Indenrigsudvalget 2023-24
INU Alm.del Bilag 51
Offentligt
2880265_0001.png
Sundhedsstruktur-
kommissionens rapport
Sammenfatning
Beslutningsgrundlag for et mere lige, sammenhængende
og bæredygtigt sundhedsvæsen
Juni 2024
INU, Alm.del - 2023-24 - Bilag 51: Orientering om Sundhedsstrukturkommissionens afrapportering, fra indenrigs- og sundhedsministeren
2880265_0002.png
Juni 2024
Indenrigs- og Sundhedsministeriet
Slotsholmsgade 10-12
1216 København K
Telefon: +45 72 26 90 00
E-mail: [email protected]
ISBN 978-87-7601-430-8 (digital version)
Design: Indenrigs- og Sundhedsministeriets kommunikationsenhed
i samarbejde med BGRAPHIC
Publikationen kan hentes på
www.ism.dk
INU, Alm.del - 2023-24 - Bilag 51: Orientering om Sundhedsstrukturkommissionens afrapportering, fra indenrigs- og sundhedsministeren
2880265_0003.png
3
Sammenfatning
Danmark har et godt og på mange måder velfungerende sundhedsvæsen. Set over tid og i international
sammenligning er det danske sundhedsvæsen stærkt. Sundhedsydelserne er generelt af høj kvalitet, både
indenfor det primære og det sekundære sundhedsvæsen. Rygraden i sundhedsvæsenet er et veluddannet
sundhedspersonale, som på forskellig vis bidrager til at give borgere og patienter den bedst mulige
behandling, træning, pleje og omsorg indenfor de mål og rammer, der er fastsat af folkevalgte politikere.
Når det danske sundhedsvæsen står stærkt, skyldes det bl.a. de tilpasninger og reformer af sundheds­
væsenet, som er blevet gennemført i årenes løb.
Tilsvarende en række andre vestlige lande står det danske sundhedsvæsen nu og i de kommende år
i
­ midlertid­overfor­markante­udfordringer.­Først­og­fremmest­vil­et­stigende­antal­ældre­betyde,­at­flere­
får­alders-­og­livsstilsbetingede­sygdomme,­og­flere­borgere­lever­med­en­eller­flere­kroniske­sygdomme.­
Det skyldes bl.a. den positive udvikling, hvor mange borgere lever længere, bl.a. som følge af sundheds­
væsenets­samlede­indsats.­Samtidig­ses­en­udvikling,­hvor­flere­børn­og­unge­bliver­diagnosticeret­med­
psykiske lidelser. Derudover vil manglen på nogle grupper af sundhedsfaglige medarbejdere tiltage i de
kommende­år.­Det­gælder­særligt­social-­og­sundhedshjælpere­og­social-­og­sundhedsassistenter.
Det er en del af baggrunden for, at regeringen den 28. marts 2023 nedsatte Sundhedsstruktur­
kommissionen. Hensigten med at nedsætte en kommission blev tilkendegivet i regeringsgrundlaget fra
december­2022,­hvor­det­fremgår,­at­regeringen­vil­tage­initiativ­til­de­beslutninger­og­grundlæggende­
forandringer, som er nødvendige for at skabe fremtidens sundhedsvæsen.
1
På­den­baggrund­fik­kommissionen­til­opgave­at­udarbejde­et­beslutningsgrundlag,­der­fordomsfrit­opstiller­
forskellige modeller for organiseringen af fremtidens sundhedsvæsen. Modellerne skal understøtte et
forebyggende og sammenhængende sundhedsvæsen præget af lighed, nærhed og en bæredygtig
organisering. Modellerne skal samtidig tage højde for, at der på tværs af landet er forskellige forud­
sætninger for at levere sundheds­ og behandlingstilbud, og de skal bidrage til en markant omstilling af
sundhedsvæsenet,­så­det­primære­sundhedsvæsen­bliver­styrket­og­tager­større­ansvar­for­flere­patienter.
2
Sundhedsstrukturkommissionen præsenterer i alt tre modeller for forvaltningsstrukturen og opgave­
placering­i­sundhedsvæsenet­og­seks­generelle­anbefalinger­til­den­fremtidige­organisering,­som­er­
u
­ afhængige­af­valget­af­forvaltningsmodel.­Til­anbefalingerne­knytter­sig­en­række­konkrete­forslag.­
Boks 1
Hvad betyder organisering?
I kommissionens rapport bruges begrebet ”organisering” som betegnelse for den struktur eller de
styringsinstrumenter, som samlet set rammesætter opgaveløsningen i sundhedsvæsenet, indenfor en
sektor eller en given opgave. Begrebet dækker dermed over:
Forvaltningsstrukturen i form af den forvaltningsmæssige inddeling, opgaveplacering og styreform
Incitamentsstrukturen i form af finansieringsordninger
Regulering i form af lovfastsat proces- og indholdsregulering
Øvrig styring, fx i form af aftaler, benchmarking m.v.
1
2
Regeringen, “Ansvar for Danmark. Det politiske grundlag for Danmarks regering”, 2022.
Indenrigs- og Sundhedsministeriet, “Kommissorium for Sundhedsstrukturkommissionen”, 2023.
INU, Alm.del - 2023-24 - Bilag 51: Orientering om Sundhedsstrukturkommissionens afrapportering, fra indenrigs- og sundhedsministeren
4
1. Status, udfordringer og pejlemærker for udviklingen
af sundhedsvæsenet
I rapportens første del kortlægges beslutninger og udviklingstræk, som har været med til at forme
sundhedsvæsenet gennem årene. Herudover beskrives status og udfordringer for sundhedsvæsenet
i dag og de pejlemærker, som Sundhedsstrukturkommissionen har valgt at fokusere på i fremtidssikringen
af sundhedsvæsenet (se kapitlerne 3­5).
Udviklingslinjer i organiseringen af sundhedsvæsenet
Den nuværende organisering af det danske sundhedsvæsen er et resultat af en lang række tidligere
reformer og løbende ændringer. Senest blev de politisk­administrative enheder med strukturreformen
i­2007­reduceret­fra­271­til­98­kommuner­og­fra­14­amter­til­fem­regioner.­
Gennem­årene­er­der­sket­en­øget­specialisering­og­centralisering­af­det­sekundære­sundhedsvæsen,­
som har løftet kvaliteten i de sundhedstilbud, borgerne modtager. I psykiatrien er der gennemført
en­afinstitutionalisering,­hvor­ambulant­behandling­i­høj­grad­har­erstattet­langtidsindlæggelse.­
O
­ rganiseringen­af­det­almenmedicinske­tilbud­og­samspillet­med­det­øvrige­sundhedsvæsen­har­været­
diskuteret­længe.­Det­samme­har­balancen­mellem­det­primære­og­det­sekundære­sundhedsvæsen,­hvor­
der­er­blevet­fremlagt­argumenter­for,­at­flere­opgaver­burde­løses­i­praksissektoren­fremfor­på­sygehusene.­
Samtidig­er­kommunerne­efter­strukturreformen­blevet­tildelt­flere­og­mere­komplekse­sundhedsopgaver,­
og­den­digitale­udvikling­har­gjort­det­muligt­at­dække­flere­sundhedsbehov­end­tidligere.­Det­er­nogle­
af de beslutninger og udviklingstræk, som har formet organiseringen af det danske sundhedsvæsen
(se kapitel 3).
Status og udfordringer
Sundhedsstrukturkommissionen­har­identificeret­tre­væsentlige­tendenser,­der­ændrer­forudsætningerne­
for opgaveløsningen i fremtiden, og tre væsentlige udfordringer for sundhedsvæsenet. De tre tendenser
vedrører 1) det aktuelle og fremtidige sygdomsbillede, 2) mangel på nogle grupper af sundhedsfaglige
medarbejdere og 3) befolkningens forventninger til sundhedsvæsenet. De tre væsentlige udfordringer er
1)­usammenhængende­patientforløb,­2)­ubalancen­mellem­det­primære­og­det­sekundære­sundhedsvæsen­
og­3)­geografisk­og­social­ulighed­i­sundhed­(se­kapitel­4).­
Ændrede forudsætninger for det danske sundhedsvæsen
For det første har sygdomsbilledet ændret sig, både for unge og ældre. Den andel af befolkningen, der er
80­år­eller­ældre,­vil­stige­med­14­pct.­frem­mod­2035.­I­2050­vil­andelen­være­fordoblet­sammenlignet­med­
2023.­Dertil­kommer,­at­andelen­af­ældre­varierer­på­tværs­af­landet,­og­derfor­vil­de­geografiske­forskelle­i­
behovet­for­sundhedsydelser­blive­forstærket­i­de­kommende­år.­Med­en­aldrende­befolkning­følger,­at­flere­
udvikler­alders-­og­livsstilsbetingede­sygdomme,­og­flere­lever­længere­med­sygdommene.­Derudover­
diagnosticeres­flere­børn­og­unge­med­psykiske­lidelser.­Siden­2013­er­antallet­af­børn­og­unge­med­
psykiatriske­diagnoser­steget­med­25­pct.­
For det andet er manglen på nogle grupper af sundhedsfaglige medarbejdere tiltagende. I de kommende år
vil et generationsskifte medføre stor medarbejderafgang og en forværret rekrutteringssituation. Det gælder
særligt­social-­og­sundhedsassistenter­og­social-­og­sundhedshjælpere,­som­udgør­en­stor­andel­af­med-
arbejderne på det kommunale sundheds­ og ældreområde. Tendensen skal ses i lyset af, at Danmark i
forvejen­er­blandt­de­lande­i­OECD­(Organisation­for­Economic­Co-operation­and­Development),­hvor­den­
højeste andel af den samlede arbejdsstyrke er beskæftiget på sundheds­ og ældreområdet.
Den tredje og sidste tendens, som ændrer forudsætningerne for sundhedsvæsenet, er, at borgernes samlede
forventninger til, hvad sundhedsvæsenet kan levere, stiger. Årsagen til de stigende forventninger er en
kombination af generelt øget velstand og et stigende behov for sundhedsydelser som følge af ændringer
i­demografien.­
INU, Alm.del - 2023-24 - Bilag 51: Orientering om Sundhedsstrukturkommissionens afrapportering, fra indenrigs- og sundhedsministeren
2880265_0005.png
5
Udfordringer for sundhedsvæsenet
Det er ikke kun forudsætningerne for det danske sundhedsvæsen, der er under forandring. Sundheds­
væsenet står også overfor tre væsentlige udfordringer, som allerede nu påvirker borgernes oplevelse af
sundhedsvæsenet.
Den­første­udfordring­er­usammenhængende­patientforløb.­Mange­borgere­har­kontakt­til­flere­dele­af­
sundhedsvæsenet. I 2022 havde mere end halvdelen af dem, som havde kontakt til sundhedsvæsenet,
kontakt med mindst to af de tre hovedsektorer. Jo ældre en person bliver, desto større er kontakten på tværs
af­sektorerne,­jf.­figur­1.­En­aldrende­befolkning­indebærer­derfor,­at­stadig­flere­borgere­vil­få­behov­for­
forløb i sundhedsvæsenet, som både involverer alment praktiserende læger, sygehuse og kommunen. De
tværgående forløb medfører risiko for et uklart ansvar for borgerens forløb og stiller samtidig store krav til
koordinering og vidensdeling på tværs af sundhedsvæsenet, så borgerne oplever sammenhæng og kvalitet.
Figur 1
Borgere med kontakt til sundhedsvæsenet fordelt på sektorer, 2022
Alle aldre
(5,2 mio. personer)
(0,1%)
(1,4%)
Borgere over 65 år
(1,1 mio. personer)
(0,2%)
Borgere over 80 år
(0,3 mio. personer)
(0,4%)
(5%)
(6%)
Kommune
(21%)
Kommune
(42%)
Sygehus
(28%)
(0,6%)
Kommune
(13%)
Sygehus
(44%)
Almen-
medicinske
tilbud
(45%)
(1,6%)
Sygehus
(46%)
(3%)
Almen-
medicinske
tilbud
(26%)
Almen-
medicinske
tilbud
(16%)
Anm.: Figuren viser andelen af borgere med kontakt til sundhedsvæsenet i 2022, fordelt på de tre sektorer (alment praktiserende læger,
kommune og sygehus). Det er ikke muligt at vise en nøjagtig proportional fordeling af overlap i kontakter mellem sektorer, og diagrammet er
derfor en approksimation. Derfor kan overlappet mellem sygehuse og kommuner ikke vises grafisk i diagrammet. Overlappet mellem sygehuse
og kommuner udgør hhv. 0,1 pct. for alle aldre, 0,2 pct. for borgere over 65 år og 0,3 pct. for borgere over 80 år.
Kilde: Sundhedsdatastyrelsen (Landspatientregisteret, Sygeforsikringsregisteret, Plejehjemsdata, Elektroniske omsorgsjournaler og Det
Centrale Personregister).
Den­anden­udfordring­er­ubalancen­mellem­det­primære­sundhedsvæsen­(kommuner,­det­almenmedicinske­
tilbud og øvrige praktiserende sundhedspersoner) og det sekundære sundhedsvæsen (sygehuse og
p
­ raktiserende­speciallæger).­Der­er­sket­en­udvikling­og­investering­i­sundhedsvæsenet,­som­har­medført­
øget­specialisering.­Specialiseringen­har­bidraget­til­betydelige­kvalitetsforbedringer,­bl.a.­i­behandlingen­
af­kræft­og­hjertesygdomme.­Der­er­imidlertid­også­områder,­hvor­den­høje­grad­af­specialisering­medfører­
ulemper,­især­for­patienter­med­flere­samtidige­sygdomme.­Herudover­har­især­det­primære­sundheds-
væsen svært ved at følge med behovet for sundhedsydelser.
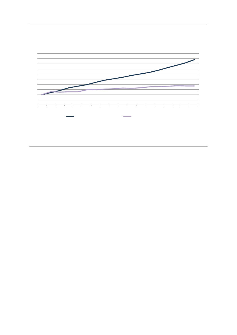
Siden­2003­er­antallet­af­alment­praktiserende­læger­steget­med­20­pct.,­mens­antallet­af­læger,­der­er­ansat­
på­sygehusene,­er­steget­med­70­pct.,­jf.­figur­2.­Forskellen­er­særligt­vokset­frem­i­årene­efter­oprettelsen­
af regionerne. Figuren skal ses i lyset af, at den relative vækst i offentlige udgifter til de to sektorer har været
omtrent den samme, og der har derfor bl.a. været mulighed for at ansætte mere ikke­lægeligt sundheds­
personale­i­det­almenmedicinske­tilbud.
INU, Alm.del - 2023-24 - Bilag 51: Orientering om Sundhedsstrukturkommissionens afrapportering, fra indenrigs- og sundhedsministeren
2880265_0006.png
6
Figur 2
Udvikling i antal læger ansat på sygehusene og alment praktiserende læger, indeks (2003=100)
Indeks (100=2003)
180
160
140
170
Indeks (100=2003)
180
160
140
170
150
130
120
100
90
2003 2004 2005 2006 2007 2008 2009 2010 2011 2012 2013 2014 2015 2016 2017 2018 2019 2020
Sygehus
Alment praktiserende læger
80
110
150
130
120
100
90
80
110
Anm.: Indeks = 2003. Bemærk, at figuren er opgjort i antal personer beskæftiget i den pågældende sektor og ikke i fuldtidsbeskæftigede/
lægekapaciteter. Afgrænsningen af læger ansat ved sygehuse er ”Physicians employed in hospitals” og alment praktiserende læger er
”General medical practitioners”.
Kilde: OECD Health Statistics, Healthcare Resources.
Danmark­bruger­omkring­10­pct.­af­BNP­på­sundhed­og­er­dermed­på­niveau­med­mange­af­de­lande,­som­
Danmark normalt sammenligner sig med. Det er altid svært at sammenligne tal på tværs af landegrænser,
alene fordi der er forskel på, hvordan lande organiserer sig, og hvordan de indsamler data. Men set i
international sammenhæng vejer sundhedsudgifterne til at drive sygehuse i Danmark tungt sammenlignet
med de udgifter, der dækker det øvrige sundheds­ og ældreområde. I sammenligning med andre relevante
lande­er­det­dermed­en­større­andel­af­sundhedsudgifterne,­som­går­til­den­mest­specialiserede­del­af­
sundhedsvæsenet,­fremfor­fx­de­alment­praktiserende­læger,­ældrepleje­og­forebyggelse,­jf.­figur­3.
INU, Alm.del - 2023-24 - Bilag 51: Orientering om Sundhedsstrukturkommissionens afrapportering, fra indenrigs- og sundhedsministeren
2880265_0007.png
7
Figur 3
Sundhedsudgifter fordelt på funktion, udvalgte lande, 2019
Pct.
100
80
60
40
20
0
47
38
34
33
36
Pct.
100
80
61
69
67
67
63
60
40
20
0
54
30
Nederlandene
Danmark
Finland
Sygehuse
Norge
Ikke-sygehuse
Sverige
England
Anm: På grund af afrundinger summer tallene ikke til 100. Fordelingen tager afsæt i OECDs Health Care Functions. Hvor en yderligere
segmentering er gjort ved hjælp af OECDs Heath Care Providers er det anført nedenfor; Sygehuse er afgrænset til: “Current expenditures on
health, inpatient curative and rehabilitative care, all providers”, “Outpatient curative and rehabilitative care, hospitals”; Ikke-sygehuse er
afgrænset til: “Current expenditures on health, outpatient curative and rehabilitative care, providers of ambulatory health care”, “Residential
long-term care facilities”, og inkluderer bl.a. “medical goods”, “preventive care” og “anciallary services”; Alle tal er købekraftsjusteret og
omregnet med valutakurs 1,0 EUR = 7,45 DKK. Tal for Storbritannien er brugt som proxy for England. Sammenlignes med en OECD ”hospitals”
provider-opgørelse undervurderer den anvendte metode sygehusforbruget i bl.a. Norge, Sverige og England, da de præhospitale udgifter fra
indlæggelser og ambulante besøg i højere grad indgår som sygehusudgifter i de danske opgørelser. Uanset opgørelsesmetode er andelen af
udgifter, der bruges på sygehuse, størst i Danmark.
Kilde: BCG, 2023, Sundhedsvæsenets organisering m.v. i udvalgte lande.
Den­demografiske­udvikling­skaber­et­øget­behov­for­sundheds-­og­omsorgsydelser­indenfor­det­kom-
munale sundheds­ og ældreområde. Fra borgeren fylder 65 år, stiger det gennemsnitlige behov for syge­
pleje, personlig pleje og praktisk hjælp. De kommunale udgifter på sundheds­ og ældreområdet til personer,
som­er­fyldt­85­år,­er­ca.­11­gange­højere­end­til­personer,­der­er­fyldt­65­år,­jf.­figur­4.­
En del af forklaringen på udviklingen er, at jo tættere en person er på livets afslutning, desto mere hjælp
og pleje har personen brug for. Udgifterne til de kommunale sundheds­ og plejeindsatser, som en borger
modtager,­stiger­derfor­i­gennemsnit­ganske­markant­i­de­sidste­tre­år­inden­et­dødsfald,­jf.­figur­5.­
Det kommer bl.a. til udtryk i udgifterne til plejehjemsophold.
INU, Alm.del - 2023-24 - Bilag 51: Orientering om Sundhedsstrukturkommissionens afrapportering, fra indenrigs- og sundhedsministeren
2880265_0008.png
8
Figur 4
Forbrug af sundheds- og plejeydelser
pr. person, fordelt på alder, 2022
1.000 kr. pr. borger (2021 -pl) 1.000 kr. pr. borger (2021 -pl)
400
400
350
300
250
200
150
100
50
0
350
300
250
200
150
100
50
0
Figur 5
Forbrug af sundheds- og plejeydelser pr. person
over 65 år, fordelt på afstand til død, 2019
Kr. pr. person
300.000
250.000
200.000
150.000
100.000
50.000
0
Kr. pr. person
300.000
250.000
200.000
150.000
100.000
50.000
0
0 år
7 år
14 år
21 år
28 år
35 år
42 år
49 år
56 år
63 år
70 år
77 år
84 år
91 år
98 år
3+ år
3 år
2 år
1 år
Kommunale udgifter
Sygesikring
Somatisk sygehus
Regionalt medicintilskud
Psykiatrisk sygehus
Kommunale sundheds- og plejeydelser
Almenmedicinske tilbud
Sygehuse
Anm.: I datagrundlaget for de kommunale udgifter indgår 85
kommuner, da datagrundlaget kun er tilstrækkeligt for de
kommuner. Opgørelserne for 2021 er påvirket af ændringer
i aktiviteten som følge af covid-19 og sygeplejerskestrejken.
Udgifterne er angivet i pris- og lønniveau for 2021 (2021-PL).
Kilde: Robusthedskommissionen, 2023, Robusthedskommissionens
anbefalinger.
Anm: Udgifter til sundheds- og plejeydelser er baseret på 95
kommuner. Udgifter til praksissektror omfatter også receptpligtig
medicin. Udgifter i den kommunale sektor omfatter sygepleje,
hjemmepleje og plejebolig. Ældre på 100 år og derover er samlet
i samme alderskategori. Afstand til død er baseret på 2019-data.
Kilde: Indenrigs- og Sundhedsministeriets Benchmarkingenhed,
2023, Geografiske forskelle i ældres forbrug af sundheds- og
plejeydelser.
Endelig­er­der­geografisk­og­social­ulighed­i­sundhed.­Der­er­væsentlige­forskelle­i­sundhedsbehov­og­
adgang til sundhedstilbud på tværs af landet. Adgangen til sundhedstilbud er oftest udfordret i de dele
af landet, hvor sundhedsbehovet er størst. Det gælder fx adgangen til alment praktiserende læger, privat­
praktiserende­speciallæger­og­kommunale­sundhedstilbud.­Omvendt­er­adgangen­til­sundhedstilbud­bedst­
i områder, hvor befolkningen som helhed er sundest.
Landkommuner har en markant højere andel af borgere med kroniske sygdomme end bykommunerne.
Fx­har­over­20­pct.­af­borgerne­på­Langeland­en­kronisk­sygdom­mod­12­pct.­af­borgerne­i­København,­jf.­
figur­6.­Landkommunerne­har­også­en­markant­højere­andel­af­ældre­og­multisyge­end­øvrige­kommuner.­
Tilsvarende er de områder, som er betegnet som lægedækningstrudede, fordi der er vanskeligheder med
at­tiltrække­alment­praktiserende­læger,­typisk­at­finde­i­landkommunerne,­jf.­figur­7.­Indenfor­de­store­
byer­kan­der­også­findes­områder­med­ubalancer­mellem­sundhedsfaglige­behov­og­ressourcer.
INU, Alm.del - 2023-24 - Bilag 51: Orientering om Sundhedsstrukturkommissionens afrapportering, fra indenrigs- og sundhedsministeren
2880265_0009.png
9
Figur 6
Andel borgere med kronisk sygdom
pr. 1.000 borgere i befolkningen, 2022
18,3-20,2 pct. (10)
17,7-18,2 pct. (17)
17,0-17,6 pct. (17)
16,3-16,9 pct. (19)
15,5-16,2 pct. (20)
12,5-15,4 pct. (15)
Figur 7
Lægedækningstruede områder, 2021-2024
Anm.: De udvalgte kroniske sygdomme: astma, demens, kronisk
obstruktiv lungesygdom (KOL), leddegigt, osteoporose, type
1-diabetes og type 2-diabetes.
Kilde: Registeret for udvalgte kroniske sygdomme og svære
psykiske lidelser (RUKS), CPR-registeret, Sundhedsdatastyrelsen.
Anm.: Lægedækningstruede områder er fastlagt for hele den
indeværende overenskomstperiode 2021-2024. De er kendetegnet
ved at have en stor andel borgere tilknyttet, fx udbuds- og
regionsklinikker, patientgrundlag med relativt store sundhedsbe-
hov, vanskeligheder ved at sælge en lægepraksis, og de
nuværende læger nærmer sig pensionsalderen.
Kilde: PLO, landsdækkende lægedækningstruede områder.
Pejlemærker for udviklingen af sundhedsvæsenet
Med afsæt i de tendenser og udfordringer, som sundhedsvæsenet står overfor nu og i fremtiden, vurderer
Sundhedsstrukturkommissionen,­at­der­særligt­er­behov­for­at­fokusere­på­flere­forhold­i­fremtidssikringen­
af det danske sundhedsvæsen (se kapitel 5).
Sammenhæng,­kvalitet­og­ressourceudnyttelse­i­patientforløb­kan­forbedres­markant­ved­at­styrke­de­
indsatser, som leveres i det primære sundhedsvæsen. Det kræver, at opgaveløsningen i sundhedsvæsenet
gentænkes,­og­en­større­andel­af­ressourcer­investeres­i­at­styrke­det­primære­sundhedsvæsen.­Ansvaret­
for­patienter­med­længerevarende­sygdom­skal­i­langt­højere­grad­varetages­af­det­almenmedicinske­tilbud,­
mens sygehusene i højere grad skal understøtte udviklingen af det primære sundhedsvæsen. Det vil også
medføre, at færre får behov for en sygehusindsats. Samtidig er der behov for at fastholde og udvikle
kvaliteten på sygehusene, så sygehusindsatsen vil være af højeste kvalitet til at behandle borgere, som
fx bliver ramt af akut og alvorlig sygdom. Fremtidssikring af sundhedsvæsenet indebærer derfor, at
udviklingen særligt fokuserer på tre pejlemærker: 1) sundhed for de mange, 2) lige adgang til sundhed
og 3) differentierede indsatser.
INU, Alm.del - 2023-24 - Bilag 51: Orientering om Sundhedsstrukturkommissionens afrapportering, fra indenrigs- og sundhedsministeren
10
Sundhed­for­de­mange­handler­om,­at­udviklingen­i­sundhedsvæsenet­skal­afspejle,­at­der­kommer­flere­
borgere med almene problemstillinger. Derfor er der behov for et ændret fokus i den ledelsesmæssige og
politiske­opmærksomhed­og­i­fordelingen­af­ressourcer­mellem­det­primære­og­det­sekundære­sundheds­
væsen. Samtidig skal opgaveløsningen og rollerne i sundhedsvæsenet løbende omlægges, så mere løses i
det primære sundhedsvæsen med fokus på at forebygge forværring af sygdom og understøtte egenomsorg,
vel­at­mærke­med­opbakning­fra­specialisterne­på­sygehuset­eller­i­speciallægepraksis.­­
Lige adgang til sundhed handler om, at udviklingen i sundhedsvæsenet skal adressere en betydelig og
voksende­geografisk­og­social­ulighed­i­sundhed.­I­fremtidens­sundhedsvæsen­skal­der­være­lige­adgang­til­
stærke­sundhedstilbud­i­hele­landet.­Det­kræver­en­fordeling­af­ressourcer­i­det­primære­og­i­det­sekundære­
sundhedsvæsen, som afspejler befolkningssammensætningen og befolkningens behov i alle dele af landet.
Differentierede indsatser handler om at målrette indsatsen til den enkelte borgers behov. På den måde
bliver­ressourcerne­også­brugt­så­effektivt­som­muligt.­Det­betyder,­at­flere­skal­understøttes­i­hjælp­til­
selvhjælp, mens andre har behov for mere kontakt med sundhedsprofessionelle. Fx vil borgere med høj
sundhedskompetence­blive­tilbudt­digitalt­understøttede­indsatser­og­færre­kontroller,­mens­borgere­med­
færre­sundhedskompetencer­og­skrøbelighed­tilbydes­en­mere­håndholdt­indsats.­
2. Den nuværende organisering af sundhedsvæsenet
I rapportens anden del beskrives og vurderes styrker og svagheder ved den nuværende organisering af
sundhedsvæsenet. I den sammenhæng opstilles først seks hensyn, som organiseringen af sundhedsvæsenet
bør understøtte. Dernæst beskrives den nuværende organisering, og til sidst præsenteres en vurdering af
væsentlige svagheder ved den nuværende organisering af sundhedsvæsenet set i lyset af de udfordringer
og muligheder, sundhedsvæsenet står overfor (se kapitel 6­8).
Centrale hensyn
Sundhedsstrukturkommissionen­opstiller­seks­hensyn,­som­er­centrale­for­at­vurdere­(ændringer­af)­den­
organisatoriske indretning af sundhedsvæsenet. De seks hensyn bruges til at vurdere svagheder ved den
nuværende organisering af sundhedsvæsenet og til at vurdere fordele og ulemper ved de præsenterede
anbefalinger,­forslag­og­modeller­til­en­ændret­organisering­af­sundhedsvæsenet­i­rapportdel­3­og­4.­­
Det kræver organisatoriske forandringer at realisere de præsenterede pejlemærker for udviklingen af
sundhedsvæsenet. Ændringer i sundhedsvæsenets organisering bør ske i respekt for de hensyn og mål­
sætninger for sundhedsvæsenet, som traditionelt har haft bred politisk tilslutning. Nogle af hensynene
hænger tæt sammen med pejlemærkerne, men der er også andre hensyn, som er vigtige i en samlet
vurdering af styrker og svagheder ved sundhedsvæsenets organisering.
Ingen organisatorisk indretning af sundhedsvæsenet vil kunne tilgodese alle hensyn i samme grad. Det
vil derfor være nødvendigt at afveje hensynene op mod hinanden. Vægtningen af de enkelte hensyn vil
i sidste instans være et politisk valg (se kapitel 6).
INU, Alm.del - 2023-24 - Bilag 51: Orientering om Sundhedsstrukturkommissionens afrapportering, fra indenrigs- og sundhedsministeren
2880265_0011.png
11
Sundhedsstrukturkommissionens­seks­centrale­hensyn­for­organiseringen­af­sundhedsvæsenet­er:­
Hensyn 1: Et sundhedsvæsen med høj kvalitet for alle borgere i hele landet
Hensynet indebærer, at organiseringen understøtter faglig bæredygtighed i opgaveløsningen
og­social­og­geografisk­lighed.
Hensyn 2: Et sundhedsvæsen, hvor borgerne har let adgang til relevante sundhedstilbud
Let adgang til relevante sundhedstilbud er bl.a. betinget af graden af fri adgang til sundhedstil­
bud,­til­ uddenes­geografiske­nærhed­og­muligheder­for­frit­valg­mellem­leverandører.­Behand­
b
ling i hjemmet er i stigende grad relevant og muligt i takt med udviklingen af det primære
sundhedsvæsen, nye teknologiske muligheder og borgernes stigende ønsker om digital kontakt
med sundhedsvæsenet.
Hensyn 3: Et sundhedsvæsen med stærk sammenhæng i borgernes forløb
Høj kvalitet i sundhedstilbud forudsætter, at borgerne oplever en høj grad af sammenhæng i hele
forløbet, fx mellem undersøgelse, udredning og behandling og efterfølgende genoptræning, pleje
og rehabilitering. Derfor er det et væsentligt hensyn, at organiseringen af sundhedsvæsenet
understøtter en stærk sammenhæng i borgernes forløb.
Hensyn 4: Et sundhedsvæsen, der giver borgerne mest mulig sundhed for de
tilgængelige ressourcer
Hensynet­om­at­give­borgerne­mest­mulig­sundhed­for­de­tilgængelige­ressourcer­indebærer,­
at organiseringen understøtter omkostningseffektivitet og økonomisk robusthed, en stærk
sammenhæng­mellem­opgave-­og­budgetansvar­og­effektiv­brug­af­knappe­personaleressourcer­
i sundhedsvæsenet.
Hensyn 5: Et sundhedsvæsen med effektiv politisk styring og demokratisk kontrol
Hensynet om effektiv politisk styring og demokratisk kontrol indebærer, at organiseringen giver
et klart politisk ansvar for leveringen af sundhedstilbud, understøtter politisk opmærksomhed
på væsentlige udfordringer og bidrager til politisk handlekraft og styring.
Hensyn 6: Implementeringsomkostninger
Implementering­af­større­organisatoriske­forandringer­indebærer­både­potentialer,­risici­og­
omkostninger. Det er derfor vigtigt, at de organisatoriske og strukturelle løsninger for fremtidens
sundhedsvæsen også vurderes i et implementeringsperspektiv.
Den nuværende organisering af sundhedsvæsenet
Det­danske­sundhedsvæsen­er­i­høj­grad­decentralt­organiseret.­I­dag­er­der­tre­forvaltningsled­med­ansvar­
på sundhedsområdet: Stat, regioner og kommuner. Staten udstikker de overordnede rammer for at varetage
sundhedsopgaverne via lovgivning, årlige økonomiaftaler, retningslinjer og anden statslig styring indenfor
området.­Det­økonomiske­og­driftsmæssige­ansvar­er­derimod­placeret­i­regioner­og­kommuner.
Det danske sundhedsvæsen har en række væsentlige styrker. Sundhedsydelserne er generelt af høj kvalitet
og­leveres­af­et­veluddannet­sundhedspersonale­i­et­overvejende­offentligt­finansieret­sundhedsvæsen­med­
universel adgang til ydelserne. Sygehusstrukturen har over de senere år gennemgået en nødvendig tilpas­
ning, og der er i dag 21 akutsygehuse. Samling af behandlinger på færre sygehusmatrikler har været med til
at sikre en højere kvalitet i sygehusbehandlingen, og mange behandlinger er blevet omlagt fra indlæggelser
til ambulante behandlinger. På trods af den seneste tids udfordringer med ventetider til sygehusbehandling
har ventetiden generelt været faldende over en lang årrække.
INU, Alm.del - 2023-24 - Bilag 51: Orientering om Sundhedsstrukturkommissionens afrapportering, fra indenrigs- og sundhedsministeren
12
Kommunerne­har­fået­en­markant­større­rolle­på­sundhedsområdet­end­tidligere.­Det­gælder­fx­gen-
optræning efter indlæggelse, men også indenfor områder, der er opstået som konsekvens af udviklingen
i sygehusenes opgavevaretagelse, fx akutfunktioner i den kommunale sygepleje. I praksissektoren er det
almenmedicinske­tilbud­til­stede­i­hele­landet,­og­der­er­generelt­høj­tilfredshed­hos­borgerne­med­det­
almenmedicinske­tilbud,­som­også­varetager­en­central­rolle­som­gatekeeper­for­indsatser­i­det­sekundære­
sundhedsvæsen (se kapitel 7).
Svagheder ved den nuværende organisering af sundhedsvæsenet
Set over tid og i international sammenligning er det danske sundhedsvæsen veludbygget, tilgængeligt,
og det leverer sundhedsydelser af høj kvalitet til hele befolkningen. Men i lyset af de udfordringer, som
sundhedsvæsenet står overfor, vurderer kommissionen, at der er en række væsentlige svagheder ved
sundhedsvæsenets nuværende organisering. Det gælder især den overordnede opgave­ og ansvarsfordeling
i sundhedsvæsenet, styring og regulering indenfor de enkelte sektorer og organiseringen af arbejdet med
digitalisering og data (se kapitel 8).
Opgave- og ansvarsfordelingen i sundhedsvæsenet
Den nuværende opgave­ og ansvarsfordeling er medvirkende til utilstrækkelig sammenhæng i patientforløb,
manglende investeringer i de almene sundhedstilbud og udfordringer med faglig bæredygtighed i dele af
kommunernes opgaveløsning.
Udviklingen­indenfor­sundhedsvæsenet­vil­give­flere­forløb­på­tværs­af­sektorer.­Det­samme­vil­den­
d
­ emografiske­udvikling­og­et­ændret­sygdomsbillede.­Det­understreger­behovet­for­en­organisering,­som­
understøtter sammenhængende patientforløb. Gennem tiden er der blevet iværksat mange gode projekter
og initiativer til at styrke sammenhængen. Dog vurderer Sundhedsstrukturkommissionen, at der er
behov for markant stærkere tiltag for at skabe sammenhæng, især i de forløb, der går på tværs af det
almen­ edicinske­tilbud,­kommuner­og­sygehuse.­Den­nuværende­konstruktion­af­sundhedsklyngerne­
m
imødekommer ikke i tilfredsstillende grad sundhedsvæsenets udfordringer med at samarbejde på tværs
af sektoropdelingen.
Hvad angår investeringerne i de almene sundhedstilbud, medfører opgave­ og ansvarsfordelingen, at
regionerne har en begrænset økonomisk tilskyndelse til at investere i en udbygning af det primære sund­
hedsvæsen­ved­at­stille­ressourcer­til­rådighed­for­den­del­af­sundhedsvæsenet,­som­kommunerne­har­
ansvaret for. Der er samtidig en risiko for, at kommunerne vil underinvestere i indsatser til at forebygge
egne borgeres brug af sygehusene og det øvrige sundhedsvæsen, da dele af gevinsterne tilfalder regionerne.
Sundhedsstrukturkommissionen vurderer, at der er behov for en organisering, som gør det muligt, at der
løbende­følger­ressourcer­med­fra­det­det­sekundære­til­det­primære­sundhedsvæsen,­når­opgaveløsningen­
omstilles­og­udvikles­på­en­måde,­som­kræver­opbygning­af­nye­kompetencer­og­kapacitet.
Endelig betyder den nuværende opgave­ og ansvarsfordeling, at kommunerne har ansvar for en række
sundhedsopgaver, hvor nogle kræver et vist borgergrundlag for, at opgaveløsningen er fagligt og økonomisk
bæredygtig.­Det­kan­flere­kommuner­have­vanskeligt­ved­at­etablere.­Som­udgangspunkt­understøtter­
sundhedsvæsenets­decentrale­organisering­tilgængelighed­af­sundhedstilbud­i­hele­landet­og­er­med­til­
at­danne­grundlag­for­indsatser­tæt­på­borgeren.­Kommunerne­løser­imidlertid­sundhedsopgaverne­
under­meget­forskellige­vilkår­på­grund­af­forskellene­i­deres­geografiske­størrelse,­befolkningsantal­og­
geografiske­placering.­Genoptræning­og­rehabilitering­af­små­patientgrupper,­som­kræver­særlige­kompe­
tencer,­er­eksempler­på­opgaver,­som­er­udfordrende­at­varetage­fagligt­bæredygtigt­i­alle­kommuner.­
Derudover kan små kommuner fx vanskeligt etablere og opretholde kommunale akutfunktioner med
tilstrækkelig volumen til at fastholde et døgndækket, fagligt bæredygtigt tilbud.
INU, Alm.del - 2023-24 - Bilag 51: Orientering om Sundhedsstrukturkommissionens afrapportering, fra indenrigs- og sundhedsministeren
13
Væsentlige regulerings- og styringsudfordringer
Ifølge Sundhedsstrukturkommissionen er der behov for at ændre den nuværende regulering og styring
indenfor de enkelte sektorer i sundhedsvæsenet.
Der­er­bl.a.­brug­for­at­forandre­den­måde,­som­de­almenmedicinske­tilbud­reguleres­i­lovgivningen­for­at­
understøtte,­at­det­almenmedicinske­tilbud­også­fremover­kan­udgøre­den­primære­indgang­til­udredning­
og behandling i hele landet. Derudover sikrer den nuværende overenskomstmæssige regulering af de
almenmedicinske­tilbud­ikke­en­geografisk­fordeling­af­ressourcer,­som­afspejler­den­geografiske­variation­
i sundhedsbehovet.
Samtidig vurderer Sundhedsstrukturkommissionen, at den nuværende udformning af overenskomst­
modellen­for­de­almenmedicinske­tilbud­er­en­væsentlig­barriere­for­den­videre­omstilling­af­sundheds-
væsenet.­Regionernes­grundlag­for­at­indgå­i­og­følge­op­på­forpligtende­aftaler­i­det­almenmedicinske­
tilbud­er­for­begrænset.­Kommissionen­vurderer­dog­også,­at­udviklingen­af­det­almenmedicinske­tilbud­er­
sket for langsomt set i forhold til behovet og de muligheder, som er indenfor den eksisterende organisering.
Reguleringen­af­sygehusene,­bl.a.­den­nationale­styring­af­placeringen­af­funktioner,­har­medført­en­øget­
specialisering­og­en­samling­af­specialiseret­behandling­på­færre­sygehuse.­Det­har­været­med­til­at­løfte­
kvaliteten for patienterne, men har også medvirket til en organisatorisk fragmentering, hvor ansvaret
for­patientforløb­er­fordelt­på­flere­afdelinger,­hvor­der­er­større­geografisk­afstand­for­nogle­patienter,­
og hvor der er rekrutteringsudfordringer på nogle sygehuse udenfor de store byer.
Strukturelle barrierer for omstilling mod et mere digitalt sundhedsvæsen
Sundhedsstrukturkommissionen vurderer, at den eksisterende organisering og styring af arbejdet med
digitalisering, data og andre teknologiske løsninger ikke er tilstrækkelig til at sikre, at løsninger udvikles
og udbredes tilstrækkeligt hurtigt til, at de potentielle gevinster kan blive indfriet.
Derudover­har­sygehusene­svært­ved­at­rekruttere­læger­i­nogle­dele­af­landet­og­indenfor­visse­specialer.­
Allerede­igangsatte­initiativer­har­ikke­været­tilstrækkelige­til­at­sikre­en­bedre­fordeling­af­speciallæger.­
Den nuværende organisering og styring bærer præg af, at der mangler beslutnings­ og eksekveringskraft
og fælles prioritering. Flere af aktørerne har ikke de rette forudsætninger for at varetage udvikling,
i
­ mplementering­og­drift­af­teknologiske­løsninger.­Der­mangler­strukturer­for­og­incitamenter­til­udbredelse­
af nye digitale løsninger og datadrevne teknologier. Desuden udfordres sammenhæng, implementerings­
tempo­og­omkostningsniveau­af­stor­leverandørafhængighed­og­en­fragmenteret­IT-arkitektur.
Kommissionen­vurderer,­at­en­vigtig­betingelse­for­den­ønskede­omstilling­af­sundhedsvæsenet­er­en­
stærkere organisering og styring af datadelings­ og digitaliseringsindsatsen. Digitale løsninger og øget
nyttiggørelse af data rummer potentiale for at effektivisere driften af sundhedsvæsenet, øge kvaliteten af
sundhedstilbud­og­skabe­bedre­forløb­for­borgerne­og­bedre­udnyttelse­af­sundhedsvæsenets­ressourcer.­
3. Tværgående anbefalinger og forslag
På baggrund af de ændrede forudsætninger og udfordringer, som sundhedsvæsenet står overfor, og på
baggrund af vurderingen af styrker og svagheder ved sundhedsvæsenets nuværende organisering, opstiller
Sundhedsstrukturkommissionen seks anbefalinger med tilhørende forslag og tre forvaltningsmodeller til
den fremtididge organisering af sundhedsvæsenet.
I rapportens tredje del præsenterer kommissionen fem ud af de seks anbefalinger og tilknyttede forslag
til­en­ændret­organisering.­De­fem­anbefalinger­er­tværgående­i­den­forstand,­at­de­er­uafhængige­af­valget­
af forvaltningsmodel. Det er kommissionens vurdering, af de fem anbefalinger kan gennemføres uanset
hvilken forvaltningsmodel, der kommer til at udgøre sundhedsvæsenets fremtidige struktur.
De­fem­anbefalinger­og­tilhørende­forslag­vedrører­det­almenmedicinske­tilbud,­digitaliserings-­og­data-
området,­fordeling­af­ressourcer­i­sundhedsvæsenet,­psykiatri­og­private­aktører­indenfor­sundheds­ æsenet­
v
(se­kapitlerne­9-13).­
INU, Alm.del - 2023-24 - Bilag 51: Orientering om Sundhedsstrukturkommissionens afrapportering, fra indenrigs- og sundhedsministeren
14
Kapacitetsudvidelse og ændret organisering af det almenmedicinske tilbud
Det­almenmedicinske­tilbud,­som­overvejende­består­af­alment­praktiserende­læger,­har­en­nøglefunktion­
i­sundhedsvæsenet­og­løfter­en­stor­og­væsentlig­opgave­i­forhold­til­at­varetage­diagnosticering­og­
b
­ ehandling­og­i­forhold­til­at­afklare,­om­borgerne­skal­henvises­videre­til­det­øvrige­sundhedsvæsen.­
Blandt­borgerne­er­der­generelt­tilfredshed­med­det­almenmedicinske­tilbud.­Udviklingen­i­patientsammen­
sætningen,­bl.a.­med­flere­ældre­og­flere­mennesker­med­kroniske­sygdomme­udfordrer­dog­allerede­i­
dag­det­almenmedicinske­tilbud.­For­at­imødekomme­borgernes­behov­skal­det­almenmedicinske­tilbud­
under­ tøtte­høj­tilgængelighed,­varetage­flere­og­mere­komplekse­opgaver­og­i­højere­grad­indgå­som­en­
s
integreret og sammenhængende del af det samlede sundhedsvæsen.
Det­almenmedicinske­tilbud­skal­styrkes­og­udvikles­og­varetage­flere­opgaver,­der­i­dag­løses­på­syge-
husene. Det betyder, at en større andel af de samlede sundhedsudgifter skal anvendes i det almen­
medicinske­tilbud.­Omstillingen­af­opgavevaretagelsen­skal­ske­i­takt­med,­at­kapaciteten­og­kompetencerne­
i­det­almenmedicinske­tilbud­udvides,­og­den­nødvendige­faglige­støtte­fra­det­specialiserede­sundheds-
væsen bliver stillet til rådighed. Samtidig skal omstillingen ske i takt med, at målsætningen om at uddanne
flere­speciallæger­i­almen­medicin­bliver­indfriet.­
Sundhedsstrukturkommissionen vurderer, at den nuværende organisering, herunder styring og ledelse,
af­det­almenmedicinske­tilbud­ikke­er­tilstrækkelig­til­at­understøtte­den­udvikling­og­tilpasning,­som­er­
nødvendig­for,­at­det­almenmedicinske­tilbud­kan­varetage­den­nøglerolle,­det­er­tiltænkt­i­fremtidens­
sundhedsvæsen­(se­kapitel­9).­
INU, Alm.del - 2023-24 - Bilag 51: Orientering om Sundhedsstrukturkommissionens afrapportering, fra indenrigs- og sundhedsministeren
2880265_0015.png
15
Boks 2
Anbefaling 1
Sundhedsstrukturkommissionen anbefaler en betydelig kapacitetsudvidelse af det almenmedicinske
tilbud indenfor rammerne af en ændret organisering. Formålet er, at udviklingen af det almen-
medicinske tilbud afspejler patienternes stigende behov for sundhedsydelser og tilgængelighed
i det primære sundhedsvæsen. Derfor skal de ansvarlige myndigheders kompetence til at påvirke
udviklingen styrkes.
Boks 3
Forslag
1. Kapacitet og kompetencer i det primære sundhedsvæsen skal udbygges. Det kræver, at en større
andel af de samlede sundhedsudgifter anvendes i det almenmedicinske tilbud.
2. De ansvarlige myndigheder skal have kompetence til at benytte forskellige klinikformer, bl.a. alment
praktiserende læger, offentligt drevne klinikker og udbudsklinikker, hvor det skønnes relevant ud fra
lokale forhold og behov. Dermed fjernes de eksisterende lovgivningsmæssige begrænsninger for,
at det almenmedicinske tilbud kan udvikles til i fremtiden at bestå af en kombination af alment
praktiserende læger og øvrige klinikformer, bl.a. klinikker med ansatte læger.
3. Opgavebeskrivelsen for det almenmedicinske tilbud skal fastlægges af nationale myndigheder med
inddragelse af relevante faglige selskaber og skal ses i tæt sammenhæng med en styrket sundheds-
planlægning og styret opgaveudvikling og arbejdsdeling i sundhedsvæsenet. Samtidig skal
beskrivelsen fastlægge, hvordan sygehuse, øvrige specialister og sundhedstilbud skal understøtte
de almenmedicinske tilbud. Ændringen betyder, at fastlæggelsen af opgaveporteføljen i det almen-
medicinske tilbud adskilles fra forhandlinger om de økonomiske vilkår, som de alment praktiserende
læger og øvrige klinikker virker under.
4. Differentierede patienttal og honorarer skal fastlægges på baggrund af en national model, som
estimerer behandlingsbehovet for patienterne i den enkelte klinik. Effekten vil være, at klinikker med
en stor andel af ressourcestærke og raske patienter skal varetage flere patienter indenfor den
nuværende honorering, mens klinikker med en stor andel af sårbare borgere og borgere med multi-
sygdom får reduceret patientantallet, så der sikres en omfordeling af ressourcer efter sundhedsbehov.
INU, Alm.del - 2023-24 - Bilag 51: Orientering om Sundhedsstrukturkommissionens afrapportering, fra indenrigs- og sundhedsministeren
2880265_0016.png
16
5. De ansvarlige myndigheders lovmæssige grundlag for at tilrettelægge samarbejdet og følge op på
efterlevelsen af opgavebeskrivelsen for det almenmedicinske tilbud skal styrkes.
6. En central rammeaftale skal fastsætte økonomi, vilkår og honorarstruktur for de alment praktiserende
læger, men centrale elementer i form af opgavebeskrivelsen, grundlaget for fordeling af læge-
ressourcer og tvistløsning reguleres fremover udenfor aftalesystemet.
7. Honorarstrukturen skal revideres med fokus på forenkling, sammenhæng mellem patienternes
sundhedsbehov og honorering, styrket samarbejde med andre aktører og realisering af løbende
produktivitetsgevinster til gavn for det samlede sundhedsvæsen. Det vil bl.a. betyde, at hver enkelt,
ny opgave ikke forudsætter forhandlinger om økonomi, da en forsimplet honorarstruktur kan rumme
nye opgaver.
8. En dansk model for netværksorganisering skal udvikles og udbredes med det formål, at det almen-
medicinske tilbud kan møde skærpede krav til opgaver og funktioner indenfor en organisering med
relativt mange mindre klinikker, bl.a. ved tværfagligt samarbejde.
9. Databaseret kvalitetsudvikling i det primære sundhedsvæsen skal styrkes markant. Det gælder bl.a.
i det almenmedicinske tilbud.
Ny organisering af digitalisering og data
Borgerne­i­Danmark­er­blandt­de­mest­digitale­i­verden.­En­stor­del­af­befolkningen­bruger­digitale­tjenester­
som en naturlig del af hverdagen. Det gælder også i sundhedsvæsenet, hvor mange – især under og efter
covid-19-pandemien­–­har­taget­de­digitale­sundhedstilbud­til­sig.­En­digital­transformation­er­derfor­en­
naturlig­og­central­forudsætning­for­at­fremtidssikre­sundhedsvæsenet.­Samtidig­kan­endnu­bedre­brug­
af digitale løsninger og data være med til at skabe et mere sammenhængende sundhedsvæsen for borgere
og medarbejdere. Den teknologiske udvikling muliggør den nødvendige omstilling af sundhedsvæsenet fra
at levere ydelser på sundhedsvæsenets fysiske matrikler til i højere grad at levere ydelser, som helt eller
delvist­møder­borgeren,­hvor­vedkommende­er,­med­samme­høje­kvalitet­uafhængig­af­geografi.­
Sundhedsstrukturkommissionen vurderer, at den nuværende organisering af sundhedsvæsenets
digitaliserings­ og dataindsats ikke kan realisere den nødvendige digitale transformation (se kapitel 10).
INU, Alm.del - 2023-24 - Bilag 51: Orientering om Sundhedsstrukturkommissionens afrapportering, fra indenrigs- og sundhedsministeren
2880265_0017.png
17
Boks 4
Anbefaling 2
Sundhedsstrukturkommissionen anbefaler, at der etableres en ny organisering af arbejdet med
digitalisering og data i sundhedsvæsenet. En ny organisering skal være med til at sikre større
national beslutnings- og eksekveringskraft og fælles prioritering og retning for digitalisering og
brug af data i sundhedsvæsenet. Det er nødvendigt for, at bedre brug af digitale løsninger og data
kan bidrage til at skabe et sammenhængende sundhedsvæsen præget af nærhed, tilgængelighed
og bæredygtighed. En ny organisering skal derfor også ses som et middel til at skabe bedre
forudsætning for den lokale opgaveløsning tættere på borgerne.
Boks 5
Forslag
1. Der skal udarbejdes én styrende og forpligtende strategi for digitalisering og data, som dækker hele
sundhedsvæsenet. Mandatet til udarbejdelsen af strategien ligger i staten, men det skal ske i tæt
samarbejde med relevante aktører, som varetager arbejdet med de digitale løsninger i sundheds-
væsenet, og de ansvarlige for driften af hele sundhedsvæsenet. Strategien skal forpligte alle parter i
sundhedsvæsenet til at arbejde mod fælles mål for den digitale transformation af sundhedsvæsenet.
Strategien skal være tæt koblet til sundhedsvæsenets behov og målsætninger for den samlede
omstilling, så digitalisering ikke bliver et mål i sig selv men et stærkt redskab til at løse sundheds-
væsenets udfordringer.
2. Der skal etableres en national planlægningskompetence for digitalisering og data i sundhedsvæsenet.
Den nationale planlægningskompetence er baseret på en lovhjemmel, så det bindende kan fastsættes,
hvilke digitale løsninger der udvikles og udbredes nationalt, og hvilke løsninger der kan udvikles
lokalt. En tydelig planlægningskompetence skal bidrage til at styrke den samlede beslutnings- og
eksekveringskraft og understøtte en mere koordineret udnyttelse af sundhedsvæsenets ressourcer
på digitaliserings- og dataområdet.
INU, Alm.del - 2023-24 - Bilag 51: Orientering om Sundhedsstrukturkommissionens afrapportering, fra indenrigs- og sundhedsministeren
2880265_0018.png
18
3. Der skal etableres en fælles, national service- og leveranceorganisation (Digital Sundhed Danmark)
for hele sundhedsvæsenet. Organisationen får ansvar for fælles digitale løsninger, som er rettet mod
borgerne og den sundhedsfaglige opgavevaretagelse, og for en fælles digital infrastruktur på tværs
af sundhedsvæsenet. Organisationen skal samtidig understøtte innovation og samle drift af større
IT-fagsystemer, bl.a. elektroniske patientjournal- og omsorgsjournalsystemer (EPJ- og EOJ-systemer),
og digital understøttelse af det primære sundhedsvæsen. Kommissionen fremlægger ikke forslag til
den konkrete organisering af service- og leveranceorganisationen, men lægger vægt på, at den nye
organisation etableres med en tæt kobling til driften og med mulighed for, at staten kan sikre, at
organisationens arbejde udføres i sammenhæng med den overordnede nationale retning for sund-
hedsvæsenet. Digital Sundhed Danmark bør implementeres trinvist med mulighed for at udvide
organisationens opgaveportefølje over tid.
4. Finansiering af arbejdet med digitalisering og data i sundhedsvæsenet skal understøtte realiseringen
af kommissionens øvrige tre forslag til en ny organisering af arbejdet med digitalisering og data,
bl.a. for at skabe forpligtelse blandt de decentrale aktører til de fælles strategiske mål og de fælles
digitale løsninger.
I forlængelse af forslaget om en strategi for digitalisering og data (forslag 1 i boks 5) foreslår kommis­
sionen fem strategiske mål for den digitale transformation af sundhedsvæsenet: 1) Digitale sundhedstilbud
skal være umiddelbart tilgængelige for borgerne; 2) borgerne skal let og overskueligt kunne tilgå sundheds­
væsenet digitalt; 3) en national dataplatform og den digitale infrastruktur skal understøtte sundheds­
personalet­i­at­samarbejde­om­borgerne­på­tværs­af­sundhedsvæsenet;­4)­en­sammenhængende­og­
f
­ orpligtende­digital­arkitektur­på­sundhedsområdet­skal­skabe­rammer­for­udvikling­og­fleksibel­tilpasning­
til den lokale opgavehåndtering; 5) styrket koordination og samarbejde om optag og udbredelse af
innovative løsninger skal understøtte, at teknologiens potentiale til at frigøre arbejdskraft og løfte kvalitet
kan­komme­flere­medarbejdere­og­borgere­til­gavn.
Tilpasset fordeling af ressourcer i sundhedsvæsenet
Fordelingen­af­ressourcer­mellem­det­primære­sundhedsvæsen­og­det­sekundære­sundhedsvæsen­skal­
afspejle­befolkningens­behov­for­sundhedsydelser.­Mange­flere­borgere­vil­i­fremtiden­have­gavn­af­at­blive­
behandlet­i­det­primære­sundhedsvæsen.­Det­kræver­en­tilpasset­ressourcefordeling,­hvor­en­større­andel­
af­ressourcerne­skal­målrettes­det­primære­sundhedsvæsen.­Samtidig­er­der­behov­for­en­omstilling­af­
sygehusene,­hvor­væksten­skal­reduceres,­og­sygehusene­skal­have­et­stærkere­fokus­på­at­understøtte­
udviklingen af det primære sundhedsvæsen.
Det indebærer, at de sygehusansvarlige myndigheder har et stærkt fokus på kun at tilbyde sygehusindsatser,
som har en reel sundhedsfaglig værdi for patienter. Sundhedsstyrelsen har i et notat til Sundhedsstruktur­
kommissionen­peget­på,­at­flere­undersøgelser­viser,­at­20­pct.­eller­mere­af­sygehusaktiviteten­vurderes­at­
være unødvendig.
Den­geografiske­fordeling­af­ressourcer­og­sundhedsfagligt­personale­skal­afspejle­befolkningens­sundheds­
behov forskellige steder i landet. I de områder, hvor borgerne har et relativt stort behov for sundheds­
ydelser­som­følge­af­høj­sygelighed,­bør­der­også­være­relativt­flere­ressourcer­til­rådighed.­Det­er­ikke­
tilfældet i dag. Adgangen til sundhedstilbud er generelt bedre i de områder af landet, hvor befolkningen
som helhed er sundest, mens den er dårligere i de områder, hvor behovet for sundhedsydelser er størst.
Der­er­geografiske­forskelle­i­adgangen­til­almenmedicinske­tilbud,­og­der­er­udfordringer­med­at­sikre­
læger på sygehusene udenfor de store byer. Tiltagene til bedre fordeling af sundhedsfagligt personale på
tværs­af­landet­og­den­forventede­udvikling­i­de­geografiske­forskelle­i­sundhed­og­sygdomsbyrde­kan­
ændre på udgiftsbehovet på tværs af landet. Derfor vil der potentielt være konsekvenser for, hvordan
økonomien på sundhedsområdet skal fordeles.
INU, Alm.del - 2023-24 - Bilag 51: Orientering om Sundhedsstrukturkommissionens afrapportering, fra indenrigs- og sundhedsministeren
2880265_0019.png
19
Sundhedsstrukturkommissionen­vurderer,­at­den­nuværende­fordeling­af­ressourcer­bidrager­til­en­
g
­ eografisk­og­social­ulighed­i­sundhed.­Det­er­en­ulighed,­der­risikerer­at­blive­forstærket­i­de­kommende­
år,­bl.a.­som­følge­af­udviklingen­i­demografien­(se­kapitel­11).­
Boks 6
Anbefaling 3
Sundhedsstrukturkommissionen anbefaler, at der udarbejdes en national sundhedsplan, som skal
sætte en strategisk retning for tiltag, der sikrer tilpasning af ressourcefordelingen mellem både det
primære og sekundære sundhedsvæsen og geografisk på tværs af landet.
Formålet med anbefalingen er at sikre en mere hensigtsmæssig balance mellem det primære og det
sekundære sundhedsvæsen, som skal muliggøre den ønskede omstilling af sundhedsvæsenet, hvor
flere borgere har forløb i det primære sundhedsvæsen. Formålet er også at understøtte, at borgere
i alle dele af landet har adgang til relevante sundhedstilbud og dermed nedbringe den geografiske
og sociale ulighed i sundhed.
Boks 7
Forslag
1. Ressourcefordelingen mellem det primære sundhedsvæsen og sygehusene skal tilpasses. Forslaget
indebærer en styrket prioritering af det primære sundhedsvæsen, som ledsages af en tilsvarende
reduceret vækst for sygehusene. Sygehusene skal samtidig have en stærkere rolle i at understøtte
udviklingen af det primære sundhedsvæsen.
2. Fordeling af læger geografisk og på tværs af sygehuse og det primære sundhedsvæsen skal tilpasses.
Forslaget indebærer en incitamentsmodel i form af et vækstloft for sygehuslæger indenfor udvalgte
geografiske områder og eventuelt specialer, som skal understøtte, at flere læger søger mod sygehuse
udenfor de store byer.
3. Kvalitetsstandarder skal udvikles mod at kunne gå på tværs af sektorer, stille krav til samarbejde i det
primære sundhedsvæsen og styrke monitorering og eventuelt kombinere kravene med økonomiske
incitamenter.
INU, Alm.del - 2023-24 - Bilag 51: Orientering om Sundhedsstrukturkommissionens afrapportering, fra indenrigs- og sundhedsministeren
2880265_0020.png
20
4. Styring af den lægelige videreuddannelse skal styrkes, og medicinuddannelsen skal tilpasses. Forslaget
indebærer bl.a., at uddannelseslæger skal bruge en større del af deres uddannelsesforløb udenfor
universitetshospitalerne i de større byer, og der skal være et større fokus på faglig bredde og
generalistkompetencer i speciallægeuddannelsen. Dimensioneringen af medicinuddannelsen skal
understøtte en hensigtsmæssig vækst af læger fremover, og der skal på uddannelsen være et større
fokus på de almene sundhedsindsatser.
5. Sundhedsfaglig forskning skal i højere grad målrettes sundhedstjenesteforskning med udgangspunkt
i det primære sundhedsvæsen og i mindre grad specialiserede indsatser på sygehusene. Ph.d.-forløb
skal i højere grad besættes af andre sundhedsfaglige grupper end læger.
6. Styring af det højt specialiserede sygehusområde skal ændres, så de sygehusansvarlige myndigheder
får redskaber til at sikre et balanceret ressourceforbrug på tværs af det specialiserede og almene
sygehusområde.
7. Sundhedscentre i form af fleksible og innovative tilbud skal styrke det primære sundhedsvæsen,
særligt de almenmedicinske tilbud, og skabe rammer for bedre sammenhæng og samarbejde lokalt.
Forslaget har særlig relevans i områder med langt til sygehuset.
Styrket sammenhæng og kvalitet i indsatsen for mennesker med psykiske lidelser
Psykiatrien er en væsentligt del af det samlede sundhedsvæsen. Flere af de udfordringer, som patienter
oplever i det øvrige sundhedsvæsen, gælder i høj grad også i psykiatrien. Når Sundhedsstruktur­
kommissionen har valgt at præsentere en særskilt anbefaling og forslag for psykiatrien, skyldes det,
at kommissionen ser det som en helt afgørende opgave for sundhedsvæsenet at skabe bedre rammer
for indsatsen for mennesker med psykiske lidelser.
Der er behov for, at kvaliteten af behandlingen løftes, og sammenhængen i indsatsen på tværs af sektorerne
styrkes.­Samtidig­er­kapaciteten­i­både­behandlingspsykiatrien,­og­i­de­kommunale­indsatser­udfordret.­
Stadig­flere­efterspørger­udredning­og­behandling­for­psykiske­lidelser,­ligesom­det­stigende­antal­ældre­
vil­medføre,­at­stadig­flere­udvikler­demenssygdomme,­som­kræver­samtidig­behandling,­pleje­og­hjælp­i­
forhold til at håndtere både somatiske og psykiske udfordringer. Herudover står den psykiske lidelse
sjældent alene, idet den ofte følges af samtidige somatiske udfordringer.
Sundhedsstrukturkommissionen vurderer, at tiltag, der kan styrke sammenhæng og kvalitet i den tvær­
gående indsats for mennesker med psykiske lidelser, har et betydeligt potentiale for at løfte sundheden og
livskvaliteten for borgere med psykiske lidelser. Samtidig vurderer kommissionen, at der er et betydeligt
potentiale i tidlige og forebyggende indsatser, som kan hjælpe borgere, inden en psykisk mistrivsel bliver
til en egentlig psykisk lidelse (se kapitel 12).
INU, Alm.del - 2023-24 - Bilag 51: Orientering om Sundhedsstrukturkommissionens afrapportering, fra indenrigs- og sundhedsministeren
2880265_0021.png
21
Boks 8
Anbefaling 4
Sundhedsstrukturkommissionen anbefaler ændringer af organiseringen og samarbejdet på
psykiatriområdet, herunder at psykiatrien integreres organisatorisk med det samlede sygehusvæsen,
for at understøtte en styrket sammenhæng for den enkelte og et løft af kvaliteten i den tværgående
indsats for mennesker med psykiske lidelser.
Boks 9
Forslag
1. Psykiatrien skal integreres organisatorisk i det samlede sygehusvæsen. Formålet er at sikre bedre
sammenhæng for patienter med psykiske lidelser, styrke muligheden for at somatiske lidelser
opdages og behandles mere effektivt hos mennesker med psykiske lidelser, sikre nemmere adgang
til psykiatriske kompetencer for somatiske patienter og bidrage til et styrket ledelsesmæssigt fokus
og tættere samarbejde mellem psykiatrien og somatikken om forskning, kvalitetsudvikling og
kompetenceopbygning.
2. Det tværsektorielle samarbejde om borgere med psykiske lidelser skal styrkes. Forslaget involverer
krav om fasttilknyttede læger på botilbud, nationale kvalitetsstandarder for den sundhedsfaglige
indsats i socialpsykiatrien og overvejelser om tværsektorielle samarbejdsfora på psykiatriområdet.
Tiltagene skal bl.a. sikre en langt stærkere forebyggende indsats på de sociale botilbud og løfte og
ensarte kvaliteten i de sundhedsfaglige indsatser for borgere, som modtager samtidige indsatser
indenfor sundheds- og socialområdet. Samtidig skal tiltagene understøtte den ønskede udvikling
af sundhedsvæsenet, hvor flere forløb varetages i det primære sundhedsvæsen og bidrage til bedre
sammenhæng for borgeren ved at tydeliggøre ansvars- og opgavefordelingen mellem relevante
aktører.
3. Udbredelse af brugen af digitale løsninger i psykiatrien skal styrkes. Formålet er at sikre hurtigere
udbredelse og bedre udnyttelse af digitale løsninger, som kan skabe bedre tilgængelighed, sammen-
hæng og hurtigere hjælp på rette niveau. Det gælder generelt for sundhedsvæsenet. Udvikling af
digitale løsninger har dog et særligt potentiale indenfor psykiatrien, hvor de kan være med til at
afhjælpe, at en psykisk lidelse udvikler sig eller forværres og kræver mere specialiseret behandling.
INU, Alm.del - 2023-24 - Bilag 51: Orientering om Sundhedsstrukturkommissionens afrapportering, fra indenrigs- og sundhedsministeren
2880265_0022.png
22
Forslagene skal også ses i lyset af og gennemføres i sammenhæng med igangværende og kommende
initiativer. Det omfatter bl.a. 10­årsplanen for psykiatrien og anbefalingerne i det faglige oplæg til 10­års­
planen­om­løbende­kapacitetsopbygning,­hvor­både­indsatsen­i­kommuner,­på­sygehusene­og­i­det­almen­
medicinske­tilbud­prioriteres.
Private aktører og rettigheder
I Danmark er der en lang tradition for at bruge private aktører som leverandører i dele af det offentligt
finansierede­sundhedsvæsen.­Sundhedsstrukturkommissionen­har­–­i­tillæg­til­private­leverandører­i­det­
almenmedicinske­tilbud,­som­behandles­i­kapitel­9­–­fokuseret­på­to­yderligere­kategorier­af­private­aktører,­
nemlig­praktiserende­speciallæger­og­private­kommercielle­sygehuse.­Derudover­har­kommissionen­drøftet­
brugen af patientrettigheder og private sundhedsforsikringer (se kapitel 13).
Sundhedsstrukturkommissionen­har­diskuteret­de­organisatoriske­rammer­for­de­praktiserende­special-
læger i lyset af den udvikling, som sundhedsvæsenet står overfor. Den samlede efterspørgsel på sundheds­
ydelser­er­stigende­som­følge­af,­at­antallet­af­borgere­med­en­eller­flere­sygdomme­stiger.­Samtidig­har­
en­større­andel­af­patienterne­behov­for­behandlingsforløb,­som­er­forankrede­i­det­almenmedicinske­
tilbud­med­støtte­fra­det­sekundære­sundhedsvæsen.­Kommissionen­bemærker,­at­aftalesystemet­for­
de­praktiserende­speciallæger­generelt­set­fremstår­velfungerende.­Det­er­dog­Sundhedsstruktur-
kommissionens­overordnede­vurdering,­at­den­nuværende­organisering­af­de­praktiserende­speciallæger­
ikke­i­tilstrækkeligt­omfang­understøtter­en­optimal­udnyttelse­af­de­praktiserende­speciallægers­samlede­
ressourcer.
Boks 10
Anbefaling 5
Sundhedsstrukturkommissionen anbefaler, at de organisatoriske rammer for de praktiserende
speciallæger tilpasses for at understøtte en effektiv brug af de samlede speciallægeressourcer i
omstillingen af sundhedsvæsenet.
INU, Alm.del - 2023-24 - Bilag 51: Orientering om Sundhedsstrukturkommissionens afrapportering, fra indenrigs- og sundhedsministeren
2880265_0023.png
23
Boks 11
Forslag
1. Planlægning af det praktiserende speciallægetilbud skal ske indenfor en styrket national ramme, som
understøtter en ændret geografisk fordeling og effektiv brug af speciallægetilbuddet i det samlede
sundhedsvæsen.
2. Det lovmæssige grundlag for ledelse af samarbejde med speciallægepraksis skal styrkes, og der skal
ske en skærpelse af den ansvarlige myndigheds organisatoriske fokus på ledelse af samarbejde og
kvalitetsudvikling.
3. Der skal skabes bedre grundlag for, fx via en fælles indgang, at patienter med størst behov prioriteres
først, og der opnås en samlet set mere effektiv anvendelse af ressourcerne.
Kommissionen­har­gjort­sig­en­række­overvejelser­om­brugen­af­private­sygehuse,­sundhedsforsikringer­
og patientrettigheder, men har ikke fundet anledning til at komme med anbefalinger om organisatoriske
ændringer indenfor områderne.
I drøftelsen af brugen af private sygehuse lægger kommissionen vægt på, at de sygehusansvarlige myndig­
heder­fortsat­skal­anvende­den­private­sygehuskapacitet­strategisk,­bl.a.­for­at­understøtte­sammenhæng­
i patienternes forløb. Hos de sygehusansvarlige myndigheder bør der også være opmærksomhed på, at brug
af­privat­kapacitet­ikke­må­medføre­en­sårbarhed­for­det­offentlige­sundhedsvæsen­på­de­områder,­hvor­
private­sygehuse­varetager­en­forholdsvis­stor­del­af­den­offentligt­finansierede­aktivitet.­
Sundhedsstrukturkommissionen har desuden drøftet, om forsikringsselskaberne selv bør ansætte egne
læger til at visitere patienter til indsatser, der kræver lægeerklæring. Det er dog kommissionens vurdering,
at­det­almenmedicinske­tilbud­fortsat­bør­varetage­rollen­som­gatekeeper,­også­for­patienter­med­en­
sundhedsforsikring,­med­henblik­på­at­henvisning­til­og­træk­på­sundhedsfaglige­ressourcer­sker­på­
sundhedsfaglig indikation. På den måde mindskes risikoen for et uhensigtsmæssigt træk på knappe
p
­ ersonaleressourcer­i­sundhedsvæsenet.­Det­vil­dog­være­hensigtsmæssigt,­hvis­der­er­en­dialog­og­et­
løbende samarbejde mellem det offentlige sundhedsvæsen og forsikringsselskaberne om brugen af sund­
hedsforsikringer.
Endelig vurderer Sundhedsstrukturkommissionen, at patientrettigheder om frit valg og hurtig udredning,
behandling og genoptræning generelt udgør en positiv drivkraft i sundhedsvæsenet, som er med til at løfte
kvaliteten­og­forbedre­patienternes­oplevelser­i­sundhedsvæsenet.­Kommissionen­er­dog­opmærksom­på,­
at patientrettigheder også kan have uhensigtsmæssige konsekvenser for sundhedsvæsenet. Robustheds­
kommissionen har bl.a. peget på, at patientrettigheder kan vanskeliggøre mulighederne for at foretage
faglige skøn og prioriteringer i sundhedsvæsenet. Ved overvejelser om eventuel indførelse af nye rettig­
heder eller ved tilpasninger af eksisterende patientrettigheder bør et væsentligt hensyn være, at rettig­
hederne ikke fører til en øget prioritering af sygehussektoren på bekostning af det primære sundhedsvæsen
(se også kapitel 13).
4. Opgavesamling, forvaltningsmodeller, implementering
og økonomi
I­rapportens­fjerde­del­opstiller­og­vurderer­kommissionen­tre­modeller­for­den­fremtidige­forvaltnings­
struktur i sundhedsvæsenet, som i varierende grad også berører områder, der er nærtliggende til sundheds­
området. Desuden præsenteres kommissionens anbefaling om at understøtte implementering af en reform
og en række overvejelser om de ledelsesmæssige udfordringer, som omstillingen af sundhedsvæsenet
indebærer.­I­rapportens­fjerde­del­gives­der­også­en­vurdering­af­de­økonomiske­og­finansieringsmæssige­
konsekvenser­af­kommissionens­samlede­anbefalinger,­forslag­og­modeller­(se­kapitelerne­14-17).­
INU, Alm.del - 2023-24 - Bilag 51: Orientering om Sundhedsstrukturkommissionens afrapportering, fra indenrigs- og sundhedsministeren
2880265_0024.png
24
Forvaltningsmodeller
Sundhedsstrukturkommissionen har fået til opgave at opstille og vurdere modeller for organiseringen
af fremtidens sundhedsvæsen, som understøtter et forebyggende og sammenhængende sundhedsvæsen,
præget af lighed, nærhed og en bæredygtig organisering. Sundhedsstrukturkommissionen opstiller tre
forvaltningsmodeller­for­sundhedsvæsenet.­Kommissionen­anbefaler­ikke­én­konkret­forvaltningsmodel,­
men i overensstemmelse med kommissoriet afvejer kommissionen for hver af modellerne fordele og
ulemper­(se­kapitel­14-15).
De­tre­modeller­adskiller­sig­indbyrdes­i­forhold­til,­om­sundhedsvæsenet­har­en­decentral­eller­en­national­
politisk ledelse, og i forhold til, om der sker en større samling af opgaver indenfor sundheds­ og ældre­
området eller en mindre eller ingen opgavesamling.
To af de tre forvaltningsmodeller indebærer en større samling af ansvaret for opgaver indenfor sundheds­
og­ældreområdet­under­én­myndighed.­Det­er­opgaver,­hvor­ansvaret­i­dag­er­fordelt­på­regioner­og­
k
­ ommuner.­I­den­ene­af­de­to­modeller,­model­1,­er­det­politiske­ansvar­forankret­decentralt­med­etablering­
af sundheds­ og omsorgsregioner, der ledes af regionsråd med direkte valgt politisk ledelse. I den anden
model,­model­2,­ligger­det­politiske­ansvar­på­det­nationale­niveau,­og­der­er­i­den­model­ingen­decentral­
politisk ledelse af sundhedsvæsenet. Rationalet i de to forvaltningsmodeller er at skabe bedre sammenhæng
i­sundhedsvæsenet­ved­at­samle­det­politiske­ansvar­for­sygehuse,­det­almenmedicinske­tilbud,­den­øvrige­
praksissektor og en række opgaver på sundheds­ og ældreområdet, som i dag bliver løst af kommunerne.
I den tredje forvaltningsmodel, model 3, sker en mindre – eller ingen – samling af de opgaver indenfor
sundheds­ og ældreområdet, som i dag er henholdsvis kommunernes og regionernes ansvar. Udgangspunk­
tet for model 3 er at styrke nærhed, bæredygtighed, lighed og sammenhæng i sundhedsvæsenet uden en
større­samling­af­opgaver­under­én­myndighed.­Det­skal­ses­i­lyset­af,­at­der­også­vil­være­ulemper­forbun­
det­med­at­flytte­mange­og­tunge­opgaver­ud­af­kommunerne.­Model­3­fastholder­et­decentralt­politisk­
ansvar for sundhedsvæsenet, men indebærer ændringer i regionernes politiske styreform, tiltag
til at udbygge det primære sundhedsvæsen og styrkede krav til den kommunale opgavevaretagelse på
sundhedsområdet.
INU, Alm.del - 2023-24 - Bilag 51: Orientering om Sundhedsstrukturkommissionens afrapportering, fra indenrigs- og sundhedsministeren
25
Kommissionen­har­ved­opstillingen­af­forvaltningsmodeller­lagt­til­grund,­at­der­ikke­bør­være­flere­
myndighedsniveauer end de tre, der eksisterer i dag (kommuner, regioner og stat). Opstillingen af modeller
er desuden afgrænset af, at det ligger udenfor kommissoriet at forholde sig til kommunernes styreform
og­geografiske­afgrænsning­(se­kapitel­15).
I­kapitel­14­opstiller­og­vurderer­kommissionen­tre­niveauer­af­opgavesamling,­der­beskrives­som­
henholdsvis en stor opgavesamling, en mellemstor opgavesamling og en mindre opgavesamling. Som det
fremgår­af­anbefalingerne,­ser­kommissionen­ikke­samling­af­opgaveansvaret­under­én­myndighed­som­den­
eneste måde, hvor der kan skabes stærkere sammenhæng og omstilling i sundhedsvæsenet. Sammenhæng
ved opgavesamling har dog nogle klare fordele, som gør det vigtigt at afsøge de potentialer, der knytter
sig til en reform af opgaveansvaret. For det første giver det reel mulighed for at skabe sammenhængende
patientforløb,­hvis­hele­patientforløbet­ligger­under­én­myndigheds­ansvar,­fremfor­hvis­det­er­delt­mellem­
to­eller­flere­myndigheder.­For­det­andet­styrker­det­muligheden­for­at­bruge­ressourcerne­mere­effektivt­–­
både­økonomiske,­teknologiske­og­personalemæssige­ressourcer­–­hvis­det­er­samme­myndighed,­der­har­
ansvaret for sammenhængende opgaver.
Den store og den mellemstore opgavesamling knytter sig til forvaltningsmodel 1 og 2. I hovedtræk inde­
bærer den store opgavesamling, at størstedelen af det kommunale ældre­ og træningsområde, kommunal
sygepleje,­patientrettet­forebyggelse­og­sygehus-­og­praksissektor­samles­under­én­myndighed.­I­den­
mellemstore opgavesamling bevarer kommunerne ansvaret for plejehjem og plejeboliger.
I­kapitel­14­beskrives­tilsvarende­en­mindre­opgavesamling,­som­knytter­sig­til­den­tredje­forvaltnings-
model, model 3. Den opgavesamling indebærer bl.a., at dele af den kommunale sygepleje, patientrettet
forebyggelse,­dele­af­genoptræningsindsatsen­og­sygehus-­og­praksissektor­samles­under­én­myndighed.­
Derudover indgår overvejelser om, hvordan ændret regulering af hjælpemidler/behandlingsredskaber og
midlertidige pladser/akutpladser bl.a. kan understøtte bedre sammenhæng for borgerne i et sektoropdelt
sundhedsvæsen.
Sundhedsstrukturkommissionen anser den store opgavesamling for at have det største potentiale for at
understøtte sammenhæng og omstilling. Alle niveauer af opgavesamling vil dog i forskellig grad medføre
ulemper,­da­der­samtidig­skabes­nye­snitflader­til­andre­dele­af­det­kommunale­område,­fx­indsatser­på­
social-­og­beskæftigelsesområderne,­ved­ændret­ansvarsplacering.­
Ingen model for organiseringen af sundhedsvæsenet vil fuldt ud leve op til alle væsentlige hensyn. Alle
modeller vil have indbyggede svagheder, som må afvejes i forhold til de styrker, der knytter sig til den
pågældende model. Vurderingen af modellernes fordele og ulemper sker på baggrund af de hensyn,
kommissionen opstiller i kapitel 6, og som også dækker de sigtelinjer, der er formuleret i kommissoriet.
INU, Alm.del - 2023-24 - Bilag 51: Orientering om Sundhedsstrukturkommissionens afrapportering, fra indenrigs- og sundhedsministeren
2880265_0026.png
26
Model 1 – Regionalt enhedssundhedsvæsen med sundheds- og omsorgsregioner
I forvaltningsmodel 1 nedlægges de nuværende regioner, og der etableres et nyt forvaltningsled i form
af 8­10 sundheds­ og omsorgsregioner. Antallet af sundheds­ og omsorgsregioner afspejler en samlet
afvejning af hensynet til nærhed til de opgaver, som sundheds­ og omsorgsregionerne overtager fra
kommunerne, og hensynet til bæredygtighed i opgaveløsningen på tværs af de opgaver, som sundheds­
og omsorgsregionerne får ansvaret for. Hver sundheds­ og omsorgsregion ledes af 21­25 direkte valgte
politikere, og det foreslås, at der oprettes nærudvalg, som skal understøtte politisk og administrativ
opmærksomhed på omstilling til og udvikling af det primære sundhedsvæsen og på de lokale problemer
og behov indenfor sundheds­ og omsorgsregionerne.
De­nye­sundheds-­og­omsorgsregioner­får­det­samlede­ansvar­for­sygehuse,­almenmedicinske­tilbud­og­
den øvrige praksissektor. Samtidig får de ansvaret for en række opgaver på sundheds­ og ældreområdet,
som i dag bliver løst af kommunerne. De nuværende regioner nedlægges, og deres sundhedsopgaver
overgår til de nye sundheds­ og omsorgsregioner sammen med de opgaver, der overdrages fra kommun­
erne. De nye sundheds­ og omsorgsregioner får dermed et bredt ansvar for sammenhængende opgaver
på sundheds­ og ældreområdet, som i dag er delt mellem regioner og kommuner.
De eksisterende sundhedsklynger nedlægges, da de ikke er relevante i en model, der samler opgaver på
sundheds­ og ældreområdet under samme myndighed.
Sundhedsstrukturkommissionen har i forhold til model 1 overvejet en variant (model 1a), hvor med­
lemmerne af regionsrådene ikke vælges ved direkte valg, men i stedet udpeges af kommunalbestyrelserne
i de kommuner, som ligger i de enkelte sundheds­ og omsorgsregioner. Varianten af model 1 opstilles og
vurderes selvstændigt i kapitel 15.
Model 1
Enhedssundhedsvæsen med 8-10 sundheds- og omsorgsregioner
Stat
8-10 sundheds- og omsorgsregioner
Nærudvalg under hvert regionsråd
98 kommuner
INU, Alm.del - 2023-24 - Bilag 51: Orientering om Sundhedsstrukturkommissionens afrapportering, fra indenrigs- og sundhedsministeren
2880265_0027.png
27
Boks 12
Fordele og ulemper sammenlignet med den nuværende organisering ud fra
de centrale hensyn
Fordele sammenlignet med den nuværende organisering ud fra de centrale hensyn
Modellen tilvejebringer en reel og markant styrkelse af et entydigt politisk ansvar for en række
sammenhængende opgaver på sundheds- og ældreområdet, som i den nuværende struktur er
underlagt delt politisk ansvar.
Samlingen af en række sammenhængende opgaver i de nye sundheds- og omsorgsregioner skaber
øget klarhed om ansvarsfordelingen, bedre rammer for at skabe sammenhængende patientforløb
og stærkere tilskyndelser til at investere i omkostningseffektive og forebyggende indsatser udenfor
sygehusmatriklerne.
Modellen vil øge regionernes prioriteringsrum og dermed understøtte effektiv brug af de tilgængelige
ressourcer.
Modellen styrker den faglige bæredygtighed i det primære sundhedsvæsen, især i de områder af
landet, hvor opgaverne i dag varetages af mindre kommuner.
Etableringen af et samlet politisk ansvar for sundhedsvæsenet reducerer behovet for kompenserende
statslige styringstiltag.
Modellen fastholder en stærk demokratisk kontrol med sundhedsvæsenet, og det hensyn får større
vægt, desto flere og tungere opgaver den pågældende myndighed får ansvaret for.
Ulemper sammenlignet med den nuværende organisering ud fra de centrale hensyn
Afstanden mellem den politiske ledelse og borgerne vil blive større for så vidt angår de opgaver,
der overtages fra kommunerne.
Modellen vil reducere kommunernes prioriteringsrum på tværs af velfærdsområder, fordi en
væsentlig del af de kommunale opgaver flyttes til sundheds- og omsorgsregionerne.
En opdeling af de nuværende fem regioner i 8-10 nye sundheds- og omsorgsregioner kan medføre
mindre faglig bæredygtighed i varetagelsen af sygehusopgaver og risiko for tab af de senere års
opnåede centraliserings- og specialiseringsgevinster i sygehussektoren.
Etableringen af flere regionale enheder end i dag kan isoleret betragtet medføre øgede geografiske
forskelle, og der vil som følge af flere patientstrømme på tværs af de nye regioner være risiko for
suboptimering i brugen af de samlede ressourcer.
Der vil være tale om en markant reform, som flytter et stort antal medarbejdere og mange ressourcer
fra kommunal ledelse til en regional ledelse med deraf afledte omstillings- og implementerings-
omkostninger.
INU, Alm.del - 2023-24 - Bilag 51: Orientering om Sundhedsstrukturkommissionens afrapportering, fra indenrigs- og sundhedsministeren
2880265_0028.png
28
Model 2 – Statsligt enhedssundhedsvæsen
I kommissionens anden model nedlægges regionerne, og staten overtager myndigheds­ og driftsansvaret
for­sygehuse,­almenmedicinske­tilbud­og­den­øvrige­praksissektor.­Derudover­får­staten­ansvaret­for­en­
række opgaver på sundheds­ og ældreområdet, som i dag bliver løst af kommunerne.
”Sundhed og Omsorg Danmark” er en fællesbetegnelse for det opgaveområde, som staten overtager
ansvaret­for.­Det­politiske­ansvar­er­placeret­hos­ministeren­for­området,­som­fastsætter­den­overordnede­
strategi­og­udviklingsplan­for­sundhedsvæsenet.­Der­etableres­en­central­bestyrelse­og­driftsorganisation­
under det ansvarlige ministerium, som har det overordnede driftsansvar med ansvar for den samlede
økonomi­(drift­og­anlæg)­og­centrale­HR-funktion.­Den­daglige­drift­varetages­af­8-10­decentrale,­admini-
strative­enheder­med­en­decentral­bestyrelse­for­hver­enhed.
Model 2
Statsligt enhedssundhedsvæsen med 8-10 administrative enheder
Ministerium
Nationalt udpeget bestyrelse
Direktion
Central driftsorganisation
8-10 administrative enheder
Bestyrelse
& direktion
Bestyrelse
& direktion
Bestyrelse
& direktion
Bestyrelse
& direktion
Bestyrelse
& direktion
Bestyrelse
& direktion
Bestyrelse
& direktion
Bestyrelse
& direktion
Bestyrelse
& direktion
Bestyrelse
& direktion
98 kommuner
INU, Alm.del - 2023-24 - Bilag 51: Orientering om Sundhedsstrukturkommissionens afrapportering, fra indenrigs- og sundhedsministeren
2880265_0029.png
29
Boks 13
Fordele og ulemper sammenlignet med den nuværende organisering ud fra
de centrale hensyn
Fordele sammenlignet med den nuværende organisering ud fra de centrale hensyn
Modellen tilvejebringer en reel og markant styrkelse af et entydigt politisk ansvar for en række
sammenhængende opgaver på sundheds- og ældreområdet, som i den nuværende struktur er
underlagt delt politisk ansvar.
Samlingen af en række beslægtede opgaver under samme myndighed skaber øget klarhed om
ansvarsfordelingen, bedre rammer for at skabe sammenhængende patientforløb og stærkere
incitamenter til at investere i omkostningseffektive og forebyggende indsatser udenfor sygehusenes
matrikler.
Modellen styrker den faglige bæredygtighed i det primære sundhedsvæsen, især i de områder af
landet, hvor opgaverne i dag varetages af mindre kommuner.
Modellen understøtter den samlede kvalitet i opgaveløsningen i kraft af en tættere integration af det
primære og det sekundære sundhedsvæsen.
Modellen skaber potentiale for øget geografisk lighed, fordi staten gennem et samlet arbejdsgiver-
ansvar i princippet har bedre mulighed for at flytte ressourcer derhen, hvor behovet er størst.
Modellen skaber grundlag for en styrket national beslutnings- og eksekveringskraft, fx indenfor data
og digitalisering.
Ulemper sammenlignet med den nuværende organisering ud fra de centrale hensyn
Modellen indebærer en markant centralisering af det politiske ansvar for sygehuse og en række
opgaver på sundheds- og ældreområdet, som i dag er kommunernes eller regionernes ansvar.
Modellen indebærer etablering af et statsligt driftsområde, som i udgifter, kompleksitet og antal
medarbejdere klart overstiger alle andre statslige driftsområder. Det kan give væsentlige styrings-
udfordringer.
Der er betydelig risiko for manglende politisk kapacitet til stillingtagen til løbende prioriteringer,
reformer og tilpasninger på sundhedsområdet. Risikoen forstærkes af, at mange enkeltsager vil ende
hos den ansvarlige minister.
Modellen svækker borgernes mulighed for lokalt eller regionalt at øve indflydelse på opgavevare-
tagelsen på sundheds- og ældreområdet, og modellen forringer mulighederne for at tilpasse opgave-
løsningen til lokale forskelle i borgernes ønsker og behov.
En stor statslig sundhedsforvaltning giver risiko for interne forvaltningsmæssige barrierer, der kan
minde om de nuværende sektorgrænser, og risiko for stor ledelseskompleksitet og lange beslutnings-
veje og en deraf afledt svækket politisk kontrol med forvaltningen.
Det er en udfordring for det nuværende sundhedsvæsen, at fem regioner skal koordinere med i alt
98 kommuner. Udfordringen bliver ikke mindre, hvis én statslig myndighed skal koordinere med
98 kommuner.
INU, Alm.del - 2023-24 - Bilag 51: Orientering om Sundhedsstrukturkommissionens afrapportering, fra indenrigs- og sundhedsministeren
2880265_0030.png
30
Model 3 – Sundhedsregioner
I kommissionens tredje model tages der udgangspunkt i den nuværende opgavefordeling indenfor sund­
heds­ og ældreområdet. Det vil sige, at regionerne fortsat har ansvaret for sygehuse og praksissektoren,
og kommunerne har fortsat ansvaret for deres nuværende opgaver på sundheds­ og ældreområdet.
I modellen kan der ske en mindre samling af opgaver på sundheds­ og ældreområdet, men modellen bygger
på et rationale om en væsentlig mindre opgavesamling sammenlignet med model 1 og 2. Modellen inde­
holder til gengæld en række andre forslag, som skal understøtte bedre sammenhæng for borgerne og
styrke en omstilling af sundhedsvæsenet.
Modellen indebærer bl.a., at en del af regionernes økonomi målrettes indsatser i det primære sundheds­
væsen. Formålet er at sikre et øget regionalt fokus på en ændret opgaveløsning, hvor en større del af
opgaveløsningen sker i det primære sundhedsvæsen fremfor på sygehusene. Modellen indeholder også et
forslag,­der­skal­styrke­kommunernes­incitament­til­at­prioritere­effektive­forebyggelses-­og­plejeindsatser
til gavn for borgerne.
Herudover indeholder modellen forslag om styrkede statslige krav til den kommunale opgavevaretagelse
på sundhedsområdet. Desuden indebærer modellen en grundlæggende forandring af de nuværende
sundhedsklynger og forslag til ændringer af regionernes politiske styreform med bl.a. oprettelse af
g
­ eografisk­forankrede­nærudvalg.
Hvad angår antallet af sundhedsregioner, indeholder modellen to varianter: En variant, hvor antallet af
regioner­reduceres­fra­de­nuværende­fem­til­tre­regioner,­og­en­variant,­hvor­de­nuværende­fem­regioner­
bevares. Der er både hensyn, der taler for en variant med tre regioner, og hensyn, der taler for en variant
med de nuværende fem regioner.
Modellen­skal­desuden­ses­i­sammenhæng­med­de­af­kommissionens­anbefalinger,­som­er­uafhængige­
af­forvaltningsstrukturen­(se­kapitlerne­9-13).
Model 3
Sundhedsregioner
Stat
3-5 sundhedsregioner
Nærudvalg under hvert regionsråd
98 kommuner
INU, Alm.del - 2023-24 - Bilag 51: Orientering om Sundhedsstrukturkommissionens afrapportering, fra indenrigs- og sundhedsministeren
2880265_0031.png
31
Boks 14
Fordele og ulemper sammenlignet med den nuværende organisering ud fra
de centrale hensyn
Fordele sammenlignet med den nuværende organisering ud fra de centrale hensyn
Modellen indeholder en række nye styringstiltag, som understøtter opbygning og udvikling af det
primære sundhedsvæsen.
Den nationale målretning af midler til det primære sundhedsvæsen udgør et betydeligt økonomisk
løft i form af varige midler, som skal udmøntes årligt. Sammenlignet med i dag vil regionerne få et
stærkere incitament til at prioritere indsatser i det primære sundhedsvæsen, som kan reducere
behovet for sygehusaktivitet.
Styrkede statslige krav til den kommunale opgavevaretagelse, bl.a. med indførelse af et resultat-
afhængigt tilskud for kommunerne, vurderes at kunne medvirke til øget politisk opmærksomhed
på sundheds- og ældreområdet i kommunerne og generelt større og mere ensartet kvalitet på tværs
af landet.
Oprettelsen af nærudvalg i de nye sundhedsregioner vurderes at styrke grundlaget for tværsektorielt
samarbejde, fx om sammenhængende indsatser for borgere.
Modellen sigter på at udvikle sundhedsvæsenet uden at ændre grundlæggende ved den nuværende
opgave- og ansvarsfordeling, og den indebærer derfor begrænsede omstillings- og implementerings-
omkostninger.
Varianten med tre regioner giver øget faglig bæredygtighed i forhold til sygehusdrift.
Ulemper sammenlignet med den nuværende organisering ud fra de centrale hensyn
Det foreslåede styringstiltag om målretning af midler til det primære sundhedsvæsen indebærer en
risiko for, at kommunerne sammenlignet med i dag har svagere tilskyndelse til at prioritere indsatser
på sundheds- og ældreområdet. Risikoen forsøges imødegået ved at indføre et særskilt resultat-
afhængigt tilskud for kommunerne og ved en udvidet kvalitetsplan og forpligtende kvalitets-
standarder.
Sammenlignet med den nuværende styring og organisering forudsætter det foreslåede styringstiltag
om målretning af midler til det primære sundhedsvæsen et øget behov for løbende at forhandle og
indgå aftaler på tværs af myndigheder.
Modellen indebærer en stærkere statslig styring af særligt den kommunale opgavevaretagelse på
sundheds- og ældreområdet og dermed i udgangspunktet et reduceret prioriteringsrum for
kommunerne.
I modellen vil der fortsat være behov for en række kompenserende statslige styringstiltag for at
sikre det nødvendige tempo og den nødvendige fremdrift i omstillingen af sundhedsvæsenet.
Boks 15
Sammenligning af de tre modeller ud fra de centrale hensyn
Model 1 – Regionalt enhedssundhedsvæsen med sundheds- og omsorgsregioner
Model 1 har den væsentlige fordel, at den skaber et enhedssundhedsvæsen, hvor der er en klar politisk
ansvarsfordeling, og hvor der skabes gode betingelser for at give patienten et sammenhængende
behandlingsforløb. Det er også den model, der indeholder de stærkeste tilskyndelser til at investere i de
primære sundhedsopgaver, som ligger udenfor sygehusene, og som vil kunne understøtte, at der kan ske
en løbende udvikling og tilpasning af opgaveløsningen mellem faggrupper, som i dag er adskilte på tværs
af sektorer. Det er dermed også den model, der på sigt vurderes at have størst potentiale for at realisere
den ønskede omstilling af sundhedsvæsenet og dermed gavne de patienter, som bør håndteres udenfor
sygehusene.
INU, Alm.del - 2023-24 - Bilag 51: Orientering om Sundhedsstrukturkommissionens afrapportering, fra indenrigs- og sundhedsministeren
2880265_0032.png
32
Sammenlignet med de øvrige modeller indebærer model 1 en ulempe i styringen af det specialiserede
sygehusvæsen, da sygehusdriften skal forvaltes af flere, mindre regionale enheder end i dag. Det kan
reducere den faglige bæredygtighed på sygehusområdet. Ved direkte valg til de nye sundheds- og
omsorgsregioner vil den demokratiske kontrol være høj i modellen, imens den politiske nærhed til
de opgaver, der tidligere blev løst i kommunerne, vil blive svækket. Model 1 indebærer betydelige
omstillings- og implementeringsomkostninger, fordi der skal oprettes nye regionale enheder og et stort
antal medarbejdere, både på tværs af regioner og på tværs af regioner og kommuner, vil skifte ledelse
og flytte arbejdssted. Dertil kommer afledte konsekvenser for kommunernes økonomi og prioriterings-
rum.
Model 2 – Statsligt enhedssundhedsvæsen
Model 2 skaber ligesom model 1 et enhedssundhedsvæsen. I model 2 forankres det øverste politiske
ansvar for driften af sundhedsvæsenet hos den ansvarlige minister. Det vil på den ene side skabe en klar
ansvarsfordeling, incitamenter til sammenhæng i patientforløb og tilskyndelser til at investere i indsatser
udenfor sygehusene, som særligt vil gavne de patienter, der bør håndteres udenfor sygehusene. Det er
dog kommissionens vurdering, at potentialet for sammenhængende patientforløb og omstilling reelt er
svagere i model 2 end i model 1, da der i et statsligt sundhedsvæsen vil være større politisk afstand til
de indsatser, som skal investeres og udbygges lokalt. På digitaliseringsområdet og i forhold til den
geografiske omfordeling af ressourcer, bl.a. fordeling af lægeressourcer til de områder af landet, hvor
der er størst behov, er det kommissionens vurdering, at det entydige arbejdsgiveransvar i model 2 gør,
at modellen på de dimensioner fremstår stærkest af de tre modeller. Omvendt vurderes modellen at have
væsentlige svagheder, når det gælder udgiftsstyring og løbende tilpasninger og reformer af sundheds-
væsenet. Her kan det entydige driftsansvar hos den ansvarlige minister svække det nationale politiske
niveaus evne og vilje til at gennemføre svære men nødvendige reformer og omstillinger.
Modellen vurderes at stå svagere end model 1 og 3 i forhold til at sikre nærhed og demokratisk for-
ankring i opgaveløsningen, fordi model 2 vil indebære, at det på grund af kapacitetsproblemer og
flaskehalse på det nationale politiske niveau reelt vil være udpegede bestyrelser, som varetager ledelsen
af den store og vigtige velfærdsopgave, som sundhedsvæsenet udgør.
Model 3 – Sundhedsregioner
Model 3 står stærkt i forhold til styring af sygehusvæsenet, hvor både en variant med tre eller fem
regioner vil omfatte enheder med en høj selvforsyningsgrad. Varianten med tre regioner vurderes at
være den, der har det bedste potentiale i forhold til sygehusdrift og fordeling af ressourcer til de områder,
hvor der i dag er færrest lægelige ressourcer. Det vil gavne de patienter, der i dag har lang afstand til
lægen. Dog kan varianten med tre regioner samtidig svække den relative demokratiske repræsentation
for de nuværende mindre regioner. Varianten med fem regioner vil skulle sikre en bedre ressource-
fordeling i kraft af de tværgående anbefalinger om tilpasset fordeling af ressourcerne i sundhedsvæsenet
(se kapitel 11).
Den væsentlige ulempe ved model 3, uanset variant, er, at den på trods af en eventuel mindre opgave-
samling er den model, hvor ansvaret for opgaver på sundheds- og ældreområdet stadig vil være mest
delt på tværs af regioner og kommuner. Derfor vurderes modellen, i sammenligning med model 1 og 2,
at have svagere tilskyndelser til at sikre sammenhæng i patientforløb og til at sikre en investering og
omstilling til det primære sundhedsvæsen. Et fortsat sektoropdelt sundhedsvæsen vurderes også at
udgøre en barriere for en løbende nødvendig tilpasning af opgavefordelingen mellem faggrupper, bl.a.
mellem læger og sygeplejersker. En række styringstiltag i model 3 skal kompensere for det og understøtte
sammenhæng, men modellen forudsætter under alle omstændigheder et betydeligt fokus i sundhedsre-
gionerne på at omstille sygehusene og prioritere en udvikling af det primære sundhedsvæsen, herunder
det almenmedicinske tilbud.
Derudover vurderes model 3 at give gode muligheder for en effektiv styring af udgifterne til sundheds-
væsenet, og den indebærer, sammenlignet med model 1 og 2, langt færre omstillings- og implemente-
ringsomkostninger. Ses der bort fra en mindre opgavesamling og en eventuel reduktion fra fem til tre
regioner, kan de nye styringstiltag iværksættes umiddelbart.
INU, Alm.del - 2023-24 - Bilag 51: Orientering om Sundhedsstrukturkommissionens afrapportering, fra indenrigs- og sundhedsministeren
33
Sundhedsstrukturkommissionen har indenfor model 3 overvejet alternative modeller med ingen eller
mindre­opgavesamling.­Kommissionen­har­overvejet­en­model­med­national­politisk­ledelse­i­et­sundheds­
væsen, hvor der ikke sker en væsentlig opgavesamling. En sådan model vil i hovedtræk indebære, at de
nuværende­regioner­bliver­nedlagt,­og­deres­opgaver­flyttes­til­staten.­Det­betyder,­at­staten­får­ansvaret­
for sygehus­ og praksissektoren, imens kommunerne fastholder deres nuværende opgaver på sundheds­
og ældreområdet. Det er kommissionens vurdering, at en sådan model, sammenlignet med den nuværende
organisering af sundhedsvæsenet, ikke vil understøtte et mere nært, sammenhængende og forebyggende
sundhedsvæsen. Derfor har kommissionen ikke medtaget den model.
Desuden har Sundhedsstrukturkommissionen overvejet en model, hvor medlemmerne af regionsrådet
udpeges­af­kommunalbestyrelserne­i­det­scenarie,­hvor­kommunerne­fastholder­deres­nuværende­opgaver.­
Dog vurderer kommissionen, at den variant vil indebære en betydelig risiko for, at de kommunalt udpegede
repræsentanter vil søge at tilgodese deres egen kommunes interesse, og kommunerne vil underinvestere
i de opgaver, der er nært beslægtede med de opgaver, som er under regionernes ansvar, og derfor vil
varianten ikke styrke nærhed og sammenhæng sammenlignet med den organisering, der gælder i dag.
Derfor har kommissionen ikke medtaget modellen.
Ledelse og implementering af omstillingen af sundhedsvæsenet
Der er en stor ledelsesopgave forbundet med at omstille og fremtidssikre sundhedsvæsenet. Ledelser på
alle niveauer skal sikre prioritering af det primære sundhedsvæsen og sætte skub i den digitale omstilling.
Tre­tværgående­ledelsesopgaver­er­afgørende­i­omstillingsprocessen.­For­det­første­skal­politisk­lederskab­
mobilisere tilslutning til en reform og bakke ledere og medarbejdere op i at gennemføre reformen og
bidrage til reformens bæredygtighed. For det andet kræver det enorm ledelseskraft at bevare et vedvarende
fokus på omstillingen og styrkelsen af det primære sundhedsvæsen. For det tredje er der en strategisk
l
­ edelsesopgave­i­at­balancere­og­prioritere­mellem­udfordringer­på­kort­og­lang­sigt­i­en­periode,­hvor­der­
er kortsigtede omkostninger udløst af omstillingen, samtidig med at der skal arbejdes for de langsigtede
mål for sundhedsvæsenet.
Sundhedsstrukturkommissionens anbefalinger, forslag og modeller vil indebære ændrede rammer for
lederne i sundhedsvæsenet som følge af de organisatoriske forandringer. De organisatoriske forandringer
er ikke tilstrækkelige til at sikre den nødvendige udvikling og omstilling af sundhedsvæsenet. Hvis de
organisatoriske forandringer skal føre til reelle forbedringer i de sundhedstilbud, som gives til borgerne,
skal de føre til forandringer i den måde, der arbejdes og samarbejdes på i sundhedsvæsenet, og det kræver
dedikeret ledelse på alle niveauer af ledelseskæden (se kapitel 16).
INU, Alm.del - 2023-24 - Bilag 51: Orientering om Sundhedsstrukturkommissionens afrapportering, fra indenrigs- og sundhedsministeren
2880265_0034.png
34
Boks 16
Anbefaling 6
Sundhedsstrukturkommissionen anbefaler, at der på baggrund af de politiske beslutninger om den
fremtidige struktur for sundhedsområdet oprettes et reformsekretariat under indenrigs- og sund-
hedsministeren, som med afsæt i en national implementeringsplan følger implementeringen af de
enkelte initiativer og understøtter den decentrale implementering. En national implementeringsplan
skal indeholde ambitiøse mål, tydeliggøre implementeringsansvaret hos relevante aktører og
opstille tidsrammer for implementeringen af de forskellige dele af reformen af sundhedsvæsenet.
Økonomi og finansiering
Sundhedsstrukturkommissionens anbefalinger, forslag og modeller har alle som sigte, at de skal understøtte
en­bedre­brug­af­de­ressourcer,­der­prioriteres­til­sundhedsområdet,­både­økonomiske­ressourcer­og­
personaleressourcer.
Kommissionen­har­i­sine­overvejelser­lagt­vægt­på,­at­den­ønskede­udbygning­af­det­primære­sundheds-
væsen skal ske gennem en modsvarende mindre vækst på sygehusområdet. Det fordrer en tæt integration
af ansvaret for udbygning af det primære sundhedsvæsen med ansvaret for tilpasning af sygehusvæksten.
Samtidig­bør­tiltag­til­en­mere­hensigtsmæssig­fordeling­af­ressourcer­medvirke­til,­at­der­flyttes­ressourcer­
fra­større­byområder­til­de­områder,­der­mangler­ressourcer,­så­den­ændrede­fordeling­realiseres­inden­for­
de samlede forudsatte økonomiske rammer for sundhedsvæsenet i de kommende år.
Kommissionen­vurderer,­at­der­på­kort­sigt­kan­være­grund­til­at­prioritere­konkrete­investeringer­i­opbyg­
ningen af det primære sundhedsvæsen i form af en styrket udbredelse af nye digitale løsninger, etablering
af­en­national­dataplatform,­og­etableringen­af­lokale­”sundhedscentre”,­der­danner­en­sundhedsfaglig­
ramme­om­lokale­sundheds-­og­plejeindsatser.­Kommissionen­peger­på­de­prioriteter­i­forbindelse­med­
en prioritering af de tidligere afsatte midler til nærhospitaler (3,5 mia. kr. frem til 2030). Derudover har
kommissionen noteret, at den nuværende regering har varslet en ny sundhedsfond. Foruden fokus på
vedligeholdelse og modernisering af sygehuse, omfatter fondens fokus også teknologi og digitalisering,
som­reducerer­arbejdskraftsudfordringen,­og­nem­og­lige­adgang­til­forebyggelse­og­sygdomsbehandling,­
vel at mærke i sammenhæng med udfasningen af de nuværende kvalitetsfondsinvesteringer i nye sygehuse.
INU, Alm.del - 2023-24 - Bilag 51: Orientering om Sundhedsstrukturkommissionens afrapportering, fra indenrigs- og sundhedsministeren
35
Sundhedsstrukturkommissionens anbefalinger, forslag og modeller er fremlagt indenfor kommissoriets
forudsætning om samlet udgiftsneutralitet og indebærer dermed ikke varige merudgifter samlet set for
sundhedsområdet og de nærliggende opgaver (se kapitel 17).
INU, Alm.del - 2023-24 - Bilag 51: Orientering om Sundhedsstrukturkommissionens afrapportering, fra indenrigs- og sundhedsministeren
2880265_0036.png
36
INU, Alm.del - 2023-24 - Bilag 51: Orientering om Sundhedsstrukturkommissionens afrapportering, fra indenrigs- og sundhedsministeren
2880265_0037.png
37
INU, Alm.del - 2023-24 - Bilag 51: Orientering om Sundhedsstrukturkommissionens afrapportering, fra indenrigs- og sundhedsministeren
2880265_0038.png
Indenrigs- og Sundhedsministeriet
Slotsholmsgade 10-12
1216 København K
Telefon: +45 72 26 90 00
E-mail: [email protected]
www.ism.dk