til
virksomheder og privatpersoner samt en
opbremsning af økonomien og et stigende ren-
teniveau vil på den anden side have en positiv
indvirkning på borgeres og virksomheders
modstandsdygtighed�½
Hvidvasksekretariatet vurderer, at det er sandsynligt, at det
økonomiske udbytte fra it­relateret økonomisk kriminalitet vil
stige de kommende år og at udbyttet vil være højt. På baggrund
af de danske og internationale sager på området samt de
professionelle aktører, der opererer inden for dette felt, vurderer
Hvidvasksekretariatet, at truslen i forhold til hvidvask er
høj.
NATIONALE TRUSLER
REU, Alm.del - 2023-24 - Endeligt svar på spørgsmål 1456: Spm. om hvor mange overførsler, der indføres udeklarerede til Danmark, herunder om der findes skøn herfor
2938919_0056.png
56
DEN NATIONALE RISIKOVURDERING AF HVIDVASK
3.5
NARKOTIKA- OG
DOPINGKRIMINALITET
Narkotika- og dopingkriminalitet er et krimina-
litetsområde, der genererer et højt udbytte�½ Der
er ikke noget, der hverken indikerer en stigning
eller et fald i tilgængeligheden i de forskellige
stoftyper de kommende år�½ Politiet forventer,
at kriminaliteten stort set vil blive begået af de
samme kriminelle aktører�½ Det er derfor meget
sandsynligt, at udbyttet vil være uændret frem
mod 2025�½
Hvidvasksekretariatet vurderer, at truslen
i forhold til hvidvask er
betydelig.
Salg af euforiserende stoffer eller besiddelse
heraf er reguleret i lov om euforiserende stoffer
og straffelovens § 191�½ For overtrædelse af lov
om euforiserende stoffer er straffen bøde og
fængsel indtil to år�½ Ved salg af euforiserende
stoffer til et større antal personer mod betyde-
ligt vederlag eller under andre særligt skær-
pende omstændigheder straffes personen efter
straffeloven med fængsel i op til 16 år�½
For anmeldelser om salg og smugling af nar-
kotika eller doping i henhold til straffelovens
§ 191 er udviklingen også nogenlunde stabil i
perioden på mellem 1�½350-1�½600 anmeldelser
om året�½ Det bemærkes, at smugling og salg
af doping udgør under ti anmeldelser om året
(Hvidvasksekretariatet 2022�½ Metoderapport)�½
Skadevirkninger
Skadevirkningerne af stofmisbrug og følgekri-
minaliteten er vidtrækkende og alvorlige�½ Et
stofmisbrug skader ikke kun den individuelle
bruger, men også dennes omgivelser og de per-
soner, lokalmiljøer og virksomheder, der udsæt-
tes for følgekriminalitet�½ Narkotikakriminalitet
og stofmisbrug har samtidig omfattende
samfundsøkonomiske omkostninger, fx i for-
bindelse med forebyggelsestiltag og misbrugs-
behandling
(Rigspolitiet 2017: 82)�½
Stofmisbrug er i særlig grad associeret med
berigelseskriminalitet som fx tyveri, røveri,
bedrageri og korruption i forbindelse med fragt
af narkotika mellem landegrænser
(Rigspolitiet
2017: 83, Europol 2021a: 26),
men fører også til
drab, vold, trusler og chikane samt økonomisk
kriminalitet i form af hvidvask�½ Europol anslår, at
knap halvdelen af de kriminelle netværk, som
hovedsageligt beskæftiger sig med hvidvask,
også er involveret i overtrædelser på narkotika-
området
(Europol 2021a: 28)�½
Det er vanskeligt at opgøre det økonomiske
udbytte ved narko- og dopingkriminalitet�½
UNODC dokumenterer, at brug af cannabis,
opioider, kokain, amfetamin og ecstasy er
udbredt i Europa
(UNODC 2021: 91-92),
men
fremhæver også, at det er vanskeligt at opgøre
udbyttet ved salg af illegale rusmidler�½ I en
rapport anslår UNODC, at alene salg af illegale
rusmidler på internettet genererer en gennem-
snitlig omsætning på 315 millioner dollars
årligt, hvilket svarer til godt to milliarder danske
kroner�½ Salg af illegale rusmidler på internettet
vurderes i rapporten til at udgøre 0,2 pct�½ af de
samlede årlige salg af illegale rusmidler i USA
og Europa
(UNODC 2021: 76)�½
NATIONALE TRUSLER
TRUSSEL
SKADESANALYSE
Narkotikakriminalitet er formentligt en af de
kriminalitetsformer, der har det højeste mørke-
tal, da både købere og sælgere har en fælles
interesse i ikke at blive opdaget�½ Det bevirker, at
det er vanskeligt at vurdere, hvor meget narko-
tika der reelt omsættes�½
Der er ikke entydige mønstre i antal beslag
og mængder af beslaglagte euforiserende
stoffer i Danmark�½ Der er store udsving i peri-
oden 2018 til 2021 i forhold til mængde,
mens antallet af beslag er nogenlunde stabilt
(Hvidvasksekretariatet 2022�½ Metoderapport)�½
Opgørelsen over beslaglæggelser er derfor en
usikker indikator for udbuddet af stoffer, og det
samme gør sig gældende for anmeldelsestal-
lene for narkotikakriminalitet�½ Antallet af anmel-
delser om overtrædelse af lov om euforiserende
stoffer er nogenlunde stabilt i perioden på
mellem 25�½000 og 30�½000 anmeldelser om året�½
REU, Alm.del - 2023-24 - Endeligt svar på spørgsmål 1456: Spm. om hvor mange overførsler, der indføres udeklarerede til Danmark, herunder om der findes skøn herfor
2938919_0057.png
DEN NATIONALE RISIKOVURDERING AF HVIDVASK
57
På denne baggrund udgør det samlede salg af
illegale rusmidler formentlig omkring 150 milli-
arder dollars årligt, hvilket svarer til 975 milliar-
der danske kroner om året på verdensplan�½
FATF vurderer, at produktion og handel med
syntetiske stoffer, som fx fentanyl og tremadol,
genererer et tocifret milliardbeløb i dollars om
året på verdensplan
(FATF 2022f: 5)�½
Fentanyl
er et syntetisk opioid, der er op mod 50 gange
stærkere end heroin, hvilket har resulteret i
omkring 80�½000 dødsfald om året alene i USA
og Canada
(FATF 2022f: 3, 8)�½
Det er Europols vurdering, at handel med narko-
tika er udbredt i Europa, og at det samtidig er en
hovedindtægtskilde for organiserede kriminelle
aktører
(Europol 2021a: 12)�½
TRUSLER OG SÅRBARHEDER
Selvom nye psykoaktive stoffer vinder frem,
er det stadig narkotikatyper som amfetamin,
hash, heroin, kokain og ecstasy, der dominerer
markedet
(Rigspolitiet 2017: 83)�½
Herhjemme
er det hash og kokain, der bidrager til den stør-
ste illegale indtægtskilde hos kriminelle orga-
nisationer�½ Dopingkriminalitet er også meget
lukrativt�½ Stofferne bliver typisk solgt for en høj
pris, og den enkelte bruger har behov for en
stor mængde for at opnå resultater
(Rigspolitiet
2017: 83)�½
Vurderingerne er fra 2017, men det
er fortsat politiets vurdering i 2022�½
Ifølge Europol er over en tredjedel af de krimi-
nelle grupperinger, der er aktive i Europa, invol-
veret i narkotikakriminalitet�½ Udbyttet fra denne
kriminalitetstype er typisk med til at finansiere
øvrige kriminelle aktiviteter
(Europol 2021a:
12)�½
Narkotikamarkedet er yderst omstillings-
parat og innovativt, og aktørerne på området er
multikriminelle, der genbruger eksisterende net-
værk og infrastrukturer til nye kriminalitetsfor-
mer�½ Aktørerne udviser en stor grad af kreativitet
og innovationsevne i forhold til at anvende nye
teknologiske muligheder til produktion og salg
af de ulovlige stoffer samt optimering af profit
(Rigspolitiet 2017: 83)�½
Politiets nationale monitering viser, at største-
delen af den organiserede narkotikahandel i
Danmark bliver udøvet af personer med tilknyt-
ning til rocker- og bandemiljøet�½ De resterende
markedsandele tilhører øvrige kriminelle grup-
peringer, der er bosat i Danmark�½
De narkokriminelle tager også den teknologiske
udvikling til sig og handler med illegale stoffer
via internettet fx på Facebook, Wickr, Snapchat
eller sms�½ Sms og budservice er i udpræget
grad organiseret af kriminelle grupperinger eller
personer relateret til disse�½ Monitering viser, at
indledende kontakt ofte bliver skabt via digitale
platforme forud for den fysiske udveksling af
stoffer�½ Forskning har sandsynliggjort, at der kun
er få danske narkotikasælgere på de virtuelle
markedspladser, såkaldte kryptomarkeder, på
det mørke net
(Demant & Munksgaard 2017:
26)�½
Danmark er, ifølge undersøgelsen, ansvar-
lig for 0,52 pct�½ af den observerede europæiske
omsætning på de virtuelle markedspladser�½ Her
er det værd at bemærke, at undersøgelsen er
udgivet i 2017�½ Hvidvasksekretariatet er ikke
bekendt med nyere opgørelser på området�½
Potentiale for hvidvask
Køb og salg af narkotika og doping er hoved-
sageligt kontantbaseret�½ Hvidvasksekretariatet
erfarer, at en del af disse kontanter indgår i
skatte- og momskriminalitet til aflønning af
sort arbejde�½ Ved køb og salg af narkotika og
doping på onlineplatforme kan betaling foregå i
kryptoaktiver�½
Internationale undergrundsbanker, såkaldte
cash controller-netværk, herunder uformelle
pengeoverførselssystemer (fx hawalanetværk),
vekselbureauer og andre pengeoverførselsvirk-
somheder, spiller en central rolle i forbindelse
med handel med narkotika, idet store beløb ind-
tjent på narkotikahandel overføres eller udføres
via disse kanaler for at kunne betale en produ-
cent eller leverandør i udlandet eller som en del
af hvidvaskprocessen
(Europa-Kommissionen
2022: 84)�½
NATIONALE TRUSLER
Ifølge Europol tilrettelægger organiserede kri-
minelle grupperinger deres forretninger på en
måde, der minimerer risici, og forsøger at holde
kriminaliteten under myndighedernes radar�½
Dette foregår blandt andet ved at gemme sig
bag falske firmaer, ved at anvende teknologi, fx
til kryptering af kommunikation, og korruption
(Europol 2021a: 10-11)�½
Politiets monitering
viser, at dette også gør sig gældende for organi-
serede kriminelle aktører involveret i narkotika-
kriminalitet i Danmark�½ Brug af legale virksom-
heder til indsmugling af narkotika til Danmark
ses ikke hyppigt, men er dog konstateret i flere
efterforskninger fx indsmugling af narkotika i
brugte biler, som bliver importeret til Danmark�½
REU, Alm.del - 2023-24 - Endeligt svar på spørgsmål 1456: Spm. om hvor mange overførsler, der indføres udeklarerede til Danmark, herunder om der findes skøn herfor
2938919_0058.png
58
DEN NATIONALE RISIKOVURDERING AF HVIDVASK
Virksomheder bruges i forbindelse med hvid-
vask af det ulovlige udbytte, fx til integration af
kontanter eller overførsler af midler via over- og
underfakturering�½ Fælles for virksomhederne er,
at der i overvejende grad er tale om håndværks-
og servicefag�½ Personer relateret til rockergrup-
peringer er i flere tilfælde registreret som ejere
af virksomheder inden for byggebranchen�½ Her
bygges eksempelvis ejendomme ved brug af
billig udenlandsk arbejdskraft og byggemateri-
aler, der er betalt kontant�½ Personer relateret til
bander benytter sig ofte af virksomheder inden
for servicefagene, fx fastfoodrestauranter, slik-
butikker, frisører, rengøring, logistik og transport�½
De kontanter, som narkotikahandlen genererer,
kan bruges i fx byggebranchen til aflønning af
sort arbejdskraft�½ Der er aktører i såvel Danmark
som i udlandet, som har specialiseret sig i at
facilitere hvidvask af kontanterne og føre dem
videre til andre, der skal bruge kontanter til
aflønning�½ Det fremgår blandt andet af en dom
fra august 2022, hvor den tiltalte er dømt for
hvidvask af knap 130 millioner kroner�½ Den til-
talte fortæller, at han sammen med 12 virksom-
heder udstedte falske fakturaer til forskellige
selskaber, som efterfølgende købte kontanter
hos ham�½ Hans kunder var fx mindre hånd-
værksfirmaer, som ønskede kontanter til afløn-
ning af personale
(Københavns Byret 2022b)�½
Det er vanskeligt at opgøre det økonomiske
udbytte ved handel med narkotika og doping,
men det er Hvidvasksekretariatets vurdering,
at handel hermed hvert år løber op i adskillige
milliarder kroner�½
FREMTIDIG UDVIKLING
Hvidvasksekretariatet vurderer, at narkotika-
og dopingkriminaliteten i Danmark vil være
nogenlunde uændret frem mod 2025�½ Der er
ikke noget, der tyder på hverken en stigning
eller et fald i tilgængeligheden af de forskellige
stoftyper, og aktørerne vil forventeligt være
de samme�½ Det er også Europols vurdering,
at handlen med illegale stoffer vil forblive på
samme niveau eller stige i fremtiden
(Europol
2021a: 46, 48, 50, 52)�½
Det skal dog bemærkes, at Tyskland er ved
at forberede lovgivning, som har til hensigt at
legalisere cannabis�½ I tilfælde af at Tyskland
legaliserer cannabis, kan det få en betyd-
ning for cannabisforbruget i Danmark, de
danske aktører på markedet samt indsmug-
ling af cannabis fra Tyskland til Danmark�½
Hvidvasksekretariatet er ikke bekendt med
analyser af, hvilken betydning tysk legalisering
af cannabis vil kunne få i Danmark�½
NATIONALE TRUSLER
Hvidvasksekretariatet vurderer, at det er meget sandsynligt, at
det ulovlige udbytte fra handel med narkotika og doping fortsat
vil være højt i de kommende år. Hvidvasksekretariatet vurderer,
at truslen i forhold til hvidvask er
betydelig.
REU, Alm.del - 2023-24 - Endeligt svar på spørgsmål 1456: Spm. om hvor mange overførsler, der indføres udeklarerede til Danmark, herunder om der findes skøn herfor
2938919_0059.png
DEN NATIONALE RISIKOVURDERING AF HVIDVASK
59
MILJØKRIMINALITET
Hvidvasksekretariatet vurderer, at udbytte fra
miljøkriminalitet vil stige frem mod 2025�½ Det
øgede fokus på den grønne omstilling og puljer
til investering i grønne projekter kan udnyttes af
kriminelle aktører og øge det ulovlige udbytte�½ De
skærpede regler og øgede afgifter på miljøområ-
det vil øge efterspørgslen efter billigere metoder
til håndtering af den grønne omstilling�½ Det vil
gøre området attraktivt for kriminelle aktører�½
Hvidvasksekretariatet vurderer, at truslen
i forhold til hvidvask er
betydelig.
Miljøkriminalitet er behandlet i en række love,
som fx miljøloven, fiskeriloven, skovloven, land-
brugsloven og kemikalieloven�½ Overtrædelse
af disse love fører i udgangspunkt til bødestraf,
men ved overtrædelse af affaldsbekendt-
gørelsen og straffelovens bestemmelser om
forurening med betydelig skade kan straffen
stige til fængsel indtil seks år�½
Enhver handling, der er en overtrædelse af
miljølovgivningen og andre særlove relateret til
miljøbeskyttelse i Danmark og medfører skader
på miljøet eller borgernes helbred, er en miljø-
forbrydelse�½ Der findes ingen global definition af
området, men overtrædelserne dækker primært
(Europol 2021b: 8):
Skovbrugskriminalitet,
der beskriver krimi-
nelle aktiviteter i skovbrugssektionen og
dækker hele forsyningskæden fra høst og
transport til forarbejdning og salg�½
Ulovlig minedrift
uden statslig tilladelse�½
Ulovlig affaldshåndtering,
der indebærer
ulovlig transport, behandling, bortskaffelse,
genbrug eller nyttiggørelse af forskellige
affaldsmaterialer�½ Affaldsmaterialer inklu-
derer både farligt og ikke-farligt affald, her-
under kemisk affald, byggeaffald, olier og
elektrisk affald (e-affald)�½
3.6
SKADESANALYSE
FATF vurderer, at miljøkriminalitet er blandt
de mest udbyttegivende kriminalitetsformer i
verden�½ FATF anslår, at det årlige udbytte fra
miljøkriminalitet er i størrelsesordenen 110-281
milliarder dollars svarende til cirka 715-1�½825
milliarder danske kroner på globalt plan, og
vurderer, at ulovlig skovfældning, ulovlig mine-
drift og ulovlig affaldshåndtering udgør knap to
tredjedele af al miljøkriminalitet i verden
(FATF
2021b: 5)�½
De finansielle strømninger, der gene-
relt ses i forbindelse med miljøkriminalitet, viser,
at hvidvaskprocessen ofte involverer flere lande
(FATF 2021b: 27)�½
I Danmark er der ikke et samlet overblik over
omfanget af miljøkriminalitet og de skader,
den forvolder�½ Dansk politi vurderer, at politi-
anmeldelser på miljøområdet som hovedregel
kun sker, hvis der er tale om gentagne eller
grove overtrædelser af lovgivningen, eller hvis
politiet eller de øvrige myndigheder, der vare-
tager miljølovgivning, selv står for kontrollerne�½
Miljøkriminalitet i Danmark består af mange
forskellige typer af forseelser, hvoraf nogle typer
kan give alvorlige skader på miljøet, mens andre
har en mindre påvirkning�½
Der var i alt 7�½741 anmeldelser om miljøkrimi-
nalitet i perioden 2018-2021�½ Anmeldelserne
handler primært om overtrædelse af miljøloven
(3�½888), fiskerilovgivningen (1�½471) og land-
brugsloven (1�½804)
(Hvidvasksekretariatet 2022�½
Metoderapport)�½
Anmeldelserne om overtræ-
delse af miljøloven handler overordnet set om
manglende kontrol af drikkevand, forurening af
jorden samt ulovlig afbrænding�½ Anmeldelserne
om overtrædelse af landsbrugsloven handler om
manglende fremsendelse af gødningsregnskab,
overforbrug af gødning og manglende efter-
levelse af reglerne omkring økologisk bedrift�½
Anmeldelserne om overtrædelse af fiskeriloven
omhandler for sen melding om ankomst til havn
og landerklæring og overfiskning, hvor der i
mange tilfælde er uoverensstemmelse mellem
den oplyste fangst og den reelle fangst�½
Dertil dækker miljøkriminalitet også
ulovlig og
ikke-rapporteret fiskeri
og
brug af sprøjtemidler
i
landbruget�½ I Danmark er det Miljøstyrelsen, der
regulerer området�½
NATIONALE TRUSLER
TRUSSEL
REU, Alm.del - 2023-24 - Endeligt svar på spørgsmål 1456: Spm. om hvor mange overførsler, der indføres udeklarerede til Danmark, herunder om der findes skøn herfor
2938919_0060.png
60
DEN NATIONALE RISIKOVURDERING AF HVIDVASK
NATIONALE TRUSLER
Miljøkriminalitet har vidtrækkende konsekvenser
for miljøet, folkesundheden og for den sociale og
økonomiske udvikling på kloden
(FATF 2021b:
3)�½
Miljøkriminalitet kan forårsage både fysiske
og psykiske skader på individer, fx som følge
af jord-, vand- eller luftforurening og ringere
adgang til naturressourcer med videre�½ Hertil
kommer de store samfundsmæssige omkost-
ninger som manglende betaling for deponering
af affald og afgifter, fx i forbindelse med forkert
håndtering af affald, hvilket medvirker til konkur-
renceforvridning�½ Yderligere kommer de omkost-
ninger, som myndigheder kan have ved at rydde
op efter miljøkriminalitet�½ Miljøkriminalitet kan
samtidig medføre forskellige former for følgekri-
minalitet som fx tvangsarbejde, dokumentfalsk
og korruption�½ Ved miljøkriminalitet er der lav
opdagelsesrisiko og højt udbytte, hvilket gør
kriminalitetsformen lukrativ
(FATF 2021b: 3)�½
I forhold til FATF’s definition af miljøkrimina-
litet er særligt skovbrugskriminalitet, ulovlig
affaldshåndtering samt ulovligt og ikke-rap-
porteret fiskeri interessant i en dansk kontekst,
fordi vi forbruger meget træ, har en relativt
stor affaldsbranche og en stor fiskeindustri i
rigsfællesskabet�½
Skovbrugskriminalitet
FATF vurderer, at skovbrugskriminalitet, her-
under ulovlig skovfældning og rensning af jord,
er den mest udbyttegivende kriminalitetsform
inden for miljøkriminalitet�½ World Atlas of Illicit
Flows estimerer, at skovbrugskriminalitet årligt
genererer omkring 51 til 152 milliarder dollars
svarende til cirka 330-1�½000 milliarder danske
kroner i udbytte på verdensplan
(FATF 2021b:
12)�½
I 2013 blev den europæiske tømmerfor-
ordning, der har til formål at mindske handel
med ulovligt fældet træ, indført
(Miljø- og
Fødevareministeriet 2016: 4)�½
Forordningen
indebærer, at europæiske træimportører skal
dokumentere, at det træ, de importerer, ikke er
fældet ulovligt�½
I Danmark er det Miljøstyrelsen, der fører tilsyn
med tømmerforordningen, og der er omkring
4�½000 danske virksomheder, der er omfattet af
kravene�½ Hvis virksomhederne ikke lever op til
kravene, får de et påbud af Miljøstyrelsen�½ Bliver
påbuddet ikke efterlevet, vil sagen blive meldt til
politiet�½ Siden tømmerforordningen trådte i kraft,
er fire virksomheder blevet politianmeldt af sty-
relsen, og det har foreløbig ført til to domme�½
I 2020 blev en møbelfabrik i Aarhus idømt en
bøde på 75�½000 kroner for ulovligt at impor-
tere teaktræ fra Myanmar�½ I de situationer,
hvor danske træimportører ikke kender træets
oprindelse, oplyser Miljøstyrelsen, at betalingen
ofte sker til et andet land end det land, hvor
træet strammer fra, fx kan træ fra Ukraine eller
Myanmar betales til en bank i London�½
Ulovlig affaldshåndtering
FATF estimerer, at ulovlig affaldshåndtering på
verdensplan genererer 10-12 milliarder dollars
årligt, svarende til cirka 65-80 milliarder danske
kroner om året�½ Det er særligt ulovlig handel og
håndtering af notificeret affald, så som elektro-
nisk affald, der indeholder cadmium eller bly,
arsen-forbindelser, asbest eller restprodukter fra
den kemiske industri, der er af særlig organise-
ret karakter
(FATF 2021b: 16)�½
Enhver virksomhed, der transporterer affald
i Danmark, skal være registreret i det danske
affaldsregister�½ De virksomheder, der hånd-
terer notificeret affald, skal kunne fremvise
en tilladelse
(Miljøstyrelsen u�½d)�½
I perioden
2018-2021 har der været 75 anmeldelser om
overtrædelse af bestemmelserne vedrørende
grænseoverskridende affaldstransport (grønli-
stet), som ofte drejer sig om, at notificeret affald
deklareres forkert, hvorved det bliver trans-
porteret og behandlet som grønlistet affald�½
Afgifterne for håndtering af grønlistet affald er
billigere end notificeret affald, og derfor er der
penge at tjene ved at deklarere affaldet forkert�½
Kontrol af affaldstransporter afhænger af myn-
dighedernes indsats�½ De fleste overtrædelser,
der registreres i forbindelse med kontrollerne af
affaldstransport, handler om mangelfuld eller
helt manglende dokumentation samt forkert
klassificering af affald�½
Den samlede affaldsproduktion i Danmark er
steget de senere år og er i 2019 opgjort til cirka
12,7 millioner ton
(Danmarks Statistik 2021b:
2)�½
Mængden af eksportaffald er nogenlunde
stabil, mens mængden af importaffald er steget
i perioden 2015-2019
(Miljøstyrelsen 2020:
51)�½
Den øgede import af affald betyder, at
Danmark i højere grad bliver afhængig af uden-
landske myndigheders kontrol med sortering af
affald med henblik på at sikre, at det affald, vi
importerer, er sorteret korrekt, så det kan anven-
des til forbrænding�½
REU, Alm.del - 2023-24 - Endeligt svar på spørgsmål 1456: Spm. om hvor mange overførsler, der indføres udeklarerede til Danmark, herunder om der findes skøn herfor
2938919_0061.png
DEN NATIONALE RISIKOVURDERING AF HVIDVASK
61
Handel med affald er forbundet med andre lov-
overtrædelser såsom dokumentfalsk, bedrageri,
skatteunddragelse, korruption, hvidvask samt
tyveri og dumpning af affald fra ulovlig narkoti-
kaproduktion
(Europol 2021b: 11)�½
Ulovligt og ikke­rapporteret fiskeri
Ulovligt og ikke-rapporteret fiskeri forhindrer
kyststater i at beskytte havet og fiskebestan-
dene og ødelægger næringsgrundlaget for
reguleret fiskeri�½ Faldet i havets ressourcer driver
en stigning i fiskerirelateret kriminalitet, da det
kriminelle udbytte kan være stort�½
I 2018 tilsluttede Grønland og Færøerne sig den
internationale erklæring om tværnational krimi-
nalitet i den globale fiskeindustri, den såkaldte
Københavnererklæring
(Nordisk Samarbejde
2017, Blue Justice u�½d)�½
Erklæringen anerkender,
at den globale fiskekriminalitet er en særdeles
alvorlig udfordring og et globalt problem, der ud
over det ulovlige fiskeri også omfatter korruption,
hvidvask, narkotikahandel, skatteunddragelse og
menneskehandel�½ Stater mister skatteindtægter,
fødevaresikkerheden udfordres og ressourceba-
sen for fremtidige generationer reduceres�½
I Danmark ser vi blandt andet overtrædelse af
forskellige kvotebegrænsninger for fiskearter,
herunder ’sorte fisk’, hvor der foretages fangster
uden om myndighedernes viden, og ’grå fisk’,
hvor kvoterede fiskearter omdøbes til ukvote-
rede fiskearter, hvorpå der sker overfiskning af
kvoterede fiskearter�½ Fiskeristyrelsen oplyser,
at der også er udfordringer med at få korrekte
fangstdata og dermed sikre korrekt afskrivning
på fiskekvoterne�½
Det gælder for begge grupper, at kriminaliteten
foregår gennem legale virksomhedsstrukturer
og kræver forskellige specialer, som betyder
inddragelse af flere forskellige typer af aktører i
kæden, herunder aktører, der kan bistå i den føl-
gekriminalitet, der er nødvendig, fx forfalskning
af dokumenter og certifikater samt korruption
(Europol 2022c: 6,11)�½
De organiserede kriminelle aktører specialiserer
sig i en eller flere miljømæssige kriminalitets-
former�½ Netværkene kan variere i kompleksitet
og spænde fra kontantbaserede ordninger til
brug af flere front- og dækselskaber på tværs
af landegrænser for at flytte varer såvel som
det ulovlige udbytte�½ FATF vurderer, at krimi-
nelle grupperinger inden for miljøkriminalitet
ofte er involveret i kontantbaserede forretnin-
ger, gerne med forbindelse til eksportsektoren,
og handelsbaseret bedrageri for at hvidvaske
udbyttet fra miljøkriminalitet
(FATF 2021b: 27)�½
Miljøkriminalitet kan også være en del af et
større kriminelt netværk, der engagerer sig i flere
former for organiseret kriminalitet, fx menne-
skehandel, handel med narkotika, korruption og
skattesvindel
(FATF 2021b: 11)�½
Ved ulovlig skovrydning har FATF identificeret et
stort brug af dækfirmaer i offshore-centre, flere
tredjepartstransaktioner og brug af professio-
nelle rådgivere, fx advokater og mæglere for at
skjule betalingen og for at hvidvaske udbyttet
(FATF 2021b: 12)�½
Europol bemærker, at lande i Europa både er
oprindelseslande og destinationslande for
handel med ulovligt træ
(Europol 2022c: 35)�½
Fælles for aktørerne er brugen af dokument-
falsk, hvorved de kan fremlægge dokumentation
for træets oprindelse til myndighederne�½ Ud over
ulovlig fældning af træ bliver træet også klassifi-
ceret forkert, når det forlader oprindelseslandet,
så træ af høj værdi klassificeres som træ af
lavere værdi, så køberen sparer penge på told�½
NATIONALE TRUSLER
Elektrisk og elektronisk affald (WEEE-affald) har
modsat andet restaffald en værdi�½ I Danmark
er der et sort marked for at sende elektronisk
affald til Afrika eller Asien, hvor det får ny
værdi ved enten at blive genbrugt eller ved at
udvinde og genbruge materialer fra affaldet, fx
guld fra gamle keyboards�½ Politiet oplyser, at vi
i Danmark har set eksempler på skrottede biler,
der sendes til Nigeria�½ Når en person i Danmark
sender sin bil til skrot, modtager bilejeren 2�½200
kroner, jf�½ bilskrotordningen�½ I nogle tilfælde
ender bilen ikke med at blive skrottet, men
sendes i stedet til Nigeria og sælges for 10�½000
kroner�½ Lignende tilfælde er set med hårde hvi-
devarer som fx køleskabe, som i nogle tilfælde
kommer fra renovering af etageejendomme�½
Ifølge Europol er Afrika fortsat den primære
destination for elektrisk og elektronisk affald
(Europol 2022c: 15)�½
TRUSLER OG SÅRBARHEDER
De kriminelle aktører inden for miljøkriminalitet
spænder fra enkeltaktører til store internationale
organiserede kriminelle grupper�½ Europol skelner
mellem to typer af aktører:
1) Organiserede kriminelle grupper og netværk,
der har været aktive i mange år og nu går ind
på området for miljøkriminalitet�½
2) Opportunistiske ejere eller operatører af
legale virksomheder, som stræber efter øget
profit
(Europol 2022c: 10)�½
REU, Alm.del - 2023-24 - Endeligt svar på spørgsmål 1456: Spm. om hvor mange overførsler, der indføres udeklarerede til Danmark, herunder om der findes skøn herfor
2938919_0062.png
62
DEN NATIONALE RISIKOVURDERING AF HVIDVASK
Når træet er kommet igennem tolden, betaler
køberen en modydelse til forhandleren, således
at forhandlerne ad andre kanaler modtager
beløb for træets reelle værdi�½
De kriminelle aktører, der engagerer sig i affald-
skriminalitet, er ofte personer, der arbejder i
eller driver affaldshåndteringsvirksomheder
(Europol 2022c: 13)�½
De mest succesrige
affaldshandlere er dem, der kontrollerer hele
behandlingscyklussen fra kilde til destinati-
onslande
(Europol 2022c: 14)�½
Ofte er flere
virksomheder ejet af de samme personer eller
af stråmænd for at skjule de reelle ejere�½ De
juridiske forretningsstrukturer skifter ofte leder-
skab og opsiges efter en kort periode, hvorefter
en ny handelsenhed overtager virksomheden�½
Virksomheder, der opererer på forskellige sta-
dier i affaldskæden, er ofte placeret i forskellige
jurisdiktioner
(Europol 2021a: 54)�½
Misbrug af legale virksomhedsstrukturer spiller
en vigtig rolle inden for miljøkriminalitet, fordi
de kriminelle aktører er afhængige af co-ming-
ling�½ Det vil sige en sammenblanding af ulovlige
og lovlige produkter, fx ulovligt tømmer eller
ulovlige affaldsprodukter blandet med et lovligt
modstykke�½ Denne praksis gør det vanskeligt at
skelne mellem lovlige og ulovlige varer og pen-
gestrømme, da den ulovlige håndtering ofte sker
i dække af lovlige aktiviteter
(FATF 2021b: 27)�½
For alle områderne gælder, at kvoter eller øgede
afgifter, der har til hensigt at sikre et mere
balanceret forbrug og betaling for brug af natur-
ressourcer, øger efterspørgslen efter måder at
undgå afgifter eller få del i tilskud�½ Markedet
tiltrækker kriminelle aktører, fordi profitten er
høj, og opdagelsesrisikoen er lav�½ De kriminelle
aktører udnytter, at de relativt nemt og billigt kan
oprette virksomheder i ind- og udland og mis-
bruge legale virksomheder til at sløre aktivite-
terne�½ Det gør det vanskeligt at opdage for dem,
der moniterer transaktionerne, og de relevante
tilsynsmyndigheder�½
Europa-Kommissionen har evalueret det gæl-
dende miljøkriminalitetsdirektiv 2008/99/ EF
om strafferetlig beskyttelse af miljøet
(Europa-
Kommissionen 2021)�½
NATIONALE TRUSLER
Evalueringen viste, at der i EU bliver ført få sager,
at sanktionsniveauet ikke har en afskrækkende
effekt, og at der er for få ressourcer til området,
for lidt samarbejde og informationsudveksling
samt mangel på data og overordnede nationale
strategier�½ Kommissionen konkluderer, at der
er en voksende kløft mellem den strafferetlige
respons på miljøkriminalitet og den kriminolo-
giske situation på området
(Europa-Kommis-
sionen 2021c: 3)�½
I forlængelse heraf præsente-
rede kommissionen i december 2021 et forslag
til et nyt direktiv med fokus på at effektivisere
efterforskning og strafforfølgelse, sikre bedre
beslutningsgrundlag og afskrækkende sanktio-
ner�½ Forslaget skal nu behandles, men Danmark
er ikke forpligtet på grund af det danske retsfor-
behold
(Europa-Kommissionen 2019c: 28)�½
Potentiale for hvidvask
Udbytte fra miljøkriminalitet er stort, og krimi-
naliteten kan ofte være vanskelig at identificere,
både som førforbrydelse og i relation til hvid-
vask, fordi den foregår gennem legale virksom-
hedsstrukturer�½ Inden for de forskellige former
for miljøkriminalitet er størstedelen af det ulov-
lige udbytte derfor allerede sløret, da det indgår
som en del af virksomhedens fortjeneste�½
Det er Hvidvasksekretariatets vurdering, at
udbytte fra miljøkriminalitet i Danmark forment-
lig løber op i et trecifret millionbeløb hvert år,
men det er vanskeligt at opgøre�½
FREMTIDIG UDVIKLING
På baggrund af tilgængelig national og interna-
tional viden vurderer Hvidvasksekretariatet, at
udbyttet fra miljøkriminalitet vil stige frem mod
2025, fordi klima- og miljøforandringer medfører
skærpede regler, krav om certificeringer, licenser
og kvoter og øgede afgifter på miljøområdet,
hvilket vil øge efterspørgslen efter billigere
metoder til håndtering af den grønne omstilling
hos nogle aktører�½ Fokus på den grønne omstil-
ling betyder også store puljer til investeringer i
grønne projekter, hvilket også er interessant for
de kriminelle aktører�½
Hvidvasksekretariatet vurderer, at det er meget sandsynligt, at det
ulovlige udbytte fra miljøkriminalitet vil øges i de kommende år.
Hvidvasksekretariatet forventer, at truslen i forhold til hvidvask vil
udgøre en
betydelig
trussel inden for de kommende år.
REU, Alm.del - 2023-24 - Endeligt svar på spørgsmål 1456: Spm. om hvor mange overførsler, der indføres udeklarerede til Danmark, herunder om der findes skøn herfor
2938919_0063.png
DEN NATIONALE RISIKOVURDERING AF HVIDVASK
63
MENNESKEHANDEL
Det er Hvidvasksekretariatets vurdering, at det
ulovlige udbytte fra menneskehandel vil stige
frem mod 2025�½ Den fremtidige udvikling inden
for menneskehandel er blandt andet påvirket af
den sikkerhedspolitiske og økonomiske udvik-
ling�½ Med mere end 100 millioner fordrevne
mennesker globalt er det sandsynligt, at nogle
vil søge mod Europa og i den forbindelse kan
blive udnyttet til menneskehandel�½ Den øgede
adgang til internettet og sociale medier gør det
nemmere at etablere kontakt mellem gernings-
personer og offer�½
Hvidvasksekretariatet vurderer, at
truslen i forhold til hvidvask er
moderat.
Menneskehandel er et brud på menneskerettig-
hederne og en grov krænkelse af den enkeltes
ret til at bestemme over egen krop og eget liv�½
Menneskehandel er strafbart i straffelovens §
262 a og straffes med fængsel i op til ti år�½
Hvidvasksekretariatet har ikke kendskab til
opgørelser over det økonomiske omfang af
menneskehandel i Danmark, men dét, der taler
for, at der kan være tale om betydelige beløb,
er, at der er mangel på arbejdskraft, og at løn-
ningerne er relativt høje�½
Dét, der yderligere kan tale for, at der er tale
om større beløb, er, at prostitutionsområdet
involverer en relativt stor andel af udlændinge
uden dansk cpr-nummer (mere end halvdelen
af de personer, som er registreret hos politiet
som personer, der sælger sex, havde ikke
dansk cpr-nummer i perioden 2007-2020,
hvilket man skal have for at arbejde lovligt i
Danmark som prostitueret
(VIVE 2021: 34-35)�½
Det Nationale Forsknings- og Analysecenter
for Velfærd (VIVE) estimerer, at der er omkring
4�½500 personer, som sælger seksuelle ydel-
ser i Danmark (2020-tal), men undersøgelsen
afdækker ikke det økonomiske omfang af salg
af seksuelle ydelser, eller om personerne ind-
villiger frivilligt eller under tvang i at sælge sex
(VIVE 2021: 45)�½
Det, der taler imod, at om-
rådet genererer et betydeligt beløb, er, at der
er relativt få anmeldelser, sigtelser og domme
for menneskehandel jf�½ straffelovens § 262 i
Danmark�½
I perioden 2018 til 2021 har politiet modta-
get 67 anmeldelser om menneskehandel
(se
Hvidvasksekretariatet 2022�½ Metoderapport)�½
Anmeldelserne handler primært om pro-
stitution, herunder særligt om kvinder, der
arbejder på massageklinikker eller bordeller,
samt tvangsarbejde i fx bygge- eller restau-
rationsbranchen�½ Ofrene kommer typisk fra
Asien, Østeuropa og Afrika�½ I samme periode
er der rejst 33 sigtelser for menneskehan-
del og der er faldet én dom i perioden
(se
Hvidvasksekretariatet 2022�½ Metoderapport)�½
3.7
SKADESANALYSE
Menneskehandel er en lukrativ forretning for de
kriminelle aktører, og omfanget af menneske-
handel er internationalt så stort, at det betrag-
tes som en kerneaktivitet inden for alvorlig og
organiseret kriminalitet�½ International Labour
Organisation har estimeret, at menneskehandel
i 2018 genererede godt 150 milliarder dollars,
svarende til 975 milliarder danske kroner på
verdensplan
(FATF 2018c: 13)�½
Som bekrevet i
kapitel 2
Danmark 2022-2025
er der mere end
100 millioner fordrevne mennesker i verden,
hvilket også bagmændene bag menneske-
handel vil kunne udnytte�½
Hvidvasksekretariatet deler menneskehandel op
i tre hovedkategorier:
Menneskehandel til seksuel udnyttelse�½
Menneskehandel til tvangsarbejde�½
Menneskehandel til tvungen kriminalitet og
anden form for udnyttelse�½
NATIONALE TRUSLER
TRUSSEL
REU, Alm.del - 2023-24 - Endeligt svar på spørgsmål 1456: Spm. om hvor mange overførsler, der indføres udeklarerede til Danmark, herunder om der findes skøn herfor
2938919_0064.png
64
DEN NATIONALE RISIKOVURDERING AF HVIDVASK
Boks 7
Organiseret rufferi­netværk idømt fængsel
Et rumænsk rufferi-netværk på mindst fire personer er samlet idømt cirka halvandet års
fængsel og udvisning af Danmark�½
Retten fandt personerne skyldige i at have drevet millionforretning i form af rufferivirksomhed
i en periode på fem måneder i 2019�½ Netværket holdt til på tre forskellige adresser og menes
at have opnået en gennemsnitlig daglig omsætning på ikke under 32�½000 kroner, der helt eller
delvist gik til en række ukendte bagmænd�½ (Det bemærkes, at de dømte ikke var til stede, da
dommen blev afsagt, og at det dermed ikke er afklaret, om de vil anke dommen)�½
Kilde:
Retten i Roskilde (2022)�½
NATIONALE TRUSLER
En af årsagerne til de få anmeldelser, sigtelser
og domme kan være, at det kan være vanskeligt
at bevise, at der er tale om tvang og dermed
menneskehandel, og at ofrene ofte ikke ønsker
at vidne�½ Mange sager bliver i stedet løftet efter
udlændingeloven, og ofrene ender med en
dom for fx ulovlig indrejse og ulovligt ophold i
Danmark�½
I nogle tilfælde kan sagerne ikke løftes som
overtrædelse af straffelovens § 262 a om men-
neskehandel�½ De kan i stedet løftes som sager
om rufferi eller åger�½ Det er fx tilfældet i en sag,
hvor to danske statsborgere henholdsvis fik en
betinget dom og en bøde for åger i en sag, hvor
to mænd fra Ghana blev tvunget til at arbejde
på et skib i Danmark�½
Per 1�½ juni 2022 trådte en ny bestemmelse i
straffeloven om menneskeudnyttelse i kraft,
hvorved personer, som udnytter andre til at
arbejde under åbenlyst urimelige forhold, kan
straffes�½ Det vil formentlig øge antallet af sager
de kommende år, fordi det bliver nemmere at
bevise, at der er tale om menneskehandel�½
Center Mod Menneskehandel (CMM) vurderer,
at antallet af ofre fra 2018-2021 er faldet fra 96
til 80�½ 37 af de 80 personer er mænd, som pri-
mært bliver udnyttet til tvangsarbejde og straf-
bare handlinger�½ De resterende 43 er kvinder,
som primært kommer fra Nigeria og Thailand
og oftest er handlet til seksuel udnyttelse i
form af prostitution, men nogle er også handlet
til slavelignende forhold eller øvrige udnyt-
telsesformer
(Center mod Menneskehandel
2021: 8-10)�½
I foråret 2022 offentliggjorde den
daværende regering den sjette handlingsplan til
bekæmpelse af menneskehandel 2022-2025,
som har til hensigt at styrke myndighedsind-
satsen, forbedre tilbud til ofre for menneske-
handel og styrke retsforfølgning af bagmænd
(Transportministeriet 2022: 8)�½
Menneskehandel medfører forskellige former for
følgekriminalitet som fx vold, voldtægt, trusler
om vold og tvang ved brug af ulovlige stoffer
(Europol 2021: 71)�½
REU, Alm.del - 2023-24 - Endeligt svar på spørgsmål 1456: Spm. om hvor mange overførsler, der indføres udeklarerede til Danmark, herunder om der findes skøn herfor
2938919_0065.png
DEN NATIONALE RISIKOVURDERING AF HVIDVASK
65
TRUSLER OG SÅRBARHEDER
Inden for
menneskehandel til seksuel udnyt-
telse
skelner Hvidvasksekretariatet mellem
gadeprostitution
og
prostitution på bordeller.
Der er en tendens til, at prostitutionen i sti-
gende grad flytter væk fra gaden og skjules på
hoteller, restauranter, saunaklubber, natklubber
og massageklinikker�½ Stederne er ofte ejet af
personer involveret i menneskehandel, der får
profit ved at udnytte de prostituerede
(Europol
2021a: 70)�½
Der er også et stigende antal ofre
for menneskehandel i mere skjulte former for
prostitution, såsom escort-prostitution i private
lejligheder, på hoteller og lignende
(Center mod
Menneskehandel 2019: 6)�½
Politiets indsats over for
gadeprostitutionen
viser, at gerningspersonerne, som styrer gade-
prostitutionen, såvel som de prostituerede,
overvejende er udenlandske aktører fra fx
Nigeria�½ Gerningspersonerne er organiserede og
involveret i andre typer af kriminelle handlinger,
som fx bedrageri, smugling og salg af narkotika,
røveri og afpresning�½ De fleste af de kvinder,
der er involveret i gadeprostitution, har ingen
bankkonto og modtager kun kontanter�½ Tidligere
brugte gerningspersonerne ofte uformelle pen-
geoverførselssystemer, fx hawala-netværk, til
at føre pengene ud af landet, men der er en
tendens til, at gerningspersonerne nu samler
kontanterne og selv fører dem ud af Danmark�½
For
prostitution på bordeller
og lignende er det
primært kvinder fra Asien, Syd- og Mellem-
amerika og Spanien�½ Flere af disse kvinder
tager imod MobilePay, men ofte er det ikke
deres konto, som MobilePay er knyttet op p�
For menneskehandel til seksuel udnyttelse
gælder, at ofrene ofte selv indvilliger i at rejse
til Danmark, men bliver lovet bedre vilkår, end
de reelle forhold tilsiger�½
Gerningspersonerne kan være alt fra én person
til et stort organiseret internationalt netværk�½
Handel med mennesker til tvangsarbejde
sker i
forskellige brancher, og typisk vil der være tale
om brancher, der kræver manuel arbejdskraft
med lavere kvalifikationskrav som fx avisbude,
kokke, flaskesamlere, rengøring, personale
på neglesaloner, landbrug, byggebranchen
med videre�½ Både danskejede virksomheder
og udenlandskejede virksomheder i Danmark
misbruger tvangsarbejdere�½
Handel til tvangsarbejde sker typisk ved, at
arbejdstagerne lokkes til Danmark under falske
forudsætninger og via svindel med kontrakter�½
For ikke-EU-borgere og borgere, der har søgt
asyl, gælder, at hvis de ansættes med en årlig
løn på det minimumsbeløb, der er angivet i
den gældende beløbsordning, kan de søge om
opholds- og arbejdstilladelse efter beløbsord-
ningen
(FM 2022b: 29)�½
Det er et krav, at lønnen
fra beløbsordningen udbetales til en dansk
bankkonto i en bank, der driver lovlig bank-
virksomhed i Danmark�½ Hvidvasksekretariatet
har oplysninger, der indikerer, at udlændinge
kommer til Danmark ved, at gerningsper-
sonerne opdigter specialiserede stillinger
og falske kontrakter, som gør det muligt at
ansætte personen inden for beløbsordningen�½
Pengene udbetales på arbejdernes konti, men
Hvidvasksekretariatet erfarer, at pengene hurtigt
hæves, og at der ofte ikke er anden aktivitet på
kontiene�½ Der er mistanke om, at arbejdsgiverne
kontrollerer de ansattes konti�½
Handel med mennesker til kriminalitet og anden
form for udnyttelse
sker, når gerningspersoner
tvinger deres ofre til at tigge og udøve krimi-
nelle handlinger�½ De senere år har det fortrinsvis
været unge nordafrikanske drenge, der handles
og udnyttes til kriminalitet, som tyveri og ind-
brud i Danmark
(Røde Kors 2020: 20)�½
NATIONALE TRUSLER
REU, Alm.del - 2023-24 - Endeligt svar på spørgsmål 1456: Spm. om hvor mange overførsler, der indføres udeklarerede til Danmark, herunder om der findes skøn herfor
2938919_0066.png
66
DEN NATIONALE RISIKOVURDERING AF HVIDVASK
Potentiale for hvidvask
Det ulovlige udbytte fra menneskehandel til
seksuel udnyttelse er primært kontantbaseret�½
Særligt i forbindelse med gadeprostitution
består det ulovlige udbytte af kontanter, idet
ofrene ofte ingen bankkonto har�½ I forbindelse
med prostitution på bordeller foregår betalingen
i nogle tilfælde også over MobilePay, hvormed
det ulovlige udbytte vil fremgå af en konto, ger-
ningspersonen har rådighed over�½ I og med at
menneskehandel til seksuel udnyttelse primært
er drevet af udenlandske gerningspersoner,
vurderer Hvidvasksekretariatet, at størstedelen
af de ulovlige midler transporteres eller sendes
ud af Danmark�½
Ved udnyttelse til tvangsarbejde vil det ulovlige
udbytte i nogle tilfælde blive udbetalt i kontan-
ter og i andre indgå som almindelig løn, som vil
blive indbetalt på en lønkonto, som den hand-
lede ikke har adgang til�½ Hvidvasksekretariatet
er bekendt med eksempler på, at lønnen bliver
hævet af gerningspersonen, som derefter lader
den indgå i virksomhedens omsætning med
henblik på at få pengene til at fremstå som
legal indtægt�½
Det er Hvidvasksekretariatets vurdering, at
udbytte fra menneskehandel i hvert fald løber
op i et tocifret millionbeløb hvert år, men det er
vanskeligt at opgøre omfanget�½
Den fremtidige udvikling inden for menneske-
handel er blandt andet påvirket af den sikker-
hedspolitiske og økonomiske udvikling i verden,
der har betydning for, om borgere vil og kan blive
i deres regioner eller søger væk�½ Derudover er
udviklingen drevet af efterspørgslen i de lande,
som misbruger deres arbejdskraft�½ Europol for-
venter også, at menneskehandel forbliver en
trussel i EU i nær fremtid
(Europol 2021a: 70)�½
Den relative økonomiske forskel mellem Dan-
mark og de lande, hvorfra de handlede kommer
fra, er stor, og der vil fortsat være mennesker,
der ønsker bedre levevilkår, og som via internet-
tet og sociale medier nemt etablerer kontakt til
gerningspersoner, hvoraf nogle vil ende i situatio-
ner, hvor der kan være tale om menneskehandel,
og arbejde under meget kritiske forhold�½
I forhold til
menneskehandel til tvangsarbejde
og
menneskehandel til kriminalitet og anden
udnyttelse
betyder den økonomiske udvikling
i Europa og i tredjelande samt manglen på
arbejdskraft i Danmark, særligt i restaurations-
og byggebranchen, at det er meget sandsynligt,
at der vil ske en stigning i efterspørgslen efter
arbejdskraft, hvilket organiserede kriminelle
aktører vil udnytte til at skaffe sig udbytte, og
det vil kunne bevirke en potentiel stigning i
menneskehandlen både i EU og i Danmark�½
Hvidvasksekretariatet er ikke bekendt med fak-
torer, der skulle gøre menneskehandel til sek-
suel udnyttelse hverken større eller mindre end
niveauet i Danmark er i dag�½ Europol vurderer, at
der ikke er sket en markant stigning inden for de
sidste fire år på området for
menneskehandel til
seksuel udnyttelse
(Europol 2021a: 71)�½
NATIONALE TRUSLER
FREMTIDIG UDVIKLING
Det er Hvidvasksekretariatets vurdering, at den
øgede forskydning og sårbarhed af mennesker i
og omkring konfliktzoner øger antallet af ofre for
menneskehandel frem mod 2025�½
Hvidvasksekretariatet vurderer, at det er sandsynligt, at det
kriminelle udbytte fra menneskehandel i Danmark vil øges i
de kommende år. Hvidvasksekretariatet vurderer, at truslen i
forhold til hvidvask er
moderat.
REU, Alm.del - 2023-24 - Endeligt svar på spørgsmål 1456: Spm. om hvor mange overførsler, der indføres udeklarerede til Danmark, herunder om der findes skøn herfor
2938919_0067.png
DEN NATIONALE RISIKOVURDERING AF HVIDVASK
67
VAREMÆRKE-
FORFALSKNING OG
PIRATKOPIERING
Det er Hvidvasksekretariatets vurdering, at det
ulovlige udbytte fra handel med kopivarer vil
stige frem mod 2025�½ Mere handel er rykket
over på onlineplatforme, hvor tilgængeligheden
af kopivarer er større�½ Den økonomiske situation
har skabt mangel på visse varer, og sammen
med en svagere købekraft som følge af inflatio-
nen og øgede produktions- og fragtomkostnin-
ger, kan det øge danskerne tilbøjelighed til at
købe billigere kopivarer�½
Hvidvasksekretariatet vurderer, at
truslen i forhold til hvidvask er
moderat.
IPR-kriminalitet
(Intellectual Property Rights)
er
krænkelser af immaterielle rettigheder, herun-
der brud på eksempelvis ophavsretsloven, vare-
mærkeloven og designloven�½ For overtrædelse
af ovennævnte lovgivninger straffes med bøde,
som i nogle tilfælde kan stige til fængsel indtil
et år og seks måneder�½ IPR-kriminalitet er også
behandlet i straffelovens § 299 b og straffes
med fængsel i op til seks år�½
3.8
SKADESANALYSE
Kopivarer produceres typisk uden for EU’s græn-
ser og importeres derefter med henblik på vide-
resalg til butikker, markedspladser eller online
i EU
(Europol 2021a: 78)�½
Af de beslaglagte
kopivarer på verdensplan udgør størstedelen
fodtøj, tøj, lædervarer, elektronisk maskineri og
udstyr, og herefter kommer parfume, kosmetik
samt legetøj
(OECD/EUIPO 2021: 21)�½
Der er
relativt få sager om IPR-kriminalitet i Danmark�½ I
perioden 2018-2021 har der været 265 anmel-
delser, 142 sigtelser og 104 fældende afgørelser
(Hvidvasksekretariatet 2022�½ Metoderapport)�½
De danske IPR-sager fra 2018 og 2019 omhand-
ler varemærkekrænkelser, hvor etablerede mær-
kers navne og logoer er blevet misbrugt til fx kopi
af tøj, sko og accessories�½ Disse varekategorier
udgør knap en tredjedel af alle sager�½
NATIONALE TRUSLER
TRUSSEL
Boks 8
Operation Fake
I Operation Fake, som involverede tysk og spansk politi samt Europol og Eurojust, blev 30
mistænkte anholdt i Spanien for at stå bag et piratnetværk, som distribuerede tv-kanaler�½
Det kriminelle netværk benyttede blandt andet bitcoinmining til at hvidvaske ved at
omdanne det ulovlige udbytte til kryptoaktiver�½
Kilde:
EUIPO (2020b: 67-69)�½
REU, Alm.del - 2023-24 - Endeligt svar på spørgsmål 1456: Spm. om hvor mange overførsler, der indføres udeklarerede til Danmark, herunder om der findes skøn herfor
2938919_0068.png
68
DEN NATIONALE RISIKOVURDERING AF HVIDVASK
Salget forekommer i fysiske butikker og på
markeder, men i over 80 pct�½ af sagerne fore-
går salget online på sociale medier�½ Herudover
angår omkring 15 pct�½ af sagerne i 2018 og
2019 ulovlig deling af ophavsretsbeskyttet
materiale som film, serier, bøger og nyhedsar-
tikler�½ Salget foregår i overvejende grad online
på hjemmesider eller via særlige servere, der er
opsat til formålet�½
Det er vanskeligt at opgøre omfanget af IPR-
kriminalitet, da der antageligt er et stort mør-
ketal på området�½ Af samme grund er det også
vanskeligt at opgøre det økonomiske udbytte�½
OECD og EU estimerer på baggrund af data
fra 2019, at den globale handel med kopivarer
udgør 2,5 pct�½ af verdenshandlen, hvilket løber
op i 464 milliarder dollars, svarende til mere
end 3�½000 milliarder danske kroner
(OECD/
EUIPO 2021: 52)�½
IPR-kriminalitet, herunder
kopivarer, indgår på EU’s prioriterede liste over
de største udfordringer inden for organiseret
kriminalitet
(EU Rådet 2021)�½
Politiet oplyser på baggrund af internationalt
samarbejde, at der er en stigende tendens til, at
varerne kommer fra Tyrkiet, og man forventer, at
Tyrkiet på sigt vil overhale Kina på markedet for
kopivarer�½
Der er flere ofre for IPR-kriminalitet�½ De kræn-
kede rettighedshavere er ofre for kriminali-
teten i form af skade på rettighedshavernes
omdømme og tab af omsætning�½
Forbrugerne er ofte også forurettede, fordi
varerne typisk vil være af ringere kvalitet�½ Staten
rammes ligeledes økonomisk som følge af
mistede jobs og skatteindtægter�½
Ud over krænkelser af immaterielle rettigheder
kan IPR-kriminalitet også medføre andre krimi-
nalitetsformer, herunder dokumentfalsk, afgifts-
unddragelse og momssvig
(EUIPO 2020b: 4)�½
Ofte vil produktionen af fysiske kopivarer også
udgøre en overtrædelse af miljølovgivningen,
fordi den ikke lever op til de grænser for forure-
ning, der er fastsat i EU�½
NATIONALE TRUSLER
TRUSLER OG SÅRBARHEDER
Europæiske undersøgelser viser, at udbyttet
ved at krænke immaterielle rettigheder er stort,
og at det ofte er organiserede kriminelle, der
udøver denne kriminalitet
(EUIPO 2020a: 14,
16)�½
I en dansk kontekst er der få tilfælde, hvor
gerningspersoner har tråde til organiserede
kriminelle grupper�½
I de sager, der er behandlet af dansk politi
i 2020 og 2021, er der ikke set ændringer i
modus som følge af coronapandemien�½ På
globalt plan har man derimod set tendenser til
en stigning i IPR-kriminalitet�½ Det kan skyldes
de økonomiske udfordringer, som pandemien
har forårsaget både i forhold til det økonomiske
pres på virksomheder og hos dem, der efter-
spørger varer til billigere penge, samt en stig-
ning i onlinehandlen, som gør det vanskeligere
at identificere falske varer�½
Boks 9
31­årig mand dømt for opbevaring af kopivarer med henblik på
videresalg
En 31-årig er blevet idømt betinget fængsel på 40 dage for ulovlig varemærkekrænkelse
under skærpende omstændigheder�½ Manden opbevarede kopivarerne med henblik på
videresalg�½ Retten i Aalborg fandt manden skyldig i besiddelse af 292 stykker tøj, der var
ulovlige kopier af 12 kendte tøjmærker, og i ét tilfælde af salg via Instagram�½
Kilde:
Anklagemyndigheden (2022d)�½
REU, Alm.del - 2023-24 - Endeligt svar på spørgsmål 1456: Spm. om hvor mange overførsler, der indføres udeklarerede til Danmark, herunder om der findes skøn herfor
2938919_0069.png
DEN NATIONALE RISIKOVURDERING AF HVIDVASK
69
Det skaber grobund for et mere gunstigt marked
for kopivarer�½ Den globale efterspørgsel og
mangel på værnemidler, coronatests og vacci-
ner har ligeledes forårsaget en stigning i antallet
af falske medicinske produkter, hvilket er forbun-
det med alvorlige sundheds- og sikkerhedsrisici
(OECD/EUIPO 2021: 61)�½
De seneste års udvikling viser et fald i euro-
pæernes brug af ophavsretskrænkende
tv, musik og film
(EUIPO 2021: 10)�½
Ifølge
Rettighedsalliancen, der er en interesseor-
ganisation for kreative brancher på internet-
tet, er der en lignende tendens i Danmark
(Rettighedsalliancen 2021)�½
Potentiale for hvidvask
Ofte benytter organiserede kriminelle aktører,
der udøver IPR-kriminalitet, kontantbaserede
virksomheder eller kryptoaktiver til at hvidvaske
deres ulovlige udbytte
(EUIPO 2020b: 66)�½
Det er vanskeligt at opgøre udbyttet ved IPR-
kriminalitet, men det er Hvidvasksekretariatets
vurdering, at det formentlig løber op i et tocifret
millionbeløb hvert år�½
FREMTIDIG UDVIKLING
Politiet oplyser, at der inden for kopivarer er en
meget høj profit forbundet med produktion og
salg�½ De fortsatte udfordringer i forsyningskæ-
derne, den økonomiske udvikling og stigende
onlinehandel skaber grobund for en stigning i
såvel antallet af kopivarer og priserne på dem�½
Efterspørgslen efter illegale varer opstår, når
forbrugere bevidst eller ubevidst køber kopi-
varerne�½ Det er forventeligt, at sociale medier
fremover vil spille en stor rolle i salget af kopi-
varer, fordi det er nemt for gerningspersonerne
at oprette brugerprofiler�½ På disse medier kan
de hurtigt få adgang til et stort antal forbrugere i
ind- og udland
(EUIPO 2020a: 17)�½
Hvidvasksekretariatet vurderer, at det er sandsynligt, at den
forventede udvikling inden for varemærkeforfalskning og
piratkopiering i Danmark vil øge det ulovlige udbytte i de
kommende år. Hvidvasksekretariatet vurderer, at truslen i
forhold til hvidvask er
moderat.
NATIONALE TRUSLER
REU, Alm.del - 2023-24 - Endeligt svar på spørgsmål 1456: Spm. om hvor mange overførsler, der indføres udeklarerede til Danmark, herunder om der findes skøn herfor
2938919_0070.png
70
DEN NATIONALE RISIKOVURDERING AF HVIDVASK
3.9
FØDEVAREKRIMINALITET
Hvidvasksekretariatet vurderer, at det er sand-
synligt, at det ulovlige udbytte fra fødevarekri-
minalitet vil stige frem mod 2025�½ Det skyldes
leveranceudfordringer og stigende priser som
følge af coronapandemien og Ruslands invasion
af Ukraine�½ Det kan skabe øget efterspørgsel
efter billigere fødevarer, hvilket de kriminelle
aktører vil forsøge at udnytte�½
Hvidvasksekretariatet vurderer, at
truslen i forhold til hvidvask er
moderat.
Fødevarekriminalitet er en overordnet beteg-
nelse for svindel med fødevarer, som blandt
andet kan foregå ved:
1) Udskiftning af oprindeligt indhold (fx ingre-
diens) med indhold af dårligere kvalitet,
2) Falske opgivelser af fx indhold, kvalitet,
oprindelse eller
3) Forfalskning af fødevarer
(Europol 2021a:
79)�½
I Danmark kan svindel med fødevarer straf-
fes med bøde eller fængsel i op til to år, jf�½
fødevareloven�½
godt 1�½000 anmeldelser i 2021�½ Årsagen til
stigningen er ikke nærmere undersøgt, men
Fødevarestyrelsen vurderer, at risikoen for
svindel på fødevareområdet fortsat er stigende
(Fødevarestyrelsen 2021b: 1)�½
Fødevarekriminalitet kan resultere i økono-
miske tab, skade på legale fødevarevirksom-
heders omdømme, forvrængning af konkur-
rencen på fødevaremarkedet samt skade på
forbrugernes helbred
(Europol 2021a: 79)�½
Fødevarekriminalitet kan også skade forbruger-
nes tillid til fødevarer
(Europol 2021a: 93)�½
Et centralt led i fødevarekriminalitet er moms-
svindel og dokumentfalsk�½ I Danmark er der
blandt andet faldet dom i en sag, hvor den
dømte i forbindelse med salg af ris, sodavand
og andre varer undlod at betale moms for godt
31 millioner kroner�½ Den tiltalte blev idømt
tre års fængsel og en tillægsbøde på godt 31
millioner kroner samt frakendt rettigheden til
at deltage i ledelsen i selskaber
(Retten på
Frederiksberg 2022)�½
Hvidvasksekretariatet er ikke bekendt med
opgørelser af udbyttet ved fødevarekriminalitet
i Danmark�½
NATIONALE TRUSLER
TRUSSEL
SKADESANALYSE
Det er vanskeligt at opgøre anmeldelser om
fødevarekriminalitet, fordi anmeldelserne
registreres sammen med andre former for
overtrædelse af fødevareloven, som fx mang-
lende ophæng af kontrolrapport�½ Der var
godt 500 anmeldelser i 2018, som steg til
TRUSLER OG SÅRBARHEDER
Fødevarestyrelsen oplyser, at gerningsperso-
nerne ofte er butiksejere i fødevarebranchen,
mens styrelsen dog med jævne mellemrum
afslører svindel med fødevarer, herunder særligt
Boks 10
Eksempel på fødevarekriminalitet
I 2019 blev to personer dømt for overtrædelse af fødevarelovgivningen og varemærkekræn-
kelse af særlig grov karakter ved at have importeret 17�½280 flasker rødvin fra virksomhe-
den CTA med instruks om, at flaskerne blev påsat små etiketter, hvorefter de blev dækket
med etiketter med angivelse af, at vinen var henholdsvis ”Amarone della Valpolicella” og
”Brunello di Montalcino” med mærket ”Prodotto in Italia”�½
De tiltalte fik begge en seks-måneders betinget dom og 120 timers samfundstjeneste�½
Firmaet, der forestod køb og salg af vinen, blev straffet med en bøde på 100�½000 kroner�½ I alt
blev 636 flasker vin konfiskeret�½
Kilde:
Retten i Glostrup (2019)�½ Dom afsagt den 13�½ december 2019
REU, Alm.del - 2023-24 - Endeligt svar på spørgsmål 1456: Spm. om hvor mange overførsler, der indføres udeklarerede til Danmark, herunder om der findes skøn herfor
2938919_0071.png
DEN NATIONALE RISIKOVURDERING AF HVIDVASK
71
slik, blandt mere organiserede kriminelle aktø-
rer�½ Fødevarekriminalitet kan være attraktivt for
kriminelle aktører, fordi udbyttet er højt, opdagel-
sesrisikoen formentlig er lav og straffen er lav�½
Europol forventer, at fødevarekriminalitet vil
blive mere organiseret og veludført
(Europol
2021a: 79)�½
Dertil kommer, at Ruslands invasion
af Ukraine og følgevirkningerne af coronapan-
demien har øget produktions- og fragtomkost-
ninger og fødevarepriser, så både udbuds- og
efterspørgselssiden har incitament til at søge
efter billigere alternativer�½
I Danmark viser sagerne om fødevarekrimi-
nalitet, at de kriminelle aktører har indblik i
momslovgivningen, og at fødevarekriminalitet
kan indgå i et større kriminalitets-setup med
momssvig og efterfølgende konkurs af selska-
ber, som er oprettet med det formål at undlade
at betale skat�½
I modsætning til ulovlige varer som fx narkotika
kan fødevarer omsættes til en bredere kreds
og har derved potentiale for et stort udbytte�½
Dertil kommer, at en stor del af de fødevarer, der
sælges i Danmark, stammer fra udlandet, hvor
myndighedernes kontrol i nogle tilfælde er rin-
gere end i Danmark�½ Eksempelvis kan det være
vanskeligt at dokumentere, om fund af giftstoffer
i økologiske varer skyldes bevidste handlinger
om at foregive at sælge økologisk fødevarer,
eller om stofferne er drevet med vinden fra et
konventionelt landbrug i nærheden�½
Avanceret teknologi til at producere kopiføde-
varer gør det vanskeligt for Fødevarestyrelsen,
såvel som forbrugere at vurdere, hvorvidt et
fødevareprodukt er ægte eller forfalsket, idet
man ofte som almindelig forbruger hverken
kan se eller smage forskel�½ Et eksempel er ore-
gano, som Fødevarestyrelsen formoder, at op
mod halvdelen er forfalsket
(Fødevarestyrelsen
2021a: Aktuelt om svindel med fødevarer)�½
Ligesom på andre kriminalitetsområder er der
en tendens til, at handel med fødevarer foregår
online, herunder på det mørke net
(Europol
2021: 79)�½
Fødevarestyrelsen erfarer, at kriminelle aktører
ofte gemmer sig bag falske profiler på de sociale
medier, og at det er vanskeligt at få de sociale
medier til at oplyse, hvem der reelt er brugeren
bag profilerne�½ Ved onlinehandel med varer har
Fødevarestyrelsen vanskeligere ved at føre kon-
trol med fødevarerne og den reelle sælger bag�½
Det er således vanskeligt at stoppe ulovligt salg
og især at føre kontrol med den reelle sælger af
diverse fødevarer og kosttilskud�½
Potentiale for hvidvask
NATIONALE TRUSLER
Udbyttet fra illegale fødevarer er ofte sløret,
idet et forfalsket produkt eksempelvis ofte
kan sælges på lige fod med andre varer i
en tilsyneladende almindelig virksomhed�½
Transaktionerne vil af den grund ikke se mis-
tænkelige ud, da de vil fremstå som salg af varer
mellem to eller flere parter�½
Det er Hvidvasksekretariatets vurdering, at
udbytte fra fødevarekriminalitet formentlig drejer
sig om et tocifret millionbeløb hvert år�½ Der er
på dette kriminalitetsområde en stærk sam-
menhæng med skatte- og momskriminalitet, og
det gør det vanskeligt at opgøre omfanget ved
denne kriminalitetsform isoleret set�½
FREMTIDIG UDVIKLING
På baggrund af Fødevarestyrelsens og
Europols vurderinger af området, vurderer
Hvidvasksekretariatet, at udbyttet af fødevare-
kriminalitet i Danmark vil stige frem mod 2025�½
Det skyldes følgevirkningerne af Ruslands
invasion af Ukraine og coronapandemien, som
har øget produktions- og fragtomkostninger
og fødevarepriser, så både udbuds- og efter-
spørgselssiden har incitament til at søge efter
billigere alternativer, men også en øget pro-
fessionalisering af kriminalitetsområdet�½ Dertil
kommer, at opdagelsesrisikoen og straffen
er lav, mens udbyttet er højt, hvilket øger
de kriminelle aktørers incitament til at begå
fødevarekriminalitet�½
Hvidvasksekretariatet vurderer, at det er sandsynligt, at den
forventede udvikling inden for fødevarekriminalitet i Danmark
vil øge det kriminelle udbytte i de kommende år. På baggrund
af de få sager på området vurderer Hvidvasksekretariatet, at
truslen i forhold til hvidvask er
moderat.
REU, Alm.del - 2023-24 - Endeligt svar på spørgsmål 1456: Spm. om hvor mange overførsler, der indføres udeklarerede til Danmark, herunder om der findes skøn herfor
2938919_0072.png
72
DEN NATIONALE RISIKOVURDERING AF HVIDVASK
3.10
INDBRUD OG TYVERI
Det er Hvidvasksekretariatets vurdering, at
omfanget af og det ulovlige udbytte fra indbrud
og tyveri vil stige til samme niveau som inden
coronapandemien�½ Det er dog samtidig vurde-
ringen, at omfanget inden pandemien var ned-
adgående, og at der ikke er indikationer på, at
omfanget vil stige yderligere sammenlignet med
perioden forud for pandemien�½
Hvidvasksekretariatet vurderer, at
truslen i forhold til hvidvask er
moderat.
Indbrud og tyveri er omfattet af straffelovens §
276 og § 276 a�½ Bestemmelserne straffer den,
som uden ejerens samtykke borttager en fysisk
genstand for at skaffe sig eller andre en uberetti-
get vinding ved den tilegnelse�½
For indbrud og tyveri straffes forbrydelsen i
udgangspunktet med fængsel op til et år og
seks måneder�½ I særligt grove tilfælde kan
straffen stige til fængsel indtil seks år�½
Et dansk studie peger på, at omfanget af
indbrud i private hjem og erhverv er faldet i
perioden for nedlukningen og det øgede hjem-
mearbejde�½ Desuden fremhæver forskerne
grænselukningen som en faktor, der også kan
være medvirkende til faldet, idet grænseluk-
ning har gjort det besværligt for omrejsende
kriminelle at rejse til Danmark
(Mannov, J�½, C�½
Østergaard og L�½ Minke 2020: 14)�½
Den faldende tendens, som gør sig gældende
for anmeldelser om indbrud, gælder også for
tyveri�½ Antallet af anmeldelser om tyveri er faldet
fra 2018 til 2021 med knap 40 pct�½ fra knap
120�½000 årlige anmeldelser til knap 75�½000
årlige anmeldelser
(Hvidvasksekretariatet 2022�½
Metoderapport)�½
Det økonomiske udbytte fra indbrud, tyveri og
hæleri afhænger af, hvad køberne på hæler-
markedet vil give�½ Der findes derfor ikke en
samlet opgørelse over udbyttet�½ Rigsrevisionen
vurderer, at det samlede økonomiske omfang af
skader og tab som følge af indbrud udgør cirka
2,5 milliarder kroner om året, hvoraf udbetalte
erstatninger beløber sig til cirka 1,5 milliarder
kroner om året
(Rigsrevisionen 2020: 4)�½
Ud over de økonomiske og fysiske skader er
de psykiske skader i forbindelse med indbrud
og tyveri veldokumenterede�½ TrygFondens
Tryghedsmåling fra 2019-2020 viser blandt
andet, at indbrud påvirker borgernes oplevelse
af tryghed
(TrygFonden 2020: 53)�½
NATIONALE TRUSLER
TRUSSEL
SKADESANALYSE
For perioden 2018-2021 er der anmeldt knap
115�½600 indbrud fordelt på indbrud i privat bebo-
else, indbrud i erhverv og indbrud i øvrigt�½ Der
er anmeldt flest indbrud i privat beboelse, idet
disse anmeldelser udgør godt 60 pct�½ af anmel-
delserne�½ Samlet set er antallet af indbrud faldet
markant fra godt 37�½000 i 2018 til godt 22�½000
i 2021
(Hvidvasksekretariatet 2022�½ Metode-
rapport)�½
Den faldende tendens under corona-
pandemien gør sig også gældende for andre
europæiske lande
(Europol 2021a: 84-85)�½
REU, Alm.del - 2023-24 - Endeligt svar på spørgsmål 1456: Spm. om hvor mange overførsler, der indføres udeklarerede til Danmark, herunder om der findes skøn herfor
2938919_0073.png
DEN NATIONALE RISIKOVURDERING AF HVIDVASK
73
TRUSLER OG SÅRBARHEDER
Europol peger på, at organiseringen af hæleri,
det vil sige salg og køb af stjålne varer, gene-
relt er underbelyst�½ Derfor er viden om, hvor
varerne afsættes, og hvilke ruter de bevæger
sig igennem, begrænset
(Europol 2021a: 84)�½
I
Danmark er området også præget af manglende
viden, og politiet har ikke opgørelser over stjålne
varer eller mere dybdegående viden om hæler-
markedet�½ Det betyder også, at det er vanskeligt
at tegne et billede af, hvem der har behov for at
hvidvaske midler fra indbrud og tyveri�½
Politiets monitering af omrejsende kriminelle
grupper viser, at grupperne oftest består af yngre
mænd, der er fleksible og arbejder inden for et
stort geografisk område�½ De er oftest støttet af
herboende aktører, og de udfører systematisk
berigelseskriminalitet med høj frekvens og kan
derfor betegnes som seriekriminelle�½ I forhold
til den kriminalitet de begår, er der ofte tale om
tyveri og indbrud med relativt lille udbytte per
sag
(Rigspolitiet 2017b)�½
Tilstedeværelsen af onlineplatforme som Gul og
Gratis og DBA har gjort det nemmere at afsætte
hælervarer�½ Nogle tjenester har den seneste tid
iværksat tiltag for at forebygge salg af hæler-
varer som fx brug af mobile betalingsløsninger,
Nem-ID/MitID hos sælger, opfordring til at få
kvittering, garantibevis eller anden dokumenta-
tion�½ Andre fora, som fx Facebook Marketplace
og markedspladser på det mørke net bliver også
brugt til at afsætte hælervarer, hvor tiltag for
at forebygge salg af hælervarer ikke er ligeså
udbredt som på danske onlinemarkedspladser�½
Større regional og international handel skaber
også et større hælermarked, hvor varer fra ind-
brud og tyveri i Danmark kan omsættes i udlan-
det�½ Politiets monitering viser, at det særligt er
elektronik, guld og sølv samt biler og udstyr fra
luksusbiler, der sendes ud af landet�½
Potentiale for hvidvask
De kriminelle aktører får hvert år millioner
i udbytte ved indbrud og tyveri�½ Nogle af
disse værdier omsættes i Danmark og andre
transporteres til udlandet�½ For de varer, der
afsættes på hælermarkedet i Danmark, er det
Hvidvasksekretariatets vurdering, at det ofte
sker kontant eller via betalingstjenester, der
er mellemled mellem handelsplatforme og
kunderne�½
FREMTIDIG UDVIKLING
På baggrund af efterretninger i Europol-regi og
danske studier af indbrud under coronapande-
mien er det Hvidvasksekretariatets vurdering, at
i takt med at samfundet åbner igen, og at dan-
skerne i mindre grad er i deres boliger og genop-
tager rejseaktiviteter, vil omfanget af indbrud og
tyveri stige, herunder også kriminelle aktiviteter
begået af omrejsende kriminelle aktører�½ Det
er dog samtidig vurderingen, at omfanget af
indbrud og tyveri var nedadgående inden coro-
napandemien, og der er ikke indikationer på, at
området vil stige yderligere sammenlignet med
perioden forud for pandemien�½
Hvidvasksekretariatet vurderer, at det er sandsynligt, at
det forventede udbytte fra indbrud og tyveri i Danmark vil
være på samme niveau som inden coronapandemien i de
kommende år. Hvidvasksekretariatet vurderer, at truslen i
forhold til hvidvask er
moderat.
NATIONALE TRUSLER
REU, Alm.del - 2023-24 - Endeligt svar på spørgsmål 1456: Spm. om hvor mange overførsler, der indføres udeklarerede til Danmark, herunder om der findes skøn herfor
2938919_0074.png
74
DEN NATIONALE RISIKOVURDERING AF HVIDVASK
3.11
MARKEDSMANIPULATION
OG INSIDERHANDEL
Hvidvasksekretariatet har ikke indikationer på,
at området for markedsmanipulation og insi-
derhandel vil stige frem mod 2025�½ Den øgede
opmærksomhed på
wash-trade
kan resultere i,
at flere sager bliver anmeldt til politiet�½
Hvidvasksekretariatet vurderer, at truslen
i forhold til hvidvask er
begrænset.
Markedsmanipulation og insiderhandel er to
former for lovovertrædelser på kapitalmarke-
det�½ De er begge omfattet af EU’s markeds-
misbrugsforordning (MAR), som trådte i kraft i
2016, og som har til formål at sikre ensretning
på markedsmisbrugsområdet på tværs af
EU-medlemslandene�½
Forbuddene i MAR har til formål at sikre, at kurs-
dannelsen på værdipapirer sker på et korrekt
grundlag�½ Overtrædelser af markedsmanipula-
tion og insiderhandel er forankret i artikel 14 og
15 i MAR, og kan, jf�½ § 249, stk�½ 2, i lov om kapi-
talmarkeder og straffes med bøde eller fængsel
op til ét år og seks måneder�½ For overtrædelse af
straffelovens § 299 d, hvor den der under særligt
skærpende omstændigheder gør sig skyldig i
overtrædelse af forordningen om markedsmis-
brug, straffes med fængsel i op til seks år�½
I praksis sker manipulationen blandt andet ved
at give urigtige eller vildledende oplysninger om
udbuddet af, efterspørgslen efter eller kursen på
bestemte finansielle instrumenter�½ Disse fejlag-
tige oplysninger kan udbredes gennem fx sociale
medier med henblik på at få andre til at investere
på et falsk grundlag for at opnå økonomisk vin-
ding
(Finanstilsynet 2017)�½
Insiderhandel er, når en person eller en virksom-
hed opnår en informationsfordel, som udnyttes
ved køb og salg af finansielle instrumenter eller
deles med andre personer, som kan udnytte den
til køb eller salg
(Finanstilsynet 2020b)�½
Markedsmanipulation og insiderhandel har en
skadelig virkning på værdipapirmarkedets inte-
gritet og funktion�½ Det kan medføre forvridninger
i økonomien og store tab for investorer�½ Det er
Finanstilsynets opgave at overvåge kapital-
markederne for at sikre velfungerende finansielle
markeder�½
I 2021 oprettede Finanstilsynet i alt 301
markedsmisbrugssager, hvilket er en stigning
på 45 sager i forhold til 2020�½ Af disse behand-
lede Finanstilsynet 130 sager om insiderhan-
del, mens 157 sager omhandlede markeds-
manipulation�½ I perioden 2019-2021 er der
anmeldt ni sager til politiet
(Finanstilsynet
2022c)�½
Straffen er relativt høj sammenlignet
med anden økonomisk kriminalitet, men en
lav opdagelsesrisiko kan gøre det attraktivt for
personer, der får adgang til insiderviden�½
NATIONALE TRUSLER
TRUSSEL
SKADESANALYSE
Markedsmanipulation er handlinger, der uret-
mæssigt påvirker kursen på et værdipapir�½
Boks 11
Eksempel på insiderhandel
I 2019 blev to personer dømt for insiderhandel�½  Den ene besad en stilling i en regnskabsaf-
deling i et børsnoteret selskab, hvor vedkommende havde adgang til fortrolige oplysninger
om salgsprocesser og anden insiderviden�½ Vedkommende videregav intern viden om salg af
firmaet til en anden person�½ Den viden gjorde den anden person brug af i forbindelse med
køb af aktier, hvilket resulterede i en uberettiget kursgevinst på godt 61�½000 kroner�½
De tiltalte fik domme på henholdsvis 30 og 60 dages fængsel�½ Dertil blev de godt 61�½000
kroner, der var udbyttet af ulovlig handel med aktier, konfiskeret�½
Kilde:
Retten i Viborg (2019)�½
REU, Alm.del - 2023-24 - Endeligt svar på spørgsmål 1456: Spm. om hvor mange overførsler, der indføres udeklarerede til Danmark, herunder om der findes skøn herfor
2938919_0075.png
DEN NATIONALE RISIKOVURDERING AF HVIDVASK
75
Boks 12
Eksempel på wash­trade
I 2021 blev en person dømt for wash-trade ved at have handlet med sig selv over børsen�½
Personen havde i ni tilfælde på en måned handlet mellem sit personlige depot og et depot til-
hørende en virksomhed, som vedkommende selv ejede�½ Byretten idømte personen 60 dages
fængsel, herunder 30 dages betinget, og virksomheden blev idømt en bøde på 40�½000 kroner�½
Kilde:
Finanstilsynet (2021c)�½
Finanstilsynet bemærker, at investorer ikke i alle
tilfælde er opmærksomme på, at det er ulovligt
at handle værdipapirer med sig selv, såkaldt
wash-trades�½ Wash-trades er ulovligt, fordi det for
udefrakommende kan se ud, som om værdi-
papiret handles, men reelt skifter det ikke ejer
(Finanstilsynet 2022b)�½
Derfor sender wash-trade
urigtige oplysninger til markedet�½ Politiet oplyser
også, at de ser sager med wash-trades, men at det
ser ud til, at personerne ofte handler i uvidenhed�½
Hvidvasksekretariatet modtager underretninger,
som kan være relateret til markedsmisbrug�½
Underretningerne viser, at det både er enkelt-
personer, organiserede netværk af personer og
virksomheder, herunder investeringsselskaber, der
ser ud til at handle med hinanden for at påvirke en
aktiekurs�½ Derudover er der flere underretninger,
der omhandler wash-trading-sager, hvor enkelt-
personer sender vildledende signaler ved enten
at handle med sig selv eller ved at sælge aktier til
egne virksomheder�½ Endvidere modtager Hvidvask-
sekretariatet også underretninger om insiderhan-
del�½ Underretningerne indikerer, at danske, men
i særlig grad udenlandske statsborgere, benytter
danske finansielle virksomheder til at lave insider-
handel og i mindre grad markedsmanipulation�½
For at forhindre markedsmanipulation og insider-
handel skal børsnoterede virksomheder til enhver
tid kunne gøre rede for, hvilke personer der i og
uden for virksomheden har adgang til intern viden�½
Imidlertid viste en gennemgang af 30 udvalgte
insiderlister i 2018, at der var fejl i 79 pct�½ af de
permanente insiderlister
(Finanstilsynet 2019b)�½
Potentiale for hvidvask
Hvidvasksekretariatet har ikke viden om omfanget
af ulovligt udbytte fra markedsmanipulation og
insiderhandel�½ Ved insiderhandel er det ulovlige
udbytte opnået på strafbar vis, men da udbyt-
tet ligner legal aktieindkomst, vil de kriminelle
aktører ofte ikke have et behov for at placere,
sløre og integrere udbyttet�½ Det samme gælder
markedsmanipulation�½
FREMTIDIG UDVIKLING
Hvidvasksekretariatet har ikke indikationer på, at
omfanget af insiderhandel og markedsmanipulation
er stigende eller faldende�½ Men Hvidvasksekretari-
atet bemærker, at hvor de danske sager på området
ikke har karakter af at være udført af organiserede
kriminelle grupper og netværk, så kan tilstedeværel-
sen af professionelle aktører på kriminalitetsområ-
det få betydning for udviklingen i en dansk kontekst�½
Hvidvasksekretariatet vurderer, at det er sandsynligt, at det krimi­
nelle udbytte fra insiderhandel og markedsmanipulation i Danmark
vil forblive uændret i de kommende år. Hvidvasksekretariatet
vurderer, at truslen i forhold til hvidvask er
begrænset.
NATIONALE TRUSLER
TRUSLER OG SÅRBARHEDER
Endvidere er sager om markedsmanipulation
komplekse, da alle transaktioner mere eller min-
dre er kurspåvirkende�½ Derfor kræver det en
konkret vurdering af, hvorvidt en adfærd på mar-
kedet adskiller sig fra lovlige transaktioner�½ I vurde-
ringen af eventuelle strafbare forhold er det uden
betydning, om manipulatoren opnår en gevinst
eller undgår et tab�½ Det afspejles i flere sager ført
af politiet, hvor man ikke har kunne påvise en
direkte økonomisk gevinst
(se fx Anklagemyn-
digheden 2020)�½
For så vidt angår insiderhandel
vil gerningspersonerne typisk købe (eller sælge/
shorte) aktier umiddelbart før en væsentlig nyhed,
der får kursen til at stige (eller falde)�½
REU, Alm.del - 2023-24 - Endeligt svar på spørgsmål 1456: Spm. om hvor mange overførsler, der indføres udeklarerede til Danmark, herunder om der findes skøn herfor
2938919_0076.png
76
DEN NATIONALE RISIKOVURDERING AF HVIDVASK
3.12
KORRUPTION
Omfanget af korruption, herunder bestikkelse
i den private og offentlige sektor, er lavt i
Danmark�½ Hvidvasksekretariatet har ikke indi-
kationer på, at omfanget og udbyttet vil stige i
de kommende år�½
Hvidvasksekretariatet vurderer, at truslen
i forhold til hvidvask er
begrænset.
I Danmark er korruption ikke behandlet direkte
i straffeloven, men korruption er defineret i en
mere snæver forstand som bestikkelse�½ Der skel-
nes mellem offentlig og privat bestikkelse, og det
afgørende for forskellen er, hvem der modtager
bestikkelsen eller løftet om bestikkelse�½ Det er
både strafbart at modtage og tilbyde bestikkelse�½
Er vedkommende ansat i den offentlige sektor,
straffes bestikkelse med bøde eller fængsel i op
til seks år, imens en person ansat i den private
sektor straffes med bøde eller fængsel i indtil fire
år, jf�½ straffelovens § 122, 144 og 299�½
De anmeldelser, som vedrører bestikkelse i
det offentlige, handler blandt andet om mulig
bestikkelse i forbindelse med virksomheders
forsøg på at påvirke offentligt ansatte til at
vælge de pågældende virksomheder i kampen
om at vinde offentlige udbud på indkøb eller
byggeopgaver�½ For så vidt angår bestikkelse i det
private, fremgår det af anmeldelserne, at disse
blandt andet vedrører medarbejdere i private
virksomheder, som kan have modtaget bestik-
kelse i forbindelse med udvikling af produkter�½
Der kan knyttes en eller flere sigtelser til en
enkelt anmeldelse�½ I perioden 2018-2021 er
der samlet set rejst 621 sigtelser for bestikkelse
i den offentlige eller private sektor�½ 37 sager
er rejst for bestikkelse i det private, de øvrige
handler om ydelse eller modtagelse af bestik-
kelse i det offentlige�½ I 2018 blev der alene rejst
373 sigtelser, og en større andel af dem knyt-
ter sig til én sag
(Hvidvasksekretariatet 2022�½
Metoderapport)�½
Europol peger på, at korruption i høj grad er
underrapporteret
(Europol 2021a: 26)�½
Det
kan være tilfældet i Danmark, men Hvidvask-
sekretariatet er ikke bekendt med omfanget�½
Danmark ligger på en delt førsteplads (sammen
med Finland og New Zealand) i Transparency
Internationals Corruption Perceptions Index
(CPI), hvor det opfattede korruptionsniveau
i 180 landes offentlige sektorer sammenlig-
nes
(Transparency International 2022: 2)�½
Det
betyder, at Danmark (sammen med Finland
og New Zealand) er det land i verden, hvor der
opleves mindst korruption�½
NATIONALE TRUSLER
TRUSSEL
SKADESANALYSE
Korruption kan foregå på alle beslutningsni-
veauer fra politisk eksponerede personer og
andre personer med politisk indflydelse til per-
soner med lavere beslutningskompetence, som
har adgang til centrale systemer eller informati-
oner i den offentlige og private sektor
(Europol
2021c: 8)�½
I perioden fra 2018-2021 har politiet registreret
248 anmeldelser om bestikkelse, hvoraf 229
anmeldelser vedrører bestikkelse i det offentlige
(Hvidvasksekretariatet 2022�½ Metoderapport)�½
Boks 13
Fem tiltalt i sag om bestikkelse og mandatsvig i
Forsvarets Ejendomsstyrelse
NSK har rejst tiltale mod fem personer og to selskaber i en omfattende sag om bestikkelse
og mandatsvig af særlig grov karakter i Forsvarets Ejendomsstyrelse�½ I sagen er to personer
blandt andet tiltalt for at have modtaget bestikkelse i form af værdi for henholdsvis knap
tre millioner kroner og 125�½000 kroner�½ Værdierne var blandt andet designermøbler, hvide-
varer og havemaskiner�½
Kilde:
Anklagemyndigheden (2022b)�½
REU, Alm.del - 2023-24 - Endeligt svar på spørgsmål 1456: Spm. om hvor mange overførsler, der indføres udeklarerede til Danmark, herunder om der findes skøn herfor
2938919_0077.png
DEN NATIONALE RISIKOVURDERING AF HVIDVASK
77
I Transparency Internationals bedømmelse
af korruptionsniveauet er korruption i den
private sektor ikke medtaget, og indekset
tager ikke højde for, at korruption ofte er
grænseoverskridende�½
I en rapport udarbejdet af Europa-Kommissi-
onen anslås det, at korruption alene koster EU’s
økonomi 120 milliarder euro årligt
(Europa-
Kommissionen 2017: 1)�½
World Economic
Forum har tidligere anslået, at korruption koster
verdensøkonomien fem pct�½ af bruttonational-
produktet årligt
(World Economic Forum u�½d),
men forudsætningerne for beregningerne er
blevet udfordret�½ Det er vanskeligt at opgøre,
hvor stort det økonomiske udbytte ved korrup-
tion er, og Hvidvasksekretariatet er ikke bekendt
med opgørelser af omfanget i Danmark�½
Korruption er skadeligt for samfundet�½ Det påvir-
ker den økonomiske udvikling negativt i de lande,
hvor den foregår, svækker borgernes tillid til de
offentlige myndigheder og skaber ulighed, fordi
nogle i samfundet kan få adgang til og mod-
tage bedre og hurtigere ydelser fra det offent-
lige end andre
(Europol 2021a: 26)�½
Europa-
Kommissionen fremhæver også, at korruption
skaber usikkerhed, gør processer langsommere
og dyrere og har negative konsekvenser for ind-
komstfordelingen og tilsidesætter miljøbeskyt-
telse
(Europa-Kommissionen 2017: 1-2)�½
Europol vurderer, at korruption kan være for-
bundet med andre former for kriminalitet, og
det udgør derfor en væsentlig trussel mod
den nationale sikkerhed
(Europol 2021a: 26)�½
Korruption er centralt i forbindelse med alvorlig
og organiseret kriminalitet
(Europol 2021a: 10)�½
Korruption er fx relateret til handlen med illegale
stoffer og varer i Europa, hvor kriminelle netværk
anvender korruption til at få adgang til havne
og lufthavne�½ Europol konstaterer, at kriminelle
netværk har formået at infiltrere transportinfra-
strukturen ved hjælp af korruption, og derved
kan illegale varer transporteres ind og rundt i
Europa
(Europol 2021a: 45)�½
TRUSLER OG SÅRBARHEDER
Sigtelser for bestikkelse i den offentlige og pri-
vate sektor i Danmark viser, at det i 95 pct�½ af
tilfældene er personer med dansk statsborger-
skab, som bliver sigtet�½ De danske bestikkel-
sessager tegner et billede af, at gerningsperso-
nerne i højere grad er personer, oftest mænd,
ansat i den offentlige sektor med centrale
funktioner i forhold til større indkøb og byggeri�½
Hvidvasksekretariatet har ikke kendskab til
yderligere analyser af gerningspersonerne, men
Europol anslår, at 60 pct�½ af de organiserede
kriminelle grupper i varieret omfang gør brug af
korruption
(Europol 2021a: 10)�½
Politisk eksponerede personer
Som led i bekæmpelsen af bestikkelse i
Danmark er der indført krav om, at virksomheder
og personer omfattet af hvidvaskloven skal være
særligt opmærksomme på politisk ekspone-
rede personer�½ Politisk eksponerede personer
er offentligt ansatte, som bestrider et særligt
offentligt tillidshverv og som følge heraf kan
være modtagelige for korruption og bestikkelse,
jf�½ bekendtgørelse om indberetning og offentlig-
gørelse af oplysninger om indenlandske politisk
eksponerede personer�½
1
Ifølge FATF udgør korrupte politisk eksponerede
personer en høj risiko for hvidvask, idet de i
deres virke har adgang til betydelige offentlige
midler samt viden og evne til at kontrollere bud-
getter, offentlige virksomheder og kontrakter,
hvilket kan udnyttes for egen vindings skyld
(FATF 2011: 9)�½
Sagerne om bestikkelse, der
har været ført i Danmark i perioden 2018-2021,
vedrører ikke politisk eksponerede personer�½
Sportskorruption
Der er også eksempler på korruption i sports-
verdenen�½ Ifølge Europol kan organiserede kri-
minelle aktører drage nytte af de store transak-
tionssummer og det stigende antal involverede
aktører, som sportsverdenen i dag er præget af
(Europol 2021a: 67)�½
1�½ Finanstilsynet offentliggør en liste med personlige
oplysninger på indenlandske eksponerede personer�½
Listen omfatter indberetninger fra Folketinget, politiske
partier, Rigsrevisionen, danske ministerier, andre offentlige
myndigheder, statsejede virksomheder, Nationalbanken og
Højesteret, jf�½ bekendtgørelsen om politisk eksponerede
personer §§ 3-16�½ Listen indeholder også politisk ekspone-
rede personer på Færøerne�½
NATIONALE TRUSLER
REU, Alm.del - 2023-24 - Endeligt svar på spørgsmål 1456: Spm. om hvor mange overførsler, der indføres udeklarerede til Danmark, herunder om der findes skøn herfor
2938919_0078.png
78
DEN NATIONALE RISIKOVURDERING AF HVIDVASK
Det er særligt i fodboldindustrien, at der er risiko
for, at kriminelle netværk opkøber fodboldklub-
ber, som de udnytter til fx skatteunddragelse og
hvidvask
(Europol 2021h: 16, 19)�½
Ifølge Europol er der også risiko for, at sports-
klubber, herunder særligt fodboldklubber, bliver
brugt til matchfixing og væddemålsrelateret
svindel�½ Matchfixing er ofte arrangeret af orga-
niserede kriminelle aktører, som også er invol-
veret i andre typer af kriminalitet fx narkokrimi-
nalitet, hvidvask og afpresning
(Europol 2021h:
5)�½
Europol estimerer, at det ulovlige udbytte
ved matchfixing er omkring 120 millioner euro
årligt på verdensplan, svarende til 900 millioner
danske kroner
(Europol 2021h: 18)�½
Andre strukturelle sårbarheder
Danmarks renomme, som et land med lav grad
af korruption, kan medvirke til, at opmærksom-
heden på korruption er begrænset�½ At korruption
ikke er behandlet direkte i straffeloven kan også
være et udtryk for begrænset opmærksomhed i
Danmark�½
Det er også væsentligt at bemærke, at den
teknologiske udvikling betyder, at andre aktører
end fx de politisk eksponerede personer, top-
direktører eller elitesportsudøvere bliver inte-
ressante i forhold til korruption, fordi de bliver
mulige at komme i kontakt med via digitale
strukturer�½ Det kan være andre typer af medar-
bejdere, der i deres funktioner besidder vigtige
oplysninger eller har adgang til at påvirke pro-
cesser og beslutninger
(Europol 2021c: 7)�½
Potentiale for hvidvask
Det er FATF’s vurdering, at mindre korrupti-
onssager genererer kontanter med behov for
placering i det finansielle system, mens store
korruptionssager ikke har betydelige kontant-
beløb involveret
(FATF 2011: 24)�½
De danske
sager viser i højere grad, at bestikkelse her-
hjemme foregår via tjenester, rejser, middage,
renovering med videre, som ikke har et behov
for umiddelbart at blive hvidvasket�½ Der er også
danske eksempler på tredjepartsbetalinger,
hvor personer, der tager imod bestikkelsen,
ikke bliver betalt direkte, men i stedet bliver
bestikkelsen betalt til nogen, som den korrupte
har en forbindelse med�½ På baggrund af antal-
let af sager og oplysninger i øvrigt, vurderer
Hvidvasksekretariatet, at udbyttet fra korruption
i Danmark, der skal hvidvaskes, er begrænset�½
Den teknologiske udvikling har medført, at orga-
niserede kriminelle aktører i dag i højere grad
bruger kryptoaktiver end tidligere til at betale
korrupte embedsmænd
(Europol 2021a: 26)�½
NATIONALE TRUSLER
FREMTIDIG UDVIKLING
Det er Hvidvasksekretariatets vurdering, at
korruption og det ulovlige udbytte fra korruption
er lavt i Danmark�½ Hvidvasksekretariatet har
ikke indikationer på, at omfanget og udbyt-
tet vil stige i de kommende år�½ Det er derfor
Hvidvasksekretariatets vurdering, at udbyttet
vil være uændret frem mod 2025�½
Hvidvasksekretariatet vurderer, at det er sandsynligt, at det
ulovlige udbytte fra korruption i Danmark vil være uændret
i de kommende år. Hvidvasksekretariatet vurderer, at
truslen i forhold til hvidvask er
begrænset.
REU, Alm.del - 2023-24 - Endeligt svar på spørgsmål 1456: Spm. om hvor mange overførsler, der indføres udeklarerede til Danmark, herunder om der findes skøn herfor
2938919_0079.png
DEN NATIONALE RISIKOVURDERING AF HVIDVASK
79
ILLEGAL HANDEL MED
VILDE DYR OG PLANTER
Hvidvasksekretariatet vurderer, at det er
sandsynligt, at illegal handel med vilde dyr og
planter og det økonomiske udbytte herfra vil
stige frem mod 2025�½ Den stigende brug af
onlinehandel og krypterede fora betyder dog,
at det bliver lettere og mindre risikofyldt for
købere og sælgere at skabe kontakt�½
Hvidvasksekretariatet vurderer, at truslen
i forhold til hvidvask er
begrænset.
Der findes ikke en international definition af
illegal handel med vilde dyr og planter (wild-
life-crime)�½ FATF henviser til aktiviteter, der
overtræder national og international lovgivning
(FATF 2020d: 10),
mens Europol refererer til
krybskytteri, indsamling, handel, import, eks-
port, forarbejdning, besiddelse, opnåelse og
forbrug af vilde dyr og planter, herunder træer
og andre skovprodukter i strid med national og
international lov
(Europol 2021a: 55)�½
I Danmark er handel med vilde dyr og planter
omfattet af Washingtonkonventionen/CITES
(bekendtgørelse om beskyttelse af vilde dyr
og planter) og naturbeskyttelsesloven�½ For
overtrædelse af Washingtonkonventionen er
straffen i udgangspunkt bøde, som kan stige til
fængsel i op til to år�½ For overtrædelse af natur-
beskyttelsesloven er straffen bøde eller fæng-
sel i op til et år�½ I særligt grove tilfælde straffes
illegal handel med vilde dyr og planter efter
straffelovens § 196 a, der har en strafferamme
på op til seks år�½
3.13
SKADESANALYSE
I Danmark er det Miljøstyrelsen, der har ansva-
ret for dyr og ikke-levende planter og plan-
tedele�½ Landbrugsstyrelsen har ansvaret for
levende planter og plantedele�½ Når sagerne
har en grovere karakter, anmeldes de til poli-
tiet�½ Politiet har få sager om illegal handel
med vilde dyr og planter�½ I perioden fra 2018-
2021 har der i alt været 506 anmeldelser om
overtrædelse af naturbeskyttelsesloven og
Washingtonkonventionen og 478 sigtelser
(Hvidvasksekretariatet 2022�½ Metoderapport)�½
Anmeldelserne til dansk politi handler primært
om ulovlig import af kød, spæk af grindehval fra
Færøerne, narhvalkød fra Grønland eller ulov-
lig importeret stenkoral, primært fra Thailand,
Dubai og Sri Lanka�½ Derudover omhandler nogle
af sagerne salg af sjældne papegøjer, anskaf-
felse af sjældne sommerfugle, tasker lavet af
krokodilleskind eller naturmedicin med stoffer
fra fx næsehorn eller krokodiller�½ De fældende
afgørelser i perioden 2018-2021 omhandler pri-
mært import af modegenstande, der fx er lavet
af skind af truede dyrearter�½ Derudover er en
person dømt for salg af en stjerneskildpadde,
og to personer er dømt for at være i besiddelse
af flere truede sommerfuglearter�½
FATF estimerer, at udbyttet fra illegal handel
med vilde dyr og planter på verdensplan udgør
mellem syv og 23 milliarder dollars om året,
svarende til mellem cirka 45 og 150 milliarder
danske kroner
(FATF 2020d: 13)�½
NATIONALE TRUSLER
TRUSSEL
REU, Alm.del - 2023-24 - Endeligt svar på spørgsmål 1456: Spm. om hvor mange overførsler, der indføres udeklarerede til Danmark, herunder om der findes skøn herfor
2938919_0080.png
80
DEN NATIONALE RISIKOVURDERING AF HVIDVASK
Illegal handel med vilde dyr og planter øger risi-
koen for udryddelse af truede dyrearter og plan-
ter, truer biodiversiteten og menneskers sundhed
gennem mulig overførsel af sygdomme
(Europol
2021a: 55; FATF 2020d: 5)�½
Derudover medfører
handlen forskellige former for følgekriminalitet,
fx dokumentfalsk og korruption i såvel afsender-,
transit- og destinationslandene�½ Europol vurderer
også, at kriminaliteten er en lukrativ forretning for
kriminelle aktører
(Europol 2022c: 21-22)�½
Den lave opdagelsesrisiko og høje profit gør
området attraktivt for organiserede kriminelle
aktører�½
Potentiale for hvidvask
Pengene fra den organiserede illegale handel
med dyr hvidvaskes ofte gennem legale virk-
somhedsstrukturer, der har relation til import-
og eksportstrukturer, hvorigennem de kan skjule
overførsler af illegale varer og betalinger på
tværs af grænser
(FATF 2020: 17)�½
Det kan
være forretninger, der har relation til den legale
handel med vilde dyr og planter, fx gårde, avls-
facilitatorer, dyrehandlere og zoologiske haver,
men andre brancher kan også misbruges til
hvidvask, fx medicin-, smykke- og modebran-
chen
(FATF 2020: 18)�½
Europol vurderer, at den
illegale handel primært sker i kontantbaserede
brancher, men netværk bruger også bankover-
førsler på tværs af lande, internet og mobilbe-
talinger, forudbetalte betalingskort, pengeover-
førsler, uformelle pengeoverførselssystemer og
kryptoaktiver
(Europol 2022c: 23)�½
Den illegale handel med ål involverer også
brug af dækselskaber i EU, bankkonti ejet
af stråmænd, undergrundsbanksyste-
mer og falske faktura
(Europol 2022c: 26)�½
Hvidvasksekretariatet vurderer, at potentialet
for hvidvask herhjemme er begrænset�½
TRUSLER OG SÅRBARHEDER
NATIONALE TRUSLER
Ifølge FATF har en stor del af den illegale handel
med vilde dyr og planter på verdensplan karakter
af organiseret kriminalitet på tværs af lande-
grænser
(FATF 2020: 5)�½
Størstedelen af hand-
lerne finder sted online�½ Gerningspersonerne
er ofte ikke involveret i selve handlen�½ Den er
i stedet uddelegeret til lokale controllere, der
hyrer lokale krybskytter eller opdrættere
(FATF
2020:15)�½
Til transport bruger de ofte et net-
værk af korrupte embedsmænd, såsom toldere,
immigrations- eller havnepersonale på tværs af
oprindelses-, transit- og destinationsland�½ For
at skjule oprindelseslandet sendes varerne ofte
i containere eller lignende gennem flere lande,
hvor de udskifter følgedokumenter og transport-
midler
(FATF 2020:16)�½
Europol vurderer, at EU udgør et omdrejnings-
punkt for global handel med vilde dyr og planter,
og at organiserede kriminelle aktører dominerer
den illegale handel
(Europol 2022c: 21-22),
herunder handlen med glasål til Asien, som
Europol vurderer er en milliardindustri
(Europol
2022c: 25)�½
Der er ikke i en dansk kontekst faldet dom i sager
om illegal handel med truede dyr og planter,
der har karakter af organiseret kriminalitet, men
kriminalitetens omfang i udlandet gør, at det er
sandsynligt, at det finder sted i Danmark�½
FREMTIDIG UDVIKLING
På baggrund af begrænset tilgængelig national
og international viden og de få sager i Danmark
vurderer Hvidvasksekretariatet, at udbyttet i
Danmark er begrænset�½
Hvidvasksekretariatet vurderer, at det er sandsynligt, at krimi­
naliteten på området samt det ulovlige udbytte hverken vil stige
eller falde, og at truslen i forhold til hvidvask er
begrænset.
REU, Alm.del - 2023-24 - Endeligt svar på spørgsmål 1456: Spm. om hvor mange overførsler, der indføres udeklarerede til Danmark, herunder om der findes skøn herfor
2938919_0081.png
DEN NATIONALE RISIKOVURDERING AF HVIDVASK
81
MENNESKESMUGLING
Det er Hvidvasksekretariatets vurdering, at
menneskesmugling og det ulovlige udbytte
heraf kan stige frem mod 2025�½ Den relative
økonomiske forskel mellem Danmark og afsen-
derlandene er stor�½ Konflikter i Mellemøsten,
dele af Afrika og i vores eget nærområde kan
have indvirkning på omfanget af menneske-
smugling til Danmark�½ Menneskesmugling vil
forblive attraktivt for kriminelle aktører, fordi det
økonomiske udbytte er stort�½
Hvidvasksekretariatet vurderer, at truslen i
forhold til hvidvask i Danmark er
begrænset.
Menneskesmugling er udtryk for, at nogle faci-
literer og transporterer mennesker illegalt over
landegrænser for profit eller andre materielle
ydelser�½ Målet med transporten kan være at
søge asyl eller leve illegalt i destinationslandet�½
Menneskesmugling foregår typisk frivilligt, og
den eller de smuglede personer betaler men-
neskesmuglerne for ydelsen�½ De smuglede
personer vil som udgangspunkt være frie, når
destinationen er nået�½
Menneskesmugling straffes ved udlændinge-
lovens § 59, stk�½ 8, og straffelovens § 125 a med
fængsel i indtil otte år�½
Menneskesmuglere er primært drevet af profit,
og menneskesmugling er et lukrativt område�½
Der findes ikke præcise tal for det økonomiske
omfang af menneskesmugling, men internatio-
nale efterforskninger viser, at menneskesmug-
lerne forlanger mellem 1�½000 og 9�½000 euro
svarende til mellem 7�½500 og 67�½500 danske
kroner per person for at fragte mennesker til
eller rundt i Europa
(Europol 2021e: 8-9)�½
FATF
estimerer forsigtigt, at menneskesmugling gene-
rerer ti milliarder dollars årligt svarende til knap
65 milliarder danske kroner
(FATF 2022e: 4)�½
I perioden 2018-2021 er der registreret 292
anmeldelser, 345 sigtelser og 294 fældende
afgørelser efter straffelovens § 125 a og udlæn-
dingelovens § 59, stk�½ 8�½ Langt størstedelen af
sagerne er behandlet i 2018, idet det er tilfæl-
det for omkring halvdelen af anmeldelserne,
sigtelserne og de fældende afgørelser
(se
Hvidvasksekretariatet 2022�½ Metoderapport)�½
Godt 90 pct�½ af anmeldelserne og sigtelserne
omhandler overtrædelse af udlændingelovens
bestemmelse om menneskesmugling i hele
perioden�½ For så vidt angår de fældende afgø-
relser i hele perioden vedrører knap 80 pct�½
overtrædelse af udlændingeloven, imens godt
20 pct�½ er fældende afgørelser om overtrædelse
af straffelovens bestemmelse om menneske-
smugling
(se Hvidvasksekretariatet 2022�½
Metoderapport)�½
Hovedparten af de sigtede personer er pågre-
bet i køretøjer, fly, skibe eller tog i forbindelse
med dansk grænsekontrol�½ De smuglede havde
enten falsk eller ingen legitimation�½
Europol anser menneskesmugling som en
kernetrussel mod EU, hvor misbrug af asyl-
procedurer og huller i lovgivningen vedrørende
indrejse og legalt ophold i EU misbruges af
kriminelle netværk
(Europol 2021e: 12)�½
3.14
SKADESANALYSE
Som beskrevet i kapitel 2
Danmark 2022-2025
er antallet af fordrevne mennesker steget til
mere end 100 millioner i foråret 2022
(UNHCR
2022)�½
Stigningen skyldes blandt andet konflik-
ter, forfølgelse og krænkelser af menneskeret-
tigheder og vil med stor sandsynlighed få betyd-
ning for flygtninge- og migranttilstrømningen
til Europa fremover�½ Tallene vil naturligvis være
påvirket af udviklingen i klimaet, politiske konflik-
ter med videre�½ Det er vanskeligt at vurdere kon-
sekvenserne af flygtninge- og migranttilstrøm-
ningerne, da disse er afhængige af den politiske
udvikling i Danmark, Europa og på verdensplan�½
NATIONALE TRUSLER
TRUSSEL
REU, Alm.del - 2023-24 - Endeligt svar på spørgsmål 1456: Spm. om hvor mange overførsler, der indføres udeklarerede til Danmark, herunder om der findes skøn herfor
2938919_0082.png
82
DEN NATIONALE RISIKOVURDERING AF HVIDVASK
NATIONALE TRUSLER
Menneskesmugling har mange skadesvirknin-
ger�½ Det har konsekvenser for de enkelte landes
styring af, hvem der kan tage ophold i landet,
herunder også sikkerhedsmæssige aspekter�½
For de smuglede personer, der får stillet en til-
værelse i udsigt, som viser sig ikke at være rea-
liserbar, har det store personlige og helbreds-
mæssige konsekvenser�½ Menneskesmuglerne
kan også bruge vold eller trusler om vold mod
migranterne og mod retshåndhævende perso-
ner�½ Dertil risikerer smuglerne også at bringe
migranternes liv i fare ved at transportere dem i
ødelagte både eller skjule dem under trange kår
i længere perioder
(Europol 2021a: 68)�½
Menneskesmugling involverer også forskellige
former for følgekriminalitet fx dokumentfalsk,
herunder identitetsdokumenter eller falsk
visum
(Europol 2021a: 69)�½
Derudover kan
menneskesmugling indebære korruption, nar-
kotikasmugling, seksuelle og fysiske overgreb,
afpresning, røveri, drab og andre former for
udnyttelse af migranterne
(FATF 2022e: 14)�½
Menneskesmuglerne arrangerer transport og
boliger langs ruten, dokumentation til lega-
lisering af migranternes opholdsstatus, her-
under levering af falske dokumenter og/eller
Schengenvisum, arrangerede ægteskaber, falsk
registreret partnerskaber eller falske adoptioner
og vejledning i øvrigt
(Europol 2021a: 69)�½
Politiets data viser, at de menneskesmuglere,
der er dømt i Danmark siden 2018, primært
kommer fra Syrien, Tyskland, Sverige, Egypten,
Irak eller er statsløse, og at der ofte er et sam-
menfald med migranternes oprindelse�½
Menneskesmuglerne kan være involveret i flere
kriminalitetstyper, hvor de anvender deres distri-
butionsnetværk til andre kriminalitetsformer fx
menneskehandel, smugling af narkotika, våben
og hvidvask
(Europol 2021a: 68)�½
Kriminelle
netværk er gode til at tilpasse ruter og meto-
der afhængigt af vejrforhold, tilgængelighed
af transportlogistik og tilstedeværelse af risici
såsom øget lovhåndhævelse eller rejsebe-
grænsninger�½ Coronapandemien har under-
streget, at globale kriser ikke forstyrrer migra-
tionsstrømmene væsentligt og ikke reducerer
efterspørgslen efter smuglingstjenester
(Europol
2021a: 68)�½
FATF peger på, at nedlukninger
af grænser kan have øget efterspørgslen efter
menneskesmuglere for at kunne krydse græn-
serne
(FATF 2022e: 12-13)�½
Digitalisering er en integreret del af smugler-
nes værktøjer, og de bruger sociale medier og
mobile applikationer til rekruttering, kommuni-
kation, pengeoverførsler, vejledninger og billetter
samt overvågning af retshåndhævende aktivite-
ter (fx via videoovervågning og droner)
(Europol
2021a: 68)�½
Brugen af krypterede sociale medier
udgør en udfordring med hensyn til ikke bare
at opdage smuglingen, men også i forhold til at
opdage hvidvask
(FATF 2022e: 33)�½
Menneskesmugling er særligt påvirket af den
politiske, økonomiske og humanitære udvikling i
verden�½ Personer, der lever i en region præget af
en lav levestandard, høj arbejdsløshed, korrup-
tion, manglende uddannelsesmuligheder, væb-
nede konflikter og sammenbrud af samfunds-
strukturen, er i højrisikogruppen for at indvillige
i menneskesmugling�½ EU er forholdsvis mere
økonomisk, politisk og miljømæssigt stabilt,
hvilket er en vigtig faktor, når smuglerne og de
smuglede vælger destinationsland
(Frontex
2022: 6, 9-12)�½
TRUSLER OG SÅRBARHEDER
Menneskesmugling er et profitabelt kriminali-
tetsområde, og sammen med en lav opdagel-
sesrisiko tiltrækker det organiserede kriminelle
grupper�½ Nogle af disse grupper er løst forbundet
gennem levering af ydelser, fx falske pas, som en
crime-as-a-service�½ Andre grupperinger er mere
strukturerede, som en klassisk organisation med
faste funktioner og leverancer�½ Nøglepersonerne
kommer oftest fra migranternes oprindelsesland
(FATF 2022e: 13-14)�½
De organiserede grupper,
der er involveret i faciliteringen, er ofte forbun-
det på tværs af transit- og destinationsland�½ De
samme tendenser ser vi i Danmark�½
REU, Alm.del - 2023-24 - Endeligt svar på spørgsmål 1456: Spm. om hvor mange overførsler, der indføres udeklarerede til Danmark, herunder om der findes skøn herfor
2938919_0083.png
DEN NATIONALE RISIKOVURDERING AF HVIDVASK
83
Omvendt er grænseforanstaltninger og øget
grænseindsats ved EU’s ydre og indre grænser
en barriere, som enten kan imødegås ved at
vælge en anden destination eller ved at påtage
sig en større risiko�½
FATF fastslår, at der har været en stigning i
menneskesmugling, men alligevel betragter
mange lande det ikke som et højrisikoområde,
og de tilknyttede pengestrømme bliver derfor
sjældent efterforsket�½ Dette udgør en sårbarhed
for det internationale samarbejde og for mulig-
hederne for at identificere og følge det økono-
miske udbytte fra menneskesmugling
(FATF
2022e: 4-5)�½
Potentiale for hvidvask
Kontanter er fortsat et vigtigt betalingsmiddel,
når der skal afregnes med menneskesmug-
lerne, men brug af uformelle pengeoverførsels-
systemer som fx hawala udgør en stigende
tendens, hvilket gør det vanskeligt for myndig-
heder at følge pengestrømme
(FATF 2022e:
4)�½
Derudover ser Europol blandt menneskes-
muglere en øget brug af kryptoaktiver, som
Europol forventer vil stige
(Europol 2021a: 68)�½
Hvidvasksaktiviteterne foregår blandt andet ved
køb af ejendomme samt højværdivarer
(FATF
2022e: 20),
og ved at kanalisere penge gennem
legale virksomhedsstrukturer i et setup, der ofte
indebærer handelsbaseret hvidvask fx misbrug
af det internationale handelssystem via blandt
andet over- og underfakturering af import- og
eksportvarer�½
Virksomhederne bruges desuden også til
at yde logistisk hjælp langs smuglerruterne
(FATF 2022e: 24)�½
Ifølge FATF benytter orga-
niserede menneskesmuglere sig af professio-
nelle hvidvaskere til at hvidvaske det ulovlige
udbytte
(FATF 2022e: 20)�½
Politiet oplyser
dog, at betalingen typisk sker i afsenderlandet
og dermed ikke i Danmark�½ Derfor vurderer
Hvidvasksekretariatet, at udbytte fra menne-
skesmugling i Danmark, er begrænset�½
FREMTIDIG UDVIKLING
Europol forventer, at de sundhedsmæssige,
økonomiske og politiske konsekvenser, som
følge af coronapandemien på mellemlang og
lang sigt øger migration mod Europa
(Europol
2021a: 68)�½
Danmark er fortsat et attraktivt
destinationsland�½ De ydre grænser mod EU
er blevet styrket, men konflikter rundt om
i verden vil formentlig have indvirkning på
omfanget af menneskesmugling�½ Verdens
befolkning fortsætter med at stige, især i
nogle af verdens mest ustabile regioner�½
Grænsekontrolforanstaltningerne på de mest
anvendte migrationsruter vil fortsat gøre det
sværere for migranter at nå deres slutdestina-
tion ved egen hjælp�½ Det vil sandsynligvis opret-
holde efterspørgslen på menneskesmugling�½
Europol vurderer, at organiseret menneskes-
mugling fortsat vil være en kerneaktivitet for
organiserede kriminelle aktører i de kommende
år
(Europol 2021a: 68)�½
NATIONALE TRUSLER
Hvidvasksekretariatet vurderer, at det er muligt, at det ulovlige
udbytte af menneskesmugling i Danmark vil øges i de kommende
år, men da pengene primært afregnes i andre lande, er hvidvask­
potentialet i Danmark og truslen i forhold til hvidvask
begrænset.
REU, Alm.del - 2023-24 - Endeligt svar på spørgsmål 1456: Spm. om hvor mange overførsler, der indføres udeklarerede til Danmark, herunder om der findes skøn herfor
2938919_0084.png
84
DEN NATIONALE RISIKOVURDERING AF HVIDVASK
3.15
UDBYTTE FRA
KRIMINALITET BEGÅET
I UDLANDET, DER
HVIDVASKES I DANMARK
Hvidvasksekretariatet vurderer, at der fortsat vil
blive hvidvasket ulovlige midler fra udlandet i
Danmark i de kommende år�½ Hvidvask af ulovlige
midler kan både ske i og igennem Danmark�½ I de
senere år er værnet mod hvidvask blevet styr-
ket, men der er fortsat sårbarheder i det danske
samfund, som gør det muligt at hvidvaske via
Danmark�½ Hertil kommer, at presset på Danmark
kan blive øget i takt med, at flere lande imple-
menterer hvidvaskforanstaltninger�½ Der er ikke
indikationer på, at udbyttegivende kriminalitet
begået i udlandet vil falde de kommende år�½
Hvidvasksekretariatet vurderer, at
truslen i forhold til hvidvask er
høj.
NATIONALE TRUSLER
TRUSSEL
Personfarlig kriminalitet�½
Ulovlig produktion og handel med narkotika�½
Bedrageri�½
Formueforbrydelser�½
Miljøkriminalitet�½
Samtidig er forholdene for organiserede krimi-
nelle aktører gunstige�½ På trods af europæiske
indsatser målrettet organiserede kriminelle
aktører har indsatserne overordnet set ikke haft
en effekt på de samlede kriminelle aktiviteter
i Europa
(Europol 2021a: 14)�½
Således er der
ikke indikationer på, at den samlede udbytte-
givende kriminalitet begået i udlandet vil falde i
de kommende år�½
Hvidvasksekretariatet har ikke mulighed for at
føre særskilt statistik over de underretninger,
der handler om hvidvask af midler fra krimina-
litet begået i udlandet�½ Ofte fremgår det heller
ikke af mistankegrundlaget, hvad førforbrydel-
sen formodes at være�½ Et udsnit af underret-
ninger med mistanke om hvidvask af ulovlige
midler fra udlandet handler blandt andet om:
Mistanke om insiderhandel�½
Placering af midler, der stammer fra korrup-
tion i udlandet, i Danmark�½
Nærtstående til en udenlandsk korrupt poli-
tisk eksponeret person, der ikke kan rede-
gøre for deres midlers oprindelse�½
Ulovlige midler, der stammer fra prostitution,
menneskesmugling og narkotikakriminalitet
begået i udlandet�½
Ulovlig produktion af brændstoffer og kemi-
kalier til industri�½
It-relateret økonomisk bedrageri (særligt
kærlighedssvindel og investeringssvindel)�½
SKADESANALYSE
Det er selvsagt vanskeligt at opgøre omfan-
get af udbyttet ved kriminalitet, der bliver
begået i udlandet, og hvilken andel der bliver
hvidvasket i Danmark�½ I kapitel 1
Hvidvask i
Danmark
anslog Hvidvasksekretariatet for-
sigtigt, på grundlag af en global gennemsnits-
vurdering fra FN, at der bliver hvidvasket for
cirka 68 milliarder kroner om året i Danmark�½
Hvidvasksekretariatet er ikke bekendt med,
hvor stor andelen af ulovlige midler fra udlandet
udgør, men konstaterer, at de største sager om
hvidvask i Danmark knytter sig til kriminalitet
begået i udlandet�½
Som tidligere beskrevet er hvidvask et resultat
af udbyttegivende kriminalitet, hvor det ifølge
Europol især er inden for den organiserede
kriminalitet, at der er behov for at hvidvaske
udbyttet�½ Samlet set fremhæver Europol føl-
gende kriminalitetsområder som de største
kriminalitetstrusler
(Europol 2021a: 98):
Kriminelle netværk, som gør brug af
korruption og hvidvask�½
Cyberangreb�½
Hvidvasksekretariatet har også eksempler på,
at Danmark bliver brugt som transitland, hvor
penge bliver placeret på danske bankkonti for
tilsyneladende at legitimere pengestrømme ved
at bruge det danske finansielle system�½
REU, Alm.del - 2023-24 - Endeligt svar på spørgsmål 1456: Spm. om hvor mange overførsler, der indføres udeklarerede til Danmark, herunder om der findes skøn herfor
2938919_0085.png
DEN NATIONALE RISIKOVURDERING AF HVIDVASK
85
Boks 14
Eksempel: Hvidvask af midler fra kriminalitet begået i udlandet
via Danmark
Et udenlandsk selskab A modtager midler, der stammer fra korruption�½ Selskabet betaler en
række fakturaer til et dansk selskab B, som er ejet af samme persongruppe�½ Pengene fra det
danske selskab B bliver videreført til selskaber uden for Danmark, ligeledes gennem faktura-
betalinger�½ Det danske selskab er nu blevet anvendt til at sløre midlernes oprindelse�½
En udenlandsk statsborger fra land A med bopæl i land B overfører store summer til en
konto i et pengeinstitut i Danmark, land C�½ Personen ses ikke at have nogen tilknytning til
Danmark�½ Pengene stammer angiveligt fra overskud på virksomhedsdrift, men midlernes
oprindelse og kundens øvrige forhold er ikke mulige at dokumentere�½ Midlerne føres videre
til fx bankkonti i land D, E og F�½
TRUSLER OG SÅRBARHEDER
Europol peger på, at de aktører, som særligt
er involveret i hvidvask, er aktører, som også i
høj grad er involveret i narkotikakriminalitet og
bedrageri
(Europol 2021a: 28)�½
Hvidvasksekretariatet har oplysninger, der indi-
kerer, at udenlandske organiserede kriminelle
aktører kanaliserer penge gennem danske konti�½
Underretninger om udlandstransaktioner hand-
ler ofte om transaktioner til eller fra Tyskland,
England, Tyrkiet, Sverige, USA, Polen, Spanien,
Litauen, Holland og Thailand�½
Der er også flere nyere eksempler på, at
Danmark er blevet brugt til hvidvask af ulovlige
midler fra udlandet�½ Det er fx tilfældet i en sag
fra juni 2022, hvor en 49-årig litauisk kvinde
blev idømt otte års fængsel for at stå bag hvid-
vask af særlig grov beskaffenhed�½
Kvinden erkendte i retten forsøg på hvidvask af
godt 29 milliarder kroner�½ Den økonomiske kri-
minalitet er foregået ved, at hun sammen med
to andre sigtede gennem 40 forskellige danske
kommanditselskaber havde gjort det muligt at
modtage og videreoverføre penge, som direkte
eller indirekte var udbytte fra kriminalitet fra
udlandet�½ I en periode fra december 2008 til
marts 2016 blev de godt 29 milliarder kanalise-
ret gennem rækken af selskaber, der alle havde
konti i Danske Banks filial i Estland�½
I det store hvidvask-kompleks, der var bygget
op omkring 40 danske kommanditselskaber,
havde den tiltalte blandt andet administreret
selskaberne og sørget for, at selskaberne var
udstyret med en formel ledelse og kunne afle-
vere regnskaber, således at selskaberne kunne
være registreret i Danmark�½ Hun havde dermed
gjort det muligt, at selskaberne kunne bruges til
at flytte penge rundt for at sløre deres ulovlige
oprindelse
(Anklagemyndigheden 2022a)�½
Boks 15
Bilforhandleren fra Paraguay
En bilforhandler fra Paraguay har ifølge myndighederne i sit hjemland begået skattesvindel
for mange millioner kroner samtidig med, at han var kunde i Jyske Bank�½ Bilforhandleren
havde flere konti i banken�½ I 2005 ansætter han en dansk investeringsrådgiver, som er
tidligere chef for en afdeling for velhavende kunder i Jyske Bank�½ Investeringsforvalteren
hjælper bilforhandleren med at placere pengene i selskaber i skattely både i De Britiske
Jomfruøer og Panama�½ Ifølge DR havde bilforhandleren et samlet engagement på knap 1,5
milliarder kroner og en formue på 600 millioner kroner, hvoraf halvdelen af engagementet
var placeret i tre forskellige filialer i Jyske Bank�½
Kilde:
DR (2021)�½
NATIONALE TRUSLER
REU, Alm.del - 2023-24 - Endeligt svar på spørgsmål 1456: Spm. om hvor mange overførsler, der indføres udeklarerede til Danmark, herunder om der findes skøn herfor
2938919_0086.png
86
DEN NATIONALE RISIKOVURDERING AF HVIDVASK
I sagen blev der rejst tiltale mod to yderligere
personer: En 49-årig kvinde, tidligere russisk
statsborger, som er udleveret fra England den
22�½ december 2021, samt en 56-årig litauisk
mand, der bor i Danmark
(Anklagemyndigheden
2022a)�½
Sagen er ved analysens afslutning
endnu ikke afgjort�½
Europol oplyser, at kriminelle netværk i EU har
etableret undergrundsbanksystemer (interna-
tionale controller netværk), hvor transaktioner
og betalinger helt eller delvist foregår uden om
det legale finansielle system�½ Dette system
understøtter, at kriminalitetens finansielle
spor sløres for myndigheder og de underret-
ningspligtige
(Europol 2021a: 98)�½
Det er ikke
muligt at opgøre, i hvor høj grad Danmark er
en del af dette undergrundsbanksystem, og
i hvilken grad kriminelle aktører anvender
sårbarheder i det danske samfund til at sløre
og anbringe det ulovlige udbytte, men det er
Hvidvasksekretariatets erfaring, at Danmark
også indgår i kæder af større netværk, der på
systematisk vis hvidvasker udbyttet fra krimina-
litet begået både i Danmark og udlandet�½
Hvidvask af ulovlige midler fra
udlandet via danske virksomheder
Danske virksomheder og international handel
bliver anvendt til at hvidvaske ulovlige midler i
Danmark, hvor udbytte fra legale virksomheder
bliver blandet med illegale aktiviteter, eller hvor
der er tale om rene dækselskaber�½
Hvidvasksekretariatet har oplysninger om
virksomheder, som ved siden af deres tilsyne-
ladende normale drift agerer transitkonto for
angiveligt ulovlige midler fra udlandet�½ Her
bliver de ulovlige midler sammenblandet
med virksomhedens normaldrift og videre-
ført til udenlandske selskaber gennem
fakturabetalinger�½
Udenlandske aktører har større mulighed for
at skjule reelt ejerskab�½ Det kan være en udfor-
dring for de danske banker og øvrige underret-
ningspligtige at få indsigt i, hvem den reelle ejer
i udlandet er, og dette kan medføre, at danske
virksomheder og institutioner benyttes til hvid-
vask, både som transitland for at sløre midler
og til integration, fx via køb af ejendomme�½
Ved at bruge store internationale selskaber
kan det være udfordrende for særligt mindre
virksomheder, herunder mindre pengeinstitutter
og andre underretningspligtige, at gennemskue
de komplette transaktioner af varer og penge,
der kommer igennem Danmark�½ Dette er særligt
gældende ved virksomheder, som kun har dele
af deres engagement i Danmark�½
International samhandel og udveksling af
arbejdskraft over landegrænser kan udnyttes til
at sløre midlernes oprindelse, og det udfordrer
myndighedernes indsats, fordi det ikke i alle
tilfælde er muligt at dele oplysninger effektivt
på tværs af landegrænser�½
Digitalisering
Den høje grad af digitalisering i Danmark gør
det nemmere at indsætte stråmænd og placere
mange penge, fordi det er nemt og hurtigt at
oprette virksomheder og flytte midler på tværs
af landegrænser�½ Der er også en tendens til, at
hvidvask i højere grad foregår digitalt, og som et
af verdens mest digitaliserede samfund er det
med til at øge risikoen for hvidvask af ulovlige
midler fra udlandet�½
Lav grad af korruption og høj levestandard
Udenlandske kriminelle aktører kan anvende
Danmarks internationale omdømme som et
lav-korruptionsland til at sløre midler, der stam-
mer fra kriminalitet�½ Ved at lade transaktioner
strømme gennem den danske finansielle sektor
kan midlerne fremstå som legitime�½
NATIONALE TRUSLER
REU, Alm.del - 2023-24 - Endeligt svar på spørgsmål 1456: Spm. om hvor mange overførsler, der indføres udeklarerede til Danmark, herunder om der findes skøn herfor
2938919_0087.png
DEN NATIONALE RISIKOVURDERING AF HVIDVASK
87
En lav grad af korruption gør det attraktivt at
placere midler i Danmark, fordi det i sig selv er
med til at legitimere midlerne og undgå mis-
tanke fra underretningspligtige og myndigheder
i de videre transaktioner�½
Geografiske risici
Som beskrevet i kapitel 2
Danmark 2022-
2025
har Danmarks geografiske placering med
grænser til EU’s største økonomi, Tyskland, bro
til Sverige og hurtige færgeforbindelser til fx
Norge og Polen samt vores medlemskab af EU
og Schengen-aftalen betydning for potentielle
trusler om hvidvask af ulovlige midler fra krimi-
nalitet begået i de lande, vi har mange og tætte
relationer til�½ For de lande gælder, at der er opsat
en infrastruktur, der kan anvendes til hvidvask�½
Det kan være lande i vores geografiske nærom-
råder, som fx Sverige, hvor det ikke er påkrævet
at deklarere kontanter ved indrejse til Danmark,
og derved vil kontanter fra kriminalitet begået
i Sverige, kunne transporteres til Danmark og
hvidvaskes i Danmark fx gennem valutaveks-
lings- og pengeoverførselsvirksomheder eller
via pengeudførsler gennem Københavns inter-
nationale lufthavn, der er knudepunkt for inter-
nationale flyvninger i Norden�½
Dertil kommer truslen fra kriminelle aktører
i lande, vi er forbundet til via fx handels-
forbindelser med de øvrige EU-lande, England,
USA og Kina�½
FREMTIDIG UDVIKLING
I de seneste år er værnet mod hvidvask i
Danmark blevet styrket, og myndighederne
har fået tildelt flere ressourcer til at føre tilsyn
med og bekæmpe hvidvask, og særligt den
finansielle sektor har oprustet deres indsats på
området�½ Dette taler for, at risikoen for hvidvask
af ulovlige midler fra udlandet vil blive begræn-
set fremadrettet�½
Det, der taler imod en begrænsning fremad-
rettet er, dels at de kriminelle aktører er blevet
mere professionelle og opsætter mere kom-
plekse strukturer til deres aktiviteter, dels at
Danmark fortsat er et attraktivt land at hvidva-
ske ulovlige midler i�½ Presset på Danmark kan
blive øget de kommende år i takt med imple-
mentering af yderligere hvidvaskforanstalt-
ninger i andre lande�½ Omfanget af hvidvask af
ulovlige midler fra kriminalitet begået i udlan-
det er også afhængigt af kriminalitetsudviklin-
gen, som der ikke er indikationer på vil komme
til at falde i den kommende tid�½
Hvidvasksekretariatet vurderer, det er meget sandsynligt, at
omfanget af hvidvask af midler, der stammer fra kriminalitet
begået i udlandet via Danmark er på samme niveau som
hidtil. Det er også Hvidvasksekretariatets vurdering, at
truslen i forhold til hvidvask af ulovlige midler, der stammer
fra kriminalitet begået i udlandet, er
høj.
NATIONALE TRUSLER
REU, Alm.del - 2023-24 - Endeligt svar på spørgsmål 1456: Spm. om hvor mange overførsler, der indføres udeklarerede til Danmark, herunder om der findes skøn herfor
2938919_0088.png
88
DEN NATIONALE RISIKOVURDERING AF HVIDVASK
3.16
ORGANISEREDE
KRIMINELLE AKTØRER
De organiserede kriminelle aktører i Danmark og
i udlandet udøver i stigende grad udbyttegivende
kriminalitet, og de får i nogen grad bistand af
professionelle aktører�½
En del af disse midler geninvesteres i ny krimina-
litet, som fx handel med narko�½
De organiserede kriminelle grupper og netværk i
Danmark kan vi overordnet opdele i:
Organiserede kriminelle aktører i Danmark�½
Organiserede kriminelle aktører fra udlandet,
der opererer her i landet, fx i forbindelse
med investeringssvindel eller svindel med
skatter og afgifter�½
TRUSSEL
NATIONALE TRUSLER
Hvidvasksekretariatet vurderer, at truslen
fra organiserede kriminelle aktører er
høj.
I de kriminalitetsområder, der er gennemgået,
indgår organiserede kriminelle aktører i varie-
rende grad�½ Når kriminaliteten er organiseret,
bliver den også en større trussel for samfundet�½
Organiseringen er med til at øge aktørernes
kapacitet inden for deres specialer, udvikle
metoder og effektivisere de kriminelle processer�½
Europol vurderer, at alvorlig og organiseret krimi-
nalitet er en kernetrussel mod den internationale
sikkerhed, herunder de omfattende økonomi-
ske konsekvenser for samfundet�½ Organiseret
kriminalitet forårsager betydelige økonomiske
skader, skaber parallelle økonomier, unddrager
samfundet væsentlige dele af den indkomst, der
skulle komme samfundet til gode, og svækker
retsstatsprincippet
(Europol 2021a: 8)�½
I praksis skelner vi ofte mellem organiserede
grupper og organiserede netværk, hvor grup-
per typisk er tættere forbundne end netværk�½
Organiserede kriminelle grupper kan være
rocker- og bandegrupperinger, men det kan
også være andre, der er bundet sammen af fx
nationalitet, etnicitet, levested eller andet�½
De organiserede kriminelle netværk kan være
alt fra mindre løst koblede grupperinger til store
multikriminelle netværk, der fungerer i koncern-
strukturer med hundredevis af selskaber fordelt
på mange jurisdiktioner med ledelses- og spe-
cialistfunktioner, fx mæglere, dokumentsvind-
lere, tekniske eksperter, finansielle rådgivere,
hvidvaskere med videre�½
I 2017 vurderede Europol, at der pågik efter-
forskninger i mere end 5�½000 organiserede
kriminelle grupperinger, og at de organiserede
kriminelle aktører genererede 110 milliar-
der euro om året svarende til 825 milliarder
kroner
(Europol 2017, Egmont Group 2022:
3)�½
Hvidvasksekretariatet er ikke bekendt med
nyere opgørelser�½
I flere tilfælde har politiet konstateret, at der er
et tæt samarbejde mellem danske organise-
rede kriminelle og udenlandske kriminelle, fx
når de skal importere narkotika til Danmark�½
Organiserede kriminelle aktører i
Danmark opererer i flere lande
I en europæisk kontekst fokuserer de fleste
organiserede kriminelle netværk på en enkelt
kriminalitetsform fx indbrud, økonomisk it-kri-
minalitet eller menneskehandel, men cirka 40
pct�½ er multikriminelle og aktive inden for flere
kriminalitetsformer
(Europol 2021a: 19)�½
Når
de organiserede kriminelle begår flere forskel-
lige former for kriminalitet, kan det skyldes, at
visse kriminalitetstyper afhænger af anden kri-
minalitet fx salg af narkotika, anvendelse af de
modtagne kontanter fra salg af narkotika til sort
aflønning i særlige brancher eller dokument-
falsk for indsmuglede personer, der skal udføre
det sorte arbejde�½ Der kan også være tale om,
at de kriminelle aktører udnytter de distribu-
tionsnetværk, der er etableret til fx smugling
af narkotika, til at smugle andre varer, fx kopi-
produkter, menneskesmugling eller andet�½ De
organiserede kriminelle netværk er ofte aktive
i flere lande�½ Europol estimerer, at omkring 70
pct�½ af de kriminelle netværk opererer i mere
end tre lande
(Europol 2021a: 19)�½
Nogle organiserede kriminelle i Danmark
er også multikriminelle og opererer også i
flere lande, fx i forhold til salg af narkotik og
prostitution�½
REU, Alm.del - 2023-24 - Endeligt svar på spørgsmål 1456: Spm. om hvor mange overførsler, der indføres udeklarerede til Danmark, herunder om der findes skøn herfor
2938919_0089.png
DEN NATIONALE RISIKOVURDERING AF HVIDVASK
89
Europol vurderer, at mere end halvdelen af de
organiserede kriminelle aktører i EU anvender
korruption og i stigende grad anvender vold,
der også bliver mere voldsom
(Europol 2021a:
14-15, 18)�½
Der er ikke indikationer på, at ande-
len er lige så høj i Danmark, men det er ikke
nærmere undersøgt�½
for svindel gennem fiktive virksomheder og brug
af stråmænd, ligesom denne svindel i visse
tilfælde gennemføres ved hjælp af professionel
rådgivning�½ I de større sager afsløres ikke alene
svindel med angivelser af moms og A-skat,
men også hvidvask�½ I perioden 2018-2020 førte
Skattestyrelsens kontrol af rocker- og bandemil-
jøet til øget skatteopkrævning på 530 millioner
kroner
(Skattestyrelsen 2021a)�½
Økonomisk kriminalitet tiltrækker også andre
aktører, end dem vi normalt forbinder med orga-
niserede kriminelle�½ Det kan være mere eller
mindre sårbare borgere, der tvinges eller lader
sig bestikke til konkrete kriminelle aktiviteter,
fx tyveri af kontooplysninger, muldyrsaktivite-
ter, udstedelse af falske fakturaer fra mindre
erhvervsdrivende med videre eller medarbejdere
i finansielle institutioner, rådgivere og eksperter,
der stiller deres ekspertviden til rådighed for
kriminelle aktører�½ Svensk politis gennemgang
af Encrochat-data viste, at der var aktører i det
krypterede netværk, som udøvede
uautoriseret
indflydelse�½
Det vil sige, at de i kraft af deres
erhverv, fx som bankansat eller advokat, bidrog
til kriminelle handlinger
(Polisen 2021: 30)�½
Europol vurderer, at den økonomiske situation
i Europa kan påvirke den alvorlige og organi-
serede kriminalitet i de kommende år
(Europol
2021a: 96)�½
Det skyldes især, at de organise-
rede kriminelle aktører er omstillingsparate og
gode til at udnytte kriser, som vi har set det i for-
bindelse med coronapandemien og Ruslands
invasion af Ukraine, og at økonomiske udfor-
dringer gør flere borgere sårbare i forhold til at
blive udsat for kriminalitet, men også i forhold til
at deltage i kriminelle aktiviteter�½
ØKONOMISK KRIMINALITET ER
I VÆKST HOS ORGANISEREDE
KRIMINELLE
Politiet vurderer, at omfanget og kompleksiteten
af økonomisk kriminalitet i rocker- og bandemil-
jøet i Danmark er stigende�½ Det gælder fx skatte-
og momskriminalitet, svindel med klonede biler
og leasingkarruseller�½ Det skyldes først og frem-
mest, at økonomisk kriminalitet er attraktivt�½ Det
økonomiske udbytte er stort, opdagelsesrisikoen
er lav, straffen er lavere end ved fx narkotikakri-
minalitet, og der er mindre fordømmelse i sam-
fundet i forhold til mere personfarlig kriminalitet�½
Samtidig betyder den øgede digitalisering
af samfundet, herunder opstart af virksom-
heder og onlineoprettelse af bankkonti i ind- og
udland, nye muligheder�½ Muligheder for køb af
specialistkompetencer hos andre aktører, end
de der traditionelt har indgået i organiserede
kriminelle grupper og netværk, øger de organi-
serede kriminelles kapacitet og muligheder for
at begå kriminalitet�½ Den tendens gælder også
rocker- og bandemedlemmer i udlandet og
øvrige organiserede kriminelle aktører�½
Skattestyrelsen vurderer også, at den økonomi-
ske kriminalitet er blevet mere organiseret, og
at der er en tendens til mere avancerede former
Hvidvasksekretariatet vurderer, at organisationsgraden blandt
de organiserede kriminelle og anvendelsen af professionelle
aktører øger kapaciteten til kriminalitet inden for de
kriminalitetsområder, de opererer i. Organiseringen gør dem
også i stand til at indgå samarbejde med større internationale
grupper og netværk i forhold til hvidvask. Hvidvasksekretariatet
vurderer, at truslen fra organiserede kriminelle aktører er
høj.
NATIONALE TRUSLER
REU, Alm.del - 2023-24 - Endeligt svar på spørgsmål 1456: Spm. om hvor mange overførsler, der indføres udeklarerede til Danmark, herunder om der findes skøn herfor
2938919_0090.png
90
DEN NATIONALE RISIKOVURDERING AF HVIDVASK
3.17
PROFESSIONELLE
RÅDGIVERE
Hvidvasksekretariatet vurderer, at professio-
nelle rådgivere bistår kriminelle aktører med
ekspertviden og dermed øger de kriminelles
kapacitet�½ Det er Hvidvasksekretariatets vurde-
ring, at der er tale om få rådgivere, som til gen-
gæld udøver stor aktivitet�½
Hvidvasksekretariatet vurderer, at
truslen for, at rådgivere medvirker
til hvidvask, er
betydelig.
Rådgivere har i kraft af deres profession særlige
roller, som omfatter en særlig viden inden for
deres fagområde�½ Denne viden kan rådgivere
bruge til at understøtte kriminelle aktører med
at begå kriminalitet og sløre deres aktivite-
ter�½ Det kan fx være rådgivning om skatte- og
momsunddragelse, oprettelse af virksomheder
til illegitime formål, køb af ejendomme med
henblik på hvidvask af ulovligt udbytte eller
andet�½ Hvidvasksekretariatet definerer rådgivere
bredt�½ Det kan være revisorer, advokater, jurister
eller andre, der besidder en specialiseret viden�½
Men disse rådgivere behøver ikke have en spe-
cifik uddannelse�½ Det kan således også være
andre aktører i fx konsulent- og revisionshuse
med flere�½ Det afgørende er, at de har en særlig
viden, de stiller til rådighed for kriminelle aktø-
rer med henblik på at kunne begå mere avance-
ret hvidvask, end de kriminelle ellers ville have
kunnet udøve på egen hånd�½
FATF vurderer, at professionelle rådgivere i
stigende grad bistår organiserede kriminelle
aktører
(FATF 2018: 15, 36)�½
Det gælder også
i en dansk kontekst�½ Hvidvasksekretariatet har
såvel underretninger som efterretninger om
professionelle aktører i Danmark, der medvirker
til kriminelle aktiviteter�½
De professionelle rådgivere kan også være råd-
givere i udlandet, der bistår udenlandske eller
danske kriminelle aktører med at begå hvidvask
i Danmark�½ Det er Hvidvasksekretariatets vur-
dering, at det er få rådgivere, som udøver stor
aktivitet fx inden for virksomhedsoprettelse,
rådgivning om selskabsstrukturer, udarbejdelse
af dokumenter, stråmandsvirksomhed, penge-
overførselsvirksomheder, udbydere af kontor-
hoteller og køb og salg af ejendomme, herunder
erhvervsejendomme�½
Norske Økokrim udgav i 2021 en temarapport
om professionelle aktører, hvor det fremgår, at
norsk politi i flere sager og på tværs af profes-
sioner ser tætte bånd mellem de professionelle
aktører og centrale aktører i det kriminelle
miljø�½ Bekendtskaberne går ofte tilbage i tid
og varer i flere år�½ Samarbejdet er organiseret
og systematiseret
(Økokrim 2021: 5)�½
Den
svenske Encrochat-rapport afslørede også
lignende tendenser i Sverige
(Polisen 2021)�½
Hvidvasksekretariatet er ikke bekendt med
lignende danske analyser�½ 
De professionelle aktører kan understøtte
organiserede kriminelle aktører i at bedrive
systematisk og organiseret udbyttegivende
kriminalitet og hvidvask, og dermed øger de
truslerne fra organiserede kriminelle generelt�½ I
nogle tilfælde kan dette også ske ubevidst, hvor
rådgiverne ikke er vidende om, at deres service
skal bruges til illegitime formål�½
Der er internationalt fokus på professionelle
rådgivere, der virker som service providers
for kriminelle aktører�½ FATF har ifølge Europa-
Kommissionen lagt op til øget fokus på de
såkaldte gatekeepers, herunder fokus på inter-
nationalt samarbejde mellem tilsynsmyndig-
heder
(Europarådet 2022: 6, 12-14)�½
NATIONALE TRUSLER
TRUSSEL
Hvidvasksekretariatet vurderer, at truslen for, at rådgivere
medvirker til hvidvask, er
betydelig.
REU, Alm.del - 2023-24 - Endeligt svar på spørgsmål 1456: Spm. om hvor mange overførsler, der indføres udeklarerede til Danmark, herunder om der findes skøn herfor
2938919_0091.png
DEN NATIONALE RISIKOVURDERING AF HVIDVASK
91
PROFESSIONELLE
HVIDVASKERE
Professionelle hvidvaskere er personer, der mod
betaling sørger for, at andre kriminelle aktører
kan få hvidvasket deres kriminelle udbytte.
Hvidvasksekretariatet vurderer, at
truslen for, at nationale og internationale
professionelle hvidvaskere agerer i
Danmark og øger de kriminelle aktørers
kapacitet på hvidvaskområdet, er
betydelig.
Kriminelle aktører, hvad enten de opererer alene
eller som et netværk, kan hvidvaske via:
Selvhvidvask,
hvor kriminelle aktører hvid­
vasker eget udbytte fra kriminalitet.
Køb af kriminelle ydelser som
crime-as-a-
service,
hvor de kriminelle aktører får pro­
fessionel rådgivning fx bistand fra advokater,
ejendomsmæglere og andre rådgivere til dele
af deres hvidvaskaktiviteter, som beskrevet i
afsnittet om professionelle rådgivere.
Køb af
fuldt professionelt hvidvask-setup,
hvor kriminelle aktører får hvidvasket deres
udbytte af andre kriminelle – professionelle
hvidvaskere – i et fuldt professionaliseret
system.
FATF skelner mellem tre typer af professionelle
hvidvaskere:
1)
Den individuelle hvidvasker
(PML), der
besidder ekspertise eller særlige kompe­
tencer. Det kan fx være en advokat, en
revisor, en guldsmed, valutaveksler eller
en it­specialist, der har dette som legal
profession og kører sine hvidvaskaktiviteter
ved siden af sit legale arbejde.
2)
En professionel hvidvaskorganisation
(PMLO), der består af to eller flere individer,
der opererer autonomt og tilbyder forskel­
lige services i forbindelse med hvidvask.
Hvidvask kan være deres kerneforretning.
3)
Et professionelt hvidvasknetværk
(PMLN)
som er en samling af samarbejdspartnere
og kontakter, som arbejder sammen om
at levere et fuldt hvidvasksetup eller dele
heraf. Netværkene arbejder typisk globalt
og kan inkludere flere professionelle hvid­
vaskorganisationer. Netværkene servicerer
flere organiserede kriminelle grupperinger
på tværs af lande og regioner og opererer
som et globalt selskab
(FATF 2018: 12­13).
Mens de organiserede kriminelle aktører ofte
køber kriminelle serviceydelser fra individuelle
hvidvaskere, de kender eller har kendskab til,
er der ofte ikke nogen personlig forbindelse
mellem de organiserede kriminelle og de
mere professionelle hvidvasknetværk
(FATF
2018:15).
3.18
Det er Hvidvasksekretariatets vurdering, at
kriminelle aktører i Danmark anvender alle tre
metoder.
De organiserede kriminelles aktiviteter genererer
så mange penge, at det er vanskeligt for dem at
hvidvaske midlerne selv. Derfor har de brug for
professionelle aktører, der veksler rådgivning og
ekspertbistand for et gebyr eller en andel i det
ulovlige udbytte.
NATIONALE TRUSLER
TRUSSEL
REU, Alm.del - 2023-24 - Endeligt svar på spørgsmål 1456: Spm. om hvor mange overførsler, der indføres udeklarerede til Danmark, herunder om der findes skøn herfor
2938919_0092.png
92
DEN NATIONALE RISIKOVURDERING AF HVIDVASK
Illustration 2:
Crime­as­a­service. Pakkeløsning
med virksomhedskonstruktioner inkl. skjulte ejere
Legale virksomheder bruges til at facilitere
en række kriminelle aktiviteter i Europa enten
gennem direkte ejerskab eller infiltrering.
Mere end 80 pct. af de kriminelle netværk i
Europa bruger legale virksomhedsstrukturer i
deres virke
(Europol 2021a: 11),
herunder også
organiserede kriminelle aktører i Danmark.
Misbrug af legale virksomhedsstrukturer i
ind­ og udland er et helt centralt modus i de
fleste større hvidvaskkonstruktioner. Disse
består af mange front­ og dækselskaber som fx
pengeoverførselsvirksomheder, virksomheder
i offshore­centre og kontantbaserede virksom­
heder involveret i fx hotel og detailhandel, som
penge og værdier kan føres igennem. Her sløres
forbindelsen mellem de kriminelle aktører og
værdierne. De professionelle netværk kan inde­
holde flere hundrede virksomheder og ligeså
mange bankkonti i forskellige lande, herunder
skattelylande, organiserede muldyrsnetværk
og professionelle aktører, der kan integrere
pengene i legale økonomier
(FATF 2018).
den måde har de opsat et undergrundsbank­
system, der kan flytte store værdier uden om
det traditionelle banksystem.
De større datalæk fra fx Pandora Papers og
Dubai Uncovered afslører, at professionelle
rådgivere, som fx advokater, formueforvaltere
og andre eksperter i skat, rådgiver om løsninger,
der kan skjule forbindelsen mellem de ulovlige
midler og det reelle ejerskab til dem gennem
oprettelse af virksomhedsstrukturer og indsæt­
telse af stråmænd
(Europol 2021c: 4­6)
og inte­
grere midlerne fx via køb af ejendomme i Dubai
(OCCRP 2022).
Europa­Kommissionen vurderer,
at professionelle rådgivere er blandt de, der mis­
bruges mest af organiserede kriminelle aktører
til hvidvask
(Europa­Kommissionen 2022: 188).
Prisen for rådgivningen og ydelserne fra en
professionel hvidvasker afhænger blandt andet
af, hvor komplekse processer der er brug for,
hvor mange personer det involverer, hvor hurtigt
pengene skal vaskes og af hvidvasknetværkets
omdømme. På baggrund af sager og efterret­
ninger vurderer Hvidvasksekretariatet, at prisen
typisk ligger på 5­12 pct. af den værdi, der skal
hvidvaskes.
Europol estimerer, at 32 pct. af de organiserede
kriminelle grupperinger benytter professionelle
hvidvaskere, og at professionelle hvidvaskere
fortsat udgør en stor trussel i EU
(Europol 2021a:
21).
Dansk politi genkender også billedet med
brug af professionelle hvidvaskere herhjemme.
4.
The Ultra Protection (Corporate Nominee Director; Natural Person Nominee
Shareholder) Package, for $749 which includes:
a. Certificate of Incorporation;
b. Two sealed Memorandum and Articles of Association
c. Two Originals of the Subscriber’s Resolution appointing the First Director
d. Two Originals of the Minutes of the First Director’s Meeting
e. Share Certificate(s);
f. One set of apostilled incorporation documents
g. Nominee Director services by a Corporate Body,
h. Nominee Shareholder Services by a Natural Person
i. Nominee Shareholder’s Declaration;
j. Nominee Secretary service, if required;
k. A Meeting minute to facilitate resignation of Director/Secretary
l. Undated Director’s resignation notification;
m. Undated Secretary’s resignation notification, if applicable,
n. Blank undated Share Transfer to enable the transfer of shares at a later time;
o. Expression of Wishes (Offshore Will);
p. Director’s Meeeting resolution authorizing appointment of the Power of
Attorney or Consultant;
q. Power of Attorney (if applicable)
r. Power of Attorney or Consultancy Agreement (in duplicate);
s. Management Services Agreement (in duplicate);
t. Delivery by Courier
u. One year’s Registered Agent and Registered Address (for official use only);
v. Attending to mandatory reporting/filing requirements for year one including
attending to keeping statutory records/company books;
w. Booklet Guide on ”How to use and manage your IBC”.
NATIONALE TRUSLER
The highlighted items (above) are normally charged as extras by our competitors, but we include
them in our ”special” package price.
The annual renewal fee for an Ultra Protection (Full Nominee Company) Package
is US$485.00 and this includes Company renewal including government fees,
Incumbency Certificate, One Year’s Nominee Service, One Year’s Registered Agent
and Registered Office service and Delivery of Certificate of Incumbency by emaill.
Kilde:
World Bank Group 2022: 16.
De professionelle hvidvaskere kan være invol­
veret i alle tre faser af hvidvaskprocessen.
Hvordan processen ser ud afhænger af, hvilke
midler (kontanter, konto eller virtuelle aktiver)
der skal hvidvaskes, hvor meget udbyttet skal
sløres, og hvordan det skal integreres. Skal mid­
lerne fx udleveres i kontanter, indsættes på en
udenlandsk konto eller sættes i virksomheder
eller ejendomme i udlandet? De anvender en
kombination af forskellige hvidvaskmetoder og
er omstillingsparate i forhold til ændringer af
nationale lovgivninger, teknologi med videre. De
er også opmærksomme på grænseværdier eller
bagatelgrænser, der sættes af myndigheder
eller underretningspligtige, fx automatiserede
processer, der er sat til at se efter transaktio­
ner til særlige områder eller over eller under et
særligt beløb. Ekspertbistanden betyder, at de
er hurtige til at reagere på myndighedernes fore­
byggende foranstaltninger.
REU, Alm.del - 2023-24 - Endeligt svar på spørgsmål 1456: Spm. om hvor mange overførsler, der indføres udeklarerede til Danmark, herunder om der findes skøn herfor
2938919_0093.png
DEN NATIONALE RISIKOVURDERING AF HVIDVASK
93
Boks 16
Eksempel på cash-controller-netværk
En dansk narkohandler har syv millioner i kontanter fra salg af narkotika, hvoraf de 6,5
millioner kroner skal betales til en leverandør i Peru. Narkohandleren kontakter sin controller i
Danmark. Controlleren instruerer sin collector i Danmark om at hente de 6,5 millioner kroner
et sted i Jylland. Pengene indgår nu i en cash­pool i Danmark (eller i en cash­pool i EU, hvis
kontanterne flyttes fra Danmark til et andet EU­land). Controlleren instruerer nu sin collector
i Peru om at hente det, der svarer til 6,5 millioner kroner i dollars i kontanter fra hans cash­
pool i Peru, og aflevere dem til leverandøren på en parkeringsplads i Lima, forudsat at leve­
randøren oplyser det rigtige kodeord.
CASH­CONTROLLER­NETVÆRK
Nogle kriminalitetsområder genererer mange
kontanter, og de hvidvaskes blandt andet
gennem cash­controller­netværk
(FATF 2018:
19­21).
Cash­controller­netværk er nationale,
regionale eller globale netværk, der ledes af en
eller flere controllere, der har adgang til store
kontantpuljer (cash­pools) forskellige steder i
verden. Controllerne kontrollerer, koordinerer,
indsamler og fordeler de ulovlige midler. Pointen
er, at store summer kan flyttes uden at flytte
pengene fysisk. Det kan foregå ved, at store
summer af kontanter kan afleveres til en control­
ler i et land og udbetales af en anden controller
i et andet land, uden at kontanterne skal trans­
porteres og uden at efterlade et papirspor, der
kan koble de kriminelle aktører til midlerne.
I større netværk leder controllerne nogle såkaldte
collectors, som står for at hente og udlevere
pengene. Principperne i netværkene er de
samme som i andre og mindre uformelle penge­
overførselssystemer, og de fungerer som under­
grundsbanker. I deres system anvender de for­
skellige metoder til hvidvask for at flytte penge
og afregne indbyrdes, herunder fx uformelle
pengeoverførselssystemer som hawalanetværk,
valutavekslingsvirksomheder, pengetranspor­
tører og handelsbaseret hvidvask
(Europa­
Kommissionen 2022: 81­85).
Controlleren anvender sit netværk af virksomhe­
der, fx kasinoer, kontantbaserede virksomheder,
pengeoverførselsvirksomheder, import­ og eks­
portvirksomheder til at overføre værdierne fra et
sted til et andet. Pengene transporteres derfor
ikke fysisk fra Danmark til fx Peru, men noteres i
controllerens regnskab, som gøres op løbende,
og pengene bliver udlignet gennem hundredvis
af transaktioner via forskellige hvidvaskkanaler.
De regionale og globale cash­controller­net­
værk er store, de fordeler sig på mange juris­
diktioner, og der foretages tusinder af sådanne
transaktioner hver dag. I nogle af disse regio­
nale og globale netværk indgår nationale og
regionale organiserede kriminelle grupperinger,
og de udgør dermed et hjørne i et endnu større
netværk
(se fx Europol 2022b).
Identifikation af
sådanne netværk kræver samstilling af mange
forskellige oplysninger. Ofte vil kun dele af
netværkene være synlige i de enkelte lande.
Der kan således være elementer i de globale
netværk, fx et mindre lokalt hvidvasknetværk,
som identificeres i Danmark som en organise­
ret kriminel gruppering, der i realiteten indgår
som et brik eller et hjørne i et større globalt
hvidvasknetværk.
Hvidvasksekretariatet vurderer, at truslen for, at nationale og
internationale professionelle hvidvaskere agerer i Danmark og
øger de kriminelle aktørers kapacitet på hvidvaskområdet, er
betydelig.
NATIONALE TRUSLER
REU, Alm.del - 2023-24 - Endeligt svar på spørgsmål 1456: Spm. om hvor mange overførsler, der indføres udeklarerede til Danmark, herunder om der findes skøn herfor
2938919_0094.png
94
SÅRBARHEDER I DEN DANSKE HVIDVASKINDSATS
4.
SÅRBARHEDER
I DEN DANSKE
HVIDVASK-
INDSATS
REU, Alm.del - 2023-24 - Endeligt svar på spørgsmål 1456: Spm. om hvor mange overførsler, der indføres udeklarerede til Danmark, herunder om der findes skøn herfor
2938919_0095.png
DEN NATIONALE RISIKOVURDERING AF HVIDVASK
95
SAMMENFATNING
Risikoen for, at Danmark misbruges til hvidvask, er i
internationale sammenligninger vurderet lavt. Men der er
stadig en række strukturelle faktorer, der gør os sårbare over
for hvidvask. Identifikation og håndtering af sårbarheder kan
mindske risikoen for hvidvask i Danmark.
4.1
I dette kapitel ser vi nærmere på, hvilke struktu-
rer i det danske samfund der gør os særligt sår-
bare over for hvidvask�½ Identificering af de natio-
nale trusler og sårbarheder på hvidvaskområdet
skal bidrage til en bedre forståelse af de største
risici for hvidvask i Danmark og danner grundlag
for en risikovurdering af de metoder, de krimi-
nelle aktører anvender til hvidvask i Danmark,
og dermed hvilke brancher der er i særlig risiko
for at blive misbrugt til hvidvask�½
Vi ser på strukturerne fra et hvidvaskperspektiv,
og det er herudfra, vi vurderer, om sårbarhederne
er større eller mindre�½ Her er det vigtigt at holde
sig for øje, at sårbarhederne ikke er et udtryk for
en vurdering af, om strukturerne i sig selv er gode
eller dårlige eller om aktører er mere eller mindre
effektive�½ Det er alene et udtryk for, om struktu-
rerne i relation til hvidvask kan udnyttes af de
kriminelle aktører i ind- og udland til hvidvask�½ Fx
nævner vi tilliden i det danske samfund og selv-
anmeldelsesstrukturerne, der kan være indbyg-
get i offentlige digitale systemer, som på mange
måder gør det både nemmere og mere effektivt
at være borger og virksomhed i Danmark�½ Set i
relation til hvidvask, udgør det dog også en sår-
barhed, som de kriminelle aktører kan misbruge i
deres hvidvaskaktiviteter�½ På samme måde ser vi
fx på myndighedernes risikobaserede kontrolind-
sats, som i sin natur betyder, at myndighederne
skal fokusere på de mest risikofyldte områder,
og at indsatsen mod udvalgte virksomheder
eller udvalgte varegrupper skal målrettes på
baggrund af risiciene�½ Den risikobaserede kon-
trolindsats har den konsekvens, at der ikke kan
ske en kontrol af alle personer og virksomheder,
der er omfattede af hvidvaskloven�½ Det giver god
mening ud fra et risikoperspektiv og en ressour-
cebetragtning, men det betyder på den anden
side, at der naturligvis altid vil være en sårbarhed
i forhold til de virksomheder og personer, der
ikke kontrolleres�½
Det er også vigtigt at pointere, at sårbarhederne
sjældent kan håndteres af enkeltaktører alene,
men kræver en samlet indsats af de myndig-
heder og underretningspligtige, der er en del af
den danske hvidvaskindsats�½
Vi vurderer sårbarhederne ud fra, i hvilken
udstrækning de kan gøre hvidvask muligt, når
vi ser dem i relation til de nationale trusler�½ Det
er vanskeligt at vurdere sårbarhederne isoleret
set, da de ikke er uafhængige af hinanden�½ Fx
vil lovgivningsmæssige faktorer have betydning
for stort set alle øvrige faktorer�½ At mindske
sårbarhederne for hvidvask gennem øget lov-
givning kan have en positiv effekt på hvidvas-
kområdet, men kan også have utilsigtede kon-
sekvenser på andre områder, fx gøre det mere
tidskrævende og omkostningstungt at oprette
en virksomhed eller øge hvidvaskforpligtelserne
for udvalgte brancher�½ Vi forholder os alene til, i
hvilket omfang en struktur udgør en sårbarhed i
forhold til hvidvask�½
Sårbarhederne er inddelt i samfundsmæssige
faktorer, politiske faktorer, sociale og kulturelle
faktorer, økonomiske og teknologiske faktorer,
geografiske og lovgivningsmæssige faktorer�½
I nedenstående tabel fremgår de sårbarheder,
der er identificeret under de forskellige faktorer,
og sårbarhedsniveauet�½
Hvidvasksekretariatet har med udgangspunkt
i FATF’s guide til udarbejdelse af nationale
risikovurderinger
(FATF 2013, Annex II)
og ved
inddragelse af de internationale evalueringer
af Danmarks hvidvaskindsats, der foregår
løbende, identificeret og drøftet risici på natio-
nalt niveau i samarbejde med medlemmer af
HvidvaskForum�½
SÅRBARHEDER I DEN DANSKE HVIDVASKINDSATS
REU, Alm.del - 2023-24 - Endeligt svar på spørgsmål 1456: Spm. om hvor mange overførsler, der indføres udeklarerede til Danmark, herunder om der findes skøn herfor
2938919_0096.png
96
DEN NATIONALE RISIKOVURDERING AF HVIDVASK
Hvidvasksekretariatet vurderer, at de største sår-
barheder i Danmark udgøres af det globale og
fragmenterede betalingslandskab, manglende
viden om hvidvask og hvidvaskrisici i særligt
de ikke-finansielle brancher, kriminelle aktørers
brug af kontanter, begrænset udveksling af infor-
mationer mellem myndigheder om international
varehandel samt utilstrækkeligt internationalt
samarbejde�½
Tabel 9
SÅRBARHEDER I DEN DANSKE HVIDVASKINDSATS
Vurdering af nationale sårbarheder
Politiske og samfundsmæssige faktorer
Tillid til, at personer og virksomheder angiver korrekte
oplysninger i centrale selvregistreringssystemer
De politiske rammer på hvidvaskområdet
Sociale og kulturelle faktorer
Manglende viden om hvidvask og hvidvaskrisici
i særligt de ikke-finansielle brancher
Manglende muligheder for at dele oplysninger
mellem myndigheder hurtigt og effektivt
Omfanget af underretninger om hvidvask fra rådgivere er begrænset
Antallet og størrelsen på tilsynsmyndighedernes reaktioner
Manglende deling af Hvidvasksekretariatets oplysninger
med internationale samarbejdspartnere
Manglende nyttiggørelse af udenlandske efterretninger
Relativt få hvidvasksager efterforskes på baggrund af underretninger
Begrænset antal beslaglæggelser og konfiskationer
Kun én ud af ti underretningspligtige kan underrette omgående
Manglende deling og nyttiggørelse af Hvidvasksekretariatets
oplysninger med andre nationale myndigheder
Økonomiske og teknologiske faktorer
Det globale og fragmenterede betalingslandskab
Kriminelle aktørers brug af kontanter skaber
en kontantbaseret undergrundsøkonomi
Begrænset udveksling af informationer mellem
myndigheder om international varehandel
Udfordringer med at identificere reelle ejere i udlandet
Udfordringer med at identificere reelle ejere Danmark
Geografiske faktorer
Utilstrækkeligt internationalt samarbejde
De-risking af kunder i geografiske højrisikoområder
Lovgivningsmæssige faktorer
Begrænset hvidvaskregulering af pengetransportører
Begrænset hvidvaskregulering med virksomheder og personer,
der erhvervsmæssigt handler med guld og ædelsten
Begrænset hvidvaskkontrol med ikke-erhvervsdrivende fonde
Lovgivningsmæssige udfordringer i relation til hvidvask i rigsfællesskabet
Manglende hjemmel til effektiv deling og beskyttelse af oplysninger
Sårbarhedsniveau
Betydelig
Begrænset
Sårbarhedsniveau
Høj
Betydelig
Betydelig
Betydelig
Betydelig
Betydelig
Betydelig
Betydelig
Moderat
Moderat
Sårbarhedsniveau
Høj
Høj
Høj
Betydelig
Moderat
Sårbarhedsniveau
Høj
Begrænset
Sårbarhedsniveau
Betydelig
Betydelig
Betydelig
Moderat
Moderat
SÅRBARHEDER I DEN DANSKE HVIDVASKINDSATS
REU, Alm.del - 2023-24 - Endeligt svar på spørgsmål 1456: Spm. om hvor mange overførsler, der indføres udeklarerede til Danmark, herunder om der findes skøn herfor
2938919_0097.png
DEN NATIONALE RISIKOVURDERING AF HVIDVASK
97
STRUKTURELLE
FAKTORER
I et internationalt perspektiv vurderes risikoen
for, at Danmark misbruges til hvidvask at være
lav
(Basel Institute on Governance 2022:
25-27),
men en række sager har vist, at der i
Danmark er såvel trusler som sårbarheder, som
de kriminelle aktører kan udnytte�½
FATF, der sætter de globale standarder på
hvidvaskområdet, har vedtaget 40 anbefalinger
om forebyggelse og bekæmpelse af hvidvask,
terrorfinansiering samt finansiering af masse-
ødelæggelsesvåben (proliferationsfinansiering),
som medlemslandene har forpligtet sig til at
efterleve�½ FATF evaluerer jævnligt, om med-
lemslandene lever op til deres forpligtelser�½
FATF’s 40 anbefalinger er konkrete instruktio-
ner for, hvilke foranstaltninger medlemslandene
bør have på plads�½ Anbefalingerne er en række
tekniske foranstaltninger, som dækker over alt
fra beføjelser, procedurer, risikovurderinger,
forebyggende foranstaltninger, reaktionsmulig-
heder og en række andre lovgivningsmæssige
rammer, som medlemslandene skal implemen-
tere�½ Herudover evalueres medlemslandenes
effektivitet på baggrund af 11 forskellige mål�½
Målene fokuserer på, i hvilket omfang med-
lemslandene formår at mindske og håndtere
risici i relation til hvidvask samt finansiering af
terrorisme og proliferation�½
På den måde vurderer FATF, hvorvidt medlems-
landenes forbyggende foranstaltninger i relation
til hvidvask og terrorfinansiering er tilstrækkeligt
effektive�½ Vurderingen af, hvor effektivt med-
lemslandenes systemer fungerer i praksis, fore-
går blandt andet via on-site-besøg af FATF, hvor
de møder relevante offentlige og private aktører
i de pågældende lande
(FATF 2021d: 48-49)�½
Danmark blev senest evalueret af FATF i 2017
(FATF 2017)�½
Evalueringen viste, at Danmark
på flere parametre kan blive bedre til at fore-
bygge og bekæmpe hvidvask og finansiering af
terrorisme�½ Siden 2017 har Danmark været gen-
stand for flere opfølgende evalueringer af FATF,
som har vist, at Danmark efter 2017 er lykkedes
med at øge en række tekniske foranstaltnin-
ger�½ FATF vurderer derfor, at Danmark generelt
har de tekniske foranstaltninger på plads, idet
bedømmelsen for de 40 anbefalinger ligger
over middel, om end bedømmelsen af effek-
tiviteten og tilstrækkeligheden af den danske
indsats mod hvidvask og terrorfinansiering
generelt ligger under middel, hvilket dog ikke er
blevet vurderet siden 2017�½ Danmark forventes
at blive evalueret på ny af FATF inden for de
næste par år, hvor både de tekniske foranstalt-
ninger samt effektiviteten og tilstrækkeligheden
af den danske indsats mod hvidvask og terrorfi-
nansiering vurderes
(FATF 2021h)�½
4.2
SÅRBARHEDER I DEN DANSKE HVIDVASKINDSATS
REU, Alm.del - 2023-24 - Endeligt svar på spørgsmål 1456: Spm. om hvor mange overførsler, der indføres udeklarerede til Danmark, herunder om der findes skøn herfor
2938919_0098.png
98
DEN NATIONALE RISIKOVURDERING AF HVIDVASK
4.3
POLITISKE OG SAMFUNDS-
MÆSSIGE FAKTORER
DANMARK ER GODT MED I
IMPLEMENTERINGEN AF EU-
DIREKTIVER OG FORORDNINGER
Det er FATF, EU, Folketinget og regeringen,
der sætter rammen for hvidvaskindsatsen i
Danmark�½ De danske regler på hvidvaskområ-
det har afsæt i EU’s direktiver og internationale
standarder�½ Det politiske system har på tværs
af partiskel bakket op om implementering af de
standarder, der er sat af FATF og i vid udstræk-
ning er implementeret via EU-forordninger og
direktiver�½ Danmark er godt med i implemente-
ringen af EU-direktiverne og forbereder sig nu
på implementering af det sjette hvidvaskdirektiv
og den ny hvidvaskforordning, der for nuvæ-
rende er under forhandling i EU�½ EU-forordninger
er direkte gældende i dansk ret�½ I henhold til
rigsfællesskabet er der nogle yderligere sår-
barheder i Grønland og på Færøerne, fordi
lovgivningen og reglerne på tilsynsområderne
er forskellige fra Danmark (se afsnittet om lov-
givningsmæssige faktorer længere nede)�½
Den nationale indsats mod hvidvask og terror-
finansiering er beskrevet i
National strategi for
forebyggelse og bekæmpelse af hvidvask og
terrorfinansiering 2022-2025�½
Strategien bygger
videre på den nationale strategi til bekæmpelse
af hvidvask og terrorfinansiering for 2018-2021,
der intensiverede indsatsen og understregede,
at bekæmpelse af hvidvask og terrorfinansie-
ring er en samfundsopgave, der kræver en foku-
seret og fælles indsats fra såvel myndigheder
som private aktører�½
Den 1�½ januar 2022 blev National enhed for
Særlig Kriminalitet (NSK) oprettet på baggrund
af en politisk beslutning om at samle de mest
specialiserede enheder i dansk politi og ankla-
gemyndighed�½ Hensigten er at sikre en stærk
indsats mod den mest komplicerede økonomi-
ske, organiserede og it-relaterede kriminalitet�½
Hvidvasksekretariatet er blevet en del af NSK
som en operationelt uafhængig og selvstændig
virkende enhed�½
SÅRBARHEDER I DEN DANSKE HVIDVASKINDSATS
Hvidvasksekretariatet vurderer, at de politiske rammer udgør
en
begrænset
sårbarhed i forhold til hvidvask.
REU, Alm.del - 2023-24 - Endeligt svar på spørgsmål 1456: Spm. om hvor mange overførsler, der indføres udeklarerede til Danmark, herunder om der findes skøn herfor
2938919_0099.png
DEN NATIONALE RISIKOVURDERING AF HVIDVASK
99
TILLIDEN OG DIGITALISERINGEN I
DET DANSKE SAMFUND ER HØJ,
OG PÅ HVIDVASKOMRÅDET UDGØR
DET EN SÅRBARHED
Som det fremgår af kapitlet
Danmark 2022-
2025,
er Danmark et demokratisk samfund
med en lille åben økonomi�½ Borgerne har
generelt stor tillid til samfundets institutioner
og til hinanden�½ Den tillid betyder, at handler
og transaktioner kan ske hurtigere og billigere,
hvilket skaber effektive processer�½ Det skal
være nemt for borgere at få adgang til det
offentlige, der skal levere en hurtig service, og
det skal være nemmere at oprette og drive virk-
somhed i Danmark, ligesom virksomhederne
skal have mest mulig råderet over deres likvide
midler�½ For at kunne opfylde de formål bygger
en række offentlige ydelser og betalingsforhold
på, at borgere og virksomheder selv anmelder
forhold, fx når de anmelder en ny virksomhed i
cvr-registret eller angiver deres mellemværende
med det offentlige�½ Det gælder også i forhold til
skatte- og momsangivelser�½
Udgangspunktet er, at de fleste borgere og
virksomheder angiver legitime krav, men til-
liden kan misbruges og bliver misbrugt af
kriminelle aktører�½
Den tillid mellem borgere, virksomheder og
myndigheder, som vigtige dele af vores sam-
fund bygger på, udgør på hvidvaskområdet en
sårbarhed�½ Til gengæld betyder styrkelsen af
offentlighedens bevidsthed om risiciene ved
hvidvask, at der i stigende grad sættes foran-
staltninger op til at imødegå misbruget�½
Hvidvasksekretariatet vurderer, at tilliden til, at personer
og virksomheder angiver korrekte oplysninger, når centrale
selvregistreringssystemer anvendes, udgør en
betydelig
sårbarhed i forhold til hvidvask.
SÅRBARHEDER I DEN DANSKE HVIDVASKINDSATS
Digitaliseringen af den offentlige sektor og risi-
kobaserede kontroltryk hos myndighederne i
forhold til fx skatte- og momsafregninger bety-
der, at kriminelle aktører – inden de måtte blive
opdaget – kan unddrage det offentlige langt flere
penge, end det var muligt tidligere, hvor borgerne
skulle møde op eller udfylde blanketter manuelt�½
Muligheden for svindel med digitale identiteter,
herunder råderet over flere identiteter på en
gang, kan også øge tempoet på udbetalinger og
transaktioner i digitaliserede og automatiserede
systemer, og pengene kan hurtigere sendes til
udenlandske konti�½ Når kriminelle aktører mis-
tænkes for svig, påbegyndes en sag, hvor det
offentlige har bevisbyrden�½ Denne bliver stadigt
tungere i takt med den øgede fragmentering af
betalingslandskabet, brugen af legale virksom-
hedsstrukturer, stråmænd og offshore-selskaber
i udlandet, herunder i skattelylande, eller lande,
hvor det kan være vanskeligt at få udleveret
oplysninger og personer til retsforfølgning�½ I flere
tilfælde er virksomhederne meldt konkurs, inden
den samlede svig er kortlagt�½
REU, Alm.del - 2023-24 - Endeligt svar på spørgsmål 1456: Spm. om hvor mange overførsler, der indføres udeklarerede til Danmark, herunder om der findes skøn herfor
2938919_0100.png
100
DEN NATIONALE RISIKOVURDERING AF HVIDVASK
4.4
SOCIALE OG KULTURELLE
FAKTORER
RESSOURCERNE TIL AT
BEKÆMPE HVIDVASK ØGES, MEN
SAMARBEJDET MELLEM AKTØRER
KAN BLIVE MERE EFFEKTIVT
En given mistænkelig hvidvaskaktivitet kan
involvere flere forskellige typer af underret-
ningspligtige�½ I den forbindelse kan det udgøre
en sårbarhed, hvis nogle brancher forlader sig
på, at de andre brancher tager hånd om hvid-
vaskforpligtelserne, fx at ejendomsmæglerne
forlader sig på bankernes forpligtelse i forhold
til monitering af transaktioner i forbindelse med
en ejendomshandel�½ De enkelte virksomheders
ansvar er et værn mod hvidvask, fordi det giver
flere perspektiver på den samlede handling,
og fordi de fleste transaktioner går igennem
banken, hvor opmærksomheden på hvidvask-
forpligtelserne er høj�½
Siden den nye hvidvasklov trådte i kraft i 2017
har området for bekæmpelse af hvidvask været
kendetegnet ved oprustning både på myndig-
hedssiden samt hos brancheorganisationer og
de underretningspligtige�½ Det gælder i forhold
til antal medarbejdere, anvendelse af teknologi
og opbygning af samarbejdsfora, der skal sikre
national og international videndeling, koordine-
ring og handlekraft�½
Et centralt organ i samarbejdet er det lovfæstede
HvidvaskForum�½ Formålet med HvidvaskForum
er at understøtte samarbejdet mellem myndig-
hederne som led i indsatsen mod hvidvask og
terrorfinansiering og styrke myndighedernes
indsats, gennemføre nationale og internatio-
nale forpligtelser samt vurdere effektiviteten
af de foranstaltninger, der er iværksat�½ Under
HvidvaskForum er der en række arbejdsgrupper,
som fremgår af illustrationen nedenfor�½
Udgangspunktet er, at Danmark har gode for-
udsætninger for samarbejde på grund af de
etablerede samarbejdsfora og den tillid, der er
mellem aktørerne�½ Af
National strategi for fore-
byggelse og bekæmpelse af hvidvask og terror-
finansiering 2022-2025
fremgår det, at samar-
bejdet i HvidvaskForum skal styrkes gennem
yderligere dialog og temabaserede møder�½
Yderligere er det operationelle samarbejde
mellem aktørerne styrket gennem oprettelse
af forummet Operativt Samarbejde, som ledes
af NSK�½ I det forum er der givet mulighed for, at
private aktører kan deltage i et operativt sam-
arbejde, hvis deres deltagelse kan bidrage til
oplysning af en konkret sag om hvidvask eller
terrorfinansiering�½ I strategien lægges der også
op til, at forskningsverdenen inddrages i højere
grad�½ Hertil kommer, at myndigheder, branche-
organisationer og underretningspligtige har et
løbende og tæt bilateralt samarbejde�½
SÅRBARHEDER I DEN DANSKE HVIDVASKINDSATS
Illustration 3:
Struktur for hvidvasksamarbejdet i Danmark
Hvidvask-
sekretariatet
National enhed for
Særlig Kriminalitet
HvidvaskForum+
International
arbejdsgruppe
Vejledning og
information
Operativt
Samarbejde
Teknologi-
arbejdsgruppe
REU, Alm.del - 2023-24 - Endeligt svar på spørgsmål 1456: Spm. om hvor mange overførsler, der indføres udeklarerede til Danmark, herunder om der findes skøn herfor
2938919_0101.png
DEN NATIONALE RISIKOVURDERING AF HVIDVASK
101
De primære sårbarheder i forhold til et effektivt
samarbejde handler blandt andet om:
Risici på hvidvaskområdet kan være vanske-
lige at forestille sig og forst�
Manglende muligheder for at dele oplysnin-
ger mellem myndigheder hurtigt og effektivt�½
Kun en ud af ti underretningspligtige kan
underrette omgående�½
Rådgivere underretter sjældent�½
Mængden af virksomheder under hvidvask-
tilsyn er stor, til trods for flere ressourcer til
tilsyn�½
Viden fra underretninger kan nyttiggøres
bedre, til trods for flere ressourcer til
Hvidvasksekretariatet�½
Få hvidvasksager løftes på baggrund af
underretninger, til trods for en øget brug af
finansielle efterretninger i politiet�½
Få midler beslaglægges og konfiske-
res, til trods for et stigende fokus på
beslaglæggelser�½
Tilsynsmyndighederne supplerer løbende
vejledningerne med undervisning, møder og
cases�½ Flere underretningspligtige udtrykker, at
det er vanskeligt at se sig selv i vejledningerne,
da der ikke er udarbejdet særskilte vejledninger
til alle underretningspligtige�½
Der er fortsat udfordringer med blandt virksom-
hederne at skabe forståelse for hvidvask og
den hvidvaskrisiko, der er i de enkelte brancher
og enkelte virksomheder�½ Det gælder særligt
viden om hvidvaskmetoder og om den grad af
professionalisme, der kan kendetegne såvel
førforbrydelsen som hvidvasksaktiviteterne
og aktørerne�½ Fx kan der nogle steder være en
særlig opfattelse af organiserede kriminelle
aktører, som mest knytter sig til de rocker- og
bandegrupperinger, de kender fra medierne�½
Disse aktører er fortsat relevante i hvidvask-
sammenhæng, som det fremgår af kapitel 3
Nationale trusler,
men der er på hvidvaskområ-
det også andre typer af organiserede kriminelle
aktører, herunder professionelle aktører, der
ligeledes er relevante�½
Det er Hvidvasksekretariatets vurdering, at
nogle brancher, fx de finansielle virksomheder,
har en bedre forståelse af hvidvaskområdet,
herunder de kriminelle aktører og risiciene,
mens andre brancher er mere udfordrede�½
I forbindelse med udarbejdelsen af risikovurde-
ringen har Hvidvasksekretariatet deltaget på en
række møder i HvidvaskForum, med branche-
foreninger og hos private aktører, der stort set
alle efterlyser mere viden om hvidvaskmetoder,
-risici, aktører og konkrete cases, som disse
kan få indsigt i med henblik på at opnå en
bedre forståelse af hvidvaskområdet�½
Tilsynsmyndighederne peger på, at den mang-
lende viden kan spores i såvel de enkelte virk-
somheders risikovurderinger som i arbejdet
med at oversætte risikovurderinger til konkrete
tiltag�½
I den forbindelse bemærker Hvidvasksekre-
tariatet, at manglende monitering af udvalgte
kriminalitetsområder, herunder fx økonomisk
kriminalitet og miljøkriminalitet samt strategier
på områderne udgør en sårbarhed, fordi krimi-
nalitetsområderne ikke har de relevante myn-
digheders bevågenhed�½ Disse myndigheder er
derfor ikke opmærksomme på den hvidvaskri-
siko, der følger kriminaliteten, og de metoder til
hvidvask, der kendetegner områderne�½
Disse sårbarheder vurderer Hvidvasksekre-
tariatet nærmere nedenfor�½
RISICI PÅ HVIDVASKOMRÅDET
KAN VÆRE VANSKELIGE AT
FORESTILLE SIG OG FORSTÅ
I de senere år er der sket en markant styrkelse
af kapaciteten til bekæmpelse af hvidvask
hos såvel myndigheder som private aktører�½
Finansforbundet estimerede, at der i 2020 var
ansat mere end 5�½500 personer til at varetage
områderne for hvidvask og terrorfinansie-
ring, svarende til 14 pct�½ af de ansatte i den
finansielle sektor
(Finansforbundet 2020)�½
Oprustningen er også sket i de øvrige brancher
og dækker, ud over medarbejdere, også større
investeringer i teknologi�½ Kapaciteterne bidrager
blandt andet til on-boarding af kunder, gennem-
førelse af kundekendskabsprocedurer, løbende
transaktionsmonitering, fremsendelse af under-
retninger til Hvidvasksekretariatet, dokumenta-
tion herfor samt udarbejdelse af risikovurderin-
ger på kunderne og af virksomhederne�½
Alle tilsynsmyndigheder har i dag udarbejdet
vejledninger for hvidvaskområdet til de under-
retningspligtige, og Hvidvasksekretariatet kan
se, at vejledninger har en effekt på den type af
underretninger, sekretariatet modtager�½ Fx steg
antallet af underretninger om ulovlige aktionær-
lån markant, da Erhvervsstyrelsens vejledning
pegede på vigtigheden af at underrette herom�½
SÅRBARHEDER I DEN DANSKE HVIDVASKINDSATS
REU, Alm.del - 2023-24 - Endeligt svar på spørgsmål 1456: Spm. om hvor mange overførsler, der indføres udeklarerede til Danmark, herunder om der findes skøn herfor
2938919_0102.png
102
DEN NATIONALE RISIKOVURDERING AF HVIDVASK
Det er en sårbarhed, at de underretningsplig-
tige, der er det første værn mod hvidvask, i et
vist omfang har vanskeligt ved at identificere,
hvad de skal se efter�½ De vil have udfordringer
med at arbejde risikobaseret, og de vil ligeledes
have vanskeligheder med at implementere de
nødvendige forebyggende foranstaltninger�½
I forhold til implementering af forebyggende for-
anstaltninger, der skal håndtere virksomhedens
hvidvaskrisici, som fx moniteringssystemer,
herunder transaktionsovervågningssystemer,
har mindre virksomheder typisk ikke de samme
behov for transaktionsovervågning, men de har
heller ikke de samme finansielle ressourcer og
kapaciteter som større virksomheder�½ På nogle
områder risikerer mindre virksomheder derfor at
være yderligere udfordret�½
SÅRBARHEDER I DEN DANSKE HVIDVASKINDSATS
Den manglende forståelse for hvidvask i
de ikke-finansielle brancher udgør en risiko
(Basel Institute on Governance 2021: 21-22)�½
Europa-Kommissionen vurderer, at produ-
center, distributører, retlige aktører og andre
ikke-finansielle institutioner tiltrækker stadig
større opmærksomhed i relation til hvidvask�½
Kommissionen vurderer branchernes ekspone-
ring for risici for betydelig eller høj (niveau 3/4
eller 4/4)
(Europa-Kommissionen 2019b: 3)�½
Hvidvasksekretariatet vurderer, at det samme
gør sig gældende i Danmark og at sårbarhederne
øges, fordi de kriminelle aktører søger uden om
den finansielle sektor ved at sløre deres aktivite-
ter gennem misbrug af andre brancher�½
Hvidvasksekretariatet vurderer, at den manglende viden om
hvidvask og hvidvaskrisici i særligt de ikke­finansielle brancher
udgør en
høj
sårbarhed i forhold til hvidvask.
MANGLENDE MULIGHEDER FOR
AT DELE OPLYSNINGER MELLEM
MYNDIGHEDER HURTIGT OG
EFFEKTIVT
Et effektivt samarbejde kræver, at relevant
viden deles og nyttiggøres�½ Opbygningen af
et tættere samarbejde mellem myndigheder,
brancheorganisationer og underretningspligtige
har i de senere år mindsket sårbarhederne i
forhold til at besidde oplysninger, som andre vil
kunne anvende i kampen mod hvidvask�½ I langt
de fleste tilfælde har myndigheder mulighed
for at dele oplysninger, og der har i de senere år
været stigende fokus på at opruste i forhold til
digitalisering af informationer og i mulighederne
for at dele information rettidigt mellem myndig-
heder indbyrdes og mellem myndigheder og de
underretningspligtige�½ Jo klogere alle aktører
bliver på hvidvaskområdet og på de andre aktø-
rers kapaciteter, des større mulighed er der for
en målrettet indhentning og nyttiggørelse af de
rette oplysninger�½
Der er dog fortsat udfordringer i forhold til
rettidig nyttiggørelse af oplysninger�½ Når rele-
vant viden og operative oplysninger ikke deles
rettidigt mellem aktørerne, kan det skyldes,
at indehaveren af oplysningerne ikke ved, at
oplysningerne kan være relevante for andre
modtagere, at deling af oplysninger sker på
en uhensigtsmæssig måde eller at der ikke er
lovhjemmel til at dele de konkrete oplysninger�½
Disse områder er også adresseret i
National
strategi for forebyggelse og bekæmpelse af
hvidvask og terrorfinansiering 2022-2025.
Det
handler særligt om:
Realisering af muligheden for at dele opera-
tive oplysninger i den fælles efterretnings-
enhed:
Operativt Samarbejde.
Forståelsen for de data, de enkelte myndig-
heder og øvrige aktører har til rådighed�½
Forbedring af mulighederne for at sam-
menstille relevante data mellem myndig-
heder og mellem underretningspligtige og
myndigheder�½
Sikring af bedre koordinering, så det er de
rette data, der bliver delt, og understøttelse
af rettidig nyttiggørelse af data gennem
brugen af automatiserede løsninger og
API-adgange�½
Styrkelse af politiets kapacitet (ressourcer,
kompetencer og teknologi) til at behandle
data fra de nye fragmenterede betalings-
metoder, herunder kryptoaktiver�½
REU, Alm.del - 2023-24 - Endeligt svar på spørgsmål 1456: Spm. om hvor mange overførsler, der indføres udeklarerede til Danmark, herunder om der findes skøn herfor
2938919_0103.png
DEN NATIONALE RISIKOVURDERING AF HVIDVASK
103
I andre tilfælde er der ikke lovhjemmel til at
dele oplysninger�½ Fx deling af oplysninger på
tværs af rigsfællesskabet eller deling af oplys-
ninger på tværs af bankerne, der af hensyn til
kunderne ikke har lov til at dele oplysninger
med hinanden om konkrete kunder eller trans-
aktioner�½ Her bliver det i stedet til et spørgsmål
om, hvorvidt oplysningerne kan deles ad anden
vej, fx hvor myndighederne udgør et mellemled,
men med de øgede omkostninger i form af tid
og ressourcer, det kræver�½ Konkrete eksempler
på manglende lovhjemmel til deling af oplys-
ninger vender vi tilbage til senere i afsnittet
under
lovgivningsmæssige faktorer.
Teknologi giver myndigheder, tilsynsmyndig-
heder og underretningspligtige nye kort på
hånden i kampen mod hvidvask�½ Selvom de
kriminelle aktører ofte vil kunne tage nye tekno-
logier hurtigere i anvendelse end myndigheder
og andre, så vurderer FATF, at teknologi kan
blive en game-changer i kampen mod hvidvask
(FATF 2021g: 4-8)�½
Hvidvasksekretariatet vurderer, at manglende mulighed for at dele
oplysninger effektivt mellem myndigheder udgør en
betydelig
sårbarhed i forhold til hvidvask.
KUN ÉN UD AF TI UNDERRETNINGS-
PLIGTIGE KAN UNDERRETTE
OMGÅENDE
GoAML er det system, hvorigennem de under-
retningspligtige kan sende deres underret-
ninger til Hvidvasksekretariatet, og hvorudfra
Hvidvasksekretariatet sender orienterings-
skrivelser, kvartalsrapporter, feedbackrapporter
med videre�½ De underretningspligtige er ikke
forpligtet til at være oprettet i GoAML, men
alene forpligtet på at underrette omgående
i henhold til hvidvasklovens § 26�½ Det følger
dog af bekendtgørelsen om indsendelse af
underretninger, at underretninger til Hvidvask-
sekretariatet skal ske via
www�½hvidvask�½dk,
medmindre andet er aftalt�½
Det betyder, at det – som udgangspunkt – ikke er
muligt at indsende hvidvaskunderretninger via fx
mail eller andre kommunikationsformer, da det
er vigtigt, at underretningerne som data indsen-
des ensartet�½ Når en virksomhed underretter via
www�½hvidvask�½dk,
føres virksomheden videre til
www�½hvidvask�½politi�½dk,
som er webbrugerplat-
formen for GoAML�½ Det betyder, at alle under-
retninger, der indsendes digitalt, sendes via
GoAML�½ Der er kun få underretningspligtige, der
underretter via andre kanaler end GoAML�½
Ud af de minimum 17�½000 underretningspligtige
virksomheder, der er omfattet af hvidvaskloven,
har cirka ti pct�½ tilmeldt sig GoAML (juli 2022)�½
Ni ud af ti af de personer og virksomheder, der
er forpligtede til at underrette, har således ikke
oprettet sig i GoAML�½
SÅRBARHEDER I DEN DANSKE HVIDVASKINDSATS
Hvidvasksekretariatet bemærker, at der på
centrale områder som fx udvalgte kriminalitets-
områder og modus fx handelsbaseret hvidvask
og handel med højværdivarer, er begrænsede
oplysninger, som Hvidvasksekretariatet kan få
adgang til�½ Det skyldes blandt andet, at myn-
dighederne kan vurdere, at oplysningerne er
fortrolige, at data har en kvalitet, der gør det
vanskeligt at sikre et retvisende billede, eller
at de af andre datamæssige årsager ikke kan
udtrækkes til formålet�½
Når oplysningerne ikke er tilgængelige for Hvid-
vasksekretariatet, og dermed ikke kan indgå i
den nationale risikovurdering eller i Hvidvask-
sekretariatets efterretningsbillede, øger det
risikoniveauerne i forhold til de konkrete områder
jf�½ FATF guidelines
(FATF 2013a: 11)�½
Udfordringerne med at dele oplysninger rettidigt
forekommer også fortsat i forbindelse med den
daglige indsats mod hvidvask, hvor deling af
data og informationer vanskeliggøres af forskel-
lige hjemmelsgrundlag�½ Deling af oplysninger er
dog markant forbedret over de senere år som
følge af etablering af samarbejdsstrukturer og
opbygning af strukturer til deling af oplysninger�½
Hvidvasksekretariatet bemærker, at der er flere
initiativer på vej, herunder initiativer som følger
af den nationale strategi til forebyggelse og
bekæmpelse af hvidvask og terrorfinansiering,
der forventeligt vil styrke et effektivt samarbejde
yderligere�½
REU, Alm.del - 2023-24 - Endeligt svar på spørgsmål 1456: Spm. om hvor mange overførsler, der indføres udeklarerede til Danmark, herunder om der findes skøn herfor
2938919_0104.png
104
DEN NATIONALE RISIKOVURDERING AF HVIDVASK
SÅRBARHEDER I DEN DANSKE HVIDVASKINDSATS
Det følger med underretningspligten, at de
underretningspligtige skal underrette omgå-
ende jf�½ hvidvasklovens § 26, stk�½ 1�½ Det er
vanskeligt at opfylde forpligtelsen for de
underretningspligtige, der ikke har oprettet sig i
GoAML�½ Det udgør ikke nødvendigvis i sig selv
en sårbarhed for hvidvask, at de underretnings-
pligtige ikke kan underrette omgående, hvis
de underretter ad anden vej�½ Erfaringer viser
dog, at der ikke kommer væsentlige under-
retninger til Hvidvasksekretariatet via andre
kanaler end GoAML�½ Derfor kan den manglende
oprettelse i GoAML være et udtryk for mang-
lende opmærksomhed på hvidvaskområdet og/
eller en manglende viden om hvidvasklovens
forpligtelser, og det forhindrer en effektiv kom-
munikation mellem Hvidvasksekretariatet og de
underretningspligtige�½
Det er vigtigt, at flere virksomheder bliver opret-
tet i GoAML, således at en virksomhed eller
en person omgående kan foretages en under-
retning til Hvidvasksekretariatet, hvis denne
er vidende om, har mistanke om eller rimelig
grund til at formode, at en transaktion, midler
eller en aktivitet har eller har haft tilknytning til
hvidvask eller finansiering af terrorisme�½ Det
gælder også i relation til håndtering af eventu-
elle beslaglæggelser�½
Hvidvasksekretariatet vurderer, at de underretningspligtiges
manglende oprettelse i GoAML og dermed manglende mulighed
for at underrette omgående og manglende adgang til relevante
meddelelser i en vis udstrækning er et udtryk for manglende
opmærksomhed på hvidvaskområdet og dermed udgør en
moderat
sårbarhed i forhold til hvidvask. Hvidvasksekretariatet
bemærker, at tilsynsmyndigheder og brancheorganisationer i
flere tilfælde har øget opmærksomheden på området.
RÅDGIVERE SENDER FÅ
UNDERRETNINGER OM HVIDVASK
Nogle af dem, der sender få underretninger om
hvidvask, er rådgivere som fx advokater, ejen-
domsmæglere og investeringsrådgivere�½ Andre
underretningspligtige, der beskæftiger sig
inden for rådgivning, underretter også sjældent�½
Godkendte revisorer underretter forholdsvist
jævnligt, dog mest om ulovlige kapitalejerlån
og mistanke om overtrædelse af kontantfor-
buddet�½ Omfanget af sagsområder omfattet af
hvidvaskloven og antallet af kunder og trans-
aktioner er naturligvis lavere for andre end for
bankerne, som sender langt størstedelen af
underretningerne�½ Af den grund skal antallet af
underretninger ikke sammenlignes med ban-
kernes ditto, men som det fremgår af statistik-
ken over underretninger i kapitel 1
Hvidvask i
Danmark,
er der langt mellem underretningerne
for visse branchetyper, herunder fx advokater og
ejendomsmæglere med flere�½ Det relativt lave
niveau af underretninger fra rådgivere kan skyl-
des manglende opmærksomhed på hvidvask,
manglende adgang til GoAML eller det forhold,
at rådgivere bringer mistænkelige eller ulovlige
forhold i orden og derfor ikke finder det formål-
stjenesteligt at underrette�½ For advokater er der
visse undtagelser til underretningspligten�½ Det
kan du læse mere om senere i dette kapitel
samt i afsnittet om advokater i kapitel 6
Risici
for hvidvask i udvalgte brancher.
Truslen fra kriminelle aktører, der anvender
professionelle rådgivere og misbruger legale
virksomhedsstrukturer betyder, at det er en
sårbarhed, at rådgiverne ikke fremsender flere
underretninger�½
Hvidvasksekretariatet vurderer, at det begrænsede antal
underretninger fra rådgivere om hvidvask udgør en
betydelig
sårbarhed i forhold til hvidvask.
REU, Alm.del - 2023-24 - Endeligt svar på spørgsmål 1456: Spm. om hvor mange overførsler, der indføres udeklarerede til Danmark, herunder om der findes skøn herfor
2938919_0105.png
DEN NATIONALE RISIKOVURDERING AF HVIDVASK
105
MÆNGDEN AF VIRKSOMHEDER
UNDER HVIDVASKTILSYN ER STOR
OG REAKTIONERNE BEGRÆNSEDE
Tilsynsmyndighederne
De myndigheder og organisationer, der
fører tilsyn med overholdelse af hvidvasklo-
ven (Finanstilsynet, Erhvervsstyrelsen,
Spillemyndigheden og Advokatsamfundet
1
),
skal på baggrund af en risikobaseret tilgang
gennemføre deres tilsynsaktiviteter�½ Deres
opgave er at føre tilsyn med, om de underret-
ningspligtige lever op til hvidvasklovens krav�½
På baggrund af deres tilsyn kan de reagere
på forskellig vis med fx påbud, påtaler, admi-
nistrative bødeforelæg og politianmeldelser�½
Hertil kommer, at tilsynsmyndighederne kan
vejlede virksomhederne om kravene i hvid-
vaskloven�½ Tilsynsmyndighederne er i henhold
til hvidvaskloven forpligtede til at underrette
Hvidvasksekretariatet, såfremt de får ken-
skab til forhold, der giver grund til at tro, at
disse kan have tilknytning til hvidvask eller
terrorfinansiering�½
Det er ikke formålet med tilsynene, at de skal
kontrollere alle de personer og virksomheder,
der er omfattede af hvidvaskloven�½ Det er ikke
muligt med det store antal personer og virksom-
heder, der er omfattet af loven, og det er heller
ikke hensigten�½ I stedet skal tilsynene udvælge
hvilke,
de vil kontrollere ud fra en risikobaseret
tilgang�½ Det følger internationale standarder�½ Det
er i sig selv en sårbarhed, at man ikke kan nå
ud til 100 pct�½ af de personer og virksomheder,
der er omfattet af hvidvaskloven, men dette er
en helt naturlig omstændighed ved at arbejde
risikobaseret og en naturlig konsekvens af den
måde, hvidvaskindsatsen er tilrettelagt på�½
At tilsynsindsatsen skal være risikobaseret
betyder, at tilsynene skal målrette deres tilsyn
mod de mest risikofyldte områder�½ Dermed skal
antallet af tilsyn ikke nødvendigvis være en fast
procentdel af antallet af virksomheder, de er til-
synsmyndighed overfor�½ Tilsynsmyndighederne
skal udvælge de virksomheder eller personer,
hvor risikoen for hvidvask er størst, men under
hensyntagen til virksomhedernes størrelse�½
En stor virksomhed med mange kunder vil alt
andet lige påkalde sig større tilsynsmæssig
opmærksomhed end en ditto lille�½ Det betyder,
at de personer og virksomheder, der udvælges
til tilsyn, samlet set skal repræsentere en større
andel af den samlede risiko, end de udgør i
antallet af de virksomheder, der føres tilsyn med�½
Det er vanskeligt at vurdere, hvad der er et
tilstrækkeligt antal tilsyn�½ Hertil kommer, at til-
synstyperne er forskellige�½ Et lavt antal tilsyn vil
dog alt andet lige udgøre en større sårbarhed
end et stort antal tilsyn, og hvis omfanget af
tilsynsaktiviteter i forhold til antallet af underret-
ningspligtige er begrænset, udgør det en sår-
barhed�½ Omvendt vil man med færre tilsyn have
flere ressourcer til at kunne gå dybere ned i den
enkelte virksomhed, ligesom der er en nedre
grænse for, hvor få ressourcer der kan sættes af
til den konkrete inspektion, hvis den skal være
forsvarlig�½ Det er klart, at tilsynsmyndigheder-
nes ressourcer har betydning for, hvor mange
tilsynsaktiviteter der kan udføres, men også
omfanget af hver enkelt tilsynsaktivitet�½
Visse tilsynsmyndigheder har valgt at føre mere
systematiske tilsyn og repræsentative tilsyn�½ Fx
fører Advokatsamfundet tilsyn med alle advo-
kater, der har sager omfattet af hvidvaskloven,
minimum hvert tredje eller hvert sjette år�½
Internationale evalueringer fra blandt andre
FATF og Europarådet har tidligere peget på, at
tilsynsmyndighederne ikke i tilstrækkelig grad
arbejdede risikobaseret og havde for få ressour-
cer til tilsyn�½ I Danmark er der de senere år tilført
en del flere ressourcer til tilsynsmyndighederne,
og alle de fire tilsyn har nu dedikerede enheder
til hvidvasktilsyn og øgede tilsynsaktiviteter�½
Samtidig har myndighederne udviklet nye meto-
der til foretage risikovurderinger og dermed
vælge de rette virksomheder ud til tilsyn�½
De tilsynsreaktioner, som tilsynsaktiviteterne
fører til, skal udover at nedbringe risikoen i den
virksomhed, der har været tilsyn i, også gerne
virke præventivt og oplysende på andre virk-
somheder samtidig med, at reaktionerne skal
repræsentere skadevirkningen ved den mang-
lende regelefterlevelse og endvidere vise resten
af samfundet, at myndighederne sanktionerer,
når reglerne ikke efterleves�½
1�½ I risikovurderingen anvender vi betegnelsen Advokatsam-
fundet, når vi omtaler tilsynsmyndigheden for advokater�½
Advokatrådet er advokatsamfundets bestyrelse, som afgør
de overordnede linjer og træffer de overordnede beslut-
ninger for Advokatsamfundet, men for læsevenlighedens
skyld anvender vi betegnelsen Advokatsamfundet, når det
handler om tilsyn med advokater�½
SÅRBARHEDER I DEN DANSKE HVIDVASKINDSATS
REU, Alm.del - 2023-24 - Endeligt svar på spørgsmål 1456: Spm. om hvor mange overførsler, der indføres udeklarerede til Danmark, herunder om der findes skøn herfor
2938919_0106.png
106
DEN NATIONALE RISIKOVURDERING AF HVIDVASK
SÅRBARHEDER I DEN DANSKE HVIDVASKINDSATS
I nogle lande kan tilsynsmyndighederne udstede
administrative bøder�½ Hos såvel FATF som i
EU-regi er der lagt op til, at de reaktioner og
bøder, der udstedes, skal afspejle skadens
størrelse og den risiko, som overtrædelsen
har udgjort for samfundet, og at reaktionerne
skal virke afskrækkende
(FATF 2022c: 6, 25)�½
Bødernes størrelse for overtrædelse af hvid-
vasklovgivningen kan efter EU-retten være på
helt op til ti pct�½ af en virksomheds omsæt-
ning�½ I visse lande udstedes der bøder til den
finansielle branche i milliardklassen
(se fx
Acamstoday 2022)�½
Det er også muligt at give
bøder i milliardklassen i Danmark�½ Her går græn-
sen ved, at bøden ikke må lukke virksomheden�½
Nedenfor ser vi nærmere på antallet af tilsyn og
tilsynsmyndighedernes reaktioner i perioden
2018-2021�½
Finanstilsynet
Finanstilsynet fører tilsyn med de cirka 1�½600
virksomheder og personer, der er omfattet af
hvidvaskloven, jf�½ hvidvasklovens § 1, stk�½ 1, nr�½
1-12, 18 og 22-26�½ Sådanne virksomheder eller
personer er forpligtede til at henholdsvis lade
sig registrere eller få en tilladelse til at drive
virksomhed af Finanstilsynet�½ Hvis en virksom-
hed ikke har ladet sig registrere eller ikke har
en tilladelse, udøver den ulovlig virksomhed, og
den er dermed ikke under tilsyn�½
De 1�½600 virksomheder dækker over pengein-
stitutter, udenlandske finansielle virksomheders
filialer i Danmark, realkreditinstitutter, fonds-
mæglerselskaber, livsforsikringsselskaber, inve-
steringsforvaltningsselskaber med videre�½
Finanstilsynet har i perioden 2018-2021
gennemført 193 on-site inspektioner og tre
tværgående off-site inspektioner�½ De tvær-
gående inspektioner er undersøgelser af flere
virksomheder samtidig, inden for samme
område�½ Tallet for on-site-inspektioner er
nogenlunde stabilt i perioden�½
Finanstilsynet har yderligere tilsynsaktiviteter
blandt andet gennem årlige seminarer, delta-
gelse i anti-hvidvask-kollegier med udenlandske
tilsynsmyndigheder, udgivelse af vejledninger
og yderligere information til virksomhederne�½
Tilsynsaktiviteterne har både til formål at kon-
trollere og vejlede den eller de virksomheder og
personer, der er omfattet af loven�½
Hvis en inspektion giver anledning til reaktioner,
har Finanstilsynet mulighed for blandt andet
at give virksomhederne et påbud, en påtale,
en risikooplysning, udstede et administrativt
bødeforelæg eller anmelde sagen til politiet�½
I perioden fra 2018-2021 har Finanstilsynet
givet 603 påbud, 32 påtaler, fire risikooplysnin-
ger, seks politianmeldelser og ét administrativt
bødeforelæg (det bemærkes, at Finanstilsynet
først i 2020 fik hjemmel til at udstede admini-
strative bødeforelæg)�½ Mere end 80 pct�½ af alle
påbud er givet i 2020 og 2021�½ Yderligere har
Finanstilsynet fremsendt otte underretninger til
Hvidvasksekretariatet�½
Finanstilsynet bemærker, at reaktionerne givet
i ét år ikke nødvendigvis omhandler tilsyn i
samme år�½ Der går typisk fem til seks måneder
fra et tilsynsbesøg til en eventuel reaktion�½
Finanstilsynet har også mulighed for at rea-
gere ved at forlange indsættelse af sagkyndig i
virksomheden, give midlertidigt forbud mod at
optage nye kundeforhold og inddrage en hvid-
vaskregistrering eller tilladelse�½ Finanstilsynet
har i flere tilfælde afvist ansøgninger om tilla-
delse til at udøve valutavekslingsvirksomhed�½
Erhvervsstyrelsen
Erhvervsstyrelsen skal føre tilsyn med de cirka
12�½000 omfattede virksomheder (2018-tal), jf�½
hvidvasklovens § 1, stk�½ 1, nr�½ 14-17 og 21, her-
under godkendte revisorer, ejendomsmæglere,
udbydere af tjenesteydelser til virksomheder
samt virksomheder og personer i øvrigt�½ De
resterende omfatter blandt andet virksomheder
og personer omfattet af hvidvasklovens § 1, stk�½
1, nr�½ 16-17, som fx skatterådgivere, eksterne
bogholdere, ikke-godkendte revisorer og andre
virksomheder og personer, der i øvrigt erhvervs-
mæssigt leverer samme ydelser som advokater,
revisorer og ejendomsmæglere samt udbydere
af tjenesteydelser til virksomheder�½ Derudover
fører Erhvervsstyrelsen også tilsyn med kunst-
branchen, jf�½ hvidvasklovens § 1, stk�½ 1, nr�½ 21�½
Erhvervsstyrelsens tilsynsaktiviteter omfatter
både vejledningsaktiviteter og tilsynsbesøg,
som har til formål både at kontrollere og vejlede
den eller de virksomheder og personer, der er
omfattet af loven�½
Erhvervsstyrelsen har i perioden 2018-2021
gennemført 359 on-site tilsyn og 103 off-site
tilsyn (desktop-tilsyn)�½ Tallet for on-site tilsyn
varierer mellem 62 og 103 om året, mens
antallet af off-site tilsyn har været stigende
siden 2019, og i 2021 udgjorde 35 ud af
samlet 136 tilsyn�½
REU, Alm.del - 2023-24 - Endeligt svar på spørgsmål 1456: Spm. om hvor mange overførsler, der indføres udeklarerede til Danmark, herunder om der findes skøn herfor
2938919_0107.png
DEN NATIONALE RISIKOVURDERING AF HVIDVASK
107
Erhvervsstyrelsen har i perioden 2018-2021
givet 1�½022 påbud eller påtaler�½ Hertil har
Erhvervsstyrelsen i 66 tilfælde foretaget poli-
tianmeldelse på baggrund af de gennemførte
tilsyn i perioden�½ Yderligere har Erhvervs-
styrelsen fremsendt 24 underretninger til
Hvidvasksekretariatet�½
Spillemyndigheden
Spillemyndigheden skal føre tilsyn med de cirka
50 spiludbydere, der er fuldt omfattede af hvid-
vaskloven, og cirka 300 spiludbydere, der er
delvist omfattede af loven, jf�½ hvidvaskloven § 1,
stk�½ 1, nr�½ 19�½
Spillemyndigheden har i perioden 2018-2021
gennemført et full scope-tilsyn, seks ad hoc-til-
syn samt ni temabaserede tilsyn�½
Spillemyndigheden har i samme periode rea-
geret med to krav om straksforbedringer, ni
påtaler, seks påbud og en politianmeldelse�½ De
fleste påbud og påtaler faldt i 2021 med hen-
holdsvis otte påtaler og tre påbud�½ Yderligere
har Spillemyndigheden fremsendt tre underret-
ninger til Hvidvasksekretariatet�½  
Ud af de cirka 50 spiludbydere, der er fuldt ud
omfattede af hvidvaskloven, er flere placeret
i udlandet fx i Malta, Gibraltar og i Estland�½
Godt 20 spiludbydere er placeret i Malta, og
her er Spillemyndighedens tilsynsmulighe-
der med fysiske tilsyn begrænset, fordi de
ikke må udføre on-site tilsyn uden for dansk
jurisdiktion�½ Som et alternativ til on-site tilsyn
holder Spillemyndigheden et virtuelt møde af
en dags varighed med spiludbyderne, hvor
Spillemyndigheden stiller relevante spørgsmål,
og hvor spiludbyderne får mulighed for at vise
deres systemer ved at dele deres skærm under
mødet, hvis der er behov herfor�½ Mødets indhold
indgår i Spillemyndighedens vurdering af den
enkelte spiludbyders overholdelse af hvid-
vasklovens forpligtelser�½
Spillemyndigheden har hjemmel til at give påta-
ler, påbud og til at anmelde en spiludbyder til
politiet�½ Spillemyndigheden har ikke kompetence
til at udstede administrative bøder, hvilket flere
andre europæiske spillemyndigheder har�½
Advokatsamfundet
Advokatsamfundet skal føre tilsyn med omkring
3�½000 advokater, der er omfattet af hvidvask-
loven, jf�½ hvidvasklovens § 1, stk�½ 1, nr�½ 13�½
I modsætning til de tre ovenfor nævnte tilsyns-
myndigheder er Advokatsamfundet ikke en del
af den offentlige forvaltning, men en ved lov
oprettet og reguleret institution, som udgøres af
alle danske advokater, og Advokatsamfundet
udgør dermed et selvregulerende organ for
branchen�½
Advokater er omfattet af hvidvaskloven i en
række nærmere afgrænsede sagsområder
nævnt i hvidvaskloven, hvor de gennemfører en
transaktion eller rådgiver om en transaktion�½ Det
er således ikke alle forretningsområder for advo-
kater, hvor advokaten er omfattet af hvidvasklo-
ven og pligten til at underrette�½ Advokater er
omfattet af hvidvaskloven, når de yder bistand
ved rådgivning om eller udførelse af transak-
tioner for deres klienter i forbindelse med en
række opregnede aktiviteter i hvidvaskloven�½ De
er dog ikke omfattet af underretningspligten, når
de forsvarer eller repræsenterer klienten under
eller i forbindelse med retssager, straffesager,
testamenter, ægtepagter, inkasso og sager, hvor
der ikke indgår en transaktioner eller rådgivning
om en transaktion�½
Advokater er ligesom andre brancher forplig-
tede til at underrette, hvis de i et sagsområde
omfattet af hvidvaskloven får mistanke om
hvidvask eller terrorfinansiering�½ Der er dog for
advokater i hvidvasklovens § 27 en særlig und-
tagelse til underretningspligten, som er indført
for at balancere hensynet til den enkelte borgers
retssikkerhed over for hensynet til at underrette
Hvidvasksekretariatet�½ Advokater skal under-
rette ved mistanke om hvidvask i sagområder,
der er omfattet af hvidvaskloven, men skal ikke
udtræde af disse sager�½ Er sagsområdet deri-
mod
ikke
omfattet af hvidvaskloven, skal advo-
kater udtræde af en sag, hvis de får mistanke
om hvidvask eller terrorfinansiering�½ Ved sidst-
nævnte tilfælde skal advokaten ikke underrette
Hvidvasksekretariatet om det mistænkelige
forhold eller transaktion, da transaktionen eller
forholdet ikke er omfattet af hvidvaskloven�½ Hvis
en person, som ikke er klient hos en advokat,
retter henvendelse til advokaten, og advokaten
ved eller burde vide, at formålet er at hvidvaske
penge eller finansiere terrorisme, skal advoka-
ten underrette Hvidvasksekretariatet�½
Advokatsamfundet har i perioden 2018-2021
gennemført 659 on-site tilsyn (fysiske tilsyn)
og 189 off-site (onlinetilsyn)�½ Antallet af fysiske
tilsyn er jævnt fordelt over årene, dog med et
markant fald i 2021, hvor størstedelen af onli-
netilsynene (189) blev foretaget�½
SÅRBARHEDER I DEN DANSKE HVIDVASKINDSATS
REU, Alm.del - 2023-24 - Endeligt svar på spørgsmål 1456: Spm. om hvor mange overførsler, der indføres udeklarerede til Danmark, herunder om der findes skøn herfor
2938919_0108.png
108
DEN NATIONALE RISIKOVURDERING AF HVIDVASK
SÅRBARHEDER I DEN DANSKE HVIDVASKINDSATS
Advokatsamfundet har også mulighed for at
anmode om en skriftlig redegørelse, men der er
ingen opgørelser over, i hvor mange tilfælde det
er sket�½ Advokatsamfundet har gjort Hvidvask-
sekretariatet opmærksom på, at der fra 2021
ændres i opgørelsesmetoden, så hver enkelt
advokat og advokatvirksomhed tæller som tilsyn�½
Det vil sige, at et tilsyn hos en advokatvirksom-
hed med 12 advokater tæller som 13 tilsyn (en
virksomhed plus 12 advokater)�½ Dette sker for at
kunne dokumentere, at Advokatsamfundet fører
tilsyn med alle advokater og advokatvirksomhe-
der�½ Den opgørelsesmetode er anderledes end
for de øvrige tilsynsmyndigheder, hvor et tilsyn
dækker en samlet virksomhed�½
Advokatsamfundet har i samme periode rea-
geret med 81 henstillinger (indført i 2021), 342
påbud og 24 indbringelser for Advokatnævnet�½
Der har i perioden ikke været foretaget nogen
politianmeldelser�½ Yderligere har Advokat-
samfundet fremsendt to underretninger til
Hvidvasksekretariatet�½
Af EU’s supranationale risikovurdering fremgår,
at medlemsstater kan tillade selvregulerende
organer at føre tilsyn med ikke-finansielle bran-
cher, og at tilsynet med disse brancher i langt de
fleste medlemsstater stadig lider under svaghe-
der med hensyn til kontrol, vejledning og indbe-
retning fra retlige aktører, især til den finansielle
efterretningsenhed
(Europa-Kommissionen
2022: 198-199)�½
I Danmark fører Advokatsam-
fundet et risikobaseret tilsyn med alle advokater
og advokatvirksomheder, hvor der inden for tre
eller seks år – afhængig af risikoklassificering –
føres tilsyn med advokater, som har sager omfat-
tet af hvidvaskloven�½ Der er endvidere mulighed
for i konkrete tilfælde at udtage særlige advokat-
virksomheder til oftere eller udvidede tilsyn�½
Det er ikke særegent for tilsynsmyndighederne
på hvidvaskområdet�½ Det gælder også på andre
tilsynsområder, at andelen af kontrollerede virk-
somheder og personer er begrænset i forhold til
populationens størrelse�½ Hertil kommer, at tilsyn-
sindsatsen som nævnt ikke skal være repræsen-
tativ, men risikobaseret�½
Det gør det vanskeligt alene på baggrund af
antal virksomheder og personer, der er ført tilsyn
med, at vurdere, i hvilket omfang kontroltrykket
inden for de enkelte myndigheder udgør en
sårbarhed�½ Hvis vi antager, at langt de fleste
underretningspligtige kender deres hvidvask-
risici samt håndterer de risici og fremsender
underretninger til Hvidvasksekretariatet, når de
oplever mistænkelig adfærd, samt at tilsyns-
myndighederne har identificeret de risikofyldte
brancher, virksomheder og personer, som ikke
gør det, så kan et begrænset antal tilsyn være
tilstrækkeligt, fordi det centrale er, at kontrollen
skal målrettes de mest risikofyldte virksomhe-
der og personer�½ Det stiller store krav til risikofor-
ståelsen hos såvel de underretningspligtige som
myndighederne�½ Som nævnt er risikoforståelsen
bedre i nogle brancher end i andre, og der er
også meget store forskelle på, hvor meget de
enkelte brancher og virksomheder underretter�½
I de tilfælde, hvor risikoforståelsen generelt er lav
og/eller de underretningspligtige ikke i tilstræk-
kelig grad håndterer risiciene, herunder sender
relevante oplysninger til Hvidvasksekretariatet,
vil et lavere kontroltryk øge sårbarheden�½ I de
tilfælde, hvor risikoforståelsen generelt er høj,
og/eller de underretningspligtige håndterer risici,
herunder sender relevante underretninger til
Hvidvasksekretariatet, vil et lavere kontroltryk
ikke nødvendigvis øge sårbarheden�½
I brancher, hvor risikoforståelsen anses for at
være relativt høj, som fx pengeinstitutter, rea-
gerer tilsynsmyndigheden dog i langt de fleste
tilfælde med at give den pågældende virksom-
hed et påbud for forskellige forseelser i hvid-
vaskloven�½ Det kan betyde, at tilsynsmyndighe-
den har identificeret de rette højrisiko-aktører�½
Det kan også indikere, at der trods en høj risi-
koforståelse fortsat er udfordringer i branchen
med at identificere og håndtere risici, og her
vil et begrænset kontroltryk øge sårbarheden i
forhold til hvidvask�½ De branchespecifikke risici,
risikoforståelsen i brancherne og underretnings-
niveauet er nogle af de faktorer, der indgår i
udvælgelsen af de risikobaserede tilsyn�½
TILSYNSMYNDIGHEDERNES
KONTROLTRYK OG REAKTIONER
Der er stor forskel på, hvor mange virksomheder
og personer de enkelte tilsynsmyndigheder er
ansvarlige for at føre tilsyn med, samt hvordan
virksomhederne er organiseret og struktureret,
og eventuelt hvor de geografisk er placeret�½
Kontroltrykket varierer meget på tværs af til-
synsmyndighederne�½ Set i forhold til antallet af
virksomheder, som tilsynsmyndighederne har
ansvar for, så er antallet af virksomheder og per-
soner, som Finanstilsynet og Erhvervsstyrelsen
har været på inspektion hos, begrænset�½
REU, Alm.del - 2023-24 - Endeligt svar på spørgsmål 1456: Spm. om hvor mange overførsler, der indføres udeklarerede til Danmark, herunder om der findes skøn herfor
2938919_0109.png
DEN NATIONALE RISIKOVURDERING AF HVIDVASK
109
Tilsynsmyndighedernes reaktionsmuligheder
og anvendelsen af dem kan have flere formål�½
På tværs af landene i FATF-regi og i EU er der
forskellige lovgivningsmæssige rammer og
kulturer på området�½ Det gør det vanskeligt at
sammenligne på tværs af landene�½
Hvidvasksekretariatet vurderer, at antallet og
størrelsen af reaktioner, herunder påbud, påtale,
risikooplysning med videre, politianmeldelser
og administrative bødeforelæg samlet set i
forhold til risikoen for hvidvask i Danmark, er
begrænsede�½ De vil dermed forventeligt ikke
have den forebyggende og afskrækkende effekt,
som såvel FATF som EU lægger op til, og som vi
ser i andre lande, hvor fx bøderne i flere tilfælde
er markant større�½ I denne vurdering indgår også
betragtninger af de underretningspligtiges for-
ståelse for hvidvaskrisici og de forpligtelser, der
ligger i at være underlagt hvidvaskloven, som i
visse brancher er utilstrækkelig�½
Finanstilsynet fik den 10�½ januar 2020 en bred
adgang til at udstede administrative bødefore-
læg i forhold til overtrædelser af hvidvaskloven�½
Den brede adgang betyder, at der kan udstedes
bøder for en overtrædelse af en længere række
af hvidvasklovens bestemmelser�½ Formålet med
muligheden for at udstede administrative bøde-
forelæg er at sikre, at Finanstilsynet kan sank-
tionere lovovertrædelser hurtigt og effektivt�½
Finanstilsynet har i forbindelse med vurderin-
gen af, hvorvidt der kan udstedes et administra-
tivt bødeforelæg samme bevisbyrde som ankla-
gemyndigheden og politiet�½ I Danmark er det i
henhold til grundloven domstolene, der kan give
bøder�½ Bevisvurderingen i en sag må ikke give
anledning til væsentlig tvivl, og der skal såle-
des være tale om en klar lovovertrædelse�½ Hvis
virksomheden ikke erkender forholdene eller
ikke vil vedtage det administrative bødeforelæg,
anmeldes sagen til politiet�½ Der er i perioden fra
10�½ januar 2020 til 31�½ december 2021 udstedt
ét administrativt bødeforelæg på 50�½000 kroner
til en virksomhed for overtrædelse af hvid-
vasklovens § 40 om at udøve valutavekslings-
virksomhed uden tilladelse hertil�½
De 50�½000 kroner er en minimumsbøde�½ De
øvrige tilsynsmyndigheder har ikke lovhjemmel
til at udstede administrative bødeforelæg�½ De
politimæssige reaktioner i forhold til hvidvask
i form af efterforskninger, sigtelser og domme
for perioden 2018-2021 er behandlet i kapitel 1
Hvidvask i Danmark.
Der kan være flere årsager til, at antallet af
tilsynsreaktioner i Danmark er begrænset�½ Det
kan fx skyldes et begrænset antal tilsyn, tilsyns-
myndighedernes ressourcer, praksis for anven-
delse er reaktioner, manglende eller begrænset
lovhjemmel til reaktioner eller praksis i forbin-
delse med fastsættelse af bødestørrelser�½ I
Danmark fastsættes bødernes størrelse i prak-
sis af anklagemyndigheden og domstolene�½
Hvis reaktionerne i Danmark er relativt få og
ikke virker afskrækkende, kan det gøre det mere
attraktivt for kriminelle aktører at oprette virk-
somheder i Danmark, der er omfattet af dansk
tilsyn frem for tilsyn i de lande, hvor bøderne er
markant større�½ Den sårbarhed øges i takt med,
at hvidvaskreglerne strammes i Europa og i
andre dele af verden�½
Som det fremgår af kapitel
2 Danmark 2022-
2025,
medfører den teknologiske udvikling
og stigende digitalisering også nye virksom-
hedsstrukturer og organisationsformer, fx
mindre, internetbaserede virksomheder med
stor omsætning, der ikke nødvendigvis har en
fælles kontoradresse, men alene et fælles sted
online, registreret i et andet land�½ Når virksom-
hederne ikke er etableret i Danmark, er de ikke
under tilsyn af de danske myndigheder, men
derimod under tilsyn af myndighederne i det
land, hvor de er etableret�½ Det stiller nye krav til
tilsynsmyndighedernes samarbejde på tværs
af landegrænser og til, at politimyndighederne
orienterer tilsynsmyndighederne i Danmark om
mistanker, som de danske tilsynsmyndigheder
herefter kan orientere tilsynsmyndighederne i
andre lande om�½
Hvidvasksekretariatet har ikke mulighed for at vurdere, i
hvilket omfang kontroltrykket hos tilsynsmyndighederne udgør
en sårbarhed. Hvidvasksekretariatet vurderer, at antallet og
størrelsen på tilsynsmyndighedernes reaktioner udgør en
betydelig
sårbarhed i forhold til hvidvask.
SÅRBARHEDER I DEN DANSKE HVIDVASKINDSATS
REU, Alm.del - 2023-24 - Endeligt svar på spørgsmål 1456: Spm. om hvor mange overførsler, der indføres udeklarerede til Danmark, herunder om der findes skøn herfor
2938919_0110.png
110
DEN NATIONALE RISIKOVURDERING AF HVIDVASK
HVIDVASKSEKRETARIATET ER
BLEVET STYRKET, MEN VIDEN
KAN NYTTIGGØRES BEDRE
Hvidvasksekretariatet udgør en af de centrale
enheder i den danske hvidvaskindsats, og det er
afgørende for hele kæden, at den viden, der er i
underretningerne, øvrige rapporter og det inter-
nationale samarbejde, rettidigt formidles til dem,
der skal bruge den viden til at udarbejde opdate-
rede og retvisende risikovurderinger og til daglig
monitering�½ Denne risikovurdering er en del af
den indsats, ligesom andre typer af rapporter, fx
kvartalsrapporter, årsrapporter, orienteringsskri-
velser, efterretninger, oplæg, møder med videre,
der skal sikre den nødvendige videndeling�½
Hvidvasksekretariatet modtager dagligt flere
hundrede underretninger�½ Stigningen i under-
retninger i perioden fra 2018-2021 betyder, at
Hvidvasksekretariatet ikke behandler under-
retningerne gennem manuelle processer, og
det vil ofte heller ikke være meningsfuldt, da
en underretning typisk består af data på noget,
der har vakt mistanke, men ikke i sig selv nok
til at udgøre en sag�½ Siden 2018 er antallet af
medarbejdere i Hvidvasksekretariatet steget
fra knap 16 til 35 årsværk plus studentermed-
arbejdere�½ En del af disse nyansatte er data
scientists, og disse nye kompetencer og kapa-
citeter skal understøtte Hvidvasksekretariatet
med mere intelligente screeninger og analyser
af underretninger�½
Flere oplysninger videregives, men
der er fortsat potentiale for yderligere
nyttiggørelse, særligt i forhold til deling af
oplysninger med internationale parter
For effektivt at kunne modtage og analysere
underretningerne har Hvidvasksekretariatet
styrket den intelligente screening af underret-
ninger, udviklet bedre måludpegningsmodeller
og programmer, der automatiserer langt største-
delen af arbejdet med at sende underretninger
til Skattestyrelsen, der modtager flest efterret-
ningsoplysninger fra Hvidvasksekretariatet�½ Det
har også øget andelen af underretninger, der
videregives til andre myndigheder�½
Det er vanskeligt at sætte mål for antallet af
videregivelser, da det afhænger af kvaliteten i
underretningerne�½ Der er fortsat potentiale i yder-
ligere at dele og nyttiggøre underretningerne i
såvel en national som i en international kontekst�½
Det internationale samarbejde på tværs af
grænserne er styrket de senere år, og FATF,
Egmont (som er et internationalt samarbejde
mellem verdens FIUer) og EU tilskynder til endnu
mere samarbejde på tværs af FIUerne, dels
for at kunne følge de pengespor, der involverer
udlandet i enten sløring eller integrationsfasen,
og dels for at få identificeret og håndteret de
grænseoverskridende kriminelle netværk�½ I det
samarbejde er det afgørende, at informationer
deles rettidigt�½ Hvidvasksekretariatets erfaring
er, at samarbejdet i visse tilfælde er effektivt�½
Informationer deles hurtigt mellem en række
lande fx Sverige, Rumænien, Polen og Tyskland�½
Men der er også lande, hvor deling af oplysnin-
ger og efterretninger tager længere tid, eller hvor
der ingen deling er�½ Deling af oplysninger mellem
Danmark og lande uden for EU er udfordret,
både i forhold til antal og proces�½
Hvidvasksekretariatet deltager i forskellige inter-
nationale fora og udveksler løbende oplysninger
med samarbejdspartnere, som det også fremgår
af kapitel 1
Hvidvask i Danmark�½
Antallet af mod-
tagne oplysninger eller videregivelser til interna-
tionale samarbejdspartnere afspejler dog ikke
risikoen for hvidvask gennem grænseoverskri-
dende aktiviteter�½ Et fortsat mere globalt og frag-
menteret betalingslandskab øger den sårbarhed�½
SÅRBARHEDER I DEN DANSKE HVIDVASKINDSATS
Hvidvasksekretariatet vurderer, at deling og nyttiggørelse
af Hvidvasksekretariatets oplysninger med andre nationale
myndigheder udgør en
moderat
sårbarhed i forhold til hvidvask.
Hvidvasksekretariatet vurderer, at manglende deling og
nyttiggørelse af Hvidvasksekretariatets oplysninger med
internationale samarbejdspartnere udgør en
betydelig
sårbarhed i forhold til hvidvask.
REU, Alm.del - 2023-24 - Endeligt svar på spørgsmål 1456: Spm. om hvor mange overførsler, der indføres udeklarerede til Danmark, herunder om der findes skøn herfor
2938919_0111.png
DEN NATIONALE RISIKOVURDERING AF HVIDVASK
111
Begrænset mulighed for nyttiggørelse af
udenlandske efterretninger
hos myndighederne
Når Hvidvasksekretariatet spontant eller på
anmodning modtager efterretninger fra uden-
landske FIUer, er disse som udgangspunktet
behæftet med mærket ’Intelligence purpose
only’�½ Det betyder, at oplysningerne ikke kan
eller må anvendes som andet end efterretnin-
ger, medmindre den FIU, der sender oplysnin-
gerne, accepterer at ophæve mærkningen, såle-
des at oplysningerne kan indgå som et bevis i
en straffesag�½ Såfremt den afgivende FIU ikke
vil løfte begrænsningerne, vil det være vanske-
ligt for politiet at modtage og skærme de uden-
landske efterretningsoplysninger, idet oplysnin-
gerne vil indgå som beviser i sagsmaterialet i
forbindelse med oprettelsen og behandlingen
af en straffesag, og den deraf følgende aktind-
sigtsadgang for en forsvarer i sagen�½
Det er dog efter retsplejelovens § 729 c muligt
for retten efter anmodning fra politiet at be-
grænse forsvarets og sigtedes ret til aktindsigt i
oplysningerne, såfremt visse hensyn taler herfor�½
Det forekommer, at Hvidvasksekretariatet ligger
inde med oplysninger fra udlandet, der kan
være relevante for andre myndigheder i forbin-
delse med deres opgavevaretagelse�½ Det kan
fx være sager om alvorlig personfarlig krimi-
nalitet�½ Såfremt den afgivende FIU ikke vil give
samtykke til anvendelsen af oplysningerne til et
andet formål, er Hvidvasksekretariatet forhindret
i at videregive oplysningerne til politiet på grund
af politiets manglende muligheder for at mod-
tage disse oplysninger�½ Det har kun været muligt
i få tilfælde at få den afgivende FIU til at løfte
begrænsningerne�½ Da Hvidvasksekretariatet
ikke efterforsker straffesager, behandles
oplysningerne ikke yderligere, men indgår i
Hvidvasksekretariatets videre arbejde�½
Hvidvasksekretariatet vurderer, at manglende nyttiggørelse af
udenlandske efterretninger udgør en
betydelig
sårbarhed i
forhold til hvidvask.
ØGET BRUG AF DANSKE
FINANSIELLE EFTERRETNINGER
I POLITIET, MEN RELATIVT FÅ
HVIDVASKSAGER LØFTES PÅ
BAGGRUND AF UNDERRETNINGER
Økonomisk kriminalitet udfordrer politiet
Danmark er et trygt land med en lav kriminali-
tetsrate�½ Opdagelsesprocenten varierer mellem
de forskellige kriminalitetsområder, men som
det er gældende for alle lande, gælder det også i
Danmark, at politiet har vanskeligt ved at opdage
og retsforfølge sager om økonomisk kriminalitet
og hvidvask�½ Det skyldes særligt mængden af
sager om økonomisk kriminalitet, som indehol-
der alt fra meget simple sager til sager med stor
kompleksitet�½ Hertil kommer, at mens kriminali-
teten og flytning af midlerne foregår stadig hur-
tigere og på tværs af landegrænser, bliver efter-
forskningen vanskeligere og bevisbyrden stadigt
tungere, fordi der skal indhentes beviser fra
mange forskellige aktører, platforme og jurisdikti-
oner, der ikke alle er samarbejdsvillige�½ Konkrete
sager med fx fakturafabrikker har vist, at det er
meget vanskeligt at få materiale til efterforskning
fra nye digitale banker�½
Stigende brug af finansielle
oplysninger i politiet
I de senere år er politiets brug af finansielle
oplysninger og efterretninger steget i forsø-
get på at kortlægge pengesporet i konkrete
efterforskninger, uanset om de handler om
økonomisk kriminalitet eller ej�½ Siden 2021
har dansk politi haft mulighed for at se, om
Hvidvasksekretariatet har underretninger om
konkrete personer eller virksomheder, som de
kan ansøge Hvidvasksekretariatet om at få
adgang til�½ Stadig flere underretninger indgår
i politiets arbejde med at forebygge og efter-
forske kriminalitet�½
I den seneste feedbackundersøgelse, som
Hvidvasksekretariatet har udarbejdet for andet
halvår 2020, fremgår det, at 48 pct�½ af de
videregivelser, herunder svar på forespørgs-
ler fra politiet, som Hvidvasksekretariatet har
sendt til politiet i andet halvår af 2020, indgår
i en konkret efterforskning�½ Ti pct�½ af videre-
givelserne fører til en dom eller anden afgø-
relse�½ Hvidvasksekretariatet bemærker, at en
del af sagerne ikke er endeligt afsluttede på
opgørelsestidspunktet�½
SÅRBARHEDER I DEN DANSKE HVIDVASKINDSATS
REU, Alm.del - 2023-24 - Endeligt svar på spørgsmål 1456: Spm. om hvor mange overførsler, der indføres udeklarerede til Danmark, herunder om der findes skøn herfor
2938919_0112.png
112
DEN NATIONALE RISIKOVURDERING AF HVIDVASK
Endvidere bemærker Hvidvasksekretariatet, at
videregivelserne ikke i alle tilfælde anvendes
til efterforskninger om hvidvask, men også er
nyttige i politiets arbejde med at forebygge
og efterforske anden kriminalitet�½ Det er et
begrænset antal efterforskninger om hvidvask,
der igangsættes på baggrund af underretninger�½
Hvidvasksekretariatet udarbejder også målud-
pegningsoplæg, hvor der identificeres aktører
og netværk, som sendes til politiet til videre
efterforskning eller til andre relevante myndig-
heder�½ Måludpegningsoplæg er ofte omfattende
analyser, der adskiller sig fra andre videregivel-
ser ved, at måludpegningsoplæg har potentiale
til at skabe et analytisk grundlag for planlæg-
ning af en efterforskning, yderligere efterret-
ningsindhentning eller operative indsatser samt
af kontrol- og tilsynsbesøg�½
Hvidvasksekretariatet har i 2021 udarbejdet og
videregivet oplysninger i 25 måludpegnings-
oplæg, hvoraf 22 blev sendt til politiet og tre
blev sendt til PET�½
Der efterforskes relativt få hvidvasksager
på baggrund af underretninger
Erfaringerne viser, at de større hvidvasksager er
svære og ressourcekrævende at efterforske�½ De
omhandler typisk mange aktører, både danske
og udenlandske, flere hundrede virksomheder
og kunder med transaktioner på tværs af juris-
diktioner�½ Når de store sager skal løftes, skal der
afsættes mange ressourcer�½
I 2018 blev straffeloven ændret, så det nu er
muligt at dømme for hvidvask, uden at ankla-
gemyndigheden skal bevise, hvilken form for
kriminalitet de hvidvaskede penge stammer fra�½
Tanken er, at det skal lette bevisbyrden, idet det
ikke længere skal bevises, hvilken konkret for-
brydelse der ligger forud�½
SÅRBARHEDER I DEN DANSKE HVIDVASKINDSATS
Der har været behandlet en del sager ved
byretterne, hvor de tiltalte er dømt for hvidvask
efter den nye bestemmelse i straffelovens §
290 a�½ Der er foreløbigt afgjort få sager i lands-
retterne, hvor der i ét tilfælde blev dømt for
forsøg og dermed ikke fuldbyrdet hvidvask�½
Anklagemyndigheden vurderer, at efterforskning
og tilskæring af sagerne vil blive mere effektiv
i de kommende år i takt med, at domstolenes
praksis udvikler sig�½ Det kan have betydning
for, om politiet arbejder videre med et målud-
pegningsoplæg fra Hvidvasksekretariatet, når
de skal prioriteres blandt de mange sager, som
tilgår dansk politi�½ De politimæssige reaktioner
i forhold til hvidvask i form af efterforskninger,
sigtelser og domme for perioden 2018-2021 er
behandlet i kapitel 1
Hvidvask i Danmark.
I forhold til hvor mange underretninger og
måludpegningsoplæg, som sendes fra
Hvidvasksekretariatet til politiet, er antallet af
efterforskninger om hvidvask, der igangsættes
på baggrund af underretninger,
begrænset�½
Politiet anvender knap halvdelen af de under-
retninger, der videresendes, i deres arbejde,
men underretningerne i sig selv fører kun i
mindre omfang til igangsættelse af efterforsk-
ninger i hvidvasksager�½ Det skyldes blandt
andet, at der er stor forskel på at underrette om
hvidvask, at finde grundlag for efterforskning og
tiltalerejsning og endelig at løfte en sag i retten�½
Hertil kommer, at underretninger og måludpeg-
ningsoplæg fra Hvidvasksekretariatet kan være
komplekse at efterforske, og dermed skal der
prioriteres i forhold til politiets øvrige opgaver�½
Det skal dog samtidig bemærkes, at antallet af
sager om hvidvask er steget de seneste år, og
at det er vanskeligt for politiet at kortlægge, om
en underretning har ført til en sag, fordi politiets
registrering ikke i alle tilfælde gør det muligt
for politiet at følge det videre arbejde med
underretningerne�½
Hvidvasksekretariatet vurderer, at dansk politi løfter relativt
få hvidvasksager på baggrund af underretninger, og at
det udgør en
betydelig
sårbarhed i forhold til hvidvask.
Hvidvasksekretariatet bemærker, at der i antal fældende
afgørelser om grov og simpel hvidvask er en stigning i
undersøgelsesperioden, som fortsætter ind i 2022.
REU, Alm.del - 2023-24 - Endeligt svar på spørgsmål 1456: Spm. om hvor mange overførsler, der indføres udeklarerede til Danmark, herunder om der findes skøn herfor
2938919_0113.png
DEN NATIONALE RISIKOVURDERING AF HVIDVASK
113
STIGENDE FOKUS PÅ BESLAG-
LÆGGELSER, MEN FÅ MIDLER
BESLAGLÆGGES OG KONFISKERES
Som det fremgår af kapitel 1
Hvidvask i
Danmark
kan en underretning indeholde
mulighed for beslaglæggelse�½ Når Hvidvask-
sekretariatet modtager en underretning, hvor
der er mulighed for at beslaglægge penge, fore-
tager Hvidvasksekretariatet en beslaglæggelse i
henhold til retsplejeloven�½ Hvidvasksekretariatet
fremsender herefter sagen til den relevante
politikreds eller NSK til videre foranstaltning�½
I 2021 modtog Hvidvasksekretariatet 550
underretninger, hvor der var mulighed for at
beslaglægge i alt godt 315 millioner kroner, og
foreløbige tal viser, at der er beslaglagt i alt 47,6
millioner kroner, heraf er foreløbig 1,6 millioner
kroner konfiskeret�½
Den 1�½ januar 2022 trådte den nye Fast Track-
ordning i kraft, hvor Hvidvasksekretariatet efter
modtagelsen af en Fast Track-underretning
inden udløbet af den efterfølgende bankdag
skal træffe beslutning om, hvorvidt der foreta-
ges en midlertidig beslaglæggelse af beløbet�½
FATF vurderer, at kun én pct�½ af de værdier, der
kunne beslaglægges i et globalt perspektiv, rent
faktisk bliver det
(AML Intelligence 2022)�½
Hvidvasksekretariatet vurderer, at de relativt få beslaglæggelser og
konfiskationer udgør en
betydelig
sårbarhed i forhold til hvidvask.
SÅRBARHEDER I DEN DANSKE HVIDVASKINDSATS
Hvis Hvidvasksekretariatet vurderer, at der er
grundlag for midlertidig beslaglæggelse, giver
Hvidvasksekretariatet det relevante pengein-
stitut besked om at ”fryse pengene”�½ Derefter
fremsender Hvidvasksekretariatet hurtigst
muligt sagen til den relevante politikreds eller
NSK til videre foranstaltning, herunder til vur-
dering af, hvorvidt sagen skal efterforskes, og
beslaglæggelsen skal opretholdes�½ Politiet har
herefter syv dage til at påbegynde en even-
tuel efterforskning og vurdere grundlaget for,
om beslaglæggelsen skal opretholdes som
en almindelig beslaglæggelse�½ Fra 1�½ januar
til 1�½ oktober 2022 har Hvidvasksekretariatet
identificeret 33 tilfælde af Fast-Track-
hvidvaskunderretninger med mulighed for
beslaglæggelse af i alt godt 128 millioner
kroner, hvoraf der i 22 sager er foretaget mid-
lertidig beslaglæggelse af cirka 97 millioner
kroner�½ Disse er i perioden blevet videregivet til
politikredsene, der i ti af sagerne har foretaget
beslaglæggelse af samlet 32 millioner kroner�½
REU, Alm.del - 2023-24 - Endeligt svar på spørgsmål 1456: Spm. om hvor mange overførsler, der indføres udeklarerede til Danmark, herunder om der findes skøn herfor
2938919_0114.png
114
DEN NATIONALE RISIKOVURDERING AF HVIDVASK
4.5
ØKONOMISKE OG
TEKNOLOGISKE
FAKTORER
DET GLOBALE OG FRAGMENTEREDE
BETALINGSLANDSKAB
De økonomiske faktorer, der udgør de største
sårbarheder på hvidvaskområdet, er de græn-
seoverskridende aktiviteter samt de øgede
muligheder for anonyme transaktioner�½ Som det
fremgår af kapitel 2
Danmark 2022-2025,
sker
der en stigende fragmentering af det globale
betalingslandskab�½ Fintech-industrien mulig-
gør hurtige og i visse tilfælde svært sporbare
transaktioner, hvor forretningsforbindelser uden
direkte kontakt bliver stadigt mere almindelige�½
Det giver betydelige fordele for forbrugere og
virksomheder, men kan også udgøre større risici
(Europa-Kommissionen 2022: 86-93)�½
Introduktionen af nye betalingsteknologier og
-produkter betyder et mere fragmenteret og
internationalt betalingsmarked, som gør det
vanskeligt for de enkelte underretningspligtige
og myndigheder at have overblik over kunder-
nes samlede finansielle forhold�½
Det bliver dermed vanskeligere at identificere
afvigelser og mistænkelig adfærd�½
Brug af udenlandske bankkonti, eWallets,
kryptoaktiver med videre, bidrager til at sløre
midlers oprindelse og gør det muligt at flytte
værdier til og fra flere konti på tværs af lande-
grænser på sekunder, herunder til jurisdiktioner
med et lavere niveau af tilsyn end i Danmark�½
Aktiviteter, der delvist foregår i udlandet, øger
risici for hvidvask, fordi det er vanskeligere for
de underretningspligtige og myndighederne
at følge aktiviteterne og at handle rettidigt på
mistænkelige handlinger�½ Det ved de kriminelle
aktører, og de misbruger adgangen i udlandet
til at placere, sløre og integrere deres ulovlige
udbytte�½ I sager vedrørende kædesvig og mom-
skarruseller ser Skattestyrelsen i stigende grad
overførsler til udlandet via nye digitale banker
og betalingsplatforme�½
SÅRBARHEDER I DEN DANSKE HVIDVASKINDSATS
Illustration 4:
Eksempel på fragmentering af betalingslandskabet
Opsamlingskonti
Udbyder af betalingstjeneste
Anvender opsamlingskonti i de lande,
udbyderen har en tilstedeværelse
Indehaver
Penge overføres
direkte eller
afregnes løbende
Indehaver
Person A
NEM-konto
overførsel
Opsamlingskonto
Opsamlingskonto
Konto
overførsel
Person B
REU, Alm.del - 2023-24 - Endeligt svar på spørgsmål 1456: Spm. om hvor mange overførsler, der indføres udeklarerede til Danmark, herunder om der findes skøn herfor
2938919_0115.png
DEN NATIONALE RISIKOVURDERING AF HVIDVASK
115
Fragmenteringen af betalingslandskabet
kommer til at fortsætte de kommende år, og
det får betydning for hvidvaskområdet på flere
niveauer:
Det bliver vanskeligere for de underretnings-
pligtige at have overblik over kundernes
samlede finansielle forhold og dermed også
vanskeligere at identificere afvigende og
mistænkelig adfærd�½
Flere hvidvaskaktiviteter vil foregå gennem
betalingsstrukturer i udlandet og er dermed
delvist skjult for danske myndigheder�½
Handel med kryptoaktiver på udenlandske
platforme er vanskelig at identificere, fordi
Skattestyrelsen ikke per automatik modta-
ger oplysninger om beholdninger�½
Der skal findes nye måder at indrette hvid-
vaskindsatsen på, når det handler om de
nye teknologier, som fx DeFi�½
Der er brug for kompetencer, der forstår de
nye forretningsmodeller og kan omsætte
den viden til værktøjer, som myndigheder og
øvrige aktører kan anvende i kampen mod
hvidvask�½
Hvidvasksekretariatet vurderer, at det globale og mere
fragmenterede betalingslandskab udgør en
høj
sårbarhed i
forhold til hvidvask.
KRIMINELLE AKTØRERS BRUG AF
KONTANTER SKABER EN KONTANT-
BASERET UNDERGRUNDSØKONOMI
Kriminelle miljøer anvender kontanter, fordi det
muliggør anonymitet�½ Det skaber en kontantba-
seret undergrundsøkonomi�½ De kriminelle aktø-
rer anvender kontanterne til yderligere krimina-
litet fx ved at sælge dem til virksomhedsejere,
der vil aflønne ansatte sort, eller ved at udføre
dem til lande med større kontantøkonomier
og/eller lande med ringere hvidvaskforanstalt-
ninger�½ Denne undergrundsøkonomi gør det
også muligt at overføre værdier gennem blandt
andet uformelle pengeoverførselssystemer
såsom hawala�½ Herved kan kontanter cirkulere i
Danmark, mens værdien overføres til udlandet
(læs yderligere om uformelle pengeoverførsels-
systemer i kapitel 5
Metoder til hvidvask)�½
Det er relativt nemt at ud- og indføre kontanter
i Danmark ved at smugle dem ud eller ved at
deklarere dem, fordi deklarationen kan virke
som et legalitetsstempel�½ Deklarationen viser
alene, at der er angivet en vis mængde penge
til ind- eller udførsel, og at det er angivet, hvor
pengene stammer fra�½
Men om denne forklaring er rigtig, fortæller
deklarationen ikke noget om�½
Det er naturligvis vanskeligt at kontrollere
ind- og udførsel af kontanter langs Danmarks
knap 9�½000 kilometerlange kystlinje, men
Toldmyndighederne finder fortsat mange kon-
tanter, der bliver forsøgt smuglet ud af landet�½
I 2019-2021 tilbageholdt Toldstyrelsen samlet
45 millioner kroner fra primært privatrejsende,
der bevidst eller ubevidst overtrådte reglerne
(Toldstyrelsen 2022:1-2)�½
De store summer
af deklarerede og ikke-deklarerede kontanter
udgør en risiko for hvidvask�½
Selvom der er sat grænser for, hvor mange
midler rejsende må føre ind og ud af landet
uden at deklarere dem, og selvom kontant-
forbuddet har begrænset mulighederne for at
anvende kontanter til køb af varer og tjeneste-
ydelser, så spiller kontanter fortsat en vigtig
rolle i mange kriminelle aktiviteter og skaber en
kontantbaseret undergrundsøkonomi�½
Kontantbeholdningen i Danmark er stigende
på trods af, at færre og færre borgere bruger
kontanter
(Danmarks Nationalbank 2022d)�½
SÅRBARHEDER I DEN DANSKE HVIDVASKINDSATS
En række reguleringstiltag af fintech-industrien
pågår i flere lande og regioner i disse år�½ I EU-regi
sker det fx via implementering af det femte
hvidvaskdirektivs bestemmelser om udbydere
af virtuelle valutaer og udbydere af virtuelle teg-
nebøger med mere�½ Danmark har implementeret
det femte hvidvaskdirektiv�½ Det vil forventeligt
betyde, at hvidvask gennem disse kanaler vil
flytte derhen, hvor reguleringerne er svagere�½
REU, Alm.del - 2023-24 - Endeligt svar på spørgsmål 1456: Spm. om hvor mange overførsler, der indføres udeklarerede til Danmark, herunder om der findes skøn herfor
2938919_0116.png
116
DEN NATIONALE RISIKOVURDERING AF HVIDVASK
Vi ved fra danske hvidvasksager, at sorte kon-
tanter blandes med lovlig omsætning i kon-
tantbaserede brancher, og efterretninger peger
på, at prisen for danske kroner i de kriminelle
miljøer er stigende, fordi der er efterspørgsel
på dem fra virksomheder, der ønsker af aflønne
deres medarbejdere sort�½
Hvidvasksekretariatet vurderer, at kriminelle aktørers brug af
kontanter fortsat udgør en
høj
sårbarhed i forhold til hvidvask.
SÅRBARHEDER I DEN DANSKE HVIDVASKINDSATS
BEGRÆNSET UDVEKSLING
AF INFORMATIONER OM
INTERNATIONAL VAREHANDEL
Myndighedernes og de underretningspligtiges
fokus på kontanter får i nogen grad de kriminelle
aktører til at bytte kontanter ud med højværdi-
varer, fx guld, som de tager med over grænsen
og formentlig får ombyttet til penge elle andre
værdier�½ Europa-Kommissionens supranationale
risikovurdering 2022 peger på, at guld og ædel-
sten er højrisikoområder for hvidvask
(Europa-
Kommissionen 2022: 164-169)�½
Fra juni 2021 har guld (barrer og klumper med
en høj renhed) været angivelsespligtigt, når den
samlede værdi svarer til 10�½000 euro eller der-
over (jf�½ EU’s pengeforordning og toldloven)�½ I
perioden juni 2021 til 31�½ december 2021 tilba-
geholdt Toldstyrelsen guld for 300�½000 kroner
(Toldstyrelsen 2022: 2)�½
Der er siden juni 2021
sket en stigning i antallet af angivelser om guld,
men det er ikke muligt på baggrund af stignin-
gen i angivelserne at vurdere, om der er tale om
en generel stigning af ind- og udførsel af guld�½
Ifølge FATF udgør handelsbaseret hvid-
vask en global trussel på hvidvaskområdet,
Hvidvasksekretariatet vurderer, at handelsbase-
ret hvidvask også udgør en høj risiko i Danmark
(se kapitel 5
Metoder til hvidvask)�½
Danmark er
en lille og åben økonomi med en relativt stor
international handel, herunder en stor andel
af import og eksport, der sker via containere
til og fra danske havne�½ Som nævnt i kapitel
2
Danmark 2022-2025
går 90 pct�½ af dansk
import og eksport gennem havnene, hvoraf to
tredjedele sker i Aarhus Havn�½
Det gælder i Danmark som i øvrige lande, at
ikke alle containere kontrolleres�½ Kontrollen
tager udgangspunkt i en risikobaseret til-
gang, der tilstræber, at de mest risikofyldte
kontrolleres, så der samtidig kan oprethol-
des en smidig handelsstruktur�½ Samtidig kan
Hvidvasksekretariatet konstatere, at der mod-
tages få underretninger om handelsbaseret
hvidvask�½ Det er også Hvidvasksekretariatets
opfattelse, at viden om handelsbaseret hvid-
vask i visse tilfælde er begrænset hos såvel
underretningspligtige som myndigheder�½
Hvidvasksekretariatet vurderer, at kriminelle
aktører anvender handelsbaseret hvidvask
og international handel, herunder over- og
underfakturering og over- og underdrivelse
af handelsvolumen�½ Det er ikke muligt for
Hvidvasksekretariatet på baggrund af tilgæn-
gelige data at opgøre omfanget af handels-
baseret hvidvask i Danmark�½ Toldstyrelsen
og Hvidvasksekretariatet har derfor indledt et
tæt samarbejde med henblik på at forstærke
indsatsen mod handelsbaseret hvidvask i
Danmark og som et led heri undersøge, i hvilket
omfang Toldstyrelsen kan levere data, der kan
understøtte Hvidvasksekretariatets analyser af
udbredelsen af handelsbaseret hvidvask, her-
under omfanget af over- og underfakturering�½
Identificering af handelsbaseret hvidvask i
Danmark kræver et tæt samarbejde og effek-
tiv udveksling af oplysninger mellem blandt
andre pengeinstitutter, Toldstyrelsen og
Hvidvasksekretariatet samt anvendelse af data-
modeller, der kan understøtte identificering af
fx over- og underprisfastsættelse, mistænkelige
handels- og transaktionsruter med videre på
baggrund af blandt andet tolddeklareringer�½
Hvidvasksekretariatet vurderer, at begrænset udveksling af
informationer mellem myndigheder i forbindelse med international
varehandel udgør en
høj
sårbarhed i forhold til hvidvask.
REU, Alm.del - 2023-24 - Endeligt svar på spørgsmål 1456: Spm. om hvor mange overførsler, der indføres udeklarerede til Danmark, herunder om der findes skøn herfor
2938919_0117.png
DEN NATIONALE RISIKOVURDERING AF HVIDVASK
117
UDFORDRINGER MED AT
IDENTIFICERE REELLE EJERE I
DANMARK OG I UDLANDET
For at sløre ejerskabet af ulovlige midler bruger
de kriminelle aktører forskellige teknikker til
at forsøge at sikre de reelle ejere anonymitet,
fx gennem brug af stråmænd og opsætning af
komplekse virksomhedsstrukturer�½
FATF har siden 2003 sat fokus på at bekæmpe
mulighederne for, at personer og virksomheder
kan fortie oplysninger om, hvem der ejer virk-
somheder og aktiver, for at forebygge hvidvask
og sikre muligheden for beslaglæggelser og
konfiskation�½ FATF vurderer, at godt halvdelen
af landene lever op til FATF’s tekniske standar-
der, herunder Danmark
(FATF 2022c: 32)�½
De
store læk af finansielle data, fx Panama Papers,
der afslører omfattende brug af dækselskaber
i skattelylande, offshore-selskaber, brug af
stråmænd og andre metoder til at skjule ejer-
skaber af virksomheder og aktiver, har skabt
øget opmærksomhed på nødvendigheden af,
at myndigheder og relevante aktører kan iden-
tificere reelle ejere�½ Europa-Kommissionen
vurderer, at det særligt er den ikke-finansielle
sektor, der har vanskeligt ved at forstå begrebet
reel ejer eller undlader at kontrollere identiteten
(Europa-Kommissionen 2019b: 3)�½
Reelle ejere og cvr­registeret
I Danmark er cvr-registret det autoritative regi-
ster for grunddata om alle virksomheder, der er
forpligtet til at være registreret efter selskabs-
eller skatteloven eller anden lovgivning�½ Siden
23�½ maj 2017 har alle virksomheder, fonde og
foreninger – med få undtagelser jf�½ EU’s hvid-
vaskdirektiv – haft pligt til at indhente, opbevare
og registrere oplysninger om deres reelle ejere,
og fra 10�½ januar 2020 har bestemmelserne
også fundet anvendelse for visse udenlandske
truster, fx truster, der administreres af en for-
valter i Danmark�½ Det er Hvidvasksekretariatets
indtryk, at registrene er stærke, særligt når det
handler om mindre komplicerede selskabskon-
struktioner, og der ikke er udenlandske ejere�½
For virksomheder er reelle ejere en fysisk
person, der i sidste ende ejer eller kontrollerer
en virksomhed ved direkte eller indirekte ejer-
skab over en tilstrækkelig del af ejerandele eller
stemmerettigheder, eller som udøver kontrol
over virksomheden på anden vis�½ Som hoved-
regel skal reelle ejere, der har en ejerandel på
25 pct�½ eller mere registreres�½ I praksis betyder
det dog, at mange virksomheder ikke registreres
med reelle ejere, hvis ejerandelene er mindre
end 25 pct�½
For personer er der i registret mulighed for at
få adressebeskyttelse, og det er derfor ikke
alle personers adresser, der kan søges frem�½
Adressebeskyttelse betyder, at fysiske per-
soners private adresser ikke vises i cvr-regi-
stret�½ Bopælslandet gøres dog stadig offentligt
tilgængeligt i cvr-registret�½ Denne mulighed
har i væsentlig grad mindsket behovet for, at
Erhvervsstyrelsen fritager oplysninger i til-
fælde, hvor en reel ejer kan være særligt udsat,
hvis oplysningerne offentliggøres�½ Uanset om
oplysninger om en bestemt deltager, herun-
der en reel ejer, er blevet fritaget/beskyttet,
bliver oplysningerne stadig registreret hos
Erhvervsstyrelsen og stillet til rådighed for de
kompetente myndigheder�½
Virksomhederne skal mindst en gang årligt
undersøge, om de registrerede oplysninger om
deres reelle ejere er korrekte�½
SÅRBARHEDER I DEN DANSKE HVIDVASKINDSATS
Det er virksomhederne selv, der registrerer
oplysningerne via Erhvervsstyrelsens selvbe-
tjeningsløsning�½ Oplysninger om reelle ejere
registreres via Erhvervsstyrelsens selvbetje-
ningsløsning på Virk�½dk, som foretages med
MitID�½ Ved anvendelsen af MitID kan styrelsen
se, hvem det er udstedt til, og kan anvende
det i forbindelse med styrelsens kontrol af
registrering af reelle ejere�½ For personer med
dansk cpr-nummer registreres cpr-nummeret
som en del af identifikationskravene, og adres-
seoplysninger kontrolleres op mod det danske
adresseregister (DAR)�½ Endvidere kontrolleres
personoplysningerne op mod Det Centrale
Personregister (cpr-registreret) for at sikre, at
de reelle ejere ikke er afgået ved døden eller er
uden en gyldig adresse�½
REU, Alm.del - 2023-24 - Endeligt svar på spørgsmål 1456: Spm. om hvor mange overførsler, der indføres udeklarerede til Danmark, herunder om der findes skøn herfor
2938919_0118.png
118
DEN NATIONALE RISIKOVURDERING AF HVIDVASK
Den, der registrerer oplysningerne, er underlagt
anmelderansvar�½ Viser det sig, at oplysningerne
ikke er korrekte, kan Erhvervsstyrelsen spærre
for anmelders adgang til at straksregistrere og
anmelde forholdet til politiet�½
Siden 1�½ januar 2021 har der for virksomheder,
der er omfattet af selskabsloven, og virksom-
heder, der skal registreres efter lov om visse
erhvervsdrivende virksomheder, været krav om,
at personer, der registres som medlem af ledel-
sen, skal være personer, der udøver den faktiske
ledelse, den såkaldte
stråmandsbestemmelse�½
Det betyder, at det ikke er tilladt at registrere en
stråmand i virksomhedens ledelse i Danmark�½
I praksis kan de kriminelle aktører fortsat gøre
det, men myndighederne har nu mulighed
for at identificere, kontrollere og forebygge
stråmandsaktivitet�½ Indsatsen beror dog på
Erhvervsstyrelsens ressourcer til kontrol�½
Erhvervsstyrelsen foretager løbende stikprøve-
kontrol af virksomheder, der har pligt til at
registrere reelle ejere�½ Styrelsen har i kontrollen
af oplysninger om reelle ejere særligt fokus på
de virksomheder, der har registreret, at de ikke
kan identificere virksomhedens reelle ejere,
samt virksomheder med ejerskab i et skatte-
lyland, da det er styrelsens erfaring, at en række
af disse virksomheder aktivt forsøger at skjule
det reelle ejerskab�½
Siden 10�½ januar 2020 har virksomheder og
personer, som er omfattet af hvidvaskloven,
haft pligt til at foretage indberetning af uover-
ensstemmelser i oplysninger om reelle ejere,
som de bliver bekendte med i forbindelse
med udførelsen af kundekendskabsproce-
durer, og som ikke stemmer overens med de
oplysninger om reelle ejere, der er registre-
ret hos Erhvervsstyrelsen�½ Hovedparten af
indberetninger af uoverensstemmelser om
reelle ejere kommer fra banker�½ En stor del af
bankernes indberetninger om uoverensstem-
melser er enten ukorrekte eller mangelfulde�½
Erhvervsstyrelsen modtager endvidere relativt
få indberetninger fra henholdsvis advokater og
revisorer�½ Erhvervsstyrelsen har derfor særligt
fokus på henholdsvis de mangelfulde indberet-
ninger fra banker og de manglende indberetnin-
ger fra advokater og revisorer�½
SÅRBARHEDER I DEN DANSKE HVIDVASKINDSATS
Størstedelen (98 pct�½) af de omfattede virksom-
heder, fonde og foreninger, der skal registrere
oplysninger om reelle ejere, har registreret
oplysningerne om reelle ejere (pr�½ 1�½ august
2022)�½ Restmængden af virksomheder, der ikke
har registreret reelle ejere, består hovedsageligt
af interessentskaber (I/S), kommanditselska-
ber (K/S), der er registreringspligtige, fordi de
skal registreres for skatte- eller afgiftsmæssige
pligter, og almindelige (ikke-erhvervsdrivende)
fonde og undtagne fonde�½ Erhvervsstyrelsen
har i 2021 haft fokus på virksomheder med
manglende registreringer af reelle ejere og
har ad to omgange kontaktet dem�½ Mange af
disse virksomheder har fortsat ikke registreret
deres reelle ejere�½ Erhvervsstyrelsen har alene
mulighed for at sanktionere disse virksomhe-
ders manglende registrering af reelle ejere med
tvangsbøder�½
Det er Erhvervsstyrelsens erfaring, at sanktio-
nering af virksomheder ved enten at udstede
tvangsbøder eller spærre for anmelders
mulighed for at foretage straksregistreringer i
Erhvervsstyrelsens it-system ikke effektivt for-
hindrer kriminelle bagmænd i at indsætte strå-
mænd som reelle ejere og dermed skjule det
reelle ejerskab�½
Identifikation kræver andre oplysninger
De underretningspligtige skal altid indhente
oplysninger om den eller de reelle ejeres identi-
tet�½ Det beror på en konkret vurdering, hvordan
og hvilke oplysninger den underretningspligtige
skal indhente om kundens reelle ejere�½ Det er
den underretningspligtige, der er ansvarlig for
at foretage en vurdering af, hvorledes og i hvil-
ket omfang oplysningerne skal kontrolleres�½ De
underretningspligtige kan anvende cvr-registret
til at kontrollere de identitetsoplysninger, som de
har indhentet på en kunde�½ Når informationerne
ikke er tilgængelige i cvr-registret, eller der er
tale om højrisikokunder, skal de underretnings-
pligtige selv indhente informationer fra pålidelige
og uafhængige kilder om de reelle ejere�½
Det er vanskeligere, særligt når ejerskaberne
forgrener sig ud i komplekse selskabskonstruk-
tioner, ejerskaber via fonde og trusts i ind- og
udland�½
REU, Alm.del - 2023-24 - Endeligt svar på spørgsmål 1456: Spm. om hvor mange overførsler, der indføres udeklarerede til Danmark, herunder om der findes skøn herfor
2938919_0119.png
DEN NATIONALE RISIKOVURDERING AF HVIDVASK
119
Europa-Kommissionen refererer til et nyere
studie, der estimerer, at omkring 1,2 pct�½ af
kapitalselskaberne (limited companies) i EU,
England og Schweiz er kontrolleret på måder,
hvor det ikke er muligt at identificere de reelle
ejere�½ I nogle lande, fx Holland, er antallet langt
større
(Europa-Kommissionen 2022: 131)�½
Dermed udfordres muligheden for at udarbejde
en tilbundsgående undersøgelse af, hvem
det er, der fx skal have oprettet en bankkonto
eller købe et produkt eller en ydelse, og hvor
kundens midler stammer fra�½ Dette gøres ved
hjælp af såkaldte kundekendskabsprocedurer,
hvor virksomhederne indhenter og kontrollerer
kundens identitet og vurderer kundens risikoni-
veau, og skærpede kundekendskabsprocedurer
eller Enhanced Due Dilligence, hvis det handler
om højrisikokunder eller politisk eksponerede
personer (PEP)�½ Den viden er nødvendig for, at
de underretningspligtige har kendskab til deres
kunder, så de kan monitere og identificere mis-
tænkelig adfærd�½
Nogle virksomheder outsourcer deres kun-
dekendskabsprocedurer�½ Det kan øge risikoen,
når virksomhederne ikke selv oparbejder viden
om kunden, men særligt for mindre virksomhe-
der, der ikke har kapaciteter til opgaven, kan det
styrke kundekendskabet�½
Internationalt er der fokus på at styrke informa-
tionen om reelle ejere for at sikre identifikation�½
G20-landene har forpligtet sig til at implemen-
tere og styrke de globale standarder på området
(FATF 2022d: 4)�½
En øget kvalitet i registrene
i andre jurisdiktioner vil bidrage til mere effek-
tive procedurer for vurdering af reelle ejere i
Danmark�½
Hvidvasksekretariatet vurderer, at identifikation af reelle ejere i
Danmark udgør en
moderat
sårbarhed i forhold til hvidvask.
Hvidvasksekretariatet vurderer, at identifikation af reelle ejere i
udlandet udgør en
betydelig
sårbarhed i forhold til hvidvask.
SÅRBARHEDER I DEN DANSKE HVIDVASKINDSATS
Her er det vigtigt at bemærke, at de underret-
ningspligtige skal kende deres egen kunde,
men ikke kundernes kunder�½ Hvis et værdihånd-
teringsselskab eller en udenlandsk bank er
kunde i en dansk bank, skal den danske bank
således kende og vurdere værdihåndteringssel-
skabet eller den udenlandske bank, men ikke
deres kunder�½ Hvis de finder noget mistænkeligt
ved de penge, som værdihåndteringsselskabet
eller banken sætter ind eller trækker ud af deres
konto, kan de spørge til det�½ Der kan dermed
indsættes et led imellem den underretningsplig-
tige og de kriminelle aktører, hvor det kan være
vanskeligere at opdage kriminelle handlinger,
fordi de indgår i en stor volumen af transaktio-
ner�½ Den udenlandske bank vil dog selvstændigt
være forpligtet til at foretage kundekendskabs-
procedurer af
sine
kunder�½
REU, Alm.del - 2023-24 - Endeligt svar på spørgsmål 1456: Spm. om hvor mange overførsler, der indføres udeklarerede til Danmark, herunder om der findes skøn herfor
2938919_0120.png
120
DEN NATIONALE RISIKOVURDERING AF HVIDVASK
4.6
GEOGRAFISKE FAKTORER
Som nævnt i kapitel 2
Danmark 2022-2025
har
Danmarks geografiske placering også betyd-
ning for hvidvaskaktiviteterne i forhold til, hvor
ulovlige midler fra kriminalitet begået i Danmark
hvidvaskes, men også i forhold til, hvor ulov-
lige midler fra kriminalitet begået i udlandet
hvidvaskes�½ Det handler blandt andet om, at de
kriminelle aktører misbruger den eksisterende
infrastruktur, herunder transportmuligheder�½
I forhold til finansielle transaktioner gør tek-
nologien og digitaliseringen de geografiske
afstande mindre, fordi der kan flyttes midler
hurtigt mellem verdensdele�½ Danmarks geogra-
fiske placering har betydning for de finansielle
relationer og samarbejdspartnere, særligt i
forhold til korrespondentbankforbindelser�½ Som
det fremgår af kapitel 2
Danmark 2022-2025
står Danmark for en stor andel af alle Nordisk-
Baltiske korrespondentbank-transaktioner�½ Det
kan alt andet lige øge sårbarheden for hvid-
vask i Danmark, hvis de lande, hvor pengene
kommer fra, har svagere hvidvaskforanstalt-
ninger�½ I givet fald vil man overtage en del af
risikoen for den bank, man er korrespondent-
bank for (læs yderligere i kapitel 6
Risici for
hvidvask i udvalgte brancher
i afsnittet om
Pengeinstitutter)�½
Danmarks åbne økonomi med finansielle forbin-
delser til mange lande gør os attraktive i forhold
til sløring af midler, fordi internationale handels-
og betalingsstrukturer er etablerede og dermed
er tilgængelige, men også fordi transaktioner i
og igennem Danmark kan betyde, at aktiviteten
undgår at vække mistanke i de næste led i hvid-
vaskkæden, fordi Danmark ikke betragtes som
et risikoland�½
De kriminelle aktører misbruger gerne struktu-
rer med volumen for at mindske risikoen for, at
deres kriminelle adfærd eller transaktioner ser
mistænkelige ud�½
INTERNATIONALISERINGEN
UDFORDRER JURISDIKTIONER
OG KRÆVER ET TÆT INTER-
NATIONALT SAMARBEJDE
Mens teknologi nedbryder de geografiske barri-
erer for handel med varer og tjenesteydelser, og
penge kan flyttes over landegrænser på sekun-
der, så udfordrer geografien myndighedernes
arbejde på hvidvaskområdet, fordi tilsynsfor-
pligtelser, håndhævelser og efterforskninger
fortsat er skarpt opdelt i jurisdiktioner�½
Virksomhedernes klienter, der har transaktio-
ner på tværs af landegrænser, udgør en større
risiko, fordi det er vanskeligere at vurdere reelle
ejerskaber og deres aktiviteter�½ På tilsyns-
området er der i flere tilfælde et begrænset
samarbejde med andre europæiske tilsynsmyn-
digheder, og særligt de europæiske spillemyn-
digheder er udfordrede, idet der er tale om en
ikke-harmoniseret branche�½ Det betyder fx, at
der i de enkelte europæiske lande er forskel på,
om spilmarkedet er liberaliseret helt eller del-
vist, eller om der er monopol�½ Forskelligheden i
de europæiske lande medfører, at der ikke altid
er et fælles udgangspunkt at samarbejde ud fra�½
De grænseoverskridende aktiviteter udfordrer
også efterforskningen af sager�½ Erfaringerne
herhjemme og i udlandet viser, at det er vanske-
ligere at indhente oplysninger fra udenlandske
underretningspligtige samt at indhente beviser i
øvrigt i lande uden for Danmarks grænser�½
Der er stor forskel på mulighederne for og vil-
ligheden til samarbejde på tværs af grænserne�½
Mulighederne for samarbejde kan handle om
såvel begrænsede ressourcer som lovgiv-
ningsmæssige udfordringer�½ Der er lande, hvor
samarbejdet er institutionaliseret og effektivt,
og lande, som ikke reagerer på henvendelser�½
Disse udfordringer udgør en sårbarhed�½
SÅRBARHEDER I DEN DANSKE HVIDVASKINDSATS
REU, Alm.del - 2023-24 - Endeligt svar på spørgsmål 1456: Spm. om hvor mange overførsler, der indføres udeklarerede til Danmark, herunder om der findes skøn herfor
2938919_0121.png
DEN NATIONALE RISIKOVURDERING AF HVIDVASK
121
Egmont, FATF og EU arbejder for at styrke det
internationale samarbejde, og det fremgår også
af den nationale strategi for forebyggelse og
bekæmpelse af hvidvask og terrorfinansiering,
at det internationale samarbejde fortsat skal
prioriteres højt�½
I EU’s AML-pakke er der lagt op til en væsentlig
styrkelse af det internationale samarbejde, sær-
ligt med den foreslåede FIU-gren (CSM), der for-
mentlig vil betyde fælles standarder for under-
retninger og udveksling af oplysninger samt
fælles analyser af hvidvask på tværs af EU�½
VIRKE I GEOGRAFISKE
HØJRISIKOOMRÅDER ØGER
RISIKOEN FOR DE-RISKING
Lovgivningen på hvidvaskområdet betyder, at
det kan være vanskeligt for nogle virksomheder
at bibeholde deres kundeforhold hos de under-
retningspligtige, hvis de opererer i specifikke
geografiske områder�½ Det kan eksempelvis være
højrisikoområder eller lande under øget over-
vågning, som fremgår på fx FATF’s liste over
lande med strategiske mangler, den såkaldte
’grå liste’, eller Europa-Kommissions liste over
højrisikolande�½ Landene er på listerne, fordi det
vurderes, at de ikke lever op til standarderne på
hvidvaskområdet�½ Der er mere end 20 lande på
FATF’s grå liste�½
Virksomheder, der opererer i disse områder,
udgør dermed en større risiko som kunde�½ Det
kan betyde, at fx pengeinstitutter ikke ønsker at
tilbyde finansielle produkter til disse erhvervs-
kunder, eller at pengeinstitutterne afslutter
kundeforhold (de-risking), så kunderne er nødt
til at foretage deres transaktioner på anden
vis, fx via transport af kontanter eller brug af
udenlandske banker�½ Det samme gælder, hvis
bankerne må afslutte relationer til korrespon-
dentbanker�½ Afslutning af kundeforhold risikerer
således også at ramme virksomheder, som af
legitime grunde opererer i risikofyldte geografi-
ske områder�½
Det samme kan gælde personer�½ I Danmark
er der, som det fremgår af kapitel 2
Danmark
2022-2025,
godt 350�½000 borgere fra ikke-vest-
lige lande, herunder også højrisikolande, som
kan have legitime grunde til at foretage transak-
tioner til og fra disse lande�½ Disse kan opleve, at
det er vanskeligere eller mere besværligt, eller
at kundeforholdet begrænses eller afsluttes�½
Når kundeforholdet begrænses eller afsluttes,
må kunderne finde andre løsninger, og det kan
være at overføre penge gennem ulovlige eller
mindre regulerede strukturer eller virksomheder
med en ringere monitering af hvidvaskaktivite-
ter, herunder udenlandske selskaber�½ Derfor kan
de-risking medføre øgede risici�½
Hvis det handler om ulovlige midler, der skal
hvidvaskes, så reducerer de-risking risikoen
for hvidvask i Danmark�½ Praksis har dog vist,
at det kan have utilsigtede konsekvenser for
legitime transaktioner�½ FATF har udtrykt, at de
er opmærksomme på de utilsigtede konsekven-
ser af standarderne på hvidvaskområderne�½ På
trods af, at det er relativt få, der de-riskes, så
øger det risikoen for, at kunder, der er højrisiko-
profiler af legitime grunde, skubbes i retning
af mere risikable finansielle løsninger�½ FATF
understreger, at det, at virksomheder opererer i
højrisikoområder, ikke i sig selv bør føre til de-
risking, da det ikke er et mål i sig selv at fjerne
risici, men at være opmærksom på dem og
håndtere dem
(FATF 2021e: 2)�½
Hvidvasksekretariatet vurderer, at de­risking på grund af
risikoprofil udgør en
begrænset
sårbarhed i forhold til hvidvask.
SÅRBARHEDER I DEN DANSKE HVIDVASKINDSATS
Hvidvasksekretariatet vurderer, at det internationale samarbejde
kan styrkes på flere områder, idet det nuværende samarbejde
udgør en
høj
sårbarhed i forhold til hvidvask.
REU, Alm.del - 2023-24 - Endeligt svar på spørgsmål 1456: Spm. om hvor mange overførsler, der indføres udeklarerede til Danmark, herunder om der findes skøn herfor
2938919_0122.png
122
DEN NATIONALE RISIKOVURDERING AF HVIDVASK
4.7
LOVGIVNINGSMÆSSIGE
FAKTORER
LOVGIVNINGSMÆSSIGE
UDFORDRINGER PÅ HVIDVASK-
OMRÅDET I RIGSFÆLLESSKABET
Danmark er godt med i forhold til implemente-
ring af FATF’s anbefalinger via EU’s direktiver
i den danske hvidvasklovgivning, og forbere-
delserne med implementering af EU’s sjette
hvidvaskdirektiv og den ny hvidvaskforordning
er i gang�½
Der er nogle yderligere sårbarheder i Grønland
og på Færøerne, fordi lovgivningen og reglerne
på tilsynsområderne er forskellige fra Danmark�½
Fx er ejendomsmæglere ikke underretningsplig-
tige i Grønland�½ Virtual Asset Service Providere
og kunsthandlere er ikke omfattede af den
færøske hvidvasklov�½ Det giver sårbarheder i
Grønland og på Færøerne�½
Hvidvasksekretariatet videregiver oplysninger til
politiet i Grønland og på Færøerne�½
Hvidvasksekretariatet har identificeret mulige
udfordringer i relation til deling af oplysninger
mellem Hvidvasksekretariatet og øvrige myn-
digheder i Grønland og på Færøerne�½ Udford-
ringerne drøftes på nuværende tidspunkt
mellem myndighederne med henblik på at sikre,
at oplysninger kan deles mellem Hvidvask-
sekretariatet og myndigheder i Grønland og på
Færøerne�½ De mulige udfordringer vedrørende
udveksling mellem Hvidvasksekretariatet og
myndigheder i Grønland og på Færøerne udgør i
givet fald en sårbarhed i forhold til hvidvask�½
Såvel FATF som Rigsrevisionen har kritiseret
Hvidvasksekretariatet for ikke at have behand-
let risici for hvidvask i Grønland og på Færøerne
i de to forrige nationale risikovurderinger�½ I
denne risikovurdering er der fokuseret særskilt
på relevante risikoområder i Grønland og på
Færøerne�½ Det skal være med til at sikre, at
myndighedernes indsats er effektiv og risiko-
baseret i hele rigsfællesskabet (læs yderligere
i kapitel 7
Risici for hvidvask i Grønland
og
kapitel 8
Risici for hvidvask på Færøerne)�½
SÅRBARHEDER I DEN DANSKE HVIDVASKINDSATS
Hvidvasksekretariatet vurderer, at de lovgivningsmæssige
udfordringer i relation til hvidvask i rigsfællesskabet udgør
en
moderat
sårbarhed i forhold til hvidvask.
REU, Alm.del - 2023-24 - Endeligt svar på spørgsmål 1456: Spm. om hvor mange overførsler, der indføres udeklarerede til Danmark, herunder om der findes skøn herfor
2938919_0123.png
DEN NATIONALE RISIKOVURDERING AF HVIDVASK
123
MANGLENDE HJEMMEL
TIL EFFEKTIV DELING OG
BESKYTTELSE AF OPLYSNINGER
Det er afgørende for bekæmpelsen af hvid-
vask, at der er en effektiv deling af oplysninger
mellem myndigheder og mellem myndigheder
og underretningspligtige�½ I forhold til deling af
relevante oplysninger er der identificeret sår-
barheder, som i visse tilfælde handler om lov-
hjemmel, fx i forhold til rigsfællesskabet�½
Hertil kommer, at hvidvaskområdet hele tiden
udvikler sig, og det kan betyde, at behovet for
oplysninger ændrer sig�½ Der kan være myndig-
heder, som er i besiddelse af oplysninger og
viden, der er relevante i kampen mod hvid-
vask, men som i dag ikke indgår i det formelle
arbejde under de etablerede hvidvaskfora�½ Dele
af disse elementer er adresseret i
National
strategi for forebyggelse og bekæmpelse af
hvidvask og terrorfinansiering 2022-2025.
SÅRBARHEDER I DEN DANSKE HVIDVASKINDSATS
Hvidvasksekretariatet vurderer, at manglende hjemmel
til effektiv deling og beskyttelse af oplysninger udgør
en
moderat
sårbarhed i forhold til hvidvask.
BEGRÆNSET REGULERING AF
PENGETRANSPORTØRER
I Danmark er transportører af værdigenstande, fx
guld og kontanter, alene omfattet af hvidvasklo-
ven, hvis pengene indsættes på pengetranspor-
tørens egen bankkonto, inden de overføres til
kundens bankkonto�½ Såfremt pengetransportøren
i forbindelse med afhentning, transport, håndte-
ring eller levering af kontanter således indsamler
kontanterne på egen konto og derefter overfører
midlerne elektronisk, vil der være tale om beta-
lingstjenestevirksomhed, der er omfattet af lov
om betalinger�½ Betalingstjenestevirksomhed er
omfattet af hvidvasklovens § 1, stk�½ 1, nr�½ 6�½
Det betyder, at fysisk pengetransport ikke
er omfattet af hvidvaskloven, når pengene
transporteres fra transportørens kunde, fx
en restaurant, og til modtageren, som fx kan
være restaurantens bankforbindelse�½ Dette
gælder uanset, om modtageren af pengene er i
Danmark eller i udlandet�½
At transportørerne kun i visse tilfælde er omfat-
tede af hvidvaskloven udgør en risiko�½ Det er der
en række grunde til, herunder:
Transport af kontanter foregår oftest ved, at
transportørerne henter pengene og kører dem
direkte til modtager (fx kundens bankforbin-
delse) – altså den del af pengetransport, der
ikke er omfattet af hvidvaskloven�½
Transportørerne er ikke forpligtede til at
underrette for den del af deres forretning,
der omfatter transport af kontanter fra A til
B, såfremt kontanterne ikke kommer ind på
transportørens egen konto�½ Hvidvasksekreta-
riatet er i den forbindelse også forhindret i at
kræve oplysninger fra disse aktører, idet de
ikke er omfattet af loven�½
Transportørerne kan transportere kontanter
både inden for landets grænser samt til og
fra udlandet uden at være omfattet af hvid-
vaskloven, så længe pengene ikke sættes ind
på transportørens egen bankkonto, inden de
videreformidles�½
Kontanter og højværdivarer er fortsat vigtige
betalings- og værdiudvekslingsløsninger for
de kriminelle aktører�½
Transportørerne har unik indsigt i penge-
strømmene i brancher, der traditionelt er
kontantbaserede og særligt udsatte for hvid-
vask, men er ikke forpligtede til at underrette
om mistænkelige aktiviteter, når de – som led
i transporten – henter kontanter fra kunderne�½
REU, Alm.del - 2023-24 - Endeligt svar på spørgsmål 1456: Spm. om hvor mange overførsler, der indføres udeklarerede til Danmark, herunder om der findes skøn herfor
2938919_0124.png
124
DEN NATIONALE RISIKOVURDERING AF HVIDVASK
SÅRBARHEDER I DEN DANSKE HVIDVASKINDSATS
Transportørerne er bindeled mellem under-
retningspligtige og ikke-underretningsplig-
tige og ville kunne opdage, hvis der fx er
en forretning, der modtager markant flere
kontanter end andre inden for samme bran-
che�½ Eftersom kundens bankforbindelse
blot modtager kontanterne fra transportø-
ren, vil denne bankforbindelse ikke opdage
mistænkelige aktiviteter, når kontanterne
indsamles og fragtes�½ Banken skal dog om
nødvendigt indhente oplysninger fra sin
kunde om midlernes oprindelse�½
Transportørerne må – hvis de flytter på ulov-
lige midler – formodes at være et bindeled
i den del af hvidvaskprocessen, der handler
om at placere udbyttet fra den kriminelle
aktivitet og ind i det finansielle system�½
Så vidt vides er der i dag to udbydere af
fysisk pengetransport i Danmark�½ Begge
virksomheder har tilladelse til at udøve valu-
tavekslingsvirksomhed�½ Begge virksomheder
er dermed omfattet af hvidvaskloven og
sender underretninger til Hvidvasksekretaria-
tet i henhold til § 26�½ De lovgivningsmæssige
udfordringer af den manglende regulering
gør, at enhver, der ønsker det, kan oprette
et transportfirma og transportere kontanter
uden at blive omfattet af hvidvaskloven�½
Hvidvasksekretariatet vurderer, at begrænset hvidvaskregulering
af pengetransportører udgør en
betydelig
sårbarhed i forhold
til hvidvask.
BEGRÆNSET REGULERING MED
VIRKSOMHEDER OG PERSONER,
DER ERHVERVSMÆSSIGT HANDLER
MED GULD OG ÆDELSTEN
I Danmark er virksomheder og personer, der
erhvervsmæssigt handler med guld og ædelsten,
ikke omfattet af hvidvaskloven og underretter
dermed ikke Hvidvasksekretariatet�½ Hvidvask-
sekretariatet har oplysninger om, at kriminelle
aktører anvender guld og ædelsten til transport,
sløring og investering, i flere tilfælde i stedet
for kontanter�½ Virksomheder, der handler med
guld og ædelsten, er omfattet af kontantfor-
buddet på 20�½000 kroner, men det er Hvidvask-
sekretariatets vurdering, at loftet kan omgås fx
ved at dele betalingen op eller afregne på anden
vis�½ Omgåelse er naturligvis ulovligt og er et brud
på kontantforbuddet efter hvidvasklovens § 5�½
I 2021 trådte en ny pengeforordning i kraft i EU,
som betød, at reglerne for at rejse med kontan-
ter også kom til at gælde guld�½
Guld, der overstiger 10�½000 euro i værdi, skal
angives til Toldstyrelsen, og styrelsen kan til-
bageholde værdierne uanset deres samlede
værdi, hvis der er tegn på en forbindelse til
kriminelle aktiviteter
(Skatteministeriet 2021)�½
Som det er tilfældet for kontanter, gælder det
også for guld, at det er relativt let tilgængeligt og
let at flytte over landegrænser og dermed oplagt
til hvidvask�½ Europa-Kommissionen vurderer, at
handel med guld og ædelsten er et højrisikoom-
råde
(Europa-Kommissionen 2022: 164-169)�½
Europa-Kommissionen fremsatte den 20�½
juli 2021 en række lovforslag (AML-pakken),
der skal styrke bekæmpelsen af hvidvask og
finansiering af terrorisme�½ Formålet med AML-
pakken er at sikre høje og mere harmoniserede
standarder for hvidvaskbekæmpelsen�½ I EU’s
fremsatte AML-pakke lægges der op til, at guld
og ædelsten omfattes af reglerne på hvidvas-
kområdet�½ Det er dog uvist, om forslaget bliver
vedtaget og i så fald, hvornår det træder i kraft�½
Hvidvasksekretariatet vurderer, at begrænset regulering med
virksomheder og personer, der erhvervsmæssigt handler med guld
og ædelsten udgør en
betydelig
sårbarhed i forhold til hvidvask.
REU, Alm.del - 2023-24 - Endeligt svar på spørgsmål 1456: Spm. om hvor mange overførsler, der indføres udeklarerede til Danmark, herunder om der findes skøn herfor
2938919_0125.png
DEN NATIONALE RISIKOVURDERING AF HVIDVASK
125
BEGRÆNSET HVIDVASK-
KONTROL MED IKKE-
ERHVERVSDRIVENDE FONDE
Fonde spiller en rolle som aktører i internationale
hvidvasksager�½ Europa-Kommissionen påpeger,
at virksomheder med fondslignende strukturer
(fx trusts) sjældent optræder i hvidvasksager
alene, men ofte indgår som en del af et større
setup
(Europa-Kommissionen 2022: 131),
hvor
fonden virker som et dækselskab�½ Det er særligt
muligheden for at adskille den reelle ejer og den
legale ejer, der gør disse strukturer interessante
for de kriminelle aktører�½ Europa-Kommissionen
vurderer, at risikoen for, at virksomheder med
fondslignende strukturer misbruges til hvid-
vask, er meget betydelig (niveau 4/4)
(Europa-
Kommissionen 2022: 129-135)�½
For fonde er reelle ejere defineret som den
personkreds, der direkte eller indirekte kon-
trollerer fonden eller på anden måde har ejer-
skabslignende beføjelser�½ Siden 2017 har fonde
haft pligt til at indhente, opbevare og registrere
oplysninger om deres reelle ejere�½ Fondens
midler overlades til en aktør, der kan handle
på fondens vegne og dele ud i henhold til de
formål, der er angivet�½ Hermed er det blevet
lettere at identificere reelle ejere af fonde i
Danmark og dermed også de aktiviteter, som
fonden udfører eller har ansvar for�½  
I mange andre lande er den reelle ejer af en
fond skjult, og det gør fondsstrukturen oplagt
til hvidvask�½ Sårbarheden kan dermed være
mindre i Danmark på grund af reglerne for regi-
strering af reelle ejere�½ Men det udgør en sårbar-
hed, at fondsloven i dag kun har et begrænset
fokus på risikoen for terrorfinansiering og hvid-
vask, både i forhold til at identificere fonde, som
deltager i hvidvaskaktiviteter, men også fordi
fondene selv kan overse relevante aktiviteter og
ikke bliver gjort opmærksom på det af myndig-
heder, fx ved en kontrol�½ 
Reglerne om ikke-erhvervsdrivende fonde og
visse foreninger findes i fondsloven, som trådte
i kraft den 1�½ januar 1985�½
Bortset fra en større ændring af loven i 1991 er
der alene foretaget enkelte mindre ændringer
siden lovens ikrafttræden�½ Fondsområdet har
imidlertid undergået en omfattende udvikling,
og ikke-erhvervsdrivende fonde spiller en stor
rolle i samfundet og uddeler årligt adskillige
milliarder kroner til almennyttige formål�½ 
Som loven er nu, er der begrænsede mulig-
heder for kontrolaktiviteter�½ Der findes ikke et
egentligt register over ikke-erhvervsdrivende
fonde i Danmark, og der er dermed ingen lov-
reguleret pligt om offentlighed og transparens�½
Da der ikke findes noget register over ikke-er-
hvervsdrivende fonde, kendes det præcise antal
ikke med sikkerhed, men PET har i 2020 vurde-
ret, at der var cirka 8�½500 aktive ikke-erhvervs-
drivende fonde i Danmark
(PET 2020: 11)�½
Da der ikke er noget registreringskrav for nye
fonde, men derimod blot en anmeldelses-
ordning, betyder det, at Civilstyrelsen, der
fører tilsyn med ikke-erhvervsdrivende fonde,
ikke kender antallet af fonde og derfor heller
ikke kan foretage en indledende screening af
fondes regnskaber, som kan danne grundlag
for tilrettelæggelsen af den egentlige kontrol�½
Mindre fonde, herunder fonde med aktiver
under en million kroner, er ikke omfattet af
fondsloven�½
Justitsministeriet har nedsat et fondsudvalg,
hvor der i kommissoriet er fokus på øget kon-
trol og tilsyn�½ Udvalget skal gennemgå de
gældende regler for ikke-erhvervsdrivende
fonde og visse foreninger og komme med
anbefalinger til ændringer af reglerne�½ Udvalget
skal blandt andet se på registreringskrav for
fonde, herunder oprettelse af et fondsregister
med oplysninger om fondene, deres vedtæg-
ter og regnskaber, samt styrkelse af tilsyn og
kontrol med ikke-erhvervsdrivende fonde,
herunder Civilstyrelsens mulighed for udveks-
ling af oplysninger med andre myndigheder�½
Fondsudvalget skal komme med input til en ny
fondslov inden udgangen af 2022�½
Hvidvasksekretariatet vurderer, at den nuværende fondslov
udgør en
betydelig
sårbarhed.
SÅRBARHEDER I DEN DANSKE HVIDVASKINDSATS
REU, Alm.del - 2023-24 - Endeligt svar på spørgsmål 1456: Spm. om hvor mange overførsler, der indføres udeklarerede til Danmark, herunder om der findes skøn herfor
2938919_0126.png
126
5.
METODER
TIL HVIDVASK
METODER TIL HVIDVASK
REU, Alm.del - 2023-24 - Endeligt svar på spørgsmål 1456: Spm. om hvor mange overførsler, der indføres udeklarerede til Danmark, herunder om der findes skøn herfor
2938919_0127.png
DEN NATIONALE RISIKOVURDERING AF HVIDVASK
127
SAMMENFATNING
Hvidvask kan foregå på mange forskellige måder og vil typisk
indebære kombinationer af forskellige metoder til placering, sløring
og integration. Nogle metoder er velkendte, andre er nyere, og
metoderne vil udvikle sig de kommende år som følge af blandt
andet den teknologiske udvikling og lovgivningsmæssige ændringer.
5.1
I dette kapitel gennemgår vi en række identifi-
cerede metoder –
modus operandi
– for hvid-
vask, som kan anvendes af kriminelle aktører
i Danmark, men også af kriminelle aktører i
udlandet, der hvidvasker gennem Danmark�½
Kapitlets formål er at øge forståelsen for, hvor-
dan hvidvask kan foregå i praksis�½
De nævnte metoder til hvidvask stammer fra
underretninger, domme, oplysninger fra politiet
samt fra internationale kilder�½ Listen er ikke
udtømmende, men den præsenterer metoder,
som Hvidvasksekretariatet vurderer, er eller vil
blive, de primære i de kommende år�½ Afsnittet
skal tjene til inspiration for myndigheder og
underretningspligtige i arbejdet med at identi-
ficere tegn på hvidvask�½
For hver af de udvalgte hvidvaskmetoder
beskriver vi metoden og kommer med eksem-
pler, inden vi ser nærmere på de trusler og
sårbarheder, der indgår i vurderingen af, hvor
stor en risiko Hvidvasksekretariatet vurderer,
den enkelte metode udgør�½
I forhold til trusler ser vi på omfanget af
aktørernes brug af metoden i dag�½
I forhold til sårbarheder belyser vi:
Tilgængelighed:
Er metoden tilgængelig og
nem at anvende?
Volumen:
Kan metoden anvendes til at flytte
mange penge på én gang?
Potentiale for grænseoverskridende trans-
aktioner:
Kan metoden anvendes til at flytte
mange penge over landegrænser?
Omkostninger:
Er omkostningerne ved
metoden lave?
Anonymitet:
I hvilken udtrækning gør
metoden det muligt at forblive uopdaget?
Vi vurderer risiko som
begrænset,
moderat,
betydelig
eller
høj�½
Den samlede vurdering af,
hvilke metoder de kriminelle aktører anvender
til hvidvask, fremgår af tabellen nedenfor�½
Hvidvasksekretariatet vurderer, at de største
risici for hvidvask i Danmark udgøres af krimi-
nelle aktører, der hvidvasker via konto- og pen-
geoverførsler, herunder uformelle pengeover-
førselssystemer som fx hawala, via nye digitale
banker, via ind- og udførsel af kontanter, via
misbrug af legale virksomhedsstrukturer samt
via handelsbaseret hvidvask�½
METODER TIL HVIDVASK
REU, Alm.del - 2023-24 - Endeligt svar på spørgsmål 1456: Spm. om hvor mange overførsler, der indføres udeklarerede til Danmark, herunder om der findes skøn herfor
2938919_0128.png
128
DEN NATIONALE RISIKOVURDERING AF HVIDVASK
Tabel 10
Risikovurdering af metoder til hvidvask
Metoder til hvidvask
Nye digitale banker
Ind- og udførsel af kontanter via kurerer og pengetransporter samt valutaveksling
Legale virksomhedsstrukturer
Handelsbaseret hvidvask
Kryptoaktiver
Kontanthævninger og -indsættelser
Handel med højværdivarer
Spil
Digitale varer og tjenester
Investering i fast ejendom
Peer-to-peer lån og crowd-funding
Leasing
Fortrydelse af køb og brug af tredjeparter til sløring
Risiko
Høj
Høj
Høj
Høj
Betydelig
Betydelig
Betydelig
Betydelig
Moderat
Moderat
Moderat
Moderat
Moderat
Konto- og pengeoverførsler, herunder uformelle pengeoverførselssystemer, fx hawala
Høj
METODER TIL HVIDVASK
REU, Alm.del - 2023-24 - Endeligt svar på spørgsmål 1456: Spm. om hvor mange overførsler, der indføres udeklarerede til Danmark, herunder om der findes skøn herfor
2938919_0129.png
DEN NATIONALE RISIKOVURDERING AF HVIDVASK
129
KONTO- OG PENGEOVER-
5.2
FØRSLER, HERUNDER
UFORMELLE PENGE-
OVERFØRSELSSYSTEMER
Kriminelle aktører overfører ulovlige midler
mellem personer, virksomheder og lande for at
sløre midlernes oprindelse�½ Overførslerne kan
ske via pengeinstitutter som kontooverførsler
eller via pengeoverførselsvirksomheder, herun-
der også uformelle pengeoverførselssystemer�½
i ind- og udland, herunder i lande med svagere
kontrolforanstaltninger mod hvidvask, for at gøre
sporing og beslaglæggelse af ulovlige midler
vanskeligere for myndighederne�½
Pengeoverførselsvirksomheder
Pengeoverførselsvirksomheder udbyder betalin-
ger mellem personer eller virksomheder, uden
at der oprettes en konto i hverken betalers eller
modtagers navn�½ Ofte er det mindre erhvervs-
drivende, der fungerer som agent for en større
udenlandsk pengeoverførselsvirksomhed�½ Disse
erhvervsdrivende har ofte pengeoverførsels-
virksomheden som tillæg til anden drift, typisk
kioskvirksomhed�½ Gennem disse agenter for
pengeoverførselsvirksomheder kan en person
med kontanter, herunder også kriminelle aktører,
sende penge til danske eller udenlandske konti
uden om de traditionelle pengeinstitutter�½
Uformelle pengeoverførsels­
systemer, fx hawala
Hawala er betegnelsen for et uformelt penge-
overførselssystem med historiske rødder i
Mellemøsten�½ Systemet udgøres af et netværk
af uafhængige mæglere i forskellige lande, som
i høj grad er baseret på tillid mellem de impli-
cerede parter�½ Via hawala-systemet kan kunder
overføre penge mellem to eller flere lande via to
eller flere hawala-agenter, uden at der sker en
egentlig transaktion mellem parterne�½
Disse uformelle pengeoverførselssystemer
findes i forskellige regioner og kulturer under
andre navne, såsom
hundi
i Indien eller
fei-
ch’ien
i Kina�½
MODUS
Overførsel af ulovlige midler
via konti i pengeinstitutter
Alle borgere i Danmark skal have en bank-
konto for at kunne modtage fx løn og offentlige
ydelser�½ Derfor er det ingen overraskelse, at
langt den største del af de finansielle bevæ-
gelser foregår gennem banksektoren�½ Næsten
alle domme for hvidvask i Danmark involverer
mindst én bankkonto�½ Bankkonti er den mest
brugte kanal til at transportere ulovlige midler,
men pengeinstitutterne er også den sektor med
den stærkeste og mest omfattende monitering
af kontobevægelser�½
Brug af konti til sløring af ulovligt udbytte
Pengeinstitutter kan anvendes til at fore-
tage hurtige overførsler mellem en række
konti�½ Hvidvasksekretariatet ser ofte anven-
delse af gennemstrømningskonti i både
underretninger og i domme for hvidvask�½
Gennemstrømningskonti bruges til hurtigt at
modtage og videreføre midler i det finansielle
system og er i hvidvasksager ofte ejet af en strå-
mand eller et muldyr, som overfører pengene til
udenlandske konti�½ Sløringen kan udvides ved at
anvende en kombination af privat- og erhvervs-
konti og flere forskellige typer pengeinstitutter
METODER TIL HVIDVASK
REU, Alm.del - 2023-24 - Endeligt svar på spørgsmål 1456: Spm. om hvor mange overførsler, der indføres udeklarerede til Danmark, herunder om der findes skøn herfor
2938919_0130.png
130
DEN NATIONALE RISIKOVURDERING AF HVIDVASK
Illustration 5:
Eksempel på hawalaoverførsel
Hawala-agent
i Danmark
Hawala-agent i Marokko
Kontaktes via telefon eller
krypteret besked om at udlevere
1 million til m/k der fortæller
kodeord
De to Hawala-agenter
afregner løbende fx gennem
kontanter eller køb af varer
1 million
i kontanter
Kodeord
1 million
i kontanter
Kodeord
Kodeord
METODER TIL HVIDVASK
Narkohandler i Danmark
Narkohandler i Marokko
Eksempel:
En hashhandler er i besiddelse af en million kroner i kontanter. Disse kontanter skal anvendes til at afregne med hashleverandøren i Marokko, købe ny
hash og flytte overskuddet til et land, hvor pengene kan integreres. Narkohandleren afleverer sine kontanter til en hawala-agent i Danmark sammen
med instruktioner om modtageren i Marokko. Den danske hawala-agent kontakter en hawala-agent i sit netværk i Marokko og instruerer vedkommen-
de i at udbetale beløbet til hashleverandøren. Leverandøren får en kode, der skal vises til hawala-agenten i Marokko for at få pengene udbetalt.
I eksemplet ovenfor bliver pengene indbe-
talt i Danmark og udbetalt i Marokko, men
der sker ingen direkte overførsel til Marokko.
Afregningen mellem hawala-agenten i Danmark
og hawala-kollegaen i Marokko udlignes ikke
nødvendigvis via transaktioner fra Danmark.
Udligningen mellem Hawala-agenter i Danmark
og Marokko kan ske via andre transaktioner
internationalt, fx gennem misbrug af legale virk-
somhedsstrukturer, over- og underfakturering af
handel med legale varer eller ved kontant udlig-
ning gennem ind- og udførsel af kontanter via
fly til tredjeland
(FATF 2013b:15-16).
Det er på den måde muligt at foretage økonomi-
ske transaktioner via pengeoverførselssystemet
til udlandet uden egentlige pengeinstitutter.
Systemet anvendes fx i forbindelse med over-
førsler til højrisikolande som eksempelvis
Afghanistan, hvor pengeinstitutterne afviser at
deltage i transaktionen på grund af risici.
Men det tillidsbaserede netværk anvendes også
af kriminelle aktører, der herigennem kan flytte
flere millioner kroner, uden der er en direkte
transaktion.
Uformelle pengeoverførere er lovlige i Danmark,
hvis de lever op til hvidvaskloven, men ulov-
lige, hvis ikke de har fået en tilladelse fra
Finanstilsynet til at drive pengeoverførselsvirk-
somhed, og der dermed er tale om uregulerede
markeder uden for myndighedernes kontrol.
I Danmark bliver uformelle pengeoverførsels-
systemer blandt andet brugt som et koordine-
rende led i forbindelse med fakturafabrikker.
Der er eksempler på, at danske hawala-agenter
fremskaffer fakturaer, når store beløb overføres
fra danske selskaber til udenlandske selska-
ber, herunder også i forbindelse med afregning
mellem hawala-agenterne. Terminologien for
service som hawala og lignende uformelle
pengeoverførselssystemer går i stigende grad
under betegnelsen cash-controller-netværk
(Europa-Kommissionen 2022: 81).
REU, Alm.del - 2023-24 - Endeligt svar på spørgsmål 1456: Spm. om hvor mange overførsler, der indføres udeklarerede til Danmark, herunder om der findes skøn herfor
2938919_0131.png
DEN NATIONALE RISIKOVURDERING AF HVIDVASK
131
Boks 17
45­årig dømt for at anvende hawala­netværk til hvidvask
En 45-årig mand blev den 3�½ august 2022 idømt fem års fængsel samt en tillægsbøde på 128
millioner kroner for at have hvidvasket omkring 130 millioner kroner�½ Den dømte anvendte
flere forskellige hawala-netværk til at modtage kontanter, som derefter blev brugt til at aflønne
sort arbejdskraft�½ Den dømte forklarede, hvordan fiktive fakturaer blev betalt i udlandet af
danske virksomheder, hvorefter kontanter blev udleveret til virksomhederne�½
Kilde:
Københavns Byret (2022b)�½ Dom afsagt den 3�½ august 2022 i sag SS 3-12601/2022�½
Illustration 6:
Eksempel på cash-controller-netværk
Controller-netværk
Kontrol
Udenlandsk konto /
udenlandske varer
Ukendt person
i udlandet
Overførsel
Aftaler
modtagerkonto
i udlandet
Kontanter
udleveres til
virksomhed
Koordinator
(tiltalte)
Aftaler
modtager
kontonummer
Fakturaudsteder
Bestiller
faktura
Håndværker-
virksomhed
Løn
kontant
Håndværker
Ringer
Fiktiv
faktura
“Hawala-
manden”
Kontanter
udleveres til
fakturaudsteder
-2 %
METODER TIL HVIDVASK
Cash-controllere i Danmark opererer med en
større pulje af kontanter, en såkaldt kontantpulje
(cash-pool), som enten kan føres ud af landet
eller kan finansiere ny kriminalitet i Danmark�½
Hvidvasksekretariatet erfarer, at store kontante
summer sælges til danske virksomheder, der
aflønner deres personale sort og dermed begår
skattekriminalitet�½ Pengene henter virksomheds-
ejeren typisk på offentlige steder, fx i et parke-
ringshus�½ Hvidvasksekretariatet erfarer, at der er
stor efterspørgsel efter kontanter i Danmark�½
Som modydelse for kontanter betaler virksom-
heden en falsk faktura, fx udstedt i en faktura-
fabrik�½ Herved lykkes det at kanalisere værdier
genereret fra fx narkohandel ind i det digitale
finansielle system�½ De mange tusinde virksom-
heder, der er identificeret som købere af falske
fakturaer i de danske sager om fakturafabrikker,
har typisk brug for de falske fakturaer for at
dække over sort arbejde�½
REU, Alm.del - 2023-24 - Endeligt svar på spørgsmål 1456: Spm. om hvor mange overførsler, der indføres udeklarerede til Danmark, herunder om der findes skøn herfor
2938919_0132.png
132
DEN NATIONALE RISIKOVURDERING AF HVIDVASK
TRUSLER OG SÅRBARHEDER
Alle typer af kriminelle aktører anvender penge-
overførselsvirksomheder til at placere, sløre og
integrere ulovlige midler�½ Det gælder både selv-
hvidvaskere og organiserede kriminelle hvid-
vaskorganisationer og netværk�½ Mulighederne
for at kunne flytte mange penge på sekunder,
herunder også til udlandet, betyder, at penge
kan placeres og sløres hurtigt�½ Metoden er rela-
tivt billig, og det er forholdsvist nemt at være
anonym fx gennem brug af stråmænd eller
muldyr�½
Hvidvasksekretariatet ser pengeoverførsels-
virksomheder anvendt i forbindelse med
organiseret kriminalitet, herunder narkotika-
kriminalitet samt grov skatte- og momssvig�½
Hvidvasksekretariatet besidder oplysninger om
pengeoverførselsvirksomheder, der transporte-
rer store kontantbeløb til udlandet blandt andet
via fly og bil�½
Fordi de mindre pengeoverførselsvirksomhe-
der ofte drives som tillægsydelser til anden
virksomhedsdrift, er der en risiko for, at kun-
dekendskabsprocedurer og andre hvidvaskfor-
anstaltninger ikke bliver udført tilfredsstillende�½
Det samme gælder hawala-netværk, som på
grund af den manglende registrering ikke er
underlagt tilsyn�½
Omfanget af hawala-virksomheder i EU er
ikke kendt, men ifølge Europol er der en række
hvidvaskefterforskninger i gang, der fokuserer
på hawala
(Europa-Kommissionen 2022: 83)�½
Hawala-virksomheder associeres ofte med
bestemte etniske samfund og med rejsebran-
chen, import- og eksportvirksomhed, negle-
saloner, frisører og skønhedssaloner
(Europa-
Kommissionen 2022: 83-84)�½
I pengeoverførselsvirksomheder med grundige
kundekendskabsprocedurer, løbende monite-
ring og andre hvidvaskforanstaltninger er der
mulighed for, at mistænkelige transaktioner kan
identificeres og eventuelt beslaglægges, hvilket
ikke er muligt, hvis procedurerne og opmærk-
somheden er utilstrækkelig�½
VURDERING AF RISIKO
Hvidvasksekretariatet vurderer, at pengeinsti-
tutternes øgede monitering af hvidvaskrisici kan
medføre en forskydning i forhold til, hvordan
kriminelle aktører forsøger at overføre deres
midler�½ Særligt overførsler via uformelle penge-
overførselssystemer kan blive mere attraktive i
takt med, at det bliver sværere at være anonym
i det traditionelle finansielle system, herunder
også inden for kryptoaktiver, på grund af øgede
reguleringer i forhold til regler om identifikation
af afsender og modtager i transaktioner�½
METODER TIL HVIDVASK
Hvidvasksekretariatet vurderer, at det er meget sandsynligt, at
kriminelle aktører fortsat vil anvende pengeoverførsler, herunder
hawala­netværk, til at hvidvaske ulovlige midler. Risikoen for at
pengeoverførselsvirksomheder misbruges til hvidvask er
høj.
REU, Alm.del - 2023-24 - Endeligt svar på spørgsmål 1456: Spm. om hvor mange overførsler, der indføres udeklarerede til Danmark, herunder om der findes skøn herfor
2938919_0133.png
DEN NATIONALE RISIKOVURDERING AF HVIDVASK
133
NYE DIGITALE BANKER
MODUS
Nye digitale banker
Nye digitale banker og andre lignende digitale,
finansielle tjenester, som undertiden omtales
som blandt andet neobanker, udgør en stigende
risiko i en dansk hvidvaskkontekst�½ I mange nye
digitale banker foregår al kommunikation som
fjernkommunikation, og der er ingen fysiske
møder mellem banken og kunden�½ Det er via nye
digitale banker muligt at oprette en konto med
en lang række forskellige valutaer og betalings-
kort inden for ganske få minutter�½ Det eneste,
det kræver, er, at man henter en applikation på
sin telefon�½ Disse banker og tjenester kan have
forskellige tilladelser og derved forskellige klas-
sificeringer såsom pengeinstitutter, e-pengeinsti-
tutter eller betalingsinstitutter i de lande, de har
en tilstedeværelse i, men i dette kapitel bliver de
omtalt fælles som digitale banker�½
Nye digitale banker tilbyder i stor udstrækning
mange af de samme produkter som traditio-
nelle pengeinstitutter�½ Forskellen beror primært
på hastigheden, hvorpå konti kan oprettes hos
forskellige banker og tjenester, samt de nye
digitale bankers primære fokus på fjernkunder
uden geografisk forbindelse til landet, hvor den
digitale bank har hovedsæde�½
Kriminelle aktører anvender nye digitale banker
til både at placere ulovlige midler i udlandet
samt til at aflønne eller modtage betalinger, fx
for sort arbejde, på en konto uden for Danmark�½
En ny digital bank kan ligeledes anvendes til at
integrere ulovlige midler i den danske økonomi
ved at tilknytte et betalingskort uden om en
dansk bankforbindelse�½
5.3
TRUSLER OG SÅRBARHEDER
Hvidvasksekretariatet ser en stigning i antal-
let af underretninger om mistænkelige akti-
viteter, der knytter sig til anvendelse af nye
digitale banker og andre finansielle tjenester�½
Hvidvasksekretariatet ser også anvendelse af
disse banker og tjenester blandt organiserede
kriminelle aktører�½ Både antallet af digitale
banker samt antallet af deres kunder er stigende�½
Åbne kilder afslører, at flere nye digitale banker,
herunder også store aktører på markedet, har
udfordringer med deres kundekendskabs-
procedurer, hvilket øger sårbarheden for mis-
brug af kriminelle aktører
(se eksempelvis
Bundesanstalt für Finanzdienstleistungsaufsicht
2021 eller BBC 2019)�½
I en dansk kontekst er det en sårbarhed, at langt
de fleste nye digitale banker har hovedsæde i
et andet land og derfor ikke er underretnings-
pligtige i Danmark�½ Underretninger om mistæn-
kelige transaktioner på en konto tilhørende en
ny digital bank skal ske til den FIU i det land,
hvori banken har hovedsæde – også hvis der er
tale om en dansk statsborger�½ Digitale banker
med hovedsæde i Danmark skal underrette til
Hvidvasksekretariatet og er underlagt samme
tilsyn og pligter som eksempelvis pengeinstitut-
ter�½ Det øgede samarbejde og deling af oplys-
ninger mellem FIU i EU/EØS-landene har til
formål at reducere de blinde vinkler, som følger
af, at de finansielle virksomheder og kunderne
er i forskellige lande�½
METODER TIL HVIDVASK
Boks 18
Eksempel på sort aflønning via en digital bank
Person A skal modtage betaling for sort arbejde fra en håndværkervirksomhed�½ Virksomheden
overfører pengene til Person A’s konto i en digital bank med referencen ”varekøb”�½ Person A
modtager nu den sorte aflønning på sin konto i den nye digitale bank, uden om Person A’s
primære pengeinstitut�½ Den digitale bank kender ikke til Person A’s ansættelsesforhold og kan
ikke se, at der er tale om skattepligtig indkomst�½
REU, Alm.del - 2023-24 - Endeligt svar på spørgsmål 1456: Spm. om hvor mange overførsler, der indføres udeklarerede til Danmark, herunder om der findes skøn herfor
2938919_0134.png
134
DEN NATIONALE RISIKOVURDERING AF HVIDVASK
Fra et efterforskningsperspektiv betyder anven-
delsen af nye digitale banker med hovedsæder
i forskellige lande, at relativt simple transaktio-
ner risikerer at blive komplekse at forfølge i en
efterforskning�½ Erfaringer fra sager i Danmark
viser, at det ofte er mere besværligt at efterfor-
ske, spore og indsamle beviser, når nye digitale
banker er involveret, blandt andet fordi der skal
afsendes internationale retsanmodninger til
flere forskellige lande�½
Dette fragmenterede betalingslandskab betyder
også, at de danske pengeinstitutter, hvor bor-
gerne har deres NemKonto, ikke længere har et
fuldt overblik over kundernes finansielle transak-
tioner�½ Den præcis samme udfordring har de nye
digitale banker også, da de heller ikke har det
fulde overblik over kundernes finansielle aktivi-
teter�½ Dermed bliver det vanskeligere at vurdere,
hvorvidt transaktionernes omfang stemmer
overens med kundens økonomiske situation,
og hvornår enkelttransaktioner er mistænkelige�½
Den udfordring bliver formentlig kun større i takt
med udbredelsen af flere digitale banker�½
METODER TIL HVIDVASK
VURDERING AF RISIKO
Hvidvasksekretariatet vurderer, at det er meget
sandsynligt, at kriminelle aktører anvender nye
digitale banker til at overføre og sløre ulovlige
midler, og at anvendelsen vil stige i de kom-
mende år�½
Hvidvasksekretariatet vurderer, at den sti-
gende globalisering og fragmenteringen af
betalingslandskabet vil betyde en øget risiko
for hvidvask�½ Nye digitale bankers manglende
underretningspligt til danske myndigheder om
danske kunder, mindsker opdagelsesrisikoen
for den kriminelle aktør og øger risikoen for, at
disse banker og tjenester i udlandet misbruges
til hvidvask�½ Hvidvasksekretariatet udveksler i
stigende omfang oplysninger med FIUer i EU/
EØS-landene, og det øger muligheden for at
opdage hvidvaskaktiviteter�½ EU arbejder på
såvel øget regulering som fælles europæisk
tilsyn, der kunne omfatte nye digitale banker, og
det vil forventeligt påvirke området�½
Hvidvasksekretariatet vurderer, at det er meget sandsynligt,
at kriminelle aktører vil anvende nye digitale banker til at
hvidvaske ulovlige midler. Risikoen for at nye digitale banker
misbruges til hvidvask er
høj.
REU, Alm.del - 2023-24 - Endeligt svar på spørgsmål 1456: Spm. om hvor mange overførsler, der indføres udeklarerede til Danmark, herunder om der findes skøn herfor
2938919_0135.png
DEN NATIONALE RISIKOVURDERING AF HVIDVASK
135
IND- OG UDFØRSEL AF
5.4
KONTANTER VIA KURERER
OG PENGETRANSPORTER
SAMT VALUTAVEKSLING
MODUS
Udførsel af kontanter
En del af kriminaliteten i Danmark genererer
kontanter, som kan være vanskelige at integrere
i den danske økonomi og i det danske finansielle
system�½ Dels fordi anvendelse af kontanter i
Danmark er relativt lav sammenlignet med fx
andre lande i euroområdet, og derfor hurtigere
vil vække mistanke, og dels fordi grænsen for
at modtage kontanter i landets butikker og for
andre erhvervsdrivende er sat ned�½ Derfor er det
attraktivt for kriminelle aktører at føre kontan-
terne til udlandet, hvor de kan integrere dem i
finansielle systemer eller integrere dem i andre
økonomier med svagere hvidvaskkontrol�½ Der
er flere jurisdiktioner, hvor kontantforbruget er
væsentligt større end i Danmark, og hvor det er
lettere at integrere større mængder kontanter
uden at vække mistanke
(Europa-Kommissionen
2022: 19)�½
Det gælder fx Tyskland og Tyrkiet�½
Det er lovligt at transportere penge ind og ud af
Danmark, men det er en overtrædelse af told-
loven og EU’s lovgivning at undlade at angive
beløb over 10�½000 euro eller tilsvarende beløb i
anden valuta�½ Toldstyrelsen kan sanktionere efter
toldlovgivningen, typisk med bødestraf�½
1�½ at
toldangive
midlerne og herefter transpor-
tere midlerne legalt over grænsen gennem
værdihåndteringsselskaber eller via enkelt-
personer, der krydser de danske grænser til
vands, til lands eller i luften�½
2�½ at
smugle
midlerne over grænsen gennem
simpel udførsel fx i pungen, placeret i hånd-
bagagen eller indtjekket bagage på fly, eller
gennem mere kompleks smugling af kontan-
ter fx gemt i hemmelige rum i køretøjer eller
fastsat til kroppen på kurerer�½
Ind- og udførsel af kontantbeløb over 10�½000
euro kan ske ved:
TRUSLER OG SÅRBARHEDER
Ifølge Toldstyrelsen blev der i perioden 2018-
2021 deklareret og transporteret knap 13
milliarder kroner i kontanter ud af Danmark�½
Pengetransportører stod for langt den stør-
ste andel, idet de udførte knap 10 milliarder
kroner�½ Vekselbureauerne stod for knap 2
milliarder kroner, og de resterende er fordelt
mellem pengeoverførselsvirksomheder og
private rejsende�½ I perioden fra 2019-2021 har
Toldstyrelsen tilbageholdt 45 millioner kroner
(Toldstyrelsen 2022: 1)�½
Boks 19
Eksempel på udførsel af kontanter fra salg af narkotika
Person A har 100�½000 kroner fra salg af narkotika�½ Pengene uddeles til en række stråmænd,
som hver især veksler mindre beløb til euro hos forskellige valutavekslere i Danmark for ikke
at vække opsigt (smurfing)�½ De vekslede euro samles hos kureren, deklareres, transporteres
ud af landet og placeres i finansielle systemer i et andet land�½
METODER TIL HVIDVASK
REU, Alm.del - 2023-24 - Endeligt svar på spørgsmål 1456: Spm. om hvor mange overførsler, der indføres udeklarerede til Danmark, herunder om der findes skøn herfor
2938919_0136.png
136
DEN NATIONALE RISIKOVURDERING AF HVIDVASK
Boks 20
Souvenirbutikker vekslede euro i forbindelse med narkotikasalg
I december 2021 faldt der dom i Operation Goldfinger�½ Her blev 14 ud af 15 personer kendt
skyldige i omfattende narkotikasmugling�½ En del af netværket bestod af to souvenirbutikker,
som vekslede fortjenesten fra narkotikasalget fra danske kroner til euro�½ Dele af disse euro
blev udført og anvendt til reinvestering i narkotika i Belgien og Holland�½ Personerne, der drev
souvenirbutikken, blev dømt for hæleri af særlig grov beskaffenhed�½
Kilde:
Københavns Politi (2021)�½
Det er Hvidvasksekretariatets indtryk, at
størstedelen af de kontanter, der udføres af
Danmark, stammer fra lovlige forhold�½ Lovlige
forhold kan eksempelvis være løn til udenland-
ske arbejdstagere fra fx Polen og Rumænien
samt byttepenge til butikker og virksomheder i
grænseområder�½ Hvidvasksekretariatet vurderer
dog også, at en del af kontanterne stammer fra
kriminalitet, herunder fra kriminalitet begået af
organiserede kriminelle aktører�½
METODER TIL HVIDVASK
Kontanter er vanskelige at spore, og Hvidvask-
sekretariatet vurderer, at det er meget sandsyn-
ligt, at kriminelle aktører, herunder organiserede
kriminelle aktører, transporterer kontanter over
grænsen for at integrere dem i udenlandske
finansielle systemer eller for at reinvestere dem
i kriminelle aktiviteter�½ Nogle af disse kontan-
ter veksles til anden valuta i vekselbureauer
eller gennem uregistrerede vekselerer�½ Euro er
særligt anvendt i kriminelle miljøer på grund af
valutaens internationale anvendelse og høje
værdi, som gør det lettere at transportere store
mængder kontanter�½ Ved valutaveksling skal
kundekendskabsprocedurerne gennemføres,
når transaktionen er 500 euro eller derover�½
Forskellige regler for kontanttransport i forskel-
lige lande er ligeledes en udfordring i forhold til
at spore kontanter�½ Hvor midler, der overstiger
10�½000 euro, skal deklareres i Danmark, er det
ikke et krav i Sverige, såfremt pengene trans-
porteres til et andet EU-land�½ Svenske kriminelle
aktører kan derfor transportere kontanter fra
Sverige til Danmark uden deklaration og herfra
enten veksle midlerne til fx euro eller videreføre
kontanterne til udlandet via Danmark – enten
gennem smugling eller ved at deklarere mid-
lerne i Danmark, når de rejser videre til udlandet�½
Hvidvasksekretariatet vurderer, at truslen fra kri-
minelle aktører, der udfører kontanter via kurerer
og pengetransporter, er høj�½ Det skyldes omfan-
get af den kontantbaserede kriminalitet, omfan-
get af penge, der udføres via disse kanaler, de
registrerede kriminelle aktørers begrænsede
mulighed for at rejse med deklarerede midler,
omfanget af underretninger, der omhandler kon-
tanter, og at kontanter er let tilgængelige�½ Hertil
kommer, at det kræver meget lidt forberedelse
og teknisk viden at udføre kontanter til udlandet,
såfremt de deklareres�½ I forbindelse med avan-
ceret smugling af kontanter kræves der mere
ekspertise fx i forhold til ombygning af køretøjer
til at skjule værdier eller et indgående kendskab
til myndighedernes kontroltryk�½
REU, Alm.del - 2023-24 - Endeligt svar på spørgsmål 1456: Spm. om hvor mange overførsler, der indføres udeklarerede til Danmark, herunder om der findes skøn herfor
2938919_0137.png
DEN NATIONALE RISIKOVURDERING AF HVIDVASK
137
Opdagelsesrisikoen ved udførsel af kontanter
afhænger af grænseovergang og transport-
middel, men Hvidvasksekretariatet vurderer, at
opdagelsesrisikoen er relativ lav�½
Den største andel af udførsel af kontanter
varetages af professionelle værdihåndterings-
selskaber�½ Hvidvasksekretariatet vurderer, at
størstedelen af denne transport er legitim, men
konstaterer også, at anvendelsen af værdi-
håndteringsselskaber kan medvirke til at sløre
kontanters oprindelse, da selskaberne trans-
porterer kontanter på vegne af flere kunder ad
gangen�½ Hertil kommer den tidligere nævnte
udfordring med, at selve den fysiske penge-
transport kun er delvist omfattet af hvidvasklo-
ven (læs yderligere i kapitel 4
Sårbarheder
i den danske hvidvaskindsats
i afsnittet
Lovgivningsmæssige faktorer)�½
Smugling af kontanter kan være forbundet med
både omkostninger og risici for de kriminelle
aktører�½ Derfor vurderer Hvidvasksekretariatet,
at lovligt deklarerede kontanttransporter, både
med pengebærere og værdihåndteringsselska-
ber, også på mellemlang sigt vil være en attrak-
tiv metode til hvidvask�½
Det skal bemærkes, at denne hvidvaskmetode
bliver påvirket af nationale lovgivninger, som
eventuelt vil gøre det lettere eller sværere at
integrere kontanter i det finansielle system�½ Hvis
ét land gør det sværere at integrere kontanter,
fx gennem indførelse af et kontantloft som i
Danmark, kan kriminelle aktører foretrække at
placere kontanter i et andet land�½
Hvidvasksekretariatet forventer, at de krimi-
nelles anvendelse af andre betalingsmidler og
betalingsmetoder, fx kryptoaktiver eller brug af
DeFi, vil reducere anvendelsen af kontanter og
behovet for udførsel af kontanter på længere
sigt, ligesom et fald i anvendelsen af kontanter
i Danmark og i resten af verden formentlig vil
gøre det vanskeligere at hvidvaske kontanter,
der stammer fra kriminalitet�½
VURDERING AF RISIKO
Hvidvasksekretariatet vurderer, at det er meget
sandsynligt, at hvidvask gennem ind- og
udførsel af kontanter vil fortsætte�½ Fordi det er
vanskeligt at integrere store kontantbeløb i det
danske finansielle system, må de kriminelle
aktører bruge kontanterne til ny kriminalitet eller
til at transportere kontanterne over landegræn-
serne, enten som rejsende eller via kurer eller
værdihåndteringsselskaber�½
Hvidvasksekretariatet vurderer, at det er meget sandsynligt, at
kriminelle aktører vil anvende ind­ og udførsel af kontanter til
at hvidvaske ulovlige midler. Risikoen for at ind­ og udførsel af
kontanter misbruges til hvidvask er
høj.
METODER TIL HVIDVASK
REU, Alm.del - 2023-24 - Endeligt svar på spørgsmål 1456: Spm. om hvor mange overførsler, der indføres udeklarerede til Danmark, herunder om der findes skøn herfor
2938919_0138.png
138
DEN NATIONALE RISIKOVURDERING AF HVIDVASK
5.5
DIGITALE VARER OG
TJENESTER
MODUS
Digitale varer og tjenester
Nye digitale varer og tjenester har ændret de
tilgængelige kanaler, hvorigennem ulovlige
midler kan hvidvaskes�½ Hvor hvidvask i klassisk
forstand ofte indebærer integration af kontanter
i det finansielle system, er der i dag en række
forskellige digitale produkter, som de ulovlige
midler kan placeres i og sløres igennem, fx
gavekort og forudbetalte debitkort�½
Kriminelle aktører kan anvende gavekort, forud-
betalte kort og andre digitale varer til at veksle
ulovlige midler til andre værdier for at sløre deres
oprindelse�½ Beløbene er ofte lave, og derfor er
det ikke en attraktiv metode til at hvidvaske
større beløb, medmindre hvidvaskmetoden er
organiseret med mange muldyr og konti�½
Hvidvasksekretariatet modtager også under-
retninger, der handler om hel eller delvis
lønudbetaling for sort arbejde i gavekort eller
forudbetalte betalingskort�½ I underretningerne
mistænkes det blandt andet, at personer mod-
tager en hel eller delvis beskattet løn, hvor
eventuelt overarbejde og lignende bliver afreg-
net gennem gavekort�½
Både internationalt og i Danmark er gavekort
særligt anvendt i forbindelse med internetbe-
drageri�½ Her kan forurettede blive svindlet af
falske internetsupportere til at give adgang til
deres pc, hvorfra de lokkes til at købe eksem-
pelvis gavekort til Amazon og overdrage
koderne til de kriminelle aktører�½
Handel med digitale varer kan ske hurtigt på
tværs af grænser og er vanskelige for penge-
institutter at overvåge, da handlen ofte fore-
går på andre markeder som fx Facebook
og eBay eller via platforme for fx onlinespil�½
Hvidvasksekretariatet ser særligt anvendelse
af digitale banker i underretningerne�½ Tjenes-
terne bliver typisk anvendt som mellemled
mellem forskellige andre tjenester fx køb på
eBay eller Amazon�½
METODER TIL HVIDVASK
TRUSLER OG SÅRBARHEDER
Hvidvasksekretariatet modtager underret-
ninger, hvor anvendelse af gavekort og forud-
betalte debitkort mistænkes for at indgå i et
hvidvasksetup�½
Boks 21
Eksempel på hvidvask via gavekort og køb af visuelle udtryk i onlinespil
Person A modtager et gavekort som delbetaling for sort arbejde�½ Gavekortet anvendes til at
købe (højværdi-)varer, som herefter returneres�½ De returnerede penge bliver overført til Person
A’s bankkonto�½
En person køber et skin (visuelle udtryk på våben og udstyr i onlinespil som fx Counter Strike)
for et lavt beløb�½ Efterfølgende sælges samme skin til en medsammensvoren til en væsentligt
højere værdi og afregnes med midler, der stammer fra kriminalitet�½ Pengene bliver indsat på
personens konto, som nu kan dokumentere, at pengene stammer fra salg af digitale varer�½
REU, Alm.del - 2023-24 - Endeligt svar på spørgsmål 1456: Spm. om hvor mange overførsler, der indføres udeklarerede til Danmark, herunder om der findes skøn herfor
2938919_0139.png
DEN NATIONALE RISIKOVURDERING AF HVIDVASK
139
Det bliver stadigt vanskeligere at anvende
forudbetalte kort i Danmark og på digitale
platforme, ligesom digitale gavekort til online-
tjenester bliver vanskeligere at anvende uden
for de digitale miljøer�½ Derudover har flere tje-
nester indsat et lavt maksimumbeløb for, hvor
mange kontanter man kan købe for ad gangen�½
Det medfører, at effektiv hvidvask af kontanter
gennem denne kanal kræver mange muldyr
og/eller mange konti og en spredning af både
personer og lokaliteter, hvor kortene skal købes�½
Hvidvask af store beløb ad disse kanaler kræver
en udvidet infrastruktur og styring af mere
professionelle hvidvaskere, og sådanne infra-
strukturer er identificeret i udenlandske sager
(BBC 2020 og Forbes 2021)�½
Det skyldes primært det fokus, der er på kon-
tanter, og at der kommer nye digitale varer og
tjenester til, som kan misbruges af kriminelle
aktører, og som i begrænset omfang vil være
omfattet af hvidvaskloven og kun i begræn-
set omfang kan overvåges af det finansielle
system�½ E-penge er let tilgængelige, men er ofte
kun attraktive til hvidvask af mindre beløb�½
Et opmærksomhedspunkt er udviklingen af
digitale økonomier i forbindelse med udrulnin-
gen af virtuelle fællesskaber, som eksempelvis
Facebooks Metaverse�½ I disse digitale økonomier
købes og sælges forskellige digitale varer, som
er vanskelige at værdiansætte�½ Her vil et virtuelt
værelse kunne udsmykkes med plakater, plan-
ter eller andre visuelle udtryk, som købes med
fiat-valuta eller kryptoaktiver og integreres i de
virtuelle fælleskaber, hvorfra de handles�½ Der kan
dermed flyttes store beløb, som i visse tilfælde
kan være vanskelige at spore�½ I andre tilfælde vil
brug af blockchainteknologien gøre det lettere
at spore midlerne i de digitale universer, hvis
de underretningspligtige og myndighederne har
kapaciteterne til monitering og sporing�½
VURDERING AF RISIKO
Det bliver stadigt vanskeligere at hvidvaske via
gavekort og forudbetalte kort i Danmark, men
Hvidvasksekretariatet vurderer, at anvendelsen
af digitale varer og tjenester vil stige�½
Hvidvasksekretariatet vurderer, at det er meget sandsynligt,
at kriminelle aktører anvender digitale varer og tjenester til at
hvidvaske midler, der stammer fra kriminalitet. Risikoen for at
digitale varer og tjenester misbruges til hvidvask er
moderat.
METODER TIL HVIDVASK
REU, Alm.del - 2023-24 - Endeligt svar på spørgsmål 1456: Spm. om hvor mange overførsler, der indføres udeklarerede til Danmark, herunder om der findes skøn herfor
2938919_0140.png
140
DEN NATIONALE RISIKOVURDERING AF HVIDVASK
5.6
KONTANTHÆVNINGER
OG -INDSÆTTELSER
MODUS
Kontanthævninger og ­indsættelser
Såfremt en kriminel aktør har penge i det
finansielle system, som stammer fra fx et net-
bankindbrud, vil en del af modus ofte være at
anvende ét eller flere muldyr til at hæve mid-
lerne kontant for derved at hindre en sporing
og beslaglæggelse af indestående på aktørens
bankkonto�½ Pengene kan anvendes i kontantba-
serede brancher til køb af andre ulovlige varer,
fx narkotika, eller flyttes ud af landet�½ På samme
måde vil en kriminel aktør med kontanter fra
kriminalitet, fx fra salg af hælervarer, kunne inte-
grere kontanterne på en bankkonto, ofte gennem
kontantindsættelser på konti ejet af muldyr�½
Kontanter er attraktive, fordi de er vanskelige
at spore og kan bruges til såvel almindeligt
forbrug og til andre kriminelle aktiviteter fx køb
af narkotika�½ Danskere bruger færre kontanter,
og dette medfører, at det bliver fortsat vanskeli-
gere for de kriminelle aktører at håndtere store
mængder kontanter uden at vække mistanke�½
De underretningspligtige er generelt særligt
opmærksomme på kontanter, der hæves
eller indsættes, og der er flere steder indført
begrænsninger på, hvor meget kunderne må
hæve om dagen�½ Dertil kan kontantforbuddet
være en barriere mod, at ulovlige midler kan
omsættes til varer eller tjenester�½
hvidvaskgrupperinger og netværk, hvor mul-
dyrene er organiserede
(FATF 2018a: 24)�½
METODER TIL HVIDVASK
TRUSLER OG SÅRBARHEDER
Hvidvasksekretariatet modtager mange under-
retninger om kontantindsættelser eller kon-
tanthævninger�½ Ofte er mistanken opstået, fordi
pengeinstituttet ikke kan fastslå midlernes
oprindelse�½ Men der kan også være konkrete
mistanker om førforbrydelser i underretnin-
gerne�½ Kontantindsættelser og -hævninger
er i sig selv en simpel hvidvaskaktivitet, men
aktiviteten kan indgå i mere professionelle
VURDERING AF RISIKO
Hvidvasksekretariatet vurderer, at kriminelle
aktører fortsat vil anvende kontantindsættel-
ser og kontanthævninger til hvidvask�½ I takt
med, at det generelle kontantforbrug falder i
Danmark, men også i udlandet, og det bliver
mere besværligt at anvende kontanter, forven-
ter Hvidvasksekretariatet, at indsættelser og
hævning af kontanter i pengeinstitutterne bliver
mindre attraktiv�½
Hvidvasksekretariatet vurderer, at det er meget sandsynligt, at
kriminelle aktører anvender kontantindsættelser og kontant­
hævninger til at hvidvaske midler, der stammer fra kriminalitet.
Risikoen for at kontantindsættelser og kontanthævninger
anvendes til hvidvask er
betydelig.
Boks 22
Eksempel på hvidvask via kontantindsættelse
Person A har 25�½000 kroner, som stammer fra salg af stjålne designermøbler�½ Person A
får en lokal guldforretning til at forfalske en kvittering for salg af arvesmykker�½ Person A
indsætter de 25�½000 kroner i sit pengeinstitut, hvor den falske kvittering bliver brugt som
dokumentation for midlernes oprindelse�½
REU, Alm.del - 2023-24 - Endeligt svar på spørgsmål 1456: Spm. om hvor mange overførsler, der indføres udeklarerede til Danmark, herunder om der findes skøn herfor
2938919_0141.png
DEN NATIONALE RISIKOVURDERING AF HVIDVASK
141
HANDEL MED
HØJVÆRDIVARER
MODUS
Køb og salg af dyre varer
Kriminelle aktører bruger ulovlige midler til at
købe varer og tjenester af høj værdi, fx guld og
ædelsten, dyre restaurantbesøg og kunstværker
til forbrug, investering eller videresalg�½ Varerne
kan også blive transporteret over landegrænser
og sælges i udlandet�½ Hvidvasksekretariatet
modtager løbende underretninger om køb og
salg af højværdivarer, herunder guld, armbånds-
ure og smykker, som blandt andet transporteres
ud af landet�½
Visse af disse handler sker gennem stråmænd,
som betaler for fx urene med lige under 20�½000
kroner i kontanter og resten af købsprisen via
betalingskort�½ Urene overdrages herefter til bag-
manden, og de penge, stråmanden lagde ud via
betalingskortet, bliver afregnet med yderligere
kontanter�½ Derved har bagmanden omdannet
kontanter fra fx narkotikahandel til en højvær-
divare med tilhørende kvittering, som efterføl-
gende kan videresælges�½ Denne metode forud-
sætter helt eller delvist medskyldige aktører, der
omgår kontantforbuddet�½ Europa-Kommissionen
vurderer, at truslen for hvidvask gennem guld og
diamanter er betydelig (niveau 3/4)
(Europa-
Kommissionen 2022: 176)�½
5.7
Handel med højværdivarer er populært i krimi-
nelle miljøer�½ Hvidvasksekretariatet har oplysnin-
ger, der indikerer, at kriminelle aktører omdanner
kontanter til højværdivarer, fx ure, som de forbru-
ger, investerer eller flytter penge igennem�½
Boks 23
Eksempel på hvidvask via handel med højværdivarer
Person A køber tre ure af mærket Rolex på DBA og betaler urene med penge fra krimi-
nelle aktiviteter�½ Person A transporterer urene til udlandet, hvor de sælges til en urmager�½
Pengene bliver overført til Person A’s konto med reference til salget af urene�½ Person A har
nu indsat kontanter, der stammer fra kriminalitet, på en konto og kan fremvise kvittering for
salg�½ Forespurgt hvor urene stammer fra, forklarer Person A, at der er tale om arv fra familie�½
Kunst kan erhverves af tredjepart, fx en kunstrådgiver, som betaler for kunstværket gennem
bankoverførsel�½ Herefter overdrages værket til en kriminel aktør, som betaler tredjeparten
med midler, der stammer fra kriminalitet�½ Kunstværket kan nu videresælges, hvorved for-
tjenesten fremstår legitim�½
METODER TIL HVIDVASK
TRUSLER OG SÅRBARHEDER
Også udenlandske kriminelle bruger denne
metode til at placere og sløre ulovlige midler�½
Hvidvasksekretariatet har oplysninger om, at
udenlandske kriminelle organisationer flyver
stråmænd til dyre indkøbsområder for at købe
højværdivarer til bagmændene�½ Højværdivarer
kan også pantes hos pantelånere, hvorefter
højværdivarerne aldrig hentes igen�½
REU, Alm.del - 2023-24 - Endeligt svar på spørgsmål 1456: Spm. om hvor mange overførsler, der indføres udeklarerede til Danmark, herunder om der findes skøn herfor
2938919_0142.png
142
DEN NATIONALE RISIKOVURDERING AF HVIDVASK
Boks 24
Guldbarrer i Heathrow
I marts 2020 blev en person fra Singapore stoppet i Heathrow lufthavn i London�½ I hånd-
bagagen havde hun 15 guldbarrer til en værdi af 650�½000 pund�½ Personen påstod, at guld-
barrerne skulle fra Singapore til en juveler i Indien, men de medbragte fakturaer og kvitte-
ringer var forfalskede�½ De engelske myndigheder angiver, at guld er særligt populært blandt
kriminelle på grund af dets høje værdi samt mulighed for videresalg overalt i verden�½
Kilde:
National Crime Agency (2022)�½
Hvidvasksekretariatet bemærker, at virksomhe-
der, der sælger de ovennævnte højværdivarer,
oftest ikke er underlagt hvidvaskloven – med
undtagelse af salg af kunstværker til en værdi
over 50�½000 kroner�½
integrere ulovlige midler�½ Hvidvasksekretariatet
vurderer også at det er meget sandsynligt, at
køb og salg af højværdivarer, særligt guld, ædel-
sten, ure og smykker, vil stige i de kommende år�½
For kunstværker gælder, at gallerier er underlagt
hvidvaskloven, og sårbarhederne i denne bran-
che er dermed mindre�½
Vurderingen skyldes blandt andet, at der er et
øget fokus på kontanter og kontantudførsler�½
Gennem køb, salg og transport af højværdivarer
er det muligt at flytte store summer på tværs af
landegrænser hurtigt�½
VURDERING AF RISIKO
Hvidvasksekretariatet vurderer, at truslen fra
kriminelle aktører, der hvidvasker via højvær-
divarer, er høj�½ Hvidvasksekretariatet vurderer,
at kriminelle aktører anvender køb og salg
af højværdivarer til at transportere, sløre og
METODER TIL HVIDVASK
Hvidvasksekretariatet vurderer, at det er meget sandsynligt,
at kriminelle aktører anvender handel med højværdivarer
til at hvidvaske ulovlige midler. Risikoen for at handel med
højværdivarer misbruges til hvidvask, er
betydelig.
REU, Alm.del - 2023-24 - Endeligt svar på spørgsmål 1456: Spm. om hvor mange overførsler, der indføres udeklarerede til Danmark, herunder om der findes skøn herfor
2938919_0143.png
DEN NATIONALE RISIKOVURDERING AF HVIDVASK
143
INVESTERING I
FAST EJENDOM
MODUS
Placering, sløring og integration
via ejendomme
Ejendomme er et område, hvor man kan inve-
stere mange penge i et aktiv, som sjældent
falder markant i værdi�½ Derfor er ejendomme
oplagte mål for kriminelle aktører, når der skal
placeres ulovlige midler�½ Ejendomme kan
bruges til privat bolig eller erhverv, men kan
også generere lejeindtægter, give overskud ved
salg og generere friværdi, som kan anvendes til
at opnå yderligere lån i banken�½
kriminelle aktører i Danmark placerer ulovligt
udbytte i udenlandske ejendomme, blandt andet
i Spanien, Tyrkiet, Pakistan og Dubai�½ Særligt
lande med svagere hvidvaskforanstaltninger er
attraktive, herunder lande, hvor ejendomme kan
købes kontant, eller hvor ejendomsmæglere ikke
er omfattet af hvidvasklovgivningen�½
Den digitale udvikling påvirker truslen for hvid-
vask via fast ejendom, herunder muligheden
for digitale fremvisninger og salg, men også
udbredelsen af smart contracts og lignende kan
på længere sigt medføre, at handel med fast
ejendom rykker væk fra den etablerede ejen-
domsmæglerbranche�½ Derved bliver det sværere
at regulere og kontrollere området for de under-
retningspligtige og myndighederne�½
5.8
Ejendomsmæglere er omfattet af hvidvaskloven,
og det er Hvidvasksekretariatets indtryk, at der
er en moderat risiko for hvidvask via ejendomme
i Danmark�½ Dette skyldes, at det er vanskeligt
at være anonym, og såvel banker og ejendoms-
mæglere undersøger midlernes oprindelse�½ Der
er en række foranstaltninger på boligmarkedet i
Danmark, der betyder, at det er mindre tilgænge-
ligt at hvidvaske via ejendomme i Danmark sam-
menlignet med udlandet�½ Hvidvasksekretariatet
er i besiddelse af oplysninger, der indikerer, at
VURDERING AF RISIKO
Hvidvasksekretariatet vurderer, at kriminelle
aktører fortsat vil hvidvaske ulovlige midler via
køb, salg og investering i ejendomme – både i
Danmark og i udlandet�½ Udviklingen på bolig-
markedet og ændret lovgivning i lande, hvor
ejendomshandler i dag ikke er en del af hvid-
vaskloven, vil påvirke den fremtidige brug af
denne metode til hvidvask�½
Hvidvasksekretariatet vurderer, at det er sandsynligt, at kriminelle
aktører køber, sælger og investerer i ejendomme for at hvidvaske
ulovlige midler. Risikoen for at handel med fast ejendom
misbruges til hvidvask, er
moderat.
Boks 25
Eksempel på hvidvask ved at renovere ejendom
Kriminelle aktører kan anvende ulovlige midler til at renovere en ejendom med henblik på
videresalg, herunder købe materialer med kontanter i byggemarkeder og aflønne hånd-
værkere sort�½ Når ejendommen sælges som totalrenoveret, bliver provenuet tilbageført til
den kriminelle aktør som lovligt�½
METODER TIL HVIDVASK
TRUSLER OG SÅRBARHEDER
REU, Alm.del - 2023-24 - Endeligt svar på spørgsmål 1456: Spm. om hvor mange overførsler, der indføres udeklarerede til Danmark, herunder om der findes skøn herfor
2938919_0144.png
144
DEN NATIONALE RISIKOVURDERING AF HVIDVASK
5.9
LEGALE VIRKSOMHEDS-
STRUKTURER
MODUS
Adgang til virksomheder øger
muligheder for kriminalitet
Når kriminelle aktører har adgang til virksomhe-
der gennem ejerskaber eller infiltration, åbner
det for nye kriminalitetsmuligheder, fx skatte-
og momskriminalitet og sort aflønning af med-
arbejdere og sammenblanding af legal omsæt-
ning og ulovligt udbytte�½ Den erhvervskonto,
der er tilknyttet virksomheden, giver adgang
til andre finansieringsmuligheder, fx inden for
handelsfinansiering, som de kriminelle aktører
kan udnytte til at flytte varer og penge�½ Misbrug
af legale virksomhedsstrukturer sker typisk som
overførsler af værdier mellem virksomheder
eller mellem virksomheder og personer på bag-
grund af fx falske fakturaer�½ Kriminelle aktører
kan enten oprette selskaber alene med formå-
let at begå kriminalitet, eller også kan eksiste-
rende virksomheder overtages enten gennem
køb eller pression�½
I hvidvasksammenhæng skelnes der typisk
mellem front- og dækselskaber�½ Frontselskaber
er aktive virksomheder med værdier, indkomst
og udgifter, mens dækselskaber er virksom-
heder uden reel drift�½ Et dækselskab kan være
et selskab placeret i et andet land, herunder
lande med ringere hvidvaskforanstaltninger
end Danmark eller skattelylande�½ Her er det
vigtigt at være opmærksom på, at der kan være
mange legitime grunde til at have virksomheder
i disse lande og også til at leje en ledelse til at
bestyre dem�½ Men strukturerne kan udnyttes af
kriminelle aktører�½
TRUSLER OG SÅRBARHEDER
Europol vurderer, at 80 pct�½ af de organiserede
kriminelle aktører bruger legale virksomheds-
strukturer i deres kriminelle virke
(Europol
2021a: 7)�½
Hvidvasksekretariatet er ikke bekendt
med opgørelser i en dansk kontekst�½
METODER TIL HVIDVASK
Boks 26
Eksempler på at legale virksomheder bliver brugt til hvidvask
Kriminelle aktører bruger blandt andet legale virksomheder til hvidvask ved at:
Sammenblande ulovlige midler med lovlige midler
via frontselskaber, fx ved løbende at ind-
optage ulovlige midler i virksomhedens daglige omsætning, så hele udbyttet fremstår som
lovlig omsætning�½ Den fremgangsmåde er særlig udbredt i mindre virksomheder, hvor der
er en relativt stor kontantomsætning, og hvor det kan være vanskeligt at værdiansætte varer
og ydelser�½ Det gælder fx de risikobrancher, Erhvervsstyrelsen har defineret, som blandt
andre er vejgodstransport, flytteforretninger, restauranter, pizzeriaer, grillbarer, isbarer med
videre
(Erhvervsministeriet 2021)�½
Overføre værdier mellem virksomheder og personer.
Kriminelle aktører etablerer virksom-
heder og tilhørende erhvervskonti for at flytte midler�½ Adgang til virksomheder gør det muligt
at udstede falske fakturaer – typisk udskrevet hos en mellemmand – hvor virksomheder,
involveret i eksempelvis kædesvig og sort arbejde, indbetaler pengene, som oftest lander
på gennemstrømningskonti, hvorfra de overføres til udenlandske selskaber�½
Udnytte sårbarheder i den internationale varehandel.
Der hvidvaskes også store summer
gennem international varehandel�½ Import og eksportvirksomheder kan misbruges til at
fakturere på tværs af jurisdiktioner og udnytte det internationale handelssystem til skatte-
unddragelse og hvidvask fx via over- og underfakturering�½
REU, Alm.del - 2023-24 - Endeligt svar på spørgsmål 1456: Spm. om hvor mange overførsler, der indføres udeklarerede til Danmark, herunder om der findes skøn herfor
2938919_0145.png
DEN NATIONALE RISIKOVURDERING AF HVIDVASK
145
Dertil kommer kriminelle aktører, som ikke hører
under betegnelsen organiserede kriminelle,
og de aktører, som ikke i første omgang har til
hensigt at begå kriminalitet, men som gør det
i forbindelse med økonomiske vanskeligheder,
social deroute eller andet�½
Det er attraktivt for kriminelle aktører, der
genererer et ulovligt udbytte i kontanter, at få
placeret midlerne i en virksomheds omsæt-
ning via sammenblanding af lovlige og ulov-
lige midler�½ Denne metode er let tilgængeligt,
opdagelsesrisikoen er begrænset og metoden
kan generere stabile transaktioner af hvid-
vaskede midler�½ Skal metoden anvendes til
hvidvask af større summer, kræver det enten
flere virksomheder eller virksomheder af en vis
størrelse at hvidvaske midlerne�½
Sagerne om danske fakturafabrikker er eksem-
pler på, at organiserede kriminelle netværk
tilbyder hvidvask for andre kriminelle aktører
gennem en række virksomhedsstrukturer med
det formål at unddrage skat, moms og afgifter
samt at skaffe kontanter til fx udbetaling af
sorte lønninger�½
Det er Hvidvasksekretariatets vurdering, at de
kriminelle aktører i nogen grad får bistand og
vejledning af professionelle aktører, fx revisorer,
advokater og andre rådgivere (læs mere om
professionelle rådgivere i kapitel 3
Nationale
trusler)�½
Det er nemt at oprette virksomheder
i Danmark�½ For kriminelle aktører vil det ofte
være en fordel at få adgang til selskaber, der
har eksisteret i en årrække�½ Det kan fx være
et selskab i økonomiske vanskeligheder, som
kan overtages og blive en del af deres setup�½
Her vil der ofte være brug for nogle, der har
skuffeselskaber eller indsigt i selskaber, der
har problemer og som kan overtages�½ Hertil
kommer opsætning af de mere komplekse
selskabsstrukturer, som også indbefatter
import- og eksportvirksomheder, og også her
optræder professionelle rådgivere�½
For at sløre forbindelsen mellem de kriminelle
aktører, der udgør de reelle ejere, og virksom-
heden, indsættes ofte en stråmand som reel
ejer�½ På trods af indførelsen af stråmandsbe-
stemmelse, er det fortsat muligt at indsætte en
stråmænd, som ejer eller direktør i en virksom-
hed, og herefter udnytte stråmandens identitet
og identitetspapirer til at styre virksomhedens
netbank og registreringer hos Erhvervsstyrelsen�½
Til de mere organiserede hvidvasksetup kan der
være brug for en mere organiseret tilgang til strå-
mænd
(World Bank Group 2022)�½
Udfordringen
med stråmænd er beskrevet nærmere i kapitel 4
Sårbarheder i den danske hvidvaskindsats.
Hvidvasksekretariatet har undersøgt stråmænd
blandt underretningerne og har defineret fire
idealtyper:
Den sårbare
er fx den rejsende arbejdstager
eller flygtningen, der på baggrund af pres-
sion eller nød indvilliger i at stille personlige
dokumenter til rådighed, som de kriminelle
aktører kan udnytte til oprettelse af selskaber,
erhvervskonti med videre�½
Familien
er typisk en ægtefælle, kæreste
eller børn, der indsættes som stråmænd�½ Der
kan være tale om både ubevidst eller bevidst
deltagelse i stråmandsvirksomhed�½
Bejleren/prospekten
er en person, der ønsker
at blive en del af det organiserede kriminelle
miljø�½
Den risikovillige
er en person, der af egen
fri vilje kontakter bagmænd og stiller sig til
rådighed�½ Personen er ikke altid klar over kon-
sekvenserne, men pengene er tiltrækkende�½
Pengeinstitutterne i Danmark er generelt
opmærksomme på mindre virksomheder med
høj kontantomsætning�½ Det afspejler sig i antal-
let af underretninger fra pengeinstitutterne om
virksomheder, som blev beskrevet i kapitel 1
Hvidvask i Danmark�½
Europa-Kommissionen
peger i deres supranationale risikovurdering
blandt andet på værtshuse eller restauranter,
virksomheder i byggebranchen, bilvask, brugt-
vognsforhandlere, juvelerer og pantebutikker
som kontantbaserede brancher
(Europa-
Kommissionen 2022: 14)�½
METODER TIL HVIDVASK
REU, Alm.del - 2023-24 - Endeligt svar på spørgsmål 1456: Spm. om hvor mange overførsler, der indføres udeklarerede til Danmark, herunder om der findes skøn herfor
2938919_0146.png
146
DEN NATIONALE RISIKOVURDERING AF HVIDVASK
Ulovlige midler, der ikke er kontanter, kan
også placeres som fiktiv omsætning i service-
virksomheder, hvor der ikke er et væsentligt
varelager at holde en kunstigt stor omsætning
op imod�½ Det kan være i eksempelvis bygnings-
service, konsulentvirksomheder, vikarbureauer
eller lignende�½ Det kræver et godt kundekend-
skab hos de underretningspligtige at opdage
denne metode�½ Et begrænset antal ansatte, der
tilsyneladende genererer en stor omsætning
sammenholdt med normen fra branchen, kan
indikere, at der hvidvaskes ulovlige midler�½
Hvidvasksekretariatet har primært kendskab
til hvidvask via legale virksomhedsstrukturer
fra sager om omfattende skatte- og moms-
kriminalitet samt fra sager med mindre for-
retningsdrivende inden for brancher, hvor det
er vanskeligt at kontrollere omsætningen�½
Hvidvasksekretariatet har meget få underretnin-
ger om hvidvask gennem import- og eksport-
virksomheder fx over- og underfakturering eller
fiktive handler�½
METODER TIL HVIDVASK
VURDERING AF RISIKO
Hvidvasksekretariatet vurderer, at kriminelle
aktører misbruger virksomheder og handelssy-
stemet for at forsøge at omgå pengeinstitutter-
nes transaktionsmonitering og sløre aktiviteterne
blandt de millioner af handelstransaktioner, der
sker hver dag�½ Hvidvasksekretariatet vurderer, at
kriminelle aktørers anvendelse af legale virksom-
hedsstrukturer i Danmark udgør en høj trussel for
hvidvask�½ I takt med, at danske pengeinstitutter
bliver bedre til at monitere erhvervskunder, vil
kriminelle aktører forsøge at flytte ulovlige midler
til udlandet fx gennem handel med varer�½ Ved
hjælp af virksomhedsstrukturer kan der flyttes
mange penge, herunder også på tværs af lan-
degrænser via handelsbaseret hvidvask (læs
mere om handelsbaseret hvidvask i afsnittet
Tværgående fænomen: Handelsbaseret hvid-
vask
senere i dette kapitel)�½
Hvidvasksekretariatet vurderer, at den største
trussel er kriminelle aktører med en vis volumen
af ulovlige midler, der løbende skal hvidvaskes,
og hvor professionelle hvidvasknetværk er
etableret på tværs af lande�½
På trods af de få underretninger, vurderer
Hvidvasksekretariatet, at omfanget af hvidvask
via legale virksomhedsstrukturer er i milliard-
klassen, da den er udbredt i kriminelle miljøer,
herunder i de organiserede kriminelle gruppe-
ringer og professionelle hvidvasknetværk, og i
alle faser af hvidvaskprocessen�½
Hvidvasksekretariatet vurderer, at det er meget sandsynligt,
at kriminelle aktører misbruger legale virksomhedsstrukturer
til hvidvask af ulovlige midler. Risikoen for, at legale
virksomhedsstrukturer misbruges til hvidvask, er
høj.
REU, Alm.del - 2023-24 - Endeligt svar på spørgsmål 1456: Spm. om hvor mange overførsler, der indføres udeklarerede til Danmark, herunder om der findes skøn herfor
2938919_0147.png
DEN NATIONALE RISIKOVURDERING AF HVIDVASK
147
SPIL
MODUS
Integration, sløring og placering gennem spil
De kriminelle aktører hvidvasker gennem spil for
at sløre midlernes oprindelse, idet en gevinst fra
spil kan få ulovlige midler til at fremstå legale,
eller for at flytte penge til andre, herunder pla-
cere penge i udlandet�½ Muligheden for høje ind-
betalinger og gevinster skaber egnede forhold
for hvidvask�½ Fx kan ulovligt udbytte anvendes på
væddemål til lave odds, hvor risikoen for at tabe
penge er relativt begrænset�½ Nedenfor behand-
les hvidvaskmodus inden for spil særskilt for:
landbaserede væddemål (offline),
landbaserede kasinoer (offline) og
onlinespil�½
Hvidvask kan også ske gennem
chip-dumping
mellem kasinospillere,
hvor spillerne spiller
mod hinanden i stedet for mod kasinoet og
hermed får ulovligt udbytte til at fremstå som
en legal gevinst hos vinderen�½ Der kan også
ske
overdragelse af chips mellem spillere uden
spilaktivitet.
Fx Spiller A ankommer til kasinoet
med et stort pengebeløb, som veksles til chips�½
Spiller A giver sine chips til spiller B og forlader
kasinoet uden spilaktivitet�½ Spiller B veksler
efterfølgende sine chips til kontanter eller får
sat beløbet ind på en bankkonto�½ Pengene kan
derefter fremstå som legale gevinster fra spil�½
Onlinespil
Onlinespil
er spil, der indgås mellem en spiller
og en spiludbyder ved brug af fjernkommuni-
kation�½ Onlinespil er desuden kendetegnet ved,
at hver spiller har en NemID/MitID-verificeret
spilkonto online, hvor spilleren på forskellig vis
kan ind- og udbetale penge�½ Hvidvask gennem
onlinespil kan ske gennem
brug af spilkonto
til sløring af ulovligt udbytte.
En spilkonto kan
benyttes som en transaktionskonto til at sløre
ulovligt udbytte�½ Det ulovlige udbytte kan ind-
sættes på spilkontoen og derefter overføres til
en bankkonto uden væsentlig spilaktivitet�½ Her
kan
cash-out kort efter begivenhedens begyn-
delse
også anvendes til sløring�½ En spiller kan
indløse sit væddemål, inden begivenheden,
som der væddes om, er afsluttet, og på den
måde ”sælge” sit indskud for et lavere eller
højere beløb�½ Beløbet kan herefter overføres
til spillerens konto og derved fremstå som en
legal gevinst over for banken�½
Chip-dumping
via online netværksspil,
hvor en spiller i prin-
cippet kan spille mod sig selv eller en med-
sammensvoren, kan også få ulovligt udbytte til
at fremstå som en legal gevinst hos vinderen
af spillet�½
Online netværksspil mod spillere i
andre jurisdiktioner
kan anvendes til at overføre
ulovlige midler til og fra Danmark�½ På den måde
overføres udbyttet uden om det finansielle
system, og slører derved udbyttets oprindelse�½
5.10
Landbaserede væddemål
er væddemål, der
indgås fysisk mellem en spiller og en spil-
udbyder�½ Det kan fx være spil på lave odds i
kiosker�½ Hos flere udbydere af landbaserede
væddemål er det muligt at overføre gevinster
direkte til en bankkonto�½ Ved gevinst på et land-
baseret væddemål kan spilleren få udleveret en
gevinstkvittering, som kan sælges til kriminelle
aktører med det formål at få ulovligt udbytte til
at fremstå som en legal gevinst fra spil�½ Det er
også muligt, at en person køber væddemålet
for derefter at videregive kuponen til en anden
person, der henter gevinsten�½
Landbaserede kasinoer
Landbaserede kasinoer
er fysiske spilsteder
med tilladelse til at udbyde spil, fx roulette, poker
og black jack, samt spil på gevinstgivende spil-
leautomater�½ Her kan hvidvask foregå gennem
ind- og udveksling af penge
uden væsentlig
spilaktivitet.
Ved at veksle penge ind og dernæst
ud af et kasino uden at have spillet for størstede-
len af pengene, kan kriminelle aktører påstå, at
ulovlige midler er legale gevinster fra spil�½
METODER TIL HVIDVASK
Landbaserede væddemål
REU, Alm.del - 2023-24 - Endeligt svar på spørgsmål 1456: Spm. om hvor mange overførsler, der indføres udeklarerede til Danmark, herunder om der findes skøn herfor
2938919_0148.png
148
DEN NATIONALE RISIKOVURDERING AF HVIDVASK
TRUSLER OG SÅRBARHEDER
Hvidvasksekretariatet modtager mange under-
retninger om mistanke om hvidvask via spil�½
Underretningerne handler typisk om hvidvask af
mindre beløb, men der er også underretninger
omhandlende personer, der spiller for flere mil-
lioner kroner�½ Hvidvasksekretariatet vurderer, at
dele af disse midler stammer fra fx narkotikakri-
minalitet�½ Det er Hvidvasksekretariatets vurde-
ring, at der kan vaskes store beløb gennem spil�½
Hvidvask gennem spil kan også være forbundet
til matchfixing�½ Ved matchfixing øges chancerne
for en sikker gevinst, idet sportsbegivenhedens
resultat er aftalt forud for begivenheden med en
eller flere af sportsbegivenhedens deltagere�½
Hvidvasksekretariatet er i besiddelse af oplys-
ninger, der indikerer, at nogle spiludbydere
lader kriminelle aktører benytte deres tjenester
til løbende hvidvask�½ Sådanne virksomheder
tjener penge på at blive anvendt af kriminelle
aktører, og der kan derfor være et økonomisk
incitament til ikke at underrette Hvidvask-
sekretariatet om mistanke om hvidvask�½
Spiludbyderens forhandlere, fx kioskejere,
supermarkeder med videre, kan facilitere
hvidvask ved at bistå kriminelle aktører med
at omgå kundekendskabsprocedurer eller ved
at opkøbe gevinstkvitteringer med henblik på
videresalg�½
Spilbranchen har de seneste år været i
vækst, og udbuddet af spil er vokset, både i
Danmark og i udlandet, herunder muligheden
for spot-betting og spil på virtuelle simulerede
sportsbegivenheder�½ Dele af spilmarkedet er
tilgængeligt hele døgnet, og spiludbyderne
accepterer i højere grad flere forskellige beta-
lingsmetoder, herunder kontanter, værdibeviser,
e-wallets og forudbetalte kort, hvorved midler-
nes oprindelse kan være svære at spore�½ Den
øgede tilgængelighed af spil, og det, at det er
nemt, øger mulighederne for hvidvask via spil�½
Det er ikke muligt for spiludbyderne at sam-
menholde data med hinanden, og de kriminelle
aktører kan dermed sløre deres hvidvaskak-
tiviteter via spil hos forskellige spiludbydere�½
Denne sårbarhed er særligt gældende i forhold
til matchfixing, idet identificeringen af indgåede
væddemål foregår hos hver enkelt spiludbyder,
som kun kan kontrollere egne kunder�½
En stor del af spiludbyderne er udenlandske
virksomheder placeret i blandt andet Malta,
Gibraltar og Estland, hvilket kan være forbun-
det med øget risiko for hvidvask�½ For eksempel
kan de udenlandske virksomheder fejlagtigt
undlade at underrette Hvidvasksekretariatet og
derved alene underrette deres egen nationale
finansielle efterretningsenhed�½ Derudover er der
risiko for, at de udenlandske virksomheder kan
være placeret i lande med et svagere værn mod
hvidvask end i Danmark�½
Indførelsen af et såkaldt spilkort hos forhand-
lere, der sælger landbaserede væddemål,
reducerer anonymiteten og sårbarheden for
hvidvask, men som for alle andre foranstalt-
ninger er der altid en risiko for, at der sker
svindel med et spilkort, fx ved brug af lånte
eller falske identiteter og anvendelse af muldyr�½
Muldyr, der overfører penge til en spilkonto for
derefter at modtage kontanter af gerningsper-
sonen, forekommer også i de underretninger,
Hvidvasksekretariatet modtager�½
METODER TIL HVIDVASK
VURDERING AF RISIKO
Hvidvasksekretariatet vurderer, at kriminelle
aktører anvender spil til integration, sløring og
placering af ulovlige midler i den legale økonomi�½
Størrelsen af det beløb, som kan hvidvaskes,
afhænger af forskellige parametre, herunder fx
spiltype og leveringskanal�½ Hvidvask gennem
spil kan hurtigt kanalisere penge på tværs af
landegrænser, og det øger trusselsniveauet�½
Hvidvasksekretariatet vurderer, at det er sand-
synligt, at hvidvask gennem spil i Danmark
bliver mindre attraktivt for kriminelle aktører
på mellemlangt sigt�½ Indførelsen af et såkaldt
spilkort vil gøre det sværere at forblive anonym,
og spiludbydere med tilladelse i Danmark har
etableret effektive moniteringsløsninger i forhold
til kundeovervågning�½ Hvidvasksekretariatet
bemærker, at det kan medføre, at kriminelle
aktører bevæger sig ind på det illegale spilmar-
ked, hvorved overvågningsmulighederne for
myndighederne er begrænsede�½
Hvidvasksekretariatet vurderer, at det er meget sandsynligt, at
kriminelle aktører anvender spil til hvidvask af ulovlige midler.
Risikoen for at spil misbruges til hvidvask, er
betydelig.
REU, Alm.del - 2023-24 - Endeligt svar på spørgsmål 1456: Spm. om hvor mange overførsler, der indføres udeklarerede til Danmark, herunder om der findes skøn herfor
2938919_0149.png
DEN NATIONALE RISIKOVURDERING AF HVIDVASK
149
KRYPTOAKTIVER
MODUS
Kryptoaktiver anvendes inden for
flere kriminalitetsområder
Handel med kryptoaktiver foregår typisk via
børser (exchanges) eller direkte mellem to
parter (peer-to-peer)�½ Kriminelle aktører kan
anvende kryptoaktiver til at foretage transaktio-
ner uden om den traditionelle finansielle sektor�½
Muligheden for at foretage øjeblikkelige over-
førsler på tværs af lande er attraktiv for krimi-
nelle aktører, der skal have overført værdier til/
fra udlandet�½ Europol skriver, at hvidvask er den
primære kriminalitetsform, der associeres med
kryptoaktiver
(Europol 2021b: 11)�½
Selvom transaktioner med kryptoaktiver som
udgangspunkt er offentligt tilgængelige i block-
chains, findes der metoder, hvorpå man kan
forsøge at sløre sine digitale spor�½ Som hvid-
vaskmodus egner kryptoaktiver sig særligt til
den del af hvidvaskprocessen, der vedrører slø-
ring, men i takt med, at kryptoaktiver i stigende
grad bruges til betalinger, vil kryptoaktiver også
blive brugt til integration�½ Hvidvasksekretariatet
modtager få underretninger om mistanke om
hvidvask via kryptoaktiver, men erfaringer fra
udlandet viser, at underretninger fra udbydere af
virtuelle aktiver stiger markant i disse år, og at
de beløb, der underrettes om, er markant større
end for de øvrige brancher
(Dynamic Securities
Analytics 2022)�½
Mange børser tilbyder brugerne at oprette debit-
kort via aftale med fx Visa eller Mastercard�½
Kortene fungerer på den måde, at der ikke
betales direkte med kryptoaktiver, men at
kryptoaktiverne i forbindelse med handlen i fx et
supermarked veksles til fiat-valuta�½ Mange kort
kan både ’toppes-up’ med kryptoaktiver og med
fiat-valuta fra fx et andet betalingskort�½
Chain-hopping
er at veksle mellem krypto-
aktiver, der benytter sig af forskellige block-
chains�½ Hvis formålet er at sløre sporene, skal
chain-hopping gerne ske i et hurtigt tempo, så
eventuelle personer eller myndigheder hægtes
af�½ De såkaldte privacy coins eller Anonymity
Enhanced Currencies (AECs) er designet til i
varierende grad at sikre brugerne anonymitet,
og er også anvendelige i sløringsprocessen�½
Herudover er også mixere/tumblere, som er
services, der er designet til at blande transaktio-
ner fra forskellige brugere, så det bliver sværere
at spore, hvem der er henholdsvis afsender og
modtager af hvilke transaktioner, populære�½
Mixere slører midlers ophav ved først at blande
brugernes kryptoaktiver for et mindre gebyr�½
Der findes wallets, der ligesom mixere blander
kryptoaktiver for at øge graden af anonymitet�½
5.11
Boks 27
Eksempler på at kryptoaktiver anvendes til hvidvask
Brug af muldyr og krypto-betalingskort:
Person A vil hvidvaske dagens kontante omsæt-
ning på 10�½000 kroner fra salg af falske mærkevarer�½ Person A kontakter Person B,
der skal agere muldyr�½ Person B får kontanterne og sætter dem ind på sin bankkonto
og bruger pengene til at købe kryptoaktiver på en børs i udlandet�½ Disse kryptoaktiver
overfører Person B til person A’s wallet (Person A’s digitale tegnebog)�½ Person A har et
betalingskort fra sin børs, som kan bruges ligesom et almindeligt kreditkort�½
Brug af mixere:
Person A har et ulovligt udbytte fra falske annoncer på internettet, hvor
køberne har betalt for en vare, de aldrig har modtaget�½ De forurettede har overført pen-
gene til Person A’s konto i udlandet�½ For at få de ulovlige midler sløret, køber person A
kryptoaktiver for dem via en børs og fører dem videre til en såkaldt mixer eller tumbler�½
Peer-to- peer-handler (P2P):
Person A har brug for kontanter til sort aflønning af sine
ansatte�½ Person B har kontanter fra salg af narkotika, der skal hvidvaskes�½ Person A
overfører kryptoaktiver til person B’s wallet, og Person B giver Person A kontanterne�½
METODER TIL HVIDVASK
REU, Alm.del - 2023-24 - Endeligt svar på spørgsmål 1456: Spm. om hvor mange overførsler, der indføres udeklarerede til Danmark, herunder om der findes skøn herfor
2938919_0150.png
150
DEN NATIONALE RISIKOVURDERING AF HVIDVASK
Boks 28
Eksempel på at DeFi­platforme anvendes til hvidvask
Brug af DeFi-platforme.
Person A bedrager en person og får vedkommende til at købe
kryptoaktiver, som sendes til person A�½ Kryptoaktiverne sløres gennem tumbling og pla-
ceres til sidst på en DeFi-platform�½ Person A veksler kryptoaktiverne til andre former for
kryptoaktiver på DeFi-platformen, hvorefter de vekslede kryptoaktiver tilbageføres til en
reguleret børs og derfra overføres til Person A’s bankkonto�½
DeFi
er en forkortelse for decentralised finance�½
Med DeFi fjernes det mellemled, som fx et
betalingsinstitut, en børs eller en bank udgør�½
Mellemleddene erstattes af såkaldte smart
contracts, som er algoritmer, der sørger for,
at transaktionerne sker på sælgers og købers
betingelser�½ Når betingelserne er opfyldt for
begge parter, sker transaktionen direkte mellem
parterne, peer-to-peer�½
Selvom sporbarheden ved kryptoaktiver er rela-
tivt høj, kræver det, at de underretningspligtige
er i stand til at identificere, hvad der er tegn på
hvidvask med kryptoaktiver, og hvad der er tegn
på legal brug af kryptoaktiver�½ Hertil kommer,
at det kræver avancerede blockchain-ana-
lyseværktøjer for at spore transaktionerne i
efterforskningsleddet�½
De omfattede virksomheder, fx børser, er ofte
udenlandske virksomheder, der er underret-
ningspligtige i udlandet�½ Hvidvasksekretariatet
vurderer, at både udenlandske og danske
VASPer har et mere begrænset kendskab til
deres kunder i forhold til det kendskab, som de
traditionelle pengeinstitutter har�½ Da der samti-
dig er rige muligheder for at føre midler ind og
ud af landet, er det en betydelig sårbarhed ved
kryptoaktiver�½
TRUSLER OG SÅRBARHEDER
METODER TIL HVIDVASK
Kriminelle aktører, herunder organiserede kri-
minelle grupperinger og cyberkriminelle, bruger
kryptoaktiver
(Europol 2021b: 12)�½
Det gælder
særligt inden for it-økonomisk kriminalitet,
men også inden for andre kriminalitetsområ-
der, fx narkokriminalitet og online udnyttelse af
mindreårige samt kriminelle aktiviteter på det
mørke net, hvor kryptoaktiver er det foretrukne
betalingsmiddel
(Europol 2021b: 9, 11)�½
Der
sker en øget digitalisering af både kriminalitet
og den betaling, der finder sted for de ydelser,
som de kriminelle leverer�½ Når de ulovlige midler
er digitale, er kryptoaktiver en tilgængelig måde
at sløre midlernes ophav og destination�½ Sårbar-
heden øges i takt med, at der udbydes flere
kryptoaktiver, herunder programmer, der øger
anonymitet, og der kan flyttes flere penge over
grænserne på en gang�½ Europol peger på, at de
kriminelle aktører i stigende omfang hvidvasker
gennem børser uden licens
(Europol 2021b: 8)�½
Manglende kendskab til området og kapacitet
blandt finansielle institutter og myndigheder kan
være en barriere for at opdage ulovlige midler i
kryptosfæren�½
VURDERING AF RISIKO
Hvidvasksekretariatet vurderer, at kriminelle
aktører i Danmark anvender kryptoaktiver til
hvidvask, og at det er meget sandsynligt, at
kriminelle aktører i stigende grad vil benytte sig
af kryptoaktiver til at hvidvaske penge�½
I takt med at kriminalitet i Danmark og i udlan-
det genererer flere digitale midler, vil anven-
delsen af kryptoaktiver til hvidvask ligeledes
forventes at stige�½ Hvidvasksekretariatet
bemærker, at der internationalt og nationalt er
et stærkt fokus på kryptoaktiver, herunder på
implementering af FATF-standarder – særligt
kundskabsprocedurer og den såkaldte
travel
rule,
der skal sikre, at afsendere og modtagere
af kryptoaktiver skal kunne identificeres�½
Hvidvasksekretariatet vurderer, at det er meget sandsynligt,
at kriminelle aktører i stigende grad vil anvende kryptoaktiver
til hvidvask af ulovlige midler. Risikoen for at kryptoaktiver
misbruges til hvidvask, er
betydelig.
REU, Alm.del - 2023-24 - Endeligt svar på spørgsmål 1456: Spm. om hvor mange overførsler, der indføres udeklarerede til Danmark, herunder om der findes skøn herfor
2938919_0151.png
DEN NATIONALE RISIKOVURDERING AF HVIDVASK
151
LEASING
MODUS
Hvidvask gennem leasing
Hvidvask gennem leasing af køretøjer og andre
aktiver kan foregå på forskellige måder�½ Fx kan
penge fra kriminalitet blive brugt til at lease en
luksusbil, eller kontanter fra kriminelle aktiviteter
kan bruges til at købe en bil i udlandet, indregi-
strere den i Danmark og sælge den til et leasing-
selskab, så midlerne fra salget fremstår legale�½
Hvidvask ved hjælp af leasing kan også foregå
ved kloning af køretøjer, hvor enten købte eller
stjålne køretøjer klones og formidles til et lea-
singselskab, der ved salg af køretøjet får udbe-
talt en salgssum, der fremstår legal�½ De beløb,
der kan hvidvaskes gennem leasing, er relativt
begrænsede, medmindre det er sat i system, fx
gennem brug af flere stråmænd på samme tid
eller ved at kriminelle aktører har et samarbejde
med et kriminelt leasingselskab�½
Det kræver en registrering hos Finanstilsynet at
drive et finansielt leasingselskab�½ Det gælder
uanset, om man tilbyder finansiel leasing af
biler eller af andre aktiver�½
For så vidt angår finansiel leasing på bilmarke-
det, er det i mange tilfælde bilforhandlere, der
faciliterer leasingaftaler på vegne af leasingvirk-
somheder�½ Det finansielle leasingselskab, som
står for selve finansieringen, møder herved ikke
den reelle kunde, men anvender de oplysninger,
der modtages fra forhandleren�½
Hvidvasksekretariatet modtager underretninger
om mistanke om hvidvask gennem leasing i for-
bindelse med organiseret kriminalitet, herunder
rocker- og bandegrupperinger�½
5.12
TRUSLER OG SÅRBARHEDER
Mens hvidvask via betaling af leasingydelser
er en simpel hvidvaskmetode, der kan være
vanskelig for forhandleren at opdage, så er den
hvidvask, der foregår, hvor forhandlerne er invol-
veret, mere kompleks�½
Hvidvasksekretariatet vurderer, at kriminelle
aktører anvender leasing til hvidvask, og at det
vil fortsætte på kort og mellemlangt sigt�½ Den
stigende opmærksomhed på leasingselskaber
i forbindelse med sagerne om vanvidsbilisme
kan have øget opmærksomheden på identifi-
kation af leasingtagere og dermed reduceret
risikoen for hvidvaskaktiviteter�½
Hvidvasksekretariatet vurderer, at det er sandsynligt, at kriminelle
aktører anvender leasing til hvidvask af ulovlige midler. Risikoen
for at leasing misbruges til hvidvask, er
moderat.
Boks 29
Eksempel på at leasing bliver anvendt til hvidvask
Person A bruger ulovlige midler til at købe en stjålet bil kontant i Tyskland�½ Bilen får påført
et nyt stelnummer fra en tilsvarende bil, hvorefter der udarbejdes et falsk registrerings-
dokument, således at bilen kan blive godkendt i en dansk synshal�½ Den stjålne, men nu
godkendte bil, sælges til leasingselskab A�½ Dernæst sælges bilen af leasingselskab A, og
salgssummen fra denne handel fremstår lovlig�½ I dette tilfælde er leasingselskabet med til at
facilitere hvidvasken�½
METODER TIL HVIDVASK
VURDERING AF RISIKO
REU, Alm.del - 2023-24 - Endeligt svar på spørgsmål 1456: Spm. om hvor mange overførsler, der indføres udeklarerede til Danmark, herunder om der findes skøn herfor
2938919_0152.png
152
DEN NATIONALE RISIKOVURDERING AF HVIDVASK
5.13
FORTRYDELSE AF KØB
OG BRUG AF TREDJE-
PARTER TIL SLØRING
MODUS
Hvidvask via annullering af køb
Hvidvask ved at fortryde køb er en hyppigt
anvendt metode�½ Der er tale om kriminelle aktø-
rer, der anvender ulovlige midler til at købe varer,
som de returnerer, hvorefter pengene enten
udbetales kontant eller tilbageføres til en anden
konto, end der blev anvendt til købet�½ Formålet
er at sløre transaktionerne ved at lade midlerne
indgå hos en tredjepart fx en butik eller et aukti-
onshus og blive udbetalt et andet sted�½
METODER TIL HVIDVASK
Ved at anvende tredjeparter til sløring er det
vanskeligere for pengeinstitutterne at identifi-
cere mistænkelige transaktioner�½ Tredjeparts-
aktørerne, fx elektronikbutikken, har ikke altid
mulighed for at vide, hvilke konti eller kort pen-
gene oprindeligt blev betalt fra, og de er ofte
ikke underretningspligtige og har dermed ikke
nødvendigvis opmærksomhed på risikoen for
hvidvask�½ I nogle butikker kræves det, at udbe-
taling for returnerede varer foregår kontant, eller
at tilbageførelsen skal ske til samme kort, som
købet er foretaget på�½
Hvidvasksekretariatet bemærker, at offentlige
myndigheders konti også kan anvendes som
tredjepart�½ Derved kan disse være medvirkende
til, at ulovlige midler fremstår som legitime ved
interaktionen med konti tilhørende offentlige
myndigheder�½ Misbrug af offentlige myndig-
heders konti som tredjeparter kan udgøre en
risiko for hvidvask af større beløb�½ Her kan der
eksempelvis være tale om en virksomhed eller
person, der indbetaler for meget i skat og deref-
ter får pengene retur fra en bankkonto tilknyttet
Skattestyrelsen�½
TRUSLER OG SÅRBARHEDER
Fremgangsmåden benyttes i sager, hvor det
drejer sig om mindre beløb, der bliver flyttet�½
Ved større beløb vil et pengeinstitut kunne iden-
tificere mistænkelig returneringer på en kundes
konto – særligt hvis kunden ikke har foretaget
det oprindelige køb gennem pengeinstituttet�½
Boks 30
Eksempel på hvordan fortrydelse af køb kan anvendes til hvidvask
Person A køber en genstand på auktion i et større auktionshus eller i detailhandlen�½
Pengene bliver indbetalt fra konto 1234 fra et dansk pengeinstitut�½ Efterfølgende gør
Person A brug af sin fortrydelsesret for købet, men anmoder, at pengene skal udbetales
til konto 5678 i et svensk pengeinstitut�½
REU, Alm.del - 2023-24 - Endeligt svar på spørgsmål 1456: Spm. om hvor mange overførsler, der indføres udeklarerede til Danmark, herunder om der findes skøn herfor
2938919_0153.png
DEN NATIONALE RISIKOVURDERING AF HVIDVASK
153
VURDERING AF RISIKO
Hvidvasksekretariatet vurderer, at kriminelle
aktører fortsat vil anvende fortrydelse af køb og
tredjeparter til sløring af midler, men at truslen
er aftagende, primært på grund af sænkel-
sen af kontantforbuddet fra 50�½000 til 20�½000
kroner og øget opmærksomhed i offentlighe-
den generelt�½ Metoden er også begrænset i
forhold til grænseoverskridende aktiviteter�½
Hvidvasksekretariatet bemærker dog, at der
stadig integreres store kontantbeløb gennem
køb af varer og efterfølgende returnering�½
Hvidvasksekretariatet vurderer, at det er sandsynligt, at kriminelle
aktører anvender fortrydelse af køb og tredjeparter til hvidvask af
ulovlige midler. Risikoen for, at fortrydelse af køb og tredjeparter
misbruges til hvidvask, er
moderat.
PEER-TO-PEER LÅN OG
CROWDFUNDING
MODUS
Hvidvask via lån og indsamlinger
Peer-to-peer lån er lån mellem privatpersoner�½
Kontakten foregår typisk på sociale medier,
og ofte er der tale om korte udlån til meget
høje renter�½ På samme måde er crowd-fun-
ding et fænomen, som forbinder fysiske og
juridiske personer økonomisk, hvor der er tale
om finansiering af projekter, produkter eller
enkeltpersoner gennem online crowdfunding-
platforme såsom Gofundme eller Kickstarter�½
Her kan privatpersoner donere penge til per-
soner, enten som donationer, lån eller mod en
modydelse (reward-based crowdfunding), fx
modtagelse af et produkt, når det er produceret�½
Både peer-to-peer lån og crowdfunding kan
bruges til at hvidvaske penge�½
5.14
Boks 31
Eksempel på hvidvask via peer­to­peer lån og crowdfunding
Person A er bagmand for udenlandske prostituerede og har herigennem adgang til store
mængder kontanter�½ Person A udlåner 75�½000 kroner i kontanter til Person B gennem
Facebook til en årlig omkostning på 25 pct�½ Person B tilbagebetaler Person A løbende hver
måned inklusive låneomkostninger på en konto i en digital bank, hvorfra Person A kan betale
for dagligvarer med sit tilknyttede betalingskort�½
Person B ejer en negleklinik med illegal arbejdskraft, hvor kunderne betaler kontant uden
regning�½ Person B opretter en crowdfunding-kampagne til et fiktivt produkt og støtter sit eget
projekt gennem kampagnen, hvorved Person B har dokumenteret indkomst�½
METODER TIL HVIDVASK
REU, Alm.del - 2023-24 - Endeligt svar på spørgsmål 1456: Spm. om hvor mange overførsler, der indføres udeklarerede til Danmark, herunder om der findes skøn herfor
2938919_0154.png
154
DEN NATIONALE RISIKOVURDERING AF HVIDVASK
TRUSLER OG SÅRBARHEDER
Hvidvasksekretariatet er ikke bekendt med
opgørelser over omfanget af peer-to-peer-lån�½
Vækstfonden vurderer, at det danske marked
for crowdfunding i 2020 var på omkring 350
millioner koner�½ Der er tale om en stor stigning
fra 2019, hvilket primært skyldes, at opgørel-
sen har medtaget real-estate crowdfunding
(Vækstfonden 2021: 4)�½
Uden real-estate
crowdfunding samt fraregnet det største
projekt blev der i 2020 rejst kapital gennem
crowdfunding for over 160 millioner kroner
(Vækstfonden 2021: 5)�½
Hvidvasksekretariatet erfarer, at en række
mindre netværk udbyder peer-to-peer lån
gennem Facebook�½ Der er tale om netværk, der
sammenligner renter, udveksler erfaringer med
dårlige betalere og deler idéer til udbygning af
forretningen
(TV2 2022)�½
Udviklingen på dette
område vil forventeligt være påvirket af den øko-
nomiske udvikling i samfundet, som kan betyde,
at flere borgere vil blive økonomisk trængte og
har vanskeligere ved at låne penge i banken og
derfor søger alternative lånemuligheder�½
Hvidvasksekretariatet besidder endvidere
oplysninger, der indikerer mistænkelige crowd-
fundingaktiviteter hos privatpersoner, men der
er umiddelbart ikke tale om, at crowdfunding
bliver brugt til organiseret hvidvask�½ De ind-
samlede midler bliver indledningsvist placeret
hos crowdfundingsiden og dernæst overført
til pengeinstituttet, hvilket gør det vanskeligt
for bankerne at se, hvem der har doneret til et
crowdfundingprojekt, og om der er mistænke-
lige transaktioner�½
VURDERING AF RISIKO
Hvidvasksekretariatet vurderer, at kriminelle
aktører anvender peer-to-peer-lån og crowd-
funding til mindre hvidvaskaktiviteter, og at det
sandsynligvis vil fortsætte og muligvis stige
som følge af øget efterspørgsel efter alterna-
tive lånemuligheder�½ Det er muligt, at der med
udbredelsen af DeFi og digitale fælleskaber fx
Facebooks Metaverse vil ske en ændring i peer-
to-peer markedet for udlån�½ 
METODER TIL HVIDVASK
Hvidvasksekretariatet vurderer, at det er sandsynligt, at
kriminelle aktører fortsat vil anvende peer­to­peer­lån og
crowdfunding til hvidvask af ulovlige midler. Hvidvask­
sekretariatet vurderer, at risikoen for, at peer­to­peer­lån
og crowdfunding misbruges til hvidvask, er
moderat.
REU, Alm.del - 2023-24 - Endeligt svar på spørgsmål 1456: Spm. om hvor mange overførsler, der indføres udeklarerede til Danmark, herunder om der findes skøn herfor
2938919_0155.png
DEN NATIONALE RISIKOVURDERING AF HVIDVASK
155
TVÆRGÅENDE
FÆNOMEN: HANDELS-
BASERET HVIDVASK
FATF vurderer, at en stor del af udbyttet fra
kriminelle aktiviteter på globalt plan hvidvaskes
ved, at kriminelle aktører misbruger det inter-
nationale handelssystem, såkaldt handelsba-
seret hvidvask�½ Det er en af de mest komplekse
former for hvidvask, fordi det ofte sker gennem
samarbejde mellem kriminelle aktører, der
gemmer sig bag virksomhedskonstruktioner
i flere lande�½ Da Danmark er en lille og åben
økonomi med en stor international handelsvolu-
men, vurderer Hvidvasksekretariatet, at risikoen
for, at kriminelle aktører misbruger det danske
handelssystem til at hvidvaske penge, er høj�½
Handelsbaseret hvidvask handler ofte om
misbrug af internationale handelsstrukturer�½ I
Danmark kan fakturafabrikker være eksempler
på handelsbaseret hvidvask, der dog primært
foregår i Danmark, indtil en del af pengene
overføres til konti i udlandet�½
Begrebet
servicebaseret hvidvask
handler om
udnyttelse af handel med services fx konsu-
lentbistand�½ Servicebaseret hvidvask kompli-
ceres af, at der ikke handles med fysiske varer,
som normalt vil være ledsaget af import- eller
eksportdata�½
5.15
DEFINITION PÅ HANDELS-
BASERET HVIDVASK
Kriminelle aktører misbruger virksomhedsstruk-
turer og det internationale handelssystem til at
begå kriminalitet og til at flytte penge�½ Det er
væsentligt at skelne mellem
handelsrelateret
kriminalitet
(trade-related predicate offences)
og
handelsbaseret hvidvask
(trade-based
money laundering)�½
Mens handelsrelateret kriminalitet, som fx
smugling, har til formål at flytte varer illegalt, så
drejer handelsbaseret hvidvask sig om at flytte
værdier, hvor handel med varer og services er
en metode til det
(FATF 2020a: 11-12)�½
Ved
brug af varehandel kan kriminelle aktører flytte
store værdier på en måde, der er vanskeligere
for myndigheder og underretningspligtige, her-
under banker, revisorer og andre, at opdage,
fordi handlerne fremstår legitime i store
handels- og transaktionsvolumener�½
Handelsmarkedets dynamik, de mange for-
skellige varer og services, der kan anvendes
til hvidvask, involvering af mange aktører på
tværs af jurisdiktioner og tempoet i betalin-
gerne betyder, at FATF vurderer, at handelsba-
seret hvidvask udgør en betydelig risiko
(FATF
2020a: 7)�½
Hertil kommer, at handelsbaseret
hvidvask risikerer at falde ned mellem to stole
hos både de underretningspligtige og myndig-
hederne, fordi adskillelsen mellem varer og
finansielle transaktioner, som kontrolleres af
henholdsvis toldmyndighederne og bankerne,
gør det vanskeligere at opdage�½ Det kræver ofte
tæt koordinering af oplysninger at identificere
handelsbaseret hvidvask�½
Boks 32
FATF’s definition på handelsbaseret hvidvask
”The process of disguising the proceeds of crime and moving value through the use of trade
transactions in an attempt to legitimize their illegal origin or finance their activities”.
Kilde:
FATF (2020a: 11)�½
METODER TIL HVIDVASK
For læsevenlighedens skyld samler vi i dette
afsnit handelsbaseret- og servicebaseret
hvidvask under betegnelsen
handelsbaseret
hvidvask.
REU, Alm.del - 2023-24 - Endeligt svar på spørgsmål 1456: Spm. om hvor mange overførsler, der indføres udeklarerede til Danmark, herunder om der findes skøn herfor
2938919_0156.png
156
DEN NATIONALE RISIKOVURDERING AF HVIDVASK
METODER TIL HANDELS-
BASERET HVIDVASK
Nogle af de metoder, de kriminelle aktører
anvender til handelsbaseret hvidvask, er:
Over- og underfakturering af varer,
hvor der
bevidst angives forkerte priser på varer eller
services for herigennem at flytte midler fra
en aktør til en anden.
Over- og underdrivelse af handelsvolume-
ner,
hvor der angives urigtige mængder eller
vægt af varer eller såkaldte fantomhandler,
altså handler, der aldrig finder sted.
Falsk opgivelse af varer,
hvor der i fx tolddo-
kumenter eller faktura angives én type varer,
men sendes en anden – eller der slet ikke
sendes nogen varer.
• Genbrug af fakturaer.
(FATF 2020a: 26-27)
Af disse metoder er
over- og underfakturering
en af de ældste, men formentlig også den mest
anvendte. Det centrale ved denne metode er
at angive forkerte priser på varer eller services
på fakturaen (misinvoicing) for derved at kunne
flytte penge via handelstransaktioner.
Illustration 7:
Eksempler på over- og underfakturering
Værdier flyttes fra Danmark til udlandet
via overpris på varer, der importeres til
Danmark eller underpris på varer, der
eksporteres fra Danmark.
METODER TIL HVIDVASK
Over- og underfakturering
Værdier flyttes til Danmark fra udlandet
via underpris på varer, der importeres
til Danmark eller overpris på varer, der
eksporteres fra Danmark.
Underpris på varer,
der importeres til
Danmark
,-
00
0.0
10
Overpris på varer,
der importeres til
Danmark
Underpris på varer,
der eksporteres fra
Danmark
,-
00
0.0
10
Overpris på varer,
der eksporteres fra
Danmark
En eksporttør i udlandet
fx Tyskland køber
10.000 barberblade til
1 kr. stykket (10.000 kr.)
-
0,
10
Eksportøren sælger
10.000 barberblade
til en dansk importør
for 100 kr. stykket
(1.000.000 kr.).
Den danske importør
får varerne og betaler
fakturaen på en million
kroner til eksportøren
i Tyskland. Prisen for
transaktionen er
10.000 kr.
1,-
1,-
En dansk eksportør
køber 10 ure
til 100.000 kr. stykket
(1.000.000 kr.)
-
0,
10
En eksportør i udlandet
fx Tyskland køber
10 ure til 100.000 kr.
stykket (1.000.000 kr.)
-
0,
10
En dansk eksportør
køber 10.000
barberblade til
1 kr. stykket (10.000 kr.)
-
0,
10
Den danske eksportør
sælger de 10 ure til en
udenlandsk importør
i fx Tyrkiet for 100 kr.
stykket (1.000 kr.)
Eksportøren sælger
de 10 ure til en dansk
importør for 100 kr.
stykket (1.000 kr.)
Eksportøren sælger
10.000 barberblade
til en udenlandsk
importør for 100 kr.
stykket
(1.000.000 kr).
$
$
Den udenlandske
importør får varerne
og betaler faktura på
1.000 kr. og sælger
urene til markedspris.
Prisen for transaktionen
er 10.000 kr.
$
Den danske importør
får varerne, betaler
fakturaen på 1.000 kr.
og sælger de 10 ure til
markedspris. Prisen for
transaktionen er
10.000 kr.
$
Den udenlandske
importør får varerne
og betaler fakturaen
på en million kr.
Prisen for transaktionen
er 10.000 kr.
REU, Alm.del - 2023-24 - Endeligt svar på spørgsmål 1456: Spm. om hvor mange overførsler, der indføres udeklarerede til Danmark, herunder om der findes skøn herfor
2938919_0157.png
DEN NATIONALE RISIKOVURDERING AF HVIDVASK
157
I denne sammenhæng er importør og eksportør
medsammensvorne eller handler på vegne af
den samme bagmand�½
Eksemplerne i illustration 7 er angivet med
inspiration fra Zdanowicz
(Zdanowicz 2009)�½
Handelsbaseret hvidvask er tæt forbundet med
skattekriminalitet, fordi svindel med angivelser
på faktura også påvirker de værdier, der skal
betales skatter og afgifter af�½
Udnyttelsen af såkaldte dækselskaber, hvis
formål er at gennemføre transaktioner uden en
reel handel bag, er en central del af forskellige
former for hvidvask, herunder handelsbaseret
hvidvask�½ Men handelsbaseret hvidvask kan
også foregå via legitime virksomheder, såkaldte
frontselskaber, hvor de legitime dele af forret-
ningen bidrager til at sløre de ulovlige aktiviteter,
som gemmer sig i mængden af legale handler�½
I flere af de sager om
fakturafabrikker,
der har
været i Danmark, er der indgået reelle selskaber
eller anvendt skuffeselskaber, som har været
oprettet gennem længere tid og ligget stille�½
Disse selskaber er så blevet genaktiveret for at
indgå i hvidvaskkonstruktionen�½
FATF definerer en række strukturelle risiko-
indikatorer, som kan pege på mulig hvidvask via
handelssystemet, fx usædvanlige og ulogiske
selskabskonstruktioner, virksomheder på
masse-registreringsadresser fx kontorhoteller
eller postboks-adresser, usædvanlige lokaliteter
i forhold til branchen, manglende onlinetilste-
deværelse, mistanke om stråmænd og sted-
fortrædere uden kompetencer eller erfaring,
uoverensstemmelser mellem antal ansatte og
aktiviteter i virksomheden, manglende over-
holdelse af virksomhedens forpligtelser som
fx betaling af skat og moms og indlevering af
regnskaber
(FATF 2021c: 3)�½
Illustration 8:
Visualisering af en fakturafabrik
Selskab
A1
Fx et nedrivningsfirma
– køber af falske fakturaer
Tilbageførsel af
midler udenfor det
finansielle system
Selskab
C1
Fx et kosmetikfirma (NL)
Selskab
• Pludselig opstået relation til selskab
• Overførsel til formodet fakturafabrik
B
Fakturafabrikken
Fx et vikarbureau
• Pludselig millionomsætning
• Få eller ingen driftsomkostninger
• Driftsomkostninger stemmer ikke
overens med indgående transaktioner
• Transitaktivitet
(‘rapid movement of funds’)
• Slører evt. overførsel til selskab C
via betalingsportal
• Udenlandsk modpart
• Evt. usandsynlig forretningsforbindelse
til selskab B
Selskab
Selskab
A2
Fx et multiservicefirma
– køber af falske fakturaer
C2
Fx et transportfirma (ES)
• Pludselig opstået relation til selskab
• Overførsel til formodet fakturafabrik
• Udenlandsk modpart
• Evt. usandsynlig forretningsforbindelse
til selskab B
METODER TIL HVIDVASK
REU, Alm.del - 2023-24 - Endeligt svar på spørgsmål 1456: Spm. om hvor mange overførsler, der indføres udeklarerede til Danmark, herunder om der findes skøn herfor
2938919_0158.png
158
DEN NATIONALE RISIKOVURDERING AF HVIDVASK
For at kunne flytte de ulovlige midler via han-
delsbaseret hvidvask skal midlerne ofte ind i det
finansielle system�½ Hvis der er tale om fx skatte-
og momskriminalitet, så er de ulovlige midler
allerede i systemet�½ Er der tale om kontanter
fra fx salg af narkotika, kan de fx integreres
gennem kontantindsættelser i banker eller pen-
geoverførselsvirksomheder eller via misbrug af
kontantbaserede brancher, hvor ulovlige midler
blandes med lovlig indtægt�½ Når pengene er sat
ind, kan faktura for handlerne betales, og værdi-
erne overføres mellem de kriminelle aktører�½ Det
kan også være ulovlige midler, der integreres
via køb af varer og services gennem tredjeparts-
betalinger, hvor en tredjepart i eksempelvis en
jurisdiktion med lempeligere hvidvaskregler eller
lempeligere regler for dokumentation af reelle
ejerforhold betaler for varer, der sendes til en
anden køber
(FATF 2020a: 28-32)�½
Selvom de førnævnte metoder indenfor han-
delsbaseret hvidvask her fremstilles enkeltvis,
kan kriminelle aktører i praksis gøre brug af
flere metoder på samme tid på tværs af hund-
redevis af virksomheder fordelt i flere lande�½
Det komplicerer transaktionskæden yderligere
og gør det vanskeligere for de underretnings-
pligtige og myndighederne at opdage�½ Det gør
handelsbaseret hvidvask til den måske mest
komplekse form for hvidvask
(World Customs
& Egmont 2020: 18)�½
Open­account
En open-account handel er et salg, hvor varerne
sendes og leveres, før betalingen gennem-
føres�½ Betalingen gennemføres typisk inden
for 90 dage efter modtagelse af varen eller
tjenesten – afhængig af kreditaftalen mellem
sælger og køber – og den sker direkte mellem
sælger og købers konti�½ Open-accounts er en
grundlæggende del af den internationale han-
delsstruktur, fordi den sikrer likviditet og flek-
sibilitet�½ Men den kan også udnyttes til at sløre
forbindelser mellem forsendelser og transakti-
oner�½ Pengeinstitutterne har nemlig begrænset
mulighed for indblik i den handel, betalingen
handler om, fordi der kun stilles begrænsede
dokumentationskrav i forbindelse med open
account-handler, og de har dermed vanskeli-
gere ved at følge forsendelser og transaktio-
nerne, som sker forskudt
(FATF 2020a: 13)�½
Remburs
Remburs er en metode, hvor sælgeren, ofte en
eksportør, anmoder om betaling ved at frem-
sende eksportdokumenter for de handlede
varer til sin bank�½ Dernæst videresender banken
dokumenterne til køberens bank, ofte en impor-
tør, som derefter overfører midlerne til sæl-
gerens bank, der slutteligt overfører midlerne
til sælgeren�½ Bankerne er således en del af
handlen, men de verificerer ikke nødvendigvis
de involverede dokumenter�½ Hertil kommer, at
dokumenterne i forbindelse med international
varehandel ikke altid er standardiseret, og det
øger risikoen for ikke at opdage hvidvask�½ Men
selvom der ikke er et standardiseret format for
handelsdokumenter, er der nogle standardop-
lysninger, som skal fremgå, blandt andet oplys-
ninger om de parter, der er involveret i en given
transaktion, de transporterede varer samt den
harmoniserede vares beskrivelse og kodnings-
system�½ Et handelsdokument kan endvidere
indeholde en erklæring, der bekræfter, at doku-
mentet ikke er falskt
(FATF 2020a: 13-14)�½
FATF peger på, at visse træk ved dokumenterne
hurtigt kan afsløre, om der er tale om fiktive
eller falske dokumenter, fx anvendelse af en
personlig e-mail
(FATF 2020a: 14)�½
De krimi-
nelle aktører bliver dog fortsat dygtigere til at
forfalske dokumenter�½
METODER TIL HVIDVASK
BETALINGSMETODER FOR INTER-
NATIONALE HANDELSTRANS-
AKTIONER KAN SLØRE HVIDVASK
En af årsagerne til, at det kan være vanske-
ligt at opdage handelsbaseret hvidvask er, at
betalingerne ofte foregår forskudt af hand-
lerne�½ Samtidig har de aktører, der moniterer
henholdsvis betalinger (fx banker eller andre
pengeoverførselsvirksomheder) og varehand-
len (fx Toldstyrelsen) ikke umiddelbart adgang
til alle relevante oplysninger, der kan afsløre
mistænkelig adfærd�½ FATF peger på, at afreg-
ning af handelsaktiviteter med
open-account
og
remburs
kan udgøre en risiko for handels-
baseret hvidvask�½ Wolfsberg Group estimerer,
at cirka 80 pct�½ af den internationale handel,
som behandles af pengeinstitutterne, er
open-
account
handel
(FATF 2020a: 13)�½
REU, Alm.del - 2023-24 - Endeligt svar på spørgsmål 1456: Spm. om hvor mange overførsler, der indføres udeklarerede til Danmark, herunder om der findes skøn herfor
2938919_0159.png
DEN NATIONALE RISIKOVURDERING AF HVIDVASK
159
Øvrige risikoindikatorer for handelstransaktioner
kan være sene ændringer i betalingsforpligtelser-
ne, usædvanlige aktiviteter på erhvervskonto,
der ikke stemmer overens med det forventede i
forhold til kundekendskabsprocedurer, branche
eller levetiden for virksomheden og tredjeparts-
betalinger fra virksomheder, der ikke umiddelbart
har relation til branchen
(FATF 2021c: 6)�½
PRODUKTER OG VIRKSOMHEDS-
TYPER, DER BENYTTES TIL
HANDELSBASERET HVIDVASK
FATF peger på en række produkter, som ofte
bliver brugt i forbindelse med handelsbaseret
hvidvask�½ Det gælder fx ædelsten og guld, auto-
dele og biler, landbrugsprodukter og fødevarer,
tekstiler og genbrugstøj og transportable elek-
tronikprodukter
(FATF 2020a: 21 ff)�½
Fælles for
disse produkter er, at de udgør varer med bred
prismargin, der kan gøre det vanskeligere for
fx toldmyndighederne eller pengeinstitutterne
at vurdere, om prisen er den rette, eller den er
mistænkeligt lav eller høj, og at de købes og
sælges på tværs af lande
(FATF 2020a: 20)�½
Det gør det lettere at angive forkert værdi eller
forskellig værdi i import- og eksportlandet�½
Ligesom der er produktkategorier, der udgør en
særlig risiko for at blive udnyttet til hvidvask, er
der også en række forskellige typer af virksom-
heder, som er i risiko for at blive udnyttet�½ FATF
oplyser, at små og mellemstore virksomheder
indgik i flere af de sager, de har undersøgt, om
handelsbaseret hvidvask, men der var også
efterforskninger, der involverede store multi-
nationale selskaber
(FATF 2020a: 24)�½
De fleste virksomheder kan bruges til handels-
baseret hvidvask�½ FATF har opstillet nogle risi-
koindikatorer i forhold til handelsaktiviteter, som
kan pege på, at der foregår hvidvask�½ Det er fx
atypiske handelsaktiviteter i forhold til bran-
chen, transaktions- og shippingmønstre, der er
usædvanlige i forhold til praksis, ulogisk anven-
delse af finansielle produkter samt nye virksom-
heder på markeder, der er svære at få adgang til
(FATF 2021c: 4)�½
Handelsdokumenter kan også
pege i den retning, fx hvis der er inkonsistens
i kontrakter og fakturaer, hvis dokumenterne
er usædvanlige for praksis i markedet, hvis
handelsdokumenter mangler eller indeholder
mangelfuld eller urigtige oplysninger, eller hvis
der er uoverensstemmelse mellem eksporter-
klæringer og tilførsler fra udenlandske banker
(FATF 2021c: 5)�½
OMFANGET AF HANDELS-
BASERET HVIDVASK
FATF vurderer, at en stor del af udbyttet fra
kriminelle aktiviteter på globalt plan hvidvaskes
ved at krimielle aktører misbruger det internati-
onale handelssystem, blandt andet fordi aktø-
rerne kan gemme sig i de store handelsmæng-
der og mange transaktioner�½ Den globale handel
med varer og tjenester udgjorde i 2020 i alt
22�½000 milliarder dollars, svarende til 143�½000
milliarder kroner
(WTO 2022: 11)�½
Ligesom det
er vanskeligt at vurdere omfanget af hvidvask
generelt, er det vanskeligt at estimere omfanget
af handelsbaseret hvidvask�½
Boks 33
Eksempel på handelsbaseret hvidvask
I en dansk sag om organiseret hvidvask blev syv mænd i juni 2021 idømt samlet mere end
27 års fængsel for organiseret hvidvask af mere end 200 millioner kroner�½ De dømte var
involveret i udstedelse af fiktive fakturaer for levering af arbejdskraft, varer eller ydelser til
flere hundrede danske virksomheder, således at virksomhederne kunne anvende fakturaerne
til at hvidvaske penge�½ To af de dømte var direktører i virksomheder, der udstedte de fiktive
fakturaer, og tilsammen sendte de et trecifret millionbeløb til udlandet�½ De agerede dermed
ikke kun stråmandsdirektører, men deltog aktivt i, at pengene blev hvidvasket�½
Kilde:
Anklagemyndigheden (2021a)�½
METODER TIL HVIDVASK
REU, Alm.del - 2023-24 - Endeligt svar på spørgsmål 1456: Spm. om hvor mange overførsler, der indføres udeklarerede til Danmark, herunder om der findes skøn herfor
2938919_0160.png
160
DEN NATIONALE RISIKOVURDERING AF HVIDVASK
En af de måder omfanget er søgt opgjort på
ved tidligere undersøgelser, er ved at beregne
såkaldte
værdi-gaps
mellem lande, altså for-
skellen i den værdi eksportøren i landet har
anført, og den værdi importøren i det andet
land har anført�½ I undersøgelserne er det derfor
metoden
over- og underfakturering af varer,
der
er temaet�½ Der kan være flere grunde til, at over-
og underfakturere, herunder skattesvig, men
også de penge skal hvidvaskes�½
Den amerikanske tænketank Global Financial
Integrity (GFI) udgav i 2021 en rapport, der
estimerede, at værdi-gaps i handel mellem 134
udviklingslande og 36 avancerede økonomier
alene i 2018 udgjorde 835 milliarder dollars,
svarende til 5�½427 milliarder kroner�½ Det tal har
været stigende i perioden 2009-2018
(Global
Financial Integrity 2021: 5)�½
Værdi-gaps er sær-
ligt store i handlen mellem udviklingslande og
Kina, men også Polen, Tyrkiet og Ungarn er på
top-10-listen over lande med de største gaps�½
Samme type opgørelse skrev professor John
S�½ Zdanowicz om i 2009
(Zdanowicz 2009)�½
Her refererede han forskellige undersøgelser
af handelsdata og metoder til identifikation af
værdi-gaps mellem USA og andre nationer�½ På
baggrund af værdi-gaps blev der udarbejdet
forskellige profileringsteknikker, blandt andet
risikoprofilering af lande og produkter, hvorigen-
nem der sandsynligvis blev flyttet midler ud af
USA via handelssystemet gennem unormale
prisfastsættelser�½ En opgørelse viste blandt
andet, at USA i perioden 1993-95 importe-
rede kassettebåndafspillere fra Danmark, der
blev faktureret til 17�½314,25 dollars per styk
(Zdanowicz 2009: 8)�½
På baggrund af han-
delsdata fra 2004 viser opgørelsen, at den
totale mængde af penge, der blev flyttet fra
USA til Danmark via under- og overfakturering,
udgjorde i alt 1,9 milliarder dollars, svarende til
mere end 12 milliarder kroner�½ I det beregnede
risikoindeks for 2004 blev Danmark placeret
som nummer otte
(Zdanowicz 2009: 18)�½
Hvidvasksekretariatet er ikke bekendt med
analyser af omfanget af handelsbaseret
hvidvask i Danmark, og det er ikke muligt for
Hvidvasksekretariatet, på baggrund af de data,
der er tilgængelige for sekretariatet, at opgøre
omfanget af handelsbaseret hvidvask i Danmark�½
METODER TIL HVIDVASK
Der er dog strukturer i Danmark, der gør os
sårbare over for misbrug af handelssystemet
til hvidvask�½ I Danmark er der et stort fokus på
hvidvask i den finansielle sektor, og det kan
få kriminelle aktører til at vælge at hvidvaske
deres penge ad anden vej, fx gennem udnyt-
telse af det internationale handelssystem�½ Hertil
kommer, at Danmark er en lille og åben økonomi
med en stor international handelsvolumen�½ I
kapitel 2
Danmark 2022-2025
fremgår den
store volumen af varer, der hver dag kommer til
og fra Danmark – særligt med containere – og
kun en begrænset del af varerne tjekkes ved
fysisk gennemgang�½ Mistænkelig varehandel
skal derfor også opdages på anden vis fx via
oplysninger om handel med varer, som fremgår
af toldangivelser eller andet�½ Toldstyrelsen og
Hvidvasksekretariatet har derfor indledt et tæt
samarbejde med henblik på at forstærke indsat-
sen mod handelsbaseret hvidvask i Danmark,
og som et led heri undersøge, i hvilket omfang
Toldstyrelsen kan levere data, der kan under-
støtte Hvidvasksekretariatets analyser af udbre-
delsen af handelsbaseret hvidvask, herunder
omfanget af over- og underfakturering�½
FATF vurderer, at handelsbaseret hvidvask
udgør en stor risiko, fordi mængden af værdier,
der flyttes, er stor, det involverer aktører i flere
jurisdiktioner, og de finansielle transaktioner
sker hurtigt og kan være vanskelige at gennem-
skue�½ Hertil kommer, at såvel underretnings-
pligtige som myndigheder kan have vanskeligt
ved at forstå handelsbaseret hvidvask og derfor
ikke er opmærksomme på det eller kun er
opmærksomme på enkelte dele af processen
(FATF 2020a: 37)�½
FÅ UNDERRETNINGER OM HANDELS-
BASERET HVIDVASK I DANMARK
Hvidvasksekretariatet modtager få underret-
ninger om handelsbaseret hvidvask�½ I perioden
2018-2021 er der modtaget 500 underretnin-
ger, hvor der i mistankegrundlaget er anført
over- eller underfakturering, over- eller under-
drivelse af handelsvolumen, falske opgivelser
af varer, genbrug af fakturaer eller indikatorer
som tredjepartsbetalinger, hvoraf det vurderes,
at under 200 handler om handelsbaseret hvid-
vask, som det er defineret ovenfor�½
REU, Alm.del - 2023-24 - Endeligt svar på spørgsmål 1456: Spm. om hvor mange overførsler, der indføres udeklarerede til Danmark, herunder om der findes skøn herfor
2938919_0161.png
DEN NATIONALE RISIKOVURDERING AF HVIDVASK
161
Underretninger om over- og underfakturering
handler typisk om mistanke om overfakturering
og dermed mistanke om svindel med priser
mellem aktører i Danmark, fx et servicefirma,
der overfakturer en offentlig styrelse, eller
mellem aktører i Danmark og i udlandet, hvor
der er mistanke om overfakturering i forbindelse
med korruption�½
Hvidvasksekretariatet modtager få underretnin-
ger om mistanke om handelsbaseret hvidvask,
der handler om import- og eksportvirksomhe-
der�½ Der er domme for handelsbaseret hvidvask
i Danmark, som typisk handler om fakturafa-
brikker, men de involverer i begrænset omfang
det internationale handelssystem og import- og
eksportvirksomheder�½
De få underretninger kan skyldes, at den form for
hvidvask er vanskelig at få øje på for den enkelte
underretningspligtige�½ Typisk vil sager om fx
over- og underfakturering fremstå som enkeltsa-
ger og underrettes som mistanke om skatte- og
momssvig�½ At kunne se aktiviteterne som han-
delsbaseret hvidvask kræver ofte sammens-
tilling af informationer fra forskellige aktører, fx
myndigheder, banker, revisorer og advokater, der
undrer sig over salg af varer til særlige områder,
rejseruter, unødige omladninger, mistænkelige
virksomhedsstrukturer, uforklarlige tredjeparts-
betalinger og ineffektive distributionskæder�½
Niveauet af underretninger om handelsbaseret
hvidvask i Danmark adskiller sig ikke væsentligt
fra andre lande�½ I USA udgør underretninger om
handelsbaseret hvidvask 0,2 pct�½ af alle under-
retninger
(World Economic Forum 2021)�½
Ser vi på antal underretninger om internatio-
nale transaktioner for at få en indikator på den
hvidvask, der foregår over grænserne, udgør de
mellem 15-20 pct�½ af alle underretninger sendt
til Hvidvasksekretariatet i perioden 2018-2021�½
Selv hvis de alle sammen handlede om han-
delsbaseret hvidvask, ville andelen af under-
retninger relateret til handelsbaseret hvidvask
ligge et godt stykke under det, man kunne for-
vente i forlængelse af FATF’s risikovurdering af
handelsbaseret hvidvask�½
Andre aktører end de, der i dag er underret-
ningspligtige, kan spille en vigtig rolle i identi-
fikationen af handelsbaseret hvidvask�½ FATF
nævner speditører og toldmæglere som aktører,
der kan spille en vigtig rolle i identificeringen af
handelsbaseret hvidvask�½ Speditører er eksper-
ter i at klarlægge den mest effektive metode til
at flytte varer og er kompetente i forhold til at
behandle og forstå relevante handelsdokumen-
ter�½ Tilsvarende arbejder toldmæglere, enten
tilknyttede speditører eller uafhængige, med at
facilitere godkendelsen af varer gennem told-
processer og dermed sikre effektive processer
ved import og eksport�½ Som i de fleste andre
lande er speditører og toldmæglere ikke under-
retningspligtige i Danmark, men de har adgang
til vigtige oplysninger om handelsdata, som
kan komplementere data fra bankerne og andre
myndigheder, herunder toldmyndighederne�½
HVIDVASKSEKRETARIATET MOD-
TAGER FLERE UNDERRETNINGER
OM TREDJEPARTSBETALINGER
Langt de fleste underretninger, som Hvidvask-
sekretariatet har modtaget inden for kate-
gorierne under handelsbaseret hvidvask, er
mistanke om hvidvask via tredjepartsbetalinger�½
Tredjepartsbetalinger kan være en måde at
overføre værdier mellem to selskaber ved at
et selskab betaler et andet selskabs fakturaer�½
Eksempel: Selskab A har udført en opgave for
Selskab B og sender derfor selskab B en fak-
tura for arbejdet�½ Selskab C betaler Selskab B’s
faktura til Selskab A�½
Hvidvasksekretariatet ser i stigende grad
eksempler på, at bankerne underretter om
danske virksomheder, fordi bankerne ser et
mønster, hvor virksomhedens fakturaer bliver
betalt af andre selskaber end det selskab, der
står på fakturaen�½ Det kan der være forskellige
grunde til, men i mange tilfælde har de beta-
lende selskaber lille eller ingen relation til den
virksomhed, som fakturaen er udstedt til�½ Ofte
er der heller ikke en umiddelbar relation til
branchen eller en geografisk relation�½
METODER TIL HVIDVASK
REU, Alm.del - 2023-24 - Endeligt svar på spørgsmål 1456: Spm. om hvor mange overførsler, der indføres udeklarerede til Danmark, herunder om der findes skøn herfor
2938919_0162.png
162
DEN NATIONALE RISIKOVURDERING AF HVIDVASK
Typisk har de underretningspligtige udfordringer
med at afklare reelle ejerforhold, eller de har
identificeret komplekse ejerstrukturer fordelt
over flere lande, herunder skattelylande og
andre højrisikolande�½ Der kan også være en
mistanke om, at der anvendes front- og dæk-
selskaber på adresser, der ikke afspejler reel
virksomhedsdrift, fx postboksadresser�½
Når banken spørger sin kunde om transaktio-
nen og hvorfor en tredjepart har betalt for varer,
der er faktureret til køberen af varerne, kan
virksomheden ikke i tilstrækkelig grad redegøre
for, hvorfor fakturaerne betales af en ikke-re-
lateret tredjepart, det vil sige en anden end
den virksomhed, som fakturaen er udstedt til�½
I den forbindelse kan den danske virksomhed
være involveret i hvidvask, hvor virksomheden
bevidst eller ubevidst bliver brugt til at overføre
værdier mellem den, som fakturaen er udstedt
til, og den, der betaler den�½
Hvis eksempelvis en dansk virksomhed, der
handler med maskiner, får en ordre fra et
schweizisk importfirma, og fakturaen betales af
fire forskellige virksomheder i Asien, der ifølge
virksomhedsregistre er beskæftiget med ejen-
domsadministration, er der en risiko for, at den
danske virksomhed indgår som et led i et større
hvidvaskkompleks�½
Tredjepartsbetalinger er ikke ulovligt i Danmark�½
Derfor skal de danske myndigheder kunne
bevise, at pengene stammer fra en kriminel
handling i eksempelvis Kina, for at kunne føre
en hvidvasksag�½
RISIKOEN FOR, AT HANDELS-
STRUKTURER MISBRUGES TIL
HVIDVASK, ER HØJ
Handelsbaseret hvidvask udvikler sig hele tiden
og inddrager nye brancher�½ De øgede muligheder
for at drive virksomhed og handle online giver de
kriminelle aktører nye kort på hånden og udvider
de forretningsmodeller og brancher, som kan
anvendes i et handelsbaseret hvidvask-setup
(FATF 2020a: 38)�½
Den teknologiske og digitale
udvikling kan også betyde øget transparens�½ For
eksempel kan blockchainteknologien og smart
contracts påvirke den måde, der handles på, og
øge gennemsigtigheden i handlerne�½
Da Danmark er en lille og åben økonomi
med en stor international handelsvolumen
jf�½ kapitel 2
Danmark 2022-2025,
vurderer
Hvidvasksekretariatet, at det er rimeligt at
antage, at risikoen for, at kriminelle aktører
misbruger det danske handelssystem til at
hvidvaske penge, er høj�½
Hvidvasksekretariatet vurderer, at kriminelle
aktører anvender de metoder, der er beskrevet,
og at truslen er høj�½ Hvidvasksekretariatet vur-
derer, at truslen er størst for kriminelle aktører,
der driver fakturafabrikker, hvor der ikke sendes
nogen varer, eller aktører, der anvender over- og
underfakturering og over- og underdrivelse af
handelsvolumen i forbindelse med import og
eksport�½ Det skyldes, at der kan hvidvaskes
meget store beløb via fabrikkerne og på tværs
af landegrænser, at metoderne er tilgængelige
og at internatonale sager viser, at metoderne er
flittigt brugt�½ Hertil kommer de få underretninger,
som indikerer manglende opmærksomhed
på det potentiale, metoderne har i relation til
hvidvask i Danmark�½
METODER TIL HVIDVASK
Hvidvasksekretariatet vurderer, at det er meget sandsynligt,
at kriminelle aktører anvender handelsbaseret hvidvask til
hvidvask af ulovlige midler. Risikoen for, at handelsstrukturer
misbruges til hvidvask, er
høj.
REU, Alm.del - 2023-24 - Endeligt svar på spørgsmål 1456: Spm. om hvor mange overførsler, der indføres udeklarerede til Danmark, herunder om der findes skøn herfor
2938919_0163.png
163
6.
RISICI FOR
HVIDVASK I
UDVALGTE
BRANCHER
RISICI FOR HVIDVASK I UDVALGTE BRANCHER
REU, Alm.del - 2023-24 - Endeligt svar på spørgsmål 1456: Spm. om hvor mange overførsler, der indføres udeklarerede til Danmark, herunder om der findes skøn herfor
2938919_0164.png
164
DEN NATIONALE RISIKOVURDERING AF HVIDVASK
6.1
SAMMENFATNING
Hvidvasksekretariatet vurderer, at særligt pengeinstitutter,
valutavekslingsvirksomheder og udbydere af tjenesteydelser
til virksomheder er i risiko for at blive misbrugt til hvidvask.
en laveste risiko for hvidvask er blandt realkreditinstitutter,
livsforsikringsselskaber og tværgående pensionskasser,
forsikringsformidlere samt fondsmæglerselskaber.
RISICI FOR HVIDVASK I UDVALGTE BRANCHER
I det følgende ser vi nærmere på, hvilke risici
der knytter sig til de brancher, som er omfattet
af hvidvaskloven�½ Branchevurderingerne indike-
rer, hvor hvidvaskrisici er størst blandt de under-
retningspligtige�½ Det er formålet, at så mange
som muligt kan læse om risikoen ved deres
egen branche eller ved andre brancher, som
man samarbejder med eller har som kunder�½
Det følger af hvidvasklovens § 7, stk�½ 1, at virk-
somheder og personer, der er omfattet af loven,
er forpligtede til at udarbejde en risikovurde-
ring, der tager udgangspunkt i virksomhedens
eller personens forretningsmodel�½ Det følger af
bemærkningerne til bestemmelsen, at risikovur-
deringerne skal udarbejdes med inddragelse af
den nationale risikovurdering�½
Denne del af den nationale risikovurdering
indeholder 14 afsnit, hvoraf de fleste omhand-
ler en enkelt branchetype ad gangen�½ Enkelte
afsnit omfatter dog flere underretningspligtige
brancher�½ Det er ikke alle omfattede brancher,
der er kommet med i denne version�½ Det er der
flere forskellige årsager til�½ Det kan skyldes,
at der er ingen eller meget få af de omfattede
virksomheder i Danmark�½ Årsagen kan også
være, at vi ikke har nok viden om branchen til
at foretage en egentlig vurdering�½ De brancher,
der ikke er omfattet af denne risikovurdering er
således ikke udeladt på grund af lav risiko�½ Du
kan læse mere om de brancher, vi ikke har vur-
deret, i metoderapporten til risikovurderingen
(Hvidvasksekretariatet 2022�½ Metoderapport)�½
Boks 34
”Men det kan banken jo se”
Ofte vil hvidvasken foregå via flere underretningspligtige�½ Hvis man ikke er opmærksom, kan
den være svær at opdage�½ Når man har begrænset eller moderat risiko, skal man stadig være
opmærksom og ikke forlade sig på, at en anden branche nok har opdaget det og underrettet,
for to forskellige brancher vil formodentlig lægge mærke til to forskellige ting ved en aktivitet
eller en transaktion�½
Den aktivitet, der vækker en undren hos eksempelvis en ekstern bogholder, vækker måske
ikke samme mistanke i banken�½ Og det, som en fondsmægler finder atypisk, vil måske se
normalt ud for et livsforsikringsselskab�½ Derfor er det vigtigt, at alle underretningspligtige er
opmærksomme og husker at underrette ved mistanke om hvidvask og terrorfinansiering�½ For
jo flere underretninger om en person eller en virksomhed, vi i Hvidvasksekretariatet mod-
tager, des bedre kan vi sammenstykke informationerne til gode efterretningsprodukter, som
vi kan give videre til politiet eller andre myndigheder�½
REU, Alm.del - 2023-24 - Endeligt svar på spørgsmål 1456: Spm. om hvor mange overførsler, der indføres udeklarerede til Danmark, herunder om der findes skøn herfor
2938919_0165.png
DEN NATIONALE RISIKOVURDERING AF HVIDVASK
165
AT HAVE HØJ RISIKO ER IKKE
NØDVENDIGVIS DÅRLIGT
Vi vurderer risici efter en firetrinsskala,
begrænset,
moderat,
betydelig
og
høj.
Tre brancher er kategoriseret som høj-risiko�½ Det
betyder ikke, at disse brancher gør det dårligt�½
Det betyder, at vi vurderer, at der er nogle trusler
og sårbarheder, som udgør en risiko for, at bran-
cherne udnyttes af kriminelle aktører til hvidvask�½
Kategoriseringen af nogle brancher som høj-
risiko, mens andre brancher har lavere risiko
fritager ingen for at leve op til hvidvasklo-
vens forpligtelser og for at forsøge at opstille
begrænsende foranstaltninger�½
Det er vigtigt at slå fast, at risikovurderingen
ikke er en karaktergivning, der fortæller, om
man som underretningspligtig gør det godt
eller skidt�½ Risikovurderingen afspejler nogle
omstændigheder, som gør branchen udsat –
ikke nødvendigvis den enkelte virksomhed�½
Det er derfor også vigtigt, at virksomheder med
begrænset eller moderat hvidvaskrisiko ikke
bliver uopmærksomme på hvidvask på grund af
Hvidvasksekretariatets risikovurdering�½ Hvis det
sker, får kriminelle aktører lettere ved at udnytte
den pågældende branche, hvilket i sagens natur
vil øge hvidvaskrisikoen�½
Det gælder alle brancherne, at de kan udnyttes�½
Jo mere den ene branche forsøger at begrænse
de kriminelle aktørers muligheder, jo større
bliver risikoen for de andre brancher�½ For hvis
man antager, at mængden af penge, der skal
hvidvaskes, er konstant, vil en lukning af en
sprække det ene sted i systemet, få de krimi-
nelle aktører til at søge andre steder hen�½
Vi er naturligvis bevidste om, at langt de fleste
personer og virksomheder, som er omfat-
tet af hvidvaskloven, ønsker at leve op til
lovens krav i så vid udstrækning som muligt�½
Udgangspunktet er, at langt de fleste ønsker
at medvirke til at begrænse hvidvask, terror-
finansiering og anden kriminalitet�½ Men nogle
virksomheder bliver misbrugt, og andre lader
sig misbruge, og det er noget, vi sammen skal
forsøge at imødegå�½
RISIKOVURDERINGEN ER ET
UDGANGSPUNKT
Risikovurderingerne af brancherne skitserer
risici, der gælder for branchen på tværs, men
afspejler ikke den enkelte virksomheds risiko�½
Man kan derfor godt have højere eller lavere
risiko, end den vurdering, vi skønner, gælder på
tværs af branchen�½
Derfor skal man i sin egen risikovurdering
foretage en grundig vurdering af, om der er fak-
torer, der gør, at man skal vurdere egen risiko
højere eller lavere, end vi angiver her�½ Det kan
man læse mere om i Finanstilsynets vejled-
ning til hvidvaskloven, som ligger på tilsynets
hjemmeside�½
MAN KAN MEDVIRKE AKTIVT
ELLER MAN KAN BLIVE MISBRUGT
Vi sondrer mellem at tage aktivt del i hvid-
vaskprocesserne og at blive misbrugt uden
at man er vidende herom�½ Når vi skriver, at
underretningspligtige kan tage aktivt del i hvid-
vaskprocessen, siger vi dermed ikke, at alle
i den pågældende branche hjælper de krimi-
nelle aktører med at hvidvaske deres ulovlige
udbytte�½ Men når vi ved, at det enten er en
mulighed, eller vi har konkret viden om, at det
finder sted, er det vores opgave at påpege den
risiko, der følger heraf�½
På samme måde skriver vi fx, at man som
underretningspligtig uforvarende kan komme til
at blive misbrugt som led i en hvidvaskproces�½
Hvis ikke man er opmærksom på konteksten af
den service, man yder, kan man blive misbrugt
til hvidvask�½ Det kan være svært at opdage�½
Særligt hvis fokus ikke er på, hvilken sammen-
hæng den service, man yder, indgår i�½ Så kan
man uforvarende komme til at yde fx rådgiv-
ning, der – selv om rådgivningen er helt legal –
bruges i en hvidvaskproces�½
Det er Hvidvasksekretariatets vurdering, at det
drejer sig om få aktører, som aktivt faciliterer
hvidvask for de kriminelle aktører, men at de få
er meget aktive�½ Ud over de brodne kar er der
de virksomheder, der bliver (forsøgt) misbrugt til
hvidvask, uden at de ønsker at medvirke�½ Begge
dele skal vi forsøge at imødegå, og begge scena-
rier indgår i vurderingerne på de følgende sider�½
RISICI FOR HVIDVASK I UDVALGTE BRANCHER
REU, Alm.del - 2023-24 - Endeligt svar på spørgsmål 1456: Spm. om hvor mange overførsler, der indføres udeklarerede til Danmark, herunder om der findes skøn herfor
2938919_0166.png
166
DEN NATIONALE RISIKOVURDERING AF HVIDVASK
Læsning af branchevurderingerne her i kapitel
6 bør som minimum suppleres med læsning
af kapitel 5
Metoder til hvidvask,
hvor vi be-
skriver en række forskellige hvidvaskmetoder
og giver konkrete eksempler på, hvordan hvid-
vask kan ske�½
Risikovurderingen er foretaget med udgangs-
punkt i Hvidvasksekretariatets risikomatrice
(Hvidvasksekretariatet 2022�½ Metoderapport)�½
Tabel 11
Risikovurdering af brancher fordelt efter risikoniveau
Branche
Pengeinstitutter
Valutavekslingsvirksomhed
Udbydere af tjenesteydelser til virksomheder
Betalingstjenesteområdet
Udbydere af spil
Virtual Asset Service Providers
Advokater
Godkendte revisorer, bogholdere, skatterådgivere mv�½
Finansiel leasing
Ejendomsmæglere
Kunsthandlere og auktionshuse mv�½
Fondsmæglerselskaber
Livsforsikringsselskaber og tværgående pensionskasser samt forsikringsformidlere
Realkreditinstitutter
Risiko
Høj
Høj
Høj
Betydelig
Betydelig
Betydelig
Moderat
Moderat
Moderat
Moderat
Moderat
Begrænset
Begrænset
Begrænset
RISICI FOR HVIDVASK I UDVALGTE BRANCHER
REU, Alm.del - 2023-24 - Endeligt svar på spørgsmål 1456: Spm. om hvor mange overførsler, der indføres udeklarerede til Danmark, herunder om der findes skøn herfor
2938919_0167.png
DEN NATIONALE RISIKOVURDERING AF HVIDVASK
167
PENGEINSTITUTTER
Pengeinstitutter tager imod indskud, yder lån
og garantier, stiller kredit og meget mere og
er omfattet af hvidvasklovens § 1, stk�½ 1, nr�½ 1�½
Pengeinstitutterne foretager transaktioner for
såvel private som erhvervskunder og har også
andre underretningspligtige som kunder�½
Pengeinstitutterne tilbyder i stigende grad
onlineløsninger, hvor fjernkommunikation og
fremsendelse af skriftlig dokumentation udgør
grundlaget for kundekendskabet�½ FATF påpeger,
at det udgør en særlig risiko, fordi den skriftlige
dokumentation kan forfalskes
(FATF 2018b: 82)�½
Langt de fleste transaktioner foretages via pen-
geinstitutter, og det er vanskeligt at hvidvaske
penge uden på et tidspunkt i processen at gøre
brug af et pengeinstitut�½ Derfor er dette også den
branche, der oftest bliver forsøgt misbrugt�½ Hertil
kommer, at de fleste personer og virksomhe-
der har adgang til bankprodukter, der i øvrigt er
enkle at anvende�½
Pengeinstitutter kan bruges både til anbringelse,
sløring og integration, men særligt i forhold til
placering og integration er det svært at hvid-
vaske uden at anvende et pengeinstitut�½
6.2
RISIKO
HOVEDFUND
Hvidvasksekretariatet vurderer,
at risikoen for, at pengeinstitutter
misbruges til hvidvask, er
høj.
I vurderingen lægger Hvidvasksekretariatet
blandt andet vægt på, at langt de fleste trans-
aktioner i Danmark involverer brugen af et
pengeinstitut – og det gælder også for transak-
tioner, der finder sted som led i en hvidvaskpro-
ces�½ Volumen af transaktioner er i sig selv en
risikofaktor�½
Der er imidlertid forskel blandt de danske pen-
geinstitutter i forhold til deres forretningsmodel
og dermed også på deres risiko for at blive mis-
brugt til hvidvask�½ De største pengeinstitutter og
pengeinstitutter med høj grad af internationale
aktiviteter indebærer en høj hvidvaskrisiko�½ Små
pengeinstitutter med et komplekst produktud-
bud, udenlandske kunder eller politisk ekspo-
nerede personer (PEP) vil også indebære en høj
hvidvaskrisiko�½
UNDERRETNINGER OM HVIDVASK
Det er uden sammenligning pengeinstitutterne,
der underretter mest blandt alle de underret-
ningspligtige�½ I 2021 tegnede pengeinstitutterne
sig for 77 pct�½ af de godt 70�½000 underretnin-
ger, som Hvidvasksekretariatet modtog i løbet
af året�½ Pengeinstitutternes andel har ligget
mellem 74 pct�½ og 80 pct�½ i perioden 2018-
2021�½ Pengeinstitutterne er centrale i hvidva-
skindsatsen, fordi de har adgang til indsigt i
deres kunders økonomiske forhold�½
Boks 35
Fakta om branchen
Der er 89 pengeinstitutter i Danmark, hvoraf de 60 er danske pengeinstitutter, heraf fire
færøske pengeinstitutter og et grønlandsk pengeinstitut�½ De resterende 29 er filialer af
udenlandske kreditinstitutter�½
165 virksomheder har per juli 2022 oprettet sig som pengeinstitut i GoAML�½ Forskellen
mellem de 89 pengeinstitutter og disse 165 udgøres af virksomheder, der ikke er penge-
institutter, men som alligevel har oprettet sig som et sådant�½
Pengeinstitutternes størrelse varierer meget fra store såkaldte systemisk vigtige finansi-
elle institutter til mindre pengeinstitutter og sparekasser (læs mere om branchen i kapitel
2
Danmark 2022-2025
og i kapitel 4
Sårbarheder i den danske hvidvaskindsats)�½
RISICI FOR HVIDVASK I UDVALGTE BRANCHER
REU, Alm.del - 2023-24 - Endeligt svar på spørgsmål 1456: Spm. om hvor mange overførsler, der indføres udeklarerede til Danmark, herunder om der findes skøn herfor
2938919_0168.png
168
DEN NATIONALE RISIKOVURDERING AF HVIDVASK
Som beskrevet i kapitel 1
Hvidvask i Danmark
vedrører de fleste underretninger private per-
soners transaktioner�½ Når mistanken vedrører
virksomheder, er der i cirka ni ud af ti tilfælde
tale om mindre virksomheder med færre end ti
ansatte�½ Hver gang Hvidvasksekretariatet har
modtaget underretninger om 100 mistænkelige
aktører, så er 91 af disse private personer, 8,5 er
mindre virksomheder (eller i visse tilfælde hol-
dingselskaber) og 0,5 handler om virksomheder
med flere end ti ansatte�½
Underretningerne fra pengeinstitutter handler
ofte om relativt enkle forhold�½ Et eksempel herpå
er en erhvervsdrivende, der anvender sin private
konto til at modtage betalinger på virksomhe-
dens vegne og på den måde sammenblander
erhvervs- og privatindkomst�½
Blandt de underretninger, som Hvidvasksekre-
tariatet har modtaget fra pengeinstitutterne i
perioden 2018-2021, er der mange eksempler
på kunder, som mistænkes for at begå skatte-
og momsunddragelse og socialt bedrageri�½
Dette er blandt andet beskrevet i underretnin-
gerne som mistanke om manglende betaling af
skat og/eller moms på medarbejderlønninger,
udeholdt omsætning samt benyttelse af privat-
konto til erhvervsmæssige formål�½ Derudover er
der eksempler på mistænkeligt kontantforbrug,
hvor kunden hæver og/eller indsætter mange
kontanter, som underretteren vurderer ikke
hænger sammen med kundens øvrige økonomi-
ske forhold�½ Endvidere er der mange eksempler
på, at pengeinstitutterne ikke kan gennemskue
kontoaktiviteten, og at kunderne ikke ønsker at
medvirke til afklaring af dette�½ Desuden er der
eksempler på modtagelse af kontooverførsler
eller indbetalinger, som straks efter hæves
kontant, videreføres til tredjemand eller bruges
på onlinespil�½
Her er det værd at bemærke, som det også
fremgår af kapitel 1
Hvidvask i Danmark,
at
underretterne kan have mistanke om noget, som
viser sig at handle om noget andet, fx transakti-
oner, der for den underretningspligtige ligner sort
arbejde, men som i et større perspektiv kan vise
sig at være eksempelvis menneskehandel eller
handelsbaseret hvidvask�½
Udviklingen i underretningerne viser, at penge-
institutterne er blevet bedre til at konkretisere
mistanken, og i de nyeste underretninger fra
2022 er der blandt andet flere eksempler på,
at pengeinstitutterne er i stand til at identificere
muldyrsaktivitet, netbankindbrud samt svindel
via smishing, vishing – altså kriminelle aktører,
der via tekstbeskeder eller telefonopkald, forsø-
ger at franarre kunderne personlige oplysninger�½
Stor forskel på, hvor meget
pengeinstitutterne underretter
De mange underretninger indikerer, at penge-
institutter i stort omfang bliver (forsøgt) brugt
til ulovlige formål�½ Men det vidner også om, at
pengeinstitutterne er opmærksomme på det og
har kapacitet til at holde øje med indikationer
på, at de bliver forsøgt misbrugt�½
Data fra Hvidvasksekretariatet viser, at der er
meget stor forskel på antallet af underretninger
fra forskellige pengeinstitutter�½
De tre pengeinstitutter, der sendte flest
underretninger i 2021, tegnede sig tilsam-
men for cirka halvdelen af underretningerne
fra branchen�½
De ti pengeinstitutter, der sendte flest under-
retninger i 2021, tegnede sig for knap 80
procent af underretningerne fra branchen�½
RISICI FOR HVIDVASK I UDVALGTE BRANCHER
En del af forklaringen skyldes formentlig, at der
er forskel på, hvor stor en markedsandel pen-
geinstitutterne hver især har, og dermed også
hvor mange kunder de har�½ Samtidig er der også
forskel på, hvor mange ressourcer, herunder
it-understøttelse, de har til opgaven�½ Det kan
dog ikke udledes af tallene, om forskellene i
niveauet af underretninger også svarer til den
risiko, de enkelte pengeinstitutter indeholder,
eller om der kan være forskelle i såvel risikobe-
vidsthed som i tilbøjelighed til at underrette�½
RISIKOVURDERING
Der er variation i pengeinstitutternes forretnings-
modeller, og forretningsmodellerne påvirker de
enkelte institutters risiko for hvidvask�½
Tabel 12
Antal underretninger fra pengeinstitutter
 
Fra branchen
2018
26�½417
2019
40�½996
2020
58�½928
2021
54�½142
I alt
180.483
Kilde:
Hvidvasksekretariatet 2022�½
REU, Alm.del - 2023-24 - Endeligt svar på spørgsmål 1456: Spm. om hvor mange overførsler, der indføres udeklarerede til Danmark, herunder om der findes skøn herfor
2938919_0169.png
DEN NATIONALE RISIKOVURDERING AF HVIDVASK
169
Risikoen udgøres af, hvilke kundetyper penge-
institutterne henvender sig til, hvilke markeder
de servicerer, og hvilke produkter de tilbyder
kunderne�½
Ifølge Finanstilsynet er der forskel på penge-
institutternes risici�½ Som udgangspunkt er risi-
koen blandt de fleste pengeinstitutter generelt
”normal til høj”�½ Det fremgår af Finanstilsynets
tilsynsrapporter�½ De systemisk vigtige institutter
og store udenlandske filialer og andre pengein-
stitutter med internationale aktiviteter indebæ-
rer dog høj risiko, ifølge Finanstilsynet�½
De største pengeinstitutter tilbyder typisk alle
slags bankforretninger, mens produktudvalget
varierer blandt de øvrige�½ Nogle pengeinstitut-
ter har specialiseret sig i investeringsaktivite-
ter, mens andre primært beskæftiger sig med
detailbankaktiviteter�½ Tilsvarende opererer nogle
pengeinstitutter både nationalt og internatio-
nalt, mens andre alene betjener kunder lokalt i
Danmark�½ Jo mere komplekse bankforretning-
erne er, des højere er risikoen�½
Private banking
Europa-Kommissionen anfører i sin suprana-
tionale risikovurdering, at kombinationen af
sofistikerede finansielle produkter og tjenester
og et velhavende kundegrundlag (undertiden
politisk eksponerede personer), hvor aktiver
ejes gennem komplekse ejerskabsstrukturer,
gør branchen meget sårbar over for hvidvask
(Europa-Kommissionen 2022: 52)�½
Europa-Kommissionen vurderer, at der gene-
relt er høj risiko på grund af de store beløb,
der er involveret, højrisikokunder og potentielt
højrisikolande�½ Europa-Kommissionen anser
sårbarheden over for hvidvask af penge i rela-
tion til private banking for betydeligt (niveau
3/4)
(Europa-Kommissionen 2022: 52)�½
Hvidvasksekretariatet deler den opfattelse�½
Det er Hvidvasksekretariatets opfattelse, at
formueforvalterne i private banking-afdelingerne
ofte har et tæt forhold til deres kunder�½
Det kan på den ene side gøre det nemmere for
forvalterne at opdage mistænkelig aktivitet, men
på den anden side kan det også være vanske-
ligere at stille kritiske spørgsmål�½ Det gælder
også for øvrige rådgivere og andre, som har et
relativt tæt forhold til deres kunder�½
Corporate banking
Da der på corporate banking-området ofte er
tale om mere komplekse produkter end i detail-
banker, vurderer Europa-Kommissionen, at
risikoen for hvidvask potentielt er høj�½ Handels-
baserede transaktioner, der er knyttet til corpo-
rate bankkonti, kan øge risikoen for hvidvask
af penge, især når højrisikolande er impliceret
(Europa-Kommissionen 2022: 49)�½
At anvende corporate banking-produkter til
hvidvask kræver et mere avanceret setup og
typisk et netværk af selskaber og facilitatorer
at hvidvaske igennem�½ Til gengæld er det også
via disse kanaler, at der vil kunne hvidvaskes
meget store beløb�½
Europa-Kommissionen anfører endvidere, at
retshåndhævende myndigheder har bevis for,
at professionelle hvidvaskere fungerer som
mellemled for andre organiserede kriminelle
grupperinger, og at de opretter bankkonti for
dæk- eller skuffeselskaber�½ Disse corporate
bankkonti benytter kriminelle aktører til fiktive
handelstransaktioner, back-to-back lån med
andre selskabsenheder samt investeringer i
fast ejendom�½ Europa-Kommissionen vurde-
rer, at truslen herfra er betydelig (niveau 3/4)
(Europa-Kommissionen 2022: 48)�½
Hvidvask-
sekretariatet deler denne opfattelse (læs yder-
ligere i kapitel 3
Nationale trusler
i afsnittet
Professionelle hvidvaskere)�½
Hvidvasksekretariatet er bekendt med, at faci-
litatorer kan arrangere handler med selskaber,
der har aktive bankkonti�½ Uanset om en virk-
somhed har underskud og gæld, kan virksom-
heder med en bankkonto være attraktive for
kriminelle aktører at overtage�½ I stedet for at
lukke en konkurstruet virksomhed, kan ejeren
sælge virksomheden via en facilitator, så længe
der er en aktiv bankkonto�½
RISICI FOR HVIDVASK I UDVALGTE BRANCHER
REU, Alm.del - 2023-24 - Endeligt svar på spørgsmål 1456: Spm. om hvor mange overførsler, der indføres udeklarerede til Danmark, herunder om der findes skøn herfor
2938919_0170.png
170
DEN NATIONALE RISIKOVURDERING AF HVIDVASK
Trade finance
Trade finance, altså forskellige måder at faci-
litere internationale handelstransaktioner
på, fremhæves af FATF som et område, der
kan være attraktivt for kriminelle aktører, der
ønsker at sløre midler gennem handelsbaseret
hvidvask�½ Som beskrevet i kapitel 5
Metoder
til hvidvask
i afsnittet
Tværgående fænomen:
Handelsbaseret hvidvask,
er der en række
metoder, der kan benyttes til at flytte penge
på tværs af landegrænser ved at ”forklæde”
dem som legale handler mellem virksomheder�½
Udbyder pengeinstitutterne trade finance, øger
det risikoen for at blive misbrugt til hvidvask�½
Ud over trade finance og nogle af de ovenfor
nævnte produkter, kan også handelskreditter,
factoring, valutaveksling og pengeoverførsler
være eksempler på produkter, der kan medføre
øgede risici�½
Korrespondentbanker
En korrespondentbank administrerer aktiviteter
på vegne af en anden bank�½ Det kan fx være
en kunde i et dansk pengeinstitut, der gerne vil
overføre penge til en modtager i et andet land,
som pengeinstituttet ikke har en selvstændig
aftale med�½ Banken sender derfor pengene via
en korrespondentbank, som har en aftale med
en bank i det ønskede land�½ Korrespondent-
bankforbindelser er centrale elementer i den
måde, det internationale finansielle system er
sat op på via SWIFT-systemet�½ Samtidig udgør
netop konstellationen med korrespondentban-
ker som mellemled mellem to parter, der skal
overføre penge til hinanden på tværs af lande-
grænser, en sårbarhed i forhold til hvidvask�½
Meget få underretninger om
korrespondentbanktransaktioner
Hvidvasksekretariatet har i perioden 2020 til
ultimo juni 2022 modtaget godt 3�½800 underret-
ninger om korrespondenttransaktioner for knap
1,1 milliarder kroner�½ Det svarer til cirka 1�½500
underretninger om året med transaktioner for
440 millioner kroner�½ I forhold til det generelle
transaktionsbillede hos Hvidvasksekretariatet,
svarer dette til mindre end en halv procent af
den årlige transaktionsvolumen i de underret-
ninger, som Hvidvasksekretariatet modtager�½
Her er tale om et område, hvor niveauet af
underretninger er meget lavt – særligt i forhold
til, hvor mange penge der hvert år strømmer
via korrespondentbankerne�½ Hertil kommer, at
90 pct�½ af underretningerne om korrespondent-
transaktioner kommer fra en enkelt underret-
ter�½ De resterende ti pct�½ er sendt fra 14 andre
underretningspligtige�½
Korrespondentbankerne må stole på, at
respondenterne har styr på sine kunder
Korrespondentbankerne er forpligtede til at
udføre kundekendskabsprocedurer i forhold
til respondenterne, med mindre de gensidigt
udveksler finansielle ydelser med hinanden og
derfor hver især skal udføre kundekendskabspro-
cedurer på hinanden
(Finanstilsynet 2020: 85)�½
Det er i overensstemmelse med FATF’s stan-
darder
(FATF 2016: 5)�½
Korrespondentbankerne
skal altså kende sin kunde – respondenten�½
Men korrespondentbankerne kender i sagens
natur ikke respondentens kunder, og udfordrin-
gen er derfor, at korrespondentbankerne må
have tillid til, at respondenten, som korrespon-
denten udfører transaktioner på vegne af, er i
stand til at have nok kendskab til sine kunder til
at kunne identificere mistænkelige transaktioner�½
RISICI FOR HVIDVASK I UDVALGTE BRANCHER
Illustration 9:
Visualisering af korrespondentbankforbindelse
Korrespondentbank
Ingen samarbejdsrelation
mellem Bank A og Bank B
Afsender
Kunde i Bank A
Bank A
Færøerne
Bank B
Kina
Modtager
Kunde i Bank B
Tysk korrespondentbank
Udfører transaktionen
REU, Alm.del - 2023-24 - Endeligt svar på spørgsmål 1456: Spm. om hvor mange overførsler, der indføres udeklarerede til Danmark, herunder om der findes skøn herfor
2938919_0171.png
DEN NATIONALE RISIKOVURDERING AF HVIDVASK
171
Boks 36
Høj risiko ved korrespondentbankforbindelser
Ifølge Finanstilsynet betragtes grænseoverskridende korrespondentbankforbindelser
i henhold til internationale retningslinjer som forbundet med høj risiko for hvidvask og
finansiering af terrorisme�½
Kilde:
Finanstilsynet (2016b)�½
Det led, som korrespondentforbindelserne
udgør, er på den ene side en nødvendig foran-
staltning på de finansielle markeder, men er på
den anden side med til at indsætte et ekstra
led i de globale transaktioner�½ Og da korrespon-
dentbankerne ofte kun kan se måske et navn og
et kontonummer på den person eller virksom-
hed, som transaktionen vedrører, kan det være
vanskeligt for korrespondentbankerne at opdage
mistænkelige transaktioner�½
Trusler
Kriminelle aktører kan anvende pengeinsti-
tutter til transaktioner, når de ønsker at flytte
penge inden for landets grænser og/eller ud af
landet�½ Men også udenlandske kriminelle aktø-
rer kan misbruge dansk finansiel infrastruktur
til at sløre deres ulovlige midler�½ Omfanget af
hvidvask via pengeinstitutter vurderes at være
stort, da pengeinstitutterne kan anvendes af
alle personer i forskellige kriminelle miljøer�½ Fra
det avancerede hvidvasksetup med selskaber i
ind- og udland, der hvidvasker millioner gennem
kædesvigsnetværk, og til den selvstændigt
erhvervsdrivende, der indskyder sine ulovlige
midler på sin konto i pengeinstituttet�½
De største hvidvasksager i Danmark handler om
ulovlige midler fra udlandet, der er kanaliseret
gennem danske pengeinstitutter�½
I Europa-Kommissionens supranationale risiko-
vurdering vurderes truslen om hvidvask i rela-
tion til indskud på konti som høj (niveau 4/4)
(Europa-Kommissionen 2022: 39)�½
Sårbarheder
Tilgængelighed
Branchen vurderes at være let tilgængelig og
kræver ingen særlig ekspertise at benytte�½ Det
er ikke teknisk svært at oprette bankkonti, og
det er heller ikke svært at anvende penge-
institutternes netbank-løsninger, som er til-
gængelige for selvbetjening døgnet rundt, og
som med mulighed for straksoverførsler giver
kunderne adgang til at foretage hurtige trans-
aktioner mellem konti og mellem pengeinsti-
tutter�½ Endvidere er der via pengeinstitutterne
adgang til udlandstransaktioner enten direkte
via pengeinstituttet eller via pengeinstituttets
korrespondentbankforbindelser�½
For nogle erhvervsdrivende kan det dog være
vanskeligt at få en erhvervskonto i et dansk pen-
geinstitut, fordi visse erhvervsdrivende opererer
på højrisikomarkeder eller er højrisikokunder�½
Derfor kan det, som før beskrevet, være attraktivt
at overtage en virksomhed med en aktiv bank-
konto�½ I sådanne tilfælde vil det ikke være unor-
malt at se betydelige skift fra en branche til en
helt anden branche�½
Volumen/transaktionsstørrelse
Det samlede antal transaktioner er stort, og
Finanstilsynet oplyser, at pengeinstitutterne dag-
ligt forestår transaktioner for op mod 500 milliar-
der kroner�½ Der er i princippet ikke begrænsnin-
ger for, hvor store transaktioner der kan foretages
via et pengeinstitut�½ Store transaktioner bør dog
være nemmere at opdage i små pengeinstitutter,
så de kriminelle aktører kan have incitament til
at forsøge at ”skjule sig i mængden” i de store
banker�½ Samlet set er muligheden for at hvid-
vaske store summer via pengeinstitutter høj –
alene på grund af volumen i transaktioner�½
RISICI FOR HVIDVASK I UDVALGTE BRANCHER
REU, Alm.del - 2023-24 - Endeligt svar på spørgsmål 1456: Spm. om hvor mange overførsler, der indføres udeklarerede til Danmark, herunder om der findes skøn herfor
2938919_0172.png
172
DEN NATIONALE RISIKOVURDERING AF HVIDVASK
Potentiale for grænseoverskridende
transaktioner
Branchen giver adgang til udlandstransaktioner i
stort omfang, og udlandstransaktioner er hurtige
og billige�½ Via pengeinstitutternes grænseover-
skridende korrespondentbankforbindelser har
kunderne adgang til finansielle markeder verden
over�½ Som anført, kan særligt trade finance
udgøre en risiko for hvidvask�½ Omkostningerne
forbundet med at anvende pengeinstitutter til
hvidvask er typisk begrænsede, og risikoen
for svind og tab er lav�½ Det fremgår af Europa-
Kommissionens risikovurdering, at udenlandske
kunder fra højrisikolande og offshore-virksomhe-
der også bidrager til den forhøjede risiko i denne
branche
(Europa-Kommissionen 2019: 46)�½
Omkostninger
Selvom erhvervskonti ofte er forbundet med
større omkostninger end konti til private per-
soner, er det relativt billigt at oprette konti,
anskaffe kreditkort og netbank�½ Desuden er det
en forholdsvis sikker metode at anvende for de
kriminelle aktører, da transaktioner via pengein-
stitutter omfatter høj sikkerhed for midlerne via
fx indskydergarantiordningen�½
Anonymitet
Det er vanskeligt at være anonym som dansk
kunde i et dansk pengeinstitut�½ For erhvervs-
kunder kan brugen af stråmænd dog sløre den
reelle ejer�½
Hertil kommer de sårbarheder, som onlineløs-
ninger kan give anledning til, hvis branchen i
deres kundekendskabsprocedurer alene indstil-
ler sig på skriftlig dokumentation, som de krimi-
nelle aktører i ind- og udland kan forfalske�½
Som for alle øvrige underretningspligtige kan
pengeinstitutter være udfordret på identifikation
af reelle ejere�½ En ejerandel under en vis grænse
fremgår ikke af de offentlige registre�½ Det bety-
der, at ved virksomheder med flere ejere kan det
være svært at identificere de reelle ejere�½
Komplekse virksomhedsstrukturer, særligt i
udenlandske virksomheder, kan være en udfor-
dring i forhold til at identificere reelle ejere,
fordi registrene i andre lande ofte er ringere
eller mere besværlige at tilgå end de danske
(læs mere i om udfordringer med at identificere
reelle ejere i Danmark og i udlandet i kapitel 4
Sårbarheder i den danske hvidvaskindsats)�½
Europa-kommissionen anfører, at sårbarheden
over for hvidvask hovedsageligt afhænger af
overvågningssystemernes evne til at opdage
mistænkelige transaktioner, når kontanter går
ind på bankkonti eller transaktioner forbundet
med kontanter�½ Sårbarheden er også stor i for-
bindelse med overførsler af midler fra højrisiko-
kunder
(Europa-Kommissionen 2019: 42)�½
Finanstilsynet har i marts 2022 offentliggjort
resultatet af en analyse af de største pengeinsti-
tutters transaktionsovervågning
(Finanstilsynet
2022a)�½
Analysen viser, at pengeinstitutterne
bruger mange ressourcer på transaktionsover-
vågning, men at der på en række områder er
behov for ændringer og forbedringer�½ Det gælder
både overvågningssystemerne og procedurerne
på området�½
Datacentralerne, der leverer it-systemer til de
fleste af de danske pengeinstitutter, moniterer
også transaktioner for mange af de danske
pengeinstitutter�½ Det giver ifølge Finanstilsynet
de mindre pengeinstitutter adgang til syste-
mer og dermed kapaciteter, de ellers ikke ville
have haft adgang til�½ Det tager imidlertid lang
tid at ændre i de systemer, der anvendes til
transaktionsovervågning, og det er vanskeligt
at gøre overvågningen specifik for det enkelte
institut�½ Finanstilsynet anfører, at datacentraler-
nes overvågningssystemer i praksis indebærer
betydelige udfordringer for det enkelte penge-
institut i relation til fleksibilitet og muligheden
for at tilpasse systemerne til overvågningen
til det enkelte pengeinstituts behov og risici
(Finanstilsynet 2022a)�½
RISICI FOR HVIDVASK I UDVALGTE BRANCHER
REU, Alm.del - 2023-24 - Endeligt svar på spørgsmål 1456: Spm. om hvor mange overførsler, der indføres udeklarerede til Danmark, herunder om der findes skøn herfor
2938919_0173.png
DEN NATIONALE RISIKOVURDERING AF HVIDVASK
173
Flere og flere danskere har mere end et
pengeinstitut
Finanstilsynet og Finans Danmark oplyser, at
der bliver stadigt flere delkunder, det vil sige
personer eller virksomheder, der er kunder i
mere end et enkelt pengeinstitut�½ Den udvikling
betyder, at det både for den primære bankfor-
bindelse og for de sekundære banker bliver
vanskeligere at have det fulde billede af deres
kunders finansielle adfærd og dermed også van-
skeligere at opdage mistænkelige aktiviteter�½
For almindelige forbrugere – private såvel som
virksomheder – kan der være forskellige grunde
til, at man vælger at sprede sit engagement
blandt flere pengeinstitutter og andre finan-
sielle tjenester�½ For kriminelle aktører kan det
at sprede sine engagementer være en måde at
undlade at vække opsigt i pengeinstitutternes
transaktionsovervågning�½ En risikofyldt kunde
med konto i fx fem forskellige pengeinstitutter vil
ikke nødvendigvis fremstå som risikofyldt i det
enkelte institut�½ Det betyder alt andet lige, at det
enkelte pengeinstitut ikke har det fulde finan-
sielle billede, hvilket samlet set øger risikoen�½
Når kunderne i stigende grad er kunder flere
steder, og når pengeinstitutterne ikke må dele
oplysninger om deres kunder med hinanden,
bliver det for det enkelte institut sværere at
have et samlet overblik over kundernes øko-
nomiske aktiviteter�½
Selvom denne udvikling kan være til gavn for
den enkelte kunde, besværliggør det pengein-
stitutternes opgave med at monitere deres kun-
ders aktiviteter�½ Der er ikke noget, der tyder på,
at denne fragmentering af det finansielle land-
skab vil blive mindre fremover�½ Læs mere om
udfordringerne ved fragmenteringen af beta-
lingslandskabet i kapitel 4
Sårbarheder i den
danske hvidvaskindsats
i afsnittet
Økonomiske
og teknologiske faktorer
og i kapitel 5
Metoder
til hvidvask
i afsnittet
Nye digitale banker.
Øget brug af onlinebaserede løsninger og nye
teknologier kan betyde færre møder med kun-
derne ansigt-til-ansigt�½ Det kan øge hvidvaskri-
sikoen på både privatkunde- og erhvervskunde-
området
(Europa-Kommissionen 2022: 40 og
49)�½
De sårbarheder, der knytter sig til brug af
onlineservices og skriftlig dokumentation som
erstatning for ansigt-til-ansigt kommunikation,
gælder ifølge FATF alle brancher
(FATF 2018b:
82)�½
Onboarding via fjernkommunikation øger
ligeledes sårbarhederne, fordi kriminelle aktø-
rer kan gøre brug af falske dokumenter�½ Det
samme gælder i forhold til identifikation af
reelle ejere i Danmark, og særligt i udlandet,
hvor identifikation af reelle ejere kan være
vanskeligere�½
Hvidvasksekretariatet vurderer, at risikoen for, at pengeinstitutter
misbruges til hvidvask, er
høj.
RISICI FOR HVIDVASK I UDVALGTE BRANCHER
REU, Alm.del - 2023-24 - Endeligt svar på spørgsmål 1456: Spm. om hvor mange overførsler, der indføres udeklarerede til Danmark, herunder om der findes skøn herfor
2938919_0174.png
174
DEN NATIONALE RISIKOVURDERING AF HVIDVASK
6.3
REALKREDITINSTITUTTER
Realkreditinstitutter i Danmark yder lån med
pant i fast ejendom med videre og er omfattet
af hvidvasklovens § 1, stk�½ 1, nr�½ 2�½ Realkredit-
institutter samarbejder med pengeinstitutter
om formidling og distribution af realkreditlån og
indgår i nogle tilfælde også i bankkoncerner�½
I Danmark betales afdrag som udgangspunkt
via betalingsservice eller lignende, og brugen
af kontanter er ikke umiddelbart aktuelt i en
dansk kontekst�½ Realkreditlån i forbindelse med
bolighandler optages med pant i ejendommen,
som tinglyses med angivelsen af ejeren�½ Det er
Hvidvasksekretariatets vurdering, at det er van-
skeligt at skjule sin identitet ved optag af real-
kreditlån�½ Europa-Kommissionen vurderer dog,
at brug af stråmænd kan sløre den reelle ejers
identitet, både for så vidt angår privates optag
af realkreditlån, og hvad angår virksomheders
optag af realkreditlån�½ Europa-Kommissionen
peger på, at organiserede kriminelle aktører ofte
bruger realkredit i integrationsfasen af hvidvask-
processen og ofte i kombination med flere ejen-
domme og sløring af reelle ejerskaber
(Europa-
Kommissionen 2022: 113)�½
Der kan ikke drages
en nøjagtig parallel fra den type realkredit, som
Europa-Kommissionen beskriver, og den danske
form for realkredit�½ Der kan være andre realkre-
ditmodeller i Europa, der er mere risikofyldte
end den danske�½
RISIKO
HOVEDFUND
Hvidvasksekretariatet vurderer, at
risikoen for at realkreditinstitutter bliver
misbrugt til hvidvask, er
begrænset.
I vurderingen lægger Hvidvasksekretariatet
blandt andet vægt på, at det er muligt at
hvidvaske via realkreditinstitutter ved fx at
betale terminer eller indfri realkreditlån med
ulovlige midler eller via tredjepartsbetalinger�½
Hvidvasksekretariatet har efterretninger, der
indikerer, at enkelte kriminelle aktører hvid-
vasker via køb af fast ejendom, og at realkredit-
institutter indirekte bliver misbrugt som led
i hvidvasken�½ Hvidvasksekretariatet er ikke
bekendt med omfanget heraf�½
Det er dog Hvidvasksekretariatets vurdering, at
bankernes og realkreditinstitutternes adgang
til oplysninger om kundernes økonomiske
forhold begrænser adgang til hvidvask via
realkreditinstitutter�½
RISICI FOR HVIDVASK I UDVALGTE BRANCHER
UNDERRETNINGER OM HVIDVASK
Hvidvasksekretariatet modtager et moderat
antal underretninger fra realkreditinstitutter�½
Som det fremgår af tabellen nedenfor, har
branchen sendt 157 underretninger i perioden
2018-2021�½
Boks 37
Fakta om branchen
Realkreditinstitutter yder lån med sikkerhed i blandt andet fast ejendom�½ Et realkreditin-
stitut formidler kredit mellem personer og virksomheder, der har brug for at låne penge til
køb af fast ejendom, og investorer, der finansierer lån ved køb af obligationer�½
I juni 2021 var der i alt optaget realkreditlån for 2�½888 milliarder kroner i Danmark
(Finans Danmark 2022a: 3)�½
Realkreditlån bliver givet til både virksomheder og private
husholdninger�½
Finanstilsynet har oplyst, at der er i 2021 var seks realkreditinstitutter i Danmark�½ Heraf er
fem tilmeldt GoAML per juli 2022�½
REU, Alm.del - 2023-24 - Endeligt svar på spørgsmål 1456: Spm. om hvor mange overførsler, der indføres udeklarerede til Danmark, herunder om der findes skøn herfor
2938919_0175.png
DEN NATIONALE RISIKOVURDERING AF HVIDVASK
175
Tabel 13
Antal underretninger om hvidvask via realkreditinstitutter
 
Fra branchen
Om branchen
2018
39
60
2019
47
114
2020
25
269
2021
46
173
I alt
157
616
Kilde:
Hvidvasksekretariatet 2022�½
Note:
Underretninger om branchen er fremsøgt ved at søge på udvalgte ord i Hvidvasksekretariatets database�½ Underretninger, der ikke indeholder disse ord,
indgår således ikke i opgørelsen, og antallet siger ikke noget entydigt om omfanget af hvidvask, men om hvor ofte søgeordene nævnes i underretningerne�½
Europa-Kommissionen vurderer, at der gene-
relt er et godt rapporteringsniveau i Europa, og
at FIUer og retshåndhævende myndigheder
er bekendt med sårbarhederne i branchen
(Europa-Kommissionen 2019: 117)�½
I samme periode har Hvidvasksekretariatet
modtaget 616 underretninger, hvori realkredit
nævnes i mistankegrundlaget�½ Disse kommer
primært fra bankerne�½ Der er et tæt samarbejde
mellem realkreditinstitutter og pengeinstitutter,
og det kan være vanskeligt præcist at afgøre,
hvornår en underretning udelukkende er fra et
realkreditinstitut�½
Underretninger fra realkreditinstitutter
Blandt de underretninger, som Hvidvask-
sekretariatet modtager fra realkreditinstitutter,
er der eksempler på kunder, som mistænkes
for at indfri deres boliglån med ulovlige midler�½ I
underretningerne er der ligeledes eksempler på
ekstraordinære indfrielser af realkreditlån, hvor
et lån kort tid efter at være blevet optaget, bliver
indfriet af kunden, uden at der forinden er opta-
get et nyt lån�½
Derudover er der eksempler på kunder, der
mistænkes for at agere stråmænd og får et real-
kreditlån til køb af en bolig i en større ejendom,
hvorefter boligen udlejes, og huslejen betales til
en bagmand, som dernæst betaler en andel af
lejen til stråmanden�½
Underretninger hvori
realkreditinstitutter indgår
Underretninger om hvidvask fra andre under-
retningspligtige end realkreditinstitutterne
selv, handler alene om realkreditinstitutternes
kunder�½
De handler oftest om mere generelle mistænke-
lige forhold, fx mistænkelige forhold vedrørende
midlernes oprindelse, indsættelse eller hævning
af kontanter og mistanke om skatteunddragelse�½
RISIKOVURDERING
Trusler
Kriminelle aktører, herunder organiserede krimi-
nelle, hvidvasker ifølge Europa-Kommissionen
penge via fast ejendom, og de er i stand til
enten selv eller via crime-as-a-service at købe
sig til falske dokumenter, som danner grundlag
for deres køb�½ Dette er også relevant for real-
kreditinstitutter i de tilfælde, hvor falske doku-
menter danner grundlag for finansiering af et
ejendomskøb via realkreditinstitutter�½ De største
trusler er brug af stråmænd og dokumentfalsk,
særligt hvis professionelle aktører som fx ejen-
domsmæglere og bankansatte er involveret
(Europol 2021a: 12)�½
Hvidvasksekretariatet er bekendt med eksem-
pler, hvor ejendomsmæglere mistænkes for at
have hjulpet kriminelle aktører med at forfalske
værdien af ejendommen med henblik på at
belåne husets friværdi uberettiget�½ Hvidvask-
sekretariatet har også indikationer på, at ban-
kansatte har hjulpet kriminelle aktører med at
forfalske dokumenter med henblik på uberettiget
at optage realkreditlån i Danmark�½ Ved brug af
falske informationer kan realkreditselskaber
udnyttes til at opnå lån på forkert grundlag og til
at hvidvaske ulovligt udbytte igennem�½
Ulovlige midler fra kriminalitet begået i udlan-
det kan bruges til at investere i fast ejendom
og til at afdrage på realkreditlån, men truslen
begrænses jo lavere andel af udenlandske
kunder, realkreditinstitutterne har�½
RISICI FOR HVIDVASK I UDVALGTE BRANCHER
REU, Alm.del - 2023-24 - Endeligt svar på spørgsmål 1456: Spm. om hvor mange overførsler, der indføres udeklarerede til Danmark, herunder om der findes skøn herfor
2938919_0176.png
176
DEN NATIONALE RISIKOVURDERING AF HVIDVASK
Ved køb af fast ejendom er andre underret-
ningspligtige, som banker, advokater og ejen-
domsmæglere, typisk involveret i handlen, og
det kan være med til at begrænse risikoen, hvis
alle underretningspligtige er opmærksomme på
deres forpligtelser�½
Sårbarheder
Tilgængelighed
For at optage et realkreditlån i Danmark skal
realkreditinstituttet foretage en kreditværdig-
hedsvurdering for at få det fornødne overblik
over forbrugerens økonomi�½ Det fremgår af
Finanstilsynets og Forbrugerombudsmandens
vejledning om kreditværdighedsvurdering
(Finanstilsynet 2021a: 3)�½
Kreditværdigheds-
vurderingen er baseret på oplysninger om
personlige forhold, indtægtsforhold, oplysninger
om gældsforhold med videre
(Finanstilsynet
2021a: 5-6)�½
Realkreditinstitutterne kan – med samtykke
fra kunden – indhente oplysninger om fx ind-
komst eller omsætning hos Skattestyrelsen�½
Det kan være med til at mindske risikoen for, at
kriminelle aktører fabrikerer falske lønsedler og
ansættelseskontrakter med det formål at øge
deres kreditværdighed�½
Europa-Kommissionen peger på, at samspil-
let med ejendomsbranchen og de ofte store
transaktioner, som ejendomshandler indebæ-
rer, øger sårbarheden for hvidvask
(Europa-
Kommissionen 2022: 113)�½
Samspillet med
ejendomsbranchen betyder, at de trusler og sår-
barheder, som gælder for ejendomsbranchen,
også bliver relevante for realkreditinstitutter (se
risikovurdering for ejendomsmæglere nedenfor)�½
Volumen/transaktionsstørrelse
Realkreditinstitutter forestår betydelige transak-
tioner – både i størrelse og antal, og transaktio-
nerne løber op i mange milliarder hvert år�½ Det er
imidlertid vanskeligt at indfri lån eller at afdrage
på realkredit uden at redegøre for midlernes
oprindelse�½
Potentiale for grænseoverskridende
transaktioner
Realkreditinstitutter udbyder primært lån til
danske kunder og udbyder til et stort kunde-
segment�½ I forhold til det samlede udlån har
realkreditinstitutterne en meget lille andel af
udlån i udlandet�½ Midler fra kriminalitet begået i
udlandet kan potentielt bruges til at investere og
afdrage på realkreditlån, men det er vanskeligt
at vurdere, i hvilket omfang det forekommer�½
Omkostninger
Når der etableres et realkreditlån, er der omkost-
ninger i form af fx kurstab, renter, tinglysnings-
afgifter til staten og andre gebyrer forbundet
med etableringen af lånet�½ Sammenlignet med
fx banklån har realkreditlån dog på længere sigt
noget lavere omkostninger�½
Anonymitet
Det er vanskeligt at være anonym som kunde i
et realkreditinstitut�½ Dog kan brug af stråmænd
øge anonymiteten ved realkredit til både pri-
vate og virksomheder�½ Afdrag på realkreditlån,
der betales af andre (tredjepartsbetalinger),
kan også være med til at skjule, hvor pengene
stammer fra�½
RISICI FOR HVIDVASK I UDVALGTE BRANCHER
Hvidvasksekretariatet vurderer, at risikoen for, at realkredit­
institutter bliver misbrugt til hvidvask, er
begrænset.
REU, Alm.del - 2023-24 - Endeligt svar på spørgsmål 1456: Spm. om hvor mange overførsler, der indføres udeklarerede til Danmark, herunder om der findes skøn herfor
2938919_0177.png
DEN NATIONALE RISIKOVURDERING AF HVIDVASK
177
FONDSMÆGLER-
SELSKABER
Fondsmæglerselskaber er omfattet af hvidvask-
loven § 1, stk�½ 1, nr�½ 3, og tilbyder investerings-
services, herunder investeringsrådgivning, porte-
føljepleje og ordreudførelse til deres kunder�½
6.4
UNDERRETNINGER OM HVIDVASK
Af de 46 fondsmæglerselskaber, der er i
Danmark, har fem oprettet sig i GoAML�½ Ingen
af disse har sendt underretninger om hvid-
vask�½ Fondsmæglere i andre europæiske lande
sender få underretninger til deres respektive
FIUer�½ Europa-Kommissionen vurderer, at
antallet af underretninger om mistænke-
lige transaktioner er lavt, og peger på, at det
muligvis kan skyldes, at branchen er vant til at
være opmærksom på svig og ikke på hvidvask
(Europa-Kommissionen 2022: 45)�½
Hvidvasksekretariatet har modtaget enkelte
underretninger fra andre underretningspligtige
hvori fondsmæglerselskaber indgår�½ I perioden
2018-2021 er der ni underretninger, der angår
fondsmæglere�½ Det er ikke ud fra oplysningerne
i underretningerne muligt at afgøre, om under-
retterne vurderer, at selskaberne bistår deres
kunder med hvidvask og skatteunddragelse,
eller om de bliver misbrugt�½
RISIKO
HOVEDFUND
Hvidvasksekretariatet vurderer,
at hvidvaskrisikoen ved fonds­
mæglerselskaber er
begrænset.
I vurderingen lægger Hvidvasksekretariatet
blandt andet vægt på, at branchen typisk er
tilgængelig alene for meget velhavende per-
soner samt professionelle investorer�½ Får man
som kriminel aktør adgang til at investere via
en fondsmægler, kan der potentielt hvidvaskes
meget store beløb, og der kan i så fald være
mulighed for at flytte penge over landegrænser�½
Fondsmæglerselskaber tilhører en branche, der
forvalter mange penge, og hvor transaktioner i
millionstørrelsen er normale, men også en bran-
che, der i den undersøgte periode ikke har sendt
underretninger�½
Boks 38
Fakta om branchen
Et fondsmæglerselskab er et selskab, der alene har tilladelse som værdipapirhandler�½
Ydelserne omfatter blandt andet ordremodtagelse og -formidling, ordreudførelse, investe-
ringsrådgivning og skønsmæssig porteføljepleje med finansielle instrumenter
(Finanstil-
synet 2019a: 5)�½
Kerneydelsen for et fondsmæglerselskab er aktivitet med skønsmæssig
porteføljepleje (fuldmagtsaftaler) og investeringsrådgivning
(Finanstilsynet 2019a: 15)�½
Der er 46 fondsmæglerselskaber i Danmark primo 2022�½ Cirka 60 pct�½ er medlem af
brancheorganisationen Fondsmæglerforeningen�½ Fem fondsmæglerselskaber er oprettet
i GoAML per juli 2022�½
Fondsmæglerselskaber opbevarer som hovedregel ikke kundernes midler�½ De opbevares
af kunden selv i dennes depotbank�½
Fondsmæglerselskaber kan enten være af typen Fondsmæglerselskab I (stor tilladelse)
eller Fondsmæglerselskab II (lille tilladelse)�½ De fleste selskaber har en lille tilladelse
(Finanstilsynet 2019)�½
I 2019 forvaltede de danske fondsmæglerselskaber med tilladelse til at udføre skøns-
mæssig porteføljepleje 644 milliarder kroner
(Finanstilsynet 2019a: 15)�½
RISICI FOR HVIDVASK I UDVALGTE BRANCHER
REU, Alm.del - 2023-24 - Endeligt svar på spørgsmål 1456: Spm. om hvor mange overførsler, der indføres udeklarerede til Danmark, herunder om der findes skøn herfor
2938919_0178.png
178
DEN NATIONALE RISIKOVURDERING AF HVIDVASK
RISIKOVURDERING
Trusler
Kunderne i fondsmæglerselskaber er detail-
kunder, professionelle og institutionelle kunder,
og hvidvaskrisikoen afhænger blandt andet af
selskabernes kundesammensætning�½ For pri-
vate kunder gælder, at det typisk er kunder med
en større formue, der investerer via fondsmæg-
lere eller får investeringsrådgivning af en fonds-
mægler�½ Danske fondsmæglerselskaber har
hovedsagligt danske kunder med en overvægt
af professionelle investorer�½
Hvidvasktruslen udgøres af kriminelle aktører,
der ønsker at sløre deres ulovlige udbytte via
investeringer�½
For at kunne hvidvaske via fondsmæglere, skal
kriminelle aktører først placere midlerne i det
finansielle system, oprette et depot i en bank og
overføre midlerne hertil uden at vække bankens
mistanke, inden sløringen via fondsmægleren
kan foregå�½ Kriminelle aktører kan derfor have
brug for nogen, der investerer på vegne af dem�½
Det gælder såvel for private kunder som for
virksomheder�½
Da det kræver viden at hvidvaske via en fonds-
mægler, vil kriminelle aktører have brug for en
facilitator, der kan bistå med investeringsakti-
viteterne�½ Det vurderer Europa-Kommissionen
(Europa-Kommissionen 2022: 49)�½
Truslen begrænses af, at fondsmæglerselska-
ber som hovedregel ikke opbevarer kundernes
midler, da midlerne oftest opbevares af kunden
selv i dennes depotbank�½ Det betyder, at inve-
steringerne oftest foretages af kunden selv via
deres depot i banken, og at fondsmæglerens
rolle er at rådgive om investeringsstrategi�½
Europa-Kommissionen vurderer, at de største
trusler på området for institutionelle investo-
rer knytter sig til omfanget af værdier, der er i
branchen, og de professionelle hvidvaskaktø-
rer, der må operere her�½ Det kræver viden og
kompetencer at investere, og derfor er profes-
sionelle hvidvaskaktører centrale på området�½
Europa-Kommissionen vurderer, at der er stig-
ning i anvendelsen af professionelle aktører,
såkaldte facilitatorer
(Europa-Kommissionen
2022: 44)�½
Det øger truslen for hvidvask på
fondsmæglermarkedet�½
Konklusionen på Europa-Kommissionens
vurdering er, at truslen om hvidvask af penge i
relation til institutionelle investeringer gennem
mæglere anses for betydelig (niveau 3/4)
(Europa-Kommissionen 2022: 45)�½
Den vur-
dering mener Hvidvasksekretariatet også
må gælde i en dansk kontekst generelt, men
hvidvasksekretariatet er ikke bekendt med, at
kriminelle aktører i større omfang hvidvasker via
danske fondsmæglerselskaber�½
Sårbarheder
Tilgængelighed
De mest komplekse produkter tilbydes hoved-
sagligt til institutionelle og professionelle
kunder, mens de produkter, der tilbydes detail-
kunderne, typisk er mere simple
(Finanstilsynet
2019a: 6)�½
Hvidvasksekretariatet vurderer, at det for det
første kræver formue af en væsentlig størrelse
at blive kunde hos et fondsmæglerselskab, og
for det andet kræver en betydelig ekspertise at
kanalisere ulovlige midler via en fondsmægler�½
Europa-Kommissionen anfører, at for at have
adgang til branchen skal kunderne indføre
penge gennem banksystemet til et depot�½
Derfor er bankerne den første barriere, der
begrænser risikoen for hvidvask
(Europa-
Kommissionen 2022: 45)�½
For at have midler
og kapacitet til at hvidvaske gennem fonds-
mæglere kræver det professionelle aktører, og
dermed er hvidvask gennem fondsmæglere
tilgængelig for få�½
Volumen/transaktionsstørrelse
Private banking, wealth management eller
lignende er produkttyper, der normalt tilbydes
kunder med en stor formue�½ Det kan være let-
tere at skjule et illegitimt beløb i en stor formue
(Finanstilsynet 2020a: 29)�½
Europa-Kommissionen beskriver, at risikoeks-
poneringen generelt er meget høj på grund af
kundetyperne og de meget høje beløb, der kan
investeres
(Europa-Kommissionen 2022: 45)�½
Porteføljepleje, hvor der alene er fuldmagt til
at handle på vegne af kunden, og hvor kunden
har konto eller depot i en anden finansiel virk-
somhed, vurderes af Finanstilsynet til som
udgangspunkt at indebære begrænset risiko
(Finanstilsynet 2020a: 29)�½
RISICI FOR HVIDVASK I UDVALGTE BRANCHER
REU, Alm.del - 2023-24 - Endeligt svar på spørgsmål 1456: Spm. om hvor mange overførsler, der indføres udeklarerede til Danmark, herunder om der findes skøn herfor
2938919_0179.png
DEN NATIONALE RISIKOVURDERING AF HVIDVASK
179
Hvidvasksekretariatet vurderer, at såfremt der
kan etableres et kundeforhold hos et fonds-
mæglerselskab, vil det give mulighed for at
foretage meget store transaktioner�½
Potentiale for grænseoverskridende
transaktioner
Kapitalmarkederne er grænseoverskridende af
natur, og mulighederne for at investere midler
i udenlandske aktiver er stor�½ Dog er de depot-
konti, som fondsmæglernes kunder benytter,
ofte i danske pengeinstitutter�½
Det er dog muligt at investere midler fra uden-
landske depoter i danske fondsmæglerselska-
ber�½ Det er også muligt at investere udenland-
ske midler fra danske depoter�½  Dette kræver
dog i alle tilfælde, at kunden er blevet godkendt
af depotbanken til at få oprettet depotet�½
Omkostninger
Omkostninger ved at benytte en fondsmæg-
ler afhænger af, hvilke ydelser der er tale om�½
Skræddersyet investeringsrådgivning medfører
finansielle omkostninger, som vurderes at ligge
over niveauet i andre finansielle brancher, da der
er tale om højt specialiseret investeringsservice�½
Branchen giver dog også mulighed for at opnå et
afkast af investeringerne, men også et tab, hvis
investeringerne falder i værdi�½ Derfor er de sam-
lede omkostninger vanskelige at estimere�½
Anonymitet
Fondsmæglerselskaber er ligesom andre
underretningspligtige forpligtede til at have et
tilstrækkeligt kendskab til sine kunder�½ Fonds-
mæglere kan være udfordret på identifikation
af reelle ejere, særligt i forhold til de mere kom-
plekse og udenlandske selskaber�½ Da kunderne
primært er danske, er risikoen for, at de reelle
ejere ikke kan identificeres, mindre�½
Da de fleste investeringer sker via depot i
danske banker, betyder det, at både fonds-
mæglere og banker udfører kundekendskabs-
procedurer på kunden�½ Fx kan en fondsmægler
udbyde skønsmæssig porteføljepleje, hvor
transaktionerne alene sker via et pengeinstitut,
og hvor fondsmægleren har tilstrækkelig tillid til,
at der er effektive procedurer til bekæmpelse
af hvidvask og finansiering af terrorisme i den
bank, hvorigennem transaktionen foretages
(Finanstilsynet 2020a: 31)�½
Europa-Kommissionen vurderer, at risikobe-
vidstheden er begrænset, når transaktionerne
gennemføres uden for banksektoren�½ Det skyl-
des, at selskaberne normalt overlader det til
bankerne at gennemføre kundekendskabspro-
cedurer og monitere transaktionerne
(Europa-
Kommissionen 2022: 48)�½
Private banking/wealth management og
lignende kan ofte medføre et nært forhold
mellem forvalteren/rådgiveren og kunden
(Finanstilsynet 2020a: 29)�½
Det skyldes, at det
er en forudsætning, at kunden har tillid til rådgi-
verens evne til at sammensætte de for kunden
mest optimale investeringer eller at yde den
mest profitable investeringsrådgivning samti-
dig med, at det er nødvendigt for rådgiveren at
kende til sin kundes finansielle situation�½ Det
kan have den utilsigtede konsekvens, at det
tætte forhold reducerer incitamentet til at stille
kritiske spørgsmål til eller til at underrette om
mistænkelig adfærd�½ Omvendt kan det tætte
forhold også betyde, at rådgiveren har en stor
indsigt i kundens økonomiske forhold, også
selvom fondsmæglerselskaber alene fokuserer
på investeringer og lignende og ikke har indsigt i
andre økonomiske forhold om kunden�½
Hvidvasksekretariatet vurderer, at hvidvaskrisikoen ved fonds­
mæglerselskaber er
begrænset.
RISICI FOR HVIDVASK I UDVALGTE BRANCHER
REU, Alm.del - 2023-24 - Endeligt svar på spørgsmål 1456: Spm. om hvor mange overførsler, der indføres udeklarerede til Danmark, herunder om der findes skøn herfor
2938919_0180.png
180
DEN NATIONALE RISIKOVURDERING AF HVIDVASK
6.5
LIVSFORSIKRINGS-
SELSKABER OG
TVÆRGÅENDE
PENSIONSKASSER
Livsforsikringsselskaber og tværgående
pensionskasser er omfattede af hvidvask-
lovens § 1, stk�½ 1, nr�½ 4�½ Forsikringsformidlere
er omfattet af hvidvasklovens § 1, stk�½ 1, nr�½
7, når de formidler livsforsikringer eller andre
investeringsrelaterede forsikringer�½
Hvidvasksekretariatet lægger i vurderingen
blandt andet vægt på, at de fleste af bran-
chens produkter ikke egner sig til hvidvask,
fordi de har et langsigtet opsparingselement,
eller fordi det er forholdsvist omkostningstungt
at kanalisere penge ind og ud af branchen�½
Livsforsikringsselskaber og tværgående pensi-
onskasser forvalter mange penge, og det er ikke
umuligt at hvidvaske via livsforsikringsselskaber
og pensionskasser, men Hvidvasksekretariatet
har ikke viden om sager, oplysninger eller efter-
retninger, der indikerer, at det sker�½
RISIKO
HOVEDFUND
RISICI FOR HVIDVASK I UDVALGTE BRANCHER
Hvidvasksekretariatet vurderer, at
risikoen for hvidvask via livsforsikrings­
og pensionsbranchen er
begrænset.
Boks 39
Fakta om branchen
De produkter, som udbydes af selskaber i branchen, kan overordnet inddeles i følgende
tre typer: 1) Obligatoriske pensionsordninger oprettet som led i et ansættelsesforhold�½
Disse udgør over 90 pct�½ af de samlede pensionsindbetalinger, 2) Individuelle privat-
tegnede ordninger i livsforsikringsselskaber, fx aldersopsparing, ratepension eller liv-
rente, som udgør cirka syv pct�½ af pensionsindbetalingerne og 3) Gruppelivsforsikring for
grupper af medarbejdere i tillæg til de obligatoriske ordninger, som er oprettet som led
i ansættelsen�½ Disse forsikringer anvendes ofte til dækning af kritisk sygdom eller død
(Finanstilsynet 2015a: 5, 7)�½
Den samlede pensionsformue er på cirka 5�½500 milliarder kroner (2020-tal)�½ Største-
delen af den samlede pensionsformue består af midler, der er indbetalt til en obligatorisk
pensionsordning i forbindelse med et ansættelsesforhold�½
Der er ifølge Finanstilsynet 28 livsforsikringsselskaber og tværgående pensionskasser i
Danmark samt mindst 90 forsikringsformidlere, der udbyder livsforsikringer�½ Finanstilsynet
oplyser, at der formentlig er flere forsikringsformidlere�½
Per juli 2022 har 15 livsforsikringsselskaber eller tværgående pensionskasser samt syv
forsikringsformidlere oprettet sig i GoAML�½
REU, Alm.del - 2023-24 - Endeligt svar på spørgsmål 1456: Spm. om hvor mange overførsler, der indføres udeklarerede til Danmark, herunder om der findes skøn herfor
2938919_0181.png
DEN NATIONALE RISIKOVURDERING AF HVIDVASK
181
Hvidvask via livsforsikrings- og pensionsbran-
chen er mest oplagt i forbindelse med placering
af midler, hvis der anvendes ikke-skattebegun-
stigede ordninger, de såkaldte § 53 A-ordninger,
som er skatte- og afgiftsfri og som kan udbeta-
les, hvis man ønsker at ophæve pensionen�½
Risikoen ved arbejdsmarkedspensioner og fir-
mapensioner, er begrænset, idet man ikke selv
tilslutter sig disse ordninger, eller har egentlig
indflydelse på dem�½ Blandt de produkter, der
kan indebære en forhøjet risiko, er produkter
med mulighed for ekstraordinære indbetalinger,
eller hvis der er mulighed for genkøb eller for at
foretage udskift af nærtstående, hvor den, der
skal modtage udbetaling af forsikring eller pen-
sion ved den forsikredes død, ikke virker som et
naturligt valg at begunstige�½ Genkøb er, når man
opsiger pensionen og får værdien udbetalt før
tid�½ Førtidigt genkøb udløser dog som hovedregel
en beskatning på op til 60 procent af det udbe-
talte beløb, hvilket begrænser incitamentet til at
anvende disse produkter til hvidvask�½
Genkøbsmulighederne er generelt begrænsede i
alle andre ordninger end de individuelle ordnin-
ger
(Finanstilsynet 2015a: 31)�½
Finanstilsynet
anslog i 2015, at antallet af § 53 A-ordninger
udgør cirka en til tre procent af de privattegnede
pensionsordninger
(Finanstilsynet 2015a: 18)�½
Produkter med fortrydelsesmulighed kan også
indebære en hvidvaskrisiko�½ Udbetaling sker
ifølge brancheforeningen Forsikring & Pension
dog typisk til samme konto, som midlerne hidrø-
rer fra
(Finanstilsynet 2015a: 32)�½
I juli 2021 offentliggjorde Finanstilsynet
resultatet af en tværgående undersøgelse
af en række livsforsikrings- og pensionssel-
skabers risikovurdering på hvidvaskområdet
(Finanstilsynet 2021b)�½
Undersøgelsen viste, at
kvaliteten og omfanget af risikovurderingerne
varierer�½ Flere livsforsikrings- og pensionssel-
skaber har ikke udarbejdet en tilstrækkelig
risikovurdering, som afspejler de risici, som virk-
somhederne er udsat for�½ Omvendt er der også
selskaber, der har en god risikovurdering, skrev
Finanstilsynet�½
Finanstilsynets undersøgelse har resulteret i, at
seks livsforsikrings- og pensionsselskaber har
fået påbud om at revidere deres risikovurdering
på hvidvaskområdet�½
Brugen af nye teknologier og mindre kommuni-
kation ansigt-til-ansigt med kunderne kan øge
risikoen�½ Europa-Kommissionen peger på, at
bevægelserne mod mere onlinebaserede løs-
ninger generelt kan øge risikoniveauet
(Europa-
Kommissionen 2022: 117)�½
De sårbarheder, der
knytter sig til brug af onlineservices og skriftlig
dokumentation som erstatning for ansigt-til-
ansigt kommunikation, gælder ifølge FATF alle
brancher
(FATF 2018b:82)�½
UNDERRETNINGER OM HVIDVASK
I perioden fra 2018-2021 har Hvidvask-
sekretariatet modtaget i alt 65 underretninger
fra udbydere af livsforsikringer og tværgående
pensionskasser samt tre underretninger fra
forsikringsformidlere, jf�½ tabellen nedenunder�½
Tabel 14
Antal underretninger om hvidvask i livsforsikrings­ og pensionsbranchen
 
Fra livsforsikringsselskaber og
tværgående pensionskasser
2018
8
2019
20
2020
12
2021
25
I alt
65
Kilde:
Hvidvasksekretariatet 2022�½
Note:
Underretninger om branchen er forsøgt fremsøgt ved at søge på udvalgte brancherelaterede ord i Hvidvasksekretariatets database�½ De underretninger,
der fremkom, havde dog ikke noget med hvidvask via livsforsikringsselskaber og tværgående pensionskasser at gøre�½ Derfor er de ikke taget med her�½
RISICI FOR HVIDVASK I UDVALGTE BRANCHER
REU, Alm.del - 2023-24 - Endeligt svar på spørgsmål 1456: Spm. om hvor mange overførsler, der indføres udeklarerede til Danmark, herunder om der findes skøn herfor
2938919_0182.png
182
DEN NATIONALE RISIKOVURDERING AF HVIDVASK
Tabel 15
Antal underretninger om hvidvask via forsikringsformidlere
 
Fra forsikringsformidlere
2018
0
2019
0
2020
2
2021
1
I alt
3
Kilde:
Hvidvasksekretariatet 2022�½
Note:
Underretninger om branchen er forsøgt fremsøgt ved at søge på udvalgte brancherelaterede ord i Hvidvasksekretariatets database�½ De underretninger,
der fremkom, havde dog ikke noget med hvidvask via forsikringsformidlere at gøre�½ Derfor er de ikke taget med her�½
Underretninger hvori livsforsikrings­
selskaber og tværgående
pensionskasser indgår
Underretningerne fra pensionskasser og udby-
dere af livsforsikringer indeholder eksempler på
kunder, der foretager mistænkelige og gentagne
genkøb af deres ordninger, og det findes mistæn-
keligt på grund af den afgift på 60 pct�½ af beløbet,
som kunden skal betale for at få den udbetalt�½
Derudover er der eksempler på, at selskabet ikke
kan identificere, hvor kundens midler stammer
fra�½ Det kan skyldes, at kunden ikke ønsker at
levere den efterspurgte dokumentation, eller at
kunden eksempelvis indbetaler til sin pensions-
ordning med store beløb, som ikke harmonerer
med kundens øvrige økonomiske forhold�½
Da Hvidvasksekretariatet alene har mod-
taget tre underretninger fra forsikringsfor-
midlere, redegøres ikke for indholdet af
mistankegrundlagene�½
Hvidvasksekretariatet har ikke viden om sager,
oplysninger eller efterretninger, der indikerer, at
kriminelle aktører i Danmark eller udenlandske
kriminelle aktører anvender branchen til hvid-
vask�½ Branchens produkter kan dog indeholde
forskellige sårbarheder, som kriminelle aktører
kan forsøge at udnytte�½
Sårbarheder
Tilgængelighed
Europa-Kommissionen anfører, at der eksisterer
tilfælde af hvidvask via livsforsikringsbranchen,
men at eksemplerne er få, og at avanceret plan-
lægning og viden er nødvendig for at hvidvaske
gennem branchen
(Europa-Kommissionen
2022: 117)�½
Hvidvasksekretariatet har ikke
viden, der giver anledning til at antage, at det
forholder sig anderledes i en dansk kontekst�½
Volumen/transaktionsstørrelse
Da livsforsikrings- og pensionsbranchen samlet
set forvalter tusindvis af milliarder, udgør volu-
men i sig selv en sårbarhed�½
Livsforsikringsprodukter og pensionsopsparin-
ger er ofte produkter, hvor der over tid opspares
store beløb�½ Derfor er der potentiale for at pla-
cere ulovlige midler af en vis størrelse�½ Hvid-
vasksekretariatet er ikke bekendt med eksem-
pler på, at dette finder sted i større omfang�½
Underretninger om fx genkøb af visse ordninger,
vidner dog om, at nogle kunder enten foretager
gentagne genkøb, der samlet set løber op i flere
millioner, eller at de ønsker udbetaling af ord-
ninger på flere millioner kroner på en gang – på
trods af, at der pålægges op mod 60 procent i
afgift til staten�½
RISICI FOR HVIDVASK I UDVALGTE BRANCHER
RISIKOVURDERING
Trusler
Europa-Kommissionen vurderer, at kriminelle
aktører kan bruge investeringsrelaterede pro-
dukter som fx ordninger med mulighed for store
enkeltstående indbetalinger�½ Endvidere kan
livsforsikringspolicer, hvis der er mulighed for
indløsning, bruges til at få beløb udbetalt, som
kan videreføres til andre modtagere eller begun-
stigede
(Europa-Kommissionen 2022: 116)�½
De trusler er der også i en dansk kontekst�½
REU, Alm.del - 2023-24 - Endeligt svar på spørgsmål 1456: Spm. om hvor mange overførsler, der indføres udeklarerede til Danmark, herunder om der findes skøn herfor
2938919_0183.png
DEN NATIONALE RISIKOVURDERING AF HVIDVASK
183
Potentiale for grænseoverskridende
transaktioner
Hvidvasksekretariatet vurderer, at sårbarhe-
den, med hensyn til mulighederne for at flytte
penge på tværs af landegrænser, er begræn-
set�½ Muligheden er til stede, hvis selskaberne
tillader kunder at indbetale med midler fra
udenlandske konti, men Hvidvasksekretariatet
har ikke oplysninger, der indikerer, at det finder
sted�½ Europa-Kommissionen skriver, at selvom
enkelte lande vurderer, at risikoen for hvid-
vask via livsforsikringsbranchen er betydelig,
vurderes sårbarheden overfor internationale
transaktioner at være mindre betydelig
(Europa-
Kommissionen 2022: 119)�½
Omkostninger
Omkostningerne ved at hvidvaske via livsforsik-
ringsbranchen eller via tværgående pensions-
kasser er høje, da den oftest benyttede metode
til at kanalisere penge gennem denne branche
indebærer en beskatning på op mod 60 procent
af midlerne�½
Anonymitet
Branchen er bevidst om risiciene med hensyn
til hvidvask af penge, vurderer Europa-
Kommissionen i sin supranationale risiko-
vurdering fra både 2019 og 2022
(Europa-
Kommissionen 2022: 119)�½
Dog erfarer Finanstilsynet fra sine tilsynsak-
tiviteter, at branchen i Danmark generelt har
begrænset fokus på at bekæmpe hvidvask og
terrorfinansiering�½
Forsikringsselskaber har typisk adgang til langt
færre oplysninger om deres kunder end andre
brancher (fx banker)�½ Hertil kommer de sårbar-
heder, som onlineløsninger kan give anledning
til, hvis branchen i kundekendskabsprocedu-
rerne alene anvender skriftlig dokumentation,
som kriminelle aktører kan forfalske�½
Forsikringsformidlere
Finanstilsynet vurderer, at hvidvaskrisikoen ved-
rørende forsikringsformidlere anses for begræn-
set ved erhvervskunders (virksomheder) anven-
delse af forsikringsformidlere
(Finanstilsynet
2015a: 35)�½
Dette skyldes, at de løbende
præmiebetalinger sker direkte til forsikrings-
selskabet og ikke via mægleren�½ Anvendelse af
forsikringsformidlere i Danmark er begrænset
og bruges primært af erhvervsdrivende som
led i etablering af pensionsaftaler for ansatte�½
Mæglerne har ingen rolle i pengestrømmene
mellem forsikringstager og selskab�½ Som følge
heraf vurderer tilsynet, at mæglerne ikke udgør
en væsentlig risiko for hvidvask
(Finanstilsynet
2015a: 35)�½
Hvidvasksekretariatet har ikke
viden, der giver anledning til at foretage en sær-
skilt risikovurdering af forsikringsformidlere�½
Hvidvasksekretariatet vurderer, at risikoen for hvidvask via
livsforsikrings­ og pensionsbranchen er
begrænset.
Boks 40
Pensionsopsparing kan være attraktivt for den langsigtede
kriminelle aktør
Britta Nielsen, som i starten af 2020 blev idømt seks et halvt års fængsel for at have svindlet
Socialstyrelsen for 117 millioner kroner, havde sat penge af til alderdommen�½
I februar 2022 afgjorde Højesteret, at pensionerne ikke kunne konfiskeres af SØIK, der
ønskede at anvende pengene til at dække sagens omkostninger�½
Kriminelle aktører kan derfor have et incitament til at sætte penge ind på pensionsordninger�½
RISICI FOR HVIDVASK I UDVALGTE BRANCHER
REU, Alm.del - 2023-24 - Endeligt svar på spørgsmål 1456: Spm. om hvor mange overførsler, der indføres udeklarerede til Danmark, herunder om der findes skøn herfor
2938919_0184.png
184
DEN NATIONALE RISIKOVURDERING AF HVIDVASK
6.6
BETALINGSTJENESTE-
OMRÅDET
Udstedere af elektroniske penge og udbydere
af betalingstjenester formidler betalingsløsnin-
ger og pengeoverførsler og er omfattet af hvid-
vasklovens § 1, stk�½ 1, nr�½ 6�½ Betalingstjenester
er defineret i bilag 1 i Lov om betalinger�½
Betalingstjenester i Danmark udbydes af beta-
lings- og e-pengeinstitutter samt virksomheder
med begrænset tilladelse til at udbyde betalings-
tjenester og virksomheder med begrænset tilla-
delse til at udstede e-penge�½ Agenter i Danmark,
der udfører pengeoverførselsvirksomhed, er
ligeledes omfattet af betalingstjenesteområdet�½
I vurderingen har Hvidvasksekretariatet blandt
andet lagt vægt på, at der er udbydere, som
tilbyder produkter af høj risiko, fx pengeover-
førsel til udlandet på baggrund af kontantind-
betalinger, og at betalingstjenesteområdet er
med til at fragmentere betalingslandskabet og
sprede finansielle aktiviteter på tværs af tjene-
ster og landegrænser�½ Det betyder, at det bliver
stadigt vanskeligere at få et samlet overblik over
kundernes finansielle forhold, og dermed bliver
det sværere at identificere mistænkelig adfærd�½
Denne delkundeproblematik, det grænseover-
skridende element ved betalingstjenesteområ-
det samt brugen af opsamlingskonti er med til at
gøre hvidvaskrisikoen betydelig i denne branche�½
Hvidvasklovens § 1, stk�½ 1, nr�½ 6 indeholder for-
skellige virksomhedstyper med forskellige pro-
dukter og med meget forskellig hvidvaskrisiko�½ I
det følgende behandles:
Udstedere af elektroniske penge med
begrænset tilladelse
Betalingsinstitutter og e-pengeinstitutter
Udbydere af betalingstjenester med
begrænset tilladelse og agenter i Danmark
RISIKO
HOVEDFUND
RISICI FOR HVIDVASK I UDVALGTE BRANCHER
Hvidvasksekretariatet vurderer, at risikoen
for hvidvask via betalingstjenesteområdet
samlet set er
betydelig.
Der er mange forskellige typer af virksomheder
i denne kategori, og riscisiene er forskellige
fra virksomhed til virksomhed og fra produkt
til produkt�½ Den samlede risiko skal derfor
ses som en gennemsnitsbetragtning af hele
betalingstjenesteområdet�½
Boks 41
Fakta om branchen
Finanstilsynet har oplyst, at der i 2022 er registeret seks udstedere af elektroniske
penge med begrænset tilladelse, 15 udbydere af betalingstjenester med begræn-
set tilladelse, fire e-penge-institutter, 16 betalingsinstitutter samt 429 agenter for
pengeoverførselsvirksomheder�½
Per juli 2022 var der 55 registrerede underretningspligtige i kategorien udstedere af
e-penge og udbydere af betalingstjenester i GoAML�½ Udenlandske virksomheder som fx
Western Union og Ria Worldwide Money Transfer underretter på vegne af deres agenter
her i Danmark�½
Yderligere er der omkring 1�½700 udbydere af betalingstjenester, som er registreret i et
andet EU/EØS land, og som er til stede i Danmark uden fysisk filial�½ Disse tjenester er
ikke omfattet af dansk lovgivning og er ikke underretningspligtige i Danmark�½
REU, Alm.del - 2023-24 - Endeligt svar på spørgsmål 1456: Spm. om hvor mange overførsler, der indføres udeklarerede til Danmark, herunder om der findes skøn herfor
2938919_0185.png
DEN NATIONALE RISIKOVURDERING AF HVIDVASK
185
Udstedere af elektroniske penge
med begrænset tilladelse
Tjenester, der udsteder en form for tilgodeha-
vende, fx udbydere af gavekort til butikscentre�½
Her er tale om digitale betalinger for eksempel-
vis madordninger, gavekort til butikker, handels-
foreninger med mere�½ Flere af disse udbydere
veksler penge til et tilgodebevis, som virker i
eksempelvis butikker og restauranter, som har
indgået en aftale med udbyderen�½ Per juli 2022
er der seks virksomheder i denne kategori�½
Betalingsinstitutter og e­pengeinstitutter
E-pengeinstitutter omfatter større danske virk-
somheder, som faciliterer betalinger mellem
privatpersoner eller mellem virksomhedskun-
der�½ Her er tale om virksomheder, der udbyder
eksempelvis betaling af regninger, betalinger i
onlinebutikker, overførsler mellem private eller
mellem private og erhvervsdrivende med mere�½
Denne del af branchen har en stor transaktions-
volumen�½ I udlandet er flere store finansielle
virksomheder kategoriseret under forskellige
tilladelsestyper�½ I denne risikovurdering er uden-
landske virksomheder som Revolut og Paysera
behandlet samlet som
nye digitale banker,
uden
at skele til deres respektive tilladelser�½
Betalingsinstitutter formidler betaling mellem
to parter, fx tjenester, der muliggør kontant-
hævninger, leverer betalingstjenester i forbin-
delse med e-handel eller sørger for gennem-
førelse af betalinger via Betalingsservice�½ I
denne kategori findes 20 virksomheder�½
Udbydere af betalingstjenester med
begrænset tilladelse og agenter i Danmark
Med enkelte undtagelser er der tale om små
virksomheder med meget få ansatte, der typisk
udfører pengeoverførsler, og flere har også tilla-
delse til at udbyde valutavekslingsvirksomhed�½
Udbydere af betalingstjenester med begrænset
tilladelse og agenter i Danmark tilbyder over-
førsel af penge mellem personer via kreditkort
eller gennem aflevering af kontanter�½
Her bliver pengene videreformidlet til en bank-
konto eller gennem udlevering af kontanter til
modtageren�½ Der er registreret 15 udbydere af
betalingstjenester�½
Agenter for eksempelvis Western Union,
MoneyGram og Ria Money Transfer hører til i
denne kategori�½ En agent er en fysisk eller juri-
disk person, som agerer på vegne af et beta-
lingsinstitut, fx en pengeoverførselsvirksomhed�½
Agenter for pengeoverførselsvirksomheder er
ofte kiosker og lignende, og de er ofte agenter
for flere forskellige pengeoverførselsvirksomhe-
der på samme tid�½ Ifølge Finanstilsynet er der
429 agenter registreret i Danmark�½
Flere og flere led i finansielle transaktioner
Udbuddet af forskellige betalingstjenester
betyder, at det kan være vanskeligt at have et
samlet finansielt billede af den enkelte kunde�½
Flere danskere bliver delkunder hos forskellige
udbydere og institutter i ind- og udland fremfor
at foretage alle finansielle transaktioner igen-
nem deres primære pengeinstitut�½ Det betyder,
at hverken udbyderne af betalingstjenesterne
eller pengeinstitutterne har det fulde overblik
over en kundes finansielle situation, hvad enten
de er lovlydige borgere eller kriminelle aktører�½
Det udfordrer også myndighederne, når mis-
tænkelige aktiviteter skal identificeres og efter-
forskes, da oplysninger, fx om transaktioner,
mistænkelig adfærd og formuer, er spredt på
flere underretningspligtige�½
Samlekonti mudrer billedet
Flere udbydere på betalingstjenesteområdet
benytter sig af såkaldte opsamlingskonti�½ Det er
konti i pengeinstitutter til at opsamle kunders
midler�½ Se illustration 4 i kapitel 4
Sårbarheder i
den danske hvidvaskindsats.
Anvendelse af opsamlingskonti svækker myn-
digheders muligheder for at forbinde transak-
tioner mellem personer, da opsamlingskonti
kommer til at virke som et slørende led mellem
to parters transaktioner�½ Jo flere led der indsæt-
tes i transaktionskæden, des mindre overblik har
hvert enkelt led i kæden�½
RISICI FOR HVIDVASK I UDVALGTE BRANCHER
REU, Alm.del - 2023-24 - Endeligt svar på spørgsmål 1456: Spm. om hvor mange overførsler, der indføres udeklarerede til Danmark, herunder om der findes skøn herfor
2938919_0186.png
186
DEN NATIONALE RISIKOVURDERING AF HVIDVASK
Boks 42
Eksempel på samlekonti
Person A i Danmark vil overføre 100 kroner til Person B i Tyskland gennem en udbyder af en
betalingstjeneste�½ Dette vil ofte ske ved, at pengene overføres fra Person A’s bankkonto til en
opsamlingskonto tilhørende udbyderen af betalingstjenesten�½ Dette kan være i et pengeinsti-
tut i Danmark�½ Derfra overføres pengene til en anden konto tilhørende udbyderen af betalings-
tjenesten, som er placeret i Tyskland�½ Herfra videreføres pengene til Person B’s konto�½ Derved
fremstår transaktionen mellem Person A og Person B som tre separate transaktioner: En
transaktion fra Danmark til Danmark�½ En transaktion fra Danmark til Tyskland mellem to konti
tilhørende samme kontohaver�½ Og endelig en transaktion fra Tyskland til Tyskland�½
UNDERRETNINGER OM HVIDVASK
I perioden 2018-2021 har Hvidvasksekretariatet
modtaget godt 10�½000 underretninger fra udste-
dere af e-penge, udbydere af betalingstjenester
og pengeoverførselsvirksomheder�½ I samme
periode har Hvidvasksekretariatet modtaget 208
underretninger fra andre underretningspligtige,
hvori betalingstjenestebranchen nævnes i
mistankegrundlaget�½
Underretninger fra betalingstjenesteområdet
Der er flere store aktører inden for betalingstje-
nesteområdet samt en masse små virksomhe-
der�½ Betalingsinstitutter og e-pengeinstitutter står
for en stor del af det samlede antal underretnin-
ger fra branchen�½
Der er eksempler på erhvervsrelaterede over-
førsler til kundens private konto, selvom kundens
virksomhed har en erhvervskonto hos e-pen-
geinstituttet, og kunden mistænkes derfor for
udeholdt omsætning�½ Der er ydermere eksem-
pler på, at den underretningspligtige ikke kan
gennemskue formålet med transaktionerne eller
midlernes oprindelse ved kunders ind- og udgå-
ende transaktioner�½
Underretninger hvori betalings­
tjenesteområdet indgår
Underretninger om branchen fra andre underret-
ningspligtige kommer især fra pengeinstitutterne
og handler både om kunderne og om udbyderne
af betalingstjenesterne�½ De handler blandt andet
om, at pengeinstitutterne ikke kan identificere
midlernes oprindelse eller ikke kan kortlægge
relationen mellem afsender og modtager i trans-
aktioner foretaget via udbydere af betalingstje-
nester�½ Der er også eksempler på kunder, der
i forbindelse med brug af en udbyder af beta-
lingstjenester, hæver eller indsætter kontanter
via pengeinstitutternes hæveautomater, hvorved
kunderne mistænkes for skatteunddragelse, her-
under sort arbejde og udeholdt omsætning�½
Hvidvasksekretariatet modtager endvidere en
del underretninger om udbydere af betalings-
tjenester, særligt i forbindelse med komplekse
transaktionsstrømme�½ Underretningerne hand-
ler fx også om mistanke om, at udbydere af
betalingstjenester, der har tilknytning til politian-
meldte virksomheder, ikke har anden tilknytning
til Danmark end en bankforbindelse, og at der
igennem betalingstjenesten strømmer midler,
hvis oprindelse ikke kan dokumenteres�½
RISICI FOR HVIDVASK I UDVALGTE BRANCHER
Tabel 16
Antal underretninger om hvidvask via betalingstjenester mv.
 
Fra branchen
Om branchen
2018
1�½740
12
2019
1�½870
39
2020
2�½970
61
2021
3�½508
96
I alt
10.088
208
Kilde:
Hvidvasksekretariatet 2022�½
Note:
Underretninger om branchen er fremsøgt ved at søge på udvalgte ord i Hvidvasksekretariatets database�½ Underretninger, der ikke indeholder disse ord,
indgår således ikke i opgørelsen, og antallet siger ikke noget entydigt om omfanget af hvidvask, men om hvor ofte søgeordene nævnes i underretningerne�½
REU, Alm.del - 2023-24 - Endeligt svar på spørgsmål 1456: Spm. om hvor mange overførsler, der indføres udeklarerede til Danmark, herunder om der findes skøn herfor
2938919_0187.png
DEN NATIONALE RISIKOVURDERING AF HVIDVASK
187
RISIKOVURDERING
Trusler
Den Europæiske Centralbank opgør betalinger
med e-penge udstedt af europæiske betalings-
service-providere fra EU�½ Disse transaktioner
udgjorde i 2019, hvad der svarer til knap 1,5
milliarder kroner
(Europa-Kommissionen 2022:
66)�½
Heraf udgør e-penge fra Luxembourg
(PayPal og Amazon) langt den overvejende del�½
Danmark er sammen med Belgien, Tjekkiet,
Letland og Holland blandt de EU-lande, der er
hjemsted for størstedelen af de europæiske
udstedere af e-penge
(Europa-Kommissionen
2022: 67)�½
Europa-Kommissionen ser e-penge
anvendt i sager om fx narkotika, kopiproduk-
ter og matchfixing og vurderer, at udstedere af
e-penge udgør en betydelig risiko (niveau 3/4)
(Europa-Kommissionen 2022: 68)�½
Brugen af forudbetalte kort ses i enkelte sager
om hvidvask gennem muldyr, hvor midlerne
fra eksempelvis it-relateret kriminalitet bliver
omdannet til forudbetalte kort og udleveret til
bagmændene�½
Danske tjenester indgår også i domme om
muldyrsaktivitet i forbindelse med hvidvask i
Danmark, hvor unge mennesker har fået overført
midler til apps på deres telefon, hvorefter de har
hævet pengene i kontanter til bagmanden, mod
at få et mindre beløb som betaling�½ Denne form
for muldyrsaktivitet optræder ofte sammen med
anvendelse af en eller flere tjenester�½
Hvidvasksekretariatet har oplysninger, der indi-
kerer, at kriminelle aktører i Danmark særligt
anvender udenlandske tjenester til at sløre
transaktioner og sprede deres finansielle enga-
gementer over flere landegrænser�½ Tjenesterne
i udlandet er ikke underretningspligtige i Dan-
mark�½ Penge, der angiveligt stammer fra krimi-
nalitet, overføres til udenlandske tjenester, som
kan anvendes her i Danmark til betaling af fx
husleje og afdrag på lån�½
Hvidvasksekretariatet vurderer, at danske tje-
nester ligeledes kan anvendes af kriminelle
aktører til at sløre midlers oprindelse og til at
sprede deres finansielle engagementer�½
Pengeoverførsler kan ske i fx en kiosk, hvor
man betaler med kontanter eller betalingskort,
som virksomheden sørger for bliver overført
til den modtager, kunden har anvist, mod
betaling af et gebyr�½ Der oprettes ikke konti i
virksomheden�½
Europa-Kommissionen anser agenter for
pengeoverførselsvirksomheder som en risiko-
faktor
(Europa-Kommissionen 2022: 78)�½
Hvidvasksekretariatet vurderer, at agenter for
internationale pengeoverførselsvirksomheder
har en høj risiko for hvidvask, da pengeoverfør-
selsvirksomhed ofte kun er en del af en forret-
ning, fx en kiosk�½ Det kan være, at forretningen
ikke er opmærksom på kundekendskabs-
procedurer og har en lavere hvidvaskforståelse,
fordi ydelsen ikke er forretningens primære
aktivitet�½ Hertil kan der være udfordringer
for moderselskab i forhold til effektiv kontrol
og oplæring af alle agenter, der er tilknyttet
(Europa-Kommissionen 2019: 82)�½
Som det fremgår af kapitel 3
Nationale trus-
ler
indgår pengeoverførselsvirksomheder og
udbydere af betalingstjenester i flere større
hvidvasknetværk�½ Af Europa-Kommissionens
risikovurdering fremgår, at det øger risikoen
for hvidvask markant, hvis disse udbydere
infiltreres af kriminelle aktører�½ Hvidvask-
sekretariatet vurderer, at denne konklusion
også er gældende i en dansk kontekst�½
Hvidvasksekretariatet er bekendt med sager,
hvor internationale pengeoverførselsvirk-
somheder er anvendt til at videreformidle
ulovlige midler til udenlandske konti, her-
under som dele af større hvidvasknetværk�½
Pengeoverførselsvirksomheder er set anvendt
i forbindelse med narkotikakriminalitet samt
sager om skatte- og momskriminalitet�½
RISICI FOR HVIDVASK I UDVALGTE BRANCHER
REU, Alm.del - 2023-24 - Endeligt svar på spørgsmål 1456: Spm. om hvor mange overførsler, der indføres udeklarerede til Danmark, herunder om der findes skøn herfor
2938919_0188.png
188
DEN NATIONALE RISIKOVURDERING AF HVIDVASK
Sårbarheder
Tilgængelighed
Mange udbydere inden for betalingstjeneste-
området er app-baserede og kan anvendes
hurtigt og intuitivt af de fleste kunder fra dag
til dag�½ Nogle udbydere af betalingstjenester,
der opererer i Danmark, henvender sig alene
til erhvervskunder, eksempelvis gennem firma-
kort eller betaling af regninger�½ Her vil on-boar-
ding-processen formentlig være mere omfat-
tende end for privatpersoner�½
Udsteder af elektroniske penge med
begrænset tilladelse:
Produkterne på marke-
det for forudbetalte kort og gavekort er nemt
tilgængelige�½ Produkterne kan købes kontant
i kiosker og supermarkeder eller via beta-
lingskort på internettet�½
Betalingsinstitutter og e-pengeinstitutter:
Danske betalingsinstitutter og e-pengein-
stitutter er udbredt blandt både private for-
brugere og erhvervsdrivende i Danmark på
grund af deres tilgængelighed og integration
med pengeinstitutter�½
Udbydere af betalingstjenester med
begrænset tilladelse og agenter i Danmark:
Det er let tilgængeligt at anvende penge-
overførselsvirksomheder, hvor man kan
foretage transaktioner til udlandet uden
foregående registrering eller aftale�½ Såfremt
en person ønsker at overføre penge uden
registrering eller fremvisning af identitets-
papirer, kræver det dog et simpelt kendskab
til beløbsgrænser og registreringspligten i
pengeoverførselsvirksomheder�½
Udsteder af elektroniske penge med
begrænset tilladelse:
Der er ofte begræns-
ninger på, hvor mange penge kunder kan
købe forudbetalte kort eller gavekort for�½ I de
tilfælde vil det kræve et stort antal transak-
tioner – eventuelt ved hjælp af muldyr – at
integrere større mængder ulovlige midler
gennem forudbetalte produkter�½
Forudbetalte kort er en nem måde at flytte
mindre beløb på, men da det vil kræve en
omfangsrig anvendelse af muldyr eller strå-
mænd, vil det være mere oplagt for kriminelle
aktører at bruge personer, der er involverede
i selve handlen med e-pengeprodukter
(Europa-Kommissionen 2022: 69)�½
RISICI FOR HVIDVASK I UDVALGTE BRANCHER
Betalingsinstitutter og e-pengeinstitutter:
For betalingsinstitutter er der samlet set en
stor transaktionsvolumen, da betalingsinsti-
tutterne håndterer en stor del af danskernes
daglige transaktioner som fx betaling af
regninger og dagligvareindkøb�½ E-pengein-
stitutter i Danmark har både en stor volumen
og transaktionsmængde�½ Eksempelvis blev
der i 2021 foretaget 424 millioner transak-
tioner for i alt 160 milliarder kroner gennem
MobilePay
(MobilePay, u�½d�½)�½
Samlet set vur-
derer Hvidvasksekretariatet, at der er mulig-
hed for at foretage betydelige transaktioner
via betalingsinstitutter og e-pengeinstitutter�½
Udbydere af betalingstjenester med begræn-
set tilladelse og agenter i Danmark:
Udby-
dere af betalingstjenester med begrænset
tilladelse må maksimalt have samlede beta-
lingstransaktioner på tre millioner euro om
måneden, svarende til 22,5 millioner kroner
(EU’s Betalingstjenestedirektiv 2018: 93)�½
For pengeoverførselsvirksomheder er der
ikke en fast øvre grænse for den enkelte
transaktion, og størrelsen fastsættes af for-
retningerne selv�½ Hvidvasksekretariatet vur-
derer, at det er muligt at lave store transaktio-
ner via pengeoverførselsvirksomheder�½
Hvidvasksekretariatet har oplysninger om, at
pengeoverførselsvirksomheder og agenter
udfører store kontantbeløb til udlandet�½ Told-
styrelsen oplyser, at pengeoverførselsvirk-
somheder i 2021 deklarerede udførsel af i alt
knap 206 millioner kroner�½ Disse midler bliver
opsamlet løbende og derefter udført med
henblik på veksling�½ Der er tale om beløb på
mellem en og fire millioner kroner ugentligt,
der bliver udført af personer gennem danske
lufthavne�½ Det omfatter således alene de
deklarerede midler og ikke kontanter, der
smugles ud via lufthavnene�½
Volumen/transaktionsstørrelse
Det er forskelligt, hvor store transaktioner der
kan foretages på betalingstjenesteområdet�½
Afhængigt af tilladelsestypen kan der være
begrænsninger på, hvor store transaktioner
der samlet set kan foretages af tjenesten�½
Begrænsningerne for kundernes transaktioner
sættes af de enkelte tjenester�½ Produkter til
erhvervskunder har umiddelbart større poten-
tiale for store transaktioner end produkter til
privatkunder�½
REU, Alm.del - 2023-24 - Endeligt svar på spørgsmål 1456: Spm. om hvor mange overførsler, der indføres udeklarerede til Danmark, herunder om der findes skøn herfor
2938919_0189.png
DEN NATIONALE RISIKOVURDERING AF HVIDVASK
189
Potentiale for grænseoverskridende
transaktioner
Betalingstjenesteområdet er grænseoverskri-
dende, men det varierer fra tjeneste til tjeneste,
hvor stor en del af deres transaktionsomfang
der involverer transaktioner til eller fra udlandet�½
Hvidvasksekretariatet vurderer, at der er højere
risiko forbundet med produkter, hvorigennem
der kan foretages mange udlandstransaktio-
ner, end transaktioner, der sker mellem danske
underretningspligtige�½
Udstedere af elektroniske penge med
begrænset tilladelse:
Visse produkter inden
for e-penge, særligt gavekort, kan have et
geografisk begrænset virkeområde�½ Gavekort
udstedt til specifikke indkøbscentre har ingen
værdi andre steder, medmindre gavekortet
kan videresælges�½ Andre former for forud-
betalte tilgodehavender, fx gavekort, der
kan bruges på internettet hos internationale
koncerner, er en nem måde at sende værdier
over landegrænser uden at skulle flytte mid-
lerne fysisk�½
Fx er det muligt at tage et billede af tilgode-
havendet (fx et gavekort, der kan indløses på
internettet) og fremsende koden til indløsning
til andre personer, herunder i udlandet�½ Dette
modus er identificeret i flere af Hvidvaskse-
kretariatets partnertjenester i Europa�½
Selvom kontanter stadig er mange kriminelle
aktørers foretrukne middel, kan e-penge have
fordele, når det kommer til at føre penge over
landegrænser, vurderer Europa-Kommissi-
onen�½ Europa-Kommissionen beretter end-
videre, at europæiske FIUer har set mange
tilfælde af misbrug af e-penge i forbindelse
med skatteunddragelse, smugling af narko-
tika og prostitution�½ Ligeledes er der sager,
hvor udbyttet af salg af narkotika blev hvidva-
sket via forudbetalte kort
(Europa-Kommissi-
onen 2022: 69)�½
Per juli 2022 var der seks udstedere af elek-
troniske penge med begrænset tilladelse�½ De
udbyder forskellige produkter som fx online-
betalinger for mad, gavekort til butikker, en
lokal handelsforening med mere�½ Det er Hvid-
vasksekretariatets umiddelbare vurdering,
at potentialet for at foretage udlandstrans-
aktioner med det formål at sløre ulovlige
midler ikke er oplagt for disse virksomheder�½
Betalingsinstitutter og e-pengeinstitutter:
Det er Hvidvasksekretariatets vurdering, at
den ene halvdel af de e-penge-institutter,
der har tilladelse i Danmark, primært har
transaktioner mellem danske kunder, private
såvel som erhverv�½ Den anden halvdel er
afdelinger af internationale virksomheder,
der tilbyder internationale betalinger med
udenlandsk valuta eller kryptoaktiver�½
I forhold til internationale e-pengeinstitutter
er der et stort potentiale for transaktioner
på tværs af landegrænser, da eventuelle
transaktioner til disse virksomheder derved
er grænseoverskridende�½ Et kendetegn ved
flere udenlandske e-pengeinstitutter er
deres hurtige onboarding af nye kunder�½ Der
er en række sårbarheder forbundet med
hurtig onboarding, som kan øge risikoen for
en utilstrækkelige kundekendskabsprocedu-
rer, herunder anvendelse af falske dokumen-
ter og identitetspapirer�½
Flere betalingsinstitutter i Danmark er store
internationale selskaber�½ Som følge heraf
er potentialet for grænseoverskridende
transaktioner betydeligt�½ Nogle udbydere af
betalingstjenester henvender sig primært til
det danske marked, og her vil potentialet for
grænseoverskridende transaktioner være
begrænset�½
Udbydere af betalingstjenester med
begrænset tilladelse og agenter i Danmark:
Det er den primære forretningsmodel for pen-
geoverførselsvirksomheder at overføre penge
på tværs af landegrænser, så potentialet for
grænseoverskridende transaktioner er natur-
ligt stort�½ Mange kunder anvender pengeover-
førselsvirksomheder til fx at overføre remitter
til familiemedlemmer i udlandet�½
Omkostninger
Omkostningerne forbundet med at anvende
betalingstjenester og udstedere af e-penge
varierer fra produkt til produkt�½ Generelt vur-
derer Hvidvasksekretariatet, at omkostninger
forbundet med at anvende tjenester i denne
branche er lave for forbrugerne af disse tjene-
ster�½ Blandt betalingsinstitutterne og pengeover-
førselsvirksomhederne er priserne for ydelserne
et konkurrenceparameter�½ Visse udenland-
ske betalingstjenester tilbyder eksempelvis
gratis kontanthævninger i EU, omkostnings-
frie erhvervskonti eller lave gebyrer på inter-
nationale transaktioner�½
RISICI FOR HVIDVASK I UDVALGTE BRANCHER
REU, Alm.del - 2023-24 - Endeligt svar på spørgsmål 1456: Spm. om hvor mange overførsler, der indføres udeklarerede til Danmark, herunder om der findes skøn herfor
2938919_0190.png
190
DEN NATIONALE RISIKOVURDERING AF HVIDVASK
Anonymitet
• Udstedere af elektroniske penge med
begrænset tilladelse:
Muligheden for at være
anonym ved brugen af forudbetalte tilgode-
havender er stor, da flere af disse produkter
ikke kræver registrering og i visse tilfælde
kan købes med kontanter�½ De danske udste-
dere af elektroniske penge formidler en
del af deres ydelser via internettet�½ Fx er
det muligt at købe gavekort til flere tusinde
kroner uden at oplyse andet end et telefon-
nummer og en e-mailadresse og en adresse,
som i øvrigt kan være falsk�½ Gavekortet kan
derefter overdrages til andre elektronisk
eller bruges i en lang række butikker�½ Når
man betaler med betalingskort, begrænses
anonymiteten dog, medmindre man anven-
der lånte eller stjålne kreditkortoplysninger�½
Betalingsinstitutter og e-pengeinstitutter:
Langt de fleste danske betalingsinstitutter
kræver identifikation via MitID eller billed-ID�½
Brugeren er således ikke anonym, med-
mindre der er tale om brug af lånte, for-
falskede eller stjålne dokumenter�½
Det er som udgangspunkt vanskeligt for
brugeren at være anonym i oprettelsesfasen
af disse tjenester�½ Hvidvasksekretariatet
vurderer, at det samme gælder for danske
e-pengeinstitutter�½
Udbydere af betalingstjenester med begræn-
set tilladelse og agenter i Danmark:
Såfremt
en enkeltstående transaktion er under 1�½000
euro, svarende til cirka 7�½500 kroner, er virk-
somheden ikke forpligtet til at gennemføre
kundekendskabsprocedurer�½ Er der tale om
gentagne transaktioner, hvor summen over-
stiger 1�½000 euro, eller en tilbagevendende
kunde, skal pengeoverførselsvirksomheden
identificere kunden�½ Virksomheden skal dog
overholde pengeoverførselsforordningens
krav om oplysninger om betaler og betalings-
modtager, også selvom virksomheden ikke
er forpligtet til at gennemføre kundekend-
skabsprocedurer efter kravene i hvidvask-
loven
(Finanstilsynet 2020a: 57)�½
RISICI FOR HVIDVASK I UDVALGTE BRANCHER
For alle kategorier gælder, at de sårbarheder,
som onlineløsninger kan give anledning til, hvis
branchen alene indstiller sig på skriftlig doku-
mentation i deres kundekendskabsprocedurer,
som de kriminelle aktører i ind- og udland kan
forfalske, øger risikoen�½
Hvidvasksekretariatet vurderer, at risikoen for hvidvask via
betalingstjenesteområdet samlet set er
betydelig.
REU, Alm.del - 2023-24 - Endeligt svar på spørgsmål 1456: Spm. om hvor mange overførsler, der indføres udeklarerede til Danmark, herunder om der findes skøn herfor
2938919_0191.png
DEN NATIONALE RISIKOVURDERING AF HVIDVASK
191
FINANSIEL LEASING
Det følger af hvidvasklovens § 1, stk�½ 1, nr�½ 8,
at virksomheder og personer, der erhvervs-
mæssigt udøver en eller flere af aktiviteterne,
som nævnt i bilag 1, er omfattet af hvidvask-
loven�½ Finansiel leasing er omfattet af bilag
1 til hvidvaskloven�½ Virksomheder og perso-
ner, der udbyder finansiel leasing skal ifølge
hvidvasklovens § 48, stk�½ 1, registreres hos
Finanstilsynet�½ Finansiel leasing er en form for
finansiering, som kan bruges til finansiering
af forskellige produkter, fx biler, kontorinventar
og maskiner inden for landbrug, byggeri og
transport med mere�½
6.7
HOVEDFUND
Hvidvasksekretariatet vurderer, at risikoen
for hvidvask via leasingbranchen er
moderat.
RISIKO
I vurderingen har Hvidvasksekretariatet blandt
andet lagt vægt på, at finansiel leasing kan
bruges til at integrere ulovlige midler, og at risi-
koen for hvidvask er høj i de tilfælde, hvor krimi-
nelle aktører ejer eller har kontrol over en finan-
siel leasingvirksomhed�½ Hvidvasksekretariatet
vurderer, at det for den enkelte kunde er van-
skeligt at hvidvaske større beløb via finansiel
leasing, men at det afhænger af leasingaftalens
størrelse og udformning�½
Boks 43
Fakta om branchen
Der er flere typer af leasing, men det er alene udbydere af finansiel leasing, der er omfat-
tet af hvidvaskloven�½
Ved finansiel leasing er produktet finansieret i leasingperioden�½ Ved endt leasingperiode
hæfter leasingtageren typisk for restværdien�½ Det vil sige, at leasingtageren er forpligtet til
at købe eller anvise en ny køber til produktet�½
Finansiel leasing ses nogle gange som et produkt, der udbydes af autoriserede bilsæl-
gere, som en side-virksomhed sammen med udbud af billån�½
I nogle tilfælde har den finansielle leasingudbyder et samarbejde med en forhandler,
fx en bilforhandler, hvorved valg af bil og finansiering foregår i samme virksomhed�½ Når
leasingudbyderen samarbejder med en forhandler, er det stadig den finansielle leasing-
udbyder, der er underretningspligtig�½
Finanstilsynet har oplyst, at der er i 2021 var 232 registrerede virksomheder, der tilbyder
finansiel leasing�½ Per juli 2022 var 46 leasingvirksomheder tilmeldt GoAML�½
Virksomhederne i branchen er af forskellig størrelse�½ Der er både små virksomheder,
som køber og leaser få biler ud, og der er store virksomheder, der er etableret på tværs af
landet med flere filialer�½
RISICI FOR HVIDVASK I UDVALGTE BRANCHER
REU, Alm.del - 2023-24 - Endeligt svar på spørgsmål 1456: Spm. om hvor mange overførsler, der indføres udeklarerede til Danmark, herunder om der findes skøn herfor
2938919_0192.png
192
DEN NATIONALE RISIKOVURDERING AF HVIDVASK
Tabel 17
Antal underretninger om hvidvask via finansiel leasing
 
Fra branchen
Om branchen
2018
26
189
2019
52
385
2020
77
550
2021
103
946
I alt
258
2.070
Kilde:
Hvidvasksekretariatet 2022�½
Note:
Underretninger om branchen er fremsøgt ved at søge på udvalgte ord i Hvidvasksekretariatets database�½ Underretninger, der ikke indeholder disse ord,
indgår således ikke i opgørelsen, og antallet siger ikke noget entydigt om omfanget af hvidvask, men om hvor ofte søgeordene nævnes i underretningerne�½
UNDERRETNINGER OM HVIDVASK
I perioden 2018-2021 har Hvidvasksekretariatet
modtaget i alt 258 underretninger fra leasing-
branchen samt 2�½070 underretninger, hvori
leasingbranchen eller finansiel leasing nævnes i
mistankegrundlaget�½
Underretninger fra leasingbranchen
Blandt underretningerne fra leasingbranchen er
der eksempler på kunder, der foretager varie-
rende afbetalinger i forhold til de fastlagte ter-
miner�½ Der er også eksempler på betalinger, hvor
der ikke kan redegøres for midlernes oprindelse,
eller hvor betalinger bliver foretaget af en tred-
jepart�½ Der er endvidere eksempler på personer,
der fremviser dokumentation i form af lønsedler
og årsopgørelser, som mistænkes for at være
forfalsket�½
Underretninger hvori finansiel
leasing indgår
Underretninger om hvidvask fra andre under-
retningspligtige end leasingbranchen kommer
primært fra bankerne�½ Der er både underret-
ninger om kunder og om leasingvirksomheder�½
Underretningerne omhandler oftest mistanke
om hvidvask generelt og ikke specifikt hvidvask
gennem leasingbranchen�½
De underretninger, der vedrører konkrete lea-
singselskaber, handler eksempelvis om konto-
aktiviteter, der ikke harmonerer med branchen�½
Der er også eksempler på, at ejerkredsen i sel-
skabet opfattes som værende mistænkelig og
har reelle ejere, som er bosiddende i udlandet�½
RISIKOVURDERING
Trusler
Det er Hvidvasksekretariatets vurdering, at
omfanget af hvidvask via finansiel leasing er
moderat�½ Hvidvask kan foregå ved enten at eje
en leasingvirksomhed eller ved at have relatio-
ner til personer, der ejer en leasingvirksomhed�½
Derudover kan ulovlige midler bruges til at
afdrage på en leasingaftale�½
Truslen er således forskellig alt afhængigt af, om
det er kunderne eller leasingselskabets ejere,
der hvidvasker via finansielle leasingselskaber�½
Mens hvidvask via afdrag på en leasingaftale
er et simpelt hvidvaskmodus, der kan være
vanskelig for leasingvirksomhederne at opdage,
så er den hvidvask, der foregår, hvor forhand-
lerne bevidst er involveret, mere kompleks�½
Kompleksiteten kan stige yderligere, hvis lea-
singvirksomheden indgår i en større kriminel
virksomhedskonstruktion�½
Politiets monitering viser, at rocker- og ban-
demedlemmer er interesserede i leasing, og
temaet indgik også i regeringens Bandepakke 3,
der blev vedtaget i 2017�½
Sårbarheder
Tilgængelighed
Tilgængeligheden i branchen afhænger af hvid-
vaskmodus�½ Hvis den kriminelle aktør er leasing-
tager og hvidvasker ved at anvende sine ulovlige
midler til at betale sine leasingydelser, er bran-
chen let tilgængelig�½
RISICI FOR HVIDVASK I UDVALGTE BRANCHER
REU, Alm.del - 2023-24 - Endeligt svar på spørgsmål 1456: Spm. om hvor mange overførsler, der indføres udeklarerede til Danmark, herunder om der findes skøn herfor
2938919_0193.png
DEN NATIONALE RISIKOVURDERING AF HVIDVASK
193
Hvidvasker den kriminelle aktør ved at eje en
leasingvirksomhed, er branchen moderat til-
gængelig, da det kræver kapital til anskaffelse
af fx biler og kendskab til gældende regler på
området med videre�½
Volumen/transaktionsstørrelse
Hvis kriminelle aktører har forbindelse til en
leasingvirksomhed eller ejer en leasingvirksom-
hed, kan der kanaliseres store beløb gennem
leasingbranchen�½
Ved betaling af leasingydelser med ulovlige
midler kan kunderne i visse tilfælde, fx ved
leasing af luksusbiler eller industrielle maskiner,
også hvidvaske større beløb�½ Det er Hvidvask-
sekretariatets vurdering, at det for den enkelte
kunde generelt er vanskeligere at hvidvaske
større beløb via finansiel leasing, men at
det afhænger af leasingaftalens størrelse og
udformning�½
Potentialet for grænseoverskridende
transaktioner
Muligheden for transaktioner til og fra udlan-
det via finansiel leasing er begrænset, men
hvidvask gennem leasingbranchen har ofte et
element af udenlandsoverførsler, fx i forbindelse
med køb og salg af biler i udlandet�½
Omkostninger
Omkostningerne forbundet med hvidvask
gennem leasing kan være høje�½ Det kræver både
startkapital og ekspertise at oprette og drive
en leasingvirksomhed�½ Omkostningerne ved
hvidvask gennem afbetaling på en leasingaftale
vurderes derimod moderate og kan bestå i, at
ulovligt udbytte integreres ved at afbetale på
leasingydelser med ulovlige midler�½
Efter endt leasingperiode kan kriminelle aktører
(såvel som almindelige kunder) købe det lea-
sede aktiv og sælge det videre�½
Anonymitet
I mange tilfælde er det forhandlere, der for-
midler leasingaftaler på vegne af en finansiel
leasingvirksomhed�½ Herved bliver kundekend-
skabsprocedurerne foretaget af den enkelte
forhandler�½ Den finansielle leasingudbyder, som
står for selve finansieringen, møder herved ikke
den reelle kunde, men må forlade sig på oplys-
ninger fra partneren�½ Hvis finansielle leasingsel-
skaber ikke møder deres kunder, kan det udgøre
en sårbarhed�½
De sårbarheder, der knytter sig til brug af online-
services og skriftlig dokumentation som erstat-
ning for ansigt-til-ansigt kommunikation, gælder
nemlig ifølge FATF alle brancher
(FATF 2018b:
82)�½
Onboarding via fjernkommunikation øger
ligeledes sårbarhederne, fordi kriminelle aktører
kan gøre brug af falske dokumenter�½
Som oplyst ovenfor er der en pligt til at lade sig
registrere hos Finanstilsynet, hvis virksomhe-
den udbyder finansiel leasing�½ Registreringen
kræver, at virksomheden oplyser og fremsender
straffeattester på ledelsen og de reelle ejere�½
Dette gør det svært at forblive anonym, hvis de
kriminelle aktører ejer eller kontrollerer et lea-
singselskab�½ Ved indsættelse af stråmænd kan
de reelle ejere forblive anonyme�½ Det samme
gælder leasingselskabernes kunder, idet de
kan forsøge at skjule deres identitet ved at lade
en anden person fremgå som leasingtager på
leasingaftalen�½
RISICI FOR HVIDVASK I UDVALGTE BRANCHER
Hvidvasksekretariatet vurderer, at risikoen for hvidvask via
leasingbranchen er
moderat.
REU, Alm.del - 2023-24 - Endeligt svar på spørgsmål 1456: Spm. om hvor mange overførsler, der indføres udeklarerede til Danmark, herunder om der findes skøn herfor
2938919_0194.png
194
DEN NATIONALE RISIKOVURDERING AF HVIDVASK
6.8
ADVOKATER
Advokater er omfattet af hvidvaskloven, når de
yder bistand ved rådgivning om eller udførelse
af transaktioner vedrørende et sagsområde
som beskrevet i hvidvasklovens § 1, stk�½ 1, nr�½
13�½ Det er blandt andet ved rådgivning om eller
udførelse af transaktioner i forbindelse med de
i loven nævnte sagsområder, samt når de på en
klients vegne og for dennes regning foretager en
finansiel transaktion eller en transaktion vedrø-
rende fast ejendom�½
Herudover er virksomheder og personer, der i
øvrigt erhvervsmæssigt leverer samme ydel-
ser som de i nr�½ 13-15 nævnte persongrupper,
omfattet af § 1, stk�½ 1, nr�½ 16�½ Det betyder, at
andre end advokater, der udbyder juridisk råd-
givning, også kan være omfattet af hvidvasklo-
ven�½ Nedenstående risikovurdering gælder
advokater og deres virke�½ For andre, der yder
juridisk rådgivning, vil mange af de risici, der
gælder for advokater, godkendte revisorer, skat-
terådgivere med flere også være aktuelle�½
Vurderingen tager afsæt i, at det som udgangs-
punkt vurderes at være et fåtal af advokater, der
aktivt bistår kriminelle aktører med at hvidvaske
udbytte�½ Hertil kommer, at andre advokater, hvis
de ikke er opmærksomme på risiciene, kan blive
misbrugt til hvidvask�½
De advokater, der aktivt bistår kriminelle aktø-
rer, udgør en hvidvasktrussel�½ Den store andel
af advokater, der ikke ønsker at bistå kriminelle
aktører, kan ubevidst komme til at medvirke til
hvidvask, når de rådgiver om en juridisk rets-
stilling�½ Det kan eksempelvis være i tilfældet,
hvor en klient anmoder om juridisk bistand hos
advokaten inden for et givent juridisk område�½
Ved sådan et tilfælde vil advokaten klarlægge
de juridiske rammer og kan derved ubevidst
medvirke til hvidvask, hvis den viden, som klien-
ten opnår, skal bruges i hvidvasksammenhæng
uden advokatens vidende herom�½
Hvidvasksekretariatet har i vurderingen blandt
andet lagt vægt på, at advokaters specialiserede
viden kan misbruges til at facilitere hvidvask og
til opsætning og kontrol af selskabsstrukturer
til kriminelle aktører�½ Hvidvasksekretariatet er
bekendt med internationale sager, hvor advoka-
ter bevidst eller ubevidst deltager i hvidvaskak-
tiviteter, fx i forbindelse med opsætning af virk-
somhedsstrukturer, der skjuler reelle ejerskaber
eller misbrug af klientkonti�½
RISICI FOR HVIDVASK I UDVALGTE BRANCHER
RISIKO
HOVEDFUND
Hvidvasksekretariatet vurderer,
at risikoen for hvidvask, hvor
advokater indgår, er
moderat.
Boks 44
Fakta om branchen
Advokater er i henhold til hvidvasklovens § 1, stk�½ 1, nr�½ 13, kun omfattet såfremt de:
a) yder bistand ved rådgivning om eller udførelse af transaktioner for deres klienter i forbin­
delse med i) køb og salg af fast ejendom eller virksomheder, ii) forvaltning af klienters
penge, værdipapirer eller andre aktiver, iii) åbning eller forvaltning af bankkonti eller vær­
dipapirdepoter, iv) tilvejebringelse af nødvendig kapital til oprettelse, drift eller ledelse af
virksomheder eller v) oprettelse, drift eller ledelse af virksomheder, fonde med videre.
b) når de på en klients vegne og for dennes regning foretager en finansiel transaktion eller
en transaktion vedrørende fast ejendom. Det betyder, at advokaten skal være bevidst om,
hvornår de indtræder i et klientforhold, der gør dem omfattet af hvidvaskloven.
I Danmark er der cirka 7�½000 advokater�½ Omkring 3�½000 af dem er ifølge Advokatsamfun-
det omfattet af hvidvaskloven�½
Per juli 2022 har 78 advokater og advokatvirksomheder oprettet sig i GoAML�½
REU, Alm.del - 2023-24 - Endeligt svar på spørgsmål 1456: Spm. om hvor mange overførsler, der indføres udeklarerede til Danmark, herunder om der findes skøn herfor
2938919_0195.png
DEN NATIONALE RISIKOVURDERING AF HVIDVASK
195
Samtidig modtager Hvidvasksekretariatet meget
få underretninger fra branchen�½
I kapitel 3
Nationale trusler
vurderer vi risikoen
ved professionelle rådgivere�½ Professionelle
rådgivere kan blandt andet omfatte advokater
med flere, hvis de bevidst yder rådgivning og i
øvrigt bistår kriminelle aktører med hvidvask�½ Vi
vurderer, at risikoen er betydelig vedrørende pro-
fessionelle rådgivere�½ Her i kapitel 6 vurderer vi
imidlertid advokatbranchen som helhed, hvilket
betyder, at vi i vurderingen af advokater forholder
os til risikoen for både de advokater, der bistår
de kriminelle aktører, og de advokater, der ikke
ønsker at deltage i hvidvask eller forsøg herpå,
men som kan blive misbrugt mod deres vidende
og mod deres ønske�½ Derfor er vurderingen
lavere her end for professionelle rådgivere alene�½
Advokater har en særlig status i et retssamfund,
idet de medvirker til at sikre borgernes rets-
sikkerhed og deres retsstilling�½ Der blev derfor,
da EU-direktiverne og de tilhørende danske
hvidvasklove blev vedtaget, foretaget en afvej-
ning, hvor kun nogle af advokatens sagstyper er
omfattet af hvidvaskloven, ligesom advokater er
undtaget fra underretningspligten i visse tilfælde�½
Advokater er fx ikke omfattet af hvidvaskloven
ved køb og salg af løsøre, såsom en yacht, et fly,
maskiner eller andet�½ Advokater kan derfor bistå
eller udføre handlen for en klient uden at være
omfattet af hvidvaskloven�½ Disse handler udgør
en risiko for hvidvask i og med, at noget løsøre
kan have særlig høj værdi og derfor kan anven-
des til overførsel af værdier�½
Hvidvask kan både forekomme i sagstyper, hvor
advokaten er omfattet af hvidvaskloven, og i
sagstyper, hvor advokaten ikke er omfattet af
hvidvaskloven�½ Denne risikovurdering beskriver
primært de måder, hvorpå hvidvask kan foregå,
når advokaten er omfattet af hvidvaskloven,
men inddrager også enkelte måder, hvor en
advokat kan misbruges til hvidvask uden for
hvidvasklovens anvendelsesområde�½
Bevidst eller ubevidst
Advokater kan være involveret i hvidvaskproces-
sen i forskellig grad�½ Der kan være tilfælde, hvor
en kriminel aktør søger rådgivning om eksem-
pelvis selskabskonstruktioner eller om skatte-
mæssige forhold, som ikke giver anledning til, at
advokaten finder forespørgslen mistænkelig�½
Som advokat kan man dermed blive misbrugt,
hvis man ikke er opmærksom på potentielt mis-
tænkelig aktivitet�½ I dette tilfælde kan advokaten
uforvarende yde rådgivning om fx selskabsret-
lige aspekter, som den kriminelle aktør vælger
at udnytte�½ Advokater kan også komme til at
deltage i aktiviteter, fordi de bliver snydt af falsk
dokumentation fra kriminelle aktører�½ I disse til-
fælde udnyttes advokaten�½ Advokater kan også
være passivt medvirkende ved at undlade at
stille spørgsmål til mistænkelige aktiviteter�½
Advokater kan også konsulteres med hensyn
til råd om, hvordan man kan omgå bestemte
juridiske regler, og de kan have en mere proaktiv
tilgang til hvidvaskprocessen ved bevidst at yde
rådgivning til kriminelle aktører�½
Advokater giver legitimitet
Det kan være attraktivt for kriminelle aktører
at anvende en advokat i en hvidvaskproces,
fordi advokater har nogle kompetencer, som
kriminelle har brug for, hvis de skal hvidvaske i
større omfang�½ Advokater kan bistå med såvel
rådgivning som repræsentation af klienten samt
fx oprette selskaber i ind- og udland, oprette og
varetage konti, udarbejde dokumentation og
repræsentere virksomheder i handler, herunder
ejendomshandler�½ Advokater kan dermed i nogle
tilfælde blive misbrugt uden deres vidende, eller
de kan spille en mere eller mindre aktiv rolle i
forhold til nogle af de hvidvaskmetoder, som
Hvidvasksekretariatet vurderer, udgør de største
risici (se kapitel 5
Metoder til hvidvask)�½
Det er attraktivt for kriminelle aktører at mod-
tage rådgivning fra advokater, da advokater kan
tilføre legitimitet til en kriminel aktivitet�½ En hvid-
vaskproces kan kræve bestemte transaktioner
eller adgang til særlig viden, hvorved advoka-
ters specialiserede viden kan blive efterspurgt
(FATF 2018a: 41)�½
Europa-Kommissionen
erfarer, at organiserede kriminelle aktører ofte
gør brug af advokater i hvidvaskprocessen, fordi
det giver legitimitet til aktiviteterne
(Europa-
Kommissionen 2022: 195)�½
Advokater kan bistå kriminelle aktører med de
juridiske, finansielle og skattemæssige aspek-
ter ved køb og salg af fast ejendom eller køb
og salg af virksomheder�½ Risikoen er særligt til
stede ved politisk eksponerede personer eller
udenlandske klienter, der fx ønsker at købe luk-
susejendomme eller ejendomme eller virksom-
heder i udlandet�½ Det kan både finde sted med
og uden advokatens vidende�½
RISICI FOR HVIDVASK I UDVALGTE BRANCHER
REU, Alm.del - 2023-24 - Endeligt svar på spørgsmål 1456: Spm. om hvor mange overførsler, der indføres udeklarerede til Danmark, herunder om der findes skøn herfor
2938919_0196.png
196
DEN NATIONALE RISIKOVURDERING AF HVIDVASK
Ubevidst kan advokater komme til at med-
virke til hvidvaskprocessen ved at oprette
virksomheder for kriminelle aktører
(Europa-
Kommissionen 2022:195)�½
I nogle tilfælde
benyttes advokater til oprettelse af virksom-
heder i en kompleks eller uigennemsigtig
selskabsstruktur�½ Ofte er virksomhederne i de
uigennemsigtige selskabsstrukturer oprettet
i flere forskellige lande�½ Det er kompliceret at
konstruere uigennemsigtige selskabskonstruk-
tioner, og derfor har kriminelle aktører brug for
fagfolks bistand med hensyn til lovgivning og
skat
(Europa-Kommissionen 2022:194-195)�½
Underretninger fra advokater
Hvidvasksekretariatet har modtaget underret-
ninger fra advokater, der behandler konkurs-
boer, hvor det fremgår, at virksomheder har haft
mistænkelige ind- og udbetalinger og misbrug
af deres erhvervskonto�½ Derudover er der under-
retninger om klienter med falsk legitimation,
mistænkelige transaktioner, svindel med pante-
breve og mistænkelige indbetalinger på klient-
kontoen, hvor klienten ikke kan dokumentere
midlernes oprindelse�½
Underretninger hvori advokater indgår
UNDERRETNINGER OM HVIDVASK
Som det fremgår af tabellen nedenfor, har advo-
katbranchen sendt 65 underretninger i perioden
2018-2021�½ Cirka halvdelen af disse under-
retninger er fra konkursadvokater�½
I samme periode har Hvidvasksekretariatet
modtaget 961 underretninger fra andre under-
retningspligtige end advokater, hvori advokater
indgår i mistankegrundlaget�½ Disse underretnin-
ger indeholder både underretninger om konkrete
advokater og underretninger, hvor mistanken
ikke nødvendigvis drejer sig om advokaten, men
hvor advokaten er nævnt som led i beskrivelsen
af den mistænkelige aktivitet�½ Dem, der under-
retter, skelner typisk ikke imellem, om advoka-
tens sagsområde er omfattet af hvidvaskloven
eller ej�½ Derfor kan man heller ikke tolke ud af
tallene, at Hvidvasksekretariatet har modtaget
961 underretninger om advokater, der hvidva-
sker eller hjælper andre med at hvidvaske, men
alene at advokater på den ene eller anden måde
indgår i disse underretninger�½
RISICI FOR HVIDVASK I UDVALGTE BRANCHER
De fleste underretninger om advokater kommer
fra banker og revisionsfirmaer�½ Underretningerne
omhandler personer, der forsøger at misbruge
advokaters legitimitet, særligt ved bedrageri�½
Underretningerne indeholder også oplysninger
om advokater, der er blevet bortvist fra deres
advokatvirksomhed på baggrund af uhensigts-
mæssige forbindelser og klientforhold�½ Der
er også underretninger om advokater, der har
mistænkelige transaktioner på klientkontoen, og
advokater, der over for banken ikke kan fremvise
tilstrækkelig dokumentation for midlernes oprin-
delse, klientens personlige oplysninger eller
midlernes destination og formål�½
Enkelte underretninger omhandler advokater, der
er direktører i flere virksomheder, hvorigennem
der overføres mistænkelige midler�½ Endvidere
omhandler underretningerne også erhvervskun-
der, der modtager store beløb fra advokatvirk-
somheder, hvorefter pengene sendes videre til
andre virksomheder i Danmark eller i udlandet�½
Flere underretninger omhandler også advokater,
der menes at være en del af netværk, der mis-
tænkes for organiseret hvidvask, dokumentfalsk
og skatte- og momssvindel�½
Tabel 18
Antal underretninger om hvidvask via advokater
 
Fra branchen
Om branchen
2018
7
178
2019
22
270
2020
27
281
2021
9
232
I alt
65
961
Kilde:
Hvidvasksekretariatet 2022�½
Note:
Underretninger om branchen er fremsøgt ved at søge på udvalgte ord i Hvidvasksekretariatets database�½ Underretninger, der ikke indeholder disse ord,
indgår således ikke i opgørelsen, og antallet siger ikke noget entydigt om omfanget af hvidvask, men om hvor ofte søgeordene nævnes i underretningerne�½
REU, Alm.del - 2023-24 - Endeligt svar på spørgsmål 1456: Spm. om hvor mange overførsler, der indføres udeklarerede til Danmark, herunder om der findes skøn herfor
2938919_0197.png
DEN NATIONALE RISIKOVURDERING AF HVIDVASK
197
Flere årsager til et begrænset
antal underretninger
Hvidvasksekretariatet vurderer, at det er sand-
synligt, at forsøg på hvidvask via en advokat ikke
altid kommer til Hvidvasksekretariatets kend-
skab�½ Det kan skyldes, at advokater ikke altid
skal underrette om mistænkelige aktiviteter�½
Advokater er ikke omfattet af hvidvaskloven i
alle sagstyper, hvorfor advokater ikke skal under-
rette Hvidvasksekretariatet eller Advokatrådets
sekretariat, men i stedet skal udtræde af klient-
forholdet, når sagsområdet ikke er omfattet af
hvidvasklovens anvendelsesområde�½
Der kan således være flere årsager til det
begrænsede niveau af underretninger fra
advokater�½ Sagstypen skal være omfattet af
hvidvaskloven for, at advokater skal underrette
om mistænkelige forhold�½ I øvrigt skal advo-
katen ikke være omfattet af undtagelsen til
underretningspligten�½
Det begrænsede antal underretninger kan også
skyldes, at det kan være vanskeligt for advoka-
ter at opdage forsøg på at udnytte advokatens i
en hvidvasksammenhæng�½ Relationen mellem
advokater og deres klienter kan være langva-
rig, og i det tilfælde vil advokater kende deres
klienter godt�½ Så hvor der på den ene side er et
indgående og fortroligt kendskab til klienten og
dennes forhold, er der på den anden side også
en relation, der kan betyde tilbageholdenhed
med at underrette�½
Det tætte forhold mellem klient og advokat
samt advokatens indgående juridiske viden
kan dog også bidrage til at nedbringe risikoen
for hvidvask, da advokaten kan forsøge at imø-
degå eventuelle kriminelle handlinger�½
Europa-Kommissionen peger på, at der generelt
er en lav grad af rapportering om mistænkelige
forhold fra advokater i Europa og at det derfor er
vanskeligt at trække specifikke typologier frem
som eksempler på, hvad underretningerne viser
(Europa-Kommissionen 2022: 196)�½
Årsagen
til de få underretninger kan ifølge den svenske
politimyndighed være, at advokater, bevidst
eller ubevidst tager del i hvidvaskprocesser,
undlader at efterleve hvidvasklovens underret-
ningsforpligtigelser eller ikke har tilstrækkeligt
kendskab til reglerne herom
(Polismyndigheten
2021: 113-114)�½
RISIKOVURDERING
RISICI FOR HVIDVASK I UDVALGTE BRANCHER
Trusler
Det er angiveligt et fåtal af advokater, som aktivt
og vidende hjælper kriminelle aktører�½ Truslerne
er dels blandt de advokater, der bevidst bistår
de kriminelle, og dels blandt de kriminelle aktø-
rer, der formår at benytte sig af en advokat uden
advokatens vidende�½
Boks 45
Advokaters delvise underretningspligt
Hvis sagen er omfattet af hvidvaskloven, skal advokater underrette efter § 26, hvis han/hun
får mistanke om hvidvask eller terrorfinansiering�½ Advokater er efter lovens § 27, stk�½ 1, und-
taget fra underretningspligten i § 26, når de ”fastslår klientens retsstilling”�½ Herved forstås
bl�½a�½ oplysninger om fortolkning af gældende ret�½ Hvis advokaten har fastslået klientens rets-
stilling, må advokaten således ikke underrette, men skal i stedet udtræde af klientforholdet�½
Det gælder også personer og virksomheder som nævnt i § 1, stk�½ 1, nr�½ 13-16, når de bistår
en advokat, jf�½ § 27, stk�½ 3�½
Hvis advokaten ved eller burde vide, at klienten søger bistand med henblik på hvidvask eller
finansiering af terrorisme, er advokaten forpligtet til at underrette, jf�½ § 27, stk�½ 4�½ Såfremt
advokaten foretager underretning, er advokaten ikke forpligtet til at udtræde af sagen�½
Hvis sagen ikke er omfattet af hvidvaskloven, og advokaten får mistanke om at han/hun
bistår klienten med et kriminelt forhold, skal advokaten ikke underrette, men i stedet udtræde
af klientforholdet for ikke at medvirke ved sin rådgivning til hvidvask eller terrorfinansiering�½
REU, Alm.del - 2023-24 - Endeligt svar på spørgsmål 1456: Spm. om hvor mange overførsler, der indføres udeklarerede til Danmark, herunder om der findes skøn herfor
2938919_0198.png
198
DEN NATIONALE RISIKOVURDERING AF HVIDVASK
I internationale sager, herunder de større data-
læk som fx Pandora Papers og Dubai Uncovered,
har advokater deltaget i aktiviteter, der slører
reelle ejerforhold�½ Hvidvasksekretariatet er også
bekendt med tilfælde i Danmark, hvor advokater
mistænkes for at bistå kriminelle aktører i hvid-
vaskprocessen fx ved at sælge rådgivning som
crime-as-a-service (se kapitel 3
Nationale trusler
i afsnittet om
Professionelle rådgivere)�½
Hvid-
vasksekretariatet erfarer også, at visse advokater
ikke anvender deres klientkonto efter reglerne�½
Klientkontoen hos en advokat kan misbruges
som led i en hvidvaskproces�½ Advokater har en
høj grad af legitimitet, og det giver derfor også
en høj legitimitet at bruge advokaters klient-
konto til transaktioner�½ Kriminelle aktører kan
derfor have et ønske om at kanalisere penge
gennem en klientkonto�½ Hvis den bagved-
liggende handling fremstår legitim, kan det
være svært for advokater at opdage�½
Misbrug af advokatens klientkonto kan ske ved,
at advokaten foretager finansielle transaktioner
på vegne af klienten med penge, der stam-
mer fra kriminalitet, herunder transaktioner til
virksomheder og personer i udlandet, køb af
ejendomme, virksomheder eller jord på vegne
af klienten
(Europa-kommissionen 2022: 195)�½
I Danmark er der underretninger, der indikerer,
at visse advokater lader klienter føre penge
gennem klientkontoen i strid med reglerne
om klientkonti�½ Europa-Kommissionen vurde-
rer, at truslen fra advokater og andre juridiske
rådgivere er meget høj (niveau 4/4)
(Europa-
kommissionen 2022: 197)�½
Sårbarheder
Tilgængelighed
Ved at inddrage en advokat i hvidvaskprocessen
– uanset om advokaten bistår bevidst eller ube-
vidst – får kriminelle aktører adgang til viden og
ekspertise, som de formentlig ikke selv besidder�½
Branchens tilgængelighed kan dog afhænge af,
hvad klienten ønsker at involvere advokaten i�½
Det er Hvidvasksekretariatets formodning, at den
overvejende del af advokatbranchen vil afvise
at bistå med åbenlyst kriminelle aktiviteter, og
at det drejer sig om få aktører, som udøver stor
aktivitet i forhold til at bistå de kriminelle aktører�½
Ifølge Europa-Kommissionen anser kriminelle
aktører det ikke for særligt vanskeligt at få
adgang til retlige aktører�½ Ved at bruge retlige
aktørers færdigheder har de ikke selv behov
for at udvikle disse kompetencer
(Europa-
Kommissionen 2022: 196)�½
Ved etableringen af et klientforhold, som er
omfattet af hvidvaskloven, skal advokaten
udføre kundekendskabsprocedurer, hvilket med-
fører, at nogle klienter kan blive afvist�½ Derudover
vil det i nogle tilfælde kræve hvidvask af en vis
størrelse, før der er behov for at involvere en
advokat�½ Skal klienten derimod have oprettet et
gældsbrev eller en anden relativt enkel ydelse,
kræver det ikke særlig planlægning�½
I takt med den digitale udvikling er flere juridiske
ydelser tilgængelige på internettet�½ Det kan fx
være oprettelse og administration af virksom-
heder og selskaber, kontrakter og andre aftaler
med mere�½ Disse nye legal-tech-løsninger gør
ydelserne mere tilgængelige for klienter, der
skal bruge forholdsvist simple ydelser�½ Det kan
øge risikoen for hvidvask, hvis disse løsninger
indebærer mindre kommunikation ansigt-til-an-
sigt med kunderne eller hvis kontrolinstanserne
bliver svagere�½ Det må antages, at kendska-
bet til klienten er væsentlig mere begrænset
end i de tilfælde, hvor advokaten møder sine
klienter
(Europa-Kommissionen 2022: 197)�½
Kommissionen peger også på, at aktører, der til-
byder juridiske ydelser online, og som ikke selv
er advokater, har skabt debat om, hvad der kon-
stituerer juridiske ydelser, herunder rådgivning
og automatisk genererede kontrakter
(Europa-
Kommissionen 2022: 194)�½
Volumen/transaktionsstørrelse
Det er vanskeligt at sætte tal på, hvor mange
penge der kan hvidvaskes ved at benytte
en advokat i processen�½ Det er Hvidvask-
sekretariatets formodning, at kriminelle aktører
vil have større incitament til anvende en advo-
kat, når der er tale som større og mere kom-
plekse hvidvask-setup, og hvor der derfor er
brug for en advokat�½
Transaktionsstørrelsen afhænger af, hvilken
service advokaten yder�½ Forestår advokaten
handler med ejendomme eller virksomheder,
kan der være tale om mange millioner kroner,
mens der ved oprettelse af en virksomhed er
tale om et mindre beløb�½ Afhængigt af hvilken
ydelser der er tale om, er det muligt at hvidva-
ske betydelige beløb gennem branchen�½ Der kan
også føres betydelige beløb gennem advokaters
klientkonto�½ Oplysningerne om, hvor midlerne
stammer fra, er i mange tilfælde beskyttet af
advokaternes tavshedspligt og hindrer bankerne
i at få indsigt i midlernes ophav�½
RISICI FOR HVIDVASK I UDVALGTE BRANCHER
REU, Alm.del - 2023-24 - Endeligt svar på spørgsmål 1456: Spm. om hvor mange overførsler, der indføres udeklarerede til Danmark, herunder om der findes skøn herfor
2938919_0199.png
DEN NATIONALE RISIKOVURDERING AF HVIDVASK
199
Potentialet for grænseoverskridende
transaktioner
Advokater kan rådgive om, oprette og admini-
strere virksomheder, hvilket kriminelle aktører
kan bruge til at unddrage skat og kanalisere
ulovligt udbytte til og fra udlandet�½ Via advokat-
branchen er der derfor potentiale for at føre
penge over landets grænser�½ Hvidvasksekreta-
riatet har underretninger, der viser, at advokat-
virksomheder sender store beløb til udlandet
uden nogen umiddelbar logisk forklaring�½
Udenlandske klienter kan udgøre en øget risiko,
da det kan være vanskeligere at opnå et tilfreds-
stillende kundekendskab�½
Omkostninger
Det kan være omkostningsfuldt at benytte advo-
kater til hvidvask�½ Det reducerer incitamentet til
at anvende en advokat, medmindre det er en
nødvendighed, og medmindre man som krimi-
nel aktør har adgang til en advokat, der er villig
til at bist�
Omkostningerne afhænger af, hvilken rolle
advokaten spiller i det kriminelle setup�½ I nogle
tilfælde vil omkostningen bestå af et salær, i
andre tilfælde vil advokaten få en del af det
ulovlige udbytte�½ Som det fremgår af kapitel 3
Nationale trusler
kan komplette hvidvasksetup
købes for relativt få penge�½
Anonymitet
Hvidvasksekretariatet vurderer, at det er vanske-
ligt at anvende en advokat uden at oplyse sin
identitet, medmindre man bruger en stråmand�½
Advokater er dog ikke altid forpligtede til at doku-
mentere klientens identitet�½ Det er kun, når sags-
området er omfattet af hvidvasklovens anven-
delsesområde for advokater, at advokaten skal
foretage kundekendskabsprocedurer – ellers
ikke�½ Det er samtidig Hvidvasksekretariatets
formodning, at det ofte tætte forhold mellem
advokat og klient kan være en barriere mod, at
klienten kan være anonym i forhold til advokaten
selv�½ Derimod kommer oplysninger om advoka-
ternes klienter sjældent til Hvidvasksekretariatet
kendskab, da advokater sender få underretnin-
ger�½ Det udgør en sårbarhed�½
Hvor det fortrolige forhold mellem klient og advo-
kat på den ene siden har begrundelse i borger-
nes retssikkerhed, er det samtidig en sårbarhed
over for myndighedernes mulighed for at blive
gjort opmærksomme på mistænkelige forhold�½
Som for øvrige brancher gælder det også for
advokater, at de sårbarheder, som online-
løsninger kan give anledning til, hvis branchen
alene indstiller sig på skriftlig dokumentation
i deres kundekendskabsprocedurer, som de
kriminelle aktører i ind- og udland kan forfalske,
øger risikoen�½
Der er ganske få sager, hvor advokater er tiltalt
for hvidvask eller for at bistå med hvidvask eller
anden økonomisk kriminalitet�½ Advokaterne
er ofte ikke en del af transaktionerne, med-
mindre det handler om deres klientkonti eller
virksomheder, hvori de indgår i ledelsen eller
andet�½ Advokaterne træder derfor ikke direkte
frem i transaktionsovervågningen�½ Typisk er de
mistænkelige advokater forbindelsesled i kri-
minelle netværk�½ Det er Hvidvasksekretariatets
vurdering, at det ofte er vanskeligt at løfte
bevisbyrden mod advokater og andre rådgivere,
herunder i forhold til, om de har bidraget bevidst
eller ubevidst�½
Hvidvask kan forekomme både i de sagstyper,
hvor advokaten er omfattet af hvidvaskloven,
og i de sagstyper, hvor advokaten ikke er omfat-
tet af hvidvaskloven�½ Da ikke alle advokaters
sagsområder er omfattet af hvidvaskloven, vil
advokater i mange sager ikke skulle udføre
kundekendskabsprocedurer�½ Dette kan udnyt-
tes, uden at advokaterne er vidende herom, da
advokaterne ikke nødvendigvis har det samme
kendskab til klienten, når de ikke efter reglerne i
hvidvaskloven skal udføre kundekendskab�½
Advokater skal altid være opmærksomme på
hvidvask, men de konkrete pligter for advokaten
afhænger af, om sagen er omfattet af hvid-
vaskloven�½ Se nærmere om, hvornår advokater
er omfattet af hvidvaskloven i Advokatrådets
vejledning om forebyggelse af hvidvask og
terrorfinansiering og Advokatrådets reviderede
hvidvaskvejledning
(Advokatsamfundet 2022)�½
Hvidvasksekretariatet vurderer, at risikoen for hvidvask, hvor
advokater indgår, er
moderat.
RISICI FOR HVIDVASK I UDVALGTE BRANCHER
REU, Alm.del - 2023-24 - Endeligt svar på spørgsmål 1456: Spm. om hvor mange overførsler, der indføres udeklarerede til Danmark, herunder om der findes skøn herfor
2938919_0200.png
200
DEN NATIONALE RISIKOVURDERING AF HVIDVASK
6.9
GODKENDTE
REVISORER, SKATTE-
RÅDGIVERE, EKSTERNE
BOGHOLDERE MV�½
Godkendte revisorer (statsautoriserede eller
registrerede revisorer) er omfattet af hvidvasklo-
vens § 1, stk�½ 1, nr�½ 14�½ Ikke-godkendte revisorer,
skatterådgivere, eksterne bogholdere eller andre
personer eller virksomheder, som yder hjælp,
rådgivning eller bistand om skatteanliggender, er
omfattet af hvidvasklovens § 1, stk�½ 1, nr�½ 16�½
Der er flere forskelle på godkendte og ikke-god-
kendte revisorer�½ En af dem er, at virksomheder
og personer, som er omfattet af § 1, stk�½ 1, nr�½
16, ikke kan afgive en lang række lovpligtige
erklæringer som sikring for, at materialet over-
holder gældende lovgivning�½ Det kan godkendte
revisorer�½
HOVEDFUND
Hvidvasksekretariatet vurderer, at risikoen
for hvidvask, hvor godkendte såvel som
ikke­godkendte revisorer indgår, er
moderat.
I vurderingen har Hvidvasksekretariatet blandt
andet lagt vægt på, at godkendte revisorers
specialiserede viden og ekspertise samt
muligheden for at erklære sig på regnskaber,
kan være attraktivt for kriminelle aktører at
benytte sig af�½ At bruge en godkendt revisor
giver endvidere legitimitet, da godkendte revi-
sorer har en særlig status som offentlighedens
tillidsrepræsentanter�½
RISICI FOR HVIDVASK I UDVALGTE BRANCHER
RISIKO
Boks 46
Fakta om branchen
I § 1, stk�½ 1, nr�½ 14, omfattes revisorer og revisionsvirksomheder, som er godkendt i henhold
til revisorloven�½
I § 1, stk�½ 1, nr�½ 16, omfattes skatterådgivere, eksterne bogholdere, ikke-godkendte revisorer
samt andre personer og virksomheder, der erhvervsmæssigt leverer samme ydelser som
advokater, godkendte revisorer samt ejendomsmæglere�½
Godkendte revisorer løser forskellige opgaver for deres kunder�½ Opgaverne kan spænde
bredt fra virksomhedsoprettelser og –omdannelser, revisionsopgaver, afgivelse af erklærin-
ger med sikkerhed, bogholderi, opstilling af årsregnskaber og perioderegnskaber, skatte-,
selskabs- og investeringsrådgivning, revisionsattestation fra en myndighed pålagt en
kunde med mere�½ En godkendt revisor udbyder ikke nødvendigvis alle de oplistede ydelser,
men kan specialisere sig inden for en eller flere�½
Ifølge Erhvervsstyrelsen var der per 1�½ januar 2022 registreret cirka 1�½300 godkendte
revisionsvirksomheder og 3�½100 godkendte revisorer i Danmark�½
554 godkendte revisorer eller revisionsvirksomheder er per juli 2022 tilmeldt GoAML�½
Der er ifølge Erhvervsstyrelsen op imod 8�½000 skatterådgivere, bogholdere med videre�½
178 har per juli 2022 oprettet sig i GoAML�½
REU, Alm.del - 2023-24 - Endeligt svar på spørgsmål 1456: Spm. om hvor mange overførsler, der indføres udeklarerede til Danmark, herunder om der findes skøn herfor
2938919_0201.png
DEN NATIONALE RISIKOVURDERING AF HVIDVASK
201
Boks 47
Offentlighedens tillidsrepræsentanter
De godkendte revisorer er efter revisorloven offentlighedens tillidsrepræsentant, når de afgiver
erklæringer med sikkerhed, herunder ved afgivelse af revisionspåtegninger på fx årsregnska-
ber, der indgives til Erhvervsstyrelsen�½ De godkendte revisorer skal give en uafhængig vurde-
ring af det materiale, som den enkelte kunde leverer til brug for den ønskede erklæringsydelse�½
Uafhængigheden er særlig vigtig, da erklæringer på kapitaltilstedeværelse er et krav ved virk-
somhedsoprettelser og -omdannelser, kapitalforhøjelser m�½m�½, som er ydelser, der er defineret
som værende af øget risiko for hvidvask�½ Derudover er de godkendte revisorer underlagt kvali-
tetskontrol udført af Erhvervsstyrelsen ved opgaver, som omfatter erklæringer med sikkerhed,
jf�½ revisorlovens § 29, samt krav om en lovpligtig ansvarsforsikring for udførte opgaver�½
Det bemærkes, at revisor ikke er en beskyttet titel, hvorfor personer efter § 1, stk�½ 1, nr, 16 kan
kalde sig revisor, men ikke statsautoriseret revisor, registreret revisor eller godkendt revisor�½
De ikke-godkendte revisorer er heller ikke omfattet af kvalitetskontrol eller krav om lovpligtig
revisoransvarsforsikring�½
Anvendelsen af en godkendt revisor vil derfor kunne give et legitimt skær til brug for hvidvask
og anden økonomisk kriminalitet�½
Særligt når der skal hvidvaskes store beløb
via virksomheder og selskaber, har kriminelle
aktører brug for erklæringer på regnskaberne,
og at have en godkendt revisor til at sige god
for regnskaberne giver indtryk af, at der er tale
om legale aktiviteter�½ Kriminelle aktører, der skal
hvidvaske mindre beløb, kan omvendt have
incitament til helt at fravælge revision, hvis det
er muligt�½
Godkendte såvel som ikke-godkendte revisorer,
eksterne bogholdere, skatterådgivere med flere
har en viden, som kriminelle aktører har brug for
i hvidvasksammenhæng�½ Personer og virksom-
heder omfattet af § 1, stk�½ 1, nr�½ 14, og § 1, stk�½
1, nr�½ 16, kan rådgive om forhold, der er normale
emner at rådgive om, men som kan misbruges
af kriminelle, hvis de i forbindelse med rådgiv-
ningen ikke er opmærksomme på konteksten
for rådgivningen og for hvidvaskrisiciene�½
Det er Hvidvasksekretariatets vurdering, at langt
den overvejende del af revisionsbranchen vil
afvise at bistå med åbenlyst kriminelle akti-
viteter, og at det drejer sig om få aktører, som
udøver stor aktivitet i forhold til at bistå de kri-
minelle aktører�½
Det er Hvidvasksekretariatets vurdering, at
ydelser, der omfatter rådgivning om komplekse
selskabsstrukturer i Danmark såvel som i
udlandet, kompleks skatterådgivning, kunder
med virksomheder inden for kontantbaserede
eller arbejdskraftintensive erhverv, udgør de
største risici uanset, om rådgivningen bliver
ydet af godkendte revisorer, skatterådgivere,
bogholdere eller andre�½
Ifølge Europa-kommissionen er der en bety-
delig til høj risiko for hvidvask vedrørende
godkendte revisorer, bogholdere, skatterådgi-
vere med flere
(Europa-Kommissionen 2022:
188)�½
Den samme vurdering findes i Sverige
(Polismyndigheten 2021: 34),
mens det i Norge
er vurderingen, at godkendte revisorer og bog-
holdere indebærer en moderat risiko
(Politiet/
PST 2020: 46)�½
I Storbritannien er vurderingen
imidlertid, at branchen er forbundet med høj
hvidvaskrisiko
(HM Treasury 2020: 79)�½
Ifølge FATF er risikoen typisk højst i forbindelse
med finansiel rådgivning og skatterådgivning,
virksomhedsoprettelse, ejendomshandel, udfø-
relse af finansielle transaktioner eller ved at
udnytte revisorens forbindelser til at få adgang
til finansielle institutioner
(FATF 2019a: 11)�½
RISICI FOR HVIDVASK I UDVALGTE BRANCHER
REU, Alm.del - 2023-24 - Endeligt svar på spørgsmål 1456: Spm. om hvor mange overførsler, der indføres udeklarerede til Danmark, herunder om der findes skøn herfor
2938919_0202.png
202
DEN NATIONALE RISIKOVURDERING AF HVIDVASK
I kapitel 3
Nationale trusler
vurderer vi risikoen
ved professionelle rådgivere�½ Professionelle
rådgivere kan blandt andre omfatte godkendte
og ikke-godkendte revisorer, hvis de bevidst
yder rådgivning og i øvrigt bistår kriminelle
aktører med hvidvask�½ Vi vurderer, at risikoen er
betydelig vedrørende professionelle rådgivere�½
Her i kapitel 6 vurderer vi imidlertid branchen
som helhed, hvilket betyder, at vi i vurderingen
af godkendte revisorer samt ikke-godkendte
revisorer, skatterådgivere, eksterne bogholdere
med videre forholder os til risikoen for både de
revisorer med flere, der bistår de kriminelle,
og de revisorer med flere, der ikke ønsker at
deltage i hvidvask eller forsøg herpå, men som
kan blive misbrugt uden deres vidende og mod
deres ønske�½ Derfor er vurderingen lavere her
end for professionelle rådgivere alene�½
Bevidst eller ubevidst
Revisorer med flere (godkendte såvel som
ikke-godkendte revisorer, eksterne bogholdere,
skatterådgivere med flere) kan med deres viden
og kompetencer bevidst facilitere hvidvask ved
aktivt at bistå kriminelle aktører�½ Revisorer med
flere kan også være passivt medvirkende ved
at undlade at stille spørgsmål til mistænkelige
aktiviteter�½
Man kan også blive misbrugt uden ens vidende,
hvis man ikke er opmærksom på potentielt
mistænkelig aktivitet�½ Revisorer med flere kan
også blive tvunget af kriminelle aktører til at
bistå med hvidvask�½
Revisorer med flere kan yde rådgivning om,
hvad der er lovligt eller ulovligt uden at have
noget ønske om, at rådgivningen skal bruges
til hvidvask eller anden økonomisk kriminalitet�½
Rådgivningen kan dreje sig om fx skatteforhold,
virksomhedsdrift, selskabskonstruktioner, ejer-
skifte, økonomiske forhold mv�½, som er normale
sagsområder i denne branche, men som også
kan være relevante for kriminelle aktører at få
rådgivning om�½
Godkendte revisorer
For organiserede kriminelle kan godkendte
revisorer være særligt attraktive, fordi de må
erklære sig på regnskaber og dermed ”kan sige
god for” de økonomiske forhold i en virksom-
hed�½ Hvis man som kriminel har mange penge,
der skal hvidvaskes, kan det indebære handels-
baseret hvidvask (læs mere om handelsbaseret
hvidvask i kapitel 5
Metoder til hvidvask
i afsnit-
tet
Tværgående fænomen: Handelsbaseret
hvidvask)�½
I den forbindelse er det essentielt
at have en godkendt revisor til at erklære sig
på regnskabet�½ Sådanne regnskaber kan også
bruges til at optage lån, stille kredit mv�½
Godkendte revisorer kan bevidst som ubevidst
bistå med fx at sløre forbindelsen mellem
ejeren og midlernes oprindelse, oprette sel-
skaber, konstruere regnskabssystemer, levere
bogførings- og revisionsydelser, udarbejde
dokumentation (regnskaber eller referencer,
svigagtige indtægter og udgifter), fungere som
insolvensbehandlere samt yde almindelig
regnskabsrådgivning�½
Revisorer kan således spille en mere eller
mindre aktiv rolle i forhold til nogle af de hvid-
vaskmetoder, som Hvidvasksekretariatet vurde-
rer, udgør de største risici (se kapitlet 5
Metoder
til hvidvask)�½
Eksterne bogholdere,
skatterådgivere med flere
Virksomheder og personer omfattet af § 1, stk�½
1, nr�½ 16 kan bistå med at opstille og indsende
regnskaber, rådgive om skattemæssige forhold
og kan i øvrigt rådgive om flere af de samme
emner, som de godkendte revisorer kan rådgive
om, men de kan ikke afgive de erklæringer, som
godkendte revisorer kan�½ Dermed kan de heller
ikke tilføre helt samme skær af legitimitet, som
de godkendte revisorer kan�½
RISICI FOR HVIDVASK I UDVALGTE BRANCHER
Boks 48
Svindel med coronahjælpepakker
I februar 2021 blev en godkendt revisor dømt for forsøg på svindel med coronahjælpe-
pakker�½ Her havde revisoren blandt andet bistået organiserede kriminelle med fremstilling af
ansættelsesbreve, hjemsendelsesbreve og lønsedler for to selskaber med det formål at få
udbetalt hjælpepakker�½
REU, Alm.del - 2023-24 - Endeligt svar på spørgsmål 1456: Spm. om hvor mange overførsler, der indføres udeklarerede til Danmark, herunder om der findes skøn herfor
2938919_0203.png
DEN NATIONALE RISIKOVURDERING AF HVIDVASK
203
Ikke-godkendte revisorer kan udarbejde
assistanceerklæringer på årsrapporter for
mindre virksomheder�½ En assistanceerklæring
giver alene sikkerhed for, at årsregnskabet er
stillet op i henhold til kravene i årsregnskabs-
loven, men giver ikke sikkerhed for, at oplys-
ningerne er sande�½
Europa-Kommissionen vurderer, at skatte-
rådgivere bruges af organiserede kriminelle
grupperinger til at oprette uigennemsigtige
strukturer, det vil sige virksomhedsstrukturer,
hvor identiteten af den reelle ejer/de reelle
ejere i den pågældende struktur ofte er skjult
ved hjælp af fx stråmænd�½ Oprettelsen af de
komplekse selskabsstrukturer, der også ofte
indbefatter virksomheder i flere lande, herunder
skattelylande, er kompliceret og kræver pro-
fessionel rådgivning med hensyn til lovgivning
og skat�½ Den rådgivning kan skatterådgivere
levere, vurderer Kommissionen
(Europa-
Kommissionen 2022:187)�½
UNDERRETNINGER OM HVIDVASK
Hvidvasksekretariatet har modtaget 3�½793
underretninger fra godkendte revisorer og 155
underretninger fra bogholdere, skatterådgivere
med flere i perioden�½ Der er sket en markant stig-
ning i antallet af underretninger fra 2019�½
Erhvervsstyrelsen offentliggjorde i 2019 en
vejledning om blandt andet revisorers pligt til
at underrette om blandt andet ulovlige kapital-
ejerlån, da lånene afspejler en uberettiget mod-
tagelse af midler, der er opnået ved en strafbar
lovovertrædelse�½ Hvidvasksekretariatet har
analyseret underretninger fra godkendte reviso-
rer i perioden fra 2018 til 2021 og konstaterer,
at antallet af underretninger steg markant efter
Erhvervsstyrelsens vejledning om pligten til at
underrette om blandt andet ulovlige kapitalejer-
lån�½ Samtidig steg også
andelen
af underretnin-
ger, der omhandler ulovlige kapitalejerlån�½ Set
over hele den analyserede periode handler to
ud af tre underretninger fra godkendte revisorer
om ulovlige kapitalejerlån�½
Tabel 19
Antal underretninger om hvidvask via godkendte revisorer
 
Fra godkendte revisorer
Om revisorer
2018
32
414
2019
177
768
2020
1�½907
1�½423
2021
1�½677
1�½914
I alt
3.793
4.519
Kilde:
Hvidvasksekretariatet 2022�½
Note:
Underretninger om hvidvask via godkendte revisorer er fremsøgt ved at søge på udvalgte ord i Hvidvasksekretariatets database�½ Underretninger, der ikke
indeholder disse ord, indgår således ikke i opgørelsen, og antallet siger ikke noget entydigt om omfanget af hvidvask, men om hvor ofte søgeordene
nævnes i underretningerne�½ Det fremgår sjældent af underretningerne, om mistanken vedrører en godkendt eller en ikke-godkendt revisor�½
Tabel 20
Antal underretninger om hvidvask via bogholdere, skatterådgivere med videre
 
Fra bogholdere,
skatterådgivere mv�½
Om bogholdere,
skatterådgivere mfl�½
2018
3
56
2019
18
101
2020
58
191
2021
76
220
I alt
155
568
Kilde:
Hvidvasksekretariatet 2022�½
Note:
Underretninger om hvidvask via bogholdere, skatterådgivere er fremsøgt ved at søge på udvalgte ord i Hvidvasksekretariatets database�½ Underretninger,
der ikke indeholder disse ord, indgår således ikke i opgørelsen, og antallet siger ikke noget entydigt om omfanget af hvidvask, men om hvor ofte revisorer
nævnes i underretningerne�½ Det fremgår sjældent af underretningerne, om mistanken vedrører en godkendt eller en ikke-godkendt revisor�½
RISICI FOR HVIDVASK I UDVALGTE BRANCHER
REU, Alm.del - 2023-24 - Endeligt svar på spørgsmål 1456: Spm. om hvor mange overførsler, der indføres udeklarerede til Danmark, herunder om der findes skøn herfor
2938919_0204.png
204
DEN NATIONALE RISIKOVURDERING AF HVIDVASK
Underretninger fra godkendte revisorer
Hvidvasksekretariatet modtager mange under-
retninger fra revisorer, hvor der er eksempler
på kapitalejerlån i strid med selskabslovens §
210�½ Underretninger om ulovlige kapitalejer-
lån udgør to tredjedele af underretningerne fra
godkendte revisorer�½ Blandt underretningerne
er der også mistanke om, at revisors klienter
angiver ukorrekte moms- og skatteforhold samt
eksempler på virksomheder, der overtræder
kontantforbuddet�½
Underretninger hvori revisorer indgår
Underretninger om hvidvask fra andre under-
retningspligtige end revisorbranchen kommer
primært fra bankerne, men myndigheder er
også opmærksomme på at indsende underret-
ninger om revision, der ikke ser ud til at være
lavet efter reglerne�½
Disse underretninger indeholder både underret-
ninger om konkrete revisorer og underretninger,
hvor mistanken ikke nødvendigvis drejer sig om
revisor, men hvor revisor er nævnt i beskrivelsen
af den mistænkelige aktivitet�½ Det fremgår sjæl-
dent af underretningerne, om mistanken vedrø-
rer en godkendt eller en ikke-godkendt revisor�½
Derfor kan man heller ikke tolke ud af tallene,
om alle disse underretninger om revisorer hand-
ler om revisorer, der hvidvasker eller hjælper
andre med at hvidvaske�½
Der er underretninger om revisorer, der lader
til at bistå deres kunder med økonomisk krimi-
nalitet�½ De handler fx om, at revisor ser ud til at
have revideret regnskaber uden at udføre egent-
lige revisionshandlinger�½ Der er også underret-
ninger, der handler om, at revisoren har mis-
tænkelige kunder, herunder i kontantbaserede
brancher, som fx vikarbureauer, restauranter,
mandskabsudleje med videre�½ Der er endvidere
underretninger, der vedrører ikke-beskattede
midler, store beløb til udlandet, underretninger
om, at klientens indkomst hurtigt føres videre til
konti i andre pengeinstitutter i både Danmark
og i udlandet, og der er eksempler på underret-
ninger om revisors hjælp til uberettiget at opnå
støtte fra coronahjælpepakker�½
Underretninger fra skatterådgivere,
eksterne bogholdere med flere
Hvidvasksekretariatet modtager få underret-
ninger fra skatterådgivere, eksterne bogholdere
med flere til trods for, at der er mange under-
retningspligtige�½ Underretninger vedrørende
ulovlige kapitalejer- og anpartshaverlån udgør
også en stor del af underretningerne fra skat-
terådgivere og eksterne bogholdere med flere�½
Blandt underretninger fra eksterne bogholdere,
skatterådgivere med flere, er der eksempler på
kunder, som begår skatte- og momsunddra-
gelse�½ Dette foregår blandt andet ved mang-
lende eller fejlagtig indberetning af moms eller
skat samt udeholdt omsætning�½
Underretninger hvori skatterådgivere,
eksterne bogholdere med flere indgår
Hvidvasksekretariatet har modtaget 568
underretninger vedrørende bogholdere,
skatterådgivere med flere i perioden�½
Underretningerne kommer oftest fra pengein-
stitutterne samt enkelte fra godkendte revisorer�½
Underretningerne vedrører ofte ulovlige kapita-
lejerlån samt skatte- og momsunddragelse�½
RISICI FOR HVIDVASK I UDVALGTE BRANCHER
RISIKOVURDERING
Trusler
FATF fremhæver, at organiserede kriminelle
aktører gør brug af professionelle rådgivere, her-
under revisorer, til at hvidvaske ulovligt udbytte
(FATF 2018a: 41),
og Europa-Kommissionen
fastslår, at godkendte revisorer, skatterådgivere,
bogholdere og lignende er blandt de aktører, der
oftest misbruges af organiserede kriminelle til
hvidvask
(Europa-Kommissionen 2022: 188)�½
Hvidvasksekretariatet har oplysninger, der indi-
kerer, at visse revisorer i Danmark bistår med
eksempelvis at videreformidle selskaber til
kriminelle aktører, udarbejde falske dokumenter
og rådgive om hvidvask og anden økonomisk
kriminalitet�½ Disse revisorer udgør en betydelig
hvidvasktrussel�½ Læs mere om professionelle
rådgivere i kapitel 3
Nationale trusler�½
REU, Alm.del - 2023-24 - Endeligt svar på spørgsmål 1456: Spm. om hvor mange overførsler, der indføres udeklarerede til Danmark, herunder om der findes skøn herfor
2938919_0205.png
DEN NATIONALE RISIKOVURDERING AF HVIDVASK
205
Af Hvidvasksekretariatets data fremgår der
godkendte revisorer, der er revisorer for nogle
af de virksomheder, som Hvidvasksekretariatet
har mange underretninger om�½ Det kan dog
være vanskeligt at afgøre, om disse bevidst
assisterer deres kunder med hvidvask, eller
om de er uvidende om deres kunders tilsyne-
ladende mistænkelige aktiviteter�½
Hvidvasksekretariatet finder det overvejende
sandsynligt, at disse godkendte revisorer er
eller burde være vidende om, at de er revisorer
for et større antal virksomheder, der er mistæn-
kelige eller ligefrem er kriminelle aktører�½ Det er
Hvidvasksekretariatets formodning, at det dog
er en mindre andel af de godkendte revisorer,
som bevidst bistår kriminelle aktører�½
Ydelser leveret af regnskabssagkyndige og god-
kendte revisorer, rådgivere og skatterådgivere
har ifølge Europa-Kommissionen visse fælles-
træk med juridisk rådgivning fra advokater�½ Disse
faggrupper kan uforvarende komme til at yde
rådgivning, der skal bruges til hvidvask, men kan
også være medskyldige eller forsætligt forsøm-
melige i forbindelse med udførelsen af deres
forpligtelser med hensyn til kundekendskabs-
krav
(Europa-Kommissionen 2022: 198)�½
For
godkendte revisorer og andre regnskabssagkyn-
dige anser Europa-Kommissionen, at trussels-
niveauet for hvidvask er betydeligt (niveau 3/4)
(Europa-Kommissionen 2022: 188)�½
Ifølge Europa-Kommissionen har retshånd-
hævende myndigheder bevis for, at organise-
rede kriminelle aktører ofte bruger skatterådgi-
veres rådgivning og inddrager skatterådgivere
i deres hvidvaskarrangementer�½ Europa-
Kommissionen anser skatterådgiveres ydelser
for at være helt centrale i et hvidvasksetup og
vurderer, at trusselsniveauet for hvidvask af
penge i relation til rådgivere og skatterådgivere
er meget betydeligt (niveau 4/4)
(Europa-
Kommissionen 2022: 188)�½
Sårbarheder
Tilgængelighed
Ved at inddrage en rådgiver i hvidvaskproces-
sen får de kriminelle aktører adgang til viden
og ekspertise, som de ikke selv besidder�½ Der
er dog en væsentlig risiko for kriminelle aktører,
der ønsker at benytte en revisor som led i en
hvidvaskproces, medmindre man er sikker på,
at revisoren enten undlader at stille spørgsmål
eller endda vil bistå i hvidvaskprocessen�½ Det er
Hvidvasksekretariatets opfattelse, at de reviso-
rer, der er villige til at bistå de kriminelle aktører,
er kendt i de kriminelle miljøer�½ Det kræver dog,
at man ved, hvem man skal gå til�½
Adgang til skatterådgiveres juridiske ydelser
kræver ikke særlige kompetencer eller viden at
tilg� Kriminelle organisationer anvender disse
fagfolks færdigheder til at oprette systemer til
hvidvask�½
Boks 49
Danske revisorer med kunder bosiddende i udlandet
Kunder, som er bosiddende i udlandet, og som benytter sig af danske godkendte revisorer,
bogholdere med flere, kan udgøre en risiko�½ Det kan fx være til at administrere, erhverve
eller afhænde virksomheder eller ejendomme i Danmark på vegne af kunden�½ Særligt hvis
midlerne skal videreføres til kunden i udlandet�½
Eksempel:
En dansk kunde bosiddende i udlandet anmoder en dansk bogholder eller en
godkendt revisor om assistance til at afhænde en virksomhed i Danmark�½ Kunden oplyser,
at provenuet fra salget skal overføres til kundens advokats klientkonto og videre derfra til
kundens bankkonto i det land, hvor kunden er bosiddende�½
RISICI FOR HVIDVASK I UDVALGTE BRANCHER
REU, Alm.del - 2023-24 - Endeligt svar på spørgsmål 1456: Spm. om hvor mange overførsler, der indføres udeklarerede til Danmark, herunder om der findes skøn herfor
2938919_0206.png
206
DEN NATIONALE RISIKOVURDERING AF HVIDVASK
Der er også tegn på, at nogle kriminelle aktører
forsøger at samvirke med og bevidst inddrage
skatterådgivere i deres systemer til hvidvask af
penge
(Europa-Kommissionen 2022: 188)�½
Hvis revisorer (godkendte såvel som ikke-god-
kendte) ikke møder deres klienter ansigt-til-an-
sigt, øges risikoen for hvidvask, da kontrolinstan-
serne kan være svagere ved onlineydelser og
-rådgivning, hvor det må antages, at kendskabet
til klienten er væsentlig mere begrænset, end i
de tilfælde, hvor rådgiveren møder sine klienter
(FATF 2018b: 82)�½
Det kan således øge hvid-
vaskrisikoen, hvis distancen til kunden betyder,
at der er et mere begrænset kundekendskab i
forhold til, hvis revisor møder kunden fysisk�½
Volumen/transaktionsstørrelse
Hvidvasksekretariatet vurderer, at omfanget af
penge, der kan hvidvaskes ved hjælp af revisorer
(både godkendte og ikke-godkendte), er stort,
særligt når der er tale om større handelsbase-
rede hvidvasknetværk eller ved større skatte- og
momsunddragelsestilfælde�½ Det er imidlertid
ikke muligt at konkretisere, hvor store beløb der
kan hvidvaskes ved brug af revisionsbranchen�½
Potentialet for grænseoverskridende
transaktioner
Godkendte revisorer kan bistå med rådgivning,
oprettelse og administration af selskaber,
som kan bruges til skatteunddragelse og til at
kanalisere ulovligt udbytte til/fra udlandet�½ Det
samme gør sig gældende for ikke-godkendte
revisorer såvel som andre, der kan rådgive om
disse forhold�½ Eksterne bogholdere eller andre,
som udfører bogføringsrelaterede opgaver, kan
overføre midler til konti eller selskaber i udlan-
det�½ Herved sløres midlernes oprindelse, og
bogholderen har bidraget til hvidvaskprocessen
for kunden – aktivt eller passivt�½
Omkostninger
At bruge en godkendt revisor kan være omkost-
ningsfyldt�½ Det gælder uanset, om virksomhe-
derne, som gør brug af revisorer, har legale eller
illegale aktiviteter�½ Er der ikke krav om revision
på grund af virksomhedens begrænsede stør-
relse og omsætning, kan der for såvel legale
som illegale virksomheder være et incitament
til ikke at bruge en revisor�½ Både fordi det er
omkostningsfuldt, men også fordi der for den
kriminelle aktør kan være risiko for, at revisoren
vil få mistanke om de kriminelle aktiviteter og
underrette om aktiviteterne�½
Skatterådgivere kan reducere omkostningerne
ved hvidvask for den kriminelle aktør, fx ved
at henføre indtægter, som skal hvidvaskes, til
områder med lav eller ingen beskatning�½
Omkostningerne ved aktiv hvidvaskservice hos
godkendte revisorer, skatterådgivere, boghol-
dere med flere afhænger af, hvilken rolle reviso-
ren spiller i det kriminelle setup�½ I nogle tilfælde
vil omkostningen bestå af et salær, i andre
tilfælde vil revisoren få en del af det kriminelle
udbytte�½ Som det fremgår af kapitel 3
Nationale
trusler
kan komplette hvidvasksetup i udlandet
købes for relativt få penge�½
Anonymitet
Det er ikke umiddelbart muligt at benytte en
godkendt revisor, skatterådgiver, bogholder eller
lignende services anonymt, medmindre man
anvender fx en stråmand og/eller forfalskede
dokumenter�½ Som for alle øvrige underretnings-
pligtige kan såvel godkendte revisorer som
skatterådgivere, eksterne bogholdere med flere
være udfordrede på identifikation af reelle ejere
i forhold til de mere komplekse virksomheds-
strukturer og særligt i forhold til udenlandske
virksomheder, fordi registrene i andre lande
ofte er ringere eller mere besværlige at tilgå
end de danske�½
RISICI FOR HVIDVASK I UDVALGTE BRANCHER
REU, Alm.del - 2023-24 - Endeligt svar på spørgsmål 1456: Spm. om hvor mange overførsler, der indføres udeklarerede til Danmark, herunder om der findes skøn herfor
2938919_0207.png
DEN NATIONALE RISIKOVURDERING AF HVIDVASK
207
Revisorers begrænsede underretninger om
andet end ulovlige kapitalejerlån udgør en
sårbarhed, da det betyder, at myndighederne
kun i begrænset omfang bliver gjort opmærk-
som på mistænkelige aktiviteter hos revisorer-
nes klienter�½
Det er Hvidvasksekretariatets opfattelse, at
når godkendte revisorer opdager en aktivitet,
der ikke følger reglerne, retter de op på den, så
reglerne er fulgt�½ Det drejer sig typisk om brud
på bogføringsregler og andre forhold, der rela-
terer sig til revisionsarbejdet�½ Dem sørger sær-
ligt de godkendte revisorer at få bragt i orden�½
Manglende forståelse for hvidvaskrisici og en
manglende viden om, hvornår der skal underret-
tes, er en sårbarhed i denne branche�½
Hvidvasksekretariatet erfarer ligeledes, at der
blandt de ikke-godkendte revisorer er usikker-
hed om, hvornår der er pligt til at underrette�½
Relationen mellem revisorerne og deres kunder
vil ofte være langvarig, og derfor vil de fleste
revisorer kende deres kunder godt�½ Så hvor der
på den ene side er et indgående kendskab til
kunden og dennes forhold, er der på den anden
side også relation, der kan betyde tilbagehol-
denhed med at underrette�½ Dette vurderes at
gælde for både godkendte såvel som ikke-god-
kendte revisorer�½
Det samme gælder for de kunder, der alene
anvender onlineservices, og hvor virksomhe-
den i deres kundekendskabsprocedurer alene
indstiller sig på skriftlig dokumentation, som de
kriminelle aktører kan forfalske�½
Revisorer indgår typisk ikke direkte i transakti-
onsoplysningerne om den økonomiske krimi-
nalitet�½ Det er Hvidvasksekretariatets vurdering,
at det er vanskeligt at løfte bevisbyrden mod
revisorer og andre rådgivere, herunder særligt i
forhold til, om de har været vidende om deres
klienters foretagender, og om revisor har bidra-
get bevidst eller ubevidst�½
Hvidvasksekretariatet vurderer, at risikoen for hvidvask,
hvor godkendte såvel som ikke­godkendte revisorer indgår,
er
moderat.
Boks 50
Engangskunder
Godkendte revisorer, skatterådgivere, eksterne bogholdere med flere kan have kunder, der
kun ønsker at købe en enkelt ydelse, fx virksomhedsstiftelse, og som de derfor kun har
kendskab til kortvarigt�½ I et sådant tilfælde kan bogholder fx assistere med nødvendige
dokumenter og videresende disse til en godkendt revisor, som kan erklære sig herpå�½
Hvis man – enten bevidst eller ubevidst – ikke udfører de lovpligtige kundekendskabs-
procedurer på disse kunder, udgør det manglende kendskab en risiko�½
RISICI FOR HVIDVASK I UDVALGTE BRANCHER
REU, Alm.del - 2023-24 - Endeligt svar på spørgsmål 1456: Spm. om hvor mange overførsler, der indføres udeklarerede til Danmark, herunder om der findes skøn herfor
2938919_0208.png
208
DEN NATIONALE RISIKOVURDERING AF HVIDVASK
6.10
EJENDOMSMÆGLERE
Personer og virksomheder, der er registrerede
som ejendomsmæglere i Erhvervsstyrelsens
ejendomsmæglerregister, er omfattet af hvid-
vasklovens § 1, stk�½ 1, nr�½ 15, både når de er
beskæftiget med køb og salg eller agerer som
mellemmænd i forbindelse med udlejning af
fast ejendom�½
højere (niveau 4/4)
(Europa-Kommissionen
2022: 183)�½
Det er Hvidvasksekretariatets vurdering, at der
ved bolighandler i Danmark er et værn mod
hvidvask på grund af samarbejdet med banker
og realkreditinstitutter, der gør det vanskeligere
at sløre sin identitet i Danmark uden brug af
dokumentfalsk, og fordi omfanget af kontanter
er begrænset�½ Hertil kommer, at mæglerne har
en kort, men nær relation til kunden, som gør, at
de kan få et godt indblik i kundens personlige
forhold�½ Underretningsniveauet blandt danske
ejendomsmæglere er dog yderst begrænset�½
For så vidt angår erhvervsmæglere, er risikoen
højere�½ Det skyldes, at der er danske erhvervs-
ejendomme, der ejes eller købes af udenland-
ske selskaber�½ Denne risiko er der stort set
ikke på private boliger, idet lovgivningen i vid
udstrækning begrænser køb af ejendomme af
udenlandske personer�½
RISIKO
HOVEDFUND
Hvidvasksekretariatet vurderer, at
risikoen for, at ejendomsmæglere
og ejendomsmæglervirksomheder
misbruges til hvidvask er
moderat.
I vurderingen har Hvidvasksekretariatet blandt
andet lagt vægt på strukturen på det danske
boligmarked, ejendomsmæglernes organisering
samt manglende mulighed for kontantbetaling,
hvilket adskiller sig fra andre europæiske lande,
hvor risikoen for hvidvask via ejendomme er
RISICI FOR HVIDVASK I UDVALGTE BRANCHER
Boks 51
Fakta om branchen
Ejendomsformidlingsbranchen skelner mellem ejendomsmæglere og erhvervsmæglere�½
Ejendomsmæglere er knyttet til formidling af fast ejendom for/til forbrugere fx boligsalg
og boligkøb, udlejning, vurdering af boliger, rådgivning af forbrugere i relation til køb og
salg af fast ejendom til ikke-erhvervsmæssig benyttelse�½
Ejendomsmægler er en beskyttet titel, og formidling af fast ejendom til/for forbrugere kan
kun lovligt ske med en ansvarlig ejendomsmægler tilknyttet; alternativt en advokat, der er
særligt registreret som ejendomsformidler�½
Ejendomsbranchen er præget af en høj organiseringsgrad, hvor op mod 80 pct�½ af
ejendomsmæglervirksomhederne er organiseret i kædesamarbejder�½
Erhvervsmæglere formidler salg eller udlejning af erhvervsejendomme til professio-
nelle aktører, såvel brugerejendom som investeringsejendom�½ Hertil kommer vurdering,
markedsanalyse og rådgivning�½
Ifølge Erhvervsstyrelsen var der per juni 2022 optaget 3�½825 personer i Erhvervsstyrelsen
ejendomsmæglerregister�½ Per juli 2022 var 230 ejendomsmæglere tilmeldt GoAML�½
Der var godt 113�½000 private ejendomshandler, som involverede ejendomsmæglere i
2021, jf�½ boligsiden�½dk�½ Dansk Ejendomsmæglerforening anslår, at antallet af selvsalg
uden udbud via ejendomsmægler udgør cirka 15�½000-20�½000 årligt�½
Ejendomsmæglere formidlede private ejendomshandler i Danmark for godt 295
milliarder kroner i 2021, jf�½ boligsiden�½dk�½ Det er vanskeligere at opgøre omfanget af
ejendomshandler mellem professionelle, men transaktionsvolumen for 2021 er opgjort
til 120 milliarder kroner
(Cushman & Wakefield | RED 2022)�½
REU, Alm.del - 2023-24 - Endeligt svar på spørgsmål 1456: Spm. om hvor mange overførsler, der indføres udeklarerede til Danmark, herunder om der findes skøn herfor
2938919_0209.png
DEN NATIONALE RISIKOVURDERING AF HVIDVASK
209
Tabel 21
Antal underretninger om hvidvask via ejendomsmæglere
 
Fra branchen
Om branchen
2018
5
173
2019
6
291
2020
3
480
2021
4
507
I alt
18
1.450
Kilde:
Hvidvasksekretariatet 2022�½
Note:
Underretninger om branchen er fremsøgt ved at søge på udvalgte ord i Hvidvasksekretariatets database�½ Underretninger, der ikke indeholder disse ord,
indgår således ikke i opgørelsen, og antallet siger ikke noget entydigt om omfanget af hvidvask, men om hvor ofte søgeordene nævnes i underretningerne�½
Forekomsten af udenlandske selskaber kan gøre
det vanskeligere for de underretningspligtige at
identificere selskabernes reelle ejere, og sam-
menholdt med de ofte højere beløb for erhver-
velse af erhvervsejendomme, er det Hvidvask-
sekretariatets vurdering, at risikoen for hvidvask
via erhvervsmæglere er højere end for ejen-
domsmæglere, der udbyder handler til private�½
UNDERRETNINGER OM HVIDVASK
Hvidvasksekretariatet modtager sjældent under-
retninger fra ejendomsmæglere�½ Ejendoms-
mæglere har sendt 18 underretninger i perioden
2018-2021�½ Sammenholdt med de mange
bolighandler, der finder sted hvert år, er antallet
af underretninger beskedent�½ Som det også
fremgår af tabellen, har Hvidvasksekretariatet
modtaget 1�½450 underretninger om ejendoms-
markedet i samme periode�½
Europa-Kommissionen peger på, at der generelt
er en utilfredsstillende grad af rapportering om
mistænkelige forhold fra ejendomsmæglere i
Europa
(Europa-Kommissionen 2022: 183)�½
Ejendomsmæglere har pligt til at underrette,
selvom der ikke er gennemført et ejendomssalg,
fordi de også kan få indsigt i mistænkelige kun-
deforhold, selv hvis handlen ikke gennemføres�½
Underretninger fra ejendomsmæglere
I underretningerne fra ejendomsmæglere er
der eksempler på usikkerhed om midler, som
stammer fra udlandet�½ Der er også eksempler på
mistænkelig renovering, som mistænkes for at
være finansieret med ulovlige midler�½ Endvidere
underretter ejendomsmæglere om svindel og
dokumentfalsk og om kunder, der ikke ønsker at
oplyse deres identitet eller reelle ejerforhold�½
Underretninger om hvidvask
via ejendomsmarkedet
Det er primært bankerne, der underretter om
mistanke om hvidvask via ejendomme eller
RISIKOVURDERING
Trusler
Det er vanskeligt at vurdere omfanget af penge,
der bliver hvidvasket via ejendomme�½ Ifølge
Europa-Kommissionen blev hvidvask via ejen-
domme i 2017 estimeret til at udgøre mere
end 10�½000 milliarder kroner om året på ver-
densplan
(Europa-Kommissionen 2019a: 184)�½
Europa-Kommissionen konstaterer, at personer
og virksomheder med høj risiko for hvidvask
alene i London ejer ejendomme for, hvad der
svarer til knap 40 milliarder kroner�½ Det skal dog
bemærkes, at ejendomshandel i lande som fx
Storbritannien, USA og Dubai udgør en langt
større risiko, idet ejendomme i visse lande kan
købes kontant, og fordi ejendomsmæglere i
visse lande ikke er underretningspligtige�½
Hvidvasksekretariatet vurderer, at ejendoms-
branchen benyttes af et betydeligt antal perso-
ner i kriminelle miljøer til køb af boliger, som de
kan bo i, men også som investeringer, der kan
generere lejeindtægter, give overskud ved salg
og generere friværdi, som kan anvendes til at
opnå yderligere lån i banken�½ Der er samtidig en
betydelig transaktionsvolumen i branchen�½ På
den baggrund vurderer Hvidvasksekretariatet,
at truslen er betydelig�½
RISICI FOR HVIDVASK I UDVALGTE BRANCHER
ejendomsmæglere�½ Bankerne underretter blandt
andet om mulig skatteunddragelse i forbindelse
med handel og renovering af ejendomme�½ Der er
også eksempler på, at kunden ikke kan redegøre
for midlernes oprindelse�½ De underretninger, der
vedrører ejendomsmæglervirksomheder, hand-
ler eksempelvis om, at virksomheden foretager
transaktioner, der findes atypiske for branchen�½
Nogle virksomheder synes ikke at have egentlig
aktivitet, men blot en konto, som ser ud til at
blive anvendt som gennemstrømskonto�½ Der
er også eksempler på netværk af personer, der
mistænkes for, ved hjælp af fabrikerede løn-
sedler og ansættelseskontrakter, at forsøge at
optage uberettigede boliglån�½
REU, Alm.del - 2023-24 - Endeligt svar på spørgsmål 1456: Spm. om hvor mange overførsler, der indføres udeklarerede til Danmark, herunder om der findes skøn herfor
2938919_0210.png
210
DEN NATIONALE RISIKOVURDERING AF HVIDVASK
I den norske risikovurdering
(Politiet/PST
2020: 41-42)
vurderes risikoen for hvidvask via
ejendomme at være betydelig, og norsk politi
fremhæver blandt andet salg af ejendomme
med falsk værdiforøgelse, renovering ved brug
af ulovlige midler og brug af stråmænd�½ Sidst-
nævnte vanskeliggør identifikation af reelle ejere�½
Det konstateres, at flere ejendomsmæglere har
etableret et anti-hvidvasksystem, men at der
ofte ikke er sammenhæng mellem politikkerne,
forretningsgangene og praksis�½ Norsk politi
vurderer, at det er meget sandsynligt, at nogle
ejendomsmæglere bedriver systematisk og
organiseret økonomisk kriminalitet eller er med
til at tilrettelægge hvidvask via ejendomme for
kriminelle aktører�½
I den svenske risikovurdering bliver risikoen
for hvidvask via ejendomme vurderet til at
være betydelig, og de fremhæver blandt andet
indbetaling af penge i forbindelse med køb
af ejendom, hvorefter køberen fortryder købet
og får udbetalt pengene på en anden konto,
anvendelse af stråmænd for at sløre det egent-
lige ejerforhold, under- eller overvurdering af
ejendomme og manglende kontrol af midlernes
oprindelse
(Polismyndigheten 2021: 112-113)�½
Hvidvasksekretariatet vurderer, at nogle af
de metoder, som svensk og norsk politi samt
Europakommissionen fremhæver, også er
mulige i Danmark�½ Den manglende risikobe-
vidsthed samt den lave grad af sammenhæng
mellem hvidvaskforanstaltningerne og praksis
ses også i en dansk kontekst�½
Sårbarheder
Tilgængelighed
Hvidvask via fast ejendom er tilgængeligt, fordi
metoden i de fleste tilfælde ikke kræver særlig
viden eller teknisk ekspertise�½ I simple tilfælde
erhverves en ejendom, der trænger til moder-
nisering�½ Renoveringen af boligen foretages for
ulovligt udbytte, og når boligen sælges, frem-
står gevinsten som legal ejendomsavance�½ I
de tilfælde, hvor det kræver en særlig viden, fx
i forbindelse med køb af erhvervsejendomme,
kan de kriminelle aktører tilkøbe de nødvendige
ydelser hos professionelle rådgivere�½
Volumen/transaktionsstørrelse
Ejendomsmarkedet er kendetegnet ved store
enkeltstående transaktioner, der gør det muligt
at placere mange penge i ét aktiv�½
Branchen er også kendetegnet ved, at ejen-
domsmæglere deltager i samarbejde med andre
faggrupper ved ejendomshandler, hvor risikoen
for hvidvask er høj, fx banker�½ Når ansvaret for
at efterleve hvidvaskforpligtelserne gælder
både bank, ejendomsmægler og eventuelt
andre brancher, er der risiko for, at opgaven
falder mellem to stole, fordi brancherne tror,
at de andre brancher efterlever hvidvaskfor-
pligtelserne
(Europa-Kommissionen 2022:
183)�½
Ejendomsmæglernes kortvarige relation
til kunden kan samtidig gøre det vanskeligt for
ejendomsmæglerne at vurdere, hvornår der
er tale om mistænkelig aktivitet
(FATF 2022b:
14)�½
På den anden side er relationen til kun-
derne ofte også personlig og detaljeret, fordi
ejendomsmæglere besøger sælgers hjem og
kan få indblik i personlige forhold, som kan
være relevante i en hvidvasksammenhæng�½
Ejendomsmæglere har derved mulighed for at
opdage mistænkelige forhold, som banken ikke
umiddelbart kan få indblik i�½
I forbindelse med boligkøb skal køberen have
fem procent af boligens pris til udbetaling�½
Udbetalingen bliver deponeret hos sælgerens
ejendomsmægler og indbetales som hovedregel
på ejendomsmæglerens konto�½ Ved et boligkøb
på fx 3,5 millioner kroner skal køberen således
deponere 175�½000 kroner hos ejendomsmæg-
leren�½ Ejendomsmægleren må højst modtage
200�½000 kroner samlet, jf�½ formidlingsbekendt-
gørelsens § 24�½ Er udbetalingen højere, skal
pengene indsættes på en særskilt konto oprettet
i sælgerens navn i et pengeinstitut�½
Hvidvasksekretariatet er bekendt med eksem-
pler på ejendomsmæglere, som har en konto til
drift af virksomheden, hvor udbetalinger også
indsættes, hvilket kan gøre det vanskeligt at
holde styr på, hvor pengene stammer fra, og
eventuelt om pengene i tilfælde af tilbageførsel
bliver ført tilbage til en anden konto end den
oprindelige�½
Potentialet for grænseoverskridende
transaktioner
Penge fra udlandet til køb af ejendomme i
Danmark udgør en risiko, fordi det kan være van-
skeligere at identificere reelle ejere i udlandet
og dermed også vanskeligere at vurdere midler-
nes oprindelse�½ Se også kapitel 4
Sårbarheder
i den danske hvidvaskindsats,
i afsnittet om
Udfordringer med at identificere reelle ejere i
Danmark og i udlandet.
RISICI FOR HVIDVASK I UDVALGTE BRANCHER
REU, Alm.del - 2023-24 - Endeligt svar på spørgsmål 1456: Spm. om hvor mange overførsler, der indføres udeklarerede til Danmark, herunder om der findes skøn herfor
2938919_0211.png
DEN NATIONALE RISIKOVURDERING AF HVIDVASK
211
I forbindelse med investering i erhvervsejen-
domme har Hvidvasksekretariatet fået oplyst,
at op mod halvdelen er udenlandske investorer,
som oftest er repræsenteret af en advokat�½ På
erhvervsmarkedet kan det derfor være vanskeli-
gere at vurdere midlernes oprindelse fra udlan-
det og kontrollere de reelle ejere sammenlignet
med ejendomshandler blandt private i Danmark,
hvor det er nemmere at kontrollere identiteten
på køber og sælger�½
Omkostninger
Køb og salg af ejendomme involverer omkost-
ninger i form af salær til ejendomsmægleren,
tinglysningsafgift til staten, renter samt andre
udgifter til eventuel etablering af lån�½ Det er
Hvidvasksekretariatets vurdering, at disse
omkostninger er høje, hvilket umiddelbart kan
gøre det mindre attraktivt at hvidvaske via
ejendomsbranchen�½ Til gengæld kan der være
tale om placering af mange penge, der samlet
set gør, at prisen per hvidvasket million mind-
skes�½ På den anden side vil ejendomme typisk
stige i værdi over en årrække, hvilket kan redu-
cere omkostningerne eller endda medføre en
netto-gevinst�½
I forhold til placering af midler betyder omkost-
ningerne formentlig mindre, da ejendomme
ikke blot er til sløring, men til brug, herunder
muligvis til brug for kriminelle aktiviteter, fx
fabrikker, gårde eller klublokaler eller som legal
udlejningsejendom�½ Risikoen for tab ved hvid-
vask via ejendomsmarkedet er sandsynligvis
lille på den lange bane, men der kan være
omkostninger forbundet med tab af ejendom-
mens værdi på kortere sigt�½
Anonymitet
Ved køb af ejendomme i Danmark registreres
ejerskabet på skødet, som fremgår af det offent-
ligt tilgængelige tinglysningsregister�½ Det frem-
går derfor, hvem der står som ejer af boligen på
skødet, men det er muligt at sløre sin identitet
ved at lade en anden person fremgå på skødet�½
Det er også muligt at købe ejendom via et sel-
skab med henblik på at sløre den reelle ejers
identitet
(Europa-Kommissionen 2022: 180)�½
Ved handel med ejendomme, som ejes eller
købes af foreninger, aktieselskaber eller andre
virksomhedsformer, kan det ligeledes være
en udfordring at verificere den/de reelle ejere�½
Idet det ofte vil være den daglige ledelse, der
registreres som de reelle ejere, er der i visse
tilfælde mulighed for at sløre de reelle ejeres
identitet�½ Det kan derfor være vanskeligt præ-
cist at klarlægge den bagvedliggende ejer- og
kontrolstruktur�½
En ofte hård konkurrence mellem ejendoms-
mæglerne og den ofte meget korte tid, der går
fra køber har afgivet bud, til der foreligger en
egentlig handel, kan bevirke, at mæglerne ikke
får gennemført tilstrækkelige kundekendskabs-
procedurer, inden de får gennemført et boligsalg�½
Europakommissionen beskriver, at størrelsen
på ejendomsmæglervirksomheder har en
betydning for risikobevidstheden, hvor større
virksomheder i højere grad er bevidste om deres
forpligtelser i forhold til hvidvask end mindre
virksomheder, fordi de mindre virksomheder
ikke er samlet i en større organisatorisk ramme,
der sørger for vejledning og undervisning i hvid-
vasklovgivningen�½ Risikobevidstheden påvirkes
også af, om ejendomsmæglerne har en for-
ventning om, at andre brancher gennemfører
kundekendskabskrav, fx bankerne
(Europa-
Kommissionen 2022: 182-183)�½
Disse forhold
kan også være relevante i en dansk kontekst,
men det er Hvidvasksekretariatets vurdering,
at der ikke i samme grad er disse forskelle i
Danmark�½ Dette skyldes blandt andet, at danske
ejendomsmæglere generelt har et højt uddan-
nelsesniveau, og at Erhvervsstyrelsens hvid-
vasktilsyn finder samme niveau af mangler hos
både ejendomsmæglerkæder som hos selv-
stændige ejendomsmæglere�½
Det skal bemærkes, at der er en stigende ten-
dens til, at ejendomsmæglere udbyder virtuelle
tjenester, som betyder, at mæglerne ikke møder
kunderne fysisk�½ Hvis branchen alene indstil-
ler sig på skriftlig dokumentation i deres kun-
dekendskabsprocedurer, har kriminelle aktører i
ind- og udland bedre muligheder for at anvende
forfalskede dokumenter�½ Det øger risikoen for, at
ejendomsmæglere bliver misbrugt til hvidvask�½
Hvidvasksekretariatet vurderer, at risikoen for, at ejendoms­
mæglere og ejendomsmæglervirksomheder misbruges til
hvidvask, er
moderat.
RISICI FOR HVIDVASK I UDVALGTE BRANCHER
REU, Alm.del - 2023-24 - Endeligt svar på spørgsmål 1456: Spm. om hvor mange overførsler, der indføres udeklarerede til Danmark, herunder om der findes skøn herfor
2938919_0212.png
212
DEN NATIONALE RISIKOVURDERING AF HVIDVASK
6.11
UDBYDERE AF
TJENESTEYDELSER
TIL VIRKSOMHEDER
Udbydere af tjenesteydelser til virksomheder
er omfattet af hvidvasklovens § 1, stk�½ 1, nr�½ 17�½
Disse såkaldte service providers opretter sel-
skaber, fungerer som ledelsesmedlem, stiller
c/o-adresse til rådighed, udbyder virtuelle kon-
torhoteller og fungerer som fondsforvalter eller
som nominee�½
Ved at kombinere to eller flere af de ydelser,
som service providers tilbyder, kan denne bran-
che benyttes til at sløre ejerskab, tilhørsforhold,
adresse med videre�½ Det kan fx være en udby-
der, der stiller en postadresse til rådighed og
derudover tilbyder telefonpasningsydelser, vide-
resendelse af post og lignende for kunder, der
ikke er fysisk til stede på adressen�½
Kriminelle aktører kan udnytte service providers
til at oprette, huse og drive virksomheder, der
benyttes til at afsende og modtage udbytte fra
strafbare forhold�½ Det kan især være fordelagtigt
at benytte service providers for udenlandske
virksomheder og/eller små, legale virksomheder
i Danmark som forsøg på at undgå myndighe-
dernes søgelys�½
RISIKO
HOVEDFUND
Hvidvasksekretariatet vurderer, at risikoen
for hvidvask via service providers er
høj.
I vurderingen lægger Hvidvasksekretariatet
blandt andet vægt på, at tjenesterne hver især
har en betydelig risiko, mens de i kombination
har en høj risiko�½
RISICI FOR HVIDVASK I UDVALGTE BRANCHER
Boks 52
Fakta om branchen
Service providers omfatter, jf�½ hvidvasklovens § 2, stk�½ 1, nr�½ 12, virksomheder, der:
— opretter selskaber, virksomheder eller andre juridiske personer.
— fungerer som eller sørger for, at en anden person fungerer som ledelsesmedlem i en
virksomhed.
— eller som deltager i et interessentskab eller en tilsvarende post i andre virksomheder.
— stiller hjemstedsadresse eller anden adresse, der på lignende vis er beregnet som kon­
taktadresse og dertil knyttede tjenester, til rådighed for en virksomhed.
— fungerer som eller sørger for, at en anden fungerer som forvalter eller administrator af en
fond, trust eller et lignende juridisk arrangement.
— fungerer som eller sørger for, at en anden fungerer som nominee for tredjemand, med­
mindre det drejer sig om en virksomhed, hvis ejerandele med videre handles på et
reguleret marked eller et tilsvarende marked, som er undergivet oplysningspligt i overens­
stemmelse med EU­retten eller tilsvarende internationale standarder.
Service providers skal registreres i Erhvervsstyrelsens register til bekæmpelse af hvid-
vask for lovligt at kunne udbyde ydelserne�½
Erhvervsstyrelsen har oplyst, at der er i 2021 var cirka 1�½000 service providers�½
Per juli 2022 var 40 service providers tilmeldt GoAML�½
REU, Alm.del - 2023-24 - Endeligt svar på spørgsmål 1456: Spm. om hvor mange overførsler, der indføres udeklarerede til Danmark, herunder om der findes skøn herfor
2938919_0213.png
DEN NATIONALE RISIKOVURDERING AF HVIDVASK
213
Tabel 22
Antal underretninger hvidvask via service providers
 
Fra branchen
Om branchen
2018
7
8
2019
2
17
2020
1
21
2021
15
41
I alt
25
87
Kilde:
Hvidvasksekretariatet 2022�½
Note:
Underretninger om branchen er fremsøgt ved at søge på udvalgte ord i Hvidvasksekretariatets database�½ Underretninger, der ikke indeholder disse ord,
indgår således ikke i opgørelsen, og antallet siger ikke noget entydigt om omfanget af hvidvask, men om hvor ofte søgeordene nævnes i underretningerne�½
UNDERRETNINGER OM HVIDVASK
Hvidvasksekretariatet modtager sjældent under-
retninger fra service providers�½ Som det frem-
går af tabellen ovenfor, har branchen sendt 25
underretninger i perioden 2018-2021�½ I samme
periode har Hvidvasksekretariatet modtaget 87
underretninger om hvidvask via service provi-
ders fra andre underretningspligtige�½
Underretninger fra service providers
I underretningerne fra service providers er der
eksempler på atypisk adfærd blandt tjeneste-
udbydernes kunder�½ Eksempelvis virksomhe-
der, der handler for beløb, der ikke harmonerer
med den forventede omsætning eller det
seneste regnskab�½ Der er også eksempler på,
at kunderne ikke kan dokumentere beløbe-
nes oprindelse, og virksomhedsejere, der er
tilknyttet andre virksomheder, som er under
konkursbehandling�½
Underretninger hvori service
providers indgår
Underretninger om hvidvask fra andre under-
retningspligtige om hvidvask via service pro-
videre kommer primært fra bankerne�½ Der er
både underretninger om service providere og
om service providernes kunder�½ Om kunderne
er der eksempler på uoverensstemmende
og mistænkelige virksomhedsforhold�½ Det er
eksempelvis kunder, som ofte skifter adresse
eller har adresse på et virtuelt kontorhotel,
som også huser tidligere dømte virksomheder�½
Ligeledes er der virksomheder, der i praksis
beskæftiger sig med noget andet end deres
angivne branche�½
Derudover er der eksempler på mistanke om
skatteunddragelse, herunder sort aflønning af
medarbejdere�½
RISIKOVURDERING
Trusler
Det er vanskeligt at vurdere omfanget af hvid-
vask via service providers�½ Ifølge Erhvervs-
styrelsen er der flere eksempler på, at kunderne
og service provideren udfører kriminelle handlin-
ger, der søges sløret via ydelserne, som service
provideren stiller til rådighed�½ Der kan være
legale årsager til at benytte en service provider,
men deres ydelser er oplagte til at sløre ejer-
skab, adresser med mere�½
Service providers er sårbare overfor at blive
udnyttet af kriminelle aktører
(FATF & Egmont
2018b: 6)�½
Europa-Kommissionen angiver, at
mange dækselskaber gør brug af service provi-
ders�½ De har ofte ikke en fysisk tilstedeværelse
samt bruger c/o-adresser og nominee-direk-
tører, hvis egentlige funktion i dækselskabet er
begrænset
(Europa-Kommissionen 2022: 145)�½
Service providers kan bruges som led i et hvid-
vasksetup til at gøre virksomhedsstrukturer
mere ugennemsigtige, sløre reelle ejerforhold
eller ledelsesforhold og skjule en virksomheds
fysiske tilstedeværelse�½ Truslen er højere jo flere
af disse ydelser, en virksomhed anvender, idet
hver enkelt ydelse medvirker til sløring af den
reelle aktivitet og de reelt involverede personer�½
En virksomhed, der både benytter en professio-
nel ejer, en professionel direktør og har adresse
på et virtuelt kontorhotel, er selvsagt vanskeli-
gere for myndigheder at opdage�½
RISICI FOR HVIDVASK I UDVALGTE BRANCHER
REU, Alm.del - 2023-24 - Endeligt svar på spørgsmål 1456: Spm. om hvor mange overførsler, der indføres udeklarerede til Danmark, herunder om der findes skøn herfor
2938919_0214.png
214
DEN NATIONALE RISIKOVURDERING AF HVIDVASK
Sårbarheder
Tilgængelighed
Det kræver ingen særlig planlægning eller viden
at kontakte service providers, og de fleste ser-
vice providers har onlinekontakt med deres
kunder�½ Der behøver ikke at være fysisk kontakt
mellem den kriminelle aktør og service provide-
ren, og når først kontakten er etableret, kan ser-
vice provideren igangsætte de aftalte aktiviteter�½
For danske erhvervsdrivende er det let at
oprette virksomheder via Erhvervsstyrelsens
hjemmeside, hvilket umiddelbart gør det mindre
attraktivt for danske erhvervsdrivende at betale
for virksomhedsoprettelse via service providers�½
For aktører, som ikke ønsker eller har kompe-
tencerne til virksomhedsoprettelse, vil det være
attraktivt at benytte service providers til dette
formål�½ Det kan også være attraktivt at bruge
en virksomhedsopretter, hvis man ikke selv
ønsker at stå opført som anmelder af virksom-
heden�½ Det kan også være attraktivt for uden-
landske virksomheder at gøre brug af en dansk
service provider til at oprette virksomheder i
Danmark, da en udenlandsk virksomhed kan
have begrænset indsigt i de danske regler for
virksomhedsoprettelse�½ Større virksomheder vil
dog ofte bede deres advokat eller revisor om at
oprette en ny virksomhed fremfor at bruge en
selvstændig virksomhedsopretter�½
Volumen/transaktionsstørrelse
Service providers udbyder services, der kan
anvendes som led i en hvidvaskproces�½ Det
er ikke tjenester, der i sig selv kan kanaliseres
penge igennem, men kan være en tjeneste-
ydelse, der gør sløring muligt�½
Potentialet for grænseoverskridende
transaktioner
Service providers kan hjælpe udlændinge med
at oprette selskaber i Danmark, ligesom dan-
skere kan få assistance af udenlandske service
providers til at oprette selskaber i udlandet�½ Det
udgør en sårbarhed, hvis det reelle ejerskab og
ledelsen sløres på tværs af landegrænser�½
Omkostninger
Hvidvasksekretariatet vurderer, at det formentlig
er mindre omkostningstungt at benytte sig af
service provider-ydelser sammenlignet med
tilsvarende ydelser udbudt af mere traditionelle
rådgivere og erhvervsdrivende som fx revisorer,
bogholdere og advokater�½
Anonymitet
Service providers har ofte alene begrænset
kundekontakt, og ved eksempelvis virk-
somhedsoprettelser er der kun et kortvarigt
kendskab til kunden�½
I forhold til kundekendskabsprocedurer kan
det være vanskeligt for service provideren at
klarlægge kundens reelle formål og tilsigtede
beskaffenhed�½ Service providers, som tilbyder
ydelser som adresseservice og virtuelt kontor-
hotel, har ikke nødvendigvis et indgående kend-
skab til kunden og dennes forretning�½ Dette gør
dem sårbare i forhold til at blive udnyttet som
led i en hvidvaskproces�½ Ligeledes kan service
providers, der tilbyder ydelser som professi-
onelle ledelses- og bestyrelsesmedlemmer,
risikere at blive udnyttet som stråmænd�½ Dette
gør det sværere for myndighederne at opdage
forsøg på hvidvask�½ Ikke-registrerede service
providers er selvsagt sværere for myndighe-
derne at identificere, hvilket dermed gør dem
mere egnede til hvidvask�½ De ikke-registrerede
service providers vil potentielt heller ikke i
samme omfang være lige så opmærksomme på
kundernes aktiviteter og kundekendskabsproce-
durer som de registrerede service providers�½
Onboarding via fjernkommunikation øger sår-
barhederne, fordi kriminelle aktører kan gøre
brug af falske dokumenter�½ Det samme gælder i
forhold til identifikation af reelle ejere i Danmark
og særligt i udlandet, hvor identifikation af reelle
ejere kan være vanskeligere�½ Sårbarhederne
øges, når kunderne er fra udlandet, fordi det kan
være vanskeligere at verificere identiteten på
de udenlandske personer eller virksomheder,
som udgør de reelle ejere�½ De sårbarheder, der
knytter sig til brug af onlineservices og skriftlig
dokumentation som erstatning for ansigt-til-
ansigt kommunikation, gælder ifølge FATF alle
brancher
(FATF 2018b: 82)�½
RISICI FOR HVIDVASK I UDVALGTE BRANCHER
Hvidvasksekretariatet vurderer, at risikoen for hvidvask via
service providers er
høj.
REU, Alm.del - 2023-24 - Endeligt svar på spørgsmål 1456: Spm. om hvor mange overførsler, der indføres udeklarerede til Danmark, herunder om der findes skøn herfor
2938919_0215.png
DEN NATIONALE RISIKOVURDERING AF HVIDVASK
215
VALUTAVEKSLINGS-
VIRKSOMHED
Valutavekslingsvirksomheder er underlagt hvid-
vasklovens § 1, stk�½ 1, nr�½ 18�½ En valutavekslings-
virksomhed er en virksomhed, der erhvervsmæs-
sigt veksler valuta enten udelukkende eller som
en del af en anden erhvervsvirksomhed�½
6.12
UNDERRETNINGER OM HVIDVASK
Hvidvasksekretariatet har modtaget 2�½723
underretninger fra valutavekslingsvirksomhe-
der�½ Tallene dækker over underretninger fra alle
virksomheder, der har oprettet sig som valuta-
veksler i GoAML, det vil sige fra flere end de 17,
der ifølge Finanstilsynets virksomhedsregister
er valutavekslere�½ Antallet af underretninger
er relativt højt sammenlignet med flere andre
brancher, men det er vanskeligt at konkludere
noget håndfast herom, da tallet dækker over
underretninger fra flere virksomheder, end der
er valutavekslingsvirksomheder�½ Da valutaveks-
lingsvirksomhed er en højrisikobranche, er det
forventeligt med et stort antal underretninger�½
Europa-Kommissionen vurderer, at mange trans-
aktioner i valutavekslingsvirksomheder er enkelt-
stående transaktioner under grænsen for, hvor-
når der skal udføres kundekendskabsprocedurer
(Europa-Kommissionen 2022: 62)�½
Hvis større
beløb splittes op i mindre beløb (smurfing), og
kriminelle aktører bruger stråmænd eller flere
valutavekslingsvirksomheder, er det vanskeligt
for valutavekslingsvirksomheden at identificere
mistænkelige transaktioner�½
RISIKO
HOVEDFUND
Hvidvasksekretariatet vurderer,
at risikoen for hvidvask via valuta­
vekslingsvirksomheder er
høj.
I vurderingen lægger Hvidvasksekretariatet
blandt andet vægt på, at valutavekslings-
virksomheder er attraktive for kriminelle
aktører med kontant udbytte fra kriminalitet�½
Valutavekslingsbranchens lette tilgængelighed
og kontantbaserede karakter begrænser spor-
barheden af midlerne og udgør en sårbarhed
over for hvidvask�½ I Danmark er der eksempler
på, at kriminelle aktører anvender valutaveks-
lingsvirksomheder til hvidvask af udbytte fra
blandt andet narkotikakriminalitet og grov
skatte- og momskriminalitet�½
Boks 53
Fakta om branchen
Der er 17 valutavekslingsvirksomheder i Danmark�½
Valutavekslingsvirksomheder i Danmark tilbyder ofte både valutaveksling og
pengeoverførsler�½
Per juli i 2022 var 44 valutavekslingsvirksomheder tilmeldt GoAML�½ Når der er registre-
ret flere valutavekslere i GoAML, end der er valutavekslingsvirksomheder, skyldes det, at
andre underretningspligtige har oprettet sig som valutaveksler i GoAML til trods for, at de
udbyder en anden service�½
RISICI FOR HVIDVASK I UDVALGTE BRANCHER
REU, Alm.del - 2023-24 - Endeligt svar på spørgsmål 1456: Spm. om hvor mange overførsler, der indføres udeklarerede til Danmark, herunder om der findes skøn herfor
2938919_0216.png
216
DEN NATIONALE RISIKOVURDERING AF HVIDVASK
Tabel 23
Antal underretninger hvidvask via valutaveksling
 
Fra branchen
Om branchen
2018
592
1�½104
2019
1�½153
1�½469
2020
627
1�½249
2021
351
1�½084
I alt
2.723
4.906
Kilde:
Hvidvasksekretariatet 2022�½
Note:
Underretninger om branchen er fremsøgt ved at søge på udvalgte ord i Hvidvasksekretariatets database�½ Underretninger, der ikke indeholder disse ord,
indgår således ikke i opgørelsen, og antallet siger ikke noget entydigt om omfanget af hvidvask, men om hvor ofte søgeordene nævnes i underretningerne�½
Underretninger fra valuta­
vekslingsvirksomheder
Underretninger fra valutavekslingsvirksom-
heder viser, at mistanken ofte handler om, at
kunder ønsker at veksle eller overføre store
beløb, som ikke stemmer overens med den
pågældendes erhverv samt tilhørende indtægt,
og at kundens oplyste formål med vekslingen
ikke harmonerer med det vekslede (eller over-
førte) beløb�½ Der er også eksempler på kunder,
der ikke kan eller vil oplyse, hvor midlerne
stammer fra�½ Endvidere er der eksempler på
mistanke om smurfing�½ Der er desuden en ten-
dens til, at kunderne forklarer midlernes ophav
med, at de stammer fra opsparing eller gaver,
og at pengene er tilbagebetaling af lån�½
Underretninger hvori valutaveksling indgår
Underretningerne om hvidvask via valutaveks-
lingsvirksomheder kommer primært fra banker,
landbaserede kasinoer og Skattestyrelsen�½
Der er både underretninger om valutaveks-
lingsvirksomheder og om deres kunder�½ I de
underretninger, der handler om kunderne, kan
mistanken eksempelvis handle om, at midler-
nes ophav ikke kan dokumenteres, eller vekslin-
gerne findes mistænkelige, da der hos kunden
ikke foreligger kontanthævninger, som tids- og
beløbsmæssigt er i sammenhæng med valuta-
vekslingen, og det kan derfor ikke dokumente-
res, hvor de vekslede penge stammer fra�½
De underretninger, der vedrører valutaveks-
lingsvirksomheder, handler om mistanker om
ansatte eller ejere, som forsøger at hvidvaske
ulovlige midler gennem det vekselkontor, de er
tilknyttet�½ Der er også eksempler på underret-
ninger om personer eller virksomheder, som
tilbyder valutaveksling uden den fornødne til-
ladelse til at drive valutavekslingsvirksomhed�½
Det udgør en selvstændig og høj hvidvaskrisiko�½
RISIKOVURDERING
Trusler
Hvidvasksekretariatet er ikke bekendt med
opgørelser over transaktionsvolumenen, trans-
aktionsstørrelser eller antal kunder i de danske
valutavekslingsvirksomheder�½ Fra Toldstyrelsen
ved vi, at valutavekslingsvirksomheder udførte
knap 1,85 milliarder kroner i perioden 2018-
2021 og indførte godt 2 milliarder kroner i
samme periode�½ I 2021 transporterede valuta-
vekselsvirksomhederne flest penge, da knap 1
milliard kroner blev indført og knap 600 millio-
ner kroner udført
(Toldstyrelsen 2022, særtræk)�½
Dette dækker dog kun over deklarerede beløb
fra virksomhederne selv�½
Det er vanskeligt at estimere omfanget af
mistænkelige transaktioner, men Hvidvask-
sekretariatet vurderer, at omfanget af hvidvask
via valutavekslingsvirksomheder er stort, da
både flere sager, oplysninger og efterretninger
peger på, at kriminelle aktører og organisationer
i Danmark bruger valutaveksling til at hvidva-
ske�½ Europa-Kommissionen vurderer, at det
også gælder organiserede hvidvasknetværk i
Europa�½ Valutavirksomheder er kontantbase-
rede og tiltrækker kriminelle aktører, fordi store
beløb nemt kan blive vekslet til anden valuta
med henblik på hvidvask eller finansiering af
ny kriminalitet, eventuelt i udlandet
(Europa-
Kommissionen 2022: 61)�½
Kriminelle aktører og organiserede kriminelle
grupper fra udlandet, fx fra Sverige kan anvende
danske valutavekslere til at veksle fra svenske
kroner til fx euro, inden de transporterer dem til
udlandet, enten ved smugling eller ved at dekla-
rere midlerne�½
RISICI FOR HVIDVASK I UDVALGTE BRANCHER
REU, Alm.del - 2023-24 - Endeligt svar på spørgsmål 1456: Spm. om hvor mange overførsler, der indføres udeklarerede til Danmark, herunder om der findes skøn herfor
2938919_0217.png
DEN NATIONALE RISIKOVURDERING AF HVIDVASK
217
Europa-Kommissionen vurderer, at truslen for
hvidvask via valutavekslingsvirksomheder er
betydelig (niveau 3/4), og at den største trussel
udgøres af kriminelle aktører, der infiltrerer virk-
somhederne
(Europa-Kommissionen 2022: 61)�½
Finanstilsynet vurderer, at valutavekslingsvirk-
somheders iboende risiko for at blive brugt til
hvidvask eller finansiering af terrorisme er høj�½
Det fremgår af inspektionsredegørelser på tilsy-
nets hjemmeside�½ Hvis valutavekslingsvirksom-
heder undlader at ansøge om tilladelse til udbud
af valutavekslingsvirksomhed hos Finanstilsynet,
opererer de uden tilsyn�½ Risikoen for hvidvask via
disse er alt andet lige højere i forhold til valuta-
vekslingsvirksomheder med tilladelse�½
Sårbarheder
Tilgængelighed
Det er nemt tilgængeligt at hvidvaske penge
via en valutavekslingsvirksomhed, da det ikke
kræver nogen særlig viden, planlægning eller
ekspertise�½ De fleste valutavekslingsvirksom-
heder er centralt placeret i de store byer og
lufthavne
(Europa-Kommissionen 2022: 61),
og det gælder også i Danmark�½
Volumen/transaktionsstørrelse
Ved valutaveksling skal kundekendskabspro-
cedurerne gennemføres, når transaktionen er
500 euro eller derover�½ Der eksisterer umid-
delbart ikke nogen beløbsgrænse, udover
at det ønskede beløb skal være tilgængeligt
i valutavekslingsvirksomheden�½ Europa-
Kommissionen nævner, at kriminelle aktører let
kan veksle store beløb hos en valutavekslings-
virksomhed
(Europa-Kommissionen 2022: 61)�½
Hvidvasksekretariatet deler denne vurdering�½
Potentiale for grænseoverskridende
transaktioner
Hvis det ulovlige udbytte er i kontanter, er valu-
tavekslingsvirksomheder nyttige til at veksle
til sedler med højt pålydende værdi, som er
nemmere at transportere over landegrænser�½ I
Danmark udbyder valutavekslingsvirksomhe-
derne ofte også pengeoverførselsvirksomhed�½
Dette øger mulighederne for at føre penge på
tværs af grænser, hvilket øger branchens sår-
barhed over for hvidvask�½
Som det fremgår ovenfor, transporterer valuta-
vekslingsvirksomhederne også selv store kon-
tantbeløb ud og ind af Danmark�½
Omkostninger
Valutaveksling koster typisk ikke andet end et
vekselgebyr eller lignende�½ I de tilfælde, hvor
en valutavekslingsvirksomhed tager aktivt
del i hvidvaskprocessen, vil der ofte være en
form for kommission eller gebyr til valutaveks-
lingsvirksomheden for bevidst at bistå med
hvidvaskaktiviteterne�½
Anonymitet
Hvidvasksekretariatet vurderer, at opdagelses-
risikoen er moderat ved forsøg på hvidvask via
valutavekslingsvirksomheder, hvilket blandt
andet skyldes, at det på trods af hvidvasklo-
vens forpligtelser er relativt nemt at forblive
anonym�½ For at veksle valuta skal kunden møde
op fysisk i valutavekslingsvirksomheden, hvilket
mindsker muligheden for at forblive anonym,
men veksler kunden for under 500 euro, skal
valutavekslingsvirksomheden ikke foretage
kundekendskabsprocedurer, jf�½ hvidvasklovens
§ 10, stk�½ 1, nr�½ 2, litra c�½ Det er også muligt for
kriminelle aktører at bruge muldyr til at veksle
valuta, hvorved de kriminelle aktører har lettere
ved at forblive anonyme�½
Hvidvasksekretariatet vurderer, at risikoen for hvidvask via
valutavekslingsvirksomheder er
høj.
RISICI FOR HVIDVASK I UDVALGTE BRANCHER
REU, Alm.del - 2023-24 - Endeligt svar på spørgsmål 1456: Spm. om hvor mange overførsler, der indføres udeklarerede til Danmark, herunder om der findes skøn herfor
2938919_0218.png
218
DEN NATIONALE RISIKOVURDERING AF HVIDVASK
6.13
SPILUDBYDERE
En spiludbyder er en juridisk eller fysisk person,
der udbyder spil, hvor der betales en indsats
for at deltage, og hvor der er chance for at vinde
en gevinst�½ Spiludbydere med tilladelse fra
Spillemyndigheden og spiludbydere etableret i
Danmark, som udbyder spil i et andet EU- eller
EØS-land, er omfattet af hvidvasklovens § 1, stk�½
1, nr�½ 19�½
Hvidvasksekretariatet behandler spilmarkedet i
tre kategorier:
Landbaserede væddemål
Landbaserede kasinoer
Onlinespil�½
RISIKO
HOVEDFUND
Hvidvasksekretariatet vurderer, at
risikoen for, at landbaserede væddemål og
onlinespil misbruges til hvidvask, er høj.
Hvidvasksekretariatet vurderer samtidig,
at risikoen for, at landbaserede kasinoer
misbruges til hvidvask, er moderat.
Samlet set vurderes hvidvaskrisikoen
for spiludbydere at være
betydelig.
I vurderingen lægger Hvidvasksekretariatet
blandt andet vægt på, at kriminelle aktører kan
udnytte, at en del af spilsektoren er kontantba-
seret, at omsætningen er stor, og at volumen af
transaktioner er høj�½ Brugen af forskellige spil-
produkter gør det muligt for kriminelle aktører at
placere ulovlige midler i det finansielle system
og derved at sløre midlerne ved at få dem til at
fremstå som legale gevinster fra spil�½
Landbaserede væddemål
omfatter væddemål,
som indgås i kiosker, supermarkeder, spille-
haller og lignende�½ Når der indgås væddemål i
fysiske butikker, er forhandleren ikke ansvarlig
efter hvidvaskloven�½ Det er spiludbyderen, der
er underretningspligtig og ansvarlig, hvis for-
handleren ikke opfylder de forpligtelser, som er
outsourcet til forhandleren, herunder fx at udføre
kundekendskabsprocedurer�½
Landbaserede kasinoer
er et fysisk sted med
tilladelse til blandt andet at udbyde spil som
roulette, poker, black jack og spil på gevinstgi-
vende spilleautomater�½
Onlinespil
omfatter fx spil på gevinstgivende
spilleautomater, væddemål, poker, roulette eller
black jack, som kan tilgås af en spiller via mobil-
telefon, tablet eller pc�½
RISICI FOR HVIDVASK I UDVALGTE BRANCHER
Boks 54
Fakta om branchen
I 2022 er omkring 50 spiludbydere omfattet af hvidvaskloven, og cirka 300 spiludbydere
er delvist undtaget af hvidvaskloven, men fortsat underretningspligtige, fx opstillere af
gevinstgivende spilleautomater�½
Per juli 2022 er 55 spiludbydere tilmeldt GoAML�½
Blandt de spiludbydere, som er omfattet af hvidvaskloven, er der enkelte spiludbydere,
som udbyder et bredt sortiment af spilprodukter og opererer inden for mere end en
kategori�½
I 2021 havde markedet for onlinespil samlede bruttospilleindtægter for 4,6 milliarder
kroner
1
, mens markedet for landbaserede væddemål og kasinoer havde henholdsvis 605
millioner kroner og 220 millioner kroner i bruttospilleindtægter�½
1�½ Bruttospilleindtægt defineres ved: Indskud (plus eventuel kommission) minus gevinster�½
REU, Alm.del - 2023-24 - Endeligt svar på spørgsmål 1456: Spm. om hvor mange overførsler, der indføres udeklarerede til Danmark, herunder om der findes skøn herfor
2938919_0219.png
DEN NATIONALE RISIKOVURDERING AF HVIDVASK
219
UNDERRETNINGER OM HVIDVASK
Spiludbydere har i perioden 2018-2021 sendt
32�½203 underretninger til Hvidvasksekretariatet�½
Hertil har Hvidvasksekretariatet modtaget
16�½263 underretninger om mulig hvidvask
gennem spil fra andre underretningspligtige�½
Underretninger fra spiludbydere
Underretninger fra spilbranchen viser, at spillere
sætter flere odds på samme udfald, og i visse
tilfælde er købene fordelt ud på forskellige plat-
forme og forhandlere�½ Underretningerne viser,
at der er spillere, der spiller for høje beløb, og
spillere, der spiller på høje odds�½ Mange spillere
har flere betalingskort tilknyttet deres spilkonto,
mens andre spillere indsætter og hæver store
beløb på deres spilkonto uden væsentlig spi-
laktivitet�½ På de landbaserede væddemål spiller
nogle spillere konsekvent på lave odds�½
Nogle underretninger omhandler også mistanke
om hvidvask gennem spilforhandleren, idet
spiludbydere har set mistænkelige transaktioner
og adfærd fx en stigning i omsætningen efter
ejerskifte�½
Underretningerne fra de landbaserede kasinoer
omhandler primært spillere, der veksler penge
ind og ud af kasinoet uden væsentlig spilaktivi-
tet, samt spillere, der indbetaler høje kontantbe-
løb på kasinoet og veksler små sedler til jetoner�½
Underretninger om brug af spil til hvidvask
Underretninger om mulig hvidvask gennem spil
fra andre underretningspligtige kommer primært
fra bankerne�½ En stor del af underretningerne
omhandler kunder, der indsætter mange kontan-
ter, modtager mange overførsler fra tredjepart
og har et stort spilforbrug med mistanke om, at
kunden spiller for andre�½
Der er også flere underretninger, der omhand-
ler store kontantindsættelser, hvor kunderne
forklarer, at kontanterne stammer fra gevinst
på kasino�½ I nogle tilfælde overfører kunderne
midler fra spilgevinst videre til andre, så snart
pengene er indsat på deres bankkonto�½ Der er
også kunder, der får indbetalt store spilgevinster
uden at have synlige udgifter til spil�½
RISIKOVURDERING
Trusler
Landbaserede væddemål
Landbaserede væddemål er præget af hurtige
og ofte anonyme transaktioner via kontanter,
og derfor kan forhandleren have begrænset
mulighed for at opdage hvidvask�½ Risikoen for
hvidvask er naturligvis større, hvis forhandleren
bevidst bistår de kriminelle aktører med hvid-
vask af penge, fx ved at overføre gevinster for
væddemål, som er betalt med ulovlige midler, til
de kriminelle eller deres muldyrs bankkonti�½
Hvidvasksekretariatet vurderer, at der er
personer i forskellige kriminelle miljøer, som
hvidvasker penge gennem landbaserede
væddemål�½ Hvidvasksekretariatet vurderer, at
omfanget er højt�½
Europa-Kommissionen vurderer, at truslen på
dette område er betydelig (niveau 3/4)
(Europa-
Kommissionen 2019a: 196)�½
I andre skandina-
viske lande er der eksempler på, at kriminelle
aktører bliver forhandlere af spil med det formål
at hvidvaske penge fra kriminelle aktiviteter�½
Dette kan være svært at opdage, da ejerstruktu-
ren ofte er kompleks, og pengene kanaliseres fra
spilforhandleren til en anden virksomhed inden
for en anden branche eller placeres i udlandet
(Politiet/PST 2020: 50; Polismyndigheten 2021:
159)�½
Hvidvasksekretariatet er i besiddelse af
oplysninger om kiosker, der efter ejerskifte har
fået en usædvanlig stigning i omsætning via
spilaktivitet�½
Tabel 24
Antal underretninger om hvidvask via spil
 
Fra branchen
Om branchen
2018
6�½716
1�½454
2019
8�½535
3�½098
2020
7�½697
5�½105
2021
9�½255
6�½606
I alt
32.203
16.263
Kilde:
Hvidvasksekretariatet 2022�½
Note:
Underretninger om branchen er fremsøgt ved at søge på udvalgte ord i Hvidvasksekretariatets database�½ Underretninger, der ikke indeholder disse ord,
indgår således ikke i opgørelsen, og antallet siger ikke noget entydigt om omfanget af hvidvask, men om hvor ofte søgeordene nævnes i underretningerne�½
RISICI FOR HVIDVASK I UDVALGTE BRANCHER
REU, Alm.del - 2023-24 - Endeligt svar på spørgsmål 1456: Spm. om hvor mange overførsler, der indføres udeklarerede til Danmark, herunder om der findes skøn herfor
2938919_0220.png
220
DEN NATIONALE RISIKOVURDERING AF HVIDVASK
Landbaserede kasinoer
Hvidvasksekretariatet er i besiddelse af oplys-
ninger, som indikerer, at kriminelle hvidvasker
gennem kasinoer�½ De landbaserede kasinoer
kan udgøre en risiko for hvidvask, idet der er
et stort kontantflow i branchen�½ Derudover er
det muligt indirekte at veksle valuta gennem
kasinoer, idet der kan købes jetoner for fx euro,
hvortil de efterfølgende spilgevinster kan udbe-
tales i danske kroner�½
Spillemyndigheden har erfaret, at en spiller
efter anmodning kan få en gevinstkvittering fra
de landbaserede kasinoer�½ De landbaserede
kasinoer oplyser, at de udsteder det til spillere
til brug som bevis over for banken�½ På den
måde kan en gevinst, som stammer fra spil
betalt med midler fra kriminalitet, verificeres
over for andre, herunder politiet og banker�½ De
landbaserede kasinoer estimerer, at de laver
ganske få af disse om året, da de er klar over
risikoen forbundet med gevinstkvitteringer�½
Derfor har de også en fast procedure forud
for udstedelsen heraf, blandt andet at de kun
udsteder på anmodning, og at de forud for
udstedelsen gennemgår videoovervågning af
spillet for at sikre, at der er tale om reelt spil
og ikke chipdumping og lignende�½ Derudover
skriver de kun den reelle gevinst på gevinstkvit-
teringen�½ Hvis spilleren er ankommet til kasi-
noet med 10�½000 kroner og forlader kasinoet
med 30�½000 kroner vil beløbet på gevinsten i
gevinstkvitteringen fremgå med 20�½000 kroner�½
Hvidvasksekretariatet vurderer, at truslen ved
kasinoer er moderat�½ Det flugter med Europa-
Kommissionens vurdering (niveau 2/4)
(Europa-Kommissionen 2022: 213)�½
Onlinespil
Hvidvasksekretariatet vurderer, at omfanget af
hvidvask via onlinespil er højt�½ Dette skyldes,
at onlinevæddemål og onlinekasino let kan
anvendes til at sløre midler fra kriminalitet, fx
til placering af udbytte fra stjålne kreditkortop-
lysninger eller anden kriminalitet
(Europa-
Kommissionen 2019: 236)�½
Sårbarheder
Tilgængelighed
Landbaserede væddemål:
Hvidvasksekre-
tariatet vurderer, at det er let tilgængeligt at
hvidvaske ulovlige midler via landbaserede
væddemål�½ Man placerer sit udbytte, og hvis
man vinder, udleveres en gevinstkvittering,
hvorefter de ulovlige midler fremstår legale�½
Der findes cirka 2�½800 forhandlere af land-
baserede væddemål i Danmark, og for-
handlerne er fordelt i hele landet�½ Salget af
landbaserede væddemål sker i kiosker, på
tankstationer, i dagligvarebutikker og i spil-
lehaller�½ Det er derfor nemt for de kriminelle
aktører at sprede deres aktivitet ud på flere
lokationer�½
Hvidvasksekretariatet vurderer endvidere, at
det ligeledes er let tilgængeligt for forhand-
lere af landbaserede væddemål at facilitere
hvidvask�½ Samlet set vurderes hvidvask
via landbaserede væddemål at være let
tilgængeligt�½
Landbaserede kasinoer:
Hvidvasksekretari-
atet vurderer, at det er moderat tilgængeligt
at hvidvaske på et kasino, da det kan kræve
viden at spille sit ulovlige udbytte uden et
betydeligt tab�½ Tilgængeligheden af de land-
baserede kasinoer er desuden begrænset
af, at der alene er ni landbaserede kasinoer
med tilladelse i Danmark, hvoraf to af kasi-
noerne er placeret på færgerne, der sejler
mellem Norge og Danmark�½
Onlinespil:
Onlinespil er let tilgængeligt
og kræver begrænset planlægning, viden
og ekspertise�½ Der er cirka 40 udbydere af
onlinespil i Danmark�½ Ved onlinespil er de
ulovlige midler ofte allerede i det finansielle
system�½ De fleste spiludbydere accepterer
dog også brug af forudbetalte kort, gavekort/
værdibeviser og betaling med e-wallets�½
Det er muligt at benytte kontanter til køb af
forudbetalte kort og gavekort, og ulovlige
midler kan på den måde kanaliseres ind
på en spilkonto�½
Det er også muligt at overføre midler fra
forskellige bankkonti til en andens spilkonto
for at flytte midler mellem kriminelle aktører�½
Når midlerne bruges til spil, vil gevinsten
fremstå legal og kan overføres til andre
kriminelle aktører�½
RISICI FOR HVIDVASK I UDVALGTE BRANCHER
REU, Alm.del - 2023-24 - Endeligt svar på spørgsmål 1456: Spm. om hvor mange overførsler, der indføres udeklarerede til Danmark, herunder om der findes skøn herfor
2938919_0221.png
DEN NATIONALE RISIKOVURDERING AF HVIDVASK
221
Volumen/transaktionsstørrelse
Landbaserede væddemål:
Hvidvaskse-
kretariatet vurderer, at den gennemsnitlige
transaktionsstørrelse ved landbaserede væd-
demål er forholdsvis lav, men at volumen
til gengæld er høj�½ Det er muligt at spille og
modtage gevinster for op mod 2�½000 euro,
svarende til 15�½000 kroner hos den enkelte
forhandler, uden at der skal gennemføres
kundekendskabsprocedurer, medmindre for-
handleren identificerer mistænkelig adfærd�½
Den enkelte spiller kan gå fra kiosk til tank-
station og videre til en dagligvareforhandler
og en spillehal og spille for op imod 2�½000
euro hvert sted og derved holde sig under
beløbsgrænsen for kundekendskabsproce-
duren�½ Hvidvasksekretariatet er i besiddelse
af oplysninger, der indikerer, at flere spillere
kører rundt til forskellige spiludbydere for at
spille på de samme kampe for det samme
beløb�½ Det er ikke muligt for de enkelte for-
handlere at se, om spilleren har indgået væd-
demål andre steder�½
Det er muligt at overføre gevinster fra landba-
serede væddemål til en bankkonto�½ Derved
kan ulovlige midler føres ind i det finansielle
system og fremstå som legale spilgevinster�½
Landbaserede kasinoer:
Europa-Kommissi-
onen vurderer, at volumen på landbaserede
kasinoer er høj og at det er muligt at spille for
høje beløb og at anvende kontanter
(Euro-
pa-Kommissionen 2022: 213-214)�½
Det gør
landbaserede kasinoer sårbare over for hvid-
vask�½ Hvidvasksekretariatet er i besiddelse af
oplysninger om spil på kasinoer, hvor spillere
har spillet for særdeles høje kontante beløb�½
Med undtagelse af gevinster over 20�½000
kroner fra pokerturneringer og gevinstgivende
spilleautomater udbetales alle gevinster i
kontanter�½ Ved et besøg på et landbaseret
kasino kan spillerne betale med kontanter
og betalingskort, men der kan dog være en
grænse for, hvor mange penge spillerne kan
hæve på deres betalingskort�½ Spillerne kan
veksle kontanter til jetoner ved kassen og ved
de enkelte spilleborde�½
Onlinespil:
Hvidvasksekretariatet vurderer, at
den gennemsnitlige transaktionsstørrelse er
moderat, men at volumen er høj�½ Spilleren har
mulighed for at spille hos flere spiludbydere
og kan fordele sine midler ud på flere spilud-
bydere�½ Det gør det vanskeligere for spiludby-
dere at opdage, om der er tale om et ualmin-
deligt højt eller mistænkeligt spilforbrug�½
Potentiale for grænseoverskridende
transaktioner
Landbaserede væddemål:
Der er ved land-
baserede væddemål mulighed for overførsel
til udlandet, da kiosker og andre udbydere
af landbaserede væddemål kan udbetale
gevinster til udenlandske bankkonti, hvis
spilleren oplyser et SWIFT- og IBAN-
nummer�½ Det er op til de enkelte spiludby-
dere at fastsætte forretningsgange herfor�½
Landbaserede kasinoer:
De landbaserede
kasinoer kan ved gevinster på minimum
20�½000 kroner fra pokerturneringer og gevin-
stgivende spilleautomater foretage ban-
koverførsler til gæsternes bankkonti, her-
under også til udenlandske bankkonti�½ Ved
gevinster på andre spil udbetales gevinsten
udelukkende kontant�½ Der kan således ske
overførsel af gevinster til bankkonti i udlan-
det, hvis der er tale om en gevinst af betyde-
lig størrelse eller ved bestemte spil�½
RISICI FOR HVIDVASK I UDVALGTE BRANCHER
Onlinespil:
Spiludbyderne kan i forbindelse
med bankoverførsler af gevinster til spille-
rens bankkonti også foretage overførsler til
spillerens udenlandske bankkonti�½
Omkostninger
Landbaserede væddemål:
Omkostningerne
ved at benytte landbaserede væddemål til
hvidvask er lave�½ Ved spil på lave odds eller
alle udfald af en kamp, er spilleren sikret at
få store dele af sin indsats retur�½ Fx er til-
bagebetalingsprocenten ved væddemål på
sportsbegivenheder 94-96 pct�½
Landbaserede kasinoer:
Omkostningerne
kan afhænge af det enkelte spil�½ Den gen-
nemsnitlige tilbagebetalings-andel til spille-
ren er på omkring 95-97 pct�½ Hvidvasksekre-
tariatet er i besiddelse af oplysninger, som
kan indikere, at kriminelle aktører veksler
penge ind og ud gennem kasinoer uden
væsentlig spilaktivitet, hvorved omkostnin-
gerne vil være lave�½
Onlinespil:
Onlinespil kan være en relativt
billig metode at anvende til hvidvask�½ Lige-
som ved landbaserede væddemål kan der
spilles på lave odds, hvorved risikoen for
at tabe penge er begrænset�½ Spilleren kan
ligeledes spille på alle tænkelige udfald af
et væddemål, hvorved risikoen for tab kan
elimineres
(Spillemyndigheden 2022: 22)�½
REU, Alm.del - 2023-24 - Endeligt svar på spørgsmål 1456: Spm. om hvor mange overførsler, der indføres udeklarerede til Danmark, herunder om der findes skøn herfor
2938919_0222.png
222
DEN NATIONALE RISIKOVURDERING AF HVIDVASK
Derudover kan spilleren via onlinenetværks-
spil (som fx poker) overføre midler via chip-
dumping, hvor en person vinder jetoner fra
en anden person og dermed overfører midler
fra en spilkonto til en anden�½ Omkostnin-
gerne her kan variere betragteligt, da man
ved nogle pokerspil betaler et forudbestemt
beløb for at få lov til at deltage i en turnering
(Europa-Kommissionen 2022: 226),
mens
dette ikke er nødvendigt i andre pokerspil�½
Anonymitet
Landbaserede væddemål:
Hvidvasksekre-
tariatet vurderer, at opdagelsesrisikoen ved
hvidvask gennem landbaserede væddemål
er lav�½ Dette skyldes blandt andet, at krimi-
nelle aktører som udgangspunkt kan indgå
væddemål uden at skulle identificere sig�½
Hvis en spilforhandler har konstateret mis-
tænkelig adfærd hos en spiller, eller hvis en
spiller enten har spillet eller fået udbetalt
mere end hvad der svarer til 2�½000 euro,
skal spilleren dog oplyse sin identitet�½ Det
er valgfrit, hvornår i processen kundekend-
skabsproceduren iværksættes�½ Det forud-
sætter, at forhandleren har det fornødne
kendskab til hvidvaskområdet�½ Hertil skal
spiludbyderne sikre sig, at forhandlerne har
den fornødne evne og kapacitet til at vare-
tage denne opgave�½
En del af de forhandlere, der udbyder landba-
serede væddemål, gør brug af selvbetjening-
sterminaler�½ Ved spil via selvbetjeningster-
minaler kan det være vanskeligere at spotte
mistænkelig adfærd, da der ikke nødvendig-
vis er kontakt mellem forhandler og spiller�½
Ved en eventuel gevinst er det muligt at få en
gevinstkvittering uden kontakt til personalet i
butikken�½ I de tilfælde kan kriminelle aktører
forblive anonyme�½
Der er indgået en politisk aftale på spilom-
rådet om indføring af et spilkort, som alle
spillere, der ønsker at spille landbaserede
væddemål, skal benytte�½ Derved bliver det
obligatorisk at lade sig registrere for at kunne
købe et landbaseret væddemål�½
Landbaserede kasinoer:
For landbaserede
kasinoer gælder det, at der skal ske registre-
ring af alle gæster ved ankomst til kasinoet�½
Kasinoerne gennemfører derfor kundekend-
skabsprocedurer for gæsterne ved deres
ankomst�½ Herudover bliver kasinoets gæster
løbende overvåget af personalet�½ Kasino-
erne er også forpligtet til at have elektronisk
overvågning af alle transaktioner ved veksel-
kasser i forbindelse med afvikling af spil ved
spillebordene og ved optælling�½ Kasinoerne
har dermed forudsætninger for at opdage
mistænkelig adfærd�½
Onlinespil:
Alle, der ønsker at indgå online-
væddemål og spille på onlinekasino, skal
oprette en spilkonto�½ Spilkontoen skal verifi-
ceres, så spiludbyderen kan sikre, at perso-
nen, der har oprettet denne, er den person,
der skal benytte spilkontoen�½ Spilleren skal
ligeledes fremsende ID ved ind- og udbeta-
linger samt ved ændring af betalingsmetode�½
På trods af, at spiludbyderen skal sikre sig,
at spilleren er den, som spilleren udgiver sig
for at være, er der muligheder for at forblive
anonym gennem brug af lånte eller falske
identiteter�½ Hvidvasksekretariatet modtager
mange underretninger om spilkonti, der
mistænkes for at blive misbrugt af andre�½
RISICI FOR HVIDVASK I UDVALGTE BRANCHER
Hvidvasksekretariatet vurderer, at risikoen for, at landbaserede
væddemål og onlinespil misbruges til hvidvask, er høj. Hvidvask­
sekretariatet vurderer samtidig, at risikoen for, at landbaserede
kasinoer misbruges til hvidvask, er moderat. Samlet set vurderes
hvidvaskrisikoen for spiludbydere at være
betydelig.
REU, Alm.del - 2023-24 - Endeligt svar på spørgsmål 1456: Spm. om hvor mange overførsler, der indføres udeklarerede til Danmark, herunder om der findes skøn herfor
2938919_0223.png
DEN NATIONALE RISIKOVURDERING AF HVIDVASK
223
HANDEL, FORMIDLING
AF HANDEL SAMT
OPBEVARING AF KUNST
Gallerier, auktionshuse og kunsthandlere med
flere blev omfattet af hvidvasklovens § 1, stk�½ 1,
nr�½ 21, i januar 2020�½ Bestemmelsen omfatter
virksomheder og personer, der erhvervsmæssigt
opbevarer, handler med eller formidler handel
med kunstværker, herunder gallerier og aukti-
onshuse, hvor værdien af transaktionen eller
af en række indbyrdes forbundne transaktioner
udgør 50�½000 kroner eller derover�½ Det gælder
både ved opbevaring, handel med og formidling
af handel med kunstgenstande�½
Der er desuden en manglende forståelse for
hvidvasklovens forpligtelser i branchen, hvilket
øger risikoen for hvidvask�½ Derudover er der en
kultur med en høj grad af diskretion i branchen,
hvilket ligeledes udgør en risiko�½
UNODC vurderer, at der på verdensplan hvid-
vaskes via kunstmarkedet for op mod cirka 20
milliarder kroner om året
(FATF 2021d: 32)�½
USA’s finansministerium har udgivet en rapport
om hvidvask via kunstbranchen�½ Her vurderes en
række faktorer at gøre handel med kunst sårbar
over for hvidvask�½ Det drejer sig blandt andet om
den mangeårige kultur med diskretion, privat
salg og brug af tredjepartsformidlere såsom
art advisors, de høje værdier, som kunstværker
kan have, samt den stigende brug af kunst som
investering med mere
(The Department of the
Treasury 2022)�½
Kunstværker kan være attraktive
for kriminelle aktører, fordi det er muligt at trans-
portere kunstværker, hvorved kriminelle aktører
kan flytte værdier på tværs af landegrænser
(The Department of the Treasury 2022: 1)�½
6.14
HOVEDFUND
Hvidvasksekretariatet vurderer, at risikoen
for hvidvask via kunstbranchen er
moderat.
Kunstbranchen har en række sårbarheder over
for hvidvask, herunder den subjektive værdi-
ansættelse, som i nogle tilfælde kan gøre det
svært at vurdere, om en given pris på et kunst-
værk stemmer overens med kunstværkets fakti-
ske værdi, eller der gennem handlen forsøges at
overføre penge mellem sælger og køber�½
Boks 55
Fakta om branchen
En beløbsgrænse på 50�½000 kroner afgør, om handlen er omfattet af hvidvaskloven�½ Ved
handel med kunst for under 50�½000 kroner er kunstbranchen ikke omfattet af hvidvask-
loven, hvorfor disse handler i stedet omfattes af kontantforbuddet�½
Der findes ikke en opgørelse over, hvor mange formidlere af kunst der er omfattet af
hvidvaskloven�½
For at kunsthandleren er omfattet af hvidvaskloven og dermed Erhvervsstyrelsens tilsyn
gælder dog en række kriterier, herunder at kunstgenstanden, som enten opbevares
eller handles med, er omfattet af hvidvasklovens definition af kunst�½ Dertil skal der også
være tale om salg eller transaktioner over 50�½000 kroner�½ Foretages der indbyrdes for-
bundne transaktioner, som er på 50�½000 kroner eller derover, vil det også være omfattet
af hvidvaskloven�½ Erhvervsstyrelsen er desuden opmærksom på et mørketal på mellem
5-10�½000 potentielt omfattede virksomheder, som Erhvervsstyrelsen løbende arbejder på
at kortlægge�½
Per juli 2022 var der oprettet fem kunsthandlere og auktionshuse i GoAML�½
RISICI FOR HVIDVASK I UDVALGTE BRANCHER
RISIKO
REU, Alm.del - 2023-24 - Endeligt svar på spørgsmål 1456: Spm. om hvor mange overførsler, der indføres udeklarerede til Danmark, herunder om der findes skøn herfor
2938919_0224.png
224
DEN NATIONALE RISIKOVURDERING AF HVIDVASK
På det danske kunstmarked er der mange uden-
landske kunder, hvilket øger risikoen for, at ulov-
lige midler fra udlandet bliver hvidvasket via den
danske kunstbranche�½
Gallerier og auktionshuse
Gallerier formidler typisk førstegangssalg af
kunstværker, mens auktionshusene ofte vide-
resælger værker�½ Der kan være stor variation i
prisniveauet for de enkelte værker, afhængigt af
værkets kvalitet og kunstnerens anerkendelse�½
Videresalg af kunst sker ofte til højere priser end
ved førstegangskøb�½
Kunstmarkedet online
Flere kunsthandlere har øget deres tilstedevæ-
relse online, blandt andet som følge af corona-
pandemien og et generationsskifte blandt kunst-
markedets købere�½ Salg, der foregår direkte
mellem private via sociale medier, er ikke
omfattet af hvidvaskloven, og platformene er
dermed ikke forpligtede til at identificere køber
og sælger�½ Det medfører en sårbarhed overfor
hvidvask via handel med kunst
(The Department
of the Treasury 2022: 14)�½
Underretninger om hvidvask via kunst
Idet Hvidvasksekretariatet alene har modtaget to
underretninger fra branchen, gengives indholdet
ikke�½ Underretninger om hvidvask via kunst fra
andre end kunstbranchen kommer primært fra
banker, betalingstjenester og Skattestyrelsen�½
Underretningerne omhandler kunder, der ind-
sætter eller hæver store kontante beløb eller
har store transaktioner til/fra deres konto�½
Kunderne oplyser, at midlerne stammer fra
salg af kunst eller skal bruges til køb af kunst�½
Underretningerne viser også galleriejere, der
modtager overførsler til deres privatkonto, og
at de eller deres ægtefælle indsætter mange
kontanter på deres privatkonto�½
RISIKOVURDERING
Trusler
Kriminelle aktører kan hvidvaske gennem kunst
ved at anvende ulovlige midler til køb og salg af
kunst eller ved at anvende kunst til at flytte ulov-
lige midler over landegrænser�½
Eksempelvis kan en kriminel aktør sætte et
kunstværk til salg på auktion�½ En person i den
kriminelles netværk kan byde på kunstværket
og købe det for midler, der er erhvervet gennem
kriminelle handlinger og skal hvidvaskes�½ Den
kriminelle aktør modtager herefter enten kon-
tanter eller en bankoverførsel fra auktionshol-
deren�½ Midlerne fremstår nu som legale midler
fra salg af et kunstværk�½ Personen, der købte
værket, kan herefter sælge det videre, hvorved
de midler, vedkommende brugte som betaling,
nu også er blevet hvidvasket�½
RISICI FOR HVIDVASK I UDVALGTE BRANCHER
UNDERRETNINGER OM HVIDVASK
Siden kunstbranchen blev underlagt hvidvasklo-
ven i januar 2020 har Hvidvasksekretariatet i alt
modtaget to underretninger fra branchen�½ Andre
underretningspligtige har dog underrettet om
mistænkelige transaktioner, hvori kunst nævnes�½
Tabel 25
Antal underretninger om hvidvask via kunst
 
Fra branchen
Om branchen
2018
-
127
2019
-
205
2020
1
328
2021
1
366
I alt
2
1.026
Kilde:
Hvidvasksekretariatet 2022�½
Note:
Underretninger om branchen er fremsøgt ved at søge på udvalgte ord i Hvidvasksekretariatets database�½ Underretninger, der ikke indeholder disse ord,
indgår således ikke i opgørelsen, og antallet siger ikke noget entydigt om omfanget af hvidvask, men om hvor ofte søgeordene nævnes i underretningerne�½
REU, Alm.del - 2023-24 - Endeligt svar på spørgsmål 1456: Spm. om hvor mange overførsler, der indføres udeklarerede til Danmark, herunder om der findes skøn herfor
2938919_0225.png
DEN NATIONALE RISIKOVURDERING AF HVIDVASK
225
Boks 56
Skjulte værdier
I Pandora Papers afsløredes en hemmelig kunstsamling, der indeholder nogle af de største
navne i kunsthistorien�½ Samlingen menes at være 137 millioner kroner værd og er gemt væk i
lagerbygninger i Peru, USA og Schweiz�½ Ejerne af kunstsamlingen kendes ikke�½
Kilde:
Politiken (2022)
Ifølge FATF genererer det verdensomspæn-
dende kunstmarked omkring 440 milliarder
kroner�½ Heraf estimerer UNODC, at godt 40 mil-
liarder kroner kan kædes sammen med interna-
tional kriminalitet, hvoraf de cirka 20 milliarder
kroner kan knyttes til hvidvask og anden økono-
misk forbrydelse
(FATF 2021d: 32)�½
Opgørelsen af værdien af den ulovlige handel
med kunst vanskeliggøres dog af diskretionen i
kunstbranchen�½
Hvidvasksekretariatet er ikke bekendt med
hverken underretninger eller efterretninger,
der indikerer, at omfanget af hvidvask gennem
kunstbranchen i Danmark er stort�½
I takt med, at opmærksomheden på hvidvask
skærpes i andre brancher, er der dog en risiko
for, at kriminelle aktører søger mod andre hvid-
vaskkanaler�½ Her kunne kunstbranchen være en
mulighed�½ Dette sammenholdt med, at branchen
har en stor andel af udenlandske kunder, medfø-
rer, at Hvidvasksekretariatet vurderer, at truslen
er moderat�½
Sårbarheder
Tilgængelighed
Hvidvasksekretariatet vurderer, at kunstbran-
chen er moderat tilgængelig, da kriminelle
aktører med lidt eller ingen planlægning kan
købe og sælge kunstværker eller alternativt få
bistand af en tredjepart�½ Brug af tredjepart som
fx art advisors er anvendt praksis i kunstbran-
chen�½ Hvidvask gennem kunst bliver i nogle
tilfælde brugt som en langsigtet investering og
til placering af ulovlige midler�½ Dette kræver dog,
at den kriminelle aktør forstår og kender kunst-
markedet godt�½
Volumen/transaktionsstørrelse
Kunstgenstande kan handles til høje priser, og
transaktionsstørrelsen i denne branche vurderes
at være betydelig�½ Salgsprisen på et kunstværk
afhænger af en række faktorer, såsom kvalite-
ten af kunstværket og værkets økonomiske og
kunstneriske historie�½
Det kan være vanskeligt at værdiansætte kunst-
værker�½ Derfor kan kunst anvendes til at overføre
værdier fra en person til en anden�½ Kunst kan
også bruges til at opbevare store værdier uden
for den finansielle sektor�½ Handel med kunst kan
også bruges til at sløre et ulovligt udbytte�½
Når værker sælges første gang, kan det være
endnu mere vanskeligt at værdisætte end ved
etablerede kunstnere�½ Nyere værker kan derfor
i nogle tilfælde være velegnet til overførsel af
værdier mellem to parter�½ Det er sværere at
gøre med værker af anerkendte kunstnere, hvor
kunstmarkedet vil kunne vurdere, om værket er
nogenlunde korrekt vurderet�½ Videresalg af kunst
af mere etablerede kunstnere er mere velegnet
til at skjule større værdier�½ Det skyldes, at vær-
diansættelserne ofte er højere ved videresalg,
og det giver en større volumen at sløre midlerne
herigennem�½ Men den subjektive værdiansæt-
telse gør, at kriminelle aktører kan fastsætte pri-
serne højere eller lavere, alt efter hvilket beløb
der skal hvidvaskes�½
Potentiale for grænseoverskridende
transaktioner
Internationale handler er en naturlig del af
kunstbranchen�½ De danske auktionshuse og
gallerier har mange udenlandske kunder�½
Hvidvasksekretariatet vurderer, at muligheden
for at bruge kunst til at flytte midler på tværs af
landegrænser er betydelig�½
RISICI FOR HVIDVASK I UDVALGTE BRANCHER
REU, Alm.del - 2023-24 - Endeligt svar på spørgsmål 1456: Spm. om hvor mange overførsler, der indføres udeklarerede til Danmark, herunder om der findes skøn herfor
2938919_0226.png
226
DEN NATIONALE RISIKOVURDERING AF HVIDVASK
Omkostninger
Omkostningerne ved hvidvask gennem kunst
kan variere alt efter metoden�½ Men omkostnin-
gerne kan være betydelige i forhold til betaling
af salær til kunsthandlere for at etablere salg
eller køb, betaling til tredjepart for at formidle
købet og i nogle tilfælde betaling for opbevaring
af kunstværket på et sikret lager�½ Omkostninger
ved køb/salg hos gallerier er meget forskellige�½
Der kan endvidere være forskel på salæret alt
efter, hvilken kunstner der er tale om�½ Det gør sig
også gældende i auktionshusene�½
Anonymitet
Kunsthandlere har pligt til at gennemføre kun-
dekendskabprocedurer på den reelle ejer af
kunstværket
(Erhvervsstyrelsen 2019: 10)�½
Der
er i kunstbranchen mulighed for at anvende tred-
jepartsformidlere, hvilket udgør en sårbarhed for
hvidvask, fordi det vanskeliggør processen med
at identificere den reelle ejer�½
De kriminelle aktører kan benytte tredjeparts-
formidlere, såsom art advisors, til at formidle
køb eller salg af kunstværker, og dermed skjule
deres reelle ejerskab af værket�½ Det mind-
sker sandsynligheden for, at det opdages,
hvis der forekommer forsøg på hvidvask�½ Hvis
tredjepartformidlere køber det på vegne af et
udenlandsk selskab, hvor det kan være van-
skeligt at identificere ejerne, er risikoen større�½
Tredjepartsformidlerne kan efterfølgende sælge
kunstværkerne til kriminelle aktører eller deres
virksomheder mod et gebyr�½
Hertil kommer de sårbarheder som en stigende
handel med kunst online kan give anledning til,
hvis branchen i deres kundekendskabsproce-
durer alene indstiller sig på skriftlig dokumenta-
tion, som de kriminelle aktører i ind- og udland
kan forfalske�½
RISICI FOR HVIDVASK I UDVALGTE BRANCHER
Hvidvasksekretariatet vurderer, at risikoen for hvidvask via
kunstbranchen er
moderat.
REU, Alm.del - 2023-24 - Endeligt svar på spørgsmål 1456: Spm. om hvor mange overførsler, der indføres udeklarerede til Danmark, herunder om der findes skøn herfor
2938919_0227.png
DEN NATIONALE RISIKOVURDERING AF HVIDVASK
227
UDBYDERE AF SERVICES
VEDRØRENDE KRYPTO-
AKTIVER
Udbydere af services, der relaterer sig til vir-
tuel valuta, de såkaldte Virtual Asset Service
Providers (VASP) er omfattet af hvidvasklovens
§ 1, stk�½ 1, nr�½ 22 til 26�½
Markedet for kryptoaktiver er stadig relativt nyt,
og VASPer er blandt de senest tilkomne under-
retningspligtige i hvidvaskloven�½ Samtidig er det
nyt for myndigheder at monitere og spore trans-
aktioner med kryptoaktiver�½
Der er risiko for, at kryptoaktiver anvendes
til at sløre udbytte af kriminelle aktiviteter�½
Kryptoaktiver kan bruges som led i en hvid-
vaskproces, men bliver først til penge, når de
bliver vekslet fra kryptoaktiver til fiatvaluta (den
såkaldte off-ramp)�½ For at det kan ske, skal man
benytte en exchange, en VASP�½ De af VASPerne,
som udbyder veksling mellem fiatvaluta og
kryptoaktiver er dermed bindeled mellem fiat-
verdenen og krypto-verdenen�½
En VASP er en fysisk eller en juridisk person,
der erhvervsmæssigt udbyder veksling mellem
virtuelle aktiver og fiatvaluta, opbevarer, overfø-
rer eller hjælper med at udstede virtuelle aktiver
med mere�½ FATF definerer virtuelle aktiver som
digitale repræsentationer af en værdi, der kan
handles med eller overføres digitalt, og som kan
bruges som betalingsmiddel eller i investerings-
øjemed�½ FATF’s definitioner fremgår af den
opdaterede vejledning
(FATF 2021d: 21-22),
og
definitionerne fremgår endvidere i den danske
hvidvasklov, der har implementeret FATF’s
definitioner�½
6.15
RISIKO
HOVEDFUND
Hvidvasksekretariatet vurderer, at risikoen
for hvidvask via VASPer er
betydelig.
I vurderingen lægger Hvidvasksekretariatet
blandt andet vægt på, at fortsat flere kriminelle
aktører inden for flere kriminalitetsområder
anvender kryptoaktiver, og at Europol vurderer,
at hvidvask er den primære kriminalitetsform,
der associeres med kryptoaktiver (læs mere i
kapitel 3
Nationale trusler
og kapitel 5
Metoder
til hvidvask)�½
Hertil kommer, at der er en række egenskaber
ved kryptoaktiver, som gør det relevant til hvid-
vask, herunder hurtige overførsler på tværs af
kloden og muligheder for til en vis grad at sløre
sin identitet og transaktionsspor på trods af, at
de fleste transaktioner med kryptoaktiver regi-
streres i offentligt tilgængelige blockchains�½
Boks 57
Fakta om branchen
Primo 2022 var der ifølge Finanstilsynets register 18 VASPer i Danmark�½ Der er tale om
mindre virksomheder i et relativt nyt marked�½
Af de i alt 18 virksomheder var seks tilmeldt GoAML per juli 2022�½
De danske VASPer udbyder veksling mellem fiat- og kryptoaktiver, mens cirka en tredje-
del af dem også udbyder virtuelle tegnebøger samt enkelte af de andre tre områder, som
er omfattet af hvidvaskloven § 1, stk�½ 1, nr�½ 22-26�½
RISICI FOR HVIDVASK I UDVALGTE BRANCHER
REU, Alm.del - 2023-24 - Endeligt svar på spørgsmål 1456: Spm. om hvor mange overførsler, der indføres udeklarerede til Danmark, herunder om der findes skøn herfor
2938919_0228.png
228
DEN NATIONALE RISIKOVURDERING AF HVIDVASK
Fem forskellige typer af VASPer blev omfattet
af hvidvaskloven ad to omgange i henholdsvis
2020 og 2021�½ Med den nyeste udvidelse af
hvidvasklovens anvendelsesområde per 1�½ juli
2021 er følgende virksomhedstyper omfattet:
Udbydere af veksling mellem virtuelle valu-
taer og fiatvalutaer�½
Udbydere af virtuelle tegnebøger�½
Udbydere af veksling mellem en eller flere
typer af virtuelle valutaer�½
Udbydere af overførsel af virtuel valuta�½
Udstedere af virtuel valuta�½
Eksempel:
En person har begået en krimi-
nel handling, fx solgt narkotika eller lavet
investeringssvindel, og overfører midlerne til fx
en exchange (en handelsplatform/kryptobørs,
hvor man kan veksle fiatvaluta og kryptoaktiver
samt mellem kryptoaktiver)�½ Her omsættes
de ulovlige midler til kryptoaktiver�½ Disse føres
videre til en anden vekslingstjeneste, hvor de
veksles til andre kryptoaktiver – gerne nogle,
som anvender andre blockchains end de første�½
Herfra overføres midlerne til en mixerservice,
hvorefter de veksles til en af de gængse valu-
taer, fx Bitcoin�½ Derefter videreføres de til en
exchange, hvor der veksles tilbage til fiatvaluta�½
Det gør ikke nødvendigvis hvidvasken usyn-
lig, men den kan blive vanskeligere at spore�½
Særligt hvis de kriminelle aktører anvender
VASPer i lande med ringere hvidvaskforan-
staltninger�½ I kapitel 5
Metoder til hvidvask
kan
du læse mere om, hvordan man kan bruge
kryptovaluta i en hvidvaskproces�½
Nemmere at anvende kryptoaktiver
som betalingsmiddel
Integrationen mellem kryptoaktiver, betalings-
tjenester og andre dele af den finansielle
sektor bliver mere og mere udbredt�½ Fx inte-
grerer PayPal kryptoaktiver i sine løsninger til
brugerne, og i februar 2022 har Lunar Bank i
Danmark annonceret, at de vil lancere en ny
dansk exchange�½
Kryptoaktiver benævnes virtuelle valutaer i den
danske hvidvasklov, FATF kalder det virtuelle
aktiver, Europa-Kommissionen kalder det kryp-
toaktiver�½ I daglig tale kaldes det kryptovaluta�½
Her bruger vi betegnelsen kryptoaktiver�½
Hvidvask via VASPer
Uanset om førforbrydelserne til hvidvask er
begået inden for eller uden for markedet for
kryptoaktiver, er formålet med hvidvaskproces-
sen at få udbyttet til at fremstå legitimt�½ Selvom
transaktioner med kryptoaktiver som udgangs-
punkt logges i blockchains, kan VASPer og
andre indgå som slørende led i en hvidvaskpro-
ces�½ Det kan fx foregå sådan her:
RISICI FOR HVIDVASK I UDVALGTE BRANCHER
Boks 58
Non­Fungible Tokens
Udover kryptoaktiver anvendes blockchainteknologi til registreringen af digitale kunstværker
via NFT-handelsplatforme�½ Dette kaldes NFT (non fungible tokens)�½ NFT’er kan også være
spil, computergrafik, musik, samleobjekter mv�½
Non fungible betyder, at aktivet eller værket ikke kan byttes ud med en kopi�½ Da transaktio-
nerne registreres i blockchainen, er der således en form for ægthedsgaranti for ejerskabet�½
Der findes måder, hvorpå kriminelle kan misbruge de nye teknologier til hvidvask�½ Det kan
eksempelvis ske gennem handler med digitale varer, fx NFT’er�½ Ligesom fysiske kunstværker
kan NFT’er handles til kunstigt høje priser for at skjule, at værdierne overføres fra en person
til en anden�½
Hvidvaskloven finder i udgangspunktet ikke anvendelse på NFT’er�½ Det skyldes at NFT’er ikke
(hverken af MiCA, FATF eller EU’s hvidvaskdirektiv) anses som kryptoaktiver�½ Det betyder, at
handelspladser, der kun handler NFT’er, ikke på nuværende tidspunkt anses som VASPer�½
REU, Alm.del - 2023-24 - Endeligt svar på spørgsmål 1456: Spm. om hvor mange overførsler, der indføres udeklarerede til Danmark, herunder om der findes skøn herfor
2938919_0229.png
DEN NATIONALE RISIKOVURDERING AF HVIDVASK
229
Denne udvikling er til gavn for forbrugerne og
er en del af udviklingen af branchen, men det
stiller krav til, at VASPer, andre underretnings-
pligtige og myndigheder skal følge med for at
kunne identificere mistænkelige transaktioner�½
UNDERRETNINGER OM HVIDVASK
Der er på nuværende tidspunkt 18 VASPer,
hvoraf seks er tilmeldt GoAML�½ Samlet set har
fire aktører fra branchen i perioden 2018-2021
sendt 97 underretninger�½
Underretninger fra andre underretningspligtige
end VASPer kommer mest fra banker, udby-
dere af betalingsløsninger samt spiludbydere�½
Underretningerne handler primært om, at kun-
derne handler med kryptoaktiver, men ikke hvor
i det mistænkelige består�½ Bankerne anfører dog
undertiden, at deres kunder overfører penge til
exchanges, hvor bankerne ikke kan identificere
midlernes oprindelse, og/eller at de handlede
beløb ikke harmonerer med kundens økonomi�½
Finland modtog i 2021 3,6 millioner underret-
ninger fra VASPer�½ Den finske FIU oplyser, at
størstedelen af disse underretninger handler
om transaktioner til og fra det mørke net (dark
net-markeder), og at 99 pct�½ af underretningerne
handler om udenlandske kunder�½
Tabel 26
Antal underretninger om hvidvask via VASPer
 
Fra branchen
Om branchen
2018
-
363
2019
18*
516
2020
41
581
2021
37
1�½539
I alt
97
2.999
Kilde:
Hvidvasksekretariatet 2022�½
Note:
Underretninger om branchen er fremsøgt ved at søge på udvalgte ord i Hvidvasksekretariatets database�½ Underretninger, der ikke indeholder disse ord,
indgår således ikke i opgørelsen, og antallet siger ikke noget entydigt om omfanget af hvidvask, men om hvor ofte søgeordene nævnes i underretningerne�½
*) I 2019 var VASPer ikke underretningspligtige, men dette til trods, har Hvidvasksekretariatet modtaget 18 underretninger fra branchen�½
RISICI FOR HVIDVASK I UDVALGTE BRANCHER
Eksempler på, at det bliver mere tilgængeligt at
anvende kryptoaktiver som led i en betaling er
de udenlandske exchanges, som fx Coinbase
og Crypto�½com, der tilbyder betalingskort til
deres kunder�½ Med sådan et kort kan man vælge
at indsætte fiat- eller kryptoaktiver�½ Kortet kan
anvendes lige som andre betalingskort og
kræver ikke, at man først selv veksler sine kryp-
toaktiver til fiatvaluta på en exchange og videre
til ens egen bank, før man kan bruge midlerne
fra sin bankkonto�½ Vekslingen fra kryptoakti-
ver til fiatvaluta sker stadig�½ Den foretages af
exchangen i forbindelse med, at kortholderen
bruger kortet til at betale med�½ Det betyder, at
det som forbruger bliver nemmere at betale
med kryptoaktiver, selv om der i praksis sker en
veksling�½ Men den oplever kortholderen ikke�½
Det betyder også, at lovlydige ejere af krypto-
aktiver såvel som kriminelle aktører lettere kan
anvende kryptoaktiver som i den traditionelle
økonomi�½ Det gælder også i Danmark, selvom
Hvidvasksekretariatet ikke er bekendt med, at
de danske VASPer udsteder betalingskort, men
vurderer, at det vil ske på sigt�½
Underretninger fra VASPer
I underretningerne fra VASPer er der eksem-
pler på salg af særligt Bitcoins, som formodes
at stamme fra markeder på det mørke net�½
Mistanken opstår, da det af blockchainen frem-
går, at midlerne på et tidspunkt er brugt til enten
køb eller salg af en ulovlig vare eller tjeneste på
markeder på det mørke net�½ Underretningerne
omfatter ligeledes eksempler på personer, der
køber kryptoaktiver for derefter at sende dem til
markeder på det mørke net�½ Der er også eksem-
pler på underretninger om manglende doku-
mentation på, hvor de midler, en person eller
virksomhed vil købe kryptoaktiver for, stammer
fra�½ Derudover er der eksempler på mistanke
om investeringssvindel, hvor virksomheder (ikke
VASPer) gennem fuphjemmesider svindler inve-
storer ved at lokke dem til at investere i krypto-
aktiver, hvilket ikke reelt finder sted�½ Dette har
selvsagt ikke noget med VASPer at gøre, men er
indeholdt i underretninger om kryptoaktiver�½
Underretninger hvori VASPer
eller kryptovaluta indgår
REU, Alm.del - 2023-24 - Endeligt svar på spørgsmål 1456: Spm. om hvor mange overførsler, der indføres udeklarerede til Danmark, herunder om der findes skøn herfor
2938919_0230.png
230
DEN NATIONALE RISIKOVURDERING AF HVIDVASK
RISIKOVURDERING
Trusler
Ifølge Europol udgør kryptoaktiver et vigtigt
betalingsmiddel for illegale varer og tjenester
(Europol 2021a: 32),
og hvidvask er den pri-
mære kriminalitetsform, der associeres med
kryptoaktiver
(Europol 2021b: 11)�½
Kryptoaktiver indgår i stadig flere kriminalitets-
former og benyttes af organiserede kriminelle
aktører
(se kapitel 3
Nationale trusler
og Europa-
Kommissionen 2022: 98)�½
Hvidvasksekretariatet
har oplysninger, der indikerer, at personer i
Danmark hvidvasker ulovligt udbytte via uden-
landske VASPer�½ Europol skriver, at kryptoaktiver
er udbredt blandt kriminelle aktører, der hvidva-
sker deres udbytte ofte ved brug af mixere og
swap-tjenester, det vil sige tjenester, der blander
eller veksler kryptoaktiver
(Europol 2021a: 32)�½
Det er vanskeligt at vurdere omfanget af, hvor
meget der hvidvaskes via VASPer�½ De forskel-
lige analysebureauer, der analyserer block-
chaindata, vurderer omfanget og værdien af ille-
gitime transaktioner med kryptoaktiver meget
forskelligt
(FATF 2021f: 26)�½
Ifølge det internationale blockchain-analyse-
bureau Chainalysis blev der i 2021 hvidvasket
for hvad der svarer til 56 milliarder kroner på
verdensplan i 2021
(Chainalysis 2022: 10)�½
Det skal dog bemærkes, at Chainalysis’ ana-
lyse ikke omfatter al hvidvask via kryptoaktiver�½
Dette ville kræve, at Chainalysis kendte alle
”kriminelle” adresser�½ Der vil ganske naturligt
være et mørketal�½ Hertil kommer, at der også
sker hvidvask af udbytte fra kriminalitet, der
har fundet sted
uden for
kryptosfæren, inden
pengene omsættes til kryptoaktiver�½ Det sande
omfang af hvidvask, der finder sted via krypto-
aktiver, kan derfor være væsentligt større�½
Trods udfordringer med at estimere omfanget
af ulovlige værdier i kryptosfæren er der indi-
kationer på, at der sker en fortsat udbredelse
og anvendelse af kryptoaktiver generelt�½ Såvel
blandt lovlydige brugere og investorer såvel
som blandt kriminelle aktører�½
Inden for de seneste år ses også en stigende
udbredelse decentralised finance, DeFi
(FATF
2021f: 28)�½
DeFi er en forkortelse for decen-
tralised finance�½ Med DeFi fjernes det mellem-
led, som fx et betalingsinstitut, en VASP eller
en bank udgør�½ Mellemleddene erstattes af
såkaldte
smart contracts,
som er algoritmer,
der sørger for, at transaktionerne sker direkte
mellem parterne, dvs�½ peer-to-peer�½ Selvom
DeFi i udgangspunktet ikke omfattes af FATF’s
definition af VASPer, kan DeFi apps i visse til-
fælde omfattes�½
VASPer, som er underlagt hvidvaskloven, vil
dog ofte være involveret, når kryptoaktiver fra
peer-to-peer-transaktioner skal omveksles til
fiat-valuta, og derfor er dele af transaktionerne
fortsat tilgængelige for underretningspligtige�½
De danske regler om VASPer er indret-
tet ud fra en forudsætning om registrering�½
Hvidvasksekretariatet er ikke bekendt med, at
der findes uregistrerede VASPer på det danske
marked, men anser det for sandsynligt�½ FATF
forsøgte i 2021 at opgøre omfanget af ikke-re-
gistrerede VASPer, men det var ikke muligt at
estimere omfanget, da analysebureauerne på
krypto-området kom frem til meget forskellige
resultater
(FATF2021f: 25)�½
Sårbarheder
I FATF’s tredje follow-up-report af Danmark blev
Danmark nedgraderet til
partially compliant
vedrørende kryptoaktiver og VASPer�½ Årsagen
var blandt andet, at Danmark ikke havde omfat-
tet alle fem aktivitetstyper, som FATF definerer
som VASPer, i den danske hvidvasklov�½ Siden
1�½ juli 2021 har alle fem typer været omfattet af
hvidvaskloven�½ Danmark fik også kritik for i de
nationale risikovurderinger at behandle kryp-
toaktiver, men ikke VASPer specifikt�½ Formålet
med afsnittet her er blandt andet at rette op på
dette�½ Kryptoaktiver går imidlertid hånd i hånd
med VASPerne, da det er det aktiv, som VASPer
udbyder services i relation til�½ Der var flere punk-
ter i kritikken, som man kan læse om i FATF’s
Follow-up-rapport
(FATF 2021h)�½
RISICI FOR HVIDVASK I UDVALGTE BRANCHER
REU, Alm.del - 2023-24 - Endeligt svar på spørgsmål 1456: Spm. om hvor mange overførsler, der indføres udeklarerede til Danmark, herunder om der findes skøn herfor
2938919_0231.png
DEN NATIONALE RISIKOVURDERING AF HVIDVASK
231
Boks 59
Transaktioner uden for den regulerede del af kryptosfæren
Hvidvasksekretariatet er bekendt med, at der finder køb og salg af kryptoaktiver sted uden
for det regulerede marked, det vil sige uden om VASPerne�½ Det kan fx være via kontakt
på sociale medier�½ Det udgør en særskilt høj hvidvaskrisiko, da disse aktører hverken er
registrerede og dermed underlagt tilsyn og i sagens natur heller ikke underretter om mis-
tænkelige transaktioner�½
Hertil kommer, at en del af markedet for kryptoaktiver, Decentralised Finance, DeFi,
ikke omfattes af hvidvaskreglerne, hverken i Danmark eller på verdensplan�½ Europa-
kommissionen vurderer, at hvidvaskrisikoen ved DeFi er høj, blandt andet på grund af
manglende regulering
(Europa-Kommissionen 2022: 95)�½
Det medfører en hvidvaskrisiko, der ikke umiddelbart vedrører de danske VASPer, men
som kan udfordre myndighederne, når der sker køb og salg af kryptoaktiver uden for det
regulerede marked�½
Volumen/transaktionsstørrelse
Der er umiddelbart ikke begrænsninger for, hvor
store beløb man kan overføre på markedet for
kryptoaktiver, med mindre den enkelte VASP har
egne regler herfor�½
Hvidvasksekretariatet er ikke bekendt med stør-
relserne på transaktioner via de danske VASPer�½
Det er samtidigt svært at estimere, hvor stor en
andel af de samlede transaktioner på block-
chains på globalt plan såvel som i Danmark, der
relaterer sig til hvidvask�½ Der er daglige on-chain
transaktioner for mange milliarder kroner på det
globale marked for kryptoaktiver�½ Sammenlignet
med den traditionelle finansielle sektor er vær-
dien af de illegale transaktioner i kryptoaktiver
dog meget begrænset
(Europol 2021b: 19)�½
Ifølge FATF sker der lovgivningsmæssige frem-
skridt i forhold til at ajourføre lovgivningen i de
enkelte lande�½ Men FATF konkluderer også, at
der stadig er en del at gøre
(FATF 2021f: 2)�½
Når
der er medlemslande, som ikke har implemen-
teret hvidvaskregler, der omfatter VASPer, kan
det øge sandsynligheden for, at de kriminelle
flytter deres midler til VASPer i lande med ringe
kontroller�½
Omkostninger
Ved hver handel eller ved hver veksling vil der
ofte være et gebyr til den tjeneste, der handles
eller veksles igennem�½ Det kan fx være to pro-
cent af det vekslede beløb, som er exchangens
profit�½ Ønsker man at foretage mange transakti-
oner for at sløre værdiernes ophav mest muligt,
kan disse gebyrer samlet set løbe op i anseelige
beløb og dermed reducere det ulovlige udbytte�½
Hvis man skal have hjælp til at hvidvaske via en
professionel hvidvasker, vil en sådan facilitator
også kræve en vis betaling for sin service�½
RISICI FOR HVIDVASK I UDVALGTE BRANCHER
Tilgængelighed
Branchen er umiddelbart tilgængelig, da det
ikke kræver større teknisk ekspertise at oprette
en wallet og at handle kryptoaktiver via en
exchange�½ Dog kræver det planlægning, viden
og teknisk ekspertise at hvidvaske via krypto-
aktiver, da det at sløre sine spor kræver både
indsigt og risikovillighed�½ Hertil kommer, at det
kan indebære en risiko for selv at blive snydt
eller udsat for tyveri�½ Der er imidlertid eksempler
på services, der har til formål at sikre brugerne
anonymitet, ligesom der også er eksempler på
professionelle hvidvaskere, der sælger deres
kompetencer inden for kryptoaktiver som
crime-as-a-service�½
Potentiale for grænseoverskridende
transaktioner
Kryptoaktiver er per natur grænseoverskridende,
og blockchainteknologien giver mulighed for
udlandstransaktioner i stort omfang, og de kan
for de fleste blockchains ske stort set øjeblikke-
ligt�½ Muligheden for at foretage næsten øjeblik-
kelige overførsler på tværs af lande er attraktiv
for kriminelle, der skal have overført værdier til
udlandet�½
REU, Alm.del - 2023-24 - Endeligt svar på spørgsmål 1456: Spm. om hvor mange overførsler, der indføres udeklarerede til Danmark, herunder om der findes skøn herfor
2938919_0232.png
232
DEN NATIONALE RISIKOVURDERING AF HVIDVASK
Endvidere er der en risiko for svind i form af
kurstab�½ Ligeledes er der en risiko for, at den
kriminelle aktør, der forsøger at hvidvaske selv,
bliver bestjålet af andre�½
Anonymitet
Hvor blockchainteknologien på den ene side
betyder, at transaktioner er offentligt tilgæn-
gelige, indebærer teknologien samtidig pseu-
donyme transaktioner�½ Det vil sige, at selvom
transaktionerne kan ses i en blockchain, fremgår
det ikke, hvem parterne i transaktionerne er�½ I
stedet fremgår deres wallet-adresser samt de
transaktioner, der vedrører adresserne�½ Europol
anfører, at kryptoaktivers transaktionshastighed
og pseudonymitet fortsat gør dem attraktive til
kriminelle transaktioner
(Europol 2021b: 19)�½
Det er dog muligt at sløre midlernes ophav fx via
mixers, privacy wallets, chain-hopping og andre
anonymiseringsfremmende typologier�½ DeFi-
transaktioner, der sker direkte mellem brugerne,
udgør en særskilt risiko for hvidvask, da DeFi
ikke er underlagt hvidvaskreglerne�½
De VASPer, der er omfattet af hvidvaskloven i
Danmark, er dog på lige fod med andre omfat-
tede virksomheder forpligtede til at have grun-
dige kundekendskabsprocedurer og monitering�½
Det betyder, at man som kunde skal oplyse sin
identitet til den VASP, man er kunde hos�½
Da handel med kryptovaluta foregår digitalt,
mødes VASPerne oftest ikke ansigt-til-ansigt
med deres kunder�½ De sårbarheder, der knytter
sig til brug af onlineservices og skriftlig doku-
mentation som erstatning for ansigt-til-ansigt
kommunikation, gælder ifølge FATF alle bran-
cher
(FATF 2018b: 82)�½
Onboarding via fjern-
kommunikation øger ligeledes sårbarhederne,
fordi kriminelle aktører kan gøre brug af falske
dokumenter�½
Blockchainteknologien giver en høj grad af trans-
parens i transaktionerne, og som udgangspunkt
er det muligt at følge kryptoaktivers transakti-
onsspor i de fleste blockchains�½ Hvis VASPer
bruger blockchain-analyseværktøjer, giver det
dem mulighed for at identificere mistænkelig
adfærd og mistænkelige transaktioner�½
Selvom VASPerne kan identificere mistænke-
lige aktiviteter, og selvom de kan underrette om
kunderne og deres aktiviteter, er myndighederne
udfordret på kapacitet på dette område, både
i forhold til kompetencer og teknologi, der skal
understøtte analyse, efterforskning, tilsyn og
beslaglæggelser�½ Det kan betyde, at kriminelle
aktører alligevel vælger at bruge branchen, fordi
de vurderer, at til trods for, at transaktionerne
logges i de forskellige blockchains, er risikoen
for at blive opdaget begrænset�½
RISICI FOR HVIDVASK I UDVALGTE BRANCHER
Hvidvasksekretariatet vurderer, at risikoen for hvidvask via
VASPer er
betydelig.
Boks 60
Privacy coins og mixere
De såkaldte privacy coins (også kendt som Anonymity Enhanced Currencies, AECs) er desig-
net til i varierende grad at sikre brugerne anonymitet�½ De er anvendelige i sløringsprocessen�½
Nogle af de populære privacy coins hedder Monero, Zcash og Dash�½ De anvender en række
varierende teknikker til at sikre brugernes anonymitet�½
Herudover er også mixere oplagte sløringsværktøjer�½ Mixers (også kendt som tumblers) er
services, der er designet til at blande transaktioner fra forskellige brugere, så det bliver svæ-
rere at spore, hvem der er henholdsvis afsender og modtager af hvilke transaktioner�½ Mixere
slører kryptoaktivernes ophav ved først at blande brugernes kryptoaktiver for derefter at give
brugerne deres kryptoaktiver tilbage fratrukket et mindre gebyr�½ Der findes ligeledes wallets,
der blander kryptoaktiver fra forskellige brugere for at øge graden af anonymitet�½
REU, Alm.del - 2023-24 - Endeligt svar på spørgsmål 1456: Spm. om hvor mange overførsler, der indføres udeklarerede til Danmark, herunder om der findes skøn herfor
2938919_0233.png
233
RISICI FOR HVIDVASK I GRØNLAND
7.
RISICI FOR
HVIDVASK I
GRØNLAND
REU, Alm.del - 2023-24 - Endeligt svar på spørgsmål 1456: Spm. om hvor mange overførsler, der indføres udeklarerede til Danmark, herunder om der findes skøn herfor
2938919_0234.png
234
DEN NATIONALE RISIKOVURDERING AF HVIDVASK
7.1
SAMMENFATNING
Grønlandsk Politi vurderer, at størstedelen af den udbytte­
givende kriminalitet i Grønland stammer fra hashhandel,
indbrud og mindre bedragerisager. En sårbarhed i denne
kontekst er den udbredte anvendelse af kontanter i Grønland,
som muliggør integration af ulovlige midler, fx fra hashhandel.
Da omfanget af udbyttegivende kriminalitet i
Grønland er begrænset, er mængden af ulovligt
udbytte, der skal hvidvaskes også begrænset�½
Her er ofte tale om mindre beløb og simple
hvidvaskmetoder�½ Størstedelen af de underret-
ninger, som Hvidvasksekretariatet modtager fra
Grønland, omhandler forholdsvist simple forhold�½
Sammenholdt med størrelsen på befolkningen
i Grønland og det begrænsede antal virksom-
heder vurderer Hvidvasksekretariatet, at truslen
fra kriminelle aktører i Grønland, der hvidvasker
gennem Grønland er begrænset�½
Hvidvasksekretariatet vurderer, at der er en
højere trussel fra aktører i udlandet, der vil
forsøge at hvidvaske midler, som stammer fra
kriminalitet begået i udlandet�½
RISICI FOR HVIDVASK I GRØNLAND
Det kan være vanskeligt for de grønlandske
underretningspligtige at klarlægge ejerskab
over virksomheder samt at verificere midlers
oprindelse, såfremt disse kommer fra udlandet�½
Denne trussel skal dog ses i sammenhæng
med Grønlands lille økonomi, hvor forsøg på
at hvidvaske større beløb alt andet lige vil
vække mistanke, fordi større beløb ikke på
samme måde som i Danmark kan gemme sig i
mængden�½
Hvidvasksekretariatet lægger i vurderingen
særlig vægt på Grønlands begrænsede, men
stigende eksponering mod udlandet�½ Hvid-
vasksekretariatet vurderer, at der er en række
hvidvaskmetoder, som er særlig risikofyldte i en
grønlandsk kontekst�½ Disse metoder er:
Tabel 27
Risikovurdering af metoder til hvidvask i Grønland
Modus
Hvidvask via legale virksomhedsstrukturer
Simpel hvidvask af mindre, ulovligt udbytte gennem kontantindsættelser
Hvidvask af kontanter gennem direkte integration i den legale økonomi
Risiko
Betydelig
Moderat
Moderat
REU, Alm.del - 2023-24 - Endeligt svar på spørgsmål 1456: Spm. om hvor mange overførsler, der indføres udeklarerede til Danmark, herunder om der findes skøn herfor
2938919_0235.png
DEN NATIONALE RISIKOVURDERING AF HVIDVASK
235
DET GRØNLANDSKE
SAMFUND
ET STORT LAND MED EN
RELATIVT LILLE BEFOLKNING
Grønland er en selvstyrende region inden for
rigsfællesskabet, der ud over Grønland også
omfatter Danmark og Færøerne�½ Grønland blev
en dansk koloni i 1721, et dansk amt i 1953,
hvorefter Hjemmestyret blev etableret i 1979�½ I
2009 blev Hjemmestyret erstattet af Grønlands
Selvstyre�½ Regionen har tidligere været
medlem af EU, men efter en folkeafstemning
i 1982 trådte Grønland ud af Det Europæiske
Fællesskab
(Grønlands Statistik 2022: 13)�½
Hovedstaden Nuuk er hjemsted for både
Naalakkersuisut (regeringen), og Inatsisartut
(Parlamentet)�½ Som en del af rigsfællesskabet
har Grønland to mandater i det danske folke-
ting, som vælges i forbindelse med det danske
folketingsvalg
(Grønlands Statistik 2022: 13)�½
Grønland er verdens største ø på godt
2�½166�½000 km
2
�½ Arealmæssigt er Grønland 50
gange større end Danmark�½ Fra nord til syd er
der 2�½670 km, og der er mere end 1�½000 km
mellem øst og vest�½ 80 pct�½ af landet ligger
under permanent is, og størstedelen af landet
er tundra�½ 60 pct�½ af befolkningen bor i regio-
nens fem største byer: Nuuk, Sisimiut, Ilulissat,
Aasiaat og Qaqortoq�½ I Nuuk bor omkring
19�½000 mennesker�½ De seneste 30 år er flere
flyttet til hovedstaden og hovedbosteder, mens
befolkningsantallet i de mindre bosteder er
faldet�½ Alle byer og bygder ligger ved kysten,
og der er ikke veje imellem dem�½ Derfor fore-
går rejser mellem byerne med skib eller fly
(Grønlands Statistik 2022: 4-6)�½
Der bor i dag godt 56�½500 mennesker i
Grønland�½ I befolkningen er der en overvægt
af mænd�½ Per 1�½ januar 2022 er 1�½539 perso-
ner med ikke-dansk statsborgerskab bosat i
Grønland, heraf 266 med statsborgerskab i
et andet nordisk land�½ Stadig flere migranter
kommer til, og udenlandske borgere i Grønland
er voksende og udgør nu 2,7 pct�½ af befolk-
ningen�½ De største grupper er fra Filippinerne,
Thailand og Island�½
De store afstande mellem bygder og byer
samt den lave befolkningstæthed i landet
besværliggør bankforretninger, da det ikke
er rentabelt at drive bankfilialer i de mindre
byer og små bygder med indbyggertal på
100-500 personer�½ For at give den grønland-
ske befolkning mulighed for bankforbindelser
har GrønlandsBANKEN og KNI (selvstyreejet
detailhandels- og engrosvirksomhed) lavet
en samarbejdsaftale�½ Denne aftale betyder,
at GrønlandsBANKENs kunder kan foretage
simple bankforretninger i KNI’s Pilersuisoq-
butikker rundt omkring i Grønland�½ Samarbejdet
har eksisteret siden 1967 og er siden blevet
digitaliseret�½ Siden 2010 har KNI gennem
brugskæden Pilersuisoq drevet basal bank-
betjening uden for GrønlandsBANKENs filialer�½
Valutaen i Grønland er danske kroner�½
7.2
EN ØKONOMI I FREMGANG
I 2020 var det grønlandske bruttonationalpro-
dukt på godt 20 milliarder kroner (foreløbige tal
i løbende priser)�½ Bloktilskuddet fra Danmark
var i 2020 på knap fire milliarder kroner�½
I Grønland er erhvervslivet domineret af få bran-
cher, særligt fiskeri og fiskerirelateret industri
og handel, engroshandel og detailhandel samt
bygge- og anlægsvirksomhed�½
Naturen i Grønland tiltrækker mange turister,
og turismeindustrien i Grønland vokser og
forventes at vokse yderligere med opførel-
sen af de nye lufthavne i Ilulissat og Nuuk�½
Turismeindustrien har været hårdt ramt af
coronapandemien, og antallet af udenrigs-
passagerer var i 2020 og 2021 mere end halve-
ret i forhold til 2019, hvor knap 87�½000 ankom
med fly�½ Efter 2021 har turismen igen været
stigende�½ De fleste overnattende kommer fra de
nordiske lande samt USA, Canada, England og
Tyskland
(Grønlands Statistik 2022: 26)�½
RISICI FOR HVIDVASK I GRØNLAND
REU, Alm.del - 2023-24 - Endeligt svar på spørgsmål 1456: Spm. om hvor mange overførsler, der indføres udeklarerede til Danmark, herunder om der findes skøn herfor
2938919_0236.png
236
DEN NATIONALE RISIKOVURDERING AF HVIDVASK
Råstofudvinding er en branche i vækst i Grøn-
land, selvom den fortsat er begrænset�½ I 2020
omsatte branchen for 142 millioner kroner�½
Ifølge Mineralmyndigheden under Grønlands
Selvstyre er der 145 aktive råstoflicenser i
Grønland�½ Disse licenser dækker over guld,
ædelsten og sjældne jordarter fordelt på 78
unikke licensejere
(Mineralmyndigheden u�½d�½)�½
Den ensidige produktion betyder, at Grøn-
land efterspørger mange forskellige varer,
og landet har derfor en relativt omfattende
udenrigshandel�½ I 2020 importerede Grøn-
land varer og tjenester for knap 10 milliarder
kroner, mens der blev eksporteret for godt 7
milliarder kroner
(Grønlands Statistik 2022:
30, 32)�½
Der importeres flest varer fra EU,
heraf primært Danmark og Sverige, mens de
største eksportpartnere er Danmark og Island
(Grønlands Statistik 2021: 38)�½
Fiskeriet, som er Grønlands vigtigste erhverv,
står for mere end 90 pct�½ af den samlede vare-
eksport�½ Fiskeriet domineres af to selskaber;
det selvstyreejede Royal Greenland og det pri-
vatejede Polar Seafood�½ Fiskeriet er af væsent-
lig betydning for den offentlige sektor, idet skat-
teprovenuet fra erhvervet udgør mellem 30 og
40 pct�½ af de offentlige indtægter (tal for 2015
til 2019) og beskæftiger 16 pct�½ af arbejds-
styrken
(Andersen 2021b: 38)�½
Der er to banker i Grønland: GrønlandsBANKEN
og BankNordik (som har hovedsæde på
Færøerne)�½ De anvender begge større danske
eller internationale banker som korrespondent-
banker i forbindelse med udlandstransaktioner
til og fra Grønland�½
Den finansielle sektor omsatte i 2020 for godt
500 millioner kroner
(Grønlands Statistik 2022:
20)�½
Det er ikke et krav eller en nødvendighed
at have et engagement i et grønlandsk penge-
institut for at bo og arbejde i Grønland�½
Langt de fleste er ansat inden for offentlig
administration og service (11�½527), fiskeri,
fangst og landbrug (4�½211) og handel (3�½011)
(Grønlands Statistik 2022: 19)�½
Landet oplever mangel på arbejdskraft, og for
de grønlandske virksomheder betyder det, at
ordrer ikke kan tages hjem hvilket forårsager
tab af vækst
(Høgedahl & Lind Ravn 2021: 73,
Andersen 2021a: 5)�½
Endvidere er beskæfti-
gelsen udfordret af strukturelle forhold, idet
mere end halvdelen af arbejdsstyrken ikke har
anden uddannelse end folkeskolen
(Grønlands
Statistik 2022: 12)�½
Dog er der udsigt til en stig-
ning i uddannelsesniveauet, da fremskrivninger
viser, at andelen af befolkningen med grund-
skole som højeste uddannelse vil være omkring
40 pct�½ i 2040�½ I de senere år er flere arbejds-
tagere fra udlandet kommet til�½ Arbejdstagere
fra Danmark udgør stadig den største gruppe
udenlandske arbejdstagere, særligt inden for
offentlig administration�½ Arbejdstagere fra
Asien udgør den næststørste gruppe, og de
arbejder primært inden for hotel og restau-
ration, fiskeri, fangst og landbrug og handel
(Grønlands Statistik 2022: 19)�½
HUSHOLDNINGERNES ØKONOMI
I 2020 havde kvinderne en gennemsnitlig brutto-
indkomst på 231�½000 kroner, mens mændene
havde en indkomst på 292�½000 kroner�½ Borgere
i Grønland betaler mellem 42 og 44 pct�½ i skat�½
Grønlands prisniveau er på højde med prisni-
veauet i Norge, hvilket betyder, at at borgere, der
bor og arbejder i Grønland efter betaling af skat
samt forbrug har relativt færre penge mellem
hænderne end borgere, der bor og arbejder i
Danmark
(Grønlands Statistik 2021: 28-29)�½
Digitaliseringen er udbredt i Grønland, fx i for-
hold til internet, mobiltelefoner og tablets, og
det gør det nemmere at kommunikere mellem
myndigheder og borgere samt borgere imellem
samt at handle – særligt i de områder, hvor
transport er vanskelig�½ Dog anvendes der fortsat
ofte kontanter i Grønland, og det er derfor relativt
nemt at integrere kontanter direkte i økonomien�½
Det er i nogle brancher et konkurrenceparameter
at aflønne ansatte i kontanter�½ Dette gælder
især i fiskeindustrien, hvor virksomheder beta-
ler fiskere kontant for hurtigst og nemmest at
kunne overdrage fangster til videre produktion
(Grønlands Politi 2022a)�½
RISICI FOR HVIDVASK I GRØNLAND
GRØNLANDS ARBEJDSSTYRKE
OG BESKÆFTIGELSE
Grønlands arbejdsstyrke består af cirka 27�½000
fastboende grønlændere i aldersgruppen 18-65
år, og den gennemsnitlige ledighedsprocent
i 2020 var på 5,3 pct�½ per måned
(Grønlands
Statistik 2022: 35)�½
REU, Alm.del - 2023-24 - Endeligt svar på spørgsmål 1456: Spm. om hvor mange overførsler, der indføres udeklarerede til Danmark, herunder om der findes skøn herfor
2938919_0237.png
DEN NATIONALE RISIKOVURDERING AF HVIDVASK
237
Tabel 28
Antal erhvervsaktive virksomheder i Grønland
 
Aktive virksomheder
2018
3�½962
2019
3�½987
2020
3�½669
Kilde:
Grønlands Statistik 2022�½
VIRKSOMHEDSLANDSKABET
I GRØNLAND
Ifølge Erhvervsstyrelsen var der i 2021 i alt
7�½006 aktive cvr-numre registreret i Grønland�½
Cirka 3�½700 af de godt 7�½000 virksomheder
i Grønland er erhvervsaktive�½ En virksomhed
er erhvervsaktiv, såfremt der er reel drift og
omsætning i virksomheden�½
Langt de fleste virksomheder i Grønland
er enkeltmandsvirksomheder�½ Ifølge tal fra
Grønlands Statistik var der i 2020 i alt 2�½724
enkeltmandsvirksomheder, 501 øvrige selska-
ber, herunder anpartsselskaber, og 135 aktie-
selskaber�½ Derudover var der 166 fonde samt
61 udenlandske filialer�½ 82 virksomheder var
angivet som uoplyst�½
Omtrent halvdelen af den samlede lønsum,
som udbetales af virksomhederne, udbetales
af aktieselskaber
(Grønlands Statistik 2022:
21)�½
I perioden fra 2016-2020 er antallet af
udenlandske filialer næsten fordoblet, og deres
andel af lønsummen, der udbetales, er også
stigende og udgjorde i 2020 tre pct�½
(Grønlands
Statistik 2022: 21)�½
Ejerskab
Grønlands erhvervsliv er domineret af store
offentligt ejede selskaber�½ De største selskaber,
der alene ejes af Selvstyret, tæller blandt andet:
Royal Greenland A/S (fiskeriindustrien),
KNI A/S (detailhandel og salg af olie),
Royal Arctic Line A/S (shipping),
Air Greenland (lufttrafik) og
Tusass (telekommunikation)�½
Størstedelen af grønlandske selskaber ejes
af personer bosiddende i Grønland�½ Også
personer bosiddende i Danmark og Island
ejer selskaber i Grønland�½ Dernæst kommer
en række lande som Hvidvasksekretariatet
vurderer er typiske samhandelspartnere for
Grønland på grund af landets placering i Arktis�½
I faldende rækkefølge er der tale om ejere fra
Storbritannien, Canada, Færøerne og USA�½
Hvidvasksekretariatet ser dog enkelte virk-
somheder, hvor ejerne er bosat i lande, som
ikke typisk har samhandel med Grønland,
fx Seychellerne, De Britiske Jomfruøer,
Luxemburg, Hong Kong og Kina�½
Ifølge Mineralmyndigheden under Grønlands
selvstyre ejes de 145 aktive råstoflicen-
ser i Grønland af 78 forskellige licensejere
(Mineralmyndigheden u�½d�½)�½
Indehaverne af
licenserne spænder fra enkeltpersoner til inter-
nationale selskaber�½
DET GEOPOLITISKE STORMAGTSSPIL
RISICI FOR HVIDVASK I GRØNLAND
I og omkring Grønland og Arktis foregår der et
geopolitisk stormagtsspil mellem særligt USA,
Rusland og Kina, der har interesser i området�½
Kina investerer mange økonomiske ressourcer i
blandt andet grønlandsk infrastruktur, minedrift
og fiskeri�½ Andre lande viser også interesse for
investeringer i Grønland, og virksomheder fra
Indien, Italien og Singapore investerer også i
Grønland
(Sacks et al�½ 2021: 11)�½
REU, Alm.del - 2023-24 - Endeligt svar på spørgsmål 1456: Spm. om hvor mange overførsler, der indføres udeklarerede til Danmark, herunder om der findes skøn herfor
2938919_0238.png
238
DEN NATIONALE RISIKOVURDERING AF HVIDVASK
7.3
UNDERRETNINGER
FRA GRØNLAND
DE GRØNLANDSKE
UNDERRETNINGSPLIGTIGE
Hvidvasklovgivningen i Grønland opererer ud fra
Anordning om ikrafttræden for Grønland af lov
om forebyggende foranstaltninger mod hvid-
vask og finansiering af terrorisme (hvidvasklo-
ven)
fra 12�½ august 2019�½ I det store og hele er
den grønlandske hvidvasklov en overtagelse
af den gældende hvidvasklov i Danmark�½ Dog
er der en række virksomhedstyper, der ikke er
hjemtaget i den grønlandske lov�½ Det gælder:
Auktionsplatforme over kvoter for
drivhusgasemissioner�½
• Aktører, som har tilladelse til at byde
direkte på auktioner over kvoter for
drivhusgasemissioner�½
• Ejendomsmæglere og
ejendomsmæglervirksomhed�½
• Ikke-godkendte revisorer, skatterådgivere,
eksterne bogholdere�½
• Udbydere af tjenesteydelser til
virksomheder�½
• Valutavekslingsvirksomhed�½
(Lovtidende 2019)
Disse er dermed ikke omfattet af hvidvaskloven,
hvorfor de ikke er forpligtet til at underrette
Hvidvasksekretariatet ved mistanke om hvid-
vask eller terrorfinansiering�½
Tilsyn med de underretningspligtige virksom-
heder er fordelt på følgende måde:
Erhvervsstyrelsen har tilsynskompetence
med godkendte revisorer og kunsthandlere i
Grønland�½
Finanstilsynet fører tilsyn med finansielle
virksomheder i Grønland�½
Spillemyndigheden fører tilsyn med spilud-
bydere, der udbyder væddemål og onlineka-
sino i Grønland�½
Skatteforvaltningen i Grønland fører tilsyn
med valutavekslere, finansielle leasingvirk-
somheder og udlånsvirksomheder�½
ANTAL AF UNDERRETNINGER
OG OMFANG
Hvidvasksekretariatet modtager underretninger
om personer bosiddende i Grønland eller under-
retninger om grønlandske forhold�½ Det kan være
vanskeligt at vurdere, hvorvidt der er tale om en
underretning om grønlandske forhold, fordi det
ikke altid fremgår af underretningen, om mis-
tanken vedrører grønlandske personer, virksom-
heder eller andre grønlandske forhold�½
GrønlandsBANKEN står for størstedelen af
underretningerne�½ Hvidvasksekretariatet mod-
tager underretninger fra GrønlandsBANKEN
gennem GoAML�½ Underretninger fra
bygderne bliver modtaget på mail fra
GrønlandsBANKEN�½ Disse bliver manuelt
indtastet i Hvidvasksekretariatets syste-
mer�½ Hvidvasksekretariatet bemærker, at de
underretninger, der kommer gennem KNI-
samarbejdet, ofte er meget simple og inde-
holder få oplysninger�½ Disse underretninger
omhandler primært kontantindsættelser uden
dokumentation eller kontantindsættelser, der
afviger fra kundens normale indkomstniveau�½
BankNordik angiver ikke i deres underretninger,
hvorvidt de underretter om et grønlandsk eller
færøsk forhold�½ Hvidvasksekretariatet bemær-
ker, at det ikke er et krav eller en nødvendighed
at have et engagement i et grønlandsk pen-
geinstitut for at bo og arbejde i Grønland�½ Det
betyder, at Hvidvasksekretariatet kan modtage
underretninger om grønlandske forhold, uanset
om den underretningspligtige er fysisk til stede
i Grønland�½
Hvidvasksekretariatet har foretaget en søgning
i politiets systemer på alle personer, der er regi-
streret som bosiddende i en grønlandsk kom-
mune, og som findes i GoAML�½ På denne måde
er det muligt at tælle antallet af underretninger
om grønlandske borgere�½ Af tabellen nedenfor
fremgår, at der er sket en stigning i antallet af
underretninger fra 485 i 2018 til 783 i 2021�½ I
samme periode er antallet af underretninger i
Danmark ligeledes steget�½
RISICI FOR HVIDVASK I GRØNLAND
REU, Alm.del - 2023-24 - Endeligt svar på spørgsmål 1456: Spm. om hvor mange overførsler, der indføres udeklarerede til Danmark, herunder om der findes skøn herfor
2938919_0239.png
DEN NATIONALE RISIKOVURDERING AF HVIDVASK
239
Tabel 29
Antal underretninger om personer, som er bosiddende i Grønland
 
Antal underretninger
2018
485
2019
413
2020
668
2021
783
Kilde:
Hvidvasksekretariatet 2022�½ Der er i januar 2022 foretaget søgning blandt personer, som er registreret som bosiddende
i Grønland, og som både er kendt i politiets systemer, og som indgår i mindst én underretning i Hvidvasksekretariatets
database�½ Det skal bemærkes, at underretningerne ikke nødvendigvis omhandler grønlandske forhold�½
DER UNDERRETTES MEST OM
KONTANTINDSÆTTELSER
Hvidvasksekretariatet vurderer, at omkring 70
pct�½ af underretningerne i perioden omhand-
lende grønlandske borgere relaterer sig til
mistænkelige kontantindsættelser�½ Disse
underretninger omhandler kontantindsættelser,
som ikke stemmer overens med kundernes
generelle økonomi�½ Der er typisk tale om beløb
mellem 10�½000 kroner og 25�½000 kroner�½ Det
er ikke muligt at kortlægge, hvor kontanterne
stammer fra, men Hvidvasksekretariatet vurde-
rer, at det er sandsynligt, at nogle kontantind-
sættelser dækker over sort arbejde og dermed
skatteunddragelse, fx i fiskeindustrien�½
Et typisk modus er, at kontanter bliver indsat
på en konto, hvorefter midlerne hurtigt bliver
overført til eksempelvis Danmark�½ Pengene
kan her blive hævet i kontantautomater�½
Hvidvasksekretariatet vurderer, at en del af de
personer, der indsætter mistænkelige kontanter,
agerer muldyr for kriminelle aktører i Grønland
og i Danmark�½
En del af underretningerne handler om førfor-
brydelser, særligt mistanke om ulovligt salg
af alkohol eller hash�½ Disse underretninger
omhandler typisk grønlandske borgere, som
løbende modtager mange overførsler fra
tredjepart med reference til øl eller lignende�½
Disse beløb er ofte på mellem 200 og 300
kroner�½ I enkelte underretninger er der tilknyttet
over 100 transaktioner fra andre personer�½
Hvidvasksekretariatet bemærker, at antallet af
underretninger, der enten handler om virksom-
heder, eller som handler om store beløb (over
100�½000 kroner) er begrænset�½
RISICI FOR HVIDVASK I GRØNLAND
REU, Alm.del - 2023-24 - Endeligt svar på spørgsmål 1456: Spm. om hvor mange overførsler, der indføres udeklarerede til Danmark, herunder om der findes skøn herfor
2938919_0240.png
240
DEN NATIONALE RISIKOVURDERING AF HVIDVASK
7.4
TRUSLER: UDBYTTE-
GIVENDE KRIMINALITET
I GRØNLAND
HASHHANDEL
Indsmugling og salg af hash er en udfordring i
det grønlandske samfund�½ Grønlands Politi vur-
derer, at salg af hash er den kriminalitetsform,
der genererer flest penge i det kriminelle miljø
(Grønlands Politi 2022a)�½
Ifølge Grønlands Politis årsstatistik blev der i
2021 beslaglagt 97,4 kilo hash i Grønland�½ I
2021 blev der ud over hash også beslaglagt
godt 8,8 millioner kroner i kontanter
(Grønlands
Politi 2022b)�½
På grund af Grønlands geografiske placering og
udfordringerne med logistik og transport af hash
til landet, er der stor fortjeneste for kriminelle
aktører på at købe hash i Danmark til 50 kroner
per gram og derefter sælge det i Grønland for
mellem 500 og 1�½000 kroner per gram – i visse
tilfælde kan det sælges for 2�½000 kroner per
gram
(Grønlands Politi 2022a)�½
Hvidvasksekretariatet vurderer, at en stor del af
de kontantindsættelser, som optræder i under-
retninger fra grønlandske underretningsplig-
tige, stammer fra salg eller smugling af hash�½
Hvidvasksekretariatet er i besiddelse af oplys-
ninger, der indikerer, at kriminelle aktører anven-
der pengeoverførselsvirksomheder i Grønland
til at sende penge, der stammer fra handel med
hash, til Danmark eller til andre lande�½
Grønlands Politi nævner også køb af væddemål
ved spiludbydere som en metode, hvorigen-
nem kontanter, der stammer fra hashhandel,
bliver hvidvasket
(Grønlands Politi 2022a)�½
Hvidvasksekretariatet er i besiddelse af efter-
retninger, som understøtter denne vurdering�½
Spillemyndigheden i Danmark oplyser, at der
udbydes landbaserede væddemål, online-
væddemål og onlinekasino i Grønland�½ Den
samlede bruttospilleindtægt
1
for landbaserede
væddemål, onlinevæddemål og onlinekasino i
Grønland var i 2020 på 39 millioner kroner�½ Der
bliver ikke drevet landbaseret kasino i Grønland�½
Hvidvasksekretariatet er bekendt med perso-
ner, der er mistænkt for handel med hash og
løbende har anvendt onlinevæddemål til at
integrere kontanter på privatkonti�½
Figur 5
Kilogram
RISICI FOR HVIDVASK I GRØNLAND
Beslaglæggelse af hash i Grønland
100
80
60
40
20
0
Kilde:
Grønlands Politi 2022b�½
2018
2019
2020
2021
1�½ Bruttospilleindtægt udgøres af indskud plus eventuel
kommission fratrukket gevinster�½
Hvidvasksekretariatet vurderer, at det er sandsynligt, at det
ulovlige udbytte fra hashhandel vil forblive på det nuværende
niveau de kommende år. På baggrund af antallet af sager og
priserne på hash vurderer Hvidvasksekretariatet, at truslen i
forhold til hvidvask af udbyttet er
moderat.
REU, Alm.del - 2023-24 - Endeligt svar på spørgsmål 1456: Spm. om hvor mange overførsler, der indføres udeklarerede til Danmark, herunder om der findes skøn herfor
2938919_0241.png
DEN NATIONALE RISIKOVURDERING AF HVIDVASK
241
TYVERI, INDBRUD OG LIGNENDE
Berigelseskriminalitet i Grønland er opgjort
nedenfor�½ Det er Grønlands Politis vurdering, at
de kriminelle aktører ikke har behov for organi-
seret hvidvask af midler fra indbrud i Grønland,
fordi midlerne løbende kan integreres i den
legale økonomi uden at vække mistanke�½
Det bemærkes herved, at der i Grønland fort-
sat benyttes kontanter i ganske vidt omfang
(Grønlands Politi 2022a)�½
Grønlands Politi vur-
derer, at tyveri af kontanter er begrænset, da der
ved indbrud oftest bliver stjålet alkohol, cigaret-
ter eller husflid, såsom håndarbejde, smykker
og lignende�½ Tyvekosterne sælges til private
personer mod kontanter, som herefter indgår i
det daglige forbrug
(Grønlands Politi 2022a)�½
Tabel 30
Anmeldelser af berigelseskriminalitet i Grønland
 
Indbrudstyveri
Tyveri
Bedrageri, underslæb, mandatsvig m�½v�½
Butikstyveri
Røveri
2018
301
424
282
278
23
2019
380
436
260
280
24
2020
459
351
267
278
34
2021
468
326
201
262
26
Kilde:
Grønlands Politi 2022b�½
Hvidvasksekretariatet vurderer, at det er sandsynligt, at det ulovlige
udbytte fra tyveri, indbrud og lignende vil forblive på det nuværende
niveau de kommende år. På baggrund af antallet af sager og det
begrænsede økonomiske udbytte vurderer Hvidvasksekretariatet,
at truslen i forhold til hvidvask af udbyttet er
begrænset.
RISICI FOR HVIDVASK I GRØNLAND
SKATTEUNDDRAGELSE
Hvidvasksekretariatet modtager flere underret-
ninger om grønlandske borgere, der mistænkes
for at begå skatteunddragelse�½ Disse underret-
ninger omhandler typisk personer ansat i fiske-
eller turistindustrien, som indsætter mistænke-
lige kontantbeløb�½ Her er ofte tale om personer,
som har en begrænset indtægt, og som indsæt-
ter et større kontantbeløb�½
Generelt fylder mistanke om skattekriminalitet
meget i de underretninger, Hvidvasksekretariatet
modtager fra de underretningspligtige�½
Hvidvasksekretariatet har ikke på baggrund af de
interviews, Hvidvasksekretariatet har foretaget
i Grønland i forbindelse med risikovurderingen,
fået indtrykket af, at organiseret skatteunddra-
gelse er en udfordring i en grønlandsk kontekst�½
Hvidvasksekretariatet vurderer, at der primært
er tale om mindre beløb, som stammer fra sort
arbejde�½
Hvidvasksekretariatet modtager dog enkelte
underretninger om grønlandske virksomheder,
der mistænkes for at skjule omsætning ved at
overføre midler til ansatte, som senere bliver
tilbageført til virksomheden i et nyt skatteår�½
Hvidvasksekretariatet vurderer, at det er sandsynligt, at det ulovlige
udbytte fra skatteunddragelse vil forblive på det nuværende niveau
de kommende år. På baggrund af antallet af underretninger samt
den begrænsede beløbsstørrelse vurderer Hvidvasksekretariatet, at
truslen i forhold til hvidvask af udbyttet er
moderat.
REU, Alm.del - 2023-24 - Endeligt svar på spørgsmål 1456: Spm. om hvor mange overførsler, der indføres udeklarerede til Danmark, herunder om der findes skøn herfor
2938919_0242.png
242
DEN NATIONALE RISIKOVURDERING AF HVIDVASK
KORRUPTION
Grønlands relativt lille befolkning betyder, at
der ofte er personlige relationer mellem bor-
gerne�½ De relationer har altid været og er fortsat
afgørende i det grønlandske samfund, men de
kan i visse tilfælde også gøre det vanskeligere
at fastholde objektive kriterier i beslutnings-
processer og gøre det vanskeligt ikke at have
ansatte eller beslutningstagere, som er inhabile
i visse sager�½
Hvidvasksekretariatet er ikke i besiddelse
af oplysninger, der indikerer, at korruption er
udbredt i Grønland�½
De øgede internationale erhvervsaktiviteter i
Grønland, særligt på de områder, der handler
om begrænsede naturressourcer, fx råstofsel-
skaber, øger trusselsniveauet for korruption, og
der er risiko for, at nogle aktører vil udnytte de
sårbarheder, der er i et tæt og relationsstærkt
Grønland�½ Større udbytte fra korruption hvid-
vaskes typisk gennem virksomhedsstrukturer�½
Hvidvasksekretariatet vurderer, at det er sandsynligt, at
det ulovlige udbytte fra korruption vil stige de kommende
år, og Hvidvasksekretariatet vurderer, at truslen i forhold
til hvidvask af udbyttet er
moderat.
KRIMINALITET BEGÅET I UDLANDET,
DER HVIDVASKES VIA GRØNLAND
Hvidvasksekretariatet vurderer, at der som følge
af investeringer fra store, udenlandske aktører
i forbindelse med forsøg på at etablere sig i
Grønland er en risiko for, at de investerede midler
stammer fra kriminalitet, eller at virksomhederne
udnyttes til sløringsaktiviteter, og at Grønland
derved bliver misbrugt til hvidvask�½ Truslen fra
udenlandske kriminelle aktører stiger i takt med
en øget international eksponering, herunder også
fra organiserede kriminelle aktører�½ Som det
fremgår af kapitel 3
Nationale trusler,
vurderer
Europol følgende kriminalitetsområder som de
største kriminalitetstrusler
(Europol 2021a: 98):
Kriminelle netværk, som gør brug af
korruption og hvidvask�½
Cyberangreb�½
Personfarlig kriminalitet�½
Ulovlig produktion og handel med narkotika�½
Bedrageri�½
Formueforbrydelser�½
Miljøkriminalitet�½
Truslen i Grønland for hvidvask af udbytte fra
kriminalitet begået i udlandet vil forventeligt
handle om sløring af ulovlige midler fra disse
kriminalitetsområder�½ Hvidvask af midler, der
stammer fra kriminalitet begået i udlandet, vil
formentlig involvere bistand fra professionelle
rådgivere eller professionelle hvidvaskere, idet
det kræver særlig viden om, hvordan man kan
udnytte sårbarheder i Grønland uden at blive
opdaget�½
Grønland har en relativ lille økonomi og få
virksomheder, som gør det nemmere for de
underretningspligtige at opdage usædvan-
lige aktiviteter�½ På den anden side vurderer
Hvidvasksekretariatet, at det udgør en sårbar-
hed for håndtering af potentiel hvidvask, at
grønlandske pengeinstitutter muligvis ikke er
rustet til at kunne monitere store, internationale
erhvervskunder�½ Det skyldes, at banken primært
behandler mindre transaktioner, hvilket også
fremgår af de grønlandske underretningspligti-
ges underretninger til Hvidvasksekretariatet�½
RISICI FOR HVIDVASK I GRØNLAND
Det er Hvidvasksekretariatets vurdering, at udbytte fra kriminalitet
begået i udlandet, der kan hvidvaskes i Grønland, vil stige de
kommende år på grund af øget internationalt engagement og en
sårbar finansiel sektor i forhold til håndtering af større sager og
komplekse ejerstrukturer. Hvidvasksekretariatet vurderer, at truslen
i forhold til hvidvask af ulovligt udbytte fra udlandet er
betydelig.
REU, Alm.del - 2023-24 - Endeligt svar på spørgsmål 1456: Spm. om hvor mange overførsler, der indføres udeklarerede til Danmark, herunder om der findes skøn herfor
2938919_0243.png
DEN NATIONALE RISIKOVURDERING AF HVIDVASK
243
SÅRBARHEDER
RISIKO FOR INTERESSE-
KONFLIKTER OG PARTISKHED
Det grønlandske samfunds størrelse giver kort
afstand fra beslutningstagere til befolkning�½
Det kan medføre interessekonflikter, herunder
politiske personers partiskhed i økonomiske
beslutninger�½
Hvidvasksekretariatet er på baggrund af inter-
views med underretningspligtige i Grønland
blevet gjort opmærksom på, at det grønlandske
samfund kan være sårbart over for påvirkninger,
fx i forbindelse med offentlige udbud�½ Det er
Hvidvasksekretariatets vurdering, at omfanget af
korruption og vennetjenester i den Grønlandske
økonomi ikke udgør en udpræget trussel i dag�½
7.5
Hvidvasksekretariatet vurderer, at interessekonflikt og partiskhed
udgør en
moderat
sårbarhed i forhold til hvidvask.
MANGLENDE LISTE OVER
POLITISK EKSPONEREDE
PERSONER I GRØNLAND
På baggrund af en række interviews med
underretningspligtige i Grønland konstaterer
Hvidvasksekretariatet, at fraværet af en liste
over
politisk eksponerede personer
(PEP-
liste) udgør en sårbarhed i forhold til hvidvask
i Grønland�½ Den nuværende PEP-liste på
finanstilsynets hjemmeside indeholder kun
politisk eksponerede personer for Danmark og
Færøerne�½ Der findes ingen aktuel PEP-liste
for Grønland, til trods for at det står angivet i
den grønlandske hvidvasklov, at en sådan
skal udformes�½
Dette betyder, at grønlandske underretningsplig-
tige ikke har et centralt sted, hvor det fremgår,
om deres kunder er politisk eksponerede perso-
ner, og de derfor skal foretage skærpet overvåg-
ning af forretningsforbindelser, jf�½ hvidvasklovens
§ 18, stk�½ 1 og 2�½ Hvidvasksekretariatet bemær-
ker, at nogle private udbydere tilbyder lister med
PEP-relationer i Grønland, men disse lister er
ikke officielle og kan ofte kun tilgås ved betaling�½
Hvidvasksekretariatet vurderer, at der er en
risiko forbundet med den manglende PEP-liste
for Grønland, da det er op til de underretnings-
pligtige selv at identificere eventuelle politisk
eksponerede personer, herunder familiemed-
lemmer og nære samarbejdspartnere blandt
deres kunder�½
Hvidvasksekretariatet vurderer, at den manglende liste
over politisk eksponerede personer i Grønland udgør en
høj
sårbarhed i forhold til hvidvask.
RISICI FOR HVIDVASK I GRØNLAND
REU, Alm.del - 2023-24 - Endeligt svar på spørgsmål 1456: Spm. om hvor mange overførsler, der indføres udeklarerede til Danmark, herunder om der findes skøn herfor
2938919_0244.png
244
DEN NATIONALE RISIKOVURDERING AF HVIDVASK
KONTANTBASERET SAMFUND
Grønland har som nævnt en relativt set større
kontantøkonomi end Danmark�½ Det er derfor
umiddelbart nemmere at placere en større
mængde kontanter fra kriminalitet i Grønland,
end det ville være i Danmark�½ Grønlands Politi
vurderer, at kontantforbuddet på 50�½000 kroner
generelt bliver overholdt af grønlandske virk-
somheder, og at risikoen ligger i handler mellem
privatpersoner, hvor kontantforbuddet ikke
gælder
(Grønlands Politi 2022a)�½
Grundet cirku-
lationen af kontanter i Grønland kan kriminelle
aktører lettere integrere kontanter gennem
det private marked�½ Her kan penge investeres
i eksempelvis biler, både eller ejendomme i
de mindre bygder rundt omkring i Grønland
uden behov for yderligere sløringsaktiviteter�½
De mindre samfund gør det lettere at blive
opmærksomme på aktører, der har usædvanligt
mange penge, og det begrænser sårbarheden�½
Hvidvasksekretariatet vurderer, at det kontantbaserede
samfund udgør en
moderat
sårbarhed i forhold til hvidvask.
HÅNDTERING AF KOMPLEKSE
UDENLANDSKE VIRKSOMHEDS-
STRUKTURER
På baggrund af interviews med grønlandske
underretningspligtige vurderer Hvidvask-
sekretariatet, at komplekse internationale
ejerforhold kan være vanskelige at klarlægge
for underretningspligtige i Grønland�½ Der er
begrænset adgang til værktøjer, der kan afklare
ejerforhold, blandt andet fordi disse oplysninger
sælges af private virksomheder via licenser,
som kan være dyre�½
RISICI FOR HVIDVASK I GRØNLAND
gennemsigtigheden i transaktioner og skabe
usikkerhed omkring reelt ejerskab, skatteforhold
samt midlers oprindelse�½ Hvidvasksekretariatet
bemærker, at der ifølge Erhvervsstyrelsens data
er angivet en række reelle ejere af grønlandske
selskaber, som vurderes at være fra risikolande
i forhold til skattetænkning�½ Her tænkes sær-
ligt på Seychellerne, De Britiske Jomfruøer,
Luxemburg, Hong Kong og Kina�½
Hvidvasksekretariatet vurderer, at det er muligt,
at udenlandske selskaber med komplekse
ejerstrukturer kan operere i Grønland, uden at
de underretningspligtige har de nødvendige
redskaber til at klarlægge de reelle ejerforhold�½
Dette kan øge risikoen for hvidvask�½
Hvidvasksekretariatet bemærker, at udenlandsk
ejerskab i sig selv ikke er mistænkeligt, men sel-
skaber med udenlandsk ejerskab kan mindske
Hvidvasksekretariatet vurderer, at udfordringer med at
håndtere komplekse udenlandske virksomhedsstrukturer
udgør en
betydelig
sårbarhed i forhold til hvidvask.
REU, Alm.del - 2023-24 - Endeligt svar på spørgsmål 1456: Spm. om hvor mange overførsler, der indføres udeklarerede til Danmark, herunder om der findes skøn herfor
2938919_0245.png
DEN NATIONALE RISIKOVURDERING AF HVIDVASK
245
BEGRÆNSET DELING AF
OPLYSNINGER MELLEM
DANMARK OG GRØNLAND
De underretninger, som Hvidvasksekretariatet
modtager, der omhandler grønlandske borgere
eller grønlandske forhold, bliver videregivet til
Grønlands Politi�½ De fleste underretninger hand-
ler om lave beløb eller enkeltstående tilfælde
af mistænkelige transaktioner�½ Der er tale om
forhold, der ikke er blevet udfundet gennem
Hvidvasksekretariatets normale screenings-
værktøjer, som blandt andet vægter beløbs-
størrelse og kriminelle tilhørsforhold�½
Hvidvasksekretariatet har endvidere identifi-
ceret mulige udfordringer i relation til deling af
oplysninger mellem Hvidvasksekretariatet og
øvrige myndigheder i Grønland�½ Udfordringerne
drøftes på nuværende tidspunkt mellem myn-
dighederne med henblik på at sikre, at oplys-
ninger kan deles mellem Hvidvasksekretariatet
og øvrige myndigheder i Grønland�½
Hvidvasksekretariatet har ikke tidligere haft et
selvstændigt fokus på rigsfællesskabet, hvorfor
underretninger om Grønland og Færøerne er
blevet behandlet sammen med underretnin-
ger fra danske underretningspligtige�½ Under-
retninger omhandlende grønlandske borgere
indeholder sjældent oplysninger, der gør, at de
bliver prioriteret til videregivelse�½
Hvidvasksekretariatet har siden 1�½ januar 2022
haft fokus på underretninger fra grønlandske
underretningspligtige samt underretninger,
der omhandler Grønland, hvilket også frem-
går af stigningen i antallet af videregivelser til
Grønlands Politi i 2022�½
Det har været praksis at sende underretninger
vedrørende skatteforhold til de danske skat-
temyndigheder, til trods for at de omhandler
grønlandske skatteforhold�½ I enkelte tilfælde
anmoder de danske skattemyndigheder Hvid-
vasksekretariatet om, at oplysningerne videre-
formidles til de grønlandske myndigheder�½
Tabel 31
Antallet af videregivelser til Grønlands Politi
 
Antal videregivelser
Antal underretninger
2018
7
35
2019
6
30
2020
9
47
2021
4
14
2022 H1
23
241 
Kilde:
Hvidvasksekretariatet 2022�½
Hvidvasksekretariatet vurderer, at begrænset deling
af oplysninger mellem Danmark og Grønland udgør
en
betydelig
sårbarhed i forhold til hvidvask.
RISICI FOR HVIDVASK I GRØNLAND
REU, Alm.del - 2023-24 - Endeligt svar på spørgsmål 1456: Spm. om hvor mange overførsler, der indføres udeklarerede til Danmark, herunder om der findes skøn herfor
2938919_0246.png
246
DEN NATIONALE RISIKOVURDERING AF HVIDVASK
7.6
RISIKOVURDERING AF
UDVALGTE HVIDVASK-
METODER I GRØNLAND
På baggrund af de identificerede trusler og
sårbarheder ser vi nærmere på de hvidvask-
metoder, Hvidvasksekretariatet vurderer, udgør
en risiko for hvidvask i Grønland�½
anvender kontantindsættelser til at indsætte
midler, der stammer fra hashhandel, indbrud
og eventuelt mindre korruptionssager�½ Formålet
med disse transaktioner er at videreføre mid-
lerne til Danmark eller et andet land, fx til
reinvestering i kriminalitet�½ Denne vurdering
baserer sig på andelen af underretninger, som
Hvidvasksekretariatet har modtaget, som
omhandler kontantindsættelser�½
SIMPEL HVIDVASK AF MINDRE,
ULOVLIGT UDBYTTE GENNEM
KONTANTINDSÆTTELSER
Hvidvasksekretariatet vurderer, at det er
meget
sandsynligt,
at kriminelle aktører i Grønland
Hvidvasksekretariatet vurderer, at risikoen for, at kriminelle
aktører hvidvasker ulovligt udbytte gennem kontantindsættelser
er
moderat.
HVIDVASK AF KONTANTER DIREKTE
I DEN LEGALE ØKONOMI
Hvidvasksekretariatet vurderer, at det er
meget sandsynligt,
at kriminelle aktører i
Grønland i stor udstrækning kan integrere
kontanter, der stammer fra kriminalitet, i den
legale kontantøkonomi og derfor ikke behø-
ver at forsøge at placere kontanterne i den
finansielle sektor, såsom gennem banker og
pengeoverførselsvirksomheder�½
Hvidvasksekretariatet vurderer, at turistbran-
chen er et attraktivt sted for kriminelle aktører
at placere kontantbeløb og hvidvaske dem
gennem mindre forretninger�½ Branchen er kon-
tantdrevet, og det kan være vanskeligt for de
underretningspligtige at verificere antallet af
kunder langt fra de underretningspligtiges filialer�½
Turismeindustrien kan være et af de områder,
hvor hvidvaskrisikoen kan stige i takt med, at
turismen i Grønland tager til, blandt andet som
følge af opførelsen af de nye lufthavne i Ilulissat
og Nuuk�½ Hvidvasksekretariatet har modtaget
underretninger, som omhandler personer, der
har tilknytning til turismeindustrien i Grønland�½
Underretningerne omhandler personer, der
under nedlukningen i forbindelse med corona-
pandemien, foretog kontantindsættelser med
reference til omsætning�½ Hvidvasksekretariatet
vurderer, at der kan være tale om integration
af kontanter fra kriminalitet, herunder skatte-
unddragelse eller salg af narkotika�½
Hvidvasksekretariatet er i besiddelse af oplys-
ninger, der indikerer, at enkelte kriminelle
aktører anvender turismeindustrien til at doku-
mentere kontantbeløb, som indsættes gennem
døgnbokse og lignende�½
RISICI FOR HVIDVASK I GRØNLAND
Hvidvasksekretariatet vurderer, at risikoen for, at kriminelle aktører
hvidvasker kontanter gennem direkte integration, er
moderat.
REU, Alm.del - 2023-24 - Endeligt svar på spørgsmål 1456: Spm. om hvor mange overførsler, der indføres udeklarerede til Danmark, herunder om der findes skøn herfor
2938919_0247.png
DEN NATIONALE RISIKOVURDERING AF HVIDVASK
247
HVIDVASK VIA LEGALE
VIRKSOMHEDSSTRUKTURER
Hvidvasksekretariatet vurderer, at det er
muligt,
at kriminelle aktører anvender virksomheds-
strukturer, særligt i fiskeriindustrien, til at
hvidvaske ulovlige midler, fx gennem sammen-
blanding af lovlige og ulovlige midler, gennem
investeringer eller via over- og underfakturering�½
Et risikoområde kunne være opkøb af fiskekvo-
ter, investering i kuttere eller anden relevant
infrastruktur, med ulovlige midler som stam-
mer fra kriminalitet i eller uden for Grønland�½
Hvidvasksekretariatet bemærker, at fiskeriin-
dustrien bliver vurderet som et risikoområde
af eksempelvis Norge, hvor kriminelle aktører
kan generere midler gennem eksempelvis
dokumentfalsk, fiktive fakturaer, overfiskeri eller
skatteunddragelse
(Politiet/PST 2020:16)�½
grund af kravet om lokalt ejerskab af grønland-
ske fiskekvoter vurderer Hvidvasksekretariatet,
at det er sandsynligt, at der anvendes stråmænd
i den grønlandske fiskeriindustri, hvor det reelle
ejerskab over kvoterne er placeret hos uden-
landske selskaber eller udenlandske personer�½
Hvidvasksekretariatet har oplysninger, der indi-
kerer, at enkelte fiskerivirksomheder forsøger at
begå skatteunddragelse ved at sammenblande
private midler med erhvervsindkomst�½ Her bliver
beløb fra virksomhedskonti kanaliseret over på
privatkonti, muligvis med det formål at sænke
en skattepligtig indtjening i selskabet�½
Udenlandske investeringer i såvel industri som
turisme kan tiltrække udenlandske investorer,
hvilket kan øge riiskoen for hvidvask�½ Det kan
være vanskeligt at klarlægge, hvor midler fra de
udenlandske investeringer stammer fra�½ Dette
kan medføre, at den grønlandske økonomi kan
anvendes til at hvidvaske midler, der stammer
fra kriminalitet i udlandet�½ Den manglende PEP-
liste og udfordringer med at dele oplysninger
mellem Danmark og Grønland øger risikoen�½
Fiskeribranchen udgør en risiko for handels-
baseret hvidvask i Grønland, fordi varerne
kan være vanskelige at værdiansætte�½ FATF
peger på en række produkter, som ofte bliver
brugt i forbindelse med handelsbaseret hvid-
vask, herunder fødevarer
(FATF 2020a: 21 ff)�½
FATF vurderer, at handelsbaseret hvidvask
udgør en stor risiko
(FATF 2020a: 37),
og
Hvidvasksekretariatet deler den vurdering�½
Gennem over- og underfakturering, over- og
underdrivelse af handelsvolumener eller falske
fakturaer fx i forbindelse med salg af fisk, kan
der flyttes penge mellem selskaber i Grønland
og i udlandet, herunder midler, der stammer fra
kriminalitet i udlandet�½ Det kan fx dreje sig om
ulovligt udbytte fra skatte- og momskriminalitet,
midler fra korruption og bedrageri�½ Særligt virk-
somheder inden for international handel, som
modtager fakturaindbetalinger fra virksomheder
i udlandet, udgør en risiko for denne form for
hvidvask�½
RISICI FOR HVIDVASK I GRØNLAND
Hvidvasksekretariatet vurderer, at risikoen for, at kriminelle aktører
hvidvasker via legale virksomhedsstrukturer, er
betydelig.
REU, Alm.del - 2023-24 - Endeligt svar på spørgsmål 1456: Spm. om hvor mange overførsler, der indføres udeklarerede til Danmark, herunder om der findes skøn herfor
2938919_0248.png
248
8.
RISICI FOR
HVIDVASK PÅ
FÆRØERNE
RISICI FOR HVIDVASK PÅ FÆRØERNE
REU, Alm.del - 2023-24 - Endeligt svar på spørgsmål 1456: Spm. om hvor mange overførsler, der indføres udeklarerede til Danmark, herunder om der findes skøn herfor
2938919_0249.png
DEN NATIONALE RISIKOVURDERING AF HVIDVASK
249
SAMMENFATNING
Færøsk Politi vurderer, at størstedelen af den udbyttegivende
kriminalitet på Færøerne har forbindelse til narkotikahandel,
berigelseskriminalitet og skatteunddragelse.
8.1
Hvidvasksekretariatet har informationer, der
indikerer, at der er udenlandske selskaber, som
misbruger den finansielle sektor på Færøerne til
at sløre midler, der muligvis stammer fra krimi-
nalitet�½ Det kan være vanskeligt for de færøske
underretningspligtige at klarlægge ejerskab
over virksomheder samt at verificere midlers
oprindelse, såfremt disse kommer fra udlandet�½
På grund af Færøernes lille befolkning og det
begrænsede antal virksomheder vurderer
Hvidvasksekretariatet, at truslen fra kriminelle
aktører er moderat�½
Hvidvasksekretariatet lægger i vurderingen
særlig vægt på den relativt store eksponering
mod udlandet i færøsk økonomi samt en række
udfordringer i forhold til hvidvasksamarbejdet
mellem Danmark og Færøerne�½
Hvidvasksekretariatet vurderer, at manglende
implementering af EU’s femte hvidvaskdirektiv
i den færøske lovgivning kan medføre, at krimi-
nelle aktører i øget omfang vil anvende den
finansielle infrastruktur på Færøerne til at hvid-
vaske midler, der stammer fra kriminalitet i de
kommende år�½
Hvidvasksekretariatet vurderer, at der er en
række hvidvaskmetoder, som er særligt risiko-
fyldte i en færøsk kontekst�½ Disse metoder frem-
går af tabellen nedefor�½
Tabel 32
Risikovurdering af metoder til hvidvask på Færøerne
Modus
Hvidvask via selskaber, som ejer skibe registreret i FAS
Handelsbaseret hvidvask via legale virksomhedsstrukturer
Simpel hvidvask gennem kontantindsættelser, kontanthævninger og pengeoverførsler
Risiko
Høj
Betydelig
Moderat
RISICI FOR HVIDVASK PÅ FÆRØERNE
Færøsk Politi vurderer, at størstedelen af den udbyttegivende
kriminalitet på Færøerne har forbindelse til narkotikahandel og
skatteunddragelse. På grund af Færøernes lille befolkning og det
begrænsede antal virksomheder vurderer Hvidvasksekretariatet,
at truslen fra kriminelle aktører er
moderat.
REU, Alm.del - 2023-24 - Endeligt svar på spørgsmål 1456: Spm. om hvor mange overførsler, der indføres udeklarerede til Danmark, herunder om der findes skøn herfor
2938919_0250.png
250
DEN NATIONALE RISIKOVURDERING AF HVIDVASK
8.2
DET FÆRØSKE SAMFUND
Færøerne består af 18 øer, der tilsammen
udgør et areal på 1�½396 km
2
�½ Hovedstaden er
Torshavn�½
Færøerne er en del af rigsfælleskabet mellem
Danmark, Færøerne og Grønland og er således
en del af det danske rige, men med udstrakt
grad af selvstyre�½
Den færøske hjemmestyreordning blev etab-
leret i 1948�½ Med overtagelsesloven fra 2005,
som er et supplement til hjemmestyreloven,
blev Færøernes muligheder for at overtage
yderligere sagsområder udvidet væsentligt�½
Færøerne har overtaget den lovgivende og
administrative myndighed på en væsentlig del
af de områder, som berører færøske borgeres
dagligdag�½ Som følge af hensynet til rigsfælles-
skabet og særlige bestemmelser i grundloven
giver overtagelsesloven mulighed for, at de
færøske myndigheder kan overtage samtlige
sager og sagsområder, bortset fra statsforfat-
ningen, statsborgerskab, Højesteret, udenrigs-,
sikkerheds- og forsvarspolitik samt valuta- og
pengepolitik�½
De færøske myndigheder har den lovgivende
og udøvende magt inden for de sager og sags-
områder, der er overtaget, samt afholder de
udgifter, der er forbundet med området�½
De områder, som ikke efter hjemmestyreloven
eller overtagelsesloven, er overtaget af de fær-
øske myndigheder, henhører under rigsmyndig-
hederne (Regeringen og Folketinget)�½ Færøerne
er ikke medlem af EU, men har indgået en
fiskeri- og handelsaftale med EU�½
Færøernes samlede befolkning er på cirka
53�½600 borgere, hvoraf cirka 22�½000 færinger
bor i hovedstaden Thorshavn
(Hagstova Føroya
2022a)�½
Befolkningsfremskrivningerne viser en
relativt stabil udvikling�½
Valutaen på Færøerne er færøske kroner�½
Færøerne har egne pengesedler, men bruger
danske mønter�½
FÆRØSK ØKONOMI I FREMGANG
I 2021 var det færøske bruttonationalprodukt
på cirka 23 milliarder kroner (løbende priser)
(Hagstova Føroya 2022b)�½
Det er primært fiske-
opdræt, der driver produktion og indtjening�½
Færøerne har overskud på betalingsbalancen,
primært drevet af eksport til europæiske lande,
men godt 20 pct�½ af eksporten går til lande uden
for Europa�½
Danmarks Nationalbank vurderede i 2021, at
den færøske økonomi er gunstig
(Danmarks
Nationalbank 2021c: 2)�½
Færøsk økonomi har
været i stærk fremgang over en årrække�½ Den
færøske lakseopdrætsindustri og stigende
priser på særligt laks har bidraget til en færøsk
højkonjunktur med højere eksportindtægter og
har øget lønindkomsterne til samme niveau
som i Danmark�½ Den økonomiske fremgang har
betydet, at virksomheder og husholdninger står
stærkere økonomisk, og det har rustet dem til
at imødegå udefrakommende stød som coro-
napandemien, herunder konsekvenserne for en
turismeindustri, der ellers var i vækst�½ Der har
dog været store boligprisstigninger de senere år
og knaphed på arbejdskraft, som giver grobund
for, at økonomiske risici hurtigt kan opbygges
(Danmarks Nationalbank 2021c: 2)�½
Den færøske økonomi afhænger i høj grad af
fiskeeksport, som udgør 95 pct�½ af vareekspor-
ten�½ Færøerne har dermed en ensidig eksport
og er sårbar over for potentielle ændringer i
omverdenen, der kan påvirke industrien, fx kli-
maforhold og ændringer i fiskebestandene�½ Da
efterspørgslen efter fisk og fødevarer i alminde-
lighed er mindre konjunkturfølsom end mange
andre varer, har udsving i den globale økonomi
en mindre påvirkning på den færøske eksport
(Danmarks Nationalbank 2020b: 2-4)�½
Men
den usikre situation på verdensmarkederne og
stigende inflation påvirker også en lille økonomi
som den færøske�½ Selv om eksporten er mindre
konjunkturfølsom, kan en forringet købekraft på
eksportmarkederne og øget usikkerhed skabe
pres på såvel produktionsomkostningerne som
salgspriserne på fisk�½ Indtjeningen kan forøges
gennem rammevilkår i form af fiskeri- og han-
delsaftaler, som er afgørende for den færøske
økonomi, herunder eksporterhvervenes vækst-
potentiale
(Danmarks Nationalbank 2021c: 4-6)�½
RISICI FOR HVIDVASK PÅ FÆRØERNE
REU, Alm.del - 2023-24 - Endeligt svar på spørgsmål 1456: Spm. om hvor mange overførsler, der indføres udeklarerede til Danmark, herunder om der findes skøn herfor
2938919_0251.png
DEN NATIONALE RISIKOVURDERING AF HVIDVASK
251
FÆRØERNES ARBEJDSSTYRKE OG
BESKÆFTIGELSE
Arbejdsstyrken på Færøerne udgør knap
32�½000
(Hagstova Føroya 2022c)�½
Beskæf-
tigelsen på Færøerne er høj og ledigheden
lav�½ Som i Danmark og i Grønland er der også
her mangel på arbejdskraft i visse brancher�½
Beskæftigelsen og ledigheden var kortvarigt
ramt under coronapandemien, hvor særligt
turismebranchen, herunder i hotel- og restaura-
tionsbranchen, var hårdt ramt, og medarbejdere
måtte omstille sig til andre erhverv
(Danmarks
Nationalbank 2020b: 7)�½
Denne udvikling er
hurtigt blevet vendt i takt med genåbning af
samfundet, og udenlandske turister er kommet
tilbage til Færøerne i løbet af 2021
(Danmarks
Nationalbank 2021c: 6)�½
De fleste borgere er beskæftiget med admi-
nistration og service, fiskeri og andre natur-
ressource-industrier og bygge- og anlægs-
branchen�½ Der kommer stadig flere udenlandske
arbejdstagere til øerne�½ De fleste er fra andre
europæiske lande, men stadig flere kommer
fra lande uden for Europa, fx fra Thailand og
Filippinerne
(Hagstova Føroya 2022d)�½
Færøerne har en stor fiskerisektor med mange
forskellige aktører, der opererer i landet�½ Særligt
for det færøske fiskeri er, at udenlandske perso-
ner eller entiteter ikke må have mere end 25 pct�½
ejerskab og ikke må udøve reel kontrol over virk-
somheder
(Rigsombudsmanden 2021b: 54b)�½
Hvidvasksekretariatet vurderer på baggrund
af interviews med de underretningspligtige på
Færøerne, at disse regler om begrænset uden-
landsk ejerskab kan være svære at kontrollere
i praksis�½ Derfor er det muligt, at udenlandske
fiskerivirksomheder har reel kontrol over færø-
ske datterselskaber, til trods for at de er registre-
ret, som om de ejer under 25 pct�½ af selskabet�½
Byggesektoren på Færøerne er i udvikling med
mange forskellige virksomheder, som opererer
på tværs af alle øer�½ Sektoren er meget afhæn-
gig af udenlandsk arbejdskraft, og underret-
ningspligtige fortæller, at enkelte virksomheder
har specialiseret sig i at hente og udleje uden-
landsk arbejdskraft til projekter på Færøerne�½
Udenlandsk ejerskab
Selskaberne på Færøerne er primært ejet af
personer bosat på Færøerne�½ Dernæst kommer
ejere bosat i Danmark�½ Herefter følger ejere
bosiddende i Island, Norge og Sverige, som
Hvidvasksekretariatet vurderer som værende
typiske samhandelspartnere indenfor eksempel-
vis fiskeri og fiskeopdræt�½ Hvidvasksekretariatet
bemærker, at flere virksomheder på Færøerne
er ejet af personer fra lande uden en tæt geogra-
fisk tilknytning til Færøerne, eksempelvis Japan,
Cambodia, Singapore, Kina og Hong Kong�½
Herudover er der også en række ejere fra kendte
skattelylande såsom Seychellerne, Schweiz,
Luxembourg og Liechtenstein�½ Der er ligeledes
registreret ejere bosiddende i Afrika, herunder
Congo og Namibia�½ Begge lande er i åbne kilder
forbundet med potentielt misbrug af færøske
selskaber i forbindelse med skattesvindel og
mulig hvidvask�½
Fordelingen af udenlandske ejerskaber på
Færøerne viser en stor international ekspone-
ring i virksomhedslandskabet�½
VIRKSOMHEDSLANDSKABET
PÅ FÆRØERNE
Færøernes virksomheder fordeler sig på en
lang række forskellige brancher�½ Færøerne
havde i 2021 i alt 3�½727 aktive virksomheder
registreret hos Skráseting Føroya, den færøske
erhvervsstyrelse�½ Siden 2019 er antallet af virk-
somheder steget�½
Branchefordelingen på Færøerne er domineret
af virksomheder inden for handel, ejendoms-
administration og byggeri- og entreprenør-
virksomhed�½ Dertil er der en række virksom-
heder, der arbejder inden for fiskeri, skibsfragt
samt turisme og restauration�½
Tabel 33
Antallet af aktive virksomheder på Færøerne
 
Aktive virksomheder
2019
3�½291
2020
3�½483
2021
3�½727
Kilde:
Særtræk fra Skráseting Føroya 2022�½
RISICI FOR HVIDVASK PÅ FÆRØERNE
REU, Alm.del - 2023-24 - Endeligt svar på spørgsmål 1456: Spm. om hvor mange overførsler, der indføres udeklarerede til Danmark, herunder om der findes skøn herfor
2938919_0252.png
252
DEN NATIONALE RISIKOVURDERING AF HVIDVASK
8.3
UNDERRETNINGER
FRA FÆRØERNE
DE FÆRØSKE
UNDERRETNINGSPLIGTIGE
Gældende lovgivning på Færøerne om hvid-
vask er:
Anordning nr. 813 af 12. august 2019 om
ikrafttræden for Færøerne af lov om fore-
byggende foranstaltninger mod hvidvask og
finansiering af terrorisme (hvidvaskloven).
Løgtingslóg nr. 190 frá 18. desember 2020
um fyribyrgjandi tiltøk ímóti hvítvaski av
vinningi og fígging av yvirgangi, sum seinast
broytt við løgtingslóg nr. 31 frá 17. mars
2022.
Hvidvaskloven er på lovprogrammet i inde-
værende lagtingsår (2022), og ifølge Hvidvask-
sekretariatets oplysninger, er det forventet, at
færøsk lovgivning vil leve op til det femte hvid-
vaskdirektiv fra EU ultimo 2022 eller i første
halvdel af 2023�½
Der er fire pengeinstitutter på Færøerne:
BankNordik, Betri Bank, Norðoya Sparikassi
og Suðuroyar Sparikassi�½ De færøske penge-
institutter anvender større danske eller inter-
nationale banker som korrespondentbanker
i forbindelse med udlandstransaktioner til og
fra Færøerne�½ Pengeinstitutterne er underlagt
tilsyn fra Finanstilsynet i Danmark�½
Derudover er de færøske revisorer og advokater
ligeledes underretningspligtige til Hvidvask-
sekretariatet�½ Forsikringsselskaber, pensions-
kasser og fonde er underlagt de færøske
tilsynsmyndigheder�½
Anordningen er gældende for virksomheder
og personer på områder, som ikke er hjemta-
get af de færøske myndigheder blandt andet
pengeinstitutter, andre finansielle virksomheder,
valutavekslingsvirksomheder, spiludbydere og
advokater�½
Lagtingsloven (den færøske hvidvasklov)
gælder for virksomheder og personer på de
områder, som er hjemtaget af de færøske myn-
digheder, herunder finansielle virksomheder
blandt andet livsforsikringsselskaber og tvær-
gående pensionsselskaber, forsikringsmæglere
og herudover andre virksomheder, som ikke
er finansielle virksomheder fx revisorer og
ejendomsmæglere�½
Den gældende hvidvasklovgivning på Færøerne
implementerer 4�½ hvidvaskdirektiv fra EU�½
Det femte hvidvaskdirektiv er endnu ikke blevet
implementeret i færøsk hvidvasklovgivning�½ Det
betyder blandt andet, at Virtual Asset Service
Providere (VASPer) og kunsthandlere endnu
ikke er omfattet af hvidvaskloven�½
ANTALLET AF UNDERRETNINGER
OM FÆRØSKE FORHOLD ER
STIGENDE
Det er ikke muligt at udfinde alle underretninger,
som omhandler færøske personer eller virk-
somheder i Hvidvasksekretariatets systemer�½
Det skyldes blandt andet, at der ikke er praksis
for, at underretningspligtige angiver, hvorvidt
en kunde er færing eller fx dansk statsborger
bosiddende på Færøerne�½ Dette betyder, at
Hvidvasksekretariatet ikke kan foretage en
samlet gennemgang af alle underretninger,
som omhandler færøske forhold eller færøske
borgere og virksomheder�½
Hvidvasksekretariatet har fremsøgt alle under-
retninger, som i mistankegrundlaget indeholder
et P-tal, hvilket er den færøske ækvivalent til
cpr-nummeret�½ Såfremt en underretningspligtig
har identificeret en kunde eller forretningsforbin-
delse, vil de ofte skrive P-tallet i underretningen�½
RISICI FOR HVIDVASK PÅ FÆRØERNE
REU, Alm.del - 2023-24 - Endeligt svar på spørgsmål 1456: Spm. om hvor mange overførsler, der indføres udeklarerede til Danmark, herunder om der findes skøn herfor
2938919_0253.png
DEN NATIONALE RISIKOVURDERING AF HVIDVASK
253
Tabel 34
Antal underretninger med P­tal i mistankegrundlaget
 
Antal underretninger
2018
41
2019
45
2020
144
2021
202
Kilde:
Hvidvasksekretariatet 2022�½
UNDERRETNINGER OM
KONTANTINDSÆTTELSER OG
FAKTURABETALINGER
En stor del af de modtagne underretninger,
som omhandler færinger, indeholder et ele-
ment af kontantøkonomi�½ Der er typisk tale om
kontantindsættelser, som kunden enten ikke
kan dokumentere, eller hvor den underret-
ningspligtige finder forklaringen mistænkelig�½
Kontantindsættelser ses ofte i sammenhæng
med udenlandstransaktioner, hvor de indsatte
kontanter hurtigt videreformidles til eksem-
pelvis konti i danske pengeinstitutter�½ Særligt
kontantbaserede brancher som pizzeriaer og
restauranter er nævnt i de underretninger, som
omhandler mistænkelige kontantindsættelser�½
Hvidvasksekretariatet modtager også under-
retninger fra færøske pengeinstitutter, som
omhandler større færøske selskaber, der mod-
tager mistænkelige fakturaindbetalinger fra
udlandet�½ Her er der tale om virksomheder, som
modtager fakturaer, som enten kommer fra en
mistænkelig virksomhed eller fra et land eller
et område, som afviger fra, hvad den underret-
ningspligtige ville forvente i forhold til den givne
forretning�½
Hvidvasksekretariatet har oplysninger, der
indikerer, at nogle færøske selskaber mod-
tager fakturaindbetalinger fra selskaber i
højrisikoområder�½ Disse fakturabetalinger
stammer fra udenlandske selskaber, som ikke
tydeligt har nogen erhvervsmæssig tilknyt-
ning til de produkter, de køber på Færøerne�½
Hvidvasksekretariatet vurderer det muligt, at
disse fakturabetalinger er et forsøg på at kana-
lisere midler, der stammer fra kriminalitet i
udlandet, gennem færøske selskaber�½
Flere underretninger, som omhandler færøske
borgere, har karakter af udenlandske overførs-
ler fx større overførsler fra lande som USA eller
Schweiz�½ Der underrettes typisk, fordi disse
transaktioner afviger fra kundernes normale
transaktionsmønster�½ Hvidvasksekretariatet vur-
derer, at nogle udlandstransaktioner relaterer sig
til kærlighedssvindel, som flere underretnings-
pligtige i interviews med Hvidvasksekretariatet
har anført som en udfordring på Færøerne�½ Her
bliver kunder bedraget til at overføre midler til
eksempelvis bankkonti i Tyrkiet�½
Hvidvasksekretariatet har siden 1�½ januar 2022
haft et øget fokus på underretninger fra færøske
underretningspligtige samt underretninger om
Færøerne�½
Tabel 35
Antal videregivelser til Færøernes Politi
 
Antal videregivelser
Antal underretninger
2018
4
4
2019
2
7
2020
11
15
2021
5
13
2022 H1
7
38
Kilde:
Hvidvasksekretariatet 2022�½
RISICI FOR HVIDVASK PÅ FÆRØERNE
REU, Alm.del - 2023-24 - Endeligt svar på spørgsmål 1456: Spm. om hvor mange overførsler, der indføres udeklarerede til Danmark, herunder om der findes skøn herfor
2938919_0254.png
254
DEN NATIONALE RISIKOVURDERING AF HVIDVASK
8.4
TRUSLER: UDBYTTE-
GIVENDE KRIMINALITET
PÅ FÆRØERNE
Færøerne er et af de lande i verden med mindst
kriminalitet�½ De primære udfordringer i forhold
til udbyttegivende kriminalitet er handel med
narkotika og indbrud og tyveri�½
Færøsk Told (TAKS) oplyser, at de stopper
personer med kontanter på vej ud af landet
(Toldmyndigheden på Færøerne 2022)�½
Særligt
udførsel af euro anses af TAKS som mistæn-
kelig, da euro ikke er gangbar valuta hverken i
Danmark eller på Færøerne, og TAKS vurderer,
at euro er en risikofaktor i forhold til transport af
midler, der stammer fra narkotikakriminalitet�½
Hvidvasksekretariatet vurderer, at kontanter fra
kriminalitet, der forlader Færøerne, bliver for-
søgt smuglet enten i bagage, på kroppen af rej-
sende eller gennem fragt på skibe og lignende
og dermed ikke deklareres�½ De kriminelle aktø-
rer forsøger derefter at få midlerne integreret i
det finansielle system i Danmark eller reinve-
sterer dem i yderligere narkotika eller lignende�½
HANDEL MED NARKOTIKA
Politiet på Færøerne vurderer, at en del af
de ulovlige midler, der bliver genereret på
Færøerne, stammer fra salg af narkotika –
primært hash
(Færøsk Politi 2022)�½
Det er
politiets vurdering, at kontanter, der genereres
gennem salg af hash og anden narkotika, ikke
bliver integreret i den færøske økonomi, men
forsøges transporteret til udlandet, herunder
primært Danmark�½
Hvidvasksekretariatet vurderer, at det er sandsynligt, at det
ulovlige udbytte fra narkotika­ og hashhandel vil forblive på
det nuværende niveau de kommende år. Hvidvasksekretariatet
vurderer, at truslen i forhold til hvidvask er
moderat.
RISICI FOR HVIDVASK PÅ FÆRØERNE
BERIGELSESKRIMINALITET
I forhold til det samlede antal anmeldelser om
kriminalitet til politiet på Færøerne udgør berigel-
seskriminalitet godt 30 pct�½ af alle anmeldelser
om kriminalitet�½ Niveauet for berigelseskriminali-
tet har været stabilt i undersøgelsesperioden�½
Hvidvasksekretariatet vurderer, at behovet for
hvidvask af midler, der stammer fra berigelses-
kriminalitet begået på Færøerne, er begrænset,
og at det meste udbytte integreres direkte i den
færøske økonomi�½
REU, Alm.del - 2023-24 - Endeligt svar på spørgsmål 1456: Spm. om hvor mange overførsler, der indføres udeklarerede til Danmark, herunder om der findes skøn herfor
2938919_0255.png
DEN NATIONALE RISIKOVURDERING AF HVIDVASK
255
Tabel 36
Anmeldelser af berigelseskriminalitet på Færøerne
 
Bedrageri og forfalskning
Økonomisk kriminalitet
Dokumentforfalskning
Indbrud
Anden tyveri
Anden økonomisk kriminalitet
Hæleri
2018
1
-
3
27
105
27
7
2019
4
-
7
24
124
24
20
2020
3
-
-
25
108
18
21
2021
5
-
3
21
87
25
20
Kilde:
Hagstova Føroya 2022e�½
Kærlighedssvindel var et tilbagevendende
emne under Hvidvasksekretariatets besøg på
Færøerne i 2022�½ Her omtalte flere underret-
ningspligtige, at de så en stigning i antallet af
kunder, der var ofre for enten kærlighedssvin-
del, investeringssvindel eller lignende forbry-
delser�½ Politiet på Færøerne nævnte ligeledes
kærlighedssvindel som en tendens inden
for udbyttegivende kriminalitet på Færøerne
(Færøsk Politi 2022)�½
Hvidvasksekretariatet
vurderer, at ulovligt udbytte fra denne form for
kriminalitet primært bliver kanaliseret direkte til
udlandet, hvorfra pengene hvidvaskes�½ Denne
type af kriminalitet genererer derfor ikke en
selvstændig hvidvaskrisiko på Færøerne, til
trods for at ofrene er færøske borgere�½
Hvidvasksekretariatet vurderer, at det er sandsynligt, at det
ulovlige udbytte fra berigelseskriminalitet på Færøerne vil forblive
på det nuværende niveau de kommende år. Hvidvasksekretariatet
vurderer, at truslen i forhold til hvidvask er
moderat.
SKATTEUNDDRAGELSE OG
SORT ARBEJDE
Hvidvasksekretariatet modtager underretnin-
ger om kontanthævninger, som muligvis kan
forbindes til sort arbejde i fx byggesektoren�½
Her mistænker pengeinstitutterne blandt andet
kunder for at hæve penge til at finansiere
renoveringer af ejendomme�½ De mange entre-
priser, der opererer på Færøerne, med mange
underentreprenører spredt ud på forskellige
projekter, og udviklingen i byggebranchen med
mangel på arbejdskraft og stigende anvendelse
af udenlandsk arbejdskraft, øger risikoen for, at
der bliver begået sort arbejde i byggesektoren
og efterfølgende hvidvask
RISICI FOR HVIDVASK PÅ FÆRØERNE
Hvidvasksekretariatet modtager få underret-
ninger omhandlende færøske virksomheders
håndtering af kontanter�½ Under de interviews
Hvidvasksekretariatet har foretaget med de
underretningspligtige, har byggesektoren ikke
været anset som et særligt risikofyldt område i
forhold til hvidvask�½ Organiseret momsunddra-
gelse samt falske faktureringer, der skal sikre
kontanter til aflønning af sort arbejdskraft, er
fremgangsmåder, som Hvidvasksekretariatet
har identificeret i en dansk kontekst�½ Hvidvask-
sekretariatet vurderer, at lignende kriminalitet
også foregår på Færøerne�½
REU, Alm.del - 2023-24 - Endeligt svar på spørgsmål 1456: Spm. om hvor mange overførsler, der indføres udeklarerede til Danmark, herunder om der findes skøn herfor
2938919_0256.png
256
DEN NATIONALE RISIKOVURDERING AF HVIDVASK
Fiskerisektoren er en sektor, som er sær-
ligt sårbar over for hvidvask, fordi det er en
vare, der kan være svær at værdiansætte�½ I
Norge bliver fiskerisektoren nævnt både som
et risikoområde i forbindelse med handels-
baseret hvidvask
(Politiet/PST 2020: 27)
samt som en selvstændig risiko for udbyttegi-
vende kriminalitet
(Politiet/PST 2020: 16-17)�½
Hvidvasksekretariatet har enkelte underret-
ninger, som omhandler fiskerivirksomheder på
Færøerne, hvis ejere og ansatte indsætter store
kontantbeløb i pengeinstitutterne�½ Her omhand-
ler underretningerne en mistanke om salg af
fangst uden om fiskerivirksomheden, altså
mistanke om udeholdt omsætning og dermed
skatte- og momssvindel�½
Hvidvasksekretariatet vurderer, at det er sandsynligt, at
det ulovlige udbytte fra skattekriminalitet vil forblive på det
nuværende niveau de kommende år. Hvidvasksekretariatet
vurderer, at truslen i forhold til hvidvask er
moderat.
KRIMINALITET BEGÅET I UDLANDET,
DER HVIDVASKES VIA FÆRØERNE
Som det fremgår af kapitel 3
Nationale trusler,
hvidvaskes ulovlige midler ofte gennem en
række lande�½ Hvidvasksekretariatet modtager
oplysninger, der indikerer, at nogle færøske
selskaber modtager fakturaindbetalinger
fra selskaber i højrisikoområder, som ikke
tydeligt har nogen erhvervsmæssig tilknyt-
ning til de produkter, de køber på Færøerne�½
Hvidvasksekretariatet vurderer, at det er muligt,
at disse fakturabetalinger er et forsøg på at
kanalisere midler, der stammer fra kriminalitet i
udlandet, gennem færøske selskaber�½
Som det ligeledes fremgår af kapitel 3
Nationale trusler,
vurderer Europol følgende
kriminalitetsområder som de største krimi-
nalitetstrusler
(Europol 2021a: 98):
Kriminelle netværk, som gør brug af
korruption og hvidvask�½
Cyberangreb�½
Personfarlig kriminalitet�½
Ulovlig produktion og handel med narkotika�½
Bedrageri�½
Formueforbrydelser�½
Miljøkriminalitet�½
Truslen på Færøerne for hvidvask af udbytte
fra kriminalitet begået i udlandet vil forventeligt
handle om sløring af ulovlige midler fra disse
kriminalitetsområder�½ Hvidvask af midler, der
stammer fra kriminalitet begået i udlandet, vil
formentlig involvere bistand fra professionelle
rådgivere eller professionelle hvidvaskere, idet
det kræver særlig viden om, hvordan man kan
udnytte sårbarheder på Færøerne uden at blive
opdaget�½
Hvidvasksekretariatet har flere underretnin-
ger om mistænkelige udenlandske trans-
aktioner til færøske fiskerivirksomheder�½
Hvidvasksekretariatet vurderer, at midler, der
stammer fra kriminalitet i udlandet, kan kana-
liseres gennem virksomheder i fiskerisektoren
via fakturering fra udenlandske aktører uden
forbindelse til fiskerisektoren�½
RISICI FOR HVIDVASK PÅ FÆRØERNE
Hvidvasksekretariatet vurderer, at det er sandsynligt, at ulovligt
udbytte fra kriminalitet begået i udlandet, der kan hvidvaskes
gennem Færøerne, vil stige de kommende år på grund af
Færøernes internationale engagement. Hvidvasksekretariatet
vurderer, at truslen i forhold til hvidvask er
betydelig.
REU, Alm.del - 2023-24 - Endeligt svar på spørgsmål 1456: Spm. om hvor mange overførsler, der indføres udeklarerede til Danmark, herunder om der findes skøn herfor
2938919_0257.png
DEN NATIONALE RISIKOVURDERING AF HVIDVASK
257
SÅRBARHEDER
ANVENDELSEN AF KORRESPON-
DENTBANKER KAN SLØRE
MISTÆNKELIGE TRANSAKTIONER
De færøske pengeinstitutter anvender større
danske eller internationale banker som korre-
spondentbanker i forbindelse med transaktioner
til udlandet�½ En korrespondentbank er nødvendig
for, at færøske pengeinstitutter kan operere i
lande uden for Færøerne�½ Her kan de få adgang
til internationale pengeinstitutters infrastruktur til
fx at foretage udenlandske transaktioner�½
Anvendelsen af korrespondentbanker kan på
den ene side betyde en øget transaktions-
monitering og hvidvaskkontrol af transaktioner
foretaget gennem et færøsk pengeinstitut�½
En underretningspligtig anførte eksempelvis
under interview, at korrespondentbanker havde
identificeret risikotransaktioner, som institut-
tet ikke selv ikke havde identificeret, hvorefter
transaktionerne blev afvist�½ På den anden side
betyder anvendelsen af korrespondentbanker, at
det er vanskeligere at samle informationer om
mistænkelige aktører, når transaktioner er spredt
ud på forskellige bankforbindelser�½
Hvidvasksekretariatet har underretninger fra
korrespondentbanker, der oplyser om mistæn-
kelige forhold, uden at der tilsvarende bliver
underrettet fra de færøske pengeinstitutter om
samme transaktion�½ Denne fragmentering af
transaktionsmoniteringen kan være med til at
svække hvidvaskkontrollen på Færøerne, fordi
de færøske pengeinstitutter ikke har en samlet
risikoforståelse for internationale kunder�½
8.5
Hvidvasksekretariatet vurderer, at anvendelsen af korrespondent­
banker og den fragmentering af transaktionsmoniteringen, det
medfører, udgør en
moderat
sårbarhed i forhold til hvidvask.
KONTROLTRYK HOS SKRÁSETING
FØROYA SAMT MANGELFULDT
SELSKABSREGISTER
Det færøske selskabsregister har i en længere
periode været mangelfuldt i forhold til identi-
ficering af reelt ejerskab�½ På baggrund af flere
interviews med underretningspligtige og myn-
digheder på Færøerne, er Hvidvasksekretariatet
blevet opmærksomt på, at registret ikke har
registreret reelt ejerskab bag virksomheder,
men alene har oplysninger om direktør samt
adresse�½ Det har således ikke været muligt på
Skráseting Føroyas hjemmeside at identificere
reelle ejere�½ Det betyder, at de underretnings-
pligtige på Færøerne har svært ved at bekræfte
ejerskab i de virksomheder, de har som kunder�½
Den udfordring vokser i takt med, at flere uden-
landske selskaber køber sig ind i eller opretter
virksomheder på Færøerne�½
Hvidvasksekretariatet bemærker, at Skráseting
Føroya generelt har begrænsede ressourcer
til at udføre kontroller af underretningspligtige
virksomheder på Færøerne�½ Dette skyldes til
dels en stor portefølje af virksomheder, som
er underlagt tilsyn, samt et begrænset antal
ansatte med tilsynsansvar�½
Skráseting Føroya oplyser, at der i 2022 er en
til to ansatte med tilsynsansvar, og at der er
planer om at udføre et til to tilsynsbesøg om året�½
Kontrollen med underretningspligtige virksomhe-
der er derfor en sårbarhed i en færøsk kontekst�½
RISICI FOR HVIDVASK PÅ FÆRØERNE
Skráseting Føroya oplyser, at det siden 1�½
februar 2022 har været lovpligtigt at indberette
oplysninger om legale og reelle ejere�½ Der har
været tale om en overgangsperiode, hvor oplys-
ningerne om ejerskab skal være registreret inden
1�½ september 2022�½ Derudover er der fra august
2022 oprettet adgang til et ejerregister, hvor
både legale og reelle ejere fremgår�½ Det er indtil
videre kun muligt at tilgå oplysninger med et
færøsk personligt digitalt ID – Samleikin�½
REU, Alm.del - 2023-24 - Endeligt svar på spørgsmål 1456: Spm. om hvor mange overførsler, der indføres udeklarerede til Danmark, herunder om der findes skøn herfor
2938919_0258.png
258
DEN NATIONALE RISIKOVURDERING AF HVIDVASK
Hvidvasksekretariatet vurderer, at kontroltrykket hos Skráseting
Føroya samt det mangelfulde selskabsregister udgør en
høj
sårbarhed i forhold til hvidvask.
INDREGISTRERING AF SKIBE
UNDER FÆRØSK FLAG
En særlig sårbarhed på Færøerne er det
Færøske Nationale og Internationale Skibs-
register (FAS)�½ Færøerne har gennem
skibsregistret en ordning, der gør, at det er
skattemæssigt fordelagtigt for selskaber at
indregistrere deres skibe under færøsk flag�½
Der er en række begrænsninger på, hvilket skibe
og hvilken tilknytning til Færøerne et selskab
skal have for at kunne registreres i FAS�½ Skibe
på mindst 100 BT kan registreres i FAS, dog
undtaget fiskefartøjer og fritidsfartøjer�½ Skibe
i FAS må ikke transportere passagerer eller
gods mellem færøske havne�½ FAS-loven er lavet
med forbillede i Lov om Dansk Internationalt
Skibsregister (DIS-loven)�½ Dertil skal de registre-
rede selskaber enten være placeret på Færøerne
eller have en færing i ledelsen�½ Derudover
kræves der en færøsk bankkonto�½
Det er muligt for udenlandske selskaber at lade
skibe registrere i FAS gennem nyoprettede fær-
øske virksomheder, som alene kan være opret-
tet med det formål at etablere en tilknytning til
Færøerne�½ Skibene, som registreres på denne
ordning, behøver ikke have anløbet færøsk havn
og kan optages i FAS-registret, uanset hvor i
verden de sejler�½ Det betyder, at udenlandske
selskaber kan operere og kanalisere midler
gennem færøske selskaber, hvor midlernes
oprindelse kan være vanskelig at kortlægge for
myndighederne�½
Hvidvasksekretariatet vurderer, at indregistrering af skibe under
færøsk flag udgør en
høj
sårbarhed i forhold til hvidvask.
BEGRÆNSET LISTE OVER POLITISK
EKSPONEREDE PERSONER
RISICI FOR HVIDVASK PÅ FÆRØERNE
Et gennemgående tema i de interviews, Hvid-
vasksekretariatet har foretaget med de færøske
underretningspligtige, er en mangelfuld liste
over politisk eksponerede personer (PEP) på
Færøerne�½ Flere af de interviewede underret-
ningspligtige tilkendegav, at det er vanskeligt
at risikovurdere og monitere transaktioner for
færøske politisk eksponerede personer, familie-
medlemmer og nære samarbejdspartneres samt
deres økonomiske forhold uden en komplet liste
over alle politisk eksponerede personer�½
I stedet syntes det at være en generel opfattelse
blandt de underretningspligtige, at det var offent-
ligt kendt, hvem der kunne betegnes som PEP,
og der er således uofficielle lister blandt forskel-
lige underretningspligtige�½
Finanstilsynet har på deres hjemmeside offent-
liggjort en PEP-liste, som har været tilgængelig
siden 6�½ april 2022�½ Det er dog Hvidvask-
sekretariatets vurdering, at denne liste er man-
gelfuld i forhold til at omfavne hele Færøerne�½
Hvidvasksekretariatet bemærker, at ikke alle
underretningspligtige var oplyste om, at listen
over politisk eksponerede personer på Færøerne
var tilgængelig via Finanstilsynet i Danmark�½
Hvidvasksekretariatet vurderer, at den begrænsede liste over
politisk eksponerede personer udgør en
moderat
sårbarhed i
forhold til hvidvask.
REU, Alm.del - 2023-24 - Endeligt svar på spørgsmål 1456: Spm. om hvor mange overførsler, der indføres udeklarerede til Danmark, herunder om der findes skøn herfor
2938919_0259.png
DEN NATIONALE RISIKOVURDERING AF HVIDVASK
259
BEGRÆNSET DELING AF
OPLYSNINGER MELLEM
DANMARK OG FÆRØERNE
Screening af hvidvaskunderretninger og nyttig-
gørelse af underretninger om færøske forhold
er mindre effektiv end for underretninger om
danske eller grønlandske forhold�½ Det skyldes
især, at Hvidvasksekretariatet ikke har mulighed
for at berige underretningerne med oplysninger
om de mistænkelige aktører, da Hvidvask-
sekretariatet ikke har adgang til færøske regi-
stre�½ Fx har Hvidvasksekretariatet ikke adgang
til oplysninger om, hvorvidt personer er kendt
af politiet for kriminalitet begået på Færøerne
eller aktuelt indgår i efterforskninger�½
Den manglende adgang til oplysninger betyder,
at det er vanskeligere for Hvidvasksekretariatet
at udfinde relevante underretninger til Færøsk
Politi�½
Hvidvasksekretariatet har endvidere identifi-
ceret mulige udfordringer i relation til deling af
oplysninger mellem Hvidvasksekretariatet og
øvrige myndigheder på Færøerne�½ Udfordring-
erne drøftes på nuværende tidspunkt mellem
myndighederne med henblik på at sikre, at
oplysninger kan deles mellem Hvidvask-
sekretariatet og øvrige myndigheder på
Færøerne�½
Hvidvasksekretariatet vurderer, at begrænset deling af
oplysninger mellem Danmark og Færøerne udgør en
betydelig
sårbarhed i forhold til hvidvask.
FORSINKET IMPLEMENTERING
AF HVIDVASKLOVEN
Når en ny hvidvasklov implementeres i
Danmark, implementeres den ikke straks på
Færøerne�½ Flere underretningspligtige anførte
under interviews, at hvidvasklovgivning i deres
optik ikke er et prioriteret lovgivningsområde
hverken i Danmark eller på Færøerne, hvorfor
en hurtig strømlining med dansk lovgivning ikke
bliver prioriteret�½ Det betyder blandt andet, at
Virtual Asset Service Providere (VASPer) samt
kunsthandlere ikke er omfattet af den færøske
hvidvasklov, hvorfor disse ikke er underretnings-
pligtige til Hvidvasksekretariatet�½ Hvidvask-
sekretariatet vurderer på baggrund af interviews
med underretningspligtige, at kryptoaktiver ikke
er udbredt på Færøerne�½ Flere underretnings-
pligtige har dog angivet en stigende interesse
blandt den yngre del af befolkningen i forhold til
investering i kryptoaktiver�½
I forhold til kunsthandlere har flere underret-
ningspligtige uafhængigt af hinanden gjort
opmærksom på, at Færøerne har mange
udøvende kunstnere, og at der på Færøerne
er stor interesse for køb og salg af kunst�½ Det
faktum, at kunsthandlere ikke er underlagt den
færøske hvidvasklov, kan derfor være en sårbar-
hed i forhold til dette specifikke område�½
Den manglende implementering af lovgivning
på Færøerne betyder, at eventuelle sårbar-
heder, som er imødekommet i den danske
lovgivning, stadig kan misbruges på Færøerne�½
Hvidvasksekretariatet vurderer, at risiciene
vokser i takt med at flere lande implementerer
mere lovgivning på hvidvaskområdet fx i forhold
til, at VASPer og kunsthandlere underlægges
hvidvasklovgivning�½ Særligt vedrørende krypto-
aktiver advarer FATF om, at lande, der ikke
implementerer standarderne, risikerer at til-
trække kriminelle aktører�½
De færøske myndigheder oplyser, at en
opdatering af den Færøske hvidvasklov, hvor
blandt andet kunsthandlere bliver omfattet, er
planlagt�½ Ændringerne forventes implementeret
primo 2023�½
Hvidvasksekretariatet vurderer, at forsinket implementering af
hvidvaskloven udgør en
høj
sårbarhed i forhold til hvidvask.
RISICI FOR HVIDVASK PÅ FÆRØERNE
REU, Alm.del - 2023-24 - Endeligt svar på spørgsmål 1456: Spm. om hvor mange overførsler, der indføres udeklarerede til Danmark, herunder om der findes skøn herfor
2938919_0260.png
260
DEN NATIONALE RISIKOVURDERING AF HVIDVASK
8.6
RISIKOVURDERING AF
UDVALGTE HVIDVASK-
METODER PÅ FÆRØERNE
På baggrund af de identificerede trusler og
sårbarheder ser vi nærmere på de hvidvaskme-
toder, Hvidvasksekretariatet vurderer, udgør en
risici for hvidvask på Færøerne�½
En person kan eksempelvis modtage kontan-
ter i forbindelse med salg af narkotika, som
herefter indsættes via pengeautomater eller
gennem pengeinstitutternes kasser og overfø-
res til et dansk pengeinstitut�½ En identificeret
modus er, at kunder hæver kontanter i danske
kroner eller euro og ikke i færøske kroner�½
Kontanthævninger i euro fortsatte under coro-
napandemien i 2020 på trods af de begræn-
sede udrejsemuligheder�½
Hvidvasksekretariatet vurderer, at det er
meget
sandsynligt,
at kriminelle aktører på Færøerne
anvender kontantindsættelser, kontanthævnin-
ger og pengeoverførsler til at hvidvaske ulovlige
midler i det finansielle system�½ Det vil også
være gældende de kommende år�½
SIMPEL HVIDVASK GENNEM
KONTANTINDSÆTTELSER,
KONTANTHÆVNINGER OG
PENGEOVERFØRSLER
En del af de underretninger, som Hvidvask-
sekretariatet modtager omkring færøske
personer, omhandler mistænkelige kontant-
indsættelser kombineret med overførsler
til udlandet, herunder særligt til Danmark�½
Samtlige underretningspligtige pengeinstitut-
ter, som Hvidvasksekretariatet har interviewet,
omtaler kontantindsættelser og kontant-
hævninger som en risiko�½
Hvidvasksekretariatet vurderer, at risikoen for, at kriminelle
aktører hvidvasker kontanter gennem kontantindsættelser,
kontanthævninger og pengeoverførsler er
moderat.
RISICI FOR HVIDVASK PÅ FÆRØERNE
HANDELSBASERET HVIDVASK
VIA LEGALE VIRKSOMHEDS-
STRUKTURER
De primære brancher på Færøerne er brancher,
der udgør en risiko for handelsbaseret hvidvask,
fordi varerne og ydelserne kan være vanskelige
at værdiansætte�½ FATF peger på en række pro-
dukter, som ofte bliver brugt i forbindelse med
handelsbaseret hvidvask, herunder fødevarer
(FATF 2020a: 21 ff�½)�½
FATF vurderer, at handels-
baseret hvidvask udgør en stor risiko
(FATF
2020a: 37),
og Hvidvasksekretariatet deler
den vurdering�½
Gennem brug af falske fakturaer eller over- og
underfakturering af fx byggematerialer eller
fisk, kan der flyttes penge mellem selskaber på
Færøerne og i udlandet, herunder midler, der
stammer fra kriminalitet i udlandet�½ Det kan fx
dreje sig om skatte- og momskriminalitet, midler
fra korruption og bedrageri�½ Særligt virksomheder
inden for international handel, som modtager
fakturaindbetalinger fra virksomheder i udlandet,
udgør en risiko for denne form for hvidvask�½ Hvis
fakturaindbetalingerne kommer fra selskaber i
højrisikoområder øger det risikoen yderligere�½
REU, Alm.del - 2023-24 - Endeligt svar på spørgsmål 1456: Spm. om hvor mange overførsler, der indføres udeklarerede til Danmark, herunder om der findes skøn herfor
2938919_0261.png
DEN NATIONALE RISIKOVURDERING AF HVIDVASK
261
Hvidvasksekretariatet vurderer, at det er sandsynligt, at
kriminelle aktører anvender virksomhedsstrukturer, særligt
i byggesektoren og fiskeindustrien, til at hvidvaske ulovligt
udbytte. Hvidvasksekretariatet vurderer, at risikoen for, at
kriminelle aktører misbruger legale virksomhedsstrukturer
på Færøerne til handelsbaseret hvidvask er
betydelig.
HVIDVASK VIA SELSKABER, SOM
EJER SKIBE REGISTRERET I FAS
Hvidvasksekretariatet har oplysninger, der
indikerer, at kriminelle aktører hvidvasker
penge gennem selskaber med skibe registre-
ret i FAS-registret�½ Det er muligt for kriminelle
aktører at føre store beløb gennem disse
selskaber og videre til lande med svagere
hvidvaskforanstaltninger�½
I åbne kilder er det blevet belyst, at en islandsk
fiskerivirksomhed har misbrugt FAS-ordningen til
at snyde med skatteforhold�½
Den islandske fiskerivirksomhed har gennem
datterselskaber på Færøerne aflønnet fiskere i
Namibia gennem FAS-ordningen�½ Dette er sket
ved at lade fiskerne registrere som ansatte på
færøske fragtskibe, til trods for at de reelt arbej-
dede på fiskefartøjer ud for Namibias kyster
(Rigsombudsmanden for Færøerne 2021a)�½
Hvidvasksekretariatet vurderer, at det er sand-
synligt, at udenlandske selskaber kanaliserer
midler, der stammer fra kriminalitet, gennem sel-
skaber med skibe registreret i FAS, og at mulig-
heden for at registrere skibe i FAS kan tiltrække
selskaber, som ønsker at begå hvidvask�½
Hvidvasksekretariatet vurderer, at risikoen for, at færøske og
udenlandske kriminelle aktører misbruger legale virksomheds­
strukturer og hvidvasker gennem selskaber med skibe registret
i FAS­registret, er
høj.
Boks 61
Udenlandske selskaber anvender FAS til at
kanalisere penge gennem færøske konti
Et færøsk selskab har løbende modtaget store overførsler fra for-
skellige virksomheder i Afrika�½ Dele af disse penge er mistænkt for at
stamme fra kriminalitet begået i udlandet�½ Midlerne bliver overført til
det færøske selskabs bankkonti, hvorefter der overføres midler til en
lang række forskellige udenlandske selskaber i eksempelvis Belgien,
De Forenede Arabiske Emirater og Luxembourg�½
Kilde:
KVF 2021�½
RISICI FOR HVIDVASK PÅ FÆRØERNE
REU, Alm.del - 2023-24 - Endeligt svar på spørgsmål 1456: Spm. om hvor mange overførsler, der indføres udeklarerede til Danmark, herunder om der findes skøn herfor
2938919_0262.png
262
9.
KILDER OG
LINKS
KILDER OG LINKS
REU, Alm.del - 2023-24 - Endeligt svar på spørgsmål 1456: Spm. om hvor mange overførsler, der indføres udeklarerede til Danmark, herunder om der findes skøn herfor
2938919_0263.png
DEN NATIONALE RISIKOVURDERING AF HVIDVASK
263
KILDELISTE
A
Acamstoday (2022)
The Continuing Rise of Financial Penalties.
Udgivet 26�½ januar 2022�½
www�½acamstoday�½
org/the-continuing-rise-of-financial-penalties/
(hentet den 1�½ marts 2022)�½
Advokatsamfundet (2022)
Advokatrådets reviderede Hvidvaskvejledning.
Udgivet september 2022�½
www�½advokatsam-
fundet�½dk/media/4yilf1xw/advokatr%C3%A-
5dets-reviderede-hvidvaskvejledning-2022�½pdf
(hentet den 9�½ oktober 2022)�½
AML Intelligence (2022)
FATF President calls for further information
sharing between public and private sector
warning criminals ‘exploit information gaps’;
says EU’s high-risk country risk is ‘harming
FATF’s authority’.
Udgivet 22�½ marts 2022�½
www�½amlintelligence�½com/2022/03/fatf-pre-
sident-calls-for-further-information-sharing-at-
eu-hearing/
(hentet den 22�½ marts 2022)�½
Andersen, T. M. (2021a)
Grønland, en selvbærende økonomi – krav
og muligheder i Samfundsøkonomien
(red�½)
(4/2021), Grønland og fremtiden: Djøf Forlag�½
Andersen, P. (2021b)
Vores fisk – vores velfærd – om Grønlands
vigtigste naturressource i Samfundsøkonomien
(red�½) (4/2021), Grønland og fremtiden: Djøf
Forlag�½
Anklagemyndigheden (2022a)
Otte års fængsel for forsøg på hvidvask af
29 milliarder kroner.
Udgivet 23�½ juni 2022�½
anklagemyndigheden�½dk/da/otte-aars-
faengsel-forsoeg-paa-hvidvask-af-29-
milliarder-kroner
(hentet den 24�½ juni 2022)�½
Anklagemyndigheden (2022b)
Fem tiltalt i sag om bestikkelse og mandatsvig
i Forsvarets Ejendomsstyrelse.
Udgivet 27�½
september 2022�½
anklagemyndigheden�½dk/da/
fem-tiltalt-i-sag-om-bestikkelse-og-mandat-
svig-i-forsvarets-ejendomsstyrelse
(hentet den
27�½ september 2022)�½
Anklagemyndigheden (2022c)
Ny tiltale i udbyttesag�½ Udgivet 9�½ marts 2022�½
anklagemyndigheden�½dk/da/ny-tiltale-i-udbyt-
tesag
(hentet den 29�½ september 2022)�½
Anklagemyndigheden (2022d)
Mand dømt for opbevaring af kopivarer med
henblik på videresalg.
Udgivet 23�½ maj 2022�½
politi�½dk/national-enhed-for-saerlig-kriminalitet/
nyhedsliste/mand-doemt-for-opbevaring-af-
kopivarer-med-henblik-paa-videresalg/2022/
05/23
(hentet den 30�½ september 2022)�½
Anklagemyndigheden (2021a)
Mere end 24 års fængsel i sag om organiseret
hvidvask af mere end 200 mio. kroner.
Udgivet
28�½ juni 2021�½
anklagemyndigheden�½dk/da/
mere-end-24-aars-faengsel-i-sag-om-organi-
seret-hvidvask-af-mere-end-200-mio-kroner
(hentet den 5�½ juli 2022)�½
Anklagemyndigheden (2021b)
Bagmand, hovedmand og direktør i fakturafa-
brik dømt for hvidvask.
Udgivet 24�½ juni 2021�½
anklagemyndigheden�½dk/da/bagmand-hoved-
mand-og-direktoer-i-fakturafabrik-doemt-hvid-
vask
(hentet den 29�½ september 2022)�½
Anklagemyndigheden (2021c)
Britisk statsboger tiltalt for svindel med mere
end ni milliarder kroner.
Udgivet 7�½ januar
2021�½
anklagemyndigheden�½dk/da/udbytte-
sagen-britiske-statsborgere-tiltalt-svindel-me-
re-end-ni-milliarder-kroner
(hentet den 29�½
september 2022)�½
Anklagemyndigheden (2021d)
Seks personer tiltalt for at svindle statskassen
for mere end en milliard kroner.
Udgivet 13�½
april 2021�½
anklagemyndigheden�½dk/da/udbyt-
tesagen-seks-personer-tiltalt-svindle-statskas-
sen-mere-end-en-milliard-kroner
(hentet den
29�½ september 2022)�½
Anklagemyndigheden (2020)
Forhenværende børsmægler dømt for markeds-
manipulation.
Udgivet 13�½ november 2020�½
anklagemyndigheden�½dk/da/forhenvaerende-
boersmaegler-doemt-markedsmanipulation
(hentet den 2�½ marts 2022)�½
9.1
KILDER OG LINKS
REU, Alm.del - 2023-24 - Endeligt svar på spørgsmål 1456: Spm. om hvor mange overførsler, der indføres udeklarerede til Danmark, herunder om der findes skøn herfor
2938919_0264.png
264
DEN NATIONALE RISIKOVURDERING AF HVIDVASK
B
Basel Institute on Governance (2022)
Basel AML Index 2022: 11th Public Edition
– Ranking money laundering and terrorist
financing risks around the world�½
index�½basel-
governance�½org/api/uploads/221004_Basel_
AML_Index_2022_72cc668efb�½pdf
(hentet den
4�½ oktober 2022)�½
Basel Institute on Governance (2021)
Basel AML Index 2021: 10th Public Edition –
Ranking money laundering and terrorist finan-
cing risks around the world.
Udgivet september
2021�½
baselgovernance�½org/publications/basel-
aml-index-2021
(hentet den 1�½ oktober 2021)�½
BBC (2020)
Chinese nationals charged with iTunes money
laundering�½
Udgivet 3�½ marts 2020�½
www�½bbc�½
com/news/technology-51719584
(hentet den
25�½ januar 2022)�½
BBC (2019)
Revolut whistleblower had concerns over CEO
conduct and compliance.
Udgivet 2�½ april 2019�½
www�½bbc�½co�½uk/news/technology-47751945
(hentet den 13�½ juni 2022)�½
Berlingske (2022)
Mand og kvinde tiltalt for hvidvask af 29
milliarder kroner.
Udgivet 11�½ juli 2022�½
www�½berlingske�½dk/business/mand-og-
kvinde-tiltalt-for-hvidvask-af-29-milliarder
(hentet den 28�½ september 2022)�½
Blue Justice (u.d)
International Declaration on Transnational
Organized Crime in the Global Fishing Industry
Copenhagen Declaration.
bluejustice�½org/
copenhagen-declaration/
(hentet den 1�½ marts
2022)�½
Bundesanstalt für Finanzdienst­
leistungsaufsicht (2021)
N26 Bank GmbH: BaFin setzt Geldbußen fest.
Udgivet 29�½ september 2021�½
www�½bafin�½de/
SharedDocs/Veroeffentlichungen/DE/Mass-
nahmen/60b_KWG_84_WpIG_und_57_GwG/
meldung_210928_57_GwG_N26_GBu�½html
(hentet den 15�½ februar 2022)�½
KILDER OG LINKS
C
Center Mod Menneskehandel (2021)
Menneskehandel i Danmark 2021. Årsrapport.
Udgivet maj 2022�½
www�½cmm�½dk/test/portlets/
evalueringer-og-statusrapporter/menneskehan-
del-i-danmark-2021-arsrapport�½pdf
(hentet den
5�½ juli 2022)�½
Center Mod Menneskehandel (2019)
Menneskehandel i Danmark 2019. Årsrapport.
Udgivet oktober 2020�½
www�½cmm�½dk/test/
portlets/evalueringer-og-statusrapporter/men-
neskehandel-i-danmark-2019-arsrapport�½pdf
(hentet den 5�½ juli 2022)�½
Chainalysis (2022)
The 2022 Crypto Crime Report. Original data
and research into cryptocurrency-based crime.
go�½chainalysis�½com/2022-Crypto-Crime-Report�½
html�½
(hentet den 21�½ marts 2022)�½
Cushman & Wakefield | RED (2022)
Red opjusterer volumen for 2021 til 120 mia. kr.
Udgivet 8�½ februar 2022�½
red�½dk/2022/02/08/
storparcel-i-jernbanebyen-solgt/
(hentet den
4�½ marts 2022)�½
D
Danmarks Nationalbank (2022a)
Analyse – monetære og finansielle tenden-
ser. Stigende inflation og russisk invasion har
øget volatiliteten.
Udgivet 16�½ marts 2022�½
www�½nationalbanken�½dk/da/publikationer/
Sider/2022/03/Monetaere-og-finansielle-
tendenser-Stigende-inflation-og-russisk-
invasion-har-oeget-volatiliteten-�½aspx
(hentet
den 18�½ marts 2022)�½
Danmarks Nationalbank (2022b)
Årsrapport 2021.
Udgivet 16�½ marts 2022�½
www�½nationalbanken�½dk/da/publikationer/
Sider/2022/03/Aarsrapport-2021�½aspx
(hentet
den 18�½ marts 2022)�½
Danmarks Nationalbank (2022c)
Udsigterne for dansk økonomi – marts 2022.
Udgivet 16�½ marts 2022�½
www�½nationalbanken�½
dk/da/publikationer/Sider/2022/03/Udsigter-
for-dansk-oekonomi---Krig-i-Ukraine-daemper-
vaeksten-og-oeger-priserne�½aspx
(hentet den
18�½ marts 2022)�½
REU, Alm.del - 2023-24 - Endeligt svar på spørgsmål 1456: Spm. om hvor mange overførsler, der indføres udeklarerede til Danmark, herunder om der findes skøn herfor
2938919_0265.png
DEN NATIONALE RISIKOVURDERING AF HVIDVASK
265
Danmarks Nationalbank (2022d)
Kontanters anvendelse i samfundet.
Udgivet
3�½ marts 2022�½
www�½nationalbanken�½dk/da/
publikationer/Documents/2022/03/ANALYSE_
nr%203_Kontanters%20anvendelse%20i%20
samfundet�½pdf
(hentet den 5�½ marts 2022)�½
Danmarks Nationalbank (2022e)
Danmark er blandt de mest digitaliserede lande
på betalingsområdet�½
Udgivet 22�½ februar 2022�½
www�½nationalbanken�½dk/da/publikationer/
Sider/2022/02/Danmark-er-blandt-de-mest-
digitaliserede-lande-paa-betalingsomraadet�½
aspx
(hentet den 14�½ marts 2022)�½
Danmarks Nationalbank (2021a)
Sedler og mønter i tal.
Udgivet 17�½ marts 2021�½
www�½nationalbanken�½dk/da/sedlerogmoenter/
fakta/Sider/default�½aspx
(hentet den 6�½ februar
2022)�½
Danmarks Nationalbank (2021b)
Udsigter for dansk økonomi – marts 2021.
Udgivet 17�½ marts 2021�½
www�½nationalbanken�½
dk/da/publikationer/Documents/2021/03/
ANALYSE_Nr�½%207_Udsigter%20for%20
dansk%20%C3%B8konomi%20-%20marts%20
2021�½pdf
(hentet den 14�½ oktober 2021)�½
Danmarks Nationalbank (2021c)
Økonomi – Højkonjunkturen har fået fart igen.
Udgivet 18�½ november 2021�½
www�½national-
banken�½dk/da/publikationer/Sider/2021/11/
Faeroesk-oekonomi---Hoejkonjunkturen-har-
faaet-fart-igen�½aspx
(hentet den 4�½ juli 2022)�½
Danmarks Nationalbank (2020a)
Der bliver længere mellem kontantbetalinger.
Udgivet 26�½ februar 2020�½
www�½nationalbanken�½
dk/da/publikationer/Documents/2020/02/
ANALYSE__Nr%203_Der%20bliver%20
l%C3%A6ngere%20mellem%20kontantbetalin-
ger�½pdf
(hentet den 6�½ februar 2022)�½
Danmarks Nationalbank (2020b)
Højkonjunkturen på Færøerne taber fart.
Analyse nr. 29.
Udgivet 16�½ december
2020�½
www�½nationalbanken�½dk/da/publi-
kationer/Documents/2020/12/ANALYSE_
Nr�½29_H%C3%B8jkonjunkturen%20
p%C3%A5%20F%C3%A6r%C3%B8erne%20
taber%20fart�½pdf
(hentet den 19�½ februar 2022)�½
Danmarks Statistik (2022a)
Nyt fra Danmarks Statistik, Erhvervsdemografi
2020.
Udgivet 18�½ maj 2022�½
www�½dst�½dk/Site/
Dst/Udgivelser/nyt/GetPdf�½aspx?cid=39619
(hentet den 20�½ maj 2022)�½
Danmarks Statistik (2022b)
KONK11E: Konkurser (eksperimentel statistik)
efter nøgletal.
www�½statistikbanken�½dk/konk11e
(hentet den 5�½ juni 2022)�½
Danmarks Statistik (2022c)
Årligt nationalregnskab, hele økonomien.
www�½dst�½dk/da/Statistik/emner/oekonomi/
nationalregnskab/samlet-nationalregnskab
(hentet den 27�½ maj 2021)�½
Danmarks Statistik (2022d)
It-anvendelse i befolkningen 2021.
Udgivet
marts 2022�½
www�½dst�½dk/Site/Dst/Udgivelser/
GetPubFile�½aspx?id=39431&sid=itbef2021
(hentet den 4�½ juli 2022)�½
Danmarks Statistik (2021a)
Egen fremstilling baseret på Danmarks Statistik�½
www�½statistikbanken�½dk/10022
Tallene er truk-
ket 7�½ september 2021�½ Tabel FRDK122 er brugt�½
Danmarks Statistik (2021b)
Nyt fra Danmarks statistik – Affaldsregnskab
2019.
Udgivet 10�½ marts 2021�½
www�½dst�½
dk/Site/Dst/Udgivelser/nyt/GetPdf�½aspx?-
cid=34686
(hentet den 10�½ december 2021)�½
Danmarks Statistik (2020)
Nyt fra Danmarks statistik – It-anvendelse i
befolkningen og virksomheder.
Udgivet den
22�½ oktober 2020�½
www�½dst�½dk/Site/Dst/
Udgivelser/nyt/GetPdf�½aspx?cid=41944
(hentet den 3�½ december 2022)�½
Demant, J., & Munksgaard, R. (2017)
Kryptomarkeder i en dansk og skandina-
visk kontekst.
Københavns Universitet
www�½justitsministeriet�½dk/sites/default/
files/media/Arbejdsomraader/Forskning/
Forskningspuljen/2017/kryptomarkeder_i_en_
dansk_og_skandinavisk_kontekst�½pdf
(hentet
den 13�½ december 2022)�½
Det Kriminalpræventive Råd (2022)
Muldyr og hvidvask af penge.
Opdateret
20�½ juli 2022�½
dkr�½dk/it/muldyr
(hentet den
20�½ juli 2022)�½
KILDER OG LINKS
REU, Alm.del - 2023-24 - Endeligt svar på spørgsmål 1456: Spm. om hvor mange overførsler, der indføres udeklarerede til Danmark, herunder om der findes skøn herfor
2938919_0266.png
266
DEN NATIONALE RISIKOVURDERING AF HVIDVASK
DR (2017)
Hackerangreb koster Mærsk milliarder.
www�½dr�½dk/nyheder/penge/hackerangreb-
koster-maersk-milliardbeloeb
(hentet den 10�½
november 2021)�½
DR (2018)
Politiet tiltaler 16 personer i svindelsag til en
halv milliard.
Udgivet 21�½ november 2018�½
www�½dr�½dk/nyheder/penge/politiet-tiltaler-
16-personer-i-svindelsag-til-en-halv-
milliard
(hentet den 12�½ november 2021)�½
DR (2021)
Afsløring: Stenrig bilforhandler fra Paraguay
begik millionsvindel, mens han var kunde i Jyske
Bank.
Udgivet 4�½ oktober 2021�½
www�½dr�½dk/nyhe-
der/penge/afsloering-stenrig-bilforhandler-fra-
paraguay-begik-millionsvindel-mens-han-var-
kunde
(hentet den 3�½ marts 2022)�½
DR (2022a)
Svindelfabrikken.
www�½dr�½dk/nyheder/webfea-
ture/fakturafabrikken
(hentet den 27�½ juni 2022)�½
DR (2022b)
Fødevaregrossist dømt for at snyde stats-
kassen for 31 millioner kroner.
www�½dr�½dk/
nyheder/seneste/foedevare-grossist-doemt-
snyde-statskassen-31-millioner
(hentet den
5�½ oktober 2022)�½
Dynamic Securities Analytics (2022)
Crypto Suspicious Activity Reports vs. Other
Products & Industries.
Udgivet 20�½ Maj 2022�½
securitiesanalytics�½com/crypto-suspicious-
activity-reports-vs-other-products-industries/
(hentet den 1�½ juni 2022)�½
Erhvervsministeriet (2021)
Aftale mellem regeringen (Socialdemokratiet),
Venstre, Socialistisk Folkeparti, Radikale
Venstre, Enhedslisten, Nye Borgerlige og
Alternativet om det fremadrettede behov
for revision.
Udgivet 23�½ juni 2021�½
em�½dk/
media/14220/revisionspligt-aftaletekst�½pdf
(hentet den 28�½ februar 2022)�½
Erhvervsministeriet (2017)
Bekendtgørelse om indberetning og offent-
liggørelse af oplysninger om indenlandske
politisk eksponerede personer.
Udgivet 20�½
december 2017�½
www�½retsinformation�½dk/eli/
lta/2017/1704
(hentet den 5�½ juli 2022)�½
Erhvervsstyrelsen (2019)
Sådan undgår du at medvirke til hvidvask. Quick-
guide om hvidvaskloven for kunstbranchen.
Udgivet oktober 2019�½
erhvervsstyrelsen�½dk/
sites/default/files/2019-12/Erhvervsstyrelsen_
Quick-guide-om-hvidvaskloven_Kunstbranchen_
02122019_Web-tilgængelig�½pdf
(hentet den
11�½ juli 2022)�½
Erhvervsstyrelsen (2021)
Digital Sikkerhed i Danske SMV’er.
Udgivet 21�½
september 2021�½
erhvervsstyrelsen�½dk/digital-
sikkerhed-i-danske-smver-2021
(hentet den
4�½ november 2021)�½
EUIPO (2021)
Online Copyright Infringement in the European
Union. Music, films and TV (2017-2020),
Trends and Drivers.
euipo�½europa�½eu/tun-
nel-web/secure/webdav/guest/document_
library/observatory/documents/reports/
online-copyright-infringement-in-eu/2021_
online_copyright_infringement_in_eu_en�½pdf
(hentet den 15�½ december 2021)�½
EUIPO (2020a)
2020 Status Report on IPR Infringement.
Udgivet juni 2020�½
euipo�½europa�½eu/tunnel-
web/secure/webdav/guest/document_library/
observatory/documents/reports/2020_Status_
Report_on_IPR_infringement/2020_Status_
Report_on_IPR_infringement_en�½pdf
(hentet
den 10�½ december 2021)�½
EUIPO (2020b)
IP Crime and its link to other serious crimes.
Focus on Poly-Criminality.
Udgivet juni 2020�½
www�½europol�½europa�½eu/cms/sites/default/
files/documents/europol-euipo_polycriminality_
report_2�½pdf
(hentet den 14�½ december 2021)�½
E
Egmont Group (2022)
Asset recovery and the role of the FIUs. Public
summary.
Udgivet maj 2022�½
egmontgroup�½org/
wp-content/uploads/2022/05/Sanitized-Asset-
Recovery-Report�½pdf
(hentet den 3�½ juni 2022)�½
Egmont Group (2020)
Combatting online child sexual abuse and
exploitation through financial intelligence.
Udgivet juli 2020.
egmontgroup�½org/wp-con-
tent/uploads/2021/09/2020_Public_Bulletin_
Combatting_Online_Child_Sexual_Abuse_and_
Exploitation_Through_Financial_Intelligence�½pdf
(hentet den 15�½ september 2022)�½
KILDER OG LINKS
REU, Alm.del - 2023-24 - Endeligt svar på spørgsmål 1456: Spm. om hvor mange overførsler, der indføres udeklarerede til Danmark, herunder om der findes skøn herfor
2938919_0267.png
DEN NATIONALE RISIKOVURDERING AF HVIDVASK
267
Europa­Kommissionen (2022)
Commission staff working document a
accompanying the document Report from the
Commission to the European Parliament and the
Council on the assessment of the risk of money
laundering and terrorist financing affecting the
internal market and relating to cross-border
activities.
Udgivet den 27�½ oktober 2022�½
eur-lex�½europa�½eu/legal-content/EN/TXT/
PDF/?uri=CELEX:52022SC0344
(hentet den
27�½ oktober 2022)�½
Europa­Kommissionen (2021)
Forslag til Europa-Parlamentets og Rådets
direktiv om strafferetlig beskyttelse af mil-
jøet og om erstatning af direktiv 2008/99/
EF.
Udgivet den 1�½ december 2021�½
eur-lex�½europa�½eu/legal-content/DA/TXT/
PDF/?uri=CELEX:52021PC0851
(hentet
den 3�½ juni 2022)�½
Europa­Kommissionen (2019a)
Report from the Commission to the European
Parliament and the Council on the assessment
of the risk of money laundering and terrorist
financing affecting the internal market and
relating to cross-border activities.
Udgivet
24�½ juli 2019�½ Oversat til dansk af
Finanstilsynet�½
ec�½europa�½eu/info/files/
supranational-risk-assessment-money-laun-
dering-and-terrorist-financing-risks-affec-
ting-union_en
(hentet den 5�½ april 2021)�½
Europa­Kommissionen (2019b)
Report from the Commission to the European
Parliament and the Council on the assessment
of the risk of money laundering and terrorist
financing affecting the internal market and
relating to cross-border activities.
Udgivet 24�½
juli 2019�½
ec�½europa�½eu/info/sites/default/
files/supranational_risk_assessment_of_the_
money_laundering_and_terrorist_financing_
risks_affecting_the_union�½pdf
(hentet den
5�½ april 2021)�½
Europa­Kommissionen (2019c)
Priorities 2019-2024. Digital Identity for all
Europeans.
ec�½europa�½eu/info/strategy/priori-
ties-2019-2024/europe-fit-digital-age/europe-
an-digital-identity_da#digital-identitet-for-alle-
europere
(hentet den 14�½ marts 2022)�½
Europa­Kommissionen (2019d)
Priorities 2019-2024. A European Green
Deal.
ec�½europa�½eu/info/strategy/priorities-
2019-2024/european-green-deal_da
(hentet
den 14�½ marts 2022)�½
Europa­Kommissionen (2017)
Bekæmpelse af korruption.
Udgivet 22�½ novem-
ber 2017�½
ec�½europa�½eu/info/sites/default/
files/file_import/european-semester_thema-
tic-factsheet_fight-against-corruption_da�½pdf
(hentet den 30�½ august 2021)�½
Europarådet (2020)
Council of Europe, Committee of Experts on the
Evaluation of Anti-money Laundering Measures
and the Financing of Terrorism (MONEYVAL)
Annual Report for 2020.
Udgivet november
2020�½
rm�½coe�½int/annual-report-2020-eng-fi-
nal/1680a429f5
(hentet den 10�½ maj 2022)�½
Europol (2022a)
European Migrant Smuggling Centre 6th Annual
report.
Publications Office of the European
Union, Luxembourg�½ Udgivet 23�½ februar 2022�½
www�½europol�½europa�½eu/publications-events/
publications/european-migrant-smuggling-
centre-6th-annual-report-–-2022
(hentet den
25�½ juli 2022)�½
Europol (2022b)
Three German fugitives arrested in Spain for
providing shadow banking system to criminals.
Publications Office of the European Union,
Luxembourg�½ Udgivet 5�½ maj 2022�½
www�½euro-
pol�½europa�½eu/media-press/newsroom/news/
three-german-fugitives-arrested-in-spain-for-
providing-shadow-banking-system-to-criminals
(hentet den 5�½ maj 2022)�½
Europol (2022c)
Environmental crime in the age of climate
change. Threat assessment 2022.
Publications
Office of the European Union, Luxembourg�½
Udgivet 19�½ juli 2022�½
www�½europol�½europa�½eu/
publications-events/publications/environmen-
tal-crime-in-age-of-climate-change-2022-thre-
at-assessment
(hentet den 27�½ juni 2022)�½
Europol (2021a)
Serious and Organised Crime Threat
Assessment (SOCTA).
Publications Office of
the European Union, Luxembourg�½ Udgivet 12�½
april 2021�½
www�½europol�½europa�½eu/cms/sites/
default/files/documents/socta2021_1�½pdf
(hentet den 14�½ december 2021)�½
KILDER OG LINKS
REU, Alm.del - 2023-24 - Endeligt svar på spørgsmål 1456: Spm. om hvor mange overførsler, der indføres udeklarerede til Danmark, herunder om der findes skøn herfor
2938919_0268.png
268
DEN NATIONALE RISIKOVURDERING AF HVIDVASK
Europol (2021b)
Cryptocurrencies – Tracing the evolution of
criminal finances, Europol spotlight report
series.
Publications Office of the European
Union, Luxembourg�½ Udgivet december
2021�½
www�½europol�½europa�½eu/cms/sites/
default/files/documents/Europol Spotlight
- Cryptocurrencies - Tracing the evolution of
criminal finances�½pdf
(hentet den 6�½ juli 2022)�½
Europol (2021c)
Shadow money – the international networks of
illicit finance, Europol Spotlight Report series.
Publications Office of the European Union,
Luxembourg�½ Udgivet december 2021�½
www�½europol�½europa�½eu/cms/sites/default/
files/documents/Shadow money – the interna-
tional networks of illicit finance_PUBLIC_0�½pdf
(hentet den 1�½ marts 2022)�½
Europol (2021d)
New operation to protect Next Generation EU
recovery funds.
Udgivet 15�½ oktober 2021�½
www�½europol�½europa�½eu/media-press/news-
room/news/new-operation-to-protect-next-
generation-eu-recovery-funds
(hentet den
15�½ oktober 2021)�½
Europol (2021e)
European Migrant Smuggling Centre 5th Annual
Report.
Publications Office of the European
Union, Luxembourg�½ Udgivet 17�½ maj 2021�½
www�½europol�½europa�½eu/cms/sites/default/
files/documents/emsc_5th_annual_report�½pdf
(hentet den 17�½ maj 2021)�½
Europol (2021f)
The use of violence by organised crime groups.
Europol Spotlight Report series�½
Publications
Office of the European Union, Luxembourg�½
Udgivet 29�½ januar 2021�½
www�½europol�½europa�½
eu/cms/sites/default/files/documents/europol_
spotlight_-the_use_of_violence_by_organised_
crime_groups�½pdf
(hentet den 12�½ maj 2022)�½
Europol (2021g)
Internet Organised Crime Threat Assessment
(IOCTA) 2021.
Publications Office of the Euro-
pean Union, Luxembourg�½ Udgivet den 11�½
november 2021�½
www�½europol�½europa�½eu/cms/
sites/default/files/documents/internet_organi-
sed_crime_threat_assessment_iocta_2021�½pdf
(hentet den 11�½ november 2021)�½
Europol (2021h)
The involvement of organised crime groups
in sports corruption.
Publications Office of
the European Union, Luxembourg�½ Udgivet 5�½
august 2020�½
www�½europol�½europa�½eu/publi-
cations-events/publications/involvement-of-
organised-crime-groups-in-sports-corruption
(hentet den 3�½ maj 2021)�½
Europol (2020)
Beyond the pandemic – How COVID-19 will
shape the serious and organised crime land-
scape on the EU 2020.
Publications Office of
the European Union, Luxembourg�½ Udgivet
30�½ april 2020�½
www�½europol�½europa�½eu/cms/
sites/default/files/documents/report_beyond_
the_pandemic�½pdf
(hentet den 3 maj 2021)�½
Europol (2019)
European Migrant Smuggling Centre 3rd
Annual report 2018.
Publications Office of the
European Union, Luxembourg�½ Udgivet 25�½
marts 2019�½
www�½europol�½europa�½eu/publica-
tions-events/publications/emsc-3rd-annual-
activity-report-–-2018
(hentet den 5�½ juni 2021)�½
Europol (2017)
Serious and Organised Crime Threat Assess-
ment 2017.
Publications Office of the European
Union, Luxembourg�½ Udgivet 28�½ februar 2017�½
www�½europol�½europa�½eu/publications-events/
main-reports/european-union-serious-and-
organised-crime-threat-assessment-2017
(hentet den 1�½ februar 2021)�½
EU Rådet (2021)
Bekæmpelse af organiseret kriminalitet: Rådet
fastsætter 10 prioriteter for de næste 4 år.
Pressemeddelelse�½ Udgivet 26�½ maj 2021�½
www�½consilium�½europa�½eu/da/press/press-
releases/2021/05/26/fight-against-organised-
crime-council-sets-out-10-priorities-for-the-
next-4-years
(hentet den 28�½ juni 2022)�½
F
FATF (2022a)
Targeted update on implementation of the FATF
standards on virtual assets and virtual asset
service providers.
FATF, Paris, France�½ Udgivet
juni 2022�½
www�½fatf-gafi�½org/media/fatf/docu-
ments/recommendations/Targeted-Update-
Implementation-FATF Standards-Virtual
Assets-VASPs�½pdf
(hentet den 1�½ juli 2022)�½
KILDER OG LINKS
REU, Alm.del - 2023-24 - Endeligt svar på spørgsmål 1456: Spm. om hvor mange overførsler, der indføres udeklarerede til Danmark, herunder om der findes skøn herfor
2938919_0269.png
DEN NATIONALE RISIKOVURDERING AF HVIDVASK
269
FATF (2022b)
Public Consultation Guidance Real Estate
Sector.
FATF, Paris, France�½
www�½fatf-gafi�½org/
media/fatf/documents/recommendations/
Public Consultation Guidance Real Estate
Sector�½pdf
(hentet den 12�½ juli 2022)�½
FATF (2022c)
Report on the state of effectiveness and com-
pliance with the FATF standards.
FATF, Paris,
France�½ Udgivet april 2022�½
www�½fatf-gafi�½org/
media/fatf/documents/recommendations/
Report-on-the-State-of-Effectiveness-
Compliance-with-FATF-Standards�½pdf
(hentet den 2�½ maj 2022)�½
FATF (2022d)
Declaration of the Ministers of the Financial
Action Task Force.
FATF, Paris, France�½ Udgivet
21�½ april 2022�½
www�½fatf-gafi�½org/media/fatf/
documents/FATF-Ministerial-Declaration-
April-2022�½pdf
(hentet den 21�½ april 2022)�½
FATF (2022e)
Money Laundering and Terrorist Financing
Risks Arising from Migrant Smuggling.
FATF,
Paris, France�½ Udgivet marts 2022�½
www�½fatf-
gafi�½org/media/fatf/documents/ML-TF-Risks-
Arising-from-Migrant-Smuggling�½pdf
(hentet
den 10�½ august 2022)�½
FATF (2022f)
Money Laundering from Fentanyl and Synthetic
Opioids.
FATF, Paris, France�½ Udgivet november
2022�½
www�½fatf-gafi�½org/media/fatf/documents/
reports/Money-Laundering-Fentanyl-Synthetic-
Opioids�½pdf
(hentet den 30�½ november 2022)�½
FATF (2021a)
Updated Guidance for a Risk-Based Approach
to Virtual Assets and Virtual Asset Service
Providers.
FATF, Paris, France�½ Udgivet 28�½
oktober 2021�½
www�½fatf-gafi�½org/publications/
fatfrecommendations/documents/guidance-
rba-virtual-assets-2021�½html
(hentet den
7�½ april 2022)�½
FATF (2021b)
Money laundering from environmental crime.
FATF, Paris, France�½ Udgivet juli 2021�½
www�½fatf-gafi�½org/media/fatf/documents/
reports/Money-Laundering-from-Environmental-
Crime�½pdf
(hentet den 15�½ august 2021)�½
FATF (2021c)
Trade Based Money Laundering Risk Indicators.
www�½fatf-gafi�½org/publications/methodsand-
trends/documents/trade-based-money-launde-
ring-indicators�½html
(hentet den 5�½ maj 2021)�½
FATF (2021d)
Annual report 2020-2021.
FATF, Paris, France�½
Udgivet 24�½ november 2021�½
www�½fatf-gafi�½org/
media/fatf/documents/brochuresannualre-
ports/Annual-Report-2020-2021�½pdf
(hentet
den 1�½ marts 2022)�½
FATF (2021e)
Unintended consequences.
FATF, Paris,
France�½ Udgivet 27�½ oktober 2021�½
www�½fatf-
gafi�½org/media/fatf/documents/Unintended-
Consequences�½pdf
(hentet den 1�½ november
2021)�½
FATF (2021f)
Second 12-month Review of the Revised FATF
Standards on Virtual Assets and VASPs.
FATF,
Paris, France�½ Udgivet 5�½ juli 2021�½
www�½fatf-
gafi�½org/publications/fatfrecommendations/
documents/second-12-month-review-virtual-
assets-vasps�½html
(hentet den 21�½ marts 2022)�½
FATF (2021g)
Opportunities and challenges of new technolo-
gies for AML/CFT. FATF, Paris, France.
Udgivet
juli 2021�½
www�½fatf-gafi�½org/media/fatf/docu-
ments/reports/Opportunities-Challenges-of-
New-Technologies-for-AML-CFT�½pdf
(hentet
den 3�½ august 2021)�½
FATF (2021h)
Anti-money laundering and counter-terrorist
financing measures, Denmark, February 2021,
3rd Enhanced Follow-up Report & Technical
Compliance Re-Rating.
FATF, Paris, France�½
Udgivet februar 2021�½
www�½fatf-gafi�½org/media/
fatf/documents/reports/fur/Follow-Up-Report-
Denmark-2021�½pdf
(hentet den 6�½ juli 2022)�½
FATF & Egmont Group (2020a)
Trade-Based Money Laundering: Trends and
Developments.
FATF, Paris, France�½ Udgivet
december 2020�½
www�½fatf-gafi�½org/media/
fatf/content/Trade-Based-Money-Laundering-
Trends-and-Developments�½pdf
(hentet den
5�½ maj 2021)�½
KILDER OG LINKS
REU, Alm.del - 2023-24 - Endeligt svar på spørgsmål 1456: Spm. om hvor mange overførsler, der indføres udeklarerede til Danmark, herunder om der findes skøn herfor
2938919_0270.png
270
DEN NATIONALE RISIKOVURDERING AF HVIDVASK
FATF (2020b)
Trade-Based Money Laundering Private Sector.
FATF, Paris, France�½
www�½fatf-gafi�½org/media/
fatf/documents/Handout-Trade-Based-Money-
Laundering-Private-Sector�½pdf
(hentet den
5�½ maj 2021)�½
FATF (2020c)
Trade-Based Money Laundering Public Sector.
FATF, Paris, France�½
www�½fatf-gafi�½org/media/
fatf/documents/Handout-Trade-Based-Money-
Laundering-Public-Sector�½pdf
(hentet den
5�½ maj 2021)�½
FATF (2020d)
Money Laundering and the illegal wildlife trade.
FATF, Paris, France�½ Udgivet juni 2020�½
www�½fatf-gafi�½org/media/fatf/documents/
Money-laundering-and-illegal-wildlife-trade�½pdf
(hentet den 3�½ juli 2021)�½
FATF (2020e)
Virtual Assets Red Flag Indicators of Money
Laundering and Terrorist Financing.
FATF, Paris,
France�½ Udgivet september 2020�½
www�½fatf-
gafi�½org/publications/methodsandtrends/docu-
ments/virtual-assets-red-flag-indicators�½html
(hentet den 3�½ november 2022)�½
FATF (2019a)
Guidance for a Risk-Based Approach for the
Accounting Profession.
FATF, Paris, France�½ Ud-
givet juni 2019�½
www�½fatf-gafi�½org/documents/
riskbasedapproach/documents/rba-accoun-
ting-profession�½html
(hentet den 21�½ april 2021)�½
FATF (2018a)
Professional Money Laundering.
FATF, Paris,
France�½ Udgivet juli 2018�½
www�½fatf-gafi�½org/
media/fatf/documents/Professional-Money-
Laundering�½pdf
(hentet den 14�½ juni 2019)�½
FATF & Egmont (2018b)
Concealment of Beneficial Ownership.
FATF,
Paris, France�½ Udgivet juli 2018�½
www�½fatf-gafi�½
org/media/fatf/documents/reports/FATF-
Egmont-Concealment-beneficial-ownership�½pdf
(hentet den 6�½ juni 2022)�½
FATF (2018c)
Financial Flows from Human trafficking.
FATF,
Paris, France�½ Udgivet juli 2018�½
www�½fatf-
gafi�½org/media/fatf/content/images/Human-
Trafficking-2018�½pdf
(hentet den 12�½ december
2021)�½
FATF (2017)
Anti-money laundering and counter-terro-
rist financing measures. Denmark. Mutual
Evaluation Report.
FATF, Paris, France�½
Udgivet august 2017�½
www�½fatf-gafi�½org/
media/fatf/documents/reports/mer4/MER-
Denmark-2017�½pdf
(hentet den 4�½ april 2021)�½
FATF (2016)
Correspondent Banking Services.
FATF, Paris,
France�½ Udgivet oktober 2016�½
www�½fatf-gafi�½
org/publications/fatfrecommendations/docu-
ments/correspondent-banking-services�½html
(hentet den 30�½ juni 2022)�½
FATF (2013a)
FATF guidance – National Money Laundering
and Terrorist Financing Risk Assessment.
FATF,
Paris, France�½ Udgivet februar 2013�½
www�½fatf-
gafi�½org/documents/news/nationalmoneylaun-
deringandterroristfinancingriskassessment�½html
(hentet den 1�½ april 2021)�½
FATF (2013b)
The role of Hawala and other similar service
providers in Money Laundering and Terrorist
Financing.
FATF, Paris, France�½ Udgivet okto-
ber 2013
www�½fatf-gafi�½org/media/fatf/docu-
ments/reports/Role-of-hawala-and-similar-in-
ml-tf�½pdf
(hentet den 25�½ januar 2022)�½
FATF 2012 (opdateret i 2021/2022)
International Standards on Combating Money
Laundering and the Financing of Terrorism
& Proliferation.
FATF, Paris, France�½ Udgivet
februar 2012�½
www�½fatf-gafi�½org/media/fatf/
documents/recommendations/pdfs/FATF
Recommendations 2012�½pdf
(hentet den
2�½ april 2022)�½
FATF (2011a)
Laundering the Proceeds of Corruption.
FATF,
Paris, France�½ Udgivet juli 2011�½
www�½fatf-
gafi�½org/media/fatf/documents/reports/
Laundering the Proceeds of Corruption�½pdf
(hentet den 6�½ maj 2021)�½
Finans (2021)
Millioner fra formodede svindelvirksomhe-
der blev sendt til somaliske hawala-netværk.
Udgivet 15�½ marts 2021�½
finans�½dk/finans2/
ECE12816938/millioner-fra-formodede-svin-
delvirksomheder-blev-sendt-til-somaliske-ha-
walanetvaerk
(hentet den 15�½ februar 2022)�½
KILDER OG LINKS
REU, Alm.del - 2023-24 - Endeligt svar på spørgsmål 1456: Spm. om hvor mange overførsler, der indføres udeklarerede til Danmark, herunder om der findes skøn herfor
2938919_0271.png
DEN NATIONALE RISIKOVURDERING AF HVIDVASK
271
Finansforbundet (2020)
Kampen mod hvidvask koster milliarder.
Udgivet
22�½ december 2020�½
finansforbundet�½dk/dk/
nyheder/2020/kampen-mod-hvidvask-koster-
milliarder
(hentet den 4�½ januar 2022)�½
Finans Danmark (2022a)
Dansk realkredit.
Udgivet januar 2022�½
finans-
danmark�½dk/media/48361/dansk-realkredit_
2022�½pdf
(hentet den 23�½ maj 2022)�½
Finans Danmark (2022b)
Investeringssvindlen faldt kraftigt i begyndelsen
af året.
Udgivet 5�½ oktober 2022�½
finansdanmark�½
dk/49395�½aspx
(hentet den 5�½ oktober 2022)�½
Finans Danmark (2021)
Den klassiske danske realkreditmodel.
finansdanmark�½dk/media/47573/den-klassi-
ske-danske-realkreditmodel_2021_final�½pdf
(hentet den 23�½ maj 2022)�½
Finansministeriet (2022a)
Økonomisk redegørelse maj.
fm�½dk/media/
25856/oekonomisk-redegoerelse-maj-2022_
web�½pdf
(hentet den 1�½ juni 2022)�½
Finansministeriet (2022b)
Økonomisk redegørelse august.
fm�½dk/media/
26276/oekonomisk-redegoerelse-august-
2022_web�½pdf
(hentet den 3�½ september 2022)�½
Finansministeriet (2022c)
DK2030 – et grønnere, sikrere og stærkere
Danmark 2030.
Udgivet september 2022�½
fm�½dk/media/26391/dk2030-et-groennere-
sikrere-og-staerkere-danmark-2030_web�½pdf
(hentet den 3�½ oktober 2022)�½
Finansministeriet (2022d)
Aftale om etablering af en grøn fond.
Udgivet
24�½ juni 2022�½
fm�½dk/media/26041/aftale-om-
etablering-af-en-groen-fond�½pdf
(hentet den
1�½ oktober 2022)�½
Finansministeriet (2021a)
Danmarks Konvergensprogram 2021.
Udgivet
april 2021�½
fm�½dk/media/18804/danmarks-
konvergensprogram-2021_a�½pdf
(hentet den
18�½ oktober 2021)�½
Finansministeriet (2021b)
Økonomisk Redegørelse, december 2021.
fm�½dk/media/25494/oekonomisk-rede-
goerelse-december-2021_a�½pdf
(hentet
den 18�½ marts 2022)�½
Finansministeriet (2021c)
Danmarks grønne genopretningsplan endeligt
godkendt i EU.
Udgivet 13�½ juli 2021�½
fm�½dk/
nyheder/nyhedsarkiv/2021/juli/danmarks-
groenne-genopretningsplan-endeligt-godkendt-
i-eu
(hentet den 18�½ oktober 2021)�½
Finansministeriet (2021d)
Dansk genopretningsplan skal understøtte
den grønne omstilling.
Udgivet 30�½ april 2021�½
fm�½dk/nyheder/nyhedsarkiv/2021/april/
dansk-genopretningsplan-skal-under-
stoette-den-groenne-omstilling
(hentet
den 1�½ september 2021)�½
Finansministeriet (2021f)
Økonomisk Redegørelse, maj 2021.
fm�½dk/
udgivelser/2021/maj/oekonomisk-redegoerel-
se-maj-2021
(hentet den 18�½ oktober 2021)�½
Finanstilsynet (2022a)
Bankers transaktionsovervågning på hvidvask-
området skal forbedres.
Pressemeddelelse�½
Udgivet 26�½ januar 2022�½
www�½finanstilsynet�½dk/
Nyheder-og-Presse/Pressemeddelelser/2022/
redegorelseTransOvervaagning_260122
(hentet den 30�½ januar 2022)�½
Finanstilsynet (2022b)
Hvad kan investorer og værdipapirhandlere
gøre for at undgå handel med sig selv?
Udgivet
den 17�½ februar 2022�½
www�½finanstilsynet�½dk/
Nyheder-og-Presse/Nyhedsbreve for kapital-
markedsomraadet/2022/Februar_2022/
Washtrades
(hentet den 1�½ marts 2022)�½
Finanstilsynet (2022c)
Statistik for overtrædelse af regler på kapital-
markedet.
Udgivet 2�½ marts 2022�½
www�½finans-
tilsynet�½dk/Tal-og-Fakta/Statistik/Statistik-for-
overtraedelser-af-regler-paa-kapitalmarkedet
(hentet den 13�½ december 2022)�½
Finanstilsynet (2021a)
Finanstilsynets og Forbrugerombudsmandens
vejledning om kreditværdighedsvurdering.
Udgivet marts 2021�½
www�½finanstilsynet�½dk/-/
media/Nyhedscenter/2021/Finanstilsynets_og_
Forbrugerombudsmandens_vejledning_kreditvr-
dighedsvurdering�½pdf
(hentet den 31�½ maj 2022)�½
KILDER OG LINKS
REU, Alm.del - 2023-24 - Endeligt svar på spørgsmål 1456: Spm. om hvor mange overførsler, der indføres udeklarerede til Danmark, herunder om der findes skøn herfor
2938919_0272.png
272
DEN NATIONALE RISIKOVURDERING AF HVIDVASK
Finanstilsynet (2021b)
Undersøgelse af livsforsikrings- og pensions-
selskabers risikovurdering på hvidvask-
området.
Udgivet den 16�½ juli 2021�½
www�½finanstilsynet�½dk/Nyheder-og-Presse/
Pressemeddelelser/2021/Undersogelse_
af_livsforsikring_pension_hvidvaskomraadet
(hentet den 23�½ maj 2022)�½
Finanstilsynet (2021c)
Dom for markedsmanipulation.
Udgivet 28�½
juni 2021�½
www�½finanstilsynet�½dk/Tilsyn/
Tilsynsreaktioner/Domme-og-boeder/2021/
Markedsmanipulation_280621
(hentet den
23�½ september 2022)�½
Finanstilsynet (2020a)
Finanstilsynets vejledning om lov om forebyg-
gende foranstaltninger mod hvidvask og finan-
siering af terrorisme (hvidvaskloven).
Udgivet
november 2020�½
www�½retsinformation�½dk/eli/
retsinfo/2020/9864
(hentet den 23�½ maj 2022)�½
Finanstilsynet (2020b)
Hvad er insiderhandel?
Udgivet 5�½ marts 2020�½
www�½finanstilsynet�½dk/nyheder-og-presse/
nyhedsbreve-for-kapitalmarkedsomraadet/
2020/nyhedsbrev_for_kapitalmarkedsomra-
adet_2020/artikel_1_insiderhandel
(hentet
den 3�½ april 2022)�½
Finanstilsynet (2019a)
Markedsudviklingen i 2019 for fondsmæg-
lere.
www�½finanstilsynet�½dk/Tal-og-Fakta/
Markedsudvikling/Markedsudvikling/MU_
Fondsmaegler_2019
(hentet den 23�½ maj 2022)�½
Finanstilsynet (2019b)
Temaundersøgelse om insiderlister.
Udgivet
1�½ april 2019�½
www�½finanstilsynet�½dk/Nyheder-
og-Presse/Sektornyt/2019/Tema_insiderlister
(hentet den 20�½ juni 2022)�½
Finanstilsynet (2018)
Vejledning til reglerne om politisk ekspone-
rede personer.
Udgivet 12�½ februar 2018�½
www�½finanstilsynet�½dk/tal-og-fakta/pep-liste
(hentet den 28�½ juli 2022)�½
Finanstilsynet (2017)
Markedsmanipulation. Udgivet 19. december
2017.
www�½finanstilsynet�½dk/lovgivning/mar1/
forbud-i-mar/markedsmanipulation
(hentet den
3�½ april 2022)�½
Finanstilsynet (2016a)
www�½finanstilsynet�½dk/tal-og-fakta/markeds-
udvikling/markedsudvikling/mu-kollektiv-17
(hentet den 15�½ juni 2022)�½
Finanstilsynet (2016b)
Redegørelse om inspektion i Danske Bank
(hvidvaskområdet).
Udgivet 21�½ marts 2016�½
www�½finanstilsynet�½dk/Tilsyn/Inspektionsrede-
gorelser/Vurdering-af-finansielle-virksomhe-
der-2016/Redegorelse_Danske-Bank_hvidvask-
omraadet_210316
(hentet den 29�½ juni 2022)�½
Finanstilsynet (2015a)
Livforsikringsselskaber og tværgående
pensionskasser. Analyse af risiko for hvid-
vask og finansiering af terrorisme.
Udgivet
december 2015�½
www�½finanstilsynet�½dk/
Tilsyn/Inspektionsredegorelser/Vurdering-
af-finansielle-virksomheder-2015/Risiko-for-
hvidvask-og-finansiering-af-terrorisme-221215
(hentet den 12�½ juni 2022)�½
Finanstilsynet (2015b)
Markedsudvikling 2015 for kollektive inve-
steringer.
www�½finanstilsynet�½dk/Tal-og-
Fakta/Markedsudvikling/Markedsudvikling/
MU-Kollektive-investeringer-2015
(hentet
den 15�½ juni 2022)�½
Forbes (2021)
Gift Card Scams Spiked In 2021. Here’s How
To Avoid Getting Duped.
Udgivet 9�½ december
2021�½
www�½forbes�½com/advisor/personal-
finance/gift-card-scams
(hentet den 11�½
oktober 2022)�½
FE (2022)
Center for Cybersikkerhed. Trusselsvurdering.
Cybertruslen mod Danmark 2022.
Udgivet
juni 2022�½
www�½cfcs�½dk/globalassets/cfcs/
dokumenter/trusselsvurderinger/cybertrus-
len-mod-danmark-2022�½pdf
(hentet den
5�½ juli 2022)�½
FE (2021)
Center for Cybersikkerheds beretning 2020.
Udgivet juni 2021�½
www�½cfcs�½dk/globalassets/
cfcs/dokumenter/beretning/-cfcs-beret-
ning-2020-�½pdf
(hentet den 20�½ august 2021)�½
KILDER OG LINKS
REU, Alm.del - 2023-24 - Endeligt svar på spørgsmål 1456: Spm. om hvor mange overførsler, der indføres udeklarerede til Danmark, herunder om der findes skøn herfor
2938919_0273.png
DEN NATIONALE RISIKOVURDERING AF HVIDVASK
273
FE (2018)
Center for Cybersikkerhed. Cybertruslen mod
Danmark. Trusselsvurdering 2018.
Udgivet
maj 2018�½
www�½cfcs�½dk/globalassets/cfcs/
dokumenter/trusselsvurderinger/arkiv/-cyber-
truslen-mod-danmark-2018-�½pdf
(hentet den
5�½ juli 2022)�½
Frontex (2022)
Strategic Risk Analysis 2022.
Udgivet 27�½ juli
2022�½
frontex�½europa�½eu/media-centre/news/
news-release/frontex-publishes-strategic-risk-
analysis-for-2022-2032-IeI5jq
(hentet den
1�½ august 2022)�½
Færøsk Politi (2022)
Interview den 5. maj 2022.
Hvidvasksekretariatet 2022�½
Fødevarestyrelsen (2021a)
Aktuelt om svindel med fødevarer – Nyt fra
EU november 2021.
www�½foedevarestyrelsen�½
dk/Kontrol/svindel-med-foedevarer/aktuelt
om svindel med fødevarer/Sider/default�½aspx
(hentet den 4�½ januar 2022)�½
Fødevarestyrelsen (2021b)
Slutrapport for kampagnen OPSON IX.
Udgivet
20�½ april 2021�½
www�½foedevarestyrelsen�½dk/
SiteCollectionDocuments/Fødevarerejseholdet/
Slutrapport_OPSON_IX_2020�½pdf
(hentet den
12�½ august 2022)
Grønlands Statistik (2022)
Grønland i tal 2022.
stat�½gl/publ/da/GF/2022/
pdf/Grønland i tal 2022�½pdf
(hentet den 4�½ juli
2022)�½
Grønlands Statistik (2021)
Grønland i tal 2021.
stat�½gl/dialog/main�½asp?
lang=da&sc=GF&colcode=o&version=2021
(hentet den 4�½ juli 2022)�½
H
Hagstova Føroya (2022a)
Population.
hagstova�½fo/en/population/popu-
lation/population
(hentet den 14�½ november
2022)�½
Hagstova Føroya (2022b)
GDP and main figures.
hagstova�½fo/en/eco-
nomy/national-accounts/gdp-and-main-figures
(hentet den 14�½ november 2022)�½
Hagstova Føroya (2022c)
Labour Force.
hagstova�½fo/en/society/labour/
labour-force
(hentet den 14�½ november 2022)�½
Hagstova Føroya (2022d)
IB03050 Immigration by country of last resi-
dence, marital status, age and sex (1985-2021)
statbank�½hagstova�½fo/pxweb/en/H2/H2__IB__
IB03/tilflyt_hj�½px
(hentet den 14�½ november
2022)�½
Hagstova Føroya (2022e)
RL02010 Reported criminal offences against
the penal code (1995-2021)
statbank�½hagstova�½
fo/pxweb/en/H2/H2__RL__RL02/logr_brot�½px
(hentet den 14�½ november 2022)�½
Hansen, Flemming Splidsboel (2021)
Grønland, Arktis og stormagterne i: Samfunds-
økonomien
(red�½) (4/2021), Grønland og fremti-
den: Djøf Forlag�½
HM Treasury (2020)
National risk assessment of money launde-
ring and terrorist financing 2020.
Udgivet 17�½
december 2020�½
www�½gov�½uk/government/
publications/national-risk-assessment-of-
money-laundering-and-terrorist-financing-2020
(hentet den 29�½ juni 2021)�½
Hvidvasksekretariatet (2022)
Metoderapport.
København�½ Hent metode-
rapporten på
www�½hvidvask�½dk�½
G
Global Financial Integrity (2021)
Trade-Related Illicit Financial Flows in 134
developing countries 2009-2018.
Udgivet
16�½ september 2021�½
gfintegrity�½org/report/
trade-related-illicit-financial-flows-in-134-
developing-countries-2009-2018
(hentet
den 21�½ maj 2022)�½
Grønlandskbanken (u.d)
Historie�½
www�½banken�½gl/da/om-os/historie
(hentet den 29�½ marts 2022)�½
Grønlands Politi (2022a)
Interview med Grønlands Politi den 23. marts
2022.
Hvidvasksekretariatet 2022�½
Grønlands Politi (2022b)
Årsstatistik 2021.
politi�½gl/-/media/mediefiler/
gl/dokumenter/aarsstatistik-2021-groen-
lands-politi�½pdf
(hentet den 22�½ april 2022)�½
KILDER OG LINKS
REU, Alm.del - 2023-24 - Endeligt svar på spørgsmål 1456: Spm. om hvor mange overførsler, der indføres udeklarerede til Danmark, herunder om der findes skøn herfor
2938919_0274.png
274
DEN NATIONALE RISIKOVURDERING AF HVIDVASK
Hvidvasksekretariatet (2018)
Den Nationale Risikovurdering for Hvidvask
2018.
anklagemyndigheden�½dk/sites/default/
files/inline-files/Hvidvask i Danmark - Den
nationale risikovurdering 2018�½pdf
(hentet
den 1�½ april 2021)�½
Høgedahl, L. & Lind Ravn, R. (2021)
Fremtidens arbejdsudbud i Grønland i:
Samfundsøkonomien
(red�½) (4/2021),
Grønland og fremtiden�½ Djøf Forlag�½
Justitsministeriet (2021c)
Besvarelse af spørgsmål nr. 495 (Alm. del) fra
Folketingets Skatteudvalg.
Udgivet 31�½ maj
2021�½
www�½ft�½dk/samling/20201/almdel/
sau/spm/495/svar/1788565/2405650�½pdf
(hentet den 3�½ april 2022)�½
Justitsministeriet (2018)
Medlemmer af kriminelle grupperinger. Justits-
ministeriets Forskningskontor.
Udgivet december
2018�½
www�½justitsministeriet�½dk/wp-content/
uploads/2021/09/Medlemmer-af-kriminelle-
grupperinger�½pdf
(hentet den 16�½ maj 2022)�½
I
International Monetary Fund (2020)
Denmark Financial System Stability Assess-
ment.
Udgivet 12�½ august 2020�½
www�½imf�½org/
en/Publications/CR/Issues/2020/08/07/
Denmark-Financial-System-Stability-Assess-
ment-Press-Release-and-Statement-by-the-
Executive-49659
(hentet den 2�½ april 2022)�½
International Monetary Fund (1998)
Money Laundering: the Importance of Inter-
national Countermeasures – Address by Michel
Camdessus.
Udgivet 10�½ februar 1998�½
www�½
imf�½org/en/News/Articles/2015/09/28/04/53/
sp021098
(hentet den 1�½ november 2021)�½
Interpol & Europol (2020)
Operation OPSON IX.
Udgivet januar 2021�½
www�½europol�½europa�½eu/cms/sites/default/
files/documents/opson_ix_report_2021_0�½pdf
(hentet den 11�½ december 2021)�½
K
Kaspersky (u.d.)
Hvad er det dybe og mørke internet?
www�½kaspersky�½dk/resource-center/threats/
deep-web
(hentet den 1�½ september 2022)�½
Kommunernes Landsforening (2022)
Effektmåling af kommunernes kontrolind-
sats 2021.
Udgivet april 2022�½
www�½kl�½dk/
media/51023/effektmaaling-af-kommuner-
nes-kontrolindsats-2021�½pdf
(hentet den
20�½ september 2022)�½
KVF (2021)
DKK 100m in stolen African funds wired to the
Faroes.
Udgivet 21�½ november 2021�½
kvf�½fo/
greinar/2021/11/23/dkk-100m-stolen-african-
funds-wired-faroes
(hentet den 14�½ november
2022)�½
Københavns Byret (2022a)
Dom i sag om medvirken til omfattende moms-
og skattesvig samt hvidvask.
Udgivet 18�½
august 2022�½
www�½domstol�½dk/koebenhavn/
aktuelt/2022/8/dom-i-sag-om-medvirken-til-
omfattende-moms-og-skattesvig-samt-hvid-
vask
(hentet den 8 september 2022)�½
Københavns Byret (2022b)
Dom afsagt den 3. august 2022 i sag SS
3-12601/2022.
Københavns Politi (2022)
Mand idømt fem års fængsel for omfattende
hvidvask.
Udgivet 3�½ august 2022�½
politi�½dk/
koebenhavns-politi/nyhedsliste/mand-idoemt-
fem-aars-faengsel-for-omfattende-hvidvask/
2022/08/03
(hentet den 3�½ oktober 2022)�½
J
Justitsministeriet, Erhvervsministeriet
og Skatteministeriet (2022)
National strategi for forebyggelse og bekæm-
pelse af hvidvask og terrorfinansiering 2022-
2025.
Udgivet juli 2022�½
www�½justitsministeriet�½
dk/wp-content/uploads/2022/07/National-
strategi-for-forebyggelse-og-bekaempelse-af-
hvidvask-og-terrorfinansiering-2022-2025�½pdf
(hentet den 8�½ juli 2022)�½
Justitsministeriet (2021a)
Aftale om politiets og anklagemyndighedens
økonomi 2021-2023.
Udgivet december
2020�½
www�½justitsministeriet�½dk/wp-content/
uploads/2020/12/Aftale-om-politiets-og-
anklagemyndighedens-oekonomi-2021-
2023�½pdf
(hentet den 3�½ november 2021)�½
KILDER OG LINKS
REU, Alm.del - 2023-24 - Endeligt svar på spørgsmål 1456: Spm. om hvor mange overførsler, der indføres udeklarerede til Danmark, herunder om der findes skøn herfor
2938919_0275.png
DEN NATIONALE RISIKOVURDERING AF HVIDVASK
275
Københavns Politi (2021)
Lange fængselsstraffe i historisk stor narkotika-
sag.
Udgivet 15�½ december 2021�½
politi�½dk/
koebenhavns-politi/nyhedsliste/lange-faeng-
selsstraffe-i-historisk-stor-narkotikasag/2021/
12/15
(hentet den 31�½ januar 2021)�½
Mobilepay (u.d.)
MobilePay i tal.
www�½mobilepay�½dk/presse/tal
(hentet den 28�½ juni 2022)�½
N
National Crime Agency (2022)
Gold bars seized from money laundering net-
work.
www�½nationalcrimeagency�½gov�½uk/news/
gold-bars-seized-from-money-laundering-
network
(hentet den 31�½ januar 2022)�½
Nationalt Center for it­kriminalitet (2022)
NCICK årsrapport 2021. En rapport om it-re-
lateret økonomisk kriminalitet anmeldt i 2021.
politi�½dk/-/media/mediefiler/landsdaekkende-
dokumenter/statistikker/oevrige-udgivelser/
ncik-aarsrapport-2021�½pdf
(hentet den
30�½ juni 2022)�½
National enhed for Særlig Kriminalitet (2022)
Kriminelt netværk idømt samlet 61 års fængsel i
historisk straffesag.
Udgivet 18�½ august 2022�½
politi�½dk/national-enhed-for-saerlig-kriminalitet/
nyhedsliste/kriminelt-netvaerk-idoemt-samlet-
61-aars-faengsel-i-historisk-straffesag/2022/
08/18
(hentet den 8�½ september 2022)�½
Nordisk Samarbejde (u.d.)
Fakta om Færøerne.
www�½norden�½org/da/
information/fakta-om-faeroeerne
(hentet den
31�½ maj 2022)�½
Nordisk Samarbejde (2017)
De nordiske lande står sammen mod ulovligt
fiskeri.
www�½norden�½org/da/news/de-nordi-
ske-lande-star-sammen-mod-ulovligt-fiskeri
(hentet den 31 maj 2022)�½
L
LCIK (2021)
LCIK årsrapport 2020. En rapport om it-relateret
økonomisk kriminalitet anmeldt i 2020.
Udgivet
14�½ juni 2021�½
politi�½dk/-/media/mediefiler/
landsdaekkende-dokumenter/statistikker/
oevrige-udgivelser/aarsrapport-om-it-relateret-
oekonomisk-kriminalitet-anmeldt-i-2020�½pdf
(hentet den 1�½ oktober 2021)�½
Lovtidende (2019)
Anordning om ikrafttræden for Grønland af lov
om forebyggende foranstaltninger mod hvid-
vask og finansiering af terrorisme (hvidvask-
loven).
Udgivet 12�½ august 2019�½
www�½rets-
information�½dk/eli/lta/2021/956/Pdf
(hentet
den 5�½ januar 2022)�½
M
Mannov, J., C. Østergaard og L. Minke (2020)
Kriminalitetsudviklingen i Danmark under
covid-19 pandemien.
København: Det
Kriminalpræventive Råd�½ Udgivet juni 2020�½
findresearcher�½sdu�½dk/ws/portalfiles/portal/
171031482/Kriminalitetsudviklingen_i_
Danmark_under_Covid_19_pandemien�½pdf
(hentet den 30�½ august 2021)�½
Miljøstyrelsen (2020)
Affaldsstatistik 2019.
Miljø- og Fødevaremini-
steriet�½ Udgivet december 2020�½
www2�½mst�½dk/
Udgiv/publikationer/2020/12/978-87-7038-
249-6�½pdf
(hentet den 22�½ juni 2022)�½
Miljøstyrelsen (u.d)
Godkendelse og registrering i Affaldsregistret.
mst�½dk/affald-jord/affald/indsamleruddannel-
sen/om-affaldsregisteret/godkendelse-og-
registrering-i-affaldsregistret
(hentet den
22�½ juni 2022)�½
Mineralmyndigheden (u.d.)
Online Applications Portal.
govmin�½gl
(hentet den 27�½ juni 2022)�½
O
OECD/EUIPO (2021)
Global Trade in Fakes. A Worrying Threat.
OECD, Paris�½
www�½oecd-ilibrary�½org/gover-
nance/global-trade-in-fakes_74c81154-en
(hentet den 25�½ november 2021)�½
OLAF (2022)
The OLAF report 2021.
anti-fraud�½ec�½europa�½eu/
system/files/2022-09/olaf-report-2021_en�½pdf
(hentet den 1�½ oktober 2022)�½
KILDER OG LINKS
REU, Alm.del - 2023-24 - Endeligt svar på spørgsmål 1456: Spm. om hvor mange overførsler, der indføres udeklarerede til Danmark, herunder om der findes skøn herfor
2938919_0276.png
276
DEN NATIONALE RISIKOVURDERING AF HVIDVASK
OCCRP (2022)
Dubai Uncovered. Data Leak Exposes How
Criminals, Officials, and Sanctioned Politicians
Poured Money Into Dubai Real Estate�½
Udgivet
3�½ maj 2022�½
www�½occrp�½org/en/investigations/
dubai-uncovered-data-leak-exposes-how-
criminals-officials-and-sanctioned-politicians-
poured-money-into-dubai-real-estate
(hentet den 3�½ maj 2022)�½
Politi (2022)
Organiseret rufferinetværk idømt fængsel.
Udgivet 12�½ maj 2022�½
politi�½dk/national-enhed-
for-saerlig-kriminalitet/nyhedsliste/organise-
ret/2022/05/12
(hentet den 23�½ september
2022)�½
Politiet/PST (2020)
Nasjonal risikovurdering, Hvitvaskning og terror-
finansiering 2020.
Politidirektoratet�½
www�½pst�½
no/globalassets/artikler/utgivelser/2020/nasjo-
nal-trusselvurdering-om-hvitvasking-og-terrorfi-
nansiering-2020�½pdf
(hentet den 11�½ juli 2022)�½
Politiken (2022)
Tag med på tur Jorden rundt: Sådan gemmer
verdens rigeste deres dyre kunst.
Udgivet 24�½
marts 2022�½
politiken�½dk/kultur/art8686873/
Sådan-gemmer-verdens-rigeste-deres-dyre-
kunst
(hentet den 24�½ marts 2022)�½
P
PET (2020)
National risikovurdering af terrorfinansiering
på NPO-området i Danmark 2020.
pet�½dk/-/
media/mediefiler/pet/dokumenter/analyser-
og-vurderinger/national-risikovurdering-
af-terrorfinansiering-paa-npoomraadet-i-
danmark-2020�½pdf
(hentet den 7�½ juni 2021)�½
Petersen, M. B. og Roepstorff (2021)
Danskernes adfærd og holdninger til
corona-epidemien. Resultater fra HOPE-
projektet.
Aarhus Universitet�½ Udgivet 21�½
maj 2021�½
hope-project�½dk/#/reports/
danskernes_adfaerd_og_holdninger/
versions/21-05-2021
Polisen (2022)
Bedrägerier och penningtvätt. Analys av be-
drägerier ur ett brottsvinstperspektiv.
Udgivet
januar 2022�½
polisen�½se/contentassets/
ecf43d8a5243446abae6aa441dbd574e/
bedragerier-och-penningtvatt�½pdf
(hentet
den 7�½ juni 2022)�½
Polisen (2021)
Encrochat – Lärdomar av Encrochat. Analyse-
projekt Robinson. Nationella operativa avdel-
ningen, Underrättelseenheten.
Udgivet 10�½ maj
2021�½
polisen�½se/aktuellt/nyheter/2021/maj/
narkotikasmugglingen-mer-omfattande-an-
tidigare-studier-visat
(hentet den 10�½ maj 2021)�½
Polismyndigheten (2021)
Nationell riskbedömning av penningvätt och
finansiering av terrorism i Sverige 2020/2021.
Udgivet april 2021
www�½ekobrottsmyndighe-
ten�½se/wp-content/uploads/2021/05/natio-
nell-riskbedomning-av-penningtvatt-och-finan-
siering-av-terrorism-2020-2021�½pdf
(hentet
den 11�½ juli 2022)�½
R
Retsinformation (2020)
LBK nr 1719 af 27/11/2020: Bekendtgørelse af
lov om betalinger.
www�½retsinformation�½dk/eli/
lta/2020/1719
(hentet den 16�½ februar 2022)�½
Retsinformation (2019)
Anordning nr. 813 af 12. august 2019 om ikraft-
træden for Færøerne af lov om forebyggende
foranstaltninger mod hvidvask og finansiering af
terrorisme (hvidvaskloven)�½
www�½retsinforma-
tion�½dk/eli/lta/2019/813/Pdf
(hentet den
31�½ maj 2022)�½
Retten i Glostrup (2019)
Dom afsagt den 13. december 2019.
Rettens
nr�½ 15-8196/2017�½
Retten i Roskilde (2022)
Dom afsagt den 12. maj 2022.
Rettens nr�½
2A-6196/2019�½
Retten i Viborg (2019)
Dom afsagt den 27. august 2019.
Rettens nr�½
1612/2018�½
Retten på Frederiksberg (2022)
Dom afsagt den 11. januar 2022.
Rettens nr�½
1996/2021�½
KILDER OG LINKS
REU, Alm.del - 2023-24 - Endeligt svar på spørgsmål 1456: Spm. om hvor mange overførsler, der indføres udeklarerede til Danmark, herunder om der findes skøn herfor
2938919_0277.png
DEN NATIONALE RISIKOVURDERING AF HVIDVASK
277
Rettighedsalliancen (2021)
Seks personer anholdt for at stå bag pirattjene-
ster.
Udgivet 5�½ november 2021�½
rettighedsallian-
cen�½dk/seks-personer-anholdt-for-at-staa-bag-
pirattjenester
(hentet den 15�½ december 2021)�½
Rigsombudsmanden på Færøerne (2021a)
Indberetning nr. 2/2021.
Udgivet 25�½ marts
2021�½
www�½ft�½dk/samling/20201/almdel/FÆU/
bilag/17/2362448/index�½htm
(hentet den 30�½
maj 2022)�½
Rigsombudsmanden på Færøerne (2021b)
Årsberetning 2021�½
www�½rigsombudsmanden�½
fo/media/10606/aarsberetning-2021�½pdf
(hentet den 31�½ maj 2022)�½
Rigspolitiet (2021a)
Investeringssvindlere snyder danskerne i stor
stil.
Udgivet 21�½ juni 2021�½
politi�½dk/da/rigspoli-
tiet/nyhedsliste/investeringssvindlere-snyder-
danskerne-i-stor-stil/2021/06/21
(hentet den
30�½ oktober 2021)�½
Rigspolitiet (2021b)
Uretmæssig adgang til NemID.
www�½ft�½dk/sam-
ling/20201/almdel/REU/bilag/456/2451806�½
pdf
(hentet den 7�½ juni 2022)�½
Rigspolitiet (2017a)
National strategisk analyse.
politi�½dk/-/media/
mediefiler/landsdaekkende-dokumenter/
om-politiet/strategier/national-strategisk-
analyse-2017�½pdf
(hentet den 5�½ april 2021)�½
Rigspolitiet (2017b)
Kriminalitet begået af omrejsende grupper.
Retsudvalg 2016-2017�½ REU Alm del Bilag
284�½
www�½ft�½dk/samling/20161/almdel/reu/
bilag/284/1759007�½pdf
(hentet den 13�½ juni
2022)�½
Rigsrevisionen (2020)
Politiets indsats i forhold til at rejse sigtelser
for indbrud.
Udgivet 17�½ december 2020�½
rigsrevisionen�½dk/revisionssager-arkiv/2020/
dec/beretning-om-politiets-indsats-i-forhold-
til-at-rejse-sigtelser-for-indbrud
(hentet den
30�½ november 2021)�½
Rigsrevisionen (2020b)
Rigsrevisionen beretning om statens indsats
mod hvidvask og finansiering af terrorisme.
Udgivet 24�½ januar 2020�½
rigsrevisionen�½dk/
revisionssager-arkiv/2020/jan/beretning-om-
statens-indsats-mod-hvidvask-og-finansiering-
af-terrorisme
(hentet den 15�½ oktober 2021)�½
Rockwool Fonden Forskning (2022)
Baggrundsnotat. Covid-19 og sort arbejde
i 2020.
Udgivet april 2022�½
www�½rockwool-
fonden�½dk/app/uploads/2022/04/RFF-NYT-
Hverken-mere-eller-mindre-sort-arbejde-i-
coronaens-foerste-aar-April-2022�½pdf
(hentet
den 30�½ maj 2022)�½
Rockwool Fondens Forskningsenhed (2018)
Aktiviteter uden for det formelle arbejdsmarked:
Sort arbejde, gør det selv-arbejde og deleøko-
nomi.
Udgivet oktober 2018�½
www�½rockwoolfon-
den�½dk/app/uploads/2018/12/Sort-arbejde-
gør-det-selv-arbejde-og-deleøkonomi�½pdf
(hentet den 1�½ november 2021)�½
Rockwool Fondens Forskningsenhed (2017)
Danskernes liv med skatter, sort arbejde og
gør det selv-arbejde.
Udgivet maj 2017�½
www�½
rockwoolfonden�½dk/app/uploads/2017/05/
Danskernes-skat_komplet-LO_final�½pdf
(hentet den 19�½ september 2022)�½
Røde Kors (2020)
Dokumentation af problemstillinger vedrørende
nordafrikanske uledsagede mindreårige.
Udgivet
29�½ oktober 2020�½
www�½rodekors�½dk/sites/
rodekors�½dk/files/2021-03/Dokumentation
Nordafrikanske uledsagede mindreårige
19�½02�½21 (1)�½pdf
(hentet den 1�½ august 2022)�½
S
Sacks, B. J., Stephenson, S. R., Pezard, S.,
Tingstad, A. & Sørensen, C. T. N. (2021)
Exploring Gaps in Arctic Governance.
RAND
Corporation�½
www�½rand�½org/pubs/research_
reports/RRA1007-1�½html
(hentet den
24�½ oktober 2022)�½
SFI – Det Nationale Forskningscenter
for Velfærd (2011)
Socialt bedrageri. Et litteraturstudie.
Udgivet
24�½ august 2011�½
www�½vive�½dk/da/udgivelser/
socialt-bedrageri-4509
(hentet den 20�½ oktober
2021)�½
KILDER OG LINKS
REU, Alm.del - 2023-24 - Endeligt svar på spørgsmål 1456: Spm. om hvor mange overførsler, der indføres udeklarerede til Danmark, herunder om der findes skøn herfor
2938919_0278.png
278
DEN NATIONALE RISIKOVURDERING AF HVIDVASK
Skatteministeriet (2021)
Retsinformation. Lov om ændring af told-
loven (Tilpasning af toldloven til EU’s
moderniserede pengeforordning m.v.)
1�½ juni 2021�½
www�½retsinformation�½dk/eli/
ft/202013L00119
(hentet den 1�½ maj 2022)�½
Skattestyrelsen (2022)
Skattekontrol overfor handel med kryptovaluta
er nødvendig.
Udgivet marts 2022�½
www�½sktst�½
dk/media/11198/publikation_skattekontrol-
overfor-handel-med-kryptovaluta-er-noed-
vendig�½pdf
(hentet den 19�½ september 2022)�½
Skattestyrelsen (2021a)
Kontrol med rocker- og bandemiljøet udløser
store skatteopkrævninger.
Udgivet april 2021�½
www�½sktst�½dk/media/8733/resultatark-ind-
sats-mod-rockere-og-bandemedlemmer�½pdf
(hentet den 1�½ april 2021)�½
Skattestyrelsen (2021b)
Kontrolindsats mod kædesvig resulterer i skat-
teopkrævninger for 3,7 mia. kr.
Udgivet marts
2021�½
www�½sktst�½dk/media/8418/tal-og-ten-
denser-kaedesvig�½pdf
(hentet den 1�½ juli 2022)�½
Skattestyrelsen (2021c)
Skattestyrelsens kontrol mod momskarruseller
er blevet mere effektiv.
Udgivet marts 2021�½
www�½sktst�½dk/media/8420/tal-og-tendenser-
momskarruseller�½pdf
(hentet den 1�½ juli 2021)�½
Skattestyrelsen (2021d)
2021 blev et rekordår for indsatsen mod hvid-
vask.
Udgivet juni 2021�½
www�½sktst�½dk/aktuelt/
publikationer/2021-blev-et-rekordaar-for-ind-
satsen-mod-hvidvask
(hentet den 1�½ juli 2022)�½
Skráseting Føroya (2022)
Interview 3. maj 2022.
Hvidvasksekretariatet 2022�½
Spillemyndigheden (2022)
Spillemyndighedens vejledning om fore-
byggende foranstaltninger mod hvidvask af
udbytte og finansiering af terrorisme.
Udgivet
2�½ juni 2022�½
www�½spillemyndigheden�½dk/
uploads/2022-06/Spillemyndighedens vejled-
ning om forebyggende foranstaltninger mod
hvidvask af udbytte og finansiering af terrorisme
version 1�½2�½pdf
(hentet den 1�½ oktober 2022)�½
Spillemyndigheden (2019)
Spillemyndighedens vejledning om forebyg-
gende foranstaltninger mod hvidvask af udbytte
og finansiering af terrorisme.
Udgivet 14�½ august
2019�½
www�½spillemyndigheden�½dk/nyheder/
vejledning-om-forebyggende-foranstaltnin-
ger-mod-hvidvask-og-finansiering-af-terrorisme
(hentet den 11�½ juli 2020)�½
Statista (2022)
Market size of neobanks in 2021 with a forecast
for 2022 and 2030.
Udgivet 31�½ maj 2021�½
www�½statista�½com/statistics/1228241/neo-
banks-global-market-size
(hentet den 1�½ maj
2022)�½
Stiften (2022)
Aarhus Havn eksploderer i vækst: Omsætning
fordoblet på 5 år.
Udgivet 18�½ januar 2022�½
stiften�½dk/artikel/aarhus-havn-eksploderer-
i-vækst-omsætning-fordoblet-på-5-år
(hentet den 3�½ februar 2022)�½
T
The Department of the Treasury (2022)
Study of the Facilitation of Money Laundering
and Terror Finance Through the Trade in Works
of Art.
Udgivet 4�½ februar 2022�½
home�½treasury�½
gov/system/files/136/Treasury_Study_WoA�½
pdf
(hentet den 4�½ marts 2022)�½
The Elliptic (2022)
DeFi. Risk, Regulation, and the Rise of DeCrime.
Udgivet 18�½ november 2021�½
www�½elliptic�½co/
resources/defi-risk-regulation-and-the-rise-
of-decrime
(hentet den 3�½ april 2022)�½
Toldmyndigheden på Færøerne (2022)
Interview den 5. maj 2022.
Hvidvasksekretariatet 2022�½
Toldstyrelsen (2022)
Toldstyrelsen tilbageholder flere kontanter end
tidligere.
Udgivet 23�½ juni 2022�½
www�½toldst�½dk/
nyheder/publikationer/toldstyrelsen-tilbage-
holder-flere-kontanter-end-tidligere
(hentet
den 2�½ juni 2022)�½
KILDER OG LINKS
REU, Alm.del - 2023-24 - Endeligt svar på spørgsmål 1456: Spm. om hvor mange overførsler, der indføres udeklarerede til Danmark, herunder om der findes skøn herfor
2938919_0279.png
DEN NATIONALE RISIKOVURDERING AF HVIDVASK
279
Toldstyrelsen (2021a)
Kolde kontanter: Toldere finder knap 8
millioner kroner i kontanter i frostpakker i
Grønlandshavnen�½
Udgivet 27�½ oktober 2021�½
www�½toldst�½dk/nyheder/presse-og-nyheder/
kolde-kontanter-toldere-finder-knap-8-millio-
ner-kroner-i-kontanter-i-frostpakker-i-groen-
landshavnen
(hentet den 25�½ januar 2022)�½
Toldstyrelsen (2021b)
Toldhund finder 5,7 mio. kroner gemt i kuffert.
Udgivet 8�½ november 2021�½
www�½toldst�½dk/
nyheder/presse-og-nyheder/toldhund-finder-
5-7-mio-kroner-gemt-i-kuffert
(hentet den 25�½
januar 2022)�½
Transparency International (2021)
Corruption Perceptions Index 2020.
Udgivet
28�½ januar 2022�½
www�½transparency�½org/en/
cpi/2020
(hentet den 5�½ juli 2022)�½
Transparency International (2022)
Corruption Perceptions Index 2021.
Udgivet
25�½ januar 2022�½
www�½transparency�½org/en/
cpi/2021
(hentet den 25�½ januar 2022)�½
Transportministeriet (2022)
Handlingsplan til bekæmpelse af menneske-
handel 2022-2025.
Udgivet april 2022�½
www�½trm�½dk/media/wh0n23ks/handlings-
plan-til-bekaempelse-af-menneskehan-
del-2022-2025�½pdf
TrygFonden (2020)
TrygFondens tryghedsmåling 2019-2020.
www�½tryghed�½dk/viden/tryghedsmaalinger/
download-tryghedsmaaling-2019-20
(hentet
den 10�½ oktober 2021)�½
UNDESA – United Nations Department
of Economic and Social Affair (2020)
Tax abuse, money laundering and corruption
plague global finance: Financial integrity panel
says reforms urgent for sustainable deve-
lopment.
Udgivet 24�½ september 2020�½
www�½un�½org/en/desa/tax-abuse-money-laun-
dering-and-corruption-plague-global-finance
(hentet den 1�½ november 2021)�½
UNHCR (2022)
Ukraine, other conflicts push forcibly displaced
total over 100 million for first time.
Udgivet
23�½ maj 2022�½
www�½unhcr�½org/news/pres-
s/2022/5/628a389e4/unhcr-ukraine-other-
conflicts-push-forcibly-displaced-total-100-
million�½html
(hentet den 13�½ juni 2022)�½
UNODC – United Nations Office on
Drugs and and Crime (2021)
World Drug Report 2021: Booklet 2 – Global
Overview of drug demand and drug supply.
United Nations publication.
Udgivet juni 2021�½
www�½unodc�½org/res/wdr2021/field/WDR21_
Booklet_2�½pdf
(hentet den 8�½ september 2022)�½
UNOCD – United Nations Office on
Drugs and and Crime (2011)
Estimating Illicit Financial Flows Resulting
from Drug Trafficking and other Transnational
Organized Crimes.
United Nations publica-
tion�½ Udgivet oktober 2011�½
www�½unodc�½org/
documents/data-and-analysis/Studies/Illicit_
financial_flows_2011_web�½pdf
(hentet den 14�½
august 2021)�½
V
VIVE (2021)
Salg af sex i Danmark 2020 – En kortlægning.
www�½vive�½dk/media/pure/16278/5840122
(hentet den 10�½ august 2022)�½
Vækstfonden (2021)
Det danske crowfundingmarked anno 2020.
Udgivet 13�½ juli 2021�½
vf�½dk/analyser/det-
danske-crowfundingmarked-anno-2020
(hentet den 4�½ juli 2022)�½
U
Udbetaling Danmark (2021)
Årsrapport 2021.
www�½atp�½dk/dokument/
udbetaling-danmark-aarsrapport-2021
(hentet den 1�½ maj 2022)�½
Udenrigsministeriet (u.d.)
Rigsfællesskabet.
um�½dk/udenrigspolitik/lande-
og-regioner/rigsfaellesskabet
(hentet den 31�½
maj, 2022)�½
KILDER OG LINKS
REU, Alm.del - 2023-24 - Endeligt svar på spørgsmål 1456: Spm. om hvor mange overførsler, der indføres udeklarerede til Danmark, herunder om der findes skøn herfor
2938919_0280.png
280
DEN NATIONALE RISIKOVURDERING AF HVIDVASK
W
World Bank Group (2022)
Signatures for sale. How Nominee Services
for Shell Companies Are Abused to Conceal
Beneficial Owners.
Udgivet 19�½ april 2022�½
star�½worldbank�½org/publications/signatures-
sale-how-nominee-services-shell-companies-
are-abused-conceal-beneficial
(hentet den
22�½ april 2022)�½
World Economic Forum (2021)
How trade-based money laundering works and
its impact on world finances.
Udgivet 14�½ juni
2021�½
www�½weforum�½org/agenda/2021/06/
trade-based-money-laundering
(hentet den
19�½ maj 2022)�½
World Economic Forum (u.d)
Global Future Council on Transparency and
Anti-corruption.
www�½weforum�½org/communi-
ties/gfc-on-transparency-and-anti-corruption
(hentet den 12�½ februar 2022)�½
World Customs & Egmont Group (2020)
Customs – FIU Coorporation Handbook.
www�½wcoomd�½org/-/media/wco/public/global/
pdf/topics/enforcement-and-compliance/
report/wco_fiu_handbook_sanitised-public-
version_wco_en�½pdf?la=en
(hentet den 19�½ maj
2022)�½
WTO (2022)
World Trade Statistical Review 2021.
www�½wto�½org/english/res_e/statis_e/
wts2021_e/wts2021_e�½pdf
(hentet den
16�½ maj 2022)�½
Z
Zdanowicz, John S. (2009)
Trade-Based Money Laundering and
Terrorist Financing. Review of Law and
Economics.
Florida International University�½
ag-pssg-sharedservices-ex�½objectstore�½gov�½
bc�½ca/ag-pssg-cc-exh-prod-bkt-ex/361 - 3
Zdanowicz Article Trade Based Money
Laundering�½pdf
(hentet den 4�½ marts 2021)�½
Ø
Økokrim (2021)
Temarapport – Profesjonelle aktører.
Udgivet
9�½ juli 2021�½
www�½okokrim�½no/rapport-om-
profesjonelle-aktoerer�½6399017-411472�½html
(hentet den 1�½ juli 2021)
KILDER OG LINKS
REU, Alm.del - 2023-24 - Endeligt svar på spørgsmål 1456: Spm. om hvor mange overførsler, der indføres udeklarerede til Danmark, herunder om der findes skøn herfor
2938919_0281.png
DEN NATIONALE RISIKOVURDERING AF HVIDVASK
281
VIL DU VIDE MERE?
Hvidvasksekretariatet opdaterer løbende indi-
katorlisten for hvidvask og terrorfinansiering�½
Listen indeholder en række indikatorer, som i sig
selv eller i kombination kan være tegn på, at der
bliver begået hvidvask eller terrorfinansiering�½
Indikatorlisten er en hjælp til de underretnings-
pligtige, så de bedre kan identificere potentiel
hvidvask og terrorfinansiering�½ Du finder den på
www�½hvidvask�½dk�½
Har du spørgsmål eller kommentarer til risiko-
vurderingen for hvidvask, er du velkommen til
at kontakte os på mail
fiu@politi�½dk�½
Du er også
altid velkommen til at læse mere om hvidvask
www�½hvidvask�½dk�½
Her finder du også årsrap-
porter, kvartalsrapporter og temarapporter fra
Hvidvasksekretariatet�½ Materialet får du også
adgang til, hvis du er oprettet via GoAML�½
Du kan også hente mere viden om hvidvask hos
tilsynsmyndighederne samt nationale og inter-
nationale samarbejdspartnere�½
9.2
Boks 62
Eksterne links
Dansk politi:
www�½politi�½dk
Finanstilsynet:
www�½finanstilsynet�½dk
Erhvervsstyrelsen:
www�½erhvervsstyrelsen�½dk
Advokatsamfundet:
www�½advokatsamfundet�½dk
Spillemyndigheden:
www�½spillemyndigheden�½dk
Financial Action Task Force:
www�½fatf-gafi�½org
Egmont Group:
www�½egmontgroup�½com
Europol:
www�½europol�½europa�½eu
Interpol:
www�½interpol�½int
Basel Institute on Governance, Basel AML-Index:
www�½baselgovernance�½org/ranking
KILDER OG LINKS
REU, Alm.del - 2023-24 - Endeligt svar på spørgsmål 1456: Spm. om hvor mange overførsler, der indføres udeklarerede til Danmark, herunder om der findes skøn herfor
2938919_0282.png