Finansudvalget 2023-24
FIU Alm.del Bilag 68
Offentligt
2798413_0001.png
Økonomisk Redegørelse
December 2023
Økonomisk Redegørelse
December 2023
FIU, Alm.del - 2023-24 - Bilag 68: Økonomisk Redegørelse, december 2023 FIU, Alm.del - 2023-24 - Bilag 68: Økonomisk Redegørelse, december 2023
2798413_0003.png
Økonomisk Redegørelse
August 2023
December 2023
FIU, Alm.del - 2023-24 - Bilag 68: Økonomisk Redegørelse, december 2023
2798413_0004.png
Økonomisk Redegørelse
Maj 2023
I tabeller kan afrunding medføre, at tallene
ikke summer til totalen.
Økonomisk Redegørelse
December 2023
Denne publikationen er udarbejdet af
Økonomiministeriet
I tabeller kan afrunding medføre,
Ved Stranden 8summer til totalen.
at tallene ikke
1061 København K
Denne publikation er udarbejdet af
Økonomiministeriet
Omslag: BGRAPHIC
Ved
Tryk: Stranden 8 Complete
Stibo
1061
Foto: København K
iStock
Oplag:
800
Omslag: BGRAPHIC
Pris:
150 kr. inkl. moms
Tryk:
Stibo Complete
ISBN:
978-87-7862-379-9
Foto:
iStock
Oplag: 600
Pris:
150 kr. inkl.
Elektronisk publikationmoms
ISBN: 978-87-7862-387-4
Produktion: Aliro Docs
ISBN:
978-87-7862-380-5
Elektronisk publikation:
ISBN: 978-87-7862-388-1
Publikationen kan hentes på
Økonomiministeriets hjemmeside
Publikationen kan hentes på
oem.dk
Økonomiministeriets hjemmeside
www.oem.dk
VA
N
E
M
Æ
R
KE
S
T
Tryksag
5041 0004
FIU, Alm.del - 2023-24 - Bilag 68: Økonomisk Redegørelse, december 2023
2798413_0005.png
Forord
For blot et år siden rasede inflationen. Usikkerheden var stor, og store dele af dansk
økonomi bremsede op som følge af stigende priser, stigende renter og modvind fra ud-
landet.
I dag ser situationen anderledes lys ud. Dansk økonomi står stærkt. Det er lykkedes at få
inflationen ned, og beskæftigelsen er fortsat høj. Vi har set en stabilisering på boligmar-
kedet, og forbrugertilliden er forbedret siden sidste efterår. Og danskernes købekraft er i
gang med at blive genoprettet, så den for mange allerede i 2024 vil være tilbage på ni-
veauet, før den voldsomme inflation ramte Danmark. Det er positivt.
Tempoet i dansk økonomi er gået ned, men vi ser ikke ind i en alvorlig tilbagegang.
Tværtimod er der gode muligheder for, at dansk økonomi får en blød landing. Det vid-
ner grundlæggende om, at vi har en robust og modstandsdygtig økonomi, at vi har til-
pasningsdygtige husholdninger og virksomheder, og at vi politisk har gennemført initia-
tiver, der har hjulpet de mest trængte danskere gennem en usikker periode.
Vi skal dog fortsat være forberedte på vindstød undervejs. Det er også på den baggrund,
at vi har indgået en ansvarlig finanslov for 2024 med et meget bredt flertal i Folketinget,
hvor vi undgår at puste til inflationen, samtidig med at vi har fundet plads til nye initia-
tiver, der styrker velfærden, det grønne område og giver borgerne mere tryghed.
Regeringen vil fortsat have fokus på nye tiltag, der kan styrke væksten, sikre at det kan
betale sig at arbejde og skabe nye arbejdspladser i hele landet. Det er en forudsætning
for, at vi også fremadrettet kan investere i velfærd, den grønne omstilling, sikkerhed og
samtidig skabe gode rammer og tryghed om borgernes og virksomhedernes økonomi.
Stephanie Lose
Økonomiminister
FIU, Alm.del - 2023-24 - Bilag 68: Økonomisk Redegørelse, december 2023 FIU, Alm.del - 2023-24 - Bilag 68: Økonomisk Redegørelse, december 2023
Indhold
1. Sammenfatning .............................................................................................................. 9
1.1 Det aktuelle konjunkturbillede .................................................................................. 9
1.2 Finanspolitikken og de offentlige finanser ................................................................ 21
1.3 Bilagstabel ............................................................................................................... 29
2. BNP som mål for velstand og bredere indikatorer for velfærd .......................................
2.1 Hvad er BNP?..........................................................................................................
2.2 Aktivitet uden for landets grænser ...........................................................................
2.3 Værdien af digitale tjenester ....................................................................................
2.4 Varianter af BNP og andre mål for velstand ............................................................
2.5 Grøn økonomi..........................................................................................................
2.6 Bredere mål for velfærd ...........................................................................................
2.7 Livstilfredshed over tid .............................................................................................
2.8 Konklusion ...............................................................................................................
2.9 Henvisninger............................................................................................................
3. Husholdningerne ............................................................................................................
3.1 Husholdningernes indkomster og forbrug ................................................................
3.2 Forbrugerpriser ........................................................................................................
3.3 Boligmarkedet..........................................................................................................
33
34
37
39
40
42
44
47
49
50
53
53
61
66
4. Virksomhederne ............................................................................................................. 77
4.1 Produktion og produktivitet ...................................................................................... 77
4.2 Erhvervsinvesteringer .............................................................................................. 86
5. Arbejdsmarkedet ............................................................................................................ 93
5.1 Beskæftigelsen ........................................................................................................ 93
5.2 Ledigheden .............................................................................................................. 108
5.3 Løn .......................................................................................................................... 114
6. Udenrigshandel .............................................................................................................. 125
6.1 Eksport .................................................................................................................... 125
6.2 Import ...................................................................................................................... 131
6.3 Betalingsbalancen ................................................................................................... 133
7. International økonomi og finansielle markeder............................................................... 139
7.1 International økonomi .............................................................................................. 139
7.2 Finanspolitikken strammes lidt................................................................................. 149
7.3 Risici ........................................................................................................................ 152
FIU, Alm.del - 2023-24 - Bilag 68: Økonomisk Redegørelse, december 2023
8. Offentlige finanser og finanspolitik ................................................................................. 157
8.1 Den faktiske offentlige saldo .................................................................................... 158
8.2 Den strukturelle saldo .............................................................................................. 160
8.3 Udgiftslofter for stat, kommuner og regioner ........................................................... 166
8.4 Offentligt forbrug, beskæftigelse og investeringer ................................................... 168
8.5 Finanspolitikkens aktivitetsvirkning .......................................................................... 174
8.6 Offentlig gæld og statens nettofinansieringsbehov .................................................. 177
Bilag 8.1 De offentlige udgifter og indtægter ................................................................. 183
Bilag 8.2 Beregning af strukturel saldo 2022-2025 ........................................................ 189
Bilag 8.3 Engangsforhold mv. i 2022-2025 .................................................................... 193
Bilagstabeller ..................................................................................................................... 195
Redaktionen er afsluttet den 8. december 2023.
FIU, Alm.del - 2023-24 - Bilag 68: Økonomisk Redegørelse, december 2023 FIU, Alm.del - 2023-24 - Bilag 68: Økonomisk Redegørelse, december 2023
2798413_0010.png
FIU, Alm.del - 2023-24 - Bilag 68: Økonomisk Redegørelse, december 2023
2798413_0011.png
Kapitel 1
Sammenfatning
1. Sammenfatning
1.1 Det aktuelle konjunkturbillede
Dansk økonomi har bevæget sig ind i en ny konjunkturfase med mere afdæmpet vækst, i takt
med at prisstigninger og højere renter er slået igennem på forbrug og boliginvesteringer. Aktivi-
teten er imidlertid blevet holdt oppe af en stærk medicinalindustri, der har ført til en stor ek-
sportfremgang.
Inflationen er aftaget hastigt i 2023. Den lavere inflation vil sammen med ventede lønstignin-
ger øge husholdningernes købekraft betydeligt i de kommende år. Ud over indkomstvækst un-
derstøttes husholdningernes forbrug også af stabiliseringen af boligmarkedet i løbet af 2023 ef-
ter fald i boligpriserne gennem 2022.
Arbejdsmarkedet har indtil videre været modstandsdygtigt over for lavere indenlandsk efter-
spørgsel. Opbremsningen i store dele af økonomien – som i flere brancher afspejles i en lavere
timeproduktivitet – betyder imidlertid, at mange virksomheder i den kommende tid formentlig
har et behov for at tilpasse deres kapacitet og antal ansatte. Det vil reducere presset på arbejds-
markedet og dæmpe den samlede stigning i de disponible indkomster. Samtidig kan udsigten til
faldende beskæftigelse holde forbrugslysten nede. På den baggrund ventes fremgangen i det
private forbrug at blive forholdsvis moderat.
Fraværet af tydelige ubalancer i dansk økonomi understøtter muligheden for en blød landing og
mindsker risikoen for et mere brat fald i beskæftigelsen. BNP vurderes at være øget med 1,2 pct.
i år og ventes at vokse med henholdsvis 1,4 pct. i 2024 og 1,0 pct. 2025,
jf. figur 1.1.
Beskæfti-
gelsen ventes at falde med 30.000 personer fra 2023 til 2025, men fortsat være forholdsvis høj.
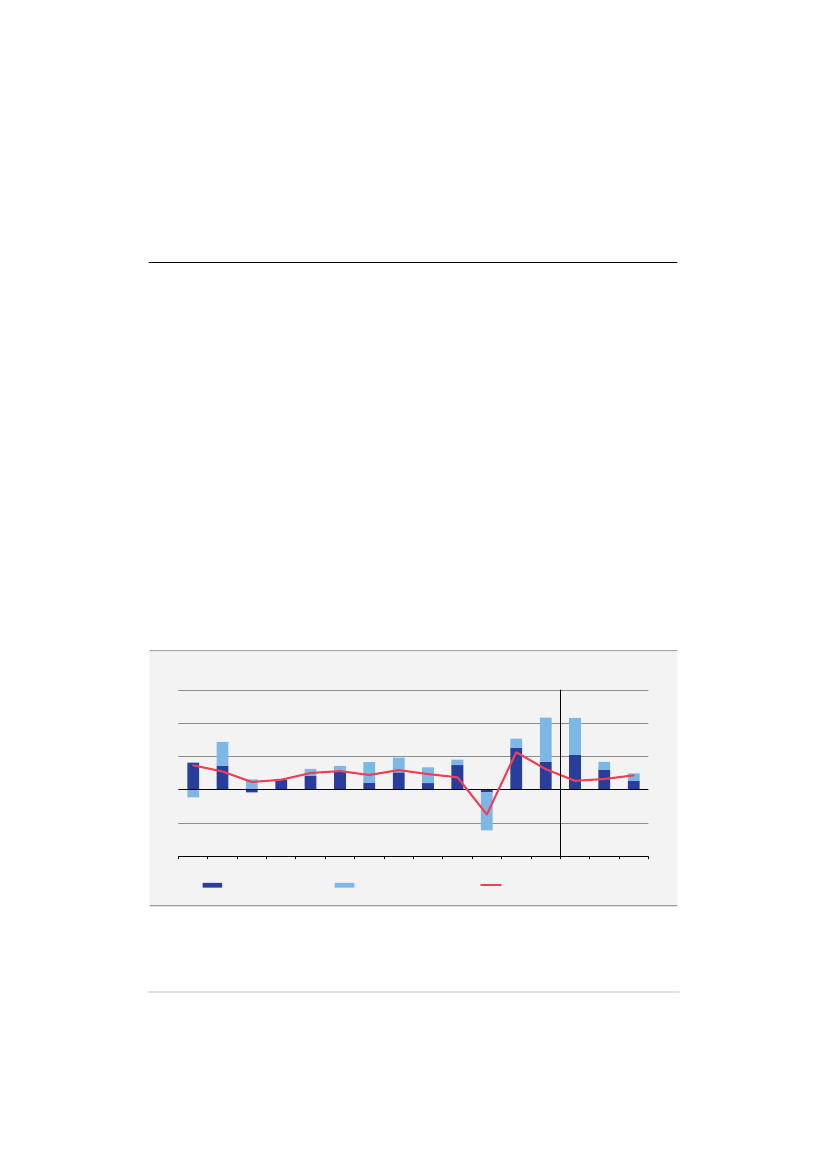
Figur 1.1
BNP vokser i et mere moderat tempo sideløbende med tilpasning på arbejdsmarkedet
Vækst, pct.
8
6
4
2
0
-2
-4
2019
2020
BNP
2021
2022
2023
2024
2025
Beskæftigelse (h. akse)
Ændring, 1.000 personer
120
90
60
30
0
-30
-60
Anm.: I figuren vises udviklingen i realt BNP og beskæftigelsen inkl. personer på orlov.
Kilde: Danmarks Statistik og egne beregninger.
Økonomisk Redegørelse
December 2023
9
FIU, Alm.del - 2023-24 - Bilag 68: Økonomisk Redegørelse, december 2023
2798413_0012.png
Kapitel 1
Sammenfatning
Udsigter for dansk økonomi
Dansk økonomi er samlet set kommet godt igennem de seneste år trods udefrakommende for-
hold, der har påvirket efterspørgsel og produktion meget kraftigt. En afdæmpning af væksten
har imidlertid været undervejs i et stykke tid. Store dele af dansk økonomi bremsede op alle-
rede i 2022 som følge af tiltagende inflation, stigende renter og stagnation i udlandet, der påvir-
kede dele af eksporten.
Opbremsningen i dansk økonomi er blevet mere tydelig i 2023 med en tilbagegang i BNP i både
2. kvartal og 3. kvartal. Faldet er dog sket fra et højt niveau, og beskæftigelsen er samtidig fort-
sat med at stige. Perioden med svagere vækst ventes at række ind i 2024 og 2025. Det skal
blandt andet ses i lyset af de højere renter samt det ventede fald i beskæftigelsen, der begrænser
husholdningernes indkomstfremgang.
Perioden med svagere vækst ventes at bringe produktion og beskæftigelse tættere på de struk-
turelle niveauer, men aktiviteten skønnes i 2025 fortsat at ligge højere end niveauet ved en nor-
mal kapacitetsudnyttelse, og ledigheden forventes at forblive forholdsvis lav. Perioden med af-
matning skal derfor også ses som en naturlig tilpasning fra en situation med et højt kapacitets-
pres i økonomien.
I et historisk perspektiv er den ventede afmatning forholdsvis mild. I forbindelse med tidligere
konjunkturvendinger har opbremsningen typisk været hårdere, og beskæftigelsen er i sådanne
situationer nogle gange faldet ganske markant. Det aktuelle konjunkturomslag er kun sket
gradvist, og blandt andet vil faldet i inflationen trække i retning af en blød landing.
Inflationen er aftaget hurtigt gennem 2023, og forbrugerprisstigningerne udgjorde blot 0,1 pct.
på årsbasis i oktober. Det er de laveste siden maj 2020. Inflationen er i høj grad trukket ned af
faldet i energipriser, hvilket blandt andet kommer til udtryk i, at kerneinflationen – som ikke
indeholder uforarbejdede fødevarer og energi – stadig er forholdsvis høj,
jf. figur 1.2.
Forbru-
gerprisstigningerne må ventes at tiltage igen i første halvdel af 2024, hvor udviklingen i energi-
priserne ikke længere ventes at trække inflationen ned. Ind i 2024 ventes inflationen således at
stige midlertidigt til over 3 pct. igen, og for året som helhed skønnes inflationen at blive knap 3
pct.,
jf. tabel 1.1.
Først i 2025 ventes inflationen at være på omkring 2 pct. og dermed det ni-
veau, der er forenelig med fastkurspolitikken og inflationsmålsætningen på mellemlangt sigt for
euroområdet, som ifølge ECB ligeledes forventes at have en inflation på omkring 2 pct. i 2025.
Tabel 1.1
Centrale skøn
2023
BNP-vækst, pct.
Inflation, pct.
Huspriser, pct.
Beskæftigelse, ændring i 1.000 personer
Bruttoledighed, pct. af arbejdsstyrken
Kilde: Danmarks Statistik og egne beregninger.
2024
1,4
2,8
1,2
-9
2,9
2025
1,0
2,1
1,9
-21
3,1
1,2
3,4
-2,0
40
2,6
10
Økonomisk Redegørelse
December 2023
FIU, Alm.del - 2023-24 - Bilag 68: Økonomisk Redegørelse, december 2023
2798413_0013.png
Kapitel 1
Sammenfatning
Figur 1.2
Inflationen er faldet hurtigt
Figur 1.3
Forbrugertilliden er forbedret, og
husholdningernes forbrug har stabiliseret sig
Pct.
12
10
8
6
4
2
0
-2
Pct.
12
10
8
6
4
2
0
-2
2019
2020
2021
2022
2023
Forbrugerpriser
Kerneinflation
Indeks
130
120
110
100
90
80
70
60
2019
2020
2021
Indeks (2015=100)
130
120
110
100
90
80
70
60
2022
2023
Forbrugertillid
Detailhandel (h. akse)
Anm.: I figur 1.2 vises den årlige ændring i forbrugerpriserne. I figur 1.3 vises forbrugertillid (nettotal) tillagt 100, så en værdi under
100 indikerer tilbagegang. Detailhandlen er i mængder og korrigeret for sæsonudsving.
Kilde: Danmarks Statistik og egne beregninger.
Lønstigningerne i den private sektor er i anden halvdel af 2023 tiltaget markant og ligger nu på
det højeste siden 2008. På baggrund af resultaterne fra forårets overenskomstforhandlinger på
det private område ventes den betydelige lønfremgang at fortsætte i 2024 og efterfølgende falde
tilbage til et mere normalt leje i 2025. Kombineret med den ventede udvikling i forbrugerpri-
serne skønnes husholdningernes købekraft målt ved reallønnen allerede i 2024 at være højere
end i 2021, før inflationen tog til, og fremgangen i købekraften ventes at fortsætte i 2025.
Forbrugertilliden er forbedret markant i takt med den faldende inflation, og udviklingen afspej-
les også i husholdningernes forbrug. Det ses fx i detailhandelsforbruget, som er steget svagt ef-
ter tilbagegang gennem 2022,
jf. figur 1.3.
Fremgangen i reallønnen vil understøtte muligheden
for forbrugsvækst, og det er forventningen, at forbruget i 2024 og 2025 vil vokse i takt med den
skønnede indkomststigning. Samlet er det forventningen, at husholdningerne i de kommende
år fastholder deres forbrug som andel af de disponible indkomster omtrent uændret sammen-
lignet med forbrugskvoten i 2022,
jf. afsnit 3.1.
Tilbagebetalingen af ejendomsskatter i især 2024 vil også understøtte forbruget, mens den ven-
tede tilbagegang i beskæftigelsen isoleret set vil dæmpe husholdningernes samlede indkomst-
fremgang.
Regeringen har fremlagt et forslag til personskattereform, som i forhold til prognosen blandt
andet vil øge husholdningernes disponible indkomster og dermed deres forbrugsmuligheder fra
2025. Samtidig vil reformen gøre det mere attraktivt at arbejde,
jf. boks 1.1.
Økonomisk Redegørelse
December 2023
11
FIU, Alm.del - 2023-24 - Bilag 68: Økonomisk Redegørelse, december 2023
2798413_0014.png
Kapitel 1
Sammenfatning
Boks 1.1
Regeringens udspil til en personskattereform
Mere attraktivt at arbejde
Regeringens udspil til en personskattereform Mere attraktivt at arbejde skal øge gevinsten ved at arbejde. Det
skal både sikre, at flere kommer i arbejde i stedet for at være på offentlig forsørgelse, og at flere vælger at ar-
bejde lidt mere, end de gør i dag. Reformen indeholder skattelettelser for i alt 6¾ mia. kr. efter tilbageløb og
adfærd (2023-niveau) inkl. udmøntning af en afsat reserve på �½ mia. kr. frem mod 2030, der kan udmøntes til
socialt balancerede skattelettelser. Med udspillet lægges der op til at indfase reformen fra 2025, og fra 2026 vil
hovedparten af reformen være indfaset.
Reformen består af tre centrale elementer:
Det almindelige beskæftigelsesfradrag forhøjes (4,8 mia. kr.)
Det almindelige beskæftigelsesfradrag forhøjes fra 10,65 pct. til 12,75 pct.
Samtidig forhøjes det maksimale fradrag fra 44.800 kr. til 56.200 kr. (2023-niveau).
Det ekstra beskæftigelsesfradrag for enlige forsørgere forhøjes (0,3 mia. kr.)
Det ekstra beskæftigelsesfradrag til enlige forsørgere forhøjes fra 6,25 pct. til 11,5 pct.
Samtidig forhøjes det maksimale fradrag fra 24.400 kr. til 44.900 kr.
Lettelse af topskatten (1,1 mia. kr.)
Ny mellemskat på 7,5 pct., så skattesatsen halveres for indkomst i indkomstintervallet fra 618.400 kr. til
750.000 kr. (svarende til 568.900 kr.-690.000 kr. efter AM-bidrag).
Ny topskat på 7,5 pct., så der fortsat betales en sats på 15 pct. af indkomst over 750.000 kr. (svarende til
690.000 kr. efter AM-bidrag).
Ekstra topskat på yderligere 5 pct., som betales af indkomst over 2,5 mio. kr. (svarende til 2,3 mio. kr. efter
AM-bidrag).
Personskattereformen vil isoleret set bidrage til at øge de disponible indkomster i befolkningen med over 10
mia. kr., når reformen er fuldt indfaset, svarende til den umiddelbare virkning før tilbageløb og adfærd. Effek-
ten på de disponible indkomster i 2025 vil være ca. 4,9 mia. kr. Den øgede købekraft ventes at slå igennem via
et større privatforbrug. Reformen medfører samlet set en skattelempelse for personer med indkomster op til ca.
2,76 mio. kr. (svarende til 2,54 mio. kr. efter AM-bidrag), mens skatten samlet set øges for personer med ind-
komster herover som følge af den ekstra topskat.
Personskattereformen skønnes samlet set at øge arbejdsudbuddet med 5.150 fuldtidspersoner, når hovedele-
menterne er fuldt indfaset i 2026. Heraf kan ¾ af virkningen henføres til øget arbejdstid blandt personer i be-
skæftigelse og ¼ til øget deltagelse på arbejdsmarkedet. Afhængigt af udmøntningen af reserven på �½ mia. kr.
kan arbejdsudbudsvirkningen af den endelige reform være større. Reformen vil øge beskæftigelsen, væksten og
kapaciteten i økonomien.
Virkningerne af personskattereform er efter vanlig praksis ikke indregnet i prognosen, da der endnu ikke er
indgået en politisk aftale.
Med udgangspunkt i regeringens udspil skønnes reformen at bidrage til at mindske kapacitetspresset målt ved
outputgabet med knap 0,1 pct.-point i 2025. Det skyldes dels øget kapacitet i økonomien som følge af større
strukturel beskæftigelse, dels at reformen vil mindske efterspørgslen på kort sigt. Det afspejler, at reformen
finansieres af det finanspolitiske råderum, som beregningsteknisk indgår som offentligt forbrug i Økonomimi-
nisteriets og Finansministeriets prognoser og fremskrivninger. Offentligt forbrug medfører øget efterspørgsel
med det samme, midlerne anvendes, mens skattelettelser kun delvist slår igennem på den private efterspørgsel
på kort sigt. Derudover er importindholdet højere i den private efterspørgsel. På baggrund af regeringens ud-
spil skønnes reformen som udgangspunkt at mindske den højest mulige offentlige forbrugsvækst med 0,6 pct.-
point og beregningsteknisk reducere væksten i den offentlige beskæftigelse med 4.000 personer i 2025.
Kilde: Regeringen (2023):
Mere attraktivt at arbejde
og egne beregninger.
12
Økonomisk Redegørelse
December 2023
FIU, Alm.del - 2023-24 - Bilag 68: Økonomisk Redegørelse, december 2023
2798413_0015.png
Kapitel 1
Sammenfatning
Endelig vil øgede renteudgifter på blandt andet boliglån reducere de disponible indkomster. Ef-
fekten af de højere renter er endnu ikke slået fuldt igennem, men det vil ske, efterhånden som
boliglåntagere med variabelt forrentede lån får fastsat ny rente på deres lån. Den europæiske
centralbank forhøjede senest den ledende pengepolitiske rente i september og signalerede sam-
tidig, at renterne vil forblive på det nuværende niveau i nogen tid. Markedsforventningerne pe-
ger på, at næste renteændring i euroområdet vil være i nedadgående retning,
jf. afsnit 7.1.
Ren-
terne forudsættes på den baggrund ikke at stige yderligere i prognoseperioden, men derimod
falde lidt i 2025. Renterne vil således fortsat være noget højere end i hele perioden efter finans-
krisen til 2021,
jf. figur 1.4.
Figur 1.4
Renterne ser ud til at have toppet
Pct.
12
Pct.
12
Figur 1.5
Afdæmpet udlånsvækst
Pct. (å/å)
30
Pct. (å/å)
30
8
8
20
20
4
4
10
10
0
0
0
0
-4
1997
2001
2005
Kort
2009
2013
2017
Lang
2021
-4
-10
2004
2007
2010
2013
2016
2019
2022
Virksomheder
Husholdninger
-10
Anm.: I figur 1.4 vises obligationsrenter opgjort af Finans Danmark som den effektive rente, som investorer, der køber nyudstedte
realkreditobligationer, har fået. I figur 1.5 er personligt ejede virksomheder medregnet under husholdninger.
Kilde: Finans Danmark, Danmarks Nationalbank og egne beregninger.
Det højere renteniveau afspejles også i en afdæmpet vækst i penge- og realkreditinstitutternes
udlån til husholdninger og virksomheder,
jf. figur 1.5.
Samtidig er kreditvilkårene generelt ble-
vet strammet, herunder som følge af ny vejledning om finansiering af udlejningsejendomme og
ejendomsprojekter. De højere renter har især ført til et fald i boliginvesteringerne, og et yderli-
gere fald ventes i prognoseperioden,
jf. afsnit 3.3.
Erhvervsinvesteringerne viser på overfladen ikke tegn på påvirkning fra de højere renter og er
fortsat på et højt niveau. I de kommende år forventes erhvervsinvesteringerne at blive under-
støttet af et behov for at udvide produktionskapaciteten inden for medicinalindustrien samt in-
vesteringer i den grønne omstilling,
jf. afsnit 4.2.
Andre dele af industrien og resten af er-
hvervslivet må dog forventes at reagere på de strammere finansielle vilkår og udsigten til svag
efterspørgsel fra udlandet.
Især er udsigterne for de vigtige eksportmarkeder i Sverige og Tyskland forholdsvis svage. I
begge lande forventes BNP at være faldet i 2023, og der forventes begrænset vækst i 2024. Des-
uden ventes den aktuelle fremgang i USA at stilne af,
jf. afsnit 7.1.
I takt med genopretning af
realindkomster og lavere pengepolitiske renter ventes en bedring i efterspørgslen fra udlandet i
løbet af 2025.
Økonomisk Redegørelse
December 2023
13
FIU, Alm.del - 2023-24 - Bilag 68: Økonomisk Redegørelse, december 2023
2798413_0016.png
Kapitel 1
Sammenfatning
Trods modvind fra udlandet har eksporten de seneste par år udviklet sig særdeles positivt. Det
skyldes den kraftige stigning i medicinalindustriens aktiviteter, som også kommer til udtryk i
eksporten,
jf. afsnit 6.1.
Uden fremgangen i medicinalindustriens værditilvækst, som overve-
jende skyldes Novo Nordisk, havde den samlede værdiskabelse allerede i 2022 været markant
lavere,
jf. figur 1.6.
Medicinalindustrien ventes fortsat at øge aktiviteterne i de kommende år,
men i et noget lavere tempo sammenlignet med de seneste år. Det skønnes, at BVT i resten af
økonomien ekskl. medicinalindustrien er faldet en anelse i år.
1
Figur 1.6
Medicinalindustrien har løftet den
samlede værdiskabelse
Indeks (2019=100)
120
Indeks (2019=100)
120
Figur 1.7
Aktiviteten holdes oppe af eksporten
Indeks (2019=100)
140
Indeks (2019=100)
140
115
115
130
130
110
110
120
120
105
105
110
110
100
100
100
100
95
2019 2020 2021 2022 2023 2024 2025
BVT i alt
95
BVT ekskl. medicinalindustri
90
2019 2020 2021 2022 2023 2024 2025
Indenlandsk efterspørgsel
Eksport
90
Anm.: Medicinalindustriens BVT for 2021 og 2022, som ligger til grund for figur 1.6, er et særudtræk af ikke-offentliggjorte tal fra
Danmarks Statistik og derfor behæftet med større usikkerhed. Den stiplede linje angiver et skønnet forløb.
Kilde: Danmarks Statistik og egne beregninger.
Prognosen indebærer samlet set svag vækst i den indenlandske efterspørgsel, mens der modsat
er en forventning om en fortsat pæn fremgang i eksporten som følge af den særlige rolle, som
medicinalindustrien spiller,
jf. figur 1.7.
Det er således fortsat forventningen, at fremgangen i
dansk økonomi dækker over en todelt økonomi.
Eksporten har i år bidraget markant til væksten i BNP. Det vurderes i nogen grad også at blive
tilfældet i 2024, om end bidraget ventes at blive noget mindre,
jf. figur 1.8.
Genåbningen af
Tyra-feltet i Nordsøen skønnes at give både højere eksport og mindre import af energi, og den
øgede råstofproduktion vurderes isoleret set at øge BNP-væksten i 2024 med ca. 0,5 pct.-point.
Privatforbruget – når der tages højde for importindholdet – ventes i aftagende grad at bidrage
til BNP-væksten i prognoseårene, blandt andet som følge af uændret forbrugskvote og mere
ensartet fremgang i både vare- og tjenesteforbrug. Det større vækstbidrag i 2023 skyldes over-
vejende, at fremgangen i privatforbruget især var drevet af tjenesteforbrug, som er mindre im-
porttungt end varer. De private investeringer under ét ventes at trække ned i væksten i 2024 i
1
Baseret på antagelse om 45 pct. realvækst i medicinalindustriens BVT i 2023. De 45 pct. er baseret på industriprodukti-
onsstatistikken samt en antagelse om nulvækst i medicinalindustriens aktiviteter fra oktober til december.
14
Økonomisk Redegørelse
December 2023
FIU, Alm.del - 2023-24 - Bilag 68: Økonomisk Redegørelse, december 2023
2798413_0017.png
Kapitel 1
Sammenfatning
lyset af gennemslag fra strammere finansielle vilkår, herunder som følge af højere renter. La-
gerinvesteringerne trækker isoleret set væksten forholdsvis meget nedad i især 2023 – men
også i 2024 – efter at have ligget på et historisk højt niveau i 2022.
2
Figur 1.8
Aftagende vækstbidrag fra det private forbrug og eksport
Pct.-point
3
2
1
0
-1
-2
-3
BNP-vækst
2023
Anm.: Importkorrigerede vækstbidrag.
Kilde: Danmarks Statistik og egne beregninger.
Pct.-point
3
2
1
0
-1
-2
-3
Eksport
Privatforbrug
2024
Private investeringer Offentlig efterspørgsel
2025
Opbremsningen i den indenlandske efterspørgsel er indtil videre kun i begrænset omfang kom-
met til udtryk i udviklingen i beskæftigelsen. Lønmodtagerbeskæftigelsen steg fortsat i septem-
ber, og i forhold til samme måned året før var der godt 34.000 flere lønmodtagere. Der er tale
om en forholdsvis bred fremgang, blandt andet med flere lønmodtagere i videnservice og trans-
port, mens der inden for det offentlige særligt var en stigning inden for forsvar og skatteforvalt-
ning. Af den samlede stigning i lønmodtagerbeskæftigelsen det seneste år udgør udenlandske
statsborgere 25.000 personer, hvilket har medvirket til at øge den samlede arbejdsstyrke,
jf. ka-
pitel 5.
Fremgangen på arbejdsmarkedet har været stærkere end væksten i den samlede værdiskabelse.
Det afspejles i en svag udvikling i timeproduktiviteten, især for den private sektor ekskl. indu-
strien,
jf. figur 1.9.
Faldende timeproduktivitet ses ofte i starten af et økonomisk tilbageslag,
hvor virksomhederne er afventende med at afskedige medarbejdere trods vigende efterspørgsel.
Det er imidlertid forventningen, at produktiviteten vil stige i de kommende år. Med afsæt i den
aktuelt lavere produktivitet, stigende lønninger og udsigt til en periode med mere moderat
vækst ventes virksomhederne at tilpasse antallet af medarbejdere. Dermed øges produktivite-
ten, også selvom den lavere timeproduktivitet i et vist omfang afspejler en ændret branchesam-
mensætning.
Lagerinvesteringerne var i 2021 og 2022 ekstraordinært store i historisk perspektiv. Danmarks Statistik fremhævede i
forbindelse med offentliggørelsen af nationalregnskabet den 30. juni 2023, at nationalregnskabsopgørelsen generelt er
mere usikker end normal – specielt for 2022 – og at der har været større ubalancer i afstemningen af produktions- og ef-
terspørgselssiden end normalt.
2
Økonomisk Redegørelse
December 2023
15
FIU, Alm.del - 2023-24 - Bilag 68: Økonomisk Redegørelse, december 2023
2798413_0018.png
Kapitel 1
Sammenfatning
Figur 1.9
Timeproduktivitet ventes at stige igen
efter svag udvikling uden for industrien
Indeks (2019=100)
106
Indeks (2019=100)
106
Figur 1.10
Output- og beskæftigelsesgab
forbliver positive
Pct.
6
Pct.
6
104
104
4
4
102
102
2
2
100
100
0
0
98
98
-2
-2
96
2019 2020 2021 2022 2023 2024 2025
I alt
Privat sektor ekskl. industri
96
-4
2000 2003 2006 2009 2012 2015 2018 2021 2024
Beskæftigelsesgab
Outputgab
-4
Anm.: Timeproduktiviteten i figur 1.9 er realt BVT pr. arbejdstime. Outputgabet i figur 1.10 er i pct. af strukturelt BVT ekskl. råstof-
indvinding, mens beskæftigelsesgabet er i pct. af strukturel beskæftigelse ekskl. personer på orlov.
Kilde: Danmarks Statistik og egne beregninger.
Den underliggende strukturelle udvikling medfører også svagere muligheder for fremgang i be-
skæftigelsen i de kommende år. I mange år har reformer og demografisk udvikling været med-
virkende til en hastig stigning i den strukturelle arbejdsstyrke, men i 2024 og 2025 er der sam-
menlagt udsigt til begrænset vækst. Det betyder, at vækstpotentialet fra tilgængelig arbejdskraft
alt andet lige er mindre. Udviklingen i arbejdsudbuddet understøttes af afskaffelsen af store be-
dedag som fridag, men omvendt er det lagt til grund for prognosen, at antallet af fordrevne per-
soner fra Ukraine falder ved udløbet af særloven i 2025.
Forventningen om en fortsat afdæmpet aktivitetsfremgang indebærer et gradvist mindre kapa-
citetspres, hvilket afspejles i indsnævring af outputgabet fra 2,1 pct. i 2023 til 1,4 pct. i 2025,
jf.
figur 1.10.
Det positive outputgab er især et udtryk for, at beskæftigelsen ligger væsentligt over
det skønnede strukturelle niveau. De fortsat positive gab ved udgangen af prognoseperioden
indebærer et fortsat pres på økonomiens ledige ressourcer og dermed en afvigelse fra de ni-
veauer, der vurderes forenelige med en stabil pris- og lønudvikling på mellemlagt sigt.
Moderat konjunkturomslag i fravær af ubalancer
Forventningen om en blød landing skal ses i sammenhæng med fraværet af væsentlige ubalan-
cer i form af fx svækket konkurrenceevne eller overdreven låntagning, som ville kræve tilpas-
ning i økonomien. Højkonjunkturen i 2000’erne førte til en overophedning efter stort pres på
arbejdsmarkedet samt uholdbar långivning og en prisboble på boligmarkedet. Tilbageslaget i
2008 og 2009 i kølvandet på den globale finanskrise var stort, og den efterfølgende afmatning
varede frem til 2012. Forløbet dengang viste, at kombinationen af flere og store ubalancer, en
omtrent samtidig vending på boligmarkedet med resten af økonomien og tilbageslaget i den
globale økonomi i forbindelse med finanskrisen førte til et stort og længerevarende konjunktur-
tilbageslag.
16
Økonomisk Redegørelse
December 2023
FIU, Alm.del - 2023-24 - Bilag 68: Økonomisk Redegørelse, december 2023
2798413_0019.png
Kapitel 1
Sammenfatning
I den nuværende konjunktursituation bidrager flere forhold til en blød landing. På boligmarke-
det ser tilpasningen efter boligprisstigningerne under coronapandemien og de højere renter ud
til at være taget. Boligpriserne og -salget har således været stigende siden,
jf. figur 1.11.
Det er
forventningen, at boligpriserne fortsat vil vokse i 2024 og 2025, men i et lavere tempo end i den
sidste halvdel af 2023, hvor fremrykket boligkøb – som følge af omlægningen af boligbeskat-
ningen med virkning fra årsskiftet – kan have været med til at drive priserne på enfamiliehuse
op.
De højere renter har modsat bidraget til at dæmpe boligprisudviklingen. Samtidig har mere re-
striktive låneregler efter finanskrisen modvirket en uholdbar gældsopbygning og risikoen for en
boligprisboble. Husholdningerne har derimod løbende opbygget en formue. Husholdningerne
sparede ekstraordinært meget op under coronapandemien, hvor forbrugsmulighederne var
mere begrænsede (når der ses bort fra boligkøb), hvilket kom til udtryk i en forholdsvis stor
stigning i formuen,
jf. figur 1.12.
Husholdningerne synes dermed under ét at være velpolstrede
efter en årrække med konsolidering efter finanskrisen.
Figur 1.11
Boligmarkedet viser igen fremgang
Figur 1.12
Husholdningernes finansielle
nettoformue er stor
Mia. kr.
8.000
Pct.
800
Indeks (2019=100)
130
Indeks (2019=100)
130
120
120
6.000
600
110
110
4.000
400
100
100
2.000
200
90
2017 2018 2019 2020 2021 2022 2023
90
0
2017 2018 2019 2020 2021 2022 2023
Mia. kr.
0
Andel af disponibel indkomst (h. akse)
Anm.: Pris på enfamiliehuse i figur 1.11. Nettoformuen i figur 1.12 er husholdningernes finansielle aktiver, inkl. pension, fratrukket
passiver.
Kilde: Danmarks Statistik og egne beregninger.
Husholdningernes opsparing er også en del af forklaringen på tendensen til stigende overskud
på betalingsbalancen siden 1999. Betalingsbalancen kan opgøres som et lands opsparing fra-
trukket de samlede investeringer. Blandt andet udbygningen af de overenskomstbaserede ar-
bejdsmarkedspensioner har bidraget til øget opsparing. Betalingsbalanceoverskuddet kan også
henføres til ikke-finansielle selskaber med høj nettofordringserhvervelse, hvilket især er store
multinationale selskaber,
jf. figur 1.13.
Betalingsbalanceoverskuddet er i de seneste år vokset ekstraordinært meget til omkring 12 pct.
af BNP. Denne del af stigningen i betalingsbalanceoverskuddet skal ses i sammenhæng med en
stærk eksportudvikling knyttet til søtransport i forbindelse med coronapandemien og senest
den ekstraordinære fremgang i medicinalindustrien.
Økonomisk Redegørelse
December 2023
17
FIU, Alm.del - 2023-24 - Bilag 68: Økonomisk Redegørelse, december 2023
2798413_0020.png
Kapitel 1
Sammenfatning
Figur 1.13
Stort overskud på betalingsbalancen
understøttes generelt af ikke-finansielle
selskaber
Pct. af BNP
16
12
8
4
0
-4
-8
2000 2003 2006 2009 2012 2015 2018 2021 2024
Betalingsbalance
Heraf husholdninger
Heraf ikke-finansielle selskaber
Pct. af BNP
16
12
8
4
0
-4
-8
Figur 1.14
Overskuddet på betalingsbalancen
afspejler opsparing
Pct. af BNP
40
35
30
25
20
15
Pct. af BNP
40
35
30
25
20
15
10
10
1980 1985 1990 1995 2000 2005 2010 2015 2020 2025
Opsparing
Investeringer
Anm.: I figur 1.13 vises betalingsbalancen i alt samt nettofordringserhvervelse for henholdsvis husholdninger samt ikke-finansielle
selskaber.
Kilde: Danmarks Statistik og egne beregninger.
Samlet set er det vurderingen, at der inden for prognoseperioden ikke er tegn på ubalancer i
dansk økonomi, som kan føre til en abrupt vending i økonomien. Samtidig er der heller ikke
tegn på en faldende tendens i investeringsomfanget,
jf. figur 1.14.
På arbejdsmarkedet er der ikke tegn på, at de seneste års kapacitetspres har ført til en uholdbar
dansk lønudvikling, der har forringet lønkonkurrenceevnen over for udlandet,
jf. afsnit 5.3.
En
gradvis vending i økonomien synes at være ved at indtræffe som følge af mere afdæmpet efter-
spørgsel. Det vil bidrage til et aftagende pres på arbejdsmarkedet. Den svage produktivitetsud-
vikling vurderes som nævnt især at være et udtryk for en forsinket tilpasning på arbejdsmarke-
det i forbindelse med den igangværende konjunkturvending. Endvidere har brancheforskydnin-
ger siden udgangen af 2020 medvirket til en svagere produktivitetsudvikling, men kun i mindre
grad,
jf. afsnit 4.1.
De seneste års svage produktivitetsudvikling vurderes ikke at være udtryk for
et længerevarende strukturelt problem.
Fortsat overvejende risici i nedadgående retning
Et godt afsæt for en blød landing udelukker ikke, at dansk økonomi kan blive ramt af forhold,
der kan give udsving i vækst og beskæftigelse.
En række tiltag, som har forbedret forsyningssikkerheden, har bidraget til, at energipriserne
det seneste år er faldet i Europa. Ifølge Energistyrelsens seneste status på energiforsyningen var
gaslagrene næsten fyldte inden fyringssæsonen 2023-2024. Både i Danmark og EU var lagrene
over 90 pct. fyldte i slutningen af november. Trækket på lagrene afhænger blandt andet af vej-
ret, herunder temperatur og nedbør, samt om der vil være lange perioder med vindstille og
overskyet vejr. Hvis vejret til denne vintersæson bliver koldt, er der ifølge Energistyrelsen en vis
18
Økonomisk Redegørelse
December 2023
FIU, Alm.del - 2023-24 - Bilag 68: Økonomisk Redegørelse, december 2023
2798413_0021.png
Kapitel 1
Sammenfatning
risiko for, at lagrene tømmes, og at der kan opstå mangel på gas.
3
Det kan give udslag i en ny
stigning i energipriserne. Europa har i 2022 og starten af 2023 i høj grad erstattet russisk led-
ningsgas med flydende naturgas (LNG), som sejles fra blandt andet USA. LNG-markedet er li-
gesom oliemarkedet et verdensmarked, hvor der kan forekomme betydelige prisudsving.
Store udsving i energipriserne påvirker potentielt forbrugerpriserne både direkte og gennem
afledte effekter. Selvom energipriserne er omtrent tilbage på det tidligere niveau, og inflationen
er faldet markant, er kerneinflationen stadig forholdsvis høj i mange lande, om end den også er
faldende. Centralbankerne i både USA og euroområdet har signaleret, at de ikke forventer flere
renteforhøjelser, men nye stramninger kan blive nødvendige, hvis prisudviklingen og inflati-
onsforventningerne ikke er i overensstemmelse med inflationsmålsætningerne. En særlig risiko
er, hvis der skulle opstå en pris-løn-spiral. Både i år og næste år forventes forholdsvis store løn-
stigninger, som vil være med til at genoprette reallønnen. Fortsætter pris- og lønstigninger på
det høje niveau, kan de blive gensidigt forstærkende og medføre en pengepolitisk reaktion.
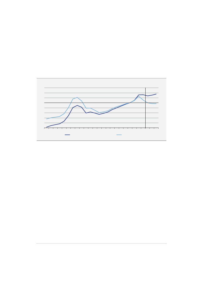
Usikkerheden om inflationen og renterne samt krigen i Ukraine, situationen i Mellemøsten og
geopolitiske spændinger mellem USA og Kina indebærer, at der fortsat er en forhøjet grad af
usikkerhed, selvom den er aftaget lidt siden midten af 2022,
jf. figur 1.15.
Usikkerheden kan
blandt andet påvirke virksomhedernes investeringsbeslutninger.
Figur 1.15
Stadig forhøjet usikkerhed
Indeks
500
Indeks
500
400
400
300
300
200
200
100
100
0
1997
1999
2001
2003
2005
2007
2009
2011
2013
2015
2017
2019
2021
2023
0
Anm.: Indekset er baseret på, hvor mange gange forhold vedrørende økonomi, politik og usikkerhed nævnes i artikler i førende
aviser. Se Davis, S. (2016): An Index of Global Economic Policy Uncertainty, Macroeconomic Review, October 2016.
Kilde: Global Economic Policy Uncertainty Index.
Herhjemme har medicinalindustrien bidraget til uventet høj vækst og eksportfremgang. Umid-
delbart er medicinalindustrien mindre integreret i resten af økonomien end mange andre bran-
cher i form af indbyrdes vare- og tjenesteleverancer, og en stor del af medicinalindustriens pro-
duktion finder sted i udlandet. Større udsving i medicinalindustrien vil dog kunne påvirke
dansk økonomi i både positiv og negativ retning. Et fald i aktiviteten i denne branche vil således
3
Se Energistyrelsen (2023): Status på energiforsyningen, 31. oktober 2023.
Økonomisk Redegørelse
December 2023
19
FIU, Alm.del - 2023-24 - Bilag 68: Økonomisk Redegørelse, december 2023
2798413_0022.png
Kapitel 1
Sammenfatning
kunne påvirke fx eksport og BNP, men de afledte effekter på resten af økonomien, herunder be-
skæftigelsen, vil være mindre.
Der er også andre forhold, der kan trække i retning af større fremgang end forudsat. Arbejds-
markedet har indtil nu klaret sig bedre end ventet, og i de senere år er også vurderingen af den
strukturelle beskæftigelse blevet opjusteret flere gange, herunder som følge af øget tilgang af
international arbejdskraft og stigende beskæftigelse blandt herboende indvandrere. Med fortsat
knaphed på arbejdskraft og lav ledighed i prognoseårene vil beskæftigelse og erhvervsdeltagelse
fx blandt udenlandske statsborgere kunne tiltage yderligere. Det vil understøtte produktions-
mulighederne i dansk erhvervsliv og skabe større efterspørgsel. Endvidere vil privatforbruget
også kunne stige mere end antaget, hvis fx husholdningerne anvender en større andel af deres
indkomst på forbrug. Siden finanskrisen har husholdningerne sparet forholdsvis meget op,
hvilket kommer til udtryk i en lav forbrugskvote,
jf. afsnit 3.1.
Boks 1.2
Prognosegrundlaget og ændringer siden augustvurderingen
Prognosen tager udgangspunkt i nationalregnskabet til og med 3. kvartal 2023 samt en række andre indikato-
rer, der for de mest højfrekvente rækker ind i november. I prognosen er der blandt andet indregnet effekter af
aftaler indgået frem til og med den 5. december 2023, herunder finansloven for 2024, trepartsaftalen om for-
bedrede løn- og arbejdsvilkår for offentligt ansatte samt nyt løft af Ukrainefonden i 2025-2027. Regeringen har
fremlagt et forslag til personskattereform, som i forhold til prognosen blandt andet vil øge husholdningernes
disponible indkomster og dermed deres forbrugsmuligheder fra 2025.
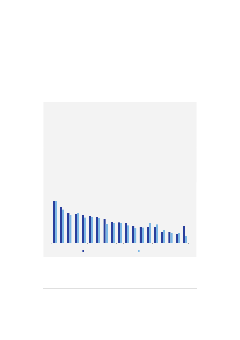
Siden vurderingen i august er der blandt andet kommet nye tal for den økonomiske aktivitet, beskæftigelse og
inflation. Afdæmpningen i den økonomiske aktivitet, som kommer til udtryk i faldende BNP i både 2. og 3.
kvartal 2023, var allerede forventet i den seneste vurdering fra august, og der er i det lys kun foretaget små æn-
dringer i skøn for udviklingen i BNP,
jf. figur a.
For så vidt angår sammensætningen på vækstbidrag fra de for-
skellige efterspørgselskomponenter er skønnene for både eksport og import justeret op både i 2023 og 2024.
Beskæftigelsen er fortsat med at vokse, og vendingen i form af faldende beskæftigelse ventes nu at indtræffe
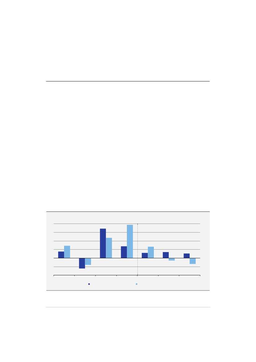
senere. Inflationen er faldet hurtigere end forventet, men det er stadig forventningen, at inflationen vil tiltage
igen i første halvår 2024, inden den igen kommer ned omkring 2 pct. i 2025,
jf. figur b.
Figur a
BNP-vækst
Pct.
1,6
Pct.
1,6
Figur b
Inflation
Pct.
4
Pct.
4
1,2
1,2
3
3
0,8
0,8
2
2
0,4
0,4
1
1
0,0
2023
August
2024
2025
December
0,0
0
2023
August
2024
2025
December
0
Kilde: Danmarks Statistik og egne beregninger.
20
Økonomisk Redegørelse
December 2023
FIU, Alm.del - 2023-24 - Bilag 68: Økonomisk Redegørelse, december 2023
2798413_0023.png
Kapitel 1
Sammenfatning
1.2 Finanspolitikken og de offentlige finanser
Højkonjunkturen i dansk økonomi de seneste år har styrket de offentlige finanser gennem hø-
jere indtægter fra skatter og afgifter og lavere udgifter til overførselsindkomster. I 2022 var der
et overskud på den faktiske offentlige saldo på 95 mia. kr., svarende til 3,3 pct. af BNP, mens
der for 2023 skønnes et overskud på ca. 75 mia. kr. eller 2,7 pct. af BNP,
jf. figur 1.16.
Der skøn-
nes fortsat overskud på den faktiske saldo på henholdsvis 1,5 pct. af BNP og 0,8 pct. af BNP i
2024 og 2025.
Dansk økonomi har bevæget sig ind i en ny konjunkturfase med mere afdæmpet vækst, men ak-
tivitetsniveauet vurderes fortsat forhøjet i forhold til en normal konjunktursituation ved udgan-
gen af prognoseperioden i 2025. Det sammenvejede konjunkturgab
4
skønnes indsnævret fra 2,9
pct. af BNP i 2023 til 1,8 pct. af BNP i 2025.
Den strukturelle offentlige saldo skønnes til 0,5 pct. af BNP i 2023, 0,6 pct. af BNP i 2024 og
0,2 pct. af BNP i 2025,
jf. figur 1.17.
Sammenlignet med august-vurderingen er skønnet for den
strukturelle saldo uændret i 2023, opjusteret med 0,2 pct. af BNP i 2024 og nedjusteret med
0,2 pct. af BNP i 2025.
5
Samlet set er de offentlige finanser fortsat sunde med offentlige over-
skud og lav gæld. Samtidig er finanspolitikken afstemt med den skønnede konjunktursituation.
Figur 1.16
Faktiske offentlige overskud aftager
med konjunkturerne
Pct. af BNP
5
4
3
2
1
0
-1
-2
2020
2021
2022
2023
2024
2025
Faktisk offentlig saldo
Sammenvejet konjunkturgab (h. akse)
Pct.
5
4
3
2
1
0
-1
-2
Figur 1.17
Overskud på strukturel saldo og god
afstand til budgetlovens underskudsgrænse
Pct. af strukturelt BNP
2,0
1,5
1,0
0,5
0,0
-0,5
-1,0
-1,5
2020
2021
2022
2023
2024
2025
August 2023
December 2023
Budgetlovens grænse
Pct. af strukturelt BNP
2,0
1,5
1,0
0,5
0,0
-0,5
-1,0
-1,5
Anm.: Det sammenvejede konjunkturgab er et vægtet gennemsnit af beskæftigelsesgabet og outputgabet med vægtningen 60/40.
Kilde: Danmarks Statistik og egne beregninger.
Sammenlignet med august-vurderingen medfører forøgelsen af den militære støtte under Ukra-
inefonden,
jf. Aftale om forøgelse af den militære støtte under Ukrainefonden i 2023 og 2025-
Det sammenvejede konjunkturgab er et vægtet gennemsnit af beskæftigelses- og outputgabet med vægtningen 60/40.
Skønnene for de offentlige finanser for 2024 er baseret på finansloven for 2024 og trepartsaftalen om løn- og arbejdsvil-
kår. For 2025 foreligger der endnu ikke offentlige budgetter, og skønnene tager derfor afsæt i beregningstekniske forud-
sætninger om realvæksten i det offentlige forbrug og de offentlige investeringer i 2030-planforløb: Grundlag for udgiftslof-
ter 2027, august 2023, justeret for efterfølgende indgåede aftaler frem til og med 5. december 2023.
4
5
Økonomisk Redegørelse
December 2023
21
FIU, Alm.del - 2023-24 - Bilag 68: Økonomisk Redegørelse, december 2023
2798413_0024.png
Kapitel 1
Sammenfatning
2027 (november 2023)
og 2030-planen
DK2030 – Danmark rustet til fremtiden (november
2023),
en diskretionær svækkelse af den strukturelle saldo med ca. 0,1 pct. af BNP i 2023 og ca.
0,4 pct. af BNP i 2025.
Omvendt forbedres den strukturelle saldo isoleret set af højere skønnet strukturel beskæftigelse
i 2023-2025 med baggrund i øget beskæftigelse for navnlig udenlandske statsborgere, herunder
også i kraft af forlængelsen af særloven om fordrevne fra Ukraine. I modsat retning bidrager
blandt andet en forventet overskridelse af de kommunale og regionale anlægsrammer i 2023,
jf.
også kapitel 8.
Set henover årene skønnes den strukturelle saldo at blive svækket fra et strukturelt overskud på
1,9 pct. af BNP i 2022 til 0,2 pct. af BNP i 2025. Størstedelen af svækkelsen skønnes at være
indtruffet i 2023 og afspejler blandt andet udgifter relateret til etablering og udvidelse af Ukrai-
nefonden og en stigning i øvrige offentlige forbrugsudgifter korrigeret for faldet i covid-19-rela-
terede engangsudgifter.
Frem mod 2025 skal svækkelsen af den strukturelle saldo også ses i sammenhæng med, at fi-
nanspolitikken er planlagt ud fra en gradvist aftagende profil for den strukturelle saldo frem
mod saldomålet på -0,5 pct. af BNP i 2030,
jf. 2030-planforløb: Grundlag for udgiftslofter
2027,
august 2023. Det er i overensstemmelse med fortsatte sunde og holdbare offentlige finan-
ser. År-til-år-ændringerne i den strukturelle saldo i prognoseperioden er beskrevet nærmere i
kapitel 8.
År-til-år-udviklingen i den strukturelle saldo er ikke et velegnet mål for, om finanspolitikken
bidrager til at øge eller dæmpe kapacitetspresset i dansk økonomi. Det måles derimod med fi-
nanseffekterne. Den førte finans- og strukturpolitik er afspejlet i skønnet for den strukturelle
saldo, men den strukturelle saldo påvirkes også af en række andre forhold,
jf. boks 1.3.
Desuden
kan der være politiske tiltag, som påvirker kapacitetspresset, men ikke den strukturelle saldo,
eller omvendt. Svækkelsen af den strukturelle saldo fra 2022 til 2023 er således ikke udtryk for,
at finanspolitikken i 2023 øger kapacitetspresset. Finans- og strukturpolitikken skønnes der-
imod at være blevet strammet markant i 2023 svarende til en ét-årig finanseffekt på -1,0 pct.-
point,
jf. nedenfor.
22
Økonomisk Redegørelse
December 2023
FIU, Alm.del - 2023-24 - Bilag 68: Økonomisk Redegørelse, december 2023
2798413_0025.png
Kapitel 1
Sammenfatning
Boks 1.3
Forskel mellem år-til-år-ændringer i den strukturelle saldo og finanseffekter
Den strukturelle saldo er et skøn for den underliggende stilling på de offentlige finanser ved den givne finans-
politik. Udviklingen i den strukturelle saldo påvirkes af en lang række forhold, blandt andet den førte finans- og
strukturpolitik. Den afspejler dog ikke udelukkende finans- og strukturpolitik, men også andre forhold, der på-
virker den strukturelle udvikling i indtægter og udgifter, herunder fx udviklingen i demografi, udenlandsk ar-
bejdskraft, renter, forskydninger i efterspørgselssammensætning mv. Eksempelvis har udviklingen i nordsø-
indtægterne – som i høj grad er drevet af andet end finanspolitik – haft stor betydning for den strukturelle
saldo.
År-til-år-udviklingen i den strukturelle saldo er derfor ikke velegnet som mål for, hvor meget finans- og struk-
turpolitikken bidrager til at øge eller dæmpe kapacitetspresset i dansk økonomi. Det måles derimod med fi-
nanseffekterne, der viser skøn for finans- og strukturpolitikkens virkning på output- og beskæftigelsesgabet.
Som udgangspunkt vil en diskretionær finanspolitisk lempelse i et givent år indebære en svækkelse af den
strukturelle saldo og øge finanseffekten; og omvendt for en diskretionær finanspolitisk stramning. Der er dog
en række undtagelser og nuancer, som betyder, at dette ikke gælder generelt. Helt overordnet påvirker forskel-
lige finanspolitiske instrumenter kapacitetspresset forskelligt for den samme saldovirkning (dvs. har forskellige
multiplikatorer).
I forlængelse heraf kan der være finanspolitiske tiltag, som påvirker den strukturelle saldo, men ikke kapaci-
tetspresset, og omvendt. Eksempelvis påvirker finansielle donationer til Ukraine og genanskaffelser i udlandet
ikke kapacitetspresset i Danmark, men svækker den strukturelle saldo. Omvendt påvirker udfasningen af en-
gangsudgifter til covid-19 ikke den strukturelle saldo (idet engangsforhold er neutrale for den strukturelle
saldo), men bidrager til at dæmpe kapacitetspresset. Hertil kommer blandt andet, at udbetalingerne af inde-
frosne feriepenge – og udfasningen heraf – påvirker kapacitetspresset, mens engangsindtægterne knyttet til
udbetalingen behandles som engangsforhold i opgørelsen af den strukturelle saldo.
Finanspolitikken for 2024 er tilrettelagt med finanslovsaftalen og økonomiaftalerne med kom-
munerne og regionerne. Samlet set har den planlagte finanspolitik for 2024 en omtrent neutral
virkning på kapacitetspresset målt ved den ét-årige finanseffekt,
jf. nedenfor.
Udvalgte hoved-
prioriteter i finanslovsaftalen fremgår af
boks 1.4.
Økonomisk Redegørelse
December 2023
23
FIU, Alm.del - 2023-24 - Bilag 68: Økonomisk Redegørelse, december 2023
2798413_0026.png
Kapitel 1
Sammenfatning
Boks 1.4
Udvalgte prioriteter i Aftale om finansloven for 2024
Pulje til flere hænder i Pædagogisk Psykologisk Rådgivning (PPR):
Pulje til flere medarbejdere i Pæ-
dagogisk Psykologisk Rådgivning (PPR) til at understøtte det pædagogiske personale i det forebyggende ar-
bejde og skabe øget tilstedeværelse i dagtilbud og grundskolen.
Værdig ældrepleje:
Der afsættes en ramme til værdig ældrepleje. Midlerne kan blandt andet gå til udbre-
delse af faste teams og udbredelse af velfærdsteknologi.
Fjernvarmepulje:
Fjernvarmepuljen forlænges med 150 mio. kr. i 2024, hvorved der gives støtte til, at flere
projekter bliver rentable at gennemføre for fjernvarmeselskaberne.
Akutpakke til forbedring af vandmiljøet og udtagning af lavbundsjorde:
Der afsættes en ramme til
en akutpakke for vandmiljøet. Rammen vil kunne udmøntes til indsatser, der understøtter, at de aftalte reduk-
tioner i kvælstofudledningen realiseres, eller som i øvrigt bidrager til forbedringer af vandmiljøet.
Forhøjelse af bundfradraget for elbiler:
Bundfradraget i registreringsafgiften for nulemissionspersonbi-
ler forhøjes, så bundfradraget ikke falder fra 2023 og frem til 2025.
Akutberedskab, herunder akutlægebiler:
Der afsættes midler til prioritering af regionernes akutbered-
skaber. Løftet kan eksempelvis ske ved et styrket akutberedskab – fx flere akutlægebiler – eller øvrige
præhospitale tiltag.
Stormflodspulje til genopretning i hårdt ramte kommuner:
Der oprettes en ekstraordinær anlægs-
pulje på 125 mio. kr., der kan søges af kommuner, med mulighed for dækning af op til 25 pct. af udgifterne til
genopretning.
Udkantstilskud til gymnasier og pulje til voksenuddannelsescentre med økonomisk udfordrede
afdelinger mv.:
Den midlertidige forhøjelse af udkantstilskuddet til almene gymnasier videreføres i 2024-
2027, ligesom der afsættes 10,0 mio. kr. i 2024-2027 til puljen til voksenuddannelsescentre med økonomisk
udfordrede afdelinger. Der afsættes også en reserve på 5 mio. kr. i 2024 mhp. at understøtte handelsgymnasier
mv. i yderområderne.
Aftalen om finansloven er isoleret set neutral for aktiviteten i økonomien og realvæksten i det offentlige forbrug
set i forhold til regeringens finanslovforslag, inklusive indregnede reserver.
Kilde:
Aftale om finansloven for 2024.
Finanspolitikken for 2025 tilrettelægges i løbet af 2024 blandt andet med aftalerne om kommu-
nernes og regionernes økonomi samt finansloven for 2025. Den konkrete udformning af finans-
politikken vil blandt andet ske på baggrund af konjunkturudsigterne. Herudover har regeringen
fremlagt udspil til en personskattereform, som isoleret set vil dæmpe finanseffekten i 2025 i
forhold til grundlaget for prognosen, der er baseret på beregningstekniske forudsætninger og
indgåede aftaler frem til og med 5. december 2023.
Finanspolitikken bidrager til at dæmpe kapacitetspresset i 2023 og 2024
Efter de store finanspolitiske lempelser under coronapandemien blev finanspolitikken stram-
met i 2022 svarende til en ét-årig finanseffekt på -1,6 pct.-point. Finanspolitikken skønnes at
være strammet yderligere i 2023 med en ét-årig finanseffekt på -1,0 pct.-point. Dermed er lem-
pelserne under coronapandemien – i kraft af kompensationsordninger og stimuli-tiltag mv. –
trukket tilbage,
jf. kapitel 8.
Med aftalen om finansloven for 2024 mv. skønnes finans- og struk-
turpolitikken i 2024 at have en omtrent neutral virkning på kapacitetspresset. Den ét-årige fi-
nanseffekt skønnes med de opdaterede forudsætninger i prognosen aktuelt til -0,1 pct.-point.
24
Økonomisk Redegørelse
December 2023
FIU, Alm.del - 2023-24 - Bilag 68: Økonomisk Redegørelse, december 2023
2798413_0027.png
Kapitel 1
Sammenfatning
Vurderingen af de offentlige finanser for 2025 afspejler beregningstekniske forudsætninger
med afsæt i indgåede politiske aftaler mv. På baggrund heraf skønnes den ét-årige finanseffekt
til 0,3 pct.-point i 2025,
jf. figur 1.18.
Det afspejler blandt andet, at finanspolitikken er planlagt
med en gradvist aftagende profil for den strukturelle saldo frem mod saldomålet i 2030 på -0,5
pct. af BNP. Normaliseringen af inflationen og af konjunktursituationen (målt ved indsnævring
af output- og beskæftigelsesgab i nedadgående retning) tilsiger isoleret set, at finanspolitikken
gradvist lempes fra sit nuværende stramme niveau for at understøtte en blød landing, svarende
til en positiv ét-årig finanseffekt og en negativ flerårig finanseffekt. Det er på linje med, at pen-
gepolitikken i euroområdet og Danmark også forventes at blive gradvist mindre stram i løbet af
2025 under forudsætning af aftagende inflationspres.
Sammenlignet med
Økonomisk Redegørelse,
august 2023 er skønnet for den ét-årige finansef-
fekt i 2023 0,1 pct.-point højere, dvs. mindre stram. Det afspejler primært en opjustering af de
offentlige investeringsudgifter som følge af en forventet overskridelse af de kommunale og regi-
onale anlægsrammer. I modsat retning trækker blandt andet, at den tidligere forudsatte tilba-
gebetaling af for meget betalt boligskat i 2023 i høj grad ventes udskudt til 2024.
I 2024 er skønnet for den ét-årige finanseffekt omvendt 0,1 pct.-point lavere end i august-vur-
deringen. Forlængelse af særloven for fordrevne fra Ukraine samt en forudsat opstramning af
de offentlige investeringer relativt til 2023 bidrager til at mindske finanseffekten i 2024, mens
tilbagebetalingen af for meget betalt ejendomsskat udskydes, hvilket isoleret set øger skønnet
for den ét-årige finanseffekt i 2024 i forhold til augustvurderingen.
Den flerårige finanseffekt – som måler virkningen af finans- og strukturpolitikken i det pågæl-
dende år og de forudgående år i forhold til basisåret 2019, dvs. året før coronapandemien –
skønnes til -0,3 pct.-point i 2023, -0,5 pct.-point i 2024 og -0,2 pct.-point i 2025,
jf. kapitel 8.
Den samlede finans- og strukturpolitik siden 2019 har dermed en dæmpende virkning på kapa-
citetspresset i dansk økonomi i alle prognoseårene,
jf. figur 1.19.
Med
Aftale om forøgelse af den militære støtte under Ukrainefonden i 2023 og 2025-2027
(november 2023)
forøges Ukrainefonden. Forøgelsen håndteres ved en lempelse af den struk-
turelle saldo,
jf. ovenfor.
Aktivitetsvirkningen heraf forventes som udgangspunkt at være tæt på
nul, idet langt størstedelen af midlerne forudsættes at være donationer til Ukraine samt genan-
skaffelser, der købes i udlandet. Aktivitetsvirkningen vil dog afhænge af, hvordan midlerne kon-
kret udmøntes.
Regeringens udspil til personskattereformen
Mere attraktivt at arbejde,
som ikke er afspejlet i
indeværende prognose, vil isoleret set have en dæmpende virkning på kapacitetspresset i dansk
økonomi. Samlet set vurderes det, at udspillet vil dæmpe den ét-årige finanseffekt i 2025 med
knap 0,1 pct.-point. Det afspejler, at reformen finansieres via det finanspolitiske råderum (der
beregningsteknisk indgår som offentligt forbrug i prognosen), og at den kortsigtede virkning på
kapacitetspresset af lavere personskatter er mindre end for offentligt forbrug. Samtidig øger re-
formen arbejdsudbuddet, hvilket isoleret set dæmper kapacitetspresset.
Økonomisk Redegørelse
December 2023
25
FIU, Alm.del - 2023-24 - Bilag 68: Økonomisk Redegørelse, december 2023
2798413_0028.png
Kapitel 1
Sammenfatning
Figur 1.18
Ét-årige og flerårige finanseffekter
Figur 1.19
Finanspolitikken dæmper
kapacitetspresset i 2023-2025
Pct.-point
4
3
2
1
0
-1
-2
-3
-4
2020
2021
2022
2023
2024
2025
Outputgab
Outputgab i fravær af besluttet politik
Pct.-point
4
3
2
1
0
-1
-2
-3
-4
Pct.-point
4
3
2
1
0
-1
-2
-3
-4
2020
2021
2022
2023
2024
Pct.-point
4
3
2
1
0
-1
-2
-3
-4
2025
Ét-årig finanseffekt
Flerårig finanseffekt
Anm.: Virkningen på outputgabet i figur 1.19 af opgjort som den flerårige finanseffekt, der beskriver den samlede niveaumæssige
virkning af finans- og strukturpolitikken i forhold til 2019.
Kilde: Egne beregninger.
Stigning i offentligt forbrug
Det reale offentlige forbrug skønnes at vokse med 0,9 pct. i 2023 og 2,2 pct. i 2024. Det er en
nedjustering på 0,6 pct.-point i 2023 og en opjustering på 0,1 pct.-point i 2024 i forhold til de
skønnede vækstrater i
Økonomisk Redegørelse,
august 2023,
jf. figur 1.20.
Nedjusteringen af realvæksten i 2023 afspejler især virkningen af konkrete udmøntninger fra
Ukrainefonden. De faktiske udmøntninger, der er sket af fonden, peger på en større andel af
overførsler til udlandet (ca. ¾) end tidligere forudsat (ca. �½), og deraf lavere offentligt forbrug
i form af genanskaffelser i udlandet mv. I 2024 skønnes endvidere lavere driftsudgifter end tid-
ligere antaget til ukrainske flygtninge.
Hertil kommer nye politiske aftaler, primært
trepartsaftale om løn og arbejdsvilkår,
som øger
lønnen for en række offentlige ansatte, og dermed de nominelle forbrugsudgifter fra 2024 og
frem. Samtidig sænker aftalen det
reale
offentlige forbrug, da lønløftet modsvares af lavere of-
fentlige forbrugsudgifter, herunder de aftalte administrationsbesparelser i kommuner og regio-
ner.
I 2025 forudsættes beregningsteknisk en offentlig forbrugsvækst på 1,9 pct., som afspejler det
skønnede finanspolitiske råderum, men ikke fuldt ud konkrete udmøntninger heraf (dvs. før
indregning af regeringens udspil til en personskattereform, som isoleret set skønnes at reducere
den offentlige forbrugsvækst med 0,6 pct.-point i 2025).
26
Økonomisk Redegørelse
December 2023
FIU, Alm.del - 2023-24 - Bilag 68: Økonomisk Redegørelse, december 2023
2798413_0029.png
Kapitel 1
Sammenfatning
Set hen over perioden siden 2019 er væksten i det offentlige forbrug kraftigt påvirket af både
indsatsen i forbindelse med covid-19-pandemien og den danske støtte til Ukraine
6
, herunder
også modtagelse af ukrainske flygtninge. Den gennemsnitlige årlige realvækst i det offentlige
forbrug i 2020-2025 skønnes til 1,3 pct.
Figur 1.20
Realvækst i det offentlige forbrug
Pct.
6
4
2
0
-2
-4
-6
2020
2021
August 2023
2022
2023
2024
December 2023
2025
Pct.
6
4
2
0
-2
-4
-6
Anm.: Det offentlige forbrug er opgjort ved inputmetoden og inkl. afskrivninger. 2025 var ikke en del af prognoseperioden i
Økono-
misk Redegørelse, august 2023,
hvorfor der ikke indgår en skønnet realvækst for 2025 fra august 2023. Den stiplede linje
angiver den gennemsnitlige årlige realvækst i 2020-2025.
Kilde: Danmarks Statistik og egne beregninger.
Fortsat lav ØMU-gæld og offentlig finansiel nettoformue
Den danske ØMU-gæld skønnes fortsat at holde pæn afstand til grænsen i Stabilitets- og Vækst-
pagten på 60 pct. af BNP. ØMU-gælden skønnes at aftage fra 30,3 pct. af BNP i 2023 til 27,9
pct. af BNP i 2025. I forhold til
Økonomisk Redegørelse, august 2023
er den skønnede ØMU-
gæld nedjusteret med omkring 0,5 pct. af BNP i 2023 og 2024 som følge af større skønnede
overskud på den faktiske saldo.
Danmark har haft positiv offentlig finansiel nettoformue siden 2018. Det skønnes også at gælde
frem mod 2025,
jf. figur 1.21.
Skønnene for 2023 og 2024 er stort set uændrede siden
Økono-
misk Redegørelse, august 2023,
hvilket dækker over modsatrettede bevægelser. Opad trækker
reviderede regnskabstal for den offentlige nettoformue i 2022 samt højere skøn for den faktiske
offentlige saldo. Omvendt trækker kursfald i 2023 på offentlige aktiver ned i nettoformuen.
6
Eksklusive ekstraordinære udgifter til covid-19 i 2022 skønnes realvæksten i det offentlige forbrug til 3,1 pct. i 2023. Det
er forudsat, at de afsatte midler til Ukrainefonden påvirker det (nominelle) offentlige forbrug svarende til ca. 2¾-3¾ mia.
kr. årligt fra 2023 til 2025.
Økonomisk Redegørelse
December 2023
27
FIU, Alm.del - 2023-24 - Bilag 68: Økonomisk Redegørelse, december 2023
2798413_0030.png
Kapitel 1
Sammenfatning
Figur 1.21
Stor margin til gældsgrænsen og offentlig nettoformue
Pct. af BNP
80
60
40
20
0
-20
-40
2000
2002
2004
2006
2008
2010
2012
2014
2016
2018
2020
2022
2024
ØMU-gæld
Kilde: Danmarks Statistik og egne beregninger.
Pct. af BNP
80
Grænse for ØMU-gæld i Stabilitets- og Vækstpagten
60
40
20
0
-20
-40
Offentlig finansiel nettoformue
Centrale nøgletal for de offentlige finanser i perioden 2022-2025 fremgår af tabel 1.2. Vurderin-
gen af de offentlige finanser er uddybet nærmere i kapitel 8.
Tabel 1.2
Centrale skøn vedrørende tilrettelæggelsen af finanspolitikken
2022
Strukturel saldo, pct. af strukturelt BNP
Faktisk saldo, pct. af BNP
Offentlig forbrugsvækst, pct.
1)
Flerårig finanseffekt, niveau, pct.-point
2)
Ét-årig finanseffekt, pct.-point
3)
Memo: Ét-årig finanseffekt inkl.
personskattereform, pct.-point
3)
Outputgab, pct.
4)
Beskæftigelsesgab, pct.
4)
ØMU-gæld, pct. af BNP
5)
Offentlig finansiel nettoformue, pct. af BNP
1)
2023
0,5
2,7
0,9
-0,3
-1,0
-1,0
2,1
3,4
30,3
18,5
2024
0,6
1,5
2,2
-0,5
-0,1
-0,1
1,9
2,9
29,1
19,2
2025
0,2
0,8
1,9
-0,2
0,3
0,2
1,4
2,1
27,9
19,2
1,9
3,3
-3,6
0,8
-1,6
-1,6
3,0
3,3
29,8
17,9
Den skønnede offentlige forbrugsvækst er beregningsteknisk forudsat ens ved henholdsvis input- og outputmetoden. For
2022 er vist væksten i det offentlige forbrug ved inputmetoden.
2)
Den flerårige finanseffekt er et mål for, hvor meget ændringer i finans- og strukturpolitikken påvirker outputgabet (niveau-
effekt i forhold til 2019).
3)
Den ét-årige finanseffekt er et mål for, hvor meget den planlagte finans- og strukturpolitik bidrager til ændringer i outputgabet
i et givent år.
4)
Beregnet mål for, hvor langt produktionen og beskæftigelsen er fra deres strukturelle niveauer. Når gabene er positive, indi-
kerer det, at der er knappe ressourcer i økonomien i forhold til en normal konjunktursituation.
5)
ØMU-gælden i pct. af BNP skønnes at stige fra 2022 til 2023 til trods for et skønnet faktisk offentligt overskud i 2023. Det
afspejler – foruden et skønnet fald i BNP-deflatoren og dermed nominelt BNP i 2023 – omfanget af statens obligationsudste-
delse i 2023, der blandt andet påvirkes af politisk aftale om udskydelse virksomhedernes skattebetalinger fra 2023 til 2024.
Kilde: Danmarks Statistik og egne beregninger.
28
Økonomisk Redegørelse
December 2023
FIU, Alm.del - 2023-24 - Bilag 68: Økonomisk Redegørelse, december 2023
2798413_0031.png
Kapitel 1
Sammenfatning
1.3 Bilagstabel
Tabel 1.3
Nøgletal fra vurderingen i december og sammenligning med skøn fra august
2023
Aug.
Realvækst, pct.
Privatforbrug
Samlet offentlig efterspørgsel
- heraf offentligt forbrug
- heraf offentlige investeringer
Boliginvesteringer
Erhvervsinvesteringer
Lagerændringer (vækstbidrag)
I alt indenlandsk efterspørgsel
Eksport
- heraf industrieksport
Samlet efterspørgsel
Import
- heraf vareimport
BNP
Bruttoværditilvækst
- heraf i private byerhverv
Ændring i 1.000 personer
Arbejdsstyrke
Beskæftigelse
- heraf i den private sektor
- heraf i offentlig forvaltning og service
Bruttoledighed
Konjunkturgab, pct.
Outputgab
Beskæftigelsesgab
Bruttoledighedsgab
Anm.: Det offentlige forbrug er opgjort ved inputmetoden.
Kilde: Danmarks Statistik og egne beregninger.
2024
Dec.
Aug.
Dec.
2025
Dec.
0,6
1,8
1,5
3,6
-12,9
-3,6
-1,7
-2,3
5,4
8,8
1,1
0,9
-2,4
1,2
1,4
2,2
0,9
1,6
0,9
6,3
-12,1
-3,3
-1,4
-1,8
10,8
15,0
3,7
8,0
3,5
1,2
1,5
0,9
1,5
1,9
2,1
0,8
-2,1
-2,0
-0,1
0,8
3,4
3,3
1,9
2,8
4,1
1,4
1,6
1,1
1,6
1,6
2,2
-2,4
-2,2
-2,2
-0,5
0,3
4,2
4,6
2,0
3,0
2,7
1,4
1,5
1,0
1,5
1,9
1,9
1,7
1,2
0,1
0,1
1,5
2,4
2,3
1,9
3,3
3,2
1,0
1,0
1,0
40
32
24
8
9
48
40
32
8
8
-4
-13
-16
3
9
2
-9
-12
3
13
-17
-21
-26
5
4
2,1
3,3
-1,0
2,1
3,4
-1,0
1,6
2,7
-0,7
1,9
2,9
-0,6
1,4
2,1
-0,3
Økonomisk Redegørelse
December 2023
29
FIU, Alm.del - 2023-24 - Bilag 68: Økonomisk Redegørelse, december 2023
2798413_0032.png
Kapitel 1
Sammenfatning
Tabel 1.3 (fortsat)
Nøgletal fra vurderingen i december og sammenligning med skøn fra august
2023
Aug.
Stigning i pct.
Huspriser (enfamiliehuse)
Forbrugerprisindeks
Timeløn i privat sektor
Real disponibel indkomst, husholdninger
Timeproduktiviteten i private byerhverv
Pct.
Rente, 1-årigt flekslån
Rente, 10-årig statsobligation
Rente, 30-årig realkreditobligation
Offentlige finanser
Faktisk offentlig saldo, mia. kr.
Faktisk offentlig saldo, pct. af BNP
Strukturel offentlig saldo, pct. af BNP
ØMU-gæld, pct. af BNP
Arbejdsmarked
Arbejdsstyrke (inkl. orlov), 1.000 personer
Beskæftigelse (inkl. orlov), 1.000 personer
Bruttoledighed, 1.000 personer
Bruttoledighed, pct. af arbejdsstyrken
Eksterne forudsætninger
Handelsvægtet BNP-vækst i udlandet, pct.
Eksportmarkedsvækst (industrivarer), pct.
Dollarkurs, kr. pr. dollar
Oliepris, dollar pr. tønde
Betalingsbalance
Betalingsbalancesaldo, mia. kr.
Betalingsbalancesaldo, pct. af BNP
266
9,6
300
10,7
287
9,9
347
11,8
339
11,1
1,3
0,8
6,9
81,1
1,3
0,2
6,9
82,6
1,8
3,0
6,7
81,4
1,6
2,4
6,9
81,3
2,2
3,1
6,9
81,9
3.283
3.200
85
2,6
3.290
3.208
84
2,6
3.279
3.187
94
2,9
3.293
3.199
97
2,9
3.276
3.178
101
3,1
56
2,0
0,5
30,8
77
2,7
0,5
30,3
29
1,0
0,4
29,6
44
1,5
0,6
29,1
23
0,8
0,2
27,9
3,5
2,7
4,7
3,4
2,8
4,8
3,7
2,8
4,7
3,3
2,8
5,0
2,8
2,8
4,8
-4,5
3,8
4,5
-0,7
2,5
-2,0
3,4
4,3
1,1
0,2
1,4
3,0
5,4
2,9
1,6
1,2
2,8
5,4
1,4
1,4
1,9
2,1
3,4
0,9
2,2
2024
Dec.
Aug.
Dec.
2025
Dec.
Kilde: Danmarks Statistik, IMF, Macrobond, Dansk Arbejdsgiverforening og egne beregninger.
30
Økonomisk Redegørelse
December 2023
FIU, Alm.del - 2023-24 - Bilag 68: Økonomisk Redegørelse, december 2023 FIU, Alm.del - 2023-24 - Bilag 68: Økonomisk Redegørelse, december 2023
2798413_0034.png
FIU, Alm.del - 2023-24 - Bilag 68: Økonomisk Redegørelse, december 2023
2798413_0035.png
Kapitel 2
BNP som mål for velstand og bredere indikatorer for velfærd
2. BNP som mål for velstand og
bredere indikatorer for velfærd
I de økonomiske redegørelser er fokus på konjunkturudsigterne for dansk økonomi. Det vil sige
den aktuelle og forventede udvikling i den økonomiske aktivitet, beskæftigelse og ledighed, in-
flation og de offentlige finanser mv. Her indgår værdiskabelse i bruttonationalproduktet (BNP)
som det overordnede mål for udviklingen i produktionen og de samlede indkomster. Prognosen
for vækst i BNP er i høj grad styrende for udsigterne for arbejdsmarkedet, pris- og lønudviklin-
gen, skatteindtægterne samt en lang række andre forhold.
BNP er imidlertid ikke et mål for et lands eller befolkningens samlede velfærd eller livstilfreds-
hed og har heller aldrig været tiltænkt den rolle. Velfærden eller livstilfredsheden for den en-
kelte og for gennemsnittet af befolkningen påvirkes af en lang række øvrige forhold, herunder
miljø og sociale forhold. Det er forhold, der ikke er genstand for prognoserne i Økonomisk Re-
degørelse, men som selvsagt er vigtige for indretningen af samfundet og for politiske beslutnin-
ger.
Formålet med dette kapitel er blandt andet at bidrage til en nuanceret diskussion af, hvad BNP
som begreb kan bruges til. Kapitlet vil også komme ind på begrænsninger i forhold til opgørelse
og fortolkning af BNP. Dette kapitel ser på den baggrund nærmere på fordele og mangler ved
BNP som mål for velstand og for det andet på en række indikatorer, som på forskellig vis ind-
drager øvrige forhold af betydning for befolkningens livskvalitet eller velfærd.
Det skal i den forbindelse bemærkes, at den økonomiske politik i Danmark – og i det hele taget
indretningen af det danske samfund – gennem mange år har forfulgt hensyn på en lang række
områder og ikke bare målsætninger for BNP og beskæftigelse. Det gælder fx hensyn til miljø og
natur, klima, indkomstfordeling, individuel frihed, økonomisk tryghed og sammenhængskraft.
Danmark har i en lang årrække været blandt de lande, hvor befolkningen har udtrykt den høje-
ste livstilfredshed eller lykke. Danmark scorer generelt også højt i de forskellige sammenvejede
indikatorer udarbejdet af internationale institutioner eller forskere til belysning af livskvalite-
ten i forskellige lande.
Gennemgangen i kapitlet peger blandt andet på:
BNP er et helt centralt begreb i den økonomiske planlægning, prognoser og fremskrivnin-
ger, fordi det på en konsistent – og international sammenlignelig – måde opgør et sam-
funds økonomiske aktivitet.
Opmærksomhed om udviklingen i BNP er vigtig i forhold til at kunne tilrettelægge den øko-
nomiske politik med henblik på at dæmpe konjunkturudsving og undgå dybe kriser og peri-
oder med overophedning.
I forhold til konjunkturvurderinger indgår BNP sammen med en række andre oplysninger
om aktivitet, beskæftigelse, priser mv. i en samlet vurdering af konjunkturbilledet.
Der er fortsat rum til at videreudvikle BNP, så det bedst muligt understøtter behovet for et
samlet aktivitetsmål i den økonomiske planlægning.
Økonomisk Redegørelse
December 2023
33
FIU, Alm.del - 2023-24 - Bilag 68: Økonomisk Redegørelse, december 2023
2798413_0036.png
Kapitel 2
BNP som mål for velstand og bredere indikatorer for velfærd
Der findes andre mål, som er relevante i forhold til andre formål og hensyn i politiske be-
slutninger, fx fordeling, klima og miljø.
Der er gjort fremskridt med det grønne nationalregnskab, som belyser sammenhængen
mellem økonomi og miljø. Der er endvidere udviklet et grønt BNP, som estimerer miljøom-
kostninger ved økonomisk aktivitet. Disse er relevante for miljømæssige overvejelser, men
ændrer dog ikke på anvendelsen af BNP som det centrale mål for økonomisk aktivitet.
Flere internationale institutioner, myndigheder og forskere har givet forskellige bud på
bredere indikatorer for velfærd og livskvalitet. Danmark scorer generelt højt på disse mål.
Sammenvejede mål for velfærd og livskvalitet kan dog være vanskelige at bruge i forhold til
at føre politik, da de pr. konstruktion indeholder en afvejning af de mange størrelser og di-
mensioner, der har betydning for velfærd og livskvalitet.
På tværs af lande er BNP typisk stærkt korreleret med indikatorer for sundhed, tryghed og
generel livstilfredshed. Sammenhængen er ikke direkte udtryk for kausalitet, men den kan
blandt andet afspejle, at man med større velstand (indkomst og formue) både som individ
og som samfund kan købe sig til goder og indsatser, som kan øge livskvaliteten. Frembrin-
gelse af mere velstand kan dog også komme med omkostninger, som potentielt begrænser
velfærden, fx i form af belastning af naturressourcer eller øget arbejdsintensitet, og øget
velstand kan også føre til stigende forventninger til, hvad der udgør et godt liv, således at
den gennemsnitlige subjektive livstilfredshed ikke øges i takt med velstanden.
2.1 Hvad er BNP?
BNP er et af de mest gængse økonomiske begreber og er grundlæggende et udtryk for værdiska-
belsen af et lands samlede økonomiske aktivitet, som afspejles i anvendelse i form af privat for-
brug, offentligt forbrug, investeringer og eksport.
1
Begrebet er en vigtig økonomisk indikator,
da det siger noget om størrelsen på en økonomi, og udviklingen i BNP over tid kan bruges som
pejlemærke for, om der er vækst eller tilbagegang i den økonomiske aktivitet.
Høj vækst i BNP tolkes ofte som en positiv udvikling, blandt andet fordi det typisk følges af sti-
gende beskæftigelse og forbedrede forbrugsmuligheder. Niveauet for BNP er steget over tid i
takt med produktivitetsstigninger, der har gjort det muligt at producere mere med samme ind-
sats af ressourcer. På kort sigt varierer BNP imidlertid også som følge af konjunkturudsving,
hvor blandt andet stemningsskift afledt af udviklingen i udlandet eller på boligmarkedet kan
påvirke den samlede aktivitetsudvikling.
BNP er helt central i forbindelse med den økonomiske planlægning. Over tid kan den økonomi-
ske politik være medvirkende til at understøtte produktivitetsstigninger og højere arbejdsud-
bud, der øger BNP. Endvidere kan den økonomiske politik være med til at dæmpe konjunktur-
udsving og mindske risikoen for, at en økonomi overopheder eller bevæger sig ind i en krise.
BNP har også betydning for udviklingen i de offentlige finanser og udgør en vigtig reference i
forhold til forskellige indsatser, fx forskning, forsvar og udviklingsbistand og andre forhold, der
styres i forhold til BNP.
Formålet med al økonomisk aktivitet er i sidste ende forbrug, både privat og offentligt. Investeringer og eksport muliggør
større forbrug i fremtiden og forbrug af udenlandske produkter.
1
34
Økonomisk Redegørelse
December 2023
FIU, Alm.del - 2023-24 - Bilag 68: Økonomisk Redegørelse, december 2023
2798413_0037.png
Kapitel 2
BNP som mål for velstand og bredere indikatorer for velfærd
Hvordan opgøres BNP?
BNP kan ikke måles direkte, men må opgøres på baggrund af en række metoder og principper.
Den nuværende opgørelse følger metodik beskrevet i EU’s europæiske system for national- og
regionalregnskaber (ESA 2010). Danmarks Statistiks nuværende opgørelse af BNP i national-
regnskabet på årligt niveau dækker tidsperioden 1966 og frem, mens det kvartalsvise national-
regnskab findes fra 1. kvartal 1990 og frem. Andre kilder har dog opgjort Danmarks BNP endnu
længere tilbage i tid.
BNP har generelt været voksende, også når der korrigeres for stigende priser, dvs. inflation.
Væksten i realt BNP har dog især været markant i anden halvdel af 1900-tallet. Store begiven-
heder som 1. Verdenskrig og 2. Verdenskrig fremgår tydeligt i det lange perspektiv, men der har
været en tendens til, at fremgangen i BNP alligevel er fortsat,
jf. figur 2.1.
Figur 2.1
Danmarks BNP er generelt vokset de seneste 200 år
Logaritmisk skala
6
5
4
3
2
1
0
1820
Logaritmisk skala
6
5
4
3
2
1
0
2020
1840
1860
1880
1900
1920
1940
1960
1980
2000
Anm.: I figuren vises den naturlige logaritme af BNP frem til og med 2018 opgjort i USD, 2011-priser.
Kilde: Maddison Project Database og egne beregninger.
Det moderne koncept for BNP blev udviklet af den amerikanske økonom Simon Kuznets i 1934
og blev vedtaget som det vigtigste mål for et lands økonomi på Bretton Woods-konferencen i
1944. Det blev vurderet nyttigt at have et estimat for et lands årlige skabte værdi, når input i
produktionen var trukket fra. Bruttonationalprodukt (på engelsk ”Gross
Domestic
Product”)
angiver således også, at afgrænsningskriteriet er geografi. Der findes imidlertid basale opgørel-
ser, der går meget længere tilbage i tid. En meget tidlig opgørelse af økonomisk aktivitet stam-
mer fra 1665, hvor den britiske videnskabsmand og embedsmand, William Petty, lavede skøn
over indkomst og udgifter, befolkning, jord og andre aktiver i England og Wales, jf. Coyle
(2014).
Økonomisk Redegørelse
December 2023
35
FIU, Alm.del - 2023-24 - Bilag 68: Økonomisk Redegørelse, december 2023
2798413_0038.png
Kapitel 2
BNP som mål for velstand og bredere indikatorer for velfærd
Nationalregnskabsmæssigt kan BNP opgøres og opdeles på tre overordnede måder: fra
produktionssiden, fra
efterspørgselssiden
og fra indkomstsiden:
Produktionssiden
opgør BNP som summen af bruttoværditilvæksten (BVT) og produkt-
skatter, netto. Tilgangen går på at tage summen af værdiskabelsen i de forskellige brancher
i økonomien, hvor værdiskabelse er produktionsværdi fratrukket input i produktionen.
Efterspørgselssiden
tager udgangspunkt i forsyningsbalancen, hvor samlet tilgang i en øko-
nomi er lig samlet anvendelse. Tilgangen udgøres af BNP og import fra udlandet, mens an-
vendelsen udgøres af forbrug (både privat og offentligt), investeringer og eksport til udlan-
det. BNP kan på denne måde opgøres som summen af anvendelse fratrukket importen.
Indkomstsiden
fordeler værdiskabelsen som opgjort ved BNP i aflønning af produktions-
faktorerne, dvs. aflønning af ansatte, bruttooverskud af produktion og blandet indkomst
samt indirekte skatter, netto.
Fordelingen af Danmarks BNP i 2022 som opgjort ved de tre tilgange, der alle giver samme
BNP-niveau, fremgår af tabel 2.1.
Tabel 2.1
Forskellige måder at opgøre og fordele BNP for Danmark i 2022
Produktion
Komponent
Primære
erhverv
Sekundære
erhverv
Tertiære
erhverv
Produktskatter,
netto
Pct. af BNP
2,3
18,1
67,7
11,9
Efterspørgsel
Komponent
Privatforbrug
Offentligt
forbrug
Investeringer
Eksport
Import
Kilde: Danmarks Statistik og egne beregninger.
Indkomst
Komponent
Aflønning af
ansatte
Bruttoover-
skud mv.
Indirekte skat-
ter, netto
Pct. af BNP
48,6
38,6
12,8
Pct. af BNP
43,2
21,8
23,9
70,0
58,9
Fra produktionssiden var værdiskabelsen i dansk økonomi tidligere i højere grad tilknyttet
landbrugsproduktion. Over tid har økonomiens erhvervssammensætning ændret sig i retning af
såkaldte tertiære erhverv (service), mens både primære erhverv (fx landbrug og råstofindvin-
ding) samt sekundære erhverv (fx industri) generelt fylder mindre,
jf. Økonomisk Redegørelse,
december 2021.
Fra efterspørgselssiden er både eksport og import som andel af BNP steget i takt med den sti-
gende globalisering. Det hænger sammen med, at Danmark er en lille, åben økonomi. Privatfor-
bruget udgør dog fortsat en stor andel.
På indkomstsiden har der siden 1966 – trods udsving fra år til år – været omtrent 50-54 pct. af
BNP, der gik til aflønning af ansatte.
2
Den anden store komponent, bruttooverskud af produk-
tion og blandet indkomst, indeholder virksomhedernes profit, men også forbrug af fast realka-
pital (nedslidning af kapitalapparat) samt aflønning af selvstændige.
2
Denne andel afviger fra begrebet lønkvoten, der typisk opgøres som lønningernes andel af BVT.
36
Økonomisk Redegørelse
December 2023
FIU, Alm.del - 2023-24 - Bilag 68: Økonomisk Redegørelse, december 2023
2798413_0039.png
Kapitel 2
BNP som mål for velstand og bredere indikatorer for velfærd
Afgrænsninger i opgørelsen af BNP
Opgørelsen af BNP omfatter ikke alle former for økonomisk aktivitet. Som udgangspunkt ind-
går markedsbaseret produktion i opgørelsen i BNP, sådan at afgrænsningen er med til at give
en direkte sammenhæng mellem BNP og den lønnede beskæftigelse.
Imidlertid sker ikke al aktivitet på et marked, hvor produktion og værdiskabelse umiddelbart
kan måles. Det gælder fx offentlige tjenester, lejeværdien af egen bolig og sort økonomi. Så-
danne ydelser har i princippet betalende modtagere, og i nationalregnskabets opgørelse af BNP
forsøges værdien af dem estimeret. Derved vil opgørelsen være underlagt måleproblemer.
Arbejde i hjemmet og anden form for frivilligt arbejde er derimod ikke en del af den valgte af-
grænsning for opgørelsen af BNP, fordi der ikke sker nogen betaling herfor. Det betyder også, at
BNP isoleret set vil stige, når opgaver flyttes ud af hjemmet. Kvinders indtog på arbejdsmarke-
det fra slutningen af 1950’erne kan således forklare en del af BNP-væksten i anden halvdel af
det 20. århundrede (både øget arbejdsudbud og øget behov for pasning af børn, rengøring mv.).
Det kan således ikke generelt gøres igen.
BNP opgøres både i løbende priser og mængde. Al aktivitet er i udgangspunktet foretaget i årets
(også kaldet
løbende)
priser. Det er dog ofte mere relevant at anskue udviklingen i den økono-
miske aktivitet i mængder, altså korrigeret for priser. Til formålet med opgørelse af mængde-
mæssigt (realt) BNP kræves prisindeks, som ikke altid er tilgængelige. Den løbende udvikling i
prisen på fx en banan er ret ligetil, da der er tale om en homogen vare, men det er prisen på fx
hårklip hos frisøren ikke. Generelt er priser lettere at opgøre for varer end tjenester.
En anden udfordring i opgørelsen af realt BNP er kvalitetsmæssige forbedringer. Et bedre pro-
dukt (fx en telefon med flere funktioner og mere regnekraft), der kan sælges for mere, vil umid-
delbart slå ud i højere prisindeks, hvis ikke der tages højde for ændring i kvalitet. Derfor er der
også behov for at kvalitetsjustere prisindeks på visse varer og tjenester. Dette er imidlertid ikke
ligetil.
Hertil kommer, at karakteren af økonomisk aktivitet har ændret sig over tid. I de senere årtier
er der sket et skifte fra masseproduktion til mere differentierede forbrugsgoder. Desuden udgør
forbruget af tjenester en voksende andel af det samlede forbrug. Produktion fra patenter fylder
også mere. Alt dette øger usikkerheden om opgørelsen af den mængdemæssige aktivitetsudvik-
ling.
Nogle særlige udfordringer til at opgøre BNP som et mål for velstand knytter sig til måling af
aktivitet uden for landets grænser samt værdien af digitale tjenester. Disse emner uddybes i de
efterfølgende to afsnit.
2.2 Aktivitet uden for landets grænser
Både den danske økonomi og verdensøkonomien som helhed har været stærkt påvirkede af en
øget globalisering. Især har bedre muligheder for kommunikation og fragt mellem lande mind-
sket barrierer for samhandel. Blandt andet har moderne søtransport gjort det muligt at fragte
varer over hele kloden hurtigt og billigt. International handel, arbejdsdeling og andre aspekter
af globaliseringen er vigtige for den samlede aktivitet i samfundet, og opgørelsen af BNP skal
tolkes med de forbehold, der er knyttet til opgørelsen.
Økonomisk Redegørelse
December 2023
37
FIU, Alm.del - 2023-24 - Bilag 68: Økonomisk Redegørelse, december 2023
2798413_0040.png
Kapitel 2
BNP som mål for velstand og bredere indikatorer for velfærd
En stor del af fx rederiers forretning foregår i sagens natur i internationalt farvand med sø-
transport mellem forskellige lande.
3
Rederiernes organisering har betydning for, hvordan deres
indtjening indgår i det danske nationalregnskab. Hvis rederiet umiddelbart har indtægten i sit
danske hovedkvarter, vil det indgå som produktion i Danmark. Hvis rederiet har indtjeningen i
et datterselskab i udlandet, og det danske hovedkvarter modtager indtægten som udbytte her-
fra, vil aktiviteten ikke være defineret som dansk produktion, men i stedet indgå som formue-
indkomst.
Rederiernes skibe indgår tilsvarende i kapitalapparatet i det land, hvor de er registrerede, uan-
set hvor på kloden de sejler. Det vil sige, at når et skib sejler under fx nederlandsk flag og derfor
er underlagt nederlandske regler, skal skibet medregnes i det pågældende lands kapitalapparat.
Det betyder også, at der sker ændringer i opgørelsen af fx Danmarks kapitalapparat, hvis rede-
rierne ændrer skibenes registreringsland, uden det nødvendigvis afspejler den faktiske kapital,
som den danske virksomhed har til rådighed. Dette adskiller sig fra traditionel ikke-mobil fy-
sisk kapital som maskiner og bygninger og er et eksempel på, hvordan de internationale regler
for opgørelsen af nationalregnskabet påvirker fortolkningen af BNP.
Et andet eksempel er opgørelsen af eksporten af varer, der produceres i udlandet og sælges
uden at krydse den danske grænse. Selvom produktionen foregår i udlandet, indgår en del af
værdiskabelsen i dansk BNP. Det afspejler, at den danske virksomheds produktionsfaktorer er
med til at skabe værdien af de udenlandske fabrikkers produktion, og at aktiviteten har ophav i
Danmark. Det gælder især immateriel videnskapital som patenter og andre intellektuelle ret-
tigheder, der baserer sig på forskning og udvikling. Immateriel kapital indgår i kapitalapparatet
i det land, hvor det ejes, selvom det i sagens natur kan anvendes overalt på kloden.
Forarbejdning i udlandet udgør aktuelt godt 17 pct. af den samlede industris produktion,
jf. fi-
gur 2.2.
Det er næsten en fordobling i forhold til andelen for bare to år siden, hvilket især af-
spejler medicinalindustriens høje vækst over de seneste år. Den markante stigende aktivitet i
udlandet i de seneste år skal blandt andet ses i sammenhæng med nye medicinalprodukter,
hvilket kan gøre det svært at vurdere den reelle mængdemæssige udvikling.
Det følger af nationalregnskabspraksis, at en del af værdiskabelsen fra danske virksomheders
aktiviteter knyttes til den danske virksomhed og dermed dansk BNP. Selve værdiskabelsen kan
knyttes til aktiviteter i Danmark som forskning og udvikling, på trods af at den endelige pro-
duktion foregår i udlandet. Denne praksis for periodisering af aktivitet kan udfordre fortolknin-
gen af BNP som den aktuelle aktivitet i dansk økonomi, blandt andet fordi de tilknyttede aktivi-
teter i Danmark som forskning og udvikling kan ligge år forud for den endelige produktion.
Foruden forarbejdning inkluderer danske virksomheders aktiviteter i udlandet også merchan-
ting. Merchanting refererer til køb og salg af varer, der ikke krydser grænsen, og hvor varerne
ikke forarbejdes yderligere mellem køb og salg. Merchanting dækker primært over to fænome-
ner: merchanting som engroshandel og merchanting som fabriksløs produktion, jf. Danmarks
Statistik (2021).
3
Med ”danske” rederier, og danske virksomheder i det hele taget, refereres der ikke til ejerkredsens nationalitet. En
”dansk” virksomhed defineres ikke ud fra ejernes nationalitet, men ud fra virksomhedens tilstedeværelse i Danmark i
mindst et år med selvstændig beslutningsret. Dette betyder, at virksomheden anses for at have økonomisk interessecen-
trum i Danmark, og dens regnskab inkluderes i det danske nationalregnskab.
38
Økonomisk Redegørelse
December 2023
FIU, Alm.del - 2023-24 - Bilag 68: Økonomisk Redegørelse, december 2023
2798413_0041.png
Kapitel 2
BNP som mål for velstand og bredere indikatorer for velfærd
Figur 2.2
Forarbejdning i udlandet udgør en stor og stigende andel af industriens produktion
Pct. af industriens produktion
20
Pct. af industriens produktion
20
16
16
12
12
8
8
4
4
0
2005
2007
2009
2011
2013
2015
2017
2019
2021
2023
0
Anm.: Forarbejdning i udlandet består af varer solgt i udlandet ved forarbejdning i udlandet og varer solgt i Danmark efter produk-
tion i udlandet og er sæsonkorrigeret med egen sæsonkorrektion.
Kilde: Danmarks Statistik og egne beregninger.
Virksomheder, der anvender merchanting som fabriksløs produktion, placerer en produktions-
ordre hos en udenlandsk fabrik, som både fremskaffer råvarerne og sørger for deres forarbejd-
ning. Det kan helt som forarbejdning i udlandet være et udtryk for, at de intellektuelle rettighe-
der og resten af virksomheden er placeret i ét land, mens den endelige produktion placeres
udenlands.
Aktivitet i udlandet bidrager til mere volatilitet i opgørelsen af BNP og svækker samtidig sam-
menhængen mellem beskæftigelse og BNP, hvilket gør det vanskeligere at vurdere pres på øko-
nomien alene ud fra BNP.
2.3 Værdien af digitale tjenester
Digitaliseringen indebærer store omvæltninger i forhold til muligheder for produktion og for-
brug. Digitale produkter og tjenester omfatter blandt andet informationssøgning (fx Google,
Wikipedia), informationsdeling (fx Gmail, WhatsApp), sociale medier (fx Facebook), streaming
af underholdning (fx YouTube) og online undervisning (fx Khan-akademi).
Mange af disse produkter og tjenester er umiddelbart gratis at bruge i den forstand, at der ikke
sker en egentlig markedstransaktion. Skalaen for brug af nye digitale produkter og tjenester er
stor, og produkterne er kendetegnet ved at være nemme at kopiere og øjeblikkeligt forbruge.
Marginalomkostningen ved forbrug af sådanne produkter og tjenester bliver derved nul. Det
påvirker det såkaldte konsumentoverskud, der dækker over forskellen mellem den pris, som
forbrugere er villige til at betale, og den pris, som de faktisk betaler. Det er fx blevet undersøgt,
hvor meget brugere skulle kompenseres for ikke at bruge Facebook i en måned,
jf. boks 2.1.
Økonomisk Redegørelse
December 2023
39
FIU, Alm.del - 2023-24 - Bilag 68: Økonomisk Redegørelse, december 2023
2798413_0042.png
Kapitel 2
BNP som mål for velstand og bredere indikatorer for velfærd
Boks 2.1
Nye mål for værdien knyttet til brugen af digitale tjenester
Digitale tjenester som Google og Facebook er blevet mere og mere udbredte i løbet af de seneste ti år. I fx USA
og Storbritannien bruger den gennemsnitlige person nu næsten 24 timer om ugen online, jf. Coyle og Naka-
mura (2022). Statistikkerne antyder muligheden for betydelige gevinster for forbrugerne, som typisk har ad-
gang til disse tjenester uden omkostninger. De udgør også en måleudfordring for traditionelle målemetoder,
der er afhængige af prisdata for at konstruere nationalregnskabsmålinger som BNP.
I Brynjolfsson m.fl. (2023) anvendes et spørgeskemabaseret eksperiment til at estimere værdien af digitale tje-
nester. Forskerne brugte Facebooks interne undersøgelsesplatform til at udføre et stort eksperiment med knap
40.000 Facebook-brugere i 13 lande. De spurgte brugerne om deres præferencer i forhold til ti digitale tjene-
ster – Facebook, Twitter, Instagram, WhatsApp, Snapchat, TikTok, Google Search, Google Maps, YouTube og
Amazon Shopping – samt hvor mange penge de ville være villige til at acceptere i bytte for at deaktivere deres
Facebook-konti i en måned. De resulterende data blev brugt til at beregne forbrugernes gevinster ved brug af
hver af disse tjenester.
Forskerne fandt frem til, at blandt Facebook-brugere gav de ti digitale tjenester værdi for 2,5 billioner dollars,
svarende til 6,0 pct. af landenes samlede BNP. Værdien udgjorde en højere andel af indkomsten i lande med
lavere indkomst og formue, samt blandt personer med lavere indkomst og formue inden for landene. Forskerne
konkluderede derfor, at frit tilgængelige digitale tjenester reducerer uligheden i forbrugsmuligheder blandt for-
brugere både inden for og på tværs af lande.
Resultaterne peger på, at det meste af værdien ved brugen af de digitale tjenester tilfalder forbrugerne og ikke
virksomhederne. Forskerne anslog fx, at værdien fra Facebook i de 13 lande er 284 mia. dollars, hvilket er mere
end dobbelt så meget som Metas samlede reklameindtægter fra Facebook, Instagram og Whatsapp på verdens-
plan.
Forskerne konkluderede, at fordi gratis digitale tjenester skaber betydelige værdier for forbrugerne, men ikke
er inkluderet i BNP, er økonomisk vækst og arbejdsproduktivitet blevet undervurderet i de senere år – i hvert
fald for landene i undersøgelsens stikprøve.
Kilde: Brynjolfsson m.fl. (2023).
Betalingen for brug af produkterne eller tjenesterne sker imidlertid på en anden måde. Det kan
blandt andet være ved at blive eksponeret for reklame eller afgive data, der eksempelvis kan
bruges til målrettet reklame. ”Prisen” på de gratis produkter vil derved indirekte kunne være
afspejlet i priser på andre (de reklamerede) produkter og således alligevel indgå i nationalregn-
skabet. Det gælder dog ikke nødvendigvis fuldt ud. Ejerskab af data kan eventuelt også være
knyttet til mulighed for fremtidig fortjeneste.
2.4 Varianter af BNP og andre mål for velstand
I nationalregnskabet findes nogle relaterede mål for bruttoværdiskabelse og indkomster. Et
centralt tal er BNI (bruttonationalindkomsten), som dækker den samlede indkomst for et lands
indbyggere. I forhold til BNP indeholder BNI således også overførsler ind og ud af landet. Disse
overførsler dækker fx over lønindkomst (danske borgere, der arbejder i udlandet, eller uden-
landske borgere, der arbejder i Danmark) samt andre overførsler til og fra udlandet (fx ulands-
hjælp). BNI indeholder også formueindkomster til og fra udlandet. Disse dækker fx over rente-
indtægter på gæld, aktieudbytter samt virksomhedsoverskud fra datterselskaber.
Da den samlede indkomst for et lands indbyggere siger mere om deres forbrugsmuligheder end
værdiskabelse, bruges BNI pr. indbygger derfor ofte som et alternativt mål til BNP pr. indbyg-
ger, når det handler om at belyse udviklingen i velstanden for et land.
40
Økonomisk Redegørelse
December 2023
FIU, Alm.del - 2023-24 - Bilag 68: Økonomisk Redegørelse, december 2023
2798413_0043.png
Kapitel 2
BNP som mål for velstand og bredere indikatorer for velfærd
Forbrugsmulighederne påvirkes dog ikke kun af indkomst, men også af relative priser på varer
og tjenester i ind- og udland. Det har således betydning for købekraften af et lands indkomst,
hvordan bytteforholdet ændrer sig. Det vil sige, om varer og tjenester fra udlandet bliver rela-
tivt dyrere end varer og tjenester, der sælges til udlandet – eller omvendt. Velstand som udtrykt
ved forbrugsmuligheder kan således også øges, hvis bytteforholdet forbedres. Derfor er det rele-
vant at foretage en bytteforholdskorrektion af BNI.
Udvikling i realt BNP pr. indbygger sammenlignet med bytteforholdskorrigeret realt BNI pr.
indbygger i Danmark fra 2000 til 2022 viser, at velstanden især er steget som følge af øget realt
BNP pr. indbygger, men at der også har været betydelige bidrag fra både løn- og formueind-
komst fra udlandet samt forbedret bytteforhold. Det afspejler, at BNI er vokset mere end BNP i
perioden, samt at prisen på dansk eksport er steget mere end prisen på de varer og tjenester,
som Danmark importerer fra udlandet,
jf. figur 2.3.
Figur 2.3
Vækst i bytteforholdskorrigeret realt BNI pr. indbygger i udvalgte lande, 2001-2022
Pct.-point
2,0
Pct. om året
2,0
1,5
1,5
1,0
1,0
0,5
0,5
0,0
0,0
-0,5
Danmark
Bytteforhold
Realt BNP pr. indbygger
Sverige
Tyskland
Nederlandene
Finland
Frankrig
Løn- og formueindkomst, netto
-0,5
Bytteforholdskorrigeret realt BNI pr. indbygger (h. akse)
Anm.: Bidrag fra løn- og formueindkomst, netto er forskellen på væksten i realt BNP pr. indbygger og realt BNI pr. indbygger. Bi-
drag fra bytteforholdet er forskellen på væksten i bytteforholdskorrigeret realt BNI pr. indbygger og realt BNI pr. indbygger.
Bytteforholdskorrektionen følger metoden fra Ølgaard (2006), som blandt andet anvendes af De Økonomiske Råd (2023b).
Kilde: OECD, Ølgaard (2006) og egne beregninger.
Danskernes øgede velstand kommer altså fra flere kanaler end BNP – og i markant større grad
sammenlignet med en række andre europæiske lande.
Ud over
vækst
er det også relevant at sammenligne
niveau
i velstanden mellem lande. Det kræ-
ver imidlertid, at der tages højde for forskelle i prisniveauer. Det skyldes, at en given indkomst i
fx USD kan købe en forskellig størrelse kurv med varer og tjenester i forskellige lande. Forskelle
i prisniveau mellem lande forsøges der taget højde for ved brug af såkaldte PPP-indeks
(Purchasing Power Parity). Opgjort på denne måde har Danmark også et højt velstandsniveau
opgjort ved PPP-korrigeret BNI pr. indbygger i forhold til en række andre europæiske lande,
jf.
figur 2.4.
Økonomisk Redegørelse
December 2023
41
FIU, Alm.del - 2023-24 - Bilag 68: Økonomisk Redegørelse, december 2023
2798413_0044.png
Kapitel 2
BNP som mål for velstand og bredere indikatorer for velfærd
Figur 2.4
PPP-korrigeret BNI pr. indbygger i udvalgte lande, 2022
Indeks (Danmark=100)
100
Indeks (Danmark=100)
100
80
80
60
60
40
40
20
20
0
Danmark
Nederlandene
Sverige
Tyskland
Finland
Euroområdet
Frankrig
0
Anm.: BNI pr. indbygger er opgjort i løbende priser, lokal valuta og korrigeret med løbende PPP-indeks i lokal valuta pr. USD.
Kilde: OECD og egne beregninger.
Der findes også andre varianter af BNP. Nettonationalproduktet (NNP) forsøger også at tage
højde for slitage på kapitalapparatet, dvs. at værdien af maskiner, bygninger og andet kapital-
apparat aftager over tid. Ækvivalent til BNI findes der således også en nettonationalindkomst
(NNI). Både NNP og NNI er dog forbundet med yderligere måleproblemer relativt til BNP og
BNI og bruges derfor sjældnere, især til at sammenligne lande.
2.5 Grøn økonomi
Det traditionelle nationalregnskab er en opgørelse knyttet til økonomisk aktivitet, herunder
BNP. Som et supplement udarbejder Danmarks Statistik også et grønt nationalregnskab efter
internationale retningslinjer. Formålet med det grønne nationalregnskab er at identificere,
hvordan de økonomiske aktiviteter påvirker miljøet, og hvordan naturen er en del af national-
formuen i bred forstand.
Det grønne nationalregnskab gør det muligt at sammenholde branchers produktionsværdi,
værditilvækst og beskæftigelse med det fysiske forbrug af materialer, energi og vand. Samtidig
opgøres, hvor store mængder affald, spildevand og udslip af drivhusgasser og luftforurenende
stoffer produktionen medfører. Opgørelsen viser blandt andet, at der gennem de seneste årtier
er sket en markant afkobling mellem økonomisk aktivitet (BNP), energiforbrug og udledning af
drivhusgasser,
jf. figur 2.5.
42
Økonomisk Redegørelse
December 2023
FIU, Alm.del - 2023-24 - Bilag 68: Økonomisk Redegørelse, december 2023
2798413_0045.png
Kapitel 2
BNP som mål for velstand og bredere indikatorer for velfærd
Figur 2.5
Afkobling mellem BNP, energiforbrug og udledning af drivhusgasser
Indeks (1990=100)
200
Indeks (1990=100)
200
150
150
100
100
50
1990 1992 1994 1996 1998 2000 2002 2004 2006 2008 2010 2012 2014 2016 2018 2020 2022
BNP
Bruttoenergiforbrug
Drivhusgasser
50
Anm.: Bruttoenergiforbruget er ekskl. bunkring. Udledning af drivhusgasser følger UNFCCC-opgørelsen, ekskl. arealanvendelse og
skovbrug (LULUCF). Se bilag 2.1 i Økonomisk Redegørelse, december 2019 for en nærmere beskrivelse af opgørelsen af
udledningen af drivhusgasser mv.
Kilde: Danmarks Statistik, Institut for Miljøvidenskab og egne beregninger.
Det grønne nationalregnskab gør det også muligt at belyse aspekter af grøn økonomi, idet det
indeholder en opgørelse af blandt andet produktion og eksport af grønne varer og tjenester ef-
ter en række forskellige formål knyttet til miljøbeskyttelse og ressourcebesparelse. Miljøbeskyt-
telsesformål kan fx være produktion af anlæg til udnyttelse af vindenergi, og ressourceformål
kan være produktion af energibesparende varmepumper.
Endelig har det grønne nationalregnskab en opgørelse af beholdninger af nogle naturressourcer
omfattende olie, naturgas, skov og fisk.
Det grønne nationalregnskab er under fortsat udvikling, men følger internationale retningslin-
jer og bruger samme klassifikationer som det traditionelle nationalregnskab. Derfor er der også
sammenlignelighed over tid og mellem lande.
Det grønne nationalregnskab indeholder ikke i sig selv et grønt BNP. Et grønt BNP skal i prin-
cippet inkludere værdiskabelsen fra en række miljø- og naturtjenester og tage hensyn til om-
kostningerne ved forurening, udledning af drivhusgasser og nedslidning af Danmarks naturka-
pital samt gevinsten ved at investere i forøgelse af naturkapitalen – alt sammen omregnet til en
pengeværdi, som kan sammenholdes med BNP. Et grønt BNP, hvor der ud over almindeligt va-
reforbrug også er forsøgt at tage højde for anden træk på ressourcer/belastning af miljø, er
imidlertid ikke et entydigt begreb. Udfordringen ved opgørelsen er blandt andet værdisætning
af ikke-markedsomsatte forhold, herunder adgangen til natur. Som et eksempel på den slags
værdisætning har vismændene fx lavet en opgørelse af værdien af lærkesang, jf. De Økonomiske
Råds formandskab (2004).
En gruppe forskere har udviklet et dansk grønt BNP, der tager højde for klima- og miljømæs-
sige effekter af den økonomiske aktivitet og af forskellige reformudspil, jf. Sørensen (2023).
Økonomisk Redegørelse
December 2023
43
FIU, Alm.del - 2023-24 - Bilag 68: Økonomisk Redegørelse, december 2023
2798413_0046.png
Kapitel 2
BNP som mål for velstand og bredere indikatorer for velfærd
Den pågældende opgørelse af et grønt BNP er blandt andet baseret på det grønne nationalregn-
skab og nye metoder til at beregne miljø- og klimaeffekter af samfundets økonomiske aktivite-
ter. Værdien af de forskellige naturgoder er opgjort ved at udnytte studier, hvor en repræsenta-
tiv gruppe af befolkningen er blevet spurgt om, hvor meget de er villige til at betale for en kon-
kret miljø- eller klimaforbedring. Med den pågældende opgørelse anslås omkostningerne ved
forurening og skader på natur og miljø at være 250 mia. kr. årligt, svarende til omkring 9 pct. af
BNP. Omkostningen er dog anslået til at være relativt konstant i kroner og øre siden 1990,
hvorfor den i perioden har udgjort en faldende andel af BNP.
2.6 Bredere mål for velfærd
BNP er et mål for økonomisk aktivitet og velstand, men siger ikke noget direkte om velfærd, og
hvad der i sidste ende er livskvalitet eller livstilfredshed for enkeltpersoner eller for et samfund.
Der kan således peges på forhold, der kan trække i hver sin retning i forhold til velstand og vel-
færd, og øget velstand fører ikke nødvendigvis til tilsvarende øget velfærd.
En tidlig og indflydelsesrig rapport om alternative mål af velstand blev udarbejdet af Stiglitz,
Sen og Firoussi (2009). Den startede en diskussion om udfordringer ved BNP som velstands-
mål og indeholdt forslag om, at man i højere grad burde fokusere på husholdningernes indkom-
ster som mål for udviklingen i velstand og lægge mere vægt på medianindkomsten frem for
gennemsnittet, idet gennemsnittet for mange lande har været trukket op af stigende indkomst-
forskelle. Rapporten lægger ved siden af objektive mål for velstand også op til øget brug af sub-
jektive mål for livskvalitet.
Både fra akademisk side og i internationale organisationer er der i de seneste år forsøgt udviklet
forskellige indikatorer for velstand og velfærd. Tilgangen varierer og spænder over sammenvej-
ninger af objektive kriterier og selvvurderede mål for livstilfredshed.
FN opgør et levestandardsindeks kaldet Human Development Index (HDI), som ud over leve-
standarden målt ved BNI pr. indbygger også tager højde for middellevetiden og det gennemsnit-
lige antal års skolegang i et land. OECD har udarbejdet et mere specifikt mål vedrørende hus-
holdningssektoren baseret på disponibel indkomst justeret for værdien af sociale ydelser, såsom
uddannelse og sundhedsydelser (justeret GHDI). I disse målinger er Danmark rangeret forholds-
vis højt.
Internationale organisationer offentliggør også en lang række indikatorer på sammenlignelig ba-
sis for forskellige lande, uden at der nødvendigvis foretages en sammenvejning. Et prominent
eksempel er FN’s verdensmål, som også kan følges via nationale indikatorer, herunder for Dan-
mark. I en sammenvejning i det såkaldte Sustainable Development Index har Finland, Sverige
og Danmark den højeste score i 2023 (dashboards.sdgindex.org). OECD udarbejder endvidere
det såkaldte Better Life Index, der indeholder en række forskellige indikatorer for velstand og
velfærd, og hvor man kan indgive egne subjektive vægte på de forskellige dimensioner. Det giver
dermed mulighed for at se rangeringen på tværs af lande ved forskellige kombinationer af indi-
katorerne (oecdbetterlifeindex.org).
44
Økonomisk Redegørelse
December 2023
FIU, Alm.del - 2023-24 - Bilag 68: Økonomisk Redegørelse, december 2023
2798413_0047.png
Kapitel 2
BNP som mål for velstand og bredere indikatorer for velfærd
Fra akademisk side har fx Jones og Klenow (2016) konstrueret et velfærdsmål for forskellige
lande baseret på forbrug, fritid, dødelighed og ulighed. De finder frem til, at korrelationen mel-
lem dette mål og det klassiske BNP-mål er meget høj. Bruges dette mål, vil vesteuropæiske
lande være tættere på USA, end hvis man havde brugt BNP. Derudover er uligheden på tværs af
lande større ved brug af dette mål, da fattige lande scorer relativt lavere på de fire indikatorer
brugt i målet, end de gør på BNP. De Økonomiske Råds formandskab (2023a) har anvendt
samme metode for Danmark og når frem til, at sammenlignet med 24 højindkomst-OECD-
lande rangerer Danmark højere målt ved den anvendte velfærdsindikator end ved BNP, hvor-
imod det modsatte er tilfældet for USA.
En anden type af indikatorer er baseret på spørgeskemaundersøgelser og indeholder dermed en
selvvurderet og subjektiv vurdering af livstilfredshed, nogle gange kaldet lykke. Et eksempel på
brug af selvvurderinger findes i World Happiness Report, der udgives årligt, og hvori der også
forsøges at give forklaringer på nogle af de bagvedliggende årsager til forskellene. I den seneste
rapport ligger Danmark på en 2. plads næstefter Finland målt på livstilfredshed i årene 2020-
2022,
jf. figur 2.6.
Figur 2.6
Danskerne er blandt de lande med højest livstilfredshed
Livstilfredshed
8,0
Livstilfredshed
8,0
7,5
7,5
7,0
7,0
6,5
6,5
6,0
FIN
DK
ISL ISR NLD SWE NOR CHE LUX NZL AUT AUS CAN IRL USA DEU BEL CZE UK
LIT
6,0
Anm.: Score for livstilfredshed er landsgennemsnit af de adspurgte borgere fra Gallup World Poll på spørgsmålet (oversat fra en-
gelsk): ”Forestil dig en stige med trin nummereret fra 0 i bunden til 10 i toppen. Toppen af stigen repræsenterer det bedst
mulige liv for dig, og bunden af stigen repræsenterer det værst tænkelige liv for dig. På hvilket af stigens trin vil du sige, at du
personligt føler, du står på i dette øjeblik?”
Kilde: Helliwell m.fl. (2023).
Mens alle lande i praksis bruger en lang række forskellige indikatorer i forbindelse med politi-
ske prioriteringer og reformer – inden for fx økonomi, sundhed, uddannelse, klima, natur og
miljø – er enkelte lande begyndt, i hvert fald i en periode, at præsentere deres politiske målsæt-
ninger og prioriteringer inden for en overordnet ramme med vægt på diverse mål for livstil-
fredshed mv. Eksempelvis har New Zealand i 2019-2023 fremlagt et ”Wellbeing Budget”, hvor
de politiske prioriteter blandt andet også er baseret på sociale og miljømæssige indikatorer.
4
I 2019 blev der fastlagt 5 prioriteter, der tilsammen stod for ca. 5 pct. af de samlede udgifter. De 5 områder var klimaom-
stilling, digitalisering, oprindelig befolkning, børnefattigdom og psykisk helbred. Derudover udgives et indikatorsæt (Li-
4
Økonomisk Redegørelse
December 2023
45
FIU, Alm.del - 2023-24 - Bilag 68: Økonomisk Redegørelse, december 2023
2798413_0048.png
Kapitel 2
BNP som mål for velstand og bredere indikatorer for velfærd
I Danmark planlægges den økonomiske politik ligeledes ud fra en lang række hensyn og ved
brug af indikatorer på en lang række områder. Blandt andet har Danmark formentlig de mest
veludbyggede redskaber og datagrundlag til at belyse fordelingsmæssige forhold og konse-
kvensberegninger ved hjælp af Lovmodellen og familietypemodellen, som desuden også giver
input til at beregne effekten på arbejdsudbuddet af ændringer i skatte- og overførselssystemet.
Klima-, Energi- og Forsyningsministeriet udarbejder fremskrivninger af Danmarks klimaudled-
ninger, og i de seneste år er GrønREFORM blevet videreudviklet og blandt andet brugt til at be-
regne skøn for Danmarks forbrugsbaserede klimaaftryk og har understøttet Ekspertgruppen for
en grøn skattereform i deres arbejde.
Desuden er der forskellige projekter under udarbejdelse af private organisationer, tænketanke
og forskere, som kan understøtte en større udbredelse af forskellige velfærdsindikatorer. En så-
kaldt ”Trivselsbank” er under udvikling af tænketanken Institut for Lykkeforskning, hvor en
ambitionen blandt andet er at forsøge at måle effekten på danskernes livskvalitet af forskellige
politiske tiltag. Et andet dansk initiativ i et samarbejde mellem Økonomer Uden Grænser, Kø-
benhavns Universitet, Rambøll Management Consulting og Impactly er Open Social Value
Bank, som er et værktøj, der har til formål at hjælpe med at beregne den økonomiske værdi af
trivsel. Banken indeholder estimater for sociale trivselsværdier og en regnemodel, som udvik-
lerne ønsker brugt til at fremme sociale og økonomisk bæredygtige investeringer i samfundet.
De forskellige indikatorer for livskvalitet og livstilfredshed giver et alternativt grundlag for at
måle den samfundsmæssige udvikling med fokus på livskvalitet og kan blandt andet være rele-
vante at se på som et supplement til BNP. Det er imidlertid ikke givet, hvordan de bedst kan
bruges til at prioritere indsatser på forskellige områder. Velfærd har mange dimensioner, og det
er ikke oplagt, at de kan samles i et enkelt mål. Det forekommer fx vanskeligt af afveje ensom-
hed, biodiversitet, behandling af alvorlige sygdomme og havmiljø, uden at det kommer til at af-
spejle en subjektiv eller politisk prioritering.
Livskvalitet vil endvidere i mange tilfælde både være noget subjektivt og relativt, da forskellige
personer ikke nødvendigvis vil have samme opfattelser af livskvalitet, og fordi oplevelsen af vel-
færd og livskvalitet vil være betinget af en række ydre omstændigheder. En sammenvejning i et
enkelt mål vil således også af denne grund indeholde en subjektiv eller politisk prioritering,
hvilket betyder, at man formentlig aldrig vil kunne finde frem til en universel definition af mål
for livskvalitet eller velfærd.
Disse udfordringer peger på, at indikatorer for velfærd og livskvalitet mere kan være et supple-
ment end et alternativ til BNP. Desuden vil tilvejebringelse af velfærd i et vist omfang være be-
tinget af velstand. Således er der en forholdsvis tæt sammenhæng mellem forskellige indikato-
rerne for livstilfredshed og BNP på tværs af lande,
jf. figur 2.7.
ving Standards Framework), og Cost-Benefit Analyser af tiltag forsøger i højere grad at omregne værdien af ikke-økonomi-
ske forhold til penge ved skøn for deres indvirkning på subjektiv livstilfredshed (eksempelvis ensomhed, specifikke syg-
domme mv.). Det er uklart, om den nye regering vil fortsætte med at præsentere politik inden for de samme rammer.
46
Økonomisk Redegørelse
December 2023
FIU, Alm.del - 2023-24 - Bilag 68: Økonomisk Redegørelse, december 2023
2798413_0049.png
Kapitel 2
BNP som mål for velstand og bredere indikatorer for velfærd
Figur 2.7
Stor sammenhæng mellem livstilfredshed og BNP
Livstilfredshed
10
Danmark
Livstilfredshed
10
8
8
6
6
4
4
2
2
0
4
5
6
7
8
9
10
BNP pr. indbygger, logaritmisk skala
11
12
13
0
Anm.: BNP er opgjort realt. Se desuden anmærkning til figur 2.6.
Kilde: FN samt Helliwell m.fl. (2023).
De tidligere nævnte indikatorer for velfærd eller livskvalitet lægger blandt andet vægt på
fordeling, som også er et vigtigt hensyn i udformningen af dansk økonomisk politik. Danmark
er generelt kendetegnet ved små indkomstforskelle set i et internationalt perspektiv.
Forskelllige fordelingsmål bruges til at belyse indkomstforskellene og dermed også forskellene i
forbrugsmuligheder i befolkningen. Indkomstforskelle kan være begrundet i mange forhold,
herunder personlige valg og præferencer samt mangel på lige muligheder for fx uddannelse og
arbejde. Derfor er der også en sammenhæng til andre indikatorer for velfærd. Omvendt kan
indkomstforskellene også have betydning for tilskyndelser til valg af uddannelse og beskæfti-
gelse.
Der findes en række forskellige fordelingsmål. Fællestrækket for de forskellige fordelingsmål er,
at de samlede indkomstforskelle koges ned til ét tal. Det betyder, at nuancer går tabt. Hvis ind-
komstforskellene målt ved fx Gini-koefficienten stiger, kan det skyldes, at indkomsterne er re-
duceret i den nedre del af indkomstfordelingen eller øget i den øvre del. For alle fordelingsmål
gælder desuden, at de typisk ikke kan sige noget håndfast om årsagerne til de målte indkomst-
forskelle. Forskelle i indkomst giver endvidere ikke det fulde billede, hvis man ønsker indblik i
ulighed, og andre relevante forhold er fx graden af lige muligheder for uddannelse, beskæfti-
gelse og sundhed.
2.7 Livstilfredshed over tid
Mens der på et givet tidspunkt er ret klar sammenhæng mellem livstilfredshed og BNP på tværs
af lande, er sammenhængen mindre stærk over tid på landeniveau, dvs. at økonomisk vækst i et
længere perspektiv kun i mindre grad kommer til udtryk i stigende livstilfredshed målt i spør-
geundersøgelser, jf. fx Easterlin og Angelescu (2009) og Sgroi (2023). Det gælder især for avan-
cerede økonomier. Denne forskel mellem sammenhængen på kort og længere sigt går under be-
tegnelsen Easterlins paradoks, som allerede blev fremsat i 1974, jf. Easterlin (1974). En mulig
Økonomisk Redegørelse
December 2023
47
FIU, Alm.del - 2023-24 - Bilag 68: Økonomisk Redegørelse, december 2023
2798413_0050.png
Kapitel 2
BNP som mål for velstand og bredere indikatorer for velfærd
forklaring på paradokset er, at livstilfredshed i et omfang kan bygge på en social sammenlig-
ning med andre, hvor andres socioøkonomiske status udgør et referencepunkt for ens egen
livstilfredshed. En anden forklaring er, at man vænner sig til en højere levestandard. Ifølge Lay-
ard og de Neve (2023) er økonomisk rige mennesker på ethvert givet tidspunkt i gennemsnit
lykkeligere end økonomisk fattige. Men over tid er det ikke tydeligt, at velstående lande gene-
relt er blevet lykkeligere, i takt med at de er blevet rigere. Dette kommer også til udtryk ved, at
der kan observeres en tydelig niveauforskel i lykke på tværs af lande, der ser ud til at være mere
vedvarende,
jf. figur 2.8.
Når stigende velstand ikke entydigt er forbundet med stigende subjektiv livstilfredshed over tid
i rigere lande, kan det være udtryk for, at øget velstand samtidig fører til stigende forventninger
til, hvad der udgør et godt liv. De stigende forventninger skal ses i sammenhæng med, at øget
velstand giver nye og bedre muligheder, som bliver normdannende, blandt andet i forhold til
sygdomsbehandling, bekæmpelse af miljøproblemer, fritid og rejser, mad og drikke, kommuni-
kation, transportformer mm. Så selv om fx borgerne i 1970’erne udtrykte (næsten) samme
livstilfredshed som i dag, ville nutidens borgere næppe være tilsvarende tilfredse, hvis de skulle
leve med 1970’ernes standarder for velstand og en lang række øvrige forhold.
Figur 2.8
Livstilfredshed over tid for udvalgte lande
Pct.
100
Pct.
100
95
90
95
90
85
80
85
80
75
1973
1976
1979
1982
1985
1988
1991
1994
1997
2000
2003
2006
2009
2012
2015
Danmark
Nederlandene
Storbritannien
75
Anm.: Andel af adspurgte, der svarer, at de er "meget tilfredse" eller "ret tilfredse" med deres liv.
Kilde: Eurobarometer.
Konjunkturudsving har en selvstændig betydning for forskellige gruppers livstilfredshed, og
især synes perioder med større økonomisk tilbagegang at føre til et fald i livstilfredshed, i hvert
fald i en periode. Det gjaldt fx under oliekrisen i 1970’erne, efter krisen i 1980’erne og efter fi-
nanskrisen i 2000’erne. Men konklusionen gælder mere generelt, om end effekten er mere mo-
derat, når det drejer sig om almindelige konjunkturudsving, jf. Wolfers (2002).
Økonomisk tilbagegang fører ikke kun til tab af indkomst, men er også forbundet med større
usikkerhed, hvilket mere bredt kan påvirke befolkningen. Således viser flere undersøgelser, at
økonomisk usikkerhed er forbundet med øget angst og stress. Et studie af individers selvrap-
porterede livstilfredshed viser, at den er mere end dobbelt så følsom over for negativ vækst
48
Økonomisk Redegørelse
December 2023
FIU, Alm.del - 2023-24 - Bilag 68: Økonomisk Redegørelse, december 2023
2798413_0051.png
Kapitel 2
BNP som mål for velstand og bredere indikatorer for velfærd
sammenlignet med positiv vækst, jf. De Neve m.fl. (2015). Denne asymmetri, at økonomiske til-
bageslag rammer livstilfredsheden hårdere, kan være et selvstændigt argument for at føre en
konjunkturstabiliserede politik. I forvejen kan en konjunkturstabiliserende politik blandt andet
bidrage til at mindske risici, fx med forebyggelse af opbygning af finansielle ubalancer i hus-
holdninger og virksomheder.
2.8 Konklusion
BNP er et vigtigt økonomisk begreb, der giver et generelt pejlemærke for, om den økonomiske
aktivitet og velstand i et land er på vej op eller ned. BNP vil fortsat være et helt centralt begreb i
forhold til den samfundsøkonomiske udvikling og planlægningen af den økonomiske politik.
Det gælder fx i forhold til at dosere penge- og finanspolitikken i forskellige konjunktursituatio-
ner og dermed dæmpe konjunkturudsving, så risikoen for både overophedning og alvorlige til-
bageslag kan mindskes. Derudover er opgørelsen af BNP et resultat af metodiske overvejelser,
der på tværs af lande sikrer en ensartet opgørelse.
BNP er imidlertid ikke et mål, der fanger alt, og det skal anvendes og tolkes med de begræns-
ninger, som opgørelsen har. I en global økonomi med store multinationale selskaber, der ska-
ber værdi ikke bare inden for eget lands grænser men også i andre lande, bliver det i stigende
grad vigtigt at tolke på udviklingen i de forskellige delkomponenter i BNP og ikke kun i udvik-
lingen i BNP under ét.
Andre mål kan være relevante i andre sammenhænge, men de kan ikke tjene som en erstatning
for BNP. Afhængig af den konkrete problemstilling kan BNP fx suppleres med mål for påvirk-
ningen af miljø og klima, fordelingsmæssige virkninger på indkomster eller subjektive vurde-
ringer af livsglæde. Denne betragtning er ikke ny og har i vidt omfang været fast praksis i fx ef-
fektvurderinger af politiktiltag i mange år, hvor der typisk lægges vægt på mange dimensioner
af et givent tiltag, inkl. fx fordelingsmæssige virkninger eller virkninger på natur og miljø.
Det er vigtigt løbende at evaluere og videreudvikle metoder til at beskrive udvikling i velstand
og forskellige indikatorer for velfærd. Som et centralt mål for velstand bliver de bagvedliggende
metoder for opgørelsen af BNP da også løbende evalueret og opdateret af blandt andet Euro-
stat.
Økonomisk Redegørelse
December 2023
49
FIU, Alm.del - 2023-24 - Bilag 68: Økonomisk Redegørelse, december 2023
2798413_0052.png
Kapitel 2
BNP som mål for velstand og bredere indikatorer for velfærd
2.9 Henvisninger
Bannister, G, and A. Mourmouras (2018): Welfare Versus GDP: What Makes People Better Off.
IMF Blog, 07/03/2018.
Boarini, R. (2023): Well-being and GDP: Why we need them both. OECD Better Life Index,
13/07/2023.
Brynjolfsson, E., A. Collis, A. Liaqat, D. Kutzman, H. Garro, D. Deisenroth, N. Wernerfelt and J.
Lee (2023): The Digital Welfare of Nations: New Measures of Welfare Gains and Inequality.
NBER WP 31670.
Callen, T. (2020): Gross Domestic Product: An Economy’s All. IMF Finance & Development.
Coyle, D. (2014): Warfare and the Invention of GDP. The Globalist 06/04/2014.
Coyle, D. and L. Nakamura (2022): Time Use, Productivity, and Househould-centric Measure-
ment of Welfare in the Digital Economy. International Productivity Monitor, Centre of the
Study of Living Standards, vol. 42.
Danmarks Statistik (2021a): Dansk forbrug sætter i høj grad sit klimaaftryk i udlandet. DST
Analyse 2021:22.
Danmarks Statistik (2021b): Hvordan indgår dansk produktion af varer i udlandet i national-
regnskabet? DST Analyse 2021:05.
De Neve, J., G. Ward, F. De Keulenaer, B. Van Landeghem, G. Kavetsos, M. Norton (2015):
The Asymmetric Experience of Positive and Negative Economic Growth: Global Evidence Using
Subjective Well-Being Data. LSE Centre for Economic Performance.
De Økonomiske Råds formandskab (2004): Vandmiljø og lærkesang. Information 21/12/2004.
De Økonomiske Råds formandskab (2023a): Dansk Økonomi, forår 2023.
De Økonomiske Råds formandskab (2023b): Produktivitet 2023.
Dynan, K. and L. Sheiner (2018): GDP as a Measure of Economic Well-being. Hutchins Center
at Brookings Working Paper 43.
Easterlin (1974): Does Economic Growth Improve the Human Lot? Some Empirical Evidence.
University of Pennsylvania.
Easterlin, R. and L. Angelscu (2009): Happiness and Growth the World Over: Time Series Evi-
dence on the Happiness-Income Paradox. IZA DP 4060.
Helliwell, J., R. Layard, J. Sachs, L. Aknin, J.-E. De Neve and S. Wang, S. (Eds.) (2023): World
Happiness Report 2023 (11th ed.). Sustainable Development Solutions Network.
Jones, C. and P. Klenow (2016): Beyond GDP? Welfare across countries and time.
American
Economic Review,
106, 2426–2457.
Kramp, P. (2010): Bruttonationalprodukt og velfærd. Danmarks Nationalbank.
50
Økonomisk Redegørelse
December 2023
FIU, Alm.del - 2023-24 - Bilag 68: Økonomisk Redegørelse, december 2023
2798413_0053.png
Kapitel 2
BNP som mål for velstand og bredere indikatorer for velfærd
Landefeld, J. (2000): GDP: One of the Great Inventions of the 20th Century. Survey of Current
Business (United States Department of Commerce). January 2000.
Layard, R. and J.-E. De Neve (2023): Wellbeing – Science and Policy.
Michaelson, J. N. Marks, N. Steuer, S. Abdallah, S. Thompson (2009): National Accounts of
Well-being: Bringing real wealth onto the balance sheet. New Economics Foundation
24/01/2009.
OECD (2016): Promoting well-being and inclusiveness in Sweden. OECD Better Policies Series.
Osberg, L. and A. Sharpe (2001). Comparisons of Trends in GDP and Economic Well-being –
The Impact of Social Capital.
Oulton, N. (2012): Hooray for GDP! GDP as a measure of wellbeing, CEPR 22/12/2012,
Sgroi, D. (2023): How has national wellbeing evolved over time? Economics Observatory.
Stiglitz, J. (2020): GDP Is the Wrong Tool for Measuring What Matters.
Scientific American,
01/08/2020.
Stiglitz, J., J-P. Fitoussi and M. Durand: Beyond GDP: Measuring What Counts for Economic
and Social Performance, OECD 27/11/2018.
Stiglitz, J., A. Sen and J.P. Fitousse (2009): Report by the Commission on the Measurement of
Economic Performance and Social Progress.
Sørensen, P.B. (2023): Derfor har vi brug for et grønt BNP-regnskab. Københavns Universitet
05/02/2023.
Wolfers, J. (2002): Is Business Cycle Volatility Costly? Evidence from Surveys of Subjective
Wellbeing. Stanford GSB Research Paper No. 1751.
World Economic Forum (2016): How much is the sharing economy worth to GDP? World Eco-
nomic Forum 28/10/2016.
World Economic Forum (2019): Economists have got GDP calculations wrong for years – here’s
why. World Economic Forum 23/05/2019.
Ølgaard, C. (2006): Relevansen af BNP-vækstrater. Danmarks Nationalbanks Kvartalsoversigt.
Økonomisk Redegørelse
December 2023
51
FIU, Alm.del - 2023-24 - Bilag 68: Økonomisk Redegørelse, december 2023
2798413_0054.png
FIU, Alm.del - 2023-24 - Bilag 68: Økonomisk Redegørelse, december 2023
2798413_0055.png
Kapitel 3
Husholdningerne
3. Husholdningerne
3.1 Husholdningernes indkomster og forbrug
Husholdningernes forbrugsmuligheder er blevet forbedret gennem det seneste års tid, i takt
med at inflationen er aftaget, og lønstigningerne er tiltaget. Samtidig er beskæftigelsen fortsat
med at stige. Det har bidraget til et øget privatforbrug. Fremgangen er dog stadig moderat, og
forbruget ventes at være vokset med 0,9 pct. i 2023,
jf. figur 3.1.
Med udsigt til tiltagende lønstigninger øges husholdningernes købekraft yderligere, og allerede
til næste år ventes reallønnen at være højere end i 2021. Den samlede lønindkomst forventes at
stige, selvom den skønnede tilbagegang i beskæftigelsen i sig selv trækker indkomstfremgangen
ned. Tilbagebetalingen af for meget betalt boligskat til boligejere understøtter også privatfor-
bruget, særligt i 2024, hvor der skønnes en forbrugsvækst på 1,6 pct.
I 2025 holdes husholdningernes købekraft blandt andet oppe af fortsat relativt høje lønstignin-
ger. Desuden styrkes forbrugsmulighederne, i takt med at inflationen nærmer sig 2 pct. Tre-
partsaftalen om løn og arbejdsvilkår for offentligt ansatte vil også styrke de disponible indkom-
ster. Privatforbruget skønnes at vokse med 1,5 pct. i 2025, hvilket omtrent er på linje med den
gennemsnitlige årlige vækst siden 2000.
Der er udsigt til fremgang i de disponible indkomster i hele prognoseperioden, selvom stigende
renteudgifter isoleret set lægger større beslag på særligt boligejernes økonomi i disse år. For-
bruget ventes at vokse nogenlunde i samme takt som indkomsterne, således at forbrugskvoten
vil være omtrent uændret på et fortsat relativt lavt niveau.
Figur 3.1
Udsigt til fremgang i privatforbruget
Pct.
6
Pct.
6
4
4
2
Gennemsnit 2000-2022
2
0
0
-2
-2
-4
2000
2002
2004
2006
2008
2010
2012
2014
2016
2018
2020
2022
2024
-4
Kilde: Danmarks Statistik og egne beregninger.
Økonomisk Redegørelse
December 2023
53
FIU, Alm.del - 2023-24 - Bilag 68: Økonomisk Redegørelse, december 2023
2798413_0056.png
Kapitel 3
Husholdningerne
Forbrug kan ud over indkomst også finansieres ved at trække på formue. Husholdningerne er
generelt velpolstrerede med betydelige formuer, hvilket understøtter privatforbruget i progno-
seperioden.
Regeringen har fremlagt et forslag til personskattereform, som i forhold til prognosen vil øge
husholdningernes disponible indkomster og dermed deres forbrugsmuligheder fra 2025,
jf.
boks 1.1.
1
Større optimisme og forbrug i takt med aftagende inflation
Husholdningernes købekraft er blevet forbedret gennem 2023. Lønudviklingen i den private
sektor er tiltaget markant i andet halvår, og lønningerne voksede med 4,9 pct. i 3. kvartal, hvil-
ket er den højeste stigningstakt siden 2008.
2
Sammen med en inflation på 1,0 pct. i 3. kvartal –
der aftog yderligere til 0,1 pct. i oktober – medfører dette reallønsfremgang for en stor del af
forbrugerne.
I takt med den aftagende inflation synes der at være indtruffet et stemningsskifte, og forbruger-
tilliden er vendt fra et historisk lavpunkt sidste år til nu at være tættere på det neutrale niveau,
jf. figur 3.2.
Selvom indikatoren fortsat ligger på et lavt niveau og er negativ, forventer et flertal
af forbrugerne, at familiens økonomiske situation er bedre om et år i forhold til i dag. Det peger
opad for privatforbruget.
Figur 3.2
Fald i inflationen og stemningsskifte
Pct. (å/å)
15
10
5
0
-5
-10
-15
2015
2017
Inflation
2019
2021
2023
Forbrugertillid (h. akse)
Nettotal
60
40
20
0
-20
-40
-60
Figur 3.3
Fremgang i privatforbruget
Indeks (2019=100)
115
110
105
100
95
90
85
2015
I alt
2017
2019
Varer
2021
2023
Tjenester
Indeks (2019=100)
115
110
105
100
95
90
85
Anm.: Realt forbrug i figur 3.3.
Kilde: Danmarks Statistik og egne beregninger.
Husholdningerne har reageret på den hastigt aftagende inflation, og det private forbrug er vok-
set gennem 2023 efter tilbagegang i alle kvartaler sidste år. Det er forbruget af tjenester, der er
gået frem i år. Det gælder både forbruget af øvrige tjenester som fx restaurantbesøg og hotel-
1
Prognosen i Økonomisk Redegørelse er blandt andet baseret på politiske aftaler indgået frem til og med d. 5. december
2023,
jf. boks 1.2.
2
Den årlige lønstigningstakt på DA-området inkl. genetillæg ifølge DA’s KonjunkturStatistik.
54
Økonomisk Redegørelse
December 2023
FIU, Alm.del - 2023-24 - Bilag 68: Økonomisk Redegørelse, december 2023
2798413_0057.png
Kapitel 3
Husholdningerne
overnatninger samt forbruget af rejser. Vareforbruget er derimod fortsat med at falde. Sam-
mensætningen af forbruget på varer og tjenester har været forskudt under coronapandemien,
hvor husholdningerne brugte mindre på tjenester og mere på fx køb af elektronik, men forde-
lingen af forbruget er nu tilbage ved sammensætningen fra før coronapandemien,
jf. figur 3.3.
3
Forbruget understøttes af stigende indkomster i de kommende år
Fremgangen i husholdningernes indkomster i 2024 og 2025 ventes blandt andet at være drevet
af høje lønstigninger og større regulering af overførselsindkomsterne. I 2024 ventes lønstignin-
ger i den private sektor på 5,4 pct., hvilket ikke er set højere siden slutningen af 1980’erne.
Udviklingen i lønningerne i den private sektor slår igennem på reguleringen af overførselsind-
komsterne med en forsinkelse på to år. Satsreguleringsprocenten er opgjort til 3,2 pct. i 2024,
og med en skønnet inflation på 2,8 pct. vil købekraften dermed også stige for modtagere af
overførselsindkomster,
jf. figur 3.4.
Det forventes også at være tilfældet i 2025.
De højere lønstigninger i den private sektor vil ligeledes have gennemslag på lønningerne for
offentligt ansatte gennem reguleringsordningen. Der forhandles overenskomster for offentligt
ansatte i foråret 2024,
jf. kapitel 5.
Hertil kommer den indgåede trepartsaftale om løn og ar-
bejdsvilkår for offentligt ansatte.
Figur 3.4
Aftagende inflation og relativt høje
stigninger i løn og overførsler
Pct.
8
Pct.
8
Figur 3.5
Fremgang i lønningerne trækker
indkomsten op
Pct.-point
4
Pct.
4
6
6
2
2
4
4
0
0
2
2
-2
-2
0
2000 2003 2006 2009 2012 2015 2018 2021 2024
Inflation
Privat lønstigning
0
Satsregulering
-4
2013
2015 2017 2019 2021 2023 2025
Bidrag fra flere beskæftigede
Bidrag fra højere realløn
Samlet vækst i lønindkomst (h. akse)
-4
Anm.: Satsreguleringsprocenten i figur 3.4 er fastlagt frem til og med 2024 i de årlige bekendtgørelser, mens 2025 er et skøn base-
ret på den skønnede lønstigningstakt i den private sektor i 2023. Reallønnen i figur 3.5 er opgjort ved at deflatere udviklingen
i den private timeløn (på DA-området) med stigningen i forbrugerprisindekset. Den samlede vækst i lønindkomsten er
væksten i den reale lønsum.
Kilde: Danmarks Statistik, Dansk Arbejdsgiverforening og egne beregninger.
De høje nominelle lønstigninger kombineret med aftagende inflation indebærer, at der er ud-
sigt til en stigning i reallønnen på 2,5 pct. i 2024. Det er højt i historisk sammenhæng og bety-
der, at mange lønmodtageres købekraft allerede i 2024 ventes at være højere end i 2021.
3
For en nærmere uddybning, se
Økonomisk Redegørelse, august 2023.
Økonomisk Redegørelse
December 2023
55
FIU, Alm.del - 2023-24 - Bilag 68: Økonomisk Redegørelse, december 2023
2798413_0058.png
Kapitel 3
Husholdningerne
Fremgangen i reallønnen vil mere end modsvare den forventede tilbagegang i beskæftigelsen,
som i sig selv vil føre til mindre samlet indkomstfremgang. Det er også tilfældet i 2025, og der
er således udsigt til en stigning i den samlede lønindkomst i hele prognoseperioden,
jf. figur
3.5.
Det er forventningen, at det reale forbrug i prognoseperioden nogenlunde vil vokse på linje med
den reale kerneindkomst,
jf. figur 3.6.
Kerneindkomsten er den samlede lønsum tillagt ind-
komstoverførsler til husholdningerne.
Figur 3.6
Realvæksten i forbruget følger nogenlunde den reale kerneindkomst
Privatforbrug
, pct.
6
2004
4
2017
2
2012
0
2022
-2
-4
-2
-1
0
Kerneindkomst, pct.
2009
1
2
3
2011
2010
2023
2000
2018
2021
2005
2006
2016
2015
4
2
0
-2
-4
Privatforbrug
, pct.
6
2025
2024
2019 2007
2008
2002 2003
2014
2013
2001
2020
Anm.: Kerneindkomsten er lønsummen tillagt indkomstoverførsler til husholdningerne.
Kilde: Danmarks Statistik og egne beregninger.
Det er dog ikke alene lønindkomst og indkomstoverførsler, der har betydning for husholdnin-
gernes forbrugsmuligheder. Udviklingen i blandt andet renter og skattebetalinger har også be-
tydning. Den disponible indkomst opgøres her som den indkomst, husholdninger har til for-
brug – eller opsparing – når skatter og renter er betalt.
Husholdningernes disponible indkomst påvirkes af en række ekstraordinære forhold i disse år.
Det gælder fx tilbagebetalingen af for meget betalt boligskat til boligejere, som ventes at øge
indkomsterne særligt i 2024. Der er dog også forhold, som trækker indkomsterne ned. Det gæl-
der blandt andet øgede rentebetalinger på boliglån,
jf. nedenfor.
Skattenedsættelser som led i regeringens udspil til personskattereform vil herudover øge hus-
holdningernes disponible indkomster i 2025 og de kommende år. Reformen indebærer blandt
andet, at beskæftigelsesfradraget forhøjes fra og med 2025, og at der indføres et ekstra beskæf-
tigelsesfradrag til enlige forsørgere. Udspillet er ikke indarbejdet i prognosen,
jf. boks 1.1.
Der er udsigt til en stigning i husholdningernes disponible indkomster frem mod 2025. Det no-
minelle forbrug ventes at vokse nogenlunde på linje med de disponible indkomster. Det afspej-
ler sig i forbrugskvoten, der er den andel af indkomsten, som husholdningerne anvender på for-
brug,
jf. figur 3.7.
Forbrugskvoten målt i forhold til kerneindkomsten skønnes ligeledes at være
omtrent uændret i prognoseperioden og stort set ligge på det historiske gennemsnit.
56
Økonomisk Redegørelse
December 2023
FIU, Alm.del - 2023-24 - Bilag 68: Økonomisk Redegørelse, december 2023
2798413_0059.png
Kapitel 3
Husholdningerne
Ofte vil husholdningerne bruge en uændret eller lidt mindre andel af deres indkomst på forbrug
i perioder med tilbagegang på arbejdsmarkedet. Forbrugskvoten målt i forhold til disponibel
indkomst har dog generelt været aftagende over en årrække og ligger på et lavt niveau. Udvik-
lingen skal blandt andet ses i sammenhæng med husholdningernes ønske om konsolidering ef-
ter finanskrisen og begrænsninger i forhold til låntagning, herunder strammere låneregler for
boliglån. Den aktuelle tilbageholdenhed hos forbrugerne i forhold til at omsætte indkomst til
forbrug skal ses i sammenhæng med den negative forbrugertillid,
jf. ovenfor.
Forbrugerne hol-
der blandt andet igen med køb af større forbrugsgoder og lægger vægt på at spare op.
Figur 3.7
Forbrugskvoten ventes at være omtrent uændret i prognoseperioden
Pct. af disponibel indkomst
110
105
100
95
90
85
80
2000
2002
2004
2006
2008
2010
2012
2014
2016
2018
2020
2022
2024
Forbrug i forhold til disponibel indkomst
Forbrug i forhold til kerneindkomst (h. akse)
Gennemsnit 2000-2022
Pct. af kerneindkomst
90
85
80
75
70
65
60
Gennemsnit 2000-2022
Anm.: Forbrugskvoterne måler det nominelle private forbrug i forhold til henholdsvis nominel disponibel indkomst og kerneindkomst.
Kilde: Danmarks Statistik og egne beregninger.
Stigende renteudgifter påvirker husholdningernes forbrugsmuligheder
Stigende renter påvirker både husholdninger med gæld og husholdninger med positivt indestå-
ende i pengeinstitutter. Husholdningerne betaler dog samlet set flere renter, end de modtager i
renteindtægter, og nettorenteindtægterne er dermed negative,
jf. figur 3.8.
Niveauet er dog sta-
dig relativt lavt i et historisk perspektiv, til trods for de stigende renteudgifter.
For husholdninger med realkreditlån er de samlede renteudgifter steget med 5,8 mia. kr. fra 3.
kvartal 2022 til 3. kvartal 2023, hvilket har medført en stigning i ydelserne,
jf. figur 3.9.
En del
af rentestigningen modgås dog af annuitetsprincippet, som indebærer lavere afdrag. Hertil
kommer, at renteudgifterne er fradragsberettigede, hvilket også reducerer effekten på hushold-
ningernes samlede disponible indkomster og dermed deres forbrugsmuligheder.
Økonomisk Redegørelse
December 2023
57
FIU, Alm.del - 2023-24 - Bilag 68: Økonomisk Redegørelse, december 2023
2798413_0060.png
Kapitel 3
Husholdningerne
Figur 3.8
Stigende renter øger
hushold-
ningernes rentebetalinger og renteindtægter
Pct. af disponibel indkomst
20
Pct. af disponibel indkomst
20
Figur 3.9
Forbrugsmulighederne reduceres af
stigende renteudgifter på realkreditlån
Mia. kr.
30
Mia. kr.
30
16
16
25
25
12
12
20
20
8
8
15
15
4
4
10
10
0
1999
2003
2007
2011
2015
2019
2023
Modtagne renter
Betalte renter
0
5
2013
2015
2017
2019
2021
2023
Ydelse
Renteudgifter
5
Ordinære afdrag
Anm.: I figur 3.8 er vist renter for husholdninger og NPISH i nationalregnskabet sat i forhold til disponibel bruttoindkomst. De kvar-
talsvise opgørelser af disponibel indkomst i det foreløbige nationalregnskab er behæftet med betydelig usikkerhed. Tal i figur
3.9 vedrører husholdningernes realkreditlån. Ydelsen svarer til summen af ordinære afdrag og renteudgifter (inkl. bidrag).
Kilde: Danmarks Statistik, Danmarks Nationalbank og egne beregninger.
De stigende renteudgifter påvirker blandt andet købekraften for husholdninger med banklån og
variabelt forrentede realkreditlån samt boligejere, der konverterer deres fastforrentede lån til et
variabelt forrentet realkreditlån. I oktober 2023 var 53 pct. af de samlede realkreditlån til hus-
holdninger variabelt forrentede lån.
Gennemslaget fra højere pengepolitiske renter sker dog med en vis forsinkelse, idet det tager
tid, fra Nationalbanken sætter renterne op, til det slår igennem på fx variabelt forrentede real-
kreditlån med rentefastsættelse hvert tredje eller femte år. De højere renter er således endnu
ikke slået fuldt igennem på eksisterende realkreditlån og banklån,
jf. figur 3.10.
Der er ifølge en opgørelse fra Nationalbanken fortsat variabelt forrentede realkreditlån for 283
mia. kr., der har en rente fra før 2022,
jf. figur 3.11.
Det svarer til ca. 1/3 af den samlede varia-
belt forrentede realkreditgæld.
Den boliggæld, der skal rentetilpasses, består hovedsageligt af F3- og F5-lån, som vil blive ren-
tetilpasset i de kommende år. Hvis renterne forbliver på et højere niveau, må det forventes, at
ydelsen på de eksisterende variabelt forrentede lån stiger ved disse rentetilpasninger. En af de
seneste rentefastsættelser indebærer fx, at F3-lån går fra at have en negativ rente på -0,3 pct. til
en rente på ca. 3,4 pct., som træder i kraft pr. 1. januar 2024.
4
Ifølge Realkredit Danmark medførte den afsluttede rentetilpasningsauktion pr. 23. november 2023, at F1-lån med afdrag
landede på 4,05 pct., F3-renten på 3,39 pct. og F5-renten på 3,34 pct., hvilket indebærer en stigning i den månedlige ydelse
efter skat på henholdsvis ca. 250 kr. for F1-lån og 600-700 kr. for F3 og F5-lån (med afdrag) pr. lånte mio. kr. For afdrags-
frie lån stiger ydelsen betydeligt mere. Se Realkredit Danmark:
Rentetilpasningsauktioner januar 2024 afsluttet,
23. no-
vember 2023.
4
58
Økonomisk Redegørelse
December 2023
FIU, Alm.del - 2023-24 - Bilag 68: Økonomisk Redegørelse, december 2023
2798413_0061.png
Kapitel 3
Husholdningerne
Figur 3.10
Endnu ikke fuldt gennemslag fra
højere pengepolitisk rente på udlåns- og
indlånsrenter
Ændring i pct.-point
5
4
3
2
1
Ændring i pct.-point
5
4
3
Figur 3.11
Der er variabelt forrentede realkredit-
lån for 283 mia. kr. med en rente fra før 2022
Mia. kr.
300
250
200
150
Mia. kr.
300
250
200
150
100
50
0
2022
2023
2024
2025
2026 og
senere
2
100
1
50
0
0
0
jan-22 apr-22 jul-22 okt-22 jan-23 apr-23 jul-23 okt-23
Pengepolitisk rente
Gns. ny-udlånsrente
Gns. udlånsrente
Gns. indlånsrente
Har fået ny rente
Rentetilpasning efter 2. kvartal 2023
Anm.: I figur 3.10 vises ændring siden januar 2022 for gennemsnitlig effektiv rentesats for husholdningers udlån til boligformål for
henholdsvis nye og udestående bank- og realkreditlån samt ændring i gennemsnitlig indlånsrente på banklån. I figur 3.11
vises den variabelt forrentede realkreditgæld i 2. kvartal 2023, der er optaget inden begyndelsen af 2022. Der var variabelt
forrentet realkreditgæld på i alt 875 mia. kr. i 2. kvartal 2023, hvoraf lån for 600 mia. kr. var optaget inden 2022.
Kilde: Danmarks Nationalbank og egne beregninger.
Selvom markedsforventningerne peger på, at renterne har toppet, vil renteudgifterne således
fortsat stige for nogle husholdninger. Stigende renteudgifter vil lægge større beslag på bolig-
ejernes økonomi. Nationalbanken forventer dog et fald i antallet af boligejere, der får et budget-
underskud – dvs. at deres indkomst ikke er høj nok til at dække udgifter til forbrug, faste om-
kostninger og ydelser på boliglånet – i 2024 i forhold til 2023.
5
Det skal blandt andet ses i sam-
menhæng med fremgangen i reallønnen, som modvirker effekten af de højere renter.
Der er udsigt til en samlet stigning i husholdningernes disponible indkomster i både 2024 og
2025, selvom større renteudgifter i sig selv trækker ned.
Velpolstrede husholdninger
De stigende renter kommer efter en årrække med et meget lavt renteniveau, hvor husholdnin-
gernes renteudgifter derfor var lave. De sparede renteudgifter blev i høj grad anvendt til afdrag
på lån.
6
De meget lave lange renter betød samtidig, at en større andel af boligejerne valgte fast-
forrentede lån, som i den seneste periode med højere renter er blevet udnyttet til at reducere
restgælden for mange boligejere, enten ved at konvertere eller indfri dele af lånene. Hushold-
ningerne har således konsolideret sig over en årrække, og de mere restriktive låneregler efter
finanskrisen har også bidraget til at begrænse gældsopbygningen. Dette har medvirket til at øge
Se Danmarks Nationalbank, Analyse, Finansiel Stabilitet: Høj indtjening kan modgå øgede risici i bankerne, november
2023. Ifølge analysen ventes antallet af boligejere med budgetunderskud at falde med 19.100 fra 2023 til 2024.
6
Merbelåning ved konverteringer af lån som følge af de markante rentefald er dog også blevet anvendt til forbrug og bolig-
forbedringer, jf. fx Danmarks Nationalbank: Låneomlægninger understøtter det private forbrug, september 2019.
5
Økonomisk Redegørelse
December 2023
59
FIU, Alm.del - 2023-24 - Bilag 68: Økonomisk Redegørelse, december 2023
2798413_0062.png
Kapitel 3
Husholdningerne
husholdningernes finansielle nettoformue, dvs. forskellen mellem deres finansielle aktiver og
gæld,
jf. figur 3.12.
Samtidig har stigende boligpriser over en årrække medvirket til større boligformuer og frivær-
dier, også selvom faldet i boligpriserne gennem 2022 i sig selv har trukket boligformuen ned.
Boligejerne har kun i mindre grad omsat de stigende friværdier i forbrug, hvilket også har bi-
draget til at øge den samlede nettoformue,
jf. Økonomisk Redegørelse, august 2023.
Husholdningerne har således over en årrække opbygget en stor nettoformue, som er steget fra
at udgøre ca. 5�½ års disponibel indkomst i 2004 til at udgøre over ni års indkomst i 2022,
jf.
figur 3.13.
7
Det er både bolig-, pensions- og aktieformuerne, der er vokset over de senere år,
blandt andet drevet af udviklingen i boligpriserne og på de finansielle markeder, men gældens
andel af nettoformuen er også reduceret. I 2022 faldt nettoformuen dog, hvilket både skyldes et
fald i de finansielle formuer, pensionsformuerne og boligformuen.
Figur 3.12
Husholdningernes finansielle
nettoformue er stor
Mia. kr.
8.000
Pct.
800
Figur 3.13
Husholdningernes samlede formue er
steget betragtelig
Pct. af disponibel indkomst
1.200
900
600
Pct. af disponibel indkomst
1.200
900
600
300
0
-300
2004 2007 2010 2013 2016 2019 2022
Fast ejendom
Aktier
Andre faste aktiver
Pension mv.
Anden finansiel nettoformue
Nettoformue, i alt
6.000
600
4.000
400
300
2.000
200
0
-300
0
2000 2003 2006 2009 2012 2015 2018 2021
Finansiel nettoformue
Andel af disponibel indkomst (h. akse)
0
Anm.: Fast ejendom i figur 3.13 dækker både over boliger og jord, herunder jord ejet af landbrug. Se
Økonomisk Redegørelse, au-
gust 2021
for uddybning. Jordværdierne i 2020-2022 er foreløbige opgørelser, som er behæftet med betydelig usikkerhed,
herunder særligt værdien i 2022. Pension mv. er opsparing i pensionskasser og pengeinstitutter. Gæld er indeholdt i anden
finansiel nettoformue. Der er ikke korrigeret for udskudte skatter på pensionsindbetalinger i figurerne.
Kilde: Danmarks Statistik og egne beregninger.
Husholdningerne sparede ekstraordinært meget op under coronapandemien, hvor forbrugsmu-
lighederne var begrænsede (når der ses bort fra boligkøb). Under den seneste periode med høj
inflation og øget usikkerhed er der tegn på en ny, stor opsparing ifølge det foreløbige national-
regnskab,
jf. figur 3.14.
Når der er stor usikkerhed, har husholdningerne generelt en tendens til
forsigtighedsopsparing. Udviklingen i husholdningernes indkomster og formuer i de seneste år
skal dog tages med forbehold, idet der fortsat er tale om foreløbige indkomstopgørelser i natio-
nalregnskabet, som historisk har været underlagt betydelige revisioner.
Husholdningernes finansielle nettoformue er vokset yderligere ind i 2023 og udgjorde 7.253 mia. kr. i 2. kvartal 2023
ifølge det kvartalsvise nationalregnskab.
7
60
Økonomisk Redegørelse
December 2023
FIU, Alm.del - 2023-24 - Bilag 68: Økonomisk Redegørelse, december 2023
2798413_0063.png
Kapitel 3
Husholdningerne
Figur 3.14
Coronaopsparingen er suppleret af ny opsparing under periode med høj inflation
Mia. kr.
340
320
300
280
260
240
Mia. kr.
340
320
300
280
260
240
2017
Opsparing
2018
2019
2020
2021
2022
2023
Tæring på opsparing
Forbrug ved uændret forbrugstilbøjelighed
Faktisk forbrug
Anm.: Forbruget ved uændret forbrugstilbøjelighed er opgjort som forbrugskvoten i 2017 til 2019 ganget med en korrigeret disponi-
bel indkomst i kvartalet, hvor den korrigerede indkomst er renset for effekten af udbetaling af indefrosne feriemidler og skat
af disse. Fortsat foreløbige nationalregnskabstal, som er behæftet med betydelig usikkerhed.
Kilde: Danmarks Statistik og egne beregninger.
Den større opsparing afspejler, at husholdningernes samlede disponible indkomster er vokset
mere end deres forbrug. Husholdningerne har således mulighed for at finansiere fremtidigt for-
brug ved at forbruge af den opsparede formue – udover via den løbende indkomst.
Tilbøjeligheden til at forbruge af fx boligformuen har dog været begrænset de seneste år, hvilket
blandt andet skal ses i sammenhæng med de makroprudentielle tiltag, der er indført for blandt
8
andet at begrænse husholdningernes sårbarheder over for fx finansielle kriser.
8
3.2 Forbrugerpriser
Inflationen har fortsat det seneste års faldende tendens og var i oktober aftaget til 0,1 pct. Der-
med er inflationen faldet til det laveste niveau siden maj 2020. Faldet i inflationen afspejler
især prisudviklingen på varer. Siden juni har priserne på varer været faldende på årsbasis,
mens prisstigningen på tjenesteydelser gennem 2023 har ligget omkring 5 pct. på årsniveau.
Prisudviklingen på tjenesteydelser bidrager til en forholdsvis høj kerneinflation, der dog er afta-
get fra 6,7 pct. i februar til 3,3 pct. i oktober,
jf. figur 3.15.
Det var fx kun en lille andel af væksten i boligformuerne, der blev anvendt til forbrug under coronapandemien, ligesom
de fleste af låneomlægningerne i forbindelse med de seneste rentestigninger har ført til lavere restgæld frem for øget for-
brug gennem træk på friværdien. Se fx Danmarks Nationalbank: Konverteringsgevinster har nedbragt gæld og kan under-
støtte forbrug, februar 2023, og Housing wealth and consumption during Covid-19, Economic Memo nr. 1, januar 2023.
8
8
Økonomisk Redegørelse
December 2023
61
FIU, Alm.del - 2023-24 - Bilag 68: Økonomisk Redegørelse, december 2023
2798413_0064.png
Kapitel 3
Husholdningerne
Figur 3.15
Laveste inflation siden maj 2020
Pct. (å/å)
20
15
10
5
0
-5
2019
Forbrugerpriser
2020
Varer
2021
Tjenester
2022
2023
Kerneinflation
Pct. (å/å)
20
15
10
5
0
-5
Anm.: I figuren vises årsstigningstakten for de forskellige serier, dvs. stigningen de seneste 12 måneder. Kerneinflationen viser
prisudviklingen ekskl. energi og uforarbejdede fødevarer.
Kilde: Danmarks Statistik og egne beregninger.
Udviklingen i energipriserne har i de seneste år bidraget til store udsving i inflationen. I 2022
trak højere energipriser inflationen op, mens prisudviklingen på energi modsat har trukket in-
flationen ned siden starten af 2023. Det direkte negative bidrag fra energi udgjorde i oktober
godt 3 pct.,
jf. figur 3.16.
Uden energi voksede forbrugerpriserne således med 3,3 pct. i oktober.
Prisudviklingen på andre varer er blandt andet bestemt af udviklingen i energipriser, og bidra-
get til forbrugerprisudviklingen fra andre varer er faldet i løbet af 2023. Dermed afspejler infla-
tionen nu overvejende prisudviklingen på tjenesteydelser. Prisudviklingen på tjenesteydelser
har blandt andet været påvirket af større efterspørgsel inden for restauration og hoteller efter
coronapandemien. De fortsatte prisstigninger skal blandt andet ses i sammenhæng med sti-
gende omkostninger fx i forbindelse med indkøb af fødevarer, og stigende lønninger vil være
med til at holde prisudviklingen på tjenesteydelser oppe.
Effekten af de lavere energipriser forsvinder imidlertid efterhånden, og ind i 2024 ventes infla-
tionen midlertidigt at stige til mellem 3 og 4 pct. På årsniveau skønnes inflationen at blive 3,4
pct. i 2023, 2,8 pct. i 2024 og 2,1 pct. i 2025.
I det omfang, at udbud og efterspørgsel kun har været påvirket af midlertidige forhold, som har
spredt sig til varer og tjenester med forskellige hastigheder, må der over tid forventes en tilpas-
ning i de relative priser, sådan at forholdet mellem priserne på forskellige varer og tjenester ef-
terhånden vil være som før prisstigningerne (bortset fra forskelle i underliggende trends). Der
er allerede sket en væsentlig indsnævring af forskellen i prisniveauet på varer og tjenester,
jf.
figur 3.17.
Niveauet for varepriser ligger imidlertid fortsat højt i forhold til niveauet for tjene-
stepriser i sammenligning med prisniveauerne før 2022, og en fortsat genopretning af de rela-
tive priser vil kræve, at varepriser vokser langsommere end tjenestepriser i en periode.
62
Økonomisk Redegørelse
December 2023
FIU, Alm.del - 2023-24 - Bilag 68: Økonomisk Redegørelse, december 2023
2798413_0065.png
Kapitel 3
Husholdningerne
Figur 3.16
Energi trækker inflationen ned
Pct.-point
15
Pct.-point
15
Figur 3.17
Fortsat højt prisniveau på fødevarer
Indeks (2019=100)
130
Indeks (2019=100)
130
10
10
120
120
5
5
110
110
0
0
100
100
-5
2019
Tjenester
2020
2021
2022
Energi
2023
Andre varer
-5
Fødevarer
90
2019
2020
2021
2022
2023
Forbrugerpriser
Varer
Fødevarer
Tjenester
90
Anm.: I figur 3.16 vises vækstbidrag til den årlige stigning i det samlede forbrugerprisindeks. Energi dækker over priserne på elek-
tricitet, opvarmning og brændstof til køretøjer i forbrugerprisindekset, men omfatter ikke det indirekte bidrag fra energi, der
går gennem prisen på varer og tjenester.
Kilde: Danmarks Statistik og egne beregninger.
Også for enkelte varegrupper er der forskelle. Prisniveauet på fødevarer ligger eksempelvis fort-
sat højt. De globale fødevarepriser har været faldende siden april sidste år, mens prisen på fø-
devarer i forbrugerprisindekset kun i et mindre omfang har været faldende siden august. Nor-
malt er der en vis forsinkelse, før udviklingen i de globale fødevarepriser slår igennem på føde-
varepriser i forbrugerprisindekset. De fødevarepriser, som forbrugerne betaler, bestemmes dog
ikke kun af råvarepriser, men også af omkostninger til fragt, forarbejdning, marketing, distribu-
tion mv., hvilket kan være med til at holde priserne oppe. Udviklingen i de globale fødevarepri-
ser trækker i retning af, at fødevarepriserne i detailhandlen skal falde, og ifølge konjunkturba-
rometrene er der en forventning om fortsat prisfald. I oktober var der en overvægt af supermar-
kederne, som forventede faldende priser i de kommende tre måneder.
Ind i 2024 vil flere forhold midlertidigt trække i retning af øget inflation. Energipriserne er
kommet langt ned. Priserne på energi på råvaremarkederne ligger nu på et niveau svarende til
slutningen af 2021 og dermed lavere end lige efter Ruslands invasion af Ukraine, men stadig
lidt højere end niveauet før coronapandemien,
jf. figur 3.18.
Markedsforventninger peger på et
svagt fald i prisen på olie og en svag stigning i prisen på naturgas ind i 2024. Markedsforvent-
ningerne peger endvidere på et omtrent uændret niveau for prisen på elektricitet, men med
store sæsonbetingede udsving. Markedsforventninger giver således ikke anledning til at tro, at
energipriserne skulle falde meget mere og dermed fortsat trække inflationen ned. Energipri-
serne er dog volatile, og blandt andet vejrforhold og geopolitiske forhold kan have betydning for
prisudviklingen.
Den midlertidige lempelse af elafgiften, der var i kraft i første halvår 2023, reducerede umiddel-
bart stigningen i forbrugerpriserne med knap 1 pct.-point i den pågældende periode. Det afspej-
les i forskellen mellem forbrugerpriserne og nettopriserne (de faktiske forbrugerpriser fratruk-
ket moms og afgifter),
jf. figur 3.19.
Modsat vil inflationen rent mekanisk være knap 1 pct.-po-
int højere i første halvår 2024, end hvis lempelsen ikke havde været i kraft.
Økonomisk Redegørelse
December 2023
63
FIU, Alm.del - 2023-24 - Bilag 68: Økonomisk Redegørelse, december 2023
2798413_0066.png
Kapitel 3
Husholdningerne
Figur 3.18
Energipriserne forventes at blive på
omtrent nuværende niveau
EUR/MWh
400
USD/tønde
400
Figur 3.19
Lempelsen af elafgiften i første halvår
2023 trak inflationen ned med ca. 1 pct.-point
Pct.-point
12
Pct.
12
300
300
8
8
200
200
4
4
100
100
0
0
0
2019 2020 2021 2022 2023 2024 2025
Nordisk el
Naturgas
0
-4
2019
2020
2021
2022
2023
Forskel
Forbrugerpriser (h. akse)
Nettopriser (h. akse)
-4
Olie (h. akse)
Anm.: I figur 3.18 er elprisen Nordic Power Base fra Nordpool. Naturgas i Europa er futuresprisen på levering i førstkommende
måned i Dutch Title Transfer Facility. Olieprisen er spotprisen på Brent. De stiplede linjer er futurespriser fra Intercontinental
Exchange (ICE).
Kilde: Danmarks Statistik, Macrobond og egne beregninger.
Som en del af 2009-skattereformen (forårspakke 2.0) blev det vedtaget at indeksere energiaf-
gifterne med den faktiske udvikling i nettoprisindekset.
9
Denne indeksering skal sikre, at afgif-
ternes reale værdi fastholdes nogenlunde uændret. Reguleringen sker på grundlag af nettopris-
indeksets årsgennemsnit i året to år forud for det kalenderår, i hvilken satsen skal gælde. Netto-
prisindekset steg med 7,7 pct. i 2022, så blandt andet elafgiften og brændstofafgiften vil alt an-
det lige stige med 7,7 pct. ved årsskiftet. Også i 2025 vil der være en forholdsvis stor indekse-
ring af energiafgifterne svarende til udviklingen i nettoprisindekset i 2023.
De aftalte lønstigninger vil være med til at holde inflationen oppe, mest i 2024, men også i
2025. Lønudviklingen påvirker mest prisen på tjenesteydelser, da produktionen af tjenester
ofte er mere løntung end produktionen af varer.
Den ventede inflationsudvikling indebærer, at inflationen vil forhøjet i 2024 og gradvist aftage
til omkring 2 pct. i 2025,
jf. figur 3.20.
Forløbet ind i 2024 er i høj grad bestemt af, at det nega-
tive bidrag fra energi til inflationen efterhånden falder bort. Energipriserne er som nævnt me-
get volatile, og som et alternativt forløb vises den direkte effekt af en stigning i energipriserne i
forbrugerprisindekset på 10 pct. i januar 2024. På årsbasis vil den ændring isoleret set øge in-
flationen fra 2,8 pct. til 3,8 pct. i 2024.
I 2025 ventes inflationen at være omkring 2 pct. og dermed afspejle den prisudvikling, der er
forenelig med fastkurspolitikken og inflationsmålsætningen på mellemlangt sigt for euroområ-
det, som i de seneste vurderinger fra ECB, EU-Kommissionen og OECD også forventes at have
en inflation på omkring 2 pct. i 2025,
jf. kapitel 7.
9
Se Skatteministeriet (2022): Indeksering af energiafgifterne, 18.marts 2022.
64
Økonomisk Redegørelse
December 2023
FIU, Alm.del - 2023-24 - Bilag 68: Økonomisk Redegørelse, december 2023
2798413_0067.png
Kapitel 3
Husholdningerne
Figur 3.20
Stiliseret forløb for inflationen peger på tiltagende inflation ind i 2024
Pct.-point
12
Pct.
12
8
8
4
4
0
0
-4
2019
2020
2021
2022
2023
2024
2025
Bidrag fra energi
Forbrugerpriser (h. akse)
Alternativt bidrag fra energi
Alternativt forløb (h. akse)
-4
Anm.: Stiplede linjer angiver stiliserede forløb, som indebærer, at det aktuelt negative bidrag fra energi til inflationen efterhånden
falder bort. Forløbet er endvidere i overensstemmelse med den skønnede udvikling på årsbasis. Det alternative forløb byg-
ger på en isoleret stigning i energipriserne på 10 pct. i januar 2024.
Kilde: Danmarks Statistik og egne beregninger.
Danmark har over tid haft en inflationsudvikling tæt på inflationen i euroområdet. I løbet af
2022 oversteg inflationen i Danmark imidlertid euroområdets, mens den i 2023 har ligget i den
lave ende. På det seneste er inflationen i euroområdet faldet en del, og inflationsforskelle på
tværs af eurolande er også blevet mindre,
jf. figur 3.21.
Figur 3.21
Dansk inflation er aktuelt i den lave
ende i forhold til euroområdet
Pct
.
30
Pct
.
30
Figur 3.22
Danmark har omtrent samme pris-
udvikling på tjenesteydelser som euroområdet
Pct
.
30
Pct
.
30
20
20
20
20
10
10
10
10
0
0
0
0
-10
2019
2020
2021
2022
2023
Euroområdet
Danmark
-10
-10
2019
2020
2021
2022
2023
Euroområdet
Danmark
-10
Anm.: Inflationen er i figur 3.21 målt ved årsstigningen i det EU-harmoniserede forbrugerprisindeks HICP. Stiplede linjer angiver i
begge figurer største og mindste værdier blandt lande i euroområdet.
Kilde: Eurostat og egne beregninger.
Økonomisk Redegørelse
December 2023
65
FIU, Alm.del - 2023-24 - Bilag 68: Økonomisk Redegørelse, december 2023
2798413_0068.png
Kapitel 3
Husholdningerne
De større udsving i inflationen i Danmark skal blandt andet ses i sammenhæng med et hurti-
gere gennemslag af energipriser. Noget tilsvarende gælder også Nederlandene, hvor det EU-
harmoniserede forbrugerprisindeks faldt på årsbasis i både september og oktober. I nogle lande
er prislofter på energiforsyning med til at forlænge perioden med høj inflation, da sådanne lof-
ter bidrager til en træg tilpasning både i opadgående og nedadgående retning. Derimod er der
ikke den store forskel i prisudviklingen på tjenesteydelser i Danmark og euroområdet,
jf. figur
3.22.
Det afspejler, at indenlandske forhold som kapacitetspres og lønstigninger i nogenlunde
samme omfang er med til at drive udviklingen i tjenestepriserne.
Den lave inflation i Danmark sammenlignet med eurolandene gælder også kerneinflationen,
jf.
figur 3.23.
Figur 3.23
Både inflation og kerneinflationen var lav i Danmark i oktober 2023
Pct.
10
8
6
4
2
0
-2
-4
CYP DK FIN GRC ITA MLT LUX IRL POR DEU EUR ESP NLD EST LAT BEL AUS SVN LIT CRO SVK
Inflation målt ved HICP
Kerneinflation
Pct.
10
8
6
4
2
0
-2
-4
Anm.: Inflationen er målt ved det EU-harmoniserede forbrugerprisindeks (HICP). Kerneinflationen er ekskl. energi og uforarbejdede
fødevarer som opgjort i HICP.
Kilde: Eurostat og egne beregninger.
3.3 Boligmarkedet
Boligmarkedet har vist fremgang siden starten af 2023 med en stigning i boligsalget samt pri-
serne på ejerboliger. De seneste tal peger på, at de positive takter er fortsat ind i 4. kvartal. Fal-
det igennem 2022 betyder dog, at huspriserne på årsbasis skønnes at være faldet med 2,0 pct.
fra 2022 til 2023. Fornyet fremgang i husholdningernes indkomster ventes at understøtte hus-
priserne i 2024 og 2025, som skønnes at stige med henholdsvis 1,2 pct. og 1,9 pct. Den for-
holdsvis afdæmpede vækst i huspriserne skal ses i lyset af højere renter samt strammere kredit-
vilkår, mens øget købekraft som følge af stigende reallønninger omvendt vil løfte efterspørgs-
len.
Overgangen til nyt boligskattesystem vil kunne understøtte huspriserne i det omfang, at det
ikke allerede er indregnet på markedet, mens priserne på ejerlejligheder omvendt vil kunne
falde. Den stigende aktivitet på boligmarkedet i 2023 kan til dels afspejle, at overgangen til det
nye boligskattesystem har ført til interesse for køb af ejendomme, hvor skatterne bliver højere,
66
Økonomisk Redegørelse
December 2023
FIU, Alm.del - 2023-24 - Bilag 68: Økonomisk Redegørelse, december 2023
2798413_0069.png
Kapitel 3
Husholdningerne
og hvor der vil kunne opnås en skatterabat ved køb før årsskiftet 2023-2024. Det er især tilfæl-
det for ejerlejligheder, hvor der umiddelbart har været en stærkere fremgang i salget og pri-
serne i den seneste tid. Den skønnede udvikling indebærer, at huspriserne i 2025 igen vil over-
stige 2022-niveauet målt i løbende priser,
jf. figur 3.24.
Korrigeret for inflationen vil huspri-
serne være tilbage på samme niveau som i 2018.
Figur 3.24
Svag forventet fremgang i de nominelle huspriser i 2024 og 2025
Indeks (2019=100)
130
120
110
100
90
80
70
60
50
2000
2002
2004
2006
2008
2010
2012
2014
2016
2018
2020
2022
2024
Nominelle huspriser
Reale huspriser
Indeks (2019=100)
130
120
110
100
90
80
70
60
50
Anm.: I figuren vises kontantprisindeks for enfamiliehuse som opgjort af Danmarks Statistik. Reale huspriser er opgjort ved at defla-
tere med prisindekset for privatforbruget.
Kilde: Danmarks Statistik og egne beregninger.
Siden starten af 2023 har der igen været stigende aktivitet på boligmarkedet. Dermed nærmer
salget af huse sig niveauet fra 2019 efter dykket i 2022, mens salget af lejligheder og sommer-
huse fortsat er noget lavere,
jf. figur 3.25.
Den kraftige stigning i salget i 2020 og 2021 betyder, at der samlet set over perioden fra 1. kvar-
tal 2020 til 3. kvartal 2023 er solgt 6 pct. flere huse pr. kvartal end i 2019 samt 10 pct. flere
sommerhuse. Derimod er der trods fremgangen igennem 2023 fortsat solgt 2 pct. færre ejerlej-
ligheder pr. kvartal i forhold til gennemsnittet i 2019 henover perioden. Mersalget af huse og
sommerhuse skal ses på baggrund af en kraftig stigning i efterspørgslen efter huse og sommer-
huse under coronapandemien. Det kan afspejle en fremrykning af boligefterspørgslen, som dog
foreløbigt ikke ser ud til at blive reverseret. Husholdningernes planer for boligkøb eller byggeri
har også fundet tilbage til et højere leje efter dykket i 2022,
jf. figur 3.26.
Økonomisk Redegørelse
December 2023
67
FIU, Alm.del - 2023-24 - Bilag 68: Økonomisk Redegørelse, december 2023
2798413_0070.png
Kapitel 3
Husholdningerne
Figur 3.25
Boligsalget er steget igennem 2023
Figur 3.26
Husholdningernes planer for bolig-
køb eller byggeri har også stabiliseret sig
Nettotal
-50
Nettotal
-50
Indeks (2019=100)
250
Indeks (2019=100)
250
200
200
-60
-60
150
150
-70
-70
100
100
-80
-80
50
50
-90
-90
0
2005
2008
2011
2014
2017
2020
2023
Huse
Sommerhuse
0
Ejerlejligheder
-100
1990 1995 2000 2005 2010 2015 2020
-100
Anm.: I figur 3.25 vises boligsalget opgjort af Danmarks Statistik (sæsonkorrigeret) fremskrevet med udviklingen i boligsalget i 3.
kvartal på baggrund af oplysninger fra Boligsiden. I figur 3.26 vises husholdningernes svar (nettotal) på spørgsmålet i forbru-
gertillidsundersøgelsen om husholdningen har planer om boligkøb eller byggeri inden for de kommende 12 måneder.
Kilde: Danmarks Statistik, Boligsiden, Macrobond og egne beregninger.
Højere renter udgør fortsat en modvind i forhold til boligmarkedet. Siden sommeren er de
lange renter steget lidt yderligere, så renten på fastforrentede realkreditlån i slutningen af no-
vember var omtrent 5¼ pct.,
jf. figur 3.27.
Det er en stigning på 3,5 pct.-point i forhold til star-
ten af 2022. Den korte rente er steget omtrent 4,2 pct.-point i samme periode til 3,6 pct. i no-
vember og har således fulgt udviklingen i de pengepolitiske renter. I prognosen er det på bag-
grund af forventningerne på de finansielle markeder indregnet, at de lange renter vil forblive på
omtrent samme niveau i 2024 og 2025, mens de korte renter vil falde meget gradvist, i takt
med at de pengepolitiske renter sættes lidt ned,
jf. kapitel 7.
Oven i rentestigningerne er der også en dæmpende effekt på boligefterspørgslen fra strammere
lånebetingelser fra kreditinstitutterne i forbindelse med lån til husholdningerne,
jf. figur 3.28.
De strammere lånevilkår skyldes især et forøget krav i forbindelse med lånegodkendelse til det
rådighedsbeløb efter faste omkostninger og boligfinansieringsudgifter, som boligkøberne skal
have til at dække et normalt forbrug.
10
Det betyder, at husholdningernes lånemuligheder er re-
duceret ved samme indkomst, hvilket alt andet lige har trukket i retning af at reducere efter-
spørgslen fra boligkøberne.
10
Se Danmarks Nationalbank,
Strammere kreditstandarder og fald i låneefterspørgslen,
Statistiknyhed, 13. april 2023.
68
Økonomisk Redegørelse
December 2023
FIU, Alm.del - 2023-24 - Bilag 68: Økonomisk Redegørelse, december 2023
2798413_0071.png
Kapitel 3
Husholdningerne
Figur 3.27
De lange renter er steget og forventes
Figur 3.28
Bankerne har strammet lånevilkårene
at forblive høje
Pct.
10
8
6
4
2
0
-2
2000
2004
2008
2012
2016
2020
2024
Lang rente
Kort rente
Pct.
10
8
6
4
2
0
-2
Nettotal
60
40
20
0
-20
-40
Stramning af kreditvilkår
-60
2009 2011 2013 2015 2017 2019 2021 2023
-60
Lempelse af kreditvilkår
Nettotal
60
40
20
0
-20
-40
Anm.: I figur 3.27 vises obligationsrenter opgjort af Finans Danmark, der viser den effektive rente, som investorer, der køber nyud-
stedte realkreditobligationer har fået. Kort rente er renten på lån med kort rentetilpasning, og lang rente er renten på fastfor-
rentede realkreditobligationer. I figur 3.28 er seneste observation for 4. kvartal 2023 udtryk for kreditinstitutternes forventnin-
ger til udviklingen i kreditvilkårene, mens tal til og med 3. kvartal 2023 er baseret på institutternes vurdering af den faktiske
udvikling i kreditvilkårene.
Kilde: Finans Danmark, Boligsiden, Danmarks Nationalbank, Danmarks Statistik, Macrobond og egne beregninger.
Trods denne modvind er priserne på ejerboliger igen begyndt at stige i løbet af 2023,
jf. figur
3.29.
Vendingen betyder, at boligpriserne har indhentet en del af faldet siden toppen i 2022,
hvilket især er tilfældet for ejerlejligheder.
Den kraftige stigning i renterne har betydet, at boligbyrden, der er de samlede finansielle om-
kostninger ved at eje en bolig i form af finansieringsomkostninger (inkl. afdrag) samt boligskat-
ter som andel af den disponible indkomst, er steget betydeligt siden slutningen af 2019,
jf. figur
3.30.
Stigningen er især markant for boliger i København by, hvor boligbyrden i 3. kvartal 2023
havde nået omtrent samme niveau som op til finanskrisen.
11
Derimod er boligbyrden for et gen-
nemsnitligt enfamiliehus stadig tæt på det langsigtede gennemsnit trods en betydelig stigning
siden 2019. Stigningen i boligbyrden ventes dog at føre til en mere afdæmpet udvikling i første
halvår 2024, hvorefter der ventes gradvist tiltagende prisfremgang fra andet halvår 2024 drevet
af stigende indkomster som følge af lønstigninger.
11
Boligbyrden er en stiliseret beregning på baggrund af gennemsnitlige indkomster for par med korte- og mellemlange ud-
dannelser og er ikke nødvendigvis udtryk for, hvor hårdt boligkøberne sætter sig. Især vil den gennemsnitlige boligkøber i
København by typisk have en højere indkomst, end der er lagt til grund i beregningen af boligbyrden.
Økonomisk Redegørelse
December 2023
69
FIU, Alm.del - 2023-24 - Bilag 68: Økonomisk Redegørelse, december 2023
2798413_0072.png
Kapitel 3
Husholdningerne
Figur 3.29
Vending i boligpriserne
Pct. (å/å)
30
Pct. (å/å)
30
Figur 3.30
Boligbyrden er steget
Pct. af disponibel indkomst
35
Pct. af disponibel indkomst
35
20
20
30
25
30
25
10
10
0
0
20
20
-10
-20
2012
2014
2016
2018
2020
2022
Fritidshuse
Huse
Lejligheder
-10
-20
15
15
10
2003 2006 2009 2012 2015 2018 2021
Hele landet
København By
10
Anm.: I figur 3.29 er der anvendt egen sæsonkorrektion. I figur 3.30 beregnes boligbyrden for hele landet på baggrund af indkom-
sten for et gennemsnitligt par med børn ved køb af enfamiliehus på 140 kvm. med 15 pct. banklån og 80 pct. realkreditlån
med fast rente og afdrag. For København By (landsdelen København By) betragtes et par uden børn ved køb af en ejerlejlig-
hed på 80 kvm. ligeledes med 15 pct. banklån og 80 pct. realkreditfinansiering med fast rente og afdrag. De stiplede linjer
angiver gennemsnittet i perioden fra 1. kvartal 2003 til 3. kvartal 2023. Seneste observation er 3. kvartal 2023. Beregningen
tager udgangspunkt i den gennemsnitlige indkomst for par med korte- og mellemlange uddannelser, hvor begge er i beskæf-
tigelse. Se også kapitel 2 i Økonomisk Redegørelse, august 2023.
Kilde: Boligsiden, Finans Danmark, Danmarks Nationalbank, Danmarks Statistik, Macrobond og egne beregninger.
Samtidig bidrager den demografiske udvikling til at understøtte boligefterspørgslen i modsæt-
ning til perioden under og efter finanskrisen. Der er en forholdsvis høj vækst i antallet af perso-
ner i aldersgruppen 25-40 år, som traditionelt udgør en stor andel af førstegangskøberne,
jf. fi-
gur 3.31.
Således har boligkøbere i aldersgruppen 18-39 år udgjort en stigende andel af køberne
af parcel- og rækkehuse siden 2018-2019.
12
Den stigende interesse for køb af ejerlejligheder igennem 2023 kan eventuelt også hænge sam-
men med overgangen til det nye system for boligskatter, som træder i kraft den 1. januar 2024.
For de fleste ejerlejligheder vil boligskatterne stige under det nye beskatningssystem som følge
af højere grundværdier. Men købere, som har overtaget boligen inden årsskiftet, får en skatte-
rabat, så de ikke betaler mere i boligskatter end under de gamle regler ved overgangen til det
nye system. Skatterabatten bortfalder ved salg efter den 1. januar 2024, og derfor vil købere ef-
ter den 1. januar 2024 i udgangspunktet have en lavere betalingsvillighed for en bolig, hvor
skatten er steget, da der vil være mindre til overs til at dække andre udgifter, herunder boligfi-
nansiering. Det medfører, at der kan være risiko for prisfald på ejerlejligheder efter årsskiftet.
12
I 2020-2022 udgjorde denne aldersgruppe 33,5 pct. af køberne mod 31,8 pct. i 2018-2019, og i første halvdel af 2023 er
andelen steget til 40,8 pct.,
jf.
Realkredit Danmark, De unge driver fremgangen på boligmarkedet, Analyse, 16. oktober
2023.
70
Økonomisk Redegørelse
December 2023
FIU, Alm.del - 2023-24 - Bilag 68: Økonomisk Redegørelse, december 2023
2798413_0073.png
Kapitel 3
Husholdningerne
Figur 3.31
Høj vækst i antallet af personer i
aldersgruppen 25-40 år
Pct.
3
2
1
0
-1
-2
-3
2000 2004 2008 2012 2016 2020 2024 2028
I alt
25-40 år
Pct.
3
2
1
Figur 3.32
Lavere sandsynlighed for prisfald på
huse
Ssh. for negativ boligprisvækst 4 kvartaler frem, pct.
100
100
80
80
60
0
40
-1
-2
-3
20
60
40
20
0
1993 1997 2001 2005 2009 2013 2017 2021
0
Anm.: I figur 3.31 vises den procentvise ændring i hele befolkningen og antallet af personer i aldersgruppen 25-40 år, hvor tal for
2023-2030 er baseret på Danmarks Statistiks befolkningsfremskrivning. I figur 3.32 vises den beregnede sandsynlighed for
negativ vækst i huspriserne fire kvartaler frem på baggrund af en såkaldt ”house-prices-at-risk”-model. Denne model estime-
rer en sandsynlighedsfordeling for væksten i huspriserne fire kvartaler frem på baggrund af en række finansielle og makro-
økonomiske variable samt variable relateret til boligmarkedet. Modellen er nærmere beskrevet i boks 2.4 i
Økonomisk Rede-
gørelse, august 2023.
Kilde: Danmarks Statistik og egne beregninger.
Omvendt vil priserne på enfamiliehuse set under ét kunne få et løft, da ejendomsskatterne her
vil falde under det nye system. I princippet kan lavere fremtidige skatter på en bolig dog være
indregnet i prisen, da en køber allerede før årsskiftet har kunnet tage højde for dette i forbin-
delse med boligkøbet. Forsinkelser i udsendelsen af vurderinger og opfattet usikkerhed om de
nye ejendomsskatter kan imidlertid have medvirket til, at lavere boligskatter endnu ikke er ind-
regnet i huspriserne.
Overordnet set peger flere indikatorer på, at huspriserne ikke er ude af trit med de underlig-
gende økonomiske drivkræfter. Boligbyrden er omtrent på et gennemsnitligt niveau set i et hi-
storisk perspektiv, og flere modeller peger på, at huspriserne ikke er over deres strukturelle ni-
veauer eller trendniveauer,
jf. Økonomisk Redegørelse, august 2023, kapitel 2.
En statistisk ri-
sikomodel for væksten i huspriserne indikerer endvidere, at det er mere sandsynligt med fortsat
fremgang i boligpriserne, og at risikoen for prisfald 4 kvartaler frem er reduceret,
jf. figur 3.32.
Risikoen for prisfald er dog fortsat på et forhøjet niveau, hvilket især skal ses i lyset af effekten
af højere renter.
Boliginvesteringerne falder i 2023 og 2024
Højere renter og byggeomkostninger har ført til tilbagegang i boliginvesteringerne i 2022 og
første halvår 2023. Der ventes yderligere fald frem til første halvår 2024, hvorefter der forven-
tes en gradvis tiltagende fremgang som følge af en vending i nybyggeriet. Derimod ventes bolig-
renoveringer at falde lidt tilbage fra et højt niveau. Samlet set forventes boliginvesteringerne
dermed at falde 2,2 pct. i 2024, mens der skønnes en moderat fremgang i 2025 på 1,2 pct. Det
indebærer, at boliginvesteringerne som andel af BNP frem mod 2025 falder til lige under et
gennemsnitligt niveau i historisk perspektiv,
jf. figur 3.33.
Økonomisk Redegørelse
December 2023
71
FIU, Alm.del - 2023-24 - Bilag 68: Økonomisk Redegørelse, december 2023
2798413_0074.png
Kapitel 3
Husholdningerne
Figur 3.33
Stort fald i boliginvesteringerne fra et højt niveau
Pct.
30
20
10
0
-10
-20
-30
1980 1983 1986 1989 1992 1995 1998 2001 2004 2007 2010 2013 2016 2019 2022 2025
Real ændring i boliginvesteringer
Boliginvesteringskvote (h. akse)
Pct. af BNP
8
7
6
5
4
3
2
Anm.: Boliginvesteringskvoten er boliginvesteringer i løbende priser sat i forhold til BNP i løbende priser. Den stiplede linje angiver
gennemsnittet i perioden 2000-2019.
Kilde: Danmarks Statistik og egne beregninger.
De aftagende boliginvesteringer skyldes især en tilbagegang i nybyggeriet, som er faldet mar-
kant. I det seneste år er der således fuldført væsentligt færre kvadratmeter boliger, og den la-
vere byggeaktivitet ses i både byggeriet af huse og lejligheder,
jf. figur 3.34.
Figur 3.34
Antallet af fuldførte boligkvadrat-
meter er faldet markant
1.000 kvm.
1.200
1.000
800
600
400
200
0
2006 2009 2012 2015 2018 2021
Parcelhuse
Rækkehuse mv.
Lejligheder mv.
1.000 kvm.
1.200
1.000
800
600
400
200
0
Figur 3.35
Omkostningerne i boligbyggeriet er
steget voldsomt
Pct. (å/å)
20
15
10
5
0
-5
-10
2004 2007 2010 2013 2016 2019 2022
I alt
Materialer
Arbejdsomkostninger
Pct. (å/å)
20
15
10
5
0
-5
-10
Anm.: Egen sæsonkorrektion i figur 3.34.
Kilde: Danmarks Statistik og egne beregninger.
72
Økonomisk Redegørelse
December 2023
FIU, Alm.del - 2023-24 - Bilag 68: Økonomisk Redegørelse, december 2023
2798413_0075.png
Kapitel 3
Husholdningerne
Tilbagegangen i byggeaktiviteten skal ses på baggrund af de markante rentestigninger, der har
påvirket økonomien i mange byggeprojekter. De højere renter øger finansieringsomkostnin-
gerne og dermed afkastkravet til investeringerne for ejendomsselskaber, hvilket i sig selv redu-
cerer investeringslysten.
Samtidig har de seneste års kraftige stigninger i byggeomkostningerne også bidraget til at redu-
cere boliginvesteringerne. Det har især været stigende materialeomkostninger, der har ligget
bag den kraftige vækst i byggeomkostningerne, men vækstraten er aftaget betydeligt på det se-
neste,
jf. figur 3.35.
Stigningerne i 2021-2023 betyder dog, at niveauet for byggeomkostnin-
gerne fortsat er væsentligt forøget, hvilket fortsat ventes at dæmpe investeringerne i prognose-
perioden.
En yderligere modvind for boliginvesteringerne kommer fra strammere kreditvilkår for både
husholdninger og virksomheder. Som nævnt ovenfor betyder strammere krav fra banker og re-
alkreditinstitutter til rådighedsbeløbet, at husholdningernes lånemuligheder bliver mindre,
hvilket begrænser mulighederne for boligkøb, nybyggeri eller større renoveringer. Bankerne og
realkreditinstitutterne har også strammet lånebetingelserne for virksomhederne,
jf. figur 3.36.
Figur 3.36
Strammere lånevilkår for erhverv
Nettotal
40
Lempelse af kreditvilkår
20
20
Nettotal
40
Figur 3.37
Renoveringer er på et højt niveau
Mia. kr. (2010-priser)
20
Mia. kr. (2010-priser)
20
15
15
0
0
10
10
-20
Stramning af kreditvilkår
-40
2017 2018 2019 2020 2021 2022 2023
-20
5
5
-40
0
1994 1998 2002 2006 2010 2014 2018 2022
Nybyggeri
Hovedreparationer
Handelsomkostninger
0
Anm.: I figur 3.36 vises udviklingen i kreditvilkårene for erhverv fra Nationalbankens udlånsundersøgelse. I figur 3.37 er der an-
vendt egen sæsonkorrektion. Hovedreparationer er investeringer i eksisterende boliger i form af større forbedringer og reno-
veringsarbejder, der er med til at forlænge levetiden eller kvaliteten af boligen. Handelsomkostninger er boligkøberes udgifter
i forbindelse med boligkøb, især tinglysningsafgifter til Staten samt salær til køberrådgiver mv.
Kilde: Danmarks Nationalbank, Danmarks Statistik og egne beregninger.
De strammere lånevilkår for virksomheder skyldes især stramninger for ejendomsselskaber og
virksomheder beskæftiget med opførelse af ejendomme. Disse stramninger sker på baggrund af
Økonomisk Redegørelse
December 2023
73
FIU, Alm.del - 2023-24 - Bilag 68: Økonomisk Redegørelse, december 2023
2798413_0076.png
Kapitel 3
Husholdningerne
nye vejledninger fra Finanstilsynet vedrørende kreditgivning til udlejningsejendomme og ejen-
domsprojekter.
13
Med vejledningerne skal kreditinstitutterne som udgangspunkt stille større
krav til ejendomsvirksomheder og ejendomsprojekter.
Samtidig har Det Systemiske Risikoråd henstillet til regeringen, at der bør indføres en syste-
misk kapitalbuffer på kreditinstitutternes eksponeringer til ejendomsselskaber.
14
Regeringen
har meddelt, at den agter at følge henstillingen, så institutterne skal reservere ekstra kapital på
deres lån til ejendomsselskaber, da der er risiko for, at kreditinstitutternes modeller aktuelt un-
dervurderer, hvor meget kapital der bør sættes til side ved udlån til ejendomsselskaber. Den
ekstra buffer må forventes at indebære strammere lånevilkår til de berørte virksomheder, hvil-
ket vil kunne bidrage til at dæmpe investeringer i opførelsen af nye private boliger.
Mens nybyggeriet er gået tilbage, er investeringer i større forbedringer og renoveringer af boli-
ger (også kaldet hovedreparationer) steget betydeligt frem til første halvår 2023 og ligger på et
meget højt niveau,
jf. figur 3.37.
Fremgangen skyldes blandt andet betydelige investeringer i
renoveringer af almene boliger med støtte/garantier fra Landsbyggefonden, som kun aftager
gradvist frem mod 2025. Samtidig har private investeringer i energiforbedringer også fået et
betydeligt løft som følge af stigningerne i energipriserne i 2021-2022. Kapacitetspres i bygge-
og anlægsbranchen har også medvirket til, at en del projekter er blevet udskudt til senere. Inve-
steringer i private boliger vil endvidere få et løft af stigende realindkomster i 2024 og 2025.
Samtidig bidrager demografien og ændrede bosætningsmønstre til at understøtte boligefter-
spørgslen. Som nævnt ovenfor er der specielt i 2022-2025 en forholdsvis høj vækst i alders-
gruppen 25-40 år. Samtidig udgør husstande bestående af én person en stigende andel af det
samlede antal husstande, hvilket også øger boligbehovet. Dertil kommer, at befolkningsvæksten
i højere grad sker i byområder, hvilket betyder behov for nye boliger. Eksempelvis skønnes be-
folkningstallet i landsdelen København By at vokse med omtrent 28.000 personer (3,4 pct.)
frem mod 2030.
15
Jf. Statistiknyhed den 9. oktober fra Nationalbanken. Finanstilsynets vejledning omfatter blandt andet ikke lån til al-
mene boliger eller andelsboliger.
14
Det Systemiske Risikoråd: Aktivering af en sektorspecifik systemisk buffer for erhvervseksponeringer mod ejendomssel-
skaber, Henstilling, 3. oktober 2023.
15
Ifølge Danmarks Statistiks befolkningsfremskrivning.
13
74
Økonomisk Redegørelse
December 2023
FIU, Alm.del - 2023-24 - Bilag 68: Økonomisk Redegørelse, december 2023 FIU, Alm.del - 2023-24 - Bilag 68: Økonomisk Redegørelse, december 2023
2798413_0078.png
FIU, Alm.del - 2023-24 - Bilag 68: Økonomisk Redegørelse, december 2023
2798413_0079.png
Kapitel 4
Virksomhederne
4. Virksomhederne
4.1 Produktion og produktivitet
Virksomhedernes aktivitet er gået ned i tempo, og der er udsigt til, at det vil fortsætte i de kom-
mende år. Udviklingen skyldes især modvind fra udlandet, blandt andet i form af høje renter og
lav efterspørgselsvækst. Hertil kommer efterdønningerne af store udsving i energipriserne og
de fortsatte konsekvenser af Ruslands krig i Ukraine. BNP er i løbet af 2023 faldet to kvartaler i
træk, men på årsniveau skønnes BNP alligevel at være vokset 1,2 pct.
Medicinalindustriens kraftige aktivitetsfremgang de seneste år har løftet den samlede vækst be-
tydeligt. I andre dele af økonomien har udviklingen i virksomhedernes produktion været sva-
gere som følge af lavere efterspørgsel fra både ind- og udland. Derfor har væksten i BNP i perio-
den efter 2021 været stærkere end den underliggende indenlandske vækst. På arbejdsmarkedet
er aktiviteten dog fortsat med at stige, hvilket indebærer en underliggende svag produktivitets-
udvikling i flere brancher. Det peger på et tilpasningsbehov på arbejdsmarkedet, som isoleret
set også vil påvirke husholdningernes indkomster og dermed deres efterspørgsel.
På den baggrund ventes moderat fremgang i BNP i 2024 og 2025 på henholdsvis 1,4 pct. og 1,0
pct.,
jf. figur 4.1.
Væksten i BNP i prognoseperioden er svagere end den underliggende struktu-
relle vækst. Det indebærer en gradvis lettelse af presset på økonomiens ressourcer, hvilket af-
spejles i et aftagende outputgab. Outputgabet ventes dog fortsat at være positivt, hvilket bety-
der, at der også i de kommende år – trods den lavere vækst – vil være et større kapacitetspres
end normalt. Den forventede vækst i 2024 er desuden svagere, end det fremgår af BNP-skøn-
net, da råstofindvinding trækker BNP-væksten op med omtrent 0,5 pct.-point som følge af gen-
åbningen af Tyra-feltet i Nordsøen.
Figur 4.1
Udsigt til lavere vækst i BNP og indsnævring af outputgab
Vækst, pct.
8
6
4
2
0
-2
-4
2019
2020
BNP
2021
2022
2023
2024
2025
Outputgab (h. akse)
Pct.
4
3
2
1
0
-1
-2
Anm.: Realt BNP. Outputgabet er i pct. af strukturelt BVT ekskl. råstofindvinding.
Kilde: Danmarks Statistik og egne beregninger.
Økonomisk Redegørelse
December 2023
77
FIU, Alm.del - 2023-24 - Bilag 68: Økonomisk Redegørelse, december 2023
2798413_0080.png
Kapitel 4
Virksomhederne
Under overfladen er økonomien todelt
Ifølge de seneste tal fra Danmarks Statistik er virksomhedernes samlede værdiskabelse faldet to
kvartaler i træk, men niveauet for værdiskabelsen (og dermed BNP) er fortsat højt.
1
Den sam-
lede værdiskabelse er imidlertid understøttet af en markant vækst inden for industrien som
følge af medicinalindustrien. For den private sektor ekskl. industrien har BVT derimod været
omtrent uændret siden andet halvår 2021,
jf. figur 4.2.
Figur 4.2
Sidelæns bevægelse i BVT i den private sektor uden industrien
Indeks (2019=100)
115
Indeks (2019=100)
115
110
105
110
105
100
100
95
95
90
2019
2020
Privat sektor i alt
Anm.: Realt BVT korrigeret for sæsonudsving.
Kilde: Danmarks Statistik og egne beregninger.
90
2021
2022
Privat sektor ekskl. industri
2023
Det giver imidlertid ikke et helt retvisende billede af den indenlandske aktivitet at se bort fra
den samlede industri. En alternativ tilgang er at opgøre værdiskabelsen ekskl. merchanting
samt forarbejdning i udlandet. Medicinalindustriens bidrag til den samlede værdiskabelse vur-
deres således i betydelig og voksende grad at være relateret til aktiviteter uden for Danmarks
grænser, der bidrager til BNP via den danske andel af den frembragte værditilvækst og ind-
komstskabelse. En estimeret korrektion af BVT for både forarbejdning i udlandet samt såkaldt
merchanting viser ligeledes, at værdiskabelsen i resten af økonomien er bøjet af de seneste år,
jf. boks 4.1.
1
To kvartaler i træk med fald i BNP beskrives ofte som en ”teknisk recession”. For større økonomier som fx USA kan dette
ofte være en god proxy for egentlig recession. For mindre økonomier, hvor der generelt er mere støj i de kvartalsvise BNP-
data, som fx den danske, er begrebet ikke altid retvisende. ”Teknisk recession” er desuden ikke nødvendigvis udtryk for en
egentlig recession med stor stigning i ledigheden og stort fald i beskæftigelsen.
78
Økonomisk Redegørelse
December 2023
FIU, Alm.del - 2023-24 - Bilag 68: Økonomisk Redegørelse, december 2023
2798413_0081.png
Kapitel 4
Virksomhederne
Boks 4.1
Dansk værdiskabelse øget markant siden 2021 som følge af aktiviteter i udlandet
Dansk økonomi har i mange år haft et stigende omfang af aktiviteter, der foregår uden for landets grænser. Der
er dog sket en ekstraordinær stigning i disse aktiviteter siden 2021, hvilket i høj grad skal ses i lyset af Novo
Nordisks produktion af diabetes- og vægttabsprodukterne Ozempic og Wegovy.
Aktiviteterne i udlandet dækker over, at danske virksomheder køber og sælger varer i udlandet, som ikke kryd-
ser den danske grænse. Aktiviteterne opdeles efter, om der undervejs i processen sker en forarbejdning af varen
(processing) eller ej (merchanting).
Værdiskabelsen forbundet med disse aktiviteter, der også afspejler værdiskabelse i Danmark, kan imidlertid
ikke opgøres direkte, selv om produktionsværdien kan opgøres. Det skyldes, at mange virksomheder produce-
rer varer i både ind- og udland, hvorved der er forbundet nogle principielt udelelige fællesomkostninger.
1
Der-
for bliver opgørelsen af værditilvæksten udtryk for et estimat, som skal fortolkes med forsigtighed.
Den estimerede værdiskabelse relateret til processing er opgjort som den producerede værdi fratrukket udgifter
til råvareforbrug samt forarbejdningstjenester. Deflateringen er foretaget med et vægtet indeks af månedlige
producentprisindeks for eksport af medicinalprodukter, maskiner samt anden fremstillingsvirksomhed (som
blandt andet omfatter legetøj). Værdiskabelsen relateret til merchanting er opgjort som nettoeksporten af mer-
chanting og deflateret med en estimeret deflator for engroshandel.
2
Udviklingen i den samlede værdiskabelse fratrukket den estimerede værdiskabelse relateret til produktion og
salg af varer i udlandet indikerer, at den traditionelle værdiskabelse relateret til indenlandske aktiviteter har
været svagt aftagende siden 4. kvartal 2021, samt at værdiskabelsen forbundet med produktion og salg af varer
i udlandet i 3. kvartal 2023 var med til at øge den samlede værdiskabelse med ca. 5,4 pct.,
jf. figur a.
Estimatet
for værdiskabelsen forbundet med produktion og salg af varer i udlandet er formentlig et overkantsskøn som
følge af, at relevante fællesomkostninger, der koordineres fra moderselskabet i Danmark, såsom markedsføring
og administration, ikke er fratrukket den udenlandske del. Derfor fremstår udviklingen i BVT ekskl. produktion
og salg af varer i udlandet alt andet lige svagere, end det formentlig reelt er. Størrelsesordenen af denne effekt
er formentlig begrænset i omfang.
3
Figur a
Opbremsning i økonomien uden processing og merchanting
Indeks (2019=100)
115
110
105
100
95
90
85
2015
2016
BVT i alt
2017
2018
2019
2020
2021
2022
2023
BVT ekskl. produktion og salg af varer i udlandet
Indeks (2019=100)
115
110
105
100
95
90
85
Anm.: I figuren vises realt BVT og et estimat for realt BVT ekskl. produktion og salg af varer i udlandet (sæsonkorrigerede).
1)
Thomasen, Anette & Dan Knudsen: Hvordan indgår dansk produktion af varer i udlandet i nationalregnskabet?,
DSTAnalyse,
marts 2021.
2)
En lignende tilgang anvendes fx i boks 2 i Danmarks Nationalbank (2023): Fortsat højt inflationspres kræver stram økono-
misk politik,
Udsigter for dansk økonomi,
september 2023.
3)
Temere, Dawit & Dan Knudsen: Produktion og salg af varer i udlandet indsat i ADAM,
Danmarks Statistik modelgruppepapir,
maj 2022.
Kilde: Danmarks Statistik, Danmarks Nationalbank og egne beregninger.
Økonomisk Redegørelse
December 2023
79
FIU, Alm.del - 2023-24 - Bilag 68: Økonomisk Redegørelse, december 2023
2798413_0082.png
Kapitel 4
Virksomhederne
Der har været en forholdsvis forskelligartet udvikling på tværs af hovedbrancher over det sene-
ste års tid. Både den traditionelt konjunkturfølsomme byggebranche, finanssektoren samt den
omfattende branche
erhvervsservice
har haft tilbagegang i værditilvæksten. Omvendt har der
været fremgang i BVT inden for flere andre serviceerhverv samt fx industrien,
jf. figur 4.3.
Figur 4.3
Forskelligartet udvikling i branchernes værdiskabelse det seneste år
Ændring i BVT det seneste år, pct.
-10
BVT i alt
Kultur, fritid og anden service
Industri
Ejendomshandel mv.
Offentlig administration
Handel og transport mv.
Landbrug, skovbrug og fiskeri
Information og kommunikation
Boliger
Råstofindvinding
Bygge- og anlæg
Erhvervsservice
Finansiering og forsikring
-10
-5
0
5
10
-5
0
5
10
Ændring i BVT det seneste år, pct.
Anm.: Realt BVT i 3. kvartal 2023 sammenlignet med 3. kvartal 2022. Branchen forsyningsvirksomhed er ikke vist i figuren, men
branchens BVT voksede i den pågældende periode med hele 40,3 pct., hvilket skal ses i lyset af et ekstraordinært lavt BVT-
niveau i 3. kvartal 2022.
Kilde: Danmarks Statistik og egne beregninger.
For resten af industrien, når der ses bort fra medicinalindustrien, har aktivitetsudviklingen dog
været en anden. Opgjort ved det månedlige produktionsindeks er det stort set alle de enkelte
resterende industribrancher, der har haft fald i aktiviteten det seneste år,
jf. figur 4.4.
Udviklingen i industrien det seneste år skal ses i lyset af modvind fra udlandet. På danske ek-
sportmarkeder er det blandt andet lavere aktivitet i Tyskland og Sverige, der trækker ned, idet
flere industribrancher afsætter mere end 5 pct. af deres samlede produktion på hver af disse
markeder.
Efterspørgselsudviklingen er afgørende for, hvordan aktivitetsniveauet blandt de forskellige
brancher vil ændre sig. Den samlede efterspørgsel spænder imidlertid bredt, og de forskellige
brancher imødekommer generelt forskellige typer af efterspørgsel.
80
Økonomisk Redegørelse
December 2023
FIU, Alm.del - 2023-24 - Bilag 68: Økonomisk Redegørelse, december 2023
2798413_0083.png
Kapitel 4
Virksomhederne
Figur 4.4
Bredt funderet tilbagegang i industriproduktionen ekskl. medicinalindustri det seneste år
Pct.
-30
Industri
Industri ekskl. medicinalindustri
Medicinalindustri
Transportmiddelindustri
Elektronikindustri
Møbel og anden industri mv.
Metalindustri
Føde-, drikke- og tobaksvareindustri
Tekstil- og læderindustri
Fremstilling af elektrisk udstyr
Maskinindustri
Træ- og papirindustri, trykkerier
Plast-, glas- og betonindustri
Kemisk industri og olieraffinaderier mv.
-20
-10
0
10
20
30
40
-30
-20
-10
0
10
20
30
40
Pct.
Anm.: Mængdemæssig produktion i juli-september 2023 sammenlignet med juli-september 2022. Der er taget et 3-måneders gen-
nemsnit, da industriproduktionen typisk svinger en del fra måned til måned.
Kilde: Danmarks Statistik og egne beregninger.
Landbruget og industrien er stærkt knyttet op på vareeksport samt leverancer til andre virk-
somheder (fx slagterier), mens byggeriet i højere grad imødekommer efterspørgslen på investe-
ringer i boliger samt andre bygninger og anlæg. De private serviceerhverv under ét spænder
bredt men er – sammenlignet med andre brancher – i højere grad orienteret mod efterspørgs-
len fra husholdningerne,
jf. figur 4.5.
Figur 4.5
Branchernes produktion imødekommer forskellige typer efterspørgsel
Pct. af produktion
80
Pct. af produktion
80
60
60
40
40
20
20
0
Landbrug mv.
Privatforbrug
Industri
Offentligt forbrug
Bygge og anlæg
Investeringer
Eksport
Private serviceerhverv
Andre virksomheder
0
Anm.: Direkte tilgange baseret på nationalregnskabets input-output-tabeller for 2020. Branchernes leverancer til andre virksomhe-
der er i sidste ende afhængig af én af de fire typer endelig efterspørgsel. Derfor undervurderer tallene i figuren fx eksportens
betydning for landbruget, fordi landbruget leverer en del input til fx slagterier, der derefter eksporterer.
Kilde: Danmarks Statistik og egne beregninger.
I de kommende år ventes fremgangen i efterspørgslen – og dermed BNP – især at være drevet
af privatforbruget, når der tages højde for importindhold,
jf. kapitel 1.
Dermed er det især de
Økonomisk Redegørelse
December 2023
81
FIU, Alm.del - 2023-24 - Bilag 68: Økonomisk Redegørelse, december 2023
2798413_0084.png
Kapitel 4
Virksomhederne
private serviceerhverv, der skønnes at bidrage til fremgang i værditilvæksten,
jf. figur 4.6.
In-
dustriens vækstbidrag ventes de næste år at være forholdsvis små som følge af afdæmpet vækst
på eksportmarkederne. De seneste års kraftige vækst i medicinalindustriens værditilvækst –
især på fabrikker i udlandet – indebærer dog muligheden for, at branchens vækst igen kan
overraske i opadgående retning og dermed trække den samlede BVT-vækst yderligere op. Svag
udvikling i investeringerne, både relateret til boliger og erhvervsmæssige bygninger og anlæg,
giver et begrænset bidrag fra byggeriet i hele prognoseperioden. BVT-væksten i 2024 under-
støttes desuden af genåbningen af Tyra-feltet i Nordsøen, som medfører, at råstofindvinding
ventes at bidrage med omtrent 0,6 pct.-point til fremgangen.
Figur 4.6
Skift fra industri til service i BVT-væksten
Vækstbidrag, pct.-point
2
Vækstbidrag, pct.-point
2
1
1
0
0
-1
BVT i alt
Bygge og anlæg
Industri
Private
serviceerhverv
(ekskl. søfragt)
2024
Råstofindvinding
Øvrige
-1
2023
2025
Anm.: Øvrige indeholder landbrug mv., forsyningsvirksomhed, søfragt. boligbranchen samt offentlig administration mv. I 2023 bidra-
ger søfragt markant til BVT-væksten.
Kilde: Danmarks Statistik og egne beregninger.
Konjunkturbetingede udsving i produktiviteten
Prognosens forventninger til udviklingen i BNP og indsnævring af outputgab indebærer, at
dansk økonomi under ét er gået fra en konjunkturfase med positivt og stigende outputgab (ek-
spansion) til positivt og aftagende outputgab (afdæmpning). Skiftet i konjunktursituationen af-
spejles også i produktivitetsudviklingen.
Virksomhederne er fortsat med at øge antallet af ansatte, mens værdiskabelsen i store dele af
økonomien har udviklet sig svagt. For den private sektor som helhed indebærer det, at timepro-
duktiviteten (opgjort som BVT pr. arbejdstime) har været omtrent uændret siden 2021. Uden
for industrien har produktivitetsudviklingen under ét været aftagende og var i 3. kvartal i år ca.
6,5 pct. lavere sammenlignet med 1. kvartal 2021,
jf. figur 4.7.
Det er blandt andet på baggrund
af produktivitetsudviklingen uden for industrien, at der i de kommende år forventes en tilpas-
ning på arbejdsmarkedet, både i form af lavere gennemsnitlig arbejdstid og færre beskæftigede,
jf. kapitel 5.
82
Økonomisk Redegørelse
December 2023
FIU, Alm.del - 2023-24 - Bilag 68: Økonomisk Redegørelse, december 2023
2798413_0085.png
Kapitel 4
Virksomhederne
Figur 4.7
Svag produktivitetsudvikling i privat sektor ekskl. industri de seneste år
Indeks (2019=100)
104
Indeks (2019=100)
104
102
102
100
100
98
98
96
96
94
2019
2020
2021
2022
2023
Timeproduktivitet i privat sektor i alt
Anm.: Timeproduktivitet er realt BVT pr. arbejdstime.
Kilde: Danmarks Statistik og egne beregninger.
94
Timeproduktivitet i privat sektor ekskl. industri
Fremgangen på arbejdsmarkedet har været stærkest blandt serviceerhverv, som generelt har en
lavere timeproduktivitet. Ændringen i sammensætningen af de præsterede timer har dermed
også været medvirkende til at reducere den samlede produktivitet uden for industrien siden 1.
kvartal 2021, men effekten heraf er ret begrænset (akkumuleret ca. -0,7 pct.-point i 3. kvartal
2023). Den aftagende timeproduktivitet uden for industrien dækker således overvejende over
lavere produktivitet inden for de enkelte brancher (intern
effekt), jf. figur 4.8.
Figur 4.8
Lavere produktivitet inden for de enkelte brancher har trukket produktivitetsudviklingen
ned for økonomien ekskl. industrien
Akkumuleret bidrag, pct.-point
0
Ændring i forhold til 1. kvartal 2021, pct.
0
-2
-2
-4
-4
-6
2021
Intern effekt
2022
Sammensætningseffekt
2023
Timeproduktivitet (h. akse)
-6
Anm.: Timeproduktivitet er realt BVT pr. arbejdstime i 10a3-branchegruppering. Branchedetaljeringsgraden påvirker generelt forde-
lingen af intern effekt og sammensætningseffekt. For metode se OECD (2023): Decomposition of aggregate labour producti-
vity growth into industry contributions – Methodology applied in the OECD Compendium of Productivity Indicators 2023.
Kilde: Danmarks Statistik, OECD og egne beregninger.
Økonomisk Redegørelse
December 2023
83
FIU, Alm.del - 2023-24 - Bilag 68: Økonomisk Redegørelse, december 2023
2798413_0086.png
Kapitel 4
Virksomhederne
Med undtagelse af branchen kultur og fritid mv. havde alle større brancher (ekskl. industrien)
lavere timeproduktivitet i 3. kvartal 2023 sammenlignet med 1. kvartal 2021,
jf. figur 4.9.
Den
faldende produktivitetsvækst i økonomien uden for industrien er dermed relativt bredt funde-
ret på tværs af brancherne.
Figur 4.9
Lavere timeproduktivitet i de store brancher for økonomien ekskl. industri
Kr. pr. arbejdstime
500
-4,4 pct.
400
300
200
100
0
I alt ekskl. industri
Byggeri
Handel og
transport mv.
Erhvervsservice
Offentlig
Kultur, fritid mv.
administration mv.
-2,2 pct.
-2,4 pct.
-1,2 pct.
-10,2 pct.
+23,5 pct.
Kr. pr. arbejdstime
500
400
300
200
100
0
1. kvartal 2021
3. kvartal 2023
Anm.: Timeproduktiviteten er realt BVT pr. arbejdstime. De viste brancher (10a3-gruppering) udgjorde hver især mere end 5 pct. af
arbejdstimerne i 3. kvartal 2023 i økonomien ekskl. industrien. Handel og transport mv. dækker blandt andet også restauran-
ter. Den kraftige fremgang inden for kultur, fritid mv. er delvist udtryk for et lavt udgangspunkt i 1. kvartal 2021 som følge af
coronapandemien. Sammenlignes i stedet med 4. kvartal 2021, hvor branchens reale BVT var tilbage på 2019-niveau, har
væksten i branchens timeproduktivitet været mindre på omtrent 5 pct.
Kilde: Danmarks Statistik og egne beregninger.
Det er ikke unormalt med udsving i produktiviteten i forbindelse med omslag i konjunkturerne.
Virksomhederne er typisk afventende med at tilpasse omfanget af ansatte, fx fordi der er om-
kostninger forbundet hermed. I takt med at virksomhederne tilpasser omfanget af arbejdstimer
(gennem arbejdstid og/eller antal ansatte), stiger produktiviteten typisk igen. Det ventes også
at være tilfældet de kommende år. Denne forventning bygger blandt andet på, at timeprodukti-
viteten blandt de først afståede arbejdstimer er lavere end den gennemsnitlige timeproduktivi-
tet. Det er den tilsvarende, men modsatrettede effekt af, at der må forventes en lidt lavere pro-
duktivitet blandt personer, som indtræder i beskæftigelse sent i forløbet i en periode med få le-
dige ressourcer på arbejdsmarkedet. Denne effekt vurderes også at have spillet en rolle i den
faldende timeproduktivitet siden 2021.
Størrelsen af kapitalapparat i forhold til antal arbejdstimer spiller også en rolle for produktivi-
teten. Større mængde kapitalapparat (fx it-udstyr eller maskiner) giver alt andet lige mulighed
for højere produktivitet. Den svage produktivitetsudvikling de seneste år kan således også ses i
lyset af et fald i kapitalintensiteten (K/L-forholdet), som følge af den kraftige fremgang på ar-
bejdsmarkedet,
jf. figur 4.10.
Den ventede tilpasning på arbejdsmarkedet de kommende år ven-
tes således at medføre ny stigning i K/L-forholdet og dermed mulighed for højere arbejdskraft-
produktivitet.
84
Økonomisk Redegørelse
December 2023
FIU, Alm.del - 2023-24 - Bilag 68: Økonomisk Redegørelse, december 2023
2798413_0087.png
Kapitel 4
Virksomhederne
Figur 4.10
Forventet tilpasning i K/L-forholdet understøtter muligheden for produktivitetsfremgang
Kr. pr. arbejdstime
1.000
950
900
850
800
750
700
2000
2002
2004
2006
2008
2010
2012
2014
2016
2018
2020
2022
2024
Kr. pr. arbejdstime
1.000
950
900
850
800
750
700
Anm.: Private erhverv. Kapitalapparatet er opgjort realt og inkluderer også stambesætninger.
Kilde: Danmarks Statistik og egne beregninger.
I prognosen er det således lagt til grund, at der i forbindelse med tilpasningen på arbejdsmarke-
det vil være højere produktivitetsvækst sammenlignet med de seneste år. Timeproduktiviteten
ventes på den baggrund gradvist at tiltage på tværs af brancher frem mod 2025, hvor den for-
ventes at vokse mere end det historiske gennemsnit siden 2001. Genåbningen af Tyra-feltet i
Nordsøen trækker dog forventningen til den samlede produktivitetsvækst i hele den private
sektor mærkbart op med ca. 0,7 pct.-point i 2024,
jf. figur 4.11.
Figur 4.11
Forventning om højere vækst i timeproduktiviteten de kommende år
Pct.
3
Pct.
3
2
2
1
1
0
0
-1
2019
2020
Privat sektor i alt
2021
2022
2023
2024
2025
Privat sektor ekskl. råstofindvinding
-1
Anm.: Timeproduktiviteten er realt BVT pr. arbejdstime. Den stiplede linje er det historiske gennemsnit for 2001-2022.
Kilde: Danmarks Statistik og egne beregninger.
Økonomisk Redegørelse
December 2023
85
FIU, Alm.del - 2023-24 - Bilag 68: Økonomisk Redegørelse, december 2023
2798413_0088.png
Kapitel 4
Virksomhederne
4.2 Erhvervsinvesteringer
Efter et par år med kraftig vækst i erhvervsinvesteringerne forventes en mere afdæmpet udvik-
ling i de kommende år. Et fald i erhvervsinvesteringerne på 3,3 pct. i 2023 ventes at blive efter-
fulgt af en nedgang på 0,6 pct. i 2024 og derefter et omtrent uændret niveau i 2025,
jf. figur
4.12.
Den svage udvikling i investeringerne skal blandt andet ses i lyset af rentestigninger, vi-
gende efterspørgsel og et generelt aftagende kapacitetspres i økonomien. Mens de materielle og
immaterielle investeringer forventes at trække udviklingen i de samlede erhvervsinvesteringer
ned frem mod 2025, er et forholdsvis højt niveau for bygge- og anlægsinvesteringerne gennem
hele prognoseperioden med til at understøtte investeringsaktiviteten.
Figur 4.12
Erhvervsinvesteringerne ventes at falde svagt i prognoseperioden
Pct.
20
15
10
5
0
-5
-10
-15
-20
1990
1993
1996
1999
2002
2005
2008
2011
2014
2017
2020
2023
Materielle og immaterielle
Bygge og anlæg
Samlede erhvervsinvesteringer
Pct.
20
15
10
5
0
-5
-10
-15
-20
Anm.: Vækstbidrag fra stambesætninger er udeladt, hvorfor vækstbidragene ikke summer præcist til den samlede vækst i erhvervs-
investeringerne.
Kilde: Danmarks Statistik og egne beregninger.
Statslige anlægsinvesteringer, herunder særligt konstruktionen af Femern Bælt-forbindelsen
samt stigende investeringer i energinettet, er blandt andet med til at trække bygge- og anlægs-
investeringerne op i prognoseårene. Derudover har Novo Nordisk annonceret betydelige inve-
steringer i udvidelsen af deres produktionsfaciliteter flere steder i landet i de kommende år.
2
Det forventes at være med til at trække især bygge- og anlægsaktiviteten op. Når der ses bort fra
en dansk virksomheds køb af et patent i udlandet for 17 mia. kr. i slutningen af 2022 er de sam-
lede erhvervsinvesteringer steget svagt i år. Tilsvarende ventes engangsudgifter forbundet med
et patentkøb på 6 mia. kr. i 3. kvartal 2023 at trække den opgjorte vækst i investeringerne ned i
2024.
2
Novo Nordisk A/S, Pressemeddelelse: Novo Nordisk invests DKK 15.9 bn in expansion of manufacturing facilities in
Hillerød, Denmark, juni 2023 og Pressemeddelelse: Novo Nordisk invests more than 42 billion Danish kroner in expansion
of manufacturing facilities in Kalundborg, Denmark, november 2023.
86
Økonomisk Redegørelse
December 2023
FIU, Alm.del - 2023-24 - Bilag 68: Økonomisk Redegørelse, december 2023
2798413_0089.png
Kapitel 4
Virksomhederne
Virksomhedernes beslutninger om at gennemføre investeringsprojekter træffes under hensyn
til en række forhold, herunder forventning til fremtidig efterspørgsel og indtjening, aktuelt ka-
pacitetspres, ændring i rente og finansieringsomkostninger m.m. Blandt indikatorerne for virk-
somhedernes forventninger på kort sigt og deres mere aktuelle investeringsbehov er fx er-
hvervstillidsindikatoren og kapacitetsudnyttelsen.
Erhvervstilliden ligger aktuelt en smule under, men tæt på sit langsigtede gennemsnit,
jf. figur
4.13.
Erhvervstilliden er generelt steget gennem det meste af 2023 efter et betydeligt fald i 2022
som følge af blandt andet ekstraordinært høje energi- og råvarepriser, rentestigninger osv. Ka-
pacitetsudnyttelsen i industrien ligger tilsvarende tæt på sit langsigtede niveau, hvilket dog
dækker over betydelige forskelle på tværs af brancher,
jf. figur 4.14.
Medicinalindustriens kapa-
citetsudnyttelse ligger fortsat meget højt på 96 pct. i 4. kvartal 2023, hvilket især skal ses i sam-
menhæng med en kraftig stigning i den globale efterspørgsel på Novo Nordisks lægemidler.
Overordnet peger indikatorerne for erhvervstilliden og kapacitetspresset i sig selv ikke entydigt
i hverken den ene eller anden retning for investeringsaktiviteten. Det understøtter således for-
ventningen om en mere afdæmpet udvikling i investeringerne for erhvervslivet bredt set i den
kommende tid.
Figur 4.13
Erhvervstilliden ligger under sit
historiske gennemsnit
Indeks
140
120
100
80
60
40
20
0
1990 1995 2000 2005 2010 2015 2020
Indeks
140
120
100
80
60
40
20
0
Figur 4.14
Medicinalindustrien er tæt på fuld
kapacitetsudnyttelse
Pct.
100
95
90
85
80
75
70
65
2005
2008
2011
2014
2017
2020
2023
Alle fremstillingserhverv
Pct.
100
95
90
85
80
75
70
65
Medicinalindustrien
Anm.: Erhvervstillidsindikatoren i figur 4.13 er beregnet ud fra konjunkturbarometrene for industri, bygge og anlæg, serviceerhverv
samt detailhandel. Indeks 100 svarer til gennemsnittet i perioden 1990-2018. Den stiplede linje i figur 4.14 angiver gennem-
snitlig kapacitetsudnyttelse i industrien 2005-2023.
Kilde: Danmarks Statistik og egne beregninger.
Økonomien har været præget af et stort kapacitetspres siden 2021, hvilket blandt andet afspej-
les i et højt niveau for outputgabet. En begyndende indsnævring af gabet i år, som fortsætter
gennem skønsårene 2024 og 2025, ventes at indebære et mere afdæmpet investeringsbehov.
Historisk har indsnævring af outputgabet fra et højt niveau været efterfulgt af fald i investe-
ringskvoten for den private sektor,
jf. figur 4.15.
Selvom outputgabet har ligget meget højt siden 2021, ligger investeringskvoten fortsat under sit
historiske gennemsnit og ventes at falde yderligere i 2024 og 2025. De seneste års lave niveau
Økonomisk Redegørelse
December 2023
87
FIU, Alm.del - 2023-24 - Bilag 68: Økonomisk Redegørelse, december 2023
2798413_0090.png
Kapitel 4
Virksomhederne
for investeringskvoten afspejler ekstraordinært højt BVT i visse erhverv. Det gælder navnlig i
søtransporten. De store profitter inden for søtransport i 2021 og 2022 medførte en markant
vækst i branchens nominelle BVT, som bidrog til at trække BVT for den samlede private sektor
mærkbart op i særligt 2022. Det var rent mekanisk med til at holde investeringskvoten nede.
Udviklingen inden for søtransporten skal især ses i sammenhæng med ekstremt høje fragtrater
som følge af et stort pres på de globale forsyningskæder. Faldende fragtrater betyder dog, at
overskuddet på søtransporten i år ventes at blive betydeligt lavere.
Figur 4.15
Faldende investeringskvote og begyndende indsnævring af outputgab
Pct. af privat BVT
25
Pct. af strukturelt BVT
4
23
Gennemsnit
1990-2022
2
21
0
19
-2
17
1990
1993
1996
1999
2002
2005
2008
2011
2014
2017
2020
2023
Outputgab (h. akse)
Erhvervsinvesteringer i alt
Erhvervsinvesteringer uden søtransport
-4
Anm.: Investeringskvoten er beregnet som de nominelle erhvervsinvesteringer målt i forhold til nominelt BVT i den private sektor
ekskl. boliger. Outputgabet er et mål for afvigelsen mellem faktisk og strukturelt BVT ekskl. råstofvinding. I investeringskvo-
ten ekskl. søtransport korrigeres for søtransport i både tæller og nævner.
Kilde: Danmarks Statistik og egne beregninger.
Faldet i investeringskvoten kan især tilskrives afdæmpede forventninger til udviklingen i de
materielle og immaterielle investeringer som følge af blandt andet højere renter og vigende ef-
terspørgsel,
jf. figur 4.16.
Der har i de seneste årtier været en markant forskydning af investe-
ringssammensætningen i retning af immaterielle investeringer såsom forskning og udvikling,
software mv. Det er blandt andet med til at påvirke erhvervsinvesteringernes konjunkturaf-
hængighed,
jf. nedenfor.
Investeringskvoten for bygge og anlæg ventes derimod at forblive omkring sit langsigtede gen-
nemsnit i perioden,
jf. figur 4.17.
En forventet faldende byggeaktivitet i erhvervslivet bredere
set vil blive delvist modgået af et højt niveau for statslige anlægsinvesteringer og Novo Nordisks
investeringsprojekter, hvorfor der forudsættes en svagt negativ udvikling i den overordnede
bygge- og anlægsaktivitet i prognoseperioden.
88
Økonomisk Redegørelse
December 2023
FIU, Alm.del - 2023-24 - Bilag 68: Økonomisk Redegørelse, december 2023
2798413_0091.png
Kapitel 4
Virksomhederne
Figur 4.16
Betydeligt fald i investeringskvoten
for materiel i skønsårene 2024 og 2025
Figur 4.17
Investeringskvoten for bygge og
anlæg ligger nogenlunde stabilt i prognose-
perioden
Pct. af privat BVT
9
8
7
6
5
4
3
1990
1995
2000
2005
2010
2015
2020
2025
Pct. af privat BVT
9
8
7
6
5
4
3
Pct. af privat BVT
18
17
16
15
14
13
12
Pct. af privat BVT
18
17
16
15
14
13
12
1990 1995 2000 2005 2010 2015 2020 2025
Anm.: Investeringskvoterne er opgjort som henholdsvis nominelle materielle og immaterielle investeringer og nominelle bygge- og
anlægsinvesteringer i forhold til nominelt BVT i den private sektor ekskl. boliger. De stiplede linjer er gennemsnit for 1990-
2022.
Kilde: Danmarks Statistik og egne beregninger.
Kraftig vækst i immaterielle investeringer forskyder investeringssammen-
sætningen
I de seneste godt 30 år er immaterielle investeringer som andel af de samlede faste bruttoinve-
steringer knap tredoblet,
jf. figur 4.18.
I nationalregnskabet omfatter immaterielle investerin-
ger udgifter forbundet med intellektuelle rettigheder, heriblandt udgifter til forskning og udvik-
ling (FoU), software, efterforskning af olie, gas og mineraler samt originalværker inden for
kunst og underholdning. Det er især en stigning i virksomhedernes udgifter til forskning og ud-
vikling samt til indkøb af software m.m., som har bidraget til udviklingen.
I årene omkring finanskrisen skete en kraftig stigning i omfanget af investeringer i intellektu-
elle rettigheder relativt til investeringer i fysisk kapital, og særligt investeringer i forskning og
udvikling steg i perioden. Krisen var derfor tilsyneladende medvirkende til at skubbe i retning
af en mere videnstung økonomi. Det er også sammenfaldende med, at den langsigtede nedad-
gående tendens i omfanget af ufaglært arbejdskraft typisk forstærkes under lavkonjunkturer, og
ufaglært arbejdskraft er i mindre grad knyttet til de immaterielle investeringer.
Den langsigtede udvikling i de samlede faste bruttoinvesteringer som andel af BNP har været
nogenlunde stabil, mens de faste investeringer i mere traditionelle fysiske kapitaltyper har ud-
vist en tydelig nedadgående tendens i de seneste årtier,
jf. figur 4.19.
Økonomisk Redegørelse
December 2023
89
FIU, Alm.del - 2023-24 - Bilag 68: Økonomisk Redegørelse, december 2023
2798413_0092.png
Kapitel 4
Virksomhederne
Figur 4.18
Investeringer i intellektuelle
rettigheder er næsten tredoblet siden 1990
Pct. af faste aktiver
40
Pct. af faste aktiver
40
Figur 4.19
Investeringsniveauet for materielle
investeringer er faldet markant siden 1990
Pct. af BNP
22
Pct. af BNP
22
30
30
18
18
20
20
14
14
10
10
10
10
0
1990
1995
2000 2005 2010 2015
Intellektuelle rettigheder
FoU
Software m.m.
2020
0
6
1990
1995
2000
2005
2010
2015
2020
Investeringer
Investeringer ekskl. intellektuelle rettigheder
6
Anm.: Investeringer i intellektuelle rettigheder som andel af investeringer i faste aktiver ekskl. boliger i figur 4.18. Faste bruttoinve-
steringer ekskl. boliger som andel af BNP i figur 4.19. De materielle investeringer omfatter i denne forbindelse de faste brut-
toinvesteringer i materiel som fx maskiner og udstyr, men også bygge- og anlægsinvesteringer. De stiplede linjer viser ten-
denser for 1990-2022.
Kilde: Danmarks Statistik og egne beregninger.
De materielle investeringer, som fx omfatter maskiner eller bygninger, der anvendes i produkti-
onen, følger overordnet konjunkturerne. De immaterielle investeringer er generelt mindre kon-
junkturfølsomme, og det stigende omfang af immaterielle investeringer er derfor medvirkende
til at reducere konjunkturafhængigheden af de samlede investeringer,
jf. boks 4.2.
90
Økonomisk Redegørelse
December 2023
FIU, Alm.del - 2023-24 - Bilag 68: Økonomisk Redegørelse, december 2023
2798413_0093.png
Kapitel 4
Virksomhederne
Boks 4.2
Immaterielle investeringer påvirkes i mindre grad af konjunkturerne
Den strukturelle forskydning af investeringerne i retning af et større omfang af immaterielle investeringer kan
have væsentlig betydning for fx gennemslaget af pengepolitiske stramninger og for konjunkturudviklingen
mere generelt. Der findes overordnet en tydelig positiv sammenhæng mellem udsvingene i BNP fra år til år og
udsvingene i de materielle investeringer,
jf. figur a.
Omvendt er der stort set ingen sammenhæng mellem ud-
sving i BNP og udsvingene i de immaterielle investeringer,
jf. figur b.
Der er ikke en entydig årsag til, at de immaterielle investeringer er mere uafhængige af konjunkturudsving,
men det kan blandt andet hænge sammen med, at en stor del af investeringerne i fx forskning og udvikling fin-
der sted i virksomheder og brancher, som generelt er mindre konjunkturfølsomme. Medicinalindustrien er fx
en branche med forretningsmodeller, som typisk i høj grad bygger på investeringer i forskning og udvikling,
men med en efterspørgsel, der oftest er stort set upåvirket af udsving i konjunkturerne. Internationale studier
viser modsatrettede effekter af konjunkturudsving på omfanget af immaterielle investeringer på tværs af bran-
cher og virksomheder, som blandt andet kan tilskrives forskelle i virksomhedernes finansielle vilkår. Der findes
en tendens til, at de immaterielle investeringer er kontracykliske for virksomheder, som i mindre grad bliver
ramt af finansielle begrænsninger under en lavkonjunktur, men omvendt er procykliske for virksomheder, der i
højere grad rammes af fx strammere kreditvilkår. Materielle investeringer er derimod generelt procykliske uaf-
hængigt af den enkelte virksomheds finansielle vilkår.
Når immaterielle aktiver spiller en stadig større rolle i økonomien, kan det endvidere have indflydelse på trans-
missionen af pengepolitikken. Det hænger blandt andet sammen med, at immaterielle aktiver typisk ikke kan
anvendes til sikkerhedsstillelse i forbindelse med gældsfinansiering. En del af virkningen af pengepolitikken
kommer fra påvirkningen af aktivpriser, herunder ejendomspriser, hvilket derfor indirekte påvirker virksomhe-
dernes adgang til kredit. Dermed vil fx en lempelse af pengepolitikken i en økonomi med et stort omfang af im-
materielle aktiver ikke i samme grad give udslag i en forbedring af virksomhedernes finansielle vilkår. En an-
den årsag er, at immaterielle aktiver ofte afskrives hurtigere end fysisk kapital og derfor bidrager til en relativt
mindre følsomhed af renteændringer på kapitalens brugerpris.
Figur a
Klar positiv sammenhæng mellem
udsving i materielle investeringer og BNP i
1990-2022
Afvigelse fra trend i BNP, pct.-point
6
4
2
0
-2
-4
-6
-8
-20
-10
0
10
Afvigelse fra trend i investeringer, pct.-point
20
6
4
2
0
-2
-4
-6
-8
Figur b
Ingen tydelig sammenhæng mellem
udsving i immaterielle investeringer og udsving i
BNP i 1990-2022
Afvigelse fra trend i BNP, pct.-point
6
4
2
0
-2
-4
-6
-8
-20
-10
0
10
Afvigelse fra trend i investeringer, pct.-point
20
6
4
2
0
-2
-4
-6
-8
Anm.: I figurerne er afvigelse fra langsigtet trend i henholdsvis materielle og immaterielle investeringer plottet mod afvigelse fra
langsigtet trend i BNP. Den langsigtede trend er beregnet som en gennemsnitlig vækstrate i perioden 1990-2022. For inter-
nationale studier se Aghion mfl. (2012): Credit Constraints and the Cyclicality of R&D Investment: Evidence from France,
Journal of the European Economic Association,
Thum-Thysen mfl. (2017): Unlocking Investment in Intangible Assets,
Gen-
eraldirektoratet for Økonomiske og Finansielle Anliggender, Europa-Kommissionen
samt Döttling & Ratnovski (2023): Mone-
tary Policy and Intangible Investment,
Journal of Monetary Economics.
Kilde: Danmarks Statistik og egne beregninger.
Økonomisk Redegørelse
December 2023
91
FIU, Alm.del - 2023-24 - Bilag 68: Økonomisk Redegørelse, december 2023
2798413_0094.png
FIU, Alm.del - 2023-24 - Bilag 68: Økonomisk Redegørelse, december 2023
2798413_0095.png
Kapitel 5
Arbejdsmarkedet
5. Arbejdsmarkedet
5.1 Beskæftigelsen
Arbejdsmarkedet har været i kraftig fremgang de seneste år med høj vækst i beskæftigelsen på
tværs af landet og på tværs af brancher. Lønmodtagerbeskæftigelsen har for første gang rundet
tre millioner personer, og beskæftigelsen er samlet set steget med næsten 250.000 personer si-
den starten af 2021. Der har dog igennem 2023 været tegn på afdæmpning, og udsigterne for de
kommende par år er betydeligt svagere end de seneste.
Store dele af økonomien er bremset op, hvilket kombineret med den høje og stigende beskæfti-
gelse har ført til en meget svag produktivitetsudvikling. Fald i produktiviteten er typisk en for-
løber til fald i beskæftigelsen, og i 2024 og 2025 ventes det, at virksomhederne gradvist vil til-
passe antallet af ansatte som følge af den lavere aktivitet. Også stigende lønninger vil bidrage til
at dæmpe efterspørgslen på arbejdskraft i de kommende år. Det kommer oven på en periode
med moderat lønvækst og stigende inputpriser, der isoleret set har gjort arbejdskraft relativt
billigere.
Samlet set er det lagt til grund i indeværende prognose, at beskæftigelsen vil være steget med
40.000 personer i år, men at den vil falde med 9.000 personer i 2024 og yderligere 21.000 per-
soner i 2025,
jf. figur 5.1.
Det skønnes, at størstedelen af det ventede fald i beskæftigelsen vil
komme frem mod slutningen af 2024, men at beskæftigelsen vil fortsætte med at falde i 2025
som led i en løbende tilpasning til højere lønninger og et aftagende kapacitetspres i økonomien.
Figur 5.1
Der skønnes fald i beskæftigelsen i de kommende år
1.000 personer
3.300
1.000 personer
3.300
3.100
3.100
2.900
2.900
2.700
2000
2002
2004
2006
2008
2010
2012
2014
2016
2018
2020
2022
2024
2.700
Anm.: Beskæftigelse er inkl. orlovspersoner. Stiplede linjer angiver de gennemsnitlige årsniveauer.
Kilde: Danmarks Statistik og egne beregninger.
Økonomisk Redegørelse
December 2023
93
FIU, Alm.del - 2023-24 - Bilag 68: Økonomisk Redegørelse, december 2023
2798413_0096.png
Kapitel 5
Arbejdsmarkedet
Presset på arbejdsmarkedet dæmpes gradvist
De seneste år har både den danske og internationale økonomi haft meget modvind med sti-
gende renter, inflation og krig i Ukraine. På trods af dette er beskæftigelsen fortsat med at
vokse, men en tilpasning på arbejdsmarkedet synes alligevel så småt at være begyndt. Den gen-
nemsnitlige arbejdstid har været faldende det seneste år, hvilket har været med til at dæmpe
udviklingen i den samlede arbejdsmængde på trods af en fortsat stigende beskæftigelse. Væk-
sten i beskæftigelsen er derudover gradvist dalet, og tilsvarende er der nu færre ledige stillinger
og rapporteret mangel på arbejdskraft, end det var tilfældet for et år siden. Også tilgangen af
international arbejdskraft og udstedelser af erhvervsopholdstilladelser er faldet set i forhold til
de seneste år. Det peger alt sammen på, at presset på arbejdsmarkedet er aftagende, hvilket
snart også ventes at afspejle sig mere bredt i beskæftigelsesudviklingen.
Den gradvise afkøling på arbejdsmarkedet understreges af de sammenvejede arbejdsmarkeds-
indikatorer, der generelt har peget nedad det seneste år – om end fra et højt niveau,
jf. figur
5.2.
Indikatorerne fra erhvervslivet, herunder deres beskæftigelsesforventninger og rapporte-
rede arbejdskraftmangel, har især indikeret et aftagende momentum på arbejdsmarkedet. Også
fra øvrige indikatorer har pilen dog peget nedad i et stykke tid, hvilket blandt andet er kommet
til udtryk gennem en stigende ledighed, en mere afdæmpet beskæftigelsesvækst og en faldende
produktivitet. Omvendt har stigende lønninger i 3. kvartal trukket indekset i den anden retning.
Selvom arbejdsmarkedsindikatorerne peger i retning af et svækket momentum, er der samlet
set fortsat et højt pres med et stort positivt beskæftigelsesgab. Det ventes dog at blive indsnæv-
ret over de kommende år,
jf. senere.
Figur 5.2
Det sammenvejede indeks af arbejdsmarkedsindikatorer peger nedad fra et højt niveau
Indeks
6
4
2
0
-2
-4
-6
-8
1998
2000
Erhvervsliv
2002
2004
2006
2008
2010
2012
2014
2016
2018
Lønninger
2020
2022
Indeks
Ledighedsforhold
Arbejdskraft og produktivitet
Indeks
6
4
2
0
-2
-4
-6
-8
Anm.: Seneste observation er 3. kvartal 2023. Indekset er en sammenvejning af en række indikatorer for udviklingen på arbejds-
markedet ved førstekomponenten af en principalkomponentanalyse. For detaljeret beskrivelse se kapitel 5 i Økonomisk Re-
degørelse, marts 2023.
Kilde: Danmarks Statistik, Jobindsats.dk, Macrobond og egne beregninger.
94
Økonomisk Redegørelse
December 2023
FIU, Alm.del - 2023-24 - Bilag 68: Økonomisk Redegørelse, december 2023
2798413_0097.png
Kapitel 5
Arbejdsmarkedet
Fremgangen i lønmodtagerbeskæftigelsen er blevet mere afdæmpet i løbet af 2023 oven på en
årrække med høje vækstrater,
jf. figur 5.3.
Foreløbigt er der dog vækst – senest med en stigning
på godt 3.000 personer i september. På tværs af brancher er udviklingen samtidigt blevet mere
broget,
jf. figur 5.4.
Nogle brancher oplever fortsat fremgang. Det gælder særligt inden for fi-
nansiering og forsikring, hvor de forhøjede renter kan have bidraget til og fremadrettet kan un-
derstøtte en øget beskæftigelse, idet bankernes rentemarginaler og indtjening er øget.
1
Om-
vendt er beskæftigelsen set over det seneste år faldet inden for ejendomshandel samt informa-
tion og kommunikation. Faldet i førstnævnte skal blandt andet ses i lyset af en lavere aktivitet
på boligmarkedet set i forhold til de seneste år. Bredt set har væksten de seneste tre måneder
dog været lavere end i resten af året set på tværs af brancher – og særligt for tjenesteerhver-
vene, hvor væksten er taget betydeligt af både inden for kultur og fritid, erhvervsservice samt
handel og transport.
Figur 5.3
Væksten i lønmodtagerbeskæftigelsen
er faldet til et gennemsnitligt niveau
Månedlig vækst, 1.000 lønmodtagere
40
30
20
10
0
-10
-20
2021
Offentlig
2022
2023
Privat
40
30
20
10
0
-10
-20
Figur 5.4
Forskelligartet udvikling på tværs af
brancher
Gennemsnitlig månedlig vækst, pct.
-0,2
Ejendomshandel mv.
Information og kom.
Bygge og anlæg
Offentlig adm. mv.
Erhvervsservice
Handel og transport mv.
Industri mv.
Kultur og fritid mv.
Landbrug mv.
Finansiering og forsikring
-0,2
0,0
0,2
0,4
0,6
0,0
0,2
0,4
0,6
Gennemsnitlig månedlig vækst, pct.
Seneste tre måneder
I 2023
Anm.: I figur 5.3 vises udviklingen i lønmodtagerbeskæftigelsen som summen af væksten i den private og offentlige sektor. Den
stiplede linje angiver gennemsnittet for 2015-2019. I figur 5.4 omfatter de seneste tre måneder juli, august og september.
Kilde: Danmarks Statistik og egne beregninger.
På linje med brancheudviklingen er udviklingen på tværs af landet også blevet mere forskellig-
artet om end fra et højt niveau. Således har fremgangen i løbet af 2023 primært været centreret
i Region Hovedstaden, mens beskæftigelsen i flere andre regioner er vokset mere beskedent og i
et stigende antal kommuner er begyndt at falde,
jf. boks 5.1.
1
Se fx Nationalbanken (2023): Høj indtjening kan modgå øgede risici i bankerne, 28. november 2023.
Økonomisk Redegørelse
December 2023
95
FIU, Alm.del - 2023-24 - Bilag 68: Økonomisk Redegørelse, december 2023
2798413_0098.png
Kapitel 5
Arbejdsmarkedet
Boks 5.1
Beskæftigelsesvæksten har på det seneste været centreret omkring hovedstadsområdet
Det seneste opsving på arbejdsmarkedet har vist sig på tværs af hele landet med høje vækstrater i beskæftigel-
sen i alle landets regioner. Således er beskæftigelsen i regionerne vokset med mellem 5 pct. og 9 pct. relativt til
2019, og der har været uafbrudt fremgang i alle regioner siden 1. kvartal 2021,
jf. figur a.
Mest beskeden har
udviklingen været i Nordjylland og Syddanmark, mens den har været højere i Hovedstaden, Sjælland og
Midtjylland.
Fremgangen på arbejdsmarkedet er dog ikke længere helt så bredt funderet og jævnt fordelt på tværs af landet.
Igennem 2023 er væksten således løjet af i store dele af landet, og fremgangen i beskæftigelsen har primært
været en følge af, at der er kommet fortsat flere lønmodtagere i hovedstadsområdet. Således har Region Hoved-
staden stået for omkring 2/3 af væksten i lønmodtagerbeskæftigelsen fra 2. kvartal 2022 til 2. kvartal 2023. Det
er noget mere end for den forudgående periode fra 4. kvartal 2019 til 2. kvartal 2022, hvor regionen stod for
1/3 af væksten. På tværs af kommuner var der i 2. kvartal 19 kommuner med en negativ årsvækst i beskæftigel-
sen, hvilket står i kontrast til 2022, hvor der tre ud af fire kvartaler var vækst i samtlige 98 kommuner.
Vækstforskellen i hovedstadsområdet i forhold til resten af landet skal i høj grad tilskrives en højere vækst i
brancherne
industri og råstofindvinding, handel og transport
samt
erhvervsservice.
For førstnævnte branche
har store stabsudvidelser i medicinalindustrien blandt andet trukket op. De højere vækstrater skyldes dog ikke
forskelle i branchesammensætningen som helhed. Således ville væksten i Hovedstaden have været en smule
højere, hvis den generelle branchesammensætning var som landsgennemsnittet. Udviklingen skal dog til dels
også ses i lyset af, at Region Hovedstaden kommer fra et udgangspunkt med en højere ledighed og på trods af
den seneste beskæftigelsesfremgang fortsat har den næsthøjeste ledighed på tværs af regionerne.
Figur a
Lønmodtagerbeskæftigelse på tværs af
regioner
Indeks (2019=100)
112
Indeks (2019=100)
112
Figur b
Vækstbidrag til lønmodtager-
beskæftigelsen
Vækstbidrag, pct.-point
2
Kvartalsvækst, pct.
2
109
109
1
1
106
106
0
0
103
103
-1
-1
100
100
-2
-2
97
2019
2020
Hovedstaden
Midtjylland
2021
2022
Sjælland
Nordjylland
97
2023
Syddanmark
-3
2019
2020
Hovedstaden
Midtjylland
2021
2022
Sjælland
Nordjylland
-3
2023
Syddanmark
I alt (h. akse)
Kilde: Danmarks Statistik og egne beregninger.
Den lavere aktivitet på arbejdsmarkedet fremgår også af jobomsætningen, der er faldet betyde-
ligt og nu ligger lavere end gennemsnittet fra 2015 til 2019,
jf. figur 5.5.
Den lavere jobomsæt-
ning afspejler både, at færre ledige kommer i job, og at færre beskæftigede skifter job.
Tilsvarende er antallet af ledige stillinger – både samlet set og nyopslåede – fortsat med at falde
mod mere gennemsnitlige niveauer,
jf. figur 5.6.
Det kommer oven på en periode, hvor der i
kølvandet på coronapandemien var mange ledige stillinger. Det toppede i marts 2022 med godt
96
Økonomisk Redegørelse
December 2023
FIU, Alm.del - 2023-24 - Bilag 68: Økonomisk Redegørelse, december 2023
2798413_0099.png
Kapitel 5
Arbejdsmarkedet
66.000 ledige stillinger, hvilket på daværende tidspunkt svarede til, at der var omkring 92 stil-
linger pr. 100 ledige. Nu lyder de tilsvarende tal på mere beskedne 45.000 stillinger svarende til
52 stillinger pr. 100 ledige. Det er dog fortsat højt i et historisk perspektiv.
Figur 5.5
Andelen af personer, der skifter job, er
faldet betydeligt
Jobomsætning, pct. af lønmodtagere.
3,5
3,5
Figur 5.6
Antallet af ledige stillinger nærmer sig
niveauerne fra inden opsvinget
1.000 stillinger
80
1.000 stillinger
80
3,0
3,0
60
60
2,5
2,5
40
40
2,0
2,0
20
20
1,5
2009 2011 2013 2015 2017 2019 2021 2023
1,5
0
2007
2010
2013
2016
2019
2022
Antal stillinger
0
Antal nyopslåede stillinger
Anm.: Jobomsætningen i figur 5.5 angiver, hvor mange der er startet i job eller skiftet job i perioden. I figuren er det vist som ande-
len af antallet af lønmodtagere i den givne måned. I begge figurer angiver de stiplede linjer gennemsnittet for de viste perio-
der. Egen sæsonkorrektion.
Kilde: Danmarks Statistik, Jobindsats.dk og egne beregninger.
Svag produktivitet og stigende lønninger peger mod fald i beskæftigelsen
Opbremsningen i den økonomiske aktivitet og en fortsat høj beskæftigelse har udmøntet sig i
en faldende produktivitet,
også jf. kapitel 4.
Produktiviteten pr. beskæftiget er faldet for økono-
mien som helhed, og eksklusiv industrien har der over det seneste år været et betydeligt fald,
jf.
figur 5.7.
Faldet har særligt gjort sig gældende for byggeriet, men har også vist sig inden for tje-
nesteerhvervene. Den faldende produktivitet er central for de videre udsigter for arbejdsmarke-
det, da en vending i produktiviteten ofte er forløber til vendinger i først den samlede aktivitet
og herefter beskæftigelsen,
jf. boks 5.2.
Den faldende produktivitet skal i overvejende grad til-
skrives faldende produktivitet inden for de enkelte brancher og ikke sammensætningseffekter
fra, at der er kommet flere beskæftigede i mindre produktive brancher,
jf. kapitel 4.
Økonomisk Redegørelse
December 2023
97
FIU, Alm.del - 2023-24 - Bilag 68: Økonomisk Redegørelse, december 2023
2798413_0100.png
Kapitel 5
Arbejdsmarkedet
Figur 5.7
Uden for industrien er produktiviteten
per beskæftiget faldet betydeligt…
Pct, årsvækst i hovedproduktivitet
-10
Privat sektor
i alt
Privat sektor
ekskl. industri
Industri
-5
0
5
Figur 5.8
… og antallet af virksomheder, der vi-
ser tegn på ”hamstring” af arbejdskraft er steget
Pct. af virksomheder, der hamstrer arbejdskraft*
16
16
12
12
8
Landbrug
Private tjenester
Bygge og anlæg
-10
-5
0
5
8
4
4
0
2003 2006 2009 2012 2015 2018 2021
0
Pct, årsvækst i hovedproduktivitet
Anm.: I figur 5.7 er der vist årsvæksten i hovedproduktiviteten i 3. kvartal 2023. I figur 5.8 vises andelen af virksomheder, der mel-
der, at de forventer en faldende produktion, men en stigende eller uændret beskæftigelse. Det er en version af arbejdskrafts-
hamstringsindikatoren lavet af Europa-Kommissionen og Danmarks Statistik på baggrund af Danmarks Statistiks konjunktur-
barometre. Den stiplede linje angiver gennemsnittet fra 2003 til 2023. Seneste observation er september 2023.
Kilde: Danmarks Statistik, Europa-Kommissionen (2023): A new survey-based labour hoarding indicator og egne beregninger.
At værditilvæksten stagnerer og vender, mens beskæftigelsen forbliver høj og eventuelt også i
fremgang ses ofte i forbindelse med vendinger i økonomien. Det skyldes blandt andet såkaldt
arbejdskraftshamstring (’labour hoarding’), der indebærer, at virksomheder typisk er tilbage-
holdende med at afskedige medarbejdere indledningsvist, når efterspørgslen falder. Det er
blandt andet med henblik på at fastholde gode jobmatch og kvalificerede medarbejdere, der
igen kan være nødvendige, når efterspørgslen stiger på ny.
Der findes ikke noget entydigt mål for denne form for hamstring, men den faldende produktivi-
tet kan være en indikator herfor. Også vurderet på baggrund af en indikator baseret på Dan-
marks Statistiks konjunkturbarometre, er andelen af virksomheder, der hamstrer arbejdskraft,
på et forhøjet niveau,
jf. figur 5.8.
Således svarede godt 8 pct. af de danske virksomheder i sep-
tember, at de forventer en faldende produktion, men at de samtidig venter, at antallet af ansatte
vil forblive uændret eller vil vokse.
98
Økonomisk Redegørelse
December 2023
FIU, Alm.del - 2023-24 - Bilag 68: Økonomisk Redegørelse, december 2023
2798413_0101.png
Kapitel 5
Arbejdsmarkedet
Boks 5.2
Vendepunkter på arbejdsmarkedet viser sig ofte først i produktiviteten
Arbejdsmarkedet bevæger sig ofte med en vis forsinkelse i forhold til aktiviteten i økonomien. Det afspejler sig
i, at beskæftigelsen og ledigheden ofte først enten falder eller stiger et stykke tid efter, at aktiviteten – fx målt
ved BNP – er vendt. Under nedgange kan dette i nogen grad tilskrives såkaldt arbejdskraftshamstring. Under
opadrettede vendinger kan det tilsvarende i en vis grad tilskrives tilbageholdenhed hos virksomheder, men
også den friktion og de omkostninger, der er forbundet med at ansætte medarbejdere med de rette kompeten-
cer.
Vendepunkter afspejler sig derfor som oftest først gennem produktiviteten (målt pr. beskæftiget).
1
Således vil
en højere vækst i beskæftigelsen relativt til efterspørgslen indebære, at produktionen pr. medarbejder falder –
selv hvis den samlede produktion fortsat stiger. En faldende produktivitet kan mindske virksomhedernes villig-
hed til at holde på arbejdskraft på marginalen. Derfor vil en fortsat vigende efterspørgsel kunne presse dem til
at afskedige mindre produktive medarbejdere eller skære dele af deres forretning fra, indtil de igen når et
punkt, hvor produktiviteten kan stige.
En aftagende produktivitet er dog ikke altid ensbetydende med en vending i økonomien. Når aktiviteten når et
niveau, der er tæt på økonomiens kapacitetsgrænse, kræves der en høj arbejdsindsats for yderligere vækst i
produktionen, hvilket alt andet lige vil trække produktiviteten ned. Hertil kommer, at marginalt ansatte medar-
bejdere har en lavere produktivitet, da kvaliteten af jobmatch sænkes, i takt med at udbuddet af tilgængelig,
kvalificeret arbejdskraft falder. Dette kan dog alt andet lige også bidrage til, at det hurtigt ikke vil være renta-
belt for virksomhederne at holde på arbejdskraften, når efterspørgslen falder.
Som følge af disse dynamikker, ser man ofte, at produktiviteten (pr. beskæftiget) særligt stiger i den tidlige del
af et opsving, hvor der er relativt meget aktivitet set i forhold til antallet af beskæftigede. Omvendt udvikler den
sig svagere senere i et opsving og er ofte først til at falde, når væksten i efterspørgslen begynder at vige.
Figur a
Udsving i produktivitet, BNP og beskæftigelse
Pct. afvigelse fra trend
6
BNP vender
4
Produktivitet vender
Beskæftigelse vender
Vendepunkter?
Pct. afvigelse fra trend
6
4
2
2
0
0
-2
-2
-4
2000
2002
2004
2006
2008
2010
2012
2014
BNP
2016
2018
2020
2022
2024
Mandeproduktivitet
Beskæftigelse
-4
Anm.: I figuren er vist de procentuelle afvigelser fra de pågældende størrelsers trends, beregnet med et CF-filter, hvor der er anta-
get, at konjunkturcykler kan vare mellem 1 og 10 år. Afvigelserne er vist som seks kvartalers glidende gennemsnit.
1)
Timeproduktiviteten er ofte senere om at vende, da en del af tilpasningen på arbejdsmarkedet også sker gennem en tilpas-
ning i arbejdstiden,
jf. boks 5.3.
Kilde: Danmarks Statistik og egne beregninger.
Økonomisk Redegørelse
December 2023
99
FIU, Alm.del - 2023-24 - Bilag 68: Økonomisk Redegørelse, december 2023
2798413_0102.png
Kapitel 5
Arbejdsmarkedet
Underliggende har pilen det seneste halve år peget nedad i store dele af økonomien. Bygge- og
anlægsinvesteringerne har igennem en længere periode været faldende – særligt trukket af
færre investeringer i boligbyggeriet, som også ventes at være på et lavere niveau i både 2024 og
2025,
jf. figur 5.9.
Det har ikke i tilsvarende grad vist sig i beskæftigelsen inden for byggeriet
endnu, men det skønnes, at også dette vil slå igennem med en vis forsinkelse og mindske be-
skæftigelsen frem mod 2025.
Beskæftigelsen i tjenesteerhvervene følger normalt udviklingen i tjenesteforbruget tæt, men på
trods af en relativt svag udvikling i tjenesteforbruget er beskæftigelsen vokset betydeligt over de
seneste år,
jf. figur 5.10.
Givet en forventning om en afdæmpet videre udvikling i tjenestefor-
bruget i både 2024 og 2025, peger også dette i retning af et behov for en lavere beskæftigelse i
tjenesteerhvervene.
Figur 5.9
Bolig-, bygge- og anlægsinvesterin-
gerne understøtter ikke beskæftigelsen længere
Mia. kr.
75
1.000 beskæftigede i bygge og anlæg
226
Figur 5.10
Tjenesteerhvervenes beskæftigelse
er steget mere end tjenesteforbruget
Mia. kr.
105
1.000 beskæftigede i tjenesteerhverv
1.850
60
199
90
1.620
45
172
75
1.390
30
2012 2014 2016 2018 2020 2022 2024
Bolig-, bygge- og anlægsinvesteringer
Beskæftigelse (h. akse)
145
60
2012 2014 2016 2018 2020 2022 2024
Tjenesteforbrug
1.160
Beskæftigelse (h. akse)
Anm.: Bolig-, bygge- og anlægsinvesteringer (realt) inkluderer i figur 5.9 både private og offentlige investeringer. Realt tjenestefor-
brug i figur 5.10.
Kilde: Danmarks Statistik og egne beregninger.
Et lignende billede tegner sig inden for industrien, hvor industriproduktionen ganske vist som
helhed har været holdt oppe af en kraftig udvikling i medicinalindustrien, men omvendt har de
mere beskæftigelsestunge dele af industrien oplevet en nedgang siden foråret 2022. Vægtes in-
dustriproduktionen efter beskæftigelse har udviklingen således været betydeligt svagere,
jf.
5.11.
Hertil kommer både, at væksten i industrien og industrieksporten skønnes at være relativt
begrænset i både 2024 og 2025, men også at en stor del af fremgangen er kommet fra produk-
tion i udlandet, hvortil der ikke i samme omfang er tilknyttet dansk beskæftigelse,
jf. kapitel 4
og 6.
100
Økonomisk Redegørelse
December 2023
FIU, Alm.del - 2023-24 - Bilag 68: Økonomisk Redegørelse, december 2023
2798413_0103.png
Kapitel 5
Arbejdsmarkedet
Figur 5.11
Den beskæftigelsesvægtede industriproduktion peger nedad
Indeks (2017=100)
160
1.000 personer
390
140
360
120
330
100
300
80
2017
2018
2019
2020
2021
2022
2023
Industriproduktion
Beskæftigelsesvægtet industriproduktion
Industriproduktion ekskl. medicinalindustri
Lønmodtagere i industrien (h. akse)
270
Anm.: Den beskæftigelsesvægtede industriproduktion er lavet på baggrund af 2022-beskæftigelsen. Industriproduktionen er vist
som 3-måneders glidende gennemsnit.
Kilde: Danmarks Statistik og egne beregninger.
Arbejdstiden bidrager til tilpasningen på arbejdsmarkedet
Det aftagende pres på arbejdsmarkedet er også afspejlet i den gennemsnitlige arbejdstid, der
har været faldende siden midten af 2022. Det har – sammen med en lavere vækst i beskæftigel-
sen – betydet, at væksten i det samlede antal præsterede timer er reduceret betydeligt siden
2022 og igennem 2023,
jf. figur 5.12.
Figur 5.12
Den gennemsnitlige arbejdstid har
svækket væksten i præsterede timer…
Appoksimeret vækst, pct. (å/å)
15
10
5
0
-5
-10
-15
2019
2020
2021
2022
2023
Beskæftigede (h. akse)
Præsterede timer
Anm.: I figur 5.12 er vækst og vækstbidrag approksimeret ved logaritmiske differencer. Væksten er målt ift. til samme kvartal året
før. I figur 5.13 er antallet af personer, der melder om overarbejde, regnet som summen af betalt og ubetalt overarbejde.
Kilde: Danmarks Statistik og egne beregninger.
Figur 5.13
… og det har blandt andet vist sig
ved et stort fald i omfanget af overarbejde
1.000 personer, der melder om overarbejde
350
300
250
200
150
100
50
2007
2010
2013
2016
2019
2022
350
300
250
200
150
100
50
Bidrag, pct.-point
15
10
5
0
-5
-10
-15
Arbejdstid (h. akse)
Økonomisk Redegørelse
December 2023
101
FIU, Alm.del - 2023-24 - Bilag 68: Økonomisk Redegørelse, december 2023
2798413_0104.png
Kapitel 5
Arbejdsmarkedet
Arbejdstiden har været forhøjet under det seneste opsving relativt til årene inden pandemien.
Den hidtil forhøjede arbejdstid og de seneste fald skal ses i lyset af, at arbejdstiden historisk har
bidraget til de indledningsvise tilpasninger på arbejdsmarkedet. Her bliver arbejdstiden typisk
øget under opsving og har en tendens til at falde i begyndelsen af perioder med svagere vækst
eller nedgang,
jf. boks 5.3.
Således har en højere arbejdstid været med til at imødekomme efter-
spørgslen på arbejdskraft under det seneste opsving, mens de seneste kvartalers fald kan indi-
kere, at denne efterspørgsel nu er ved at vende. Det ses blandt andet på graden af overarbejde,
der har været øget de seneste år, men nu er faldet tilbage til forholdsvist lave niveauer. Det rap-
porterede omfang af overarbejde i 2. og 3. kvartal var således på de laveste niveauer i næsten 10
år,
jf. figur 5.13.
Den forhøjede arbejdstid relativt til 2019 skal blandt andet også ses i lyset af, at fremgangen i
beskæftigelsen under det seneste opsving kun i begrænset omfang har været drevet af deltids-
beskæftigede,
jf. figur 5.14.
Således har lønmodtagere, der arbejder mere end 34 timer om
ugen, udgjort omtrent 80 pct. af væksten relativt til udgangen af 2019. Det relativt begrænsede
bidrag fra deltidsbeskæftigede skal blandt andet ses i lyset af, at beskæftigelsesvæksten i tjene-
steerhvervene undervejs har været dæmpet af covid-19, og at deltidsbeskæftigelse er mere ud-
bredt i disse erhverv, herunder inden for fx restaurationsbranchen. Dette kan også være med til
at forklare, hvorfor deltidsbeskæftigelsen har bidraget relativt mere til fremgangen i den senere
del af opsvinget.
Figur 5.14
Deltidsansatte har kun bidraget til en begrænset del af beskæftigelsesfremgangen
Vækst siden december 2019, 1.000 lønmodtagere
250
200
150
100
50
0
-50
-100
2020
2021
2022
2023
Arbejder 34 timer eller mere om ugen
Arbejder mindre end 34 timer om ugen
Vækst siden december 2019, 1.000 lønmodtagere
250
200
150
100
50
0
-50
-100
Anm.: Tal er baseret på udtræk fra lovmodellen på BFL-registret. Afvigelse i forhold til Danmarks Statistiks officielle opgørelse af
lønmodtagerbeskæftigelsen skyldes primært sæsonkorrektionsmetoden. Egen sæsonkorrektion.
Kilde: Danmarks Statistik og egne beregninger.
Den gennemsnitlige arbejdstid skønnes at være aftaget i den sidste del af 2023, i takt med at ef-
terspørgslen på arbejdskraft gradvist er blevet dæmpet,
jf. figur 5.15.
Som tidligere nævnt er
dette blandt andet kommet til udtryk gennem en lavere grad af overarbejde og relativt flere i
deltidsbeskæftigelse. Underliggende vil konjunkturerne også trække i retning af en lavere ar-
bejdstid i 2024, men afskaffelsen af Store Bededag som helligdag trækker omvendt op, hvorfor
der skønnes en lille stigning til næste år. I 2025 vurderes konjunkturerne ikke længere at
102
Økonomisk Redegørelse
December 2023
FIU, Alm.del - 2023-24 - Bilag 68: Økonomisk Redegørelse, december 2023
2798413_0105.png
Kapitel 5
Arbejdsmarkedet
trække mærkbart ned, og arbejdstiden skønnes derfor igen at udvikle sig forholdsvist fladt. Det
skal blandt andet også ses i lyset af, at den aftalte arbejdstid samt den underliggende udvikling i
lønmodtagernes faktiske gennemsnitlige arbejdstid har været en relativt stabil gennem en læn-
gere årrække,
jf. boks 5.4.
Figur 5.15
Den private gennemsnitlige arbejds-
tid skønnes at være lavere end i de seneste år…
Timer pr. kvartal
390
380
370
360
350
340
330
320
2017
2019
2021
2023
2025
Timer pr. kvartal
390
380
370
360
350
340
330
320
Figur 5.16
… hvormed arbejdstiden bidrager til
en del af faldet i de præsterede timer
Approksimeret vækst, pct. (å/å)
8
6
4
2
0
-2
-4
-6
2019
2020
2021
2022
2023
2024
2025
Arbejdstid (h. akse)
Præsterede timer
Bidrag, pct.-point
8
6
4
2
0
-2
-4
-6
Beskæftigelse (h. akse)
Anm.: I figur 5.15 indikerer stiplede linjer de gennemsnitlige årsniveauer samt skøn herfor. I figur 5.16 vises de logaritmisk approk-
simerede vækstrater og bidrag til de præsterede timer på årsniveau.
Kilde: Danmarks Statistik og egne beregninger.
Økonomisk Redegørelse
December 2023
103
FIU, Alm.del - 2023-24 - Bilag 68: Økonomisk Redegørelse, december 2023
2798413_0106.png
Kapitel 5
Arbejdsmarkedet
Boks 5.3
Arbejdstiden bidrager til de indledningsvise konjunkturtilpasninger på arbejdsmarkedet
Arbejdstiden er sammen med beskæftigelsen bestemmende for, hvor meget der samlet set arbejdes. Under
konjunkturudsving kan arbejdstiden derfor på linje med beskæftigelsen bidrage til at imødekomme ændringer i
efterspørgslen på arbejdskraft i perioder. For mange lønmodtagere er arbejdstiden tæt knyttet til de aftalte ti-
mer, men tilpasningerne kan blandt andet komme i form af øget eller mindsket overarbejde, og eksempelvis
også i form af arbejdsfordelingsordninger, hvor arbejdstiden bliver nedsat til gengæld for supplerende dag-
penge, når efterspørgslen falder. Derudover kan selvstændige i højere grad justere deres arbejdstid efter behov
og efterspørgsel. Under de seneste årtiers konjunkturudsving har arbejdstiden generelt bidraget til de indled-
ningsvise tilpasninger i udsvingene for de samlede præsterede timer (renset for strukturelle trends),
jf. figur a.
Dette var tilfældet både under nedgangen i de tidlige 2000’er, under opsvinget inden finanskrisen, efter finans-
krisen såvel som både i forbindelse med og efter coronapandemien. De seneste kvartaler har der yderligere væ-
ret tegn på, at arbejdstiden er ved at tilpasse sig nedadtil.
Generelt har der været en tendens til, at det primært er henholdsvis fald eller stigninger i arbejdstiden snarere
end i beskæftigelsen, der indledningsvist bidrager til udsvingene i de samlede præsterede timer i overgangene
mellem høj- og lavkonjunkturer. Udsvingene skal formentlig ses i lyset af, at det er forbundet med både tid og
omkostninger at hyre og fyre, hvorfor der først skrues på medarbejdernes arbejdstid, i det omfang det er mu-
ligt, inden antallet af medarbejdere justeres.
Figur a
Trend-rensede udsving i præsterede timer opdelt på bidrag fra arbejdstid og beskæftigede
Pct. afvigelse fra trend
4
Timerne øges i overgang
fra lav- til højkonjunktur
Pct. afvigelse fra trend
4
2
2
0
0
-2
Timerne sænkes i overgang
fra høj- til lavkonjunktur
-2
-4
-4
-6
2000
2002
2004
Arbejdstid
2006
2008
2010
2012
2014
2016
2018
2020
2022
Beskæftigelse
Præsterede timer
-6
Anm.: De tre serier er renset for trend ved et CF-filter. Summeringen af de to bidrag giver approksimativt den trend-rensede udvik-
ling i præsterede timer.
Kilde: Danmarks Statistik og egne beregninger.
104
Økonomisk Redegørelse
December 2023
FIU, Alm.del - 2023-24 - Bilag 68: Økonomisk Redegørelse, december 2023
2798413_0107.png
Kapitel 5
Arbejdsmarkedet
Boks 5.4
Arbejdstidens opgørelse og udvikling over tid
Den aftalte arbejdstid er siden 1966 faldet med 450 årlige arbejdstimer fra i gennemsnit 2.098 til 1.647 i 2022,
jf. figur a.
Tilsvarende har den faktiske arbejdstid været aftagende i samme periode og faldet med i alt knap
550 timer. Samlet set har differencen mellem den aftalte arbejdstid og den faktiske arbejdstid været tæt på kon-
stant siden 1970’erne – om end med udsving, som både kan skyldes konjunktur og øvrige forhold, herunder
demografi.
Set over de seneste 15 år har den gennemsnitlige arbejdstid i nationalregnskabet haft en faldende tendens,
mens den aftalte arbejdstid har været stabil. Det skal dog til dels ses i lyset af, at den faktiske arbejdstid var re-
lativt høj ift. den aftalte i løbet af 2000’erne, men selve opgørelsen af arbejdstiden i nationalregnskabet spiller
også ind,
jf. Rockwoolfonden (2023) og Regeringens 2030-plan: Danmark rustet til fremtiden (2023).
Således
er opgørelsen af arbejdstiden i arbejdstidsregnskabet faldet mindre end opgjort i nationalregnskabet,
jf. figur
b.
Forskellen skal primært findes i, at der i nationalregnskabet indregnes arbejdstimer for sort økonomi mv.
samt ubetalte overarbejdstimer,
jf. oversigt nedenfor.
Disse bidrag er af Danmarks Statistik opgjort til at have
været faldende i perioden, ligesom den gennemsnitlige arbejdstid for selvstændige. Det indebærer, at arbejdsti-
den ikke er faldet i samme omfang for den gennemsnitlige lønmodtager. Yderligere vurderes det på baggrund
af registerdata, at demografiske og socioøkonomiske forhold har trukket arbejdstiden ned, mens der underlig-
gende har været en stigning i arbejdstiden, hvis der renses herfor,
jf. Regeringens 2030-plan (2023).
Forskellige opgørelser af arbejdstiden
Nationalregnskabets
opgørelse over arbejdstimer har til formål at fange det samlede omfang af præste-
rede timer i økonomien, således at der er sammenhæng mellem produktion og arbejdsindsats. Det baserer
sig på arbejdstidsregnskabet samt estimater for omfanget af ubetalt overarbejde, sort økonomi mv., hvilket
blandt andet estimeres på baggrund af arbejdskraftundersøgelsen.
Arbejdstidsregnskabet
er et registerbaseret regnskab, der blandt andet opgør beskæftigede og deres
arbejdstimer, inklusive betalte overarbejdstimer men eksklusive betalte fraværstimer. Denne opgørelse er
hovedkilden til den gennemsnitlige arbejdstid, der opgøres i nationalregnskabet.
Arbejdskraftundersøgelsen
er en stikprøvebaseret spørgeskemaundersøgelse. Opgørelsen er behæftet
med større usikkerhed end de registerbaserede opgørelser, men har til gengæld mulighed for at fange ele-
menter, der ikke er med i registrene, herunder omfanget af ubetalt overarbejde, sort arbejde mv.
Figur a
Aftalt og faktisk gennemsnitlige arbejdstid
Figur b
Opgørelser af gennemsnitlig arbejdstid
Arbejdstimer pr. år
2.200
2.000
1.800
1.600
1.400
Arbejdstimer pr. år
2.200
2.000
1.800
1.600
1.400
Indeks (2010=100)
102
Indeks (2010=100)
102
100
100
98
98
96
96
94
94
1.200
1.200
1966 1974 1982 1990 1998 2006 2014 2022
Aftalt arbejdstid
Faktisk arbejdstid
92
2008 2010 2012 2014 2016 2018 2020 2022
Nationalregnskab
Arbejdskraftundersøgelsen
Arbejdstidsregnskabet
92
Anm.: I figur b er arbejdstidsopgørelserne målt for både lønmodtagere og selvstændige. For arbejdskraftundersøgelsen er der taget
udgangspunkt i opgørelsen ”Faktisk ugentlig arbejdstid, 1-95 timer (mindst en times arbejde i referenceperioden)”.
Kilde: Danmarks Statistik, Abildgren (2017): A Chart & Data Book on the Monetary and Financial History of Denmark, Rockwool
Fonden (2023): Er arbejdstiden virkelig faldende?, Regeringen (2023): DK2030 – Danmark rustet til fremtiden og egne be-
regninger.
Økonomisk Redegørelse
December 2023
105
FIU, Alm.del - 2023-24 - Bilag 68: Økonomisk Redegørelse, december 2023
2798413_0108.png
Kapitel 5
Arbejdsmarkedet
Udsigt til aftagende vækstbidrag fra international arbejdskraft
International arbejdskraft har udgjort en betydelig andel af beskæftigelsesvæksten under det
seneste opsving. Således har international arbejdskraft bidraget til øget vækst i lønmodtagerbe-
skæftigelsen i alle bortset fra én måned igennem 2022 og 2023 og har udgjort godt halvdelen af
den samlede vækst i samme periode,
jf. figur 5.17.
Bidraget har dog på linje med væksten i den
samlede lønmodtagerbeskæftigelse overordnet set haft en aftagende tendens gennem året.
Dette afspejler sig også gennem udstedelsen af erhvervsopholdstilladelser, der er faldet det se-
neste år, om end den fortsat ligger på et højt niveau,
jf. figur 5.18.
Udstedelsen af erhvervsopholdstilladelser følger over tid en opadgående tendens, men svinger
derudover betydeligt med konjunkturerne – i en størrelsesorden faktor 10 relativt til beskæfti-
gelsesudviklingen,
jf. Økonomisk Redegørelse, marts 2023.
Med udsigt til vigende efterspørg-
sel på arbejdskraft i de kommende år, må det også forventes, at tilstrømningen af international
arbejdskraft dæmpes i 2024 og 2025, hvilket også var tilfældet i kølvandet af finanskrisen. Til-
gangen vil omvendt øges gennem de nye regler for en supplerende beløbsordning med lavere
beløbsgrænse, større adgang til fasttrack-ordningen og en udvidet positivliste, der har været
gældende fra 1. april 2023,
jf. aftale om styrket international rekruttering, 29. juni 2022.
2
Så-
ledes vurderes det, at den supplerende beløbsordning strukturelt set vil øge beskæftigelsen med
1.500 fuldtidspersoner i 2024 og 2.300 fuldtidspersoner i 2025.
Figur 5.17
International arbejdskraft har
bidraget med en betydelig andel af den seneste
vækst…
1.000 lønmodtagere, månedlig ændring
15
15
Figur 5.18
… men udstedelsen af erhvervs-
opholdstilladelser er faldende
1.000 tilladelser
16
1.000 tilladelser
16
10
10
12
12
5
5
8
8
0
0
4
4
-5
2022
Internationale
2023
Danske statsborgere
-5
0
1997
2001
2005
2009
2013
2017
2021
0
Anm.: Danske statsborgeres bidrag til lønmodtagerbeskæftigelsen i figur 5.17 er regnet som residualen af den samlede vækst i
lønmodtagerbeskæftigelsen og Jobindsats’ opgørelse over udenlandske statsborgeres lønmodtagerbeskæftigelse (ekskl.
udstationerede). Der kan være diskrepanser mellem opgørelser, herunder som følge af at Jobindsats’ tal er blevet sæson-
korrigeret og korrigeret op for de seneste måneder på baggrund af det sædvanlige mønster for efterregistreringer. Udstedel-
sen af erhvervsopholdstilladelser er i figur 5.18 regnet som summen af erhvervsopholdstilladelser til EU- og ikke-EU-borgere.
Egen sæsonkorrektion.
Kilde: Danmarks Statistik, Jobindsats.dk og egne beregninger.
Anvendelsen af den supplerende beløbsordning med lavere beløbsgrænse er kun mulig, når bruttoledighedsprocenten er
under 3,75 pct., og der er mindre end 15.000 personer på ordningen.
2
106
Økonomisk Redegørelse
December 2023
FIU, Alm.del - 2023-24 - Bilag 68: Økonomisk Redegørelse, december 2023
2798413_0109.png
Kapitel 5
Arbejdsmarkedet
Bidraget fra international arbejdskraft er både kommet af, at flere udenlandske statsborgere i
Danmark er kommet i arbejde, såvel som at mange er kommet til Danmark for at arbejde –
både i form af tilflyttere og pendlere. Fraregnet pendlere er det omtrent halvdelen af stigningen
i international arbejdskraft, der kan tilskrives en øget beskæftigelsesfrekvens – særligt for stats-
borgere fra ikke-EU-lande,
jf. figur 5.19.
I den senere del af opsvinget har fremgangen især været trukket af en øget international til-
strømning, hvilket i stigende grad har været fra 3. lande. Dette skal dog i høj grad tilskrives for-
drevne fra Ukraine, der hurtigt har etableret sig på det danske arbejdsmarked, og som har bi-
draget med knap en tredjedel af stigningen i international arbejdskraft siden 2. kvartal 2022. I
oktober var 79 pct. af de jobparate fordrevne under særloven mellem 16 og 66 år i beskæfti-
gelse, svarende til 11.200 personer. Der er dog ikke udsigt til, at bidraget fra fordrevne fra Ukra-
ine vil være tilsvarende stort i de kommende år, da tilstrømningen af fordrevne er mindsket
over tid. Det vil isoleret set også lægge en dæmper på den videre vækst i udbuddet af internatio-
nal arbejdskraft set i forhold til det seneste år.
Figur 5.19
Det er i stigende grad øget tilflytning, der har bidraget til stigningen i international
arbejdskraft
1.000 lønmodtagere, ændring siden 4. kvartal 2019
100
80
60
40
20
0
-20
2020
Beskæftigelsesfrekvens EU
Pendlere
Tilflyttere 3. lande (ekskl. Ukraine)
Samlet
2021
2022
2023
1.000 lønmodtagere, ændring siden 4. kvartal 2019
100
80
60
40
20
0
-20
Beskæftigelsesfrekvens 3. lande (ekskl. Ukraine)
Tilflyttere EU
Bidrag fra Ukrainere
Anm.: Beregningerne er lavet på baggrund af Danmarks Statistiks befolkningsstatistik og Jobindsats’ statistik for udenlandske løn-
modtagere. Frekvensbidraget er beregnet ved at holde antallet af udenlandske statsborgere fra 4. kvartal 2019 fast og lade
den andel af de udenlandske statsborgere, der har modtaget lønindkomst i det givne kvartal, variere. Ændring i tilflytning er
beregnet som residualen af stigningen i udenlandske lønmodtagere ekskl. pendlere og dette frekvensbidrag. Det indebærer,
at der skal tages forbehold for fx ændringer i andelen af selvstændige, når dette tal skal tolkes – det vurderes dog ikke, at det
vil ændre resultaterne afgørende. Lønmodtagerfrekvensen er beregnet på baggrund af det samlede antal udenlandske stats-
borgere mellem 18 og 70 år. Da der ikke er aldersopdelte lønmodtagertal kan det give en lille diskrepans som følge af løn-
modtagere, der er uden for dette aldersspænd. Bidrag fra Ukrainere omfatter både frekvens- og tilflytningsbidrag. Opgørelse
for udenlandske lønmodtagere er sæsonkorrigeret ved egen sæsonkorrektion og opjusteret på baggrund af det sædvanlige
mønster i efterregistreringer. Opgørelsen er derfor behæftet med usikkerhed, særligt for det seneste kvartal.
Kilde: Danmarks Statistik, Jobindsats.dk og egne beregninger.
Økonomisk Redegørelse
December 2023
107
FIU, Alm.del - 2023-24 - Bilag 68: Økonomisk Redegørelse, december 2023
2798413_0110.png
Kapitel 5
Arbejdsmarkedet
Gradvist faldende beskæftigelsesgab i prognoseperioden
Det aftagende pres på arbejdsmarkedet og de skønnede fald i beskæftigelsen indebærer, at be-
skæftigelsesgabet skønnes at blive indsnævret over de kommende år,
jf. figur 5.20.
Udviklingen
afspejler dog en blød landing, hvor beskæftigelsesgabet kun gradvist indsnævres i prognosepe-
rioden.
Figur 5.20
Beskæftigelsesgabet skønnes at blive dæmpet, men at forblive højt
Pct. af strukturel beskæftigelse
6
4
2
0
-2
-4
1980
1983
1986
1989
1992
1995
1998
2001
2004
2007
2010
2013
2016
2019
2022
2025
Beskæftigelsesgab
Beskæftigelsesvækst (h. akse)
Pct.
6
4
2
0
-2
-4
Anm.: Beskæftigelsesgabet angiver forskellen mellem den faktiske og den skønnede strukturelle beskæftigelse ekskl. orlov. Be-
skæftigelsesvæksten er her regnet ekskl. orlovspersoner.
Kilde: Danmarks Statistik og egne beregninger.
Vækstudsigterne for de kommende år påvirkes også af de underliggende strukturelle forhold. I
mange år har den demografiske udvikling været medvirkende til stigninger i den strukturelle
arbejdsstyrke, men det vil i aftagende grad være tilfældet over de kommende år. Det indebærer,
at vækstpotentialet alt andet lige er mindre. På den anden side understøttes den strukturelle
beskæftigelse af reformer, der i de kommende år mere end opvejer det svækkede demografiske
bidrag, herunder blandt andet i kraft af indførelsen af den supplerende beløbsordning samt den
nye kontanthjælpsreform, der træder i kraft i midten af 2025.
5.2 Ledigheden
Det aftagende pres på arbejdsmarkedet har også afspejlet sig i, at ledigheden har været stigende
siden efteråret 2022. Siden efteråret 2022 er der til og med oktober kommet godt 9.000 flere
bruttoledige, hvilket har bragt antallet af ledige op på 85.500 fuldtidspersoner. Det svarer til en
ledighedsprocent på 2,8 pct. af arbejdsstyrken.
3
Det skønnes, at den stigende tendens vil fort-
sætte ind i prognoseperioden og vil tage til i styrke i takt med de skønnede fald i beskæftigelsen.
Som helhed skønnes årsgennemsnittet for bruttoledigheden at være knap 84.000 fuldtidsper-
soner i 2023. Det ventes i 2024 at stige til knap 97.000 og yderligere til næsten 101.000 i 2025,
3
Baseret på Danmarks Statistiks definition af arbejdsstyrken. Skønnene i indeværende prognose er baseret på Økonomi-
ministeriets og Finansministeriets opgørelse, der afviger en smule herfra. Det skal blandt andet ses i lyset af, at Danmarks
Statistiks opgørelse baserer sig på den registerbaserede arbejdsstyrkestatistik, der opgøres for den sidste arbejdsdag i no-
vember, mens Økonomiministeriets og Finansministeriets opgørelse baserer sig på årsgennemsnit.
108
Økonomisk Redegørelse
December 2023
FIU, Alm.del - 2023-24 - Bilag 68: Økonomisk Redegørelse, december 2023
2798413_0111.png
Kapitel 5
Arbejdsmarkedet
jf. figur 5.21.
Gennemslaget fra beskæftigelsen til ledigheden skønnes ikke at være 1:1, da nogle
ikke vil blive ledige, når de træder ud af beskæftigelse. Det gælder blandt andet studerende,
pensionister og international arbejdskraft, der rejser ud af landet. Hertil kan særligt sidst-
nævnte bidrage til, at gennemslaget fra beskæftigelse til ledighed bliver mindre udtalt i de kom-
mende år, da en stor del af beskæftigelsesfremgangen er kommet fra international arbejdskraft.
Figur 5.21
Der ventes en gradvist stigende ledighed over de kommende år
1.000 fuldtidspersoner
200
1.000 fuldtidspersoner
200
150
150
100
100
50
50
0
2007
2009
2011
2013
2015
2017
2019
2021
2023
2025
0
Anm.: Seneste observation er for oktober 2023. De stiplede linjer angiver gennemsnitlige årsniveauer for bruttoledigheden.
Kilde: Danmarks Statistik og egne beregninger.
Den stigende ledighed indebærer, at ledighedsgabet på linje med beskæftigelsesgabet skønnes
gradvist at blive indsnævret over de kommende år,
jf. figur 5.22.
Ledighedsgabet skønnes fort-
sat at være negativt i 2025, men det vurderes, at det til den tid vil være mere end halveret i for-
hold til ledighedsgabet i år. Underliggende understøtter blandt andet en sænket dimittendsats
en lavere ledighed frem mod 2025.
Økonomisk Redegørelse
December 2023
109
FIU, Alm.del - 2023-24 - Bilag 68: Økonomisk Redegørelse, december 2023
2798413_0112.png
Kapitel 5
Arbejdsmarkedet
Figur 5.22
Ledighedsgabet indsnævres over de kommende år
Pct. af strukturel ledighed
2
1
0
-1
-2
-3
1985
1988
1991
1994
1997
2000
2003
2006
2009
2012
2015
2018
2021
2024
Pct. af strukturel ledighed
2
1
0
-1
-2
-3
Kilde: Danmarks Statistik og egne beregninger.
Den aftagende efterspørgsel på arbejdskraft har vist sig på flere mål, der peger opad for den vi-
dere udvikling i ledigheden. Der er i løbet af 2023 kommet et stigende antal personer på ar-
bejdsfordelingsordninger, som indebærer, at ansatte bliver sat ned i arbejdstid og undervejs får
supplerende dagpenge. Dette hjælper isoleret set med at holde ledigheden nede, men det er et
tegn på, at nogle virksomheder ikke længere har råd til at holde deres ansatte fuldt beskæftiget.
Niveauet heraf har i 2023 været på sit højeste siden pandemien og er ellers kun set højere i de
seneste 15 år i forbindelse med finanskrisen,
jf. figur 5.23.
I oktober omfattede de cirka 2.000
personer.
I samme periode har antallet af varslede afskedigelser været stigende,
jf. figur 5.24.
Efter en år-
række, hvor antallet af varslede afskedigelser har ligget på meget lave niveauer, er virksomhe-
derne således igen begyndt at afskedige medarbejdere i et voksende omfang. Antallet er dog
indtil videre kun steget i begrænset grad, så det nu ligger omtrent på niveauet fra årene fra 2015
til 2019.
110
Økonomisk Redegørelse
December 2023
FIU, Alm.del - 2023-24 - Bilag 68: Økonomisk Redegørelse, december 2023
2798413_0113.png
Kapitel 5
Arbejdsmarkedet
Figur 5.23
Stigende antal personer på
arbejdsfordelingsordninger
1.000 personer
20
1.000 personer
20
Figur 5.24
Opadgående tendens i antallet af
varslede afskedigelser
1.000 personer
8
1.000 personer
8
15
15
6
6
10
10
4
4
5
5
2
2
0
2008
2011
2014
2017
2020
2023
0
0
2007
2010
2013
2016
2019
2022
Varslede afskedigelser
3-mdrs. glidende gennemsnit
0
Anm.: Egen sæsonkorrektion.
Kilde: Jobindsats.dk og egne beregninger.
Personer med korte uddannelser og ansatte i industrien bliver oftere ledige
På baggrund af nytilmeldte ledige fremgår det, at de nyledige i stigende grad er kommet fra in-
dustri- og forsyningsbranchen, hvorfra der har været en opadgående tendens igennem 2022 og
2023,
jf. figur 5.25.
Dette er den eneste branche, hvor der generelt er flere nyledige hver må-
ned, end det var tilfældet i 2019. Der har dog også været stigninger i 2023 i flere af de andre
brancher – således er det nu kun landbruget, der fortsat kommer relativt få nyledige fra hver
måned.
På tværs af uddannelser har det især været personer med korte uddannelsesforløb som deres
højest fuldførte (grundskole/gymnasie), der har oplevet en vending i ledigheden,
jf. figur 5.26.
Det skal blandt andet ses i lyset af, at personer med kortere uddannelser ofte har en svagere til-
knytning til arbejdsmarkedet, og at deres beskæftigelsesforløb derfor også er mere konjunktur-
følsomme.
4
På den anden side er der fortsat relativt få nyledige personer, der enten har længe-
revarende eller erhvervsfaglige uddannelser.
4
Se fx kapitel 2 (Vending på arbejdsmarkedet) i Økonomisk Redegørelse, marts 2023.
Økonomisk Redegørelse
December 2023
111
FIU, Alm.del - 2023-24 - Bilag 68: Økonomisk Redegørelse, december 2023
2798413_0114.png
Kapitel 5
Arbejdsmarkedet
Figur 5.25
Nytilmeldte ledige kommer i stigende
grad fra industri- og forsyningsbrancherne
Indeks (2019=100)
160
140
120
100
80
60
40
2021
Landbrug
Bygge og anlæg
Kultur, fritid, mv.
2022
Indeks (2019=100)
160
140
120
100
80
60
40
2023
Industri og forsyning
Handel og transport
Øvrige tjenester
Figur 5.26
Det er især personer med korte
uddannelser, der bliver ledige
Indeks (2019=100)
160
140
120
100
80
60
40
2021
2022
LVU
2023
Erhvervsfaglig o.l.
Grundskole / gymnasie
KVU, MVU, Bachelor
Indeks (2019=100)
160
140
120
100
80
60
40
Anm.: I figurerne vises udviklingen i antallet af nytilmeldte ledige på Jobnet. Egen sæsonkorrektion.
Kilde: Jobindsats.dk og egne beregninger.
Udviklingen skal dog også ses i lyset af udgangspunkterne for de respektive grupper. Ledighe-
den er således faldet meget og til et lavt niveau for personer med grundskole eller gymnasie
som højest fuldførte uddannelse,
jf. figur 5.27.
Omvendt har personer med lange videregående
uddannelser ikke oplevet samme fald i ledigheden under seneste opsving, hvilket skal ses i lyset
af den mindre konjunkturfølsomme tilknytning til arbejdsmarkedet. Det er dog gældende på
tværs af alle uddannelsesbaggrunde, at ledigheden lå på et lavt niveau i 2022.
112
Økonomisk Redegørelse
December 2023
FIU, Alm.del - 2023-24 - Bilag 68: Økonomisk Redegørelse, december 2023
2798413_0115.png
Kapitel 5
Arbejdsmarkedet
Figur 5.27
Forskelle i ledigheden på tværs af uddannelsesniveauer
Pct. af arbejdsstyrken
10
Pct. af arbejdsstyrken
10
8
8
6
6
4
4
2
2
0
2007
2008
2009
2010
2011
2012
2013
2014
2015
2016
2017
2018
2019
2020
2021
2022
Grundskole og gymnasie
Erhvervsfaglig
KVU, MVU, Bachelor
LVU og Ph.d.
0
Anm.: KVU, MVU og LVU står for henholdsvis kort, mellemlang og lang videregående uddannelse.
Kilde: Danmarks Statistik og egne beregninger.
Den lavere ledighed gør sig også gældende for nyuddannede, for hvem ledigheden er faldet be-
tydeligt i løbet af det seneste opsving,
jf. figur 5.28.
Faldet har gjort sig gældende på tværs af
dimittendernes uddannelsestyper.
5
Der har endnu ikke været samme stigende tendens i dimit-
tendernes ledighed i de seneste måneder, som det har været tilfældet for den samlede ledighed.
En sænket dimittendsats for dagpenge kan blandt andet have bidraget til at holde ledigheden
på et lavt niveau.
Figur 5.28
Dimittendledigheden er lav
1.000 fuldtidspersoner
40
1.000 fuldtidspersoner
40
30
30
20
20
10
10
0
2007
2009
2011
2013
2015
2017
2019
2021
2023
0
Anm.: Figuren viser antallet af dimittendledige på a-dagpenge målt i fultidspersoner. Dimittendledige opgøres som personer, der
udelukkende har ret til dagpenge på grundlag af gennemført uddannelse. Egen sæsonkorrektion.
Kilde: Jobindsats.dk og egne beregninger.
5
Jf. Uddannelses- og Forskningsministeriet (2023): Dimittendledigheden er på laveste niveau siden finanskrisen.
Økonomisk Redegørelse
December 2023
113
FIU, Alm.del - 2023-24 - Bilag 68: Økonomisk Redegørelse, december 2023
2798413_0116.png
Kapitel 5
Arbejdsmarkedet
5.3 Løn
Lønudviklingen i den private sektor er i anden halvdel af 2023 tiltaget markant og ligger nu på
sit højeste siden 2008. I 2024 ventes lønstigningerne at tiltage yderligere og efterfølgende falde
tilbage til et lidt mere normalt leje i 2025,
jf. figur 5.29.
De kraftige lønstigninger i 2023 og
2024 skal især ses i sammenhæng med den ekstraordinært høje forbrugerprisinflation i 2022
og 2023 samt et fortsat højt pres på arbejdsmarkedet.
Lønudviklingen i årets første tre kvartaler understøtter forventningen om en betydelig lønfrem-
gang i år, som ventes at fortsætte i 2024 og starten af 2025 i overensstemmelse med resulta-
terne fra forårets overenskomstforhandlinger på det private område (OK23). En normalisering
af inflationen forventes sammen med et mindre stramt arbejdsmarked at medføre mere mode-
rate lønstigninger i den næste overenskomstperiode, som begynder i foråret 2025.
Figur 5.29
Udsigt til højere lønstigninger i 2023 og 2024
Pct. (å/å)
6
5
4
3
2
1
0
2000
2002
2004
2006
2008
2010
2012
2014
2016
2018
2020
2022
2024
KonjunkturStatistik
StrukturStatistik og skøn i Økonomisk Redegørelse
Pct. (å/å)
6
5
4
3
2
1
0
Anm.: Lønstigninger angives ekskl. genetillæg. DA’s StrukturStatistik udkommer årligt og er baseret på lønoplysninger fra alle virk-
somheder, der indberetter til DA, mens KonjunkturStatistikken udgives hvert kvartaler og bygger på en repræsentativ stik-
prøve. De to statistikker følger overordnet hinanden på lang sigt, men der kan forekomme afvigelser i enkelte år som følge af
forskelle i datagrundlag og metode.
Kilde: Dansk Arbejdsgiverforening og egne beregninger.
Historisk har lønudviklingen overordnet fulgt presset på arbejdsmarkedet. Sammenhængen
kan blandt andet illustreres med beskæftigelsesgabet,
jf. figur 5.30.
Markante lønstigninger i
2023 og 2024 er derfor konsistent med, at beskæftigelsesgabet i de to år ventes at ligge histo-
risk højt. En begyndende indsnævring af gabet i 2024 og 2025 understøtter forventningen om
en mere moderat lønudvikling i 2025 og ind i den næste overenskomstperiode.
114
Økonomisk Redegørelse
December 2023
FIU, Alm.del - 2023-24 - Bilag 68: Økonomisk Redegørelse, december 2023
2798413_0117.png
Kapitel 5
Arbejdsmarkedet
Figur 5.30
Lønudviklingen følger overordnet beskæftigelsesgabet
Pct. (å/å)
6
5
4
3
2
1
0
1995
1997
1999
2001
2003
2005
2007
2009
2011
2013
2015
2017
2019
2021
2023
2025
Beskæftigelsesgab (h. akse)
Nominel løn
1.000 personer
150
100
50
0
-50
-100
-150
Anm.: Beskæftigelsesgabet er forskellen på faktisk beskæftigelse og strukturel beskæftigelse. Nominel løn er årlige lønstigninger
ifølge DA’s StrukturStatistik og skøn i Økonomisk Redegørelse.
Kilde: Danmarks Statistik, Dansk Arbejdsgiverforening og egne beregninger.
Den skønnede løn- og prisudvikling i prognoseperioden indebærer en forventning om en bety-
delig fremgang i reallønnen i særligt 2024 efter det kraftige fald sidste år. Ved udgangen af
prognoseperioden i 2025 ventes reallønsudviklingen at ligge en smule over det langsigtede gen-
nemsnit,
jf. figur 5.31.
Lønmodtagernes købekraft ventes allerede ved udgangen af næste år at
være tilbage omkring 2021-niveauet,
jf. figur 5.32.
På lang sigt følger reallønnen overvejende
udviklingen i produktiviteten.
Højere lønstigninger medfører isoleret set et opadgående pres på forbrugerpriserne, som dog
modvirkes af en mere afdæmpet udvikling i virksomhedernes øvrige omkostninger. Det opad-
gående pres fra lønudviklingen ventes at blive mere end opvejet af et nedadgående pres fra la-
vere energipriser, normalisering af forsyningskæder og generelt svagere aktivitet som følge af
pengepolitiske stramninger mv.,
jf. kapitel 3.
Det er med til at reducere risikoen for, at de kraf-
tige lønstigninger i år og næste år i sig selv vil medvirke til, at perioden med forhøjet pris- og
lønudvikling bliver længerevarende.
Økonomisk Redegørelse
December 2023
115
FIU, Alm.del - 2023-24 - Bilag 68: Økonomisk Redegørelse, december 2023
2798413_0118.png
Kapitel 5
Arbejdsmarkedet
Figur 5.31
Store stigninger i reallønnen efter
kraftigt fald i 2022
Pct.
3
2
1
0
-1
-2
-3
-4
2005
2008
2011
2014
2017
2020
2023
Realløn
Gennemsnit 2005-2022
Pct.
3
2
1
0
-1
-2
-3
-4
Figur 5.32
Lønmodtagernes købekraft
genoprettes
Indeks (2021=100)
110
105
100
95
90
85
80
75
2005 2008 2011 2014 2017 2020 2023
Indeks (2021=100)
110
105
100
95
90
85
80
75
Anm.: Realløn beregnes på baggrund af nominelle lønstigninger ekskl. genetillæg fra DA’s StrukturStatistik samt forbrugerprisin-
dekset.
Kilde: Dansk Arbejdsgiverforening, Danmarks Statistik og egne beregninger.
Den forventede lønudvikling i år og næste år afspejler i høj grad resultaterne fra forårets over-
enskomstforhandlinger på det private område (OK23). Størstedelen af lønmodtagerne er på mi-
nimallønsoverenskomster, hvorved kun minimallønssatserne aftales ved de centrale forhand-
linger, mens de faktiske satsstigninger aftales ved lokale forhandlinger ude i de enkelte virk-
somheder. Der har dog historisk alligevel været en tæt sammenhæng mellem den faktiske løn-
udvikling og lønudviklingen ifølge det overenskomstmæssige referenceforløb,
jf. figur 5.33.
Referenceforløbet beregnes under antagelse af fuldt procentuelt gennemslag, hvor det forud-
sættes, at lønmodtagere på minimallønsoverenskomster i gennemsnit får satsstigninger sva-
rende til den procentuelle stigning i minimallønssatserne. I indeværende overenskomstperiode,
der løber frem til og med 1. kvartal 2025, er det særligt satsstigningerne samt de aftalte forhø-
jelser af arbejdsgivers pensionsbidrag og fritvalgsbidraget, der er med til at trække reference-
forløbet op.
116
Økonomisk Redegørelse
December 2023
FIU, Alm.del - 2023-24 - Bilag 68: Økonomisk Redegørelse, december 2023
2798413_0119.png
Kapitel 5
Arbejdsmarkedet
Figur 5.33
Overenskomstmæssigt referenceforløb på DA/FH-området
Pct. (å/å)
8
7
6
5
4
3
2
1
0
2005
2007
Satser
2009
Pension
2011
2013
Fritvalg m.m.
2015
2017
2019
2021
2023
2025
Pct. (å/å)
8
7
6
5
4
3
2
1
0
Skøn i Økonomisk Redegørelse
Nominel løn
Anm.: Referenceforløbet består af
satser
(inkl. genetillæg mv.),
pension
og
andet
og er beregnet under antagelse af fuldt procentu-
elt gennemslag, hvorved det antages, at lønmodtagere på minimallønsoverenskomster i gennemsnit modtager satsstigninger
svarende til den relative stigning i minimallønssatsen. Under
andet
indgår blandt andet boligtillæg, fritvalgsordning og barsel.
Referenceforløbet er beregnet på baggrund af Industriens Overenskomst, Bygge- og anlægsoverenskomsten, Butiksover-
enskomsten, Fællesoverenskomsten samt Transport- og logistikoverenskomsten. Nominel løn ifølge DA’s KonjunkturStatistik
inkl. genetillæg. I Økonomisk Redegørelse skønnes for de årlige lønstigninger ekskl. genetillæg.
Kilde: Dansk Arbejdsgiverforening, Fagbevægelsens Hovedorganisation og egne beregninger.
Lønstigningstakterne tiltog betydeligt på tværs af hovedbrancher i 3. kvartal 2023 i overens-
stemmelse med profilen i referenceforløbet. De største lønstigninger findes inden for
bygge og
anlæg
(5,4 pct.) efterfulgt af
fremstilling
(5,2 pct.) og
service
(4,8 pct.),
jf. figur 5.34.
Der er ge-
nerelt en tendens til, at bygge- og anlægsbranchen er mere konjunkturfølsom end de øvrige ho-
vedbrancher, og lønstigningstakten således har større udsving. På den lange bane må blandt
andet lønmodtagernes branchemobilitet dog forventes at medføre en omtrent ensartet lønud-
vikling på tværs af brancherne. I perioden siden 1995 har den gennemsnitlige lønstigningstakt
på DA/FH-området ligget på 3,1 pct. Det er det samme som den gennemsnitlige lønstignings-
takt inden for fremstilling og service, mens den for bygge- og anlægsvirksomhederne har været
på 3,2 pct.,
jf. figur 5.35.
Økonomisk Redegørelse
December 2023
117
FIU, Alm.del - 2023-24 - Bilag 68: Økonomisk Redegørelse, december 2023
2798413_0120.png
Kapitel 5
Arbejdsmarkedet
Figur 5.34
Tiltagende lønstigningstakter på
tværs af hovedbrancher i 3. kvartal 2023
Pct. (å/å)
7
6
5
4
3
2
1
0
2005 2007 2009 2011 2013 2015 2017 2019 2021 2023
DA-området
Fremstilling
Bygge og anlæg
Service
Pct. (å/å)
7
6
5
4
3
2
1
0
Figur 5.35
Lønudviklingen på tværs af
hovedbrancher er omtrent ens på lang sigt
Pct.
7
6
5
4
3
2
1
0
Fremstilling
Bygge og
anlæg
Service
DA-området
Pct.
7
6
5
4
3
2
1
0
Anm.: Lønstigningstakter ekskl. genetillæg ifølge DA’s KonjunkturStatistik i figur 5.34. Boksplot i figur 5.35 viser percentilerne: 25,
50, 75 samt minimum og maksimum for lønstigningstakterne på tværs af hovedbrancher for perioden 1. kvartal 1995-3. kvar-
tal 2023. Trekanter angiver periodens gennemsnitlige lønstigningstakter.
Kilde: Dansk Arbejdsgiverforening og egne beregninger.
Lønkvoten i den private sektor ventes at stige kraftigt i 2023 og derefter ligge nogenlunde sta-
bilt gennem prognoseperioden,
jf. figur 5.36.
Bevægelser i lønkvoten følger normalt konjunkturerne, så den fx ligger forholdsvis højt i en si-
tuation med stort kapacitetspres og et stramt arbejdsmarked. Til trods for markant vækst og
stor aktivitet i økonomien i 2022 faldt lønkvoten til et historisk lavt niveau. Det skal dog i høj
grad ses i sammenhæng med de store profitter inden for søtransporten i 2022, som bidrog til at
øge nominelt BVT og holde lønkvoten nede. På trods af forventningen om en kraftig stigning i
2023 ventes lønkvoten gennem hele prognoseperioden fortsat at ligge under det historiske gen-
nemsnit, hvilket blandt andet skal ses i lyset af forventningen om et mindre stramt arbejdsmar-
ked og en svagt faldende beskæftigelse.
Udviklingen i lønkvoten er desuden påvirket af strukturelle forhold, herunder en generel for-
skydning af aktiviteten i retning af brancher og virksomheder med lavere lønkvoter,
jf. neden-
for.
118
Økonomisk Redegørelse
December 2023
FIU, Alm.del - 2023-24 - Bilag 68: Økonomisk Redegørelse, december 2023
2798413_0121.png
Kapitel 5
Arbejdsmarkedet
Figur 5.36
Lønkvoten i den private sektor ventes at stige i 2023 og derefter ligge nogenlunde stabilt
i 2024-25
Pct. af privat BVT
66
64
62
60
58
56
54
52
2000
2002
2004
2006
2008
2010
2012
2014
2016
2018
2020
2022
2024
Pct. af privat BVT
66
64
62
60
58
56
54
52
Anm.: Lønkvoten er lønsummen i forhold til nominelt BVT, hvor der korrigeres for, at selvstændige bidrager til BVT, men ikke afløn-
nes af lønsummen. Den stiplede linje angiver gennemsnit for 2000-2022.
Kilde: Danmarks Statistik og egne beregninger.
Den relative lønkvote i industrien faldt i 2022, hvilket indikerer en forværring af danske virk-
somheders konkurrenceevne over for udlandet,
jf. figur 5.37.
Figur 5.37
Den relative lønkvote i industrien faldt i 2022
Pct.
60
Pct.
60
40
40
20
20
0
0
-20
-20
-40
2006 2007 2008 2009 2010 2011 2012 2013 2014 2015 2016 2017 2018 2019 2020 2021 2022
Relativ lønkvote
Danmark
Udlandet
-40
Anm.: Udviklingen i lønkonkurrenceevnen målt ved den relative lønkvote i industrien mellem Danmark og udlandet. Lønkvoten op-
gøres som forholdet mellem nominel lønsum og nominel værditilvækst (BVT). Ved udregning af lønkvoterne tages der højde
for, at selvstændige bidrager til BVT, men ikke aflønnes af lønsummen. En stigning i den relative lønkvote afspejler, at indu-
striens lønkvote i Danmark er faldet relativt til industriens lønkvote i det sammenvejede udland.
Kilde: Statistikudvalgets statusrapport, 3. kvartal 2023.
Økonomisk Redegørelse
December 2023
119
FIU, Alm.del - 2023-24 - Bilag 68: Økonomisk Redegørelse, december 2023
2798413_0122.png
Kapitel 5
Arbejdsmarkedet
Et fald i den relative lønkvote afspejler, at industriens lønkvote i Danmark steg relativt til løn-
kvoten for det samlede udland. Industriens lønkvote steg i 2022 i modsætning til lønkvoten for
den samlede private sektor, hvilket blandt andet skyldes, at den ikke omfatter søtransporten.
Den relative lønkvote i industrien er et ofte anvendt mål for lønkonkurrenceevnen, da den i
modsætning til andre mål for lønkonkurrenceevnen tager højde for ændringer i bytteforholdet,
jf. fx Statistikudvalgets statusrapport, 3. kvartal 2023.
Det er første gang siden 2014, at der
ses et fald i den relative lønkvote, og i hele perioden siden 2005 er den steget med godt 30 pct.,
hvilket overvejende afspejler en stærk nedadgående tendens i den indenlandske lønkvote. Ned-
gangen i industriens lønkvote i Danmark kan især tilskrives udviklingen i nogle få meget store
virksomheder,
jf. boks 5.5.
120
Økonomisk Redegørelse
December 2023
FIU, Alm.del - 2023-24 - Bilag 68: Økonomisk Redegørelse, december 2023
2798413_0123.png
Kapitel 5
Arbejdsmarkedet
Boks 5.5
Udviklingen i industriens lønkvote påvirkes af forskydninger på virksomhedsniveau
Lønkvoten i industrien er i perioden siden finanskrisen faldet med knap 20 pct.-point. Udviklingen dækker
over markante forskydninger i værditilvækst på virksomhedsniveau, hvor de allerstørste virksomheder i indu-
strien i perioden har stået for en kraftigt stigende andel af værditilvæksten. Den stigende værditilvækst hos de
største virksomheder er ikke blevet fulgt af tilsvarende stigninger i aflønningen af ansatte,
jf. Økonomisk Rede-
gørelse, august 2022.
Dermed er lønkvoten for de 0,5 pct. største industrivirksomheder målt på værditilvækst
isoleret set næsten halveret i perioden 2007-2021, mens lønkvoten for de øvrige 99,5 pct. af industrivirksomhe-
derne kun har set et begrænset fald i samme periode,
jf. figur a.
Der er derfor ikke noget, som tyder på, at fx
den store gruppe af industriens små og mellemstore virksomheder – der beskæftiger en stor del af arbejdsstyr-
ken – i væsentligt omfang har reduceret deres lønkvote.
Tendensen til, at industriens værditilvækst i stigende grad koncentreres i store virksomheder med isoleret set
lave lønkvoter, er et internationalt fænomen, som også finder sted i de fleste andre avancerede økonomier, og
der findes ikke en entydig forklaring i litteraturen på området.
1)
I Danmark er der tegn på, at udviklingen især
er forbundet med globaliseringen, der sammen med stærke varemærker og patenter har givet nogle virksomhe-
der mulighed for at tage høje avancer samtidig med, at de har forøget deres markedsandele og ekspanderet in-
ternationalt. Tidligere analyser har desuden kædet udviklingen sammen med danske industrivirksomheders
tiltagende aktiviteter uden for landets grænser. Det omfatter fx værditilvæksten forbundet med merchanting og
processing, som grundlæggende er den værdi, der skabes af danske virksomheder i handel med varer, som pro-
duceres og sælges i udlandet uden at have været på dansk jord.
2)
Aflønningen af de udenlandske produktions-
faktorer, heriblandt den udenlandske arbejdskraft, indgår i de andre landes BVT, men den resterende avance
medregnes i dansk BVT.
Figur a
Nedgangen i industriens samlede lønkvote er drevet af kraftigt fald i lønkvoten hos de største
virksomheder
Pct. af BVT
80
70
60
50
40
30
20
2001
2003
2005
2007
2009
2011
2013
2015
2017
2019
2021
Alle virksomheder
Øverste 0,5 pct.
Øvrige 99,5 pct.
Pct. af BVT
80
70
60
50
40
30
20
Anm.: Øverste 0,5 pct. er defineret som gruppen af de 0,5 pct. største virksomheder i fordelingen af værditilvækst i de enkelte år.
Lønkvoterne er vægtet efter værditilvækst. Lønkvoter på virksomhedsniveau beregnes på baggrund af mikrodata fra den
Generelle firmastatistik (FIRM). Virksomheder med helt eller delvist imputerede regnskabsdata i et givent år samt virksomhe-
der med under én beskæftiget (målt i fuldtidsbeskæftigelse) er frasorteret og indgår således ikke i figuren. For øvrige data-
sorteringer se
Økonomisk Redegørelse, august 2022.
1)
Se fx Autor mfl. (2020): The Fall of the Labor Share and the Rise of Superstar Firms,
The Quarterly Journal of Economics
og Kehrig & Vincent (2021): The Micro-Level Anatomy of the Labor Share Decline,
The Quarterly Journal of Economics.
2)
Se fx Danmarks Nationalbank (2019): Globaliseringen påvirker mål for lønkonkurrenceevne.
Kilde: Danmarks Statistik og egne beregninger.
Økonomisk Redegørelse
December 2023
121
FIU, Alm.del - 2023-24 - Bilag 68: Økonomisk Redegørelse, december 2023
2798413_0124.png
Kapitel 5
Arbejdsmarkedet
Offentlige lønninger
De offentlige og private lønninger udvikler sig generelt i samme tempo,
jf. figur 5.38.
Figur 5.38
Lønudvikling i den offentlige og private sektor
Indeks
130
120
110
100
90
80
70
2005
2007
2009
Privat
2011
2013
Stat
2015
2017
2019
2021
2023
Kommuner og regioner
Indeks
130
120
110
100
90
80
70
Anm.: Tallene er ikke korrigeret for sæsonudvikling. Indeks 100 svarer til gennemsnittet i perioden 1. kvartal 2005-3. kvartal 2023.
Kilde: Danmarks Statistik og egne beregninger.
For de offentlige lønstigninger skønnes der over budgetvirkningen, som angiver årseffekten på
de offentlige budgetter af de aftalte generelle lønstigninger, puljemidler mv. samt skøn for ud-
møntning af reguleringsordningen. Budgetvirkningen er dermed afhængig af udmøntningstids-
punktet for en given lønstigning. Det betyder, at en lønstigning, der fx udmøntes 1. oktober i et
givent år, indgår med en vægt på ¼ i det pågældende år og en vægt på ¾ i det efterfølgende år.
De gældende offentlige overenskomster (OK21) dækker perioden fra 1. april 2021 til 31. marts
2024. Budgetvirkningen på det samlede offentlige område beregnes med afsæt i de aftalte løn-
stigninger i OK21-forliget. I foråret 2024 skal der forhandles nye overenskomster på de offent-
lige områder, hvilket indebærer, at skønnet for budgetvirkningen i 2024 og 2025 alene er base-
ret på beregningstekniske forudsætninger. Skønnet for budgetvirkningen af den offentlige løn-
udvikling kan ikke tages som et udtryk for rammerne for de offentlige lønstigninger i den kom-
mende OK-periode.
Trepartsaftalen om løn og arbejdsvilkår for offentligt ansatte af 4. december 2023 udmøntes i
forbindelse med overenskomstforhandlingerne i 2024 og frem. Tiltagene implementeres, så de
bidrager til at afhjælpe rekrutteringsudfordringer og understøtter et fleksibelt og dynamisk of-
fentligt arbejdsmarked. For så vidt angår budgetvirkningen for 2024 og 2025 er der taget højde
for den beregningstekniske virkning af udmøntningen af den ekstraordinære ramme til løn og
arbejdsvilkår.
Budgetvirkningen er opgjort til 1,9 pct. i 2022 og skønnes at udgøre 2,4 pct. i 2023. Budgetvirk-
ningen er beregningsteknisk opgjort til at være 4,6 pct. i 2024 og 6,0 pct. i 2025,
jf. tabel 5.1.
122
Økonomisk Redegørelse
December 2023
FIU, Alm.del - 2023-24 - Bilag 68: Økonomisk Redegørelse, december 2023
2798413_0125.png
Kapitel 5
Arbejdsmarkedet
Tabel 5.1
Offentlige og private lønstigninger
Stigning i pct.
Timefortjeneste ekskl. genetillæg (offentlig sektor)
Timefortjeneste ekskl. genetillæg (privat sektor)
Budgetvirkning (offentlig sektor)
Satsreguleringsprocent
2022
2,4
4,0
1,9
1,2
2023
-
4,3
2,4
2,7
2024
-
5,4
4,6
3,2
2025
-
3,4
6,0
4,0
Anm.: For den offentlige sektor er stigningstakterne i timefortjenesten baseret på en sammenvejning af Danmarks Statistiks impli-
citte lønindeks for henholdsvis stat, kommuner og regioner. Der udarbejdes ikke skøn for udviklingen i timefortjenesten i den
offentlige sektor. Budgetvirkningen er baseret på de overenskomstmæssigt aftalte lønstigninger i OK21 inkl. skøn for ud-
møntningen fra reguleringsordningen på baggrund af de skønnede og realiserede offentlige og private lønstigningstakter. I
2024 og 2025 er budgetvirkningen baseret på beregningstekniske forudsætninger.
Kilde: Danmarks Statistik og egne beregninger.
Økonomisk Redegørelse
December 2023
123
FIU, Alm.del - 2023-24 - Bilag 68: Økonomisk Redegørelse, december 2023
2798413_0126.png
FIU, Alm.del - 2023-24 - Bilag 68: Økonomisk Redegørelse, december 2023
2798413_0127.png
Kapitel 6
Udenrigshandel
6. Udenrigshandel
6.1 Eksport
Dansk eksport er fortsat med at vokse igennem 2023. Det er sket på trods af modvind fra ud-
landet, hvor efterspørgslen har været afdæmpet som følge af stramninger af pengepolitikken, de
store udsving i energipriserne og fortsatte konsekvenser af Ruslands krig i Ukraine,
jf. kapitel 7.
Når dansk eksport alligevel står stærkt samlet set, skal det i høj grad ses i sammenhæng med
medicinalindustriens store fremgang de seneste år. Medicinalindustrien afsætter langt største-
delen af sine produkter i udlandet, så væksten har løftet den samlede eksport betydeligt. I store
dele af de øvrige eksportbrancher har udviklingen været svag.
Det ekstraordinære bidrag fra medicinalindustrien til eksporten forudsættes at aftage i 2024,
blandt andet ud fra en antagelse om begrænsede muligheder for kortsigtet kapacitetsudvidelse i
lyset af aktuel fuld kapacitetsudnyttelse. Væksten i den øvrige del af eksportbrancherne ventes
fortsat at være afdæmpet som følge af relativ lav efterspørgsel på især nærmarkederne. Også
tjenesteeksporten ventes at stige mindre i prognoseperioden end de seneste år. Det skal ses i
sammenhæng med et mindre bidrag fra turismen, som er genoprettet efter pandemien, og la-
vere vækst i søtransporten som følge af afdæmpet vækst i verdenshandelen. Til gengæld ventes
eksporten af energi at trække eksportvæksten op i 2024 som følge af genåbningen af Tyrafeltet.
På den baggrund ventes væksten i eksporten at aftage fra 10,8 pct. i 2023 til 4,2 pct. i 2024 og
2,4 pct. i 2025,
figur 6.1.
Figur 6.1
Udsigt til afdæmpning i eksportvæksten
Vækstbidrag, pct.-point
15
Pct.
15
10
10
5
5
0
0
-5
-5
-10
2010 2011 2012 2013 2014 2015 2016 2017 2018 2019 2020 2021 2022 2023 2024 2025
Eksport af varer
Eksport af tjenester
Handelsvægtet BNP (h. akse)
-10
Anm.: Handelsvægtet BNP-vækst er opgjort som et vægtet gennemsnit af BNP-væksten i Danmarks 36 vigtigste samhandelslande
på baggrund af landenes andel af dansk eksport.
Kilde: Danmarks Statistik, IMF World Economic Outlook, oktober 2023 og egne beregninger.
Økonomisk Redegørelse
December 2023
125
FIU, Alm.del - 2023-24 - Bilag 68: Økonomisk Redegørelse, december 2023
2798413_0128.png
Kapitel 6
Udenrigshandel
Bløde indikatorer peger på lavere international efterspørgsel i flere brancher
Den aftagende vækst i udlandet har været ledsaget af en stigende pessimisme blandt industri-
ens eksportvirksomheder. Andelen af virksomheder, der melder om reducerede eksportordrer,
er steget betydeligt siden begyndelsen af 2022 og ligger nu på samme niveau som ved udbrud-
det af coronapandemien,
jf. figur 6.2.
Tendensen er bredt funderet på tværs af industriens
brancher, og inden for fx både træ- og tekstilindustrien er det over halvdelen af virksomhe-
derne, der aktuelt melder om utilstrækkelige ordrebøger.
Denne afdæmpning afspejles også i en historisk høj andel af industrivirksomheder, der ser
mangel på efterspørgsel som den største produktionsbegrænsning. Det omfattede mere end en
tredjedel af virksomhederne i 4. kvartal 2023,
jf. figur 6.3.
Figur 6.2
Reducerede eksportordrer…
Figur 6.3
… og historisk høj mangel på
efterspørgsel i den samlede industri
Pct. af virksomhederne
40
Pct. af virksomhederne
40
Pct. af virksomhederne
80
Pct. af virksomhederne
80
60
60
30
30
40
40
20
20
20
20
10
10
0
2005 2007 2009 2011 2013 2015 2017 2019 2021 2023
Den samlede industri
0
Medicinalindustrien
0
2005 2007 2009 2011 2013 2015 2017 2019 2021 2023
Den samlede industri
0
Medicinalindustrien
Anm.: I figurerne vises den beskæftigelsesvægtede andel af virksomhederne i brancherne, der vurderer, at deres eksportordrebe-
holdning er for små/ikke tilstrækkelig/reducerede henholdsvis andelen, der ser mangel på efterspørgsel som den største
produktionsbegrænsning. Egen sæsonkorrektion.
Kilde: Danmarks Statistik og egne beregninger.
De tynde ordrebøger hos omtrent en tredjedel af industriens virksomheder ventes at resultere i
en begrænset vækst i industrieksporten ind i 2024. Medicinalindustrien har dog fortsat fyldte
ordrebøger. Til gengæld ventes deres produktion begrænset af mangel på materialer og/eller
udstyr, som 80 pct. af medicinalvirksomhederne aktuelt ser som den største produktionsbe-
grænsning.
Afdæmpede vækstudsigter på de nære eksportmarkeder
Den globale økonomi har over de seneste år været stærkt påvirket af flere store, uventede hæn-
delser. Især coronapandemien og Ruslands invasion i Ukraine har sat sine spor, ligesom cen-
tralbankernes stramning af pengepolitikken i kampen mod inflation har dæmpet efterspørgslen
på de danske eksportmarkeder.
126
Økonomisk Redegørelse
December 2023
FIU, Alm.del - 2023-24 - Bilag 68: Økonomisk Redegørelse, december 2023
2798413_0129.png
Kapitel 6
Udenrigshandel
Nærliggende eksportmarkeder som Sverige og Tyskland har haft en særdeles lav vækst i 2023
med negative BNP-vækstrater, og udsigterne for 2024 er også afdæmpede,
jf. figur 6.4.
Både
den svenske og tyske økonomi er særligt påvirkede af de højere renter,
jf. kapitel 7.
Det slår ud i en beskeden eksportmarkedsvækst på 0,3 pct. i 2023, voksende til 2,4 pct. i 2024.
Eksportmarkedsvæksten skønnes at tiltage yderligere i 2025 til 3,1 pct. Det afspejler blandt an-
det en forventning om, at aktiviteten øges i Sverige og Tyskland, og at importvæksten i disse
lande derved vil tiltage. Samlet set skønnes væksten i det handelsvægtede BNP at blive 1,3 pct. i
2023, 1,6 pct. i 2024 og 2,1 pct. i 2025,
jf. figur 6.5.
Figur 6.4
Svag vækst på de nære eksport-
markeder i 2023 og 2024
Pct.
6
Pct.
6
Figur 6.5
Væksten på de danske eksport-
markeder ventes at tiltage i prognoseperioden
Pct.
15
Pct.
15
4
4
10
10
2
2
5
5
0
0
0
0
-2
Tyskland
2023
Sverige
2024
USA
Kina
2025
-2
-5
2010 2012 2014 2016 2018 2020 2022 2024
Handelsvægtet BNP
Eksportmarkedsvækst
-5
Anm.: Eksportmarkedsvæksten er opgjort som et vægtet gennemsnit af importen hos Danmarks 36 vigtigste samhandelslande på
baggrund af landenes andel af dansk industrivareeksport.
Kilde: Danmarks Statistik, IMF World Economic Outlook, oktober 2023 og egne beregninger.
Store dele af dansk industri eksporterer hovedsaligt til de nære eksportmarkeder i Europa. Det
gælder især rå- og mellemvareindustrien, som leverer varer til produktionen i fx Sverige og
Tyskland, og derfor er særligt ramte af den afdæmpede økonomiske udvikling her. Der ventes
derfor en lav eksportvækst i industribrancherne ekskl. medicinalindustrien igennem 2024, som
vil tage til igennem 2025, i takt med at aktiviteten øges på de nære eksportmarkeder. Samlet set
ventes udviklingen i industrieksporten og eksportmarkedsvæksten at resultere i vundne mar-
kedsandele i 2023, som omtrent opretholdes frem mod 2025,
jf. figur 6.6.
Det skal ses i sam-
menhæng med en forbedret lønkonkurrenceevne over de seneste år.
1
Både de vundne markeds-
andele og den forbedrede lønkonkurrenceevne afspejler dog i høj grad udviklingen i medicinal-
industrien, og den øvrige industri ventes omtrent at opretholde de nuværende markedsandele i
prognoseperioden.
1
Se fx Statistikudvalgets Statusrapport, 3. kvartal 2023.
Økonomisk Redegørelse
December 2023
127
FIU, Alm.del - 2023-24 - Bilag 68: Økonomisk Redegørelse, december 2023
2798413_0130.png
Kapitel 6
Udenrigshandel
Figur 6.6
Høj vækst i industrien giver vundne markedsandele i prognoseperioden
Pct.
30
Indeks (2019=100)
130
20
120
10
110
0
100
-10
2015
2016
2017
2018
2019
2020
2021
2022
2023
2024
2025
Industrieksport
Eksportmarkedsvækst
Markedsandele (h. akse)
90
Anm.: Markedsandele er vist som forholdet mellem industrieksport- og eksportmarkedsvæksten.
Kilde: Danmarks Statistik og egne beregninger.
Todelt udvikling i vareeksporten
Den stærke fremgang i medicinalindustrien har øget dansk eksport markant i de seneste år. Det
nøjagtige bidrag fra medicinalindustrien kan dog ikke aflæses i statistikkerne for udenrigshan-
del, da den del af vareeksporten, der forarbejdes i udlandet, ikke brancheopdeles og derfor er
approksimeret,
jf. boks 6.1.
Den samlede vareeksport er steget med 4,0 pct. over det seneste år, hvis man ser bort for ek-
sporten af brændsler og skibe mv. Det skønnes, at uden medicinaleksporten var vareeksporten
faldet næsten 2 pct. over det seneste år,
jf. figur 6.7.
Kombineret med de bløde indikatorer ty-
der det på, at den samlede fremgang i vareeksporten dækker over modsatrettede effekter fra
medicinalindustrien henholdsvis de andre eksportbrancher.
Vækstbidraget fra medicinalindustrien kommer især fra den del af industriens produktion, der
forarbejdes i udlandet. Produktion i udlandet, især fra medicinalindustrien, udgør en større og
større del af den danske økonomi. Mens der er god grund til, at en del af værdiskabelsen fra de
produkter, der har sin endelige produktion i udlandet, knyttes til de danske virksomheder, har
det forskellige forståelsesmæssige udfordringer for de traditionelle makroøkonomiske tal. Det
gør sig blandt andet gældende, når BNP anvendes i vurderingen af kapacitetspresset for den
danske økonomi,
jf. kapitel 2.
128
Økonomisk Redegørelse
December 2023
FIU, Alm.del - 2023-24 - Bilag 68: Økonomisk Redegørelse, december 2023
2798413_0131.png
Kapitel 6
Udenrigshandel
Boks 6.1
Medicinalindustrien har øget sin produktion i udlandet
Medicinalindustrien har bidraget markant til væksten i dansk økonomi over de seneste år. Mens der er har væ-
ret stor fremgang i blandt andet medicinalindustriens produktion og omsætning, har der ikke været en tilsva-
rende stor vækst i eksporten af kemikalier og kemiske produkter, som ellers er den post, medicinalprodukter
som udgangspunkt hører ind under.
Det afspejler, at store dele af den øgede eksportomsætning kommer fra varer, der forarbejdes i udlandet. Salget
af varer, der forarbejdes i udlandet, varegruppeopdeles ikke, men opgøres separat fra fx kemikalier og kemiske
produkter. Det faktiske bidrag fra medicinalindustrien til udenrigshandelen og betalingsbalancen kan derfor
ikke direkte aflæses. I dette kapitel anvendes derfor et approksimativt mål for eksporten af medicinalindustri-
ens udenlandske produktion.
Danmarks Statistik opgør industriens salg på tværs af brancher samt henholdsvis salg af egenproducerede va-
rer og varer produceret af underleverandører, hvor sidstnævnte for industrien omtrent svarer til forarbejdning i
udlandet.
1
Medicinalindustriens andel af varesalg produceret af underleverandører anvendes derved som ap-
proksimation for andelen af salget af varer forarbejdet i udlandet. Medicinalindustriens samlede eksport esti-
meres derefter som summen af kemikalier og kemiske produkter og medicinalindustriens salg af varer forarbej-
det i udlandet.
Medicinalindustrien udgør aktuelt mere end to tredjedele af den samlede industris salg af varer produceret af
underleverandører
jf. figur a.
Den samlede eksport af medicinalvarer er vokset markant over de seneste to år
og i noget højere grad end den del af medicinaleksporten, der krydser grænsen,
jf. figur b.
Andelen af salg af varer, der produceres af underleverandører, anvendes også til at estimere medicinalindustri-
ens andel af bidraget til betalingsbalancen fra forarbejdning af varer i udlandet i afsnit 6.3. Her antages det, at
de direkte omkostninger knyttet til forarbejdning i udlandet følger samme fordeling som salget.
Figur a
Medicinalindustrien udgør størstedelen af
varer, der produceres af underleverandører
Pct. af varer produceret af underleverandører
100
80
60
40
20
0
2021
Medicinal
Legetøj mv.
2022
2023
Vindmøller mv.
Andre brancher
100
80
60
40
20
0
Figur b
Den estimerede medicinaleksport følger
tilnærmelsesvist branchens eksportomsætning
Indeks (2021=100)
190
160
130
100
70
40
2019
2020
2021
2022
2023
Kemikalier og kemiske produkter
Estimeret medicinaleksport
Eksportomsætning
Indeks (2021=100)
190
160
130
100
70
40
Anm.: I figur a indgår andelen af den samlede industris salg af varer produceret af underleverandører for medicinalindustri, fremstil-
ling af motorer, vindmøller og pumper og legetøj, medicinske instrumenter og anden fremstillingsvirksomhed.
1)
Danmarks Nationalbank (2023): Udsigter for Dansk Økonomi, september 2023.
Kilde: Danmarks Statistik og egne beregninger.
Økonomisk Redegørelse
December 2023
129
FIU, Alm.del - 2023-24 - Bilag 68: Økonomisk Redegørelse, december 2023
2798413_0132.png
Kapitel 6
Udenrigshandel
Figur 6.7
Væksten i vareeksporten kommer fra medicinalindustrien
Vækstbidrag, pct.-point
30
20
10
0
-10
-20
2019
2020
Medicinal, produceres i Danmark
Øvrig vareeksport
2021
2022
2023
Medicinal, produceres i udlandet
Samlet vareeksport (h. akse)
Pct. (å/å)
30
20
10
0
-10
-20
Anm.: Se mere om estimeret medicinaleksport produceret i udlandet i boks 6.1. Den samlede og øvrige vareeksport er vist ekskl.
brændsler og skibe mv. Løbende priser.
Kilde: Danmarks Statistik og egne beregninger.
Tilbagegangen i industrien ekskl. medicinal skal – ud over sammensætningen af afsætnings-
lande – ses i sammenhæng med den øvrige industris højere konjunkturfølsomhed. Den globale
varehandel er faldet over det seneste år,
jf. figur 6.8.
Mens skift i den globale handel typisk in-
gen påvirkning har på medicinalindustrien, leder et fald på 1 pct. i verdenshandelen fx historisk
set til et fald på omtrent 1 pct. i eksporten af halvfabrikata,
jf. figur 6.9.
Figur 6.8
Fald i verdenshandelen…
Figur 6.9
… giver som regel fald i industri-
eksporten ekskl. medicinal
Elasticitet
-0,5
Medicin
Kemikalier
ekskl. medicin
Bearbejdede varer
0,0
0,5
1,0
1,5
Indeks (2019=100)
120
110
100
90
80
70
2019
2020
2021
Indeks (2019=100)
120
110
100
90
80
70
2022
2023
Halvfabrikata
Maskiner og
transportmidler
-0,5
0,0
0,5
1,0
1,5
Elasticitet
Anm.: Elasticiteterne er regnet som log-log-regressioner af kvantumindeks for varehandelen for de individuelle industribrancher på
indekset for verdenshandelen og en lineær trendvariabel i perioden januar 2007-september 2023.
Kilde: Danmarks Statistik, Macrobond og egne beregninger.
130
Økonomisk Redegørelse
December 2023
FIU, Alm.del - 2023-24 - Bilag 68: Økonomisk Redegørelse, december 2023
2798413_0133.png
Kapitel 6
Udenrigshandel
6.2 Import
Der anslås at have været en relativ kraftig vækst i importen på 8,0 pct. i år. Det skal ses i lyset af
en fremgang i den samlede efterspørgsel, der primært drives af eksporten. Væksten i den sam-
lede efterspørgsel ventes at aftage igennem prognoseperioden. Det afspejler både en aftagende
vækst i eksporten og et fald i erhvervsinvesteringerne, som typisk har et relativt stort import-
indhold. På den baggrund ventes et fald i importvæksten til 3,0 pct. i 2024 og 3,3 pct. i 2025,
jf.
figur 6.10.
Figur 6.10
Aftagende importvækst i prognoseperioden følger den samlede efterspørgsel
Pct.
20
Pct.
20
10
10
0
0
-10
-10
-20
2005
2007
2009
2011
2013
2015
2017
2019
2021
Import
2023
2025
Samlet efterspørgsel
Kilde: Danmarks Statistik og egne beregninger.
-20
Over de seneste 3 år har der været store forskydninger i sammensætningen af dansk import.
Hvor efterspørgslen blev skubbet mod varer under coronapandemien, har tjenesteimporten si-
denhen fyldt mere og mere. Det gælder også for 2023 som helhed, hvor det især er importen af
tjenester, der trækker væksten i den samlede import,
jf. figur 6.11.
Den nominelle tjenesteimport har i årets ni første måneder været 24,2 pct. større end i samme
periode sidste år, hvis man ser bort fra søtransporten.
2
Næsten en fjerdedel af den stigning
kommer fra importen af forsknings- og udviklingstjenester,
jf. figur 6.12.
Det afspejler blandt
andet et køb af patent i september 2023. Herudover kommer knap en femtedel af fremgangen
fra en normalisering af danskernes turismeforbrug, som er omtrent tilbage på trendudviklingen
før coronapandemien.
Både vare- og tjenesteimporten ventes at vokse relativt svagt igennem 2024, hvor førstnævnte
blandt andet trækkes ned af mindre behov for energiimport i forbindelse med genåbningen af
Tyrafeltet. I 2025 forventes en marginalt større vækst i den samlede efterspørgsel at medføre,
at importen samlet set vil stige en smule mere end året før.
2
Der ses bort fra importen af søtransport, da store udsving i søfragtraterne over de sidste to år har resulteret i store ud-
sving. Inklusiv søtransport er tjenesteimporten steget med 5,9 pct. i forhold til samme periode sidste år. Forskellen afspej-
ler et fald i importen af søtransport på 17,9 pct.
Økonomisk Redegørelse
December 2023
131
FIU, Alm.del - 2023-24 - Bilag 68: Økonomisk Redegørelse, december 2023
2798413_0134.png
Kapitel 6
Udenrigshandel
Figur 6.11
Stor fremgang i tjenesteimporten i
2023…
Vækstbidrag, pct.-point
12
9
6
3
0
-3
-6
2015
2017
2019
Tjenesteimport
Samlet import (h. akse)
2021
2023
Vareimport
2025
Pct.
12
9
6
3
0
-3
-6
Figur 6.12
… skyldes især køb af forsknings-
tjenester og øget turisme
Andre
tjenester
42 pct.
Forskning
mm.
24 pct.
Rejser
17 pct.
Bygge
og anlæg
7 pct.
IT-
tjenester
11 pct.
Anm.: I figur 6.12 vises fordelingen af vækstbidrag til tjenesteimport ekskl. søtransport i løbende priser fra udvalgte tjenester i de
første tre kvartaler af 2023 sammenlignet med samme periode året før.
Kilde: Danmarks Statistik og egne beregninger.
Foruden udviklingen i den samlede efterspørgsel betyder også sammensætningen en del for ud-
viklingen i importen. Historisk har importindholdet været højest i eksporten, hvor omkring
halvdelen af indholdet kommer fra import,
jf. figur 6.13.
I prognoseperioden ventes eksporten
at bidrage med størstedelen af væksten i den samlede efterspørgsel. På den baggrund ventes
importkvoten – som er den andel af den samlede efterspørgsel, der dækkes af import – at stige i
prognoseperioden,
jf. figur 6.14.
Figur 6.13
Importindholdet er størst i eksporten
Pct.
60
Pct.
60
Figur 6.14
Importkvoten ventes at stige
Pct. af samlet efterspørgsel
40
Pct. af samlet efterspørgsel
40
50
50
36
32
36
32
40
40
30
30
28
24
28
24
20
20
10
2000 2003 2006 2009 2012 2015 2018 2021 2024
Eksport
Investeringer
10
Privatforbrug
20
2000 2003 2006 2009 2012 2015 2018 2021 2024
20
Anm.: Figur 6.13 er ekskl. turisters forbrug i Danmark. Importindholdet inkluderer både direkte og estimeret indirekte indhold.
Kilde: Danmarks Statistik og egne beregninger.
132
Økonomisk Redegørelse
December 2023
FIU, Alm.del - 2023-24 - Bilag 68: Økonomisk Redegørelse, december 2023
2798413_0135.png
Kapitel 6
Udenrigshandel
6.3 Betalingsbalancen
Overskuddet på betalingsbalancens løbende poster har været ekstraordinært højt de seneste to
år. Gennem 2022 trak eksporten af søtransport den danske tjenestebalance op på meget høje
niveauer grundet store stigninger i søfragtraterne. Søfragtraterne er sidenhen normaliserede,
og tjenestebalancen er faldet til omtrent niveauet før prisstigningerne. Når den danske beta-
lingsbalance alligevel fortsætter med at være høj, skyldes det især medicinalindustriens store
indtægter fra udlandet.
Medicinalindustrien vurderes samlet set at have øget sit bidrag til overskuddet på handelsba-
lancen inklusiv forarbejdning i udlandet med næsten 3 pct. af BNP over det seneste år. Dette
bidrag ventes at opretholdes igennem prognoseperioden, da det i høj grad skal ses i lyset af
Novo Nordisks nye diabetes- og vægttabsmedicin, der fortsat ventes at være stærkt efter-
spurgte. Ud over medicinalindustriens store indtægter vil bidraget fra energi øges, når Tyrafel-
tet forventeligt genoptager produktionen i 2024 i form af øget nettoeksport af naturgas. Det bi-
drager til et forventet overskud på varebalancen på 6,5 pct. af BNP i 2023, 7,3 pct. af BNP i
2024 og 6,9 pct. af BNP i 2025,
figur 6.15.
De øvrige af betalingsbalancens løbende poster ventes at være på et niveau, der minder om ni-
veauerne inden de store prisudsving i søfragt. Overskuddet på betalingsbalancen skønnes sam-
let set at blive 10,7 pct. af BNP i 2023, 11,8 pct. af BNP i 2024 og 11,1 pct. af BNP i 2025.
Figur 6.15
Stort overskud på betalingsbalancen i prognoseperioden
Pct. af BNP
15
Pct. af BNP
15
10
10
5
5
0
0
-5
2005
2007
2009
Varebalancen
Løbende overførsler
Kilde: Danmarks Statistik og egne beregninger.
-5
2011
2013
2015
2017
Tjenestebalancen
Løbende poster i alt
2019
2021
2023
2025
Løn- og formueindkomst
Økonomisk Redegørelse
December 2023
133
FIU, Alm.del - 2023-24 - Bilag 68: Økonomisk Redegørelse, december 2023
2798413_0136.png
Kapitel 6
Udenrigshandel
Medicinalindustrien holder overskuddet på betalingsbalancen oppe
Normaliseringen af søfragtraterne har betydet, at overskuddet på betalingsbalancen fra sø-
transport er faldet fra 8,0 pct. af BNP i 3. kvartal sidste år til 0,3 pct. af BNP i 3. kvartal i år.
Tjenestebalancen blev yderligere reduceret i 3. kvartal af et køb af patent i udlandet.
Til gengæld har der været en markant vækst i den allerede store medicinalindustri. Det vurde-
res, at handelen med medicinalvarer bidrog med et overskud på 7,2 pct. af BNP i 3. kvartal
2023, hvilket er en stigning på 2,4 pct.-point sammenlignet med sidste år,
jf. figur 6.16.
Figur 6.16
Højt betalingsbalanceoverskud afspejler medicinalindustriens øgede indtjening
Pct. af BNP
20
15
10
5
0
-5
2019
2020
Medicinalindustrien
Indkomst og løbende overførsler
2021
2022
Søtransport
Øvrig handel
Betalingsbalancens løbende poster
2023
Pct. af BNP
20
15
10
5
0
-5
Anm.: Se boks 6.1 for forklaring af skøn for medicinalindustriens bidrag til overskuddet på betalingsbalancen. Betalingsbalance-
overskuddet fra søtransport er regnet som nettoeksporten af søtransport fratrukket importen af bunkring og proviantering.
Kilde: Danmarks Statistik og egne beregninger.
Hvor søtransportens ekstraordinære overskud de seneste år var baseret på midlertidige pris-
stigninger, er den aktuelle udvikling i medicinalbranchens overskud på handelsbalancen i over-
vejende grad baseret på mængdeudviklinger relateret til nye diabetes- og vægttabsmidler,
jf. fi-
gur 6.17 og figur 6.18.
Selvom varebytteforholdet er forbedret, i takt med at energipriserne er
faldet, er priserne på de varer, Danmark importerer, stadig steget noget mere over de seneste
år, end priserne på eksportvarerne. Det skal blandt andet ses i lyset af sammensætningen af
henholdsvis vareimporten og -eksporten. Energi fylder omkring dobbelt så meget i vareimpor-
ten som i vareeksporten, og de store energiprisstigninger har derfor påvirket importpriserne
mere end eksportpriserne.
Derudover er prisen på eksporterede industrivarer ikke steget i samme grad som de industriva-
rer, der importeres. Det skal ses i lyset af, at dansk industrieksport har en relativt lav afhængig-
hed af energi og metaller,
jf. Økonomisk Redegørelse, maj 2022.
Derudover faldt prisen på me-
dicinalindustriens produktion i 2022, hvilket blandt andet kan afspejle et fald i de realiserede
insulinpriser i USA.
3
3
Se fx Novo Nordisk (2023): Annual Report 2022.
134
Økonomisk Redegørelse
December 2023
FIU, Alm.del - 2023-24 - Bilag 68: Økonomisk Redegørelse, december 2023
2798413_0137.png
Kapitel 6
Udenrigshandel
Figur 6.17
Hvor søtransportens overskud på
betalingsbalancen afspejlede prisændringer…
Mia. kr.
160
120
80
40
0
-40
2019
2020
2021
2022
2023
Tjenestebalance
I 2019-priser
Tjenestebytteforhold (h. akse)
Indeks (2019=100)
160
140
120
100
80
60
Figur 6.18
… kommer overskuddet på
varebalancen nu fra mængdeudviklingen
Mia. kr.
80
60
40
20
0
-20
2019
2020
2021
2022
2023
Varebalance
I 2019-priser
Varebytteforhold (h. akse)
Indeks (2019=100)
130
120
110
100
90
80
Kilde: Danmarks Statistik og egne beregninger.
Ser man bort fra medicinalindustriens varer forarbejdet i Danmark og udlandet samt søtrans-
port, er det især merchanting og fødevareeksport, der har bidraget positivt til varebalancen
over de seneste år,
jf. figur 6.19.
4
Merchanting refererer til køb og salg af varer, der ikke krydser
grænsen, og hvor varerne ikke forarbejdes yderligere mellem køb og salg. Det kan både afspejle
engroshandel og danske virksomheders produktion i udlandet,
jf. boks 2.1.
Figur 6.19
Merchanting- og fødevareeksport bidrager positivt til varebalanceoverskuddet
Pct. af BNP
6
4
2
0
-2
-4
2019
2020
Industri ekskl. medicinalindustri
Råstoffer ekskl. energi
Skibe, fly mv.
Kilde: Danmarks Statistik og egne beregninger.
Pct. af BNP
6
4
2
0
-2
-4
2021
2022
2023
Fødevarer
Energi
Varebalance ekskl. søtransport og medicinal
Søtransport er en tjenesteydelse, men da importen af bunkring og proviantering, som er vareimport, indgår i søtranspor-
tens bidrag til betalingsbalancen, trækkes den ud her.
4
Økonomisk Redegørelse
December 2023
135
FIU, Alm.del - 2023-24 - Bilag 68: Økonomisk Redegørelse, december 2023
2798413_0138.png
Kapitel 6
Udenrigshandel
Høj opsparing giver store overskud på betalingsbalancen
Overskud på betalingsbalancen indebærer, at de samlede bruttoopsparinger overstiger investe-
ringerne i realkapital. I 2023 dækker faldet i overskuddet på betalingsbalancens løbende poster
sammenlignet med 2022 over fald i både den samlede opsparing og investeringerne, hvor faldet
i opsparingen har været størst,
jf. figur 6.20.
I 2024 ventes overskuddet på betalingsbalancen
som andel af BNP at øges med 1,1 pct.-point sammenlignet med 2023, hvilket afspejler et for-
ventet fald i især lager- og erhvervsinvesteringerne. I 2025 skønnes et mindre fald i både opspa-
ringen og investeringerne som andel af BNP.
Der ventes betydelige opsparingsoverskud på tværs af sektorerne i prognoseperioden,
jf. figur
6.21.
De finansielle selskabers øgede opsparingsoverskud i 2023 skal blandt andet ses i lyset af
øgede indtægter fra stigende renter. Velpolstrede husholdninger vil også bidrage til opsparings-
overskuddet. De ikke-finansielle selskabers store opsparingsoverskud skal blandt andet ses i
lyset af industriens aktiviteter i udlandet, hvor der kun i begrænset omfang anvendes dansk ka-
pital. Det offentlige opsparingsoverskud ventes i prognoseperioden at falde fra 3,3 pct. af BNP i
2022 til 0,8 pct. af BNP i 2025.
Figur 6.20
Fortsat store opsparingsoverskud …
Pct. af BNP
20
15
10
5
0
-5
Pct. af BNP
40
35
30
25
20
15
2010 2012 2014 2016 2018 2020 2022 2024
Betalingsbalancen
Opsparinger (h. akse)
Investeringer (h. akse)
Figur 6.21
… på tværs af sektorer
Pct. af BNP
20
15
10
5
0
-5
Pct. af BNP
20
15
10
5
0
-5
2019 2020 2021 2022 2023 2024 2025
Offentlig sektor
Husholdninger
Ikke-finansielle selsk.
Finansielle selskaber
Nettofordringserhv.
Kilde: Danmarks Statistik og egne beregninger.
136
Økonomisk Redegørelse
December 2023
FIU, Alm.del - 2023-24 - Bilag 68: Økonomisk Redegørelse, december 2023 FIU, Alm.del - 2023-24 - Bilag 68: Økonomisk Redegørelse, december 2023
2798413_0140.png
FIU, Alm.del - 2023-24 - Bilag 68: Økonomisk Redegørelse, december 2023
2798413_0141.png
Kapitel 7
International økonomi og finansielle markeder
7. International økonomi og
finansielle markeder
7.1 International økonomi
Der er udsigt til forholdsvis svag vækst i den internationale økonomi, og inflationspresset og
presset på arbejdsmarkederne ventes gradvist at aftage. Efter en opbremsning i 2023 ventes der
fortsat relativt svag vækst i BNP i udlandet i 2024 og 2025, hvilket især skyldes effekten af ren-
testigningerne, der dæmper privatforbruget og de private investeringer. På den baggrund skøn-
nes BNP-væksten i den internationale økonomi vægtet efter andelene i Danmarks eksport at
udgøre 1,3 pct. i 2023 og derefter tiltage gradvist til 1,6 pct. i 2024 og 2,1 pct. i 2025. Det er
markant under gennemsnittet for perioden 2000-2019,
jf. figur 7.1.
Inflationen ventes fortsat
at være forhøjet i 2024, men skønnes at nå tilbage til et niveau, der er tæt på centralbankernes
inflationsmålsætninger i 2025.
Der er fortsat betydelige risici relateret til prognosen for udlandet, herunder ikke mindst som
følge af usikkerhed om inflationen og effekten af rentestigninger. Dertil kommer risici relateret
til krigen i Ukraine og situationen i Mellemøsten samt geopolitiske spændinger mellem USA og
Kina. Endvidere er der fortsat risiko for en hårdere opbremsning i den kinesiske økonomi som
følge af tilpasningen i boligbyggeriet og ejendomsbranchen.
Figur 7.1
Svag vækst i den internationale økonomi
Pct.-point
6
4
2
0
-2
-4
-6
2010
2011
2012
2013
2014
2015
2016
2017
2018
2019
2020
2021
2022
Kina
2023
2024
2025
Nordiske lande
EU ekskl. nordiske lande
Storbritannien
USA
Andre lande
Pct.-point
6
4
2
0
-2
-4
-6
Anm.: Den stiplede linje angiver gennemsnittet for perioden 2000-2019.
Kilde: IMF World Economic Outlook, oktober 2023 og egne beregninger.
Økonomisk Redegørelse
December 2023
139
FIU, Alm.del - 2023-24 - Bilag 68: Økonomisk Redegørelse, december 2023
2798413_0142.png
Kapitel 7
International økonomi og finansielle markeder
Forventning om relativt svag fremgang i den internationale økonomi
Der er tydelige tegn på opbremsning i den internationale økonomi. Det gælder især i Europa,
hvor væksten i både euroområdet, Sverige og Storbritannien er aftaget betydeligt i 2023,
jf. fi-
gur 7.2.
Figur 7.2
BNP-væksten er stagneret i de seneste kvartaler i de fleste avancerede økonomier
Pct.
2
Pct
.
2
1
1
0
0
-1
-1
-2
USA
EA
SWE
DEU
GBR
DK
NOR
JAP
3. kvt. 2022 - 1. kvt. 2023
Kilde: Macrobond og egne beregninger.
-2
1. kvt. 2023 - 3. kvt. 2023
Udviklingen har været forskellig på tværs af eurolandene, hvor der især har været en svagere
udvikling i den tyske økonomi. Stagnationen i den tyske økonomi skyldes både en svag udvik-
ling i privatforbruget samt eksporten. Højere renter og en deraf følgende svagere udvikling i de
globale investeringer har en større effekt for den tyske industri, eftersom investeringsgoder ud-
gør en stor del af Tysklands eksport. Samtidig har bilproduktionen i Tyskland udviklet sig me-
get svagt i de forgangne år som følge af forstyrrelser i de globale forsyningskæder samt tab af
markedsandele som følge af øget konkurrence fra blandt andet amerikanske og kinesiske elbil-
producenter.
Derimod har der været kraftig fremgang i Grækenland, Portugal og Spanien i 2023, hvilket
blandt andet kan tilskrives genopretning af turismeerhvervene efter coronapandemien. Således
overgik antallet af turister i euroområdet i sommeren 2023 niveauet fra 2019. Genopretningen
af turismeerhvervene indebærer også, at vækstbidraget herfra i 2024 forventes at blive væsent-
ligt mindre.
Den svage udvikling i den svenske økonomi i 2023 skyldes især en betydelig tilbagegang i pri-
vatforbruget, der er dykket 3,2 pct. siden 1. kvartal 2022,
jf. figur 7.3.
Gennemslaget af rente-
stigningerne er sket hurtigt i Sverige, hvor stort set alle boliglån er variabelt forrentede, og sam-
tidig er husholdningernes gæld på et forholdsvist højt niveau.
I Storbritannien har økonomien også været påvirket af en svag udvikling i husholdningernes
forbrug, hvilket skal ses på baggrund af lavere købekraft. Udviklingen betyder, at privatforbru-
get i Storbritannien stadig er under niveauet fra før coronapandemien.
140
Økonomisk Redegørelse
December 2023
FIU, Alm.del - 2023-24 - Bilag 68: Økonomisk Redegørelse, december 2023
2798413_0143.png
Kapitel 7
International økonomi og finansielle markeder
Figur 7.3
Svag udvikling i privatforbruget i avancerede økonomier
Indeks (4. kvartal 2019=100)
120
Indeks (4. kvartal 2019=100)
120
110
110
100
100
90
90
80
80
70
2017
USA
2018
Euroområdet
2019
2020
Storbritannien
2021
Danmark
2022
Sverige
2023
Japan
70
Anm.: Sæsonkorrigerede nationalregnskabstal. Seneste observation er 3. kvartal 2023.
Kilde: Macrobond og egne beregninger.
Væksten i den amerikanske økonomi har været holdt oppe af fortsat fremgang i husholdninger-
nes forbrug, trods rentestigninger og fortsat høj inflation. Privatforbruget i USA har været un-
derstøttet af et fald i de amerikanske husholdningers opsparingstilbøjelighed,
jf. figur 7.4.
Figur 7.4
Amerikanske forbrugere har reduceret opsparing
Pct. af disponibel indkomst
30
25
20
15
10
5
0
2017
2018
USA
Anm.: De stiplede linjer angiver 2019-gennemsnit.
Kilde: Macrobond og egne beregninger.
Pct. af disponibel indkomst
30
25
20
15
10
5
0
2019
2020
2021
Euroområdet
2022
2023
Det står i kontrast til udviklingen i de europæiske økonomier, hvor husholdningerne i mindre
grad har genvundet forbrugstilbøjeligheden. I euroområdet har opsparingstilbøjeligheden siden
starten af 2020 været over gennemsnittet fra før pandemien. Fremgangen i privatforbruget i
USA ventes også snart at stilne af. Opsparingskvoten er nu på et forholdsvist lavt niveau, og
Økonomisk Redegørelse
December 2023
141
FIU, Alm.del - 2023-24 - Bilag 68: Økonomisk Redegørelse, december 2023
2798413_0144.png
Kapitel 7
International økonomi og finansielle markeder
fortsat forbrugsvækst vil således i stigende grad være afhængig af fremgang i indkomsterne.
Dertil kommer, at den pause på rentebetalinger og afdrag på studiegæld, der blev indført under
coronapandemien ophørte ved indgangen til 4. kvartal i år, hvilket også vil bidrage til at dæmpe
det private forbrug. Derimod ventes væksten i det private forbrug at tage til i euroområdet,
Storbritannien og Sverige, på baggrund af fremgang i de reale lønninger og en fortsat høj be-
skæftigelse. Samtidig har forbrugerne i mange lande en betydelig meropsparing som de kan
trække på,
jf. boks 7.1.
Boks 7.1
Husholdningerne har fortsat en betydelig meropsparing i mange lande
Begrænsninger i forbrugsmulighederne under coronapandemien medførte sammen med betydelige stimulustil-
tag i mange lande, at husholdningerne i 2020 og 2021 opbyggede en betydelig meropsparing. Denne meropspa-
ring har i et vist omfang understøttet privatforbruget og boligmarkedet, da inflationen tog fat. Men der er bety-
delige forskelle i udviklingen på tværs af lande,
jf. figur a.
Således er meropsparingen i en række lande fortsat
over 15 pct. af den disponible indkomst, mens den i USA, Sverige og Danmark er på et noget lavere niveau. Der
er også forskelle i udviklingen i meropsparingen på tværs af lande. I USA, Australien, Italien og Portugal er den
reduceret i det seneste år, mens den i mange lande derimod er øget pga. fortsat høj opsparingstilbøjelighed.
Påvirkningen fra meropsparingen på privatforbruget har været stærkere i USA end i euroområdet. Modelbereg-
ninger fra Den Europæiske Centralbank (ECB) finder en betydeligt højere forbrugseffekt af meropsparingen i
USA end i euroområdet. Det skal ses på baggrund af, at meropsparingen i USA i højere grad har været placeret i
likvide aktiver, mens den i euroområdet i højere grad har været anvendt til anskaffelse af mere illikvide aktiver,
specielt boliger, eller til nedbringelse af gæld.
1
Det kan blandt andet være forårsaget af, at meropsparingen i
USA i højere grad kan tilskrives udbetaling af støttechecks fra den føderale stat, som ikke blev brugt, mens den
i euroområdet i højere grad skyldtes restriktioner i privatforbruget. Samtidig er der tegn på, at det over tid er de
mere velstående husholdninger, der har en resterende meropsparing. Eftersom forbrugstilbøjeligheden er min-
dre for de mere velstående indkomstgrupper, betyder det i kombination med, at meropsparingen i højere grad
er illikvid, at påvirkningen af meropsparingen på forbruget efterhånden er begrænset til mindre end én procent
ifølge en analyse fra ECB.
2
Figur a
Husholdningerne i mange OECD-lande har fortsat en betydelig meropsparing
Pct. af disponibel indkomst
30
25
20
15
10
5
0
IRL CAN ESP AUS JPN
UK
NLD FRA
EA
BEL DEU AUT FIN
ITA USA PRT SWE HUN DK*
2. kvartal 2023
2. kvartal 2022
Pct. af disponibel indkomst
30
25
20
15
10
5
0
Anm.: *For Danmark er der anvendt egne beregninger, som blandt andet tager højde for effekten af udbetalinger af indefrosne fe-
riemidler og skat af disse, jf. figur 3.14.
1)
Battistini m.fl., The consumption impulse from pandemic savings
does the composition matter?, ECB Economic Bulletin nr.
4, april 2023.
2)
Battistini m.fl., Excess savings: To spend or not to spend, ECB Blog, 3. november 2023.
Kilde: OECD Economic Outlook November 2023, Danmarks Statistik og egne beregninger.
142
Økonomisk Redegørelse
December 2023
FIU, Alm.del - 2023-24 - Bilag 68: Økonomisk Redegørelse, december 2023
2798413_0145.png
Kapitel 7
International økonomi og finansielle markeder
Stigningen i renterne har også haft en klar effekt på boliginvesteringerne, der er faldet kraftigt
hen over det seneste år i mange avancerede økonomier,
jf. figur 7.5.
Faldet har især været ud-
talt i de nordiske lande, men der har også været en betydelig tilbagegang i USA, hvor huspri-
serne indtil videre ikke har taget en tilpasning til højere renter.
Erhvervsinvesteringerne påvirkes også af højere renter, og en svagere investeringsrelateret ef-
terspørgsel bidrager også til udsigten til en moderat økonomisk aktivitet i de kommende år.
Forventningen om en svag udvikling i erhvervsinvesteringerne skal også ses på baggrund af, at
kreditstandarderne er strammet siden starten af 2022, ligesom virksomhedernes låneefter-
spørgsel er aftaget markant,
jf. figur 7.6.
Figur 7.5
Boliginvesteringerne er faldet markant
i det seneste år i de fleste lande
Pct. (å/å)
5
0
-5
-10
-15
-20
-25
-30
-35
Pct. (å/å)
5
0
-5
-10
-15
-20
-25
-30
-35
Figur 7.6
Strammere kreditbetingelser og lav
låneefterspørgsel
Indeks
100
80
60
40
20
0
-20
-40
-60
2005
2008
2011
2014
2017
2020
2023
Nettotal
100
80
60
40
20
0
-20
-40
-60
FIN
NOR
EU
SWE
FRA
NLD
ITA
AUT
DEU
USA
ESP
DK
UK
Låneefterspørgsel
Kreditstandarder (h. akse)
Anm.: Figur 7.6 er baseret på data fra IMF World Economic Outlook, hvor IMF har sammenvejet låneefterspørgsel og kreditstan-
darder fra udlånsundersøgelserne fra den amerikanske centralbank og ECB.
Kilde: Macrobond, IMF World Economic Outlook, oktober 2023 og egne beregninger.
Samlet set er der således tale om en tydelig opbremsning i lyset af, at højere renter er slået igen-
nem på økonomien. I 2024 og 2025 ventes væksten i de europæiske økonomier at tage lidt til.
Der ventes således en stigning i væksten i euroområdet fra 0,6 pct. i 2023 til 1,2 pct. i 2024 og
1,6 pct. i 2025, blandt andet drevet af fremgang i det private forbrug. Samtidig skønnes det of-
fentlige forbrug i euroområdet at vokse i 2024 og 2025 efter nulvækst i 2023. I flere europæiske
økonomier understøttes investeringerne også af betydelige udlodninger af den europæiske gen-
opretnings- og resiliensfacilitet (RRF). Således skønner EU-Kommissionen, at udgifter til pro-
jekter finansieret af RRF vil udgøre tæt på eller mere end 3 pct. af BNP i 9 medlemslande i peri-
oden 2021-2025, hvoraf hovedparten udmøntes i 2023-2025. For EU som helhed udgør projek-
ter finansieret af RRF omkring 0,4 pct. af BNP i årene 2023-2025.
I USA ventes væksten derimod at aftage fra 2,5 pct. i 2023 til 1,4 pct. i 2024 og 1,8 pct. i 2025
som følge af lavere vækst i det private og offentlige forbrug.
Økonomisk Redegørelse
December 2023
143
FIU, Alm.del - 2023-24 - Bilag 68: Økonomisk Redegørelse, december 2023
2798413_0146.png
Kapitel 7
International økonomi og finansielle markeder
Blandt de nye vækstøkonomier og udviklingslande har væksten igennem 2023 overordnet set
været forholdsvis robust. Fremgangen ventes at fortsætte i 2024 og 2025, hvor lidt højere vækst
i Afrika og Mellemøsten ifølge IMF opvejer en nedgang i væksten i Asien,
jf. figur 7.7.
Den lidt lavere vækst i Asien skyldes, at væksten i den kinesiske økonomi ventes at aftage i
2024 som følge af bortfald af effekten af genopretningen efter coronanedlukningerne samt ef-
fekten af den strukturelle tilpasning i byggeriet og ejendomsmarkedet. I 3. kvartal 2023 var
ejendomsinvesteringerne således 17 pct. under niveauet på samme tidspunkt året før. Udfor-
dringerne på boligmarkedet og stigende arbejdsløshed er også med til at lægge en dæmper på
væksten i det private forbrug.
Omvendt ventes der fortsat robust fremgang i andre asiatiske vækstøkonomier, herunder In-
dien og Indonesien, som ventes at vokse henholdsvis 6,2 pct. og 5,3 pct. i 2024 ifølge IMF.
Figur 7.7
Fremgang i vækstøkonomier og udviklingslande
Pct.
6
5
4
3
2
1
0
Vækstøkonomier og
udviklingslande
2022
Asien
2023
Latinamerika og
Carribien
Mellemøsten og
Centralasien
2024
Afrika, syd for Sahara
2025
Pct.
6
5
4
3
2
1
0
Kilde: Macrobond og IMF World Economic Outlook, oktober 2023.
Ruslands krig i Ukraine medfører betydelige menneskelige og økonomiske omkostninger. Efter
et fald i BNP på 30 pct. i 2022 ventes Ukraines økonomi kun langsomt at genoprettes. Derfor
yder EU-landene betydelig finansiel og humanitær støtte til Ukraine,
jf. boks 7.2.
144
Økonomisk Redegørelse
December 2023
FIU, Alm.del - 2023-24 - Bilag 68: Økonomisk Redegørelse, december 2023
2798413_0147.png
Kapitel 7
International økonomi og finansielle markeder
Boks 7.2
EU’s økonomiske støtte til Ukraine
Ruslands krig i Ukraine medfører betydelige menneskelige og økonomiske omkostninger. Ukraines økonomi er
og vil fortsat være voldsomt påvirket af krigen,
jf. tabel a.
Samtidig skønnes det, at Ukraine vil have et stort
budgetunderskud og opleve en stor stigning i den offentlige gæld foruden et stort betalingsbalanceunderskud. I
lyset af de vanskelige økonomiske udsigter har IMF skønnet, at den ukrainske stat har et eksternt finansie-
ringsbehov på ca. 76 mia. EUR frem mod 2027. Det bemærkes generelt, at disse skøn er forbundet med stor
usikkerhed og i høj grad vil afhænge af udviklingen i krigen i Ukraine.
EU og dets medlemslande har ydet betydelig finansiel og humanitær støtte til Ukraine. Ifølge Kommissionen
havde EU og dets medlemslande i oktober 2023 ydet finansiel og humanitær støtte på omkring 40,5 mia. EUR,
hvoraf størstedelen af støtten (25,2 mia. EUR) udgøres af EU’s makrofinansielle assistance (MFA) i form af lån
på meget lempelige vilkår, som ventes fuldt udbetalt ved udgangen af 2023. Dertil kommer bilateral støtte fra
medlemslandene, humanitær bistand samt lån og garantier fra Den Europæiske Investeringsbank (EIB) og Den
Europæiske Udviklingsbank for Genopbygning og Udvikling (ERBD).
Derudover har EU-Kommissionen i juni 2023, som led i midtvejsevalueringen af EU’s flerårige finansielle
ramme (MFF), fremsat forslag om en Ukraine-facilitet. Forslaget skal vedtages af Rådet og Europa-Parlamen-
tet. Ukraine-faciliteten skal ifølge forslaget yde finansiel assistance til Ukraine på 50 mia. EUR i årene 2024-
2027 og bidrage til at dække Ukraines finansieringsbehov, fremme reformer af den offentlige og private sektor
og understøtte Ukraines vej mod et fremtidigt EU-medlemskab. Faciliteten skal yde både lån og ikke-tilbagebe-
talingspligtig finansiel støtte (fx tilskud og hensættelser til tab på garantier).
Lån og anden finansiel støtte vil blive tildelt under tre overordnede formål (søjler):
Søjle I (Ukraine-plan): Skal yde lån og anden finansiel støtte til Ukraine på baggrund af Ukraines gennem-
førelse af en samlet plan (Ukraine-planen) for reformer inden for offentlig forvaltning, retssystemet, be-
kæmpelse af korruption og hvidvask samt økonomiske reformer på en række områder.
Søjle II (Investeringsramme for Ukraine): Skal understøtte private og offentlige investeringer i Ukraine
gennem garantistillelse mv.
Søjle III (Teknisk bistand og øvrig støtte): Har til formål at yde teknisk bistand mhp. tilpasning til EU-
standarder og derved understøtte et fremtidigt EU-medlemskab. Søjlen skal derudover dække renteudgif-
ter frem til 2027 i forbindelse med EU-lån til Ukraine, såfremt Ukraine anmoder herom.
Det er en betingelse for den finansielle assistance, at Ukraine respekterer grundlæggende rettigheder som de-
mokrati, retsstat og samtidig garanterer respekt for menneskerettighederne, herunder minoriteters rettigheder.
Sideløbende med den finansielle og humanitære støtte har EU ydet militær støtte via Den Europæiske Fredsfa-
cilitet, mens EU-landene også har ydet bilateral militær støtte. Den samlede militære støtte fra EU og EU-lan-
dene udgør 27 mia. euro. Danmark har siden starten af krigen ydet i alt 20,5 mia. kr. (ca. 2,75 mia. euro) i mili-
tær bistand til Ukraine.
Tabel a
Økonomiske nøgletal for Ukraine 2021-2027
2021
Realvækst i BNP (pct.)
Offentlig saldo (pct. af BNP)
Offentlig saldo u. tilskud (pct. af BNP)
1,2
Offentlig gæld (pct. af BNP)
Betalingsbalance (pct. af BNP)
Finansieringsgab (mia. euro)
2
1)
Baseret på IMF’s landerapport for Ukraine, marts 2023.
2)
Tilskud fra eksterne parter.
Kilde: IMF, World Economic Outlook, oktober 2023.
2022*
-29,1
-15,7
-26,5
78,5
5,0
2023*
2,0
-19,1
-28,2
88,2
-5,7
2024*
3,2
-17,8
-21,7
98,6
-7,2
35,9
2025*
6,5
-9,6
-12,1
100,7
-7,1
21,9
2026*
5,0
-5,3
-6,5
99,5
-6,1
13,4
2027*
4,0
-3,8
-4,6
98,4
-3,4
4,8
3,4
-4,0
-4,0
48,9
-1,6
Økonomisk Redegørelse
December 2023
145
FIU, Alm.del - 2023-24 - Bilag 68: Økonomisk Redegørelse, december 2023
2798413_0148.png
Kapitel 7
International økonomi og finansielle markeder
Inflationen er på vej ned
Forventningen om en blød landing skal ses på baggrund af et gradvist aftagende inflationspres i
de avancerede økonomier. I USA er inflationen målt ved deflatoren for det private forbrug, som
er den amerikanske centralbanks foretrukne inflationsmål, aftaget til 3,0 pct. i oktober,
jf. figur
7.8.
Nedgangen i inflationen skal ses på baggrund af, at effekten fra stigninger i energipriserne
er faldet bort og delvist reverserede. Derimod har prisudviklingen på tjenesteydelser været
mere træg, og inflationen i tjenestepriserne er således faldet i mindre grad.
Det er naturligt, at priserne på tjenesteydelser i en periode vokser mere end priserne på varer,
hvis inflationen overvejende skyldes, at udbud og efterspørgsel kun har været påvirket af mid-
lertidige forhold, som har spredt sig til varer og tjenester med forskellig hastighed,
jf. kapitel 3.
Samtidig skal den mere vedvarende kerneinflation ses på baggrund af, at huslejeudviklingen
først slår igennem med en vis forsinkelse.
1
Kerneinflationen er derfor aftaget langsommere,
men er dog også faldet i 10 ud af de 12 seneste måneder.
I euroområdet har udsving i energipriserne haft en større betydning for inflationen, og fald i
energipriserne siden midten af 2022 har betydet, at inflationen er aftaget hurtigt i det seneste
halve år, til 2,4 pct. i november 2023,
jf. figur 7.9.
Kerneinflationen i euroområdet begyndte
først at vende i sensommeren, men er aftaget de seneste fire måneder til 3,6 pct. i november.
Figur 7.8
Inflationen i USA er aftaget
Pct. (å/å)
12
10
8
6
4
2
0
-2
2000
2004
2008
2012
2016
2020
Inflation
Kerneinflation
Pct. (å/å)
12
10
8
6
4
2
0
-2
Figur 7.9
Inflationen falder også i euroområdet
Pct. (å/å)
12
10
8
6
4
2
0
-2
2000
2004
2008
2012
2016
2020
Inflation
Kerneinflation
Pct. (å/å)
12
10
8
6
4
2
0
-2
Anm.: Inflationen i USA er opgjort ved deflatoren for det private forbrug, mens det for euroområdet er opgjort på baggrund af det
EU-harmoniserede forbrugerprisindeks.
Kilde: Macrobond, Federal Reserve Board of Governors, ECB og egne beregninger.
Den højere prisudvikling på tjenesteydelser skal især ses på baggrund af, at lønudviklingen også
fortsat er på et højere niveau,
jf. figur 7.10.
Stigningen i lønomkostningerne afspejler en fortsat
høj efterspørgsel efter arbejdskraft og lav ledighed og et vist behov for genopretning af reale
lønninger efter en periode med meget højere inflation. En lønudvikling på de nuværende vækst-
rater vil ikke være forenelig med en inflation på 2 pct. på længere sigt, set i lyset af at produkti-
vitetsvæksten strukturelt fortsat vurderes at være på et moderat niveau. Der er dog tegn på, at
1
Jf. Økonomisk Redegørelse, marts 2023.
146
Økonomisk Redegørelse
December 2023
FIU, Alm.del - 2023-24 - Bilag 68: Økonomisk Redegørelse, december 2023
2798413_0149.png
Kapitel 7
International økonomi og finansielle markeder
temperaturen på arbejdsmarkedet er aftagende. I USA er ledigheden eksempelvis steget en
smule siden sommeren,
jf. figur 7.11.
Samtidig er stigningstakten i beskæftigelsen aftaget bety-
deligt i USA, selvom den fortsat er på et pænt niveau i forhold til befolkningsudviklingen.
Figur 7.10
Stigning i lønomkostninger er på et
højere niveau
Pct. (å/å)
8
7
6
5
4
3
2
1
0
2015 2016 2017 2018 2019 2020 2021 2022 2023
USA
Euroområdet
Pct. (å/å)
8
7
6
5
4
3
2
1
0
Figur 7.11
Ledigheden viser tegn på vending på
arbejdsmarkedet
Pct. af arbejdsstyrken
16
14
12
10
8
6
4
2
0
2015 2016 2017 2018 2019 2020 2021 2022 2023
USA
Euroområdet
Pct. af arbejdsstyrken
16
14
12
10
8
6
4
2
0
Kilde: Macrobond og egne beregninger.
På baggrund af effekten af de pengepolitiske stramninger er der forventninger om, at inflatio-
nen vil nå ned omkring 2 pct. i 2025. De seneste prognoser for euroområdet udarbejdet af in-
ternationale institutioner og markedsdeltagere peger således på, at selvom inflationen fortsat
ventes at være forhøjet i 2024, vil inflation lande tæt på 2 pct. i 2025,
jf. figur 7.12.
Figur 7.12
Inflationen i euroområdet ventes at nå ned omkring 2 pct. i 2025
Pct.
6
5
4
3
2
1
0
OECD (november)
EU (november)
Survey of
Professional
Forecasters
(oktober)
2024
Consensus
Economics
(oktober)
IMF(oktober)
ECB (september)
Pct.
6
5
4
3
2
1
0
2023
Kilde: Macrobond.
2025
Økonomisk Redegørelse
December 2023
147
FIU, Alm.del - 2023-24 - Bilag 68: Økonomisk Redegørelse, december 2023
2798413_0150.png
Kapitel 7
International økonomi og finansielle markeder
Renterne har toppet men forventes kun at falde gradvist
Den amerikanske centralbank (Federal Reserve) og Den Europæiske Centralbank (ECB) satte
begge renterne op på deres møder i september, mens de på de seneste rentemøder i starten af
november fastholdt renterne uændret. Centralbankerne har også tilkendegivet, at de vurderer,
de pengepolitiske renter nu er på et stramt niveau, og dermed at pengepolitikken bidrager til, at
inflationen vil vende tilbage til målsætningen. Forventningen indpriset i de finansielle marke-
der var i slutningen af november, at Federal Reserve ikke vil sætte renterne yderligere op, men
gradvist reducere de pengepolitiske renter i 2024 og 2025,
jf. figur 7.13.
Figur 7.13
Forventning om pengepolitiske
rentenedsættelser i USA i 2024 og 2025
Pct
.
6
5
4
3
2
1
0
2017
2019
2021
2023
2025
Futures
Federal Funds target rate
Kilde: Macrobond og egne beregninger.
Figur 7.14
I euroområdet forventes renterne
også at falde
Pct.
6
5
4
3
2
1
0
Pct.
5
4
3
2
1
0
-1
2017
2019
2021
2023
2025
Futures
Euribor 3 mdr.
Pct.
5
4
3
2
1
0
-1
I euroområdet ventes der også pengepolitiske rentenedsættelser i 2024 og 2025, hvilket inde-
bærer, at den korte pengemarkedsrente i euroområdet ventes at falde omkring 1 pct.-point frem
mod udgangen af 2025,
jf. figur 7.14.
Ud over ændringer i de pengepolitiske renter vil ECB også reducere beholdningen af opkøbte
statsobligationer, hvilket vil bidrage til at mindske likviditetsoverskuddet. ECB har også overve-
jet at hæve bankernes reservekrav, hvilket ligeledes vil bidrage til at mindske overskudslikvidi-
teten. En lavere overskudslikviditet i euroområdet vil medføre, at pengemarkedsrenterne redu-
ceres i lidt mindre grad end de pengepolitiske renter. Samtidig ventes ECB at reducere behold-
ningerne af opkøbte obligationer, hvilket vil bidrage til at understøtte de lange renter lidt, da
nettoudbuddet af statsobligationer vil stige.
Selvom de pengepolitiske renter forventes at have toppet, er de lange renter generelt steget lidt
igennem 2023, hvilket blandt andet ses i renterne på 10-årige statsobligationer,
jf. figur 7.15.
De højere lange renter skal ses på baggrund af, at de pengepolitiske renter er steget i højere
grad end investorerne tidligere forventede og samtidig forventes at forblive højere i en længere
periode.
148
Økonomisk Redegørelse
December 2023
FIU, Alm.del - 2023-24 - Bilag 68: Økonomisk Redegørelse, december 2023
2798413_0151.png
Kapitel 7
International økonomi og finansielle markeder
Figur 7.15
De lange renter er steget igennem
2023…
Pct.
6
Pct.
6
Figur 7.16
… som følge af højere løbetids-
præmier
Pct.-point
1
Pct.-point
1
4
4
0
0
2
2
-1
-1
0
0
-2
-2
-2
2015 2016 2017 2018 2019 2020 2021 2022 2023
Danmark
Tyskland
USA
-2
Japan
-3
2015 2016 2017 2018 2019 2020 2021 2022 2023
NY Fed
Kim-Wright
-3
D'Amico m.fl.
Anm.: I figur 7.15 vises renterne på 10-årige statsobligationer. I figur 7.16 vises den estimerede løbetidspræmie i amerikanske 10-
årige statsobligationer fra forskellige modeller fra den amerikanske centralbank. Løbetidspræmien er den præmie, som en
investor skal have for at investere i obligationer med 10-årig løbetid relativt til obligationer med kort løbetid som følge af, at
renterne kan ændre sig over tid. Løbetidspræmien er ikke direkte observerbar, men estimeres på baggrund af makroøkono-
miske og finansielle variable.
Kilde: Macrobond.
Samtidig afspejler udviklingen, at investorer nu kræver en højere præmie for at investere i obli-
gationer med længere løbetid end tidligere,
jf. figur 7.16.
Det skyldes, at investorerne skal kom-
penseres for den højere usikkerhed, der nu er forbundet med renteudviklingen på længere sigt,
blandt andet som følge af usikkerhed om det naturlige renteniveau i økonomien.
2
En medvirkende årsag til stigningen i de lange renter kan også findes i den japanske central-
banks justeringer i sin styring af de lange renter i Japan. Siden 2016 har den japanske central-
bank (Bank of Japan) igennem obligationsopkøb søgt at holde renten på 10-årige japanske
statsobligationer på omkring 0,0 pct., men centralbanken har siden sommeren løsnet op for
denne målsætning. Senest udtalte Bank of Japan, at den nu betragter det øvre bånd på 1 pct.
som et referenceniveau.
7.2 Finanspolitikken strammes lidt
Efter betydelige finanspolitiske støttetiltag under coronapandemien er finanspolitikken gene-
relt blevet strammet fra 2021 til 2023. Således er de strukturelle underskud reduceret i de stør-
ste avancerede økonomier, og udviklingen ventes at fortsætte i 2024,
jf. figur 7.17.
De lavere
strukturelle underskud betyder, at finanspolitikken overordnet set er med til at understøtte
pengepolitikken i forhold til at reducere inflationen, da det bidrager til, at efterspørgslen redu-
ceres. I USA forventes underskuddet mindsket i 2024 blandt andet som følge af reduktioner i
udgifterne som led i aftaler om forhøjelse af det føderale gældsloft.
2
Det naturlige niveau for renten er det niveau for realrenten, det vil sige den nominelle rente fratrukket den forventede
inflation, der bringer den faktiske aktivitet på linje med det strukturelle niveau (stabil løn- og prisudvikling), jf. blandt an-
det Adolfsen og Pedersen, 2019, Det naturlige renteniveau i Danmark er faldet, Analyse nr. 13, Danmarks Nationalbank.
Økonomisk Redegørelse
December 2023
149
FIU, Alm.del - 2023-24 - Bilag 68: Økonomisk Redegørelse, december 2023
2798413_0152.png
Kapitel 7
International økonomi og finansielle markeder
Figur 7.17
Lidt strammere finanspolitik i prognoseperioden
Pct. af potentielt BNP
0
-2
-4
-6
-8
-10
-12
-14
2015
2016
OECD-lande
2017
2018
2019
2020
2021
Storbritannien
2022
2023
USA
2024
2025
Japan
Euroområdet
Pct. af potentielt BNP
0
-2
-4
-6
-8
-10
-12
-14
Anm.: I figuren vises det underliggende (strukturelle) underskud på de offentlige finanser i pct. af potentielt BNP som estimeret af
OECD.
Kilde: Macrobond og OECD, Economic Outlook, november 2023.
I EU var underskuddet på den faktiske saldo 3,3 pct. af BNP i 2022, og det skønnes at udgøre
henholdsvis 3,2 pct. af BNP i 2023 og 2,8 pct. af BNP i 2024,
jf. figur 7.18 og 7.19.
Underskud-
dene er således fortsat høje i mange EU-lande sammenlignet med i 2019, før covid-19, hvor det
gennemsnitligt i EU lå på 0,5 pct. af BNP. For 13 af EU-landene skønnes underskuddet på den
faktiske saldo i 2023 således at overskride EU-reglernes grænse på 3 procent af BNP.
De betydelige underskud og manglende eller begrænsede finanspolitiske forbedringer i de sene-
ste år står i kontrast til en generel anbefaling fra Kommissionen om at føre mere tilbagehol-
dende finanspolitik, og derved nedbringe holdbarhedsrisici. EU’s finanspolitiske regler har reelt
været sat ud af kraft siden 2020, hvor man aktiverede den generelle undtagelsesklausul, som
dog ikke vil finde anvendelse i 2024. EU’s økonomi- og finansministre forhandler aktuelt om en
reform af EU’s finanspolitiske regler med henblik på, at de nye regler kan træde i kraft i 2024.
3
Der er dog betydelig forskel mellem EU-landene. Flere nordeuropæiske lande har til en vis grad
konsolideret finanspolitikken efter covid-19, mens det i mindre grad har været tilfældet i Syd-
europa. Grækenland er dog en undtagelse i denne sammenhæng. Hvis der ses bort fra 2020 og
2021, hvor covid-19 medførte store underskud i de fleste lande, har Grækenland haft overskud
på den primære faktiske saldo i alle år siden 2016. De styrkede græske offentlige finanser har
medført, at Grækenlands kreditvurdering i oktober 2023 blevet hævet af Standard & Poor’s.
4
Boks 7.2 i Økonomisk Redegørelse, august 2023 beskriver EU-Kommissionens forslag, som danner grundlag for forsla-
get.
4
Grækenland havde i kølvandet på finanskrisen massive finanspolitiske udfordringer, blandt andet understreget af et un-
derskud på den primære faktiske saldo på over 9 pct. af BNP i 2013, samt et gældsniveau der bevægede sig mod 200 pct. af
BNP. Den græske regering har dog som led i EU’s og IMF’s låneprogrammer gennemført en række reformer og finanspoli-
tiske forbedringer, som samlet set har bidraget til en markant styrkelse af de offentlige finanser.
3
150
Økonomisk Redegørelse
December 2023
FIU, Alm.del - 2023-24 - Bilag 68: Økonomisk Redegørelse, december 2023
2798413_0153.png
Kapitel 7
International økonomi og finansielle markeder
Figur 7.18
Nominel offentlig saldo, EU-lande der
overholder grænsen på 3 pct. af BNP
Pct. af BNP
6
4
2
0
-2
-4
-6
-8
SWE
GRC
NLD
LTU
LUX
FIN
PRT
DEU
CYP
HRV
AUT
EST
IRL
DK
Figur 7.19
Nominel offentlig saldo, EU-lande der
ikke overholder grænsen på 3 pct. af BNP
Pct. af BNP
6
4
2
0
-2
-4
-6
-8
2023
2024
2019
3 pct. grænse
ROU
SVN
EU
CZE
FRA
ESP
ITA
SVK
LVA
EA
MLT
BGR
HUN
POL
BEL
Pct. af BNP
6
4
2
0
-2
-4
-6
-8
2023
2024
2019
3 pct. grænse
Pct. af BNP
6
4
2
0
-2
-4
-6
-8
Anm.: Figur 7.18 viser lande som overholder kravet om, at underskuddet ikke må overstige 3 pct. af BNP, mens figur 7.19 viser
lande, som ikke overholder kravet.
Kilde: EU-Kommissionens efterårsprognose 2023.
Den offentlige bruttogæld blev for de fleste EU-lande øget betydeligt under coronapandemien,
men er som andel af BNP i de efterfølgende år reduceret betydeligt, og udviklingen skønnes ge-
nerelt at fortsætte i 2024 ifølge EU-Kommissionen,
jf. figur 7.20 og 7.21.
Reduktionen i den of-
fentlige gældskvote skyldes dog hovedsageligt, at den forhøjede inflation øger BNP i løbende
priser, og mange lande har fortsat betydelige offentlige underskud. Samtidig er der stadig
mange EU-lande, som har en offentlig bruttogæld, der overskrider grænsen på 60 pct. af BNP i
EU's finanspolitiske regelsæt. I USA og Storbritannien er den offentlige gæld også steget med
mere end 10 pct. af BNP siden 2019, og ventes at stige yderligere frem mod 2025 som følge af
store budgetunderskud.
Den høje offentlige gæld i mange EU-lande samt USA og Storbritannien medfører en udfor-
dring for de offentlige finanser, set i lyset af at de højere renter medfører markante stigninger i
de offentlige renteudgifter. Renteudgifterne udgjorde i 2022 gennemsnitligt 1,6 pct. af BNP i
EU, og denne andel skønnes ifølge EU-Kommissionen at stige til 2,0 pct. af BNP i 2025. Sti-
gende renteudgifter øger dermed presset på de offentlige finanser. Samtidig betyder store un-
derskud og en høj offentlig gæld, at der kun er et begrænset finanspolitisk råderum til at hånd-
tere fremtidige chok til økonomien. Derfor opfordrer de internationale organisationer med-
lemslandene til at tilvejebringe finanspolitisk råderum ved at sikre en holdbar udvikling i de of-
fentlige finanser.
Økonomisk Redegørelse
December 2023
151
FIU, Alm.del - 2023-24 - Bilag 68: Økonomisk Redegørelse, december 2023
2798413_0154.png
Kapitel 7
International økonomi og finansielle markeder
Figur 7.20
EU-lande med en offentlig bruttogæld
under 60 pct. af BNP
Pct. af BNP
200
160
120
80
40
0
Pct. af BNP
200
160
120
80
40
0
Figur 7.21
EU-lande med en offentlig bruttogæld
over 60 pct. af BNP
Pct. af BNP
200
160
120
80
40
0
Pct. af BNP
200
160
120
80
40
0
LTU
SWE
ROU
LVA
BGR
IRL
NLD
CZE
SVK
LUX
EST
DK
MLT
POL
2023
2024
2019
60 pct. grænse
Kilde: EU-Kommissionens efterårsprognose 2023.
7.3 Risici
Den internationale økonomiske udvikling igennem 2023 peger på, at risikoen for en hård øko-
nomisk opbremsning i verdensøkonomien er mindsket. Vækstprognoserne for 2023 er generelt
blevet justeret op, og inflationen har vist en klar nedadgående tendens. Det peger samlet set i
retning af, at tilpasningen i den internationale økonomi til højere renter er sket mere smertefrit
end tidligere antaget, ligesom den høje inflation ikke har givet udslag i selvforstærkende pris-
løn spiraler og behov for yderligere rentestigninger. Samlet set tegner der sig derfor et billede af
en blød landing i verdensøkonomien.
Konjunkturudsigterne er dog fortsat præget af en betydelig grad af usikkerhed, og der er en
række faktorer, der kan påvirke udviklingen i forhold til det grundforløb for den internationale
økonomi fra IMF, som den indeværende prognose er baseret på.
Et forhold, der vil kunne føre til højere vækst på kort sigt, er en stærkere end indregnet frem-
gang i det private forbrug samt virksomhedernes investeringer. Som nævnt ovenfor har hus-
holdningerne i mange lande opbygget en betydelig meropsparing siden starten af coronapande-
mien,
jf. boks 7.2.
Samtidig er opsparingstilbøjeligheden fortsat på et højt niveau i flere økono-
mier. Derfor har husholdningerne på kortere sigt mulighed for at øge forbruget mere, end der
er indregnet i prognoserne fra de internationale organisationer. En stærkere udvikling i den
private efterspørgsel vil dog alt andet lige øge inflationspresset.
En væsentlig kilde til usikkerhed om vækstudsigter er inflationsudviklingen, som trods den af-
tagende tendens fortsat udgør et stort usikkerhedsmoment. En hurtigere end ventet nedgang i
inflationen som følge af aftagende pres på forsyningskæder og arbejdsmarkederne samt lavere
energipriser vil kunne løfte væksten.
152
Økonomisk Redegørelse
December 2023
HRV
DEU
SVN
HUN
FIN
AUT
CYP
EU
EA
PRT
BEL
ESP
FRA
ITA
GRC
2023
2024
2019
60 pct. grænse
FIU, Alm.del - 2023-24 - Bilag 68: Økonomisk Redegørelse, december 2023
2798413_0155.png
Kapitel 7
International økonomi og finansielle markeder
Den positive vækstimpuls vil især ske som følge af et løft af husholdningernes reale indkomster
samt muligheden for, at centralbankerne tidligere end ventet vil kunne påbegynde pengepoliti-
ske rentenedsættelser. Ifølge beregninger fra IMF vil en hurtigere end indregnet normalisering
af de relative priser mellem varer og tjenesteydelser kunne øge BNP-væksten over de næste to
år med omtrent 0,4 pct.-point,
jf. figur 7.22.
Figur 7.22
IMF risikoscenarier
Pct.-point
0,6
0,4
0,2
0,0
-0,2
-0,4
-0,6
Lavere inflation
Verden
Lavere vækst i Kina
Avancerede økonomier
Pct.-point
0,6
0,4
0,2
0,0
-0,2
-0,4
-0,6
Anm.: Figuren er baseret på IMF’s scenarieberegninger i deres seneste prognose fra oktober (boks 1.2). Figuren viser forskellen i
BNP-niveau i 2025 i forhold til IMF’s prognose fraregnet effekten på 2023.
Kilde: IMF, World Economic Outlook, oktober 2023.
Omvendt er der fortsat risiko for, at inflationen viser sig mere sejlivet end forventet, hvilket vil
indebære, at de pengepolitiske renter forbliver på et højere niveau i længere tid end forventet
eller sågar forhøjes yderligere. Det vil have afledte effekter på de finansielle markeder, med fald
i aktiekurser og stigende risikopræmier og yderligere stramninger i lånevilkår. Dertil kommer,
at husholdningernes reale indkomster vil udvikle sig svagere som følge af højere end forventede
prisstigninger.
Usikkerhed om energipriserne udgør fortsat en risiko i forhold til konjunkturbilledet i Europa.
Mildt vejr i starten af fyringssæsonen i forhold til årstiden og stigende import af flydende natur-
gas (LNG) har sammen med reduktioner i efterspørgslen ført til, at naturgaslagrene er næsten
fyldte. I tilfælde af forstyrrelser i forsyningerne og meget hårdt vintervejr er der dog ifølge IEA
fortsat risiko for pludselige stigninger i priserne, hvilket vil slå igennem på priserne på elektrici-
tet.
Set i lyset af den forholdsvis moderate opbremsning trods de ret betydelige rentestigninger si-
den 2022 er der endvidere usikkerhed om størrelsesordenen af den fulde effekt af højere renter,
som først viser sig med nogen forsinkelse. I mange lande er højere renter ikke slået fuldt igen-
nem på virksomhedernes og husholdningernes renteudgifter, og samtidig er bankernes udlåns-
standarder løbende blevet strammet i 2022 og 2023. Det indebærer en risiko for en forsinket
konjunkturdæmpende effekt i forhold til hvad der er lagt til grund i skønnene for udviklingen i
den internationale økonomi.
Økonomisk Redegørelse
December 2023
153
FIU, Alm.del - 2023-24 - Bilag 68: Økonomisk Redegørelse, december 2023
2798413_0156.png
Kapitel 7
International økonomi og finansielle markeder
Risikobilledet præges også af tilpasningen af ubalancer i den kinesiske økonomi. Efter mange år
med meget høj vækst i boligbyggeriet er der siden 2021 sket en hård opbremsning. Således er
boligbyggeriet gået markant tilbage, og boligpriserne er faldet,
jf. figur 7.23.
Figur 7.23
Dyb nedgang på det kinesiske ejendomsmarked
Pct. (å/å)
60
40
20
0
-20
-40
-60
2007
2009
2011
2013
2015
2017
2019
2021
2023
Ejendomme under opførelse
Kilde: Macrobond og egne beregninger.
Pct. (å/å)
12
8
4
0
-4
-8
-12
Påbegyndt byggeri
Boligpriser (h. akse)
Tilbagegangen i byggeriet lægger en betydelig dæmper på væksten i den kinesiske økonomi, ef-
tersom ejendomsinvesteringer fortsat udgør en betydelig andel af økonomien. Samtidig udgør
boligformuen størstedelen af mange kinesiske husholdningers formue, og tilbagegangen på bo-
ligmarkedet bidrager sammen med stigende arbejdsløshed til øget tilbageholdenhed blandt de
kinesiske forbrugere. En lavere end ventet fremgang i den kinesiske økonomi vil have betyd-
ning for væksten i den internationale økonomi. Ifølge beregninger fra IMF vil en nedgang i pri-
vatforbruget og investeringerne, som reducerer BNP i Kina i forhold til udviklingen i IMF’s
prognose med 1,6 pct., indebære en vækstnedgang i de avancerede økonomier fra 2023 frem
mod 2025 på 0,2 pct.-point, mens der er en mere betydelig effekt for de nye vækstøkonomier,
jf. figur 7.22.
En anden risikofaktor i forhold til vækstudsigterne relaterer sig til udviklingen i den internatio-
nale handel. De seneste 10 år har budt på øgede restriktioner for handel og investeringer på
tværs af landegrænser samt tendens til fragmentering af den internationale økonomi efter Rus-
lands invasion af Ukraine og stigende handelsspændinger mellem USA og Kina,
jf. boks 7.3.
En
pludselig intensivering af denne fragmentering eller af spændingerne mellem USA og Kina vil
kunne påvirke den internationale økonomi negativt. Mindre international arbejdsdeling og
handel på tværs af landegrænser vil alt andet lige dæmpe velstandsudviklingen.
5
Men en plud-
selig fragmentering vil også kunne have betydning for konjunkturbilledet på kort sigt. Forstyr-
relser i de globale værdikæder vil svække konjunkturudsigterne som følge af lavere produktion
og indkomster samt højere priser.
5
Se blandt andet kapitel 2, Økonomisk Redegørelse, august 2017.
154
Økonomisk Redegørelse
December 2023
FIU, Alm.del - 2023-24 - Bilag 68: Økonomisk Redegørelse, december 2023
2798413_0157.png
Kapitel 7
International økonomi og finansielle markeder
Boks 7.3
Geoøkonomisk fragmentering
Globaliseringen er bremset op efter finanskrisen, og de seneste ti år har budt på en stor stigning i antallet af nye
handelsrestriktioner,
jf. figur a.
Opbremsningen i globaliseringen har ført til, at den internationale varehandel
som andel af BNP er stagneret.
Samtidig er strukturen i de globale værdikæder under forandring. Blandt andet har Kina øget andelen af egen-
produktionen af varer som indgår i produktionen frem for at importere dem. Endvidere har industripolitik,
især inden for halvlederindustrien, fået øget opmærksomhed som et centralt element i nationale strategier,
hvilket afspejler et ønske om at sikre teknologisk suverænitet og styrke nationale industrier på dette område.
Tegn på geoøkonomisk fragmentering viser sig blandt andet i udviklingen i den internationale handel, hvor der
er stigende tegn på regionalisering. Således er handelen mellem USA og Kina reduceret, mens den regionale
samhandel fylder mere for begge lande,
jf. figur b.
Nyere studier viser, at geoøkonomisk fragmentering sandsynligvis vil have større økonomiske omkostninger i
form af tab af produktivitetsgevinster og højere priser. Grundet problemstillingens aktualitet er der mest tale
om modelestimater frem for empiriske undersøgelser og resultaterne varierer derfor baseret på forskellige an-
tagelser og metodik. Et sammendrag fra IMF af fire nylige studier viser dog, at de har følgende til fælles: (1) Der
er generelt større omkostninger, jo dybere fragmenteringen er. (2) Teknologisk afkobling kan give store tab ud
over de direkte tab fra mindre handel. (3) Udviklings- og lavindkomstlande er mest følsomme over for geoøko-
nomisk fragmentering. (4) Overgangsomkostningerne vil sandsynligvis være betydelige. (5) Omkostningerne
kunne være endnu højere end hidtil estimeret, blandt andet gennem reducerede arbejdskrafts- og kapital-
strømme samt forringelse af globale offentlige goder.
1
Figur a
Stor stigning i antallet af nye handels-
restriktioner over de seneste år
Antal
3.000
2.500
2.000
1.500
1.000
500
0
2009 2011 2013 2015 2017 2019 2021 2023
Varer
Tjenester
Investeringer
Antal
3.000
2.500
2.000
1.500
1.000
500
0
Figur b
Kina handler i stigende grad med de
sydøstasiatiske lande frem for USA og EU
Pct. af samlet handel
20
18
16
14
12
10
8
2019
2020
ASEAN
2021
EU
2022
2023
USA
Pct. af samlet handel
20
18
16
14
12
10
8
1)
Ayiar m.fl. (2023): Geoeconomic fragmentation and the future of multilateralism, IMF Staff Discussion Notes, 1, 2023.
Kilde: Macrobond, Global Trade Alert og egne beregninger.
Økonomisk Redegørelse
December 2023
155
FIU, Alm.del - 2023-24 - Bilag 68: Økonomisk Redegørelse, december 2023
2798413_0158.png
FIU, Alm.del - 2023-24 - Bilag 68: Økonomisk Redegørelse, december 2023
2798413_0159.png
Kapitel 8
Offentlige finanser og finanspolitik
8. Offentlige finanser og
finanspolitik
Den høje aktivitet i dansk økonomi med blandt andet høj beskæftigelse og lav ledighed har væ-
ret medvirkende til store overskud på den offentlige saldo. I 2022 blev overskuddet opgjort til
94,6 mia. kr., svarende til 3,3 pct. af BNP.
I de kommende år ventes at ske en gradvis afdæmpning af højkonjunkturen. Fra 2022 og frem
til 2025 ventes outputgabet mindsket fra 3,0 pct. af BNP til 1,4 pct. af BNP. Den lavere, men
fortsat relativt høje, aktivitet afspejles i, at overskuddet på den faktiske offentlige saldo forven-
tes at blive gradvist mindre. Overskuddet skønnes til 2,7 pct. af BNP, 1,5 pct. af BNP og 0,8 pct.
af BNP i henholdsvis 2023, 2024 og 2025.
Finanspolitikken er blandt andet tilrettelagt, så den bidrager til at dæmpe konjunkturudsving.
Normaliseringen af konjunktursituationen trækker i retning af, at finanspolitikken gradvist kan
lempes fra sit nuværende stramme niveau for at understøtte en blød landing. Samlet set vurde-
res den planlagte finans- og strukturpolitik – siden 2019 – at bidrage til at dæmpe kapacitets-
presset i økonomien med -0,5 pct.-point i 2024 og -0,2 pct.-point i 2025, målt ved den flerårige
finanseffekt.
Finanspolitikken er overordnet set planlagt ud fra en gradvist aftagende profil for den struktu-
relle saldo frem mod saldomålet i 2030 på -0,5 pct. af BNP. I prognoseperioden skønnes den
strukturelle saldo at aftage fra et overskud på 1,9 pct. af BNP i 2022 til 0,2 pct. af BNP i 2025.
Der er dermed fortsat udsigt til strukturelle overskud i hele prognoseperioden og god afstand til
budgetlovens grænse på -1 pct. af BNP.
De sunde offentlige finanser er også afspejlet i den offentlige gæld og formue. Den danske
ØMU-gæld skønnes at udgøre 30,3 pct. af BNP i 2023, og aftage til 27,9 pct. af BNP i 2025. Det
er en lav offentlig gæld og betydeligt under grænsen på 60 pct. af BNP i Stabilitets- og Vækst-
pagten. Samtidigt ventes der fortsat at være en stor offentlig nettoformue på 19,2 pct. af BNP
frem mod 2025.
Baseret på den planlagte finanspolitik for 2023 mv., skønnes realvæksten i det offentlige for-
brug til 0,9 pct. i 2023. I 2024 skønnes forbrugsvæksten at udgøre 2,2 pct. baseret på finans-
lovsaftalen, foreløbige oplysninger om de kommunale og regionale budgetter, samt indgåede
politiske aftaler (herunder trepartsaftalen om løn og arbejdsvilkår). I 2025 forudsættes for-
brugsvæksten beregningsteknisk at udgøre 1,9 pct.
Regeringen har fremlagt et forslag til personskattereform, som i forhold til prognosen vil på-
virke aktiviteten og de offentlige finanser. Med udgangspunkt i udspillet
Mere attraktivt at ar-
bejde
skønnes reformen at bidrage til at mindske kapacitetspresset målt ved outputgabet med
knap 0,1 pct.-point i 2025. Samtidig skønnes reformen som udgangspunkt at mindske den hø-
jest mulige offentlige forbrugsvækst med 0,6 pct.-point i 2025 og beregningsteknisk reducere
væksten i den offentlige beskæftigelse med 4.000 personer,
jf. boks 1.1 i kapitel 1.
Økonomisk Redegørelse
December 2023
157
FIU, Alm.del - 2023-24 - Bilag 68: Økonomisk Redegørelse, december 2023
2798413_0160.png
Kapitel 8
Offentlige finanser og finanspolitik
8.1 Den faktiske offentlige saldo
Overskuddet på den faktiske offentlige saldo i 2022 er ifølge Danmarks Statistiks reviderede
nationalregnskabstal (september 2023) opgjort til 94,6 mia. kr., svarende til 3,3 pct. af BNP.
Det opgjorte overskud i 2022 er således ca. 2,8 mia. kr. lavere end i Danmarks Statistiks tidli-
gere opgørelse (juni 2023).
Med afsæt i den aktuelle konjunkturvurdering og forudsætningerne om den økonomiske poli-
tik,
jf. kapitel 1-7,
skønnes fortsatte overskud på den faktiske offentlige saldo i de kommende år,
der dog aftager fra 2,7 pct. af BNP i 2023 til 0,8 pct. af BNP i 2025,
jf. tabel 8.1.
Det skal blandt
andet ses i sammenhæng med den gradvise normalisering af konjunkturerne.
Tabel 8.1
Oversigt over den faktiske offentlige saldo
2019
Offentlig saldo, mia. kr.
Offentlig saldo, pct. af BNP
95,5
4,1
2020
8,8
0,4
2021
103,5
4,1
2022
94,6
3,3
2023
76,5
2,7
2024
44,3
1,5
2025
23,4
0,8
Kilde: Danmarks Statistik og egne beregninger.
Skønnet for den faktiske offentlige saldo i 2023 og 2024 er opjusteret i forhold til de seneste
skøn i august-redegørelsen. Generelt er den faktiske saldo i Danmark stærkt afhængig af kon-
junkturerne, og den kan derudover påvirkes af udsving i en række særlige budgetposter, som
kan svinge meget fra år til år. Skønnene for den faktiske offentlige saldo er derfor behæftet med
betydelig usikkerhed. Forudsætningerne vedrørende skønnene for de offentlige finanser er be-
skrevet i boks 8.1.
158
Økonomisk Redegørelse
December 2023
FIU, Alm.del - 2023-24 - Bilag 68: Økonomisk Redegørelse, december 2023
2798413_0161.png
Kapitel 8
Offentlige finanser og finanspolitik
Boks 8.1
Forudsætninger vedrørende skøn for de offentlige finanser i
Økonomisk Redegørelse,
december 2023
Den aktuelle vurdering af den faktiske offentlige saldo i perioden 2023-2025 er baseret på det opdaterede kon-
junkturgrundlag, som er beskrevet i kapitel 1-7. I prognosen er der blandt andet indregnet effekter af aftaler
indgået frem til og med den 5. december 2023. Regeringens udspil til personskattereform Mere attraktivt at
arbejde er således ikke indregnet i skøn for de offentlige finanser.
For 2023 er skønnene for de offentlige finanser herudover baseret på finansloven for 2023 og efterfølgende nye
oplysninger om de statslige, kommunale og regionale udgifter i 2023, herunder den statslige udgiftsopfølgning
3 for 2023 samt nye besluttede politiske tiltag og udmøntninger.
I 2024 er skønnene for de offentlige finanser baseret på finansloven for 2024 samt de foreløbige oplysninger
om de kommunale og regionale budgetter for 2024 mv., der afspejler de samlede prioriteringer i udgifts- og
finanspolitikken i 2024. Skønnene afspejler derudover virkningerne af trepartsaftalen om løn og arbejdsvilkår,
der indeholder et lønløft for visse grupper af offentligt ansatte.
I 2025 foreligger der endnu ikke offentlige budgetter. Skønnene tager derfor afsæt i beregningstekniske forud-
sætninger om realvæksten i det offentlige forbrug og de offentlige investeringer i
2030-planforløb: Grundlag
for udgiftslofter 2027,
august 2023. Herudover afspejler skønnene virkningen af nye besluttede politiske tiltag
i form af blandt andet en forøgelse af Ukrainefonden på 10�½ mia. kr. i 2025 (i 2024-priser) og den indgåede
trepartsaftale om løn og arbejdsvilkår. Den samlede udgifts- og finanspolitik i 2025 tilrettelægges i løbet af
2024 i forbindelse med økonomiaftalerne for 2025 og finansloven for 2025.
Ændrede skøn for den faktiske offentlige saldo i 2023-2024
De skønnede overskud på den faktiske offentlige saldo i 2023 og 2024 er opjusteret med hen-
holdsvis ca. 20 mia. kr. og ca. 15 mia. kr. sammenlignet med vurderingen i
Økonomisk Redegø-
relse,
august 2023,
jf. tabel 8.2.
Opjusteringerne i 2023 og 2024 skal navnlig ses i sammenhæng med højere skønnede skatte-
indtægter i begge år, der blandt andet afspejler den aktuelle konjunktursituation med høj be-
skæftigelse. De skønnede indtægter fra selskabsskatter er opjusteret med ca. 9¼ mia. kr. i 2023
og 9�½ mia. kr. i 2024 i lyset af højere indtjening i virksomhederne. Hertil kommer en opjuste-
ring af de skønnede indtægter fra personskatter og arbejdsmarkedsbidrag på ca. 5 mia. kr. i
2023 og 9 mia. kr. i 2024 som følge af højere skønnet beskæftigelse og lønsum i begge år.
Økonomisk Redegørelse
December 2023
159
FIU, Alm.del - 2023-24 - Bilag 68: Økonomisk Redegørelse, december 2023
2798413_0162.png
Kapitel 8
Offentlige finanser og finanspolitik
Tabel 8.2
Ændret skøn for den faktiske offentlige saldo i 2023-2024 sammenlignet med
Økonomisk
Redegørelse, august 2023
Mia. kr.
Ændring i faktisk offentlig saldo
heraf ændringer i
- Kildeskatter ekskl. aktieskat
- Arbejdsmarkedsbidrag
- Moms
- Punktafgifter
- Selskabsskatter
- Aktieskat
- Ekstra forøgelse af Ukrainefond
- Offentligt forbrug (ekskl. ekstra forøgelse af Ukrainefond)
1)
- Offentlige investeringer (ekskl. F&U)
- Nettorenteudgifter
- Ekstraordinær tilbagebetaling af ejendomsskat
- Øvrige udgifts- og indtægtsposter (residual)
4,4
0,6
1,0
-2,7
9,2
-0,3
-2,3
5,7
-2,4
-4,3
4,2
6,9
8,2
0,7
0,6
-1,3
9,6
1,5
-
2,5
0,6
-2,8
-4,4
-0,2
2023
20,0
2024
15,0
Anm.: Positive tal indikerer en forbedring af den faktiske offentlige saldo – enten i form af højere offentlige indtægter eller lavere
offentlige udgifter. Negative tal indikerer tilsvarende en forværring af den offentlige saldo i form af lavere indtægter eller hø-
jere udgifter. De øvrige udgifts- og indtægtsposter dækker over de resterende indtægter og udgifter i faktisk saldo herunder
bl.a. ejendomsskatter, registreringsafgift, pensionsafkastskat, nordsøindtægter mv., samt på udgiftssiden subsidier og øvrige
primære udgifter.
1)
Vedrører delvist ændrede skøn for udmøntninger fra Ukrainefonden, der modgås af højere overførsler til udlandet.
Kilde:
Økonomisk Redegørelse,
august 2023 og egne beregninger.
På udgiftssiden bidrager den besluttede ekstra forøgelse af Ukrainefonden på 2,3 mia. kr. i
2023 isoleret set til at svække den offentlige saldo.
1
Udskydelsen af dele af den ekstraordinære tilbagebetaling af ejendomsskatter til boligejere fra
2023 til 2024 bidrager til en forbedring af den offentlige saldo i 2023, og modsvares af en til-
svarende svækkelse af den offentlige saldo i 2024.
Lavere skønnede udgifter til det offentlige forbrug bidrager isoleret set til en forbedring af den
offentlige saldo i både 2023 og 2024. Det lavere skøn for det offentlige forbrug vedrører delvist
ændrede skøn for udmøntningerne fra Ukrainefonden, der modgås af højere skønnede over-
førsler til udlandet (indgår i posten
øvrige udgifts- og indtægtsposter (residual)).
8.2 Den strukturelle saldo
Den strukturelle saldo er et beregnet mål for den underliggende stilling på de offentlige finan-
ser ved den givne finanspolitik. Den strukturelle saldo er i modsætning til den faktiske saldo
søgt renset for indvirkningen af konjunkturudsving og andre midlertidige forhold,
jf. nedenfor.
1
Jf.
Forøgelse af den militære støtte under Ukrainefonden i 2023 og 2025-2027
(november 2023).
160
Økonomisk Redegørelse
December 2023
FIU, Alm.del - 2023-24 - Bilag 68: Økonomisk Redegørelse, december 2023
2798413_0163.png
Kapitel 8
Offentlige finanser og finanspolitik
Finanspolitikken er overordnet set planlagt ud fra en gradvist aftagende sti for den strukturelle
saldo frem mod saldomålet i 2030 på -0,5 pct. af BNP. I de aktuelle år skønnes den strukturelle
saldo til 0,5 pct. af BNP i 2023, 0,6 pct. af BNP i 2024 og 0,2 pct. af BNP i 2025. I forhold til au-
gust-vurderingen er skønnet for den strukturelle saldo uændret i 2023, opjusteret med 0,2 pct.
af BNP i 2024 og nedjusteret med 0,2 pct. af BNP i 2025,
jf. tabel 8.3.
Tabel 8.3
Skøn for den strukturelle saldo
2022
Pct. af strukturelt BNP
Økonomisk Redegørelse, december 2023
2030-planforløb: Grundlag for udgiftslofter 2027, august 2023
Kilde: Danmarks Statistik og egne beregninger.
2023
2024
2025
1,9
1,8
0,5
0,5
0,6
0,4
0,2
0,4
Sammenlignet med august-vurderingen medfører forøgelsen af den militære støtte under Ukra-
inefonden,
jf. Aftale om forøgelse af den militære støtte under Ukrainefonden i 2023 og 2025-
2027 (november 2023)
og 2030-planen
DK2030 – Danmark rustet til fremtiden (november
2023),
en diskretionær svækkelse af den strukturelle saldo med ca. 0,1 pct. af BNP i 2023 og ca.
0,4 pct. af BNP i 2025.
Omvendt forbedres den strukturelle saldo isoleret set af højere skønnet strukturel beskæftigelse
med baggrund i øget beskæftigelse for navnlig udenlandske statsborgere, herunder også i kraft
af forlængelsen af særloven om fordrevne fra Ukraine. Hertil kommer en nedjustering af over-
førselsudgifterne til folkepension i 2023-2025 samt et forventet statsligt mindreforbrug i 2023.
I modsat retning bidrager blandt andet en forventet overskridelse af de kommunale og regio-
nale anlægsrammer i 2023.
Strukturel versus faktisk offentlig saldo
Beregningen af den strukturelle saldo foretages ved, at den faktiske offentlige saldo korrigeres
for de udsving, der vurderes at følge af konjunkturerne og en række andre midlertidige forhold.
Det drejer sig blandt andet om udsving i indtægterne fra pensionsafkastskatten, som ofte fluk-
tuerer ganske meget fra år til år, og udsving i indtægterne fra selskabsskat. Herudover korrige-
res den faktiske offentlige saldo for en række engangsforhold, der kan have en betydelig størrel-
sesorden i de enkelte år. Den strukturelle saldo i et givet år er dermed et skøn for, hvor stort det
offentlige over- eller underskud ville have været i en normal situation, dvs. en situation, hvor
den økonomiske aktivitet hverken er særskilt høj eller lav, og hvor de offentlige finanser samti-
dig ikke er påvirket af andre midlertidige forhold.
Den strukturelle saldo beregnes til 0,5 pct. af BNP i 2023 med udgangspunkt i skønnet for den
faktiske offentlige saldo på 2,7 pct. af BNP,
jf. tabel 8.4
(pkt. 1). Da konjunkturerne i 2023 (målt
ved et sammenvejet output- og beskæftigelsesgab) skønnes bedre end i en normalsituation, skal
den faktiske saldo korrigeres for den gunstige virkning på den faktiske saldo, som det positive
konjunkturgab indebærer. Den beregnede virkning fra konjunkturerne på den faktiske saldo
udgør ca. 2,0 pct. af BNP i 2023 (pkt. 2).
Udover konjunkturbidraget korrigeres den faktiske offentlige saldo for udsving i en række sær-
lige indtægts- og udgiftsposter (pkt. 3-9). I 2023 skønnes blandt andet de faktiske indtægter fra
Økonomisk Redegørelse
December 2023
161
FIU, Alm.del - 2023-24 - Bilag 68: Økonomisk Redegørelse, december 2023
2798413_0164.png
Kapitel 8
Offentlige finanser og finanspolitik
selskabsskat og aktieskat at ligge over de beregnede strukturelle niveauer, mens indtægterne fra
pensionsafkastskatten vurderes at ligge under det beregnede strukturelle niveau. Sådanne for-
hold korrigeres der for i beregningen af den strukturelle saldo, og samlet set svarer korrektio-
nen i pkt. 3-9 til 0,0 pct. af BNP i 2023.
Herudover korrigeres der for øvrige forhold (pkt. 10). Det skyldes, at der i nogle år kan være
særlige engangsforhold (ud over på de specielle budgetposter) af ikke-tilbagevendende karak-
ter, som påvirker den faktiske saldo uden at have nævneværdig betydning for den underlig-
gende stilling på de offentlige finanser,
jf. bilag 8.3.
Tabel 8.4
Fra faktisk til strukturel saldo
2022
Pct. af BNP
1. Faktisk saldo
Heraf bidrag til den faktiske saldo fra:
2. Konjunkturgab
3. Selskabsskat
1)
4. Registreringsafgift
5. Aktieskat
6. Pensionsafkastskat
7. Nordsøindtægter
2)
8. Nettorentebetalinger og udbytter
1)
9. Specielle budgetposter
3)
10. Øvrige forhold
4)
Heraf covid-19-relaterede tiltag
11. Strukturel saldo (1-2-3-4-5-6-7-8-9-10)
5)
1)
2)
2023
2024
2025
3,3
2,7
1,5
0,8
2,3
0,6
-0,3
0,5
-0,7
0,0
-0,2
-0,1
-0,6
-0,6
1,9
2,0
0,7
-0,3
0,5
-0,9
-0,1
0,1
0,0
0,1
0,0
0,5
1,8
0,5
-0,3
0,0
-0,9
0,0
0,3
-0,6
0,1
0,0
0,6
1,3
0,3
-0,3
0,0
-0,8
0,1
0,3
-0,1
-0,1
0,0
0,2
Ekskl. indtægter vedrørende aktiviteter i Nordsøen.
Det strukturelle niveau er baseret på det strukturelle provenu, der blev beregnet ved fastsættelse af udgiftslofterne justeret
for holdbarhedsvirkningen af ændringer i de fremtidige nordsøprovenuer i forhold til skønnet ved loftfastsættelsen. Herudover
justeres provenuet for de direkte konsekvenser for nordsøindtægterne af
Aftale om inflationshjælp
(februar 2023).
3)
Der er korrigeret for en række udgifter direkte relateret til covid-19 i 2022-2024 (som efter 2022 kun vedrører ekstraordinære
merudgifter i forbindelse med erstatningsaftale til minkavlere og følgeerhverv mv.). I 2022-2024 er der endvidere korrigeret
for tilbagebetaling af ejendomsskatter som følge af
Forlig om tryghed om boligbeskatningen
(maj 2017). I 2022 er der korri-
geret for udbetaling af efterlønsbidrag i forbindelse med
Aftale om ny ret til tidlig pension
(oktober 2020). I 2022 er der desu-
den korrigeret for ekstraordinære bødeindtægter.
4)
Der er korrigeret for en række udgifter (netto) direkte relateret til håndtering af covid-19 i 2022-2025 (som efter 2022 kun
vedrører ekstraordinære merudgifter i forbindelse med erstatningsaftale til minkavlere og følgeerhverv mv.). I 2022 og frem
er der korrigeret for afvigelser fra balance mellem indtægter og udgifter i AUB-ordningen. Der er også korrigeret for investe-
ringen i kampfly, som planlægges i perioden 2021-2026, men som påvirker den strukturelle saldo gennem et syvårs glidende
gennemsnit. Øvrige forhold indeholder endvidere forskelle i tilsagnsniveau og afløb for udviklingsbistanden og omregning fra
pct. af faktisk BNP til pct. af strukturelt BNP.
5)
Strukturel saldo opgjort i pct. af strukturelt BNP.
Kilde: Danmarks Statistik og egne beregninger.
162
Økonomisk Redegørelse
December 2023
FIU, Alm.del - 2023-24 - Bilag 68: Økonomisk Redegørelse, december 2023
2798413_0165.png
Kapitel 8
Offentlige finanser og finanspolitik
Figur 8.1
Faktisk og strukturel saldo
Pct. af BNP
6
4
2
0
-2
-4
-6
2000 2003 2006 2009 2012 2015 2018 2021 2024
Faktisk saldo
Strukturel saldo
Pct. af BNP
6
4
2
0
-2
-4
-6
Figur 8.2
Selskabsskat (ekskl. Nordsø)
Pct. af BNP
4,0
3,5
3,0
2,5
2,0
1,5
1,0
2000 2003 2006 2009 2012 2015 2018 2021 2024
Faktisk
Strukturel
Pct. af BNP
4,0
3,5
3,0
2,5
2,0
1,5
1,0
Figur 8.3
Registreringsafgift
Pct. af BNP
2,5
Pct. af BNP
2,5
Figur 8.4
Aktieskat
Pct. af BNP
2,5
Pct. af BNP
2,5
2,0
2,0
2,0
2,0
1,5
1,5
1,5
1,5
1,0
1,0
1,0
1,0
0,5
0,5
0,5
0,5
0,0
2000 2003 2006 2009 2012 2015 2018 2021 2024
Faktisk
Strukturel
0,0
0,0
2000 2003 2006 2009 2012 2015 2018 2021 2024
Faktisk
Strukturel
0,0
Kilde: Danmarks Statistik og egne beregninger.
Økonomisk Redegørelse
December 2023
163
FIU, Alm.del - 2023-24 - Bilag 68: Økonomisk Redegørelse, december 2023
2798413_0166.png
Kapitel 8
Offentlige finanser og finanspolitik
Figur 8.5
Pensionsafkastskat
Figur 8.6
Nordsøindtægter (inkl. udbytter fra
Nordsøfonden)
Pct. af BNP
3,0
2,5
2,0
1,5
1,0
0,5
0,0
Pct. af BNP
2,5
2,0
1,5
1,0
0,5
0,0
-0,5
2000 2003 2006 2009 2012 2015 2018 2021 2024
Faktisk
Strukturel
Pct. af BNP
2,5
2,0
1,5
1,0
0,5
0,0
-0,5
Pct. af BNP
3,0
2,5
2,0
1,5
1,0
0,5
0,0
2000 2003 2006 2009 2012 2015 2018 2021 2024
Faktisk
Strukturel
Figur 8.7
Nettorenteindtægter og udbytter
(ekskl. Nordsø)
Pct. af BNP
1
Pct. af BNP
1
Figur 8.8
Specielle budgetposter (netto)
Pct. af BNP
1
Pct. af BNP
1
0
0
0
0
-1
-1
-1
-1
-2
-2
-2
-2
-3
2000 2003 2006 2009 2012 2015 2018 2021 2024
Faktisk
Strukturel
-3
-3
2000 2003 2006 2009 2012 2015 2018 2021 2024
Faktisk
Strukturel
-3
Kilde: Danmarks Statistik og egne beregninger.
År-til-år-ændring i den strukturelle saldo
Den strukturelle saldo er som nævnt et skøn for den underliggende stilling på de offentlige fi-
nanser ved den givne finanspolitik. År-til-år-udviklingen i den strukturelle saldo påvirkes ikke
kun af finans- og strukturpolitikken, men også andre forhold, der har betydning for den struk-
turelle udvikling i de offentlige indtægter og udgifter,
jf. også boks 1.3 i kapitel 1.
164
Økonomisk Redegørelse
December 2023
FIU, Alm.del - 2023-24 - Bilag 68: Økonomisk Redegørelse, december 2023
2798413_0167.png
Kapitel 8
Offentlige finanser og finanspolitik
I prognoseperioden skønnes den strukturelle saldo at blive forværret med 1,7 pct. af BNP fra et
strukturelt overskud på 1,9 pct. af BNP i 2022 til 0,2 pct. af BNP i 2025,
jf. tabel 8.5.
Der er der-
med udsigt til strukturelle overskud i hele prognoseperioden. Udviklingen i den strukturelle
saldo skal overordnet ses i sammenhæng med, at finanspolitikken er planlagt ud fra en gradvist
aftagende profil for den strukturelle saldo frem mod saldomålet på -0,5 pct. af BNP i 2030.
Tabel 8.5 viser en dekomponering af år-til-år-udviklingen i den strukturelle saldo fra 2022 til
2025 fordelt på strukturelle offentlige indtægts- og udgiftsposter (dvs. korrigeret for den skøn-
nede konjunkturpåvirkning og engangsforhold mv.). Finans- og strukturpolitikken mv. er der-
med afspejlet i bidragene fra de enkelte indtægts- og udgiftsposter.
I forhold til dekomponeringen skal det bemærkes, at blandt andet fuldt finansierede politiske
aftaler kan indebære bevægelser mellem de enkelte indtægts- og udgiftsposter, selvom de sam-
let set er neutrale for den strukturelle saldo. Endvidere bemærkes, at bidragene fra de enkelte
indtægts- og udgiftsposter kan være påvirket af BNP-nævnereffekter i nogle år (hvilket i de ak-
tuelle år navnlig har betydning for ændringsbidrag i 2023,
jf. nedenfor).
Det kan indebære store
modsatrettede bruttobevægelser i de enkelte indtægts- og udgiftsposters andele af BNP, men
som samlet set kun har en begrænset nettovirkning på den strukturelle saldo.
Tabel 8.5
Approksimativ dekomponering af år-til-år-ændringen i den strukturelle saldo
2022
Pct. af strukturelt BNP
Strukturel saldo
År-til-år-ændring i strukturel saldo
Offentligt forbrug
Offentlige investeringer
Indkomstoverførsler
Overførsler til udlandet
Personlige indkomstskatter og arbejdsmarkedsbidrag
Moms
Punktafgifter ekskl. registreringsafgift
Ejendomsværdiskat og grundskyld
Særlige poster i den strukturelle saldo
Øvrige forhold under ét
1,9
0,5
-1,4
-1,3
-0,3
-0,5
-0,6
1,2
0,3
-0,4
0,1
0,2
-0,1
0,6
0,1
-0,4
0,2
0,1
0,2
0,1
0,0
0,2
-0,3
0,0
0,0
0,2
-0,4
-0,6
0,0
0,1
0,0
0,1
0,1
0,0
-0,1
-0,1
0,1
2023
2024
2025
Anm.: År-til-år-ændringen i den strukturelle saldo er baseret på afrundede tal for den strukturelle saldo. Offentligt forbrug er opgjort
ekskl. afskrivninger og imputerede bidrag til tjenestemandspensioner, som er neutrale for den offentlige saldo. Indkomstover-
førslerne er opgjort inkl. indekstillæg og andre løbende overførsler. De særlige poster omfatter selskabsskat, registreringsaf-
gift, aktieskat, pensionsafkastskat, nordsøindtægter, nettorenteindtægter (inkl. udbytter) og specielle budgetposter (netto).
Offentlige investeringer og overførsler til udlandet er opgjort ekskl. de poster, der indgår i de specielle budgetposter. De en-
kelte indtægts- og udgiftsposter er korrigeret for den skønnede konjunkturpåvirkning, engangsforhold og øvrige korrektioner
mv.
Kilde: Danmarks Statistik og egne beregninger.
Fra 2022 til 2023 svækkes den strukturelle saldo med 1,4 pct. af BNP. Det afspejler blandt an-
det udgifter relateret til etablering og udvidelse af Ukrainefonden (indregnet i offentligt forbrug
Økonomisk Redegørelse
December 2023
165
FIU, Alm.del - 2023-24 - Bilag 68: Økonomisk Redegørelse, december 2023
2798413_0168.png
Kapitel 8
Offentlige finanser og finanspolitik
og overførsler til udlandet) og en stigning i øvrige offentlige forbrugsudgifter korrigeret for fal-
det i covid-19-relaterede engangsudgifter. Hertil kommer et bidrag fra de offentlige investerin-
ger, der skal ses i lyset af en forventet overskridelse af de kommunale og regionale anlægsram-
mer i 2023. Bidraget fra indkomstoverførslerne afspejler blandt andet en stigning i udgifterne
til folkepension, som delvist kan henføres til afskaffelsen af modregning i
Danmark Kan Mere I
(september 2021). Bidraget fra punktafgifterne kan særligt tilskrives den midlertidige nedsæt-
telse af elafgiften i
Aftale om vinterhjælp
(september 2022).
I 2023 er dekomponeringen af år-til-år-ændringen i den strukturelle saldo påvirket betydeligt
af den negative vækst i nominelt BNP i 2023, som blandt andet hænger sammen med de ekstra-
ordinært høje fragtrater og energipriser i 2022 (såkaldt BNP-nævnereffekt). Det giver som
nævnt udslag i relativt store modsatrettede bevægelser i de enkelte indtægts- og udgiftsposters
andele af BNP, men som samlet set kun har en begrænset nettovirkning på den strukturelle
saldo.
Fra 2023 til 2024 forbedres den strukturelle saldo med 0,1 pct. af BNP. Det kan blandt andet
tilskrives et positivt bidrag fra de offentlige investeringer i lyset af lavere forventet anlægsni-
veau i kommuner og regioner i 2024 end i 2023. Bidragene fra punktafgifter og indkomstover-
førsler afspejler blandt andet bortfaldet af den midlertidige lempelse af elafgiften fra
Aftale om
vinterhjælp
(september 2022) og bortfaldet af det skattefri engangsbeløb til folkepensionister
med ret til ældrecheck fra
Aftale om kompensation af borgere for stigende energipriser
(juni
2022) og
Aftale om inflationshjælp
(februar 2023). I modsat retning trækker blandt andet la-
vere boligskatter som følge af overgangen til det nye boligskattesystem i 2024 samt, at der på
baggrund af udgifts- og finanspolitikken skønnes en høj offentlig forbrugsvækst i 2024.
Fra 2024 til 2025 svækkes den strukturelle saldo med 0,4 pct. af BNP. Det afspejler blandt an-
det, at finanspolitikken med regeringens 2030-plan
DK2030 – Danmark rustet til fremtiden
(november 2023)
planlægges ud fra en gradvist aftagende sti for den strukturelle saldo frem
mod saldomålet på -0,5 pct. af BNP i 2030.
8.3 Udgiftslofter for stat, kommuner og regioner
Med budgetloven er der fra og med 2014 indført bindende udgiftslofter for stat, kommuner og
regioner. Udgiftslofterne skal understøtte, at udgifterne holder sig inden for de planlagte ram-
mer, og at de offentlige finanser udvikler sig i overensstemmelse med de finanspolitiske mål-
sætninger. Udgiftslofterne fastlægger en øvre grænse for de loftbelagte udgifter i stat, kommu-
ner og regioner for en løbende fireårig periode. Siden 2014 er finanspolitikken blevet fastsat i
overensstemmelse med de gældende udgiftslofter.
Udgiftslofterne er overholdt på finansloven for 2024
Finanspolitikken er med finansloven for 2024 og foreløbige oplysninger om kommunernes og
regionernes budgetter for 2024 i overensstemmelse med udgiftslofterne for stat, kommuner og
regioner,
jf. tabel 8.6.
166
Økonomisk Redegørelse
December 2023
FIU, Alm.del - 2023-24 - Bilag 68: Økonomisk Redegørelse, december 2023
2798413_0169.png
Kapitel 8
Offentlige finanser og finanspolitik
Tabel 8.6
Loftbelagte udgifter i 2024
Statslige dellofter
Mia. kr. (2024-pl)
Udgiftsloft
FL24 og foreløbige
oplysninger om
kommunernes og
regionernes
budgetter for 2024
Driftsudgifter
251,0
Indkomst-
overførsler
214,3
Kommunalt
loft
Service-
udgifter
306,1
Regionale dellofter
Sundheds-
udgifter
136,6
Udviklings-
opgaver
3,0
250,9
309,2
306,1
136,6
3,0
Anm.: Der er foretaget afrundinger.
Kilde: Finansloven for 2024 og foreløbige oplysninger om de kommunale og regionale budgetter for 2024.
På finansloven for 2024 er udgifterne under det statslige delloft for driftsudgifter budgetteret
svarende til det gældende udgiftsloft, mens budgetteringen under det statslige delloft for ind-
komstoverførsler er godt 5 mia. kr. lavere end det gældende udgiftsloft. Disponeringen under
det statslige delloft for indkomstoverførsler skal blandt andet ses i sammenhæng med, at det
statslige delloft for indkomstoverførsler er fastsat med en årlig udsvingsbuffer på ca. 3 mia. kr. i
forbindelse med
2030-planforløb: Grundlag for udgiftslofter 2027,
august 2023.
Disponeringen under det kommunale og de regionale udgiftslofter er baseret på, at udgiftslof-
terne udnyttes i overensstemmelse med de indgåede økonomiaftaler for 2024 og det yderligere
varige velfærdsløft på 1 mia. kr. i kommuner og regioner fra 2024, der er afsat på finansloven
for 2024.
Udgiftslofterne i perioden 2024-2027 på finansloven for 2024 fremgår af tabel 8.7.
Tabel 8.7
Udgiftslofter på finansloven for 2024
Mia. kr. (2024-pl)
Statslige delloft for driftsudgifter
Statsligt delloft for indkomstoverførsler
Kommunalt udgiftsloft
Regionalt delloft for sundhedsudgifter
Regionalt delloft for udviklingsopgaver
Kilde: Finansloven for 2024.
2024
251,0
314,3
306,1
136,6
3,0
2025
275,3
313,5
306,1
136,6
3,0
2026
282,9
314,4
306,1
136,6
3,0
2027
291,6
315,4
306,1
136,6
3,0
Opfølgningen på de gældende udgiftslofter er nærmere beskrevet i
Udgiftslofter og statens fi-
nanser
www.fm.dk.
Økonomisk Redegørelse
December 2023
167
FIU, Alm.del - 2023-24 - Bilag 68: Økonomisk Redegørelse, december 2023
2798413_0170.png
Kapitel 8
Offentlige finanser og finanspolitik
8.4 Offentligt forbrug, beskæftigelse og investeringer
Offentligt forbrug
I de seneste år har år-til-år væksten i det offentlige forbrug blandt andet været stærkt påvirket
af ekstraordinære midlertidige udgifter relateret til covid-19. Den gennemsnitlige årlige real-
vækst fra 2019 til 2023, som kun i begrænset omfang er påvirket af særlige forhold, svarer til ¾
pct.
2
I 2023 skønnes realvæksten i det offentlige forbrug til 0,9 pct. Skønnet baserer sig på finanslo-
ven for 2023 og de kommunale og regionale budgetter samt efterfølgende nye politiske priorite-
ter og udgiftsprognoser for 2023.
3
I 2024 skønnes forbrugsvæksten at udgøre 2,2 pct. baseret
på finanslovsaftalen, de foreløbige oplysninger om de kommunale og regionale budgetter samt
indgåede politiske aftaler (herunder trepartsaftalen om løn og arbejdsvilkår). I 2025 forudsæt-
tes forbrugsvæksten beregningsteknisk at udgøre 1,9 pct.
De skønnede reale vækstrater for det offentlige forbrug ligger i alle tre år over gennemsnittet for
den seneste 10-årige periode,
jf. figur 8.9.
I 2024 afspejler forbrugsvæksten blandt andet de af-
satte rammer til løft af Forsvaret og de aftalte løft af kommunernes og regionernes økonomi
(inkl. et yderligere varigt velfærdsløft på 1 mia. kr. i kommuner og regioner). Hertil kommer
nye prioriteringer til sundhed og psykiatri, mv. I 2025 afspejler den beregningstekniske real-
vækst i det offentlige forbrug desuden et yderligere løft af Ukrainefonden.
Efter en længere periode frem til udbruddet af covid-19, hvor det offentlige forbrug har udgjort
en faldende andel af BNP, forventes det offentlige forbrug således at vokse som andel af den
samlede økonomi fra 2022 til 2025 og udgøre godt 25 pct. af BNP i 2025,
jf. figur 8.10.
2
3
Målt ved inputmetoden.
Den offentlige forbrugsvækst ekskl. ekstraordinære udgifter vedr. Covid-19 i 2022 skønnes til 3,1 pct. i 2023, hvilket bi-
drager til svækkelsen af den strukturelle saldo i 2023. Det er forudsat, at de afsatte midler til Ukrainefonden påvirker det
(nominelle) offentlige forbrug svarende til ca. 2¾-3¾ mia. kr. årligt fra 2023 til 2025. Hertil kommer virkninger af den
afsatte tekniske ramme til at håndtere udgifter til genanskaffelser forbundet med militære donationer.
168
Økonomisk Redegørelse
December 2023
FIU, Alm.del - 2023-24 - Bilag 68: Økonomisk Redegørelse, december 2023
2798413_0171.png
Kapitel 8
Offentlige finanser og finanspolitik
Figur 8.9
Realvækst i det offentlige forbrug
Pct.
2,5
Pct.
2,5
Figur 8.10
Det offentlige forbrug i pct. af BNP
Pct. af strukturelt BNP
28
Pct. af strukturelt BNP
28
2,0
2,0
26
26
1,5
1,5
24
24
1,0
1,0
22
22
0,5
0,5
20
20
0,0
Gns.
2001-
2010
Gns.
2011-
2022
2023
2024
2025
0,0
18
2000 2003 2006 2009 2012 2015 2018 2021 2024
18
Anm.: I figur 8.9 er realvæksten i det offentlige forbrug opgjort ved inputmetoden og inkl. afskrivninger.
Kilde: Danmarks Statistik og egne beregninger.
De nominelle offentlige forbrugsudgifter er nedjusteret med henholdsvis ca. 5 mia. kr. i 2023 og
2¼ mia. kr. i 2024 i forhold til august-redegørelsen,
jf. tabel 8.8.
Nedjusteringen i 2023 afspejler især virkningen af de konkrete udmøntninger fra Ukrainefon-
den i 2023.
4
Samtidig forventes der på baggrund af den statslige udgiftsopfølgning 3 mindreud-
gifter i 2023 på blandt andet Social-, Bolig- og Ældreministeriets område, uddannelsesområ-
det, mv. I modsat retning trækker den forudsatte virkning på det offentlige forbrug af det aftalte
løft af Ukrainefonden i 2023,
jf. Aftale om forøgelse af den militære støtte under Ukrainefon-
den i 2023 og 2025-2027 (november 2023).
I 2024 kan nedjusteringen af det nominelle offentlige forbrug tilsvarende henføres til ændrede
forudsætninger vedrørende udmøntninger fra Ukrainefonden i 2024. Hertil kommer en nedju-
stering som følge af udmøntningen af den afsatte reserve på finanslovforslaget til særlov for for-
drevne fra Ukraine, der beregningsteknisk var indregnet fuldt ud som offentligt forbrug i agust-
vurderingen. Det nominelle offentlige forbrug er omvendt opjusteret i 2024 som følge af de
skønnede virkninger af trepartsaftalen om løn- og arbejdsvilkår, der indeholder et lønløft for
visse grupper af offentligt ansatte. Lønløftet (opgjort svarende til virkningen efter skat og tilba-
geløb) er i 2024 finansieret af en reduktion af de offentlige udgifter, og virkningen på den struk-
turelle offentlige saldo er således neutral.
Skønnet for 2025 tager afsæt i den forudsatte udgiftsvækst i regeringens 2030-planforløb mv.
og inkluderer virkningen af det aftalte lønløft i trepartsaftale om løn og arbejdsvilkår samt den
politiske aftale om at forøge Ukrainefonden i 2025-2027. Den samlede udgifts- og finanspolitik
i 2025 fastsættes i løbet af 2024 i forbindelse med økonomiaftalerne for 2025 og finansloven
for 2025.
De konkrete udmøntninger ved aktstykke giver anledning til en større andel af overførsler til udlandet end tidligere for-
udsat.
4
Økonomisk Redegørelse
December 2023
169
FIU, Alm.del - 2023-24 - Bilag 68: Økonomisk Redegørelse, december 2023
2798413_0172.png
Kapitel 8
Offentlige finanser og finanspolitik
Såfremt regeringens udspil til personskattereform
Mere attraktivt at arbejde
indregnes, vil det
som udgangspunkt mindske den højest mulige offentlige forbrugsvækst med 0,6 pct.-point i
2025,
jf. boks 1.1 i kapitel 1.
Tabel 8.8
Skøn for det offentlige forbrug
2022
(regnskab)
Realvækst, pct.
August-redegørelse
Aktuel vurdering
- Ændring i forhold til augustredegørelse, pct.-point
-3,6
-3,6
0,0
1,5
0,9
-0,6
2,1
2,2
0,1
-
1,9
-
2023
2024
2025
Mia. kr., årets priser
August-redegørelse
Aktuel vurdering
- Ændring i forhold til augustredegørelse, pct.-point
Kilde: Danmarks Statistik og egne beregninger.
616,7
616,7
0,0
644,9
639,8
-5,1
682,4
680,2
-2,2
-
724,6
-
Offentlig beskæftigelse
Den offentlige beskæftigelse er ifølge Danmarks Statistiks reviderede regnskabstal opgjort til
knap 865.000 personer i 2022, hvilket svarer til en stigning på knap 12.000 personer sammen-
lignet med årsniveauet i 2021. Fremgangen i den offentlige beskæftigelse er fortsat ind i 2023,
jf. figur 8.11.
Ifølge Danmarks Statistiks beskæftigelsesstatistik for lønmodtagere er stigningen i perioden fra
1. halvår 2022 til 1. halvår sket i kommunerne og staten, mens der har været et fald i antallet af
ansatte i regionerne,
jf. figur 8.12.
Stigningen i antal offentligt beskæftigede i perioden er ho-
vedsageligt sket indenfor brancherne offentlig administration, forsvar og politi samt sundhed
og socialvæsen.
170
Økonomisk Redegørelse
December 2023
FIU, Alm.del - 2023-24 - Bilag 68: Økonomisk Redegørelse, december 2023
2798413_0173.png
Kapitel 8
Offentlige finanser og finanspolitik
Figur 8.11
Offentlig beskæftigelse i
nationalregnskabet
Figur 8.12
Udviklingen i antal offentligt ansatte
fordelt på sektorer fra 1. halvår 2022 til 1. halvår
2023
1.000 personer
900
880
860
840
1.000 personer
900
880
860
840
820
800
780
1.000 personer
8
6
4
2
1.000 personer
8
6
4
2
0
-2
820
800
780
2001 2004 2007 2010 2013 2016 2019 2022 2025
Offentlig beskæftigelse inkl. orlov
Skøn
0
-2
Stat
Kom- Regio- Off. Undv. Sund- Andet
hed
muner ner adm.,
og soc.
forsv.
og
politi
Anm.: Figur 8.11 (lønmodtagerstatistikken) kan ikke direkte sammenlignes med figur 8.12.
Kilde: Danmarks Statistik og egne beregninger.
I 2023 skønnes den offentlige beskæftigelse til knap 873.000 personer, svarende til en stigning
på 8.000 personer i forhold til 2022,
jf. tabel 8.9.
Den skønnede beskæftigelsesvækst i 2023 er
således uændret sammenlignet med august-redegørelsen. Den forventede udvikling skal blandt
andet ses i lyset af den fortsatte vækst i den offentlige beskæftigelse i 1.-3. kvartal 2023.
Frem mod 2025 forventes der en mere afdæmpet stigning i den offentlige beskæftigelse end i de
senere år. I 2024 skønnes den offentlige beskæftigelse at stige med 3.000 personer, hvilket er
uændret sammenlignet med august-vurderingen. I 2025 skønnes den offentlige beskæftigelse at
stige med 5.000 personer, hvilket skal ses i sammenhæng med den beregningsteknisk forud-
satte reale forbrugsvækst på 1,9 pct. i 2025.
Frem mod 2025 forventes den offentlige beskæftigelse som andel af den strukturelle beskæfti-
gelse fortsat at ligge under det historiske gennemsnit, mens antallet af offentligt beskæftigede
pr. 100 borgere forventes at øges til et niveau omtrent på linje med det historiske gennemsnit
de seneste 40 år,
jf. figur 8.13.
Såfremt regeringens udspil til personskattereform
Mere attraktivt at arbejde
indregnes, vil det
beregningsteknisk reducere væksten i den offentlige beskæftigelse med 4.000 personer i 2025,
jf. boks 1.1 i kapitel 1.
Økonomisk Redegørelse
December 2023
171
FIU, Alm.del - 2023-24 - Bilag 68: Økonomisk Redegørelse, december 2023
2798413_0174.png
Kapitel 8
Offentlige finanser og finanspolitik
Tabel 8.9
Skøn for offentlig beskæftigelse
(inkl. orlov)
Figur 8.13
Offentlig beskæftigelse i forhold til
indbyggertal og samlet beskæftigelse
Pct.
Pct.
32
30
28
26
24
22
1.000
personer
Ændring ift.
året før
August-
redegørelse
December-
redegørelse
- Ændring
18
2022
2023
2024
2025
17
16
11,7
11,7
0,0
8,0
8,0
0,0
3,0
3,0
0,0
-
5,0
-
15
14
13
Niveau i
december-
redegørelse
865
873
876
881
12
20
1980 1985 1990 1995 2000 2005 2010 2015 2020 2025
Offentlig beskæftigelse pr. 100 borgere
Offentlig beskæftigelse ift. strukturel
beskæftigelse (h. akse)
Anm.: De stiplede linjer i figur 8.13 angiver gennemsnit for perioden 1982-2022.
Kilde: Danmarks Statistik og egne beregninger.
Offentlige investeringer
I en længere årrække har de offentlige investeringer som andel af BNP ligget på et højt niveau i
forhold til niveauet i 1990’erne og den første halvdel af 2000’erne. Det høje udgiftsniveau ven-
tes opretholdt i de kommende år. De offentlige investeringsudgifter skønnes at udgøre 3,4-3,5
pct. af BNP i 2023-2025, hvilket er betydeligt over det historiske gennemsnit for 1990-2007,
jf.
figur 8.14.
Størstedelen af de offentlige investeringer udgøres af investeringer i bygninger og anlæg mv.,
mens investeringer i forskning og udvikling udgør en mindre – om end ikke ubetydelig – del af
de samlede offentlige investeringer,
jf. figur 8.15.
172
Økonomisk Redegørelse
December 2023
FIU, Alm.del - 2023-24 - Bilag 68: Økonomisk Redegørelse, december 2023
2798413_0175.png
Kapitel 8
Offentlige finanser og finanspolitik
Figur 8.14
Offentlige investeringer som andel af
BNP
Pct. af BNP
4,5
4,0
3,5
3,0
2,5
2,0
1,5
1990 1994 1998 2002 2006 2010 2014 2018 2022
Pct. af BNP
4,5
4,0
3,5
3,0
2,5
2,0
1,5
Figur 8.15
Offentlige investeringer fordelt på
område
Mia. kr. (2024-priser)
120
100
80
60
40
20
0
2010 2012 2014 2016 2018 2020 2022 2024
Bygninger og anlæg
Forskning og udvikling
Mia. kr. (2024-priser)
120
100
80
60
40
20
0
Anm.: Den stiplede linje i figur 8.14 angiver det gennemsnitlige niveau i 1990-2007.
Kilde: Danmarks Statistik og egne beregninger.
I 2023 skønnes de nominelle offentlige investeringer at udgøre ca. 97,5 mia. kr., hvilket svarer
til en realvækst på 6,3 pct. i forhold til 2022,
jf. tabel 8.10.
Skønnet er opjusteret med ca. 2�½
mia. kr. sammenlignet med august-redegørelsen, hvilket primært afspejler højere skønnede an-
lægsudgifter for kommuner og regioner på baggrund af regnskabsoplysninger til og med 3.
kvartal 2023. I modsat retning trækker en nedjustering af de statslige udgifter som følge af nye
oplysninger om forsinkelser på leveringen af kampfly.
De samlede udgifter til offentlige investeringer i 2024 er omtrent uændrede sammenlignet med
august-redegørelsen, hvilket indebærer et skønnet realt fald i 2024. I 2025 forudsættes de no-
minelle offentlige investeringer beregningsteknisk at udgøre 103 mia. kr. med afsæt i
2030-
planforløb: Grundlag for udgiftslofter 2027,
august 2023.
Det bemærkes, at skønnene for de offentlige investeringer er behæftet med betydelig usikker-
hed, da udgifterne blandt andet påvirkes af forskydninger i byggeaktiviteten mv. mellem de en-
kelte år, fx i forbindelse med større anlægsprojekter på transportområdet.
Økonomisk Redegørelse
December 2023
173
FIU, Alm.del - 2023-24 - Bilag 68: Økonomisk Redegørelse, december 2023
2798413_0176.png
Kapitel 8
Offentlige finanser og finanspolitik
Tabel 8.10
Offentlige investeringer fordelt på område – niveau, realvækst og andel af BNP
2021
Nominelt investeringsniveau, mia. kr. (årets priser)
- Heraf bygninger og anlæg m.m.
- Heraf forskning og udvikling
1)
Realvækst i de offentlige investeringer, pct.
- Heraf bygninger og anlæg m.m.
- Heraf forskning og udvikling
Offentlige investeringer, pct. af BNP
- Heraf bygninger og anlæg
- Heraf forskning og udvikling
1)
2022
88,8
65,5
23,3
0,3
-1,7
6,0
3,1
2,3
0,8
2023
97,5
72,9
24,6
6,3
7,5
2,9
3,5
2,6
0,9
2024
98,3
72,7
25,5
-2,4
-3,2
-0,1
3,4
2,5
0,9
2025
103,0
76,2
26,8
1,7
2,3
0,0
3,4
2,5
0,9
84,2
63,0
21,2
-2,1
-0,2
-7,3
3,3
2,5
0,8
Baseret på nationalregnskabsopgørelsen af de offentlige udgifter til forskning og udvikling mv. Opgørelsen er dermed ikke
direkte sammenlignelig med det offentlige forskningsbudget.
Kilde: Danmarks Statistik og egne beregninger.
8.5 Finanspolitikkens aktivitetsvirkning
Ét-årig finanseffekt
Finanseffekterne viser finans- og strukturpolitikkens virkning på output- og beskæftigelsesga-
bet. Den ét-årige finanseffekt beskriver virkningen af den førte finanspolitik i et enkelt år, målt
ved ændringerne i finanspolitikken i forhold til året forinden.
5
I 2023 har der været en markant opstramning af den samlede finans- og strukturpolitik i for-
hold til 2022, og den ét-årige finanseffekt for 2023 skønnes således til -1,0 pct.-point. Det kom-
mer efter, at finanspolitikken også blev strammet i 2022, svarende til en ét-årig finanseffekt på
-1,6 pct.-point. Stramningen af finanspolitikken skal ses i lyset af den aktuelle situation i dansk
økonomi med et højt kapacitetspres. Lempelserne under coronapandemien – i kraft af kompen-
sationsordninger og stimuli-tiltag mv. – er dermed trukket tilbage i takt med, at konjunktu-
rerne er blevet forbedret,
jf. tabel 8.11.
Det bemærkes, at det for enkelte tiltag er år-til-år-væksten i den flerårige virkning, der indgår i den ét-årige finanseffekt.
Det følger hidtidig praksis og gælder tiltag, hvor det ikke er meningsfuldt at foretage en isoleret ét-årig beregning. Dette
gælder blandt andet investeringsvinduet, som netop sigtede på at tilskynde en tidsmæssig forskydning af investeringer
mellem årene, samt udbetalingen af indefrosne feriepenge, hvor den umiddelbare forbrugsimpuls af udbetalingen i slut-
ningen af 2020 både dengang og nu blev forudsat at fordele sig over mere end et enkelt år. For disse tiltag behandles akti-
vitetsvirkningen således ens i de ét-årige og de flerårige finanseffekter.
5
174
Økonomisk Redegørelse
December 2023
FIU, Alm.del - 2023-24 - Bilag 68: Økonomisk Redegørelse, december 2023
2798413_0177.png
Kapitel 8
Offentlige finanser og finanspolitik
Tabel 8.11
Finans- og strukturpolitikkens virkning på outputgabet (ét-årig finanseffekt)
2020
Pct.-point
1. Virkning af traditionel finans- og strukturpolitik
2. Virkning af udbetaling af indefrosne
feriepenge og investeringsvindue
3. Finanseffekt ekskl. covid-19-engangs-
forhold (1+2)
4. Virkning af covid-19-engangsforhold
1)
5. Ét-årig finanseffekt (3+4)
1)
2021
2022
2023
2024
2025
0,2
0,1
0,3
1,4
1,7
-0,1
0,3
0,2
0,6
0,9
-0,3
-0,1
-0,4
-1,2
-1,6
0,1
-0,4
-0,3
-0,7
-1,0
0,0
0,0
-0,1
0,0
-0,1
0,2
0,1
0,3
0,0
0,3
Afspejler virkningen af de tiltag, der behandles som covid-19-engangforhold i opgørelsen af den strukturelle saldo, herunder
blandt andet covid-19-kompensationsordninger (inkl. den afledte dæmpende virkning på risiko) og covid-19-engangsudgifter
i det offentlige forbrug mv. Alle tal er afrundede til én decimal og summerer derfor ikke nødvendigvis.
Kilde: Egne beregninger på MAKRO-modellen.
Med
Aftalen om finansloven for 2024
mv. skønnes finans- og strukturpolitikken i 2024 at have
en omtrent neutral virkning på kapacitetspresset, idet den ét-årige finanseffekt skønnes til -0,1
pct.-point relativt til 2023.
Skønnet for den ét-årige finanseffekt i 2024 afspejler en række modsatrettede faktorer. Skatte-
rabatten for eksisterende boligejere i forbindelse med
Aftale om tryghed om boligbeskatningen
(maj 2017)
øger isoleret set efterspørgslen, mens blandt andet bortfaldet af den midlertidige
lempelse af den almindelige elafgift i første halvår 2023 og en reduktion i omfanget af reale of-
fentlige investeringer trækker i modsat retning. Hertil kommer, at tilbagebetalingen af ejen-
domsskatter til boligejere, der har betalt skat af for høje vurderinger siden 2011, forudsættes at
være større i 2024 end i 2023, hvilket har en positiv virkning på den ét-årige finanseffekt i
2024.
Finans- og strukturpolitikken i 2023 vurderes samlet set at være lidt lempeligere i indeværende
prognose end i
Økonomisk Redegørelse, august 2023.
Den ét-årige finanseffekt er opjusteret
med 0,1 pct.-point i 2023. Det afspejler primært en opjustering af de offentlige investeringsud-
gifter i 2023 som følge af forventede overskridelser af de kommunale og regionale anlægsram-
mer. I modsat retning reduceres finanseffekten i 2023 blandt andet af, at en del af tilbagebeta-
lingen af for meget betalt boligskat er udskudt fra 2023 til 2024 og et forventet statsligt mindre-
forbrug i 2023.
I 2024 er skønnet for den ét-årige finanseffekt omvendt 0,1 pct.-point lavere end i august-vur-
deringen. Forlængelse af særloven for fordrevne fra Ukraine samt en forudsat opstramning af
de offentlige investeringer relativt til 2023 bidrager til at mindske finanseffekten i 2024, mens
udskydelsen af tilbagebetalingen af boligskat isoleret set øger skønnet for den ét-årige finansef-
fekt i 2024 i forhold til august-vurderingen.
Med allerede indgåede politiske aftaler mv., og de beregningstekniske forudsætninger skønnes
den ét-årige finanseffekt at være 0,3 pct.-point for 2025. Det afspejler blandt andet, at finans-
politikken er planlagt med en gradvist aftagende profil for den strukturelle saldo frem mod sal-
domålet på -0,5 pct. af BNP i 2030. Normaliseringen af konjunktursituationen og inflationen
tilsiger isoleret set, at finanspolitikken gradvist lempes fra sit nuværende stramme niveau for at
Økonomisk Redegørelse
December 2023
175
FIU, Alm.del - 2023-24 - Bilag 68: Økonomisk Redegørelse, december 2023
2798413_0178.png
Kapitel 8
Offentlige finanser og finanspolitik
understøtte en blød landing, svarende til en positiv ét-årig finanseffekt og en negativ flerårig
finanseffekt,
jf. figur 8.16 og boks 1.7 i Økonomisk Redegørelse, maj 2023.
Figur 8.16
Illustrativ finanspolitisk stabilisering
Outputgab (ekskl. finans- og strukturpolitik)
Flerårig finanseffekt
Siden august-vurderingen er det besluttet at udvide Ukrainefonden via en lempelse af den
strukturelle saldo,
jf. Aftale om forøgelse af den militære støtte under Ukrainefonden i 2023 og
2025-2028 (november 2023).
Som udgangspunkt forventes aktivitetsvirkningen heraf at være
nul, idet langt størstedelen af midlerne forudsættes at være donationer til udlandet samt genan-
skaffelser, der købes i udlandet. Aktivitetsvirkningen vil afhænge af, hvordan midlerne konkret
udmøntes.
Regeringens udspil til personskattereformen
Mere attraktivt at arbejde,
som ikke er afspejlet i
indeværende prognose, vil isoleret set have en dæmpende virkning på kapacitetspresset i dansk
økonomi. Samlet set vurderes det, at regeringens udspil vil dæmpe den ét-årige finanseffekt i
2025 med knap 0,1 pct.-point. Det afspejler, at reformen finansieres via det finanspolitiske rå-
derum (der beregningsteknisk indgår som offentligt forbrug i prognosen), og at den kortsigtede
virkning på kapacitetspresset af lavere personskatter er mindre end for offentligt forbrug. Sam-
tidig øger reformen arbejdsudbuddet og dermed kapaciteten i økonomien, hvilket isoleret set
dæmper kapacitetspresset.
Flerårig finanseffekt
Den flerårige finanseffekt måler den samlede virkning på output- og beskæftigelsesgabet af den
førte finanspolitik over en årrække, herunder både i det pågældende år og de forudgående år.
Den flerårige finanseffekt måles med 2019 som basisår – et år, hvor økonomien endnu ikke var
påvirket af coronapandemien, og hvor økonomien ikke var langt fra en neutral konjunktursitu-
ation. Dermed medtages virkningerne af den førte finanspolitik i 2020-2023 samt den plan-
lagte politik for 2024 og frem i beregningen af den flerårige effekt.
Den flerårige finanseffekt skønnes til henholdsvis -0,3 pct.-point i 2023, -0,5 pct.-point 2024
og -0,2 pct.-point i 2025 målt ved virkningen på outputgabet. Tilsvarende skønnes den flerårige
virkning på beskæftigelsesgabet til henholdsvis -0,3 pct.-point i 2023, -0,5 pct.-point i 2024 og
176
Økonomisk Redegørelse
December 2023
FIU, Alm.del - 2023-24 - Bilag 68: Økonomisk Redegørelse, december 2023
2798413_0179.png
Kapitel 8
Offentlige finanser og finanspolitik
-0,2 pct.-point i 2025. Den samlede finans- og strukturpolitik siden 2019 vurderes således at
bidrage til at reducere output- og beskæftigelsesgabet og dermed dæmpe kapacitetspresset i
økonomien i år og de kommende år,
jf. tabel 8.12 samt figur 8.17 og figur 8.18.
Sammenlignet med
Økonomisk Redegørelse, august 2023
er skønnet for den flerårige finansef-
fekt (målt ved virkningen på outputgabet) uændret i 2023 og nedjusteret med 0,1 pct.-point i
2024.
Tabel 8.12
Finans- og strukturpolitikkens virkning på output- og beskæftigelsesgabet (flerårig
finanseffekt)
2020
Pct.-point
Flerårig virkning på outputgab
Flerårig virkning på beskæftigelsesgab
1,6
1,9
2,5
2,4
0,8
0,6
-0,3
-0,3
-0,5
-0,5
-0,2
-0,2
2021
2022
2023
2024
2025
Anm.: Virkningen på beskæftigelsesgabet skal blandt andet ses i lyset af, at personer på den midlertidige lønkompensationsordning
medregnes i beskæftigelsen i nationalregnskabet.
Kilde: Egne beregninger på MAKRO-modellen.
Figur 8.17
Outputgab
Pct.-point
4
3
2
1
0
-1
-2
-3
-4
2020
2021
2022
2023
2024
2025
Outputgab
Outputgab i fravær af besluttet politik
Pct.-point
4
3
2
1
0
-1
-2
-3
-4
Figur 8.18
Beskæftigelsesgab
Pct.-point
4
3
2
1
0
-1
-2
-3
-4
2020
2021
2022
2023
2024
2025
Beskæftigelsesgab i fravær af besluttet politik
Beskæftigelsesgab
Pct.-point
4
3
2
1
0
-1
-2
-3
-4
Anm.: Virkningen på konjunkturgabene beskriver finans- og strukturpolitikkens virkning på output- og beskæftigelsesgabet i et en-
kelt år. Aktivitetsvirkningen er opgjort som den samlede virkning af finans- og strukturpolitikken i forhold til 2019.
Kilde: Egne beregninger.
8.6 Offentlig gæld og statens nettofinansieringsbehov
Den offentlige bruttogæld – opgjort ved ØMU-gælden – skønnes at stige fra 29,8 pct. af BNP
ultimo 2022 til 30,3 pct. af BNP ved udgangen af 2023 for derefter at falde til 29,1 pct. af BNP i
2024 og 27,9 pct. af BNP ultimo 2025,
jf. tabel 8.13.
Den forventede stigning i ØMU-gældskvo-
Økonomisk Redegørelse
December 2023
177
FIU, Alm.del - 2023-24 - Bilag 68: Økonomisk Redegørelse, december 2023
2798413_0180.png
Kapitel 8
Offentlige finanser og finanspolitik
ten i 2023 afspejler blandt andet et skønnet fald i nominelt BNP i 2023 samt en mindre stig-
ning i den udestående bruttogæld. I 2024 og 2025 forventes fornyet vækst i nominelt BNP, hvil-
ket giver anledning til, at ØMU-gældskvoten forventes at falde.
ØMU-gælden ventes således at holde god afstand til grænsen i EU’s Stabilitets- og Vækstpagt
på 60 pct. af BNP. Det er blandt andet en konsekvens af en ansvarlig linje i den økonomiske po-
litik gennem en længere årrække, som har været afgørende for, at Danmark er blandt de få
lande, der har den højeste kreditvurdering hos samtlige toneangivende kreditvurderingsbu-
reauer. Den høje kreditvurdering bidrager til, at den danske stat har lavere renteudgifter end
lande med en lavere kreditvurdering. Den aktuelle sammenhæng mellem høje kreditvurderin-
ger og lavere statsobligationsrenter på tværs af eurolandene mv. er illustreret i figur 8.19.
Figur 8.19
Sammenhæng mellem kreditvurde-
ring og 10-årig statsobligationsrente for
eurolande mv.
Pct.
4,5
ITA
4,0
3,5
SVN
3,0
FIN BEL
FRA
NLD AUT IRL
2,5
DK
2,0
1,5
AAA AA+ AA
AA-
A+
A
A- BBB+ BBB BBB- BB+ BB
Tabel 8.13
Oversigt over offentlig gæld, ultimo
året
Pct.
4,5
GRC
CYP
4,0
3,5
3,0
2,5
2,0
1,5
Kreditrating
2022
Pct. af BNP
ØMU-gæld
Statsgæld
Offentlig
nettogæld
Memopost:
Faktisk of-
fentlig saldo
29,8
11,4
-17,9
2023
2024
2025
MLT
ESP
PRT
BGR
30,3
10,5
-18,5
29,1
8,8
-19,2
27,9
8,6
-19,2
DEU
3,3
2,7
1,5
0,8
Anm.: Renterne er angivet som et to-måneders gennemsnit af ECB’s benchmarkrenter for hvert land, som baseres på statsobligati-
oner handlet i det sekundære marked, i lokal valuta, før skat og med en restløbetid på ca. 10 år. Data er hentet d. 5. decem-
ber 2023.
Kilde: Macrobond Financial, Eurostat og egne beregninger.
Et større overskud på den offentlige saldo medfører – alt andet lige – et større fald i ØMU-gæl-
den. Opbygningen af aktiver, likviditetsforskydninger fra år til år mv. har dog den konsekvens,
at de opgjorte finansieringsbehov afviger fra den offentlige saldo. Dermed afhænger bevægelser
i ØMU-gælden heller ikke alene af udviklingen i den offentlige saldo,
jf. boks 8.2.
Den offentlige nettogæld er det centrale gældsbegreb i forhold til statens solvens og vurderin-
gen af finanspolitikkens langsigtede holdbarhed. Ved udgangen af 2022 havde den offentlige
sektor en finansiel nettoformue svarende til 17,9 pct. af BNP. Frem mod udgangen af 2025 ven-
tes en stigende nettoformue i forhold til niveauet i 2022. Skønnene for nettogælden er forbun-
det med betydelig usikkerhed, idet udviklingen i nettogælden, ud over udviklingen på den of-
fentlige saldo, også afhænger af kursreguleringer på det offentliges aktiver og passiver. Det be-
mærkes, at der i skønnet for nettoformuen er taget højde for kursfald på visse af statens aktiver
i løbet af 2023.
178
Økonomisk Redegørelse
December 2023
FIU, Alm.del - 2023-24 - Bilag 68: Økonomisk Redegørelse, december 2023
2798413_0181.png
Kapitel 8
Offentlige finanser og finanspolitik
Statsgælden omfatter udelukkende statens gæld, dog efter modregning af blandt andet statens
indestående i Nationalbanken. Udviklingen i statsgælden fra år til år svarer – bortset fra kursef-
fekter ved lånoptagelse – til den såkaldte nettokassesaldo, dvs. likviditetseffekten af statens
budget. Nettokassesaldoen afspejler forskellen mellem de faktiske indbetalinger af skatter, af-
gifter mv., som staten modtager, og de konkrete udbetalinger, som staten foretager i løbet af et
givet år, herunder også genudlån til statslige selskaber. Statsgælden skønnes at falde fra 11,4
pct. af BNP i 2022 til henholdsvis 10,5, 8,8 og 8,6 pct. af BNP i 2023, 2024 og 2025.
Boks 8.2
Centrale opgørelser af den offentlige gæld
Der sondres normalt mellem tre opgørelser af den offentlige gæld: ØMU-gælden, den offentlige nettogæld og
statsgælden. De forskellige gældsbegreber afviger fra hinanden med hensyn til opgørelsesmetoder og afgræns-
ningen af den offentlige sektor:
ØMU-gælden
er den offentlige gæld opgjort efter EU’s principper. ØMU-gælden omfatter de samlede fi-
nansielle passiver i alle de offentlige delsektorer – stat, kommuner, regioner og forskellige sociale kasser og
fonde. ØMU-gælden er en ren bruttogældsstørrelse, hvor kun interne fordringer inden for det offentlige
bliver modregnet. ØMU-gælden bruges i forbindelse med EU’s Stabilitets- og Vækstpagt, hvor ØMU-gæl-
dens andel af BNP ikke må overstige 60 pct.
Den offentlige nettogæld
er udgangspunktet for beregningerne af de offentlige finansers langsigtede hold-
barhed. Den offentlige nettogæld opgøres som forskellen mellem de samlede offentlige passiver og aktiver
og er dermed et udtryk for det offentliges samlede finansielle nettostilling. I modsætning til de andre
gældsdefinitioner opgøres den offentlige nettogæld til markedsværdi.
Statsgælden
omfatter udelukkende statens gæld og dermed ikke gælden i de øvrige offentlige delsektorer.
Statsgælden er ligesom ØMU-gælden en bruttostørrelse, men i definitionen er der tilladt en modregning af
statens indestående i Nationalbanken, statens beholdning af almene boligobligationer samt værdipapirbe-
holdninger i de statslige fonde (Innovationsfonden og Fonden for Forebyggelse og Fastholdelse).
Genudlån
er et udtryk for statens udlånsprogram til statslige selskaber og andre institutioner. Her udsteder
Nationalbanken statsobligationer og videreudlåner provenuet til selskaberne på samme vilkår, som gælder for
de underliggende statsobligationer, herunder rente og løbetid tillagt en provisionsbetaling til staten. Genudlån
tillader selskaberne at benytte statens høje kreditvurdering, således at offentlige opgaver finansieres billigst
muligt. Da selskaberne betaler afdrag og renter, er det saldoneutralt for staten. Genudlån øger statsgælden og
ØMU-gælden, men indgår neutralt i nettogælden, da videreudlånet medregnes i aktivsiden.
Finansieringsbehovet
Statens nettofinansieringsbehov skønnes at udgøre -34,9 mia. kr. i 2023 og -45,3 mia. kr. i
2024, hvilket for 2023 er en nedjustering i forhold til de ca. -18,7 mia. kr. i 2023, der blev skøn-
net i august-redegørelsen,
jf. tabel 8.14.
For 2024 er der tale om en nedjustering på 13,6 mia.
kr.
Nedjusteringen af nettofinansieringsbehovet i 2023 skyldes primært en opjustering af skønnet
for DAU-saldoen i 2023 fra 52,4 mia. kr. i augustredegørelsen. Opjusteringen af DAU-saldoen i
2023 dækker over skønnede opjusteringer af statens indtægter og nedjusteringer af statens ud-
gifter. Opjusteringen i skønnet for indtægter skyldes hovedsageligt en opjustering af skønnene
for selskabsskatter og personskatter. Nedjusteringen af udgiftsskønnet kan henføres til flere
forhold, herunder forventede mindreudgifter for indkomstoverførsler og statslige anlægsudgif-
ter, en teknisk nedskrivning af en tabsramme vedrørende Danmarks Eksport- og Investerings-
fond, samt en udskydelse af dele af den ekstraordinære tilbagebetaling af ejendomsskatter til
Økonomisk Redegørelse
December 2023
179
FIU, Alm.del - 2023-24 - Bilag 68: Økonomisk Redegørelse, december 2023
2798413_0182.png
Kapitel 8
Offentlige finanser og finanspolitik
boligejere fra 2023 til 2024. Derudover er opdateret skøn for statslige genudlån og statens be-
holdningsbevægelser og periodiseringer.
Statens bruttofinansieringsbehov ventes aktuelt at udgøre omtrent 89,3 mia. kr. i 2023 og 76,9
mia. kr. i 2024. Skønnet for statens bruttofinansieringsbehov i 2023 er dermed nedjusteret
med 13,5 mia. kr. siden august-redegørelsen. Denne opjustering afspejler hovedsageligt nedju-
steringen i statens nettofinansieringsbehov.
Statens nettokassesaldo svarer til statens nettofinansieringsbehov med omvendt fortegn. Ud
over nettofinansieringsbehovet afholder staten også betalinger til afdrag på statsobligationer og
statslige fonde forvaltet af Nationalbanken. Summen af nettofinansieringsbehovet og disse del-
poster angiver det samlede finansieringsbehov for staten i det givne år. Finansieringsbehovet
dækkes ved at udstede statsobligationer eller ved at trække på statens indestående hos Natio-
nalbanken.
Tabel 8.14
DAU-saldo og statens finansieringsbehov
ØR august 2023
Mia. kr.
1. DAU-saldo
2. Genudlån mv. (§ 40)
3. Beholdningsbevægelser og periodiseringer mv. (§ 41)
4. Nettokassesaldo (1-2+3)
5. Nettofinansieringsbehov (-4)
6. Afdrag langfristet gæld
7. Afdrag kortfristet gæld
8. Transaktioner i de statslige fonde
9. Opkøb af almene boligobligationer
Finansieringsbehov (5+6+7+8+9)
2023
52,4
32,9
-0,7
18,7
-18,7
86,9
16,3
-0,3
18,4
102,8
2024
14,7
27,9
44,9
31,7
-31,7
81,6
35,0
-0,2
10,0
94,8
ØR december 2023
2023
86,6
26,1
-25,6
34,9
-34,9
101,4
16,3
-0,3
6,9
89,3
2024
25,5
20,5
40,2
45,3
-45,3
81,7
35,0
-0,2
5,9
76,9
Anm.: Afrundinger kan føre til, at tallene ikke summer, som ellers angivet i tabellen.
Kilde: Økonomisk Redegørelse, august 2023 og egne beregninger.
180
Økonomisk Redegørelse
December 2023
FIU, Alm.del - 2023-24 - Bilag 68: Økonomisk Redegørelse, december 2023 FIU, Alm.del - 2023-24 - Bilag 68: Økonomisk Redegørelse, december 2023
2798413_0184.png
FIU, Alm.del - 2023-24 - Bilag 68: Økonomisk Redegørelse, december 2023
2798413_0185.png
Bilag 8.1
De offentlige udgifter og indtægter
Bilag 8.1 De offentlige udgifter
og indtægter
Dette bilag beskriver udviklingen i BNP-andelene for de forskellige udgifts- og indtægtskatego-
rier i prognosen. Det bemærkes overordnet, at BNP-andelene for de fleste poster er påvirket af
udsving i konjunkturerne samt de senere års prisudsving, hvor blandt andet udsving i energi-
priser og internationale fragtrater medfører store udsving i nominelt BNP. Endvidere er mange
udgifts- og indtægtsposter påvirket af særlige midlertidige forhold i 2020-2022 i forbindelse
med covid-19.
De offentlige udgifter
De samlede offentlige udgifter udgjorde ca. 44 pct. af BNP i 2022, hvilket er lavt i historisk
sammenhæng. Det lave niveau afspejler i vid udstrækning, at nominelt BNP var midlertidig for-
højet i 2022 blandt andet som følge af ekstraordinært høje fragtrater på søtransport. På den
baggrund skønnes udgifternes andel af BNP at stige til knap 47 pct. i 2025,
jf. bilagstabel 8.1.
Derudover afspejler udgiftsudviklingen frem mod 2025 hovedsageligt stigende offentlige for-
brugsudgifter og en forventet stigning i udgifterne til indkomstoverførsler som følge af blandt
andet den demografiske udvikling.
Bilagstabel 8.1
De offentlige udgifters sammensætning
Pct. af BNP
Offentlige udgifter
1)
Primære udgifter
- Offentligt forbrug
- Offentlige investeringer
2)
- Indkomstoverførsler
- Subsidier
- Øvrige primære udgifter
Renteudgifter
1)
2021
48,9
48,5
24,0
3,3
15,2
2,5
3,3
0,6
2022
43,9
43,6
21,8
3,1
13,7
1,4
3,2
0,7
2023
45,9
45,3
22,8
3,5
14,4
1,3
3,1
0,8
2024
46,3
45,5
23,2
3,4
14,4
1,3
3,4
0,7
2025
46,7
46,0
23,9
3,4
14,5
1,3
3,2
0,6
Opgørelsen af de samlede offentlige udgifter (og indtægter) afviger fra Danmarks Statistiks opgørelse. Udgifterne som andel
af BNP er her beregnet med afsæt i en opgørelse af de samlede udgifter, hvor alle delelementer af det offentlige forbrug –
herunder fx imputerede udgifter i form af afskrivninger og indtægter i form af salg af varer og tjenesteydelser – henføres til
udgiftssiden.
2)
De offentlige investeringer er opgjort ekskl. nettokøb af bygninger mv. Med Danmarks Statistiks hovedrevision af national-
regnskabet i efteråret 2014 omfatter de offentlige investeringer også udgifter til forskning og udvikling.
Kilde: Danmarks Statistik og egne beregninger.
De offentlige forbrugsudgifter
udgjorde ca. 22 pct. af BNP i 2022. I 2023 skønnes de offentlige
forbrugsudgifter at udgøre ca. 23 pct. af BNP, og frem mod 2025 forventes det offentlige for-
brugs andel af BNP at stige til ca. 24 pct. Forøgelsen af det offentlige forbrugs andel af BNP fra
2022 til 2025 skal blandt andet ses i lyset af den skønnede realvækst i det offentlige forbrug på
Økonomisk Redegørelse
December 2023
183
FIU, Alm.del - 2023-24 - Bilag 68: Økonomisk Redegørelse, december 2023
2798413_0186.png
Bilag 8.1
De offentlige indtægter og udgifter
0,9 pct. i 2023, 2,2 pct. i 2024 og 1,9 pct. i 2025, samtidig med en normalisering af nominelt
BNP i forhold til niveauet i 2022.
De offentlige investeringers
andel af BNP udgjorde godt 3 pct. af BNP i 2022 og forudsættes at
udgøre omtrent 3�½ pct. frem mod 2025, altså at være svagt stigende.
De offentlige udgifter til indkomstoverførsler
udgjorde ca. 13¾ pct. af BNP i 2022 og skønnes
at stige til 14�½ pct. af BNP i 2025. Udviklingen i de skønnede udgifter til indkomstoverførsler
afspejler blandt andet forventede stigende udgifter til folkepension i lyset af den demografiske
udvikling. Udgiftsskønnene afspejler desuden virkningerne af en række politiske aftaler, herun-
der den mindreregulering frem til og med 2023, som indgår i
Aftale om skattereform
(juni
2012), ændret regulering af folkepension mv. i medfør af
Aftale om ny regulering af folkepensi-
onen og indførelse af obligatorisk opsparing for overførselsmodtagere
(november 2018) samt
virkningerne af
Aftale om ny ret til tidlig pension
(oktober 2020) mv.
Subsidierne
udgjorde knap 1�½ pct. af BNP i 2022 og skønnes på omtrent samme niveau i 2023
og frem.
De offentlige renteudgifter
udgjorde ca. ¾ pct. af BNP i 2022. Renteudgifterne skønnes at have
et tilsvarende niveau frem mod 2025.
De offentlige indtægter
De samlede offentlige indtægter er opgjort til ca. 47,2 pct. af BNP i 2022 og skønnes stige til
47,5 pct. af BNP i 2025,
jf. bilagstabel 8.2.
Udviklingen skal blandt andet ses i lyset af, at ind-
tægterne fra personskatter mv., arbejdsmarkedsbidrag og moms forventes at stige, mens ind-
tægterne fra selskabsskatten og øvrige indirekte skatter forventes at falde. I 2025 skønnes det
faktiske skattetryk at blive af samme størrelsesorden som 2022 og noget lavere end i 2021.
Personskatteindtægterne
er opgjort til ca. 567,9 mia. kr. i 2022, svarende til 20,1 pct. af BNP.
Det bemærkes, at det forholdsvis høje niveau for personskatterne i 2021 på 21,3 pct. af BNP
blandt andet ses i lyset af de ekstraordinære indtægter fra personlige indkomstskatter og ar-
bejdsmarkedsbidrag, der fulgte af udbetalingen af indefrosne feriepenge i 2020 og 2021. Per-
sonskatteindtægterne forventes at udgøre 21,1, 20,6 og 20,4 pct. af BNP i henholdsvis 2023,
2024 og 2025.
Indtægterne fra
arbejdsmarkedsbidrag
er opgjort til ca. 116,7 mia. kr. i 2022, svarende til 4,1
pct. af BNP. Indtægterne fra arbejdsmarkedsbidraget skønnes at udgøre 4,4 pct. af BNP i både
2023 og 2024 og 4,3 pct. af BNP i 2025.
Indtægterne fra
pensionsafkastskatten
er opgjort til ca. 11,1 mia. kr., svarende til 0,4 pct. af
BNP i 2022. De ekstraordinært lave indtægter i 2022 skal primært ses i lyset af negative aktie-
afkast og rentestigninger, der gav anledning til kurstab på obligationer og rentederivater, som
førte til samlede negative bruttoafkast for pensionsselskaberne. Indtægterne fra pensionsaf-
kastskatten ventes at blive af nogenlunde samme størrelsesorden i 2023-2025, idet pensions-
sektoren har negativ skat til gode fra 2022, som modregnes i eventuel positiv skat i 2023-2025.
184
Økonomisk Redegørelse
December 2023
FIU, Alm.del - 2023-24 - Bilag 68: Økonomisk Redegørelse, december 2023
2798413_0187.png
Bilag 8.1
De offentlige udgifter og indtægter
Bilagstabel 8.2
De offentlige indtægters sammensætning
Pct. af BNP
Personskatter mv.
1)
Arbejdsmarkedsbidrag
Pensionsafkastskat
Selskabsskatter
- Selskabsskat af kulbrintevirksomhed
- Øvrig selskabsskat
Moms
Øvrige indirekte skatter
Øvrige skatter
2)
Skattetryk
Renteindtægter
3)
Øvrige indtægter
4)
Told mv. til EU
5)
Offentlige indtægter
6)
2021
21,3
4,4
2,5
3,9
0,0
3,9
9,8
5,8
0,1
47,9
0,9
4,2
-0,1
52,9
2022
20,1
4,1
0,4
3,2
0,1
3,1
9,3
5,1
0,0
42,2
1,0
4,1
-0,2
47,2
2023
21,1
4,4
0,3
3,4
0,0
3,4
9,7
4,8
0,0
43,6
1,3
3,8
-0,2
48,7
2024
20,6
4,4
0,3
3,3
0,1
3,2
9,6
4,7
0,0
42,8
1,5
3,6
-0,2
47,8
2025
20,4
4,3
0,4
3,1
0,1
3,0
9,7
4,6
0,0
42,6
1,4
3,7
-0,2
47,5
Memopost: Nordsøindtægter
7)
0,0
0,1
0,0
0,1
0,2
Anm.: Den forventede udvikling i de offentlige indtægter opgjort i mia. kr. kan findes i bilagstabel B.20.
1)
Personskatter mv. indeholder indkomstskat, ejendomsværdiskat, vægtafgift fra husholdninger, bo- og gaveafgift, aktieskat
samt andre personlige skatter.
2)
Øvrige skatter indeholder medielicens (primært til DR) og obligatoriske pensionsbidrag for tjenestemænd i offentlige selska-
ber mv. Medielicensen udfases gradvist frem mod 2022 som følge af
Mediepolitisk aftale for 2019-2023
og
Aftale om fokuse-
ring af DR og afskaffelse af medielicensen.
3)
Inkl. udbytter og Nationalbankens overskud.
4)
Øvrige indtægter indeholder blandt andet overskud af offentlig virksomhed, diverse drifts- og kapitaloverførsler fra andre in-
denlandske sektorer og EU samt imputerede (beregnede) indtægter i form af både bruttorest-indkomst og bidrag til tjeneste-
mandspensioner. Endvidere indgår statens indtægter fra overskudsdeling og statsdeltagelse i forbindelse med olie- og
gasindvinding i Nordsøen samt kulbrinteskatten.
5)
Ifølge nationalregnskabsprincipperne kategoriseres disse indtægter som skatter og indgår derfor i skattetrykket, men da ind-
tægterne tilfalder EU, indgår de ikke i det offentlige indtægtstryk.
6)
Opgørelsen af de samlede offentlige indtægter afviger fra Danmarks Statistiks opgørelse, der blandt andet henfører det of-
fentliges salg af varer og tjenester til indtægtssiden og ikke, som her, til udgiftssiden som en del af de samlede forbrugsudgif-
ter. De samlede indtægter er her desuden opgjort inkl. bruttorestindkomst, som er modsvaret til de imputerede afskrivnings-
udgifter, der indgår i opgørelsen af det offentlige forbrug. Der henvises i øvrigt til anmærkningerne til bilagstabel 8.1.
7)
De samlede nordsøindtægter udgøres af kulbrinteskat, selskabsskat af kulbrintevirksomhed og udbytter fra Nordsøfonden.
Nordsøindtægterne indgår i selskabsskatter, renteindtægter og øvrige indtægter.
Kilde: Danmarks Statistik og egne beregninger.
Udsving på de finansielle markeder kan have relativt stor betydning for det faktiske skattetryk
og den faktiske offentlige saldo i enkeltår, blandt andet via pensionsafkastskatten. Det påvirker
dog ikke den strukturelle saldo, at indtægterne fra pensionsafkastskatten flyttes mellem årene.
De realøkonomiske konsekvenser af de ofte stærkt fluktuerende indtægter fra pensionsafkast-
skatten er også yderst begrænsede.
Indtægterne fra
øvrige selskabsskatter
(dvs. ekskl. selskabsskat fra kulbrintevirksomheder og
kulbrinteskat, som indgår i nordsøindtægterne) er opgjort til 87,1 mia. kr. i 2022, svarende til
3,1 pct. af BNP. Indtægterne forventes at udgøre 3,4, 3,2 og 3,0 pct. af BNP i 2023-2025.
Økonomisk Redegørelse
December 2023
185
FIU, Alm.del - 2023-24 - Bilag 68: Økonomisk Redegørelse, december 2023
2798413_0188.png
Bilag 8.1
De offentlige indtægter og udgifter
Momsindtægterne
er opgjort til ca. 264,7 mia. kr. i 2022, svarende til 9,3 pct. af BNP. Moms-
indtægterne skønnes at stige til omtrent 9,7 pct. af BNP i 2023-2025.
Øvrige indirekte skatter
omfatter primært punktafgifter i form af blandt andet energi- og miljø-
afgifter, afgifter på nydelsesmidler. De øvrige indirekte skatter omfatter også indtægterne fra
registreringsafgiften, de kommunale ejendomsskatter (grundskyld mv.), erhvervenes motoraf-
gifter, lønsumsafgiften og tinglysningsafgiften. Indtægterne fra de øvrige indirekte skatter er
samlet set opgjort til ca. 145,0 mia. kr. i 2022, svarende til 5,1 pct. af BNP og skønnes at falde
gradvist til 4,6 pct. af BNP i 2025.
Nordsøindtægterne
er opgjort til knap 3,7 mia. kr. i 2022, svarende til 0,1 pct. af BNP. Udvik-
lingen i statens indtægter fra aktiviteterne i Nordsøen er i høj grad påvirket af ændringer i pro-
duktionen og i olieprisen (opgjort i kroner). Nordsøindtægterne skønnes at falde til 0,0 pct. af
BNP i 2023, svarende til ca. 1,3 mia. kr., herunder som følge af et lavere olieprisskøn. I 2024 og
2025 skønnes Nordsøindtægterne at udgøre henholdsvis 0,1 pct. og 0,2 pct., hvilket blandt an-
det skal ses i lyset af, at produktionen forventes at genåbne gradvist i Tyra-feltet.
De
offentlige renteindtægter
er opgjort til ca. 29,6 mia. kr. i 2022 svarende til 1,0 pct. af BNP.
De offentlige renteindtægter skønnes at udgøre henholdsvis 1,3, 1,5 og 1,4 pct. af BNP i 2023,
2024 og 2025.
186
Økonomisk Redegørelse
December 2023
FIU, Alm.del - 2023-24 - Bilag 68: Økonomisk Redegørelse, december 2023 FIU, Alm.del - 2023-24 - Bilag 68: Økonomisk Redegørelse, december 2023
2798413_0190.png
FIU, Alm.del - 2023-24 - Bilag 68: Økonomisk Redegørelse, december 2023
2798413_0191.png
Bilag 8.2
Beregning af strukturel saldo 2022-2025
Bilag 8.2 Beregning af strukturel
saldo 2022-2025
Bilagstabel 8.3
Faktiske og strukturelle særlige poster i beregningen af den strukturelle saldo
2022
Pct. af BNP
1. Faktisk saldo
3,3
2,7
1,5
0,8
2023
2024
2025
Konjunkturrensning
i) Outputgab
ii) Beskæftigelsesgab
a) Sammenvejet konjunkturgab = i)*0,4+ii)*0,6
b) Budgetfaktor
c) 1-(outputgab/100)
2. Konjunkturbidrag = a)*b)*c)
3,0
3,3
3,2
0,73
0,97
2,3
2,1
3,4
2,9
0,73
0,98
2,0
1,9
2,9
2,5
0,73
0,98
1,8
1,4
2,1
1,8
0,73
0,99
1,3
Selskabsskat (ekskl. Nordsø)
Faktisk niveau
Strukturelt niveau
3. Korrektion
3,1
2,5
0,6
3,4
2,6
0,7
3,2
2,7
0,5
3,0
2,7
0,3
Registreringsafgift
Faktisk niveau
Strukturelt niveau
4. Korrektion
0,4
0,7
-0,3
0,4
0,7
-0,3
0,3
0,7
-0,3
0,3
0,6
-0,3
Aktieskat
Faktisk niveau
Strukturelt niveau
5. Korrektion
1,8
1,3
0,5
1,9
1,3
0,5
1,3
1,3
0,0
1,3
1,3
0,0
Økonomisk Redegørelse
December 2023
189
FIU, Alm.del - 2023-24 - Bilag 68: Økonomisk Redegørelse, december 2023
2798413_0192.png
Bilag 8.2
Beregning af strukturel saldo 2022-2025
Bilagstabel 8.3
Faktiske og strukturelle særlige poster i beregningen af den strukturelle saldo
2022
Pct. af BNP
Pensionsafkastskat
Faktisk niveau
Strukturelt niveau
6. Korrektion
0,4
1,1
-0,7
0,3
1,2
-0,9
0,3
1,2
-0,9
0,4
1,2
-0,8
2023
2024
2025
Nordsøindtægter (inkl. udbytter fra Nordsøfonden)
Faktisk niveau
Strukturelt niveau
7. Korrektion
0,1
0,2
0,0
0,0
0,2
-0,1
0,1
0,1
0,0
0,2
0,1
0,1
Nettorenteindtægter og udbytter (ekskl. Nordsø)
Faktisk niveau
Strukturelt niveau
8. Korrektion
0,3
0,5
-0,2
0,7
0,6
0,1
0,8
0,6
0,3
0,9
0,6
0,3
Specielle budgetposter (netto)
Faktisk niveau
Faktisk niveau korrigeret for engangsforhold mv. til beregning af
strukturelt niveau,
jf. bilagstabel 8.4
Strukturelt niveau
9. Korrektion
-0,5
-0,4
-0,4
-0,1
-0,5
-0,2
-0,4
0,0
-1,0
-0,5
-0,4
-0,6
-0,6
-0,6
-0,4
-0,1
10. Øvrige korrektioner (jf. bilagstabel 8.4)
- Heraf covid-19-engangsforhold
-0,6
-0,6
0,1
0,0
0,1
0,0
-0,1
0,0
11. 1-2-3-4-5-6-7-8-9-10 Strukturel saldo
1,9
0,5
0,6
0,2
190
Økonomisk Redegørelse
December 2023
FIU, Alm.del - 2023-24 - Bilag 68: Økonomisk Redegørelse, december 2023 FIU, Alm.del - 2023-24 - Bilag 68: Økonomisk Redegørelse, december 2023
2798413_0194.png
FIU, Alm.del - 2023-24 - Bilag 68: Økonomisk Redegørelse, december 2023
2798413_0195.png
Bilag 8.3
Engangsforhold mv. i 2022-2025
Bilag 8.3 Engangsforhold mv. i
2022-2025
Bilagstabel 8.4
Engangsforhold mv., der korrigeres for i beregningen af den strukturelle saldo
Pct. af BNP
Engangsforhold der korrigeres for i de specielle budgetposter i alt
Engangsforhold vedrørende covid-19 (i de specielle budgetposter)
Ekstraordinær udbetaling af for meget betalt ejendomsskat
Udbetaling af efterlønsbidrag
Ekstraordinære engangsbødeindtægter
2022
-0,1
-0,1
0,0
-0,2
0,2
2023
-0,3
-0,2
0,0
0,0
0,0
2024
-0,5
-0,1
-0,4
0,0
0,0
2025
0,0
0,0
0,0
0,0
0,0
Øvrige korrektioner (uden for de specielle budgetposter) i alt
Engangsforhold vedrørende covid-19
- Heraf som overførsler til husholdninger
- Heraf som subsidier
- Heraf som offentligt forbrug
- Heraf som momsindtægter
- Heraf som tilbageløb via skatter
1)
- Heraf som bidrag til EU
Udviklingsbistand – forskel mellem politiske tilsagn og afløb i faktisk saldo
Korrektion for oplysninger om indtægtssiden
Korrektion vedrørende Arbejdsgivernes Uddannelsesbidrag (AUB)
Korrektion for investeringer i kampfly
2)
Omregning til strukturelt BNP
1)
2)
-0,6
-0,6
0,0
-0,1
-0,5
0,0
0,0
0,0
-0,1
0,1
0,0
0,0
-0,1
0,1
0,0
0,0
0,0
0,0
0,0
0,0
0,0
0,2
0,0
0,0
0,0
0,0
0,1
0,0
0,0
0,0
0,0
0,0
0,0
0,0
0,2
0,0
0,0
-0,1
0,0
-0,1
0,0
0,0
0,0
0,0
0,0
0,0
0,0
0,0
0,0
0,0
-0,1
0,0
Omfatter ikke tilbageløb på selskabsskat og aktieskat i forbindelse med engangsforhold.
Investeringer i kampfly behandles på samme måde som nettokøb af bygninger og andre eksisterende investeringsgoder i
beregningen af den strukturelle saldo og indgår via et syvårs glidende gennemsnit.
Økonomisk Redegørelse
December 2023
193
FIU, Alm.del - 2023-24 - Bilag 68: Økonomisk Redegørelse, december 2023
2798413_0196.png
FIU, Alm.del - 2023-24 - Bilag 68: Økonomisk Redegørelse, december 2023
Oversigt over bilagstabeller
B.1
B.2
B.3
B.4
B.5
B.6
B.7
B.8
B.9
B.10
B.11
B.12
B.13
B.14
B.15
B.16
B.17
B.18
B.19
B.20
B.21
B.22
B.23
Efterspørgsel, import og produktion .....................................................................
Renter, oliepris, valutakurs og udlandsforudsætninger ........................................
Befolkning og arbejdsmarked ...............................................................................
Beskæftigelse fordelt på brancher inkl. orlov .......................................................
Skøn for ledighed..................................................................................................
Personer på indkomstoverførsler mv. ..................................................................
Bruttoinvesteringer................................................................................................
Betalingsbalancens løbende poster .....................................................................
Eksport og import..................................................................................................
Det private forbrug fordelt på undergrupper .........................................................
Nettofordringserhvervelse fordelt på sektorer ......................................................
Bruttoværditilvækst (BVT) ....................................................................................
Timeproduktivitet i udvalgte erhverv .....................................................................
Bidrag til stigningen i husholdningernes reale disponible indkomster..................
Husholdningernes nettofordringserhvervelse .......................................................
Ejendomsmarked og boligbyggeri ........................................................................
Lønkvoter, lønstigninger og beregningstekniske forudsætninger ........................
Prisudvikling og forklarende faktorer ....................................................................
Offentlige finanser.................................................................................................
Skatter og skattetryk .............................................................................................
Udviklingen i skattegrundlaget for kommunerne ..................................................
Indkomstoverførsler ..............................................................................................
Skøn på forskellige tidspunkter over centrale størrelser ......................................
197
198
199
200
200
201
202
203
204
205
205
206
206
207
208
208
209
209
210
211
212
213
214
FIU, Alm.del - 2023-24 - Bilag 68: Økonomisk Redegørelse, december 2023
2798413_0198.png
FIU, Alm.del - 2023-24 - Bilag 68: Økonomisk Redegørelse, december 2023
2798413_0199.png
Bilagstabeller
Bilagstabeller
Tabel B.1
Efterspørgsel, import og produktion
2023
2024
Mia. kr.
Privatforbrug
Offentligt forbrug
1)
Offentlige investeringer
2)
Boliginvesteringer
Erhvervsinvesteringer
Indenlandsk efterspørgsel
ekskl. lagerændringer
Lagerændringer
3)
I alt indenlandsk
efterspørgsel
Eksport af varer og
tjenester
Samlet efterspørgsel
Import af varer og tjenester
Bruttonationalprodukt
Produktskatter, netto
Bruttoværditilvækst
- I private byerhverv
4)
Bruttonationalindkomst
1.278
640
97
134
373
2.525
21
2.546
1.959
4.505
1.702
2.803
331
2.472
1.798
2.885
1.335
680
98
134
369
2.620
11
2.631
2.064
4.695
1.762
2.933
350
2.583
1.868
3.014
1.383
727
103
139
376
2.733
13
2.746
2.148
4.894
1.845
3.049
365
2.684
1.934
3.130
1,5
0,9
1,5
1,0
1,0
1,0
-2,3
10,5
2,9
2,9
2,9
2,5
2025
2023
2024
2025
2023
2024
Priser, pct.
1,5
1,9
1,7
1,2
0,1
1,4
0,1
1,5
2,4
1,9
3,3
1,0
3,0
-10,8
-3,5
-5,6
-2,2
3,1
1,1
2,2
0,6
3,2
2,8
1,6
2,3
1,4
2,9
3,4
2,8
3,3
2,8
1,4
2,9
2,8
4,0
3,3
2,7
1,1
2,9
2,1
4,9
3,1
2,3
1,9
2,8
2025
Mængder, pct.
0,9
0,9
6,3
-12,1
-3,3
-0,3
-1,4
-1,8
10,8
3,7
8,0
1,2
1,6
2,2
-2,4
-2,2
-2,2
0,9
-0,5
0,3
4,2
2,0
3,0
1,4
Anm.: Opdelingen i mængde- og priskomponenter er foretaget på grundlag af en kædeprisberegning.
1)
Realvæksten i det offentlige forbrug er opgjort inkl. afskrivninger. I 2023-2025 er den offentlige forbrugsvækst målt ved
henholdsvis input- og outputmetoden beregningsteknisk forudsat ens.
2)
De offentlige investeringer er ekskl. det offentlige nettokøb af bygninger, hvorfor tallet vil afvige fra opgørelsen af de offentlige
investeringer i tabel B.7.
3)
Mængdestørrelserne angiver vækstbidrag til BNP.
4)
Private byerhverv består af fremstilling, byggeri samt private serviceerhverv ekskl. søtransport.
Kilde: Danmarks Statistik og egne beregninger.
Økonomisk Redegørelse
December 2023
197
FIU, Alm.del - 2023-24 - Bilag 68: Økonomisk Redegørelse, december 2023
2798413_0200.png
Bilagstabeller
Tabel B.2
Renter, oliepris, valutakurs og udlandsforudsætninger
Renter, pct.
USA
Federal Funds Target Rate
Tremåneders pengemarkedsrente
Tiårig statsobligation
Euroområdet
ECB’s refinansieringsrente
Tremåneders pengemarkedsrente
Tiårig statsobligation (Tyskland)
Danmark
Indskudsbevisrente
Tremåneders pengemarkedsrente
Etårig rentetilpasning
Tiårig statsobligation
30-årig realkreditobligation
Gennemsnitsrente
Oliepris
Dollar pr. tønde
Kr. pr. tønde
Valutakurs
Kr. pr. 100 dollar
Kr. pr. 100 euro
Effektiv kronekurs (indeks 1980=100)
628,7
743,7
103,9
707,6
744,0
101,9
689,6
745,1
104,7
686,8
745,7
105,2
686,8
745,7
105,2
70,7
444,4
100,8
713,1
82,6
569,7
81,3
558,3
81,9
562,4
2021
0,3
0,2
1,4
0,0
-0,6
-0,3
-0,6
-0,2
-0,5
0,0
1,5
0,4
2022
1,9
2,4
3,0
0,6
0,4
1,2
0,0
0,6
1,0
1,5
3,7
2,0
2023
5,2
5,4
4,0
3,8
3,4
2,5
2,9
3,5
3,4
2,8
4,8
3,6
2024
5,4
5,5
4,4
4,4
3,6
2,6
3,5
3,6
3,3
2,8
5,0
3,6
2025
4,6
4,8
4,4
3,6
2,9
2,6
2,7
2,9
2,8
2,8
4,8
3,3
Realvækst, pct.
Udlandsforudsætninger
Eksportmarkedsvækst
1)
, pct.
Handelsvægtet BNP-vækst
2)
, pct.
10,2
5,6
7,2
3,1
0,3
1,3
2,4
1,6
3,1
2,2
Anm.: Skønnene er baseret på data til og med d. 27. november 2023. Årsgennemsnit er egne beregninger. For de pengepolitiske
renter er renteskønnet baseret på en vurdering af de seneste udmeldinger fra centralbankerne og markedsforventningerne.
For pengemarkedsrenter og renten på tiårige statsobligationer tager skønnene udgangspunkt i markedsforventninger ud fra
priserne på swaprentekontrakter. For den etårige og 30-årige realkreditobligationsrente er data baseret på Finans Danmarks
obligationsrenter og skøn fastlagt ud fra spænd til henholdsvis tremåneders pengemarkedsrenten og den tiårige statsobligati-
onsrente. Skøn for valutakurser opgøres beregningsteknisk ved, at kursen i resten af prognoseperioden antages at ligge på
den gennemsnitlige værdi for de seneste ti dage, før fastlæggelsen af skønnet. Skøn for olieprisen dannes bl.a. på baggrund
af Det Internationale Energiagentur, World Energy Outlook, oktober 2023, og futurespriser.
1)
Opgjort som et vægtet gennemsnit af importvæksten hos Danmarks 36 vigtigste samhandelspartnere, hvor vægtene afspejler
landets betydning for dansk industrieksport i 2022.
2)
Opgjort som et vægtet gennemsnit af BNP-væksten hos Danmarks 36 vigtigste samhandelspartnere ud fra disse landes an-
del af Danmarks vare- og tjenesteeksport i 2022.
Kilde: Macrobond, Nordea Markets, Det Internationale Energiagentur, IMF World Economic Outlook, oktober 2023, og egne bereg-
ninger.
198
Økonomisk Redegørelse
December 2023
FIU, Alm.del - 2023-24 - Bilag 68: Økonomisk Redegørelse, december 2023
2798413_0201.png
Bilagstabeller
Tabel B.3
Befolkning og arbejdsmarked
2021
1.000 personer
Samlet befolkning
- I arbejdsstyrken
- Samlet beskæftigelse
- Beskæftigede på ordinært arbejdsmarked
1)
- Støttet beskæftigelse
2)
- Bruttoledige (inkl. aktivering)
3)
- Nettoledige
- Uden for arbejdsstyrken
- Kontanthjælpsmodtagere uden for arbejdsstyrken
- Førtidspensionister uden for arbejdsstyrken
- Seniorpensionister uden for arbejdsstyrken
- Efterlønsmodtagere
- Personer under 15 år
- Folkepensionister uden for arbejdsstyrken
- Øvrige uden for arbejdsstyrken
5.856
3.156
3.052
2.956
96
106
94
2.701
85
198
11
52
947
978
430
5.889
3.242
3.168
3.065
103
76
65
2.648
80
205
18
47
943
963
392
5.916
3.290
3.208
3.101
107
84
70
2.627
73
211
24
35
937
968
379
5.935
3.293
3.199
3.085
114
97
78
2.642
75
212
27
27
933
982
386
5.950
3.276
3.178
3.062
116
101
82
2.674
77
215
28
21
930
995
408
2022
2023
2024
2025
Anm.: Modtagere af uddannelseshjælp og kontantydelse inkluderes i opgørelsen af kontanthjælpsmodtagere.
1)
Opgjort som forskellen mellem beskæftigelsen som opgjort i nationalregnskabet og den støttede beskæftigelse, hvis grund-
kilde er AMFORA. Som følge af forskelle i afgrænsningen af beskæftigelsen i de to kilder er opgørelsen behæftet med en vis
usikkerhed.
2)
Omfatter personer i beskæftigelse med løntilskud og personer i fleksjob.
3)
Antallet af aktiverede dagpengemodtagere og arbejdsmarkedsparate kontanthjælpsmodtagere er opgjort inkl. arbejdsmar-
kedsparate personer i støttet beskæftigelse.
Kilde: Danmarks Statistik og egne beregninger.
Økonomisk Redegørelse
December 2023
199
FIU, Alm.del - 2023-24 - Bilag 68: Økonomisk Redegørelse, december 2023
2798413_0202.png
Bilagstabeller
Tabel B.4
Beskæftigelse fordelt på brancher inkl. orlov
2021
1.000 personer
Beskæftigelse i alt inkl. orlov
- Tjenesteerhverv
- Bygge og anlæg
- Fremstillingserhverv
- Landbrug
- Offentlig sektor
3.052
1.597
204
307
71
853
3.168
1.682
212
317
70
865
3.208
1.710
212
323
70
873
3.199
1.702
208
322
69
876
3.178
1.687
203
318
69
881
2022
2023
2024
2025
Anm.: Brancheopdelingen i ADAM er ikke helt identisk med opdelingen i nationalregnskabet. Beskæftigelsen for brancherne olieraffi-
naderier mv. samt boliger er ikke vist i tabellen.
Kilde: Danmarks Statistik og egne beregninger.
Tabel B.5
Skøn for ledighed
2021
1.000 personer
Bruttoledighed
- Pct. af arbejdsstyrken
Nettoledighed
AKU-ledighed (pct.)
106
3,4
94
5,1
76
2,3
65
4,5
84
2,6
70
5,0
97
2,9
78
6,0
101
3,1
82
6,2
2022
2023
2024
2025
Anm.: Forskelle i definitionen af arbejdsstyrken mellem Økonomiministeriet og Finansministeriet på den ene side og Danmarks Stati-
stik på den anden side betyder, at bruttoledigheden i pct. af arbejdsstyrken her opgøres til et lavere niveau.
Kilde: Danmarks Statistik og egne beregninger.
200
Økonomisk Redegørelse
December 2023
FIU, Alm.del - 2023-24 - Bilag 68: Økonomisk Redegørelse, december 2023
2798413_0203.png
Bilagstabeller
Tabel B.6
Personer på indkomstoverførsler mv.
2021
1.000 helårspersoner
A-dagpenge (ekskl. aktiverede)
Kontanthjælp (ekskl. aktiverede)
Aktiverede dagpenge- og kontanthjælp
1)
Feriedagpenge
Førtidspension
2)
Seniorpension
Ressourceforløb
Efterløn
Tidlig pension
Fleksydelse
Revalideringsydelse
3)
Sygedagpenge
4)
Barselsdagpenge
Ledighedsydelse
Selvforsørgelses- og hjemrejseydelse samt
overgangsydelse
5)
I alt
SU
I alt inkl. SU
Folkepensionister
I alt inkl. SU og folkepensionister
Støttet beskæftigelse
6)
I alt inkl. SU, folkepensionister og støttet
beskæftigelse
82
75
22
2
219
12
33
52
0
3
2
86
54
16
10
668
312
980
1.118
2.098
96
2.194
55
64
21
2
226
19
38
47
7
3
2
86
53
13
14
650
297
947
1.102
2.049
103
2.152
58
61
23
2
233
26
35
35
12
2
1
80
51
14
13
646
290
936
1.106
2.042
107
2.149
65
62
26
2
234
30
35
27
14
2
1
80
51
15
15
659
298
957
1.123
2.080
114
2.194
69
67
28
3
237
31
35
21
14
2
1
79
53
15
10
665
297
962
1.139
2.101
116
2.217
2022
2023
2024
2025
Anm.: Modtagere af uddannelseshjælp og personer på kontantydelse inkluderes i opgørelsen af kontanthjælpsmodtagere.
1)
Opgørelsen afviger fra andre registerbaserede opgørelser og tabel B.3, da personer i støttet beskæftigelse ikke er omfattet.
Derudover omfattes både arbejdsmarkedsparate og ikke-arbejdsmarkedsparate kontanthjælpsmodtagere i gruppen af aktive-
rede dagpenge- og kontanthjælpsmodtagere.
2)
Førtids- og folkepension er inkl. pensionister, der bor i udlandet, samt pensionister i beskæftigelse.
3)
Ekskl. revalidering med løntilskud.
4)
Antallet af sygedagpengemodtagere afspejler ikke det samlede sygefravær. Det er en opgørelse af den del af sygefraværet,
som ikke er omfattet af arbejdsgiverperioden. Det drejer sig om beskæftigedes sygdomsforløb, der er længere end 30 dage,
samt sygdomsforløb blandt ledige.
5)
Antallet af modtagere af selvforsørgelses- og hjemrejseydelse samt overgangsydelse er opgjort ekskl. modtagere i løntilskud.
6)
Omfatter personer i beskæftigelse med løntilskud og personer i fleksjob.
Kilde: Danmarks Statistik, DREAM og egne beregninger.
Økonomisk Redegørelse
December 2023
201
FIU, Alm.del - 2023-24 - Bilag 68: Økonomisk Redegørelse, december 2023
2798413_0204.png
Bilagstabeller
Tabel B.7
Bruttoinvesteringer
2022
Mia. kr.
Faste bruttoinvesteringer
Opdelt på type:
- Bygge- og anlægsinvesteringer
- Materielle og immaterielle
investeringer
Opdelt på gruppe:
- Boliginvesteringer
- Offentlige investeringer
1)
- Samlede erhvervsinvesteringer
- Bygge- og anlægsinvesteringer
- Materielle og immaterielle
investeringer
1)
2021
2022
2023
2024
2025
Realvækst, pct.
6,6
3,2
-3,9
-2,2
0,7
616
295
321
9,7
3,4
-3,8
10,4
-4,4
-3,5
-2,3
-2,2
1,2
0,2
148
88
380
98
281
10,0
-3,1
7,8
11,4
6,3
-8,5
0,8
9,2
0,7
12,3
-12,1
7,0
-3,3
1,1
-4,8
-2,2
-2,6
-2,2
-1,8
-2,3
1,2
2,4
0,1
0,0
0,1
De offentlige investeringer er inkl. det offentlige nettokøb af bygninger, hvorfor tallet afviger fra opgørelsen af de offentlige
investeringer i tabel B.1.
Kilde: Danmarks Statistik og egne beregninger.
202
Økonomisk Redegørelse
December 2023
FIU, Alm.del - 2023-24 - Bilag 68: Økonomisk Redegørelse, december 2023
2798413_0205.png
Bilagstabeller
Tabel B.8
Betalingsbalancens løbende poster
2021
Mia. kr.
Vareeksport
Vareimport
Varebalance i alt
886
813
73
1.050
989
61
1.154
973
182
1.225
1.011
214
1.265
1.054
210
2022
2023
2024
2025
Tjenesteeksport
Tjenesteimport
Tjenestebalance i alt
611
513
98
933
680
253
805
729
76
839
751
88
884
791
93
Vare- og tjenestebalance
- Pct. af BNP
171
6,7
314
11,1
257
9,2
302
10,3
303
9,9
Formueindkomst fra udlandet, netto
Lønindkomst fra udlandet, netto
EU-betalinger til Danmark, netto
Andre løbende overførsler fra udlandet, netto
Nettooverførsler fra udlandet i alt
112
-15
-16
-26
55
110
-18
-12
-16
64
100
-19
-14
-24
42
100
-20
-13
-22
45
100
-20
-16
-27
36
Løbende poster i alt
- Pct. af BNP
226
8,9
379
13,4
300
10,7
347
11,8
339
11,1
Danmarks nettoaktiver over for udlandet
- Pct. af BNP
Kilde: Danmarks Statistik og egne beregninger.
1.883
73,8
1.757
62,1
2.057
73,4
2.683
91,5
3.350
109,9
Økonomisk Redegørelse
December 2023
203
FIU, Alm.del - 2023-24 - Bilag 68: Økonomisk Redegørelse, december 2023
2798413_0206.png
Bilagstabeller
Tabel B.9
Eksport og import
2022
Mia. kr.
Eksport
Varer i alt
- Landbrugsvarer mv.
- Industrivarer (ekskl. skibe mv.)
- Øvrige varer
1)
Tjenester i alt
- Søtransport
- Øvrige tjenester
I alt
1.050
146
774
130
933
561
307
1.983
2021
2022
2023
2024
2025
Realvækst, pct.
10,4
4,7
10,3
24,9
3,5
7,5
-1,0
7,7
7,1
-2,5
9,6
1,4
16,3
5,8
20,1
10,8
10,0
-3,1
15,0
-5,3
11,7
7,0
19,0
10,8
5,0
1,6
4,6
14,0
2,9
2,4
3,2
4,2
2,2
2,1
2,3
2,0
2,7
3,1
2,2
2,4
Import
Varer i alt
- Landbrugsvarer mv.
- Industrivarer (ekskl. skibe mv.)
- Øvrige varer
2)
Tjenester i alt
I alt
989
112
611
266
680
1.668
10,7
5,5
12,9
6,2
6,0
8,8
1,2
3,4
0,3
2,6
14,9
6,5
3,5
-4,5
3,7
6,4
14,6
8,0
2,7
5,0
4,2
-2,4
3,3
3,0
3,2
3,8
3,7
1,4
3,5
3,3
Memo
Basisvareeksport
3)
956
10,2
Nominel vækst, pct.
14,2
13,6
5,1
3,3
Eksportpriser
Varer i alt
Tjenester i alt
I alt
Importpriser
Varer i alt
Tjenester i alt
I alt
1)
2)
3)
Kilde:
Ændring, pct.
-
-
-
2,7
18,8
8,7
10,6
31,3
19,5
0,0
-22,8
-10,8
1,0
1,3
1,1
1,0
2,5
1,6
-
-
-
8,7
6,9
8,0
20,2
15,2
18,1
-5,0
-6,4
-5,6
1,2
-0,3
0,6
1,1
1,7
1,4
Ubearbejdede varer, energi og skibe mv.
Ubearbejdede varer, energi, biler og skibe mv.
Basisvareeksporten består af vareeksporten ekskl. energi, skibe og fly mv.
Danmarks Statistik og egne beregninger.
204
Økonomisk Redegørelse
December 2023
FIU, Alm.del - 2023-24 - Bilag 68: Økonomisk Redegørelse, december 2023
2798413_0207.png
Bilagstabeller
Tabel B.10
Det private forbrug fordelt på undergrupper
2022
Mia. kr.
Forbrug i alt
Detailomsætning
- Fødevarer m.m.
- Øvrige varer
Bilkøb
Brændsel m.m.
Benzin og lignende
Boligbenyttelse
Øvrige tjenester
Turistudgifter
Kilde: Danmarks Statistik og egne beregninger.
2021
2022
2023
2024
2025
Realvækst, pct.
5,5
8,1
6,1
9,7
0,2
9,3
3,3
1,1
4,8
26,1
-1,4
-3,3
-6,5
-0,6
-18,1
-8,2
-0,4
1,7
8,5
18,6
0,9
-4,0
-3,8
-4,2
25,0
-1,5
5,0
1,0
3,8
22,0
1,6
2,4
2,5
2,4
0,5
1,5
-0,2
0,9
1,9
2,0
1,5
1,9
1,2
2,5
2,0
0,5
-0,2
0,9
2,0
2,0
1.225
411
186
224
44
76
33
268
418
40
Tabel B.11
Nettofordringserhvervelse fordelt på sektorer
2021
Mia. kr.
Privat sektor i alt
- Husholdninger
- Selskaber
- Ikke finansielle selskaber
- Finansielle selskaber
Offentlig forvaltning og service
I alt
132
-30
162
115
47
103
235
288
30
258
189
69
95
382
229
31
199
99
100
77
306
308
64
243
151
92
44
352
321
44
276
194
82
23
344
2022
2023
2024
2025
Anm.: Nettofordringserhvervelsen for offentlig forvaltning og service svarer til den offentlige saldo. Nettofordringserhvervelsen i alt
svarer (bortset fra de normalt små nettokapitaloverførsler fra udlandet) til saldoen på betalingsbalancens løbende poster, jf.
tabel B.8.
Kilde: Danmarks Statistik og egne beregninger.
Økonomisk Redegørelse
December 2023
205
FIU, Alm.del - 2023-24 - Bilag 68: Økonomisk Redegørelse, december 2023
2798413_0208.png
Bilagstabeller
Tabel B.12
Bruttoværditilvækst (BVT)
2022
Andel, pct.
BVT i alt
Offentlig sektor
Privat sektor
Privat sektor ekskl. råstofindvinding
Private byerhverv
1)
100
18
82
81
65
6,9
3,3
7,9
7,9
9,1
2021
2022
2023
2024
2025
Realvækst, pct.
3,6
1,1
4,2
4,2
4,2
1,5
1,2
1,5
1,7
0,9
1,5
1,1
1,6
0,9
1,0
1,0
1,3
0,9
0,8
1,0
1)
Private byerhverv består af fremstilling, byggeri og private serviceerhverv ekskl. søtransport.
Kilde: Danmarks Statistik og egne beregninger.
Tabel B.13
Timeproduktivitet i udvalgte erhverv
Gns. 2003-2022
Realvækst, pct.
Samlet
Offentlig sektor
Privat sektor
Privat sektor ekskl. råstofindvinding
Private byerhverv
1)
1,0
0,2
1,2
1,5
1,5
0,8
-1,5
1,3
1,3
2,3
-0,5
-0,5
-0,8
-0,8
-1,0
0,7
0,2
0,9
1,0
0,2
1,6
0,4
2,0
1,3
1,4
1,6
0,3
2,1
2,0
2,2
2021
2022
2023
2024
2025
Anm.: Timeproduktiviteten er real bruttoværditilvækst i forhold til det samlede antal præsterede timer.
1)
Private byerhverv består af fremstilling, byggeri og private serviceerhverv ekskl. søtransport.
Kilde: Danmarks Statistik og egne beregninger.
206
Økonomisk Redegørelse
December 2023
FIU, Alm.del - 2023-24 - Bilag 68: Økonomisk Redegørelse, december 2023
2798413_0209.png
Bilagstabeller
Tabel B.14
Bidrag til stigningen i husholdningernes reale disponible indkomster
1)
2021
Realvækst, pct.
Disponibel indkomst
2)
Bidrag, pct.-point
Lønsum
3)
Indkomstoverførsler
Indkomstskatter
Nettorenteindkomst
Aktieudbytter
4)
Pensionsbidrag
Udbetalinger fra pensionsordninger
5)
Andet
6)
1)
2)
3)
4)
5)
6)
Kilde:
2022
2023
2024
2025
0,2
2,5
1,1
1,4
0,9
3,7
-0,5
-2,1
0,4
0,2
-0,7
-0,6
-0,2
-0,4
-2,4
2,0
0,7
1,0
1,7
0,3
-0,4
1,1
0,2
-0,5
0,5
-1,3
-0,9
1,2
0,7
2,1
0,5
0,2
-0,9
0,0
-0,7
0,0
0,3
1,4
0,8
-0,7
-1,1
0,1
0,1
0,3
0,0
Husholdninger er opgjort inkl. NPISH-sektoren.
Disponibel indkomst er opgjort efter beskatning af udbetaling af indefrosne feriemidler.
Vedrørende lønmodtagere bosiddende i Danmark.
Inkl. udlodninger fra investeringsforeninger.
Arbejdsmarkedspensioner mv. (men ikke individuelle pensionsordninger i pengeinstitutter mv.).
Herunder selvstændige.
Danmarks Statistik og egne beregninger.
Økonomisk Redegørelse
December 2023
207
FIU, Alm.del - 2023-24 - Bilag 68: Økonomisk Redegørelse, december 2023
2798413_0210.png
Bilagstabeller
Tabel B.15
Husholdningernes nettofordringserhvervelse
1)
2021
Mia. kr.
Disponibel bruttoindkomst
2)
Privatforbrug
Bruttoinvesteringer
3)
Nettokapitaloverførsler
4)
Direkte nettofordringserhvervelse
Formuetilvækst i l&p
5)
Nettofordringserhvervelse
6)
Pct. af disponibel bruttoindkomst
Direkte nettofordringserhvervelse
Nettofordringserhvervelse
1)
2)
3)
2022
2023
2024
2025
1.167
1.156
139
-2
-130
99
-30
1.286
1.225
155
8
-86
116
30
1.344
1.278
144
4
-73
103
31
1.401
1.335
144
17
-61
126
64
1.443
1.383
148
5
-83
127
44
-11,1
-2,6
-6,7
2,3
-5,4
2,3
-4,4
4,6
-5,8
3,1
Husholdninger er opgjort inkl. NPISH-sektoren.
Disponibel indkomst er opgjort efter beskatning af udbetaling af indefrosne feriemidler.
Husholdningernes bruttoinvesteringer består af byggeri af ejerboliger samt investeringer i bygninger og materiel mv. i enkelt-
mandsvirksomheder.
4)
Nettokapitaloverførslerne i 2022 inkluderer blandt andet tilbagebetaling af ejendomsskatter til boligejere, reserve til håndtering
af særlige udfordringer i lyset af COVID-19 og yderligere stimuli samt tilbagebetaling af efterlønsbidrag.
5)
Nettoindbetalinger til og forrentning (ekskl. pensionsafkastskat) af husholdningernes kapital i livsforsikringsselskaber og pen-
sionskasser (l&p).
6)
Husholdningernes erhvervelse (netto) af finansielle fordringer (inkl. aktier) på andre sektorer.
Kilde: Danmarks Statistik og egne beregninger.
Tabel B.16
Ejendomsmarked og boligbyggeri
2021
Pct.
Ændring i prisen
1)
på omsatte enfamiliehuse
Boliginvesteringer, realvækst
1)
Stigningen er korrigeret for udviklingen i antallet af bolighandler.
Kilde: Danmarks Statistik og egne beregninger.
2022
2023
2024
2025
10,5
10,0
0,3
-8,5
-2,0
-12,1
1,2
-2,2
1,9
1,2
208
Økonomisk Redegørelse
December 2023
FIU, Alm.del - 2023-24 - Bilag 68: Økonomisk Redegørelse, december 2023
2798413_0211.png
Bilagstabeller
Tabel B.17
Lønkvoter, lønstigninger og beregningstekniske forudsætninger
2021
Lønkvoter, pct.
Privat sektor
Hele økonomien
56,5
61,5
53,5
58,6
57,2
61,8
57,3
61,9
56,6
61,6
2022
2023
2024
2025
Lønstigninger, pct.
Privat sektor
- Timefortjeneste (ekskl. genetillæg)
Offentlig sektor
- Timefortjeneste (ekskl. genetillæg)
- Budgetvirkning
Satsreguleringsprocent
1)
2,5
2,5
2,0
2,4
1,9
1,2
-
2,4
2,7
-
4,6
3,2
-
6,0
4,0
2,9
4,0
4,3
5,4
3,4
Anm.: Lønkvoten er beregnet som lønsummen i forhold til bruttoværditilvæksten og korrigeret for antal selvstændige. For den private
sektor er lønstigningstakterne i 2021-2022 timefortjenesten ekskl. genetillæg ifølge Dansk Arbejdsgiverforenings Struktur-
Statistik. For den offentlige sektor er stigningstakterne i timefortjenesten baseret på en sammenvejning af Danmarks Statistiks
lønindeks for henholdsvis stat, kommuner og regioner. Der udarbejdes ikke skøn for udviklingen i timefortjenesten i den of-
fentlige sektor. Budgetvirkningen er baseret på de overenskomstmæssigt aftalte lønstigninger inkl. skøn for udmøntningen fra
reguleringsordningen på baggrund af skønnet for den private lønstigningstakt, men ekskl. skøn for reststigningen. Lønstig-
ningstakterne for offentligt og privat ansatte kan ikke sammenlignes.
1)
For satsreguleringsprocenten fremgår de bekendtgjorte satsreguleringsprocenter for 2021-2024, mens 2025 er et skøn base-
ret på den skønnede lønstigningstakt i den private sektor i 2023.
Kilde: Dansk Arbejdsgiverforening, Danmarks Statistik og egne beregninger.
Tabel B.18
Prisudvikling og forklarende faktorer
2021
Ændring, pct.
Nettoprisindeks
Afgifter og boligstøtte, bidrag i pct.-point.
Forbrugerprisindeks
1,5
0,5
1,9
7,7
0,0
7,7
4,8
-1,4
3,4
2,4
0,4
2,8
2,0
0,1
2,1
2022
2023
2024
2025
Anm.: Bidraget fra afgifter og boligstøtte er opgjort som forskellen mellem forbruger- og nettoprisinflationen. Udviklingen i prisen på
afgiftsbelagte varer som fx energi kan derfor påvirke det målte afgiftsbidrag, selv om afgiftsniveauet er uændret.
Kilde: Danmarks Statistik og egne beregninger.
Økonomisk Redegørelse
December 2023
209
FIU, Alm.del - 2023-24 - Bilag 68: Økonomisk Redegørelse, december 2023
2798413_0212.png
Bilagstabeller
Tabel B.19
Offentlige finanser
2021
Mia. kr.
Offentligt forbrug
Overførsler
1)
Investeringer
Renteudgifter
Subsidier
Øvrige udgifter
2)
Udgifter i alt
3)
Personskatter mv.
4)
Arbejdsmarkedsbidrag
Pensionsafkastskat
Selskabsskatter
Moms
Øvrige indirekte skatter
Øvrige skatter
5)
Renteindtægter
Øvrige indtægter
6)
Told mv. til EU
Indtægter i alt
7)
Offentlig saldo
Renter, netto
Offentlig primær saldo
8)
1)
2)
2022
2023
2024
2025
612,2
387,7
84,2
14,1
63,3
84,8
1.246,3
544,0
112,4
63,8
100,8
251,2
147,5
2,8
23,9
107,1
-3,7
1.349,8
103,5
-9,8
93,7
616,7
386,9
88,8
20,4
39,9
90,1
1.242,7
567,9
116,8
11,1
89,2
264,7
145,0
1,2
29,6
116,4
-4,6
1.337,4
94,6
-9,1
85,5
639,8
403,2
97,5
20,7
37,5
88,1
1.287,9
592,8
122,1
9,0
94,7
270,5
134,2
1,0
37,7
105,9
-4,7
1.364,5
76,5
-16,9
59,6
680,2
421,0
98,3
19,3
38,2
98,6
1.356,8
603,5
127,7
9,3
96,5
281,6
136,0
1,0
43,5
105,6
-4,9
1.401,1
44,3
-24,2
20,1
727,2
441,2
103,0
17,3
39,6
96,1
1.425,3
624,2
132,1
11,4
94,8
294,1
140,1
1,0
42,6
112,5
-5,1
1.448,6
23,4
-25,3
-2,0
Indkomstoverførslerne er opgjort ekskl. andre løbende overførsler til husholdninger som fx indekstillæg, befordring mv.
Øvrige udgifter indeholder blandt andet kapitaloverførsler, overførsler til Færøerne og Grønland, udviklingsbistand samt bi-
drag til EU’s budget.
3)
Opgørelsen af de samlede offentlige udgifter afviger fra Danmarks Statistiks opgørelse. Udgiftstrykket er her beregnet med
afsæt i en opgørelse af de samlede udgifter, hvor alle delelementer i det offentlige forbrug – herunder fx imputerede udgifter i
form af afskrivninger og indtægter i form af salg af varer og tjenesteydelser – henføres til udgiftssiden.
4)
Personskatter mv. indeholder indkomstskat, ejendomsværdiskat, vægtafgift fra husholdninger, bo- og gaveafgift samt andre
personlige skatter.
5)
Øvrige skatter indeholder medielicens og obligatoriske pensionsbidrag for tjenestemænd mv.
6)
Øvrige indtægter indeholder blandt andet overskud af offentlig virksomhed, diverse drifts- og kapitaloverførsler fra andre in-
denlandske sektorer og EU samt imputerede indtægter i form af både bruttorestindkomst og bidrag til tjenestemandspensio-
ner. Endvidere indgår statens indtægter fra overskudsdeling og statsdeltagelse i forbindelse med olie- og gasindvindingen i
Nordsøen, rørledningsafgiften samt kulbrinteskatten.
7)
Opgørelsen af de samlede offentlige indtægter afviger fra Danmarks Statistiks opgørelse, der blandt andet henfører det of-
fentliges salg af varer og tjenester til indtægtssiden og ikke som her til udgiftssiden som en del af de samlede forbrugsudgif-
ter. De samlede indtægter er her desuden opgjort inkl. bruttorestindkomst, som er modsvaret til de imputerede afskrivningsud-
gifter, der indgår i opgørelsen af det offentlige forbrug.
8)
Den primære saldo angiver stillingen på de offentlige finanser før nettorenteudgifter.
Kilde: Danmarks Statistik og egne beregninger.
210
Økonomisk Redegørelse
December 2023
FIU, Alm.del - 2023-24 - Bilag 68: Økonomisk Redegørelse, december 2023
2798413_0213.png
Bilagstabeller
Tabel B.20
Skatter og skattetryk
Mia. kr.
Indirekte skatter
- Moms
- Registreringsafgift
- Punktafgifter
- Energi (inkl. PSO)
- Miljø
- Nydelsesmidler
- Øvrige
- Ejendomsskatter
- Vægtafgift på erhverv
- Øvrige indirekte skatter
Direkte skatter
- Kildeskatter
1)
- Statsskat
- Bundskat
- Topskat
- Sundhedsbidrag
- Begrænset skattepligtige
- Kommuneskat i alt
- Ejendomsværdiskat
- Øvrige kildeskatter
2)
- Pensionsafkastbeskatning
- Selskabsskat
- Andre personlige skatter
- Medielicens
- Vægtafgifter fra husholdninger
- Arbejdsmarkedsbidrag
Obligatoriske bidrag til sociale ordninger
3)
Kapitalskatter
Told og importafgifter (EU-ordninger)
Samtlige skatter
BNP
Samtlige skatter i pct. af BNP
1)
2021
395,0
251,2
16,4
71,7
37,6
3,7
13,2
17,1
32,4
4,1
19,3
815,6
522,1
182,3
159,8
20,2
0,0
2,4
277,9
14,2
47,7
63,8
100,8
8,1
1,2
7,2
112,4
1,5
6,6
3,7
1.222,5
2.550,6
47,9
2022
405,1
264,7
11,5
70,3
38,4
3,7
11,3
16,8
33,1
4,1
21,4
777,6
544,6
189,8
165,2
21,7
0,0
2,9
284,1
14,4
56,3
11,1
89,2
8,7
0,0
7,2
116,8
1,2
7,4
4,6
1.196,0
2.831,6
42,2
2023
400,0
270,5
11,3
57,8
27,7
3,7
11,0
15,4
33,1
4,2
23,1
811,6
569,2
197,0
171,9
22,4
0,0
2,7
297,3
14,4
60,4
9,0
94,7
9,2
0,0
7,4
122,1
1,0
7,1
4,7
1.224,4
2.803,0
43,7
2024
412,8
281,6
9,9
67,3
36,8
3,8
11,1
15,6
26,4
4,1
23,5
831,3
582,0
207,0
179,5
24,7
0,0
2,9
312,9
14,2
47,9
9,3
96,5
8,3
0,0
7,5
127,7
1,0
5,7
4,9
1.255,6
2.932,9
42,8
2025
429,2
294,1
10,1
68,8
38,0
3,9
11,1
15,8
26,4
6,2
23,5
856,9
602,4
215,1
186,7
25,4
0,0
3,0
324,1
13,6
49,6
11,4
94,8
8,4
0,0
7,9
132,1
1,0
5,6
5,1
1.297,8
3.048,9
42,6
Tal for fordeling af kildeskatter på stats- og kommuneskatter er fra Danmarks Statistik for 2020-2022. For 2023-2025 benyttes
en opgørelse baseret på Finansministeriets udskrivningsgrundlag.
2)
Indeholder blandt andet aktieindkomstskat, dødsboskat og provenu af virksomhedsordning.
3)
Indeholder obligatoriske pensionsbidrag for tjenestemænd mv.
Kilde: Danmarks Statistik og egne beregninger.
Økonomisk Redegørelse
December 2023
211
FIU, Alm.del - 2023-24 - Bilag 68: Økonomisk Redegørelse, december 2023
2798413_0214.png
Bilagstabeller
Tabel B.21
Udviklingen i skattegrundlaget for kommunerne
2021
2022
2023
Mia. kr.
Aug. 2020
Dec. 2020
Maj 2021
Aug. 2021
Dec. 2021
Maj 2022
Aug. 2022
Mar. 2023
Maj 2023
Aug. 2023
Dec. 2023
1.044,9
1.070,7
1.070,3
1.075,5
1.094,1
1.102,1
1.136,4
1.132,9
1.132,9
1.132,9
1.132,9
-
1.087,2
1.085,6
1.081,7
1.104,2
1.105,9
1.122,8
1.154,2
1.160,9
1.140,0
1.140,0
-
-
-
-
1.153,8
1.148,2
1.148,8
1.185,7
1.193,6
1.195,7
1.203,3
-
-
-
-
-
-
-
1.233,2
1.230,1
1.249,2
1.265,4
-
-
-
-
-
-
-
-
-
-
1.310,3
-0,9
0,7
0,9
1,6
2,8
3,5
6,8
6,4
6,4
6,4
6,4
-
1,5
1,4
0,6
0,9
0,3
-1,2
1,9
2,5
0,6
0,6
2024
2025
2021
2022
2023
Pct.
-
-
-
-
4,5
3,8
2,3
2,7
2,8
4,9
5,5
-
-
-
-
-
-
-
4,0
3,1
4,5
5,2
-
-
-
-
-
-
-
-
-
-
3,6
2024
2025
Anm.: Rækkerne angiver tidspunkt for budgettering af det kommunale skattegrundlag. Søjlerne angiver det pågældende års skatte-
grundlag.
Kilde: Danmarks Statistik og egne beregninger.
212
Økonomisk Redegørelse
December 2023
FIU, Alm.del - 2023-24 - Bilag 68: Økonomisk Redegørelse, december 2023
2798413_0215.png
Bilagstabeller
Tabel B.22
Indkomstoverførsler
2021
Mia. kr.
A-dagpenge (ekskl. aktiverede)
Kontanthjælp
1)
(ekskl. aktiverede)
Feriedagpenge
Førtidspension
2)
Ressourceforløb
Efterløn
Revalideringsydelse
Sygedagpenge
Barselsdagpenge
Boligydelse og boligsikring
Børnefamilieydelse
Øvrige overførsler
3)
SU
Folkepension
4)
Øvrige pensioner
5)
I alt
6)
I alt ekskl. folkepension og øvrige pensioner
I alt ekskl. SU, folkepension og øvrige pensioner
Anm.:
1)
2)
3)
4)
5)
6)
Kilde:
2022
2023
2024
2025
17,7
26,9
0,6
46,3
5,8
8,9
0,5
16,2
12,1
15,5
14,9
21,8
21,0
146,2
33,5
387,7
208,1
187,1
11,7
27,8
0,5
47,7
6,6
7,8
0,4
16,5
12,0
15,6
14,9
23,7
20,0
145,2
36,4
386,9
205,3
185,2
12,8
29,8
0,5
50,7
6,4
5,8
0,3
15,8
11,8
16,3
15,9
25,6
19,9
152,0
39,6
403,2
211,6
191,7
14,7
31,7
0,4
52,2
6,6
4,4
0,3
16,3
12,1
17,1
16,3
23,6
21,4
162,8
41,0
421,0
217,2
195,8
16,3
33,2
0,5
55,0
6,9
3,6
0,2
16,7
13,1
17,9
16,8
25,0
22,2
170,8
43,0
441,2
227,4
205,2
Udgifterne til indkomstoverførsler kan ikke direkte sidestilles med antallet af overførselsmodtagere i tabel B.6.
Skattepligtige og ikke-skattepligtige ydelser, herunder integrationsydelse.
Inkl. førtidspension til pensionister i udlandet.
Ydelser til aktiverede, børnetilskud, ledighedsydelse, grøn check og fleksydelse mv.
Inkl. personlige tillæg og varmetillæg til pensionister samt pensioner til pensionister i udlandet.
Tjenestemandspensioner og delpension mv. samt tidlig pension og seniorpension
Indkomstoverførslerne er opgjort ekskl. andre løbende overførsler til husholdninger som fx indekstillæg, befordring mv.
Danmarks Statistik og egne beregninger.
Økonomisk Redegørelse
December 2023
213
FIU, Alm.del - 2023-24 - Bilag 68: Økonomisk Redegørelse, december 2023
2798413_0216.png
Bilagstabeller
Tabel B.23
Skøn på forskellige tidspunkter over centrale størrelser
Maj
2022
2022
BNP (realvækst, pct.)
Bruttoledighed (1.000 personer)
Forbrugerpriser (ændring, pct.)
Betalingsbalance (mia. kr.)
1)
Samlet offentlig saldo (mia. kr.)
2023
BNP (realvækst, pct.)
Bruttoledighed (1.000 personer)
Forbrugerpriser (ændring, pct.)
Betalingsbalance (mia. kr.)
1)
Samlet offentlig saldo (mia. kr.)
2024
BNP (realvækst, pct.)
Bruttoledighed (1.000 personer)
Forbrugerpriser (ændring, pct.)
Betalingsbalance (mia. kr.)
1)
Samlet offentlig saldo (mia. kr.)
2025
BNP (realvækst, pct.)
Bruttoledighed (1.000 personer)
Forbrugerpriser (ændring, pct.)
Betalingsbalance (mia. kr.)
1)
Samlet offentlig saldo (mia. kr.)
1)
Angiver saldoen på betalingsbalancens løbende poster.
Kilde: Danmarks Statistik og egne beregninger.
Aug.
2022
2,8
78
7,3
231
32
Mar.
2023
3,6
76
7,7
371
82
Maj
2023
3,8
76
7,7
367
93
Aug.
2023
2,7
76
7,7
383
97
Dec.
2023
2,7
76
7,7
379
95
3,4
86
5,2
170
17
1,9
87
1,8
160
5
0,8
93
3,3
208
22
0,2
93
3,9
269
45
0,6
91
4,3
232
51
1,2
85
3,8
266
56
1,2
84
3,4
300
77
-
-
-
-
-
-
-
-
-
-
1,5
97
2,8
264
24
1,4
97
3,0
243
16
1,4
94
3,0
287
29
1,4
97
2,8
347
44
-
-
-
-
-
-
-
-
-
-
-
-
-
-
-
-
-
-
-
-
-
-
-
-
-
1,0
101
2,1
339
23
214
Økonomisk Redegørelse
December 2023
FIU, Alm.del - 2023-24 - Bilag 68: Økonomisk Redegørelse, december 2023 FIU, Alm.del - 2023-24 - Bilag 68: Økonomisk Redegørelse, december 2023
2798413_0218.png
Økonomisk Redegørelse
Økonomisk Redegørelse
December 2023
August 2023
oem.dk