Finansudvalget 2023-24
FIU Alm.del
Offentligt
2854345_0001.png
Folketingets Finansudvalg
Christiansborg
19. april 2024
Svar på Finansudvalgets spørgsmål nr. 188 (Alm. del) af 22.
marts 2024 stillet efter ønske fra Trine Pertou Mach (EL)
Spørgsmål
Vil ministeren redegøre for, hvordan genåbningen af Tyra-feltet forventes at på-
virke de offentlige indtægter i årene 2024-2030? Ministeren bedes ligeledes rede-
gøre for, hvilket indtægtsskøn, der er lagt ind i seneste opgørelse af råderummet.
Opgørelsen af indtægtsskønnet bedes opdelt på de enkelte år.
Svar
I den seneste mellemfristede fremskrivning
2030-planforløb: Grundlag for udgiftslofter
2027,
august 2023 afspejler skønnene for de faktiske nordsøindtægter, at Tyra-fel-
tet forventes at genåbne til fuld produktionskapacitet i løbet af 2024 og i den for-
bindelse forventes både olie- og naturgasproduktionen at stige. Det bemærkes, at
olieprisen skønnes forholdsvis konstant over perioden 2024-2030, hvorfor de for-
øgede skønnede nordsøindtægter kan antages hovedsageligt at hidrøre fra den for-
øgede produktion sfa. genåbningen af Tyra-feltet.
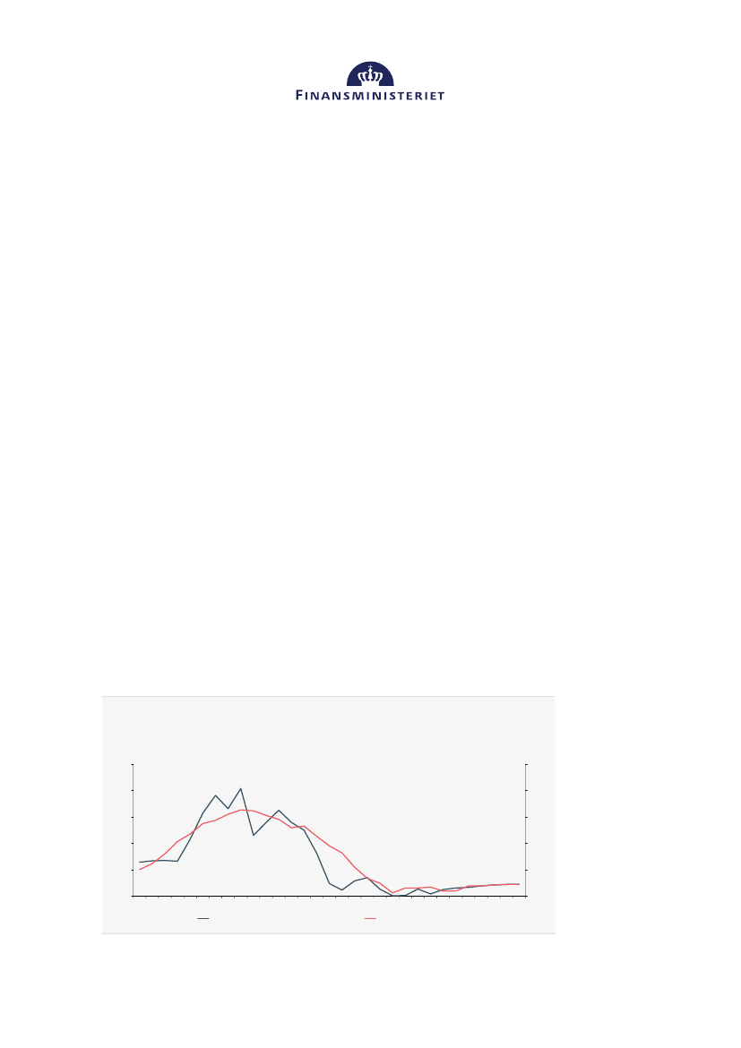
Det finanspolitiske råderum er senest opgjort i forbindelse med
2030-planforløb:
Grundlag for udgiftslofter 2027,
august 2023. I fremskrivningen skønnes de struktu-
relle nordsøindtægter
som indgår i den strukturelle saldo
at stige fra ca. 0,1
pct. af BNP i 2024 til ca. 0,2 pct. af BNP i 2030,
jf. figur 1.
Figur 1
Udvikling i indtægterne fra Nordsøen (inkl. udbytter fra Nordsøfonden)
Pct. af BNP
Pct. af BNP
2,5
2,5
2,0
2,0
1,5
1,5
1,0
1,0
0,5
0,5
0,0
2000
2002
2004
2006
2008
2010
2012
2014
2016
2018
2020
2022
2024
2026
2028
2030
0,0
Faktiske nordsøindtægter
Strukturelle nordsøindtægter
Finansministeriet · Christiansborg Slotsplads 1 · 1218 København K
FIU, Alm.del - 2023-24 - Endeligt svar på spørgsmål 188: Spm. om, hvordan genåbningen af Tyra-feltet forventes at påvirke de offentlige indtægter i årene 2024-2030
2854345_0002.png
Side 2 af 2
Kilde:
2030-planforløb: Grundlag for udgiftslofter 2027,
august 2023
Med venlig hilsen
Nicolai Wammen
Finansminister