Finansudvalget 2023-24
FIU Alm.del
Offentligt
2777143_0001.png
Folketingets Finansudvalg
Christiansborg
8. november 2023
Svar på Finansudvalgets spørgsmål nr. 9 (Alm. del) af 11. oktober
2023 stillet efter ønske fra Christina Olumeko (ALT)
Spørgsmål
Vil ministeren oplyse om udviklingen i den reale nettoformue pr. person for unge
mellem henholdsvis 18-24 år og 25-29 år fra 1982 til i 2022 (eller seneste år med
opdaterede tal) med intervaller på maksimalt 10 år, opgjort henholdsvis inkl. stu-
derende og ekskl. studerende?
Svar
Opgørelser af udviklingen i befolkningens nettoformuer over en længere tidsperi-
ode skal generelt tolkes varsomt, herunder bl.a. som følge af, at pensionsformuer
ikke indgår og at ejendomsaktiverne er baseret på de offentlige vurderinger. Hertil
kommer, at ophævelsen af formueskatten i 1997 overflødiggjorde behovet for at
skatteyderen kunne indberette ændringer til de fortrykte oplysninger.
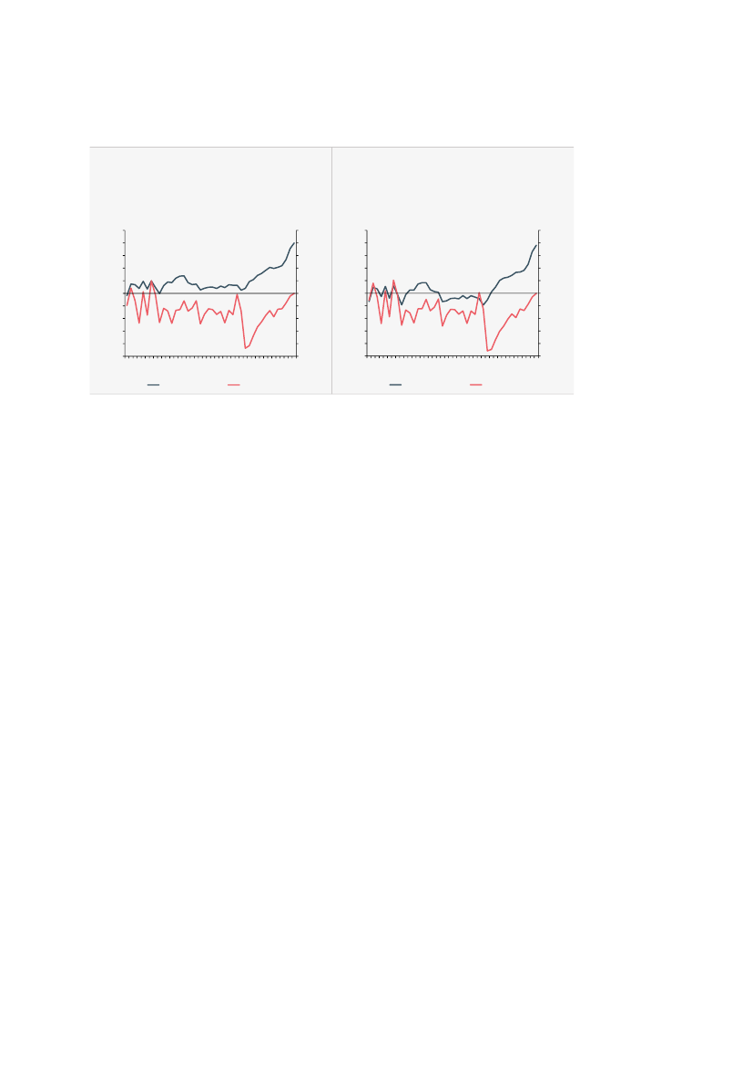
Med disse forbehold in mente kan det noteres, at de 18-24-åriges i gennemsnit har
haft positiv nettoformue i stort set hele perioden fra 1980 til 2021. Frem til 2009
dog forholdsvis beskeden positiv nettoformue, hvorefter der har været en mar-
kant stigning i nettoformuen, så den i 2021 udgør ca. 80.000 kr. pr. person i 2023-
prisniveau,
jf. den blå kurve i figur 1 nedenfor.
Tilsvarende kan der observeres en markant stigning i nettoformuen for de 25-29-
årige siden 2009. For de 25-29-årige har den gennemsnitlige nettoformue dog væ-
ret negativ over det meste af perioden og i kølvandet på finanskrisen var de 25-29-
åriges nettogæld vokset til ca. 87.000 kr. pr. person i 2023-prisniveau. Den mar-
kante stigning i nettoformuen siden 2009 har dog gjort, at de 25-29-åriges netto-
gæld er omtrent 0 kr. i 2021,
jf. den røde kurve i figur 1.
Finansministeriet · Christiansborg Slotsplads 1 · 1218 København K
FIU, Alm.del - 2023-24 - Endeligt svar på spørgsmål 9: Spm. om udviklingen i den reale nettoformue pr. person for unge mellem henholdsvis 18-24 år og 25-29 år fra 1982 til i 2022
2777143_0002.png
Side 2 af 2
Figur 1
Udvikling i nettoformuen for 18-29-årige, 1980-
2021 i 2023-priser
1.000 kr. (2023-priser)
Tusinde
Figur 2
Udvikling i nettoformuen for 18-29-årige ikke-
studerende, 1980-2021 i 2023-priser
1.000 kr. (2023-priser)
Tusinde
Tusinde
1.000 kr. (2023-priser)
100
80
60
1.000 kr. (2023-priser)
80
Tusinde
100
80
60
100
80
100
60
40
20
0
-20
-40
-60
60
40
20
0
-20
-40
-60
40
20
0
-20
40
20
0
-20
-40
-60
-80
-100
-40
-60
-80
-100
-80
-100
1980
1982
1984
1986
1988
1990
1992
1994
1996
1998
2000
2002
2004
2006
2008
2010
2012
2014
2016
2018
2020
-80
-100
1980
1982
1984
1986
1988
1990
1992
1994
1996
1998
2000
2002
2004
2006
2008
2010
2012
2014
2016
2018
2020
18-24-årige
25-29-årige
18-24-årige
25-29-årige
Anm.: Personerne er afgrænset efter alder ultimo året. Studerende er afgrænset som personer, der i mindst 5
måneder (150 dage) af det pågældende år har være i gang med en uddannelse. Opgørelsen omfatter ikke
pensionsformue. Værdien af ejendomsaktiverne er baseret på den offentlige ejendomsvurdering. Opgørelsen
kan være påvirket af indtil flere databrud over perioden, herunder som følge af ophævelse af formueskatten i
1997.
Kilde: Beregninger på basis af registerdata fra Danmarks Statistik.
Opgjort ekskl. studerende er nettoformuen for de 18-24-årige marginalt lavere,
mens den for de 25-29-årige stort set er på samme niveau som for hele alders-
gruppen,
jf. figur 2.
Med venlig hilsen
Nicolai Wammen
Finansminister