Beskæftigelsesudvalget 2023-24
BEU Alm.del
Offentligt
2900106_0001.png
Folketingets Beskæftigelsesudvalg
Christiansborg
30. august 2024
Svar på Beskæftigelsesudvalgets spørgsmål nr. 343 (Alm. del) af
1. juli 2024 stillet efter ønske fra Nick Zimmermann (DF)
Spørgsmål
Hvornår forventer ministeren, at folkepensionister indhenter det efterslæb i real-
indkomst, der er opstået i forhold til hhv. arbejdere og funktionærer i 2022, 2023
og 2024? Spørgsmålet bedes besvaret for udviklingen i realindkomst efter skat for
en folkepensionist, der får fuld folkepension og ældrecheck, og en folkepensionist,
der får fuld folkepension, men som ikke modtager ældrecheck pga. for stor likvid
formue.
Svar
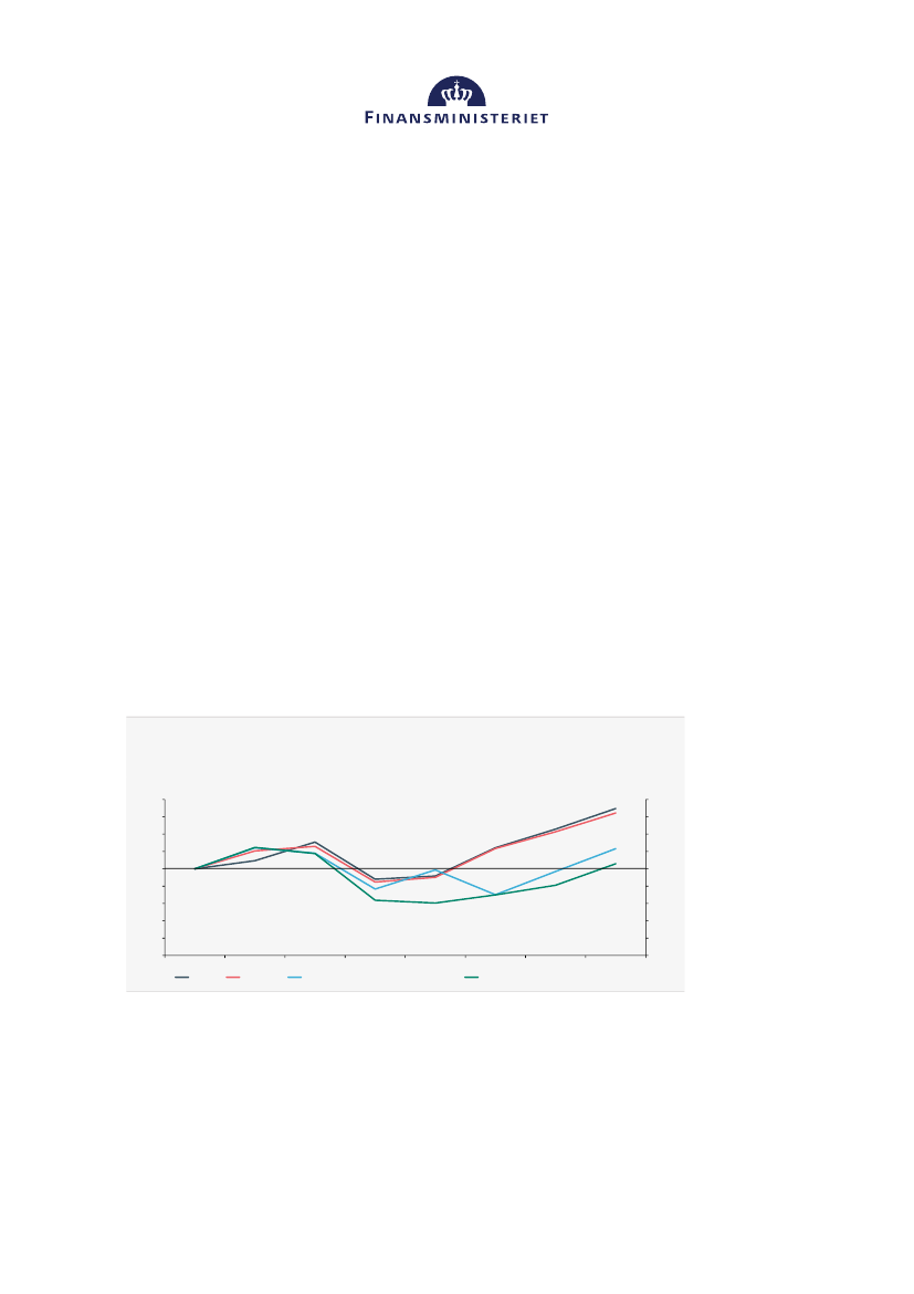
Fra 2019 til 2021 er realværdien af den disponible indkomst øget med 1¾ pct. for
den typiske enlige folkepensionist og mellem 2�½ og 3 pct. for arbejdere og funkti-
onærer,
jf. figur 1.
Figur 1
Udvikling i realværdien af den disponible indkomst for udvalgte typer af enlige, 2019-26
Indeks (2019=100)
108
106
104
Indeks (2019=100)
108
106
104
102
100
98
96
94
92
90
2019
Arbejder
2020
Funktionær
2021
2022
2023
Folkepensionist med supp. pensionsydelse
2024
2025
2026
Folkepensionist uden supp. pensionsydelse
102
100
98
96
94
92
90
Anm.: Opdeling af udviklingen for hhv. arbejderen og funktionæren skal tolkes varsomt, idet der fra 2022 og frem
er antaget samme lønstigning for arbejdere og funktionærer, svarende til den samlede lønstigning, der er
opgjort i grundlaget for lov om en satsreguleringsprocent.
Kilde: Beregninger på basis af Økonomiministeriets Familietypemodel baseret på forudsætninger i Økonomisk
Redegørelse fra maj 2024.
Finansministeriet · Christiansborg Slotsplads 1 · 1218 København K
BEU, Alm.del - 2023-24 - Endeligt svar på spørgsmål 343: Spm. om hvornår ministeren forventer, at folkepensionister indhenter det efterslæb i realindkomst, der er opstået i forhold til hhv. arbejdere og funktionærer i 2022, 2023 og 2024
2900106_0002.png
Side 2 af 2
I 2022 steg de disponible indkomster med ca. 3¼ pct. for arbejderen, funktionæ-
ren og folkepensionisten med supplerende pensionsydelse, mens den for folke-
pensionisten uden supplerende pensionsydelse steg med lige knap 2 pct.
1
Forbru-
gerpriserne steg imidlertid med 7,7 pct., hvorfor realværdien af den disponible
indkomst faldt med ca. 4-5,3 pct. fra 2021 til 2022 for de betragtede typer.
Den voldsomme stigning i forbrugerpriserne i 2022 bidrog således til, at realvær-
dien af de disponible indkomster var ca. 1¼-1�½ pct. lavere end i 2019 for perso-
ner i beskæftigelse, mens den for den typiske folkepensionist var ca. 2¼-3�½ pct.
lavere.
I 2023 blev der udbetalt ekstra 7.500 kr. skattefrit til modtagere af den supple-
rende pensionsydelse, hvilket sammen med en regulering af den sociale pension
med 3 pct. og en stigning i forbrugerpriserne på 3,3 pct. indebar, at realværdi af
den disponible indkomst i 2023 kom på omtrent samme niveau som i 2019. For
personerne på arbejdsmarkedet og for folkepensionisten uden supplerende pensi-
onsydelse var realværdien af den disponible indkomst fortsat lavere i 2023 end i
2019.
Fra 2024 og frem ventes udviklingen i forbrugerpriserne igen at stabiliserer sig på
et niveau omkring 2 pct. Og med de aftalte lønstigninger ventes realværdien af de
disponible indkomster for personerne på arbejdsmarkedet igen at overstige 2019-
niveauet fra 2024 og frem.
Da regulering af de sociale pensioner sker med en 2-årig forsinkelse vurderes real-
værdien af den disponible indkomst for folkepensionister først at overstige 2019-
niveauet fra 2026. Dog har realværdien af den disponible indkomst for folkepensi-
onisten med supplerende pensionsydelse næsten nået 2019-niveauet allerede i
2025, hvilket skal ses i sammenhæng med, at den supplerende pensionsydelse i
overensstemmelse med
Aftale om grøn luftfart i Danmark
fra december 2023 hæves
med 4.800 kr. (2024-niveau) i 2025.
Med venlig hilsen
Nicolai Wammen
Finansminister
Den højere indkomststigning for folkepensionisten med supplerende pensionsydelse end for folkepensioni-
sten uden supplerende pensionsydelse skal ses i sammenhæng med den ekstra udbetaling på 2.500 kr. skatte-
frit til modtagere af den supplerende pensionsydelse i medfør af
Aftale om kompensation for
stigende energipriser
fra juni 2022.
1