Sundhedsudvalget 2023-24
SUU Alm.del Bilag 301
Offentligt
2870950_0001.png
2024
Monitorering af
forløbstider på
kræftområdet
Årsopgørelse for 2023
SUU, Alm.del - 2023-24 - Bilag 301: Orientering om rapporten Monitorering af forløbstider på kræftområdet - Årsopgørelse 2023, fra indenrigs- og sundhedsministeren
2870950_0002.png
Monitorering af forløbstider på kræftområdet, årsopgørelse for 2023
Side 2/52
Monitorering af forløbstider på kræftområdet
Årsopgørelse for 2023
© Sundhedsstyrelsen, 2024.
Publikationen kan frit refereres
med tydelig kildeangivelse.
Sundhedsstyrelsen
Islands Brygge 67
2300 København S
www.sst.dk
Elektronisk ISBN:
978-87-7014-605-0
Sprog:
Dansk
Version:
1
Versionsdato:
06-05-2024
Format:
pdf
Udgivet af Sundhedsstyrelsen,
Maj 2024
SUU, Alm.del - 2023-24 - Bilag 301: Orientering om rapporten Monitorering af forløbstider på kræftområdet - Årsopgørelse 2023, fra indenrigs- og sundhedsministeren
Monitorering af forløbstider på kræftområdet, årsopgørelse for 2023
Side 3/52
Indholdsfortegnelse
Resumé................................................................................................................................. 4
1. Baggrund ......................................................................................................................... 9
1.1. Implementering af nyt landspatientregister LPR3 i 2019 ............................................. 9
2. Vejledning til Sundhedsstyrelsens kommentarer .................................................... 10
3. Sundhedsstyrelsens kommentarer
nationalt niveau ............................................ 12
4. Organspecifikke pakkeforløb ...................................................................................... 19
4.1 Brystkræft (B01) ......................................................................................................... 19
4.2 Hoved- og halskræft (B02) ........................................................................................ 21
4.3 Lymfeknudekræft og kronisk lymfatisk leukæmi (B03) ............................................. 22
4.4 Myelomatose (B04).................................................................................................... 24
4.5 Akut leukæmi og fremskreden myelodysplastisk syndrom (B05) ............................ 24
4.6 Kronisk myeloide sygdomme (B06) .......................................................................... 24
4.7 Kræft i bugspytkirtlen (B07) ....................................................................................... 25
4.8 Kræft i galdegang (B08) ............................................................................................ 25
4.9 Kræft i spiserør og mavesæk (B09) .......................................................................... 27
4.10 Primær leverkræft (B10) .......................................................................................... 28
4.11 Kræft i tyk- og endetarm (B12) ................................................................................ 29
4.12 Kræft i urinveje (B13) ............................................................................................... 32
4.13 Kræft i blæren (B14) ................................................................................................ 33
4.14 Kræft i nyre (B15) .................................................................................................... 34
4.15 Kræft i prostata (B16) .............................................................................................. 35
4.16 Kræft i penis (B17) ................................................................................................... 36
4.17 Kræft i testikel (B18) ................................................................................................ 37
4.18 Kræft i ydre kvindelige kønsorganer (vulva) (B19) ................................................. 37
4.19 Livmoderkræft (B20) ................................................................................................ 37
4.20 Kræft i æggestok (B21) ........................................................................................... 38
4.21 Livmoderhalskræft (B22) ......................................................................................... 39
4.22 Kræft i hjernen (B23) ............................................................................................... 41
4.23 Kræft i øjne og orbita (B24) ..................................................................................... 41
4.24 Modermærkekræft i hud (B25) ................................................................................ 42
4.25 Lungekræft (B26) ..................................................................................................... 42
4.26 Sarkom i knogle (B27) ............................................................................................. 45
4.27 B28
Udgået ........................................................................................................... 46
4.28 Sarkom i bløddele (B29) .......................................................................................... 46
4.29 Kræft hos børn (B30) ............................................................................................... 47
4.30 Analkræft (B31) ........................................................................................................ 48
4.31 Kræft i nyrebækken eller urinleder (B32) ................................................................ 48
4.32 Lungehindekræft (B33) ............................................................................................ 49
5. Diagnostisk pakkeforløb .............................................................................................. 51
SUU, Alm.del - 2023-24 - Bilag 301: Orientering om rapporten Monitorering af forløbstider på kræftområdet - Årsopgørelse 2023, fra indenrigs- og sundhedsministeren
2870950_0004.png
Monitorering af forløbstider på kræftområdet, årsopgørelse for 2023
Side 4/52
Resumé
Sundhedsstyrelsens kommentarer til den nationale monitorering af forløbstiderne på
kræftområdet for året 2023
fokuserer på forløbstider fra ”henvisning er modtaget til start
på behandling”
inden for det organspecifikke kræftområde med sammenligning mellem
de enkelte pakkeforløb og regioner.
På landsplan blev i alt 76 % af de registrerede forløb gennemført inden for standardfor-
løbstiden. På det regionale niveau er andelen af registrerede forløb, der blev gennemført
inden for standardforløbstiden 66 % i Region Sjælland, 76 % i Region Hovedstaden, 77
% i Region Midtjylland, 79 % i Region Syddanmark og 83 % i Region Nordjylland. Årsa-
gen til denne regionale forskel kan skyldes forhold som demografi, organisering mv. Lige-
ledes vil regionale udfordringer i specifikke kræftpakkeforløb med en stor patientvolumen
influere i en større grad på det regionale gennemsnit.
Sundhedsstyrelsen er som vanligt særligt opmærksom på de forløb, der ligger under den
’nationale 1. kvartil’ dvs. den
fjerdedel af pakkeforløbene, der har den laveste andel gen-
nemført inden for standardforløbstiderne. Den nationale 1. kvartil lå for året 2023 på 57 %
[2022: 52 %], hvilket betyder, at standardforløbstiden blev overholdt i op til 57 % af tilfæl-
dene for den fjerdedel af pakkeforløbene, der havde den laveste andel af forløb gennem-
ført inden for standardforløbstiden. I tabel 1 vises de pakkeforløb, hvor andelen af pati-
entforløb gennemført inden for standardforløbstiden falder på eller under den nationale 1.
kvartil på 57 %. Der opgøres kun forløb med flere end 10 patienter.
Tabel 1.
Andel forløb på nationalt og regionalt plan, der er gennemført inden for angivne standardforløbstider, der ligger
under eller lig med 1. kvartil samt antal forløb i alt, fordelt på pakkeforløbsnummer, sygehusregion, landsplan og indikator,
året 2023.
Pakke-
forløbs-
nummer
Pakkeforløb opdelt
efter organspecifik
kræfttype
Region /
Nationalt
Behandlings-
type
Andel forløb
inden for
standardfor-
løbstiden
48 %
41 %
33 %
Antal
forløb
i alt
B01
B01
B01
Brystkræft
Brystkræft
Brystkræft
Hovedstaden
Sjælland
Hovedstaden
Kirurgisk
Kirurgisk
Kirurgisk med
plastikkirurgisk
assistance
1.423
521
33
B01
Brystkræft
Sjælland
Kirurgisk med
plastikkirurgisk
assistance
21 %
14
SUU, Alm.del - 2023-24 - Bilag 301: Orientering om rapporten Monitorering af forløbstider på kræftområdet - Årsopgørelse 2023, fra indenrigs- og sundhedsministeren
2870950_0005.png
Monitorering af forløbstider på kræftområdet, årsopgørelse for 2023
Side 5/52
Pakke-
forløbs-
nummer
Pakkeforløb opdelt
efter organspecifik
kræfttype
Region /
Nationalt
Behandlings-
type
Andel forløb
inden for
standardfor-
løbstiden
29 %
57 %
57 %
38 %
Antal
forløb
i alt
B02
B02
B02
B03
Hoved- og halskræft
Hoved- og halskræft
Hoved- og halskræft
Lymfeknudekræft og
kronisk lymfatisk leu-
kæmi
Midtjylland
Hele landet
Midtjylland
Midtjylland
Medicinsk
Medicinsk
Strålebehandling
Strålebehandling
14
100
132
13
B07
Kræft i bugspytkirt-
len
Sjælland
Medicinsk
54 %
63
B08
B09
Kræft i galdegang
Kræft i spiserør og
mavesæk
Hovedstaden
Sjælland
Kirurgisk
Medicinsk
55 %
49 %
33
72
B14
B14
B14
B14
B14
B14
B14
B14
B14
B16
B16
B16
Kræft i blæren
Kræft i blæren
Kræft i blæren
Kræft i blæren
Kræft i blæren
Kræft i blæren
Kræft i blæren
Kræft i blæren
Kræft i blæren
Kræft i prostata
Kræft i prostata
Kræft i prostata
Midtjylland
Syddanmark
Midtjylland
Syddanmark
Hele landet
Midtjylland
Syddanmark
Hovedstaden
Hele landet
Nordjylland
Midtjylland
Syddanmark
Kirurgisk
Kirurgisk
Medicinsk
Medicinsk
Medicinsk
Strålebehandling
Strålebehandling
Strålebehandling
Strålebehandling
Kirurgisk
Kirurgisk
Kirurgisk
54 %
49 %
44 %
51 %
56 %
30 %
21 %
54 %
40 %
45 %
44 %
37 %
63
61
82
67
260
27
34
41
129
53
94
95
SUU, Alm.del - 2023-24 - Bilag 301: Orientering om rapporten Monitorering af forløbstider på kræftområdet - Årsopgørelse 2023, fra indenrigs- og sundhedsministeren
2870950_0006.png
Monitorering af forløbstider på kræftområdet, årsopgørelse for 2023
Side 6/52
Pakke-
forløbs-
nummer
Pakkeforløb opdelt
efter organspecifik
kræfttype
Region /
Nationalt
Behandlings-
type
Andel forløb
inden for
standardfor-
løbstiden
49 %
36 %
38 %
28 %
52 %
40 %
40 %
27 %
47 %
41 %
Antal
forløb
i alt
B16
B16
B16
B16
B16
B16
B17
B17
B17
B20
Kræft i prostata
Kræft i prostata
Kræft i prostata
Kræft i prostata
Kræft i prostata
Kræft i prostata
Kræft i penis
Kræft i penis
Kræft i penis
Livmoderkræft
Hele landet
Nordjylland
Midtjylland
Syddanmark
Hovedstaden
Hele landet
Midtjylland
Syddanmark
Hele landet
Midtjylland
Kirurgisk
Strålebehandling
Strålebehandling
Strålebehandling
Strålebehandling
Stråling
Kirurgisk
Kirurgisk
Kirurgisk
Kirurgisk
317
11
39
25
48
133
35
15
90
164
B21
B21
B21
B22
B22
B22
B26
B26
B29
B29
B29
Kræft i æggestok
Kræft i æggestok
Kræft i æggestok
Livmoderhalskræft
Livmoderhalskræft
Livmoderhalskræft
Lungekræft
Lungekræft
Sarkom i bløddele
Sarkom i bløddele
Sarkom i bløddele
Nordjylland
Midtjylland
Syddanmark
Hovedstaden
Hele landet
Hovedstaden
Sjælland
Sjælland
Hovedstaden
Hele landet
Hele landet
Medicinsk
Medicinsk
Medicinsk
Kirurgisk
Kirurgisk
Medicinsk
Kirurgisk
Strålebehandling
Medicinsk
Medicinsk
Strålebehandling
24 %
43 %
57 %
43 %
57 %
38 %
46 %
51 %
44 %
54 %
21 %
17
46
60
68
145
13
193
198
18
35
15
SUU, Alm.del - 2023-24 - Bilag 301: Orientering om rapporten Monitorering af forløbstider på kræftområdet - Årsopgørelse 2023, fra indenrigs- og sundhedsministeren
2870950_0007.png
Monitorering af forløbstider på kræftområdet, årsopgørelse for 2023
Side 7/52
Pakke-
forløbs-
nummer
Pakkeforløb opdelt
efter organspecifik
kræfttype
Region /
Nationalt
Behandlings-
type
Andel forløb
inden for
standardfor-
løbstiden
19 %
Antal
forløb
i alt
B32
Kræft i nyrebækken
eller urinleder
Nordjylland
Kirurgisk
26
B32
Kræft i nyrebækken
eller urinleder
Syddanmark
Kirurgisk
39 %
18
B32
Kræft i nyrebækken
eller urinleder
Hele landet
Kirurgisk
52 %
102
Kilde: Landspatientregisteret pr. 10. april 2024, Sundhedsdatastyrelsen.
Anmærkning: Der tages forbehold for foreløbige tal.
Sundhedsstyrelsen er i løbende dialog med regionerne om udfordringer bl.a. i regi af
Task Force for Patientforløb på Kræft- og Hjerteområdet. Som grundlag for drøftelse i
Task Force beder styrelsen regionerne om redegørelser for udfordringer og tiltag til for-
bedring på området. Forbedring af registreringspraksis og behov for justering af pakkefor-
løbsbeskrivelser bliver ligeledes drøftet løbende i Task Force for Patientforløb på Kræft-
og Hjerteområdet.
På baggrund af opgørelserne for året 2023 vil Sundhedsstyrelsen bede følgende regio-
ner om redegørelser for udvalgte områder med udfordringer:
Region Hovedstaden, kirurgisk behandling med plastikkirurgisk assistance af
brystkræft
Region Sjælland, kirurgisk behandling med plastikkirurgisk assistance af bryst-
kræft
Region Midtjylland, medicinsk behandling af hoved- og halskræft
Region Midtjylland, strålebehandling af lymfeknudekræft og kronisk lymfatisk leu-
kæmi
Region Hovedstaden, kirurgisk behandling af kræft i galdegang
Region Sjælland, medicinsk behandling af kræft spiserør/mavesæk
Region Midtjylland, strålebehandling af kræft i blæren
Region Syddanmark, strålebehandling af kræft i blæren
Region Nordjylland, medicinsk behandling af kræft i æggestok
Region Midtjylland, medicinsk behandling af livmoderhalskræft
Region Hovedstaden, medicinsk behandling af livmoderhalskræft
Region Hovedstaden, medicinsk behandling af sarkom i bløddele
Region Nordjylland, kirurgisk behandling af kræft i nyrebækken og urinleder
Region Syddanmark, kirurgisk behandling af kræft i nyrebækken og urinleder
SUU, Alm.del - 2023-24 - Bilag 301: Orientering om rapporten Monitorering af forløbstider på kræftområdet - Årsopgørelse 2023, fra indenrigs- og sundhedsministeren
Monitorering af forløbstider på kræftområdet, årsopgørelse for 2023
Side 8/52
Sundhedsstyrelsen har udvalgt ovenstående redegørelser bl.a. med baggrund i den nati-
onale 1. kvartil, at andelen af gennemførte forløb inden for standardforløbstiden er lav
sammenlignet med andre regioner, udvikling i andelen af gennemførte forløb inden for
standardforløbstiderne sammenlignet med tidligere år og kvartaler samt markante fald i
andelen af gennemførte forløb inden for standardforløbstiden.
Sundhedsstyrelsen vil drøfte redegørelserne med regionerne på næstkommende møde i
Task Force for Patientforløb på Kræft- og Hjerteområdet.
Der er registreret i alt 166.950 patientforløb med udredning i et pakkeforløb for kræft i
2023. For 38.824 af disse forløb viser registreringen, at diagnosen blev bekræftet eller, at
der fortsat er begrundet mistanke om kræft. Til sammenligning blev der i 2022 registreret
i alt 160.689 patienter til udredning i et pakkeforløb for kræft. For 38.278 af disse forløb
viste registreringen, at diagnosen blev bekræftet eller, at der fortsat er begrundet mis-
tanke om kræft. Der har således været en stigning på 6.261 patientforløb med udredning
i pakkeforløb samt en stigning i antallet af bekræftede diagnoser på 546 i 2023 sammen-
lignet med 2022.
Årsopgørelsen tager udgangspunkt i standardforløbstiderne for de forskellige pakkefor-
løb. Forløbstiderne i pakkeforløbene er opstillet som faglige rettesnore for standardpati-
entforløb. Konkrete forhold som f.eks. anden betydende sygdom (komorbiditet) eller sær-
ligt kompliceret sygdomsforløb kan betyde, at forløbstiden for den enkelte patient afviger
fra standardforløbstiden. Sundhedsstyrelsen har derfor ikke en forventning om, at stan-
dardforløbstiderne kan overholdes for alle patienter i samtlige pakkeforløb. Det kan være
fagligt relevant og nødvendigt at forløbstiden er længere for nogle patienter, ligesom pati-
entens egne præferencer kan betyde, at standardforløbstiden afviges. I kapitel 4 vil årsa-
ger til, hvorfor der kan være en længere forløbstid i nogle af de organspecifikke pakkefor-
løb, blive beskrevet.
Opgørelsen for året 2023
medtager data fra registrerede forløb, hvor ”henvisning
til pak-
keforløb start” er registreret i perioden 1.
januar 2023 til 31.december 2023, og hvor den
initiale behandling er registreret fra 1. januar 2023 og frem til opgørelsestidspunktet for
datagrundlaget den 10. april 2024. Forløb, hvor den initiale behandling er registreret efter
opgørelsestidspunktet den 10. april 2024 medtages ikke i opgørelsen.
SUU, Alm.del - 2023-24 - Bilag 301: Orientering om rapporten Monitorering af forløbstider på kræftområdet - Årsopgørelse 2023, fra indenrigs- og sundhedsministeren
Monitorering af forløbstider på kræftområdet, årsopgørelse for 2023
Side 9/52
1. Baggrund
På baggrund af problemer med udvalgte forløb for kræftpatienter bad Ministeren for
Sundhed og Forebyggelse i januar 2012 Task Force for Patientforløb på Kræft- og Hjer-
teområdet om, at sikre en robust monitorering af pakkeforløb på både kræft- og hjerteom-
rådet. Efterfølgende har Sundhedsdatastyrelsen i samarbejde med regionerne og Sund-
hedsstyrelsen udviklet en national model til monitorering af forløbstider i pakkeforløb for
kræft.
Monitoreringen varetages af Sundhedsdatastyrelsen og data offentliggøres kvartalsvis
samt årligt. Ved offentliggørelsen kommenterer Sundhedsstyrelsen systematisk på ud-
valgte monitoreringsdata, herunder udviklingen over tid.
1.1. Implementering af nyt landspatientregister LPR3 i 2019
De data, der benyttes i monitoreringen af forløbstider på kræftområdet, stammer fra regi-
onernes egne indberetninger til Landspatientregisteret (LPR). På baggrund af en omfat-
tende og tiltrængt omlægning af registeret blev det tidligere LPR2 i starten af 2019 erstat-
tet af LPR3. I februar 2019 overgik Region Hovedstaden, Region Sjælland og Region
Midtjylland til LPR3, efterfulgt af Region Syddanmark og Region Nordjylland i marts 2019.
I løbet af første halvår 2019 overgik privathospitalerne ligeledes til at indberette til LPR3.
Omlægning af landspatientregisteret har resulteret i et databrud i 2019, hvorfor der endnu
ikke forligger kvartals- eller årsrapport for 2019. Derudover opstod der i foråret 2019 væ-
sentlige performanceproblemer, hvorfor der i en længere periode er blevet arbejdet på at
sikre, at LPR3 kom i stabil drift og sikre tilstrækkelig datakvalitet.
Monitoreringen af forløbstider på kræftområdet har i 2019 og 2020 fulgt en interim moni-
toreringsmodel, hvor regionerne løbende har indberettet data for antal og andel patient-
forløb gennemført inden for standardforløbstiden for udvalgte pakkeforløb og behandlin-
ger til Sundhedsstyrelsen. Sundhedsstyrelsen har anmodet regionerne om supplerende
redegørelser for udvalgte forløb, hvilke har været drøftet på Task Force for Patientforløb
på Kræft- og Hjerteområdet.
SUU, Alm.del - 2023-24 - Bilag 301: Orientering om rapporten Monitorering af forløbstider på kræftområdet - Årsopgørelse 2023, fra indenrigs- og sundhedsministeren
Monitorering af forløbstider på kræftområdet, årsopgørelse for 2023
Side 10/52
2. Vejledning til Sundhedsstyrel-
sens kommentarer
Opgørelsen viser, hvor stor en andel (procentdel) af patientforløbene der er gennemført
inden for de standardforløbstider, der er angivet i Sundhedsstyrelsens beskrivelser af de
enkelte pakkeforløb.
Sundhedsstyrelsen kan herved kun kommentere på forløb, for hvilke der er angivet en
standardforløbstid, hvilket betyder, at der for nogle kræftformer kun kommenteres på for-
løbstiden for kirurgisk behandling, men ikke for fx medicinsk behandling eller strålebe-
handling. Derudover nævnes det samlede antal forløb i det pågældende pakkeforløb for
2023 samt andelen af forløb, hvor begrundet mistanke afkræftes. Dette gøres med hen-
blik på at illustrere forskelle i patientvolumen i de enkelte pakkeforløb.
Et pakkeforløb beskriver et standardpatientforløb, med angivelse af nødvendige undersø-
gelser og behandlinger, samt for de enkelte dele i forløbet de fagligt begrundede forløbs-
tider for en standardpatient.
Forløbstiderne i de enkelte pakkeforløb er opstillet som faglige rettesnore for standardfor-
løbet. Konkrete forhold som fx anden betydende sygdom (komorbiditet), særligt kompli-
cerede forløb eller patientens egne præferencer kan betyde, at forløbstiden for den en-
kelte patient vil afvige fra standardforløbstiden. Det er derfor ikke forventeligt, at stan-
dardforløbstiderne kan opfyldes for alle patienter i alle pakkeforløb.
Endelig skal standardforløbstiderne i pakkeforløb for kræft ikke forveksles med de lov-
bundne maksimale ventetider for livstruende sygdom, som forpligter regionerne til at til-
byde behandling inden for bestemte tidsgrænser. Sundhedsstyrelsen overvåger overhol-
delsen af de maksimale ventetider ved at modtage månedlige indberetninger fra regio-
nerne.
Der er ikke fastlagt en national tærskelværdi, for hvilken andel af patientforløbene der bør
være gennemført inden for standardforløbstiderne. Det må samtidig antages, at en opgø-
relse af andelene for de forskellige pakkeforløb ikke vil være normalfordelt (symmetrisk
fordelt omkring en middelværdi). Sundhedsstyrelsen har derfor fundet det hensigtsmæs-
sigt at basere sin systematiske kommentering på en opgørelse af data i kvartiler, hvorved
datasættet deles i fire lige store mængder.
Som følge af denne opgørelsesmetode vil 1. kvartil per definition afgrænse den fjerdedel
af pakkeforløbene, der har den laveste andel af patientforløb, der er gennemført inden for
standardforløbstid. I mangel af nationalt fastsat tærskelværdi har Sundhedsstyrelsen
valgt at fokusere sine kommentarer på denne fjerdedel af pakkeforløbene, der ligger un-
der den ’nationale 1. kvartil’.
SUU, Alm.del - 2023-24 - Bilag 301: Orientering om rapporten Monitorering af forløbstider på kræftområdet - Årsopgørelse 2023, fra indenrigs- og sundhedsministeren
2870950_0011.png
Monitorering af forløbstider på kræftområdet, årsopgørelse for 2023
Side 11/52
Kvartilerne er beregnet på basis af samtlige gennemførte patientforløb, hvor der er anbe-
falet en forløbstid for behandlingsformen, uanset antallet af patienter i det enkelte pakke-
forløb. Sundhedsstyrelsen har valgt alene at kommentere på forløb med flere end 10 pa-
tienter, idet der ikke er udregnet en andel for gennemførte forløb inden for standardfor-
løbstiden for pakkeforløb med 10 eller færre patienter. Det betyder, at ikke alle pakkefor-
løb optræder i oversigten.
Sundhedsstyrelsens kommentarer angår alene andele af patientforløb gennemført inden
for standardforløbstiden. For alle opgørelserne vedrørende de organspecifikke forløb
gælder, at der ses på forløbstiden fra henvisning modtaget til pakkeforløb til start på initial
behandling.
For udvalgte kræftformer og pakkeforløb med standardforløbstider under den nationale 1.
kvartil, er der indsat ekstra grafiske fremstillinger af forløb inden for standardforløbstiden.
Graferne viser andelen af forløb gennemført inden for pakkeforløbets standardforløbstid
på landsplan og på regionalt niveau samt antal forløb i alt fordelt på sygehusregion. Gra-
fiske fremstillinger med udvikling over tid er udeladt, da databruddet i 2019 vanskeliggør
fremstilling af disse. De løbende kvartalsopgørelser udarbejdes på baggrund af statio-
nære dataopgørelser, mens årsopgørelserne udarbejdes på baggrund af dynamiske da-
taopgørelse for det gældende år og af stationære dataopgørelse for de bagvedliggende
år, jf. fakta boks om stationære og dynamiske data.
Opgørelsen for året 2023
medtager data fra registrerede forløb, hvor ”henvisning til pak-
keforløb start” er registreret i perioden 1.
januar 2023 til 31. december 2023, og hvor den
initiale behandling er registreret fra 1. januar 2023 og frem til opgørelsestidspunktet for
datagrundlaget den 10. april 2024. Forløb, hvor den initiale behandling er registreret efter
opgørelsestidspunktet den 10. april 2024, medtages ikke i opgørelsen.
Tallene fra 2023 årsopgørelsen sammenlignes med året 2022. Sammenligningen med
2022 angives i [kantede parenteser]. Sundhedsstyrelsen vil i forbindelse med opgørel-
serne anmode regionerne om supplerende redegørelser for udviklingen inden for ud-
valgte indikatorer i det omfang, det vurderes relevant.
Stationære data:
De stationære data svarer til tidligere opgjorte data, der ikke er blevet opdateret siden
dato for opgørelse ved første offentliggørelse.
Disse data medtager alene patientforløb, der var medtaget ved sidste årlige offentliggø-
relse.
Dynamiske data:
De dynamiske data opgøres med anvendelse af data fra Landspatientregisteret til og
med opgørelsestidspunkt for det seneste år.
Disse data medtager alle fuldt registrerede forløb for året, hvor ’henvisning til pakkefor-
løb start’ er registreret i indeværende år, mens ’initiale behandling start’ er registreret i
indeværende år og frem til offentliggørelsestidspunktet 10. april 2024.
SUU, Alm.del - 2023-24 - Bilag 301: Orientering om rapporten Monitorering af forløbstider på kræftområdet - Årsopgørelse 2023, fra indenrigs- og sundhedsministeren
2870950_0012.png
Monitorering af forløbstider på kræftområdet, årsopgørelse for 2023
Side 12/52
3. Sundhedsstyrelsens kommen-
tarer
nationalt niveau
Den nationale andel af patientforløb gennemført inden for standardforløbstiden uanset
behandlingsmodalitet var 76 % for hele året 2023, hvilket er en stigning på 2 procentpoint
sammenlignet med året 2022 [74 %].
Opgørelserne for årrækken 2014-2018 vises adskilt fra 2020-2023 i hhv. tabel 2a og 2b.
I tabel 2a ses udviklingen af andelen af gennemførte forløb inden for standardforløbsti-
den fordelt på regionalt niveau samt samlet for hele landet i perioden 2014- 2018. Be-
mærk at 2019-tal ikke fremgår af tabellen, da data ikke er opgjort for 2019.
I tabel 2b ses udviklingen af andelen af gennemførte forløb inden for standardforløbsti-
den fordelt på regionalt niveau samt samlet for hele landet i perioden 2020-2023.
Det skal bemærkes, at opgørelsestidspunktet for 1.-4. kvartal 2020 og året 2020 er se-
nere end det vanlige tidspunkt. Dette betyder, at der potentielt kan blive medtaget flere
patientforløb, hvilket kan medvirke til en lavere andel forløb gennemført inden for stan-
dardforløbstiden.
Tabel 2a.
Andel forløb gennemført inden for angivne standardforløbstider, uanset behandlingsform og organspecifik kræfttype samt
antal forløb i alt, fordelt på sygehusregion og hele landet, 1. kvartal 2014 - 4. kvartal 2018.
Nordjylland
Tidsperi-
ode
1.kvt2014
2.kvt2014
3.kvt2014
4.kvt2014
Hele2014
1.kvt2015
2.kvt2015
-
-
-
-
-
72
75
-
-
-
-
-
713
686
Andel
Antal
Midtjylland
Andel
Antal
Syddanmark
Andel
Antal
Hovedstaden
Andel
Antal
Sjælland
Andel
Antal
Hele landet
Andel
An t a l
-
-
-
-
-
80
79
-
-
-
-
-
1426
1270
-
-
-
-
-
82
81
-
-
-
-
-
1450
1324
-
-
-
-
-
75
76
-
-
-
-
-
1671
1565
-
-
-
-
-
76
76
-
-
-
-
-
857
792
78
73
79
77
77
78
77
5878
5546
5235
5438
22097
6117
5637
SUU, Alm.del - 2023-24 - Bilag 301: Orientering om rapporten Monitorering af forløbstider på kræftområdet - Årsopgørelse 2023, fra indenrigs- og sundhedsministeren
2870950_0013.png
Monitorering af forløbstider på kræftområdet, årsopgørelse for 2023
Side 13/52
Nordjylland
Tidsperi-
ode
3.kvt2015
4.kvt2015
Hele2015
1.kvt2016
2.kvt2016
3.kvt2016
4.kvt2016
Hele2016
1.kvt2017
2.kvt2017
3.kvt2017
4.kvt2017
Hele2017
1.kvt2018
0
2.kvt2018
3.kvt2018
4.kvt2018
Hele2018
79
76
76
71
78
79
79
77
78
70
78
82
77
81
81
78
79
80
672
635
2706
737
730
702
724
2895
777
706
725
700
2908
714
799
741
674
2928
Andel
Antal
Midtjylland
Andel
Antal
Syddanmark
Andel
Antal
Hovedstaden
Andel
Antal
Sjælland
Andel
Antal
Hele landet
Andel
An t a l
80
79
80
80
80
86
84
83
79
69
76
76
75
76
72
76
79
75
1157
1282
5135
1298
1287
1207
1245
5037
1291
1253
1242
1263
5049
1221
1324
1209
1115
4869
86
86
84
83
83
82
85
83
83
80
85
83
82
82
80
83
82
82
1297
1221
5292
1376
1587
1390
1398
5751
1528
1475
1369
1486
5858
1490
1605
1382
1496
5973
80
80
78
80
78
73
81
78
75
68
82
78
76
78
75
77
76
76
1460
1406
6102
1602
1389
1095
752
4838
1353
1413
1534
1674
5974
1710
1914
1718
1745
7087
79
76
77
76
72
79
75
75
73
69
76
76
73
68
68
70
76
71
858
838
3345
914
915
738
786
3353
924
800
794
663
3181
716
846
825
869
3256
81
80
79
79
79
80
82
80
78
72
80
79
77
78
75
77
78
77
5444
5382
22580
5927
5908
5134
4905
21874
5873
5647
5664
5786
22970
5851
6488
5875
5899
24113
Kilde: Landspatientregistret 2014-tal pr. 11. april 2015, 2015-tal pr. 11. april 2016, 2016-tal pr. 11. april 2017, 2017-tal pr. 14. april 2018 og 2018-tal pr.
6. april 2019. Sundhedsdatastyrelsen.
Anmærkning: Regionale og kvartalstal for 2014 fremgår ikke af Årsopgørelse 2014 Monitorering af kræftområdet, hvorfor at de ikke gengives i nærvæ-
rende tabel. Der tages forbehold for foreløbige tal.
SUU, Alm.del - 2023-24 - Bilag 301: Orientering om rapporten Monitorering af forløbstider på kræftområdet - Årsopgørelse 2023, fra indenrigs- og sundhedsministeren
2870950_0014.png
Monitorering af forløbstider på kræftområdet, årsopgørelse for 2023
Side 14/52
Tabel 2b.
Andel forløb gennemført inden for angivne standardforløbstider, uanset behandlingsform og organspecifik kræfttype samt
antal forløb i alt, fordelt på sygehusregion og hele landet, 1. kvartal 2020 - 4. kvartal 2023.
Nordjylland
Tidsperi-
ode
1.kvt2020
2.kvt2020
3.kvt2020
4.kvt2020
Hele2020
1.kvt2021
2.kvt2021
3.kvt2021
4.kvt2021
Hele2021
1.kvt.2022
2.kvt.2022
3.kvt.2022
4.kvt.2022
Hele2022
1.kvt.2023
2.kvt.2023
3.kvt.2023
4.kvt.2023
77
82
84
80
81
82
80
75
79
79
77
77
84
83
80
82
82
85
82
810
728
804
821
3163
831
946
859
877
3513
858
864
820
811
3329
834
860
804
831
Andel
Antal
Midtjylland
Andel
Antal
Syddanmark
Andel
Antal
Hovedstaden
Andel
Antal
Sjælland
Andel
Antal
Hele landet
Andel
An t a l
78
78
77
75
77
78
74
79
76
77
75
72
78
74
75
73
76
79
80
1418
1255
1446
1395
5541
1443
1479
1470
1482
5874
1457
1557
1514
1560
6044
1585
1582
1501
1516
86
83
85
81
84
81
81
82
79
81
77
69
76
78
75
77
76
84
80
1411
1360
1371
1325
5467
1438
1428
1393
1324
5583
1372
1383
1326
1384
5431
1482
1432
1324
1429
82
84
82
81
83
81
73
74
74
76
78
68
71
77
73
74
72
78
80
1908
1781
1860
1939
7488
1927
1881
1805
1912
7525
1931
1947
1992
2083
7928
2247
2135
1898
2066
73
73
69
74
72
74
59
60
61
63
69
59
66
66
65
66
62
71
67
872
834
910
939
3555
899
1002
947
936
3784
972
989
947
936
3828
982
1009
926
928
80
81
80
79
80
79
74
75
74
76
76
69
75
76
74
74
74
79
78
6419
5958
6391
6419
25187
6538
6736
6474
6531
26279
6590
6740
6599
6774
26560
7130
7018
6453
6770
SUU, Alm.del - 2023-24 - Bilag 301: Orientering om rapporten Monitorering af forløbstider på kræftområdet - Årsopgørelse 2023, fra indenrigs- og sundhedsministeren
2870950_0015.png
Monitorering af forløbstider på kræftområdet, årsopgørelse for 2023
Side 15/52
Nordjylland
Tidsperi-
ode
Hele2023
83
3326
Andel
Antal
Midtjylland
Andel
Antal
Syddanmark
Andel
Antal
Hovedstaden
Andel
Antal
Sjælland
Andel
Antal
Hele landet
Andel
An t a l
77
6170
79
5657
76
8319
66
3835
76
27307
Kilde: Landspatientregistret tal fra 2020 pr. 10. juni 2021, tal fra 2021 pr. 10. april 2022, tal fra 2022 pr. 10. april 2023 og tal fra 2023 pr. 10. april 2024.
Sundhedsdatastyrelsen.
Anmærkning: Der tages forbehold for foreløbige tal.
Som det fremgår af tabel 2b ligger andelen af patientforløb gennemført inden for stan-
dardforløbstiden i 2023 højere nationalt og i alle regioner sammenlignet med 2022.
Der er registreret i alt 166.950 patientforløb med udredning i et pakkeforløb for kræft i
2023. For 38.824 af disse forløb viser registreringen, at diagnosen blev bekræftet eller, at
der fortsat er begrundet mistanke om kræft. Til sammenligning blev der i 2022 registreret
i alt 160.689 patienter til udredning i et pakkeforløb for kræft. For 38.278 af disse forløb
viste registreringen, at diagnosen blev bekræftet eller, at der fortsat er begrundet mis-
tanke om kræft. Der har således været en stigning på 6.261 patientforløb med udredning
i pakkeforløb samt en stigning i antallet af bekræftede diagnoser på 546 i 2023 sammen-
lignet med 2022.
Tabel 3a viser den kvartalsvise og årlige kvartilfordeling for andele af patientforløb gen-
nemført inden for standardforløbstiden i hele landet for perioden 2013-2018. Bemærk at
2019-tal ikke fremgår af tabellen, da data ikke er opgjort for 2019.
Tabel 3a viser den kvartalsvise og årlige kvartilfordeling for andele af patientforløb gen-
nemført inden for standardforløbstiden i hele landet for perioden 2020-2023.
Tabel 3a.
Kvartalsvis og årligt kvartilfordeling for andele af patientforløb gennemført inden for standardforløbsti-
den i perioden 2013 til 2018. Angivet i procent.
Tidsperiode
Nedre kvartil,
procent
41
38
50
56
Median, procent
Øvre kvartil,
procent
1. kvartal 2013
2. kvartal 2013
3. kvartal 2013
4. kvartal 2013
67
67
75
75
76
89
94
96
SUU, Alm.del - 2023-24 - Bilag 301: Orientering om rapporten Monitorering af forløbstider på kræftområdet - Årsopgørelse 2023, fra indenrigs- og sundhedsministeren
2870950_0016.png
Monitorering af forløbstider på kræftområdet, årsopgørelse for 2023
Side 16/52
Tidsperiode
Nedre kvartil,
procent
50
57
48
58
54
54
50
51
67
54
58
50
55
57
64
57
53
44
55
60
50
55
50
Median, procent
Øvre kvartil,
procent
Hele 2013
1. kvartal 2014
2. kvartal 2014
3. kvartal 2014
4. kvartal 2014
Hele 2014
1. kvartal 2015
2. kvartal 2015
3. kvartal 2015
4. kvartal 2015
Hele 2015
1. kvartal 2016
2. kvartal 2016
3. kvartal 2016
4. kvartal 2016
Hele 2016
1. kvartal 2017
2. kvartal 2017
3. kvartal 2017
4. kvartal 2017
Hele 2017
1. kvartal 2018
2. kvartal 2018
70
75
67
77
78
73
74
75
82
81
75
75
77
82
81
76
72
67
80
75
71
76
70
86
94
86
93
96
87
92
91
94
94
88
90
92
98
97
88
89
83
90
91
84
90
87
SUU, Alm.del - 2023-24 - Bilag 301: Orientering om rapporten Monitorering af forløbstider på kræftområdet - Årsopgørelse 2023, fra indenrigs- og sundhedsministeren
2870950_0017.png
Monitorering af forløbstider på kræftområdet, årsopgørelse for 2023
Side 17/52
Tidsperiode
Nedre kvartil,
procent
54
61
60
Median, procent
74
79
73
Øvre kvartil,
procent
89
94
85
3. kvartal 2018
4. kvartal 2018
Hele 2018
Kilde: Landspatientregistret 2014-tal pr. 11. april 2015, 2015-tal pr. 11. april 2016, 2016-tal pr. 11. april 2017, 2017-tal pr. 14.
april 2018 og 2018-tal pr. 6. april 2019.Sundhedsdatastyrelsen. Anmærkning: Der tages forbehold for foreløbige tal.
Tabel 3a.
Kvartalsvis og årligt kvartilfordeling for andele af patientforløb gennemført inden for standardforløbsti-
den i perioden 2020 til 2023. Angivet i procent.
Tidsperiode
Nedre kvartil,
procent
60
61
61
57
58
57
50
60
55
55
50
47
57
51
52
55
Median, procent
80
80
80
77
77
75
73
75
75
72
73
67
76
77
71
74
Øvre kvartil,
procent
94
95
94
91
88
89
89
90
91
83
86
84
89
92
83
88
1.kvartal 2020
2. kvartal 2020
3. kvartal 2020
4. kvartal 2020
Hele 2020
1.kvartal 2021
2. kvartal 2021
3. kvartal 2021
4. kvartal 2021
Hele 2021
1.kvartal 2022
2.kvartal 2022
3.kvartal 2022
4. kvartal 2022
Hele 2022
1.kvartal 2023
SUU, Alm.del - 2023-24 - Bilag 301: Orientering om rapporten Monitorering af forløbstider på kræftområdet - Årsopgørelse 2023, fra indenrigs- og sundhedsministeren
2870950_0018.png
Monitorering af forløbstider på kræftområdet, årsopgørelse for 2023
Side 18/52
Tidsperiode
Nedre kvartil,
procent
50
65
62
57
Median, procent
73
80
78
74
Øvre kvartil,
procent
89
93
94
86
2.kvartal 2023
3.kvartal 2023
4. kvartal 2023
Hele 2023
Kilde: Landspatientregistret, tal for 2020 pr. 10. juni 2021, tal for 2021 pr. 10. april 2022, tal for 2022 pr. 10. april 2023 og tal
for 2023 pr. 10 april 2024. Sundhedsdatastyrelsen. Anmærkning: Der tages forbehold for foreløbige tal.
For den fjerdedel (øvre kvartil) af pakkeforløbene, der i 2023 havde den højeste andel af
forløb gennemført inden for standardforløbstiden gælder, at disse blev overholdt i 86 % af
tilfældene. For den halvdel (medianen) af pakkeforløbene, der i 2023 havde den næst
højeste andel af forløb gennemført inden for standardforløbstiden gælder, at disse blev
overholdt i mindst 74 % af tilfældene. Tilsvarende ses det, at for den fjerdedel af pakke-
forløbene (nedre kvartil/nationale 1. kvartil), der i 2023 havde den laveste andel af forløb
gennemført inden for standardforløbstiden, blev disse overholdt i op til 57 % af tilfældene.
SUU, Alm.del - 2023-24 - Bilag 301: Orientering om rapporten Monitorering af forløbstider på kræftområdet - Årsopgørelse 2023, fra indenrigs- og sundhedsministeren
2870950_0019.png
Monitorering af forløbstider på kræftområdet, årsopgørelse for 2023
Side 19/52
4. Organspecifikke pakkeforløb
4.1 Brystkræft (B01)
For brystkræft var andelen af kirurgiske behandlingsforløb, der blev gennemført inden for
standardforløbstiden 62 % i 2023, når tallene opgøres på landsplan [2022: 58 %].
Der ses en regional variation i andelen af gennemførte forløb inden for standardforløbsti-
den på 41 % i Region Sjælland [2022: 46 %], 48 % i Region Hovedstaden [2022: 38 %],
72 % i Region Syddanmark [2022: 59 %], 75 % i Region Midtjylland [2022: 81 %] og 89
% i Region Nordjylland [2022: 92 %]. Andelene for Region Hovedstaden og Region Syd-
danmark er steget med hhv. 10 og 13 procentpoint. Region Sjælland og Region Hoved-
staden ligger under den nationale 1. kvartil.
Den regionale variation for kirurgisk behandling af brystkræft fremgår af i figur 1.
Figur 1.
Andel forløb gennemført inden for den angivne standardforløbstid for kirurgisk behandling af brystkræft
samt antal forløb i alt fordelt på sygehusregion og indikator, 2023.
Kilde: Landpatientregisteret pr. 10. april 2024, Sundhedsdatastyrelsen. Anmærkning: Der tages forbehold for foreløbige tal.
OF4A angiver forløb gennemført inden for standardforløbstiden for kirurgisk behandling, samlet tid til behandling, fra henvisning
til pakkeforløb start til initiale behandling.
SUU, Alm.del - 2023-24 - Bilag 301: Orientering om rapporten Monitorering af forløbstider på kræftområdet - Årsopgørelse 2023, fra indenrigs- og sundhedsministeren
2870950_0020.png
Monitorering af forløbstider på kræftområdet, årsopgørelse for 2023
Side 20/52
Andelen af forløb med kirurgisk behandling med plastikkirurgisk assistance gennemført
inden for standardforløbstiden for brystkræft var på landsplan på 64 % i 2023 [2022: 60
%].
Der ses en regional variation i andelen af gennemførte forløb inden for standardforløbsti-
den på 21 % i Region Sjælland [2022: 22 %], 33 % i Region Hovedstaden [2022: 39 %],
74 % i Region Syddanmark [2022: 66 %] og 75 % i Region Midtjylland [2022: 79 %]. I Re-
gion Nordjylland blev der registreret færre end 10 patientforløb, hvorfor den regionale an-
del ikke er udregnet. Andelen af gennemførte forløb i Region Sjælland og Region Hoved-
staden ligger således under den nationale 1. kvartil.
Den regionale variation for kirurgisk behandling med plastikkirurgisk assistance af bryst-
kræft fremgår af figur 2.
Figur 2.
Andel forløb gennemført inden for den angivne standardforløbstid for kirurgisk behandling af brystkræft
med plastikkirurgisk assistance samt antal forløb i alt fordelt på sygehusregion og indikator, 2023.
Kilde: Landpatientregisteret pr. 10. april 2024, Sundhedsdatastyrelsen. Anmærkning: Der tages forbehold for foreløbige tal.
OF4A1 angiver forløb gennemført inden for standardforløbstiden for kirurgi med plastikkirurgisk assistance, samlet tid til be-
handling, fra henvisning til pakkeforløb start til initiale behandling.
Der har på landsplan i 2023 været i alt 3.944 registrerede forløb i pakkeforløb for bryst-
kræft, der gennemgik kirurgisk behandling som initial behandling, 195 forløb med kirur-
gisk behandling med plastikkirurgisk assistance som initial behandling, 1.541 forløb med
medicinsk behandling som initial behandling og 35 forløb med strålebehandling som ini-
tial behandling.
SUU, Alm.del - 2023-24 - Bilag 301: Orientering om rapporten Monitorering af forløbstider på kræftområdet - Årsopgørelse 2023, fra indenrigs- og sundhedsministeren
Monitorering af forløbstider på kræftområdet, årsopgørelse for 2023
Side 21/52
I 79 % af alle patientforløb i pakkeforløbet for brystkræft blev den begrundede mistanke
om brystkræft afkræftet i udredningsperioden.
4.2 Hoved- og halskræft (B02)
Andelen af kirurgiske behandlingsforløb gennemført inden for standardforløbstiden for
hoved- og halskræft var på landsplan 88 % i 2023 [2022: 86 %].
Inden for kirurgisk behandling af hoved- og halskræft ses en regional variation mellem 79
% i Region Sjælland [2022: 75 %] og på 95 % i Region Nordjylland [2022: 92 %].
Andelen af medicinske behandlingsforløb gennemført inden for standardforløbstiden for
hoved- og halskræft var på landsplan på 57 % i 2023 [2022: 43 %], hvilket er en stigning
på 14 procentpoint og lig den nationale 1. kvartil.
Andelen af medicinske behandlingsforløb gennemført inden for standardforløbstiden for
hoved- og halskræft var på 29 % i Region Midtjylland [2022: 44 %], 59 % i Region Ho-
vedstaden [2022: 21 %] og 74 % i Region Syddanmark [2022: 62 %]. Der ses et fald på
15 procentpoint i Region Midtjylland som ligger under den nationale 1. kvartil. Der ses en
stigning på 12 og 38 procentpoint i hhv. Region Syddanmark og Region Hovedstaden.
Region Nordjylland registrerede ikke flere end 10 forløb med medicinsk behandling som
initial behandling for hoved- og halskræft, hvorfor andelen ikke er udregnet herfor.
Den regionale variation for medicinsk behandling af hoved- og halskræft fremgår af figur
3.
SUU, Alm.del - 2023-24 - Bilag 301: Orientering om rapporten Monitorering af forløbstider på kræftområdet - Årsopgørelse 2023, fra indenrigs- og sundhedsministeren
2870950_0022.png
Monitorering af forløbstider på kræftområdet, årsopgørelse for 2023
Side 22/52
Figur 3.
Andel forløb gennemført inden for den angivne standardforløbstid for medicinsk behandling af hoved-
og halskræft samt antal forløb i alt fordelt på sygehusregion og indikator, 2023.
Kilde: Landpatientregisteret pr. 10. april 2024, Sundhedsdatastyrelsen. Anmærkning: Der tages forbehold for foreløbige tal.
OF4B angiver forløb gennemført inden for standardforløbstiden for medicinsk behandling, samlet tid til behandling, fra hen-
visning til pakkeforløb start til initiale behandling.
Andelen af forløb gennemført inden for standardforløbstiden for strålebehandling af ho-
ved- og halskræft var på landsplan 67 % i 2023 [2022: 68 %]. Der ses en regional varia-
tion på mellem 57 % i Region Midtjylland [2022: 62 %] og 77 % i Region Nordjylland
[2022: 66 %]. Region Midtjylland ligger som den eneste lig med den nationale 1. kvartil.
Der ses en stigning på 11 procentpoint i Region Nordjylland.
Andelen af forløb gennemført inden for standardforløbstiden for partikelterapi af hoved-
halskræft var på landsplan 73 % i 2023 [2022: 68 %]. Alene Region Syddanmark havde
registreret flere end 10 patientforløb. Andelen var her 86 % [2022: 90 %].
På landsplan var der i 2023 i alt 1.247 registrerede forløb i pakkeforløb for hoved- og
halskræft, der gennemgik kirurgisk behandling som initial behandling, mens der var 100
forløb med medicinsk behandling som initial behandling, 727 forløb med strålebehandling
som initial behandling, og 50 forløb med partikelterapi som initialbehandling.
I 72 % af alle patientforløb i pakkeforløb for hoved- og halskræft blev den begrundede
mistanke om kræft afkræftet i udredningsperioden.
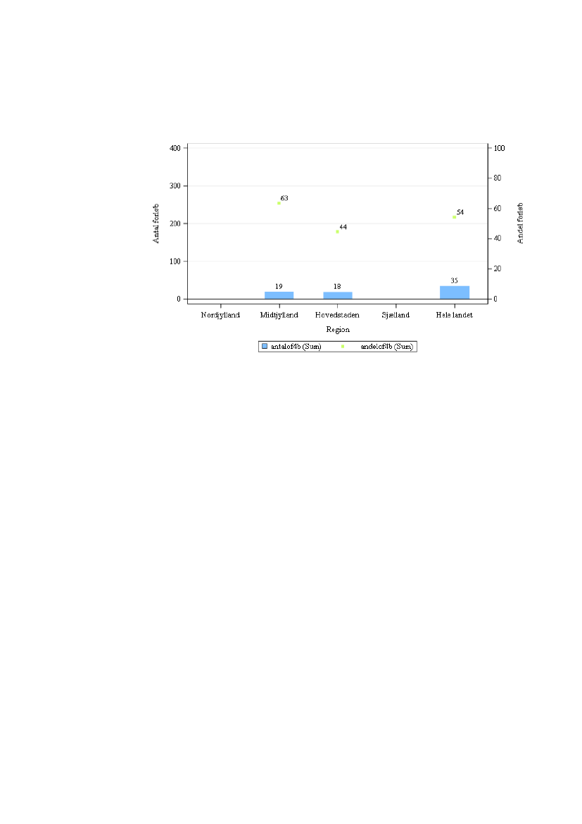
4.3
Lymfeknudekræft og kronisk lymfatisk leukæmi (B03)
Andelen af medicinske behandlingsforløb gennemført inden for standardforløbstiden for
lymfeknudekræft og kronisk lymfatisk leukæmi var i hele landet på 89 % i 2023 [2022: 87
SUU, Alm.del - 2023-24 - Bilag 301: Orientering om rapporten Monitorering af forløbstider på kræftområdet - Årsopgørelse 2023, fra indenrigs- og sundhedsministeren
2870950_0023.png
Monitorering af forløbstider på kræftområdet, årsopgørelse for 2023
Side 23/52
%]. Der ses en regional variation på mellem 74 % i Region Nordjylland [2022: 73 %] og
95 % i Region Sjælland [2022: 93 %].
Andelen af forløb gennemført inden for standardforløbstiden for strålebehandling af lym-
feknudekræft og kronisk lymfatisk leukæmi var på landsplan 75 % i 2023 [2022: 65 %],
hvilket er en stigning på 10 procentpoint.
Der ses en regional variation i 2023 på 38 % i Region Midtjylland [2022: n.a.], 80 % Re-
gion Syddanmark [2022: 76 %], 82 % i Region Hovedstaden [2022: 75 %] og 92 % i Re-
gion Sjælland [2022: n.a.]. Region Midtjylland ligger således under den nationale 1. kvar-
til. Region Nordjylland havde registreret færre end 10 forløb, hvorfor andelen ikke er be-
regnet herfor.
Den regionale variation for strålebehandling af lymfeknudekræft og kronisk lymfatisk leu-
kæmi fremgår af figur 4
Figur 4.
Andel
forløb gennemført inden for den angivne standardforløbstid for strålebehandling af lymfeknude-
kræft og kronisk lymfatisk leukæmi samt antal forløb i alt, fordelt på sygehusregion og indikator, 2023.
Kilde: Landpatientregisteret pr. 10. april 2024, Sundhedsdatastyrelsen. Anmærkning: Der tages forbehold for foreløbige tal.
OF4C angiver forløb gennemført inden for standardforløbstiden for strålebehandling, samlet tid til behandling, fra henvisning til
pakkeforløb start til initiale behandling.
På landsplan i 2023 var der færre end 10 registrerede forløb med kirurgisk behandling
som initial behandling for lymfeknudekræft og kronisk lymfatisk leukæmi, mens der var
937 forløb med medicinsk behandling som initial behandling, og 104 forløb med strålebe-
handling som initial behandling.
SUU, Alm.del - 2023-24 - Bilag 301: Orientering om rapporten Monitorering af forløbstider på kræftområdet - Årsopgørelse 2023, fra indenrigs- og sundhedsministeren
Monitorering af forløbstider på kræftområdet, årsopgørelse for 2023
Side 24/52
I 16 % af alle patientforløb i pakkeforløb for lymfeknudekræft og kronisk lymfatisk leu-
kæmi blev den begrundede mistanke om kræft afkræftet i udredningsperioden.
4.4
Myelomatose (B04)
I 2023 var andelen af behandlingsforløb med medicinsk behandling som initial behand-
ling af myelomatose 94 % [2022: n.a.]. Der ses en regional variation på mellem 85 % i
Region Nordjylland [2022: n.a.] og 98 % i Region Hovedstaden [2022: n.a.].
Der har på landsplan i 2023 været i alt 312 registrerede forløb i pakkeforløb for myeloma-
tose, der gennemgik medicinsk behandling som initial behandling, mens der var 20 regi-
strerede forløb med strålebehandling som initial behandling.
I 31 % af alle patientforløb i pakkeforløb for myelomatose blev den begrundede mistanke
om kræft afkræftet i udredningsperioden.
Pakkeforløb for Myelomatose, er blevet revideret i 2022 og der er indført standardforløbs-
tid for medicinsk behandling som initial behandling, med implementering den 1. juli 2022.
Årsopgørelse for 2023 er således den første med en total opgørelse af standardforløbsti-
den for hele året.
4.5
Akut leukæmi/fremskreden myelodysplastisk syndrom (B05)
I 2023 var andelen af medicinske behandlingsforløb gennemført inden for standardfor-
løbstiden for akut leukæmi/fremskreden myelodysplastisk syndrom 63 % på landsplan
[2022: 70 %].
Der ses en regional variation i 2023 på mellem 59 % i Region Nordjylland [2022: 79 %]
og 69 % i Region Midtjylland [2022: 69 %]. Der ses et fald på 20 procentpoint i Region
Nordjylland sammenlignet med 2022.
På landsplan var der i 2023 i alt 234 registrerede forløb i pakkeforløb for akut leu-
kæmi/fremskreden myelodysplastisk syndrom, der gennemgik medicinsk behandling som
initial behandling, og ingen registrerede forløb der gennemgik hverken kirurgisk behand-
ling eller strålebehandling som initial behandling.
I 25 % af alle patientforløb i pakkeforløbet for akut leukæmi/fremskreden myelodyspla-
stisk syndrom blev den begrundede mistanke om kræft afkræftet i udredningsperioden.
4.6
Kronisk myeloide sygdomme (B06)
Idet der ikke er angivet standardforløbstider for mulige behandlingsmodaliteter, kommen-
terer Sundhedsstyrelsen ikke på disse forløb.
SUU, Alm.del - 2023-24 - Bilag 301: Orientering om rapporten Monitorering af forløbstider på kræftområdet - Årsopgørelse 2023, fra indenrigs- og sundhedsministeren
Monitorering af forløbstider på kræftområdet, årsopgørelse for 2023
Side 25/52
Der har på landsplan i 2023 været ingen registrerede forløb i pakkeforløb for kronisk my-
eloide sygdomme, der gennemgik kirurgisk behandling som initial behandling, mens der
var 296 forløb med medicinsk behandling som initial behandling, og ingen forløb med
strålebehandling som initial behandling.
I 48 % af alle patientforløb i pakkeforløbet for kronisk myeloide sygdomme blev den be-
grundede mistanke om kræft afkræftet i udredningsperioden.
4.7
Kræft i bugspytkirtlen (B07)
Andelen af kirurgiske behandlingsforløb gennemført inden for standardforløbstiden for
kræft i bugspytkirtlen var på 84 % i 2023 på landsplan [2022: 85 %].
Der ses en regional variation i 2023 på 74 % i Region Sjælland [2022: 87 %], 81 % i Re-
gion Syddanmark [2022: 85 %], 84 % i Region Hovedstaden [2022: 87 %], 85 % i Region
Nordjylland [2022: 73 %] og 92 % i Region Midtjylland [2022: 83 %]. Der ses en stigning
på 10 og 12 procentpoint i hhv. Region Midtjylland og Region Nordjylland sammenlignet
med 2022. Der ses et fald på 13 procentpoint i Region Sjælland sammenlignet med
2022.
Andelen af forløb gennemført inden for standardforløbstiden for medicinsk behandling af
kræft i bugspytkirtlen var på 75 % i 2023 på landsplan [2022: 72 %]. Inden for medicinsk
behandling ses en regional variation på 54 % i Region Sjælland [2022: 60 %], 69 % i Re-
gion Nordjylland [2022: 73 %], 74 % i Region Hovedstaden [2022: 66 %], 78 % i Region
Syddanmark [2022: 71 %], og 92 % i Region Midtjylland [2022: 85 %]. Alle regioner ligger
dermed over den nationale 1. kvartil på 57 %.
Der har på landsplan i 2023 været i alt 230 registrerede forløb i pakkeforløb for kræft i
bugspytkirtlen med kirurgisk behandling som initial behandling, mens 402 patienter fik
medicinsk behandling som initial behandling. Der var 10 patienter gennemgik strålebe-
handling som initial behandling for kræft i bugspytkirtlen.
I 40 % af alle patientforløb i pakkeforløbet for kræft i bugspytkirtlen blev den begrundede
mistanke om kræft afkræftet i udredningsperioden.
Det skønnes, at omkring 25 % af patienter med bugspytkirtelkræft har behov for aflast-
ning af galdeveje forud for medicinsk behandling. Dette kan medvirke til, at forløbet varer
længere end den angivne standardforløbstid for disse patientforløb.
4.8
Kræft i galdegang (B08)
Andelen af kirurgiske behandlingsforløb gennemført inden for standardforløbstiden for
kræft i galdegangen i hele landet var på 72 % i 2023 [2022: 76 %].
Der ses en regional variation i 2023 på 55 % i Region Hovedstaden [2022: 75 %], 73 % i
Region Sjælland [2022: n.a.], 79 % i Region Syddanmark [2022: 86 %] og 90 % i Region
SUU, Alm.del - 2023-24 - Bilag 301: Orientering om rapporten Monitorering af forløbstider på kræftområdet - Årsopgørelse 2023, fra indenrigs- og sundhedsministeren
2870950_0026.png
Monitorering af forløbstider på kræftområdet, årsopgørelse for 2023
Side 26/52
Midtjylland [2022: 82 %]. Der ses et fald på 20 procentpoint i Region Hovedstaden, hvor-
for andelen ligger under den nationale 1. kvartil. Region Nordjylland har registreret færre
end 10 forløb, hvorfor andelen ikke er beregnet herfor.
Den regionale variation for kirurgisk behandling af kræft i galdegang fremgår af figur 5
Figur 5.
Andel forløb gennemført inden for den angivne standardforløbstid for kirurgisk behandling af galdegang
samt antal forløb i alt fordelt på sygehusregion og indikator, 2023.
Kilde: Landpatientregisteret pr. 10. april 2024, Sundhedsdatastyrelsen. Anmærkning: Der tages forbehold for foreløbige tal.
OF4A angiver forløb gennemført inden for standardforløbstiden for kirurgisk behandling, samlet tid til behandling, fra henvisning
til pakkeforløb start til initiale behandling.
Andelen af medicinske behandlingsforløb gennemført inden for standardforløbstiden for
kræft i galdegangen i hele landet var på 78 % [2022: 73 %].
Der ses en regional variation i 2023 på 67 % i Region Syddanmark [2022: 54 %], 71 % i
Region Hovedstaden [2022: 68 %] og 94 % i Region Midtjylland [2022: 87 %]. Sammen-
lignet med 2022 ses en stigning på 13 procentpoint i Region Syddanmark.
Der har på landsplan i 2023 været i alt 96 registrerede forløb i pakkeforløb for kræft i gal-
degang med kirurgisk behandling som initial behandling, 80 forløb med medicinsk be-
handling som initial behandling, og færre end 10 forløb med strålebehandling som initial
behandling.
I 35 % af alle patientforløb i pakkeforløbet for kræft i galdegang blev den begrundede
mistanke om kræft afkræftet i udredningsperioden.
SUU, Alm.del - 2023-24 - Bilag 301: Orientering om rapporten Monitorering af forløbstider på kræftområdet - Årsopgørelse 2023, fra indenrigs- og sundhedsministeren
Monitorering af forløbstider på kræftområdet, årsopgørelse for 2023
Side 27/52
Det skønnes at hovedparten af patienter med kræft i galdegange har behov for aflastning
af galdeveje forud for medicinsk eller kirurgisk behandling. Derudover skønnes det, at
cirka halvdelen af patienter med galdegangskræft endvidere har behov for portal emboli-
sering med en efterfølgende aflastningsperiode på 4 uger inden kirurgisk behandling.
Dette kan medvirke til, at forløbet varer længere end den angivne standardforløbstid for
disse patientforløb.
4.9
Kræft i spiserør og mavesæk (B09)
For kræft i spiserør og mavesæk var andelen af kirurgiske behandlingsforløb inden for
standardforløbstiden 72 % på landsplan i 2023 [2022: 54 %], hvilket er en stigning på 19
procentpoint.
Det er alene Region Syddanmark og Region Midtjylland der har registreret flere end 10
forløb med kirurgisk behandling, som initial behandling, hvorfor andelene udelukkende er
udregnet for disse regioner. Der ses en regional variation på 71 % i Region Syddanmark
[2022: 48 %] og 88 % i Region Midtjylland [2022: 73 %]. Der ses en stigning på 15 og 22
procentpoint for hhv. Region Midtjylland og Region Syddanmark.
Andelen af medicinske behandlingsforløb gennemført inden for standardforløbstiden for
pakkeforløb ved kræft i spiserør og mavesæk var på landsplan 76 % i 2023 [2022: 78 %].
Der ses en regional variation i 2023 på 49 % i Region Sjælland [2022: 52 %], 77 % i Re-
gion Hovedstaden [2022: 84 %], 79 % i Region Syddanmark [2022: 80 %], 83 % i Region
Midtjylland [2022: 88 %] og 85 % i Region Nordjylland [2022: 91 %]. Region Sjælland lig-
ger således under den nationale 1. kvartil på 57 %.
Den regionale variation for medicinsk behandling af kræft i spiserør og mavesæk fremgår
af figur 6.
SUU, Alm.del - 2023-24 - Bilag 301: Orientering om rapporten Monitorering af forløbstider på kræftområdet - Årsopgørelse 2023, fra indenrigs- og sundhedsministeren
2870950_0028.png
Monitorering af forløbstider på kræftområdet, årsopgørelse for 2023
Side 28/52
Figur 6.
Andel forløb gennemført inden for den angivne standardforløbstid for medicinsk behandling af kræft i
spiserør og mavesæk samt antal forløb i alt fordelt på sygehusregion og indikator, 2023.
Kilde: Landpatientregisteret pr. 10. april 2024, Sundhedsdatastyrelsen. Anmærkning: Der tages forbehold for foreløbige tal.
OF4B angiver forløb gennemført inden for standardforløbstiden for medicinsk behandling, samlet tid til behandling, fra henvisning
til pakkeforløb start til initiale behandling.
I 2023 var der i alt 61 registrerede forløb i pakkeforløb for kræft i spiserør og mavesæk
med kirurgisk behandling som initial behandling, 493 forløb med medicinsk behandling
og 252 forløb med strålebehandling som initial behandling.
I 89 % af alle patientforløb i pakkeforløbet for kræft i spiserør og mavesæk blev den be-
grundede mistanke om kræft afkræftet i udredningsperioden.
4.10
Primær leverkræft (B10)
Andelen af kirurgiske behandlingsforløb gennemført inden for standardforløbstiden for
primær leverkræft i hele landet var på 78 % i 2023 [2022: 80 %].
Der ses en regional variation ved kirurgisk behandling på mellem 71 % i Region Hoved-
staden [2022: 70 %], 74 % i Region Sjælland [2022: 73 %], 76 % i Region Syddanmark
[2022: 100 %] og 88 % i Region Midtjylland [2022: 91 %]. Der ses et fald på 24 procent-
point i Region Syddanmark.
Andelen af forløb gennemført inden for standardforløbstiden for medicinsk behandling af
primær leverkræft i hele landet i 2023 er på 73 % [2022: 67 %]. Der ses en regional varia-
tion i andelene på 64 % i Region Sjælland [2022: n.a.], 67 % i Region Midtjylland [2022:
SUU, Alm.del - 2023-24 - Bilag 301: Orientering om rapporten Monitorering af forløbstider på kræftområdet - Årsopgørelse 2023, fra indenrigs- og sundhedsministeren
Monitorering af forløbstider på kræftområdet, årsopgørelse for 2023
Side 29/52
88 %], 70 % i Region Hovedstaden [2022: 59 %] og 87 % i Region Syddanmark [2022:
71 %]. Region Nordjylland havde færre end 10 registrerede forløb i 2023. Der ses et fald
på 22 procentpoint i Region Midtjylland og en stigning på 12 og 16 procentpoint i hhv.
Region Hovedstaden og Region Syddanmark.
Der har på landsplan i 2023 været i alt 189 registrerede forløb i pakkeforløb for primær
leverkræft med kirurgisk behandling som initial behandling, 75 forløb, hvor medicinsk be-
handling var initial behandling og 15 registrerede behandlingsforløb med strålebehand-
ling som initial behandling for primær leverkræft.
I 44 % af alle patientforløb i pakkeforløbet for primær leverkræft blev den begrundede
mistanke om kræft afkræftet i udredningsperioden.
Det skønnes at en mindre del af patienter med primær leverkræft har behov aflastning af
galdeveje forud for medicinsk behandling. Omkring 5-10 % af patienter med primær le-
verkræft vurderes at have behov for aflastning af galdeveje samt portal embolisering med
en efterfølgende aflastningsperiode på 4 uger inden kirurgisk behandling. Dette kan med-
virke til, at forløbet varer længere end den angivne standardforløbstid for disse patientfor-
løb.
4.11
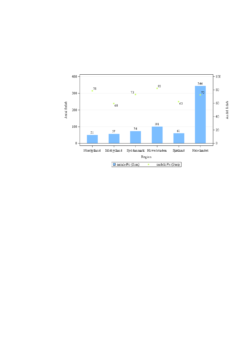
Kræft i tyk- og endetarm (B12)
Ved kræft i tyk- og endetarm var andelen af kirurgiske behandlingsforløb gennemført in-
den for standardforløbstiden i hele landet på 79 % i 2023 [2022: 76 %].
På regionalt niveau ses der en variation i 2023 på mellem 69 % i Region Sjælland [2022:
69 %] og 82 % i Region Midtjylland [2022: 80 %].
Den regionale variation for kirurgisk behandling af kræft i tyk- og endetarm fremgår af fi-
gur 7.
SUU, Alm.del - 2023-24 - Bilag 301: Orientering om rapporten Monitorering af forløbstider på kræftområdet - Årsopgørelse 2023, fra indenrigs- og sundhedsministeren
2870950_0030.png
Monitorering af forløbstider på kræftområdet, årsopgørelse for 2023
Side 30/52
Figur 7.
Andel
forløb gennemført inden for den angivne standardforløbstid for kirurgisk behandling af kræft i tyk-
og endetarm samt antal forløb i alt, fordelt på sygehusregion og indikator, 2023.
Kilde: Landpatientregisteret pr. 10. april 2024, Sundhedsdatastyrelsen. Anmærkning: Der tages forbehold for foreløbige tal.
OF4A angiver forløb gennemført inden for standardforløbstiden for kirurgisk behandling, samlet tid til behandling, fra henvis-
ning til pakkeforløb start til initiale behandling.
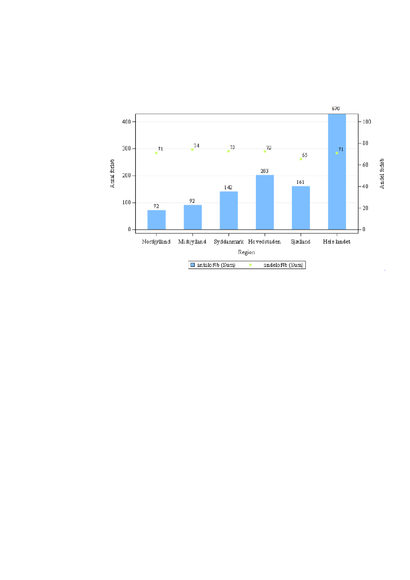
Andelen af forløb gennemført inden for standardforløbstiden for medicinsk behandling af
kræft i tyk- og endetarm var på landsplan 71 % i 2023 [2022: 68 %].
På regionalt niveau ses en variation på 65 % i Region Sjælland [2022: 70 %], 71 % i Re-
gion Nordjylland [2022: 52 %], 72 % i Region Hovedstaden [2022: 74 %], 73 % i Region
Syddanmark [2022: 73 %] og 74 % i Region Midtjylland [2022: 60 %]. Der ses en stigning
på 14 og 19 procentpoint i hhv. Region Midtjylland og Region Nordjylland.
Den regionale variation for medicinsk behandling af kræft i tyk- og endetarm fremgår af
figur 8.
SUU, Alm.del - 2023-24 - Bilag 301: Orientering om rapporten Monitorering af forløbstider på kræftområdet - Årsopgørelse 2023, fra indenrigs- og sundhedsministeren
2870950_0031.png
Monitorering af forløbstider på kræftområdet, årsopgørelse for 2023
Side 31/52
Figur 8.
Andel forløb gennemført inden for den angivne standardforløbstid for medicinsk behandling af kræft i
tyk- og endetarm samt antal forløb i alt, fordelt på sygehusregion og indikator, 2023.
Kilde: Landpatientregisteret pr. 10. april 2024, Sundhedsdatastyrelsen. Anmærkning: Der tages forbehold for foreløbige tal.
OF4B angiver forløb gennemført inden for standardforløbstiden for medicinsk behandling, samlet tid til behandling, fra hen-
visning til pakkeforløb start til initiale behandling.
For strålebehandling af kræft i tyk- og endetarm i hele landet var andelen af forløb gen-
nemført inden for standardforløbstiden på 72 % for 2023 [2022: 70 %].
Den regionale variation for behandlingsforløb med strålebehandling har ligget på 60 % i
Region Midtjylland [2022: 66 %], 62 % i Region Sjælland [2022: 66 %], 73 % i Region
Syddanmark [2022: 74 %], 78 % i Region Nordjylland [2022: 63 %] og 82 % i Region Ho-
vedstaden [2022: 75 %]. Der ses en stigning på 16 procentpoint i Region Nordjylland.
Den regionale variation for strålebehandling af kræft i tyk- og endetarm fremgår af figur 9.
SUU, Alm.del - 2023-24 - Bilag 301: Orientering om rapporten Monitorering af forløbstider på kræftområdet - Årsopgørelse 2023, fra indenrigs- og sundhedsministeren
2870950_0032.png
Monitorering af forløbstider på kræftområdet, årsopgørelse for 2023
Side 32/52
Figur 9.
Andel
forløb gennemført inden for den angivne standardforløbstid for strålebehandling af kræft i tyk- og
endetarm samt antal forløb i alt, fordelt på sygehusregion og indikator, 2023.
Kilde: Landpatientregisteret pr. 10. april 2024, Sundhedsdatastyrelsen. Anmærkning: Der tages forbehold for foreløbige tal.
OF4C angiver forløb gennemført inden for standardforløbstiden for strålebehandling, samlet tid til behandling, fra henvisning
til pakkeforløb start til initiale behandling.
Der har på landsplan i 2023 været i alt 2.655 registrerede forløb i pakkeforløb for kræft i
tyk- og endetarm, der gennemgik kirurgisk behandling som initial behandling, mens der
var 670 forløb med medicinsk behandling som initial behandling, og 344 forløb med strå-
lebehandling som initial behandling.
I 88 % af alle patientforløb i pakkeforløbet for kræft i tyk- og endetarm blev den begrun-
dede mistanke om kræft afkræftet i udredningsperioden.
Nogle patienter i pakkeforløb for tyk- og endetarmskræft vurderes at have gavn af et præ-
habiliteringsforløb på 4 uger forud for behandling. Dette kan medvirke til, at forløbet varer
længere end den angivne standardforløbstid for disse patientforløb.
4.12
Kræft i urinveje (B13)
Der er ikke kommenteret på det fælles primære udredningsforløb for kræft i urinveje, da
der ikke foreligger standardforløbstider for disse forløb.
På landsplan i 2023 var der i alt 1.246 registrerede forløb i pakkeforløb for kræft i urin-
veje, der gennemgik kirurgisk behandling som initial behandling, 402 der gennemgik me-
dicinsk kræft i urinveje som initial behandling, og 157 forløb med strålebehandling som
initial behandling.
SUU, Alm.del - 2023-24 - Bilag 301: Orientering om rapporten Monitorering af forløbstider på kræftområdet - Årsopgørelse 2023, fra indenrigs- og sundhedsministeren
Monitorering af forløbstider på kræftområdet, årsopgørelse for 2023
Side 33/52
I 79 % af alle patientforløb i pakkeforløbet for kræft i urinveje blev den begrundede mis-
tanke om kræft afkræftet i udredningsperioden.
Vedrørende kommentarer for behandlingsforløb for kræft i blære, kræft i nyre og kræft i
nyrebækken
og urinleder se nedenfor i hhv. ’ Kræft i blæren (B14)’, ’ Kræft i nyre (B15)’
og ’Kræft i nyrebækken eller urinleder (B32)’.
4.13
Kræft i blæren (B14)
På landsplan var andelen af forløb gennemført inden for standardforløbstiden for kirur-
gisk behandling af kræft i blæren 59 % i 2023 [2022: 50 %].
For kirurgisk behandling af kræft i blæren ses der for 2023 en regional variation på 49 % i
Region Syddanmark [2022: 42 %], 54 % i Region Midtjylland [2022: 49 %], 62 % i Region
Nordjylland [2022: 29 %], 63 % i Region Hovedstaden [2022: 49 %], og 71 % i Region
Sjælland [2022: 76 %]. Region Syddanmark og Region Midtjylland ligger således under
den nationale 1. kvartil, hvad angår initial kirurgisk behandling af kræft i blæren. Der ses
en stigning på 15 og 33 procentpoint for hhv. Region Hovedstaden og Region Nordjyl-
land.
Ved medicinsk behandling var andelen af forløb gennemført inden for standardforløbsti-
den 56 % i 2023, når tallene opgøres på landsplan [2022: 61 %]. Hvilket er under den na-
tionale 1. kvartil på 57 %.
Den regionale variation for de medicinske behandlingsforløb i 2023 ligger på mellem 44
% i Region Midtjylland [2022: 45 %], 51 % i Region Syddanmark [2022: 59 %], 63 % i Re-
gion Nordjylland [2022: 63 %], 69 % i Region Hovedstaden [2022: 73 %] og 72 % i Re-
gion Sjælland [2022: 82 %]. Region Midtjylland og Region Syddanmark ligger således
under den nationale 1. kvartil. Der ses derudover et fald på 10 procentpoint i Region
Sjælland.
Ved strålebehandling var andelen af forløb gennemført inden for standardforløbstiden 40
% i 2023, når tallene opgøres på landsplan [2022: 44 %]. På nationalt plan ligger andelen
således under den nationale 1. kvartil.
Den regionale variation for strålebehandlingsforløb ligger på 21 % i Region Syddanmark
[2022: 13 %], 30 % i Region Midtjylland [2022: 52 %], 54 % i Region Hovedstaden [2022:
39 %] og 65 % i Region Sjælland [2022: 65 %]. Region Nordjylland havde færre end 10
registrerede forløb, hvorfor den regionale andel ikke er udregnet herfor. Region Midtjyl-
land, Region Syddanmark og Region Hovedstaden ligger under den nationale 1. kvartil.
Der ses et fald på 23 procentpoint i Region Midtjylland og en stigning på 15 i Region Ho-
vedstaden.
Den regionale variation for strålebehandling af kræft i blæren fremgår af figur 10.
SUU, Alm.del - 2023-24 - Bilag 301: Orientering om rapporten Monitorering af forløbstider på kræftområdet - Årsopgørelse 2023, fra indenrigs- og sundhedsministeren
2870950_0034.png
Monitorering af forløbstider på kræftområdet, årsopgørelse for 2023
Side 34/52
Figur 10.
Andel forløb gennemført inden for den angivne standardforløbstid for strålebehandling af kræft i blæ-
ren samt antal forløb i alt, fordelt på sygehusregion og indikator, 2023.
Kilde: Landpatientregisteret pr. 10. april 2024, Sundhedsdatastyrelsen. Anmærkning: Der tages forbehold for foreløbige tal.
OF4C angiver forløb gennemført inden for standardforløbstiden for strålebehandling, samlet tid til behandling, fra henvisning
til pakkeforløb start til initiale behandling.
Der har på landsplan i 2023 været i alt 278 registrerede forløb i pakkeforløb for kræft i
blæren, der gennemgik kirurgisk behandling som initial behandling, mens der var 260 for-
løb med medicinsk behandling som initial behandling, og 129 forløb med strålebehand-
ling som initial behandling.
Andelen af forløbene, hvor den begrundede mistanke om kræft i blæren blev afkræftet, er
ikke beregnet.
4.14
Kræft i nyre (B15)
Ved kræft i nyren var den nationale andel af kirurgiske behandlingsforløb gennemført in-
den for standardforløbstiden 71 % i 2023 [2022: 67 %].
På regionalt niveau ses der en variation i andelen af kirurgiske behandlingsforløb gen-
nemført inden for standardforløbstiden for kræft i nyren på mellem 63 % i både Region
Midtjylland [2022: 47 %] og Region Nordjylland [2022: 58 %] og 83 % i Region Hovedsta-
den [2022: 85 %]. Der ses en stigning på 16 procentpoint i Region Midtjylland.
SUU, Alm.del - 2023-24 - Bilag 301: Orientering om rapporten Monitorering af forløbstider på kræftområdet - Årsopgørelse 2023, fra indenrigs- og sundhedsministeren
Monitorering af forløbstider på kræftområdet, årsopgørelse for 2023
Side 35/52
Ved medicinsk behandling var andelen af behandlingsforløb gennemført inden for stan-
dardforløbstiden for kræft i nyren i hele landet på 79 % i 2023 [2022: 76 %].
Den regionale variation for de medicinske behandlingsforløb i 2023 ligger på 70 % i Re-
gion Midtjylland [2022: 71 %], 77 % i Region Nordjylland [2022: 95 %], 79 % i Region
Syddanmark [2022: 48 %], 85 % i Region Sjælland [2022: 88 %] og 92 % i Region Ho-
vedstaden [2022: 88 %]. Der ses en stigning på 31 procentpoint i Region Syddanmark og
et fald på 18 procentpoint i Region Nordjylland.
På landsplan i 2023 var der i alt 875 registrerede forløb i pakkeforløb for kræft i nyren,
der gennemgik kirurgisk behandling som initial behandling. 124 forløb hvor medicinsk be-
handling var initial behandling, og 30 forløb hvor strålebehandling var initial behandling.
Andelen af forløbene, hvor den begrundede mistanke om kræft i nyre blev afkræftet, er
ikke beregnet.
4.15
Kræft i prostata (B16)
I 2023 var den nationale andel af forløb gennemført inden for standardforløbstiden for ki-
rurgisk behandling af kræft i prostata på 49 % [2022: 40 %], hvilket er under den natio-
nale 1. kvartil.
Der ses en regional variation i andelen af forløb gennemført inden for standardforløbsti-
den for kirurgisk behandling af kræft i prostata i 2023 på 37 % Region Syddanmark
[2022: 46 %], 44 % i Region Midtjylland [2022: 17 %], 45 % i Region Nordjylland [2022:
37 %], 62 % i Region Hovedstaden [2022: 48 %] og 82 % i Region Sjælland [2022: 59
%]. Region Syddanmark, Region Midtjylland og Region Nordjylland ligger således under
den nationale 1. kvartil. Der ses en stigning på 14, 22 og 26 procentpoint i hhv. Region
Hovedstaden, Region Sjælland og Region Midtjylland.
Andelen af forløb gennemført inden for standardforløbstiden for nervebesparende kirur-
gisk behandling af kræft i prostata var 82 % på nationalt niveau i 2023 [2022: 79 %].
Den regionale variation for andelen af forløb gennemført inden for standardforløbstiden
for nervebesparende kirurgisk behandling i 2023 er på 80 % i Region Hovedstaden
[2022: 84 %], 81 % i Region Midtjylland [2022: 58 %], 82 % i både Region Nordjylland
[2022: 75 %] og Region Syddanmark [2022: 78 %], og 91 % i Region Sjælland [2022: 91
%]. Der ses en stigning på 23 procentpoint i Region Midtjylland.
Andelen af forløb gennemført inden for standardforløbstiden for strålebehandling af kræft
i prostata var på 40 % på nationalt niveau i 2023 [2022: 47 %], hvilket er under den natio-
nale 1. kvartil.
Den regionale variation for andelen af forløb gennemført inden for standardforløbstiden
for strålebehandling af kræft i prostata var 28 % i Region Syddanmark [2022: n.a.], 36 % i
SUU, Alm.del - 2023-24 - Bilag 301: Orientering om rapporten Monitorering af forløbstider på kræftområdet - Årsopgørelse 2023, fra indenrigs- og sundhedsministeren
Monitorering af forløbstider på kræftområdet, årsopgørelse for 2023
Side 36/52
Region Nordjylland [2022: n.a.], 38 % i Region Midtjylland [2022: 28 %], og 52 % i Region
Hovedstaden [2022: 67 %]. Alle regioner hvor andelene er udregnet ligger således under
den nationale 1. kvartil. Der ses et fald på 1 procentpoint i Region Hovedstaden og en
stigning på 10 procentpoint i Region Midtjylland. Der var ikke registreret flere forløb end
10 i Region Sjælland, hvorfor andelen af forløb ikke er udregnet.
Der har på landsplan i 2023 været i alt 317 registrerede forløb i pakkeforløb for kræft i
prostata, der gennemgik kirurgisk behandling (eksklusiv nervebesparende kirurgi) som
initial behandling, mens der var 398 forløb med nervebesparende kirurgi, som initial be-
handling, 2.124 forløb med medicinsk behandling som initial behandling, og 133 forløb
med strålebehandling som initial behandling.
I 42 % af alle patientforløb i pakkeforløbet for kræft i prostata blev den begrundede mis-
tanke om kræft afkræftet i udredningsperioden.
Regionerne er i gang med at implementere en ny diagnostisk strategi i udredningen af
prostatakræft med øget brug af MR-skanning. Denne implementering forløber over et par
år (2022-2023), hvor kapaciteten af MR-skanninger forventes at blive øget. Andelen af
gennemførte forløb inden for standardforløbstiden kan være påvirket af dette i denne pe-
riode.
4.16
Kræft i penis (B17)
Andelen af kirurgiske behandlingsforløb for kræft i penis, der blev gennemført inden for
standardforløbstiden var på 47 % på landsplan i 2023 [2022: 47 %], hvilket er under den
nationale 1. kvartil.
Den regionale variation for andelen af forløb gennemført inden for standardforløbstid for
kirurgisk behandling af kræft i penis som initial behandling var 27 % i Region Syddan-
mark [2022: 18 %], 40 % i Region Midtjylland [2022: 27 %] og 63 % i Region Hovedsta-
den [2022: 77 %]. Region Midtjylland og Region Syddanmark er således under den natio-
nale 1. kvartil. Der ses en stigning i Region Midtjylland på 13 procentpoint og et fald på
14 procentpoint i Region Hovedstaden. Hverken Region Nordjylland eller Region Sjæl-
land registrerede flere end 10 forløb med kirurgisk behandling som initial behandling,
hvorfor andelene ikke er udregnet herfor.
Der har på landsplan i 2023 været i alt 90 registrerede forløb i pakkeforløb for kræft i pe-
nis, der gennemgik kirurgisk behandling som initial behandling, færre end 10 forløb med
medicinsk behandling som initial behandling og færre end 10 forløb med strålebehand-
ling som initial behandling.
I 82 % af alle patientforløb i pakkeforløbet for kræft i penis blev den begrundede mistanke
om kræft afkræftet i udredningsperioden.
SUU, Alm.del - 2023-24 - Bilag 301: Orientering om rapporten Monitorering af forløbstider på kræftområdet - Årsopgørelse 2023, fra indenrigs- og sundhedsministeren
Monitorering af forløbstider på kræftområdet, årsopgørelse for 2023
Side 37/52
4.17
Kræft i testikel (B18)
Idet der ikke er angivet standardforløbstider for mulige behandlingsmodaliteter for testi-
kelkræft, har Sundhedsstyrelsen ikke kommentarer til disse forløb, men konstaterer, at
der på landsplan i 2023 i alt har været 50 forløb i pakkeforløb for kræft i testiklerne, der
gennemgik kirurgisk behandling som initial behandling, 35 forløb der gennemgik medi-
cinsk behandling som initial behandling og under 10 forløb der gennemgik strålebehand-
ling som initial behandling.
I 80 % af alle patientforløb i pakkeforløbet for kræft i testikel blev den begrundede mis-
tanke om kræft afkræftet i udredningsperioden.
4.18
Kræft i ydre kvindelige kønsorganer (vulva) (B19)
Andelen af forløb gennemført inden for standardforløbstiden for kirurgisk behandling af
kræft i ydre kvindelige kønsorganer var i 2023 på 80 % på landsplan [2022: 73 %].
Andelen af kirurgiske behandlingsforløb gennemført inden for standardforløbstiden for
kræft i ydre kvindelige kønsorganer er kun beregnet for Region Hovedstaden og for Re-
gion Midtjylland, da ingen af de andre regioner har registreret flere 10 forløb. Andelen af
kirurgiske behandlingsforløb gennemført inden for standardforløbstiden er 72 % for Re-
gion Midtjylland [2022: 73 %] og 91 % for Region Hovedstaden [2022: 73 %]. Der ses en
stigning på 18 procentpoint i Region Hovedstaden, sammenlignet med 2022.
Ved strålebehandling som initial behandling af kræft i ydre kvindelige kønsorganer, er
den nationale andel på 65 % [2022: 81 %], hvilket er et fald på 16 procentpoint. Det er
alene Region Hovedstaden der har registreret flere end 10 forløb, hvorfor andelen kun er
udregnet herfor. I Region Hovedstaden lå andelen af forløb gennemført inden for stan-
dardforløbstid 75 % [2022: 77 %].
Der har på landsplan i 2023 været i alt 130 forløb i pakkeforløb for kræft i ydre kvindelige
kønsorganer, der gennemgik kirurgisk behandling som initial behandling, færre end 10
forløb med medicinsk behandling, og 25 forløb med strålebehandling som initial behand-
ling.
I 43 % af alle patientforløb i pakkeforløbet for kræft i ydre kvindelige kønsorganer blev
den begrundede mistanke om kræft afkræftet i udredningsperioden.
4.19
Livmoderkræft (B20)
Ved livmoderkræft var andelen af kirurgiske behandlingsforløb, der blev gennemført in-
den for standardforløbstiden 70 % i 2023, når tallene opgøres på landsplan [2022: 66 %].
På regionalt niveau ses der en variation på 41 % i Region Midtjylland [2022: 61 %], 62 %
i Region Sjælland [2022: 51 %], 74 % i Region Syddanmark [2022: 52 %], 85 % i Region
Hovedstaden [2022: 81 %] og 90 % i Region Nordjylland [2022: 90 %]. Der ses et fald på
SUU, Alm.del - 2023-24 - Bilag 301: Orientering om rapporten Monitorering af forløbstider på kræftområdet - Årsopgørelse 2023, fra indenrigs- og sundhedsministeren
Monitorering af forløbstider på kræftområdet, årsopgørelse for 2023
Side 38/52
20 procentpoint i Region Midtjylland, som således ligger under den nationale 1. kvartil.
Der ses en stigning på 11 og 23 procentpoint i hhv. Region Sjælland og Region Syddan-
mark.
Der har på landsplan i 2023 været i alt 761 registrerede forløb i pakkeforløb for livmoder-
kræft, der gennemgik kirurgisk behandling som initial behandling. Der var 68 registrerede
forløb med medicinsk behandling som initial behandling, mens der var 10 forløb med
strålebehandling som initial behandling i 2023.
I 89 % af alle patientforløb i pakkeforløbet for livmoderkræft blev den begrundede mis-
tanke om kræft afkræftet efter udredningen.
4.20
Kræft i æggestok (B21)
På landsplan var andelen af kirurgiske behandlingsforløb gennemført inden for standard-
forløbstiden for kræft i æggestok 86 % i 2023 [2022: 87 %].
Inden for kirurgisk behandling ses i 2023 en regional variation på 76 % i Region Midtjyl-
land [2022: 83 %], 86 % i Region Hovedstaden [2022: 94 %], 87 % i Region Sjælland
[2022: 78 %], 96 % i Region Syddanmark [2022: 84 %] og 100 % i Region Nordjylland
[2022: 96 %]. Der ses en stigning på 12 procentpoint i Region Syddanmark.
Ved medicinsk behandling var andelen af forløb gennemført inden for standardforløbsti-
den 60 % på landsplan i 2023 [2022: 61 %].
Den regionale variation ligger på 24 % i Region Nordjylland [2022: 65 %], 43 % i Region
Midtjylland [2022: 50 %], 57 % i Region Syddanmark [2022: 50 %], 65 % i Region Sjæl-
land [2022: 60 %], og 76 % i Region Hovedstaden [2022: 82 %]. Region Nordjylland, Re-
gion Midtjylland og Region Syddanmark ligger således under eller lig med den nationale
1. kvartil. Der ses et fald på 42 procentpoint i Region Nordjylland.
Den regionale variation for medicinsk behandling af kræft i æggestok fremgår af figur 11.
SUU, Alm.del - 2023-24 - Bilag 301: Orientering om rapporten Monitorering af forløbstider på kræftområdet - Årsopgørelse 2023, fra indenrigs- og sundhedsministeren
2870950_0039.png
Monitorering af forløbstider på kræftområdet, årsopgørelse for 2023
Side 39/52
Figur 11.
Andel forløb gennemført inden for den angivne standardforløbstid for medicinsk behandling af kræft i
æggestok samt antal forløb i alt, fordelt på sygehusregion og indikator, 2023.
Kilde: Landpatientregisteret pr. 10. april 2024, Sundhedsdatastyrelsen. Anmærkning: Der tages forbehold for foreløbige tal.
OF4B angiver forløb gennemført inden for standardforløbstiden for medicinsk behandling, samlet tid til behandling, fra hen-
visning til pakkeforløb start til initiale behandling.
På landsplan i 2023 var der i alt 559 registrerede forløb i pakkeforløb for kræft i ægge-
stok, der gennemgik kirurgisk behandling som initial behandling, 254 forløb der gennem-
gik medicinsk behandling som initial behandling, mens der var færre end 10 forløb med
strålebehandling som initial behandling.
I 39 % af alle patientforløb i pakkeforløbet for kræft i æggestok blev den begrundede mis-
tanke om kræft afkræftet i udredningsperioden.
4.21
Livmoderhalskræft (B22)
I 2023 var andelen af kirurgiske behandlingsforløb gennemført inden for standardforløbs-
tiden for livmoderhalskræft 57 % når tallene opgøres på landsplan [2022: 59 %], hvilket
er lig med den nationale 1. kvartil.
Den regionale variation for andelen af forløb gennemført inden for standardforløbstiden
for kirurgisk behandling i 2023 har ligget på 43 % i Region Hovedstaden [2022: 48 %], 69
% i Region Midtjylland [2022: 72 %] og 93 % i Region Syddanmark [2022: 65 %]. Region
Hovedstaden ligger således under den nationale 1. kvartil. Der ses en stigning på 27 pro-
centpoint i Region Syddanmark. Region Nordjylland og Sjælland havde ikke registreret
flere end 10 forløb, hvorfor andelen ikke er beregnet herfor.
SUU, Alm.del - 2023-24 - Bilag 301: Orientering om rapporten Monitorering af forløbstider på kræftområdet - Årsopgørelse 2023, fra indenrigs- og sundhedsministeren
2870950_0040.png
Monitorering af forløbstider på kræftområdet, årsopgørelse for 2023
Side 40/52
Andelen af forløb gennemført inden for standardforløbstiden for medicinsk behandling af
livmoderhalskræft var i hele landet på 62 % i 2023 [2022: 82 %], hvilket er et fald på 20
procentpoint.
Det er alene Region Syddanmark og Region Hovedstaden, som havde flere end 10 regi-
strerede medicinske behandlingsforløb. Andelen der gennemførte inden for standardfor-
løbstiden var 38 % i Region Hovedstaden [2022: n.a.] og 76 % i Region Syddanmark
[2022: 85 %].
Den regionale variation for medicinsk behandling af livmoderhalskræft fremgår af figur
12.
Figur 12.
Andel forløb gennemført inden for angivne standardforløbstid for kirurgisk behandling af lungekræft
samt antal forløb i alt, fordelt på sygehusregion og indikator, 2023.
Kilde: Landpatientregisteret pr. 10. april 2024, Sundhedsdatastyrelsen. Anmærkning: Der tages forbehold for foreløbige tal.
OF4B angiver forløb gennemført inden for standardforløbstiden for medicinsk behandling, samlet tid til behandling, fra hen-
visning til pakkeforløb start til initiale behandling.
Andelen af forløb gennemført inden for standardforløbstiden for strålebehandling af liv-
moderhalskræft var i hele landet på 77 % i 2023 [2022: 81 %].
På regionalt niveau har andelen af forløb gennemført inden for standardforløbstiden for
strålebehandling i 2023 ligget på 70 % i Region Midtjylland [2022: 86 %], 81 % i Region
Hovedstaden [2022: 83 %] og 83 % i Region Syddanmark [2022: n.a.]. Der ses et fald i
SUU, Alm.del - 2023-24 - Bilag 301: Orientering om rapporten Monitorering af forløbstider på kræftområdet - Årsopgørelse 2023, fra indenrigs- og sundhedsministeren
Monitorering af forløbstider på kræftområdet, årsopgørelse for 2023
Side 41/52
Region Midtjylland på 16 procentpoint. Region Nordjylland og Region Sjælland havde
færre end 10 registrerede forløb, hvorfor andelen ikke er beregnet herfor.
På landsplan i 2023 var der i alt 145 registrerede forløb i pakkeforløb for livmoderhals-
kræft, der gennemgik kirurgisk behandling som initial behandling, mens der var 50 forløb
med medicinsk behandling, og 100 forløb med strålebehandling som initial behandling.
I 34 % af alle patientforløb i pakkeforløbet for livmoderhalskræft blev den begrundede
mistanke om kræft afkræftet i udredningsperioden.
4.22
Kræft i hjernen (B23)
På landsplan var andelen af forløb gennemført inden for standardforløbstiden for medi-
cinsk behandling som initial behandling af kræft i hjernen på 100 % i 2023 [2022: n.a.].
Ingen regioner har registreret flere end 10 forløb, med medicinsk behandling som initial
behandling, hvorfor andelene ikke er udregnet.
På landsplan var andelen af forløb gennemført inden for standardforløbstiden for stråle-
behandling af kræft i hjernen på 94 % i 2023 [2022: 89 %].
Den regionale variation for andelen af forløb gennemført inden for standardforløbstiden
for strålebehandling i 2023 er på 77 % i Region Syddanmark [2022: 73 %], 89 % i Region
Midtjylland [2022: 78 %], 96 % i Region Nordjylland [2022: 86 %] og 98 % i både Region
Sjælland [2022: 94 %] og Region Hovedstaden [2022: 98 %]. Der ses en stigning på 10
og 12 procentpoint i hhv. Region Nordjylland og Region Midtjylland.
Der har på landsplan i 2023 været i alt 15 registrerede forløb i pakkeforløb for kræft i hjer-
nen der gennemgik medicinsk behandling som initial behandling, 282 forløb med stråle-
behandling som initial behandling, og 10 forløb med partikelterapi som initial behandling.
I 86 % af alle patientforløb i pakkeforløbet for kræft i hjernen blev den begrundede mis-
tanke om kræft afkræftet i udredningsperioden.
4.23
Kræft i øjne og orbita (B24)
Der er ikke udarbejdet standardforløbstider for behandlingsmodaliteter for kræft i øjne og
orbita, hvorfor Sundhedsstyrelsen ikke kommenterer disse forløb.
På landsplan var i 2023 registeret i alt 20 forløb i pakkeforløb for kræft i øjne og orbita der
gennemgik kirurgisk behandling som initial behandling, færre end 10 forløb der gennem-
gik medicinsk behandling som initial behandling, og 20 forløb der gennemgik strålebe-
handling som initial behandling.
I 61 % af alle patientforløb i pakkeforløbet for om kræft i øjne og orbita blev den begrun-
dede mistanke om kræft afkræftet i udredningsperioden.
SUU, Alm.del - 2023-24 - Bilag 301: Orientering om rapporten Monitorering af forløbstider på kræftområdet - Årsopgørelse 2023, fra indenrigs- og sundhedsministeren
Monitorering af forløbstider på kræftområdet, årsopgørelse for 2023
Side 42/52
4.24
Modermærkekræft i hud (B25)
Andelen af kirurgiske behandlingsforløb gennemført inden for standardforløbstiden for
modermærkekræft i huden var i hele landet på 93 % i 2023 [2022: 93 %].
På regionalt niveau ses der en variation på mellem 84 % i Region Sjælland [2022: 82 %]
og 100 % i Region Nordjylland [2022: 100 %]. Alle regioner ligger således over den natio-
nale 1. kvartil i forhold til andelen af kirurgiske behandlingsforløb gennemført inden for
standardforløbstiden ved behandling af modermærkekræft i hud.
I 2023 var der på landsplan i alt 3.772 registrerede forløb i pakkeforløb for modermærke-
kræft i hud, der gennemgik kirurgisk behandling som initial behandling, 55 forløb hvor
medicinsk behandling var den initiale behandling, og færre end 10 forløb hvor strålebe-
handling var den initiale behandling.
I 55 % af alle patientforløb i pakkeforløbet for modermærkekræft i hud blev den begrun-
dede mistanke om kræft afkræftet i udredningsperioden.
4.25
Lungekræft (B26)
På landsplan i 2023 var andelen af kirurgiske behandlingsforløb gennemført inden for
standardforløbstiden for lungekræft på 77 % [2022: 67 %], hvilket er en stigning på 10
procentpoint.
På regionalt niveau ses der en variation på 46 % i Region Sjælland [2022: 38 %], 74 % i
Region Nordjylland [2022: 70 %], 83 % i både Region Hovedstaden [2022: 65 %] og Re-
gion Midtjylland [2022: 75 %], og 86 % i Region Syddanmark [2022: 83 %]. Region Sjæl-
land ligger således under den nationale 1. kvartil i forhold til andelen af kirurgiske be-
handlingsforløb gennemført inden for standardforløbstiden ved behandling af lungekræft.
Der ses en stigning på 18 procentpoint i Region Hovedstaden sammenlignet med 2022.
Den regionale variation for kirurgisk behandling af lungekræft fremgår af figur 13.
SUU, Alm.del - 2023-24 - Bilag 301: Orientering om rapporten Monitorering af forløbstider på kræftområdet - Årsopgørelse 2023, fra indenrigs- og sundhedsministeren
2870950_0043.png
Monitorering af forløbstider på kræftområdet, årsopgørelse for 2023
Side 43/52
Figur 13.
Andel forløb gennemført inden for angivne standardforløbstid for kirurgisk behandling af lungekræft
samt antal forløb i alt, fordelt på sygehusregion og indikator, 2023.
Kilde: Landpatientregisteret pr. 10. april 2024, Sundhedsdatastyrelsen. Anmærkning: Der tages forbehold for foreløbige tal.
OF4A angiver forløb gennemført inden for standardforløbstiden for kirurgisk behandling, samlet tid til behandling, fra henvis-
ning til pakkeforløb start til initiale behandling.
Andelen af forløb gennemført inden for standardforløbstiden for medicinsk behandling af
lungekræft i hele landet var på 85 % i 2023 [2022: 81 %].
Der ses en regional variation på mellem 70 % i Region Sjælland [2022: 65 %] og 91 % i
både i Region Syddanmark [2022: 88 %] og Region Hovedstaden [2022: 90 %]. Alle regi-
oner ligger således over den nationale 1. kvartil i forhold til andelen af medicinske be-
handlingsforløb gennemført inden for standardforløbstiden ved behandling lungekræft.
Den regionale variation for medicinsk behandling af lungekræft fremgår af figur 14.
Figur 14.
Andel forløb gennemført inden for angivne standardforløbstid for medicinsk behandling af lungekræft
samt antal forløb i alt, fordelt på sygehusregion og indikator, 2023.
SUU, Alm.del - 2023-24 - Bilag 301: Orientering om rapporten Monitorering af forløbstider på kræftområdet - Årsopgørelse 2023, fra indenrigs- og sundhedsministeren
2870950_0044.png
Monitorering af forløbstider på kræftområdet, årsopgørelse for 2023
Side 44/52
Kilde: Landpatientregisteret pr. 10. april 2024, Sundhedsdatastyrelsen. Anmærkning: Der tages forbehold for foreløbige tal.
OF4B angiver forløb gennemført inden for standardforløbstiden for medicinsk behandling, samlet tid til behandling, fra hen-
visning til pakkeforløb start til initiale behandling.
For strålebehandling af lungekræft var andelen af forløb gennemført inden for standard-
forløbstiden på 73 % på landsplan i 2023 [2022: 68 %].
Inden for strålebehandling ses en regional variation på 51 % i Region Sjælland [2022: 48
%], 67 % i Region Nordjylland [2022: 69 %], 77 % i Region Midtjylland [2022: 62 %], 78
% i Region Hovedstaden [2022: 76 %] og 79 % i Region Syddanmark [2022: 80 %]. Re-
gion Sjælland ligger således under den nationale 1. kvartil. Der ses en stigning på 16 pro-
centpoint i Region Midtjylland.
Den regionale variation for strålebehandling af lungekræft fremgår af figur 15.
SUU, Alm.del - 2023-24 - Bilag 301: Orientering om rapporten Monitorering af forløbstider på kræftområdet - Årsopgørelse 2023, fra indenrigs- og sundhedsministeren
2870950_0045.png
Monitorering af forløbstider på kræftområdet, årsopgørelse for 2023
Side 45/52
Figur 15.
Andel
forløb gennemført inden for angivne standardforløbstid for strålebehandling af lungekræft samt
antal forløb i alt, fordelt på sygehusregion og indikator, 2023.
Kilde: Landpatientregisteret pr. 10. april 2024, Sundhedsdatastyrelsen. Anmærkning: Der tages forbehold for foreløbige tal.
OF4C angiver forløb gennemført inden for standardforløbstiden for strålebehandling, samlet tid til behandling, fra henvisning
til pakkeforløb start til initiale behandling.
På landsplan var der i 2023 i alt 1.322 registrerede forløb i pakkeforløb for lungekræft,
der gennemgik kirurgisk behandling som initial behandling, mens der var 2.022 forløb
med medicinsk behandling som initial behandling, og 1.341 forløb med strålebehandling
som initial behandling.
I 60 % af alle patientforløb i pakkeforløbet for lungekræft blev den begrundede mistanke
om kræft afkræftet i udredningsperioden.
4.26
Sarkom i knogle (B27)
Andelen af forløb gennemført inden for standardforløbstiden for kirurgisk behandling af
sarkom i knogle i hele landet var på 91 % i 2023 [2022: 84 %]. Alene Region Midtjylland
har registreret flere end 10 forløb, hvorfor den regionale andel kun er udregnet herfor. I
2023 var andelen 88 % i Region Midtjylland [2022: 93 %].
For hverken medicinsk behandling eller strålebehandling som initial behandling er der re-
gistreret flere forløb end 10, hvorfor dette ikke kommenteres.
SUU, Alm.del - 2023-24 - Bilag 301: Orientering om rapporten Monitorering af forløbstider på kræftområdet - Årsopgørelse 2023, fra indenrigs- og sundhedsministeren
Monitorering af forløbstider på kræftområdet, årsopgørelse for 2023
Side 46/52
Der har på landsplan i 2023 været 35 registrerede forløb i pakkeforløb for sarkom i
knogle, der gennemgik kirurgisk behandling som initial behandling, 10 forløb der gen-
nemgik medicinsk behandling som initial behandling og ingen forløb der gennemgik strå-
lebehandling som initial behandling.
I 61 % af alle patientforløb i pakkeforløbet for sarkom i knogle blev den begrundede mis-
tanke om kræft afkræftet i udredningsperioden.
4.27
4.28
B28
Udgået
Sarkom i bløddele (B29)
For sarkom i bløddele var andelen af kirurgiske behandlingsforløb gennemført inden for
standardforløbstiden 76 % på landsplan i 2023 [2022: 70 %].
På regionalt niveau er det alene Region Midtjylland og Region Syddanmark, der har regi-
streret flere end 10 patienter i et kirurgisk behandlingsforløb for sarkom i bløddele. Ande-
len af gennemførte forløb inden for standardforløbstiden var 75 % i Region Midtjylland i
2023 [2022: 71 %] og 79 % i Region Syddanmark [2022: 69 %]. Der ses en stigning på
10 procentpoint i Region Syddanmark.
Andelen af medicinske behandlingsforløb gennemført inden for standardforløbstiden for
sarkom i bløddele var 54 % på landsplan i 2023 [2022: 69 %], hvilket er et fald på 15 pro-
centpoint, og under den nationale 1. kvartil.
Det er kun Region Midtjylland og Region Hovedstaden der har flere end 10 registrerede
forløb for 2023. Andelen af gennemførte forløb inden for standardforløbstiden var 44 % i
Region Hovedstaden [2022: 69 %] og 63 % i Region Midtjylland [2022: 69 %]. Der ses et
fald på 24 procentpoint i Region Hovedstaden som således ligger under den nationale 1.
kvartil.
Den regionale variation for medicinsk behandling af sarkom i bløddele fremgår af figur
16.
Figur 16.
Andel forløb gennemført inden for angivne standardforløbstid for medicinsk behandling af sarkom i
bløddele samt antal forløb i alt, fordelt på sygehusregion og indikator, 2023.
SUU, Alm.del - 2023-24 - Bilag 301: Orientering om rapporten Monitorering af forløbstider på kræftområdet - Årsopgørelse 2023, fra indenrigs- og sundhedsministeren
2870950_0047.png
Monitorering af forløbstider på kræftområdet, årsopgørelse for 2023
Side 47/52
Kilde: Landpatientregisteret pr. 10. april 2024, Sundhedsdatastyrelsen. Anmærkning: Der tages forbehold for foreløbige tal.
OF4B angiver forløb gennemført inden for standardforløbstiden for medicinsk behandling, samlet tid til behandling, fra hen-
visning til pakkeforløb start til initiale behandling.
Andelen af strålebehandlingsforløb gennemført inden for standardforløbstiden for sarkom
i bløddele var 21 % på landsplan i 2023 [2022: 44 %]. Dette er et fald på 23 procentpoint
og under den nationale 1. kvartil. Ingen regioner havde registreret flere end 10 forløb
med strålebehandling som initial behandling af sarkom i bløddele, hvorfor ingen regionale
andele er udregnet.
Der har på landsplan i 2023 været i alt 285 registrerede forløb i pakkeforløb for sarkom i
bløddele, der gennemgik kirurgisk behandling som initial behandling, 35 forløb med me-
dicinsk behandling som initial behandling, og 15 forløb med strålebehandling som initial
behandling.
I 54 % af alle patientforløb i pakkeforløbet for sarkom i bløddele blev den begrundede
mistanke om kræft afkræftet i udredningsperioden.
4.29
Kræft hos børn (B30)
Der er ikke angivet standardforløbstider for behandlingsmodaliteter ved pakkeforløb for
kræft hos børn. Sundhedsstyrelsen kommenterer derfor ikke disse forløb.
På landsplan var der i 2023 i alt 30 registrerede forløb i pakkeforløb for kræft hos børn
der gennemgik kirurgisk behandling som initial behandling, 105 registrerede forløb der
SUU, Alm.del - 2023-24 - Bilag 301: Orientering om rapporten Monitorering af forløbstider på kræftområdet - Årsopgørelse 2023, fra indenrigs- og sundhedsministeren
Monitorering af forløbstider på kræftområdet, årsopgørelse for 2023
Side 48/52
gennemgik medicinsk behandling som initial behandling og under 10 forløb der gennem-
gik strålebehandling som initial behandling.
I 36 % af alle patientforløb i pakkeforløbet for kræft hos børn blev den begrundede mis-
tanke om kræft afkræftet i udredningsperioden.
4.30
Analkræft (B31)
På landsplan i 2023 var andelen af medicinske behandlingsforløb gennemført inden for
standardforløbstiden for behandling af analkræft på 87 % [2022: 72 %]. Det er en stigning
på 14 procentpoint sammenlignet med 2022. Ingen regioner har registreret flere end 10
forløb.
På landsplan i 2023 var andelen af strålebehandlingsforløb der er gennemført inden for
standardforløbstiden for behandling af analkræft på 76 % [2022: 73 %].
På regionalt niveau er der en variation på 70 % i Region Midtjylland [2022: 62 %], 75 % i
Region Hovedstaden [2022: 73 %] og 95 % i Region Syddanmark [2022: 90 %]. Hverken
Region Nordjylland eller Region Sjælland har registreret flere end 10 forløb, hvorfor de
regionale andele ikke er udregnet herfor.
Der har på landsplan i 2023 været i alt 15 registrerede forløb i pakkeforløb for analkræft,
der gennemgik kirurgisk behandling som initial behandling, 15 registrerede forløb i pakke-
forløb for analkræft med medicinsk behandling som initial behandling, og 135 forløb med
strålebehandling som initial behandling.
I 30 % af alle patientforløb i pakkeforløbet for analkræft blev den begrundede mistanke
om analkræft afkræftet i udredningsperioden.
4.31
Kræft i nyrebækken eller urinleder (B32)
For kræft i nyrebækken eller urinleder var andelen af kirurgiske behandlingsforløb gen-
nemført inden for standardforløbstiden på 52 % på landsplan i 2023 [2022: 43 %], hvilket
er under den nationale 1. kvartil.
Inden for kirurgisk behandling ses en regional variation på 19 % i Region Nordjylland
[2022: 14 %], 39 % i Region Syddanmark [2022: 38 %], 59 % i Region Hovedstaden
[2022: 63 %] og 83 % i Region Sjælland [2022: 54 %]. Region Nordjylland og Region
Syddanmark ligger således under den nationale 1. kvartil. Der ses en stigning på 28 pro-
centpoint i Region Sjælland.
Den regionale variation for kirurgisk behandling af kræft i nyrebækken eller urinleder
fremgår af figur 17.
SUU, Alm.del - 2023-24 - Bilag 301: Orientering om rapporten Monitorering af forløbstider på kræftområdet - Årsopgørelse 2023, fra indenrigs- og sundhedsministeren
2870950_0049.png
Monitorering af forløbstider på kræftområdet, årsopgørelse for 2023
Side 49/52
Figur 17.
Andel forløb gennemført inden for angivne standardforløbstid for kirurgisk behandling af kræft i nyre-
bækken eller urinleder samt antal forløb i alt, fordelt på sygehusregion og indikator, 2023.
Kilde: Landpatientregisteret pr. 10. april 2024, Sundhedsdatastyrelsen. Anmærkning: Der tages forbehold for
foreløbige tal. OF4A angiver forløb gennemført inden for standardforløbstiden for kirurgisk behandling, samlet tid
til behandling, fra henvisning til pakkeforløb start til initiale behandling.
For kræft i nyrebækken eller urinleder var andelen af medicinsk behandlingsforløb gen-
nemført inden for standardforløbstiden 66 % på landsplan i 2023 [2022: 65 %]. Ingen re-
gioner har registreret flere end 10 forløb.
Der har på landsplan i 2023 været i alt 102 registrerede forløb i pakkeforløb for kræft i ny-
rebækken eller urinleder, der gennemgik kirurgisk behandling som initial behandling, 30
forløb der gennemgik medicinsk behandling som initial behandling, mens der var færre
end 10 registrerede forløb med strålebehandling som initial behandling.
Andelen af forløbene, hvor den begrundede mistanke om kræft i nyrebækken og urinle-
der blev afkræftet er ikke beregnet.
4.32
Lungehindekræft (B33)
For lungehindekræft var andelen af medicinske behandlingsforløb gennemført inden for
standardforløbstiden 76 % på landsplan i 2023 [2022: 58 %]. Det er en stigning på 18
procentpoint sammenlignet med 2022.
SUU, Alm.del - 2023-24 - Bilag 301: Orientering om rapporten Monitorering af forløbstider på kræftområdet - Årsopgørelse 2023, fra indenrigs- og sundhedsministeren
Monitorering af forløbstider på kræftområdet, årsopgørelse for 2023
Side 50/52
Inden for medicinsk behandling af lungehindekræft ses en regional variation på 63 % i
Region Nordjylland [2022: 33 %], 74 % i Region Syddanmark [2022: 72 %], 79 % i Re-
gion Hovedstaden [2022: 60 %] og 92 % i Region Midtjylland [2022: n.a.]. Der ses en
stigning på 19 og 29 procentpoint i hhv. Region Hovedstaden og Region Nordjylland.
Der har på landsplan i 2023 været i alt 88 registrerede forløb i pakkeforløb for lungehin-
dekræft, der gennemgik medicinsk behandling som initial behandling, og færre end 10
forløb der gennemgik henholdsvis kirurgisk behandling og strålebehandling som initial
behandling.
I 43 % af alle patientforløb i pakkeforløbet for lungehindekræft blev den begrundede mis-
tanke om kræft afkræftet i udredningsperioden.
SUU, Alm.del - 2023-24 - Bilag 301: Orientering om rapporten Monitorering af forløbstider på kræftområdet - Årsopgørelse 2023, fra indenrigs- og sundhedsministeren
Monitorering af forløbstider på kræftområdet, årsopgørelse for 2023
Side 51/52
5. Diagnostisk pakkeforløb
Diagnostisk pakkeforløb adskiller sig fra de organspecifikke pakkeforløb. Hvor de organ-
specifikke pakkeforløb er udviklet til patienter, der præsenterer sig med alarmsymptomer,
der giver mistanke om kræft, er Diagnostisk pakkeforløb udviklet til udredning af patienter
med uspecifikke symptomer, der giver mistanke om alvorlig sygdom, der kan være kræft.
Opgørelsen for Diagnostisk Pakkeforløb kommenteres separat.
Pakkeforløbet ’Diagnostisk pakkeforløb for patienter med uspecifikke symptomer på al-
vorlig sygdom, der kunne være kræft’ og pakkeforløb ’Metastaser uden organspecifik
kræfttype’ er blevet revideret og samlet i ’Diagnostisk Pakkeforløb’ med implementering
den 1. juli 2022. Pakkeforløbet har fortsat adskilte modeller for indberetning af de to pati-
entgrupper. De to patientgrupper der er omfattet af Diagnostik Pakkeforløb, er defineret
således:
Patienter med uspecifikke symptomer på alvorlig sygdom, der kan være kræft
(MAS)
Patienter med metastasesuspekte forandringer (erkendt ved klinisk eller billeddi-
agnostisk undersøgelse) uden kendt primær tumor og patienter med biopsi-
/vævsverificerede metastase uden kendt primær tumor (MUP).
For patientgruppen med uspecifikke symptomer på alvorlig sygdom, der kan være kræft,
lå andelen af diagnostiske forløbsperioder gennemført inden for standardforløbstiden i
sygehusregi i hele landet på 85 % i 2023 [2022: 83 %].
Der var i 2023 en regional variation på 71 % i Region Sjælland [2022: 65 %], 81 % i Re-
gion Midtjylland [2022: 79 %], 84 % i Region Nordjylland [2022: 71 %], 86 % i Region
Syddanmark [2022: 85 %] og 88 % i Region Hovedstaden [2022: 89 %]. Der ses en stig-
ning på 13 procentpoint i Region Nordjylland. På landsplan var der i alt 10.344 registre-
rede forløb i diagnostisk pakkeforløb i 2023 [2022: 10.250]. Sundhedsstyrelsen konstate-
rer en væsentlig regional variation på mellem 710 forløb i Region Nordjylland til 5.131 for-
løb i Region Hovedstaden.
For patientgruppen med metasuspekte forandringer uden kendt primær tumor og med bi-
opsi-/vævsverificerede metastase uden kendt primær tumor, lå andelene af diagnostiske
forløbsperioder inden for standardforløbstiden i sygehusregi i hele landet på 76 % [2022:
n.a.].
Der var en regional variation på mellem 67 % i Region Sjælland [2022: n.a.] og 95 % i
Region Hovedstaden [2022: n.a.]. På landsplan var der i alt 895 registrerede forløb for
denne patientgruppe i diagnostisk pakkeforløb i 2023 [2022: n.a.]. Sundhedsstyrelsen
konstaterer en væsentlig regional variation på mellem 56 forløb i Region Hovedstaden til
369 forløb i Region Sjælland.
SUU, Alm.del - 2023-24 - Bilag 301: Orientering om rapporten Monitorering af forløbstider på kræftområdet - Årsopgørelse 2023, fra indenrigs- og sundhedsministeren
2870950_0052.png
Monitorering af forløbstider på kræftområdet, årsopgørelse for 2023
Side 52/52
Sundhedsstyrelsen
Islands Brygge 67
2300 København S
www.sst.dk