Beskæftigelsesudvalget 2023-24
BEU Alm.del Bilag 181
Offentligt
2878678_0001.png
Folketingets Finansudvalg
Christiansborg
31. maj 2024
Svar på Finansudvalgets spørgsmål nr. 250 (Alm. del) af 7. maj
2024 stillet efter ønske fra Christina Olumeko (ALT)
Spørgsmål
Vil ministeren redegøre for statens regneprincipper vedrørende sammenhængen
mellem ugentlig arbejdstid og timeproduktivitet, herunder hvordan man tidligere
har regnet med (og nu regner med) at en nedsættelse af arbejdstiden påvirker
timeproduktiviteten, hvorfor man har de regneprincipper, man bruger i dag, og
hvilken forskningsmæssig evidens der ligger bag dette valg?
Svar
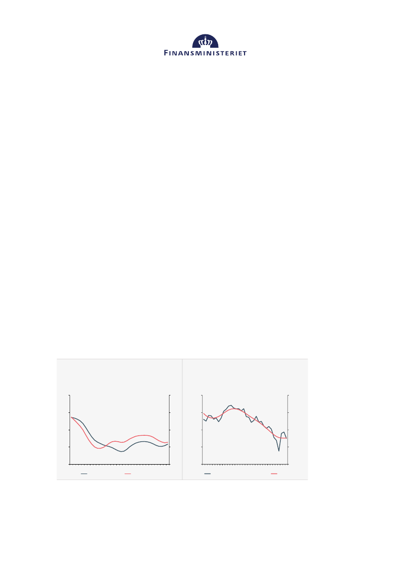
Som en del af de mellemfristede fremskrivninger forudsætter Finansministeriet, at
timeproduktiviteten i de private byerhverv vil vokse med ca. 1¼ pct. om året på
langt sigt. Timeproduktiviteten er defineret som den reale værditilvækst i forhold
til antallet af præsterede arbejdstimer i nationalregnskabet.
De beregningstekniske forudsætninger skal ses i lyset af den historiske udvikling i
timeproduktiviteten, hvor Finansministeriets beregningstekniske forudsætninger
omtrent svarer til et historisk gennemsnit siden 2000,
jf. figur 1.
Figur 1
Vækst i timeproduktivitet
Pct.
4
Pct.
4
Figur 2
Gennemsnitlig arbejdstid
Timer
Timer
1.550
1.550
3
3
1.500
1.500
2
2
1.450
1.450
1
1
1.400
1.400
0
1990
1994
1998 2002 2006
Hele økonomien
2010 2014 2018 2022
Private byerhverv
0
1.350
1990 1994 1998 2002 2006 2010 2014 2018 2022
Faktisk gennemsnitlig arbejdstid
Trend
1.350
Anm.: Figur 1 viser væksten i timeproduktiviteten efter at der er anvendt et HP-filter med en glatningsparameter sat
til 33. Figur 2 viser den gennemsnitlige arbejdstid opgjort som anttallet af præsterede timer i forhold til
antallet af beskæftigede ekskl. orlovspersoner i nationalregnskabet. Trenden er beregnet med et HP-filter
svarende til det som anvendes i figur 1.
Kilde: Danmarks Statistik og egne beregninger.
Finansministeriet · Christiansborg Slotsplads 1 · 1218 København K
BEU, Alm.del - 2023-24 - Bilag 181: Kopi af svar på FIU alm. del - svar på spm. 250 om statens regneprincipper vedrørende sammenhængen mellem ugentlig arbejdstid og timeproduktivitet mv. fra finansministeren
Side 2 af 2
Finansministeriet kender ikke til empirisk evidens for, at det på makroniveau
skulle kunne antages, at ændringer i arbejdstiden fra det nuværende niveau påvir-
ker den gennemsnitlige timeproduktivitet. Siden 1990 har der ikke været en klar
sammenhæng mellem arbejdstid og væksten i timeproduktiviteten,
jf. figur 1 og 2.
Med venlig hilsen
Nicolai Wammen
Finansminister