Sundhedsudvalget 2023-24
SUU Alm.del Bilag 185
Offentligt
2825024_0001.png
FAKTA OM EPJ
Kun Island har færre
EPJ-leverandører end
Danmark
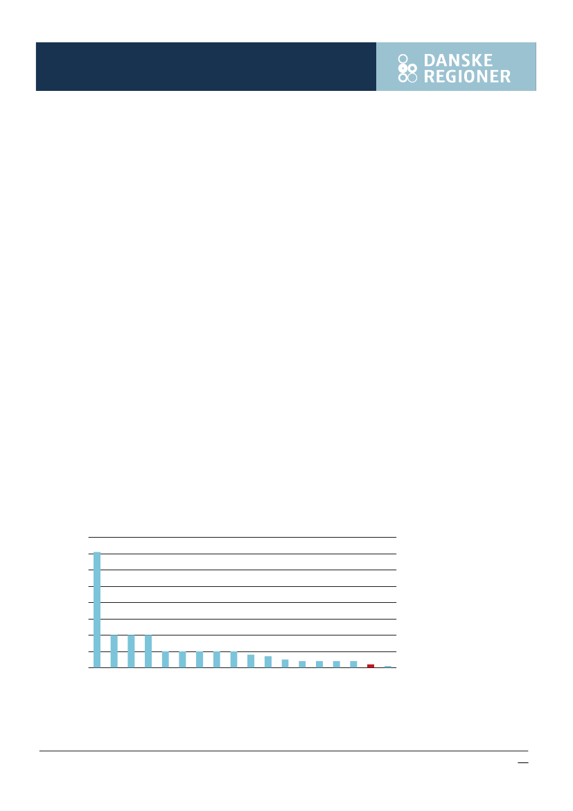
Kun ét land har færre EPJ-leverandører end Danmark
ifølge en OECD-opgørelse. Med kun to leverandører ligger
Danmark således i den lave ende set i internationalt
perspektiv.
Regionerne har løbende samlet deres EPJ-systemer siden amternes tid, hvor der var flere end
20 forskellige systemer. I 2023 er der to leverandører af patientjournalsystemer i de fem regio-
ner. De to systemer kan via Sundheds-journalen dele alle relevante data på tværs af regioner.
Et arbejdspapir fra OECD fra 2023 har kortlagt antallet af EPJ-leverandører til hospitaler. Her
fremgår det, at blandt en række udvalgte lande har kun Island færre leverandører end Dan-
mark.
Med to leverandører undgås samtidig et leverandørmonopol og dermed sikres en højere grad
af konkurrence på markedet. Det betyder, at både borgere og klinikere får de bedste løsninger
på sigt – både mht. pris og kvalitet.
Antal leverandører af EPJ-systemer til hospitaler i udvalgte
OECD-lande (2021)
71
Kilde: Slavomirski, Luke et al. (2023): ”Progress on implemening and using
electronic health record systems”, OECD Health Working Papers No. 160.
20 20 20
10 10 10 10 10
Sydkorea
Slovenien
Holland
Tjekkiet
Schweiz
Canada
Ungarn
Japan
Israel
8
Lithauen
7
Norge
5
Belgien
4
Sverige
4
Portugal
4
Luxembourg
4
Estland
2
Danmark
1
Island
FAKTA OM EPJ | DANSKE REGIONER 2023 | SIDE 1
LÆS OM SUNDHEDSSTRUKTURKOMMISSIONEN HER