Retsudvalget 2023-24
REU Alm.del Bilag 24
Offentligt
2764014_0001.png
Justitsministeriet
Direktoratet for Kriminalforsorgen
Koncernledelsessekretariatet
Februar 2023
Etnicitet og statsborgerskab
Dette notat indeholder to forskellige opgørelser over indsatte og dømte i tilsyn
1
i kriminalforsorgen. De
første tabeller og figurer omhandler etnisk oprindelse, mens de tre sidste tabeller vedrører statsborgerskab.
Det er alle statusopgørelser, der vedrører en bestemt dato, bortset fra tabel 7 som er baseret på det
gennemsnitlige daglige belæg.
Etnicitet
Opgørelsen, som har fokus på etnisk baggrund, fordeler klientellet på henholdsvis indvandrere,
efterkommere, udlændinge og personer med dansk oprindelse. Etniciteten udtrykker alene etnisk
tilhørsforhold. Den siger ikke noget om statsborgerskabet, fordi indvandrere, efterkommere og personer
med dansk oprindelse kan være såvel danske som udenlandske statsborgere, mens gruppen af udlændinge
alle er udenlandske statsborgere.
Opgørelsen er udarbejdet med hjælp fra Danmarks Statistik, som har tilført oplysninger om indsattes og
tilsynsdømtes etniske tilhørsforhold og oprindelsesland. Derudover er der oplysninger om køn, alder og
opholdssted.
Opgørelsen over etnisk baggrund er opgjort for personer, der var indsat eller som var under tilsyn den 22.
november 2022.
Den viser, at 15,7 % er indvandrere, 11,7 % er efterkommere, 68,0% er af dansk oprindelse, mens 4,6 % er
udlændinge uden tilknytning til Danmark. Om gruppen af udlændinge foreligger der kun oplysning om
opholdssted i kriminalforsorgens institutioner.
Fordelingen ser lidt anderledes ud, når der alene fokuseres på indsatte i fængsler og arresthuse. Her er andelen
af indvandrere 17,2 %, andelen af efterkommere 15,7 %, personer med dansk oprindelse udgør 54,9 %, mens
andelen af udlændinge i fængsler og arresthuse er langt større med 12,2 %.
I opgørelsen over etnicitet indgår afsonere med fodlænke i gruppen af dømte i tilsyn.
Statsborgerskab
Opgørelserne vedrørende statsborgerskab er opdelt i fire tabeller. Den første, tabel 6, er baseret på de 4.241
indsatte, der opholdt sig i fængsler og arresthuse den 31. oktober 2022, og den viser, at 27,7 % af indsatte i
fængsler og arresthuse på dagen havde et andet statsborgerskab end dansk.
Dømte i tilsyn omhandler dømte, som er underkastet tilsyn af kriminalforsorgen enten ved dom eller som et vilkår i forbindelse
med f.eks. en prøveløsladelse. Endvidere indgår dømte, der afsoner deres straf i fodlænke i gruppen af tilsynsdømte for så vidt
angår opgørelsen over etnicitet.
1
1
REU, Alm.del - 2023-24 - Bilag 24: Direktoratet for Kriminalforsorgens årlige opgørelse over indsatte og dømte til tilsyn fordelt på etnicitet og statsborgerskab
2764014_0002.png
Tabel 7 viser det gennemsnitlige daglige belæg i fængsler og arresthuse siden 2013, fordelt på
statsborgerskab, samt andelen af de udenlandske statsborgere der har fået en dom til udvisning. Andelen
der har fået dom til udvisning er steget fra i 2013 at udgøre 5,4 % til i 2022 at udgøre 8,6 % af det samlede
belæg.
Tabel 8 viser statsborgerskabet fordelt på de 6.779 personer, der var under tilsyn af kriminalforsorgen den
31. oktober 2022. Den viser, at andelen af udenlandske statsborgere i KIF udgør 10,5 %.
Tabel 9 viser ligeledes, at 10,5 % af de dømte der afsonede i fodlænke den 31. oktober 2022, havde
udenlandsk statsborgerskab.
Tabel 1. Indsatte og dømte i tilsyn fordelt på etnisk tilhørsforhold den 22. november 2022
2022
Åbne fængsler
Lukkede fængsler
Arresthuse
Københavns Fængsler
%
Fængsler og arresthuse
Udslusningsfængsler
Dømte i tilsyn
- heraf afsonere i fodlænke
I alt 22. november 2022
deres oprindelse.
n
Indvandrere
Efterkommere
%
10,9
22,8
19,4
17,5
17,2
725
11,8
15,0
12,3
15,7
13,7
16,5
12,9
23,0
15,7
662
10,2
9,4
13,5
11,7
73,1
46,9
49,8
35,6
54,9
2.319
78,1
75,5
74,2
68,0
2,3
13,9
17,9
24,0
12,2
517
0,0
0,1
-
4,6
Dansk opr.
Udlændinge
%
100
100
100
100
100
.
100
100
100
100
I alt *
n
1.453
1.212
945
613
.
4.223
187
7.120
438
11.530
*
Derudover er der 45 personer med dansk cpr-nummer, som aldrig har haft bopæl i Danmark. Der foreligger ingen oplysninger om
Definitioner:
Indvandrere
er født i udlandet. Ingen af forældrene er både danske statsborgere og født i Danmark. Hvis der ikke findes oplysninger
om nogen af forældrene, og personen er født i udlandet, opfattes personen også som indvandrer.
Efterkommere
er født i Danmark. Ingen af forældrene er både danske statsborgere og født i Danmark. Hvis der ikke findes oplysninger
om nogen af forældrene, og personen er udenlandsk statsborger, opfattes personen også som efterkommer. Når en eller begge
forældre, der er født i Danmark, opnår dansk statsborgerskab, vil deres børn ikke blive klassificeret som efterkommere,
men som
personer med dansk oprindelse.
Fastholder danskfødte forældre imidlertid begge et udenlandsk statsborgerskab, vil deres børn blive klassificeret som efterkommere.
Personer med dansk oprindelse
er personer - uanset fødested - der har mindst én forælder, der både er dansk statsborger og født i
Danmark.
Udlændinge
er personer uden cpr-nummer og uden tilknytning til Danmark, hvilket vil sige personer, der ikke havde bopæl i Danmark
ved pågribelsen. Det kan være turister, asylansøgere eller personer med ulovligt ophold i landet, der er sigtet eller dømt for
overtrædelse af straffelovgivningen.
2
REU, Alm.del - 2023-24 - Bilag 24: Direktoratet for Kriminalforsorgens årlige opgørelse over indsatte og dømte til tilsyn fordelt på etnicitet og statsborgerskab
2764014_0003.png
Figur 1. Indsatte og dømte i tilsyn. Procentvis fordeling efter opholdssted og etnisk
tilhørsforhold, opgjort 22. november 2022
100
90
80
70
60
50
40
30
20
10
0
r
r
sle
r
r
sle
us
e
hu
sle
sle
re
st
h
ng
ng
æ
ng
ng
æ
ar
re
it
m
te
st
ils
yn
se
de
sF
e
Ar
Åb
n
vn
sle
ro
g
kk
e
ha
Lu
be
n
Indvandere
Efterkommere
Dansk opr.
ng
Udlændinge
Tabel 2. Indsatte og dømte i tilsyn procentvis fordelt på etnisk tilhørsforhold, 2013 – 2022
Indvandrere
2022
2021
2020
2019
2018
2017
2016
2015
2014
2013
15,7
15,5
15,7
15,6
15,9
16,0
15,4
15,3
15,0
14,7
Efterkommere
11,7
11,6
11,2
10,2
10,6
9,9
8,7
7,9
7,0
6,8
Udlændinge
4,6
4,0
4,3
4,8
4,5
3,7
4,6
3,7
4,7
4,6
Alle indvandrere,
efterkommere og
udlændinge
32,0
31,1
31,2
30,7
31,0
29,6
28,7
27,0
26,8
26,1
Dansk opr.
68,0
68,9
68,8
69,3
69,0
70,4
71,3
73,0
73,2
73,9
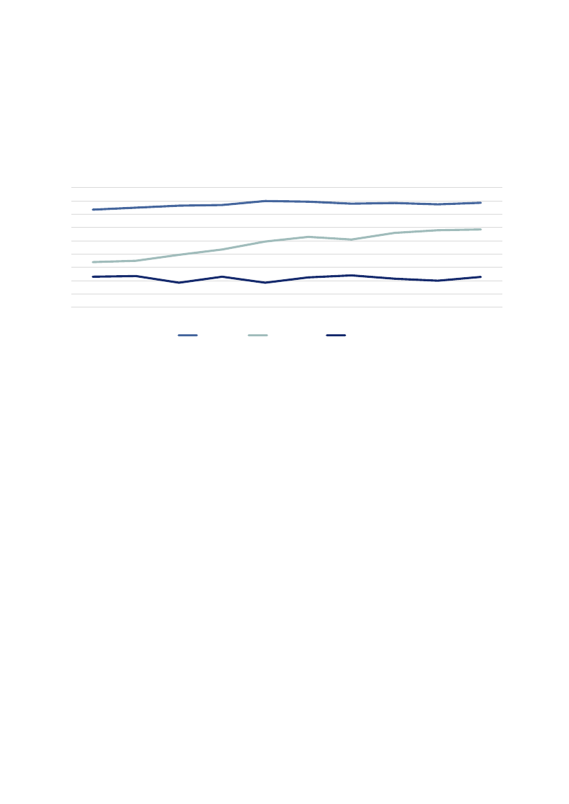
Tabel 2 viser, at 32,0 % af indsatte og dømte i tilsyn på opgørelsesdatoen 22. november 2022 havde
udenlandsk baggrund. Andelen har været stigende siden 2013, hvor 26,1 % var af udenlandsk herkomst, og
når sit toppunkt i 2022 med 32,0 %.
Andelen af indvandrere er steget fra 14,7 % i 2013 til 15,7 % i 2022. Andelen toppede indtil videre med 16,0
% i 2017, men er faldet lidt siden.
Andelen af efterkommere er steget fra 6,8 % til 11,7 % i perioden med en gradvis stigning de seneste tre år.
Andelen af udlændinge har ligget forholdsvist stabilt mellem 3,7 % og 4,8 % i perioden, og er steget fra 4,0 %
i 2021 til 4,6 % i 2022. Denne gruppe har Danmarks Statistik ingen oplysninger om, hvorfor de alene indgår i
tabel 1 og 2, samt figur 1 og 2, der vedrører opholdssted.
3
Ud
slu
sn
i
ng
sf
REU, Alm.del - 2023-24 - Bilag 24: Direktoratet for Kriminalforsorgens årlige opgørelse over indsatte og dømte til tilsyn fordelt på etnicitet og statsborgerskab
2764014_0004.png
Andelen med dansk oprindelse er i den tiårige periode reduceret med 5,9 procentpoint, fra at udgøre en
andel på 73,9 % i 2013 til at udgøre 68,0 % i 2022. Andelen af personer med dansk oprindelse er i 2022 faldet
med 0,9 procentpoint i forhold til året før.
Figur 2. Indvandreres, efterkommeres og udlændinges procentvise andel af indsatte og dømte i
tilsyn 2013 – 2022
18
16
14
12
10
8
6
4
2
0
2013
2014
2015
2016
Indvandrere
2017
2018
2019
2020
2021
2022
Efterkommere
Udlændinge
4
REU, Alm.del - 2023-24 - Bilag 24: Direktoratet for Kriminalforsorgens årlige opgørelse over indsatte og dømte til tilsyn fordelt på etnicitet og statsborgerskab
2764014_0005.png
Tabel 3. Indsatte og dømte i tilsyn fordelt på oprindelsesland
Opgjort 22. november 2022
Oprindelsesland
Danmark
EU-lande
Bulgarien
Finland
Frankrig
Italien
Kroatien
Letland
Litauen
Nederlandene
Polen
Rumænien
Sverige
Tyskland
Ungarn
Øvrige EU-lande
Europa i øvrigt
Bosnien-Hercegovina
Island
Jugoslavien
Jugoslavien, Forbundsrepublikken
Kosovo
Montenegro
Nordmakedonien
Norge
Rusland
Serbien
Serbien og Montenegro
Storbritannien
Tyrkiet
Ukraine
Øvrige Europa i øvrigt
Afrika
Algeriet
Cameroun
Congo, Demokratiske Republik
Egypten
Eritrea
Etiopien
Gambia
Ghana
Indvandrere
-
264
15
5
5
5
10
11
29
8
80
39
17
19
3
18
294
55
22
33
8
10
3
5
13
17
4
4
14
94
9
3
370
10
5
13
5
30
9
8
13
Efterkommere
-
59
-
4
3
-
3
-
1
4
19
3
8
6
4
4
357
23
1
61
1
2
4
7
3
3
3
1
5
238
1
4
297
12
-
-
7
1
9
6
1
Dansk oprindelse
7.838
-
-
-
-
-
-
-
-
-
-
-
-
-
-
-
-
-
-
-
-
-
-
-
-
-
-
-
-
-
-
-
-
-
-
-
-
-
-
-
-
I alt
7.838
323
15
9
8
5
13
11
30
12
99
42
25
25
7
22
651
78
23
94
9
12
7
12
16
20
7
5
19
332
10
7
667
22
5
13
12
31
18
14
14
5
REU, Alm.del - 2023-24 - Bilag 24: Direktoratet for Kriminalforsorgens årlige opgørelse over indsatte og dømte til tilsyn fordelt på etnicitet og statsborgerskab
2764014_0006.png
Kenya
7
1
-
8
Fortsat…
Oprindelsesland
Libyen
Marokko
Nigeria
Somalia
Sudan
Tanzania
Tunesien
Uganda
Øvrige Afrika
Nordamerika
Syd- og Mellemamerika
Brasilien
Chile
Cuba
Uruguay
Øvrige Syd- og Mellemamerika
Asien
Afghanistan
Aserbajdsjan
Filippinerne
Indien
Irak
Iran
Israel
Jordan
Kina
Kuwait
Libanon
Mellemøsten uoplyst
Myanmar
Pakistan
Sri Lanka
Syrien
Thailand
Vietnam
Øvrige Asien
Oceanien
Udlandet uoplyst
Statsløs
Indvandrere
3
30
8
166
6
4
7
17
29
6
27
5
3
6
3
10
847
102
4
8
7
140
110
3
12
10
27
137
6
6
45
20
149
20
23
18
1
1
4
Efterkommere
4
83
-
151
2
1
11
1
7
3
7
-
2
-
2
3
624
15
1
7
2
77
37
3
20
-
16
265
-
-
96
17
35
5
16
12
1
-
3
Dansk oprindelse
-
-
-
-
-
-
-
-
-
-
-
-
-
-
-
-
-
-
-
-
-
-
-
-
-
-
-
-
-
-
-
-
-
-
-
-
-
-
-
I alt
7
113
8
317
8
5
18
18
36
9
34
5
5
6
5
13
1.471
117
5
15
9
217
147
6
32
10
43
402
6
6
141
37
184
25
39
30
2
1
7
I alt
1.814
1.351
7.838
11.003
Note: ‘Udlændinge’ indgår ikke, derfor afviger ’I alt’ fra tabel 1. Lande repræsenteret med mindre end 5 personer indgår under betegnelsen ’øvrige
…’.
6
REU, Alm.del - 2023-24 - Bilag 24: Direktoratet for Kriminalforsorgens årlige opgørelse over indsatte og dømte til tilsyn fordelt på etnicitet og statsborgerskab
2764014_0007.png
Tabel 4. Indsatte og dømte i tilsyn - procentvis fordeling efter etnisk tilhørsforhold og alder,
opgjort 9. november 2021 og 22. november 2022.
Oprindelse
Alder
Indvandrere
I alt n
Under 20 år
20-24 år
25-29 år
30-34 år
35-39 år
40-44 år
45-49 år
50-54 år
55-59 år
60 år og derover
1.855
4
10
13
18
15
13
10
7
6
5
9. november 2021
Efterkommere
1.384
%
10
33
29
15
5
5
2
0
-
0
5
13
16
15
10
10
10
8
6
6
5
15
17
15
11
10
9
7
5
5
3
9
14
16
17
14
9
7
6
5
100
8
31
31
16
7
5
3
0
0
-
100
Dansk
opr.
8.250
I alt
11.489
Indvandrere
1.814
22. november 2022
Efterkommere
1.351
%
4
13
16
16
11
10
10
8
6
6
100
4
15
18
16
11
10
9
7
5
5
100
Dansk
opr.
7.838
I alt
11.003
I alt %
100
100
100
100
Note: Hverken udlændinge (eller uoplyste indgår), derfor afviger ’I alt’ fra tabel 1.
’0’ betyder, at værdien er mindre end en halv af den anvendte enhed
Det fremgår, at gruppen af efterkommere, stadig er markant yngre end gruppen af indvandrere og gruppen
med dansk oprindelse.
Tabel 5. Indsatte og dømte i tilsyn - procentvis fordeling efter køn og grupperet efter etnisk
tilhørsforhold, opgjort 9. november 2021 og 22. november 2022
Oprindelse
9. november 2021
Køn
I alt n
Indvandrere
1.855
Efterkommere
1.384
%
Mænd
Kvinder
I alt
89,9
10,1
100,0
95,6
4,4
100,0
87,3
12,7
100,0
88,7
11,3
100
90,1
9,9
100,0
96,0
4,0
100,0
Dansk opr.
8.250
I alt
11.489
Indvandrere
1.814
22. november 2022
Efterkommere
1.351
%
87,6
12,4
100,0
89,1
10,9
100,0
Dansk opr.
7.838
I alt
11.003
Note: Hverken udlændinge (eller uoplyste indgår), derfor afviger ’I alt’ fra tabel 1 samt procenterne fra tabel 1 og 2.
Andelen af kvinder ligger stabilt på ca. 11 % samlet set. De danske kvinder udgør den største andel – 12,4 %
– mens gruppen af kvindelige efterkommere udgør en mindre andel, som tillige er faldet med 0,4
procentpoint. Andelen af indvandrerkvinder er faldet med 0,2 procentpoint, fra 10,1 % i 2021 til 9,9 % i
2022.
7
REU, Alm.del - 2023-24 - Bilag 24: Direktoratet for Kriminalforsorgens årlige opgørelse over indsatte og dømte til tilsyn fordelt på etnicitet og statsborgerskab
2764014_0008.png
Tabel 5a. Indsatte og dømte i tilsyn - procentvise fordeling efter etnisk tilhørsforhold og
grupperet efter køn, opgjort 9. november 2021 og 22. november 2022.
Oprindelse
9. november 2021
Køn
I alt n
Indvandrere
1.855
Efterkommere
1.384
%
Mænd
Kvinder
I alt
16,4
14,5
16,1
13,0
4,7
12,0
70,7
80,8
71,8
100,0
100,0
100,0
16,7
14,9
16,5
13,2
4,5
12,3
Dansk
opr.
8.250
I alt
11.489
Indvandrere
1.814
22. november 2022
Efterkommere
1.351
%
70,1
80,6
71,2
100,0
100,0
100,0
Dansk opr.
7.838
I alt
11.003
Note: Hverken udlændinge (eller uoplyste indgår), derfor afviger ’I alt’ fra tabel 1 samt procenterne fra tabel 1 og 2.
I 2022 er 80,6 % af kvinderne af dansk herkomst (mod 80,8 % sidste år), altså et fald på 0,2 procentpoint.
14,9 % er af kvinderne er indvandrere – en stigning på 0,4 procentpoint i forhold til sidste år. Antallet af
kvindelige efterkommere er faldet 0,2 procentpoint til 4,5 %.
For så vidt angår mændene er andelen af mænd med dansk herkomst faldet med 0,6 procentpoint,
efterkommere er steget med 0,2 procentpoint og antallet af indvandrere er steget med 0,3 procentpoint.
8
REU, Alm.del - 2023-24 - Bilag 24: Direktoratet for Kriminalforsorgens årlige opgørelse over indsatte og dømte til tilsyn fordelt på etnicitet og statsborgerskab
2764014_0009.png
Statsborgerskab
Tabel 6. Belægget i fængsler og arresthuse, fordelt efter statsborgerskab og retlig status.
31. oktober 2022
Statsborgerskab
Afsonere
Afghanistan
Albanien
Algeriet
Bosnien-Hercegovina
Brasilien
Bulgarien
Congo
Danmark
Eritrea
Gambia
Georgien
Ghana
Holland
Irak
Iran
Island
Jordan
Jugoslavien
Kosovo
Kroatien
Letland
Libanon
Libyen
Litauen
Makedonien
Marokko
Nigeria
Norge
Pakistan
Polen
Rumænien
Rusland
Serbien
Somalia
Spanien
Statsløs
Statsløs Palæstinenser
Storbritannien
Sverige
Syrien
Thailand
Tunesien
Tyrkiet
Tyskland
Uganda
19
2
6
8
7
7
3
2.045
9
1
1
1
3
40
31
6
2
8
4
10
2
5
2
10
3
7
8
5
14
20
25
4
10
30
2
11
13
4
13
31
4
3
36
2
3
Arrestanter
22
11
11
8
1
9
2
1.020
9
9
6
7
19
31
27
4
6
4
6
5
6
8
8
26
6
26
8
3
7
43
59
10
10
34
4
15
8
5
38
51
7
6
22
7
4
I alt
41
13
17
16
8
16
5
3.065
18
10
7
8
22
71
58
10
8
12
10
15
8
13
10
36
9
33
16
8
21
63
84
14
20
64
6
26
21
9
51
82
11
9
58
9
7
%
1,0
0,3
0,4
0,4
0,2
0,4
0,1
72,3
0,4
0,2
0,2
0,2
0,5
1,7
1,4
0,2
0,2
0,3
0,2
0,4
0,2
0,3
0,2
0,8
0,2
0,8
0,4
0,2
0,5
1,5
2,0
0,3
0,5
1,5
0,1
0,6
0,5
0,2
1,2
1,9
0,3
0,2
1,4
0,2
0,2
9
REU, Alm.del - 2023-24 - Bilag 24: Direktoratet for Kriminalforsorgens årlige opgørelse over indsatte og dømte til tilsyn fordelt på etnicitet og statsborgerskab
2764014_0010.png
Fortsat…
Ukraine
Vietnam
Øvrige
7
3
41
13
6
53
20
9
94
0,5
0,2
2,2
100,0
I alt
2.531
1.710
4.241
Note: I ‘Øvrige lande’ indgår lande, hvorfra antallet af indsatte er mindre end 5.
Note: ’Afsonere’ inkluderer fængselsdømte, forvaringsdømte, bødeforvandlingsstraffe samt grønlandske forvaringsdømte.
’Arrestanter’ inkluderer varetægtsarrestanter, anholdte samt frihedsberøvede i henhold til udlændingeloven.
Tabel 7. Det gennemsnitlige daglige belæg fordelt på dansk og udenlandsk statsborgerskab, samt
andelen af udenlandske statsborgere med udvisningsdom
Gennemsnitligt dagligt
belæg
- andelen af danske
statsborgere
- andelen af
udenlandske
statsborgere med og
uden udvisningsdom
- andelen af udenlandske
statsborgere, der har fået
en dom til udvisning
i % af
det gennemsnitlige daglige
belæg
2022
2021
2020
2019
2018
2017
2016
2015
2014
2013
I alt
4.212,1
4.169,0
4.084,5
3.974,3
3.738,4
3.449,9
3.420,5
3.421,6
3.784,4
4.007,8
72,8
73,1
70,8
71,5
71,5
71,6
72,1
72,6
72,1
72,3
27,2
26,9
29,2
28,5
28,5
28,4
27,9
27,4
27,9
27,7
8,6
8,6
9,0
8,3
7,6
6,3
6,0
6,2
6,0
5,4
10
REU, Alm.del - 2023-24 - Bilag 24: Direktoratet for Kriminalforsorgens årlige opgørelse over indsatte og dømte til tilsyn fordelt på etnicitet og statsborgerskab
2764014_0011.png
Tabel 8. Dømte i tilsyn fordelt efter statsborgerskab.
31. oktober 2022
Statsborgerskab
Afghanistan
Bosnien-Hercegovina
Bulgarien
Congo
Danmark
Eritrea
Holland
Irak
Iran
Island
Jugoslavien
Kosovo
Letland
Libanon
Litauen
Makedonien
Norge
Pakistan
Polen
Rumænien
Rusland
Somalia
Statsløs Palæstinenser
Storbritannien
Sudan
Sverige
Syrien
Thailand
Tyrkiet
Tyskland
Uganda
Ukendt
Vietnam
Øvrige
I alt
Note: I ‘Øvrige lande’ indgår lande, hvorfra antallet af indsatte er mindre end 5.
Note: Afsonere i fodlænke indgår ikke her.
Antal dømte i tilsyn
51
29
6
9
6.068
13
5
43
31
17
14
10
6
5
14
6
11
14
37
15
5
53
18
16
5
14
45
6
49
10
9
13
10
122
6.779
%
0,8
0,4
0,1
0,1
89,5
0,2
0,1
0,6
0,5
0,3
0,2
0,1
0,1
0,1
0,2
0,1
0,2
0,2
0,5
0,2
0,1
0,8
0,3
0,2
0,1
0,2
0,7
0,1
0,7
0,1
0,1
0,2
0,1
1,8
100,0
Tabel 8 viser statsborgerskabet fordelt på de 6.779 dømte i tilsyn, der var registreret i Kriminalforsorgen i
Frihed (KIF) den 31. oktober 2022. Tabellen viser, at andelen af udenlandske statsborgere i KIF udgør 10,5 %.
11
REU, Alm.del - 2023-24 - Bilag 24: Direktoratet for Kriminalforsorgens årlige opgørelse over indsatte og dømte til tilsyn fordelt på etnicitet og statsborgerskab
2764014_0012.png
Tabel 9. Dømte der afsoner i fodlænke den 31. oktober 2022 fordelt efter statsborgerskabsstatus
Status
Dansk statsborgerskab
Udenlandsk statsborgerskab
Antal
365
43
%
89,5
10,5
I alt
408
100,0
Note: Udenlandske statsborgere er ikke fordelt på enkelte lande, da antallet af fodlænkeafsonere er mindre end 5 i de enkelte lande.
Ligeledes havde 10,5 % af de dømte, der afsonede i fodlænke den 31. oktober 2022, udenlandsk
statsborgerskab.
12