Børne- og Undervisningsudvalget 2023-24
BUU Alm.del Bilag 69
Offentligt
2805154_0001.png
Regional mobilitet
Regionale hovednet og nye mobilitetsløsninger
Indspil til Ekspertudvalg om kollektiv mobilitet
November 2023
BUU, Alm.del - 2023-24 - Bilag 69: Henvendelse af 22/12-23 fra Michael Koch-Larsen om Unges transport til og fra uddannelse
2805154_0002.png
Indholdsfortegnelse
REGIONAL MOBILITET, DANSKE REGIONER 2023
Forord
Anbefalinger
Regional mobilitet til forskellige geografier
Anbefalinger
1: Regionale hovednet – et regionalt hovedbidrag
Nye mobilitetsløsninger som tilbringertrafik til regionale hovednet
2: Samkørsel
3: Cyklisme og cykelinfrastruktur
4: Busfremkommelighed og BRT
5: Knudepunkter
6: Parkér-og-rejs og korridorstrategi
7: Mikrodelemobilitet
Øvrige anbefalinger til fremme af kollektiv mobilitet
8: Bedre mobilitet for unge
9: Virksomheder, kollektiv mobilitet og mobility management
10: Brugervenlig MaaS-app
3
4
8
12
13
18
18
21
24
26
28
30
31
31
33
35
Side 2
BUU, Alm.del - 2023-24 - Bilag 69: Henvendelse af 22/12-23 fra Michael Koch-Larsen om Unges transport til og fra uddannelse
2805154_0003.png
Forord – om regional mobilitet, hovednet og nye
mobilitetsløsninger
Den kollektive transport er under pres. Både stigende udgifter og færre indtægter udfor-
drer økonomien. Samtidig har vi en klimaudfordring, hvor kollektiv transport skal være med
til at nedbringe CO2-udledningen. Derfor er det afgørende at udvikle den kollektive mobi-
litet, så flere vælger bus, tog, letbane, samkørsel og cykel. Det er en strukturel udfordring,
at stadig færre danskere – herunder især unge, der er en vigtig og prioriteret målgruppe for
regional kollektiv mobilitet – bor i landdistrikter.
Regeringens Ekspertudvalg om kollektiv mobilitet i hele Danmark skal i fase 1 belyse nye
kollektive mobilitetsløsninger til forskellige geografier – et arbejde Danske Regioner hilser
velkommen. Vi ser frem til også at bidrage til fase 2 om økonomi og takster og fase 3 om
organisering. 
Regionerne fremmer alle grøn, sund og sammenhængende mobilitet. Det skal være muligt
at bo, arbejde, og uddannelse sig i alle dele af landet uden adgang til egen bil. Styrket kol-
lektiv mobilitet er også nødvendigt for at reducere trængsel i byerne. Regionerne er i fuld
gang med at omlægge, tilpasse og udvikle den regionale kollektive mobilitet i samarbejde
med brugerne, kommunerne, trafikselskaberne og de private aktører.
Med dette indspil til ekspertudvalget ønsker regionerne at fremhæve hovedrollen, som bus
og tog i
regionale hovednet
spiller for vores kollektive mobilitet. Regionale hovednet af
hurtige busser, regionaltog, lokaltog og letbane, er den kollektive mobilitets rygrad, der
med hyppige afgange og få stop sikrer hurtig transport mellem større byer, på tværs af
kommuner og til knudepunkter, arbejdspladser og uddannelsesinstitutioner. Hovednettet
binder også by og land sammen og fungerer som tilbringertrafik til den landsdækkende
jernbane. Passagerne er hurtigere vendt tilbage til regionale tog og busser end busserne i
byen samt på landet.
I nogle tilfælde må regionale hovednet prioriteres på bekostning af mindre benyttede
busruter. Og i mindre befolkede områder kan bussen ikke stå alene, men må suppleres og
understøttes af nye
mobilitetsløsninger:
Supercykelstier, samkørsel til uddannelsesinstituti-
oner, Plustur som fleksibel tilbringertrafik, etablering af mobilitetsknudepunkter, og forsøg
med parkér og rejs er eksempler på nye tiltag, der er tilpasset og målrettet de forskellige
regionale geografier og forudsætninger. Via rækken af nye mobilitetsløsninger udvikles og
fremtidssikres vores fælles mobilitet via regionalt tilpassede løsninger.
Ud over eksempler på regionernes arbejde med at styrke de regionale hovednet, samt ny-
tænkning af tilbringertrafikken, har vi medtaget eksempler på nye mobilitetsløsninger i bl.a.
Holland, Norge og Sverige.
Danske Regioner håber, at anbefalingerne i dette indspil vil inspirere Ekspertudvalget,
regeringen og sektoren til, at vi sammen styrker de regionale hovednet yderligere, samt at
vi på tværs af stat, regioner, kommuner og private aktører samarbejder om at udvikle stærk
kollektiv mobilitet i hele landet.
Anders Kühnau
Formand
Stephanie Lose
Næstformand
Anders G. Christensen
Formand
Udvalget for regional
udvikling og EU
Side 3
REGIONAL MOBILITET, DANSKE REGIONER 2023
BUU, Alm.del - 2023-24 - Bilag 69: Henvendelse af 22/12-23 fra Michael Koch-Larsen om Unges transport til og fra uddannelse
2805154_0004.png
Anbefalinger og sammenfatning
REGIONAL MOBILITET, DANSKE REGIONER 2023
Regeringens Ekspertudvalg om kollektiv mobilitet i hele Danmark skal i fase 1 belyse nye
kollektive mobilitetsløsninger til forskellige geografier. Med dette indspil kommer Danske
Regioner med vores bud på, hvordan vi kan styrke danskernes mobilitet.
Hovedbudskaberne i indspillet er:
At regionale hovednet forbinder de større byer på tværs af kommunegrænser – og
sikrer mobilitet hvor der ikke er statslig jernbane. Hovednettet skal derfor fortsat stå
stærkt, bl.a. ved at de understøttes af nye mobilitetsløsninger.
Regionerne prioriterer transport for unge på ungdomsuddannelser, så det er muligt at
bo og uddanne sig i alle dele af landet uden egen bil. Med nye mobilitetsløsninger er
det vigtigt at have de unge for øje – især i landdistrikterne.
Regionerne bidrager med koordinering, udvikling og test af nye mobilitetsinitiativer på
tværs af kommunegrænser.
1. Regionale hovednet – et regionalt hovedbidrag:
Danske Regioner foreslår, at ekspertudvalgets arbejde understøtter de regionale hovednet
– og de økonomiske forudsætninger for at opretholde og styrke dem – der samtidigt forbin-
der de større byer, betjener landdistrikter og er tilbringertrafik til den statslige jernbane.
Endvidere bør der være fokus på nye mobilitetsløsningers potentiale til at understøtte og
styrke de regionale hovednet.
Eksempel: Nordjyllands hovednet
Nordjylland udvider den kollektive trafikbetjening med expresbusser, hvor der ikke
kører tog. Expresbusserne har et fast, højt serviceniveau med minimum én afgang i
timen på både hverdage, aftener og i weekenden – samt flere afgange i myldretiden,
hvor kundegrundlaget er størst. Busserne er komfortable med bl.a. stillezoner og
scorer højt i NTs kundetilfredshedsmålinger.
Nye mobilitetsløsninger er et vigtigt redskab, der kan styrke tilbringertrafikken til de
regionale hovednet:
2. Samkørsel:
Mobilisering af tomme bilsæder via samkørsel har potentiale til at supplere
og blive del af den kollektive trafik – også i yderområderne.
Danske Regioner foreslår, at der:
Gives mulighed for at indføre samkørsel med inspiration fra den franske model –
herunder at der etableres hjemmel til, at det offentlige kan understøtte samkørsel og
chaufføren
kan modtage en betaling, der ligger ud over de marginale omkostninger
for turen.
Sker en smidiggørelse af processen for at godkende samkørselspladser – fx ved at en
tværkommunal enhed får et koordinerende ansvar for samkørselspladser som en inte-
greret del af arbejdet med samkørsel og parkér-og-rejs.
Side 4
BUU, Alm.del - 2023-24 - Bilag 69: Henvendelse af 22/12-23 fra Michael Koch-Larsen om Unges transport til og fra uddannelse
2805154_0005.png
Eksempel: Samkørsel til uddannelsesinstitutioner i Hillerød
Hillerød har over 5.000 studiepladser og mange studerende pendler langt i bil. Det
giver trængsel på vejene og ved p-pladser ved uddannelsesstederne. Region Ho-
vedstaden, Movia, Hillerød Kommune og FDM tilbyder de studerende samkørsel
via Ta’Med, der understøtter og udvider det kollektive trafiktilbud. Studerende kan
bruge Ungdomskort eller Pendlerkort som betaling for samkørslen.
REGIONAL MOBILITET, DANSKE REGIONER 2023
3. Cyklisme og cykelinfrastruktur:
Ca. halvdelen af alle beskæftigede i Danmark har
under 10 km til arbejde. Potentialet for cykelpendling er altså stort.
Danske Regioner foreslår, at der anvendes midler fra puljen på 3 mia. kr. i Infrastrukturplan
2035 afsat til ’styrket indsats for flere cyklister’ til udbredelse af supercykelsti-konceptet og
lignende fremme af cykelsamarbejde. Det vil understøtte et fortsat løft i kvaliteten af den
tværkommunale cykelinfrastruktur, og gøre det mere attraktivt at benytte cyklen til pend-
ling samt til og fra kollektiv mobilitet.
Eksempel: Supercykelstier
Supercykelstier er et sammenhængende net af cykelstier, hvor cykelforholdene er
prioriteret højt. Der er let adgang til stationer og centrale busstoppesteder mhp. at
understøtte kombinationsrejser mellem cykel og kollektiv transport. Supercykelstier
prioriteres mest i og omkring de større byer, hvor antallet af cyklister er størst. I
Region Hovedstaden og Region Midtjylland er der nedsat sekretariater for super-
cykelstier.
4. Busfremkommelighed og BRT:
Jo hurtigere bussen kommer frem, jo relativt mere
attraktiv er den i forhold til bilen. Det reducerer driftsomkostningerne, når bussen ikke
holder i kø. Busfremkommelighed øger på samme tid indtægterne og mindsker omkost-
ningerne.
Danske Regioner foreslår, at der:
Oprettes en ny BRT- og fremkommelighedspulje, der kan støtte lokale og regionale
fremkommeligheds- og BRT-projekter – herunder støtte til at forberede og afdække
projekter.
Gives bedre rammevilkår for BRT-projekter – bl.a. ved at medfinansiering af anlæg kan
ske uden for anlægsloft, samt at lånefinansiering hertil kan afbetales over en periode på
fx 40 år.
5. Knudepunkter:
Knudepunkter er opgraderede holdepladser, der samler mobilitetstil-
bud, bil- og cykelparkering og fx mulighed for indkøb. Det bidrager til at gøre det mere
attraktivt at pendle med den kollektive transport. Knudepunkter bidrager til at binde
by og land sammen.
Danske Regioner foreslår, at der oprettes en statslig pulje til at fremme tilbringertrafik og
mobilitetsknudepunkter – fx som en del af infrastrukturplanen for 2035, og at den kan om-
fatte fremme af knudepunkter.
Side 5
BUU, Alm.del - 2023-24 - Bilag 69: Henvendelse af 22/12-23 fra Michael Koch-Larsen om Unges transport til og fra uddannelse
2805154_0006.png
6. Parkér-og-rejs og korridorstrategi:
Ved parkér-og-rejs anlæg (P&R) stiller den rejsende
sin bil eller cykel ved en station eller et busstop i et område uden trængsel, og rejser
herfra videre med kollektiv trafik til byområder med trængsel.
Danske Regioner foreslår, at der arbejdes med modeller for organisering og finansiering af
P&R og korridorstrategier – fx ved at sikre, at kommunerne får mulighed for at medfinansie-
re P&R-anlæg i andre kommuner.
7. Mikrodelemobilitet:
Delecykler og -løbehjul vinder udbredelse i de større byer og bør
samtænkes med kollektiv trafik som fleksibel
first/last-mile
transport.
Danske Regioner foreslår, at:
Der skabes hjemmel til, at kommuner og regioner kan integrere mikromobilitetsløsnin-
ger som en del af trafikselskabernes udbud og mobilitetsløsninger.
Arbejdet med at fremme mikromobilitet og integration med kollektiv trafik kan blive
en del af et tværgående Mobility Management sekretariats opgaver, jf. anbefaling 9.
REGIONAL MOBILITET, DANSKE REGIONER 2023
Eksempel: Integration af delecykler i kollektiv trafik i Holland
I Holland kan brugere af den kollektive trafik også bruge delecykler til og fra statio-
nerne. NS (Nederlandse Spoorwegen), der har over 1 mio. passagerer om dagen, har
indsat over 100 delecykler ud ved alle stationer. 8 pct. af kunderne tilkendegiver, at
de ville bruge bil i stedet for tog, hvis delecyklerne ikke var der. Hollænderne kan
bruge deres rejsekort til at betale for og låse delecykler op ved stationerne, hvilket
gør det nemt at leje en cykel til og fra stationen.
Øvrige anbefalinger til fremme af kollektiv mobilitet:
8. Bedre mobilitet for unge:
Unge er en vigtig målgruppe for regional kollektiv trans-
port, og hvis der må foretages tilpasninger, så er udgangspunktet, at uddannelsesruter
friholdes.
Danske Regioner foreslår, at ekspertudvalget bakker op om implementeringen af en ny un-
gerabat, der vil gøre det mere attraktivt for flere unge at vælge kollektiv mobilitet, hvilket
kan ske inden for den nuværende økonomiske ramme.
Eksempel: Plustur til unge
Få et gratis lift til eller fra bussen - hvis den ikke kører hele vejen. Gratis Plustur til
unge med Ungdomskort er et projekt initieret og støttet af Region Syddanmark med
det formål at styrke kendskabet til Plustur samt at se på initiativer, som kan fremme
udbredelsen af Plustur i de tyndtbefolkede landområder. Ønsket er at fremme mobi-
liteten for de unge uden for byerne. Plusturen skal bestilles via Rejseplanen.dk eller
Rejseplanen app. Ordningen startede august 2022 og løber frem til december 2024.
Side 6
BUU, Alm.del - 2023-24 - Bilag 69: Henvendelse af 22/12-23 fra Michael Koch-Larsen om Unges transport til og fra uddannelse
2805154_0007.png
9. Virksomheder, kollektiv mobilitet og mobility management:
Mobility Management
er et koncept, der skal fremme bæredygtig transport og styre efterspørgslen efter bil
ved at ændre de rejsendes holdninger og adfærd. Virksomheder, uddannelsesinstitu-
tioner og organisationer kan via mobility management påvirke medarbejdernes trans-
port til og fra arbejde og studie i retning af øget brug af aktiv, kollektiv mobilitet samt
videomøder.
Danske Regioner foreslår, at der:
Inspireret af supercykelsti-sekretariaterne nedsættes tværkommunale Mobility Mana-
gement sekretariater, der systematisk kan assistere virksomheder, uddannelsesinstitu-
tioner og organisationers arbejde med at udarbejde mobilitetsplaner mhp. at reducere
pendling i bil.
Arbejdes på at øge udbredelsen af erhvervspendlerkortet – bl.a. ved at reducere den
nuværende bindingsperiode på et år.
REGIONAL MOBILITET, DANSKE REGIONER 2023
10. Brugervenlig MaaS-app:
Forbedret brugervenlighed er én af måderne til at få flere til
at vælge aktiv mobilitet – både i forhold til nye rejsende og til at få eksisterende til at
benytte bus og tog mere til pendling og fritid.
Danske Regioner foreslår, at der ved overgangen til den fælles, kommende MaaS-app er
særlig fokus på brugervenlighed mhp. at understøtte let og økonomisk attraktiv brug af
kollektiv mobilitet til både pendling og fritid.
Side 7
BUU, Alm.del - 2023-24 - Bilag 69: Henvendelse af 22/12-23 fra Michael Koch-Larsen om Unges transport til og fra uddannelse
2805154_0008.png
Regional mobilitet til forskellige geografier
REGIONAL MOBILITET, DANSKE REGIONER 2023
Hver region udarbejder og udvikler en palet af mobilitetsløsninger tilpasset deres specifikke
geografi og demografi. Befolkningstætheden spænder fra 75 indbyggere pr. km2 i Nordjyl-
land til 720 i Region Hovedstaden, jf. nedenstående figur.
DET REGIONALE DANMARKSKORT
REGION NORDJYLLAND
Indbyggere
1.326.340
594.634
Areal:
7.884 km
2
Indbyggere pr. km
2
75
Kommuner
11
REGION HOVEDSTADEN
Indbyggere
1.326.340
1.891.871
Areal:
2563 km
2
Indbyggere pr. km
2
738
Kommuner
29
REGION MIDTJYLLAND
Indbyggere
1.326.340
1.358.879
Areal:
13.012 km
2
Indbyggere pr. km
2
104
Kommuner
19
REGION SJÆLLAND
REGION SYDDANMARK
Indbyggere
1.326.340
1.237.413
Areal:
12.266 km
2
Indbyggere pr. km
2
101
Kommuner
22
Indbyggere
1.326.340
849.857
Areal:
7.227 km
2
Indbyggere pr. km
2
118
Kommuner
17
Regional udvikling og koordinering af kollektiv mobilitet
Med ansvar for regional kollektiv transport og medejerskab af trafikselskaber er regionerne
tæt på borgerne og skaber sammenhæng i den kollektive mobilitet. Regionerne prioriterer
arbejdet med fremme af mobilitet – med blik på balance mellem by og land, grøn omstilling
og let adgang til arbejde og uddannelse. Regionerne tager politisk ansvar og prioriterer bl.a.
de regionale hovednet, der understøtter pendling til job og uddannelse og dermed mulig-
heden for at bo i hele Danmark. Regionale hovednet bidrager til effektiv pendling til job og
uddannelse og skaber forbindelse mellem steder med regional interesse (uddannelsesste-
der, lufthavne, hospitaler, sport, kultur mm.), hvilket understøttes af gode skiftemuligheder
ved knudepunkter. Fokus hos regionerne er bredere end traditionel kollektiv trafik, og der
arbejdes for fremme af aktiv mobilitet og sundhed.
Udvikling, koordinering og fremme af mobilitet er en tværgående opgave, som regionerne
løfter i samarbejde med kommuner og trafikselskaber samt med inddragelse af virksomhe-
der, uddannelsesinstitutioner mv. Der arbejdes strategisk med mobilitet – bl.a. via regionale
mobilitetsplaner.
Side 8
BUU, Alm.del - 2023-24 - Bilag 69: Henvendelse af 22/12-23 fra Michael Koch-Larsen om Unges transport til og fra uddannelse
2805154_0009.png
Følgende liste er eksempler på regionalt finansierede udviklingsprojekter og tiltag:
REGIONAL MOBILITET, DANSKE REGIONER 2023
Knudepunktskoncept: Kategorisering af knudepunkter, opgradering af testknu-
depunkter samt dialog om ens visuel identitet for knudepunkter/stoppesteder
(alle regioner).
Gratis Plustur med ungdomskort: Vil flere unge benytte bussen, hvis Plusturen
til/fra bussen er gratis? Ønsket er at øge opland til og passagertal i den kollektive
transport (Region Syddanmark).
Samkørsel til ungdomsuddannelser: Unge vælger i stigende grad bilen potentia-
let for at overflytte nogle af disse ture til samkørsel er stort (Region Syddanmark
& Region Hovedstaden).
Samkørsel: Forsøg i Vestsjælland og omkring Køge Bugt (Region Sjælland).
Regional koordinering af mobilitetssamarbejde med trafikselskab og kommuner
om fremtidens mobilitet (Region Midtjylland).
Afholdelse af inspirationsmøder for kommuner om samarbejde om samkørsel,
børn og unges transport samt funktionsudbud (Region Midtjylland).
Cykling: Supercykelsti-sekretariater (Region Hovedstaden og Midtjylland).
Cykling: Fremme cyklisme – herunder i projektet Vi cykler til uddannelse (alle
regioner).
Fremtidscyklen: Gratis genbrugscykler ved Asnæs Lokalbanestation (Region
Sjælland).
Forsøg med førerløse busser (Region Sjælland, Hovedstaden og Nordjylland).
Infoskærme i busser, der giver passagererne information om skiftemuligheder,
køreplansændringer, særlige rabatter etc. (Region Syddanmark).
Unge viser vej: Læringsforløb på ungdomsuddannelser om lokale mobilitetsløs-
ninger (Region Sjælland)
Ifølge Lov om trafikselskaber skal der udarbejdes en trafikplan for den statslige jernbane,
der giver overblik over besluttede projekter og deres trafikale og passagermæssige effek-
ter. Et kig til vores nabolande viser et dybere samarbejde mellem administrative niveauer:
Sverige: Alle regioner udarbejder, foranlediget af regeringen, en regional transportin-
frastrukturplan, der beskriver de næste 12 års planer for udvikling på transportområ-
det.
1
Den regionale infrastrukturplan er styrende for statens investeringer i regional
infrastruktur.
Norge: De norske regioner bidrager til
Nasjonal transportplan
2
ved at definere de stør-
ste regionale udfordringer på transportområdet samt med konkrete forslag til at løse fx
trængselsudfordringer.
De regionale mobilitetsstrategier kunne indgå som et centralt element i den statslige tra-
fikplan, der på sigt kunne udvikles til en bredere mobilitetsplan.
1
2
Länsplaner - Bransch (trafikverket.se)
Nasjonal transportplan – NTP - regjeringen.no
Side 9
BUU, Alm.del - 2023-24 - Bilag 69: Henvendelse af 22/12-23 fra Michael Koch-Larsen om Unges transport til og fra uddannelse
2805154_0010.png
Udviklingen i bosætning fordrer udvikling af kollektiv
mobilitet
At der er brug for nye mobilitetsløsninger i yderområderne, vidner udviklingen i bosætnin-
gen samt bilejerskabet om. Stadig færre danskere, herunder især unge, bor i landdistrikter
– dvs. uden for byområder eller i byer med mindre end 200 indbyggere:
3
Det betyder færre
passagerer i den kollektiv trafik, hvilket udfordrer økonomien i den kollektive trafik og
understreger behovet for, at der udrulles nye mobilitetsløsninger i landdistrikterne.
Udviklingen i bosætningen i landdistrikterne i de seneste 10 år viser, at hvor 12,6% af befolk-
ningen boede i landdistrikterne i 2013, er det i dag 11,6%.
Fortsætter den aktuelle befolkningsudvikling frem til 2050, forventes de nuværende forskel-
le at blive forstærkede. Ifølge Danmarks Statistik vil 36 kommuner have en negativ befolk-
ningstilvækst frem mod 2050 og 21 kommuner vil have en tilvækst på over 10 pct.
At der samtidig er brug for at opretholde og gerne styrke den fælles, kollektive mobilitet til
og i vores byer vidner udviklingen i bosætningen i byerne om. Flere bor i de største byområ-
der – dvs. byområder med over 100.000 indbyggere:
I 2013 boede 31,5 pct. af befolkningen i de største byområder. I 2023 var tallet 33 pct. Figu-
ren nedenfor viser befolkningen fordelt efter landdistrikter.
Befolkningen fordelt efter landdistrikter. 1. januar 2023
REGIONAL MOBILITET, DANSKE REGIONER 2023
I perioden 2013-2023 er befolkningen således vokset med 11 pct. i de største byområder
mod en befolkningsvækst på 5,9 pct. for landet som helhed. Til sammenligning er befolknin-
gen skrumpet med 2,6 pct. i landdistrikterne.
3
Færre bor på landet - Danmarks Statistik
og
Befolkningstilvækst især i Østjylland - Danmarks Statistik
Side 10
BUU, Alm.del - 2023-24 - Bilag 69: Henvendelse af 22/12-23 fra Michael Koch-Larsen om Unges transport til og fra uddannelse
2805154_0011.png
Udviklingen udfordrer alt andet lige økonomien i den kollektive trafik:
I landdistrikter ved at kundegrundlaget reduceres yderligere. Udfordringen øges af, at
det særligt er unge uddannelsessøgende, der søger væk. De unge er en vigtig kunde-
gruppe for den kollektive trafik, og hvis der må foretages tilpasninger, så er udgangs-
punktet, at uddannelsesruter friholdes. En række tiltag kommer særligt unge til gode
– fx natbusser (der også fremmer unges sikkerhed), cykelmedtagning i bus og tog, og
regional betaling for, at lokale busruter stopper ved ungdomsuddannelserne.
I de største byer øges trængslen. Det hæmmer fremkommeligheden og øger driftsom-
kostningerne i den kollektive trafik.
REGIONAL MOBILITET, DANSKE REGIONER 2023
Samlet understreger det behovet for en flerhed af indsatser målrettet hhv. vores yderområ-
der, vores købstæder og de største byer.
Side 11
BUU, Alm.del - 2023-24 - Bilag 69: Henvendelse af 22/12-23 fra Michael Koch-Larsen om Unges transport til og fra uddannelse
2805154_0012.png
Anbefalinger
REGIONAL MOBILITET, DANSKE REGIONER 2023
I det følgende præsenteres Danske Regioners forslag til Ekspertudvalgets fase 1 om nye
mobilitetsløsninger. For regionerne spiller de regionale hovednet en afgørende rolle. Og
regionerne anbefaler, at regionale hovednet også fremadrettet spiller en hovedrolle i den
regionale og lokale kollektive mobilitet.
Der præsenteres en række nye mobilitetsløsninger som samkørsel, park’n’ride mv., der alle
har potentiale til at løfte mobiliteten i forskellige geografier samt fungere til som tilbrin-
gertrafik til det regionale hovednet. Endvidere præsenteres en række øvrige anbefalinger
om bl.a. brugervenlighed og mobility management, der kan bidrage til at gøre det mere
attraktivt at vælge kollektiv mobilitet.
Hver af de følgende 10 punkter indeholder en beskrivelse af udfordringer, der fremhæves
en række eksempler på gode mobilitetsløsninger fra ind- og udland, som der kan drages
inspiration fra. Afslutningsvist præsenteres anbefalinger.
Side 12
BUU, Alm.del - 2023-24 - Bilag 69: Henvendelse af 22/12-23 fra Michael Koch-Larsen om Unges transport til og fra uddannelse
2805154_0013.png
1: Regionale hovednet – et regionalt
hovedbidrag
De regionale hovednet styrker mobiliteten, sikrer sammenhæng på tværs, gør det mere at-
traktivt at pendle kollektivt og fungerer som tilbringertrafik til og fra landsdækkende tog.
De regionale hovednet er målrettet pendlere til job og uddannelse, der med høj frekvens,
fremkommelighed og få stop kan rejse over længere afstande på forholdsvis kort tid. De
regionale hovednet udgør den største del af de regionale ruter og skaber forbindelser til,
fra og mellem regionernes største byer og på tværs af kommuner – samt forbinder og be-
tjener landdistrikter og mindre byer på ruten. De øvrige regionale ruter fungerer bl.a. som
tilbringertrafik til det regionale hovednet. Bybusser og lokale (skole)ruter betjener lokale
rejsemål og føder ind til regionale ruter. Tilbringertrafikken vil kunne styrkes af nye mobili-
tetsløsninger, som de er foreslået i pkt. 2-7 i dette papir, hvilket kan være med til at styrke
hovednettet som rygraden i den regionale kollektive trafik.
REGIONAL MOBILITET, DANSKE REGIONER 2023
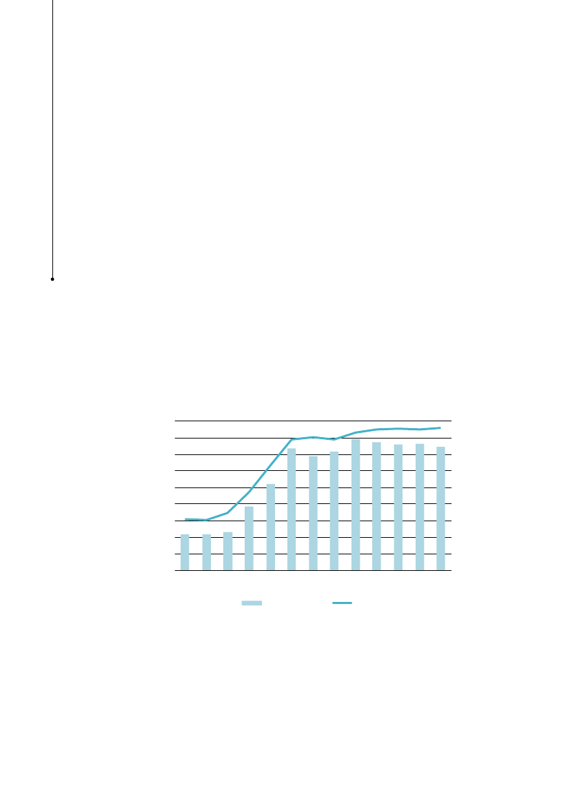
Figuren nedenfor viser den positive sammenhæng mellem det øgede antal køreplantimer,
som de regionale Expresbusser i Nordjylland har kørt, og stigningen i antal påstigere. Pas-
sagerne sætter pris på et fast, højt serviceniveau med minimum én afgang i timen på både
hverdage, aftener og i weekenden – samt flere afgange i myldretiden, hvor kundegrundla-
get er størst. Busserne er komfortable med bl.a. stillezoner og scorer højt i kundetilfreds-
hedsmålinger.
NT’s X Busser. Udvikling i antal køreplantimer og påstigere
1.800.000
1.600.000
1.400.000
1.200.000
1.000.000
800.000
600.000
400.000
200.000
0
2007 2008 2009 2010 2011 2012 2013 2014 2015 2016 2017 2018 2019
Påstigere pr. år
Timer
80.000
70.000
60.000
50.000
40.000
30.000
20.000
10.000
0
Det regionale net udgør grundstammen i den kollektive trafik. I takt med at den lokale bus-
betjening beskæres, er den regionale bus mange steder det eneste eller primære kollektive
transporttilbud.
Alle regionerne arbejder med hovednet, hvilket er eksemplificeret på side 16 og 17.
Side 13
BUU, Alm.del - 2023-24 - Bilag 69: Henvendelse af 22/12-23 fra Michael Koch-Larsen om Unges transport til og fra uddannelse
2805154_0014.png
Lokalbaner er en integreret og betydningsfuld del af det regionale hovednet. Lokalbanerne
fungerer som tilbringertrafik til DSB’s landsdelstrafik og bidrager dermed til at realisere
værdien af de store statslige investeringer i IC-trafikkens tog, skinner og signalsystemer.
Infrastrukturen på lokalbanerne udgør 516 km enkeltsporet jernbane. Banerne er organise-
ret i fem jernbanevirksomheder, jf. nedenstående kort over lokalbanerne i Danmark.
REGIONAL MOBILITET, DANSKE REGIONER 2023
Lokalbanernes transportarbejde i personkm. svarer til 80 pct. af Metroens. Lokalbanerne
har færre passagerer end Metroen, men de enkelte rejser er længere. Ca. 70 pct. af passa-
gerne i lokalbanerne er pendlere til og fra uddannelse og arbejde.
4
Omkring 17 mio. passa-
gerer er hvert år afhængige af, at lokalbanerne fragter dem frem og tilbage mellem hjem-
met og skolen eller arbejdspladsen.
5
Efter Corona-pandemien er passagerne vendt hurtigere tilbage til de regionale tog og bus-
ser end til busserne i byen og på landet. Flere steder i landet rapporterer trafikselskaberne
på nuværende tidspunkt om passagertal i regionale tog, der ligger over niveauet fra før
pandemien.
4
Danske Regioner: Lokalbanernes betydning i landområder og resultater
5
regioner.dk/services/nyheder/2021/maj/en-livsnerve-er-ved-at-blive-skaaret-over-lokalbaner-har-brug-for-store-
investeringer/
Side 14
BUU, Alm.del - 2023-24 - Bilag 69: Henvendelse af 22/12-23 fra Michael Koch-Larsen om Unges transport til og fra uddannelse
2805154_0015.png
Succesfuld overdragelse af togdrift fra DSB i Nordjylland
En ændring af trafikselskabsloven gav i 2017 Region Nordjylland mulighed for at
overtage Statens togdrift i Nordjylland via Nordjyske Jernbaner. At samtænke lokal-
og regionalbaner har medført et mere attraktivt togtilbud til nordjyderne med flere
afgange, kortere rejsetider og flere direkte tog. Det er nu muligt at køre fra Skagen
til Aalborg uden skift. Både antal passagerer og passagerkilometer er steget.
REGIONAL MOBILITET, DANSKE REGIONER 2023
Regionerne stiller sig i front i den grønne omstilling – bl.a. med indsættelse af batteritog:
Midtjyske Jernbaner indsætter Danmarks første batteritog i 2024
Midtjyske Jernbaner har indkøbt syv batteritog, der fra ultimo 2024 erstatter deres
dieseltog. Indkøbet skal danne grundlag for udrulningen af batteritog på andre regio-
nale strækninger og er dermed et vigtigt skridt på vejen mod CO2-neutral togtrafik.
Danske Regioner foreslår, at:
Ekspertudvalgets arbejde understøtter de regionale hovednet – og de økonomiske
forudsætninger for at opretholde og styrke dem – der forbinder de større byer på tværs
af kommuner, betjener landdistrikter og er tilbringertrafik til den statslige jernbane.
Endvidere bør der være fokus på nye mobilitetsløsningers potentiale til at understøtte
og styrke de regionale hovednet.
Side 15
BUU, Alm.del - 2023-24 - Bilag 69: Henvendelse af 22/12-23 fra Michael Koch-Larsen om Unges transport til og fra uddannelse
2805154_0016.png
Eksempler på regionale hovednet:
REGIONAL MOBILITET, DANSKE REGIONER 2023
R- og S-busser på Sjælland og i Hovedstaden
R-busser har faste minuttal og sikrer forbindelser til de
øvrige busser
og tog. R-bus-
sen har så direkte linjeføring som muligt mellem større byer, og har halvtimedrift om
dagen og timedrift aften og weekend.
S-busserne understøtter pendling i kombination med S-tog, A-busser og Metro og er
en del af rygraden i kollektiv trafik i Storkøbenhavn. Samlet skabes et højfrekvent
kollektivt transportnet målrettet pendlere. S-bussen har direkte linjeføring, få stop
og god fremkommelighed via signalprioritering og busbaner.
Region Sjælland har besluttet at opgradere den tidligere linje 234 til 460R, hvormed
den har fået flere afgange. Det illustrerer, at der fortsat er potentiale i at udbygge og
styrke regionale hovednet.
Nordjyllands hovednet
Nordjylland udvider den kollektive trafikbetjening med expresbusser, hvor der ikke
kører tog. Det sker i nogle tilfælde på bekostning af andre regionale ruter. Desuden
samfinansierer Region Nordjylland 50 pct. af udgifterne til Plustur med de nordjyske
kommuner – mhp. at stå sammen om lokale transportmuligheder og understøtte
tilbringertrafik til hovednettet.
Expresbusserne har et fast, højt serviceniveau med minimum én afgang i timen på
både hverdage, aftener og i weekenden – samt flere afgange i myldretiden, hvor kun-
degrundlaget er størst. Busserne er komfortable med bl.a. stillezoner og scorer højt i
NTs kundetilfredshedsmålinger.
Det midtjyske hovednet
Hovednettet er opbygget med udgangspunkt i to kriterier:
1. Byer med +2.000 indbyggere skal have en hovednetsforbindelse til den regions-
hovedby, som de primære rejse- og pendlingsstrømme er rettet imod.
2. Alle naboregionshovedbyer skal være forbundet med en hovednetsforbindelse.
De øvrige regionale ruter fungerer som tilbringerruter til hovednettet.
Side 16
BUU, Alm.del - 2023-24 - Bilag 69: Henvendelse af 22/12-23 fra Michael Koch-Larsen om Unges transport til og fra uddannelse
2805154_0017.png
Strategiske hovedruter på Fyn
REGIONAL MOBILITET, DANSKE REGIONER 2023
FynBus vil styrke hovednettet på Fyn ved at etablere et strategisk hovednet af højfre-
kvente regionalruter, der sammen med togstrækningerne på Fyn skal være rygraden
i den regionale trafik. Planen har fokus på at styrke busbetjeningen, hvor potentialet
er størst. Der hvor potentialet er begrænset, køres der i myldretiden mhp. at tilgode-
se pendlere og studerende. Systemet supplerer et net af kommunale plusturskørsler,
hvor borgere i tyndt befolkede områder kan blive kørt til regionale busruter.
Side 17
BUU, Alm.del - 2023-24 - Bilag 69: Henvendelse af 22/12-23 fra Michael Koch-Larsen om Unges transport til og fra uddannelse
2805154_0018.png
Nye mobilitetsløsninger som tilbringertrafik til
regionale hovednet
Rapporten
Sammenhæng i den kollektive trafik
viser, at hver tredje togpassager tager en
bus til/fra toget, samt at øget sammenhæng i den kollektive mobilitet giver flere passagerer
i både bus og tog. Mere fleksibel og effektiv tilbringertrafik bidrager til at styrke hoved-
nettet og øge mobiliteten. Via tilbringertrafik er der potentiale til at øge oplandet til de
regionale hovednet og statslige skinner og dermed gøre dem brugen af kollektiv mobilitet
attraktiv for flere. Gode muligheder for at komme til/fra hovednettet og knudepunkter
løfter den samlede mobilitet i yderområder – uden at borgerne er afhængige af egen bil.
REGIONAL MOBILITET, DANSKE REGIONER 2023
2: Samkørsel
Potentialet for samkørsel er stort – men endnu uforløst i Danmark. Ifølge Vejdirektoratet er
der i gennemsnit 1,08 person i hver bil, når vi pendler. Det vil sige, at der dagligt er 14 mio.
tomme bilsæder i trafikken.
6
Det bidrager til trængsel, klimabelastning og økonomisk tab
for både bilisterne og samfundet. Mobilisering af tomme bilsæder via samkørsel har poten-
tiale til at supplere og blive del af den kollektiv trafik – også i yderområderne.
Reglerne er sådan i dag, at udbydere af samkørsel alene må få dækket marginale omkost-
ninger svarende til ca. 0,7 kr./km. Det gør kun samkørsel økonomisk interessant på længere
distancer, fx mellem Aarhus og København, og vanskeliggør realisering af potentialet for
samkørsel. Samkørsel kan være et prismæssigt attraktivt supplement til åben flextrafik som
Plustur og Flextur.
Frankrig er foregangsland for samkørsel
Samkørsel er en del af den franske mobilitetslov. Chaufføren kan skattefrit modta-
ge ca. 3,5 kr./km. Det offentlige kan subsidiere passagererne og dermed give dem
økonomisk incitament til at pendle via samkørsel. Chauffører, der stiller sæder til
rådighed for samkørsel, kan modtage betaling herfor – også når der ikke er passage-
rer til turen. Virksomheder med over 50 ansatte skal udarbejde en mobilitetsplan for
ansattes pendling, der kan omfatte samkørsel, og de må subsidiere medarbejderes
samkørsel med op til 600 € om året uden at blive beskattet heraf.
Den franske stat har afsat en pulje til finansiering af samkørsel, som myndigheder
og virksomheder kan søge. Loven kræver, at samkørselstjenester deler turdata. Der
kan prisdifferentieres, så tilskuddet er højere, hvis dækningen af kollektiv trafik er
begrænset, mens det kan være lavt/fraværende langs hovednet.
Flextrafik er et integreret element i den lokale og regionale kollektive trafik, der løser en
række opgave med bl.a. patientbefordring. Åben flextrafik kan også supplere andre tilbud,
når der fx ikke er en bus eller en samkørsel, der passer med borgerens behov.
6
Der er alt for mange solobilister i Danmark | Vejdirektoratet
Side 18
BUU, Alm.del - 2023-24 - Bilag 69: Henvendelse af 22/12-23 fra Michael Koch-Larsen om Unges transport til og fra uddannelse
2805154_0019.png
Regional samfinansiering af Plustur
REGIONAL MOBILITET, DANSKE REGIONER 2023
Åben flextrafik er som udgangspunkt lokal kørsel, der finansieres af kommunerne.
I forbindelse med, at Region Nordjylland har samlet kræfterne om det regionale
hovednet og nedlagt en række mindre ruter, finansierer regionen 50 pct. af udgif-
terne til Plustur. Det sker for at øge transportmulighederne i hele regionen og for at
understøtte tilbringertrafik til det regionale hovednet.
Åben flextrafik erstatter ikke bustrafikken, da omkostningerne pr. tur er relativt høje. Der-
for vil det være attraktivt, hvis det billigere alternativ samkørsel vinder større udbredelse.
Trods de lovgivningsmæssige begrænsninger i Danmark har regionerne flere steder arbejdet
med samkørsel, hvor finansieringen af samkørselstjenesterne bl.a. kommer fra regionerne:
Samkørsel til uddannelsesinstitutioner i Hillerød
Hillerød har over 5.000 studiepladser og mange studerende pendler langt i bil. Det
giver trængsel på vejene og ved p-pladser ved uddannelsesstederne. Region Ho-
vedstaden, Movia, Hillerød Kommune og FDM tilbyder de studerende samkørsel
via Ta’Med, der understøtter og udvider det kollektive trafiktilbud. Studerende kan
bruge Ungdomskort eller Pendlerkort som betaling for samkørslen.
7
Samkørsel i Nordjylland
I regionen er samkørsel integreret i Rejseplanen. Regionen har finansieret et sam-
kørselsprojekt, der er målrettet pendlere og borgere i de mindre byer. Via NaboGo’s
app udbydes eller efterspørges en tur. Ved knudepunkter kan ekstra passagerer
blive samlet op. NaboGo tjener ikke penge på selve kørslen. Tjenesten drives ved, at
regionen, kommunerne, trafikselskabet og virksomheder har bidraget økonomisk til
etablering og drift.
Samkørselspladser
er steder, hvor bilister/cyklister mødes og kører videre i én bil. Potentia-
let for samkørsel kan understøttes af flere samkørselspladser. Vejdirektoratet, der ejer og
driver 30 samkørselspladser, beskriver en tung proces for at udvide samkørselspladser, fordi
de først skal identificere, hvor der er problemer. Dernæst skal en evt. udvidelse godkendes i
Folketinget, der efter en finanslovsproces kan vælge at bevilge midler.
8
Danske Regioner foreslår, at der:
Gives mulighed for at indføre samkørsel med inspiration fra den franske model – her-
under at der etableres hjemmel til, at det offentlige kan understøtte samkørsel og
chaufføren kan modtage en betaling, der ligger ud over de marginale omkostninger for
turen.
7
8
Nu skal studerende lære at køre sammen | Region Hovedstaden (ritzau.dk)
Proppede samkørselspladser tvinger bilister ud i rabatten | Sjælland | DR
Side 19
BUU, Alm.del - 2023-24 - Bilag 69: Henvendelse af 22/12-23 fra Michael Koch-Larsen om Unges transport til og fra uddannelse
2805154_0020.png
REGIONAL MOBILITET, DANSKE REGIONER 2023
Sker en smidiggørelse af processen for at godkende samkørselspladser – fx ved at en
tværkommunal enhed får et koordinerende ansvar for samkørselspladser som en inte-
greret del af arbejdet med samkørsel og parkér-og-rejs.
Side 20
BUU, Alm.del - 2023-24 - Bilag 69: Henvendelse af 22/12-23 fra Michael Koch-Larsen om Unges transport til og fra uddannelse
2805154_0021.png
3: Cyklisme og cykelinfrastruktur
REGIONAL MOBILITET, DANSKE REGIONER 2023
Ca. halvdelen af alle beskæftigede i Danmark har under 10 km til arbejde. Det varierer fra 71
pct. i København til 43 pct. i Vestjylland.
9
Potentialet for cykelpendling er altså stort. Ifølge
SDU har 7-800.000 pendlere cykelpotentiale, defineret som 1-5 km på cykel eller 6-15 km på
elcykel til arbejde eller uddannelse.
10
Cykelpendling på tværs af kommuner kan være udfordret af, at cykelinfrastrukturen ikke er
sammenhængende på tværs af kommuner og kan have varierende kvalitet og sikkerhed.
11
Regionerne har fokus på at fremme sundhed, aktiv mobilitet og cyklisme. Staten har med
Infrastrukturplan 2035 afsat en pulje på 3 mia. kr. til at fremme cyklisme frem mod 2035
– herunder med øget støtte ved tværkommunale ansøgninger. Begge dele understøtter
cyklismen og cykelinfrastrukturens mange fordele:
Tilbringertrafik: Cyklisme kan fungere som tilbringertrafik til det statslige og regionale
hovednet, og dermed bringe borgerne tættere på den kollektive transport.
Trængsel: Cyklisme reducerer trafikbelastningen og forbedrer trafikflow.
Miljø- og klima: Hvis bilen erstattes med en cykel, reduceres luftforurening og CO2-ud-
ledning.
Sundhed: Cyklisme reducerer sygedage og forekomsten af fedme, diabetes og hjerte-
sygdomme.
Trafiksikkerhed: Mere cyklisme øger opmærksomheden på trafiksikkerhed, og cyklister
udgør en mindre fare for andre trafikanter end bilister.
Økonomi: Det er beregnet, at en km. cykelsti i København har en årlig værdi på knap 3
mio. kr.
12
Cyklen har en vigtig rolle i kombinationsrejser til og fra den kollektive transport. Cykelalli-
ance Syd og Cykelforum Fyn er eksepler på regionale og tværkommunale samarbejde om
cykelfremmende foranstaltninger, der sætter øget og fornyet fokus på cyklismen og den
potentialer.
Vi cykler til uddannelse – projekt i Syddanmark
Formålet med ’Vi cykler til uddannelse’ er at få flere unge til at vælge (el)cyklen, når
de skal til og fra deres uddannelse – enten på hele turen eller som en del af at rejse
med kollektiv transport. Projektet, der startede i Region Syddanmark, er nu udbredt
til et samarbejde mellem de fem regioner og Cyklistforbundet. Kampagnen starter i
foråret 2024, og løber foreløbigt over tre år.
9
Der er brug for sikre cykelstier i hele landet.pdf
10
Ingeniøren – Mobilitytech, 31.5.2023: Hvorfor vælger 700.000 danskere at lade cyklen stå?
11
Ingeniøren – Mobilitytech, 4.8.2023 Supercykelstierne får flere til at cykle på arbejde
12
Fosgerau, Mogens et.al (2023), Bikeability and the induced demand for cycling, PNAS -
Bikeability and the indu-
ced demand for cycling | PNAS
Side 21
BUU, Alm.del - 2023-24 - Bilag 69: Henvendelse af 22/12-23 fra Michael Koch-Larsen om Unges transport til og fra uddannelse
2805154_0022.png
Cykeldeklaration
REGIONAL MOBILITET, DANSKE REGIONER 2023
13
Til cykeltopmødet 2022 skrev 31 aktører, herunder alle regioner og Danske Regioner,
under på en cykeldeklaration, hvor man erklærede, at man arbejder for, at der i 2030
skal cykles 20% flere ture. Regionerne bidrager særligt med at skabe tværkommunale
netværk og løsninger.
13
Supercykelstier
Supercykelstier er et eksempel ud af flere på, hvordan regionerne arbejder med cy-
kelfremmende initiativer. Supercykelstierne er et sammenhængende net af cykelstier,
hvor cykelforholdene er prioriteret højt. Der er let adgang til stationer og centrale
busstoppesteder mhp. at understøtte kombinationsrejser mellem cykel og kollektiv
transport. Supercykelstier prioriteres mest i og omkring de større byer, hvor antal-
let af cyklister er størst. I Region Hovedstaden og Region Midtjylland er der nedsat
sekretariater for supercykelstier:
Region Hovedstaden har siden 2012 samarbejdet med kommuner om cykelstier
med gode forhold. I dag tæller samarbejdet 29 kommuner. Fra 2012 til 2022 er
der kommet 59 pct. flere cyklister på ruterne. 13 pct. af de nye cyklister kørte
tidligere i bil. Supercykelsti-sekretariatet er 65 pct. finansieret af Region Hoved-
staden.
Region Midtjylland har siden 2020 samarbejdet med 10 kommuner. Målet er at
vende udviklingen, hvor især unge er begyndt at tage bilen mere, samt i sammen-
spil med den kollektive transport at skabe et alternativ til bilen – også i yderom-
råderne. Region Midtjylland finansierer 50 pct. af sekretariatet.
cykeltopmøde-2022-deklaration-om-get-samarbejde-for-at-fremme-cykling-i-danmark-_2424.pdf
Side 22
BUU, Alm.del - 2023-24 - Bilag 69: Henvendelse af 22/12-23 fra Michael Koch-Larsen om Unges transport til og fra uddannelse
2805154_0023.png
Danmark har som et af de få lande i EU ikke målrettede skatteinitiativer til at fremme cyklis-
me.
REGIONAL MOBILITET, DANSKE REGIONER 2023
Eksempler fra udlandet
I Belgien kan firmaer og offentlige myndigheder betale ansatte for at cykle på
arbejde. Tilskuddet er skattefrit for cyklister, og firmaer får fradrag for udgiften.
14
I Oslo kan man få et tilskud på op til 20 pct. af prisen, hvis man køber en ny el-lad-
cykel.
15
I Sverige kan en arbejdsgiver stille en (el)cykel til rådighed. Medarbejderen be-
skattes kun af den del af ydelsen (Køb, leje eller leasing af cyklen), der overstiger
3.000 skr.
16
Danske Regioner foreslår, at der:
Anvendes midler fra puljen på 3 mia. kr. i Infrastrukturplan 2035 afsat til ’styrket ind-
sats for flere cyklister’ til udbredelse af supercykelstikonceptet og lignende fremme af
cykelsamarbejde. Det vil understøtte et fortsat løft i kvaliteten af den tværkommunale
cykelinfrastruktur, og gøre det mere attraktivt at benytte cyklen til pendling, samt til
og fra kollektiv mobilitet.
14
15
16
Belgian Employees Provided New Tax Exempt Bicycle Allowance (natlawreview.com)
Elektriske lastesykler (klimatilskudd.no)
Cykel fordel | Skat (skatteverket.se)
Side 23
BUU, Alm.del - 2023-24 - Bilag 69: Henvendelse af 22/12-23 fra Michael Koch-Larsen om Unges transport til og fra uddannelse
2805154_0024.png
4: Busfremkommelighed og BRT
REGIONAL MOBILITET, DANSKE REGIONER 2023
Jo hurtigere bussen kommer frem, jo relativt mere
attraktiv er den i forhold til bilen. Det reducerer
driftsomkostningerne, når bussen ikke holder i kø.
Busfremkommelighed øger på samme tid indtæg-
terne og mindsker omkostningerne. En undersøgel-
se betegner fem konkrete busfremkommeligheds-
projekter som samfundsøkonomisk yderst rentable
med en intern rente på mellem 8 og 105 pct.
17
Projekterne er anlagt på strækninger med høje biltrafik- og buspassagertal, og alle reduce-
rer bussens rejsetid. I nogle tilfælde har projekterne medført en rejsetidsgevinst for både
bus- og biltrafik.
Potentialerne for yderligere busfremkommelighed er store. Region Hovedstaden har udar-
bejdet et investeringskatalog for busfremkommelighed til de mest kritiske strækninger med
størst forbedringspotentiale.
18
For hvert projekt beskrives udfordringer, rejsetidsgevinst og
anlægsudgift – samt afledte effekter på kundetilfredshed, trafiksikkerhed, cykelforhold mv.
Også potentialerne for Bus Rapid Transit (BRT) er store – herunder i mellemstore byer. Movia
har udviklet et BRT-inspireret koncept for at afhjælpe trængselsudfordringer i otte byer på
Sjælland og samtidig tænkt konceptet sammen med lokal byudvikling. I Aarhus arbejdes
der med et BRT-koncept på Ringvejen, hvor busserne på dele af strækningen kører i blandet
trafik, men primært vil køre i egen bane.
Plusbus i Aalborg
Danmarks første BRT-linje er indsat i Aalborg. Den højklassede bus kører på en 12 km
strækning tværs gennem Aalborg til Supersygehuset. Plusbus er en trafikal rygrad,
der medfører kortere rejsetid, kørsel i egen busbane, prioritering i lyskryds, jævn
køreoverflade, og hurtig og niveaufri ind- og udstigning via elbusser på 24,8 m., hver
med plads til 150-200 passagerer.
Aftalen Bedre og billigere kollektiv trafik afsatte en pulje på 100 mio. kr. til bedre busfrem-
kommelighed, der udmøntes i 2022-23, og som med minimum 50 pct. kommunal eller regi-
17
18
(Microsoft Word - Artikel_effektunders\370gelse af busfremkommelighed) (trafikdage.dk)
Katalog for busfremkommelighed (regionh.dk)
Side 24
BUU, Alm.del - 2023-24 - Bilag 69: Henvendelse af 22/12-23 fra Michael Koch-Larsen om Unges transport til og fra uddannelse
2805154_0025.png
onal medfinansiering skal modvirke trængselsudfordringer og fremme køretidsbesparelser
for bustrafikken. En udfordring ved puljen var den tidsmæssige afgrænsning, der vanskelig-
gjorde forberedelsen og begrænsede antallet af ansøgninger til puljen.
Danske Regioner foreslår, at der:
Oprettes en ny BRT- og fremkommelighedspulje, der kan støtte lokale og regionale
fremkommeligheds- og BRT-projekter – herunder støtte til at forberede og afdække
projekter.
Gives bedre rammevilkår for BRT-projekter – bl.a. ved at medfinansiering af anlæg kan
ske uden for anlægsloft, samt at lånefinansiering hertil kan afbetales over en periode på
fx 40 år.
19
REGIONAL MOBILITET, DANSKE REGIONER 2023
19
Fælles forståelsespapir mellem Region Hovedstaden, Transportministeriet m.fl - 1. juli 2022
Side 25
BUU, Alm.del - 2023-24 - Bilag 69: Henvendelse af 22/12-23 fra Michael Koch-Larsen om Unges transport til og fra uddannelse
2805154_0026.png
5: Knudepunkter
REGIONAL MOBILITET, DANSKE REGIONER 2023
Knudepunkter er opgraderede holdepladser, der samler mobilitets-
tilbud, bil- og cykelparkering og fx mulighed for indkøb. Det bidrager
til at gøre det mere attraktivt at pendle med den kollektive transport.
Knudepunkter bidrager til at binde by og land sammen og til mere
sammenhængende og sømløse rejser i forbindelse med skift mellem
kollektive og private mobilitetsformer. Knudepunkter bidrager der-
med til tryghed og attraktive udkantsområder.
Gode forhold ved stoppesteder og knudepunkter, der inkluderer
bl.a. belysning, overdækket cykelparkering og toiletter, kan desuden
bidrage til at øge oplandet til hovednettet og de øvrige regionale
ruter, og bl.a. via tryg cykelparkering at understøtte cyklen som
tilbringertransport til bussen.
Mobilitetsknudepunkter kan samtænkes med samkørsel, hvor der kan sikres let mulighed
for at bringe/hente passagerer.
Adgang til det regionale net via knudepunkter bidrager til at sprede værdien af den kollek-
tive trafik til flere borgere. Øget tilbringertrafik, bl.a. via bedre mobilitetsknudepunkter, vil
alt andet lige også øge tilskyndelsen til at bruge den statslige jernbanetrafik.
Knudepunkter i Region Midtjylland
I Region Midtjylland har Midttrafik en række projekter, som skal skabe nye mobili-
tetsknudepunkter i udvalgte byer, som lever op til følgende krav:
• Adgang til en højfrekvent hovedrute (minimum kvartersdrift)
• Relevant opland for et eller flere transportmidler (fx bil, cykel, elcykel)
• Mulighed for tilkobling til eksisterende byfunktioner og byudvikling
• Fokus på tryghed, komfort, tilgængelighed, rejseinformation, grønne arealer og
gode ventefaciliteter.
Knudepunkter i Region Nordjylland
I Region Nordjylland opgraderes stoppesteder og knudepunkter langs det regionale
hovednet. Det sikrer indbydende knudepunkter samt ensartethed på tværs af kom-
munegrænserne. Indkøbsfunktionen samles hos NT, og pengene rækker længere via
storindkøb. Vedligeholdelse af udstyret på knudepunkterne finansieres med 50 pct.
fra regionen og 50 pct. fra kommunerne.
Danske Regioner foreslår, at der:
Oprettes en statslig pulje til at fremme tilbringertrafik og mobilitetsknudepunkter – fx
som en del af infrastrukturplanen for 2035.
Side 26
BUU, Alm.del - 2023-24 - Bilag 69: Henvendelse af 22/12-23 fra Michael Koch-Larsen om Unges transport til og fra uddannelse
2805154_0027.png
6: Parkér-og-rejs og korridorstrategi
REGIONAL MOBILITET, DANSKE REGIONER 2023
Ved parkér-og-rejs anlæg (P&R) stiller den rejsende sin bil eller cykel ved en station eller et
busstop i et område uden trængsel, og rejser herfra videre med kollektiv trafik til byområ-
der med trængsel. P&R er ofte ét ud af flere virkemidler i en sammenhængende udvikling af
mobilitet, der kan understøttes via:
Markedsføring og attraktive priser for kombineret parkering samt videre rejse med bus
eller tog.
Udvikling af parkeringsområdet til at omfatte mulighed for at afhente pakker og lignen-
de.
Hyppig afgang med tog og/eller bus med dedikerede og trængselsfrie busbaner.
Arbejdspladser i de større byer indskrænker gratis parkering for medarbejderne.
Særligt i og omkring hovedstadsområdet er der udfordringer for udbredelse af P&R, bl.a.
fordi det ikke er lovligt for en kommune at medfinansiere opførelsen af et P-anlæg i en
anden kommune.
20
I Holland kan Parkér og Rejs anlæg få tilskud fra en statslig fond til infrastruktur, men også
finansiering gennem offentligt private partnerskaber er en mulighed.
21
KORA peger i en analyse
22
på, at København og Frederiksberg Kommuner i dag betaler
betydelige beløb til staten fra parkeringsindtægter. Hvis udgifterne til P&R i andre kommu-
ner kunne modregnes i parkeringsindtægterne, ville det skabe økonomisk incitament til at
etablere sådanne P&R-anlæg. Det ville samtidig kunne tage trykket af trafik- og parkerings-
situationen i bycentrum og bidrage til at gøre brug kollektiv trafik mere attraktivt i pendler-
kommunerne.
P&R mindsker behovet for biler i Utrecht
Provinsen Utrecht i Holland anvender P&R til at mindske behovet for biler i byen. Der
er etableret fire parkeringsanlæg i udkanten af byen tæt ved motorveje, hvorfra det
er muligt via bus, sporvogn eller delecykel at rejse videre til centrum. Ved P&R-an-
læggene er der mulighed for at afhente pakker, foretage indkøb etc. En kombi-billet
koster €6 og inkluderer en hel dags parkering og kollektiv transport til/fra bycentrum
for op til fem personer. Via
urban design
– nærhed, tilgængelighed med kollektiv
trafik, cyklisme, delebiler og P-restriktioner – arbejder provinsen for at reducere
behovet for bil i byen.
20
21
22
Berlingske d. 29.3.2023
Parkér og Rejs-anlæg kan forbedre den kollektive trafik (realdania.dk)
Analyse af økonomiske rammevilkår for trafikselskaberne - vive.dk
Side 27
BUU, Alm.del - 2023-24 - Bilag 69: Henvendelse af 22/12-23 fra Michael Koch-Larsen om Unges transport til og fra uddannelse
2805154_0028.png
Periodekort giver gratis adgang til P&R i Bergen
REGIONAL MOBILITET, DANSKE REGIONER 2023
I Bergen i Norge tilbydes der gratis parkering for brugere af den kollektive trafik.
P&R-ordningen gælder mandag til fredag mellem kl. 6-18, og fra kl. 18-6 er P-pladser-
ne åbne for alle. For at kunne parkere gratis må pendleren have et gyldigt periode-
kort. I billet-app’en har man også sit P-bevis.
Forsøg med P&R på Sjælland
Region Sjælland, Region Hovedstaden, fire kommuner, Movia og Lokaltog har testet,
hvad der skal til for at få flere til at benytte P&R. Forsøget viste, at kommunerne
savner konkrete erfaringer med tiltag, der understøtter de danske klimamål og viden
om, hvordan fysisk planlægning kan understøtte adfærdsændringer.
P&R kan samtænkes med en korridorstrategi. En korridorstrategi fokuserer på strækninger
med særligt mange trafikanter og pendlere, og man ser på mulighederne for at øge den
kollektiv trafik som en væsentlig del af den samlede tur. Strategien kan pege på, hvilke
stationer og knudepunkter der skal prioriteres, og hvilke faciliteter, der øger attraktiviteten,
fx aflåst cykelparkering og attraktive parkeringsmuligheder.
Danske Regioner foreslår, at der:
Arbejdes med modeller for organisering og finansiering af P&R og korridorstrategier
– fx ved at sikre, at kommunerne får mulighed for at medfinansiere P&R-anlæg i andre
kommuner.
Side 28
BUU, Alm.del - 2023-24 - Bilag 69: Henvendelse af 22/12-23 fra Michael Koch-Larsen om Unges transport til og fra uddannelse
2805154_0029.png
7: Mikrodelemobilitet
REGIONAL MOBILITET, DANSKE REGIONER 2023
Delecykler og -løbehjul vinder udbredelse i de større byer og bør samtænkes med kollektiv
trafik som fleksibel
first/last-mile
transport. På trods heraf eksisterer løsningerne kun i få
byer/kommuner.
En række barrierer står pt. i vejen:
Operatørerne ser et mindre kommercielt marked udenfor de større byer, og kommuner-
ne har vanskeligt ved at koordinere fælles løsninger, hvor én kommunes løsning også
kan benyttes i nabokommunerne.
Manglende integration med kollektiv trafik. Trafikselskaberne har i dag ikke hjemmel til
at tilbyde mikrodelemobilitet som en del af pakken ved køb af fx et pendlerkort.
Der kan være modsatrettede interesser mellem trafikselskaber og mikromobilitetsud-
bydere, fordi trafikselskabet kan være bekymret for, at flere vil vælge at cykle frem for
at tage bussen på korte distancer i byen.
Booking og betaling kræver en selvstændig app, hvilket gør det mere omstændigt for
brugerne. Den kommende MaaS-app forventes at tage hånd om udfordringen.
Holland har med succes integreret delecykler i den kollektive trafik:
Integration af delecykler i kollektiv trafik i Holland
I Holland kan brugere af den kollektive trafik også bruge delecykler til og fra statio-
nerne. NS (Nederlandse Spoorwegen), der har over 1 mio. passagerer om dagen, har
indsat over 100 delecykler ud ved alle stationer. 8 pct. af kunderne tilkendegiver, at
de ville bruge bil i stedet for tog, hvis delecyklerne ikke var der. Hollænderne kan
bruge deres rejsekort til at betale for og låse delecykler op ved stationerne, hvilket
gør det nemt at leje en cykel til og fra stationen.
Herhjemme har Region Hovedstaden taget teten i forhold til mikromobilitet:
Region Hovedstadens tværkommunale udbud af mikrodelemobilitet
Region Hovedstaden gennemfører det første tværkommunale udbud af mikrodele-
mobilitet i kommunerne langs den kommende Hovedstadens Letbane. Udbuddet vil
sikre en fælles løsning på tværs af kommunerne – inkl. et offentligt tilskud til operatø-
rerne.
Danske Regioner foreslår, at:
Der skabes hjemmel til, at kommuner og regioner kan integrere mikromobilitetsløsnin-
ger som en del af trafikselskabernes udbud og mobilitetsløsninger.
Arbejdet med at fremme mikromobilitet og integration med kollektiv trafik kan blive
en del af et tværgående Mobility Management sekretariats opgaver.
Side 29
BUU, Alm.del - 2023-24 - Bilag 69: Henvendelse af 22/12-23 fra Michael Koch-Larsen om Unges transport til og fra uddannelse
2805154_0030.png
Øvrige anbefalinger til fremme af kollektiv
mobilitet
REGIONAL MOBILITET, DANSKE REGIONER 2023
8: Bedre mobilitet for unge
Unge er en vigtig målgruppe for regional kollektiv transport, og hvis der må foretages
tilpasninger, så er udgangspunktet, at uddannelsesruter friholdes. En række tiltag kommer
særligt unge til gode – fx natbusser (der også fremmer unges sikkerhed), cykelmedtagning i
bus og tog, og regional betaling for, at lokale busruter stopper ved ungdomsuddannelserne.
Via nye mobilitetsløsninger som delecykler og samkørsel kombineret med den kollektive
bus og tog skabes bedre mobilitetsmuligheder for de unge.
Plustur til unge: Få et gratis lift til eller fra bussen - hvis den ikke kører hele
vejen
Gratis Plustur til unge med Ungdomskort er et projekt initieret og støttet af Region
Syddanmark med det formål at styrke kendskabet til Plustur samt at se på initiativer,
som kan fremme udbredelsen af Plustur i de tyndtbefolkede landområder. Ønsket
er at fremme mobiliteten for de unge uden for byerne. Plusturen skal bestilles via
Rejseplanen.dk eller Rejseplanen app. Ordningen startede august 2022 og løber frem
til december 2024.
En undersøgelse fra Danske Regioner har kortlagt transporttid med kollektiv transport for
15-19-årige til gymnasier og erhvervsskoler. Afdækningen viser, at der er væssentlig forskel
på den tid, unge bruger på at komme til gymnasier og erhvervsskoler med kollektiv trans-
port, jf. figuren nedenfor, hvor rødere farve indikerer længere transporttid.
Rejsetid i minutter til nærmeste STX
Rejsetid i minutter til nærmeste EUD Omsorg
Under 15 min
15-30 min
30-45 min
45-60 min
60-90 min
90-120 min
Over 120 min
Side 30
BUU, Alm.del - 2023-24 - Bilag 69: Henvendelse af 22/12-23 fra Michael Koch-Larsen om Unges transport til og fra uddannelse
2805154_0031.png
Unge på gymnasiale stx-uddannelser er generelt godt dækket ind i forhold til transport,
mens unge på erhvervsskoler har relativt længere transporttid.
REGIONAL MOBILITET, DANSKE REGIONER 2023
Fx kan 86 pct. af unge i Region Midtjylland nå en gymnasial stx-uddannelse inden for 45
minutter med kollektiv transport. For unge på social- og sundhedshjælperuddannelsen er
tallet 71 pct.
Lang transporttid kan få nogle til at fravælge at tage en ungdomsuddannelse.
Et initiativ, der vurderes at gøre den kollektive trafik mere attraktiv for unge, er forslag til ny
ungerabat. Det nuværende ungdomskort fungerer ikke efter hensigten. Det er besværligt at
bestille og bruge samt utidssvarende i forhold til unges behov. Der kræves fx en komplice-
ret godkendelse i flere trin, leveringstiden på kortet kan være lang, og med appen kan der
gå fire dage fra betaling til man har en gyldig billet. Det nye forslag til ungerabat giver bl.a.
alle unge 25 pct. rabat på alle rejser med Rejsekort. Forslaget kan implementeres inden for
den økonomiske ramme af det nuværende ungdomskort.
Den nye ungerabat vil også omfatte alle unge på erhvervsuddannelserne, som i dag ikke
har adgang til ungdomskortet. Ny ungerabat vil kunne løfte unges mobilitet og bakke op
om kundegrundlaget i den kollektive trafik – herunder i landdistrikterne. Ungerabatten har
dermed potentiale til at øge kundegrundlaget i den kollektive trafik og dermed vil også
selvfinansieringsgraden stige.
Danske Regioner foreslår:
At ekspertudvalget bakker op om implementeringen af en ny ungerabat, der vil gøre
det mere attraktivt for flere unge at vælge kollektiv mobilitet, hvilket kan ske inden for
den nuværende økonomiske ramme.
Side 31
BUU, Alm.del - 2023-24 - Bilag 69: Henvendelse af 22/12-23 fra Michael Koch-Larsen om Unges transport til og fra uddannelse
2805154_0032.png
9: Virksomheder, kollektiv mobilitet og
mobility management
Mobility Management er et koncept, der skal fremme bæredygtig transport og styre efter-
spørgslen efter bil ved at ændre de rejsendes holdninger og adfærd. Virksomheder, uddan-
nelsesinstitutioner og organisationer kan via mobility management påvirke medarbejdernes
transport til og fra arbejde og studie i retning af øget brug af aktiv, kollektiv mobilitet samt
videomøder.
Mobility mangement tager udgangspunkt i den eksisterende infrastruktur og i lokale
forhold. Der tænkes på tværs af transportformer. Målene beskrives ofte som at reducere,
konvertere og optimere ture.
Virksomheder kan bruge mobilitetsplaner som et værktøj. En mobilitetsplan er en strategi
for, hvordan en virksomhed reducerer antallet af ture, konverterer ture i bil til andre trans-
portformer og optimerer brugen af biler – både i arbejdstiden og til og fra virksomheden.
En mulighed for at prøve et alternativ til bilen i en periode kan ofte ændre vanen hos nogle
medarbejdere.
23
Øget brug af kollektiv mobilitet kan understøttes via mobility management samt ved sam-
tidigt at gøre det mindre attraktivt at benytte bilen og mere attraktivt at bruge aktiv og
kollektiv mobilitet:
Hvis man begrænser mulighederne for at parkere sin bil (gratis) ved arbejdspladsen,
øger man tilskyndelsen til at bruge cykel, samkørsel og kollektiv mobilitet. Hvis det er
let og gratis at parkere, vil dobbelt så mange pendle i bil, end hvis det er svært og dyrt.
Hvis det er lige hurtigt at køre i bil og tage kollektiv trafik, vil dobbelt så mange vælge
kollektiv trafik, hvis der er betalingsparkering ved målet.
24
Et erhvervspendlerkort giver en rabat på pendlerkortet, der svarer til personbeskatnin-
gen. En udfordring ved den nuværende ordning er, at erhvervskortet har en bindings-
periode på et år. Det betyder, at virksomheden ved en opsigelse hænger på udgiften til
erhvervskortet i resten af perioden. Man kunne fremme erhvervspendling, hvis bin-
dingsperioden på erhvervskortet var kortere og markedsføring mere synlig.
REGIONAL MOBILITET, DANSKE REGIONER 2023
23
24
SmartMobilitetForVirksomheder2.pdf (gate21.dk)
Parkering i byer.pdf (concito.dk)
Side 32
BUU, Alm.del - 2023-24 - Bilag 69: Henvendelse af 22/12-23 fra Michael Koch-Larsen om Unges transport til og fra uddannelse
2805154_0033.png
Hollandsk netværk – Smart Work, Smart Travel
REGIONAL MOBILITET, DANSKE REGIONER 2023
I Holland samarbejder 1.000 større virksomheder med provinser, kommuner og fag-
foreninger om at få medarbejderne til at arbejde og transportere sig smart. Det har
begrænset trafikken omkring de større hollandske byer med op til 21 pct. Netværkets
initiativer omfatter:
Øget brug af IT til internetkonferencer, flådestyring mv.
Mobilitetstiltag, der øger brug af erhvervskort til bus og tog, elbiler, cykler og
samkørsel.
Delte arbejdspladser, der gør det muligt at arbejde/holde møder hos andre virk-
somheder i netværket.
Et mobilitetsbudget i stedet for firmabil.
HjemJobbHjem mobilitetsordning i Nord-Jæren i Norge
HjemJobbHjem er et samarbejde mellem regionen, en række kommuner, trafikselska-
bet, en bycykeloperatør, Statens Vegvesen og Jernbanedirektoratet. Målet med ord-
ningen er at reducere personbiltrafikken hos de ansatte i virksomheder i Nord-Jæren,
samt at flere vælger at gå, cykle eller rejse med kollektiv transport til og fra arbejde.
631 virksomheder indgår i ordningen. Virksomhederne betaler 10 kr./md. pr. ansat.
De ansatte tilbydes en række mobilitetstilbud – fx kan de bruge bycykler gratis i en
time. HjemJobbHjem tilbyder at besøge virksomhederne mhp. at motivere de ansatte
til at vælge aktiv mobilitet.
25
Ved Ekspertudvalgets workshop om brugerne af den kollektive transport blev det efterlyst,
at arbejdet med
mobility management
forankres hos en tværgående aktør, så den enkelte
kommune, virksomhed eller organisation ikke skal genopfinde rækken af mobilitetstiltag.
Danske Regioner foreslår, at der:
Inspireret af supercykelsti-sekretariaterne nedsættes tværkommunale Mobility Mana-
gement sekretariater, der systematisk kan assistere virksomheder, uddannelsesinstitu-
tioner og organisationers arbejde med at udarbejde mobilitetsplaner mhp. at reducere
pendling i bil.
Arbejdes på at øge udbredelsen af erhvervspendlerkortet – bl.a. ved at reducere den
nuværende bindingsperiode på et år.
25
HjemJobbHjem-verktøy - HjemJobbHjem
Side 33
BUU, Alm.del - 2023-24 - Bilag 69: Henvendelse af 22/12-23 fra Michael Koch-Larsen om Unges transport til og fra uddannelse
2805154_0034.png
10: Brugervenlig MaaS-app
REGIONAL MOBILITET, DANSKE REGIONER 2023
Det er internationalt unikt, at vi i Danmark har et landsdækkende Rejsekort, der sikrer rej-
sehjemmel til bus og tog i hele landet. Systemet er nu forældet og de fysiske blå punkter er
dyre i drift. Rejsekort/Rejseplan A/S er via trafikselskabsloven pålagt at forberede afløseren
til rejsekortet i form af en
Mobility as a Service/MaaS-app.
I dag præmieres hyppigt rejsende med et fast rejsemønster via et pendlerkort, der gør det
billigt at rejse i myldretiden. Efter Coronapandemien er vores rejsemønstre mere heteroge-
ne med flere rejsefrie dage, hvilket fordrer et kritisk, brugervenligt blik på de nuværende
takster, billetter, priser og rabatter.
26
Pendler20 er tiltænkt personer med ugentlige hjem-
mearbejdsdage, men produktet har ikke vundet større udbredelse hvilket bl.a. kan skyldes
manglende fleksibelt i forhold til også at dække fritidsrejser.
Forbedret brugervenlighed er én af måderne til at få flere til at vælge kollektiv mobilitet
– både i forhold til nye rejsende og til at få eksisterende til at benytte bus og tog mere til
pendling og fritid. En undersøgelse fra Passagerpulsen viser, at 56 pct. af dem, der bruger
kollektiv transport 2-3 gange om ugen, vil bruge det endnu mere hvis billet- og takstsyste-
met bliver lettere at forstå. Samtidig vil 39 pct. af dem, der primært bruger bilen, bruge bus
og tog oftere, hvis det var nemmere at finde og købe den rigtige billet.
27
I modsætning til fysisk infrastruktur har forbedringer af brugervenlighed af takststruktur,
billetter, priser og rabatter den fordel, at det potentielt kan implementeres relativt hurtigt
og billigt.
Internationale eks. på brugervenlighed, der tilskynder til øget brug af kollektiv
trafik:
Region Skåne og Skånetrafiken har målrettet gjort zone-, billet- og rabatsystemer
simple: Er gået fra 202 zoner til tre – lille, mellem og stor, hvor sidstnævnte dækker
hele regionen. Der tilbydes tre hovedbilletter – enkeltrejse, 24 timers billet samt 30
dage. Hertil få rabat-produkter – bl.a. 25 pct. grupperabat mhp. at øge konkurrence-
evnen til bilen når flere rejser sammen.
Transport for London og prisloft pr. dag/uge: I London anvendes et prisloft/cap for
rejser foretaget med kontaktløs betaling – dvs. kreditkort eller rejsekort. En model
med prisloft tilskynder til øget brug af kollektiv trafik til pendling og fritidsrejser,
da det kombinerer fordele ved ikke at skulle betale et større beløb forud (som ved
periodekort) med trygheden ved at betale et mindre beløb pr. rejse og at betalingen
stopper når prisloftet rammes.
Takster er emnet for ekspertudvalgets fase 2, hvor konkrete forslag til brugervenlig task-
struktur, billetter, priser og rabatter vil blive behandlet nærmere.
26
27
kunskapsoversikt_-_nya_pris-_och_biljettstrategier.pdf (k2centrum.se)
Bedre billetsystem kan give flere passagerer i bus og tog (taenk.dk)
Side 34
BUU, Alm.del - 2023-24 - Bilag 69: Henvendelse af 22/12-23 fra Michael Koch-Larsen om Unges transport til og fra uddannelse
2805154_0035.png
Danske Regioner foreslår, at:
Der ved overgangen til den fælles, kommende MaaS-app er særlig fokus på brugerven-
lighed mhp. at understøtte let og økonomisk attraktiv brug af kollektiv mobilitet til
både pendling og fritid.
REGIONAL MOBILITET, DANSKE REGIONER 2023
KOLOFON: REGIONAL MOBILITET / DANSKE REGIONER 2023 / LAYOUT: CLEWB / ISBN: 978-87-7723-118-6
Side 35