Børne- og Undervisningsudvalget 2023-24
BUU Alm.del Bilag 240
Offentligt
2899364_0001.png
AUGUST 2024
BERETNING FRA
FORMANDSKABET
2024
1
BUU, Alm.del - 2023-24 - Bilag 240: Beretning fra formandskabet for Rådet for Børns Læring, samt brev fra formanden
2899364_0002.png
BUU, Alm.del - 2023-24 - Bilag 240: Beretning fra formandskabet for Rådet for Børns Læring, samt brev fra formanden
2899364_0003.png
BERETNING FRA FORMANDSKABET
RÅDET FOR BØRNS LÆRING
INDHOLDSOVERSIGT
FORORD
KAPITEL 1.
SIDE 5
SIDE 7
INDLEDNING
KAPITEL 2.
BEHOV FOR ÆNDRINGER I
FOLKESKOLENS AFGANGSEKSAMEN
2.1 Udskolingen er for styret af afgangseksamen
2.2 VIVE’s undersøgelse af afgangsprøver samt
deres betydning for elever og skoler
2.3 Formandskabets anbefalinger
KAPITEL 3.
SIDE 13
SIDE 15
SIDE 16
SIDE 25
BEDRE OVERGANGE TIL
UNGDOMSUDDANNELSE
3.1 For mange elever lever ikke op til adgangskravene
til ungdomsuddannelserne
3.2 Hvad har betydning for en god overgang
til ungdomsuddannelse?
3.3 Formandskabets anbefalinger
KAPITEL 4.
SIDE 29
SIDE 31
SIDE 34
SIDE 44
FORMANDSKABETS EFTERORD
4.1 Formandskabets fokus og anbefalinger
i den samlede formandskabsperiode
SIDE 47
SIDE 48
LITTERATURLISTE
SIDE 53
InDHolDSoVErSIgt
3
BUU, Alm.del - 2023-24 - Bilag 240: Beretning fra formandskabet for Rådet for Børns Læring, samt brev fra formanden
2899364_0004.png
RÅDET FOR BØRNS LÆRING
BERETNING FRA FORMANDSKABET
BILAG 1.
REFERAT AF MØDE I RÅDET FOR
BØRNS LÆRING D. 19. AUGUST 2024
BILAG 2.
SIDE 55
RÅDET FOR BØRNS LÆRINGS
AKTIVITETER I 2024
SIDE 58
4
InDHolDSoVErSIgt
BUU, Alm.del - 2023-24 - Bilag 240: Beretning fra formandskabet for Rådet for Børns Læring, samt brev fra formanden
2899364_0005.png
BERETNING FRA FORMANDSKABET
RÅDET FOR BØRNS LÆRING
FORORD
Rådet for Børns Læring er et uafhængigt råd, som består af et formandskab, der leder arbejdet i
Rådet. Formandskabet består af videns- og ressourcepersoner med perspektiver på og kend-
skab til dagtilbuds- og skoleområdet. Ud over formandskabet er der i Rådet repræsentanter fra
relevante interesseorganisationer på dagtilbuds- og folkeskoleområdet. Rådet for Børns Læring
nedsættes af børne- og undervisningsministeren, som også udpeger formandskabet. Det nuvæ-
rende formandskab er beskikket for en treårig periode fra medio 2021 til medio 2024.
Rådet for Børns Læring har til opgave at følge, vurdere og rådgive børne- og undervisningsmini-
steren om det faglige niveau, den pædagogiske udvikling og elevernes udbytte af undervisnin-
gen i folkeskolen og ungdomsskolen og om det pædagogiske arbejde med at understøtte alle
børns trivsel, udvikling og læring i dagtilbud.
Formandskabet afgiver hvert år en skriftlig beretning til børne- og undervisningsministeren med
anbefalinger til ministeren.
Formandskabet har i år beskæftiget sig med elevernes sidste år i skolen og har i den forbindelse
haft fokus på folkeskolens afgangseksamen samt bedre overgange til ungdomsuddannelser.
Derudover har formandskabet i indeværende år ønsket at samle op på deres 3-årige periode,
hvor de har haft fokus på, hvordan der kan skabes bedre vilkår for børn og unges institutions- og
skoleliv, så alle børn og unge uanset social baggrund får en god og lærerig opvækst.
Rådet for Børns Læring har drøftet beretningen på et møde den 19. august 2024. Et referat af
rådsmedlemmernes synspunkter findes i bilag 1.
Formandskabet for Rådet for Børns Læring den 29. august 2024:
• Else Sommer (formand)
• Helle Bjerg
• Marco Damgaard
• Mads Meier Jæger
• Nanna Lohman
• Anette Lykke
• Jens-Peter Thomsen
FororD
5
BUU, Alm.del - 2023-24 - Bilag 240: Beretning fra formandskabet for Rådet for Børns Læring, samt brev fra formanden
2899364_0006.png
RÅDET FOR BØRNS LÆRING
BERETNING FRA FORMANDSKABET
6
FororD
BUU, Alm.del - 2023-24 - Bilag 240: Beretning fra formandskabet for Rådet for Børns Læring, samt brev fra formanden
2899364_0007.png
BERETNING FRA FORMANDSKABET
RÅDET FOR BØRNS LÆRING
KAPITEL 1.
INDLEDNING
Formandskabet for Rådet for Børns Læring har i sin treårige periode valgt at dække hele
0-18-årsområdet gennem tre fokuserede nedslag i børnenes institutions- og skoleliv. Efter to
år med fokus på hvilke initiativer, der med tidlig indsats vil kunne bidrage til at sikre alle børn
en god og lærerig barndom i daginstitutioner og i indskolingen, har formandskabet i sin sidste
periode valgt at fokusere på folkeskolens sidste år. Udskolingen skal være motiverende for alle
elever, og den skal bidrage til, at alle elever forlader folkeskolen med videre muligheder i livet.
Folkeskolen som institution danner rammen om børn og unges læring, udvikling og dannelse i
10 år. Skolens opgave er, at børn og unge udvikler kundskaber og færdigheder og får mulighe-
der for alsidig udvikling og dannelse. For at vi i skolen kan leve op til formålet om at bane vejen
for børns og unges videre færd i livet, i uddannelse og i beskæftigelse, er udskolingen særlig
væsentlig som ramme for elevernes sidste formative år i grundskolen.
Formandskabet har derfor valgt at sætte fokus på, hvordan vi kan styrke og understøtte, at alle
elever i udskolingen møder en undervisning og et fællesskab, der er motiverende, relevant og
giver mulighed for deltagelse. Sigtet er, at alle elever forlader folkeskolen med lyst til, tro på og
en oplevelse af, at de kan deltage og bidrage, hver og en.
FolKESKolEn BlIVEr En StoPKloDS
Mere end hver tiende elev i folkeskolen aflægger ikke alle obligatoriske afgangsprøver i 9. klas-
se. Knap 43.000 unge i aldersgruppen 15-24 år er ikke i uddannelse eller arbejde, og 46 procent
i denne gruppe mangler en eller flere af de obligatoriske prøver. Det er i formandskabets optik
ikke tilfredsstillende, at folkeskolen og den måde, vi har bygget den op på, ender med at blive en
stopklods for så mange børn og unge.
Fra formandskabets side ser vi en tæt sammenhæng mellem de mange, der forlader folkesko-
len uden at bestå folkeskolens afgangseksamen og uden tilstrækkelige kompetencer, og den
dalende faglige og sociale trivsel i folkeskolens sidste år. Børne- og Undervisningsministeriets
årlige trivselsmåling viser generelt en høj skoletrivsel blandt eleverne. Alligevel peger målingerne
også på, at skoletrivslen over de senere år har været faldende. I skoleåret 2016/2017 var ande-
len af elever med høj generel trivsel 93 procent, mens selvsamme tal i skoleåret 2022/2023 var
faldet til 87 procent
1
.
Det fremgår desuden af trivselsmålingen, at 27 procent af alle folkeskoleeleverne fra 4. til 9.
klasse i skoleåret 2022/2023 er ”uenige” eller ”helt uenige” i, at undervisningen giver dem lyst til
at lære mere. Tallene dækker over en fordobling siden 2014, hvor 13 procent af eleverne svarede
det samme
2
.
1
2
Uddannelsesstatistik (2024b)
Uddannelsesstatisk (2024b)
KAPITEL 1.
InDlEDnIng
7
BUU, Alm.del - 2023-24 - Bilag 240: Beretning fra formandskabet for Rådet for Børns Læring, samt brev fra formanden
2899364_0008.png
RÅDET FOR BØRNS LÆRING
BERETNING FRA FORMANDSKABET
Tal fra Børne- og Undervisningsministeriet viser endvidere, at elever i grundskolen i gennemsnit
var fraværende 7,2 procent af undervisningstiden i skoleåret 2022/2023, mens over en femtedel
af eleverne (20,7 procent) havde et højt fravær på 10 procent af undervisningstiden eller mere
3
.
Oveni dette peger data fra professor ved Syddansk Universitet Ane Qvortrup på, at for mange
af eleverne i dagens folkeskole ikke er i faglig trivsel. Qvortrups forskning om faglig trivsel i
grundskole og overgange til ungdomsuddannelse viser konkret, at elevers faglige trivsel ligger
lavere i Danmark end i de øvrige nordiske lande
4
. Faglig trivsel skal forstås som den dimension
af trivsel, der handler om oplevelsen af at føle sig glad i skolen samt motiveret for og engageret
i skolearbejdet
5
.
Udover den faglige trivsel opererer Qvortrup med en emotionel og en social dimension af trivsel,
der omfatter hhv. individers tendens til at være tilfredse med dagligdagen og individers oplevel-
se af at tilhøre en social gruppe eller et socialt fællesskab, hvor individers deltagelse og enga-
gement anerkendes og værdsættes
6
. Det er her værd at bemærke, at Qvortrups forskning peger
på, at den faglige trivsel har tæt tilknytning til særligt den emotionelle trivsel, sådan at positiv
faglig trivsel smitter af på den emotionelle trivsel.
I formandskabet mener vi, at det bør tages alvorligt, at elevernes faglige trivsel er lavere i Dan-
mark end i de øvrige nordiske lande. Forskning peger i den forbindelse på, at positiv faglig trivsel
har effekt på elevernes læringsudbytte, faglige præstationer, selvtillid og almene livsglæde og
trivsel
7
. Det kalder på, at vi kigger på de andre nordiske lande og observerer, hvordan de lykkes
med at have en højere faglig trivsel.
Når for mange elever ikke trives fagligt i folkeskolen, har det også den konsekvens, at for mange
elever forlader folkeskolen uden tilstrækkelige kompetencer og mulighed for at påbegynde en
ungdomsuddannelse.
I den sammenhæng er betydningen af den sociale ulighed forsat for stor ift. elevernes mulighe-
der efter folkeskolen, hvor særligt elever fra hjem med færre socioøkonomiske ressourcer ikke
lever op til adgangskravene til ungdomsuddannelserne. I gennemsnit afslutter 15,8 procent af
eleverne på de kommunale grundskoler 9. klasse uden at bestå folkeskolens afgangseksamen.
Det medfører, at en stor andel af eleverne ikke kan gå direkte videre på en ungdomsuddannelse.
På længere sigt kan det betyde, at en del af de elever hverken kommer i uddannelse eller i job.
3
4
5
6
7
Uddannelsesstatistik (2024a)
Lykkegaard & Qvortrup (2024)
Lykkegaard, Qvortrup & Jensen (2023)
Lykkegaard, Qvortrup & Jensen (2023)
Holzer, Korlat, Bürger, Spiel, & Schober (2022); Hascher, et al. (2022)
8
KAPITEL 1.
InDlEDnIng
BUU, Alm.del - 2023-24 - Bilag 240: Beretning fra formandskabet for Rådet for Børns Læring, samt brev fra formanden
2899364_0009.png
BERETNING FRA FORMANDSKABET
RÅDET FOR BØRNS LÆRING
AFgAngSPrØVErnE FYlDEr For MEgEt I UnDErVISnIngEn og
HAr For Stor BEtYDnIng For DEt VIDErE UDDAnnElSESForlØB
Formandskabet vurderer, at særligt to udfordringer i udskolingen har afgørende betydning for, at
den faglige trivsel er for lav, og at for mange forlader folkeskolen uden tilstrækkelige forudsæt-
ninger og muligheder for videre uddannelse.
Det første er, at undervisningen i udskolingen er alt for fokuseret på at forberede eleverne til
afgangsprøver og dermed også på den form for faglighed, der særligt sigter mod den gymna-
siale og akademiske uddannelsesvej. Det nuværende afgangsprøvesystem medfører således, at
afgangsprøverne bliver alt for styrende for den undervisning, som eleverne modtager i folkesko-
lens sidste år.
I forlængelse af dette vurderer formandskabet, at der i dag er for lidt fokus på motiverende,
praksisfaglig og anvendelsesorienteret undervisning, der tilgodeser alle elever. Når undervis-
ningen i udskolingen bliver for ensformig og både har en boglig form og et akademisk sigte, så
udfordrer det de elever, der har behov for at lære på andre måder. Men det udfordrer også de
elever, der klarer sig godt akademisk, men som samtidig kan kede sig i undervisningen og miste
lysten til at lære mere og af den vej ende i lav faglig trivsel. Danmarks Evalueringsinstitut peger
i den forbindelse på, som en del af et større projekt om variation og motivation i udskolingen, at
jo længere eleverne er i deres grundskoleforløb, jo mere kedelig synes de, undervisningen er, og
KAPITEL 1.
InDlEDnIng
9
BUU, Alm.del - 2023-24 - Bilag 240: Beretning fra formandskabet for Rådet for Børns Læring, samt brev fra formanden
2899364_0010.png
RÅDET FOR BØRNS LÆRING
BERETNING FRA FORMANDSKABET
jo mindre får de lyst til at lære mere
8
. Det bakkes op af Børne- og Undervisningsministeriets tal,
der er gengivet ovenfor
9
.
Den anden udfordring er, at afgangsprøverne får for afgørende betydning for elevernes vi-
dere muligheder i overgangen til videre uddannelse. Det betyder, at folkeskolen kan blive en
stopklods for, at flere unge kan få mulighed for og mod på at komme videre i uddannelse og
beskæftigelse. I forlængelse heraf er der også for mange elever, der er usikre og uvidende om
mulighederne efter folkeskolen. En af konsekvenserne bliver, at for få elever vælger erhvervsud-
dannelserne. Det tyder på, at folkeskolen ikke i tilstrækkelig grad forbereder, motiverer og skaber
interesse hos eleverne for at gå andre veje end den gymnasiale vej.
Fra formandskabets side mener vi, at ovenstående udfordringsbillede kalder på, at undervis-
ningen skal tænkes anderledes, så den omfavner og motiverer flere og samtidig hjælper dem,
der er kørt trætte i folkeskolen. Formandskabet anerkender, at der med den seneste folkeskole-
aftale, og det større fokus på praksisfaglighed og valgfag, er taget et skridt i den rigtige retning
mod dette mål. Dog vurderer formandskabet, at det først for alvor vil lykkes at skabe en udsko-
ling med mere motiverende og varieret undervisning, hvis der tages fat i de strukturelle rammer
for folkeskolens afslutning, herunder det nuværende afgangsprøvesystem.
Formandskabets anbefalinger sigter på at skabe rum til, at flere børn trives fagligt og socialt,
og at alle elever får mulighed for at blive så dygtige, som de kan. I den sammenhæng skal det
gentænkes, hvad det vil sige at være dygtig, så det ikke kun er de boglige kompetencer, der får
8
9
Danmarks Evalueringsinstitut (2022)
Uddannelsesstatistik (2024)
10
KAPITEL 1.
InDlEDnIng
BUU, Alm.del - 2023-24 - Bilag 240: Beretning fra formandskabet for Rådet for Børns Læring, samt brev fra formanden
2899364_0011.png
BERETNING FRA FORMANDSKABET
RÅDET FOR BØRNS LÆRING
forrang. Det er afgørende, at folkeskolen understøtter, at alle elever får tiltro til sig selv og deres
evner. Herudover skal formandskabets anbefalinger hjælpe til, at folkeskolen bliver bedre til at
hjælpe alle børn og unge videre på en ungdomsuddannelse eller i beskæftigelse. I den forbindel-
se er det centralt, at alle ungdomsuddannelser anerkendes som relevante – både de gymnasiale
og erhvervsrettede - bl.a. ved, at der allerede i folkeskolen skabes øget plads til og anerkendelse
af forskellige undervisningsformer.
I årets beretning og i de dertilhørende anbefalinger har formandskabet derfor valgt at fokusere
på afgangseksamen og overgange til ungdomsuddannelse. Det ser vi som to afgørende områ-
der, hvor der kan skabes strukturelle forandringer, der kan hjælpe os med at komme i mål med
en mere motiverende og fagligt bredt favnende folkeskole, der sikrer, at flere børn trives fagligt
og socialt og kommer videre på den rette ungdomsuddannelse.
lÆSEVEJlEDnIng
Årsberetningen er opbygget således, at vi i kapitel 2 præsenterer de udfordringer, vi ser i det
nuværende afgangsprøvesystem, samt peger på, hvilke ændringer formandskabet vurderer, der
er behov for, hvis vi skal mindske en række af de uhensigtsmæssigheder, der er i det nuværende
system. Herefter følger kapitel 3, hvor formandskabet vil pege på, hvordan der kan skabes bedre
overgange til ungdomsuddannelser, så alle unge får de bedste muligheder for at finde deres
videre vej efter folkeskolen. Afslutningsvis vil vi i kapitel 4 perspektivere vores samlede formand-
skabsperiode og de dertilhørende anbefalinger set i forhold til den udvikling, som vi har set på
børne- og ungeområdet i den pågældende periode.
KAPITEL 1.
InDlEDnIng
11
BUU, Alm.del - 2023-24 - Bilag 240: Beretning fra formandskabet for Rådet for Børns Læring, samt brev fra formanden
2899364_0012.png
RÅDET FOR BØRNS LÆRING
BERETNING FRA FORMANDSKABET
12
KAPITEL 1.
InDlEDnIng
BUU, Alm.del - 2023-24 - Bilag 240: Beretning fra formandskabet for Rådet for Børns Læring, samt brev fra formanden
2899364_0013.png
BERETNING FRA FORMANDSKABET
RÅDET FOR BØRNS LÆRING
KAPITEL 2.
BEHOV FOR ÆNDRINGER I
FOLKESKOLENS AFGANGSEKSAMEN
Formandskabet ser en udfordring i, at der i dagens folkeskole er for mange prøvefag, og at
udfaldet af dem betyder for meget for elevernes fremtidige liv. Udfordringen handler dels om, at
forberedelse til afgangsprøverne fylder for meget i undervisningen i folkeskolens sidste år. End-
videre får afgangsprøverne og afgangskaraktererne en
high stake
betydning for elevernes frem-
tidsmuligheder. I indeværende kapitel vil vi gå i dybden med denne problematik og argumentere
for, hvordan folkeskolens afgangsprøver ikke er nødvendige for et velfungerende skolesystem.
Folkeskolen afsluttes i dag med folkeskolens afgangseksamen, som består af en række både
skriftlige og mundtlige prøver. Resultatet af afgangsprøverne har betydning for elevernes mulig-
heder for at begynde på en ungdomsuddannelse. Endvidere tager forberedelserne til afgangs-
prøverne meget fokus i udskolingen - i særlig grad i 8. og 9. klasse
10
.
I 2024 består folkeskolens afgangseksamen af otte obligatoriske prøver – én obligatorisk prøve
i et praktisk/musisk fag i 8. klasse og syv obligatoriske prøver i 9. klasse. Fem af de syv prøver
i 9. klasse er bundne, og de sidste to findes via udtræk. Der blev i marts 2024 indgået en aftale
om folkeskolen, som vil medføre, at antallet af obligatoriske prøver reduceres til seks.
10 VIVE (2024)
KAPITEL 2.
BEHoV For ÆnDrIngEr I FolKESKolEnS AFgAngSEKSAMEn
13
BUU, Alm.del - 2023-24 - Bilag 240: Beretning fra formandskabet for Rådet for Børns Læring, samt brev fra formanden
2899364_0014.png
RÅDET FOR BØRNS LÆRING
BERETNING FRA FORMANDSKABET
FAKTA OM FOLKESKOLENS AFGANGSEKSAMEN
Folkeskolens afgangseksamen består af otte obligatoriske prøver. I 8. klasse skal ele-
verne til obligatorisk prøve i et praktisk/musisk fag. I 9. klasse skal alle gennemføre syv
obligatoriske prøver – fem af de syv prøver er bundne og de sidste to findes via udtræk. I
10. klasse er prøverne frivillige
11
.
Obligatoriske prøver i 9. klasse
• Skriftlig prøve i dansk (tre delprøver i hhv. retskrivning, læsning og skriftlig fremstil-
ling)
• Mundtlig prøve i dansk
• Skriftlig prøve i matematik (to delprøver i hhv. med hjælpemidler og uden hjælpe-
midler)
• Mundtlig prøve i engelsk
• Fælles naturfaglig praktisk/mundtlig prøve i fagene fysik/kemi, biologi og geografi
• Én udtræksprøve fra den humanistiske fagblok (skriftlig engelsk, skriftlig tysk/fransk,
mundtlig tysk/fransk, mundtlig historie, mundtlig samfundsfag og mundtlig kristen-
domskundskab)
• Én udtræksprøve fra den naturfaglige fagblok (skriftlig biologi, skriftlig geografi, skrift-
lig fysik/kemi, mundtlig matematik og praktisk/mundtlig idræt).
For at bestå folkeskolens afgangseksamen skal eleven have:
• Aflagt den bundne prøve i praktisk/musisk valgfag i 8. klasse
• Aflagt alle de lovbundne prøver i 9. klasse
• Aflagt prøver i de to udtræksfag i 9. klasse
• Fået mindst 2,0 i gennemsnit af alle prøvekaraktererne, dvs. af de lovbundne prøver i
8. og 9. klasse og de to udtræksprøver.
Aftale om folkeskolens kvalitetsprogram
Aftalen om folkeskolens kvalitetsprogram d. 19. marts 2024 vil bl.a. medføre, at det sam-
lede antal obligatoriske prøver reduceres fra otte til seks prøver ved følgende konkrete
justeringer:
• Mundtlig engelsk ændres fra at være en bunden prøve til en udtræksprøve.
• Sammenlægning af de to udtræksblokke og udtræk af kun én udtræksprøve: Antallet
af udtræksprøver reduceres fra to til én og de skriftlige udtræksprøver og udtræks-
prøven i idræt fjernes)
12
.
11 Børne- og Undervisningsministeriet (2024a)
12 Børne- og Undervisningsministeriet (2024b)
14
KAPITEL 2.
BEHoV For ÆnDrIngEr I FolKESKolEnS AFgAngSEKSAMEn
BUU, Alm.del - 2023-24 - Bilag 240: Beretning fra formandskabet for Rådet for Børns Læring, samt brev fra formanden
2899364_0015.png
BERETNING FRA FORMANDSKABET
RÅDET FOR BØRNS LÆRING
Fem skoledage før den skriftlige prøvetermin påbegynder, får eleverne at vide, hvilke udtræks-
prøver de skal op i. Det betyder, at elever i løbet af 8. og 9. klasse må forberede sig på potentielt
at skulle til prøve i alle udtræksfagene. I dag betyder det konkret, at fagene dansk, matematik,
engelsk, fysik/kemi, biologi, geografi, tysk/fransk, historie, samfundsfag, kristendom og idræt
alle er prøvefag. Idræt ophører dog med at være prøvefag fra skoleåret 2025/2026, ligesom de
skriftlige udtræksprøver udgår, så sprogfagene fremadrettet kun prøves mundtligt og naturfage-
ne fremadrettet kun prøves som en del af den bundne fællesfaglige praktiske/mundtlige natur-
fagsprøve. På trods af det er undervisningen i næsten alle fag i folkeskolens sidste år indrettet
som eksamensforberedelse.
Både i dag, men også efter ændringerne i folkeskolens afgangsprøver træder i kraft fra skole-
året 2025/2026, skal elever i folkeskolen altså aflægge en betydelig mængde prøver som led i
folkeskolens afgangseksamen. Af de nuværende prøvefag vil det således kun være idræt, som
fremadrettet ikke længere er et prøvefag. For de nuværende prøvefag bibeholdes prøvemulighe-
den, enten som en bunden prøve (mono- eller tværfaglig) eller som udtræksprøve. Det betyder,
at undervisningen fortsat skal forberede eleverne på afgangsprøver i alle fag, på nær idræt.
Udfordringen er således både antallet af prøver og det forhold, at alle fag, undtagen idræt, skal
forberede eleverne på en potentiel afgangsprøve.
2.1 UDSKolIngEn Er For StYrEt AF AFgAngSEKSAMEn
Formandskabet mener, at undervisningen i udskolingen i alt for stort omfang er styret af at for-
berede eleverne til afgangsprøverne. Det store fokus på afgangsprøverne kan betyde, at lærerne
har mindre pædagogisk råderum til at vælge indhold og skabe varieret og motiverende undervis-
ning med fokus på at imødekomme behov, interesser og forskelligheder hos eleverne. Det kan
også være medvirkende til, at der mangler rum og tid til faglig fordybelse og til praksisfaglighed
som en vej til at skabe mere motiverende og elevaktiverende undervisning.
Samtidig er de resultater, som eleverne opnår til afgangsprøverne, afgørende for elevernes
mulighed for at komme videre på en ungdomsuddannelse. Der er forskellige karakterkrav til at
opnå retskrav på optagelse på de forskellige typer af ungdomsuddannelse, men elever, der ikke
får folkeskolens afgangseksamen, opnår ikke et retskrav på at komme ind på en ungdomsud-
dannelse. Det betyder, at lærere og elever bliver nødt til at fokusere på, at eleverne bliver så gode
som muligt til at gå til prøve. Det har den negative konsekvens, at der i mindre grad fokuseres
på, at undervisningen skal være motiverende og varieret.
En udgivelse fra Danmarks Evalueringsinstitut, der handler om motivation og variation i udsko-
lingen, viser, at både elever og lærere oplever, at undervisningen kan blive ensformig. Det gælder
især i udskolingen, når afgangsprøverne nærmer sig, hvor det kan være en udfordring at skabe
undervisning, som ikke kun er boglig, teoretisk og stillesiddende
13
. Herudover peger kvalitative
data fra en undersøgelse udarbejdet af VIVE på foranledning af Rådet for Børns Læring
14
på, at
eleverne oplever, at undervisningen i udskolingen i alt for høj grad centrerer sig om at forberede
eleverne til afgangseksamen. En af de interviewede elever formulerer det således:
13 EVA (2022)
14 Se boksen nedenfor for yderligere information om VIVE’s undersøgelse
KAPITEL 2.
BEHoV For ÆnDrIngEr I FolKESKolEnS AFgAngSEKSAMEn
15
BUU, Alm.del - 2023-24 - Bilag 240: Beretning fra formandskabet for Rådet for Børns Læring, samt brev fra formanden
2899364_0016.png
RÅDET FOR BØRNS LÆRING
BERETNING FRA FORMANDSKABET
”Vi har ikke lært noget i 9., vi har bare
gjort det samme som i 8. Repetition tror
jeg, at det hedder. Det har de forberedt
os på, så vi kender alle tingene, så i
stedet for at lære noget nyt, så får vi
genopfrisket det, vi havde om i 8. til
eksamen.”
(Elev i 9. klasse, VIVE 2024)
I forlængelse af dette vurderer formandskabet, at den indirekte styring af undervisningen, som
ligger i det nuværende prøvesystem, gør det vanskeligt at indfri intentionerne i den seneste fol-
keskoleaftale om øget frisættelse, praksisfaglighed og større variation i undervisningen.
Desuden vurderer formandskabet, at den eksamensfokuserede undervisning udover at udgøre
en barriere for at skabe mere varieret og motiverende undervisning også bidrager til at skabe en
uhensigtsmæssig (og også politisk uønsket) rangering af ungdomsuddannelserne, idet afgangs-
prøvernes form og indhold i høj grad er modelleret efter at være gymnasieforberedende og ofte
med et akademisk fokus. Det betyder, at den eksamensfokuserede undervisning medvirker til et
fokus og en prioritering af faglige kompetencer rettet mod gymnasiet. Det betyder samtidig, at
der kommer en implicit værdisættelse af, at gymnasieuddannelserne er det mest efterstræbel-
sesværdige. Det bidrager hverken til, at elever med andre kompetencer end de snævert boglige
kompetencer eller at elever med brug for andre mere praksisfaglige måder at lære på oplever, at
de bliver mødt undervisningsmæssigt, eller at deres kompetencer bliver værdsat i skolen. Sam-
tidig bidrager det heller ikke til, at flere elever får lyst til og mod på at søge mod ungdoms- eller
erhvervsuddannelser med et mere direkte erhvervsrettet sigte.
2.2 VIVE’S UnDErSØgElSE AF AFgAngSPrØVEr SAMt DErES
BEtYDnIng For ElEVEr og SKolEr
Formandskabet har i forbindelse med årets beretning fået udarbejdet en undersøgelse af
afgangsprøver samt deres betydning for overgange til ungdomsuddannelser. Rapporten er udar-
bejdet af Det Nationale Forsknings- og Analysecenter for Velfærd (VIVE). Undersøgelsen bygger
på både kvantitative analyser af registerdata fra Danmarks Statistik og kvalitative analyser af
fokusgruppeinterviews med elever i grundskolen og ungdomsuddannelserne.
16
KAPITEL 2.
BEHoV For ÆnDrIngEr I FolKESKolEnS AFgAngSEKSAMEn
BUU, Alm.del - 2023-24 - Bilag 240: Beretning fra formandskabet for Rådet for Børns Læring, samt brev fra formanden
2899364_0017.png
BERETNING FRA FORMANDSKABET
RÅDET FOR BØRNS LÆRING
UNDERSØGELSE AF AFGANGSPRØVERS BETYDNING
FOR OVERGANGE TIL UNGDOMSUDDANNELSE
Undersøgelsen af afgangsprøver samt deres betydning for overgange til ungdomsud-
dannelser er gennemført af VIVE for Rådet for Børns Læring. Den har fokus følgende to
overordnede undersøgelsesspørgsmål:
Hvilken betydning har afgangsprøvekaraktererne for overgangen til ungdomsuddan-
nelserne?
Hvordan påvirker afgangsprøverne lærernes og elevernes adfærd?
Undersøgelsen kan findes på Rådets hjemmeside: www.børns-læring.dk
KArAKtErnIVEAUEt I AFgAngSPrØVErnE SVArEr I StorE trÆK
tIl StAnDPUnKtSKArAKtErErnE
VIVE’s undersøgelse viser, at karakterniveauet i afgangsprøverne og standpunktskaraktererne
samlet set er meget ens. Karakterniveauet er en smule højere i afgangsprøverne, men stand-
punktskarakterer og prøvekarakterer følger stort set den samme udvikling i perioden 2008-2019,
hvor der generelt set har været en udvikling mod højere karaktergennemsnit. I perioden 2008-
2019 ligger den gennemsnitlige prøvekarakter på 6,9, mens gennemsnittet for standpunktska-
rakterer ligger på 6,6.
Figur 1 nedenfor viser en graf, der sammenligner karakterniveauet i afgangsprøver og stand-
punktkarakterer fra perioden 2008 til 2022. Som det fremgår, følger graferne ikke hinanden i
årene 2020-2022. Dette skyldes med overvejende sandsynlighed den særegne situation med
COVID-19, hvor en række faktorer gør det svært at sammenligne prøve- og standpunktskarakte-
rer. Det dækker bl.a. over, at prøvekarakterer ikke kunne være lavere end standpunktskarakterer,
hvorfor det datamæssigt ikke er muligt at identificere den faktiske prøvekarakter.
KAPITEL 2.
BEHoV For ÆnDrIngEr I FolKESKolEnS AFgAngSEKSAMEn
17
BUU, Alm.del - 2023-24 - Bilag 240: Beretning fra formandskabet for Rådet for Børns Læring, samt brev fra formanden
2899364_0018.png
RÅDET FOR BØRNS LÆRING
BERETNING FRA FORMANDSKABET
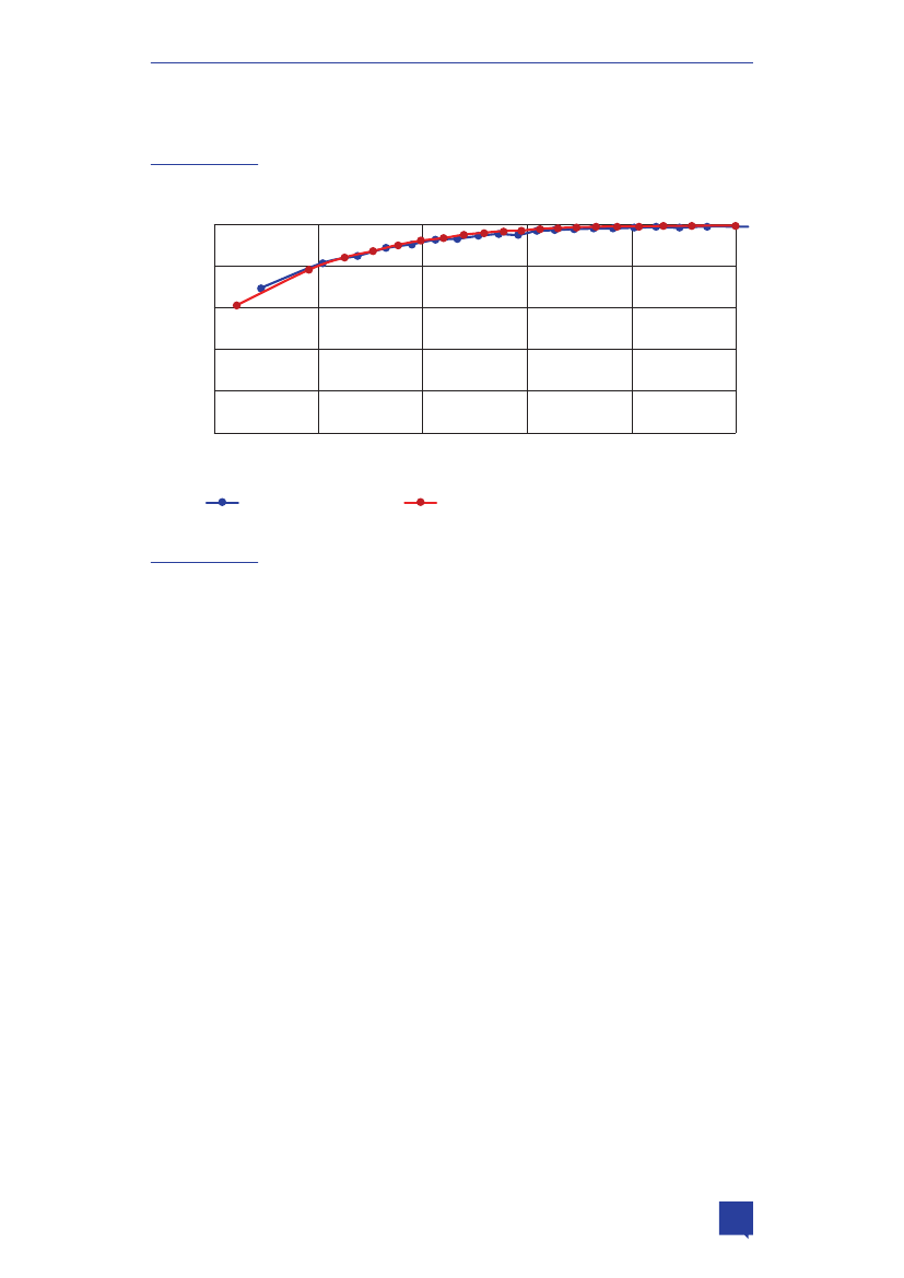
Figur 1. Karaktererne følges ad på nær i årene med covid-19
Figuren viser udviklingen i karaktererne i hhv. afgangsprøverne og standpunktskaraktererne fra
2008-2022.
8,5
8
7,5
Karaktergennemsnit
7
6,5
6
5,5
2008
2010
2012
2014
2016
2018
2020
2022
År de afslutter 9. klasse
Afgangsprøver
Standpunkt
Kilde: VIVE baseret på data fra Danmarks Statistik.
Anm.: Alle elever der afslutter 9. klasse 2008-2022. Bemærk, at i perioden 2020 til 2022 var der flere særregler ved afgangsprøverne
pga. covid-19, og niveauet er derfor ikke sammenligneligt med den tidligere periode. Gennemsnittene er uvægtede.
Hvad angår en udprøvning af elevernes faglige niveau, viser VIVE’s analyse, at resultaterne
fra afgangseksamen ikke bidrager med ret meget ny viden om elevernes niveau, da elevernes
standpunktskarakterer i store træk har samme niveau som prøvekaraktererne i afgangseksa-
men.
ElEVEr FrA HJEM MED FÆrrE rESSoUrCEr KlArEr SIg
SYStEMAtISK DÅrlIgErE tIl AFgAngSPrØVErnE
VIVE’s undersøgelse viser som beskrevet, at prøve- og standpunktskarakterer er stort set ens,
når der kigges bredt på eleverne. En vigtig nuance i VIVE’s sammenligning af karaktergennem-
snit på tværs af de to evalueringsformer er dog, at der ses systematiske forskelle på tværs af
elevgrupper.
Data fra VIVE peger på, at elever fra hjem med færre socioøkonomiske ressourcer generelt kla-
rer sig dårligere til afgangsprøverne end elever fra hjem med flere ressourcer, når elever, der el-
lers har fået samme standpunktkarakterer, sammenlignes. F.eks. får elever, der ikke har forældre
med en videregående uddannelse, 0,27 karakterpoint lavere prøvekarakterer sammenlignet med
en elev, hvis forældre har en videregående uddannelse. Tilsvarende klarer piger sig en anelse
bedre til afgangsprøver end drengene (0,08 karakterpoint højere i prøvekarakterer), mens unge
med indvandrerbaggrund generelt klarer sig dårligere til afgangsprøverne.
VIVE peger med udgangspunkt i international forskningslitteratur selv på, at det kan skyldes
ubevidste systematiske skævheder i lærernes evalueringer og/eller, at nogle elevgrupper har
18
KAPITEL 2.
BEHoV For ÆnDrIngEr I FolKESKolEnS AFgAngSEKSAMEn
BUU, Alm.del - 2023-24 - Bilag 240: Beretning fra formandskabet for Rådet for Børns Læring, samt brev fra formanden
2899364_0019.png
BERETNING FRA FORMANDSKABET
RÅDET FOR BØRNS LÆRING
KAPITEL 2.
BEHoV For ÆnDrIngEr I FolKESKolEnS AFgAngSEKSAMEn
19
BUU, Alm.del - 2023-24 - Bilag 240: Beretning fra formandskabet for Rådet for Børns Læring, samt brev fra formanden
2899364_0020.png
RÅDET FOR BØRNS LÆRING
BERETNING FRA FORMANDSKABET
lettere ved at forberede og gennemføre en prøvesituation. Tabel 1 nedenfor opsummerer VIVE’s
regressionsanalyse af karakterforskelle mellem elevgrupper. VIVE’s data viser samlet set, at der
er tale om mindre forskelle på tværs af elevgrupperne, men ikke desto mindre er størstedelen af
forskellene datamæssigt signifikante.
Tabel 1. Regressionsanalyse: Karakterforskelle varierer (lidt) mellem grupper
Afhængig variable: Prøvekarakter
 
Standpunktskarakter
 
Piger
(1)
Alle fag
0,88***
(0,00)
(2)
Matematik
og Dansk
0,82***
(0,00)
(3)
Matematik
og Dansk
0,81***
(0,00)
0,23***
(0,00)
(4)
Matematik
og Dansk
0,80***
(0,00)
(5)
Matematik
og Dansk
0,81***
(0,00)
(6)
Matematik
og Dansk
0,81***
(0,00)
Forældre u. videregåen-
de uddannelse
 
Forælder født uden for
Danmark
 
Forældre med indkomst
under medianen
 
Konstant
 
Observationer
R-squared
1,03***
(0,00)
744.940
0,79
1,28***
(0,00)
741.924
0,74
1,22***
(0,00)
741.855
0,75
-0,27***
(0,00)
-0,35***
(0,01)
-0,19***
(0,00)
1,54***
(0,01)
741.924
0,75
1,35***
(0,00)
741.855
0,75
1,37***
(0,00)
741.924
0,75
Opsummerende viser VIVE’s rapport, at elever fra hjem med færre ressourcer i gennemsnit
får lavere prøvekarakterer sammenlignet med elever fra hjem med flere ressourcer, som har
samme standpunktskarakterer. I den sammenhæng tyder det derfor på, at afgangsprøverne har
en social slagside, når de benyttes som sorteringsmekanisme, sådan at elever fra hjem med
færre ressourcer stilles dårligere i overgangen til ungdomsuddannelsen end elever fra ressour-
cestærke hjem. Det vurderer formandskabet er uhensigtsmæssigt, da elever fra hjem med færre
ressourcer ikke bør stilles dårligere end elever fra hjem med flere ressourcer i overgangen til
ungdomsuddannelser.
ElEVErnES PrØVEKArAKtErEr HAr BEgrÆnSEt
ForKlArIngSKrAFt For DEt EFtErFØlgEnDE ForlØB I
UngDoMSUDDAnnElSErnE, HVIS StAnDPUnKtSKArAKtErEn
tAgES I BEtrAgtnIng
VIVE’s undersøgelse viser også, at der er en tæt sammenhæng mellem karaktergennemsnit i
afgangsprøverne og start og gennemførelse af en ungdomsuddannelse. Et højere gennemsnit
er således korreleret med en større sandsynlighed for at påbegynde og gennemføre en ung-
domsuddannelse. Dette illustreres i figur 2 nedenfor.
KAPITEL 2.
BEHoV For ÆnDrIngEr I FolKESKolEnS AFgAngSEKSAMEn
20
BUU, Alm.del - 2023-24 - Bilag 240: Beretning fra formandskabet for Rådet for Børns Læring, samt brev fra formanden
2899364_0021.png
BERETNING FRA FORMANDSKABET
RÅDET FOR BØRNS LÆRING
Figur 2. Sammenhængen mellem gennemsnittet i henholdsvis standpunkts- og prøvekarak-
terer i 9. klasse og start på ungdomsuddannelse indenfor et år.
100
80
60!
40
20
0
Andel (i %)
1
3
5
7
9
11
Karaktergennemsnit
Afgangsprøvekarakter
Standpunktkarakter
Kilde: VIVE’s beregninger baseret på registerdata fra Danmarks Statistik.
Note: Figuren er baseret på alle elever, der afsluttede 9. klasse i perioden 2008 til 2019. Start på ungdomsuddannelse er baseret på at
være indskrevet på en ungdomsuddannelse i kalenderåret, eleven afslutter 9. klasse, eller i kalenderåret efter eleven afslutter 9. klasse.
VIVE’s undersøgelse og figuren ovenfor viser samtidig, at når der også tages højde for elevernes
standpunktskarakterer, så bliver sammenhængen mellem prøvekarakterer og overgangen til
ungdomsuddannelserne meget svag, da standpunktskarakteren allerede forklarer størstedelen
af sammenhængen. Med andre ord så bidrager prøvekarakteren med meget lidt ny information,
der kan forklare elevernes ungdomsuddannelsesforløb, hvis standpunktskarakteren allerede
kendes. Som det dog også vil blive beskrevet i kapitel 3, er der dog indikationer på, at adgangs-
kravene til ungdomsuddannelser har medført en stagnering fra en opadgående tendens i antal-
let af elever, der gennemfører en ungdomsuddannelse.
tÆt SAMMEnHÆng MEllEM PrØVEKArAKtErEr I DAnSK og
MAtEMAtIK og DE ØVrIgE FAg
VIVE har i deres undersøgelse også undersøgt sammenhængen mellem prøvekaraktererne i
dansk og matematik samt de øvrige prøvekarakterer. Her viser VIVE’s data, at elevernes karakte-
rer i dansk og matematik er forholdsvis præcise til at forudsige de øvrige prøvekarakterer. VIVE
peger i deres undersøgelse på, at der er en statistisk sikker sammenhæng mellem karakterne
i dansk og matematik og de seks undersøgte fag. Herudover ses der forventeligt en stærkere
korrelation, når prøvekarakteren i matematik sammenholdes med de naturfaglige fag (biologi og
fysik), og når karakteren i dansk sammenholdes med engelsk, historie, samfundsfag og tysk.
I forlængelse af ovenstående peger VIVE’s data også på, at prøvekaraktererne i dansk og mate-
matik har den største forklaringskraft for elevernes efterfølgende forløb i ungdomsuddannelser-
ne sammenlignet med de øvrige undersøgte prøvefag.
KAPITEL 2.
BEHoV For ÆnDrIngEr I FolKESKolEnS AFgAngSEKSAMEn
21
BUU, Alm.del - 2023-24 - Bilag 240: Beretning fra formandskabet for Rådet for Børns Læring, samt brev fra formanden
2899364_0022.png
RÅDET FOR BØRNS LÆRING
BERETNING FRA FORMANDSKABET
ForBErEDElSE tIl AFgAngSPrØVEr FYlDEr En Stor DEl AF
SKolEÅrEt og KAn FUngErE SoM ØVEBAnE I At gÅ tIl PrØVEr
VIVE’s undersøgelse består primært af en række kvantitativt funderede analyser. De har dog
også gennemført en række kvalitative interviews med elever i 9. og 10. klasse samt på EUD og
på gymnasiale ungdomsuddannelser.
Et af de centrale fund fra denne del af rapporten er, at de kvalitative data giver indikationer på,
at undervisningen i 9. klasse ofte bruges på at repetere kendt stof frem for at fokusere på ny
læring.
Endvidere peger de kvalitative interviews på, at eleverne i højere grad ved afgangsprøverne lærer
at forberede sig på at gå til prøve, end at det bidrager til en egentlig faglig udvikling. Eleverne
peger her selv på, at afgangsprøverne er en øvebane til at lære sig selv at kende i pressede eksa-
menssituationer, og at de lærer at disponere forberedelsestid og oplæg i prøvesituationerne.
TYPISKE ÅRSAGER TIL AT AFHOLDE PRØVER OG
EKSAMENER I ET SKOLESYSTEM
Forskningschef ved UCL, Thomas Illum, har afholdt et oplæg for formandskabet, hvor
han præsenterede en række gængse pointer om prøvetrykket i Danmark. På oplægget
præsenterede han bl.a. en række typisk fremførte årsager til og argumenter for at afhol-
de afgangsprøver. Disse præsenteres nedenfor.
Oplægget fremførte, at prøver typisk skal benyttes til:
Samfundsindsigt:
Almen indsigt i skolens virke og resultater
Skoleindsigt:
Indsigt i behov for skole- og kompetenceudvikling m.m.
Elevindsigt:
Indsigt i, hvad eleven (ikke) har lært
Sortering:
Prioritere i adgang til videre uddannelse
Sammenhæng:
Sikre sammenhæng mellem fagets læreplan, praksis og prøveformer
Deltagelse:
Styrke elevernes deltagelse i skolens praksisser
Fagkamp:
Sikre et fags status i skolens fagrække
Øvebane:
Øve eleverne i at lære at demonstrere deres mestringsniveau.
Kilde: Slides fra Thomas Illum og Nikolaj Elf, professor ved Syddansk Universitet, afholdt af Thomas Illum for formandskabet
22
KAPITEL 2.
BEHoV For ÆnDrIngEr I FolKESKolEnS AFgAngSEKSAMEn
BUU, Alm.del - 2023-24 - Bilag 240: Beretning fra formandskabet for Rådet for Børns Læring, samt brev fra formanden
2899364_0023.png
BERETNING FRA FORMANDSKABET
RÅDET FOR BØRNS LÆRING
AFgAngSPrØVEr I DE ØVrIgE norDISKE lAnDE
I dette afsnit vil vi se på, hvordan de andre nordiske lande har indrettet deres skolesystem for så
vidt angår afgangsprøver og karakterer.
Som det også fremgår af boksen tjener afgangsprøver forskellige formål, og de opfattes for-
mentligt af mange som en naturlig og nødvendig måde at afslutte folkeskolen på. Samtidig har
vi bl.a. via viden fra VIVE’s undersøgelse argumenteret for, at karakterer ved afgangsprøver ikke
bidrager med ny information om det faglige niveau, når man sammenligner med standpunkts-
karakterer, og at prøvekaraktererne ydermere har en social slagside. Dertil kommer, at formand-
skabet vurderer, at det bør være den gode og alsidige undervisning, der driver lysten til at lære
frem for presset fra mulige afgangsprøver. Ved at skele til vores nordiske naboer bliver det i
endnu højere grad tydeligt, at det ikke er en naturlov, at det danske system skal opretholde det
nuværende antal af afgangsprøver.
Ser man bredt ud over de nordiske lande er det kun i Norge og Danmark, at grundskolen afslut-
tes med eksamen (og i Norge kun to eksamener). Hverken i Sverige, Island eller Finland afslutter
eleverne grundskolen med en afgangseksamen
15
. Eleverne modtager karakterer på forskellige
vis, og som vi vil komme nærmere ind på i afsnit 3.3.2, adskiller adgangskravene til ungdomsud-
dannelse sig i disse fire andre nordiske lande fra det danske system.
I de nordiske lande evalueres elevernes faglige niveau på følgende måde:
• I Norge får man standpunktskarakterer, når fag afsluttes og derudover eksamenskarakterer.
Eksamen afvikles i folkeskolens 10. klasse (1.-10. klasse er obligatoriske i Norge
16
), hvor ele-
verne udtrækkes til eksamen i to fag: Én skriftlig centralt givet eksamen (enten i matematik,
norsk eller engelsk) og én lokalt givet mundtlig eller mundtlig-praktisk eksamen. Standpunkt-
skaraktererne gives af fagets lærer ud fra en vurdering af elevens samlede kompetence set i
relation til de kompetencemål, der er for faget i læreplanen.
• I Sverige gives der karakterer fra 6. klasse, men der er ingen fælles eksamener – folkesko-
lens afgangsbevis indeholder kun karakterer, der er givet af elevens lærere. Til gengæld er
der nationale test i henholdsvis 3., 6. og 9. klasse. Disse tests påvirker den endelige bedøm-
melse, da læreren skal være særlig opmærksom på dem ved karaktergivningen, og de skal
tillægges større vægt i den samlede karakter end andre resultater.
• I Finland er der ingen nationale prøver eller eksamener for elever i folkeskolen. Slutvurdering
foretages i stedet af læreren på alle niveauer ud fra de mål, der er for faget i de lokale lære-
planer. Det samme gælder også karaktererne i folkeskolebeviset, som gives i slutningen af 9.
klasse. Hvis eleverne ikke består grundskolen, får de tilbud om at tage en 10. klasse.
• I Island afholdes der nationale prøver i henholdsvis islandsk og matematik for 4., 7. og 10.
klasse samt engelsk i 10. klasse. Formålet med nationale prøver er dels at vurdere, hvor-
vidt eleven har nået de opstillede kompetencemål i faget, og dels at give elever, forældre,
skolepersonale og uddannelsesmyndigheder information om elevernes præstationsniveau.
Herudover gives alle karakterer som standpunktskarakterer af elevens faglærer.
Sammenlignes Danmark med de øvrige nordiske lande, hvad angår antallet af afgangsprøver i
grundskolen, bliver det tydeligt, at vi i Danmark har et meget højt prøvetryk. Det er i den forbin-
15 Ravn (2023)
16 NIFU (2022)
KAPITEL 2.
BEHoV For ÆnDrIngEr I FolKESKolEnS AFgAngSEKSAMEn
23
BUU, Alm.del - 2023-24 - Bilag 240: Beretning fra formandskabet for Rådet for Børns Læring, samt brev fra formanden
2899364_0024.png
RÅDET FOR BØRNS LÆRING
BERETNING FRA FORMANDSKABET
24
KAPITEL 2.
BEHoV For ÆnDrIngEr I FolKESKolEnS AFgAngSEKSAMEn
BUU, Alm.del - 2023-24 - Bilag 240: Beretning fra formandskabet for Rådet for Børns Læring, samt brev fra formanden
2899364_0025.png
BERETNING FRA FORMANDSKABET
RÅDET FOR BØRNS LÆRING
delse særligt interessant, at data fra Ane Qvortrups forskning i faglig trivsel i grundskolen og
overgange til ungdomsuddannelse viser, at elevers faglige trivsel ligger lavere i Danmark end i
de øvrige nordiske lande. Også i Norge, som har færre afgangsprøver, har de højere faglig triv-
sel. Det kan indikere, at et højt antal afgangseksamener, som det er tilfældet i Danmark, og de
afledte effekter for undervisningen, har negative konsekvenser for elevernes faglige trivsel.
Det nordiske perspektiv kan derfor bidrage til at udfordre en – formentlig gængs – forståelse af
afgangsprøver som nødvendige og en naturlig del af grundskolesystemet. Der er således ikke
noget i de øvrige nordiske lande, der peger på, at der er behov for – eller at det er naturlov for en
folkeskole – at have så mange afgangsprøver, som vi har i Danmark.
2.3 ForMAnDSKABEtS AnBEFAlIngEr
Det er overordnet set formandskabets vurdering, at vi med færre afgangsprøver fortsat kan
opnå en række af de fordele, som et prøvesystem giver, og samtidig mindske en række af de
uhensigtsmæssigheder, der er i det nuværende system.
Elevernes standpunktskarakterer svarer i store træk til prøvekaraktererne i afgangseksamen. Af-
gangsprøverne bidrager derfor ikke med ret meget ny viden om elevernes niveau. Derfor mener
formandskabet, at prøvetrykket i folkeskolen kan mindskes og antallet af afgangseksamenerne
reduceres.
Dansk og matematik er grundlæggende for læring i de øvrige fag. Da dansk og matematik
samtidig er forholdsvis præcise til at forudsige de øvrige prøvekarakterer, vurderer formandska-
bet ikke, at der er grund til at have afgangsprøver i alle fag, men blot i enkelte, hvis formålet er
at opnå viden om elevernes faglige niveau. Dertil kommer, at den faglige læring, der ligger i at
forberede sig og præstere til eksamen, vil kunne bibeholdes uden at bibeholde de negative kon-
sekvenser ved det nuværende alt for omfattende prøvesystem, herunder særligt den uhensigts-
mæssige afsmitning på undervisningen og elevernes videre uddannelsesvej.
Prøvetrykket bør heller ikke opretholdes for at motivere til øget deltagelse i undervisningen. Ele-
verne tildeles allerede en standpunktskarakter, hvor de vurderes ud fra deres faglige kunnen og
indsats i den daglige undervisning. Formandskabet mener samtidig, at afgangsprøver i alle fag
er en hæmsko for at skabe en varieret undervisning, der motiverer til øget deltagelse. Det bør
være god og motiveret undervisning, der er drivkræften for læring og ikke frygten for at mislyk-
kes til eksamen.
Formandskabet anbefaler derfor at skære væsentligt i antallet af afgangsprøver og i antallet af
fag, som kan udprøves ved afgangsprøve i grundskolingen. Formandskabet ønsker, at æn-
dringen kan bidrage til, at skoler, lærere og elever får større råderum til at skabe en udskoling,
hvor flere elever oplever en højere grad af faglig, social og emotionel trivsel. Heri ligger også,
at eleverne møder en undervisning og en vurderingspraksis, der imødekommer, at eleverne er
forskellige, lærer forskelligt og skal noget forskelligt efterfølgende.
Med en realisering af anbefalingerne nedenfor vil vi kunne implementere en mere rummelig til-
gang til “at være dygtig”, og samtidig opnå en mere lige opfattelse af uddannelsernes status. En
realisering af anbefalingerne kan potentielt også føre til at svække betydningen af negativ social
KAPITEL 2.
BEHoV For ÆnDrIngEr I FolKESKolEnS AFgAngSEKSAMEn
25
BUU, Alm.del - 2023-24 - Bilag 240: Beretning fra formandskabet for Rådet for Børns Læring, samt brev fra formanden
2899364_0026.png
RÅDET FOR BØRNS LÆRING
BERETNING FRA FORMANDSKABET
arv. Det er til fordel for unge i udsatte positioner, som i dag klarer sig systematisk dårligere til af-
gangsprøverne. I forlængelse af dette viser VIVE’s undersøgelse også, at det gængse argument
om, at afgangsprøverne udgør en vigtig ”second opinion” på elevernes kompetencer, meget sjæl-
dent viser sig i praksis, da lærernes vurdering over det samlede skoleår i høj grad flugter med en
mere midlertidig ekstern vurdering af elevernes kompetencer i prøvesituationen.
Med ændringerne vurderer formandskabet, at grundskolen i højere grad vil kunne lykkes med at
give en større andel af de unge mod på og kompetencer til at fortsætte i uddannelsessystemet
efter grundskolen.
Formandskabet foreslår, at fagene dansk og matematik prioriteres som eksamensfag, da netop
disse fag er grundlæggende for generel læring og uddannelse, og da elevernes karakterer i
dansk og matematik er forholdsvis præcise til at forudsige de øvrige prøvekarakterer.
26
KAPITEL 2.
BEHoV For ÆnDrIngEr I FolKESKolEnS AFgAngSEKSAMEn
BUU, Alm.del - 2023-24 - Bilag 240: Beretning fra formandskabet for Rådet for Børns Læring, samt brev fra formanden
2899364_0027.png
BERETNING FRA FORMANDSKABET
RÅDET FOR BØRNS LÆRING
FORMANDSKABET ANBEFALER:
At antallet af afgangsprøver reduceres til afprøvning i skriftlig og mundtlig dansk og
skriftlig og mundtlig matematik (herved udgår udtræksfag i folkeskolen)
At prøveformerne udvikles, så de er i overensstemmelse med det igangværende arbej-
de med fagfornyelsen
At eleverne i højere grad modtager løbende vejledning og feedback på egen udvikling
og kompetencer
At fokus og de ressourcer (arbejds- og undervisningstid plus øvrige omkostninger),
der frigøres ved ovenstående, benyttes til mere motiverende undervisning og bedre
feedback.
KAPITEL 2.
BEHoV For ÆnDrIngEr I FolKESKolEnS AFgAngSEKSAMEn
27
BUU, Alm.del - 2023-24 - Bilag 240: Beretning fra formandskabet for Rådet for Børns Læring, samt brev fra formanden
2899364_0028.png
RÅDET FOR BØRNS LÆRING
BERETNING FRA FORMANDSKABET
28
KAPITEL 2.
BEHoV For ÆnDrIngEr I FolKESKolEnS AFgAngSEKSAMEn
BUU, Alm.del - 2023-24 - Bilag 240: Beretning fra formandskabet for Rådet for Børns Læring, samt brev fra formanden
2899364_0029.png
BERETNING FRA FORMANDSKABET
RÅDET FOR BØRNS LÆRING
KAPITEL 3.
BEDRE OVERGANGE TIL
UNGDOMSUDDANNELSE
Folkeskolen er folkets skole og skal forberede elever til videre uddannelse, men i dag er situ-
ationen den, at elever, der ikke aflægger alle de obligatoriske prøver eller består folkeskolens
afgangseksamen, ikke har retskrav på at påbegynde en ungdomsuddannelse.
I det følgende kapitel vil formandskabet redegøre for, hvad der har betydning for overgange til
ungdomsuddannelse, og hvordan der kan skabes bedre muligheder for, at flere elever får mulig-
hed for at begynde på den rette ungdomsuddannelse.
I boksen nedenfor redegøres indledningsvist for de nuværende adgangsforudsætninger for
optagelse på hhv. de gymnasiale uddannelser og erhvervsuddannelserne.
KAPITEL 3.
BEDrE oVErgAngE tIl UngDoMSUDDAnnElSE
29
BUU, Alm.del - 2023-24 - Bilag 240: Beretning fra formandskabet for Rådet for Børns Læring, samt brev fra formanden
2899364_0030.png
RÅDET FOR BØRNS LÆRING
BERETNING FRA FORMANDSKABET
FAKTA OM OPTAGELSE PÅ UNGDOMSUDDANNELSE
I Danmark skal unge for at have retskrav på optagelse på en 3-årig gymnasial uddannel-
se (stx, htx eller hhx) efter 9. klasse opfylde en række adgangsforudsætninger baseret på
ansøgerens hidtidige skolegang og resultater. Ansøgeren skal bl.a. have bestået folke-
skolens afgangseksamen, have mindst 5,0 i gennemsnit i de sidste standpunktskarak-
terer i 9. klasse og have mindst 5,0 i gennemsnit i de lovbundne prøver fra folkeskolens
afgangseksamen. Hvis ansøgeren ikke opfylder sidstnævnte forudsætning, har ansøge-
ren stadig retskrav på at blive optaget, hvis ansøgere får et gennemsnit på mindst 3,0 i
de lovbundne prøver fra folkeskolens afgangseksamen eller et gennemsnit på mellem
2,0-3,0 i de lovbundne prøver og gennemfører en vejledningssamtale med rektor. Hvis
ansøgeren ikke opfylder forudsætningen om et gennemsnit på mindst 5,0 i de sidste
standpunktskarakterer i 9. klasse, har ansøgeren alligevel retskrav på optagelse, hvis
ansøgeren opnår mindst 6,0 i karaktergennemsnit i de lovbundne prøver fra folkeskolens
afgangseksamen. Derudover skal ansøgeren opfylde en række andre forudsætninger,
som ikke er relateret til karakterer, for at have retskrav på optagelse.
For at have retskrav på optagelse på hf efter 9. klasse skal ansøgeren have bestået fol-
keskolens afgangseksamen, have mindst 4,0 i gennemsnit i de sidste standpunktskarak-
terer i 9. klasse og have mindst 4,0 i gennemsnit i de lovbundne prøver ved folkeskolens
afgangseksamen
17
. Hvis ansøgeren ikke opfylder forudsætningen om et gennemsnit på
mindst 4,0 i de sidste standpunktskarakterer i 9. klasse, har ansøgeren alligevel retskrav
på optagelse, hvis ansøgeren opnår mindst 6,0 i karaktergennemsnit i de lovbundne prø-
ver fra folkeskolens afgangseksamen. Derudover skal ansøgeren opfylde en række andre
forudsætninger, som ikke er relateret til karakterer, for at have retskrav på optagelse.
For at få adgang til erhvervsuddannelserne (eud og eux) skal ansøgeren have bestået
folkeskolens afgangseksamen og have et gennemsnit på mindst 2,0 i dansk (mundtlig og
skriftlig) og matematik (skriftlig). Alternativt kan ansøgeren optages på baggrund af en
helhedsvurdering fra skolen. Helhedsvurderingen består af en centralt stillet prøve og en
samtale, hvor skolen vurderer, om ansøgeren kan gennemføre en erhvervsuddannelse.
Ansøgere kan altid optages på en erhvervsuddannelse, hvis de har en uddannelsesaftale
med en arbejdsgiver inden opstart på uddannelsen.
Reglerne om optagelse på ungdomsuddannelserne betyder ifølge formandskabet, at afgangs-
prøverne benyttes til at frasortere elever i overgangen til en ungdomsuddannelse. Folkeskolen
kommer dermed til at være en stopklods for nogle elever, fordi de kommer ud af folkeskolen
uden at bestå eksamenen. Det er et stort problem – både for den enkelte elev og for samfundet
som helhed. I de følgende afsnit vil vi dykke ned i udfordringerne med adgangskravet på de
forskellige uddannelser, som udover at være en stopklods for nogle elever også kan have uhen-
sigtsmæssige konsekvenser ind i undervisningen.
17 Uddannelsesguiden (2024)
30
KAPITEL 3.
BEDrE oVErgAngE tIl UngDoMSUDDAnnElSE
BUU, Alm.del - 2023-24 - Bilag 240: Beretning fra formandskabet for Rådet for Børns Læring, samt brev fra formanden
2899364_0031.png
BERETNING FRA FORMANDSKABET
RÅDET FOR BØRNS LÆRING
3.1 For MAngE ElEVEr lEVEr IKKE oP tIl ADgAngSKrAVEnE tIl
UngDoMSUDDAnnElSErnE
Som tidligere nævnt er gruppen af elever, der forlader skolen uden at leve op til adgangskravene
til ungdomsuddannelse, for stor, og betydningen af den sociale ulighed er forsat for stor. En
undersøgelse fra AE (2019) viser eksempelvis, at unge med psykisk eller fysisk handicap klarer
sig markant dårligere i forbindelse med folkeskolens afgangsprøve sammenlignet med jævnald-
rende unge
18
. Derudover er der mange elever, som ikke oplever at få den hjælp, som de har brug
for i forbindelse med uddannelsesvalget, samtidig med at selve systemet indeholder stopklod-
ser, som gør det svært eller umuligt for nogle elever at komme videre. I de følgende afsnit vil vi
uddybe disse udfordringer.
Mere end hver tiende 9.-klasseselev i folkeskolen og på øvrige offentlige grundskoler aflagde
ikke alle obligatoriske prøver til afgangseksamen i skoleåret 2022/23. Blandt de 85,5 procent,
der aflagde alle de obligatoriske prøver, var der 1,3 procentpoint som ikke bestod folkeskolens
afgangseksamen. Det vil sige, at 15,8 procent af eleverne samlet afslutter folkeskolen uden at
bestå afgangseksamen. Det fremgår af tabel 2 nedenfor.
Tabel 2. Elever fordelt på, om de aflægger alle obligatoriske prøver og består folkeskolens
afgangseksamen i 9. klasse, 2022/23
Antal
Ikke aflagt alle obligatoriske prøver
Aflagt alle obligatoriske prøver
- Heraf bestået
- Heraf ikke bestået
Total
7.149
42.225
41.606
619
49.374
Andel (pct.)
14,5
85,5
84,3
1,3
100,0
Kilde: Børne- og Undervisningsministeriet.
Anm.: Opgørelsen omfatter elever fra 9. klasse, der er registreret i en kommunal grundskole pr. oktober 2022. Kommunale
grundskoler omfatter folkeskoler, kommunale ungdomsskoler, specialskoler for børn samt interne skoler i dagbehandlingstilbud
og på anbringelsessteder. For at bestå folkeskolens afgangseksamen skal eleven aflægge otte obligatoriske prøver og opnå et
karaktergennemsnit på minimum 2,0. Der skal tages forbehold for eventuelle manglende prøveindberetninger.
Det er primært elever i specialklasser og på specialskoler, som ikke aflægger alle de obligatori-
ske prøver og dermed ikke kan gå direkte videre på en ungdomsuddannelse. Som det fremgår
af tabel 3, aflægger hovedparten af eleverne i både specialklasser og på specialskoler ikke alle
de obligatoriske afgangsprøver i 9. klasse. Det gælder for cirka 85 procent af eleverne i special-
klasser og 82 procent af eleverne på specialskoler. Til sammenligning er der 46,4 procent af
eleverne, som går i almenklasser, og som modtager specialundervisning i min. 9 timer, der ikke
aflægger alle prøver. Af de øvrige elever i almenklasser er det kun 7,5 procent, som ikke aflæg-
ger alle prøver.
18 Arbejderbevægelsens Erhvervsråd (2019)
KAPITEL 3.
BEDrE oVErgAngE tIl UngDoMSUDDAnnElSE
31
BUU, Alm.del - 2023-24 - Bilag 240: Beretning fra formandskabet for Rådet for Børns Læring, samt brev fra formanden
2899364_0032.png
RÅDET FOR BØRNS LÆRING
BERETNING FRA FORMANDSKABET
Tabel 3. Elever fordelt på prøveaflæggelse i 9. klasse og undervisningstilbud, 2022/23
Ikke aflagt alle obligato-
riske prøver
Antal
Almenklasse, ikke specialundervisning*
Almenklasse, specialundervisning
Specialklasse, almenskole
Specialklasse, specialskole
Ukendt undervisningstilbud
Total
3.330
186
1.988
1.530
115
7.149
Andel
7,5
46,4
84,8
81,9
90,6
14,5
Aflagt alle obligatoriske
prøver
Antal
41.304
215
357
337
12
42.225
Andel
92,5
53,6
15,2
18,1
9,4
85,5
Kilde: Børne- og Undervisningsministeriet.
Anm.: Opgørelsen omfatter elever fra 9. klasse, der er registreret i en kommunal grundskole pr. oktober 2022. Kommunale
grundskoler omfatter folkeskoler, kommunale ungdomsskoler, specialskoler for børn samt interne skoler i dagbehandlingstilbud og på
anbringelsessteder. Der skal tages forbehold for eventuelle manglende prøveindberetninger fra folkeskolens afgangseksamen særligt fsva.
specialundervisningstilbud.
*Elever, der modtager mindre end ni støttetimer ugentligt, indgår i denne gruppe.
Køn, herkomst og forældres højest fuldførte uddannelse har fortsat betydning for, om eleverne
aflægger alle obligatoriske afgangsprøver. I tabel 4 fremgår det blandt andet, at 31,1 procent af
eleverne med forældre, der har grundskolen som højest fuldførte uddannelse, ikke aflægger alle
obligatoriske prøver. Til sammenligning er det 10,2 procent af eleverne med forældre, der har
en videregående uddannelse, der ikke aflægger alle obligatoriske prøver. Det understreger, at
betydningen af den sociale arv fortsat er for stor.
32
KAPITEL 3.
BEDrE oVErgAngE tIl UngDoMSUDDAnnElSE
BUU, Alm.del - 2023-24 - Bilag 240: Beretning fra formandskabet for Rådet for Børns Læring, samt brev fra formanden
2899364_0033.png
BERETNING FRA FORMANDSKABET
RÅDET FOR BØRNS LÆRING
Tabel 4. Elever fordelt på prøveaflæggelse i 9. klasse samt køn, herkomst og forældres hø-
jest fuldførte uddannelse, 2022/23
Ikke aflagt alle obligato-
riske prøver
Antal
Køn
- Drenge
- Piger
Herkomst
- Dansk herkomst
- Efterkommere
- Indvandrere
- Ukendt herkomst
Forældres højest fuldførte uddannelse
- Grundskole
- Gymnasial uddannelse
- Erhvervsfaglig uddannelse
- Videregående uddannelse
- Ukendt uddannelsesbaggrund
Total
1.058
225
2.702
2.845
319
7.149
31,1
17,8
17,5
10,2
26,3
14,5
2.349
1.038
12.776
25.169
893
42.225
68,9
82,2
82,5
89,8
73,7
85,5
5.644
475
986
44
13,4
11,9
29,6
100,0
36.368
3.516
2.341
0
86,6
88,1
70,4
0,0
4.186
2.963
16,0
12,8
22.001
20.224
84,0
87,2
Andel
Aflagt alle obligatoriske
prøver
Antal
Andel
Kilde: Børne- og Undervisningsministeriet.
Anm.: Opgørelsen omfatter elever fra 9. klasse, der er registreret i en kommunal grundskole pr. oktober 2022. Kommunale
grundskoler omfatter folkeskoler, kommunale ungdomsskoler, specialskoler for børn samt interne skoler i dagbehandlingstilbud og på
anbringelsessteder. Efterkommere og indvandrere defineres som personer, hvor ingen af forældrene er statsborgere eller født i Danmark.
De adskiller sig ved, at efterkommere er født i Danmark, mens indvandrere er født i udlandet. Forældres højest fuldførte uddannelse er
baseret på den forælder, der er registreret med den højeste uddannelse pr. oktober 2022. Videregående uddannelser omfatter også
forskeruddannelser. Der skal tages forbehold for eventuelle manglende prøveindberetninger fra folkeskolens afgangseksamen.
Udover at for mange elever ikke lever op til adgangskravene, er der i dag alt for mange unge, der
efter folkeskolen forsat er usikre på egne evner og muligheder efter folkeskolen. En undersøgel-
se fra EVA (2017) viser, at hver fjerde elev (26 procent) ikke oplever at få den hjælp, som de har
brug for i forbindelse med uddannelsesvalget. Den konkrete svarfordeling fremgår af tabel 5.
Desuden viser undersøgelsen, at næsten halvdelen (44
procent) oplever, at det er et stort pres
at skulle vælge ungdomsuddannelse
19
. Data indikerer derfor, at der er behov for, at de unge
i højere grad får viden om deres uddannelsesvalg, så de bliver bedre forberedt og får støtte,
når de skal vælge en ungdomsuddannelse.
19 EVA (2017)
KAPITEL 3.
BEDrE oVErgAngE tIl UngDoMSUDDAnnElSE
33
BUU, Alm.del - 2023-24 - Bilag 240: Beretning fra formandskabet for Rådet for Børns Læring, samt brev fra formanden
2899364_0034.png
RÅDET FOR BØRNS LÆRING
BERETNING FRA FORMANDSKABET
Tabel 5. Elevernes svar på spørgsmålet: Oplever du, at du får den hjælp, du har brug for at
kunne vælge, hvad du skal efter 9./10. klasse?
Antal
I høj grad
I nogen grad
I mindre grad
Slet ikke
Total
1.055
2.823
1.039
292
5.209
Andel (pct.)
20,3
54,2
19,9
5,6
100
Kilde: Spørgeskemaundersøgelse blandt 8.-klasseelever gennemført af Epinion på vegne af EVA, 2017. Uddannelsesvalg i 8. klasse,
EVA, 2017.
Anm.: N = 5.209
Data peger derfor samlet set på, at der fortsat er for mange elever, der ikke aflægger alle obliga-
toriske afgangsprøver eller består folkeskolens afgangseksamen og dermed ikke har retskrav
på at blive optaget på en ungdomsuddannelse. Der er en social slagside i gruppen af elever, som
ikke afslutter folkeskolen med en adgangsgivende eksamen. Herudover er der mange elever, der
oplever, at de ikke får den hjælp, som de har brug for i forbindelse med uddannelsesvalget.
3.2 HVAD HAr BEtYDnIng For En goD oVErgAng tIl
UngDoMSUDDAnnElSE?
I dag markerer afgangsprøverne både en afslutning på grundskolen, og samtidig er de forbun-
det med optagelse på ungdomsuddannelserne. I dette afsnit vil vi se nærmere på, hvad der
karakteriserer en god overgang til videre uddannelse, herunder betydningen af adgangskrav på
ungdomsuddannelserne og elevernes opfattelse af afgangsprøver for deres adfærd. Desuden vil
vi se nærmere på, hvilke adgangskrav, der er på tværs af de nordiske lande.
Som tidligere beskrevet har VIVE udarbejdet en undersøgelse om afgangsprøvernes betydning
for eleverne og skolernes adfærd for formandskabet, herunder afgangsprøvers betydning for
overgange til ungdomsuddannelse. Se boks tidligere i rapporten. Undersøgelsen viser bl.a., at
karakterkravet til erhvervsuddannelserne førte til et fald i påbegyndelse af en ungdomsuddan-
nelse for elever med lave karakterer
20
. Dette bakker op om, at adgangskrav på ungdomsud-
dannelserne kan være en stopklods for nogle elever, der potentielt kunne have gennemført en
ungdomsuddannelse.
Undersøgelsen peger desuden på, at eleverne selv mener, at forberedelse til afgangsprøverne
fylder en stor del af skoleåret, at afgangsprøverne primært gør eleverne bedre til at gå til prøver,
mens de har en begrænset rolle for elevernes valg af ungdomsuddannelse
21
. I afsnittene neden-
for vil vi gå i dybden med disse resultater.
20 VIVE (2024)
21 VIVE (2024)
34
KAPITEL 3.
BEDrE oVErgAngE tIl UngDoMSUDDAnnElSE
BUU, Alm.del - 2023-24 - Bilag 240: Beretning fra formandskabet for Rådet for Børns Læring, samt brev fra formanden
2899364_0035.png
BERETNING FRA FORMANDSKABET
RÅDET FOR BØRNS LÆRING
KAPITEL 3.
BEDrE oVErgAngE tIl UngDoMSUDDAnnElSE
35
BUU, Alm.del - 2023-24 - Bilag 240: Beretning fra formandskabet for Rådet for Børns Læring, samt brev fra formanden
2899364_0036.png
RÅDET FOR BØRNS LÆRING
BERETNING FRA FORMANDSKABET
BEtYDnIngEn AF ADgAngSKrAV PÅ UngDoMSUDDAnnElSErnE
I DAnMArK
VIVE’s undersøgelse (2024) viser, at indførelsen af karakterkravet for optagelse på erhvervsfag-
lige uddannelser i 2015 førte til et fald i andelen af elever, der påbegyndte, og en stagnering i
andelen af elever, der gennemførte en ungdomsuddannelse, især blandt dem med lave karakte-
rer. Af figur 3 nedenfor, der viser andelen, der afslutter en ungdomsuddannelse inden for fem år
efter afsluttet 9. klasse, fremgår det, at der har været en stigende tendens for alle grupper, men
at denne tendens stoppede i 2015.
Figur 3. Andelen, der gennemfører en ungdomsuddannelse inden for 5 år efter afsluttet 9.
klasse
100
90
80
70
Andel (i %)
60
50
40
30
20
10
0
2008
2010
2012
2014
2016
2018
Karaktergennemsnit
Gennemsnit <2
Gennemsnit 4-7
Gennemsnit 2-4
Gennemsnit 7-12
Kilde: VIVE’s beregninger baseret på registerdata fra Danmarks Statistik.
Note: Figuren viser andelen af en årgang, der gennemfører en ungdomsuddannelse inden for fem år efter afslutning af grundskolens 9.
klasse
Samlet set tyder det altså på, at indførelsen af karakterkravet på 2,0 for optagelse på erhvervs-
uddannelserne i 2015, har medført, at færre elever med gennemsnit under dette krav påbe-
gynder en ungdomsuddannelse
22
. Det bør dog bemærkes, at der også er en stagnering fra en
opadgående tendens for de øvrige karaktergrupper, selvom der ikke er indført karakterkrav, der
rammer disse grupper. Ikke desto mindre tyder mønstrene stadig på, at adgangskrav på uddan-
nelserne kan være en stopklods for elevernes videre vej.
Et studie af Larsen et al. (2022) indikerer også, at adgangskravet har haft en negativ betydning
for overgangen til ungdomsuddannelserne
23
. I studiet, hvor der er fokus på betydningen af
adgangskravet på 2,0 for optagelse på erhvervsuddannelser, ses på drenges sandsynlighed for
at påbegynde en ungdomsuddannelse efter afsluttet 9. klasse og drenges sandsynlighed for
22 VIVE (2024)
23 Larsen el at. (2022)
36
KAPITEL 3.
BEDrE oVErgAngE tIl UngDoMSUDDAnnElSE
BUU, Alm.del - 2023-24 - Bilag 240: Beretning fra formandskabet for Rådet for Børns Læring, samt brev fra formanden
2899364_0037.png
BERETNING FRA FORMANDSKABET
RÅDET FOR BØRNS LÆRING
at begå kriminalitet efter afsluttet 9. klasse. Analyserne tyder på, at adgangskravet signifikant
reducerede sandsynligheden for, at drenge påbegynder en ungdomsuddannelse inden for et år.
Derudover finder forskerne en lille kortvarig effekt på forhøjet kriminalitet.
En anden problematik vedrørende adgangskravene i Danmark er, at der er forskelle i karakterkra-
vene på tværs af ungdomsuddannelserne, der bidrager til en uhensigtsmæssig rangordning. På
årets folkemøde, hvor formandskabets foreløbige anbefalinger blev debatteret, pegede Formand
for Danske Gymnasieelevers Sammenslutning, Asger Kjær Sørensen, på, at de nuværende ka-
rakterkrav har betydning for de unges valg af ungdomsuddannelse:
”Når man står og skal tage et valg mellem
to forskellige ungdomsuddannelser, hvor
den ene kræver et højt karaktergennemsnit,
og den anden kræver et lavere snit, så ved
jeg da godt, hvilken en, jeg ville se på som
mest prestigefyldt eller af høj kvalitet”.
(Formand for Danske Gymnasieelevers sammenslutning Asger Kjær
Sørensen, Folkeskolen 2024
24
)
Ovenstående viser således, at indførelse af adgangskrav til ungdomsuddannelserne siden 2015
ikke har bidraget til at øge andelen af unge, der gennemfører en ungdomsuddannelse. Tenden-
sen er fortsat, at elever med de laveste karakterer ved afslutningen af folkeskolen i mindre grad
end elever med højere karakterer kommer videre i en ungdomsuddannelse. Adgangskrav ser
således ud til at forstærke, at folkeskolens afgangseksamen bliver en stopklods for nogle elever
frem for en vej til videre uddannelse.
AFgAngSPrØVEr og ADgAngSKrAV tIl UngDoMSUDDAnnElSE
I DE ØVrIgE norDISKE lAnDE
Skeler vi igen til de nordiske lande, men denne gang med fokus på adgangskrav til ungdomsud-
dannelse, kan dette ligeledes bidrage til et nyt perspektiv i forhold til vores gængse forståelse af
afgangsprøver som naturlige for at sikre, at de unge er parate til en ungdomsuddannelse.
Det er ikke i alle de nordiske lande, hvor et karaktergennemsnit gælder som adgangskrav til ung-
domsuddannelse. I Island og Norge giver det at have afsluttet grundskolen ret til at blive optaget
på ungdomsuddannelse.
24 Trier (2024)
KAPITEL 3.
BEDrE oVErgAngE tIl UngDoMSUDDAnnElSE
37
BUU, Alm.del - 2023-24 - Bilag 240: Beretning fra formandskabet for Rådet for Børns Læring, samt brev fra formanden
2899364_0038.png
RÅDET FOR BØRNS LÆRING
BERETNING FRA FORMANDSKABET
I Danmark kræves, som bekendt, et specifikt karaktergennemsnit i de afsluttende standpunkt-
skarakterer og i de
lovbundne prøver ved
folkeskolens afgangseksamen som adgangskrav til
ungdomsuddannelse, imens det i Finland og Sverige kræves, at specifikke fag er bestået. Det er
dog værd igen at nævne (se evt. afsnit 2.2.), at Danmark – ud over Norge (men her blot to fag)
– er det eneste land, hvor grundskolen afsluttes med afgangseksamener, og hvor karaktergen-
nemsnittet herfra også anvendes som et adgangskrav til ungdomsuddannelse.
I det nedenstående uddyber vi hvilke krav, der gælder for overgange til ungdomsuddannelse i de
resterende fire nordiske lande:
Norge:
For at få adgang til ungdomsuddannelse skal man i Norge tage den ti-årige grund-
skoleuddannelse. Grundskoleuddannelsen giver enten studiekompetence, erhvervskom-
petence eller grundkompetence. Ungdomsuddannelserne i Norge er overordnet opdelt i to
hovedretninger: En studieforberedende uddannelse (giver mulighed for at søge ind på de
fleste uddannelser ved universiteter) og erhvervsuddannelse (giver i sig selv ikke adgang til
universiteter). Den unge kan selv vælge, hvilken ungdomsuddannelse han eller hun ønsker
at fortsætte på, og alle har ret til at blive optaget på en ud af tre ungdomsuddannelser, som
kandidaten søger. Karaktergennemsnittet vil dog kunne have betydning for, hvilken ung-
domsuddannelsesretning eleven kan optages på, og nogle steder, hvilken skole eleven kan
komme ind på
25
.
Sverige:
For at få adgang til en ungdomsuddannelse i Sverige skal eleven have et eksamens-
bevis. Gymnasieuddannelsen er organiseret i 18 nationale uddannelser, som alle har en va-
righed på tre år. Disse 18 uddannelser er delt op, så 12 af uddannelserne er erhvervsrettede,
mens seks uddannelser er studieforberedende og giver adgang til videregående uddannelse.
Der er forskellige adgangskrav til de studieforberedende og erhvervsrettede uddannelser: For
at kunne søge om optagelse på en erhvervsrettet uddannelse kræves en beståede karakter
i fagene svensk, engelsk og matematik og derudover mindst fem andre fag fra folkeskolen.
For at kunne søge om optagelse på en studieforberedende uddannelse kræves beståede
karakterer i fagene svensk, engelsk og matematik og derudover mindst ni andre fag fra
folkeskolen
26
.
Finland:
Da der ikke er nationale prøver eller eksamener i Finland, foretages den afsluttende
vurdering af læreren på alle niveauer ud fra de mål, der er angivet for faget i de lokale lære-
planer. For at kunne få adgang til ungdomsuddannelse skal eleven bestå folkeskolens kerne-
fag, som er: Modersmål, andet nationalsprog, fremmedsprog, matematik, fysik, kemi, biologi,
geografi, sundhedsundervisning, religion/etik. Eleven får derefter et certifikat, som muliggør
optagelse på en ungdomsuddannelse. De elever, der ikke består grundskolen, kan tage et 10.
skoleår. De elever, der har taget dette 10. skoleår, søger som regel ind på en erhvervsuddan-
nelse
27
. I Finland findes der, hvad angår ungdomsuddannelser, studieforberedende uddannel-
se (ansøgning til gymnasiet baserer sig på karakterer fra folkeskolen, hvorfor der kan være
konkurrence om at komme ind) og erhvervsuddannelse
28
.
Island:
I Island har alle, der har afsluttet grundskolen, ret til at blive optaget på en ung-
domsuddannelse – uanset, om de har opnået en bestået karakter i alle fag eller ej. Dog kan
ungdomsuddannelser, ifølge loven herom, opstille adgangsbetingelser til forskellige studie-
linjer
29
.
25
26
27
28
29
NIFU
NIFU
NIFU
NIFU
NIFU
(2022)
(2022)
(2022)
(2022)
(2022)
38
KAPITEL 3.
BEDrE oVErgAngE tIl UngDoMSUDDAnnElSE
BUU, Alm.del - 2023-24 - Bilag 240: Beretning fra formandskabet for Rådet for Børns Læring, samt brev fra formanden
2899364_0039.png
BERETNING FRA FORMANDSKABET
RÅDET FOR BØRNS LÆRING
Ovenstående viser, at det er muligt at indrette uddannelsessystemer, hvor overgange til ung-
domsuddannelser ikke defineres af eller tager højde for afgangseksamener og karakterer herfra,
men hvor adgangskravene f.eks. primært baserer sig på, at man har gennemført grundskolen.
Det er tilfældet i Norge og Island, hvor det at gennemføre grundskolen giver adgang og ret til
en ungdomsuddannelse. I Finland og Sverige er der ligesom i Danmark krav om bestået/ikke
bestået. Bestået/ikke bestået baserer sig dog ikke på resultater i afgangsprøver, men på elevens
standpunktskarakterer.
Der arbejdes også med forskellige adgangskrav til studieforberedende (til videregående uddan-
nelse – i praksis gymnasiale) og erhvervsrettede uddannelser i de nordiske lande. I Island og
Norge har alle ret til at blive optaget på en ungdomsuddannelse, dog med forskellige adgangs-
krav til forskellige studieretninger. I Finland og Sverige er der ligesom i Danmark krav om, at
man er bestået for at kunne gå videre, samt differentierede krav til karakterer og fag i forhold til
optagelse på en studieforberedende eller erhvervsrettet ungdomsuddannelse
30
.
Vi kan dermed se, at hvis man på et overordnet niveau betragter de nordiske landes strukturer,
hvad angår indretning af afgangseksamener, så er Danmark det land i Norden, der har den mest
intensive afgangseksamensstruktur i grundskolen. Derudover viser ovenstående, at afgangsek-
samenerne i Danmark samtidig spiller en væsentlig rolle for optag på en ungdomsuddannelse
sammenlignet med vores nordiske nabolande. Vi mener, at denne skelen til de nordiske lande
bidrager til at underbygge et argument for og ønske om muligheden for at indrette en udskoling,
hvor selve prøvetrykket er lavere i form af en mindre fagrække, der skal afprøves i, og hvor de
afsluttende eksamener betyder mindre i overgangen til ungdomsuddannelser.
ElEVPErSPEKtIVEr PÅ AFgAngSPrØVErnES InDFlYDElSE PÅ
oVErgAngEn tIl UngDoMSUDDAnnElSE
I indeværende afsnit ser vi nærmere på elevernes oplevelse af afgangsprøvernes indflydelse på
deres valg af ungdomsuddannelse. Udover, at adgangskravet kan være en stopklods for nogle
elever, kan afgangsprøverne også have uhensigtsmæssige konsekvenser ind i undervisningen.
Dette bakker VIVE’s undersøgelse op om, hvor eleverne bl.a. giver udtryk for, at udbyttet af af-
gangsprøver i højere grad er at lære at forberede sig og gå til prøve, end det bidrager til en faglig
udvikling
31
.
Flere elever fra erhvervsuddannelserne fortæller som også angivet i kapitel 2, at de primært lær-
te, hvordan man går til prøve i 9. klasse, dvs. eksamensteknik, mens det faglige læringsudbytte
var begrænset. En elev på erhvervsuddannelse udtaler:
30 NIFU (2022)
31 VIVE (2024)
KAPITEL 3.
BEDrE oVErgAngE tIl UngDoMSUDDAnnElSE
39
BUU, Alm.del - 2023-24 - Bilag 240: Beretning fra formandskabet for Rådet for Børns Læring, samt brev fra formanden
2899364_0040.png
RÅDET FOR BØRNS LÆRING
BERETNING FRA FORMANDSKABET
40
KAPITEL 3.
BEDrE oVErgAngE tIl UngDoMSUDDAnnElSE
BUU, Alm.del - 2023-24 - Bilag 240: Beretning fra formandskabet for Rådet for Børns Læring, samt brev fra formanden
2899364_0041.png
BERETNING FRA FORMANDSKABET
RÅDET FOR BØRNS LÆRING
”Det eneste, jeg har lært, er, hvordan jeg
kommer til at læse op til eksamen, hvor-
dan jeg kommer til at forberede mig, tage
det i eget tempo, ikke stresse og tage
timer hjemme i brug.”
(Elev på erhvervsuddannelse, VIVE 2024)
Flere elever ser dog også prøveperioden i grundskolen som en afslutning på et langt skoleforløb
og som en prøvebane til fremtidige uddannelsesforløb. Undersøgelsen indikerer, at der er et
skifte i elevernes syn på prøve fra
før
til
efter,
de har været til afgangsprøverne i grundskolen.
Det kommer til udtryk ved, at der forinden afgangsprøverne er mange ubekendte, og at de efter
afgangsprøverne oplever, at de tilegner sig både studietekniske og personlige erfaringer med at
forberede sig til at gå til prøve, som de kan tage med sig videre
32
. Rapporten viser derfor også, at
der er en del læring forbundet med at gå til prøver for eleverne, som kan bruges senere i elever-
nes uddannelsesvej.
Ovenstående er væsentligt at notere sig, da formandskabet selvfølgelig ønsker at understøtte
elevernes videre vej i uddannelsessystemet. Derfor ønsker formandskabet heller ikke, at alle
afgangsprøver afskaffes, men i stedet at antallet reduceres, som det blev fremført i anbefalin-
gerne om antallet af afgangsprøver. Formålet med reduktionen er at understøtte, at undervisnin-
gen i højere grad har fokus på elevernes læring og dannelse og i mindre grad på det prøveforbe-
redende.
Spørgsmålet er endvidere, om
alle
elever oplever prøveperioden som en god afslutning, hvis de
i mindre grad lykkes i folkeskolen eller på anden måde befinder sig i en udsat position. Tallene
fra VIVE (2024) peger som nævnt på, at afgangsprøverne ser ud til at have en social slagside,
idet elever fra hjem med færre ressourcer får lavere karakterer ved afgangsprøverne end i deres
standpunktskarakterer (se tabel 1). Det peger på, at de mange afgangsprøver kan være med til
at forstærke og forstørre den gruppe af elever, som hverken kan imødekomme de formelle krav
og/eller ikke får den fornødne tiltro til egen formåen i overgangen til videre uddannelse.
I formandskabet mener vi, at vi i folkeskolen har en forpligtelse til at understøtte alle elevers
videre færd i livet, i uddannelse og beskæftigelse. Det nuværende system med det høje antal
afgangsprøver, som primært er bogligt eller akademisk orienterede, og som har stor betydning
for de unges videre uddannelsesforløb, lægger således hindringer i vejen for, at vi i folkeskolen
kan leve op til denne forpligtelse.
32 VIVE (2024)
KAPITEL 3.
BEDrE oVErgAngE tIl UngDoMSUDDAnnElSE
41
BUU, Alm.del - 2023-24 - Bilag 240: Beretning fra formandskabet for Rådet for Børns Læring, samt brev fra formanden
2899364_0042.png
RÅDET FOR BØRNS LÆRING
BERETNING FRA FORMANDSKABET
Når vi retter blikket mod, hvilken rolle afgangsprøver og karakterer har for elevernes valg af ung-
domsuddannelse, tyder det på, at valget af uddannelse efter endt grundskole allerede er taget
forud for afgangsprøverne. Eleverne fremhæver i stedet, at deres valg af ungdomsuddannelse er
informeret af deres standpunktskarakterer og anden feedback fra lærere og vejledere. Eleverne
bruger således de løbende indikationer på eget fagligt niveau i løbet af året til at vælge retning
for ungdomsuddannelse
33
.
De interviewede elever i VIVE’s undersøgelse giver ligeledes udtryk for, at både brobygning og
praktik i udskolingen har informeret deres valg af uddannelse efter endt grundskole. Thomsen
og Boms undersøgelse bakker op herom. Deres undersøgelse viser konkret, at det særligt er
familie, venner og vejledere samt brobygning og praktik, der giver eleverne et grundlag til at
træffe beslutning om ungdomsuddannelserne
34
. Disse pointer er med til at illustrere, at afgangs-
prøverne i folkeskolen ikke er udslagsgivende for de unges valg af videre uddannelse, men at det
i stedet er påvirket af mange andre ting som f.eks. feedback fra lærerne.
Udover elevernes karakterer og de forudgående vejlednings- og brobygningsforløb viser VIVE’s
undersøgelse også, hvordan de unges forestillinger om det sociale miljø spiller en stor rolle
for, hvorvidt eleverne kan se sig selv søge ind på en given ungdomsuddannelse
35
. Ifølge Juul &
Pless (2015) har det sociale miljø på uddannelsesstedet stor betydning for valget af ungdoms-
uddannelse
36
. For mange unge er overgangen til ungdomsuddannelsen tæt forbundet med
overgangen til ungdomslivet, hvor de kan spejle sig i andre unge. Dette er væsentligt at have for
øje som en faktor, der er mere virksom end adgangskrav, hvis vi ønsker at arbejde for både at
ligestille ungdomsuddannelserne i de unges øjne, og bidrage til at flere unge kan se sig ind i de
ungdomsmiljøer, der kan opstå i og på tværs af uddannelserne.
Boksen nedenfor illustrerer et eksempel på en uddannelsesinstitution, der udbyder både gym-
nasiale uddannelser og erhvervsuddannelser under samme tag. Der er blandt andet fokus på ét
samlet studiemiljø, som kommer flere elever til gavn gennem fællesaktiviteter som f.eks. galla,
fredagscafé og studieture.
33
34
35
36
VIVE (2024)
Thomsen & Bom (2019)
VIVE (2024)
Juul & Pless (2015)
42
KAPITEL 3.
BEDrE oVErgAngE tIl UngDoMSUDDAnnElSE
BUU, Alm.del - 2023-24 - Bilag 240: Beretning fra formandskabet for Rådet for Børns Læring, samt brev fra formanden
2899364_0043.png
BERETNING FRA FORMANDSKABET
RÅDET FOR BØRNS LÆRING
ERFARINGER FRA STRUER STATSGYMNASIUM – ÉN
SKOLE MED MANGE UDDANNELSER UNDER SAMME TAG
Struer Statsgymnasium har siden 2008 udbudt både gymnasiale uddannelser og er-
hvervsuddannelser. I dag udbyder skolen EUD, EUX, STX, HHX, HTX, HF, IB og 10. klasse i
ét samlet studiemiljø med fælles ledelse. Der er fokus på et mangfoldigt studiemiljø, hvor
der er et godt socialt samspil mellem alle skolens uddannelser.
Nogle af skolens erfaringer er listet nedenfor:
• Eleverne
fastholdes bredt set i uddannelse
– ikke i en bestemt
• Flere
valgfagsmuligheder
for den enkelte elev – fag som f.eks. psykologi og program-
mering kan vælges på tværs af de gymnasiale uddannelser
• Stort og bredt
aktivitetsudbud
efter skole
Et inkluderende og dannende elevmiljø
• Stærk
blandet lærergruppe
(87 procent underviser på mere end én uddannelse)
Konkurrencefrie samarbejdsrelationer
– overgangsprojekter med grundskolen.
Kilde: Oplæg ved rektor Mads Brinkmann Pedersen fra Struer Statsgymnasium
KAPITEL 3.
BEDrE oVErgAngE tIl UngDoMSUDDAnnElSE
43
BUU, Alm.del - 2023-24 - Bilag 240: Beretning fra formandskabet for Rådet for Børns Læring, samt brev fra formanden
2899364_0044.png
RÅDET FOR BØRNS LÆRING
BERETNING FRA FORMANDSKABET
3.3 ForMAnDSKABEtS AnBEFAlIngEr
Formandskabet mener, at det er afgørende, at folkeskolen ikke bliver en stopklods for den unges
videre færd i livet, hvad end det er i uddannelse eller i beskæftigelse. Grundskolen bør give plads
til elevernes forskellighed i løbet af udskolingen og i videre uddannelse, frem for at cementere
forskelle. Det er for tidligt, hvis unge på 15 – 16 år oplever, at døren til videre uddannelse bliver
lukket på baggrund af deres præstationer og erfaringer fra grundskolen.
Formandskabet mener derfor, at de aktuelle afgangsprøver og afgangskarakterer har for afgø-
rende betydning for de unges muligheder i overgangen til ungdomsuddannelserne. Prøvetrykket
er for højt og de marginale forskelle mellem standpunkts- og afgangskarakterer peger på, at det
høje antal afgangsprøver ikke bidrager med afgørende ny viden eller nye vurderinger af de unges
kundskaber og færdigheder og dermed heller ikke bidrager med ny viden eller nye perspektiver
på de unges forudsætninger for videre uddannelse.
Formandskabet peger på, at betydningen af karaktergennemsnittet er for afgørende for de un-
ges muligheder for at komme videre i uddannelsessystemet efter grundskolen. Dermed bidrager
det nuværende system i alt for høj grad til at opretholde den høje andel af unge, for hvem der
ikke er uddannelsesveje efter folkeskolen, ikke mindst i relation til unge fra hjem med færre
ressourcer.
Formandskabet ønsker med nedenstående anbefalinger at dæmme op for, at de unge sorteres
efter eksamensresultater. I stedet skal folkeskolen og i særlig grad udskolingen geares til at
styrke de unges overgang til en relevant ungdomsuddannelse, så de kan se en fremtid, der er
åben for nye valg og fravalg, og hvor valget af ungdomsuddannelse ikke lukker mulighederne for
altid. Dertil kommer, at alle typer af ungdomsuddannelser skal tilbyde de unge et spændende
ungdomsmiljø, der gør alle typer af ungdomsuddannelser attraktive efter folkeskolen.
Det er formandskabets udgangspunkt, at alle unge har krav på at komme videre i en ungdoms-
uddannelse efter folkeskolen i lighed med de øvrige nordiske lande. Der bør gennem feedback
og vejledning satses på at give de unge bedre muligheder for at vurdere hvilket forløb, der vil
passe bedst til dem. Såfremt man politisk ønsker adgangskrav til ungdomsuddannelserne, er
det vigtigt, at der fastholdes tydelige alternative optagelsesveje mellem grundskolen og ung-
domsuddannelserne, så “døren” ikke lukkes for de unges fremtidige valg. Det er derfor centralt,
at fremtidens ungdomsuddannelseslandskab kan favne alle unge, og at der findes relevante
ungdomsuddannelser, der matcher diversiteten i alle unges kompetencer og interesser.
44
KAPITEL 3.
BEDrE oVErgAngE tIl UngDoMSUDDAnnElSE
BUU, Alm.del - 2023-24 - Bilag 240: Beretning fra formandskabet for Rådet for Børns Læring, samt brev fra formanden
2899364_0045.png
BERETNING FRA FORMANDSKABET
RÅDET FOR BØRNS LÆRING
FORMANDSKABET ANBEFALER:
At det bliver højeste karakter på tværs af standpunkts- og afgangsprøvekarakterer,
der skal benyttes i de to fortsatte eksamensfag: Dansk og matematik, såfremt karak-
terer fastholdes som adgangsgivende til specifikke ungdomsuddannelser
At alle unge har ret til at påbegynde en ungdomsuddannelse ved folkeskolens afslut-
ning
At alle unge har ret til vejledning, feedback og eventuel brobygning i folkeskolen for
at få et bredere perspektiv på valg af ungdomsuddannelse
At ungdomsuddannelserne på længere sigt samles, så f.eks. gymnasium og er-
hvervsuddannelser er det samme sted, så der skabes et ungdomsmiljø på tværs af
ungdomsuddannelserne.
KAPITEL 3.
BEDrE oVErgAngE tIl UngDoMSUDDAnnElSE
45
BUU, Alm.del - 2023-24 - Bilag 240: Beretning fra formandskabet for Rådet for Børns Læring, samt brev fra formanden
2899364_0046.png
RÅDET FOR BØRNS LÆRING
BERETNING FRA FORMANDSKABET
46
KAPITEL 3.
BEDrE oVErgAngE tIl UngDoMSUDDAnnElSE
BUU, Alm.del - 2023-24 - Bilag 240: Beretning fra formandskabet for Rådet for Børns Læring, samt brev fra formanden
2899364_0047.png
BERETNING FRA FORMANDSKABET
RÅDET FOR BØRNS LÆRING
KAPITEL 4.
FORMANDSKABETS EFTERORD
I Danmark er der tradition for, at folkeskolen er genstand for stor politisk opmærksomhed, og
samtidig er det almindeligt, at der indgås brede politiske aftaler på skoleområdet. Dagtilbudsom-
rådet har generelt påkaldt sig mindre opmærksomhed og er samtidig også mindre reguleret. Og
selvom brede politiske aftaler giver bedre holdbarhed, så kan brede aftaler også blive en gryde-
ret, hvor ingen af bestanddelene kommer helt til sin ret. Alligevel er fordelene ved forligsmodel-
len i det store hele større end ulemperne. Men sammenligner man dansk skolepolitik med f.eks.
Norge og Finland, så har vi i Danmark alligevel mindre kontinuitet og sammenhæng i de politiske
tiltag. Det kunne vi med fordel lære af. En langsigtet og holdbar linje uden for meget detailregu-
lering vil fremme de fagprofessionelles muligheder for at skabe gode institutioner og skoler.
De voksne der er tættest på børnene i skolehverdagen – særligt skoleledere, lærere og øvrigt
pædagogisk personale, fraråder ofte, at folkeskolen og dens undervisning pålægges en alt for
bred vifte af krav og ambitioner inden for alle politikområder og samfundsudfordringer, og ikke
kun dem der mere snævert hører til børne- og skolelivet. Der er derfor en mærkbar tendens til,
at der bliver stoftrængsel i folkeskolen, og at det bliver vanskeligt at fokusere og balancere de
allermest centrale spørgsmål.
De vigtige balancer i vores ambitioner for børn og unge har haft forskellig prioritet gennem
årene.
• At være og at blive til
• At danne og at uddanne
• At lege og at lære.
Siden PISA-undersøgelsernes indtog i begyndelsen af det nye årtusinde fulgte en række år, hvor
fokus har været, at børn skulle lære, uddanne sig og blive til noget – og helst så hurtigt som mu-
ligt. Legen, dannelsen og bare det at være, fik mindre fokus i mange års skolepolitik. I de seneste
år (og i den nylige skolepolitiske aftale) er det politiske fokus nu ikke blot på faglig trivsel, men
også på trivsel. Pendulet i ovennævnte balancer har flyttet sig. Det hilser formandskabet i Rådet
for Børns Læring velkommen.
Formandskabet i Rådet for Børns Læring har som uafhængig rådgiver for ministeren stor frihed
til at vælge temaer, men vi er dog i vores beskikkelse blevet bedt om i særlig grad at forholde os
til, hvordan der kan skabes bedre vilkår for børn og unge med særlige behov og mindske betyd-
ningen af social arv. Det har været vores ambition at vælge nedslag, hvor der især er mulighed
for ikke blot at hæve kvaliteten af dagtilbud og skoleliv for alle børn, men i særlig grad støtte
børn og unge med særlige udfordringer.
I denne sidste årsberetning vil vi afslutte med en perspektivering af vores arbejde gennem de
sidste tre år, og ikke mindst knytte kommentarer til vores anbefalingers fortsatte relevans.
KAPITEL 4.
ForMAnDSKABEtS EFtErorD
47
BUU, Alm.del - 2023-24 - Bilag 240: Beretning fra formandskabet for Rådet for Børns Læring, samt brev fra formanden
2899364_0048.png
RÅDET FOR BØRNS LÆRING
BERETNING FRA FORMANDSKABET
4.1 ForMAnDSKABEtS FoKUS og AnBEFAlIngEr I DEn SAMlEDE
ForMAnDSKABSPErIoDE
De pædagogiske institutioner vi har i dagens Danmark, er fortsat ikke gode nok til at mindske
den sociale arv. Den faglige og sociale trivsel er for lav i institutionerne, og der er for mange børn
og unge, der står uden for de faglige og sociale fællesskaber. Formandskabet har i den samlede
treårige periode derfor haft fokus på, hvordan der kan skabes bedre vilkår for børn og unges
institutions- og skoleliv, så alle børn og unge får en god og lærerig opvækst. Formandskabet har
i den samlede periode sat fokus på og anbefalet følgende:
I
beretningen fra 2022
satte formandskabet fokus på relationskompetence i dagtilbud.
Relationskompetence er en central del af den pædagogiske kernefaglighed, og vi ved, at
dygtigt pædagogisk personale med stærke relationskompetencer er afgørende for, at børn
oplever trygge læringsmiljøer, hvor de udvikler sig og trives. Et fælles professionelt sprog og
forståelse af relationskompetence er vigtig, da det kan styrke de faglige fællesskaber og den
løbende refleksion i og omkring den daglige praksis. Det kræver en indsats på flere fronter,
hvilket også kom til udtryk i formandskabets anbefalinger om, at pædagoguddannelsen og
uddannelsen til pædagogisk assistent skal styrkes, der skal være fokus på kompetenceud-
viklingsforløb for hele personalegruppen i daginstitutioner, der skal være et ledelsesmæssigt
fokus på relationskompetence i den enkelte institution, og uddannelserne skal have et større
fokus på specialpædagogik og arbejdet med børn i udsatte positioner. Samtidig pointere-
de formandskabet også vigtigheden af at bekæmpe de store rekrutteringsudfordringer på
daginstitutionsområdet, hvor vi bl.a. anbefalede, at der blev udarbejdet en samlet national
handlingsplan med en række initiativer, der på både kort og lang sigt sikrer nok uddannet
pædagogisk personale til at opretholde høje normeringer og et højt uddannelsesniveau.
I
beretningen fra 2023
satte vi fokus på betydningen af en sammenhængende indskoling og
fritidstilbud af høj kvalitet. Det er vigtigt med en sammenhængende indskoling, hvor børnene
kun starter i skole én gang, og hvor der lokalt skabes et sammenhængende fagligt indhold
med plads til fordybelse og praksisfaglighed i fagene og med få, gennemgående voksne.
For at indfri disse ambitioner anbefalede formandskabet i deres beretning, at en isoleret
førskole-SFO og en isoleret børnehaveklasse skal afskaffes, antallet af fag og læringsmål
i indskolingen skal reduceres, og målet om fuld kompetencedækning skal afskaffes, så
børnene møder et gennemgående team af lærere og pædagoger gennem hele indskolingen.
I beretningen fra 2023 havde formandskabet også et selvstændigt fokus på børnenes fritids-
tilbud som et vigtigt element i at skabe en sammenhængende indskoling, samt potentialer
og opmærksomhedspunkter ved frisættelse af folkeskolen. Formandskabet pointerede i
forlængelse heraf, at frisættelsen ikke i sig selv kan løse alle problemer, som folkeskolen står
overfor. Frisættelsen skal implementeres med en forståelse for, at succesrig udfoldelse af
friheden forudsætter, at den er efterspurgt, og at der er de rette kompetencer til den.
I
beretningen fra 2024
har vi fokuseret på folkeskolens sidste år. Som vi har redegjort for
i indeværende beretning er undervisningen i udskolingen alt for fokuseret på at forberede
eleverne til afgangsprøver, og det medfører, at afgangsprøverne bliver alt for styrende for den
undervisning, som eleverne modtager i folkeskolens sidste år. Der er for lidt fokus på fordy-
belse, praksisfaglighed og motiverende undervisning. Og afgangsprøverne er for afgørende
for elevernes videre muligheder i overgangen til videre uddannelse, hvilket i praksis betyder,
48
KAPITEL 4.
ForMAnDSKABEtS EFtErorD
BUU, Alm.del - 2023-24 - Bilag 240: Beretning fra formandskabet for Rådet for Børns Læring, samt brev fra formanden
2899364_0049.png
BERETNING FRA FORMANDSKABET
RÅDET FOR BØRNS LÆRING
at folkeskolen kan blive en stopklods. Vi anbefaler derfor bl.a., at antallet af afgangsprø-
ver reduceres, og at der kommer et større fokus på at give eleverne løbende vejledning og
feedback. Desuden mener formandskabet, at afslutningen på folkeskolen og overgangen
til ungdomsuddannelser skal tilrettelægges, så der ikke lukkes døre for den unges videre
uddannelse.
Vi har i formandskabet noteret en
positiv opmærksomhed omkring vores anbefalinger
– både
fra børne- og undervisningsministeren og fra områdets interessenter. Den politiske retorik, vær-
dier og tiltag har i de senere år i langt højere grad flugtet med vores målbillede og dertilhørende
anbefalinger. Det vil vi gerne kvittere for. Alligevel mener vi, at de tidligere afgivne anbefalinger i
det store hele fortsat har en relevans, som centrale politiske aktører og interessenter bør arbejde
videre med.
dagtilbudsområdet
mener vi fortsat, at kvaliteten kan og skal løftes. Der skal som anbefalet
i langt højere grad være fokus på relationskompetence, specialpædagogik og børn i udsatte
positioner i de pædagogiske uddannelser samt i den daglige praksis ude i dagtilbuddene. Det er
i den forbindelse vigtigt, at det stigende antal ufaglærte medarbejdere får mulighed for at styrke
deres kompetencer på disse felter. Formandskabet vurderer i forlængelse heraf, at uddannel-
sesreformen for kommende pædagoger vil være et oplagt sted at starte, men at der fortsat
er behov for en national handlingsplan og/eller aftale på tværs af stat, kommune og faglige
interessenter, der sætter de oplistede områder i fokus.
skoleområdet
anerkender formandskabet en række af de tiltag i folkeskoleaftalen, der skal
forsøge at skabe en bedre og
mere sammenhængende indskoling,
herunder fravigelsen af
kravet om fuld kompetencedækning, en lidt kortere skoledag i indskolingen og lidt færre fag
i 1. klasse. Vi ønsker dog fortsat at sende en opfordring til stat og kommuner om fortsat at
arbejde henimod, at skolestarten bliver mere sammenhængende med en fast gruppe af voksne.
Skolestarten bør i højere grad tilrettelægges ud fra børnenes behov, og de bør ikke have tre skift
på halvandet år (førskole-SFO, børnehaveklasse og 1. klasse). Dertil ser formandskabet stadig et
behov for, at der politisk rettes fokus mod pædagoger og fritidstilbud som nøgler til at skabe en
bedre indskoling og et godt børneliv, hvor flere trives.
I den samlede skoletid, men særligt i
folkeskolens sidste år,
skal der på trods af de gode intenti-
oner i folkeskoleaftalen om bl.a. praksisfaglighed, valgfag og en mindre reduktion i prøvetrykket,
fortsat arbejdes på en mere rummelig folkeskole med mere motiverende og varieret undervis-
ning. Børn og unge lærer forskelligt, er forskellige og har forskellige behov. Det skal folkets skole
kunne honorere.
Årets anbefalinger om færre prøver og bedre overgange til ungdomsuddannelse har særligt til
formål at skabe bedre vilkår for en folkeskole, der har plads til flere måder at lære på. Derudover
skal det mindskede fokus på de ofte akademisk rettede prøver skabe øget plads til varieret og
motiverende undervisning i udskolingen.
En afsluttende pointe angående indeværende års anbefalinger set i forhold til de samlede in-ten-
tioner i folkeskoleaftalen er, at det nuværende prøvesystem udgør en indirekte styring af skole-
området. Så længe de afsluttende prøver fylder og tildeles den vægt, som de gør i dag, bliver det
vanskeligt at indfri intentionerne i den seneste folkeskoleaftale om øget frisættelse, praksisfag-
KAPITEL 4.
ForMAnDSKABEtS EFtErorD
49
BUU, Alm.del - 2023-24 - Bilag 240: Beretning fra formandskabet for Rådet for Børns Læring, samt brev fra formanden
2899364_0050.png
RÅDET FOR BØRNS LÆRING
BERETNING FRA FORMANDSKABET
lighed og større variation i undervisningen. Formandskabet kvitterer her for, at der som en del
af folkeskoleaftalen skal nedsættes en ekspertgruppe, der bl.a. skal kigge nærmere på, hvordan
prøvetrykket på sigt kan justeres. Ekspertgruppen kan efter vores overbevisning med fordel
kigge nærmere på indeværende års anbefalinger til en lettelse af det samlede prøvetryk.
50
KAPITEL 4.
ForMAnDSKABEtS EFtErorD
BUU, Alm.del - 2023-24 - Bilag 240: Beretning fra formandskabet for Rådet for Børns Læring, samt brev fra formanden
2899364_0051.png
BERETNING FRA FORMANDSKABET
RÅDET FOR BØRNS LÆRING
KAPITEL 4.
ForMAnDSKABEtS EFtErorD
51
BUU, Alm.del - 2023-24 - Bilag 240: Beretning fra formandskabet for Rådet for Børns Læring, samt brev fra formanden
2899364_0052.png
RÅDET FOR BØRNS LÆRING
BERETNING FRA FORMANDSKABET
52
BUU, Alm.del - 2023-24 - Bilag 240: Beretning fra formandskabet for Rådet for Børns Læring, samt brev fra formanden
2899364_0053.png
BERETNING FRA FORMANDSKABET
RÅDET FOR BØRNS LÆRING
LITTERATURLISTE
Arbejderbevægelsens Erhvervsråd (2019).
Flere unge med handicap består ikke folkeskolens afgangsprøve.
København.
Børne- og Undervisningsministeriet (2024a).
Prøvefag i 8., 9., og 10. klasse.
Prøvefag i 8., 9. og 10. klasse | Børne–
og Undervisningsministeriet (uvm.dk). BUVM.
Børne- og Undervisningsministeriet (2024b). Aftalen om folkeskolens kvalitetsprogram. Aftale mellem regeringen
(Socialdemokratiet, Venstre og Moderaterne) og Liberal Alliance, Det Konservative Folkeparti, Radikale Venstre og
Dansk Folkeparti om folkeskolens kvalitetsprogram – frihed og fordybelse (uvm.dk). BUVM.
Danmarks Evalueringsinstitut (2017). Uddannelsesvalg i 8. klasse. https://eva.dk/Media/638366724762570653/
EVA%20Unges%20vej%20mod%20ungdomsuddannelse.pdf. København: Danmarks Evalueringsinstitut.
Danmarks Evalueringsinstitut (2022): Motivation og variation i udskolingen. Erfaringer og inspiration fra
et aktionslæringsprojekt, Motivation og variation i folkeskolen. https://eva.dk/grundskole/undervisning-i-
grundskolen/motiverende-undervisning/motivation-og-variation-i-udskolingen
Danmarks Evalueringsinstitut (2023).
Hvordan kan en appelsin og et frit eksperiment motivere dine skoletrætte
elever? København:
Danmarks evalueringsinstitut.
Det Nationale Forsknings- og Analysecenter for Velfærd (2024).
Afgangsprøvernes betydning for overgangen til
ungdomsuddannelserne. København.
VIVE.
Hascher, T., Tuominen, H., & Salmela-Aro, K. (2022). How does well-being in school matter? Effects, influencing
factors, and promotion. Zeitschrift
für Psychologie, 230(3),
187–188. https://doi.org/10.1027/2151-2604/a000494
Holzer, J., Korlat, S., Bürger, S., Spiel, C., & Schober, B. (2022). Profiles of school-related well-being and their
links to self-esteem and academic achievement. Zeitschrift
für Psychologie,
230(3), 189–200. https://doi.
org/10.1027/2151-2604/a000498
Ravn, K. (2023).
Tre ud af fem nordiske lande har ingen eksamen i grundskolen.
Vidste du det: Tre ud af fem
nordiske lande har ingen eksamen i grundskolen (folkeskolen.dk). Folkeskolen.dk.
Uddannelsesguiden (2024). Adgangskrav til de gymnasiale uddannelser. Adgangskrav til de gymnasiale
uddannelser | UddannelsesGuiden (ug.dk)
Uddannelsesstatistik (2024a).
Statistik om elevfravær.
Nøgletalsanvisninger af elevfravær på landsplan, for den
valgte kommune- eller skole fordelt på fraværstyperne. BUVM.
Uddannelsesstatistik (2024b). Elevtrivsel. Opgørelse over elevernes trivsel. Statistik om Elevtrivsel | Børne- og
undervisningsministeriet (uddannelsesstatistik.dk). BUVM.
Juul & Pless (2015).
Unges uddannelsesvalg i tal: Midtvejsrapport i forsøgs- og udviklingsprojektet ‘Fremtidens Valg
og Vejledning’.
Center for Ungdomsforskning
Larsen el at. (2022). Pushed out of the education system: using a natural experiment to evaluate consequences
for boys.
Lykkegaard, E. & Qvortrup, A. (2024). TrivselsLUP 2023. Lokalisteret på TrivselsLUP-datarapport-2023-final-
redigeret.pdf (gymnasieskolen.dk)
Lykkegaard, E., Qvortrup, A., & Jensen, J. (2023). Well-being and COVID 19 related stressors: Fluctuations and ‘at
risk students’ during the pandemic.
Nordisk institutt for studier av innovasjon, forskning og utdanning. (2022)
Kartlegging av nordisk forskning på
eksamen.
NIFU.
KAPITEL 4.
lIttErAtUrlIStE
53
BUU, Alm.del - 2023-24 - Bilag 240: Beretning fra formandskabet for Rådet for Børns Læring, samt brev fra formanden
2899364_0054.png
RÅDET FOR BØRNS LÆRING
BERETNING FRA FORMANDSKABET
Thomsen, J.-P., & Bom, L. H. (2019).
Danske unges uddannelsesforventninger: Med særligt fokus på unge fra
kortuddannede hjem. VIVE - Det Nationale Forsknings- og Analysecenter for Velfærd.
Trier, M.B. (2024) Råd vil gøre op med eksamen som styrende for udskolingen. https://www.folkeskolen.dk/
afgangsprover-karakterer-skolepolitik/rad-vil-gore-op-med-eksamen-som-styrende-for-udskolingen/4771780.
Qvortrup, A. (2024).
Professor: Danske elevers faglige trivsel er bekymrende. Derfor skal elevperspektivet fylde mere
i fagplanerne.
Folkeskolen.dk. Lokaliseret på Professor: Danske elevers faglige trivsel er bekymrende. Derfor skal
elevperspektivet fylde mere i fagplanerne (folkeskolen.dk)
54
KAPITEL 4.
lIttErAtUrlIStE
BUU, Alm.del - 2023-24 - Bilag 240: Beretning fra formandskabet for Rådet for Børns Læring, samt brev fra formanden
2899364_0055.png
BERETNING FRA FORMANDSKABET
RÅDET FOR BØRNS LÆRING
BILAG 1.
REFERAT AF MØDE I RÅDET FOR BØRNS
LÆRING D. 19. AUGUST 2024
Formandskabets beretning blev drøftet på et møde i Rådet for Børns Læring den 19. august
2024. Formandskabet takkede på mødet for de indkomne kommentarer. Formandskabet be-
mærker i forlængelse heraf, at mange af de præsenterede perspektiver er yderst relevante, og at
de løbende har været drøftet i årets arbejde og/eller efterfølgende er taget til efterretning. Der er
endvidere på baggrund af mødet foretaget præciseringer og justeringer af beretningen. Det in-
debærer bl.a. en præcisering af, at formandskabet ikke ønsker at afskaffe
alle
afgangsprøverne,
da der kan være læring og dannelse forbundet med at deltage i enkelte prøver. Hertil er argu-
mentationen for, hvorfor netop dansk og matematik bør udgøre de fremtidige afgangsprøvefag,
uddybet. Siden rådsmødet har formandskabet endvidere tilføjet reference om, at flere unge med
handicap ikke består folkeskolens afgangsprøve. Endvidere er der tilføjet en anbefaling om, at
prøveformerne skal udvikles, så de er i overensstemmelse med det igangværende arbejde med
fagfornyelsen. Derudover er det præciseret, at alle elever skal have ret til at påbegynde en ung-
domsuddannelse efter folkeskolen, og at fremtidens uddannelseslandskab derfor skal matche
diversiteten i alle unges kompetencer og interesser. Der er endvidere foretaget en række øvrige
præciseringer løbende i beretningen for at lette læsningen og tydeliggøre formandskabets bud-
skaber.
I det følgende gives et resumé af de indkomne bemærkninger fra Rådet på mødet.
Skolelederforeningen
kvitterede for en god og relevant årsberetning med et stærkt datagrundlag,
der fremhæver, at prøver ikke leverer på det, som de skal. Skolelederforeningen bemærkede
særligt, at en af årsagerne til, at der fortsat er mange elever, der ikke får en afgangseksamen, er,
at der i dag er flere krav til eleverne, end der tidligere har været. Det gælder f.eks. 12 eksamener
på tre uger, at eleverne skal igennem det samme, selvom flere har særlige behov, og at eleverne
generelt skal opnå, hvad der svarer til 1 års læring mere på den samme skoletid end tidligere.
Skolelederforeningen bemærkede dog, at andelen af unge, der ikke er i uddannelse eller arbej-
de, er højere i andre lande. Hertil bemærkede Skolelederforeningen, at formuleringen om, at for
mange ikke består folkeskolen, i beretningen med fordel kan modereres. Desuden bemærkede
Skolelederforeningen, at systemet forventer noget, der ikke kan leveres ude på skolerne, og at
konsekvensen er, at for mange unge oplever at mislykkes. I forlængelse heraf kvitterede de for,
at årsberetningen rammer kernen i forhold til de børn og unge, der ikke lykkes – og at det er
godt at slå ned på eksamenerne i folkeskolen.
Børne- og Ungdomspædagogernes Landsforbund (BUPL)
udtrykte stor tilfredshed med beret-
ningen og formandskabets anbefalinger, som har blik for børneperspektivet. BUPL bemærkede,
at der er stor sammenhæng til formandskabets tidligere anbefalinger. BUPL påpegede dog, at
fritidspædagogikken bør skrives ind i formandskabets anbefalinger, som handler om vejledning
og feedback. I forlængelse heraf fremhævede BUPL forskning fra Kirsten Elisa Petersen, der har
fokus på pædagogernes rolle.
Danmarks Lærerforening (DLF)
kvitterede for en god årsberetning, herunder formandskabets
fokus på færre afgangsprøver i folkeskolen. DLF bemærkede, at årsberetningen og undersøgel-
BILAG 1.
rEFErAt AF MØDE I rÅDEt For BØrnS lÆrIng D. 19. AUgUSt 2024
55
BUU, Alm.del - 2023-24 - Bilag 240: Beretning fra formandskabet for Rådet for Børns Læring, samt brev fra formanden
2899364_0056.png
RÅDET FOR BØRNS LÆRING
BERETNING FRA FORMANDSKABET
sen fra VIVE (2024), som er udarbejdet på foranledning af formandskabet for Rådet for Børns
Læring, viser, at alle prøver bør afskaffes. I forlængelse heraf bemærkede de, at formandskabets
anbefaling om, at der fortsat skal være prøver i dansk og matematik, ikke holder. For DLF er
det vigtigt, at alle afgangsprøver afskaffes, bl.a. for at undgå skævvridningen mellem folkesko-
lens fag og det faktum, at afgangskaraktererne ikke giver ny viden. De bemærkede desuden, at
folkeskolen kan afsluttes på andre måder, og at det ikke er folkeskolens opgave at lære eleverne
at gå til prøve. DLF mener samtidig, at eleverne skal vejledes professionelt, så de kan træffe
den rigtige beslutning i forhold til deres videre vej. I forlængelse heraf bemærkede de, at det bør
være en elevrettighed at komme videre på en ungdomsuddannelse, hvilket de med fordel mener,
bør skrives tydeligere frem i årsberetningen. Der skal skrues op for den gode vejledningsindsats,
og det er vigtigt at huske på, at folkeskolen ikke har til opgave at vejlede hen imod én bestemt
ungdomsuddannelse, men understøtte eleverne i deres valg. DLF bemærkede til sidst, at man i
sammenhæng med fagfornyelsen bør gå det sidste skridt og droppe standpunktskaraktererne i
folkeskolen.
Forældrenes Landsorganisation (FOLA)
kvitterede for en god rapport, herunder særligt fokus på
at reducere antallet af afgangsprøver i folkeskolen. FOLA bemærkede dog, at man bør fjerne alle
eksamener fuldstændig. FOLA efterlyser en konstatering af, at folkeskolen ikke kan løfte den
opgave, der handler om at ”redde” ungdomsuddannelserne, herunder at gøre nogle ungdoms-
uddannelser mere eftertragtede. FOLA fremhævede desuden vigtigheden af at have pædagoger
med til skole-hjem-samtaler.
Kommunernes Landsforening (KL)
kvitterede for en gennemarbejdet årsberetning og var enige i,
at man bør reducere antallet af afgangsprøver i udskolingen, da det bl.a. kan være en af årsager-
ne til, at eleverne ofte mister lysten og nysgerrigheden i udskolingen. KL fremhævede desuden,
at det høje prøvetryk i folkeskolen kræver mange ressourcer, som med fordel kan benyttes
bedre i skolen.
Danske Professionshøjskoler (DP)
syntes overordnet set, at det er en god årsberetning og nogle
gode anbefalinger. De hilser tematikken om at reducere antallet af afgangsprøver velkommen
– ikke kun pga. ressourcer, men også fordi skolernes egne oplevelser er, at de mange prøver i
skolen presser eleverne. De bemærkede, at man ikke skal have flere afgangsprøver end højest
nødvendigt. DP bemærkede dog samtidig, at prøverne er en del af de unges dannelse og påpe-
gede, at formandskabet bør styrke argumentationen for, hvorfor de mener, at der fortsat skal
være prøver i dansk og matematik.
Danske Handicaporganisationer (DH)
synes overordnet set, at det er en god beretning og nogle
gode anbefalinger. DH bemærkede, at beretningen ikke indeholder elevgruppen med særlige
behov, der klarer sig langt dårligere ved folkeskolens afgangsprøve. I den anledning har de efter-
sendt undersøgelse fra AE (2019), der undersøger, hvordan unge med forskellige udvalgte psy-
kiske og fysiske handicap klarer sig ved folkeskolens afgangsprøve. Analysen viser overordnet,
at unge med handicap klarer sig dårligere ved folkeskolens afgangsprøve end unge generelt, og
DH peger i forlængelse heraf på, at dette bør adresseres i årsberetningen. Desuden bemærkede
DH, at det er relevant at kigge på de nordiske lande, men det med fordel kan beskrives, hvordan
landene rent faktisk klarer sig på forskellige parametre som f.eks. faglighed og trivsel sammen-
lignet med Danmark. Endeligt påpegede DH, at der mangler fokus på elevernes videreudvikling,
56
BILAG 1.
rEFErAt AF MØDE I rÅDEt For BØrnS lÆrIng D. 19. AUgUSt 2024
BUU, Alm.del - 2023-24 - Bilag 240: Beretning fra formandskabet for Rådet for Børns Læring, samt brev fra formanden
2899364_0057.png
BERETNING FRA FORMANDSKABET
RÅDET FOR BØRNS LÆRING
f.eks. i det videre arbejdsliv. DH sendte efter mødet desuden en række mere tekstnære bemærk-
ninger til årsberetningen.
Skole og Forældre
kvitterede for en god, relevant og velformuleret beretning med gode argumen-
ter. De var overordnet set enige i formandskabets anbefalinger, herunder at folkeskolen ikke skal
lukke døre til elevernes videre vej. De påpegede, at de unge i dag udskyder deres valg af karriere
ved at tage en gymnasial ungdomsuddannelse, som holder flere døre åbne end en erhvervsud-
dannelse. Skole og Forældre bakkede særligt op om formandskabets anbefaling vedr. vejled-
ning og feedback og bemærkede, at man i årsberetningen burde adressere, at den nuværende
karakterskala er upædagogisk, ligesom afgangsprøverne i folkeskolen på nuværende tidspunkt
mangler et pædagogisk sigte. Det blev desuden bemærket, at man i årsberetningen bør forholde
sig til, hvordan man sikrer kvaliteten i det alternative system, som formandskabet anbefaler.
Hvad skal eksempelvis erstatte den tryghed, som eksamenerne giver, fordi det bliver en mulig-
hed for en ”second opinion”? Endeligt kvitterede de for at samle ungdomsuddannelserne, men
man skal huske, at det er en svær opgave ift. bl.a. kultur og ledelse.
Ungdomsskoleforeningen
kvitterede for en god og velskrevet rapport. Ungdomsskoleforeningen
præsenterede et eksempel fra coronatiden, hvor betydningen af karakterer var mindre, hvilket
resulterede i, at den pågældende elev i højere grad kunne vise sine evner til de afsluttende prø-
ver. Ungdomsskoleforeningen påpegede, at man bør være opmærksom på, hvilken betydning
standpunktskaraktererne får ind i bl.a. undervisningen, hvis de eneste prøver vil være dansk og
matematik.
FOA
kvitterede for en god beretning, som de overordnet set bakker op om, herunder særligt te-
matikken om, at folkeskolen ikke må være en stopklods for de unges videre vej. FOA var blandt
andet optaget af social arv og mener, at flere elever mangler social kapital. I forlængelse heraf
bemærkede de på mødet, at der burde være et fag, der handler om livet i det hele taget. FOLA
bemærkede desuden, at folkeskolen ikke kan løse alle problemer, men der bør i højere grad være
fokus på, at eleverne får den relevante ”livsviden”. Derudover mener FOLA, at den mundtlige præ-
sentation ikke bør fylde så meget, da de elever, der ikke er gode til at tage ordet, bliver straffet
for det.
Dansk Ungdoms Fællesråd (DUF)
sendte efter mødet deres skriftlige bemærkninger til årsberet-
ningen. DUF kvitterede med, at det er en god, grundig og gennemarbejdet rapport. De kvitterede
særligt for fokus på mangfoldigheden i forskellige kompetencer i forhold til, hvad det vil sige ”at
være dygtig” i forhold til undervisning og afgangsprøver. Desuden bemærkede de det skarpe blik
for faglig trivsel, fokus på læring, og at elevernes perspektiv fremgår i rapporten. DUS bakkede
desuden op om formandskabets fokus på brugbar feedback i skolen. Det er et vigtigt blik for, at
prøvesystemet er hensigtsmæssigt for alle børn og unge. DUS bemærkede til sidst, at det med
fordel kan skrives tydeligere frem i årsberetningen, at retten til individuel vejledning ville være
godt for eleverne, dvs. en udspecificering af vejledningsindsatsen.
BILAG 1.
rEFErAt AF MØDE I rÅDEt For BØrnS lÆrIng D. 19. AUgUSt 2024
57
BUU, Alm.del - 2023-24 - Bilag 240: Beretning fra formandskabet for Rådet for Børns Læring, samt brev fra formanden
2899364_0058.png
RÅDET FOR BØRNS LÆRING
BERETNING FRA FORMANDSKABET
BILAG 2.
RÅDET FOR BØRNS LÆRINGS
AKTIVITETER I 2024
Formandskabet har i 2024 valgt at fokusere på elevernes sidste år i folkeskolen. De har særligt
haft fokus på, hvordan vi skaber en bedre udskoling med færre afgangsprøver, plads til praksis-
faglighed, dannelse og bedre muligheder for overgange til ungdomsuddannelse.
For at få mere viden om, hvilken betydning folkeskolens afgangsprøver har for overgangen til
ungdomsuddannelser, har formandskabet fået udarbejdet en undersøgelse ved Det Nationale
Forsknings- og Analysecenter for Velfærd (VIVE). Hovedresultaterne i rapporten falder ind under
to temaer. De første fem hovedresultater omhandler afgangsprøvekarakterernes betydning for
overgangen til ungdomsuddannelserne. De sidste tre hovedresultater omhandler afgangsprø-
vernes betydning for elevernes adfærd og undervisning. Undersøgelsen kan findes på rådets
hjemmeside: www.børns-læring.dk
Derudover har formandskabet afholdt en workshop med medlemmerne i Rådet for Børns
Læring. Workshoppen blev afholdt den 20. marts og blev indledt med et eksternt oplæg om af-
gangsprøverne i Danmark. Herefter var der en bred drøftelse i rådet, hvor formålet var at drøfte
og få konkrete input til formandskabets indledende anbefalinger om en bedre udskoling. Rådet
har senere haft mulighed for at komme med konkrete bemærkninger til den færdige årsberet-
ning.
Formandskabet var også repræsenteret på Folkemødet 2024, hvor de havde en paneldebat på
Altingets scene den 13. juni. Det overordnede tema for debatten centrerede sig om, hvordan vi
sikrer en bedre udskoling for alle. Dertil præsenterede formandskabet deres foreløbige anbefa-
linger, efterfuldt af en debat med repræsentanter for elever, lærere samt skole- og uddannelses-
ledere på henholdsvis grundskole- og ungdomsuddannelsesniveau. Anbefalingerne er senere
blevet færdigskrevet og er nu en del af den samlede årsberetning for 2024. Du kan læse mere
om formandskabets arrangement på folkeskolen.dk: Råd vil gøre op med eksamen som styren-
de for udskolingen (folkeskolen.dk)
I formandskabets tredje periode, som startede i december 2023 og sluttede i august 2024, har
der været afholdt to møder i Rådet for Børns Læring og ni møder i formandskabet.
Formandskabets årsberetning for 2024 kan findes på Rådets hjemmeside: www.børns-læring.dk
58
BILAG 2.
rÅDEt For BØrnS lÆrIngS AKtIVItEtEr I 2024
BUU, Alm.del - 2023-24 - Bilag 240: Beretning fra formandskabet for Rådet for Børns Læring, samt brev fra formanden
2899364_0059.png
BERETNING
FRA FORMANDSKABET
August 2024
Udgivet af:
Formandskabet for
Rådet for Børns Læring
Foto: Børne- og Under-
visningsministeriet
Grafisk produktion:
Stibo Complete
BUU, Alm.del - 2023-24 - Bilag 240: Beretning fra formandskabet for Rådet for Børns Læring, samt brev fra formanden
2899364_0060.png
FORMANDSKABET FOR
RÅDET FOR BØRNS LÆRING
Rådet for Børns Læring er et uafhængigt råd, hvis opgaver og sammen-
sætning er fastsat i folkeskoleloven. Rådet ledes af et formandskab,
hvis medlemmer er: Else Sommer (formand), Helle Bjerg, Marco Dam-
gaard, Mads Meier Jæger, Nanna Lohman, Anette Lykke, Jens-Peter
Thomsen.
Rådet for Børns Læring skal blandt andet følge, vurdere og rådgive
børne- og undervisningsministeren om det faglige niveau, den pæda-
gogiske udvikling og elevernes udbytte af undervisningen i folkeskolen
og om det pædagogiske arbejde med at understøtte alle børns trivsel,
udvikling og læring i dagtilbud.
www.børns-læring.dk