Sundhedsudvalget 2023-24
SUU Alm.del Bilag 317
Offentligt
2880227_0001.png
Sundhedsstruktur-
kommissionens rapport
Beslutningsgrundlag for et mere lige, sammenhængende
og bæredygtigt sundhedsvæsen
Juni 2024
SUU, Alm.del - 2023-24 - Bilag 317: Orientering om Sundhedsstrukturkommissionens afrapportering, fra indenrigs- og sundhedsministeren
2880227_0002.png
Juni 2024
Indenrigs- og Sundhedsministeriet
Slotsholmsgade 10-12
1216 København K
Telefon: +45 72 26 90 00
E-mail: [email protected]
ISBN 978-87-7601- 426-1 (digital version)
ISBN 978-87-7601-425-4 (trykt version)
Fotos:
Side 1, 49, 135, 189 og 279: Getty Images
Side 5: Sundhedsstyrelsen
Design: Indenrigs- og Sundhedsministeriets kommunikationsenhed
i samarbejde med BGRAPHIC
Tryk: OnPrint A/S
Publikationen kan hentes på
www.ism.dk
SUU, Alm.del - 2023-24 - Bilag 317: Orientering om Sundhedsstrukturkommissionens afrapportering, fra indenrigs- og sundhedsministeren
2880227_0003.png
1
2
3
4
3
Forord
Danmark har et godt og solidt sundhedsvæsen med mange dygtige medarbejdere. Det kan vi være stolte af,
og det skal vi værne om. Men vi står overfor en stor omvæltning. Vi ser ind i en fremtid, hvor der kommer
langt flere ældre, og langt flere borgere vil leve med én eller flere kroniske sygdomme. Samtidig bliver det
sværere at rekruttere, særligt blandt de grupper, som fylder meget i den kommunale sygepleje og på
ældreområdet. Sundhedsvæsenet er ikke rustet til ændringen i sygdomsbilledet, og der er derfor brug for
ændringer i organiseringen af sundhedsvæsenet.
Regeringen har bedt Sundhedsstrukturkommissionen om at udarbejde et beslutningsgrundlag for den
fremtidige organisering af sundhedsvæsnet. Siden april 2023 har jeg derfor sammen med otte kompetente
og indsigtsfulde mennesker nærstuderet det danske sundhedsvæsen. Vi har været rundt i hele landet og
har talt med både patienter, pårørende, medarbejdere, politikere, ledere og organisationer, som har gjort os
klogere på, hvad det er for et sundhedsvæsen, patienter og borgere møder i dag. De input, vi har modtaget
i vores åbne forslagspostkasse, og de analyser og forskerbidrag, der er udarbejdet, har givet os et indblik i
de mest centrale udfordringer, som sundhedsvæsenet står overfor i dag.
Patienterne ønsker at blive mødt som hele mennesker. De efterspørger bl.a. et sundhedsvæsen, hvor den
ene hånd ved, hvad den anden hånd laver, hvis der fx er behov for hjælp fra både sygehus, kommune og
egen læge. Medarbejderne fortæller, at udfordringerne med at skabe sammenhæng i patienternes forløb
bl.a. handler om, at samarbejdet på tværs blokeres af økonomisk kassetænkning, og den forskel, der er på,
hvordan forskellige kommuner og sygehuse løser deres opgaver.
Vi har et godt sundhedsvæsen, hvor der generelt er stor tilfredshed både hos borgere og patienter. Men vi
har også et sundhedsvæsen, hvor der er et uklart ansvar for det samlede patientforløb. Sårbare patienter
oplever at blive tabt mellem tre stole, når deres behandlings- og plejeforløb går på tværs af det almen-
medicinske tilbud, kommune og sygehuse. Samtidig har vi et sundhedsvæsen i ubalance. Der er ikke
investeret tilstrækkeligt i det primære sundhedsvæsen til at løse de udfordringer, som fremtidens patienter
har. Det betyder, at patienter ikke altid modtager den rettidige og effektive indsats, som de har brug for.
Vi har også et sundhedsvæsen, hvor behovet for og adgangen til sundhedstilbud varierer på tværs af landet.
Det betyder, at borgere i nogle dele af landet ikke har tilstrækkelig adgang til relevante sundhedstilbud.
Nu skal fokus være på at ruste sundhedsvæsenet til, at der kommer flere borgere med én eller flere
”almindelige” sygdomme, som ikke skal være en hindring for at leve et godt og aktiv liv langt ind i alder-
dommen. Vi skal skabe et sundhedsvæsen, hvor patienterne bliver grebet, når de overgår fra én sektor til
en anden i deres forløb. Vi skal have vendt kompasset mod det nære, så patienterne i højere grad kan møde
sundhedsvæsenet som hele individer og modtage behandling og pleje tæt på, hvor de bor. Endelig skal vi
have udlignet forskellene på danmarkskortet, så alle patienter har lige adgang til sundhed og forebyggelse,
uanset hvor i landet de bor.
Vi håber, at vores anbefalinger og de opstillede forvaltningsmodeller for indretningen af fremtidens sund-
hedsvæsen vil blive godt modtaget. Hvis vi skal lykkes med at fremtidssikre sundhedsvæsenet, kræver det
involvering og opbakning fra alle aktører på sundhedsområdet.
Jeg vil gerne takke mine kolleger i kommissionen, de dygtige medarbejdere i sekretariatet, vores følge-
gruppe og andre interessenter for deres store engagement, viden og input.
God læselyst.
København, juni 2024
Jesper Fisker, formand
SUU, Alm.del - 2023-24 - Bilag 317: Orientering om Sundhedsstrukturkommissionens afrapportering, fra indenrigs- og sundhedsministeren
2880227_0004.png
4
1
2
3
4
Indhold
Kapitel 1: Indledning
Kapitel 2: Sammenfatning
6
15
Del 1: Status, udfordringer og pejlemærker for sundhedsvæsenet
Kapitel 3: Udviklingslinjer i organiseringen af det danske sundhedsvæsen
Kapitel 4: Status og udfordringer for sundhedsvæsenet
Kapitel 5: Pejlemærker for udviklingen af sundhedsvæsenet
50
51
81
131
Del 2: Den nuværende organisering af sundhedsvæsenet
Kapitel 6: Centrale hensyn for organiseringen af sundhedsvæsenet
Kapitel 7: Den nuværende organisering af sundhedsvæsenet
Kapitel 8: Svagheder ved den nuværende organisering af sundhedsvæsenet
136
137
146
173
Del 3: Tværgående anbefalinger og forslag
Kapitel 9: Kapacitetsudvidelse og ændret organisering af det almenmedicinske tilbud
Kapitel 10: Ny organisering af digitalisering og data
Kapitel 11: Tilpasset fordeling af ressourcer i sundhedsvæsenet
Kapitel 12: Styrket sammenhæng og kvalitet i indsatsen for mennesker med
psykiske lidelser
Kapitel 13: Private aktører og patientrettigheder
190
191
211
233
245
260
Del 4: Opgavesamling, forvaltningsmodeller, implementering
og økonomi
Kapitel 14: Samling af flere opgaver hos én myndighed
Kapitel 15: Forvaltningsmodeller for sundhedsvæsenet
Kapitel 16: Ledelse og implementering af omstillingen af sundhedsvæsenet
Kapitel 17: Økonomi og finansiering
Litteratur
Figurer, tabeller og andre illustrationer
Bilag
280
281
336
371
380
391
400
408
SUU, Alm.del - 2023-24 - Bilag 317: Orientering om Sundhedsstrukturkommissionens afrapportering, fra indenrigs- og sundhedsministeren
2880227_0005.png
1
2
3
4
5
SUU, Alm.del - 2023-24 - Bilag 317: Orientering om Sundhedsstrukturkommissionens afrapportering, fra indenrigs- og sundhedsministeren
2880227_0006.png
6
1
2
3
4
Kapitel 1: Indledning
I kapitel 1 beskrives baggrunden for Sundhedsstrukturkommissionens nedsættelse og kommissions opgave
og sammensætning. Derefter følger en redegørelse for, hvordan kommissionen har arbejdet med at løse
kommissoriet. Til sidst er der en læsevejledning til rapporten, som også indeholder en oversigt over den
betydning, som kommissionen har tillagt centrale begreber.
Sundhedsstrukturkommissionens nedsættelse
og kommissorium
Sundhedsstrukturkommissionen blev nedsat den 28. marts 2023. Ønsket om at nedsætte en struktur­
kommission blev tilkendegivet i regeringsgrundlaget fra december 2022. Her fremgår det, at regeringen vil
nedsætte en kommission, der vil få til opgave at udarbejde et beslutningsgrundlag, som opstiller og belyser
modeller for den fremtidige organisering af sundhedsvæsenet.
1
Det er den opgave, Sundhedsstruktur­
kommissionen er sat i verden for at løse.
Boks 1.1
Uddrag fra regeringsgrundlaget 2022
På den lange bane vil regeringen tage initiativ til nødvendige beslutninger og grundlæggende
forandringer, som er forudsætningen for at skabe fremtidens sundhedsvæsen.
Der er især brug for at forbedre samspillet mellem det specialiserede sundhedsvæsen på sygehusene
og det nære sundhedsvæsen (kommuner og almen praksis).
Regeringen vil derfor nedsætte en strukturkommission, der skal udarbejde et beslutningsgrundlag,
der opstiller og belyser modeller for den fremtidige organisering af sundhedsvæsenet, herunder
hvordan vi får:
Et sundhedsvæsen, der er sammenhængende og samarbejder på tværs af fagligheder og geografi.
En opgavefordeling i sundhedsvæsenet mellem sygehuse og det nære sundsvæsen, der sikrer,
at patienten kommer i centrum og får en sammenhængende plan for behandling.
Nedbragt uligheden i sundhedsvæsenet – både geografisk og socialt.
Kilde: Regeringen. Ansvar for Danmark. Det politiske grundlag for Danmarks regering. 2022
Kommissionens opgave
Ifølge kommissoriet er kommissionens opgave at udarbejde et beslutningsgrundlag, der fordomsfrit
opstiller og belyser modeller for den fremtidige organisering af sundhedsvæsenet. Modellerne skal under-
støtte et forebyggende og sammenhængende sundhedsvæsen med mere lighed, og som er mere nært og
bæredygtigt.
1
Regeringen, “Ansvar for Danmark. Det politiske grundlag for Danmarks regering”, 2022.
SUU, Alm.del - 2023-24 - Bilag 317: Orientering om Sundhedsstrukturkommissionens afrapportering, fra indenrigs- og sundhedsministeren
2880227_0007.png
1
2
3
4
7
Modellerne skal forholde sig til udfordringerne med, at der på tværs af landet er forskellige forudsætninger
for at levere sundheds- og behandlingstilbud. De skal samtidig understøtte en markant omstilling af
sundhedsvæsenet, så det primære sundhedsvæsen styrkes og tager større ansvar for flere patienter.
Sundhedsstrukturkommissionen anmodes i den forbindelse om at vurdere, indenfor hvilke områder og
målgrupper der er særligt potentiale for forbedringer i samspil og øget omstilling af opgaveløsningen, så
den i højere grad løses koordineret og i eller tæt på borgerens eget hjem, og hvor der bliver taget et mere
samlet ansvar for patientforløbet. Vurderingen skal bl.a. omfatte de største kronikergrupper, borgere med
multisygdom, bl.a. samtidig somatisk og psykisk sygdom, og ældre medicinske patienter.
Kommissionen skal se fordomsfrit på strukturen og organiseringen af sundhedsvæsenet og for hver af
modellerne afveje fordele og ulemper med afsæt i kommissoriets sigtelinjer for indretningen af fremtidens
sundhedsvæsen, jf. boks 1.2.
Boks 1.2
Sigtelinjer for indretningen af fremtidens sundhedsvæsen
Et sundhedsvæsen, der er sammenhængende og samarbejder på tværs af fagligheder, sektorer og
geografi, og hvor løsninger inden for fx digitalisering udvikles i fællesskab og hurtigt udbredes.
En opgavefordeling i sundhedsvæsnet mellem sygehuse og det nære sundsvæsen, der sikrer, at
patienten kommer i centrum og får en sammenhængende plan for behandling, og hvor der tages
et mere samlet ansvar for patientforløbet.
Et sundhedsvæsen med ensartet, høj kvalitet, hvor uligheden i sundhed både geografisk og socialt
bliver nedbragt, så borgerne har lige adgang til samme høje kvalitet i hele landet og på tværs af
sociale skel.
Et sundhedsvæsen, der understøtter frit valg og patientrettigheder, og sikrer den mest hensigts-
mæssige brug af private aktører som en del af det samlede sundhedsvæsen.
Et nært sundhedsvæsen, hvor borgerne har let adgang til sundhedstilbud, og langt flere borgere kan
blive mødt og behandlet i eller tæt på hjemmet, hvor det nære sundhedsvæsen styrkes, og syge-
husene aflastes, bl.a. ved udbredelse af teknologiske løsninger for nye behandlingsformer.
Et bæredygtigt sundhedsvæsen, hvor ressourcer bruges der, hvor de giver mest sundhed for pengene,
hvor flere sygehusophold forebygges gennem en mere forpligtende, datadrevet og systematisk
forebyggelsesindsats af høj og ensartet kvalitet, hvor unødig brug af specialiserede funktioner
reduceres, og hvor trækket på medarbejderressourcer på de enkelte opgaver bliver mindre bl.a. ved
at potentialer i ny teknologi indfries.
Kilde: Indenrigs- og Sundhedsministeriet. “Kommissorium for Sundhedsstrukturkommissionen”. 2023.
Sundhedsstrukturkommissionens anbefalinger og vurderinger af fremtidens struktur skal bl.a. omfatte
områderne:
• Regionale strukturer
• Rammer for den kommunale sundheds- og forebyggelsesindsats
• Forpligtende samarbejdsstrukturer og samlokalisering
• Organisering og styring af almen praksis
• Koordination af kvalitetsudvikling
• Organisering af digitale løsninger og IT-infrastruktur
• Frit valg, patientrettigheder og private aktører
• Finansierings- og incitamentsstrukturer og kultur og ledelse
SUU, Alm.del - 2023-24 - Bilag 317: Orientering om Sundhedsstrukturkommissionens afrapportering, fra indenrigs- og sundhedsministeren
2880227_0008.png
8
1
2
3
4
Fokus for kommissionens forslag til organiseringen er hensynet til fremtidssikring af det samlede sund-
hedsvæsen. Samtidig bør kommissionen i sine forslag til organisering også forholde sig til samspillet med
nærliggende områder, som er tæt koblet til sundhedsområdet, i det omfang det vurderes relevant for at
sikre bedre samspil med sundhedsområdet. Kommunernes styreform og geografiske afgrænsninger er ikke
omfattet af kommissionens arbejde.
Sundhedsstrukturkommissionen skal afslutte sit arbejde med én samlet afrapportering i foråret 2024.
For en gengivelse af kommissoriet i sin fulde længde henvises til bilagsmaterialet.
2
Kommissionens forslag til ændret organisering forudsættes at bidrage til en bedre brug af kapacitet og
ressourcer og muliggøre kvalitetsforbedringer og samlet set være udgiftsneutrale og ikke medføre øget træk
på personalekapacitet.
Kommissionens sammensætning
Sundhedsstrukturkommissionen er sammensat af eksperter og praktikere udpeget af indenrigs­ og sund-
hedsministeren. Ifølge kommissoriet er der ved udvælgelsen af kommissionsmedlemmer lagt vægt på en
sammensætning, der sikrer kompetencer indenfor sundhedsøkonomi, offentlig organisering og forvaltning,
sygehusdrift, den kommunale sundhedsindsats, patientperspektiv, praksissektoren, sammenhæng i sund-
hedssektoren, innovation og internationale erfaringer.
Kommissionsmedlemmerne er dermed personligt udpeget og derfor uden stedfortrædere. Kommissionen
medlemmer fremgår af boks 1.3.
Boks 1.3
Sundhedsstrukturkommissionens medlemmer
Jesper Fisker, administrerende direktør i Kræftens Bekæmpelse, tidligere departementschef, tidligere
administrerende direktør i Sundhedsstyrelsen og tidligere direktør for Sundheds- og Omsorgs-
forvaltningen i København Kommune (formand)
Jakob Kjellberg, professor i sundhedsøkonomi, VIVE
Peter Bjerre Mortensen, professor ved Institut for Statskundskab, Aarhus Universitet
Dorthe Gylling Crüger, tidligere koncerndirektør, Region Hovedstaden
Sidsel Vinge, konsulent, tidligere projektchef i VIVE, tidligere sundhedschef i Gladsaxe Kommune
Mogens Vestergaard, praktiserende læge ved Lægefællesskabet Grenå, seniorforsker ved Forsknings-
enheden for Almen Praksis, Aarhus og professor ved Klinisk Epidemiologisk Afdeling, Aarhus
Universitet.
Marie Paldam Folker, centerchef, Center for Digital Psykiatri i Region Syddanmark
Søren Skou, tidligere administrerende direktør, A.P. Møller Mærsk
Gunnar Bovim, tidligere formand for Helsepersonelkommisjonen og rådgiver på Norges teknik-
naturvidenskabelige Universitet
Sundhedsstrukturkommissionen er blevet betjent af et sekretariat i Indenrigs­ og Sundhedsministeriet
med deltagelse af repræsentanter fra Finansministeriet, Økonomiministeriet og Social­, Bolig­ og Ældre­
ministeriet. Derudover har professor emeritus Kjeld Møller Pedersen fra Syddansk Universitet været
tilknyttet sekretariatet.
2
Indenrigs- og Sundhedsministeriet, “Kommissorium for Sundhedsstrukturkommissionen”, 2023.
SUU, Alm.del - 2023-24 - Bilag 317: Orientering om Sundhedsstrukturkommissionens afrapportering, fra indenrigs- og sundhedsministeren
2880227_0009.png
1
2
3
4
9
Sammenhæng til tidligere kommissionsarbejder
Sundhedsstrukturkommissionens nedsættelse ligger i forlængelse af en dansk tradition, hvor struktur­
og opgavekommissioner kan udarbejde et politisk beslutningsgrundlag forud for politisk stillingtagen til
spørgsmål om eventuel ændret inddeling af og opgaveplacering i den politisk-administrative struktur.
Strukturkommissionen, som arbejdede fra oktober 2002 til januar 2004, er den seneste kommission med
betydning for opgaveinddelingen på sundhedsområdet. Den efterfølgende politisk vedtagne kommunal-
reform trådte i kraft i januar 2007 medførte, at 271 kommuner blev til 98 kommuner, og de daværende
14 amter blev nedlagt til fordel for etablering af fem regioner. Foruden ændringer i den organisatoriske
struktur medførte strukturreformen en ny fordeling af opgaverne mellem kommuner, regioner og staten
ledsaget af en ny finansierings­ og udligningsreform.
Sundhedsstrukturkommissionens arbejde og anbefalinger, forslag og modeller skal desuden ses i
sammenhæng med Kommissionen for robusthed i sundhedsvæsenet, som blev nedsat i august 2022 og
afrapporterede i september 2023. Kommissionen for robusthed havde til opgave at opstille anbefalinger
til, hvordan der kan sikres mere personale med mere tid til kerneopgaven og anbefalinger til smartere
opgaveløsning gennem systemer og teknologier, der nedbringer bureaukrati og giver mere tid og bedre
rum til at løse kerneopgaven.
Sundhedsstrukturkommissionens arbejde
Sundhedsstrukturkommissionen har afviklet 14 kommissionsmøder fordelt på 18 mødedage i perioden
april 2023 til maj måned 2024. Kommissionen afrapporterer i form af en hoved­, en baggrunds­ og en
bilagsrapport. Hovedrapporten præsenterer seks anbefalinger med tilhørende forslag og tre forvaltnings-
modeller til organiseringen af fremtidens sundhedsvæsen.
Det er en samlet kommission, som står bag afrapporteringen. Samtidig er der elementer i afrapporteringen,
hvor kommissionens medlemmer har haft forskellige vurderinger, og hvor de endelige formuleringer
derfor er udtryk for, at der er sket en samlet vægtning af de perspektiver, som har været til stede i
kommissionen.
Afgrænsning af kommissionens fokusområde
Sundhedsstrukturkommissionen har på baggrund af kommissoriet beskæftiget sig bredt med sundheds­
væsenet og de nærliggende områder. Udgangspunkt for kommissionens arbejde har været, at sundheds­
området dækker over de indsatser, der fremgår i sundhedsloven. Dog vurderer kommissionen, at en række
indsatser efter serviceloven i praksis og fra et borgerperspektiv er tæt forbundne med indsatser efter
sundhedsloven og derfor kan betragtes som nærtliggende områder til sundhedsområdet. Kommissionen
har betragtet de områder, som almindeligvis omtales det kommunale ”ældreområde” og dele af ”social-
området”, der fx vedrører sociale indsatser til borgere med psykisk lidelse, som nærtliggende og derfor
omfattet af genstandsfeltet for kommissionens arbejde. For en nærmere afgrænsning af henholdsvis
sundheds-, ældre- og socialområdet henvises til ordlisten, som fremgår i slutningen af kapitel 1.
Sundhedsstrukturkommissionen har for så vidt angår praksissektoren særligt beskæftiget sig med det
almenmedicinske tilbud, som også følger af kommissoriet. Den øvrige praksissektor, der består af
praktiserende kiropraktorer, fysioterapeuter, fodterapeuter, psykologer og tandlæger og tandplejere, er
i mindre omfang direkte berørt af kommissionens anbefalinger. Kommissionen vurderer dog, at der kan
være behov for at forholde sig til organiseringen af de øvrige praksisområder i fremtiden. Det kan potentielt
ske med udgangspunkt i de vurderinger og anbefalinger, som kommissionen skitserer for det almen-
medicinske tilbud og for de praktiserende speciallæger.
SUU, Alm.del - 2023-24 - Bilag 317: Orientering om Sundhedsstrukturkommissionens afrapportering, fra indenrigs- og sundhedsministeren
2880227_0010.png
10
1
2
3
4
Prioritering, attraktive arbejdspladser og strukturel forebyggelse
Sundhedsstrukturkommissionens opgave er at give anbefalinger til og opstille modeller for en ændret
organisering, som kan bidrage til at fremtidssikre sundhedsvæsenet. Bæredygtig organisering er central
præmis for fremtidens sundhedsvæsen, men ændrede strukturer alene vil ikke løse sundhedsvæsenets
udfordringer.
• Der sker en skarpere prioritering af hvilke behandlinger, som tilbydes i det offentligt finansierede
sundhedsvæsen
• Der er fokus på at skabe attraktive arbejdspladser
• Opgaverne løses fleksibelt og med de rette kompetencer
Det er dermed kommissionens opfattelse, at en fremtidssikring af sundhedsvæsenet også forudsætter, at:
I 2023 er Robusthedskommissionen kommet med en række anbefalinger indenfor de områder, som det
vil være vigtigt at gennemføre. Dertil har regeringen varslet etableringen af et nationalt prioriteringsråd,
som kommissionen anser for at være et vigtigt tiltag.
Sundhedsstrukturkommissionens vurderer, at det ligger udenfor kommissoriet at opstille anbefalinger til
den strukturelle forebyggelsesindsats, fx i form af skatter og afgifter. Kommissionen bemærker dog, at en
fremtidssikring af sundhedsvæsenet har en tæt sammenhæng med sygdomsudviklingen, som i et længere
tidsperspektiv vil kunne påvirkes betydeligt og i positiv retning gennem strukturel forebyggelse, bl.a.
indenfor alkohol- og tobaksområdet. En fremtidssikring af sundhedsområdet forudsætter derfor også
nye og virksomme tiltag i form af strukturel forebyggelse.
Analyser
I lyset af den fastlagte tidsramme har kommissionen bl.a. baseret sine overvejelser på eksisterende
materiale og analyser. Der er også bestilt et antal ekspertbidrag og analyser, som har indgået i kommissions-
arbejdet. En oversigt over ekspertbidrag og analyser, udført ved eksterne leverandører, fremgår af boks
1.4. Analyserne fremgår desuden i sin helhed af bilagsrapporten.
3
Boks 1.4
Eksternt rekvirerede analyser og ekspertbidrag, udarbejdet for Sundhedsstruktur­
kommissionen
Benchmarkingenheden. Ældre med højest forbrug af sundheds- og ældreydelser. ISM. 2024
Boston Consulting Group. Omstilling til det nære sundhedsvæsen. 2024
Boston Consulting Group. Sundhedsvæsenets organisering m.v. i udvalgte lande. 2024
Implement Consulting Group. Udfordringer og potentialer i samspillet mellem sektorer og for
sammenhængende patientforløb. Analyse gennemført for Sundhedsstrukturkommissionen. 2024.
Ingemann og Vestergaard. Speciallægepraksis, som en del af et moderne sundhedsvæsen. Et idepapir
til Sundhedsstrukturkommissionen. 2024
Jønsson, Alexandra Brandt Ryborg. Patienters og pårørendes oplevelse af mødet med sundheds­
væsenet: udfordringer samt ønsker til forandringer. 2024.
Madsen, Marie Henriette. VIVE. Sammenhæng ifølge sundhedspersonale. 2024.
Opstrup, Niels. Syddansk Universitet. Det regionale politiske niveau. 2023
3
Sundhedstrukturkommissionen, “Bilagsrapport”, 2024.
SUU, Alm.del - 2023-24 - Bilag 317: Orientering om Sundhedsstrukturkommissionens afrapportering, fra indenrigs- og sundhedsministeren
2880227_0011.png
1
2
3
4
11
PA Consulting Group. Analyse af modeller for organisering og styring af arbejdet med digitale
løsninger og data i det danske sundhedsvæsen. 2024.
Sundhedsstyrelsen. Muligheder og forudsætninger for omstilling til det nære sundhedsvæsen. 2024.
Sundhedsstyrelsen. Faglig bæredygtighed som grundlag for sundhedsplanlægning. 2024.
SIF. Opgørelser af forbrug og behov for sundhedsydelser. 2024
Inddragelse og debat
Ifølge kommissoriet for Sundhedsstrukturkommissionen skal kommissionen være inddragende og under-
støtte en bred offentlig debat. Samtidig skal kommissionsmedlemmerne deltage aktivt i den offentlige debat
om kommissionens arbejde med at fremtidssikre sundhedsvæsenet.
Kommissionens arbejde med at sikre bred offentlig inddragelse har bestået af en række aktiviteter og
initiativer, der både har involveret borgere, sundhedsprofessionelle, administratorer, eksperter, patient-
foreninger, faglige organisationer, interesseorganisationer og offentlige institutioner.
Kommissionens inddragelsesaktiviteter er nærmere beskrevet i boks 1.5.
Boks 1.5
Inddragelses­ og debataktiviteter
Kommissionen har afholdt to borgermøder – et møde i Aarhus og et møde i København – for at få
direkte indsigt i patienter og pårørendes erfaringer med sundhedsvæsenet.
Kommissionen har været på ni inspirationsbesøg rundt om i landet for at indhente viden og erfaring.
Kommissionens formand og øvrige medlemmer har i stort omfang givet oplæg og deltaget i panel-
debatter i forbindelse med både større offentlige konferencer og medlemsarrangementer i sam­
arbejde med patientforeninger, faglige organisationer og interesseorganisationer m.v.
Kommissionen har afholdt ca. 50 møder med interessenter, hvor formanden og et eller flere
kommissionsmedlemmer har deltaget.
Kommissionen har afholdt ca. 25 virtuelle morgenmøder, hvor udvalgte eksperter og praktikere har
holdt oplæg for og drøfte deres viden og erfaringer med kommissionen.
Kommissionen har afholdt et sundhedstopmøde den 8. december 2023 med bred deltagelse af
repræsentanter fra organisationer med interesser på sundhedsområdet. I den forbindelse blev der
offentliggjort fire analyser, herunder Sundhedsstrukturkommissionens egen analyse af Sundheds­
væsenets udfordringer.
Kommissionens åbne postkasse har givet mulighed for, at alle borgere, eksperter, og organisationer
har kunnet rette henvendelse til kommissionen. Der er publiceret ca. 190 henvendelser fra
interessenter og borgere på kommissionens hjemmeside.
Der blev nedsat en følgegruppe til kommissionen, bestående af en fast kreds af interessenter, nærmere
bestemt repræsentanter fra 15 organisationer, der har bidraget med input til kommissionens arbejde.
Der er afholdt i alt 4 møder i følgegruppen.
SUU, Alm.del - 2023-24 - Bilag 317: Orientering om Sundhedsstrukturkommissionens afrapportering, fra indenrigs- og sundhedsministeren
2880227_0012.png
12
1
2
3
4
Læsevejledning
Det følgende afsnit indeholder en gennemgang af rapportens opbygning og redegørelse for betydningen af
centrale begreber, som de er blevet brugt i kommissionens afrapportering.
Rapportens opbygning og kommissionens samlede afrapportering
Hovedrapporten består foruden indledningen af fire rapportdele. I indledningen beskrives Sundheds­
strukturkommissionens opgave og arbejde med at løse kommissoriet (kapitel 1) og en sammenfatning af
kommissionens hovedrapport (kapitel 2).
I rapportens anden del opstilles seks hensyn, som organiseringen af sundhedsvæsenet bør understøtte
(kapitel 6). Derudover beskrives den nuværende organisering af sundhedsvæsenet (kapitel 7), inden
kommissionen vurderer styrker og svagheder ved den eksisterende organisering (kapitel 8).
I rapportens første del kortlægges beslutninger og udviklingstræk, som har formet sundhedsvæsenet frem
til i dag (kapitel 3). Derefter beskrives status og udfordringer for sundhedsvæsenet (kapitel 4) og de
pejlemærker, som kommissionen fokuserer på i udviklingen af sundhedsvæsenet (kapitel 5).
I rapportens tredje del præsenteres fem tværgående anbefalinger og tilhørende forslag, som kan gennem-
føres, uanset hvilken forvaltningsmodel der kommer til at rammesætte sundhedsvæsenets fremtidige
organisering. Anbefalingerne og de tilknyttede forslag vedrører det almenmedicinske tilbud (kapitel 9),
digitaliserings­ og dataområdet (kapitel 10), fordeling af ressourcer i sundhedsvæsenet (kapitel 11),
psykiatri (kapitel 12) og private aktører, inklusive praktiserende speciallæger (kapitel 13).
I rapportens fjerde del beskrives tre forvaltningsmodeller. Modellerne indebærer ændringer i opgave­
placering eller i antallet af enheder eller niveauer (se kapitel 14 og 15). Derudover præsenteres
kommissionens sjette og sidste anbefaling, som handler om implementering af en eventuel reform ud
fra kommissionens anbefalinger, forslag og modeller. Endelig gennemgås de økonomiske konsekvenser
af de præsenterede anbefalinger, forslag og modeller.
Kommissionens samlede afrapportering består foruden hovedrapporten af en baggrunds- og en bilags-
rapport. Baggrundsrapporten indeholder beskrivelse og analyser af sygehusområdet, det kommunale
sundheds- og ældreområde og områderne psykiatri, det almenmedicinske tilbud, praktiserende special-
læger, den øvrige praksissektor, styring af sektorernes samspil, data og digitalisering, regionernes øvrige
opgaver og private sundhedsforsikringer. Bilagsrapporten indeholder de eksternt rekvirerede analyser
og ekspertbidrag, som er omtalt i boks 1.4.
Centrale begreber
I det følgende beskrives betydningen af de centrale begreber, som bliver brugt i rapporten. Det omfatter
begreber som ”organisering”, ”forvaltningsmodeller”, ”anbefalinger og forslag”, ”sundhedsområdet”,
”sundhedsvæsenet”, ”ældreområdet” og flere begreber endnu.
Organisering
Organisering bruges som betegnelse for den struktur eller de styringsinstrumenter, som samlet set ramme-
sætter opgaveløsningen i sundhedsvæsenet, indenfor en sektor eller en given opgave. Begrebet organisering
dækker dermed over:
• Forvaltningsstrukturen i form af den forvaltningsmæssige inddeling, opgaveplacering og styreform
• Incitamentsstrukturen i form af finansieringsordninger
• Øvrig styring, fx i form af aftaler, benchmarking m.v.
• Regulering i form af lovfastsat proces- og indholdsregulering
SUU, Alm.del - 2023-24 - Bilag 317: Orientering om Sundhedsstrukturkommissionens afrapportering, fra indenrigs- og sundhedsministeren
2880227_0013.png
1
2
3
4
13
Forvaltningsmodeller
Forvaltningsmodeller betegner modellerne for en ændret overordnet organisering af sundhedsvæsenet.
De indebærer ændringer i forvaltningsstrukturen, bl.a. ændret inddeling og opgaveplacering. Forvaltnings-
modellerne fremgår af rapportens del 4, hvor fordele og ulemper vurderes ud fra de opstillede hensyn til
sundhedsvæsenets organisering.
Anbefalinger og forslag
Anbefalinger betegner kommissionens overordnede vurdering af om og hvilke ændringer, som skal ske
i organiseringen på et givet område. Til anbefalingerne knytter sig desuden forslag og overvejelser til
konkrete ændringer i organiseringen.
Sundhedsområdet og sundhedsvæsenet
Sundhedsområdet betegner sygehusindsatser, kommunale indsatser og indsatser i det almenmedicinske
tilbud og praksissektoren, som ydes efter sundhedsloven. Hvor der i rapporten henvises til sundheds-
væsenet, vil der være tale om ydelser på sundhedsområdet, som ydes vederlagsfrit eller med offentligt
tilskud.
Ældreområdet
Ældreområdet betegner indsatser, der leveres af kommunerne efter serviceloven og almenboligloven.
Det er bl.a. indsatser, der i daglig tale betegnes hjemmepleje (praktisk hjælp og personlig pleje), plejehjem
og hjælpemidler. Modtagerne af indsatserne er ofte ældre borgere, men indsatserne er i hovedreglen ikke
afgrænset efter alder. De er typisk målrettet borgere med forskellige former for fysisk eller psykisk
funktionsnedsættelse. Ældreområdet er nærtliggende til sundhedsområdet, bl.a. fordi sygepleje efter
sundhedsloven ofte gives til de samme borgere og leveres af de samme medarbejdere, som også yder
personlig pleje efter serviceloven. Desuden har en stor andel af de samme borgere ofte behov for syge-
husydelser (se også kapitel 14 for en nærmere afgrænsning af ældreområdet).
Socialområdet
Socialområdet betegner indsatser, der leveres af kommunerne efter serviceloven såsom socialpædagogisk
støtte, botilbud, ledsagerordning m.v. Målgruppen er mennesker med fysiske og psykiske funktions-
nedsættelser. Dele af socialområdet er nærtliggende til sundhedsområdet, bl.a. fordi mennesker med
psykiske lidelser i nogen udstrækning både har behov for behandling for deres psykiske sygdom på syge-
huset og samtidig behov for en socialpsykiatrisk indsats, som kommunerne leverer.
Det primære sundhedsvæsen
Det primære sundhedsvæsen betegner indsatser i kommuner, det almenmedicinske tilbud og den øvrige
praksissektor (speciallægetilbud undtaget) efter sundhedsloven. Med undtagelse af alvorlig og akut sygdom
eller tilskadekomst udgør det primære sundhedsvæsen i dag typisk den første kontakt mellem borger og
sundhedsvæsen og den løbende og kontinuerlige indsats.
Det sekundære sundhedsvæsen
Det sekundære sundhedsvæsen betegner indsatser forankret på sygehuse og indsatser i speciallægetilbud
(praktiserende speciallæger), som tilbydes stationært, ambulant eller som fremskudte indsatser efter
sundhedsloven.
Det almenmedicinske tilbud
Det almenmedicinske tilbud betegner det tilbud, som regionen skal stille vederlagsfrit til rådighed ved
alment praktiserende læge og – hvor det ikke er muligt – ved egne klinikker eller gennem udbud, jf.
sundhedsloven. Betegnelsen almenmedicinsk tilbud bruges dermed som betegnelse for de offentlige eller
private klinikker, der på vegne af regionen tilbyder almenmedicinsk lægehjælp. Hvor begrebet ”alment
praktiserende læger” anvendes, bruges det af omtale af klinikker, som drives i henhold til Overenskomst
om almen praksis mellem Praktiserende Lægers Organisation og Regionernes Lønnings- og Takstnævn.
SUU, Alm.del - 2023-24 - Bilag 317: Orientering om Sundhedsstrukturkommissionens afrapportering, fra indenrigs- og sundhedsministeren
2880227_0014.png
14
1
2
3
4
Omstilling af sundhedsvæsenet
Omstilling af sundhedsvæsenet betegner en ændring eller styrkelse af opgavevaretagelsen i det primære
sundhedsvæsen for at opnå mere sundhed for pengene i det samlede sundhedsvæsen og bedre sammen-
hæng og kvalitet for patienterne. Det indebærer definitorisk:
2. En samlet gevinst i form af øget sundhedsgevinst for de investerede ressourcer.
1. En relativt set mindsket aktivitet i det sekundære sundhedsvæsen, som er afledt af en styrket opgave­
varetagelse i det primære sundhedsvæsen og/eller ved øget egenomsorg og selvmonitorering.
3. En bedre kvalitet, livskvalitet og/eller oplevelse af mestring, når behandling flyttes tættere på eller ind
i eget hjem.
SUU, Alm.del - 2023-24 - Bilag 317: Orientering om Sundhedsstrukturkommissionens afrapportering, fra indenrigs- og sundhedsministeren
2880227_0015.png
1
2
3
4
15
Kapitel 2: Sammenfatning
Danmark har et godt og på mange måder velfungerende sundhedsvæsen. Set over tid og i international
sammenligning er det danske sundhedsvæsen stærkt. Sundhedsydelserne er generelt af høj kvalitet, både
indenfor det primære og det sekundære sundhedsvæsen. Rygraden i sundhedsvæsenet er et veluddannet
sundhedspersonale, som på forskellig vis bidrager til at give borgere og patienter den bedst mulige
behandling, træning, pleje og omsorg indenfor de mål og rammer, der er fastsat af folkevalgte politikere.
Når det danske sundhedsvæsen står stærkt, skyldes det bl.a. de tilpasninger og reformer af sundheds-
væsenet, som er blevet gennemført i årenes løb.
Tilsvarende en række andre vestlige lande står det danske sundhedsvæsen nu og i de kommende år
imidlertid overfor markante udfordringer. Først og fremmest vil et stigende antal ældre betyde, at flere
får alders­ og livsstilsbetingede sygdomme, og flere borgere lever med en eller flere kroniske sygdomme.
Det skyldes bl.a. den positive udvikling, hvor mange borgere lever længere, bl.a. som følge af sundheds-
væsenets samlede indsats. Samtidig ses en udvikling, hvor flere børn og unge bliver diagnosticeret med
psykiske lidelser. Derudover vil manglen på nogle grupper af sundhedsfaglige medarbejdere tiltage i de
kommende år. Det gælder særligt social- og sundhedshjælpere og social- og sundhedsassistenter.
Det er en del af baggrunden for, at regeringen den 28. marts 2023 nedsatte Sundhedsstruktur­
kommissionen. Hensigten med at nedsætte en kommission blev tilkendegivet i regeringsgrundlaget fra
december 2022, hvor det fremgår, at regeringen vil tage initiativ til de beslutninger og grundlæggende
forandringer, som er nødvendige for at skabe fremtidens sundhedsvæsen.
4
På den baggrund fik kommissionen til opgave at udarbejde et beslutningsgrundlag, der fordomsfrit opstiller
forskellige modeller for organiseringen af fremtidens sundhedsvæsen. Modellerne skal understøtte et
forebyggende og sammenhængende sundhedsvæsen præget af lighed, nærhed og en bæredygtig
organisering. Modellerne skal samtidig tage højde for, at der på tværs af landet er forskellige forud-
sætninger for at levere sundheds- og behandlingstilbud, og de skal bidrage til en markant omstilling af
sundhedsvæsenet, så det primære sundhedsvæsen bliver styrket og tager større ansvar for flere patienter.
5
Sundhedsstrukturkommissionen præsenterer i alt tre modeller for forvaltningsstrukturen og opgave­
placering i sundhedsvæsenet og seks generelle anbefalinger til den fremtidige organisering, som er
uafhængige af valget af forvaltningsmodel. Til anbefalingerne knytter sig en række konkrete forslag.
Boks 2.1
Hvad betyder organisering?
I kommissionens rapport bruges begrebet ”organisering” som betegnelse for den struktur eller de
styringsinstrumenter, som samlet set rammesætter opgaveløsningen i sundhedsvæsenet, indenfor en
sektor eller en given opgave. Begrebet dækker dermed over:
Forvaltningsstrukturen i form af den forvaltningsmæssige inddeling, opgaveplacering og styreform
Incitamentsstrukturen i form af finansieringsordninger
Regulering i form af lovfastsat proces- og indholdsregulering
Øvrig styring, fx i form af aftaler, benchmarking m.v.
4
5
Regeringen, “Ansvar for Danmark. Det politiske grundlag for Danmarks regering”, 2022.
Indenrigs- og Sundhedsministeriet, “Kommissorium for Sundhedsstrukturkommissionen”, 2023.
SUU, Alm.del - 2023-24 - Bilag 317: Orientering om Sundhedsstrukturkommissionens afrapportering, fra indenrigs- og sundhedsministeren
2880227_0016.png
16
1
2
3
4
1. Status, udfordringer og pejlemærker for udviklingen
af sundhedsvæsenet
I rapportens første del kortlægges beslutninger og udviklingstræk, som har været med til at forme
sundhedsvæsenet gennem årene. Herudover beskrives status og udfordringer for sundhedsvæsenet
i dag og de pejlemærker, som Sundhedsstrukturkommissionen har valgt at fokusere på i fremtidssikringen
af sundhedsvæsenet (se kapitlerne 3­5).
Udviklingslinjer i organiseringen af sundhedsvæsenet
Den nuværende organisering af det danske sundhedsvæsen er et resultat af en lang række tidligere
reformer og løbende ændringer. Senest blev de politisk­administrative enheder med strukturreformen
i 2007 reduceret fra 271 til 98 kommuner og fra 14 amter til fem regioner.
Gennem årene er der sket en øget specialisering og centralisering af det sekundære sundhedsvæsen,
som har løftet kvaliteten i de sundhedstilbud, borgerne modtager. I psykiatrien er der gennemført
en afinstitutionalisering, hvor ambulant behandling i høj grad har erstattet langtidsindlæggelse.
Organiseringen af det almenmedicinske tilbud og samspillet med det øvrige sundhedsvæsen har været
diskuteret længe. Det samme har balancen mellem det primære og det sekundære sundhedsvæsen, hvor
der er blevet fremlagt argumenter for, at flere opgaver burde løses i praksissektoren fremfor på sygehusene.
Samtidig er kommunerne efter strukturreformen blevet tildelt flere og mere komplekse sundhedsopgaver,
og den digitale udvikling har gjort det muligt at dække flere sundhedsbehov end tidligere. Det er nogle
af de beslutninger og udviklingstræk, som har formet organiseringen af det danske sundhedsvæsen
(se kapitel 3).
Status og udfordringer
Sundhedsstrukturkommissionen har identificeret tre væsentlige tendenser, der ændrer forudsætningerne
for opgaveløsningen i fremtiden, og tre væsentlige udfordringer for sundhedsvæsenet. De tre tendenser
vedrører 1) det aktuelle og fremtidige sygdomsbillede, 2) mangel på nogle grupper af sundhedsfaglige
medarbejdere og 3) befolkningens forventninger til sundhedsvæsenet. De tre væsentlige udfordringer er
1) usammenhængende patientforløb, 2) ubalancen mellem det primære og det sekundære sundhedsvæsen
og 3) geografisk og social ulighed i sundhed (se kapitel 4).
Ændrede forudsætninger for det danske sundhedsvæsen
For det første har sygdomsbilledet ændret sig, både for unge og ældre. Den andel af befolkningen, der er
80 år eller ældre, vil stige med 14 pct. frem mod 2035. I 2050 vil andelen være fordoblet sammenlignet med
2023. Dertil kommer, at andelen af ældre varierer på tværs af landet, og derfor vil de geografiske forskelle i
behovet for sundhedsydelser blive forstærket i de kommende år. Med en aldrende befolkning følger, at flere
udvikler alders­ og livsstilsbetingede sygdomme, og flere lever længere med sygdommene. Derudover
diagnosticeres flere børn og unge med psykiske lidelser. Siden 2013 er antallet af børn og unge med
psykiatriske diagnoser steget med 25 pct.
For det andet er manglen på nogle grupper af sundhedsfaglige medarbejdere tiltagende. I de kommende år
vil et generationsskifte medføre stor medarbejderafgang og en forværret rekrutteringssituation. Det gælder
særligt social- og sundhedsassistenter og social- og sundhedshjælpere, som udgør en stor andel af med-
arbejderne på det kommunale sundheds- og ældreområde. Tendensen skal ses i lyset af, at Danmark i
forvejen er blandt de lande i OECD (Organisation for Economic Co-operation and Development), hvor den
højeste andel af den samlede arbejdsstyrke er beskæftiget på sundheds- og ældreområdet.
Den tredje og sidste tendens, som ændrer forudsætningerne for sundhedsvæsenet, er, at borgernes samlede
forventninger til, hvad sundhedsvæsenet kan levere, stiger. Årsagen til de stigende forventninger er en
kombination af generelt øget velstand og et stigende behov for sundhedsydelser som følge af ændringer
i demografien.
SUU, Alm.del - 2023-24 - Bilag 317: Orientering om Sundhedsstrukturkommissionens afrapportering, fra indenrigs- og sundhedsministeren
2880227_0017.png
1
2
3
4
17
Udfordringer for sundhedsvæsenet
Det er ikke kun forudsætningerne for det danske sundhedsvæsen, der er under forandring. Sundheds­
væsenet står også overfor tre væsentlige udfordringer, som allerede nu påvirker borgernes oplevelse af
sundhedsvæsenet.
Den første udfordring er usammenhængende patientforløb. Mange borgere har kontakt til flere dele af
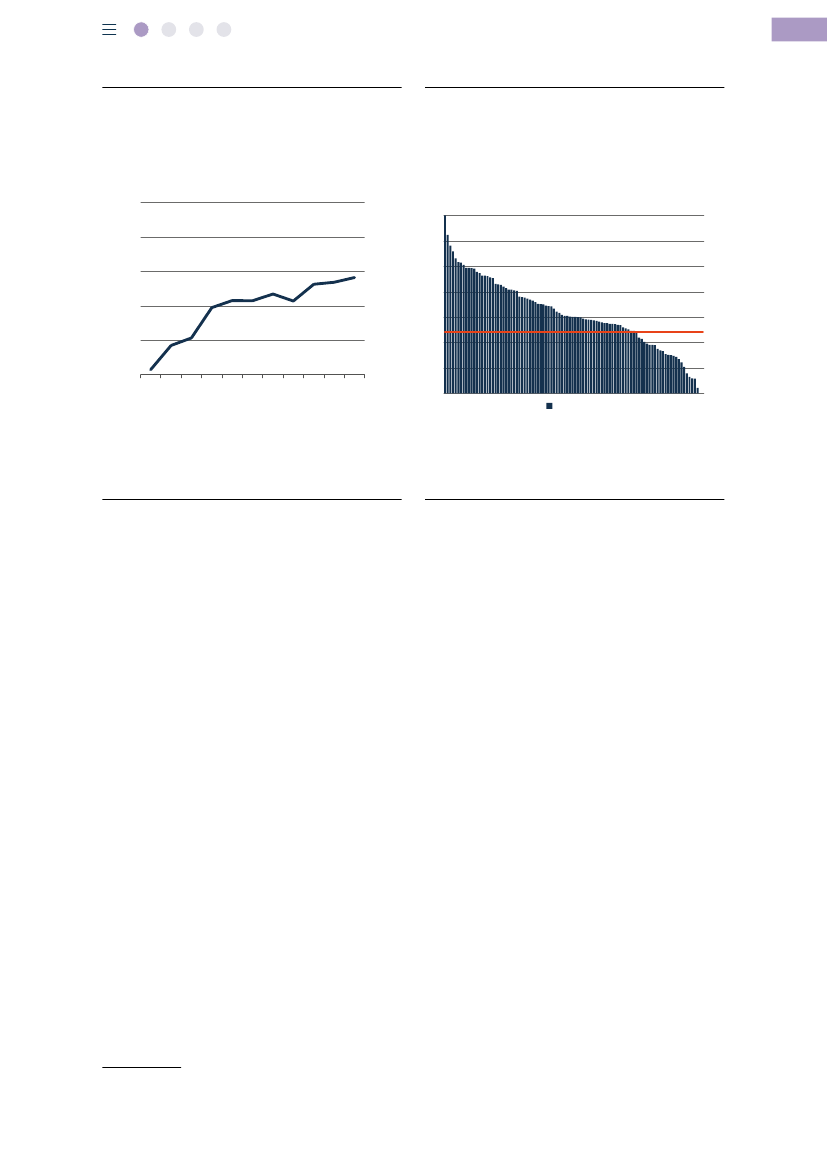
sundhedsvæsenet. I 2022 havde mere end halvdelen af dem, som havde kontakt til sundhedsvæsenet,
kontakt med mindst to af de tre hovedsektorer. Jo ældre en person bliver, desto større er kontakten på tværs
af sektorerne, jf. figur 2.1. En aldrende befolkning indebærer derfor, at stadig flere borgere vil få behov for
forløb i sundhedsvæsenet, som både involverer alment praktiserende læger, sygehuse og kommunen. De
tværgående forløb medfører risiko for et uklart ansvar for borgerens forløb og stiller samtidig store krav til
koordinering og vidensdeling på tværs af sundhedsvæsenet, så borgerne oplever sammenhæng og kvalitet.
Figur 2.1
Borgere med kontakt til sundhedsvæsenet fordelt på sektorer, 2022
Alle aldre
(5,2 mio. personer)
(0,1%)
(1,4%)
Borgere over 65 år
(1,1 mio. personer)
(0,2%)
Borgere over 80 år
(0,3 mio. personer)
(0,4%)
(5%)
(6%)
Kommune
(21%)
Kommune
(42%)
Sygehus
(28%)
(0,6%)
Kommune
(13%)
Sygehus
(44%)
Almen-
medicinske
tilbud
(45%)
(1,6%)
Sygehus
(46%)
(3%)
Almen-
medicinske
tilbud
(26%)
Almen-
medicinske
tilbud
(16%)
Anm.: Figuren viser andelen af borgere med kontakt til sundhedsvæsenet i 2022, fordelt på de tre sektorer (alment praktiserende læger,
kommune og sygehus). Det er ikke muligt at vise en nøjagtig proportional fordeling af overlap i kontakter mellem sektorer, og diagrammet er
derfor en approksimation. Derfor kan overlappet mellem sygehuse og kommuner ikke vises grafisk i diagrammet. Overlappet mellem sygehuse
og kommuner udgør hhv. 0,1 pct. for alle aldre, 0,2 pct. for borgere over 65 år og 0,3 pct. for borgere over 80 år.
Kilde: Sundhedsdatastyrelsen (Landspatientregisteret, Sygeforsikringsregisteret, Plejehjemsdata, Elektroniske omsorgsjournaler og Det
Centrale Personregister).
Den anden udfordring er ubalancen mellem det primære sundhedsvæsen (kommuner, det almenmedicinske
tilbud og øvrige praktiserende sundhedspersoner) og det sekundære sundhedsvæsen (sygehuse og
praktiserende speciallæger). Der er sket en udvikling og investering i sundhedsvæsenet, som har medført
øget specialisering. Specialiseringen har bidraget til betydelige kvalitetsforbedringer, bl.a. i behandlingen
af kræft og hjertesygdomme. Der er imidlertid også områder, hvor den høje grad af specialisering medfører
ulemper, især for patienter med flere samtidige sygdomme. Herudover har især det primære sundheds­
væsen svært ved at følge med behovet for sundhedsydelser.
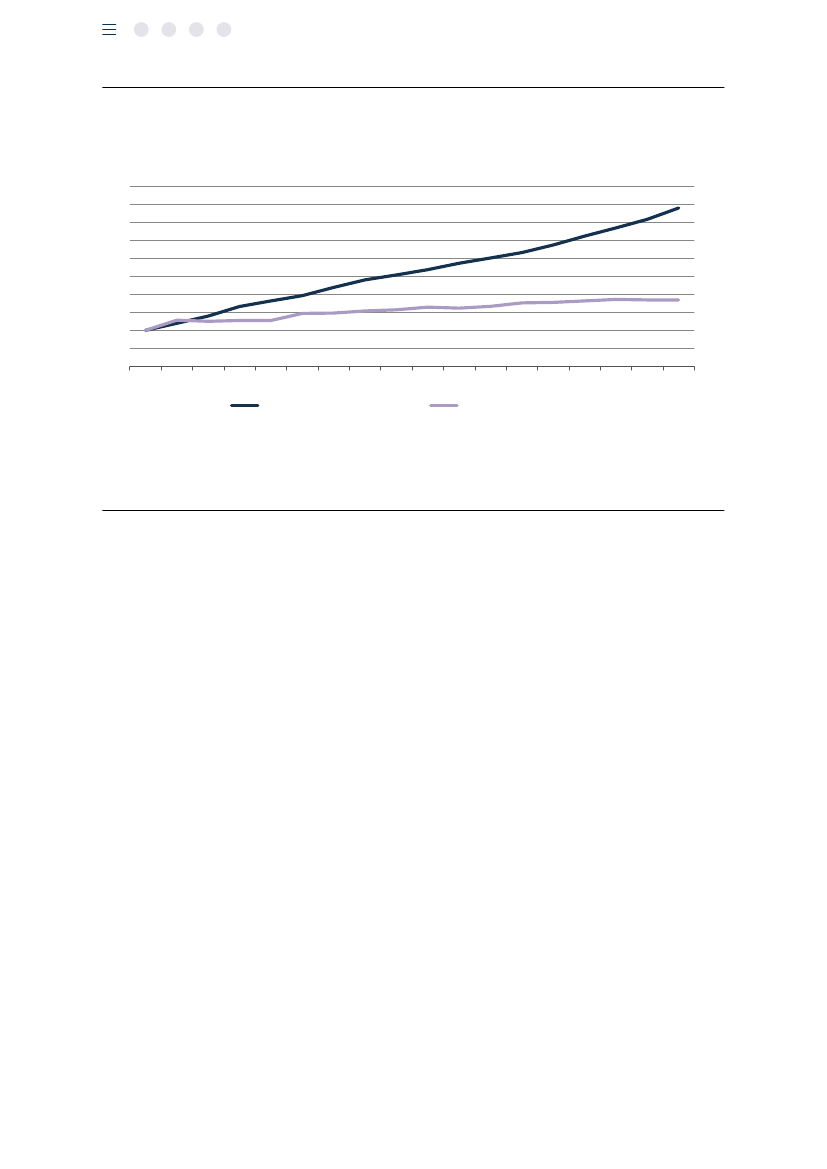
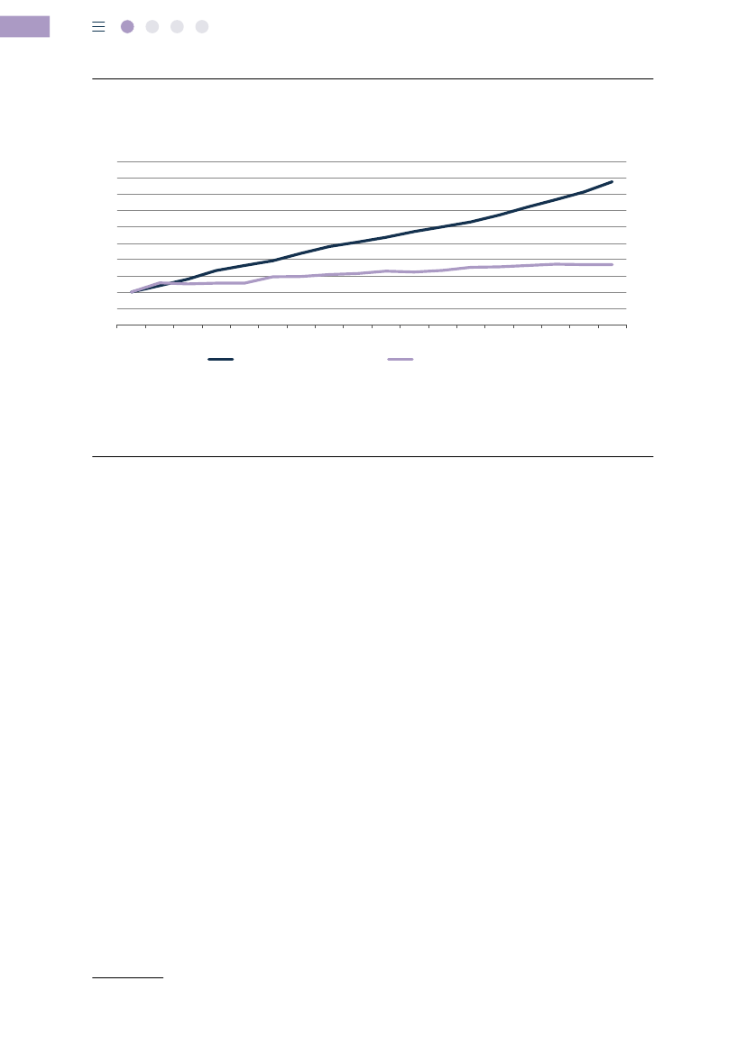
Siden 2003 er antallet af alment praktiserende læger steget med 20 pct., mens antallet af læger, der er ansat
på sygehusene, er steget med 70 pct., jf. figur 2.2. Forskellen er særligt vokset frem i årene efter oprettelsen
af regionerne. Figuren skal ses i lyset af, at den relative vækst i offentlige udgifter til de to sektorer har været
omtrent den samme, og der har derfor bl.a. været mulighed for at ansætte mere ikke-lægeligt sundheds-
personale i det almenmedicinske tilbud.
SUU, Alm.del - 2023-24 - Bilag 317: Orientering om Sundhedsstrukturkommissionens afrapportering, fra indenrigs- og sundhedsministeren
2880227_0018.png
18
1
2
3
4
Figur 2.2
Udvikling i antal læger ansat på sygehusene og alment praktiserende læger, indeks (2003=100)
Indeks (100=2003)
180
160
140
170
Indeks (100=2003)
180
160
140
170
150
130
120
100
90
2003 2004 2005 2006 2007 2008 2009 2010 2011 2012 2013 2014 2015 2016 2017 2018 2019 2020
Sygehus
Alment praktiserende læger
80
110
150
130
120
100
90
80
110
Anm.: Indeks = 2003. Bemærk, at figuren er opgjort i antal personer beskæftiget i den pågældende sektor og ikke i fuldtidsbeskæftigede/
lægekapaciteter. Afgrænsningen af læger ansat ved sygehuse er ”Physicians employed in hospitals” og alment praktiserende læger er
”General medical practitioners”.
Kilde: OECD Health Statistics, Healthcare Resources.
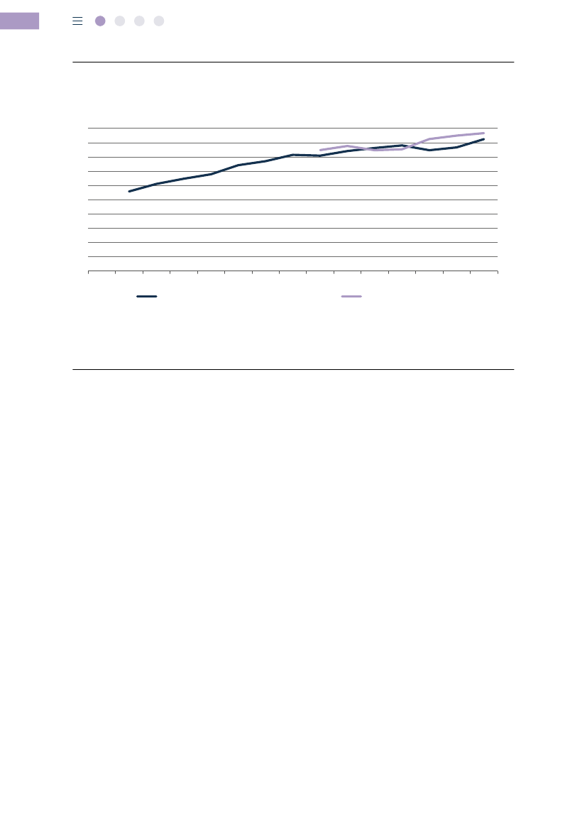
Danmark bruger omkring 10 pct. af BNP på sundhed og er dermed på niveau med mange af de lande, som
Danmark normalt sammenligner sig med. Det er altid svært at sammenligne tal på tværs af landegrænser,
alene fordi der er forskel på, hvordan lande organiserer sig, og hvordan de indsamler data. Men set i
international sammenhæng vejer sundhedsudgifterne til at drive sygehuse i Danmark tungt sammenlignet
med de udgifter, der dækker det øvrige sundheds- og ældreområde. I sammenligning med andre relevante
lande er det dermed en større andel af sundhedsudgifterne, som går til den mest specialiserede del af
sundhedsvæsenet, fremfor fx de alment praktiserende læger, ældrepleje og forebyggelse, jf. figur 2.3.
SUU, Alm.del - 2023-24 - Bilag 317: Orientering om Sundhedsstrukturkommissionens afrapportering, fra indenrigs- og sundhedsministeren
2880227_0019.png
1
2
3
4
19
Figur 2.3
Sundhedsudgifter fordelt på funktion, udvalgte lande, 2019
Pct.
100
80
60
40
20
0
47
38
34
33
36
Pct.
100
80
61
69
67
67
63
60
40
20
0
54
30
Nederlandene
Danmark
Finland
Sygehuse
Norge
Ikke-sygehuse
Sverige
England
Anm: På grund af afrundinger summer tallene ikke til 100. Fordelingen tager afsæt i OECDs Health Care Functions. Hvor en yderligere
segmentering er gjort ved hjælp af OECDs Heath Care Providers er det anført nedenfor; Sygehuse er afgrænset til: “Current expenditures on
health, inpatient curative and rehabilitative care, all providers”, “Outpatient curative and rehabilitative care, hospitals”; Ikke-sygehuse er
afgrænset til: “Current expenditures on health, outpatient curative and rehabilitative care, providers of ambulatory health care”, “Residential
long-term care facilities”, og inkluderer bl.a. “medical goods”, “preventive care” og “anciallary services”; Alle tal er købekraftsjusteret og
omregnet med valutakurs 1,0 EUR = 7,45 DKK. Tal for Storbritannien er brugt som proxy for England. Sammenlignes med en OECD ”hospitals”
provider-opgørelse undervurderer den anvendte metode sygehusforbruget i bl.a. Norge, Sverige og England, da de præhospitale udgifter fra
indlæggelser og ambulante besøg i højere grad indgår som sygehusudgifter i de danske opgørelser. Uanset opgørelsesmetode er andelen af
udgifter, der bruges på sygehuse, størst i Danmark.
Kilde: BCG, 2023, Sundhedsvæsenets organisering m.v. i udvalgte lande.
Den demografiske udvikling skaber et øget behov for sundheds­ og omsorgsydelser indenfor det kom­
munale sundheds- og ældreområde. Fra borgeren fylder 65 år, stiger det gennemsnitlige behov for syge-
pleje, personlig pleje og praktisk hjælp. De kommunale udgifter på sundheds- og ældreområdet til personer,
som er fyldt 85 år, er ca. 11 gange højere end til personer, der er fyldt 65 år, jf. figur 2.4.
En del af forklaringen på udviklingen er, at jo tættere en person er på livets afslutning, desto mere hjælp
og pleje har personen brug for. Udgifterne til de kommunale sundheds­ og plejeindsatser, som en borger
modtager, stiger derfor i gennemsnit ganske markant i de sidste tre år inden et dødsfald, jf. figur 2.5.
Det kommer bl.a. til udtryk i udgifterne til plejehjemsophold.
SUU, Alm.del - 2023-24 - Bilag 317: Orientering om Sundhedsstrukturkommissionens afrapportering, fra indenrigs- og sundhedsministeren
2880227_0020.png
20
1
2
3
4
Figur 2.4
Forbrug af sundheds­ og plejeydelser
pr. person, fordelt på alder, 2022
1.000 kr. pr. borger (2021 -pl) 1.000 kr. pr. borger (2021 -pl)
400
400
350
300
250
200
150
100
50
0
350
300
250
200
150
100
50
0
Figur 2.5
Forbrug af sundheds­ og plejeydelser pr. person
over 65 år, fordelt på afstand til død, 2019
Kr. pr. person
300.000
250.000
200.000
150.000
100.000
50.000
0
Kr. pr. person
300.000
250.000
200.000
150.000
100.000
50.000
0
0 år
7 år
14 år
21 år
28 år
35 år
42 år
49 år
56 år
63 år
70 år
77 år
84 år
91 år
98 år
3+ år
3 år
2 år
1 år
Kommunale udgifter
Sygesikring
Somatisk sygehus
Regionalt medicintilskud
Psykiatrisk sygehus
Kommunale sundheds- og plejeydelser
Almenmedicinske tilbud
Sygehuse
Anm.: I datagrundlaget for de kommunale udgifter indgår 85
kommuner, da datagrundlaget kun er tilstrækkeligt for de
kommuner. Opgørelserne for 2021 er påvirket af ændringer
i aktiviteten som følge af covid-19 og sygeplejerskestrejken.
Udgifterne er angivet i pris- og lønniveau for 2021 (2021-PL).
Kilde: Robusthedskommissionen, 2023, Robusthedskommissionens
anbefalinger.
Anm: Udgifter til sundheds- og plejeydelser er baseret på 95
kommuner. Udgifter til praksissektror omfatter også receptpligtig
medicin. Udgifter i den kommunale sektor omfatter sygepleje,
hjemmepleje og plejebolig. Ældre på 100 år og derover er samlet
i samme alderskategori. Afstand til død er baseret på 2019-data.
Kilde: Indenrigs- og Sundhedsministeriets Benchmarkingenhed,
2023, Geografiske forskelle i ældres forbrug af sundheds­ og
plejeydelser.
Endelig er der geografisk og social ulighed i sundhed. Der er væsentlige forskelle i sundhedsbehov og
adgang til sundhedstilbud på tværs af landet. Adgangen til sundhedstilbud er oftest udfordret i de dele
af landet, hvor sundhedsbehovet er størst. Det gælder fx adgangen til alment praktiserende læger, privat-
praktiserende speciallæger og kommunale sundhedstilbud. Omvendt er adgangen til sundhedstilbud bedst
i områder, hvor befolkningen som helhed er sundest.
Landkommuner har en markant højere andel af borgere med kroniske sygdomme end bykommunerne.
Fx har over 20 pct. af borgerne på Langeland en kronisk sygdom mod 12 pct. af borgerne i København, jf.
figur 2.6. Landkommunerne har også en markant højere andel af ældre og multisyge end øvrige kommuner.
Tilsvarende er de områder, som er betegnet som lægedækningstrudede, fordi der er vanskeligheder med
at tiltrække alment praktiserende læger, typisk at finde i landkommunerne, jf. figur 2.7. Indenfor de store
byer kan der også findes områder med ubalancer mellem sundhedsfaglige behov og ressourcer.
SUU, Alm.del - 2023-24 - Bilag 317: Orientering om Sundhedsstrukturkommissionens afrapportering, fra indenrigs- og sundhedsministeren
2880227_0021.png
1
2
3
4
21
Figur 2.6
Andel borgere med kronisk sygdom
pr. 1.000 borgere i befolkningen, 2022
18,3-20,2 pct. (10)
17,7-18,2 pct. (17)
17,0-17,6 pct. (17)
16,3-16,9 pct. (19)
15,5-16,2 pct. (20)
12,5-15,4 pct. (15)
Figur 2.7
Lægedækningstruede områder, 2021­2024
Anm.: De udvalgte kroniske sygdomme: astma, demens, kronisk
obstruktiv lungesygdom (KOL), leddegigt, osteoporose, type
1-diabetes og type 2-diabetes.
Kilde: Registeret for udvalgte kroniske sygdomme og svære
psykiske lidelser (RUKS), CPR-registeret, Sundhedsdatastyrelsen.
Anm.: Lægedækningstruede områder er fastlagt for hele den
indeværende overenskomstperiode 2021-2024. De er kendetegnet
ved at have en stor andel borgere tilknyttet, fx udbuds­ og
regionsklinikker, patientgrundlag med relativt store sundhedsbe-
hov, vanskeligheder ved at sælge en lægepraksis, og de
nuværende læger nærmer sig pensionsalderen.
Kilde: PLO, landsdækkende lægedækningstruede områder.
Pejlemærker for udviklingen af sundhedsvæsenet
Med afsæt i de tendenser og udfordringer, som sundhedsvæsenet står overfor nu og i fremtiden, vurderer
Sundhedsstrukturkommissionen, at der særligt er behov for at fokusere på flere forhold i fremtidssikringen
af det danske sundhedsvæsen (se kapitel 5).
Sammenhæng, kvalitet og ressourceudnyttelse i patientforløb kan forbedres markant ved at styrke de
indsatser, som leveres i det primære sundhedsvæsen. Det kræver, at opgaveløsningen i sundhedsvæsenet
gentænkes, og en større andel af ressourcer investeres i at styrke det primære sundhedsvæsen. Ansvaret
for patienter med længerevarende sygdom skal i langt højere grad varetages af det almenmedicinske tilbud,
mens sygehusene i højere grad skal understøtte udviklingen af det primære sundhedsvæsen. Det vil også
medføre, at færre får behov for en sygehusindsats. Samtidig er der behov for at fastholde og udvikle
kvaliteten på sygehusene, så sygehusindsatsen vil være af højeste kvalitet til at behandle borgere, som
fx bliver ramt af akut og alvorlig sygdom. Fremtidssikring af sundhedsvæsenet indebærer derfor, at
udviklingen særligt fokuserer på tre pejlemærker: 1) sundhed for de mange, 2) lige adgang til sundhed
og 3) differentierede indsatser.
SUU, Alm.del - 2023-24 - Bilag 317: Orientering om Sundhedsstrukturkommissionens afrapportering, fra indenrigs- og sundhedsministeren
2880227_0022.png
22
1
2
3
4
Sundhed for de mange handler om, at udviklingen i sundhedsvæsenet skal afspejle, at der kommer flere
borgere med almene problemstillinger. Derfor er der behov for et ændret fokus i den ledelsesmæssige og
politiske opmærksomhed og i fordelingen af ressourcer mellem det primære og det sekundære sundheds-
væsen. Samtidig skal opgaveløsningen og rollerne i sundhedsvæsenet løbende omlægges, så mere løses i
det primære sundhedsvæsen med fokus på at forebygge forværring af sygdom og understøtte egenomsorg,
vel at mærke med opbakning fra specialisterne på sygehuset eller i speciallægepraksis.
Lige adgang til sundhed handler om, at udviklingen i sundhedsvæsenet skal adressere en betydelig og
voksende geografisk og social ulighed i sundhed. I fremtidens sundhedsvæsen skal der være lige adgang til
stærke sundhedstilbud i hele landet. Det kræver en fordeling af ressourcer i det primære og i det sekundære
sundhedsvæsen, som afspejler befolkningssammensætningen og befolkningens behov i alle dele af landet.
Differentierede indsatser handler om at målrette indsatsen til den enkelte borgers behov. På den måde
bliver ressourcerne også brugt så effektivt som muligt. Det betyder, at flere skal understøttes i hjælp til
selvhjælp, mens andre har behov for mere kontakt med sundhedsprofessionelle. Fx vil borgere med høj
sundhedskompetence blive tilbudt digitalt understøttede indsatser og færre kontroller, mens borgere med
færre sundhedskompetencer og skrøbelighed tilbydes en mere håndholdt indsats.
2. Den nuværende organisering af sundhedsvæsenet
I rapportens anden del beskrives og vurderes styrker og svagheder ved den nuværende organisering af
sundhedsvæsenet. I den sammenhæng opstilles først seks hensyn, som organiseringen af sundhedsvæsenet
bør understøtte. Dernæst beskrives den nuværende organisering, og til sidst præsenteres en vurdering af
væsentlige svagheder ved den nuværende organisering af sundhedsvæsenet set i lyset af de udfordringer
og muligheder, sundhedsvæsenet står overfor (se kapitel 6­8).
Centrale hensyn
Sundhedsstrukturkommissionen opstiller seks hensyn, som er centrale for at vurdere (ændringer af) den
organisatoriske indretning af sundhedsvæsenet. De seks hensyn bruges til at vurdere svagheder ved den
nuværende organisering af sundhedsvæsenet og til at vurdere fordele og ulemper ved de præsenterede
anbefalinger, forslag og modeller til en ændret organisering af sundhedsvæsenet i rapportdel 3 og 4.
Det kræver organisatoriske forandringer at realisere de præsenterede pejlemærker for udviklingen af
sundhedsvæsenet. Ændringer i sundhedsvæsenets organisering bør ske i respekt for de hensyn og mål­
sætninger for sundhedsvæsenet, som traditionelt har haft bred politisk tilslutning. Nogle af hensynene
hænger tæt sammen med pejlemærkerne, men der er også andre hensyn, som er vigtige i en samlet
vurdering af styrker og svagheder ved sundhedsvæsenets organisering.
Ingen organisatorisk indretning af sundhedsvæsenet vil kunne tilgodese alle hensyn i samme grad. Det
vil derfor være nødvendigt at afveje hensynene op mod hinanden. Vægtningen af de enkelte hensyn vil
i sidste instans være et politisk valg (se kapitel 6).
SUU, Alm.del - 2023-24 - Bilag 317: Orientering om Sundhedsstrukturkommissionens afrapportering, fra indenrigs- og sundhedsministeren
2880227_0023.png
1
2
3
4
23
Sundhedsstrukturkommissionens seks centrale hensyn for organiseringen af sundhedsvæsenet er:
Hensyn 1: Et sundhedsvæsen med høj kvalitet for alle borgere i hele landet
Hensynet indebærer, at organiseringen understøtter faglig bæredygtighed i opgaveløsningen
og social og geografisk lighed.
Hensyn 2: Et sundhedsvæsen, hvor borgerne har let adgang til relevante sundhedstilbud
Let adgang til relevante sundhedstilbud er bl.a. betinget af graden af fri adgang til sundhedstil-
bud, tilbuddenes geografiske nærhed og muligheder for frit valg mellem leverandører. Behand-
ling i hjemmet er i stigende grad relevant og muligt i takt med udviklingen af det primære
sundhedsvæsen, nye teknologiske muligheder og borgernes stigende ønsker om digital kontakt
med sundhedsvæsenet.
Hensyn 3: Et sundhedsvæsen med stærk sammenhæng i borgernes forløb
Høj kvalitet i sundhedstilbud forudsætter, at borgerne oplever en høj grad af sammenhæng i hele
forløbet, fx mellem undersøgelse, udredning og behandling og efterfølgende genoptræning, pleje
og rehabilitering. Derfor er det et væsentligt hensyn, at organiseringen af sundhedsvæsenet
understøtter en stærk sammenhæng i borgernes forløb.
Hensyn 4: Et sundhedsvæsen, der giver borgerne mest mulig sundhed for de
tilgængelige ressourcer
Hensynet om at give borgerne mest mulig sundhed for de tilgængelige ressourcer indebærer,
at organiseringen understøtter omkostningseffektivitet og økonomisk robusthed, en stærk
sammenhæng mellem opgave- og budgetansvar og effektiv brug af knappe personaleressourcer
i sundhedsvæsenet.
Hensyn 5: Et sundhedsvæsen med effektiv politisk styring og demokratisk kontrol
Hensynet om effektiv politisk styring og demokratisk kontrol indebærer, at organiseringen giver
et klart politisk ansvar for leveringen af sundhedstilbud, understøtter politisk opmærksomhed
på væsentlige udfordringer og bidrager til politisk handlekraft og styring.
Hensyn 6: Implementeringsomkostninger
Implementering af større organisatoriske forandringer indebærer både potentialer, risici og
omkostninger. Det er derfor vigtigt, at de organisatoriske og strukturelle løsninger for fremtidens
sundhedsvæsen også vurderes i et implementeringsperspektiv.
Den nuværende organisering af sundhedsvæsenet
Det danske sundhedsvæsen er i høj grad decentralt organiseret. I dag er der tre forvaltningsled med ansvar
på sundhedsområdet: Stat, regioner og kommuner. Staten udstikker de overordnede rammer for at varetage
sundhedsopgaverne via lovgivning, årlige økonomiaftaler, retningslinjer og anden statslig styring indenfor
området. Det økonomiske og driftsmæssige ansvar er derimod placeret i regioner og kommuner.
Det danske sundhedsvæsen har en række væsentlige styrker. Sundhedsydelserne er generelt af høj kvalitet
og leveres af et veluddannet sundhedspersonale i et overvejende offentligt finansieret sundhedsvæsen med
universel adgang til ydelserne. Sygehusstrukturen har over de senere år gennemgået en nødvendig tilpas-
ning, og der er i dag 21 akutsygehuse. Samling af behandlinger på færre sygehusmatrikler har været med til
at sikre en højere kvalitet i sygehusbehandlingen, og mange behandlinger er blevet omlagt fra indlæggelser
til ambulante behandlinger. På trods af den seneste tids udfordringer med ventetider til sygehusbehandling
har ventetiden generelt været faldende over en lang årrække.
SUU, Alm.del - 2023-24 - Bilag 317: Orientering om Sundhedsstrukturkommissionens afrapportering, fra indenrigs- og sundhedsministeren
2880227_0024.png
24
1
2
3
4
Kommunerne har fået en markant større rolle på sundhedsområdet end tidligere. Det gælder fx gen-
optræning efter indlæggelse, men også indenfor områder, der er opstået som konsekvens af udviklingen
i sygehusenes opgavevaretagelse, fx akutfunktioner i den kommunale sygepleje. I praksissektoren er det
almenmedicinske tilbud til stede i hele landet, og der er generelt høj tilfredshed hos borgerne med det
almenmedicinske tilbud, som også varetager en central rolle som gatekeeper for indsatser i det sekundære
sundhedsvæsen (se kapitel 7).
Svagheder ved den nuværende organisering af sundhedsvæsenet
Set over tid og i international sammenligning er det danske sundhedsvæsen veludbygget, tilgængeligt,
og det leverer sundhedsydelser af høj kvalitet til hele befolkningen. Men i lyset af de udfordringer, som
sundhedsvæsenet står overfor, vurderer kommissionen, at der er en række væsentlige svagheder ved
sundhedsvæsenets nuværende organisering. Det gælder især den overordnede opgave- og ansvarsfordeling
i sundhedsvæsenet, styring og regulering indenfor de enkelte sektorer og organiseringen af arbejdet med
digitalisering og data (se kapitel 8).
Opgave­ og ansvarsfordelingen i sundhedsvæsenet
Den nuværende opgave- og ansvarsfordeling er medvirkende til utilstrækkelig sammenhæng i patientforløb,
manglende investeringer i de almene sundhedstilbud og udfordringer med faglig bæredygtighed i dele af
kommunernes opgaveløsning.
Udviklingen indenfor sundhedsvæsenet vil give flere forløb på tværs af sektorer. Det samme vil den
demografiske udvikling og et ændret sygdomsbillede. Det understreger behovet for en organisering, som
understøtter sammenhængende patientforløb. Gennem tiden er der blevet iværksat mange gode projekter
og initiativer til at styrke sammenhængen. Dog vurderer Sundhedsstrukturkommissionen, at der er
behov for markant stærkere tiltag for at skabe sammenhæng, især i de forløb, der går på tværs af det
almenmedicinske tilbud, kommuner og sygehuse. Den nuværende konstruktion af sundhedsklyngerne
imødekommer ikke i tilfredsstillende grad sundhedsvæsenets udfordringer med at samarbejde på tværs
af sektoropdelingen.
Hvad angår investeringerne i de almene sundhedstilbud, medfører opgave- og ansvarsfordelingen, at
regionerne har en begrænset økonomisk tilskyndelse til at investere i en udbygning af det primære sund-
hedsvæsen ved at stille ressourcer til rådighed for den del af sundhedsvæsenet, som kommunerne har
ansvaret for. Der er samtidig en risiko for, at kommunerne vil underinvestere i indsatser til at forebygge
egne borgeres brug af sygehusene og det øvrige sundhedsvæsen, da dele af gevinsterne tilfalder regionerne.
Sundhedsstrukturkommissionen vurderer, at der er behov for en organisering, som gør det muligt, at der
løbende følger ressourcer med fra det det sekundære til det primære sundhedsvæsen, når opgaveløsningen
omstilles og udvikles på en måde, som kræver opbygning af nye kompetencer og kapacitet.
Endelig betyder den nuværende opgave- og ansvarsfordeling, at kommunerne har ansvar for en række
sundhedsopgaver, hvor nogle kræver et vist borgergrundlag for, at opgaveløsningen er fagligt og økonomisk
bæredygtig. Det kan flere kommuner have vanskeligt ved at etablere. Som udgangspunkt understøtter
sundhedsvæsenets decentrale organisering tilgængelighed af sundhedstilbud i hele landet og er med til
at danne grundlag for indsatser tæt på borgeren. Kommunerne løser imidlertid sundhedsopgaverne
under meget forskellige vilkår på grund af forskellene i deres geografiske størrelse, befolkningsantal og
geografiske placering. Genoptræning og rehabilitering af små patientgrupper, som kræver særlige kompe-
tencer, er eksempler på opgaver, som er udfordrende at varetage fagligt bæredygtigt i alle kommuner.
Derudover kan små kommuner fx vanskeligt etablere og opretholde kommunale akutfunktioner med
tilstrækkelig volumen til at fastholde et døgndækket, fagligt bæredygtigt tilbud.
SUU, Alm.del - 2023-24 - Bilag 317: Orientering om Sundhedsstrukturkommissionens afrapportering, fra indenrigs- og sundhedsministeren
2880227_0025.png
1
2
3
4
25
Væsentlige regulerings­ og styringsudfordringer
Ifølge Sundhedsstrukturkommissionen er der behov for at ændre den nuværende regulering og styring
indenfor de enkelte sektorer i sundhedsvæsenet.
Der er bl.a. brug for at forandre den måde, som de almenmedicinske tilbud reguleres i lovgivningen for at
understøtte, at det almenmedicinske tilbud også fremover kan udgøre den primære indgang til udredning
og behandling i hele landet. Derudover sikrer den nuværende overenskomstmæssige regulering af de
almenmedicinske tilbud ikke en geografisk fordeling af ressourcer, som afspejler den geografiske variation
i sundhedsbehovet.
Samtidig vurderer Sundhedsstrukturkommissionen, at den nuværende udformning af overenskomst­
modellen for de almenmedicinske tilbud er en væsentlig barriere for den videre omstilling af sundheds-
væsenet. Regionernes grundlag for at indgå i og følge op på forpligtende aftaler i det almenmedicinske
tilbud er for begrænset. Kommissionen vurderer dog også, at udviklingen af det almenmedicinske tilbud er
sket for langsomt set i forhold til behovet og de muligheder, som er indenfor den eksisterende organisering.
Reguleringen af sygehusene, bl.a. den nationale styring af placeringen af funktioner, har medført en øget
specialisering og en samling af specialiseret behandling på færre sygehuse. Det har været med til at løfte
kvaliteten for patienterne, men har også medvirket til en organisatorisk fragmentering, hvor ansvaret
for patientforløb er fordelt på flere afdelinger, hvor der er større geografisk afstand for nogle patienter,
og hvor der er rekrutteringsudfordringer på nogle sygehuse udenfor de store byer.
Derudover har sygehusene svært ved at rekruttere læger i nogle dele af landet og indenfor visse specialer.
Allerede igangsatte initiativer har ikke været tilstrækkelige til at sikre en bedre fordeling af speciallæger.
Strukturelle barrierer for omstilling mod et mere digitalt sundhedsvæsen
Sundhedsstrukturkommissionen vurderer, at den eksisterende organisering og styring af arbejdet med
digitalisering, data og andre teknologiske løsninger ikke er tilstrækkelig til at sikre, at løsninger udvikles
og udbredes tilstrækkeligt hurtigt til, at de potentielle gevinster kan blive indfriet.
Den nuværende organisering og styring bærer præg af, at der mangler beslutnings- og eksekveringskraft
og fælles prioritering. Flere af aktørerne har ikke de rette forudsætninger for at varetage udvikling,
implementering og drift af teknologiske løsninger. Der mangler strukturer for og incitamenter til udbredelse
af nye digitale løsninger og datadrevne teknologier. Desuden udfordres sammenhæng, implementerings-
tempo og omkostningsniveau af stor leverandørafhængighed og en fragmenteret IT­arkitektur.
Kommissionen vurderer, at en vigtig betingelse for den ønskede omstilling af sundhedsvæsenet er en
stærkere organisering og styring af datadelings- og digitaliseringsindsatsen. Digitale løsninger og øget
nyttiggørelse af data rummer potentiale for at effektivisere driften af sundhedsvæsenet, øge kvaliteten af
sundhedstilbud og skabe bedre forløb for borgerne og bedre udnyttelse af sundhedsvæsenets ressourcer.
3. Tværgående anbefalinger og forslag
På baggrund af de ændrede forudsætninger og udfordringer, som sundhedsvæsenet står overfor, og på
baggrund af vurderingen af styrker og svagheder ved sundhedsvæsenets nuværende organisering, opstiller
Sundhedsstrukturkommissionen seks anbefalinger med tilhørende forslag og tre forvaltningsmodeller til
den fremtididge organisering af sundhedsvæsenet.
I rapportens tredje del præsenterer kommissionen fem ud af de seks anbefalinger og tilknyttede forslag
til en ændret organisering. De fem anbefalinger er tværgående i den forstand, at de er uafhængige af valget
af forvaltningsmodel. Det er kommissionens vurdering, af de fem anbefalinger kan gennemføres uanset
hvilken forvaltningsmodel, der kommer til at udgøre sundhedsvæsenets fremtidige struktur.
De fem anbefalinger og tilhørende forslag vedrører det almenmedicinske tilbud, digitaliserings- og data-
området, fordeling af ressourcer i sundhedsvæsenet, psykiatri og private aktører indenfor sundhedsvæsenet
(se kapitlerne 9­13).
SUU, Alm.del - 2023-24 - Bilag 317: Orientering om Sundhedsstrukturkommissionens afrapportering, fra indenrigs- og sundhedsministeren
2880227_0026.png
26
1
2
3
4
Kapacitetsudvidelse og ændret organisering af det almenmedicinske tilbud
Det almenmedicinske tilbud, som overvejende består af alment praktiserende læger, har en nøglefunktion
i sundhedsvæsenet og løfter en stor og væsentlig opgave i forhold til at varetage diagnosticering og
behandling og i forhold til at afklare, om borgerne skal henvises videre til det øvrige sundhedsvæsen.
Blandt borgerne er der generelt tilfredshed med det almenmedicinske tilbud. Udviklingen i patientsammen-
sætningen, bl.a. med flere ældre og flere mennesker med kroniske sygdomme udfordrer dog allerede i
dag det almenmedicinske tilbud. For at imødekomme borgernes behov skal det almenmedicinske tilbud
understøtte høj tilgængelighed, varetage flere og mere komplekse opgaver og i højere grad indgå som en
integreret og sammenhængende del af det samlede sundhedsvæsen.
Det almenmedicinske tilbud skal styrkes og udvikles og varetage flere opgaver, der i dag løses på syge­
husene. Det betyder, at en større andel af de samlede sundhedsudgifter skal anvendes i det almen-
medicinske tilbud. Omstillingen af opgavevaretagelsen skal ske i takt med, at kapaciteten og kompetencerne
i det almenmedicinske tilbud udvides, og den nødvendige faglige støtte fra det specialiserede sundheds-
væsen bliver stillet til rådighed. Samtidig skal omstillingen ske i takt med, at målsætningen om at uddanne
flere speciallæger i almen medicin bliver indfriet.
Sundhedsstrukturkommissionen vurderer, at den nuværende organisering, herunder styring og ledelse,
af det almenmedicinske tilbud ikke er tilstrækkelig til at understøtte den udvikling og tilpasning, som er
nødvendig for, at det almenmedicinske tilbud kan varetage den nøglerolle, det er tiltænkt i fremtidens
sundhedsvæsen (se kapitel 9).
SUU, Alm.del - 2023-24 - Bilag 317: Orientering om Sundhedsstrukturkommissionens afrapportering, fra indenrigs- og sundhedsministeren
2880227_0027.png
1
2
3
4
27
Boks 2.2
Anbefaling 1
Sundhedsstrukturkommissionen anbefaler en betydelig kapacitetsudvidelse af det almenmedicinske
tilbud indenfor rammerne af en ændret organisering. Formålet er, at udviklingen af det almen-
medicinske tilbud afspejler patienternes stigende behov for sundhedsydelser og tilgængelighed
i det primære sundhedsvæsen. Derfor skal de ansvarlige myndigheders kompetence til at påvirke
udviklingen styrkes.
Boks 2.3
Forslag
1. Kapacitet og kompetencer i det primære sundhedsvæsen skal udbygges. Det kræver, at en større
andel af de samlede sundhedsudgifter anvendes i det almenmedicinske tilbud.
2. De ansvarlige myndigheder skal have kompetence til at benytte forskellige klinikformer, bl.a. alment
praktiserende læger, offentligt drevne klinikker og udbudsklinikker, hvor det skønnes relevant ud fra
lokale forhold og behov. Dermed fjernes de eksisterende lovgivningsmæssige begrænsninger for,
at det almenmedicinske tilbud kan udvikles til i fremtiden at bestå af en kombination af alment
praktiserende læger og øvrige klinikformer, bl.a. klinikker med ansatte læger.
3. Opgavebeskrivelsen for det almenmedicinske tilbud skal fastlægges af nationale myndigheder med
inddragelse af relevante faglige selskaber og skal ses i tæt sammenhæng med en styrket sundheds-
planlægning og styret opgaveudvikling og arbejdsdeling i sundhedsvæsenet. Samtidig skal
beskrivelsen fastlægge, hvordan sygehuse, øvrige specialister og sundhedstilbud skal understøtte
de almenmedicinske tilbud. Ændringen betyder, at fastlæggelsen af opgaveporteføljen i det almen-
medicinske tilbud adskilles fra forhandlinger om de økonomiske vilkår, som de alment praktiserende
læger og øvrige klinikker virker under.
4. Differentierede patienttal og honorarer skal fastlægges på baggrund af en national model, som
estimerer behandlingsbehovet for patienterne i den enkelte klinik. Effekten vil være, at klinikker med
en stor andel af ressourcestærke og raske patienter skal varetage flere patienter indenfor den
nuværende honorering, mens klinikker med en stor andel af sårbare borgere og borgere med multi-
sygdom får reduceret patientantallet, så der sikres en omfordeling af ressourcer efter sundhedsbehov.
SUU, Alm.del - 2023-24 - Bilag 317: Orientering om Sundhedsstrukturkommissionens afrapportering, fra indenrigs- og sundhedsministeren
2880227_0028.png
28
1
2
3
4
5. De ansvarlige myndigheders lovmæssige grundlag for at tilrettelægge samarbejdet og følge op på
efterlevelsen af opgavebeskrivelsen for det almenmedicinske tilbud skal styrkes.
6. En central rammeaftale skal fastsætte økonomi, vilkår og honorarstruktur for de alment praktiserende
læger, men centrale elementer i form af opgavebeskrivelsen, grundlaget for fordeling af læge-
ressourcer og tvistløsning reguleres fremover udenfor aftalesystemet.
7. Honorarstrukturen skal revideres med fokus på forenkling, sammenhæng mellem patienternes
sundhedsbehov og honorering, styrket samarbejde med andre aktører og realisering af løbende
produktivitetsgevinster til gavn for det samlede sundhedsvæsen. Det vil bl.a. betyde, at hver enkelt,
ny opgave ikke forudsætter forhandlinger om økonomi, da en forsimplet honorarstruktur kan rumme
nye opgaver.
8. En dansk model for netværksorganisering skal udvikles og udbredes med det formål, at det almen-
medicinske tilbud kan møde skærpede krav til opgaver og funktioner indenfor en organisering med
relativt mange mindre klinikker, bl.a. ved tværfagligt samarbejde.
9. Databaseret kvalitetsudvikling i det primære sundhedsvæsen skal styrkes markant. Det gælder bl.a.
i det almenmedicinske tilbud.
Ny organisering af digitalisering og data
Borgerne i Danmark er blandt de mest digitale i verden. En stor del af befolkningen bruger digitale tjenester
som en naturlig del af hverdagen. Det gælder også i sundhedsvæsenet, hvor mange – især under og efter
covid­19­pandemien – har taget de digitale sundhedstilbud til sig. En digital transformation er derfor en
naturlig og central forudsætning for at fremtidssikre sundhedsvæsenet. Samtidig kan endnu bedre brug
af digitale løsninger og data være med til at skabe et mere sammenhængende sundhedsvæsen for borgere
og medarbejdere. Den teknologiske udvikling muliggør den nødvendige omstilling af sundhedsvæsenet fra
at levere ydelser på sundhedsvæsenets fysiske matrikler til i højere grad at levere ydelser, som helt eller
delvist møder borgeren, hvor vedkommende er, med samme høje kvalitet uafhængig af geografi.
Sundhedsstrukturkommissionen vurderer, at den nuværende organisering af sundhedsvæsenets
digitaliserings­ og dataindsats ikke kan realisere den nødvendige digitale transformation (se kapitel 10).
SUU, Alm.del - 2023-24 - Bilag 317: Orientering om Sundhedsstrukturkommissionens afrapportering, fra indenrigs- og sundhedsministeren
2880227_0029.png
1
2
3
4
29
Boks 2.4
Anbefaling 2
Sundhedsstrukturkommissionen anbefaler, at der etableres en ny organisering af arbejdet med
digitalisering og data i sundhedsvæsenet. En ny organisering skal være med til at sikre større
national beslutnings- og eksekveringskraft og fælles prioritering og retning for digitalisering og
brug af data i sundhedsvæsenet. Det er nødvendigt for, at bedre brug af digitale løsninger og data
kan bidrage til at skabe et sammenhængende sundhedsvæsen præget af nærhed, tilgængelighed
og bæredygtighed. En ny organisering skal derfor også ses som et middel til at skabe bedre
forudsætning for den lokale opgaveløsning tættere på borgerne.
Boks 2.5
Forslag
1. Der skal udarbejdes én styrende og forpligtende strategi for digitalisering og data, som dækker hele
sundhedsvæsenet. Mandatet til udarbejdelsen af strategien ligger i staten, men det skal ske i tæt
samarbejde med relevante aktører, som varetager arbejdet med de digitale løsninger i sundheds-
væsenet, og de ansvarlige for driften af hele sundhedsvæsenet. Strategien skal forpligte alle parter i
sundhedsvæsenet til at arbejde mod fælles mål for den digitale transformation af sundhedsvæsenet.
Strategien skal være tæt koblet til sundhedsvæsenets behov og målsætninger for den samlede
omstilling, så digitalisering ikke bliver et mål i sig selv men et stærkt redskab til at løse sundheds-
væsenets udfordringer.
2. Der skal etableres en national planlægningskompetence for digitalisering og data i sundhedsvæsenet.
Den nationale planlægningskompetence er baseret på en lovhjemmel, så det bindende kan fastsættes,
hvilke digitale løsninger der udvikles og udbredes nationalt, og hvilke løsninger der kan udvikles
lokalt. En tydelig planlægningskompetence skal bidrage til at styrke den samlede beslutnings- og
eksekveringskraft og understøtte en mere koordineret udnyttelse af sundhedsvæsenets ressourcer
på digitaliserings- og dataområdet.
SUU, Alm.del - 2023-24 - Bilag 317: Orientering om Sundhedsstrukturkommissionens afrapportering, fra indenrigs- og sundhedsministeren
2880227_0030.png
30
1
2
3
4
3. Der skal etableres en fælles, national service- og leveranceorganisation (Digital Sundhed Danmark)
for hele sundhedsvæsenet. Organisationen får ansvar for fælles digitale løsninger, som er rettet mod
borgerne og den sundhedsfaglige opgavevaretagelse, og for en fælles digital infrastruktur på tværs
af sundhedsvæsenet. Organisationen skal samtidig understøtte innovation og samle drift af større
IT-fagsystemer, bl.a. elektroniske patientjournal- og omsorgsjournalsystemer (EPJ- og EOJ-systemer),
og digital understøttelse af det primære sundhedsvæsen. Kommissionen fremlægger ikke forslag til
den konkrete organisering af service- og leveranceorganisationen, men lægger vægt på, at den nye
organisation etableres med en tæt kobling til driften og med mulighed for, at staten kan sikre, at
organisationens arbejde udføres i sammenhæng med den overordnede nationale retning for sund-
hedsvæsenet. Digital Sundhed Danmark bør implementeres trinvist med mulighed for at udvide
organisationens opgaveportefølje over tid.
4. Finansiering af arbejdet med digitalisering og data i sundhedsvæsenet skal understøtte realiseringen
af kommissionens øvrige tre forslag til en ny organisering af arbejdet med digitalisering og data,
bl.a. for at skabe forpligtelse blandt de decentrale aktører til de fælles strategiske mål og de fælles
digitale løsninger.
I forlængelse af forslaget om en strategi for digitalisering og data (forslag 1 i boks 2.4) foreslår kommis­
sionen fem strategiske mål for den digitale transformation af sundhedsvæsenet: 1) Digitale sundhedstilbud
skal være umiddelbart tilgængelige for borgerne; 2) borgerne skal let og overskueligt kunne tilgå sundheds-
væsenet digitalt; 3) en national dataplatform og den digitale infrastruktur skal understøtte sundheds­
personalet i at samarbejde om borgerne på tværs af sundhedsvæsenet; 4) en sammenhængende og
forpligtende digital arkitektur på sundhedsområdet skal skabe rammer for udvikling og fleksibel tilpasning
til den lokale opgavehåndtering; 5) styrket koordination og samarbejde om optag og udbredelse af
innovative løsninger skal understøtte, at teknologiens potentiale til at frigøre arbejdskraft og løfte kvalitet
kan komme flere medarbejdere og borgere til gavn.
Tilpasset fordeling af ressourcer i sundhedsvæsenet
Fordelingen af ressourcer mellem det primære sundhedsvæsen og det sekundære sundhedsvæsen skal
afspejle befolkningens behov for sundhedsydelser. Mange flere borgere vil i fremtiden have gavn af at blive
behandlet i det primære sundhedsvæsen. Det kræver en tilpasset ressourcefordeling, hvor en større andel
af ressourcerne skal målrettes det primære sundhedsvæsen. Samtidig er der behov for en omstilling af
sygehusene, hvor væksten skal reduceres, og sygehusene skal have et stærkere fokus på at understøtte
udviklingen af det primære sundhedsvæsen.
Det indebærer, at de sygehusansvarlige myndigheder har et stærkt fokus på kun at tilbyde sygehusindsatser,
som har en reel sundhedsfaglig værdi for patienter. Sundhedsstyrelsen har i et notat til Sundhedsstruktur-
kommissionen peget på, at flere undersøgelser viser, at 20 pct. eller mere af sygehusaktiviteten vurderes at
være unødvendig.
Den geografiske fordeling af ressourcer og sundhedsfagligt personale skal afspejle befolkningens sundheds-
behov forskellige steder i landet. I de områder, hvor borgerne har et relativt stort behov for sundheds-
ydelser som følge af høj sygelighed, bør der også være relativt flere ressourcer til rådighed. Det er ikke
tilfældet i dag. Adgangen til sundhedstilbud er generelt bedre i de områder af landet, hvor befolkningen
som helhed er sundest, mens den er dårligere i de områder, hvor behovet for sundhedsydelser er størst.
Der er geografiske forskelle i adgangen til almenmedicinske tilbud, og der er udfordringer med at sikre
læger på sygehusene udenfor de store byer. Tiltagene til bedre fordeling af sundhedsfagligt personale på
tværs af landet og den forventede udvikling i de geografiske forskelle i sundhed og sygdomsbyrde kan
ændre på udgiftsbehovet på tværs af landet. Derfor vil der potentielt være konsekvenser for, hvordan
økonomien på sundhedsområdet skal fordeles.
SUU, Alm.del - 2023-24 - Bilag 317: Orientering om Sundhedsstrukturkommissionens afrapportering, fra indenrigs- og sundhedsministeren
2880227_0031.png
1
2
3
4
31
Sundhedsstrukturkommissionen vurderer, at den nuværende fordeling af ressourcer bidrager til en
geografisk og social ulighed i sundhed. Det er en ulighed, der risikerer at blive forstærket i de kommende
år, bl.a. som følge af udviklingen i demografien (se kapitel 11).
Boks 2.6
Anbefaling 3
Sundhedsstrukturkommissionen anbefaler, at der udarbejdes en national sundhedsplan, som skal
sætte en strategisk retning for tiltag, der sikrer tilpasning af ressourcefordelingen mellem både det
primære og sekundære sundhedsvæsen og geografisk på tværs af landet.
Formålet med anbefalingen er at sikre en mere hensigtsmæssig balance mellem det primære og det
sekundære sundhedsvæsen, som skal muliggøre den ønskede omstilling af sundhedsvæsenet, hvor
flere borgere har forløb i det primære sundhedsvæsen. Formålet er også at understøtte, at borgere
i alle dele af landet har adgang til relevante sundhedstilbud og dermed nedbringe den geografiske
og sociale ulighed i sundhed.
Boks 2.7
Forslag
1. Ressourcefordelingen mellem det primære sundhedsvæsen og sygehusene skal tilpasses. Forslaget
indebærer en styrket prioritering af det primære sundhedsvæsen, som ledsages af en tilsvarende
reduceret vækst for sygehusene. Sygehusene skal samtidig have en stærkere rolle i at understøtte
udviklingen af det primære sundhedsvæsen.
2. Fordeling af læger geografisk og på tværs af sygehuse og det primære sundhedsvæsen skal tilpasses.
Forslaget indebærer en incitamentsmodel i form af et vækstloft for sygehuslæger indenfor udvalgte
geografiske områder og eventuelt specialer, som skal understøtte, at flere læger søger mod sygehuse
udenfor de store byer.
3. Kvalitetsstandarder skal udvikles mod at kunne gå på tværs af sektorer, stille krav til samarbejde i det
primære sundhedsvæsen og styrke monitorering og eventuelt kombinere kravene med økonomiske
incitamenter.
SUU, Alm.del - 2023-24 - Bilag 317: Orientering om Sundhedsstrukturkommissionens afrapportering, fra indenrigs- og sundhedsministeren
2880227_0032.png
32
1
2
3
4
4. Styring af den lægelige videreuddannelse skal styrkes, og medicinuddannelsen skal tilpasses. Forslaget
indebærer bl.a., at uddannelseslæger skal bruge en større del af deres uddannelsesforløb udenfor
universitetshospitalerne i de større byer, og der skal være et større fokus på faglig bredde og
generalistkompetencer i speciallægeuddannelsen. Dimensioneringen af medicinuddannelsen skal
understøtte en hensigtsmæssig vækst af læger fremover, og der skal på uddannelsen være et større
fokus på de almene sundhedsindsatser.
5. Sundhedsfaglig forskning skal i højere grad målrettes sundhedstjenesteforskning med udgangspunkt
i det primære sundhedsvæsen og i mindre grad specialiserede indsatser på sygehusene. Ph.d.-forløb
skal i højere grad besættes af andre sundhedsfaglige grupper end læger.
6. Styring af det højt specialiserede sygehusområde skal ændres, så de sygehusansvarlige myndigheder
får redskaber til at sikre et balanceret ressourceforbrug på tværs af det specialiserede og almene
sygehusområde.
7. Sundhedscentre i form af fleksible og innovative tilbud skal styrke det primære sundhedsvæsen,
særligt de almenmedicinske tilbud, og skabe rammer for bedre sammenhæng og samarbejde lokalt.
Forslaget har særlig relevans i områder med langt til sygehuset.
Styrket sammenhæng og kvalitet i indsatsen for mennesker med psykiske lidelser
Psykiatrien er en væsentligt del af det samlede sundhedsvæsen. Flere af de udfordringer, som patienter
oplever i det øvrige sundhedsvæsen, gælder i høj grad også i psykiatrien. Når Sundhedsstruktur­
kommissionen har valgt at præsentere en særskilt anbefaling og forslag for psykiatrien, skyldes det,
at kommissionen ser det som en helt afgørende opgave for sundhedsvæsenet at skabe bedre rammer
for indsatsen for mennesker med psykiske lidelser.
Der er behov for, at kvaliteten af behandlingen løftes, og sammenhængen i indsatsen på tværs af sektorerne
styrkes. Samtidig er kapaciteten i både behandlingspsykiatrien, og i de kommunale indsatser udfordret.
Stadig flere efterspørger udredning og behandling for psykiske lidelser, ligesom det stigende antal ældre
vil medføre, at stadig flere udvikler demenssygdomme, som kræver samtidig behandling, pleje og hjælp i
forhold til at håndtere både somatiske og psykiske udfordringer. Herudover står den psykiske lidelse
sjældent alene, idet den ofte følges af samtidige somatiske udfordringer.
Sundhedsstrukturkommissionen vurderer, at tiltag, der kan styrke sammenhæng og kvalitet i den tvær­
gående indsats for mennesker med psykiske lidelser, har et betydeligt potentiale for at løfte sundheden og
livskvaliteten for borgere med psykiske lidelser. Samtidig vurderer kommissionen, at der er et betydeligt
potentiale i tidlige og forebyggende indsatser, som kan hjælpe borgere, inden en psykisk mistrivsel bliver
til en egentlig psykisk lidelse (se kapitel 12).
SUU, Alm.del - 2023-24 - Bilag 317: Orientering om Sundhedsstrukturkommissionens afrapportering, fra indenrigs- og sundhedsministeren
2880227_0033.png
1
2
3
4
33
Boks 2.8
Anbefaling 4
Sundhedsstrukturkommissionen anbefaler ændringer af organiseringen og samarbejdet på
psykiatriområdet, herunder at psykiatrien integreres organisatorisk med det samlede sygehusvæsen,
for at understøtte en styrket sammenhæng for den enkelte og et løft af kvaliteten i den tværgående
indsats for mennesker med psykiske lidelser.
Boks 2.9
Forslag
1. Psykiatrien skal integreres organisatorisk i det samlede sygehusvæsen. Formålet er at sikre bedre
sammenhæng for patienter med psykiske lidelser, styrke muligheden for at somatiske lidelser
opdages og behandles mere effektivt hos mennesker med psykiske lidelser, sikre nemmere adgang
til psykiatriske kompetencer for somatiske patienter og bidrage til et styrket ledelsesmæssigt fokus
og tættere samarbejde mellem psykiatrien og somatikken om forskning, kvalitetsudvikling og
kompetenceopbygning.
2. Det tværsektorielle samarbejde om borgere med psykiske lidelser skal styrkes. Forslaget involverer
krav om fasttilknyttede læger på botilbud, nationale kvalitetsstandarder for den sundhedsfaglige
indsats i socialpsykiatrien og overvejelser om tværsektorielle samarbejdsfora på psykiatriområdet.
Tiltagene skal bl.a. sikre en langt stærkere forebyggende indsats på de sociale botilbud og løfte og
ensarte kvaliteten i de sundhedsfaglige indsatser for borgere, som modtager samtidige indsatser
indenfor sundheds- og socialområdet. Samtidig skal tiltagene understøtte den ønskede udvikling
af sundhedsvæsenet, hvor flere forløb varetages i det primære sundhedsvæsen og bidrage til bedre
sammenhæng for borgeren ved at tydeliggøre ansvars- og opgavefordelingen mellem relevante
aktører.
3. Udbredelse af brugen af digitale løsninger i psykiatrien skal styrkes. Formålet er at sikre hurtigere
udbredelse og bedre udnyttelse af digitale løsninger, som kan skabe bedre tilgængelighed, sammen-
hæng og hurtigere hjælp på rette niveau. Det gælder generelt for sundhedsvæsenet. Udvikling af
digitale løsninger har dog et særligt potentiale indenfor psykiatrien, hvor de kan være med til at
afhjælpe, at en psykisk lidelse udvikler sig eller forværres og kræver mere specialiseret behandling.
SUU, Alm.del - 2023-24 - Bilag 317: Orientering om Sundhedsstrukturkommissionens afrapportering, fra indenrigs- og sundhedsministeren
2880227_0034.png
34
1
2
3
4
Forslagene skal også ses i lyset af og gennemføres i sammenhæng med igangværende og kommende
initiativer. Det omfatter bl.a. 10­årsplanen for psykiatrien og anbefalingerne i det faglige oplæg til 10­års­
planen om løbende kapacitetsopbygning, hvor både indsatsen i kommuner, på sygehusene og i det almen-
medicinske tilbud prioriteres.
Private aktører og rettigheder
I Danmark er der en lang tradition for at bruge private aktører som leverandører i dele af det offentligt
finansierede sundhedsvæsen. Sundhedsstrukturkommissionen har – i tillæg til private leverandører i det
almenmedicinske tilbud, som behandles i kapitel 9 – fokuseret på to yderligere kategorier af private aktører,
nemlig praktiserende speciallæger og private kommercielle sygehuse. Derudover har kommissionen drøftet
brugen af patientrettigheder og private sundhedsforsikringer (se kapitel 13).
Sundhedsstrukturkommissionen har diskuteret de organisatoriske rammer for de praktiserende special­
læger i lyset af den udvikling, som sundhedsvæsenet står overfor. Den samlede efterspørgsel på sundheds-
ydelser er stigende som følge af, at antallet af borgere med en eller flere sygdomme stiger. Samtidig har
en større andel af patienterne behov for behandlingsforløb, som er forankrede i det almenmedicinske
tilbud med støtte fra det sekundære sundhedsvæsen. Kommissionen bemærker, at aftalesystemet for
de praktiserende speciallæger generelt set fremstår velfungerende. Det er dog Sundhedsstruktur­
kommissionens overordnede vurdering, at den nuværende organisering af de praktiserende speciallæger
ikke i tilstrækkeligt omfang understøtter en optimal udnyttelse af de praktiserende speciallægers samlede
ressourcer.
Boks 2.10
Anbefaling 5
Sundhedsstrukturkommissionen anbefaler, at de organisatoriske rammer for de praktiserende
speciallæger tilpasses for at understøtte en effektiv brug af de samlede speciallægeressourcer i
omstillingen af sundhedsvæsenet.
SUU, Alm.del - 2023-24 - Bilag 317: Orientering om Sundhedsstrukturkommissionens afrapportering, fra indenrigs- og sundhedsministeren
2880227_0035.png
1
2
3
4
35
Boks 2.11
Forslag
1. Planlægning af det praktiserende speciallægetilbud skal ske indenfor en styrket national ramme, som
understøtter en ændret geografisk fordeling og effektiv brug af speciallægetilbuddet i det samlede
sundhedsvæsen.
2. Det lovmæssige grundlag for ledelse af samarbejde med speciallægepraksis skal styrkes, og der skal
ske en skærpelse af den ansvarlige myndigheds organisatoriske fokus på ledelse af samarbejde og
kvalitetsudvikling.
3. Der skal skabes bedre grundlag for, fx via en fælles indgang, at patienter med størst behov prioriteres
først, og der opnås en samlet set mere effektiv anvendelse af ressourcerne.
Kommissionen har gjort sig en række overvejelser om brugen af private sygehuse, sundhedsforsikringer
og patientrettigheder, men har ikke fundet anledning til at komme med anbefalinger om organisatoriske
ændringer indenfor områderne.
I drøftelsen af brugen af private sygehuse lægger kommissionen vægt på, at de sygehusansvarlige myndig-
heder fortsat skal anvende den private sygehuskapacitet strategisk, bl.a. for at understøtte sammenhæng
i patienternes forløb. Hos de sygehusansvarlige myndigheder bør der også være opmærksomhed på, at brug
af privat kapacitet ikke må medføre en sårbarhed for det offentlige sundhedsvæsen på de områder, hvor
private sygehuse varetager en forholdsvis stor del af den offentligt finansierede aktivitet.
Sundhedsstrukturkommissionen har desuden drøftet, om forsikringsselskaberne selv bør ansætte egne
læger til at visitere patienter til indsatser, der kræver lægeerklæring. Det er dog kommissionens vurdering,
at det almenmedicinske tilbud fortsat bør varetage rollen som gatekeeper, også for patienter med en
sundhedsforsikring, med henblik på at henvisning til og træk på sundhedsfaglige ressourcer sker på
sundhedsfaglig indikation. På den måde mindskes risikoen for et uhensigtsmæssigt træk på knappe
personaleressourcer i sundhedsvæsenet. Det vil dog være hensigtsmæssigt, hvis der er en dialog og et
løbende samarbejde mellem det offentlige sundhedsvæsen og forsikringsselskaberne om brugen af sund-
hedsforsikringer.
Endelig vurderer Sundhedsstrukturkommissionen, at patientrettigheder om frit valg og hurtig udredning,
behandling og genoptræning generelt udgør en positiv drivkraft i sundhedsvæsenet, som er med til at løfte
kvaliteten og forbedre patienternes oplevelser i sundhedsvæsenet. Kommissionen er dog opmærksom på,
at patientrettigheder også kan have uhensigtsmæssige konsekvenser for sundhedsvæsenet. Robustheds-
kommissionen har bl.a. peget på, at patientrettigheder kan vanskeliggøre mulighederne for at foretage
faglige skøn og prioriteringer i sundhedsvæsenet. Ved overvejelser om eventuel indførelse af nye rettig-
heder eller ved tilpasninger af eksisterende patientrettigheder bør et væsentligt hensyn være, at rettig-
hederne ikke fører til en øget prioritering af sygehussektoren på bekostning af det primære sundhedsvæsen
(se også kapitel 13).
4. Opgavesamling, forvaltningsmodeller, implementering
og økonomi
I rapportens fjerde del opstiller og vurderer kommissionen tre modeller for den fremtidige forvaltnings-
struktur i sundhedsvæsenet, som i varierende grad også berører områder, der er nærtliggende til sundheds-
området. Desuden præsenteres kommissionens anbefaling om at understøtte implementering af en reform
og en række overvejelser om de ledelsesmæssige udfordringer, som omstillingen af sundhedsvæsenet
indebærer. I rapportens fjerde del gives der også en vurdering af de økonomiske og finansieringsmæssige
konsekvenser af kommissionens samlede anbefalinger, forslag og modeller (se kapitelerne 14­17).
SUU, Alm.del - 2023-24 - Bilag 317: Orientering om Sundhedsstrukturkommissionens afrapportering, fra indenrigs- og sundhedsministeren
2880227_0036.png
36
1
2
3
4
Forvaltningsmodeller
Sundhedsstrukturkommissionen har fået til opgave at opstille og vurdere modeller for organiseringen
af fremtidens sundhedsvæsen, som understøtter et forebyggende og sammenhængende sundhedsvæsen,
præget af lighed, nærhed og en bæredygtig organisering. Sundhedsstrukturkommissionen opstiller tre
forvaltningsmodeller for sundhedsvæsenet. Kommissionen anbefaler ikke én konkret forvaltningsmodel,
men i overensstemmelse med kommissoriet afvejer kommissionen for hver af modellerne fordele og
ulemper (se kapitel 14­15).
De tre modeller adskiller sig indbyrdes i forhold til, om sundhedsvæsenet har en decentral eller en national
politisk ledelse, og i forhold til, om der sker en større samling af opgaver indenfor sundheds- og ældre-
området eller en mindre eller ingen opgavesamling.
To af de tre forvaltningsmodeller indebærer en større samling af ansvaret for opgaver indenfor sundheds-
og ældreområdet under én myndighed. Det er opgaver, hvor ansvaret i dag er fordelt på regioner og
kommuner. I den ene af de to modeller, model 1, er det politiske ansvar forankret decentralt med etablering
af sundheds- og omsorgsregioner, der ledes af regionsråd med direkte valgt politisk ledelse. I den anden
model, model 2, ligger det politiske ansvar på det nationale niveau, og der er i den model ingen decentral
politisk ledelse af sundhedsvæsenet. Rationalet i de to forvaltningsmodeller er at skabe bedre sammenhæng
i sundhedsvæsenet ved at samle det politiske ansvar for sygehuse, det almenmedicinske tilbud, den øvrige
praksissektor og en række opgaver på sundheds- og ældreområdet, som i dag bliver løst af kommunerne.
I den tredje forvaltningsmodel, model 3, sker en mindre – eller ingen – samling af de opgaver indenfor
sundheds­ og ældreområdet, som i dag er henholdsvis kommunernes og regionernes ansvar. Udgangspunk-
tet for model 3 er at styrke nærhed, bæredygtighed, lighed og sammenhæng i sundhedsvæsenet uden en
større samling af opgaver under én myndighed. Det skal ses i lyset af, at der også vil være ulemper forbun-
det med at flytte mange og tunge opgaver ud af kommunerne. Model 3 fastholder et decentralt politisk
ansvar for sundhedsvæsenet, men indebærer ændringer i regionernes politiske styreform, tiltag
til at udbygge det primære sundhedsvæsen og styrkede krav til den kommunale opgavevaretagelse på
sundhedsområdet.
SUU, Alm.del - 2023-24 - Bilag 317: Orientering om Sundhedsstrukturkommissionens afrapportering, fra indenrigs- og sundhedsministeren
2880227_0037.png
1
2
3
4
37
Kommissionen har ved opstillingen af forvaltningsmodeller lagt til grund, at der ikke bør være flere
myndighedsniveauer end de tre, der eksisterer i dag (kommuner, regioner og stat). Opstillingen af modeller
er desuden afgrænset af, at det ligger udenfor kommissoriet at forholde sig til kommunernes styreform
og geografiske afgrænsning (se kapitel 15).
I kapitel 14 opstiller og vurderer kommissionen tre niveauer af opgavesamling, der beskrives som
henholdsvis en stor opgavesamling, en mellemstor opgavesamling og en mindre opgavesamling. Som det
fremgår af anbefalingerne, ser kommissionen ikke samling af opgaveansvaret under én myndighed som den
eneste måde, hvor der kan skabes stærkere sammenhæng og omstilling i sundhedsvæsenet. Sammenhæng
ved opgavesamling har dog nogle klare fordele, som gør det vigtigt at afsøge de potentialer, der knytter
sig til en reform af opgaveansvaret. For det første giver det reel mulighed for at skabe sammenhængende
patientforløb, hvis hele patientforløbet ligger under én myndigheds ansvar, fremfor hvis det er delt mellem
to eller flere myndigheder. For det andet styrker det muligheden for at bruge ressourcerne mere effektivt –
både økonomiske, teknologiske og personalemæssige ressourcer – hvis det er samme myndighed, der har
ansvaret for sammenhængende opgaver.
Den store og den mellemstore opgavesamling knytter sig til forvaltningsmodel 1 og 2. I hovedtræk inde­
bærer den store opgavesamling, at størstedelen af det kommunale ældre- og træningsområde, kommunal
sygepleje, patientrettet forebyggelse og sygehus­ og praksissektor samles under én myndighed. I den
mellemstore opgavesamling bevarer kommunerne ansvaret for plejehjem og plejeboliger.
I kapitel 14 beskrives tilsvarende en mindre opgavesamling, som knytter sig til den tredje forvaltnings­
model, model 3. Den opgavesamling indebærer bl.a., at dele af den kommunale sygepleje, patientrettet
forebyggelse, dele af genoptræningsindsatsen og sygehus­ og praksissektor samles under én myndighed.
Derudover indgår overvejelser om, hvordan ændret regulering af hjælpemidler/behandlingsredskaber og
midlertidige pladser/akutpladser bl.a. kan understøtte bedre sammenhæng for borgerne i et sektoropdelt
sundhedsvæsen.
Sundhedsstrukturkommissionen anser den store opgavesamling for at have det største potentiale for at
understøtte sammenhæng og omstilling. Alle niveauer af opgavesamling vil dog i forskellig grad medføre
ulemper, da der samtidig skabes nye snitflader til andre dele af det kommunale område, fx indsatser på
social- og beskæftigelsesområderne, ved ændret ansvarsplacering.
Ingen model for organiseringen af sundhedsvæsenet vil fuldt ud leve op til alle væsentlige hensyn. Alle
modeller vil have indbyggede svagheder, som må afvejes i forhold til de styrker, der knytter sig til den
pågældende model. Vurderingen af modellernes fordele og ulemper sker på baggrund af de hensyn,
kommissionen opstiller i kapitel 6, og som også dækker de sigtelinjer, der er formuleret i kommissoriet.
SUU, Alm.del - 2023-24 - Bilag 317: Orientering om Sundhedsstrukturkommissionens afrapportering, fra indenrigs- og sundhedsministeren
2880227_0038.png
38
1
2
3
4
Model 1 – Regionalt enhedssundhedsvæsen med sundheds­ og omsorgsregioner
I forvaltningsmodel 1 nedlægges de nuværende regioner, og der etableres et nyt forvaltningsled i form
af 8­10 sundheds­ og omsorgsregioner. Antallet af sundheds­ og omsorgsregioner afspejler en samlet
afvejning af hensynet til nærhed til de opgaver, som sundheds- og omsorgsregionerne overtager fra
kommunerne, og hensynet til bæredygtighed i opgaveløsningen på tværs af de opgaver, som sundheds-
og omsorgsregionerne får ansvaret for. Hver sundheds­ og omsorgsregion ledes af 21­25 direkte valgte
politikere, og det foreslås, at der oprettes nærudvalg, som skal understøtte politisk og administrativ
opmærksomhed på omstilling til og udvikling af det primære sundhedsvæsen og på de lokale problemer
og behov indenfor sundheds- og omsorgsregionerne.
De nye sundheds- og omsorgsregioner får det samlede ansvar for sygehuse, almenmedicinske tilbud og
den øvrige praksissektor. Samtidig får de ansvaret for en række opgaver på sundheds­ og ældreområdet,
som i dag bliver løst af kommunerne. De nuværende regioner nedlægges, og deres sundhedsopgaver
overgår til de nye sundheds- og omsorgsregioner sammen med de opgaver, der overdrages fra kommun-
erne. De nye sundheds- og omsorgsregioner får dermed et bredt ansvar for sammenhængende opgaver
på sundheds- og ældreområdet, som i dag er delt mellem regioner og kommuner.
De eksisterende sundhedsklynger nedlægges, da de ikke er relevante i en model, der samler opgaver på
sundheds- og ældreområdet under samme myndighed.
Sundhedsstrukturkommissionen har i forhold til model 1 overvejet en variant (model 1a), hvor med­
lemmerne af regionsrådene ikke vælges ved direkte valg, men i stedet udpeges af kommunalbestyrelserne
i de kommuner, som ligger i de enkelte sundheds- og omsorgsregioner. Varianten af model 1 opstilles og
vurderes selvstændigt i kapitel 15.
Model 1
Enhedssundhedsvæsen med 8­10 sundheds­ og omsorgsregioner
Stat
8-10 sundheds- og omsorgsregioner
Nærudvalg under hvert regionsråd
98 kommuner
SUU, Alm.del - 2023-24 - Bilag 317: Orientering om Sundhedsstrukturkommissionens afrapportering, fra indenrigs- og sundhedsministeren
2880227_0039.png
1
2
3
4
39
Boks 2.12
Fordele og ulemper sammenlignet med den nuværende organisering ud fra
de centrale hensyn
Fordele sammenlignet med den nuværende organisering ud fra de centrale hensyn
Modellen tilvejebringer en reel og markant styrkelse af et entydigt politisk ansvar for en række
sammenhængende opgaver på sundheds- og ældreområdet, som i den nuværende struktur er
underlagt delt politisk ansvar.
Samlingen af en række sammenhængende opgaver i de nye sundheds- og omsorgsregioner skaber
øget klarhed om ansvarsfordelingen, bedre rammer for at skabe sammenhængende patientforløb
og stærkere tilskyndelser til at investere i omkostningseffektive og forebyggende indsatser udenfor
sygehusmatriklerne.
Modellen vil øge regionernes prioriteringsrum og dermed understøtte effektiv brug af de tilgængelige
ressourcer.
Modellen styrker den faglige bæredygtighed i det primære sundhedsvæsen, især i de områder af
landet, hvor opgaverne i dag varetages af mindre kommuner.
Etableringen af et samlet politisk ansvar for sundhedsvæsenet reducerer behovet for kompenserende
statslige styringstiltag.
Modellen fastholder en stærk demokratisk kontrol med sundhedsvæsenet, og det hensyn får større
vægt, desto flere og tungere opgaver den pågældende myndighed får ansvaret for.
Ulemper sammenlignet med den nuværende organisering ud fra de centrale hensyn
Afstanden mellem den politiske ledelse og borgerne vil blive større for så vidt angår de opgaver,
der overtages fra kommunerne.
Modellen vil reducere kommunernes prioriteringsrum på tværs af velfærdsområder, fordi en
væsentlig del af de kommunale opgaver flyttes til sundheds­ og omsorgsregionerne.
En opdeling af de nuværende fem regioner i 8-10 nye sundheds- og omsorgsregioner kan medføre
mindre faglig bæredygtighed i varetagelsen af sygehusopgaver og risiko for tab af de senere års
opnåede centraliserings- og specialiseringsgevinster i sygehussektoren.
Etableringen af flere regionale enheder end i dag kan isoleret betragtet medføre øgede geografiske
forskelle, og der vil som følge af flere patientstrømme på tværs af de nye regioner være risiko for
suboptimering i brugen af de samlede ressourcer.
Der vil være tale om en markant reform, som flytter et stort antal medarbejdere og mange ressourcer
fra kommunal ledelse til en regional ledelse med deraf afledte omstillings­ og implementerings­
omkostninger.
SUU, Alm.del - 2023-24 - Bilag 317: Orientering om Sundhedsstrukturkommissionens afrapportering, fra indenrigs- og sundhedsministeren
2880227_0040.png
40
1
2
3
4
Model 2 – Statsligt enhedssundhedsvæsen
I kommissionens anden model nedlægges regionerne, og staten overtager myndigheds- og driftsansvaret
for sygehuse, almenmedicinske tilbud og den øvrige praksissektor. Derudover får staten ansvaret for en
række opgaver på sundheds- og ældreområdet, som i dag bliver løst af kommunerne.
”Sundhed og Omsorg Danmark” er en fællesbetegnelse for det opgaveområde, som staten overtager
ansvaret for. Det politiske ansvar er placeret hos ministeren for området, som fastsætter den overordnede
strategi og udviklingsplan for sundhedsvæsenet. Der etableres en central bestyrelse og driftsorganisation
under det ansvarlige ministerium, som har det overordnede driftsansvar med ansvar for den samlede
økonomi (drift og anlæg) og centrale HR­funktion. Den daglige drift varetages af 8­10 decentrale, admini­
strative enheder med en decentral bestyrelse for hver enhed.
Model 2
Statsligt enhedssundhedsvæsen med 8­10 administrative enheder
Ministerium
Nationalt udpeget bestyrelse
Direktion
Central driftsorganisation
8-10 administrative enheder
Bestyrelse
& direktion
Bestyrelse
& direktion
Bestyrelse
& direktion
Bestyrelse
& direktion
Bestyrelse
& direktion
Bestyrelse
& direktion
Bestyrelse
& direktion
Bestyrelse
& direktion
Bestyrelse
& direktion
Bestyrelse
& direktion
98 kommuner
SUU, Alm.del - 2023-24 - Bilag 317: Orientering om Sundhedsstrukturkommissionens afrapportering, fra indenrigs- og sundhedsministeren
2880227_0041.png
1
2
3
4
41
Boks 2.13
Fordele og ulemper sammenlignet med den nuværende organisering ud fra
de centrale hensyn
Fordele sammenlignet med den nuværende organisering ud fra de centrale hensyn
Modellen tilvejebringer en reel og markant styrkelse af et entydigt politisk ansvar for en række
sammenhængende opgaver på sundheds- og ældreområdet, som i den nuværende struktur er
underlagt delt politisk ansvar.
Samlingen af en række beslægtede opgaver under samme myndighed skaber øget klarhed om
ansvarsfordelingen, bedre rammer for at skabe sammenhængende patientforløb og stærkere
incitamenter til at investere i omkostningseffektive og forebyggende indsatser udenfor sygehusenes
matrikler.
Modellen styrker den faglige bæredygtighed i det primære sundhedsvæsen, især i de områder af
landet, hvor opgaverne i dag varetages af mindre kommuner.
Modellen understøtter den samlede kvalitet i opgaveløsningen i kraft af en tættere integration af det
primære og det sekundære sundhedsvæsen.
Modellen skaber potentiale for øget geografisk lighed, fordi staten gennem et samlet arbejdsgiver­
ansvar i princippet har bedre mulighed for at flytte ressourcer derhen, hvor behovet er størst.
Modellen skaber grundlag for en styrket national beslutnings­ og eksekveringskraft, fx indenfor data
og digitalisering.
Ulemper sammenlignet med den nuværende organisering ud fra de centrale hensyn
Modellen indebærer en markant centralisering af det politiske ansvar for sygehuse og en række
opgaver på sundheds- og ældreområdet, som i dag er kommunernes eller regionernes ansvar.
Modellen indebærer etablering af et statsligt driftsområde, som i udgifter, kompleksitet og antal
medarbejdere klart overstiger alle andre statslige driftsområder. Det kan give væsentlige styrings-
udfordringer.
Der er betydelig risiko for manglende politisk kapacitet til stillingtagen til løbende prioriteringer,
reformer og tilpasninger på sundhedsområdet. Risikoen forstærkes af, at mange enkeltsager vil ende
hos den ansvarlige minister.
Modellen svækker borgernes mulighed for lokalt eller regionalt at øve indflydelse på opgavevare­
tagelsen på sundheds- og ældreområdet, og modellen forringer mulighederne for at tilpasse opgave-
løsningen til lokale forskelle i borgernes ønsker og behov.
En stor statslig sundhedsforvaltning giver risiko for interne forvaltningsmæssige barrierer, der kan
minde om de nuværende sektorgrænser, og risiko for stor ledelseskompleksitet og lange beslutnings-
veje og en deraf afledt svækket politisk kontrol med forvaltningen.
Det er en udfordring for det nuværende sundhedsvæsen, at fem regioner skal koordinere med i alt
98 kommuner. Udfordringen bliver ikke mindre, hvis én statslig myndighed skal koordinere med
98 kommuner.
SUU, Alm.del - 2023-24 - Bilag 317: Orientering om Sundhedsstrukturkommissionens afrapportering, fra indenrigs- og sundhedsministeren
2880227_0042.png
42
1
2
3
4
Model 3 – Sundhedsregioner
I kommissionens tredje model tages der udgangspunkt i den nuværende opgavefordeling indenfor sund-
heds- og ældreområdet. Det vil sige, at regionerne fortsat har ansvaret for sygehuse og praksissektoren,
og kommunerne har fortsat ansvaret for deres nuværende opgaver på sundheds- og ældreområdet.
I modellen kan der ske en mindre samling af opgaver på sundheds- og ældreområdet, men modellen bygger
på et rationale om en væsentlig mindre opgavesamling sammenlignet med model 1 og 2. Modellen inde­
holder til gengæld en række andre forslag, som skal understøtte bedre sammenhæng for borgerne og
styrke en omstilling af sundhedsvæsenet.
Modellen indebærer bl.a., at en del af regionernes økonomi målrettes indsatser i det primære sundheds-
væsen. Formålet er at sikre et øget regionalt fokus på en ændret opgaveløsning, hvor en større del af
opgaveløsningen sker i det primære sundhedsvæsen fremfor på sygehusene. Modellen indeholder også et
forslag, der skal styrke kommunernes incitament til at prioritere effektive forebyggelses- og plejeindsatser
til gavn for borgerne.
Herudover indeholder modellen forslag om styrkede statslige krav til den kommunale opgavevaretagelse
på sundhedsområdet. Desuden indebærer modellen en grundlæggende forandring af de nuværende
sundhedsklynger og forslag til ændringer af regionernes politiske styreform med bl.a. oprettelse af
geografisk forankrede nærudvalg.
Hvad angår antallet af sundhedsregioner, indeholder modellen to varianter: En variant, hvor antallet af
regioner reduceres fra de nuværende fem til tre regioner, og en variant, hvor de nuværende fem regioner
bevares. Der er både hensyn, der taler for en variant med tre regioner, og hensyn, der taler for en variant
med de nuværende fem regioner.
Modellen skal desuden ses i sammenhæng med de af kommissionens anbefalinger, som er uafhængige
af forvaltningsstrukturen (se kapitlerne 9­13).
Model 3
Sundhedsregioner
Stat
3-5 sundhedsregioner
Nærudvalg under hvert regionsråd
98 kommuner
SUU, Alm.del - 2023-24 - Bilag 317: Orientering om Sundhedsstrukturkommissionens afrapportering, fra indenrigs- og sundhedsministeren
2880227_0043.png
1
2
3
4
43
Boks 2.14
Fordele og ulemper sammenlignet med den nuværende organisering ud fra
de centrale hensyn
Fordele sammenlignet med den nuværende organisering ud fra de centrale hensyn
Modellen indeholder en række nye styringstiltag, som understøtter opbygning og udvikling af det
primære sundhedsvæsen.
Den nationale målretning af midler til det primære sundhedsvæsen udgør et betydeligt økonomisk
løft i form af varige midler, som skal udmøntes årligt. Sammenlignet med i dag vil regionerne få et
stærkere incitament til at prioritere indsatser i det primære sundhedsvæsen, som kan reducere
behovet for sygehusaktivitet.
Styrkede statslige krav til den kommunale opgavevaretagelse, bl.a. med indførelse af et resultat-
afhængigt tilskud for kommunerne, vurderes at kunne medvirke til øget politisk opmærksomhed
på sundheds- og ældreområdet i kommunerne og generelt større og mere ensartet kvalitet på tværs
af landet.
Oprettelsen af nærudvalg i de nye sundhedsregioner vurderes at styrke grundlaget for tværsektorielt
samarbejde, fx om sammenhængende indsatser for borgere.
Modellen sigter på at udvikle sundhedsvæsenet uden at ændre grundlæggende ved den nuværende
opgave- og ansvarsfordeling, og den indebærer derfor begrænsede omstillings- og implementerings-
omkostninger.
Varianten med tre regioner giver øget faglig bæredygtighed i forhold til sygehusdrift.
Ulemper sammenlignet med den nuværende organisering ud fra de centrale hensyn
Det foreslåede styringstiltag om målretning af midler til det primære sundhedsvæsen indebærer en
risiko for, at kommunerne sammenlignet med i dag har svagere tilskyndelse til at prioritere indsatser
på sundheds- og ældreområdet. Risikoen forsøges imødegået ved at indføre et særskilt resultat-
afhængigt tilskud for kommunerne og ved en udvidet kvalitetsplan og forpligtende kvalitets-
standarder.
Sammenlignet med den nuværende styring og organisering forudsætter det foreslåede styringstiltag
om målretning af midler til det primære sundhedsvæsen et øget behov for løbende at forhandle og
indgå aftaler på tværs af myndigheder.
Modellen indebærer en stærkere statslig styring af særligt den kommunale opgavevaretagelse på
sundheds- og ældreområdet og dermed i udgangspunktet et reduceret prioriteringsrum for
kommunerne.
I modellen vil der fortsat være behov for en række kompenserende statslige styringstiltag for at
sikre det nødvendige tempo og den nødvendige fremdrift i omstillingen af sundhedsvæsenet.
Boks 2.15
Sammenligning af de tre modeller ud fra de centrale hensyn
Model 1 – Regionalt enhedssundhedsvæsen med sundheds­ og omsorgsregioner
Model 1 har den væsentlige fordel, at den skaber et enhedssundhedsvæsen, hvor der er en klar politisk
ansvarsfordeling, og hvor der skabes gode betingelser for at give patienten et sammenhængende
behandlingsforløb. Det er også den model, der indeholder de stærkeste tilskyndelser til at investere i de
primære sundhedsopgaver, som ligger udenfor sygehusene, og som vil kunne understøtte, at der kan ske
en løbende udvikling og tilpasning af opgaveløsningen mellem faggrupper, som i dag er adskilte på tværs
af sektorer. Det er dermed også den model, der på sigt vurderes at have størst potentiale for at realisere
den ønskede omstilling af sundhedsvæsenet og dermed gavne de patienter, som bør håndteres udenfor
sygehusene.
SUU, Alm.del - 2023-24 - Bilag 317: Orientering om Sundhedsstrukturkommissionens afrapportering, fra indenrigs- og sundhedsministeren
2880227_0044.png
44
1
2
3
4
Sammenlignet med de øvrige modeller indebærer model 1 en ulempe i styringen af det specialiserede
sygehusvæsen, da sygehusdriften skal forvaltes af flere, mindre regionale enheder end i dag. Det kan
reducere den faglige bæredygtighed på sygehusområdet. Ved direkte valg til de nye sundheds- og
omsorgsregioner vil den demokratiske kontrol være høj i modellen, imens den politiske nærhed til
de opgaver, der tidligere blev løst i kommunerne, vil blive svækket. Model 1 indebærer betydelige
omstillings- og implementeringsomkostninger, fordi der skal oprettes nye regionale enheder og et stort
antal medarbejdere, både på tværs af regioner og på tværs af regioner og kommuner, vil skifte ledelse
og flytte arbejdssted. Dertil kommer afledte konsekvenser for kommunernes økonomi og prioriterings-
rum.
Model 2 – Statsligt enhedssundhedsvæsen
Model 2 skaber ligesom model 1 et enhedssundhedsvæsen. I model 2 forankres det øverste politiske
ansvar for driften af sundhedsvæsenet hos den ansvarlige minister. Det vil på den ene side skabe en klar
ansvarsfordeling, incitamenter til sammenhæng i patientforløb og tilskyndelser til at investere i indsatser
udenfor sygehusene, som særligt vil gavne de patienter, der bør håndteres udenfor sygehusene. Det er
dog kommissionens vurdering, at potentialet for sammenhængende patientforløb og omstilling reelt er
svagere i model 2 end i model 1, da der i et statsligt sundhedsvæsen vil være større politisk afstand til
de indsatser, som skal investeres og udbygges lokalt. På digitaliseringsområdet og i forhold til den
geografiske omfordeling af ressourcer, bl.a. fordeling af lægeressourcer til de områder af landet, hvor
der er størst behov, er det kommissionens vurdering, at det entydige arbejdsgiveransvar i model 2 gør,
at modellen på de dimensioner fremstår stærkest af de tre modeller. Omvendt vurderes modellen at have
væsentlige svagheder, når det gælder udgiftsstyring og løbende tilpasninger og reformer af sundheds-
væsenet. Her kan det entydige driftsansvar hos den ansvarlige minister svække det nationale politiske
niveaus evne og vilje til at gennemføre svære men nødvendige reformer og omstillinger.
Modellen vurderes at stå svagere end model 1 og 3 i forhold til at sikre nærhed og demokratisk for-
ankring i opgaveløsningen, fordi model 2 vil indebære, at det på grund af kapacitetsproblemer og
flaskehalse på det nationale politiske niveau reelt vil være udpegede bestyrelser, som varetager ledelsen
af den store og vigtige velfærdsopgave, som sundhedsvæsenet udgør.
Model 3 – Sundhedsregioner
Model 3 står stærkt i forhold til styring af sygehusvæsenet, hvor både en variant med tre eller fem
regioner vil omfatte enheder med en høj selvforsyningsgrad. Varianten med tre regioner vurderes at
være den, der har det bedste potentiale i forhold til sygehusdrift og fordeling af ressourcer til de områder,
hvor der i dag er færrest lægelige ressourcer. Det vil gavne de patienter, der i dag har lang afstand til
lægen. Dog kan varianten med tre regioner samtidig svække den relative demokratiske repræsentation
for de nuværende mindre regioner. Varianten med fem regioner vil skulle sikre en bedre ressource-
fordeling i kraft af de tværgående anbefalinger om tilpasset fordeling af ressourcerne i sundhedsvæsenet
(se kapitel 11).
Den væsentlige ulempe ved model 3, uanset variant, er, at den på trods af en eventuel mindre opgave-
samling er den model, hvor ansvaret for opgaver på sundheds- og ældreområdet stadig vil være mest
delt på tværs af regioner og kommuner. Derfor vurderes modellen, i sammenligning med model 1 og 2,
at have svagere tilskyndelser til at sikre sammenhæng i patientforløb og til at sikre en investering og
omstilling til det primære sundhedsvæsen. Et fortsat sektoropdelt sundhedsvæsen vurderes også at
udgøre en barriere for en løbende nødvendig tilpasning af opgavefordelingen mellem faggrupper, bl.a.
mellem læger og sygeplejersker. En række styringstiltag i model 3 skal kompensere for det og understøtte
sammenhæng, men modellen forudsætter under alle omstændigheder et betydeligt fokus i sundhedsre-
gionerne på at omstille sygehusene og prioritere en udvikling af det primære sundhedsvæsen, herunder
det almenmedicinske tilbud.
Derudover vurderes model 3 at give gode muligheder for en effektiv styring af udgifterne til sundheds­
væsenet, og den indebærer, sammenlignet med model 1 og 2, langt færre omstillings- og implemente-
ringsomkostninger. Ses der bort fra en mindre opgavesamling og en eventuel reduktion fra fem til tre
regioner, kan de nye styringstiltag iværksættes umiddelbart.
SUU, Alm.del - 2023-24 - Bilag 317: Orientering om Sundhedsstrukturkommissionens afrapportering, fra indenrigs- og sundhedsministeren
2880227_0045.png
1
2
3
4
45
Sundhedsstrukturkommissionen har indenfor model 3 overvejet alternative modeller med ingen eller
mindre opgavesamling. Kommissionen har overvejet en model med national politisk ledelse i et sundheds-
væsen, hvor der ikke sker en væsentlig opgavesamling. En sådan model vil i hovedtræk indebære, at de
nuværende regioner bliver nedlagt, og deres opgaver flyttes til staten. Det betyder, at staten får ansvaret
for sygehus- og praksissektoren, imens kommunerne fastholder deres nuværende opgaver på sundheds-
og ældreområdet. Det er kommissionens vurdering, at en sådan model, sammenlignet med den nuværende
organisering af sundhedsvæsenet, ikke vil understøtte et mere nært, sammenhængende og forebyggende
sundhedsvæsen. Derfor har kommissionen ikke medtaget den model.
Desuden har Sundhedsstrukturkommissionen overvejet en model, hvor medlemmerne af regionsrådet
udpeges af kommunalbestyrelserne i det scenarie, hvor kommunerne fastholder deres nuværende opgaver.
Dog vurderer kommissionen, at den variant vil indebære en betydelig risiko for, at de kommunalt udpegede
repræsentanter vil søge at tilgodese deres egen kommunes interesse, og kommunerne vil underinvestere
i de opgaver, der er nært beslægtede med de opgaver, som er under regionernes ansvar, og derfor vil
varianten ikke styrke nærhed og sammenhæng sammenlignet med den organisering, der gælder i dag.
Derfor har kommissionen ikke medtaget modellen.
Ledelse og implementering af omstillingen af sundhedsvæsenet
Der er en stor ledelsesopgave forbundet med at omstille og fremtidssikre sundhedsvæsenet. Ledelser på
alle niveauer skal sikre prioritering af det primære sundhedsvæsen og sætte skub i den digitale omstilling.
Tre tværgående ledelsesopgaver er afgørende i omstillingsprocessen. For det første skal politisk lederskab
mobilisere tilslutning til en reform og bakke ledere og medarbejdere op i at gennemføre reformen og
bidrage til reformens bæredygtighed. For det andet kræver det enorm ledelseskraft at bevare et vedvarende
fokus på omstillingen og styrkelsen af det primære sundhedsvæsen. For det tredje er der en strategisk
ledelsesopgave i at balancere og prioritere mellem udfordringer på kort og lang sigt i en periode, hvor der
er kortsigtede omkostninger udløst af omstillingen, samtidig med at der skal arbejdes for de langsigtede
mål for sundhedsvæsenet.
Sundhedsstrukturkommissionens anbefalinger, forslag og modeller vil indebære ændrede rammer for
lederne i sundhedsvæsenet som følge af de organisatoriske forandringer. De organisatoriske forandringer
er ikke tilstrækkelige til at sikre den nødvendige udvikling og omstilling af sundhedsvæsenet. Hvis de
organisatoriske forandringer skal føre til reelle forbedringer i de sundhedstilbud, som gives til borgerne,
skal de føre til forandringer i den måde, der arbejdes og samarbejdes på i sundhedsvæsenet, og det kræver
dedikeret ledelse på alle niveauer af ledelseskæden (se kapitel 16).
SUU, Alm.del - 2023-24 - Bilag 317: Orientering om Sundhedsstrukturkommissionens afrapportering, fra indenrigs- og sundhedsministeren
2880227_0046.png
46
1
2
3
4
Boks 2.16
Anbefaling 6
Sundhedsstrukturkommissionen anbefaler, at der på baggrund af de politiske beslutninger om den
fremtidige struktur for sundhedsområdet oprettes et reformsekretariat under indenrigs- og sund-
hedsministeren, som med afsæt i en national implementeringsplan følger implementeringen af de
enkelte initiativer og understøtter den decentrale implementering. En national implementeringsplan
skal indeholde ambitiøse mål, tydeliggøre implementeringsansvaret hos relevante aktører og
opstille tidsrammer for implementeringen af de forskellige dele af reformen af sundhedsvæsenet.
Økonomi og finansiering
Sundhedsstrukturkommissionens anbefalinger, forslag og modeller har alle som sigte, at de skal understøtte
en bedre brug af de ressourcer, der prioriteres til sundhedsområdet, både økonomiske ressourcer og
personaleressourcer.
Kommissionen har i sine overvejelser lagt vægt på, at den ønskede udbygning af det primære sundheds-
væsen skal ske gennem en modsvarende mindre vækst på sygehusområdet. Det fordrer en tæt integration
af ansvaret for udbygning af det primære sundhedsvæsen med ansvaret for tilpasning af sygehusvæksten.
Samtidig bør tiltag til en mere hensigtsmæssig fordeling af ressourcer medvirke til, at der flyttes ressourcer
fra større byområder til de områder, der mangler ressourcer, så den ændrede fordeling realiseres inden for
de samlede forudsatte økonomiske rammer for sundhedsvæsenet i de kommende år.
Kommissionen vurderer, at der på kort sigt kan være grund til at prioritere konkrete investeringer i opbyg-
ningen af det primære sundhedsvæsen i form af en styrket udbredelse af nye digitale løsninger, etablering
af en national dataplatform, og etableringen af lokale ”sundhedscentre”, der danner en sundhedsfaglig
ramme om lokale sundheds- og plejeindsatser. Kommissionen peger på de prioriteter i forbindelse med
en prioritering af de tidligere afsatte midler til nærhospitaler (3,5 mia. kr. frem til 2030). Derudover har
kommissionen noteret, at den nuværende regering har varslet en ny sundhedsfond. Foruden fokus på
vedligeholdelse og modernisering af sygehuse, omfatter fondens fokus også teknologi og digitalisering,
som reducerer arbejdskraftsudfordringen, og nem og lige adgang til forebyggelse og sygdomsbehandling,
vel at mærke i sammenhæng med udfasningen af de nuværende kvalitetsfondsinvesteringer i nye sygehuse.
SUU, Alm.del - 2023-24 - Bilag 317: Orientering om Sundhedsstrukturkommissionens afrapportering, fra indenrigs- og sundhedsministeren
2880227_0047.png
1
2
3
4
47
Sundhedsstrukturkommissionens anbefalinger, forslag og modeller er fremlagt indenfor kommissoriets
forudsætning om samlet udgiftsneutralitet og indebærer dermed ikke varige merudgifter samlet set for
sundhedsområdet og de nærliggende opgaver (se kapitel 17).
SUU, Alm.del - 2023-24 - Bilag 317: Orientering om Sundhedsstrukturkommissionens afrapportering, fra indenrigs- og sundhedsministeren
2880227_0048.png
48
1
2
3
4
SUU, Alm.del - 2023-24 - Bilag 317: Orientering om Sundhedsstrukturkommissionens afrapportering, fra indenrigs- og sundhedsministeren
2880227_0049.png
1
2
3
4
49
SUU, Alm.del - 2023-24 - Bilag 317: Orientering om Sundhedsstrukturkommissionens afrapportering, fra indenrigs- og sundhedsministeren
2880227_0050.png
50
1
2
3
4
Del 1 - Status, udfordringer og pejlemærker for sundhedsvæsenet
1
Del 1
Status, udfordringer
og pejlemærker for
sundhedsvæsenet
I rapportens første del kortlægges beslutninger og udviklingstræk, som har været med til
at forme sundhedsvæsenet gennem årene. Herudover beskrives status og udfordringer
for sundhedsvæsenet i dag og de pejlemærker, som Sundhedsstrukturkommissionen har
valgt at fokusere på i fremtidssikringen af sundhedsvæsenet.
I kapitel 3 præsenteres udviklingslinjer, som har haft betydning for den organisatoriske
udvikling af det danske sundhedsvæsen. Kapitlet belyser baggrunden for det nuværende
sundhedsvæsen.
I kapitel 4 præsenteres status og udfordringer for sundhedsvæsenet i dag. Kapitlet
belyser de rammevilkår og udfordringer, der er for sundhedsvæsenet.
I kapitel 5 præsenteres tre pejlemærker, som kommissionen anser for særligt vigtige for
udviklingen af det danske sundhedsvæsen.
SUU, Alm.del - 2023-24 - Bilag 317: Orientering om Sundhedsstrukturkommissionens afrapportering, fra indenrigs- og sundhedsministeren
2880227_0051.png
1
2
3
4
Del 1 - Status, udfordringer og pejlemærker for sundhedsvæsenet
51
Kapitel 3: Udviklingslinjer i
organiseringen af det danske
sundhedsvæsen
Den nuværende organisering af sundhedsvæsenet er resultatet af en række tidligere reformer og løbende
ændringer i organiseringen.
Strukturerne i sundhedsvæsenet er bl.a. blevet formet af kommunalreformen i 1970 og strukturreformen i
2007. Ved begge reformer blev de politisk­administrative enheder i sundhedsvæsenet reducerede ud fra et
rationale om, at fagligt bæredygtige enheder hænger sammen med befolkningsgrundlaget – et rationale som
forsat er gældende i sundhedsvæsenet i dag.
Kommunerne har gennem årene fået flere og mere komplekse opgaver, og balancen mellem det primære og
det sekundære sundhedsvæsen har været en del af den sundhedspolitiske dagsorden siden 1970’erne.
Herudover har integrationen af de alment praktiserende læger i det samlede sundhedsvæsen længe været
diskuteret.
Det er nogle af de udviklingstræk, der har været med til at forme sundhedsvæsenet, og som vil blive
beskrevet i det følgende.
Fra 25 amter og 1.098 kommuner til fem regioner
og 98 kommuner
Grundstrukturen i dagens sundhedsvæsen er i særlig grad formet af kommunalreformen i 1970 og struktur-
reformen i 2007.
Omdrejningspunktet for begge reformer var spørgsmålet om antallet af politisk-administrative enheder og
dermed også spørgsmålet om, hvor stort et befolkningsgrundlag, der skulle til for, at enhederne kunne
varetage deres funktioner på en bæredygtig måde.
I forhold til sundhedsområdet blev vurderingen af befolkningsgrundlaget især baseret på princippet
om ”øvelse gør mester”. Princippet betyder, at en læge eller et sundhedsprofessionelt team skal behandle et
vist antal patienter pr. år for at give patienterne den bedste behandling og samtidig opnå den nødvendige
erfaring og kvalitet. Det har medført færre enheder og dermed et stigende befolkningsgrundlag. På den
måde er udviklingen gået mod større enheder i sundhedsvæsenet.
Boks 3.1
Tidslinje med nedslag: Fra 25 amter og 1.098 kommuner til fem regioner og 98 kommuner
1970:
Ved kommunalreformen bliver antallet af amter reduceret fra 25 til 14, og antallet af
kommuner bliver reduceret fra 1.098 til 275.
2007:
Ved strukturreformen bliver de 14 amter erstattet af fem regioner, og antallet
af kommuner bliver reduceret fra 271 til 98 kommuner.
SUU, Alm.del - 2023-24 - Bilag 317: Orientering om Sundhedsstrukturkommissionens afrapportering, fra indenrigs- og sundhedsministeren
2880227_0052.png
52
1
2
3
4
Del 1 - Status, udfordringer og pejlemærker for sundhedsvæsenet
Kommunalreformen i 1970
Med kommunalreformen i 1970 blev antallet af amter reduceret fra 25 til 14, og antallet af kommuner blev
reduceret fra 1.098 til 275. Københavns Kommune og Frederiksberg Kommune fik, ud over de almindelige
kommunale opgaver, sundhedsopgaver svarende til amterne.
Vurderingen var, at amterne skulle have 250.000­300.000 indbyggere, før der blev et tilstrækkeligt grundlag
for et fuldt udbygget centralsygehus. Et centralsygehus var et sygehus med en række specialafdelinger, som
optog patienter fra et større område typisk et amt.
I forhold til kommunerne var vurderingen, at hvis en kommune skulle kunne levere en effektiv service til
sine indbyggere, skulle den ikke have færre end 5.000­6.000 indbyggere. Dengang blev 5.000­6.000 ind­
byggere anset som et tilstrækkeligt grundlag for at kunne drive et alderdomshjem og en skole i kommunen.
Udover en række andre områder fik amterne hovedansvaret for sundhedsopgaven, det vil sige sygehuse
og praksissektoren. Sygekassesystemet blev nedlagt i 1973, hvor kommunerne bl.a. overtog ansvaret for
sundhedsplejen, hjemmesygepleje, skole­ og ungdomstandpleje og ældreomsorg. I 1976 overtog amterne
de statslige psykiatrihospitaler. Fra 1970 til 1980 blev ansvaret for de resterende stats­ og statsfinansierede
sygehuse overdraget til amterne med undtagelse af Rigshospitalet.
Strukturreformen i 2007
Med strukturreformen i 2007 blev der dannet fem regioner, og de 14 amter blev nedlagt. Argumentet var,
at flere af de daværende amter isoleret set var for små til at sikre et tilstrækkeligt patientunderlag for de
enkelte specialer og akutfunktioner. Hensynene understøttede et argument om, at der minimum skulle
være 500.000 indbyggere i en region. Strukturkommissionen anbefalede mindst tre og højest otte regioner.
Det afgørende kriterium var hensynet til sygehusvæsenet.
Strukturreformen havde også betydning for det kommunale landkort. Antallet af kommuner blev reduceret
til 98 større kommuner med et befolkningsunderlag på minimum 20.000 med undtagelse af ø­kommuner
og enkelte kommuner i hovedstadsområdet. Ændringen i antallet af kommuner var ikke primært drevet af
hensynet til de kommunale sundhedsopgaver.
Foruden ændringer i den organisatoriske struktur medførte strukturreformen en ny fordeling af opgaverne
mellem kommuner, regioner og staten ledsaget af en ny finansierings­ og udligningsreform. I modsætning til
amterne måtte regionerne ikke udskrive skat. I stedet skulle finansieringen ske via statslige bloktilskud.
Kommunerne havde forsat ret til skatteudskrivning.
Med strukturreformen overtog regionerne hovedparten af sundhedsopgaverne fra de tidligere amter.
Kommunerne overtog enkelte sundhedsopgaver fra de tidligere amter. Det var genoptræning efter
udskrivelse fra sygehus, forebyggelse, hvor ansvaret for den patientrettede forebyggelse deles med
regionerne, og misbrugsområdet. Kommunerne fik ansvaret for de opgaver ud fra en betragtning om, at
disse sundhedsopgaver varetages mest hensigtsmæssigt i borgerens nærmiljø og i sammenhæng med andre
områder såsom beskæftigelsesindsatsen.
”Øvelse gør mester” – sygehusopgaver samles og specialiseres
Hensynet til sygehusvæsenet har spillet en afgørende rolle for de to reformer i 1970 og 2007. Befolknings-
underlag og princippet om ”øvelse gør mester” har over årene understøttet en stigende specialisering og
centralisering til gavn for patienterne fx indenfor kræftbehandling.
I 1927 var der 167 sygehuse i Danmark. I 1978 var antallet af sygehuse reduceret til 104. Reduktionen
fortsatte de følgende år, og i 2002 var der 52 sygehuse, og i 2022 var der 21 akutsygehuse og 15 special­
sygehuse uden akutmodtagelse. Samtidig er sygehusene gradvist blevet bygningsmæssigt større og mere
udstyrsmæssigt intensive. Sideløbende har der været faldende sengetal, vedvarende fald i liggetiden og
udbygning af den ambulante aktivitet.
SUU, Alm.del - 2023-24 - Bilag 317: Orientering om Sundhedsstrukturkommissionens afrapportering, fra indenrigs- og sundhedsministeren
2880227_0053.png
1
2
3
4
Del 1 - Status, udfordringer og pejlemærker for sundhedsvæsenet
53
De underliggende drivkræfter har været den medicinske udvikling med stadig flere lægefaglige specialer. I
1950 var der 19 specialer. I 2023 var der 39 specialer. I nyere tid er der ikke sket større ændringer i antallet
af lægefaglige specialer. I 2017 blev akutmedicin oprettet som et selvstændigt speciale, men der er også sket
en sammenlægning af specialer, fx socialmedicin som nu hører under samfundsmedicin. Udviklingen med
flere lægelige specialer og dermed specialiseringen i sundhedsvæsenet stiller krav til befolkningsunderla-
get, hvis den faglige bæredygtighed og kvalitet skal opretholdes.
Boks 3.2
Tidslinje med nedslag: ”Øvelse gør mester”– sygehusopgaver samles og specialiseres
1930­1970:
Centralsygehuse er omdrejningspunktet i sygehusvæsenet. Hvert amt har typisk
ét centralsygehus.
1970:
Centralsygehuse erstattes af tanken om amtsligt hovedsygehus, hvor man samler
specialer, der kun findes ét sted i amtet.
1996:
Funktionsbærende enheder introdueres og indebærer, at det kirurgiske område bliver
opfattet som ét samlet område på tværs af sygehusene i et amt.
2005:
Sundhedsstyrelsen får beføjelser til at fastsætte specialfunktioner i sygehusvæsenet
og godkende deres placering på sygehusene i landet.
2007:
Sundhedsstyrelsen udgiver rapporten ”Styrket – planlægningsgrundlag for det regionale
sundhedsvæsen”, der danner grundlag for den første specialeplanlægning og regionernes
sygehusplaner og dermed får rammesættende betydning for nutidens sygehusstruktur.
2008:
Der afsættes knap 25 mia. kr. i en kvalitetsfond til sygehusbyggeri.
2010:
Sundhedsstyrelsen udgiver den første specialeplan.
Centralsygehuse og funktionsbærende enheder
I perioden fra 1930 til kommunalreformen i 1970 var omdrejningspunktet centralsygehuse. Hvert amt
havde typisk et, måske to centralsygehuse, der også fungerede som lokalsygehus i det pågældende område.
Centralsygehuse skulle være opdelt i mindst én medicinsk afdeling, én kirurgisk afdeling, én røntgenafde-
ling og have et laboratorium.
Med kommunalreformen i 1970 blev centralsygehuset erstattet af tanken om et amtsligt hovedsygehus,
hvor man samlede de specialer, der kun var ét sted i amtet, fx pædiatri, øjne og øre­næse­hals. Igen var
rationalet baseret på det nødvendige befolkningsunderlag for et nogenlunde selvbærende sygehusvæsen
på såkaldt udvidet basis- eller normalsygehusniveau, hvor det forventedes, at man lokalt i amtet kunne
behandle 90 til 95 pct. af de forekommende sygdomstilfælde.
6
Den funktionsbærende enhed blev født i 1996. I en statusrapport fra Dansk Kirurgisk Selskab blev det
anbefalet, at der burde etableres kirurgiske amtsenheder med et optageområde på 200.000­250.000
indbyggere for dermed at sikre det tilstrækkelige antal patienter til at kunne opretholde kompetencen
i de kirurgiske indgreb. Det vil sige, at det kirurgiske område blev opfattet som ét område på tværs af
sygehusene i et amt.
6
Pedersen, Kjeld Møller. ”Dansk sundhedspolitik”. 1. udgave, 1. oplag. København: Munksgaard, 2018.
SUU, Alm.del - 2023-24 - Bilag 317: Orientering om Sundhedsstrukturkommissionens afrapportering, fra indenrigs- og sundhedsministeren
2880227_0054.png
54
1
2
3
4
Del 1 - Status, udfordringer og pejlemærker for sundhedsvæsenet
Etablering af funktionsbærende enheder blev et tema i økonomiaftalen for 2000 mellem den daværende
regering og Amtsrådsforeningen. Det betød, at amterne skulle udarbejde nye sygehusplaner. Konstruk­
tionen blev til ud fra et ønske om at sikre en ny arbejdsdeling mellem små og store sygehuse.
Akutsygehuse med fælles akutmodtagelse
De politiske partier bag sundhedsloven i 2005 var enige om, at hvis den faglige kvalitet og hensynet til
nærhed stod i modstrid med hinanden, skulle faglig kvalitet vægtes højere end nærhed til indsatsen. Det
kom også til udtryk i fire principper for sygehusplanlægning, som blev aftalt i 2006, og som supplerede
lovgrundlaget.
7
Med sundhedsloven fra 2005 fik Sundhedsstyrelsen beføjelser til at fastsætte specialfunktioner i sygehus-
væsenet og godkende deres placering på sygehusene rundt om i landet og på den måde foretage national
specialeplanlægning. Derudover blev regionerne forpligtede til at indhente rådgivning hos Sundheds­
styrelsen om udarbejdning af sundhedsplaner, bl.a. akut- og sygehusplaner, psykiatriplaner, fødeplaner mm.
Som grundlag for en gennemgang af specialerne og fastlæggelsen af den første specialeplan udgav
Sundhedsstyrelsen i 2007 rapporten ”Styrket akutberedskab – planlægningsgrundlag for det regionale
sundhedsvæsen” ud fra en forventning om, at ændringer i tilrettelæggelsen af det akutte beredskab ville
påvirke de fleste specialer og de fysiske rammer.
Anbefalingerne fik rammesættende betydning for hovedfunktionsniveauet i den nuværende sygehus­
struktur. De blev grundlaget for, at de nye regioner udarbejdede nye sygehusplaner.
8,9
Sundhedsstyrelsen
vurderede bl.a., at befolkningsunderlaget for en fælles akutmodtagelse var 200.000­400.000 indbyggere
med forbehold for henholdsvis tæt befolkede og tyndt befolkede områder. Som konsekvens ville der
maksimalt være plads til godt 25 akutsygehuse imod ca. 40 i 2007. Det endte med at blive 21.
Med anbefalingerne for et styrket akutberedskab i 2007 blev det også anbefalet, hvilke lægefaglige specialer
der burde være repræsenterede i den fælles akutmodtagelse. Herudover vurderede Sundhedsstyrelsen, at
en konsekvens af en reduktion i antallet af sygehuse med akutmodtagelser var en styrket præhospital
indsats på grund af øgede afstande mellem akutmodtagelserne.
10
Med Sundhedsstyrelsens rapport var den ene af hjørnestenene til nutidens sygehusvæsen lagt. En anden
hjørnesten var de nye sygehusplaner, som regionerne udarbejdede, og hvor akutsygehusenes placering
blev fastlagt. Sygehusplanerne blev udarbejdet med udgangspunkt i Sundhedsstyrelsens anbefalinger og
indsendt til Sundhedsstyrelsen. Tilsvarende tog et ekspertpanel udgangspunkt i rapportens anbefalinger i
deres vurdering af behovet for og placeringen af de nye større akutsygehuse. En tredje hjørnesten i udvik-
lingen af nutidens sygehusvæsen var finansiering gennem kvalitetsfondsbyggerierne.
7
8
9
10
VIVE, Betina Højgaard, Jakob Kjellberg og Mickael Bech. ”Den statslige styring af det regionale sundhedsområde: analyse af centrale
instrumenter”. VIVE – Det nationale Forsknings- og Analysecenter for Velfærd, 2018.
Pedersen, Kjeld Møller. ”Dansk sundhedspolitik”. 1. udgave, 1. oplag. København: Munksgaard, 2018.
Pedersen, Kjeld Møller. ”Sundhedspolitik: beslutningsgrundlag, beslutningstagen og beslutninger i sundhedsvæsenet”. Odense: Syddansk
Universitetsforlag, 2005.
Sundhedsstyrelsen. ”Styrket akutberedskab - planlægningsgrundlag for det regionale sundhedsvæsen”. 2007.
SUU, Alm.del - 2023-24 - Bilag 317: Orientering om Sundhedsstrukturkommissionens afrapportering, fra indenrigs- og sundhedsministeren
2880227_0055.png
1
2
3
4
Del 1 - Status, udfordringer og pejlemærker for sundhedsvæsenet
55
Kvalitetsfondsbyggerierne
Færre og større akutsygehuse krævede betydelige sygehusinvesteringer. I økonomiaftalen for 2008 mellem
den daværende regering og Danske Regioner blev principperne for investeringer i fremtidens sygehus-
struktur beskrevet, og efterfølgende blev knap 25 mia. kr. fra en kvalitetsfond reserveret til sygehusbygge-
rier og ­renovering. Hertil kom egenfinansiering fra regionerne, som var delvist finansieret af forudsatte
salg af sygehusmatrikler, der skulle nedlægges i forbindelse med etablering af den nye sygehusstruktur.
Der var med andre ord planlagt investeringer for ca. 40 mia. kr. i 2009­priser svarende til ca. 59 mia. kr. i
2024­priser.
Der blev desuden nedsat et ekspertpanel med internationalt anerkendte eksperter med indsigt på sygehus-
området, bl.a. i forhold til sygehusdrift, logistik, større sygehusbyggerier og faglig bæredygtighed. Ekspert-
panelet bestod af tre danske medlemmer og et medlem fra henholdsvis Norge og Sverige. Panelet skulle
rådgive regeringen om anvendelsen af investeringsrammen, og det var nedsat fra efteråret 2007 til februar
2014, hvor det sidste projekt blev behandlet.
I alt blev 16 sygehusbyggerier støttet, heraf 14 somatiske projekter og to ny psykiatribyggerier. Seks af
de 14 somatiske byggerier var ”barmarksprojekter”. De øvrige projekter omfattede tilbygninger til
eksisterende sygehuse og renoveringer af eksisterende byggeri. De øvrige sygehusbyggerier, der er foregået
i forbindelse med etablering af den nye sygehusstruktur, er finansierede af regionerne for egne anlægs­
midler.
Regionerne er bygherrer på de kvalitetsfondsstøttede sygehusbyggerier, mens staten udbetaler støtte og
fører overordnet tilsyn med de enkelte byggerier, der har til formål at sikre, at de enkelte projekter lever op
til regeringens tilsagnsbetingelser, og at de er robuste og realisable inden for den økonomiske totalramme,
der er bindende for det enkelte projekt.
National sygehusplanlægning
Med afsæt i den nye sundhedslov fra 2005 fik Sundhedsstyrelsen kompetencer til at fastslå, hvilke sygehuse
der må udføre de konkrete specialfunktioner, som udgør ca. 10 pct. af alle sygehusbehandlinger. Formålet
var at sikre høj faglig kvalitet i den særligt komplekse og specialiserede behandling og helhed i patientforlø-
bene under hensyn til en effektiv ressourceudnyttelse.
Med den første specialeplan i 2010 definerede og fordelte Sundhedsstyrelsen for første gang de speciali­
serede funktioner inden for 35 lægelige specialer og et enkelt tandlægespeciale på landets sygehuse.
Efterfølgende er specialeplanen blevet revideret i 2017 og bliver løbende justeret.
Inden for sundhedsfaglige kredse er der generelt enighed om, at specialeplanlægningen har medvirket til
at øge kvaliteten i den specialiserede del af sygehusvæsenet i Danmark. Der er dog også udtrykt bekymring
for, at specialeplanen øger kvaliteten i specialiserede funktioner på bekostning af kvaliteten i ikke-
specialiserede funktioner, og at centraliseringen af specialfunktioner kan medvirke til fragmenterede
patientforløb (se også kapitel 8).
Psykiatriens udvikling – fra langtidsindlæggelse til ambulant
behandling
Gennem årene har indsatsen til mennesker med psykiske lidelser ændret sig markant. Fra 1950’erne og
frem bar udviklingen præg af en afinstitutionalisering. Fokus var rettet mod udviklingen af diagnostik og
effektive behandlinger frem for at skærme patienterne fra det omgivende samfund. Parallelt har der over
tid været et øget fokus på mulighederne for at leve et godt liv med sin sygdom eller eventuelt komme sig
helt.
SUU, Alm.del - 2023-24 - Bilag 317: Orientering om Sundhedsstrukturkommissionens afrapportering, fra indenrigs- og sundhedsministeren
2880227_0056.png
56
1
2
3
4
Del 1 - Status, udfordringer og pejlemærker for sundhedsvæsenet
Boks 3.3
Tidslinje med nedslag: Psykiatriens udvikling – fra langtidsindlæggelse til
ambulant behandling
1940’erne:
Muligheden for, at mennesker med lettere sindslidelser bliver behandlede på sygehus
eller i eget hjem, diskuteres.
1950’erne:
Det bliver undersøgt, om behovet for sengepladser i psykiatrien er aftagende.
1950’erne­1960’erne:
Den ambulante behandling bliver mere udbredt som behandlingsform
og videreudviklet som distriktspsykiatri.
1970’erne:
Ansvaret for statshospitalerne overgår til amterne efter knap 100 års statsligt ejerskab
og drift. Den statslige særforsorg for mennesker med psykiske lidelser overgår også til amterne.
1980’erne:
Resten af den statslige særforsorg overgår til amterne. Perioden er kendetegnet ved
øget fokus på at støtte mennesker med psykiske lidelser i at blive inkluderede i samfundet.
1980’erne­1990’erne::
Psykiatrien bliver administrativ adskilt fra somatikken.
1990’erne:
Den ambulante psykiatri bliver udbygget over hele landet med etablering af
ambulante, tværfaglige og lokalt placerede behandlingstilbud.
2007:
Regionerne får ansvaret for den behandlende psykiatri.
2009:
Sundhedsstyrelsen udgiver anbefalinger for psykiatrien.
Fra indlæggelse til ambulant behandling
Nye biologiske behandlingsmetoder betød, at flere syge patienter, hvor langvarige indlæggelser før var
nødvendige, kunne behandles mere effektivt. Samtidig blev der basis for, at mennesker med lettere sinds­
lidelser kunne få behandling gennem indlæggelse på psykiatrihospitalerne. Muligheden for, at mennesker
med lettere sindslidelser blev behandlet på sygehus eller i eget hjem, blev allerede diskuteret i 1940’erne.
I 1950 blev det undersøgt, om behovet for sengepladser i psykiatrien var aftagende.
Den ambulante behandling blev mere udbredt som behandlingsform i 1950’erne og 1960’erne og blev
videreudviklet som distriktspsykiatri. Det kom til at spille en rolle, da amterne overtog ansvaret for
hospitalspsykiatrien. Den psykiatriske behandling blev organiseret distriktspsykiatrisk, sådan at de
enkelte sengeafdelinger med tilhørende udgående funktioner betjente afgrænsede geografiske områder,
og ressourcemæssigt blev vægten lagt på ambulant behandling frem for på hospitalssenge.
11
Efter knap 100 års statsligt ejerskab og drift overgik ansvaret for statshospitalerne i 1976 til amterne.
Statshospitalerne havde drevet en række psykiatriske plejehjem, såkaldte H­plejehjem for langtidsanbragte
psykisk syge. De blev også overført til amterne og blev derefter drevet under sygehusloven. H-pleje-
hjemmene blev overført til administration under amtskommunernes social- og sundhedsudvalg i stedet
for sygehusudvalgene. Ved overdragelsen i 1987 udgjorde H­plejehjem godt 70 pct. af det samlede antal
pladser efter bistandslovens § 112, stk. 2, svarende til 2.395 pladser.
11
Kragh, Jesper Vaczy, red. ”Psykiatriens historie i Danmark”. 1. udgave, 1. oplag. København: Reitzel, 2008.
SUU, Alm.del - 2023-24 - Bilag 317: Orientering om Sundhedsstrukturkommissionens afrapportering, fra indenrigs- og sundhedsministeren
2880227_0057.png
1
2
3
4
Del 1 - Status, udfordringer og pejlemærker for sundhedsvæsenet
57
Herefter skete en reduktion af ”plejesenge”. I 1986 var der indlagt ca. 4.200 patienter med en indlæggelses-
varighed på mere end et år. En tilsvarende opgørelse fra 1994 viser, at antallet på det tidspunkt var faldet til
865 langtidsindlagte.
12
Overdragelsen af området til amterne fremmede udviklingen væk fra åre- eller
livslange ophold på institutioner og hen til ophold på forskellige former for sociale botilbud, som frem til
strukturreformen i 2007 blev drevet af amterne. Sideløbende kom der mere fokus på sociale indsatser og
uddannelses- og beskæftigelsesindsatser.
Op gennem 1980’erne blev der i stigende grad fokus på at støtte mennesker med psykiske lidelser i at blive
inkluderet i samfundet. I de efterfølgende årtier har den amtslige og regionale psykiatri gennemgået en
omlægning fra stationær til ambulant behandling. I 1990’erne blev den ambulante psykiatri udbygget over
hele landet med etablering af ambulante, tværfaglige og lokalt placerede behandlingstilbud.
13
Det har haft
konsekvenser for den psykiatriske sengekapacitet. I 1990 var der 4.803 sengepladser i voksenpsykiatrien.
Det tal var i 2013 faldet til 2.796. Der har løbende været debat om, hvor mange sengepladser der er behov
for.
Sammenhæng med somatik
Amternes overtagelse af hospitalspsykiatrien var bl.a. motiveret af ønsket om en sammenlægning af
somatik og psykiatri. Den medicinske udvikling betød, at der ikke længere var begrundelse for at opretholde
skellet mellem et somatisk og et psykiatrisk sygehusvæsen, og der krævedes et tættere samarbejde mellem
de medicinske specialer.
Inden da var størstedelen af den psykiatriske sygehusbehandling koncentreret på otte psykiatriske syge-
huse, som var adskilte fra behandlingen af somatikken. Fra slutningen af 1980’erne og ind i 1990’erne blev
psykiatrien imidlertid administrativt adskilt fra somatikken. En del af forklaringen var, at amterne oprettede
sundhedsforvaltninger ved at slå sygehusforvaltningen sammen med sygesikringen, som havde været en
del af socialforvaltningen. Det primære formål var at anskue sygehusene og praksissektoren som ét samlet
sundhedsvæsen, der medvirkede til, at sygehus- og praksissektoren i højere grad blev set i sammenhæng.
Til gengæld blev psykiatrien nogle steder flyttet til socialforvaltningen.
Psykiatrien var ikke en del af Sundhedsstyrelses udgivelse ”Styrket akutberedskab” fra 2007, som fik
afgørende betydning for organiseringen af sygehusene i Danmark. Det fik bl.a. som konsekvens, at den
akutte indsats til mennesker med psykiske lidelser på et afgørende tidspunkt ikke blev tænkt med i
organiseringen af den akutte indsats til somatiske patienter.
Anbefalinger for psykiatrien blev udgivet to år efter i 2009 og fik ikke en tilsvarende opmærksomhed og
betydning for organisering og udvikling af området.
14
Strukturreformen i 2007
Kommunerne havde før strukturreformen forskellige tilbud til borgere med sindslidelse. Med reformen
overtog kommunerne det samlede myndigheds­, forsynings­ og finansieringsansvar på det sociale område.
Det betød, at kommunerne overtog det samlede ansvar for den sociale indsats til mennesker med sinds-
lidelser. Som konsekvens har kommunerne i dag det samlede ansvar for den sociale indsats, der bliver
varetaget før, under og efter den regionale, psykiatriske behandling. Formålet med ændringen var at skabe
en klar og entydig ansvarsfordeling med én indgang for borgeren i kommunen og samtidig sikre, at de
sociale opgaver i højere grad blev løst i nærmiljøet og i tæt samspil med kommunens øvrige tilbud.
12
13
14
Socialministeriet, Justitsministeriet, Indenrigsministeriet, Undervisningsministeriet, og Sundhedsministeriet. ”Indsatsen for sindslidende:
status, vurdering og forslag til nye initiativer. Redegørelse fra en tværministeriel embedsmandsgruppe”. 1996.
Sundhedsstyrelsen. ”Bedre mental sundhed og en styrket indsats til mennesker med psykiske lidelser: fagligt oplæg til en 10-årsplan”.
Sundhedsstyrelsen, 2022.
Sundhedsstyrelsen. ”Bedre mental sundhed og en styrket indsats til mennesker med psykiske lidelser: fagligt oplæg til en 10-årsplan”.
Sundhedsstyrelsen, 2022.
SUU, Alm.del - 2023-24 - Bilag 317: Orientering om Sundhedsstrukturkommissionens afrapportering, fra indenrigs- og sundhedsministeren
2880227_0058.png
58
1
2
3
4
Del 1 - Status, udfordringer og pejlemærker for sundhedsvæsenet
I forbindelse med reformen blev der indført årlige rammeaftaler mellem kommunerne og regionerne.
Her fik regionerne, efter aftale med kommunerne, pligt til at levere en række sociale tilbud. Rammeaftalen
var tænkt som et planlægnings- og udviklingsværktøj for de tilbud, som blev varetaget af de tidligere amter.
Efter strukturreformen i 2007 overgik regionerne fra at have et myndighedsansvar til en forsynings­ og
udviklingspligt. Rammeaftalerne skulle dels sikre planlægning og udvikling af de regionale tilbud, dels
regulere forholdet mellem kommunernes efterspørgsel og behov på den ene side og regionernes forsynings-
pligt over for kommunerne på den anden side.
Udviklingen viste dog, at kommunerne i langt højere grad end forventet overtog de regionale eller tidligere
amtslige sociale tilbud. Fra 1. januar 2007 overtog kommunerne 80 pct. af de sociale tilbud, der før blev
drevet af amterne. Derudover oprettede kommunerne i højere grad end forventet selv nye tilbud.
Foruden socialområdet fik kommunerne også ansvaret for andre opgaver, som fx misbrugsbehandling,
specialundervisning, forsorgshjem og beskæftigelse, som hænger tæt sammen med de sociale indsatser
på psykiatriområdet.
15
De praktiserende lægers udvikling inden for rammerne
af overenskomstsystemet
Det almenmedicinske tilbud består i dag overvejende af klinikker ejet af speciallæger i almen medicin,
som er selvstændige erhvervsdrivende. Ifølge sundhedsloven er regionsrådet ansvarlig for at tilvejebringe
tilbud om almenmedicinske ydelser til borgerne. Regionerne opfylder som hovedregel forpligtelsen via
overenskomst om almen praksis, som indgås mellem Regionernes Lønnings- og Takstnævn (RLTN) og
Praktiserende Lægers Organisation (PLO).
Boks 3.4
Tidslinje med nedslag: De praktiserende lægers udviklingen indenfor rammerne af
overenskomstsystemet
2008:
Betænkningen ”Almen praksis’ rolle i fremtidens sundhedsvæsen” udkommer. Den peger
på et styrket samarbejde mellem sygehuse, kommuner og praksissektor.
2012­2013:
I perioden opstår uenighed mellem Regionernes Lønnings- og Takstnævn og
Praktiserende Lægers Organisation. Resultatet bliver, at regionerne får den endelige
beslutningskompetence i praksisplanlægningen.
2013:
Der åbnes op for nye organisationsformer af det almenmedicinske tilbud med en ændring
af sundhedsloven. Formålet er bl.a. at sikre lægedækning i alle egne af landet.
2013­2014:
Uenighed i forbindelse med Region Hovedstadens hjemtagelse og etablering af en
ny lægevagtordning.
2014­2023:
Antallet af patienter, der er tilmeldt i enten udbuds- eller regionsklinikker, vokser.
2015­2016:
WebPatient bliver introduceret.
15
Underarbejdsgruppen om evaluering af kommunalreformen – Socialområdet og de specialiserede undervisningstilbud. “Afrapportering fra
underarbejdsgruppen om evaluering af kommunalreformen – socialområdet og de specialiserede undervisningstilbud”. Social- og
Integrationsministeriet, 2012.
SUU, Alm.del - 2023-24 - Bilag 317: Orientering om Sundhedsstrukturkommissionens afrapportering, fra indenrigs- og sundhedsministeren
2880227_0059.png
1
2
3
4
Del 1 - Status, udfordringer og pejlemærker for sundhedsvæsenet
59
2017:
Udvalg om Lægedækning i Hele Landet, som blev nedsat i 2016 af den daværende regering
kommer med 18 forslag til, hvordan der kan skabes bedre lægedækning. Blandt forslagene er
direkte køb og salg af ydernumre mellem læger for flere ydernumre, udvidede muligheder for at
drive regionsklinikker, ændret geografisk fordeling af uddannelsesstillinger m.v.
2019:
Praktiserende Lægers Organisation lancerer Min Læge-appen i samarbejde med Sundheds-
ministeriet. Samme år indføres kronikerhonorar for patienter med type-2 diabetes og KOL.
2022:
Aftale om akutplan fastslår, at regionerne skal arbejde på at udbrede ordningen om
fasttilknyttede praktiserende læger til plejecentre. Med overenskomsten aftales, at alle klinikker
ved udgangen af 2024 skal tilbyde videokonsultation.
2023:
Honorarstrukturrådet foreslår en fastholdelse af blandingshonorering, men en markant
forenkling af ydelseshonoreringen og en afskaffelse af kronikerhonoreringen. Rådet foreslår
desuden, at det faste basishonorar skal differentieres efter relevante parametre i praksis­
populationen, så den afspejler tyngden af behandlingsopgaven.
De praktiserende lægers rolle i sundhedsvæsenet
I 2008 kom betænkningen ”Almen praksis’ rolle i fremtidens sundhedsvæsen”. Kommissoriet fremhævede,
at der med strukturreformens nye struktur på sundhedsområdet var skabt grundlag for et styrket sam-
arbejde mellem sygehusene, kommunerne og praksissektoren. Det fremgik, at med udviklingen af en
sygehusstruktur, hvor funktioner skulle samles på færre og mere bæredygtige enheder, steg behovet for,
at flere funktioner kunne løftes af et sundhedstilbud tæt på borgerne. Udvalget skulle bl.a. beskrive og
analysere rammerne for et hensigtsmæssigt og forpligtende samspil mellem de alment praktiserende læger
og sygehusvæsenet, kommunale sundhedstilbud og den øvrige del af praksissektoren. Samtidig skulle det
beskrive og analysere rammerne for en hensigtsmæssig faglig og økonomisk styring og udvikling af de
alment praktiserende læger.
Udvalget bag betænkningen konstaterede, at aftalesystemet ikke tilstrækkeligt effektivt sikrede, at alle de
praktiserende læger indgik i et integreret sundhedsvæsen på forpligtende vis. Ifølge udvalget rummede
aftalesystemet ikke strukturer og mekanismer, der i tilstrækkelig grad sikrede forankring og efterlevelse af
aftaler om samarbejde og arbejdsdeling.
16
Udvalgets betænkning medførte ikke væsentlige organisatoriske
og strukturelle ændringer.
Udvalget for evaluering af strukturreformen pegede på, at styrings­ og finansieringsmodellerne i regio-
nerne, på sygehusene og i praksissektoren, herunder hos alment praktiserende læger, burde understøtte
en sammenhængende og effektiv patientbehandling. Udvalget foreslog at styrke integrationen af de
praktiserende læger i både det regionale sygehusvæsen og i den kommunale sundheds- og forebyggelses-
indsats. Ifølge udvalget indebar det bl.a. en styrkelse af det offentliges muligheder for at definere de
alment praktiserende lægers opgaver. Samtidig var der behov for en styrkelse af regionernes planlægnings-
kompetence, så regionerne kunne tilrettelægge lægedækningen og sikre dækning i yderområder.
17
I 2012­2013 opstod der uenighed mellem Regionernes Lønnings­ og Takstnævn og Praktiserende Lægers
Organisation. Det drejede sig især om regionernes ønske om at indskrænke Praktiserende Lægers
Organisations paritetiske indflydelse på styringen og udviklingen af de alment praktiserende læger.
16
17
Ministeriet for Sundhed og Forebyggelse. ”Almen praksis’ rolle i fremtidens sundhedsvæsen”, 2008.
Underarbejdsgruppen om evaluering af kommunalreformen – Socialområdet og de specialiserede undervisningstilbud. “Afrapportering fra
underarbejdsgruppen om evaluering af kommunalreformen – socialområdet og de specialiserede undervisningstilbud”. Social- og
Integrationsministeriet, 2012.
SUU, Alm.del - 2023-24 - Bilag 317: Orientering om Sundhedsstrukturkommissionens afrapportering, fra indenrigs- og sundhedsministeren
2880227_0060.png
60
1
2
3
4
Del 1 - Status, udfordringer og pejlemærker for sundhedsvæsenet
Konflikten endte med, at der blev vedtaget et nyt lovgrundlag, som bevirkede, at regionerne fik den
endelige beslutningskompetence vedrørende praksisplanlægningen. Andre paritetiske bestemmelser
blev ikke ændret.
I 2013­2014 opstod en uenighed i forbindelse med Region Hovedstadens hjemtagelse og etableringen af
en ny lægevagtordning, 1813­ordningen. I alle regioner havde de praktiserende læger hidtil organiseret
vagtdækningen uden for almindelig dagarbejdstid, det vil sige fra kl. 16:00­8:00 på hverdage, i weekender
og på helligdage.
Etableringen af 1813­ordningen betød, at regionen overtog driften og tilbød ansættelse af læger og andet
personale på hel­ eller deltid. Som konsekvens var ikke alle i lægevagten ansatte speciallæger i almen
medicin. Det betyder bl.a., at det er sygeplejersker, der modtager opkaldene fra borgerne. En anden ændring
var, at børn via 1813 henvises til børnelægevagt på et sygehus.
Der er i de seneste år indført ændringer af vagtlægeordningen i de andre regioner med den konsekvens,
at de alment praktiserende læger i mindre grad deltager i vagtlægeordningerne.
Regions- og udbudsklinikker
Antallet af alment praktiserende læger har været nogenlunde konstant over de seneste ti år. I visse geo­
grafiske områder er der lægemangel, hvor det er vanskeligt at fastholde og rekruttere alment praktiserende
læger.
I 2013 blev der med en ændring af sundhedsloven åbnet op for nye organisationsformer. Formålet var
bl.a. at sikre lægedækning i alle egne af landet. Her fik regionerne mulighed for at etablere midlertidige
almenmedicinske tilbud i form af udbuds­ eller regionsklinikker, hvis ikke det er muligt at afhænde et
ydernummer til en alment praktiserende læge, som ønsker at drive almen praksis efter overenskomsten.
En region kan etablere og drive en regionsklinik uden tidsbegrænsning, men ønsker en praktiserende
læge at overtage en regionsdrevet praksis, som har været etableret i mindst fire år, skal regionen dog indgå
aftale om overdragelse inden for rimelig tid. Udbudsklinkkerne er baseret på tidsbegrænsede kontrakter.
En anden udløber af lovændringen er partnerskaber mellem praktiserende læger og private virksomheder.
Partnerskabsklinikken er et samarbejde mellem en speciallæge i almen medicin, der ejer et ydernummer
og virker efter overenskomst og en privat part. Den private part er involveret i driften ved en kontrakt med
lægen, som ejer ydernummeret. Efter overenskomsten er det ikke muligt for lægen at eje et ydernummer
uden at have hovedbeskæftigelse med at drive og tage ansvar for egen klinik.
Fra 2014 til 2023 voksede antallet af patienter, der er tilmeldt i enten udbuds­ eller regionsklinikker, fra
29.904 patienter i 2014 til 92.420 patienter i juli 2023. På landsplan udgør klinikkerne samlet set ca. 2 pct.
Plejehjemslæger
Siden 2016 er der gradvist kommet flere fasttilknyttede praktiserende læger til plejecentre. Det er med til
at understøtte samarbejdet om borgerne ved, at beboerne på et plejecenter tilbydes at tilmelde sig den
fasttilknyttede læge. Ordningen, som har haft positiv effekt på nedbringelse af indlæggelser, blev indført
i forlængelse af en forsøgsordning fra 2014.
18
Fra og med 2022 har ordningen været del af den ordinære
overenskomst. I første omgang er det aftalt, at minimum 80 pct. af plejehjemmene skal være dækkede inden
slutningen af 2024. Senest er det med aftalen om en akutplan fra februar 2022 aftalt, at regionerne skal
18
Christensen, Line Due, Claus Høstrup Vestergaard, Morten Bondo Christensen og Linda Huibers. “Health Care Utilization Related to the
Introduction of Designated GPs at Care Homes in Denmark: A Register-Based Study”. Scandinavian Journal of Primary Health Care 40, nr. 1
(2. januar 2022): 115–22.
SUU, Alm.del - 2023-24 - Bilag 317: Orientering om Sundhedsstrukturkommissionens afrapportering, fra indenrigs- og sundhedsministeren
2880227_0061.png
1
2
3
4
Del 1 - Status, udfordringer og pejlemærker for sundhedsvæsenet
61
arbejde på at udbrede ordningen. Danske Regioner vurderer, at ca. 90 pct. af alle plejehjembeboere er
dækkede af en plejehjemslæge. Der er usikkerhed om tallene, da data fra Region Sjælland ikke er opgjort
på antal beboere.
19
Digitale værktøjer hos de alment praktiserende læger
Antallet af digitale konsultationer, det vil sige e­konsultationer og videokonsultationer, er steget fra i 2013
at udgøre 4,1 mio. ydelser til i 2022 at udgøre 9 mio. ydelser. Det svarer til en stigning på 121 pct. på ti år.
I 2022 udgjorde digitale konsultationer ca. 25 pct. af samtlige konsultationer.
E-konsultationer har vundet frem siden årtusindeskiftet og udgør langt størstedelen af de digitale konsulta-
tioner. Videokonsultation er en ny kontaktform hos de praktiserende læger. Med overenskomsten fra 2022
er det aftalt, at alle klinikker ved udgangen af 2024 skal tilbyde videokonsultation.
I 2019 lancerede Praktiserende Lægers Organisation i samarbejde med Sundhedsministeriet Min Læge­
appen. Appen er med til at skabe mere tilgængelighed for patienterne, fordi den bl.a. indeholder en ind­
bakkefunktion til modtagelse af beskeder til og fra lægen, bookingfunktion og videoadgang. Appen er også
med til at give patienten et overblik over kommende og tidligere aftaler med både egen læge, speciallæger
og aftaler på sygehuset. Appen har over to millioner aktive brugere.
WebPatient er et andet digitalt redskab, som de praktiserende læger har fået i løbet af de seneste år. Det
er en IT-løsning, der gør det muligt for patienterne elektronisk at indberette spørgeskemaer og målinger
foretaget af patienten selv. WebPatient blev introduceret i 2015­2016. Systemet indeholder 18 forskellige
skemaer, bl.a. til indrapportering af blodtryk, stress og hovedpine. Når patienten har indtastet sine målinger
i WebPatient, sørger systemet automatisk for at beregne data og efterfølgende føre dem ind i patientens
journal. I dag bruger over 90 pct. af alle klinikker WebPatient, og siden 2016 har antallet af bestilte skemaer
været stigende. I 2022 blev der bestilt 800.000 skemaer, hvilket svarer til en stigning på 22 pct. sammen­
lignet med året før.
20
Udviklingen af honorarstrukturen
Honorarstrukturen er et af de væsentligste elementer i overenskomsten mellem Regionernes Lønnings-
og Takstnævn og Praktiserende Lægers Organisation. Den har afgørende betydning for den enkelte praksis’
økonomi samt økonomiske incitamenter og økonomistyring i sundhedsvæsenet.
I dag honoreres alment praktiserende læger med en kombination af et beløb pr. tilmeldt patient (basis-
honorering) og honorering pr. ydelse (ydelseshonorering). Basishonoreringen udgør ca. 35 pct. af
omsætningen hos de alment praktiserende læger, og de resterende 65 pct. kommer fra ydelseshonorering.
Indtil 1987 havde man to honoreringsordninger. Den såkaldte Københavneroverenskomst, som gjaldt
for Københavns Kommune og Frederiksberg Kommune og Amager­kommunerne, var alene baseret på et
basishonorar pr. tilknyttet patient plus betaling for praksisudgifter. I resten af landet havde man ”blandings-
honorering”. De praktiserende læger i København var ikke fulgt med indkomstudviklingen i resten af landet,
og de overgik i 1987 til provinsoverenskomsten.
Balancen mellem basishonorering og ydelseshonorering har løbende været til debat, uden at balancen har
ændret sig markant i mange år. I 2019 indførte man det såkaldte kronikerhonorar for patienter med type­2
diabetes og KOL. Honoraret er et fast beløb, og det skulle erstatte lægernes ydelseshonorarer for patienter-
nes konsultationer, årskontroller, telefonkonsultationer og e-mailkonsultationer. Lægerne skulle dermed
ikke længere afregne enkeltvist på disse ydelser for patienter, som er omfattet af kronikerhonoraret.
Formålet er, at patienter med KOL og type 2­diabetes i højere grad følges og behandles i de almenmedicin-
ske tilbud frem for på sygehusambulatorierne.
19
20
Danske Regioner. “Statusredegørelse for regionernes afvikling af efterslæb. Opfølgning på aftale om akutplanen 4. kvartal 2023”. 2024.
Praktiserende Lægers Organisation. “De digitale klinikker”. 2023.
SUU, Alm.del - 2023-24 - Bilag 317: Orientering om Sundhedsstrukturkommissionens afrapportering, fra indenrigs- og sundhedsministeren
2880227_0062.png
62
1
2
3
4
Del 1 - Status, udfordringer og pejlemærker for sundhedsvæsenet
I den nuværende honorarstuktur er der et stærkt fokus på sammenhængen mellem en given aktivitet og
en tilhørende særskilt honorering af aktiviteten. Hermed er der en tendens til at fokusere på enkeltydelser
samtidig med, at der er kommet flere ydelseshonoreringer, som løbende giver anledning til tolkningstvister.
På den baggrund blev der i 2022 nedsat et Honorarstrukturråd, som skulle komme med forslag til en
forenklet honorarstruktur, der bl.a. skulle understøtte tværsektorielt samarbejde og behandlingen af de
patienter, som har størst behov.
21
Rådet aflagde rapport i 2023.
Honorarstrukturrådet foreslog en markant forenkling af ydelseshonoreringen og fastholdt modellen med
blandings-honorering og en afskaffelse af kronikerhonoreringen. Rådet forslog desuden, at honoreringen
skulle understøtte opgaver relateret til det tværsektorielle samarbejde og lægens koordinerende rolle,
og at det faste honorar pr. sikret (basishonoraret) skulle differentieres efter relevante parametre i praksis-
populationen, som afspejler tyngden af behandlingsopgaven, fx sygelighed, alder, socioøkonomi og vilkår for
opgavevaretagelse hos de alment praktiserende læger.
Speciallægepraksis
I 1978 blev der indført ydernumre for praktiserende speciallæger. Dermed blev det muligt at regulere
antallet af praktiserende speciallæger.
Inden sygekasserne blev afløst af den offentlige sygesikring i 1973, kunne enhver med lægelig autorisation
slå sig ned som praktiserende speciallæge. Sygekasserne var ikke forpligtede til at yde deres medlemmer
speciallægehjælp, selvom størstedelen af sygekasserne, især i København, ydede speciallægehjælp under
forskellig former. Sidst i 1960’erne blev det et lovkrav at yde medlemmerne speciallægehjælp. Tilsvarende i
dag var der også dengang store geografiske forskelle i dækningen af praktiserende speciallæger.
I 1980’erne og 1990’erne var amterne tilbageholdende med at give ydernumre til speciallægepraksis og
forsøgte undertiden at inddrage ydrenumre, som blev ledige, fordi man mente, at de samme ydelser kunne
leveres ambulant på sygehusene. Fra 2007­2022 faldt antallet af ydernumre inden for de fleste specialer.
Samlet set har der været et fald fra 1.086 ydernumre i 2007 til 983 i 2022.
Fra sidst i 1970’erne kom der tretimersydernumre kaldet overlægeydernumre. Overlægeydernumrene
blev dog gradvis afviklet over en årrække fra sidst i 1990’erne og helt afskaffet i overenskomsten fra 2017,
hvorefter der ikke har været overlægeydernumre i nogen regioner. Det skyldes, at der blev stillet flere
og flere krav til det at drive speciallægepraksis, og de krav kunne ikke honoreres af en tretimerspraksis.
Det drejer sig fx om krav til klinikudstyr og instrumenter, krav til tilgængelighed, krav om deltagelse i
ferieafløsningsordninger, krav om deltagelse i kvalitetsklynger og krav om, at man skal kunne levere
bredden i specialets ydelsessortiment.
Der er i de senere år kommet en større interesse for speciallægepraksis bl.a. som følge af et styrket fokus
på nære sundhedstilbud. Speciallægepraksis kan på nogle områder substituere sygehusbehandling, fordi
der er tale om behandling på hovedfunktionsniveau. Fx vedtog Region Sjælland i 2023 en strategi for
modernisering af speciallægepraksis, som bl.a. forholdt sig til behovene for en kapacitetsudvidelse på
området og specialiserede kompetencer i den nære sundhedsindsats.
21
Honorarstrukturrådet for almen praksis. “Forenkling og faglighed med fokus på patienten: Forslag til en ny honorarstruktur i almen praksis”.
2023.
SUU, Alm.del - 2023-24 - Bilag 317: Orientering om Sundhedsstrukturkommissionens afrapportering, fra indenrigs- og sundhedsministeren
2880227_0063.png
1
2
3
4
Del 1 - Status, udfordringer og pejlemærker for sundhedsvæsenet
63
Boks 3.5
Tidslinje med nedslag: Speciallægepraksis
1970’erne:
I 1978 indføres ydernumre for praktiserende speciallæger. Dermed bliver det muligt
at styre antallet af praktiserende speciallæger. Sidst i 1970’erne kommer der tretimersydernumre,
også kaldet overlægeydernumre.
1980’erne­1990’erne:
Amterne er tilbageholdende med at give ydernumre og forsøger
undertiden at inddrage numre, som bliver ledige, da man mener, at samme ydelser kan leveres
ambulant på sygehusene.
1990’erne:
Overlægeydernumre afvikles gradvist og afskaffes helt i overenskomsten fra 2017.
2007­2022:
Indenfor de fleste specialer falder antallet af ydernumre.
2024:
Interessen for speciallægepraksis har de seneste år været stigende, bl.a. på grund af
interessen for nære sundhedstilbud.
Kommunerne får flere og mere komplekse opgaver
Efter strukturreformen i 2007 overtog kommunerne ansvaret for flere opgaver på sundhedsområdet. Med
reformen fik kommunerne ansvaret for den forebyggelse, pleje og genoptræning, der ikke foregår under
indlæggelse. Kommunerne skulle kunne etablere nye løsninger især på forebyggelses- og genoptrænings-
området fx i form af sundhedscentre. Reformen indebar også, at kommuner og regioner skulle forpligtes i
lovgivningen til at samarbejde om sammenhæng i behandling, træning, forebyggelse og pleje. Obligatoriske
sundhedsaftaler mellem kommuner og regioner skulle bl.a. indeholde aftaler om udskrivningsforløb for
svage ældre patienter og aftaler om forebyggelse og genoptræning. Med reformen skulle kommunerne også
betale et bidrag til finansiering af sundhedsvæsenet, som skulle give kommunerne en yderligere tilskyn-
delse til at yde en effektiv forebyggelses­, trænings­ og plejeindsats. Kommunerne fik samtidig det samlede
ansvar for socialområdet.
Herudover er kommunerne ansvarlige for bl.a. plejehjem og plejebolig, hjemmepleje og genoptræning efter
serviceloven. Kommunernes indsatser til ældre og mennesker med kroniske sygdomme er i stigende grad
blevet vigtige for at forebygge forværring af sygdom og indlæggelse. Derfor beskriver dette kapitel også
udviklingen i udvalgte kommunale opgaver på ældreområdet. I de senere år har der været skærpet fokus på
kvaliteten i kommunernes indsatser, som bl.a. kommer til udtryk ved, at der på nogle områder er indført
kvalitetsstandarder.
SUU, Alm.del - 2023-24 - Bilag 317: Orientering om Sundhedsstrukturkommissionens afrapportering, fra indenrigs- og sundhedsministeren
2880227_0064.png
64
1
2
3
4
Del 1 - Status, udfordringer og pejlemærker for sundhedsvæsenet
Boks 3.6
Tidslinje med nedslag: Kommunerne får flere og mere komplekse opgaver
1949:
Husmoderafløsningsordningen indføres. Ordningen indebærer midlertidig praktisk bistand
i hjemmet i forbindelse med sygdom, rekonvalescens eller efter fødsel.
1958:
Hjemmeplejeordningen etableres og erstatter husmoderafløsningsordningen.
1970’erne:
Med kommunalreformen i 1970 og Lov om hjemmesygepleje fra 1973 bliver både de
institutionelle og lovgivningsmæssige rammer for hjemmesygeplejen ændret. Ændringerne
danner grundlag for udviklingen af den nuværende kommunale sygepleje.
1970’erne­1980’erne:
Ældreplejen udbygges. Frem til midten af 1980’erne sker udviklingen
primært ved at øge antallet af plejehjem og omfanget af hjælp til ældre i eget hjem.
1980’erne:
Det bliver en politisk prioritet, at ældre skal være længst muligt i eget hjem fremfor
at komme på plejehjem. Det medfører en grundlæggende omstilling af ældreområdet.
1992:
Ved en lovændring bliver det muligt for kommunerne at overdrage beføjelserne efter
hjemmesygeplejerskeloven til en selvejende institution, som har driftsoverenskomst med
kommunen.
2002:
Der bliver indført mulighed for privat hjemmesygepleje.
2007:
Med strukturreformen får kommunerne nye opgaver. Reformen foreskriver også, at
kommuner og regioner skal forpligtes på at samarbejde om sammenhæng i behandling, træning,
forebyggelse og pleje.
2014:
Sundhedsstyrelsen udgiver anbefalinger til akutfunktioner i hjemmesygeplejen, som siden
2018 er blevet ændret til bindende kvalitetsstandarder.
2022:
Med Aftale om sundhedsreform fra 2022 bliver partierne enige om at afsætte midler til at
indføre en national kvalitetsplan for det nære sundhedsvæsen. Kvalitetsstandarder for kommunale
akutfunktioner og forebyggelsestilbud til borgere med kronisk sygdom udkommer i september
2023 og i starten af 2024.
2024:
En lov om forbeholdt virksomhedsområde til sygeplejersker træder i kraft. Med loven får
sygeplejersker mulighed for at udføre flere behandlinger på egen hånd.
I en planredegørelse for sygehusvæsenet fra 1983 blev plejepatienter opgjort til at udgøre omkring 7 pct. af
den somatiske og psykiatriske sengekapacitet på sygehusene.
22
Der blev peget på behovet for at udbygge
alderdomshjem og plejehjem.
Ældrepleje
22
Indenrigsministeriet og Sundhedsstyrelsen. “Sygehusvæsenet 1978-1992. Planredegørelse 1983”. 1983.
SUU, Alm.del - 2023-24 - Bilag 317: Orientering om Sundhedsstrukturkommissionens afrapportering, fra indenrigs- og sundhedsministeren
2880227_0065.png
1
2
3
4
Del 1 - Status, udfordringer og pejlemærker for sundhedsvæsenet
65
Gennem 1970’erne og 1980’erne skete der generelt en udbygning af ældreplejen. Frem til midten af
1980’erne skete udviklingen primært ved at øge antallet af plejehjem og omfanget af hjælp til ældre i eget
hjem.
23
I løbet af 1980’erne blev plejehjemmene kritiserede for at passivere, umyndig­ og sygeliggøre ældre
borgere.
Det medførte sidst i 1980’erne et skifte i tænkningen om plejehjem. Det blev en politisk prioritet, at de
ældre skulle være længst muligt i eget hjem frem for at komme på plejehjem. I samme periode vandt
tænkningen om egenomsorg indpas, hvilket indebar, at ældre skulle opmuntres og støttes i at gøre det, de
selv kan for at styrke og vedligeholde egne kompetencer og ressourcer. Dette førte til en grundlæggende
omstilling af ældreområdet.
Med ældreboligloven i 1987 blev opførelsen af plejehjem og beskyttede boliger bremset. Boliger til ældre
kom under loven om almene boliger. Det førte til, at en række plejehjem blev nedlagt eller ombygget til
ældreboliger. Parallelt blev hjemmeplejen udbygget.
I 2002 blev der vedtaget en lov om overførsel af tidssvarende plejehjem og beskyttede boliger til boliglov-
givning. Kommunerne fik pligt til i løbet af et par år at omdanne plejehjem og beskyttede boliger til ældre-
boliger.
Hjemmepleje
Hjemmeplejeordningen blev etableret i 1958 og erstattede husmoderafløsningsordningen, der blev indført
i 1949. Husmoderafløsningsordningen indebar midlertidig praktisk bistand i hjemmet i forbindelse med
sygdom, rekonvalescens og efter fødsel. Hensigten med hjemmeplejen var et ønske om, at ældre kunne leve
længst muligt i eget hjem.
Der skelnes mellem personlig hjælp og pleje, hjælp eller støtte til nødvendige, praktiske opgaver i hjemmet
og madservice. Kommunerne er forpligtede til at sikre, at borgere, der ønsker det, frit kan vælge mellem
mindst to leverandører af personlig pleje, praktisk hjælp og madservice, hvoraf den ene leverandør kan
være kommunen.
I første omgang var det ikke et krav, at de, som varetog hjemmeplejen, var uddannede, men med Lov om
social bistand fra 1974, blev besiddelse af relevant uddannelse gjort til et obligatorisk krav. I dag er de
medarbejdere, der udfører hjemmepleje, oftest social- og sundhedsassistenter, social- og sundhedshjælpere,
plejehjemsassistenter, sygeplejersker og en mindre andel ikke-sundhedsfagligt personale.
Lovgivningsmæssigt hører hjemmeplejen under serviceloven, der udstikker rammerne for rådgivning og
støtte for at forebygge sociale problemer og for at tilbyde ydelser til borgere med nedsat fysisk eller psykisk
funktionsevne eller særlige sociale problemer. Første udgave af loven er fra 1998, hvor den sammen med
Retssikkerhedsloven og Aktivloven afløste Bistandsloven.
Kommunal sygepleje
Med Lov om hjemmesygepleje fra 1957 blev det lovpligtigt for kommunerne at etablere hjemmesygepleje-
ordninger. Samtidig måtte der kun ansættes uddannede sygeplejersker til sygeplejeopgaverne. Hjemme­
sygeplejerskeordningen blev dengang finansieret via sygekasserne, hjemmesygeplejeforeninger og for
ikke­medlemmer via egenbetaling eller kommunerne. Staten ydede refusion på 70 pct. af de kommunale
udgifter til hjemmesygepleje.
24
23
24
Vinge, Sidsel, Karen Kramhøft og Andreas Bøgh. ”Hjemmesygeplejen i Danmark”. DSI Institut for Sundhedsvæsen, 2006.
Vinge, Sidsel, Karen Kramhøft og Andreas Bøgh. ”Hjemmesygeplejen i Danmark”. DSI Institut for Sundhedsvæsen, 2006.
SUU, Alm.del - 2023-24 - Bilag 317: Orientering om Sundhedsstrukturkommissionens afrapportering, fra indenrigs- og sundhedsministeren
2880227_0066.png
66
1
2
3
4
Del 1 - Status, udfordringer og pejlemærker for sundhedsvæsenet
Med kommunalreformen i 1970 og lov om hjemmesygepleje fra 1973 blev både de institutionelle og
lovgivningsmæssige rammer for hjemmesygeplejen ændret, og disse ændringer dannede grundlaget for
udviklingen af den kommunale sygepleje, der kendes i dag.
25,26
Som følge af kommunalreformen i 1970 blev sygekasserne nedlagt i 1973, og hjemmesygeplejen blev nu
finansieret af kommunerne med 50 pct. statsrefusion. I 1985 blev finansieringsgrundlaget ændret, så
kommunerne skulle betale alle udgifter til hjemmesygeplejen for personer over 66 år. For personer under
67 år betalte amter og kommuner hver 50 pct. af udgifterne.
I 1979 blev det muligt at ansætte sygehjælpere som en del af hjemmesygeplejerskeordningen. I 1989 blev
det muligt at integrere plejehjem og hjemmesygepleje, og dermed blev det også muligt, at andre faggrupper
end sygehjælpere kunne indgå i hjemmesygeplejen, fx plejehjemsassistenter. Med oprettelsen af de nye
social­og sundhedsuddannelser i 1991 kunne de nye social­og sundhedsassistenter og social­ og sundheds-
hjælpere indgå i hjemmesygeplejen og integrerede ordninger.
Ved en lovændring i 1992 blev det muligt for kommunerne at overlade beføjelserne efter hjemmesyge­
plejerskeloven til en selvejende institution, der har driftsoverenskomst med kommunen. I 2002 blev der
indført mulighed for privat hjemmesygepleje.
Lovgivningsmæssigt hører sygeplejen under sundhedsloven, og den er dermed lovgivningsmæssigt adskilt
fra hjemmeplejen. Den kommunale sygepleje og hjemmeplejen er dog typisk samorganiseret i kommunerne,
det vil sige organiseret under samme politiske eller administrative ledelse. Samtidig er den kommunale
sygepleje i nogen udstrækning den indsats, som bygger bro mellem sygehusindlæggelse og den kommunale
efterfølgende indsats.
Med Aftale om sundhedsreform fra 2022 var partierne enige om at afsætte midler til at indføre en national
kvalitetsplan for det nære sundhedsvæsen, som skulle sikre indførelsen af kvalitetspakker med konkrete
kvalitetskrav og anbefalinger til indsatsen i det nære sundhedsvæsen, bl.a. den kommunale sundheds-
indsats. Formålet var at sikre mere ensartet kvalitet i den kommunale sundhedsindsats på tværs af landet.
Den første kvalitetsstandard, som kom i 2023, var en opdatering af kvalitetstandarderne for de kommunale
akutfunktioner.
Pr. 1. januar 2024 fik sygeplejersker et såkaldt forbeholdt virksomhedsområde. Det indebærer, at syge­
plejersker på eget initiativ og ansvar kan beslutte og udføre en række behandlingstiltag, det vil sige uden
delegation fra læge. Det gælder bl.a. visse typer blodprøver, anlæggelse af katetre og sonder m.v.
Akutpladser og midlertidige pladser
Området for kommunale pladser, hvor borgere med forskellige behov kan have midlertidige ophold, er
blevet udviklet over tid og som svar på forskellige lokale udfordringer og behov, den enkelte kommunes
geografiske og bygningsmæssige muligheder samt forskellige perspektiver på, hvad der er hensigtsmæssige
løsninger.
27
Kommunerne har forskellige typer af midlertidige pladser. Én type er akutpladser, der har hjemmel i
sundhedsloven, jf. reglerne om kommunal sygepleje og akutfunktioner. Begrebet midlertidige pladser i
kommunerne dækker derimod over et bredere spektrum af midlertidige ophold, som typisk har hjemmel
i serviceloven.
I 2014 udgav Sundhedsstyrelsen et sæt af anbefalinger til akutfunktioner i hjemmesygeplejen. Siden 2018
er anbefalingerne ændrede til bindende kvalitetsstandarder. De to mest hyppige former for organisering af
akutfunktioner er akutteams og akutpladser. Nogle kommuner har haft akutfunktioner i mange år, men for
25
26
27
Indenrigs- og Sundhedsministeriet. ”Lov om hjemmesygeplejerskeordninger”. LOV nr. 408 af 13/06/1973 (1973).
Danmark og Sundhedsstyrelsen, red. ”Hjemmesygeplejen: betænkning II afg. af det af Sundhedsstyrelsen nedsatte udvalg vedrørende
revision af sundhedsplejerske- og hjemmesygeplejeordningen”. Betænkning 648. København, 1972.
VIVE, Sidsel Vinge, Martin Sandberg Buch og Pia Kürstein Kjellberg. ”Det kommunale akutområde: erfaringer og perspektiver på udviklingen
fra 15 kommuner”. VIVE – Det nationale Forsknings- og Analysecenter for Velfærd, 2021.
SUU, Alm.del - 2023-24 - Bilag 317: Orientering om Sundhedsstrukturkommissionens afrapportering, fra indenrigs- og sundhedsministeren
2880227_0067.png
1
2
3
4
Del 1 - Status, udfordringer og pejlemærker for sundhedsvæsenet
67
andre har Sundhedsstyrelsens kvalitetsstandarder været anledning til at etablere en ny akutfunktion.
28
Med de opdaterede kvalitetsstandarder fra 2023 er det nu obligatorisk, at alle kommuner har etableret en
kommunal akutfunktion eller indgår i et formaliseret tværkommunalt samarbejde om en akutfunktion.
Indsats til mennesker med kroniske sygdomme
I en årrække har der været fokus på at styrke indsatsen og sammenhængen i sundhedsvæsenet for
mennesker med kroniske sygdomme i sundhedsvæsenet. Siden 2008 har Sundhedsstyrelsen udarbejdet
forløbsprogrammer til bl.a. målgrupper med forskellige kroniske sygdomme. Forløbsprogrammer dækker
over en standardiseret beskrivelse af den tværfaglige, tværsektorielle, koordinerede og evidensbaserede
sundhedsfaglige indsats og opgavefordeling, samarbejde og koordinering mellem aktørerne.
De nationalt formulerede forløbsprogrammer omsættes til forløbsprogrammer på regionalt niveau som
aftales i regi af sundhedsaftalerne og sundhedsklyngerne. Regioner, kommuner og de alment praktiserende
læger er dog ikke lovgivningsmæssigt forpligtede til at implementere Sundhedsstyrelsens anbefalinger
ifølge forløbsprogrammerne. Sundhedsstyrelsen har ført status over udbredelsen af forløbsprogrammerne.
Den seneste status var i 2019.
Inspirationen til forløbsprogrammerne kommer fra den amerikanske model for behandling af mennesker
med kronisk sygdom, ”the Chronic Care Model”, som omfatter indsatser, der styrker den sundhedsfaglige
kvalitet, patientinvolvering og patienttilfredshed og mere effektiv ressourceudnyttelse.
29
Modellen og
forløbsprogrammer er centrale hjørnesten i den amerikanske sundhedsorganisation Kaiser Permanente,
som er kendt for at levere sundhedsydelser af høj kvalitet til mennesker med kroniske sygdomme, bl.a.
gennem et stærkt fokus på egenomsorg, patientuddannelse, kvalitetsarbejde, opsøgende indsatser og
skræddersyet behandling gennem systematisk stratificering af patienterne ud fra deres behov.
Forløbsprogrammer tager udgangspunkt i specifikke sygdomme, og derfor egner de sig ikke nødvendigvis
til mennesker, som lider af flere kroniske sygdomme. I 2023 udgav Sundhedsstyrelsen Anbefalinger for
organisering af forløb for mennesker med multisygdom.
30
Med Aftale om sundhedsreform fra 2022 blev
der bl.a. afsat midler til kvalitetsstandarder målrettet patientrettet forebyggelse for borgere med kroniske
sygdomme. Kvalitetsstandarderne udkom i starten af 2024, og de indeholder bl.a. krav om, at kommunerne
skal tilbyde afklarende samtale, sygdomsmestring, nikotinafvænning, fysisk aktivitet, ernæringsindsats og
forebyggende samtale om alkohol til borgere med kronisk sygdom, som ud fra en sundhedsfaglig vurdering
af funktionsevne og helbredsforhold, kan have gavn af forebyggelsestilbud.
Genoptræning efter udskrivning fra sygehus
Den udflytning af genoptræning fra sygehuse til kommuner, som skete med strukturreformen i 2007, er en
af de mest gennemgribende ændringer på træningsområdet. Den skulle bl.a. skabe bedre og mere sammen-
hængende genoptræningsforløb efter udskrivelse fra sygehus.
Det betyder, at det i dag er sygehusene, som står for at visitere patienter til genoptræning efter udskrivelse
fra sygehus og for at udarbejde en genoptræningsplan, som efterfølgende sendes til kommunerne, der skal
tilbyde vederlagsfri genoptræning på grundlag af genoptræningsplanen.
Antallet af genoptræningsplaner fra sygehusene til kommunerne er steget markant siden 2007. I 2009 blev
der samlet set afsendt ca. 108.000 genoptræningsplaner fra sygehusene til kommunerne, og i 2023 blev der
udarbejdet ca. 217.000 genoptræningsplaner jf. data fra Sundhedsdatastyrelsen. En analyse viser, at den
generelle udvikling i antallet af genoptræningsplaner fra 2007­2014 var steget med 90 pct. på nationalt
28
29
30
VIVE, Sidsel Vinge, Martin Sandberg Buch og Pia Kürstein Kjellberg. ”Det kommunale akutområde: erfaringer og perspektiver på udviklingen
fra 15 kommuner”. VIVE – Det nationale Forsknings- og Analysecenter for Velfærd, 2021.
Sundhedsstyrelsen. ”Forløbsprogrammer for kronisk sygdom – den generiske model”. 2012.
Sundhedsstyrelsen. ”Anbefalinger for organisering af forløb for mennesker med multisygdom”. Sundhedsstyrelsen, 2023.
SUU, Alm.del - 2023-24 - Bilag 317: Orientering om Sundhedsstrukturkommissionens afrapportering, fra indenrigs- og sundhedsministeren
2880227_0068.png
68
1
2
3
4
Del 1 - Status, udfordringer og pejlemærker for sundhedsvæsenet
niveau. Stigningen dækker over en meget stor stigning i antallet af genoptræningsplaner til genoptræning
på alment niveau, hvor den samlede vækst i analyseperioden var på 175 pct., mens der fra 2007­2014 var
et fald i antallet af specialiserede genoptræningsplaner på 33 pct.
31
Udviklingen i samspillet mellem sektorerne
Balancen mellem det primære og sekundære sundhedsvæsen har været diskuteret siden 1970’erne. Der
har længe været fokus på primærsektorens muligheder for at overtage opgaver fra sygehusene, bl.a. ud fra
et hensyn til at reducere udgifterne og presset på sygehusene. Det er kommet til udtryk i mere nutidige
drøftelser og reformer af sundhedsvæsenet.
Med strukturreformen i 2007 og fordelingen af sundhedsopgaverne mellem kommuner, regioner og
praksissektoren fulgte nye snitflader, som stillede nye krav til samarbejdet på tværs af myndigheds­ og
sektorgrænser. Regioner og kommuner skulle udarbejde sundhedsaftaler om de tværgående patienter
og opgaver på sundhedsområdet. I 2022 blev sundhedsklynger omkring akutsygehusene formaliserede
gennem en ændring af sundhedsloven.
Boks 3.7
Tidslinje med nedslag: Udviklingen i samspillet mellem sektorerne
1970’erne:
Balancen mellem det primære og specialiserede sundhedsvæsen diskuteres.
1980’erne:
Amterne begynder at etablere sundhedsforvaltninger, som samler sygesikringen
og sygehusene.
2007:
Med strukturreformen i 2007 og fordelingen af sundhedsopgaverne mellem kommuner,
regioner og praksissektoren følger nye snitflader, som stiller nye krav til samarbejdet på tværs
af myndigheds- og sektorgrænser. Med strukturreformen i 2007 bliver det desuden lovpligtigt for
regionsråd og kommunalbestyrelser at etablere et Sundhedskoordinationsudvalg. Der bliver
tilsvarende indført et krav om, at regioner og hver enkelt kommune skal indgå politiske
sundhedsaftaler om samarbejde og koordination af opgaver, som går på tværs af sektor- og
myndighedsgrænser.
2014:
Det bliver indført ved en lovændring, at der skal udarbejdes én sundhedsaftale i hver
region, det vil sige fem sundhedsaftaler mellem den enkelte region og kommunerne i regionen
frem for 98 aftaler.
2016:
I forlængelse af økonomiaftalen for 2016 nedsætter den daværende regering et udvalg for
det nære og sammenhængende sundhedsvæsen.
2017:
Udmøntning af pulje til modernisering og etablering af læge- og sundhedshuse i 2018
og 2019.
2019:
Sundhedscentre spiller en vigtig rolle i den daværende regerings sundhedsudspil, hvor
idéen om det nære sundhedsvæsen bliver koblet sammen med tværsektorielle sundhedshuse.
2022:
Sundhedsklynger omkring akutsygehusene, kommuner og de almenmedicinske tilbud
bliver formaliserede gennem en ændring af sundhedsloven.
31
KORA, Simon Feilberg. ”Udviklingen i antallet af genoptræningsplaner. Benchmark af genoptræningsplaner på nationalt, regionalt og
kommunalt niveau fra 2007-2014”. KORA - Det nationale Institut for Kommuners og Regioners Analyse og Forskning. 2016.
SUU, Alm.del - 2023-24 - Bilag 317: Orientering om Sundhedsstrukturkommissionens afrapportering, fra indenrigs- og sundhedsministeren
2880227_0069.png
1
2
3
4
Del 1 - Status, udfordringer og pejlemærker for sundhedsvæsenet
69
2022:
Med Aftale om sundhedsreform afsættes op til 4 mia. kr. til nærhospitaler i områder, hvor
der er langt til nærmeste akutsygehus.
Balancen mellem det primære og specialiserede sundhedsvæsen
Allerede i begyndelsen af 1970 blev der set med bekymring på væksten i sygehusbehandling og de tilhø-
rende udgifter. Det var centrale temaer i de to rapporter om perspektivplanlægning (PPI og PPII) og i en
betænkning fra sundhedsprioriteringsudvalget fra 1977.
32,33,34
I PPI diskuterede man flytning af behandlingsopgave fra sygehusene til den primære sundhedstjeneste. Man
noterede i 1971 en forskydning af behandlingsindsatsen fra praksis mod sygehusene og så muligheder for
at ændre det ved at satse mere på de alment praktiserende læger. I PPII var diskussionerne om arbejdsde-
lingen mellem primær- og sekundærsektoren drevet af økonomiske overvejelser. PPII rejste spørgsmålet,
om det ud fra almindelig økonomisk betragtning ikke med rette kunne antages, at sygdomsbehandling- og
undersøgelse ambulant og på mindre specialiseret niveau er billigere end på det institutionelle og/eller
specialiserede niveau, og derfor må foretrækkes i det omfang, den faglige kvalitet er tilfredsstillende.
I prioriteringsudvalgets betænkning fra 1977 blev det anbefalet, at der løbende skulle etableres en faglig og
økonomisk vurdering af undersøgelses- og behandlingsrepertoiret, med henblik på en sanering af foræl-
dede og uegnede metoder, og hvis flere ligeværdige metoder skulle den billigste metode anvendes. Det ville
ifølge udvalget være en væsentlig forudsætning for, at nye undersøgelses- og behandlingsmetoder kunne
tages i brug. Udvalget havde en yderligere forklaring på, hvorfor sygehussektoren var vokset overproportio-
nalt. Forklaringen var, at sygekasserne havde haft et økonomisk incitament til at fremme brugen af syge-
huse, fordi det var stort set omkostningsfrit for sygekasserne, at borgerne brugte sygehusene.
I betænkningens kapitel om den politisk-administrative organisering er den gennemgående tanke, at
sygesikringen og sygehusvæsenet skulle underlægges ét politisk udvalg for at sikre koordinering og sam-
menhæng, og udvalget anbefalede, at man samlede lægebetjeningen (praksissektoren) og sygehusbetjenin-
gen, som var fordelt på Socialministeriet og Indenrigsministeriet. Det skete ti år senere med oprettelsen af
Sundhedsministeriet. I midten af 1980’erne begyndte amterne at etablere sundhedsforvaltninger, som
samlede sygesikringen og sygehusene.
Den skitserede udvikling førte sidst i 1980’erne til analyser af, om der skete en opgaveændring eller
opgaveglidning mellem sygehuse og kommuner. Allerede i en betænkning fra samordningsudvalget i 1985
blev det anført, at flere genindlæggelser kunne være prisen for flere ældre i eget hjem, og en rapport fra
AKF og DSI fra 1988 nævner, at ændringer i de ældres boligforhold kunne medføre et øget pres på sygehus-
væsenet.
35,36
Spørgsmålet om opgaveglidning mellem sygehus og kommune har over årene givet anledning
til mange debatter, ofte med fokus på de ressourcemæssige konsekvenser.
32
33
34
35
36
Perspektivplan I. ”Perspektivplanlægning 1970-1985: Redegørelse fra den af regeringen i november 1968 nedsatte arbejdsgruppe”.
Schultz, 1971.
Perspektivplan II. ”Perspektivplan-redegørelse, 1972-1987”. København: Statens trykningskontor, 1973.
Sundhedsprioriteringsudvalget og Indenrigsministeriet. ”Prioritering i sundhedsvæsenet: Betænkning om grundlaget for en overordnet
prioritering af indsatsen inden for sygehusbehandling og sygdomsforebyggelse. Statens Trykningskontor, 1977.
Indenrigsministeriet, red. ”Samordning i sundhedsvæsenet: Betænkning fra det af indenrigsministeren nedsatte Samordningsudvalg for
sundhedsvæsenet”. Betænkning 1044. København, 1985.
Planinformationsudvalget om Videreudviklingen af de Statslig-Kommunale Plansystemer. ”Al den planlægning: hvorfor og hvordan?
Redegørelse fra planinformationsudvalget om videreudviklingen af de statslig-kommunale plansystemer”. Finansministeriet, Budget-
departementet, 1983.
SUU, Alm.del - 2023-24 - Bilag 317: Orientering om Sundhedsstrukturkommissionens afrapportering, fra indenrigs- og sundhedsministeren
2880227_0070.png
70
1
2
3
4
Del 1 - Status, udfordringer og pejlemærker for sundhedsvæsenet
Sundhedsaftaler
Med strukturreformen i 2007 og med sundhedsloven blev det lovpligtigt for regionsråd og kommunalbesty-
relser at etablere et Sundhedskoordinationsudvalg i hver region bestående af repræsentanter fra den
pågældende region, kommunerne i regionen og praksissektoren. Der blev også indført et krav om, at
regioner og hver enkelt kommune skulle indgå politiske sundhedsaftaler om samarbejde og koordination af
opgaver på sundhedsområdet, som går på tværs af sektor- og myndighedsgrænser.
Sundhedsaftalerne skulle som minimum omfatte seks obligatoriske indsatsområder: Indlæggelses­ og
udskrivningsforløb, træningsområdet, behandlingsredskaber og hjælpemidler, forebyggelse og sundheds-
fremme, herunder patientrettet forebyggelse, indsatsen for mennesker med sindslidelser og opfølgning på
utilsigtede hændelser. Formålet med sundhedskoordinationsudvalgene og sundhedsaftalerne var at styrke
samarbejde og sammenhæng mellem sygehuse, de alment praktiserende læger og kommunerne.
37
Sund-
hedsstyrelsen skulle vurdere og godkende, om de politiske sundhedsaftaler levede op til formålet inden for
de seks obligatoriske områder. De første sundhedsaftaler blev indgået mellem regionsråd og kommunalbe-
styrelser i 2007. Sundhedsstyrelsen kunne ikke godkende aftalerne, og de måtte derfor revideres.
I evalueringen af strukturreformen fra 2013 var der en vurdering af sundhedsaftalerne. Evalueringen
pegede på, at der havde været en positiv udvikling i samarbejdet og i indholdet af de konkrete aftaler.
Evalueringen pegede også på, at sundhedsaftalerne havde en række svagheder i forhold til at sikre tværgå-
ende samarbejde og koordination mellem kommuner, regioner og de alment praktiserende læger.
Udvalget anbefalede i evalueringen, at sundhedsaftalerne skulle styrkes for i højere grad at forpligte
parterne til systematisk at samarbejde om den patientrettede forebyggelse, da man vurderede, at det var
vanskeligt i tilstrækkelig grad at integrere de alment praktiserende læger i arbejdet med sundhedsaftaler, fx
i forhold til forløbsprogrammer. Det skulle bl.a. ske ved, at der skulle udarbejdes én aftale i hver region,
det vil sige fem sundhedsaftaler mellem den enkelte region og kommunerne i regionen og dermed i alt fem
frem for 98 aftaler.
38
Det blev udmøntet gennem en lovændring, der trådte i kraft i 2014.
De fem regioner og kommunerne i den enkelte region skal fortsat indgå poliske sundhedsaftaler hvert fjerde
år, som skal godkendes af Sundhedsstyrelsen. Sundhedsaftalerne skal dog ikke længere omfatte de seks
obligatoriske indsatsområder. Kravet udgik i 2018 som et led i opfølgningen på anbefalingerne fra Udvalget
om det nære og sammenhængende sundhedsvæsen og blev erstattet af krav om fælles forpligtende mål-
sætninger.
Udvalget for det nære og sammenhængende sundhedsvæsen
I forlængelse af økonomiaftalen for 2016 nedsatte regeringen i 2016 et udvalg for det nære og sammen­
hængende sundhedsvæsen. Udvalgets forslag skulle understøtte, at behandlingen af patientgrupper med
forløb på tværs af sektorer sker sammenhængende, borgernært, omkostningseffektivt og er af høj kvalitet
med særlig fokus på ældre medicinske patienter, patienter med kroniske sygdomme og patienter med
psykiske lidelser, herunder dobbeltbelastede.
Udvalget kom i 2017 med 20 anbefalinger, hvor KL dog havde mindretalsudtalelse til et par af forslagene.
Den første anbefaling gik på, at kommuner og regioner og praksissektoren, skulle afprøve og udbrede
integrerende samarbejdsmodeller fx fælles finansiering, ledelse og planlægning. Målsætningen for den
ældre medicinske patient var, at forebyggende indsatser, behandling, pleje og rehabilitering i forhold til den
veludredte ældre medicinske patient i 2025 skulle ske i det nære og sammenhængende sundhedsvæsen.
Målsætning for patienter med kroniske sygdomme var, at forebyggende indsatser, behandling og rehabili-
tering i forhold til borgere med de mest hyppige kroniske sygdomme skulle ske i det nære og sammen-
hængende sundhedsvæsen i 2025. Målsætning for mennesker med psykiske lidelser var, at mennesker
med psykiske lidelser skulle opleve en sammenhængende indsats og understøttes i selv at tage aktiv del
i indsatsen for at forbedre egen situation og eget helbred.
37
38
Pedersen, Kjeld Møller. ”Dansk sundhedspolitik”. 1. udgave, 1. oplag. København: Munksgaard, 2018.
Evaluering af kommunalreformen
(Økonomi- og Indenrigsministeriet, 2013).
SUU, Alm.del - 2023-24 - Bilag 317: Orientering om Sundhedsstrukturkommissionens afrapportering, fra indenrigs- og sundhedsministeren
2880227_0071.png
1
2
3
4
Del 1 - Status, udfordringer og pejlemærker for sundhedsvæsenet
71
Den daværende regering fulgte op på anbefalingerne fra udvalget med udspillet ”Sundhed, hvor du er”
fra 2017, hvor der bl.a. blev afsat 200 mio. kr. til læge­ og sundhedshuse.
39
Sundhedsklynger
Idéen og konceptet om sundhedsklynger går tilbage til omkring 2017 og blev en del af sundhedsudspillene
fra de daværende regeringer i henholdsvis 2019 og 2022. I 2021 indgik regeringen, KL og Danske Regioner i
forbindelse med økonomiaftalerne en aftale om etablering af sundhedsklynger, som senere blev lovfæstet
ved en ændring af sundhedsloven i 2022.
40,41
En sundhedsklynge er et samarbejdsfællesskab mellem et akutsygehus, kommunerne og praktiserende
læger omkring sygehuset. Med økonomiaftalen i 2021 fulgte 80 mio. kr. til etablering af sundhedsklynger.
Klyngerne dækker typisk et område med 200.000­300.000 indbyggere.
Sundhedsklyngerne bygger på en allerede eksisterende struktur omkring de 21 akutsygehuse, og de
kommuner som hører til sygehusets optageområde. Frem til 2017­2018 levede de et stille og i offentlig­
heden stort set ukendt liv og igangsatte aktiviteter om opgaveflytning og sammenhængende patientforløb.
Ledelsesstrukturen var relativ uformel og involverede ikke politikere, men lænede sig dog op ad de politisk
godkendte sundhedsaftaler. Med ændringer af sundhedsloven i 2022 kom politikerne ind i ledelsen af
sundhedsklyngerne.
Kommunale sundhedscentre, tværsektorielle sundhedshuse og nærhospitaler
I forbindelse med forarbejderne til strukturreformen i 2007, blev sundhedshuse set som en samlende
ramme for hovedparten af de kommunale sundhedsaktiviteter, de alment praktiserende læger og andre
praktiserende sundhedsprofessionelle. Sundhedscentre er mange steder en bygningsmæssig ramme for
dele eller alle de kommunale sundhedstilbud.
Der kan skelnes mellem to faser i interessen for sundhedscentre og sundhedshuse. Første fase var i omkring
2003 og frem til 2007. Dengang talte man om sundhedscentre, og så dem bl.a. som en ”mellemliggende”
behandlingsmulighed med tilknyttede alment praktiserende læger. I anden fase, fra omkring 2009­2010 til
i dag, har man talt om sundhedshuse dels som et samlet sundhedstilbud, hvor der er langt til sygehuset,
dels som en måde at skabe attraktive rammer i form af faglige fællesskaber for alment praktiserende læger.
I den fase lykkedes det flere steder regioner og kommuner at finde sammen om fælles sundhedshuse.
Idéen om sundhedscentre går overvejende tilbage til debatten omkring 2003 med rapporten fra regeringens
rådgivende udvalg for sundhedsvæsenet. Rapporten havde en kortfattet omtale af de finske sundhedscentre.
Det blev nævnt, at der på de finske sundhedscentre var kommunalt ansatte praktiserende læger og under­
tiden senge.
Sundhedscentre blev omtalt i Sundhedsministeriets sektorbidrag fra april 2003 til Strukturkommissionen
og blev fremhævet som medvirkende til at tydeliggøre sammenhængen mellem forebyggelses-, behandlings-
og plejeopgaverne i primær- og praksissektoren og dermed et samlet sundhedstilbud tæt på borgerne.
Sundhedscentre indgik også i forligsteksten om strukturreformen fra 2007, hvor det fremgik, at
kommunerne skulle kunne etablere nye løsninger, fx sundhedscentre.
I 2017 etablerede den daværende regering en pulje til modernisering og etablering af læge­ og sundheds-
huse, og der blev samlet udmøntet ca. 400 mio. kr. i 2018 og 2019 med henblik på at understøtte, at
praktiserende læger og andre aktører på sundhedsområdet kan arbejde sammen i større enheder.
39
40
41
Sundheds- og Ældreministeriet. ”Sundhed, hvor er du: opfølgning på Udvalg om det nære og sammenhængende sundhedsvæsen”.
Sundheds- og Ældreministeriet, 2017.
Regeringen, KL og Danske Regioner. ”Aftale om sammenhæng og nærhed (sundhedsklynger)”. 2021.
Pedersen, Kjeld Møller, Frede Olesen og Leif Vestergaard Pedersen. ”Eksperter: Sådan får vi styr på det danske sundhedsvæsen”. 2018.
SUU, Alm.del - 2023-24 - Bilag 317: Orientering om Sundhedsstrukturkommissionens afrapportering, fra indenrigs- og sundhedsministeren
2880227_0072.png
72
1
2
3
4
Del 1 - Status, udfordringer og pejlemærker for sundhedsvæsenet
I 2019 spillede sundhedscentre en vigtig rolle i den daværende regerings sundhedsudspil, hvor idéen om
det nære sundhedsvæsen blev koblet sammen med tværsektorielle sundhedshuse. Der blev reserveret
4 mia. kr. til formålet. Det samme beløb indgik til såkaldte nærhospitaler i den daværende regerings
sundhedsudspil fra 2022, og der blev senere indgået aftale med Folketingets partier, hvor en del af puljen
blev afsat til IT, teknologi og udstyr.
Den digitale udvikling
Danmark fremhæves ofte som internationalt førende, hvad angår digitalisering af sundhedsvæsenet.
Digitalisering i sundhedsvæsenet spænder bl.a. over elektroniske patientjournaler i sygehusvæsenet og
det almenmedicinske tilbud, tværsektoriel kommunikation i sundhedsvæsenet, sundhed.dk og andre
digitale indgange for borgere og sundhedsprofessionelle, flere fællesoffentlige løsninger herunder det
Fælles Medicinkort, Den nationale serviceplatform, Et samlet patientoverblik og digitale løsninger til
hjemmebehandling. Herudover findes der en lang række af IT­systemer, som løser forskellige behov, bl.a.
bookingsystemer, kliniske og parakliniske systemer og andre administrative patientsystemer. Sundheds­
datastyrelsen bliver oprettet i 2015 og får til opgave at sikre bedre sundhed for borgerne ved at skabe
digital sammenhæng i sundhedsvæsenet og gennem brug af data.
Boks 3.8
Tidslinje med nedslag: Den digitale udvikling
1980’erne:
De første elektroniske journalsystemer i de almenmedicinske tilbud bliver udviklet
på lægers initiativ.
1990’erne:
De første telemedicinske initiativer i Danmark bliver igangsat i 1990ʼerne, hvor der bl.a.
bliver etableret videokommunikation og kommunikationslinjer fra grønlandske og færøske
sygehuse til københavnske sygehuse.
1994:
MedCom bliver etableret med det formål at standardisere og digitalisere de mest
almindelige tekstbaserede, kliniske meddelelser, der udveksles mellem de offentlige sygehuse,
de alment praktiserende læger og kommuner.
2003:
sundhed.dk bliver lanceret og har siden løbende fået nye funktioner og tjenester.
2004:
Praktiserende Lægers Organisation indgår en aftale med de daværende amter om, at
lægerne skal anvende computer- og journalføringssystemer, der er forenelige med nationale
standarder.
2008:
På finansloven for 2008 bliver der i alt afsat 3 mia. kr. i 2009­2015 til medfinansiering af
afprøvning og udbredelse af ny teknologi og nye arbejds­ og organisationsformer, der kan aflaste
medarbejderne og give mere tid til opgaver, der direkte berører borgerne.
2012:
Den nationale handlingsplan for udbredelsen af Telemedicin udkommer.
2013:
Center for Digital Psykiatri ved Region Syddanmark bliver grundlagt, og det har siden
udviklet sig til den fællesregionale onlineklinik Internetpsykiatrien.
2015:
Sundhedsdatastyrelsen bliver etableret og har til opgave at sikre bedre sundhed for
borgerne ved at skabe digital sammenhæng i sundhedsvæsenet og gennem brug af data. Den
elektroniske præhospitale patientjournal (PPJ) bliver udrullet på nationalt plan i ambulancer og
akutlægebiler.
2018:
Staten, regioner og kommuner lancerer den fælles Strategi for digital sundhed 2018-2024.
SUU, Alm.del - 2023-24 - Bilag 317: Orientering om Sundhedsstrukturkommissionens afrapportering, fra indenrigs- og sundhedsministeren
2880227_0073.png
1
2
3
4
Del 1 - Status, udfordringer og pejlemærker for sundhedsvæsenet
73
2023:
Staten, regioner og kommuner indgår politisk aftale om 500 mio. kr. til digital
hjemmebehandling.
2024:
Ny lovgivning træder i kraft, som skal bane vejen for at nedsætte et Nævn for
Sundhedsapps.
Elektroniske patientjournaler
Da Sundhedsministeriet i 1996 udgav strategirapporten ˮHandlingsplan for Elektroniske Patientjournalerˮ,
blev digitaliseringen af patientjournaler for alvor et nationalt anliggende. Tre år senere fulgte en national
strategi for IT i sygehusvæsenet, der skulle skabe et landsdækkende patientjournalsystem under overskrif-
ten ˮGrundstruktur for EPJˮ forkortet G­EPJ.
Efter flere år med både tekniske udfordringer og professionel og politisk modstand blev projektet om én
national løsning opgivet i 2007, bl.a. fordi Københavns Amt/Hovedstadens Sygehusfællesskab og Aarhus
Amt ville udvikle hvert deres eget EPJ­system med en forskellig integrationsplatform til samling af adskilte
IT-systemer.
I dag er der to forskellige EPJ­systemer. I Østdanmark har Region Sjælland og Region Hovedstaden siden
2016 benyttet Sundhedsplatformen fra den amerikanske IT­virksomhed Epic. Alle tre regioner i Vest­
danmark har siden 2022 anvendt en EPJ­løsning fra den danske IT­virksomhed Systematic.
Regionerne anvender desuden en række andre systemer og løsninger i patientbehandlingen. Det er fx
laboratoriesystemer, billeddiagnostiske systemer og specialespecifikke systemer. Det vedrører mere end
400 løsninger i hver region.
På nationalt plan blev den elektroniske præhospitale patientjournal (PPJ) i 2015 udrullet i ambulancer og
akutlægebiler. PPJʼen er lokaliseret på en specielt designet tablet, hvorpå ambulancereddere og læger kan
modtage oplysninger om patienten og indtaste informationer om den akutte behandling. De oplysninger
sendes via journalen til det modtagende sygehuse, og PPJ giver også mulighed for at trække på journaldata
i den præhospitale behandling.
De elektroniske journalsystemer har generelt givet bedre muligheder for mere automatisk at overføre data
til de nationale registre fx Landspatientregisteret og de kliniske kvalitetsdatabaser.
42,43
Elektroniske journalsystemer til de praktiserende læger
De første elektroniske journalsystemer til de praktiserende læger blev udviklet allerede i 1980ʼerne på
individuelle lægers initiativ. I 2004 indgik Praktiserende Lægers Organisation en aftale med de daværende
amter om, at lægerne skulle anvende computer- og journalføringssystemer, der var forenelige med natio-
nale standarder, det vil sige MedCom-standarder. I dag benytter alle praktiserende læger elektroniske
patientjournaler til at udveksle informationer, elektroniske recepter, se laboratoriesvar fra sygehuse og til
at sende henvisninger til sygehuse, speciallæger og psykologer. For ti år siden var der ti systemhuse,
der leverede journalsystemer til de alment praktiserende læger – i dag er der fire.
42
43
Gjødsbø, Iben Mundbjerg, Henriette Langstrup, Klaus Høyer, Lars Kayser, og Karsten Vrangbæk. “Digitalisering i det danske sundheds-
væsen”. Samfundsøkonomen, nr. 1 (25. marts 2021): 26–38.
Nøhr, Christian, Pernille Bertelsen, Søren Vingtoft og Stig Kjær Andersen, red. ”Digitalisering af det danske sundhedsvæsen: øjenvidne-
beretninger fra nøgleaktører”. 2. udgave. Odense: Syddansk Universitetsforlag, 2020.
SUU, Alm.del - 2023-24 - Bilag 317: Orientering om Sundhedsstrukturkommissionens afrapportering, fra indenrigs- og sundhedsministeren
2880227_0074.png
74
1
2
3
4
Del 1 - Status, udfordringer og pejlemærker for sundhedsvæsenet
Digitale journaler i kommuner
Kommunernes brug af digitale journaler begyndte langt senere end for sygehuse og alment praktiserende
læger. I dag bruges en elektronisk omsorgsjournal (EOJ) i den kommunale sektor til at registrere
oplysninger om borgere fx i forbindelse med hjemmepleje. Som udgangspunkt er der ikke borgeradgang
til EOJ, men en række kommuner indgår i projektet ˮBorgerjournalˮ, der via sundhed.dk giver borgerne
adgang til at følge med i de oplysninger, der registreres om dem i EOJ.
Fælles Sprog III (FSIII) er en fælleskommunal metode og standard for dokumentation af den kommunale
opgaveløsning på sundheds­ og ældreområdet. Fælles Sprog daterer sig tilbage til årtusindeskiftet. Fælles
Sprog er de begreber og den metode, medarbejderne i en kommune anvender, når de skal beskrive og
dokumentere en borgers situation og kommunens indsats, bevilliget inden for dele af sundheds-og service-
loven.
MedCom
Udviklingen af EPJ­systemer og nye muligheder for udveksling af information skabte et behov for standar­
disering og koordinering af den stigende mængde af digitale informationer. I 1994 blev MedCom etableret
med det formål at standardisere og digitalisere de mest almindelige tekstbaserede, kliniske meddelelser,
der udveksles mellem de offentlige sygehuse, de alment praktiserende læger og kommuner, fx korre-
spondancemeddelelser i forbindelse med indlæggelser og udskrivelser.
MedCom udvikler og udbreder fortsat standarder og digitale løsninger, der går på tværs af og forbinder
sektorerne i det danske sundhedsvæsen. I dag anvender samtlige sygehuse, laboratorier, apoteker,
kommuner og praksisydere MedComs standarder for kommunikation, og hver måned sendes ca. 5,5 mio
MedCom-dokumenter på tværs af sundhedsvæsenets sektorer. I praksis udveksles alle dokumenter elektro-
nisk mellem sundhedsvæsenets parter.
MedCom fungerer som rygraden i det digitale sundhedsvæsen ved at styrke kommunikationen og sam-
arbejdet mellem sygehuse, kommuner og praktiserende læger og er derfor en helt central organisation i
forhold til at sikre sammenhængende patientforløb. MedCom har også driftsansvar for fælles IT-systemer
og infrastrukturer, så som det sikrede Sundhedsdatanet der bruges til sikker dataudveksling i sundheds­
væsenet, og Videoknudepunktet der anvendes til en lang række forskellige former for videokonferencer
i sundhedsvæsenet.
Sundhed.dk
I 2001 tog den daværende Amtsrådsforening initiativ til at etablere en fælles offentlig sundhedsportal for
at samle information og kommunikation på sundhedsområdet i én samlet national indgang for borgere
og sundhedsprofessionelle, det vil sige en slags digital fordør til sundhedsvæsenet.
I 2003 blev sundhed.dk lanceret og har siden løbende fået nye funktioner og tjenester. Sundhed.dk
henter data fra mere end 120 datakilder. I 2023 var der hver måned 3,8 mio. besøg på sundhed.dk.
I MinSundhed­appen er der 1,6 mio. besøg om måneden.
På sundhed.dk har borgere og patienter via Sundhedsjournalen adgang til deres personlige sundhedsdata,
herunder EPJ-data fra sygehuset, medicinkort, vaccinationer, laboratoriesvar og en log over, hvem der har
lavet opslag i deres oplysninger. Borgere har som nævnt endnu ikke digital adgang til journaloplysninger
fra de alment praktiserende læger, ligesom mange private leverandører af sundhedstilbud heller ikke viser
deres journalnotater i Sundhedsjournalen. Borgere kan ikke selv skrive i deres sundhedsjournal, men de
kan føje oplysninger til det såkaldte stamkort og registrere valg om fx organdonation og livsforlængende
behandling. Ud over egne sundhedsinformationer kan borgere via sundhed.dk tilgå en række funktioner
fx fremsøgning af behandlere, behandlingssteder og patientrettigheder. Sundhedsprofessionelle kan via
sundhed.dk få adgang til patientinformation, som ikke allerede er tilgængeligt i deres eget EPJ-system,
fx information fra andre regioners EPJ-systemer.
SUU, Alm.del - 2023-24 - Bilag 317: Orientering om Sundhedsstrukturkommissionens afrapportering, fra indenrigs- og sundhedsministeren
2880227_0075.png
1
2
3
4
Del 1 - Status, udfordringer og pejlemærker for sundhedsvæsenet
75
Med den fællesoffentlige digitaliseringsstrategi 2022­2025, som er aftalt mellem regeringen, Danske
Regioner og KL, er det ambitionen, at Sundhedsjournalen og MinSundheds funktionalitet skal udbygges
og videreudvikles, så borgerne bl.a. får adgang til flere sundhedsoplysninger på tværs af sektorer.
Digitale sundhedsydelser
I Danmark blev de første telemedicinske initiativer igangsat i 1990ʼerne, hvor der bl.a. blev etableret
videokommunikation og kommunikationslinjer fra grønlandske og færøske sygehuse til københavnske syge-
huse. En rapport fra 2010 viste, at på daværende tidspunkt var videokommunikation den mest anvende
form for telemedicin.
44
På finansloven for 2008 blev der afsat i alt 3 mia. kr. i 2009­2015 til medfinansiering af afprøvning og
udbredelse af ny teknologi og nye arbejds­ og organisationsformer, som kunne aflaste medarbejderne og
give mere tid til opgaver, der direkte berører borgerne. Dette førte til oprettelsen af ABT­fonden (anvendt
borgernær teknologi), der efter 2011 støttede telemedicinske demonstrationsprojekter, bl.a. indenfor
sårpleje og KOL.
På trods af mange lokale og regionale projekter i 2010ʼerne blev en bred national udrulning af telemedicin
ikke igangsat før etableringen af organisationen Fælles Udvikling af Telemedicin (FUT) i 2016. Den fælles
udrulning tilbød en national infrastruktur til indsamling af patientdata. I første omgang er FUT rettet mod
alle med svær kronisk obstruktiv lungesygdom, som bliver fulgt af kommunale sygeplejersker i samråd med
sygehusafdelinger, men på sigt skal tilbuddet udvides til at dække flere sygdomme og skabe mulighed for
deling af flere data på tværs af sektorerne. Meddelelsen om at påbegynde national udrulning af modellen
kom dog først i efteråret 2023, og udrulningen er fortsat i gang.
I 2013 blev Center for Digital Psykiatri ved Region Syddanmark grundlagt i forbindelse med et projekt om
internetbaseret kognitiv adfærdsterapi finansieret af ABT­fonden, som igennem årene har udviklet sig til
den fællesregionale onlineklinik Internetpsykiatrien.
45
Internetpsykiatrien tilbyder behandling af angst og
depression. Behandlingen foregår på en online behandlingsplatform. Under hele behandlingen får borgeren
skriftlig støtte og feedback fra en psykolog. Center for Digital Psykiatri er i dag på Finansloven.
I 2023 indgik staten, regioner og kommuner en politisk aftale om at afsætte 500 mio. kr. til hjemme­
behandling, bl.a. til udstyr til borgere med KOL og diabetes, digitale tilbud inden for psykiatri og genop-
træning og skærmbesøg i den kommunal sygepleje. Den 1. januar 2024 trådte desuden en ny lov i kraft,
som skal bane vejen for etablering af et nyt Nævn for Sundhedsapps, der skal gøre det lettere og mere trygt
for borgerne at navigere i de mange sundhedsapps, som i dag er på markedet. Nævnet får dermed til opgave
at vurdere, om sundhedsapps kan anbefales og vises på sundhed.dk.
Mellem ramme- og aktivitetsstyring
Rammestyring fra stat til amt/region har været anvendt siden sidst i 1970’erne. Under rammestyring
fastsætter den overordnede myndighed budgetrammen for det underliggende niveau, fx staten for
regionerne og regionerne for sygehusene og sygehusene for afdelingerne. Til rammen er der normalt
knyttet forskellige aktivitets- og kvalitetsmål, som hovedregel i form af en ikke-juridisk bindende kontrakt,
som i stat­region­relationen er økonomiaftalen. Brugen af mål­ og rammestyring tog særlig fart i 1990’erne.
Rammestyring af sygehusene blev et centralt styringsredskab fra midten af 1980’erne og frem til
begyndelsen af det nye årtusinde. I perioden fra 2002­2015 blev rammestyringen suppleret med takst­
styringsmodeller, hvor aktivitetsmål og produktivitetskrav var i fokus. Fra 2002 til 2019 var der et krav om
øget produktivitet på 2 pct. om året, hvor amterne/regionerne beholdt gevinsten mod til gengæld at øge
aktiviteten tilsvarende.
44
45
Toftgaard, Claus og Lars Hulbæk. ”Telemedicin - danske erfaringer og projekter”. 2010.
Danske Regioner. ”Let og hurtig psykisk hjælp”. 2023.
SUU, Alm.del - 2023-24 - Bilag 317: Orientering om Sundhedsstrukturkommissionens afrapportering, fra indenrigs- og sundhedsministeren
2880227_0076.png
76
1
2
3
4
Del 1 - Status, udfordringer og pejlemærker for sundhedsvæsenet
Takststyringen var baseret på DRG­systemet (diagnose relaterede grupper) med ca. 1.000 takster for
stationær og ambulant behandling. DRG-systemet benyttes stadig, bl.a. til mellemregionale afregninger
og takster for ambulant behandling, DAGS. Takststyringen i 2000’erne angives normalt som én af for­
klaringerne på, at det lykkedes at reducere ventetiderne, bl.a. fordi penge fra den særlige ventelistepulje
blev udbetalt ved hjælp af takstsystemet.
Kommunal medfinansiering blev indført i forbindelse med strukturreformen i 2007 og havde til formål at
udgøre et yderligere økonomisk incitament til at prioritere kommunale forebyggende indsatser. Modellen er
indrettet, så de enkelte kommuner kan opnå en økonomisk fordel, hvis kommunens borgere har et træk på
det regionale sundhedsvæsen, som ligger under det ”gennemsnitlige” træk, kontrolleret for befolknings-
sammensætning og (fra staten) finansierede niveau.
Ordningen har været fastfrosset siden 2019 for at give kommunerne budgetsikkerhed, bl.a. som følge af,
at kommunerne oplevede store udsving i betalingen i 2018. Efter fastlåsningen har ordningen ingen
økonomiske incitamentsvirkninger.
Samtidig med indførslen af kommunal medfinansiering i 2007 blev ordningen om færdigbehandlings­
taksten gjort obligatorisk. Indtil da var ordningen en mulighed. Færdigbehandlingstaksten indebærer,
at kommunerne betaler en dagstakst til regionerne og fra 2016 også til staten i forbindelse med færdig­
behandlingsdage på sygehuse. Det understøtter et økonomisk incitament for kommunerne til at hjemtage
patienter, som er færdigbehandlede i sygehusregi, og hvor den videre behandling dermed ikke forudsætter
fortsat sygehusindlæggelse. Det gennemsnitlige antal færdigbehandlingsdage er faldet betydeligt siden
kommunalreformen i 2007.
I 2012 nedsatte den daværende regering Udvalget for bedre incitamenter i sundhedsvæsenet, det såkaldte
kulegravningsudvalg. Udvalget skulle se på afregningspriserne mellem regioner og private sygehuse og
mellem sygehusene, hensigtsmæssig opgørelse af kvalitet for at kunne vurdere omkostningseffektivitet
og vurdere fordele og ulemper ved udformningen af DRG­takstsystemet. Blandt udvalgets anbefalinger var:
• Et styrket fokus på kvalitet og synlighed om resultater, der tager afsæt i fælles mål og relevant
dokumentation i hele sundhedsvæsenet.
• Et mere sammenhængende sundhedsvæsen med udgangspunkt i en styrket og målrettet forebyggelses-
indsats understøttet af en ændring af den kommunale medfinansiering, så incitamenterne er større,
hvor kommunerne har den største kontaktflade med borgerne.
• Et effektivt samarbejde mellem de forskellige aktører i sundhedsvæsenet bl.a. ved at implementere
evalueringen af kommunalreformens forslag om at gå fra 98 til fem sundhedsaftaler.
• Et mere omkostningseffektivt sundhedsvæsen der baserer sig på en moderne aktivitetsstyring,
med fortsat udgangspunkt i den statslige aktivitetsafhængige finansiering og den kommunale med­
finansiering, hvor det i højere grad er den relevante aktivitet, der honoreres, og der ikke skabes
et uhensigtsmæssigt aktivitetspres.
46
Udvalgets anbefalinger medvirkede bl.a. til en ændring af den kommunale medfinansiering i 2016. Det
indebar, at ordningen bl.a. skulle differentiere på alder, så betalingen afspejlede kommunernes muligheder
for forebyggelse, der hvor kommunerne i forvejen har kontakt med borgerne.
Udvalgets rapport afspejler en tilgang til at vurdere effekten af sundhedsindsatser, som på det tidspunkt
havde vundet indpas nemlig Triple Aim­tilgangen. Triple Aim blev udviklet af den amerikanske organisation
Institute for Healthcare Improvement i 2007. Tilgangen er bygget op om tre parametre, der skal anvendes til
at vurdere og optimere sundhedsindsatser, så det matcher befolkningens og samfundets behov. Indsatser
skal samlet set forbedre sundhedstilstanden for en population, øge den kliniske og brugeroplevede kvalitet
og fastholde eller reducere omkostninger pr. indbygger.
46
Danske Regioner m.fl., “Bedre incitamenter i sundhedsvæsenet”, 2013
SUU, Alm.del - 2023-24 - Bilag 317: Orientering om Sundhedsstrukturkommissionens afrapportering, fra indenrigs- og sundhedsministeren
2880227_0077.png
1
2
3
4
Del 1 - Status, udfordringer og pejlemærker for sundhedsvæsenet
77
En anden men lignende styringsfilosofi er værdibaseret styring, som blev introduceret omkring 2015.
Ligesom Triple Aim bygger værdibaseret styring, at fokus skal rettes væk fra aktivitetsfinansiering og i
retning af større fokus på data om sundhedsmæssig effekt og patientens oplevelse af den sundhedsmæssige
effekt. Samtidig fokuserer værdibaseret styring på de samlede omkostninger for hele patientforløbet på
tværs af sektorer.
47
Den nuværende finansiering af regionerne indeholder et resultatafhængigt element i form ordningen for
Nærhedsfinansiering. Nærhedsfinansiering blev aftalt mellem den daværende regering og Danske Regioner
i forbindelse med økonomiaftalen for 2019, men der er endnu ikke gennemført efterregulering på baggrund
af regionernes resultater. Resultatkriterierne i nærhedsfinansiering omhandler omstilling og sammenhæng.
Ordningen har bl.a. til hensigt at tilskynde til indsatser som prioritering eller flytning af ambulante kontrol-
ler til det primære sundhedsvæsen og øget samarbejde mellem sygehus og kommune om patienternes
behov og pleje efter udskrivelse fra sygehus.
Resultatfinansiering dækker udvalgte målsætninger, som det er vurderet, at der er behov for at understøtte
i det nuværende sundhedsvæsen. Det gælder reduktion i antal sygehusforløb pr. borger, reduktion i
somatiske genindlæggelser og øget brug af virtuelle forløb.
Boks 3.9
Tidslinje med nedslag: Mellem ramme­ og aktivitetsstyring
1970’erne:
Rammestyring fra stat til amt/region har været benyttet siden sidst i 1970’erne.
1980’erne:
Rammestyring af sygehusene kommer i fokus fra midten af 1980’erne.
1990’erne:
Mål og rammestyring tager særlig fart i 1990’erne.
2002­2015:
I perioden bliver rammestyringen suppleret med takststyringsmodeller, hvor
aktivitetsmål og produktivitetskrav var i fokus.
2007:
Kommunal medfinansiering bliver indført i forbindelse med strukturreformen i 2007 og har
til formål at udgøre et yderligere økonomisk incitament til at prioritere kommunale forebyggende
indsatser. Samtidig med indførslen af kommunal medfinansiering i 2007 bliver ordning om
færdigbehandlingstaksten gjort obligatorisk.
2018:
Ordning om nærhedsfinansiering bliver aftalt mellem den daværende regering og Danske
Regioner.
Fra frivillig kvalitetsudvikling til nationalt kvalitetsprogram
I slutningen af 1980’erne kom der fokus på kvalitetssikring i sundhedsvæsenet og konkrete initiativer tog
form i 1990’erne.
48
Der kan skelnes mellem tre faser i processen: Frivillighed og opblomstring af mange
initiativer efterfulgt af obligatorisk akkreditering og afskaffelse af akkreditering og kvalitetsarbejde funde-
ret i otte nationale mål for kvalitet, kvalitetsklynger for de alment praktiserende læger og de mere end 80
kliniske kvalitetsdatabaser.
47
48
VIVE, Betina Højgaard, Jakob Kjellberg og Mickael Bech. ”Den statslige styring af det regionale sundhedsområde: analyse af centrale
instrumenter”. VIVE – Det nationale Forsknings- og Analysecenter for Velfærd, 2018.
Pedersen, Kjeld Møller. ”Dansk sundhedspolitik”. 1. udgave, 1. oplag. København: Munksgaard, 2018.
SUU, Alm.del - 2023-24 - Bilag 317: Orientering om Sundhedsstrukturkommissionens afrapportering, fra indenrigs- og sundhedsministeren
2880227_0078.png
78
1
2
3
4
Del 1 - Status, udfordringer og pejlemærker for sundhedsvæsenet
Boks 3.10
Tidslinje med nedslag: Fra frivillig kvalitetsudvikling til nationalt kvalitetsprogram
1980’erne­1990’erne:
Fokus på kvalitetssikring i sundhedsvæsenet, og konkrete initiativer tager
form.
1993:
Sundhedsministeriet og Sundhedsstyrelsen udgiver en national strategi for
kvalitetsudvikling i sundhedsvæsenet.
1999:
For at fremme kvalitetsudviklingen i sundhedsvæsenet og styrke den overordnede
koordinering bliver der etableret et Nationalt råd for kvalitetsudvikling i Sundhedsvæsenet.
2002:
En ny national strategi for kvalitetsudvikling i sundhedsvæsenet for årene 2002-2006
udkommer. Der er fortsat tale om en frivillighedsmodel.
2002:
Med økonomiaftalen for 2003 mellem regeringen og amterne ses et kursskifte i retning
af en mere målrettet og forpligtende indsats. Der er enighed om at udvikle en fælles dansk
akkrediteringsmodel, Den Danske Kvalitetsmodel (DDKM).
2004:
En ny lov om patientsikkerhed træder i kraft. Det betyder, at en række utilsigtede
hændelser skal registreres og for manges vedkommende gøres til genstand for
kerneårsagsanalyser.
2015:
Den daværende regering lancerer et nyt nationalt kvalitetsprogram for sundhedsvæsenet,
som indebærer udfasning af akkrediteringen af de offentlige sygehuse. Omlægningen kommer til
udtryk ved otte nationale mål for sundhedsvæsenet, som regioner og kommuner måles på.
2016:
Akkreditering af alment praktiserende læger i henhold til Den Danske Kvalitetsmodel, som
få år senere i 2019 bliver afløst af kvalitetsklynger.
Frivillig kvalitetsudvikling
I 1993 udgav Sundhedsministeriet og Sundhedsstyrelsen en national strategi for kvalitetsudvikling i
sundhedsvæsenet. Tanken var, at den skulle fungere som en fælles ramme for indsatsen, som var baseret
på frivillighedsprincippet. I 2002 udkom en ny national strategi for årene 2002­2006. Der var fortsat tale
om en frivillighedsmodel, hvor man overlod til amterne og de enkelte sygehuse at beslutte, om og hvornår
mere systematisk kvalitetssikring skulle indføres.
For at fremme kvalitetsudviklingen i sundhedsvæsenet og styrke den overordnede koordinering blev der
i 1999 etableret et Nationalt råd for kvalitetsudvikling i Sundhedsvæsenet. Rådet havde bl.a. til opgave
at revidere og videreudvikle strategien fra 1993. Rådet stod også for den reviderede version fra 2002.
Den Danske Kvalitetsmodel
Med økonomiaftalen for 2003 mellem regeringen og amterne skete der et kursskifte i retning af en mere
målrettet og forpligtende indsats, da der var enighed om at udvikle en fælles dansk akkrediteringsmodel
– Den Danske Kvalitetsmodel (DDKM). Udviklingen af modellen skulle ske i et samarbejde med dansk
ekspertise og en anerkendt international sundhedsakkrediteringsorganisation og sigtet var, at den over
en årrække skulle dække hele sundhedsvæsenet.
SUU, Alm.del - 2023-24 - Bilag 317: Orientering om Sundhedsstrukturkommissionens afrapportering, fra indenrigs- og sundhedsministeren
2880227_0079.png
1
2
3
4
Del 1 - Status, udfordringer og pejlemærker for sundhedsvæsenet
79
Institut for Akkreditering og Kvalitetsudvikling i Sundhedsvæsenet, IKAS, blev etableret i midten af 2005
af parterne bag Den Danske Kvalitetsmodel. IKAS blev oprettet for at udvikle og drive modellen. DDKM var
et aftalebaseret kvalitetssystem, der skulle være med til at sikre kvaliteten i de helt eller delvist offentligt
finansierede sundhedsydelser. Idéen bag DDKM var, at der skulle indsamles kvantitative data, som skulle
belyse, om en lang række processer blev gennemført i overensstemmelse med bedste praksis. Hvis data
viste, er der var et gab mellem det ønskede og det faktisk fundne, ville det, at data blev præsenteret for
klinikere og ledere og offentliggjort, drive forandringer i retning af at lukke gabet.
Der var dog allerede to tilfælde af akkreditering i gang. Hovedstadens Sygehusfællesskab valgte i 1999
som den første sygehusejer i Danmark at få sygehusene i Hovedstadens Sygehusfællesskab akkrediteret via
the Joint Commission International. Sønderjyllands Amt fulgte efter i 2001 med det såkaldte Kiss­projekt
(Kvalitet i Sønderjyllands Sundhedsvæsen), men valgte at bruge et engelsk akkrediteringsfirma og kun lade
akkrediteringen omfatte udvalgte kommuner og lægepraksis. Eksemplet med Hovedstadens Sygehus­
fællesskab og Sønderjyllands Amt illustrerer et dilemma, fordi man lokalt ønskede at finde løsningerne,
men samtidig var tilslutning til en fælles løsning fra alle aktører afgørende for relevante og sammenlignelige
resultater. Gennemførelsen af to samtidige akkrediteringer på nogle sygehuse førte til ”akkrediterings-
fattigue” hos medarbejderne.
De første akkrediteringer i 2008­2009 var på apoteker, fordi sygplejekonflikten i 2008 forsinkede færdig­
udviklingen for sygehuse. På sygehusene kom man først i gang 2010­2011 (Sygehus Sønderjylland).
Det første præhospital­survey startede i 2012 i Region Hovedstaden, og det første kommune­survey var
hos tandplejen i Odense 2012.
Ifølge overenskomsten for almen praksis, blev de praktiserende læger fra januar 2016 akkrediterede i
henhold til Den Danske Kvalitetsmodel, som få år senere i 2019 blev afløst af kvalitetsklynger,
49
der er et
fagligt, professionelt fællesskab af praktiserende læger, som jævnligt mødes på tværs af lægeklinikker og
arbejder med kvalitetsudvikling i behandlingen af patienter. Klyngerne er også en mulighed for at opnå
kollegial sparring og sammenhold, særligt for mindre lægeklinikker.
Den danske kvalitetsmodel blev udrullet samtidig med en række andre kvalitetsinitiativer. Med virkning
fra 2004 trådte en ny lov om patientsikkerhed i kraft. Det betød, at en række utilsigtede hændelser skulle
registreres og for manges vedkommende gøres til genstand for kerneårsagsanalyse. I 2000 gennemførte
man første gang en landsdækkende patienttilfredshedsundersøgelse, der afdækker forhold omkring den
patientoplevede kvalitet. Undersøgelsen er siden blevet gentaget.
Nationalt kvalitetsprogram for sundhedsvæsenet
I april 2015 lancerede den daværende regering et nyt nationalt kvalitetsprogram for sundhedsvæsenet,
50
som indebar udfasning af akkrediteringen af de offentlige sygehuse. Det blev bekræftet i økonomiaftalen
for 2016 mellem den daværende regering og henholdsvis Danske Regioner og KL. Man fuldførte den
igangværende akkrediteringsrunde, men sidste survey på et offentligt sygehus blev gennemført i 2015 på
Glostrup Hospital.
Kvalitetsprogrammet indebar en nytænkning af den måde, sundhedsvæsenet blev styret på. Der blev lagt op
til et skifte fra et ensidigt fokus på aktivitet og produktivitet til nye styringsinstrumenter med et balanceret
fokus på aktivitet, kvalitet, resultater og omkostninger. Der skulle fastlægges få, ambitiøse, nationale
kvalitetsmål, der skulle bruges til en ny tilgang til kvalitetsstyring – fra proceskrav, som i akkrediterings-
modellen, til udvikling af en forbedringskultur – og der skulle være større synlighed om resultater og
kvalitet og mere systematisk brug af data. Betydningen af ledelse og incitamenter og finansiering, der
understøtter kvalitet for patienten, var også vigtige punkter i den nye retning for kvalitetsarbejdet.
49
50
VIVE, Marie Henriette Madsen, Morten Bonde Klausen, Marius Brostrøm Kousgaard, Maria Bundgaard, Thorbjørn Hougaard Mikkelsen,
Mads Toft Kristensen, Pia Kürstein Kjellberg, og Jens Søndergaard. ”Kvalitetsklynger i almen praksis: en kvalitativ undersøgelse af klyngernes
første år”. VIVE – Det Nationale Forsknings- og Analysecenter for Velfærd, 2020.
Ministeriet for Sundhed og Forebyggelse. ”Nationalt kvalitetsprogram for sundhedsområdet 2015-2018”. 2015.
SUU, Alm.del - 2023-24 - Bilag 317: Orientering om Sundhedsstrukturkommissionens afrapportering, fra indenrigs- og sundhedsministeren
2880227_0080.png
80
1
2
3
4
Del 1 - Status, udfordringer og pejlemærker for sundhedsvæsenet
Den skitserede omlægning er bl.a. kommet til udtryk ved otte nationale mål for sundhedsvæsenet, som
regioner og kommuner måles på. De otte nationale mål er:
• Bedre sammenhængende patientforløb
• Behandling af høj kvalitet
• Øget patientinddragelse
• Flere sunde leveår
• Hurtig udredning og behandling
• Mere effektivt sundhedsvæsen
• Styrket indsats for kronikere og ældre patienter
• Forbedret overlevelse og patientsikkerhed
Under hvert mål er der en række indikatorer, som udskiftes løbende.
Det datadrevne kvalitetsarbejde understøttes af Regionernes Kliniske Kvalitetsudviklingsprogram (RKKP).
RKKP står for drift og udvikling af omkring 80 landsdækkende kliniske kvalitetsdatabaser. Databaserne
har til formål at belyse kvaliteten af den sundhedsfaglige behandling og bidrage til at forbedre sundheds-
væsenets indsats og resultater. Derudover leverer RKKP bl.a. data til de årlige opdateringer af status for
de otte nationale kvalitetsmål.
SUU, Alm.del - 2023-24 - Bilag 317: Orientering om Sundhedsstrukturkommissionens afrapportering, fra indenrigs- og sundhedsministeren
2880227_0081.png
1
2
3
4
Del 1 - Status, udfordringer og pejlemærker for sundhedsvæsenet
81
Kapitel 4: Status og udfordringer
for sundhedsvæsenet
Forudsætningerne for det danske sundhedsvæsen er under forandring. Sygdomsbilledet er ved at ændre sig,
der er tiltagende mangel på vigtige sundhedsfaglige kompetencer, og forventningerne til, hvad sundheds-
væsenet kan levere, stiger. De ændrede forudsætninger medvirker bl.a. til, at sundhedsvæsenet kan opleves
usammenhængende, og der ikke altid er balance mellem det primære og det sekundære sundhedsvæsen.
Derudover er der sociale og geografiske forskelle i adgang til og brug af sundhedsydelser.
I det følgende vil forudsætningerne og udfordringerne for sundhedsvæsenet blive beskrevet. Til sammen
danner de en væsentlig del af grundlaget for Sundhedsstrukturkommissionens anbefalinger og forslag.
Kapitlet afdækker tre vigtige tendenser, som ændrer forudsætningerne for det danske sundhedsvæsen:
1. Sygdomsbilledet ændrer sig, både for unge og ældre. Andelen af befolkningen, der er 80 år eller ældre,
vil stige med 14 pct. frem mod 2035. I 2050 vil andelen være fordoblet. Med den aldrende befolkning
følger også, at flere udvikler alders­ og livstilsbetingede sygdomme, ligesom flere kommer til at leve
længere med kroniske sygdomme. Stadig flere børn og unge berøres af psykiske lidelser, varige og
forbigående. Siden 2013 er antallet af børn og unge med psykiatriske diagnoser steget med 25 pct.
2. Manglen på vigtige sundhedsuddannede faggrupper tiltager. I de kommende år vil et generationsskifte
medføre stor medarbejderafgang og en forværret rekrutteringssituation. Det gælder særligt social-
og sundhedsassistenter og social­ og sundhedshjælpere. Udfordringen skal ses i lyset af, at Danmark
i forvejen er blandt de lande i OECD (Organisation for Economic Co-operation and Development)
med den højeste andel af beskæftigede ansat i sundhedssektoren.
3. Højere forventninger fra en befolkning, der gerne vil leve et godt og langt liv. Den teknologiske udvikling
gør det muligt at diagnosticere og behandle flere sygdomme end tidligere. Med højere velstand efter-
spørges generelt mere velfærd. Det gælder også sundhedsydelser.
Derudover fremhæver kapitlet tre væsentlige udfordringer, som sundhedsvæsenet står overfor:
1. Usammenhængende patientforløb. Den aldrende befolkning indebærer, at stadig flere borgere får forløb
i sundhedsvæsenet, der både involverer alment praktiserende læger, sygehuse og kommunen, men også
ofte flere specialer og afdelinger på sygehuset og i kommunen. Det er netop den gruppe patienter, der
oplever, at deres forløb ikke altid hænger sammen. Det stiller flere krav til ansvar, koordinering og
vidensdeling på tværs af sundhedsvæsenet og ældreområdet, så patienterne oplever sammenhæng
og kvalitet.
2. Ubalance mellem det primære og det sekundære sundhedsvæsen. De seneste 20 års investeringer i og
udvikling af sundhedsvæsenet har medført en øget specialisering og en mere omfattende arbejdsdeling
mellem forskellige dele af sundhedsvæsenet og ældreområdet. Specialiseringen har medført betydelige
kvalitetsforbedringer, men der er også områder, hvor den høje specialisering kan medføre ulemper,
især for patienter med flere sygdomme. Herudover har særligt det primære sundhedsvæsen svært ved
at følge med behovet for behandling, forebyggelse, rehabilitering, omsorg og pleje.
3. Geografisk og social ulighed i sundhed. Der er væsentlige forskelle i sundhed og adgang til sundheds­
tilbud på tværs af landet. Adgangen til sundhedstilbud er oftest udfordret i de dele af landet, hvor
behandlingsbehovet er størst. Det gælder fx adgangen til alment praktiserende læger og privat-
praktiserende speciallæger. Omvendt er adgangen bedst i områder, hvor befolkningen som helhed
er sundest.
SUU, Alm.del - 2023-24 - Bilag 317: Orientering om Sundhedsstrukturkommissionens afrapportering, fra indenrigs- og sundhedsministeren
2880227_0082.png
82
1
2
3
4
Del 1 - Status, udfordringer og pejlemærker for sundhedsvæsenet
Ændrede forudsætninger for det danske sundheds-
og ældreområde
De næste årtier bliver forudsætningerne for det danske sundheds- og ældreområde påvirket af særligt
tre tendenser, der har stor betydning for de udfordringer, som sundhedsvæsenet og ældreområdet står
overfor. De tre tendenser vedrører det aktuelle og fremtidige sygdomsbillede, mangel på vigtige sundheds-
uddannede faggrupper og befolkningens forventninger til sundhedsvæsenet.
Sygdomsbilledet forandrer sig for unge og ældre
Den demografiske udvikling betyder, at befolkningen i gennemsnit bliver ældre. Frem mod 2035 vil andelen
af ældre, der er fyldt 80 år, stige med 14 pct. Med en aldrende befolkning bliver flere berørt af alders­
betingede sygdomme og kroniske sygdomme. Samtidig har der de seneste år været en markant stigning
i antallet af psykiske diagnoser, både varige og forbigående. En stor del af stigningen ses blandt den unge
del af befolkningen. Samlet set øger det presset på alle dele af sundhedsvæsenet, der som helhed kommer
til at skulle levere sundhedsydelser til langt flere mennesker end i dag.
Den ældre befolkning vokser markant frem mod 2035
Den ældre befolkning i Danmark vokser, og det vil fortsætte de næste årtier. I 2035 vil der være 250.000
flere borgere, der er 65 år eller derover, jf. figur 4.1. Frem mod 2050 øges den ældre befolkning med
yderligere 340.000 personer, og andelen af de ældste danskere, dem der er fyldt 80 år, fordobles.
Der er to årsager til, at befolkningen som helhed bliver ældre. Den første årsag er, at de historisk store
generationer er ved at blive gamle. Det gælder fx årgangene fra 1940’erne og 1960’erne. Den anden årsag
er, at befolkningen lever længere. Større generationer med længere levetid betyder, at behovet for omsorg,
pleje, behandling og rehabilitering alt andet lige vokser i årene, der kommer. De store generationer har især
betydning for befolkningssammensætningen i de kommende årtier, mens den længere levetid må forventes
at være et mere varigt udviklingstræk. Samtidig forventes det ikke at arbejdsstyrken vil vokse tilsvarende,
hvilket, som også præsenteres senere, også lægger pres på de mennesker, der skal levere sundhedsydelser.
Figur 4.1
Befolkningen fordelt på alder, 1901­2050
Indbyggere
7.000.000
6.000.000
5.000.000
4.000.000
3.000.000
2.000.000
1.000.000
1901
1905
1909
1913
1917
1921
1925
1929
1933
1937
1941
1945
1949
1953
1957
1961
1965
1969
1973
1977
1981
1985
1989
1993
1997
2001
2005
2009
2013
2017
2021
2025
2029
2033
2037
2041
2045
2049
Indbyggere
7.000.000
6.000.000
5.000.000
4.000.000
3.000.000
2.000.000
1.000.000
0
0
Under 20 år
20-65 år
65-80 år
Over 80 år
Anm: Stiplet linje indikerer hvor fremskrivning starter (2024).
Kilde: Statistikbanken, Danmarks Statistik, tabel BEFOLK1 og FRDK122.
SUU, Alm.del - 2023-24 - Bilag 317: Orientering om Sundhedsstrukturkommissionens afrapportering, fra indenrigs- og sundhedsministeren
2880227_0083.png
1
2
3
4
Del 1 - Status, udfordringer og pejlemærker for sundhedsvæsenet
83
Aldersfordelingen i befolkningen er ikke ens på tværs af landet, jf. figur 4.2. At det forholder sig sådan
skyldes bl.a. en tendens til, at særligt yngre aldersgrupper bevæger sig mod byerne. Det medfører, at
befolkningen omkring de større byer som helhed bliver yngre. Omvendt indebærer flyttemønstrene, at
de kommuner, som de yngre aldersgrupper flytter fra, får en relativt stor andel af ældre borgere, som har
et større behov for sundhedsydelser.
Den ulige geografiske alderssammensætning kan allerede ses i dag, men i fremtiden vil uligheden blive
endnu mere udtalt. I 2023 var der kun to kommuner, hvor borgere, der er fyldt 80 år eller mere, udgjorde
mere end ti pct. af indbyggerne. I 2035 vil det gøre sig gældende i 23 kommuner, heraf mange mindre
kommuner målt på indbyggertal.
Figur 4.2
Andelen af personer over 80 år i kommunen, 2023 og 2035
Over 11 pct. (0)
10-11 pct. (2)
9-10 pct. (1)
8-9 pct. (2)
7-8 pct. (11)
Under 7 pct. (82)
Over 11 pct. (12)
10-11 pct. (11)
9-10 pct. (22)
8-9 pct. (17)
7-8 pct. (15)
Under 7 pct. (21)
Anm.: Antal kommuner i hver kategori i parentes.
Kilde: Statistikbanken, Danmarks Statistik, tabel FRKM123.
Ser man på fordelingen af dem, der er fyldt 80 år, bor de både nu og i fremtiden primært udenfor de store
byer, jf. figur 4.3.
SUU, Alm.del - 2023-24 - Bilag 317: Orientering om Sundhedsstrukturkommissionens afrapportering, fra indenrigs- og sundhedsministeren
2880227_0084.png
84
1
2
3
4
Del 1 - Status, udfordringer og pejlemærker for sundhedsvæsenet
Figur 4.3
Befolkning over 80 år, fordelt på kommunetyper
Pct.
30
25
20
15
10
5
0
Hovedstads-
kommuner
(Ekskl. København)
Land-
kommuner
80+ årige i 2023
Oplands-
kommuner
Provinsby-
kommuner
80+ årige i 2035
Storby-
kommuner
18
Pct.
30
25
19
16
23
18
24
25
20
15
10
5
0
26
16
16
Anm.: Opgørelsen er baseret på Danmarks Statistiks kommuneopdeling. Hovedstadskommuner: Frederiksberg, Ballerup, Brøndby, Dragør,
Gentofte, Gladsaxe, Glostrup, Herlev, Albertslund, Hvidovre, Høje­Taastrup, Lyngby­Taarbæk, Rødovre, Ishøj, Tårnby, Vallensbæk, Furesø, Allerød,
Hørsholm, Rudersdal, Egedal, Greve og Solrød. Storbykommuner: København, Odense, Aarhus og Aalborg. Provinsbykommuner: Helsingør,
Hillerød, Køge, Roskilde, Slagelse, Næstved, Esbjerg, Fredericia, Horsens, Kolding, Vejle, Herning, Holstebro, Randers, Silkeborg og Viborg.
Oplandskommuner: Fredensborg, Frederikssund, Halsnæs, Gribskov, Holbæk, Faxe, Ringsted, Stevns, Sorø, Lejre, Middelfart, Assens,
Faaborg-Midtfyn, Kerteminde, Nyborg, Nordfyns, Vejen, Syddjurs, Favrskov, Odder, Skanderborg, Ikast-Brande, Hedensted og Rebild.
Landkommuner: Odsherred, Kalundborg, Lolland, Guldborgsund, Vordingborg, Bornholm, Svendborg, Langeland, Ærø, Haderslev, Billund,
Sønderborg, Tønder, Fanø, Varde, Aabenraa, Lemvig, Struer, Norddjurs, Samsø, Ringkøbing-Skjern, Morsø, Skive, Thisted, Brønderslev,
Frederikshavn, Vesthimmerlands, Læsø, Mariagerfjord, Jammerbugt og Hjørring.
Kilde: Statistikbanken, Danmarks Statistik, tabel FOLK1A og FRDK123.
Flere mennesker med multisygdom og kroniske sygdomme
Med en ældre befolkning følger, at flere udvikler alders­ og livsstilsbetingede sygdomme. I takt med at
befolkningen lever længere, får flere brug for behandling for én eller flere kroniske sygdomme over en
længere periode.
I dag lever én ud af fem danskere med mindst én kronisk sygdom. På godt ti år er gruppen af patienter
med kroniske sygdomme vokset med 160.000 borgere, jf. figur 4.4. Det svarer til en stigning på 20 pct.
Samtidig er antallet af mennesker, der lever med multisygdom, det vil sige personer med flere samtidige
kroniske sygdomme, blevet fordoblet.
SUU, Alm.del - 2023-24 - Bilag 317: Orientering om Sundhedsstrukturkommissionens afrapportering, fra indenrigs- og sundhedsministeren
2880227_0085.png
1
2
3
4
Del 1 - Status, udfordringer og pejlemærker for sundhedsvæsenet
85
Figur 4.4
Antal borgere med kroniske sygdomme og multisygdom, 2009­2022
Personer
1.200.000
1.000.000
800.000
600.000
400.000
200.000
0
+20 pct.
Personer
1.200.000
1.000.000
800.000
600.000
400.000
200.000
0
+100 pct.
2009
Antal borgere med kroniske sygdomme
2010
2011 2012
2013
2014
2015
2016
2017
Antal borgere med multisygdom
2018
2019 2020
2021 2022
Anm: De udvalgte kroniske sygdomme: astma, demens, kronisk obstruktiv lungesygdom (KOL), leddegigt, osteoporose, type 1-diabetes og type
2­diabetes. Borgere som har astma og KOL uden andre af de udvalgte kroniske sygdomme vil ikke indgå i gruppen af borgere med mere end én
kronisk sygdom.
Kilde: Egne beregninger, baseret på tal fra Sundhedsdatastyrelsen (Registeret for udvalgte kroniske sygdomme og svære psykiske lidelser
(RUKS)).
Fremskrivninger viser, at gruppen af mennesker med KOL og type 2­diabetes kan stige med ca. 25 pct. frem
mod 2035, jf. figur 4.5. I samme periode forventes antallet af borgere, som har både KOL og type 2­diabetes,
at stige med ca. 45 pct. Fremskrivningerne er udarbejdet af DREAM­gruppen og tager udgangspunkt i
befolkningsudviklingen og i nogen grad tendenser i udviklingen for de to sygdomme. Der tages dermed
ikke højde for markante ændringer i adfærd, fx i forhold til rygevaner. Der tages heller ikke højde for nye
medicinske landvindinger, som har betydning for udbredelsen af sygdomme, såsom diabetesmedicin, eller
for eventuel udbredelse af andre sygdomme.
SUU, Alm.del - 2023-24 - Bilag 317: Orientering om Sundhedsstrukturkommissionens afrapportering, fra indenrigs- og sundhedsministeren
2880227_0086.png
86
1
2
3
4
Del 1 - Status, udfordringer og pejlemærker for sundhedsvæsenet
Figur 4.5
Fremskrivning af borgere med KOL og type 2­diabetes, 2022 og 2035
Personer
350.000
300.000
250.000
200.000
150.000
100.000
50.000
0
KOL
Type 2-diabetes
28.000
39.000
179.000
216.000
271.000
328.000
Personer
350.000
300.000
250.000
200.000
150.000
100.000
50.000
0
2023
2035
KOL + Type 2-diabetes
Anm: Personer, hvis kroniske sygdomme vurderes som inaktive (baseret på variablen ”uddato”) er fjernet fra opgørelsen.
Sundhedstilstand er opgjort i starten af året. startåret for fremskrivningen er 2018. Tal er afrundet til nærmeste tusinder.
Kilde: DREAM-gruppen, 2023.
Flere med psykiske udfordringer og lidelser, særligt blandt den yngre befolkning
Sygdomsbilledet blandt børn og unge er også i forandring. Flere og flere får stillet psykiatriske diagnoser.
Det er særligt forekomsten af udviklingsforstyrrelser, angst og stressrelaterede tilstande, der er med til at
drive udviklingen.
Omkring 74.000 børn og unge i alderen 0 til 17 år har fået stillet en psykiatrisk diagnose i regionspsykia-
trien, jf. figur 4.6. Det svarer til 6,4 pct. af aldersgruppen. Gruppen er vokset med 25 pct. på kun ni år, og den
forventes at vokse yderligere i de kommende år. En fremskrivning af udviklingen viser, at der i 2035 vil være
78.000 børn og unge med en psykiatrisk diagnose.
51
Væksten sker særligt indenfor de affektive lidelser og i
mindre grad de tunge psykiatriske lidelser. Udviklingen skal bl.a. ses i lyset af, at sundhedsvæsenet er blevet
dygtigere til at genkende og diagnosticere psykiske lidelser. En del af de stillede diagnoser kan være
forbigående eller uden behandlingsbehov, men en generel høj forekomst af psykiske lidelser blandt yngre
generationer vil formodentlig også betyde, at flere vil være berørt af psykiske lidelser som voksne.
Borgere med psykiske lidelser er en uens gruppe i forhold til funktionsevne og sociale vilkår. I gennemsnit
oplever borgere med psykiske lidelser en større somatisk sygdomsbyrde end borgere uden psykiske
diagnoser. Det vil sige, at de har hyppigere kontakt med flere dele af sundhedsvæsenet og med andre dele
af den offentlige sektor. For patienter med mere alvorlige psykiske diagnoser vil de somatiske forløb ofte
være mere komplekse og ressourcekrævende.
51
Boston Consulting Group, “Udviklingen i Sundhedsvæsenet - et perspektiv til omstilling”, 2024.
SUU, Alm.del - 2023-24 - Bilag 317: Orientering om Sundhedsstrukturkommissionens afrapportering, fra indenrigs- og sundhedsministeren
2880227_0087.png
1
2
3
4
Del 1 - Status, udfordringer og pejlemærker for sundhedsvæsenet
87
Figur 4.6
Antal unikke personer med mindst én psykiatrisk diagnose pr. 100.000 personer
Personer
20.000
18.000
16.000
14.000
12.000
10.000
8.000
6.000
4.000
2.000
0
2013
2014
2015
2016
2017
+25 pct.
2018
2019
2020
2021
2022
+21 pct.
Personer
20.000
18.000
16.000
14.000
12.000
10.000
8.000
6.000
4.000
2.000
0
Antal voksne med en eller flere psykiatriske diagnoser
Antal børn eller unge med en eller flere psykiatriske diagnoser
Anm: ”Børn og unge” defineres som 0­17­årige og ”voksne” som 18+­årige. Opgørelsen er en prævalensopgørelse med ti år lag/latens.
Data omfatter unikke personer, der har haft kontakt til den regionale psykiatri en eller flere gange indenfor de seneste ti år pr. 1. januar i
opgørelsesåret med en diagnose, som falder indenfor den valgte diagnosegruppe. Alder er opgjort pr. 1. januar i opgørelsesåret. Opgørelsen
omfatter både aktionsdiagnoser (årsagen til kontakten) og bidiagnoser (andre samtidige diagnoser), opgjort via ICD-10 koden DF*. Opgørelsen
omfatter udelukkende kontakter til den regionale psykiatri. Personer, der har haft kontakt til alment praktiserende læger og privatpraktiserende
speciallæger, er ikke omfattet af opgørelsen. Opgørelsen må derfor antages at være en underestimering af antallet af børn, unge og voksne,
der har en psykiatrisk diagnose, da det kun er de svære tilfælde, som henvises til den regionale psykiatri.
Kilde: Egne beregninger baseret på tal fra Sundhedsdatastyrelsen (Landspatientregistret og Det Centrale Personregister).
Mangel på arbejdskraft
Over en længere årrække har det været muligt at øge aktiviteten indenfor sundhed, behandling og pleje
gennem udvidelse af ressourcer og ansat personale i sundhedssektoren. Med en generelt aldrende arbejds-
styrke er det imidlertid langtfra givet, at sundhedssektoren kan opretholde det nuværende antal ansatte i
fremtiden. Fremskrivninger viser, at der på landsplan kan mangle ca. 11.100 social­ og sundhedshjælpere
og ca. 3.400 social­ og sundhedsassistenter i 2035, mens der vil være flere læger og sygeplejersker, end hvad
der er behov for. Udviklingen afspejler på én gang et kommende generationsskifte i plejepersonalet og et
stigende behov for pleje i takt med den demografiske udvikling og det ændrede sygdomsbillede.
Sundhedsvæsenet har aldrig haft mere personale
Danmark er blandt de lande i OECD, der har flest ansatte i sundhedsvæsenet i forhold til den samlede
beskæftigelse. I dag er ca. 290.000 personer beskæftiget i det danske sundhedsvæsen, hvis ældreområdet
medregnes, jf. figur 4.7. Det svarer til ca. hver tiende beskæftigede i Danmark. Til sammen ligning var 3. pct.
af den samlede beskæftigelse ansat i sundhedssektoren i 1966.
52
Siden 2007 er beskæftigelsen indenfor det kommunale og regionale sundheds­ og ældreområde vokset med
27 pct., jf. figur 4.7. I den private sektor, som dog følger en anden opgørelsesmetode, har stigningen været
60 pct., jf. figur 4.8. Der har aldrig tidligere været så mange ansatte til behandling, pleje, rehabilitering,
administration og tilsvarende, end der er i dag. Udviklingen er både drevet af investeringer i sundheds­
væsenet og ældreområdet, og af arbejdsstyrken, som er større end nogensinde før.
52
Kommission for robusthed i sundhedsvæsenet, “Robusthedskommissionens anbefalinger”, 2023.
SUU, Alm.del - 2023-24 - Bilag 317: Orientering om Sundhedsstrukturkommissionens afrapportering, fra indenrigs- og sundhedsministeren
2880227_0088.png
88
1
2
3
4
Del 1 - Status, udfordringer og pejlemærker for sundhedsvæsenet
Figur 4.7
Udvikling i sundheds­ og ældrepersonale
ansat i kommuner og regioner, årsværk
Figur 4.8
Udvikling i sundheds­ og ældrepersonale
med primær ansættelse i privat
sundhedserhverv, årsværk
Personer
120.000
100.000
80.000
60.000
40.000
20.000
0
Personer
120.000
100.000
80.000
60.000
40.000
20.000
0
Personer
120.000
100.000
80.000
60.000
40.000
20.000
0
Personer
120.000
100.000
80.000
60.000
40.000
20.000
0
2007
2009
2021
2011
2013
2015
2017
2007
2009
2021
2011
2013
2015
2017
2019
2023
Kommune
Region
Private sundhedserhverv
Anm: For kommuner: Antal fuldtidspersoner er antal ansatte omregnet som 37-timers ækvivalenter pr. september i det respektive år.
Opgørelsen er eksklusive elever, fleksjob og ekstraordinært ansatte. Området er afgrænset til sundhedsområdet, hvilket vil sige alle indsatser
under sundhedsloven, og ældreområdet. Specifikt afgrænses der til hovedkonto 4 Sundhedsområdet, hovedfunktion 5.30 Tilbud til ældre og
dele af hovedfunktion 5.38 Tilbud til voksne med særlige behov (specifikt funktionerne 5.38.38, 5.38.41, 5.38.44 og 5.38.45). Ansatte i den
centrale administration inkl. dem, der visiterer, er ikke inkluderet i opgørelsen. Området omfatter derved ansatte, der arbejder med genoptræ-
ning, fysioterapi, kommunal tandpleje, borger- og patientrettet forebyggelse, kommunal sundhedstjeneste, kommunal sygepleje, personlig og
praktisk hjælp i eget hjem, plejehjem og plejeboliger m.v., midlertidige pladser, forebyggende indsatser målrettet ældre, hjælpemidler og
misbrugsbehandling.
For private: Definitionen tager udgangspunkt i Danmarks Statistiks brancheklassifikation (DB07) og omfatter personer med primær beskæfti-
gelse i følgende brancher (på gruppeniveau): hospitaler, praktiserende læger og tandlæger, sundhedsvæsen i øvrigt (bl.a. hjemmesygepleje,
jordemødre og psykologisk rådgivning), plejehjem, institutionsophold med sygepleje i.a.n., hjemmehjælp.
For regioner: Der er afgrænset på kontoplan til ”1 Sundhed” og ”4 Fællesformål og administration”. Opgørelsen er ekskl. elever, fleksjob og
ekstraordinært ansatte.
Kilde: Kommunernes og regionernes løndatakontor (KRL), RAS og egne beregninger.
Der er stor forskel på sammensætningen af faggrupper på tværs af sektorer. Kommunerne ansætter i høj
grad social- og sundhedshjælpere, social- og sundhedsassistenter og sygeplejersker, mens regionerne
hovedsageligt ansætter sygeplejersker og læger. Det private sundhedserhverv er kendetegnet ved, at der er
mange forskellige faggrupper repræsenteret. Personalesammensætningen gennemgås nærmere i kapitel
7 om den nuværende organisering af sundhedsvæsenet og i baggrundsrapporten.
53
Et generationsskifte i plejepersonalet er på vej
Sundheds­ og ældreområdet står overfor et generationsskifte blandt personalet. Store årgange forlader
sektoren, mens mindre årgange kommer til. Fx er andelen af social- og sundhedsassistenter ansat i kommu-
ner og regioner, som er over 60 år, steget fra 2,3 pct. til 15,5 pct. fra 2007 til 2022, jf. figur 4.9.
53
Sundhedsstrukturkommissionen. ”Sundhedsstrukturkommissionens baggrundsrapport”. 2024.
2019
2023
SUU, Alm.del - 2023-24 - Bilag 317: Orientering om Sundhedsstrukturkommissionens afrapportering, fra indenrigs- og sundhedsministeren
2880227_0089.png
1
2
3
4
Del 1 - Status, udfordringer og pejlemærker for sundhedsvæsenet
89
På den ene side giver en høj gennemsnitsalder hos sundheds- og ældrepersonalet erfaring og et højt
kompetenceniveau. På den anden side betyder det, at en del sundhedspersonale forlader arbejdsmarkedet
i årene, der kommer, og manglen på kvalificeret personale i kommunerne forværres. Det gælder særligt i
forhold til social- og sundhedsassistenter og social- og sundhedshjælpere, som tilsammen udgør to tredje-
dele af medarbejderne på det kommunale ældreområde. Det bemærkes i øvrigt, at andre sundhedsfaglige
personalegrupper i gennemsnit er yngre. Det gælder bl.a. fysio­ og ergoterapeuter, sygeplejersker, jf. figur
4.10, og læger (ikke vist i figur).
Figur 4.9
Andel af kommunalt og regionalt ansatte over
60 år, fordelt på udvalgte personalegrupper,
2010­2022
Pct.
20
15
10
5
0
Pct.
20
15
10
5
0
Figur 4.10
Aldersfordeling blandt kommunalt og regionalt
ansatte, fordelt på udvalgte personalegrupper,
2022
Pct.
Pct.
5
4
3
2
5
4
3
2
1
0
1
0
2010
2011
2012
2013
2014
2015
2016
2017
2018
2019
2020
2021
2022
Ergoterapeuter
Fysioterapeuter
Social- og sundhedsassistenter
Social- og sundhedshjælpere
Sygeplejersker
Læger
Kommunalt og regionalt ansatte i alt
Anm: Antal fuldtidspersoner er antal ansatte omregnet som
37-timers ækvivalenter pr. september i 2022. Opgørelsen er
eksklusive elever, fleksjob og ekstraordinært ansatte.
Kilde: Kommunernes og regionernes løndatakontor (KRL).
18 21 24 27 30 33 36 39 42 45 48 51 54 57 60 63 66
Ergoterapeuter
Fysioterapeuter
Social- og sundhedsassistenter
Social- og sundhedshjælpere
Sygeplejersker
Læge
Kommunalt og regionalt ansatte i alt
Anm: Antal fuldtidspersoner er antal ansatte omregnet som
37-timers ækvivalenter pr. september i 2022. Opgørelsen er
eksklusive elever, fleksjob og ekstraordinært ansatte.
Kilde: Kommunernes og regionernes løndatakontor (KRL).
Udfordringen med et aldrende plejepersonale har forskelligt omfang på tværs af landet. Særligt land­
kommunerne kommer til at mærke de kommende års tilbagetrækning fra arbejdsmarkedet blandt social-
og sundhedshjælpere og social- og sundhedsassistenter. Det skyldes, at medarbejderne i de to faggrupper
er ældre i landkommunerne end i resten af landet, jf. figur 4.11 og 4.12. Samtidig er det også i land­
kommunerne, der er flest offentligt ansatte social­ og sundhedshjælpere og social­ og sundhedsassistenter
pr. borger.
SUU, Alm.del - 2023-24 - Bilag 317: Orientering om Sundhedsstrukturkommissionens afrapportering, fra indenrigs- og sundhedsministeren
2880227_0090.png
90
1
2
3
4
Del 1 - Status, udfordringer og pejlemærker for sundhedsvæsenet
Figur 4.11
Andel af fuldtidsstillinger besat af personer
over 60 år i udvalgte kommunale sundheds­
stillinger, fordelt på land­ og hovedstads­
kommuner, 2023
Pct.
25
20
15
10
5
Social- og
sundhedsassistenter
Social- og
sundhedshjælpere
Social- og
sundhedspers., ikke-
udd.
0
15
21
16
11
9
16
17
9
Pct.
25
20
15
6
7
7
10
5
0
Sygeplejerske
Fysioterapeuter
Ergoterapeuter
Figur 4.12
Antal social­ og sundhedshjælpere og social–
og sundhedsassistenter i kommuner og
regioner pr. 100.000 indbyggere,
fordelt på kommunetype, 2023
Ansatte pr. 100.000
indbygger
1.400
1.200
1.000
800
600
400
200
0
377
421
563
650
518
487
321
412
418
306
Ansatte pr. 100.000
indbygger
1.400
1.200
1.000
800
600
400
200
0
13
Hovedstads-
kommuner
(ekskl. Kbh)
Land-
kommuner
Oplands-
kommuner
Provinsby-
kommuner
Landkommuner
Hovedstadskommuner (ekskl. Kbh)
Social- og sundhedshjælpere
Social- og sundhedsassistenter
Anm: Nævneren i hver søjle er det samlede antal ansatte i hver
stillingskategori i den respektive kommunekategori. Fx er 15 pct.
af alle social- og sundhedsassistenter i landkommuner over 60 år.
Opdelingen i kommunetyper er baseret på Danmarks Statistiks
opgørelsesmetode og er specificeret i anmærkningen til figur 4.3.
Københavns kommune indgår som ”Storbykommune”.
Kilde: Kommunernes og regionernes løndatakontor (KRL).
Anm.: Opgørelsen indeholder ikke privatansatte. Opdelingen
i kommunetyper er baseret på Danmarks Statistiks opgørelses-
metode, og er specificeret i anmærkningen til figur 4.3.
Københavns kommune indgår som ”Storbykommune”.
Kilde: Kommunernes og regionernes løndatakontor (KRL).
Mangel på plejepersonale i fremtiden
Finansministeriets fremskrivninger peger på, at i fravær af ændringer i arbejdsstyrken og optaget på
sundhedsuddannelser vil der mangle 11.100 social­ og sundhedshjælpere og 3.400 social­ og sundheds­
assistenter i 2035 sammenlignet med 2021, jf. figur 4.13. Det svarer til ca. hver ottende social­ og sundheds-
medarbejder ansat i det offentlige i dag.
Modsat peger fremskrivningen på, at der frem mod 2035 vil mangle færre læger og sygeplejersker. Dog er
læger og sygeplejersker ulige fordelt på tværs af landet, og der vil derfor kunne opleves mangel på fag-
grupper nogle steder, mens rekrutteringssituationen vil være bedre i andre dele af landet.
Storby-
kommuner
SUU, Alm.del - 2023-24 - Bilag 317: Orientering om Sundhedsstrukturkommissionens afrapportering, fra indenrigs- og sundhedsministeren
2880227_0091.png
1
2
3
4
Del 1 - Status, udfordringer og pejlemærker for sundhedsvæsenet
91
Figur 4.13
Ændring i efterspørgsel på udvalgte grupper af sundhedspersonale i 2035, målt i forhold til 2021
Personer
15.000
10.000
5.000
0
-5.000
-10.000
-15.000
-11.100
Sygeplejerske
Læge
Social- og
sundhedsassistenter
Social- og
sundhedshjælpere
-3.400
3.600
Personer
15.000
10.000
5.000
0
-5.000
-10.000
-15.000
10.300
Netto-efterspørgsel (forskel i udbud og efterspørgsel)
Anm: Fremskrivningerne kan ikke tolkes som prognoser, men alene mekaniske fremskrivninger, der bygger på nuværende adfærd, personale-
sammensætning og en række antagelser. Den fremtidige udvikling er forbundet med stor usikkerhed og vil afhænge af en række faktorer,
som ikke nødvendigvis er medtaget. Resultaterne er angivet i antal personer, ikke årsværk, og der antages en konstant arbejdstidsfordeling
i fremskrivningsårene.
Kilde: Finansministeriet, 2023, Økonomisk Analyse: Rekruttering af Velfærdsmedarbejdere nu og i fremtiden.
Samlet set stiller et stigende behov for sundheds­ og plejepersonale og en stadig mindre arbejdsstyrke
større krav til en mere effektiv anvendelse af medarbejderressourcerne. Det peger både i retning af øget
teknologianvendelse og bedre brug af den arbejdstid, der er til rådighed.
Robusthedskommissionen, som netop havde fokus på medarbejderne i sundhedsvæsenet, vurderede, at
der er potentiale for at øge arbejdsudbuddet ved at nedbringe sygefraværet, inddrage flere faggrupper i
vagtarbejdet og øge arbejdstiden blandt deltidsansatte. Hvis
arbejdstiden
fx blev øget med én time om ugen,
udgør potentialet ca. 700 årsværk for social­ og sundhedshjælpere, ca. 600 årsværk for social­ og sundheds-
assistenter og ca. 600 årsværk for sygeplejersker.
Forventningerne stiger
Borgernes forventninger til, hvad sundhedsvæsenet kan levere, stiger. Baggrunden for de høje forventninger
er en kombination af øget velstand og ændrede behov for sundhed. Når et samfund bliver rigere, er der en
tendens til, at der efterspørges mere velfærd, og det gælder også sundhedsydelser. Samtidig stiger omkost-
ningerne til plejeintensive ydelser på sundheds- og ældreområdet i takt med, at produktiviteten og vel-
standen i samfundet øges generelt. Konsekvensen er, at det kan blive dyrere at levere samme niveau af
sundhedsydelser som i dag, samtidig med at borgerne forventer, at kvaliteten af sundhedsydelser forbedres
med samme hastighed som serviceforbedringer i andre sektorer, ikke mindst i de private serviceerhverv.
Velstand øger efterspørgslen efter sundhedsydelser
Forventningerne til offentlige ydelser stiger med den generelle velstandsfremgang i samfundet, jf. boks 4.1.
Sammenhængen er et velkendt fænomen og gælder også indenfor sundheds­ og ældreområdet. I takt med at
befolkningen bliver rigere, øges efterspørgslen efter sundhedsydelser, og der købes flere private, sundheds-
relaterede ydelser.
SUU, Alm.del - 2023-24 - Bilag 317: Orientering om Sundhedsstrukturkommissionens afrapportering, fra indenrigs- og sundhedsministeren
2880227_0092.png
92
1
2
3
4
Del 1 - Status, udfordringer og pejlemærker for sundhedsvæsenet
Boks 4.1
Wagners lov
Wagners lov beskriver sammenhængen mellem samfundets velstand og det offentlige forbrug.
Den bygger på en observation af, at industrialiserede lande bruger en større andel af deres velstand
på offentlige services i takt med, at landene bliver rigere. Årsagerne er, fx:
Regulering og administration, fordi et rigere land er mere komplekst at administrere
Negative eksternaliteter, fordi en voksende økonomi genererer uhensigtsmæssigheder, som staten
forventes at handle på (fx online kriminalitet)
Offentlige velfærdsydelser, fordi efterspørgslen efter velfærdsydelser stiger hurtigere end væksten
i velstand
Det er særligt den sidste årsag, som er relevant i forhold til sundhedsvæsenet.
Sammenhængen mellem velstand og efterspørgsel efter sundhedsydelser viser sig bl.a. ved, at der på tværs
af OECD­landene er en tendens til, at jo rigere et land er, desto flere ressourcer anvendes der på sundhed,
jf. figur 4.14.
Figur 4.14
Forbrug på sundhed som andel af BNP og BNP pr. indbygger, OECD­lande, 2019
Andel af BNP på sundhed
20
Andel af BNP på sundhed
20
15
England
10
Finland
5
Sverige
Norge
Nederlandende
15
10
Danmark
5
0
0
10.000
20.000
30.000
40.000
50.000
BNP pr. borger
60.000
70.000
80.000
90.000
0
100.000
Anm.: Afgrænsningen af sundhedsudgifter er “Current expenditure on health (all functions), All financing schemes, All providers,
Share of domestic product. BNP opgjort I US dollars.
Kilde: OECD Health Statistics, Health expenditure and financing og OECD National Accounts Statistics, Annual National Accounts.
SUU, Alm.del - 2023-24 - Bilag 317: Orientering om Sundhedsstrukturkommissionens afrapportering, fra indenrigs- og sundhedsministeren
2880227_0093.png
1
2
3
4
Del 1 - Status, udfordringer og pejlemærker for sundhedsvæsenet
93
Den nye sundhedsforbruger
I nogle sammenhænge taler man om, at den stigende velstand skaber en ny sundhedsforbruger. I en rapport
fra 2017 beskriver VIVE (Det Nationale Forsknings­ og Analysecenter for Velfærd, tidligere KORA) den nye
sundhedsforbruger som en borger, der forventer bedre behandling, mere information og større ind-
dragelse.
54
Det betyder først og fremmest, at flere borgere har en forventning om at leve et sundt og aktivt liv. Det
gælder også den ældre befolkning. Samtidig medfører den digitale udvikling, at det bliver lettere at finde
information om sygdomme og behandling, bl.a. med afsæt i egne sundhedsdata. Konsekvensen vil være,
at flere borgere, især yngre generationer, forventes at være mere velforberedte i mødet med sundheds­
væsenet, og de vil i højere grad end tidligere forvente en ligeværdig dialog med sundhedspersonalet. Det
medfører også, at borgernes forventninger er påvirket af sundhedsinformation fra mange andre kanaler
end de officielle.
Den mere digitaliseringsparate befolkning rummer både udfordringer og muligheder. Udvidelsen af digitale
services og kanaler i samfundet øger befolkningens forventninger til fleksibel og let adgang til sundheds­
væsenet. Befolkningens digitaliseringsparathed giver også mulighed for at levere sundhedsydelser af høj
kvalitet tættere på borgeren, til fordel for borgerne såvel som sundhedsvæsenet. Fx kan stadig flere borgere
behandle og undersøge sig selv i eget hjem under vejledning af sundhedspersonale.
Mindre sundhed for pengene
Øget velstand lægger pres på ressourcerne i det offentlige sundhedsvæsen og på ældreområdet. Det
gælder særligt, når alle skal have lige adgang til stadig flere og bedre sundhedsydelser, som efterspørges
af befolkningen.
Men større velstand bidrager også til højere omkostninger til almindelige sundhedsydelser. Det skyldes det,
som økonomer kalder ”Baumol­effekten”: Når samfundet som helhed bliver mere produktivt, bliver det
også dyrere at levere produkter eller services, jf. boks 4.2. Det skyldes, at højere produktivitet også hæver
lønningerne. Det gælder først og fremmest indenfor de brancher, som oplever produktivitetsstigninger,
men over tid vil lønnen også stige andre steder, fordi der er konkurrence om arbejdskraften.
I sidste ende betyder det, at det bliver dyrere at levere den samme service. Det gælder særligt i fag, som
er arbejdskraftintensive, det vil sige fag, hvor medarbejderne betyder meget for udførelsen af en opgave.
Mange opgaver på sundheds- og ældreområdet, særligt indenfor plejeområdet, er netop arbejdskraft-
intensive, og der er derfor en risiko for, at det over tid vil blive dyrere at levere de samme sundhedsydelser.
Boks 4.2
Baumol-effekt
Baumols omkostningssyge handler om, at lønstigninger i brancher med meget produktivitetsvækst
tiltrækker arbejdskraft og derfor er med til at presse lønnen op indenfor brancher med mindre
produktivitetsvækst. Typisk er det sværere at gennemføre produktivitetsstigninger indenfor mere
arbejdskraftintensive områder, fx indenfor servicefag, mens det er lettere indenfor områder, hvor
automatisering kan spille en stor rolle, såsom i produktionen.
På sundheds­ og ældreområdet har det været muligt at effektivisere nogle opgaver med hjælp fra
den teknologiske udvikling. Det gælder fx ny medicin, scannere eller hjælpemidler til at løfte og flytte
patienter. På nogle områder er sundheds- og ældreområdet dog stadig meget afhængig af manuel
arbejdskraft, fx indenfor omsorg og pleje. Af den årsag spiller Baumols omkostningssyge en vis rolle
for fremtidens sundhedsudgifter.
54
KORA, Betina Højgaard, og Jakob Kjellberg. ”Fem megatrends der udfordrer fremtidens sundhedsvæsen”. KORA – Det Nationale Institut for
Kommuners og Regioners Analyse og Forskning, 2017.
SUU, Alm.del - 2023-24 - Bilag 317: Orientering om Sundhedsstrukturkommissionens afrapportering, fra indenrigs- og sundhedsministeren
2880227_0094.png
94
1
2
3
4
Del 1 - Status, udfordringer og pejlemærker for sundhedsvæsenet
Udfordringer for det danske sundhedsvæsen
Oven på de ændrede forudsætninger, står sundhedsvæsenet også over for en række udfordringer, som
allerede nu påvirker borgernes oplevelse af sundheds­ og ældreområdet. Sundhedsstrukturkommissionen
har identificeret tre centrale udfordringer: usammenhængende patientforløb, ubalance mellem det primære
og det sekundære sundhedsvæsen og geografisk og social ulighed i sundhed.
De tre udfordringer forstærkes af de ændrede forudsætninger, som sundhedsvæsenet står overfor, og det
forstærkes yderligere hos borgere med færre sundhedskompetencer, som fx evnen til at tilgå, forstå og
handle på informationer om sundhed og at navigere i sundhedsvæsenet. I det følgende beskrives de tre
udfordringer.
Usammenhængende patientforløb
Et stigende antal borgere har behandlingsforløb, der involverer både kommunale sundheds- og plejetilbud,
alment praktiserende læger og sygehuse. Det ændrede sygdomsbillede med flere ældre og flere med
kroniske sygdomme og multisygdom indebærer, at endnu flere borgere vil have behandlingsforløb på tværs
af det primære og det sekundære sundhedsvæsen i fremtiden. I 2035 forventes der at være 80.000 flere
borgere der i løbet af et år både har kontakt til sygehus, kommune og almenmedicinske tilbud. Det stiller
store krav til samarbejde og vidensdeling på tværs af sundhedsvæsenets aktører.
Mange patienter oplever allerede i dag, at deres forløb ikke hænger sammen, eller at de bliver indlagt
på sygehuset, hvor det kunne være undgået. Samtidig er det en udfordring, at de digitale løsninger ikke
understøtter kommunikationen mellem almenmedicinske tilbud, sygehuse, kommunernes sundheds-
og ældrepleje og andre sundhedsaktører. Det kan derfor være svært at koordinere behandlingsforløb.
Samlet set er der tegn på, at borgernes forløb på sundheds­ og ældreområdet ikke er tænkt sammen i
tilstrækkeligt omfang.
Et stigende antal borgere har behandlingsforløb på tværs af det primære
og sekundære sundhedsvæsen
De fleste borgere er i kontakt med mindst én af de tre sektorer på sundheds­ og ældreområdet i løbet af et
år. De tre sektorer er de almenmedicinske tilbud, kommunernes sundheds- og ældrepleje og sygehusene.
Det kan være svært for borgerne at navigere mellem de forskellige sektorer, forskellige behandlinger og
den information, som bliver givet undervejs. Især tre grupper af borgere er i risiko for komplicerede og
fragmenterede behandlingsforløb: den ældre medicinske patient, borgere med multisygdom og borgere
med samtidig somatisk og psykiatrisk sygdom, jf. boks 4.3. Fælles for de tre grupper er, at de er meget
heterogene, og hver patient har sin egen unikke livssituation.
SUU, Alm.del - 2023-24 - Bilag 317: Orientering om Sundhedsstrukturkommissionens afrapportering, fra indenrigs- og sundhedsministeren
2880227_0095.png
1
2
3
4
Del 1 - Status, udfordringer og pejlemærker for sundhedsvæsenet
95
Boks 4.3
Især tre patientgrupper oplever udfordringer i mødet med sundhedsvæsenet
Den ældre medicinske patient
Det stigende antal ældre betyder, at stadig flere udvikler aldersbetingede
sygdomme. Samtidig kan flere leve længere med sygdommene som følge af
den medicinske udvikling. De ældre medicinske patienter bliver særligt udfordret,
når deres sygdomme medfører et nedsat funktionsniveau, fysisk eller kognitivt,
og derfor får behov for hjælp og støtte til hverdagens gøremål og behandling.
Borgere med multisygdom
Borgere med flere kroniske sygdomme er en meget heterogen gruppe, og der
kan være store forskelle i sygdoms- og behandlingsbyrden hos den enkelte. Der
er fx stor forskel på, om en borger har konstateret forhøjet blodtryk og kolesterol,
eller om man lider af både Parkinsons sygdom og type 2-diabetes. Diagnosernes
forskellighed understreger kompleksiteten den enkelte borger oplever, fx i forhold
til livskvalitet og ulighed i sundhed. Det er en gruppe, som særligt bliver ramt af, at
behandlinger og konsultationer ligger spredt forskellige steder i sundhedsvæsenet.
Borgere med samtidig somatisk og psykiatrisk sygdom
Borgere med alvorlige psykiske lidelser har en forventet levetid, som er mellem
10-20 år kortere sammenlignet med befolkningen uden psykiske lidelser. Det
skyldes flere ting, men den vigtigste årsag er ubehandlet somatisk sygdom, særligt
hjertekarsygdomme. Borgerne oplever, at symptomer på fysisk sygdom i stedet
tolkes som udtryk for den psykiske diagnose. Borgerne kan også opleve, at de
inddrages mindre i planlægningen af somatisk behandling. Det gælder uanset,
om deres psykiske sygdom er velbehandlet eller ej.
Kilde: Jønsson, Alexandra Brandt Ryborg. “Borgere og pårørendes oplevelse af mødet med sundhedsvæsenet: udfordringer samt ønsker
til forandringer”. 2024.
Borgere indenfor de tre grupper har typisk behandlingsforløb på tværs af det primære og sekundære
sundhedsvæsen, men de er ikke de eneste, der har kontakt til flere dele af sundheds­ og ældreområdet. Der
kan også være tale om borgere, der indgår i mindre komplekse forløb. Det er fx tilfældet for de borgere, der
modtager personlig pleje eller sygepleje, og som henvises til behandling på et sygehus af deres alment
praktiserende læge. Det samme gælder borgere, som efter en sygehusbehandling får rehabiliterende eller
genoptrænende behandling i et kommunalt sundhedstilbud.
De alment praktiserende læger er generelt borgernes indgang til sundhedsvæsenet. I alt besøger ca. 85 pct.
af befolkningen deres læge i løbet af et kalenderår. Blandt dem, der var i berøring med sundhedsvæsenet i
2022, var kun 3 pct. ikke i kontakt med deres alment praktiserende læge. Det er med andre ord sjældent, at
en borger bliver indlagt uden først at have været i kontakt med den alment praktiserende læge.
Mange borgere har kontakt til flere dele af sundhedsvæsenet. I 2022 havde mere end halvdelen af dem, som
havde kontakt til sundhedsvæsenet, kontakt med mindst to af de tre hovedsektorer. Jo ældre man bliver, des
større er kontakten på tværs af sektorerne, jf. figur 4.15.
SUU, Alm.del - 2023-24 - Bilag 317: Orientering om Sundhedsstrukturkommissionens afrapportering, fra indenrigs- og sundhedsministeren
2880227_0096.png
96
1
2
3
4
Del 1 - Status, udfordringer og pejlemærker for sundhedsvæsenet
Figur 4.15
Borgere med kontakt til sundhedsvæsenet fordelt på de tre sektorer, 2022
Alle aldre
(5,2 mio. personer)
(0,1%)
(1,4%)
Borgere over 65 år
(1,1 mio. personer)
(0,2%)
Borgere over 80 år
(0,3 mio. personer)
(0,4%)
(5%)
(6%)
Kommune
(21%)
Kommune
(42%)
Sygehus
(28%)
(0,6%)
Kommune
(13%)
Sygehus
(44%)
Almen-
medicinske
tilbud
(45%)
(1,6%)
Sygehus
(46%)
(3%)
Almen-
medicinske
tilbud
(26%)
Almen-
medicinske
tilbud
(16%)
Anm.: Figuren viser andelen af borgere med kontakt til sundhedsvæsenet i 2022, fordelt på de tre sektorer (alment praktiserende læger,
kommune og sygehus). Det er ikke muligt at vise en nøjagtig proportional fordeling af overlap i kontakter mellem sektorer, og diagrammet er
derfor en approksimation. Derfor kan overlappet mellem sygehuse og kommuner ikke vises grafisk i diagrammet. Overlappet mellem sygehuse
og kommuner udgør hhv. 0,1 pct. for alle aldre, 0,2 pct. for borgere over 65 år og 0,3 pct. for borgerer over 80 år.
Kilde: Sundhedsdatastyrelsen (Landspatientregisteret, Sygesikringsregisteret, Plejehjemsdata, Elektroniske omsorgsjournaler og Det Centrale
Personregister)
De borgere, der trækker mest på sundheds- og ældreområdet, er netop kendetegnet ved at være ældre
borgere med hyppig kontakt til både alment praktiserende læger, sygehuse og den kommunale sundheds-
og ældrepleje. Omkring 325.000 af de ældre, svarende til knap 5 pct. af hele befolkningen, står for over
halvdelen af det samlede træk på sundheds- og plejeydelser i det primære og sekundære sundhedsvæsen,
jf. boks 4.4.
Boks 4.4
Fire profiler af ældre borgere med højest forbrug af sundheds- og plejeydelser
Profil 1: ”Plejehjemsbeboeren”
Plejehjemsbeboeren dækker over 37.700 personer, svarende til ca. 0,6 pct. af hele befolkningen.
Borgerne i denne gruppe står for ca. 19 pct. af det samlede forbrug af sundheds- og plejeydelser
i Danmark. Den enkelte plejehjemsbeboer har i gennemsnit et forbrug af sundheds- og plejeydelser
på ca. 719.400 kr. om året.
Der er i overvejende grad tale om forbrug i den kommunale sektor, mens forbruget af regionale ydelser
er begrænset. Profilen ”plejehjemsbeboeren” står for 50 pct. af det samlede kommunale forbrug, men
for blot 2 pct. af det samlede sygehusforbrug og 3 pct. af det samlede praksissektorforbrug. En nærmere
undersøgelse af forbrugssammensætningen viser, at det er plejeboligforbruget, som også indeholder
de andre kommunale plejetjenester, når de foregår på plejehjemmet, der udgør det meste af gruppens
kommunale forbrug. Sammenlignet med de øvrige profiler har plejehjemsbeboeren også det højeste
forbrug af almenmedicinske tilbud og fysioterapiydelser.
Profil 2: ”Modtageren af pleje i eget hjem”
Borgeren, der modtager pleje i eget hjem, dækker over 40.000 personer, svarerende til ca. 0,7 pct. af hele
befolkningen. Profilen står for ca. 9 pct. af det samlede forbrug af sundheds­ og plejeydelser i Danmark.
Den enkelte modtager af pleje i eget hjem har i gennemsnit et forbrug af sundheds- og plejeydelser
på 325.600 kr. om året.
SUU, Alm.del - 2023-24 - Bilag 317: Orientering om Sundhedsstrukturkommissionens afrapportering, fra indenrigs- og sundhedsministeren
2880227_0097.png
1
2
3
4
Del 1 - Status, udfordringer og pejlemærker for sundhedsvæsenet
97
Profilen har et forholdsvis lavt sygehusforbrug og forholdsvist højt kommunalt forbrug. Profilen står for
3 pct. af det samlede forbrug i sygehussektoren, for 3 pct. af forbruget af praksissektorydelser og for
20 pct. af forbruget i den kommunale sektor. Det er særligt forbruget af personlig pleje og sygepleje,
der fylder for profilen. Sammenlignet med de andre profiler har profilen det højeste forbrug af praktisk
hjælp i hjemmet og et højt forbrug af receptpligtigt medicin.
Profil 3: ”Borgeren med meget akut sygehusaktivitet”
Borgeren med meget akut sygehusaktivitet dækker over 29.600 personer, svarende til 0,5 pct. af hele
befolkningen. Det er borgere, der står for 6 pct. af det samlede forbrug af sundheds- og plejeydelser.
Den enkelte borger med meget akut sygehusaktivitet har i gennemsnit et forbrug af sundheds- og
plejeydelser på 279.600 kr. om året.
Forbruget er nogenlunde lige fordelt mellem regionale og kommunale ydelser. Profilen står for 5 pct. af
det samlede sygehusforbrug, for 2 pct. af det samlede praksissektorforbrug og for 9 pct. af det samlede
kommunale forbrug. Det er særligt forbruget af akutte indlæggelser, der gør sig gældende. Her er
forbruget næsten dobbelt så højt som for profilen med det næsthøjeste forbrug af akutte indlæggelser.
Sammenlignet med de øvrige profiler har borgeren med meget akut sygehusaktivitet også et højt
forbrug af akut ambulante ophold.
Profil 4: ”Borgeren med meget planlagt sygehusaktivitet”
Borgeren med meget planlagt sygehusaktivitet dækker over 219.000 personer, svarende til 3,8 pct. af
hele befolkningen. Det er derfor også den klart største gruppe af ældre med højest forbrug af sundheds-
og plejeydelser. Borgerne står for 22 pct. af det samlede forbrug af ydelserne. Den enkelte borger med
meget planlagt sygehusaktivitet har i gennemsnit et forbrug af sundheds- og plejeydelser på ca. 142.700
kr. om året.
I langt overvejende grad er der tale om et forbrug i den regionale sektor, mens forbruget af kommunale
ydelser er begrænset. Profilen står for 33 pct. af det samlede sygehusforbrug, for 12 pct. af det samlede
praksissektorforbrug og for 10 pct. af det samlede kommunale forbrug. Det er særligt forbruget af
planlagte sygehusophold, der fylder for den profil, både planlagte indlæggelser og planlagte ambulante
ophold. Sammenlignet med de andre profiler har borgeren her også det højeste forbrug af ydelser fra
praktiserende speciallæger.
Anm.: Tallene i denne boks stammer fra den bagvedliggende databaserede opdeling af profiler, som baserer sig på flere statistiske
parametre. Derfor er profilen ”Plejehjemsbeboeren” ikke nødvendigvis alle der bor på plejehjem, og størrelsen på målgruppen vil
afvige fra antallet af plejehjemsbeboere i Danmark.
Kilde: Benchmarkingenheden, 2024, Ældre med højest forbrug af sundheds- og plejeydelser.
Frem mod 2035 forventes antallet af borgere med kontakt til alle dele af sundheds­ og ældreområdet at
vokse med 26 pct., svarende til 80.000 flere personer, jf. figur 4.16. Her er langt størstedelen over 65 år.
For borgere med komplekse sygdomsforløb eller borgere, som er mindre ressourcestærke, udgør sektor-
overgange en risiko for tabt information, manglende sammenhæng, unødvendige undersøgelser og
utilsigtede hændelser. Det er en gruppe, som har stor gavn af helhedsorienteret behandling.
SUU, Alm.del - 2023-24 - Bilag 317: Orientering om Sundhedsstrukturkommissionens afrapportering, fra indenrigs- og sundhedsministeren
2880227_0098.png
98
1
2
3
4
Del 1 - Status, udfordringer og pejlemærker for sundhedsvæsenet
Figur 4.16
Aktuel og fremtidig udvikling i antal personer i kontakt med både sygehuse,
alment praktiserende læger og kommunale sundheds­ og plejeindsatser
Antal personer, 1.000
500
Antal personer, 1.000
500
400
300
200
100
0
400
300
200
100
0
269
60
87
60
50
2019
18-39 år
291
63
96
64
56
2020
40-64 år
295
65
100
63
55
2021
65-74 år
310
67
108
64
57
2022
75-84 år
390
125
248
57
76
55
49
2015
0-17 år
122
73
55
2035
85+ år
Anm.: Opgørelsen inkluderer personer der er i live og bosat i Danmark pr. 1. januar i opgørelsesåret. Aldersgruppe er pr. 1. januar i afregningsåret.
Alle offentligt finansierede sygehuskontakter indgår. Alment praktiserende læger er afgrænset til dagstid. Kommunale indsats.: plejehjem,
hjemmepleje, kommunal sygepleje, genoptræning, vedligeholdelsestræning eller rehabilitering. Kun godkendte kommuner i forhold til
datagrundlag indgår. Derfor
kan tal på kommunen være underestimeret. 97 kommuner indgår i opgørelsen.
Kilde: BCG, 2023, Udviklingen I Sundhedsvæsenet – Et perspektiv til omstilling. Beregninger er baseret på data fra Sundhedsdatastyrelsen
(Landspatientregisteret, Sygesikringsregisteret; Elektroniske omsorgsjournaler (EOJ), Plejehjemsdata (PLH) CPR-registeret).
Når så mange flere borgere får kontakter på tværs af sektorer stiller det store krav til samarbejde og
vidensdeling på tværs af sektorerne, hvis borgerne skal opleve sammenhæng og fremdrift i deres
behandlingsforløb.
De komplekse forløb er oftest forbundet med kontakt til forskelligt personale og forskellige afdelinger. Det
er en konsekvens af bl.a. drevet af udviklingen i behandlingsmuligheder og den øgede specialisering, som
på mange områder er et kvalitetsløft, men som også kan betyde, at borgeren skal forholde sig til forskelligt
sundhedspersonale. Figur 4.17 illustrerer et eksempel på 23 borgere med multisygdom (flere kroniske
sygdomme) og deres kontakt til alment praktiserende læger og sygehuse i løbet af et år. Figuren viser, at der
er stor variation i intensiteten af sygdomsforløb, både på tværs af borgere, men også i løbet af et kalenderår.
Den viser også, at nogle borgere har meget intense forløb med hyppig kontakt til sundhedsvæsenet.
SUU, Alm.del - 2023-24 - Bilag 317: Orientering om Sundhedsstrukturkommissionens afrapportering, fra indenrigs- og sundhedsministeren
2880227_0099.png
1
2
3
4
Del 1 - Status, udfordringer og pejlemærker for sundhedsvæsenet
99
Figur 4.17
Eksempler på kontaktforløb til alment praktiserende læger og sygehuse
for personer med multisygdom
1
Uger
52
Patient 1
Patient 2
Patient 3
Patient 4
Patient 5
Patient 6
Patient 7
Patient 8
Patient 9
Patient 10
Patient 11
Patient 12
Patient 13
Patient 14
Patient 15
Patient 16
Patient 17
Patient 18
Patient 19
Patient 20
Patient 21
Patient 22
Patient 23
Ingen kontakt
Flere kontakter hos alment praktiserende læge
eller ambulatorim
Én kontakt hos alment praktiserende læge
eller ambulatorium
Indlæggelse af en eller flere dages varighed
Anm.: Figuren viser kontakter for 23 borgere med multisygdom i løbet af 52 uger. Jo mørkere farven er, desto mere intens er kontakten med
sundhedsvæsenet i den pågældende uge.
Kilde: Figuren er baseret på baggrundsdata fra Schiøtz M, Høst D, Stockmarr A, Frølich A, 2017, Quality of care for people with multimorbidity
– a case series.
To indikatorer, som ofte bliver brugt til at vurdere unødige overgange i sundhedsvæsenet, er forebyggelige
sygehusophold og genindlæggelser. Forebyggelige sygehusophold er en betegnelse for sygehusophold, som
skyldes en række diagnoser, der vurderes at kunne forebygges. I 2022 var der 168 forebyggelige sygehus­
ophold pr. 1.000 hjemmehjælpsmodtager i Danmark, jf. figur 4.18. Variationen på tværs af kommunerne
er betydelig, som bl.a. indikerer, at nogle kommuner lykkes bedre end andre med forebyggelsesindsatsen
og dermed undgår unødvendigt træk på sygehusene.
I perioden 2014­2022 har andelen af genindlæggelser indenfor 30 dage været omtrent uændret på 11 pct.,
jf. figur 4.19. Genindlæggelser er akutte indlæggelser, som ikke er en del af et planlagt forløb. Genind­
læggelser kan have mange forskellige årsager, og de kan fx opstå, hvis behandlingen på sygehuset eller
opfølgningen i kommunen ikke har været tilstrækkelig. Derfor kan de også ses som en indikation på,
at noget kan gøres bedre i behandlingen eller i samarbejdet mellem sektorer.
SUU, Alm.del - 2023-24 - Bilag 317: Orientering om Sundhedsstrukturkommissionens afrapportering, fra indenrigs- og sundhedsministeren
2880227_0100.png
100
1
2
3
4
Del 1 - Status, udfordringer og pejlemærker for sundhedsvæsenet
Figur 4.18
Forebyggelige sygehusophold pr. 1.000
hjemmehjælpsmodtager over 65 år,
fordelt på kommuner, 2022
Forebyggelige
sygehusophold, pr. 1.000
hjemmehjælps-modtager
300
250
200
150
100
50
0
Kommuner
Forebyggelige
sygehusophold, pr. 1.000
hjemmehjælps-modtager
300
-
250
200
150
100
50
0
Figur 4.19
Andel somatiske genindlæggelser indenfor
30 dage, køns­ og aldersstandardiseret,
2014­2022
Pct.
20
Pct.
20
15
15
I alt, 168
10
10
5
5
0
2014 2015 2016 2017 2018 2019 2020 2021 2022
0
Anm.: Forebyggelige sygehusophold er en betegnelse for
sygehusophold forårsaget af en række specifikke diagnoser,
som vurderes i et vist omfang at kunne forebygges. Følgende
sygdomme og tilstande er inkluderet: dehydrering, forstoppelse,
nedre luftvejssygdomme, blærebetændelse, gastroenteritis (mave/
tarm lidelser), brud, ernæringsbetinget anæmi, sociale og pleje-
mæssige forhold og tryksår. Opgørelsen er afgrænset til ældre
borgere på 65 år eller derover, som har modtaget hjemmehjælp
indenfor 10 dage før sygehusopholdet. Enkelte kommuner indgår
ikke i opgørelsen grundet manglende registreringer. Opgørelsen er
køns- og alderskorrigeret.
Kilde: Landspatientregisteret.
Anm.: Indlæggelser defineres som et sygehusophold med en
varighed på mindst 12 timer, hvor varigheden af et ophold
beregnes fra tidligste indskrivningstidspunkt til seneste
udskrivningstidspunkt. Andelen af genindlæggelser er andelen
af somatiske indlæggelser, som efterfølges af en akut genind-
læggelse indenfor 30 dage efter udskrivelse.
Kilde: Landspatientregisteret.
Patienter har svært ved at overskue sammensatte forløb
Generelt er der stor tilfredshed med det danske sundhedsvæsen. Det viser flere patientundersøgelser.
Der er dog også indikationer på, at patienter i nogle sammenhænge oplever overgange mellem sundheds-
væsenets forskellige dele som vanskelige.
Den Landsdækkende Undersøgelse af Patientoplevelser (LUP) viser, at patienterne generelt er tilfredse med
deres oplevelse af sygehusene, men der er også områder, som patienterne er mindre tilfredse med. Blandt
de spørgsmål, hvor patienterne er mindst tilfredse, er der to spørgsmål, som er relateret til sammenhæng
i sygdomsforløb, jf. figur 4.20. Spørgsmålene handler om, hvorvidt sygehusafdelingen og den kommunale
pleje samarbejder om udskrivelse, og om patienten oplever, at én læge har ansvar for det samlede forløb
af indlæggelser og besøg.
For patienter i psykiatrien ses et tilsvarende mønster.
55
I en anden undersøgelse fra 2016, foretaget af
Mandag Morgen og Trygfonden, vurderer 66 pct. af danskerne, at der mangler sammenhæng mellem
sundhedsvæsenets forskellige sektorer.
56
55
56
Landsdækkende Undersøgelse af Patientoplevelser - Somatik. “LUP Somatik. Landsdækkende Undersøgelser af Patientoplevelser (2021)”.
2021.
Mandag Morgen, og TrygFonden. ”Sundhedsvæsenet - ifølge danskerne”. Mandag Morgen og TrygFonden, 2016.
SUU, Alm.del - 2023-24 - Bilag 317: Orientering om Sundhedsstrukturkommissionens afrapportering, fra indenrigs- og sundhedsministeren
2880227_0101.png
1
2
3
4
Del 1 - Status, udfordringer og pejlemærker for sundhedsvæsenet
101
Figur 4.20
Svarfordeling for andelen af planlagt indlagte patienter (somatisk), der svarer ”Slet ikke”
eller ”I ringe grad” på spørgsmål om deres indlæggelse, udvalgte spørgsmål med relation
til sammenhæng er fremhævet, 2021
Gns.
20
18
16
14
12
10
8
6
4
2
0
"Mit samlede forløb af
indlæggelser/besøg
er godt tilrettelagt"
"Jeg oplever at én læge
har ansvar for samlet forløb
af indlæggelsen/besøg"
"Jeg får information om den
videre plan for forløb fx
opfølgning/genoptræning"
Gns.
20
18
16
14
12
10
8
6
4
2
0
"Jeg oplever, at afdeling
og kommunal pleje samarbejder
om min udskrivelse "
Anm.: Figuren afspejler kun tilfredsheden blandt planlagt, indlagte patienter (somatisk), da det i høj grad er dem, der oplever længerevarende
behandlingsforløb og en eventuelt manglende sammenhæng. De fem udvalgte spørgsmål, er udvalgt, da de relaterer sig til sammenhængen
i sygdomsforløb. De øvrige spørgsmål kan findes i afrapporteringen for LUP 2021.
Kilde: Den Landsdækkende Undersøgelse af Patientoplevelser (LUP), 2021.
Borgere med et større behov for sundhedsydelser kan have en oplevelse af, at sundhedsvæsenet står i vejen
for hverdagen. Det kan hænge sammen med, at sygehusbesøg på tværs af diagnoser ikke er koordinerede,
og patienten derfor skal besøge sygehuset flere gange på kort tid, fremfor at undersøgelser bliver samlet
på enkelte sygehusbesøg.
57
Over for Sundhedsstrukturkommissionen har patienter, pårørende og patientrepræsentanter givet udtryk
for, at det er svært at overskue et sygdomsforløb, jf. boks 4.5. Det er i nogen grad overladt til patienten selv
at medbringe den nødvendige information, reagere ved manglende indkaldelser eller gøre opmærksom
på, at de har flere sygdomme. Det kan betyde, at patienten risikerer at miste behandling, komme bag i
behandlingskøen eller at gensidigt afhængige behandlinger ikke koordineres.
58
Som sundheds­ og ældre­
området er indrettet i dag, er det de mest syge patienter, der skal navigere i den størst mulige kompleksitet
og specialisering i sundhedsvæsenet.
57
58
Jønsson, Alexandra Brandt Ryborg. “Borgere og pårørendes oplevelse af mødet med sundhedsvæsenet: udfordringer samt ønsker til
forandringer”. 2024.
Jønsson, Alexandra Brandt Ryborg. “Borgere og pårørendes oplevelse af mødet med sundhedsvæsenet: udfordringer samt ønsker til
forandringer”. 2024.
SUU, Alm.del - 2023-24 - Bilag 317: Orientering om Sundhedsstrukturkommissionens afrapportering, fra indenrigs- og sundhedsministeren
2880227_0102.png
102
1
2
3
4
Del 1 - Status, udfordringer og pejlemærker for sundhedsvæsenet
Boks 4.5
Citater fra patienter, pårørende og patientforeninger
Patient med diabetes
”Hvis jeg skulle have ét ønske til Strukturkommissionen, så er det første, som slår mig, at IT-systemerne taler
sammen, så der er sammenhæng. Når man går hos sin praktiserende læge, at de så også ved, hvad det er
for et forløb, jeg har haft på sygehuset (…).”
Patient med multisygdom
”Det, der irriterer mig mest, er al den tid, man bruger på hospitalet: Så skal der gives en injektion, der skal
tages en blodprøve, man skal have en scanning. Og det er aldrig lagt samtidigt. Det tager lang tid for hver
læge, og man kan nemt regne med at skulle vente en time. Når man så ved, at man skal have målt sit
kalcium i morgen, hvorfor ikke bare gøre det med det samme, så man ikke behøver at komme ind igen?
Hjemmekalenderen skal også passes, ikke?”
Patient med kræftsygdom
”Mit ønske til Strukturkommissionen: Et stort shoppingcenter for alle patienter, hvor de kan komme ind,
og så er der alle dem fra kommunen, der er den praktiserende læge, så du ikke bliver kastet rundt i systemet,
og så har du en shopper, der kan støtte og hjælpe dig.”
Patient med multisygdom
”Jeg skal selv gøre opmærksom på alt, skal selv orientere sundhedspersonalet og skal selv koordinere.
Ingenting sker, hvis man ikke selv gør opmærksom på det.”
Tidligere patient i psykiatrien
”Jeg forstår godt, at specialisering er med til at gøre, at vi får højt kvalificeret behandling, men det er et
problem, når det er sådan, at operationen lykkedes, men patienten døde, og det var fordi, det var en anden
afdeling, der skulle have taget sig af tingene (…).”
Repræsentant fra Hjerteforeningen
”Jeg har en fortid som sygeplejerske, og dengang, når der blev indlagt en patient, der fejlede flere
sygdomme, kaldte vi efter relevante specialister, der kom og tilså patienten. Det gør man ikke i dag.
Der får man pænt at vide, at du kan gå hjem til din praktiserende læge, og så kan du få en henvisning til
den pågældende afdeling. (…). Så ulejliger man ikke kun patienten, som jo har et vældigt problem
og skal være ressourcestærk for at kunne gøre noget ved det. Det koster også ekstra, fordi så skal man
forbi den praktiserende læge og så igen ind på sygehuset.”
Anm: Citaterne stammer fra borgermøder med deltagelse fra patient- og pårørenderepræsentanter i juni 2023 og fra et forskerbidrag
til kommissionens arbejde. Borgermøderne var arrangeret i forbindelse med arbejdet i Sundhedsstrukturkommissionen. Der deltog
samlet set 22 patient- og pårørenderepræsentanter. Deltagerne blev udvalgt gennem Danske Patienters medlemsforeninger og via
rekrutteringskriterier, så gruppen som helhed dækkede et bredt sygdomsbillede.
Kilde: ViBIS, 2023, Patienter og pårørendes oplevelser med, og ønsker til, sundhedsvæsenet og Alexandra Brandt Ryborg Jønson, 2024,
Borgerne og pårørendes oplevelse af mødet med sundhedsvæsenet: Udfordringer samt ønsker til forandringer.
SUU, Alm.del - 2023-24 - Bilag 317: Orientering om Sundhedsstrukturkommissionens afrapportering, fra indenrigs- og sundhedsministeren
2880227_0103.png
1
2
3
4
Del 1 - Status, udfordringer og pejlemærker for sundhedsvæsenet
103
Ubalance mellem det primære og specialiserede sundhedstilbud
Siden 1990’erne er der investeret betydeligt i det danske sundhedsvæsen. Nye behandlingsformer har
medført øget specialisering og en mere omfattende arbejdsdeling mellem forskellige dele af sundheds-
væsenet. Det har givet et kvalitetsløft indenfor mange områder, men indenfor nogle områder foranlediger
den høje specialisering også ulemper, som ikke kommer de patienter, der har brug for en helhedsorienteret
behandling, til gode.
Specialiseringen medfører, at flere og flere kompetencer er samlet omkring sygehusene, og flere derfor
behandles på sygehuset. Samtidig medvirker specialiseringen til, at overbehandling forekommer hyppigere,
fx hvis der ikke koordineres på tværs af specialer.
Herudover betyder den aldrende befolkning og den øgede specialisering og effektivisering af sygehusene,
at både kommunerne og de alment praktiserende læger i dag står med en større og mere kompleks opgave
end tidligere. Borgernes behov for omsorg, pleje og rehabilitering vil stige betydeligt i takt med, at der bliver
flere ældre. Det lægger pres på det primære sundhedsvæsen. Hvis det primære sundhedsvæsen ikke er
klædt på til opgaven, vil udfordringen glide videre over på sygehusene. Sidst, men ikke mindst, ses der
tegn på, at de almenmedicinske tilbud ikke har udviklet sig i takt med de ændrede behov. Det gælder bl.a.
i forhold til tilgængelighed.
Væsentlige investeringer og aktivitetsfremgang i det offentlige sundhedsvæsen siden 1990’erne
De seneste 15 år er det offentlige forbrug på sundhed pr. indbygger steget med 31 pct. og dermed mere end
det samlede offentlige forbrug pr. indbygger (18 pct.), jf. figur 4.21. Medregnes sundhedsaktivitet indenfor
social­ og ældreområdet, er udgifterne vokset med 55 pct. fra 2007 til 2022.
Stigningen afspejler en kombination af investeringer i kvalitet og en ændring i befolkningssammensætnin-
gen, det såkaldte demografiske træk, hvor aldring af befolkningen øger det offentlige forbrug på sundhed
pr. indbygger.
Det stigende forbrug er i et vist omfang blevet mødt af produktivitetsstigninger på sundhedsområdet,
forstået som forholdet mellem en beregnet produktionsværdi og faktiske driftsudgifter. Over de seneste
20 år er produktiviteten i det regionale sundhedsvæsen steget med omkring 2 pct. årligt, jf. figur 4.22.
SUU, Alm.del - 2023-24 - Bilag 317: Orientering om Sundhedsstrukturkommissionens afrapportering, fra indenrigs- og sundhedsministeren
2880227_0104.png
104
1
2
3
4
Del 1 - Status, udfordringer og pejlemærker for sundhedsvæsenet
Figur 4.21
Vækst i offentligt forbrug på sundhedsområdet
i faste priser, 2007­2022
Indeks
170
160
150
140
130
120
110
100
134
117
110
131
Indeks
170
155
160
150
140
130
120
100
Figur 4.22
Produktivitetsudvikling fra år til år, 2003­2018
118
110
2007-2008
2008-2009
2009-2010
2011-2012
2010-2011
2012-2013
2014-2015
2013-2014
2007 2009 2011 2013 2015 2017 2019 2021
Samlede off. udgifter
Samlede off. udgifter til sundhed
Samlede off. udg. til sundhed og sundhedsperiferi
Anm: Stiplet linje indikerer COVID-19.
De offentlige udgifter til sundhed er defineret med udgangspunkt
i kontoplanen.
Udgifterne i regionerne er afgrænset til sygehuse (fkt. 1.10.01),
praksissektoren (fkt. 1.20.10-1.20.15), briller (1.20.16), rejsesyge-
forsikring (1.20.17), fodterapeuter (1.20.18), psykologbehandling
(1.20.19), øvrige sygesikringsudgifter (1.20.20), ernæringspræ-
parater (1.20.21), profylaktiske svangerundersøgelser (1.20.22),
lægeundersøgelser af børn (1.20.23), vaccinationer (1.20.24),
høreapparater (1.20.25), specialiseret tandplejetilbud (1.20.30,
central regionale administration (1.60.40). Efter 2019 er følgende
funktioner tilføjet grundet ændringer til den regionale kontoplan:
1.10.02 og 1.50.33-1.50.35.
Udgifterne i kommunen er afgrænset til kommunal genoptræning
og vedligeholdelsestræning (fkt. 4.62.82), vederlagsfri behandling
hos en fysioterapeut (fkt. 4.62.84), kommunal tandpleje (fkt.
4.62.85), sundhedsfremme og forebyggelse (fkt. 4.62.88),
kommunal sundhedstjeneste (fkt. 4.62.89), andre sundhedsudgifter
(fkt. 4.62.90), hjemmesygepleje (fkt. 5.32.004), alkoholbehandling
(fkt. 5.38.44), stofmisbrugsbehandling (fkt. 5.38.45), særlige pladser
på psykiatrisk afdeling (fkt. 5.38.54), hjælpemidler (fkt. 5.30.31).
Før 2018 er følgende funktioner tilføjet grundet ændringer til den
regionale kontoplan: 5.30.28, 5.32.33, 5.32.34 og 5.32.35.
Udgifterne i staten er afgrænset til fællesudgifter under Sundheds-
ministeriet (funktionerne: 16.11.01, 16.11.11, 16.11.12, 16.11.16,
16.11.17, 16.11.26, 16.11.40, 16.11.52, 16.11.61).
Sundhedsperiferi er i kommunerne afgrænset til personlige tillæg
m.v. (fkt. 5.48.67 grp. 001-014), pleje og omsorg af primært
ældre (fkt. 5.30.27), forebyggende indsats samt aflastningstilbud
målrettet mod primært ældre (fkt. 5.30.29), botilbud til længere-
varende ophold (5.38.50 grp. 003). Det store spring i sundheds-
periferi fra 2017 til 2018 er grundet en ændring i kontoplanen.
Kilde: ”Hvordan opgør man de danske sundhedsudgifter” af
Kjeld Møller Pedersen, tabel 10 samt Danmarks Statistisk (REGR31,
REGK100, OFF29) og Statsregnskabet (regnskabsdatabasen).
Produktivitetsvækst pr. år
Gennemsnit
Anm: I foråret 2008 var sundhedsområdet ramt af otte ugers
konflikt. Det betød bl.a., at sygehuskapaciteten ikke blev anvendt
fuldt ud på grund af aflysninger af behandlinger af ikke­akut
karakter. Sygehusene blev ramt af strejken i forskelligt omfang.
Kilde: Produktivitet i sygehussektoren 2017-2018, 2021,
Sundhedsdatastyrelsen.
2016-2017
2015-2016
2003-2004
2005-2006
2006-2007
2017-2018
2004-2005
Pct.
Pct.
7
7
5,6 5,3
6
6
4,2
5
5
3,2 3,1
4
4
3
3
2,4 1,8 1,9
3
1,9
2,2
1,4
1,4
2
2
1 0,9
1
1
0
0
-1
-1
-2
-2
-3
-3
-3,2
-4
-4
SUU, Alm.del - 2023-24 - Bilag 317: Orientering om Sundhedsstrukturkommissionens afrapportering, fra indenrigs- og sundhedsministeren
2880227_0105.png
1
2
3
4
Del 1 - Status, udfordringer og pejlemærker for sundhedsvæsenet
105
Mere specialisering og øget arbejdsdeling i det danske sundhedsvæsen
Investeringerne i sundhedsvæsenet har bl.a. medført en høj grad af specialisering og arbejdsdeling mellem
sygehuse, alment praktiserende læger og kommunale sundhedstilbud.
Særligt har specialiseringen på sygehusene, drevet af nye behandlingsmetoder, teknologi og medicin, ledt
til nye og ofte mindre indgribende behandlingsformer, bl.a. indenfor det kirurgiske område. Det har mulig-
gjort et skifte fra behandling med indlæggelser til ambulante forløb. Samtidig har det betydet, at den
gennemsnitlige liggetid i somatikken er faldet med 24 pct. siden 2005.
Specialiseringen og arbejdsdelingen i sundhedsvæsenet afspejles i udviklingen i medarbejdersammen­
sætningen. På sygehusene er antallet af læger steget med 50 pct. siden 2007, jf. figur 4.23. Antallet af
sygeplejersker er i samme periode steget med 17 pct. Til gengæld er antallet af social­ og sundheds­
assistenter på sygehusene faldet med 8 pct. i samme periode. Omvendt har kommunerne siden 2007 fået
en relativt større plejeopgave. Det ses ved, at antallet af kommunalt ansatte sygeplejersker og social-
og sundhedsmedarbejdere er steget med henholdsvis 70 og 104 pct. fra 2007 til 2023, jf. figur 4.24.
Figur 4.23
Udvalgt sundhedspersonale i regionerne,
fuldtidspersoner
Indeks (2007=100)
Indeks (2007=100)
Figur 4.24
Udvalgt sundhedspersonale i kommunerne,
fuldtidspersoner
Indeks (2007=100)
Indeks (2007=100)
250
200
150
100
50
0
250
200
150
100
50
0
250
200
150
100
50
0
250
200
150
100
50
0
2007 2009 2011 2013 2015 2017 2019 2021 2023
Læger
Sygeplejersker
Social- og sundhedsassistent og sygehjælper
Fysioterapeut
Ergoterapeut
2007 2009 2011 2013 2015 2017 2019 2021 2023
Læger
Sygeplejersker
Social- og sundhedsassistent og sygehjælper
Fysioterapeut
Ergoterapeut
Anm: Sygeplejersker omfatter også ledende sygeplejersker. Læger inkluder overlæger, lægelige chefer, kommunallæger, sygehuslæger
og reservelæger. Antal fuldtidspersoner er antal ansatte omregnet som 37-timers ækvivalenter pr. september i 2022. Opgørelsen er eksklusive
elever, fleksjob og ekstraordinært ansatte.
Kilde: Kommunernes og regionernes løndatakontor (KRL).
Den øgede specialisering af sundhedsvæsenet har generelt medført en højere kvalitet i behandlingen.
Udover fald i ventetider kommer det også til udtryk i lavere dødelighed, fx blandt hjerte­ og kræftpatienter.
SUU, Alm.del - 2023-24 - Bilag 317: Orientering om Sundhedsstrukturkommissionens afrapportering, fra indenrigs- og sundhedsministeren
2880227_0106.png
106
1
2
3
4
Del 1 - Status, udfordringer og pejlemærker for sundhedsvæsenet
Indenfor visse områder overgås fordelene ved specialisering imidlertid af ulemperne. Hvis kompetencerne
og ydelserne bliver for snævre og målrettet en lille specifik patientgruppe, kan det medføre ineffektivitet.
Organisationen kan blive for kompleks, og der vil være aftagende gevinster for befolkningen som helhed.
Det kan også have uhensigtsmæssige konsekvenser for det samlede sundhedsvæsen, fordi der er et større
behov for specialiseret personale, særligt udstyr m.v.
59
Specialisering medfører desuden en organisatorisk fragmentering, hvor specialiseret behandling bliver
varetaget i særlige afsnit, teams eller projekter, som ikke nødvendigvis ser på tværs af patienter med flere
sygdomme. Specialiserede funktioner kan også være sårbare, fordi der er for få medarbejdere til at stå for
driften, kvalitetssikringen og forskningen.
60
Mennesker med multisygdom er en patientgruppe, som ofte har brug for flere samtidige indsatser, og
hvor den specialiserede opdeling, fx af sygehusaktiviteten, resulterer i en betydelig kompleksitet i forløb.
Forløbene strækker sig ofte over tid med henvisning imellem forskellige aktører, både tværfagligt og
tværsektorielt. Dertil kommer en øget risiko for tabt information og uklarhed om ansvar.
Der er også områder i det primære sundhedsvæsen, som ikke er tilstrækkeligt specialiserede i dag. Det
gælder bl.a. genoptræning og rehabilitering, som i udgangspunktet foretages af kommunerne, hvor
opgavevolumen på nuværende tidspunkt er for lille til, at der kan opbygges tilstrækkelige medarbejder-
kompetencer, rutine og faglige miljøer i hver enkelt kommune.
61
Set i international sammenhæng vejer sundhedsudgifterne til at drive sygehuse tungt sammenlignet med
de anvendte sundhedsudgifter indenfor det øvrige sundhedsvæsen i Danmark. I sammenligning med andre
relevante lande er det dermed en større andel af sundhedsudgifterne, der går til den mest specialiserede
del af sundhedsvæsenet, fx fremfor de alment praktiserende læger, ældrepleje og forebyggelse, jf. figur 4.25.
59
60
61
Sundhedsstyrelsen, “Faglig bæredygtighed som grundlag for sundhedsplanlægning”, 2024.
Sundhedsstyrelsen, “Faglig bæredygtighed som grundlag for sundhedsplanlægning”, 2024.
Sundhedsstyrelsen, “Faglig bæredygtighed som grundlag for sundhedsplanlægning”, 2024.
SUU, Alm.del - 2023-24 - Bilag 317: Orientering om Sundhedsstrukturkommissionens afrapportering, fra indenrigs- og sundhedsministeren
2880227_0107.png
1
2
3
4
Del 1 - Status, udfordringer og pejlemærker for sundhedsvæsenet
107
Figur 4.25
Sundhedsudgifter fordelt på funktion, udvalgte lande, 2019
Pct.
100
80
60
40
20
0
47
38
34
33
36
Pct.
100
80
61
69
67
67
63
60
40
20
0
54
30
Nederlandene
Danmark
Finland
Sygehuse
Norge
Ikke-sygehuse
Sverige
England
Anm: På grund af afrundinger summer tallene ikke til 100. Fordelingen tager afsæt i OECDs Health Care Functions. Hvor en yderligere segmente-
ring er gjort ved hjælp af OECDs Heath Care Providers er det anført nedenfor; Sygehuse er afgrænset til: “Current expenditures on health,
inpatient curative and rehabilitative care, all providers”, “Outpatient curative and rehabilitative care, hospitals”; Ikke-sygehuse er afgrænset til:
“Current expenditures on health, outpatient curative and rehabilitative care, providers of ambulatory health care”, “Residential long­term care
facilities”, og inkluderer bl.a. “medical goods”, “preventive care” og “anciallary services”; Alle tal er købekraftsjusteret og omregnet med valutakurs
1,0 EUR = 7,45 DKK. Tal for Storbritannien er brugt som proxy for England. Sammenlignes med en OECD ”hospitals” provider­opgørelse
undervurderer den anvendte metode sygehusforbruget i bl.a. Norge, Sverige og England, da de præhospitale udgifter fra indlæggelser og
ambulante besøg i højere grad indgår som sygehusudgifter i de danske opgørelser. Uanset opgørelsesmetode er andelen af udgifter, der bruges
på sygehuse, størst i Danmark.
Kilde: BCG, 2023, Sundhedsvæsenets organisering mv. i udvalgte lande.
Sygehusene har svært ved at følge med efterspørgslen
Sygehusene er den mest specialiserede del af sundhedsvæsenet, og det er her, borgerne bliver henvist til,
hvis de ikke kan behandles i det primære sundhedsvæsen. Siden 2009 er antallet af kontakter til syge­
husene steget mere end kontakterne til de alment praktiserende læger, jf. figur 4.26. Der er også en større
andel af borgere, som er i kontakt med sygehusene i løbet af et år, jf. figur 4.27. Det er særligt kontakt­
mønstret blandt borgere over 65 år, der bidrager til en stigende aktivitet på sygehusene. Uden ændringer
vil udviklingen med al sandsynlighed fortsætte.
SUU, Alm.del - 2023-24 - Bilag 317: Orientering om Sundhedsstrukturkommissionens afrapportering, fra indenrigs- og sundhedsministeren
2880227_0108.png
108
1
2
3
4
Del 1 - Status, udfordringer og pejlemærker for sundhedsvæsenet
Figur 4.26
Udvikling i antal sygehusophold og kontakter
til den alment praktiserende læge pr. 1.000
borgere, fordelt på sygehuse og alment
praktiserende læger, indeks (2009=100)
Indeks (2009=100)
150
Indeks (2009=100)
150
Figur 4.27
Befolkningen fordelt på mest specialiserede
kontakt til sundhedsvæsenet, 2005 og 2022
Pct.
45
40
35
30
38
30
Pct.
45
40
35
30
25
20
14
12
13
12
8
15
10
5
0
35
30
100
100
25
20
15
50
100
100
124
100
117
105
50
10
5
0
10
2005
0
2009
2018
2022
0
Sygehusophold
Kontakter til alment praktiserende læge
Ingen kontakt
Alment praktiserende læge
Praktiserende speciallæge
Ambulant sygehusophold
Indlæggelse
2022
Anm.: Der indgår både kontakter til almenmedicinske tilbud i
dagstid, kontakter til almenmedicinske tilbud udenfor dagstid og
kontakter til vagtlæge. Kontakt til sygehuset er defineret ved hjælp
af sygehusophold, der både omfatter indlæggelser og ambulante
besøg. Indlæggelser defineres som et sygehusophold med en
varighed på over 12 timer, mens en ambulante ophold defineres
som et sygehusophold med en varighed på under eller lig 12 timer.
I 2019 er der databrud på grund af overgang til ny version af
Landspatientregisteret (LPR3), primo 2019.
Kilde: Egne beregninger baseret på Landspatientregisteret (LPR)
opgjort, Sygesikringsregisteret, CPR-registeret fra Sundhedsdata-
styrelsen.
Anm: Der indgår både kontakter til almenmedicinske tilbud i
dagstid, kontakter til almenmedicinske tilbud udenfor dagstid og
kontakter til vagtlæge. Kontakt til sygehuset er defineret ved hjælp
af sygehusophold, der både omfatter indlæggelser og ambulante
besøg. Indlæggelser defineres som et sygehusophold med en
varighed på over 12 timer, mens en ambulante ophold defineres
som et sygehusophold med en varighed på under eller lig 12 timer.
I 2019 er der databrud på grund af overgang til ny version af
Landspatientregisteret (LPR3), primo 2019.
Kilde: Egne beregninger baseret på Landspatientregisteret (LPR)
Sygesikringsregisteret, CPR-registeret fra Sundhedsdatastyrelsen.
Der er flere indikatorer på, at sygehusene oplever kapacitetspres. Antallet af sygehusophold pr. medarbejder er
steget med 20 pct. i perioden 2009 til 2018, jf. figur 4.28. Det er en udvikling, som også hænger sammen med
omlægningen til mere ambulant behandling.
Ganske vist har ventetiderne på behandling i mange år været faldende, og Danmark har generelt korte ventelister
i forhold til de lande, vi normalt sammenligner os med. Fx blev ventetiderne til operation afkortet med to uger eller
mere end en fjerdedel i perioden 2005 til 2017, jf. figur 4.29. Efter 2018 har ventetiderne for opererede patienter
været stigende. En del af forklaringen er puklen af udskudte operationer, som fulgte med covid­19 epidemien i
perioden 2019 til 2021 og sygeplejerskekonflikten i 2021.
Udfordringerne med kapacitetspres skal også ses i lyset af, at sundhedsvæsenet havde en høj udnyttelse
af den afsatte kapacitet ved indgangen til covid­19 epidemien. Et eksempel er kræftområdet, hvor mangel
på specialiseret personale sætter en begrænsning på kapaciteten. Nogle steder er kapaciteten så skrøbelig,
at det i en periode kan have betydning for efterlevelsen af reglerne. Det kan fx være, når personale bliver
SUU, Alm.del - 2023-24 - Bilag 317: Orientering om Sundhedsstrukturkommissionens afrapportering, fra indenrigs- og sundhedsministeren
2880227_0109.png
1
2
3
4
Del 1 - Status, udfordringer og pejlemærker for sundhedsvæsenet
109
sygemeldt, skifter job eller går på orlov eller pension. Kapacitetsudfordringerne kan være periodevise og
begrænsede til enkelte kræftområder, sygehuse eller regioner, men der er også kapacitetsudfordringer, som
er mere tværgående.
62
Psykiatrien er et område, som de seneste år har været særligt ramt af kapacitetsudfordringer. I 4. kvartal 2024 blev
udredningstiden overskredet i 60 pct. af forløbene i børne­ og ungepsykiatrien og i 17 pct. af forløbene for voksne.
Generelt indebærer høj udnyttelse af den afsatte kapacitet, at selv små forskydninger i tilgængeligheden
af personale eller borgernes behov for behandling hurtigt forplanter sig som længere ventelister. Det gælder
på tværs af hele sundhedsvæsenet.
Figur 4.28
Antal årlige sygehusophold (indlæggelser
og ambulante ophold) på sygehusene
pr. sundhedsfaglig fuldtidsmedarbejder
Kontakter pr. sundhedsfagligt
personale
180
160
140
120
100
80
60
40
20
0
12
12
12
12
11
11
11
11
11
11
169 167 168
157 162
142 148 149
135 137
Kontakter pr.
sundhedfagligt personale
200
160
140
120
100
80
60
40
20
0
180
Figur 4.29
Erfarede ventetider for alle opererede patienter,
2005 ­ 2023
Dage
80
70
60
50
40
30
20
10
0
57
42
67
53
51
68
64
Dage
80
70
60
50
40
30
20
10
0
200
Ambulante ophold pr. sundhedsfagligt personale
Indlæggelser pr. sundhedfagligt personale
2005
2008
2011
2014
2017
2020
2023
Erfarede ventetider (dage)
Anm: De to tidslinjer kan ikke sammenlignes. I perioden 2005
til 2018 opgøres ventetid til operation. Ventetiden er opgjort
som ventetid fra henvisning til udredning start og ventetid fra
henvisning til behandling (operationsdato). Hvis der alene er tale
om et udredningsforløb inkluderes det, hvis det indeholder en
invasiv procedure (fx en KAG). Implementering af Sundheds­
platformen i Region Hovedstaden fra og med maj 2016 og i Region
Sjælland fra ultimo november 2017 kan have indflydelse på de
opgjorte ventetider. Fra 2020 og frem defineres ventetid som antal
dage fra endeligt udredt/henvist til behandling til behandling
start. I denne periode opgøres ventetider pr. kvartal, og de viste
ventetider er gennemsnit på tværs af kalenderåret.
Kilde: Landspatientregisteret (LPR) og Det Centrale Personregister
(CPR), Sundhedsdatastyrelsen.
Anm: I figuren indgår ikke oplysninger for 2019, 2020 og 2021, da
oplysningerne vil være påvirket af databrud som følge af overgang
til LPR3 og covid-19. Det er derfor vanskeligt at sammenligne med
årene før 2019. Ambulante ophold er defineret som ophold på
under 12 timer. Opgørelsen er foretaget som antal kontakter
pr. fuldtidsårsværk med en sundhedsfaglig uddannelse.
Kilde: Egne beregninger på opgørelser fra eSundhed.dk samt
Landspatientregisteret pr. 10. marts 2023, Sundhedsdatastyrelsen.
62
Sundhedsstyrelsen, “Notat: Resultat af faglig gennemgang af kræftområdet”, 2023.
SUU, Alm.del - 2023-24 - Bilag 317: Orientering om Sundhedsstrukturkommissionens afrapportering, fra indenrigs- og sundhedsministeren
2880227_0110.png
110
1
2
3
4
Del 1 - Status, udfordringer og pejlemærker for sundhedsvæsenet
Uhensigtsmæssig behandling øger presset
En udfordring, som øger presset alle steder i sundhedsvæsenet, er uhensigtsmæssig aktivitet. Udfordringen
kommer bl.a. til udtryk i overbehandling, overdiagnosticering og unødvendig dokumentation. Uhensigts-
mæssig aktivitet kan føre til lavere medarbejdermotivation og –trivsel, fejl, kapacitetsproblemer, økonomisk
pres og uhensigtsmæssigt tidsforbrug.
63
I 2017 har OECD, på tværs af medlemslandene, estimeret, at ca. en femtedel af alle sundhedsudgifter kan
bruges bedre. I forbindelse med Robusthedskommissionens arbejde har konsulenthuset Implement
estimeret, at 15­30 pct. af aktiviteten i det danske sundhedsvæsen er uhensigtsmæssig.
VIVE har i analyser til Robusthedskommissionen opdelt uhensigtsmæssig behandling i tre kategorier: 1)
overbehandling, 2) behandlinger med lav værdi og 3) opgaver, der løses på et for højt specialiseringsniveau.
En række faktorer er med til at øge mængden af uhensigtsmæssig behandling. Det gælder fx forventnin-
gerne fra samfundet og de økonomiske incitamenter, bl.a. hos private sundhedsaktører. Der kan også være
regulering, rammebetingelser og organisering i sundhedsvæsenet, som stiller krav til stor koordination
for bl.a. at undgå gentagne undersøgelser, eller en høj specialiseringsgrad, der kan føre til, at der leveres
behandling på et for højt specialiseringsniveau, fx at der gennemføres en operation frem for genoptræning.
Robusthedskommissionen anbefaler en stærkere og mere systematisk prioritering af, hvilke opgaver
der skal løses i sundhedsvæsenet. Det handler fx om at nedbringe overbehandling og uhensigtsmæssig
dokumentation. Boks 4.7 samler op på nogle af Robusthedskommissionens konklusioner om uhensigts­
mæssig behandling.
Boks 4.7
Robusthedskommissionens pointer om uhensigtsmæssig behandling
En betydelig andel af sundhedsvæsenets udgifter går til at håndtere spild, skader og fejl. Derudover
modtager mange patienter unødvendig behandling eller behandling med lav værdi. I analysen af
kompetencemangel i sundhedsvæsenet, som Implement har udført for Robusthedskommissionen,
skønnes det, at i omegnen af 15-30 pct. af aktiviteten i det danske sundhedsvæsen er uhensigtsmæssig
eller irrelevant.
Diagnostik og behandling anvendes for meget og forkert
Der bliver taget for mange unødvendige prøver. Gennem tiden ses flere eksempler på overforbrug af
prøver. I 22 til 38 pct. af almindelige MR- eller CT-undersøgelser fremgår tilfældige fund, som ikke
er relateret til undersøgelsens formål. Hvad angår overbehandling, modtager 39 pct. af patienter, der
besøger et akut sundhedstilbud, antibiotika, og patienter med en iltmætning på over 94 pct. modtager
iltbehandling, selvom der ikke er behov for det.
Forskellige drivkræfter for overbehandling kan stå i vejen for kvaliteten i behandling
Overforbrug af ineffektiv behandling og underforbrug af effektive behandlinger er to centrale kvalitets­
udfordringer, som sundhedsvæsener står overfor. Drivkræfter bag overbehandling kan inddeles i tre
grupper:
Økonomi, incitamenter og integrationen af sundhedsydelser
Manglende viden, misvisende psykologiske faktorer og fejlagtige overbevisninger
Magtasymmetri mellem patienter og udbydere af sundhedsydelser, der hæmmer, at patienters mål
og præferencer inddrages ordentligt
63
VIVE, Martin Sandberg Buch, Thorben Peter Høj Simonsen, Sarah Wadmann, og Rikke Aarhus. ”Uhensigtsmæssig dokumentation og
behandling i sundhedsvæsenet”. VIVE – Det Nationale Forsknings- og Analysecenter for Velfærd, 2023.
SUU, Alm.del - 2023-24 - Bilag 317: Orientering om Sundhedsstrukturkommissionens afrapportering, fra indenrigs- og sundhedsministeren
2880227_0111.png
1
2
3
4
Del 1 - Status, udfordringer og pejlemærker for sundhedsvæsenet
111
Overforbrug af diagnostiske prøver bidrager til sundhedsudgifter og kan udsætte patienter
for unødvendig skade
Diagnostiske prøver overforbruges, og graden af overforbrug varierer betydeligt. Præoperative tests og
billeddiagnostik for uspecifikke lænderygsmerter er de typer af undersøgelser, som oftest har lav værdi.
Omfanget af overforbrug af diagnostik, og data stammer ikke fra Danmark, men fra USA, Canada og en
række europæiske lande.
Patienter oplever at få gentaget undersøgelser, som fx blodprøver og billeddiagnostik
Vælg Klogt har gennemført en spørgeskemaundersøgelse, som viser, at patienter oplever at få gentaget
undersøgelser, såsom blodprøver eller billeddiagnostik, når de er i kontakt med sundhedsvæsenet.
Det gælder især prøver taget i forbindelse med sektorovergange og for patienter, der følges på flere
afdelinger.
Kilde: Robusthedskommissionens anbefalinger, 2023.
Øget efterspørgsel efter pleje, omsorg og rehabilitering i det primære sundhedsvæsen
Presset på sundhedsvæsenet handler langt fra kun om uhensigtsmæssig behandling. Presset handler også
om den demografiske udvikling, om opgavefordelingen mellem det sekundære og primære sundhedsvæsen,
og hvor godt det primære sundhedsvæsen og kommunernes ældreområde er rustet til at løse de nye
udfordringer. Fra borgeren fylder 65 år stiger fx behovet for sygepleje, personlig pleje og praktisk hjælp, og
derfor er den aldrende befolkning en betydelig udfordring for fx kommunernes sundheds- og ældreind-
satser. De kommunale sundheds­ og plejeudgifter til personer, som er fyldt 85 år, er ca. 11 gange højere end
sundheds­ og plejeudgifterne til personer fyldt 65 år, jf. figur 4.30. Særligt udgifterne til ældreboliger fylder
meget i de kommunale sundhedsudgifter.
Jo tættere borgeren er på livets afslutning, desto mere sundhed og pleje har den enkelte borger behov for.
Det kommer bl.a. til udtryk ved, at forbruget af sundheds- og ældreydelser er fem gange højere blandt ældre
helt tæt på livets afslutning end ældre med tre år eller mere tilbage af livet, jf. figur 4.31. I takt med at de
store årgange nærmer sig den sidste tid, øges kommunernes udgifter til sundheds- og ældrepleje tilsva-
rende.
SUU, Alm.del - 2023-24 - Bilag 317: Orientering om Sundhedsstrukturkommissionens afrapportering, fra indenrigs- og sundhedsministeren
2880227_0112.png
112
1
2
3
4
Del 1 - Status, udfordringer og pejlemærker for sundhedsvæsenet
Figur 4.30
Forbrug af sundheds­ og plejeydelser pr. person
fordelt på alder, 2022
1.000 kr. pr. borger (2021 -pl) 1.000 kr. pr. borger (2021 -pl)
400
400
350
300
250
200
150
100
50
0
350
300
250
200
150
100
50
0
Figur 4.31
Forbrug af sundheds­ og plejeydelser pr. person
over 65 år fordelt på afstand til død, 2019
Kr. pr. person
300.000
250.000
200.000
150.000
100.000
50.000
0
Kr. pr. person
300.000
250.000
200.000
150.000
100.000
50.000
0
0 år
7 år
14 år
21 år
28 år
35 år
42 år
49 år
56 år
63 år
70 år
77 år
84 år
91 år
98 år
3+ år
3 år
2 år
1 år
Kommunale udgifter
Sygesikring
Somatisk sygehus
Regionalt medicintilskud
Psykiatrisk sygehus
Kommunale sundheds- og plejeydelser
Almenmedicinske tilbud
Sygehuse
Anm.: I datagrundlaget for de kommunale udgifter indgår 85
kommuner, idet datagrundlaget kun er tilstrækkeligt for disse.
Opgørelserne for 2021 er påvirket af ændringer i aktiviteten som
følge af covid-19 og sygeplejerskestrejken. Udgifterne er angivet
i pris- og lønniveau for 2021 (2021-PL).
Kilde: Robusthedskommissionen, 2023, Robusthedskommissionens
anbefalinger.
Anm: Udgifter til sundheds- og plejeydelser er baseret på 95
kommuner. Udgifter til praksissektror omfatter også receptpligtig
medicin. Udgifter i den kommunale sektor omfatter sygepleje,
hjemmepleje og plejebolig. Ældre på 100 år og derover er samlet
i samme alderskategori. Afstand til død er baseret på 2019-data.
Kilde: Indenrigs- og Sundhedsministeriets Benchmarkingenhed,
2023, Geografiske forskelle i ældres forbrug af sundheds­ og
plejeydelser.
I kommunerne er der, ligesom på sygehusene, tegn på udfordringer med at imødekomme borgernes
efterspørgsel. Fx er andelen af ældre, der er fyldt 67 år og modtager personlig og praktisk hjælp, mere end
halveret siden 2008, jf. figur 4.32. Faldet er sket indenfor alle aldersgrupper. Tilsvarende er antallet af visite-
rede timer pr. modtager faldet,
jf. figur 4.33.
SUU, Alm.del - 2023-24 - Bilag 317: Orientering om Sundhedsstrukturkommissionens afrapportering, fra indenrigs- og sundhedsministeren
2880227_0113.png
1
2
3
4
Del 1 - Status, udfordringer og pejlemærker for sundhedsvæsenet
113
Figur 4.32
Modtagere af kommunale ældreydelser som
procent af befolkningen, 2008­2022
Pct.
35
32
30
25
20
15
10
5
0
5
3
18
15
Pct.
40
35
30
25
20
15
Figur 4.33
Gennemsnitligt antal timer visiteret til personlig
pleje, 2008­2022
Ugentlige
7,0
6,5
6,0
5,5
5,0
4,5
4,0
3,5
3,0
2008 2010 2012 2014 2016 2018 2020 2022
67+-årige
90+-årige
6,2
5,4
Ugentlige
7,0
6,5
6,0
5,5
4,5
5,0
4,5
4,0
3,5
3,0
12
10
3
5
2
0
Anm: Nogle kommuner indberetter betydelige udsving mellem
boligkategorier fra år til år og opgørelsen er derfor forbundet
med en vis usikkerhed. Træning indbefatter genoptræning og
vedligeholdelsestræning. Ved modtagere af hjemmepleje i eget
hjem og rehabilitering efter §83, er data for rehabilitering kun
tilgængeligt efter 2019. Ved manglende kommunale indberet-
ninger for hjemmepleje benyttes Danmarks Statistiks metode
for at opgøre landsplanstal. Ved rehabilitering er manglende
indberetninger erstattet af hvor der for de kommuner, der mangler
data i de enkelte år, er brugt data for det tidligste af de efter-
følgende år, hvor kommunen har data. Det gælder for tre
kommuner i 2019 og for 0 kommuner i 2022. Plejehjem- og
boligpladser inkluderer både permanente og midlertidige.
Kilde: Statistikbanken, Danmarks Statistik, tabel AED21, RESI01
og BEFOLK1A.
2008
2009
2010
2011
2012
2013
2014
2015
2016
2017
2018
2019
2020
2021
2022
Modt. af forebyg. hjemmebesøg 75+år
Modt. af hjemmehjælp og rehab. 65+år
Indskrevne i pleje- og ældrebolig 65+år
Modt. af træning SEL 67+år
Anm: Grundlaget for opgørelsen er månedlige digitale indberet-
ninger fra kommunerne. Der er varierende dækning af månederne
kommunerne imellem. Antal modtagere er derfor opgjort som
et gennemsnit for de måneder som den enkelte kommune har
indsendt.
Kilde: Statistikbanken, Danmarks Statistik, tabel HJEMSYG og
FOLK1A, samt eSundhed.
At det forholder sig sådan kan hænge sammen med sund aldring, hvor den enkelte i gennemsnit har mindre
brug for ydelser, eller at kommunerne ændrer praksis og fx tilbyder andre ydelser fremfor hjemmepleje,
som fx rehabilitering. Det kan dog også afspejle, at kommunerne skal dele økonomi og personale mellem
flere opgaver, fordi stadig flere borgere har brug for sundheds­ og ældreydelser.
I den sammenhæng skal det bemærkes, at kommunernes sundhedsopgave er blevet større de senere år.
Antallet af borgere fyldt 65 år, der udskrives fra sygehuse med en genoptræningsplan til kommunen, er
mere end fordoblet i perioden 2008­2023. Det afspejler både, at der bliver flere ældre i befolkningen, og at
genoptræningsplaner bruges hyppigere.
Aktiviteten indenfor hjemmesygeplejen er også steget. I 2022 var 10 pct. af befolkningen fyldt 65 år og
derover i kontakt med hjemmesygeplejen mod 8 pct. af aldersgruppen i 2016, jf. figur 4.34. Det betyder bl.a.,
at kommunerne i højere grad skal være til rådighed med pleje og rehabilitering til borgere, som bliver
udskrevet fra sygehuset.
SUU, Alm.del - 2023-24 - Bilag 317: Orientering om Sundhedsstrukturkommissionens afrapportering, fra indenrigs- og sundhedsministeren
2880227_0114.png
114
1
2
3
4
Del 1 - Status, udfordringer og pejlemærker for sundhedsvæsenet
Figur 4.34
Modtagere af kommunale sundhedsydelser som procent af befolkningen, 2008­2022
10
9
8
7
6
5
4
3
2
1
0
2008
2009
2010
2011
2012
2013
2014
2015
2016
2017
2018
2019
2020
2021
2022
6
Pct.
8
10
9
Pct.
9
8
7
6
5
4
3
2
1
0
10
Genoptræningsplaner SUL 65+år
Hjemmesygepleje 65+år
Anm: For hjemmesygepleje, indberetter nogle kommuner betydelige udsving mellem boligkategorier fra år til år og opgørelsen er derfor
forbundet med en vis usikkerhed. Befolkningen udgør borgere over 65 år i de kommuner der har indberettet data for hjemmesygepleje.
I 2016 er der 40 kommuner med i opgørelsen, i 2019 er der 90 kommuner og i 2022 er samtlige 98 kommuner inkluderet.
Kilde: Statistikbanken, Danmarks Statistik, tabel HJEMSYG og FOLK1A.
Tilsvarende er antallet af midlertidige pladser i kommunerne steget, jf. figur 4.35. De midlertidige pladser
bruges bl.a. til borgere, der er udskrevet fra sygehusene, men de dækker også en række andre formål.
Konsoliderede opgørelser fra kommunerne viser, at der i 2022 var ca. 3.600 midlertidige pladser, eksklusive
København. Det bemærkes i øvrigt, at kapaciteten på midlertidige pladser varierer på tværs af kommuner, jf.
figur 4.36. Det afspejler bl.a., at midlertidige pladser og pleje i hjemmet er substituerbare ydelser, som
kommunerne anvender forskelligt.
SUU, Alm.del - 2023-24 - Bilag 317: Orientering om Sundhedsstrukturkommissionens afrapportering, fra indenrigs- og sundhedsministeren
2880227_0115.png
1
2
3
4
Del 1 - Status, udfordringer og pejlemærker for sundhedsvæsenet
115
Figur 4.35
Udviklingen i antal midlertidige pladser
i kommunerne, 2012­2022
Midlertidige pladser
4.000
3.800
3.600
3.400
3.200
3.000
3.564
Midlertidige pladser
4.000
3.800
3.600
3.400
3.200
3.000
Figur 4.36
Midlertidige pladser pr. borger over 65 år
fordelt på kommuner, 2023
Midlertidige pladser, pr.
1.000 indbygger over 65 år
7
6
5
4
3
2
1
0
Kommuner
Midlertidige pladser pr.
1.000 indbygger over 65 år
7
6
5
4
3
2
1
0
2020
2021
2012
2013
2014
2015
2016
2017
2018
Anm: Opgørelsen er eksklusive København, og KL estimere, at der
derfor mangler 100-150 pladser i opgørelsen.
Kilde: Statistikbanken, Danmarks Statistik, tabel RESP01 og KL.
2019
2022
Anm.: Den røde linje indikerer gennemsnittet på 2,4.
Kilde: Statistikbanken, Danmarks Statistik, tabel RESP01 og KL.
Baseret på den demografiske udvikling forventes antallet af borgere over 65 år, der modtager mindst én
kommunal sundheds­ og plejeindsats, at stige fra ca. 290.000 i 2022 til omkring 350.000 i 2035.64 Ændrin-
gen af befolkningens sammensætning vil øge presset på den kommunale sundheds- og plejeindsats.
Almenmedicinske tilbud har ikke udviklet sig i takt med borgernes behov
Siden 2003 er antallet af alment praktiserende læger steget med 20 pct., mens antallet af læger, der er
ansat på sygehusene, er steget med 70 pct., jf. figur 3.37. Forskellen er særligt vokset frem i årene efter
oprettelsen af regionerne, og forskellen skal ses i lyset af, at væksten i offentlige udgifter til de to sektorer
har været omtrent den samme. Når udviklingen i antal læger i almenmedicinske tilbud og på sygehusene
sammenlignes, er det tydeligt, at de almenmedicinske tilbud ikke har udviklet sig med samme hastighed
som sygehusene. En del af årsagen er overgangen til mere ambulant aktivitet på sygehusene, som har
medført en generel stigning i aktiviteten og dermed et øget behov for læger på sygehusene.
Kortere behandlingstider på sygehusene påvirker også de alment praktiserende læger. Kortere behand-
linger på sygehusene stiller højere krav til lægernes rolle som koordinator mellem sundhedstilbud, og der
er også flere opgaver, som sygehuset tidligere tog sig af, som skal håndteres af den alment praktiserende
læge. I fremtiden forventes der at være et endnu større behov for alment praktiserende læger. Fx viser
en fremskrivning, at der vil være 250.000 flere kontakter til alment praktiserende læger i 2035, hvis
udviklingen i demografi og adfærd fortsætter som hidtil.
65
64
65
Boston Consulting Group, “Udviklingen i Sundhedsvæsenet - et perspektiv til omstilling”, 2024.
Boston Consulting Group, “Udviklingen i Sundhedsvæsenet - et perspektiv til omstilling”, 2024.
SUU, Alm.del - 2023-24 - Bilag 317: Orientering om Sundhedsstrukturkommissionens afrapportering, fra indenrigs- og sundhedsministeren
2880227_0116.png
116
1
2
3
4
Del 1 - Status, udfordringer og pejlemærker for sundhedsvæsenet
Figur 4.37
Udvikling i antal læger ansat på sygehusene og alment praktiserende læger, indeks (2003=100)
Indeks (100=2003)
180
160
140
170
Indeks (100=2003)
180
160
140
170
150
130
120
100
90
2003 2004 2005 2006 2007 2008 2009 2010 2011 2012 2013 2014 2015 2016 2017 2018 2019 2020
Sygehus
Alment praktiserende læger
80
110
150
130
120
100
90
80
110
Anm.: Indeks = 2003. Bemærk, at figuren er opgjort i antal personer beskæftiget i den pågældende sektor og ikke i fuldtidsbeskæftigede/
lægekapaciteter. Afgrænsningen af læger ansat ved sygehuse er ”Physicians employed in hospitals” og alment praktiserende læger er ”General
medical practitioners”.
Kilde: OECD Health Statistics, Healthcare Resources.
I en analyse, som Implement har udarbejdet for kommissionen, beskrives en række indsatser, som har til
formål at kompensere for, at der nogle steder i sundhedsvæsenet mangler almenmedicinske kompetencer.
Indsatserne er fx en lægebil, der har mulighed for at køre ud til borgere, særligt plejehjemsbeboere, hvor
der er behov. Lægebilen har, ved at være til stede fysisk, bedre forudsætninger for at igangsætte relevant
behandling, end lægerne i akuttelefonen. En anden indsats er tværsektorielle sparringsmøder, på tværs af
den regionale og kommunale sundhedsindsats. Møderne skal fremme kendskab og forståelse, og etablere
direkte kontakt og relation mellem sektorerne. I alt har Implement indsamlet informationer om 35
udgående funktioner, 26 rådgivende funktioner og 25 brobyggende funktioner. Indsatserne kan til en
vis grad betragtes som reaktioner på et udækket behov i det eksisterende sektorsamarbejde.
66
I modsætning til sygehusene, der har åbent i alle døgnets timer, er de praktiserende læger ved overens-
komst kun forpligtet til at være tilgængelige i dagtimerne. Der er indikationer på, at borgerne oplever
tilgængeligheden af almenmedicinske tilbud som en udfordring. Fx er der 29 pct., der oplever, at de sjældent
eller aldrig kan få tid hos lægen indenfor en uge, jf. figur 4.38. Tilgængeligheden af de almenmedicinske
tilbud er bl.a. vigtig, fordi borgerne potentielt kontakter lægevagten, hvis de ikke kan få tid hos lægen.
66
Implement Consulting Group, “Udfordringer og potentialer i samspillet mellem sektorer og for sammenhængende patientforløb”, 2024.
SUU, Alm.del - 2023-24 - Bilag 317: Orientering om Sundhedsstrukturkommissionens afrapportering, fra indenrigs- og sundhedsministeren
2880227_0117.png
1
2
3
4
Del 1 - Status, udfordringer og pejlemærker for sundhedsvæsenet
117
Figur 4.38
Borgernes oplevelse af udvalgte overenskomstbestemte aftaler for alment praktiserende læger,
2023
0
Jeg kan få en tid hos lægen inden for en uge (16.590 svar)
Jeg kan få lægehjælp hos egen læge - eller en anden læge som min
egen læge samarbejder med - samme dag ved akut sygdom (14.628
svar)
Jeg kan komme i telefonisk kontakt med egen læge i et tidsrum på
hverdage (13.190 svar)
Jeg kan komme i telefonisk kontakt med min lægepraksis eller en
anden lægepraksis, som min læge samarbejder med, i tidsrummet
8-16 på hverdage (11.487 svar)
Min læge holder åbent efter kl. 16 mindst én gang om uge (35.121
svar)
Sjældent
0
3
6
5
10
4
12
10
20
30
2
5
10
21
20
8
Pct.
30
Aldrig
Pct.
Anm. Spørgsmål: Hvordan passer følgende udsagn ifølge dig? Figuren viser to af i alt seks svarkategorier: altid, for det meste, sjældent, aldrig,
ikke relevant, ved ikke. Udsagnene er baseret på bestemmelser om tilrettelæggelse af lægebetjeningen i dagtiden i Overenskomst om almen
praksis 2022. På tværs af udsagnene er der mellem 6 og 57 pct., der har svaret ”ved ikke”. 57 pct. har svaret ”ved ikke” til udsagnet ”min læge
holder åbent efter kl. 16 mindst én gang om ugen”. ”Ved ikke”­svar indgår i hovedtotalen, som andelen er beregnet ud fra.
Kilde: Indenrigs- og Sundhedsministeriet, 2023, Brugertilfredshedsundersøgelse for alment praktiserende læger.
Der er indikation på, at borgernes oplevelse af kvaliteten i almenmedicinske tilbud varierer på tværs af
praksistyper. Fx viser en national brugertilfredshedsundersøgelse, at det er lettest at få tid hos lægen hos
enkeltmandspraksisser, ligesom kompagniskabs-, dele- og enkeltmandspraksisser alle vurderes til i højere
grad at have overblik over borgerens behandlingsforløb sammenlignet med de øvrige praksistyper, jf. figur
4.39.
Fordi de alment praktiserende læger spiller en central rolle i sundhedsvæsenet, har de afgørende ind-
flydelse på, om borgeren oplever et sammenhængende sundhedsvæsen. Det har fx betydning, om borgeren
er tilknyttet én fast læge. Den negative vurdering af udbuds­ og regionsklinikker, jf. figur 4.40, skal derfor
også ses i lyset af, at eksistensen af udbuds- og regionsklinikker afspejler fraværet af praktiserende læger
og dermed også en svær rekrutteringssituation. Det gælder fx i områder, som er vanskeligt stillede på grund
af sociale- eller sundhedsmæssige forhold.
SUU, Alm.del - 2023-24 - Bilag 317: Orientering om Sundhedsstrukturkommissionens afrapportering, fra indenrigs- og sundhedsministeren
2880227_0118.png
118
1
2
3
4
Del 1 - Status, udfordringer og pejlemærker for sundhedsvæsenet
Figur 4.39
Borgerenes oplevelse af om de kan få tid
til lægen indenfor en uge, 2023
0
Udbudsklinik
Regionsklinik
Partnerskabsklinik
Kompagniskabspraksis
Enkeltmandspraksis
Delepraksis
0
Sjældent
15
21
10
20
Aldrig
10
23
28
23
23
4
7
30
40
Pct.
10
9
20
30
9
12
Pct.
40
Figur 4.40
Borgerens oplevelse af lægens evne til at skabe
overblik over behandlingsforløbet, 2023
Pct.
25
0
Udbudsklinik
Regionsklinik
Partnerskabsklinik
Kompagniskabspraksis
Enkeltmandspraksis
Delepraksis
0
Utilfreds
7
6
5
5
17
16
13
3
3
2
5
10
15
20
6
3
7
10
15
20
Meget utilfreds
Pct.
25
Anm.: Spørgsmål: Hvordan passer dette udsagn ifølge dig: Jeg
kan få en tid hos lægen indenfor en uge. 48.704 besvarelser
Kilde: Indenrigs- og Sundhedsministeriet, 2023, Brugertilfredsheds-
undersøgelse for alment praktiserende læger.
Anm.: Spørgsmål: Hvor tilfreds eller utilfreds er du med din læges
evne til at skabe overblik over dit behandlingsforløb? Spørgsmålet
er kun stillet til respondenter, der har angivet, at deres seneste
kontakt indgik som led i et længerevarende behandlingsforløb
eller skyldtes kronisk sygdom. 12.2012 besvarelser.
Kilde: Indenrigs- og Sundhedsministeriet, 2023, Brugertilfredsheds-
undersøgelse for alment praktiserende læger.
Geografisk og social ulighed i sundhed
Den tredje centrale udfordring, som Sundhedsstrukturkommissionen peger på, er, at der er social og
geografisk ulighed i sundhed. Mindre ressourcestærke og ældre borgere har generelt et større behov for
sundhedstilbud sammenlignet med yngre og mere ressourcestærke borgere. Det er imidlertid de mest
ressourcestærke borgere, der bruger de almenmedicinske tilbud oftest, og de har i højere grad planlagte
kontakter med sygehuse end mindre ressourcestærke borgere.
Samtidig er fordelingen af både sundhedsbehov og sundhedstilbud geografisk skæv. Adgangen til sundheds-
tilbud er bedst i områder, hvor befolkningen som helhed er sundest, mens den er dårligere i områder, hvor
sundhedsbehovet er størst. Det afspejles bl.a. i den nuværende fordeling af almenmedicinsk kapacitet.
Ulige adgang til sundhed indebærer geografiske forskelle i konsekvenserne af sygdom, ligesom dårligere
adgang til almenmedicinske tilbud medfører flere komplekse sygdomsforløb for borgere på tværs af det
primære og sekundære sundhedsvæsen og dyrere behandling på sygehuse.
Social ulighed i sundhed
Målt på middellevetid er danskernes sundhed forbedret markant de seneste 50 år, selvom Danmark fortsat
halter efter de øvrige nordiske lande. Den forventede middellevetid er steget fra ca. 73 år for børn født i
1970 til 81,5 år for børn født i 2021, jf. figur 4.41.
SUU, Alm.del - 2023-24 - Bilag 317: Orientering om Sundhedsstrukturkommissionens afrapportering, fra indenrigs- og sundhedsministeren
2880227_0119.png
1
2
3
4
Del 1 - Status, udfordringer og pejlemærker for sundhedsvæsenet
119
Figur 4.41
Forventet levealder for personer født i 1970 og 2021
År
84
82
80
78
76
74
72
70
Danmark
Finland
1970
Island
Nederlandene
Norge
2021
Sverige
År
84
82
80
78
76
74
72
70
Anm: Stiplet linje indikerer de danske værdier. Forventet levealder ved fødslen dækker over, hvor længe en nyfødt i gennemsnit kan forvente at
leve, hvis de nuværende dødsrater ikke ændrer sig.
Kilde: OECD Health statistics, Health Status.
Men befolkningens middellevetid på tværs af køn, uddannelseslængde og indkomst varierer betydeligt,
jf. figur 4.42 og 4.43. Fx kan en mand med en videregående uddannelse forvente at leve ca. syv år længere
end en mand, som har folkeskolen som den længste fuldførte uddannelse. En kvinde med en videregående
uddannelse kan tilsvarende forvente at leve ca. fem år længere end en kvinde, som har folkeskolen som
eneste fuldførte uddannelse.
SUU, Alm.del - 2023-24 - Bilag 317: Orientering om Sundhedsstrukturkommissionens afrapportering, fra indenrigs- og sundhedsministeren
2880227_0120.png
120
1
2
3
4
Del 1 - Status, udfordringer og pejlemærker for sundhedsvæsenet
Figur 4.42
Forventet levetid (år) for kvinder,
fordelt på højest fuldførte uddannelse,
2019:2020
År
1,6 år
82,6
84,2
80
75
70
65
År
Figur 4.43
Forventet levetid (år) for mænd,
fordelt på højest fuldførte uddannelse,
2019:2020
År
85
80
7,1 år
75
74,3
70
65
70
65
2,9 år
78,5
81,4
År
85
80
75
85
80
85
5,2 år
79,0
75
70
65
Folkeskole-
Gymnasiel- el. Videregående
uddannelse erhvervsuddannelse uddannelse
Kvinder
Folkeskole-
Gymnasiel- el. Videregående
uddannelse erhvervsuddannelse uddannelse
Mænd
Anm: Den forventede levetid er beregnet som middellevetiden for 0-årige, baseret på befolkningens karakteristika i 2019 og 2020. For
personer over 30 år registreres personens egen højest fuldførte uddannelse, for personer under 30 år registreres forældrenes højest fuldførte
uddannelse.
Kilde: Egne beregninger baseret på data fra Danmarks Statistiks Forskningsservice.
Forskellene i middellevetid og sygdomsbillede afspejler bl.a. forskelle i livsvilkår og livsstil. Fx er der ca.
fire gange så mange daglige rygere blandt personer med en grundskoleuddannelse, end blandt personer
som har fuldført en lang videregående uddannelse, jf. figur 4.44. Tilsvarende forskelle ses for usunde
kostmønstre og stillesiddende fritidsaktiviteter. Forskelle i livsstil og vaner kan ikke forklare forskellene
i middellevetid, men er symptomer på nogle af de sociale forskelle, der er på tværs af fx uddannelsesniveau.
SUU, Alm.del - 2023-24 - Bilag 317: Orientering om Sundhedsstrukturkommissionens afrapportering, fra indenrigs- og sundhedsministeren
2880227_0121.png
1
2
3
4
Del 1 - Status, udfordringer og pejlemærker for sundhedsvæsenet
121
Figur 4.44
Forekomst af udvalgte risikofaktorer, fordelt på højest fuldførte uddannelse (+25 år), 2021
Pct.
40
35
30
25
20
15
10
5
0
Stillesiddende fritidsaktivitet
Grundskole
Anm: Andelene er køns- og aldersjusterede.
Kilde: Sundhedsstyrelsen, 2021, Danskernes Sundhed ­ Den Nationale Sundhedsprofil.
34
23
13
6
Pct.
40
30
35
30
25
20
8
15
10
5
Usundt kostmønster
0
Daglige rygere
Lang videregående uddannelse
Uddannelse og indkomst har også betydning for, hvordan sundhedsvæsenet benyttes. Fx har borgere med
højere indkomst flere planlagte sygehuskontakter sammenlignet med borgere med lavere indkomst.
Omvendt har borgere med lavere indkomst hyppigere akut kontakt med sygehusene end borgere med
højere indkomst, jf. figur 4.45 og 4.46.
SUU, Alm.del - 2023-24 - Bilag 317: Orientering om Sundhedsstrukturkommissionens afrapportering, fra indenrigs- og sundhedsministeren
2880227_0122.png
122
1
2
3
4
Del 1 - Status, udfordringer og pejlemærker for sundhedsvæsenet
Figur 4.45
Oversandsynlighed for planlagt
sygehusbehandling, fordelt på årsindkomst
(0­130.000 kr. som referencegruppe), 2018
Figur 4.46
Oversandsynlighed for akut
sygehusbehandling, fordelt på årsindkomst
(0­130.000 kr. som referencegruppe), 2018
Pct.
30
20
10
0
-10
-20
-30
0-130 tkr. 130-180 180-350 350-450 450+ tkr.
tkr.
tkr.
tkr.
Sandsynlighed for planlagt behandling
ift. lavest indkomst
Reference
1
7
Pct.
30
20
10
10
0
-10
-20
-30
Pct.
30
20
10
0
-10
-20
-30
Reference
-11
-20
-20
Pct.
30
20
10
0
-10
-20
-30
10
0
0-130 tkr. 130-180 180-350 350-450 450+ tkr.
tkr.
tkr.
tkr.
Sandsynlighed for akut behandling ift. lavest indkomst
Anm: Der er anvendt en logistisk regressionsmodel med 3.621.619 observationer i 2018. 36 pct. af referencegruppen (indkomst 0-130 tkr.) har
haft en planlagt sygehusbehandling i 2018. Der er også 14 pct. af referencegruppen, som har haft en akut sygehusbehandling. Det er muligt at
have både en planlagt og akut sygehuskontakt, det gælder for 9 pct. af referencegruppen. I populationen indgår kun individer på 30 år eller
derover. Der er benyttet ækvivaleret indkomst, som beskriver en familieindkomst korrigeret for størrelse og sammensætning. Der er gjort
brug af variablen ”c_indm” i Landspatientregistret som indikator for, om borgeren har haft en akut og/eller planlagt behandling i 2018.
I beregninger er der korrigeret for: uddannelsesniveau, køn, alder, herkomst og sygelighed (målt ved Charlsons komorbiditetsindeks).
Alle indkomstkategorier, bortset fra indkomst 130.000­179.999 kr., er statistisk signifikante med p­værdi 0,01. Indkomst 130.000­179.999 kr.
er insignifikant i modellen for akut sygehusbehandling og signifikant med p­værdi 0,02 i model med planlagt sygehusbehandling.
Kilde: Egne beregninger baseret på data fra Danmarks Statistiks Forskningsservice (BEF, IND, UDDF, LPR og RUKS)
Akutte kontakter kan være afgørende for, om borgerne får behandling i tide. De indkomstrelaterede for-
skelle i brugen af planlagte og akutte sundhedsydelser indikerer , at forskelle i ressourcer har betydning for,
om borgere opsøger sundhedsvæsenet tidligt i deres sygdomsforløb eller på et tidspunkt, hvor sygdommen
er fremskreden og alvorlig.
Forskellene i brugen af sundhedsvæsenet afspejles også i chancen for at overleve alvorlig sygdom. Fx er
chancen for at overleve et kræftforløb forskellig på tværs af indkomstniveau. Det gælder uanset kræft-
formen. Den relative overlevelse for folk med en høj indkomst er ca. 69 pct., mens den relative overlevelse
for folk med lav indkomst er ca. 53 pct., jf. figur 4.47. Det samme er tilfældet, når personer med omtrent
identisk livsstil sammenlignes.
67
67
Indenrigs- og Boligministeriet. ”Flyttemønstres og nærmiljøets betydning for den sociale sammensætning og beskæftigelse”. 2021.
SUU, Alm.del - 2023-24 - Bilag 317: Orientering om Sundhedsstrukturkommissionens afrapportering, fra indenrigs- og sundhedsministeren
2880227_0123.png
1
2
3
4
Del 1 - Status, udfordringer og pejlemærker for sundhedsvæsenet
123
Figur 4.47
Femårs relativ overlevelse for de hyppigste kræftformer i Danmark diagnosticeret i 2005­2009,
for højeste og laveste indkomstkvintil
100
Relativ overlevelse (pct.)
Relativ overlevelse (pct.)
86
90
80
60
40
20
0
11
Bryst
14
83
88
62
53
87
91
100
80
60
40
20
0
Lunge
Lav indkomst (1. kvintil)
Prostata
Tyktarm
Modermærke
Høj indkomst (5. kvintil)
Anm: De stiplede linjer indikerer den relative overlevelse på tværs af alle kræftformer (68,5 for 1. kvintil og 52,9 for 5. kvintil). Indkomstkvintil er i
forhold til personer med samme køns- og alderssammensætning. ”Relativ overlevelse” betegner sandsynligheden for at overleve en kræftsygdom
set i forhold til samme aldersgruppe uden kræft.
Kilde: Kræftens Bekæmpelse, 2019, Social Ulighed i Kræft i Danmark.
Den socioøkonomiske ulighed i sundhed stiller store krav til alle dele af sundhedsvæsenet. Udover at
håndtere alle borgere med både simple og komplicerede sundhedsmæssige behov skal medarbejdere
på tværs af sektorer også kunne samarbejde og skabe sammenhængende behandlingsforløb.
Ulighed i sundhed har et geografisk mønster
De uddannelses­ og indkomstbetingede forskelle i sundhed har et geografisk mønster. Mønsteret hænger
sammen med forskelle i den demografiske udvikling, sygdomsbilledet og de sociale strukturer, såsom
social arv, ressourcer og livsstil.
Landkommuner har en markant højere andel af borgere med kroniske sygdomme end bykommunerne.
Fx har over 20 pct. af borgerne på Langeland en kronisk sygdom mod 12 pct. af borgerne i København,
jf. figur 4.48. Tilsvarende gælder det, at landkommunerne har en markant højere andel af ældre og multi-
syge end øvrige kommuner. De geografiske forskelle i sygdomsbilledet er sammenfaldende med forskelle
på tværs af kommunerne i befolkningens sammensætning efter alder, uddannelsesniveau, indkomst m.v.
jf. figur 4.49, som viser uddannelsesniveauet fordelt på kommuner.
SUU, Alm.del - 2023-24 - Bilag 317: Orientering om Sundhedsstrukturkommissionens afrapportering, fra indenrigs- og sundhedsministeren
2880227_0124.png
124
1
2
3
4
Del 1 - Status, udfordringer og pejlemærker for sundhedsvæsenet
Figur 4.48
Andel borgere med kronisk sygdom pr. 1.000
borgere i befolkningen, 2022
18,3-20,2 pct. (10)
17,7-18,2 pct. (17)
17,0-17,6 pct. (17)
16,3-16,9 pct. (19)
15,5-16,2 pct. (20)
12,5-15,4 pct. (15)
Figur 4.49
Andel 15­69­årige med folkeskoleuddannelse
som højeste fuldførte uddannelse, 2022
31,1-35,7 pct. (9)
29,1-31,0 pct. (17)
27,1-29,0 pct. (20)
24,8-27,0 pct. (20)
21,1-24,7 pct. (19)
13,6-21,0 pct. (13)
Anm.: De udvalgte kroniske sygdomme: astma, demens, kronisk
obstruktiv lungesygdom (KOL), leddegigt, osteoporose, type
1-diabetes og type 2-diabetes.
Kilde: Registeret for udvalgte kroniske sygdomme og svære
psykiske lidelser (RUKS), CPR-registeret, Sundhedsdatastyrelsen.
Kilde: Statistikbanken, Danmarks Statistik, tabel HFUDD11 og
FOLK1A.
Flyttemønstre forstærker de geografiske forskelle i sundhed og befolkningssammensætning. Tilflytningen
til de større byer ændrer befolkningssammensætningen i byerne i retning af flere husstande med personer
i den arbejdsdygtige alder, højere indkomster og flere uddannelsessøgende unge. Det medfører en forbedret
sundhedsprofil i de større byer.
For landkommuner er der omvendt en tendens til, at erhvervsaktive borgere med relativ god sundhed i
højere grad fraflytter. Det indebærer, at befolkningssammensætningen ændrer sig i retning af færre borgere
i den erhvervsaktive alder og relativt flere ældre borgere og borgere med kroniske sygdomme, som har et
større behov for sundhedsydelser.
68
Mindst offentligt sundhedspersonale i områder med flest syge og ældre
Fordelingen af det offentligt ansatte sundhedsfaglige personale på tværs af landet afspejler ikke de
geografiske forskelle i sundhed og sygdomsbyrde.
Fx er der færre læger, speciallæger og sygeplejersker pr. borger i Region Sjælland, som ellers har mange
borgere med større behov for sundhedsydelser, jf. figur 4.50­4.53. Det forholder sig omvendt i Region
Midtjylland og Region Hovedstaden, som har flere borgere med en generelt bedre sundhed.
68
Indenrigs- og Boligministeriet,
Flyttemønstres og nærmiljøets betydning for den sociale sammensætning og beskæftigelse,
2021.
SUU, Alm.del - 2023-24 - Bilag 317: Orientering om Sundhedsstrukturkommissionens afrapportering, fra indenrigs- og sundhedsministeren
2880227_0125.png
1
2
3
4
Del 1 - Status, udfordringer og pejlemærker for sundhedsvæsenet
125
De regionale forskelle i antallet af læger og sygeplejersker hænger bl.a. sammen med fordelingen af højt-
specialiserede funktioner og forskningsmiljøer mellem sygehusene, det vil sige den arbejdsdeling, der er
aftalt mellem regionerne, som skal understøtte bæredygtige faglige miljøer. Arbejdsdelingen bidrager til,
at borgere kan få højt specialiseret behandling, men den gør også, at 5­10 pct. af borgerne må passere
regionsgrænsen under et sygdomsforløb.
Figur 4.50
Antal læger pr. region, 2020
0
Region Hovedstaden
Region Midtjylland
Region Syddanmark
Region Nordjylland
Region Sjælland
0
1
2
4,4
4,3
3,9
3,8
3
4
5
6
7
Læger pr. 1.000 indb.
1
2
Læger pr. 1.000 indb.
3
4
5
6
7
5,7
Region Hovedstaden
Region Midtjylland
Region Syddanmark
Region Nordjylland
Region Sjælland
0
2
4
6
8
10,8
Sygeplejersker pr. 1.000 indb.
10
12
14
Figur 4.51
Antal sygeplejersker pr. region, 2020
Sygeplejersker pr. 1.000 indb.
4
6
8
10 12 14
13,1
12,8
12,6
12,5
0
2
Anm: Antallet af borgere vedrører bopælsregion, mens antal sundhedspersonale vedrører arbejdsstedsregionen. Bemærk, at der ikke er tale
om regionalt ansatte, men om det samlede personale på sundhedsområdet med arbejdssted i regionen.
Kilde: eSundhed baseret på Bevægelsesregisteret, Sundhedsdatastyrelsen, og Danmarks Statistiks statistikbank, tabel FOLK1A.
SUU, Alm.del - 2023-24 - Bilag 317: Orientering om Sundhedsstrukturkommissionens afrapportering, fra indenrigs- og sundhedsministeren
2880227_0126.png
126
1
2
3
4
Del 1 - Status, udfordringer og pejlemærker for sundhedsvæsenet
Figur 4.52
Antal speciallæger pr. region,
2019
Figur 4.53
Antal praktiserende speciallæger pr. region,
2019
0
Region Hovedstaden
Region Midtjylland
Region Syddanmark
Region Nordjylland
Region Sjælland
0
Speciallæger pr. 1.000 personer
1
2
3
4
3,2
2,6
2,7
2,4
2,2
1
2
3
4
Speciallæger pr. 1.000 personer
Praktiserende speciallæger pr. 1.000 personer
0,0
0,1
0,2
0,3
0,4
Region Hovedstaden
Region Midtjylland
Region Syddanmark
Region Nordjylland
Region Sjælland
0,0
0,1
0,19
0,19
0,16
0,19
0,2
0,38
Praktiserende speciallæger pr. 1.000 personer
0,3
0,4
Anm: Antallet af borgere vedrører bopælsregion, mens antal sundhedspersonale vedrører arbejdsstedsregionen. Opgørelsen tager udgangs-
punkt i lægernes arbejdssted. Branchen speciallæger er defineret ud fra den virksomhed, lægen er beskæftiget i. Branchen praktiserende
speciallæger omfatter konsultation og behandling på speciallægeområdet, hvad enten det foregår i individuel praksis, lægecentre eller
ambulatorier. Røntgen- og fertilitetsklinikker samt alkoholambulatorier er også omfattet af branchen praktiserende speciallæger.
Kilde: Sundhedsdatastyrelsen, 2019, Lægeprognose 2021-2045: Udbuddet af læger og speciallæger, og bevægelsesregistret.
Ud over specialeplanlægning og arbejdsdeling mellem regioner og sygehuse afspejler den skæve fordelin-
gen af sundhedspersonale formentlig også løn- og arbejdsvilkår, karrieremuligheder i bred forstand og
præferencer for ansættelsessteder. Ligesom andre højtuddannede bosætter sundhedsuddannede sig typisk
i nærheden af de store byer. Et eksempel er speciallægernes jobmobilitet efter endt speciallægeuddannelse.
Mens 84 til 86 pct. af de uddannede speciallæger i Region Syddanmark og Region Hovedstaden forbliver i
regionerne efter endt uddannelse, gælder det kun 59 pct. af de uddannede speciallæger fra Region Sjælland
og 66 pct. i Region Nordjylland, jf. figur 4.54. Speciallægerne, som uddannes i Region Sjælland, flytter
hovedsageligt til Region Hovedstaden, som hører til den samme videreuddannelsesregion. I alt arbejder
33 pct. af de læger, der uddanner sig i Region Sjælland, i Hovedstaden indenfor to år efter uddannelsen
til speciallæge. Der er i øvrigt begrænset mobilitet mellem Øst­ og Vestdanmark.
SUU, Alm.del - 2023-24 - Bilag 317: Orientering om Sundhedsstrukturkommissionens afrapportering, fra indenrigs- og sundhedsministeren
2880227_0127.png
1
2
3
4
Del 1 - Status, udfordringer og pejlemærker for sundhedsvæsenet
127
Figur 4.54
Andel, der to år efter uddannelsen til speciallæge arbejder i samme region, som de blev uddannet i
Pct.
100
80
60
40
20
0
66
82
86
84
Pct.
100
80
60
40
20
0
59
Region Nordjylland
Region Midtjylland
Region Syddanmark Region Hovedstaden
Region Sjælland
Anm.: Speciallægerne uddannes indenfor de tre uddannelsesregioner, Øst (Region Hovedstaden og Region Sjælland), Syd (Region Syddanmark)
og Nord (Region Midtjylland og Region Nordjylland)
Kilde: Styrelsen for arbejdsmarked og rekrutterings forløbsdata, DREAM, Det statistiske Autorisationsregisteret og CPR-registeret, Sundhedsdata-
styrelsen.
Adgangen til alment praktiserende læger er forskellig på tværs af landet. I hovedtræk er dækningen af alment
praktiserende læger højest i og omkring de større byer. Det er også her befolkningens sundhedstilstand i gennemsnit
er bedst. Omvendt er lægedækningen udfordret i flere yderområder og udsatte boligområder, jf. figur 4.55, hvor
sundhedstilstanden ud fra en gennemsnitsbetragtning er dårligere end for befolkningen under ét.
Geografisk ulighed i borgernes adgang til almenmedicinske tilbud
Når lægedækningen kombineres med forskellene i sygdomsmønsteret, bliver det tydeligt, at nogle alment
praktiserende læger står med en markant større opgave end andre. Alment praktiserende læger i de
kommuner, som har flest personer med kroniske sygdomme, har dobbelt så mange personer med kronisk
sygdom pr. lægekapacitet, som alment praktiserende læger i kommuner med færrest personer med kronisk
sygdom, jf. figur 4.56. Den ulige fordeling af mere komplekse og behandlingskrævende patienter indenfor
praksis medfører en ulige adgang til almenmedicinske tilbud.
SUU, Alm.del - 2023-24 - Bilag 317: Orientering om Sundhedsstrukturkommissionens afrapportering, fra indenrigs- og sundhedsministeren
2880227_0128.png
128
1
2
3
4
Del 1 - Status, udfordringer og pejlemærker for sundhedsvæsenet
Figur 4.55
Lægedækningstruede områder, 2021­2024
Figur 4.56
Antal med kronisk sygdom pr. lægekapacitet
og andelen af befolkningen over 65 år
pr. kommune, 2022.
Antal med kronisk sygdom
pr. lægekapacitet
600
550
500
450
400
350
300
250
200
Antal med kronisk sygdom
pr. lægekapacitet
600
550
500
450
400
350
300
250
200
10
20
30
40
Andel af befolkningen over 65 år
Anm.: Lægedækningstruede områder er fastlagt for hele den
indeværende overenskomstperiode 2021-2024. De er kendetegnet
ved at have en stor andel borgere tilknyttet fx udbuds­ og
regionsklinikker, et patientgrundlag med relativt store sundheds-
behov, vanskeligheder ved at sælge en lægepraksis, og de
nuværende læger nærmer sig pensionsalderen.
Kilde: PLO, landsdækkende lægedækningstruede områder.
Anm: Kroniske sygdomme er her opgjort som astma, demens,
kronisk obstruktiv lungesygdom (KOL), leddegigt, osteoporose
(knogleskørhed), skizofreni og type 1- og 2-diabetes.
Kilde: Esundhed (RUKS, Yderregisteret), egne beregninger.
Ulighed i adgang til sundhed skaber uhensigtsmæssigt træk på sundhedstilbud
Geografisk forskel i adgangen til almenmedicinske tilbud og sammensætningen af befolkningen bidrager til,
at sundhedsydelserne bliver brugt forskelligt på tværs af landet.
Fx er forbruget af almenmedicinske tilbud i hovedstadsområdet, hvor der er relativt mange alment prakti-
serende læger, væsentlig højere, end hvad der kan forventes ud fra befolkningens sammensætning og
sundhedsbehov, jf. figur 4.57. Tilsvarende er forbruget af almenmedicinske tilbud i Sydsjælland og
Sønderjylland, hvor der er relativt færre alment praktiserende læger, væsentligt mindre end befolknings-
sammensætningen tilsiger.
Region Sjælland er den region, hvor det er sværest at besætte speciallægeuddannelsen i almen medicin.
I 2022 var det hver fjerde uddannelsesforløb i almen medicin, der blev besat i Region Sjælland, mens det
i Region Hovedstaden og Region Midtjylland var næsten alle, jf. figur 4.58.
SUU, Alm.del - 2023-24 - Bilag 317: Orientering om Sundhedsstrukturkommissionens afrapportering, fra indenrigs- og sundhedsministeren
2880227_0129.png
1
2
3
4
Del 1 - Status, udfordringer og pejlemærker for sundhedsvæsenet
129
Figur 4.57
Benchmarkingindikator for samlet forbrug af
ydelser i praksissektoren pr. person over 65 år,
fordelt på borgere i kommuner, 2022
Øvre 20 %
(højeste forbrug ift.
forventet)
-
-
Nedre 20 %
(laveste forbrug ift.
forventet)
-
Figur 4.58
Besatte hoveduddannelsesforløb i almen
medicin pr. region i pct., 2013­2022
Pct.
100
80
60
40
20
0
Pct.
100
80
60
40
20
0
2013
2018
2022
Region Nordjylland
Region Syddanmark
Region Hovedstaden
Anm: 1. kvintil dækker over den femtedel af kommunerne, hvor
borgerne havde det laveste forbrug i forhold til, hvad man kunne
forvente på baggrund af borgernes ældresammensætning. 5.
kvintil dækker omvendt over den femtedel af kommunerne,
hvor borgerne havde det højeste forbrug i forhold til forventet.
Borgerne i Frederikshavn Kommune er ikke med i analysen
på grund af manglende data.
Kilde: Indenrigs- og Sundhedsministeriets Benchmarkingenhed,
2023, Geografiske forskelle i ældres forbrug af sundheds­
og plejeydelser
Region Midtjylland
Region Sjælland
Anm.: Grafen viser andelen af dimensionerede hoveduddannelses-
forløb, som besættes.
Kilde: VIVE, 2023, Speciallæger i almen medicin.
De geografiske forskelle i adgangen til almenmedicinske tilbud og privatpraktiserende speciallæger hænger
sammen med den måde og det omfang, sygehusene anvendes på. Fx henviser alment praktiserende læger
langt mere til privatpraktiserende speciallæger i Region Hovedstaden, hvor speciallægekapaciteten er høj,
mens henvisninger til sygehuse bruges mindre, jf. figur 4.59 og 4.60. I områder med relativt få speciallæger
forekommer henvisninger til sygehuse langt hyppigere. Opgørelsen er ikke korrigeret for befolknings-
sammensætning.
SUU, Alm.del - 2023-24 - Bilag 317: Orientering om Sundhedsstrukturkommissionens afrapportering, fra indenrigs- og sundhedsministeren
2880227_0130.png
130
1
2
3
4
Del 1 - Status, udfordringer og pejlemærker for sundhedsvæsenet
Figur 4.59
Speciallægehenvisninger pr. 100 tilmeldte
patienter, fordelt på kommunetype, 2022
Henvisninger pr. 100 patienter
20
30
40
50
60
Figur 4.60
Sygehushenvisninger pr. 100 tilmeldte
patienter, fordelt på kommunetype, 2022
Henvisninger pr. 100 patienter
10
20
30
40
20
26
28
29
32
0
10
20
30
40
Henvisninger pr. 100 patienter
0
Hovedstadskomm.
Storbykomm.
Oplandskomm.
Provinskomm.
Landkomm.
0
10
0
Hovedstadskomm.
Storbykomm.
Oplandskomm.
Provinskomm.
Landkomm.
51
29
28
26
22
10
20
30
40
50
60
Henvisninger pr. 100 patienter
Anm: N= 5.163.301 henvisninger. Øfeldt-henvisninger (fysioterapi) indgår ikke. Henvisninger pr. patient er beregnet som vægtet gennemsnit.
Kommuneinddelingen følger Danmarks Statistiks opgørelsesmetode.
Kilde: BDO, 2023, Analyse af udviklingen i opgaveløsningen i almen praksis.
Samlet set indebærer ulige adgang til sundhedsvæsenet geografiske forskelle i konsekvenserne af sygdom.
Tilsvarende medfører ringere adgang til almenmedicinske tilbud flere komplekse sygdomsforløb for
borgere på tværs af det primære og sekundære sundhedsvæsen og dyrere behandling på sygehusene.
SUU, Alm.del - 2023-24 - Bilag 317: Orientering om Sundhedsstrukturkommissionens afrapportering, fra indenrigs- og sundhedsministeren
2880227_0131.png
1
2
3
4
Del 1 - Status, udfordringer og pejlemærker for sundhedsvæsenet
131
Kapitel 5: Pejlemærker for
udviklingen af sundhedsvæsenet
Sundhedsvæsenet står overfor nye opgaver og en stor udfordring i takt med, at demografien og sygdoms­
udviklingen ændrer sig.
Der er et stort potentiale for bedre sammenhæng og kvalitet i mange patienters behandlingsforløb ved
at styrke de indsatser, som leveres i det primære sundhedsvæsen. Det kræver imidlertid en ny prioritering,
hvor opgaver og ressourcer flyttes til at styrke de almene indsatser i det primære sundhedsvæsen.
Fremtidssikring af sundhedsvæsenet indebærer, at udviklingen særligt fokuserer på tre pejlemærker:
1) sundhed for de mange 2) lige adgang til sundhed og 3) differentierede indsatser. Det er den bevægelse,
som skal understøttes af kommissionens anbefalinger og forslag til ændret organisering.
En ny organisering skal medføre, at både ansatte og patienter oplever, at rammerne for at samarbejde
om borgernes forløb i sundhedsvæsenet er forbedrede, og den enkelte patient kan tilbydes en indsats,
som er både differentieret og let tilgængelig.
Fremtidssikring af sundhedsvæsenet
Danmark har et godt og i international sammenligning velfungerende sundhedsvæsen, hvor rygraden er
et velkvalificeret og veluddannet personale, som alle bidrager til at give patienterne den bedst mulige
behandling, pleje og omsorg indenfor de rammer, som er politisk fastsatte.
Udviklingen i de seneste årtier med øget specialisering og centralisering i sygehusvæsenet har haft til
formål at optimere diagnostik og behandling af mennesker med veldefinerede helbredsproblemer. Det
har bidraget til store forbedringer af behandlingskvaliteten.
Sundhedsvæsenet står nu overfor nye udfordringer i takt med, at demografien og sygdomsudviklingen
ændrer sig. Med alderen øges risikoen for skrøbelighed, funktionsnedsættelse og for at udvikle sygdomme,
som tidligere var livstruende, men som man i dag lever med.
Det betyder, at mange flere borgere får behov for en længerevarende indsats, som i dag ofte vil involvere
både det almenmedicinske tilbud, kommune og sygehus, men som i mange tilfælde vil kunne varetages
bedst i det primære sundhedsvæsen. Samtidig vil efterspørgslen på visse sygehusindsatser fortsat stige,
og det skal der frigøres kapacitet til at håndtere. Det kan dels ske ved en fokusering af opgaveløsningen på
sygehusene og dels en løbende omlægning af opgaver, hvor sygehusene understøtter det primære sund-
hedsvæsen i at varetage ansvaret for flere patienter. Det vil medføre, at færre får behov for en syge­
husindsats, men hvis man fx bliver ramt af akut og alvorlig sygdom, skal sygehusindsatsen fortsat have den
højeste kvalitet.
Der er et stort potentiale for bedre sammenhæng, kvalitet og ressourceudnyttelse i mange patienters forløb
ved at styrke de indsatser, som leveres i det primære sundhedsvæsen.
69
Det kræver dog, at opgaveløsningen
i sundhedsvæsenet gentænkes og ressourcer flyttes til at styrke de almene indsatser i det primære sund-
hedsvæsen.
69
Sundhedsstyrelsen. ”Muligheder og forudsætninger for omstilling til det primære sundhedsvæsen”. 2023.
SUU, Alm.del - 2023-24 - Bilag 317: Orientering om Sundhedsstrukturkommissionens afrapportering, fra indenrigs- og sundhedsministeren
2880227_0132.png
132
1
2
3
4
Del 1 - Status, udfordringer og pejlemærker for sundhedsvæsenet
Kommissionen peger på tre pejlemærker, som skal kendetegne udviklingen af sundhedsvæsenet de næste
20 år, og som er nødvendige for at skabe sammenhæng for borgerne og bedre ressourceudnyttelse i sund-
hedsvæsenet. Det er således de pejlemærker, som organiseringen af fremtidens sundhedsvæsen i særlig
grad bør understøtte. I rapportens del tre og fire opstilles der modeller, anbefalinger og forslag til, hvordan
denne udvikling kan understøttes med organisatoriske forandringer.
Pejlemærkerne er sundhed for de mange, lige adgang til sundhed og differentierede indsatser. Pejlemær-
kerne uddybes i det nedenstående og indgår i de hensyn ved organisering af fremtidens sundhedsvæsen,
som fremgår af kapitel 6.
Sundhed for de mange
Sundhed for de mange handler om, at udviklingen i sundhedsvæsenet skal afspejle det behov, som følger
af de kommende års tilgang af stadig flere borgere med almene problemstillinger. Ændringer i befolknings-
sammensætningen og sygdomsmønsteret betyder, at stadigt flere vil have gavn af at blive behandlet i det
primære sundhedsvæsen. Det skyldes, at flere lever længere med sygdomme, der tidligere ville have været
livstruende, og derfor også kommer til at leve med flere samtidige kroniske sygdomme – fysiske og psykiske
– og skrøbelighed på grund af alderssvækkelse. Den udvikling kalder på et ændret fokus i den ledelses-
mæssige og politiske opmærksomhed og i fordelingen af ressourcer mellem det primære og det sekundære
sundhedsvæsen.
Det primære sundhedsvæsen heriblandt det almenmedicinske tilbud skal styrkes for at kunne levere
en god, tryg og sammenhængende indsats til borgere med fx psykisk sygdom eller somatiske kroniske
sygdomme, der har behov for hyppig kontakt med sundhedsvæsenet. Derudover skal opgaveløsningen
og rollerne i sundhedsvæsenet løbende omlægges, så mere udredning, behandling og pleje forankres i
det primære sundhedsvæsen med fokus på at forebygge forværring af sygdom og understøtte egenomsorg
– og med opbakning fra specialisterne på sygehuset eller i speciallægepraksis.
Lige adgang til sundhed
Lige adgang til sundhed handler om, at udviklingen i sundhedsvæsenet skal adressere en betydelig og
voksende geografisk og social ulighed i sundhed. Udviklingen i demografien og manglen på sundheds­
personale risikerer at forstærke eksisterende uligheder. I fremtidens sundhedsvæsen skal der være
lige adgang til stærke sundhedstilbud i hele landet. Det kræver en fordeling af ressourcer og adgang til
specialistkompetencer, som afspejler befolkningssammensætningen og befolkningens behov i alle dele
af landet. Det betyder også, at det almenmedicinske tilbud skal være tilgængeligt og velfungerende for
alle borgere i hele landet. Derudover skal bedre datadeling og et styrket fokus på kvalitetsudvikling i det
primære sundhedsvæsen bidrage til sammenhængende og gode patientforløb i hele sundhedsvæsenet.
For de mange borgere, som i fremtiden fortsat har behov for sygehusindsatser, er det vigtigt, at der er
adgang til en bred vifte af specialiserede indsatser indenfor rimelig geografisk afstand. Brugen af digitale
løsninger gør det muligt at trække på de mest specialiserede kompetencer på tværs af landet, men for at
sikre lige adgang til sundhed skal der være en bedre geografisk fordeling af specialistkompetencer.
En afgørende forudsætning for styrket kvalitetsudvikling er, at der er data til rådighed, både om de lokale
indsatser og borgernes samlede forløb på tværs af sundhedsvæsenet. Valide og tidstro data skal understøtte
et lærende sundhedsvæsen, hvor behandlingskvaliteten optimeres for den enkelte borger med udgangs-
punkt i de erfaringer, som opsamles løbende i sundhedsvæsenet.
SUU, Alm.del - 2023-24 - Bilag 317: Orientering om Sundhedsstrukturkommissionens afrapportering, fra indenrigs- og sundhedsministeren
2880227_0133.png
1
2
3
4
Del 1 - Status, udfordringer og pejlemærker for sundhedsvæsenet
133
Differentierede indsatser
Differentierede indsatser handler om at målrette indsatsen til den enkelte borgers behov for at bruge
ressourcerne så effektivt som muligt. Flere skal understøttes i hjælp til selvhjælp, mens andre har behov for
mere kontakt med sundhedsprofessionelle. Det kan indebære, at borgere med høj sundhedskompetence
tilbydes digitalt understøttede indsatser og færre kontroller, og i øvrigt raske borgere modtager færre
screeningstilbud, mens borgere med færre sundhedskompetencer og skrøbelighed tilbydes en mere
håndholdt indsats.
Det skal være muligt at tilgå sundhedsvæsenet digitalt i langt større omfang end i dag, uanset om der er tale
om igangværende forløb på sygehuset eller første kontakt til en alment praktiserende læge ved nyopstået
sygdom. Det kræver en digital transformation af sundhedsvæsenet, hvor der udvikles og udbredes nye
nationale løsninger, og sundhedsvæsenet styrkes i løbende at udvælge, ibrugtage og udbrede nye vel-
afprøvede digitale løsninger og andre teknologier. Med hjælp fra digitale løsninger og data skal sundheds-
væsenet i højere grad være til stede, hvor og når borgeren har behov – og med mindst mulig indgriben
i borgerens dagligdag. Det understøtter selvbestemmelse og egenkontrol for en stor gruppe af borgere,
mens der frigøres ressourcer til den gruppe af borgere, som er bedst hjulpet ved at møde sundhedsvæsenet
fysisk.
Bedre rammer for det sundhedsfaglige personale
Gennem besøg, møder, indkomne forslag og analyser har Sundhedsstrukturkommissionen oplevet, hvordan
ildsjæle i alle dele af sundhedsvæsenet hver dag bidrager med erfaring og nytænkning for løbende at
forbedre behandling, pleje og omsorg for patienterne. Mange steder arbejder man allerede på at realisere
den nødvendige udvikling, som er skitseret i kapitlet her.
Men implementering og udbredelsen af tiltag, der understøtter omstilling og sammenhængende patientfor-
løb, har i mange tilfælde vanskelige kår indenfor den nuværende organisering. Det betyder, at selvom der
efter kommissionens vurdering er en udbredt faglig konsensus om den retning, sundhedsvæsenet bør
udvikle sig i, så er det ikke muligt at gennemføre udviklingen med den hastighed, der er behov for inden for
de eksisterende rammer.
Sundhedsstrukturkommissionens modeller, anbefalinger og forslag til organisatoriske ændringer i sund-
hedsvæsenet handler derfor om at skabe de bedst mulige rammer for, at de sundhedspersoner og andet
personale beskæftiget i sundhedsvæsenet kan gennemføre de forandringer, som er nødvendige for at
fremtidssikre sundhedsvæsenet til gavn for patienter og borgere.
I fremtidens sundhedsvæsen skal sundhedspersoner i alle dele af sundhedsvæsenet derfor opleve, at selvom
opgaverne ikke nødvendigvis er blevet færre, så er der markant forbedrede rammer for at give patienterne
det tilbud, de har behov for. Det indebærer markant bedre understøttelse af samarbejdet på tværs af
sundhedsvæsenet, en bedre ressourceudnyttelse og et styrket fokus på også at udvikle kvaliteten i de
indsatser, som ydes i det primære sundhedsvæsen.
SUU, Alm.del - 2023-24 - Bilag 317: Orientering om Sundhedsstrukturkommissionens afrapportering, fra indenrigs- og sundhedsministeren
2880227_0134.png
134
1
2
3
4
Del 1 - Status, udfordringer og pejlemærker for sundhedsvæsenet
SUU, Alm.del - 2023-24 - Bilag 317: Orientering om Sundhedsstrukturkommissionens afrapportering, fra indenrigs- og sundhedsministeren
2880227_0135.png
1
2
3
4
Del 1 - Status, udfordringer og pejlemærker for sundhedsvæsenet
135
SUU, Alm.del - 2023-24 - Bilag 317: Orientering om Sundhedsstrukturkommissionens afrapportering, fra indenrigs- og sundhedsministeren
2880227_0136.png
136
1
2
3
4
Del 2 - Den nuværende organisering af sundhedsvæsenet
2
Del 2
Den nuværende
organisering af
sundhedsvæsenet
I rapportens anden del beskrives og vurderes styrker og svagheder ved den nuværende
organisering af sundhedsvæsenet. Organiseringen omfatter bl.a. inddeling i enheder,
opgaveplacering, finansiering og regulering.
Kapitel 6 opstiller en række hensyn, som sundhedsvæsenet bør understøtte, og
organiseringen derfor vurderes ud fra. Hensynene bruges til at vurdere styrker og
svagheder ved organiseringen af sundhedsvæsenet i dag og til at vurdere fordele
og ulemper ved kommissionens anbefalinger, forslag og modeller i rapportdel 3 og 4.
Kapitel 7 redegør for den nuværende organisering af sundhedsvæsenet i Danmark.
Kapitlet præsenterer også en sammenligning med organiseringen i udvalgte lande.
Kapitel 8 indeholder en vurdering af væsentlige svagheder ved den nuværende
organisering af sundhedsvæsenet i lyset af de udfordringer og muligheder, sundheds-
væsenet står overfor i de kommende år.
SUU, Alm.del - 2023-24 - Bilag 317: Orientering om Sundhedsstrukturkommissionens afrapportering, fra indenrigs- og sundhedsministeren
2880227_0137.png
1
2
3
4
Del 2 - Den nuværende organisering af sundhedsvæsenet
137
Kapitel 6: Centrale hensyn for
organiseringen af sundhedsvæsenet
I kapitel 5 blev det slået fast, at udviklingen frem imod 2035 bør fokusere på sundhed for de mange,
lige adgang til sundhed og differentierede indsatser. Det er en udvikling, som kræver organisatoriske
forandringer af sundhedsvæsenet. Forandringerne bør gennemføres i respekt for de hensyn og mål-
sætninger for sundhedsvæsenet, som traditionelt har haft bred politisk tilslutning. Nogle af hensynene
hænger tæt sammen med de mål, der blev formuleret i kapitel 5, men der er også andre hensyn, som er
vigtige i en samlet vurdering af styrker og svagheder ved en given organisatorisk forandring af sundheds-
væsenet. Det gælder fx hensynet til den demokratiske kontrol med sundhedsvæsenet.
Sundhedsstrukturkommissionen opstiller seks hensyn, som er centrale for at vurdere (ændringer af)
den organisatoriske indretning af sundhedsvæsenet. De seks hensyn bruges til at vurdere svagheder ved
den nuværende organisering af sundhedsvæsenet i kapitel 8 og til at vurdere fordele og ulemper ved de
præsenterede anbefalinger, forslag og modeller til ændret organisering i rapportdel 3 og 4.
Hensynene dækker de sigtelinjer, der fremgår af kommissoriet. Derudover flugter hensynene med formåls-
beskrivelsen for sundhedsvæsenet, som beskrevet i sundhedslovens § 1 og § 2, gengivet i boks 6.1. I lighed
med tidligere strukturkommissioner har Sundhedsstrukturkommissionen fundet hensynet til demokratisk
kontrol væsentligt.
70
Det indgår også som et særskilt hensyn at vurdere de omkostninger, der måtte være
forbundet med at implementere de anbefalinger, forslag og modeller, som præsenteres i rapportdel 3 og 4.
Boks 6.1
Sundhedslovens formålsparagraffer
§ 1. Sundhedsvæsenet har til formål at fremme befolkningens sundhed samt at forebygge og behandle
sygdom, lidelse og funktionsbegrænsning for den enkelte.
§ 2. Loven fastsætter kravene til sundhedsvæsenet med henblik på at sikre respekt for det enkelte
menneske, dets integritet og selvbestemmelse og at opfylde behovet for:
1. Let og lige adgang til sundhedsvæsenet,
2. Behandling af høj kvalitet,
3. Sammenhæng mellem ydelserne,
4. Valgfrihed,
5. Let adgang til information,
6. Et gennemsigtigt sundhedsvæsen og
7. Kort ventetid på behandling.
Kilde: Indenrigs-og Sundhedsministeriet, “Bekendtgørelse af sundhedsloven”, LBK nr 247 af 12/03/2024 (2024).
Ingen organisatorisk indretning af sundhedsvæsenet vil kunne tilgodese alle hensyn i samme grad. Det
vil derfor være nødvendigt at afveje hensynene op imod hinanden. Vægtningen af de enkelte hensyn vil
i sidste instans være et politisk valg.
70
Indenrigs- og Sundhedsministeriet, Sundhedsvæsenets organisering: sygehuse, incitamenter, amter og alternativer
(Indenrigs- og Sundhedsministeriet, 2003); Indenrigsministeriet, Opgavekommissionens betænkning, 1998.
SUU, Alm.del - 2023-24 - Bilag 317: Orientering om Sundhedsstrukturkommissionens afrapportering, fra indenrigs- og sundhedsministeren
2880227_0138.png
138
1
2
3
4
Del 2 - Den nuværende organisering af sundhedsvæsenet
Seks centrale hensyn
I tabel 6.1 fremgår en oversigt over de seks centrale hensyn, som kommissionen lægger til grund for
vurderingen af organisatoriske udfordringer og løsninger i sundhedsvæsenet. Under hvert hensyn er
der tilføjet nogle væsentlige aspekter, som knytter sig til det pågældende hensyn.
Tabel 6.1
Seks centrale hensyn til vurdering af den organisatoriske indretning af sundhedsvæsenet
Organiseringen skal understøtte:
Hensyn 1
Et sundhedsvæsen med høj kvalitet for alle borgere i hele landet
Organiseringen understøtter høj faglig bæredygtighed i leveringen af sundhedsydelser
Organiseringen understøtter kvalitet i sundhedstilbud i hele landet (geografisk lighed)
Organiseringen understøtter kvalitet i sundhedstilbud på tværs af sociale grupper (social lighed)
Hensyn 2
Et sundhedsvæsen, hvor borgerne har let adgang til relevante sundhedstilbud
Organiseringen understøtter et sundhedsvæsen, som er tilgængeligt for borgerne, når og hvor
de har brug for det
Organiseringen understøtter borgernes valgmuligheder og rettigheder
Organiseringen understøtter, at der er relevante sundhedstilbud tæt på borgerne
Hensyn 3
Et sundhedsvæsen med stærk sammenhæng i borgernes forløb
Organiseringen understøtter, at der er et samlet ansvar for borgernes forløb
Organiseringen understøtter koordination af forløb, som går på tværs af enheder og sektorer
Organiseringen understøtter udvikling og nyttiggørelse af data og digitalisering
Hensyn 4
Et sundhedsvæsen, der giver borgerne mest mulig sundhed for de tilgængelige ressourcer
Organiseringen understøtter omkostningseffektivitet og tilpasningsdygtighed
Organiseringen understøtter, at opgave- og budgetansvar følges ad
Organiseringen understøtter effektiv brug af knappe personaleressourcer
Hensyn 5
Et sundhedsvæsen med effektiv politisk styring og demokratisk kontrol
Organiseringen understøtter, at der er et klart politisk ansvar for levering af sundhedstilbud
Organiseringen understøtter politisk opmærksomhed på væsentlige udfordringer og problemer
Organiseringen understøtter politiske prioriteringer og politisk handlekraft
Hensyn 6
Implementeringsomkostninger ved organisatoriske ændringer
Hensynet tilsiger, at vurderingen af enhver større organisatorisk forandring af sundhedsvæsenet
bør forholde sig til, hvilke implementeringsomkostninger den medfører, og hvordan omkostningerne
bedst muligt reduceres
Ifølge kommissoriet skal Sundhedsstrukturkommissionen inddrage betydningen af kultur og ledelse.
Det er kommissionens opfattelse, at kultur og ledelse i sundhedsvæsenet har afgørende betydning for, om
organisatoriske forandringer lykkes. Fordi begge dele har betydning på tværs af de hensyn, der er oplistet
i tabel 6.1, er kultur og ledelse ikke fremhævet under ét bestemt hensyn, men behandles særskilt i kapitel
16, som har fokus på betydningen af ledelse og kultur i relation til de anbefalinger, forslag
og modeller, der præsenteres i rapportdel 3 og 4.
SUU, Alm.del - 2023-24 - Bilag 317: Orientering om Sundhedsstrukturkommissionens afrapportering, fra indenrigs- og sundhedsministeren
2880227_0139.png
1
2
3
4
Del 2 - Den nuværende organisering af sundhedsvæsenet
139
Hensyn 1: Et sundhedsvæsen med høj kvalitet for alle borgere i hele landet
Hensynet om et sundhedsvæsen med høj kvalitet for alle borgere i hele landet indebærer, at organiseringen
understøtter faglig bæredygtighed i opgaveløsningen og social og geografisk lighed.
Høj faglig bæredygtighed
Faglig bæredygtighed indebærer, at opgaver er placeret i enheder, som er fagligt, organisatorisk og økono-
misk bæredygtige til at sikre en opgaveløsning af høj kvalitet, jf. boks 6.2 og 6.3. Vigtige faktorer for faglig
bæredygtighed er befolkningsunderlaget og adgang til kompetente personaleressourcer.
Boks 6.2
Definition af kvalitet
Graden hvormed sundhedsydelser øger sandsynligheden for at opnå det ønskede helbredsresultat for
patienten eller befolkningen samt afspejler den bedste og nyeste evidens.
Kilde: Dansk Selskab for Kvalitet i Sundhedssektoren. 2022. Kvalitetsguiden – Begreber, metoder og værktøjer til kvalitetsudvikling på
tværs af sundhedsvæsenet.
Boks 6.3
Definition af faglig bæredygtighed
En faglig bæredygtig enhed defineres som en enhed, der personalemæssigt, teknologisk, organisatorisk
og ledelsesmæssigt kan løse opgaverne med en høj grad af målopfyldelse.
Kilde: Sundhedsstyrelsen. 2024. Faglig bæredygtighed som grundlag for sundhedsplanlægning.
Specialiserede opgaver stiller krav til personalets kompetencer, og der kræves typisk en vis opgavevolumen
for, at personalet kan opretholde de rette kompetencer. Specialiserede opgaver udføres mere sjældent og
kræver derfor et større befolkningsunderlag at varetage fagligt bæredygtigt sammenlignet med almene
opgaver. Det betyder, at en struktur kan understøtte bæredygtig varetagelse af én opgavetype, men samtidig
være mindre bæredygtig i varetagelsen af andre opgaver, fx hvis en enhed er for lille til, at princippet om
”øvelser gør mester” kan efterleves.
Geografisk lighed i kvalitet
Borgerne bør møde sundhedstilbud af høj kvalitet, uanset hvor i landet de er bosat. En ensartet, høj
kvalitet på tværs af landet kræver lighed i fordelingen af stærke sundhedsfaglige tilbud. Rekruttering af
kvalificeret personale er også en vigtig forudsætning for at kunne levere høj kvalitet. Organiseringen bør
understøtte mulighederne for at rekruttere personale til alle dele af landet. Herudover er det afgørende for
organiseringen af fremtidens sundhedsvæsen at medtænke digitale løsninger, der bl.a. kan være med til at
kompensere for rekrutteringsudfordringer i dele af landet. En vigtig forudsætning for geografisk lighed er,
at geografiske enheder har ensartede forudsætninger for at varetage deres opgaver henset til befolkningens
sundhedsbehov.
SUU, Alm.del - 2023-24 - Bilag 317: Orientering om Sundhedsstrukturkommissionens afrapportering, fra indenrigs- og sundhedsministeren
2880227_0140.png
140
1
2
3
4
Del 2 - Den nuværende organisering af sundhedsvæsenet
Social lighed i kvalitet
Borgerne bør modtage behandling af høj kvalitet. Her forstås kvalitet som den enkelte borgers udbytte af
pleje og behandling. Det indebærer, at det kan være nødvendigt at behandle borgere forskelligt for at opnå
samme resultat. Høj kvalitet for alle borgere er dermed ikke ensbetydende med, at alle borgere skal have
præcis samme pleje og behandling. Det skal fx være muligt at tilpasse behandlingen til borgernes individu-
elle behov.
Hensyn 2: Et sundhedsvæsen, hvor borgerne har let adgang til relevante
sundhedstilbud
Hensynet om let adgang til relevante sundhedstilbud er bl.a. betinget af graden af fri adgang til sundheds-
tilbud, tilbuddenes geografiske nærhed og muligheder for frit valg mellem leverandører. Behandling i
hjemmet er i stigende grad relevant og muligt i takt med udviklingen af det primære sundhedsvæsen,
nye teknologiske muligheder og borgernes stigende forventninger om mulighed for digital kontakt med
sundhedsvæsenet.
Et sundhedsvæsen, som er tilgængeligt, når og hvor der er brug for det
Det er afgørende for borgernes brug af sundhedsvæsenet, at det er nemt at finde frem til relevant sundheds-
faglig hjælp. Fx kan én eller få indgange til sundhedsvæsenet gøre det lettere for borgeren at navigere rundt
i relevante sundhedstilbud.
Derudover bør sundhedsvæsenet så vidt muligt indrettes, så sundhedstilbud er tilgængelige på de tids-
punkter og de steder, hvor borgeren har brug for hjælp. Forskelle i borgernes ressourcer og sundheds-
kompetencer må ikke være en hindring for at opnå adgang til relevante sundhedstilbud. Hensynet fordrer
også, at det bør tilstræbes, at sundhedsvæsenet er tilgængeligt på de måder, der bedst understøtter
borgernes sundhedsbehov.
Hensynet indebærer ikke, at der bør være fri adgang til alle sundhedsydelser, men derimod i nogle tilfælde
visiteret adgang på baggrund af en behovsvurdering fra en sundhedsprofessionel. Den visiterede adgang
sikrer, at sundhedsydelser gives efter behov. Det mindsker unødvendig udredning og behandling.
Borgernes valgmuligheder og rettigheder
Ud fra et borgerhensyn er det vigtigt, at myndighedsansvaret er tydeligt placeret, og borgerne derfor ikke
påvirkes negativt af et uklart myndighedsansvar.
Indenfor rammerne af en sundhedsfaglig vurdering af borgerens behov bør der være valgmuligheder for
den enkelte borger. Det kan både være et valg om at modtage ét sundhedstilbud fremfor et andet og et valg
mellem forskellige leverandører af samme type sundhedstilbud.
Regulering af rettigheder, frit valg og brug af private tilbud i sundhedsvæsenet er en del af den samlede
organisering af patienters valgmuligheder og adgang til relevant behandling. Organiseringen kan give flere
tilgængelige tilbud, fx et privat alternativ ved ventetid til behandling eller genoptræning. I de tilfælde, hvor
borgernes valgmuligheder mellem offentlige tilbud og private leverandører medfører øget konkurrence,
kan valgmuligheder desuden give myndigheder tilskyndelse til en mere effektiv løsning af opgaverne i det
offentlige sundhedsvæsen.
71
71
Lars Thorup Larsen og Deborah Stone, “Governing Health Care Through Free Choice: Neoliberal Reforms in Denmark and the United States”,
Journal of Health Politics, Policy and Law 40,
nr. 5 (2015): 941–70.
SUU, Alm.del - 2023-24 - Bilag 317: Orientering om Sundhedsstrukturkommissionens afrapportering, fra indenrigs- og sundhedsministeren
2880227_0141.png
1
2
3
4
Del 2 - Den nuværende organisering af sundhedsvæsenet
141
Sundhedstilbud tæt på borgerne
Sundhedstilbuds geografiske nærhed til borgernes hjem kan have betydning for, om borgerne benytter sig
af tilbuddene. Store geografiske afstande kan for nogle borgere være en hindring for at opsøge og tage imod
relevante sundhedstilbud. Fokus på nærhed for borgerne kan i udgangspunktet føre til, at opgaverne løses
fysisk tæt på de borgere, de vedrører. Dog må hensynet til geografisk nærhed vejes op imod hensynet til
at sikre en faglig bæredygtig opgaveløsning. Decentralisering af komplekse opgaver kan bl.a. udfordre
mulighederne for at sikre de nødvendige kompetencer og en omkostningseffektiv opgaveløsning.
Med digitale løsninger kan borgere til en vis grad få leveret sundhedsydelser af sundhedspersonale
lokaliseret et andet sted i landet. Digitale hjælpemidler og løsninger kan fx understøtte let kommunikation
med sundhedsvæsenet for borgere med tilstrækkelige digitale kompetencer. Oplevelsen af nære sundheds-
tilbud er dermed ikke afgrænset til, at borger og sundhedsperson er i samme rum. Nære og tilgængelige
tilbud afhænger af andet og mere end den geografiske placering af et tilbud.
Hensyn 3: Et sundhedsvæsen med stærk sammenhæng i borgernes forløb
Høj kvalitet i sundhedstilbud forudsætter, at borgerne oplever en høj grad af sammenhæng i hele forløbet,
fx fra undersøgelse og udredning, behandling på sygehuset og eventuel efterfølgende genoptræning og
pleje. Derfor er det et væsentligt hensyn, at organiseringen af sundhedsvæsenet understøtter en stærk
sammenhæng i borgernes forløb. Som nævnt i kapitel 4 har særligt gruppen af ældre medicinske patienter
ofte langvarige behandlingsforløb, der går på tværs af forskellige sektorer.
Et sammenhængende ansvar for borgernes forløb
Det er en forudsætning for stærk sammenhæng i borgernes forløb, at organiseringen understøtter sam-
arbejde om det bedst mulige sundheds- og behandlingstilbud. Ved udskrivelse af fx en svækket og multisyg
patient fra sygehuset med behov for fortsat behandling og genoptræning i eget hjem er der tale om en
kompleks koordineringsopgave, hvor sygehuset, sygeplejen og den alment praktiserende læge afstemmer
forventninger og ansvar. Det betyder, alt andet lige, at jo flere sammenhængende opgaver, en myndighed har
ansvaret for, desto bedre forudsætninger er der i princippet for at afstemme og koordinere indsatser med
det formål at sikre sammenhæng i patientforløbet.
72
Et delt ansvar mellem myndigheder om indsatser i borgerens forløb, fx ansvar for pleje, behandling og
genoptræning, kan omvendt gøre det vanskeligere at skabe tilstrækkelig sammenhæng i opgaveløsningen.
Et delt ansvar mellem myndigheder giver desuden større risiko for kassetænkning, hvor hver myndighed
har fokus på egne opgaver.
Sammenhæng kan bl.a. understøttes af en organisering, der understøtter koordination og kommunikation
mellem flere involverede parter samt faglig, juridisk og økonomisk styring på tværs af de involverede parter.
Dertil er samlede mål og klare aftaler om arbejdsgange og opgavefordeling på tværs af myndigheder vigtige
faktorer for at skabe sammenhæng i borgernes forløb.
73
En myndigheds opgaveportefølje kan dog også blive så stor og kompleks, at der opstår væsentlige snitflader
internt i myndigheden. De interne snitflader, fx mellem henholdsvis en sundheds­ og en socialforvaltning i
en kommune, kan reducere gevinsten ved at samle mange relaterede opgaver under samme myndighed.
Samling af opgaver er dermed ikke en tilstrækkelig betingelse for at opnå en høj grad af sammenhæng i
borgerforløb, og det må i det konkrete tilfælde afvejes, om gevinsterne ved at samle opgaveansvaret
overstiger de potentielle omkostninger og stordriftsulemper.
72
73
Indenrigs- og Sundhedsministeriet,
Sundhedsvæsenets organisering: sygehuse, incitamenter, amter og alternativer
(Indenrigs- og Sundhedsministeriet, 2003).
VIVE og Marie Henriette Madsen,
Sammenhæng ifølge sundhedspersonale – En litteraturbaseret oversigt over udfordringer og erfaringer
med sikre sammenhængende forløb i sundhedsvæsenet
(VIVE - Det nationale Forsknings- og Analysecenter for Velfærd, 2024).
SUU, Alm.del - 2023-24 - Bilag 317: Orientering om Sundhedsstrukturkommissionens afrapportering, fra indenrigs- og sundhedsministeren
2880227_0142.png
142
1
2
3
4
Del 2 - Den nuværende organisering af sundhedsvæsenet
Koordination af tværgående forløb
Uanset om opgaver løses indenfor eller på tværs af myndigheder, vil der være et stort og stigende antal
forløb i sundhedsvæsenet, som kræver en høj grad af koordination, fordi mange sundhedspersoner er
involverede i forløbet. Koordinationsbehovet er større i forløb med høj faglig kompleksitet, fx ved flere
samtidige sygdomme eller ved samtidige somatiske, psykiske og sociale problemstillinger.
Det er derfor, uanset opgave- og ansvarsfordelingen, vigtigt at have fokus på, om organisatoriske løsninger
understøtter koordination og samarbejde i sundhedsvæsenet. Det følger heraf, at der er andre organisa-
toriske tiltag end opgavesamling, der kan styrke sammenhængen i borgernes forløb, fx tværgående
regulering og koordinations- og samarbejdsfora.
Digitalisering og datadeling på tværs af forløb
Et sammenhængende forløb forudsætter, at relevant information og data deles på tværs af de sundheds-
personer, som er involveret. Det kræver fokus på digitalisering og brug af data i sundhedsvæsenet, og det
kræver, at de lovgivningsmæssige rammer er til stede. Fælles løsninger til at sikre smidig deling af data
og overblik over oplysninger om en patients forløb og tilstand bør så vidt muligt udbredes på tværs af
sundhedsvæsenet. Organiseringen af fremtidens sundhedsvæsen skal understøtte, at potentialer i nye
teknologiske muligheder udnyttes, og den digitale omstilling fremmes.
Hensyn 4: Et sundhedsvæsen, der giver borgerne mest mulig sundhed
for de tilgængelige ressourcer
Hensynet om at give borgerne mest mulig sundhed for de tilgængelige ressourcer indebærer, at organise-
ringen understøtter omkostningseffektivitet og økonomisk robusthed, en stærk sammenhæng mellem
opgave- og budgetansvar og effektiv brug af knappe personaleressourcer.
Indretningen af fremtidens sundhedsvæsen skal være med til at skabe et ressourcemæssigt bæredygtigt
sundhedsvæsen i mange år fremover. Det fremgår af kommissoriet, at Sundhedsstrukturkommissionens
anbefalinger samlet set skal være udgiftsneutrale og ikke medføre øget træk på personalekapacitet. På den
baggrund lægger kommissionen stor vægt på hensynet om, at organiseringen skal bidrage til, at borgerne
får mest mulig sundhed for de tilgængelige ressourcer.
Desuden er sundhedsvæsenet en del af en offentlig sektor, hvor de samlede ressourcer skal dække mange
velfærdsområder. Ændringer i sundhedsvæsenets organisering kan derfor både have positive og negative
konsekvenser for andre dele af den offentlige sektor. Det er samlet set ikke en bæredygtig løsning, hvis
sundhedsvæsenet fremover optager en uforholdsmæssigt stor andel af de ressourcer, der er tilgængelige
for den samlede offentlige sektor.
Omkostningseffektivitet og tilpasningsdygtighed
Organiseringen af sundhedsvæsenet skal understøtte en omkostningseffektiv opgavevaretagelse, hvor der
løbende realiseres produktivitetsgevinster. Frigjorte ressourcer kan bruges på andre opgaver i sundheds-
væsenet til gavn for borgerne, når produktiviteten øges. Det kan fx ske gennem nye og effektive
behandlingsmetoder og digitale løsninger, der effektiviserer og automatiserer arbejdsgange.
Hensynet indebærer, at de ansvarlige myndigheder bør have fleksibilitet til at tilrettelægge opgavevare­
tagelsen efter lokale hensyn, og de kan foretage tværgående prioriteringer. Det forudsætter også, at gode,
lokale løsninger udbredes og nyttiggøres i de dele af sundhedsvæsenet, hvor de er relevante. Et lærende
sundhedsvæsen foretager løbende evalueringer og udvikler sig ved brug af relevante og tilgængelige data,
der kan understøtte omstillingen mod de mest omkostningseffektive sundhedstilbud og behandlinger.
SUU, Alm.del - 2023-24 - Bilag 317: Orientering om Sundhedsstrukturkommissionens afrapportering, fra indenrigs- og sundhedsministeren
2880227_0143.png
1
2
3
4
Del 2 - Den nuværende organisering af sundhedsvæsenet
143
Samtidig skal organiseringen understøtte, at løbende ændringer i den medicinske teknologi skaber behov
og mulighed for en kontinuerlig tilpasning af arbejdsdelingen mellem sygehusene og det øvrige sundheds-
væsen.
74
Sundhedsvæsenet skal i højere grad end i dag tilrettelægge indsatser ud fra en populationsbaseret tilgang.
Med en populationsbaseret tilgang målrettes indsatsen til de forskellige patientgruppers behov, uden
alle patienter nødvendigvis skal tilbydes samme indsats. Det væsentlige er, at indsatserne varetages der,
hvor det giver bedst mening ressourcemæssigt og for at skabe mest mulig sundhed for borgerne.
75
Opgave­ og budgetansvar bør følges ad
Opgave­ og ansvarsplacering bør afspejle, at opgaver, som er substituerbare eller gensidigt afhængige, løses
i sammenhæng, så en investering i én indsats kan give en besparelse på en anden indsats. Organiseringen
skal reducere risikoen for, at hensigtsmæssige investeringer ikke bliver foretaget, fordi én myndighed har
ansvaret for at finansiere en indsats, imens en anden myndighed høster gevinsten af indsatsen.
Ud fra en ressourcebetragtning er det et vigtigt hensyn, at opgave­ og budgetansvar følges ad, og opgaver
med høj substituerbarhed eller gensidig afhængighed enten er samlet under én myndighed eller underlagt
en klar national regulering, som kompenserer for uhensigtsmæssige incitamentsstrukturer.
De ansvarlige myndigheder bør være økonomisk robuste, så myndighederne har økonomi og øvrige
ressourcer til at imødegå uforudsete udsving og hændelser i deres økonomi og drift. Alt andet lige øges
den økonomiske robusthed ved en betydelig grad af rammestyring og ved større enheder, da mindre
enheder typisk kan være mere afhængige af køb og salg af ydelser eller samarbejde med andre enheder,
fordi befolkningsstørrelse og opgavevolumen vil være mindre.
Effektiv brug af knappe personaleressourcer
Effektiv brug af de knappe personaleressourcer indebærer bl.a. en organisering, som fremmer samarbejde
og deling af kvalificeret personale på tværs af specialer og sygehuse og mellem det primære og det sekun-
dære sundhedsvæsen. Potentialer i ressourcebesparende teknologi bør indfries for at frigøre personale-
ressourcer til prioriterede opgaver.
I vurderingen af forslag til ændret organisering vil det være væsentligt, om forslaget medvirker til, at de
administrative ressourcer anvendes effektivt, og løsningerne ikke medfører unødvendigt bureaukrati.
Hensyn 5: Et sundhedsvæsen med effektiv politisk styring og demokratisk kontrol
Hensynet om effektiv politisk styring og demokratisk kontrol indebærer, at organiseringen giver et klart
politisk ansvar for leveringen af sundhedstilbud, understøtter politisk opmærksomhed på væsentlige
udfordringer og bidrager til politisk handlekraft og styring.
Et klart politisk ansvar
Sundhedsområdet er et centralt og økonomisk tungt velfærdsområde, som bliver prioriteret højt af
borgerne, jf. boks 6.4 og 6.5. Det er samtidig et område, hvor der træffes politiske beslutninger med store
konsekvenser for borgerne. Af den årsag bør der være et klart politisk ansvar for sundhedsvæsenet,
hvor offentligheden og i sidste ende vælgerne har gode muligheder for at udøve demokratisk kontrol
og placere et politisk ansvar for udviklingen i sundhedsvæsenet.
74
75
Udvalget for det nære og sammenhængende sundhedsvæsen, “Afrapportering - Udvalget for det nære og sammenhængende sundheds-
væsen”, 2017.
Indenrigsministeriet, red.,
Samordning i sundhedsvæsenet: Betænkning fra det af indenrigsministeren nedsatte Samordningsudvalg for
sundhedsvæsenet,
Betænkning 1044 (København, 1985).
SUU, Alm.del - 2023-24 - Bilag 317: Orientering om Sundhedsstrukturkommissionens afrapportering, fra indenrigs- og sundhedsministeren
2880227_0144.png
144
1
2
3
4
Del 2 - Den nuværende organisering af sundhedsvæsenet
Boks 6.4
Et økonomisk tungt velfærdsområde
Der anvendes ca. 130,9 mia. kr. årligt til regionernes sundhedsudgifter og ca. 61,5 mia. kr. på det
kommunale sundheds- og ældreområde. Udgifterne er opgjort som de samlede driftsudgifter og
statsrefusion.
Kilde: (dranst 1 og 2) i pl-22 og 2022-opgaveniveau pba. regionernes og kommunernes regnskab for 2022.
Anm.: Regionernes sundhedsudgifter er afgrænset til hovedkonto 4 Sundhed, mens det kommunale sundheds- og ældreområde er
afgrænset til hovedkonto 4 Sundhed (eksl. aktivitetsbestemt medfinansiering af sundhedsvæsenet) og hovedfunktion 5.30 Tilbud til
Ældre.
Boks 6.5
Et vigtigt område for borgerne
I en måling fra oktober 2022, udført af Voxmeter, var ”sundhed, herunder praktiserende læger og
psykiatri” det emne, som danskerne syntes var vigtigst, at politikerne tog sig af.
I september 2022 gav en undersøgelse blandt Epinions Danmarkspanel et tilsvarende resultat.
Her svarede 29 pct., at ”hospitaler og sundhed” var det vigtigste område, politikerne skulle tage sig af.
Sundhed toppede klart listen.
Kilde: ”Psykiatrien er i toppen af vælgernes dagsorden”, Voxmeter, 2022; ”Ét emne topper ’overraskende stort’ danskernes liste over,
hvad de vil have politikerne til at løse”, DR, 2022.
Demokratisk kontrol kan tilgodeses ved, at de myndigheder, der har ansvaret for driften af sundheds-
væsenet, er ledet af politikere valgt ved direkte valg eller underlagt et politisk niveau, som er valgt ved
direkte valg til et andet myndighedsniveau. Den demokratiske kontrol vil være svagere ved indirekte valg,
hvor der vil være flere led imellem vælgerne og de valgte repræsentanter. Derimod vil den demokratiske
kontrol være stærkere, jo større klarhed der er i opgave- og ansvarsfordelingen. Et opgaveansvar delt
imellem regioner og kommuner vil fx svække klarheden i det politiske ansvar. Uklarhed om det politiske
ansvar svækker vælgernes mulighed for at stille politikerne til ansvar, og dermed svækkes også den
politiske tilskyndelse til at prioritere og handle på de problemer, som borgerne oplever.
Politisk nærhed fremhæves ofte som et væsentligt aspekt ved den demokratiske kontrol. Politisk nærhed
indebærer, at de politikere, der har ansvaret for opgaveløsningen, skal være tæt på de berørte borgere.
Formålet er at sikre, at politikerne har de bedste muligheder for at identificere og reagere på lokale
problemstillinger og tilpasse opgaverne til lokale ønsker og behov.
76
Sundhedsstrukturkommissionen
anerkender værdien af politisk nærhed, men gør opmærksom på, at hensynet om nærhed i praksis skal
vejes op imod flere andre hensyn. Det gælder bl.a. hensynet om, at der på det relevante myndighedsniveau
kan etableres et velfungerende repræsentativt demokrati kendetegnet ved et højt antal kandidater til
politiske poster, reel konkurrence imellem flere politiske partier, vælgernes mulighed for indsigt i politiske
beslutningsprocesser og borgernes mulighed for at bidrage til de politiske beslutningsprocesser.
77
Politisk opmærksomhed på væsentlige udfordringer
Politisk opmærksomhed på en given problemstilling er en afgørende forudsætning for politisk handling.
Organiseringen af sundhedsvæsenet påvirker den politiske opmærksomhed.
78,79
Det har fx betydning for
76
77
78
79
Strukturkommissionen,
Strukturkommissionens betænkning. Hovedbetænkningen,
bd. I, III bd. (Indenrigs- og Sundhedsministeriet, 2004).
Niels Opstrup, “Det regionale politiske niveau. Notat til Sundhedsstrukturkommissionen”, 2023.
Peter Bjerre Mortensen, Matt W. Loftis, og Henrik Bech Seeberg,
Explaining Local Policy Agendas: Institutions, Problems, Elections and Actors,
Comparative Studies of Political Agendas Series (Cham: Palgrave Macmillan, 2022).
Peter Bjerre Mortensen og Christoffer Green­Pedersen, “Institutional Effects of Changes in Political Attention: Explaining Organizational
Changes in the Top Bureaucracy”,
Journal of Public Administration Research and Theory 25,
nr. 1 (1. januar 2015).
SUU, Alm.del - 2023-24 - Bilag 317: Orientering om Sundhedsstrukturkommissionens afrapportering, fra indenrigs- og sundhedsministeren
2880227_0145.png
1
2
3
4
Del 2 - Den nuværende organisering af sundhedsvæsenet
145
de problemer og løsninger, der identificeres indenfor ældreområdet, hvis det organisatorisk er placeret
sammen med sundheds- eller sammen med socialområdet. Det kan tilsvarende få stor betydning for, om
det lykkes at styrke sundheden for de mange, om der skabes organisatoriske rammer, som styrker den
politiske opmærksomhed på det primære sundhedsvæsen.
Det er derfor et væsentligt hensyn, at den organisatoriske indretning af sundhedsvæsenet understøtter,
at de udfordringer og målsætninger, som blev fremhævet i første del af rapporten, bliver genstand for reel
og vedvarende politisk opmærksomhed.
Politisk handlekraft og styring
Politisk opmærksomhed på problemer og løsninger er en nødvendig, men ikke tilstrækkelig betingelse for
forandring. Sundhedsvæsenets organisering skal derfor også understøtte, at der er politisk evne og vilje
til løbende at forholde sig til og reagere på udfordringer, som kræver svære politiske prioriteringer eller
egentlige reformer. Den politiske handlekraft kan understøttes på forskellig vis, men det er vigtigt at være
opmærksom på, at det ikke nødvendigvis giver en stærkere reformkapacitet, hvis ét politisk niveau har det
fulde ansvar for både reform, implementering og drift. I det tilfælde vil det fulde politiske ansvar falde
tilbage på ét politisk niveau, og det har vist sig, at en stær koncentration af de politiske omkostninger ved
reformer alt andet lige reducerer den politiske handlekraft og reformkapacitet.
80
Det betyder imidlertid ikke, at der bør være et delt politisk ansvar for driften af sundhedsvæsenet. Drifts-
ansvaret bør så vidt muligt være klart og entydigt placeret, men det står ikke i modsætning til et sundheds-
væsen, hvor der fx er en arbejdsdeling imellem et centralt rammesættende, retningsgivende og regulerende
forvaltningsniveau og et decentralt niveau med ansvar for at levere sundhedstilbud til borgerne.
Hensyn 6: Implementeringsomkostninger
Gennemførelse og implementering af enhver større organisatorisk forandring indebærer både potentialer
og risici, og det er vigtigt, at de organisatoriske og strukturelle løsninger for fremtidens sundhedsvæsen
også vurderes i et implementeringsperspektiv. Det gælder her, at løsningerne skal kunne implementeres i
et sundhedsvæsen, som i implementeringsfasen fortsat skal kunne levere effektiv og sikker drift af sund-
hedsydelser. Organisatoriske forandringer kan medføre perioder med stilstand og produktivitetstab,
fordi ledelse og medarbejdere er optagede af at implementere ændringer på bekostning af kernedrift.
Implementeringsomkostninger kan også omfatte tab af kompetencer, fordi nogle medarbejdere søger andre
veje i forbindelse med større organisatoriske ændringer.
Implementeringsomkostninger kan ikke bruges som et generelt argument imod organisatoriske foran-
dringer. Umiddelbare omkostninger og risici ved implementeringen af organisatoriske forandringer
kan opvejes af forventede fremtidige fordele. Samtidig er det en afvejning, som må foretages i lyset af
udfordringerne beskrevet i kapitel 4. En reform kan være nødvendig, selvom reformen på kort sigt vil
medføre betydelige implementeringsomkostninger. Det centrale er her, at implementeringsomkostningerne
indgår i den samlede vurdering af den organisatoriske løsning.
Ofte vil der være forskellige måder, en given organisatorisk forandring kan implementeres på. I det tilfælde
indebærer hensynet, at hvis en organisatorisk forandring kan gennemføres og implementeres på to eller
flere måder, bør forandringen gennemføres på den måde, der indebærer de laveste implementerings­
omkostninger – naturligvis under den forudsætning, at målet med forandringen stadig kan indfries.
80
Johannes Lindvall,
Reform Capacity,
(Oxford: Oxford University Press, 2019).
SUU, Alm.del - 2023-24 - Bilag 317: Orientering om Sundhedsstrukturkommissionens afrapportering, fra indenrigs- og sundhedsministeren
2880227_0146.png
146
1
2
3
4
Del 2 - Den nuværende organisering af sundhedsvæsenet
Kapitel 7: Den nuværende
organisering af sundhedsvæsenet
I kapitlet redegøres for væsentlige træk ved den nuværende organisering og styring af det danske sund-
hedsvæsen. For så vidt angår det kommunale opgaveområde, giver kapitlet også en beskrivelse af
organiseringen af det kommunale ældreområde. Herudover præsenteres resultaterne fra en komparativ
analyse, hvor organiseringen af det danske sundhedsvæsen sammenlignes med sundhedsvæsenet i andre
sammenlignelige lande.
Det danske sundhedsvæsen er decentralt organiseret. Den politiske, det økonomiske og det driftsmæssige
ansvar er placeret i regioner og kommuner. Staten fastsætter rammerne for opgaveløsningen i sundheds­
væsenet via lovgivning, årlige økonomiaftaler, retningslinjer og anden statslig styring indenfor området.
Dermed er der tre forvaltningsled med ansvar for forskellige opgaver i sundhedsvæsenet. Derudover
skelnes der mellem tre sektorer i sundhedsvæsenet: sygehuse, kommunale sundhedstilbud og praksis-
sektoren. Som en del af opgaveløsningen er der tradition for at bruge private leverandører, fx privat­
hospitaler, praktiserende speciallæger og en række private leverandører på de kommunale ansvarsområder,
især i forbindelse med hjælp til syge og ældre borgere.
Danmark står ikke alene med nogle af de aktuelle udfordringer i sundhedsvæsenet, bl.a. udfordringer
grundet mangel på personale.
81
På tværs af de udvalgte lande i førnævnte analyse er der variation i for-
valtningsstrukturer og finansieringsstrukturer, men der er også klare fællestræk. Fx er der i alle landene
en høj grad af offentlig finansiering af sundhedsvæsenet. Et andet fællestræk er fokus på at styrke det
tværsektorielle samarbejde og sikre effektive og sammenhængende patientforløb i organiseringen
af sundhedsvæsenerne. Til det formål har flere lande gennemført reformer.
Sundhedsvæsenet i dag
I dag er der tre forvaltningsled indenfor sundhedsvæsenet, gengivet i tabel 7.1. Staten udstikker de over­
ordnede rammer for at varetage opgaver på bl.a. sundhedsområdet og ældreområdet. Kommunerne
og regionerne er de ansvarlige myndigheder, der har ansvaret for driften af opgaverne. Tabel 7.1 viser,
at der på tværs af de tre forvaltningsled er ligheder og forskelle i den måde, finansiering og styreform
er organiseret indenfor de tre forvaltningsled.
81
Hans Okkels Birk m.fl., “Denmark: Health system review”,
Health Systems in Transition
26, nr. 1 (2024): i–152.
SUU, Alm.del - 2023-24 - Bilag 317: Orientering om Sundhedsstrukturkommissionens afrapportering, fra indenrigs- og sundhedsministeren
2880227_0147.png
1
2
3
4
Del 2 - Den nuværende organisering af sundhedsvæsenet
147
Tabel 7.1
Den nuværende forvaltningsstruktur med tre forvaltningsled
Kommuner
Generelt
98 kommuner
Varetager de fleste direkte
borgerrettede velfærdsopgaver
Opgaver
indenfor
sundheds­
og ældre­
området
Det kommunale sundheds-
område udgør et mindre
kommunalt velfærdsområde,
mens ældreområdet udgør
et større velfærdsområde
i kommunerne
Opgaver efter sundhedsloven
er bl.a. sygepleje, tandpleje og
sundhedspleje. Efter serviceloven
er opgaver bl.a. personlig pleje,
praktisk hjælp, genoptræning
og plejebolig. For nogle opgaver
på ældreområdet står private
leverandører for en betydelig
andel af driften
Finansiering
og økonomi
Økonomiske rammer aftales
i årlige økonomiaftaler
Udgiftsrammerne er generelle
og kollektive
Kommunerne har ansvar for
at prioritere fordeling af udgifter
på tværs af velfærdsområder
Finansiering er primært generel
(skat og bloktilskud) og dertil
statslig refusion på fx social­
området
Regioner
5 regioner
Varetager få velfærdområder,
herunder en stor del af
opgaverne på sundhedsområdet
Sundhedsopgaven er
regionernes hovedopgave. De
har desuden opgaver på fx
miljøområdet og socialområdet
De primære opgaver er driften
af somatiske sygehuse, psykiatri
og praksisområderne. Der
anvendes i relativt mindre grad
private leverandører af sygehus-
opgaver (sammenlignet med
visse kommunale opgaver)
Staten
1 enhed
Sætter de nationale rammer
for alle områder, men har
driftsopgaver på få områder
En række statslige styrelser
har opgaver som tilsyn,
autorisation, specialeplan,
kliniske retningslinjer og
patienterstatningssager
Økonomiske rammer aftales
i årlige økonomiaftaler
Særskilte udgiftsrammer for
sundhedsområdet og regional
udvikling. Rammerne er
kollektive
Regionerne har ansvar for at
prioritere fordeling af udgifter
indenfor sundhedsområdet
Finansiering er generelt tilskud
fra staten og kommunalt bidrag
Rammer fastsættes i finans­
loven
Udgiftslofter for driftsudgifter
og indkomstoverførsler.
Konjunkturafhængige
indkomstoverførsler er
dog ikke underlagt udgifts-
lofter
Staten har ansvar for at
prioritere mellem udgifts-
områder
Finansiering sker via skatter
og afgifter
179 medlemmer af Folketinget.
Direkte valgt hvert fjerde år
eller oftere
Regeringen må ikke have
flertal imod sig i Folketinget.
Statsministeren udpeger
regeringens ministre
Ressortprincippet betyder,
at hvert ministerium er én
myndighed
Styreform og
forvaltning
Typisk 19-31 kommunal-
bestyrelsesmedlemmer pr.
kommune, som vælges ved
direkte valg hvert fjerde år
Økonomiudvalg med ansvar
for økonomi og administrative
forhold og stående udvalg, der
som udgangspunkt varetager
den umiddelbare forvaltning
Hele forvaltningen under
kommunalbestyrelsen er én
samlet myndighed
41 regionsrådsmedlemmer
pr. region, som vælges ved
direkte valg hvert fjerde år
Alle regionsråd har valgt
en styreform, hvor regions-
rådene varetager den umiddel-
bare forvaltning. De har 5-8
stående udvalg, der primært
har en rådgivende og politik-
formulerende funktion.
Forretningsudvalget har
ansvar for økonomi og
administrative forhold
Hele forvaltningen under
regionsrådet er én samlet
myndighed
SUU, Alm.del - 2023-24 - Bilag 317: Orientering om Sundhedsstrukturkommissionens afrapportering, fra indenrigs- og sundhedsministeren
2880227_0148.png
148
1
2
3
4
Del 2 - Den nuværende organisering af sundhedsvæsenet
Sundheds- og ældreområdet i tal
Regioner, kommuner og praksissektoren er de største leverandører af offentligt finansierede sundhedsydel-
ser, mens andre private aktører, såsom privathospitaler, også spiller en vis rolle.
I det følgende vises størrelsesforholdet mellem det kommunale sundheds- og ældreområde, sygehusområ-
det og praksissektoren målt på henholdsvis udgifter, personaleressourcer og leverede ydelser. Udover
sundhedsområdet beskrives det kommunale ældreområde, da dette område vurderes at være nærtliggende
til sundhedsområdet. Derudover yder mange kommunale medarbejdere i praksis både sundheds- og
ældreindsatser, og afgrænsningen af områderne er derfor forbundet med nogen usikkerhed.
Økonomi
De offentlige udgifter til sundhedsområdet udgør ca. 150 mia. kr. i 2022, hvilket svarer til ca. 36 pct. af
kommunerne og regionernes samlede servicedriftsudgifter. Herudover kommer udgifterne til det kommu-
nale ældreområde, som var på 50 mia. kr. i 2022. Størrelsesorden på de forskellige sektorer indenfor
sundhedsområdet og det kommunale ældreområde er illustreret i figur 7.1.
Somatiske sygehuse er det markant største udgiftsområde indenfor sundhedsområdet. Denne sektor
afholdte udgifter på 85 mia. kr. i 2022, svarende til 58 pct. af de samlede offentlige udgifter til sundhedsom-
rådet. Psykiatriske sygehuse afholdte udgifter på 10 mia. kr., svarende til 7 pct. af udgifterne til sundheds-
området, mens praksissektoren (inklusive tilskudsmedicin) afholdte udgifter på 24 mia. kr., svarende til 17
pct. af udgifterne til sundhedsområdet. Herudover havde regionerne øvrige sundhedsudgifter på 11 mia. kr.,
hvilket ikke fremgår af figuren. Det kommunale sundhedsområde omfatter alle kommunale indsatser under
sundhedsloven, hvilket inkluderer den kommunale sygepleje, størstedelen af træningsområdet, tandområ-
det, sundhedsplejen og misbrugsområdet. Denne sektor udgjorde 16 mia. kr., svarende til 11 pct. af udgif-
terne til sundhedsområdet. De kommunale ældreindsatser omfatter indsatser som personlig pleje, praktisk
hjælp og plejeboliger, som vurderes at have nær sammenhæng til sundhedsområdet. Sektoren havde
udgifter på 50 mia. kr. i 2022.
SUU, Alm.del - 2023-24 - Bilag 317: Orientering om Sundhedsstrukturkommissionens afrapportering, fra indenrigs- og sundhedsministeren
2880227_0149.png
1
2
3
4
Del 2 - Den nuværende organisering af sundhedsvæsenet
149
Figur 7.1
Udgifter til sygehuse, praksissektor og kommunale sundheds­ og ældreindsatser, 2022
Mia. kr.
90
80
70
60
50
40
30
20
10
0
Somatiske sygehuse
Regionale udgifter
Psykiatriske sygehuse
Praksissektoren inkl.
tilskudsmedicin
Kommunalt sundheds- og
ældreområde
Kommunale ældreudgifter
Mia. kr.
90
80
70
60
50
40
30
20
10
0
Kommunale sundhedsudgifter
Anm.: Udgifterne opgøres som de samlede servicedriftsudgifter (dranst 1) opgjort i pl­22 og er ekskl. aktivitetsbestemt medfinansiering.
Opgørelsen medtager ikke statsrefusioner (dranst 2), da det er opgavestørrelsen, som skal belyses. Somatiske sygehuse omfatter funktion 1.10.01
Somatiske sygehuse. Psykiatriske sygehuse omfatter funktion 1.10.02 Psykiatriske sygehuse og afdelinger. Praksissektoren inkl. tilskudsmedicin
omfatter hovedfunktion 1.20 Sygesikring m.v., og inkluderer derved både almen praksis, specialpraksis, tilskudsmedicin, tandlægepraksis,
kiropraktor og psykologbehandling mv. Det kommunale sundhedsområde opgøres som hovedkonto 4 Sundhedsområdet eksklusive 33,33 pct. af
funktion 4.62.84 Genoptræning og vedligeholdelsestræning, hvilket omfatter genoptræning og vedligeholdelsestræning efter serviceloven, men
inklusive funktion 5.30.28 Hjemmesygepleje, funktion 5.38.44 Alkoholbehandling og behandlingshjem for personer med alkoholmisbrug og
funktion 5.38.45 Behandling af personer med stofmisbrug. Det kommunale sundhedsområde omfatter derved genoptræning og vedligeholdel-
sestræning efter sundhedsloven, vederlagsfri fysioterapi, kommunal tandpleje, borger- og patientrettet forebyggelse, kommunal sundhedspleje,
kommunal sygepleje og misbrugsområdet (inkl. den del af stofmisbrugsbehandlingen, der gives under serviceloven, da dette ikke kan adskilles).
Det kommunale ældreområde opgøres som hovedfunktion 5.30 Tilbud til ældre eksklusive funktion 5.30.28 Hjemmesygepleje, som er under
sundhedsloven, inklusive 33,33 pct. af funktion 4.62.84 Genoptræning og vedligeholdelsestræning, hvilket omfatter genoptræning og vedligehol-
delsestræning efter serviceloven, funktion 5.38.38 Personlig og praktisk hjælp og madservice til personer med handicap m.v. omfattet af frit valg
af leverandør samt rehabiliteringsforløb, hvilket omfatter personlig og praktisk hjælp og madservice samt rehabilitering til personer under 67 år,
og 78,79 pct. af funktion 5.38.41 Hjælpemidler, forbrugsgoder, boligindretning og befordringer til personer med handicap, hvilket omfatter
hjælpemidler til personer under 67 år. Det kommunale ældreområde omfatter derved personlig og praktisk hjælp og madservice samt
rehabilitering til personer over og under 67 år, plejehjem og plejeboliger m.v., genoptræning og vedligeholdelsestræning under serviceloven,
forebyggende hjemmebesøg, tilbud med aktiverende sigte, midlertidige pladser, afløsning og aflastning samt hjælpemidler til personer over og
under 67 år. Opgørelserne omfatter herudover ikke central og decentral administration på de regionale områder, herunder udgifter til IT, samt
centrale administrative udgifter på det kommunale område, herunder udgifter til visitation.
Kilde: Statistikbanken, Danmarks statistik, REGK31 og REGR11.
Personale
Der var ca. 210.000 personer beskæftiget på sundhedsområdet i 2023.
82
Dette omfatter ca. 20.000 medar-
bejdere på det kommunale sundhedsområde, ca. 120.000 medarbejdere på det regionale sundhedsområde
og ca. 70.000 beskæftigede på det private sundhedsområde (jf. figur 7.2 og 7.3). Herudover er der ca. 80.000
medarbejdere på det kommunale ældreområde (jf. figur 7.2).
82
De 210.000 personer opgøres som en kombination af antal fuldtidspersoner på det kommunale og regionale område og antal personer på
det private område. Dette fremgår af figur 7.2 og 7.3.
SUU, Alm.del - 2023-24 - Bilag 317: Orientering om Sundhedsstrukturkommissionens afrapportering, fra indenrigs- og sundhedsministeren
2880227_0150.png
150
1
2
3
4
Del 2 - Den nuværende organisering af sundhedsvæsenet
Der er beskæftiget en række forskellige personalegrupper på sundhedsområdet, som varierer indenfor det
kommunale, regionale og private område (jf. figur 7.2 og 7.3). Indenfor det kommunale sundhedsområde
er sygeplejersker den største personalegruppe (31 pct.), efterfulgt af ergo­ og fysioterapeuter (21 pct.),
tandplejepersonale (16 pct.), øvrigt sundhedspersonale (12 pct.) og ikke­sundhedsfagligt personale (12
pct.). Dette hænger sammen med at de største indsatser på det kommunale sundhedsområde er den
kommunale sygepleje, træningsområdet og tandområdet. Øvrigt sundhedspersonale omfatter især sund-
hedsplejersker, mens ikke-sundhedsfagligt personale især omfatter administrativt personale.
De største personalegrupper ansat på det regionale område er sygeplejersker (30 pct.), læger (16 pct.),
øvrigt sundhedsfagligt personale (23 pct.) og ikke­sundhedsfagligt personale (23 pct.). Øvrigt sundheds­
fagligt personale omfatter en længere række faggrupper såsom bioanalytikere, radiografer, jordemødre,
lægesekretærer, sygehusportører og ambulanceuddannet personale. Ikke-sundhedsfagligt personale
omfatter bl.a. administrativt personale, serviceassistenter og rengøringspersonale. Denne opgavefordeling
hænger sammen med, at langt størstedelen er ansat på hospitaler. Personer beskæftiget i praksissektoren
indgår kun i begrænset omfang i denne opgørelse. Størstedelen af disse personer indgår i stedet i
opgørelsen over beskæftigede på det private sundhedsområde (jf. figur 7.3).
På det private sundhedsområde er der beskæftiget personer med en række forskellige uddannelser. Herun-
der sygeplejersker (8 pct.), social­ og sundhedspersonale (7 pct.), fysio­ og ergoterapeuter (7 pct.), læger
(9 pct.), øvrige sundhedsuddannede (20 pct.), ufaglærte (20 pct.) og ikke­sundhedsfagligt uddannede
(28 pct.). Social og sundhedspersonale dækker over social­ og sundhedsassistenter samt social­ og
sundhedshjælpere. Øvrige sundhedsuddannelser dækker bl.a. over tandplejepersonale, kiropraktorer,
psykologer, lægesekretærer, radiografer, bioanalytikere osv. Det private sundhedsområde dækker over
en række sektorer som hospitaler (4 pct.), almen og specialpraksis (24 pct.), tandlægepraksis (17 pct.),
øvrig praksis (18 pct.), plejeboliger m.v. (7 pct.), hjemmehjælp (11 pct.) og øvrigt (18 pct.) jf. figur 7.4.
Det øvrige sundhedsområde dækker bl.a. private jordemødre og misbrugsområdet.
De største faggrupper på det kommunale ældreområde er social­ og sundhedsassistenter (26 pct.), social­
og sundhedshjælpere (35 pct.), ufaglært sundhedspersonale (13 pct.) og ikke­sundhedsfagligt personale
(10 pct.) jf. figur 7.2. Ufaglært sundhedspersonale er ansatte, som ikke har en sundhedsfaglig uddannelse,
men som varetager sundhedsfaglige opgaver ifm. deres ansættelse.
SUU, Alm.del - 2023-24 - Bilag 317: Orientering om Sundhedsstrukturkommissionens afrapportering, fra indenrigs- og sundhedsministeren
2880227_0151.png
1
2
3
4
Del 2 - Den nuværende organisering af sundhedsvæsenet
151
Figur 7.2
Antal fuldtidspersoner ansat på det kommunale sundheds­ og ældreområde og det regionale
sundhedsområde, 2022
Fuldtidspersoner
140.000
120.000
100.000
80.000
60.000
40.000
20.000
16 pct.
0
5 pct.
12 pct.
33 pct.
Kommunalt
sundhedsområde
12 pct.
3 pct.
10 pct.
7 pct.
13 pct.
35 pct.
26 pct.
6 pct.
Kommunalt
ældreområde
Social- og sundhedsassistenter
Læger
Øvrigt sundhedspersonale
23 pct.
Fuldtidspersoner
140.000
120.000
100.000
80.000
1 pct.
3 pct.
60.000
40.000
20.000
0
21 pct.
16 pct.
6 pct.
30 pct.
Regionalt
sundhedsområde
21 pct.
Sygeplejersker
Ergo- og fysioterapeuter
Social- og sundhedshjælpere
Tandplejepersonale
Ikke-sundhedsfagligt personale
Ufaglært sundhedspersonale
Anm.: Antal fuldtidspersoner er antal ansatte omregnet til 37-timers ækvivalenter pr. september 2023. Opgørelsen er opgjort på stillingsbeteg-
nelser og er ekskl. elever, fleksjob og ekstraordinært ansatte. Det kommunale sundhedsområde opgøres som hovedkonto 4
Sundhedsområdet
samt funktion 5.30.28
Hjemmesygepleje,
funktion 5.38.44
Alkoholbehandling og behandlingshjem for personer med alkoholmisbrug
og funktion
5.38.45
Behandling af personer med stofmisbrug.
Det kommunale sundhedsområde omfatter derved genoptræning og vedligeholdelsestræning
(inklusive den del af genoptræning og vedligeholdelsestræning, der gives under serviceloven, da denne ikke kan adskilles), kommunal tandpleje,
borger- og patientrettet forebyggelse, kommunal sundhedspleje, kommunal sygepleje og misbrugsområdet (inklusive den del af stofmisbrugs-
behandlingen, der gives under serviceloven, da denne ikke kan adskilles). Det kommunale ældreområde opgøres som hovedfunktion 5.30
Tilbud
til ældre
eksklusive funktion 5.30.28
Hjemmesygepleje,
som er under sundhedsloven, inklusive funktion 5.38.38
Personlig og praktisk hjælp og
madservice til personer med handicap m.v. omfattet af frit valg af leverandør samt rehabiliteringsforløb,
hvilket omfatter personlig og praktisk hjælp
og madservice samt rehabilitering til personer under 67 år, og funktion 5.38.41
Hjælpemidler, forbrugsgoder, boligindretning og befordringer til
personer med handicap,
hvilket omfatter hjælpemidler til personer under 67 år. Det kommunale ældreområde omfatter derved personlig og
praktisk hjælp og madservice samt rehabilitering til personer over og under 67 år, plejehjem og plejeboliger m.v., forebyggende hjemmebesøg,
tilbud med aktiverende sigte, midlertidige pladser, afløsning og aflastning samt hjælpemidler til personer over og under 67 år. Den centrale
administration på det kommunale område inkl. dem, der visiterer, er ikke inkluderet i opgørelsen. Det regionale sundhedsområde er afgrænset til
hovedkonto 1
Sundhed og hovedkonto
4
Fællesformål og administration.
Sygeplejersker omfatter også ledende sygeplejersker. Ergo- og
fysioterapeuter omfatter både ledende og undervisende ergo- og fysioterapeuter. Læger omfatter overlæger, lægelige chefer m.v., speciallæge-
konsulenter, underordnede læger (reservelæger) og kommunallæger. Tandplejepersonale omfatter tandlæger, tandklinikassistenter og
tandplejere. Ufaglært sundhedspersonale omfatter ufaglært personale, som varetager sundhedsfaglige opgaver (dvs. social- og sundhedsperso-
nale, ikke­udd.). Øvrigt sundhedspersonale omfatter bl.a. audiologiassistenter, lægesekretærer m.fl., medicinstuderende i underordnete
lægestillinger, neurofysiologiassistenter, bioanalytikere, radiografer, farmakonomer, sygehusportører, vagtcentralpersonale, ambulanceuddannet
personale, ernæringsassistenter, hjemmehjælpere, plejehjemsassistenter, plejere, sygehjælpere, beskæftigelsesvejledere, sundhedsplejersker og
jordemødre. Ikke-sundhedsfagligt personale omfatter bl.a. administrativt personale, akademikere, socialrådgivere, socialpædagoger, husassisten-
ter og serviceassistenter. Der oplyses ikke procentsatser for faggrupper, som udgør mindre end 1 pct. af det ansatte personalle. Faggrupperne
indgår dog stadig i figuren.
Kilde: Kommunerne og regionernes løndatakontor (KRL).
SUU, Alm.del - 2023-24 - Bilag 317: Orientering om Sundhedsstrukturkommissionens afrapportering, fra indenrigs- og sundhedsministeren
2880227_0152.png
152
1
2
3
4
Del 2 - Den nuværende organisering af sundhedsvæsenet
Figur 7.3
Antal personer beskæftiget på det private
sundheds­ og ældreområde opdelt på
uddannelser, 2022
Personer
80.000
28 pct.
20 pct.
20 pct.
20.000
9 pct.
7 pct.
7 pct.
8 pct.
Ikke sundhedsfaglig uddannet
Ufaglærte
Læger
Øvrige sundhedsuddannede
Fysio- og ergoterapeuter
Sygeplejersker
20.000
Personer
80.000
Figur 7.4
Antal personer beskæftiget på det private
sundheds­ og ældreområde opdelt på brancher,
2022
Personer
80.000
18 pct.
11 pct.
7 pct.
18 pct.
17 pct.
24 pct.
0
0
Øvrigt
4 pct.
0
Personer
80.000
60.000
60.000
60.000
60.000
40.000
40.000
40.000
40.000
20.000
20.000
0
Hjemmehjælp
Øvrig praksis
Plejehjem og plejeboliger
Tandlægepraksis
Hospitaler
Social- og sundhedspersonale
Almen-og speciallægepraksis
Anm.: Opgørelsen omfatter antallet af personer, som har primær beskæftigelse i det private sundheds- og ældreområde. Det private
sundheds- og ældreområde afgrænses på baggrund af DB07 branchekoder og omfatter følgende kategorier: Hospitaler, almen- og
speciallægepraksis, tandlægepraksis, øvrig praksis (hvilket omfatter fysio- og ergoterapeuter, psykologisk rådgivning og kiropraktorer),
plejehjem og plejeboliger, hjemmehjælp og øvrigt (sundhedspleje, hjemmesygepleje og jordemødre mv., sundhedsvæsen i øvrigt i.a.n.,
institutionsophold med sygepleje i.a.n. og behandlingshjem for stofmisbrugere og alkoholskadede). Øvrige sundhedsuddannede omfatter
ambulancebehandlere og reddere, bioanalytikere, ernæringsassistenter, farmaceuter, farmakonomer, fodterapeuter, jordemødre, kiro-
praktorer, kliniske diætister, medicin (bachelor), optometrister, psykomotorik og afspænding, pædagogik, radiografer, socialrådgivere,
sundhedsservice-sektretærer og lægesekretærer, tandlæger, tandplejere, kliniske tandteknikere, øvrige social- og sundhedsuddannede m.v.
Kilde: Lovmodellen (RAS) og egne beregninger.
Leverede ydelser
Cirka fem millioner danskere har hvert år kontakt med deres praktiserende læge, mens knap tre millioner
danskere har kontakt med et sygehus, jf. figur 7.5. I 2022 var der 310.000 patienter, som var i kontakt med
både sygehuse, almenmedicinske tilbud og kommunale indsatser. Patienter med kontakter på tværs af
alle sektorer er hovedsageligt ældre over 65 år, da de udgør 77 pct. af borgerne med kontakt til alle tre
sektorer.
83
Ældre over 65 år er også de primære modtagere af kommunale sundheds­ og plejeindsatser. En analyse
viser, at en fjerdedel af ældre over 65 år i 2022 modtog mindst én kommunal sundheds­ og plejeindsats.
Den demografiske udvikling forventes at øge efterspørgslen på alle kommunale sundheds­ og plejeindsatser.
Det gælder særligt de indsatser, som de ældre over 65 år modtager. Befolkningsgruppen over 65 år vil vokse
i fremtiden, og det vil alt andet lige medføre et stigende ressourcetræk i forhold til kommunale sundheds-
og plejeindsatser, som ved simpel fremskrivning vil være steget med 61 pct. i 2045 sammenlignet med
2021.
84
83
84
Boston Consulting Group, “Udviklingen i Sundhedsvæsenet - et perspektiv til omstilling”, 2024.
Boston Consulting Group, “Udviklingen i Sundhedsvæsenet - et perspektiv til omstilling”, 2024.
SUU, Alm.del - 2023-24 - Bilag 317: Orientering om Sundhedsstrukturkommissionens afrapportering, fra indenrigs- og sundhedsministeren
2880227_0153.png
1
2
3
4
Del 2 - Den nuværende organisering af sundhedsvæsenet
153
Figur 7.5
Borgere med kontakt til sundhedsvæsenet, fordelt på sektor og område (2022)
1.000 personer
6.000
5.000
4.000
3.000
2.000
1.000
0
Somatisk
Psykiatrisk
Speciallæge
Øvrig praksis
Sundheds- og
1.000 personer
6.000
5.000
4.000
3.000
2.000
1.000
0
Alment praktiser-
Sygehus
ende læge
Praksissektor
Kommune
Anm.: Aktivitet i kommunerne er afgrænset til hjemmesygepleje, rehabilitering, genoptræning, vedligeholdelsestræning, hjemmehjælp og/eller
tilbudt om forebyggende hjemmebesøg. Aktiviteten på sygehusene gælder kun personer med fysiske kontakter (dvs. ekskl. virtuel kontakt og
hjemmebesøg).
Kilde: Landspatientregisteret, Sygesikringsregisteret, Elektroniske omsorgsjournaler (EOJ), CPR-registreret, Plejehjemsdata (PLH), Sundhedsdata-
styrelsen.
Tabel 7.2
Antal kontakter pr. år, fordelt på sektor og aktivitet (2022)
Sektor
Sygehus
Aktivitet
Ophold på somatiske sygehuse
Ophold på psykiatriske sygehuse
Praksissektor
Kontakter til alment praktiserende læger
Kontakter til speciallæger
Kontakter til øvrig praksis
Anm.: Sygehusophold er både ambulante ophold og indlæggelser. Tandlæger er ikke inkluderet i praksissektoren.
Kilde: Landspatientregisteret, Sygesikringsregisteret, Sundhedsdatastyrelsen.
Antal
12 mio.
1,1 mio.
43 mio.
5,6 mio.
11 mio.
National regulering, finansiering og planlægning
Sundhedsloven og serviceloven er to centrale love i reguleringen af sundheds­ og ældreområdet.
Omdrejningspunktet for styringen af kommuner og regioners økonomi er de årlige økonomiaftaler, der
indgås mellem staten og henholdsvis KL og Danske Regioner på vegne af landets kommuner og regioner.
ældreydelser
SUU, Alm.del - 2023-24 - Bilag 317: Orientering om Sundhedsstrukturkommissionens afrapportering, fra indenrigs- og sundhedsministeren
2880227_0154.png
154
1
2
3
4
Del 2 - Den nuværende organisering af sundhedsvæsenet
Derudover er planlægningen af, hvem der må varetage specialfunktioner, definerende for sygehus­
strukturen i dag. Det er en opgave, der varetages af Sundhedsstyrelsen. National regulering, finansiering
og planlægning vil blive behandlet nærmere i de følgende afsnit.
Sundhedsloven og serviceloven
Sundhedsloven og serviceloven er de to centrale love på sundheds­ og ældreområdet. Sundhedsloven
regulerer bl.a., hvem der har ansvaret for behandling, forebyggelse og sundhedsfremme i det danske
sundhedsvæsen. Sundhedsloven fastlægger fx, at kommunerne har ansvaret for forebyggelse og sygepleje,
genoptræning og rehabilitering efter indlæggelse. Regionerne har ansvaret for behandling før og efter
indlæggelse og sygepleje og genoptræning under indlæggelse.
85
Serviceloven (lov om social service) sætter rammerne for den hjælp, støtte og rådgivning, som kommunerne
skal tilbyde borgere med nedsat fysisk eller psykisk funktionsevne. Efter serviceloven har kommunerne
ansvaret for en række ydelser, som er tæt forbundne med de ydelser, der indgår i sundhedsloven. Det
gælder bl.a. tilbud om personlig pleje og hjælpemidler. Ydelserne, som tilbydes efter serviceloven, tildeles
ofte gennem visitation foretaget på baggrund af borgerens konkrete situation og ud fra kommunens
politisk fastlagte serviceniveau. Fx tager visitation til personlig pleje og praktisk hjælp bl.a. udgangspunkt
i borgerens fysiske funktionsevne. Ydelser omfattet af sundhedsloven tildeles som altovervejende hoved-
regel efter en lægefaglig vurdering.
86
På det kommunale sundheds- og ældreområde udføres ydelser efter sundhedsloven og serviceloven ofte
af de samme medarbejdere, ligesom modtagerne af ydelser ofte modtager ydelser efter begge lovgivninger.
Patientrettigheder på sundhedsområdet
Patienter er sikret en række rettigheder, som er beskrevet i sundhedsloven. Rettighederne vedrører bl.a.
informeret samtykke, tavshedspligt, aktindsigt i egen journal og retten til at fravælge behandling.
Derudover er der forskellige patientrettigheder i forhold til udredning, behandling og genoptræning
indenfor sundhedsområdet. Der er patientrettigheder om frit sygehusvalg, ret til hurtig udredning
(udredningsret), det udvidede frie sygehusvalg og maksimale ventetider for behandling af livstruende
sygdomme, som har til formål at sikre patienterne hurtig udredning og behandling.
87
På det kommunale sundhedsområde har patienter, som bliver udskrevet til genoptræning efter sygehus-
ophold, ret til at gøre brug af frit valg på genoptræningsområdet, hvis kommunen ikke kan tilbyde en tid
til genoptræning indenfor syv dage.
Økonomisk styring og finansiering
Den økonomiske styring og finansiering af regioner og kommuner er karakteriseret ved rammestyring
og generel finansiering. Her gives den statslige finansiering til generel prioritering – og er dermed ikke
øremærket til bestemte udgifter eller områder. Udgiftsrammerne bliver fastlagt med udgangspunkt i de
vedtagne udgiftslofter for kommuner og regioner, som skal holde sig indenfor budgetlovens rammer
under hensyntagen til bl.a. den strukturelle saldo og konjunktursituationen. Den nærmere fastsættelse
sker dog på baggrund af årlige økonomiforhandlinger gennem det såkaldte aftalesystem mellem staten
og henholdsvis kommuner og regioner.
De årlige, kollektive økonomiaftaler mellem regeringen og kommunerne og mellem regeringen og
regionerne er omdrejningspunktet for de årlige udgiftsrammer og øvrige økonomiske rammer. Her fast-
sættes udgiftsrammer og finansiering for henholdsvis alle kommunerne og alle regionerne under ét. Staten
fastsætter de samlede udgiftsrammer for henholdsvis drift og anlæg, men ikke hvordan rammerne fordeles
indbyrdes mellem henholdsvis kommunerne og indbyrdes mellem de fem regioner. Kommunerne har
ansvaret for at prioritere udgifter og økonomi på tværs af de kommunale opgaver på grundlag af lokale
85
86
87
Indenrigs- og Sundhedsministeriet, “Bekendtgørelse af sundhedsloven”, LBK nr 247 af 12/03/2024 (2024).
Sundhedsstrukturkommissionen, “Baggrundsrapport”, 2024.
Social-, Bolig- og Ældreministeriet, “Bekendtgørelse af lov om social service”, LBK nr 67 af 22/01/2024 (2024).
SUU, Alm.del - 2023-24 - Bilag 317: Orientering om Sundhedsstrukturkommissionens afrapportering, fra indenrigs- og sundhedsministeren
2880227_0155.png
1
2
3
4
Del 2 - Den nuværende organisering af sundhedsvæsenet
155
hensyn og behov. Regionerne kan prioritere på tværs af forskellige dele af deres sundhedsopgaver, men de
kan ikke prioritere mellem sundhedsområdet og området for regional udvikling, da sundhed og regional
udvikling udgør to separate økonomier i regionen.
Økonomiaftalerne er et centralt statsligt styringsredskab for udviklingen i den kommunale og regionale
økonomi. Samlet set dækker aftalerne ca. 75 pct. af det offentlige forbrug. Det er en aftalebaseret model,
hvor parterne aftaler rammerne for den regionale og kommunale økonomi i det kommende år. Aftalerne
er ikke juridisk bindende, men aftaleoverholdelse er i kraft af budgetloven understøttet af sanktionsregler.
Samtidig understøtter aftalerne lokal frihed og ansvar i opgaveløsningen og decentral indflydelse på
udviklingen af de store velfærdsområder.
Finansieringssystemerne for både kommuner og regioner har indbyggede mekanismer, som skal tage
hensyn til forskelle i udgiftsbehov på tværs af henholdsvis kommuner og regioner. Det sker bl.a. på
baggrund af demografiske, socioøkonomiske og strukturelle forhold. For kommunerne udgør skatte­
opkrævning langt den største indtægtskilde, hvortil der kommer et statsligt bloktilskud, som fordeles
efter kommunernes indbyggertal. Derudover sker der via udligningssystemet en betydelig omfordeling
mellem kommunerne. Regionerne har ikke selvstændig skatteudskrivningsret. For regionerne fordeles
statens bloktilskud direkte efter en opgørelse af udgiftsbehovet indenfor sundheds- og udviklingsområdet.
Specialeplanlægning og retningslinjer
Sundhedsstyrelsen har ifølge sundhedsloven til opgave at planlægge og godkende, hvilke offentlige og
private sygehuse der må varetage såkaldte specialfunktioner. Specialfunktioner kan være sjældne og dyre
behandlinger, der ikke udføres særligt mange af hvert år.
Specialfunktioner består af henholdsvis regionsfunktioner, som typisk varetages på et til tre forskellige
sygehuse i hver region, og højt specialiserede funktioner, der typisk varetages på et til tre forskellige
sygehuse i landet. At varetage en højt specialiseret funktion indebærer en forpligtelse til at behandle
patienter fra andre regioner. Formålet med specialeplanen er bl.a. at sikre høj faglig kvalitet i behandlingen
af patienter i hele landet ud fra princippet ”øvelse gør mester”. Rationalet bag princippet er, at kvaliteten
bliver bedre, hvis den sundhedsfaglige erfaring og antallet af behandlinger samles på relativt få enheder.
Specialeplanens specialfunktioner udgør ca. 10 pct. af sygehusopgaverne (målt på aktivitet). Regionerne
forestår planlægning og placering af de øvrige almene sygehusfunktioner (det, der også kaldes hoved-
funktionsniveau).
Sundhedsstyrelsen udarbejder også nationale kliniske retningslinjer og faglige anbefalinger til det kliniske
arbejde, som udføres af sundhedsprofessionelle i både regioner, kommuner og praksissektoren. Det kan
fx være indenfor områder med stor sygdomsbyrde eller indenfor forløb, hvor den tværfaglige og tvær-
sektorielle indsats giver udfordringer.
88
De faglige selskaber udarbejder ligeledes kliniske retningslinjer.
Regionerne kort fortalt
I Danmark er der fem regioner med mellem 600.000 og 1,9 mio. indbyggere. Regionerne varierer i areal-
mæssig størrelse, befolkningstæthed og befolkningssammensætning målt på socioøkonomiske kendetegn
og sygdomsbillede. Det giver forskellige vilkår og behov, som har betydning for opgaveløsningen.
Styreform
Regionerne ledes politisk af regionsråd med 41 medlemmer. Medlemmerne af regionsrådene bliver valgt
direkte af regionens stemmeberettigede borgere for en fireårig periode. Regionsrådsformanden leder rådet,
og er den øverste daglige leder af den regionale forvaltning.
88
“NKR og NKA efter område”, Sundhedsstyrelsen, 2023.
SUU, Alm.del - 2023-24 - Bilag 317: Orientering om Sundhedsstrukturkommissionens afrapportering, fra indenrigs- og sundhedsministeren
2880227_0156.png
156
1
2
3
4
Del 2 - Den nuværende organisering af sundhedsvæsenet
Regionsrådet er det øverste beslutningsdygtige organ og har ansvaret for de beslutninger, der træffes i
regionen. Derudover har alle regioner et forretningsudvalg, som har ansvar for økonomi og administrative
forhold. Forretningsudvalget vælges af regionsrådet, og sammensætningen afspejler derfor regionsrådet
sammensætning. Alle regionsråd har derudover nedsat fem til otte stående udvalg, som dækker forskellige
opgaveområder. Udvalgene varetager typisk politikudvikling og opfølgning.
Økonomi og ansvarsområder
Regionernes økonomi er opdelt i tre adskilte dele, nemlig sundhedsområdet, udviklingsområdet og drift af
institutioner på social- og undervisningsområdet, hvor sundhedsområdet er klart det største. Det statslige
bloktilskud til sundheds­ og udviklingsområdet er den primære finansieringskilde og fordeles til regionerne
på baggrund af en række objektive kriterier. Bloktilskuddet og øvrige økonomiske forudsætninger bliver
udmeldt forud for regionernes budgetvedtagelse. Institutionerne på social- og undervisningsområdet
finansieres via kommunal betaling for brug af tilbuddene.
Regionerne har ansvaret for både sygehus- og praksissektoren. Regionernes samlede økonomi er på
omkring 134,5 mia. kr. Sygehusdriften er langt det største udgiftsområde, da sygehusdriften udgør ca.
95,5 mia. kr., imens de årlige udgifter til praksissektoren, inklusive tilskudsmedicin, er ca. 24,4 mia. kr.,
jf. figur 7.6. Den regionale styring er kendetegnet ved en høj grad af selvstændig økonomistyring for
sygehus- og praksissektoren.
Figur 7.6
Regionernes samlede driftsudgifter fordelt på områder (mia. kr.)
11
4
24
10
85
Somatiske sygehuse
Praksissektor inkl. tilskudsmedicin
Øvrige regionale udgifter
Psykiatriske sygehuse
Øvrige sundhedsudgifter
Anm.: Udgifterne opgøres som de samlede driftsudgifter (dranst 1) opgjort i pl-22. Opgørelsen medtager ikke statsrefusioner (dranst 2), da det er
opgavestørrelsen, som skal belyses. Somatiske sygehuse omfatter funktion 1.10.01
Somatiske sygehuse.
Psykiatriske sygehuse omfatter funktion
1.10.02
Psykiatriske sygehuse og afdelinger.
Praksissektoren inkl. tilskudsmedicin omfatter hovedfunktion 1.20
Sygesikring,
og inkluderer derved
både almen praksis, specialpraksis, tilskudsmedicin, kiropraktor og psykologbehandling mv. Øvrige sundhedsudgifter omfatter de resterende
udgifter på hovedkonto 1
Sundhed,
hvilket bl.a. omfatter centrale og decentrale administrationsudgifter vedr. sundhed. Øvrige regionale udgifter
omfatter de resterende hovedkonto 2-5.
Kilde: Regionernes regnskaber, 2022.
SUU, Alm.del - 2023-24 - Bilag 317: Orientering om Sundhedsstrukturkommissionens afrapportering, fra indenrigs- og sundhedsministeren
2880227_0157.png
1
2
3
4
Del 2 - Den nuværende organisering af sundhedsvæsenet
157
Samlet set driver regionerne 20 sygehusenheder på tværs af landet, som fordeler sig på 51 matrikler.
Heraf varetager 19 af sygehusene de i alt 21 akutmodtagelser. Tallene skal bl.a. ses i lyset af, at Sjællands
Universitetshospital og Aalborg Universitetshospital driver to akutmodtagelser, og at Rigshospitalet har
et traumecenter, men ingen akutmodtagelse. Sygehusene har geografisk afgrænsede optageområder, hvor
de fleste patienter kommer fra, i hvert fald hvad angår de almene opgaver på sygehuset. Når patienter har
behov for specialiseret behandling, eller der er for lang ventetid på det nærmeste sygehus, kan der være
behov for behandling på et andet sygehus end det, der er tættest på borgerens bopæl. Det kan også være
et sygehus i en anden region eller på et privathospital. For mange behandlinger i Danmark er der frit
sygehusvalg mellem offentlige sygehuse og udvidet frit sygehusvalg, inklusive private sygehuse.
Privathospitaler står for cirka 3,3 pct. af den samlede aktivitet på tværs af offentlige og private hospitaler
i 2023 (opgjort ud fra den samlede produktionsværdi, som regionerne finansierer).
89
Danske Regioner,
regionernes interesseorganisation, og brancheforeningen Sundhed Danmark indgår centrale aftaler på
området. Herudover indgår regionerne lokale aftaler med privathospitaler, oftest som udbudsaftaler for
at udvide den samlede kapacitet indenfor et bestemt område.
Regionerne har ansvaret for den behandlende psykiatri, som omfatter stationær og ambulant behandling
på psykiatriske sygehuse, centre og afdelinger. Psykiatrien er organisatorisk adskilt fra somatikken i alle
regioner. Nogle psykiatriske afdelinger ligger på egen matrikel, mens andre psykiatriske afdelinger deler
matrikel med de somatiske afdelinger, men som organisatorisk adskilte enheder med adskilte budgetter
og ledelsesansvar.
Regionernes præhospitale virksomhed omfatter en række opgaver, som varetages udenfor hospitalet.
Ambulancer, akutlægebiler og akutlægehelikoptere er en del af en samlet akutindsats udenfor hospitalet.
De præhospitale opgaver er uddybet i baggrundskapitlet om sygehussektoren.
90
Foruden sundhedsopgaverne varetager regionerne bl.a. opgaver indenfor regional udvikling og drift af flere
institutioner for grupper med særlige behov indenfor social- og specialundervisningsområdet. Regionernes
øvrige opgaver uddybes i baggrundsrapporten.
91
Danske Regioner
Danske Regioner er politisk ledet af indirekte valgte medlemmer fra regionsrådene og repræsenterer de
fem regioner i mange sammenhænge. Det gælder bl.a. i forhandlinger med regeringen.
Danske Regioner er arbejdsgiverorganisation for regionerne og forhandler overenskomster og tilsvarende
på regionernes vegne. Løn- og ansættelsesvilkår for regionalt ansatte skal godkendes af Regionernes
Lønnings- og Takstnævn, hvor kommunerne og staten også er repræsenteret. Nævnet har desuden beføjelse
til at forhandle overenskomster for praksissektoren indenfor sundhedsområdet.
Danske Regioner har en vigtig rolle i forhold til at koordinere opfølgningen på aftaler med regeringen.
Det involverer især koordinering af regionernes overholdelse af de økonomiske rammer, som er givet fra
staten, bl.a. i økonomiaftalerne.
Kommunerne kort fortalt
I Danmark er der i alt 98 kommuner. Kommunerne har mellem 1.700 (Læsø Kommune) og 650.000
(Københavns Kommune) indbyggere med et gennemsnit på ca. 60.000 indbyggere pr. kommune. Befolk-
ningstallet varierer dermed betydeligt mellem kommunerne. Der bor 60.000 eller færre indbyggere i
75 pct. af kommunerne. Kommunerne varierer desuden i arealmæssig størrelse, befolkningstæthed,
demografi, socioøkonomi og sygdomsbillede.
89
90
91
Sundhedsdatastyrelsen, “Landspatientregisteret (DRG-grupperet) pr. 10. januar 2024 (for aktivitetsår 2022-2023) i takstsystem 2023”, 2024.
Sundhedsstrukturkommissionen, “Baggrundsrapport”, 2024.
Sundhedsstrukturkommissionen, “Baggrundsrapport”, 2024.
SUU, Alm.del - 2023-24 - Bilag 317: Orientering om Sundhedsstrukturkommissionens afrapportering, fra indenrigs- og sundhedsministeren
2880227_0158.png
158
1
2
3
4
Del 2 - Den nuværende organisering af sundhedsvæsenet
Det er faktorer, der på tværs af kommunerne giver forskellige vilkår og behov af betydning for opgave-
løsningen. Fx har tilgængeligheden af sundhedstilbud, forstået som geografisk nærhed af tilbud, mulighed
for døgndækning m.v., bedre vilkår i befolkningstætte kommuner og kommuner med mange indbyggere.
Kommuner med store geografiske afstande har fx andre vilkår for at levere effektive udkørende tilbud
og pleje i eget hjem sammenlignet med kommuner med korte afstande og stor befolkningstæthed.
Samtidig er sundhedspersonalet ikke jævnt fordelt mellem kommunerne. Der er mere end dobbelt så
mange sygeplejersker pr. 1.000 ældre borgere i de 10 kommuner med flest sygeplejersker sammenlignet
med de 10 kommuner med færrest sygeplejersker. Den kommunale variation er endnu mere markant i
forhold til antal social- og sundhedsassistenter.
92
Styreform
Kommunerne ledes af kommunalbestyrelser. Antallet af medlemmer i kommunalbestyrelserne varierer
på tværs af kommunerne, bl.a. som følge af forskelle i kommunestørrelse, og der er også variation i
kommunernes udvalgsstrukturer og forvaltningsstrukturer. Sundhedsområdet kan fx være organiseret
sammen med ældreområdet eller socialområdet eller være under ét selvstændigt politisk udvalg i
kommunen.
Langt de fleste kommuner har almindeligt udvalgsstyre, hvor udvalgene har den umiddelbare forvaltning
af de opgaver, de er tildelt. Det betyder bl.a., at de indenfor budgetrammen og i respekt for de rammer, som
kommunalbestyrelsen i øvrigt har sat, kan træffe løbende beslutninger indenfor udvalgets opgaveområde.
Økonomi og ansvarsområder
De kommunale opgaver, der er fastsat i sundhedsloven, udgør en mindre andel af kommunernes samlede
opgaveportefølje. Det fremgår af figur 7.7, hvor kommunerne benyttede 16 mia. kr. på sundhed i 2022,
hvilket svarer til 6 pct. af kommunernes samlede udgifter på 282 mia. kr. Kommunerne anvendte herudover
50 mia. kr. på ældreområdet (18 pct.), 53 mia. kr. på socialområdet (19 pct.), 63 mia. kr. på undervisnings-
området (22 pct.), 29 mia. kr. på dagtilbud til børn og unge (10 pct.), 44 mia. kr. på fællesudgifter og admini-
stration (16 pct.) og 27 mia. kr. på øvrige områder (10 pct.).
Kommunernes største indtægtskilde er skatter. Dertil kommer et bloktilskud fra staten, som fordeles
mellem landets kommuner efter indbyggertal. Det generelle kommunale udligningssystem indebærer,
at der sker en væsentlig økonomisk omfordeling af finansieringen mellem kommunerne. Det sker under
hensyntagen til både forskelle i beskatningsgrundlag og udgiftsbehov, bl.a. som følge af befolknings-
sammensætningen. Her tages der højde for kommunale forskelle i befolkningens alderssammensætning
og socioøkonomiske forhold, som har betydning for forskelle i kommunernes vilkår for opgaveløsningen.
Med strukturreformens ikrafttræden den 1. januar 2007 blev der indført en kommunal medfinansiering
af det regionale sundhedsvæsen (KMF). Ordningen er ændret flere gange for at skærpe og målrette
kommunernes incitamenter til forebyggelse. Kommunernes betalinger via ordningen er fastfrosset, og
ordningen har ikke den tilsigtede incitamentsskabende virkning. Kommunernes betalinger via kommunal
medfinansiering (KMF) udgør i 2024 ca. 25,1 mia. kr.
92
Indenrigs- og Boligministeriets Benchmarkingenhed, ”Kommunal sygepleje til ældre”, 2022.
SUU, Alm.del - 2023-24 - Bilag 317: Orientering om Sundhedsstrukturkommissionens afrapportering, fra indenrigs- og sundhedsministeren
2880227_0159.png
1
2
3
4
Del 2 - Den nuværende organisering af sundhedsvæsenet
159
Figur 7.7
Kommunernes samlede servicedriftsudgifter fordelt på områder, 2022 (mia. kr.)
27
16
50
44
29
53
63
Sundhed
Socialområdet
Dagtilbud til børn og unge
Øvrige
Ældre
Undervisning
Fællesudgifter og administration
Anm.: Udgifterne opgøres som de samlede servicedriftsudgifter (dranst 1) opgjort i pl­22 og er ekskl. aktivitetsbestemt medfinansiering.
Opgørelsen medtager ikke statsrefusioner (dranst 2), da det er opgavestørrelsen, som skal belyses. Sundhed opgøres som hovedkonto 4
Sundhedsområdet eksklusive 33,33 pct. af funktion 4.62.84 Genoptræning og vedligeholdelsestræning, hvilket omfatter genoptræning og
vedligeholdelsestræning efter serviceloven, men inklusive funktion 5.30.28 Hjemmesygepleje, funktion 5.38.44 Alkoholbehandling og behand-
lingshjem for personer med alkoholmisbrug og funktion 5.38.45 Behandling af personer med stofmisbrug. Det kommunale sundhedsområde
omfatter derved genoptræning og vedligeholdelsestræning efter sundhedsloven, vederlagsfri fysioterapi, kommunal tandpleje, borger- og
patientrettet forebyggelse, kommunal sundhedspleje, kommunal sygepleje og misbrugsområdet (inkl. den del af stofmisbrugsbehandlingen, der
gives under serviceloven, da dette ikke kan adskilles). Ældre opgøres som hovedfunktion 5.30 Tilbud til ældre eksklusive funktion 5.30.28
Hjemmesygepleje, som er under sundhedsloven, inklusive 33,33 pct. af funktion 4.62.84 Genoptræning og vedligeholdelsestræning, hvilket
omfatter genoptræning og vedligeholdelsestræning efter serviceloven, funktion 5.38.38 Personlig og praktisk hjælp og madservice til personer
med handicap m.v. omfattet af frit valg af leverandør samt rehabiliteringsforløb, hvilket omfatter personlig og praktisk hjælp og madservice samt
rehabilitering til personer under 67 år, og 78,79 pct. af funktion 5.38.41 Hjælpemidler, forbrugsgoder, boligindretning og befordringer til personer
med handicap, hvilket omfatter hjælpemidler til personer under 67 år. Det kommunale ældreområde omfatter derved personlig og praktisk hjælp
og madservice samt rehabilitering til personer over og under 67 år, plejehjem og plejeboliger m.v., genoptræning og vedligeholdelsestræning
under serviceloven, forebyggende hjemmebesøg, tilbud med aktiverende sigte, midlertidige pladser, afløsning og aflastning samt hjælpemidler
til personer over og under 67 år. Socialområdet opgøres som hovedkonto 5.38
Tilbud til voksne med særlige behov
og hovedkonto 5.28
Tilbud til
børn og unge med særlige behov
eksklusive funktion 5.38.38 Personlig og praktisk hjælp og madservice til personer med handicap m.v. omfattet af
frit valg af leverandør samt rehabiliteringsforløb, hvilket omfatter personlig og praktisk hjælp og madservice samt rehabilitering til personer
under 67 år, og 78,79 pct. af funktion 5.38.41 Hjælpemidler, forbrugsgoder, boligindretning og befordringer til personer med handicap, hvilket
omfatter hjælpemidler til personer under 67 år. Undervisning opgøres som hovedfunktion 3.22
Folkeskolen m.v.
og hovedfunktion 3.30
Ungdomsuddannelser.
Dagtilbud til børn og unge opgøres som hovedfunktion 5.25
Dagtilbud m.v. til børn og unge.
Fællesudgifter og administra-
tion opgøres som hovedkonto 6
Fællesudgifter og administration m.v.,
og omfatter bl.a. administrationsudgifter til visitation. Øvrige omfatter
hovedkonto 0
Byudvikling, bolig- og miljøforanstaltninger,
hovedkonto 2
Transport og infrastruktur
samt de resterende funktioner under
hovedkonto 3
Undervisning og kultur
og hovedkonto 5
Sociale opgaver og beskæftigelse.
Kilde: Statistikbanken, Danmarks statistik, REGK31.
KL, Kommunernes Landsforening
KL er en politisk ledet organisation, som alle landets kommuner er medlem af. Det er kommunernes
interesseorganisation og repræsenterer derfor også kommunerne i mange sammenhænge, bl.a. i
forhandlinger med regeringen.
KL’s bestyrelse har bemyndigelse til at forhandle for kommunerne som arbejdsgivere og dermed også til
at indgå overenskomster og lignende. Løn- og ansættelsesvilkår for kommunalt ansatte skal godkendes
af Kommunernes Lønningsnævn, hvor regionerne og staten også er repræsenteret. KL koordinerer
opfølgningen på aftaler med regeringen. Det gælder særligt i forhold til at koordinere overholdelsen af
de økonomiske rammer og lofter i aftalerne mellem staten og kommunerne under ét. Overholdelsen er
med budgetloven understøttet af sanktionsregler, som består af kollektive og individuelle modregninger
i bloktilskuddet.
SUU, Alm.del - 2023-24 - Bilag 317: Orientering om Sundhedsstrukturkommissionens afrapportering, fra indenrigs- og sundhedsministeren
2880227_0160.png
160
1
2
3
4
Del 2 - Den nuværende organisering af sundhedsvæsenet
Praksissektoren kort fortalt
Praksissektoren består af privatpraktiserende sundhedspersoner, som i hovedreglen virker efter overens-
komst med Regionernes Lønnings- og Takstnævn. Praksissektoren rummer vederlagsfrie eller tilskuds-
berettigede ydelser indenfor almen medicin, speciallægehjælp, tandlægehjælp, fysioterapi, fodterapi,
kiropraktik og psykologi.
Praksissektorens virke bliver indrammet af sundhedsloven, men organiseringen af sektoren er i høj
grad aftalebaseret. Regionernes Lønnings- og Takstnævn (RLTN) indgår aftale med de enkelte faglige
organisationer og behandlere om, hvilke sundhedsydelser de skal kunne levere til patienterne, hvilke
servicekrav der stilles, og hvilket honorar der kan opkræves.
Regionernes driftsudgifter til praksissektoren ses i figur 7.8, hvor det fremgår, at de almenmedicinske tilbud
er den største del af praksissektoren målt ud fra fordelingen af udgifter.
Figur 7.8
Regionernes driftsudgifter til praksissektoren fordelt på praksisområde (mia. kr.)
0,4
1,5
0,1
0,1
0,3
0,9
10,5
6,5
4,0
Almen lægehjælp
Tandlægebehandling
Fodterapeuter
Specialpraksis
Fysiurgisk behandling
Psykologbehandling
Tilskudsmedicin
Kiropraktor
Øvrig praksissektor
Anm.: Udgifterne opgøres som de samlede driftsudgifter (dranst 1) opgjort i pl-22. Opgørelsen medtager ikke statsrefusioner (dranst 2), da det er
opgavestørrelsen, som skal belyses. Almen lægehjælp omfatter funktion 1.20.10
Almen lægehjælp.
Speciallægepraksis omfatter funktion 1.20.11
Speciallægehjælp.
Tilskudsmedicin omfatter funktion 1.20.12
Medicin.
Tandlægebehandling omfatter funktion 1.20.13
Tandlægebehandling.
Fysiurgisk behandling omfatter funktion 1.20.14
Fysiurgisk behandling.
Kiropraktor omfatter funktion 1.20.15
Kiropraktor.
Psykologbehandling
omfatter funktion 1.20.19
Psykologbehandling.
Øvrig praksissektor omfatter de resterende udgifter på hovedfunktion 1.20
Sygesikring m.v.
Kilde: Regionernes regnskaber, 2022.
SUU, Alm.del - 2023-24 - Bilag 317: Orientering om Sundhedsstrukturkommissionens afrapportering, fra indenrigs- og sundhedsministeren
2880227_0161.png
1
2
3
4
Del 2 - Den nuværende organisering af sundhedsvæsenet
161
Almenmedicinske tilbud
Regionerne har ansvar for at tilvejebringe og sikre et gratis almenmedicinsk behandlingstilbud for
borgerne. I dag håndteres forpligtelsen som udgangspunkt ved at indgå en overenskomst med den faglige
organisation Praktiserende Lægers Organisation (PLO), som repræsenterer de alment praktiserende læger.
Det almenmedicinske tilbud er borgerens primære indgang til sundhedsvæsenet og varetager tre over-
ordnede funktioner: Behandler, ”gatekeeper” og tovholder.
I det almenmedicinske tilbud foretages vurdering, udredning og behandling af almenmedicinske problem-
stillinger. I mødet med patienten fungerer det almenmedicinske tilbud som ”gatekeeper”. Alment
praktiserende læger sender med andre ord patienten videre til yderligere behandling eller udredning i
det øvrige sundhedsvæsen, hvor det er relevant ud fra en lægefaglig vurdering. På denne måde bidrager det
almenmedicinske tilbud til at sikre en effektiv udnyttelse af sundhedsvæsenets ressourcer. Tovholderrollen
indebærer at sikre overblik og sammenhæng i patientens samlede sygdomsforløb på tværs af sektorer.
Overenskomst om almen praksis udgør den primære styring af almen praksis. Den gældende aftale fra 2022
indeholder en langsigtet udviklingsdel og en reguleringsdel, der omfatter overenskomstperioden 2022 til
2024. Udviklingsdelen beskriver de overordnede mål og visioner for de alment praktiserende læger som en
del af det sammenhængende sundhedsvæsen, mens reguleringsdelen indeholder de konkrete bestemmelser
i forhold til opgaver, pligter, ansvar og den tilhørende honorering.
Ydernummersystemet regulerer placering og kapaciteten i det almenmedicinske tilbud. En alment
praktiserende læge skal have et ydernummer for at kunne afregne honorarer med den offentlige syge-
sikring. De enkelte regioner fastlægger antallet af ydernumre og deres geografiske placering, bl.a. med
udgangspunkt i befolkningsgrundlaget og geografiske afstande. De alment praktiserende læger er i hoved-
reglen selvstændige erhvervsdrivende, som tilrettelægger deres egen virksomhed indenfor de rammer,
som gælder for området.
De regionale udgifter til det almenmedicinske område er ca. 10,5 mia. kr. årligt. Den gennemsnitlige
offentlige betaling pr. ydernummer er ca. 2,8 mio. kr. årligt, som bl.a. dækker personaleudgifter og aflønning
til den alment praktiserende læge. Den nuværende honorarstruktur er baseret på, at ca. 40 pct. af den
samlede økonomi til de almenmedicinske tilbud udgør et fast honorar, opgjort efter antal tilmeldte patien-
ter, og 60 pct. er aktivitetsbaseret honorar, fordelt på enkeltydelser.
Praktiserende speciallæger
De praktiserende speciallæger varetager opgaver på hovedfunktionsniveau. Der er stor variation geografisk
og på tværs af specialer i udbredelsen af praktiserende speciallæger. Det illustrerer, at arbejdsdelingen
mellem praksissektoren og sygehusene varierer både på tværs af specialer og indenfor specialer. I dag er
der omkring 900 lægekapaciteter i speciallægepraksis fordelt på 15 medicinske specialer, bl.a. praktise-
rende øjenlæger, øre-næse- og halslæger og gynækologer. Regionerne udsteder ydernumre, som giver
mulighed for at nedsætte sig i praksis. Området reguleres i vidt omfang af overenskomsten mellem
Foreningen af Speciallæger og Regionernes Lønnings­ og Takstnævn. I 2022 var de regionale udgifter
til speciallægehjælp på knap 4. mia. kr., og der var i alt ca. 5,3 mio. kontakter til praktiserende speciallæger,
fordelt på ca. 2 mio. borgere.
Områderne er regulerede i sektorspecifikke overenskomster mellem Regionernes Lønnings­ og Takstnævn
(RLTN) og den pågældende faglige organisation, dog med undtagelse af voksentandplejeområdet, som er
reguleret ved lov, og hvor der er indgået en politisk aftale om at udvikle en ny model for organiseringen
af området. I overenskomsterne fastlægges bl.a. krav til udbydere om kvalitet, ydelser og tilgængelighed.
Øvrige praksisområder
De øvrige praksisområder er i udgangspunktet kendetegnet ved, at en andel af udgiften dækkes ved bruger-
betaling og omfatter tandlæge og tandplejer, fysioterapi, fodterapi, kiropraktik og psykologi.
SUU, Alm.del - 2023-24 - Bilag 317: Orientering om Sundhedsstrukturkommissionens afrapportering, fra indenrigs- og sundhedsministeren
2880227_0162.png
162
1
2
3
4
Del 2 - Den nuværende organisering af sundhedsvæsenet
Koordination og samarbejde på tværs af sektorer
Der er etableret samarbejdsstrukturer, som har til formål at understøtte bedre samarbejde og koordination
mellem sundhedsvæsenets sektorer. Regioner, kommuner og de alment praktiserende læger er repræsen-
teret i sundhedsklyngerne. Indenfor hver sektor er der desuden en række tværregionale eller tvær-
kommunale samarbejder, selskaber og lignende, som bl.a. håndterer IT­udbud i kommunerne (KOMBIT)
og indkøb af sygehuslægemidler på vegne af regionerne (AMGROS).
I dag er sundhedssamarbejdsudvalgene og sundhedsklyngerne de centrale samarbejdsfora mellem regioner,
kommuner og almenmedicinske tilbud. Rammerne for sundhedsklyngesamarbejdet er fastsat i en
bekendtgørelse fra 2022, som beskriver formål, organisatorisk konstruktion, bemanding, formandskab,
sekretariatsbetjening og tilsvarende.
93
Sundhedsklynger
I 2022 trådte lovgivningen om etablering af sundhedsklynger i kraft. De 22 sundhedsklynger skal bidrage
til bedre sammenhæng i behandlings-, rehabiliterings-, forebyggelses- og plejetilbud og omfatter både
somatik og psykiatri. Klyngerne er ikke en myndighed og får ikke tildelt et budget fra national side. Nye
tværsektorielle indsatser prioriteres derfor indenfor kommunernes og regionernes budgetter. Sundheds-
klyngerne rummer to niveauer: Et politisk niveau og et fagligt-strategisk niveau. På begge niveauer er der
delt formandskab mellem kommuner og regioner. På det politiske niveau består formandskabet af regions-
rådsformanden og en borgmester valgt af kommunalbestyrelserne fra de deltagende kommuner. Det
politiske niveau mødes minimum to gange årligt, imens det fagligt-strategiske niveau mødes minimum
fire gange om året.
94
Klyngerne er organiseret omkring 21 akutsygehuse (der er to klynger omkring Aalborg Universitets­
hospital, Aalborg), og kommunerne repræsenteret i hver klynge svarer til optageområdet for sygehuset.
Der er en variation på mellem en og ti kommuner i hver klynge, og gennemsnittet er fire til fem kommuner
pr. sundhedsklynge.
En central opgave for hver sundhedsklynge er at implementere og komme med input til den sundhedsaftale,
som regionsrådet og kommunalbestyrelserne i regionen skal indgå ifølge sundhedsloven.
95
Arbejdet med
sundhedsaftaler har pågået siden 2007, og nu har sundhedsklyngerne fået til opgave at opstille selv­
stændige mål for arbejdet i hver klynge indenfor sundhedsaftalens rammer. Målene skal tage udgangspunkt
i de lokale udfordringer og behov, fx i forhold til særlige sammenhængsproblematikker eller lokale folke-
sundhedsmæssige udfordringer og sygdomsbyrder.
96
Sundhedssamarbejdsudvalg
Sammen med kommunalbestyrelserne i regionen nedsætter regionsrådet et sundhedssamarbejdsudvalg,
som koordinerer og sætter retning for arbejdet på tværs af sundhedsklyngerne i regionen. Formålet er
at understøtte ensartethed, høj kvalitet, sammenhængende patientforløb, udvikling og implementering
af tiltag på tværs af regionen. Desuden drøftes det almenmedicinske tilbuds rolle i samarbejdet mellem
almenmedicinske tilbud, regioner og kommuner.
Sundhedssamarbejdsudvalget skal udarbejde et udkast til regionens sundhedsaftale, bl.a. med afsæt i de
nationale mål for sundhedsområdet. Sundhedsaftalen skal opstille fælles, forpligtende målsætninger for
udviklingen af sundhedsområdet i regionen og for de områder og målgrupper, som sundhedssamarbejds-
udvalget beslutter at indgå aftale om. Herefter skal udvalget løbende følge op på målsætningerne til gavn
for borgerne. Det politiske niveau i klyngerne og patientinddragelsesudvalget deltager i arbejdet med
sundhedsaftalen, som udarbejdes hvert fjerde år i alle regioner.
97
93
94
95
96
97
Indenrigs- og Sundhedsministeriet, “Bekendtgørelse om sundhedsklynger, sundhedssamarbejdsudvalg, sundhedsaftaler og patientinddra-
gelsesudvalg”, BEK nr 1248 af 05/09/2022 (2022).
Implement Consulting Group, “Udfordringer og potentialer i samspillet mellem sektorer og for sammenhængende patientforløb”, 2024.
Indenrigs- og Sundhedsministeriet, “Bekendtgørelse af sundhedsloven”, LBK nr 247 af 12/03/2024 § 205 (2024).
Implement Consulting Group, “Udfordringer og potentialer i samspillet mellem sektorer og for sammenhængende patientforløb”, 2024.
Indenrigs- og Sundhedsministeriet, “Bekendtgørelse om sundhedsklynger, sundhedssamarbejdsudvalg, sundhedsaftaler og patient-
inddragelsesudvalg”, BEK nr 1248 af 05/09/2022 (2022).
SUU, Alm.del - 2023-24 - Bilag 317: Orientering om Sundhedsstrukturkommissionens afrapportering, fra indenrigs- og sundhedsministeren
2880227_0163.png
1
2
3
4
Del 2 - Den nuværende organisering af sundhedsvæsenet
163
Figur 7.9 viser et kort over sundhedsklynger og akutsygehuse i Danmark. Kortet viser også befolkningstal
i hver region og synliggør, at både antallet af klynger pr. region og antallet af kommuner pr. klynge varierer
på tværs af landet.
Figur 7.9
Kort med inddeling i kommuner, sundhedsklynger og regioner, inklusive geografisk placering
af akutsygehuse
0,6 mio.
indbyggere
1,4 mio.
indbyggere
1,9 mio.
indbyggere
0,9 mio.
indbyggere
1,2 mio.
indbyggere
Anm.: Ikonerne repræsenterer et akutsygehus. Antal indbyggere er på regionsniveau pr. 4. kvartal 2023.
Sygehuset markeret med blåt mærkat er Rigshospitalet, hvor der ikke er en akutmodtagelse, men et traumecenter.
Kilde: Danmarks Statistik: DST, FOLK1A.
Der er både nedsat regionale og landsdækkende samarbejdsudvalg indenfor de forskellige områder
af praksissektoren. Her bliver spørgsmål om bl.a. overenskomstfortolkning og klagesager behandlet.
Samarbejdsudvalgene er nedsat med udgangspunkt i overenskomsterne mellem Regionernes Lønnings­
og Takstnævn og de respektive faglige organisationer, fx Foreningen af Speciallæger eller Danske
Fysioterapeuter.
SUU, Alm.del - 2023-24 - Bilag 317: Orientering om Sundhedsstrukturkommissionens afrapportering, fra indenrigs- og sundhedsministeren
2880227_0164.png
164
1
2
3
4
Del 2 - Den nuværende organisering af sundhedsvæsenet
Samarbejdsudvalgene med praksissektoren bidrager til og følger op på praksisplanerne indenfor hvert
behandlerområde i hver region. Arbejdet med praksisplaner reguleres af planbestemmelser i overens­
komsterne. Planerne skal sætte en fælles ramme for kapacitet, kvalitetsudvikling, sammenhæng og
samarbejde indenfor hvert praksisområde. De udarbejdes én gang pr. valgperiode i regionerne.
Tværgående områder – kvalitet, digitalisering og data
Der er generelt fokus på kvalitet i det danske sundhedsvæsen. Der er derfor også mange initiativer, aktører
og interessenter, der arbejder for at bidrage til et lærende sundhedsvæsen, som leverer høj kvalitet.
Kvalitetsområdet
I dag bliver der arbejdet med en række forskellige initiativer, som skal være med til at løfte kvaliteten, fx otte
nationale mål, som monitoreres på et antal indikatorer, og Regionernes Kliniske Kvalitetsprogram (RKKP)
med 85 kliniske kvalitetsdatabaser, som måler kvaliteten i behandlingen af patienter på baggrund af fagligt
funderede indikatorer.
98
Sundhedsvæsenet er præget af en lang række kliniske retningslinjer, der bl.a. udarbejdes af Sundheds­
styrelsen, en række af de 125 lægevidenskabelige selskaber, som er medlem af LVS, og lokalt i regioner
og på sygehuse. De kliniske retningslinjer har til formål at bidrage til ensartet behandling, læring og
udbredelse af bedste praksis.
I det primære sundhedsvæsen omfatter kvalitetsinitiativer bl.a. Kvalitet i Almen Praksis (KiAP), som har
til formål at fremme og understøtte etableringen af klynger som omdrejningspunkt for kvalitetsudvikling
i almenmedicinske tilbud.
99
For de kommunale opgaver er der Kvalitet i kommunerne (KIK). Kvalitet i
kommunerne er en indsats, der tjener at understøtte kommunerne i aktivt at bruge data til kvalitets-
udvikling og styrke datakvaliteten på sundheds- og ældreområdet.
100
Digitaliserings­ og dataområdet
Et antal organisationer og fora arbejder med IT, digitalisering, data og andre teknologiske løsninger i
sundhedsvæsenet, både i de enkelte sektorer og fællesoffentligt.
Staten har ansvar for lovgivning og rammer for infrastruktur. Staten varetager desuden udvikling, for­
valtning og drift af flere tværgående løsninger, mens fællesoffentlige organisationer som MedCom og
sundhed.dk varetager en række andre fællesoffentlige løsninger. Regioner, kommuner og praksissektor
har ansvar for indkøb, implementering og drift af en række IT-systemer og teknologiske løsninger, bl.a. i
form af medicinsk udstyr og velfærdsteknologi. Kommunerne og regionerne udvikler og driver desuden
en række IT-løsninger i fællesskab.
Udgangspunktet for samarbejdet mellem stat, regioner og kommuner om digitalisering er Strategi for
digital sundhed 2018­2024, Den Fællesoffentlige Digitaliseringsstrategi 2022­2025 og årlige økonomi­
aftaler.
101,102
De igangsatte projekter og den øvrige udvikling indenfor området er forankret i den nationale
bestyrelse for digitalisering og data på sundheds- og ældreområdet.
Der er en række andre beslutningsfora på forskellige niveauer og i de enkelte programmer og projekter
på digitaliserings­ og dataområdet. Sundhed.dk følger ikke samme styringsmodel, selvom det er et fælles­
offentligt samarbejde. I stedet er der en politisk bestyrelse og en porteføljestyregruppe med deltagelse af
parterne.
98
99
Regionernes Kliniske Kvalitetsudviklingsprogram (RKKP), “Vi skaber viden til et bedre sundhedsvæsen”, RKKP, u.å.
Kvalitet i Almen Praksis (KiAP), “Om KiAP”, KiAP, u.å.
100 KL, “Kvalitet i kommunerne - KIK”, KL, u.å.
101 Regeringen, KL, og Danske Regioner, “Ét sikkert og sammenhængende sundhedsnetværk for alle ­ Strategi for digital sundhed 2018­2022”,
2018.
102 Regeringen, KL, og Danske Regioner, “Digitalisering, der løfter samfundet ­ Den fællesoffentlige digitaliseringsstrategi 2022­2025”, 2022.
SUU, Alm.del - 2023-24 - Bilag 317: Orientering om Sundhedsstrukturkommissionens afrapportering, fra indenrigs- og sundhedsministeren
2880227_0165.png
1
2
3
4
Del 2 - Den nuværende organisering af sundhedsvæsenet
165
Indenfor digitaliseringsområdet er der fastsat et fælles finansieringsprincip om, at de, som får gevinsten,
bærer udgiften. Der er imidlertid udviklet en praksis for, at staten finansierer udvikling og afprøvning af
nationale løsninger, mens implementering og drift af lokale systemer finansieres lokalt. Udgifter til inte­
gration af lokale systemer op imod fælles systemer afholdes som udgangspunkt lokalt, men staten giver
i nogle tilfælde tilskud, hvis der er tale om et politisk initieret projekt. Driften af en række af de fælles
løsninger, fx sundhed.dk og Fælles Medicinkort, finansieres i fællesskab parterne imellem ud fra en række
aftalte fordelingsnøgler. Der har længe været enighed om behovet for at revidere finansieringsmodellen,
og der er derfor nu indgået en aftale med regioner og kommuner om at revidere modellen.
Gennem bekendtgørelser fastsætter staten krav til indberetning af data til nationale registre og til deling
i den fælles infrastruktur. Dog anvendes lovhjemlen til at fastsætte krav til standarder og IT-anvendelse
imidlertid sjældent. Der er derimod tradition for, at bekendtgørelser bliver suppleret med en aftalebaseret
tilgang til den fælles IT-udvikling, bl.a. fordi der typisk vil være behov for forhandling om håndtering af
udgifter og gevinster forbundet med nye digitale løsninger.
Sammenligning med andre lande
I det følgende sammenlignes organiseringen af sundhedsvæsenet i Danmark med udvalgte, sammen-
lignelige lande. Sammenligningen af bl.a. økonomi og organisering er baseret på en rapport, udarbejdet
af Boston Consulting Group. Det danske sundhedsvæsen sammenlignes med sundhedsvæsenerne i Norge,
Sverige, Finland, Nederlandene og England.
Sammenligningen viser, at Danmark, Norge og Sverige har forvaltningsstrukturer med flere forvaltningsled
end Finland og England. England og Finland har gennemført reformer med ønsket om at sikre sammen-
hæng, effektivitet og lige adgang for borgerne. Nederlandene afviger betydeligt i forvaltningsstrukturen
ved at have et sundhedsvæsen, hvor finansieringsansvaret er delt mellem det offentlige og obligatoriske
forsikringer. Analysen viser dog ikke, om reformerne har opfyldt formålet. I resten af kapitlet sammenlignes
økonomi, organiseringen af det primære sundhedsvæsen, psykiatriområdet og forvaltningsstrukturer
indenfor sundhedsvæsenet på tværs af landene.
Sundhedsvæsenets økonomi i udvalgte lande
Sundhedsvæsenet er hovedsageligt offentligt finansieret i de lande, der er udvalgt til sammenligning, jf. figur
7.10. Sygehuse og almenmedicinske tilbud finansieres typisk ved en kombination af rammebudgetter eller
basishonorar og aktivitetsbaseret honorering. Som en mindre andel af den samlede finansiering indgår der
også resultatbaseret honorering i nogle af landene. Ældreplejen og det specialiserede voksenområde er også
fortrinsvis offentligt finansieret. Her anvendes typisk takstfinansiering af døgntilbud og timebetaling for
indsatser i borgerens hjem.
103
Alle fem lande har elementer af brugerbetaling for primære sundhedsydelser, men i varierende grad. Fx
er 21 pct. af de finske sundhedsudgifter i 2022 finansieret gennem brugerbetalinger, og her indgår bruger­
betaling for langt de fleste sundhedsydelser. I Sverige og Norge udgør andelen 14 pct. Danmark ligger også
i den lave ende med en brugerbetaling på 15 pct. af de samlede sundhedsudgifter i 2022.
104
103 Boston Consulting Group, “Sundhedsvæsenets organisering i udvalgte lande”, 2023.
104 OECD, “Health expenditure and financing”, OECD.Stat, 2024.
SUU, Alm.del - 2023-24 - Bilag 317: Orientering om Sundhedsstrukturkommissionens afrapportering, fra indenrigs- og sundhedsministeren
2880227_0166.png
166
1
2
3
4
Del 2 - Den nuværende organisering af sundhedsvæsenet
Figur 7.10
Fordeling af finansieringskilder til sundhedsvæsenet
Pct.
100
90
80
70
60
50
40
30
20
10
0
Danmark
Storbritannien
Finland
Nederlandene
Norge
Sverige
85
83
79
85
86
86
15
17
21
15
14
14
100
90
80
70
60
50
40
30
20
10
0
Pct.
Brugerbetaling inkl. Frivillige sundhedsforsikringsordninger
Offentlige sundhedsordninger
Anm.: Tal for Storbritannien er brugt som proxy for England.
Kilde: BCG, 2023, Sundhedsvæsenets organisering mv. i udvalgte lande.
Samtlige af de udvalgte lande har oplevet stigende sundhedsudgifter siden 2010, men i varierende grad.
Danmark har haft den laveste gennemsnitlige stigning med 2,0 pct. årligt, mens de svenske udgifter er
steget med 4,4 pct. årligt.
Sundhedsudgifter målt pr. borger varierer med 43 pct. på tværs af landene. Norge har det højeste udgifts­
niveau med 34.000 kroner pr. borger, mens Finland har de laveste udgifter pr. borger med 24.000 kroner.
Danmark ligger i midten med sundhedsudgifter på 29.500 kroner pr. borger.
Udgifter til sygehusaktivitet (indlæggelser og ambulant behandling) udgør 30­47 pct. af de totale sundheds-
udgifter på tværs af landene. Andelen er størst i Danmark, hvor sygehusaktiviteter udgør 47 pct. af de
totale sundhedsudgifter, mens Nederlandenes sygehusaktivitet er den relativt laveste med blot 30 pct. af
de samlede udgifter.
105
Figur 7.11 og 7.12 viser udgifter til henholdsvis sygehusbehandling og almenmedicinske tilbud ud af de
samlede sundhedsudgifter i hvert land.
105 Boston Consulting Group, “Sundhedsvæsenets organisering i udvalgte lande”, 2023.
SUU, Alm.del - 2023-24 - Bilag 317: Orientering om Sundhedsstrukturkommissionens afrapportering, fra indenrigs- og sundhedsministeren
2880227_0167.png
1
2
3
4
Del 2 - Den nuværende organisering af sundhedsvæsenet
167
Figur 7.11
Udgifter til sygehusaktiviteter (både indlæggelser og ambulant behandling) ud af de samlede
sundhedsudgifter
Pct.
100
80
60
40
20
0
47
38
34
33
Sverige
36
Pct.
100
80
61
69
67
67
63
60
40
20
0
54
30
Nederlandene
Danmark
Finland
Sygehuse
Norge
Ikke-sygehuse
England
Anm: På grund af afrundinger summer tallene ikke til 100. Fordelingen tager afsæt i OECDs Health Care Functions. Hvor en yderligere segmente-
ring er gjort ved hjælp af OECDs Heath Care Providers er det anført nedenfor; Sygehuse er afgrænset til: “Current expenditures on health,
inpatient curative and rehabilitative care, all providers”, “Outpatient curative and rehabilitative care, hospitals”; Ikke-sygehuse er afgrænset til:
“Current expenditures on health, outpatient curative and rehabilitative care, providers of ambulatory health care”, “Residential long­term care
facilities”, og inkluderer bl.a. “medical goods”, “preventive care” og “anciallary services”; Alle tal er købekraftsjusteret og omregnet med valutakurs
1,0 EUR = 7,45 DKK. Tal for Storbritannien er brugt som proxy for England. Sammenlignes med en OECD ”hospitals” provider­opgørelse
undervurderer den anvendte metode sygehusforbruget i bl.a. Norge, Sverige og England, da de præhospitale udgifter fra indlæggelser og
ambulante besøg i højere grad indgår som sygehusudgifter i de danske opgørelser. Uanset opgørelsesmetode er andelen af udgifter, der bruges
på sygehuse, størst i Danmark.
Kilde: BCG, 2023, Sundhedsvæsenets organisering mv. i udvalgte lande.
SUU, Alm.del - 2023-24 - Bilag 317: Orientering om Sundhedsstrukturkommissionens afrapportering, fra indenrigs- og sundhedsministeren
2880227_0168.png
168
1
2
3
4
Del 2 - Den nuværende organisering af sundhedsvæsenet
Figur 7.12
Udgifter til almenmedicinske tilbud ud af de samlede sundhedsudgifter
Pct.
100
90
80
70
60
50
40
30
20
10
0
14
Danmark
13
Norge
14
Sverige
86
87
86
Pct.
100
90
80
70
60
50
40
30
20
10
0
88
12
England
Øvrige sundhedsudgifter
Udgifter til almenmedicinske tilbud
Anm.: Storbritannien er brugt som proxy for England
Kilde: Boston Consulting Group. 2023. Sundhedsvæsenets organisering mv. i udvalgte lande
Det primære sundhedsvæsen i udvalgte lande
Flere af de fem lande har i organiseringen af sundhedsvæsenet særligt fokus på at styrke det tværsektorielle
samarbejde og sikre effektive og sammenhængende forløb for patienterne. Sverige og Finland anvender fx
lokale sundhedscentre til at skabe lettere adgang til både det almenmedicinske tilbud og andre sundheds-
professionelle.
106
I Danmark udgøres langt hovedparten af de almenmedicinske tilbud af klinikker, hvor lægerne er selv-
stændigt erhvervsdrivende. I 2023 var det ca. 95 pct. af alle klinikker, som virker efter overenskomsten
mellem Praktiserende Lægers Organisation og Regionernes Lønnings og Takstnævn. I både Norge og
England er de fleste almenmedicinske tilbud også organiseret med mindre enheder drevet af selvstændigt
erhvervsdrivende læger, men typisk i større enheder end i Danmark. I Sverige er det almenmedicinske
tilbud regionalt drevet, og hovedparten af lægerne er derfor regionalt ansatte. Den typiske enhedsstørrelse
i Sverige er markant større end i Danmark, og der ansættes mere ikke­lægeligt personale.
107,108
Ligesom i Danmark finansieres almenmedicinske tilbud i Norge, Sverige og England med en blanding af
forskellige afregningsformer. Blandingsmodellen har til hensigt at understøtte en balance i incitamenterne
ved de forskellige afregningsformer. Basishonorering og fast løn giver økonomisk incitament til at minimere
106 Boston Consulting Group, “Sundhedsvæsenets organisering i udvalgte lande”, 2023.
107 Bolette Friderichsen, Magnus Isacson, og Marte Kvittum Tangen, “Almen praksis - Hvad kan Danmark lære af Norge og Sverige?”, u.å.
108 Jake Beech og Beccy Baird, “GP Funding And Contracts Explained”, The King’s Fund, 2020.
SUU, Alm.del - 2023-24 - Bilag 317: Orientering om Sundhedsstrukturkommissionens afrapportering, fra indenrigs- og sundhedsministeren
2880227_0169.png
1
2
3
4
Del 2 - Den nuværende organisering af sundhedsvæsenet
169
omkostningerne og til at påtage sig et ansvar for klinikkens patientpopulation i form af økonomisk rentable
forebyggelsesinitiativer. Incitamentet beror især på, at der foreligger motivation til at tænke langsigtet for
at forbedre borgerens sundhedstilstand og forebygge sygdom hos borgere tilknyttet lægeklinikken. Ydelses-
og resultathonorering giver derimod i udgangspunktet et incitament til at øge behandlingsaktiviteten og
kvaliteten. Der er betydelige forskelle på tværs af landene i sammensætningen. I Norge og Danmark er
almenmedicinske tilbud primært ydelseshonoreret, mens basishonorering udgør den største del af det
almenmedicinske tilbuds omsætning i England og Sverige.
Ejerskabsforholdene for de almenmedicinske tilbud er forskellige på tværs af landene. Det kan have
betydning for, om lægerne har et direkte økonomisk incitament til at agere på baggrund af honoreringen.
I Danmark, Norge og England er læger primært ejere af praksis, mens lægerne i Sverige primært er fast­
lønnede ansatte.
109
I Danmark, Sverige og Finland er ansvaret for almenmedicinske ydelser placeret hos regionerne, mens det
i Norge er kommunerne, der har ansvaret. Nederlandenes model skiller sig ud, da det almenmedicinske
tilbud varetages af private forsikringsselskaber. Figur 7.13 viser antal læger i det almenmedicinske tilbud
pr. indbyggere i forskellige lande.
Figur 7.13
Alment praktiserende læger pr. 1.000 indbyggere, 2020
Læger pr. 1.000 indbyggere
6
5
4
3
2
1
0
0,8
0,6
1,0
0,8
3,0
5,1
4,4
4,3
Læger pr. 1.000 indbyggere
6
5
4
3
2
1
0
Danmark
Læger
Sverige
Alment praktiserende læger
Norge
England
Anm.: Storbritannien er brugt som proxy for England.
Kilde: OECD Health Statistics
109 Honorarstrukturrådet, “Forenkling og faglighed med fokus på patienten”, 2023.
SUU, Alm.del - 2023-24 - Bilag 317: Orientering om Sundhedsstrukturkommissionens afrapportering, fra indenrigs- og sundhedsministeren
2880227_0170.png
170
1
2
3
4
Del 2 - Den nuværende organisering af sundhedsvæsenet
Psykiatrien i udvalgte lande
Udfordringer med at skabe sammenhængende forløb og koordination for borgere med psykiske lidelser
er genkendelige i flere lande. Et eksempel på sammenhængsudfordringer i psykiatrien ses bl.a. i Neder­
landene, hvor behandlingspsykiatrien finansieres af forsikringsselskaberne, mens kommuner tilbyder
ydelser i det primære sundhedsvæsen til personer med psykiske lidelser.
Flere af de øvrige lande har indført reformer, der har til hensigt at sikre mere lige adgang og mere koordi-
nerede og integrerede indsatser, bl.a. indenfor det psykiatriske område. Både England og Finland har
oprettet integrerede enheder, der samler ansvaret for opgaverne i det primære og sekundære sundheds-
væsen for at understøtte sammenhængende forløb i psykiatrien. I Norge er behandlingspsykiatrien en
integreret del af sygehusene organisatorisk og ledelsesmæssigt. Denne organisering blev indført systema-
tisk, da staten overtog ejerskabet af det specialiserede sundhedsvæsen i 2022, men integrationen på
sygehusene var mange steder gennemført væsentligt tidligere. Integrationen bygger på en erkendelse af, at
flere og flere patienter har behov for både somatiske og psykiatriske tilbud, hvor udredning og behandling
sker parallelt og kræver samarbejde.
Desuden er der skabt et øget samarbejde mellem kommuner og sygehuse gennem ”Helsefellesskaper”, som
samler repræsentanter fra det primære og det sekundære sundhedsvæsen med fokus på planlægning og
udvikling af tilbud for mennesker med behov for hjælp fra både det primære og sekundære sundhedsvæsen.
Samarbejdet omhandler både psykiatrisk og somatisk sygdom. Særligt for psykiatrien er, at der er
”Distriktspsykiatriske sentre”, som er decentrale tilbud med både sengepladser og ambulatorier tættere på,
hvor borgerne bor, samtidig med at centrene organisatorisk er en del af det specialiserede tilbud.
110
Forvaltningsstrukturer i Danmark, Norge og Finland
Danmark og Norge har sammenlignelige forvaltningsstrukturer indenfor sundhedsvæsenet, men rummer
dog enkelte forskelle. Finland skiller sig derimod ud ved for nyligt at have samlet sundhedsopgaverne
på regionalt niveau. Hvordan de ligner og adskiller sig fra hinanden vil blive gennemgået i det følgende.
Norge
Norge har tre forvaltningsled, men modsat Danmark har kommunerne ansvar for almenmedicinske tilbud.
På nationalt niveau er Helse- og omsorgsdepartementet ansvarlig for mål, regulering og kontrol af
sundhedsområdet. Staten er også ansvarlig for sekundære sundhedsydelser, som er organiseret i fire
”regionale helseforetak”. De regionale helseforetak driver sygehuse og andre sekundære sundhedsydelser,
der er organiseret som ”lokale helseforetak” herunder. De regionale helseforetak er uafhængige enheder,
som består af et eller flere sygehuse med fælles administration og drift. Privatpraktiserende speciallæger
kan indgå i kontrakter med helseforetak, som derfor også leverer nogle primære sundhedsydelser. På lokalt
niveau er kommuner ansvarlige for de fleste primære sundhedsydelser, bl.a. almenmedicinske tilbud,
ældrepleje og det specialiserede voksenområde.
111
Finland
Finland har for nyligt samlet sundhedsydelser og sociale ydelser og tilbud på regionalt niveau. Dermed
er der nu på sundhedsområdet to forvaltningsled i Finland, fordelt på et regionalt og et nationalt niveau.
På nationalt niveau er Social­ og Sundhedsministeriet ansvarlig for mål, regulering og kontrol med
sundhedsområdet, herunder velfærdsserviceregionerne. De 22 nye velfærdsserviceregioner i Finland er
selvstyrende og varetager både primære og sekundære sundhedsydelser i deres givne områder, herunder
sygehuse, almenmedicinske tilbud og øvrige primære sundhedsydelser, fx misbrugsbehandling. Regionerne
er organiseret i fem samarbejdende områder, der koordinerer højtspecialiserede ydelser i området. Der er
110 Boston Consulting Group, “Sundhedsvæsenets organisering i udvalgte lande”, 2023.
111 Boston Consulting Group, “Sundhedsvæsenets organisering i udvalgte lande”, 2023.
SUU, Alm.del - 2023-24 - Bilag 317: Orientering om Sundhedsstrukturkommissionens afrapportering, fra indenrigs- og sundhedsministeren
2880227_0171.png
1
2
3
4
Del 2 - Den nuværende organisering af sundhedsvæsenet
171
en særlig ordning for højt specialiserede ydelser på universitetshospitalet HUS, hvor behandlingen er
nationalt centraliseret for mange sjældne og alvorlige sygdomme. Den offentlige sektor er den primære
leverandør af ydelser, men suppleres med ydelser fra private aktører.
112
Casen herunder beskriver Finlands seneste sundhedsreform, hvor opgaver blev samlet på færre enheder
i en mindre fragmenteret struktur end hidtil.
113
112 Boston Consulting Group, “Sundhedsvæsenets organisering i udvalgte lande”, 2023.
113 Boston Consulting Group, “Sundhedsvæsenets organisering i udvalgte lande”, 2023.
SUU, Alm.del - 2023-24 - Bilag 317: Orientering om Sundhedsstrukturkommissionens afrapportering, fra indenrigs- og sundhedsministeren
2880227_0172.png
172
1
2
3
4
Del 2 - Den nuværende organisering af sundhedsvæsenet
Finlands “Sote-uudistis” reform (2023)
Formål
Med Sote-uudistus reformen blev sundhedsvæsenet i Finland restruktureret pr. 1 januar 2023. Ansvaret for
organisering af offentlige sundhedsydelser og sociale tilbud og ydelser, bl.a. redningstjenester, blev herefter
overført fra kommunerne til større velfærdsserviceregioner (Hyvinvointialueet). Formålet var at reducere
ulighed i sundhedsvæsenet, forbedre adgang til ydelser (særligt primære) og undgå yderligere udgifts-
stigninger.
Beskrivelse
Det finske sundhedsvæsen har historisk set været præget af en fragmenteret struktur, hvor over 300
kommuner har været ansvarlige for organisering af primærsektorydelser og specialiseret behandling.
De små kommuner har dog haft begrænset kapacitet, som har bidraget til stigende ulighed og manglende
koordinering.
Reformen har medført etablering af 21+1 velfærdsserviceregioner. ”+1” repræsenterer Helsinki, som er
ansvarlig for sundhedsydelser i hovedstadsområdet. De nye regioner er ansvarlige for organisering af alle
offentlige sundhedsydelser i primær­ og sekundærsektoren, bl.a. sygehuse, pleje og redningstjenester. Hver
region tilhører et af fem ”samarbejdende områder”, som hver har ét universitetshospital. Områderne er ikke
juridiske enheder, men et samarbejde, hvor regionerne i området koordinerer højtspecialiserede ydelser.
Kommunerne er fortsat ansvarlige for enkelte ydelser relateret til befolkningssundhed, fx sundhedsfremme.
Velfærdsserviceregioner er selvstyrende, lokale myndigheder og har hver et valgt råd, som er ansvarlig
for regionens aktiviteter og økonomi. Den centrale regering fastsætter den overordnede strategiske retning
og finansiering til regionerne, men regionerne fastsætter selv, hvordan budgetterne fordeles.
Resultater og læring
Reformen er først implementeret i 2023, og det er derfor for tidligt at konkludere på resultaterne. Det
forventes, at den nye struktur vil give mere sammenhængende indsatser, og de større enheder kan give
en mere ensartet allokering af ressourcer. Der har dog allerede været drøftelser om, hvorvidt de 22 nye
velfærdsserviceregioner er for små i forhold til at have kritisk masse og robusthed.
Kilde: Boston Consulting Group, ”Sundhedsvæsenets organisering i udvalgte lande”, 2023.
CASE
SUU, Alm.del - 2023-24 - Bilag 317: Orientering om Sundhedsstrukturkommissionens afrapportering, fra indenrigs- og sundhedsministeren
2880227_0173.png
1
2
3
4
Del 2 - Den nuværende organisering af sundhedsvæsenet
173
Kapitel 8: Svagheder ved
den nuværende organisering
af sundhedsvæsenet
Det danske sundhedsvæsen har en række væsentlige styrker, som er værd at værne om. Med et overvejende
offentligt finansieret sundhedsvæsen er borgerne sikret let og lige adgang til sundhedstilbud. Sundheds-
ydelserne er generelt af høj kvalitet, og der er høj tilgængelighed sammenlignet med andre lande.
114
Der-
udover leveres sundhedsydelserne af et veluddannet sundhedspersonale med stærke faglige og profes-
sionelle normer.
Sygehusstrukturen har over de senere år gennemgået en nødvendig tilpasning. Samling af behandlinger
på færre sygehusmatrikler har været med til at sikre en højere kvalitet i sygehusbehandlingen, og flere
patienter overlever i dag en kræft- eller hjertesygdom sammenlignet med tidligere. Mange behandlinger er
blevet omlagt fra indlæggelser til ambulante behandlinger, og samtidig er antallet af sengepladser reduceret
på sygehusene. På trods af den seneste tids udfordringer med ventetider til behandling har ventetiden på
sygehusene generelt været faldende over en lang årrække.
115
Kommunerne har siden strukturreformen i 2007 fået en markant større rolle på sundhedsområdet. Den
kommunale indsats på sundhedsområdet er blevet væsentligt udbygget, bl.a. indenfor genoptrænings-
området. I praksissektoren er det almenmedicinske tilbud til stede i hele landet, og langt størstedelen af
befolkningen er tilknyttet en alment praktiserende læge, som virker efter overenskomst. Der er generelt
høj tilfredshed hos borgerne med det almenmedicinske tilbud, der også varetager en central rolle som
”gatekeeper” for indsatser i det sekundære sundhedsvæsen.
Det danske sundhedsvæsen er blandt de mest digitaliserede sundhedsvæsener i verden.
116
Der er fx
elektroniske patientjournaler på sygehusene, mulighed for at sende digitale beskeder mellem sektorer
og en række forskellige digitale kanaler til borgernes kontakt til sundhedsvæsenet.
Set over tid og i international sammenligning står det danske sundhedsvæsen grundlæggende stærkt. Men
ligesom en række andre vestlige lande, står det danske sundhedsvæsen overfor betydelige udfordringer
nu og i årene fremover, bl.a. mangel på personale. Samtidig har befolkningens sundhedstilstand forbedret
sig i et langsommere tempo i Danmark end i andre europæiske lande, og der er fortsat koordinations- og
sammenhængsproblematikker, som skal adresseres. I dag er fokus i højere grad på behandling af sygdom
end sundhedsfremme og forebyggelse af sygdom.
117
De tre væsentligste udfordringer fremhævet i første rapportdel er usammenhængende patientforløb,
ubalancen mellem det primære og det sekundære sundhedsvæsen og geografisk og social ulighed i sundhed
(se kapitel 4). Udfordringerne kræver tilpasninger og forandringer af den måde, sundhedsvæsenet er styret
og organiseret på. I dette kapitel kobles de tre udfordringer sammen med en vurdering af svaghederne ved
den nuværende organisering. Vurderingen foretages med fokus på:
1. Opgave- og ansvarsfordeling i sundhedsvæsenet
2. Regulering og styring af sundhedsvæsenet
3. Organisering og styring af arbejdet med digitalisering og data i sundhedsvæsenet
114 OECD, “OECD Health at a Glance 2023 Country Note, Denmark”, 2023.
115 Sundhedsstrukturkommissionen, “Baggrundsrapport”, 2024.
116 Iben Mundbjerg Gjødsbø m.fl., “Digitalisering i det danske sundhedsvæsen”,
Samfundsøkonomen,
nr. 1 (2021): 26–38.
117 Birk m.fl., “Denmark: Health system review”,
Health Systems in Transition
26, nr. 1 (2024): i–152.
SUU, Alm.del - 2023-24 - Bilag 317: Orientering om Sundhedsstrukturkommissionens afrapportering, fra indenrigs- og sundhedsministeren
2880227_0174.png
174
1
2
3
4
Del 2 - Den nuværende organisering af sundhedsvæsenet
De udfordringer, som det danske sundhedsvæsen står overfor nu og i fremtiden, kan ikke alene håndteres
med nye styringstiltag og organisatoriske forandringer, men de tilpasninger og reformer, som er gennemført
over tid, er
også
en af grundene til, at det danske sundhedsvæsen står relativt stærkt i international
sammenligning i dag (se kapitel 3).
Opgave- og ansvarsfordeling i sundhedsvæsenet
Opgaverne i sundhedsvæsenet bliver løst af en række forskellige myndigheder og leverandører, hvoraf de
vigtigste er regioner, kommuner og praksissektoren (se kapitel 7). I det følgende belyses nogle af de nega-
tive konsekvenser, som opgave- og ansvarsfordelingen har for sammenhængen i patientforløb, udviklingen
af det primære sundhedsvæsen og den faglige bæredygtighed i opgaveløsningen for nogle af de kommunale
sundhedsopgaver.
Sektoropdeling og specialisering gør det sværere at sikre sammenhæng i patientforløb
Eksterne snitflader mellem myndigheder udgør en strukturel barriere for at prioritere på tværs af patient-
forløb. Interne snitflader, fx på et sygehus, er lettere at overkomme, da opgaveansvaret er samlet hos den
øverste ledelse. Særligt eksterne snitflader medfører derfor behov for en stærk organisering af samarbejde
og koordination på tværs af myndigheder i sundhedsvæsenet, så der kan træffes tværgående beslutninger,
der understøtter bedre patientforløb (se kapitel 6).
I dag er der udfordringer med sammenhængende patientforløb på tværs af sektoropdelingen. Det kommer
bl.a. til udtryk i den landsdækkende undersøgelse af patienttilfredsheden (LUP), hvor patienter bliver bedt
om at forholde sig til, om den behandlingsansvarlige sygehusafdeling og kommunen med ansvar for pleje
samarbejder om udskrivelsen. Både i 2020 og 2021 svarer ca. en femtedel af patienterne, at sektorerne
”Slet ikke” eller ”I ringe grad” samarbejder om udskrivelse.
118
Borgernes oplevelse af usammenhængende patientforløb kan skyldes flere forskellige strukturelle forhold.
Sektoropdelingen kan udfordre sammenhæng og overblik over patientforløb, men der kan også være
problemer med sammenhæng på tværs af specialer, fx internt på et sygehus. Manglende koordinering
mellem behandlere og mellem undersøgelse, medicin og behandling er også en udfordring, som kan opstå
internt på et sygehus. Kontinuitet er vigtigt for patienterne, og organiseringen omkring patientens forløb
har betydning for sundhedspersonalets kendskab til vigtige faktorer, såsom patientens sygdomshistorie og
sociale situation. En analyse af borgernes oplevelse af mødet med sundhedsvæsenet peger på potentialer
for bedre tilgængelighed og tydeligere ansvarsplacering. Et overskueligt og lettilgængeligt sundhedsvæsen
kræver, set fra et borgerperspektiv, at det skal være nemt at få et samlet overblik over eget forløb, både i det
primære og det sekundære sundhedsvæsen. Det skal være tydeligt, hvem der har ansvar for behandlingen,
og der skal sikres kommunikation og dataudveksling på tværs af sektorerne.
119
Det er ledere og medarbejderes opgave lokalt at sikre gode overgange og samarbejde mellem de mange
aktører, der kan være involveret i patientforløb, men der skal være de rette strukturelle rammer for, at det
kan lykkes. Når forløb strækker sig over flere organisatoriske enheder og sektorgrænser, kræver det øget
koordinering og samarbejde. For ledere og medarbejdere i sundhedsvæsenet kommer de strukturelle
udfordringer til udtryk ved komplekse samarbejdsrelationer, fx på tværs af myndigheder med forskellige
faglige og politiske mål, egne særskilte ressourcer og forskellige faglige og økonomiske incitamentsstruk-
turer. Uklare aftaler om arbejdsgange og opgavefordeling er en barriere for medarbejderne for at skabe
gode og sammenhængende patientforløb. Det samme er forskellige standarder for behandlingsniveau på
tværs af sektorer, fx forskellige forståelser af, hvornår en patient kræver behandling på et sygehus.
120
118 Den Landsdækkende Undersøgelse af Patientoplevelser, ”LUP Somatik”, 2020 og 2021.
119 Alexandra Brandt Ryborg Jønsson, “Borgere og pårørendes oplevelse af mødet med sundhedsvæsenet: udfordringer samt ønsker til
forandringer”, 2024.
120 VIVE og Marie Henriette Madsen,
Sammenhæng ifølge sundhedspersonale – En litteraturbaseret oversigt over udfordringer og erfaringer med
sikre sammenhængende forløb i sundhedsvæsenet
(VIVE - Det nationale Forsknings- og Analysecenter for Velfærd, 2024.
SUU, Alm.del - 2023-24 - Bilag 317: Orientering om Sundhedsstrukturkommissionens afrapportering, fra indenrigs- og sundhedsministeren
2880227_0175.png
1
2
3
4
Del 2 - Den nuværende organisering af sundhedsvæsenet
175
Organiseringen i dag medvirker til, at nogle patientgrupper har mere komplicerede og fragmenterede
patientforløb end andre. Det nuværende sundhedsvæsen mangler både strukturer og kompetencer for at
kunne give den bedste behandling for patienter med multisygdom, patienter med samtidig psykisk og fysisk
sygdom og ældre medicinske patienter. Udfordringen understreges af, at mange patienter i de tre nævnte
patientgrupper ikke har tilstrækkelige sundhedskompetencer til at håndtere komplicerede forløb.
121
En undersøgelse af social ulighed i sundhed påpeger, at sammenhængsproblemerne også vedrører interne
forhold på sygehuse, hvor der er behov for bedre strukturelle rammer for at levere skræddersyede indsatser
for visse patienter og generelt tilrettelægge patientforløb med en større fleksibilitet i sundhedsvæsenet.
Derudover peger analysen på et behov for at nedbryde de organisatoriske skel mellem somatisk og
psykiatrisk behandling. Generelt er tværsektorielt og tværprofessionelt samarbejde indenfor sundheds-
væsenet vigtigt for at modarbejde social ulighed i sundhed.
122
Sundhedsstrukturkommissionens forslag til en ændret organisering skal bl.a. afhjælpe den type af udfor-
dringer. Det er vigtigt, da der i fremtiden vil være flere borgere, som har forløb i sundhedsvæsenet, som
forudsætter tæt og løbende koordination mellem kommune, sygehus og/eller den alment praktiserende
læge. Flere borgere vil leve med kronisk sygdom og multisygdom, og flere borgere vil leve længere med
eftervirkninger af alvorlig sygdom (se kapitel 4). Der vil derfor komme flere patientforløb, hvor det er
nødvendigt med tæt og løbende koordination mellem forskellige sundhedsaktører, som i dagens sundheds-
væsen er placeret under forskellige myndigheder. Samarbejdet om patientforløb er også blevet vigtigere
i takt med, at indlæggelserne bliver kortere og mere omlægges til ambulant behandling. Udviklingen har
været til gavn for patienterne, som i højere grad kan være i eget hjem, men det betyder også flere komplekse
forløb, hvor opgaver enten løses i samarbejde på tværs af alle tre sektorer eller i samarbejde mellem
praktiserende læge og kommune. Særligt for ældre borgere med komplekse sygdomsforløb er der et
potentiale i en stærkere integration af sundheds- og plejeopgaverne.
Strukturelle barrierer for at levere bedre sammenhæng i patientforløb er en velkendt problemstilling,
som der i årenes løb har været iværksat mange organisatoriske initiativer for at afhjælpe. Som eksempler
kan nævnes sundhedsklynger, patientansvarlig læge og 72­timers behandlingsansvar. Nogle af tiltagene
har skullet skabe bedre koordinering internt på sygehusene. Det understreger, at udfordringer med
sammenhæng ikke kun knytter sig til et sektoropdelt sundhedsvæsen, men også organiseringen på tværs
af specialer og afdelinger og stigende subspecialisering over tid. Der kan også indenfor kommuner være
koordinationsudfordringer på tværs af forvaltninger. Der kan desuden være utilfredsstillende samarbejde
og koordination imellem det almenmedicinske tilbud og sygehuse på trods af, at begge er underlagt samme
ansvarlige myndighed, nemlig regionerne.
Problemet med svag sammenhæng i patientforløb, der går på tværs af sundhedsaktører, skyldes dermed
ikke kun sektoropdelingen af sundhedsvæsenet. Det er dog Sundhedsstrukturkommissionens vurdering,
at sektorovergangene generelt gør det sværere at skabe sammenhængende patientforløb.
Besværlig adgang til hjælpemidler og behandlingsredskaber er et tydeligt eksempel på uklart ansvar i
det sektoropdelte sundhedsvæsen. I dag skelner lovgivningen mellem, om der er tale om et behandlings-
redskab, som er et regionalt finansieringsansvar, eller om der er tale om et hjælpemiddel, som er et
kommunalt udleverings­ og finansieringsansvar.
123
I praksis er skillelinjen langt fra entydig. Det medfører,
at der ofte er et fortolkningsrum i forhold til, hvem der skal udlevere det, som borgeren har behov for.
Det kan føre til geografiske forskelle i forhold til, hvilke ydelser borgerne modtager, jf. boks. 8.1.
121 Alexandra Brandt Ryborg Jønsson, “Borgere og pårørendes oplevelse af mødet med sundhedsvæsenet: udfordringer samt ønsker til
forandringer”, 2024.
122 Behandlingsrådet, “Behandlingsrådets rapport vedrørende ulighed i den somatiske behandling af patienter med psykiske lidelser -
patientforløb barrierer og indsatser”, 2024.
123 Sundhedsstrukturkommissionen, “Baggrundsrapport”, 2024.
SUU, Alm.del - 2023-24 - Bilag 317: Orientering om Sundhedsstrukturkommissionens afrapportering, fra indenrigs- og sundhedsministeren
2880227_0176.png
176
1
2
3
4
Del 2 - Den nuværende organisering af sundhedsvæsenet
Boks 8.1
Eksempel på uklart myndighedsansvar: Hjælpemiddel vs. behandlingsredskab
I lovgivningen kan et produkt i visse tilfælde (fx et redskab eller apparat) både udleveres efter serviceloven
som et hjælpemiddel eller efter sundhedsloven som et behandlingsredskab. Patienterne fortæller, at det
har store konsekvenser for dem, da det har betydning for, om de kan få bevilliget hjælpemidlet eller
behandlingsredskabet eller ej. En anden udfordring er, om hjælpemidlet eller behandlingsredskabet
tildeles varigt eller midlertidigt.
Patienterne fortæller samtidig, at de hjælpemidler eller behandlingsredskaber, som de er blevet oplært
i at bruge på sygehuset, ikke nødvendigvis er de samme, de kan få, når de kommer hjem fra sygehuset,
hjem til deres egen kommune. Det skaber utryghed at skulle vænne sig til et andet hjælpemiddel, alene
fordi det nu er kommunen, der skal betale.
Patient med type 1­diabetes beskriver udfordringerne set fra et patientperspektiv
”Jeg har en insulinpumpe, som jeg SKAL have. Det er ligesom det, der holder mig i gang. Men regionalt
og kommunalt differentierer man imellem, om det er et ”hjælpemiddel” eller ”et behandlingsredskab”.
Og det giver enormt mange problemer, ikke bare for mig, men for alle diabetikere. Vi kalder det post-
nummer-lotteri: det er fuldstændig tilfældigt, hvor i landet du kan få tildelt teknologi. Hvis jeg flyttede
kommune i morgen, er det ikke sikkert, at jeg kan tage mine hjælpemidler med.”
Sådan lyder det fra en patient med type 1-diabetes på et feedbackmøde, afholdt i samarbejde med ViBIS.
Udtalelsen kan ses som et udtryk for de strukturelle udfordringer, der præger området.
Kilde: ViBIS. ”Patienter og pårørendes oplevelser med, og ønsker til, sundhedsvæsenet”, 2023.
Tiltag og indsatser til at styrke sammenhængen i sundhedsydelserne
Undervejs i Sundhedsstrukturkommissionens arbejde er kommissionen blevet præsenteret for en række
lokalt funderede projekter, som har til formål at styrke samarbejdet om gode patientforløb imellem
kommuner, almenmedicinske tilbud og sygehuse. Det er hver især anerkendelsesværdige projekter, som
for de flestes vedkommende har potentiale til at styrke det tværgående samarbejde. I de mange engagerede
oplæg, som kommissionen er blevet præsenteret for, er ord som ”ildsjæle”, ”de gode viljer” og ”blæksprutte-
kompetencer” gået igen. Det er positive kompetencer, som der er brug for i sundhedsvæsenet, men når der
er behov for at fremhæve dem så klart, må det også ses som udtryk for, at der ikke er en organisering, der
i tilstrækkelig grad understøtter de indsatser, der i dag går på tværs af almenmedicinske tilbud, kommuner
og sygehuse. Sundhedsstrukturkommissionen vurderer, at der mangler en stærkere motor til at drive det,
som foregår i mellemrummet mellem de almenmedicinske tilbud, kommuner og sygehuse.
Der er på det seneste indgået aftaler, som på forskellig vis sigter mod at understøtte sammenhængen på
tværs af sektorer. Et eksempel er aftalen om 72­timers behandlingsansvar, som indebærer, at sygehusene
har udvidet behandlingsansvaret til 72 timer efter udskrivelse for patienter, som har været indlagt i mindst
24 timer, og som efterfølgende udskrives til kommunal sygepleje mv. Formålet med aftalen er at skabe en
tryg overgang mellem sygehus og kommune og understøtte sammenhængende patientforløb og kommuni-
kation mellem sundhedsprofessionelle. De indledende resultater viser, at sundhedspersonalet er tilfredse
med ordningen. Det opleves, at aftalen skaber øget tilgængelighed og samarbejde mellem sygehuset og den
kommunale sygepleje. Aftalen kan også frigive tid til borgerens behandling, når medarbejderne i kommu-
nerne oplever hurtigere hjælp gennem opkald til sygehuset.
124
Et andet tiltag er ordningen om faste plejehjemslæger, hvor det i overenskomsten imellem Danske Regioner
og Praktiserende Lægers Organisation er aftalt, at minimum 80 pct. af alle borgere på plejehjem skal være
dækket af ordningen inden udgangen af 2024.
124 Region Hovedstaden, “Evaluering af 72 timer: Et telefonnummer til den udskrivende afdeling skaber tryghed for ældre patienter”, 2023.
SUU, Alm.del - 2023-24 - Bilag 317: Orientering om Sundhedsstrukturkommissionens afrapportering, fra indenrigs- og sundhedsministeren
2880227_0177.png
1
2
3
4
Del 2 - Den nuværende organisering af sundhedsvæsenet
177
Sundhedsstrukturkommissionen ser positivt på tiltagene, men konstaterer samtidig, at de ikke er tilstræk-
kelige i lyset af de udfordringer, som sundhedsvæsenet står overfor.
Etableringen af sundhedsklyngerne i 2022 er en national organisatorisk ændring, foretaget for at imødegå
udfordringerne med et sektoropdelt sundhedsvæsen. Et væsentligt formål med sundhedsklyngerne er at
fremme koordinering og samarbejde mellem regioner, kommuner og almenmedicinske tilbud. En analyse,
udarbejdet for kommissionen, viser imidlertid, at sundhedsklyngerne i deres nuværende konstruktion ikke
har været et slagkraftigt svar på sundhedsvæsenets strukturelle udfordringer.
125
Ifølge analysen er klynge-
samarbejdet ikke forpligtende nok til reelt at understøtte mere sammenhæng i de patientforløb, hvor det
kræver en gensidig tilpasning af opgaveløsningen. Der ses bl.a. en manglende handlekraft og mulighed for
at træffe væsentlige forpligtende beslutninger på tværs af aktørerne. Det gælder specifikt, når det kommer
til gensidig økonomisk forpligtelse. Analysen viser fx, at der stort set ikke er nogen sundhedsklynger, som
har truffet beslutninger, der omfatter brug af sektorernes egne budgetmidler ind i klyngesamarbejdet,
jf. boks 8.2.
De manglende incitamenter til at investere på tværs af sektorer uddybes i det følgende.
Boks 8.2
Hovedpointer fra Implements analyse af sundhedsklynger
Udfordringer med organiseringen af sundhedsklyngerne i dag
Analysen viser, at sundhedsklyngerne i deres nuværende konstruktion ikke har været et stærkt svar på
sundhedsvæsenets strukturelle udfordringer.
Rapporten citerer bl.a. en kommunal deltager i en klynge for følgende:
”Jeg tror mest, man skal se værdien i det her som networking. Der er i hvert fald ikke meget, der tyder på,
at vi kommer til at træffe væsentlige beslutninger i den nærmeste fremtid.”
En regional klyngedeltager udtaler:
”Vi skal jo selvfølgelig samarbejde. Men sundhedsklyngen er en dysfunktionel måde at lappe på en
dysfunktionel konstruktion.”
Analysen vurderer, at de tre væsentligste udfordringer for sundhedsklyngerne er:
Bureaukrati. Klyngerne er et administrativt tungt samarbejde, hvor der investeres meget leder-og
medarbejdertid i både kommuner og regioner. Deltagerne i sundhedsklyngerne vurderer i overvejende
grad, at tidsforbruget i klyngerne ikke står mål med værdiskabelsen.
Repræsentation. Sundhedsklyngerne har en overrepræsentation af ledere med overordnet, strategisk
fokus og en tilsvarende underrepræsentation af driftsnær, operationel kompetence. Det er der forsøgt
kompenseret for ved at etablere supplerende, underliggende fora, som dog samtidig øger den
organisatoriske kompleksitet og det dertilhørende bureaukrati. Almenmedicinske tilbud har ikke
samme forudsætninger for at indgå i samarbejdet.
Det er svært at træffe beslutninger. Klyngerne mangler handlekraft og mulighed for at træffe
væsentlige forpligtende beslutninger på tværs af parterne, særligt når det kommer til gensidig
forpligtelse af økonomi. Der er stort set ingen sundhedsklynger, som har truffet beslutninger, der
omfatter disponering af sektorernes egne budgetmidler. Det er alene de nationalt afsatte opstarts-
midler, der er disponeret i fællesskab.
Kilde: Implement Consulting Group, ”Udfordringer og potentialer i samspillet mellem sektorer og for sammenhængende patientforløb”,
2024.
125 Implement Consulting Group, “Udfordringer og potentialer i samspillet mellem sektorer og for sammenhængende patientforløb”, 2024.
SUU, Alm.del - 2023-24 - Bilag 317: Orientering om Sundhedsstrukturkommissionens afrapportering, fra indenrigs- og sundhedsministeren
2880227_0178.png
178
1
2
3
4
Del 2 - Den nuværende organisering af sundhedsvæsenet
Ansvarsfordelingen understøtter ikke en nødvendig udvikling af det primære
sundhedsvæsen
Sundhedsstrukturkommissionen vurderer, at den nuværende organisering af sundhedsvæsenet ikke i
tilstrækkelig grad understøtter, at der sker den nødvendige udvikling af det primære sundhedsvæsen. En
væsentlig barriere er, at der generelt er svage incitamenter hos de enkelte myndigheder til at investere i
effektive pleje- og forebyggelsesindsatser, også i situationer, hvor det vil gavne borgeren og give mest mulig
sundhed for pengene. Høste-så-problemstillingen er tydeligst i relation til kommunernes incitament til at
investere i forebyggelse.
126
Svag tilskyndelse til investering på tværs af sektorer
Kommunerne vurderes at have en tilskyndelse til at understøtte den almene sundhed blandt kommunens
egne borgere, fx for at understøtte borgernes arbejdsmarkedstilknytning. Der er dog en risiko for, at
indsatser til at forebygge egne borgeres brug af sygehusene ikke prioriteres tilstrækkeligt af kommunerne.
Det hænger sammen med sektoropdelingen, hvor en del af gevinsten af kommunernes investeringer i
forebyggende indsatser tilfalder regionen i form af mindre sygehusbehandling. Den kommunale med-
finansiering (KMF), som blev indført i forbindelse med strukturreformen i 2007, er et eksempel på et tiltag,
der forsøger at kompensere for den strukturelle svaghed, men som ikke har haft den ønskede virkning.
127
Regionerne har omvendt en mulig økonomisk og ressourcemæssig gevinst, hvis flere opgaver bliver løst i
det primære sundhedsvæsen. Det kommer til udtryk ved, at der de seneste år har kunnet spores en svag
tendens til, at regionerne har investeret mere i det primære sundhedsvæsen, fx med 72­timers behandlings-
ansvar og initiativet med faste plejehjemslæger.
Det er dog Sundhedsstrukturkommissionens vurdering, at sektoropdelingen og den heraf afledte risiko for
økonomisk kassetænkning har været medvirkende til, at regionerne har underinvesteret i aktiviteter og
tiltag, som kunne styrke det primære sundhedsvæsen. Samtidig må det konstateres, at regionerne, som
har ansvaret for både sygehus- og praksissektoren, har givet førstnævnte langt mere politisk og ledelses-
mæssig opmærksomhed end sidstnævnte. Det kan bl.a. skyldes forskelle i reguleringen af de to sektorer
og størrelsesforholdet mellem dem, men uanset årsagen er konsekvensen, at det almenmedicinske tilbud
ikke har fået tilstrækkelig politisk og ledelsesmæssig opmærksomhed.
Som tidligere nævnt er det ikke lykkedes at sætte borgernes samlede forløb og behov i centrum i sam­
arbejdet i sundhedsklyngerne, når der skal træffes beslutninger om prioritering af økonomi til forskellige
sundhedsindsatser. Der er flere årsager til, at det er vanskeligt for klyngerne at få parterne til at træffe
gensidigt forpligtende beslutninger om økonomi. En af årsagerne er, at disponering af økonomi i klyngerne
forudsætter, at alle kommuner og regioner i de pågældende klynger på forhånd har reserveret budgetmidler
hertil, som kun sker i et meget begrænset omfang.
128
Konsekvenser af adskillelsen af læger og sygepleje­ og træningspersonale i forskellige sektorer
Udviklingen i opgavefordelingen i sundhedsvæsenet og borgernes behandlings­ og plejebehov har betydet,
at kommunerne i stigende grad har behov for lægefaglige kompetencer for at kunne varetage opgaverne
fagligt bæredygtigt. Lægeressourcerne i sundhedsvæsenet er imidlertid primært ansat i de to andre sek-
torer, nemlig på sygehusene og i praksissektoren. På områder, hvor kommunerne udfører opgaver, der
har deres udspring i lægelig delegation eller lægelig henvisning, har kommunerne samtidig begrænsede
muligheder for at styre kapacitet og omfang. Særligt de to største faggrupper i sundhedsvæsenet – læger
og sygeplejersker – hænger fagligt sammen, da de har supplerende kompetencer, som tilsammen er
afgørende for håndteringen af patienter i sundhedsvæsenet. Det gælder særligt mennesker med multi-
sygdom, sårbare ældre borgere, mennesker med kroniske sygdomme og medicinske patienter, som kan
håndteres udenfor sygehusene.
126 Sundhedsstrukturkommissionen, “Baggrundsrapport”, 2024.
127 Sundhedsstrukturkommissionen, “Baggrundsrapport”, 2024.
128 Implement Consulting Group, ”Udfordringer og potentialer i samspillet mellem sektorer og for sammenhængende patientforløb”, 2024.
SUU, Alm.del - 2023-24 - Bilag 317: Orientering om Sundhedsstrukturkommissionens afrapportering, fra indenrigs- og sundhedsministeren
2880227_0179.png
1
2
3
4
Del 2 - Den nuværende organisering af sundhedsvæsenet
179
Udviklingen betyder samlet set, at den gensidige afhængighed øges mellem indsatser ved kommunernes
plejepersonale og indsatser forankret hos de alment praktiserende læger. Det gælder her, at den alment
praktiserende læge har behandlingsansvaret for patienterne, mens sygepleje og personlig pleje udføres
af personale på det kommunale sundheds­ og ældreområde. Samarbejdet om stabile patienter kan alminde-
ligvis koordineres mellem læger i én sektor og plejepersonale i en anden sektor, ligesom behovet for
løbende dialog vil være begrænset. Ændringerne i sygdomsbilledet og kompleksiteten hos de borgere,
som håndteres i kommunerne, betyder imidlertid, at plejepersonalet i stigende omfang har behov for et
tættere og løbende samarbejde med læger om håndteringen af patienterne. Det er nødvendigt for at kunne
levere høj kvalitet og fagligt bæredygtig opgaveløsning i kommunerne.
Manglen på rette kompetencer kan samtidig udgøre en barriere for sundhedspersonalets muligheder for
at skabe sammenhængende patientforløb. Muligheden for at trække på den relevante kliniske kerne-
kompetence til opgaverne spiller en central rolle for at skabe sammenhæng i patientforløb. Hvis ikke
de rette kompetencer er til stede i tilstrækkeligt omfang, kan patienter fx risikere at blive vist det forkerte
sted hen, henvisninger kan være forsinkede, og sundhedstilbuddet kan blive mangelfuldt. De faglige
vurderinger skal foretages af personale med de rette kompetencer.
129
Kommuner og regioner har på forskellig vis lavet tiltag for at sikre tættere tilknytning af lægefaglige
ressourcer til de kommunale opgaver. Sundhedsstrukturkommissionen vurderer, at det er kompenserende
ordninger i en struktur, der ikke i tilstrækkelig grad har været løbende tilpasset til ændringer i opgave-
løsningen i det samlede sundhedsvæsen.
Når der kommer nye opgaver, der som konsekvens af den faglige og teknologiske udvikling kan udføres i
hjemmet, fx IV-behandling, hjemmedialyse og hjemmekemoterapi, opstår forhandlinger og et behov for at
indgå aftaler mellem sektorer. Det er en administrativ tung og omkostningsfuld mekanisme til at sikre den
nødvendige løbende tilpasning af opgaveløsningen henover sektorgrænserne. Den nuværende sektor-
opdeling er dermed en barriere for hurtig omstilling.
Sektorkrydsende indsatser, hvor det sekundære sundhedsvæsen understøtter det primære
sundhedsvæsen
Det sekundære sundhedsvæsen har en række faglige kompetencer og ressourcer, som kan komme det
primære sundhedsvæsen til gavn, hvis myndighederne med ansvar for sygehusene formår at bringe dem i
spil og understøtte samarbejdspartnere i kommuner og praksissektoren. Det udadvendte og samarbejdende
sygehus er et sygehus, der bygger bro. Formålet er både at styrke sammenhæng i patientforløb og at udvikle
indsatser udenfor sygehuset til gavn for patienterne, så de i højere grad behandles det rette sted og på rette
specialiseringsniveau. Det kan fx forebygge unødvendige sygehusindlæggelser, hvis der i det primære
sundhedsvæsen er faglige kompetencer til at varetage flere typer af opgaver og dermed en større del af
patientforløbet lokalt.
Sundhedsstrukturkommissionen har fået foretaget en systematisk afdækning af sektorkrydsende indsatser,
som bl.a. omfatter udekørende funktioner fra sygehuse for at forebygge indlæggelser. Hovedkonklusionerne
fra analysen er gengivet i boks 8.3. Som det fremgår, er vurderingen, at der er behov for mere markante
reformer for at styrke aktiviteter og indsatser i den almene del af sundhedsvæsenet. De kompenserende
tiltag vurderes dermed ikke stærke nok til at sætte tempoet op i en omstilling af sundhedsvæsenet, hvor
flere opgaver skal løses udenfor sygehusene.
129 VIVE og Marie Henriette Madsen,
Sammenhæng ifølge sundhedspersonale – En litteraturbaseret oversigt over udfordringer og erfaringer med
sikre sammenhængende forløb i sundhedsvæsenet
(VIVE - Det nationale Forsknings- og Analysecenter for Velfærd, 2024).
SUU, Alm.del - 2023-24 - Bilag 317: Orientering om Sundhedsstrukturkommissionens afrapportering, fra indenrigs- og sundhedsministeren
2880227_0180.png
180
1
2
3
4
Del 2 - Den nuværende organisering af sundhedsvæsenet
Boks 8.3
Hovedpointer fra Implements analyse af sektorkrydsende indsatser
Kompenserende indsatser på tværs af sektorer i dag
Implement Consulting Group har gennemført en analyse af sektorkrydsende indsatser for Sundheds-
strukturkommissionen. Indsatserne er kategoriseret som ”udkørende” eller ”rådgivende”, og formålet med
indsatsen kan variere. Det kan fx være at ”undgå indlæggelse” eller ”sikre kontinuitet og sammenhæng”.
Analysen viser, at 63 pct. af indsatserne kategoriseres som ”strukturkompenserende” og 29 pct. som
”både/og”, mens kun 8 pct. er kategoriseret som ”videreudvikling”, hvor formålet fx kan være at udvikle
det primære sundhedsvæsen ved faglig understøttelse fra sygehusenes side.
Analysen peger på (med metodiske forbehold), at langt størstedelen af de identificerede tiltag har til
formål at kompensere for den aktuelle sektorinddeling på sundhedsområdet. Analysen peger samtidig
på, at variationen på tværs af landet i de forskellige aktørers tilgange, indsatser, serviceniveauer mm.
er betydelig, hvilket betyder, at understøttende indsatser i dag er meget uens på tværs af landet.
Samlet set konkluderer analysen, at de mange lokale kompenserende tiltag illustrerer et behov for
at reformere og opdatere den del af sundhedsvæsenet, der aktuelt varetages af kommuner, almen-
medicinske tilbud og praksissektoren i øvrigt.
Kilde: Implement Consulting Group. 2024. Udfordringer og potentialer i samspillet mellem sektorer og for sammenhængende
patientforløb.
Rammerne for opgaveflytning til det almenmedicinske tilbud
Det almenmedicinske tilbud er centralt, når flere opgaver fremover skal omstilles og varetages i det
primære sundhedsvæsen. Regionerne har myndighedsansvaret for at tilvejebringe almenmedicinske
ydelser. Forpligtelsen håndteres som udgangspunkt ved alment praktiserende læger, der virker efter
overenskomst aftalt mellem Regionernes Lønnings- og Takstnævn og Praktiserende Lægers Organisation.
Praktiserende Lægers Organisation repræsenterer alle de alment praktiserende læger i deres kapacitet
som klinikejere. Der indgås derfor ikke aftaler, som vil være uoverkommelige eller ikke-attraktive at leve
op til for en andel af de eksisterende klinikker. Det vanskeliggør fx en omstilling og udrulning af nye
opgaver, som ikke vil kunne varetages af mindre klinikker eller omfordeling af ressourcer til patienter
og områder med størst behov.
Til trods for en række udviklingstiltag i Overenskomst om almen praksis 2022, bl.a. om at reducere ulighed
i sundhed og styrke indsatsen over for borgere med alvorlig psykisk sygdom og sundhedstjek af borgere på
botilbud hos de alment praktiserende læger, er status på tiltagene, at de gennemføres i et tempo, som er
væsentligt langsommere end forudsat i aftalen.
Overenskomsten beskriver regler om tilgængelighed for alment praktiserende læger, men undersøgelser
af tilgængeligheden peger i retning af, at intentionen med overenskomstens bestemmelser ikke altid
overholdes i praksis. En undersøgelse af tilgængelighed med udgangspunkt i den oplyste tilgængelighed på
hjemmesider viser, at den oplyste tilgængelighed ikke i alle klinikker afspejler overenskomstens bestemmel-
ser om mulighed for konsultation efter kl. 16.00 og for akutte henvendelser indtil kl. 16.00.
130
130 BDO, “Analyse af udviklingen i opgaveløsningen i almen praksis”, 2023.
SUU, Alm.del - 2023-24 - Bilag 317: Orientering om Sundhedsstrukturkommissionens afrapportering, fra indenrigs- og sundhedsministeren
2880227_0181.png
1
2
3
4
Del 2 - Den nuværende organisering af sundhedsvæsenet
181
Opgavefordelingen giver udfordringer med faglig bæredygtighed for nogle
kommunale sundhedsopgaver
Sundhedsvæsenets decentrale organisering understøtter i udgangspunktet tilgængelighed af sundheds­
tilbud i hele landet og er med til at danne grundlag for indsatser tæt på borgeren. En decentral organisering
giver mulighed for, at indsatser tilpasses efter lokale forhold og prioriteringer.
Kommunerne blev med strukturreformen i 2007 tildelt flere opgaver og et større ansvar i udførelsen af
den borgernære sundhed, herunder forebyggelse og sundhedsfremme og rehabilitering og genoptræning.
Udviklingen i sygehusvæsenet imod kortere sygehusindlæggelser og omlægning til ambulant behandling
har betydet større krav til kommunernes opgavevaretagelse og givet behov for mere sundhedsfagligt
personale, herunder et behov for at kunne trække på lægeressourcer fra andre sektorer.
En styrke ved placeringen af sundhedsopgaver i kommunerne er, at de har ansvaret for flere velfærds­
områder, hvor det fra et borgerperspektiv kan være en fordel, at der kan koordineres indenfor en
myndighed, da nogle borgere har flere samtidige berøringsflader til kommunen. Det gælder fx samspillet
mellem skole, sundhedsplejerske og tandpleje eller samspillet mellem genoptræning og ældreområdet.
Samtidig kan der også være incitamentsmæssige fordele herved på grund af gensidige afhængigheder
på tværs af kommunale velfærdsområder.
Forskellige vilkår for opgaveløsningen på tværs af kommuner
Kommunerne løser sundhedsopgaven under forskellige vilkår. Der er fx forskel på befolkningsgrundlaget
i de 98 kommuner, fra ø­kommuner med under 2.000 indbyggere til store kommuner med mere end
100.000 indbyggere. Nogle kommunale sundhedsopgaver kræver en betydelig volumen, specialiserede
kompetencer og stærke faglige miljøer, som flere kommuner i kraft af blandt andet deres størrelse og
geografiske placering kan have vanskeligt ved at etablere. Sundhedsstyrelsen har udarbejdet et notat
til Sundhedsstrukturkommissionen om faglig bæredygtighed, hvor en række opgaver fremhæves som
vanskelige at varetage i nogle kommuner.
131
Udfordringer med faglig bæredygtighed ses særligt for opgaver, hvor der er en for lille opgavevolumen til,
at der kan opbygges tilstrækkelige kompetencer og faglige miljøer. Genoptræning og rehabilitering af små
patientgrupper, som kræver særlige kompetencer, er i dag udfordrende at varetage bæredygtigt i alle
kommuner. Ifølge Sundhedsstyrelsen gælder det fx opgaver relateret til børn og unge, der har været
igennem svær sygdom, mennesker udsat for fysiske eller psykiske traumer og mennesker med sygdommene
sclerose og ALS.
Små kommuners udfordringer med at kunne etablere og opretholde bæredygtige indsatser ses også på
områder med behov for vagtdækning døgnet rundt, fx kommunale akutfunktioner. Udfordringerne bunder
særligt i, at der ikke er tilstrækkelig volumen til at fastholde et fagligt bæredygtigt tilbud om natten.
132
Sundhedsstyrelsen vurderer, at der ved fremtidig omstilling af sundhedsvæsenet må forventes behov for
yderligere kapacitetsopbygning i akutfunktioner udenfor sygehusene, fx sygepleje til mennesker med
psykiske lidelser, multisygdom og demens. Det skal ske i tæt koordination med det almenmedicinske tilbud.
Dermed kan de nuværende udfordringer på akutområdet forværres fremover, hvis de rette kompetencer
og personaleressourcer ikke er til stede i det primære sundhedsvæsen til at løfte opgaven.
Endelig ses der udfordringer med at opnå et grundlag for faglig bæredygtighed i de kommunale fore-
byggelsestilbud til mennesker med kronisk sygdom. Det gælder både i forhold til at sikre de rette
kompetencer og effektiv ressourceanvendelse i de kommunale tilbud.
133
131 Sundhedsstyrelsen, “Faglig bæredygtighed som grundlag for sundhedsplanlægning”, 2023.
132 VIVE m.fl.,
Det kommunale akutområde: erfaringer og perspektiver på udviklingen fra 15 kommuner
(VIVE - Det nationale Forsknings-
og Analysecenter for Velfærd, 2021).
133
Forebyggelsestilbud til borgere med kronisk sygdom: Kvalitetsstandarder
(Sundhedsstyrelsen, 2024).
SUU, Alm.del - 2023-24 - Bilag 317: Orientering om Sundhedsstrukturkommissionens afrapportering, fra indenrigs- og sundhedsministeren
2880227_0182.png
182
1
2
3
4
Del 2 - Den nuværende organisering af sundhedsvæsenet
Boks 8.4
Opsummering af udfordringer med opgave­ og ansvarsfordelingen
Sektoropdelingen udfordrer sammenhængen i patientforløb
Udviklingen i sundhedsvæsenet, fx kortere indlæggelser og øget ambulant behandling, vil give flere
forløb på tværs af sektorer. Det samme vil den demografiske udvikling og et ændret sygdomsbillede.
Det understreger behovet for en struktur, der understøtter sammenhængende patientforløb. Det
er i dag svært at samarbejde over sektorgrænser, bl.a. på grund af delt ansvar og tilskyndelser til
økonomisk kassetænkning.
Der er iværksat mange gode projekter og initiativer til at styrke sammenhængen i patientforløb.
Dog er det kommissionens vurdering, at der er behov for markant stærkere tiltag for at skabe
sammenhæng, især i de forløb, der går på tværs af almenmedicinske tilbud, kommuner og sygehuse.
Ledere og medarbejdere har i dag ikke tilfredsstillende strukturelle rammer for at samarbejde
om forløb og tværgående indsatser.
Sundhedsklyngerne fungerer ikke efter hensigten, og de er i deres nuværende konstruktion ikke
et stærkt nok svar på sundhedsvæsenets udfordringer.
Ansvarsfordelingen understøtter ikke udvikling af det primære sundhedsvæsen tilstrækkeligt
Regionerne har en begrænset økonomisk tilskyndelse til at investere i og stille ressourcer til rådighed
for den del af sundhedsvæsenet, som kommunerne har ansvaret for.
Der er samtidig en risiko for, at kommunerne selv vil underinvestere i de aktiviteter, som regionen
kan forventes at støtte.
Der er svage mekanismer til at sikre den nødvendige løbende tilpasning af opgaveløsningen hen
over sektorgrænserne som følge af den faglige og teknologiske udvikling.
Adskillelsen af læger og sygeplejepersonale i forskellige sektorer giver både styringsmæssige og
faglige udfordringer i kommunerne.
Opgavefordelingen fører til udfordringer med faglig bæredygtighed i nogle kommuner
Sundhedsvæsenets decentrale organisering understøtter i udgangspunktet tilgængelighed af
sundhedstilbud i hele landet og er med til at danne grundlag for indsatser tæt på borgeren.
Nogle kommunale sundhedsopgaver kræver betydelig volumen, specialiserede kompetencer og
stærke faglige miljøer. Det kan flere kommuner have vanskeligt ved at etablere, bl.a. i kraft af deres
størrelse og geografiske placering.
Regulering og styring indenfor og på tværs af sektorer
I dette afsnit argumenterer Sundhedsstrukturkommissionen for, at den nuværende styring af sundheds­
væsenet ikke i tilstrækkelig grad sikrer, at ressourcer, såsom økonomi, personale og kompetencer, fordeles
til de områder, som har størst behov, det vil sige områder, hvor sygdomsbyrden er størst. Der argumenteres
også for, at den nuværende regulering og styring af sygehusene har medført en øget specialisering. Det har
været med til at løfte kvaliteten for patienterne, men har bl.a. også medført en organisatorisk fragmentering,
hvor sygehusene har vanskeligt ved at håndtere patienter med komplekse forløb, fx patienter med flere
kroniske sygdomme samtidig. Endelig argumenterer kommissionen for, at der er behov for at reformere
den måde, de almenmedicinske tilbud reguleres og styres i dag.
SUU, Alm.del - 2023-24 - Bilag 317: Orientering om Sundhedsstrukturkommissionens afrapportering, fra indenrigs- og sundhedsministeren
2880227_0183.png
1
2
3
4
Del 2 - Den nuværende organisering af sundhedsvæsenet
183
Utilstrækkelig styring af den geografiske fordeling af ressourcer
Lægedækningsudfordringer for de almenmedicinske tilbud
Lige adgang til sundhedsvæsenet er betinget af let adgang og tilgængelighed til almenmedicinske tilbud i
hele landet. Den nuværende regulering er baseret på, at alle områder af landet vil være betjent af alment
praktiserende læger. Derfor er øvrige praksisformer omfattet af undtagelsesbestemmelser. I realiteten har
flere områder, navnlig det sydlige Sjælland, markante udfordringer med at sikre lægedækning, og i flere dele
af landet kræver det ekstraordinære indsatser at sikre tilstrækkelig lægedækning via alment praktiserende
læger. Siden 2023 har regionerne fx haft mulighed for at indgå aftaler om et særligt, økonomisk vederlag til
enkeltlæger, hvor det vurderes nødvendigt for at sikre lægedækningen.
Lægedækningsudfordringer afspejler dels en generel rekrutteringsproblematik, dels at styringen af de
almenmedicinske tilbud ikke i tilstrækkeligt omfang understøtter en fordeling af ressourcerne ud fra den
opgavetyngde, som følger af patienternes behov for behandling. Der er i overenskomsten mellem Regioner-
nes Lønnings- og Takstnævn og Praktiserende Lægers Organisation aftalt et differentieret basishonorar og
et særligt kronikerhonorar, som medfører en vis differentiering af indtægtsgrundlaget på baggrund af
patientsammensætningen. Ordningen har dog ikke medført en markant forbedret rekrutteringssituation i
yderområderne. Det vurderes derfor fortsat mere attraktivt at være alment praktiserende læge i områder,
hvor der er en høj andel af borgere, som har et mindre behandlingsbehov. Det kommer til udtryk ved en stor
andel af relativt lette konsultationer og borgere med relativt få kontakter. Områder, hvor der mangler
alment praktiserende læger, er derimod kendetegnet ved en stor andel af ældre og patienter med kronisk
sygdom.
Patientnormen, der er fastsat i overenskomsten, er ens i hele landet og udgør 1.600 patienter pr. læge­
kapacitet. Patientnormen er grænsen for, hvornår en klinik kan lukke for nye patienter. Det betyder fx,
at klinikker, der har relativt få ældre og sårbare patienter og patienter med kroniske sygdomme, ikke per
automatik kompenserer for det ved at tage flere patienter ind, selvom det ville nedbringe behovet for
alment praktiserende læger i visse områder og dermed potentielt bidrage til en mere ligelig fordeling af
de almen medicinske ressourcer.
Rekrutteringsudfordringer i bestemte dele af landet
Indenfor det sekundære sundhedsvæsen er der problemer med at rekruttere læger i nogle dele af landet
og indenfor visse specialer, imens der omvendt er stor søgning til universitetssygehusene, og til sygehus-
afdelinger med specialiserede funktioner. Der er en tendens til, at geografiske områder med relativt høj
sygdomsbyrde også er de områder, hvor der er færrest sundhedsfaglige ressourcer til rådighed.
Region Sjælland og Region Nordjylland oplever i særlig grad udfordringer med at tiltrække sundhedsfaglige
medarbejdere i tilstrækkeligt omfang, både i sygehus­ og praksissektoren. Der er fx væsentligt flere syge-
husansatte speciallæger i Region Hovedstaden (178 pr. 100.000 indbyggere) end i de øvrige regioner med
færrest i Region Sjælland (133 pr. 100.000 indbyggere). Det kan delvist afspejle en arbejdsdeling mellem
regionerne, hvor nogle regioner varetager en del af den specialiserede behandling på vegne af andre
regioner. Men selv når der tages højde for forskelle i behandlingstyngde på tværs af regionerne, ses der
en ubalance i antallet af speciallæger pr. indbyggere.
134
I dag fordeler og samarbejder regionerne kun i begrænset omfang om de knappe medarbejderressourcer
på tværs af regionsgrænserne. Der er dog eksempler på samarbejdsaftaler enten på tværs af afdelinger
indenfor samme speciale i samme region, eller på tværs af regioner. Der er bl.a. indført et ansættelsesstop
af speciallæger på de tre største universitetshospitaler for at sikre, at flere lægeressourcer omfordeles til
mindre sygehuse. Der kan dog på trods af ansættelsesstop konstateres en vækst i antallet af speciallæger
på de største universitetshospitaler.
134 Sundhedsstrukturkommissionen, “Baggrundsrapport”, 2024.
Fordelingen af praktiserende speciallæger er også ulige på tværs af landet. Det afspejler både rekrutterings-
grundlaget, historiske tendenser og en uensartet arbejdsdeling mellem sygehus og praksissektor på tværs
af landet.
SUU, Alm.del - 2023-24 - Bilag 317: Orientering om Sundhedsstrukturkommissionens afrapportering, fra indenrigs- og sundhedsministeren
2880227_0184.png
184
1
2
3
4
Del 2 - Den nuværende organisering af sundhedsvæsenet
Det er kommissionens samlede vurdering, at den nuværende styring og organisering af sundhedsvæsenet
ikke i tilstrækkelig grad sikrer en hensigtsmæssig fordeling af sundhedsfaglige ressourcer på tværs af
landet. Den ulige fordeling er med til at skabe en geografisk og social ulighed i sundhed. Det er velkendt,
at fysisk afstand til et behandlingstilbud har betydning for brugen af tilbuddet. Samtidig er der et vist
sammenfald imellem geografisk og social ulighed i sundhed i den forstand, at socialt udfordrede borgere
ofte udgør en større andel af befolkningen i de områder, som mangler sundhedspersonale og sundheds-
tilbud.
Regulering og styring af sygehuse fører til specialisering og centralisering
Den nationale regulering og styring af sygehusene sker bl.a. gennem sundhedsloven og national speciale-
planlægning. Udviklingen af sygehussektoren er styret ud fra et fokus på kvalitet, i nogle tilfælde fremfor
andre hensyn, fx nærhed (se kapitel 3).
135
De seneste årtiers centralisering og specialisering af sygehusene
har generelt medført en højere kvalitet i behandlingen, men på nogle områder er det dog nået til et punkt,
hvor ulemperne ved fortsat eller uændret specialisering overgår fordelene.
136
Hvis kompetencerne og
ydelserne bliver for snævre og målrettet en lille specifik patientgruppe, kan det medføre ineffektivitet,
fordi organisationen bliver for kompleks. En udpræget grad af specialisering kan medføre en organisatorisk
fragmentering, hvor specialiseret behandling bliver varetaget i særlige afsnit, teams eller projekter.
Specialiserede behandlinger kan på den måde være sårbare, fordi et forholdsvist lille antal medarbejdere
er tilknyttet de enkelte specialiserede områder.
I situationer, hvor regioner som konsekvens af specialisering har valgt at centralisere funktioner på færre
enheder, kan det være svært at tiltrække personale til de sygehuse, der ikke varetager specialiseret
behandling. Varetagelse af specialiserede behandlinger ét sted kan dermed være en udfordring for den
faglige bæredygtighed andre steder. Det kan bidrage til en forværring af den geografiske ulighed i sundhed,
når sundhedspersonalet i endnu højere grad koncentreres i og omkring de store byer på attraktive arbejds-
pladser med stærke faglige miljøer.
Specialiseringen har også været med til at skabe et stort fokus på at øge kvaliteten og kompetencerne
indenfor de enkelte specialer. Det er vurderingen, at det utilsigtet har været med til at reducere fokus på
generalistkompetencer og på indsatser på tværs af specialer. Ændringer i sygdomsbilledet betyder, at flere
borgere i fremtiden vil have behov for indsatser, der går på tværs af forskellige fagligheder og specialer.
Den øgede grad af specialisering på sygehusene kan derfor udgøre en barriere for, at fx ældre borgere med
flere kroniske sygdomme ikke får et optimalt tilbud i sundhedsvæsenet. Det samme gælder for patienter
med samtidig somatisk og psykisk sygdom.
Utilstrækkelige muligheder for at styre udviklingen af de almenmedicinske tilbud
Opgavebeskrivelsen for de praktiserende læger og rammerne for regionernes opfølgning i forhold til de
enkelte praktiserende læger bliver i dag fastlagt via overenskomst med Praktiserende Lægers Organisation.
Det betyder, at leverandørerne i form af de selvstændigt erhvervsdrivende praktiserende læger forpligtes
på et medansvar for udviklingen af sundhedsvæsenet, men det betyder også, at regionerne ikke oplever
at have reel kompetence til at sikre den udvikling af det almenmedicinske tilbud, som er nødvendig for
at møde patienternes behov og udviklingen i sundhedsvæsenet.
137
Med den nuværende indretning af sundhedsloven skal det almenmedicinske tilbud som udgangspunkt
tilbydes via alment praktiserende læger, som virker indenfor overenskomst, og regionerne har dermed ikke
alternativer til at indgå aftaler med Praktiserende Lægers Organisation. Det betyder, at opgaveudviklingen
i praksis er begrænset af den eksisterende leverandørsammensætning.
135 Sundhedsstrukturkommissionen, “Baggrundsrapport”, 2024.
136 Sundhedsstyrelsen, “Faglig bæredygtighed som grundlag for sundhedsplanlægning”, 2024.
137 Danske Regioner, “Fremtidens almen praksis – udvikling og nye rammer”, 2023.
SUU, Alm.del - 2023-24 - Bilag 317: Orientering om Sundhedsstrukturkommissionens afrapportering, fra indenrigs- og sundhedsministeren
2880227_0185.png
1
2
3
4
Del 2 - Den nuværende organisering af sundhedsvæsenet
185
Samlet set vurderer Sundhedsstrukturkommissionen, at den nuværende udformning af overenskomst­
modellen for de alment praktiserende læger er en barriere for den videre udvikling af det almenmedicinske
tilbud i overensstemmelse med de behov, som skal dækkes i fremtidens sundhedsvæsen.
Boks 8.5.
Opsummering af væsentlige regulerings­ og styringsudfordringer
Utilstrækkelig styring af den geografiske fordeling af ressourcer
Den nuværende honorarstruktur og styring af almenmedicinske tilbud understøtter ikke i tilstrækkeligt
omfang en geografisk fordeling af ressourcerne i det almenmedicinske tilbud, som afspejler opgave-
tyngde og lægebehov i hele landet.
Indenfor det sekundære sundhedsvæsen er der problemer med at rekruttere læger i nogle dele af
landet og indenfor visse specialer. Allerede igangsatte initiativer har ikke været nok til at sikre en bedre
fordeling af speciallæger.
Reguleringen af sygehuse fører til specialisering og centralisering
Reguleringen af sygehusene, bl.a. med national styring af placeringen af funktioner, har medført en
øget specialisering og en samling af specialiseret behandling på færre sygehuse. Det har været med
til at løfte kvaliteten for patienterne, men betyder bl.a. også en organisatorisk fragmentering, større
geografisk afstand for patienterne og rekrutteringsudfordringer på nogle sygehuse udenfor de store
byer.
Styringen af almen medicinske tilbud er en barriere for omstilling
Den nuværende udformning af overenskomstmodellen for de alment praktiserende læger er en
væsentlig barriere for den videre omstilling til det primære sundhedsvæsen. Kommissionen vurderer
dog, at regionerne kunne og burde have givet denne opgave mere opmærksomhed og højere
prioritet.
Organisering og styring af arbejdet med digitalisering og data
En vigtig betingelse for den ønskede omstilling af sundhedsvæsenet er bedre brug af digitale løsninger
og data. Det kræver en stærkere organisering og styring, der understøtter bedre eksekvering af sundheds-
væsenets digitaliserings- og dataindsatser. Det danske sundhedsvæsen er allerede meget digitaliseret
sammenlignet med andre lande, fx med elektroniske patientjournaler på sygehusene, mulighed for at
sende digitale beskeder mellem sektorer og en række forskellige digitale kanaler til borgernes kontakt
til sundhedsvæsenet.
138
Digitale løsninger og øget nyttiggørelse af data rummer dog fortsat et uforløst potentiale for en egentlig
digital transformation af sundhedsvæsenet. En digital transformation kan bl.a. bidrage til at effektivisere
driften af sundhedsvæsenet, øge kvaliteten af sundhedstilbud og skabe både bedre forløb for borgerne
og bedre udnyttelse af sundhedsvæsenets ressourcer – ikke mindst sundhedsvæsenets arbejdskraft.
Nye teknologier muliggør også nye måder at levere sundhedsydelser på. Det gælder fx nye former for
sammenhængende patientforløb, at borgerne kan få sundhedstilbud i eller tæt på eget hjem og blive
understøttet i at være aktive medspillere i egen behandling og automatisering af arbejdsgange.
138 Iben Mundbjerg Gjødsbø m.fl., “Digitalisering i det danske sundhedsvæsen”,
Samfundsøkonomen,
nr. 1 (2021): 26–38.
SUU, Alm.del - 2023-24 - Bilag 317: Orientering om Sundhedsstrukturkommissionens afrapportering, fra indenrigs- og sundhedsministeren
2880227_0186.png
186
1
2
3
4
Del 2 - Den nuværende organisering af sundhedsvæsenet
Der er klare indikationer på, at den eksisterende organisering og styring af arbejdet med digitalisering,
data og andre teknologiske løsninger ikke er tilstrækkelig til at sikre, at løsninger udvikles og udbredes
tilstrækkeligt hurtigt til, at de potentielle gevinster kan indfries.
139
Delt ansvar giver mangel på fælles beslutninger, eksekveringskraft og prioritering
Den nuværende organisering og styring af digitaliserings- og dataområdet bærer præg af, at der mangler
beslutnings- og eksekveringskraft og fælles prioriteringer. Det betyder bl.a., at udviklingen af den fælles
digitale infrastruktur til datadeling på tværs af sundhedsvæsenet går for langsomt og er for ukoordineret.
Det betyder også, at de mange eksisterende borgerrettede løsninger ikke er tænkt sammen og derfor har
uhensigtsmæssige overlap i funktioner.
140
I dag findes ikke en samlet langsigtet strategi for digitalisering og
brug af sundhedsdata i det danske sundhedsvæsen, som alle parter har forpligtet sig på, og som kan sikre,
at teknologien bidrager til at skabe værdi.
141
Den svage beslutningskraft og fraværet af fælles prioriteringer
betyder derudover, at de knappe ressourcer til IT-udvikling i sundhedsvæsenet ikke anvendes så effektivt,
som de kunne ved en mere samlet styring af området.
Det skyldes særligt, at ansvaret for digitalisering er delt mellem mange aktører og beslutningsfora, som
ikke er koordinerede. Beslutninger og økonomi spredt på mange aktører udfordrer effektiv udvikling,
udbredelse og implementering af løsninger, og den nuværende organisering af fællesoffentlige løsninger
giver ikke i tilstrækkelig grad mulighed for samlet prioritering og styring af udviklingen.
142
Der sættes ikke i tilstrækkelig grad forpligtende, national retning for digitalisering i sundhedsvæsenet.
Staten har med sundhedsloven kompetencer til at sætte rammerne for arbejdet med digitale løsninger
og sundhedsdata på en række områder. Sundhedsstrukturkommissionen vurderer dog, at lovgivningen
kun i begrænset omfang bruges som styringsredskab. I stedet bliver der brugt strategier og aftaler, fx den
nuværende Strategi for digital sundhed 2018­2024, de fællesoffentlige digitaliseringsstrategier og løbende
økonomiaftaler om implementering af konkrete løsninger. Men kendskabet til nationale digitaliserings-
strategier rundt om i sundhedsvæsenet er begrænset.
143
Utilstrækkelige strukturer for innovation og udbredelse af nye digitale løsninger
Der er en række udfordringer med at få udbredt gode teknologiske løsninger, bl.a. borgerrettede digitale
løsninger og datadrevne teknologier. Der sker meget værdiskabende innovation i sundhedsvæsenet, bl.a.
gennem offentlig-privat samarbejde, hvor arbejdskraftsbesparende løsninger udvikles, og der bliver
afprøvet nye teknologier, fx kunstig intelligens, som på sigt kan bruges til at ændre den måde, der arbejdes
på i sundhedsvæsenet.
Som Robusthedskommissionen fremhæver i sine anbefalinger, er der behov for bedre rammer til at
understøtte, at teknologiske løsninger med dokumenteret effekt bliver udbredt og implementeret.
144
Den manglende udbredelse er en barriere for, at teknologiens arbejdskraftfrigørende og kvalitetsmæssige
potentialer kommer flere medarbejdere og borgere til gavn.
139 Health Tech Hub Copenhagen og Tænketanken Mandag Morgen, “Bedre digital sundhed: Anbefalinger til bedre sammenhæng og
samarbejde til gavn for borgere og et presset sundhedsvæsen”, 2023; Implement Consulting Group, “Analyse af kompetencemangel i
Sundhedsvæsenet”, 2023; PA Consulting Group, “Analyse af modeller for organisering og styring af arbejdet med digitale løsninger og data
i det danske sundhedsvæsen.”, 2024; PwC, “Opsamling på workshop afholdt i regi af Robusthedskommissionen den 24. april 2023”, 2023.
140 PA Consulting Group, “Fælles tværgående kanalstrategi for datadeling i sundhedsvæsenet”, 2024; Health Tech Hub Copenhagen og
Tænketanken Mandag Morgen, “Bedre digital sundhed: Anbefalinger til bedre sammenhæng og samarbejde til gavn for borgere og et
presset sundhedsvæsen”, 2023.
141 Health Tech Hub Copenhagen og Tænketanken Mandag Morgen, “Bedre digital sundhed: Anbefalinger til bedre sammenhæng og
samarbejde til gavn for borgere og et presset sundhedsvæsen”, 2023.
142 Sundhedsstrukturkommissionen, “Baggrundsrapport”, 2024; PA Consulting Group, “Fælles tværgående kanalstrategi for datadeling i
sundhedsvæsenet”, 2024; Health Tech Hub Copenhagen og Tænketanken Mandag Morgen, “Bedre digital sundhed: Anbefalinger til bedre
sammenhæng og samarbejde til gavn for borgere og et presset sundhedsvæsen”, 2023.
143 Health Tech Hub Copenhagen og Tænketanken Mandag Morgen, “Bedre digital sundhed: Anbefalinger til bedre sammenhæng og
samarbejde til gavn for borgere og et presset sundhedsvæsen”, 2023.
144 Kommission for robusthed i sundhedsvæsenet, “Robusthedskommissionens anbefalinger”, 2023; Implement Consulting Group,
“Analyse af kompetencemangel i Sundhedsvæsenet”, 2023.
SUU, Alm.del - 2023-24 - Bilag 317: Orientering om Sundhedsstrukturkommissionens afrapportering, fra indenrigs- og sundhedsministeren
2880227_0187.png
1
2
3
4
Del 2 - Den nuværende organisering af sundhedsvæsenet
187
Der er ingen fælles strukturer for at udbrede en innovativ lokal løsning med dokumenteret effekt til resten
af sundhedsvæsenet. Det er omkostningstungt, når alle kommuner, regioner, sygehuse med flere afprøver og
implementerer nye løsninger selvstændigt og parallelt. Det skaber desuden risiko for, at der ikke arbejdes
efter fælles mål, og ressourcer til udvikling og implementering prioriteres til egne og parallelle løsninger.
Digital transformation medfører ændringer af arbejdsgange og organisering, men beslutningerne om
fx udbredelse af digitale løsninger er ofte forankret i en særskilt styringsstruktur langt fra de fora, der
beskæftiger sig med den sundhedsfaglige og kliniske udvikling, bl.a. de kliniske anbefalinger og retnings-
linjer. Det betyder, at de nødvendige ændringer i arbejdsgange mv. ikke implementeres tilstrækkeligt til
at opnå den ønskede effekt, fordi de digitale løsninger ikke fra starten tænkes ind i tilrettelæggelsen af de
relevante arbejdsgange, ligesom decentrale ressourcer til implementering og forandringsledelse ikke
tænkes ind.
145
Endelig hæmmes innovationen i sundhedsvæsenet og udvikling af bedre patientbehandling af, at forskere
og life science­virksomheder oplever udfordringer ved at bruge sundhedsdata. Adgangen til sundhedsdata
er bl.a. besværliggjort af manglende overblik over datakilder, administrativt tunge godkendelsesprocesser,
vanskeligheder ved at koble data på tværs af dataansvarlige myndigheder og utilstrækkelig analyse-
kapacitet. Det indgår fx også som en del af ”Vision for bedre brug af sundhedsdata”, at der skal etableres
en central løsning, der kan lette adgangen, bl.a. for forskere.
146
Fragmenteret IT-arkitektur og stor leverandørafhængighed udfordrer
omstillingsevnen
Langsommeligheden i at få udbredt nye fælles løsninger skyldes også, at afhængighed af sektorspecifikke
leverandører og en fragmenteret IT-arkitektur udfordrer sammenhæng, implementeringstempo og
omkostningsniveau.
Sundhedsvæsenet er i høj grad afhængig af leverandører til at bistå med udviklingen af infrastruktur,
systemer og løsninger. Det skyldes bl.a., at de interne udviklingsressourcer er knappe og spredt ud på
mange aktører. Samtidig har sundhedsvæsenets sektoropdeling konsekvens for IT­arkitekturen, og
systemerne i regioner, kommuner og lægepraksissystemer er ikke i tilstrækkelig grad tænkt som en samlet
arkitektur, men som særskilte aktør­ og sektorspecifikke løsninger. Når der heller ikke stilles tilstrækkelige
krav til aktørerne om fælles strategisk retning for digitalisering af det samlede sundhedsvæsen betyder
det, at de sektorspecifikke fagsystemer primært fokuserer på egne behov og i højere grad beror på den
enkelte leverandørs løsning og ikke i tilstrækkelig grad understøtter sammenhæng i behandlingsforløb
og arbejdsgange på tværs af sundhedsvæsenet.
147
Stor afhængighed af leverandører udfordrer sundhedsvæsenets omstillings­ og tilpasningsevne. Samtidig
øger afhængigheden sundhedsvæsenets omkostninger i forbindelse med digitalisering og data.
148
Sund­
hedsstrukturkommissionen vurderer, at sundhedsvæsenet er meget afhængigt af eksterne leverandører
og kun i relativt begrænset omfang anvender egne udviklingsressourcer til at udvikle nye løsninger, give
leverandører kvalificeret med­ og modspil og i højere grad selv sætte tempo for udvikling. Det er bl.a. en
medvirkende faktor til, at tempoet for implementering af fælles løsninger, fx til datadeling, ofte er meget
lavt. Det lave tempo øger risikoen for forældede nationale løsninger og konkurrerende lokale løsninger, når
den fælles løsning endelig står klar.
149
145 PwC, “Opsamling på workshop afholdt i regi af Robusthedskommissionen den 24. april 2023”, 2023; Health Tech Hub Copenhagen
og Tænketanken Mandag Morgen, “Bedre digital sundhed: Anbefalinger til bedre sammenhæng og samarbejde til gavn for borgere
og et presset sundhedsvæsen”, 2023.
146 Sundhedsministeriet m.fl., “Vision ­ Strategisk samarbejde for bedre brug af sundhedsdata”, 2021.
147 Health Tech Hub Copenhagen og Tænketanken Mandag Morgen, “Bedre digital sundhed: Anbefalinger til bedre sammenhæng
og samarbejde til gavn for borgere og et presset sundhedsvæsen”, 2023.
148 Ingeniøren, “Stigende it-udgifter udhuler Region H’s økonomi: »Omkostninger til it stiger hurtigere end til sundhed«.”, 2023;
IT­Branchen, “Her investerer man mest og mindst i det offentlige”, 2024.
149 PwC, “Opsamling på workshop afholdt i regi af Robusthedskommissionen den 24. april 2023”, 2023.
SUU, Alm.del - 2023-24 - Bilag 317: Orientering om Sundhedsstrukturkommissionens afrapportering, fra indenrigs- og sundhedsministeren
2880227_0188.png
188
1
2
3
4
Del 2 - Den nuværende organisering af sundhedsvæsenet
Boks 8.6.
Potentiale og udfordringer ved nye teknologier såsom kunstig intelligens og sprogmodeller
I dag ses der en stor og hastig udvikling af nye teknologier fx kunstig intelligens, sprogmodeller og
chatbots. De har et enormt potentiale for at kunne forandre fremtidens sundhedsvæsen grundlæggende.
Fx forventes det, at sprogmodeller fremover kan skrive resuméer af journalnotater, skrive epikriser,
give behandlingsforslag og bruges af patienter til at forstå symptomer og sygdom bedre. Datadrevne
teknologier som kunstig intelligens kan også bruges til screeninger, hurtigere diagnostik og automatise-
ring af arbejdsgange.
Den hastige udvikling medfører et behov for klare rammer for, hvordan de nye teknologier kan anvendes,
hvis potentialet skal indfries. Samtidig stiller de nye teknologier krav om en række nye kompetencer
indenfor jura, etik, dataanalyse og IT-udvikling.
Der findes en lang række projekter i sundhedsvæsenet, som allerede arbejder med udbredelsen af særligt
kunstig intelligens, men der er ikke en samlet national strategi, struktur og arkitektur for brugen, og det
er op til de enkelte sundhedsaktører at teste og arbejde med sprogmodeller.
Kilde: PwC, ”Opsamling på workshop afholdt i regi af Robusthedskommissionen den 24. april 2023”, 2023.
Boks 8.7.
Opsummering af strukturelle barrierer for omstilling mod et mere digitalt sundhedsvæsen
Der mangler beslutnings- og eksekveringskraft og fælles prioritering, bl.a. vedrørende udvikling
og national implementering af fælles løsninger og infrastruktur.
Aktørerne har ikke tilstrækkelige forudsætninger for at udvikle, implementere og drifte digitale
og datadrevne løsninger.
Der er utilstrækkelige strukturer, rammer og incitamenter for udbredelse af borgerrettede digitale
løsninger og datadrevne teknologier.
Afhængighed af store leverandører og fragmenteret IT-infrastruktur udfordrer sammenhæng,
implementeringstempo og omkostningsniveau.
SUU, Alm.del - 2023-24 - Bilag 317: Orientering om Sundhedsstrukturkommissionens afrapportering, fra indenrigs- og sundhedsministeren
2880227_0189.png
1
2
3
4
Del 2 - Den nuværende organisering af sundhedsvæsenet
189
SUU, Alm.del - 2023-24 - Bilag 317: Orientering om Sundhedsstrukturkommissionens afrapportering, fra indenrigs- og sundhedsministeren
2880227_0190.png
190
1
2
3
4
Del 3 - Tværgående anbefalinger og forslag
3
Del 3
Tværgående
anbefalinger
og forslag
I rapportens tredje del beskrives tværgående anbefalinger og en række tilhørende
forslag, som kan implementeres uafhængigt af den fremtidige forvaltningsstruktur.
I kapitel 9 præsenteres kommissionens anbefaling om en betydelig kapacitetsudvidelse
af det almenmedicinske tilbud indenfor rammerne af en ændret organisering. En ny
organisering skal være med til at sikre, at udviklingen af det almenmedicinske tilbud
afspejler patienternes stigende behov for sundhedsydelser og tilgængelighed i det
primære sundhedsvæsen.
I kapitel 10 præsenteres kommissionens anbefaling om en ny organisering af arbejdet
med digitalisering og data. En ny organisering skal være med til at sikre større national
beslutnings- og eksekveringskraft og fælles prioritering og retning for digitalisering
og brug af data i sundhedsvæsenet.
I kapitel 11 præsenteres kommissionens anbefaling om en national sundhedsplan,
som skal sætte en strategisk retning for tiltag, der sikrer en tilpasning af ressource-
fordelingen mellem både det primære og sekundære sundhedsvæsen og geografisk
på tværs af landet.
I kapitel 12 præsenteres kommissionens anbefaling om en række ændringer af
organiseringen og samarbejdet på psykiatriområdet, der skal understøtte en styrket
sammenhæng og et løft af kvaliteten i den tværgående indsats for mennesker med
psykiske lidelser.
I kapitel 13 præsenteres kommissionens anbefaling og overvejelser om private aktører
og patientrettigheder.
SUU, Alm.del - 2023-24 - Bilag 317: Orientering om Sundhedsstrukturkommissionens afrapportering, fra indenrigs- og sundhedsministeren
2880227_0191.png
1
2
3
4
Del 3 - Tværgående anbefalinger og forslag
191
Kapitel 9: Kapacitetsudvidelse
og ændret organisering af det
almenmedicinske tilbud
Det almenmedicinske tilbud har en nøglefunktion i sundhedsvæsenet. De alment praktiserende læger løfter
en stor og vigtig opgave i forhold til at varetage behandling og udrede og afklare, om borgerne skal henvises
videre til det sekundære sundhedsvæsen.
Blandt borgerne er der generelt tilfredshed med det almenmedicinske tilbud.
150
Særligt tilgængelighed og
sammenhæng er vigtige for patienternes tilfredshed. Udviklingen i patientsammensætningen med flere
ældre og flere mennesker med kroniske sygdomme udfordrer dog allerede i dag det almenmedicinske
tilbud. For at imødekomme patienternes behov skal det almenmedicinske tilbud varetage flere og mere
komplekse opgaver og i højere grad indgå som en integreret og sammenhængende del af det samlede
sundhedsvæsen.
Det almenmedicinske tilbud skal styrkes, udvikles og varetage flere opgaver, der i dag løses på sygehusene.
Det betyder, at en større andel af de samlede sundhedsudgifter skal allokeres til det almenmedicinske
tilbud. Omstillingen af opgavevaretagelsen skal ske i takt med, at kapaciteten og kompetencerne i det
almenmedicinske tilbud udvides, og den nødvendige faglige støtte fra det sekundære sundhedsvæsen er
tilgængelig.
Sundhedsstrukturkommissionen vurderer, at den nuværende organisering af det almenmedicinske tilbud
ikke er tilstrækkelig til at understøtte den udvikling og tilpasning, som er nødvendig for, at det almen-
medicinske tilbud kan varetage den nøglerolle, det er tiltænkt i fremtidens sundhedsvæsen.
Kommissionen anbefaler derfor en betydelig kapacitetsudvidelse af det almenmedicinske tilbud indenfor
rammerne af en ændret organisering. Anbefalingen er i udgangspunktet uafhængig af den øvrige for­
valtningsstruktur (se kapitel 15). Sundhedsstrukturkommissionen lægger vægt på, at ansvaret for at
tilvejebringe det almenmedicinske tilbud fremover fortsat er placeret ved den myndighed, som også
har ansvar for at levere sygehusydelser.
Potentialer ved et styrket almenmedicinsk tilbud
Det almenmedicinske tilbud har en nøglefunktion i sundhedsvæsenet. Det er her borgerne først henvender
sig, når de har et helbredsproblem eller en bekymring. Det almenmedicinske tilbud har
generalistkompe-
tencer og kan håndtere de hyppigste helbredsproblemer i alle faser af borgernes liv. En lang relation mellem
patient og behandler bidrager til sammenhæng i relationen, bedre information og bedre behandling.
Undersøgelser peger i retning af, at et velfungerende almenmedicinsk tilbud baseret på disse principper
er mere effektivt, koster mindre og har bedre kvalitet.
151
150 Indenrigs- og Sundhedsministeriet, “Resultater af brugertilfredshedsundersøgelse for lægepraksis”, 2024.
151 World Health Organization, “Building the Economic Case for Primary Health Care: A Scoping Review”, 2018.
SUU, Alm.del - 2023-24 - Bilag 317: Orientering om Sundhedsstrukturkommissionens afrapportering, fra indenrigs- og sundhedsministeren
2880227_0192.png
192
1
2
3
4
Del 3 - Tværgående anbefalinger og forslag
Boks 9.1
WHO. A vision for primary health care in the 21st century
WHO anbefaler, at almenmedicinske klinikker bør være første kontakt for langt de fleste henvendelser
fra borgere, både for at forebygge sygdom og håndtere akutte og kroniske problemer. Læger i almen-
medicinske klinikker bør være generalister, virke efter en personcentreret tilgang, prioritere relationel
kontinuitet, koordinere patientforløb på tværs af sektorer, være gatekeepere for det sekundære
sundhedsvæsen og tilbyde gratis behandling for patienten.
Kilde: World health organization, ”A vision for primary health care in the 21st century: Towards universal health coverage and the
Sustainable Development Goals” 2018.
I de kommende år stiger antallet af ældre og sårbare patienter og patienter med én eller flere kroniske
sygdomme markant. Patienterne, som i dag typisk modtager indsatser fra flere dele af sundhedsvæsenet,
vil i mange tilfælde have størst gavn af, at behandlingen er forankret i et almenmedicinsk tilbud.
I 2022 stod personer over 65 år for ca. en tredjedel af alle kontakter til det almenmedicinske tilbud. Tallet
kan stige til godt og vel 40 pct. i 2045. Det er en stigning, der primært er drevet af en vækst i kontakter
blandt de ældre borgere over 85 år, hvor der kan forventes en fordobling af kontakter i samme periode.
152
Det betyder, at de almenmedicinske klinikker skal løse flere og ofte mere komplicerede opgaver i relation
til målgruppen i et tæt samarbejde med det øvrige sundhedsvæsen.
Et nært og let tilgængeligt almenmedicinsk tilbud er en hjørnesten i sundhedsvæsenet. Borgerne skal have
let og lige adgang til et tilbud af høj kvalitet i hele landet. Ansvaret for behandling af patienter med længere-
varende sygdom, der kræver løbende kontakt med sundhedsvæsenet, skal være hos det almenmedicinske
tilbud. Specialister og sygehuse skal understøtte det almenmedicinske tilbud med vurdering af mere
komplicerede problemstillinger i form af rådgivning og konference efter behov, og det almenmedicinske
tilbud skal have let adgang til nødvendige diagnostiske undersøgelser med kort ventetid. På den måde kan
indsatsen foregå tættere på borgerens hjem og være helhedsorienteret, fordi den almenmedicinske læge
er uddannet til at tage udgangspunkt i borgerens samlede livssituation, ønsker, netværk og ressourcer.
Der er et stort potentiale for omstilling og i at øge de indsatser, som varetages i det primære sundheds-
væsen, heriblandt i det almenmedicinske tilbud. Kapaciteten, kompetencerne og behandlingsmulighederne
skal derfor styrkes og udvikles, så flere opgaver fremover varetages i det primære sundhedsvæsen.
Det kræver de rette rammer at styrke og prioritere indsatserne i det almenmedicinske tilbud, så det rustes
til at håndtere udviklingen. Mange læger og personale i det almenmedicinske tilbud oplever, at opgave-
kompleksiteten og opgavemængden stiger, bl.a. som en konsekvens af at der er flere mennesker med
multisygdom, flere patienter med mentale problemer, kortere indlæggelsestider, øget kompleksitet i den
kommunale opgavevaretagelse og uklar prioritering af opgaver og retning for det almenmedicinske tilbud.
Det er udfordringer, som bliver stadigt vanskeligere at håndtere i den nuværende struktur.
Det stiller krav til en udvikling, hvor kapacitet i og indretning af det almenmedicinske tilbud muliggør, at:
• Det almenmedicinske tilbud er en effektiv gatekeeper for det sekundære sundhedsvæsen.
• Det almenmedicinske tilbud varetager behandling og tovholderfunktion for ældre medicinske patienter
og patienter med langvarige psykiske og/eller fysiske sygdomme.
• Det almenmedicinske tilbud understøtter høj tilgængelighed for alle borgere, også de borgere, der ikke
kan komme indenfor almindelig åbningstid.
• Det almenmedicinske tilbud understøtter håndtering af akutte problemstillinger 24 timer i døgnet, hvor
sygehusbehandling ikke er påkrævet.
152 Boston Consulting Group, “Udviklingen i Sundhedsvæsenet – et perspektiv til omstilling”, 2024.
SUU, Alm.del - 2023-24 - Bilag 317: Orientering om Sundhedsstrukturkommissionens afrapportering, fra indenrigs- og sundhedsministeren
2880227_0193.png
1
2
3
4
Del 3 - Tværgående anbefalinger og forslag
193
• Det almenmedicinske tilbud agerer opsøgende og proaktivt på sundhedsproblemer i samarbejde med
det øvrige sundhedsvæsen.
• Det almenmedicinske tilbud er mere integreret i og tilpasser opgaveløsningen til sundhedsvæsenet i
øvrigt og samarbejder tæt med det øvrige sundhedsvæsen, bl.a. med sygeplejen på plejecentre,
midlertidige pladser og botilbud.
• Det almenmedicinske tilbud er tilgængeligt i hele landet med tilbud af ensartet, høj kvalitet.
• Det almenmedicinske tilbud benytter og deler data til kvalitets- og opgaveudvikling og samarbejde
om patienter på tværs af aktører.
• Det almenmedicinske tilbud ledes og udvikles fagligt i samspil med det sekundære sundhedsvæsen og
er repræsenteret i den faglige ledelse i sygehusledelserne.
Sundhedsstrukturkommissionen vurderer, at der er strukturelle svagheder ved den nuværende
organisering af det almenmedicinske tilbud, som en ny organisering bør adressere. Svaghederne er, at:
• Opgavebeskrivelsen fastlægges indenfor en ramme, Overenskomst om almen praksis, hvor resultatet skal
godkendes ved afstemning af klinikkerne. Det understøtter ikke gennemførelsen af den nødvendige
opgaveudvikling.
• Mange selvstændige enheder uden forpligtende opgavebeskrivelse betyder, at det almenmedicinske
tilbud vanskeligt kan indgå i forpligtende tværsektorsamarbejde.
• En fordeling af ressourcerne ud fra opgavetyngde ikke understøttes i tilstrækkeligt omfang.
Overvejelser om organisering af det almenmedicinske tilbud
Sundhedsstrukturkommissionen vurderer, at det er nødvendigt at gennemføre ændringer af den
eksisterende organisering af det almenmedicinske tilbud for, at det kan varetage fremtidens opgaver i
sundhedsvæsenet. Det kræver bedre mulighed for at sammensætte det almenmedicinske tilbud efter lokale
behov, et mere smidigt aftalesystem, som bygger på en veldefineret og forpligtende opgavebeskrivelse,
bedre muligheder for at sanktionere klinikker, som ikke overholder aftalerne, bedre faglig ledelse, bedre
mulighed for at allokere ressourcer efter sundhedsbehov og bedre muligheder for, at den lokale myndighed
kan varetage sin forpligtelse til at levere almenmedicinske tilbud til alle borgere.
Kommissionen har derfor drøftet forskellige modeller for en ny organisering af det almenmedicinske tilbud,
bl.a. en model baseret på ansatte læger i offentligt drevne klinikker. Sammenlignet med den eksisterende
model vil en hjemtagelse af det almenmedicinske tilbud potentielt indebære fordele i form af mindre
variation i det almenmedicinske tilbud, bedre tilgængelighed, øget omstillingskapacitet og bedre integration
af det almenmedicinske tilbud i sundhedsvæsenet.
Sammenlignet med den eksisterende model vil ulemperne ved en model baseret på ansatte læger potentielt
være mindsket effektivitet, mindre patienttilfredshed og mindre kontinuitet i relationen mellem patient
og behandler og markante omkostninger i form af udgifter til omlægning af det almenmedicinske tilbud.
Derudover kan der være udfordringer med rekruttering og fastholdelse som følge af mulig afgang fra faget
af speciallæger i almen medicin i forbindelse med omlægningen til offentligt drevne klinikker.
Sundhedsstrukturkommissionen finder, at betydelig usikkerhed om effekten, omkostninger til en
omlægning af det almenmedicinske tilbud og fordelene ved den eksisterende organisering taler for en
gradvis frem for en abrupt tilgang til at udvikle leverandørsammensætningen i det almenmedicinske tilbud.
Kommissionen har også drøftet, om det er uhensigtsmæssigt, at det indenfor rammerne af det nuværende
ydernummersystem er muligt at købe og sælge ydernumre mellem alment praktiserende læger og dermed
retten til at være leverandør til det offentlige af almenmedicinske ydelser. Ulemperne er, at den ansvarlige
myndighed har begrænset indflydelse på leverandørvalget og ejerskabet til ydernumrene, som begrænser
mulighederne for at omdisponere, planlægge og tilrettelægge tilbuddet ud fra lokale behov.
Overfor de anførte argumenter står hensynet til, at den nuværende organisering med mange selvstændige
erhvervsdrivende understøtter kontinuitet, effektivitet og entreprenørskab i det almenmedicinske tilbud.
Hvis der fx indføres tidsbegrænsede kontrakter, vil det ske med risiko for tab af kontinuitet og investeringer
i udviklingen af klinikkerne. Hvis der alene indføres krav om, at ydernummeret returneres til den ansvarlige
SUU, Alm.del - 2023-24 - Bilag 317: Orientering om Sundhedsstrukturkommissionens afrapportering, fra indenrigs- og sundhedsministeren
2880227_0194.png
194
1
2
3
4
Del 3 - Tværgående anbefalinger og forslag
myndighed ved ejerlægens ophør som alment praktiserende læge, vil det indebære uhensigtsmæssige
incitamenter til at fastholde kontrollen med ydernummeret så længe som muligt, fordi ejerlægen råder
over et aktiv af en ofte ikke ubetydelig værdi, som ikke kan realiseres. Endelig vil der afhængig af model for
indfasning kunne være tale om ekspropriation, som i sig selv indebærer en udgift. Det betyder, at et forslag
om et nyt ydernummersystem ikke vil kunne holdes indenfor Sundhedsstrukturkommissionens kommis-
sorium, som forudsætter omkostningsneutralitet.
Anbefaling: Ny organisering af det almenmedicinske tilbud
På baggrund af de forudgående overvejelser opstiller Sundhedsstrukturkommissionen en anbefaling med
tilknyttede forslag til en ændret organisering af det almenmedicinske tilbud. Det forudsættes, at forskellige
former for privatejede klinikker og alment praktiserende læger også fremover vil udgøre et væsentligt
element i det almenmedicinsk tilbud.
Boks 9.2
Anbefaling 1
Sundhedsstrukturkommissionen anbefaler en betydelig kapacitetsudvidelse af det almenmedicinske
tilbud indenfor rammerne af en ændret organisering. Formålet er, at udviklingen af det almen-
medicinske tilbud afspejler patienternes stigende behov for sundhedsydelser og tilgængelighed i
det primære sundhedsvæsen. Derfor skal de ansvarlige myndigheders kompetence til at påvirke
udviklingen styrkes.
Boks 9.3
Forslag
1. Kapacitet og kompetencer i det primære sundhedsvæsen skal udbygges, og det kræver at en større
andel af de samlede sundhedsudgifter anvendes i det almenmedicinske tilbud.
SUU, Alm.del - 2023-24 - Bilag 317: Orientering om Sundhedsstrukturkommissionens afrapportering, fra indenrigs- og sundhedsministeren
2880227_0195.png
1
2
3
4
Del 3 - Tværgående anbefalinger og forslag
195
2. De ansvarlige myndigheder skal have kompetence til at benytte forskellige klinikformer, bl.a. alment
praktiserende læger, offentligt drevne klinikker og udbudsklinikker, hvor det skønnes relevant ud fra
lokale forhold og behov. Dermed fjernes de eksisterende lovgivningsmæssige begrænsninger for,
at det almenmedicinske tilbud kan udvikles til i fremtiden at bestå af en kombination af alment
praktiserende læger og øvrige klinikformer, bl.a. klinikker med ansatte læger.
3. Opgavebeskrivelsen for det almenmedicinske tilbud skal fastlægges af nationale myndigheder med
inddragelse af relevante faglige selskaber og skal ses i tæt sammenhæng med en styrket sundheds-
planlægning og styret opgaveudvikling og arbejdsdeling i sundhedsvæsenet. Opgavebeskrivelsen
skal samtidig fastlægge, hvordan sygehuse, øvrige specialister og sundhedstilbud skal understøtte
de almenmedicinske tilbud. Ændringen betyder, at fastlæggelsen af opgavebeskrivelsen i det almen-
medicinske tilbud adskilles fra forhandlinger om de økonomiske vilkår, som de alment praktiserende
læger og øvrige klinikker virker efter.
4. Differentierede patienttal og honorarer skal fastlægges på baggrund af en national model, som
estimerer behandlingsbehovet for patienterne i den enkelte klinik. Effekten vil være, at klinikker
med en stor andel af ressourcestærke og raske patienter skal varetage flere patienter indenfor den
nuværende honorering, mens klinikker med en stor andel af sårbare borgere og borgere med multi-
sygdom får reduceret patientantallet, så der sikres en omfordeling af ressourcer efter sundhedsbehov.
5. De ansvarlige, lokale myndigheders lovmæssige grundlag for at tilrettelægge samarbejdet og følge
op på efterlevelsen af opgavebeskrivelsen for det almenmedicinske tilbud skal styrkes.
6. En central rammeaftale skal fastsætte økonomi, vilkår og honorarstruktur for de alment praktiserende
læger, men centrale elementer i form af opgavebeskrivelsen, grundlaget for fordeling af
lægeressourcer og tvistløsning reguleres fremover udenfor aftalesystemet.
7. Honorarstrukturen skal revideres med fokus på forenkling, sammenhæng mellem patienternes
sundhedsbehov og honorering, styrket samarbejde med andre aktører og realisering af løbende
produktivitetsgevinster til gavn for det samlede sundhedsvæsen. Det vil bl.a. betyde, at hver enkelt,
ny opgave ikke forudsætter forhandlinger om økonomi, da en forsimplet honorarstruktur kan rumme
nye opgaver.
8. En dansk model for netværksorganisering skal udvikles og udbredes med den effekt, at det almen­
medicinske tilbud kan møde skærpede krav til opgaver og funktioner indenfor en organisering med
relativt mange mindre klinikker, bl.a. ved tværfagligt samarbejde.
9. Databaseret kvalitetsudvikling i det primære sundhedsvæsen skal styrkes markant, så grundlaget for
at udvikle og følge opgaveløsningen forbedres betydeligt.
Udover at udvide adgangen til at benytte andre klinikformer lægger forslagene samlet set op til at flytte
kompetence fra den nuværende Overenskomst om almen praksis til henholdsvis en faglig og udviklings-
orienteret funktion på nationalt niveau og til en styrket lokal planlægningskompetence. Den faglige
udvikling skal drives nationalt, den centrale rammeaftale skal sikre enighed om vilkårene for klinikkerne,
og den lokale kompetence skal understøtte den ansvarlige myndigheds mulighed for en effektiv og smidig,
lokal tilrettelæggelse. De tre elementer skal dermed fungere i sammenhæng.
Sundhedsstrukturkommissionens anbefaling til en ændret organisering af det almenmedicinske tilbud kan
gennemføres uafhængigt af stillingtagen til øvrig forvaltningsstruktur (se kapitel 15). Kommissionen lægger
dog vægt på, at ansvaret for at tilvejebringe et almenmedicinsk tilbud fortsat placeres hos den myndighed,
som også har ansvaret for at tilvejebringe sygehusydelser, fordi:
• Faglig bæredygtighed i ledelses- og kontrolfunktionerne forudsætter en vis størrelse.
• Myndigheden med ansvar for sygehusindsatserne skal også have ansvaret for det almenmedicinske
tilbud, som er gatekeeperfunktion for det sekundære sundhedsvæsen.
• Der er behov for opmærksomhed på og prioritering af det almenmedicinske tilbud i det sekundære
sundhedsvæsen, bl.a. sygehusenes forpligtigelse til at understøtte det almenmedicinske tilbud.
SUU, Alm.del - 2023-24 - Bilag 317: Orientering om Sundhedsstrukturkommissionens afrapportering, fra indenrigs- og sundhedsministeren
2880227_0196.png
196
1
2
3
4
Del 3 - Tværgående anbefalinger og forslag
• Opgaveomstilling og sammenhængende patientforløb understøttes af, at ansvaret er placeret hos samme
myndighed, da en udbygning af det almenmedicinske tilbud forudsætter en modsvarende tilpasning
af opgavevaretagelsen og kapaciteten på sygehusområdet.
Forslag 1: Kapaciteten i det almenmedicinske tilbud udbygges
Sundhedsstrukturkommissionen foreslår, at andelen af de samlede sundhedsudgifter, som bruges på det
almenmedicinske tilbud, skal stige i takt med, at opgaver omstilles til og nye opgaver løses af det almen-
medicinske tilbud, og kapaciteten udvides. Forslaget skal ses i sammenhæng med udviklingen i sygdoms-
billedet og potentialet ved en styrket opgaveløsning i det primære sundhedsvæsen.
Udbygningen af kapaciteten i det almenmedicinske tilbud skal dermed ses i tæt sammenhæng med
anbefalingen om en ændret organisering, der udgør grundlaget for opgaveomstilling, øget geografisk lighed
i sundhed og bedre ressourceudnyttelse i det samlede sundhedsvæsen. Udvidelsen af kapaciteten skal
desuden ses i meget tæt sammenhæng med behovet for at sikre bedre lægedækning i dele af landet, hvor
det i dag er vanskeligt at tiltrække speciallæger i almen medicin.
Det er en forudsætning for kommissionens anbefaling om organiseringen af det almenmedicinske tilbud,
at målsætningen om at uddanne flere speciallæger i almen medicin bliver indfriet (se også Aftale om
Sundhedsreform fra 2022
153
).
Kommissionen bemærker, at de ansvarlige myndigheder lokalt bør arbejde for at tiltrække og fastholde
almenmedicinere i lægedækningstruede områder. Der er de senere år taget initiativer til at understøtte
rekrutteringen i områder med lægemangel. Heriblandt har regionerne fået mulighed for under visse
omstændigheder at give et særligt økonomisk vederlag til læger i områderne, ligesom der er afsat økonomi
til etablering af licensklinikker. Det er væsentligt, at de redskaber, der allerede er til rådighed tages i brug,
fx til at tiltrække og fastholde almenmedicinere.
Forslag 2: Kompetence til at sammensætte det almenmedicinske
tilbud ud fra lokale behov
Sundhedsstrukturkommissionen foreslår, at den myndighed, som er ansvarlig for at tilvejebringe et almen-
medicinsk tilbud, får kompetence til at benytte forskellige kliniktyper i form af alment praktiserende læger,
offentligt drevne klinikker eller udbudsklinikker. Formålet er, at myndigheden kan vælge den leverandør-
sammensætning, der vurderes nødvendig og hensigtsmæssig ud fra lokale udfordringer og forhold.
Forslaget indebærer, at de nuværende lovmæssige begrænsninger for at etablere og anvende regions- og
udbudsklinikker fjernes. Dermed fjernes de nuværende barrierer for at etablere andre kliniktyper, som
indebærer, at der i lovgivningen ikke vil være krav om, at det almenmedicinske tilbud som udgangspunkt
tilbydes via alment praktiserende læger, som virker efter vilkår fastsat ved overenskomsten.
Nye klinikformer vil kunne tages i brug for at møde de lokale behov i situationer, hvor 1) myndigheden
overdrages et ydernummer, der ikke kan sælges, 2) der er behov for at udvide den samlede kapacitet, eller
3) der indgås aftale om opkøb af eksisterende ydernumre.
Forslaget ændrer ikke ved, at praksisplanlægning fortsat skal ske med udgangspunkt i vurderingen af behov
for lægekapaciteter i et givent område. Derudover har de ansvarlige myndigheder et indbygget og stærkt
incitament til ikke at etablere et overudbud af almenmedicinske ydelser. Etablering af klinikker skal ske i
henhold til øvrig lovgivning, som indebærer, at konkurrencereglerne skal iagttages og private klinikker ikke
udsættes for konkurrenceforvridende tiltag.
153 Regeringen, Venstre, Socialistisk Folkeparti, Det Konservative Folkeparti, Enhedslisten, Liberal Alliance, Nye Borgerlige, m.fl. “Aftale om
Sundhedsreform”, 2022.
SUU, Alm.del - 2023-24 - Bilag 317: Orientering om Sundhedsstrukturkommissionens afrapportering, fra indenrigs- og sundhedsministeren
2880227_0197.png
1
2
3
4
Del 3 - Tværgående anbefalinger og forslag
197
Sundhedsstrukturkommissionen foreslår desuden, at den ansvarlige myndighed skal have mulighed for
at etablere eller udbyde ”fokuserede almenmedicinske tilbud”. Det kan fx være et almenmedicinsk tilbud,
som etableres i sammenhæng med øvrige sundheds- eller plejeindsatser målrettet bestemte grupper,
fx modtagere af kommunal sygepleje, borgere med ophold på midlertidige pladser eller borgere på
psykiatriske botilbud (se kapitel 13 og 14).
Muligheden kan også bruges til, at den lokale myndighed eksperimenterer med nye klinikformer, hvor
fx borgernes adgang til sundhedsfremmende og sociale tilbud i civilsamfund og offentlige sundhedstilbud
understøttes (se Internationale cases på udvidede almenmedicinske tilbud). Efter engelsk forbillede kan det
fx gøres ved at ansætte sociale brobyggere, som har et omfattende indblik i hvilke tilbud, der findes i
lokalområdet.
SUU, Alm.del - 2023-24 - Bilag 317: Orientering om Sundhedsstrukturkommissionens afrapportering, fra indenrigs- og sundhedsministeren
2880227_0198.png
198
1
2
3
4
Del 3 - Tværgående anbefalinger og forslag
Internationale cases på udvidede
almenmedicinske tilbud
Tættere integration af det almenmedicinske tilbud
I Ängelholm i Sverige er Hälsostaden (”Sundhedsbyen”) bl.a. etableret med et initiativ om at skabe bedre
koordinering på tværs af sektorer og med henblik på, at de almenmedicinske tilbud påtager sig en større rolle
i koordinering af behandlingsforløb for patientgrupper med særligt stort behandlingsbehov, fx patienter med
multisygdom eller ældre patienter. De almenmedicinske tilbud spiller en central koordinerende rolle i
samarbejdet mellem forskellige sundhedsaktører.
En væsentlig innovation er fx etableringen af en fælles weekend­ og aftenklinik på Ängelholm Sygehus.
Klinikken fungerer som et supplement til hospitalets akutafdeling og forbedrer adgangen til almenmedicinsk
hjælp udenfor normal åbningstid. Derudover spiller sundhedscentret Laxen, der er en del af Hälsostaden,
en nøglerolle i behandling og pleje i hjemmet for ældre og sårbare patienter, som reducerer belastningen
på sygehuset. Resultaterne peger i retning af en markant forbedring i effektiviteten af behandling og pleje,
bl.a. reduktion af omkostninger, hurtigere omdirigering af patienter til det rette specialiseringsniveau og
forbedret koordinering mellem det almenmedicinske tilbud, kommunal pleje og sygehuset.
Helhedsorienteret indsats på tværs af det almenmedicinske tilbud, kommune og civilsamfundets
aktører i et udsat område
Bromley by Bow Health Centre er et sundhedstilbud i et udsat område i London, som består af et almen-
medicinsk tilbud, kommune, civilsamfundsaktører og et videnscenter. Grundtanken er, at mange sundheds-
problemer skal løses i tæt samarbejde med civilsamfundet. Læger kan udskrive en social recept, når der
er behov for en social indsats. Patienterne kan derefter henvende sig til en brobygger, som kan formidle
adgang til aktiviteter, såsom gå-grupper, gartnerteams, madlavningshold, kreative workshops, sygdoms-
uddannelse, fysisk træning eller rygeafvænning. Den integrerede indsats på tværs af det almenmedicinske
tilbud, kommune og civilsamfundsaktører i lokalsamfundet giver Bromley by Bow en særlig mulighed for
at tilbyde en helhedsorienteret indsats for borgere med komplekse helbredsproblemer.
Kilde: Boston Consulting Group, ”Sundhedsvæsenets organisering i udvalgte lande”, 2023.
CASE
SUU, Alm.del - 2023-24 - Bilag 317: Orientering om Sundhedsstrukturkommissionens afrapportering, fra indenrigs- og sundhedsministeren
2880227_0199.png
1
2
3
4
Del 3 - Tværgående anbefalinger og forslag
199
Forslaget om en udvidet kompetence til at sammensætte det almenmedicinske tilbud skal ses i lyset af,
at Danmark sammenlignet med andre lande har en særdeles homogen sammensætning af det almen-
medicinske tilbud, hvor det aktuelt er ca. 95 pct. af borgerne, som er tilknyttet en klinik, der virker efter
Overenskomst om almen praksis. En undersøgelse af ønsker til fremtidig beskæftigelse blandt gruppen
af hoveduddannelses­ og speciallæger i almen medicin viser, at ca. 14 pct. svarede ”nej” og 26 pct. svarerede
”ved ikke” til, om de ønsker at eje egen klinik.
154
Der er dermed en vis variation og fleksibilitet i ønsker
til beskæftigelse i gruppen af uddannelseslæger. En anden sammensætning af leverandører kan derfor
potentielt bidrage til, at rekrutteringsgrundlaget for de almenmedicinske tilbud øges, da ansættelse og
andre arbejdsvilkår kan være attraktive for visse speciallæger i almen medicin, som ikke ønsker at eje
egen klinik.
Den ændrede kompetence til nye klinikformer vurderes i væsentlig grad at styrke den ansvarlige myndig-
heds mulighed for at tilpasse det almenmedicinske tilbud til lokale behov og imødekomme eventuelle
lægedækningsudfordringer. Derudover kan det give mulighed for at udvikle nye klinikformer og lave
systematisk erfaringsopsamling. Det betyder også, at sammensætningen af leverandører kan ændre sig
over tid. Der vil forventeligt fortsat være en stor andel af klinikker ejet og drevet af alment praktiserende
læger, men suppleret af alternative klinikker i form af offentligt drevne klinikker og udbudsklinikker.
Det forventes at bidrage til lettere adgang og flere valgmuligheder for borgerne. Det kan også understøtte
konkurrence mellem klinikkerne om at tilpasse sig patienternes forskellige behov, som kan resultere i
øget variation i de forskellige tilbud på tværs af det almenmedicinske tilbud.
Forslag 3: Nationalt fastsat opgavebeskrivelse
Sundhedsstrukturkommissionen foreslår, at opgavebeskrivelsen i det almenmedicinske tilbud fremover
fastlægges af nationale myndigheder. På den måde adskilles beskrivelsen af opgaver og funktioner, der
ønskes løst i det almenmedicinske tilbud, fra forhandlinger om de økonomiske vilkår, som de alment
praktiserende læger og øvrige klinikker virker under. Forslaget ændrer ikke ved, at alment praktiserende
lægers forpligtigelse til at efterleve opgavebeskrivelsen skal fastlægges ved en aftale om vilkårene.
Sundhedsstyrelsen fastlægger opgavebeskrivelsen på baggrund af en proces med inddragelse af relevante
faglige kompetencer og aktører, fx Dansk Selskab for Almen Medicin, som tilfældet bl.a. også er ved
udvikling af kvalitetsstandarder på det kommunale område.
Opgavebeskrivelsen beskriver krav og anbefalinger til den samlede almenmedicinske ydelse, som de
ansvarlige myndigheder skal tilvejebringe. Som et led i opgavebeskrivelsen fastlægges en basisfunktion,
som omfatter en faglig beskrivelse af de funktioner, opgaver, kompetencer og kerneværdier, fx kontinuitet,
generalistkompetence, lokal forankring, tovholderfunktion og basal tilgængelighed og samarbejde, som alle
klinikker uanset leverandørform i udgangspunktet skal leve op til. Opgavebeskrivelsen skal samtidig
beskrive, hvordan sygehuse, øvrige specialister og sundhedstilbud skal understøtte de almenmedicinske
tilbud, fx med rådgivning og konference, håndtering af patienter med komplicerede problemstillinger,
rehabilitering og adgang til diagnostiske undersøgelser. Endelig vil opgavebeskrivelsen indeholde yderligere
krav og anbefalinger rettet mod de ansvarlige, lokale myndigheder, fx om at sikre fasttilknyttede læger på
botilbud og til at sikre tilgængelighed til almenmedicinske tilbud i ydertidspunkter eller for særlige grupper
og dermed udover, hvad der er omfattet af basisfunktionen.
Basisfunktionen skal dermed bidrage til en prioritering og en fokusering af, hvilke opgaver som løses bedst
i det almenmedicinske tilbud, og hvilke opgaver der skal løses andre steder. Samlet set skal det sikre
tydelighed om prioriteter og retning for det almenmedicinske tilbud og om funktioner, opgaver og
opgavevaretagelse, som vil gøre det lettere for det enkelte tilbud at dimensionere klinikken og tilrettelægge
indsatsen. Basisfunktionen skal samtidig bidrage til, at de opgaver, som håndteres bedst andre steder,
flyttes, og de opgaver, som ikke giver sundhedsfaglig værdi, stoppes. På den måde skal basisfunktionen ses i
sammenhæng med en generelt styrket sundhedsplanlægning og styret opgaveudvikling (se også kapitel 11).
154 Yngre Læger, “Yngre Lægers almen praksis-undersøgelse 2023 – ønsker til fremtidig beskæftigelse blandt hoveduddannelses- og
speciallæger”, 2023.
SUU, Alm.del - 2023-24 - Bilag 317: Orientering om Sundhedsstrukturkommissionens afrapportering, fra indenrigs- og sundhedsministeren
2880227_0200.png
200
1
2
3
4
Del 3 - Tværgående anbefalinger og forslag
Med udgangspunkt i den nationalt fastsatte basisfunktion og krav skal der fastlægges økonomi og honorar
ved kontrakt for udbudsklinikker og ved en central rammeaftale om økonomiske vilkår med Praktiserende
Lægers Organisation for alment praktiserende læger, som virker efter overenskomst i dag. Forslaget ændrer
dermed ikke ved det grundlæggende forhold, at der fortsat skal indgås aftale om de økonomiske vilkår m.v.,
inden de beskrevne funktioner og opgaver i opgavebeskrivelsen forpligter de alment praktiserende læger.
Hvis der fx er behov for at udvide krav til tilgængeligheden i opgavebeskrivelsen, som kan påvirke vilkårene
for de alment praktiserende læger, vil vilkårene skulle aftales. Nogle vilkår kan fremgå af den centrale
rammeaftale, mens andre kan aftales i forbindelse med den lokale myndigheds dialog med udbyderne
i området om den nærmere tilrettelæggelse.
For at understøtte den lokale myndigheds planlægningskompetence og sikre større lokalt råderum for at
tilpasse opgaveløsningen med udgangspunkt i borgerne behov vil det også fremover være muligt at indgå
lokalaftaler, fx om at sikre øget tilgængelighed for grupper af særligt sårbare patienter på botilbud, pleje-
centre og midlertidige pladser.
Der skal være balance mellem kravene i basisfunktionen og det almenmedicinske tilbuds kapacitet,
ressourcer og kompetencer. Det betyder, at når de nationale myndigheder ønsker at udvide basisfunktionen,
fx når en opgave skal flyttes fra sygehus til det almenmedicinske tilbud, så skal de nødvendige ressourcer
stilles til rådighed som led i en løbende opgaveudvidelse, alternativt skal en anden opgave fjernes.
Det betyder, at udmøntningen af opgavebeskrivelsen fastlægges under hensyntagen til leverandørsammen-
sætningen, og udmøntningen skal ses i sammenhæng med kommissionens øvrige forslag om det almen-
medicinske tilbud, bl.a. mulighed for at indgå lokale aftaler og netværksorganisering.
Forslaget skal ses i lyset af, at den nuværende overenskomstmodel indebærer, at beskrivelsen af krav til
indhold og udvikling i det almenmedicinske tilbud forudsætter enighed mellem Regionernes Lønnings- og
Takst Nævn og Praktiserende Lægers Organisation. Til trods for en række udviklingstiltag, bl.a. for at styrke
indsatsen til mennesker med kronisk sygdom og sundhedstjek af borgere på botilbud, foregår udviklingen
i et tempo, som er utilstrækkeligt i forhold til den omfattende opgaveudvikling og omstilling, som skal
gennemføres de næste ti år.
Sundhedsstrukturkommissionen vurderer, at der med en national regulering af opgavebeskrivelsen sikres
et bedre grundlag for at opnå en mere ensartet opgaveløsning og kvalitet på tværs af de almenmedicinske
tilbud og et bedre grundlag for at gennemføre en faglig og organisatorisk udvikling af tilbuddet, som
modsvarer udviklingsbehovet i det nødvendige tempo. Samtidig vil der være bedre mulighed for, at fast­
læggelsen og prioriteringen af opgaver sker under hensyntagen til den strategiske sundhedsplanlægning
i det samlede sundhedsvæsen og en optimal udnyttelse af kapaciteten i det almenmedicinske tilbud. Der vil
fx være bedre grundlag for at beslutte, om der er opgaver, som ikke giver værdi eller løses bedre i andre dele
af sundhedsvæsenet og derfor kan flyttes, så kun opgaver, der varetages bedst i det almenmedicinske tilbud,
varetages dér.
Basisfunktionerne skal opdateres med løbende intervaller for at afspejle opgaveudviklingen og aktuelle
behov i sundhedsvæsenet og sikre den ønskede udvikling i det almenmedicinske tilbud. Det kan som led
i opdateringen fastlægges, at nye basisfunktioner og faglig udvikling gennemføres indenfor en nærmere
fastsat implementeringsperiode, som giver de almenmedicinske tilbud mulighed for at tilpasse organisering
og opgavevaretagelse. Beskrivelsen af basisfunktioner skal skabe klarhed om opgaverne og danne grundlag
for den ansvarlige, lokale myndigheds opfølgning på opgaveløsningen i de enkelte klinikker. Den nationale
basisfunktion kan suppleres af lokale aftaler.
SUU, Alm.del - 2023-24 - Bilag 317: Orientering om Sundhedsstrukturkommissionens afrapportering, fra indenrigs- og sundhedsministeren
2880227_0201.png
1
2
3
4
Del 3 - Tværgående anbefalinger og forslag
201
Forslag 4: Omfordeling af ressourcer efter sundhedsbehov
Sundhedsstrukturkommissionen foreslår, at der indføres differentierede patientnormer i det almenmedicin-
ske tilbud på baggrund af en national model, som estimerer behandlingsbehovet for patienter i den enkelte
klinik ud fra data, fx om patienternes alder, køn, fysisk og psykisk sygelighed og socioøkonomiske variable.
Formålet er, at patientnormen i såvel den enkelte klinik som i et geografisk område afspejler patienternes
behov for behandling. Let adgang til det almenmedicinske tilbud spiller en væsentlig rolle i at sikre social
og geografisk lighed i sundhed. Det er derfor væsentligt, at kapaciteten og ressourcerne fordeles mere
ligeligt efter befolkningssammensætning og behandlingsbehov. Forslaget adresserer dermed den ulighed,
der er i, at de områder, hvor andelen af borgere med store sundhedsfaglige behov er størst, er der oftest
færrest sundhedsfaglige ressourcer.
Befolkningssammensætningen varierer i dag i betydeligt omfang på tværs af geografien. Det betyder, at
alment praktiserende læger i dag kan have relativt mange eller relativt få patienter med stort behov for
lægehjælp. Ifølge overenskomsten har en klinik, der har mere end 1.600 gruppe 1­sikrede patienter pr.
lægekapacitet, som udgangspunkt ret til at lukke for tilgangen. Hvis en klinik har mere end 2.700 patienter
tilmeldt pr. lægekapacitet, skal der søges om fortsat at have åbent for patienttilgang. Klinikkerne har
indenfor de overenskomstfastsatte rammer mulighed for at indrette klinikkerne, så det er muligt at varetage
færre eller flere patienter, bl.a. ved at tilknytte personale. En læge kan uddelegere opgaver til personale
under lægens ansvar. Ydelser takseres ens uanset, om det er lægen eller personale, som leverer ydelsen.
Områder som Nordjylland og Sydsjælland har generelt et større antal såkaldt sygdomsvægtede borgere
pr. lægekapacitet. Det kan afspejle, at borgere i de områder har relativt dårligere adgang til lægehjælp
sammenlignet med patienter i resten af Danmark, jf. figur 9.1. Antallet af sygdomsvægtede borgere pr.
lægekapacitet er baseret på en beregning, som med betydelig usikkerhed estimerer det lægefaglige behov,
som en given klinik skal dække. Der bør udvikles en mere omfattende national model til estimering af
differentieret patientnorm og basishonorar.
Der er i dag en betydelig forskel i antallet af sygdomsvægtede borgere på tværs af klinikker i hele landet.
De 10 pct. af klinikkerne med det laveste antal har tilknyttet 1.367 sygdomsvægtede borgere, mens de
10 pct. med det højeste antal har tilknyttet 2.122. Blandt klinikker med et sammenligneligt antal sygdoms-
vægtede borgere ses desuden en vis variation i omfanget af leverede ydelser, som de sygdomsvægtede
borgere modtager. Det indikerer en forskel i, hvor meget behandling sammenlignelige patienter modtager,
og dermed også en ulighed i adgangen til ydelser for patienterne.
155
Differentierede patientnormer og en tilpasning af honorarstrukturen skal bidrage til større lighed i
adgangen til almenmedicinske tilbud ved, at klinikker, hvor patientsammensætningen tilsiger et højt
sundhedsbehov, kan bruge relativt mere tid på patienter med størst behov. Det vil samtidig være i overens-
stemmelse med Dansk Selskab for Almen Medicins pejlemærker for faget, som bl.a. lægger vægt på at
differentiere indsatsen for de patienter med størst behov.
156
155 Sundhedsstrukturkommissionen. ”Sundhedsstrukturkommissionens baggrundsrapport”. 2024.
156 DSAM-bestyrelsen, “Fremtidens familielæge: Et holdningspapir fra DSAM”, Dansk Selskab for Almen Medicin, 2023.
SUU, Alm.del - 2023-24 - Bilag 317: Orientering om Sundhedsstrukturkommissionens afrapportering, fra indenrigs- og sundhedsministeren
2880227_0202.png
202
1
2
3
4
Del 3 - Tværgående anbefalinger og forslag
Figur 9.1
Det gennemsnitlige antal sygdomsvægtede borgere pr. lægekapacitet
(gennemsnit på tværs af ydernumre i kommunerne), 2023
2.501 – 2.899
2.251 – 2.500
2.001 – 2.250
1.751 – 2.000
1.501 – 1.750
1.101 – 1.500
Anm.: Antal sygdomsvægtede borgere basseres på en beregning, hvor man vægter borgerne i forhold til det træk, som man forventer de
har i det almenmedicinske tilbud på baggrund af deres karakteristika (alder, køn, kroniske sygdomme (RUKS) og arbejdsmarkedstilknytning
(DREAM)). Trækket i det almenmedicinske tilbud defineres på baggrund af antallet af ydelser, som borgere faktisk har modtaget i det almen­
medicinske tilbud, ganget med den honorering, som lægen modtager for ydelsen. Ydelser givet under kronikerhonoraret kan ikke observeres
og antages derfor at følge samme fordeling som ydelser for resten af befolkningen plus en årskontrol, mens tillægsydelser givet til personer
under kronikerhonoraret er indregnet på baggrund af faktiske ydelser. Én tilmeldt borger kan derved tælle som to sygdomsvægtede borgere,
hvis borgeren har et dobbelt så stort træk på det almenmedicinske tilbud som en gennemsnitlig borger. Figuren er afgrænset til ydernumre
med 1.000 – 3.000 faktiske tilmeldte patienter pr. lægekapacitet.
Kilde: Sygesikringsregisteret (SSR), Den Registerbaserede Evaluering af Marginaliseringsomfanget (DREAM), Registeret for udvalgte kroniske
sygdomme og svære psykiske lidelser (RUKS), CPR-registeret (CPR), Yderregisteret og Sundhedsdatastyrelsen.
Forslaget vil dermed medføre, at almenmedicinske tilbud i områder med lavt sundhedsbehov skal varetage
flere patienter indenfor den nuværende honorering, imens klinikker i områder med høj sygdomsbyrde får
reduceret patientantallet som følge af patienternes større behov, så der sikres en omfordeling af ressourcer
efter sundhedsbehovet. Samtidig vil der også skulle fordeles flere lægekapaciteter til områderne.
Forslaget ændrer ikke ved, at alle klinikker honoreres pr. konsultation, men det kræver, at der sker en
omlægning og prioritering af opgaveløsningen i de berørte klinikker, som isoleret set kan bevirke et oplevet
fald i serviceniveauet for nogle patientgrupper eller i nogle områder. Den nationalt fastlagte opgave-
beskrivelse skal medvirke til processen og understøtte en prioritering i klinikker, som oplever et pres som
følge af opgavemængden. Dermed understøttes en mere lige adgang til sundhed og en solidarisk fordeling
af opgaverne mellem de almenmedicinske tilbud.
Differentierede patientnormer forudsætter, at der udarbejdes en national model for beregning af patient-
sammensætningens betydning for behovet for almenmedicinske ydelser. Beregningen skal dels danne
grundlag for fastlæggelse af differentieret honorarer for alment praktiserende læger, som aftales i en
centralt forhandlet rammeaftale, dels danne grundlag for den ansvarlige myndigheds praksisplanlægning.
Det vil dermed også medføre, at den overordnede fordeling af ydernumre og lægekapaciteter finder sted ud
fra nationale hensyn, da de ansvarlige myndigheders praksisplanlægning skal ske indenfor rammerne af
den nationale ramme for vurderingen af behovet for almenmedicinske ydelser i et område.
SUU, Alm.del - 2023-24 - Bilag 317: Orientering om Sundhedsstrukturkommissionens afrapportering, fra indenrigs- og sundhedsministeren
2880227_0203.png
1
2
3
4
Del 3 - Tværgående anbefalinger og forslag
203
Ordningen skal indfases ud fra et hensyn om at give de almenmedicinske tilbud og den ansvarlige myndig-
heds mulighed for at tilpasse kapaciteten til lokale behov, bl.a. ved udbud af nye eller opkøb af eksisterende
lægekapaciteter/ydernumre. Ændringen af patientnormen for de enkelte klinikker vil kunne effektueres
umiddelbart med den effekt, at nogle klinikker i et område med estimeret overudbud vil skulle åbne for
tilgang af nye patienter, mens klinikker i andre områder vil kunne vælge at lukke for tilgang. Som konse-
kvens vil der ikke fordeles nye lægekapaciteter/ydernumre til geografiske områder, som i forvejen har
relativt mange lægekapaciteter set i forhold til borgernes sundhedstilstand.
Forslaget skal ses i sammenhæng med, at de eksisterende overenskomstfastsatte vilkår ikke sikrer en
tilstrækkelig fordeling af opgaverne, fordi der er aftalt et fast normtal for antallet af patienter i alle klinikker
og et begrænset differentieret fast basishonorar for klinikker i lægedækningstruede områder og for læger
med en stor patienttyngde.
En central styring af grundlaget for et differentieret normtal, differentierede honorarer og fordelingen
af lægekapaciteter vil sikre bedre og mere lige adgang til sundhed for borgerne. Det vil bidrage til en mere
hensigtsmæssig fordeling og en bedre anvendelse af kapaciteten og ressourcerne i det almenmedicinske
tilbud baseret på patienternes behov. En differentiering af basishonoraret på baggrund af patientsammen-
sætningen vil betyde, at klinikker med høj sygdomsbyrde kompenseres økonomisk for den større indsats,
imens klinikker med lav sygdomsbyrde skal varetage flere patienter for at opretholde samme indtjening.
Det bidrager til, at det bliver relativt mere attraktivt at nedsætte sig som læge i klinikker med høj sygdoms-
byrde.
I en overgangsfase kan der være risiko for, at en nedsat patientnorm isoleret set forværrer udfordringerne
med lægedækning i visse områder. Det følger af, at klinikker, som i dag løfter en uforholdsmæssig stor
opgave, forventeligt vil reducere deres antal af patienter ved at lukke for tilgang, da de vil kunne opretholde
deres indkomst ved færre patienter. Sundhedsstrukturkommissionen vurderer, at risikoen opvejes af, at
vilkårene for at drive klinikker i områderne forbedres, som vil kunne bidrage til at tiltrække flere læger, og
til at myndigheden samtidig får mulighed for at etablere offentligt drevne klinikker og udbudsklinikker
med længere tidshorisont.
Forslag 5: Styrket grundlag for at lede samarbejdet og den
faglige udvikling
Sundhedsstrukturkommissionen foreslår, at den ansvarlige myndigheds kompetence til og fokus på at lede
samarbejdet og den faglige udvikling i de almenmedicinske tilbud styrkes. Formålet er at sikre et bedre
grundlag for at koordinere og udvikle samarbejdet mellem de almenmedicinske tilbud, sygehusene og
øvrige tilbud i forbindelse med at nye og mere komplekse opgaver skal løses i et stærkt primært sundheds-
væsen. Det stiller store krav til den ledelse, der får ansvaret for at lede samarbejdet og den faglige udvikling
i de almenmedicinske tilbud (se kapitel 16).
Den enkelte klinikejer er fortsat ansvarlig for at tilrettelægge, organisere og lede klinikken, så den lever
op til de opgaver og krav, som er fastlagt i den nationalt fastlagte basisfunktion. Der er behov for faglig
ledelse og lokal styring og koordinering for at skabe velfungerende rammer for opgaveløsning og udvikling,
balance mellem opgaver, kapacitet og kompetencer, høj kvalitet, effektive samarbejdsrelationer og gode
patientforløb.
Fokus på at udvikle det primære sundhedsvæsen
De ansvarlige myndigheders politiske og ledelsesmæssige opmærksomhed skal i højere grad end i dag
rettes mod det almenmedicinske tilbud og mod prioritering og udvikling af tilbuddet i samarbejde med
det øvrige sundhedsvæsen. Der skal dermed ske en opprioritering af den faglige ledelse og udvikling af
det almenmedicinske tilbud fra den ansvarlige myndigheds side. Myndigheden, der er ansvarlig for at
tilvejebringe almenmedicinske ydelser, kan derfor etablere en enhed, som er dedikeret til at lede sam-
arbejdet med de almenmedicinske tilbud, understøtte den faglige udvikling og understøtte samarbejdet
med det øvrige sundhedsvæsen om gode patientforløb på tværs af sektorer.
SUU, Alm.del - 2023-24 - Bilag 317: Orientering om Sundhedsstrukturkommissionens afrapportering, fra indenrigs- og sundhedsministeren
2880227_0204.png
204
1
2
3
4
Del 3 - Tværgående anbefalinger og forslag
Enheden skal samle ansvaret for opfølgning på kvalitetsudvikling, samarbejdsflader og kontrol og
opfølgning i en enhed, hvor der er kompetencer, som sikrer et grundlæggende kendskab til og forståelse
for arbejdet i de almenmedicinske tilbud. Hensigten er at sætte retning og lede og understøtte det almen-
medicinske tilbud i den ønskede faglig udvikling og sikre fokus på tilbuddet og samspillet med det øvrige
sundhedsvæsen. Derudover skal enheden lede samarbejdet mellem det almenmedicinske tilbud og det
øvrige sundhedsvæsen lokalt og samtidig bidrage til ledelsesmæssig fokus i forhold til tilbuddet, bl.a.
i sygehusledelsen. Det skal bidrage til en styrket understøttelse af det almenmedicinske tilbud fra syge-
husene, større faglig sammenhæng og mere smidige overgange i opgavevaretagelsen med henblik på
mere sammenhængende patientforløb og behandling.
Ledelse af samarbejdet og den faglige udvikling i det almenmedicinske tilbud bør udføres indenfor
rammerne af den grundpræmis, at hovedparten af klinikkerne fungerer som selvstændige enheder, der
enten virker efter udbud og kontrakt med myndigheden eller via den centrale rammeaftale for alment
praktiserende læger. Klinikejeren tilrettelægger dermed selv arbejdet i klinikken ud fra den fastlagte
opgavebeskrivelse for det almenmedicinske tilbud.
Forslaget skal også ses i lyset af, at dialogen i dag mellem regionerne og de enkelte klinikker, som leveran-
dører af almenmedicinske ydelser, i alt væsentlighed er centreret om kontrol af ydelsesafregning, imens
regionerne vurderes at have utilstrækkelig fokus på og kompetence til at sikre kvalitetsudvikling og fokus
på at udvikle samspillet med det øvrige sundhedsvæsen.
157
Styrket grundlag for at lede udvikling og følge op på efterlevelse af
opgavebeskrivelse
De ansvarlige myndigheder skal have styrket lovmæssigt grundlag for at efterleve sin myndigheds-
forpligtigelse i forhold til tilvejebringelsens af almenmedicinske tilbud i henhold til de nationalt fastsatte
krav og lokale aftaler. Forholdet mellem den ansvarlige myndighed og de enkelte klinikker i det almen-
medicinske tilbud bør være baseret på gensidig tillid, dialog og samarbejde. Myndigheden skal dog have
bedre forudsætninger for at gå i dialog med den enkelte klinik, fx om mangelfuld efterlevelse af basis-
funktioner, opgavevaretagelse og tilgængelighed og pålægge den enkelte klinik at rette op på dette eller
i sidste ende pålægge sanktioner.
Det vil konkret betyde, at myndigheden skal have mulighed for at specificere krav til samarbejdsrelationen
med leverandørerne af de almenmedicinske tilbud med udgangspunkt i opgavebeskrivelsen og den centralt
forhandlede rammeaftale. Derudover skal myndigheden sikre efterlevelsen af nationalt fastlagte basis-
funktioner og krav, som leverandørerne skal opfylde.
Ved tvister om efterlevelse og fortolkning af lovgivningen skal de søges løst i mindelighed. Hvor tvister ikke
kan løses i mindelighed, skal de kunne indbringes for en uvildig instans, jf. boks 9.4. I yderste konsekvens
skal der være mulighed for, at den ansvarlige myndighed kan afvikle samarbejdet. Samtidig kan det over­
vejes at styrke den lokale myndigheds mulighed for kontrol med salg af ydernumre og dermed myndig-
hedens indflydelse på valg af leverandører. Det kan gøres ved at indføre krav om, at en speciallæge i almen
medicin ved køb af et ydernummer forhåndsgodkendes af den ansvarlige myndighed ud fra en vurdering af,
om det kan sandsynliggøres, at lægen vil efterleve gældende krav og regler, fx krav om at have praksisdrift
som hovedbeskæftigelse. Herudover kan det overvejes at begrænse antallet af ydernumre, som en læge kan
eje, fx begrænset til to. Det vil vanskeliggøre sundhedskoncerners de facto overtagelse af kontrollen inden-
for den del af det almenmedicinske tilbud, som er reguleret ved overenskomst.
157 Honorarstrukturrådet for almen praksis, “Forenkling og faglighed med fokus på patienten: Forslag til en ny honorarstruktur i almen praksis”,
2023; Leif Vestergaard Pedersen, “Almen lægehjælp i et moderne sundhedsvæsen. Idepapir om indførelse af ledelse i almen praksis”, 2023.
SUU, Alm.del - 2023-24 - Bilag 317: Orientering om Sundhedsstrukturkommissionens afrapportering, fra indenrigs- og sundhedsministeren
2880227_0205.png
1
2
3
4
Del 3 - Tværgående anbefalinger og forslag
205
Boks 9.4
Tvistløsning og sanktionering
Nyt tvistløsningssystem
Tvistløsningssystemet for de alment praktiserende læger, som i dag er reguleret af Overenskomst om
almen praksis, vil fremover blive erstattet af regulering i lovgivning.
Nyt klagenævn for almenmedicinske tilbud
Hvis den lokale ansvarlige myndighed mener, at der er begået overtrædelser af regelgrundlaget for
almenmedicinske tilbud i en konkret klinik, kan myndigheden først indlede dialog med ejeren af klinikken.
Fører det ikke til en løsning, kan den ansvarlige myndighed pålægge klinikken at rette op på det. I sidste
ende kan myndigheden pålægge klinikken sanktioner. Ejeren kan klage over det og rejse en sag mod
myndigheden ved en uafhængig administrativ klageinstans, et såkaldt domstolslignende klagenævn,
hvis ejeren ikke er enig i, at der er tale om en overtrædelse.
Sager, der har været indbragt for et klagenævn, vil kunne viderebringes for de almindelige domstole.
Klageinstansen vil have mulighed for at give visse sanktioner, fx henstillinger, afgøre fortolkningstvivl,
idømmelse af bøder/tilbagebetaling/modregning, fratagelse af retten til at praktisere som læge i det
almenmedicinske tilbud og afvise myndighedens påtale og sanktioner. Et nyt Klagenævn for almen-
medicinske tilbud vil kunne reguleres via en lovhjemmel og en bekendtgørelse.
Forslag 6: Ny aftalemodel for alment praktiserende læger
Sundhedsstrukturkommissionen foreslår, at økonomi, vilkår og honorarstruktur for alment praktiserende
læger, som i dag praktiserer efter overenskomst, fremover fastlægges via en centralt forhandlet ramme-
aftale. Det betyder, at der indgås en stående rammeaftale om økonomi og honorar mellem repræsentanter
for de ansvarlige myndigheder og Praktiserende Lægers Organisation med afsæt i de nationalt fastsatte
basisfunktioner. Den økonomiske ramme kan reguleres løbende på baggrund af antallet af patienter
omfattet af klinikker, som virker efter rammeaftalen. Det er centralt, at aftalemodellen og honorarstruktu-
ren er fleksibel, sådan at nye eller ændrede opgaver, justeringer i basisfunktioner eller øvrige krav ikke
automatisk forudsætter forhandlinger. Ved udgiftsdrivende forslag vil parternes opgave i udgangspunktet
være at estimere og indplacere opgaven indenfor gældende honorarstruktur En centralt forhandlet ramme-
aftale vil sikre ensartede vilkår for og tilbud hos de alment praktiserende læger på tværs af landet.
Fremtidige opgaver og krav til de almenmedicinske tilbud skal fastlægges på baggrund af aktuelle behov
i sundhedsvæsenet, bl.a. via nationalt fastlagte basisfunktioner og krav. Den nationale regulering af basis-
funktioner i det almenmedicinske tilbud, omfordelingen af ressourcer efter sundhedsbehov og et nyt system
for tvistløsning vil bl.a. have den konsekvens, at centrale elementer, der hidtil har været reguleret ved
Overenskomst om almen praksis, fremover reguleres udenfor overenskomsten og bliver gældende for det
samlede almenmedicinske tilbud. Der vil derfor være et ændret aftalegrundlag, og formålet med kommende
aftaler mellem parterne vil adskille sig fra det nuværende overenskomstsystem.
Som led i en central rammeaftale bør der være mulighed for at indgå aftaler om honorar for opgaver, som
ligger udover det aktuelt gældende basisindhold. Det kunne omfatte opgaver, som på længere sigt gøres
gældende som en del af basisfunktionerne i det almenmedicinske tilbud, eller opgaver der forudsættes
samlet på færre enheder, fx svarende til ordningen med fasttilknyttede læger til plejehjem. For at under-
støtte muligheden for lokal tilpasning og fleksibilitet vil der også fremover skulle være mulighed for at
indgå lokalaftaler mellem parterne, som gælder for alle eller enkelte alment praktiserende læger i et
område, om varetagelsen af opgaver udover det, der er beskrevet i basisindholdet. Derudover kan der åbnes
for, at der som led i den centrale rammeaftale reserveres en mindre delramme til udmøntning af udvalgte
SUU, Alm.del - 2023-24 - Bilag 317: Orientering om Sundhedsstrukturkommissionens afrapportering, fra indenrigs- og sundhedsministeren
2880227_0206.png
206
1
2
3
4
Del 3 - Tværgående anbefalinger og forslag
opgaver lokalt for at sikre større lokalt råderum til at tilpasse opgaveløsningen. Risikoen for, at forhand-
lingssituationen lokalt kan indebære uhensigtsmæssigt omkostningsfulde lokalaftaler, taler for, at der bliver
foretaget en overordnet koordinering af den type af aftaler centralt.
Formålet med den smallere aftalekonstruktion, hvor opgaverne fastlægges i anden sammenhæng, er at gøre
systemet mere smidigt og styrbart. Muligheden for lokale aftaler skal samtidig give rum og fleksibilitet til, at
den ansvarlige myndighed tilrettelægger det almenmedicinske tilbud i sit område ud fra lokale behov, fx for
at løfte en særlig indsats overfor en bestemt gruppe af patienter.
Sundhedsstrukturkommissionen har i sine drøftelser også forholdt sig til en model, hvor kontrakter
om honorarer i udgangspunktet forhandles mellem den ansvarlige myndighed og den enkelte alment
praktiserende læge. Kommissionen har ikke fundet modellen hensigtsmæssig, da det er vurderingen,
at den i væsentlig grad vil forringe den offentlige myndigheds forhandlingsposition, ligesom den kan være
forbundet med øgede administrative udgifter.
Der vil også kunne opstå situationer efter gennemførelsen af forslaget, hvor nationale udviklingsinitiativer
begrænses af uoverensstemmelser om økonomi mellem parterne, som helt eller delvist kan skyldes de
mindre klinikkers kapacitet til at indoptage nye opgaver. Der skal beskrives et nærmere systemet for
mægling indenfor aftalesystemet.
Forslag 7: Ny honorarstruktur for de alment praktiserende læger
Sundhedsstrukturkommissionen foreslår, at der udvikles en ny honorarstruktur, der aftales for de alment
praktiserende læger, og som kan tages i brug på tværs af private klinikformer i det almenmedicinske tilbud.
Den nuværende honorarstruktur for de alment praktiserende læger er fastlagt i Overenskomst om almen
praksis. Der er opstået en meget detaljeret honorarstruktur, som løbende udbygges i takt med behovet for
nye typer ydelser. Honorarstrukturen medfører et stort fokus på enkeltydelser, og den tilskynder ikke til at
indgå i samarbejde med øvrige dele af sundhedsvæsenet eller til at prioritere patienter med størst behov.
Det gælder bl.a. patienter med tværgående og mere komplekse forløb med behov for koordinering.
158
Kommissionen vurderer derfor, at der er behov for en ny finansieringsmodel. Sundhedsstrukturkommis­
sionen foreslår en model, der:
• Sikrer sammenhæng mellem patienttyngde og honorering gennem en differentiering af de faste
honorarer efter patienttyngde, så de understøtter behovet for prioritering af ressourcer efter
patienternes behov i den enkelte klinik og på tværs af det almenmedicinske tilbud.
• Understøtter tværfagligt samarbejde og samarbejde med det øvrige sundhedsvæsen.
• Er enkel og overskuelig.
• Realiserer løbende produktivitetsgevinster til gavn for det samlede sundhedsvæsen.
Flere af de omtalte elementer er beskrevet i Honorarstrukturrådets forslag fra 2023 til en ny honorar­
struktur for de alment praktiserende læger.
159
Rådet blev nedsat efter aftale mellem parterne i forlængelse
af Overenskomstaftale om almen praksis 2022.
Sundhedsstrukturkommissionen lægger særlig vægt på, at honoreringen kobles til patienttyngde i tråd med
forslaget om differentieret patientantal og omfordeling af lægeressourcer efter sundhedsbehov. Derudover
skal indførelsen af en forenklet honorarstruktur, som isoleret set vil medføre tabt indsigt i aktiviteten i det
almenmedicinske tilbud, ses i sammenhæng med øvrige tiltag til forbedret indsigt i aktiviteten. En forenklet
honorarstruktur skal desuden understøtte, at justeringer i basisfunktioner og nye eller ændrede opgaver
kan håndteres og indpasses indenfor honorarstrukturen og dermed ikke ved knopskydning og tilføjelse af
158 Honorarstrukturrådet for almen praksis, “Forenkling og faglighed med fokus på patienten: Forslag til en ny honorarstruktur i almen praksis”,
2023.
159 Honorarstrukturrådet for almen praksis, “Forenkling og faglighed med fokus på patienten: Forslag til en ny honorarstruktur i almen praksis”,
2023.
SUU, Alm.del - 2023-24 - Bilag 317: Orientering om Sundhedsstrukturkommissionens afrapportering, fra indenrigs- og sundhedsministeren
2880227_0207.png
1
2
3
4
Del 3 - Tværgående anbefalinger og forslag
207
nye, konkrete honorartyper for nye ydelser. Det er samtidig vigtigt, at justeringer i basisfunktioner og nye
opgaver ikke automatisk medfører forhandlinger om yderligere økonomi, men at de også kan håndteres
ved prioriteringer af opgaver indenfor den gældende økonomiske ramme.
Kommissionen påpeger, at det ved fastlæggelsen af en ny honorarstruktur skal sikres, at kommende
produktivitetsgevinster også realiseres til gavn for det samlede sundhedsvæsen. Ved fastlæggelsen af
honorarer og økonomi bør det dermed vurderes, hvordan fx mere udbredt brug af praksispersonale eller
forbedret adgang til specialistrådgivning udgør en produktivitetsgevinst i det almenmedicinske tilbud
som helhed, der skal realiseres og geninvesteres i sundhedsvæsenet.
Forslag 8: Udbredelse af netværksorganisering
Sundhedsstrukturkommissionen foreslår, at der udvikles en dansk model for netværksorganisering, som
danner rammerne for, at et antal klinikker kan samarbejde om administrative funktioner, apparatur eller
personaleressourcer med sundhedsfaglig baggrund, fx gennem en andelskonstruktion. Hensigten er at
understøtte udviklingen af det almenmedicinske tilbud ved at bidrage til den økonomiske og organisa-
toriske bæredygtighed i det almenmedicinske tilbud med en stor andel af mindre organisatoriske enheder.
Hvis de almenmedicinske tilbud skal håndtere flere og nye opgaver, bl.a. i behandlingen af patienter
med kroniske sygdomme, multisygdom og psykisk sygdom, kan det stille krav til øget tilgængelighed, flere
arbejdsopgaver og udstyr. Det er krav, som kan være svære at honorere for mindre klinikker. Derudover er
der behov for, at opgaverne i almenmedicinske tilbud i højere grad løses tværfagligt mellem læger og andre
faggrupper, fx psykologer, sygeplejersker, bioanalytikere, fysioterapeuter, social- og sundhedsassistenter,
sekretærer m.v.
Tilknytning af andre faggrupper i de almenmedicinske tilbud vil potentielt sikre en bedre og mere hensigts-
mæssig udnyttelse af ressourcerne i det primære sundhedsvæsen, bl.a. i det almenmedicinske tilbud. Flere
faggrupper kan fx bidrage til at fokusere lægens opgaver, så lægens tid bruges mere hensigtsmæssigt. Det
kan ske ved, at sygeplejesker i højere grad varetager opgaver relateret til kontrol af borgere med kroniske
sygdomme, der er i et stabilt forløb, eller ved at psykologer med kompetencer indenfor mental sundhed kan
bidrage til forebyggelse og en hurtigere indsats overfor patienter med psykisk mistrivsel. Øgede krav som
følge af nationale basisfunktioner og flere og nye opgaver i det almenmedicinske tilbud forventes derfor at
medføre en udvikling mod større klinikker med flere lægekapaciteter, eller flere klinikker som samarbejder,
fx i andelsselskaber.
I Danmark er der en lang tradition for samarbejde mellem klinikker, fx samarbejdspraksis, 12­mands­
foreninger og efteruddannelsesgrupper. Netværk med mulighed for at udvide samarbejdet med fælles
personale er imidlertid ikke særlig udbredt i Danmark, men der er gode erfaringer med det i det hollandske
sundhedsvæsen. Netværksorganisering kan ses som en metode til at møde nye opgaver og krav, som vil
følge af basisfunktioner i det almenmedicinske tilbud. En andelsforening kan dermed vælge at løse visse
opgaver i fællesskab og i fællesskab fx varetage vaccinationsindsatser og funktionen som læge på et pleje-
hjem eller et botilbud.
Forslaget skal ses i sammenhæng med, at klinikformen blandt de alment praktiserende læger gradvist har
ændret sig med en stigende andel klinikker drevet som kompagniskaber. Over de seneste 45 år er andelen
af solopraksis reduceret fra 73 pct. til nu samlet set 41 pct. af det almenmedicinske tilbud, hvor solopraksis
uden samarbejde udgør 31 pct. og solopraksis med samarbejde udgør 10 pct. Andelen af klinikkerne, der
drives som kompagniskabspraksis, delepraksis og partnerskabspraksis m.v., er øget fra 27 pct. til 59 pct.
160
Imens der er mange ligheder mellem praksistyperne i deres opgavevaretagelse, er det dog kendetegnende,
at en større andel af solopraksis ikke har sygeplejersker ansat (22­29 pct.) relativt til andre praksistyper,
fx kompagniskabspraksis (6­9 pct.).
161
160 Sundhedsdatastyrelsen, “Aktive almen praksis (ydernumre) i yderregistret i perioden 2017-2023”, 2024.
161 BDO, “Analyse af udviklingen i opgaveløsningen i almen praksis”, 2023.
SUU, Alm.del - 2023-24 - Bilag 317: Orientering om Sundhedsstrukturkommissionens afrapportering, fra indenrigs- og sundhedsministeren
2880227_0208.png
208
1
2
3
4
Del 3 - Tværgående anbefalinger og forslag
Forslag 9: Kvalitetsudvikling og læring
Sundhedsstrukturkommissionen foreslår, at der i forlængelse af eksisterende initiativer og programmer
sættes styrket fokus på databaseret kvalitetsudvikling i det primære sundhedsvæsen. Det almenmedicinske
tilbud er borgernes primære indgang til sundhedsvæsnet og skal fremover udgøre ankeret i en omstilling af
sundhedsvæsenet, hvor flere opgaver løses i det primære sundhedsvæsen indenfor rammerne af en styrket
strategisk sundhedsplanlægning. Der er et betydeligt potentiale i at bygge videre på igangværende tiltag om
databaseret kvalitetsudvikling og læring og styrke adgangen til data og information om kvalitet på tværs af
det primære sundhedsvæsen. Det er nødvendigt for at styrke grundlaget for løbende videns- og erfarings-
opsamling.
Nuværende initiativer og programmer for dataindberetning og kvalitetsudvikling i det almenmedicinske
tilbud understøttes af organisationen Kvalitet i Almen Praksis (KiAP) og Sundhedsdatastyrelsen. De er
aftalt i overenskomsten og fastlagt i bekendtgørelse om indberetning af data til Sundhedsdatastyrelsen. I
Overenskomst om almen praksis 2018 blev der aftalt etablering af kvalitetsklynger med henblik på kvali-
tetsudvikling blandt de alment praktiserende læger. Klyngesamarbejdet fungerer som et fagligt forum, hvor
praktiserende læger deler viden, erfaringer og udvælger konkrete fokusområder for kvalitetsudviklingen
med udgangspunkt i data, som leveres via KiAP, men hvor nogle datapakker bl.a. bygger på data fra natio-
nale sundhedsregistre.
Internationalt har det vist sig på tværs af mange forskellige faggrupper, at datadrevet og struktureret
arbejde, der sker smågruppebaseret med fagfæller, er meget effektivt. Den indsigt ligger bag etableringen
af kvalitetsklyngerne i Danmark, hvor kliniske data på praksisniveau kan sammenlignes og drøftes med
kolleger med henblik på inspiration til kvalitetsudviklingsarbejdet i egen klinik. Erfaringen fra mange
lande viser, at tilgangen er effektiv, men kræver solid og vedvarende opbakning fra en kvalitetsudviklings-
organisation, der sikrer høj kvalitet i data og i formidlingen af data.
Behovet for at udvide datagrundlaget skal desuden ses i sammenhæng med forslaget om en ny og forenklet
honorarstruktur, som isoleret set vil have den ulempe, at indsigten i aktiviteten mindskes, hvis antallet af
ydelseskoder reduceres.
Samlet vurdering af forslag
I det følgende foretages en overordnet vurdering af Sundhedsstrukturkommissionens anbefaling og
tilknyttede forslag til organiseringen af det almenmedicinske tilbud. Vurderingen bliver foretaget på
baggrund af de seks hensyn, der er opstillet i kapitel 6.
Hensyn 1: Et sundhedsvæsen med høj kvalitet for alle borgere
I vurderingen af hensynet lægges der vægt på, om den organisatoriske ramme bidrager til bæredygtighed
i enhederne i det almenmedicinske tilbud i forhold til at løse opgaven på et højt kvalitetsniveau. Derudover
lægges der vægt på, om den organisatoriske ramme understøtter høj kvalitet i opgaveløsningen, både på
tværs af sociale grupper og i hele landet.
Forslagene til en ændret organisering understøtter mere ensartet kvalitet og lighed i det almenmedicinske
tilbud på tværs af både sociale grupper og på tværs af landet. En national regulering af opgavebeskrivelsen
for det almenmedicinske tilbud og en nationalt understøttet omfordeling af ressourcer indenfor det almen-
medicinske tilbud vil i meget væsentligt omfang bidrage til mere lige adgang til sundhed og en mere
ensartet opgaveløsning og styrket kvalitet på tværs af de almenmedicinske tilbud. En udvikling mod mere
robuste og bæredygtige enheder understøttes gennem en nationalt fastsat opgavebeskrivelse og net-
værksorganisering. Omvendt vil en åbning af muligheden for at etablere øvrige klinikformer og udvidede
almenmedicinske tilbud kunne medføre variation i tilbud på tværs af landet.
SUU, Alm.del - 2023-24 - Bilag 317: Orientering om Sundhedsstrukturkommissionens afrapportering, fra indenrigs- og sundhedsministeren
2880227_0209.png
1
2
3
4
Del 3 - Tværgående anbefalinger og forslag
209
Hensyn 2: Et sundhedsvæsen, hvor borgerne har valgmuligheder og let adgang til
relevante sundhedstilbud
I vurderingen af hensynet lægges der vægt på, om organiseringen sikrer et nært almenmedicinsk tilbud,
som er tilgængeligt for borgerne, når de har brug for det. Derudover vurderes det, om rammen understøtter
en enkel og klar indgang til et sundhedsvæsen, som samtidig understøtter frit valg og patientrettigheder.
Forslagene til ændret organisering af det almenmedicinske tilbud understøtter flere valgmuligheder og
forbedret adgang for borgerne i hele landet. Det sker først og fremmest ved, at de ansvarlige, lokale
myndigheder kan sammensætte det almenmedicinske tilbud ud fra lokale behov for at adressere særlige
målgrupper eller søge permanente løsninger på lægedækningsudfordringer. Det sker også ved en mere
ligelig ressourcefordeling i det almenmedicinske tilbud baseret på sundhedsbehov i såvel den enkelte
klinik som i et geografisk område. Let adgang og tilgængelighed til det almenmedicinske tilbud spiller
en væsentlig rolle i at sikre social og geografisk lighed i sundhed, og det er derfor centralt, at kapaciteten
og ressourcerne fordeles mere ligeligt efter befolkningssammensætning og behandlingsbehov.
Hensyn 3: Et sundhedsvæsen, hvor der er en stærk sammenhæng i patientforløb
I vurderingen af hensynet lægges der vægt på, om organiseringen understøtter, at ansvar, kompetence
og budget for opgaveløsningen placeres samme sted. Samtidig er fokus rettet mod, om opgavefordelingen
understøtter sammenhængende patientforløb.
Forlaget om styrket fokus på og bedre grundlag for ledelse og udvikling af det almenmedicinske tilbud giver
kompetence til at kontrollere og følge op på efterlevelse af krav og aftaler med de klinikker, som leverer de
almenmedicinske ydelser på vegne af myndigheden, og til at lede samarbejdet og udviklingen lokalt. Et
styrket ledelsesmæssigt fokus vil sammen med et forbedret datagrundlag gøre det nemmere for de enkelte
klinikker og for det øvrige sundhedsvæsen at koordinere og samarbejde. Tilsvarende vil placeringen af
myndighedsansvaret samme sted som ansvaret for sygehusene give bedre redskaber til opgaveomstilling,
styrket koordination og mere sammenhængende patientforløb.
En ny honorarstruktur skal bl.a. sikre sammenhæng mellem patienttyngde og honorering gennem en
differentiering af de faste honorarer efter patienttyngde og tilskynde til tværfagligt samarbejde og sam-
arbejde med det øvrige sundhedsvæsen. En ny honorarstrukturvil give styrkede økonomiske incitamenter
til at koordinere forløb, som går på tværs af sundhedsvæsenet.
Hensyn 4: Et sundhedsvæsen, der giver borgerne mest mulig sundhed for de
tilgængelige ressourcer
I vurderingen af hensynet lægges der vægt på, om de organisatoriske og styringsmæssige rammer under-
støtter, at styringsinstrumenter og incitamenter bidrager til mest mulig omkostningseffektivitet, om
organiseringen understøtter omprioritering og sikrer realisering af produktivitetsgevinster, og om
finansieringsmodeller understøtter omkostningseffektivitet, enkelhed og robusthed. Derudover vurderes
det, om rammerne understøtter et fokus på, at digitaliseringsområdet forbedrer innovationskapaciteten
og arbejdskrafteffektiviteten, både for sundhedsfagligt og administrativt personale.
Forslaget om en national opgavebeskrivelse vil i sammenhæng med omfordeling af ressourcerne efter
sundhedsbehov i væsentligt omfang understøtte en omkostningseffektiv omstilling af sundhedsvæsenet og
en styrket prioritering i det almenmedicinske tilbud og dermed en samlet set mere effektivt opgaveløsning
i sundhedsvæsenet.
Forslaget om ændret honorarstruktur tilskynder til samarbejde med det øvrige sundhedsvæsen samtidig
med, at der fastholdes en aktivitetsbaseret finansiering indenfor en samlet økonomiske ramme. Dermed
fastholdes incitamenter til høj omkostningseffektivitet.
Videre har forslaget om en national fastlagt opgavebeskrivelse potentiale til at sikre udbredelse i brugen
af andre faggrupper og dermed en mere hensigtsmæssig udnyttelse af ressourcerne i det almenmedicinske
tilbud og produktivitetsgevinster, som kan geninvesteres i sundhedsvæsenet.
SUU, Alm.del - 2023-24 - Bilag 317: Orientering om Sundhedsstrukturkommissionens afrapportering, fra indenrigs- og sundhedsministeren
2880227_0210.png
210
1
2
3
4
Del 3 - Tværgående anbefalinger og forslag
I praksis kan det vise sig vanskeligt at adskille fastsættelse af opgavebeskrivelsen fra forhandlinger om
økonomi for de alment praktiserende læger, som praktiserer efter den centralt forhandlede rammeaftale.
Der kan opstå vanskeligheder ved at fastlægge økonomien for visse udviklingsinitiativer, som derfor
gennemføres i et langsommere tempo, eller som i sidste ende omfatter visse dele af de almenmedicinske
tilbud og eventuelt på frivillig basis. Derudover kan der være risiko for, at den offentlige forhandlingsposi-
tion forværres ved, at opgavebeskrivelsen i princippet fastlægges uafhængigt af forhandlinger om udgiften
til opgavebeskrivelsen, og nationale udviklingsinitiativer strander i økonomiforhandlinger, fx ud fra hensy-
net til klinikker med begrænset potentialet for at indoptage nye opgaver.
Hensyn 5: Et sundhedsvæsen med effektiv politisk styring og demokratisk kontrol
I vurderingen af hensynet lægges der vægt på, at myndigheder med ansvar for at levere sundhedstilbud er
underlagt demokratisk kontrol, organiseringen understøtter politisk opmærksomhed på væsentlige
problemer, og organiseringen understøtter effektiv styring og klart ledelsesrum og -ansvar.
Sundhedsstrukturkommissionen vurderer, at en ny organisering af det almenmedicinske tilbud, hvor
opgavebeskrivelsen fastsættes nationalt, vil indebære en styrket demokratisk styring af det almen-
medicinske tilbud. Opgavebeskrivelsen for det almenmedicinske tilbud vil kunne afspejle nationale
sundhedspolitiske prioriteringer og dagsordener.
Forslaget om at styrke den lokale myndigheds kompetence til at lede samarbejdet og udviklingen forbedrer
den demokratiske styring med efterlevelsen af gældende regler og aftaler. Muligheden for etableringen af
øvrige klinikformer understøtter, at der i højere grad kan handles på lokale, politiske ønsker til det almen-
medicinske tilbud.
Hensyn 6: Implementeringsmuligheder og -risici
Forslagene til ændret organisering understøtter en gradvis udvikling af det almenmedicinske tilbud,
hvor borgernes adgang til sundhed i udgangspunktet ikke påvirkes negativt. Det betyder omvendt,
at implementeringen vil udstrække sig over en årrække.
Dertil kommer dog, at anbefalingen til en ændret organisering indebærer ændringer, som risikerer at
medføre kortvarig stilstand i opgaveudviklingen i en overgangsperiode som følge af en omlægning og
overgang fra det nuværende overenskomstaftalesystem til en ny aftalemodel.
SUU, Alm.del - 2023-24 - Bilag 317: Orientering om Sundhedsstrukturkommissionens afrapportering, fra indenrigs- og sundhedsministeren
2880227_0211.png
1
2
3
4
Del 3 - Tværgående anbefalinger og forslag
211
Kapitel 10: Ny organisering
af digitalisering og data
Borgerne i Danmark er blandt de mest digitale i verden. En stor del af befolkningen bruger digitale tjenester
som en naturlig del af hverdagen. Det gælder også i sundhedsvæsenet, hvor mange – især under og efter
covid­19­pandemien – har taget de digitale sundhedstilbud til sig. En digital transformation er derfor en
naturlig og central forudsætning for at fremtidssikre sundhedsvæsenet. Samtidig kan endnu større og bedre
brug af digitale løsninger og data være med til at skabe et mere sammenhængende sundhedsvæsen præget
af nærhed, tilgængelighed og bæredygtighed.
Den teknologiske udvikling muliggør den nødvendige omstilling af sundhedsvæsenet fra at levere ydelser
på sundhedsvæsenets fysiske matrikler til i højere grad at levere ydelser fra det samlede sundhedsvæsen,
som helt eller delvist møder borgeren, hvor vedkommende er, med samme høje kvalitet uafhængig af
geografi. Digitaliseringen kan bl.a. bidrage til at flytte behandling til borgernes hjem med borgerne som
aktive deltagere og til at frigøre arbejdskraft og løbende udvikle sundhedsvæsenet. En digital transforma-
tion kræver derfor meget mere end blot ny teknologi. Den stiller også krav til sundhedsfaglige arbejdsgange,
samarbejdsformer og organisering. Kort fortalt kan teknologien grundlæggende ændre den måde, sund-
hedsydelser leveres på.
Det er Sundhedsstrukturkommissionens vurdering, at den nuværende organisering af sundhedsvæsenets
digitaliserings- og dataindsats ikke kan realisere den nødvendige digitale transformation. Der er en række
strukturelle svagheder ved organiseringen af arbejdet med digitalisering og data i sundhedsvæsenet i dag,
som står i vejen for at realisere det store potentiale, der er ved i højere grad at udnytte de digitale løsninger
til gavn for borgere og medarbejdere.
Kommissionen anbefaler derfor, at der etableres en ny organisering af arbejdet med digitalisering og data
i sundhedsvæsenet, der skaber større national beslutnings- og eksekveringskraft og fælles prioritering og
retning. Det er en forudsætning for at gennemføre en større digital transformation af sundhedsvæsenet.
Kommissionen vurderer, at den ny organisering af arbejdet med digitalisering og data er nødvendig,
uanset hvilken overordnet forvaltningsstruktur der besluttes for fremtidens sundhedsvæsen. Samtidig er
anbefalingen og de tilhørende forslag en anerkendelse af, at en digital transformation er en vanskelig og
tidskrævende omstillingsproces. Den berører mange områder og aktiviteter i sundhedsvæsenet og skal
balancere forskellige hensyn. Kommissionen lægger derfor vægt på, at formålet med at anbefale en ny
organisering er at gøre sundhedsvæsenet bedre i stand til at udforme og eksekvere de overordnede visioner
for fremtidige løsninger, som kan implementeres bredt på tværs af sektorer og myndigheder.
I kapitlet beskrives først potentialer ved bedre digitalisering og brug af data i fremtidens sundhedsvæsen.
Derefter følger kommissionens overvejelser om en ny organisering af arbejdet med digitalisering og data i
sundhedsvæsenet. Med udgangspunkt i anbefalingen præsenteres fire organisatoriske forslag om digitali­
sering og data, som kommissionen vurderer er nødvendige for at styrke organiseringen af digitalisering og
data i sundhedsvæsenet. Det første forslag handler om en styrende og forpligtende strategi for digitalisering
og data, som dækker hele sundhedsvæsenet. Det andet forslag handler om at etablere en national plan-
lægningskompetence. Det tredje forslag handler om at etablere en fælles service- og leveranceorganisation.
Endelig handler det fjerde forslag om, at finansieringen af arbejdet med digitalisering og data i sundheds­
væsenet skal understøtte realiseringen af kommissionens øvrige tre forslag til en ny organisering af
arbejdet med digitalisering og data. Efter forslagene gennemgås kommissionens overvejelser om imple-
mentering. Afslutningsvis sammenholdes kommissionens anbefaling og forslag med de seks centrale
hensyn for indretningen af fremtidens sundhedsvæsen.
SUU, Alm.del - 2023-24 - Bilag 317: Orientering om Sundhedsstrukturkommissionens afrapportering, fra indenrigs- og sundhedsministeren
2880227_0212.png
212
1
2
3
4
Del 3 - Tværgående anbefalinger og forslag
Potentialer ved digitalisering og brug af data i fremtidens
sundhedsvæsen
Sundhedsstrukturkommissionen vurderer, at digitalisering og brug af data rummer et stort potentiale i
forhold til at realisere et mere sammenhængende sundhedsvæsen præget af nærhed, tilgængelighed og
bæredygtighed til gavn for borgere og medarbejdere. Det kræver en digital transformation af sundhedsvæ-
senet, der som en del af den nødvendige omstilling forandrer arbejdsgange, organisering
og samarbejdsformer og helt grundlæggende den måde, sundhedsydelser leveres på.
Fremtidens digitale sundhedsvæsen møder borgeren, uanset hvor vedkommende er geografisk, helbreds-
mæssigt og kompetencemæssigt. Med hjælp fra digitale løsninger og data skal sundhedsvæsenet indrettes
til at tage udgangspunkt i borgeren og være til stede, hvor og hvornår borgeren har behov – og med mindst
mulig indgriben i borgerens dagligdag. På den måde skal digitalisering, teknologi og data bidrage til at
fremtidssikre sundhedsvæsenet og styrke omstillingen til et nært, sammenhængende og tilgængeligt
sundhedsvæsen, som i højere grad er på borgerens præmisser.
Digitale sundhedstilbud skal være umiddelbart tilgængelige for borgerne i fremtidens sundhedsvæsen. Det
skal bl.a. bidrage til, at borgerne kan få sundhedstilbud i eller tæt på eget hjem og blive understøttet i at
være aktive medspillere i egen behandling. I fremtidens sundhedsvæsen kan borgere i langt højere grad
blive diagnosticeret, behandlet og genoptræne i eller tæt på eget hjem, bl.a. ved hjælp af hjemmemonitore-
ring, data fra deres egne enheder og apps, sensorteknologi, kunstig intelligens og datadeling på tværs af
sektorer. Med den rette støtte fra sundhedsvæsenet og de rigtige værktøjer kan flere følge og regulere deres
egen sygdom, fx i forbindelse med indlæggelse i hjemmet eller som del af et kronikerforløb. Den konkrete
indsats skal tilpasses den enkeltes behov og kompetencer. Meget tyder på, at mange borgere er klar til at
bruge de digitale løsninger.
162
Borgerne forventer fx, at sundhedsvæsenet deler og bruger relevante data om
dem som led i behandlingsforløb, så de ikke selv skal være bærere af informationen, og vigtig viden ikke går
tabt.
163
Teknologien muliggør en omstilling, hvor sundhedsvæsenet skifter fra at levere ydelser på sund-
hedsvæsenets fysiske matrikler til i højere grad at levere ydelser fra det samlede sundhedsvæsen, som helt
eller delvist møder borgeren, hvor vedkommende er, med samme høje kvalitet uafhængig af geografi.
Borgerne skal opleve et sammenhængende sundhedsvæsen med mere glidende overgange. Med det
stigende antal ældre borgere, borgere med kronisk sygdom og borgere med multisygdom, som har regel-
mæssige kontakter på tværs af sundhedsvæsenets sektorer, stiger behovet for at sikre sammenhæng i
sundhedsvæsenets tilbud og indsatser. På den baggrund skal digitale løsninger og øget datadeling bidrage
til en bedre integration på tværs af sektorer og specialer, hvor borgeren oplever et let, smidigt og effektivt
forløb uden at blive mødt af hårde sektorovergange eller faggrænser. Samtidig kan øget datadeling mellem
sektorerne bidrage til en bedre og mere fleksibel brug af ressourcer, kompetencer og specialistviden på
tværs af landet og dermed også til øget geografisk lighed i sundhed.
Digitale løsninger og data skal desuden understøtte og aflaste medarbejderne. Med det stigende pres på
sundhedsvæsenet og manglen på medarbejdere i årene fremover er det afgørende, at teknologien bidrager
til at frigøre ressourcer hos medarbejderne. Der er potentiale i at anvende nye teknologier til at optimere
og helt eller delvist automatisere arbejdsgange, både i den sundhedsfaglige indsats og i den øvrige drift i
sundhedsvæsenet. Samtidig kan digitale løsninger og data understøtte medarbejderne i deres opgave­
varetagelse, fx datadrevet beslutningsstøtte til bedre og hurtigere visitation og diagnostik.
Endelig skal digitalisering og brug af data bidrage til mere effektiv ledelse og til løbende og kvalificeret
udvikling af sundhedsvæsenet. Valide og tidstro data skal i højere grad understøtte administrative
processer, styring, ledelse og kvalitetsudvikling. Det skal bl.a. gøre det muligt lettere at følge op på relevante
nationale og lokale mål og sikre en mere effektiv kapacitets- og ressourceudnyttelse i alle dele af sundheds-
væsenet. På samme måde skal data anvendes til at understøtte et lærende sundhedsvæsen. Det indebærer
162 Jønsson, Alexandra Brandt Ryborg. “Borgere og pårørendes oplevelse af mødet med sundhedsvæsenet: udfordringer samt ønsker til
forandringer”, 2024.
163 ViBIS, “Patienter og pårørendes oplevelser med, og ønsker til, sundhedsvæsenet: Hovedpointer fra feedbackmøder med patienter og
pårørende”, 2023.
SUU, Alm.del - 2023-24 - Bilag 317: Orientering om Sundhedsstrukturkommissionens afrapportering, fra indenrigs- og sundhedsministeren
2880227_0213.png
1
2
3
4
Del 3 - Tværgående anbefalinger og forslag
213
bl.a., at smidig og sikker adgang til data bidrager til øgede muligheder for forskning og læring og dermed til
at udvikle kvaliteten i sundhedsvæsenet, fx gennem mere effektive arbejdsgange og behandlingsformer, som
i højere grad kan tilpasses den enkelte borger.
Boks 10.1
Potentialer ved kunstig intelligens
Der sker i disse år en markant udvikling indenfor kunstig intelligens. Kunstig intelligens kan på en række
områder bidrage til sundhedsvæsenets udvikling ved at forbedre behandling og forebyggelse. Desuden
kan løsninger baseret på kunstig intelligens effektivisere arbejdsgange og frigøre medarbejderressourcer,
fx ved at overtage rutineopgaver.
Mere tid til borgernære opgaver
Med kunstig intelligens kan administrative opgaver som dokumentation og journalisering delvist
automatiseres, som kan frigøre sundhedspersonalets tid til de borgernære opgaver. På den måde kan
kunstig intelligens øge effektiviteten og medvirke til at tiltrække og fastholde sundhedspersonalet ved
at gøre deres arbejde mere meningsfuldt.
Tidligere diagnostik med øget præcision
Kunstig intelligens’ evne til at analysere komplekse datasæt er på flere områder i gang med at revolu­
tionere diagnostikken. Fx kan billedgenkendelse i radiologi øge nøjagtigheden af diagnoser og opdage
sygdomme tidligere end i dag. Kunstig intelligens bruges allerede til diagnostik, bl.a. i flere regioner i
forbindelse med screening for brystkræft og til at opdage knoglebrud hos skadestuepatienter i Region
Nordjylland.
Sikker digital hjemmebehandling
Ved brug af fx kropsbåren teknologi og andre smarte hjemmeenheder kan borgeres tilstand monitoreres
i realtid. Kunstig intelligens kan løbende analysere de seneste data og give det kliniske personale tidlige
advarsler om forværring eller nye behov for intervention, som øger muligheden for at tilbyde behandling
og indlæggelser i hjemmet. Kunstig intelligens kan også styrke mulighederne for personalisering af
digitale terapiformer og dermed øge tilgængeligheden af behandling ved psykisk sygdom.
Assistent ved kliniske beslutninger
Kunstig intelligens kan på mange områder agere assistent og beslutningsstøtte for sundhedspersonalet
ved at sammenligne aktuelle patientdata med tidligere patientdata i store databaser. Det kan bl.a. hjælpe
læger med at vælge den mest effektive behandling skræddersyet til den enkelte patient, fx behandlings-
planer baseret på individuelle patientdata.
Overvejelser om organisering af digitalisering og data
i sundhedsvæsenet
Danmark er et af de førende lande, hvad angår digitalisering og brug af data i sundhedsvæsenet.
164
I dag
arbejder en lang række organisationer med digitalisering, data og andre teknologiske løsninger på tværs
af sundhedsvæsenet. Det gælder både lokale indsatser i de enkelte organisationer og sektorer og fælles
digitale løsninger, der anvendes på tværs af sundhedsvæsenet. Sundhedsstrukturkommissionen vurderer
164 Gjødsbø, Iben Mundbjerg, Henriette Langstrup, Klaus Høyer, Lars Kayser, og Karsten Vrangbæk. “Digitalisering i det danske
sundhedsvæsen”. Samfundsøkonomen, nr. 1 (25. marts 2021): 26–38.
SUU, Alm.del - 2023-24 - Bilag 317: Orientering om Sundhedsstrukturkommissionens afrapportering, fra indenrigs- og sundhedsministeren
2880227_0214.png
214
1
2
3
4
Del 3 - Tværgående anbefalinger og forslag
dog, at den eksisterende organisering af arbejdet med digitalisering og data ikke er tilstrækkelig til at
realisere den nødvendige digitale transformation af sundhedsvæsenet og udnytte potentialet ved
digitalisering og data til at fremtidssikre sundhedsvæsenet.
Kommissionen har identificeret en række svagheder ved den nuværende organisering, som kort beskrives
i det følgende.
165
For det første bærer den nuværende organisering præg af, at der mangler beslutnings-
og eksekveringskraft og fælles prioritering. Ansvaret for den digitale udvikling er i dag fordelt på mange
aktører og et stort antal beslutningsfora på forskellige niveauer, og der er ikke i tilstrækkelig grad en
forpligtende national retning for arbejdet.
166
Det betyder bl.a., at udvikling og implementering af fælles
digitale løsninger går for langsomt, og at de samlede digitaliserings- og dataressourcer ikke udnyttes
effektivt.
167
Samtidig betyder den manglende koordinering og fælles prioritering, at borgere og sundheds­
personale oplever et fragmenteret digitalt landskab med manglende sammenhæng mellem løsninger.
Det kan fx ses ved de mange digitale løsninger og kanaler til datadeling og borgernes digitale adgang til
sundhedsvæsenet, som har overlap i funktioner, og det kan være svært at overskue, hvilken der skal bruges
i den konkrete situation.
168
For det andet har flere af sundhedsvæsenets aktører ikke de rette forudsætninger for at varetage udvikling,
implementering og drift af teknologiske løsninger. Der er stor forskel på niveauet af digitaliserings- og
datakompetencer og mængden af ressourcer på tværs af sundhedsvæsenet.
169
Ud over tekniske kompeten-
cer gælder det bl.a. også juridiske kompetencer til at vurdere og udnytte ny teknologi. Samtidig understøtter
den overordnede organisering ikke udbredelsen af digitale løsninger i tilstrækkelig grad.
170
Derfor bliver
det op til de enkelte organisationer og deres kompetencer og ressourcer, om de udnytter digitaliseringens
muligheder.
For det tredje mangler der strukturer og incitamenter for udbredelse af nye digitale løsninger og data-
drevne teknologier. Der udvikles allerede mange gode kvalitetsfremmende og arbejdskraftsbesparende
løsninger i sundhedsvæsenet i dag. For mange af løsningerne forbliver dog lokale løsninger frem for at
komme hele sundhedsvæsenet til gavn, bl.a. fordi der er større incitamenter til at udvikle nye og egne
løsninger i forhold til at implementere eksisterende løsninger.
171
Samtidig er beslutningsfora vedrørende
digital transformation ofte afkoblet fra sundhedsfaglige beslutningsfora. Det betyder, at de digitale løsninger
ikke fra starten tænkes ind i tilrettelæggelsen af relevante arbejdsgange.
172
For det fjerde er sundhedsvæsenet i dag præget af stor afhængighed af leverandører og en fragmenteret
IT-arkitektur. Det udfordrer sammenhæng, implementeringstempo og omkostningsniveau i digitaliserings-
og dataindsatsen. Det skyldes bl.a., at sundhedsvæsenet kun i begrænset grad er i stand til at give leveran-
dører kvalificeret med­ og modspil og til selv at sætte tempo for udviklingen, og at udgifterne til IT­
165 Sundhedsstrukturkommissionen. ”Sundhedsstrukturkommissionens baggrundsrapport”. 2024.
166 Sundhedsstrukturkommissionen, “Sundhedsstrukturkommissionens baggrundsrapport”, 2024; Health Tech Hub Copenhagen og Tænketan-
ken Mandag Morgen, “Bedre digital sundhed: Anbefalinger til bedre sammenhæng og samarbejde til gavn for borgere og et presset
sundhedsvæsen”, 2023.
167 PwC, “Opsamling på workshop afholdt i regi af Robusthedskommissionen den 24. april 2023”, 2023.
168 PA Consulting Group, “Fælles tværgående kanalstrategi for datadeling i sundhedsvæsenet”, 2024; Health Tech Hub Copenhagen og
Tænketanken Mandag Morgen, “Bedre digital sundhed: Anbefalinger til bedre sammenhæng og samarbejde til gavn for borgere og et
presset sundhedsvæsen”, 2023.
169 Implement Consulting Group, “Analyse af kompetencemangel i Sundhedsvæsenet”, 2023; PA Consulting Group, “Analyse af modeller for
organisering og styring af arbejdet med digitale løsninger og data i det danske sundhedsvæsen.”, 2024.
170 Implement Consulting Group, “Analyse af kompetencemangel i Sundhedsvæsenet”, 2023; Health Tech Hub Copenhagen og Tænketanken
Mandag Morgen, “Bedre digital sundhed: Anbefalinger til bedre sammenhæng og samarbejde til gavn for borgere og et presset sundheds-
væsen”, 2023.
171 Health Tech Hub Copenhagen og Tænketanken Mandag Morgen, “Bedre digital sundhed: Anbefalinger til bedre sammenhæng og
samarbejde til gavn for borgere og et presset sundhedsvæsen”, 2023; PwC, “Opsamling på workshop afholdt i regi af Robusthedskommissi-
onen den 24. april 2023”.
172 Sundhedsstrukturkommissionen. ”Sundhedsstrukturkommissionens baggrundsrapport”. 2024.
SUU, Alm.del - 2023-24 - Bilag 317: Orientering om Sundhedsstrukturkommissionens afrapportering, fra indenrigs- og sundhedsministeren
2880227_0215.png
1
2
3
4
Del 3 - Tværgående anbefalinger og forslag
215
leverandører er stigende.
173
Samtidig er IT­infrastrukturen præget af aktør­ og sektorspecifikke løsninger,
der primært fokuserer på egne behov og i højere grad beror på den enkelte leverandørs løsning og ikke
i tilstrækkelig grad understøtter sammenhæng og arbejdsgange på tværs af sundhedsvæsenet.
174
Anbefaling: Ny organisering af arbejdet med digitalisering
og data
Sundhedsstrukturkommissionen anbefaler, at der etableres en ny organisering af arbejdet med
digitalisering og data i sundhedsvæsenet, uanset hvilken forvaltningsstruktur der besluttes for fremtidens
sundhedsvæsen, jf. boks 10.2.
Boks 10.2
Anbefaling 2
Sundhedsstrukturkommissionen anbefaler, at der etableres en ny organisering af arbejdet med
digitalisering og data i sundhedsvæsenet. En ny organisering skal være med til at sikre større
national beslutnings- og eksekveringskraft og fælles prioritering og retning for digitalisering og
brug af data i sundhedsvæsenet. Det er nødvendigt for, at bedre brug af digitale løsninger og data
kan bidrage til at skabe et sammenhængende sundhedsvæsen præget af nærhed, tilgængelighed
og bæredygtighed. En ny organisering skal derfor også ses som et middel til at skabe bedre
forudsætning for den lokale opgaveløsning tættere på borgerne.
173 Ginman, Rasmus Jessen. “Stigende it-udgifter udhuler Region H’s økonomi: »Omkostninger til it stiger hurtigere end til sundhed«”.
DigiTech, 2023.
174 Health Tech Hub Copenhagen og Tænketanken Mandag Morgen, “Bedre digital sundhed: Anbefalinger til bedre sammenhæng og
samarbejde til gavn for borgere og et presset sundhedsvæsen”, 2023.
SUU, Alm.del - 2023-24 - Bilag 317: Orientering om Sundhedsstrukturkommissionens afrapportering, fra indenrigs- og sundhedsministeren
2880227_0216.png
216
1
2
3
4
Del 3 - Tværgående anbefalinger og forslag
Boks 10.3
Forslag
1. Der skal udarbejdes én styrende og forpligtende strategi for digitalisering og data, som dækker hele
sundhedsvæsenet. Mandatet til udarbejdelsen af strategien ligger i staten, men det skal ske i tæt
samarbejde med relevante aktører, som varetager arbejdet med de digitale løsninger i sundhedsvæse-
net, og de ansvarlige for driften af hele sundhedsvæsenet. Strategien skal forpligte alle parter i
sundhedsvæsenet til at arbejde mod fælles mål for den digitale transformation af sundhedsvæsenet.
Strategien skal være tæt koblet til sundhedsvæsenets behov og målsætninger for den samlede
omstilling, så digitalisering ikke bliver et mål i sig selv, men et stærkt redskab til at løse sundhedsvæse-
nets udfordringer.
2. Der skal etableres en national planlægningskompetence for digitalisering og data i sundhedsvæsenet.
Den nationale planlægningskompetence er baseret på en lovhjemmel, så det bindende kan fastsættes,
hvilke digitale løsninger der udvikles og udbredes nationalt, og hvilke løsninger der kan udvikles lokalt.
En tydelig planlægningskompetence skal bidrage til at styrke den samlede beslutnings- og eksekve-
ringskraft og understøtte en mere koordineret udnyttelse af sundhedsvæsenets ressourcer på digitali-
serings- og dataområdet.
3. Der skal etableres en fælles service- og leveranceorganisation (Digital Sundhed Danmark) for hele
sundhedsvæsenet. Organisationen får ansvar for fælles digitale løsninger rettet mod borgerne og den
sundhedsfaglige opgavevaretagelse og for en fælles digital infrastruktur på tværs af sundhedsvæse-
net. Organisationen skal samtidig understøtte innovation og samle drift at større IT-fagsystemer, bl.a.
elektroniske patientjournal- og omsorgsjournalsystemer (EPJ- og EOJ-systemer), og digital understøt-
telse af det primære sundhedsvæsen. Kommissionen fremlægger ikke forslag til den konkrete organi-
sering af service- og leveranceorganisationen, men lægger vægt på, at den nye organisation etableres
med en tæt kobling til driften og med mulighed for, at staten kan sikre, at organisationens arbejde
udføres i sammenhæng med den overordnede nationale retning for sundhedsvæsenet. Digital
Sundhed Danmark bør implementeres trinvist med mulighed for at udvide organisationens opgave-
portefølje over tid.
4. Finansiering af arbejdet med digitalisering og data i sundhedsvæsenet skal understøtte realiseringen
af kommissionens øvrige tre forslag til en ny organisering af arbejdet med digitalisering og data, bl.a.
for at skabe forpligtelse blandt de decentrale aktører til de fælles strategiske mål og de fælles digitale
løsninger.
Sundhedsstrukturkommissionen er bevidst om, at de fire forslag indebærer en centralisering af digitalise-
rings- og dataindsatsen i sundhedsvæsenet sammenlignet med i dag. Det er kommissionens vurdering,
at en centralisering og professionalisering af indsatsen er en forudsætning for at gøre digitalisering og
data til et stærkt redskab i den nødvendige omstilling til et sundhedsvæsen præget af en højere grad af
sammenhæng og nærhed for borgerne. Behovet for fælles digitale løsninger og forpligtende og koordineret
samarbejde vokser i de kommende år med et stigende antal borgere med behandlingsforløb på tværs af
sundhedsvæsenet. Kommissionen hæfter sig ved, at succesfulde, større digitale omstillinger i andre dele
af samfundet også har baseret sig på centralisering af dele af opgaveløsningen. Det gælder fx omstillingen
til digital betjening med netbank i finanssektoren, hvor kunderne i de enkelte banker mødes af én samlet
og brugervenlig digital løsning. Apples App Store er tilsvarende et eksempel på, hvordan man har skabt
grundlaget for lokal kreativitet i form af mange tusinde apps gennem tydelige og faste rammer styret fra
centralt hold, der bidrager til at sikre ensartede og brugervenlige apps, der kan virke sammen.
Kommissionen vurderer, at en tydelig fælles, national retning og ramme for digitaliserings- og dataindsatsen
vil medvirke til at gøre det lettere at udvikle bedre, sammenhængende og brugervenlige digitale løsninger
til borgere og medarbejdere på tværs af sundhedsvæsenet. Fælles strukturer kan bidrage til at gøre den
SUU, Alm.del - 2023-24 - Bilag 317: Orientering om Sundhedsstrukturkommissionens afrapportering, fra indenrigs- og sundhedsministeren
2880227_0217.png
1
2
3
4
Del 3 - Tværgående anbefalinger og forslag
217
digitale transformation mere effektiv samlet set og mindre omkostningstung for den enkelte aktør.
175
Ved at samle de eksisterende digitaliserings- og dataressourcer i større, professionelle miljøer, er det muligt
at skabe den faglige bæredygtighed, som er en forudsætning for at realisere den digitale transformation af
sundhedsvæsenet som helhed, der bl.a. skal muliggøre, at sundhedsvæsenet kan flyttes tættere på borger-
nes eget hjem.
Sundhedsstrukturkommissionen erkender, at en digital transformation er en vanskelig og tidskrævende
omstillingsproces. Den berører mange forskellige områder og aktiviteter på tværs af sundhedsvæsenet og
skal balancere forskellige hensyn. Kommissionen lægger derfor vægt på, at formålet med at anbefale en ny
organisering er at gøre sundhedsvæsenet bedre i stand til at udforme og eksekvere de overordnede visioner
for fremtidige løsninger, som kan implementeres bredt på tværs af sektorer og myndigheder, snarere end at
give konkrete svar nu og her på fx, hvilke konkrete teknologier der skal satses på.
En succesfuld digital transformation skal ses som en del af den samlede omstilling af sundhedsvæsenet.
De teknologiske løsninger gør det ikke alene. Det stiller også nye krav til arbejdsgange, organisering, ledelse
og samarbejdsformer. Derfor er det også helt centralt at arbejde professionelt med inddragelse af med-
arbejdere, ledere og de sundhedsfaglige miljøer, som bl.a. udarbejder faglige retningslinjer, i udvikling og
implementering af digitale løsninger. Her er det også væsentligt at fremhæve, at smidigere og mere løbende
udvikling af nye løsninger, fx med agile metoder, nødvendigvis må foregå lokalt og med inddragelse af de
relevante medarbejdere. Inddragelsen af medarbejderne og de sundhedsfaglige miljøer skal bidrage til
at sikre sundhedsfaglig forankring og ejerskab for løsningerne og bygge bro over den afstand mellem
IT-afdeling og den sundhedsfaglige praksis, som også opleves i dag.
176
På den måde er formålet også at understøtte de decentrale aktører bedre i deres lokale opgavevaretagelse
og hjælpe med at løfte de opgaver, de har svært ved selv at løfte indenfor den nuværende organisering af
arbejdet med digitalisering og data. Kommissionen hæfter sig ved, at centralisering og professionalisering
derfor ikke skal ses som en modsætning til lokal forankring af den sundhedsfaglige opgaveløsning, men
netop som et middel til at skabe bedre forudsætninger for den lokale opgaveløsning tættere på borgerne.
Med andre ord indebærer kommissionens forslag en vigtig dobbelt ambition om at centralisere for bedre
at kunne forankre sundhedsvæsenet lokalt.
Forslag 1: Én styrende og forpligtende strategi for digitalisering
og data som dækker hele sundhedsvæsenet
Sundhedsstrukturkommissionen foreslår, at der udarbejdes én styrende og forpligtende strategi for
digitalisering og data i hele sundhedsvæsenet. Strategien skal forpligte alle parter i sundhedsvæsenet til
at arbejde mod fælles mål for den digitale transformation af sundhedsvæsenet. Kommissionen vurderer,
at en tydelig og forpligtende fælles retning på området er en afgørende forudsætning for at opnå det
forventede potentiale ved brug af digitale løsninger og data og skabe fremtidens digitale sundhedsvæsen.
Den nuværende organisering af området har vist sig ikke at skabe tilstrækkelig fremdrift i den digitale
udvikling i sundhedsvæsenet.
177
Det går fx for langsomt med at udbrede de fælles løsninger, der binder
sundhedsvæsenet sammen på tværs, og de gode lokale løsninger, som også kan gøre gavn i resten af
sundhedsvæsenet. Implementeringen af de fælles løsninger hæmmes bl.a. af, at den kræver prioritering
lokalt i de politiske og organisatoriske ledelseslag i fx regioner og kommuner, som ofte sætter lokale
prioriteter højere.
178
175 Implement Consulting Group, “Analyse af kompetencemangel i Sundhedsvæsenet”, 2023.
176 Health Tech Hub Copenhagen og Tænketanken Mandag Morgen, “Bedre digital sundhed: Anbefalinger til bedre sammenhæng og
samarbejde til gavn for borgere og et presset sundhedsvæsen”, 2023; PA Consulting Group, “Analyse af modeller for organisering
og styring af arbejdet med digitale løsninger og data i det danske sundhedsvæsen”, 2024.
177 Implement Consulting Group, “Analyse af kompetencemangel i Sundhedsvæsenet”, 2023.
178 Sundhedsstrukturkommissionen, “Sundhedsstrukturkommissionens baggrundsrapport”, 2024; Health Tech Hub Copenhagen og
Tænketanken Mandag Morgen, “Bedre digital sundhed: Anbefalinger til bedre sammenhæng og samarbejde til gavn for borgere og
et presset sundhedsvæsen”, 2023.
SUU, Alm.del - 2023-24 - Bilag 317: Orientering om Sundhedsstrukturkommissionens afrapportering, fra indenrigs- og sundhedsministeren
2880227_0218.png
218
1
2
3
4
Del 3 - Tværgående anbefalinger og forslag
Strategien skal udstikke klare og bindende fælles mål for den digitale transformation af sundhedsvæsenet.
I den forbindelse er det centralt, at strategien skal være tæt koblet til sundhedsvæsenets behov og mål-
sætninger for den samlede omstilling, så digitalisering ikke bliver et mål i sig selv, men et stærkt redskab
til at løse sundhedsvæsenets udfordringer. Strategien og de fælles mål skal sætte rammerne for den lokale
prioritering og understøtte lokal forankring af den fælles retning. Den lokale forankring skal bl.a. ske på
baggrund af en ændret finansiering af arbejdet med digitalisering og data, der fx gennem øremærkede
ressourcer i de lokale budgetter til arbejdet med fælles løsninger kan forpligte de decentrale aktører på
de fælles strategiske mål (se forslag 4). Målene skal samtidig understøttes af en national planlægnings­
kompetence (se forslag 2).
Strategiske mål for digitalisering og data i sundhedsvæsenet
Kommissionen foreslår, at strategien som minimum skal forholde sig til realiseringen af fem strategiske mål,
jf. boks 10.4. De strategiske mål skal bidrage til at sætte retningen for, hvad den nye organisering af arbejdet
med digitalisering og data skal kunne løfte i fremtidens sundhedsvæsen.
Boks 10.4
Fem mål i en strategi for digitalisering og data i hele sundhedsvæsenet
Digitale sundhedstilbud skal være umiddelbart tilgængelige for borgerne.
Borgerne skal let og overskueligt kunne tilgå sundhedsvæsenet digitalt.
En national dataplatform og den digitale infrastruktur skal understøtte sundhedspersonalet i at
samarbejde om borgerne på tværs af sundhedsvæsenet.
En sammenhængende og forpligtende digital arkitektur på sundhedsområdet skal skabe rammer
for udvikling og fleksibel tilpasning til den lokale opgavehåndtering.
Styrket koordination og samarbejde om optag og udbredelse af innovative løsninger skal understøtte,
at teknologiens potentiale til at frigøre arbejdskraft og løfte kvalitet kan komme flere medarbejdere
og borgere til gavn.
Digitale sundhedstilbud skal være umiddelbart tilgængelige for borgerne
Digitale sundhedstilbud skal være umiddelbart tilgængelige borgerne. Med bedre brug af digitale løsninger
og data kan sundhedstilbud bl.a. i højere grad tilpasses den enkelte borger og vedkommendes sygdom og
livssituation. Borgerne kan fx understøttes i at blive mere selvhjulpne og mestre egen sygdom. Ny teknologi
som kunstig intelligens kan også understøtte mere målrettet behandling og dermed være med til at øge
behandlingens kvalitet og effektivitet. Robusthedskommissionen anbefaler også, at digitale løsninger og
teknologi skal være førstevalg.
179
At gøre digitale sundhedstilbud umiddelbart tilgængelige betyder ikke, at den første kontakt med sundheds-
væsenet skal være digital for alle. Det handler om, at digitale indsatser indgår som en tæt integreret del i de
fleste behandlingsforløb og supplerer de analoge indsatser som led i et samlet sundhedstilbud til borgerne.
Samtidig er der et stort potentiale i at optimere arbejdsgange og processer og dermed frigøre medarbejder-
ressourcer ved at gøre digitale og teknologiske løsninger til førstevalget til at løse opgaver i sundhedsvæse-
net, hvor det giver faglig mening.
Udbredelsen af digitale løsninger skal baseres på løsninger, der har dokumenteret effekt i forhold til at
skabe bedre, mere sammenhængende og nær behandling for borgerne og understøtte og aflaste med­
arbejderne. Samtidig skal udbredelsen prioriteres i forhold til de opgaver, hvor det giver faglig mening
179 Kommission for robusthed i sundhedsvæsenet, “Robusthedskommissionens anbefalinger”, 2023.
SUU, Alm.del - 2023-24 - Bilag 317: Orientering om Sundhedsstrukturkommissionens afrapportering, fra indenrigs- og sundhedsministeren
2880227_0219.png
1
2
3
4
Del 3 - Tværgående anbefalinger og forslag
219
og størst gevinst. Den overordnede strategi skal derfor definere, hvilke områder der skal være omfattet
af krav om, at digitale løsninger er umiddelbart tilgængelige. Det kan være både sundhedsfaglige og
administrative opgaver. Endelig understreger kommissionen vigtigheden af, at der fortsat skal være ikke-
digitale tilbud til de borgere, som ikke kan anvende et digitalt tilbud.
Let og overskuelig digital adgang til sundhedsvæsenet
Borgerne skal let og overskueligt kunne tilgå sundhedsvæsenet digitalt. Borgeren skal i alle situationer
have mulighed for en digital indgang til sundhedsvæsenet. Det indebærer bl.a. let digital adgang til egne
sundhedsoplysninger, til informationssøgning om sundhed og sygdom, navigation rundt i sundhedsvæsenet
og digital adgang til anbefalinger om apps og digitale løsninger, som borgeren kan bruge som led i sin
behandling. På sigt kan det også være adgang til digital symptomvurdering, der kan understøtte målrettede
sundhedstilbud til den enkelte borger og beslutningsstøtte til sundhedspersonalet, som også kan bidrage
til at gøre deres arbejde lettere.
Et skridt på vejen hertil er klare principper for, hvilke digitale kanaler borgeren skal anvende for at få
adgang til sundhedsvæsenet i en given sammenhæng, så borgeren oplever et sammenhængende digitalt
sundhedsvæsen, der er nemt at finde rundt i. Principperne for de digitale kanaler skal derudover bidrage til
at sikre, at gode, brugervenlige løsninger udbredes, og at sundhedsvæsenet samler sig om færre borgerret-
tede apps og digitale tilbud, som hver især har deres klart definerede formål og tager hensyn til borgernes
digitale kompetencer. På den måde bruges der heller ikke unødvendige ressourcer på dobbeltudvikling.
En national dataplatform og digital infrastruktur skal understøtte samarbejde om borgeren
En national dataplatform og den digitale infrastruktur skal understøtte sundhedspersonalet i at samarbejde
om borgerne på tværs af sundhedsvæsenet. Sundhedspersonalet skal lettere kunne arbejde sammen
om borgernes samlede behandlingsforløb. Det gælder ikke mindst, når et stigende antal borgere i de
kommende år vil have behandlingsforløb på tværs af sektorer. Derfor bør der etableres en national data-
platform, som udnytter både de eksisterende løsninger og de teknologiske muligheder, så flere data
smidigere kan deles på tværs af lokale IT-fagsystemer i realtid og give personale og borgere et let og
overskueligt overblik over relevante oplysninger om en borgers aktuelle forløb og tilstand. Det omfatter
også journalnotater. Samtidig kan bedre deling af data danne grundlag for prioritering og triagering til
rette sundhedstilbud.
Formålet med en national dataplatform er at samle data og stille data til rådighed for sundhedsvæsenet og
gøre sundhedsvæsenet mere datadrevet. Platformen skal skabe grundlag for, at data fra sundhedsvæsenet
lettere kan nyttiggøres til bl.a. patientbehandling, ledelse og kvalitetsudvikling og til forskning og statistik.
Platformen vil også kunne stille data til rådighed til udvikling og drift af fx apps, løsninger med kunstig
intelligens, og andre datadrevne løsninger til gavn for borgere og personale. Det gælder både i selve sund-
hedsvæsenet og hos private virksomheder. På den måde vil det samlede kontaktpunkt i det strategiske
samarbejde ”Vision for bedre brug af sundhedsdata”, der har til formål at sikre enkelt og smidig adgang
til sundhedsdata til forskning og innovation, også kunne forankres her.
180
Derudover skal den understøtte
en øget anvendelse af borgernes egne data, fx fra egne enheder og apps, som led i sundhedsvæsenets
indsatser. Samtidig vurderes etablering af en national dataplatform at hjælpe til implementeringen af
den kommende forordning om et europæiske sundhedsdataområde (European Health Data Space, EHDS).
En national dataplatform skal udvikles på baggrund af de eksisterende infrastrukturer, registre og løsninger,
og arbejdet med udvikling af løsningen skal have et stort fokus på det forudsætningsskabende arbejde i
sundhedsvæsenet i form af standardisering og datakvalitet. Det vil også understøtte en lettere og hurtigere
skalering og udbredelse af de gode løsninger til resten af sundhedsvæsenet. Det er afgørende, at der også
inddrages sundhedsfaglige kompetencer i arbejdet med en national dataplatform. Dokumentationspraksis
og ønsket om standardisering hænger tæt sammen med bl.a. personalets arbejdsgange og de sundhedsfag-
lige retningslinjer. Samtidig er det afgørende, at de relevante data fra platformen vises på en måde, der
passer ind i personalets anvendelsessituationer og samarbejde om borgernes forløb.
180 Sundhedsministeriet m.fl., “Vision – Strategisk samarbejde for bedre brug af sundhedsdata”, 2021.
SUU, Alm.del - 2023-24 - Bilag 317: Orientering om Sundhedsstrukturkommissionens afrapportering, fra indenrigs- og sundhedsministeren
2880227_0220.png
220
1
2
3
4
Del 3 - Tværgående anbefalinger og forslag
En sammenhængende og forpligtende digital arkitektur på sundhedsområdet
En sammenhængende og forpligtende digital arkitektur på sundhedsområdet skal skabe rammer for
udvikling af bl.a. fælles løsninger og fleksibel tilpasning til den lokale opgavehåndtering. Større sammen-
hæng i behandlingsforløb og arbejdsgange og effektiv udvikling af IT-ressourcer på tværs kræver en mere
samlet og integreret retning på systemlandskabet i sundhedsvæsenet. I dag er systemlandskabet præget
af knopskydning og aktør­ og sektorspecifikke løsninger.
181
Samtidig er IT­systemer medarbejdernes
arbejdsværktøj, og der er forskellige behov for bl.a. overblik, information og journalisering på tværs af
faggrupper, kompetencer og opgaver. En sammenhængende digital arkitektur skal derfor også bidrage til at
gøre det lettere og hurtigere at udvikle og udbrede løsninger, der kan hjælpe medarbejderne og gøre deres
hverdag nemmere.
For at honorere behovene skal aktørerne være forpligtet til, at den digitale arkitektur i sundhedsvæsenet i
højere grad tænkes som et sammenhængende hele med udgangspunkt i fælles byggeklodser og standarder.
Det vil bidrage til både fælles retning og gøre det nemmere at integrere fælles løsninger til de lokale
systemer og tilpasse dem til den lokale opgavehåndtering. Desuden vil fælles byggeklodser og standarder
gøre det lettere at definere ensartede krav til samarbejde med leverandører. Det kan over tid understøtte
smidigere og mere løbende udvikling, fordi det bliver nemmere for markedet at bidrage med innovative
og brugervenlige løsninger med udgangspunkt i borgernes og de sundhedsfagliges behov. Det vil være
løsninger, der kan anvendes bredt i sundhedsvæsenet, og som sundhedsvæsenet ikke selv er i stand til
at udvikle eller prioritere egne udviklingsressourcer til. Sammen med den nationale dataplatform vil det
samtidig kunne bidrage til bedre udnyttelse af sundhedsvæsenets interne udviklingsressourcer ved at
understøtte en lettere og hurtigere skalering og udbredelse af gode løsninger på tværs af sundhedsvæsenet.
Styrket koordination og samarbejde om optag og udbredelse af innovative løsninger
Styrket koordination og samarbejde om optag og udbredelse af innovative løsninger skal understøtte, at
teknologiens potentialer kan komme flere medarbejdere og borgere til gavn. Sundhedsvæsenets evne til
at udnytte ny teknologi, digitale løsninger og brug af data er en central del af at fremtidssikre sundheds-
væsenet. Innovative og brugervenlige teknologiske løsninger er afgørende, hvis sundhedsvæsenet i en
fremtid med færre medarbejdere skal kunne behandle flere borgere med voksende og stadigt mere
komplekse behov.
Den teknologiske udvikling, bl.a. indenfor kunstig intelligens, stiller dog også krav om nye organiserings-
former og kompetencer, fx tekniske og juridiske. Derfor skal sundhedsvæsenet arbejde sammen om at
gøre nytte af teknologiens muligheder. Det kræver, at der skabes stærkere strukturer for koordination og
samarbejde forankret i både teknologiske og sundhedsfaglige kompetencer, som kan hjælpe til at vurdere,
modne, videreudvikle og udbrede gode løsninger i sundhedsvæsenet. Det kan være både kendte og nye
digitale løsninger og teknologier med et stort potentiale og dokumenteret effekt i forhold til at bidrage til
bedre behandling på et lavere specialiseringsniveau, til at flere opgaver flyttes til det primære sundheds­
væsen og til at frigøre tid og ressourcer hos medarbejderne. Det skal ske med udgangspunkt i borgernes
og de sundhedsfagliges behov og på baggrund af den lokalt forankrede innovationsindsats og helt nye
teknologier. Det skal også understøtte efterspørgslen på løsninger på tværs af sektorgrænser.
Strategiens forankring og mål
Mandatet til at udarbejde strategien bør ligge hos staten som en del af det statslige mandat til at fastlægge
den overordnede strategiske retning og de overordnede rammerne for digitaliserings- og dataindsatsen.
Det skal medvirke til at sikre forankring af strategien i de nationale politiske mål for sundhedsvæsenet,
og at der tages hensyn til at sikre digitaliseringsparat lovgivning. Samtidig skal strategien ses i tæt sammen-
hæng med en national planlægningskompetence (se forslag 2). Sammen skal strategien og planlægnings-
kompetencen sikre en fælles prioritering og en koordinereret og optimal udnyttelse af de tilgængelige
ressourcer, som findes på tværs af sektorer og geografi. Udarbejdelsen af strategien skal ske i tæt sam­
arbejde med relevante aktører, som varetager arbejdet med de digitale løsninger i sundhedsvæsenet, og de
181 Health Tech Hub Copenhagen og Tænketanken Mandag Morgen, “Bedre digital sundhed: Anbefalinger til bedre sammenhæng og
samarbejde til gavn for borgere og et presset sundhedsvæsen”, 2023.
SUU, Alm.del - 2023-24 - Bilag 317: Orientering om Sundhedsstrukturkommissionens afrapportering, fra indenrigs- og sundhedsministeren
2880227_0221.png
1
2
3
4
Del 3 - Tværgående anbefalinger og forslag
221
ansvarlige for driften af hele sundhedsvæsenet. Det gælder bl.a. det foreslåede Digital Sundhed Danmark og
de decentrale sundhedsmyndigheder. Inddragelsen af aktørerne skal bl.a. bidrage til, at strategien hviler på
en forståelse af de forskellige strategiske prioriteter i sundhedsvæsenet og på de relevante faglige kompe-
tencer. Det indebærer ikke blot inddragelse af kompetencer indenfor digitalisering og data, men også de
faglige miljøer og kompetencer fra sundhedsvæsenets daglige drift som led i at sikre, at strategiens retning
for digitalisering og data hænger sammen med de sundhedsfaglige retningslinjer og arbejdsgange lokalt.
Strategien skal sætte de overordnede rammer for lokale strategier og implementering. Det skal bl.a. ske med
fælles forpligtende resultatmål, som understøtter, at digitale og teknologiske løsninger bliver førstevalget
til at løse opgaver i sundhedsvæsenet, hvor det giver faglig mening. På den måde skal strategien bidrage til
at realisere fremtidens digitale sundhedsvæsen. Strategiens resultatmål bør afspejle de ønskede resultater
for sundhedsvæsenet snarere end teknologiske mål. Det kan fx være mål for den digitale understøttelse
af borgernes mulighed for at håndtere deres sygdom i eget hjem eller mål for frigørelse af medarbejder-
ressourcer. Det er afgørende, at målene skal ses i tæt sammenhæng med de samlede målsætninger for
sundhedsvæsenet og en foreslået national sundhedsplan, som på et strategisk niveau skal sætte overordnet
retning for udvikling af sundhedsvæsenet. Der lægges også op til, at staten skal udarbejde den nationale
sundhedsplan med inddragelse relevante aktører i sundhedsvæsenet (se kapitel 11). Den tætte kobling til
de samlede målsætninger for sundhedsvæsenet skal sammen med den mere målrettede finansiering i form
af bl.a. øremærkede midler til det fælles arbejde (se forslag 4) også bidrage til at sikre en stærkere forplig-
telse til strategien blandt aktørerne.
Forslag 2: En national planlægningskompetence for
digitalisering og data
Sundhedsstrukturkommissionen foreslår, at der etableres en national planlægningskompetence for
digitalisering og data i sundhedsvæsenet.
En national planlægningskompetence er en bemyndigelse, der indebærer, at det bindende kan fastsættes,
hvad der løses henholdsvis nationalt og lokalt. Udøvelsen af planlægningskompetencen skal bygge på tæt
dialog mellem sundhedsvæsenets aktører, bl.a. de driftsansvarlige myndigheder, Digital Sundhed Danmark
og staten. Den formelle kompetence vil ligge hos staten i form af en lovhjemmel til at træffe beslutning om,
i hvilke sammenhæng der skal udvikles og anvendes fælles løsninger og infrastruktur til hele sundheds-
væsenet, og i hvilke sammenhænge der er plads til forskellige lokale løsninger. Det kan fx ske gennem
udstedelse af bekendtgørelser. Der vil være behov for at afklare den konkrete organisering omkring den
nationale planlægningskompetence.
Det forventes især at være opgaver i forbindelse med fælles digitale løsninger og infrastruktur, som
anvendes på tværs af sundhedsvæsenet eller er af strategisk vigtighed for hele sundhedsvæsenet, der
vil skulle løses nationalt. Det omfatter fx tværsektorielle løsninger, som de enkelte aktører ofte ikke har
incitament til at prioritere på grund af sektoropdelingen i dag. Planlægningskompetencen skal desuden
medvirke til en bedre prioritering af ressourcer. Den skal bl.a. modvirke, at der bliver spildt ressourcer
på at udvikle konkurrerende løsninger i forskellige dele af sundhedsvæsenet for at imødekomme behov,
som mere hensigtsmæssigt håndteres af en fælles (national) løsning. På den måde kan den nationale
planlægningskompetence samtidig over tid bidrage til en konsolideret fælles IT-arkitektur, som i dag
er opbygget og knopskudt ud fra de forskellige organisationers løsninger.
182
En konsolideret og fælles
arkitektur kan rammesætte digitaliserings- og dataindsatsen i sundhedsvæsenet og understøtte sammen-
hængende løsninger og udvikling.
En tydelig planlægningskompetence skal bidrage til at styrke den samlede beslutnings- og eksekverings-
kraft og understøtte en mere koordineret udnyttelse af sundhedsvæsenets ressourcer på digitaliserings
og dataområdet. Det vurderes at være nødvendigt i lyset af, at den digitale udvikling i sundhedsvæsenet
i dag er fragmenteret og præget af, at udvikling af egne, ofte parallelle, løsninger prioriteres over fælles
182 Sundhedsstrukturkommissionen, “Sundhedsstrukturkommissionens baggrundsrapport”, 2024; PA Consulting Group, “Fælles tværgående
kanalstrategi for datadeling i sundhedsvæsenet”, 2024.
SUU, Alm.del - 2023-24 - Bilag 317: Orientering om Sundhedsstrukturkommissionens afrapportering, fra indenrigs- og sundhedsministeren
2880227_0222.png
222
1
2
3
4
Del 3 - Tværgående anbefalinger og forslag
løsninger og over eksisterende løsninger, der har skabt værdi andre steder i sundhedsvæsenet.
183
Plan-
lægningskompetencen skal derfor sammen med strategien for digitalisering og data i hele sundhedsvæsenet
(se forslag 1) og den fælles service­ og leveranceorganisation (se forslag 3) fremme et fokus på den samlede
digitale transformation af sundhedsvæsenet og fremme, at sundhedsvæsenets aktører i højere grad
arbejder mod fælles mål og prioriteter, så borgere og medarbejdere får gavn af de digitale muligheder på
tværs af sundhedsvæsenet.
Forslag 3: En fælles service- og leveranceorganisation for
digitalisering og data
Sundhedsstrukturkommissionen foreslår, at der etableres en fælles service­ og leveranceorganisation for
digitalisering og data, Digital Sundhed Danmark. Organisationen får ansvar for at varetage udvikling og drift
af fælles digitale løsninger rettet både mod borgerne og den sundhedsfaglige opgavevaretagelse og fælles
digital infrastruktur på tværs af sundhedsvæsenet. Organisationen skal samtidig understøtte innovation i
sundhedsvæsenet og samle drift af større IT-fagsystemer på tværs af sektorer, bl.a. elektroniske patientjour-
nal- og omsorgsjournalsystemer (EPJ- og EOJ-systemer), og digital understøttelse af det primære sundheds-
væsen. Det kan overvejes over tid at give Digital Sundhed Danmark ansvaret for flere opgaver.
Der er behov for, at varetagelsen af Digital Sundhed Danmarks opgaver tager udgangspunkt i en fælles,
national teknologistrategi, der bl.a. skal omfatte de vigtigste teknologivalg for sundhedsvæsenet (se også
afsnit om teknologi- og leverandørstrategi). Teknologistrategien skal ses i forlængelse af de overordnede
strategiske mål (se forslag 1) og den nationale planlægningskompetence (se forslag 2). Teknologistrategien
kan med fordel forankres i Digital Sundhed Danmark. På den måde kan organisationen skabe rammerne for
fælles beslutning og retning i samspil med det styrkede nationale mandat.
Udvikling og drift af fælles, nationale løsninger
Digital Sundhed Danmark skal samle opgaver og ressourcer, der handler om udvikling og drift af fælles,
nationale løsninger, som i dag er spredt på flere aktører.
Formålet med at samle de fælles opgaver og ressourcer i en fælles service- og leveranceorganisation er at
skabe samlet prioritering og retning og større beslutnings- og eksekveringskraft til udviklingen af de fælles
løsninger. Det skal gøre sundhedsvæsenet bedre i stand til at udvikle og anvende de digitale løsninger, der
skal danne grundlag for den nødvendige omstilling af sundhedsvæsenet. Det gælder fx løsninger til at
understøtte behandlingsforløb på tværs af sektorer og gøre borgerne i stand til at mestre egen sygdom.
For det første vil en samlet organisation danne rammerne for en klarere koordinering og prioritering.
Over tid vil det også gøre det muligt at integrere løsningerne og systemerne bedre og dermed bidrage til
udvikling af en fælles digital arkitektur for digitale løsninger, IT­systemer og digital infrastruktur. Samling
af ansvaret og ressourcerne sigter dermed på at adressere udfordringen med, at ansvar og prioritering i dag
er fordelt på mange aktører og beslutningsfora, som ikke er tilstrækkelig koordinerede, eller som kan have
forskellige politiske prioriteter.
184
Ved at samle ressourcerne, som i dag skal prioriteres lokalt hos aktørerne,
kan organisationen bl.a. danne ramme om et mere operativt samarbejde om de fælles løsninger på tværs
af sundhedsvæsenet, hvor de enkelte aktører ikke i samme grad kan blokere de fælles initiativer som følge
af lokale prioriteter. Etablering af Digital Sundhed Danmark betyder ikke nødvendigvis en fysisk samling
af de nuværende organisationer og opgaver, men det er afgørende at etablere en samlet ledelse for at styrke
beslutnings- og eksekveringskraften for de løsninger, der binder sundhedsvæsenet sammen.
183 Sundhedsstrukturkommissionen, “Sundhedsstrukturkommissionens baggrundsrapport”, 2024; Health Tech Hub Copenhagen og
Tænketanken Mandag Morgen, “Bedre digital sundhed: Anbefalinger til bedre sammenhæng og samarbejde til gavn for borgere og
et presset sundhedsvæsen”, 2023.
184 Health Tech Hub Copenhagen og Tænketanken Mandag Morgen, “Bedre digital sundhed: Anbefalinger til bedre sammenhæng og
samarbejde til gavn for borgere og et presset sundhedsvæsen”, 2023; PwC, “Opsamling på workshop afholdt i regi af Robustheds-
kommissionen den 24. april 2023”, 2023.
SUU, Alm.del - 2023-24 - Bilag 317: Orientering om Sundhedsstrukturkommissionens afrapportering, fra indenrigs- og sundhedsministeren
2880227_0223.png
1
2
3
4
Del 3 - Tværgående anbefalinger og forslag
223
For det andet vil én samlet organisation skabe forudsætningerne for en mere effektiv udnyttelse af de
eksisterende ressourcer til de fælles løsninger. Det giver mulighed for større og mere bæredygtige faglige
miljøer med interne udviklingsressourcer og stordriftsfordele ved at samle fællesfunktioner. Et vigtigt mål
med etableringen af en fælles service- og leveranceorganisation er at skabe attraktive faglige miljøer
indenfor især teknologi, servicedesign og jura, der kan drive udviklingen af værdiskabende fælles digitale
services. Mange typer af fælles løsninger kan ikke bare skaleres, men skal fra start designes til at være fælles
og gå på tværs af sektorer. Samtidig er stærke kompetencer indenfor brugerinddragelse, det gælder ikke
mindst inddragelse af de sundhedsprofessionelle, en forudsætning for, at organisationen kan bidrage til den
centrale opgave med at bygge bro mellem den overordnede strategi og de mange forskellige sundheds-
faglige kontekster. Kommissionen bemærker, at en fælles service- og leverance organisation med stærke
tekniske, juridiske og designmæssige kompetencer dermed både kan være en ressource for den sundheds-
faglige opgavevaretagelse og blive en vigtig ny sparringspartner for politiske og administrative beslutnings-
tagere omkring digital sundhed.
Sundhedsstrukturkommissionen foreslår, at Digital Sundhed Danmark i første omgang samler de organisa­
tioner og opgaver, der vedrører fælles digitale løsninger og datadeling. Det omfatter bl.a. organisationerne
MedCom og sundhed.dk, opgaver relateret de digitale løsninger Sundhedsjournalen og den Fælles udbredelse
af telemedicin (FUT), der i dag er forankret i regionerne, og potentielt andre fællesoffentlige løsninger til
datadeling fra fx Sundhedsdatastyrelsen. Kommissionen lægger også op til, at relevante registre samles hos
Digital Sundhed Danmark for at styrke brugen af data til styring og kvalitetsudvikling i sundhedsvæsenet
og til udvikling af nye innovative løsninger og forskning. Det kunne fx være registrene i regi af Regionernes
Kliniske Kvalitetsudviklingsprogram (RKKP).
På sigt vil Digital Sundhed Danmark samle flere ressourcer og opgaver vedrørende fælles, nationale løs­
ninger, i takt med at organisationens opgaveportefølje udvides med yderligere fælles, nationale løsninger.
Fx vurderer Sundhedsstrukturkommissionen, at ansvaret for en national dataplatform og andre relevante
fælles infrastrukturkomponenter bør placeres i Digital Sundhed Danmark. Kommissionen vurderer dog
også, at der er behov for at afdække forudsætninger og bl.a. tekniske afhængigheder i forhold til etablering
af en national dataplatform, før der tages endelig stilling til, hvordan en national dataplatform kan forankres
i organisationen. Det samme gælder muligheden for at samle andre infrastrukturkomponenter. Da ansvaret
for dele af infrastrukturen ligger i staten i dag, vil det også være nødvendigt at vurdere en eventuel flytning
af ansvaret for de dele i sammenhæng med statens muligheder for at bidrage til en stærkere fælles retning
på digitaliserings- og dataområdet.
Understøttelse af innovation og teknologivurdering i sundhedsvæsenet
Digital Sundhed Danmark skal understøtte innovation i sundhedsvæsenet. Formålet er at sikre en mere
tværgående national koordinering og prioritering af innovationsområder end i dag i tæt kobling med den
overordnede strategi for digitalisering og data i sundhedsvæsenet. Formålet er også at bidrage til en mere
robust understøttelse af innovationsindsatsen, både lokalt og nationalt.
Med udgangspunkt i den værdiskabende innovation, som allerede finder sted i sundhedsvæsenet i dag –
fx lokalt i den sundhedsfaglige opgavevaretagelse og hos private virksomheder – er der et potentiale i, at
Digital Sundhed Danmark kan understøtte hurtigere udbredelse og optag af gode løsninger med påvist
effekt i sundhedsvæsenet. Organisationen kan fx bidrage ved at samle ressourcer til at overvåge og kort-
lægge nye teknologier og understøtte erfaringsudveksling om konkrete løsninger på tværs af sundheds-
væsenet og udlandet. Med muligheden for større faglige miljøer forventes organisationen at være bedre
rustet end de enkelte aktører til systematisk at vurdere og efterprøve helt nye teknologier og deres
modenhed og relevans i forhold til at skabe værdi i sundhedsvæsenet. Det gælder ikke mindst nye
teknologier, fx kunstig intelligens, som rummer store potentialer for sundhedsvæsenets digitale trans-
formation, men samtidig stiller store krav til både tekniske og juridiske kompetencer. Her forventes Digital
Sundhed Danmark at kunne hjælpe aktørerne med de relevante kompetencer. Samtidig hæfter Sundheds-
strukturkommissionen, ligesom Robusthedskommissionen, sig ved, at der er behov for at arbejde
systematisk med sundhedsfaglig forankring af innovationsindsatsen og med sundhedspersonalets digitale
kompetencer. Det er nødvendigt for at understøtte, at de nye løsninger faktisk tages i bred anvendelse
SUU, Alm.del - 2023-24 - Bilag 317: Orientering om Sundhedsstrukturkommissionens afrapportering, fra indenrigs- og sundhedsministeren
2880227_0224.png
224
1
2
3
4
Del 3 - Tværgående anbefalinger og forslag
til gavn for borgere og medarbejdere.
185
Organisationen kan desuden understøtte fællesoffentlige indkøb
af innovative løsninger i de situationer, hvor der findes egnede løsninger på enten det danske eller
internationale marked, og hvor det vurderes, at egenudvikling ikke er hensigtsmæssig.
Samling af ansvar for elektroniske patient- og omsorgsjournalsystemer
Sundhedsstrukturkommissionens vurderer, at ansvaret for udvikling og drift af elektroniske patient­ og
omsorgsjournalsystemer (EPJ­ og EOJ­systemer) også skal samles i Digital Sundhed Danmark. Det gælder
potentielt også for andre systemer og løsninger indenfor det primære og det sekundære sundhedsvæsen.
I dag ligger ansvaret for systemerne i den enkelte region og kommune, men der er sket en konsolidering
af systemlandskabet omkring de to EPJ­systemer i Øst­ og Vestdanmark.
186
Konsolideringen forventes at
fortsætte, hvis ansvaret for systemerne ikke flyttes, og det kan udfordre den overordnede strategiske
retning om fælles løsninger og sammenhængende patientforløb.
187
Kommissionen hæfter sig ved, at
placering af EPJ­ og EOJ­systemerne i Digital Sundhed Danmark ikke markerer en beslutning eller over­
vejelse om, at der kun skal være ét EPJ­ eller EOJ­system. Organisationen kan indkøbe og leverandørstyre
forskellige løsninger ud fra en samlet teknologistrategi, der understøtter de fælles, nationale mål, bl.a.
om sammenhængende behandlingsforløb.
Kommissionen vurderer, at overdragelse af selve ansvaret for EPJ- og EOJ-systemer fra regioner og kom-
muner til Digital Sundhed Danmark vil kræve grundig forberedelse og analyse af bl.a. de organisatoriske,
juridiske og tekniske forudsætninger og afhængigheder. Samling af ansvaret for systemerne bør derfor
ikke indgå i første trin i etableringen af Digital Sundhed Danmark, men i et senere trin, når grundlaget er
på plads. Organisationen bør dog allerede fra starten stille krav til EPJ- og EOJ-systemerne, så regionerne
og kommunernes investeringer i systemerne også understøtter den fælles retning frem mod overdragelsen
af selve ansvaret.
Samling af ansvar for digital understøttelse af det primære sundhedsvæsen
Sundhedsstrukturkommissionen foreslår, at Digital Sundhed Danmark skal have ansvar for at understøtte
det primære sundhedsvæsen digitalt. Nærmere bestemt kan en dedikeret enhed i organisationen samle
opgaver, der handler om digitale løsninger og dataanvendelse i hele praksissektoren og i forhold til de
kommunale sundhedsopgaver. Det gælder bl.a. ansvar for EOJ-systemer, systemforvaltning af lægepraksis-
systemer og tværgående digitale løsninger såsom Min Læge-appen, deltagelse i nationale projekter
på vegne af praksissektoren og implementering af de fælles løsninger i det primære sundsvæsen.
Kommissionen hæfter sig ved, at det vil være et tilbud til praksissektoren, der som selvstændige erhvervs-
drivende fortsat vil kunne vælge andre løsninger, så længe de lever op til de fælles krav. Det gælder bl.a.
krav til integration med fælles løsninger, datastandarder og deling af data.
At samle ressourcer og opgaver på tværs af det primære sundhedsvæsen kan bidrage til at skabe større
faglig og ressourcemæssig bæredygtighed i opgavevaretagelsen, som netop er en udfordring i det primære
sundhedsvæsen i dag (se kapitel 8).
188
Samtidig kan en samlet organisering potentielt skabe et rum for
styrket prioritering og tilrettelæggelse af digitaliserings- og dataopgaverne i det primære sundhedsvæsen
i sammenhæng med de fælles løsninger. Det vil være med til at understøtte en omstilling til det primære
sundhedsvæsen. Dog er det afgørende, at de potentielle fordele ved at samle den digitale understøttelse
balanceres i forhold til hensynet til fortsat forankring i og kendskab til opgaveløsningen i det primære
185 Kommission for robusthed i sundhedsvæsenet, “Robusthedskommissionens anbefalinger”, 2023.
186 Sundhedsstrukturkommissionen. ”Sundhedsstrukturkommissionens baggrundsrapport”. 2024.
187 Sundhedsstrukturkommissionen, “Sundhedsstrukturkommissionens baggrundsrapport”, 2024; Health Tech Hub Copenhagen og
Tænketanken Mandag Morgen, “Bedre digital sundhed: Anbefalinger til bedre sammenhæng og samarbejde til gavn for borgere og
et presset sundhedsvæsen”, 2023.
188 PA Consulting Group, “Analyse af modeller for organisering og styring af arbejdet med digitale løsninger og data i det danske
sundhedsvæsen.”; Sundhedsstrukturkommissionen, “Sundhedsstrukturkommissionens baggrundsrapport”, 2024.
SUU, Alm.del - 2023-24 - Bilag 317: Orientering om Sundhedsstrukturkommissionens afrapportering, fra indenrigs- og sundhedsministeren
2880227_0225.png
1
2
3
4
Del 3 - Tværgående anbefalinger og forslag
225
sundhedsvæsen. Der vil være behov for kompetencer med særligt fokus på netop det primære sundheds-
væsens behov og udfordringer og for en bred geografisk tilstedeværelse for at kunne understøtte personalet
på tværs af landet.
Kommissionen vurderer, at det vil kræve en grundig forberedelse og analyse at klargøre grundlaget for,
at Digital Sundhed Danmark kan overtage ansvaret for den digitale understøttelse af det primære sundheds-
væsen. Overtagelse af opgaven med at understøtte det primære sundhedsvæsen digitalt vil derfor indgå
som et senere trin i etableringen af Digital Sundhed Danmark. Der bør dog allerede fra starten laves en
tidsplan for at sikre deling af data og journalnotater, hvilket også er i tråd med den politiske aftale om
hjemmebehandling mellem regeringen, KL og Danske Regioner.
189
Øvrige opgaver, som kan placeres i Digital Sundhed Danmark
Det kan overvejes over tid at give Digital Sundhed Danmark ansvaret for flere opgaver. Det gælder opgaven
som kompetencecenter for digitaliserings- og dataindsatsen i sundhedsvæsenet og fælles indkøb af bl.a.
basis­IT. Sundhedsstrukturkommissionen vurderer, at det vil kræve yderligere analyse af den enkelte
opgave, før der tages stilling til, om den placeres i Digital Sundhed Danmark. Kommissionens overordnede
overvejelser om forankringen af hver opgave gennemgås kort i det følgende.
I forlængelse af de øvrige opgaver kan det også overvejes at give Digital Sundhed Danmark ansvar for at
være kompetencecenter for digitaliserings- og dataindsatsen hos sundhedsvæsenets aktører. På grund af
sin størrelse og opgaveportefølje forventes Digital Sundhed Danmark at have relevante kompetencer, der
kan understøtte aktørerne på tværs af sundhedsvæsenet. Det kan fx omfatte implementeringskompetencer
i forbindelse med fællesoffentlige løsninger og fælles cyber- og informationssikkerhedskompetencer.
Det kan også omfatte juridisk vejledning om fx kunstig intelligens og EU­regulering, som i dag er en stor
mangelvare.
190
Endelig kan det overvejes at give Digital Sundhed Danmark til opgave at varetage fælles indkøb, fx af
basis-IT og mere generiske, understøttende systemer såsom løn- og regnskabssystemer, på vegne af
sundhedsvæsenets aktører. Ved at samle fælles indkøb i Digital Sundhed Danmark forventes sundheds­
væsenet samlet set at kunne reducere sine udgifter indenfor området. Reduktionen af udgifter kan ske ved
at opnå stordriftsfordele og bedre indkøbsaftaler, som vil være en konsekvens af den større volumen, og ved
at opbygge stærkere indkøbskompetencer ét sted frem for hos hver enkelt aktør. I den forbindelse bør der
ses på erfaringer med lignende indkøbsfællesskaber, fx Staten og Kommunernes Indkøbsservice (SKI),
før der tages endelig stilling til, om opgaven bør placeres i Digital Sundhed Danmark. I forlængelse heraf
bør flytning af opgaven også vejes op mod de mulige ulemper, der kan følge af stordrift af opgaver.
Organisationsform for Digital Sundhed Danmark
Sundhedsstrukturkommissionen har ikke taget stilling til den præcise forankring og organisationsform for
Digital Sundhed Danmark. Der er fx ikke taget stilling til, om det skal være i form af i en selskabsform såsom
et offentligt ejet selskab som fx KOMBIT eller en selvejende institution, som bl.a. er tilfældet med Udbetaling
Danmark. Organisationsformen vil kræve yderligere kvalificering og vil også skulle ses i sammenhæng med
beslutninger om den samlede indretning af sundhedsvæsenets organisering. Kommissionen fremhæver
dog to primære hensyn, som bør indgå og balanceres i det videre arbejde med at tage nærmere stilling til,
hvordan Digital Sundhed Danmark forankres og organiseres. Det er hensynet til på den ene side forankring
i sundhedsvæsenets drift og på den anden side statens mulighed for at sikre, at organisationen arbejder
efter den overordnede nationale retning og prioritering. Den konkrete balance mellem de to hensyn vil
bl.a. afhænge af den forvaltningsmæssige struktur, herunder antallet af og størrelsen på de decentrale
driftsaktører.
189 Regeringen, KL, og Danske Regioner, “Aftale om 500 mio. kr. til mere behandling i eget hjem”, 2023.
190 Health Tech Hub Copenhagen og Tænketanken Mandag Morgen, “Bedre digital sundhed: Anbefalinger til bedre sammenhæng og
samarbejde til gavn for borgere og et presset sundhedsvæsen”, 2023; Kommission for robusthed i sundhedsvæsenet, “Robusthedskommis-
sionens anbefalinger”, 2023; PwC, “Opsamling på workshop afholdt i regi af Robusthedskommissionen den 24. april 2023”, 2023.
SUU, Alm.del - 2023-24 - Bilag 317: Orientering om Sundhedsstrukturkommissionens afrapportering, fra indenrigs- og sundhedsministeren
2880227_0226.png
226
1
2
3
4
Del 3 - Tværgående anbefalinger og forslag
Det første hensyn gælder forankring og ejerskab i de decentrale sundhedsmyndigheder og driftsorganisa-
tioner, som skal anvende og implementere Digital Sundhed Danmarks løsninger i deres daglige drift. Det er
væsentligt, at Digital Sundhed Danmark indgår som en integreret og ligeværdig del af ledelsen af sundheds-
væsenet, så digitaliserings- og dataindsatsen tænkes sammen med og prioriteres i forhold til sundheds-
væsenets samlede behov. Det kan overvejes at understøtte det hensyn på forskellige måder. Der drejer sig
bl.a. om, i hvilket omfang de decentrale sundhedsmyndigheder skal have formelt (med)ejerskab, om de skal
have repræsentanter i en eventuel bestyrelse for at sikre medindflydelse på organisationens arbejde, og om
de skal levere medfinansiering af organisationen for at styrke tilskyndelsen til at anvende Digital Sundhed
Danmarks løsninger.
Det andet hensyn er, at der samtidig er behov at give staten mulighed for at sikre, at Digital Sundhed
Danmarks arbejde udføres i sammenhæng med den overordnede nationale retning og prioritering. Det kan
fx ske gennem formelt statsligt (med)ejerskab af organisationen. Det kan også ske ved, at organisationens
opgaver defineres ved lov. På den måde kan staten pålægge Digital Sundhed Danmark nye opgaver og
pålægge organisationen at arbejde i tråd med den overordnede strategi for digitalisering og data. Det skal
ses i tæt sammenhæng med forslaget om, at finansieringen af arbejdet med digitalisering og data i sund-
hedsvæsenet skal målrettes til at understøtte realiseringen af kommissionens forslag til en ny organisering
af arbejdet med digitalisering og data.
Uanset valget af organisationsform og ejerskab er det også væsentligt, at Digital Sundhed Danmarks ledelse,
herunder en eventuel bestyrelse, har relevante faglige kompetencer til at lede organisationens bidrag til den
digitale transformation af sundhedsvæsenet. Kommissionen lægger vægt på, at ledelse og eventuelle
bestyrelsesmedlemmer udpeges på baggrund af faglige kompetencer indenfor sundhedsvæsenets drift
og/eller digitalisering og data, der kan bidrage til en fagligt professionel ledelse af organisationen.
Forslag 4: Mere målrettet finansiering af arbejdet med
digitalisering og data
Sundhedsstrukturkommissionen foreslår en ændret finansiering af arbejdet med digitalisering og data
i sundhedsvæsenet, så den målrettes de fælles prioriterede indsatser mere effektivt. Det vurderes, at være
en væsentlig forudsætning for at understøtte realiseringen af kommissionens øvrige tre forslag. Den
målrettede finansiering skal bl.a. bidrage til at skabe forpligtelse blandt de decentrale aktører til de fælles
strategiske mål og de fælles digitale løsninger i Digital Sundhed Danmark.
En mere målrettet finansiering kan bl.a. omfatte en omlægning af finansieringen, så en andel af bloktil-
skudsfinansieringen får karakter af statslig medfinansiering af den fælles service­ og leveranceorganisation.
Det vil gøre staten i stand til mere aktivt at gøre brug af de beføjelser til at udstikke de overordnede rammer
for arbejdet, som staten allerede i dag har hjemmel til i Sundhedsloven.
191
Mere målrettet finansiering kan
også ske gennem øremærkning af ressourcer i de lokale driftsbudgetter til arbejdet med fælles løsninger,
som skal prioriteres i samarbejde med staten. Det kan bidrage til lettere udbredelse af fælles digitale
løsninger, bl.a. ved at ændre incitamenterne til at få aktørerne til at prioritere de fælles løsninger. Det skal
ses i sammenhæng med, at der i dag er incitamentsudfordringer med at udbrede løsninger, hvor gevinsten
tilfalder en anden sektor.
192
For at sikre en effektiv, driftssikker og ressourcestabil organisation er det en forudsætning, at der findes
en finansieringsmodel for Digital Sundhed Danmark, der indebærer flerårig stabilitet i budgetlægningen.
Det skal gøre organisationen bedre i stand til at tilrettelægge digitaliseringsprojekter, som i visse tilfælde
kan strække sig over flere år fra indledende udvikling til fuld implementering. Samtidig er det en forud­
sætning for en finansieringsmodel med potentielt forskellige finansieringskilder, at Digital Sundhed
Danmarks budget opdeles på overordnede poster i form af organisationens forskellige kerneopgaver.
Det gælder fx ansvar for fælles løsninger, innovation, fagsystemer og digital understøttelse af det primære
sundhedsvæsen. Det vil også være en forudsætning, at budgettet sikrer den rette fordeling og balance
191 Sundhedsstrukturkommissionen. ”Sundhedsstrukturkommissionens baggrundsrapport”. 2024.
192 Sundhedsstrukturkommissionen. ”Sundhedsstrukturkommissionens baggrundsrapport”. 2024.
SUU, Alm.del - 2023-24 - Bilag 317: Orientering om Sundhedsstrukturkommissionens afrapportering, fra indenrigs- og sundhedsministeren
2880227_0227.png
1
2
3
4
Del 3 - Tværgående anbefalinger og forslag
227
mellem drift og udvikling, så udviklingsbudgettet fx ikke anvendes til drift eller omvendt. Opdelingen af
budgettet er nødvendig for at kunne sikre, at den overordnede prioritering af organisationens ressourcer
kan fastholdes. Det skal bl.a. sikre, at de store ressourcetunge opgaver, som fx de store fagsystemer, ikke
ender med at udgrænse organisationens øvrige opgaver, og modvirke den nuværende udfordring med,
at voksende driftsudgifter udhuler budgetterne til udvikling.
193
Implementering af en ny organisering for digitalisering og data
Sundhedsstrukturkommissionen vurderer, at der er behov for et tydeligt fokus på implementeringen af
kommissionens forslag til en ny organisering af digitalisering og data. Det gælder ikke mindst etableringen
af Digital Sundhed Danmark, som kommissionen vurderer bl.a. bør implementeres trinvist.
Det er desuden kommissionens vurdering, at der uanset valg af organiseringsform vil være en række
opmærksomhedspunkter, som strukturerne ikke kan tage højde for alene. Der vil derfor være behov for
at arbejde videre med opmærksomhedspunkterne i implementeringen og indenfor de nye strukturelle
rammer for at realisere fremtidens digitale sundhedsvæsen. Der er tale om tre generelle opmærksomheds-
punkter:
• Sundhedsfaglig forankring, ejerskab og ansvar
• Standardisering af arbejdsprocesser og data
• Teknologi- og leverandørstrategi
I det følgende præsenteres først kommissionens overvejelser om den trinvise implementering af Digital
Sundhed Danmark og dernæst de tre generelle opmærksomhedspunkter.
Trinvis implementering af Digital Sundhed Danmark
Sundhedsstrukturkommissionen vurderer, at Digital Sundhed Danmark bør implementeres trinvist med
mulighed for at udvide organisationens opgaveportefølje over tid. Afhængig af hvad den endelige opgave-
portefølje bliver, kan der blive tale om en organisation af en betragtelig størrelse, der vil samle ressourcer
og opgaver, som er spredt på flere organisationer i dag. Der vil i så fald være tale om en konsoliderings­
indsats, som det meget vel vil være mest hensigtsmæssigt at inddele i trin. Det vil betyde, at Digital Sundhed
Danmarks opgaver gradvist overgår til organisationen, bl.a. for at sikre fortsat stabil drift i overgangsfasen.
Kommissionen foreslår en trinvis indfasning, hvor opgaverne vedrørende fælles digitale løsninger og
understøttelse af innovation overdrages i forbindelse med første trin af etableringen sammen med et
mandat til at stille krav til regionerne og kommunernes EPJ- og EOJ-systemer. De efterfølgende trin kan
fx være først digital understøttelse af det primære sundhedsvæsen, dernæst den nationale dataplatform
og parallelt hermed gradvis overtagelse af EPJ­ og EOJ­systemer. Som nævnt ovenfor vil der dog være behov
for yderligere analyse og kvalificering af grundlaget for opgaverne og deres tidshorisont, før der kan træffes
endelig beslutning om rækkefølgen for deres trinvise overdragelse til Digital Sundhed Danmark.
Herudover kan det være værd at overveje at etablere en organisation med decentrale enheder geografisk
flere steder i landet, fx i sammenhæng med eksisterende IT­organisationer. Det kan være med til at sikre
en faglig bæredygtighed og fastholdelse af de nuværende kompetencer, der arbejder med de digitaliserings-
og dataopgaver i sundhedsvæsenet, som samles i organisationen.
Kommissionen vurderer desuden, at der i forbindelse med etableringen af Digital Sundhed Danmark er
behov for en grundig analyse af de juridiske forudsætninger og potentielle udfordringer for Digital Sundhed
Danmarks opgavevaretagelse. Det gælder bl.a. overvejelser om dataejerskab. Overvejelser om dataejerskab
er ikke mindst relevant ved samling af systemejerskab for EPJ- og EOJ-systemerne og den påtænkte natio-
193 Sundhedsstrukturkommissionen, “Sundhedsstrukturkommissionens baggrundsrapport”, 2024; Rasmus Jessen Ginman,
“Stigende it-udgifter udhuler Region H’s økonomi: “Omkostninger til it stiger hurtigere end til sundhed”, DigiTech, 2023;
Rune Fick Hansen, “Her investerer man mest og mindst i det offentlige”, IT­Branchen, 2024.
SUU, Alm.del - 2023-24 - Bilag 317: Orientering om Sundhedsstrukturkommissionens afrapportering, fra indenrigs- og sundhedsministeren
2880227_0228.png
228
1
2
3
4
Del 3 - Tværgående anbefalinger og forslag
nale dataplatform i Digital Sundhed Danmark. Der er behov for en model, som sikrer smidig udveksling af
data på tværs af sundhedsvæsenet og mulighed for, at Digital Sundhed Danmark kan bruge data i de fælles
digitale løsninger. Dog er der samtidig behov for en model, som sørger for et fortsat højt ejerskab til data,
registreringspraksis og dermed datakvalitet hos sundhedsmyndighederne.
Sundhedsfaglig forankring, ejerskab og ansvar
Det er afgørende at understøtte sundhedsfaglig forankring, ejerskab og ansvar for nye teknologiske løs-
ninger i den fremtidige organisering af sundhedsvæsenet. Det skal være med til at sikre, at de teknologiske
løsninger rent faktisk tages i brug af sundhedspersonalet, og sundhedsvæsenet dermed opnår størst mulig
gavn af løsningerne.
Robusthedskommissionen adresserer også sundhedsfaglig forankring, ejerskab og ansvar i sine
anbefalinger. Robusthedskommissionen fastslår, at involvering af medarbejderne i udviklings- og
implementeringsprocessen bidrager til, at medarbejderne er motiverede til at bruge en digital løsning og
vil være ambassadører for løsningen. Samtidig kan involvering sikre, at teknologien og digitale løsninger
understøtter de sundhedsfaglige behov og tager højde for medarbejdernes digitale kompetencer.
Robusthedskommissionen anbefaler derudover, at teknologi og digitale løsninger skal være en integreret
del af retningslinjer og vejledninger både lokalt og nationalt. Det kan bl.a. medvirke til, at digitale løsninger
bliver førstevalget i sundhedsvæsenets opgavevaretagelse, hvor det giver faglig mening. Samtidig kan det
bidrage til, at sundhedspersonalet ser det som sundhedsfagligt anbefalet og fagligt legitimt at anvende
teknologi og digitale løsninger, og de betrygges i behandleransvaret, når de anvender digitale løsninger
og anden teknologi i behandlingen.
194
Der kan argumenteres for, at samling af drift og udvikling af fælles løsninger rettet mod borgerne og den
sundhedsfaglige opgavevaretagelse og IT­fagsystemer i Digital Sundhed Danmark betyder, at drift og
udvikling af løsningerne flyttes længere væk fra den daglige drift i sundhedsvæsenet. Sundhedsstruktur-
kommissionen vurderer dog, at afstand til driften allerede er en udfordring i dag – ikke mindst i regionerne.
Regionerne har konsolideret sig i store, centrale IT­afdelinger. Samtidig er oplevelsen af afstanden mellem
den sundhedsfaglige praksis og IT­afdelingen ikke blot et spørgsmål om geografi og organisering, men i
høj grad også et spørgsmål om forskellige fagligheder og arbejdsgange, som har brug for at mødes. Derfor
vil der under alle omstændigheder skulle arbejdes med løsninger, der imødekommer udfordringen med
afstand mellem den sundhedsfaglige opgaveløsning og den digitale drift og udvikling. Det er bl.a. også
derfor, at det er væsentligt, at der i Digital Sundhed Danmarks ledelse og eventuelle bestyrelse er
repræsentanter med faglige kompetencer indenfor sundhedsvæsenets drift.
Der kan overvejes forskellige konkrete tiltag og arbejdsgange for at understøtte sundhedsfaglig forankring
og ejerskab indenfor rammerne af fremtidens digitale sundhedsvæsen. I sit arbejde for kommissionen peger
PA Consulting Group fx på, at erfaringer fra såvel den nuværende organisering i sundhedsvæsnet som flere
udvalgte cases fra den offentlige sektor, private virksomheder og udlandet viser, at det kræver løbende fokus
og tæt kobling i det daglige at sikre den nødvendige sundhedsfaglige forankring og ejerskab til digitale
udviklingsinitiativer. Af den årsag involverer mulige løsninger typisk ændrede arbejdsmetoder og processer
på et mere operationelt niveau. Det kan fx ske gennem forskellige former for smidig og løbende udvikling
med agile metoder, som nødvendigvis må foregå lokalt, og involverende og forpligtende arbejdsmetoder tæt
på den sundhedsfaglige hverdag. Konkret kan det fx indebære, at digitale udviklere sætter sig sammen med
medarbejdere fra driften og i fællesskab udvikler innovative løsninger på udfordringer i driften.
195
Det er
bl.a. for at skabe mulighed for udvikling og involverende og forpligtende arbejdsmetoder tæt på den
sundhedsfaglige hverdag og for at understøtte den lokale sundhedsfaglige forankring, at kommissionen
fremhæver, at Digital Sundhed Danmark med fordel kan have decentrale enheder flere steder i landet i
forbindelse med sundhedsvæsenets driftsorganisationer.
194 Kommission for robusthed i sundhedsvæsenet, “Robusthedskommissionens anbefalinger”, 2023.
195 PA Consulting Group. “Analyse af modeller for organisering og styring af arbejdet med digitale løsninger og data i det danske
sundhedsvæsen”, 2024.
SUU, Alm.del - 2023-24 - Bilag 317: Orientering om Sundhedsstrukturkommissionens afrapportering, fra indenrigs- og sundhedsministeren
2880227_0229.png
1
2
3
4
Del 3 - Tværgående anbefalinger og forslag
229
Standardisering af arbejdsprocesser og data
En væsentlig forudsætning for at opnå de ønskede gevinster ved brug af digitale løsninger og data på tværs
af sundhedsvæsenet er standardisering af arbejdsprocesser og data. Det er fx afgørende for, at data i praksis
kan trækkes ud af de lokale fagsystemer og bedre kan deles og anvendes på tværs af sundhedsvæsenet
gennem en national dataplatform, der skal understøtte sundhedspersonalet bedre i at samarbejde om
borgerne. Det er også afgørende for bred udbredelse af datadrevne løsninger, bl.a. med kunstig intelligens.
En del af Sundhedsstrukturkommissionens forslag til en ny organisering er statens mandat til at opstille
fælles krav og standarder for data, så de lettere kan nyttiggøres på tværs af sundhedsvæsenet. I den for-
bindelse er det væsentligt, at krav og standarder på digitaliserings- og dataområdet kobles til den øvrige
planlægning og tilrettelæggelse af sundhedsvæsenets opgavevaretagelse som beskrevet tidligere i kapitlet,
da kravene til digitalisering og data også stiller tilsvarende krav til de sundhedsfaglige arbejdsprocesser. I
sit arbejde for kommissionen hæfter PA Consulting Group sig desuden ved, at der som supplement til de
overordnede krav og standarder, typisk også er behov for en bred vifte af mere lokale indsatser i relation til
kvalitetssikring og opfølgning og fastholdelse af fælles praksis, bl.a. i forhold til arbejdsprocesser og doku-
mentation. PA Consulting Group vurderer herudover, at der er et betydeligt og kontinuerligt arbejde
forbundet med at sikre ensartede processer og data.
196
Derfor bør det afsøges, om algoritmer eller lignende
løsninger med kunstig intelligens kan lette byrden for sundhedspersonalet og ”oversætte” lokale
registreringer til et fælles dataformat. Det vil også være med til at skabe ensartede data på tværs af
sundhedsvæsenet.
Teknologi- og leverandørstrategi
Indenfor rammerne af en ny organisering af arbejdet med digitalisering og data vil der være behov for at
beslutte en teknologi- og leverandørstrategi for sundhedsvæsenet. Der ligger en række afgørende beslutnin-
ger i forbindelse med valg af teknologier og leverandører for at kunne eksekvere en digital transformation
og understøtte den nødvendige omstilling til det primære sundhedsvæsen. Beslutningerne gælder både, i
hvilket omfang sundhedsvæsenet skal gøre brug af eksisterende teknologier som cloud-teknologi, og hvilke
helt nye teknologier sundhedsvæsenet skal satse på, fx med den hastige udvikling indenfor brugen af
kunstig intelligens. Det drejer sig bl.a. om at sikre hastighed og omstillingsevne i forhold til kritiske opgave-
områder.
197
Det indebærer også valg om, hvilke konkrete digitale løsninger og dataprodukter der skal
prioriteres, og i hvilket omfang, der er behov for nye systemer og løsninger sammenlignet med at bygge
oven på og modernisere eksisterende systemer.
Mulige løsninger involverer ofte en bredere vifte af strategier og tilgange, som PA Consulting Group
bemærker i sit arbejde for Sundhedsstrukturkommissionen. Der skal fx tages stilling til den rette balance
mellem på den ene side at opbygge egne udviklingsressourcer, der vil gøre sundhedsvæsenet i stand til at
udvikle egne løsninger og give kvalificeret modspil til leverandørmarkedet, og på den anden side indkøb
af løsninger fra private leverandører. Samtidig kan en parallel strategi være at arbejde i retning af en fælles
digital arkitektur, som i højere grad er baseret på fælles, standardiserede moduler.
198
Her vil der være tale
om digital arkitektur, der kan skabe forudsætninger for smidigere og mere løbende udvikling af løsninger
målrettet specifikke udfordringer og kan nedbringe afhængigheder af store leverandører og løsninger.
I kommissionens forslag til en ny organisering af arbejdet med digitalisering og data kan de konkrete valg
om teknologi­ og leverandørstrategi forankres i Digital Sundhed Danmark. På den måde kan Digital Sundhed
Danmark skabe rammerne for fælles beslutning og retning i samspil med det styrkede nationale mandat.
196 PA Consulting Group. “Analyse af modeller for organisering og styring af arbejdet med digitale løsninger og data i det danske
sundhedsvæsen”, 2024.
197 PA Consulting Group. “Analyse af modeller for organisering og styring af arbejdet med digitale løsninger og data i det danske
sundhedsvæsen”, 2024.
198 PA Consulting Group. “Analyse af modeller for organisering og styring af arbejdet med digitale løsninger og data i det danske
sundhedsvæsen”, 2024.
SUU, Alm.del - 2023-24 - Bilag 317: Orientering om Sundhedsstrukturkommissionens afrapportering, fra indenrigs- og sundhedsministeren
2880227_0230.png
230
1
2
3
4
Del 3 - Tværgående anbefalinger og forslag
Samlet vurdering af forslag
I det følgende samles der kort op på Sundhedsstrukturkommissionens fire forslag til en ny organisering
af arbejdet med digitalisering og data i forhold til de seks centrale hensyn for indretningen af fremtidens
sundhedsvæsen (se kapitel 6). Kommissionen vurderer samlet set, at forslagene vil bidrage til at opfylde
de seks hensyn i højere grad end den nuværende organisering af arbejdet med digitalisering og data.
Hensyn 1: Et sundhedsvæsen med høj kvalitet for alle borgere i hele landet
Kommissionens forslag til en ny organisering af arbejdet med digitalisering og data forventes at bidrage
til mere ensartede digitale sundhedstilbud af høj kvalitet i hele landet. En styrket og forpligtende fælles
retning for arbejdet med fælles krav og standarder skal fremme, at sundhedsvæsenets aktører i højere grad
arbejder mod fælles mål og prioriteter, så borgere og medarbejdere får gavn af de digitale muligheder på
tværs af sundhedsvæsenet. De strukturelle forslag gør det dog ikke alene. Der vil fortsat være behov for en
kontinuerlig indsats for øget standardisering af arbejdsprocesser og data indenfor de strukturelle rammer.
Samling af udvalgte digitaliserings­ og dataopgaver i en fælles service­ og leveranceorganisation vil desuden
give mulighed for større og mere bæredygtige faglige miljøer sammenlignet med i dag, hvor opgaverne er
spredt på mange aktører med forskellige forudsætninger for at løfte opgaverne. Samtidig vil de større
faglige miljøer give mulighed for at hjælpe aktørerne, fx ved at understøtte innovationsindsatsen i
sundhedsvæsenet.
Hensyn 2: Et sundhedsvæsen, hvor borgerne har let adgang til relevante
sundhedstilbud
Med bedre brug af digitale løsninger kan sundhedstilbud i højere grad gøres uafhængige af geografi og
fysiske matrikler, og dermed kan sundhedsvæsenet gøres mere tilgængeligt for borgerne, når og hvor de
har brug for det. Samtidig foreslår kommissionen netop som et af de strategiske mål i en strategi for
digitalisering og data, der dækker hele sundhedsvæsenet, at det skal sikres, at borgeren let og overskueligt
kan få digital adgang til sundhedsvæsenet. Sammen med styrket koordinering og fælles prioritering skal
klare principper for, hvilke digitale kanaler borgeren skal anvende for at få adgang til sundhedsvæsenet i
en given sammenhæng, gøre det lettere for borgeren at navigere digitalt i sundhedsvæsenet. Det skal ses
i sammenligning med i dag, hvor der er mange forskellige digitale indgange til sundhedsvæsenet, som kan
være svære at overskue som borger.
Hensyn 3: Et sundhedsvæsen med stærk sammenhæng i borgernes forløb
Udvikling og udbredelse af fælles løsninger og en sammenhængende IT­infrastruktur styrkes gennem
etablering af en fælles service- og leveranceorganisation, og sundhedsvæsenets aktører forpligtes i højere
grad til at anvende de fælles løsninger og den fælles infrastruktur. Samtidig lægges der op til konkrete
løsninger som en national dataplatform, der bl.a. skal understøtte lettere udveksling af borgernes sundheds-
oplysninger mellem sundhedsvæsenets aktører i forbindelse med behandlingsforløb. Dermed understøtter
kommissionens forslag til en ny organisering bedre mulighed for tværgående samarbejde om borgernes
forløb.
Kommissionen hæfter sig dog også ved, at der er behov for at finde en organisationsform for den fælles
service- og leveranceorganisation, der balancerer hensynene til på den ene side forankring og ejerskab
i de decentrale sundhedsmyndigheder og driftsorganisationer og på den anden side statens mulighed for
at sikre, at organisationens arbejde udføres i sammenhæng med den overordnede nationale retning og
prioritering.
SUU, Alm.del - 2023-24 - Bilag 317: Orientering om Sundhedsstrukturkommissionens afrapportering, fra indenrigs- og sundhedsministeren
2880227_0231.png
1
2
3
4
Del 3 - Tværgående anbefalinger og forslag
231
Hensyn 4: Et sundhedsvæsen, der giver borgerne mest mulig sundhed for de
tilgængelige ressourcer
Det er et af formålene med kommissionens forslag at bidrage til en bedre og mere effektiv udnyttelse af de
tilgængelige ressourcer til digitalisering og data. Ved at styrke den fælles, nationale prioritering og retning
understøttes en mere koordineret udnyttelse af sundhedsvæsenets ressourcer. Det sker bl.a. ved, at den
nationale planlægningskompetence gør det muligt at træffe bindende beslutning om, hvilke behov der bedst
imødekommes af en fælles, national løsning, og dermed bidrager til at modvirke spild af ressourcer på at
udvikle konkurrerende løsninger i forskellige dele af sundhedsvæsenet. Samling og konsolidering af fælles
digitaliserings- og dataopgaver i en fælles service- og leveranceorganisation vil også skabe forudsætnin-
gerne for mere effektiv udvikling og udbredelse af digitale løsninger og nyttiggørelse af data.
Forslagene forventes ikke alene at bidrage til bedre ressourceudnyttelse i arbejdet med digitalisering og
data. Bedre brug af digitale løsninger og data kan også frigøre medarbejderressourcer og dermed bidrage
til at gøre den sundhedsfaglige opgavevaretagelse mere effektiv. Det kan fx ske ved at give borgerne digitale
muligheder, der kan understøtte dem i at klare mere selv i forbindelse med deres sygdom og dermed frigøre
medarbejderressourcer til de borgere, som i højere grad har brug for, at sundhedsvæsenet tager hånd om
dem. Det kan også ske ved at understøtte øget udbredelse af nye datadrevne værktøjer til mere effektiv
visitation og diagnostik, fx med brug af kunstig intelligens, så sundhedspersonale på tværs af landet kan
tilse flere borgere. Samtidig kan øget nyttiggørelse af data også understøtte mere effektiv ledelse og
kvalitetsudvikling.
Digitale løsninger og lettere adgang til data kan dog ikke alene skabe bedre ressourceudnyttelse. Det er
afgørende at understøtte sundhedsfaglig forankring, ejerskab og ansvar for nye teknologiske løsninger og
at tage hensyn til personalets og borgernes digitale kompetencer, så løsningerne rent faktisk tages i brug,
og sundhedsvæsenet dermed opnår størst mulig gavn af dem.
Hensyn 5: Et sundhedsvæsen med effektiv politisk styring og demokratisk kontrol
Samlet set skal kommissionens forslag bidrage til at skabe større beslutnings­ og eksekveringskraft i
digitaliserings- og dataindsatsen end i dag, hvor ansvaret er fordelt på mange forskellige aktører og beslut-
ningsfora. Forankring af den overordnede strategi og retning for digitalisering og data i de overordnede
politiske mål for sundhedsvæsenet skal sikre, at digitalisering ikke bliver et mål i sig selv, men et stærkt
redskab til at løse sundhedsvæsenets udfordringer. Forslagene vil dermed at skabe en kortere vej fra
politisk beslutning og prioritering til udvikling og udbredelse af den nødvendige digitale understøttelse,
hvilket i dag ofte kan tage lang tid.
Kommissionen er opmærksom på, at forslagene indebærer en centralisering af arbejdet med digitalisering
og data sammenlignet med i dag, eftersom opgaver og ansvar i et vist omfang flyttes fra de decentrale
sundhedsmyndigheder og samles nationalt. Det er dog kommissionens klare vurdering, at forslagene
skaber bedre forudsætninger for et sundhedsvæsen præget af en højere grad af sammenhæng og nærhed
for borgerne. Det skaber også bedre forudsætninger for at understøtte de decentrale aktører i deres
opgavevaretagelse i forhold til digitalisering og data, hvilket der ikke alle steder og i alle sammenhænge
er et fagligt bæredygtigt grundlag for i dag.
Derudover vil alle opgaver heller ikke fremover skulle løses nationalt. Den nationale planlægnings-
kompetence skal netop gøre det muligt at tydeliggøre, hvad der løses nationalt, og hvad der løses lokalt.
Samtidig er formålet med en sammenhængende digital arkitektur bl.a. også give bedre mulighed for
fleksibel lokal tilpasning indenfor fælles rammer. Som nævnt er det også væsentligt at finde en organisering
af den fælles service- og leveranceorganisation, som balancerer den decentrale forankring og den overord-
nede national retningssætning.
SUU, Alm.del - 2023-24 - Bilag 317: Orientering om Sundhedsstrukturkommissionens afrapportering, fra indenrigs- og sundhedsministeren
2880227_0232.png
232
1
2
3
4
Del 3 - Tværgående anbefalinger og forslag
Hensyn 6: Implementeringsomkostninger ved organisatoriske ændringer
Særligt implementeringen af en fælles, national service­ og leveranceorganisation kan medføre markante
organisatoriske ændringer, som må forventes at indebære implementeringsomkostninger i en overgangs-
periode. Implementeringsomkostningerne forventes bl.a. at omfatte nedsat kapacitet i overgangsperioden
i forhold til digitaliserings- og dataindsatsen i de berørte organisationer, hvor enten hele organisationen
eller dele af organisationens opgaveportefølje overgår til den fælles service- og leveranceorganisation.
Omfanget vil afhænge af organisationens endelige opgaveportefølje. Der er behov for at afklare, i hvilket
omfang overdragelsen af de foreslåede opgaver til en fælles service- og leveranceorganisation, fx elektro-
niske patientjournalsystemer og omsorgsjournalsystemer, eventuelt vil påvirke den sundhedsfaglige
opgavevaretagelse i overgangsfasen.
Implementeringsomkostninger foreslås håndteret ved at gennemføre en trinvis implementering af service-
og leveranceorganisationens opgaveportefølje og en grundig analyse og forberedelse, før opgaverne
overgår til organisationen. Samtidig betyder etablering af en fælles service­ og leveranceorganisation
ikke nødvendigvis en fysisk samling af de nuværende organisationer og opgaver, hvilket kan bidrage til
at reducere implementeringsomkostningerne.
SUU, Alm.del - 2023-24 - Bilag 317: Orientering om Sundhedsstrukturkommissionens afrapportering, fra indenrigs- og sundhedsministeren
2880227_0233.png
1
2
3
4
Del 3 - Tværgående anbefalinger og forslag
233
Kapitel 11: Tilpasset fordeling af
ressourcer i sundhedsvæsenet
Fordelingen af ressourcer mellem det primære og det sekundære sundhedsvæsen skal afspejle befolk-
ningens behov for sundhedsydelser. Sundhedsstrukturkommissionen vurderer, at mange flere borgere i
fremtiden vil have gavn af at blive behandlet i det primære sundhedsvæsen. Det kræver en tilpasset ressour-
cefordeling, hvor en større andel af ressourcerne fremover skal målrettes det primære sundhedsvæsen.
Den geografiske fordeling af ressourcer skal afspejle befolkningens sundhedsbehov på tværs af landet. I de
områder, hvor borgerne har et relativt større behov for sundhedsydelser som følge af høj sygelighed, bør der
også være relativt flere ressourcer til rådighed. Det er ikke tilfældet i dag. Derfor er der behov for tiltag, som
kan sikre en mere hensigtsmæssig geografisk fordeling af ressourcer til gavn for borgere, fx i yderområder.
Af den årsag anbefaler Sundhedsstrukturkommissionen, at der udarbejdes en national sundhedsplan,
som skal sætte en strategisk retning for tiltag, der sikrer tilpasning af ressourcefordelingen mellem både
det primære og sekundære sundhedsvæsen og geografisk på tværs af landet. Formålet er at sikre en mere
hensigtsmæssig balance mellem det primære og det sekundære sundhedsvæsen, som skal muliggøre
den ønskede omstilling af sundhedsvæsenet, hvor flere borgere har forløb i det primære sundhedsvæsen.
Formålet er også at understøtte, at borgere i alle dele af landet har adgang til relevante sundhedstilbud
og dermed nedbringe den geografiske og sociale ulighed i sundhed.
I kapitel 11 beskrives først kort potentialerne ved en tilpasset fordeling. Derefter følger en beskrivelse
af kommissionens anbefaling og tilhørende forslag.
Potentialer ved en tilpasset fordeling af ressourcer
i sundhedsvæsenet
Der er tilført betydelige ressourcer til det danske sundhedsvæsen siden 1990’erne. Sammenlignet med
andre lande bruges en større andel af sundhedsudgifterne i Danmark til at drive det sekundære sundheds-
væsen fremfor det primære sundhedsvæsen (se kapitel 4). En tilpasset fordeling af ressourcer mellem
det primære og det sekundære sundhedsvæsen skal afspejle et ændret behandlingsbehov. Ændringer i
befolkningssammensætning og sygdomsmønster betyder, at mange flere borgere i fremtiden vil have gavn
af at blive behandlet i det primære sundhedsvæsen.
Det kræver, at det primære sundhedsvæsen styrkes, så langt flere borgere kan modtage sammenhængende
indsatser af høj kvalitet tættere på eget hjem. Det betyder samtidig en omstilling af sygehusene, hvor
væksten skal reduceres, og hvor sygehusene skal have en langt stærkere rolle i at understøtte udviklingen
af det primære sundhedsvæsen. Sundhedsstyrelsen peger på et betydeligt potentiale for omstilling ved
at øge andelen af aktiviteter i det primære sundhedsvæsen.
199
Det hviler bl.a. på en reduktion af aktiviteter
uden reel sundhedsmæssig værdi, opgaveflytning og transformation af aktiviteter fra det sekundære
sundhedsvæsen til det primære sundhedsvæsen. På den baggrund vurderer Sundhedsstrukturkommis­
sionen, at der er behov for at styrke det primære sundhedsvæsen.
Det er derudover kommissionens vurdering, at den nuværende geografiske fordeling af ressourcer bidrager
til geografisk og social ulighed i sundhed. Adgangen til sundhedstilbud er generelt bedre i de områder
af landet, hvor befolkningen som helhed er sundest, mens den er dårligere i de områder, hvor sundheds-
behovet er størst (se kapitel 4). Det gælder fx adgang til almenmedicinske tilbud, hvor lægedækningen
generelt er bedst i og omkring de større byer, og hvor borgerne samtidig har den bedste sundhedstilstand.
Omvendt er lægedækningen udfordret i flere yderområder og udsatte boligområder, hvor sundhedstil­
199 Sundhedsstyrelsen. ”Muligheder og forudsætninger for omstilling til det primære sundhedsvæsen”. 2023.
SUU, Alm.del - 2023-24 - Bilag 317: Orientering om Sundhedsstrukturkommissionens afrapportering, fra indenrigs- og sundhedsministeren
2880227_0234.png
234
1
2
3
4
Del 3 - Tværgående anbefalinger og forslag
standen generelt er dårligere. Det er en ulighed, som risikerer at blive forstærket i de kommende år som
følge af udviklingen i demografien, hvor oplands­ og provinskommuner forventes at få en større andel af
de ældste borgere.
En tilpasset fordeling af ressourcerne skal understøtte, at flere borgere i yderområder vil opleve et mere
tilgængeligt sundhedsvæsen med flere sundhedstilbud af høj kvalitet. Det omfatter både adgang til et
velfungerende almenmedicinsk tilbud i hele landet og adgang til relevante specialiserede indsatser indenfor
en rimelig geografisk afstand.
Anbefaling: Tilpasset fordeling af ressourcer i sundhedsvæsenet
Sundhedsstrukturkommissionen anbefaler, at der udarbejdes en national sundhedsplan, som skal sætte
en strategisk retning for tiltag, der sikrer en tilpasning af ressourcefordelingen mellem både det primære
og sekundære sundhedsvæsen og geografisk på tværs af landet.
Boks. 11.1
Anbefaling 3
Sundhedsstrukturkommissionen anbefaler, at der udarbejdes en national sundhedsplan, som skal
sætte en strategisk retning for tiltag, der sikrer tilpasning af ressourcefordelingen mellem både det
primære og sekundære sundhedsvæsen og geografisk på tværs af landet.
Formålet med anbefalingen er at sikre en mere hensigtsmæssig balance mellem det primære og
det sekundære sundhedsvæsen, som skal muliggøre den ønskede omstilling af sundhedsvæsenet,
hvor flere borgere har forløb i det primære sundhedsvæsen. Formålet er også at understøtte, at
borgere i alle dele af landet har adgang til relevante sundhedstilbud og dermed nedbringe den
geografiske og sociale ulighed i sundhed.
SUU, Alm.del - 2023-24 - Bilag 317: Orientering om Sundhedsstrukturkommissionens afrapportering, fra indenrigs- og sundhedsministeren
2880227_0235.png
1
2
3
4
Del 3 - Tværgående anbefalinger og forslag
235
Boks 11.2
Forslag
Indenfor den overordnede strategiske ramme af en ny national sundhedsplan præsenterer kommissionen
en række forslag, der skal understøtte en tilpasset ressourcefordeling.
1. Ressourcefordeling mellem det primære og det sekundære sundhedsvæsen skal tilpasses. Forslaget
indebærer en styrket prioritering af det primære sundhedsvæsen, som ledsages af en tilsvarende
reduceret vækst for sygehusene. Sygehusene skal samtidig have en stærkere rolle med at understøtte
udviklingen af det primære sundhedsvæsen.
2. Fordelingen af læger geografisk og på tværs af det primære og det sekundære sundhedsvæsen skal
tilpasses. Forslaget indebærer en incitamentsmodel i form af et vækstloft for sygehuslæger indenfor
udvalgte geografiske områder og eventuelt specialer, som skal understøtte, at flere læger søger mod
sygehuse udenfor de store byer.
3. Kvalitetstandarder skal udvikles mod at kunne gå på tværs af sektorer, stille krav til samarbejde i det
primære sundhedsvæsen, styrke monitorering og eventuelt kombinere kravene med økonomiske
incitamenter.
4. Styring af den lægelige videreuddannelse skal styrkes, og medicinuddannelsen skal tilpasses. Forslaget
indebærer bl.a., at uddannelseslæger skal bruge en større del af deres uddannelsesforløb udenfor
universitetshospitalerne i de større byer, og der skal være et større fokus på faglig bredde og genera-
listkompetencer i speciallægeuddannelsen. Dimensioneringen af medicinuddannelsen skal understøtte
en hensigtsmæssig vækst af læger fremover, og der skal på uddannelsen være et større fokus på de
almene sundhedsindsatser.
5. Sundhedsfaglig forskning skal i højere grad målrettes sundhedstjenesteforskning med udgangspunkt i
det primære sundhedsvæsen og i mindre grad specialiserede indsatser i det sekundære sundhedsvæ-
sen. Ph.d.-forløb skal skal i højere grad besættes af andre sundhedsfaglige grupper end læger.
6. Styring af det højt specialiserede sygehusområde skal ændres, så de sygehusansvarlige myndigheder
får redskaber til at sikre et balanceret ressourceforbrug på tværs af det specialiserede og almene
sygehusområde.
7. Sundhedscentre i form af fleksible og innovative tilbud skal styrke det primære sundhedsvæsen,
særligt de almenmedicinske tilbud, og skabe rammer for bedre sammenhæng og samarbejde lokalt.
Forslaget har særlig relevans i områder med langt til sygehuset.
En national sundhedsplan skal sikre tilpasset ressourcefordeling
i sundhedsvæsenet
Sundhedsstrukturkommissionen anbefaler, at der udarbejdes en national sundhedsplan, som skal sætte
en strategisk retning for udviklingen af sundhedsvæsenet i den kommende årrække. Den nationale
sundhedsplan skal bidrage til en klar opgavefordeling, tydeliggøre og fastsætte krav og forventninger
til sundhedsvæsenets aktører og have et bredt fokus på styrke kvaliteten i sundhedstilbud på tværs af
det samlede sundhedsvæsen.
En national sundhedsplan skal understøtte en ressourcefordeling, som afspejler befolkningens sundheds-
behov på tværs af både sektorer og geografi. Planen skal også understøtte en forenkling og reduktion af
nuværende statslige styringsredskaber og planer på sundhedsområdet, som skal være med til at mindske
behovet for administration. Den nationale sundhedsplan skal samtidig udgøre rammen for lokale sundheds-
planer, som udarbejdes af decentrale myndigheder.
SUU, Alm.del - 2023-24 - Bilag 317: Orientering om Sundhedsstrukturkommissionens afrapportering, fra indenrigs- og sundhedsministeren
2880227_0236.png
236
1
2
3
4
Del 3 - Tværgående anbefalinger og forslag
Kommissionen foreslår, at Sundhedsstyrelsen udarbejder et oplæg til en national sundhedsplan med
inddragelse af relevante aktører med henblik på, at en endelig sundhedsplan skal aftales politisk mellem
staten og relevante myndigheder.
Indhold og udmøntning af national sundhedsplan
Sundhedsplanen bør beskrive en strategi, som sætter overordnet retning for den ønskede udvikling af
det samlede sundhedsvæsen. Sundhedsplanen kan derudover indeholde en række principper og krav til
planlægning og løsning af opgaver indenfor udvalgte områder, indsatser eller målgrupper, som vurderes
særligt relevante i en omstilling af sundhedsvæsenet.
Det kan fx være et væsentligt princip i en national sundhedsplan, at det primære sundhedsvæsen i altover-
vejende grad skal kunne behandle beboere på plejehjem, som dermed kun undtagelsesvis skal indlægges
på et sygehus. Det vil i de fleste tilfælde være bedre og mere trygt for borgeren på plejehjem at få hjælp i
egen bolig fremfor at blive indlagt på et sygehus. Heraf følger krav til opgavevaretagelsen, som fx vil omfatte
velfungerende akutfunktioner i det primære sundhedsvæsen, adgang til almenmedicinske kompetencer
døgnet rundt for plejehjemspersonale og adgang til specialistrådgivning fra sygehuse til plejehjems-
personale og tilknyttede læger.
Til anbefalingen knytter sig en række konkrete forslag, som skal være med til at omsætte sundhedsplanens
strategiske retning. Sundhedsstrukturkommissionen understreger, at forslagene, som vil blive præsenteret
i det følgende, ikke er udtømmende. Der vil være andre tiltag, som også skal bidrage til at udmønte den
nationale sundhedsplan. Det drejer sig bl.a. om fastsættelse af nationale basisfunktioner for det almen-
medicinske tilbud, national understøttelse af fordeling af ydernummer og lægekapaciteter og krav til det
almenmedicinske tilbud (se også kapitel 9).
Forslag 1: Tilpasset ressourcefordeling mellem det primære
og det sekundære sundhedsvæsen
Kommissionen foreslår, at en større andel af de samlede ressourcer skal målrettes det primære sundheds-
væsen, så langt flere borgere kan få sammenhængende indsatser af høj kvalitet tættere på eget hjem.
Det betyder, at prioriteringen af det primære sundhedsvæsen skal ledsages af en tilsvarende reduceret
ressourcevækst på sygehusene. Det forudsætter, at den myndighed, som har ansvaret for at reducere
sygehusvæksten, også har kompetencer til at udbygge det primære sundhedsvæsen, bl.a. det almen-
medicinske tilbud.
Forslaget indebærer, at de kommende års prioriteringer af det primære sundhedsvæsen tilvejebringes ved
en ændret prioritering af det allerede planlagte løft på sundhedsområdet. Det betyder, at det demografisk
afledte løft på det regionale sundhedsområde målrettes det primære sundhedsvæsen. Der er tale om
væsentlige prioriteringer, da målretningen på det regionale område vedrører 750 mio. kr. årligt frem
mod 2030 (se uddybning i kapitlerne 15 og 17).
Det er vigtigt, at tilpasningen af ressourcefordelingen mellem det primære og det sekundære sundheds-
væsen sker gradvist over en periode, fx på fem til ti år. Årsagen er, at kapaciteten i det primære sundheds-
væsen skal bygges op over tid. Desuden er det sekundære sundhedsvæsen nogle steder udfordret, bl.a.
af et kapacitetspres på akutmodtagelserne og lange ventetider til behandling, som dog er forudsat
normaliseret ved udgangen af 2024.
200
De forhold tilsiger en gradvis tilpasning af ressourcefordelingen.
Samtidig understreger det behovet for, at de sygehusansvarlige myndigheder i høj grad prioriterer
udbygning af det primære sundhedsvæsen, herunder det almenmedicinske tilbud, for generelt at
forebygge og mindske presset på sygehusene og dets personale.
200 Indenrigs- og Sundhedsministeriet, “Eftersyn af sygehusvæsenet”, 2023.
SUU, Alm.del - 2023-24 - Bilag 317: Orientering om Sundhedsstrukturkommissionens afrapportering, fra indenrigs- og sundhedsministeren
2880227_0237.png
1
2
3
4
Del 3 - Tværgående anbefalinger og forslag
237
De sygehusansvarlige myndigheder skal desuden have et stærkt fokus på kun at tilbyde sygehusindsatser,
som har en reel sundhedsfaglig værdi for patienter. Sundhedsstyrelsen har i et notat til Sundhedsstruktur-
kommissionen peget på, at flere undersøgelser viser, at 20 pct. eller mere af sygehusaktiviteten vurderes
at være unødvendige.
201
Robusthedskommissionen pegede også på behovet for at nedbringe overbehandling
i sundhedsvæsenet og en mere systematisk prioritering af, hvilke opgaver der skal løses i sundhedsvæsenet.
Kommissionen har noteret sig, at regeringen vil nedsætte et tværgående nationalt prioriteringsråd, der
skal sikre mest mulig sundhed for pengene, fx ved reduktion af overbehandling i sundhedsvæsenet.
Sundhedsstrukturkommissionen foreslår, at et kommende nationalt prioriteringsråd får mandat til
at forholde sig til reduktion i unødig sygehusaktivitet som led i en omstilling af sundhedsvæsenet.
Kommissionen lægger vægt på, at sygehusene skal påtage sig en stærkere rolle med at understøtte
udviklingen af det primære sundhedsvæsen. Sygehusene skal i højere grad stille deres specialistviden og
-kompetencer til rådighed for det primære sundhedsvæsen. Det almenmedicinske tilbud skal fx i endnu
større udstrækning have hurtig adgang til specialistrådgivning på sygehusene for at forbedre behandlingen
af patienten og minimere unødige sygehushenvisninger. Etablering af relevante udkørende funktioner er
en anden måde, hvor sygehusene kan sikre, at mere behandling foregår i borgerens eget hjem. Det kan
fx være på det akutte område, hvor patienter med akutte ikke-livstruende sygdomme i mange tilfælde
kan have størst gavn af at blive vurderet og modtage relevant behandling i eget hjem og dermed undgå
en sygehusindlæggelse.
Den forudsatte omprioritering fra det sekundære sundhedsvæsen til det primære sundhedsvæsen skal
også ses i sammenhæng med kommissionens anbefaling om væsentligt øgede beføjelser for den sygehus-
ansvarlige myndighed i forhold til tiltag og indsatser i det almenmedicinske tilbud.
Det sekundære sundhedsvæsen skal fortsat besidde de kompetencer, som er nødvendige for fx at kunne
tilbyde diagnostik og behandling af akut opstået og alvorlig sygdom, svære medicinske tilstande og større
operationer og behandlinger af alvorlige traumer. Sygehusene skal dog i større udstrækning indrettes efter,
at patienternes behov ændrer sig. Det indebærer en ændret tilgang til organiseringen af sygehusopgaven,
som i højere grad understøtter udredning og behandling af patienter med komplekse helbredsproblemer.
Det indebærer også et behov for flere generalistkompetencer på sygehusene, som bedre kan behandle
patienter, der lider af flere sygdomme på samme tid.
Forslag 2: Tilpasset fordeling af læger geografisk og på tværs
af det primære og det sekundære sundhedsvæsen
Et væsentligt element i en national sundhedsplan er at sikre en bedre geografisk fordeling af læger og
en bedre fordeling af læger på tværs af det primære og det sekundære sundhedsvæsen. I den forbindelse
foreslår kommissionen, at der indføres en incitamentsmodel for de sygehusansvarlige myndigheder i form
af et vækstloft for sygehuslæger indenfor udvalgte geografiske områder og eventuelt specialer. Det skal
understøtte, at flere læger søger mod sygehuse udenfor de store byer.
Modellen indebærer, at en del af det statslige tilskud til de sygehusansvarlige myndigheder skal være
betinget af en efterlevelse af aftalte mål om fordeling af læger. En sådan model vil i sin konstruktion minde
om den nuværende nærhedsfinansiering, som er en pulje af midler, der udløses, når regionerne lever op
til en række aftalte mål.
Et vækstloft for sygehuslæger indenfor udvalgte geografiske områder og specialer bør indgå som et aftalt
mål. Det vil betyde, at væksten i antallet af speciallæger på offentlige sygehuse i udvalgte geografiske
områder ikke må overstige et bestemt loft. Et vækstloft kan fx indebære nulvækst eller reduktion i antallet
af speciallæger på universitetssygehuse i de største byer.
201 Sundhedsstyrelsen. ”Muligheder og forudsætninger for omstilling til det primære sundhedsvæsen”. 2023.
SUU, Alm.del - 2023-24 - Bilag 317: Orientering om Sundhedsstrukturkommissionens afrapportering, fra indenrigs- og sundhedsministeren
2880227_0238.png
238
1
2
3
4
Del 3 - Tværgående anbefalinger og forslag
Modellen skal understøtte bedre muligheder for at rekruttere læger udenfor de store byer og dermed en
bedre geografisk fordeling af læger. Et loft målrettet universitetssygehusene kan være med til at dæmpe
aktiviteten på det specialiserede sygehusområde for at understøtte en balanceret ressourcefordeling
mellem det specialiserede og almene sygehusniveau. Endelig kan et loft potentielt bidrage til en øget
tilgang af læger til praksissektoren ved en mere generel begrænsning af ansættelse af sygehuslæger.
Et loft skal tænkes tæt sammen med dimensioneringen af den lægelige videreuddannelse, se nedenfor.
Det er væsentligt, at der bliver en stærkere styring af fordelingen af speciallæger. Sundhedsstrukturkom-
missionen hæfter sig ved, at der siden 2016 har været en aftale mellem regionerne om et loft over antallet
af speciallæger på universitetssygehusene i Århus, København og Odense. Aftalen indeholder dog dispen­
sationsmuligheder til at fravige det aftalte loft, og opgørelser fra Danske Regioner viser, at antallet af
speciallæger på de omfattede universitetssygehuse på trods af det aftalte speciallægestop er steget siden
2018.
202
Ifølge Danske Regioners opgørelse er antallet af speciallæger på de tre største universitetssygehuse
steget med 6,2 pct. på Aarhus Universitetshospital, 8,5 pct. på Odense Universitetshospital og 13,1 pct. på
Rigshospitalet i perioden fra april 2018 til juni 2023.
Kommissionen vurderer, at et vækstloft, der aftales politisk mellem staten og de sygehusansvarlige
myndigheder, vil være mere forpligtende end det nuværende aftalte speciallægestop og vil give en større
tilskyndelse for de sygehusansvarlige myndigheder til at sikre en bedre geografisk fordeling af læger.
Sundhedsstrukturkommissionen har overvejet, om tiltaget også skal anvendes til at begrænse antallet
af speciallæger i almen medicin på sygehusene. Ud af det samlede antal speciallæger i almen medicin på
ca. 5.000 er ca. 15 pct. af speciallægerne i dag ikke beskæftiget i almen praksis.
203
I 2021 var der ansat knap
300 speciallæger i almen medicin på offentlige sygehuse.
204
Formålet med at begrænse antallet af special-
læger i almen medicin på sygehusene skulle være at målrette almenmedicinske kompetencer til det pri-
mære sundhedsvæsen.
Kommissionen er omvendt opmærksom på, at sygehusansatte speciallæger i almen medicin tilfører
væsentlige generalistkompetencer, fx til akutmodtagelser og den regionale behandlingspsykiatri, som
styrker det almene sygehusniveau. Speciallæger i almen medicin på sygehuse kan derfor også være med
til at understøtte bedre sammenhæng for patienter mellem det primære og det sekundære sundhedsvæsen.
Sundhedsstrukturkommissionen foreslår derfor, at de centrale og sygehusansvarlige myndigheder følger
udviklingen og løbende overvejer balancen mellem speciallæger i almen medicin i det primære og det
sekundære sundhedsvæsen. I lyset af den aktuelle mangel på speciallæger i det primære sundhedsvæsen
er det særligt relevant at overveje tiltag, der på kort sigt kan begrænse speciallæger i almen medicin i det
sekundære sundhedsvæsen. På lidt længere sigt må der forventes et markant øget antal speciallæger i
almen medicin (se kapitel 9), som alt andet lige kan betyde, at der er nok speciallæger i almen medicin
til både at dække behov i det primære og den sekundære sektor.
Et vækstloft vurderes relevant uafhængig af forvaltningsstruktur (se også kapitel 15). Det er fx vurderingen,
at et vækstloft også kan være relevant at indtænke i en forvaltningsstruktur med færre enheder end de
nuværende fem regioner. Men færre regionale enheder vil dog alt andet lige give et bedre grundlag for at
sikre en mere hensigtsmæssig fordeling af lægeressourcer gennem et samlet arbejdsgiveransvar. Fortsat
kan der dog være behov for fra national side at understøtte en stærkere tilskyndelse til, at flere læger søger
mod sygehuse udenfor de store byer.
Forslaget skal ses i sammenhæng med de forslag til at understøtte bedre geografisk fordeling af almen­
medicinske kompetencer, som er beskrevet i kapitel 9 om det almenmedicinske tilbud.
202 Danske Regioners Bestyrelse, “Referat af møde i Danske Regioners bestyrelse 28. september 2023”, 2023.
203 VIVE, Marie Henriette Madsen, Mette Brehm Johansen, Maya Christiane Flensborg Jensen, Caroline Louise Westergaard, og Ina Willaing
Tapager. ”Speciallæge i almen medicin - En undersøgelse af begrundelser for forskellige karrierevalg- og veje”. VIVE - Det Nationale
Forsknings- og Analysecenter for Velfærd, 2023.
204 Sundhedsdatastyrelsen, “Bevægelsesregisteret 2021”, 2023.
SUU, Alm.del - 2023-24 - Bilag 317: Orientering om Sundhedsstrukturkommissionens afrapportering, fra indenrigs- og sundhedsministeren
2880227_0239.png
1
2
3
4
Del 3 - Tværgående anbefalinger og forslag
239
Sundhedsstrukturkommissionen vurderer, at forslaget om vækstloft også kan være relevant for andre
personalegrupper, hvor der ses en skæv geografisk fordeling, fx sygeplejersker (se kapitel 4). Robustheds-
kommissionen har tidligere præsenteret en række anbefalinger til at sikre mere personale med tid til den
borger- og patientnære kerneopgave indenfor sundheds- og ældreområdet i fremtiden.
205
Sundheds­
strukturkommissionen finder Robusthedskommissionens anbefalinger relevante og foreslår, at de
implementeres i sammenhæng med forslaget om tilpasset fordeling af læger, som er præsenteret i dette
kapitel.
Tiltagene til bedre fordeling af læger på tværs af landet og den forventede udvikling i de geografiske
forskelle i sundhed og sygdomsbyrde kan ændre på udgiftsbehovet på tværs af landet. Derfor vil der
potentielt være konsekvenser for, hvordan økonomien på sundhedsområdet skal fordeles. Sundheds­
strukturkommissionens overvejelser om fordeling af økonomiske ressourcer udfoldes i kapitel 17.
Forslag 3: Videreudvikling af kvalitetsstandarder og krav
til samarbejde i det primære sundhedsvæsen
Kvalitetsplan for det nære sundhedsvæsen indgik som et initiativ i den tidligere regerings aftale om
sundhedsreform fra 2022. Kvalitetsplanen er et nationalt styringsredskab, som til en vis grad kan under-
støtte udvikling af det primære sundhedsvæsen. Det sker via kvalitetsstandarder med anbefalinger
og bindende krav til indsatsen.
Kvalitetsplan og -standarder kan medvirke til fagligt at løfte et givent område og ensrette indsatser på
tværs af landet som led i en omstillingsproces indenfor de primære sundhedsopgaver, hvor der i dag er
en begrænset national styring sammenlignet med det sekundære sundhedsvæsen. Kvalitetsplanen er
afgrænset til de kommunale sundhedsindsatser, almenmedicinske tilbud og udgående rådgivende sygehus-
funktioner efter sundhedsloven. Der findes i dag kvalitetsstandarder for kommunal sygepleje og akut­
funktioner og forebyggelsesindsatsen for mennesker med kroniske sygdomme.
Kommissionen foreslår, at der indenfor rammerne af en national sundhedsplan sker en videreudvikling
af kvalitetsstandarder. Kvalitetsstandarderne skal udvikles mod at kunne gå på tværs af sektorer, så
sammenhængen i indsatserne styrkes for borgerne. Kvalitetsstandarder skal også give bedre mulighed for
at stille krav om samarbejde i opgaveløsningen i det primære sundhedsvæsen. Formålet er at understøtte
en styrket faglig bæredygtighed på områder, hvor der fx er en lille patientvolumen, eller hvor der er behov
for særlige specialiserede kompetencer, som kræver samarbejde på tværs. En videreudvikling skal også
indeholde en styrket monitorering, så det er muligt at følge effekten af indsatserne og foretage bench-
marking af indsatsen.
Kvalitetsstandarder skal tage udgangspunkt i målgrupper og områder, hvor der er potentiale for omstilling
til et lavere effektivt omkostnings- og omsorgsniveau, og hvor kvaliteten kan forbedres.
Forslag 4: Stærkere styring af den lægelige videreuddannelse
og tilpasninger af medicinuddannelsen
Sundhedsstrukturkommissionen foreslår, at der indenfor rammerne af en national sundhedsplan indføres
en stærkere styring af den lægelige videreuddannelse, og der gennemføres tilpasninger af universitets-
uddannelsen for læger.
En mere hensigtsmæssig styring af fordelingen af uddannelsesforløb har potentiale til at understøtte en
bedre geografisk fordeling af ressourcer. Den lægelige videreuddannelse og universitetsuddannelse skal
samtidig bidrage til den ønskede omstilling af sundhedsvæsenet, hvor flere forløb skal foregå i det primære
sundhedsvæsen. Et centralt sigte er at styrke generalistkompetencerne hos de sundhedsprofessionelle,
som skal afspejles i indholdet i grund- og videreuddannelsen.
205 Kommission for robusthed i sundhedsvæsenet, “Robusthedskommissionens anbefalinger”, 2023.
SUU, Alm.del - 2023-24 - Bilag 317: Orientering om Sundhedsstrukturkommissionens afrapportering, fra indenrigs- og sundhedsministeren
2880227_0240.png
240
1
2
3
4
Del 3 - Tværgående anbefalinger og forslag
Forslaget indeholder følgende elementer:
• Hoveduddannelsesforløb i den lægelige videreuddannelse skal i højere grad sammensættes, så uddan-
nelseslæger bruger en større del af deres uddannelsesforløb udenfor universitetshospitalerne i de større
byer. Det kan ledsages af tiltag, der skal sikre læger en større tilskyndelse til at søge uddannelsesforløb i
de specialer og områder, som i dag er vanskelige at besætte.
• Dimensioneringen af den lægelige videreuddannelse skal ske på baggrund af stærkere viden om det
fremtidige behov for speciallæger. Der skal udvikles et værktøj til at estimere efterspørgslen efter
sundhedspersonale, bl.a. speciallæger.
• Målbeskrivelser for lægespecialer, som angiver de nødvendige kompetencer, der skal opnås i den
lægelige videreuddannelse, skal have et større fokus på faglig bredde og generalistkompetencer.
• Der skal etableres en bedre kommunikation om eksisterende meritmuligheder for speciallæger til at
blive speciallæger i almen medicin. Det skal sikre, at flere speciallæger bliver opmærksomme på mulig-
hederne for at blive speciallæge i almen medicin og ad den vej understøtte flere almenmedicinske
kompetencer i sundhedsvæsenet.
Foruden en stærkere styring af den lægelige videreuddannelse foreslår kommissionen tilpasninger af
universitetsuddannelsen for læger. Det indebærer, at:
• Dimensioneringen af universitetsuddannelsen for læger skal understøtte en hensigtsmæssig vækst af
læger fremover. Mekaniske fremskrivninger indikerer, at der i 2035 vil være et udbud af læger, som ligger
betydeligt over den mekaniske fremskrivning af efterspørgslen (se kapitel 4). Selvom fremskrivningerne
er behæftet med en vis usikkerhed, er det kommissionens vurdering, at fremskrivningerne bør give
anledning til at overveje, om den nuværende dimensionering af universitetsuddannelsen for læger
understøtter en hensigtsmæssig vækst i antallet af læger.
• Universitetsuddannelsen for læger skal tilrettelægges med henblik på, at der kommer et større fokus på
de almene sundhedsindsatser, og der generelt bliver skabt et bedre grundlag for at uddanne flere læger
med brede generalistkompetencer. Sundhedsstrukturkommissionen foreslår, at medicinstuderende skal
have mere praktik i almenmedicinske tilbud for at understøtte et øget kendskab til og interesse for det
primære sundhedsvæsen hos de studerende.
• Kommissionen finder det relevant at se på potentialet for at placere pladser på medicinstudiet udenfor
de store universitetsbyer. Lægernes uddannelsessted har nemlig betydning for deres efterfølgende
arbejdssted.
206
En ændret geografisk fordeling af uddannelsespladser vil derfor kunne understøtte en
mere hensigtsmæssig geografisk fordeling af læger på sigt. For at sikre en høj kvalitet i uddannelsen
er det dog en forudsætning, at uddannelsespladserne fortsat placeres på steder med stærke forsknings-
og undervisningsmiljøer.
Boks 11.3
Opbygning af den lægelige grund­ og videreuddannelse og betydningen af den
geografiske placering af videreuddannelsen for lægernes efterfølgende arbejdssted
Grunduddannelsen (medicinstudiet) er tilrettelagt som en bachelor- og kandidatuddannelse i medicin
på Københavns Universitet, Aarhus Universitet, Syddansk Universitet og Aalborg Universitet. Bachelor-
og kandidatuddannelsen er samlet normeret til seks år. Udover uddannelserne på de fire universiteter
er der en kandidatuddannelse i Køge, oprettet i 2019 og udgående fra Københavns Universitet, og en
kandidatuddannelse i Esbjerg, oprettet i 2022 og udgående fra Syddansk Universitet.
Den lægelige videreuddannelse (uddannelse til speciallæge) består af tre forløb:
Etårig klinisk basisuddannelse (KBU)
Etårigt introduktionsforløb
206 Sundhedsstyrelsen. ”Lægeprognose 2021-2045 – Udbuddet af læger og speciallæger”. Sundhedsstyrelsen, 2022.
SUU, Alm.del - 2023-24 - Bilag 317: Orientering om Sundhedsstrukturkommissionens afrapportering, fra indenrigs- og sundhedsministeren
2880227_0241.png
1
2
3
4
Del 3 - Tværgående anbefalinger og forslag
241
Hoveduddannelsesforløb af typisk fire­fem års varighed
Sundhedsstyrelsen fastsætter dimensioneringen af uddannelsesforløb for hvert speciale og indenfor tre
såkaldte videreuddannelsesregioner (Nord, Syd og Øst). Det er de tre videreuddannelsesregioner, som
fordeler forløbene internt i videreuddannelsesregionerne, udarbejder uddannelsesprogrammer m.v.
Den geografiske placering af videreuddannelsen har i nogen grad betydning for lægernes arbejdssted
efter endt videreuddannelse. De læger, der tager deres lægelige videreuddannelse i Region Hovedstaden,
Region Midtjylland og Region Syddanmark, arbejder i høj grad i samme region to år efter speciallæge-
anerkendelse (henholdsvis 84 pct., 82 pct. og 86 pct.). Af de læger, som er uddannet i Region Sjælland,
arbejder 58 pct. af speciallægerne i regionen to år efter speciallægeanerkendelse. Af de læger, som
er uddannet i Region Nordjylland, arbejder 66 pct. i regionen to år efter speciallægeanerkendelse.
Sundhedsstyrelsen, Fremtidens speciallæge – ændring af den lægelige videreuddannelse (Sundhedsstyrelsen, 2024).
Forslag 5: Styrket forskning i det primære sundhedsvæsen
En af forudsætningerne for at styrke det primære sundhedsvæsen er, at der kommer mere forsknings-
baseret viden om sundhedsfaglige indsatser med fokus på hele borgerens forløb.
207
En analyse konkluderer,
at den nuværende forskning i det primære sundhedsvæsen er spredt ud på en række forskellige forsknings-
miljøer, og kredsen af forskningsaktører må betegnes som lille sammenlignet med gruppen af aktører,
der forsker i det sekundære sundhedsvæsen.
208
Det er Sundhedsstrukturkommissionens vurdering, at en
vellykket omstilling af sundhedsvæsenet forudsætter, at beslutningstagere og sundhedsprofessionelle
får det bedst mulige vidensgrundlag, og at sundhedsvæsenet bliver en mere lærende organisation.
Med afsæt i en national sundhedsplan foreslår Sundhedsstrukturkommissionen, at sundhedsfaglig
forskning, herunder ph.d.-forløb, i højere grad skal målrettes sundhedstjenesteforskning med fokus
på patientforløb med udgangspunkt i det primære sundhedsvæsen og i mindre grad det sekundære sund-
hedsvæsen og specialiserede sundhedsindsatser.
Forslaget kan udmøntes ved, at de ansvarlige myndigheder opretter flere ph.d.­forløb, som er målrettet
sundhedstjenesteforskning med udgangspunkt i det primære sundhedsvæsen, og tilsvarende færre
ph.d.­forløb med et specifikt fokus på det sekundære sundhedsvæsen. Det kan også indebære, at ph.d.­forløb
i højere grad skal besættes af andre sundhedsfaglige grupper end læger. Det vil medføre en reduktion i
antallet af læger med en ph.d.-uddannelse.
Kommissionen hæfter sig ved, at knap 400 læger med en dansk kandidatuddannelse påbegyndte en
sundhedsfaglig ph.d.­uddannelse i 2021.
209
Det svarer til ca. 30 pct. af de færdiguddannede læger samme år.
Sundhedsstrukturkommissionen anerkender, at det er en vigtig del af lægens rolle at bidrage aktivt til
udvikling af faget gennem deltagelse i forsknings- og udviklingsprojekter.
210
En tidligere analyse viser dog,
at relativt få læger er forskningsaktive efter erhvervelsen af den sundhedsvidenskabelige ph.d.-grad.
211
Blandt de personer, der i perioden 1995­2013 tog en ph.d.­uddannelse, var kun 21 pct. forskningsaktive to
år efter erhvervelsen af ph.d.-graden.
207 Sundhedsstyrelsen. ”Forskning til styrkelse af indsatsen i det primære sundhedsvæsen – En national strategi”. Sundhedsstyrelsen, 2022.
208 Rambøll Management Consulting, “Kortlægning af behov og rammer for forskning om det primære sundhedsvæsen”, 2021.
209 Uddannelses- og Forskningsministeriets datavarehus baseret på data fra Danmarks Statistik.
210 Sundhedsstyrelsen. ”De syv lægeroller”. Version 2.0. Sundhedsstyrelsen, 2013.
211 Fosbøl, Emil L., Philip L. Fosbøl, Sofie Rerup, Lauge Østergaard, Mohammed H. Ahmed, Jawad Butt, Julie Davidsen,
Nirusiya Shanmuganathan, Simon Juul, og Christian Lewinter. “Low Immediate Scientific Yield of the PhD among Medical Doctors”.
BMC Medical Education 16, nr. 1 (december 2016).
SUU, Alm.del - 2023-24 - Bilag 317: Orientering om Sundhedsstrukturkommissionens afrapportering, fra indenrigs- og sundhedsministeren
2880227_0242.png
242
1
2
3
4
Del 3 - Tværgående anbefalinger og forslag
En ph.d.-uddannelse vægtes højt indenfor mange lægespecialer, og en ph.d.-uddannelse kan være en
nødvendig forudsætning for at blive ansat i en hoveduddannelsesstilling.
212
Kommissionen foreslår, at der
skal være mere fokus på at ændre lægers incitament til at erhverve sig en ph.d.-grad. Det kan fx gøres ved, at
en ph.d.-uddannelse i mindre grad skal være meritgivende for en ansættelse i en hoveduddannelsesstilling.
Et ændret incitament kan fx understøttes gennem en tilpasning af de syv lægeroller, som danner grundlaget
for specialernes beskrivelse af nødvendige kompetencer hos en speciallæge.
Forslag 6: Styring af det højt specialiserede sygehusområde
Overordnet set varetages sygehusopgaver i dag på to niveauer: et hovedfunktionsniveau og et specialiseret
niveau. Det specialiserede niveau er yderligere opdelt i henholdsvis regionsfunktioner og højt specialise-
rede funktioner.
213
Det specialiserede sygehusområde er generelt kendetegnet ved høj faglig prestige. Det specialiserede
sygehusområde udgør en ret begrænset del af den samlede sygehusaktivitet (ca. 10 pct.), men vurderes
at udgøre en betydelig del af det samlede økonomiske ressourcetræk i sygehussektoren.
Med afsæt i en national sundhedsplan foreslår Sundhedsstrukturkommissionen, at de sygehusansvarlige
myndigheder får redskaber til at sikre et balanceret ressourceforbrug på tværs af det specialiserede og
almene sygehusområde. Den myndighed, som har ansvaret for sygehusene, har også ansvaret for at sikre,
at ressourcerne mellem det specialiserede og almene niveau fordeles mest hensigtsmæssigt. Der er på den
ene side behov for at sikre fortsat høj kvalitet og udvikling indenfor det specialiserede område. På den
anden side risikerer området at tiltrække uforholdsmæssigt mange ressourcer på bekostning af det almene
sygehusniveau. Det kan føre til en fordeling af ressourcer, som ikke nødvendigvis afspejler befolkningens
behov for sundhedsydelser. Der er derfor behov for, at de nationale og sygehusansvarlige myndigheder
følger aktivitets- og ressourceudviklingen på det specialiserede område tættere.
Det forudsætter generelt opbygning af en bedre og mere præcis monitorering af området. I dag er det
fx vanskeligt præcist at opgøre de udgifter, der går til specialiseret behandling, fordi behandlingen ofte vil
ske i kombination med almene sygehusindsatser. En bedre og mere præcis monitorering kan danne grund-
lag for, at centrale og decentrale myndigheder bedre kan modvirke en eventuel uhensigtsmæssig aktivitets-
udvikling. Et konkret redskab til at reducere aktiviteten på det specialiserede område kan være faglige
visitationsretningslinjer indenfor udvalgte områder, som skal understøtte en skarpere visitation til en given
behandling.
Kommissionen har også overvejet stærkere styringstiltag, som mere direkte kan føre til en dæmpet aktivitet
på det højt specialiserede sygehusområde. Tiltagene omfatter aktivitetsloft for højt specialiseret behandling.
Loftet betyder, at aktiviteten på det højt specialiserede område ikke må overstige et aftalt loft indenfor en
bestemt periode. Aktivitetsloftet skal aftales politisk mellem staten og de sygehusansvarlige myndigheder
for at sikre en politisk forpligtelse på at overholde loftet.
Derudover foreslår kommissionen en tilpasset afregningsmodel for højt specialiseret behandling for de
sygehusansvarlige myndigheder. I dag foregår der en mellemregional afregning, når en borger, som er bosat
i en region, modtager behandling i en anden region. En tilpasset afregningsmodel kan indebære indførelsen
af et tillæg for højt specialiseret behandling, der lægges oven i den normale behandlingstakst, som den
sygehusansvarlige myndighed betaler. Formålet vil være at begrænse incitamentet til at få patienter ind
i et højt specialiseret behandlingsforløb.
Sundhedsstrukturkommissionen understreger, at fordele og ulemper ved en stærkere styringsmodel skal
overvejes og belyses nærmere. En væsentlig ulempe ved en stærkere styring af området er, at det kan
medføre risiko for, at nogle patienter med et reelt behov for højt specialiseret behandling oplever længere
ventetid, fx i en situation hvor den sygehusansvarlige myndighed har nået et givet aktivitetsloft.
212 Epinion. ”Undersøgelse af den lægevidenskabelige ph.d.-uddannelse”. Uddannelses- og Forskningsministeriet, 2016.
213 Sundhedsstrukturkommissionen, “Sundhedsstrukturkommissionens baggrundsrapport”, 2024.
SUU, Alm.del - 2023-24 - Bilag 317: Orientering om Sundhedsstrukturkommissionens afrapportering, fra indenrigs- og sundhedsministeren
2880227_0243.png
1
2
3
4
Del 3 - Tværgående anbefalinger og forslag
243
Forslag 7: Sundhedscentre som ramme for indsatser i det
primære sundhedsvæsen og attraktive arbejdspladser
Mange steder i landet er der etableret sundhedscentre, som rummer forskellige kombinationer af indsatser
og med forskellig grad af samarbejde og integration mellem indsatserne. Erfaringer tilsiger, at en fælles
fysisk ramme ikke automatisk skaber større sammenhæng og integration mellem indsatserne, men de
rummer et potentiale for styrket tværsektorielt samarbejde og koordination af patientforløb.
214
Sundhedscentres potentiale for at understøtte sammenhæng i patientforløb skal ses i sammenhæng med,
at et forbedret kendskab til kollegaer og øvrige indsatser understøtter koordinering, samarbejde og
sparring.
Sundhedscentre kan have en særlig relevans, hvor der er langt til sygehuset, fordi sundhedscentre kan
indeholde udstyr eller specialiserede indsatser, som i dag varetages på hovedfunktionsniveau på sygehuset
eller i speciallægepraksis, og som understøtter, at mere diagnostik varetages udenfor sygehusene. Det
bidrager til, at flere forløb starter og afsluttes i det primære sundhedsvæsen, ligesom der bliver mindre
rejsetid for borgere, som bor i områder med langt til sygehuset. For borgeren, der fx udskrives fra sygehuset
til et midlertidig ophold, kan det betyde, at der er mulighed for at blive set af en læge, og der kan igang-
sættes et sammenhængende genoptræningsforløb, som fortsætter indenfor de samme rammer også efter
borgeren er tilbage i eget hjem.
Samtidig kan sundhedscentre danne rammen for attraktive arbejdspladser for sundhedspersonale i det
primære sundhedsvæsen gennem etablering af et stærkt tværfagligt miljø. På den måde kan etablering
af sundhedscentre også være med til at give en stærkere tilskyndelse til at søge mod områder, hvor der
i dag opleves rekrutteringsudfordringer. Det gælder fx speciallæger i almen medicin eller sygeplejersker.
Sundhedsstrukturkommissionen vurderer, at flere borgere, fx med alderssvækkelse eller en kombination
af kronisk sygdom og social udsathed, skal have mulighed for at tilgå sundheds- og plejeindsatser i et lokalt
sundhedscenter, hvor tilbuddene er sammensat ud fra lokale forhold og behov. Kommissionen finder, at
samling af flere indsatser indenfor en ramme kan understøtte, at borgeren med behov for flere samtidige
indsatser modtager sammenhængende forløb.
Sundhedscentre kan understøtte samarbejde mellem det primære sundhedsvæsen, det sekundære sund-
hedsvæsen og civilsamfund, men det kræver, at den konkrete konstruktion af sundhedscentret tilpasses
ressourcer og udfordringer i et lokalsamfund. Nogle gange vil det være bedst at samle sundhedstilbud på
en fysisk matrikel, mens der andre gange med fordel kan etableres ”murstensløse centre”. Tilsvarende
kan der udbygges sundhedsindsatser, fx i form af et almenmedicinsk tilbud, hvor der er fokus på, at tilbud
til socialt udsatte grupper tænkes sammen med andre sociale, sundheds- eller civilsamfundsindsatser
indenfor rammerne af et lokalt sundhedscenter. Gode innovative løsninger skal deles med sundhedscentre
i hele landet, og der bør generelt følges op og evalueres på brugen af sundhedscentre.
Kommissionen foreslår, at den nærmere udmøntning af de midler, der er afsat til nærhospitaler i forbindelse
med sundhedsreformaftalen for 2022, skal ses i sammenhæng med behovet for en generel udbygning af det
primære sundhedsvæsen. Det gælder bl.a. behovet for styrkede fysiske rammer for det almenmedicinske
tilbud, fx i form af innovative lokale sundhedscentre og investeringer i ny teknologi til at understøtte
sammenhæng og omstilling.
Samling og reduktion af eksisterende styringsredskaber
og planer
De nuværende statslige styrings- og planlægningsredskaber, fx specialeplan, kvalitetsplan, faglige retnings-
linjer og dimensionering af den lægelige videreuddannelse, bør indtænkes og tilpasses indenfor rammen
af en national sundhedsplan. Det vil fx være relevant at se på tilpasninger af den nuværende specialeplan,
214 KORA, Martin Sandberg Buch, og Mette Bjerregaard. ”Status og fremadrettede perspektiver for udvikling og samarbejde: Nakskov
Sundhedscenter og Kalundborg Sundheds- og Akuthus samt Lægecenter”. KORA - Det Nationale Institut for Kommuners og Regioners
Analyse og Forskning, 2016.
SUU, Alm.del - 2023-24 - Bilag 317: Orientering om Sundhedsstrukturkommissionens afrapportering, fra indenrigs- og sundhedsministeren
2880227_0244.png
244
1
2
3
4
Del 3 - Tværgående anbefalinger og forslag
som regulerer den specialiserede behandling på sygehusene, for at sikre et større fokus på de almene
kompetencer og indsatser. Det er samtidig et væsentligt hensyn at fastholde de opnåede kvalitets- og
ressourcemæssige gevinster ved en samling af specialiserede behandlinger.
En national sundhedsplan bør også føre til en generel samling og reduktion i det samlede antal statslige
styringsredskaber og planer på sundhedsområdet. Afhængig af forvaltningsmodellen for sundhedsvæsenet
(se kapitel 15) vil det tilsvarende være relevant at indtænke og eventuelt samle øvrige relevante nationale
og decentrale aftaler, fx sundhedsaftaler, praksisplaner, det nationale kvalitetsprogram, inklusive nationale
mål, og nationale sundhedsprofiler indenfor rammerne af en national sundhedsplan.
Den nationale sundhedsplan skal være tilstrækkelig fleksibel til, at den skal kunne rumme en løbende
fremkomst af nye behandlinger og tilsvarende løbende teknologiske og kompetencemæssige udviklinger,
hvor udrulningen ikke skal forsinkes unødigt af en national sundhedsplan.
Formålet med samlingen er at lette arbejdsgange og reducere behovet for administration og skabe grundlag
for i højere grad at kunne koordinere tiltag og planer på tværs. Det vil være med til at understøtte en samlet
fælles retning for omstillingen af sundhedsvæsenet.
En national sundhedsplan sætter strategisk retning for lokale
sundhedsplaner, udarbejdet af decentrale myndigheder
Den nationale sundhedsplan skal sætte en overordnet strategisk retning for decentrale, lokale sundheds-
planer. De lokale planer udarbejdes med afsæt i de nationale principper og krav. De lokale planer skal have
et relativt driftsnært fokus og beskrive, hvordan enhederne varetager opgaver på tværs af indsatser, forløb,
målgrupper og tilsvarende. Det gælder også den konkrete opgavefordeling mellem det specialiserede og
almene niveau. En lokal sundhedsplan kan fx indeholde en beskrivelse af, hvordan der sikres behandling
af beboere på plejehjem fremfor på sygehuset ved almenmedicinsk lægedækning døgnet rundt, etablering
af aftaler med sygehuse om specialistrådgivning, digitale løsninger og sikring af de nødvendige kompeten-
cer og udstyr til at understøtte undersøgelse og behandling på plejehjem.
Sundhedsstrukturkommissionen lægger som udgangspunkt op til, at de relevante myndigheder sender de
lokale sundhedsplaner i høring hos Sundhedsstyrelsen, som får til opgave at rådgive om og godkende de
udarbejdede lokale sundhedsplaner.
Samlet vurdering af forslag
I det følgende afsnit foretages en overordnet vurdering af de præsenterede forslag til en tilpasset fordeling
af ressourcer i sundhedsvæsenet. Vurderingen foretages på baggrund af de hensyn, der blev opstillet i
kapitel 6.
Sundhedsstrukturkommissionens forslag vurderes at understøtte et sundhedsvæsen med øget geografisk
lighed i adgangen til sundhedstilbud af høj kvalitet. Forslagene understøtter samlet set en fordeling af
ressourcer, som i højere grad målrettes de områder af landet, hvor behovet er størst. En øget andel af de
samlede ressourcer til det primære sundhedsvæsen vurderes at understøtte en organisering med relevante
sundhedstilbud tæt på borgerne, som samtidig sikrer mest mulig sundhed for de tilgængelige ressourcer.
Et væsentligt opmærksomhedspunkt for kommissionen er, at forslaget om at udarbejde en national
sundhedsplan ikke må medføre øget administration. Sundhedsstrukturkommissionen lægger derfor vægt
på, at en national sundhedsplan skal indebære en forenkling og en samlet reduktion i nuværende statslige
styringsredskaber.
Kommissionen vurderer, at forslaget om en tilpasset ressourcefordeling mellem det primære og sekundære
sundhedsvæsen skal implementeres gradvist over en periode på fx fem til ti år i takt med, at der opbygges
kapacitet i det primære sundhedsvæsen, og sygehusene omstilles.
SUU, Alm.del - 2023-24 - Bilag 317: Orientering om Sundhedsstrukturkommissionens afrapportering, fra indenrigs- og sundhedsministeren
2880227_0245.png
1
2
3
4
Del 3 - Tværgående anbefalinger og forslag
245
Kapitel 12: Styrket sammenhæng
og kvalitet i indsatsen for mennesker
med psykiske lidelser
Psykiatrien er en væsentlig del af det samlede sundhedsvæsen, og flere af de udfordringer, der opleves
generelt i sundhedsvæsenet, gælder i høj grad i psykiatrien. Psykiatrien er dog kendetegnet ved en anden
organisering end øvrige sygehusspecialer og har historisk været organisatorisk adskilt fra somatikken på
sygehusene (se kapitel 3 og 7). Derudover er indsatsen i kommunerne for mennesker med psykiske lidelser
typisk forankret et andet sted end sundheds­ og ældreindsatsen og involverer ofte flere forvaltninger,
afhængigt af den enkeltes alder og livssituation.
Når Sundhedsstrukturkommissionen har valgt at præsentere en særskilt anbefaling og en række tilhørende
forslag for psykiatrien, skyldes det, at kommissionen ser det som en helt afgørende opgave for sundheds-
væsenet at skabe bedre rammer for indsatsen for mennesker med psykiske lidelser. Der er behov for, at
kvaliteten af behandlingen løftes, og sammenhængen i indsatsen på tværs af sektorerne styrkes. Samtidig er
kapaciteten i både behandlingspsykiatrien og i de kommunale indsatser udfordret (se kapitel 4). Stadig flere
efterspørger udredning og behandling for psykiske lidelser, ligesom det stigende antal ældre borgere vil
medføre, at flere udvikler demenssygdomme, som kræver samtidig behandling og støtte i forhold til at
håndtere både somatiske og psykiske udfordringer. Herudover står den psykiske lidelse sjældent alene, idet
den ofte følges af samtidige somatiske udfordringer. Det gør det relevant at overveje, om den nuværende
organisering af indsatsen for mennesker med psykiske lidelser er tidssvarende i forhold til at kunne møde
målgruppens sammensatte og meget forskellige støtte- og behandlingsbehov.
Sundhedsstrukturkommissionen anbefaler derfor ændringer af organiseringen og samarbejdet på
psykiatriområdet, bl.a. at psykiatrien integreres organisatorisk med det samlede sygehusvæsen.
Ændringerne skal understøtte en styrket sammenhæng for den enkelte og et løft af kvaliteten i den
tværgående indsats for mennesker med psykiske lidelser.
Kommissionens forslag skal ses i sammenhæng med kommissionens øvrige anbefalinger om ny styring
af almenmedicinske tilbud, bedre fordeling af ressourcer og styrkede rammer for digitalisering og data
(se kapitlerne 9­11). Forslagene skal også ses i lyset af og gennemføres i sammenhæng med igangværende
og kommende initiativer, bl.a. i regi af 10­årsplanen for psykiatrien og anbefalingerne i det faglige oplæg til
10­årsplanen om løbende kapacitetsopbygning, hvor både indsatsen i kommuner, regioner og det almen­
medicinske tilbud prioriteres.
Kapitel 12 beskriver først potentialer ved styrket sammenhæng og kvalitet i den tværgående indsats
for mennesker med psykiske lidelser. Dernæst beskrives udviklingen i indsatsen i de seneste år for
mennesker med psykiske lidelser. Efterfølgende beskrives kommissionens anbefaling og tilhørende
forslag. Afslutningsvis vil kommissionen vurdere anbefalingen med afsæt i de hensyn, som er præsenteret i
kapitel 6.
SUU, Alm.del - 2023-24 - Bilag 317: Orientering om Sundhedsstrukturkommissionens afrapportering, fra indenrigs- og sundhedsministeren
2880227_0246.png
246
1
2
3
4
Del 3 - Tværgående anbefalinger og forslag
Potentialer ved en styrket indsats for mennesker med
psykiske lidelser
Der er de seneste år iværksat en række centrale nationale initiativer med fokus på at udvikle og styrke
indsatserne for mennesker med psykiske lidelser. Afsættet har været Sundhedsstyrelsen og Social­ og
Boligstyrelsens ”Fagligt oplæg til en 10­årsplan: Bedre mental sundhed og en styrket indsats til mennesker
med psykiske lidelser” fra 2022
215
. Oplægget gør status på udviklingen i forekomsten af psykiske lidelser,
udviklingen i indsatsen på tværs af centrale aktører og identificerer de væsentligste udfordringer på
området (se boks 12.1).
Boks 12.1
Væsentligste udfordringer på psykiatriområdet, udpeget i Sundhedsstyrelsen
og Social­ og Boligstyrelsens faglige oplæg fra 2022 til 10­årsplanen for psykiatrien
og mental sundhed
Utilstrækkelig tilgængelighed, kapacitet og sammenhæng
Utilstrækkelig kvalitet og tværfaglighed i de eksisterende tilbud
Utilstrækkelige forebyggende og tidlige indsatser
Stigmatisering og manglende prioritering og ligestilling på området
Utilstrækkelig forskning, faglig udvikling og manglende prestige i at arbejde på området
Oplægget peger på, at manglende sammenhæng mellem indsatsen i kommuner, regioner og praksis-
sektoren, som alle spiller en væsentlig rolle i indsatsen for mennesker med psykiske lidelser, i dag er en
af de væsentligste udfordringer. Psykiatriske patientforløb er, sammenlignet med mange forløb i det øvrige
sundhedsvæsen, sjældent lineære med veldefinerede faser. Mennesker med psykiske lidelser har ofte behov
for både udredning og behandling af såvel psykisk som somatisk sygdom, og de har ofte behov for hjælp til
at få hverdagen til at fungere.
Hvis der i den nuværende struktur skal leveres sammenhængende forløb af høj kvalitet for den enkelte,
forudsætter det i mange tilfælde meget tæt samarbejde og koordination mellem kommuner, regioner og
almenmedicinske tilbud, og det vil typisk være forløb af høj kompleksitet med mange og hyppige sektorskift
og parallelle indsatser.
Mennesker med svære psykiske lidelser har ofte behov for længevarende indsatser, og en stor del kan
have vanskeligt ved selv at koordinere egne forløb og navigere rundt mellem forskellige tilbud i forskellige
sektorer. Desuden kan den psykiske lidelse og begrænsningerne herved have negativ påvirkning på
uddannelse, beskæftigelse og det generelle helbred, og der ses en statistisk sammenhæng mellem psykiske
lidelser og somatisk sygdom og øget dødelighed.
Der er i de senere år sket en betydelig aktivitetsstigning i den regionale psykiatri, særligt i børne- og
ungdomspsykiatrien, og en stigning i antallet af mennesker med psykiske lidelser, der modtager en visiteret
social indsats (se boks 12.2) med et deraf følgende øget behov for løbende kapacitetsopbygning i både
kommuner og regioner. På trods af, at der i perioden fra 2011 til 2021 samlet set har været en stigning på
ca. 30 pct. i antallet af sundhedsfagligt personale ansat på psykiatriske sygehuse, herunder en stigning i
læger på 38 pct., opleves der mange steder udfordringer med at rekruttere og fastholde kompetent persona-
le.
216
En analyse viser bl.a., at de mere decentralt placerede sygehuse i psykiatrien generelt har de største
215 Sundhedsstyrelsen, “Fagligt oplæg til en 10-årsplan: Bedre mental sundhed og en styrket indsats til mennesker med psykiske lidelser”, 2022.
216 Sundhedsstrukturkommissionen. ”Sundhedsstrukturkommissionens baggrundsrapport”. 2024.
SUU, Alm.del - 2023-24 - Bilag 317: Orientering om Sundhedsstrukturkommissionens afrapportering, fra indenrigs- og sundhedsministeren
2880227_0247.png
1
2
3
4
Del 3 - Tværgående anbefalinger og forslag
247
udfordringer med at rekruttere og fastholde sundhedsfagligt personale, særligt læger, sygeplejersker
og social- og sundhedsassistenter, men at alle dele af psykiatrien har udfordringer med at rekruttere
bestemte personalegrupper eller personale med særlige kompetencer inden for psykiatri.
217
Der kan også konstateres problemer med et uhensigtsmæssigt stort antal henvisninger og tilbagehenvis-
ninger mellem sektorerne, hvorved ventetiden forlænges, de administrative byrder forøges inklusiv træk
på faglige ressourcer til visitationsprocesser, og tilliden mellem patient og sundhedsvæsen kompromitteres.
Boks 12.2
Udvalgte fakta om mennesker med psykiske lidelser
For nogle mennesker er psykisk sygdom en kronisk lidelse i mindre eller mere svær grad.
For andre er psykisk sygdom forbigående og noget, de kommer sig helt eller delvist over.
218
Antallet af voksne med kontakt til den regionale psykiatri er steget fra ca. 90.000 i 2009 til
ca. 121.000 personer i 2022, hvilket svarer til en stigning på ca. 35 pct.
219
Antallet af børn og unge med kontakt til den regionale psykiatri er steget fra ca. 25.000 i 2009 til
ca. 46.000 personer i 2022. Det svarer til en stigning på ca. 87 pct.
220
Andelen af de voksne i psykiatrien, der modtager kommunale sociale indsatser, var ca. 19 pct. i
2020-2022. Indsatser vedrører længerevarende og midlertidigt botilbud, socialpædagogisk støtte
i eget hjem, ledsagerordning, aktivitets- og samværstilbud m.m.
221
Generelt har der i perioden 2018-2022 været en stigning i andelen af voksne i psykiatrien,
der også modtager sociale indsatser.
222
Det skønnes, at ca. 80 pct. af befolkningen på et tidspunkt i løbet af livet vil få en psykisk lidelse,
og ca. 30 pct. vil få brug for psykiatrisk behandling.
223
Blandt børn og unge vil ca. 15 % blive diagnosticeret med en psykisk lidelse, inden de fylder 18 år.
224
Der ses en vedvarende høj andel af genindlæggelser på de psykiatriske afdelinger på ca. 25 pct.
225
Ca. 25 % af alle henvendelser til almen praksis skønnes at vedrøre psykiske problemstillinger.
226
Sundhedsstrukturkommissionen vurderer, at tiltag, der kan styrke sammenhæng og øge kvaliteten i den
tværgående indsats på psykiatriområdet, har et betydeligt potentiale for at løfte sundheden og livs-
kvaliteten for mennesker med psykiske lidelser. Der er brug for at kunne tilbyde mere helhedsorienterede
indsatser, som tager højde for det enkelte menneskes behov. Bedre sammenhæng er også en væsentlig
forudsætning for, at de enkelte indsatser i kommuner, regioner og almenmedicinske tilbud tilsammen
danner et effektivt forløb, som gavner den enkelte bedst muligt og samtidig sikrer mest mulig sundhed
for de tilgængelige ressourcer.
217 Sundhedsstyrelsen, “Anbefalinger til rekruttering og fastholdelse af sundhedspersonale i psykiatrien”, 2020.
219 Sundhedsstrukturkommissionen. ”Sundhedsstrukturkommissionens baggrundsrapport”. 2024.
220 Sundhedsstrukturkommissionen. ”Sundhedsstrukturkommissionens baggrundsrapport”. 2024.
218 Sundhedsstyrelsen, “Fagligt oplæg til en 10-årsplan: Bedre mental sundhed og en styrket indsats til mennesker med psykiske lidelser”, 2022.
221 Sundhedsstyrelsen, “Fagligt oplæg til en 10-årsplan: Bedre mental sundhed og en styrket indsats til mennesker med psykiske lidelser”, 2022.
222 Indenrigs- og Sundhedsministeriets Benchmarkingenhed. “Overlappet mellem psykiatrien og de sociale indsatser”, 2024.
223 Kessing, Lars Vedel, Simon Christoffer Ziersen, Avshalom Caspi, Terrie E. Moffitt, og Per Kragh Andersen. “Lifetime Incidence of Treated
Mental Health Disorders and Psychotropic Drug Prescriptions and Associated Socioeconomic Functioning”. JAMA Psychiatry 80, nr. 10
(1. oktober 2023): 1000.
225 Sundhedsstrukturkommissionen. ”Sundhedsstrukturkommissionens baggrundsrapport”. 2024.
224 Sundhedsstyrelsen, “Fagligt oplæg til en 10-årsplan: Bedre mental sundhed og en styrket indsats til mennesker med psykiske lidelser”, 2022.
226 Sundhedsstyrelsen, “Fagligt oplæg til en 10-årsplan: Bedre mental sundhed og en styrket indsats til mennesker med psykiske lidelser”, 2022.
SUU, Alm.del - 2023-24 - Bilag 317: Orientering om Sundhedsstrukturkommissionens afrapportering, fra indenrigs- og sundhedsministeren
2880227_0248.png
248
1
2
3
4
Del 3 - Tværgående anbefalinger og forslag
Sundhedsstrukturkommissionen ser herudover et væsentligt potentiale i tidlige og forebyggende indsatser,
som kan hjælpe mennesker, så psykiske problemer og sygdomme ikke opstår eller udvikler sig og forværres.
Dermed kan der gives den rette støtte, hjælp og behandling i tide og på rette niveau ud fra den enkeltes
behov og forudsætninger, ligesom de eksisterende ressourcer fokuseres, hvor de kan gøre bedst og mest
mulig gavn. Det kan fx hjælpe børn og unge til at komme hurtigere tilbage til en normal hverdag med skole
og fritidsaktiviteter, og det kan være med til at forebygge og mindske presset på den regionale psykiatri.
Boks 12.3
Lettilgængeligt behandlingstilbud i kommunerne til børn og unge
i psykisk mistrivsel eller med symptomer på psykisk lidelse
Kommunerne er med ”Aftale om en 10-årsplan for psykiatrien og mental sundhed” fra 2022 forpligtede
til at etablere lettilgængelige behandlingstilbud, hvor børn og unge i psykisk mistrivsel og deres familier
skal tilbydes hurtig hjælp, når behovet opstår og med så tæt en kobling til barnet eller den unges
hverdagsmiljø som muligt.
Det lettilgængelige behandlingstilbud skal i overensstemmelse med de faglige rammer, der er udarbejdet
for tilbuddet, tilbyde behandling af ensartet og høj kvalitet på tværs af kommunerne.
227
Tilbuddet indgår
i den samlede tilbudsvifte til børn og unge i tæt samspil med de øvrige tilbud og rammer i kommunerne
og den regionale børne- og ungdomspsykiatri. Tilbuddet skal understøttes af regionernes børne- og
ungdomspsykiatri og sikre, at den rette hjælp og behandling gives på rette niveau til de relevante
målgrupper. Derudover skal regionerne via initiativet om hurtig opstart af behandling i børne- og
ungdomspsykiatrien bidrage til, at også børn og unge med behov for behandlingsindsats i psykiatrien får
hurtig hjælp.
Sundhedsklyngerne skal løbende drøfte tilbuddets funktion og bidrage til effektivt samarbejde og
koordination med øvrige regionale og kommunale tilbud, herunder navnlig i forhold til samspillet med
de almenmedicinske tilbud. Der er planlagt en evaluering af tilbuddet i 2026, hvor der bl.a. skal ses på,
om der skal sættes yderligere ind eller ændres på rammerne for tilbuddet.
Udvikling af indsatsen for mennesker med psykiske lidelser
Der har de seneste år været stigende fokus på udvikling af indsatserne for mennesker med psykiske lidelser.
Der er således iværksat en række markante initiativer og prioriteringer på psykiatriområdet gennem
økonomiaftaler med kommuner og regioner, finanslovsaftaler og politiske aftaler om en 10­årsplan for
psykiatrien
228
og om en bedre psykiatri
229
, som bygger på anbefalingerne i Sundhedsstyrelsen og Social­
og Boligstyrelsens faglige oplæg til 10­årsplanen.
230
Sundhedsstrukturkommissionen noterer sig, at der allerede er sket en gradvis kapacitetsopbygning på
tværs af det samlede psykiatriområde, og der er og vil blive iværksat en række nye og konkrete sundheds-
og socialfaglige indsatser i både kommuner, regioner og de almenmedicinske tilbud. Sektorerne er gensidigt
afhængige af indsatsen hos hinanden, og der er brug for både tidlige og forebyggende indsatser, øget fokus
på tidlig opsporing og social- og sundhedsfaglig støtte og behandling, der er tilpasset den enkeltes forud-
sætninger og behov. Indsatserne skal foregå på tværs af kommuner, regioner og de almenmedicinske tilbud.
227 Sundhedsstyrelsen, “Faglig ramme for det kommunale behandlingstilbud til børn og unge i psykisk mistrivsel”, 2023.
228 Sundhedsministeriet. ”Aftale om en 10-årsplan for psykiatrien og mental sundhed”. 2022.
229 Indenrigs- og Sundhedsministeriet. ”Aftale om en bedre psykiatri - hurtigere behandling til børn og unge, bedre akut hjælp og større
tryghed for medarbejderne”. 2023.
230 Sundhedsstyrelsen. ”Fagligt oplæg til en 10-årsplan: Bedre mental sundhed og en styrket indsats til mennesker med psykiske lidelser”.
Sundhedsstyrelsen, 2022.
SUU, Alm.del - 2023-24 - Bilag 317: Orientering om Sundhedsstrukturkommissionens afrapportering, fra indenrigs- og sundhedsministeren
2880227_0249.png
1
2
3
4
Del 3 - Tværgående anbefalinger og forslag
249
Derudover ser kommissionen positivt på, at behandlingen til mennesker, der både har en psykisk lidelse
og en behandlingskrævende rusmiddelproblematik, fra september 2024 bliver samlet i et nyt, integreret
dobbeltdiagnosetilbud i regionerne. Dermed sikres målgruppen et samlet tilbud af høj kvalitet samlet hos
én myndighed.
Det er Sundhedsstrukturkommissionens opfattelse, at der inden for de seneste år er sket en positiv
udvikling på området. Sundhedsstrukturkommissionen vurderer samtidig, at der fortsat er behov for at
styrke det samlede psykiatriområde og have fokus på løbende kapacitetsopbygning på tværs af regioner
og kommuner. En fortsat kapacitetsopbygning i det primære sundhedsvæsen er væsentlig for at mindske
presset på behandlingspsykiatrien. I den forbindelse har kommissionen noteret sig, at den nuværende
regering vil prioritere 3,2 mia. kr. frem mod 2030 til psykiatriområdet på tværs af sektorer. Det betyder,
at psykiatrien vil være løftet med i alt 4,3 mia. kr. siden 2019.
Derudover ser Sundhedsstrukturkommissionen positivt på, at regeringen i andet halvår 2024 vil præsen-
tere et samlet udspil til en ny psykiatriplan frem mod 2030, og regeringen i den sammenhæng har anmodet
et bredt sammensat nationalt råd for psykiske lidelser og mental sundhed (psykiatrirådet) om at rådgive
om udarbejdelse af udspillet. Psykiatrirådet skal i den forbindelse rådgive om rækkefølge og prioritering
af anbefalinger i det faglige oplæg til 10­årsplanen, som endnu ikke er igangsat, hvor der fortsat vurderes at
være behov for en styrkelse eller udbygning.
Kommissionens forslag skal ses i lyset af og gennemføres i sammenhæng med de nævnte igangværende
og kommende initiativer i regi af en ny psykiatriplan og anbefalingerne i det faglige oplæg om løbende
kapacitetsopbygning, hvor både indsatsen i kommuner, regioner og almenmedicinske tilbud prioriteres.
Sundhedsstrukturkommissionen anbefaler ændringer af organiseringen og samarbejdet på psykiatri­
området. Ændringerne skal understøtte en styrket sammenhæng for den enkelte og et løft af kvaliteten
i den tværgående indsats for mennesker med psykiske lidelser.
Anbefaling: Styrket indsats for mennesker med psykiske lidelser
SUU, Alm.del - 2023-24 - Bilag 317: Orientering om Sundhedsstrukturkommissionens afrapportering, fra indenrigs- og sundhedsministeren
2880227_0250.png
250
1
2
3
4
Del 3 - Tværgående anbefalinger og forslag
Boks 12.4
Anbefaling 4
Sundhedsstrukturkommissionen anbefaler ændringer af organiseringen og samarbejdet på
psykiatriområdet, herunder at psykiatrien integreres organisatorisk med det samlede sygehusvæsen,
for at understøtte en styrket sammenhæng for den enkelte og et løft af kvaliteten i den tværgående
indsats for mennesker med psykiske lidelser
Boks 12.5
Forslag
1. Psykiatrien skal integreres organisatorisk med det samlede sygehusvæsen. Formålet er at sikre
bedre sammenhæng for patienter med psykiske lidelser, styrke muligheden for at somatiske lidelser
opdages og behandles mere effektivt hos mennesker med psykiske lidelser, sikre nemmere adgang
til psykiatriske kompetencer for somatiske patienter og bidrage til et styrket ledelsesmæssigt fokus
og tættere samarbejde mellem psykiatrien og somatikken om forskning, kvalitetsudvikling og
kompetenceopbygning.
2. Det tværsektorielle samarbejde om mennesker med psykiske lidelser skal styrkes. Forslaget involverer
krav om fasttilknyttede læger på botilbud, nationale kvalitetsstandarder for den sundhedsfaglige
indsats i socialpsykiatrien og overvejelser om tværsektorielle samarbejdsfora på psykiatriområdet.
3. Udbredelse af brugen af digitale løsninger i psykiatrien skal styrkes. Formålet er at sikre hurtigere
udbredelse og bedre udnyttelse af digitale løsninger, som kan skabe bedre tilgængelighed, sammen-
hæng og hurtigere hjælp på rette niveau. Det gælder generelt for sundhedsvæsenet. Udvikling af
digitale løsninger har dog et særligt potentiale inden for psykiatrien, hvor de kan være med til at
afhjælpe, at en psykisk lidelse udvikler sig eller forværres og kræver mere specialiseret behandling.
SUU, Alm.del - 2023-24 - Bilag 317: Orientering om Sundhedsstrukturkommissionens afrapportering, fra indenrigs- og sundhedsministeren
2880227_0251.png
1
2
3
4
Del 3 - Tværgående anbefalinger og forslag
251
Forslag 1: Psykiatrien integreres organisatorisk med det samlede
sygehusvæsen
Det står regionerne frit for at organisere indsatsen i det sekundære sundhedsvæsen, herunder hvorvidt
psykiatrien og somatikken organisatorisk skal hænge sammen, eller, om områderne skal være adskilte.
Dog har alle regioner indrettet sig sådan, at de psykiatriske sygehuse organisatorisk er adskilte fra den
øvrige sygehussektor. Psykiatrien består derfor af selvstændige organisatoriske enheder i form af
psykiatrisygehuse med egen ledelse og administration. Det vil sige med egne budgetter, ledelsesansvar
og ansættelsesforhold, adskilt fra somatikken.
231
Sundhedsstrukturkommissionen foreslår, at de sygehusansvarlige myndigheder gennemfører en
organisatorisk integration af psykiatrien og somatikken i en samlet ledelses- og organisationsstruktur,
som lige- og sidestiller psykiatrien med somatikken.
Forslaget skal bl.a. ses i lyset af, at mennesker med psykiske lidelser gennemsnitligt har en markant øget
forekomst af somatisk sygdom, jf. boks 12.6, og ofte har komplicerede forløb med behov for forskellige
og samtidige indsatser inden for både psykiatrien og somatikken. Der ses markant overdødelighed for især
mennesker med svære psykiske lidelser, som i nogen grad kan forklares af eksterne årsager (selvmord,
mord og ulykker), men størstedelen af de tabte leveår skyldes overdødelighed som følge af somatisk
sygdom. Somatisk sygdom kan være med til at komplicere forløb og medføre mange kontakter med ind­
satser i forskellige dele af sundhedsvæsenet. Samtidig forstærker psykiske og somatiske sygdomme
hinanden så den ene sygdom påvirker forløb og konsekvenser af den anden sygdom.
Boks 12.6
Øget forekomst af somatisk sygdom og markant overdødelighed – ulighed i sundhed
Sammenlignet med resten af befolkningen har mennesker med psykiske lidelser gennemsnitligt
en markant øget forekomst af sygdomme som fx hjertekarsygdomme, diabetes, astma og allergi.
232
Mennesker med psykiske lidelser har øget forekomst af risikofaktorer, såsom rygning, dårlig kost,
fysisk inaktivitet og alkohol, for udvikling af somatisk sygdom og under-diagnosticering og mindre
effektiv behandling.
233
Mennesker med psykiske lidelser er ofte i kontakt med somatikken. Ud af de samlede sygehus-
kontakter foregår over halvdelen af sygehusophold, det vil sige ambulante kontakter og indlæggelser,
på somatiske afdelinger.
234
Mennesker med psykiske lidelser lever i gennemsnit 7-10 år kortere end mennesker uden psykisk
lidelse.
235
Mennesker med de sværeste psykiske lidelser lever gennemsnitligt 15-20 år kortere end mennesker
uden psykisk lidelse. Størstedelen af de tabte leveår skyldes overdødelighed på grund af somatisk
sygdom og øget selvmordsrisiko.
236
231 Sundhedsstrukturkommissionen. ”Sundhedsstrukturkommissionens baggrundsrapport”. 2024.
232 Sundhedsstyrelsen. ”Fagligt oplæg til en 10-årsplan: Bedre mental sundhed og en styrket indsats til mennesker med psykiske lidelser”.
Sundhedsstyrelsen, 2022.
233 Sundhedsstyrelsen. ”Fagligt oplæg til en 10-årsplan: Bedre mental sundhed og en styrket indsats til mennesker med psykiske lidelser”.
Sundhedsstyrelsen, 2022.
234 Indenrigs- og Sundhedsministeriets beregninger på baggrund af opgørelser fra Sundhedsstyrelsen, Landspatientregisteret
pr. 10. marts 2023 og CPR-registeret pr. 10. marts 2023.
235 Plana-Ripoll, Oleguer, Carsten Bøcker Pedersen, Esben Agerbo, Yan Holtz, Annette Erlangsen, Vladimir Canudas-Romo, Per Kragh Andersen,
m.fl. “A Comprehensive Analysis of Mortality­Related Health Metrics Associated with Mental Disorders: A Nationwide, Register­Based Cohort
Study”. The Lancet 394, nr. 10211 (november 2019): 1827–35.
236 Sundhedsstyrelsen. ”Fagligt oplæg til en 10-årsplan: Bedre mental sundhed og en styrket indsats til mennesker med psykiske lidelser”.
Sundhedsstyrelsen, 2022.
SUU, Alm.del - 2023-24 - Bilag 317: Orientering om Sundhedsstrukturkommissionens afrapportering, fra indenrigs- og sundhedsministeren
2880227_0252.png
252
1
2
3
4
Del 3 - Tværgående anbefalinger og forslag
Psykiske lidelser er en væsentlig risikofaktor for selvmord og selvmordsforsøg. Mennesker, der har
været indlagt på grund af en psykisk lidelse, har en ca. 20 gange højere selvmordsrate end resten af
befolkningen.
237
Hos mennesker med skizofreni skyldes ca. 60 % af overdødeligheden somatisk sygdom. For mennesker
med bipolar lidelse eller skizofreni er dødeligheden af hjertekarsygdomme 2-3 gange højere end
resten af befolkningen.
238
Sundhedsstrukturkommissionen vurderer på den ene side, at den nuværende adskilte ledelses­ og
organisationsstruktur kan give psykiatrien mulighed for at udvikle eget speciale og faglighed. En selv-
stændig ledelse kan give mulighed for at have særskilt fokus på egne faglige miljøer og fastholde og udbygge
en nødvendig specialisering på psykiatriområdet i forhold til målgruppens behov og forudsætninger.
En selvstændig psykiatri kan derudover potentielt i højere grad fastholde og tiltrække ressourcer ved
ikke at skulle konkurrere herom med andre sygehusområder. På den anden side vurderer kommissionen,
at opdelingen medfører øget risiko for silotænkning, der kan gøre det vanskeligere at samarbejde om
den konkrete behandling, hvor der ofte vil være behov for både en somatisk og en psykiatrisk indsats.
Sundhedsstrukturkommissionen vurderer, at fordelene ved en organisatorisk integration mellem
psykiatrisk og somatisk udredning, diagnostik og behandling samlet set er større end ulemperne. En
integration kan være med til at sikre færre overgange og dermed bedre sammenhængende forløb for
mennesker med psykiske lidelser.
239
Det faglige oplæg til 10­årsplanen for psykiatrien peger på, at samar-
bejde mellem somatikken og psykiatrien ikke alle steder er tilstrækkelig, og at der kan være udfordringer
med at sikre integration af behandlingen på tværs af psykiatriske og somatiske afdelinger. Det er særligt
vigtigt at sikre sammenhæng for mennesker med multisygdom, som i endnu højere grad har behov for
støtte og opfølgning, hvis de skal undgå frafald og forværring af deres sygdom. En organisatorisk samling vil
samtidig sikre nemmere adgang til og udnyttelse af psykiatriske kompetencer, hvor der måtte være behov
for det i somatikken, både i akutte og planlagte forløb.
De fysiske symptomer bliver ofte overset hos mennesker med psykiske lidelser, både af dem selv og af
sundhedsvæsenet. En integreret ledelses- og organisationsstruktur vil kunne skabe grundlag for en øget
opmærksomhed på at opspore og behandle samtidig somatisk sygdom hos mennesker med psykiske
lidelser ved at bringe relevante sundhedsfaglige kompetencer bedre sammen. En integration vil dermed
kunne øge mulighederne for, at somatiske lidelser opdages og behandles mere effektivt hos mennesker
med psykiske lidelser, end det sker i dag.
Ved i højere grad at kunne have fokus på at opspore og behandle somatiske lidelser, er det kommissionens
vurdering, at en stærkere integration kan være med til at mindske den markante ulighed i sundhed, der
ses blandt mennesker med psykiske lidelser. Det er også vurderingen, at det kan bidrage til et opgør
med den udbredte stigmatisering på området, som det faglige oplæg til 10­årsplanen peger på som en
udfordring, og som har konsekvenser for mennesker med psykiske lidelser, og som kan udgøre en generel
barriere for den nødvendige udvikling af området.
En organisatorisk integration af somatikken og psykiatrien kan bidrage til et styrket ledelsesmæssigt
fokus og tættere samarbejde mellem psykiatrien og somatikken om forskning, kvalitetsudvikling og
kompetenceopbygning. Det faglige oplæg til 10­års planen for psykiatrien peger på, at de områder fortsat
er en udfordring.
240
Styrket forskning, forebyggelse og behandling vil give et løft af kvalitet i indsatserne
237 Sundhedsstyrelsen. ”Fagligt oplæg til en 10-årsplan: Bedre mental sundhed og en styrket indsats til mennesker med psykiske lidelser”.
Sundhedsstyrelsen, 2022.
238 Sundhedsstyrelsen. ”Fagligt oplæg til en 10-årsplan: Bedre mental sundhed og en styrket indsats til mennesker med psykiske lidelser”.
Sundhedsstyrelsen, 2022.
239 Sundhedsstyrelsen. ”Fagligt oplæg til en 10-årsplan: Bedre mental sundhed og en styrket indsats til mennesker med psykiske lidelser”.
Sundhedsstyrelsen, 2022.
240 Sundhedsstyrelsen. ”Fagligt oplæg til en 10-årsplan: Bedre mental sundhed og en styrket indsats til mennesker med psykiske lidelser”.
Sundhedsstyrelsen, 2022.
SUU, Alm.del - 2023-24 - Bilag 317: Orientering om Sundhedsstrukturkommissionens afrapportering, fra indenrigs- og sundhedsministeren
2880227_0253.png
1
2
3
4
Del 3 - Tværgående anbefalinger og forslag
253
og vil øge mulighederne for rekruttering og fastholdelse af faggrupper i psykiatrien. Ved i højere grad at
samle forskningsressourcer og forskningsmiljøer, understøttes ensartede tværfaglige og evidensbaserede
behandlingstilbud af høj kvalitet til gavn for alle, uanset om lidelsen er af psykisk eller somatisk karakter.
En organisatorisk integration af psykiatrien og somatikken vil være et vigtigt element i at omstille
sundhedsvæsenet til i højere grad end i dag at håndtere et stigende antal mennesker med flere sygdomme
på samme tid. Håndtering af multisygdom kræver et sundhedsvæsen, der ser på hele sygdomsbilledet og
leverer en sammenhængende indsats af høj kvalitet.
Det er dermed kommissionens samlede vurdering, at fordelene ved at integrere psykiatri og somatik er
større end de fordele, der er ved at fastholde en adskillelse. Kommissionen foreslår derfor, at de sygehus-
ansvarlige myndigheder gennemfører en organisatorisk integration af psykiatrien og somatikken i én
samlet ledelses- og organisationsstruktur, som lige- og sidestiller psykiatrien med somatikken.
Forslaget indebærer organisatoriske ændringer i den eksisterende sygehusstruktur med etablering af
nye ledelsesstrukturer og arbejdsgange, og der må i en overgangsperiode forventes omstillings- og
implementeringsomkostninger. Det skal bl.a. ses i lyset af, at den administrative adskillelse af somatik
og psykiatri har været gældende siden slutningen af 1980’erne (se kapitel 3). Der vil dog også være
administrative fordele ved en samlet ledelses- og organisationsstruktur, fx ved at kunne samle funktioner
som HR, økonomi og IT.
Ændringerne kan gennemføres løbende over en periode, hvor der også tages højde for det aktivitetspres,
der aktuelt opleves i psykiatrien. Ændringerne forudsætter et stærkt ledelsesmæssigt fokus på at skabe
tryghed for mennesker med psykiske lidelser og medarbejdere i psykiatrien i en overgangsperiode
(se kapitel 16).
Forslag 2: Styrket tværsektorielt samarbejde om mennesker
med psykiske lidelser
Sundhedsstrukturkommissionen foreslår tiltag, der skal styrke samarbejdet mellem sygehuse, kommuner
og almenmedicinske tilbud om mennesker med psykiske lidelser. Tiltagene i dette afsnit skal ses i sammen-
hæng og vedrører:
• Krav om fasttilknyttede læger på botilbud
• Nationale kvalitetsstandarder for den sundhedsfaglige indsats i socialpsykiatrien
• Tværsektorielle samarbejdsfora på psykiatriområdet
Krav om fasttilknyttede læger
Indsatsen til mennesker med psykiske lidelser indtænkes som et centralt element i den nye organisering
af de almenmedicinske tilbud (se kapitel 9). For at imødekomme patienternes behov, skal det almen­
medicinske tilbud varetage flere og mere komplekse opgaver. Det omfatter også en styrket behandling
af mennesker med psykiske lidelser.
Forslagene til ændret organisering af det almenmedicinske tilbud indebærer bl.a., at opgavebeskrivelsen
fremover skal fastsættes af nationale myndigheder og fx indeholde en forpligtigelse for den myndighed,
der er ansvarlig for det almenmedicinske tilbud, til at tilvejebringe en fasttilknyttet læge på botilbud.
Myndigheden gives derudover kompetence til at benytte forskellige kliniktyper i form af alment praktise-
rende læger, offentligt drevne klinikker eller udbudsklinikker og gives mulighed for at etablere eller udbyde
’fokuserede almenmedicinske tilbud’, hvor der fx kan etableres et almenmedicinsk tilbud i sammenhæng
med øvrige sundheds- eller plejeindsatser målrettet bestemte grupper, som fx borgere på botilbud.
SUU, Alm.del - 2023-24 - Bilag 317: Orientering om Sundhedsstrukturkommissionens afrapportering, fra indenrigs- og sundhedsministeren
2880227_0254.png
254
1
2
3
4
Del 3 - Tværgående anbefalinger og forslag
Kommissionen foreslår i den sammenhæng, at beboere, bl.a. mennesker med psykiske lidelser, der bor
på et botilbud, skal have tilbud om at vælge en læge, som er fasttilknyttet botilbuddet. Kravet om at tilveje-
bringe indsatsen fastlægges som en del af opgavebeskrivelsen for det almenmedicinske tilbud, hvor den
myndighed, som er ansvarlig for det almenmedicinske tilbud, bliver forpligtet til at tilvejebringe tilbuddet.
Det skal nærmere fastlægges, hvilke botilbud som skal omfattes.
Boks 12.7
Kort om sociale botilbud
Målgruppen for midlertidigt ophold i boformer efter servicelovens § 107 og for længerevarende botilbud
efter servicelovens § 108 dækker over et bredt spektrum af mennesker med forskellige diagnoser,
fysiske og psykiske funktionsnedsættelser og behov for hjælp og støtte. I de sociale tilbud varetager
især socialpædagoger opgaven. Men der er også ansat en række andre faggrupper såsom social- og
sundhedsassistenter, socialrådgivere, sygeplejersker, ergoterapeuter, fysioterapeuter og lærere. Der er
også ansat medarbejdere med andre typer af uddannelser og medarbejdere, som ikke har en uddannelse.
En analyse viser, at kun 55 pct. af medarbejderne i socialpsykiatrien har en uddannelse inden for social-
eller sundhedsområdet.
241
Sundhedsstrukturkommissionen foreslår, at beboerne på botilbud tilknyttes en tovholderfunktion, der skal
sikre et mere sammenhængende forløb i forhold til de aktører inden for og uden for botilbuddet, som er
involverede i indsatsen over for den enkelte beboer. Tovholderen kan fx være en kommunal sygeplejerske.
Tovholderen skal inddrage beboerne og være ansvarlig for at koordinere behandlingsforløbet og samtidig
fungere som bindeled på tværs af almenmedicinsk tilbud, sygehus og kommune. Det skal bidrage til at skabe
et mere sammenhængende forløb gennem tydelighed omkring faggruppers ansvar og roller, overgange
mellem sektorer, indhold i indsatsen m.v.
Forslaget skal ses i sammenhæng med eksisterende ordninger om udgående teams fra behandlings-
psykiatrien. Et eksempel er botilbudsteams, der skal understøtte bedre sundhedsfaglig indsats og sam-
arbejde på tværs af socialpsykiatrien og behandlingspsykiatrien for mennesker med psykiske lidelser,
der bor på botilbud. En erfaringsopsamling om botilbudsteams viser, at faste og tilgængelige botilbuds-
teams, der sammen med medarbejderne på botilbud prioriterer et tæt samarbejde, giver en bedre
behandling og en bedre koordineret indsats for beboere på botilbuddet.
242
Forslagene skal sikre en stærkere forebyggende og behandlende indsats til beboere på botilbud. Fast
tilknytning af læger vil skabe bedre forudsætninger for, at både somatisk og psykisk sygdom kan opdages
og behandles effektivt og tidligere med tilfredsstillende kvalitet. Det skal være med til at sikre større
sundhed og livskvalitet for beboere på botilbud og medvirke til at undgå forebyggelige sygehusindlæggelser.
Fasttilknyttede læger på botilbud vil i højere grad tage udgangspunkt i den enkelte beboers behov og sikre
en løbende kontakt til lægen, som for nogle ellers ikke vil finde sted. Manglende lægebesøg kan skyldes en
række barrierer, som ofte kan være lavpraktiske, men som for sårbare mennesker kan føles uoverskuelige,
fx udfordringer med tidsbestilling, begrænsede åbningstider eller manglende viden om relevante sundheds-
tilbud.
Et fast samarbejde med lægen betyder, at vejen fra den enkelte til lægen bliver kortere for mennesker med
psykiske lidelser. Samtidig vil sundhedsindsatsen blive en mere integreret del af det samlede botilbud. Faste
læger tilknyttet bosteder skal således arbejde både med de enkelte beboere og samarbejde med personalet,
og dermed bidrage til styrkede sundhedsfaglige kompetencer på botilbuddene.
241 Sundhedsstyrelsen. ”Fagligt oplæg til en 10-årsplan: Bedre mental sundhed og en styrket indsats til mennesker med psykiske lidelser”.
Sundhedsstyrelsen, 2022.
242 Sundhedsstyrelsen, og Social- og Boligstyrelsen. ”Erfaringsopsamling af botilbudsteams”. Sundhedsstyrelsen, 2024.
SUU, Alm.del - 2023-24 - Bilag 317: Orientering om Sundhedsstrukturkommissionens afrapportering, fra indenrigs- og sundhedsministeren
2880227_0255.png
1
2
3
4
Del 3 - Tværgående anbefalinger og forslag
255
Forslaget kan tage afsæt i erfaringerne fra ordningen med fasttilknyttede læger på plejecentre, som netop
har vist, at en fasttilknyttet læge kan skabe bedre koordinering af pleje, øge lægens erfaring med mål-
gruppen og sikre et mere tæt forhold mellem patient og læge, som samlet kan løfte kvaliteten og bl.a.
reducere antallet af sygehusindlæggelser (se boks 12.8.)
Boks 12.8
Erfaringer med fasttilknyttede læger på plejehjem
Med overenskomsten for almen praksis fra 2022 blev ordningen med fasttilknyttede læger på plejehjem
en del af overenskomsten. Ca. 90 pct. af plejehjemsbeboere er i dag omfattet af tilbud om fasttilknyttet
læge. Formålet med ordningen er at skabe en bedre kvalitet i indsatsen for beboerne på plejehjemmet,
bl.a. gennem styrket kommunikation, tilgængelighed og samarbejde mellem plejepersonalet og den
alment praktiserende læge, så der sikres størst mulig faglig indsigt, god medicinhåndtering og kontinuitet
i pleje- og behandlingsforløbene. Formålet er desuden at reducere omfanget af uhensigtsmæssige
indlæggelser og genindlæggelser. Ordningen er overvejende finansieret ved, at beboerne vælger den
fastilknyttede alment praktiserende læge, som deres egen læge. Dertil kommer honorering for et antal
timer til rådgivning af personalet.
Erfaringerne med ordningen viser, at fasttilknyttede læger betyder tættere samarbejde mellem lægen
og plejepersonalet, bedre behandling og opfølgning for patienten, bedre medicinhåndtering, færre
indlæggelser og genindlæggelser og dermed mindre pres på sygehusenes akutmodtagelser
243
Sundhedsstrukturkommissionen hæfter sig ved, at der tidligere har været iværksat tiltag, der skulle styrke
den sundhedsfaglige indsats på botilbud. Med satspuljeaftalen for 2017­2020 blev der indgået en politisk
aftale om at etablere en ordning med faste læger på botilbud. Med overenskomstaftale om almen praksis
fra juni 2021 blev der indført et sundhedstjek, hvis formål er at forebygge og eventuelt behandle somatiske
sygdomme hos voksne, som opholder sig på botilbud. Alle praktiserende læger er forpligtet til at indgå i den
styrkede indsats. I begge tilfælde er der dog tale om indsatser, som ikke har opnået betydelig og ønsket
udbredelse inden for de nuværende rammer. Kommissionen vurderer, at forslagene om fasttilknyttede
læger på botilbud vil kunne understøtte den ønskede udbredelse.
Nationale kvalitetsstandarder for den sundhedsfaglige indsats i socialpsykiatrien
Kommissionen foreslår, at sammenhængen og kvaliteten i den sundhedsfaglige indsats til mennesker med
psykiske lidelser, som også modtager indsatser på socialområdet (socialpsykiatrien), styrkes gennem
nationale kvalitetsstandarder for opgavevaretagelsen.
Høj kvalitet i den sundhedsfaglige indsats er afgørende for, at mennesker med psykiske lidelser kan hjælpes
til at komme tilbage til hverdagslivet. Det fremgår af det faglige oplæg til 10­årsplanen for psykiatrien,
at der i dag ikke er en tilstrækkelig kvalitet i tilbuddene i socialpsykiatrien. Oplægget peger bl.a. på, at der
er begrænset adgang til sundhedsfaglig viden for personalet, og at tilbuddene ikke i tilstrækkelig grad er
målrettet den enkeltes behov.
Det faglige oplæg konkluderer, at mange mennesker med psykiske lidelser oplever, at deres forløb er
præget af utilstrækkeligt samarbejde og utilstrækkelig vidensdeling og koordination mellem behandlings-
psykiatrien og socialpsykiatrien.
243 Christensen, Line Due, Claus Høstrup Vestergaard, Morten Bondo Christensen, og Linda Huibers. “Health Care Utilization Related to the
Introduction of Designated GPs at Care Homes in Denmark: A Register-Based Study”. Scandinavian Journal of Primary Health Care 40, nr. 1
(2. januar 2022): 115–22.
SUU, Alm.del - 2023-24 - Bilag 317: Orientering om Sundhedsstrukturkommissionens afrapportering, fra indenrigs- og sundhedsministeren
2880227_0256.png
256
1
2
3
4
Del 3 - Tværgående anbefalinger og forslag
Sundhedsstrukturkommissionen foreslår, at der udarbejdes og implementeres kvalitetstandarder, der
fastlægger anbefalinger og forpligtende krav til den sundhedsfaglige indsats i socialpsykiatrien, herunder
for indsatsen over for mennesker med psykiske lidelser på botilbud. Kvalitetsstandarderne for den sund-
hedsfaglige indsats skal beskrive samspillet med de sociale indsatser og udarbejdes under inddragelse af
relevante myndigheder under Social­, Bolig­ og Ældreministeriet.
Kvalitetsstandarder skal være med til at løfte og ensarte kvaliteten i de sundhedsfaglige indsatser for
mennesker med psykiske lidelser, som modtager samtidige indsatser fra sundheds- og socialområdet.
Kvalitetstandarder skal også understøtte den ønskede udvikling af sundhedsvæsenet, hvor langt flere forløb
varetages i det primære sundhedsvæsen. Det er til gavn for den enkelte, som kan modtage indsatser i trygge
og vante omgivelser og er med til at understøtte en effektiv anvendelse af de samlede ressourcer i sund-
hedsvæsenet. Kvalitetsstandarder har også til formål at understøtte bedre sammenhæng for den enkelte
ved at tydeliggøre ansvars- og opgavefordelingen mellem relevante aktører.
Kvalitetstandarder skal dermed ses i sammenhæng med en national sundhedsplan (se kapitel 11).
En national sundhedsplan skal også gælde for psykiatrien og sætte en strategisk retning for udviklingen
af indsatser for mennesker med psykiske lidelser, herunder tydeliggøre ansvars- og opgavefordelingen
mellem det primære og sekundære sundhedsvæsen.
Kommissionen lægger vægt på, at kvalitetstandarder også omfatter anbefalinger og krav til sygehusene
om at påtage sig en generelt større rolle i forhold til udvikling af det primære sundhedsvæsen. Det handler
fx om, at de almenmedicinske tilbud skal have let og hurtig adgang til faglig rådgivning og psykiatriske
vurderinger fra sygehusene. Tilsvarende kan gælde for andre sundhedstilbud i det primære sundhedsvæsen
(se kapitel 12).
Kommissionen har i den forbindelse drøftet en problemstilling om tilbagehenvisninger fra psykiatrien til
almenmedicinske tilbud. En tilbagehenvisning er udtryk for, at psykiatrien sender en henvisning tilbage til
den henvisende læge, som dermed fastholder behandlingsansvaret. Der skal skelnes imellem mangelfulde
henvisninger, som tilbagevises, fordi de ikke opfylder kravene for en henvisning til den regionale psykiatri,
og tilbagehenvisninger, hvor henvisningerne opfylder henvisningskravene til den regionale psykiatri, men
tilbagehenvises på baggrund af sundhedsfaglig visitation.
Praktiserende Lægers Organisation (PLO) har i 2020 foretaget en rundspørge blandt deres medlemmer,
der viser, at op i mod 90 procent af de alment praktiserende læger jævnligt oplever problemer med tilbage-
henvisninger i psykiatrien. Problemet gælder særligt for børne-og ungdomspsykiatrien. Tilbagehenvis-
ninger kan være med til at skabe usikkerhed og tvivl hos den enkelte om det videre behandlingsforløb
og risiko for forværring af tilstanden, hvis den almenmedicinske læge ikke har alternative muligheder for
at tilbyde relevant udredning og behandling.
Kommissionen mener, at tilbagehenvisninger bør minimeres og altid ledsages af en begrundelse, som kan
være med til at oplyse og vejlede den henvisende læge. Kommissionen noterer sig samtidig, at Sundheds­
styrelsen sammen med regionerne har igangsat et arbejde, der skal kvalificere en opgørelsesmodel for
tilbagehenvisninger. Modellens formål er at sikre et nationalt overblik over tilbagehenvisninger og et mere
sammenligneligt datagrundlag på tværs af regionerne. Arbejdet skal ses med regionernes egne tiltag om at
forbedre henvisningspraksissen. Det lærende aspekt i tilbagehenvisningerne skal være med til at belyse,
hvordan regionerne fremover kan arbejde systematisk med at indsamle data og følge omfanget og årsager
til tilbagehenvisninger. Arbejdet skal også være med til at forbedre samarbejdet og dialogen om den enkelte
patient mellem den alment praksiserende læge og den regionale psykiatri og dermed mindske risikoen for
tilbagehenvisninger.
Forslaget skal derudover ses i tæt sammenhæng med udarbejdelse og implementering af forløbs-
beskrivelser for specifikke patientgrupper i psykiatrien. Arbejdet er sat i gang i regi af 10­årsplanen for
psykiatri. Forløbsbeskrivelser er som udgangspunkt faglige anbefalinger om fx faglig og organisatorisk
kvalitet og samarbejde på tværs af indsatser, mens kvalitetsstandarder indeholder forpligtende krav og
anbefalinger til relevante myndigheder. Kvalitetsstandarder kan indeholde eller referere til relevante
anbefalinger fra forløbsbeskrivelser og bidrage til stærkere implementering af anbefalinger for bedre og
mere sammenhængende forløb.
SUU, Alm.del - 2023-24 - Bilag 317: Orientering om Sundhedsstrukturkommissionens afrapportering, fra indenrigs- og sundhedsministeren
2880227_0257.png
1
2
3
4
Del 3 - Tværgående anbefalinger og forslag
257
Tværsektorielle samarbejdsfora på psykiatriområdet
Det faglige oplæg til 10­årsplanen for psykiatrien anbefaler, at der bør etableres et stærkt myndigheds­
samarbejde, som understøtter en tværsektoriel og sammenhængende indsats til mennesker med psykiske
lidelser. Samarbejde er særligt vigtigt i lyset af, at forløb på psykiatriområdet foregår på tværs af forskellige
lovgivningsområder, herunder på tværs af sundhedsloven og serviceloven.
Sundhedsstrukturkommissionen er enig i anbefalingen og lægger samtidig vægt på, at samarbejde på
psykiatriområdet på tværs af alle involverede sektorer bør være en del af det generelle tværsektorielle
samarbejde på sundhedsområdet for at sikre, at psykiatri indtænkes som en del af det samlede sundheds-
væsen.
Psykiatriområdet indgår som en del af samarbejdet i de nuværende sundhedsklynger. Analyse af sundheds-
klyngerne, som er gennemført for Sundhedsstrukturkommissionen, peger på, at der på tværs af de regionale
og kommunale deltagere i sundhedsklyngerne opleves vanskeligheder ved at repræsentere det samlede
psykiatriske område i klyngesamarbejdet.
244
Det skyldes især, at psykiatriområdet dækker over flere
forvaltnings- og myndighedsområder. Det giver et vanskeligt dilemma med at få den nødvendige indsigt ind
i sundhedsklyngen uden at gøre deltagerkredsen for omfattende.
Kommissionens forslag om en organisatorisk integration af psykiatrien og somatikken vurderes alt andet
lige at reducere udfordringen på den regionale side, idet der i udgangspunkt vil være én ledelse for den
samlede sygehussektor repræsenteret i klyngesamarbejdet. Kommissionen finder det derudover relevant,
at der fra kommunal side fortsat er fokus på at sikre en tilstrækkelig inddragelse af relevante kommunale
forvaltninger ind i klyngesamarbejdet. I kapitel 15 om forvaltningsmodeller for sundhedsvæsenet indgår
yderligere forslag om sundhedsklynger. Kommissionen lægger desuden vægt på, at der etableres relevante
myndighedssamarbejder på tværs af behandlingspsykiatrien og socialpsykiatrien.
Sundhedsstrukturkommissionen har overvejet muligheden for tværfaglige fora målrettet udvalgte mål­
grupper af mennesker med psykiske lidelser, hvor samarbejdet har et bredere perspektiv end sundhed og
mental trivsel. Det kan være samarbejde om børn og unge, hvis formål er at forbedre sundhed og trivsel
og samtidig understøtte, at flere unge gennemfører en uddannelse. Det kan være samarbejde målrettet
voksne med støtte- og plejebehov, hvor indsatser, der skal forbedre sundhed, tænkes sammen med
indsatser, der skal sikre tilknytning til arbejdsmarkedet.
Sundhedsstrukturkommissionen foreslår på baggrund af bl.a. erfaringerne fra sundhedsklyngerne, at
relevante myndigheder fremover vurderer behovet for særskilte fora på det psykiatriske område, navnlig
hvor problemstillingerne går på tværs og involverer andre aktører og forvaltninger end dem, der normalt
indgår i klyngesamarbejdet.
Forslag 3: Styrket udbredelse af brugen af digitale løsninger
i psykiatrien
Der er behov for at sikre hurtigere udbredelse af digitale løsninger og bedre datadeling, som kan skabe
bedre tilgængelighed, sammenhæng og hurtigere hjælp på rette niveau på tværs af det samlede sundheds-
væsen (se kapitel 10). Udbredelse af digitale løsninger har et særligt potentiale inden for psykiatrien,
hvor de kan være med til at afhjælpe, at mistrivsel eller lettere psykiske lidelser forværres og kræver mere
specialiseret behandling. Styrket udbredelse af digitale løsninger er særligt påkrævet i psykiatrien i lyset af
det aktuelle kapacitetspres.
245
Digitale løsninger i psykiatrien kan forbedre tilgængelighed, kvalitet og effektivitet af psykiatriske
behandlingstilbud, fx i form af videokonsultationer, digital selvmonitorering, virtual reality-baseret terapi,
digital terapi i hjemmet, øget automatisering og brug af kunstig intelligens til understøttelse af klinisk
administrative opgaver, diagnostik og behandlingsvalg. Digitale løsninger, der kan bidrage til at fremme
244 Implement Consulting Group, “Udfordringer og potentialer i samspillet mellem sektorer og for sammenhængende patientforløb”, 2024.
245 Sundhedsstrukturkommissionen. ”Sundhedsstrukturkommissionens baggrundsrapport”. 2024.
SUU, Alm.del - 2023-24 - Bilag 317: Orientering om Sundhedsstrukturkommissionens afrapportering, fra indenrigs- og sundhedsministeren
2880227_0258.png
258
1
2
3
4
Del 3 - Tværgående anbefalinger og forslag
mental sundhed og forebygge psykiske lidelser, er fx apps og websider med viden og værktøjer, der styrker
mental sundhed og træner strategier til håndtering af belastninger i hverdagen. Digitale løsninger som
apps og websider kan udbredes på befolkningsniveau og på den måde nå mange i målgruppen med en
evidensbaseret indsats.
Digitalisering i psykiatrien har dermed store potentialer for at give mennesker med psykiske lidelser lettere
adgang til forebyggelse, støtte og behandling. Digitale løsninger skal integreres i psykiatriens tilbud og
være med til at sikre sammenhæng i patientforløb og støtte til recovery – før, under og efter kontakt til
psykiatrien. Der er allerede opbygget stor viden og erfaring på området, og der er eksempler på digitale
tilbud i drift flere steder i landet (se boks 12.9).
Boks 12.9
Digital terapi ved depression og angst
Internetpsykiatrien.dk, som drives af Center for Digital Psykiatri i Region Syddanmark, tilbyder evidens-
baseret, digital terapi for let til moderat depression og angst. Behandlingen foregår i et online selv-
hjælpsprogram med skriftlig støtte og feedback fra en psykolog. Tilbuddet er landsdækkende, gratis
og for personer over 18 år.
Med ”Aftale om en bedre psykiatri – hurtigere behandling til børn og unge, bedre akut hjælp og større
tryghed for medarbejderne” fra november 2023 var der enighed om at styrke Internetpsykiatrien.dk med
henblik på at give flere adgang til behandlingstilbuddet. Det skal ses på baggrund af, de senere års
stigning i forekomsten af angst og depression i befolkningen.
Sundhedsstrukturkommissionen mener, at der er behov for fortsat fokus på udvikling og udbredelse af
digitale løsninger på psykiatriområdet for at kunne imødekomme det stigende behov for hjælp og de
deraf følgende kapacitetsudfordringer og nogle steder mangel på medarbejdere i psykiatrien. Med digitale
løsninger kan de eksisterende ressourcer udnyttes bedst muligt.
Digitale indsatser forbliver ofte lokale, selvom de med fordel kan koordineres og udbredes på tværs af
landet. Større kendskab til digitale indsatser og fælles prioritering af udvikling og implementering af
effektive og brugervenlige løsninger, der adresserer de største behov, kan give større fremdrift i udvikling
og skalering af digitale løsninger og derved større mulighed for, at flere får gavn af digitale behandlings­
tilbud i psykiatrien.
Der er et stort uudnyttet potentiale for deling af data mellem aktørerne i de psykiatriske behandlingsforløb.
Bedre datadeling mellem behandlingspsykiatri og socialpsykiatri kan understøtte samarbejde og
kommunikation om behandlingsforløb og bidrage til, at mennesker med psykiske lidelser får bedre,
mere veltilrettelagte og sammenhængende forløb. Det handler om udvikling af platforme til tværsektoriel
datadeling og forpligtende anvendelse af fælles standarder i den tværsektorielle kommunikation. Der bør
også sikres mulighed for at dele patientdata på populationsniveau, som understøtter kvalitetsudvikling
og forskning. Bedre datadeling i psykiatrien bør ses i forlængelse af kommissionens forslag til ændret
organisering og ny styring af digitalisering og data (se kapitel 10), som bl.a. skal understøtte bedre data­
deling i det samlede sundhedsvæsen. Samtidig bør tiltag til bedre datadeling i psykiatrien tage afsæt i
evalueringen af de nuværende juridiske rammer i den igangværende analyse af juridiske barrierer for
datadeling på tværs af sektorer i patientbehandling, som Indenrigs­ og Sundhedsministeriet igangsatte på
baggrund af aftalen om sundhedsreformen i 2022.
En klar national strategi for den digitale udvikling i sundhedsvæsenet og en målrettet investering skal
udbygge og skalere relevante digitale løsninger til mange flere mennesker med psykiske lidelser.
Forslaget om styrket udbredelse af digitale løsninger i psykiatrien skal derfor ses i tæt sammenhæng
med kommissionens anbefaling om en ny organisering og styring af arbejdet med digitalisering og data
i sundhedsvæsenet (se kapitel 10).
SUU, Alm.del - 2023-24 - Bilag 317: Orientering om Sundhedsstrukturkommissionens afrapportering, fra indenrigs- og sundhedsministeren
2880227_0259.png
1
2
3
4
Del 3 - Tværgående anbefalinger og forslag
259
Samlet vurdering af forslag
I det følgende foretager Sundhedsstrukturkommissionen en samlet vurdering af forslag til ændringer af
organiseringen og samarbejdet inden for psykiatriområdet, som er præsenteret i kapitlet. Vurderingen
foretages på baggrund af de hensyn, der blev opstillet i kapitel 6.
Sundhedsstrukturkommissionen vurderer, at anbefaling og forslag understøtter et sundhedsvæsen med høj
kvalitet i opgaveløsningen. En organisatorisk integration af psykiatrien med det samlede sygehusvæsen vil
øge mulighederne for, at somatiske lidelser opdages og behandles mere effektivt hos mennesker med
psykiske lidelser, end tilfældet er i dag. Krav om fasttilknyttede læger på botilbud vurderes at kunne sikre
en stærkere forebyggende og behandlende indsats til beboere på botilbud og vil skabe bedre forudsæt-
ninger for, at både somatisk og psykisk sygdom kan opdages og behandles effektivt og tidligere med
tilfredsstillende kvalitet. Nationale kvalitetsstandarder vurderes at kunne løfte og ensarte kvaliteten i de
sundhedsfaglige indsatser for mennesker med psykiske lidelser, som modtager samtidige indsatser fra
sundheds- og socialområdet. Forslaget om styrket udbredelse af digitale løsninger i psykiatrien vurderes
bl.a. at kunne forbedre kvaliteten af psykiatriske behandlingstilbud.
Forslagene understøtter desuden et sundhedsvæsen, som er tilgængeligt for borgerne, når og hvor de har
brug for det. Et væsentligt formål med kravet om fasttilknyttede læger på botilbud er, at der i højere grad
skal tages udgangspunkt i den enkelte beboers behov og sikre en løbende kontakt til lægen, som for nogle
ellers ikke vil finde sted. Styrket udbredelse af digitale løsninger i psykiatrien skal ligeledes understøtte en
øget tilgængelighed af de psykiatriske behandlingstilbud ved at sikre hurtigere hjælp på rette niveau på
tværs af det samlede sundhedsvæsen.
Sundhedsstrukturkommissionens forslag bidrager til et sundhedsvæsen med stærk sammenhæng i
borgernes forløb. En organisatorisk integration af psykiatrien med det samlede sygehusvæsen vil bl.a. sikre
færre sektorovergange for patienten og dermed understøtte en bedre sammenhæng for mennesker med
psykiske lidelser. Krav om fasttilknyttede læger på botilbud vil understøtte, at sundhedsindsatsen bliver
en mere integreret del af det samlede botilbud, og kvalitetsstandarder skal understøtte bedre sammenhæng
for den enkelte ved at tydeliggøre ansvars- og opgavefordelingen mellem relevante aktører.
Endelig vurderer kommissionen, at forslagene understøtter et sundhedsvæsen, der giver borgerne mest
mulig sundhed for de tilgængelige ressourcer. En organisatorisk integration af psykiatrien med det samlede
sygehusvæsen vil udover at sikre øge kvalitet og sammenhæng for patienterne også understøtte en effektiv
brug af knappe personaleressourcer ved at bringe relevante sundhedsfaglige kompetencer bedre sammen.
Krav om fasttilknyttede læger og kvalitetstandarder skal understøtte den ønskede udvikling af sundheds-
væsenet, hvor langt flere forløb varetages uden for sygehusene. Det er til gavn for den enkelte, som kan
modtage indsatser i trygge og vante omgivelser, og det er samtidig med til at understøtte en effektiv anven-
delse af de samlede ressourcer i sundhedsvæsenet. Styrket udbredelse af digitale løsninger i psykiatrien kan
være med til at afhjælpe, at mistrivsel eller lettere psykiske lidelser forværres og kræver mere specialiseret
behandling og er dermed særligt påkrævet i psykiatrien i lyset af det aktuelle kapacitetspres.
Sundhedsstrukturkommissionen er opmærksom på, at forslaget om organisatorisk integration af
psykiatrien med det samlede sygehusvæsen vil medføre implementeringsomkostninger i en overgangs-
periode. Ændringerne kan bør så vidt muligt gennemføres løbende over en periode, og der bør tages højde
for det aktivitetspres, der aktuelt opleves i psykiatrien.
SUU, Alm.del - 2023-24 - Bilag 317: Orientering om Sundhedsstrukturkommissionens afrapportering, fra indenrigs- og sundhedsministeren
2880227_0260.png
260
1
2
3
4
Del 3 - Tværgående anbefalinger og forslag
Kapitel 13: Private aktører
og patientrettigheder
I Danmark er der en lang tradition for at bruge private aktører som en del af opgaveløsningen i sundheds-
væsenet. Et af kommissoriets sigtelinjer er: ”Et sundhedsvæsen, der understøtter frit valg og patient-
rettigheder, og sikrer den mest hensigtsmæssige brug af private aktører som en del af det samlede
sundhedsvæsen”.
246
Sundhedsstrukturkommissionen har ikke indgående behandlet alle private aktører i
sundhedsvæsenet. I stedet har kommissionen fokuseret på udvalgte private aktører i form af praktiserende
speciallæger og private kommercielle sygehuse. Derudover er alment praktiserende læger behandlet i
kapitel 9.
Praktiserende speciallæger er efter de alment praktiserende læger den ressourcemæssigt største aktør på
praksisområdet. Sundhedsstrukturkommissionen vurderer, at de praktiserende speciallæger bl.a. kan
bidrage til øget geografisk lighed og en omkostningseffektiv brug af de samlede ressourcer. Kommissionen
noterer sig, at aftalesystemet for de praktiserende speciallæger generelt set fremstår som velfungerende.
Dog understøtter organiseringen ikke i tilstrækkeligt omfang en optimal udnyttelse af de praktiserende
speciallægers samlede ressourcer i forhold til at sikre omstilling af sundhedsvæsenet. Den rolle og funktion,
som kan varetages af praksissektoren, varierer betydeligt på tværs af specialer.
Sundhedsstrukturkommissionen anbefaler derfor, at de organisatoriske rammer for de praktiserende
speciallæger tilpasses for at understøtte en mere effektiv brug af de samlede speciallægeressourcer i
omstillingen af sundhedsvæsenet.
Hvad angår de private kommercielle sygehuse, varetager de som en stor del af deres aktivitet offentligt
finansieret patientbehandling. De private kommercielle sygehuse er desuden en forudsætning for flere af
de rettigheder, som patienter har i sundhedsvæsenet. Samspillet mellem det offentlige sundhedsvæsen og
de private kommercielle sygehuse har derfor betydning for patienters behandling og oplevelse af sundheds-
væsenet.
I kapitel 13 beskrives først en anbefaling om at tilpasse organisering og styring af praktiserende special­
læger. Anbefalingen skal ses i sammenhæng med kommissionens anbefaling om organisering og styring af
det almenmedicinske tilbud, da de to områder i dag reguleres efter samme hovedprincipper (se kapitel 9).
I anden del af kapitlet vurderer Sundhedsstrukturkommissionen brugen af private sygehuse, sundheds­
forsikringer og patientrettigheder. For de private sygehuse er omkring halvdelen af aktiviteten offentligt
finansieret, mens den anden halvdel er privat finansieret typisk via en sundhedsforsikring. En beskeden del
er baseret på egenbetaling. Derfor vurderes den private sygehusaktivitet i sammenhæng med en vurdering
af sundhedsforsikringer og patientrettigheder.
Baggrund for og sammenhæng mellem private aktører,
sundhedsforsikringer og patientrettigheder
I Danmark er der tradition for at bruge private aktører som en del af det samlede sundhedstilbud. For de
private aktører gælder, at offentlige udgifter og omfanget af regulering varierer betydeligt på tværs af
områder og indsatser, ligesom sammenhængen med patientrettigheder og sundhedsforsikringer varierer,
jf. tabel 13.1.
246 Indenrigs- og Sundhedsministeriet. “Kommissorium for Sundhedsstrukturkommissionen”, 2023.
SUU, Alm.del - 2023-24 - Bilag 317: Orientering om Sundhedsstrukturkommissionens afrapportering, fra indenrigs- og sundhedsministeren
2880227_0261.png
1
2
3
4
Del 3 - Tværgående anbefalinger og forslag
261
Tabel 13.1
Udvalgte private aktører på sundheds­ og ældreområdet, hovedgrupper
Aktør
Private kommercielle sygehuse
Økonomi
Omsætning på 2,7 mia. kr.,
heraf offentligt finansieret
aktivitet på 1,5 mia. kr., i
2022
Offentlig finansieret udgift
på ca. 0,5 mia. kr. i 2023.
Rammer og regulering
Udbudsaftaler (ca. 0,6 mia. kr.) og aktivitet
afledt via patientrettigheder (knap 0,9 mia. kr.)
Den privatfinansierede aktivitet er typisk via
private sundhedsforsikringer.
Efter sundhedslovens § 79, stk. 2, yder regio-
nerne sygehusbehandling ved en række private
specialsygehuse indenfor årlig økonomisk
ramme fastsat ved bekendtgørelse.
Overenskomst, lokale aftaler m.v. og egen-
finansiering.
Overenskomst, lokale aftaler og gennem det
udvidede sygehusvalg (patientrettigheder)
hvad angår den offentligt finansierede aktivitet
og via private sundhedsforsikringer og
egenfinansiering.
Overenskomst hvad angår den offentligt
finansierede aktivitet og private sundheds­
forsikringer og egenfinansiering.
Udbud afledt af ret til frit valg.
Private specialsygehuse
Alment praktiserende læger
Praktiserende speciallæger
Offentligt finansieret udgift
på ca. 10,5 mia. kr. i 2022.
Omsætning på 4,1 mia. kr.,
heraf offentligt finansieret
aktivitet på 4,0 mia. kr. i
2022.
Omsætning på 24,0 mia. kr.,
heraf offentligt finansieret
aktivitet på 9,9 mia. kr. i
2022.
Kommunens bruttoudgifter
til private leverandører af
personlig pleje, praktisk
hjælp og madservice i eget
hjem, plejehjem, pleje-
boliger og beskyttede
boliger udgjorde 2,8 mia.
kr. i 2022. Personlig pleje
og praktisk hjælp omfatter
størstedelen af de kommu-
nale plejeindsatser.
Kommunens bruttoudgifter
til friplejehjem var 1,1 mia.
kr. i 2022.
Omsætning på 13,1 mia. kr.
heraf offentlig finansieret
aktivitet på 7,0 mia. kr.
Offentlig finansiering er
groft skønnet til at udgøre
ca. 1,1 mia. kr.
Øvrige praksisgrupper (fysio
-
terapeuter, fodterapeuter,
psykologer, kiropraktorer,
tandlæger og tandplejere)
Private leverandører af kommunale
plejeindsatser m.v.
Friplejehjem
Lov om friplejeboliger afledt af ret til frit valg.
Apoteker
Apotekerloven.
Private aktører på det præhospitale
område (ambulancedrift)
Regionerne kan vælge, om de selv vil varetage
ambulancedriften eller helt eller delvist benytte
sig af andre regionale, kommunale eller private
leverandører, jf. bekendtgørelse om plan-
lægning af sundhedsberedskabet. Private
aktører tildeles opgave efter udbud.
Anm.: Omsætning for private kommmercielle sygehuse er opgjort som bruttoomsætning. Omsætningen for praktiserende speciallæger, øvrige
praksisgrupper og apoteker mv. inkluderer både aktivitet dækket af det offentlige, forsikringer og husholdningsernes egenbetaling. Kommunens
bruttoudgifter til private leverandører af personlig pleje, praktisk hjælp og madservice og friplejehjem dækker kun over kommunernes udgifter
til private leverandører. Bruttoudgifterne opgøres uden at fratrække modtagernes egenbetaling. Skøn for offentlig finansering af private aktører
på det præhospitale område er baseret på regionernes indberetninger til Rigsrevisionen til brug i notat om tilrettelæggelsen af en større
undersøgelse af ambulancedriften i regionerne (marts 2024).
Kilde: Sundhed Danmark, branchestatistik 2022, Bekendtgørelse om økonomiske rammer for frit valg til private specialsygehuse m.v. og for
specialiseret ambulant behandling på Øfeldt Centrene, Finansministeriet, Rigsrevisionen, DST tabel SHA1 og Kommunernes regnskaber, 2022.
SUU, Alm.del - 2023-24 - Bilag 317: Orientering om Sundhedsstrukturkommissionens afrapportering, fra indenrigs- og sundhedsministeren
2880227_0262.png
262
1
2
3
4
Del 3 - Tværgående anbefalinger og forslag
Figur 13.1
Økonomi for udvalgte private aktører på sundheds­ og ældreområdet, hovedgrupper
Mia. kr.
30
25
20
15
10
5
Private sygehuse
Private specialsygehuse
Alment praktiserende
læger
Kommunale plejeindsatser
mv.
Praktiserende
speciallæger
Øvrige praksisgrupper
Apoteker
Aktører på det
præhospitale område
Friplejehjem
0
Mia. kr.
30
25
20
15
10
5
0
Offentlig finansieret del af omsætningen
Omsætning
Kommunale bruttoudgifter
Anm.: Omsætning for private kommmercielle sygehuse er opgjort som bruttoomsætning. Omsætningen for praktiserende speciallæger,
øvrige praksisgrupper og apoteker m.v. inkluderer både aktivitet dækket af det offentlige, forsikringer og husholdningsernes egenbetaling.
Kommunens bruttoudgifter til private leverandører af personlig pleje, praktisk hjælp og madservice og friplejehjem dækker kun over
kommunernes udgifter til private leverandører. Bruttoudgifterne opgøres uden at fratrække modtagernes egenbetaling. Skøn for offentlig
finansering af private aktører på det præhospitale område er baseret på regionernes indberetninger til Rigsrevisionen til brug i notat om
tilrettelæggelsen af en større undersøgelse af ambulancedriften i regionerne (marts 2024).
Kilde: Sundhed Danmark, branchestatistik 2022, Bekendtgørelse om økonomiske rammer for frit valg til private specialsygehuse mv. og for
specialiseret ambulant behandling på Øfeldt Centrene, Finansministeriet, Rigsrevisionen, DST tabel SHA1 og Kommunernes regnskaber, 2022.
Traditionen for private aktører er stærk og langvarig i særligt praksissektoren. Sektoren består næsten
udelukkende af privatpraktiserende sundhedspersoner. Praksissektoren udgør i dag 12­13 pct. af de
regionale sundhedsudgifter og er i overvejende grad offentligt finansieret og reguleret via overenskomster.
Private kommercielle sygehuse og sundhedsforsikringer er kommet til indenfor de seneste 30­35 år og er
til sammenligning nyere private aktører og ordninger på sundhedsområdet. De private sygehuse varetager
både privat og offentligt finansierede opgaver, og de private sygehuse er bl.a. en del af forudsætningen for
at have patientrettigheder om hurtig udredning og behandling. De kommercielle private sygehuse er i
sammenligning med det offentlige sygehusvæsen af relativ beskeden størrelse, men deres omsætning er
vokset relativt kraftigt over de senere år.
I samme periode er der løbende indført en række markante patientrettigheder i sundhedsvæsenet.
Rettighederne har til formål at sikre patienter flere valgmuligheder og hurtigere adgang til udredning,
behandling og genoptræning i sundhedsvæsenet. Private sundhedsforsikringer er dels arbejdsgiver- og
pensionskassebetalte forsikringer, hvor næsten alle privatansatte i dag er dækket af en sundhedsforsikring,
dels individuelt tegnede ordninger gennem Sygesikringen ”danmark”, hvis primære formål er at dække
patienters egenbetaling i sundhedsvæsenet.
Private aktører og patientrettigheder er en del af den samlede organisering af sundhedsvæsenet. Rammerne
og reguleringen af aktører og ordninger har derfor også en betydning for, hvordan borgerne oplever
sundhedsvæsenet. Det gælder fx i forhold til tilgængelighed af tilbud, valgmuligheder og sammenhæng i
borgernes forløb. Private aktører og rettigheder påvirker også de offentlige myndigheder på sundheds-
området. Private kommercielle sundhedsaktører skaber fx en konkurrence, som alt andet lige kan give det
offentlige sundhedsvæsen en stærkere tilskyndelse til at sikre en mere effektiv opgaveløsning. Et privat
marked kan også påvirke det offentlige sundhedsvæsens muligheder for adgang til kvalificeret arbejdskraft,
SUU, Alm.del - 2023-24 - Bilag 317: Orientering om Sundhedsstrukturkommissionens afrapportering, fra indenrigs- og sundhedsministeren
2880227_0263.png
1
2
3
4
Del 3 - Tværgående anbefalinger og forslag
263
hvis private sundhedsaktører tiltrækker en øget del af den samlede sundhedsfaglige arbejdsstyrke. Patien-
trettigheder er et relativt markant styringsinstrument, som er med til at skabe øget politisk opmærksomhed
på og prioritering af de områder, hvor rettigheder er indført. Samtidig er der en risiko for, at det sker på
bekostning af de områder, der ikke er dækket af patientrettigheder.
Det er overvejelserne om gensidig påvirkning mellem offentlige og private aktører på sundhedsområdet,
som er afsættet for Sundhedsstrukturkommissionens anbefalinger i kapitel 13 om hensigtsmæssig brug
af private aktører og patientrettigheder.
Praktiserende speciallæger
De praktiserende speciallæger er selvstændigt erhvervsdrivende speciallæger, som varetager behandling
på hovedfunktionsniveau i egne klinikker.
247
De kan betragtes som en del af det sekundære sundhedsvæsen.
Der er i dag knap 1.000 speciallægeklinikker fordelt på 15 medicinske specialer, som dækker over 910
fuldtidskapaciteter, jf. figur 13.2. Den mest udbredte praksisform er enkeltmandspraksis på fuldtid. Siden
2007 er antallet af klinikker faldet med ca. 100 fra 1.086 til 983, mens antallet af lægekapaciteter er steget
med ca. 20. I 2022 var de regionale udgifter til speciallægehjælp på knap 4 mia. kr., og der var i alt ca. 5,3
mio. kontakter til praktiserende speciallæger fordelt på ca. 2 mio. borgere.
Figur 13.2
Fordeling af ydernumre på medicinske specialer
Antal
180
160
140
120
100
80
60
40
20
0
Antal
180
160
140
120
100
80
60
40
20
0
Figur 13.3
Fordeling af ydernumre på regioner
Antal ydernumre
500
450
400
350
300
250
200
150
100
50
0
Region Nordjylland
Antal ydernumre pr. 100.000
50
45
40
35
30
25
20
15
10
5
0
Region Hovedstaden
Region Sjælland
Øjenlægehjælp
Ørelægehjælp
Psykiatri
Dermato-venerologi
Gynækologi-obstetrik
Kirurgi
Reumatologi (Fysiurgi)
Intern medicin
Neuromedicin
Anæstesiologi
Pædiatri
Ortopædisk kirurgi
Børnepsykiatri
Plastikkirurgi
Diagnostisk radiologi
Region Midtjylland
Ydernumre
Antal ydernumre fordelt på regioner, speciallægehjælp
Antal ydernumre pr. 100.000 indbyggere (akse th.)
Kilde: Esundhed (CSC Scandihealth & Danske Regioner), Danmarks Statistik, egne beregninger.
Der er store forskelle mellem regionerne i antallet af speciallægepraksis per 100.000 indbyggere, jf. Figur
13.3. Forskellene i fordelingen af speciallæger er også at finde på tværs af kommuner i henholdsvis Øst­
og Vestdanmark. I nogle hovedstadskommuner er der seks gange så mange praktiserende speciallæger pr.
indbygger som i nogle kommuner i bl.a. Vest- og Nordjylland.
248
247 Sundhedsstrukturkommissionen. ”Sundhedsstrukturkommissionens baggrundsrapport”. 2024.
248 FAPS og Danske Regioner, “En fælles retning – en fælles vision for speciallægepraksis”, 2021.
Region Syddanmark
SUU, Alm.del - 2023-24 - Bilag 317: Orientering om Sundhedsstrukturkommissionens afrapportering, fra indenrigs- og sundhedsministeren
2880227_0264.png
264
1
2
3
4
Del 3 - Tværgående anbefalinger og forslag
Styringen af speciallægepraksis er kompleks, men tre styringsinstrumenter er særligt relevante at
fremhæve. De praktiserende speciallæger reguleres i høj grad af Overenskomst om speciallægehjælp.
Specialeplanen og den regionale praksisplan har også stor betydning for sektorens funktion og kapacitets-
planlægningen, jf. boks 13.1.
Boks 13.1
Styring af decentrale speciallægetilbud
Overenskomsten om speciallægehjælp
I overenskomsten aftaler Regionernes Lønnings- og Takstnævn (RLTN) og Foreningen af Speciallæger
(FAS), hvilke sundhedsydelser der omfattes af overenskomsten, hvilke servicekrav der skal opfyldes,
størrelsen af den økonomiske ramme og det medfølgende honorar for ydelser. Herunder aftales bl.a.
regler for budgetregulering, henvisningspraksis, tilgængelighed og regler om kontrol og kvalitet.
Det er hovedmålsætningen med overenskomsten at sikre befolkningen adgang til speciallægehjælp
med hovedsageligt fuldtidspraktiserende speciallæger, uden tidsbegrænset ydernummer.
Specialeplan
Sundhedsstyrelsen regulerer gennem specialevejledningerne de enkelte medicinske specialers kerne-
opgaver, organisering og forhold, som er af væsentlig betydning for specialets og sygdomsområdets
videre udvikling. Specialeplanen er sygehusfokuseret og omhandler behandling på specialfunktions-
niveau, men beskriver også relevante snitflader til opgaver i praksissektoren og det kommunale
sundhedsvæsen.
Praksisplan for speciallægehjælp
De enkelte regioner udarbejder med bidrag fra Foreningen af Praktiserende Speciallæger (FAS) en
praksisplan for speciallægehjælp, som sætter rammen for tilrettelæggelsen af kapacitetsplanlægning
og udvikling af kvalitet og samarbejde med det øvrige sundhedsvæsen.
Kilde: Sundhedsloven, Overenskomst om Speciallægehjælp
Potentialer ved at tilpasse rammer for praktiserende speciallæger
Der er både styrker og udfordringer forbundet med den nuværende organisering af de praktiserende
speciallæger, men også uforløste potentialer. Den mest udbredte praksisform er fuldtids-enkeltmands-
praksis. Det er en indretning, der rummer en række styrker. De praktiserende speciallæger har typisk
stor kontinuitet i klinikken og mange års erfaring med de typiske opgaver i praksissektoren. Det betyder
mulighed for kontinuitet i patienternes behandlingsforløb, og de praktiserende speciallæger kan opnå gode
og langvarige samarbejdsrelationer med aktørerne i det primære sundhedsvæsen, navnlig det almen-
medicinske tilbud, og de øvrige aktører i det sekundære sundhedsvæsen. Den nuværende indretning
medvirker indenfor nogle specialer til at lette adgangen til behandling i geografiske områder med langt til
sygehuset. Sektorens høje grad af aktivitetsbaseret finansiering tilskynder til en høj grad af omkostnings­
effektivitet i den enkelte klinik. Sundhedsstyrelsen vurderer, at speciallægepraksis effektivt kan varetage og
afslutte flere ambulante behandlingsforløb for en række målgrupper. Det kan fx være opfølgning og kontrol
af patienter med kroniske lidelser, ikke-akutte børnesygdomme, angst og depression og udredning af
medicinske og kirurgiske mavetarmsygdomme.
Et potentiale ved den nuværende organisering er overenskomstens nyligt tilføjede mulighed for at etablere
satellitpraksis. Satellitpraksis indebærer, at en praktiserende speciallæge et antal dage om ugen flytter sin
klinik til en sekundær placering, som fx kan være i et sundhedshus eller på anden vis tæt på andre lokale
sundhedstilbud. Satellitpraksis udgør dermed en mulighed for, at omplacere dele af den eksisterende
kapacitet i speciallægepraksis til andre områder, hvor alternativet er en nedskalering af kapacitet i et givent
SUU, Alm.del - 2023-24 - Bilag 317: Orientering om Sundhedsstrukturkommissionens afrapportering, fra indenrigs- og sundhedsministeren
2880227_0265.png
1
2
3
4
Del 3 - Tværgående anbefalinger og forslag
265
område. Det kan også medføre en udvidelse af kapaciteten, hvis en praktiserende speciallæge får tilladelse
til at ansætte en assisterende speciallæge i sin normale praksis, når speciallægen er fraværende på grund af
arbejde i en satellitpraksis. Dermed kan de praktiserende speciallæger understøtte adgang til et nært
speciallægetilbud. Muligheden for at etablere satellitpraksis er et eksempel på, hvordan der indenfor
aftalesystemets rammer, arbejdes med at adressere udfordringer i forhold til den geografiske fordeling af
ydernummerkapaciteten.
Organisationsformen med enkeltmandspraksis kan også medføre visse udfordringer. Der er risiko for faglig
isolation i det omfang, at den daglige lægefaglige sparring med kolleger indenfor eget eller andre specialer
er fraværende. Lægens tilegnelse af den nyeste viden og metode indenfor specialet falder i et vist omfang
tilbage på den enkelte læge.
249
Opgaver, som kan varetages af praktiserende speciallæger, vil i udgangspunk-
tet være opgaver, som kan håndteres monofagligt og vedrører relativt rutineprægede sundhedsmæssige
problemstillinger. Sundhedsstyrelsen vurderer dog, at organiseringen i små selvstændige enheder med
stærke incitamenter til høj aktivitet kan udgøre en barriere for at indgå i systematisk kvalitetsudvikling,
forskning og kompetenceudvikling i det omfang, at de aktiviteter ikke er honoreret eller nærmere regule-
ret.
250
Organiseringen af de praktiserende speciallæger i selvstændige enheder, som virker relativt autonomt, kan
i visse tilfælde udgøre en barriere i forhold til en fleksibel udnyttelse af den samlede speciallægekapacitet.
Indenfor specialer, hvor der kan opstå betydelig ventetid samlet og i den enkelte klinik, og hvor der er
delvist overlappende opgaveløsning mellem sygehus og praktiserende speciallæger, kan organiseringen
være en barriere for at opnå en samlet prioritering af de patienter med størst og mest akut behov samt en
effektiv opgaveplacering. For de alment praktiserende læger betyder det, at der ved beslutning om at
henvise patienten til enten praktiserende speciallæge eller sygehus skal være en tydeligt defineret arbejds-
deling mellem sygehus og praktiserende speciallæge og kendskab til forventet ventetid. Fra et patient-
perspektiv er fraværet af en fælles indgang til speciallægehjælp særligt en barriere for borgere med lav
sundhedskompetence, da borgerne selv må forventes at fremsøge relevante klinikker på sundhed.dk og
vurdere den angivne ventetid. Ikke-akutte patienter prioriteres af den enkelte klinik indenfor de overens-
komstfastsatte rammer.
En anden udfordring er den geografisk ulige fordeling af praktiserende speciallæger, jf. Figur 13.3. Forde-
lingen er historisk betinget i den forstand, at regionerne og deres forgængeres udstedelse af ydernumre er
omkostningsfulde at omgøre. Derudover afspejler ydernummerfordelingen de enkelte regioners forskellige
rekrutterings- og befolkningsmæssige forhold, fordi antallet af speciallæger i regionen har betydning for de
enkelte regioners beslutning om at udvide kapaciteten gennem oprettelsen af nye ydernumre.
251
Endelig
afspejler ydernummerfordelingen forskellige tilgange til at disponere de økonomiske og medicinske
ressourcer indenfor et geografisk område. Speciallægepraksis, der virker efter en nationalt fastsat overens-
komst og relativt autonomt, kan dermed ud fra et planlægningsperspektiv udgøre en begrænsning på
muligheden for at prioritere den samlede speciallægekapacitet og opgaveløsning indenfor et givent speciale.
Overvejelser om ændret organisering og styring
Sundhedsstrukturkommissionen har vurderet de organisatoriske rammer for de praktiserende speciallæger
indenfor rammerne af den udvikling, som sundhedsvæsenet står overfor. Det samlede behandlingsbehov er
stigende som følge af, at antallet af borgere med behov for behandling stiger. Samtidig har en større andel af
patienterne behov for behandlingsforløb, som er forankret i det primære sundhedsvæsen med støtte fra det
sekundære sundhedsvæsen.
249 Vestergaard, Leif og Frank Ingemann. “Idépapir om speciallægepraksis”, 2024.
250 Bendix, Henrik W., Digmann, Annemette, Per Jørgensen, og Kjeld Møller Pedersen. Ledelse i sundhedsvæsenet ­ på hospitaler, i kommuner
og i praksis. 1. e-Bogsudgave. Gyldendal Business, 2017.
251 FAPS og Danske Regioner, “En fælles retning – en fælles vision for speciallægepraksis”, 2021.
SUU, Alm.del - 2023-24 - Bilag 317: Orientering om Sundhedsstrukturkommissionens afrapportering, fra indenrigs- og sundhedsministeren
2880227_0266.png
266
1
2
3
4
Del 3 - Tværgående anbefalinger og forslag
Sundhedsstrukturkommissionen noterer sig, at aftalesystemet for de praktiserende speciallæger generelt
set fremstår som velfungerende. Der er en generel enighed mellem parterne om de udfordringer, som
sektoren og sundhedsvæsenet står overfor, og der er besluttet tiltag for at adressere udfordringer indenfor
rammerne af overenskomstsystemet.
252
I relation til omstilling af sundhedsvæsenet er det dog kommissionens vurdering, at organiseringen ikke
i tilstrækkeligt omfang understøtter en optimal udnyttelse af de praktiserende speciallægers samlede
ressourcer. Det kommer til udtryk ved en uensartet anvendelse af praktiserende speciallæger på tværs
af landet samt manglende redskaber til at prioritere på tværs af patientpopulationen i de specialer, som
oplever kapacitetsudfordringer. Kommissionen noterer sig i den forbindelse, at den rolle og funktion,
som kan varetages af praksissektoren, varierer betydeligt på tværs af specialer. Det er baggrunden for
den anbefaling og de forslag, som præsenteres i det følgende afsnit.
Anbefaling: Tilpasning af rammerne for de praktiserende speciallæger
Sundhedsstrukturkommissionen anbefaler, at de organisatoriske rammer for de praktiserende speciallæger
tilpasses med henblik på at understøtte en mere effektiv brug af de samlede speciallægeressourcer i
omstillingen af sundhedsvæsenet, jf. boks 13.2.
Boks. 13.2
Anbefaling 5
Sundhedsstrukturkommissionen anbefaler, at de organisatoriske rammer for de praktiserende
speciallæger tilpasses med henblik på at understøtte en mere effektiv brug af de samlede special­
lægeressourcer i omstillingen af sundhedsvæsenet.
252 Regionernes Lønnings- og Takstnævn og Foreningen af Speciallæger, “Overenskomst om Speciallægehjælp”, 2022.
SUU, Alm.del - 2023-24 - Bilag 317: Orientering om Sundhedsstrukturkommissionens afrapportering, fra indenrigs- og sundhedsministeren
2880227_0267.png
1
2
3
4
Del 3 - Tværgående anbefalinger og forslag
267
Boks 13.3
Forslag
1. Planlægning af det praktiserende speciallægetilbud skal ske indenfor en styrket national ramme,
som understøtter en ændret geografisk fordeling og mere effektiv brug af speciallægetilbuddet
i det samlede sundhedsvæsen.
2. Det lovmæssige grundlag for ledelse af samarbejde med speciallægepraksis skal styrkes, og den
ansvarlige myndigheds organisatoriske fokus på ledelse af samarbejde og kvalitetsudvikling skal
skærpes.
3. Der skal være en fælles indgang og prioritering af patienter, som kan understøtte, at patienter med
størst behov prioriteres højest for en mere effektiv anvendelse af ressourcerne.
Forslag 1: Nationalt understøttet planlægning for bedre geografisk fordeling
og ressourceeffektivitet
Sundhedsstrukturkommissionen foreslår, at praksisplanlægningen af det decentrale speciallægetilbud,
som i dag varetages af regionerne, skal understøttes af en national ramme for anvendelse af praktiserende
speciallæger. En styrket national ramme indebærer, at Sundhedsstyrelsen overordnet vejleder om, hvilke
behandlinger på alment niveau, der er egnede til at blive placeret hos praktiserende speciallæger og det
forventede omfang af behandlingerne indenfor en given sygdomsvægtet population. Sundhedsstyrelsen
kan desuden vejlede om, hvilke opgaver der bør løses i de almenmedicinske tilbud med faglig støtte
fra decentrale speciallægetilbud. I den nærmere udformning af initiativet kan der hentes inspiration i
kommissionens forslag til at indføre en nationalt fastsat opgavebeskrivelse for det almenmedicinske
tilbud (se kapitel 9).
Formålet er at understøtte, at ressourcerne i sundhedsvæsenet anvendes effektivt som følge af en
omkostningseffektiv opgaveplacering. Derudover skal forslaget understøtte mere lige adgang og en aktiv
praksisplanlægning, som tager hensyn til udviklingen i behandlingsbehovet og opgavefordelingen mellem
almenmedicinske tilbud, speciallægetilbud og sygehussektoren.
På baggrund af Sundhedsstyrelsens vejledning vil den ansvarlige myndighed fortsat foretage en konkret
behovsvurdering for sundhedsydelser i et geografisk område og planlægge, hvordan borgere bedst sikres
en rimelig adgang til speciallægehjælp, bl.a. gennem en praksisplan for speciallægepraksis.
• Princippet om behandling på laveste effektive omkostnings- og omsorgsniveau
• Geografisk variation i sundhedsbehov
• Geografisk fordeling af øvrige sundhedstilbud
• Rekrutteringsforhold (fx mangel på speciallæger i praksisegnede specialer)
Vejledningen kan bl.a. tage hensyn til:
Konsekvensen af en mere behovsbaseret praksisplanlægning vil formentlig være, at der i området omkring
hovedstaden vil skulle afvikles ydernumre til speciallægehjælp, mens kapaciteten, bl.a. i Vestdanmark,
skal udvides. Den ansvarlige myndighed har i dag visse muligheder for at oprette midlertidige ydernumre
og flytte, nedlægge eller omfordele ydernumre. De muligheder bruges dog sjældent.
Regionernes Lønnings­ og Takstnævn (RLTN) og Foreningen af Speciallæger (FAS) har i overenskomsten
aftalt en mulighed for at reducere kapaciteten af praktiserende speciallæger mod en kompensation efter
aftalte takster. Reduktionen forudsætter, at den samlede plan for tilrettelæggelsen af den ambulante
speciallægebetjening viser, at kapaciteten klart overstiger det aktuelle behov. Muligheden for at tilbagekøbe
ydernumre anvendes sjældent af regionerne.
SUU, Alm.del - 2023-24 - Bilag 317: Orientering om Sundhedsstrukturkommissionens afrapportering, fra indenrigs- og sundhedsministeren
2880227_0268.png
268
1
2
3
4
Del 3 - Tværgående anbefalinger og forslag
Hvis regionerne vil udvide antallet af ydernumre, kan der oprettes nye fuldtidsydernumre. I overens-
komsten findes alternative muligheder for at udvide speciallægekapaciteten, som i dag anvendes i
begrænset omfang. Regionerne har mulighed for at udstede et ”ydernummer på licens”, som ikke kan
videresælges og er tidsbegrænset til ti år. Den konstruktion giver mulighed for at udvide den decentrale
behandlingskapacitet med større fleksibilitet ved behov for kommende tilpasninger.
Sundhedsstrukturkommissionen bemærker, at myndighederne skal sikre sig, at overenskomsten om
speciallægehjælp indeholder de nødvendige og relevante værktøjer for den ansvarlige myndighed. Det
indebærer bl.a., at den ansvarlige myndighed har mulighed for at foretage eventuelle tilpasninger af
kapaciteten.
Forslag 2: Ledelse af samarbejde og kvalitetsudvikling
Sundhedsstrukturkommissionen foreslår at etablere et styrket lovmæssigt grundlag for, at den myndighed,
som er ansvarlig for speciallægetilbuddet, kan specificere krav til samarbejdet mellem speciallægetilbud-
dene og det øvrige sundhedsvæsen. I forlængelse heraf foreslår kommissionen, at de samme myndigheder
styrker deres fokus på at lede samarbejde med og kvalitetsudvikling i sektoren.
Sundhedsstrukturkommissionen vurderer, at dialogen mellem regionerne og de enkelte klinikker i vid
udstrækning centrerer sig om ydelser og afregning og i mindre udstrækning fokuserer på kvalitets-
udvikling.
253
De ansvarlige myndigheder kan derfor overveje at etablere en enhed, som er dedikeret til
at lede den faglige udvikling og samarbejdet på tværs af speciallægetilbuddene (se også kapitel 9).
Placeringen af ansvaret i en enhed skal samle den eksisterende viden og ekspertise om sektoren og yder-
ligere professionalisere den ansvarlige myndigheds opgavevaretagelse overfor de praktiserende special-
læger. Enheden skal have kendskab til og forståelse for arbejdet i speciallægepraksis og samle ansvaret for
kvalitetsudvikling, samarbejdsflader og kontrol og opfølgning.
Den enkelte klinikejer er fortsat ansvarlig for at tilrettelægge, organisere og lede klinikken i henhold til
gældende aftaler og forpligtigelser. Styrket faglig ledelse sigter på at skabe gode rammer for opgave­
løsningen og udvikling, god balance mellem opgaver, kapacitet og kompetencer og sikre høj kvalitet og
velfungerende samarbejdsrelationer og patientforløb.
Der er flere fordele ved etableringen af en enhed med ledelsesfunktion rettet mod de praktiserende
speciallæger. For det første kan det bidrage til udvikling af sektoren ud fra lokale behov. For det andet
styrkes den økonomiske og ledelsesmæssige kontrol med nationalt aftalte krav. For det tredje styrkes
det organisatoriske fokus hos de ansvarlige myndigheder på de praktiserende speciallægers kvalitet og
aktivitet.
Det er naturligvis vigtigt ved etableringen af en ledelsesfunktion rettet mod de praktiserende speciallæger,
at funktionen tilrettelægges og praktiseres på en måde, så de praktiserende speciallæger oplever den som
understøttende og udviklende frem for kontrollerende.
Sundhedsstrukturkommissionen ser forslaget som et vigtigt supplement til den nuværende organisering,
hvor rammerne for den faglige kvalitetsudvikling i sektoren aftales i overenskomsten mellem Regionernes
Lønnings­ og Takstnævn (RLTN) og Foreningen af Speciallæger (FAS).
Forslag 3: Fælles indgang, forbedret kapacitetsudnyttelse og prioritering på
hovedfunktionsniveau
Sundhedsstrukturkommissionen foreslår, at der igangsættes et arbejde i Sundhedsstyrelsen med deltagelse
af parterne, relevante faglige selskaber og patientforeninger med fokus på at beskrive løsninger til, hvordan
grundlaget for at prioritere patienter på tværs af den samlede speciallægekapacitet kan styrkes. Det kan
navnlig være relevant i forhold til specialer, som oplever ventelister og delvist overlappende opgaveløsning
mellem sygehus og praktiserende speciallæger, og hvor der dermed er risiko for, at patienter samme behov
253 Vestergaard, Leif og Frank Ingemann. “Idépapir om speciallægepraksis”, 2024.
SUU, Alm.del - 2023-24 - Bilag 317: Orientering om Sundhedsstrukturkommissionens afrapportering, fra indenrigs- og sundhedsministeren
2880227_0269.png
1
2
3
4
Del 3 - Tværgående anbefalinger og forslag
269
prioriteres forskelligt og oplever forskellige ventetider. Sundhedsstrukturkommissionen vurderer, at det fx
kan være relevant at afsøge muligheden for en fælles indgang til behandling på alment niveau eller en fælles
venteliste for praktiserende speciallæger.
Kommissionen foreslår videre, at der tages stilling til, om de forslag, der opstilles til ændret organisering
i relation til de almenmedicinske tilbud, har tilsvarende relevans for de organisatoriske rammer for de
praktiserende speciallæger. I takt med, at der gøres erfaringer med en ny organisering af det almen-
medicinske tilbud, kan det overvejes, hvorvidt de forslag kan overføres til det øvrige praksisområde, bl.a.
de organisatoriske rammer for de praktiserende speciallæger. Det gælder især forslaget om en national
fastsat opgavebeskrivelse og forslaget om et nyt system for håndtering af tvister (se kapitel 9).
Som beskrevet ovenfor bør arbejdet munde ud i forslag, som kan forbedre ressource­ og kapacitetsstyring
på hovedfunktionsniveau. Hvert forslag vil være forbundet med en række forskellige styrker og svagheder,
som skal belyses grundigt.
Samlet vurdering af forslag
I det følgende afsnit foretages en overordnet vurdering af de præsenterede forslag med afsæt i de opstillede
hensyn (se kapitel 6).
Sundhedsstrukturkommissionen vurderer, at forslagene understøtter geografisk lighed i adgang til sund-
hedstilbud af høj kvalitet. Ved at understøtte planlægningen af kapaciteten i speciallægepraksis med
udgangspunkt i befolkningens sundhedsbehov kan fordelingen i højere grad tage højde for geografiske
afstande og den sundhedsmæssige tilstand i befolkningen. Forslagene understøtter i et vist omfang mest
mulig sundhed for de tilgængelige ressourcer. En nationalt understøttet praksisplanlægning forbedrer
grundlaget for en samlet set mere effektiv ressourceudnyttelse. Forslaget om at undersøge mulighederne
for fælles indgang og prioritering af patienter har potentiale i forhold til at sikre mere lighed i sundhed og
øget tilgængelighed, men kan afhængig af udformningen også medføre øget administration og uigennem­
sigtig prioritering set fra et patientperspektiv.
Et styrket organisatorisk fokus hos de ansvarlige myndigheder og et styrket lovgrundlag for at påvirke
henholdsvis kvalitetsudvikling og samarbejde vil i mindre omfang forbedre grundlaget for den politiske
styring under hensyntagen til de forhold, som er fastsat ved overenskomst.
Sundhedsstrukturkommissionen vurderer, at de opstillede forslag til speciallægepraksis kan supplere den
eksisterende organisering af sektoren, og de kan implementeres løbende uden væsentlig negativ påvirkning
af driften.
Overvejelser om hensigtsmæssig brug af private sygehuse,
sundhedsforsikringer og patientrettigheder
Det er Sundhedsstrukturkommissionens udgangspunkt, at fremtidens sundhedsvæsen fortsat skal være
bygget op om et stærkt offentligt finansieret sundhedsvæsen, hvor borgerne har let og lige adgang til
sundhedstilbud af høj kvalitet. Brugen af private aktører kan i nogle tilfælde være et godt supplement til
det offentlige sundhedsvæsen. Det kan fx være i situationer med ventetider i det offentlige sundhedsvæsen,
hvor de ansvarlige myndigheder kan udnytte ledig privat kapacitet til gavn for borgerne. Hertil kommer,
at private sygehuse giver reelt indhold til det udvidede frie sygehusvalg.
Det er udgangspunktet for kommissionens anbefalinger, at det offentligt finansierede sundhedsvæsen
skal styrkes, så det er bedre rustet til at imødegå fremtidens udfordringer. Styrkelsen er samtidig afgørende
for at fastholde en stærk opbakning til det offentlige sundhedsvæsen. Hvis opbakningen til det offentlige
sundhedsvæsen falder, kan det skabe grundlag for en øget udbredelse af privatfinansierede sundhedstilbud,
som risikerer at skabe en øget ulighed i sundhed.
Det er udgangspunktet, som ligger til grund for kommissionens overvejelser i de følgende afsnit om hen-
sigtsmæssig brug af private sygehuse, sundhedsforsikringer og patientrettigheder.
SUU, Alm.del - 2023-24 - Bilag 317: Orientering om Sundhedsstrukturkommissionens afrapportering, fra indenrigs- og sundhedsministeren
2880227_0270.png
270
1
2
3
4
Del 3 - Tværgående anbefalinger og forslag
Private sygehuse og klinikker
Der findes overordnet to typer af private sygehuse i Danmark: de kommercielle private sygehuse og
ikke-kommercielle specialsygehuse.
De kommercielle private sygehuse omfatter i dag to landsdækkende kæder af private sygehuse og en række
mindre selvstændige sygehuse og klinikker. På det seneste er også psykiatriske privatsygehuse og klinikker
kommet til. De kommercielle private sygehuse udfører både offentlig og privat finansierede sundheds­
opgaver. De ikke-kommercielle specialsygehuse drives af patientforeninger eller fonde, der er offentligt
finansierede, og hvor de enkelte specialsygehuse hver især retter sig mod specifikke patientgrupper, bl.a.
patienter med muskelsvind og patienter med epilepsi. Patienter har almindeligt frit valg til disse special-
sygehuse indenfor en økonomisk ramme. De ikke-kommercielle specialsygehuse behandles ikke yderligere
i kapitlet.
Aktivitet og volumen for de kommercielle private sygehuse
Den samlede omsætning for de kommercielle private sygehuse var i 2022 på ca. 2,7 mia. kr.
254
Omsætningen
for offentligt henviste patienter var på 1,5 mia. kr. og tegner sig for ca. halvdelen af den samlede omsætning.
Den øvrige del af omsætningen vedrører primært forsikringspatienter, som udgør ca. 40 pct. af den samlede
omsætning. Omsætningen for offentligt henviste patienter vedrører både patienter, der henvises gennem
det udvidede frie sygehusvalg og gennem regionale udbudsaftaler. I 2022 udgjorde omsætningen for
patienter henvist gennem det udvidede frie sygehusvalg ca. 855 mio. kr., mens omsætningen fra de
regionale udbudsaftaler udgjorde ca. 648 mio. kr.
Omsætningen i 2022 var højere end i både 2020 og 2021, hvor omsætningen var henholdsvis 1,7 og 2,2
mia. kr. Ifølge brancheforeningen Sundhed Danmark kan stigningen bl.a. forklares ved
en stigning i antallet af offentligt henviste patienter. Stigningen skal ses i sammenhæng med regionernes
afvikling af behandlingsefterslæb i efter COVID­19, hvor også privat kapacitet er taget i anvendelse.
255
Regionernes udgifter til de offentlige sygehuse var til sammenligning ca. 114 mia. kr. i 2022.
256
De
kommercielle private sygehuse er dermed i sammenligning med det offentlige sygehusvæsen fortsat
af relativ beskeden størrelse, men er vokset over de senere år.
I 2022 havde 353 læger og 647 sygeplejersker deres primære beskæftigelse på et privat sygehus.
257
Antallet
inkluderer ikke læger og sygeplejersker med sekundær beskæftigelse på private sygehuse. Bibeskæftigelse
blandt læger vurderes at være relativt udbredt og kan omfatte bibeskæftigelse på et privat sygehus eller
klinik. Ifølge Sundhed Danmark var hovedparten af læger på de kommercielle private sygehuse i 2022 enten
ansat på konsulentbasis (53,4 pct.) eller deltidsansat (19,6 pct.), mens andelen af læger fastansat på fuldtid
udgjorde 12,9 pct. For sygeplejersker var andelen af fuldtidsansatte 44,4 pct., mens 36,3 pct. var deltids­
ansatte.
258
Der er til sammenligning ansat ca. 20.000 læger og ca. 40.000 sygeplejersker på offentlige
sygehuse.
Overvejelser om hensigtsmæssig brug af private sygehuse
Regionernes udgifter til udredning og behandling på private sygehuse udgør en forholdsvis lille andel af
de samlede offentlige sygehusudgifter. Antallet af læger og sygeplejersker med primær beskæftigelse på
et privat sygehus er meget lavt i forhold til antallet med primær beskæftigelse på offentlige sygehuse.
Hovedparten af læger på de kommercielle private sygehuse er således enten ansat på konsulentbasis
eller som deltidsansatte.
254 Sundhed Danmark. “Branchestatistik 2022”, 2023.
255 Danske Regioner, “Statusredegørelse for regionernes afvikling af efterslæb. Opfølgning på aftale om akutplanen 4. kvartal 2023”, 2024.
256 Sundhedsstrukturkommissionen. ”Sundhedsstrukturkommissionens baggrundsrapport”. 2024.
257 Styrelsen for Arbejdsmarked og Rekruttering (STAR). Forløbsdatabase, DREAM og Det Statistiske Autorisationsregister,
Sundhedsdatastyrelsen, u.å.
258 Sundhed Danmark. “Branchestatistik 2022”, 2023.
SUU, Alm.del - 2023-24 - Bilag 317: Orientering om Sundhedsstrukturkommissionens afrapportering, fra indenrigs- og sundhedsministeren
2880227_0271.png
1
2
3
4
Del 3 - Tværgående anbefalinger og forslag
271
Selvom de offentlige udgifter til private sygehuse samlet set udgør en lille andel af de samlede sygehus­
udgifter, kan privat aktivitet fylde forholdsvis meget indenfor visse specialer, fx indenfor det ortopædiske
område. Sundhedsstrukturkommissionen lægger vægt på, at de sygehusansvarlige myndigheder er
opmærksomme på, at brug af privat kapacitet ikke må medføre en sårbarhed for det offentlige sundheds-
væsen på områder, fx ortopædkirurgi, hvor private sygehuse står for en forholdsvis stor del af den offentligt
finansierede aktivitet. Kommissionen lægger desuden vægt på, at de sygehusansvarlige myndigheder
forsat skal bruge den private kapacitet strategisk og i videst muligt omfang på en måde, som understøtter
sammenhæng i borgernes forløb og en omkostningseffektiv udnyttelse af de samlede ressourcer. Det kan
indebære en øget strategisk anvendelse af udbudsaftaler med private sygehuse og klinikker med henblik på,
at den private kapacitet indgår som en del af den offentlige behandlingskapacitet. Brug af privat kapacitet
gennem udbudsaftaler giver de sygehusansvarlige myndigheder et bedre grundlag for at tilrettelægge
forløb med bedre sammenhæng for patienter og størst mulig omkostningseffektivitet sammenlignet med
anvendelse af privat kapacitet som følge af det udvidede frie sygehusvalg.
Sundhedsstrukturkommissionen ser positivt på aftalen om akutplan for sygehusvæsenet, der er indgået
mellem regeringen og Danske Regioner, og som indeholder elementer om brug af privat kapacitet. Aftalen
indebærer fx øget samarbejde mellem offentlige og private sygehuse, øget dialog om uddannelsen af
sundhedspersonale, styrket samarbejde om kapacitet og hensyn til bemanding på offentlige sygehuse,
løbende og tæt dialog i forum for offentligt og privat sygehussamarbejde og tilsagn om mulighed for
løbende tildeling af specialiserede sygehusfunktioner.
Private sundhedsforsikringer
Omkring 5,4 mio. danskere har i dag en privat sundhedsforsikring. 2,7 mio. danskere har en sundhedsfor-
sikring gennem deres private arbejdsgiver eller pensionskasse. Yderligere 2,7 mio. danskere har selv tegnet
og betalt for medlemskab af ’danmark’. Det skønnes, at mindst 20 pct. er dobbeltforsikrede.
259
Antallet af
personer med en sundhedsforsikring er steget relativt markant i de seneste 20 år, jf. figur 13.4.
Forskellige faktorer har drevet udviklingen i brugen af de to forsikringstyper. For ”danmarks” vedkom-
mende hænger udviklingen formodentlig sammen med brugerbetalingen for bl.a. receptmedicin og voksen-
tandpleje. For de arbejdsgiverbetalte forsikringer hænger udviklingen formodentlig sammen med, at
medarbejdere i stigende grad forventer det som et personalegode, med den stigende beskæftigelse, og med
det faktum at sundhedsforsikringer i højere grad er blevet gjort tilgængelige, fx gennem arbejdsmarkeds-
pensionsordningerne. Dertil kommer, at ventetider til operation på offentlige sygehuse antages at spille
en rolle for udbredelsen af sundhedsforsikringer.
Selvom et stort antal danskere har en privat sundhedsforsikring, udgør forsikringsbranchen i dag en lille
andel af de samlede udgifter i sundhedsvæsenet svarende til ca. 2 pct. (6 mia. kr.).
260
259 Kiil, Astrid, og Kjeld Møller Pedersen. The Danish Survey on Voluntary Health Insurance 2009. DaCHE discussion papers 2009:3, University of
Southern Denmark, Dache - Danish Centre for Health Economics, 2009.
260 Danmarks statistik. ”SHA1: Udgifter til sundhed efter funktion, aktør, finansieringskilde og prisenhed. 2023­tal”. u.å.
SUU, Alm.del - 2023-24 - Bilag 317: Orientering om Sundhedsstrukturkommissionens afrapportering, fra indenrigs- og sundhedsministeren
2880227_0272.png
272
1
2
3
4
Del 3 - Tværgående anbefalinger og forslag
Figur 13.4
Antallet af sundhedsforsikrede, 2003­2022
Personer
3.000.000
2.500.000
2.000.000
1.500.000
1.000.000
500.000
2011
2017
0
Personer
3.000.000
2.500.000
2.000.000
1.500.000
1.000.000
500.000
0
2010
2012
2013
2015
2016
2018
2019
2003
2005
2007
2008
2014
2006
2009
2020
2021
2004
Medlemmer af "Danmark"
Anm.:
Kilde: Forsikring og Pension, Sygesikringen ’danmark’
Antal øvrige sundhedsforsikrede
Sundhedsstrukturkommissionen har gennemført en analyse af udviklingen af sundhedsforsikringer baseret
på offentligt tilgængelige data og litteratur på området.
261
Formålet med analysen er at beskrive udviklingen af sundhedsforsikringer over de senere år. Med afsæt
i eksisterende litteratur afdækker analysen, hvordan sundhedsforsikringer påvirker aktiviteten i almen-
medicinske tilbud, om sundhedsforsikringer anvendes til at komme hurtigere i behandling, om sundheds-
forsikringer kan siges at aflaste de offentlige sygehuse, og om sundhedsforsikringer unødigt trækker
arbejdskraft ud af det offentlige sundhedsvæsen. Analysens væsentligste konklusioner er gengivet i boks
13.2.
Boks 13.2
Væsentlige konklusioner fra analyse om sundhedsforsikringer
Sundhedsforsikringerne finansierer i stigende grad områder, hvor der er egenbetaling på sundheds-
området, mens udgifter til operationer udgør en stadig mindre del af sundhedsforsikringernes
samlede udgifter.
Forsikringer gennem arbejdsgiver eller pensionskasse ophører normalt, når borgeren forlader arbejds-
markedet. Det kan for ældre borgere være vanskeligt at opfylde optagelsesbetingelserne i ”danmark”.
Det formodes derfor, at der blandt gruppen personer over 60 år er forskel på, hvem der har en
sundhedsforsikring. Personer, der ikke har været dobbeltforsikrede og alene har haft en arbejdsgiver-
betalt forsikring, er sandsynligvis ikke forsikringsdækkede.
Der er begrænset viden om, hvordan private sundhedsforsikringer påvirker aktiviteten i almen-
medicinske tilbud. En del alment praktiserende læger udtrykker, at de føler sig pressede til at henvise
patienter med private sundhedsforsikringer uden overbevisende lægefaglig indikation. Samtidig viser
en undersøgelse, at forsikrede i højere grad henvises til fysioterapi og kiropraktik end ikke-forsikrede.
Det gælder alene for de arbejdsgiverbetalte forsikringer.
261 Sundhedsstrukturkommissionen. ”Sundhedsstrukturkommissionens baggrundsrapport”. 2024.
2022
SUU, Alm.del - 2023-24 - Bilag 317: Orientering om Sundhedsstrukturkommissionens afrapportering, fra indenrigs- og sundhedsministeren
2880227_0273.png
1
2
3
4
Del 3 - Tværgående anbefalinger og forslag
273
Sundhedsforsikringer kan være med til at frigøre ressourcer i de offentlige sygehuse. Et tidligere
dansk studie har vist, at ansatte med en arbejdsgiverbetalt sundhedsforsikring alt andet lige anvender
det offentlige sygehusvæsen 10 pct. mindre end ikke­forsikrede.
Helt eller delvist forsikringstilskud til sundhedsydelser med brugerbetaling forventes at øge den
efterspurgte mængde, fordi brugerne ser det som lavere brugerbetaling eller gratisydelser.
Der er umiddelbart ikke tegn på, at sundhedsforsikringer trækker ressourcer ud af de offentlige
sygehuse i betydeligt omfang. Det kan dog ikke udelukkes, at der kan være udfordringer indenfor
enkelte specialer eller fagområder, fx indenfor børne­ og ungepsykiatrien. I perioden fra 2017 til 2021
er der sket en stigning på 63 pct. i antallet af speciallæger med psykiatriske specialer med beskæfti-
gelse i den private sektor. Til sammenligning er der i samme periode sket en stigning på 11 pct. for
speciallæger med psykiatriske specialer, der er beskæftiget i den offentlige sektor. Antallet af yder-
numre indenfor voksen- og børnepsykiatri er kun steget med to ydernumre fra 2018-2022. Det er dog
ikke muligt at konkludere, om udviklingen er drevet af forsikringspatienter.
Kilde: Sundhedsstrukturkommissionen. ”Sundhedsstrukturkommissionens baggrundsrapport”. 2024.
Overvejelser om private sundhedsforsikringer
Sundhedsstrukturkommissionens overvejelser om sundhedsforsikringer giver ikke anledning til anbe­
falinger om reguleringsmæssige ændringer i forhold til sundhedsforsikringer. Sundhedsforsikringer udgør
en lille andel af de samlede udgifter i sundhedsvæsenet, og der er fx ikke tegn på, at sundhedsforsikringer
i væsentligt omfang trækker ressourcer ud af det offentlige sundhedsvæsen. Kommissionen har dog særligt
drøftet to forhold, som relaterer sig til sundhedsforsikringer. Det ene handler om almenmedicinske tilbuds
rolle som gatekeeper for sundhedsforsikrede og det andet om potentielle udfordringer relateret til ulighed
i adgang til sundhedsydelser. Begge dele udfoldes i det følgende.
Alment praktiserende læger som gatekeeper for sundhedsforsikrede
De alment praktiserende læger fungerer som gatekeepers for sundhedsforsikringerne i den forstand,
at lægerne henviser til nogle af de ydelser, som de arbejdsgiverbetalte forsikringer også dækker, og hvor
konsultationshonoraret dækkes af den offentlige sygesikring. I det omfang, der kræves lægehenvisning til
ydelser under de arbejdsgiverbetalte forsikringer, vil det optage tid hos de alment praktiserende læger.
Kommissionen har været særligt opmærksom på, om sundhedsforsikringer kan siges at påvirke aktiviteten
i det almenmedicinske tilbud i unødig grad. Der er dog på nuværende tidspunkt begrænset viden om,
hvordan de arbejdsgiverbetalte private sundhedsforsikringer påvirker aktiviteten i det almenmedicinske
tilbud. En spørgeskemaundersøgelse fra 2017 om alment praktiserende lægers holdninger, bl.a. til arbejds-
giverbetalte forsikringer, viste, at næsten halvdelen af de praktiserende læger ofte føler sig pressede til at
henvise patienter med private sundhedsforsikringer, selvom der ikke var nogen lægefaglig indikation.
262
Sundhedsstrukturkommissionen noterer sig dog, at det er langt fra alle ydelser, hvor forsikringsselskaberne
stiller krav om lægeerklæring. Et nyligt studie finder, at henvisninger med afsæt i sundhedsforsikringer
alene udgør 1,5 pct. af den alment praktiserende læges henvisninger.
263
En artikel fra 2021 om defensiv
medicin, det vil sige handlinger, der strider imod lægens faglighed, men udføres på grund af krav eller pres,
viste, at alment praktiserende læger i Region Syddanmark i 1 pct. af tilfældene angav sundhedsforsikringer
som årsag.
264
262 Andersen, Merethe K., Elisabeth Assing Hvidt, Kjeld M. Pedersen, Jesper Lykkegaard, Frans B. Waldorff, Anders P. Munck, og Line B. Pedersen.
“Defensive Medicine in Danish General Practice. Types of Defensive Actions and Reasons for Practicing Defensively”. Scandinavian Journal of
Primary Health Care 39, nr. 4 (2021): 413–18.
263 Olsen, J.K., J. Lykkegaard, A. Munck, P. Ahnfelt-Mollerup, S. Nyvan Marisusen, og Kjeld Møller Pedersen. “Henvisningsaudit blandt praktise-
rende læger i Region Syddanmark”. APO, Forskningsenheden for almen praksis, SDU, 2024.
264 Andersen, Merethe K., Elisabeth Assing Hvidt, Kjeld M. Pedersen, Jesper Lykkegaard, Frans B. Waldorff, Anders P. Munck, og Line B. Pedersen.
“Defensive Medicine in Danish General Practice. Types of Defensive Actions and Reasons for Practicing Defensively”. Scandinavian Journal of
Primary Health Care 39, nr. 4 (2021): 413–18.
SUU, Alm.del - 2023-24 - Bilag 317: Orientering om Sundhedsstrukturkommissionens afrapportering, fra indenrigs- og sundhedsministeren
2880227_0274.png
274
1
2
3
4
Del 3 - Tværgående anbefalinger og forslag
Lægeforeningen og Forsikring og Pension har indgået aftale om retningslinjer for indhentning af attester,
bl.a. udstedelse af lægehenvisning. Aftalen regulerer forholdet mellem alment praktiserende læge og
forsikringsselskabet i de tilfælde, hvor den praktiserende læge udleverer helbredsoplysninger og
erklæringer til forsikringsselskabet og fastsætter honorering af lægen fra forsikringsselskabet. Det
fremgår af retningslinjerne, at det er lægen, der vurderer, om der er lægelig indikation for, om en patient
bør have udstedt en lægehenvisning, og den vurdering skal foretages uafhængigt af, om patienten har
en sundhedsforsikring eller ej.
Kommissionen har drøftet, om forsikringsselskaberne eventuelt bør ansætte egne læger til at visitere
patienter til indsatser, der kræver lægeerklæring. Formålet vil i givet fald være at aflaste alment
praktiserende læger. Kommissionen har dog ikke fundet anledning til at foreslå en sådan ændring, som
vil have karakter af, at der opbygges et parallelt system for henvisninger af de sundhedsforsikrede.
Sundhedsstrukturkommissionen vurderer, at det almenmedicinske tilbud fortsat bør varetage rollen som
gatekeeper, også for patienter med en sundhedsforsikring, for at henvisning til og træk på de sundheds-
faglige ressourcer sker på sundhedsfaglig indikation. Dermed mindskes risikoen for et uhensigtsmæssigt
træk på knappe personaleressourcer i sundhedsvæsenet.
Kommissionen understreger, at det også indebærer, at den lægefaglige vurdering skal være uafhængig af,
om en patient har en sundhedsforsikring eller ej. En særskilt organisering for visitation til ydelser, som er
dækket af en sundhedsforsikring, vurderes at kunne skabe en unødig øget kompleksitet for både patienter
og sundhedspersoner. Den nuværende organisering, hvor forsikringsselskaber betaler de alment
praktiserende læger for ydelser, og hvor de alment praktiserende læger samtidig fastholder deres rolle
som faglig gatekeeper, vurderes derfor mest hensigtsmæssig.
Ulighed i adgangen til sundhedsydelser som følge af private sundhedsforsikringer
Sundhedsstrukturkommissionen har drøftet, om den stigende udbredelse af sundhedsforsikringer bidrager
til en øget social og geografisk ulighed i adgangen til sundhedsydelser. Det skal ses i lyset af, at det primært
er borgere udenfor arbejdsmarkedet, som ikke forventes at være dækket af en arbejdsgiverforsikring. Det
samme kan være tilfældet for ældre borgere, som også kan have vanskeligt ved at opfylde optagelses-
betingelserne i ”danmark”. Der er derfor grundlag for at forvente en ulige fordeling af sundhedsforsikringer
blandt borgere. Den ulige fordeling vil også have en geografisk dimension med færrest sundhedsforsikrede
i områder med socialt udsatte, arbejdsløshed og mange ældre borgere.
Hvis sundhedsforsikringer bruges til at undgå offentlige ventelister og komme hurtigere i behandling i den
private sektor, vil en ulige fordeling af sundhedsforsikringer føre til ulighed i adgang til sundhedsydelser.
Forsikringspatienter, der bruger deres forsikring til at få operationer, undersøgelser eller lignende på
et privathospital, kan komme hurtigere i behandling, hvis ventetiden til et privat tilbud er kortere end i
det offentlige sundhedsvæsen. Når forsikringspatienter anvender et privat tilbud i stedet for et offentligt
tilbud, kan det samtidig være med til at aflaste de offentlige sygehuse.
Kommissionen noterer sig i den forbindelse, at alle patienter har ret til at vælge et privat sygehus, som
regionerne har indgået aftale med, hvis ikke det offentlige kan udrede eller behandle patienten indenfor
30 dage. Sundhedsstrukturkommissionen bemærker samtidig, at udgifter til operationer udgør en stadig
mindre del af sundhedsforsikringernes samlede udgifter. Forsikringspatienter, der anvender deres for-
sikring til at komme i behandling hos en praktiserende speciallæge, der tilbyder behandling af privat-
betalende, bl.a. forsikringspatienter, undgår også en offentlig venteliste.
Kommissionen hæfter sig dog ved, at der med overenskomst om speciallægehjælp mellem Foreningen af
Speciallæger (FAS) og Regionernes Lønnings­ og Takstnævn (RLTN) er aftalt en række bestemmelser, der
regulerer speciallægernes beskæftigelse ved siden af overenskomstopgaverne. Bestemmelsernes formål
er at sikre, at speciallægernes bibeskæftigelse ikke har tidsmæssig eller indholdsmæssige konsekvenser
for speciallægernes offentlige opgaver efter overenskomsten. Der indgår lignende bestemmelser i overens-
komsterne, for bl.a. fysioterapeuter og psykologer.
Patienter med en sundhedsforsikring, der dækker egenbetaling på offentligt tilbudte behandlinger, såsom
psykologbehandling, fysioterapi og kiropraktik, har samme ventetid i det offentlige som ikke-forsikrede
patienter.
SUU, Alm.del - 2023-24 - Bilag 317: Orientering om Sundhedsstrukturkommissionens afrapportering, fra indenrigs- og sundhedsministeren
2880227_0275.png
1
2
3
4
Del 3 - Tværgående anbefalinger og forslag
275
Sundhedsstrukturkommissionen finder det hensigtsmæssigt, at der er et løbende samarbejde og en løbende
dialog mellem det offentlige sundhedsvæsen og forsikringsselskaberne om brugen af sundhedsforsikringer.
Det skal understøtte en hensigtsmæssig brug af den samlede sundhedsfaglige kapacitet, bl.a. i det almen-
medicinske tilbud og på områder, hvor der særligt er mangel på personale, fx indenfor psykiatriområdet.
Sundhedsstrukturkommissionen vurderer desuden, at det vil være hensigtsmæssigt, hvis der kan indgås
aftale med forsikringsselskaberne og ”danmark” om på fortrolig vis at give enten Danmarks Statistik eller
Sundhedsdatastyrelsen adgang til fx socioøkonomiske oplysninger om forsikringstagerne og ydelsesstati-
stik. Det vil gøre det muligt at få nærmere indblik i, hvilke borgere, som typisk står uden en sundheds-
forsikring og bedre mulighed for løbende at følge udviklingen.
Patientrettigheder
Patienter er sikret en række rettigheder i mødet med sundhedsvæsenet. Patienter har nogle grundlæggende
rettigheder, som fx handler om ret til informeret samtykke, ret til indsigt i egen journal, ret til at fravælge
behandling og krav om fortrolighed fra sundhedspersoner. De rettigheder har kommissionen ikke
behandlet. Patienter har derudover en række rettigheder, som handler om at sikre patienter frit valg
og hurtig udredning, behandling og genoptræning i sundhedsvæsenet, jf. boks 13.3.
Boks 13.3
Oversigt over udvalgte patientrettigheder om frit valg og hurtig udredning, behandling
og genoptræning
Frit sygehusvalg betyder, at patienter, der er henvist til udredning eller behandling på sygehus, kan
vælge mellem bopælsregionens egne sygehuse, andre regioners sygehuse og private specialsygehuse,
som er nævnt i sundhedslovens § 79, stk. 2.
Det udvidede frie sygehusvalg betyder, at patienter har ret til at vælge et privat sygehus, som
regionerne har indgået aftale med, hvis ikke det offentlige kan udrede (på grund af manglende
kapacitet), undersøge (til brug for praktiserende læge) eller behandle en færdigudredt patient indenfor
30 dage. Det udvidede frie sygehusvalg indebærer også, at en patient kan vælge at blive behandlet på
et aftalesygehus, når det regionale sygehus ændrer datoen for kirurgisk behandling, uanset om det er
muligt at tilrettelægge en ny behandlingsdato indenfor den samlede periode på 30 dage. I perioden
fra den 1. juni 2023 til og med den 31. december 2024 indtræder retten til udvidet frit sygehusvalg for
somatisk behandling dog efter 60 dage som et led i aftale om en akutplan for sygehusvæsenet.
Retten til hurtig udredning (udredningsret) giver patienter ret til udredning indenfor 30 dage efter
henvisning, hvis det er fagligt muligt. Hvis ikke det er muligt at udrede patienten indenfor 30 dage,
skal der laves en udredningsplan.
Frit valg til genoptræning giver patienter, som udskrives til genoptræning, ret til frit at vælge
leverandør, hvis kommunen ikke kan tilbyde genoptræning indenfor syv dage.
De maksimale ventetider giver patienter ret til at komme hurtigt i behandling ved mistanke om
alvorlig, livstruende sygdom. De maksimale ventetider gælder på kræft- og hjerteområdet. Hvis de
fastsatte maksimale ventetider ikke kan overholdes, skal patienten tilbydes behandlingstilbud enten
i bopælsregionen, en anden region, på et privat sygehus eller et sygehus i udlandet.
Frit lægevalg giver som udgangspunkt borgere i sygesikringsgruppe 1 ret til frit at vælge mellem
mindst to alment praktiserende læger eller klinikker indenfor en afstand af 15 km fra bopælen. Er der
ikke mindst to læger eller klinikker med åben for tilgang at vælge imellem indenfor denne afstand,
skal regionen anvise borgere andre lægevalgsmuligheder.
Rettighederne er indført og løbende udvidet siden starten af 1990’erne for at sikre patienterne hurtig
udredning og behandling og styrke deres valgmuligheder. Rettighederne vurderes generelt at være en stærk
drivkraft til at forbedre patienternes oplevelser i sundhedsvæsenet. Det frie sygehusvalg giver fx den
enkelte patient bedre mulighed for at vælge et tilbud, som bedst passer til den enkeltes behov. Det
SUU, Alm.del - 2023-24 - Bilag 317: Orientering om Sundhedsstrukturkommissionens afrapportering, fra indenrigs- og sundhedsministeren
2880227_0276.png
276
1
2
3
4
Del 3 - Tværgående anbefalinger og forslag
almindelige frie sygehusvalg, det udvidede frie sygehusvalg og retten til hurtig udredning er alt andet lige
med til at sikre kortere ventetid og dermed hurtigere behandling for mange patienter. Sundhedsstruktur-
kommissionen vurderer generelt, at rettigheder på kræft­ og hjerteområdet har været et blandt flere
elementer, som har været med til at sikre et markant løft af kvaliteten i behandlingen af livstruende
sygdomme i de sidste 20­30 år.
I praksissektoren er der som udgangspunkt frit valg af læge for borgerne og til at vælge mellem klinikker.
Det kan dog begrænses af klinikkernes ventetider, klinikker i det almenmedicinske tilbud med lukket for
tilgang for nye patienter og af udfordringer med at sikre lægedækning.
Sundhedsstrukturkommissionen er samtidig opmærksom på, at patientrettigheder også kan have
uhensigtsmæssige konsekvenser for sundhedsvæsenet. Robusthedskommissionen har bl.a. peget på,
at patientrettigheder kan vanskeliggøre mulighederne for at foretage faglige skøn og prioriteringer i
sundhedsvæsenet.
265
Et stærkt styringsmæssigt fokus på at overholde bestemte ventetider kan i princippet
lede til uhensigtsmæssige prioriteringer hos de driftsansvarlige myndigheder.
266
Patientrettigheder kan desuden bidrage til at styrke den politiske opmærksomhed på de områder, hvor
rettigheder er indført. Det kan betyde, at de områder sikres en relativt højere prioritering sammenlignet
med områder, hvor der ikke gælder tilsvarende rettigheder for patienten.
Overvejelser om patientrettigheder
Sundhedsstrukturkommissionen vurderer, at patientrettigheder om frit valg og hurtig udredning,
behandling og genoptræning generelt udgør en positiv drivkraft i sundhedsvæsenet, som er med til at løfte
kvaliteten og forbedre patienternes oplevelser i sundhedsvæsenet. Kommissionen lægger dog samtidig
vægt på, at der skal være opmærksomhed på de andre afledte konsekvenser af patientrettigheder, som
beskrevet ovenfor.
Det er et centralt sigte for Sundhedsstrukturkommissionen, at sundhedsvæsenet skal omstilles, så langt
mere behandling foregår udenfor sygehusene i det primære sundhedsvæsen. Der bør i den forbindelse være
et fokus på, at patientrettigheder tænkes ind i den ønskede omstilling af sundhedsvæsenet. Ved overvejelser
om eventuel indførelse af nye eller tilpasninger af eksisterende patientrettigheder bør et væsentligt hensyn
bl.a. være, at rettighederne ikke fører til en øget prioritering af det sekundære sundhedsvæsen på bekost-
ning af det primære sundhedsvæsen.
Frit valg på ældreområdet
Kommunerne skal sikre, at borgere, der ønsker det, frit kan vælge mellem mindst to leverandører af
personlig pleje, praktisk hjælp og madservice, hvor den ene leverandør kan være kommunen. Der er ca.
300 private leverandører af hjemmehjælp i eget hjem. Blandt alle modtagere af hjemmehjælp i eget hjem
i alderen 67 år og derover benyttede godt 40 pct. sig af en privat leverandør i 2022.
267
Kommunerne har
også mulighed for at anvende private leverandører på rehabiliteringsforløb, som har været lovpligtige
siden 2015, men de er ikke forpligtede til at etablere frit valg af rehabiliteringsforløb.
De seneste ti år er antallet af private leverandører af hjemmehjælp i eget hjem faldet. Mens der i 2013 var
459 private leverandører, var det faldet til 287 i 2019. Herefter har antallet af private leverandører ligget
nogenlunde stabilt omkring 300.
268
Bruttoudgifter til private leverandører af personlig pleje og praktisk
hjælp udgør 2,8 mia. kr. (senest tal er fra 2022), hvilket svarer til 12,8 pct. af de samlede bruttoudgifter til
personlig pleje og praktisk hjælp.
Sundhedsstrukturkommissionen har drøftet frit valg på ældreområdet overordnet. På den ene side er frit
valgs formål at sikre borgerne en bedre mulighed for at vælge de tilbud, som passer den enkelte borger
bedst. Kommissionen noterer sig, at en relativ stor andel af modtagere af hjemmehjælp i eget hjem i alderen
265 Kommission for robusthed i sundhedsvæsenet, “Robusthedskommissionens anbefalinger”, 2023.
266 VIVE, Betina Højgaard, Jakob Kjellberg, og Mickael Bech. ”Den statslige styring af det regionale sundhedsområde: analyse af centrale
instrumenter”. VIVE - Det nationale Forsknings- og Analysecenter for Velfærd, 2018.
267 Social-, Bolig- og Ældreministeriet, “Redegørelse om ældreområdet 2024”, 2024
268 Social-, Bolig- og Ældreministeriet, “Redegørelse om ældreområdet 2024”, 2024.
SUU, Alm.del - 2023-24 - Bilag 317: Orientering om Sundhedsstrukturkommissionens afrapportering, fra indenrigs- og sundhedsministeren
2880227_0277.png
1
2
3
4
Del 3 - Tværgående anbefalinger og forslag
277
67 år og derover netop benytter sig af en privat leverandør. En tidligere undersøgelse om holdningen til frit
valg blandt modtagere af hjemmehjælp viser, at hovedparten (61 pct.) af de adspurgte mener, at ordningen
om frit valg er vigtig eller meget vigtig.
269
Frit valg kan også skabe konkurrence mellem leverandører, som
principielt kan være med til at understøtte en øget kvalitet og mere effektiv opgavevaretagelse til gavn for
borgerne. På den anden side har kommissionen en opmærksomhed på, at brugen af private aktører inde-
bærer, at indsatsen for den enkelte borger bliver delt mellem henholdsvis en offentlig og privat leverandør.
Det kan risikere at skabe en fragmentering i indsatsen og et brud i ansvarskæden. Det stiller under alle
omstændigheder store krav til samarbejde og kommunikation mellem den kommunale og private
leverandør, fx om at sikre fokus på opsporing og tidlige indsatser.
Kommissionen har noteret sig den aftale mellem regeringen og Danmarksdemokraterne, Socialistisk
Folkeparti, Liberal Alliance, Det Konservative Folkeparti og Radikale Venstre om en reform af ældre­
området, som blev indgået i april 2024. I aftalen er der bl.a. enighed om en udvidelse af det frie valg for
borgeren og helhedspleje og borgernær visitation.
Det fremgår af aftalen, at helhedspleje bl.a. indebærer, at offentlige og private leverandører skal kunne
levere hele indsatsen i alle pleje­ og omsorgsforløb. Med helhedspleje vil én leverandør have det samlede
ansvar for borgerens forløb. Det vil sige, at leverandøren skal kunne levere både praktisk hjælp, personlig
pleje, genoptræning, som ikke sker i tilknytning til sygehusindlæggelse, og rehabiliterende og forebyggende
indsatser. Aftale om ældrereform og ældrelov beskrives yderligere i kapitel 14.
269 Sundheds- og Ældreministeriet, “Servicetjek af det frie valg på ældre”, 2018.
SUU, Alm.del - 2023-24 - Bilag 317: Orientering om Sundhedsstrukturkommissionens afrapportering, fra indenrigs- og sundhedsministeren
2880227_0278.png
278
1
2
3
4
Del 3 - Tværgående anbefalinger og forslag
SUU, Alm.del - 2023-24 - Bilag 317: Orientering om Sundhedsstrukturkommissionens afrapportering, fra indenrigs- og sundhedsministeren
2880227_0279.png
1
2
3
4
Del 3 - Tværgående anbefalinger og forslag
279
SUU, Alm.del - 2023-24 - Bilag 317: Orientering om Sundhedsstrukturkommissionens afrapportering, fra indenrigs- og sundhedsministeren
2880227_0280.png
280
1
2
3
4
Del 4 - Opgavesamling, forvaltningsmodeller, implementering og økonomi
4
Del 4
Opgavesamling,
forvaltningsmodeller,
implementering og
økonomi
I rapportens fjerde del beskrives ændringer i forvaltningsstrukturen i form af ændret
opgaveplacering eller i antallet af enheder eller niveauer. Herudover gennemgås
perspektiver på ledelse og implementering af en eventuel reform ud fra kommissionens
anbefalinger, forslag og modeller, og hvorvidt de forskellige anbefalinger, forslag og
modeller vurderes at være samlet set udgiftsneutrale.
Kapitel 14 analyserer og vurderer potentialet ved og konsekvenser af en ændret opgave-
placering inden for sundhedsområdet og nærliggende områder. Kapitlet adresserer
den del af kommissoriet, som handler om at vurdere indenfor hvilke områder og mål-
grupper, der er særligt potentiale for forbedringer i samspillet på tværs af sektorer og
øget omstilling. Kapitlet opstiller tre niveauer af opgavesamlinger, hvor formålet er at
forbedre de organisatoriske rammer for at understøtte tidlige og effektive indsatser
for en voksende gruppe af mennesker med kronisk sygdom og ældre med pleje- og
træningsbehov.
Kapitel 15 opstiller og vurderer tre forvaltningsmodeller for det danske sundhedsvæsen.
Modellerne adskiller sig fra hinanden i deres placering af det politiske ansvar for
sundhedsvæsenet og samling af opgaveansvar indenfor sundheds- og ældreområdet.
Sundhedsstrukturkommissionens opgave, beskrevet i kommissoriet, er bl.a. at opstille
forskellige modeller, som understøtter et forebyggende og sammenhængende
sundhedsvæsen, præget af lighed, nærhed og en bæredygtig organisering.
Kapitel 16 beskriver kommissionens overvejelser om ledelsesopgaven som følge af
kommissionens anbefalinger, forslag og modeller. Hvis de organisatoriske forandringer
skal føre til reelle forbedringer i de sundhedstilbud, som gives til borgerne, kræver det
dedikeret ledelse på alle niveauer af ledelseskæden. Sundhedsstrukturkommissionen
anbefaler en national implementeringsplan for en reform af sundhedsvæsenet.
Kapitel 17 præsenterer en vurdering af, om kommissionens anbefalinger, forslag og
modeller til en ændret organisering kan forudsættes at være samlet set udgiftsneutrale
og ikke medføre øget træk på personalekapacitet. Den opgave er givet i kommissoriet,
og alle anbefalinger, forslag og modeller har som bærende sigte, at de bl.a. skal under-
støtte en bedre brug af både økonomiske ressourcer og personaleressourcer, så der
skabes mere værdi for patienterne med de ressourcer, der prioriteres til sundheds-
væsenet.
SUU, Alm.del - 2023-24 - Bilag 317: Orientering om Sundhedsstrukturkommissionens afrapportering, fra indenrigs- og sundhedsministeren
2880227_0281.png
1
2
3
4
Del 4 - Opgavesamling, forvaltningsmodeller, implementering og økonomi
281
Kapitel 14: Samling af flere opgaver
hos én myndighed
I kapitel 14 vurderer Sundhedsstrukturkommissionen potentialer ved og konsekvenser af en ændret
opgaveplacering indenfor sundhedsområdet og nærliggende områder. Samling af opgaver, som er gensidigt
afhængige, under én myndighed kan understøtte sammenhæng og omstilling i opgaveløsningen, investe­
ringer i tidlige og effektive indsatser og høj kvalitet i sundhedstilbuddene.
Kapitlet adresserer den del af kommissoriet, som handler om at vurdere indenfor hvilke områder og
målgrupper, der er særligt potentiale for forbedringer i samspillet på tværs af sektorer og øget omstilling.
Vurderingen skal ifølge kommissoriet bl.a. omfatte de største kronikergrupper, borgere med multisygdom,
herunder samtidig somatisk og psykisk sygdom, og ældre medicinske patienter. Sundhedsstrukturkommis-
sionen er også blevet bedt om at forholde sig til samspillet med nærliggende områder, som er tæt koblet til
sundhedsområdet i det omfang, det vurderes relevant for at sikre bedre sammenhæng.
Indledningsvist beskrives kommissionens generelle overvejelser om at samle ansvaret for opgaver hos én
myndighed. Herefter følger en kort fremstilling af tre forskellige niveauer af opgavesamlinger, som i dag er
delt på tværs af sektorer. I det følgende afsnit gennemgås de kommunale opgaver på sundheds- og ældre-
området og dele af socialområdet med fokus på at beskrive, hvilke indsatser der ligger indenfor de enkelte
opgaveområder, hvordan de typisk er organiserede i kommunerne, og hvilket samspil der er mellem de
opgaver og opgaverne, som i dag varetages af sygehuse og praksissektor. For hvert opgaveområde vil der
blive foretaget en vurdering af, om der er potentielle fordele ved at samle ansvaret for den enkelte opgave
under samme overordnede ledelse, som også har ansvaret for sygehuse og praksissektor, herunder tilrette-
læggelsen af det almenmedicinske tilbud.
Efter gennemgangen af hvert opgaveområde opstiller og vurderer kommissionen tre opgavesamlinger,
som efter kommissionens vurdering kan ses som henholdsvis en stor opgavesamling, en mellemstor
opgavesamling og en mindre opgavesamling.
Kapitlet og de tre niveauer af opgavesamling skal læses i sammenhæng med kapitel 15 om forvaltnings-
modeller for fremtidens sundhedsvæsen. I kapitlet her vurderer kommissionen, hvilke opgaver der med
fordel kan samles under én myndighed. I kapitel 15 opstilles tre forskellige modeller for, hvordan den
myndighed kan organiseres og styres betinget af, hvilke og hvor mange opgaver der samles under
myndighedens ansvar.
For en mere detaljeret beskrivelse af organiseringen, opgaverne og opgaveløsningen indenfor det kom-
munale sundhedsområde og de nærliggende områder henvises til kapitlet om det kommunale sundheds-
område og nærliggende områder i baggrundsrapporten.
270
Overvejelser om sammenhæng og omstilling gennem
opgavesamling
Sundhedsstrukturkommissionen ser ikke samling af opgaveansvaret under én myndighed som det eneste
middel til at skabe stærkere sammenhæng og omstilling i sundhedsvæsenet. Sammenhæng ved opgave­
samling har dog nogle klare fordele, som gør det særligt vigtigt at afsøge de potentialer, der knytter sig til
en samling af opgaveansvaret. For det første giver opgavesamling reel mulighed for at skabe sammen-
hængende patientforløb, hvis hele patientforløbet ligger under én myndigheds ansvar, end hvis det er delt
270 Sundhedsstrukturkommissionen. "Sundhedsstrukturkommissionens baggrundsrapport". 2024.
SUU, Alm.del - 2023-24 - Bilag 317: Orientering om Sundhedsstrukturkommissionens afrapportering, fra indenrigs- og sundhedsministeren
2880227_0282.png
282
1
2
3
4
Del 4 - Opgavesamling, forvaltningsmodeller, implementering og økonomi
mellem to eller flere myndigheder. For det andet styrker det muligheden for at bruge ressourcerne mere
effektivt, både økonomiske, teknologiske og personalemæssige ressourcer, hvis den samme myndighed har
ansvaret for sammenhængende opgaver.
Dét understreges af analysen af styrker og svagheder ved den nuværende organisering af sundhedsvæsenet
i kapitel 8. I forhold til styrken ved et samlet opgaveansvar kan det fx konstateres, at der indenfor henholds-
vis sygehuse og praksissektor, som er underlagt den samme myndighed, er sket en løbende tilpasning af
opgavefordelingen mellem faggrupper. Det er en udvikling, som har været muliggjort af, at det er sket
indenfor den samme organisatoriske, ledelsesmæssige og økonomiske ramme. Den form for løbende
tilpasning og omstilling af opgavefordelingen bidrager til målet om, at behandling skal ske på det laveste
effektive omkostnings- og omsorgsniveau.
Omvendt er der mange eksempler på organisatoriske barrierer, hvor sektoropdelingen bliver en forhindring
for tilpasningen af opgaver. I takt med at sygeplejersker i kommunerne, ikke mindst efter etableringen af
de kommunale akutfunktioner i sygeplejen, kan udføre flere og flere opgaver, bliver der fx et stærkere fagligt
grundlag for opgaveudvikling og tilpasning af opgaveløsningen fra læger til andet sundhedspersonale.
Det vil også kunne understøtte, at opgaven løses på laveste effektive omkostnings- og omsorgsniveau.
Adskillelsen af læger og plejepersonale i separate sektorer økonomisk og ledelsesmæssigt bliver imidlertid
en barriere for at indhøste fordelene ved opgavetilpasning i praksis.
Mere generelt kan der peges på, at der knytter sig både økonomiske, styringsmæssige og faglige udfor-
dringer til den organisatoriske adskillelse mellem på den ene side sygehusene og det almenmedicinske
tilbud og på den anden side det sundhedsfaglige personale i kommunerne, som i høj grad får delegeret
opgaver fra læger på sygehuse og alment praktiserende læger.
Den økonomiske udfordring knytter sig særligt til opgaveudvikling, hvor det særligt fra kommunernes
side er oplevelsen, at der flyttes opgaver men ikke kapacitet fra det regionale myndighedsområde til den
kommunale sektor. I forlængelse af den økonomiske udfordring opstår en styringsmæssig udfordring, da
fraværet af fælles opgaveansvar giver behov for kompenserende tiltag i form af typisk administrativt tunge
forhandlinger og aftaler om regulering og kompensation af de opgaver, der skal løses på tværs af sektor-
grænser. Den faglige udfordring knytter sig bl.a. til de kommunale medarbejderes behov for et tæt, fleksibelt
og løbende samarbejde med læger om håndteringen af stadigt mere syge og mere ustabile patienter. Særligt
siden 2007 har udviklingen betydet, at kommunerne skal håndtere flere og mere komplekse borgere, uden
at der er sket en tilsvarende tilpasning af samarbejdet med de alment praktiserende læger og lægerne på
sygehusene, som befinder sig udenfor den kommunale sektor.
Der er derfor gode argumenter for at skabe bedre sammenhæng og omstilling ved opgavesamling.
Imidlertid er der også hensyn, som trækker i en anden retning. Samler man rigtig mange opgaver under
én myndighed, får man typisk skabt nogle meget store organisatoriske enheder, som i sig selv kan skabe
nye styrings- og ledelsesudfordringer internt i organisationen. Det kan med andre ord skabe stordrifts-
ulemper og give udfordringer med at få den nødvendige ledelsesmæssige nærhed til opgaveløsningen.
Dertil kommer, at det i praksis langt fra altid er enkelt at skelne mellem, hvilke opgaver der har så stærk
indbyrdes afhængighed, at de organisatorisk burde hænge sammen, og hvilke opgaver der har så stærk
afhængighed til andre opgaver udenfor sundhedsområdet, at det vil skabe væsentlige nye snitflader, hvis
de bliver lagt sammen under én myndighed med ansvaret for sundhedsområdet.
Med afsæt i de generelle overvejelser om fordele og ulemper ved at skabe bedre sammenhæng i sundheds-
væsenet ved samling af opgaver, præsenteres i næste afsnit en kort sammenfatning af kommissionens
overvejelser om opgavesamling efterfulgt af en nærmere analyse af opgaverne på det kommunale sund-
hedsområde og nærliggende områder.
Figur 14.1 viser en oversigt over antallet af borgere, som har modtaget indsatser på mindst én af de tre
områder, og hvordan de fordeler sig på henholdsvis sygehusområdet, indsatser indenfor det kommunale
ældre- og træningsområde og/eller sygepleje og dele af socialområdet. Den samlede population er
ca. 2,9 mio. borgere. Det svarer til, at ca. halvdelen af befolkningen er i kontakt med sygehusvæsenet
indenfor et år.
SUU, Alm.del - 2023-24 - Bilag 317: Orientering om Sundhedsstrukturkommissionens afrapportering, fra indenrigs- og sundhedsministeren
2880227_0283.png
1
2
3
4
Del 4 - Opgavesamling, forvaltningsmodeller, implementering og økonomi
283
Figur 14.1
Borgere med kontakt til sygehuse og udvalgte kommunale indsatser på ældre­ og træningsområdet,
kommunal sygepleje og dele af socialområdet (2,9 mio. personer)
(2,9 mio. personer)
Socialpædagogisk
støtte, botilbud m.v.
0,7%
0,2%
0,7%
1,3%
2,9%
10,0%
Sygehuse
(84,2%)
Ældre,
sygepleje,
træning
Anm.: "Sygehuse" dækker over alle former for sygehuskontakter herunder både somatisk og psykiatrisk sygehusbehandling. ”Ældre, sygepleje,
træning” dækker over: Kommunal sygepleje (SUL), forebyggende hjemmebesøg (SEL), personlig pleje i eget hjem (SEL), praktisk hjælp i eget
hjem (SEL), personlig pleje og praktisk hjælp i plejebolig (SEL), rehabilitering (SEL), vedligeholdelsestræning (SEL), genoptræning (SEL).
”Socialpædagogisk støtte, botilbud m.v.” dækker over: Øvrig socialpædagogisk støtte (der ikke leveret på botilbud), ledsageordning,
aktivitets- og samværsydelse, socialpædagogisk støtte i botilbudslignende tilbud, længerevarende botilbud inklusiv tilknyttede ydelser,
midlertidige botilbud inklusiv tilknyttede ydelser, borgerstyret personlig assistance, kontaktperson for døvblinde, individuel tidsbegrænset
socialpædagogisk hjælp og støtte, kontant tilskud til ansættelse af hjælpere, gruppebaseret socialpædagogisk hjælp og støtte.
Figur 14.1 viser, at omkring 84 pct. af populationen alene er i kontakt med sygehusene i løbet af et år. 10 pct.
af populationen modtager indsatser på både sygehusområdet og ældre- og træningsområdet og/eller
kommunal sygepleje. For især ældre- og træningsområdet og sygepleje, men også for udvalgte indsatser på
socialområdet, gælder, at en stor andel også har modtaget en sygehusindsats.
Figur 14.2 giver et overblik over opgaveområderne indenfor det kommunale sundhedsvæsen og nær­
liggende områder, som kommissionen har forholdt sig til. Indsatserne på områderne ydes ikke alene efter
sundhedsloven, men i vidt omfang også efter lov om social service.
Som det fremgår af udfordringsbilledet (se kapitel 4), vil der i de kommende år blive flere ældre borgere
og flere borgere med kroniske sygdomme og psykiske lidelser samtidig med, at der vil være stigende
knaphed på visse personaleressourcer i sundhedsvæsenet. Sundhedsstrukturkommissionen har på den
baggrund og med udgangspunkt i kommissoriet derfor i særlig grad rettet fokus mod, hvordan en styrket
opgaveløsning for de pågældende målgrupper kan understøttes ved ændret organisering.
SUU, Alm.del - 2023-24 - Bilag 317: Orientering om Sundhedsstrukturkommissionens afrapportering, fra indenrigs- og sundhedsministeren
2880227_0284.png
284
1
2
3
4
Del 4 - Opgavesamling, forvaltningsmodeller, implementering og økonomi
Figur 14.2
Det kommunale sundhedsområde og nærliggende områder
Mindre omfattende
indsatser til mange
Børn/unge
Sundhedsplejen (SUL)
Omfattende indsatser til få
Børne- og ungetandplejen (SUL)
Voksne
med
særlige
behov
Patientrettet forebyggelse (SUL)
Genoptræning (SUL)
Socialpædagogisk støtte (SEL)
Misbrugsbehandling (SEL og SUL)
Socialtandpleje (SUL)
Borgerstyret personlig
assistance (SEL)
Midlertidige botilbud (SEL)
Længerevarende botilbud (SEL)
Specialtandpleje (SUL)
Omsorgstandpleje (SUL)
Sygepleje (SUL)
Midlertidige pladser (SEL)
Akutpladser (SUL)
Plejehjem/
plejeboliger (SEL og ABL)
Især ældre
Vederlagsfri fysioterapi (SUL)
Hjælpemidler (SEL)
Praktisk hjælp (SEL)
Vedligeholdelsestræning (SEL)
Forebyggende hjemmebesøg (SEL) Madservice (SEL)
Genoptræning (SEL)
Personlig pleje (SEL)
Tidsbegrænset rehabilitering (SEL)
Anm.: ”SUL” står for sundhedslov, ”SEL” står for servicelov, ”ABL” står for almenboliglov.
I de resterende dele af kapitlet gennemgås område for område opgaver og indsatser indenfor det kom-
munale sundhedsområde og nærliggende områder, som kommissionen har vurderet ud fra fordele og
ulemper ved en ændret opgaveplacering. På baggrund af den systematiske gennemgang af sammenhængen
mellem de kommunale opgaver og de opgaver, der i dag løses i sygehus- og praksissektoren, og en vurdering
af opgavernes sammenhæng med andre kommunale opgaver, beskrives tre niveauer af opgavesamlinger.
For alle tre opgavesamlinger er formålet at forbedre de organisatoriske rammer for at understøtte tidlige
og effektive indsatser for en voksende gruppe af mennesker med kronisk sygdom og ældre med pleje- og
træningsbehov. Potentialet for forbedret sammenhæng og omstilling varierer på tværs af de tre samlinger,
og det varierer også, i hvor høj grad en samling af opgaverne under én myndighed påvirker den samlede
kommunale opgaveportefølje.
SUU, Alm.del - 2023-24 - Bilag 317: Orientering om Sundhedsstrukturkommissionens afrapportering, fra indenrigs- og sundhedsministeren
2880227_0285.png
1
2
3
4
Del 4 - Opgavesamling, forvaltningsmodeller, implementering og økonomi
285
De tre opgavesamlinger er:
4. En stor opgavesamling: Størstedelen af det kommunale ældre­ og træningsområde, kommunal sygepleje,
patientrettet forebyggelse, sygehus­ og praksissektor samles under én myndighed.
5. En mellemstor opgavesamling: Størstedelen af det kommunale ældre­ og træningsområde, kommunal
sygepleje, patientrettet forebyggelse, sygehus­ og praksissektor samles under én myndighed, mens
kommunerne bevarer ansvaret for plejehjem og plejebolig.
Markante ændringer i opgaveplacering vil indebære omstillings- og implementeringsomkostninger, og
enhver samling af opgaver hos én myndighed vil medføre nye snitflader til øvrige indsatser. Stillingtagen
til ændret opgaveplacering skal derfor ske ud fra en samlet vurdering af, hvorvidt fordelene ved opgave-
samlingen opvejer de ulemper, der er forbundet med den.
6. En mindre opgavesamling: Dele af den kommunale sygepleje, patientrettet forebyggelse, dele af gen-
optræningsindsatsen, sygehus­ og praksissektor samles under én myndighed. Derudover indgår
overvejelser om ændret regulering i relation til hjælpemidler og behandlingsredskaber og midlertidige
pladser og akutpladser, som har betydning for opgavedelingen mellem sektorerne.
De overordnede rammer for kommunernes varetagelse af
opgaverne på sundhedsområdet og nærliggende områder
I det følgende afsnit beskrives og analyseres rammerne for kommunernes varetagelse af opgaverne på
sundhedsområdet og nærliggende områder. Derudover beskrives, hvordan nogle kommunale opgaver kan
anskues en led i en samlet indsatstrappe. Endelig beskrives kort den kommende ældrelov.
Specifikke opgaver fremfor bredt definerede opgaveområder
Rammerne for den kommunale opgaveløsning er grundlæggende anderledes end for sygehus- og praksis-
sektoren. For sygehus- og praksissektoren er sundhedsloven karakteriseret ved at beskrive brede funktions-
områder. Fx har regionsrådet ansvaret for at varetage sygehusvæsenets opgaver og for at tilvejebringe og
sikre tilbud om behandling hos praktiserende sundhedspersoner. Sundhedsloven beskriver ikke, at syge-
huse skal sikre, at der fx leveres diagnostiske ydelser, at der både skal være ambulante funktioner og
SUU, Alm.del - 2023-24 - Bilag 317: Orientering om Sundhedsstrukturkommissionens afrapportering, fra indenrigs- og sundhedsministeren
2880227_0286.png
286
1
2
3
4
Del 4 - Opgavesamling, forvaltningsmodeller, implementering og økonomi
stationær kapacitet, eller at der skal ydes sygepleje på sygehuse. Kun med enkelte undtagelser beskrives
enkeltydelser og specifikke indsatser, der vedrører sygehuse eller praksissektor. På sygehusområdet sker
regulering af, hvilke funktioner der skal være til stede, bl.a. gennem specialeplanlægningen.
For kommunerne stiller sundhedsloven derimod krav om, at kommunerne bl.a. skal levere sundhedsydelser
indenfor sundhedspleje til børn, tandpleje til børn og bestemte og beskrevne grupper af voksne, alkohol-
og lægelige stofmisbrugsbehandling, sygepleje efter lægehenvisning, genoptræning efter udskrivelse fra
sygehus og med et lægefagligt begrundet behov. Det kommunale sundhedsområde er dermed ikke et bredt
funktionsområde, som det gælder for sygehus­ og praksissektoren. Samtidig stilles der i lovgivningen på de
fleste kommunale opgaveområder mere specifikke krav til konkrete indsatser.
De senere år har der været øget fokus på kvaliteten af kommunernes indsatser på sundhedsområdet.
Det afspejler sig i nationale kvalitetsstandarder med krav til kommunale akutfunktioner i sygepleje og
til indsatsen målrettet borgere med kroniske sygdomme. Her stilles der fx krav til medarbejdernes
kompetencer, tilgængeligt udstyr m.v.
Udviklingen ses ikke på samme måde i sygehus­ og praksissektoren, hvor rammerne for og tilgangen til
styring af kvaliteten i behandlingen af borgerne er anderledes. Til gengæld stilles der krav i form af patient-
rettigheder, nationale kliniske retningslinjer, kræftpakker m.v., og organiseringen af den specialiserede
sygehusbehandling er underlagt national koordinering gennem specialeplanlægningen.
271
Fra enkeltydelser til samlet indsatstrappe på ældreområdet
En stor del af kommunernes opgaveportefølje vedrører indsatser, der gives i borgerens eget hjem og typisk
til ældre borgere. Det er de opgaver, som Sundhedsstrukturkommissionen har defineret under ældre­
området og sygepleje. Selvom de kommunale indsatser er defineret langt mere specifikt i paragraffer
i sundhedsloven og serviceloven, kan de ses i sammenhæng, da de kan betragtes som en samlet indsats-
trappe. Indsatstrappen udgør et spektrum fra mindre omfattende indsatser, fx midlertidige indsatser,
til mere omfattende indsatser, som typisk er varige indsatser.
I den ene ende af det spektrum er indsatser målrettet selvhjulpne og raske ældre, hvor formålet er at
forebygge, at de får behov for hjælp. Får borgerne behov for ydelser, handler næste trin på indsatstrappen
om at levere ydelser midlertidigt og med et rehabiliterende sigte, så borgerne igen kan blive selvhjulpne
i videst muligt omfang. Næste trin på indsatstrappen handler om borgere, der på grund af sygdom eller
anden funktionsnedsættelse har behov for mere varige ydelser. Næste trin er borgere, som i en periode
er enten så syge eller funktionsnedsatte, at kommunen vurderer, at der er behov for et midlertidigt ophold,
fx på akutplads. Endelig indeholder sidste trin på indsatstrappen de borgere, som har behov for en pleje-
bolig. Overgangen mellem de forskellige trin på indsatstrappen fastsættes ikke ud fra objektive kriterier,
men tager afsæt i konkrete vurderinger af den enkelte borgers ønsker og behov som følge af sygdom og
funktionsnedsættelse, muligheder for bedringer, risiko for forværring, sammenholdt med de konkrete
muligheder, kompetencer og kapacitet på de enkelte trin på indsatstrappen.
Målgruppen er ikke alene ældre over 67 år, men borgere, der på grund af sygdom eller anden funktions­
nedsættelse, som ikke skyldes sygdom, har behov for hjælp. På alle trin af indsatstrappen er målet at
forebygge udvikling eller forværring af sygdom og funktionstab og om muligt hjælpe borgerne ned af
indsatstrappen.
Figur 14.3 illustrerer indsatstrappen i forhold til borgere, der typisk er ældre, og som på grund af sygdom
eller funktionsnedsættelse har behov for hjælp.
271 Sundhedsstrukturkommissionen. "Sundhedsstrukturkommissionens baggrundsrapport". 2024.
SUU, Alm.del - 2023-24 - Bilag 317: Orientering om Sundhedsstrukturkommissionens afrapportering, fra indenrigs- og sundhedsministeren
2880227_0287.png
1
2
3
4
Del 4 - Opgavesamling, forvaltningsmodeller, implementering og økonomi
287
Figur 14.3
Indsatstrappe relateret til borgere, der typisk er ældre, og som har behov for hjælp
Egen/ oprindelig bolig
- typisk midlertidig
Hjælp til at
forblive
selvhjulpen og
forebygge
behov for hjælp
Egen/ oprindelig bolig - typisk varig
Forbedre
funktionsevne,
udskyde
funktionstab,
forebygge
sygdom
Plejebolig/ plejehjem
Rehabilitere,
aflaste,
stabilisere,
afklare
Hjælp, støtte,
pleje og
omsorg hele
døgnet
Tidlige og midlertidige indsatser skal reducere behov for mere omfattende og varige indsatser
Rehabiliteringsforløb - SEL
Sygepleje - SUL
Træning - SEL
Aflastning - SEL
Forebyggende
hjemmebesøg - SEL
Forebyggelse - SUL
Personlig pleje og
praktisk hjælp - SEL
Sygepleje - SUL
Træning - SEL
Træning efter
udskrivelse - SUL
Aflastning - SEL
+ Aflastning og sygepleje
på midlertidig plads –
SEL/SUL
+ Sygepleje på akutplads
- SUL
Plejebolig – SEL/ABL – hvor
der gives personlig pleje
praktisk hjælp, sygepleje,
rehabiliteringsindsatser, mv.
efter både SEL og SUL
Mange af indsatserne i indsatstrappen gives ofte i sammenhæng, fx i forbindelse med morgen-, middag-
og aftenrutine. Det betyder, at den samme medarbejder i forbindelse med ét besøg hos borgeren kan
varetage opgaver på tværs af servicelov og sundhedslov. Indsatserne i trappen er sammenhængende og
skal illustrere en tværgående og tværfaglig, rehabiliterende indsats fremfor kompenserende enkeltydelser.
De samme indsatser, der gives i borgernes hjem, herunder plejehjem og plejebolig, gives også som en del
af ophold på midlertidige pladser og på botilbud. Den faglige indsats, der leveres som et led i ophold på
midlertidige pladser og sociale botilbud, gives med forskellig vægtning afhængig af formålet med opholdet
og i sammenhæng med andre indsatser. Ud over sygepleje, personlig pleje, praktisk hjælp og diverse
træningsindsatser gives bl.a. også socialpædagogisk støtte jf. servicelovens § 85 i eget hjem og på sociale
botilbud. De indsatser, der gives i borgernes eget hjem, substituerer i varierende grad hinanden.
Figur 14.4 illustrerer, at de samme indsatser gives i forskellige kommunale kontekster.
Indsatstrappen er ikke skarpt afgrænset fra andre kommunale områder eller fra det øvrige sundhedsvæsen.
Fx er vedligeholdende træning, som genoptræning og hjælpemidler uden eller med forudgående ind-
læggelse, med til at højne borgerens funktionsniveau og dermed hjælpe borgeren ned ad indsatstrappen.
SUU, Alm.del - 2023-24 - Bilag 317: Orientering om Sundhedsstrukturkommissionens afrapportering, fra indenrigs- og sundhedsministeren
2880227_0288.png
288
1
2
3
4
Del 4 - Opgavesamling, forvaltningsmodeller, implementering og økonomi
Figur 14.4
De samme indsatser gives i borgerens eget hjem, midlertidlige pladser og plejehjem og plejebolig
Indsats
Kommunal sygepleje
Midlertidige pladser og akutpladser
Borgerens eget/ oprindelige hjem
Personlig pleje
Praktisk hjælp
Plejehjem og plejebolig
Vedligeholdelsestræning og genoptræning
Aftale om ældrereform og ældrelov
Den 18. april 2024 indgik regeringen og en bred kreds af Folketingets partier (Danmarksdemokraterne,
Socialistisk Folkeparti, Liberal Alliance, Det Konservative Folkeparti og Radikale Venstre) en aftale om en
ældrereform. Med reformen iværksættes en ældrelov, som skal tilvejebringe de overordnede lovgivnings-
mæssige rammer for fremtidens ældrepleje.
Social­, Bolig­, og Ældreministeriet har oplyst følgende om den kommende ældrelov, og det gengives her
som en del af rammerne for kommunernes varetagelse af opgaver på ældreområdet:
• Ældreloven vil som udgangspunkt finde anvendelse for personer, der har nået folkepensionsalderen
og har behov for hjælp og støtte i den daglige livsførelse, pga. nedsat funktionsevne, der er opstået i
forbindelse med aldringen.
• Personer, der opfylder ovenstående kriterier og omfattes af ældreloven og har behov for hjælp efter
ældreloven til praktiske opgaver, personlig pleje og omsorg m.v., vil stadig kunne modtage specialiseret
hjælp efter serviceloven, fx hvis de på grund af et handicap har behov for en specialiseret indsats m.v.
Yngre personer, fx personer med et handicap, der har brug for fx praktisk hjælp til fx rengøring, vil forsat
kunne få hjælp til det efter reglerne i serviceloven.
• Det fastsættes i loven, at ældreplejen skal bygge på følgende bærende værdier: 1) Selvbestemmelse for
den ældre og 2) Tillid til medarbejderne og ledelse og 3) Et tæt samspil med pårørende, lokale fælles­
skaber og civilsamfund.
• Med ældreloven skal forebyggelse have en fremtrædende plads i ældreplejen. De nuværende forebyg-
gende hjemmebesøg erstattes af en pligt til en generel forebyggende indsats.
• Med ældreloven indføres såkaldt helhedspleje i form af få rummelige og fleksible pleje­ og omsorgs­
forløb, som både offentlige og private leverandører skal kunne levere. Det betyder bl.a., at ældreplejens
kerneydelser skal tildeles i form af kommunalt fastsatte rummelige pleje- og omsorgsforløb, som skal
udgøre en ramme for hjælpen ud fra den ældres aktuelle behov og ønsker. Udgangspunktet for hjælpen
vil fortsat være de nuværende kerneydelser i ældreplejen, som fremgår af serviceloven, og som vil
fremgå af ældreloven i forbindelse med regulering af pleje- og omsorgsforløbene.
Ældreloven træder i kraft den 1. juli 2025.
• Madservice (nuværende § 83, stk. 1, nr. 3) vil fortsat være en del af hjælpen i en ny ældrelov, men indgår
ikke som en del af helhedsplejen og pleje- og omsorgsforløbene.
Kontekst
SUU, Alm.del - 2023-24 - Bilag 317: Orientering om Sundhedsstrukturkommissionens afrapportering, fra indenrigs- og sundhedsministeren
2880227_0289.png
1
2
3
4
Del 4 - Opgavesamling, forvaltningsmodeller, implementering og økonomi
289
Gennemgang af opgaverne på det kommunale sundhedsområde
og nærliggende områder
I det følgende belyses kommunernes opgaveløsning på sundhedsområdet og nærliggende områder.
Gennemgangen er opdelt efter, hvilke opgaver der i dag typisk er organiseret sammen i kommunerne.
Det betyder, at kommunal sygepleje beskrives i sammenhæng med ældreområdet, og at træningsområdet
er beskrevet særskilt. Beskrivelsen afviger dermed fra den indledende begrebsdefinition i kapitel 1.
For hver opgave foretages en overordnet analyse af, i hvilken udstrækning opgaven har sammenhæng til
henholdsvis opgaverne, der løses i sygehus- og praksissektoren og til andre af kommunernes opgaver.
Opgørelserne af aktivitet, økonomi og medarbejdere trækker på datakilder, som ikke nødvendigvis kan
afgrænses nøjagtigt til enkelte indsatsområder. Medarbejdertallene afspejler fx, at de ansatte registreres,
hvor de har deres primære opgave. Særligt opgørelserne af aktiviteten på tværs af indsatser skal tages
med forbehold. Den nærmere metode og forbehold er beskrevet i baggrundsrapporten.
272
Antallet af medarbejdere, der beskæftiger sig med de forskellige indsatser, dækker udelukkende over
kommunalt ansatte og opdeles på følgende stillingsbetegnelser: sygeplejersker, social- og sundheds-
assistenter, social- og sundhedshjælpere, ergo- og fysioterapeuter, læger, tandplejepersonale, ufaglært
sundhedspersonale, øvrigt sundhedspersonale og ikke­sundhedsfagligt personale. Ufaglært sundheds­
personale dækker over ufaglærte, som varetager social­ og sundhedsfaglige opgaver. Øvrigt sundheds­
personale dækker over en række stillingsbetegnelser, fx beskæftigelsesvejledere, plejere, sygehjælpere,
sundhedsplejersker og jordemødre. Ikke-sundhedsfagligt personale dækker over en række stillings-
betegnelser, som ikke er sundhedsrelaterede. Det inkluderer bl.a. stillingsbetegnelser såsom social-
pædagoger og omsorgs- og pædagogmedhjælpere men også administrativt personale og akademikere.
Medarbejderne opgøres som fuldtidsansatte og vil derved være mindre end antallet af ansatte.
Ældreområdet og kommunal sygepleje
De opgaveområder og tilhørende paragraffer i sundhedsloven og i serviceloven, som er omfattet af ældre-
området, indeholder som hovedregel ikke en aldersgrænse. En betydelig del af borgerne er ældre, men der
er fx ca. 20 pct. af modtagerne af kommunal sygepleje, og 16 pct. af modtagerne af personlig pleje og
praktisk hjælp, som er under 65 år. Langt hovedparten af de ældre borgere over 65 år modtager ikke ydelser
på ældreområdet.
Knap 80 pct. af de borgere, som modtager kommunal sygepleje, personlig pleje, praktisk hjælp og/eller
træningsindsatser, er indenfor samme år i kontakt med sygehusene. Det svarer med en vis usikkerhed til
omkring 310.000 borgere, og 78 pct. af dem er over 65 år. Det er dermed en forholdsvis stor gruppe af
borgere, som har kontakt til både det kommunale ældre- og træningsområde og kommunal sygepleje og til
det sekundære sundhedsvæsen.
272 Sundhedsstrukturkommissionen. "Sundhedsstrukturkommissionens baggrundsrapport". 2024.
SUU, Alm.del - 2023-24 - Bilag 317: Orientering om Sundhedsstrukturkommissionens afrapportering, fra indenrigs- og sundhedsministeren
2880227_0290.png
290
1
2
3
4
Del 4 - Opgavesamling, forvaltningsmodeller, implementering og økonomi
Figur 14.5
Borgere med kontakt til kommunal sygepleje og pleje­ og træningsindsatser, fordelt ud fra
om de også har kontakt til sygehuset, 2019
22 %
Kun kommunal
sygepleje, pleje- og
træningsindsatser
Både kommunal
sygepleje, pleje- og
træningsindsatser og
sygehuskontakt
86 pct. på 65 år
eller derover
78 %
78 pct. på 65 år
eller derover
Anm.: Kommunal sygepleje, pleje- og træningsindsatser dækker over følgende ydelser efter serviceloven: forebyggende hjemmebesøg,
visiteret personlig pleje og praktisk hjælp i eget hjem, genoptræning, vedligeholdelsestræning og rehabilitering, samt følgende ydelse efter
sundhedsloven: kommunal sygepleje. Det er ikke alle kommuner, der indberetter data for alle indsatser, og derfor er opgørelsen kun en
indikator for de samlede overlap mellem sektorer.
Kilde: Egne beregninger baseret på Danmark Statistik
Personlig hjælp og pleje, praktisk hjælp og støtte og madservice (hjemmepleje)
Til personer, som på grund af midlertidigt eller varigt nedsat fysisk eller psykisk funktionsevne eller særlige
sociale problemer ikke selv kan udføre disse opgaver, skal kommunerne efter servicelovens § 83 tilbyde:
1. Personlig hjælp og pleje
3. Madservice
2. Hjælp eller støtte til nødvendige praktiske opgaver i hjemmet
Personlig hjælp og pleje kan omfatte indsatser relateret til personlig hygiejne (fx bad, hårvask), assistance
til toiletbesøg, ernæring og mobilitet (fx assistance til vending i en seng). Praktisk hjælp kan omfatte
rengøring, tøjvask, skift af sengelinned, indkøb og anretning af mad. Madservice er primært madudbring-
ning.
Formålet med hjælp til personlig pleje er, at borgeren kan leve så normalt og selvstændigt et liv som muligt.
Det vil sige, at støttens formål er at hjælpe borgeren i relation til fx personlig hygiejne og mobilitet, som
kræver sundhedsfaglige kompetencer. Indsatsen kan også være i form af psykisk støtte og vejledning til
at løse opgaver, som borgeren har svært ved at overskue på egen hånd.
Kommunerne skal sikre, at borgerne ved løsningen af opgaverne har frit valg imellem mindst to leveran-
dører, hvoraf mindst en skal være privat. Omkring 40 pct. af de personer, der modtager hjemmepleje,
benytter en privat leverandør. De 40 pct. modtager dog ikke nødvendigvis alle ydelser fra private leveran­
dører. Omkring 14 pct. af kommunens udgifter til personlig og praktisk hjælp går til private leverandører.
Der var i 2021 ca. 300 private leverandører af hjemmepleje i eget hjem.
273
273 Social-, Bolig- og Ældreministeriet, “Redegørelse om ældreområdet 2023”, 2023.
SUU, Alm.del - 2023-24 - Bilag 317: Orientering om Sundhedsstrukturkommissionens afrapportering, fra indenrigs- og sundhedsministeren
2880227_0291.png
1
2
3
4
Del 4 - Opgavesamling, forvaltningsmodeller, implementering og økonomi
291
Boks 14.1
Personlig pleje og praktisk hjælp i tal
Borgere
I 2022 modtog ca. 156.000 personlig pleje og/eller praktisk hjælp. Heraf var cirka 26.000 personer under
65 år. 61.000 personer modtog både personlig pleje og praktisk hjælp i hjemmet, ca. 14.000 modtog
udelukkende personlig pleje i eget hjem, og ca. 81.000 borgere modtog udelukkende praktisk hjælp i
hjemmet.
Kilde: Sundhedsstrukturkommissionen, ”Baggrundsrapport”, 2024.
Sammenhæng
79 pct. af de borgere, der modtog personlig pleje i hjemmet, havde indenfor samme år sygehuskontakt.
70 pct. modtog indenfor samme år kommunal sygepleje. 78. pct. af de borgere, der modtog praktisk
hjælp i hjemmet havde indenfor samme år sygehuskontakt. 56 pct. modtog indenfor samme år kommunal
sygepleje.
Kilde: Sundhedsstrukturkommissionen, ”Baggrundsrapport”, 2024.
Udgifter
I 2022 brugte kommunerne 15,8 mia. kr. på personlig pleje, praktisk hjælp og madservice under SEL § 83
samt rehabilitering under SEL § 83 a i eget hjem, hvor 12,8 mia. kr. dækkede udgifter til personer på 67 år
og derover, mens de resterende 3 mia. kr. dækkede personer under 67 år. Det er omkring 14 pct. af
kommunens udgifter til personlig og praktisk hjælp, der går til private leverandører.
Kilde: Sundhedsstrukturkommissionen, ”Baggrundsrapport”, 2024.
Medarbejdere
I 2023 var der ansat 28.848 fuldtidspersoner i kommunerne til at udføre personlig pleje, praktisk hjælp,
madservice og tidsbegrænset rehabilitering i eget hjem (SEL §§ 83 og 83 a), hvoraf 1.234 var sygeplejer-
sker, 6.798 var social- og sundhedsassistenter, 13.064 var social- og sundhedshjælpere, 418 var ergo- og
fysioterapeuter, 4.318 var ufaglært sundhedspersonale, 1.441 var øvrigt sundhedspersonale og 1.575
ikke-sundhedsfagligt personale.
Kilde: Sundhedsstrukturkommissionen, ”Baggrundsrapport”, 2024.
Leverandører
Ca. 40 pct. af dem, der modtager hjemmepleje, benytter en privat leverandør. Det er især praktisk hjælp,
der udføres af private, da 46,8 pct. af dem, der udelukkende modtager praktisk hjælp, modtager hjælpen
af private leverandører, mens det kun er 8,6 pct. af dem, der udelukkende modtager personlig pleje,
der benytter en privat leverandør. For borgere, der modtager begge dele, benytter 40,9 pct. en privat
leverandør. De modtager dog ikke nødvendigvis alle ydelser fra private leverandører. Personer under 65
år benytter i lidt højere grad private leverandører (44,3 pct.) men variationen på tværs af alder er ikke stor.
Kilde: Statistikbanken, Danmarks statistik, AED12 og REGKC.
Praktisk hjælp har ikke en tæt sammenhæng med de indsatser, som foregår på sygehuse og i praksissektor.
Der er samtidig tale om opgaver med lav kompleksitet, som ikke kræver en sundhedsfaglig autorisation
og ofte varetages af ufaglærte. Det er dermed i nogen udstrækning en anden faggruppe end dem, som
varetager den personlige pleje, og som beskrives i de følgende afsnit. Der er dog tale om en indsats, som
kan have en vigtig forebyggende rolle blandt skrøbelige ældre borgere, idet medarbejdere, der udfører
praktisk hjælp, også har til opgave at have blik for borgerens almene tilstand med henblik på tidlig
opsporing af sygdomsforværring eller funktionsnedsættelse m.v.
SUU, Alm.del - 2023-24 - Bilag 317: Orientering om Sundhedsstrukturkommissionens afrapportering, fra indenrigs- og sundhedsministeren
2880227_0292.png
292
1
2
3
4
Del 4 - Opgavesamling, forvaltningsmodeller, implementering og økonomi
Personlig pleje har derimod en tættere sammenhæng med de indsatser, som foregår på sygehuse og i
praksissektor, idet borgere, der udskrives fra sygehus, ofte har behov for pleje. Når borgeren er på syge-
huset, varetages plejen af sygehuspersonalet. Personlig pleje er derfor i nogen udstrækning en forudsæt-
ning for, at borgeren kan være i eget hjem i stedet for på et sygehus. Indsatsen varetages i stor udstrækning
af sundhedsfagligt uddannet personale herunder social- og sundhedsassistenter og social- og sundheds-
hjælpere og er en vigtig del af en kæde af indsatser, der skal forebygge forværring af sygdom. De samme
medarbejdere vil ofte varetage opgaver relateret til sygepleje.
Personlig pleje er derfor en af de indsatser, som er vigtige i forhold til at skabe sammenhæng for patienter
og borgere, og det er et centralt led i den løbende opgaveudvikling og omstilling af sundhedsvæsenet.
Der er dermed potentiale for at samle ansvaret for indsatsen med sygehus- og praksissektoren.
Indsatsen har dog samtidig en tæt sammenhæng til især sygepleje, rehabiliterende indsatser og den del af
den praktiske hjælp, som handler om at tilberede måltider morgen, middag og aften, som typisk også er der,
en borger har behov for personlig pleje fx i forbindelse med at komme ud af sengen m.v. Derudover er der
tale om en indsats, som er substituerbar med bl.a. plejeboliger, jf. den tidligere beskrevne indsatstrappe.
Isoleret betragtet vil en samling af personlig pleje med sygehus- og praksissektoren derfor skabe nye
snitflader til bl.a. plejeboligområdet.
Tidsafgrænsede rehabiliteringsforløb
Kommunerne skal tilbyde et korterevarende og tidsafgrænset rehabiliteringsforløb ifølge servicelovens
§ 83 a til personer med nedsat funktionsevne, hvis rehabiliteringsforløbet vurderes at kunne forbedre
personens funktionsevne og dermed nedsætte behovet for hjælp efter § 83, det vil sige hjemmepleje.
Rehabiliteringsindsatser kan fx omfatte træningsindsatser, fokus på ernæring eller væskeindtag, medicin-
gennemgang og fokus på borgerens sociale liv. Kommunen har pligt til at tilbyde et tidsafgrænset
rehabiliteringsforløb forud for vurdering af behov for hjemmepleje.
Korterevarende og tidsafgrænset rehabiliteringsforløb blev indført i forlængelse af Hjemmehjælps-
kommissionens anbefalinger fra 2013 og udgør et lovgivningsmæssigt tiltag for at understøtte et
paradigmeskift fra kompenserende til rehabiliterende hjælp.
274
Boks 14.2
Tidsafgrænsede rehabiliteringsforløb i tal
Borgere
Danmarks Statistik offentliggør ikke landstotaler for antal modtagere af tidsbegrænset rehabilitering, da
tallene vurderes for usikre. Det skyldes bl.a., at rehabilitering i nogle kommuner registreres som hjemme-
pleje eller genoptræning.
Sammenhæng
89 pct. af de borgere, der er registrerede som modtagere af tidsafgrænset rehabilitering, havde indenfor
samme år sygehuskontakt. 66 pct. modtog indenfor samme år sygepleje, og 66 pct. modtog indenfor
samme år praktisk hjælp.
Kilde: Sundhedsstrukturkommissionen, ”Baggrundsrapport”, 2024.
Økonomi og medarbejdere
Kommunernes udgifter til tidsafgrænset rehabilitering og medarbejdere, der foretager tidsafgrænset
rehabilitering, kan ikke adskilles fra personlig pleje og praktisk hjælp.
Kilde: Statistikbanken, Danmarks statistik, REGKC og Kommunernes og regionernes løndatakontor, september 2023.
274 Hjemmehjælpskommissionen. "Fremtidens hjemmehjælp – ældres ressourcer i centrum for en sammenhængende indsats". Hjemmehjælps-
kommissionen, Sekretariatet, 2013.
SUU, Alm.del - 2023-24 - Bilag 317: Orientering om Sundhedsstrukturkommissionens afrapportering, fra indenrigs- og sundhedsministeren
2880227_0293.png
1
2
3
4
Del 4 - Opgavesamling, forvaltningsmodeller, implementering og økonomi
293
Som det gælder for personlig pleje og praktisk hjælp, har dele af indsatsen tæt sammenhæng til indsatser,
der foregår på sygehus- og i praksissektor. Indsatsen er i nogen udstrækning en forudsætning for, at
borgeren kan udskrives til en indsats i eget hjem. Formålet med korterevarende rehabiliteringsforløb er
at levere en tidsafgrænset indsats, som forbedrer borgerens funktionsevne og nedsætter eller udsætter
behovet for personlig og praktisk hjælp m.v. Derfor hænger den tidsbegrænsede rehabilitering tæt sammen
med personlig pleje og praktisk hjælp, fordi de udgør to trin i indsatstrappen. Indsatsen har også sammen-
hæng til genoptræningsindsatser og øvrige rehabiliteringsindsatser, der kan foregå parallelt med tidafgræn-
sede rehabiliteringsforløb. Derfor er det også afgørende, at den myndighed, der har opgaven med at levere
tidsafgrænset rehabilitering, har incitamenter til at nedsætte behovet for hjælp.
Forebyggende hjemmebesøg
Efter servicelovens 79 a skal kommunalbestyrelsen tilbyde mindst ét årligt forebyggende hjemmebesøg til
alle borgere, der er fyldt 82 år. Ved særlige omstændigheder skal det forebyggende hjemmebesøg tilbydes
fra 65 år. Kommunen kan undtage de borgere, som både modtager personlig pleje og praktisk hjælp.
Boks 14.3
Forebyggende hjemmebesøg i tal
Borgere
Ca. 95.000 borger modtog i 2022 forebyggende hjemmebesøg.
Kilde: Sundhedsstrukturkommissionen, ”Baggrundsrapport”, 2024.
Sammenhæng
70 pct. af de borgere, der modtog forebyggende hjemmebesøg, havde indenfor samme år sygehus-
kontakt. 26 pct. modtog indenfor samme år sygepleje.
Kilde: Sundhedsstrukturkommissionen, ”Baggrundsrapport”, 2024.
Udgifter
Kommunernes udgifter til forebyggende hjemmebesøg udgjorde 0,2 mia. kr. i 2022.
Kilde: Statistikbanken, Danmarks statistik, REGKC.
Medarbejdere
Antallet af kommunalt ansatte, der varetager opgaverne under SEL §§ 79 og 79 a, kan ikke adskilles fra
de ansatte, der varetager opgaverne forbundet med tilbud med aktiverende sigte under SEL § 79 og
midlertidige ophold og aflastning under SEL § 84. Kommunerne har samlet ansat 5.718 fuldtidspersoner til
at varetage opgaverne forbundet med midlertidige ophold under SEL § 84, stk. 2, afløsning og aflastning
under SEL § 84, stk. 1, og forebyggende hjemmebesøg under SEL § 79 a og tilbud med aktiverende og
forebyggende sigte under SEL § 79. Heriblandt er der ansat 835 sygeplejersker, 1.962 social- og sund-
hedsassistenter, 551 social- og sundhedshjælpere, 958 ergo- og fysioterapeuter, 178 ufaglært sundheds-
personale, 415 øvrigt sundhedspersonale og 818 ikke-sundhedsfagligt personale.
Kilde: Sundhedsstrukturkommissionen, ”Baggrundsrapport”, 2024.
Ydelsen er primært ikke-behovsbaseret og kræver ikke visitation eller lægelig henvisning. Formålet med
indsatsen er at understøtte borgere, der i forvejen er selvhjulpne, i at forblive selvhjulpne. Derfor hænger
indsatsen sammen med mere omfattende og varige indsatser som personlig pleje og praktisk hjælp. Fordi
indsatsen er rettet mod så bred en målgruppe, har den ikke tæt sammenhæng til indsatsen på sygehuse og
i praksissektor og kan varetages af alle kommuner uanset størrelse. Der er derfor ikke væsentlige fordele
forbundet med at samle indsatsen under samme myndighed, som har ansvar for sygehuse og praksissektor.
Indsatsen forventes at blive afskaffet med den nye ældrelov.
SUU, Alm.del - 2023-24 - Bilag 317: Orientering om Sundhedsstrukturkommissionens afrapportering, fra indenrigs- og sundhedsministeren
2880227_0294.png
294
1
2
3
4
Del 4 - Opgavesamling, forvaltningsmodeller, implementering og økonomi
Kommunal sygepleje
Kommunerne er efter sundhedslovens § 138 ansvarlige for, at der ydes vederlagsfri sygepleje efter læge­
henvisning til personer med ophold i kommunen. Det er primært de alment praktiserende læger, der
henviser til kommunal sygepleje. Kommunen kan derudover tildele kommunal sygepleje uden lægehenvis-
ning. Sygepleje ydes til patienter i alle aldre i tilfælde af akut eller kronisk sygdom, hvor sygeplejefaglig
indsats er påkrævet. Målet er at skabe mulighed for, at patienten kan blive i eget hjem, herunder plejebolig
m.v., hvad enten der er tale om sygdom af midlertidig eller kronisk art eller forskellige handicap.
Siden 2023 har kommunerne haft pligt til at have en akutfunktion i sygeplejen, som lever op til Sundheds-
styrelsens kvalitetsstandarder på området. Akutfunktioner behandles i det efterfølgende afsnit.
Indtil en lovændring i 2023 hed sygepleje i kommunerne hjemmesygepleje. Lovændringen tydeliggør
imidlertid, at sygepleje i kommunerne udføres mange andre steder end i hjemmet.
Kommunerne kan frit vælge, om sygeplejen tilrettelægges ved, at kommunen selv eller i samarbejde med
andre kommuner ansætter sygeplejersker, social- og sundhedsassistenter og andet personale eller ved at
indgå aftale med private leverandører om varetagelse af opgaven. Sygepleje kan dermed udføres af mange
faggrupper. Den enkelte kommune vurderer, hvilke uddannelsesmæssige kvalifikationer og kompetencer
udøvelsen af forskellige former for sygepleje kræver. Kommunerne kan organisere sig forskelligt, og derfor
er det ikke alle kommuner, der har en organisatorisk enhed, der hedder ”sygeplejen” eller lignende.
Kommunerne kan også vælge at organisere sygeplejen sammen med hjemmeplejen eller i mindre tvær-
faglige selvstyrende teams.
De borgerrettede indsatser i den kommunale sygepleje er ifølge Fælles Sprog III opdelt i 28 forskellige
indsatser. En mindre gruppe ydelser tegner sig for langt hovedparten af den kommunale sygepleje. Medicin-
administration, medicindispensering, kompressionsbehandling og sårbehandling udgør langt hovedparten
af den kommunale sygepleje. I praksis dækker opgaverne over medicingivning og hjælp til at få støtte-
strømper på eller af og er oftest integreret i den samlede opgaveløsning, som et morgen- eller aftenbesøg
hos en borger udgør.
En stor del af sygeplejen i kommunerne ydes af medarbejdere i de organisatoriske enheder, der typisk
benævnes hjemmeplejen, og den ydes ofte som led i daglige besøg (typisk morgen og aften), hvor der
samtidig og som en integreret del af morgen­ eller aftenrutinen også leveres ydelser efter servicelovens § 83
– både praktisk hjælp ”fra køkken til bord” og personlig pleje ”fra bord til mund”. Det betyder, at ydelser
efter serviceloven og sundhedsloven løses integreret under de samme borgerbesøg og af én og samme
medarbejder. Set fra et borgerperspektiv er det afgørende, at opgaver i relation til borgernes krop – i langt
højere grad end opgaver i relation til borgernes hjem, som fx rengøring og tøjvask – løses samlet, helheds-
orienteret og af så få forskellige medarbejdere som muligt.
Fordi så stor en del af sygeplejeindsatserne er centreret omkring ydelser, der leveres som en integreret del
af daglige rutinebesøg, hvor der også ydes personlig pleje og praktisk hjælp, peger data på, at hovedparten
af de sygeplejeindsatser, der leveres til borgere i eget hjem, udføres af social- og sundhedsassistenter og
social­ og sundhedshjælpere i hjemmeplejen. Ud over medarbejderne i hjemmeplejen kan sygepleje også
ydes af medarbejdere på plejehjem, bosteder, i rehabiliteringsteams og på midlertidige pladser. Hertil
kommer, at alle borgere har ret til frit valg af leverandør af hjemmepleje. I det omfang kommunen vælger
at overdrage ydelser, der er tæt integreret med personlig pleje, til leverandører, yder de også sygepleje på
samme vis som i den kommunale hjemmepleje.
Den kommunale sygepleje kan tilrettelægges, så der er mulighed for differentiering af forløb, hvor formålet
er at understøtte, at alle borgere har de bedst mulige forudsætninger for effekt af de sygeplejefaglige
indsatser. Indsatserne kan variere i omfang og varighed, og hvorvidt borgeren fx er i stand til fremmøde
på sygeplejeklinik eller skal modtage kommunal sygepleje i eget hjem eller i andre boformer.
SUU, Alm.del - 2023-24 - Bilag 317: Orientering om Sundhedsstrukturkommissionens afrapportering, fra indenrigs- og sundhedsministeren
2880227_0295.png
1
2
3
4
Del 4 - Opgavesamling, forvaltningsmodeller, implementering og økonomi
295
Boks 14.4
Kommunal sygepleje i tal
Borgere
Ca. 145.000 borgere modtog i 2022 kommunal sygepleje i eget hjem. Heraf er ca. 30.000 under 67 år.
Der er ikke data for antallet af borgere, der modtager kommunal sygepleje som led i ophold på fx
plejehjem, midlertidige pladser, botilbud eller tilbud i kommunale sygeplejeklinikker m.v.
Kilde: Sundhedsstrukturkommissionen, ”Baggrundsrapport”, 2024.
Sammenhæng
82 pct. af de borgere, der modtager kommunal sygepleje, har indenfor samme år sygehuskontakt.
43 pct. af de borgere, der modtager sygepleje, modtager indenfor samme år praktisk hjælp i hjemmet.
31 pct. modtager indenfor samme år personlig pleje i hjemmet.
Kilde: Sundhedsstrukturkommissionen, ”Baggrundsrapport”, 2024.
Udgifter
Kommunerne benyttede i 2022 6,4 mia. kr. på den kommunale sygepleje (SUL §§ 138 og 139).
Det inkluderer alt sygepleje leveret i kommunerne udover det udført i forbindelse med boformer
(SEL §§ 107-110), boformer (socialtilsynsloven § 4, stk. 1, nr. 3) og stofmisbrugsbehandling (SEL § 101
og SUL § 142).
Kilde: Sundhedsstrukturkommissionen, ”Baggrundsrapport”, 2024.
Medarbejdere
Kommunerne havde i 2023 ansat 6.131 fuldtidspersoner i 2023, som primært varetog kommunal syge-
pleje. Heraf var 5.460 sygeplejersker, 330 social- og sundhedsassistenter, 55 social- og sundhedshjælpere,
62 ergo- og fysioterapeuter, 42 ufaglært sundhedspersonale, 72 øvrigt sundhedspersonale og 110
ikke-sundhedsfagligt personale. Kommunen har yderligere ansatte, som varetager sygeplejeopgaver,
men som ikke indgår i opgørelsen, da det ikke er deres primære opgave. På baggrund af et casestudie
af flere kommuner er det skønnet, at social­ og sundhedsassistenter og social­ og sundhedshjælpere
varetager 61-85 pct. af sundhedslovsindsatserne i eget hjem.
Kilde: Sundhedsstrukturkommissionen, ”Baggrundsrapport”, 2024 og VIVE, Sidsel Vinge, og Emmy Hjort-Enemark Topholm, Social- og
sundhedshjælpere og social- og sundhedsassistenter i kommunerne, bd. 2021 (VIVE - Det Nationale Forsknings- og Analysecenter for
Velfærd, 2021).
Leverandører
Den kommunale sygepleje leveres primært af kommunale leverandører.
Kilde: Statistikbanken, Danmarks statistik, REGKC.
Kommunal sygepleje har tæt sammenhæng til indsatser, der foregår på sygehuse og i praksissektoren,
idet særligt ældre borgere ofte udskrives fra sygehus med fortsat behov for pleje og behandling i hjemmet.
Derfor er indsatsen en forudsætning for, at borgerne kan udskrives til eget hjem. Sygeplejen er en del af
de indsatser, der er centrale for løbende udvikling og omstilling af sundhedsvæsenet, og der kan være
potentiale for at samle sygeplejen med sygehus- og praksissektor. Det forhold, at sygeplejen ofte kommer
i borgerens hjem, giver gode muligheder for at understøtte behandling i borgerens hjem og bidrage til at
forebygge indlæggelser.
Indsatsen har dog samtidig tæt sammenhæng til mange dele af den kommunale opgaveløsning og kan
varetages af medarbejdere, der ikke er sygeplejersker. Når indsatsen leveres i borgerens eget hjem, sker
det ofte i forbindelse med personlig pleje og praktisk hjælp og dermed i forbindelse med andre indsatser,
der gives morgen, middag og aften. Fra et borgerperspektiv er det vigtigt, at indsatsen kan leveres sammen-
hængende, det vil sige på samme tid og af de samme medarbejdere m.v.
SUU, Alm.del - 2023-24 - Bilag 317: Orientering om Sundhedsstrukturkommissionens afrapportering, fra indenrigs- og sundhedsministeren
2880227_0296.png
296
1
2
3
4
Del 4 - Opgavesamling, forvaltningsmodeller, implementering og økonomi
Sygepleje kan også være udkørende og fungere som selvstændig enhed, der har særlige kompetencer,
og som leverer indsatser i borgerens eget hjem, herunder plejehjem, på midlertidige pladser og sociale
botilbud. Sygeplejen kan også være en integreret del af indsatsen på plejehjem, midlertidige pladser og
botilbud. Ved en samling af sygeplejen med sygehus- og praksissektor vil der behov for at håndtere snit-
flader til områderne.
Akutfunktioner i sygeplejen
Sundhedsstyrelsen udgav i 2014 anbefalinger til akutfunktioner i hjemmesygeplejen. I 2018 blev
anbefalingerne ændret til bindende kvalitetsstandarder. Fra 2023 er det blevet til krav om, at alle kom­
muner skal have en akutfunktion i sygeplejen. En akutfunktion kan organiseres forskelligt. I Sundheds­
styrelsens krav til akutfunktioner er udgangspunktet, at de er matrikelløse. De to hyppigste former for
organisering af akutfunktioner er udkørende akutteams og akutpladser (en variant af midlertidige pladser,
der behandles i næste afsnit). Akutfunktioner kan også være integrerede i den kommunale sygepleje og ikke
skilt ud i en særligt organisatorisk enhed.
Det kommunale akutområde er vokset frem over tid, og nogle af de første akutteams og akutpladser blev
indført i 1990’erne. Dengang var der primært tale om enkeltstående tilbud af mindre omfang, og det var
langt fra noget, alle kommuner tilbød. Ligeledes var der ikke nogen klar, entydig eller fælles forståelse af,
hvad de akutteams, akutstuer eller akutpladser, der dengang blev etableret, skulle kunne. Der har dermed
gennem tiden eksisteret forskellige former for kommunale akutteams og akutpladser. I første halvdel af
2010’erne skete der en betydelig vækst i antallet. Andelen af kommuner med akutteams steg fra 26 pct. i
2013 til 53 pct. i 2015 og lå i 2020 på 93 pct. Andelen af kommuner med akutpladser steg fra 41 pct. i 2013
til 71 pct. i 2015, men faldt herefter til 53 pct. i 2020.
275
I 2020 havde alle kommuner en akutfunktion. Nogle
kommuner har etableret egne akutfunktioner, andre har etableret tværkommunale akutfunktioner. Akut-
teams er den mest udbredte organiseringsform i kommunerne. Nogle kommuner har kombineret akutteams
med akutpladser.
276
I kvalitetskravene for kommunale akutfunktioner beskrives, at kvaliteten af indsatsen er særligt udfordret
på områder, hvor patientunderlaget er lille, hvorfor indsatsen bør forankres hos få personer med de rette
fagligheder. I forlængelse heraf bør kommuner med et lille patientgrundlag for akutfunktionen samarbejde
om opgavevaretagen med henblik på at etablere den tilstrækkelige faglige robusthed. Udfordringen for­
stærkes yderligere, når kommunerne skal leve op til kravet om en døgndækket akutfunktion. En under-
søgelse af en række kommuners erfaring med at etablere kommunale akutfunktioner viste, at på trods af
kravet om, at akutfunktioner er tilgængelig døgnet rundt, var der ingen af de undersøgte kommuner, som
vurderede, at der var tilstrækkelig volumen til at fastholde et fagligt bæredygtigt tilbud om natten. En af
kommunerne pegede på, at der skulle være et betydeligt befolkningsunderlag, som var større end den
pågældende kommunes indbyggertal på 75.000 borgere for at opretholde en fuldt døgndækket funktion.
Sundhedsstyrelsen vurderer, at der med en fremtidig omstilling af sundhedsvæsenet må forventes behov
for yderligere kapacitetsopbygning i de kommunale akutfunktioner. Det kan være sygepleje til mennesker
med multisygdom, subakutte og akutte patienter med somatisk sygdom, ligesom der er behov for at
kapaciteten i akutfunktionerne i stigende grad koordineres med det almenmedicinske tilbud og syge-
husene.
277
Som det gælder for den øvrige sygepleje, er der tæt sammenhæng mellem akutfunktioner og indsatser, der
forgår på sygehuse og i praksissektor, idet borgere, der udskrives fra et sygehus, ofte har brug for sygepleje
herunder indsatser fra kommunernes akutfunktioner. Indsatsen er et centralt led i den løbende udvikling
og omstilling af sundhedsvæsenet, og derfor kan der være et potentiale i at samle opgaven med sygehus-
og praksissektor.
275 VIVE, Sidsel Vinge, Martin Sandberg Buch, og Pia Kürstein Kjellberg. "Det kommunale akutområde: erfaringer og perspektiver på udviklingen
fra 15 kommuner". VIVE – Det nationale Forsknings- og Analysecenter for Velfærd, 2021.
276 Sundhedsstyrelsen. "Kvalitetsstandarder for kommunale akutfunktioner". Sundhedsstyrelsen, 2023.
277 Sundhedsstyrelsen, “Faglig bæredygtighed som grundlag for sundhedsplanlægning”, 2024.
SUU, Alm.del - 2023-24 - Bilag 317: Orientering om Sundhedsstrukturkommissionens afrapportering, fra indenrigs- og sundhedsministeren
2880227_0297.png
1
2
3
4
Del 4 - Opgavesamling, forvaltningsmodeller, implementering og økonomi
297
Som det gælder for sygeplejen samlet set, er indsatsen integreret i mange dele af den kommunale opgave-
løsning, dog i lidt mindre grad end sygeplejen, idet akutfunktionerne i nogen udstrækning er organiserede
som selvstændige teams og fungerer som udkørende enheder til borgerens eget hjem, botilbud m.v.
278
Indsatsen kan i nogle kommuner omfatte akutpladser, der er en variant af midlertidige pladser (se afsnit
om midlertidige pladser). Akutfunktioner og akutpladser kan ikke betragtes særskilt. En særskilt samling af
akutpladser og akutfunktioner med sygehus og praksissektor vil skabe snitflader til den øvrige del af
sygeplejen, og de kommunale indsatser som sygeplejen har sammenhæng med.
Midlertidige pladser
Kommunerne kan efter servicelovens § 84, stk. 2, tilbyde midlertidigt ophold til personer, der i en periode
har et særligt behov for omsorg og pleje. Indsatsen, der leveres på midlertidige pladser, er bl.a. sygepleje,
personlig pleje og praktisk hjælp, træning og rehabilitering. Indsatserne gives med forskellig vægtning
afhængig af formålet med opholdet. De midlertidige pladser er ikke en ”skal­opgave” i kommunerne.
Det betyder variation i antal, kompetencer, målgrupper m.v. En undersøgelse estimerer, at der er omkring
3.800 midlertidige pladser, hvoraf hovedparten drives efter serviceloven, og ca. 200 pladser er akut­
pladser.
279
KL vurderer ligeledes, at der er ca. 3.600 midlertidige pladser (eksklusivt Københavns Kom-
mune).
En del af borgerne, der har ophold på midlertidige pladser, er syge, ustabile eller svækkede, og der findes
forskellige løsninger på lægedækning af de midlertidige pladser. De almindelige ordninger gælder læge-
dækning ved borgerens egen læge, det vil sige det almenmedicinske tilbud. Med Aftale om akutplan for
sygehusvæsenet fra februar 2023 blev det aftalt, at regionerne vil implementere 72­timers behandlings­
ansvar for patienter, som udskrives fra sygehuse.
280
Det gælder bl.a. patienter der udskrives til kommunale
midlertidige pladser og akutpladser. Derudover er der fx kommuner, som honorerer sygehuse for læge-
dækning, sygehuslæger som ”går stuegang”, eller kommuner der ansætter læger som konsulenter på de
midlertidige pladser.
Tilknytningen af læger har på forskellig vis medvirket til at løse udfordringerne, men indtrykket er, at det
er sket usystematisk og i varierende grad. Kommunerne kan opkræve egenbetaling for bl.a. linned på
midlertidige pladser oprettet efter serviceloven. Det kan der ikke for akutpladser efter sundhedsloven.
I praksis er det vanskeligt at skelne mellem, om en borger bør tilbydes et ophold som en akutplads efter
sundhedsloven eller en midlertidig plads efter serviceloven.
Boks 14.5
Midlertidige pladser i tal
Borgere
En undersøgelse estimerer, at der er omkring 3.800 midlertidige pladser, hvoraf hovedparten drives efter
serviceloven, og ca. 200 pladser er akutpladser. KL vurderer på baggrund af Danmarks statistik, at der er
ca. 3.600 midlertidige pladser (eksklusivt Københavns Kommune).
Kilde: Implement Consulting Group. “Den kommunale sundhedsindsats”. 2023.
278 VIVE, Sidsel Vinge, Martin Sandberg Buch, og Pia Kürstein Kjellberg. "Det kommunale akutområde: erfaringer og perspektiver på udviklingen
fra 15 kommuner". VIVE - Det nationale Forsknings- og Analysecenter for Velfærd, 2021.
279 Implement Consulting Group. “Den kommunale sundhedsindsats”. 2023.
280 Regeringen, og Danske Regioner. “Aftale om en akutplan for sygehusvæsenet”. 2023.
SUU, Alm.del - 2023-24 - Bilag 317: Orientering om Sundhedsstrukturkommissionens afrapportering, fra indenrigs- og sundhedsministeren
2880227_0298.png
298
1
2
3
4
Del 4 - Opgavesamling, forvaltningsmodeller, implementering og økonomi
Udgifter
Kommunerne havde i 2022 udgifter på 1,9 mia. kr. til tilbud om midlertidige pladser under SEL § 84, stk. 2,
og tilbud om afløsning og aflastning under SEL § 84, stk. 1, hvor udgifter til personlig pleje og praktisk
hjælp og madservice givet i forbindelse med aflastningsopholdet eller aflastning i eget hjem er inkluderet
i opgørelsen. Udgifterne til midlertidige pladser og afløsning og aflastning kan ikke adskilles. Opgørelsen
kan være behæftet med usikkerhed, og udgifterne kan være undervurderet på grund af at flere
kommuner registrerer midlertidige pladser forkert. Nogle udgifter til midlertidige pladser forventes fx at
registreres som udgifter til plejehjem og plejeboliger, hvor de midlertidige pladser primært er placerede.
Opgørelsen er eksklusive aflastning under SEL § 84, stk. 1, givet til børn (barnets lov § 90) og som kontant
tilskud til modtageren, som selv varetager opgaven (§ 95, stk. 1-3). Kommunerne har udgifter på 0,3 mia.
kr. om året til kontante tilskud til borgere, som selv varetager opgaver under SEL § 83 og § 84, stk. 1, jf. §
95 stk. 1-3.
Kilde: Sundhedsstrukturkommissionen, ”Baggrundsrapport”, 2024, Statistikbanken, Danmarks statistik, REGKC og Indenrigs- og
Boligministeriets Benchmarkingenhed, “Kommunal sygepleje til ældre”, 2022.
Medarbejdere
Kommunerne havde i 2023 ansat 5.718 fuldtidspersoner til at varetage opgaverne forbundet med
midlertidige ophold under SEL § 84, stk. 2, afløsning og aflastning under SEL § 84, stk. 1, forebyggende
hjemmebesøg under SEL § 79 a og tilbud med aktiverende og forebyggende sigte under SEL § 79. Antallet
af ansatte, som udfører opgaver under SEL §§ 84, 79 a og 79, kan ikke adskilles, men der var heriblandt
ansat 835 sygeplejersker, 1.962 social- og sundhedsassistenter, 551 social- og sundhedshjælpere, 958
ergo- og fysioterapeuter, 178 ufaglært sundhedspersonale, 415 øvrigt sundhedspersonale og 818
ikke-sundhedsfagligt personale.
Kilde: Sundhedsstrukturkommissionen, ”Baggrundsrapport”, 2024.
De midlertidige pladser, som anvendes til borgere, der udskrives fra sygehus med fortsat behov for pleje,
har tæt sammenhæng med indsatsen i sygehus- og praksissektoren og er i nogen udstrækning forudsætning
for, at borgeren kan udskrives til en indsats tættere på eget hjem. Indsatsen er et resultat af den løbende
omstilling af sundhedsvæsenet. Der kan derfor isoleret betragtet være potentiale i en samling med sygehus-
og praksissektor med henblik på at give muligheder for en samlet tværgående styring og planlægning af
sengekapacitet og dermed skabe bedre muligheder for lægetilknytning til pladserne.
Indsatsen, der leveres under ophold på midlertidig plads, er imidlertid også væsentligt overlappende med
indsatser, der gives i borgerens eget hjem herunder plejehjem og plejebolig. Det gælder bl.a. personlig pleje
og praktisk hjælp, sygepleje og diverse træningsindsatser. Samtidig kan den midlertidige plads være et led
i kommunens afklaring af, om borgeren er i målgruppen for en plejebolig. En særskilt samling af de midler-
tidige pladser vil dermed skabe snitflader til den indsats.
Aflastning og afløsning
Kommunalbestyrelsen skal tilbyde afløsning eller aflastning til ægtefælle, forældre eller andre nære
pårørende, der passer en person med nedsat fysisk eller psykisk funktionsevne efter servicelovens § 84,
stk. 1. Aflastning gives udenfor hjemmet fx på en midlertidig plads, mens afløsning gives i hjemmet.
Opgaven har ikke tæt sammenhæng med indsatsen, der foregår i sygehus- og praksissektoren, og
kommissionen vurderer ikke, at der er et væsentligt potentiale forbundet med samling af opgaven.
Midlerne hertil indgår i udgifterne beskrevet under midlertidige pladser.
Plejehjem og plejebolig
Kommunerne skal efter servicelovens § 192 a tilbyde ældre, der har særligt behov for en plads på et
plejehjem eller for en almen plejebolig jf. § 5, stk. 2, i lov om almene boliger m.v. en sådan plads eller bolig
senest to måneder efter optagelse på en venteliste. Plejebolig er det sidste trin i indsatstrappen på det
kommunale ældreområde. Indsatsen indeholder bl.a. hjemmepleje og sygepleje.
SUU, Alm.del - 2023-24 - Bilag 317: Orientering om Sundhedsstrukturkommissionens afrapportering, fra indenrigs- og sundhedsministeren
2880227_0299.png
1
2
3
4
Del 4 - Opgavesamling, forvaltningsmodeller, implementering og økonomi
299
Ældre borgere, der bor på plejehjem eller i plejebolig, er i dag i gennemsnit ca. 83 år. Mere end tre ud af fire
har en kronisk sygdom, knap halvdelen lider af demens, og hver tredje lider af multisygdom. Udviklingen
på området har dermed medført, at kommunerne i stigende grad varetager komplekse sundhedsopgaver
i plejen og behandlingen af ældre borgere. I perioden 2009­2023 er der kommet over 30 pct. flere ældre
over 80 år.
Boks 14.6
Plejehjem og plejebolig i tal
Borgere
Der var 42.072 personer indskrevet i plejehjem, beskyttede boliger, friplejehjem og plejebolig i 2022.
Heraf var 2.476 indskrevet i plejehjem, 367 indskrevet i beskyttede boliger, 1.794 indskrevet i fripleje-
boliger og 37.435 indskrevet i plejeboliger. Ca. 93 pct. var personer på 67 år eller derover.
Kilde: Sundhedsstrukturkommissionen, ”Baggrundsrapport”, 2024.
Sammenhæng
Plejehjemsbeboere er blandt de 10 pct. i befolkningen, som har det højeste forbrug af sundheds- og
plejeydelser. I sammenligning med øvrige ældre, som er blandt de 10 pct. i befolkningen med det højeste
forbrug af sundheds- og plejeydelser, har plejehjemsbeboere i gennemsnit færre kontakter til det
somatiske sygehusvæsen.
Kilde: Indenrigs- og Sundhedsministeriets benchmarkingenhed. 2024. Ældre med højest forbrug af sundheds- og plejeydelser.
Udgifter
Kommunerne havde i 2022 udgifter på 26,1 mia. kr. til plejehjem og plejeboliger m.v. Det inkluderer
udgifter for 25,1 mia. kr. til personlig og praktisk hjælp og madservice under SEL § 83, rehabiliterings-
forløb under SEL § 83 a og socialpædagogisk støtte under SEL § 85 givet i plejehjem, plejeboliger og
beskyttede boliger og udgifter til personlig pleje og praktisk hjælp og madservice under SEL § 83 givet
i friplejeboliger. Opgørelsen inkluderer også udgifter på 0,9 mia. kr. til selve boligdelen af plejehjem
og 0,1 mia. kr. til socialpædagogisk bistand under SEL § 85, genoptræning under SEL § 86, ledsagelse
under SEL §§ 97 og 98 og behandlingsmæssige tilbud under SEL § 102 m.v., givet i forbindelse med
friplejeboliger.
Kilde: Sundhedsstrukturkommissionen, ”Baggrundsrapport”, 2024 og Statistikbanken, Danmarks statistik, REGKC.
Medarbejdere
Der er hele 43.133 fuldtidspersoner ansat i kommunerne til at varetage opgaverne forbundet med
plejehjem, plejeboliger m.v. Personerne varetager alle opgaverne beskrevet ovenfor eksklusiv de opgaver,
som varetages af private udbydere. Ud af de ansatte er 2.941 sygeplejersker, 11.365 social- og sundheds-
assistenter, 13.973 social- og sundhedshjælpere, 597 ergo- og fysioterapeuter, 5.720 ufaglært sundheds-
personale, 3.619 øvrigt sundhedspersonale og 4.918 ikke-sundhedsfagligt personale.
Kilde: Sundhedsstrukturkommissionen, ”Baggrundsrapport”, 2024.
Leverandører
Friplejeboligleverandører er private, som driver friplejeboliger i konkurrence med kommunerne.
Ældre borgere, der bor på plejehjem eller i plejebolig, har behov for pleje og omsorg hele døgnet, og der er
i praksis ofte tale om en varig indsats. Indsatsen, der foregår på plejehjem og i plejebolig, er bl.a. sygepleje,
personlig pleje og praktisk hjælp og træningsindsatser. Indsatsen er dermed forbundet med den indsats,
der foregår i sygehus­ og praksissektor. Ældre borgere, der bor på plejehjem eller i plejebolig, er skrøbelige,
og derfor er det vigtigt, at deres samlede behov i størst muligt omfang varetages på plejehjemmet, bl.a. at
den sundhedsfaglige indsats understøttes af almenmedicinske kompetencer.
SUU, Alm.del - 2023-24 - Bilag 317: Orientering om Sundhedsstrukturkommissionens afrapportering, fra indenrigs- og sundhedsministeren
2880227_0300.png
300
1
2
3
4
Del 4 - Opgavesamling, forvaltningsmodeller, implementering og økonomi
Træningsområdet
I det følgende afsnit beskrives træningsområdet på tværs sundhedsloven og serviceloven samlet. Det afviger
fra begrebsdefinitionerne i kapitel 1.
Træningsområdet består samlet set af tre forskellige opgaver:
• Vedligeholdende træning og genoptræning efter serviceloven § 86
• Genoptræning efter udskrivelse efter sundhedslovens § 140
• Vederlagsfri lægehenvist fysioterapi efter sundhedslovens §§ 140 a og b
Træningsområdet er tæt forbundet med ældreområdet, idet træning er med til at understøtte, at borgeren
genvinder selvhjulpenhed, fx efter sygdom eller sygehusindlæggelse. Målgruppen er ikke kun, men i
overvejende grad, ældre. Træningsområdet adskiller sig fra ældreområdet, bl.a. fordi indsatsen dækker
over mindre kompliceret genoptræning til relativt mange borgere og genoptræning og rehabilitering på
specialiseret niveau til relativt få borgere.
Hjælpemiddelområdet er beskrevet som en del af træningsområdet, idet hjælpemidler ofte anvendes som
led i en indsats, der skal bidrage til at gøre borgeren selvhjulpen. Det skal bemærkes, at hjælpemiddel-
området som regel er en del af den kommunale, centrale visitation og ikke integreret med træningsområdet.
Boks 14.7
Træningsområdet i tal
Borgere
Ca. 12.000 borgere modtog i 2022 genoptræning uden forudgående indlæggelse. Heraf var ca. 2.000
borgere under 65 år. Ca. 13.000 borgere modtog vedligeholdende træning. Heraf var ca. 1.400 under
65 år. Der blev udarbejdet ca. 209.000 genoptræningsplaner i 2022. I 2018 havde ca. 288.000 personer
ét eller flere hjælpemidler, der var bevilliget efter servicelovens § 112, og som var blevet udleveret via
kommunernes hjælpemiddeldepoter. Det svarer til 5 pct. af den danske befolkning. Ca. tre fjerdedele
af modtagerne af hjælpemidler er over 65 år.
Kilde: Sundhedsstrukturkommissionen, “Baggrundsrapport”, 2024.
Sammenhæng
79 pct. af de borgere, der i 2019 modtog vedligeholdelsestræning, havde indenfor samme år sygehus-
kontakt. 53 pct. modtog indenfor samme år sygepleje. 85 pct. af de borgere, der i 2019 modtog gen-
optræning efter serviceloven, havde indenfor samme år sygehuskontakt. 49 pct. modtog inden for samme
år sygepleje.
Kilde: Sundhedsstrukturkommissionen, “Baggrundsrapport”, 2024.
Udgifter
I 2022 var kommunernes samlede udgifter på træningsområdet inklusive hjælpemidler 7,4 mia. kr. Heraf
gik 1,9 mia. kr. til lægehenvist genoptræning og genoptræning efter udskrivelse fra sygehus efter SUL
§ 140 og fysioterapi udført i kommunalt regi efter SUL § 140 a. Yderligere 1,2 mia. kr. gik til vederlagsfri
fysioterapi udført hos private leverandører under SUL § 140 a og 140 b, mens 1 mia. kr. gik til gen-
optræning uden foregående indlæggelse og vedligeholdelsestræning efter SEL § 86. De sidste 3,3 mia. kr.
gik til hjælpemidler givet under SEL § 112.
Opgørelsen inkluderer ikke udgifter til genoptræning og vedligeholdelsestræning efter SEL § 86 udført
i forbindelse med ophold i botilbud efter SEL §§ 107-110, ophold i friplejeboliger og vedligeholdelses-
træning til børn efter barnets lov § 90. Opgørelsen inkluderer dog udgifter til personbefordringer givet
i forbindelse med både SUL § 140 og SEL § 86.
Kilde: Sundhedsstrukturkommissionen, ”Baggrundsrapport”, 2024, Statistikbanken, Danmarks statistik, REGKC og kommunale
særindberetninger.
SUU, Alm.del - 2023-24 - Bilag 317: Orientering om Sundhedsstrukturkommissionens afrapportering, fra indenrigs- og sundhedsministeren
2880227_0301.png
1
2
3
4
Del 4 - Opgavesamling, forvaltningsmodeller, implementering og økonomi
301
Medarbejdere
Der var i 2023 ansat 4.601 fuldtidspersoner i kommunerne til at varetage opgaverne forbundet med
genoptræning og vedligeholdelsestræning efter SUL §§ 140, 140 a og 140 b og SEL § 86. Kommunalt
ansatte i forbindelse med SUL § 140 a omfatter ansatte, som varetager den fysioterapi, som leveres i
kommunalt regi. Blandt dem var 195 sygeplejersker, 407 var social- og sundhedsassistenter, 48 var
social- og sundhedshjælpere, 3.434 var ergo- og fysioterapeuter, 30 var ufaglært sundhedspersonale,
90 var øvrigt sundhedspersonale og 395 var ikke-sundhedsfagligt personale.
Der var herudover ansat 1.036 fuldtidspersoner til at varetage opgaver relateret til hjælpemidler under
SEL § 112, hjælp til boligindretning under SEL § 116, støtte til individuelle befordringer under SEL § 117
og støtte til køb af bil under SEL § 115. Blandt personerne var 35 sygeplejersker og 314 ergo- og fysio-
terapeuter og 687 ikke-sundhedsfagligt personale.
Kilde: Sundhedsstrukturkommissionen, ”Baggrundsrapport”, 2024.
Vedligeholdende træning og genoptræning uden tilknytning til sygehusindlæggelse
Efter servicelovens § 86 skal kommunen tilbyde genoptræning til afhjælpning af fysisk funktionsnedsæt-
telse forårsaget af sygdom, der ikke behandles i tilknytning til en sygehusindlæggelse. Ifølge servicelovens
§ 86, stk. 2, skal kommunen tilbyde hjælp til at vedligeholde fysiske eller psykiske færdigheder på grund af
fysisk eller psykisk nedsat funktionsevne eller særlige sociale problemer til personer, der har behov for det.
Målgruppen for genoptræning er typisk ældre borgere, der efter sygdom eller ulykke, som ikke er behandlet
i sygehusregi, er midlertidigt svækkede. Tilbuddet om genoptræning kan fx være relevant for en ældre
borger, som er svækket efter længere tids sengeleje i hjemmet på grund af influenza eller efter et fald, og
hvor der er behov for at genvinde mistet eller reduceret funktionsevne. Målgruppen for vedligeholdelses-
træning efter serviceloven er alle borgere uanset alder og omfatter træning til personer med fx kroniske
lidelser, i det omfang personerne har brug for individuel træning med henblik på at kunne vedligeholde
fysiske, psykiske og sociale færdigheder.
I modsætning til genoptræning efter sundhedsloven er der ikke et krav i serviceloven om en lægefaglig
vurdering af behovet for genoptræning eller vedligeholdende træning. Det vil dog ofte være den alment
praktiserende læge eller hjemmeplejen, der konstaterer behovet for genoptræning. Behovet for gen­
optræning vil også kunne opfanges i forbindelse med udførelsen af de forebyggende hjemmebesøg eller
andre former for opfølgning og har dermed tæt sammenhæng med ældreområdet.
Tilbud om vedligeholdelsestræning og genoptræning skal i mange tilfælde ses i sammenhæng med gen-
optræning efter sundhedsloven. Ofte vil der i forlængelse af et afsluttet genoptræningsforløb være behov
for vedligeholdende træning med henblik på at fastholde den erhvervede funktionsevne. På den måde
hænger træningsområdet på tværs af sundhedslov og servicelov sammen.
Indsatsen har ikke i høj grad direkte sammenhæng til indsatsen på sygehus- og i praksissektor, men kan
medvirke til at forebygge indlæggelser. Indsatsen har tæt sammenhæng med personlig pleje og praktisk
hjælp, da indsatsens formål er at gøre borgerne selvhjulpne og reducere behovet for personlig pleje og
praktisk hjælp. Det er vigtigt, at den myndighed, der har opgaven med den vedligeholdende træning og
genoptræning uden tilknytning til sygehusindlæggelse, har incitament til at reducere behovet for mere
omfattende og varige indsatser. En selvstændig samling af vedligeholdende træning og genoptræning uden
tilknytning til sygehusindlæggelse med sygehus­ og praksissektor vil skabe snitflader til indsatserne og til
det øvrige træningsområde.
Genoptræning efter udskrivelse fra sygehus og genoptræningsplaner
Kommunerne har siden 2007 haft ansvar for genoptræning efter udskrivelse fra sygehuset for alle patienter
uanset alder og diagnose, som udskrives fra sygehuset med et lægefagligt begrundet behov for gen-
optræning. Siden er området vokset kraftigt.
SUU, Alm.del - 2023-24 - Bilag 317: Orientering om Sundhedsstrukturkommissionens afrapportering, fra indenrigs- og sundhedsministeren
2880227_0302.png
302
1
2
3
4
Del 4 - Opgavesamling, forvaltningsmodeller, implementering og økonomi
Indsatsen dækker over mange former for genoptræning fra genoptræning efter hofteoperation, som mange
borgere har behov for, til omfattende og kompleks genoptræning og rehabilitering efter hjerneskade, som
en mindre gruppe borgere har behov for. Regionerne har driftsansvaret for genoptræning på specialiseret
niveau. Kommunerne har finansieringsansvaret for al genoptræning efter udskrivelse fra sygehuse.
Tabel 14.1
Typer af genoptræning efter udskrivelse fra sygehus
Niveau
Genoptræning på alment niveau
Basalt niveau
Driftsansvar
Foregår i kom-
munen, som også
visiterer.
Patienter har enkle
og afgrænsede
funktionsevne-
nedsættelser fx
en brækket hofte
eller en knæskade.
Avanceret niveau
Foregår i kom-
munen, som også
visiterer.
Patienter har
omfattende
funktionsevne-
nedsættelser fx
efter amputation
af kropsdel eller
blodprop i hjernen.
Kommunen har
finansieringsansvaret,
mens regionerne har
driftsansvaret.
Patienter har kom-
plicerede, omfattende,
sjældne og/eller
alvorlige funktions-
evne-nedsættelser
og eventuelt alvorlige
komplikationer i
behandlingsforløbet.
Foregår i kommunen.
Eksempelvis på
specialiserede enheder.
Patienter har typisk
komplicerede, omfat-
tende, sjældne og/eller
alvorlige funktionsevne-
nedsættelser af
væsentlig betydning
for flere livsområder
– oftest omfattende
mentale funktionsned-
sættelser. Fx patienter
med erhvervet hjerne-
skade.
Der er særlige krav
til tilrettelæggelse af
helhedsorienterede
forløb, timing og
organisering. Indsatsen
samles på et begrænset
antal rehabiliterings-
tilbud.
Genoptræning på
specialiseret niveau
Rehabilitering på
specialiseret niveau
Patientgruppe
Krav til indsatsen
Organiseres som
monofaglige
eller tværfaglige
indsatser. Ikke
særlige krav til
organisering.
Tværfaglige
indsatser, som
kræver tæt
koordinering af
forløbet. Kan være
brug for tvær-
kommunale
samarbejder ift.
at sikre kompe-
tencer.
Brug for tæt koordine-
ring af genoptræning,
udredning og
ambulant sygehus-
behandling. Disse
genoptrænings-
indsatser samles på
sygehuse med den
rette ekspertise.
Genoptrænings­
planer i 2022
(i alt 208.963)
Almen genoptræning
(basalt + avanceret niveau):
190.290 genoptræningsplaner
18.063 gen­
optræningsplaner
610 gen­
optræningsplaner
Kilde: Landspatientregisteret (LPR) og CPR-registeret, Sundhedsdatastyrelsen, Vejledning nr 9538 om genoptræning og vedligeholdelsestræning
i kommuner og regioner
Hvis en patient har et lægefagligt behov for genoptræning efter udskrivning fra sygehuset, har regionerne
ansvar for at tilbyde og udarbejde en individuel genoptræningsplan, som beskriver patientens behov for
genoptræning ud fra tre niveauer af genoptræning, som bl.a. definerer, om genoptræningen skal leveres af
sygehuset. Det skal bl.a. sikre faglig bæredygtighed og kvalitet i indsatsen. Kommunen har stadig finansie-
ringsansvaret og afgør det konkrete indhold og omfang af indsatsen, men kommunerne kan ikke styre
antallet af patienter, som henvises til indsatsen. Hvis ventetiden til genoptræning overstiger syv dage,
har borgerne ret til at vælge at modtage genoptræningen hos en privat leverandør.
SUU, Alm.del - 2023-24 - Bilag 317: Orientering om Sundhedsstrukturkommissionens afrapportering, fra indenrigs- og sundhedsministeren
2880227_0303.png
1
2
3
4
Del 4 - Opgavesamling, forvaltningsmodeller, implementering og økonomi
303
Genoptræning efter sundhedsloven er dermed begrænset til at kunne iværksættes efter forudgående
sygehuskontakt. Det betyder fx, at de alment praktiserende læger ikke kan udarbejde genoptræningsplaner.
Det kan medføre unødig aktivitet på sygehusene, eller at der iværksættes aktivitet i praksissektoren, hvor
der er egenbetaling fx fysioterapi.
Der har gennem årene været stillet spørgsmål ved, om kommunernes størrelse og befolkningsgrundlag
gør det muligt for den enkelte kommune at levere faglig bæredygtig genoptræning og rehabilitering på
specialiseret og avanceret niveau. Det gælder bl.a. indsatsen til mennesker med erhvervet hjerneskade,
hvor Sundhedsstyrelsen tidligere har anbefalet, at de fleste patienter vil have brug for genoptræning på
avanceret niveau ved personale med særlige kompetencer. Det fremgår også af anbefalingerne, at de fleste
kommuner pga. deres befolkningsunderlag vil have behov for at indgå i et tværkommunalt samarbejde
for at have tilstrækkelig aktivitet til at opnå, vedligeholde og udvikle erfaring og kompetencer hos de
involverede faggrupper.
281
Udvalget for evalueringen af kommunalreformen anbefalede bl.a. øget tvær­
kommunalt samarbejde om almen ambulant genoptræning efter sundhedslovens § 140 med henblik på at
sikre forsvarlig løsning af opgaver, som kræver en større patientvolumen, end den enkelte kommune har.
282
Sundhedsstyrelsen vurderer, at der fortsat kun i ringe grad er etableret tværkommunale samarbejder på
området.
Sundhedsstyrelsen vurderer, at der på en række andre områder vil være behov for samling og specialisering
for at opbygge ensartede tilbud af høj kvalitet. Det gælder bl.a. genoptræning efter benamputation, gen-
optræning mindre grupper af kræftpatienter, børn og unge der har været gennem svær sygdom og
mennesker med psykiske traumer eller progredierende sygdom som sclerose og ALS.
283
I mange tilfælde vil en efterfølgende træningsindsats være central for, at borgeren får effekt af fx en
operation og kan vende tilbage til arbejde og blive selvhjulpen. Sundhedsstrukturkommissionen vurderer
ikke, at genoptræningsindsatsen i stor udstrækning er et centralt led i den løbende omstilling af sundheds-
væsenet. I takt med omstilling mod at mere behandling vil foregå i almenmedicinsk tilbud vil genoptræning
uden forudgående sygehuskontakt dog blive mere centralt.
Genoptræning efter udskrivelse fra sygehus spænder bredt fra almen genoptræning til mange til avanceret
og specialiseret genoptræning og rehabilitering til få. Der vil være potentiale for, at rammerne for bære-
dygtig opgaveløsning i de specialiserede og avancerede indsatser styrkes, hvis de samles med sygehus-
og praksissektor. Det kan til gengæld risikere at udtynde fagligheden i de brede genoptræningsindsatser.
Vederlagsfri fysioterapi
Kommunen skal efter sundhedslovens § 140 a, stk. 1, tilbyde vederlagsfri fysioterapi herunder ridefysio­
terapi hos fysioterapeuter i praksissektoren efter lægehenvisning. Kommunerne kan også vælge at tilbyde
vederlagsfri fysioterapi på egne institutioner eller ved at indgå aftaler med andre kommuner eller private
institutioner. Langt størstedelen af patienter, der har en henvisning til vederlagsfri fysioterapi, modtager
dog behandlingen i praksissektoren. Målgruppen er personer, som har et svært fysisk og varigt handicap
eller funktionsnedsættelse som følge af progressiv sygdom.
Indsatsen er ikke i høj grad forbundet med indsatsen, der foregår i sygehus- og praksissektoren. Dog har
målgruppen typisk behov for flere indsatser herunder fra sygehus­ og praksissektor. Sundhedsstruktur­
kommissionen vurderer ikke, at en særskilt samling af vederlagsfri fysioterapi har stort potentiale i forhold
til sammenhæng og omstilling. Det vil samtidig skabe snitflader til den øvrige træningsindsats.
281 Sundhedsstyrelsen, “Anbefalinger for tværsektorielle forløb for voksne med erhvervet hjerneskade - apoleksi og transitorisk cerabral iskæmi
(TCI) - traume, infektions, tumor, subarachnoidalblødning og encephalopati”, 2020.
282 Underarbejdsgruppen om evaluering af kommunalreformen – Socialområdet og de specialiserede undervisningstilbud. “Afrapportering fra
underarbejdsgruppen om evaluering af kommunalreformen – socialområdet og de specialiserede undervisningstilbud”. Social- og
Integrationsministeriet, 2012.
283 Sundhedsstyrelsen, “Faglig bæredygtighed som grundlag for sundhedsplanlægning”, 2024.
SUU, Alm.del - 2023-24 - Bilag 317: Orientering om Sundhedsstrukturkommissionens afrapportering, fra indenrigs- og sundhedsministeren
2880227_0304.png
304
1
2
3
4
Del 4 - Opgavesamling, forvaltningsmodeller, implementering og økonomi
Hjælpemidler
Kommunerne skal efter servicelovens § 112 yde støtte til hjælpemidler til personer med varigt nedsat fysisk
eller psykisk funktionsevne, når hjælpemidlet i væsentlig grad kan afhjælpe de varige følger af den nedsatte
funktionsevne, i væsentlig grad kan lette den daglige tilværelse i hjemmet eller er nødvendigt for, at den
pågældende kan udøve et erhverv. Hjælpemidler kan dermed være med til at lette tilværelsen for personer
med en fysisk eller psykisk funktionsnedsættelse ved at sikre, at de kan klare flere af hverdagens gøremål
selv. Der findes mange forskellige typer af hjælpemidler. Som eksempler kan nævnes en rollator, en bade-
bænk, en toiletforhøjer og en kørestol, men der kan også være tale om avanceret teknologi. En stor del af de
hjælpemidler, der visiteres kommunalt, er til ældre borgere, der har brug for redskaber, der kan støtte
dem til en nemmere hverdag.
Som et integreret led i en behandling på sygehuset eller som led i fortsættelse af en iværksat behandling,
kan en borger blive forsynet med et behandlingsredskab, som bevilliges af regionen. Det samme produkt
kan være henholdsvis et hjælpemiddel eller et behandlingsredskab afhængig af konteksten, det anvendes i.
I takt med sundhedsvæsenets udvikling, hvor flere sygehusopgaver håndteres i borgerens eget hjem eller
på midlertidige kommunale pladser og i takt med den teknologiske udvikling, er sondringen mellem
hjælpemidler og behandlingsredskaber blevet mere vanskelig. Det giver løbende afgrænsningsudfordringer
mellem regioner og kommuner, som der siden strukturreformen i 2007 er brugt administrative ressourcer
af et vist omfang på at afklare.
Hjælpemiddelområdet har tæt sammenhæng til sygehus- og praksissektoren, idet tildeling af hjælpemidler
kan være et led i, at borgeren kan udskrives fra sygehus til en opfølgende indsats i eget hjem. Hjælpemidler
kan reducere behovet for personlig pleje og praktisk hjælp, og dermed bør myndigheden, der er ansvarlig
for tildeling af hjælpemidler have incitament til at reducere behovet for mere omfattende indsatser. En
særskilt samling af hjælpemiddelområdet vil skabe snitflader til indsatserne. Hjælpemiddelområdet har
også store snitflader til handicapområdet i kommunerne.
Patientrettet forebyggelse til mennesker med kronisk sygdom
Efter sundhedslovens § 119, stk. 3, skal kommunen etablere patientrettet forebyggelse og sundhedsfrem-
mende indsatser i kommunen. Begrebet patientrettet forebyggelse adskiller sig fra borgerrettet forebyg-
gelse ved at være målrettet borgere, der allerede har en kronisk sygdom. Derfor er patientrettet forebyg-
gelse i vidt omfang sammenfaldende med rehabiliteringsforløb til mennesker med kronisk sygdom.
Efter sundhedslovens § 119 er de direkte borgerrettede indsatser på området beskrevet i Fælles Sprog III
i indsatskataloget til sundhedsfremme og forebyggelse. Her anvendes følgende direkte borgerrettede
indsatser: Afklarende samtale, behovssamtale, afsluttende samtale, opfølgning, sygdomshåndtering,
mental håndtering, vejledning og introduktion til fysiske aktiviteter, fysisk træning, færdighedstræning,
kostvejledning, diætbehandling og madlavning i praksis.
Siden strukturreformen i 2007 har der været fokus på den forebyggende og rehabiliterende indsats til
mennesker med kroniske sygdomme. Op gennem 2010’erne har indsatsen til mennesker med kronisk
sygdom været centreret omkring sygdomsspecifikke forløbsprogrammer. Sundhedsstyrelsen udarbejdede i
2012 en generisk beskrivelse af, hvad et forløbsprogram er. Et forløbsprogram handler om tidlig opsporing,
forebyggelse og behandling for en række patientgrupper og beskriver opgavefordeling, koordinering og
kommunikation mellem sygehuse, praksissektoren og kommuner.
Efterfølgende var der nationalt fokus på opbygning og implementering af forløbsprogrammer for de store
folkesygdomme, som diabetes type­2, KOL, hjertekarsygdom og kræft. Hver region udarbejdede lokale
forløbsprogrammer indenfor de forskellige sygdomsområder. Det konkrete indhold i forløbsprogrammerne
tager udgangspunkt i de nationale retningslinjer og anbefalinger indenfor hvert sygdomsområde. Fælles
for alle forløbsprogrammer er, at kommunernes rolle primært er at tilbyde rehabiliteringsindsatser, der
typisk indeholder elementer af træning, sygdomsmestring, ernæringsindsatser og eventuelt også nikotin-
afvænning.
SUU, Alm.del - 2023-24 - Bilag 317: Orientering om Sundhedsstrukturkommissionens afrapportering, fra indenrigs- og sundhedsministeren
2880227_0305.png
1
2
3
4
Del 4 - Opgavesamling, forvaltningsmodeller, implementering og økonomi
305
Kommunerne opbyggede diagnosespecifikke forebyggelsestilbud, og det var alment praktiserende læger
og læger på sygehuse, der kunne henvise til tilbuddene. Arbejdsdelingen og organisering viste sig i praksis
at være udfordrende. Både fordi mange kommuner havde svært ved at opretholde tilbud på grund af få
henvisninger, som følge af manglende kendskab hos lægerne til tilbuddene, selvom der er tale om store
folkesygdomme. Problemet var også, at mange borgere havde behov for mere individuelt sammensatte
tilbud end de sygdomsspecifikke patientskoler med fastlagte forløb, som ofte var baseret på holdunder­
visning. Mange kommuner tog konsekvensen af den manglende henvisningspraksis og åbnede op for, at
borgerne selv kunne henvende sig med henblik på et tilbud om forebyggelse.
Der har i forbindelse med implementeringen af forløbsprogrammerne aldrig været en national monito-
rering af, hvor mange patienter der fra det alment medicinske tilbud og sygehuse blev henvist til og modtog
patientrettet forebyggelse i kommunerne. Derfor findes der ikke nationale opgørelser over antallet af
patienter, som gennem årene er blevet henvist til patientrettet forebyggelse via forløbsprogrammernes
patientskoler og tilbud i kommunerne.
En analyse foretaget af KL for perioden 2014­2017 viser, at antallet af elektroniske henvisninger fra almen
praksis til kommunale patientrettede forebyggelsestilbud fra 2014 til 2017 steg fra 13,3 til 15,6 årlige
henvisninger pr. praksis. Det svarer til en stigning på 18 pct. Knap en fjerdedel af alle lægepraksisser
foretog slet ingen henvisninger i løbet af 2014­2016. I 2017 var det ca. en femtedel, der ikke henviste
nogen patienter til forløbene.
284
Som led i den nationale kvalitetsplan for det nære sundhedsvæsen udsendte Sundhedsstyrelsen i januar
2024 bindende kvalitetsstandarder til forebyggelsestilbud for borgere med kronisk sygdom kommunerne.
Sundhedsstyrelsens kvalitetsstandarder anbefaler individuelt sammensatte tilbud efter behov og efter en
såkaldt ”afklarende samtale”, som kommunen skal tilbyde. I kvalitetsstandarderne anbefales det, at borgere
selv bør kunne henvende sig eller henvises fra øvrige kommunale områder til en afklarende samtale. Læger
kan fortsat henvise til den afklarende samtale.
Sundhedsstyrelsen vurderer, at der ses udfordringer med at opnå et grundlag for faglig bæredygtighed
herunder personalekompetencer og effektiv ressourceanvendelse i de kommunale forebyggelsestilbud til
mennesker med kronisk sygdom. Kvalitetsstandarderne på området beskriver, at kommuner i tilfælde
af lille volumen af borgere med behov for samme indsats med sygdomsspecifikke elementer kan indgå i
tværkommunalt samarbejde om indsatserne. Fx har tilbud om diætbehandling varieret som en følge af,
at tilbuddet skal varetages af klinisk diætist, hvis kompetencer kan være svære at udbytte fuldt ud, når
volumen er lille. Hertil kommer, at selv store kommuner med et formodet stort grundlag for høj volumen
til forebyggelsestilbud kan opleve, at de alment praktiserende læger og sygehuse kun henviser få personer
til tilbuddene. Det kan forstærke kommunernes udfordring med at opnå tilstrækkeligt volumen.
285
Boks 14.8
Patientrettet forebyggelse i tal
Borgere
Der findes ikke nationale opgørelse over antallet af borgere, der modtager patientrettet forebyggelse.
Udgifter
Det er ikke muligt at opgøre udgifterne til patientrettet forebyggelse isoleret, da tiltagene i vidt omfang
er integrerede som en del af opgaveløsningen på andre områder, heriblandt borgerrettet forebyggelse.
Ifølge den kommunale kontoplan var de samlede udgifter til borger- og patientrettet forebyggelse
1,3 mia. kr. i 2022.
Kilde: Sundhedsstrukturkommissionen, ”Baggrundsrapport”, 2024.
284 KL, og Mette Egsdal. “Almen praksis henvisning til kommunale forebyggelsestilbud (2014-2017)”. 2018.
285 Sundhedsstyrelsen, “Faglig bæredygtighed som grundlag for sundhedsplanlægning”, 2024.
SUU, Alm.del - 2023-24 - Bilag 317: Orientering om Sundhedsstrukturkommissionens afrapportering, fra indenrigs- og sundhedsministeren
2880227_0306.png
306
1
2
3
4
Del 4 - Opgavesamling, forvaltningsmodeller, implementering og økonomi
Medarbejdere
Til at udføre opgaverne forbundet med borger- og patientrettet forebyggelse havde kommunen ansat
1.605 fuldtidspersoner i 2023, hvor 318 var sygeplejersker, 10 var social-og sundhedsassistenter, 440 var
ergo- og fysioterapeuter, 205 var øvrigt sundhedspersonale og 632 var ikke-sundhedsfagligt personale.
Kilde: Sundhedsstrukturkommissionen, ”Baggrundsrapport”, 2024.
Indsatsen har sammenhæng til sygehus- og praksissektoren på den måde, at den rette indsats til borgerne
kan reducere behovet for sygehusindsats for en stor gruppe, som vil vokse i takt med den demografiske
udvikling. Indsatsen er et vigtigt led i den løbende omstilling af sundhedsvæsenet. Kommunerne er
ikke forpligtede til at tilbyde indsatser til borgere i risiko for kronisk sygdom, og Sundhedsstruktur­
kommissionen vurderer, at der er et forebyggelsespotentiale ved styrket prioritering af forebyggelsestilbud
til borgere i risiko for at udvikle kronisk sygdom. På det område vil der særligt være overlap til de borger-
rettede forebyggelsestilbud.
Det er en central del af indsatsen til mennesker med kronisk sygdom at understøtte dem i at leve med
en eller flere kroniske sygdomme i hverdagen, herunder i familie­ og arbejdslivet, og i øvrigt gøre dem
selvhjulpne og reducere behovet for varig hjælp i hjemmet, træning, forhindre forværring af sygdom m.v.
Hvis opgaven samles med sygehus­ og praksissektoren, vil der skabes snitflader til andre dele af den
kommunale opgavevaretagelse. Det gælder især for borgere under pensionsalderen, som kan være
afhængige af indsatser, der understøtter deres tilknytning til arbejdsmarkedet. Derudover vil der skabes
snitflader til den borgerrettede forebyggelse, idet nogle indsatser, fx alkohol­ og nikotinafvænningstilbud,
er overlappende med den patientrettede forebyggelse.
Borgerrettet forebyggelse
Kommunerne skal efter sundhedslovens § 119, stk. 1, varetage sine opgaver i forhold til borgerne på en
måde, så der skabes ”rammer for en sund levevis”. Desuden skal de ifølge sundhedslovens § 119, stk. 2,
”etablere forebyggende og sundhedsfremmende tilbud til borgerne”. På den måde er der to elementer i
opgaven. Stk. 1 skal løses som led i kommunens opgavevaretagelse på alle øvrige relevante områder. Stk. 2
vedrører etablering af forebyggende og sundhedsfremmende tilbud til borgerne. Indsatsen kan være
holdtilbud eller individuelle tilbud, der fx kan foregå i et sundhedscenter.
Borgerrettet forebyggelse dækker den brede forebyggelsesindsats til alle borgere. Opgaven kan tage
udgangspunkt i Sundhedsstyrelsens forebyggelsespakker, der bl.a. omfatter faglige anbefalinger til indsatser
indenfor felterne: fysisk aktivitet, hygiejne, indeklima i skoler, mad og måltider, mental sundhed, overvægt,
seksuel sundhed, solbeskyttelse, stoffer og tobak. Anbefalingerne er vejledende og ikke bindende. Det er op
til kommunerne selv at vurdere, hvilke forebyggende og sundhedsfremmende tilbud den enkelte kommune
finder relevante at udbyde til hvem og i hvilket omfang.
Kommunens borgerrettede forebyggelsesindsats fletter sammen med andre kommunale områder som
skole- og daginstitutioner, natur, miljø, kultur, fritid og vejnet m.v., hvor kerneopgaven er en anden end
sundhed. Opgaverne løses derfor også af medarbejdere, der har andre faglige baggrunde end sundhedsfaglig
baggrund.
SUU, Alm.del - 2023-24 - Bilag 317: Orientering om Sundhedsstrukturkommissionens afrapportering, fra indenrigs- og sundhedsministeren
2880227_0307.png
1
2
3
4
Del 4 - Opgavesamling, forvaltningsmodeller, implementering og økonomi
307
Boks 14.9
Borgerrettet forebyggelse i tal
Borgere
Der findes ikke nationale opgørelser af antallet af borgere, der modtager borgerrettet forebyggelse.
Økonomi
Det er ikke muligt at opgøre udgifterne til borgerrettet forebyggelse isoleret, da tiltagene i vidt omfang
er integreret som en del af opgaveløsningen på andre områder, heriblandt patientrettet forebyggelse.
Ifølge den kommunale kontoplan var de samlede udgifter til borger- og patientrettet forebyggelse
1,3 mia. kr. i 2022.
Kilde: Sundhedsstrukturkommissionen, ”Baggrundsrapport”, 2024.
Medarbejdere
Til at udføre opgaverne forbundet med borger- og patientrettet forebyggelse havde kommunen ansat
1.605 fuldtidspersoner i 2023, hvoraf 318 var sygeplejersker, 10 var social-og sundhedsassistenter, 440
var ergo- og fysioterapeuter, 205 var øvrigt sundhedspersonale og 632 var ikke-sundhedsfagligt
personale.
Kilde: Sundhedsstrukturkommissionen, ”Baggrundsrapport”, 2024.
Den borgerrettede forebyggelse hænger meget tæt sammen med mange af kommunernes øvrige områder
og er ikke tæt forbundet med sygehus­ og praksissektor. Sundhedsstrukturkommissionen vurderer ikke,
at der er potentiale for sammenhæng og omstilling ved særskilt samling af den borgerrettede forebyggelse
med sygehus- og praksissektor. Den borgerrettede forebyggelse har dog betydning for behovet for syge-
husindsatser og indsatser i praksissektoren på lang sigt.
Sundhedsplejen og forebyggende sundhedsydelser til børn og unge
Kommunerne har ansvaret for at levere forebyggende sundhedsydelser til børn og unge. Opgaven løses
i den kommunale sundhedspleje. Indsatsen har hjemmel i sundhedslovens §§ 120­126, som beskriver
kommunernes opgave relativt detaljeret.
Sundhedsplejen tilbyder både en række forebyggende sundhedsydelser til alle børn og forældre og mere
målrettede indsatser til børn og familier med øgede behov. Sundhedsstyrelsen anbefaler, at alle børn og
forældre tilbydes fem til seks besøg i barnets første leveår, hvor barnets og familiens trivsel er i fokus.
Derudover skal kommunerne tilbyde to forebyggende helbredsundersøgelser i henholdsvis første og sidste
skoleår. Hertil kommer en række øvrige tiltag i skolealderen, der både kan være individuelle eller gruppe-
baserede tilbud og anbefalinger om tilbud i småbørnsalderen mellem et år og skolestart. De borgerrettede
tilbud på området har karakter af et bredt forebyggende og screeningsmæssigt tilbud, der tilbydes alle
børn og forældre. Derudover bistår sundhedsplejen skoler, daginstitutioner m.v. om almene, sundheds-
fremmende og forebyggende foranstaltninger.
Indsatsen leveres af kommunalt ansatte sundhedsplejersker og et mindre antal terapeuter. Uddannelsen
til sundhedsplejerske er én ud af i alt syv specialuddannelser til sygeplejersker. Dermed er alle sundheds-
plejersker også sygeplejersker.
SUU, Alm.del - 2023-24 - Bilag 317: Orientering om Sundhedsstrukturkommissionens afrapportering, fra indenrigs- og sundhedsministeren
2880227_0308.png
308
1
2
3
4
Del 4 - Opgavesamling, forvaltningsmodeller, implementering og økonomi
Boks 14.10
Sundhedsplejen og forebyggende ydelser til børn og unge i tal
Borgere
Der findes ikke opgørelser over antallet af borgere, der modtager tilbud om sundhedspleje. Alle forældre
til nyfødte bliver tilbudt besøg fra sundhedsplejen, og alle børn i skolealderen tilbydes helbredsunder-
søgelse.
Økonomi
Kommunernes samlede udgifter til sundhedsplejen til børn og unge under SUL §§ 120-126 var 1,3 mia. kr.
i 2022.
Kilde: Sundhedsstrukturkommissionen, ”Baggrundsrapport”, 2024.
Medarbejdere
Der var ansat 2.140 fuldtidspersoner til at varetage opgaven i 2023, hvoraf 84 var sygeplejersker,
1.668 sundhedsplejersker, 150 var ergo- og fysioterapeuter, ti var læger, 50 øvrigt sundhedspersonale
og 178 var ikke-sundhedsfagligt personale.
Kilde: Sundhedsstrukturkommissionen, ”Baggrundsrapport”, 2024.
Sundhedsstrukturkommissionen har i lyset af kommissoriet ikke behandlet området dybdegående.
Kommissionen vurderer ikke, at indsatsen er et centralt led i den løbende omstilling af sundhedsvæsenet.
Opgaven har sammenhæng til sygehus- og praksissektor, når barnet er født, og mor og barn udskrives
fra sygehus. For nogle familier kan der være behov for en koordineret indsats mellem sundhedspleje og
det almenmedicinske tilbud og/eller sygehus og eventuelt sociale indsatser i kommunen. Den brede,
kontinuerlige indsats i sundhedsplejen foregår i tæt samarbejde med skoler og daginstitutioner.
Tandplejeområdet
Kommunerne skal efter sundhedsloven vederlagsfrit tilbyde alle børn og unge tandpleje, omsorgstandpleje
til personer kun vanskeligt kan benytte de almindelige tandplejetilbud, specialtandpleje til sindslidende,
psykisk udviklingshæmmede m.fl. og socialtandpleje til borgere med særlige sociale problemer. Der
benyttes private leverandører til at udføre opgaverne, og herudover køber kommunerne ydelserne hos
hinanden og regionerne.
Boks 14.11
Tandplejeområdet i tal
Borgere
Der findes ikke opgørelser for antal personer, som modtager ydelser i den kommunale tandpleje.
Økonomi
Kommunernes samlede udgifter til børne- og ungetandplejen var 2,0 mia. kr. i 2022. Kommunernes
samlede udgifter til voksentandplejen var 0,4 mia. kr. i 2022. Heraf gik 0,2 mia. kr. til omsorgs- og special-
tandplejen, mens udgifterne til socialtandplejen ikke kan opgøres.
Kilde: Sundhedsstrukturkommissionen, ”Baggrundsrapport”, 2024 og Statistikbanken, Danmarks statistik, REGKC.
SUU, Alm.del - 2023-24 - Bilag 317: Orientering om Sundhedsstrukturkommissionens afrapportering, fra indenrigs- og sundhedsministeren
2880227_0309.png
1
2
3
4
Del 4 - Opgavesamling, forvaltningsmodeller, implementering og økonomi
309
Medarbejdere
Kommunerne havde i 2023 ansat 3.230 fuldtidspersoner i den kommunale tandpleje bestående af
881 tandlæger, 2.191 øvrigt tandplejepersonale og 158 ikke-sundhedsfagligt personale. De ansatte
varetog både voksentandplejen og børne- og ungetandplejen.
Kilde: Sundhedsstrukturkommissionen, ”Baggrundsrapport”, 2024.
Leverandører
87,1 pct. af aktiviteten i børne- og ungetandplejen varetages af kommunernes egne klinikker, mens
9,9 pct. købes hos private og 3,0 pct. købes af andre kommuner. Omsorgs- og specialtandplejen leveres
primært af kommunernes egne klinikker, som står for 58,1 pct. af aktiviteten. Herudover køber kom-
munerne 8,6 pct. af ydelserne fra hinanden, 13,8 pct. af ydelserne fra private og 19,5 pct. fra regionerne.
Kilde: Statistikbanken, Danmarks statistik, REGKC.
Børne­ og ungetandplejen
Kommunerne skal efter sundhedslovens § 127 tilbyde alle børn og unge, der er under 22 år, er født efter
den 31. december 2003 og har bopæl i kommunen, vederlagsfri forebyggende og behandlende tandpleje.
Det overordnede formål med det kommunale børne- og ungdomstandplejetilbud er at fremme tandsund-
heden blandt børn og unge og forebygge og behandle sygdom, lidelse og funktionsbegrænsning i tænder,
mund og kæber. Det kommunale børne- og ungdomstandplejetilbud er vederlagsfrit og kan tilbydes på
offentlige klinikker eller hos praktiserende tandlæger.
Kommissionen har i lyset af kommissoriet ikke behandlet området indgående. Kommissionen vurderer ikke,
at indsatsen har tæt sammenhæng til sygehus- og praksissektor, og at der er ikke et væsentligt potentiale
for sammenhæng og omstilling ved særskilt at samle tandplejeområdet med sygehus- og praksissektor.
Omsorgs­, special­ og socialtandplejen
Kommunerne skal efter sundhedslovens §§ 131­134 tilbyde omsorgs­, special­ og socialtandpleje. Største­
delen af omsorgstandplejens personkreds bor i pleje- og ældreboliger og modtager alderspension, imens
en mindre andel består af udviklingshæmmede og sindslidende voksne uden behov for specialtandpleje.
Omsorgstandplejen er målrettet personer, hvis egenomsorg er så begrænset, at de har behov for hjælp til
at udføre almindelige daglige funktioner eller for egentlig pleje.
Målgruppen for specialtandpleje er børn og voksne, der er sindslidende, psykisk udviklingshæmmede m.fl.,
og som ikke kan udnytte de almindelige tandplejetilbud i børne- og ungdomstandplejen, praksistandplejen
eller i omsorgstandplejen.
Kommissionen har i lyset af kommissoriet ikke behandlet området indgående. Kommissionen vurderer ikke,
at indsatsen har tæt sammenhæng til sygehus- og praksissektor, og der er ikke et væsentligt potentiale for
sammenhæng og omstilling ved særskilt at samle tandplejeområdet med sygehus- og praksissektor.
Socialpsykiatrien og handicapområdet
Kommunalbestyrelsen skal efter servicelovens § 85 tilbyde, hjælp, omsorg eller støtte og optræning og
hjælp til udvikling af færdigheder til personer, der har behov herfor på grund af betydelig nedsat fysisk eller
psykisk funktionsevne eller særlige sociale problemer.
Kommunerne kan efter servicelovens § 107 tilbyde midlertidige ophold i boformer til personer, som på
grund af betydeligt nedsat fysisk eller psykisk funktionsevne eller særlige sociale problemer har behov
for det. Kommunerne skal efter servicelovens § 107, stk. 2, tilbyde midlertidigt ophold til personer med
betydelig nedsat fysisk eller psykisk funktionsevne, der har behov for omfattende hjælp til almindelige,
SUU, Alm.del - 2023-24 - Bilag 317: Orientering om Sundhedsstrukturkommissionens afrapportering, fra indenrigs- og sundhedsministeren
2880227_0310.png
310
1
2
3
4
Del 4 - Opgavesamling, forvaltningsmodeller, implementering og økonomi
daglige funktioner eller for pleje, eller som i en periode har behov for særlig behandlingsmæssig støtte, og
til personer med nedsat psykisk funktionsevne eller med særlige sociale problemer, der har behov for pleje
eller behandling, og som på grund af vanskelighederne ikke kan klare sig uden støtte.
Derudover skal kommunerne efter servicelovens § 108 tilbyde ophold i boformer, der er egnet til længere-
varende ophold, til personer, som på grund af betydelig og varigt nedsat fysisk eller psykisk funktionsevne,
har behov for omfattende hjælp til almindelige, daglige funktioner eller pleje, omsorg eller behandling, og
som ikke kan få dækket behovene på anden vis.
Endvidere skal kommunerne efter servicelovens § 96 tilbyde borgerstyret personlig assistance. Borger­
styret personlig assistance ydes som tilskud til dækning af udgifter ved ansættelse af hjælpere til pleje,
overvågning og ledsagelse til borgere med betydelig og varigt nedsat fysisk eller psykisk funktionsevne,
der har et behov, som gør det nødvendigt at yde en ganske særlige støtte.
Siden strukturreformen har kommunerne haft det samlede myndigheds­, forsynings­ og finansierings­
ansvar på det specialiserede socialområde, herunder socialpsykiatrien og handicapområdet. Social­
psykiatrien betegner det område i kommunerne, som varetager indsatsen for mennesker med psykiske
lidelser. Indsatsen reguleres primært af serviceloven og barnets lov og er i kommunerne typisk placeret
i sammenhæng med sociale indsatser til fx børn og voksne med handicap.
Indsatsen til målgruppen dækker over hjælp i hjemmet fx socialpædagogisk støtte og midlertidige og
længerevarende botilbud. Indsatserne udgør – som på ældreområdet – en indsatstrappe fra mindre
omfattende indsatser i borgens eget hjem til omfattende og varige indsatser fx botilbud. Indsatserne
substituerer ikke hinanden på samme måde som på ældreområdet. Der er visitationskriterier knyttet til
hver indsats, og hvis borgeren opfylder kriterierne, kan borgeren modtage den pågældende indsats. For
en del af gruppen af borgere med funktionsnedsættelse er kerneformålet med indsatserne ikke at mindske
behovet for varige indsatser, men derimod at indsatserne varigt skal kompensere for følgerne af funktions-
nedsættelsen. Funktionsnedsættelsen og det deraf affødte kompensationsbehov vil i nogle tilfælde være
varigt og livslangt.
Indsatsen omfatter en bred vifte af tilbud fra rådgivning og vejledning, tidlige forebyggende indsatser, støtte
i eget hjem, aktivitets- og samværstilbud, misbrugstilbud og midlertidige og længerevarende bo- og bo-
tilbudslignende tilbud. Hertil kommer en lang række åbne, uvisiterede sociale tilbud såsom den opsøgende
støtte­ og kontaktpersonordning, akuttilbud og natcaféer. Indsatsen sker i en vis udstrækning i samarbejde
med civilsamfundet i form af recovery-skoler, peer-to-peer, boligsociale indsatser, frivilligcentre m.v. og skal
generelt understøtte den enkeltes deltagelse i almindelige fællesskaber i civilsamfundet.
Samarbejdet mellem socialpsykiatrien og den regionale psykiatri er en særlig udfordring. Det gælder både
for voksne og børn med psykiske lidelser. Den regionale psykiatri oplever problemer med mangel på de
rette tilbud til borgerne i socialpsykiatrien, manglende kapacitet i forhold til botilbud og bostøtte, og deraf
udfordringer med lange ventetider og manglende gennemsigtighed og uklar organisering i kommunerne.
286
Hvis kommunerne ikke står klar med et relevant tilbud, kan det give unødigt mange færdigbehandlingsdage
i den regionale psykiatri.
Kommunerne oplever omvendt, at patienter udskrives tidligere fra den regionale psykiatri, der øger
efterspørgsel på og krav til de kommunale indsatser, bl.a. øgede krav til tilstedeværelse af sundhedsfaglige
kompetencer og hertil udfordringer med kapacitet og rekruttering af medarbejdere i kommunen. Yderligere
oplever kommunerne uensartet praksis i regionerne og en forskellig forståelse af, hvornår en patient bør
udskrives. Desuden oplever kommunerne, at flere patienter udskrives med kort varsel og uden kommunens
vidende.
287
286 Sundhedsstyrelsen. "Fagligt oplæg til en 10-årsplan: Bedre mental sundhed og en styrket indsats til mennesker med psykiske lidelser".
Sundhedsstyrelsen, 2022.
287 VIVE, Katrine Iversen, Didde Cramer Jensen, Mathias Ruge, og Mads Thau. "Kommunernes perspektiver på centrale udfordringer på
voksensocialområdet". VIVE - Det Nationale Forsknings- og Analysecenter for Velfærd, 2018.
SUU, Alm.del - 2023-24 - Bilag 317: Orientering om Sundhedsstrukturkommissionens afrapportering, fra indenrigs- og sundhedsministeren
2880227_0311.png
1
2
3
4
Del 4 - Opgavesamling, forvaltningsmodeller, implementering og økonomi
311
Siden strukturreformen i 2007 og efter evalueringen af reformen i 2013 er der blevet rejst kritik af, at der
er sket en afspecialisering af området. En kritik, der bl.a. blev undersøgt i forbindelse med evalueringen
af det specialiserede socialområde. Der findes i dag ikke en fælles definition af eller standard for, hvilke
typer af problemstillinger der kalder på en højt specialiseret indsats, eller hvilke krav der kan stilles til
de leverandører, der skal levere den. Det er derfor ikke muligt hverken at be­ eller afkræfte, at der er sket
en afspecialisering på det specialiserede socialområde.
Med aftalen om en 10­årsplan for psykiatrien i september 2022 blev der afsat midler til udarbejdelsen og
implementering af forløbsbeskrivelser, som skal sikre, at mennesker med svære psykiske lidelser tilbydes
en sammenhængende, systematisk, ensartet og evidensbaseret indsats på tværs af sektorer, herunder
socialpsykiatrien og den regionale psykiatri, og at både den organisatoriske og den faglige kvalitet i ind-
satserne styrkes.
288
Servicelovens bestemmelser om personlig og praktisk hjælp og socialpædagogisk støtte overlapper til en vis
grad hinanden. Det kan i nogle tilfælde være vanskeligt at fastslå, om borgeren skal bevilges praktisk hjælp
eller socialpædagogisk støtte. Det understreges af, at Ankestyrelsen har udarbejdet principafgørelser, hvor
der opstilles retningslinjer for, hvornår hjælpen skal ydes efter bestemmelsen om socialpædagogisk støtte,
og hvornår hjælpen hører under bestemmelsen om personlig og praktisk hjælp. Hvis borgeren har brug
for hjælp til praktiske opgaver og personlig pleje, og hjælperen skal være til stede under udførelsen, så
skal hjælpen som udgangspunkt bevilges efter bestemmelsen om praktisk hjælp og personlig pleje. Hvis
borgeren har behov for hjælp til opgaver, som ikke er praktisk hjælp eller personlig pleje, skal kommunen
overveje, om hjælpen skal bevilges efter bestemmelsen om socialpædagogisk støtte. Hjælpen bevilges efter
bestemmelsen om socialpædagogisk støtte, hvis støttebehovet hovedsageligt består i hjælp til at strukturere
eller skemalægge udførelsen af almindelige dagligdags opgaver. Det kan fx være rengøring i hjemmet, som
borgeren kan udføre selvstændigt uden at have behov for en hjælper i nærheden. Hjælperen behøver derfor
som udgangspunkt ikke at være til stede under borgerens udførelse af opgaverne.
Det betyder, at personlig pleje og praktisk hjælp og socialpædagogisk støtte i høj grad er substituerbare
indsatser. Idet forvaltningen af ældreområdet og socialområdet typisk er adskilt i hver sin forvaltning, er
der i dag snitflader mellem forvaltningerne på området. På samme måde er der i nogen udstrækning også
snitflader mellem plejehjem og plejebolig og længerevarende botilbud mellem to kommunale forvaltninger.
Boks 14.12
Socialpædagogisk støtte og borgerstyret personlig assistance
Borgere
Ca. 48.000 borgere modtog i 2022 socialpædagogisk støtte i hjemmet. Ca. 1.600 modtog i 2022 borger-
styret personlig assistance.
Kilde: Sundhedsstrukturkommissionen, ”Baggrundsrapport”, 2024.
Sammenhæng
Ca. 56 pct. af de borgere, der modtager socialpædagogisk støtte, er indenfor samme år i kontakt med
det somatiske sygehusvæsen. 32 pct. er inden for samme år i kontakt med det psykiatriske sygehusvæsen.
Derudover er der en vis sammenhæng mellem det brede socialområde og beskæftigelsesområde. 35 pct.
af de borgere, der modtager indsatser på socialområdet, modtager indenfor samme år beskæftigelsesret-
tede indsatser.
Kilde: Sundhedsstrukturkommissionen, ”Baggrundsrapport”, 2024.
288 Sundhedsministeriet. "Aftale om en 10-årsplan for psykiatrien og mental sundhed". 2022.
SUU, Alm.del - 2023-24 - Bilag 317: Orientering om Sundhedsstrukturkommissionens afrapportering, fra indenrigs- og sundhedsministeren
2880227_0312.png
312
1
2
3
4
Del 4 - Opgavesamling, forvaltningsmodeller, implementering og økonomi
Udgifter
Kommunernes samlede udgifter i 2022 til socialpædagogisk støtte i eget hjem (SEL § 85) var 3,1 mia. kr.
Opgørelsen indeholder ikke udgifter relateret til socialpædagogisk støtte givet i friplejeboliger. Kommu-
nernes samlede udgifter til borgerstyret personlig assistance (SEL § 96) var i 2022 2,1 mia. kr.
Kilde: Sundhedsstrukturkommissionen, ”Baggrundsrapport”, 2024.
Medarbejdere
Det er ikke muligt at adskille de kommunalt ansatte, som varetager socialpædagogisk støtte under SEL §
85, fra dem, som varetager borgerstyrret personlig assistance under SEL § 96, behandlingstilbud under
SEL § 102, pasning af nærtstående under SEL § 118 og tilbud om hjælp og støtte under SEL §§ 82 a-c. Der
var i 2023 ansat 4.528 fuldtidspersoner til at varetage opgaverne. Herunder var 133 personer sygeplejer-
sker, 559 social- og sundhedsassistenter, 47 social og sundhedshjælpere, 351 ergo- og fysioterapeuter, 32
ufaglært sundhedspersonale, 39 øvrigt sundhedspersonale og 3.367 ikke-sundhedsfagligt personale.
Kilde: Sundhedsstrukturkommissionen, ”Baggrundsrapport”, 2024.
Boks 14.13
Midlertidige botilbud i tal
Borgere
Ca. 8.400 borgere havde i 2022 et ophold på et midlertidigt botilbud.
Kilde: Sundhedsstrukturkommissionen, “Baggrundsrapport”, 2024.
Udgifter
Kommunerne havde udgifter på 5,57 mia. kr. til midlertidige botilbud under SEL § 107, som inkluderer
udgifter til personlig pleje og praktisk hjælp og madservice under SEL § 83, rehabilitering under SEL § 83 a,
genoptræning under SEL § 86, socialpædagogisk støtte under SEL § 85, behandlingstilbud under SEL § 102
og sygepleje under SUL §§ 138 og 139 udført i forbindelse med det midlertidige botilbud.
Kilde: Sundhedsstrukturkommissionen, “Baggrundsrapport”, 2024.
Medarbejdere
Kommunerne havde ansat 2.310 fuldtidspersoner til at varetage opgaverne forbundet med de midlerti-
dige botilbud under SEL § 107. Heraf var der ansat 99 sygeplejersker, 326 social- og sundhedsassistenter,
45 social- og sundhedshjælpere, 153 ergo- og fysioterapeuter, 14 ufaglært sundhedspersonale, 24 øvrigt
sundhedspersonale og 1.649 ikke-sundhedsfagligt personale. De medarbejdere varetog også personlig
og praktisk hjælp og madservice under SEL § 83, rehabilitering under SEL § 83 a, genoptræning under SEL
§ 86, socialpædagogisk støtte under SEL § 85, behandlingstilbud under SEL § 102 og kommunal sygepleje
under SUL § 138 og 139 udført i forbindelse med det midlertidige botilbud.
Kilde: Sundhedsstrukturkommissionen, “Baggrundsrapport”, 2024.
Leverandører
I 2020 gik 50 pct. af kommunernes udgifter til botilbud m.v. til eksterne køb. Heraf gik 21 pct. til køb hos
andre kommuner, 12 pct. til køb hos regionerne og 22 pct. til køb hos private leverandører. Selvom
opgørelsen primært dækker botilbud under SEL §§ 108 og 107 og § 4, stk. 1, nr. 3, i lov om socialtilsyn,
dækker den også socialpædagogisk støtte under SEL § 85, behandlingstilbud under SEL § 102, afløsning
og aflastning under SEL § 84 stk. 1, og midlertidige pladser under SEL § 84, stk. 2. Udgifterne til botilbud-
dene udgør dog ca. 70 pct. af udgifterne til de samlede områder, som inkluderes i opgørelsen.
Kilde: VIVE, 2022. Kommunernes køb og salg af botilbud på voksenområdet, 2011-2020.
SUU, Alm.del - 2023-24 - Bilag 317: Orientering om Sundhedsstrukturkommissionens afrapportering, fra indenrigs- og sundhedsministeren
2880227_0313.png
1
2
3
4
Del 4 - Opgavesamling, forvaltningsmodeller, implementering og økonomi
313
Boks 14.14
Længerevarende botilbud i tal
Borgere
Ca. 5.600 borgere havde i 2022 et ophold i et længerevarende botilbud.
Kilde: Sundhedsstrukturkommissionen, “Baggrundsrapport”, 2024.
Udgifter
Kommunernes udgifter til længerevarende botilbud under SEL § 108 var på 6,6 mia. kr. i 2022, som
inkluderer udgifter til personlig pleje og praktisk hjælp og madservice under SEL § 83, rehabilitering under
SEL § 83 a, genoptræning under SEL § 86, socialpædagogisk støtte under SEL § 85, behandlingstilbud
under SEL § 102 og hjemmesygepleje under SUL §§ 138 og 139 udført i forbindelse med botilbuddet.
Kilde: Sundhedsstrukturkommissionen, ”Baggrundsrapport”, 2024.
Medarbejdere
Kommunerne havde ansat 5.687 fuldtidspersoner til at varetage opgaverne forbundet med de længere-
varende tilbud under SEL § 108 i 2022. Det inkluderer 155 sygeplejersker, 872 social- og sundheds-
assistenter, 161 social- og sundhedshjælpere, 215 ergo- og fysioterapeuter, 52 ufaglært sundheds-
personale, 120 øvrigt sundhedspersonale og 4.112 ikke-sundhedsfagligt personale.
Kilde: Sundhedsstrukturkommissionen, ”Baggrundsrapport”, 2024.
Leverandører
I 2020 gik 50 pct. af kommunernes udgifter til botilbud m.v. til eksterne køb. Heraf gik 21 pct. til køb
hos andre kommuner, 12 pct. til køb hos regionerne og 22 pct. til køb hos private leverandører. Selvom
opgørelsen primært dækker botilbud under SEL §§ 108 og 107 og § 4, stk. 1, nr. 3, i lov om socialtilsyn,
dækker den også socialpædagogisk støtte under SEL § 85, behandlingstilbud under SEL § 102, afløsning
og aflastning under SEL § 84, stk. 1, og midlertidige pladser under SEL § 84, stk. 2. Udgifterne til bo­
tilbuddene udgør dog ca. 70 pct. af udgifterne til de samlede områder, som inkluderes i opgørelsen.
Kilde: VIVE, 2022. Kommunernes køb og salg af botilbud på voksenområdet, 2011-2020.
Indsatsen i socialpsykiatrien og på handicapområdet har for nogle grupper sammenhæng til indsatsen i
sygehus- og praksissektoren. Dele er indsatsen er substituerbar med indsatser på ældreområdet. Det
gælder særligt socialpædagogisk støtte. Derudover har særligt længerevarende botilbud snitflader til
plejehjem og plejebolig i situationer, hvor personerne med handicap bliver 65 år. Indsatsen har samtidig tæt
sammenhæng misbrugsområdet og til kommunale områder, som ikke er nærliggende til sundhedsområdet.
Det gælder i særlig grad beskæftigelsesområdet.
Misbrugsområdet
Med strukturreformen i 2007 fik kommunerne ansvaret for misbrugsbehandling. Tilbud om behandling
af alkoholmisbrug reguleres i sundhedsloven. Efter sundhedslovens § 141, skal kommunen tilbyde
vederlagsfri behandling til borgere, der ønsker at modtage behandling for alkoholmisbrug. Alkohol­
behandlingen skal iværksættes senest 14 dage efter, at borgeren har henvendt sig med et ønske om at
komme i behandling.
Tilbud om behandling af stofmisbrugsbehandling reguleres i både sundhedsloven, serviceloven og barnets
lov. Det følger af sundhedslovens § 142, at kommunen skal tilbyde en vederlagsfri lægesamtale til borgere,
som ønsker at komme i stofmisbrugsbehandling. Det følger derudover, at kommunen skal tilbyde vederlags-
fri lægelig stofmisbrugsbehandling. Behandling skal iværksættes senest 14 dage efter borgerens hen­
vendelse.
SUU, Alm.del - 2023-24 - Bilag 317: Orientering om Sundhedsstrukturkommissionens afrapportering, fra indenrigs- og sundhedsministeren
2880227_0314.png
314
1
2
3
4
Del 4 - Opgavesamling, forvaltningsmodeller, implementering og økonomi
Herudover er kommunen forpligtet til at tilbyde social stofmisbrugsbehandling til personer med et stof-
misbrug efter servicelovens § 101. Behandling skal iværksættes senest 14 dage efter borgerens henvendelse
til kommunen. Kommunen er derudover forpligtet til at tilbyde anonym, ambulant stofmisbrugsbehandling
til personer, der har et stofmisbrug, men ikke andre sociale problemer efter servicelovens § 101 a.
Offentligt finansieret misbrugsbehandling leveres af både offentlige og private behandlingsinstitutioner. Det
skyldes, at det for alkoholmisbrugsbehandling efter sundhedsloven såvel som for stofmisbrugsbehandling
efter sundhedsloven og serviceloven gælder, at kommunerne kan tilvejebringe behandlingstilbud på egne
institutioner eller indgå aftale med andre kommuner, regioner og private institutioner om tilvejebringelse
af behandlingstilbud. Både sundhedsloven og serviceloven giver desuden borgerne mulighed for at vælge
en anden behandlingsinstitution, fx en privat institution end den som kommunen har visiteret til.
Siden strukturreformen i 2007 har der været sammenhængsproblemer for mennesker, som både har et
alkohol­ eller stofmisbrug og en psykisk lidelse (dobbeltdiagnose). Borgere med dobbeltdiagnose oplever,
at hjælpen er usammenhængende og utilstrækkelig. Det skyldes, at behandling af misbrug som udgangs-
punkt er et kommunalt ansvar, og behandling af psykiske lidelser som udgangspunkt er et regionalt ansvar.
Det delte ansvar er en udfordring for behandlingen af de mennesker, som har behov for integreret
behandling af deres misbrug og psykiske lidelse.
I 2023 indgik regeringen, KL og Danske Regioner en aftale, der bl.a. indebar, at regionerne får ansvaret for
et integreret tilbud til voksne mennesker med dobbeltdiagnoser. Samtidig blev det aftalt at omlægge de
nuværende 114 særlige pladser på psykiatrisk afdeling til 88 pladser i et længerevarende tilbud forankret
i den regionale psykiatri og målrettet samme gruppe.
Boks 14.15
Misbrugsområdet i tal
Borgere
Der var i 2022 ca. 19.000 voksne, der modtog stofmisbrugsbehandling efter SEL § 101 eller SUL § 142. Der
var i 2022 ca. 25.000 borgere, som var 15 år eller derover, som modtog alkoholbehandling efter SUL § 141.
Kilde: Sundhedsstrukturkommissionen, “Baggrundsrapport”, 2024.
Udgifter
Kommunernes samlede udgifter til misbrugsbehandlingsområdet var i 2022 1,5 mia. kr. Heraf gik 0,5 mia.
kr. til behandling af alkoholmisbrug under SUL § 141, 1,0 mia. kr. til social behandling af mennesker med
stofmisbrug under SEL § 101 og lægelig stofmisbrugsbehandling under SUL § 142 og 0,01 mia. kr. til
anonymt ambulant behandlingstilbud til personer med stofmisbrug under SEL § 101 a.
Kilde: Sundhedsstrukturkommissionen, ”Baggrundsrapport”, 2024 og Statistikbanken,
Medarbejdere
Kommunerne havde i 2023 ansat ca. 481 fuldtidspersoner til at varetage behandlingen af alkoholmisbrug
under SEL § 141, hvor 99 var sygeplejersker, 29 var social- og sundhedsassistenter, 9 var ergo- og fysio-
terapeuter, 13 var læger, 151 var øvrigt sundhedspersonale og 330 var ikke-sundhedsfagligt personale.
Kommunerne havde derudover ansat 1.132 fuldtidspersoner til at varetage behandlingen af stof-
misbrugere, hvoraf 196 var sygeplejersker, 101 var social-og sundhedsassistenter, 15 var ergo- og
fysioterapeuter, 10 var læger, 322 var øvrigt sundhedsfagligt personale og 810 var ikke-sundhedsfagligt
personale.
Kilde: Sundhedsstrukturkommissionen, ”Baggrundsrapport”, 2024.
SUU, Alm.del - 2023-24 - Bilag 317: Orientering om Sundhedsstrukturkommissionens afrapportering, fra indenrigs- og sundhedsministeren
2880227_0315.png
1
2
3
4
Del 4 - Opgavesamling, forvaltningsmodeller, implementering og økonomi
315
Leverandører
Baseret på skøn er 74 pct. af brugerne i stofmisbrugsbehandling i deres egen kommune, 12 pct. er i
behandling ved en anden kommune, 8 pct. er i behandling ved en regional leverandør, og 7 pct. er i
behandling ved en privat leverandør. 80 pct. af kommunerne havde et kommunalt behandlingstilbud,
19 pct. havde et privat tilbud, som leverede offentligt finansieret ambulant alkoholbehandling og 1 pct.
havde et fælleskommunalt samarbejde om alkoholbehandling.
Kilde: SFI og Maren Sørensen, Den sociale stofmisbrugsbehandling. Del 4. Kvalitetsudvikling og kvalitetsstandarder (SFI – Det Nationale
Forskningscenter for Velfærd, 2009) og Sundhedsstyrelsen, COWI, og Decide, “Afdækning af kvalitet i offentligt finansieret ambulant
alkoholbehandling”, 2019.
Misbrugsindsatsen har for nogle grupper tæt sammenhæng til indsatsen i sygehus- og praksissektoren.
Sundhedsstrukturkommissionen vurderer ikke, at indsatsen er et centralt led i den løbende omstilling af
sundhedsvæsenet. Indsatsen har tæt sammenhæng til socialområdet og beskæftigelsesområdet.
Samling af flere opgaver hos én myndighed
Det forudgående afsnit rummer en gennemgang af de kommunale indsatser på sundheds- og ældreområdet
og udvalgte dele af socialområdet. Der er løbende redegjort for sammenhængen mellem de enkelte ind-
satser og tilknyttede indsatser med særligt fokus på, hvorvidt indsatserne er en del af en samlet indsats-
trappe, hvorvidt de er gensidigt substituerbare med andre indsatser, og hvorvidt de i dag leveres i tæt
sammenhæng med indsatser i sygehus- og praksissektor og andre kommunale indsatser.
I tabel 14.2 er vist en kategorisering af kommunernes opgaver på sundhedsområdet og nærliggende
områder ud fra opgavernes sammenhæng med opgaver, der løses i sygehus- og praksissektor, potentiale
for omstilling, udfordringer med bæredygtighed i opgavevaretagelsen og ud fra sammenhæng med andre
kommunale opgaver. Kommissionen har kategoriseret opgaverne på baggrund af gennemgangen i de
forudgående afsnit. Opgaverne i den første gruppe er dem, som kommissionen vurderer har størst
potentiale ved at samle i samme myndighed, som har ansvaret for sygehuse og praksissektor, mens
opgaverne i den sidste gruppe har mindst potentiale.
Tabel 14.2
Kategorisering af opgaver på det kommunale sundhedsområde og nærliggende områder i
forhold til grad af sammenhæng, omstillingspotentiale og udfordringer med bæredygtigheden
i opgavesløsningen.
Gruppe
1
Sammenhæng, omstilling, bæredygtighed
• Stærk sammenhæng til opgaverløsningen i sygehus- og
praksissektor.
• Vigtigt led i omstilling af den samlede opgaveløsning i
sundhedsvæsenet.
• Udfordringer med bæredygtighed i opgaveløsningen eller for
en del af opgaven.
• Tæt sammenhæng til opgaver på ældre- og træningsområdet.
2
• Sammenhæng til opgaveløsningen i sygehus- og praksissektor
• Delvist led i omstillingen af den samlede opgaveløsning i
sundhedsvæsenet.
• Ikke udfordringer med bæredygtighed i opgaveløsningen
• Tæt sammenhæng til kommunale sundhedsopgaver og
tæt indbyrdes sammenhæng.
• Personlig pleje og praktisk hjælp
• Forebyggende hjemmebesøg
• Tidsbegrænset rehabiliteringedlige-
holdelsestræning
• Genoptræning uden forudgående
indlæggelse
• Vedligeholdelsestræning
Opgaver
• Kommunal sygepleje
• Patientrettet forebyggelse
• Genoptræning efter indlæggelse
• Midlertidige pladser og akutpladser
• Hjælpemidler
SUU, Alm.del - 2023-24 - Bilag 317: Orientering om Sundhedsstrukturkommissionens afrapportering, fra indenrigs- og sundhedsministeren
2880227_0316.png
316
1
2
3
4
Del 4 - Opgavesamling, forvaltningsmodeller, implementering og økonomi
Gruppe
3
Sammenhæng, omstilling, bæredygtighed
• Sammenhæng til opgaveløsningen i sygehus- og praksissektor.
• Delvist udfordringer med bæredygtighed i opgaveløsningen.
• Tæt sammenhæng til andre kommunale områder, som ikke er
nærliggende til det kommunale sundhedsområde
fx beskæftigelsesområdet.
Opgaver
• Socialpsykiatri og handicapområdet
• Misbrugsområdet
4
• Delvist sammenhæng til opgaveløsningen i sygehus- og
praksissektoren
• Ikke centralt led i omstillingen af den samlede opgaveløsningen
i sundhedsvæsenet
• Ikke udfordringer med bæredygtgíghed i opgaveløsningen.
• Tæt sammenhæng til andre kommunale områder, som ikke er
nærliggende til det kommuale sundhedsområde.
• De kommunale tandplejeordninger
• Sundhedsplejen
• Borgerrettet forebyggelse
Sundhedsstrukturkommissionen vurderer, at hvis der som led i en ny forvaltningsstruktur skal samles flere
opgaver hos en ny myndighed, som har ansvar for sygehuse og praksissektoren, vil der være flest fordele
ved at samle hovedparten af kommunernes opgaver på ældre- og træningsområdet, kommunal sygepleje og
patientrettet forebyggelse.
Der kan også være ulemper forbundet med en sådan opgavesamling. Der vil være tale om en betydelig
ændring af den kommunale opgaveportefølje, og der vil være betydelige omstillings- og implementerings-
omkostninger forbundet med sammenlægningen af to centrale velfærdsområder, som i et vist omfang er
kendetegnet ved forskellige mål og regulering. Kommissionen har derfor også overvejet potentialet for
sammenhæng og omstilling gennem samling af færre opgaver. En samling af færre opgaver giver mulighed
for og incitament til at skabe sammenhæng, omstilling og bæredygtighed for en mindre gruppe borgere.
Kommissionen har overordnet drøftet og overvejet potentialet for sammenhæng og omstilling ved at
omfatte socialpsykiatri og handicapområdet i en stor opgavesamling. Overvejelserne tager bl.a. afsæt i
inspiration fra Finland, hvor der i 2023 blev gennemført en reform af sundhedsvæsenet. Reformen har
bl.a. medført en sammenlægning af sundhed, ældrepleje og andre af de sociale tilbud herunder det
specialiserede voksenområde i én samlet organisation og under ét budget. En sådan opgavesamling
ville betyde, at den ansvarlige myndighed ville kunne prioritere over en meget bred kæde af indsatser.
Kommissionen vurderer dog, at opgavesamlingen indebærer væsentlige snitflader til kommunernes
beskæftigelsesindsats og vil medføre indgribende konsekvenser for den kommunale konstruktion, og som
derfor ligger udenfor kommissionens kommissorium at behandle dybdegående.
På den baggrund præsenteres følgende opgavesamlinger:
2. En mellemstor opgavesamling: Størstedelen af det kommunale ældre­ og træningsområde, kommunal
sygepleje, patientrettet forebyggelse, sygehus­ og praksissektor samles under én myndighed, mens
kommunerne bevarer ansvaret for plejehjem og plejebolig.
3. En mindre opgavesamling: Dele af den kommunale sygepleje, patientrettet forebyggelse, dele af gen-
optræningsindsatsen, sygehus og praksissektor samles under én myndighed. Derudover indgår over­
vejelser om ændret regulering i relation til hjælpemidler og behandlingsredskaber og midlertidige
pladser og akutpladser, som har betydning for opgavedelingen mellem sektorerne.
1. En stor opgavesamling: Størstedelen af det kommunale ældre­ og træningsområde, kommunal sygepleje,
patientrettet forebyggelse, sygehus­ og praksissektor samles under én myndighed.
I tabel 14.3 fremgår overblik over de nuværende kommunale serviceudgifter, herunder udgifter til admini-
stration, forbundet med henholdsvis stor, mellemstor og mindre opgavesamling.
SUU, Alm.del - 2023-24 - Bilag 317: Orientering om Sundhedsstrukturkommissionens afrapportering, fra indenrigs- og sundhedsministeren
2880227_0317.png
1
2
3
4
Del 4 - Opgavesamling, forvaltningsmodeller, implementering og økonomi
317
Tabel 14.3
Skøn over økonomien for indsatserne i opgavesamlingerne (mia. kr.)
Stor
opgavesamling
Kommunernes nuværende serviceudgifter
56-67 mia. kr.
Mellemstor
opgavesamling
31-38 mia. kr.
Mindre
opgavesamling
<10 mia. kr.
Anm.: Udgiftsskønnene opgøres som de samlede servicedriftsudgifter (dranst 1), som er relateret til indsatserne i pakkerne, opgjort i pl-22. Opgø-
relserne baseres på udgifterne til indsatserne i opgavesamlingerne, som præsenteret i kapitlet. Aldersgrænserne skønnes for personlig pleje,
praktisk hjælp, madservice, tidsbegrænset rehabilitering, hjælpemidler, plejehjem og plejeboliger, mens udskillelse af praktisk hjælp og
madservice skønnes på baggrund af antal visiterede timer og relative timepriser. Opgørelserne inkluderer en proportional andel af de centrale
administrationsudgifter under funktion 6.45.50, 6.45.51, 6.45.52 og 6.45.47, der vurderes at skulle rykkes med i opgaveflyttene. Følgeudgifter,
såsom kommunernes udgifter ifm. hospiceophold, køb af sygehusydelser, plejetakst for færdigbehandlede patienter samt plejevederlag m.v.
i forbindelse med pasning af døende i eget hjem inkluderes i den store og mellemstore opgavesamling. Disse opgøres på baggrund af funktion
4.62.90 og 5.30.36. Skønnet for den mellemstore opgavesamling er eksklusive alle udgifter til plejehjem og plejeboliger m.v. Skønnet for den
mindre opgavesamling er et øvre skøn, som medregner alle udgifter til den kommunale sygepleje, alle genoptræningsindsatser under sundheds-
loven og patientrettet forebyggelse, selvom kun noget af den kommunale sygepleje og nogle af genoptræningsindsatserne under sundheds-
loven indgår i opgavesamlingen. Der benyttes et groft skøn for at adskille patientrettet forebyggelse fra borgerrettet forebyggelse. En nærmere
beskrivelse af hvordan indsatserne afgrænses i kontoplanen fremgår af baggrundsrapporten.
Kilde: Statistikbanken, Danmarks statistik, REGKC og AED022 og egne beregninger.
Kommissionen noterer sig, at der er indgået en aftale om en ældrereform. Et centralt element i aftalen er
helhedsplejen, som skal understøtte, at ældre fremover kan tilbydes mere sammenhængende pleje- og
omsorgsforløb. Det er kommissionens vurdering, at en opgavesamling, hvor kommunernes opgaver på
ældre- og træningsområdet, kommunal sygepleje, patientrettet forebyggelse og sygehus- og praksissektor
samles under én myndighed, er forenelig med ældreaftalens intentioner om helhedspleje. Samtidig vurderer
kommissionen, at en sådan opgavesamling er fuldt forenelig med, at pleje og omsorg for ældre skal foregå
nært herunder i borgerens eget hjem og tilrettelægges under hensyn til lokale vilkår.
1. Stor opgavesamling af ældre- og træningsområdet, sygepleje
og patientrettet forebyggelse med sygehus- og praksissektor
Med afsæt i kapitlets analyser finder kommissionen det relevant at opstille forskellige varianter af opgave-
samling, som placerer ansvaret for hovedparten af det kommunale ældre- og træningsområde, kommunal
sygepleje, patientrettet forebyggelse, sygehuse og praksissektor under én myndighed.
De omfattede kommunale områder er:
• Ældreområdet
• Kommunal sygepleje
• Træningsområdet inklusivt hjælpemiddelområdet
• Patientrettet forebyggelse til mennesker med kroniske sygdomme
Opgavesamlingen tager højde for medarbejdersammenfald i opgaveløsningen i dag, og den sikrer, at
indsatser, der substituerer og indgår i en samlet indsatstrappe, ikke placeres på hver side af sektorgrænsen.
Figur 14.6 illustrerer, hvilke dele af det kommunale sundhedsområde og nærliggende områder der indgår i
opgavesamlingen.
SUU, Alm.del - 2023-24 - Bilag 317: Orientering om Sundhedsstrukturkommissionens afrapportering, fra indenrigs- og sundhedsministeren
2880227_0318.png
318
1
2
3
4
Del 4 - Opgavesamling, forvaltningsmodeller, implementering og økonomi
Figur 14.6
Stor opgavesamling: Ældre­ og træningsområdet, sygepleje og patientrettet forebyggelse
samles med sygehus­ og praksissektor
Mindre omfattende
indsatser til mange
Børn/unge
Sundhedsplejen (SUL)
Omfattende indsatser til få
Børne- og ungetandplejen (SUL)
Voksne
med
særlige
behov
Patientrettet forebyggelse (SUL)
Genoptræning (SUL)
Socialpædagogisk støtte (SEL)
Misbrugsbehandling (SEL og SUL)
Socialtandpleje (SUL)
Borgerstyret personlig
assistance (SEL)
Midlertidige botilbud (SEL)
Længerevarende botilbud (SEL)
Specialtandpleje (SUL)
Omsorgstandpleje (SUL)
Sygepleje (SUL)
Midlertidige pladser (SEL)
Akutpladser (SUL)
Plejehjem/
plejeboliger (SEL og ABL)
Især ældre
Vederlagsfri fysioterapi (SUL)
Hjælpemidler (SEL)
Praktisk hjælp (SEL)
Vedligeholdelsestræning (SEL)
Forebyggende hjemmebesøg (SEL) Madservice (SEL)
Genoptræning (SEL)
Personlig pleje (SEL)
Tidsbegrænset rehabilitering (SEL)
Indenfor opgavesamlingen kan der laves forskellige opgavesnit, men det er alle varianter af en større
opgavesamling, som indebærer, at de fleste af kommunernes opgaver på ældre­ og træningsområdet,
sygepleje og patientrettet forebyggelse samles med sygehus- og praksissektoren.
Variant A. Ældre­ og træningsområdet, sygepleje og patientrettet forebyggelse samles med
sygehus­ og praksissektor
Variant A samler alle indsatser på ældre­ og træningsområdet, sygepleje og patientrettet forebyggelse
med sygehus- og praksissektor. Opgavesamlingen vil skabe det størst mulige potentiale for sammenhæng
for en stor gruppe borgere, som i dag har forløb på tværs af sektorer. Opgavesamlingen giver den ansvarlige
myndighed incitament til at prioritere hen over kæden af tidlige, forebyggende indsatser, behandling,
opfølgning og rehabilitering. Det styrker i videst mulige omfang rammerne for at skabe gode, tidlige og
opfølgende indsatser, der reducerer behovet for sygehusindsatser, som er i tråd med omstillingen af
opgaverne i sundhedsvæsenet.
Opgavesamlingen vil indebære nye snitflader til socialområdet fx mellem personlig pleje og social­
pædagogisk støtte og mellem plejebolig og socialt botilbud. De indsatser er i høj grad substituerbare.
Derfor kan der opstå uklarhed mellem myndighederne om, hvem der har ansvaret for indsatsen til
borgeren. Den udfordring vil skulle adresseres, bl.a. ved klare snitfladebeskrivelser. Samtidig kan der
overvejes særskilte finansieringselementer.
Det skønnes, at de kommunale udgifter til de omfattede områder i dag udgør 67,1 mia. kr. svarende til
23,8 pct. af de samlede kommunale udgifter.
SUU, Alm.del - 2023-24 - Bilag 317: Orientering om Sundhedsstrukturkommissionens afrapportering, fra indenrigs- og sundhedsministeren
2880227_0319.png
1
2
3
4
Del 4 - Opgavesamling, forvaltningsmodeller, implementering og økonomi
319
Variant B. Ældre­ og træningsområdet, sygepleje og patientrettet forebyggelse for borgere
over 67 år samles med sygehus­ og praksissektor
Variant B samler ældre­ og træningsområdet, sygepleje og patientrettet forebyggelse med sygehus­
og praksissektor, men med den udtagelse at ansvaret for nogle indsatser på ældreområdet til personer
under folkepensionsalderen (aktuelt 67 år) forbliver et kommunalt ansvar. Det skal understøtte, at der er
et mere sammenhængende ansvar for borgere under pensionsalderen, som også typisk er dem, som får
sociale og beskæftigelsesrettede indsatser.
De opgaver, der er omfattet af en aldersgrænse, er:
• Personlig pleje
• Praktisk hjælp
• Madservice
• Hjælpemidler
• Forebyggende hjemmebesøg
• Midlertidige pladser
• Plejehjem og plejebolig
• Tidsbegrænset rehabilitering
Som for variant A vil opgavesamlingen her skabe det størst mulige potentiale for omstilling af opgave­
løsningen og sammenhæng for en stor gruppe borgere, som i dag har forløb på tværs af sektorer. Samtidig
samles ansvaret for indsatsen til en mindre gruppe borgere under 67 år hos kommunen. Det understøtter
et klart myndighedsansvar for borgere under 67 år, som har sammensatte behov, fx hjælp og pleje i
hjemmet og behov for beskæftigelsesindsatser. Målgruppen modtager en bred vifte af indsatser og er
typisk borgere under 67 år.
Som følge af aldersgrænsen kan der opstå risiko for, at kommunerne har svært ved at skabe bæredygtighed
i driften af fx personlig pleje og praktisk hjælp, fordi målgruppen for indsatsen er lille. For at kompensere
for det bør den nye myndighed have forsyningspligt overfor kommuner, der ikke selv ønsker at levere
indsatser som fx hjemmepleje til borgere under 67 år. Kommunen skal bevare forsyningsansvaret og have
mulighed for at sikre forsyningen på anden vis.
Der kan som følge af aldersgrænsen opstå risiko for, at kommunerne nedprioriterer de tidlige og fore-
byggende indsatser til de borgere, der befinder sig tæt på grænsen til folkepensionsalderen, idet ansvaret
for indsatsen til borgeren herefter vil overgå til den nye myndighed. Der vil være behov for yderligere
belysning af, hvilken myndighed der har ansvar for indsatser relateret til at afhjælpe nedsat funktionsevne
hos borgere med handicap, når de fylder 67 år. I praksis vil deres behov for støtte både være relateret til
deres oprindelige funktionsnedsættelse og alderssvækkelse. Udfordringen findes i dag internt mellem
kommunale forvaltninger, men vil blive forstærket ved en deling af ansvaret mellem to myndigheder.
Kommissionen noterer sig, at regeringens ældreudspil indebærer en tilsvarende aldersgrænse, hvor fx
personlig pleje og praktisk hjælp til borgere over folkepensionsalderen får hjemmel i den ny ældrelov, og i
serviceloven til personer under folkepensionsalderen. Derudover bemærker kommissionen, at Københavns
Kommune har etableret social hjemmepleje til borgere under 65 år, som er særligt udsatte og sårbare.
Det skønnes, at de kommunale udgifter til de omfattede områder i dag udgør 62,4 mia. kr. svarende til
22,1 pct. af de samlede kommunale udgifter.
Variant C. Ældre­ og træningsområdet, sygepleje og patientrettet forebyggelse samles med
sygehus­ og praksissektor bortset fra praktisk hjælp og madservice
Variant C samler ældre- og træningsområdet, sygepleje og patientrettet forebyggelse, men uden praktisk
hjælp og madservice, der udgør en del af ældreområdet (SEL § 83, stk. 1, nr. 2 og nr. 3), som forbliver et
kommunalt ansvar. Rationalet er, at samlingen af opgaver afgrænses til de indsatser, der mere direkte
vedrører borgernes sundhed.
SUU, Alm.del - 2023-24 - Bilag 317: Orientering om Sundhedsstrukturkommissionens afrapportering, fra indenrigs- og sundhedsministeren
2880227_0320.png
320
1
2
3
4
Del 4 - Opgavesamling, forvaltningsmodeller, implementering og økonomi
Som for variant A vil opgavesamlingen her skabe det størst mulige potentiale for omstilling af opgave­
løsningen og sammenhæng for en stor gruppe borgere, som i dag har forløb på tværs af sektorer. Samtidig
fokuseres samlingen af opgaver til de opgaver, der har fokus på borgerens sundhed, og som udføres af
sundhedsfagligt uddannede.
Som det gælder for variant A, indebærer samlingen af opgaver nye snitflader til socialområdet, som vil
skulle håndteres. Kommissionen har overvejet muligheden for, at alene de dele af praktisk hjælp, som
indebærer rengøring, tøjvask og indkøb, forbliver et kommunalt ansvar. Madservice og tilberedning af mad
kan ses i tæt sammenhæng med plejeindsatsen både i forhold til, at den rette ernæring har betydning for
borgerens helbred, og idet tilberedning af mad sker i sammenhæng med, at borgeren skal hjælpes op af
sengen om morgenen og i seng om aftenen.
Kommissionen noterer sig, at adskillelsen af personlig pleje og praktisk hjælp er i modstrid med ”helheds-
pleje”, som det er beskrevet i ”Aftale om en reform af ældreområdet” af 18. april 2024, idet personlig pleje
og praktisk hjælp med opgaveflytning vil tilhører forskellige myndigheder.
289
Det skønnes, at de kommunale udgifter til de omfattede områder i dag udgør 59,5 mia. kr. svarende til
21,1 pct. af de samlede kommunale udgifter.
Variant D. Ældre­ og træningsområdet, sygepleje og patientrettet forebyggelse samles med
sygehus og praksissektor bortset fra praktisk hjælp og madservice og for borgere over 67
Variant D samler ældre- og træningsområdet, sygepleje og patientrettet forebyggelse, men uden praktisk
hjælp og madservice og med aldersgrænse på visse indsatser. Rationalet for samlingen af opgaver er, at den
fokuserer på opgaver, der har fokus på borgerens sundhed. Samtidig understøtter aldersgrænsen et samlet
ansvar for yngre borgere med behov for en bred vifte af indsatser. De opgaver, der er omfattet af en alders-
grænse, svarer til variant B.
Som for variant A, B og C vil samlingen af ældre­ og træningsområde, sygepleje og patientrettet forebyggelse
med sygehus- og praksissektor skabe det størst mulige potentiale for omstilling af opgaveløsningen og
sammenhæng for en stor gruppe borgere, som i dag har forløb på tværs af sektorer.
Som for variant B indebærer samlingen af opgaver, at den nye myndighed får forsyningspligt overfor
kommuner, der ikke selv ønsker at levere indsatser som fx personlig pleje, praktisk hjælp, madservice,
hjælpemidler og plejebolig til borgere under 67 år. Det skal understøtte bæredygtig opgaveløsning. Som
for variant B kan der opstå risiko for, at kommunerne vil nedprioritere de tidlige og forebyggende indsatser
til de borgere, der befinder sig tæt på grænsen til folkepensionsalderen, idet borgeren og ansvaret herfor
vil overgå til den nye myndighed. Som det gælder for variant B, vil overvejelser om ansvaret for indsatser
til borgere over 67 år med handicap skulle adresseres nærmere.
Som for variant C har kommissionen overvejet muligheden for, at alene de dele af praktisk hjælp, som
indebærer rengøring, tøjvask og indkøb forbliver et kommunalt ansvar. Som for variant C noterer kommis­
sionen sig, at adskillelsen af personlig pleje og praktisk hjælp er i modstrid med helhedspleje som beskrevet
i ”Aftale om en ældrereform” af april 2024.
Det skønnes, at de kommunale udgifter til de omfattede områder i dag udgør 55,6 mia. kr. svarende til
19,7 pct. af de samlede kommunale udgifter.
Vurdering af en stor opgavesamling
I det følgende vurderer Sundhedsstrukturkommissionen den store opgavesamling op mod den nuværende
organisering af sundhedsvæsenet med udgangspunkt i de seks hensyn (se kapitel 6). Samtidig understreges
det, at vurderingen ikke kan ske fuldstændig uafhængig af, hvilken forvaltningsstruktur sundhedsvæsenet
bygges op omkring, hvorfor kapitlet bør læses i sammenhæng med kapitel 15.
289 Social-, Bolig- og Ældreministeriet. “Aftale mellem regeringen (Socialdemokratiet, Venstre og Moderaterne) og Danmarksdemokraterne,
Socialistisk Folkeparti, Liberal, Alliance, Det Konservative Folkeparti og Radikale Venstre om en reform af ældreområdet”. 2024.
SUU, Alm.del - 2023-24 - Bilag 317: Orientering om Sundhedsstrukturkommissionens afrapportering, fra indenrigs- og sundhedsministeren
2880227_0321.png
1
2
3
4
Del 4 - Opgavesamling, forvaltningsmodeller, implementering og økonomi
321
Hensyn 1: Et sundhedsvæsen med høj kvalitet for alle borgere
Kommissionens vurdering fokuserer på, i hvilken grad opgavesamlingen understøtter faglig bæredygtighed
i leveringen af sundhedsydelser.
En stor opgavesamling kan bidrage til at skabe høj kvalitet i kraft af, at den skaber væsentligt bedre rammer
for bæredygtighed i opgaveløsningen for de opgaver, der samles med sygehus- og praksissektor, idet
opgaverne vil blive samlet i en organisatorisk enhed, som er større end den enkelte kommune. Varianterne
B og D, hvor ansvaret mellem kommune og den nye myndighed er adskilt af en aldersgrænse, indebærer
forringede rammer for bæredygtig opgaveløsning for så vidt angår de opgaver, hvor kommunerne bevarer
ansvaret for borgere, der er under folkepensionsalderen. En forsyningspligt hos den nye myndighed skal
kompensere for det.
Hensyn 2: Et sundhedsvæsen, hvor borgerne har let adgang til relevante sundhedstilbud
Kommissionens vurdering fokuserer på, i hvilken grad opgavesamlingen understøtter, at der er relevante
sundhedstilbud tæt på borgerne.
Opgavesamlingen medvirker til at understøtte den generelle omstilling af sundhedsvæsenet og indebærer
et potentiale for, at flere sundhedstilbud kan leveres tæt på eller i borgerens eget hjem. Da mange af
indsatserne i dag foregår i borgerens eget hjem, er risikoen for, at indsatsen flytter længere væk fra
borgerne, begrænset. Dog kan opgavesamlingen potentielt forringe borgernes adgang til relevante sund-
hedstilbud, der ikke foregår i borgerens hjem, da der er risiko for, at den ansvarlige myndighed vil indfri
stordriftsfordele gennem centralisering og geografisk samling af de opgaver. Det gælder fx midlertidige
pladser og plejeboliger. På den baggrund kan det overvejes, om der som konsekvens skal stilles afstands-
krav til de tilbud.
Hensyn 3: Et sundhedsvæsen med stærk sammenhæng i borgernes forløb
Kommissionens vurdering fokuserer på, i hvilken grad opgavesamlingen understøtter, at der tages et samlet
ansvar for borgernes forløb.
Opgavesamling vil skabe incitament til prioritering af sammenhængende forløb, da indsatsen samles hos
én myndighed for en stor og voksende gruppe af borgere, der har brug for indsatser på ældre­ og trænings-
området, sygepleje og patientrettet forebyggelse og samtidig behov for indsatser fra sygehus og almen-
medicinske tilbud. Der vil fortsat være borgere, der har forløb på tværs af sektorer, men det vurderes at
være væsentligt færre borgere end under den nuværende opgavefordeling.
Samlingen af ældre­ og træningsområdet, sygepleje og patientrettet forebyggelse med sygehus­ og praksis-
sektor vil skabe nye snitflader mellem ældreområdet (under ny myndighed) og socialpsykiatri og handicap-
området (kommunalt ansvar) og dermed på tværs af sektorgrænser. Der er tale om indsatser, der i dag
substituerer hinanden indenfor de kommunale myndigheder. Afgrænsningen mellem henholdsvis hjemme-
pleje og socialpædagogisk støtte og henholdsvis plejehjem og længerevarende botilbud skal afklares
nærmere i en eventuel lovgivningsproces. Der kan fx overvejes særskilte finansieringselementer.
Hensyn 4: Et sundhedsvæsen, der giver borgerne mest mulig sundhed for de tilgængelige ressourcer
Kommissionens vurdering fokuserer på, i hvilken grad opgavesamlingen understøtter omkostnings-
effektivitet og effektiv brug af personaleressourcer.
Opgavesamlingen vil skabe incitament til omstilling af opgaveløsningen og dermed bidrage til effektiv
ressourceudnyttelse, da opgavesamlingen indebærer, at den ansvarlige myndighed har incitament til at
prioritere hen over en bred kæde af opgaver fra forebyggelse og tidlige indsatser, behandling, opfølgning
og rehabilitering. Det giver de bedste rammer for at kunne prioritere, planlægge og implementere omkost-
ningseffektive indsatser og anvende de tilgængelige personaleressourcer effektivt. Det kan fx gøre sig
gældende i forhold til:
• At styrke overgangen mellem udskrivelse fra sygehus til fortsat behandling i eget hjem og dermed
reducere omfanget af indlæggelser, der kunne have være forebygget.
• Den akutte indsats, hvor der vil være mulighed for samlet koordinering og organisering af de døgndæk-
kede funktioner, der kommer i borgerens eget hjem, fx kommunale akutfunktioner og den præhospitale
indsats herunder lægevagt.
SUU, Alm.del - 2023-24 - Bilag 317: Orientering om Sundhedsstrukturkommissionens afrapportering, fra indenrigs- og sundhedsministeren
2880227_0322.png
322
1
2
3
4
Del 4 - Opgavesamling, forvaltningsmodeller, implementering og økonomi
• At styrke forebyggelses­ og rehabiliteringsindsatsen til mennesker med kroniske sygdomme, så flere
modtager en evidensbaseret, effektiv, mindre omfattende indsats, herunder understøttelse i egenomsorg,
som alternativ til mere omfattende sygehusindsatser.
Hensyn 5: Et sundhedsvæsen med effektiv politisk styring og demokratisk kontrol
Kommissionens vurdering fokuserer på, i hvilken grad opgavesamlingen understøtter politisk opmærksom-
hed for væsentlige udfordringer og problemer og politiske prioriteringer og reformkapacitet.
Opgavesamlingen indebærer forbedrede rammer for politisk opmærksomhed og handling på væsentlige
udfordringer, bl.a. udfordringer, der knytter sig til den ændrede demografi med flere ældre på den ene side
og de begrænsede personaleressourcer på den anden.
Hensyn 6: Implementeringsomkostninger
Der er omfattende implementeringsomkostninger forbundet med en stor opgavesamling, og den indebærer
en meget stor ændring af den kommunale opgaveportefølje, som kan svække kommunernes prioriterings-
rum.
2. Mellemstor opgavesamling af ældre- og træningsområdet,
sygepleje og patientrettet forebyggelse med sygehus- og
praksissektor men kommuner bevarer ansvaret for plejehjem
og plejebolig
Sundhedsstrukturkommissionen har overvejet en mellemstor opgavesamling, hvor ældre­ og trænings­
området, sygepleje og patientrettet forebyggelse samles med ansvaret for sygehus- og praksissektor, men
hvor plejehjem og plejeboliger og de sundheds- og omsorgsopgaver, der ydes i forbindelse med driften,
fortsat varetages af kommunerne. Samtidig deler kommunerne og den nye myndighed finansierings­
ansvaret for plejehjem og plejeboliger. Det indebærer, at kommunerne har drifts-, myndigheds- forsynings-
og delt finansieringsansvar, hvor en andel af finansieringsansvaret varetages af den nye myndighed.
I figur 14.7 fremgår i det gule felt de opgaver, der samles med sygehus­ og praksissektor. De indsatser, som
er en del af plejehjemsindsatsen, er for de borgere, der bor på plejehjem og i plejebolig, et kommunalt
ansvar. Det gælder sygepleje, personlig pleje og praktisk hjælp og trænings- og rehabiliteringsindsatser.
Opgaverne er dermed omfattet af delt finansiering. Kommunerne har omvendt ikke delt finansieringssvar
for de ydelser, der gives borgere, der ikke bor på plejehjem eller i plejebolig.
SUU, Alm.del - 2023-24 - Bilag 317: Orientering om Sundhedsstrukturkommissionens afrapportering, fra indenrigs- og sundhedsministeren
2880227_0323.png
1
2
3
4
Del 4 - Opgavesamling, forvaltningsmodeller, implementering og økonomi
323
Figur 14.7
Mellemstor opgavesamling: Ældre­ og træningsområdet, sygepleje og patientrettet forebyggelse
samles med sygehus­ og praksissektor, men kommuner bevarer ansvaret for plejehjem og plejebolig
Mindre omfattende
indsatser til mange
Børn/unge
Sundhedsplejen (SUL)
Omfattende indsatser til få
Børne- og ungetandplejen (SUL)
Voksne
med
særlige
behov
Patientrettet forebyggelse (SUL)
Genoptræning (SUL)
Socialpædagogisk støtte (SEL)
Misbrugsbehandling (SEL og SUL)
Socialtandpleje (SUL)
Borgerstyret personlig
assistance (SEL)
Midlertidige botilbud (SEL)
Længerevarende botilbud (SEL)
Specialtandpleje (SUL)
Omsorgstandpleje (SUL)
Sygepleje (SUL)
Midlertidige pladser (SEL)
Akutpladser (SUL)
Især ældre
Vederlagsfri fysioterapi (SUL)
Hjælpemidler (SEL)
Praktisk hjælp (SEL)
Vedligeholdelsestræning (SEL)
Madservice (SEL)
Genoptræning (SEL)
Forebyggende hjemmebesøg (SEL)
Tidsbegrænset rehabilitering (SEL)
Personlig pleje (SEL)
Plejehjem/
plejeboliger (SEL og ABL)
Rationalet for opgavesamlingen er, at der vil kunne etableres en konstruktion, hvor plejehjem og pleje-
boliger bibeholdes som en kommunal opgave for at skabe sammenhæng til kommunernes øvrige opgaver
med tilvejebringelse af boliger og fysisk planlægning. Det betyder bl.a., at kommunerne bevarer ansvaret
for samarbejdet med de almene boligselskaber. Opgavesamlingen betyder dermed, at mulighederne for,
at plejeboliger og plejehjem integreres som en del af det øvrige lokalsamfund, by- og boligudvikling,
bevares. Samtidig indebærer opgavesamlingen, at en større andel af den samlede opgaveportefølje bevares
i kommunerne.
Med opgavesamlingen etableres en sektorovergang for borgere, når de flytter på plejehjem eller i plejebolig.
For i et vist omfang at afbøde en uhensigtsmæssig incitamentsstruktur, hvor den nye myndighed har
incitament til at flytte borgere fra støtte og omsorg i eget hjem og til en plejebolig i kommunerne, indebærer
opgavesamlingen et delt finansieringsansvar mellem kommuner og den nye myndighed.
Det delte finansieringsansvar bidrager til at bevare en vis grad af ansvar hos den nye myndighed til at sikre
sammenhæng til ydelserne indenfor særligt praktisk hjælp og personlig pleje (SEL § 83), som i et vist
omfang er substituerbare med området for plejehjem og plejebolig. I fastsættelsen af fordelingen af udgifts-
byrden mellem den nye myndighed og kommuner vil der skulle tages hensyn til, at ydelserne er substituer-
bare, så den nye myndighed tilskyndes til at støtte borgere i at blive længst muligt i eget hjem fremfor at
flytte borgeren på plejehjem eller i plejebolig. Omvendt skal byrdefordelingen samtidig fremme, at den nye
myndighed ikke er tilbageholdende med at indstille borgere til plejehjem eller plejebolig. Der vil ligeledes
skulle tages højde for, at kommunerne kan have økonomisk incitament til strengere visitationskrav, idet
kommunerne først tager del i finansieringsansvaret for borgeren, når borgeren visiteres til en plejebolig.
Der vil skulle tages stilling til, hvordan visitationen og overgangen til plejeboliger indrettes, da borgeren
vil komme fra et udgangspunkt, hvor det er den nye myndighed, der yder omsorg og støtte, og dermed
angiveligt har bedre kendskab til borgerens samlede situation og behov. Visitationen og overgangen til
plejeboliger skal i givet fald indrettes, så der tages højde for eventuelle uenigheder mellem kommuner
og den nye myndighed, når der visiteres til plejebolig.
SUU, Alm.del - 2023-24 - Bilag 317: Orientering om Sundhedsstrukturkommissionens afrapportering, fra indenrigs- og sundhedsministeren
2880227_0324.png
324
1
2
3
4
Del 4 - Opgavesamling, forvaltningsmodeller, implementering og økonomi
Der vil skulle tages stilling til kravene til kommunernes forsyningsansvar og kapacitetsstyring, bl.a. hvordan
det sikres, at kommunerne stiller nok plejeboliger til rådighed, da kommunerne i udgangspunktet kan have
økonomisk incitament til at begrænse antallet af plejeboliger. Der lægges op til, at gældende regler for
takstfastsættelse, plejeboliggaranti, borgernes frie valg af plejebolig på tværs af kommunegrænser og
private leverandører på området. Det vil sige, at friplejehjem fastholdes.
Som ved den store opgavesamling har kommissionen overvejet undervarianter af den mellemstore opgave-
samling. Der er tale om de samme variationer som ved den store opgavesamling, det vil sige henholdsvis
en aldersgrænse og udskillelse af praktisk hjælp og madservice.
Det skønnes, at de kommunale udgifter til områderne, inklusive relaterede administrationsudgifter i 2022,
udgjorde i 30,5­37,8 mia. kr., som svarer til 10,8­13,4 pct. af de samlede kommunale udgifter.
Vurdering af mellemstor opgavesamling
I det følgende vurderer kommissionen den mellemstore opgavesamling op mod den nuværende
organisering af sundhedsvæsenet med udgangspunkt i de seks hensyn (se kapitel 6). Det understreges,
at vurderingen ikke kan ske fuldstændig uafhængigt af, hvilken forvaltningsstruktur der lægges ned over
sundhedsvæsenet, hvorfor kapitlet skal læses i sammenhæng med kapitel 15.
Hensyn 1: Et sundhedsvæsen med høj kvalitet for alle borgere
Kommissionens vurdering fokuserer på, i hvilken grad opgavesamlingen understøtter faglig bæredygtighed
i leveringen af sundhedsydelser.
En mellemstor opgavesamling skaber bedre muligheder for bæredygtighed i opgaveløsningen på ældre-
og træningsområdet, sygepleje og patientrettet forebyggelse, da en stor del af opgaverne samles i en
organisatorisk enhed, som er større end den enkelte kommune. Det er typisk meget syge ældre borgere,
der flytter på plejehjem eller i plejebolig, og derfor indebærer opgavesamlingen, at kommunerne fortsat
vil skulle yde mange sundheds- og omsorgsopgaver i forbindelse med driften af plejehjem og plejeboliger,
herunder sygepleje, personlig pleje og praktisk hjælp og træningsindsatser. En del af opgaverne vil dermed
fortsat blive varetaget i mindre organisatoriske enheder, ligesom der vil ske en opbygning af delvist
parallelle funktioner i de to sektorer.
Hensyn 2: Et sundhedsvæsen, hvor borgerne har let adgang til relevante sundhedstilbud
Kommissionens vurdering fokuserer på, i hvilken grad opgavesamlingen understøtter, at der er relevante
sundhedstilbud tæt på borgerne.
Opgavesamlingen medvirker til at understøtte en omstilling af sundhedsvæsenet, hvor flere sundhedstilbud
kan leveres tæt på eller i borgerens eget hjem. Opgavesamlingen kan dog potentielt forringe borgernes
adgang til relevante sundhedstilbud, der ikke foregår i borgerens hjem. Det sker, hvis den nye myndighed
vil indfri stordriftsfordele gennem centralisering og geografisk samling af de opgaver, der ikke leveres i
borgerens eget hjem. Da plejebolig og plejehjem bevares som en kommunal opgave, vil der fortsat være
rammer for, at opførelse og drift af plejebolig og plejehjem sker under hensyn til lokale forhold og integreres
som en del af lokalsamfundet. Det gælder fx den overordnede by- og boligplanlægning i kommunerne.
Imidlertid indebærer opgavesamlingen risiko for, at kommunerne har mindre incitament til at opføre
og drifte plejehjem og plejebolig, fordi den nye myndighed har ansvaret for sygepleje, personlig pleje,
praktisk hjælp m.v, som gives i borgerens oprindelige hjem.
Kommissionen bemærker, at de midlertidige pladser, som med opgavesamlingen vil samles med sygehus-
og praksissektor i overvejende grad er placeret på plejehjem og i sammenhæng med plejeboliger. Den
mellemstore opgavesamling indebærer dermed en snitflade i forhold til de midlertidige pladser.
Hensyn 3: Et sundhedsvæsen med stærk sammenhæng i borgernes forløb
Kommissionens vurdering fokuserer på, i hvilken grad opgavesamlingen understøtter, at der tages et samlet
ansvar for borgernes forløb.
SUU, Alm.del - 2023-24 - Bilag 317: Orientering om Sundhedsstrukturkommissionens afrapportering, fra indenrigs- og sundhedsministeren
2880227_0325.png
1
2
3
4
Del 4 - Opgavesamling, forvaltningsmodeller, implementering og økonomi
325
En mellemstor opgavesamling giver stærkere tilskyndelse end i dag til at skabe sammenhæng i indsatserne
for hjemmeboende borgere, da en større del af indsatserne samles hos én myndighed med ansvar for
indsatser på ældre- og træningsområdet, sygepleje, patientrettet forebyggelse og indsatser fra sygehus
og almenmedicinske tilbud.
Ansvaret for gruppen af borgere, der bor på plejehjem eller i plejebolig vil fortsat være delt mellem to
myndigheder, da de ældre borgere på plejehjem eller i plejebolig fortsat vil have behov for ydelser i syge-
hus­ og praksissektoren. Ansvaret for borgeren skifter desuden på et kritisk tidspunkt, hvor borgeren er
skrøbelig og har et stort behov for omsorg og pleje. Mange af de borgere, der bor på plejehjem og i pleje-
bolig, er skrøbelige, og sygehusindlæggelse kan have større negative konsekvenser for deres funktions-
niveau og trivsel. Det er derfor centralt, at den sundhedsfaglige indsats for borgerne sker som en del
af plejehjemsindsatsen.
Hensyn 4: Et sundhedsvæsen, der giver borgerne mest mulig sundhed for de tilgængelige ressourcer
Kommissionens vurdering fokuserer på i hvilken grad opgavesamlingen understøtter omkostnings-
effektivitet og effektiv brug af personaleressourcer.
Med opgavesamlingen, der indebærer et delt finansieringsansvar, har den nye myndighed incitament til at
prioritere hen over en bred kæde af opgaver fra forebyggelse og tidlige indsatser, behandling, opfølgning
og rehabilitering. Det giver bedre rammer for at kunne prioritere, planlægge og implementere omkostnings-
effektive indsatser og anvende de tilgængelige personaleressourcer effektivt. Det gør sig særligt gældende
i forhold til den akutte indsats, overgangen fra udskrivelse fra sygehus til behandling i eget hjem og styrket
forebyggelse og rehabiliteringsindsats til mennesker med kroniske sygdomme.
Ved adskillelse af ansvaret for pleje i eget hjem og plejehjem og plejebolig risikerer ressourcerne ikke at
blive udnyttet optimalt. Det kan særligt gøre sig gældende i forhold til sektorovergangen ved visitation og
flytning til plejehjem og plejebolig, hvor de to myndigheders forskelligrettede økonomiske incitamenter kan
forhindre den fagligt og økonomisk mest optimale indsats. Sektorovergangen findes ikke i dag. Medfinansie-
ringen af plejeboligområdet skal have et omfang, der imødegår udfordringen.
Hensyn 5: Et sundhedsvæsen med effektiv politisk styring og demokratisk kontrol
Kommissionens vurdering fokuserer på, i hvilken grad opgavesamlingen understøtter politisk opmærksom-
hed for væsentlige udfordringer og problemer og politiske prioriteringer og reformkapacitet.
Opgavesamlingen rummer potentiale for bedre rammer for politisk opmærksomhed og handling på væsent-
lige udfordringer for den myndighed, der overtager opgaver fra kommunerne. Der er imidlertid en række
væsentlige styringsmæssige udfordringer forbundet med opgavesamlingen som følge af, at der sker en
opsplitning af myndigheds­, drifts­ og finansieringsansvar. Fx vil kommunernes styringsmuligheder
begrænses i forhold til dag, fordi de med den mellemstore opgavesamling ikke har ansvaret for at iværk-
sætte forebyggende indsatser eller give alternative foranstaltninger m.v., som kan træde i stedet for en pleje-
bolig. Det indebærer en begrænsning af den politiske styring og ligeledes af den kæde af opgaver, som
kommunernes i dag har ansvaret for, idet kommunerne med opgavesamlingen kun har ansvaret for ét led
i kæden.
Hensyn 6: Implementeringsomkostninger
Opgavesamlingen vil medføre omfattende implementeringsomkostninger, idet der sker en meget stor
ændring af den kommunale opgaveportefølje og opgaveporteføljen for den nye myndighed. Det bemærkes
desuden, at der afhængigt af den konkrete model for delt finansiering risikerer at være administrative
omkostninger forbundet med forvaltningen af finansieringsordningen.
SUU, Alm.del - 2023-24 - Bilag 317: Orientering om Sundhedsstrukturkommissionens afrapportering, fra indenrigs- og sundhedsministeren
2880227_0326.png
326
1
2
3
4
Del 4 - Opgavesamling, forvaltningsmodeller, implementering og økonomi
3. Mindre opgavesamling eller tværkommunalt samarbejde for
opgaver med nær sammenhæng til sygehus- og praksissektor
Sundhedsstrukturkommissionen har overvejet potentialet for at understøtte sammenhæng, faglig bære­
dygtighed og omstilling gennem mindre opgavesamlinger. En mindre opgavesamling af udvalgte nuværende
kommunale opgaver med sygehus- og praksissektoren vil kunne tage udgangspunkt i de områder, som
har nær sammenhæng til de regionale sundhedsopgaver, og hvor kommissionen vurderer, at der er poten-
tiale i forhold til omstilling og udfordringer med faglig bæredygtighed, jf. tabel 14.2.
Kommissionen vurderer, at følgende kommunale opgaver er relevante for en mindre opgavesamling:
• Kommunal sygepleje
• Hjælpemidler
• Patientrettet forebyggelse
• Genoptræning efter indlæggelse
• Midlertidige pladser og akutpladser
Som et alternativ til en egentlig opgavesamling kan det på flere af de ovennævnte opgaver overvejes i stedet
at indføre krav om tværkommunalt samarbejde. Kommissionen vurderer, at tværkommunalt samarbejde
kan understøtte faglig bæredygtighed, men ikke sammenhæng i samme omfang som en egentlig opgave-
samling, da der potentielt og afhængig af den konkrete konstruktion etableres nye enheder med snitflader
til øvrige kommunale opgaver og sygehusområdet. Tværkommunalt samarbejde i kombination med
kvalitetsstandarder kan understøtte omstilling og opgaveudvikling gennem en tættere regulering af
samarbejdet over sektorgrænser, men kan ikke i samme grad som en opgavesamling understøtte en løbende
tilpasning af opgaveløsningen til laveste effektive omkostnings- og omsorgsniveau med udgangspunkt i
lokale forhold.
Figur 14.8 illustrerer, hvilke dele af det kommunale sundhedsområde og nærliggende områder, der er
omfattet eller delvist er omfattet af opgavesamlingen.
Figur 14.8
Mindre opgavesamling eller tværkommunalt samarbejde for opgaver med nær sammenhæng
til sygehus­ og praksissektor
Mindre omfattende
indsatser til mange
Børn/unge
Sundhedsplejen (SUL)
Omfattende indsatser til få
Børne- og ungetandplejen (SUL)
Voksne
med
særlige
behov
Patientrettet forebyggelse (SUL)
Genoptræning (SUL)
Socialpædagogisk støtte (SEL)
Misbrugsbehandling (SEL og SUL)
Socialtandpleje (SUL)
Borgerstyret personlig
assistance (SEL)
Midlertidige botilbud (SEL)
Længerevarende botilbud (SEL)
Specialtandpleje (SUL)
Omsorgstandpleje (SUL)
Sygepleje (SUL)
Midlertidige pladser (SEL)
Akutpladser (SUL)
Plejehjem/
plejeboliger (SEL og ABL)
Især ældre
Vederlagsfri fysioterapi (SUL)
Hjælpemidler (SEL)
Praktisk hjælp (SEL)
Vedligeholdelsestræning (SEL)
Forebyggende hjemmebesøg (SEL) Madservice (SEL)
Genoptræning (SEL)
Personlig pleje (SEL)
Tidsbegrænset rehabilitering (SEL)
SUU, Alm.del - 2023-24 - Bilag 317: Orientering om Sundhedsstrukturkommissionens afrapportering, fra indenrigs- og sundhedsministeren
2880227_0327.png
1
2
3
4
Del 4 - Opgavesamling, forvaltningsmodeller, implementering og økonomi
327
En mindre opgavesamling indebærer et mindre potentiale for sammenhæng og omstilling i sammenligning
med større opgavesamlinger. De kommunale sundhedsopgaver, som har tæt sammenhæng til regionale
sundhedsopgaver, har også tæt sammenhæng med andre kommunale opgaver. Fx har sygepleje tæt
sammenhæng med ældreområdet. Derfor indebærer mindre opgavesamlinger betydelige snitflader
og udfordringer, som vil skulle håndteres.
Rationalet i en mindre opgavesamling er at understøtte kapacitetsudvikling og styrket opgaveløsning i det
primære sundhedsvæsen ved at tage udgangspunkt i opgaver, som i varierende omfang ydes i forlængelse
af udredning og behandling enten ved sygehus eller alment praktiserende læge.
Ændret opgaveplacering af dele af sygeplejen skal dermed understøtte udbygningen af det primære
sundhedsvæsen, herunder den sundhedsfaglige indsats på midlertidige pladser. Tilsvarende skal en ændret
opgaveplacering af patientrettet forebyggelses ses i sammenhæng med potentialet for at styrke indsatsen
ved, at opgaveløsningen kobles med indsatser i sygehus- og praksissektoren.
I det følgende præsenteres kommissionens vurdering af fordele og ulemper ved ændret opgaveplacering
indenfor de fem områder, som har tæt sammenhæng til de regionale sundhedsopgaver. Efterfølgende
vurderer kommissionen en mindre opgavesamling op imod de seks hensyn.
Dele af den kommunale sygepleje og sygehus­ og praksissektor samles under én myndighed
Kommissionen har overvejet muligheden for, at ansvaret for en delmængde af sygeplejen og sygehus-
og praksissektor samles under én myndighed. Opgaver med særlig relevans er den del af den kommunale
sygepleje, som vedrører forløb af høj kompleksitet kombineret med ofte subakut eller akut karakter,
som kan medføre, at forløbene kan være uforudsigelige og/eller uafklarede og medføre behov for tæt
observation og løbende justering af indsatser og behandlingsplan. Der er en sammenhæng til de opgaver,
som er forsøgt beskrevet i kvalitetsstandarder for den kommunale akutfunktion. Dertil skal det fastlægges,
om opgaver, som fx kan udføres på sygeplejeklinikker, også vil skulle omfattes af en ændret opgaveplacering.
Det præcise funktionsområde og arbejdsdeling mellem de to myndigheder vil skulle fastlægges nærmere.
Det kompliceres af, at opgavevaretagelsen af en række sygeplejeopgaver i praksis ofte udføres af social-
og sundhedsassistenter og social- og sundhedshjælpere i sammenhæng med øvrige opgaver.
Formålet med en opgavesamling er at understøtte udbygningen af kapacitet og kompetencer i det primære
sundhedsvæsen ved, at sygeplejefaglige indsatser kan planlægges og udføres i sammenhæng med den
præhospitale indsats og indsatser i det almenmedicinske tilbud. Faglig bæredygtighed og ressource-
effektivitet understøttes i relation til døgndækkede akutfunktioner og sygeplejeopgaver, som varetages
i henholdsvis kommunale sygeplejeklinikker, det almenmedicinske tilbud og den bredere præhospitale
indsats.
Kommunerne vil bevare fuldt finansierings­ og opgaveansvar for de dele af sygeplejen, som er mindre
komplicerede og typisk foregår i sammenhæng med personlig pleje og praktisk hjælp. Afgrænsningen
baseres på funktioner. Det er dermed ikke af betydning, om borgeren opholder sig i eget hjem, på midler-
tidig plads eller i plejebolig m.v.
En opdeling af den kommunale sygepleje er potentielt kompatibel med et eventuelt politisk ønske om at
lade visse sygeplejeopgaver indgå som en del af helhedsplejen, da den del af sygeplejeopgaver, der knytter
sig til den daglige pleje og sundhed, forbliver i kommunerne.
Opgavesamling vil indebære nye og betydelige snitflader mellem sygeplejeindsatser varetaget af forskellige
myndigheder og til personlig pleje m.v. og et øget behov for adgang til faglig sparring for de tilbageværende
sundheds- og plejeindsatser i kommunen. Der kan derfor også overvejes forskellige kompenserende tiltag i
forhold til arbejdsdeling mellem ny myndighed og kommuner, som i dag varetager ansvaret og eventuelt
fortsat kan være udførende på hele eller dele af opgaven.
Videre kan det overvejes, hvorvidt potentialerne ved en opgavesamling i et vist omfang kan opnås gennem
mere forpligtende krav om tværkommunale samarbejder for funktioner, som kræver et vist patientunderlag.
Tværkommunale samarbejder gennemført ved nye fælles enheder kan udgøre en ny snitflade til både de
øvrige kommunale opgaver og til indsatser i sygehus- og praksissektor.
SUU, Alm.del - 2023-24 - Bilag 317: Orientering om Sundhedsstrukturkommissionens afrapportering, fra indenrigs- og sundhedsministeren
2880227_0328.png
328
1
2
3
4
Del 4 - Opgavesamling, forvaltningsmodeller, implementering og økonomi
Patientrettet forebyggelse og sygehus­ og praksissektor samles under én myndighed
Kommissionen har overvejet mulighed for, at ansvaret for at tilbyde patientrettet forebyggelse samles under
den myndighed, som også har ansvaret for sygehus- og praksissektor. De sundhedsfaglige indsatser angivet
i kvalitetsstandarderne for forebyggelsestilbud til borgere med kronisk sygdom er forpligtende, mens
kommunerne kan vælge også at tilbyde indsatserne til borgere i risiko for kronisk sygdom. Af hensyn til
robusthed og kvalitet i de specifikke sundhedsopgaver bør ansvaret for de målgrupper fortsat være hos
én myndighed. Resterende borgerrettede forebyggelsesindsatser afgrænses herfra.
En opgavesamling af patientrettet forebyggelse med sygehus- og praksissektor vil isoleret set understøtte
sammenhæng for borgerne, idet overgangen mellem det behandlende sundhedsvæsen og den patient-
rettede forebyggelse fjernes. Samtidig understøttes en samlet planlægning og bæredygtig opgaveløsning
i det primære sundhedsvæsen på tværs af indsatser målrettet borgere med kronisk sygdom. Samling i
større enheder understøtter muligheden for etablering af målrettede tilbud og udnyttelse af potentialet for
at udbrede teknologiske løsninger, så indsatserne kan foregå i borgernes eget hjem. Derudover vil gevinsten
ved reduceret behov for fx sygehusbehandling i højere grad tilfalde den myndighed, som også investerer i
patientrettet forebyggelse.
Den konkrete tilrettelæggelse vil ud fra lokale forhold fx kunne ske ved, at der etableres decentrale tilbud
i sammenhæng med det almenmedicinske tilbud og øvrig praksissektor, hvor indsatserne tilvejebringes
ved egne enheder, alment praktiserende læger eller via tilkøb fra og/eller i samarbejde med kommuner.
Tilrettelæggelsen vil desuden kunne tage afsæt i Sundhedsstyrelsens kvalitetsstandarder for forebyggelses-
tilbud for borgere med kronisk sygdom og i de nationale forløbsprogrammer og anbefalinger for tvær-
sektorielle forløb for mennesker med kronisk sygdom.
Opgavesamlingen vil skabe en snitflade til den borgerrettede forebyggelse, som forbliver i kommunerne.
Udfordring vil her særligt gælde den del af den borgerrettede forebyggelse, som har karakter af tilbud til
borgere i risiko for kronisk sygdom (fx rygestopkurser). Adskillelsen af ansvar for henholdsvis borgerrettet
og patientrettede tilbud af den karakter kan gøre det mindre bæredygtigt at opretholde de borgerrettede
tilbud i kommunen. Som alternativ kan kommunen tilkøbe det fra den nye myndighed. Derudover etablerer
opgavesamlingen snitflader til øvrige kommunale indsatser i form af personlig pleje og praktisk hjælp, og
indsatser der understøtter borgerens tilknytning til arbejdsmarkedet.
Det kan overvejes, hvorvidt potentialerne ved en opgavesamling i et vist omfang kan opnås gennem styrket
regulering i form af kvalitetsstandarder, som forudsætter tværkommunale samarbejder. Det bemærkes her,
at tværkommunale samarbejder gennemført ved nye fælles enheder også vil kunne udgøre nye snitflader
til både de øvrige kommunale opgaver og til indsatser i sygehus- og praksissektor.
Dele af opgaven med genoptræning efter udskrivning og sygehus­ og praksissektor samles
under én myndighed
Kommissionen har overvejet mulighed for at styrke den faglige bæredygtighed i dele af genoptræningen
efter § 140, som følger af sundsloven. Mens der i dag er kommunalt finansieringsansvar for hele indsatsen,
er driftsansvaret for det specialiserede niveau delt mellem kommuner og regioner. Formålet er at øge den
faglige bæredygtighed og kvalitet i indsatsen og at adressere snitflader for borgere med komplicerede
genoptræningsforløb, herunder med eventuelt længevarende sygehusindlæggelse.
En mulig løsning er at samle driftsansvaret for rehabilitering på specialiseret niveau (ca. 500 genoptræ-
ningsplaner i 2022) med ansvaret for genoptræning på specialiseret niveau hos myndigheden med ansvar
for sygehus- og praksissektoren. Den konkrete tilrettelæggelse af indsatser på specialiseret niveau kan
forudsætte, at der etableres tilbud i tilknytning til eksisterende sygehusindsatser eller ved tilkøb hos private
aktører.
Myndigheden med ansvar for sygehussektoren har også i dag ansvaret for at levere genoptræning på
specialiseret niveau. Derudover har myndigheden også allerede ansvaret for genoptræning under ind-
læggelse og for at udarbejde genoptræningsplaner til rette niveau. Der vil skulle tages særskilt stilling til
eventuelle ændringer i finansieringsansvaret.
SUU, Alm.del - 2023-24 - Bilag 317: Orientering om Sundhedsstrukturkommissionens afrapportering, fra indenrigs- og sundhedsministeren
2880227_0329.png
1
2
3
4
Del 4 - Opgavesamling, forvaltningsmodeller, implementering og økonomi
329
Ansvaret for genoptræning på alment niveau (basalt og avanceret), som udgør langt størstedelen af
personer, der udskrives med en genoptræningsplan (ca. 160.000 genoptræningsplaner i 2022), vil forblive i
kommunerne. For de patienter vil det i fortsat gælde, at en af sygehuset udstedt genoptræningsplan giver
ret for patienten til at modtage tilbud om genoptræning, der kan iværksættes indenfor syv dage. Der kan
være anledning til at overveje reguleringen af området, da der er modsatrettede hensyn mellem kommu-
nens mulighed for at prioritere indenfor ansvarsområdet og det forhold, at adgangen til at aktivere rettighe-
derne efter sundhedsloven er bundet op på sygehuskontakt.
Genoptræning på alment niveau vil kunne tænkes sammen med genoptræning og rehabilitering i
kommunerne efter serviceloven.
Et ændret opgaveansvar vil medføre nye snitflader mellem indsatser med tæt tilknytning til den specia­
liserede rehabilitering, fx indenfor specialundervisning, beskæftigelse, træning, ældre osv. Det vil bl.a. skulle
håndteres med en klar afgrænsning af, hvornår borgere overgår fra den ene indsats og myndighed til den
anden.
Ansvaret for behandling og sygepleje for borgere på midlertidige pladser samles under én
myndighed og reglerne for ophold efter sundhedsloven præciseres
Borgere på midlertidige pladser kan potentielt modtage flere samtidige indsatser i form af sygepleje,
personlig pleje, træning m.v. efter sundheds- og serviceloven og fra alment praktiserende læger og i sjældne
tilfælde sygehus, som var det i borgernes hjem. Selve opholdet på en midlertidig plads ydes i hovedreglen
efter serviceloven, men skal i visse tilfælde ydes efter sundhedsloven.
Målgruppen er i mange tilfælde udskrevet fra sygehuset til en midlertidig plads, da borgernes situation
gør det uhensigtsmæssigt, at borgeren er i eget hjem. Det kan fx skyldes kombinationen af svært nedsat
funktionsevne, et stort pleje- og sygeplejebehov og hindringer ved hjemlige forhold m.v. Kommissionen
vurderer, at der opleves udfordringer særligt i relation til borgere, hvis helbredstilstand og behandling er
meget omskiftelig. Derfor efterspørger kommunerne generelt stærkere tilknytning af og bedre adgang til
lægekompetencer, som i særlig grad gør sig gældende i relation til midlertidige pladser.
290
Kommissionen vurderer, at den demografiske udvikling kombineret med udviklingen mod kortere
indlæggelser og et uændret antal af plejehjemspladser indebærer, at et stigende antal patienter med
relativt komplekse problemstillinger håndteres i et samspil på tværs af sygehus, kommune og de alment
praktiserende, herunder ved tilbud om ophold på midlertidige pladser. Det stiller skærpede krav til
sundhedsvæsenet i form af sygeplejefaglige kompetencer i de kommunale sundhedsindsatser og
tilgængeligheden til det almenmedicinske tilbud.
Kommissionen har overvejet en mulig ændret opgaveplacering i relation til midlertidige pladser. Hvis der
gennemføres en opgavesamling, som vedrører dele af sygeplejen, vil det også medføre en ændret ansvars-
deling for indsatsen til borgere på midlertidige pladser og potentielt forbedre rammerne for at tilvejebringe
og tilbyde sygeplejefaglige til fx ustabile borgere med ophold på midlertidig plads. En sådan opgavesamling
understøtter i sig selv sammenhæng i indsatserne for de pågældende borgere, da der etableres et samlet
ansvar for hovedparten af de sundhedsfaglige indsatser, som leveres under et midlertidigt ophold.
Kommissionen har overvejet og ser store fordele ved, at de kommunale midlertidige pladser får en fast
tilknytning af almenmedicinske kompetencer. Det kan gennemføres gennem en forpligtigelse af den
myndighed, som er ansvarlig for det almenmedicinske tilbud, til at tilvejebringe kompetencerne (se kapitel
8). Formålet ved fast tilknytning af fx en alment praktiserende læge er, at medarbejderne i det kommunale
midlertidige tilbud opnår de fordele i form af adgang til generel sparring, uddannelse og rådgivning, som
knytter sig til ordningen for fasttilknyttede læger til plejecentre. Derudover vil en fasttilknyttet læge i dialog
med personalet og eventuelt borgerens alment praktiserende læge kunne iværksætte behandling ved akut
eller nyligt opstående almenmedicinske problemstillinger.
290 Implement Consulting Group. “Den kommunale sundhedsindsats”. 2023.
SUU, Alm.del - 2023-24 - Bilag 317: Orientering om Sundhedsstrukturkommissionens afrapportering, fra indenrigs- og sundhedsministeren
2880227_0330.png
330
1
2
3
4
Del 4 - Opgavesamling, forvaltningsmodeller, implementering og økonomi
Forslaget om tilknytning af almenmedicinske kompetencer skal ses i sammenhæng med, at behandlings-
ansvaret for patienter på midlertidige pladser fastlægges mellem sygehus og borgerens alment
praktiserende læge bl.a. afhængigt af patientens problemstilling, hvem der har henvist borgeren og tiden
efter udskrivning. Det er kommissionens vurdering, at der kan knytte sig særlige udfordringer til etablering
af samarbejdet med alment praktiserende læge og personalet på de midlertidige pladser som følge af 1)
at borgeren opholder sig i fysisk større afstand til den praktiserende læge og 2) at der kontinuerligt skal
etableres nye samarbejdsrelationer mellem personalet tilknyttet de midlertidige pladser og skiftende
alment praktiserende læger, idet borgeren er i tilbuddet midlertidigt.
Kommissionen har videre overvejet, at der bør etableres en entydig hjemmel i sundhedsloven for
kommunerne til at tilbyde midlertidige ophold (akutpladser) til borgere med behov for midlertidigt ophold,
når borgeren udskrives dertil direkte fra sygehuset, og borgeren har behov for fortsat behandling eller
sygepleje, som ikke kan varetages i borgerens eget hjem. Formålet med en hjemmel i sundhedsloven er
en tydeliggørelse af, hvornår opholdet tilbydes efter sundhedsloven, og der dermed ikke kan opkræves
egenbetaling. Kommunerne vil derudover fortsat i medfør af serviceloven kunne anvende midlertidige
ophold i forbindelse med fx aflastningsophold uden sundhedsfagligt sigte.
I en mindre opgavesamling vurderer kommissionen, at det er mindre hensigtsmæssigt at flytte ansvaret
for at tilbyde selve opholdet på midlertidig plads/akutplads til en anden myndighed end kommunen, da
midlertidigt ophold substituerer øvrige kommunale indsatser i form af personlig pleje, praktisk hjælp,
træning m.v. og plejehjemsindsats. Det kan dog overvejes at indføre en mulighed for, at myndigheden med
ansvar for sygehus­ og praksissektor medfinansierer en indsats i kommunerne i form af midlertidigt ophold.
Der vil være ulemper forbundet med det, da der skabes et uklart myndighedsansvar i forhold til at tilveje-
bringe tilbud af permanent eller midlertidig karakter til borgere, som ikke kan opholde sig i eget hjem.
Det kan videre overvejes, om der som et supplement eller alternativ til en opgavesamling er behov for
nærmere regulering eller vejledning i forhold til anvendelsen af midlertidige ophold, herunder hvornår
og i hvilket omfang myndigheden med ansvar for sygehusområdet kan forudsætte at have adgang til at
udskrive til midlertidige pladser. Regulering i form af kvalitetsstander vil kunne omfatte de sundhedsfaglige
indsatser, bl.a. de sygeplejefaglige indsatser med eventuelt afledt behov for tværkommunale indsatser.
Kommissionen vurderer, at der fortsat vil være behov for midlertidige ophold, fx i forlængelse af udskrivelse
fra sygehuset, hvor det forudsættes, at den nye myndighed og kommunerne fortsat samarbejder om
vurderingen af behovet for kapacitet m.v.
Ansvaret for tildeling af behandlingsredskaber og hjælpemidler samles eller præciseres
Ansvaret for tildeling af behandlingsredskaber og hjælpemidler opleves i praksis ofte uklare. Området er
kendetegnet ved eksempler på, at syge borgere eller borgere med handicap kommer i klemme på grund af
uklarhed om, hvorvidt myndigheds­ og finansieringsansvaret er regionalt eller kommunalt. Uklarhederne
giver samtidig anledning til øget administration i regioner og kommuner forbundet med afklaring af, om
der er tale om et behandlingsredskab eller et hjælpemiddel, og om udgiften dermed afholdes af region eller
kommune.
Snitfladeproblematikkerne skal også ses i lyset af den udvikling, som sundhedsområdet har gennemgået
de seneste år. Det gælder bl.a. den teknologiske udvikling, der understøtter mere hjemmebehandling og
kortere indlæggelsesforløb, hvor patienten enten fortsætter sygehusbehandlingen i eget hjem eller i
kommunal sygepleje. Uklarhed om, hvornår der er tale om fortsat sygehusbehandling i eget hjem eller
kommunal sygepleje, afspejles ofte i uklarhed og uenighed om, hvornår der er tale om et behandlings-
redskab eller et hjælpemiddel. Det betyder, at der også alene indenfor sundhedslovens rammer er uklarhed
om myndigheds­ og finansieringsansvaret.
Kommissionen vurderer, at der ikke er snitfladeproblematikker ved alle typer af produkter eller situationer.
Afgrænsningen af om et produkt er et behandlingsredskab eller et hjælpemiddel er på en række områder
velfungerende bl.a. på baggrund af de afklaringskataloger, som regioner og kommuner har udarbejdet i
fællesskab med ophæng i sundhedsaftalerne. Der er samtidigt områder og patientforløb, som bærer tydeligt
præg af manglende sammenhæng og kassetænkning.
SUU, Alm.del - 2023-24 - Bilag 317: Orientering om Sundhedsstrukturkommissionens afrapportering, fra indenrigs- og sundhedsministeren
2880227_0331.png
1
2
3
4
Del 4 - Opgavesamling, forvaltningsmodeller, implementering og økonomi
331
Sundhedsstrukturkommissionen har overvejet – såfremt der ikke gennemføres en større opgavesamling
– at afgrænsningscirkulæret kan ophæves og erstattes af tydeligt defineret myndigheds­ og finansierings­
ansvar for tildeling af behandlingsredskaber og hjælpemidler i medfør af sundhedsloven om henholdsvis
regionsrådets ansvar for at varetage sygehusopgaver og kommunernes ansvar for visse sundhedsydelser.
Det kan fx reguleres i bekendtgørelse om kommunal sygepleje, at udleveringen af nogle hjælpemidler/
behandlingsredskaber, hvor der kan være et behandlingssigte, omfattes af kommunal sygepleje.
Kommissionens overvejelser skal ses i sammenhæng med, at kommuner og regioner ikke oplever, at
afgrænsningscirkulæret i tilstrækkelig grad afklarer, hvornår der er tale om et behandlingsredskab eller
et hjælpemiddel ligesom afgrænsningscirkulæret ikke tydeligt adresserer finansieringsansvaret for de
personaleressourcer, der knytter sig til anvendelsen af behandlingsredskaber og hjælpemidler i det omfang,
borgeren ikke selv er i stand hertil.
Kommissionen ser et potentiale i, at der fastlægges en national procedure for, at der indenfor udvalgte
sygdomsområder eller i forhold til specifikke produkter kan fastsættes et entydigt myndighedsansvar.
Det gælder fx for produkter, der kan have et samtidigt behandlende formål efter sundhedsloven og et
afhjælpende formål efter serviceloven, fx kompressionsstrømper, ortoser, sensorbaserede glukosemålere
m.v.
I den sammenhæng kan det belyses, hvorvidt en løsning, hvor finansieringsansvaret for behandlingsred­
skaber og hjælpemidler i højere grad samles hos kommunerne, men hvor tildeling finder sted på baggrund
af en lægefaglig vurdering, herunder på sygehus og i praksissektoren, kan understøtte både bedre sammen-
hæng borgerne og samtidig styrbarhed i forhold til kommunernes finansieringsansvar. En sådan løsning
vil have ligheder med organiseringen af genoptræning, hvor kommunen er ansvarlig for opgaven, men skal
følge en genoptræningsplan fra sygehuset.
Kommissionen har endelig notereret sig, at regeringen ifølge regeringsgrundlaget ønsker at forenkle
reglerne for visitation til hjælpemidler, så borgerne oplever øget tilgængelighed, mindre ventetid og mere
smidig visitation.
Vurdering af mindre opgavesamling
I det følgende vurderer kommissionen den mindre opgavesamling op mod den nuværende organisering
af sundhedsvæsenet med udgangspunkt i de seks hensyn (se kapitel 6). Det understreges, at vurderingen
ikke kan ske fuldstændig uafhængigt af, hvilken forvaltningsstruktur der lægges ned over sundhedsvæsenet,
hvorfor kapitlet skal læses i sammenhæng med kapitel 15.
Hensyn 1: Et sundhedsvæsen med høj kvalitet for alle borgere
Kommissionens vurdering fokuserer på, i hvilken grad opgavesamlingen understøtter faglig bæredygtighed
i leveringen af sundhedsydelser.
Opgavesamling af dele af sygeplejen kan understøtte faglig bæredygtighed for komplicerede indsatser og
døgndækning, men indebærer samtidig risici for den faglige bæredygtighed i varetagelsen af tilbage-
værende sygepleje og øvrige indsatser i tilknytning hertil. Opgavesamling af den patientrettede forebyggelse
og driftsansvaret for specialiseret rehabilitering understøtter kvaliteten i selve opgaveløsningen.
Et samlet ansvar for behandling og sygeplejeindsatser, herunder tilknytning af almenmedicinske kompeten-
cer på akutpladser, understøtter kvalitet i den del af opgaveløsningen, men skal vurderes i sammenhæng
med den faglige bæredygtighed for øvrige midlertidige ophold og øget behov for koordinering med
borgerens alment praktiserende læge.
Hensyn 2: Et sundhedsvæsen, hvor borgerne har let adgang til relevante sundhedstilbud
Kommissionens vurdering fokuserer på, i hvilken grad opgavesamlingen understøtter, at der er relevante
sundhedstilbud tæt på borgerne.
Opgavesamlingen af dele af sygeplejen kan understøtte etableringen funktioner, som udfører kompliceret
sygepleje i borgerens eget hjem og på ydertidspunkter, som kan modvirke risikoen for unødvendige
indlæggelser. Delingen af sygeplejen kan samtidig indebære risiko for et uklart myndighedsansvar for
behandling og opfølgning, som udføres i sygeplejen. Opgavesamling af den patientrettede forebyggelse
SUU, Alm.del - 2023-24 - Bilag 317: Orientering om Sundhedsstrukturkommissionens afrapportering, fra indenrigs- og sundhedsministeren
2880227_0332.png
332
1
2
3
4
Del 4 - Opgavesamling, forvaltningsmodeller, implementering og økonomi
og driftsansvaret for specialiseret rehabilitering kan indebære en afvejning i forhold til tilgængelighed,
hvis opgaveløsningen resulterer i øgede afstande. Det kan modgås ved at bruge flere digitale tilbud og
opgaveløsning i sammenhæng med øvrige kommunale indsatser.
En præcisering af reglerne for brug af akutpladser efter sundhedsloven vil understøtte en mere klar
retstilling for borgerne i forhold til egenbetaling, ligesom fastholdelsen af et kommunalt ansvar for at
tilbyde akutpladser/midlertidige pladser vil fastholde et entydigt myndighedsansvar. En samling eller
præcisering af ansvaret for tildeling af hjælpemidler og behandlingsredskaber understøtter borgerens
adgang til hjælpemidler.
Hensyn 3: Et sundhedsvæsen med stærk sammenhæng i borgernes forløb
Kommissionens vurdering fokuserer på, i hvilken grad opgavesamlingen understøtter, at der tages et samlet
ansvar for borgernes forløb.
Opgavesamlingen af dele af sygeplejen understøtter samarbejdet mellem sygehus- og praksissektor og
sygepleje i borgerens nærmiljø i forbindelse med fortsat sygehusbehandling eller akutte problemstillinger,
herunder med et særligt potentiale i relation til den samlede præhospitale indsats. Løsningen eliminerer
ikke sektorovergange for borgere med behov for fortsat kommunal indsats som fx sygepleje. Løsningen
forudsætter derfor et øget koordineringsbehov, såfremt borgerne ikke skal opleve en negativ virkning som
følge af en ny deling af myndighedsansvaret for sygeplejen. En løsning baseret på øget tværkommunalt
samarbejde vil være forbundet med tilsvarende udfordringer.
Opgavesamling af den patientrettede forebyggelse og driftsansvaret for specialiseret rehabilitering
understøtter sammenhæng til indsatser relateret til udredning og behandling, men vil også særligt for
specialiseret rehabilitering kunne indebære nye snitflader til øvrige kommunale indsatser i potentielt flere
forvaltninger. En løsning med øget tværkommunalt samarbejde vil i et vist omfang være forbundet med
tilsvarende fordele og potentielt tilsvarende ulemper.
Et samlet ansvar for behandling og sygeplejeindsatser på midlertidige pladser og akutpladser understøtter
sammenhæng i borgens forløb ved udskrivelse fra sygehus, men eliminerer ikke sektorovergange senere i
forløbet eller snitflader til øvrige indsatser.
Hensyn 4: Et sundhedsvæsen, der giver borgerne mest mulig sundhed for de tilgængelige ressourcer
Kommissionens vurdering fokuserer på, i hvilken grad opgavesamlingen understøtter omkostnings-
effektivitet og effektiv brug af personaleressourcer.
Udskillelsen af dele af sygeplejen kan isoleret set risikere at svække effekten af tidlige og forebyggende
sundheds- og ældreindsatser, hvis adgangen til sygeplejefaglige kompetencer tyndes ud i kommunerne,
som en konsekvens af at kommunernes finansieringsansvar reduceres og incitamenterne dermed svækkes.
Dertil kommer en risiko for kassetænkning som følge af en opsplitning af myndighedsansvaret for sygepleje
i borgerens nærmiljø. Opgavesamling af den patientrettede forebyggelse har et planlægningsmæssigt og
sundhedsøkonomiske potentiale ved at sammentænke og udbygge en fremtidig indsats med øvrige ind-
satser i sygehus- og praksissektor. Omvendt vil der ske en svækkelse af kommunernes mulighed for at agere
på det incitament, som er til, at mennesker med kroniske sygdomme fungerer i deres hverdagsliv, herunder
i familie- og arbejdslivet.
Tværkommunalt samarbejde kan isoleret set være forbundet med økonomiske fordele og mulighed for en
bredere tilbudsportefølje, såfremt tilbud etableres i samarbejder på tværs af kommuner.
Et samlet ansvar for behandling og pleje for borgere på sygehus, midlertidige pladser og i eget hjem under-
støtter en samlet planlægning og prioritering i forhold til, hvornår indsatser ydes bedst på sygehuset, og
hvornår de kan varetages i borgerens eget hjem eller på en midlertidig plads. Indenfor rammerne af en lokal
opgaveløsning kan løsningen understøtte, at de sundhedsfaglige indsatser på de midlertidige pladser bliver
mere ensartede.
Kommissionen vurderer, at en nærmere regulering af brugen af midlertidige pladser i et vist omfang
understøtter det tværsektorielle samarbejde, men indebærer også risiko for, at opgaveløsningen i for stort
omfang koncentreres om stationære pladser med tilknyttede høje udgifter.
SUU, Alm.del - 2023-24 - Bilag 317: Orientering om Sundhedsstrukturkommissionens afrapportering, fra indenrigs- og sundhedsministeren
2880227_0333.png
1
2
3
4
Del 4 - Opgavesamling, forvaltningsmodeller, implementering og økonomi
333
En samling eller præcisering af ansvaret for tildeling af hjælpemidler/behandlingsredskaber har potentiale
til at understøtte en fortsat opgaveomstilling, hvor opgaveløsningen sker i borgerens eget hjem helt eller
delvist selvhjulpent. En adskillelse af ansvaret for at tildele og finansiere hjælpemidler indebærer en risiko
for svækket styrbarhed og prioriteringsmuligheder for kommunerne.
Hensyn 5: Et sundhedsvæsen med effektiv politisk styring og demokratisk kontrol
Kommissionens vurdering fokuserer på, i hvilken grad opgavesamlingen understøtter politisk opmærk-
somhed for væsentlige udfordringer og problemer og politiske prioriteringer og reformkapacitet.
Opgavesamlingen af dele af sygeplejen understøtter, at myndigheden med ansvar for sygehus- og praksis-
sektor kan gennemføre en omstilling af sundhedsvæsenet ved at styrke indsatser, der understøtter
behandling og opfølgning udenfor sygehusene. Opsplitningen af myndighedsansvaret for den eksisterende
kommunale sygepleje medfører samtidig et uklart ansvar og et øget behov for koordinering og en øget
gensidig afhængighed i opgaveløsningen mellem myndighederne.
Hensyn 6: Implementeringsomkostninger
Der vil være implementeringsomkostninger ved en mindre opgavesamling. Det gælder særligt i forhold til
delingen af den kommunale sygepleje, hvor der vil være ikke ubetydelige omkostninger forbundet med
opdeling af en eksisterende opgave og etablering af nye arbejdsgange. De forventede fordele ved at samle
den akutte indsats, der i dag er fordelt mellem to sektorer, må forventes at blive indfriet løbende over en
periode.
Sammenfattende vurdering af de tre opgavesamlinger
Opgavesamlinger skal ses i sammenhæng med de øvrige forslag i de forudgående kapitler, som også skal
bidrage til at sikre høj kvalitet, let adgang til relevante tilbud, sammenhæng, effektiv ressourceudnyttelse,
styring og kontrol. Opgavesamling skal desuden ses i sammenhæng med det efterfølgende kapitel om
forvaltningsmodeller, hvor spørgsmålet om opgavesamling kobles sammen med spørgsmålet om, hvordan
den myndighed, der får ansvaret for opgaven, skal ledes og organiseres.
I de forudgående afsnit er de tre opgavesamlinger blevet vurderet op mod den nuværende ansvars- og
opgavefordeling i sundhedsvæsenet. I følgende afsnit gives en kort sammenfattende vurdering af de tre
opgavesamlinger set i forhold til hinanden.
Såfremt man vælger at foretage opgavesamlinger, der bl.a. omfatter ældreområdet, er det centralt, at
opgaver, som med fordel løses tæt på og i borgeren eget hjem og med tilknytning til lokalsamfundet, fortsat
løses og udvikles med den ramme som præmis. Og det er afgørende, at den nye myndighed balancerer
behandlingsopgaven i sygehus- og praksissektoren mod opgaven med omsorg, nærvær, selvbestemmelse
for den ældre m.v., som har forskellig karakter og forskellige formål.
En stor opgavesamling har den fordel, at den skaber det størst mulige rum for at kunne prioritere hen over
en bred kæde af tidlige, forebyggende indsatser, behandling og opfølgende rehabilitering, pleje og omsorg.
De sektorgrænser som i dag udgør barrierer for sammenhæng i borgerens forløb og omstilling af opgave-
løsningen, vil med den store opgavesamling blive reduceret for en stor og voksende målgruppe. Det er
dermed den store opgavesamling, kommissionen anser for at have det største potentiale for styrket
sammenhæng og omstilling. Hertil kommer, at rammerne for at skabe bæredygtig opgaveløsning forbedres,
idet en række af de opgaver, som kommunerne i dag har vanskeligt ved at varetage bæredygtigt, samles i
større organisatoriske enheder.
En stor opgavesamling vil dog betyde, at nye opgavesnitflader skal håndteres. Det gælder særligt snitfladen
mellem personlig pleje og praktisk hjælp og socialpædagogisk støtte. Snitfladen findes i dag mellem
kommunale forvaltninger, men indenfor den samme myndighed, kommunen. Med en stor opgavesamling
vil der være tale om en snitflade mellem to sektorer. En mulig løsning er derfor, at opgavesamlingen følger
en aldersgrænse, hvor den nye myndighed har ansvar for bl.a. personlig pleje og praktisk hjælp til personer
over folkepensionsalderen, mens kommunerne fortsat har ansvar for bl.a. personlig pleje og praktisk hjælp
til personer under folkepensionsalderen i tillæg til socialpædagogisk støtte. Kommissionen noterer sig i den
SUU, Alm.del - 2023-24 - Bilag 317: Orientering om Sundhedsstrukturkommissionens afrapportering, fra indenrigs- og sundhedsministeren
2880227_0334.png
334
1
2
3
4
Del 4 - Opgavesamling, forvaltningsmodeller, implementering og økonomi
sammenhæng, at den nye ældrelov vil indebære en aldersgrænse, der betyder, at personlig pleje og praktisk
hjælp får hjemmel i henholdsvis den nye ældrelov for personer over folkepensionsalderen og i serviceloven
for personer under folkepensionsalderen.
En stor opgavesamling indebærer desuden ulemper i form af store omstillings- og implementerings-
omkostninger på både kort og mellemlang sigt. Samtidig vil opgavesamlingen betyde, at kommunernes
samlede opgaveportefølje indskrænkes væsentligt, som svækker kommunernes prioriteringsrum.
En stor opgavesamling vil også indebære nye snitflader på genoptræningsområdet, hvor der skabes en
sektorovergang til indsatser, der relaterer sig til genoptræning og fortsat vil være placeret i kommunalt regi.
Det er fx botilbud, støtte til familien, uddannelses- og beskæftigelsesindsats, specialundervisning m.v.
En mellemstor opgavesamling skaber et stort rum for at kunne prioritere hen over en bred kæde af ind-
satser, men særligt målrettet de borgere, der ikke bor på plejehjem eller i plejebolig. Fordelen ved opgave-
samlingen er, at ansvaret for plejebolig og plejehjem, og indsatserne, der er forbundet med driften, bevares
i kommunerne i sammenhæng med det øvrige almenboligområde. Som for den store opgavesamling vil
rammerne for bæredygtighed i opgaveløsningen styrkes for de opgaver, der samles med sygehus- og
praksissektor, fordi de dermed vil være forankrede i en større organisatorisk enhed.
En mellemstor opgavesamling har den ulempe, at der skabes en ny sektorgrænse mellem de indsatser,
der både kan foregå i borgerens oprindelige hjem og på plejehjem og i plejebolig. Det er fx personlig pleje,
praktisk hjælp og sygepleje. Sektorgrænsen vil dermed gælde en relativt stor målgruppe. Opgavesamlingen
indebærer medfinansiering af plejehjem og plejebolig fra den nye myndigheds side for at kompensere for
uhensigtsmæssige incitamenter. Potentialet for sammenhæng og omstilling af opgaveløsningen er dermed
svagere i sammenligning med den store opgavesamling. Som for den store opgavesamling vil den mellem-
store opgavesamling indebære nye snitflader, som vil skulle håndteres. Det gælder særligt snitfladen mellem
personlig pleje og praktisk hjælp og socialpædagogisk støtte og nye snitflader til indsatser relateret til
genoptræning og patientrettet forebyggelse.
En mindre opgavesamling, som vedrører dele af sygeplejen, patientrettet forebyggelse, dele af gen-
optræningsopgaven efter udskrivelse fra sygehus, medicinske kompetencer på de midlertidige pladser og
mere entydigt ansvar for hjælpemidler og behandlingsredskaber indebærer et vist potentiale for sammen-
hæng, styrket kvalitet og omstilling. Rationalet i en mindre opgavesamling er at understøtte kapacitets-
udvikling og styrket opgaveløsning i det primære sundhedsvæsen ved at tage udgangspunkt i opgaver, som
i varierende omfang ydes i forlængelse af udredning og behandling enten ved sygehus eller almenmedicinsk
tilbud. Potentialet for sammenhæng og omstilling er mindre end for den store og mellemstore opgave-
samling, idet dele af de tidlige, forebyggende indsatser og den opfølgende indsats bevares i kommunerne.
En mindre opgavesamling indebærer videre potentiale for at organisere den samlede akutte indsats til
bl.a. ældre borgere, som er i risiko for sygehusindlæggelse samlet. Opgavesamlingen indebærer desuden
potentiale for, at borgere med kroniske sygdomme i højere grad støttes i egenomsorg. Dermed er der samlet
set potentiale for, at efterspørgslen på sygehusindsatser reduceres. Den mindre opgavesamling indebærer
også forbedrede rammer for bæredygtighed i løsningen af de opgaver, som har nær sammenhæng med
sygehus- og praksissektoren, og hvor der i dag er udfordringer med bæredygtighed i opgaveløsningen
særligt for mindre kommuner.
Den mindre opgavesamling indebærer også væsentlige ulemper. Det vil i praksis være vanskeligt at udskille
den del af sygeplejen, der indgår i forløb, hvor borgeren har akutte eller subakutte tilstande med den del af
sygeplejen, der er organiseret sammen med hjemmeplejen. Sygepleje udføres i mange forskellige sammen-
hænge fx borgerens eget hjem herunder plejehjem, midlertidige pladser og botilbud. Derfor forudsætter
den mindre opgavesamling meget klart defineret myndighedsansvar, for sygepleje for at afbøde potentielle,
væsentlige snitfladeudfordringer mellem den nye myndighed og kommunerne. En adskillelse af de syge­
plejefaglige kompetencer kan risikere at udvande de sygeplejefaglige kompetencer i særligt kommunerne,
og det kan betyde forringede muligheder for at benytte kompetencerne bedst muligt i kommunalt regi.
Med den mindre opgavesamling opstå nye sektorgrænser til indsatser relateret til genoptræning og patient-
rettet forebyggelse, som forsat varetages i kommunalt regi, ligesom det gælder for den store og mellemstore
opgavesamling. Til gengæld skaber den mindre opgavesamling ikke nye sektorgrænser mellem personlig
SUU, Alm.del - 2023-24 - Bilag 317: Orientering om Sundhedsstrukturkommissionens afrapportering, fra indenrigs- og sundhedsministeren
2880227_0335.png
1
2
3
4
Del 4 - Opgavesamling, forvaltningsmodeller, implementering og økonomi
335
pleje og praktisk hjælp og socialpædagogisk støtte, som er substituerbare indsatser. Samtidig vil en mindre
opgavesamling indebære færre omstillings- og implementeringsomkostninger end den store og mellem-
store opgavesamling. Opdelingen af den kommunale sygepleje kan dog vise sig vanskelig, og det kan risikere
at betyde væsentlige snitfladeudfordringer for en stor målgruppe.
Det kan overvejes, om dele af potentialerne ved den mindre opgavesamling, vil kunne realiseres gennem
øget brug af tværkommunalt samarbejde. Tværkommunalt samarbejde etablerer ikke en længere kæde
af indsatser, som én myndighed kan prioritere over. Tværkommunalt samarbejde kan dog understøtte
bæredygtighed i opgaveløsningen og høj kvalitet. Kvalitetsstandarder kan i et vist omfang understøtte
omstilling på den måde, at det bidrager til forventningsafstemning mellem sektorerne, men ikke med
samme muligheder for løbende tilpasningen af opgaveløsningen, som følger af en opgavesamling. Tvær-
kommunalt samarbejde vil i sammenligning med opgavesamling betyde, at opgaverne bevares i kommunalt
regi, men såfremt tværkommunalt samarbejde indebærer etableringen af nye fælles enheder, eller at
opgaven løses af en anden kommune, vil der opstå snitflader mellem kommunerne, fx i de tilfælde hvor
en borger modtager patientrettet forebyggelse af en anden kommune end bopælskommunen, og hvor
borgeren samtidig modtager beskæftigelses- og familierettede indsatser af sin bopælskommune.
SUU, Alm.del - 2023-24 - Bilag 317: Orientering om Sundhedsstrukturkommissionens afrapportering, fra indenrigs- og sundhedsministeren
2880227_0336.png
336
1
2
3
4
Del 4 - Opgavesamling, forvaltningsmodeller, implementering og økonomi
Kapitel 15: Forvaltningsmodeller
for sundhedsvæsenet
I kapitel 15 opstiller og vurderer Sundhedsstrukturkommissionen tre forvaltningsmodeller for sundheds-
væsenet. Ifølge kommissoriet skal forvaltningsmodellerne understøtte et forebyggende og sammen-
hængende sundhedsvæsen med mere lighed, og som er mere nært og bæredygtigt.
De tre forvaltningsmodeller for sundhedsvæsenet tager alle afsæt i kommissoriet og i analysen af væsent-
lige svagheder ved den nuværende styring og organisering af sundhedsvæsenet. I kapitel 8 blev der
fremhævet tre udfordringer ved sundhedsvæsenets nuværende opgave- og ansvarsfordeling: 1) usammen-
hængende borger­ og patientforløb, 2) for lidt og for langsom udvikling af det primære sundhedsvæsen
tæt på borgerne og 3) for svag faglig bæredygtighed i løsningen af nogle af de sundhedsopgaver, som
kommunerne i dag har ansvaret for.
Ingen model for organiseringen af sundhedsvæsenet vil fuldt ud leve op til alle væsentlige hensyn. Alle
modeller vil have indbyggede svagheder, som må afvejes i forhold til de styrker, der knytter sig til den
pågældende model. Kommissionen anbefaler ikke én konkret forvaltningsmodel, men i overensstemmelse
med kommissoriet afvejes for hver af modellerne fordele og ulemper på baggrund af de hensyn, kommis-
sionen opstiller i kapitel 6, og som også dækker de sigtelinjer, der er formuleret i kommissoriet.
Sundhedsstrukturkommissionen har ved opstillingen af forvaltningsmodeller lagt til grund, at der ikke bør
være flere myndighedsniveauer end de tre, der eksisterer i dag (kommuner, regioner og stat). Opstillingen
af modeller er desuden afgrænset af, at det ligger udenfor kommissoriet at forholde sig til kommunernes
styreform og geografiske afgrænsning.
Kapitlet skal læses i sammenhæng med kapitel 14, der redegør for kommissionens analyse og vurdering
af muligheden for en ændret opgaveplacering indenfor sundheds- og ældreområdet. Formålet med kapitel
14 og 15 er at afsøge og anbefale modeller for at skabe et mere nært, bæredygtigt og sammenhængende
sundhedsvæsen ved hjælp af reformer af opgave- og ansvarsfordelingen i sundhedsvæsenet.
Et mere nært, bæredygtigt og sammenhængende sundhedsvæsen kan imidlertid også understøttes med
andre organisatoriske tiltag end reformer af opgave­ og ansvarsfordelingen. Sundhedsstrukturkommis­
sionen vurderer, at de løsninger, som er foreslået i kapitlerne 9­13, kan gennemføres og implementeres
på tværs af de tre forvaltningsmodeller, som opstilles og vurderes i kapitlet her.
I opstillingen af forvaltningsmodeller er kommissionen blevet bedt om at beskrive modellernes eventuelle
afledte konsekvenser for regionernes øvrige opgaveområde. De vil derfor blive beskrevet sidst i kapitlet.
Overordnet om forvaltningsmodellerne
De forvaltningsmodeller, som opstilles, adskiller sig på to væsentlige dimensioner, jf. tabel 15.1. Den ene
dimension handler om placeringen af det politiske ansvar for sundhedsvæsenet. Her skelnes der mellem
henholdsvis decentral og national politisk ledelse. Den anden dimension handler om samling af opgaver
på sundheds­ og ældreområdet under én myndighed. Her skelnes der mellem en større samling af opgaver
på sundheds­ og ældreområdet og en mindre eller ingen opgavesamling. Sundhedsstrukturkommissionen
henviser til kapitel 14 for analyse og vurdering af potentialet for at samle opgaver på sundheds­ og ældre-
området, som i dag er underlagt forskellige myndigheder.
SUU, Alm.del - 2023-24 - Bilag 317: Orientering om Sundhedsstrukturkommissionens afrapportering, fra indenrigs- og sundhedsministeren
2880227_0337.png
1
2
3
4
Del 4 - Opgavesamling, forvaltningsmodeller, implementering og økonomi
337
De første to modeller, der opstilles og vurderes i kapitlet her, tager udgangspunkt i et scenarie, hvor der
sammenlignet med i dag sker en større samling af opgaver på sundheds­ og ældreområdet under én
myndighed. I den første model er det politiske ansvar forankret decentralt med etablering af sundheds- og
omsorgsregioner, der ledes af regionsråd med direkte valgt politisk ledelse. I den anden model ligger
ansvaret hos staten, og der er i den model ingen decentral politisk ledelse af sundhedsvæsenet. I kommissi-
onens tredje model tages der udgangspunkt i et scenarie, hvor der i sammenligning med model 1 og 2 kan
overvejes en mindre samling af opgaver på sundheds- og ældreområdet, som i dag ligger hos henholdsvis
kommunerne og regionerne. Det skal ses i lyset af, at der også vil være ulemper ved at flytte mange og tunge
opgaver ud af kommunerne (se kapitel 14). Udgangspunktet for model 3 er at styrke nærhed, bæredygtig-
hed, lighed og sammenhæng i sundhedsvæsenet uden en markant samling af opgaver.
Sundhedsstrukturkommissionen har på tværs af forvaltningsmodeller drøftet antallet, og dermed
størrelsen, af nuværende og kommende forvaltningsenheder på sundhedsområdet, og hvordan antallet
af forvaltningsenheder bedst understøtter de væsentlige hensyn, der blev formuleret for fremtidens
sundhedsvæsen i kapitel 6. Kommissionen har bl.a. overvejet flere enheder end i dag – op til 22 enheder.
Et højere antal enheder vurderes især at tilgodese det primære sundhedsvæsen og styrke nærheden i
sundhedsvæsenet. Kommissionen har også overvejet færre enheder end i dag, som kan styrke den faglige
og økonomiske bæredygtighed. Det er dermed en afvejning af hensynet til mindre enheder, der bedre kan
tilpasse og udbygge det primære sundhedsvæsen, og hensynet til større enheder, som er bedre i stand til
at levere sygehusbehandling med en høj faglig bæredygtighed. På den baggrund har kommissionen drøftet
forskellige scenarier indenfor et spænd mellem tre og 22 enheder.
Sundhedsstrukturkommissionen vurderer, at en større samling af opgaver på sundheds­ og ældreområdet
under samme myndighed er mest foreneligt med flere enheder end de nuværende, størrelsesmæssigt meget
forskellige fem regioner. Når ansvaret for størstedelen af sundheds­ og ældreområdet samles under én
myndighed, er det kommissionens vurdering, at mindre enheder bedre vil kunne prioritere og tilpasse
udbygningen af de primære og almene indsatser til lokale behov. Ud fra en samlet afvejning af nærhed og
bæredygtighed er kommissionen i model 1 og 2 med en stor eller mellemstor opgavesamling landet på 8­10
enheder og 3­5 enheder i model 3, hvor der er en mindre eller ingen opgavesamling.
I både model 1, 2 og 3 har staten på nogle områder en stærkere regulerende rolle end i dag, men kun model
2 indebærer, at staten får et driftsansvar for sundhedsvæsenet.
SUU, Alm.del - 2023-24 - Bilag 317: Orientering om Sundhedsstrukturkommissionens afrapportering, fra indenrigs- og sundhedsministeren
2880227_0338.png
338
1
2
3
4
Del 4 - Opgavesamling, forvaltningsmodeller, implementering og økonomi
Tabel 15.1
Dimensioner for opstilling af forvaltningsmodeller
Decentral politisk ledelse
Stor eller mellemstor
opgavesamling
Model 1
Regionalt enhedssundhedsvæsen med
8-10 sundheds- og omsorgsregioner med
direkte valg
Model 3
3-5 sundhedsregioner med direkte valg
National politiske ledelse
Model 2
Statsligt enhedssundhedsvæsen med
8-10 administrative enheder med national
og decentrale bestyrelser
Mindre eller ingen
opgavesamling
Sundhedsstrukturkommissionen har indenfor model 1 overvejet en variant, hvor medlemmerne af regions-
rådene ikke vælges ved direkte valg, men i stedet udpeges af kommunalbestyrelserne i de kommuner, som
ligger i de enkelte sundheds- og omsorgsregioner. Varianten af model 1 beskrives og vurderes i sammen-
hæng med model 1.
Indenfor model 3 har kommissionen overvejet to varianter. Dels en variant, hvor antallet af regioner
reduceres fra de nuværende fem til tre regioner, dels en variant med bevarelse af de nuværende fem
regioner. Begge varianter beskrives og vurderes under model 3. Kommissionen har indenfor model 3
overvejet, men ikke opstillet, en model med national politisk ledelse i et sundhedsvæsen, hvor der ikke
sker en væsentlig opgavesamling. En sådan model vil i hovedtræk indebære, at de nuværende regioner
bliver nedlagt, og deres opgaver flyttes til staten. Det betyder, at staten får ansvaret for sygehus­ og
praksissektoren, imens kommunerne fastholder sine nuværende opgaver på sundheds- og ældreområdet.
Sundhedsstrukturkommissionen vurderer, at den model, i sammenligning med den nuværende organisering
af sundhedsvæsenet, ikke vil understøtte et mere nært, sammenhængende og forebyggende sundhedsvæ-
sen. Derfor har kommissionen ikke medtaget modellen.
Desuden har Sundhedsstrukturkommissionen overvejet en variant, hvor medlemmerne af regionsrådet
udpeges af kommunalbestyrelserne i det scenarie, hvor der ikke sker en større samling af opgaver på
sundheds- og ældreområdet. Det er dog kommissionens vurdering, at den variant vil indebære en betydelig
risiko for, at kommunerne vil underinvestere i de opgaver, som er nært beslægtede med de opgaver, der
er under regionernes ansvar, og derfor vil varianten ikke styrke nærhed og sammenhæng sammenlignet
med den organisering, der gælder i dag. Derfor har kommissionen ikke medtaget modellen.
I kapitel 14 blev der skitseret tre opgavesamlinger, der varierer i omfang (se kapitel 14 for yderligere
beskrivelser):
1. En stor opgavesamling: Størstedelen af det kommunale ældre­ og træningsområde, kommunal sygepleje,
patientrettet forebyggelse, sygehus­ og praksissektor samles under én myndighed.
2. En mellemstor opgavesamling: Størstedelen af det kommunale ældre­ og træningsområde, kommunal
sygepleje, patientrettet forebyggelse, sygehus­ og praksissektor samles under én myndighed, mens
kommunerne bevarer ansvaret for plejehjem og plejebolig.
Den store opgavesamling, der refereres til i forvaltningsmodel 1 og 2, indebærer dermed, at størstedelen
af kommunernes opgaver forbundet med pleje, træning og genoptræning m.v. samles med sygehus- og
praksissektoren. Den store opgavesamling indeholder flere varianter med forskellige afgrænsninger,
men fælles for dem alle er, at de efter kommissionens vurdering repræsenterer en stor opgavesamling.
3. En mindre opgavesamling: Dele af den kommunale sygepleje, patientrettet forebyggelse, dele af genop-
træningsindsatsen, sygehus­ og praksissektor samles under én myndighed.
Den mellemstore opgavesamling indebærer, at størstedelen af kommunernes opgaver forbundet med pleje,
træning og genoptræning m.v. samles med sygehus­og praksissektoren under én myndighed, men hvor
plejehjem og plejeboliger fortsat varetages af kommunerne. Samtidig deler kommunerne og den nye
myndighed finansieringsansvaret for plejehjem og plejeboliger. Det medfører, at kommunerne har drifts­,
SUU, Alm.del - 2023-24 - Bilag 317: Orientering om Sundhedsstrukturkommissionens afrapportering, fra indenrigs- og sundhedsministeren
2880227_0339.png
1
2
3
4
Del 4 - Opgavesamling, forvaltningsmodeller, implementering og økonomi
339
myndigheds­ forsynings­ og delt finansieringsansvar for plejehjem og plejeboliger, mens en andel af
finansieringsansvaret varetages af den nye myndighed. Den mellemstore opgavesamling vil efter kommissi-
onens vurdering også være bedst forenelig med forvaltningsmodel 1 og 2.
Den mindre opgavesamling tager udgangspunkt i de kommunale sundhedsopgaver, som har nær sammen-
hæng til de regionale sundhedsopgaver. Det drejer sig om følgende kommunale opgaver:
• Kommunal sygepleje
• Patientrettet forebyggelse
• Genoptræning efter indlæggelse
• Midlertidige pladser og akutpladser
• Behandlingsredskaber og hjælpemidler
Den mindre opgavesamling, som der refereres til under forvaltningsmodel 3, indebærer, at dele af den
kommunale sygepleje, patientrettet forebyggelse, dele af genoptræningsindsatsen og sygehus- og praksis-
sektor samles under én myndighed. Derudover indgår overvejelser om ændret regulering i relation til
hjælpemidler og behandlingsredskaber og midlertidige pladser og akutpladser, som har betydning for
opgavedelingen mellem sektorerne.
Sygehuse og praksissektoren, som i dag er samlet under samme myndighed, vil i alle tre forvaltnings­
modeller forblive samlet.
Efter præsentationen af de tre forvaltningsmodeller følger kommissionens vurdering af de tre modeller
ud fra de centrale hensyn og en vurdering af de tre modellers styrker og svagheder i en indbyrdes sammen-
ligning.
Model 1: Enhedssundhedsvæsen med sundheds-
og omsorgsregioner
I model 1 etableres et nyt forvaltningsled i form af 8­10 sundheds­ og omsorgsregioner. Det nye forvalt-
ningsled får det samlede ansvar for sygehuse, almenmedicinske tilbud og øvrig praksissektor og en række
udvalgte kommunale opgaver på sundheds- og ældreområdet.
De nuværende regioner nedlægges, og deres sundhedsopgaver overgår til det nye forvaltningsled sammen
med de opgaver, der overdrages fra kommunerne. De nye sundheds- og omsorgsregioner får dermed et
bredt ansvar for sundheds- og ældreområdet, som i dag er delt mellem regioner og kommuner.
Sundhedsstrukturkommissionens overvejelser om antallet og størrelsen af sundheds­ og omsorgsregio-
nerne har taget afsæt i kriterierne nærhed og bæredygtighed. Det første kriterie knytter sig til at etablere
forvaltningsmyndigheder, som styrker nærheden i indsatsen i sundhedsvæsenet. Det andet kriterie knytter
sig til at etablere forvaltningsmyndigheder, som er fagligt og økonomisk bæredygtige til at tage ansvar for
både det sekundære og det primære sundhedsvæsen. Hvor det første kriterie trækker i retning af flere og
mindre enheder, trækker det andet kriterie i retning af større og færre enheder. Kommissionen vurderer,
at en afvejning af de to kriterier fører til et sted mellem fem og 12 enheder, hvor kommissionen særligt har
interesseret sig for 8­10 enheder. Argumentation og pejlemærker for antallet og størrelsen af sundheds­ og
omsorgsregionerne uddybes i det følgende.
SUU, Alm.del - 2023-24 - Bilag 317: Orientering om Sundhedsstrukturkommissionens afrapportering, fra indenrigs- og sundhedsministeren
2880227_0340.png
340
1
2
3
4
Del 4 - Opgavesamling, forvaltningsmodeller, implementering og økonomi
Figur 15.1
Model 1: Enhedssundhedsvæsen med 8­10 nye sundheds­ og omsorgsregioner
Stat
8-10 sundheds- og omsorgsregioner
Nærudvalg under hvert regionsråd
98 kommuner
Det grundlæggende rationale bag model 1 er at styrke det sammenhængende patientansvar. For patienter
med komplekse behandlingsbehov eller skrøbelighed udgør sektorovergange risiko for tabt information,
manglende sammenhæng, unødvendige undersøgelser, eller at patienten ”falder mellem to stole”. Når en
myndighed har det samlede ansvar for borgere, der i dag har brug for indsatser på tværs af sygehuse,
kommuner og almenmedicinske tilbud, skabes der bedre forudsætninger for at sikre sammenhængende
indsatser og forløb for patienten. Det kan styrke patientens oplevelse af, at der tages ansvar for deres
samlede behandlingsforløb.
Modellen bidrager desuden til at skabe stærkere tilskyndelser til at prioritere forebyggelse og almene
indsatser til gavn for den enkelte borger og patient. En myndighed med et samlet ansvar for en stor del
af behandlings- og plejekæden har stærke tilskyndelser til at prioritere indsatser i det primære sundheds-
væsen, der kan reducere behovet for sygehusbehandling. Når gevinsten i form af mindre sygehusbehandling
tilfalder samme myndighed, som har investeret i de forebyggende indsatser, styrkes incitamentet til en
løbende omstilling af sundhedsvæsenet. Et samlet myndighedsansvar vil også understøtte en løbende
tilpasning og udvikling af opgaveløsningen mellem faggrupper, fordi de vil tilhøre samme myndighed og
dermed samme organisatoriske, ledelsesmæssige og økonomiske ramme.
Sundheds­ og omsorgsregionerne ledes af direkte valgte politikere, og de får myndighedsansvaret for
størstedelen af det samlede sundheds- og ældreområde, inklusive det sekundære sundhedsvæsen.
Antal sundheds- og omsorgsregioner
I 2022 blev der etableret 22 sundhedsklynger for at styrke samarbejdet på tværs af kommuner, almen­
medicinske tilbud og sygehuse. De 22 sundhedsklynger betragtes ikke som en egentlig forvaltnings­
myndighed, da de ikke har myndighedsansvar eller selvstændig økonomi. Klyngerne må derimod anskues
som politiske samarbejdsfora.
Sundhedsstrukturkommissionen vurderer, at denne samarbejdskonstruktion ikke i tilstrækkelig grad
kompenserer for den svage organisatoriske sammenhæng i patientansvaret (se kapitel 8). Sundheds­
klyngerne har imidlertid en geografisk afgrænsning omkring akutsygehusene, som isoleret betragtet
SUU, Alm.del - 2023-24 - Bilag 317: Orientering om Sundhedsstrukturkommissionens afrapportering, fra indenrigs- og sundhedsministeren
2880227_0341.png
1
2
3
4
Del 4 - Opgavesamling, forvaltningsmodeller, implementering og økonomi
341
vurderes at være hensigtsmæssig i forhold til mange af de opgaver, der håndteres i det primære sundheds-
væsen. Det er en afgrænsning, som giver gode muligheder for at levere og tilpasse nære sundhedstilbud til
lokale behov.
Når kommissionen imidlertid i model 1 foreslår 8­10 nye sundheds­ og omsorgsregioner fremfor 22,
er det fordi, at sundheds- og omsorgsregionerne skal kunne varetage et integreret ansvar for både det
primære og det sekundære sundhedsvæsen. Det er dermed et bærende element ved model 1 og det fore-
slåede antal enheder, at sygehusansvaret bliver tæt integreret med de sundhedsopgaver, der skal løses
udenfor sygehusenes matrikler. Den integration skal give de enkelte sundheds- og omsorgsregioner en
stærk tilskyndelse til at prioritere ressourcer fra det sekundære sundhedsvæsen til det primære sundheds-
væsen.
Hvis sundheds­ og omsorgsregionerne etableres med afsæt i den geografiske afgrænsning af de nuværende
22 sundhedsklynger, vil der blive skabt enheder, som er meget forskellige i forhold til, hvad de kan levere
af sygehusydelser, og de vil generelt have en for svag faglig, organisatorisk og økonomisk bæredygtighed.
Det er dermed kommissionens vurdering, at de forbedringer, der er gjort de seneste ca. 20 år i forhold til
specialisering og bæredygtighed på sygehusområdet, vil risikere at blive tabt, hvis sygehusene fremover
skal drives med udgangspunkt i 22 enheder. Dertil kommer, at der ved 22 enheder er risiko for, at mindre
enheder ikke vil have den nødvendige økonomiske bæredygtighed og robusthed til bl.a. at håndtere løbende
stød eller kapacitetsudfordringer.
Analyser af patientstrømme på tværs af enheder viser fx, at hvis der dannes 22 enheder baseret på geo­
grafien i de nuværende sundhedsklynger, vil ni af dem med den nuværende sygehusstruktur kun kunne
dække under halvdelen af deres befolknings sygehusbehandling. Det vil betyde, at mange enheder vil skulle
købe en stor del af deres borgeres sygehusbehandling hos andre sundheds- og omsorgsregioner, imens en
betydelig del af andre sundheds- og omsorgsregioners økonomi vil være baseret på salg af sygehusydelser.
Køb og salg mellem enheder begrænser alt andet lige muligheden for at skabe sammenhæng for borgeren
imellem det, der foregår på sygehusene, og det, der foregår udenfor sygehusene indenfor den enkelte
sundheds- og omsorgsregion, fordi en del af sygehusaktiviteten vedrører borgere udenfor regionen.
Analyser af patientstrømme på tværs af geografiske områder viser, at der vil kunne oprettes 3­12 sundheds­
og omsorgsregioner, som vil have en selvforsyningsgrad på mellem cirka 60­90 pct. Selvforsyningsgrad
angiver, hvor stor en andel af sygehusbehandlingen som den enkelte enhed er i stand til at levere til sin egen
befolkning.
291
Kommissionen vurderer, at 8­10 sundheds­ og omsorgsregioner i modellen vil indebære en
hensigtsmæssig balancering af hensynene til sygehusstrukturen og det samlede ansvar for de sundheds- og
plejeindsatser, som skal løses udenfor sygehusene. Sundheds­ og omsorgsregionerne vil være mindre end
de nuværende fem regioner og dermed mindre fagligt bæredygtige. Der vil derfor være behov for en
stærkere statslig styring af de opgaver, som går på tværs af de 8­10 sundheds­ og omsorgsregioner for at
sikre en faglig bæredygtig opgaveløsning.
Anbefalingen om 8­10 sundheds­ og omsorgsregioner er baseret på en forudsætning om en større opgave-
samling på sundheds- og ældreområdet. Det er afgørende for kvaliteten og indsatsen udenfor sygehusene,
at sygehusene i højere grad end i dag bliver vendt ud mod det, der foregår i det primære sundhedsvæsen, og
sygehusene påtager sig et større ansvar for den del af patientforløbene. Det vurderes at blive understøttet af
et klart fælles politisk og administrativt ledelsesansvar for både det primære og det sekundære sundheds-
væsen.
Jo flere opgaver, der samles i sundheds­ og omsorgsregionerne, desto stærkere er argumentet for at oprette
flere regionale enheder end i dag. Samtidig bør der ikke skabes væsentlige nye snitflader på tværs af de
nye sundheds­ og omsorgsregioner. Sundhedsstrukturkommissionen vurderer, at der uanset hvor mange
opgaver, der flyttes fra kommunerne til de nye regioner, ikke bør etableres mere end ti sundheds­ og
omsorgsregioner.
291 Sundhedsstrukturkommissionen. "Sundhedsstrukturkommissionens baggrundsrapport". 2024.
SUU, Alm.del - 2023-24 - Bilag 317: Orientering om Sundhedsstrukturkommissionens afrapportering, fra indenrigs- og sundhedsministeren
2880227_0342.png
342
1
2
3
4
Del 4 - Opgavesamling, forvaltningsmodeller, implementering og økonomi
Pejlemærker for den geografiske inddeling af sundheds- og omsorgsregionerne
Udgangspunktet for inddelingen i sundheds­ og omsorgsregioner er, at alle enheder skal kunne varetage
et integreret ansvar for både det primære og det sekundære sundhedsvæsen. Ansvaret for at styrke og
udvikle nære sundheds- og plejeindsatser forudsætter et lokalt kendskab og en lokal forankring, som i
udgangspunktet kan tale for flere og mindre geografiske enheder. Ansvaret for sygehusopgaver taler
omvendt for færre og større geografiske enheder.
Sundhedsstrukturkommissionen anbefaler ikke en konkret geografisk inddeling af enheder. Kommissionen
opstiller i stedet nogle pejlemærker, som bør være retningsgivende for en geografisk inddeling af enheder
i model 1. Pejlemærkerne fremgår af boks 15.1.
Boks 15.1
Pejlemærker for geografisk inddeling af sundheds- og omsorgsregioner
Alle enheder skal som minimum kunne dække sin egen befolknings behov for almene sundhedsindsatser
på tværs af det primære og sekundære sundhedsvæsen. Det indebærer, at:
Alle enheder skal kunne varetage fuldt dækkende akutfunktioner døgnet rundt og specialiserede
genoptrænings- og rehabiliteringsindsatser i det primære sundhedsvæsen.
Alle enheder skal som minimum kunne dække sin egen befolknings behov for sygehusbehandling på
et alment niveau, svarende til hovedfunktionsniveau i Sundhedsstyrelsens specialeplan. Det skønnes at
forudsætte en selvforsyningsgrad på minimum 60-70 pct. for de enkelte enheder.
Alle enheder skal have mindst et fuldt dækkende akutsygehus og gerne to, herunder med psykiatrisk
akutmodtagelse, for at understøtte en tilstrækkelig faglig bæredygtighed. En fælles akutmodtagelse
skønnes at forudsætte et befolkningsgrundlag på ca. 200.000-400.000.
Der bør tilstræbes en vis ensartethed på tværs af enheder, hvad angår størrelse, demografisk sammen-
sætning og befolkningens behandlingsbehov for at understøtte nogenlunde ens rammevilkår og
geografisk lighed.
Omkostninger forbundet med omstillingen bør så vidt muligt minimeres. Det betyder bl.a., at enhederne
skal søges etableret med afsæt i de eksisterende samarbejder mellem sygehuse, kommuner og praksis-
området.
Alle enheder skal have en tilstrækkelig økonomisk robusthed, fx for at kunne håndtere større udsving i
efterspørgslen, kapacitetsudfordringer og robusthed til at bære de økonomiske risici, der følger med
store investeringer som supersygehuse.
Styreform i sundheds- og omsorgsregioner med nærudvalg
I model 1 vil sundheds- og omsorgsregionerne blive ledet af direkte valgte politikere. De samlede sundheds-
udgifter i regionerne udgør i dag ca. 130 mia. kr., imens de kommunale udgifter til sundheds­ og ældre­
området udgør ca. 70 mia. kr., eksklusive den kommunale medfinansiering af sundhedsvæsenet (KMF).
I alt er der i dag ca. 120.000 personer ansat på det regionale sundhedsområde, mens der på det kommunale
sundheds­ og ældreområde er ansat 98.000 (se kapitel 7). Sundheds­ og omsorgsregionerne får dermed
ansvar for et stort og centralt velfærdsområde.
I hvert af de nuværende fem regionsråd er der 41 folkevalgte politikere, som tilsammen giver 205 folke-
valgte regionspolitikere. Sundhedsstrukturkommissionen ser ingen grund til at hæve det samlede antal
regionale politikere og vurderer, at hver af de 8­10 nye sundheds­ og omsorgsregioner med fordel kan ledes
af ca. 21­25 politikere. Det svarer nogenlunde til det samlede antal politikere, der er i regionsrådene
SUU, Alm.del - 2023-24 - Bilag 317: Orientering om Sundhedsstrukturkommissionens afrapportering, fra indenrigs- og sundhedsministeren
2880227_0343.png
1
2
3
4
Del 4 - Opgavesamling, forvaltningsmodeller, implementering og økonomi
343
i dag. Kommissionen har i overensstemmelse med sit kommissorium ikke forholdt sig til, om de ændringer
i den kommunale opgaveportefølje, som modellen medfører, bør give anledning til justeringer i antallet
af folkevalgte i kommunalbestyrelserne.
Sundhedsstrukturkommissionen har overvejet den politiske styreform i sundheds­ og omsorgsregionerne.
Den politiske styreform fastsætter rammerne for de politiske organer, bl.a. den indbyrdes fordeling af
opgaver, ansvar og kompetencer imellem organerne. Den politiske styreform omfatter også arbejdsdelingen
imellem det politiske og administrative niveau.
292
Styreformen har betydning for de politiske beslutnings­
processer, herunder hvilke problemstillinger og prioriteringer der får mest opmærksomhed på det politiske
beslutningsniveau.
Omstilling til og udvikling af det primære sundhedsvæsen forudsætter politisk opmærksomhed og
opbakning lokalt såvel som nationalt. Rammerne for det politiske arbejde i de nye sundheds- og omsorgs-
regioner bør derfor indrettes sådan, at de understøtter et politisk fokus på omstilling af sundhedsvæsenet
og udvikling af det primære sundhedsvæsen. De nuværende regioner har en politisk styreform, hvor
ansvaret for den umiddelbare forvaltning er centreret i regionsrådet eller i forretningsudvalget.
293
Den
styreform er typisk velegnet til at håndtere overordnede tværgående prioriteringer imellem sygehuse
indenfor regionen, men der er samtidig en risiko for, at den centraliserer magten i toppen af organisa-
tionen.
294
De nye sundheds- og omsorgsregioner bør i stedet fødes med en politisk styreform, som skubber tyngden
i den politiske og administrative opmærksomhed over imod det, der foregår i den primære del af sundheds-
væsenet. Det forhold vurderes særligt tungtvejende i model 1, hvor sundheds- og omsorgsregionerne får
et væsentligt stærkere opgaveansvar i det primære sundhedsvæsen, end de nuværende regioner har.
Sundhedsstrukturkommissionen foreslår, at sundheds­ og omsorgsregionerne får en styreform baseret på
stærke udvalg med umiddelbart forvaltningsansvar, som det kendes fra kommunerne, og som er admini-
strativt understøttet af en decentral forvaltningsstruktur. Samtidig bør udvalgene og tilhørende forvalt­
ninger organiseres i ansvarsområder, som i et vist omfang går på tværs af det primære og det sekundære
sundhedsvæsen. Det skal ske med henblik på at styrke de politiske prioriteringer, som skaber en stærkere
sammenhæng på tværs af det primære og sekundære sundhedsvæsen. En sådan politisk og administrativ
struktur kan med fordel basere sig på geografiske kriterier, der giver mere politisk og administrativ
nærhed til de opgaver, der løses i det primære sundhedsvæsen.
Kommissionen foreslår, at de nye sundheds- og omsorgsregioner etableres med en styreform, hvor hver
sundheds- og omsorgsregion ledes af et regionsråd, som skal nedsætte stående udvalg, der varetager den
umiddelbare forvaltning af regionens opgaver indenfor et afgrænset geografisk område. De stående udvalg
betegnes ”nærudvalg” og får dermed en lokal geografisk forankring, som for hvert nærudvalg eventuelt kan
være centreret omkring et akutsygehus i regionen. Det vil i så fald nogenlunde afspejle den geografiske
inddeling, som sundhedsklyngerne har i dag.
Kommissionen foreslår herudover, at sundhedsklyngerne nedlægges, da de ikke er relevante i en model,
der samler ansvaret for en række opgaver på sundheds- og ældreområdet under samme myndighed. Der vil
dog fortsat være områder, hvor der er behov for at indgå aftaler mellem kommuner og de nye sundheds- og
omsorgsregioner, men det vil fx kunne organiseres administrativt.
Formålet med nærudvalgene er at understøtte politisk og administrativ opmærksomhed på omstilling til og
udvikling af det primære sundhedsvæsen og på lokale problemer og behov indenfor sundheds- og omsorgs-
regionerne. Det vil samtidig gøre op med den udvalgsstruktur, som i dag praktiseres i regionerne, hvor der
fx typisk er et hospitalsudvalg og et udvalg for det primære sundhedsvæsen, der primært har en rådgivende
og politikformulerende funktion.
295
En geografisk forankring af nærudvalgene vil styrke den politiske og
292 Dyhrberg, Niels, Simon Krogh og Niels Opstrup. “Styreformer - en teoretisk introduktion. I Poul Erik Mouritzen (red.)”. I Opfundet til
lejligheden – evaluering af regionernes politiske styreform, 41–67. Syddansk Universitetsforlag, 2010.
293 Opstrup, Niels. “Det regionale politiske niveau. Notat til Sundhedsstrukturkommissionen”. Syddansk Universitet, 2023.
294 Bækgaard, Martin. “The Impact of Formal Organizational Structure on Politico-Administrative Interaction: Evidence from a Natural
Experiment”. Public Administration 89, nr. 3 (september 2011): 1063–80.
295 Opstrup, Niels. “Det regionale politiske niveau. Notat til Sundhedsstrukturkommissionen”. Syddansk Universitet, 2023.
SUU, Alm.del - 2023-24 - Bilag 317: Orientering om Sundhedsstrukturkommissionens afrapportering, fra indenrigs- og sundhedsministeren
2880227_0344.png
344
1
2
3
4
Del 4 - Opgavesamling, forvaltningsmodeller, implementering og økonomi
administrative opmærksomhed på de problemer og løsninger, der går på tværs af de primære og sekundære
sundhedstilbud. Nærheden til lokalområderne er særlig vigtig i lyset af, at sundheds- og omsorgsregionerne
får ansvaret for store dele af det kommunale sundheds- og ældreområde.
Udvalgsformen skal dermed understøtte, at tilrettelæggelsen af opgaverne tilpasses lokale behov og hensyn.
Samtidig skal nærudvalgene bidrage til udvikling af lokale indsatser, og hvor særligt formændene for de
enkelte udvalg kan få en vigtig politisk rolle i lokalområdet, bl.a. varetage dialog og samarbejde, fx med
kommuner, erhvervsliv m.v. Nærudvalgets medlemmer skal vælges af og blandt medlemmerne af det
øverste ansvarlige organ regionsrådet, og repræsentationen i nærudvalgene bør i udgangspunktet afspejle
repræsentationen i regionsrådet. Tværgående prioritering og koordination og overordnet beslutnings-
tagning vil fortsat foregå i regi af et forretnings- eller økonomiudvalg og i regionsrådet.
Regionsrådet vil, som det øverste politiske organ, få beføjelse til at fastsætte både indholdsmæssige og
økonomiske rammer, som de geografisk forankrede nærudvalg skal holde sig indenfor. Det er dermed
regionsrådet, der fastsætter budgetterne for de enkelte udvalg og kan prioritere dem indenfor det enkelte
udvalgs område. Regionsrådet vil derfor indenfor almindelige forvaltningsretlige rammer kunne ændre
udvalgenes beslutninger. Samtidig vil beslutninger om generelle serviceniveauer og kvalitetsstandarder
skulle ske i regionsrådet af hensyn til at sikre ligebehandling.
Det følger af almindelige lighedsgrundsætninger, at myndigheder ikke må foretage usaglig forskelsbehand-
ling. Hvis et nærudvalg fx vil prioritere flere forebyggende hjemmebesøg i den ene del af regionen, må der
være et objektivt sagligt grundlag for en sådan forskelsbehandling af beboerne i forhold til andre beboere
i sundheds­ og omsorgsregionen. Stående udvalg med geografisk afgrænsning vil give anledning til at
overveje om nærudvalg indenfor samme region – og dermed indenfor samme offentlig myndighed – skal
have mulighed for forskelsbehandling af borgere alene på baggrund af geografi. En sådan fravigelse af de
almindelige lighedsgrundsætninger vil forudsætte lovgivning.
Der skal derfor i de enkelte sundheds­ og omsorgsregioner findes en hensigtsmæssig balance i nær­
udvalgenes opgaver, som muliggør, at nærudvalgene på den ene side kan drive lokale indsatser til øget
omstilling, udvikle en nær og bæredygtig opgaveløsning, og understøtte politisk opmærksomhed på de
lokale områder. På den anden side må nærudvalgene ikke skabe uhensigtsmæssige forskelle i tilbud og
kvalitet på tværs af regionen.
Der vil som tidligere nævnt stadig være behov for et tværgående forretnings- eller økonomiudvalg og
enkelte andre tværgående udvalg. Regionsrådene nedsætter allerede i dag sådanne udvalg, som beskæftiger
sig med tværgående emner med henblik på at rådgive regionsrådet.
Finansieringen af sundheds- og omsorgsregionerne
Det følger af kommissoriet, at der ikke kan indgå skatteudskrivning i sundheds- og omsorgsregionernes
finansiering, da det vil øge antallet af skatteudskrivende forvaltningsniveauer sammenlignet med i dag.
Udgangspunktet for finansieringen af de nye sundheds­ og omsorgsregioner vil være generel finansiering
via statsligt bloktilskud tilsvarende den model, der kendetegner regionernes finansiering i dag. Det inde­
bærer, at det statslige tilskud kan indgå i en generel prioritering til finansiering af udgifter under de nye
regioner. Den samlede udgiftsramme, bloktilskud og fordelingen af bloktilskud mellem sundheds- og
omsorgsregioner fastsættes nationalt.
Det vil være op til sundheds- og omsorgsregionerne at prioritere udgiftsrammen på tværs af regionerne og
fx mellem primære og sekundære sundhedsindsatser internt i den enkelte sundheds- og omsorgsregion.
Det efterlader rum til decentrale prioriteringer, som er en afgørende forudsætning for et stærkt, decentralt
politisk ansvar for sundhedsvæsenet.
Den primære udfordring i forhold til en model for generel finansiering af sundheds­ og omsorgsregionerne
vil være udgifter til sygehusene, hvor de nye myndigheder er afhængige af et vist patientgrundlag og et
stabilt indtægtsgrundlag for at kunne drive sygehuse med den dimensionering, de har i dag. Her bør det
SUU, Alm.del - 2023-24 - Bilag 317: Orientering om Sundhedsstrukturkommissionens afrapportering, fra indenrigs- og sundhedsministeren
2880227_0345.png
1
2
3
4
Del 4 - Opgavesamling, forvaltningsmodeller, implementering og økonomi
345
også bemærkes, at regioner med (universitets-) sygehuse med specialiserede funktioner forudsættes at
få indtægter for patienter fra andre sundheds- og omsorgsregioner, så de ikke i væsentlig grad udgør en
nettomerudgift for den region, hvor sygehuset ligger.
Finansieringsmodellen vil skulle tage højde for, at de nye sundheds- og omsorgsregioner er forskellige i
størrelse, befolkningssammensætning, geografi og befolkningens socioøkonomiske baggrund. Finansie-
ringsmodellen vil kunne fastlægges med udgangspunkt i den nuværende bloktilskudsmodel for regionerne
med udgiftsbehovskriterier, der skal fastsættes nærmere på baggrund af sundheds- og omsorgsregionens
opgaveområde og størrelse.
Sundhedsstrukturkommissionen foreslår derfor, at der i forbindelse med en ny organisering af sundheds-
væsenet igangsættes en analyse af finansieringen som følge af den endelige forvaltningsmodel og opgave-
sammensætning samt yderligere behov for tilpasninger af fordelingskriterierne for det statslige bloktilskud
til sundhedsområdet. Kommissionen vurderer dermed, at der er et forbedringspotentiale i forhold til at
sikre en finansiering, som bedst muligt afspejler myndighedernes faktiske udgiftsbehov og forskellige
vilkår for opgaveløsningen.
Sundhedsstrukturkommissionen har ikke taget stilling til de væsentlige kommunaløkonomiske, herunder
byrdefordelings­, og styringsmæssige konsekvenser for kommunerne, som følger af en markant flytning
af opgaver fra kommunerne til sundheds- og omsorgsregionerne.
Kommissionen finder det fortsat relevant at inddrage kriterier for strukturelle og socioøkonomiske
forhold, og at det generelt kan være relevant at gennemgå kriterierne med henblik på eventuelle justeringer.
Kriterierne vil stadig skulle leve op til krav vedrørende fordelingskriterier (se kapitel 17).
Stærkere statslige kompetencer på en række områder
Sammenlignet med den nuværende organisering indebærer 8­10 nye sundheds­ og omsorgsregioner en
moderat decentralisering af det politiske ansvar for sygehusområdet. De nye sundheds- og omsorgsregioner
vil sammenlignet med de nuværende fem regioner være mindre fagligt bæredygtige i forhold til varetagelse
af sygehusopgaver. Det betyder, at flere borgere end i dag vil få behov for behandling på sygehuse i en anden
region end den, de er bosiddende i. Det vil medføre et øget behov for samarbejde på tværs af sundheds- og
omsorgsregionerne sammenlignet med i dag.
Decentraliseringen risikerer at forstærke udfordringer med geografisk ulige fordeling af ressourcer, bl.a.
lægeressourcer, fordi arbejdsgiveransvaret splittes op imellem flere myndigheder end i dag. Kommissionen
foreslår derfor, at staten får stærkere planlægningskompetencer, som skal kompensere for den afledte
udfordring og understøtte samarbejde på tværs af sundheds- og omsorgsregionerne.
Sundhedsstrukturkommissionen peger på, at den nationale sundhedsplan, som foreslået i kapitel 11 om
tilpasset fordeling af ressourcer i sundhedsvæsenet, vil kunne understøtte en hensigtsmæssig geografisk
fordeling af ressourcer på tværs af sundheds- og omsorgsregionerne og medvirke til at drive sundheds-
væsenets omstilling. Kommissionen lægger op til, at sundheds- og omsorgsregionerne skal udarbejde egne
regionale sundhedsplaner, der beskriver deres opgavevaretagelse indenfor rammerne af den nationale
sundhedsplan. Et fokus i de regionale sundhedsplaner bør være, hvordan den enkelte sundheds- og
omsorgsregion vil sikre fagligt bæredygtige miljøer på tværs af det primære og det sekundære sundheds-
væsen, prioritere indsatser i det primære sundhedsvæsen og sikre større sammenhæng og kvalitet i
indsatser for borgerne. Sundhedsplanerne bør også forholde sig til, hvordan der sikres en hensigtsmæssig
fordeling af personaleressourcer, særligt læger, på tværs af land- og byområder for at understøtte en større
geografisk lighed i sundhed (se kapitel 11). Sundhedsplanerne skal også beskrive samarbejder og aftaler
med andre sundheds- og omsorgsregioner og med private aktører om varetagelse af relevante opgaver.
De lokale sundhedsplaner skal godkendes af Sundhedsstyrelsen, og sundheds­ og omsorgsregionerne
forpligtes til at orientere Sundhedsstyrelsen, hvis der opstår lokale udfordringer, fx med at opretholde
bæredygtige lokale miljøer. Modellen vil fastholde, at staten ikke har et driftsansvar på sundhedsområdet,
men staten vil med modellen få opgaver, som kræver indsigt i drift på sundheds- og ældreområdet og tæt
og løbende dialog med de lokale ledelser i sundheds- og omsorgsregionerne.
SUU, Alm.del - 2023-24 - Bilag 317: Orientering om Sundhedsstrukturkommissionens afrapportering, fra indenrigs- og sundhedsministeren
2880227_0346.png
346
1
2
3
4
Del 4 - Opgavesamling, forvaltningsmodeller, implementering og økonomi
Med en ny national sundhedsplan og nye statslige kompetencer følger, at andre statslige styringsgreb skal
forenkles og reduceres, så der samlet set ikke skabes et øget administrationsbehov (se kapitel 11).
Sundheds­ og omsorgsregionernes sundhedsplaner bør som minimum adressere følgende områder:
• Planlægning og koordination af sundheds- og plejeindsatser. De regionale planer skal redegøre for,
hvordan sundheds- og omsorgsregionerne sikrer fagligt bæredygtige miljøer, som forsyner sundheds-
og omsorgsregionernes egne borgere med sundheds- og plejeindsatser på tværs af det primære og
sekundære sundhedsvæsen.
• Fordeling af personaleressourcer. Sundhedsplanerne skal redegøre for indbyrdes aftaler mellem
enheder, der sikrer, at stærke faglige miljøer understøtter svagere faglige miljøer, bl.a. ved en hensigts-
mæssig geografisk fordeling af personaleressourcer og særligt læger.
• Aftaler med kommuner på relevante områder, bl.a. om borgere med psykiske lidelser.
• Planlægning af opgaver, som skal løses på tværs af sundheds- og omsorgsregioner. Det vil omfatte
opgaver, som kræver en større organisatorisk volumen og ensretning. Det vil fx omfatte det akutte og
præhospitale område, sundhedsberedskaber, indkøb, uddannelse, sundhedsforskning og innovation
samt data og digitalisering.
• Praksisplanlægning for det almenmedicinske tilbud og evt. lokalaftaler. Der skal redegøres for arbejdet
med at tilpasse kapaciteten og fordelingen af ydernumre til sundhedsbehovet og for myndighedens
tilvejebringelse af almenmedicinske ydelser i henhold til den nationalt fastlagte opgavebeskrivelse.
Udover at godkende sundheds­ og omsorgsregionernes sundhedsplaner lægges der op til, at staten får
til opgave at understøtte en tværgående kvalitetsudvikling og læring med særligt fokus på omstilling af
sundhedsvæsenet. Det kan ske via facilitering af tværgående netværk, vidensdeling mellem sundheds-
og omsorgsregionerne, fx om implementering af reformtiltag (se også kapitel 16). Brug af benchmark og
synlighed om resultater udgør et vigtigt redskab i statens tværgående koordinationsrolle i omstillingen af
sundhedsvæsenet
Vurdering af model 1
Boks 15.2 opsummerer de primære fordele og ulemper ved forvaltningsmodel 1 i sammenligning med den
nuværende organisering af sundhedsvæsenet. Efterfølgende gennemgås fordele og ulemper ved modellen
ud fra de seks hensyn, der blev opstillet i kapitel 6.
Boks 15.2
Primære fordele og ulemper ved model 1 ud fra de centrale hensyn
Sammenlignet med den nuværende organisering af sundhedsvæsenet indebærer model 1 følgende
fordele:
Modellen tilvejebringer en reel og markant styrkelse af et entydigt politisk ansvar for en række
sammenhængende opgaver på sundheds- og ældreområdet, som i den nuværende struktur er
underlagt delt politisk ansvar.
Samlingen af en række substituerbare opgaver i de nye sundheds- og omsorgsregioner skaber øget
klarhed om ansvarsfordelingen, bedre rammer for at skabe sammenhængende patientforløb og
stærkere tilskyndelser til at investere i omkostningseffektive og forebyggende indsatser udenfor
sygehusmatriklerne.
Modellen vil øge regionernes prioriteringsrum.
Modellen styrker den faglige bæredygtighed i det primære sundhedsvæsen, især i de områder af
landet, hvor opgaverne i dag bliver varetaget af mindre kommuner.
Styrkelsen af et samlet politisk ansvar for sundhedsvæsenet reducerer behovet for kompenserende
statslige styringstiltag, og hvis modellen indføres, bør den ledsages af en sanering i de styrings-
og koordinationstiltag, som i dag er rettet imod at skabe sammenhæng på tværs af kommuner og
regioner.
SUU, Alm.del - 2023-24 - Bilag 317: Orientering om Sundhedsstrukturkommissionens afrapportering, fra indenrigs- og sundhedsministeren
2880227_0347.png
1
2
3
4
Del 4 - Opgavesamling, forvaltningsmodeller, implementering og økonomi
347
Direkte valg styrker den demokratiske kontrol, og hensynet får større vægt, jo større og tungere
opgaveansvar den pågældende myndighed får. Modellen fastholder en stærk demokratisk kontrol
med sundhedsvæsenet.
Sammenlignet med den nuværende organisering af sundhedsvæsenet indebærer model 1 følgende
ulemper:
Afstanden mellem den politiske ledelse og borgerne vil blive større, for så vidt angår de opgaver, der
overtages fra kommunerne.
Modellen vil reducere kommunernes prioriteringsrum på tværs af velfærdsområder, fordi en væsentlig
del af de kommunale opgaver flyttes til sundheds­ og omsorgsregionerne.
En ny organisering af sygehussektoren med flere enheder medfører mindre faglig bæredygtighed
i varetagelsen af sygehusopgaver og risiko for delvist tab af de senere års opnåede centraliserings-
og specialiseringsgevinster.
Modellen kan isoleret betragtet medføre øgede geografiske forskelle i forhold til i dag, og der vil som
følge af flere patientstrømme på tværs af de nye regioner være risiko for suboptimering i brugen af de
samlede ressourcer.
Der vil være tale om en markant reform, som flytter et stort antal medarbejdere og mange ressourcer
fra kommunal ledelse til en regional ledelse med deraf afledte omstillingsomkostninger.
Hensyn 1: Et sundhedsvæsen med høj kvalitet for alle borgere i hele landet
Ved at samle ansvaret for en række opgaver, som i dag er fordelt på 98 kommuner, i nye og større enheder,
vil der være potentiale for en mere bæredygtig opgavevaretagelse i forhold til det primære sundhedsvæsen
end i dag. Enkelte store kommuner har i dag stærke sundhedsfaglige ressourcer og kompetencer, men på
tværs af kommunerne vil en samling af ansvaret i nye sundheds- og omsorgsregioner give mulighed for at
styrke kvaliteten i opgaveløsningen ved en tættere integration med det sekundære sundhedsvæsen og ved
at opgaverne bliver løst i større enheder.
Den nye organisering af sygehusområdet med flere enheder end de nuværende fem regioner vil medføre en
mindre faglig bæredygtighed i varetagelsen af visse sygehusopgaver. Som en konsekvens vil flere patienter
skulle modtage sygehusbehandling i en anden region end bopælsregionen. Der er risiko for, at nogle af de
gevinster, som er opnået i de senere år som følge af centralisering og samling af sygehusopgaver på færre
matrikler, kan gå tabt ved en decentralisering af sygehusopgaven. Desuden kan model 1 isoleret betragtet
medføre øgede geografiske forskelle i forhold til i dag og risiko for suboptimering i brugen af de samlede
ressourcer. Den styrkelse af statens rolle, som ligger i modellen, skal opveje det og bidrage til en stærk
koordination på tværs af sundheds- og omsorgsregioner og en forbedret fordeling af ressourcerne set i
forhold til i dag.
Hensyn 2: Et sundhedsvæsen, hvor borgerne har let adgang til relevante sundhedstilbud
Sundheds­ og omsorgsregionerne giver ikke isoleret set lettere adgang til relevante sundhedstilbud, men
ved at samle ansvaret for patientforløb under samme myndighed skabes bedre betingelser for at hjælpe
skrøbelige borgere med at navigere i sundhedsvæsenet og få adgang til relevante sundhedstilbud på rette
tid og sted.
Modellen indebærer en moderat decentralisering af det politiske ansvar for de opgaver, som de fem regio-
ner har i dag, og en øget integration med det primære sundhedsvæsen vil skabe bedre betingelser for at
opbygge og udvikle bedre og mere relevante sundhedstilbud. For de opgaver, som de 8­10 sundheds­ og
omsorgsregioner overtager fra de 98 kommuner, indebærer modellen en centralisering af det politiske
ansvar. Det er opgaver, der uanset myndighed typisk bedst løses tæt på borgerens eget hjem eller i borge-
rens eget hjem. Det antages derfor, at sundheds- og omsorgsregionerne vil have tilskyndelse til at tilrette-
lægge indsatserne i lokale distrikter for at reducere omkostninger til transport m.v.
SUU, Alm.del - 2023-24 - Bilag 317: Orientering om Sundhedsstrukturkommissionens afrapportering, fra indenrigs- og sundhedsministeren
2880227_0348.png
348
1
2
3
4
Del 4 - Opgavesamling, forvaltningsmodeller, implementering og økonomi
Modellen ændrer ikke på patientrettigheder om hurtig udredning og behandling og frit valg i sundheds-
væsenet. Modellen vil dog indebære, at opgaven med at tilvejebringe leverandører og indgå aftaler om frit
valg på ældreområdet vil overgå til regionen.
Hensyn 3: Et sundhedsvæsen med stærk sammenhæng i borgernes forløb
Sammenlignet med den nuværende organisering af sundhedsvæsenet sker der med model 1 en samling af
ansvar, kompetence og budget for opgaveløsningen i sundhedsvæsenet, og de organisatoriske snitflader
mellem sundheds- og ældreområdet reduceres. På den måde skabes der gode betingelser for sammenhæng
i patientforløb, og det er en central fordel ved model 1. Hvor stort potentialet er, afhænger dog af den valgte
styreform, den interne organisering i de nye enheder, og præcis hvilken variant af opgavesamling der vælges
(se kapitel 14).
Modellen reducerer derved også potentielle risici for, at det tværgående samarbejde om sundhedsindsatsen
begrænses af uhensigtsmæssige strukturer, juridiske barrierer og svage økonomiske incitamenter til
investering i samarbejde og i udvikling af tværgående indsatser.
Sundhedsindsatsen vil fortsat skulle løses af forskellige aktører (sygepleje, hjemmepleje, plejehjem, almen-
medicinske tilbud og sygehuse), og der vil derfor stadig være organisatoriske snitflader i sundhedsvæsenet.
Samtidig er der snitflader på andre områder, især det psykiatriske område, som ikke løses med model 1.
Modellen bevarer dermed snitfladen mellem behandlingspsykiatrien og socialpsykiatrien i kommunerne.
Modellen skaber desuden nye snitflader imellem de opgaveområder, som flyttes fra kommunerne, og de
opgaver, som fortsat vil være kommunalt ansvar. Det vil være snitflader til særligt socialområdet og ved en
mellemstor opgavesamling også til plejeboligområdet. Endelig vil der med model 1 skabes nye snitflader
på sygehusområdet, da en større andel patienter vil skulle behandles på et sygehus udenfor egen region,
end tilfældet er i dag.
Til trods for snitfladerne vurderer Sundhedsstrukturkommissionen, at modellen i sammenligning med
den nuværende organisering af sundhedsvæsenet vil give et bedre grundlag for at sikre sammenhæng i
patientforløb. Det sker i kraft af, at den politiske og administrative ledelse får et mere samlet fagligt,
økonomisk og ledelsesmæssigt ansvar for at sikre sammenhæng for patienterne end i dag.
Hensyn 4: Et sundhedsvæsen, der giver borgerne mest mulig sundhed for de tilgængelige
ressourcer
Sundhedsstrukturkommissionen vurderer, at model 1 indebærer et betydeligt potentiale for bedre brug af
de samlede ressourcer på sundheds- og ældreområdet, bl.a. en realisering af potentialerne ved den ønskede
omstilling af sundhedsvæsenet, hvor langt mere behandling skal foregå udenfor sygehusmatriklerne. Det
skyldes en stærk tilskyndelse hos sundheds- og omsorgsregionerne til at vælge den mest omkostnings-
effektive indsats, og dermed en stærk tilskyndelse til at flere opgaver løses i det primære sundhedsvæsen.
I den nuværende struktur har regionerne begrænsede muligheder for og tilskyndelser til at prioritere andre
indsatser end de, der leveres på sygehusene. De nye sundheds- og omsorgsregioner vil få et markant større
prioriteringsrum, da en stor del af deres økonomi vil være knyttet til indsatser, der leveres udenfor syge-
husene. For at gennemføre omstillingen vil modellen dog kræve en politisk styreform, som understøtter
politisk og dermed administrativ opmærksomhed på det primære sundhedsvæsen.
I et helhedsperspektiv gælder det, at en stor opgaveflytning fra kommunerne til de nye sundheds­ og
omsorgsregioner tilsvarende reducerer kommunernes mulighed for at prioritere midler på tværs af
ansvarsområder.
Hensyn 5: Et sundhedsvæsen med effektiv politisk styring og demokratisk kontrol
Model 1 ændrer i udgangspunktet ikke ved den demokratiske kontrol med det danske sundhedsvæsen,
men den styrker vælgernes mulighed for at stille politikerne til ansvar for løsningen af de opgaver, der i den
nuværende organisering går på tværs af den kommunale og den regionale sektor. Desuden giver samlingen
af ansvaret mulighed for at fjerne en del af de styringstiltag, som i de senere år har været iværksat for at
kompensere for den svage organisatoriske sammenhæng i patientansvaret. Modellen giver samtidig bedre
mulighed for ledelse, fordi ledere på sundheds- og ældreområdet kan få et reelt, samlet ledelsesansvar for
opgaver, som ikke længere er delt på tværs af forvaltningsmyndigheder.
SUU, Alm.del - 2023-24 - Bilag 317: Orientering om Sundhedsstrukturkommissionens afrapportering, fra indenrigs- og sundhedsministeren
2880227_0349.png
1
2
3
4
Del 4 - Opgavesamling, forvaltningsmodeller, implementering og økonomi
349
Model 1 skaber dermed et samlet ledelsesrum på tværs af sundheds- og ældreområdet, som gør, at der vil
være mindre behov for øvrige styringstiltag og tæt regulering af opgaveløsningen i det primære sundheds-
væsen, fordi samlingen af opgaveansvar understøtter den ønskede og nødvendige udvikling af det primære
sundhedsvæsen. En samlet ledelsesmæssig ramme vil også muliggøre en løbende opgaveudvikling på tværs
af faggrupper, fx fra læger til andet personale, uden behov for regulering eller forudgående aftale. Det vil
potentielt reducere de administrative omkostninger, der i dag er forbundet med at håndtere og aftale
opgaveløsningen mellem faggrupper i hver sin myndighed.
Hensyn 6: Implementeringsomkostninger
Modellen lægger op til en samling af ansvaret for størstedelen af opgaverne på sundheds- og ældreområdet
under én myndighed. En sådan opgaveflytning fra kommunerne og omlægningen fra fem til 8­10 nye
sundheds­ og omsorgsregioner vil indebære en markant organisatorisk ændring med deraf afledte omstil-
lings- og implementeringsomkostninger.
Processen for gennemførelse og implementering af model 1, herunder styringstiltag i en overgangs- og
implementeringsfase, bør derfor overvejes nøje. Sundhedsstrukturkommissionens mere generelle over­
vejelser om implementering af forandringer på sundhedsområdet er præsenteret i kapitel 16.
Model 1a: Sundheds- og omsorgsregioner med indirekte valgt politisk ledelse
Sundhedsstrukturkommissionen har overvejet en variant af model 1, som fastholder et decentralt politisk
ansvar for sundhedsvæsenet, men i stedet for direkte valg til regionsråd er medlemmerne af regionsrådene
i varianten udpeget af kommunalbestyrelserne i de kommuner, som tilhører den pågældende region. Som
konsekvens vil der i varianten af model 1 kun være to direkte valgte forvaltningsled i Danmark. Ansvaret
for sundheds- og omsorgsregionernes opgaver vil fortsat være placeret hos folkevalgte fra regionen, men
de vil ikke være valgt til regionsrådet ved direkte valg.
Rationalet i modelvarianten er at forankre det politiske ansvar for det samlede sundhedsvæsen tæt på det
primære sundhedsvæsen hos kommunalpolitikere, som i forvejen har et stærkt kendskab til det primære
sundhedsvæsen. Det giver en reel mulighed for på tværs af det primære og det sekundære sundhedsvæsen
at prioritere indsatser, som giver mest og bedst sundhed for de ressourcer, der er tilgængelige.
Hvad angår antallet af de nye sundheds- og omsorgsregioner og deres opgaver, lægges der i varianten
de samme overvejelser til grund som ved model 1, som betyder, at kommissionen anbefaler mellem 8­10
regionale enheder. En særlig problematik ved varianten er dog, at et meget stort antal kommuner i hver
region formodentlig vil svække koordinations- og beslutningskraften i regionsrådet, da det er kommunal-
bestyrelserne i regionen, der udpeger medlemmerne af regionsrådet.
Givet at kommunalbestyrelserne i variantmodellen udpeger et eller flere medlemmer af regionsrådet, skal
antallet af pladser i regionsrådet som minimum være det samme som antallet af kommuner i regionen. Af
hensyn til legitimitet og gennemslagskraft bør borgmesteren i hver af kommunerne i regionen være medlem
af regionsrådet. De fleste borgere har kendskab til borgmesteren i deres hjemkommune, og de vil derfor
være bedre i stand til at placere et ansvar for borgmesterens beslutninger i regionsrådet. Samtidig vil
borgmestrene styrke den politiske synlighed og gennemslagskraft af de beslutninger, der træffes i regions-
rådene.
Ud fra kommunernes nuværende antal og størrelse vil antallet af kommuner variere på tværs af de 8­10
regioner, og tilsvarende vil antallet af medlemmer af regionsrådene kunne variere på tværs af regionerne.
Det kan overvejes at supplere borgmestrene med flere medlemmer af regionsrådet udpeget af kommunal-
bestyrelserne i regionen efter forholdstalsvalg, fx relevante udvalgsformænd. Det er ved fastsættelse af
antallet af medlemmer i de indirekte valgte regionsråd vigtigt at tage hensyn til at sikre regionsrådenes
beslutningskraft.
Forskelle i kommunestørrelse kan i princippet føre til, at store kommuner har flere medlemmer af regions-
rådet end små kommuner, men det vil risikere at føre til meget store regionsråd. Alternativt kan der
anvendes stemmevægte, som fx kan udregnes efter indbyggertal og/eller geografiske kriterier, såsom land­
SUU, Alm.del - 2023-24 - Bilag 317: Orientering om Sundhedsstrukturkommissionens afrapportering, fra indenrigs- og sundhedsministeren
2880227_0350.png
350
1
2
3
4
Del 4 - Opgavesamling, forvaltningsmodeller, implementering og økonomi
og byområder i regionen. Sundhedsstrukturkommissionen har ikke taget stilling til, hvordan stemmevægte
kan udformes, men den præcise fastsættelse af stemmevægte er afgørende for legitimiteten af regions-
rådenes beslutninger.
Det forudsættes i modelvarianten, at kommunalbestyrelserne har instruktionsbeføjelser over for sine
repræsentanter i regionsrådet, som indebærer, at kommunalbestyrelserne kan pålægge sine repræsentan-
ter at stemme på en bestemt måde i vigtige sager i regionsrådet, såsom budgetbeslutninger og større
strukturændringer i regionen. Fordelen ved en sådan instruktionsbeføjelse er, at den kan bidrage til at sikre
sammenhæng og koordinering mellem beslutninger i kommunalbestyrelsen og regionsrådet. Omvendt vil
en sådan beføjelse kunne svække beslutningskraften i regionsrådet. Det kan derfor eventuelt overvejes at
afgrænse instruktionsbeføjelsen til større sager.
Tilsvarende model 1 vil finansieringen i varianten være rammestyring via en generel udgiftsramme
og tilhørende generel finansiering. Kommissionen foreslår videre en finansieringsmodel med separate
økonomier til henholdsvis kommunerne og sundheds- og omsorgsregionerne, tilsvarende model 1. Det vil
sige et statsligt bloktilskud til henholdsvis kommuner og regioner og særskilte udgiftsrammer for henholds-
vis kommuner og regioner. To adskilte udgiftsrammer vil desuden gøre det muligt for staten fortsat at
prioritere det samlede økonomiske råderum mellem kommunale velfærdsopgaver og regionale opgaver
på sundheds- og ældreområdet. Regionsrådet vil dermed få til opgave at prioritere på tværs indenfor de
samlede opgaver på sundheds- og ældreområdet, og kommunalbestyrelsen vil tilsvarende få mulighed for
at prioritere på tværs af de kommunale velfærdsområder.
Mange elementer i modelvariant 1a er de samme som i model 1. Sundhedsstrukturkommissionen
nøjes derfor med at fremhæve nogle primære fordele og ulemper i boks 15.3, og henviser derudover til
vurderingerne af model 1. Den store forskel er styreformen, hvor variant 1a indebærer, at sundheds- og
omsorgsregionerne ledes af regionsråd sammensat af repræsentanter fra regionens kommunalbestyrelser.
Boks 15.3
Primære fordele og ulemper ved model 1a ud fra de centrale hensyn
Sammenlignet med den nuværende organisering af sundhedsvæsenet indebærer model 1a følgende
fordele:
Med en samling af ansvar, kompetence og budget for opgaveløsningen i sundhedsvæsenet giver
varianten i lighed med hovedmodellen gode betingelser for at sikre sammenhængende patientforløb,
realisere den ønskede omstilling af sundhedsvæsenet og en løbende udvikling af opgaveløsningen
mellem faggrupper. Samlingen af opgaver vil i lighed med hovedmodellen give mulighed for større
bæredygtighed i løsningen af opgaver i det primære sundhedsvæsen, især i de områder af landet,
hvor opgaverne i dag bliver varetaget af mindre kommuner.
Varianten giver en stærk decentral forankring af ansvaret for sundhedsvæsenet, fordi det vil blive
underlagt en politisk ledelse, som må forventes at have et stærkt fokus på at udvikle det primære
sundhedsvæsen.
Varianten har i lighed med hovedmodellen et betydeligt potentiale for en ændret opgaveløsning, hvor
mere løses nært og så tæt på borgernes hjem som muligt.
SUU, Alm.del - 2023-24 - Bilag 317: Orientering om Sundhedsstrukturkommissionens afrapportering, fra indenrigs- og sundhedsministeren
2880227_0351.png
1
2
3
4
Del 4 - Opgavesamling, forvaltningsmodeller, implementering og økonomi
351
Sammenlignet med den nuværende organisering af sundhedsvæsenet indebærer model 1a følgende
ulemper:
Det indirekte valg til regionsrådene svækker vælgernes mulighed for at udøve demokratisk kontrol
med sundheds- og omsorgsregionernes opgavevaretagelse. Vælgerne har dermed kun mulighed
for at stille deres egen kommunes politikere til ansvar for beslutninger, der træffes i regionsrådet.
Borgmestrene, som vil udgøre et stort antal af regionsrådsmedlemmerne, vil typisk komme fra de
store partier. Det vil betyde, at de store partier højest sandsynligt vil være overrepræsenteret i
regionsrådene på bekostning af de mindre partier. Det vil ud fra et demokratisk synspunkt være
en ulempe, da det vil indsnævre den politiske repræsentation på sundheds- og ældreområdet.
Beslutningskraften og kvaliteten i regionsrådets beslutninger risikerer at blive svækket, hvis det
enkelte kommunalt udpegede medlem primært varetager egne kommunale interesser snarere end
det tværgående ansvar.
Der er risiko for, at de udpegede regionsrådsmedlemmer ikke har den nødvendige tid til og interesse
i den politiske ledelse af et stort sundhedsvæsen. Omvendt vil flytningen af hele eller store dele af
sundheds- og ældreområdet fra kommunerne potentielt kunne frigøre tid og ressourcer hos borg-
mestrene og eventuelt andre udpegede medlemmer af regionsrådene.
Model 2: Statsligt enhedssundhedsvæsen
I model 2 får staten myndigheds­ og driftsansvaret for sygehuse, almenmedicinske tilbud og øvrig praksis-
sektor og for størstedelen af det kommunale sundheds- og ældreområde. Det vil sige, at der i modellen –
tilsvarende model 1 - forudsættes en stor eller mellemstor opgavesamling. Rationalet bag modellen er, igen
som i model 1, at sikre stærkere sammenhæng i borgernes forløb ved at samle ansvaret hos én myndighed.
Rationalet er også at skabe stærkere tilskyndelser til at prioritere tidlige og forebyggende indsatser i det
primære sundhedsvæsen til gavn for den enkelte borger og patient. Det er dermed en væsentlig forud-
sætning for modellen, at der sker en større opgavesamling på sundheds- og ældreområdet, og at ansvaret
for størstedelen af sundheds- og ældreområdet samles hos staten.
I model 2 vil det politiske ansvar være placeret hos ministeren for området, og det er ministeren, der
fastsætter den overordnede strategi og udviklingsplan for sundhedsvæsenet. Ministerens juridiske ansvar
kan defineres nærmere ved i lovgivningen at placere visse beføjelser hos underliggende driftsorganisa­
tioner og bestyrelser.
Den stærke statslige forankring i modellen giver potentiale for en tydelig national politisk ansvarsplacering,
og den understøtter koordination og udvikling på tværs af opgaver, som i dag er delt imellem myndigheder.
Dermed giver modellen mulighed for en mere ensartet udvikling af sundhedsvæsenet på tværs af landet.
Der vil stadig i praksis kunne være forskelle på kvaliteten af sundhedsydelserne mellem forskellige lands-
dele, fx som følge af problemer med at tiltrække de nødvendige lægeressourcer, men hele landet vil med
modellen være underlagt de samme politiske krav til opgaveløsningen. Derudover vil staten, i kraft af et
samlet arbejdsgiveransvar, formelt have mulighed for at flytte ressourcer derhen, hvor behovet er størst.
På den måde kan modellen potentielt styrke den geografiske lighed. Modellen vurderes desuden at kunne
skabe grundlag for en styrket national beslutnings- og eksekveringskraft på vigtige områder, fx data- og
digitaliseringsområdet.
SUU, Alm.del - 2023-24 - Bilag 317: Orientering om Sundhedsstrukturkommissionens afrapportering, fra indenrigs- og sundhedsministeren
2880227_0352.png
352
1
2
3
4
Del 4 - Opgavesamling, forvaltningsmodeller, implementering og økonomi
Modellen indebærer etablering af et meget stort statsligt ansvarsområde. Med udgifter for ca. 200 mia. kr.
samlet på det regionale sundhedsområde og det kommunale sundheds- og ældreområde og mere end
220.000 kommunalt og regionalt ansatte på samme område, er sundhedsvæsenet målt i omkostninger og
antal ansatte væsentligt større end øvrige statslige driftsområder. Til sammenligning har fx rigspolitiet
ca. 18.000 ansatte og et budget på godt 13 mia. kr. (inklusive Politiet og den lokale anklagemyndighed, Den
Centrale Anklagemyndighed og Politiets Efterretningstjeneste), og antal ansatte i Forsvarsministeriets
koncern (eksklusive Forsvarets Efterretningstjeneste) udgør ca. 23.000 og med et budget på ca. 42 mia. kr.
Det giver væsentlige styringsudfordringer, som yderligere forstærkes af, at ansvaret for sundhedsvæsenet
samles på et politisk niveau, der også skal håndtere en række andre væsentlige opgaver end driften af
sundhedsvæsenet.
Figur 15.2
Model 2: Statsligt enhedssundhedsvæsen med 8­10 nye administrative enheder
Ministerium
Nationalt udpeget bestyrelse
Direktion
Central driftsorganisation
8-10 administrative enheder
Bestyrelse
& direktion
Bestyrelse
& direktion
Bestyrelse
& direktion
Bestyrelse
& direktion
Bestyrelse
& direktion
Bestyrelse
& direktion
Bestyrelse
& direktion
Bestyrelse
& direktion
Bestyrelse
& direktion
Bestyrelse
& direktion
98 kommuner
Organisering af ”Sundhed og Omsorg Danmark”
”Sundhed og Omsorg Danmark” er en fællesbetegnelse for det opgaveområde, som staten i model 2 over­
tager ansvaret for. Sundhed og Omsorg Danmark kan organiseres på to forskellige måder, enten som en
selvstændig offentlig virksomhed eller som en styrelseslignende organisation:
• En selvstændig offentlig virksomhed er i forvaltningsretlige termer en juridisk person, der varetager en
bestemt del af den statslige forvaltning, og som har selvstændige indtægter og formue. Der findes i dag ti
selvstændige offentlige virksomheder med bestyrelser udpeget af den statslige ejer.
• I en styrelseskonstruktion oprettes der en central driftsorganisation under det ansvarlige ministerium,
som har det overordnede driftsansvar med ansvar for den samlede økonomi (drift og anlæg) og centrale
HR-funktion.
I begge konstruktioner indgår en bestyrelse.
SUU, Alm.del - 2023-24 - Bilag 317: Orientering om Sundhedsstrukturkommissionens afrapportering, fra indenrigs- og sundhedsministeren
2880227_0353.png
1
2
3
4
Del 4 - Opgavesamling, forvaltningsmodeller, implementering og økonomi
353
Sundhedsstrukturkommissionen foreslår i model 2, at Sundhed og Omsorg Danmark organiseres efter en
styrelseskonstruktion med en central driftsorganisation og et underliggende niveau, bestående af decen-
trale, administrative enheder. Det underliggende niveau består af 8­10 administrative enheder, som ud fra
det samme overordnede rationale svarer til den geografiske inddeling, der er skitseret under model 1. Det
vil sige, at model 2 indebærer, at der etableres én central bestyrelse og 8­10 decentrale bestyrelser for hver
administrativ enhed.
Baggrunden for at etablere et todelt driftsansvar med henholdsvis en central driftsorganisation og decen-
trale enheder er dels et hensyn til central styring og beslutningskraft, dels et hensyn til at opgaveløsningen
så vidt muligt tilpasses lokale vilkår og forudsætninger. I praksis vil det indebære, at den centrale organi-
sation gives beføjelser til at træffe beslutninger, som kan have betydelig rækkevidde for de underliggende
enheder indenfor afgrænsede områder, og som enhederne vil have ansvar for og pligt til at implementere.
Kommissionen vurderer, at konstruktionen vil kunne bidrage til mere ensartede løsninger indenfor tvær-
gående opgaver, fx data og digitalisering, og samtidig give rum til lokal tilpasning og planlægning på øvrige
områder, fx organisering af sundheds- og plejeindsatser indenfor primærsektoren.
Sundhedsstrukturkommissionen lægger desuden op til, at den centrale driftsorganisation skal have det
overordnede driftsansvar med ansvar for den samlede økonomi og centrale HR-funktion. Den centrale
driftsorganisation skal føre tilsyn med de 8­10 administrative enheder og ledes af en administrerende
direktør med reference til bestyrelsesformanden.
Den daglige drift varetages af de 8­10 decentrale, administrative enheder, som overtager ejerskabet af
sygehusene og får drifts- og budgetansvar for det sekundære sundhedsvæsen, praksissektoren og store dele
af sundheds- og ældreområdet, som i dag varetages af kommunerne. Det betyder, at de decentrale enheder
får ansvar for at ansætte personale, tværgående prioriteringer og fastsættelse af budgettet indenfor den
overordnede økonomiske ramme. De decentrale enheder vil også have ansvar for planlægning og koordine-
ring af tilbud på tværs af enheden.
Bestyrelsens opgave og ansvar
Der etableres med modellen én central bestyrelse og 8­10 decentrale bestyrelser for hver administrativ
enhed. Den ressortansvarlige minister udpeger en bestyrelse for den centrale driftsorganisation. Den
centrale bestyrelse bør efter kommissionens vurdering besættes på en måde, der sikrer, at bestyrelsen
samlet set har en kompetenceprofil, der kan løfte de skitserede opgaver og udfordringer for sundhedsvæse-
net. Relevante kompetencer er bl.a. kompetencer indenfor sundheds- og ældreområdet (herunder økonomi
og forskning), ledelsesmæssige, driftsøkonomiske (herunder også digitalisering og anlæg/byggeri),
forretningsmæssige og juridiske kompetencer samt eventuel politisk erfaring.
Der udpeges desuden bestyrelser for hver af de 8­10 enheder. Den nærmere sammensætning af de decen-
trale bestyrelser skal overvejes, bl.a. om den skal repræsentere medarbejdere, og om enkelte af medlem-
merne skal udpeges af den centrale bestyrelse. Kompetenceprofilen for de administrative enheder vil bl.a.
skulle dække kendskab til sundheds- og ældreområdet, kendskab til politiske og lokale forhold, økonomi og
drift, personaleledelse og organisationsudvikling m.v. De enkelte bestyrelsesformænd for de 8­10 admini-
strative enheder vil være repræsenteret i den centrale bestyrelse for at understøtte sammenhæng mellem
beslutninger truffet i den centrale bestyrelse og beslutninger truffet i de decentrale enheder.
Den centrale bestyrelse vil i sit arbejde være bundet af de beføjelser og udviklingsplaner for det samlede
sundheds- og ældreområde, som den ressortansvarlige minister har udstukket. Den centrale bestyrelse
vil dermed få ansvar for at omsætte udviklingsplanen for de 8­10 decentrale, administrative enheder og
sætte mål og retning for størstedelen af sundheds- og ældreområdet. Den centrale bestyrelse vil bl.a. få
ansvar for at sikre, at enhederne overholder lovgivningen, de tildelte budgetter og de nationalt udstukne
retningslinjer.
Bestyrelserne for de decentrale, administrative enheder vil bl.a. skulle omsætte og implementere den
centrale udviklingsplan og dermed også foretage prioriteringsbeslutninger under hensyn til de lokale
forhold. Den centrale bestyrelse vil kunne drøfte den strategiske retning for de enkelte administrative
enheder, men vil ikke generelt have beføjelse til at pålægge de administrative enheder specifikke løsninger.
SUU, Alm.del - 2023-24 - Bilag 317: Orientering om Sundhedsstrukturkommissionens afrapportering, fra indenrigs- og sundhedsministeren
2880227_0354.png
354
1
2
3
4
Del 4 - Opgavesamling, forvaltningsmodeller, implementering og økonomi
Staten og ressortministerens opgave og ansvar
Staten og ressortministeren har ansvaret for at føre sundhedspolitik og for at fastsætte den overordnede
strategi og udviklingsplan for sundhedsvæsenet. Det indebærer bl.a. fastsættelse af kvalitetsstandarder
og nationale mål samt specialeplanlægning. Staten vil også som i dag have ansvar for tilsyn og kontrol, som
bl.a. varetages af Styrelsen for patientsikkerhed. Ministerens styring i forhold til den centrale bestyrelse
vil dels kunne ske gennem lovgivning og dels gennem resultatstyring.
Sundhedsstrukturkommissionen foreslår, at der via lovgivning placeres visse beføjelser hos den centrale
bestyrelse eller hos bestyrelsen i de decentrale enheder. Det vil indebære, at ministeren indenfor de
nærmere definerede områder ikke vil have instruktionsbeføjelse overfor bestyrelserne. Det betyder, at mini-
steren ikke kan gribe ind overfor beslutninger truffet af bestyrelsen eller give påbud om en bestemt sags
løsning. Ministeren har på den anden side heller ikke ansvar for bestyrelsens konkrete dispositioner.
Kommissionen vurderer, at det er vigtigt, at ministerens juridiske ansvar afskæres gennem lovgivningen,
og der dermed etableres en vis armslængde mellem ministeren og bestyrelsen. Det vil dels, i det mindste
formelt, afskærme ministeren fra enkeltsager, dels give de udpegede bestyrelser et handlingsrum til at
tilrettelægge en effektiv drift og ledelse af sundheds- og ældreområdet, herunder mulighed for at træffe
de nødvendige prioriteringer m.v.
Bestyrelsesformanden for den centrale organisation orienterer ministeren, fx halvårligt eller kvartalsvist,
om bestyrelsesarbejdet.
Finansiering af Sundhed og Omsorg Danmark
Finansloven vil fastsætte det samlede, årlige budget for sundhedsvæsenet. Der lægges op til, at den samlede
økonomiske ramme for Sundhed og Omsorg Danmark drøftes mellem bestyrelsen og de relevante
ministerier og nedfældes i en årlig økonomiaftale med respekt for udviklingsplanerne.
Fordelingen af den samlede økonomiske ramme på tværs af de 8­10 administrative enheder vil som
i dag, og som i de to øvrige forvaltningsmodeller, være baseret på opgørelser af objektive udgiftsbehov.
Der vil kunne udformes nærmere retningslinjer for fordelingen til delområder, herunder det primære og
sekundære sundhedsvæsen og ældreområdet.
Vurdering af model 2
Boks 15.4 opsummerer de primære fordele og ulemper ved forvaltningsmodel 2 sammenligning med den
nuværende organisering af sundhedsvæsenet. Efterfølgende gennemgås fordele og ulemper ved modellen
ud fra de seks hensyn, der blev opstillet i kapitel 6.
SUU, Alm.del - 2023-24 - Bilag 317: Orientering om Sundhedsstrukturkommissionens afrapportering, fra indenrigs- og sundhedsministeren
2880227_0355.png
1
2
3
4
Del 4 - Opgavesamling, forvaltningsmodeller, implementering og økonomi
355
Boks 15.4
Primære fordele og ulemper ved model 2 ud fra de centrale hensyn
Sammenlignet med den nuværende organisering af sundhedsvæsenet indebærer model 2 følgende
fordele:
Modellen tilvejebringer en reel og markant styrkelse af et entydigt politisk ansvar for en række
sammenhængende opgaver på sundheds, og ældreområdet, som i den nuværende struktur er
underlagt delt politisk ansvar.
Samlingen af en række beslægtede opgaver under samme myndighed skaber øget klarhed om
ansvarsfordelingen, bedre rammer for at skabe sammenhængende patientforløb og stærkere
incitamenter til at investere i omkostningseffektive og forebyggende indsatser udenfor sygehus­
matriklerne.
Modellen styrker den faglige bæredygtighed i det primære sundhedsvæsen, især i de områder af
landet, hvor opgaverne i dag varetages af mindre kommuner.
Modellen understøtter den samlede kvalitet i opgaveløsningen i kraft af en tættere integration af den
primære og den sekundære del af sundhedsvæsenet.
Modellen skaber potentiale for øget geografisk lighed, fordi staten gennem et samlet arbejdsgiver­
ansvar i princippet har bedre mulighed for at flytte ressourcer derhen, hvor behovet er størst.
Modellen skaber grundlag for en styrket national beslutnings­ og eksekveringskraft, fx indenfor data
og digitalisering.
Sammenlignet med den nuværende organisering af sundhedsvæsenet indebærer modellen følgende
ulemper:
Modellen indebærer en markant centralisering af det politiske ansvar for sygehuse og en række
opgaver på sundheds, og ældreområdet, som i dag er kommunernes eller regionernes ansvar.
Modellen indebærer etablering af et statsligt driftsområde, som i kompleksitet, udgifter og antal
medarbejdere klart overstiger alle andre statslige driftsområder. Det kan give væsentlige styrings-
udfordringer.
Der er betydelig risiko for manglende politisk kapacitet til stillingtagen til løbende prioriteringer,
reformer og tilpasninger på sundhedsområdet. Risikoen forstærkes af, at mange enkeltsager vil ende
hos den ansvarlige minister.
Modellen svækker borgernes mulighed for lokalt eller regionalt at øve indflydelse på opgavevare­
tagelsen på sundheds- og ældreområdet, og modellen forringer mulighederne for at tilpasse opgave-
løsningen til lokale forskelle i borgernes ønsker og behov
En stor statslig driftsorganisation giver risiko for stor ledelseskompleksitet og lange beslutningsveje,
svækket politisk kontrol med forvaltningen og interne forvaltningsmæssige barrierer, der kan minde
om de nuværende sektorgrænser.
I den nuværende organisering er det en udfordring, at fem regioner skal koordinere med i alt
98 kommuner. Den udfordring bliver ikke mindre, hvis én statslig myndighed skal koordinere med
98 kommuner.
Hensyn 1: Et sundhedsvæsen med høj kvalitet for alle borgere i hele landet
Ved at samle en række opgaver på sundheds- og ældreområdet i større enheder giver det grundlag for en
øget faglig bæredygtig i opgaveløsningen, særligt i forhold til de områder af landet, hvor opgaverne i dag
varetages af mindre kommuner.
Et samlet nationalt politisk ansvar for sundhedsvæsenet giver i udgangspunktet bedre mulighed for ens-
artede kvalitetsstandarder og fælles mål på tværs af landet. Fælles arbejdsgiveransvar på tværs af hele
landet giver desuden principielt bedre mulighed for at flytte personaleressourcer derhen, hvor der er
størst behov.
SUU, Alm.del - 2023-24 - Bilag 317: Orientering om Sundhedsstrukturkommissionens afrapportering, fra indenrigs- og sundhedsministeren
2880227_0356.png
356
1
2
3
4
Del 4 - Opgavesamling, forvaltningsmodeller, implementering og økonomi
Omvendt tilsiger erfaringerne fra andre statslige områder, at der ofte vil opstå geografiske forskelle uanset
bestræbelser på at leve op til nationale kvalitetsstandarder. Et statsligt sundhedsvæsen er derfor ingen
garanti for, at den lokale opgaveløsning placeret langt fra den nationale bestyrelse og de nationale politikere
ikke vil variere i kvalitet og indhold på tværs af landet. Samtidig vil der på trods af det entydige arbejds­
giveransvar fortsat være behov for indsatser, incitamenter og mekanismer til at få folk til at bosætte sig
og arbejde i yderområder, ligesom det i modellen også vil kræve betydelig ledelseskraft at omstille sund-
hedsvæsenet, således at mere aktivitet kan foregå udenfor sygehusene (se kapitel 16).
Hensyn 2: Et sundhedsvæsen, hvor borgerne har let adgang til relevante sundhedstilbud
De nye administrative enheder giver ikke i sig selv lettere adgang til relevante sundhedstilbud, men ved at
samle ansvaret for patientforløb gives bedre mulighed for at hjælpe skrøbelige borgere med at navigere i
sundhedsvæsenet og få adgang til relevante sundhedstilbud på rette tid og sted.
Den centraliserede beslutningskraft i modellen giver i princippet bedre mulighed for fordeling af tilbud,
bl.a. nuværende kommunale tilbud, men staten og den centrale driftsorganisation vil dog i praksis have
begrænset indblik i lokale behov og forhold, hvorfor der vil være en indbygget risiko for, at fordelingen af
sundhedstilbud ikke i tilstrækkelig grad er tilpasset de lokale forhold.
Model 2 ændrer ikke på patientrettigheder om frit valg i sundhedsvæsenet. Modellen vil dog indebære, at
opgaven med at tilvejebringe leverandører og indgå aftaler vedrørende frit valg på ældreområdet vil overgå
til staten.
Hensyn 3: Et sundhedsvæsen med stærk sammenhæng i borgernes forløb
Model 2 samler ansvaret for patientforløb og reducerer snitflader indenfor sundhedsvæsenet. Modellen
understøtter dermed, at ansvar, kompetence og budget i forhold til opgaveløsningen er placeret under
samme myndighed. Den organisatoriske samling af opgaveansvaret under én myndighed sikrer principielt
bedre koordination af og sammenhæng i patientforløb.
Det er omvendt en stor ledelsesmæssig opgave at lede en meget stor organisation, som utvivlsomt vil blive
divisionaliseret, fx en sygehusdivision, en præhospital division, en praksisdivision og en omsorgsdivision.
Der vil derfor opstå interne snitflader i den nye organisation, som vil have fællestræk med, hvad der var
gældende før etableringen af et statsligt enhedssundhedsvæsen. Der vil af den grund fortsat kunne være
udfordringer med tværgående samarbejde, og den politiske ledelse vil være placeret på betydelig afstand
af problemerne, som indebærer en risiko for, at problemerne ikke i tilstrækkelig grad bliver adresseret.
Et statsligt forankret sundhedsvæsen vil til gengæld have et bedre grundlag for at udvikle og ikke mindst
udbrede ensartede digitale løsninger, der vil kunne understøtte et sammenhængende sundhedsvæsen,
hvor relevant data og information deles på tværs af sundhedspersoner.
Hensyn 4: Et sundhedsvæsen, der giver borgeren mest mulig sundhed for de tilgængelige
ressourcer
I et enhedssundhedsvæsen bliver det lettere at prioritere ressourcer til de indsatser, hvor de gør størst gavn
og derigennem understøtte den ønskede omstilling af sundhedsvæsenet. På den måde er der kun én kasse
i et statsligt enhedssundhedsvæsen, og dermed forsvinder per definition risikoen for kassetænkning og
høste­så­problematikker. Hvorvidt potentialet reelt manifesterer sig vil dog afhænge af beslutningskraften
i den nye organisation og samspillet mellem de decentrale enheder indenfor staten.
Der er i modellen potentiale for, at selvstændige bestyrelser kan understøtte en stærk ledelse med den
nødvendige beslutningskraft til at sikre en omkostningseffektiv opgavevaretagelse og realisere de
produktivitetsgevinster, der måtte være forudsat. Omvendt kan de nødvendige løbende prioriteringer
og tilpasninger, fx i sygehusstruktur eller rammer for plejehjem, vanskeliggøres, da det politiske ansvar
alene påhviler den ansvarlige minister. I den henseende indebærer modellen en betydelig risiko for,
at udgiftsstyringen og den overordnede prioritering svækkes, bl.a. på sygehusområdet.
SUU, Alm.del - 2023-24 - Bilag 317: Orientering om Sundhedsstrukturkommissionens afrapportering, fra indenrigs- og sundhedsministeren
2880227_0357.png
1
2
3
4
Del 4 - Opgavesamling, forvaltningsmodeller, implementering og økonomi
357
Hensyn 5: Et sundhedsvæsen med effektiv politisk styring og demokratisk kontrol
På den ene side styrker modellen det politiske ansvar ved at samle opgaver på sundheds- og ældreområdet
under én myndighed, hvor problemerne med delt politisk ansvar i den nuværende organisering af sund-
hedsvæsenet opløses. På den anden side er det sandsynligt, at mange spørgsmål om lokale strukturtilpas-
ninger m.v. vil skulle behandles af ministeren, afhængig af afgrænsningen af ministerens juridiske ansvar.
Det vil bl.a. kunne vanskeliggøre strukturtilpasninger i kraft af, at lokalkendskabet og mulighederne for
at skabe lokale afvejninger mellem kvalitet, effektivitet og udbud af sundhedsydelser formentlig svækkes.
Det kan svække såvel den faglige kvalitet i opgaveløsningen som effektiviteten.
Når ansvaret for den overordnede prioritering af ydelserne i sundhedsvæsenet ligger nationalt placeret, vil
presset for øgede bevillinger på sygehusområdet kunne blive meget stort og svært at afvise på bekostning af
en styrkelse af det primære sundhedsvæsen. Dermed indebærer modellen en risiko for, at udgiftsstyringen
og den overordnede prioritering på sundheds- og ældreområdet svækkes.
Der vil alt i alt være risiko for, at en række driftsmæssige beslutninger, fx om ændringer i sygehusstruktu-
ren, indførelse af nye behandlingsmetoder, omprioritering og omstrukturering internt på sygehusene og på
sundheds- og ældreområdet vil blive problematiseret på landspolitisk niveau. Den risiko forstærkes af,
at sundheds- og ældreområdet er genstand for stor og vedholdende interesse fra medier, vælgere og stærke
interessenter. Det vil i model 2 kunne give et yderligere pres på udgiftsstyringen og vanskeliggøre
ændringer, som er driftsmæssigt hensigtsmæssige.
Hensyn 6: Implementeringsomkostninger
Model 2 lægger op til, at ansvaret for størstedelen af opgaver på sundheds­ og ældreområdet samles hos
staten. Den større opgaveflytning fra kommunerne og omlægningen fra fem regioner til 8­10 administrative
enheder vil indebære en markant organisatorisk ændring, med deraf afledte omstillings­ og implemente-
ringsomkostninger. Herunder vil mange skulle skifte job eller flytte til nye enheder.
Det vil samtidig indebære en grundlæggende ændring af den decentrale styreform, som hidtil har kende-
tegnet den danske velfærdsstat, da det decentrale niveau i modellen ikke vil have det politiske ansvar for
sundheds- og ældreområdet. Modellen vil alt andet lige indebære større omkostninger at gennemføre
end modeller, hvor der bygges videre på den eksisterende decentrale model. Desuden indebærer det en
selvstændig risiko, at en styreform med bestyrelser ikke i dansk sammenhæng er afprøvet før på så stort
et velfærdsområde som sundhedsvæsenet.
Model 3: Sundhedsregioner
I model 3 tages der udgangspunkt i den nuværende opgave­ og ansvarsfordeling på sundheds­ og ældre­
området. I modellen har regionerne fortsat ansvaret for sygehuse og praksissektoren, og kommunerne har
ansvaret for deres nuværende opgaver på sundheds- og ældreområdet. Der kan også ske en mindre samling
af opgaver på sundheds- og ældreområdet, men modellen bygger på et rationale om en mindre opgavesam-
ling sammenlignet med model 1 og 2.
I det omfang, der i modellen flyttes opgaver fra kommunerne, forudsættes det, at det primært er dele af den
kommunale sygepleje, patientrettet forebyggelse, dele af genoptræningsindsatsen og sygehus- og praksis-
sektor, der samles under én myndighed. Derudover indgår overvejelser om ændret regulering i relation til
hjælpemidler/behandlingsredskaber og midlertidige pladser/akutpladser, som har betydning for opgave-
delingen mellem sektorerne.
Model 3 indeholder en række andre elementer end en ændret opgave­ og ansvarsfordeling i sundheds­
væsenet. Formålet med modellen er at skabe en ny tilgang til styring af sundhedsvæsenet, som adresserer
en række svagheder ved den nuværende organisering af sundhedsvæsenet, og som understøtter bedre
sammenhæng for borgerne og en omstilling af sundhedsvæsenet, hvor langt mere aktivitet skal foregå i det
primære sundhedsvæsen (se kapitel 8). Modellen understøtter desuden regionernes fokus på sundheds­
opgaven ved, at de ikke­sundhedsrelaterede opgaver, som regionerne varetager i dag, flyttes til en anden
forvaltningsmyndighed.
SUU, Alm.del - 2023-24 - Bilag 317: Orientering om Sundhedsstrukturkommissionens afrapportering, fra indenrigs- og sundhedsministeren
2880227_0358.png
358
1
2
3
4
Del 4 - Opgavesamling, forvaltningsmodeller, implementering og økonomi
Hvad angår antallet af sundhedsregioner, indeholder modellen to varianter: En variant, hvor antallet af
regioner reduceres fra de nuværende fem til tre regioner, og en variant, hvor de nuværende fem regioner
bevares. I overvejelsen om antal regionale enheder i model 3 er hensynet til bæredygtighed i sygehus­
strukturen det væsentligste, da et eventuelt opgaveflyt fra kommunerne vil være begrænset. De nærmere
overvejelser og vurderinger i forhold til antallet af sundhedsregioner gennemgås nedenfor.
Figur 15.3
Model 3: Sundhedsregioner
Stat
3-5 sundhedsregioner
Nærudvalg under hvert regionsråd
98 kommuner
Modellen indeholder forslag, der er unikke for model 3, og som beskrives i det følgende, men der er i model
3 også elementer, som er fælles med model 1 og 2.
Sundhedsstrukturkommissionens forslag om, at det fremadrettede løft til regionerne, afledt af den demo-
grafiske udvikling, målrettes indsatser i det primære sundhedsvæsen, vurderes særlig relevant for model 3.
Formålet er at sikre et øget regionalt fokus på en ændret opgaveløsning, hvor flere opgaver skal løses i det
primære sundhedsvæsen fremfor i det sekundære sundhedsvæsen. Der beskrives derudover et forslag
om et nyt tiltag, der skal styrke kommunernes incitament til at prioritere effektive forebyggelses- og
plejeindsatser til gavn for borgerne. Det indebærer et såkaldt resultatafhængigt tilskud, hvor en del af
kommunernes finansiering gøres afhængig af, at kommuner lever op til en række mål på sundheds­ og
ældreområdet.
Sundhedsregioner
Sundhedsstrukturkommissionen foreslår, at regionerne overgår til at være rene sundhedsregioner. Formålet
er at sikre en tydeliggørelse af sundhedsområdet som regionernes kerneopgave og samtidig understøtte en
klar og entydig politisk opmærksomhed i regionsrådene på sundhedsopgaven, som i de kommende år vil
kræve endnu mere fokus på prioriteringer og omstilling. Kommissionen bemærker i den forbindelse, at der
vurderes at være meget begrænset sammenhæng mellem sundhedsområdet og regionernes nuværende
opgaver indenfor regional udvikling.
SUU, Alm.del - 2023-24 - Bilag 317: Orientering om Sundhedsstrukturkommissionens afrapportering, fra indenrigs- og sundhedsministeren
2880227_0359.png
1
2
3
4
Del 4 - Opgavesamling, forvaltningsmodeller, implementering og økonomi
359
Kommissionen har drøftet antallet af sundhedsregioner, og det er kommissionens vurdering, at det
hensigtsmæssige antal regioner i modellen ligger i intervallet 3­5 regioner, som enten indebærer en
reduktion af antallet af regioner eller en videreførelse af de nuværende fem regioner. Hensynet til
faglig bæredygtighed er mere foreneligt med færre antal regioner, mens bl.a. hensynet til at begrænse
implementeringsomkostninger er mest foreneligt med en videreførelse af de fem regioner.
Baggrunden for en variant med færre regioner er, at de dele af landet, særligt på Sjælland og i Nordjylland,
hvor der er udfordringer med at tiltrække sundhedsfaglige medarbejdere, og hvor borgerne generelt set
har større behov for sundhedsydelser, skal blive en del af en større og mere ressourcestærk region. Region
Sjælland og Nordjylland har begge, relativt til de øvrige regioner, færrest læger pr. 1.000 indbyggere. Region
Sjælland har 3,8 og Nordjylland 3,9 mens Hovedstaden har det højeste antal med 5,7 læger. Tilsvarende
adskiller særligt Region Sjælland sig på selvforsyningsgraden, som her ligger lavest, set i forhold til de
øvrige regioner. Der er også variation i, hvor ofte regionerne giver sundhedsydelser af høj kvalitet. Fx viser
en opgørelse på baggrund af de nationale mål, at flest indikatorer er under landsgennemsnittet i Region
Sjælland.
296
Det er dermed afgørende, at varianten med færre enheder bidrager til øget bæredygtighed i
disse områder. Det er desuden et hensyn, at regionerne bør være nogenlunde ensartede, hvad angår
geografisk størrelse, befolkningens behandlingsbehov og økonomisk robusthed. Efter kommissionens
vurdering taler det samlet set for en variant med tre regioner fremfor fire regioner.
Sundhedsstrukturkommissionen har dermed valgt at fremlægge dels en variant, hvor antallet af regioner
reduceres fra de nuværende fem til tre regioner, og dels en variant med bevarelse af de nuværende fem
regioner. Kommissionen har ikke fundet det relevant at foreslå en variant med to regioner, da to enheder
ikke vurderes at udgøre et egentligt decentralt forvaltningsled. De to enheder vil i sig selv være så store, at
det ikke længere vil kunne betragtes som en model med decentral politisk ledelse.
Fra fem til tre sundhedsregioner
Sundhedsstrukturkommissionen vurderer, at en reduktion til tre regioner og dermed større geografiske
enheder potentielt vil kunne understøtte en bedre geografisk fordeling af ressourcer og kompetencer
til gavn for de borgere, som bor i områder af landet, hvor der er mangel på sundhedsfaglige ressourcer
og samtidig et stort behandlingsbehov. Ved at lægge regioner med rekrutteringsudfordringer og stort
behandlingsbehov sammen med regioner med relativt mere personale og en relativt mere rask befolkning
vurderes der at være et potentiale for at sikre bedre fordeling af lægeressourcer gennem et samlet arbejds-
giveransvar. Det kan fx være i form af tiltag, hvor relativt stærke sygehuse kobles sammen med relativt
svage sygehuse under samme ledelse for at sikre en bedre fordeling af personaleressourcer.
En reduktion til tre regioner tilgodeser hensynet om øget bæredygtighed i det sekundære sundhedsvæsen,
da der på den måde kan ske en yderligere konsolidering af regionerne på sygehusniveau. Alle regioner vil
dermed blive stort set selvforsynende med sygehusbehandling. Det vil betyde, at patienter i et mindre
omfang end i dag skal rejse på tværs af regionsgrænser for at modtage sygehusbehandling. Det vil dermed
kunne understøtte en bedre sammenhæng for nogle patienter, hvad angår sygehusbehandling. Den højere
selvforsyningsgrad reducerer samtidig behovet for statslig styring af den tværgående koordination på tværs
af de tre regioner.
Sundhedsstrukturkommissionen er samtidig opmærksom på, at en variant med tre regioner vil øge antallet
af kommuner relativt til regionerne. I dag koordinerer de fem regioner med mellem 11 og 29 kommuner.
Det kan være en stor og tung koordinationsopgave i lyset af, at der typisk kan være stor forskel på, hvordan
kommunerne løser deres sundheds- og ældreopgaver.
297
Tre sundhedsregioner vil skulle koordinere med
endnu flere kommuner end i dag, og det vil i sig selv udgøre en barriere for at sikre sammenhæng i
patientforløb.
296 Sundhedsstrukturkommissionen. "Sundhedsstrukturkommissionens baggrundsrapport". 2024.
297 Implement Consulting Group, “Udfordringer og potentialer i samspillet mellem sektorer og for sammenhængende patientforløb”, 2024.
SUU, Alm.del - 2023-24 - Bilag 317: Orientering om Sundhedsstrukturkommissionens afrapportering, fra indenrigs- og sundhedsministeren
2880227_0360.png
360
1
2
3
4
Del 4 - Opgavesamling, forvaltningsmodeller, implementering og økonomi
En reduktion fra fem til tre regioner vil desuden øge afstanden til de politiske beslutningstagere og reducere
den demokratiske repræsentation set i forhold til de nuværende fem regioner, da nogle landsdele ikke vil
kunne opnå samme repræsentation i større regioner, som de kan med den nuværende struktur.
Fem sundhedsregioner
Der er hensyn, der taler for at bevare det nuværende antal regioner og dermed undgå ovennævnte afledte
udfordringer ved en variant med tre sundhedsregioner.
For det første vurderes potentialet ved tre sundhedsregioner for bl.a. bedre sammenhæng for patienter
at være relativt begrænset set i lyset af, at de nuværende fem regioner allerede i dag har en forholdsvis
høj selvforsyningsgrad for sygehusbehandling.
298
For det andet er det store antal kommuner relativt til
regionerne en væsentlig begrænsning i forhold til at sikre bedre sammenhæng i patientforløb. For det tredje
er det usikkert om et entydigt arbejdsgiveransvar alene er tilstrækkeligt til at sikre en bedre geografisk
fordeling af ressourcer, da der også indenfor de nuværende fem regioner er betydelige forskelle i ressourcer
og sygdomsbyrde. Endelig er kommissionen opmærksom på, at en reduktion fra fem til tre regioner vil
indebære relativt store enheder, som potentielt kan medføre stordriftsulemper, fx i forhold til koordinering
og sammenhæng. Endelig peger kommissionen på, at de afledte implementeringsomkostninger ved at
reducere fem til tre sundhedsregioner vil skulle vejes op imod den usikkerhed, der er forbundet med
gevinsterne ved at reducere fra fem til tre sundhedsregioner.
Styreform i sundhedsregioner og nærudvalg
Hvad angår antallet af medlemmer i de nye regionsråd, vurderer Sundhedsstrukturkommissionen, at det i
lyset af den mere snævre opgaveportefølje i de nye sundhedsregioner vil være passende med mellem 31 og
41 direkte valgte medlemmer af hvert sundhedsregionsråd. I kraft af den styrkede udvalgsstruktur i disse
sundhedsregioner, jf. nedenfor, vil det ikke være hensigtsmæssigt med færre end 31 medlemmer af hvert
regionsråd.
Kommissionen har overvejet, om det er et principielt problem, hvis et mandat til regionsrådene er ”relativt
dyrere” i form af stemmer, end et mandat til Folketinget. Det er kommissionens klare vurdering, at det i
givet fald hverken udgør et principielt eller et reelt problem.
Sundhedsstrukturkommissionen foreslår videre, at der i hver sundhedsregion oprettes en række nær­
udvalg, som minder om de nærudvalg, der er beskrevet under model 1. Nærudvalgene vurderes at kunne
styrke den decentrale politiske beslutningskraft i begge varianter med henholdsvis fem og tre sundheds-
regioner. De geografisk forankrede nærudvalg vil kunne varetage en væsentlig opgave med at styrke
kontakten og dialogen med de kommuner, der dækkes af nærudvalgets område. Samtidig kan nærudvalgene
have et særligt fokus på at udvikle praksissektoren og sygehusenes samspil med primærsektoren indenfor
nærudvalgets område. Nærudvalgene vil i varianten med tre regioner på den måde kunne modvirke den
centraliseringstendens, som der ligger i at gå fra fem til tre sundhedsregioner.
Målretning af den statslige finansiering til udvikling af det primære sundhedsvæsen
Uafhængigt af, om det er varianten med tre eller fem sundhedsregioner, introduceres der i model 3 nye
styringselementer, der skal styrke udviklingen af det primære sundhedsvæsen, bl.a. ved en målretning af
den statslige finansiering.
Regionernes og kommunernes økonomiske rammer løftes hvert år som følge af, at der bl.a. kommer flere
ældre. Kommissionen foreslår, at det demografiske afledte løft til regionerne fremadrettet målrettes til
indsatser i det primære sundhedsvæsen (se også kapitel 11 og 15). Målretning af demografimidlerne skal
298 Sundhedsstrukturkommissionen. "Sundhedsstrukturkommissionens baggrundsrapport". 2024.
SUU, Alm.del - 2023-24 - Bilag 317: Orientering om Sundhedsstrukturkommissionens afrapportering, fra indenrigs- og sundhedsministeren
2880227_0361.png
1
2
3
4
Del 4 - Opgavesamling, forvaltningsmodeller, implementering og økonomi
361
medvirke til at prioritere og investere i det primære sundhedsvæsen, så langt flere borgere kan modtage
hjælp udenfor sygehusene. Tiltaget skal samtidig sikre, at regionerne har et tilsvarende fokus på at dæmpe
væksten i aktiviteten på sygehusområdet.
Tiltaget omfatter alene den regionale del af demografimidlerne. Der er efter de aktuelle beregninger tale
om væsentlige prioriteringer på 750 mio. kr. årligt eller samlet knap 4 mia. kr. frem mod 2030, som følge
af udviklingen i det demografiske udgiftsbehov. Opgørelsen af det demografiske træk – og dermed demo­
grafimidlerne – er et skøn, der kan ændre sig i årene fremover. Målretningen er afgrænset til det primære
sundhedsvæsen. Det vil sige målrettet:
• Det almenmedicinske tilbud og øvrig praksissektor.
• Opgaver og indsatser, som kan løses i kommunerne for at reducere behov for sygehusbehandling.
Sundhedsstrukturkommissionen vurderer, at forslaget om målretning af demografimidlerne er særlig
relevant for model 3. Forslaget indebærer implicit et vækstloft for sygehussektoren og vil understøtte,
at sundhedsregionerne får fokus på at omstille sygehusene og prioritere en udvikling af det primære
sundhedsvæsen, bl.a. det almenmedicinske tilbud (se også kapitel 11).
Nærmere prioritering og udmøntning af midler
Sundhedsstrukturkommissionen lægger op til, at en andel af de øgede regionale midler disponeres til
finansiering, fx af kvalitetsstandarder eller udbygning af den nationalt fastlagte opgavebeskrivelse for
det almenmedicinske tilbud. Det vil kunne udmøntes i økonomiforhandlingerne mellem stat, kommuner
og regioner. Den øvrige andel af midlerne lægger kommissionen op til, at regionerne kan prioritere til
indsatser i det primære sundhedsvæsen. Den regionale kompetence skal sikre, at investeringerne i det
primære sundhedsvæsen ledsages af en tilsvarende opgaveflytning eller opgavemindskelse for sygehusene.
Kommissionen lægger samtidig op til, at nærudvalgene i regionerne, som nogenlunde bør følge den
nuværende geografiske afgrænsning af sundhedsklyngerne, får en væsentlig rolle i forbindelse med
prioritering og anvendelse af midlerne og dermed for udvikling af det primære sundhedsvæsen. Kommis-
sionen foreslår, at nærudvalgene træffer beslutning om prioritering af demografimidlerne, der skal
investeres i det primære sundhedsvæsen. Beslutningen skal ske efter forudgående inddragelse af og
drøftelse med de kommuner, som ligger i det område af regionerne, som det pågældende nærudvalg
dækker. Det foreslås, at inddragelsen kan ske i regi af sundhedsklyngerne, som drøfter og indstiller
forslag til beslutning i regionernes nærudvalg. Kommissionen har dog også overvejet den mulighed,
at oprettelsen af nærudvalg ledsages af en nedlæggelse af sundhedsklyngerne.
Fordelingen og prioriteringen af midlerne skal understøtte sammenhæng og samarbejde på tværs af
sektorerne og dermed understøtte en tilpasning af sygehusaktiviteten. Nærudvalgene bør derfor også få en
opgave med at følge op på prioriteringen og følge implementeringen af indsatser. Midler målrettet regionale
almenmedicinske tilbud udmøntes i de regionale budgetter, mens midler målrettet almenmedicinske tilbud
vil skulle udmøntes indenfor rammerne af enten et centralt eller lokalt aftalespor (se også kapitel 9).
I forhold til regionernes køb af ydelser hos kommunerne skal det understreges, at kommunerne fortsat i
model 3 har det fulde myndigheds­ og driftsansvar for de opgaver, der forbliver i kommunerne. Regionerne
skal dog sikres hjemmel til at bestille og finansiere opgaver og indsatser hos kommunerne. Regionerne har
i dag hjemmel i sundhedsloven til at indgå aftaler med kommuner om betaling for personer, der henvises
til tilbud i kommunalt regi som alternativ til sygehusindlæggelse.
299
Hjemlen bør dog i udgangspunktet være
bredere, så det fx også kan omfatte et alternativ til ambulant behandling, telemedicinsk behandling m.v.
På baggrund af den udvidede hjemmel skal den enkelte region og kommune indgå aftale om de konkrete
opgaver og indsatser, som regionerne kan bestille og finansiere. Regionernes køb kan vedrøre opgaver, som
i dag er regionale sygehusopgaver, men som flyttes til kommunerne og varetages af fx kommunale syge­
plejersker. Det kan også vedrøre opgaver, som kommunerne ikke varetager i dag, men som vurderes at
kunne forebygge sygehusindlæggelse, fx obligatorisk opfølgende besøg efter en borgers indlæggelse. Det
299 Indenrigs- og Sundhedsministeriet, “Bekendtgørelse af sundhedsloven”, LBK nr 247 af 12/03/2024 § 239 (2024).
SUU, Alm.del - 2023-24 - Bilag 317: Orientering om Sundhedsstrukturkommissionens afrapportering, fra indenrigs- og sundhedsministeren
2880227_0362.png
362
1
2
3
4
Del 4 - Opgavesamling, forvaltningsmodeller, implementering og økonomi
kan eventuelt også omfatte indsatser, der understøtter et styrket tværsektorielt samarbejde, fx på det akutte
område, som kan reducere behovet for indlæggelser. Regionernes køb af opgaver hos kommunerne skal
understøtte en løbende kommunal kompetenceudvikling og dermed også en glidende udvidelse af den
kommunale opgaveportefølje som led i omstillingen af sundhedsvæsenet.
Et væsentligt opmærksomhedspunkt i forhold til udmøntningen af demografimidler er, at midlerne ikke
skal finansiere opgaver, som kommunerne allerede i dag skal løse. Der skal i stedet være tale om enten
flytning af nuværende regionale sygehusopgaver eller nye indsatser, som regionerne bestiller og finansierer
hos kommunerne, og som kan understøtte, at mere behandling kan foregå udenfor sygehusene. Det forud-
sættes samtidig, at de enkelte kommuner har de nødvendige kompetencer til at varetage en given opgave,
bl.a. særligt sygeplejefaglige kompetencer, og de samtidig understøttes af øget tilgængelighed af almen-
medicinske kompetencer og relevant specialistrådgivning fra sygehusene. Kommunernes forskellige vilkår
og forudsætninger for at løse mere specialiserede opgaver vil betyde, at der vil være forskelle på tværs
af kommuner i forhold til, hvilke opgaver den enkelte region kan bestille og finansiere.
Overvejelser om alternative modeller for prioritering af midler
Sundhedsstrukturkommissionen har overvejet alternative måder til at prioritere og udmønte demografi-
midler. Der har været overvejet en model, hvor både regioner og kommuner skal prioritere hver sin andel
af midlerne. En sådan model vil dog i væsentlig udstrækning svare til den nuværende situation, hvor
regioner og kommuner kun i begrænset omfang træffer nødvendige prioriteringer på tværs. Fx har regioner
og kommuner hidtil i ringe grad prioriteret egne budgetmidler til tværgående indsatser i regi af sundheds-
klyngerne. Det er derfor vurderingen, at der i en sådan model vil være risiko for, at både regioner og
kommuner har fokus på at holde på egne budgetmidler, og dermed ikke i tilstrækkelig grad understøtter
en nødvendig omstilling.
Der har også været overvejet en model, hvor kommunerne får kompetence til at prioritere midlerne.
En væsentlig ulempe ved den model er, at kompetencen til at prioritere investeringer i det primære sund-
hedsvæsen vil være afkoblet fra kompetencen til at sikre den nødvendige tilpasning af sygehusaktiviteten.
Modellen vil i udgangspunktet også forudsætte, at ansvaret for levering af almenmedicinske tilbud skulle
varetages af kommuner, som vurderes at være forbundet med en række uhensigtsmæssigheder. Den
alternative model vurderes dermed ikke at kunne understøtte en reel omstilling af sundhedsvæsenet.
Øgede incitamenter for kommuner til at investere i sundheds­ og ældreområdet
Kommunernes tilskyndelser til at prioritere en effektiv sundheds- og ældrepleje begrænses i dag af, at en
del af de økonomiske gevinster ved disse prioriteringer i mange tilfælde vil tilfalde regionerne i form af bl.a.
reducerede udgifter til sygehusbehandling (se kapitel 8). De kommunale tilskyndelser risikerer at blive
yderligere svækket ved en målretning af midler til løft af tilbud og indsatser på det kommunale sundheds-
og ældreområde. Tiltaget kan isoleret set risikere at give kommunerne en tilskyndelse til at afvente en
regional prioritering af opbygning af nødvendige kapaciteter og kompetencer.
Der findes allerede i dag en kommunal incitamentsmodel i form af kommunal medfinansiering af en del
af den regionale sygehusaktivitet (KMF). Det er imidlertid vurderingen, at potentialet ved en kommunal
medfinansiering er vanskeligt at realisere. Erfaringerne fra den nuværende kommunale medfinansiering
er bl.a., at kommunernes reelle styringsmuligheder er begrænsede, fordi kommunerne ikke har indflydelse
på regionernes sygehuskapacitet. Det er derfor vurderingen, at modellen for kommunal medfinansiering
ikke styrker kommunernes incitament til at prioritere og investere i det kommunale sundheds- og ældre-
område. Desuden har datagrundlaget bag ordningen vist sig ikke at være tilstrækkelig robust til formålet,
og ordningen har bidraget til en betydelig budgetusikkerhed for kommunerne. Kommissionen foreslår i
stedet et resultatafhængigt tilskud for kommunerne.
Modellen indebærer, at et statsligt tilskud til kommunerne betinges af, at kommunerne lever op til en række
fastlagte mål. De konkrete mål skal overvejes og udvikles, men kan omfatte konkrete effektmål, som afspej-
ler kommunernes indsats på forebyggelses- og ældreområdet. Målene kan også i et begrænset omfang
omfatte procesrelaterede krav, fx om implementering af kvalitetsstandarder for nære indsatser. Et væsent-
ligt sigte er, at målene skal være enkle og transparente og ikke medføre unødige administrative ressourcer,
ligesom kommunerne gennem egne indsatser og prioriteringer i meget høj grad skal kunne påvirke resul-
tatmålene, der er tilknyttet tilskuddet. Målene skal også være fagligt meningsfulde for personalet.
SUU, Alm.del - 2023-24 - Bilag 317: Orientering om Sundhedsstrukturkommissionens afrapportering, fra indenrigs- og sundhedsministeren
2880227_0363.png
1
2
3
4
Del 4 - Opgavesamling, forvaltningsmodeller, implementering og økonomi
363
Modellen vil betyde en øget tilskyndelse for kommunerne til at prioritere en effektiv sundheds- og ældre-
pleje, da de opstillede mål vil blive et væsentligt omdrejningspunkt i den kommunale prioritering.
Der lægges med forslaget op til, at den kommunale medfinansiering afskaffes som følge af de beskrevne
udfordringer ved modellen og som en konsekvens af indførelse af resultatafhængigt tilskud for kom­
munerne.
Sundhedsklyngernes rolle
Sundhedsstrukturkommissionen vurderer, at sundhedsklyngerne i den eksisterende struktur ikke fungerer
som et effektivt beslutningsforum for større tværgående prioriteringer i sundhedsvæsenet. Implements
analyse af sundhedsklyngerne viser, at kun 25 pct. af klyngedeltagerne på fagligt/strategisk niveau vurderer,
at tidsforbruget i sundhedsklyngerne står mål med værdiskabelsen.
300
Analysen peger samtidig på, at
omfanget af bureaukrati bl.a. skyldes politisering af klyngernes arbejde og den organisatoriske komplek-
sitet, der i et vist omfang er et resultat af politiseringen.
Kommissionen vurderer, at det i model 3 fortsat vil være relevant med et tværsektorielt samarbejde om
udbygning af det primære sundhedsvæsen, men i lyset af ovennævnte analyse er det vurderingen, at der
er behov for grundlæggende at ændre på den nuværende konstruktion omkring sundhedsklynger, herunder
sammensætning og funktion.
For at reducere bureaukrati og styrke det operationelle potentiale kan det overvejes, at regionerne repræ-
senteres af nærudvalgsformænd i stedet for regionsrådsformænd, og kommunerne kan være repræsenteret
af udvalgsformænd, eventuelt som stedfortræder for borgmestrene. Det vil understøtte de fremtidige
klynger som et forum af politikere, der har større viden og kompetencer indenfor det primære sundheds-
væsen i det geografiske område, som sundhedsklyngen dækker.
Sundhedsstrukturkommissionen har desuden overvejet, om det vil være hensigtsmæssigt, hvis de frem­
tidige klynger får råderet over egne budgetter. Det kunne principielt styrke beslutningskraften i klyngerne,
men kommissionen vurderer dog, at det ud fra en samlet betragtning vil være uhensigtsmæssigt. Et selv-
stændigt budget i klyngerne vil reelt etablere et fjerde forvaltningsled, og det vil bidrage yderligere til
kompleksiteten på området, bl.a. reducere regioners og kommuners incitament til at styrke det primære
sundhedsvæsen og til at investere egne midler og ressourcer i forebyggelse af indlæggelser m.v. Derfor
lægges der ikke op til, at klyngerne får råderet over egne midler.
Det kan i stedet overvejes, om fremtidige sundhedsklynger kan bruges til at rådgive om fordelingen af de
regionale demografimidler. Dermed vil klyngerne i højere grad end nu kunne få indflydelse på prioritering
af væsentlige økonomiske midler, uden at det samtidig vil medføre mere bureaukrati og uhensigtsmæssige
incitamenter. Til at understøtte en sådan rolle for klyngerne kan det desuden overvejes at styrke klyngernes
adgang til relevante lokale data, fx vedrørende nationale mål på klyngeniveau eller øvrige data om lokale
udfordringer, som kan anvendes til at målrette initiativer.
Det er også en overvejelse, om de føromtalte nærudvalg kan udgøre et alternativt politisk beslutningsforum
i forhold til udbygning af det primære sundhedsvæsen. Kommissionen har dermed overvejet, om kommu-
nerne kan gives en form for repræsentation i de politiske udvalg under regionsrådet. Her vil de kommunale
repræsentanter være med til at rådgive og præge den indstilling, der lægges op i regionsrådet. Det vil kunne
styrke opmærksomheden på det primære sundhedsvæsen i de beslutninger, der træffes i regionsrådet.
Den kommunale repræsentation kan ske ved nedsættelse af særlige udvalg, som fremgår af lov om kom-
munernes styrelse §17, stk. 4 – også kaldet § 17, stk. 4­udvalg – der nedsættes til varetagelse af bestemte
hverv eller til udførelse af forberedende eller rådgivende funktioner for regionsrådet, forretningsudvalget
eller de stående udvalg. Regionsrådet kan i dag efter regionsloven nedsætte disse særlige udvalg, og
regionsrådet bestemmer de særlige udvalgs sammensætning og fastsætter regler for deres virksomhed.
De særlige udvalg vil kunne få en forberedende eller rådgivende funktion for de føromtalte nærudvalg og/
300 Implement Consulting Group, “Udfordringer og potentialer i samspillet mellem sektorer og for sammenhængende patientforløb”, 2024.
SUU, Alm.del - 2023-24 - Bilag 317: Orientering om Sundhedsstrukturkommissionens afrapportering, fra indenrigs- og sundhedsministeren
2880227_0364.png
364
1
2
3
4
Del 4 - Opgavesamling, forvaltningsmodeller, implementering og økonomi
eller regionsrådet. Den kommunal repræsentation kan også ske i de regionale nærudvalg, som har egentlig
forvaltningskompetence. I forhold til nærudvalgene kan den kommunale repræsentation fx tage form af en
observationsret med rådgivende kompetencer.
Det vil efter kommissionens vurdering være værd at afsøge, om kommunerne kan få en hensigtsmæssig
repræsentation i regionens politiske udvalg, så udvalgene med fordel kan erstatte de nuværende sundheds-
klynger. Følgelig bør det overvejes nærmere, om der parallelt skal etableres et administrativt samarbejds-
forum, fx om lokal udmøntning af indgåede sundhedsaftaler.
Stærkere krav til kommunernes indsatser og samarbejder
Som en konsekvens af, at der i model 3 kun sker en begrænset flytning af kommunale opgaver, vil der
efter kommissionens vurdering være et særligt behov for en stærkere statslig styring af kvaliteten af de
kommunale sundheds­ og forebyggelsesindsatser. Samtidig kan der være behov for at stille krav om, at
regionerne i højere grad forpligtes til at stille sundhedsfaglige kompetencer til rådighed, både i form af fast
læge relevante steder, men også i form af rådgivning.
I model 3 vil Sundhedsstrukturkommissionens forslag om en udvidet kvalitetsplan på det kommunale
område udgøre et central, statsligt styringsværktøj for at understøtte omstillingsprocessen på sundheds-
området. Forslaget om en videreudvikling af kvalitetsstandarderne vil dermed udgøre et vigtigt redskab
for at sikre bedre sammenhæng i patientforløb og større faglig bæredygtighed i den kommunale opgave-
varetagelse (se kapitel 11).
Kvalitetsstandarderne skal øge kvaliteten i de primære sundhedsindsatser ved at beskrive krav og anbefa-
linger, der understøtter, at borgerne får tilbudt indsatser, der er baseret på viden om, hvad der giver den
bedste sundhedsmæssige effekt. Samtidig skal kvalitetstandarderne bidrage til ensartet og kendt kvalitet
i indholdet af indsatserne, som det øvrige sundhedsvæsen er afhængig af at kunne henvise til. Kvalitets­
standarderne skal udvikles til at kunne gå på tværs af sektorer, give bedre mulighed for at stille krav om
tværkommunal opgaveløsning, styrke monitoreringen hvor relevant og eventuelt kombinere løsningerne
med økonomiske incitamenter. I model 3 er det også centralt, at kvalitetsstandarder skal imødegå
udfordringer om uklart ansvar for det samlede patientforløb i et sektoropdelt sundhedsvæsen.
Nye kvalitetsstandarder kan fx omhandle områder, hvor der er potentiale for, at sygehusindsatser til fordel
for borgerne erstattes af nære og let tilgængelige patientuddannelsestilbud. Der kan udvikles kvalitets-
standarder på områder, hvor der er særligt behov for at understøtte en samlet kæde af indsatser på tværs
af sektorer. Kvalitetsstandarderne kan videreudvikles med stærkere krav til tværkommunalt samarbejde
med henblik på at styrke den faglige bæredygtighed og en tilstrækkelig ensartet kvalitet.
Finansiering af sundhedsregioner
Finansieringsmodellen for model 3 vil være en videreførelse af den gældende finansieringsmodel for
regionerne, hvor statens bloktilskud på sundhedsområdet fordeles på baggrund af regionernes udgifts-
behov som opgjort ud fra objektive kriterier, der vil skulle tilpasses den valgte model, herunder til myndig-
heders opgaveområde og størrelse.
Sundhedsstrukturkommissionen foreslår derfor, at der i forbindelse med en ny organisering af sundheds-
væsenet igangsættes en analyse af finansieringen som følge af den endelige forvaltningsmodel og opgave-
sammensætning samt yderligere behov for tilpasninger af fordelingskriterierne for det statslige bloktilskud
til sundhedsområdet. Kommissionen vurderer dermed, at der er et forbedringspotentiale i forhold til at
sikre en finansiering, der bedst muligt afspejler myndighedernes faktiske udgiftsbehov og forskellige vilkår
for opgaveløsningen.
SUU, Alm.del - 2023-24 - Bilag 317: Orientering om Sundhedsstrukturkommissionens afrapportering, fra indenrigs- og sundhedsministeren
2880227_0365.png
1
2
3
4
Del 4 - Opgavesamling, forvaltningsmodeller, implementering og økonomi
365
Sundhedsstrukturkommissionen finder det fortsat relevant at inddrage kriterier for strukturelle og socio-
økonomiske forhold, og det kan generelt være relevant at gennemgå kriterierne med henblik på eventuelle
justeringer. Kriterierne vil fortsat skulle leve op til krav for sådanne fordelingskriterier (se kapitel 17).
Samtidig foreslår kommissionen med model 3 at nedlægge den kommunale medfinansieringsordning
(KMF) og nærhedsfinansieringen, da ordningerne ikke har vist sig at have de ønskede virkninger.
301
I forlængelse af forslaget om, at en del af kommunernes finansiering gøres betinget af resultater med
sammenhæng til en styrket forebyggelse og pleje, bør det bemærkes, at en resultatfinansiering potentielt
kan indebære en omfordeling af kommunernes finansiering, fordi fordelingen vil ske på baggrund af andre
kriterier end objektive udgiftsbehov. Der skal derfor findes en balance med hensyn til, hvor stor en del af
finansieringen der skal være bundet op på kommunernes resultater, og hvor meget der skal tildeles ud fra
indikatorer på kommunernes udgiftsbehov.
Sundhedsstrukturkommissionen vurderer, at den foreslåede ordning med resultatfinansiering vil indebære
en væsentlig administrativ lempelse i forhold til den nuværende kommunale medfinansiering. Afskaffelse af
den kommunale medfinansieringsordning kan være forbundet med byrdefordelingsmæssige konsekvenser,
som skal håndteres.
Overvejelser om alternative modeller med ingen eller mindre opgavesamling
Som et alternativ til model 3 har kommissionen overvejet en model, hvor der sker ingen eller et mindre
opgaveflyt fra kommunerne, men hvor regionerne nedlægges og staten får ansvaret for regionernes
nuværende opgaver, som primært omfatter sygehusene og praksissektoren. Sundhedsstrukturkommis­
sionen er imidlertid ikke gået videre med den model. Det er kommissionens vurdering, at en sådan model
samlet set ikke vil understøtte et sundhedsvæsen, hvor der er mere sammenhæng og stærkere tilskyndelser
til at prioritere det primære sundhedsvæsen sammenlignet med den nuværende organisering.
Den vurdering er baseret på, at hvis staten blot overtager regionernes nuværende opgaver, vil problemerne
med det sektoropdelte sundhedsvæsen i bedste fald bestå og i værste fald risikere at blive forværret.
Et statsligt driftsansvar for sygehusene vil alt andet lige give stærkere tilskyndelser fra national side til
at prioritere det sekundære sundhedsvæsen, som risikerer at ske på bekostning af det primære sundheds-
væsen. Samtidig må det antages, at det – sammenlignet med den nuværende koordinering mellem regioner
og kommuner – vil være mindst lige så vanskeligt at sikre en hensigtsmæssig koordinering imellem staten
og 98 kommuner om at sikre gode og sammenhængende indsatser for borgerne.
Kommissionen har desuden overvejet en variant, hvor medlemmerne af regionsrådet udpeges af kom-
munalbestyrelserne i det scenarie, hvor der ikke sker en større samling af kommunale opgaver på det
regionale niveau. Styreformen i den variant vil være lig den, der er beskrevet under model 1a. Det er
imidlertid kommissionens vurdering, at der i det scenarie, hvor der ikke sker en større opgavesamling,
vil være en betydelig risiko for, at de kommunalt udpegede repræsentanter primært vil søge at tilgodese
deres egen kommunes interesse, og kommunerne vil underinvestere i de opgaver, som er nært beslægtede
med de opgaver, som er under regionernes ansvar. Det vil risikere at føre til underinvesteringer og vil
potentielt kunne forstærke de eksisterende høste­så­problematikker (se kapitel 8). Derfor er Sundheds-
strukturkommissionen ikke gået videre med den variant.
Vurdering af model 3
Boks 15.5 opsummerer de primære fordele og ulemper ved forvaltningsmodel 3 i sammenligning med den
nuværende organisering af sundhedsvæsenet. Efterfølgende gennemgås fordele og ulemper ved modellen
ud fra de seks hensyn, der blev opstillet i kapitel 6.
301 Sundhedsstrukturkommissionen. "Sundhedsstrukturkommissionens baggrundsrapport". 2024.
SUU, Alm.del - 2023-24 - Bilag 317: Orientering om Sundhedsstrukturkommissionens afrapportering, fra indenrigs- og sundhedsministeren
2880227_0366.png
366
1
2
3
4
Del 4 - Opgavesamling, forvaltningsmodeller, implementering og økonomi
Boks 15.5
Primære fordele og ulemper ved model 3 ud fra de centrale hensyn
Sammenlignet med den nuværende organisering af sundhedsvæsenet indebærer model 3 følgende
fordele:
Modellen indeholder en række nye styringstiltag, som understøtter opbygning og udvikling af det
primære sundhedsvæsen.
Den nationale målretning af midler til det primære sundhedsvæsen udgør et betydeligt økonomisk
løft i form af varige midler, som skal udmøntes årligt. Sammenlignet med i dag vil regionerne få
et stærkere incitament til at prioritere indsatser i det primære sundhedsvæsen, som kan reducere
behovet for sygehusaktivitet.
Styrkede statslige krav til den kommunale opgavevaretagelse, bl.a. indførelse af en ny incitaments-
model for kommunerne, vurderes at kunne medvirke til øget politisk opmærksomhed på sundheds-
og ældreområdet i kommunerne og generelt større og mere ensartet kvalitet på tværs af landet.
Oprettelsen af nærudvalg i de nye sundhedsregioner vurderes at styrke grundlaget for tværsektorielt
samarbejde i det primære sundhedsvæsen, fx om sammenhængende indsatser for borgere.
I og med at modellen sigter på at udvikle sundhedsvæsenet uden at ændre grundlæggende ved
den nuværende opgave- og ansvarsfordeling, indebærer model 3 begrænsede omstillings- og
implementeringsomkostninger.
En model med tre regioner giver øget faglig bæredygtighed i forhold til sygehusdrift.
Sammenlignet med den nuværende organisering af sundhedsvæsenet indebærer model 3 følgende
ulemper:
Det foreslåede styringstiltag om målretning af midler til det primære sundhedsvæsen indebærer en
risiko for, at kommunerne sammenlignet med i dag har svagere tilskyndelse til at prioritere indsatser
på sundheds- og ældreområdet. Den risiko forsøges imødegået ved at indføre en særskilt resultat-
finansiering for kommunerne og ved en udvidet kvalitetsplan og forpligtende kvalitetsstandarder.
Det foreslåede styringstiltag om målretning af midler til det primære sundhedsvæsen forudsætter
et øget behov for løbende at forhandle og indgå aftaler på tværs af myndigheder. Det må forventes
at medføre et øget administrationsbehov.
Modellen indebærer en stærkere statslig styring af særligt den kommunale opgavevaretagelse
på sundheds- og ældreområdet og dermed i udgangspunktet et reduceret prioriteringsrum for
kommunerne.
Hensyn 1: Et sundhedsvæsen med høj kvalitet for alle borgere i hele landet
I varianten, hvor der oprettes tre sundhedsregioner, vil de større regionale enheder understøtte en bedre
fordeling af ressourcer og kompetencer til de områder af landet, hvor der i dag er stort behov for sundheds-
tilbud, men få ressourcer til at dække behovene. Det vil give mulighed for at give højere kvalitet i sundheds-
ydelserne til flere borgere end i dag.
I model 3 understøttes desuden mere ensartet høj kvalitet gennem udvikling af kvalitetsplanen for det
primære sundhedsvæsen. De styrkede kvalitetskrav vil styrke kvaliteten og medvirke til en øget ensartethed
på tværs af kommunerne. Der vil i model 3 ske en national målretning af midler til opbygning og udvikling
af det primære sundhedsvæsen, som vil betyde, at indsatserne i det primære sundhedsvæsen styrkes i hele
landet, bl.a. i de kommuner, der i dag har færre ressourcer til den type af indsatser.
Hensyn 2: Et sundhedsvæsen, hvor borgerne har let adgang til relevante sundhedstilbud
Øgede kvalitetskrav til kommunerne kan være med til at sikre, at der i flere kommuner end i dag vil være
bedre adgang til relevante sundhedstilbud. Det skyldes, at kravene til at levere og dermed gøre bestemte
tilbud tilgængelige skærpes i model 3.
SUU, Alm.del - 2023-24 - Bilag 317: Orientering om Sundhedsstrukturkommissionens afrapportering, fra indenrigs- og sundhedsministeren
2880227_0367.png
1
2
3
4
Del 4 - Opgavesamling, forvaltningsmodeller, implementering og økonomi
367
Varianten med tre sundhedsregioner kan indebære, at nogle borgere vil opleve, at de får længere til
relevante sundhedstilbud sammenlignet med, hvis det fastholdes at have fem regioner. Oprettelsen af
nærudvalg skal modgå den mulige centralisering ved at reducere antallet af regioner fra fem til tre.
I model 3 ændres ikke ved patientrettigheder, frit valg i sundhedsvæsenet eller muligheden for at give
borgerne valgmuligheder.
Hensyn 3: Et sundhedsvæsen med stærk sammenhæng i borgernes forløb
Vurderingen ud fra hensynet her afhænger af omfanget af opgavesamlingen. Tages der udgangspunkt i en
mindre samling af opgaver, ændrer model 3 ikke afgørende ved den nuværende sektoropdeling i sundheds-
væsenet. Til gengæld introduceres der med model 3 nye styringstiltag, som fremover vil understøtte en
målretning af midler til udbygning og omstilling af det primære sundhedsvæsen. Det indebærer de facto
et vækstloft for sygehussektoren, som vurderes at styrke det primære sundhedsvæsen med potentiale til at
skabe bedre sammenhæng for patienter og medvirke til at forhindre unødvendige sygehusindlæggelser.
Det foreslåede resultattilskud under model 3 vil skulle udformes sådan, at det understøtter kommunernes
incitamenter til bl.a. at udbygge sundhedstilbud, indføre kvalitetsstandarder og dermed sikre mere
sammenhængende patientforløb.
Model 3 indebærer tiltag, der vurderes at styrke dialog om omstilling og styrket sammenhæng på tværs af
kommuner og regioner.
Hensyn 4: Et sundhedsvæsen, der giver borgerne mest mulig sundhed for de tilgængelige
ressourcer
Modellens styringstiltag med målretning af regionale demografimidler vil indebære et implicit loft for
væksten i sygehusenes økonomi og vil understøtte omkostningseffektive omstillinger af behandling til det
primære sundhedsvæsen. Det indebærer et potentiale for bedre brug af ressourcer sammenlignet med i
dag.
Hensyn 5: Et sundhedsvæsen med effektiv politisk styring og demokratisk kontrol
Modellen indebærer direkte valgt politisk ledelse i alle tre forvaltningsled, som det også er tilfældet i dag.
Den regionale politiske styring foreslås dog at blive effektiviseret ved at reducere antallet af medlemmer
af regionsrådet.
Det politiske ledelsesansvar er i model 3 grundlæggende som i dag, men der sker med modellen en øget
statslig styring i form af en national sundhedsplan, nye styringstiltag og skærpede kvalitetskrav til den
kommunale opgaveløsning. Sundhedsstrukturkommissionen vurderer, at en øget statslig styring på
områderne er nødvendig for at understøtte omstillingen til det primære sundhedsvæsen. Samtidig vil den
statslige styring på sygehusområdet kunne slækkes i den variant, hvor antallet af regioner reduceres til tre,
og der dermed vil komme færre transaktioner på tværs af regionerne sammenlignet med i dag.
I dag har sundhedsklyngerne repræsentation af politikere fra kommuner og regioner. De fremtidige sund-
hedsklynger kan tillægges en styrket rolle ved at give dem indflydelse på prioriteringen af demografimidler.
Med modellen kan klyngerne grundlæggende ændres og styrkes som et forum, hvor politiske og administra-
tive ledere drøfter og finder fælles løsninger for udbygningen af det primære sundhedsvæsen.
Hensyn 6: Implementeringsomkostninger
I model 3 tages der udgangspunkt i den nuværende opgave­ og ansvarsfordeling. Det betyder, at der ikke
skal prioriteres ressourcer til overgang og implementering af en helt ny forvaltningsmodel. Den vurdering
afhænger dog af, hvilke og hvor mange opgaver der samles under sundhedsregionerne og af antallet af
sundhedsregioner.
Ses der bort fra flytning af opgaver og en eventuel reduktion fra fem til tre regioner, kan de nye styrings­
tiltag og opbygning og udvikling af det primære sundhedsvæsen, som ligger i model 3, iværksættes
umiddelbart, fordi der ikke i væsentlig grad ændres på myndigheder, opgavefordeling eller ansættelses-
forhold. Der vil dermed med modellen være ledelsesmæssig kapacitet til at fokusere på at udbygge
SUU, Alm.del - 2023-24 - Bilag 317: Orientering om Sundhedsstrukturkommissionens afrapportering, fra indenrigs- og sundhedsministeren
2880227_0368.png
368
1
2
3
4
Del 4 - Opgavesamling, forvaltningsmodeller, implementering og økonomi
de primære sundhedstilbud og på at implementere de væsentlige tværgående forslag, fx i forhold til
det almenmedicinske tilbud, data og digitalisering og tilpasset fordeling af ressourcer i sundhedsvæsenet
(se kapitlerne 9­11).
De foreslåede styringstiltag indebærer et implicit vækstloft for sygehussektoren, som vil kræve et betydeligt
fokus i sundhedsregionerne at implementere på en god og bæredygtig måde.
Sammenfattende vurdering af modeller
Sundhedsstrukturkommissionen ser et stort potentiale i en stærkere integration af opgaveansvaret på
sundheds­ og ældreområdet, men anerkender samtidig, at en meget omfattende flytning af opgaver kan
have afledte negative effekter, som rækker ud over sundhedsområdet, fx i form af konsekvenser for kommu-
nernes generelle opgaveløsning og prioriteringsmuligheder. Derudover vil en større opgaveflytning medføre
betydelige omstillings­ og implementeringsomkostninger, både på kort og langt sigt. Samtidig viste kapitel
14, at den organisatorisk integrerede måde, som mange kommuner løser opgaver på sundheds­ og ældre-
området på, gør det vanskeligt at foretage delvise og moderate opgaveflytninger.
Det er baggrunden for, at kommissionen har opstillet og vurderet tre forvaltningsmodeller, som tager afsæt
i henholdsvis en stor eller mellemstor samling af opgaver på sundheds- og ældreområdet og en mindre
samling af opgaver under én myndighed. Det betyder ikke, at der kun kan ske enten en samling af alle eller
ingen opgaver på sundheds- og ældreområdet sammenlignet med den opgave- og ansvarsfordeling, der
gælder i dag. De tre modeller skal derimod forstås sådan, at model 1 og 2 er kommissionens bud på, hvilke
forvaltningsmodeller der bedst håndterer det scenarie, hvor man politisk ønsker at gennemføre en meget
markant og hastig samling af ansvaret for de opgaver på sundheds- og ældreområdet, som i dag er delt
imellem regioner og kommuner. Model 3 er kommissionens bud på en forvaltningsmodel, hvor det primært
er andre tiltag end opgavesamling, der skal styrke udviklingen af sundhedsvæsenet.
Model 1 har den væsentlige fordel, at den skaber et enhedssundhedsvæsen, hvor der er en klar ansvars-
fordeling, og hvor der skabes gode betingelser for at give patienten et sammenhængende behandlings-
forløb. Det er også den model, der indeholder de stærkeste tilskyndelser til at investere i opgaver i det
primære sundhedsvæsen, som ligger udenfor sygehusene, og som vil kunne understøtte, at der kan ske
en løbende udvikling og tilpasning af opgaveløsningen mellem faggrupper, som i dag er adskilt på tværs af
sektorer. Det er dermed også den model, der på sigt vurderes at have størst potentiale for at realisere den
ønskede omstilling af sundhedsvæsenet og dermed gavne de patienter, som bør håndteres udenfor syge-
husene. I sammenligning med de øvrige modeller indebærer model 1 en ulempe i styringen af det sekun-
dære sundhedsvæsen, fordi sygehusdriften skal forvaltes af flere, mindre regionale enheder end i dag,
som kan reducere den faglige bæredygtighed på sygehusområdet. Ved direkte valg til de nye sundheds-
og omsorgsregioner vil den demokratiske kontrol være høj i modellen, imens den politiske nærhed til
opgaveløsningen nok vil opleves større i den variant, hvor sundheds- og omsorgsregionerne ledes af et
regionsråd udpeget af kommunalbestyrelserne i regionen. Modellen indebærer betydelige implemente-
ringsomkostninger, da der skal oprettes nye regionale enheder, og et stort antal medarbejdere både på
tværs af regioner og på tværs af regioner og kommuner vil skifte ledelse og flytte arbejdssted. Dertil
kommer afledte konsekvenser for kommunernes økonomi og prioriteringsrum.
I de forudgående er de tre forvaltningsmodeller blevet vurderet op imod den nuværende forvaltningsmodel
for sundhedsvæsenet. I det følgende giver Sundhedsstrukturkommissionen en kort sammenfattende
vurdering af de tre modeller set i forhold til hinanden.
Model 2 skaber som model 1 et enhedssundhedsvæsen, da det øverste politiske ansvar for driften af
sundhedsvæsenet i den model forankres hos den ansvarlige minister. Det vil på den ene side skabe en klar
ansvarsfordeling, incitamenter til sammenhæng i patientforløb og tilskyndelser til at investere i indsatser
udenfor sygehusene, som særligt vil gavne de patienter, der bør håndteres udenfor sygehusene. Det er dog
kommissionens vurdering, at potentialet for sammenhængende patientforløb og omstilling reelt er svagere
i model 2 end model 1, fordi der i et statsligt sundhedsvæsen vil være større afstand til de indsatser, der
skal investeres og udbygges lokalt. På digitaliseringsområdet og i forhold til den geografiske omfordeling
af ressourcer, herunder fordeling af lægeressourcer til de områder af landet, hvor der er størst behov, er det
kommissionens vurdering, at det entydige arbejdsgiveransvar i model 2 gør, at modellen på disse dimensio-
SUU, Alm.del - 2023-24 - Bilag 317: Orientering om Sundhedsstrukturkommissionens afrapportering, fra indenrigs- og sundhedsministeren
2880227_0369.png
1
2
3
4
Del 4 - Opgavesamling, forvaltningsmodeller, implementering og økonomi
369
ner i princippet står stærkest af de tre opstillede forvaltningsmodeller. Omvendt vurderes modellen at have
væsentlige svagheder, når det gælder udgiftsstyring og løbende tilpasninger og reformer af sundheds-
væsenet. Her vil det entydige driftsansvar hos den ansvarlige minister svække det nationale politiske
niveaus evne og vilje til at gennemføre svære, men nødvendige reformer og omstillinger. Modellen vurderes
desuden at stå svagere end model 1 og 3 i forhold til at sikre nærhed og demokratisk forankring i opgave­
løsningen, fordi model 2 vil indebære, at det på grund af kapacitetsproblemer og flaskehalse på det
nationale politiske niveau reelt vil være udpegede bestyrelser, som varetager den store og vigtige velfærds-
opgave, som sundhedsvæsenet udgør.
Model 3 står stærkt i forhold til styring af det sekundære sundhedsvæsen, hvor både en variant med tre
eller fem regioner vil omfatte enheder med en høj selvforsyningsgrad. Varianten med tre regioner vurderes
at være den, der har det bedste potentiale i forhold til sygehusdrift og i forhold til at fordele ressourcerne
til de områder, hvor der i dag er færrest lægelige ressourcer og dermed gavne de patienter, der i dag har
lang afstand til lægen. Dog kan varianten med tre regioner samtidig svække den relative demokratiske
repræsentation for de nuværende mindre regioner, ligesom det store antal kommuner relativt til regionerne
kan være begrænsende i forhold til bedre sammenhæng. Varianten med fem regioner vil skulle sikre en
bedre ressourcefordeling i kraft af de tværgående anbefalinger om en tilpasset fordeling (se kapitel 11).
Den væsentlige ulempe ved model 3, uanset variant, er, at den på trods af et mindre opgaveflyt er den
model, hvor ansvaret for opgaver på sundheds- og ældreområdet stadig vil være mest delt på tværs af
regioner og kommuner. Derfor vurderes modellen, i sammenligning med model 1 og 2, at have svagere
tilskyndelser til at sikre sammenhæng i patientforløb og til at sikre en investering og omstilling til det
primære sundhedsvæsen. Et fortsat sektoropdelt sundhedsvæsen vurderes også at kunne udgøre en
barriere for en løbende nødvendig tilpasning af opgavefordelingen mellem faggrupper, bl.a. mellem læger og
sygeplejersker. En række styringstiltag i model 3 skal til en vis grad kompensere for, at der med modellen
ikke etableres et enhedssundhedsvæsen. Det vurderes under alle omstændigheder at forudsætte et betyde-
ligt fokus i sundhedsregionerne på at omstille sygehusene og prioritere en udvikling af det primære
sundhedsvæsen, bl.a. det almenmedicinske tilbud.
Model 3 vurderes, at give gode muligheder for en effektiv styring af udgifterne til sundhedsvæsenet, og den
indebærer, i sammenligning med model 1 og 2, langt færre implementeringsomkostninger. Den politiske
og administrative ledelse vil med det samme kunne fokusere på at implementere de foreslåede styrings-
og reformtiltag.
Afledte konsekvenser for regionernes øvrige opgaver
Sundhedsstrukturkommissionen er blevet bedt om at beskrive hovedmodellernes eventuelle afledte
konsekvenser for regionernes øvrige opgaveområder. Det omfatter regionernes opgaver med regional
udvikling, bl.a. kollektiv trafik, miljø, ungdomsuddannelse m.v. og drift af tilbud og institutioner indenfor
det specialiserede socialområde og specialundervisning.
302
De tre hovedmodeller har følgende afledte konsekvenser for regionernes øvrige opgaver:
• I model 1 erstattes de eksisterende regioner af nye sundheds- og omsorgsregioner. Der vil i den forbin-
delse skulle tages stilling til, hvorvidt de øvrige regionale opgaver skal varetages af den nye myndighed
eller skal placeres i enten kommuner eller hos staten.
• I model 2 nedlægges regionerne, som indebærer, at der skal tages stilling til alternativ placering
af regionernes øvrige opgaver.
• I model 3 bevares regionerne. Der vil i den forbindelse skulle tages stilling til, om de øvrige regionale
opgaver fortsat skal varetages af regionerne eller skal placeres i enten kommuner eller hos staten.
Der vil dermed i model 1 og 3 skulle tages stilling til, om der skal overvejes en alternativ placering af de
øvrige regionale opgaver, mens det i model 2 vil være en bunden opgave. Ved valg af model 2 vil regionernes
øvrige opgaver dermed skulle placeres i enten kommuner eller i staten.
302 Sundhedsstrukturkommissionen. "Sundhedsstrukturkommissionens baggrundsrapport". 2024.
SUU, Alm.del - 2023-24 - Bilag 317: Orientering om Sundhedsstrukturkommissionens afrapportering, fra indenrigs- og sundhedsministeren
2880227_0370.png
370
1
2
3
4
Del 4 - Opgavesamling, forvaltningsmodeller, implementering og økonomi
Sundhedsstrukturkommissionen anbefaler, at der ved model 1 og 3 overvejes en alternativ placering af
regionernes øvrige opgaver. Til anbefalingen følger forslagene:
1. De nye sundheds­ og omsorgsregioner (model 1) eller regionerne (model 3) bør som udgangspunkt
alene varetage opgaver på sundheds- og ældreområdet.
2. De øvrige regionale opgaver vil skulle placeres i enten kommuner eller staten, hvis der kan findes en
hensigtsmæssig alternativ placering.
Baggrunden for kommissionens forslag er et ønske om at få rettet fuldt politisk og administrativt fokus
på kerneopgaven, som vil sige sundhedsopgaven. Sundhedsstrukturkommissionen bemærker i den for­
bindelse, at der vurderes at være meget begrænset sammenhæng mellem sundhedsområdet og opgaverne
under regional udvikling.
Ved overvejelser om flytning af opgaven om drift af sociale tilbud og specialundervisning bør det være et
centralt hensyn, at opgaven kan varetages med faglig bæredygtighed.
Uanset forvaltningsmodel afgiver Sundhedsstrukturkommissionen ikke konkrete forslag til alternative
placeringer af de øvrige opgaver.
Kommissionen bemærker desuden, at der kan ske en bedre ressourceanvendelse, hvis de øvrige regionale
opgaver løses i sammenhæng med beslægtede arbejdsområder i stat eller kommuner. Det gælder fx trafik­,
miljø­ og uddannelsesområdet, hvor opgaver på områderne i dag er fordelt ud på flere forvaltningsled.
SUU, Alm.del - 2023-24 - Bilag 317: Orientering om Sundhedsstrukturkommissionens afrapportering, fra indenrigs- og sundhedsministeren
2880227_0371.png
1
2
3
4
Del 4 - Opgavesamling, forvaltningsmodeller, implementering og økonomi
371
Kapitel 16: Ledelse og
implementering af omstillingen
af sundhedsvæsenet
I kapitlerne 9­15 er der fremlagt en række forslag til organisatoriske forandringer af det danske sundheds-
væsen. Sundhedsstrukturkommissionen vurderer, at forandringerne er nødvendige for at sikre sammen-
hæng, kvalitet og nærhed i det danske sundhedsvæsen. De organisatoriske forandringer er imidlertid ikke
tilstrækkelige til at sikre den nødvendige udvikling og omstilling af sundhedsvæsenet. Hvis de skal føre til
reelle forbedringer i de sundhedstilbud, som borgerne møder, skal de forandre den måde, der arbejdes
og samarbejdes på i sundhedsvæsenet. Det kræver dedikeret ledelse på alle niveauer af ledelseskæden at
skabe gode rammer og kultur for samarbejde.
Der er en tæt sammenhæng mellem organisering og ledelse. Organisering skaber rammer for ledelse. Er det
fx et sygehus, en kommune eller et almenmedicinsk tilbud, der skal ledes? Hvilke opgaver får lederen
ansvaret for, og hvilke formelle ledelsesbeføjelser får lederen til at understøtte, at medarbejderne løser
opgaverne med engagement og høj kvalitet? Der kan være god og mindre god ledelse i alle strukturer,
men ledelsesrummet defineres af de strukturelle og organisatoriske rammer.
Sundhedsstrukturkommissionens anbefalinger, forslag og modeller for organisatoriske forandringer
påvirker dermed ledelsesopgaven i sundhedsvæsenet. Forslaget om en stærkere styring af den geografiske
fordeling af sundhedspersonale vil give de ledere, som i dag har svært ved at rekruttere medarbejdere,
bedre mulighed for at ansætte de medarbejdere, som er nødvendige for at løse opgaven tilfredsstillende.
Forslaget om at lave en basisfunktionsbeskrivelse for det almenmedicinske tilbud giver mulighed for, at den
ansvarlige myndighed ansætter ledere, som i højere grad leder samarbejde og udvikling af de almenmedi-
cinske tilbud. Den foreslåede organisatoriske oprustning på data- og digitaliseringsdelen stiller nye krav
til personaleledelse og til ledernes digitale kompetencer. Forslaget om en organisatorisk integration af
psykiatrien og somatikken vil kræve vedholdende og stærk ledelse for at få den organisatoriske integration
omsat til et reelt og ligeværdigt samarbejde imellem forskellige faggrupper og faglige traditioner.
Kommissionens tre forvaltningsmodeller bygger i varierende grad på et rationale om at muliggøre ledelse
af patientforløb ved at nedbryde det sektoropdelte sundhedsvæsen. Det er helt centralt for at skabe sam-
menhæng i patientforløb, at ledelsens orientering ændres fra ledelse af adskilte organisationer og specialer
til ledelse af patientforløb. Forvaltningsmodel 1 og 2 indebærer en større samling af sundheds­ og pleje­
opgaver under én myndighed, og dermed tilstræbes et egentligt ledelsesmæssigt populationsansvar i de to
modeller (se kapitel 15). Det muliggør en bevægelse mod, at det ikke længere skal være sygehuse, afdelin-
ger, kommuner eller almenmedicinske tilbud, der ledes, men i stedet et helhedsorienteret sundhedsvæsen
indenfor en geografisk enhed.
I dette kapitel redegøres for, hvad kommissionens anbefalinger, forslag og modeller indebærer for de ledere
i sundhedsvæsenet, som påvirkes af de organisatoriske forandringer. Indledningsvist redegøres der dog for
tre tværgående ledelsesudfordringer, som følger af den generelle omstilling af sundhedsvæsenet. Afslut-
ningsvist beskrives kortfattet kommissionens overvejelser om implementering af organisatoriske reformer
af sundhedsvæsenet. Sundhedsstrukturkommissionen anbefaler i den forbindelse, at der sideløbende med
de politiske beslutninger om den fremtidige struktur for sundhedsområdet udarbejdes og vedtages en
national implementeringsplan, som indeholder ambitiøse mål, tydeliggør implementeringsansvaret hos
relevante aktører og opstiller tidsrammer for implementeringen af de forskellige dele af reformen af
sundhedsvæsenet. Det foreslås i den forbindelse, at fremdriften i implementeringen følges af et reform-
sekretariat placeret under indenrigs- og sundhedsministeren.
SUU, Alm.del - 2023-24 - Bilag 317: Orientering om Sundhedsstrukturkommissionens afrapportering, fra indenrigs- og sundhedsministeren
2880227_0372.png
372
1
2
3
4
Del 4 - Opgavesamling, forvaltningsmodeller, implementering og økonomi
Tre store ledelsesopgaver i omstillingen af sundhedsvæsenet
Omstillingen af sundhedsvæsenet stiller store krav til alle aktører i sundhedsvæsenet, både medarbejdere,
ledere og de politiske beslutningstagere. I følgende afsnit fremhæves tre store ledelsesopgaver, som ifølge
Sundhedsstrukturkommissionen bør få stor opmærksomhed, hvis omstillingen af sundhedsvæsenet skal
lykkes.
Den første store ledelsesopgave ligger hos de ansvarlige politikere. De politiske mål for en reform af
sundhedsvæsenet skal være klart formulerede, og der skal være tydelig sammenhæng mellem organisa-
torisk forandring og de politiske mål. Samtidig vil der være behov for at mobilisere tilslutning til de
reformer, der skal gennemføres, hvis reformerne skal omsættes til reelle forbedringer for brugerne af
sundhedstilbud. En sådan mobilisering kræver politisk lederskab. Der er også brug for politisk lederskab,
når reformerne er vedtaget og skal gennemføres. I den fase er der behov for, at de politisk ansvarlige står
på mål for de reformer, der bliver iværksat, og bakker de ledere og medarbejdere op, som arbejder for at
omsætte reformerne til værdi for borgere og patienter. Uden klar politisk opbakning risikerer gennem­
førelsen af reformerne at køre af sporet.
Den store betydning af politisk lederskab og opbakning får som konsekvens, at de reformer af sundheds-
væsenet, som vedtages, bør være politisk bæredygtige. Politisk bæredygtighed har i den sammenhæng
to betydninger. For det første er en politisk bæredygtig reform af sundhedsvæsenet en reform, hvor den
politiske opbakning til reformens gennemførelse kan fastholdes trods periodevis kritik og modstand.
For det andet er en politisk bæredygtig reform kendetegnet ved, at den er langtidsholdbar i den forstand,
at de mange tusinde mennesker i sundhedsvæsenet, der skal indrette sig efter reformen, kan regne med,
at den ikke blot bliver rullet tilbage ved førstkommende lejlighed. Strukturer virker bedst, hvis de får lov til
at virke over en længere periode. Det er ikke et argument imod løbende organisatoriske tilpasninger, men
det er efter kommissionens vurdering afgørende, at den forvaltningsmodel for fremtidens sundhedsvæsen,
der vælges, har en politisk opbakning, der gør den langtidsholdbar. Den første store ledelsesopgave i
omstillingen af sundhedsvæsenet knytter sig dermed til det politiske lederskab.
Den anden store ledelsesopgave er forankret hos de øvre lag i sundhedsvæsenets ledelseskæder. Sundheds-
strukturkommissionen lægger med rapporten op til en omstilling, hvor det primære sundhedsvæsen
bliver fundamentet for det danske sundhedsvæsen. Den omstilling indtræffer ikke ved blot at give nogle
myndigheder, og dermed ledere, ansvaret for de opgaver, der går på tværs af det primære og det sekundære
sundhedsvæsen. For at omstillingen lykkes kræver det en ændring af en faglig selvforståelse og kultur i
sundhedsvæsenet, som normalt – ikke bare i Danmark – hylder det specialiserede sundhedsvæsen. Det vil
kræve en enorm ledelseskraft at ændre ved den logik, og samtidig skal det være en omstilling, som fast-
holder respekten for det specialiserede.
Der findes ikke faste og universelle ledelsesopskrifter på, hvilken form for ledelse en sådan omstilling
kræver, men hvis det skal lykkes, vil det kræve vedvarende og dedikeret opmærksomhed på opgaven i alle
ledelseskæder i sundhedsvæsenet. Omstillingen skal være en kerneopgave, som bør indgå som en integreret
del af vurderingen af alle større ledelsesbeslutninger, både i det primære og det sekundære sundhedsvæsen.
Enhver større ledelsesbeslutning bør derfor også vurderes på, i hvilket omfang den understøtter omstil-
lingen af sundhedsvæsenet.
Den tredje store og tværgående ledelsesopgave består i at balancere og prioritere mellem udfordringer på
kort og lang sigt. De organisatoriske forandringer, som rapporten foreslår, vil i større eller mindre grad
udløse omkostninger, som er udløst af omstillingen, og som vil kræve betydelig ledelseskraft at håndtere.
Samtidig er sundhedsvæsenet en enorm driftsorganisation, hvor der også i en implementeringsperiode
skal leveres høj aktivitet med høj kvalitet. Sidstnævnte vil også kræve ledelseskraft, og da umiddelbare
problemer altid har en tendens til at få mere opmærksomhed end de problemer, hvor konsekvenserne først
viser sig på sigt, vil der være en risiko for, at hensynet til daglig drift og kortsigtede omkostninger, udløst
af omstillingen, vil forstyrre det ledelsesfokus, som er nødvendigt for at gennemføre den langsigtede
omstilling af sundhedsvæsenet. Dermed bliver det i høj grad en strategisk ledelsesopgave for lederne i
toppen af sundhedsvæsenet at støtte, motivere og tilskynde medarbejdere og driftsledere på alle niveauer
SUU, Alm.del - 2023-24 - Bilag 317: Orientering om Sundhedsstrukturkommissionens afrapportering, fra indenrigs- og sundhedsministeren
2880227_0373.png
1
2
3
4
Del 4 - Opgavesamling, forvaltningsmodeller, implementering og økonomi
373
til at arbejde for de langsigtede mål for sundhedsvæsenet. Sundhedsstrukturkommissionen tilslutter sig på
det punkt Ledelseskommissionens anbefaling om, at: ”Alle offentlige ledere skal kunne sætte meningsfuld
retning via en klar vision for deres organisation.”
303
I de følgende afsnit giver kommissionen en kortfattet vurdering af, hvilke konsekvenser en række udvalgte
anbefalinger, forslag og modeller fra kapitlerne 9­15 får for ledelsesopgaven i sundhedsvæsenet. Alle
anbefalinger og forslag sigter på at skabe bedre rammer for ledelse i fremtidens sundhedsvæsen. Samtidig
indebærer anbefalingerne dog organisatoriske forandringer, hvis gennemførelse og implementering vil
stille store krav til såvel den politiske ledelse, som den ledelse, der udføres af ansatte i sundhedsvæsenet.
Det er i omstillingsprocessen vigtigt at holde fast i, at god ledelse i sundhedsvæsenet bygger på tillid til
dygtige, veluddannede medarbejdere, som i mange tilfælde kan og bør overlades et betydeligt, decentralt
råderum.
Ny ledelsesopgave følger af ny model for det almenmedicinske
tilbud
Sundhedsstrukturkommissionen anbefaler en ny model for det almenmedicinske tilbud, jf. boks 16.1.
Anbefalingen indebærer bl.a. forslag om, at de ansvarlige myndigheder skal have bedre muligheder for at
sammensætte de almenmedicinske tilbud ud fra lokale behov, at der skal udfærdiges en tydelig beskrivelse
af opgaveporteføljen (basisfunktionen), og de ansvarlige myndigheder skal have et styrket mandat til at
følge op på, om nationalt fastlagte basisfunktioner, leverancer og kvalitetskrav efterleves.
Boks 16.1
Anbefaling 1
Sundhedsstrukturkommissionen anbefaler en betydelig kapacitetsudvidelse af det almenmedicinske
tilbud indenfor rammerne af en ændret organisering. Formålet er, at udviklingen af det almen-
medicinske tilbud afspejler patienternes stigende behov for sundhedsydelser og tilgængelighed
i det primære sundhedsvæsen. Derfor skal de ansvarlige myndigheders kompetence til at påvirke
udviklingen styrkes (se kapitel 9).
Kommissionen vurderer, at der med anbefalingen skabes et stærkere grundlag for at lede det almen-
medicinske tilbud. Et velfungerende og samarbejdende almenmedicinsk tilbud er en helt afgørende forud-
sætning for omstillingen af sundhedsvæsenet, og derfor er det en ledelsesopgave, som skal have langt
mere opmærksomhed, end den efter kommissionens vurdering har fået under regionernes hidtidige
myndighedsansvar.
Det er imidlertid en krævende ledelsesopgave at lede og skabe gode rammer for de almenmedicinske tilbud.
Den foreslåede model fastholder muligheden for selveje. Det vil dermed stadig i høj grad være privatejede
klinikker, der løser opgaven, og som skal ledes. Det er derfor vigtigt, at der overfor de almenmedicinske
tilbud praktiseres en dialog- og tillidsbaseret ledelsesstil med fokus på faglig ledelse baseret på evidens.
Der skal være fokus på kvalitetsudvikling og læring, og hvor det er muligt bør dialogen understøttes af
fagligt relevante data. Den databaserede ledelse bør praktiseres på en måde, så indsamling af data ikke
tager unødig tid fra patientbehandling, og så kontrollen ikke får negativ betydning for klinikejere og
ansattes motivation og engagement. Den almenmedicinske leder skal have en god forståelse for og indsigt
i almen medicin, og ledelsen bør tilrettelægges på en måde, der respekterer, at det er de enkelte klinikejere,
som er ansvarlige for at organisere, drive og lede egen klinik.
303 Ledelseskommissionen, “Sæt borgerne først: Ledelse i den offentlige sektor med fokus på udvikling af driften”, 2018.
SUU, Alm.del - 2023-24 - Bilag 317: Orientering om Sundhedsstrukturkommissionens afrapportering, fra indenrigs- og sundhedsministeren
2880227_0374.png
374
1
2
3
4
Del 4 - Opgavesamling, forvaltningsmodeller, implementering og økonomi
I tilfælde af utilfredsstillende kvalitet i opgaveløsningen er det vigtigt, at lederen går i en kritisk men
konstruktiv dialog med klinikken, og, afhængigt af situationen, ikke viger tilbage fra at bruge de tilgængelige
ledelsesredskaber, fx i form af anbefalinger, påbud eller sanktioner (se kapitel 9). Det er et afgørende
element i en styrkelse af det primære sundhedsvæsen, at borgernes adgang til det almenmedicinske tilbud
styrkes, og derfor bør det efter kommissionens vurdering være en særlig vigtig ledelsesopgave at følge op
på, om aftaler om adgang og tilgængelighed efterleves.
Ledelsen har også en væsentlig opgave som brobygger mellem sygehuse og de almenmedicinske tilbud.
Det indebærer, at ledelsen sikrer, at opgaver ikke flyttes fra sygehussektoren, før det almenmedicinske
tilbud er klar til at løse dem, at henvisninger ikke afvises uden begrundelse, og sygehuset understøtter
arbejdet i det almenmedicinske tilbud med rådgivning, diagnostiske tilbud og vurdering af komplekse
patienter. Brobyggerrollen indebærer desuden, at ledelsen arbejder for at opbygge en gensidig forståelse
for, at arbejdsopgaverne og kerneværdierne i et vist omfang er forskellige på tværs af sygehuse og almen
praksis.
Ledelse af digital transformation
En central forudsætning for at sundhedsvæsenet kan håndtere de udfordringer, som det står overfor i de
kommende år, er, at der gennemføres en digital transformation, som indebærer markant bedre brug af data
og digitale løsninger. Den transformation skal understøtte bevægelsen mod et mere tilgængeligt og bære-
dygtigt sundhedsvæsen, jf. boks 16.2.
Boks 16.2
Anbefaling 2
Sundhedsstrukturkommissionen anbefaler, at der etableres en ny organisering af arbejdet med
digitalisering og data i sundhedsvæsenet. En ny organisering skal være med til at sikre større
national beslutnings- og eksekveringskraft og fælles prioritering og retning for digitalisering og
brug af data i sundhedsvæsenet. Det er nødvendigt for, at bedre brug af digitale løsninger og data
kan bidrage til at skabe et sammenhængende sundhedsvæsen præget af nærhed, tilgængelighed
og bæredygtighed. En ny organisering skal derfor også ses som et middel til at skabe bedre forud-
sætning for den lokale opgaveløsning tættere på borgerne (se kapitel 10).
Anbefalingen indebærer bl.a., at der udarbejdes én styrende og forpligtende strategi for digitalisering og
data i sundhedsvæsenet, at der etableres en national planlægningskompetence for digitalisering og data,
som dækker hele sundhedsvæsenet, og at der etableres en fælles service- og leveranceorganisation med
ansvar for fælles digitale løsninger og infrastruktur, understøttelse af innovation, større IT-fagsystemer og
digital understøttelse af det primære sundhedsvæsen. Samlet set lægger kommissionen op til, at der skal
være en stærkere fælles ramme for og styring af digitaliseringen af sundhedsvæsenet med henblik på en
hurtigere og bedre indfrielse af det potentiale, som digitaliseringen rummer.
Den nye organisatoriske enhed, Digital Sundhed Danmark, skal være ledet af personer med dyb teknisk
indsigt og digitale kompetencer fra tilsvarende digitale transformationer i andre organisationer og med
kompetencer og erfaring indenfor sundhedsvæsenets drift. De skal også have ledelseserfaring fra organisa-
tioner, der udvikler software, der bygger dataprodukter, og som forstår moderne IT­arkitektur. Derudover er
det en forudsætning, at ledelsen af IT og digitalisering betragtes som en integreret del af ledelsen af hele
sundhedsvæsenet. Det er efter kommissionens vurdering afgørende for den digitale transformation, at
Digital Sundhed Danmark ikke bliver organiseret som en serviceorganisation, der ligger under den øvrige
ledelse i sundhedsvæsenet. Den digitale transformation stiller krav til alle lederne i sundhedsvæsenet. De
ledere og medarbejdere, der er tæt på borgerne og patienterne, skal være med til at definere og viderefor-
midle, hvilke behov de digitale løsninger skal dække. Det kræver kompetenceudvikling af ledere og medar-
bejdere at identificere koblingen mellem behov og teknologiske løsninger, og det kræver kanaler, hvor viden
SUU, Alm.del - 2023-24 - Bilag 317: Orientering om Sundhedsstrukturkommissionens afrapportering, fra indenrigs- og sundhedsministeren
2880227_0375.png
1
2
3
4
Del 4 - Opgavesamling, forvaltningsmodeller, implementering og økonomi
375
om behov og udfordringer kan kommunikeres videre til de ledelsesfora, der skal koble dem sammen med
den fælles strategi for digitalisering og data i hele sundhedsvæsenet. Det betyder samtidig, at det skal være
tydeligt, hvilke opgaver, der skal udvikles og løses fælles og centralt, og i forbindelse med hvilke opgaver, der
er plads til forskellige lokale løsninger.
I lyset af det stigende pres på sundhedsvæsenet og manglen på medarbejdere i årene fremover er det
afgørende, at teknologien bidrager til at frigøre ressourcer hos medarbejderne ved at optimere og helt eller
delvist automatisere manuelle arbejdsgange. Der er imidlertid også erfaringer med, at digitaliseringstiltag
ikke virker som forventet, og de fra et medarbejder- eller patientperspektiv kan opleves som tilbageskridt.
Der vil være brug for ledelse, som dels støtter op om medarbejderne, når der sker fejl eller utilsigtede
hændelser, dels hjælper med at rette fejlene uden at følge op med øget kontrol og detailregulering.
304
Tilsvarende den omstilling, hvor det primære sundhedsvæsen skal være fundamentet for sundhedsvæsenet,
indebærer den digitale transformation en markant forandring af den måde, der arbejdes og tænkes på i
store dele af sundhedsvæsenet. Det er derfor en opgave, som vil kræve vedvarende og dedikeret ledelses-
fokus i alle dele af sundhedsvæsenet. De organisatoriske ændringer, der ligger i anbefalingen på området, vil
give mulighed for at sætte tryk på omstillingen, men det er ude på de enkelte arbejdspladser og i mødet med
borgere og pårørende, at forandringerne skal slå igennem, hvis potentialet i den digitale transformation
skal indfries. Det betyder, at også det aspekt bør indgå som en naturlig del af vurderingen af enhver større
ledelsesmæssig beslutning i sundhedsvæsenet. Dertil kommer, at lovgivning og regulering på sundheds-
området så vidt muligt bør være digitaliseringsparat i den forstand, at reguleringen understøtter den
digitale transformation af sundhedsvæsenet.
Tilpasset fordeling af ressourcer i sundhedsvæsenet
Sundhedsstrukturkommissionen vurderer, at den nuværende fordeling af ressourcer bidrager til geografisk
og social ulighed i sundhed, og uligheden risikerer at blive forstærket i de kommende år. Derfor anbefaler
kommissionen en tilpasset fordeling af ressourcer i sundhedsvæsenet, jf. boks 16.3.
Boks 16.3
Anbefaling 3
Sundhedsstrukturkommissionen anbefaler, at der udarbejdes en national sundhedsplan, som skal
sætte en strategisk retning for tiltag, der sikrer tilpasning af ressourcefordelingen mellem både det
primære og sekundære sundhedsvæsen og geografisk på tværs af landet.
Formålet med anbefalingen er at sikre en mere hensigtsmæssig balance mellem det primære og det
sekundære sundhedsvæsen, som skal muliggøre den ønskede omstilling af sundhedsvæsenet, hvor
flere borgere har forløb i det primære sundhedsvæsen. Formålet er også at understøtte, at borgere
i alle dele af landet har adgang til relevante sundhedstilbud og dermed nedbringe den geografiske
og sociale ulighed i sundhed (se kapitel 11).
Med anbefalingen lægges der ikke op til, at det samlede ressourceforbrug i sundhedsvæsenet skal ændres.
En vigtig konsekvens af anbefalingen er derimod, at en større andel af de samlede ressourcer skal målrettes
det primære sundhedsvæsen, at væksten på sygehusene reduceres, og sygehusene fremover i højere grad
end i dag skal understøtte udviklingen af det primære sundhedsvæsen.
304 Dansk Selskab for Ledelse i Sundhedsvæsenet og Rolf Dalsgaard Johansen. “De teknologiske løsninger ligger for fødderne af os”.
I Den Anden Kommission: Tolv kronikker om de nødvendige forandringer af sundhedsvæsenet, 39–41, 2023.
SUU, Alm.del - 2023-24 - Bilag 317: Orientering om Sundhedsstrukturkommissionens afrapportering, fra indenrigs- og sundhedsministeren
2880227_0376.png
376
1
2
3
4
Del 4 - Opgavesamling, forvaltningsmodeller, implementering og økonomi
Den ændrede fordeling er en afgørende forudsætning for, at omstillingen af sundhedsvæsenet lykkes. Det er
i processen afgørende, at ledelsen i sundhedsvæsenet – også den politiske ledelse – kan skabe følgeskab til
den ændrede fordeling af ressourcerne og tilrettelægge og gennemføre omstillingen på en måde, så både
medarbejdere og borgere har mulighed for at indrette sig efter det.
For lederne i de områder af landet, hvor der uden en tilpasset fordeling ville være en markant mangel
på ressourcer, giver den ændrede fordeling af ressourcer bl.a. mulighed for reelt at kunne ansætte det
personale, der er nødvendigt, for at kunne levere sundhedstilbud af høj kvalitet.
Ledelse af bedre sammenhæng og kvalitet i psykiatrien
Sundhedsstrukturkommissionen vurderer, at der er behov for at styrke sammenhæng og kvalitet i de tiltag
og sundhedstilbud, der er rettet mod borgere med psykiske lidelser. Bedre organisatorisk sammenhæng
skal skabe grundlag for mere helhedsorienterede indsatser, og det er samtidig en forudsætning for effektive
indsatser, der gavner den enkelte patient. Vurderingen danner baggrund for kommissionens anbefaling om
psykiatriområdet, jf. boks 16.4.
Boks 16.4
Anbefaling 4
Sundhedsstrukturkommissionen anbefaler ændringer af organiseringen og samarbejdet på
psykiatriområdet, herunder at psykiatrien integreres organisatorisk med det samlede sygehusvæsen,
for at understøtte en styrket sammenhæng for den enkelte og et løft af kvaliteten i den tværgående
indsats for mennesker med psykiske lidelser (se kapitel 12).
Anbefalingen er fulgt op af tre forslag, der alle har konsekvenser for indholdet og varetagelsen af ledelses-
opgaven på psykiatriområdet. For det første bør psykiatrien integreres organisatorisk i det samlede
sygehusvæsen for at styrke sammenhæng og kvalitet for borgere med psykiske lidelser. For det andet
skal det tværsektorielle samarbejde om borgere med psykiske lidelser styrkes, bl.a. i kraft af systematisk
udbredelse af fasttilknyttede læger på botilbud. For det tredje skal der gennemføres en styrket udbredelse
af digitale løsninger i psykiatrien med det formål at forbedre tilgængelighed, kvalitet og effektivitet af
psykiatriske behandlingstilbud.
Forslaget om at integrere psykiatrien organisatorisk i det samlede sygehusvæsen udgør en meget stor og
krævende ledelsesopgave, det være sig politisk, fagligt og administrativt. Den administrative adskillelse
af psykiatri og somatik går meget langt tilbage, og den anbefalede organisatoriske samling vil indebære
ændringer i den eksisterende sygehusstruktur, og nye ledelsesstrukturer, organisationer og arbejdsgange.
Dertil kommer, at det er forskellige faggrupper og fagtraditioner, som skal arbejde sammen, og det kræver
ledelse, der kan overkomme eksisterende kulturelle og holdningsmæssige barrierer.
Sundhedsstrukturkommissionen lægger samtidig vægt på, at en integration fortsat skal tage højde for
de særlige forhold og behov, der gør sig gældende i psykiatrien, fx i forhold til den gradvise kapacitets-
opbygning og den nødvendige styrkelse af de psykiatrifaglige miljøer. Der ligger derfor en stor ledelses-
opgave i at sikre, at psykiatrien i et integreret sygehusvæsen prioriteres og styrkes og ikke fortrænges af
de somatiske sygehusspecialer. Samtidig forudsætter reformen et stærkt ledelsesmæssigt fokus på at skabe
tryghed for patienter og medarbejdere i psykiatrien i en overgangsperiode, og i lyset af det aktivitetspres,
der aktuelt opleves i psykiatrien, kan ændringerne med fordel gennemføres gradvist over en periode. Men
det er kommissionens vurdering, at den organisatoriske integration er et væsentligt bidrag til at skabe
bedre sammenhæng og kvalitet i psykiatrien, og derfor er det afgørende, at det prioriteres højt hos den
ansvarlige myndighed, at få denne ledelsesopgave til at lykkes.
SUU, Alm.del - 2023-24 - Bilag 317: Orientering om Sundhedsstrukturkommissionens afrapportering, fra indenrigs- og sundhedsministeren
2880227_0377.png
1
2
3
4
Del 4 - Opgavesamling, forvaltningsmodeller, implementering og økonomi
377
Forslaget om, at borgere med psykiske lidelser, der bor på et botilbud, skal have mulighed for som deres
almenmedicinske tilbud at vælge en læge, som er fast tilknyttet botilbuddet, hænger sammen med den
nye og mere aktive ledelsesopgave i forhold til det almenmedicinske tilbud. Tilsvarende indebærer den
styrkede digitalisering af psykiatrien mange af de samme ledelsesmuligheder og -udfordringer som
ledelsesopgaverne relateret til digital transformation.
Mulighederne for ledelse i en ny forvaltningsstruktur
De tre forvaltningsmodeller, der er opstillet i kapitel 15, nedbryder i forskellig grad sektorgrænserne.
Model 1 og 2 indebærer en større samling af sundheds­ og plejeopgaver under én myndighed, mens model 3
indebærer en mindre eller ingen opgavesamling.
I et sundhedsvæsen, hvor patientforløb i høj grad indebærer faser, som går på tværs af sektorgrænser,
vil det være forskellige myndigheder, der har ansvaret for forskellige dele af patientforløbet. Hvis sektor-
grænsen derimod nedbrydes, vil én myndighed – og dermed én ledelseskæde – få ansvaret for det samlede
patientforløb. På den måde vil der være skabt et organisatorisk grundlag for, at der reelt kan tages et
populationsansvar indenfor de geografiske enheder, som opgaverne samles i.
I første omgang vil det populationsansvar give mulighed for, at ledere på de øvre niveauer i sundheds-
væsenet kan indhøste reelle effektiviseringsgevinster i kraft af et større prioriteringsrum, og i kraft af at
populationsansvaret reducerer de høste­så­problematikker, som er beskrevet i rapporten (se fx kapitel 8).
Populationsansvaret indebærer samtidig, at ledelsen skal skabe gode rammer for kultur og samarbejde om
patientforløb, der hvor der er behov for det. Det indebærer imidlertid ikke, at højt specialiserede sygehus-
afdelinger skal omkalfatres. Populationsansvaret skal varetages i respekt for den grundlæggende arbejds-
deling og specialisering i sundhedsvæsenet.
Sektornedbrydning og opgavesamling løser dermed ikke alle ledelsesudfordringer. For det første vil der
stadig, også i forvaltningsmodel 1 og 2, være patientforløb, som går på tværs af forvaltningsled, selvom det
vil være væsentligt færre forløb end under den nuværende opgave- og ansvarsfordeling i sundhedsvæsenet.
For det andet vil der være organisatoriske opdelinger og snitflader indenfor enhver myndighed. Antallet
af opdelinger og snitflader vil desuden have en tendens til at vokse, jo større organisationen bliver, og jo
større ansvarsområde den dækker. Det betyder, at uanset valg af forvaltningsmodel vil der være behov
for koordination og samarbejde i fremtidens sundhedsvæsen. Det understreger, at en væsentlig ledelses-
kompetence i sundhedsvæsenet er og bliver at kunne samarbejde på tværs af fagligheder og på tværs af
organisatoriske grænser og hierarkiske niveauer.
305
Anbefaling: Implementering af reformer af sundhedsvæsenet
De præsenterede anbefalinger, forslag og modeller omfatter ændringer, der retter sig imod forskellige dele
af sundhedsvæsenet, og det er ændringer, der vedrører indholdsmæssig og økonomisk styring, og opgave-
og ansvarsplacering. De forskellige forslag afspejler, at tilvejebringelse og drift af sundhedstilbud af høj
kvalitet er en kompleks opgave, hvor krav og løsninger varierer på tværs af bl.a. patientgrupper, personale-
grupper, teknologiske udviklingstrin, geografi, sociale forhold m.v. Det får som konsekvens, at der knytter
sig forskellige implementeringsmuligheder og -udfordringer til de forskellige anbefalinger, forslag og
modeller.
Behovet for en implementeringsplan og styringstiltag i en overgangsfase understreges af, at der er en række
mulige afledte omstillingsomkostninger ved at implementere de organisatoriske forandringer (se kapitel
17). Kompleksiteten betyder også, at implementeringen så vidt muligt bør tilrettelægges, så
der kan drages læring undervejs og laves tilpasninger og justeringer, hvor det viser sig nødvendigt.
Sundhedsstrukturkommissionen har med sine anbefalinger, forslag og modeller udstukket en retning for
305 Dansk Selskab for Ledelse i Sundhedsvæsenet og Christian Bøtcher Jacobsen. “Der skal være plads til både styring og ledelse i sundheds-
væsenet”. I Den Anden Kommission: Tolv kronikker om de nødvendige forandringer af sundhedsvæsenet, 36–38, 2023.
SUU, Alm.del - 2023-24 - Bilag 317: Orientering om Sundhedsstrukturkommissionens afrapportering, fra indenrigs- og sundhedsministeren
2880227_0378.png
378
1
2
3
4
Del 4 - Opgavesamling, forvaltningsmodeller, implementering og økonomi
de organisatoriske forandringer af sundhedsvæsenet, som kommissionen anser for nødvendige for en
omstilling af det danske sundhedsvæsen. Men den indbyrdes timing i reformerne og hastigheden,
hvormed det politisk besluttes at gå frem, bør indarbejdes i en samlet plan for implementeringen.
Sundhedsstrukturkommissionen anbefaler derfor, at der sideløbende med de politiske beslutninger om den
fremtidige struktur for sundhedsområdet, udarbejdes og vedtages en national implementeringsplan, der
indeholder ambitiøse mål, tydeliggør implementeringsansvaret hos relevante aktører og opstiller tids-
rammer for implementeringen af de forskellige dele af reformen af sundhedsvæsenet, jf. boks 16.5.
306
Boks 16.5
Anbefaling 6
Sundhedsstrukturkommissionen anbefaler, at der på baggrund af de politiske beslutninger om den
fremtidige struktur for sundhedsområdet oprettes et reformsekretariat under indenrigs- og sund-
hedsministeren, som med afsæt i en national implementeringsplan følger implementeringen af de
enkelte initiativer og understøtter den decentrale implementering. En national implementeringsplan
skal indeholde ambitiøse mål, tydeliggøre implementeringsansvaret hos relevante aktører og
opstille tidsrammer for implementeringen af de forskellige dele af reformen af sundhedsvæsenet.
Implementeringsplanen bør desuden forholde sig til, hvilke dele af reformen, der med fordel kan udrulles
gradvist og på en måde, hvor der løbende opnås viden om, hvordan reformen virker i praksis.
307
Den reform-
modus kan fx være relevant for udviklingen af nye organisatoriske og ledelsesmæssige løsninger i de
almenmedicinske tilbud, hvor der er gode muligheder for at drage vigtige tværgående erfaringer, hvis
udrulningen tilrettelægges på en måde, der understøtter evaluering og læring. Andre dele af reformen,
306 Christensen, Jørgen Grønnegård, Jørgen Albæk Jensen, Peter Bjerre Mortensen, og Helene Helboe Pedersen. “Kapitel 8. Bemyndigelses-
lovgivning: et demokratisk problem”. I Når embedsmænd lovgiver, 1. udgave., 193–226. København: Djøf Forlag, 2020.
307 Andersen, Simon Calmar, Martin Bækgaard, og Peter Bjerre Mortensen. “Den svære kunst at prøve sig forsigtigt frem”. Politiken, kroniken,
2023.
SUU, Alm.del - 2023-24 - Bilag 317: Orientering om Sundhedsstrukturkommissionens afrapportering, fra indenrigs- og sundhedsministeren
2880227_0379.png
1
2
3
4
Del 4 - Opgavesamling, forvaltningsmodeller, implementering og økonomi
379
fx beslutningen om forvaltningsstruktur, lader sig ikke gennemføre gradvist, som dog ikke udelukker, at
implementeringsplanen indeholder en nøje beskrivelse af væsentlige milepæle for implementering af en
ny forvaltningsstruktur.
Til at understøtte fremdrift i implementeringsfasen og til at understøtte, at implementeringsplanen faktisk
efterleves, foreslår Sundhedsstrukturkommissionen, at der oprettes et reformsekretariat. Opgaven for
den organisatoriske enhed bliver at følge implementeringen af de enkelte initiativer i den nationale
implementeringsplan og understøtte den decentrale implementering. De enheder, der er ansvarlige for
implementering af delelementer, skal løbende informere reformsekretariatet om fremdriften i implemente-
ringsprocessen, og det kan overvejes, at reformsekretariatet årligt udgiver en status på implementerings-
processen. Et centralt hensyn bør være, at den organisatoriske ramme understøtter, at reformsekretariatet
får en central og synlig placering, der bidrager til vedholdende politisk og administrativ opmærksomhed
på omstillingen af sundhedsvæsenet. Reformsekretariatet foreslås placeret under indenrigs- og sundheds-
ministeren.
SUU, Alm.del - 2023-24 - Bilag 317: Orientering om Sundhedsstrukturkommissionens afrapportering, fra indenrigs- og sundhedsministeren
2880227_0380.png
380
1
2
3
4
Del 4 - Opgavesamling, forvaltningsmodeller, implementering og økonomi
Kapitel 17: Økonomi og finansiering
I kapitel 17 beskrives de økonomiske og finansielle aspekter ved Sundhedsstrukturkommissionens anbe­
falinger, forslag og forvaltningsmodeller. Det fremgår af kommissoriet, at forslag til ændret organisering
forudsættes at være samlet set udgiftsneutrale og ikke medføre øget træk på personalekapacitet.
Kommissionens tværgående anbefalinger og forslag og de opstillede forvaltningsmodeller har alle det
bærende sigte at skabe mere værdi for patienterne for de ressourcer, der prioriteres til sundhedsområdet,
både de økonomiske og personalemæssige ressourcer.
Den styrke, de fremlagte forslag til forvaltningsmodeller har i forhold til at sikre gevinsterne og størrelsen
af gevinsterne, varierer. I vurderingen af både tværgående anbefalinger og forslag og forvaltningsmodeller
skal der også tages højde for implementeringsomkostninger, forstået som de indirekte omkostninger, fx det
mulige produktionstab, som anbefalingerne, forslagene og modellerne kan indebære i en overgangsfase, og
øvrige omkostninger forbundet med implementeringen. Samtidig vurderer kommissionen, at der på kort
sigt kan være grund til at prioritere konkrete investeringsindsatser i opbygningen af det primære sundheds-
væsen.
Gevinster og implementeringsomkostninger, investeringsbehov og den mulige finansiering af behovene og
forudsætninger for de generelle finansieringsprincipper på sundhedsområdet beskrives nærmere i kapitlet.
Sundhedsstrukturkommissionens anbefalinger, forslag og modeller er samlet set fremlagt indenfor
kommissoriets forudsætning om samlet udgiftsneutralitet og indebærer dermed ikke varige merudgifter
for sundhedsområdet og de nærliggende opgaver.
Potentialet for bedre brug af ressourcerne på sundhedsområdet
Kommissionens tværgående anbefalinger og forslag og de fremlagte forvaltningsmodeller skal bl.a. under-
støtte en omstilling af sundhedsvæsenet, så der tages hånd om langt flere borgere og patienter i det
primære sundhedsvæsen (det almenmedicinske led, bl.a. den nuværende praksissektor og de nuværende
kommunale sundheds- og plejeindsatser) fremfor på i det sekundære sundhedsvæsen (de specialiserede
sygehuse). Samtidig skal de sikre en fordeling af ressourcer, som i højere grad målrettes de områder af
landet, hvor behovet er størst.
Sundhedsstrukturkommissionen vurderer, at der med omstillingen af behandling kan realiseres betydelige
økonomiske gevinster, som kan fastholdes og prioriteres på området, samtidig med en behandling, der er til
fordel for patienterne, da omstillingen også ses som forudsætningen for et bæredygtigt sundhedsvæsen på
sigt.
Sundhedsstyrelsen peger på et muligt potentiale for opgavereduktion på sygehusområdet, bl.a. gennem
reduktion i uhensigtsmæssig aktivitet og opgaveflytning til det primære sundhedsvæsen, skønnet i
størrelsesordenen 30­40 pct. af aktiviteten. Det hviler bl.a. på opgaveflytning og opgavetransformation
af aktiviteter fra det sekundære sundhedsvæsen til det primære sundhedsvæsen og støtte til bedre
egenomsorg med særligt fokus på mennesker med multisygdom.
308
Præmissen for omstillingen er en ændret opgaveløsning, der gennem opgavetransformation, forebyggelse
og egentlige opgaveflytninger sikrer minimum samme kvalitet og værdi for patienten, vel at mærke til en
lavere omkostning og mindre træk på personale. Præmissen understøttes af de gennemførte eksempel-
beregninger på potentialer for omstilling, foretaget for kommissionen.
309
De beskrevne cases underbygger
308 Sundhedsstyrelsen. "Muligheder og forudsætninger for omstilling til det primære sundhedsvæsen". 2023.
309 Boston Consulting Group, “Potentialer for omstilling til det nære sundhedsvæsen”, 2024.
SUU, Alm.del - 2023-24 - Bilag 317: Orientering om Sundhedsstrukturkommissionens afrapportering, fra indenrigs- og sundhedsministeren
2880227_0381.png
1
2
3
4
Del 4 - Opgavesamling, forvaltningsmodeller, implementering og økonomi
381
samtidig, at behandling i det primære sundhedsvæsen er til fordel for patienterne, som modtager
behandling af mindst tilsvarende kvalitet i et sundhedstilbud, som opfattes mere trygt og velkoordineret
og er tættere på eget hjem.
Afsættet er, at der gennem en årrække er investeret betydeligt i det danske sundhedsvæsen sammenlignet
med andre velfærdsområder. De seneste 15 år er det offentlige forbrug på sundhed pr. indbygger steget
mere end det samlede offentlige forbrug. Udgifterne til sundhed er steget med 31 pct., mens det samlede
offentlige forbrug er steget med 18 pct. i samme periode.
Udviklingen er præget af en øget specialisering. Siden 2003 er antallet af alment praktiserende læger steget
med 20 pct. mens antallet af læger, der er ansat på sygehusene, er steget med 70 pct. Antallet af kontakter
til sygehusene er tilsvarende steget mere end kontakterne til de alment praktiserende læger, og en stadig
større andel af borgere er i løbet af et år i kontakt med sygehusene, særligt blandt borgere over 65 år
(se også kapitel 4).
Set i international sammenhæng vejer sundhedsudgifterne i Danmark til at drive sygehuse, bl.a. udgifterne
til medarbejdere, medicin og apparatur, også tungt i forhold til de anvendte sundhedsudgifter på det øvrige
sundhedsvæsen. I sammenligning med andre relevante lande er det dermed en større andel af sundheds-
udgifterne, der går til den mest specialiserede del af sundhedsvæsenet fremfor fx de alment praktiserende
læger, ældrepleje og forebyggelse. Samtidig er fordelingen af både sundhedsbehov og sundhedstilbud
geografisk skæv. Lidt forenklet sagt er adgangen til sundhedstilbud bedst i områder, hvor befolkningen
som helhed er sundest, mens den er dårligere i områder, hvor sundhedsbehovet er størst.
Uden ændringer vil skævheden med al sandsynlighed fortsætte og forstærkes. Også i lyset af arbejdskraft-
manglen, med en forventet mangel på særligt plejepersonale, er det centralt for den samlede økonomiske
og ressourcemæssige bæredygtighed, at udviklingen vendes, så prioritering fremover i højere grad mål-
rettes det primære sundhedsvæsen, og der sikres en mere hensigtsmæssig geografisk fordeling af de
eksisterende ressourcer.
På tværs af de tværgående anbefalinger og forslag og de fremlagte forvaltningsmodeller har Sundhedsstruk-
turkommissionen ud fra et hensyn om at sikre et sundhedsvæsen, der giver borgerne mest mulig sundhed
for de tilgængelige ressourcer, lagt vægt på følgende præmisser for at lykkes med en omstilling og udbyg-
ning af det primære sundhedsvæsen:
• Den ønskede udbygning af det primære sundhedsvæsen skal ske gennem en modsvarende mindre
vækst på sygehusområdet, så der er tale om en reel ændring i fokus og prioritering. Det skal forhindre,
at udbygningen af det primære sundhedsvæsen i praksis bliver en merudgift ved siden af en fortsat
uændret sygehusvækst. Det fordrer tættest mulig integration af ansvaret for udbygning af det primære
sundhedsvæsen med ansvaret for tilpasning af sygehusvæksten.
• Tiltag til at realisere en mere hensigtsmæssig fordeling af ressourcer, som i højere grad målrettes de
områder af landet, hvor behovet er størst – det vil sige adressere den geografiske ulighed i adgangen til
specialiserede ressourcer – skal være baseret på et princip om ændrede relative incitamenter. Det skal
sikre, at tiltrækningen til byområder reduceres, mens den øges i de områder, der mangler ressourcer.
På den måde kan den ændrede fordeling realiseres indenfor uændrede enhedsudgifter, og ikke ved at
øge honoreringen af de kapaciteter, der ønskes omfordelt, og dermed forøge de samlede udgifter.
Den første præmis skal bl.a. ses i lyset af potentialet for at nedbringe uhensigtsmæssig aktivitet og spild
eller overbehandling, ved den ansvarlige myndighed får væsentligt stærkere muligheder for at igangsætte
tiltag, der sikrer reel aflastning af sygehusene med kommissionens anbefalinger på det almenmedicinske
område. Der forudsættes samtidig et styrket fokus på realisering af de løbende produktivitetsgevinster
og styrket prioritering på sygehusområdet og i praksissektoren.
SUU, Alm.del - 2023-24 - Bilag 317: Orientering om Sundhedsstrukturkommissionens afrapportering, fra indenrigs- og sundhedsministeren
2880227_0382.png
382
1
2
3
4
Del 4 - Opgavesamling, forvaltningsmodeller, implementering og økonomi
Økonomiske konsevenser ved tværgående anbefalinger
og forslag (del 3)
Sundhedsstrukturkommissionens anbefalinger og forslag har alle det bærende sigte, at de skal understøtte,
at der skabes mere værdi for patienterne for de ressourcer, der prioriteres til sundhedsområdet, både
økonomiske og personalemæssige ressourcer. I det følgende foretager kommissionen en vurdering af de
økonomiske aspekter ved de tværgående anbefalinger og forslag (se kapitlerne 9­13).
Kapacitetsudvidelse og ændret organisering af det almenmedicinske tilbud
Den forudsatte udbygning af den almenmedicinske tilbud – medtaget den politiske hensigt om 5.000
almenmedicinske læger i 2035 – skal ses i lyset af den generelle omstilling af sundhedsvæsenet, bl.a.
gennem en ændret prioritering fra det sekundære sundhedsvæsen til det primære sundhedsvæsen.
310
Hvis
der politisk prioriteres yderligere midler til sundhedsområdet i de kommende år, bør det sikres, at væksten
i størst muligt omfang tilgodeser udviklingen af det primære sundhedsvæsen udenfor, men i tæt samarbejde
med, sygehusene.
Sundhedsstrukturkommissionens anbefaling og forslag vedrører reguleringen og styringen af det almen­
medicinske tilbud og indebærer en bedre brug af de anvendte ressourcer på området uden offentlige
merudgifter. Et bærende princip bag anbefalingen og forslagene, med fokus på en mere hensigtsmæssig
geografisk fordeling af ressourcerne, er en balancering af incitamenterne, så den ændrede fordeling
sker indenfor de samlede forudsatte økonomiske rammer for sundhedsvæsenet i de kommende år. Den
nuværende skævhed i fordelingen afspejler dermed, at de eksisterende strukturer og incitamenter i alt for
høj grad motiverer til bosætning i eller omkring de bymæssige områder, bl.a. fordi honoreringen og antal
patienter for de praktiserende læger overordnet set er den samme, uanset lægen er bosat i byområder
med lav patienttyngde eller i landområder med høj patienttyngde.
Ny organisering og digitalisering og data
Sundhedsstrukturkommissionen anbefaler, at der som nødvendig forudsætning for omstillingen sker en
styrket udbredelse af nye digitale løsninger, og der etableres en national dataplatform, der vil kræve nye
investeringer i en størrelsesorden, som afhænger af de konkrete ambitioner og løsninger.
Den forslåede styrkede nationale struktur i forhold til udbredelse af digitale løsninger vurderes i sig selv at
kunne frigøre midler til en styrket, national udbredelsesindsats af løsninger, der virker gennem en styrket
styring og prioritering i forhold til den nuværende meget spredte innovationsindsats – og dermed via
samling af opgaver, som i dag foregår lokalt. Etableringen af en leveranceorganisation vurderes tilsvarende
i sig selv at understøtte en styrket realisering af gevinster gennem systemkonsolidering og mere effektiv
drift af løsningerne.
Administrative omkostninger i forhold til en styrket national og statslig styrket struktur skal ses i lyset af
de modsvarende administrative gevinster ved en styrket national organisering og forudsættes dermed
finansieret gennem overflytning eller modsvarende tilpasninger af den nuværende regionale og kommunale
administration.
Kommissionen peger på, at en kommende overvejelse i forhold til prioriteringen af de tidligere afsatte
midler til nærhospitaler (3,5 mia. kr. frem til 2030) bør ses i sammenhæng med behovet for en generel
udbygning af det primære sundhedsvæsen i form investeringer i ny teknologi til at understøtte sammen-
hæng og omstilling, bl.a. en national dataplatform. Kommissionen har desuden noteret, at der i december
2023 er indgået en udmøntningsaftale med Danske Regioner og KL om 0,5 mia. kr. til investeringer i styrket
hjemmebehandling i perioden 2023 til 2028.
310 Regeringen, Venstre, Socialistisk Folkeparti, Det Konservative Folkeparti, Enhedslisten, Liberal Alliance, Nye Borgerlige, m.fl. “Aftale om
Sundhedsreform”. 2022.
SUU, Alm.del - 2023-24 - Bilag 317: Orientering om Sundhedsstrukturkommissionens afrapportering, fra indenrigs- og sundhedsministeren
2880227_0383.png
1
2
3
4
Del 4 - Opgavesamling, forvaltningsmodeller, implementering og økonomi
383
Endelig hæfter Sundhedsstrukturkommissionen sig ved, at den nuværende regering har varslet en ny
sundhedsfond, der udover fokus på vedligeholdelse og modernisering af sygehuse også omfatter teknologi
og digitalisering. Det reducerer arbejdskraftsudfordringen og sikrer borgerne nem og lige adgang til
forebyggelse og sygdomsbehandling i sammenhæng med udfasningen de nuværende kvalitetsfonds-
investeringer i nye sygehuse. Kommissionen kan i den forbindelse anbefale, at behovet for en styrket
digital infrastruktur og dataplatform indtænkes i udmøntningen af en sådan ny sundhedsfond.
Tilpasset fordeling af ressourcer i sundhedsvæsenet
Et bærende princip bag anbefaling og forslag med fokus på en mere hensigtsmæssig geografisk fordeling
af ressourcerne er en balancering af incitamenterne, så den ændrede fordeling af (sygehus-)læger sker
indenfor de samlede forudsatte økonomiske rammer for sundhedsvæsenet i de kommende år. Den
nuværende skævhed afspejler ikke mindst, at de eksisterende strukturer og incitamenter i alt for høj
grad motiverer til bosætning i eller omkring de større byområder.
Etableringen af lokale sundhedscentre som en mulig fysisk ramme om lokale sundheds- og plejeindsatser
forudsætter anlægsinvesteringer. Sundhedsstrukturkommissionen peger i den forbindelse på, at en
kommende overvejelse i forhold til prioriteringen af de tidligere afsatte midler til nærhospitaler (3,5 mia.
kr. frem til 2030) bør ses i sammenhæng med behovet for en generel udbygning af det primære sundheds-
væsen i form af styrkede fysiske rammer for den nære sundhedsindsats.
Det forudsættes, at ressourcer til udarbejdelse af en national sundhedsplan og de direkte afledte centrale
meropgaver ikke indebære varige merudgifter samlet set for sundhedsområdet og de nærliggende opgaver,
og varige opgaver finansieres indenfor de eksisterende samlede administrative rammer for sundheds­
væsenet under ét.
Styrket sammenhæng og kvalitet i indsatsen for mennesker med psykiske lidelser
Sundhedsstrukturkommissionen noterer sig, at der er sikret finansiering af en 10­årsplan med et samlet
løft på 4 mia. kr., og psykiatrirådet skal rådgive i forbindelse med regeringens kommende udspil til en
10­årsplan. Kommissionens anbefaling og forslag om udmøntning af kvalitetsstandarder skal ses i lyset af
den generelle anbefaling om omstilling til det primære sundhedsvæsen, finansieret indenfor de forudsatte
rammer, bl.a. gennem en modsvarende mindre vækst på sygehusområdet. Øvrige anbefalinger vedrører
strukturelle greb uden afledte varige merudgifter. Anbefalingen om udbredelse af erfaringerne fra pleje-
hjemslæger til botilbudsområdet vedrører en organisatorisk tilpasning, der øger tilslutningen til konkrete
praksislæger, uden at indebære en samlet meraktivitet.
Private aktører og patientrettigheder
Sundhedsstrukturkommissionen har i overvejelserne om organisatoriske reformer haft fokus på, at de
fremlagte forslag sikrer fortsat mulighed for opretholdelse af etablerede rettigheder, men har ikke fremlagt
anbefalinger om konkrete ændringer i patientrettighederne. Kommissionens anbefaling og forslag om
reguleringen og styringen af speciallægeområdet har fokus på at understøtte en bedre brug af de anvendte
ressourcer indenfor området uden offentlige merudgifter.
Økonomiske konsevenser ved de opstillede forvaltningsmodeller
(del 4)
De opstillede forvaltningsmodeller har alle som bærende sigte at understøtte en bedre brug og skabe
mere værdi for patienterne for de ressourcer, der prioriteres til sundhedsområdet, både økonomiske og
personalemæssige ressourcer. Styrken af omstillingskraften i modellerne varierer afhængigt af modellens
incitamenter, styreform og afledte mulige implementeringsomkostninger ved en realisering. De beskrevne
virkninger afspejler dermed vurderingen af de opstillede hensyn 4­6 (se kapitlerne 6 og 15).
SUU, Alm.del - 2023-24 - Bilag 317: Orientering om Sundhedsstrukturkommissionens afrapportering, fra indenrigs- og sundhedsministeren
2880227_0384.png
384
1
2
3
4
Del 4 - Opgavesamling, forvaltningsmodeller, implementering og økonomi
På tværs af de opstillede modeller er det i et økonomisk perspektiv et væsentligt hensyn, at ansvaret for
udbygning af de primære indsatser og ansvaret for en modsvarende tilpasning af sygehusvæksten i videst
muligt omfang er integreret. Det skal sikre, at udbygningen af de primære indsatser ses i sammenhæng
med omstilling af aktivitet fra sygehusene. Alternativt vil der være en betydelig risiko for, at tilskyndelsen
til at prioritere og omstille indsatser på de specialiserede sygehuse afgørende svækkes. I model 3, som ikke
indebærer en større samling af sundheds­ og plejeindsatser under én myndighed (se kapitel 14 og 15),
bliver kommissionens forslag om en målretning af de kommende års regionale demografimidler til det
primære sundhedsvæsen væsentlig for omstillingen. Målretningen af demografimidlerne vil implicit svare
til et loft for sygehusvækst for at understøtte den nødvendige omstilling og prioritering, dog med forbehold
for beslutning om nye sygehusopgaver.
Generelt vurderer kommissionen, at de mulige afledte økonomiske implementeringsomkostninger i
betydelig grad vil afhænge af – og dermed indebære behov for betydeligt fokus på – implementeringsplan
og styringstiltag i en overgangsfase (se kapitel 16).
Model 1: Enhedssundhedsvæsen med sundheds- og omsorgsregioner
Sundhedsstrukturkommissionen vurderer, at model 1 indebærer et betydeligt potentiale for bedre brug af
de samlede ressourcer på sundheds- og ældreområdet, bl.a. en realisering af potentialerne ved den ønskede
omstilling af sundhedsvæsenet, hvor langt mere behandling og forebyggelse skal foregå udenfor syge-
husene. Det skyldes en stærk tilskyndelse hos sundheds- og omsorgsregionerne til at vælge den mest
omkostningseffektive indsats og tilskyndelsen til at fokusere på, at flere opgaver løses i det primære
sundhedsvæsen. Samlingen af en række beslægtede opgaver i nye sundheds­ og omsorgsregioner skaber
dermed øget klarhed om ansvarsfordelingen, bedre rammer for at skabe sammenhængende patientforløb
og stærkere incitamenter til at investere i omkostningseffektive og forebyggende indsatser udenfor syge-
husene. Model 1 og model 1a adskiller sig alene ved, om ledelsen er direkte valgt eller indirekte udpeget
via kommunalbestyrelserne.
I et helhedsperspektiv gælder, at en stor eller mellemstor opgavesamling fra kommunerne til de nye
sundheds- og omsorgsregioner tilsvarende reducerer kommunernes mulighed for at omprioritere midler
på tværs af ansvarsområder. Samlingen af ansvaret for store dele af sundheds­ og ældreområdet og den
deraf afledte opgaveflytning fra kommunerne og omlægningen fra fem regioner til otte til ti sundheds­
og omsorgsregioner vil indebære en markant organisatorisk ændring med deraf afledte implementerings-
omkostninger.
De afledte administrative konsekvenser vurderes overordnet positive, da de mulige merudgifter ved en
opdeling af de fem regioner i otte til ti sundheds- og omsorgsregioner skal ses i sammenhæng med de
afledte administrative gevinster ved en samling af de kommunale ældreområdeforvaltninger. Kommis­
sionens anbefaling om, at der bør overvejes en alternativ placering af de nuværende regioners øvrige
opgaveområder, vil kunne afføde administrative gevinster, bl.a. afhængigt af om dele af opgaverne ikke
videreføres.
Model 2: Statsligt enhedssundhedsvæsen
Sundhedsstrukturkommissionen vurderer, at model 2 isoleret set indebærer et potentiale for et bedre
brug af de samlede ressourcer på sundheds- og ældreområdet, bl.a. en realisering af potentialerne ved
den ønskede omstilling af sundhedsvæsenet, hvor langt mere behandling skal foregå udenfor sygehusene.
Samlingen af myndigheds­ og driftsansvaret for størstedelen af sundheds­ og plejeindsatserne hos staten
skaber dermed øget klarhed om ansvarsfordelingen, bedre rammer for at skabe sammenhængende patient-
forløb og stærkere incitamenter til at investere i omkostningseffektive og forebyggende indsatser udenfor
sygehusene. Den statslige styring indebærer dog – set i forhold til potentialet i model 1 – at de nødvendige
løbende prioriteringer og tilpasninger, fx i sygehusstruktur eller rammer for plejehjem, kan vanskeliggøres,
da det politiske ansvar alene påhviler ministeren og regeringen. Modellen medfører dermed betydelig risiko
for, at udgiftsstyringen og den overordnede prioritering svækkes, bl.a. på sygehusområdet. Risikoen vil dog
også afhænge af, om der kan etableres reel armslængde til driftsniveauet.
SUU, Alm.del - 2023-24 - Bilag 317: Orientering om Sundhedsstrukturkommissionens afrapportering, fra indenrigs- og sundhedsministeren
2880227_0385.png
1
2
3
4
Del 4 - Opgavesamling, forvaltningsmodeller, implementering og økonomi
385
I et helhedsperspektiv gælder det, at en stor eller mellemstor opgavesamling hos staten tilsvarende
reducerer kommunernes mulighed for at omprioritere midler på tværs af ansvarsområder.
Samlingen af ansvaret for store dele af sundheds­ og ældreområdet og den afledte opgaveflytning fra
kommunerne og omlægningen fra fem regioner til otte til ti statslige administrative enheder – set i forhold
til model 1 – er en fuldstændig ændring af styreformen for hele området og vil indebære en meget markant
organisatorisk ændring med afledte implementeringsomkostninger.
De afledte administrative konsekvenser vurderes overordnet neutrale. De mulige merudgifter ved en
styrket national organisering og opdeling af de fem regioner i otte til ti administrative enheder skal ses
i sammenhæng med de afledte administrative gevinster ved en samling af de kommunale ældreområde­
forvaltninger. Kommissionens anbefaling om, at der i model 2 vil skulle findes en alternativ placering af
de nuværende regioners øvrige opgaveområder, vil kunne afføde administrative gevinster, bl.a. afhængigt
af om dele af opgaverne ikke videreføres.
Model 3: Sundhedsregioner
Model 3 indeholder en række andre elementer end en ændret opgave­ og ansvarsfordeling i sundheds­
væsenet, og modellens virkekraft beror derfor på de foreslåede styringstiltag, særligt den statslige mål-
retning og prioritering af midler. Forslaget om en målretning af de regionale demografimidler vil indebære
et implicit loft for væksten i sygehusenes økonomi og vil understøtte omkostningseffektive omstillinger af
behandling til det primære sundhedsvæsen. Tilsvarende styrkes den nationale styring i form af en national
sundhedsplan, resultatafhængigt tilskud for kommuner og kvalitetskrav til den kommunale opgaveløsning,
som vil ændre ledelsesvilkår og rammer for lederne i kommuner og regioner sammenlignet med i dag. Det
indebærer et potentiale for bedre brug af ressourcer sammenlignet med i dag.
I model 3 tages der udgangspunkt i den nuværende opgave­ og ansvarsfordeling på sundheds­ og ældre­
området, og derfor vil der ikke være risiko for væsentlige implementeringsomkostninger i en overgangsfase.
I en variant med færre regioner vil der være visse implementeringsomkostninger, afhængigt af implemente-
rings- og styringstiltag i en overgangsfase.
De afledte administrative konsekvenser vurderes overordnet neutrale. Kommissionens anbefaling om, at
der bør overvejes en alternativ placering af de nuværende regioners øvrige opgaveområder, vil kunne afføde
administrative gevinster, afhængigt af om dele af opgaverne ikke videreføres.
De overordnede skøn over effekterne på fordeling af udgiftsrammer og personaleressourcer fremgår af
tabel 17.1.
SUU, Alm.del - 2023-24 - Bilag 317: Orientering om Sundhedsstrukturkommissionens afrapportering, fra indenrigs- og sundhedsministeren
2880227_0386.png
386
1
2
3
4
Del 4 - Opgavesamling, forvaltningsmodeller, implementering og økonomi
Tabel 17.1
Skøn for afledte koncekvenser ved de forskellinge modeller og opgavesamlinger
(se kapitlerne 14­15)
Ny enheder
Stor opgavesamling (model 1 og 2)
Antal Enheder
Udgiftsramme
Skøn for antal ansatte*
Fra regionerne
5
Ca. 130 mia. kr.
Ca.120.000
5
Ca. 130 mia. kr.
Ca.120.000
5
Ca. 130 mia. kr.
Ca. 120.000
Fra kommunerne
98
Ca. 70 mia. kr.
Ca. 100.000
8-10
Ca. 200 mia. kr.
Ca. 220.000
8-10
Ca. 170 mia. kr.
Ca. 180.000
3-5
Op til 132 mia. kr
Op til 123.000
Mellemstor opgavesamling (model 1 og 2)
Antal Enheder
Udgiftsramme
Skøn for antal ansatte*
98
Ca. 40 mia. kr.
Ca. 60.000
Mindre opgavesamling (model 3)
Antal Enheder
Udgiftsramme
Skøn for antal ansatte*
Anm.: * årsværk
Kilde: egne beregninger på baggrund af kapitel 14.
98
Op til 2 mia. kr.
Op til 3.000
Investeringsbehov i en omstillingsfase
En omstilling til det primære sundhedsvæsen vurderes at kræve investeringer i en omstillingsfase. I det
følgende anvises kilderne til finansieringen.
Tilpasningsstrategi med prioritering af det primære sundhedsvæsen i de kommende års vækst på området
Det er på tværs af de fremlagte modelforslag en central præmis, at der over de kommende år sker en
udbygning af det almenmedicinske led (nuværende praksissektor) og den lokale forebyggelses- og sund-
hedsindsats (aktuelt primært i kommunalt regi).
Udbygningen forudsættes overordnet finansieret via de modsvarende gevinster på sygehusområdet. En
mere direkte tilpasning af sygehusenes budgetter nedad til finansiering af omstillingen på kort sigt vil efter
kommissionens opfattelse imidlertid kunne vise sig forbundet med problemer og stilstand særligt i en
overgangsperiode, da omstillingsgevinsterne ikke fuldt ud kan realiseres fra dag ét, bl.a. som følge af
kapacitetsproblemer i det primære sundhedsvæsen.
Sundhedsstrukturkommissionen anbefaler derfor en tilpasningsstrategi, hvor hovedkilden til de nærmeste
års styrkede prioritering forudsættes tilvejebragt ved en ændret prioritering af kommende planlagte løft
på sundhedsområdet, tillagt de løbende produktivitetsgevinster ved et fortsat fokus på bedre brug af
ressourcer. Konkret kan der peges på de demografimidler, som den nuværende regering har afsat til
kompensation for demografisk træk. Det vil sige, at den beregningstekniske udgiftsvækst som den demo­
grafiske udvikling tilsiger ved helt uændret standard og produktivitet og en helt uændret opgavefordeling
mellem sektorerne.
Kommissionen lægger dermed på tværs af de fremlagte modelforslag til grund, at den regionale del af
demografimidlerne prioriteres til udbygning af det primære sundhedsvæsen Afsættet er, at nye økonomiske
prioriteringer tilgår det primære sundhedsvæsen, og der på den måde også markeres et stop for vækst på
sygehusene med forbehold for nye prioriteringer og kvalitetsløft, der vedrører sygehusene.
SUU, Alm.del - 2023-24 - Bilag 317: Orientering om Sundhedsstrukturkommissionens afrapportering, fra indenrigs- og sundhedsministeren
2880227_0387.png
1
2
3
4
Del 4 - Opgavesamling, forvaltningsmodeller, implementering og økonomi
387
Det skal også ses i sammenhæng med, at den ansvarlige myndighed med kommissionens anbefalinger på
det almenmedicinske område gives væsentligt stærkere muligheder for at igangsætte tiltag i det primære
sundhedsvæsen, der sikrer reel aflastning af sygehusene. Samtidig er der et forsat potentiale, ikke mindst
på sygehusområdet, for at nedbringe uhensigtsmæssig aktivitet og spild og realisering af løbende produk-
tivitetsgevinster.
Der er tale om væsentlige prioriteringer på 2,25­2,5 mia. kr. årligt – ved de aktuelle fremskrivninger – eller
for perioden fra 2026 og frem til 2023 samlet 12 mia. kr., hvor målretningen vedrører 750 mio. kr. årligt
på det regionale område. Det svarer til en skønnet vækst på samlet set knap 4 mia. kr. frem mod 2030,
som omprioriteres til det primære sundhedsvæsen – udover den mulige vækst i den kommunale indsats
via det kommunale demografiske træk på over 8 mia. kr., jf. tabel 17.2.
Tabel 17.2
Demografisk udgiftsbehov på sundheds- og ældreplejeområdet fra 2026 frem mod 2030
Mia. kr.
Regionale demografiske træk
(2023-prognose)
Kommunale demografiske træk
- Heraf for de kommunale
driftsudgifter til ældrepleje
I alt (regionale træk +
kommunale driftsudgifter
til ældrepleje)
2026
750
1.500
1.500
2027
750
1.750
1.500
2028
750
2.250
1.750
2029
750
2.500
1.750
2030
750
2.750
1.750
I alt 2026­2030
3.750
10.750
8.250
2.250
2.500
2.500
2.500
2.500
12.000
Kilde: 2030-planforløb: Grundlag for udgiftslofter 2027, august 2023.
Generelt gælder det, at udmøntning af økonomi sker løbende ved de årlige økonomi­ og finanslovsaftaler,
og tabel 17.2 dermed alene udtrykker en illustrativ profil. Kommissionen noterer sig desuden, at der er
afsat en sundhedspakke på 5 mia.kr., som har afløb frem til 2030. Pakken skal bl.a. finansiere en kræftplan
VI.
I model 1 og 2 samles store dele af sundheds­ og plejeindsatserne hos én myndighed og størstedelen af
demografimidlerne vil dermed tilfalde de nye myndigheder, der via det samlede ledelsesansvar har mulig-
hed for at prioritere midlerne på tværs af det sekundære og primære sundhedsvæsen. For begge modeller
kan der dog være grundlag for en national markering om et vækststop på sygehusområdet, dog med
forbehold for nye prioriteringer og kvalitetsløft der vedrører sygehusene, indenfor det samlede sundheds-
og ældreområde, som i perioden via det demografiske træk frem mod 2030 løftes med i alt over 12 mia. kr.,
jf. tabel 17.2.
I model 3 tages der udgangspunkt i den nuværende opgave­ og ansvarsfordeling på sundheds­ og ældre­
området. I modellen har regionerne fortsat ansvaret for sygehuse og praksissektoren, og kommunerne
har ansvaret for deres nuværende sundheds­ og plejeopgaver. Der kan også i den model flyttes opgaver fra
kommunerne til sundhedsregionerne, men modellen bygger på et rationale om et begrænset opgaveflyt
sammenlignet med model 1 og 2. I model 3 vil den ønskede omstilling forudsætte at det fremadrettede løft
til regionerne, afledt af den demografiske udvikling, målrettes indsatser i det primære sundhedsvæsen.
Målet er et ændret fokus i regionerne, der skal understøtte den ønskede udvikling, hvor mere aktivitet
skal foregå uden for sygehusene.
Det forudsætter et stærkt sygehusledelsesfokus på at prioritere de tilbud, der giver mest sundhed for
pengene. Sundhedsstrukturkommissionen vurderer, at det primære sundhedsvæsen skal tildeles en større
andel af de samlede ressourcer, og dermed skal det sekundære sundhedsvæsen udgøre en mindre andel.
Det er et væsentlig bidrag til at sikre bedre brug og skabe mere værdi for patienterne for de ressourcer,
der prioriteres til sundheds-og ældreområdet.
SUU, Alm.del - 2023-24 - Bilag 317: Orientering om Sundhedsstrukturkommissionens afrapportering, fra indenrigs- og sundhedsministeren
2880227_0388.png
388
1
2
3
4
Del 4 - Opgavesamling, forvaltningsmodeller, implementering og økonomi
Samtidig bør der i model 3 indføres et resultatafhængig tilskud for kommunerne til erstatning af den
nuværende model for kommunale medfinansiering af sundhedsområdet. Tilskuddet skal styrke kommu­
nernes incitamenter til at investere i en bedre forebyggende indsats, bl.a. i ældreplejen og dermed
modvirke, at kommunerne blot afventer en regional prioritering af kommunale indsatser.
Investeringer på IT- og dataområdet og fysisk infrastruktur
Sundhedsstrukturkommissionen anbefaler, at der som nødvendig forudsætning for omstillingen sker en
styrket udbredelse af nye digitale løsninger, at der etableres en national dataplatform, og etableringen
af lokale sundhedscentre, der danner en sundhedsfaglig ramme om lokale sundheds- og plejeindsatser,
understøttes (se kapitlerne 10­11).
De foreslåede sundhedscentre adskiller sig fra de nærhospitaler, som er beskrevet i sundhedsreformaftalen
fra 2022, da sundhedscentrene ikke på samme måde er defineret ved tilstedeværelsen af udflyttede,
ambulante sygehusfunktioner, og da der vil være behov for dels lokal variation og dels flere lokationer.
Kommissionen peger derfor på, at en kommende overvejelse i forhold til prioriteringen af de tidligere
afsatte midler til nærhospitaler (3,5 mia. kr. frem til 2030) bør ses i sammenhæng med behovet for en
generel udbygning af det primære sundhedsvæsen. Midlerne kan bl.a. bruges til styrkede fysiske rammer
for de nære sundhedstilbud, fx i form af lokale sundhedscentre og investeringer i ny teknologi til at under-
støtte sammenhæng og omstilling, bl.a. en national dataplatform.
Sundhedsstrukturkommissionen vurderer desuden, at den foreslåede etablering af en national struktur
for udbredelse af digitale løsninger vil understøtte en bedre prioritering af de ressourcer, der i dag bruges
på området, og dermed styrke en national udbredelsesindsats af løsninger, der har vist positive gevinster.
Kommissionen har endvidere noteret, at der i december 2023 er indgået en udmøntningsaftale med Danske
Regioner og KL om 0,5 mia. kr. i 2023­2028 til investeringer i styrket hjemmebehandling.
Den nuværende regering har varslet en ny sundhedsfond, der udover fokus på vedligeholdelse og moder-
nisering af sygehuse også omfatter teknologi og digitalisering, som reducerer arbejdskraftsudfordringen og
understøtter nem og lige adgang til forebyggelse og sygdomsbehandling. Det skal ses i sammenhæng med
udfasningen de nuværende kvalitetsfondsinvesteringer i nye sygehuse. Sundhedsstrukturkommissionen
kan i den forbindelse anbefale, at behovet for en styrket digital infrastruktur og dataplatform indtænkes
i udmøntningen af en sådan ny sundhedsfond.
Produktivitet, prioritering og administration
Et finansieringsbidrag til de kommende års prioriteringer på sundhedsområdet er løbende produktivitets-
forbedringer og mindskelse af uhensigtsmæssige behandlinger. Sundhedsstrukturkommissionen har i
opstillingen af hensyn for organiseringen af fremtidens sundhedsvæsen derfor vurderet, at der i strukturen
skal indtænkes incitamenter for de enkelte myndigheder til løbende at realisere nye omkostningseffektive
tilgange på sundhedsområdet og til at sikre realiseringen af de løbende produktivitetsgevinster hos alle
aktørerne. Tilsvarende kan der indtænkes tiltag, som understøtter øget fokus på prioritering og reduktion
af uhensigtsmæssig aktivitet.
Særligt sygehusområdet og praksisområdet er kendetegnet ved gode rammebetingelser for løbende
produktivitetsforbedringer, bl.a. gennem nye omkostningseffektive behandlingsmetoder og opgaveglidning.
På sygehusområdet var der frem til 2018 et produktivitetskrav om 2 pct. årlig aktivitetsvækst på sygehu-
sene. En væsentlig årsag til, at kravet blev afskaffet, var, at det blev vurderet, at den måde som kravet blev
opgjort og udmøntet på udgjorde en barriere for omkostningseffektiv omlægning af sygehusvæsenet ved
ikke at understøtte en reduktion i unødig behandling, der enten helt kunne bortfalde eller som mere
effektivt kunne omstilles til det primære sundhedsvæsen. Vurderingen var dermed, at styringstiltaget var
så stærkt, at det udgjorde en uhensigtsmæssig påvirkning af ledelsen af sygehusområdet, der dermed ikke
foretog nødvendige hensigtsmæssige prioriteringer af sygehusdriften, bl.a. i form af en utilstrækkelig
omlægning til det primære sundhedsvæsen og manglende fokus på reduktion af spild og behandling med
SUU, Alm.del - 2023-24 - Bilag 317: Orientering om Sundhedsstrukturkommissionens afrapportering, fra indenrigs- og sundhedsministeren
2880227_0389.png
1
2
3
4
Del 4 - Opgavesamling, forvaltningsmodeller, implementering og økonomi
389
lav sundhedseffekt. Produktivitetskravet er efterfølgende erstattet af et teknologibidrag på 500 mio. kr.
årligt, som regionerne skal frigøre til brug for bl.a. øget aktivitet. På praksisområdet har der ikke været
en tilsvarende ordning.
På sygehusområdet har der i perioden fra 2020 og frem været betydelige problemer med at realisere
tidligere aktivitetsniveauer, som betyder, at der har været væsentlige produktivitetstab. Covid­19 og
flaskehalse for specialiseret personale spiller en rolle. Samtidig kan afskaffelsen i 2019 af aktivitetsstyring
og det sammenhængende produktivitetskrav spille ind. Kommissionen har ikke taget stilling til den
konkrete udformning af en eventuel ny mekanisme, men vurderer generelt, at et styrket fokus på realisering
af produktivitetsgevinsterne skal ses i sammenhæng med øget prioritering af det primære sundhedsvæsen
og øget monitorering af omstillingen af det samlede sundhedsvæsen.
På administrationsområdet har kommissionen konstateret, at der på det regionale område er sket en
betydelig forøgelse af de administrative ressourcer, og den nuværende regering har aftalt tilpasninger
i administrationen på samlet 3,0 mia. kr. i regioner og kommuner frem mod 2030 som led i det flerårige
samarbejdsprogram. Kommissionen bemærker samtidig, at de foreslåede tilpasninger af de regionale
ikke­sundhedsopgaver vil kunne afføde administrative gevinster, afhængigt af om dele af opgaverne ikke
videreføres.
Finansieringsmodel
Nye forvaltningsmodeller forudsætter en tilpasses finansieringsmodel. Hertil følger overvejelser om mulige
tilpasninger af en finansieringsmodel. Begge dele vil blive beskrevet nærmere i de følgende afsnit.
Overordnet hensyn bag en tilpasset finansieringsmodel
Sundhedsstrukturkommissionen vurderer, at en tilpasset finansieringsmodel skal være baseret på nogle af
de grundlæggende hensyn, som den nuværende finansieringsmodel på regionernes sundhedsområde også
er baseret på. Det er hensyn til omkostningseffektivitet og økonomisk ansvarlighed, som bl.a. understøttes
ved generel rammefinansiering, hvor myndigheden har omprioriteringsmuligheder og incitamenter til at
sammentænke opgaveløsningen og derigennem få mest muligt ud af ressourcerne på tværs af flere sektorer
og indsatser. Ansvarlighed understøttes desuden ved at skabe sammenhæng mellem finansieringsansvar
og beslutningsansvar, da der opnås større driftsøkonomisk ansvarlighed, når den myndighed, der har
beslutningsansvaret, også har ansvaret for at finansiere opgaven.
Et andet grundlæggende hensyn er bæredygtighed og robusthed, der indbefatter en økonomi, som kan
imødegå større økonomiske stød, fx som følge af variation i efterspørgsel eller udsving i priser. Det omfatter
også robusthed til at absorbere og bære de økonomiske risici, der følger med store investeringer og i
forlængelse heraf kunne håndtere uforudsete omkostninger og budgetoverskridelser ved anlægsprojekter.
Hensynet handler herudover om stabilitet, som bl.a. opnås ved at sikre et indtægtsgrundlag, der har en
vis stabilitet over tid.
Endelig er der et centralt hensyn om økonomisk lighed, det vil sige at skabe overordnet ensartede,
økonomiske vilkår for opgaveløsningen på tværs af forskelle i udgiftsbehov og på tværs af forvaltnings-
enheder. Det er dermed et hensyn om at undgå for store forskelle i indtægtsgrundlaget set i forhold til
udgiftsbehov og derfor også ulighed i serviceniveau for borgerne forskellige steder i landet.
Overvejelser om mulige tilpasninger af finansieringsmodellen
Med baggrund i de omtalte hensyn er udgangspunktet for finansieringen fortsat den generelle finansie-
ringsmodel, som bruges i dag (se kapitel 7). Det indebærer en finansieringsmodel med rammefinansiering,
som bl.a. understøtter et lokalt prioriteringsrum og et generelt bloktilskud, der fordeles på baggrund af
et beregnet udgiftsbehov.
SUU, Alm.del - 2023-24 - Bilag 317: Orientering om Sundhedsstrukturkommissionens afrapportering, fra indenrigs- og sundhedsministeren
2880227_0390.png
390
1
2
3
4
Del 4 - Opgavesamling, forvaltningsmodeller, implementering og økonomi
For alle de skitserede modeller er det dermed kommissionens vurdering, at den generelle finansierings­
model i vid udstrækning vil kunne bruges med udgangspunkt i udgiftsbehovskriterier, der vil skulle til-
passes til den valgte model, bl.a. til myndigheders opgaveområde og størrelse. For den statslige model
forudsættes tilsvarende en model, hvor finansieringen af de regionale enheder kan være baseret på et
objektivt udgiftsbehov.
Sundhedsstrukturkommissionen nye forvaltningsmodeller og anbefalinger og forslag om organiseringen
af almenmedicinske tilbud og bedre fordeling af ressourcer i sundhedsvæsenet vil kunne have betydning
for udgiftsbehovet på sundhedsområdet set på tværs af geografi. Dertil kommer den forventede udvikling
i sundhed og sygdomsbillede, bl.a. i forhold til borgere med kronisk sygdom, hvor der også vil kunne være
geografiske forskelle. Flere elementer vil dermed have betydning for udgiftsbehovet og derfor også for­
delingen af finansiering på sundhedsområdet.
Som konsekvens foreslår kommissionen, at der i forbindelse med en ny organisering af sundhedsvæsenet
igangsættes en analyse af finansieringen som følge af den endelige forvaltningsmodel og opgavesammen-
sætning og yderligere behov for tilpasninger af fordelingskriterierne for det statslige bloktilskud til sund-
hedsområdet.
Sundhedsstrukturkommissionen vurderer, at der er et forbedringspotentiale i forhold til at sikre en
finansiering, der bedst muligt afspejler myndighedernes faktiske udgiftsbehov og forskellige vilkår for
opgaveløsningen. Kommissionen finder det herudover fortsat relevant at inddrage kriterier for strukturelle
og socioøkonomiske forhold. Det skal dog fremhæves, at de nuværende fordelingskriterier for bloktil-
skuddet til regionernes sundhedsopgaver er stort set uændrede siden indførelsen af regionerne, hvorfor
det generelt kan være relevant at gennemgå kriterierne med henblik på eventuelle justeringer.
Kriterierne skal fortsat kunne leve op til krav for fordelingskriterierne. De skal så vidt muligt ikke påvirke
myndighedens opgaveløsning, og der skal være en forventet årsagssammenhæng mellem kriteriet og
myndighedens udgiftspres. Datagrundlag skal så vidt muligt være baseret på officielle statistikkilder og
kunne opdateres løbende. Desuden kan der være andre hensyn, fx stabilitet, som betyder, at marginale
ændringer i et kriterium ikke bør medføre uforholdsmæssigt store udsving i finansieringen.
Endelig kan der være behov for at analysere myndighedernes udgifter og variationen over tid for at vurdere,
om der er finansieringsmæssige udfordringer, der ikke umiddelbart kan løses ved fuld generel finansiering.
Hvis der fx vurderes at være større udsving i udgifter på enkelte områder, kan det tale for delvis finansiering
via statslig refusion.
En tilpasning af finansieringsmodellen forudsættes samlet at være udgiftsneutral og få virkning samtidig
med en eventuelt ændret organisering.
SUU, Alm.del - 2023-24 - Bilag 317: Orientering om Sundhedsstrukturkommissionens afrapportering, fra indenrigs- og sundhedsministeren
2880227_0391.png
1
2
3
4
391
Litteratur
Andersen, Merethe K., Elisabeth Assing Hvidt, Kjeld M. Pedersen, Jesper Lykkegaard, Frans B. Waldorff,
Anders P. Munck og Line B. Pedersen. “Defensive Medicine in Danish General Practice. Types of Defensive
Actions and Reasons for Practicing Defensively”. Scandinavian Journal of Primary Health Care 39, nr. 4
(2021): 413–18.
Andersen, Merethe K, Line B Pedersen, Michael Dupont, Kjeld Møller Pedersen, Anders Munck og Jørgen
Nexøe. “General Practitioners’ Attitudes towards and Experiences with Referrals Due to Supplemental
Health Insurance”. Family Practice 34, nr. 5 (oktober 2017): 581–86.
Andersen, Simon Calmar, Martin Bækgaard og Peter Bjerre Mortensen. “Den svære kunst at prøve sig
forsigtigt frem”. Politiken, kroniken, 2023.
BDO. “Analyse af udviklingen i opgaveløsningen i almen praksis”. 2023.
Beech, Jake og Beccy Baird. “GP Funding and Contracts Explained”. The King’s Fund, 2020. https://www.
kingsfund.org.uk/insight-and-analysis/long-reads/gp-funding-and-contracts-explained
Bendix, Henrik W., Digmann, Annemette, Per Jørgensen og Kjeld Møller Pedersen. ”Ledelse i sundheds­
væsenet ­ på hospitaler, i kommuner og i praksis”. 1. e­bogsudgave. Gyldendal Business, 2017.
Boston Consulting Group. “Potentialer for omstilling til det nære sundhedsvæsen”. 2024.
Boston Consulting Group. “Sundhedsvæsenets organisering i udvalgte lande”. 2023.
Behandlingsrådet. “Behandlingsrådets rapport vedrørende ulighed i den somatiske behandling af patienter
med psykiske lidelser ­ patientforløb barrierer og indsatser”. 2024.
Birk, Hans Okkels, Karsten Vrangbæk, Andreas Rudkjøbing, Allan Krasnik, Astrid Eriksen, Erica Richardson
og Signe Smith Jervelund. “Denmark: Health system review”. Health Systems in Transition 26, nr. 1 (2024):
i–152.
Boston Consulting Group. “Udviklingen i Sundhedsvæsenet ­ et perspektiv til omstilling”. 2024.
Bækgaard, Martin. “The Impact of Formal Organizational Structure on Politico­Administrative Interaction:
Evidence from a Natural Experiment”. Public Administration 89, nr. 3 (september 2011): 1063–80.
Christensen, Jørgen Grønnegård, Jørgen Albæk Jensen, Peter Bjerre Mortensen og Helene Helboe Pedersen.
“Kapitel 8. Bemyndigelseslovgivning: et demokratisk problem”. I Når embedsmænd lovgiver, 1. udgave.,
193–226. København: Djøf Forlag, 2020.
COWI Danmark. ”Afdækning af kvalitet i offentligt finansieret ambulant alkoholbehandling”. Udarbejdet for
Sundhedsstyrelsen. 2019.
Danmark og Sundhedsstyrelsen, red. ”Hjemmesygeplejen: betænkning II afg. af det af Sundhedsstyrelsen
nedsatte udvalg vedrørende revision af sundhedsplejerske­ og hjemmesygeplejeordningen”. Betænkning
648. København, 1972.
Danmarks Statistik. ”SHA1: Udgifter til sundhed efter funktion, aktør, finansieringskilde og prisenhed.
2023­tal”. u.å.
Christensen, Line Due, Claus Høstrup Vestergaard, Morten Bondo Christensen og Linda Huibers. “Health
Care Utilization Related to the Introduction of Designated GPs at Care Homes in Denmark: A Register­Based
Study”. Scandinavian Journal of Primary Health Care 40, nr. 1 (2. januar 2022): 115–22.
SUU, Alm.del - 2023-24 - Bilag 317: Orientering om Sundhedsstrukturkommissionens afrapportering, fra indenrigs- og sundhedsministeren
2880227_0392.png
392
1
2
3
4
Dansk Selskab for Ledelse i Sundhedsvæsenet og Christian Bøtcher Jacobsen. “Der skal være plads til både
styring og ledelse i sundhedsvæsenet”. I Den Anden Kommission: Tolv kronikker om de nødvendige foran-
dringer af sundhedsvæsenet, 36–38, 2023.
Dansk Selskab for Ledelse i Sundhedsvæsenet og Rolf Dalsgaard Johansen. “De teknologiske løsninger ligger
for fødderne af os”. I Den Anden Kommission: Tolv kronikker om de nødvendige forandringer af sundheds-
væsenet, 39–41, 2023.
Danske Multidisciplinære Cancer Grupper, Regionernes Kliniske Kvalitetsudviklingsprogram og Institute of
Applied Economics and Health Research. “Benchmarking II Consortium: Uddybende rapport om cancer-
overlevelse i Danmark 1995­2014”. 2017.
Danske Regioner. “Fremtidens almen praksis – udvikling og nye rammer”. 2023.
Danske Regioner. ”Let og hurtig psykisk hjælp”. 2023.
Danske Regioner, KL, Økonomi­ og Indenrigsministeriet, Finansministeriet og Ministeriet for Sundhed og
Forebyggelse. ”Bedre incitamenter i sundhedsvæsenet”. 2013.
Danske Regioner. “Statusredegørelse for regionernes afvikling af efterslæb. Opfølgning på aftale om akutpla-
nen 4. kvartal 2023”. 2024.
Danske Regioners Bestyrelse. “Referat af møde i Danske Regioners bestyrelse 28. september 2023”. 2023.
DSAM­bestyrelsen. “Fremtidens familielæge: Et holdningspapir fra DSAM”. Dansk Selskab for Almen
Medicin, 2023. https://www.dsam.dk/presse­holdninger/holdninger­og­politikker/fremtidens­familiela-
ege
Epinion. ”Undersøgelse af den lægevidenskabelige ph.d.­uddannelse”. Uddannelses­ og Forsknings­
ministeriet, 2016.
Økonomi­ og Indenrigsministeriet. ”Evaluering af kommunalreformen”. 2013.
FAPS og Danske Regioner. “En fælles retning ­ en fælles vision for speciallægepraksis”. 2021.
Dyhrberg, Niels, Simon Krogh og Niels Opstrup. “Styreformer ­ en teoretisk introduktion. I Poul Erik
Mouritzen (red.)”. I Opfundet til lejligheden ­ evaluering af regionernes politiske styreform, 41–67. Syddansk
Universitetsforlag, 2010.
Fosbøl, Emil L., Philip L. Fosbøl, Sofie Rerup, Lauge Østergaard, Mohammed H. Ahmed, Jawad Butt, Julie
Davidsen, Nirusiya Shanmuganathan, Simon Juul og Christian Lewinter. “Low Immediate Scientific Yield of
the PhD among Medical Doctors”. BMC Medical Education 16, nr. 1 (december 2016).
Friderichsen, Bolette, Magnus Isacson og Marte Kvittum Tangen. “Almen praksis ­ Hvad kan Danmark lære
af Norge og Sverige?”. u.å.
Gjødsbø, Iben Mundbjerg, Henriette Langstrup, Klaus Høyer, Lars Kayser og Karsten Vrangbæk.
“Digitalisering i det danske sundhedsvæsen”. Samfundsøkonomen, nr. 1 (25. marts 2021): 26–38.
Ginman, Rasmus Jessen. “Stigende it­udgifter udhuler Region H’s økonomi: »Omkostninger til it stiger
hurtigere end til sundhed«”. DigiTech, 2023. https://pro.ing.dk/digitech/artikel/stigende­it­udgifter­udhu-
ler-region-hs-oekonomi-omkostninger-til-it-stiger-hurtigere-end-til-sundhed
Hansen, Rune Fick. “Her investerer man mest og mindst i det offentlige”. IT­Branchen, 2024. https://itb.dk/
maerkesager/offentlig-digitalisering/her-investerer-man-mest-og-mindst-i-det-offentlige/
Health Tech Hub Copenhagen og Tænketanken Mandag Morgen. “Bedre digital sundhed: Anbefalinger til
bedre sammenhæng og samarbejde til gavn for borgere og et presset sundhedsvæsen”. 2023.
SUU, Alm.del - 2023-24 - Bilag 317: Orientering om Sundhedsstrukturkommissionens afrapportering, fra indenrigs- og sundhedsministeren
2880227_0393.png
1
2
3
4
393
Hjemmehjælpskommissionen. ”Fremtidens hjemmehjælp – ældres ressourcer i centrum for en sammen-
hængende indsats”. Hjemmehjælpskommissionen, Sekretariatet, 2013.
Implement Consulting Group. “Den kommunale sundhedsindsats”. 2023.
Honorarstrukturrådet for almen praksis. “Forenkling og faglighed med fokus på patienten: Forslag til en ny
honorarstruktur i almen praksis”. 2023.
Implement Consulting Group. “Analyse af kompetencemangel i Sundhedsvæsenet”. 2023.
Implement Consulting Group. “Udfordringer og potentialer i samspillet mellem sektorer og for sammen-
hængende patientforløb”. 2024.
Indenrigs­ og Boligministeriets Benchmarkingenhed. “Kommunal sygepleje til ældre”. 2022.
Indenrigs­ og Boligministeriet. ”Flyttemønstres og nærmiljøets betydning for den sociale sammensætning
og beskæftigelse”. 2021.
Indenrigs­ og Sundhedsministerens rådgivende udvalg. ”Opgavekommissionens betænkning 1998”. 1998.
Indenrigs­ og Sundhedsministeriet. ”Aftale om en bedre psykiatri ­ hurtigere behandling til børn og unge,
bedre akut hjælp og større tryghed for medarbejderne”. 2023.
Indenrigs­ og Sundhedsministeriet. Bekendtgørelse af sundhedsloven, LBK nr 247 af 12/03/2024 § 205
(2024).
Indenrigs­ og Sundhedsministeriet. Bekendtgørelse af sundhedsloven, LBK nr 247 af 12/03/2024 § 239
(2024).
Indenrigs­ og Sundhedsministeriet. Bekendtgørelse om sundhedsklynger, sundhedssamarbejdsudvalg,
sundhedsaftaler og patientinddragelsesudvalg, BEK nr 1248 af 05/09/2022 (2022).
Indenrigs­ og Sundhedsministeriet. “Eftersyn af sygehusvæsenet”. 2023.
Indenrigs­ og Sundhedsministeriet. “Kommissorium for Sundhedsstrukturkommissionen”. 2023.
Indenrigs­ og Sundhedsministeriet. Bekendtgørelse af sundhedsloven, LBK nr 247 af 12/03/2024 § 1 og § 2
(2024).
Indenrigs­ og Sundhedsministeriet. ”Lov om hjemmesygeplejerskeordninger”. LOV nr. 408 af 13/06/1973
(1973).
Indenrigs­ og Sundhedsministeriet. ”Sundhedsvæsenets organisering: sygehuse, incitamenter, amter og
alternativer”. Indenrigs­ og Sundhedsministeriet, 2003.
Indenrigs­ og Sundhedsministeriets Benchmarkingenhed. “Ældre med højest forbrug af sundheds­ og
plejeydelser”. 2024
Indenrigs­ og Sundhedsministeriet. “Resultater af brugertilfredshedsundersøgelse for lægepraksis”. 2024.
Indenrigs­ og Sundhedsministeriets Benchmarkingenhed. “Overlappet mellem psykiatrien og de sociale
indsatser”. 2024.
Indenrigsministeriet, red. ”Samordning i sundhedsvæsenet: Betænkning fra det af indenrigsministeren
nedsatte Samordningsudvalg for sundhedsvæsenet”. Betænkning 1044. København, 1985.
Jønsson, Alexandra Brandt Ryborg. “Borgere og pårørendes oplevelse af mødet med sundhedsvæsenet:
udfordringer samt ønsker til forandringer”. 2024.
Indenrigsministeriet og Sundhedsstyrelsen. “Sygehusvæsenet 1978­1992. Planredegørelse 1983”. 1983.
SUU, Alm.del - 2023-24 - Bilag 317: Orientering om Sundhedsstrukturkommissionens afrapportering, fra indenrigs- og sundhedsministeren
2880227_0394.png
394
1
2
3
4
Kessing, Lars Vedel, Simon Christoffer Ziersen, Avshalom Caspi, Terrie E. Moffitt og Per Kragh Andersen.
“Lifetime Incidence of Treated Mental Health Disorders and Psychotropic Drug Prescriptions and Associated
Socioeconomic Functioning”. JAMA Psychiatry 80, nr. 10 (1. oktober 2023): 1000.
Kiil, Astrid og Kjeld Møller Pedersen. ”The Danish Survey on Voluntary Health Insurance 2009”. DaCHE
discussion papers 2009:3, University of Southern Denmark, Dache ­ Danish Centre for Health Economics,
2009.
KL og Mette Egsdal. “Almen praksis henvisning til kommunale forebyggelsestilbud (2014­2017)”. 2018.
Kommission for robusthed i sundhedsvæsenet. “Robusthedskommissionens anbefalinger”. 2023.
KL. “Kvalitet i kommunerne ­ KIK”. KL, u.å. https://www.kl.dk/sundhed­og­aeldre/kvalitet/kvalitet­i­kom-
munerne-kik
Kommunernes og regionernes løndatakonto (KRL). “KRL Kommunernes og Regionernes løndatakontor”.
KRL. u.å. https://www.krl.dk/#/main
KORA, Betina Højgaard og Jakob Kjellberg. ”Fem megatrends der udfordrer fremtidens sundhedsvæsen”.
KORA ­ Det Nationale Institut for Kommuners og Regioners Analyse og Forskning, 2017.
KORA, Martin Sandberg Buch og Mette Bjerregaard. ”Status og fremadrettede perspektiver for udvikling
og samarbejde: Nakskov Sundhedscenter og Kalundborg Sundheds­ og Akuthus samt Lægecenter”.
KORA ­ Det Nationale Institut for Kommuners og Regioners Analyse og Forskning, 2016.
KORA, Simon Feilberg. ”Udviklingen i antallet af genoptræningsplaner. Benchmark af genoptræningsplaner
på nationalt, regionalt og kommunalt niveau fra 2007­2014”. KORA ­ Det nationale Institut for Kommuners
og Regioners Analyse og Forskning. 2016.
Kragh, Jesper Vaczy, red. ”Psykiatriens historie i Danmark”. 1. udgave, 1. oplag. København: Reitzel, 2008.
Kvalitet i Almen Praksis (KiAP). “Om KiAP”. KiAP, u.å. https://kiap.dk/kiap/om/kiap.php
Landsdækkende Undersøgelse af Patientoplevelser ­ Psykiatri. “LUP Psykiatri. Landsdækkende Under­
søgelser af Patientoplevelser 2017 (2017)”. 2017.
Landsdækkende Undersøgelse af Patientoplevelser ­ Psykiatri. “LUP Psykiatri. Landsdækkende Under­
søgelser af Patientoplevelser (2018)”. 2018.
Landsdækkende Undersøgelse af Patientoplevelser ­ Psykiatri. “LUP Psykiatri. Landsdækkende Under­
søgelser af Patientoplevelser (2021­2022)”. 2021.
Landsdækkende Undersøgelse af Patientoplevelser ­ Somatik. “LUP Somatik. Landsdækkende Under­
søgelser af Patientoplvelser (2020)”. 2020.
Landsdækkende Undersøgelse af Patientoplevelser ­ Somatik. “LUP Somatik. Landsdækkende Under­
søgelser af Patientoplevelser (2021)”. 2021.
Larsen, Lars Thorup og Deborah Stone. “Governing Health Care Through Free Choice: Neoliberal Reforms
in Denmark and the United States”. Journal of Health Politics, Policy and Law 40, nr. 5 (2015): 941–70.
Ledelseskommissionen. “Sæt borgerne først: Ledelse i den offentlige sektor med fokus på udvikling af
driften”. 2018.
Lindvall, Johannes. ”Reform Capacity”. Oxford: Oxford University Press, 2019.
Mandag Morgen og Trygfonden. ”Sundhedsvæsenet ­ ifølge danskerne”. Mandag Morgen og TrygFonden,
2016.
SUU, Alm.del - 2023-24 - Bilag 317: Orientering om Sundhedsstrukturkommissionens afrapportering, fra indenrigs- og sundhedsministeren
2880227_0395.png
1
2
3
4
395
Ministeriet for Sundhed og Forebyggelse. ”Nationalt kvalitetsprogram for sundhedsområdet 2015­2018”.
2015.
Mortensen, Peter Bjerre og Christoffer Green­Pedersen. “Institutional Effects of Changes in Political
Attention: Explaining Organizational Changes in the Top Bureaucracy”. Journal of Public Administration
Research and Theory 25, nr. 1 (1. januar 2015): 165–89.
Mortensen, Peter Bjerre, Matt W. Loftis og Henrik Bech Seeberg. ”Explaining Local Policy Agendas:
Institutions, Problems, Elections and Actors”. Comparative Studies of Political Agendas Series. Cham:
Palgrave Macmillan, 2022.
Nøhr, Christian, Pernille Bertelsen, Søren Vingtoft og Stig Kjær Andersen, red. ”Digitalisering af det danske
sundhedsvæsen: øjenvidneberetninger fra nøgleaktører”. 2. udgave. Odense: Syddansk Universitetsforlag,
2020.
OECD. “OECD Health at a Glance 2023 Country Note, Denmark”. 2023.
OECD. “Health expenditure and financing”. OECD.Stat, 2024. https://stats.oecd.org/Index.aspx?DataSetCo-
de=SHA
Olsen, J.K., J. Lykkegaard, A. Munck, P. Ahnfelt­Mollerup, S. Nyvan Marisusen og Kjeld Møller Pedersen.
“Henvisningsaudit blandt praktiserende læger i Region Syddanmark”. APO, Forskningsenheden for almen
praksis, SDU, 2024.
Opstrup, Niels. “Det regionale politiske niveau. Notat til Sundhedsstrukturkommissionen”. Syddansk
Universitet, 2023.
PA Consulting Group. “Fælles tværgående kanalstrategi for datadeling i sundhedsvæsenet”. 2024.
PA Consulting Group. “Analyse af modeller for organisering og styring af arbejdet med digitale løsninger
og data i det danske sundhedsvæsen”. 2024.
Pedersen, Kjeld Møller. ”Dansk sundhedspolitik”. 1. udgave, 1. oplag. København: Munksgaard, 2018.
Pedersen, Kjeld Møller, Frede Olesen og Leif Vestergaard Pedersen. ”Eksperter: Sådan får vi styr på det
danske sundhedsvæsen”. 2018.
Pedersen, Kjeld Møller. “Kritisk vurdering af udkastet til sundhedsreform”. Administrativ Debat, 2019.
Pedersen, Kjeld Møller. ”Sundhedspolitik: beslutningsgrundlag, beslutningstagen og beslutninger i sund-
hedsvæsenet”. Odense: Syddansk Universitetsforlag, 2005.
Pedersen, Leif Vestergaard. “Almen lægehjælp i et moderne sundhedsvæsen. Idepapir om indførelse af
ledelse i almen praksis”. 2023.
Perspektivplan I. ”Perspektivplanlægning 1970­1985: Redegørelse fra den af regeringen i november 1968
nedsatte arbejdsgruppe”. Schultz, 1971.
Perspektivplan II. ”Perspektivplan­redegørelse, 1972­1987”. København: Statens trykningskontor, 1973.
Plana­Ripoll, Oleguer, Carsten Bøcker Pedersen, Esben Agerbo, Yan Holtz, Annette Erlangsen, Vladimir
Canudas­Romo, Per Kragh Andersen, m.fl. “A Comprehensive Analysis of Mortality­Related Health Metrics
Associated with Mental Disorders: A Nationwide, Register­Based Cohort Study”. The Lancet 394, nr. 10211
(november 2019): 1827–35.
Planinformationsudvalget om Videreudviklingen af de Statslig­Kommunale Plansystemer. ”Al den plan­
lægning: hvorfor og hvordan? Redegørelse fra planinformationsudvalget om videreudviklingen af de
statslig­kommunale plansystemer”. Finansministeriet, Budgetdepartementet, 1983.
Praktiserende Lægers Organisation. “De digitale klinikker”. 2023.
SUU, Alm.del - 2023-24 - Bilag 317: Orientering om Sundhedsstrukturkommissionens afrapportering, fra indenrigs- og sundhedsministeren
2880227_0396.png
396
1
2
3
4
PwC. “Opsamling på workshop afholdt i regi af Robusthedskommissionen den 24. april 2023”. 2023.
Rambøll Management Consulting. “Kortlægning af behov og rammer for forskning om det primære
sundhedsvæsen”. 2021.
Regeringen. “Ansvar for Danmark. Det politiske grundlag for Danmarks regering”. 2022.
Regeringen og Danske Regioner. “Aftale om en akutplan for sygehusvæsenet”. 2023.
Regeringen, KL og Danske Regioner. “Aftale om 500 mio. kr. til mere behandling i eget hjem”. 2023.
Regeringen, KL og Danske Regioner. “Digitalisering, der løfter samfundet ­ Den fællesoffentlige
digitaliseringsstrategi 2022­2025”. 2022.
Regeringen, KL og Danske Regioner. “Ét sikkert og sammenhængende sundhedsnetværk for alle ­ Strategi
for digital sundhed 2018­2022”. 2018.
Regeringen, KL og Danske Regioner. ”Aftale om sammenhæng og nærhed (sundhedsklynger)”. 2021.
Regeringen, Venstre, Socialistisk Folkeparti, Det Konservative Folkeparti, Enhedslisten, Liberal Alliance,
Nye Borgerlige, m.fl. “Aftale om Sundhedsreform”. 2022.
Region Hovedstaden. “Evaluering af 72 timer: Et telefonnummer til den udskrivende afdeling skaber
tryghed for ældre patienter”. 2023. https://www.regionh.dk/presse­og­nyt/pressemeddelelser­og­nyhe-
der/Sider/Evaluering­af­72­timer­Et­telefonnummer­til­den­udskrivende­afdeling­skaber­tryg-
hed­for­%C3%A6ldre­patienter.aspx
Regionernes Kliniske Kvalitetsudviklingsprogram (RKKP). “Vi skaber viden til et bedre sundhedsvæsen”.
RKKP, u.å. https://www.rkkp.dk/om­rkkp/
SFI og Maren Sørensen. ”Den sociale stofmisbrugsbehandling. Del 4. Kvalitetsudvikling og kvalitets­
standarder”. SFI – Det Nationale Forskningscenter for Velfærd, 2009.
Social­, Bolig­ og Ældreministeriet. “Redegørelse om ældreområdet 2023”. 2023.
Social­, Bolig­ og Ældreministeriet. “Redegørelse om ældreområdet 2024”. 2024.
Social­, Bolig­ og Ældreministeriet. ”Socialpolitisk Redegørelse 2023”. 2024.
Regionernes Lønnings­ og Takstnævn og Foreningen af Speciallæger. ”Overenskomst om Speciallægehjælp
mellem Foreningen af Speciallæger (FAS) og Regionernes Lønnings­og Takstnævn (RLTN). 3. udgave”.
Foreningen af Speciallæger (FAS) og Regionernes Lønnings­ og Takstnævn, 2022.
Social­, Bolig­ og Ældreministeriet. Bekendtgørelse af lov om social service, LBK nr 67 af 22/01/2024
(2024).
Social­, Bolig­ og Ældreministeriet. “Aftale mellem regeringen (Socialdemokratiet, Venstre og Moderaterne)
og Danmarksdemokraterne, Socialistisk Folkeparti, Liberal, Alliance, Det Konservative Folkeparti og
Radikale Venstre om en reform af ældreområdet”. 2024.
Socialministeriet, Justitsministeriet, Indenrigsministeriet, Undervisningsministeriet og Sundheds­
ministeriet. ”Indsatsen for sindslidende: status, vurdering og forslag til nye initiativer. Redegørelse fra
en tværministeriel embedsmandsgruppe”. 1996.
Strukturkommissionen. ”Strukturkommissionens betænkning. Hovedbetænkningen”. Bd. I. III bd.
Indenrigs­ og Sundhedsministeriet. 2004.
Styrelsen for Arbejdsmarked og Rekruttering (STAR). Forløbsdatabase, DREAM og Det Statistiske
Autorisationsregister, Sundhedsdatastyrelsen, u.å.
SUU, Alm.del - 2023-24 - Bilag 317: Orientering om Sundhedsstrukturkommissionens afrapportering, fra indenrigs- og sundhedsministeren
2880227_0397.png
1
2
3
4
397
Sundhed Danmark. “Branchestatistik 2022”. 2023.
Sundheds­ og Ældreministeriet. “Servicetjek af det frie valg på ældre”. 2018.
Sundheds­ og Ældreministeriet. ”Sundhed, hvor er du: opfølgning på Udvalg om det nære og sammen­
hængende sundhedsvæsen”. Sundheds­ og Ældreministeriet, 2017.
Sundhedsdatastyrelsen. “Bevægelsesregisteret 2021”. 2023.
Sundhedsdatastyrelsen. “Aktive almen praksis (ydernumre) i yderregistret i perioden 2017­2023”. 2024.
Sundhedsdatastyrelsen. “Landspatientregisteret (DRG­grupperet) pr. 10. januar 2024 (for aktivitetsår
2022­2023) i takstsystem 2023”. 2024.
Sundhedsministeriet. ”Aftale om en 10­årsplan for psykiatrien og mental sundhed”. 2022.
Sundhedsministeriet, Danmarks Statistik, KL, Sundhedsdatastyrelsen, Danske Regioner og Nationalt Genom
Center. “Vision ­ Strategisk samarbejde for bedre brug af sundhedsdata”. 2021.
Sundhedsprioriteringsudvalget og Indenrigsministeriet. ”Prioritering i sundhedsvæsenet: Betænkning
om grundlaget for en overordnet prioritering af indsatsen inden for sygehusbehandling og sygdoms-
forebyggelse. Statens Trykningskontor, 1977.
Sundhedsstrukturkommissionen. ”Sundhedsstrukturkommissionens baggrundsrapport”. 2024.
Sundhedsstyrelsen. ”Anbefalinger for organisering af forløb for mennesker med multisygdom”. Sundheds-
styrelsen, 2023.
Sundhedsstyrelsen. ”Anbefalinger for tværsektorielle forløb for voksne med erhvervet hjerneskade ­
apopleksi og transitorisk cerebral iskæmi (TCI) - traume, infektions, tumor, subarachnoidalblødning og
encephalopati”. Sundhedsstyrelsen, 2020.
Sundhedsstyrelsen. ”Anbefalinger til rekruttering og fastholdelse af sundhedspersonale i psykiatrien”.
Sundhedsstyrelsen, 2020.
Sundhedsstyrelsen. ”De syv lægeroller”. Version 2.0. Sundhedsstyrelsen, 2013.
Sundhedsstyrelsen. ”Bedre mental sundhed og en styrket indsats til mennesker med psykiske lidelser:
fagligt oplæg til en 10­årsplan”. Sundhedsstyrelsen, 2022.
Sundhedsstyrelsen. “Faglig bæredygtighed som grundlag for sundhedsplanlægning”. 2024.
Sundhedsstyrelsen. ”Faglig ramme for det kommunale behandlingstilbud til børn og unge i psykisk
mistrivsel”. Sundhedsstyrelsen, Social­ og Boligstyrelsen og Styrelsen for Undervisning og Kvalitet, 2023.
Sundhedsstyrelsen. ”Fagligt oplæg til en 10­årsplan: Bedre mental sundhed og en styrket indsats til
mennesker med psykiske lidelser”. Sundhedsstyrelsen, 2022.
Sundhedsstyrelsen. ”Forebyggelsestilbud til borgere med kronisk sygdom: Kvalitetsstandarder”.
Sundhedsstyrelsen, 2024.
Sundhedsstyrelsen. ”Forløbsprogrammer for kronisk sygdom ­ den generiske model”. 2012.
Sundhedsstyrelsen. ”Forskning til styrkelse af indsatsen i det primære sundhedsvæsen ­ En national
strategi”. Sundhedsstyrelsen, 2022.
Sundhedsstyrelsen. ”Fremtidens speciallæge — ændring af den lægelige videreuddannelse”.
Sundhedsstyrelsen, 2024.
Sundhedsstyrelsen. ”Kvalitetsstandarder for kommunale akutfunktioner”. Sundhedsstyrelsen, 2023.
SUU, Alm.del - 2023-24 - Bilag 317: Orientering om Sundhedsstrukturkommissionens afrapportering, fra indenrigs- og sundhedsministeren
2880227_0398.png
398
1
2
3
4
Sundhedsstyrelsen. ”Lægeprognose 2021­2045 ­ Udbuddet af læger og speciallæger”. Sundhedsstyrelsen,
2022.
Sundhedsstyrelsen. “NKR og NKA efter område”. 2023. http://www.sst.dk/da/Fagperson/Retningslin-
jer­og­procedurer/NKA­og­NKR/NKR­og­NKA­efter­omraade
Sundhedsstyrelsen. “Notat: Resultat af faglig gennemgang af kræftområdet”. 2023.
Sundhedsstyrelsen. ”Muligheder og forudsætninger for omstilling til det primære sundhedsvæsen”. 2023.
Sundhedsstyrelsen. ”Styrket akutberedskab ­ planlægningsgrundlag for det regionale sundhedsvæsen”.
2007.
Sundhedsstyrelsen, COWI og Decide. “Afdækning af kvalitet i offentligt finansieret ambulant alkohol­
behandling”. 2019.
Toftgaard, Claus og Lars Hulbæk. ”Telemedicin ­ danske erfaringer og projekter”. 2010.
Sundhedsstyrelsen og Social­ og Boligstyrelsen. ”Erfaringsopsamling af botilbudsteams”. Sundhedsstyrelsen,
2024.
Udvalg vedrørende almen praksis’ rolle i fremtidens sundhedsvæsen. ”Almen praksis’ rolle i fremtidens
sundhedsvæsen”. 1. version. Ministeriet for Sundhed og Forebyggelse, 2008.
Udvalget for det nære og sammenhængende sundhedsvæsen. “Afrapportering ­ Udvalget for det nære
og sammenhængende sundhedsvæsen”. 2017.
Underarbejdsgruppen om evaluering af kommunalreformen – Socialområdet og de specialiserede
undervisningstilbud. “Afrapportering fra underarbejdsgruppen om evaluering af kommunalreformen
– socialområdet og de specialiserede undervisningstilbud”. Social­ og Integrationsministeriet, 2012.
Vestergaard, Leif og Frank Ingemann. “Idépapir om speciallægepraksis”. 2024.
ViBIS. “Patienter og pårørendes oplevelser med, og ønsker til, sundhedsvæsenet: Hovedpointer fra
feedbackmøder med patienter og pårørende”. 2023.
Vinge, Sidsel, Karen Kramhøft og Andreas Bøgh. ”Hjemmesygeplejen i Danmark”. DSI Institut for
Sundhedsvæsen, 2006.
VIVE, Betina Højgaard, Jakob Kjellberg og Mickael Bech. ”Den statslige styring af det regionale sundheds­
område: analyse af centrale instrumenter”. VIVE ­ Det nationale Forsknings­ og Analysecenter for Velfærd,
2018.
VIVE, Katrine Iversen, Didde Cramer Jensen, Mathias Ruge og Mads Thau. ”Kommunernes perspektiver
på centrale udfordringer på voksensocialområdet”. VIVE ­ Det Nationale Forsknings­ og Analysecenter
for Velfærd, 2018.
VIVE, Camilla T Dalsgaard, Jonathan Kjældgaard Jensen og Kasper Lemvigh. ”Kommunernes køb og salg
af botilbud på voksenområdet, 2011­2020”. VIVE ­ Det Nationale Forsknings­ og Analysecenter for Velfærd,
2022.
VIVE og Marie Henriette Madsen. ”Sammenhæng ifølge sundhedspersonale. En litteraturbaseret oversigt
over udfordringer og erfaringer med sikre sammenhængende forløb i sundhedsvæsenet”. VIVE - Det
nationale Forsknings­ og Analysecenter for Velfærd, 2024.
VIVE, Marie Henriette Madsen, Mette Brehm Johansen, Maya Christiane Flensborg Jensen, Caroline Louise
Westergaard og Ina Willaing Tapager. ”Speciallæge i almen medicin ­ En undersøgelse af begrundelser for
forskellige karrierevalg­ og veje”. VIVE ­ Det Nationale Forsknings­ og Analysecenter for Velfærd, 2023.
SUU, Alm.del - 2023-24 - Bilag 317: Orientering om Sundhedsstrukturkommissionens afrapportering, fra indenrigs- og sundhedsministeren
2880227_0399.png
1
2
3
4
399
VIVE, Marie Henriette Madsen, Morten Bonde Klausen, Marius Brostrøm Kousgaard, Maria Bundgaard,
Thorbjørn Hougaard Mikkelsen, Mads Toft Kristensen, Pia Kürstein Kjellberg og Jens Søndergaard.
”Kvalitetsklynger i almen praksis: en kvalitativ undersøgelse af klyngernes første år”. VIVE - Det Nationale
Forsknings­ og Analysecenter for Velfærd, 2020.
VIVE, Martin Sandberg Buch, Thorben Peter Høj Simonsen, Sarah Wadmann og Rikke Aarhus. ”Uhensigts-
mæssig dokumentation og behandling i sundhedsvæsenet”. VIVE ­ Det Nationale Forsknings­ og Analyse­
center for Velfærd, 2023.
VIVE, Sidsel Vinge, Martin Sandberg Buch og Pia Kürstein Kjellberg. ”Det kommunale akutområde:
erfaringer og perspektiver på udviklingen fra 15 kommuner”. VIVE ­ Det nationale Forsknings­ og Analyse-
center for Velfærd, 2021.
World Health Organization. “Building the Economic Case for Primary Health Care: A Scoping Review”.
Technical Series on Primary Health Care, 2018.
VIVE, Sidsel Vinge og Emmy Hjort­Enemark Topholm. ”Social­ og sundhedshjælpere og social­ og sundheds-
assistenter i kommunerne”. Bd. 2021. VIVE ­ Det Nationale Forsknings­ og Analysecenter for Velfærd, 2021.
World Health Organization og United Nations Children’s Fund (UNICEF). “A Vision for Primary Health Care
in the 21st Century: Towards Universal Health Coverage and the Sustainable Development Goals.” Technical
Series on Primary Health Care. World Health Organization, 2018.
Yngre Læger. “Yngre Lægers almen praksis­undersøgelse 2023 ­ ønsker til fremtidig beskæftigelse blandt
hoveduddannelses­ og speciallæger”. 2023.
SUU, Alm.del - 2023-24 - Bilag 317: Orientering om Sundhedsstrukturkommissionens afrapportering, fra indenrigs- og sundhedsministeren
2880227_0400.png
400
1
2
3
4
Figurer, tabeller og andre
illustrationer
Kapitel 1: Indledning
Boks 1.1
Uddrag fra regeringsgrundlaget 2022
Boks 1.2
Sigtelinjer for indretningen af fremtidens sundhedsvæsen
Boks 1.3
Sundhedsstrukturkommissionens medlemmer
Boks 1.4
Eksternt rekvirerede analyser og ekspertbidrag, udarbejdet for
Sundhedsstrukturkommissionen
Boks 1.5
Inddragelses- og debataktiviteter
6
7
8
10
11
Kapitel 2: Sammenfatning
Boks 2.1
Hvad betyder organisering?
Figur 2.1
Borgere med kontakt til sundhedsvæsenet fordelt på sektorer, 2022
Figur 2.2
Udvikling i antal læger ansat på sygehusene og alment praktiserende læger, indeks
(2003=100)
Figur 2.3
Sundhedsudgifter fordelt på funktion, udvalgte lande, 2019
Figur 2.4
Forbrug af sundheds- og plejeydelser pr. person, fordelt på alder, 2022
Figur 2.5
Forbrug af sundheds- og plejeydelser pr. person over 65 år, fordelt på afstand til død, 2019
Figur 2.6
Andel borgere med kronisk sygdom pr. 1.000 borgere i befolkningen, 2022
Figur 2.7
Lægedækningstruede områder, 2021-2024
Boks 2.2
Anbefaling 1
Boks 2.3
Forslag
Boks 2.4
Anbefaling 2
Boks 2.5
Forslag
Boks 2.6
Anbefaling 3
Boks 2.7
Forslag
Boks 2.8
Anbefaling 4
Boks 2.9
Forslag
Boks 2.10
Anbefaling 5
Boks 2.11
Forslag
Model 1
Enhedssundhedsvæsen med 8-10 sundheds- og omsorgsregioner
Boks 2.12
Fordele og ulemper sammenlignet med den nuværende organisering ud fra de
centrale hensyn
15
17
18
19
20
20
21
21
27
27
29
29
31
31
33
33
34
35
38
39
SUU, Alm.del - 2023-24 - Bilag 317: Orientering om Sundhedsstrukturkommissionens afrapportering, fra indenrigs- og sundhedsministeren
2880227_0401.png
1
2
3
4
401
Model 2
Statsligt enhedssundhedsvæsen med 8-10 administrative enheder
Boks 2.13
Fordele og ulemper sammenlignet med den nuværende organisering ud fra de centrale
hensyn
Model 3
Sundhedsregioner
Boks 2.14
Fordele og ulemper sammenlignet med den nuværende organisering ud fra de centrale
hensyn
Boks 2.15
Sammenligning af de tre modeller ud fra de centrale hensyn
Boks 2.16
Anbefaling 6
40
41
42
43
43
46
Kapitel 3: Udviklingslinjer i organiseringen af det danske sundhedsvæsen
Boks 3.1
Tidslinje med nedslag: Fra 25 amter og 1.098 kommuner til fem regioner og 98 kommuner
Boks 3.2
Tidslinje med nedslag: ”Øvelse gør mester”– sygehusopgaver samles og specialiseres
Boks 3.3
Tidslinje med nedslag: Psykiatriens udvikling – fra langtidsindlæggelse til ambulant
behandling
Boks 3.4
Tidslinje med nedslag: De praktiserende lægers udviklingen indenfor rammerne af
overenskomstsystemet
Boks 3.5
Tidslinje med nedslag: Speciallægepraksis
Boks 3.6
Tidslinje med nedslag: Kommunerne får flere og mere komplekse opgaver
Boks 3.7
Tidslinje med nedslag: Udviklingen i samspillet mellem sektorerne
Boks 3.8
Tidslinje med nedslag: Den digitale udvikling
Boks 3.9
Tidslinje med nedslag: Mellem ramme- og aktivitetsstyring
Boks 3.10
Tidslinje med nedslag: Fra frivillig kvalitetsudvikling til nationalt kvalitetsprogram
51
53
56
58
63
64
68
72
77
78
Kapitel 4: Status og udfordringer for sundhedsvæsenet
Figur 4.1
Befolkningen fordelt på alder, 1901-2050
Figur 4.2
Andelen af personer over 80 år i kommunen, 2023 og 2035
Figur 4.3
Befolkning over 80 år, fordelt på kommunetyper
Figur 4.4
Antal borgere med kroniske sygdomme og multisygdom, 2009-2022
Figur 4.5
Fremskrivning af borgere med KOL og type 2-diabetes, 2022 og 2035
Figur 4.6
Antal unikke personer med mindst én psykiatrisk diagnose pr. 100.000 personer
Figur 4.7
Udvikling i sundheds- og ældrepersonale ansat i kommuner og regioner, årsværk
Figur 4.8
Udvikling i sundheds- og ældrepersonale med primær ansættelse i privat
sundhedserhverv, årsværk
Figur 4.9
Andel af kommunalt og regionalt ansatte over 60 år, fordelt på udvalgte
personalegrupper, 2010-2022
Figur 4.10
Aldersfordeling blandt kommunalt og regionalt ansatte, fordelt på udvalgte
personalegrupper, 2022
82
83
84
85
86
87
88
88
89
89
SUU, Alm.del - 2023-24 - Bilag 317: Orientering om Sundhedsstrukturkommissionens afrapportering, fra indenrigs- og sundhedsministeren
2880227_0402.png
402
1
2
3
4
Figur 4.11
Andel af fuldtidsstillinger besat af personer over 60 år i udvalgte kommunale
sundhedsstillinger, fordelt på land- og hovedstadskommuner, 2023
Figur 4.12
Antal social- og sundhedshjælpere og social– og sundhedsassistenter i kommuner
og regioner pr. 100.000 indbyggere, fordelt på kommunetype, 2023
Figur 4.13
Ændring i efterspørgsel på udvalgte grupper af sundhedspersonale i 2035, målt i
forhold til 2021
Boks 4.1
Wagners lov
Figur 4.14
Forbrug på sundhed som andel af BNP og BNP pr. indbygger, OECD-lande, 2019
Boks 4.2
Baumol­effekt
Boks 4.3
Især tre patientgrupper oplever udfordringer i mødet med sundhedsvæsenet
Figur 4.15
Borgere med kontakt til sundhedsvæsenet fordelt på de tre sektorer, 2022
Boks 4.4
Fire profiler af ældre borgere med højest forbrug af sundheds­ og plejeydelser
Figur 4.16
Aktuel og fremtidig udvikling i antal personer i kontakt med både sygehuse, alment
praktiserende læger og kommunale sundheds- og plejeindsatser
Figur 4.17
Eksempler på kontaktforløb til alment praktiserende læger og sygehuse for personer
med multisygdom
Figur 4.18
Forebyggelige sygehusophold pr. 1.000 hjemmehjælpsmodtager over 65 år, fordelt på
kommuner, 2022
Figur 4.19
Andel somatiske genindlæggelser indenfor 30 dage, køns- og aldersstandardiseret,
2014-2022
Figur 4.20
Svarfordeling for andelen af planlagt indlagte patienter (somatisk), der svarer ”Slet
ikke” eller ”I ringe grad” på spørgsmål om deres indlæggelse, udvalgte spørgsmål med relation til
sammenhæng er fremhævet, 2021
Boks 4.5
Citater fra patienter, pårørende og patientforeninger
Figur 4.21
Vækst i offentligt forbrug på sundhedsområdet i faste priser, 2007­2022
Figur 4.22
Produktivitetsudvikling fra år til år, 2003-2018
Figur 4.23
Udvalgt sundhedspersonale i regionerne, fuldtidspersoner
Figur 4.24
Udvalgt sundhedspersonale i kommunerne, fuldtidspersoner
Figur 4.25
Sundhedsudgifter fordelt på funktion, udvalgte lande, 2019
Figur 4.26
Udvikling i antal sygehusophold og kontakter til den alment praktiserende læge pr.
1.000 borgere, fordelt på sygehuse og alment praktiserende læger, indeks (2009=100)
Figur 4.27
Befolkningen fordelt på mest specialiserede kontakt til sundhedsvæsenet, 2005 og 2022
Figur 4.28
Antal årlige sygehusophold (indlæggelser og ambulante ophold) på sygehusene pr.
sundhedsfaglig fuldtidsmedarbejder
Figur 4.29
Erfarede ventetider for alle opererede patienter, 2005 - 2023
Boks 4.7
Robusthedskommissionens pointer om uhensigtsmæssig behandling
Figur 4.30
Forbrug af sundheds- og plejeydelser pr. person fordelt på alder, 2022
Figur 4.31
Forbrug af sundheds- og plejeydelser pr. person over 65 år fordelt på afstand til død, 2019
Figur 4.32
Modtagere af kommunale ældreydelser som procent af befolkningen, 2008-2022
90
90
91
92
92
93
95
96
96
98
99
100
100
101
102
104
104
105
105
107
108
108
109
109
110
112
112
113
SUU, Alm.del - 2023-24 - Bilag 317: Orientering om Sundhedsstrukturkommissionens afrapportering, fra indenrigs- og sundhedsministeren
2880227_0403.png
1
2
3
4
403
Figur 4.33
Gennemsnitligt antal timer visiteret til personlig pleje, 2008-2022
Figur 4.34
Modtagere af kommunale sundhedsydelser som procent af befolkningen, 2008-2022
Figur 4.35
Udviklingen i antal midlertidige pladser i kommunerne, 2012-2022
Figur 4.36
Midlertidige pladser pr. borger over 65 år fordelt på kommuner, 2023
Figur 4.37
Udvikling i antal læger ansat på sygehusene og alment praktiserende læger, indeks
(2003=100)
Figur 4.38
Borgernes oplevelse af udvalgte overenskomstbestemte aftaler for alment
praktiserende læger, 2023
Figur 4.39
Borgerenes oplevelse af om de kan få tid til lægen indenfor en uge, 2023
Figur 4.40
Borgerens oplevelse af lægens evne til at skabe overblik over behandlingsforløbet, 2023
Figur 4.41
Forventet levealder for personer født i 1970 og 2021
Figur 4.42
Forventet levetid (år) for kvinder, fordelt på højest fuldførte uddannelse, 2019:2020
Figur 4.43
Forventet levetid (år) for mænd, fordelt på højest fuldførte uddannelse, 2019:2020
Figur 4.44
Forekomst af udvalgte risikofaktorer, fordelt på højest fuldførte uddannelse (+25 år),
2021
Figur 4.45
Oversandsynlighed for planlagt sygehusbehandling, fordelt på årsindkomst (0-130.000
kr. som referencegruppe), 2018
Figur 4.46
Oversandsynlighed for akut sygehusbehandling, fordelt på årsindkomst (0-130.000 kr.
som referencegruppe), 2018
Figur 4.47
Femårs relativ overlevelse for de hyppigste kræftformer i Danmark diagnosticeret i
2005-2009, for højeste og laveste indkomstkvintil
Figur 4.48
Andel borgere med kronisk sygdom pr. 1.000 borgere i befolkningen, 2022
Figur 4.49
Andel 15-69-årige med folkeskoleuddannelse som højeste fuldførte uddannelse, 2022
Figur 4.50
Antal læger pr. region, 2020
Figur 4.51
Antal sygeplejersker pr. region, 2020
Figur 4.52
Antal speciallæger pr. region, 2019
Figur 4.53
Antal praktiserende speciallæger pr. region, 2019
Figur 4.54
Andel, der to år efter uddannelsen til speciallæge arbejder i samme region, som de
blev uddannet i
Figur 4.55
Lægedækningstruede områder, 2021-2024
Figur 4.56
Antal med kronisk sygdom pr. lægekapacitet og andelen af befolkningen over 65 år
pr. kommune, 2022.
Figur 4.57
Benchmarkingindikator for samlet forbrug af ydelser i praksissektoren pr. person over
65 år, fordelt på borgere i kommuner, 2022
Figur 4.58
Besatte hoveduddannelsesforløb i almen medicin pr. region i pct., 2013-2022
Figur 4.59
Speciallægehenvisninger pr. 100 tilmeldte patienter, fordelt på kommunetype, 2022
Figur 4.60
Sygehushenvisninger pr. 100 tilmeldte patienter, fordelt på kommunetype, 2022
113
114
115
115
116
117
118
118
119
120
120
121
122
122
123
124
124
125
125
126
126
127
128
128
129
129
130
130
SUU, Alm.del - 2023-24 - Bilag 317: Orientering om Sundhedsstrukturkommissionens afrapportering, fra indenrigs- og sundhedsministeren
2880227_0404.png
404
1
2
3
4
Kapitel 5: Pejlemærker for udviklingen af sundhedsvæsenet
Kapitel 6: Centrale hensyn for organiseringen af sundhedsvæsenet
Boks 6.1
Sundhedslovens formålsparagraffer
Tabel 6.1
Seks centrale hensyn til vurdering af den organisatoriske indretning af sundhedsvæsenet
Boks 6.2
Definition af kvalitet
Boks 6.3
Definition af faglig bæredygtighed
Boks 6.4
Et økonomisk tungt velfærdsområde
Boks 6.5
Et vigtigt område for borgerne
137
138
139
139
144
144
Kapitel 7: Den nuværende organisering af sundhedsvæsenet
Tabel 7.1
Den nuværende forvaltningsstruktur med tre forvaltningsled
Figur 7.1
Udgifter til sygehuse, praksissektor og kommunale sundheds- og ældreindsatser, 2022
Figur 7.2
Antal fuldtidspersoner ansat på det kommunale sundheds- og ældreområde og det
regionale sundhedsområde, 2022
Figur 7.3
Antal personer beskæftiget på det private sundheds- og ældreområde opdelt på
uddannelser, 2022
Figur 7.4
Antal personer beskæftiget på det private sundheds- og ældreområde opdelt på
brancher, 2022
Figur 7.5
Borgere med kontakt til sundhedsvæsenet, fordelt på sektor og område (2022)
Tabel 7.2
Antal kontakter pr. år, fordelt på sektor og aktivitet (2022)
Figur 7.6
Regionernes samlede driftsudgifter fordelt på områder (mia. kr.)
Figur 7.7
Kommunernes samlede servicedriftsudgifter fordelt på områder, 2022 (mia. kr.)
Figur 7.8
Regionernes driftsudgifter til praksissektoren fordelt på praksisområde (mia. kr.)
Figur 7.9
Kort med inddeling i kommuner, sundhedsklynger og regioner, inklusive geografisk
placering af akutsygehuse
Figur 7.10
Fordeling af finansieringskilder til sundhedsvæsenet
Figur 7.11
Udgifter til sygehusaktiviteter (både indlæggelser og ambulant behandling) ud af de
samlede sundhedsudgifter
Figur 7.12
Udgifter til almenmedicinske tilbud ud af de samlede sundhedsudgifter
Figur 7.13
Alment praktiserende læger pr. 1.000 indbyggere, 2020
147
149
151
152
152
153
153
156
159
160
163
166
167
168
169
Kapitel 8: Svagheder ved den nuværende organisering af sundhedsvæsenet
Boks 8.1
Eksempel på uklart myndighedsansvar: Hjælpemiddel vs. behandlingsredskab
Boks 8.2
Hovedpointer fra Implements analyse af sundhedsklynger
Boks 8.3
Hovedpointer fra Implements analyse af sektorkrydsende indsatser
Boks 8.4
Opsummering af udfordringer med opgave- og ansvarsfordelingen
Boks 8.5.
Opsummering af væsentlige regulerings- og styringsudfordringer
176
177
180
182
185
SUU, Alm.del - 2023-24 - Bilag 317: Orientering om Sundhedsstrukturkommissionens afrapportering, fra indenrigs- og sundhedsministeren
2880227_0405.png
1
2
3
4
405
Boks 8.6.
Potentiale og udfordringer ved nye teknologier såsom kunstig intelligens og
sprogmodeller
Boks 8.7.
Opsummering af strukturelle barrierer for omstilling mod et mere digitalt
sundhedsvæsen
188
188
Kapitel 9: Kapacitetsudvidelse og ændret organisering af det
almenmedicinske tilbud
Boks 9.1
WHO. A vision for primary health care in the 21st century
Boks 9.2
Anbefaling 1
Boks 9.3
Forslag
Figur 9.1
Det gennemsnitlige antal sygdomsvægtede borgere pr. lægekapacitet (gennemsnit på
tværs af ydernumre i kommunerne), 2023
Boks 9.4
Tvistløsning og sanktionering
192
194
194
202
205
Kapitel 10: Ny organisering af digitalisering og data
Boks 10.1
Potentialer ved kunstig intelligens
Boks 10.2
Anbefaling 2
Boks 10.3
Forslag
Boks 10.4
Fem mål i en strategi for digitalisering og data i hele sundhedsvæsenet
213
215
216
218
Kapitel 11: Tilpasset fordeling af ressourcer i sundhedsvæsenet
Boks. 11.1
Anbefaling 3
Boks 11.2
Forslag
Boks 11.3
Opbygning af den lægelige grund- og videreuddannelse og betydningen af den
geografiske placering af videreuddannelsen for lægernes efterfølgende arbejdssted
234
235
240
Kapitel 12: Styrket sammenhæng og kvalitet i indsatsen for mennesker
med psykiske lidelser
Boks 12.1
Væsentligste udfordringer på psykiatriområdet, udpeget i Sundhedsstyrelsen
og Social- og Boligstyrelsens faglige oplæg fra 2022 til 10-årsplanen for psykiatrien og
mental sundhed
Boks 12.2
Udvalgte fakta om mennesker med psykiske lidelser
Boks 12.3
Lettilgængeligt behandlingstilbud i kommunerne til børn og unge i psykisk mistrivsel
eller med symptomer på psykisk lidelse
Boks 12.4
Anbefaling 4
Boks 12.5
Forslag
Boks 12.6
Øget forekomst af somatisk sygdom og markant overdødelighed – ulighed i sundhed
Boks 12.7
Kort om sociale botilbud
Boks 12.8
Erfaringer med fasttilknyttede læger på plejehjem
Boks 12.9
Digital terapi ved depression og angst
246
247
248
250
250
251
254
255
258
SUU, Alm.del - 2023-24 - Bilag 317: Orientering om Sundhedsstrukturkommissionens afrapportering, fra indenrigs- og sundhedsministeren
2880227_0406.png
406
1
2
3
4
Kapitel 13: Private aktører og patientrettigheder
Tabel 13.1
Udvalgte private aktører på sundheds- og ældreområdet, hovedgrupper
Figur 13.1
Økonomi for udvalgte private aktører på sundheds- og ældreområdet, hovedgrupper
Figur 13.2
Fordeling af ydernumre på medicinske specialer
Figur 13.3
Fordeling af ydernumre på regioner
Boks 13.1
Styring af decentrale speciallægetilbud
Boks. 13.2
Anbefaling 5
Boks 13.3
Forslag
Figur 13.4
Antallet af sundhedsforsikrede, 2003-2022
Boks 13.2
Væsentlige konklusioner fra analyse om sundhedsforsikringer
Boks 13.3
Oversigt over udvalgte patientrettigheder om frit valg og hurtig udredning,
behandling og genoptræning
261
262
263
263
264
266
267
272
272
275
Kapitel 14: Samling af flere opgaver hos én myndighed
Figur 14.1
Borgere med kontakt til sygehuse og udvalgte kommunale indsatser på ældre-
og træningsområdet, kommunal sygepleje og dele af socialområdet (2,9 mio. personer)
Figur 14.2
Det kommunale sundhedsområde og nærliggende områder
Figur 14.3
Indsatstrappe relateret til borgere, der typisk er ældre, og som har behov for hjælp
Figur 14.4
De samme indsatser gives i borgerens eget hjem, midlertidlige pladser og plejehjem
og plejebolig
Figur 14.5
Borgere med kontakt til kommunal sygepleje og pleje- og træningsindsatser,
fordelt ud fra om de også har kontakt til sygehuset, 2019
Boks 14.1
Personlig pleje og praktisk hjælp i tal
Boks 14.2
Tidsafgrænsede rehabiliteringsforløb i tal
Boks 14.3
Forebyggende hjemmebesøg i tal
Boks 14.4
Kommunal sygepleje i tal
Boks 14.5
Midlertidige pladser i tal
Boks 14.6
Plejehjem og plejebolig i tal
Boks 14.7
Træningsområdet i tal
Tabel 14.1
Typer af genoptræning efter udskrivelse fra sygehus
Boks 14.8
Patientrettet forebyggelse i tal
Boks 14.9
Borgerrettet forebyggelse i tal
Boks 14.10
Sundhedsplejen og forebyggende ydelser til børn og unge i tal
Boks 14.11
Tandplejeområdet i tal
Boks 14.12
Socialpædagogisk støtte og borgerstyret personlig assistance
Boks 14.13
Midlertidige botilbud i tal
283
284
287
288
290
291
292
293
295
297
299
300
302
305
307
308
308
311
312
SUU, Alm.del - 2023-24 - Bilag 317: Orientering om Sundhedsstrukturkommissionens afrapportering, fra indenrigs- og sundhedsministeren
2880227_0407.png
1
2
3
4
407
Boks 14.14
Længerevarende botilbud i tal
Boks 14.15
Misbrugsområdet i tal
Tabel 14.2
Kategorisering af opgaver på det kommunale sundhedsområde og nærliggende
områder i forhold til grad af sammenhæng, omstillingspotentiale og udfordringer med
bæredygtigheden i opgavesløsningen.
Tabel 14.3
Skøn over økonomien for indsatserne i opgavesamlingerne (mia. kr.)
Figur 14.6
Stor opgavesamling: Ældre- og træningsområdet, sygepleje og patientrettet
forebyggelse samles med sygehus- og praksissektor
Figur 14.7
Mellemstor opgavesamling: Ældre- og træningsområdet, sygepleje og patientrettet
forebyggelse samles med sygehus- og praksissektor, men kommuner bevarer ansvaret for
plejehjem og plejebolig
Figur 14.8
Mindre opgavesamling eller tværkommunalt samarbejde for opgaver med nær
sammenhæng til sygehus- og praksissektor
313
314
315
317
318
323
326
Kapitel 15: Forvaltningsmodeller for sundhedsvæsenet
Tabel 15.1
Dimensioner for opstilling af forvaltningsmodeller
Figur 15.1
Model 1: Enhedssundhedsvæsen med 8-10 nye sundheds- og omsorgsregioner
Boks 15.1
Pejlemærker for geografisk inddeling af sundheds­ og omsorgsregioner
Boks 15.2
Primære fordele og ulemper ved model 1 ud fra de centrale hensyn
Boks 15.3
Primære fordele og ulemper ved model 1a ud fra de centrale hensyn
Figur 15.2
Model 2: Statsligt enhedssundhedsvæsen med 8-10 nye administrative enheder
Boks 15.4
Primære fordele og ulemper ved model 2 ud fra de centrale hensyn
Figur 15.3
Model 3: Sundhedsregioner
Boks 15.5
Primære fordele og ulemper ved model 3 ud fra de centrale hensyn
338
340
342
346
350
352
355
358
366
Kapitel 16: Ledelse og implementering af omstillingen af sundhedsvæsenet
Boks 16.1
Anbefaling 1
Boks 16.2
Anbefaling 2
Boks 16.3
Anbefaling 3
Boks 16.4
Anbefaling 4
Boks 16.5
Anbefaling 6
373
374
375
376
378
Kapitel 17: Økonomi og finansiering
Tabel 17.1
Skøn for afledte koncekvenser ved de forskellinge modeller og opgavesamlinger
(se kapitlerne 14-15)
Tabel 17.2
Demografisk udgiftsbehov på sundheds­ og ældreplejeområdet fra 2026 frem
mod 2030
386
387
SUU, Alm.del - 2023-24 - Bilag 317: Orientering om Sundhedsstrukturkommissionens afrapportering, fra indenrigs- og sundhedsministeren
2880227_0408.png
408
1
2
3
4
Bilag
Kommissorium for
SUNDHEDSSTRUKTUR-
KOMMISSIONEN
Marts 2023
Indenrigs- og Sundhedsministeriet
SUU, Alm.del - 2023-24 - Bilag 317: Orientering om Sundhedsstrukturkommissionens afrapportering, fra indenrigs- og sundhedsministeren
2880227_0409.png
1
2
3
4
409
Kommissorium for
SUNDHEDSSTRUKTURKOMMISSIONEN
Det er en hovedprioritet for regeringen, at vi har et velfungerende sundhedsvæsen.
Gennem reformer, investeringer og moderniseringer er det danske sundhedsvæsen
forbedret markant over de sidste 20 år, hvor kvaliteten i behandlingerne er løftet, og flere
overlever alvorlig sygdom.
Regeringen vil samtidig insistere på, at vi ser virkeligheden i øjnene. Det danske
sundhedsvæsen er presset. Stadig flere borgere får behov for pleje og behandling fra flere
dele af vores sundhedsvæsen, og der mangler allerede i dag medarbejdere, mens
udviklingen i arbejdsstyrken betyder, at vi ikke kan rekruttere os ud af problemstillingerne.
Hvor de specialiserede sygehuse igennem en årrække er blevet udbygget og specialiseret, er
indsatsen i de nære sundhedstilbud kun i varierende grad fulgt med udviklingen. Borgerne
oplever derfor ofte store forskelle i sundhedstilbud på tværs af landet og der er alt for ofte
ikke nogen rød tråd i deres forløb på tværs af specialer og myndighedsskel.
Mangel på medarbejdere, en utidssvarende organisation og et stigende antal patienter
kræver således fundamentale forandringer. Ellers risikerer de seneste to årtiers fremskridt at
blive afløst af tilbagegang.
Regeringen er klar til at tage initiativ til de nødvendige beslutninger og gennemføre
grundlæggende strukturelle forandringer, som er forudsætningen for at skabe fremtidens
sundhedsvæsen.
Regeringen vil derfor nedsætte en sundhedsstrukturkommission, der skal udarbejde et
beslutningsgrundlag, der fordomsfrit opstiller og belyser modeller for den fremtidige
organisering af sundhedsvæsnet. Modellerne skal understøtte et forebyggende og
sammenhængende sundhedsvæsen med mere lighed og som er mere nært og bæredygtigt,
jf. boks 1.
Side 1
SUU, Alm.del - 2023-24 - Bilag 317: Orientering om Sundhedsstrukturkommissionens afrapportering, fra indenrigs- og sundhedsministeren
2880227_0410.png
410
1
2
3
4
Boks 1
Sigtelinjer for indretningen af fremtidens sundhedsvæsen
Et
sundhedsvæsen, der er sammenhængende og samarbejder
på tværs af
fagligheder, sektorer og geografi, og hvor løsninger inden for fx digitalisering
udvikles i fællesskab og hurtigt udbredes.
En
opgavefordeling i sundhedsvæsnet
mellem sygehuse og det nære
sundsvæsen, der sikrer, at patienten kommer i centrum og får en
sammenhængende plan for behandling, og hvor der tages et mere samlet ansvar
for patientforløbet.
Et
sundhedsvæsen med ensartet, høj kvalitet,
hvor uligheden i sundhed både
geografisk og socialt bliver nedbragt, så borgerne har lige adgang til samme høje
kvalitet i hele landet og på tværs af sociale skel.
Et sundhedsvæsen, der understøtter
frit valg og patientrettigheder,
og sikrer den
mest hensigtsmæssige brug af private aktører som en del af det samlede
sundhedsvæsen.
Et
nært sundhedsvæsen,
hvor borgerne har let adgang til sundhedstilbud, og
langt flere borgere kan blive mødt og behandlet i eller tæt på hjemmet, hvor det
nære sundhedsvæsen styrkes, og sygehusene aflastes, bl.a. ved udbredelse af
teknologiske løsninger for nye behandlingsformer.
Et
bæredygtigt sundhedsvæsen,
hvor ressourcer bruges der, hvor de giver mest
sundhed for pengene, hvor flere sygehusophold forebygges gennem en mere
forpligtende, datadrevet og systematisk forebyggelsesindsats af høj og ensartet
kvalitet, hvor unødig brug af specialiserede funktioner reduceres, og hvor trækket
på medarbejderressourcer på de enkelte opgaver bliver mindre bl.a. ved at
potentialer i ny teknologi indfries.
Side 2
SUU, Alm.del - 2023-24 - Bilag 317: Orientering om Sundhedsstrukturkommissionens afrapportering, fra indenrigs- og sundhedsministeren
2880227_0411.png
1
2
3
4
411
Kommissionens opgaver
Kommissionen får til opgave at opstille forskellige modeller for organisering af
sundhedsvæsnet. Modellerne skal forholde sig til udfordringer med, at der på tværs af
landet er forskellige forudsætninger for at levere sundheds- og behandlingstilbud og skal
samtidig understøtte en markant omstilling af sundhedsvæsenet, så det nære
sundhedsvæsen styrkes og tager større ansvar for flere patienter.
Kommissionen anmodes i den forbindelse om at vurdere inden for hvilke områder og
målgrupper, hvor der særligt er potentiale for forbedringer i samspil og øget omstilling af
opgaveløsningen, så den i højere grad løses koordineret og i eller tæt på borgerens eget
hjem, og hvor der tages et mere samlet ansvar for patientforløbet. Vurderingen skal bl.a.
omfatte de største kronikergrupper, borgere med multisygdom, herunder samtidig somatisk
og psykisk sygdom samt ældre medicinske patienter.
Kommissionen skal se fordomsfrit på strukturen og organiseringen af sundhedsvæsnet og for
hver af modellerne afveje fordele og ulemper med afsæt i sigtelinjerne for indretningen af
fremtidens sundhedsvæsen,
jf. boks 1 ovenfor.
Kommissionen skal inddrage betydningen af kultur og ledelse i sundhedsvæsenet.
Kommissionens anbefalinger og vurderinger af fremtidens struktur skal bl.a. omfatte
følgende områder:
Den
regionale struktur,
herunder en afvejning af fordele og ulemper ved en ændret
forvaltningsstruktur med sigte på styrket sammenhæng og omstilling til nære
sundhedstilbud og øget lighed i adgangen til behandling af høj kvalitet.
Rammer for
den kommunale sundheds- og forebyggelsesindsats,
hvor
opgaveløsningen i højere grad bygger på nationale kvalitetsstandarder, og som
understøtter mere ensartet kvalitet på tværs af landet. Herunder en vurdering af,
hvordan øget organisering af tværkommunalt samarbejde kan sikre en fagligt
bæredygtig opgaveløsning.
Samspillet mellem det
specialiserede sundhedsvæsen på sygehusene og det nære
sundhedsvæsen i kommuner og almen praksis,
herunder
forpligtende
samarbejdsstrukturer samt muligheder for samlokalisering af kommunale tilbud og
udgående sygehusfunktioner og skabelse af tværfaglige miljøer (læger,
sygeplejersker, jordemødre, bioanalytikere, fysioterapeuter, kiropraktorer,
psykologer, diætister mv.) i form af eksempelvis nærhospitaler. Endvidere skal det
Side 3
SUU, Alm.del - 2023-24 - Bilag 317: Orientering om Sundhedsstrukturkommissionens afrapportering, fra indenrigs- og sundhedsministeren
2880227_0412.png
412
1
2
3
4
overvejes, hvordan det præhospitale akutberedskab bedst spiller sammen med det
øvrige sundhedsvæsen.
En
organisering og styring af almen praksis,
der understøtter øget patientansvar og
styrket opgavevaretagelse, herunder en afvejning af fordele og ulemper ved
forskellige organisatoriske løsninger.
Finansierings- og incitamentsstrukturer, samt kultur og ledelse i
sundhedsvæsenet,
der understøtter omstilling til det nære samt en bedre udnyttelse af ressourcer og
kapacitet inden for og på tværs af sektorer, herunder en vurdering af løsninger
baseret på økonomiske incitamenter og øget synlighed om resultater.
Koordination af kvalitetsudvikling
på sundhedsområdet med henblik på at indfri
potentialer i øget nyttiggørelse af data om kvalitet samt øget udbredelse af god
praksis, herunder en afvejning af fordele og ulemper ved en styrket statslig rolle heri.
En
organisering af digitale løsninger og it-infrastruktur
i sundhedsvæsnet, der
understøtter udbredelsen af fælles løsninger og gnidningsfri udveksling af digitale
oplysninger på tværs af sektorer, herunder en afvejning af fordele og ulemper ved at
styrke den nationale koordinering og samarbejde på området.
En regulering, der understøtter
frit valg og patientrettigheder,
og som sikrer den
mest hensigtsmæssige brug af private aktører som en del af det samlede
sundhedsvæsen.
Fokus for kommissionens forslag til organisering er hensynet til fremtidssikring af det
samlede sundhedsvæsen. Kommissionen skal i den sammenhæng tillige pege på potentialer
for bedre forebyggelse.
Kommissionen bør dog i sine forslag til organisering også forholde sig til samspillet med
nærliggende områder, som er tæt koblet til sundhedsområdet, i det omfang det vurderes
relevant for at sikre bedre samspil med sundhedsområdet. Ved modeller, som involverer
ændringer i antallet af forvaltningsniveauer, skal afledte konsekvenser for andre
opgaveområder også beskrives.
Kommunernes styreform og geografiske afgrænsninger indgår ikke i arbejdet i denne
kommission. Samtidig lægges det til grund, at skatteudskrivningsretten ikke kan placeres på
andre forvaltningsled end i dag.
Side 4
SUU, Alm.del - 2023-24 - Bilag 317: Orientering om Sundhedsstrukturkommissionens afrapportering, fra indenrigs- og sundhedsministeren
2880227_0413.png
1
2
3
4
413
Kommissionens forslag til ændret organisering forudsættes at bidrage til en bedre brug af
kapacitet og ressourcer og muliggøre kvalitetsforbedringer, og være samlet set
udgiftsneutrale og ikke medføre øget træk på personalekapacitet.
Eksisterende viden og igangværende analyser og udredninger inden for kommissionens
opgavefelt vil kunne tilgå og indgå i kommissionens arbejde, herunder internationale
erfaringer. Kommissionen kan herudover rekvirere eksterne analyser om relevante emner
inden for rammerne af kommissoriets opgavebeskrivelse.
Kommissionen skal afslutte sit arbejde med én samlet afrapportering i foråret 2024, så
følgelovgivning kan behandles i folketingssamlingen 2024/25.
Kommissionens medlemmer vil være eksperter og praktikere på området, som udpeges af
indenrigs- og sundhedsministeren. Ved udvælgelsen af kommissionsmedlemmer lægges
vægt på en sammensætning, der sikrer kompetencer inden for sundhedsøkonomi, offentlig
organisering og forvaltning, sygehusdrift, den kommunale sundhedsindsats,
patientperspektiv, praksissektoren, sammenhæng i sundhedssektoren, innovation samt
internationale erfaringer.
Kommissionen vil bestå af:
En formand.
6-8 medlemmer.
Kommissionen betjenes af et sekretariat, der varetages af Indenrigs- og Sundhedsministeriet
med deltagelse af Finansministeriet, Økonomiministeriet samt Social-, Bolig- og
Ældreministeriet. Andre relevante ministerier inddrages efter behov, herunder i
arbejdsgrupper nedsat af kommissionen.
Kommissionen skal samtidig understøtte bred offentlig debat, der involverer medarbejdere,
patienter, pårørende, eksperter og andre aktører omkring sundhedsvæsnet. Det kan bl.a. ske
gennem høringer og offentliggørelse af analyser, som belyser udfordringer mv. Danske
Regioner og KL og andre relevante parter inddrages samtidig undervejs med henblik på at
bidrage med viden og data til brug for analysearbejdet. Kommissionens medlemmer skal
aktivt deltage i den offentlige debat om kommissionens arbejde med at fremtidssikre
sundhedsvæsnet.
Side 5
SUU, Alm.del - 2023-24 - Bilag 317: Orientering om Sundhedsstrukturkommissionens afrapportering, fra indenrigs- og sundhedsministeren
2880227_0414.png
414
1
2
3
4
Medlemmer af
SUNDHEDSSTRUKTURKOMMISSIONEN
Sundhedsstrukturkommissionen består af følgende kommissionsmedlemmer pr. den 28. marts
2023:
• Formand: Jesper Fisker, Administrerende direktør, Kræftens Bekæmpelse, og bl.a.
tidligere departementschef, tidligere Adm. direktør i Sundhedsstyrelsen og tidligere
Adm. direktør for sundheds- og omsorgsforvaltningen i Københavns Kommune.
• Jakob Kjellberg, Professor i sundhedsøkonomi, VIVE
• Peter Bjerre Mortensen, Professor ved Institut for Statskundskab, Aarhus Universitet
• Dorthe Gylling Crüger, koncerndirektør, Region Hovedstaden
• Sidsel Vinge, konsulent og tidligere projektchef i Vive og tidligere sundhedschef i
Gladsaxe Kommune
• Mogens Vestergaard, overlæge, seniorforsker og Professor i almen medicin, Aarhus
Universitet
• Marie Paldam Folker, centerchef, Center for Digital Psykiatri i Region Syddanmark
• Søren Skou, tidligere administrerende direktør, A.P. Møller Mærsk
• Gunnar Bovim, formand for Helsepersonelkommisjonen og rådgiver på Norges teknik-
naturvidenskablige Universitet
Side 6
SUU, Alm.del - 2023-24 - Bilag 317: Orientering om Sundhedsstrukturkommissionens afrapportering, fra indenrigs- og sundhedsministeren
2880227_0415.png
1
2
3
4
415
Side 7
SUU, Alm.del - 2023-24 - Bilag 317: Orientering om Sundhedsstrukturkommissionens afrapportering, fra indenrigs- og sundhedsministeren
2880227_0416.png
416
1
2
3
4
SUU, Alm.del - 2023-24 - Bilag 317: Orientering om Sundhedsstrukturkommissionens afrapportering, fra indenrigs- og sundhedsministeren
2880227_0417.png
1
2
3
4
417
SUU, Alm.del - 2023-24 - Bilag 317: Orientering om Sundhedsstrukturkommissionens afrapportering, fra indenrigs- og sundhedsministeren
2880227_0418.png
418
1
2
3
4
SUU, Alm.del - 2023-24 - Bilag 317: Orientering om Sundhedsstrukturkommissionens afrapportering, fra indenrigs- og sundhedsministeren
2880227_0419.png
1
2
3
4
419
SUU, Alm.del - 2023-24 - Bilag 317: Orientering om Sundhedsstrukturkommissionens afrapportering, fra indenrigs- og sundhedsministeren
2880227_0420.png
Indenrigs- og Sundhedsministeriet
Slotsholmsgade 10-12
1216 København K
Telefon: +45 72 26 90 00
E-mail: [email protected]
www.ism.dk