Ældreudvalget 2023-24
ÆLU Alm.del Bilag 41
Offentligt
2830411_0001.png
Redegørelse om
ældreområdet
2024
Februar 2024
ÆLU, Alm.del - 2023-24 - Bilag 41: Redegørelsen om ældreområdet 2024, fra ældreministeren ÆLU, Alm.del - 2023-24 - Bilag 41: Redegørelsen om ældreområdet 2024, fra ældreministeren
2830411_0003.png
REDEGØRELSE OM ÆLDREOMRÅDET 2024
ÆLU, Alm.del - 2023-24 - Bilag 41: Redegørelsen om ældreområdet 2024, fra ældreministeren
2830411_0004.png
Redegørelse om ældreområdet 2024
Henvendelse om publikationen kan ske til:
Social-, Bolig- og Ældreministeriet
Holmens Kanal 22
1060 København K
Tlf. 33 92 93 00
Tryk: Stibo Complete
ISBN: 978-87-7601-433-9 (TRYK)
ISBN: 978-87-7601-434-6 (WEB)
Publikationen kan hentes på
Social-, Bolig- og Ældreministeriets
hjemmeside:
www.sm.dk
ÆLU, Alm.del - 2023-24 - Bilag 41: Redegørelsen om ældreområdet 2024, fra ældreministeren
2830411_0005.png
Forord
Ældre mennesker er lige så forskellige som alle andre. Som ældreminister er jeg optaget af, at
vores ældrepleje skal kunne imødekomme den forskellighed, så vi også som gamle kan leve
liv med valgfrihed, selvbestemmelse og livsglæde.
Analyserne i dette års redegørelse på ældreområdet gør os blandt andet klogere på, hvor til-
fredse ældre, der modtager hjælp fra vores ældrepleje, er med den hjælp, de modtager. Som
minister for området glæder jeg mig over, at et betydeligt flertal er tilfredse med hjælpen.
Trods overvejende tilfredshed blandt modtagere af hjælp er der dog også væsentlige udfor-
dringer i vores ældrepleje. Udfordringer, som vi som samfund og lovgivere ikke kan sidde over-
hørige.
Derfor har regeringen præsenteret et udspil til en omfattende reform af ældreplejen i Danmark.
En ældrereform, der grundlæggende gentænker den måde, vi styrer, leverer og kontrollerer
vores ældrepleje på. En tillidsreform, der gør op med årtiers kontroltænkning og gør ældreple-
jen mere fleksibel.
Med reformen skaber vi bedre rammer for en alderdom med livsglæde. Vi styrker selvbestem-
melsen og valgmulighederne, så den enkelte ældre får større indflydelse på eget liv. Vi styrker
handlemulighederne og beslutningskraften hos ledere og medarbejdere. Det gør vi ved at
sætte tillid foran kontrol. For regeringen har grundlæggende tillid til, at den bedste ældrepleje
skabes, når der er gode relationer, dialog og tillid mellem ældre, pårørende og medarbejdere.
I stedet for at tro på, at kvalitet skabes gennem standarder, kontrol og dokumentation. Derfor
vil vi også gøre tilsynssystemet mere læringsorienteret.
Vi gør dermed op med årtiers voksende bureaukrati, for i en tid med store rekrutteringsvanske-
ligheder – som også afspejles i redegørelsen her – må vi koncentrere indsatsen om kerneop-
gaven: at give omsorg og nærvær til de ældre. Samtidig styrker vi samarbejdet mellem det
offentlige, civilsamfundet og det private erhvervsliv, så der bliver plads til mere lokal frihed,
ansvar og engagement. For regeringen ønsker, at Danmark går fra at være en velfærdsstat til
et velfærdssamfund.
Vi vil med andre ord nytænke ældreområdet og sætte omsorg, relationer, tillid og den ældres
selvbestemmelse i centrum. For det fortjener vore ældre. God læselyst!
Mette Kierkgaard
Ældreminister
REDEGØRELSE OM ÆLDREOMRÅDET 2024
ÆLU, Alm.del - 2023-24 - Bilag 41: Redegørelsen om ældreområdet 2024, fra ældreministeren ÆLU, Alm.del - 2023-24 - Bilag 41: Redegørelsen om ældreområdet 2024, fra ældreministeren
2830411_0007.png
Indhold
1. Den demografiske udvikling ................................................................................................9
2. Hjælp og omsorg til ældre .................................................................................................11
3. Plejehjemsområdet ...........................................................................................................16
4. Personale og rekruttering ..................................................................................................20
5. Økonomi ............................................................................................................................23
6. Tilsyn.................................................................................................................................26
7. Sociale relationer og ensomhed ........................................................................................28
Litteraturliste .........................................................................................................................31
REDEGØRELSE OM ÆLDREOMRÅDET 2024
ÆLU, Alm.del - 2023-24 - Bilag 41: Redegørelsen om ældreområdet 2024, fra ældreministeren ÆLU, Alm.del - 2023-24 - Bilag 41: Redegørelsen om ældreområdet 2024, fra ældreministeren
2830411_0009.png
1. Den demografiske udvikling
Antallet af ældre er steget betydeligt siden 2010 og forventes fortsat at stige markant de kom-
mende årtier.
Siden 2010 er antallet af ældre i alderen 67 år og derover steget med knap 312.000 personer,
således at der i 2023 var godt 1.079.000 i alderen 67 år og derover, svarende til en stigning på
41 pct. Samtidig forventes antallet af ældre at fortsætte med at stige i de kommende år. I 2070
forventes antallet af ældre i alderen 67 år og derover at udgøre knap 1.559.000 svarende til en
stigning på 44 pct. i forhold til 2023. Stigningen ses særligt i gruppen af ældre på 80 år og
derover, som forventes at stige fra godt 304.000 personer i 2023 til godt 640.000 personer i
2070, svarende til en stigning på 110 pct.,
jf. figur 1.1.
Figur 1.1
Forventet udvikling i antallet af personer på 67 år og derover og personer på 80 år og derover, 2010-
2070
Anm.: Tal for 2010 og 2020 er befolkningstallet opgjort pr. 1. januar, mens tallene for 2030-2070 følger Danmarks
Statistiks seneste befolkningsprognose.
Kilde: Danmarks Statistik, BEFOLK1 og FRDK123 og egne beregninger.
Den store stigning i antallet af ældre indebærer, at ældre kommer til at udgøre en større andel
af befolkningen fremover. Andelen af personer i befolkningen, som er 67 år og derover, ud-
gjorde i 2023 18 pct. og forventes at stige til 24 pct. i 2070. Andelen af befolkningen, som er
80 år og derover, steg fra 4 pct. i 2010 til 5 pct. i 2023, og forventes at stige til 10 pct. frem mod
2050, hvorefter andelen forventes at ligge relativt stabilt omkring dette niveau frem mod 2070,
jf. figur 1.2.
REDEGØRELSE OM ÆLDREOMRÅDET 2024
9
ÆLU, Alm.del - 2023-24 - Bilag 41: Redegørelsen om ældreområdet 2024, fra ældreministeren
2830411_0010.png
Figur 1.2
Forventet udvikling i andel af samlet befolkning, der er hhv. 67 år og derover samt 80 år og derover,
2010-2070
Anm.: Tal for 2010 og 2020 er befolkningstallet opgjort pr. 1. januar, mens tallene for 2030-2070 følger Danmarks
Statistiks seneste befolkningsprognose.
Kilde: Danmarks Statistik, BEFOLK1 og FRDK123 og egne beregninger.
Stigningen i antallet og andelen af ældre i befolkningen skal ses i lyset af en forventet stigende
levetid. Blandt kvinder forventes levetiden for 0-årige at stige fra 84 år i 2023 til 90 år i 2069 og
blandt mænd fra godt 80 år i 2023 til 88 år i 2069. For 67-årige forventes restlevetiden blandt
kvinder at stige fra knap 20 år i 2023 til 24 år i 2069, og for mænd forventes restlevetiden at
stige fra 17 år i 2023 til knap 23 år i 2069,
jf. tabel 1.1.
Tabel 1.1
Forventet udvikling i restlevetid, 2023-2069
2023
2030
2040
2050
2060
2069
----------------------------------------------- År -----------------------------------------------
Kvinder
0-årige
67-årige
80-årige
Mænd
0-årige
67-årige
80-årige
84,0
19,6
9,9
80,4
17,1
8,4
85,4
20,6
10,5
82,0
18,4
9,0
87,0
21,7
11,2
83,9
19,7
9,7
88,3
22,7
11,8
85,6
20,8
10,3
89,4
23,5
12,3
87,0
21,8
10,8
90,3
24,2
12,8
88,1
22,6
11,3
Anm.: Restleveår for 0-årige svarer til middellevetiden (den forventede levetid for en 0-årig). Middellevetiden er
beregnet ud fra dødeligheden i ét kalenderår. Afgrænsningen af dødsfald til beregning af middellevetid i frem-
skrivningen afviger fra den, der benyttes til beregning af middellevetid i de historiske dødelighedstavler, idet der
her benyttes to kalenderår og en registerbaseret tilgang.
Kilde: Danmarks Statistik, FRDK423.
10
REDEGØRELSE OM ÆLDREOMRÅDET 2024
ÆLU, Alm.del - 2023-24 - Bilag 41: Redegørelsen om ældreområdet 2024, fra ældreministeren
2830411_0011.png
Piger, der er født i 2023, forventes at leve knap fire år længere end drenge, der er født i 2023.
Denne forskel reduceres over tid, og i 2069 forventes det, at forskellen i levetid er faldet til godt
to år mellem nyfødte piger og drenge.
2. Hjælp og omsorg til ældre
Ældreområdet er hovedsageligt reguleret af serviceloven og sundhedsloven, og kommunerne
har ansvaret for at sikre levering af sociale og sundhedsfaglige indsatser, der skal hjælpe og
yde støtte til ældre borgere. Det omfatter blandt andet hjemmehjælp, rehabilitering, forebyg-
gende hjemmebesøg, genoptræning og vedligeholdelsestræning efter serviceloven, kommu-
nal sygepleje, forebyggelsestilbud og vederlagsfri genoptræning efter udskrivning fra sygehus
efter sundhedsloven samt tilbud om plejehjem.
Dette afsnit har fokus på hjemmehjælp for borgere i eget hjem og udviklingen i det samlede
antal personer i alderen 67 år og derover, der modtog hjemmehjælp i eget hjem og/eller reha-
bilitering i perioden 2019-2022. Afsnittet vil også belyse brugertilfredsheden blandt hjemme-
hjælpsmodtagere, udviklingen i antallet af private leverandører af hjemmehjælp og andelen af
ældre hjemmehjælpsmodtagere, som benytter privat leverandør samt brugen af udvalgte vel-
færdsteknologier på det kommunale sundheds- og ældreområde. Endelig vil afsnittet belyse
sammenhængen mellem funktionsevnerelaterede ressourcer og sandsynligheden for at mod-
tage hjemmehjælp.
Se boks 2.1 for uddybning af hjemmehjælp og rehabilitering efter servicelovens §§ 83-83a.
Boks 2.1
Hjemmehjælp og rehabilitering efter servicelovens §§ 83-83a
En væsentlig del af hjælpen og omsorgen til ældre består i hjemmehjælp (servicelovens § 83), som omfat-
ter:
Praktisk hjælp,
som eksempelvis kan være rengøring og hjælp til indkøb
Personlig pleje,
som for eksempel kan være hjælp til bad og af- og påklædning
Madservice,
som bl.a. er levering af mad lavet uden for hjemmet
Borgere kan også modtage rehabiliteringsforløb (servicelovens § 83a), som er et korterevarende og tidsaf-
grænset forløb til personer med nedsat funktionsevne, som gives, hvis rehabiliteringsforløbet vurderes at
kunne forbedre personens funktionsevne og dermed nedsætte behovet for hjemmehjælp.
Udvikling i antal modtagere af hjemmehjælp og rehabilitering
Der har i perioden 2019-2022 været en stigning i antallet af personer i alderen 67 år og derover,
der modtager hjemmehjælp i eget hjem og/eller rehabilitering. I 2019 modtog 175.800 personer
i alderen 67 år og derover hjemmehjælp i eget hjem eller rehabilitering, mens det var steget til
185.300 personer i 2022,
jf. tabel 2.1.
Opgørelsen er baseret på oplysninger fra 69 kommuner
og er forbundet med usikkerhed.
REDEGØRELSE OM ÆLDREOMRÅDET 2024
11
ÆLU, Alm.del - 2023-24 - Bilag 41: Redegørelsen om ældreområdet 2024, fra ældreministeren
2830411_0012.png
Tabel 2.1
Personer i alderen 67 år og derover, der modtager hjemmehjælp i eget hjem og/eller rehabilitering,
2019-2022
2019
2020
2021
2022
----------------------------------------- Antal -----------------------------------------
Hjemmehjælp i eget hjem
Rehabilitering
- heraf både hjemmehjælp i
eget hjem og rehabilitering
I alt
168.800
44.700
37.700
175.800
165.100
42.700
32.400
175.400
170.200
43.200
33.000
180.400
173.600
47.100
35.400
185.300
Anm.: Skøn over antal personer på 67 år og derover, som i løbet af året har været visiteret til hjemmehjælp i eget
hjem (frit valg) efter servicelovens § 83 og/eller rehabilitering efter servicelovens § 83 a. Betinget på, at perso-
nerne indgår i befolkningsregisteret enten primo eller ultimo året. Alder er opgjort ultimo året. Opgørelsen er ba-
seret på oplysninger fra 69 kommuner, som både har registeret vedr. visiteret hjemmehjælp frit valg (AEFV) og
registeret vedr. rehabilitering (AERH), og som har godkendt data for alle årets 12 måneder i årene 2019-2022.
Antal modtagere er opregnet til landsplan på baggrund af indbyggertal og er bl.a. derfor behæftet med usikker-
hed. Den manglende fuldstændige kommunedækning betyder, at der er tale om skøn og ikke eksakte tal, og op-
gørelsen er derfor behæftet med usikkerhed. Andel af befolkning er opgjort på baggrund af indbyggertal primo
året. Der er afgrænset til personer, der fylder 67 år eller derover i løbet af året. Registeret for modtagere af reha-
bilitering blev omlagt mellem 2018 og 2019 og særligt opgørelsen for 2019 er derfor forbundet med usikkerhed.
Derudover kan der være kommunale variationer i indberetningen af rehabilitering og visiteret hjemmehjælp. Antal
er afrundet til nærmeste 100.
Kilde: Egne beregninger på Danmarks Statistiks registerdata.
Stigningen i antal personer i alderen 67 år og derover, der modtager hjemmehjælp i eget hjem
og/eller rehabilitering, skal ses i lyset af, at der er kommet flere personer i den aldersgruppe
over tid. Andelen af personer i alderen 67 år og derover, som modtager hjemmehjælp i eget
hjem og/eller rehabilitering, er således på niveau med andelen i 2019,
jf. tabel 2.2.
Tabel 2.2
Andel personer i alderen 67 år og derover, der modtager hjemmehjælp i eget hjem og/eller rehabili-
tering, 2019-2022
2019
2020
2021
2022
------------------------------------------------------ Pct. ------------------------------------------------------
17,2
16,8
17,0
17,2
Anm.: Se anmærkning til tabel 2.1 for opgørelse af antal, der modtager hjemmehjælp i eget hjem og/eller rehabili-
tering. Folketallet er opgjort for 4. kvartal i året.
Kilde: Egne beregninger på Danmarks Statistiks registerdata og FOLK1A.
12
REDEGØRELSE OM ÆLDREOMRÅDET 2024
ÆLU, Alm.del - 2023-24 - Bilag 41: Redegørelsen om ældreområdet 2024, fra ældreministeren
2830411_0013.png
Privat levering af hjemmehjælp
Borgere i eget hjem har ret til frit valg af leverandør af praktisk hjælp, personlig pleje og mad-
service. Hjemmehjælpsmodtagerne skal således kunne vælge mellem to eller flere leverandø-
rer af hjælpen, hvoraf den ene kan være kommunal. Kommunerne er ikke forpligtet til at tilve-
jebringe et frit leverandørvalg ift. eksempelvis rehabilitering efter § 83a i serviceloven.
Blandt alle modtagere af hjemmehjælp i eget hjem i alderen 67 år og derover benyttede godt
40 pct. sig af en privat leverandør i 2022. Det er særligt modtagere af praktisk hjælp, der be-
nytter sig af en privat leverandør. Godt 46 pct. af hjemmehjælpsmodtagere, der udelukkende
modtager praktisk hjælp, og 41 pct. af hjemmehjælpsmodtagere, der både modtager personlig
pleje og praktisk hjælp, valgte en privat leverandør i 2022, mens der var godt 8 pct. blandt de
hjemmehjælpsmodtagere, der udelukkende modtager personlig pleje, der valgte en privat le-
verandør,
jf. tabel 2.3.
Tabel 2.3
Udvikling i andel af hjemmehjælpsmodtagere i eget hjem i alderen 67 år og derover, der benytter pri-
vat leverandør, 2010-2022
2010
Modtagere, der…
.. udelukkende modtager
personlig pleje
… udelukkende modtager
praktisk hjælp
…modtager både personlig
pleje og praktisk hjælp
Samlet antal modtagere af
hjemmehjælp
2013
2016
2019
2022
--------------------------------------- Pct. ---------------------------------------
4,1
41,5
26,3
31,5
7,6
46,5
31,1
35,4
8,4
44,5
33,9
35,4
12,1
41,4
35,1
35,3
8,1
46,1
40,9
40,4
Anm.: På baggrund af data over visiterede hjemmehjælpsmodtagere i eget hjem. Visitation til madservice indgår i
opgørelse af visitation til praktisk hjælp. Andel er beregnet ud fra borgerens hjælp i alt. Hvis borgeren anvender
minimum én privat leverandør indgår de i andelen, der benytter private leverandører, selvom de også anvender
en kommunal leverandør. I gruppen
modtagere af både personlig pleje og praktisk hjælp
vil modtagere, der ude-
lukkende får praktisk hjælp fra en privat leverandør og udelukkende personlig pleje fra en kommunal leverandør
således indgå i andelen, der benytter privat leverandør.
Kilde: Danmarks Statistik, AED12.
Andelen af hjemmehjælpsmodtagere i alderen 67 år og derover, der benytter sig af en privat
leverandør, har været stigende over en længere periode. Mellem 2010 og 2022 er andelen
steget fra knap 32 pct. til godt 40 pct. Der ses særligt en stigning blandt personer, der både
modtager personlig pleje og praktisk hjælp, hvor andelen er steget fra godt 26 pct. i 2010 til
knap 41 pct. i 2022.
De seneste ti år er antallet af private leverandører af hjemmehjælp i eget hjem faldet. Mens
der i 2013 var 459 private leverandører, var antallet faldet til 287 i 2019, hvorefter antallet af
private leverandører har ligget nogenlunde stabilt omkring 300,
jf. tabel 2.4.
REDEGØRELSE OM ÆLDREOMRÅDET 2024
13
ÆLU, Alm.del - 2023-24 - Bilag 41: Redegørelsen om ældreområdet 2024, fra ældreministeren
2830411_0014.png
Tabel 2.4
Udvikling i antal private leverandører af hjemmehjælp i eget hjem, 2012-2022
2012
2013
2014
2015
2016
2017
2018
2019
2020
2021
2022
------------------------------------------------- Antal -------------------------------------------------
396
459
432
375
326
357
320
287
305
296
306
Anm.: Antal private leverandører af hjemmehjælp er opgjort som antallet af unikke CVR-numre, der i løbet af året
har været visiteret til at levere hjemmehjælp til personer i eget hjem. Mangler der data for en kommune, er data
for tidligere år anvendt til at beregne landstotal.
Kilde: Danmarks Statistik, VH33.
Velfærdsteknologi i kommunerne på sundheds- og ældreområdet
Velfærdsteknologi er en bred vifte af konkrete, borgernære teknologier, som typisk indgår i
relationerne mellem medarbejdere og borgere med behov for hjælp og støtte. Flere teknologier
anvendes i dag i kommunerne på ældreområdet. Et eksempel på en anvendt teknologi i hjem-
meplejen er skærmbesøg, hvor medarbejderen kan vejlede den ældre i dagligdagsopgaver,
som ikke kræver medarbejderens fysiske tilstedeværelse.
For at kortlægge udbredelsen af velfærdsteknologi i kommunerne har KL spurgt ledere og
medarbejdere på forskellige fagområder ind til deres anvendelse af en række typer af teknolo-
gier i slutningen af 2022 og starten af 2023. På sundheds- og ældreområdet har 71 repræsen-
tanter fra 61 kommuner besvaret spørgeskemaet (KL og Kombits videncenter for digitalisering
og teknologi, 2023). Blandt respondenterne svarede 46 pct., at skærmbesøg er i drift, 25 pct.
svarede, at teknologien er afprøvet, mens 28 pct. svarede, at teknologien er overvejet,
jf. tabel
2.5.
Tabel 2.5
Svar på spørgeskemaundersøgelse blandt 71 repræsentanter fra 61 kommuner: Udvalgte teknologi-
ers status på det kommunale sundheds- og ældreområde
Teknologien
er i drift
Teknologien
er afprøvet
Teknologien
er overvejet
Teknologien er
ikke overvejet
I alt
------------------------------------------------ Pct. -----------------------------------------
Apps
Hygiejnerobotter
Telemedicin
Skærmbesøg
Sanserobotter
Medicinhåndterings-robotter
76
67
45
46
69
25
13
16
22
25
11
26
7
9
28
28
11
35
4
9
6
1
9
14
100
100
100
100
100
100
Anm.: Tallene er baseret på spørgeskemabesvarelser fra 71 respondenter fra 61 af landets 98 kommuner. Afvi-
gelse mellem sum og i alt skyldes afrunding. Svarene er indsamlet i perioden 5. december 2022 til 6. januar
2023.
Kilde: KL og Kombits videncenter for digitalisering og teknologi (2023).
14
REDEGØRELSE OM ÆLDREOMRÅDET 2024
ÆLU, Alm.del - 2023-24 - Bilag 41: Redegørelsen om ældreområdet 2024, fra ældreministeren
2830411_0015.png
Brugertilfredshed blandt hjemmehjælpsmodtagere
Kvalitet er et komplekst begreb, der kan have mange dimensioner, og hvor det ikke er muligt
at give en entydig definition. Det gælder også kvaliteten på ældreområdet, hvor et blandt flere
perspektiver på kvalitet er brugertilfredshed.
Med aftale om kommunernes økonomi for 2020 og 2022 blev parterne enige om, at der skal
etableres én samlet årlig national brugertilfredshedsundersøgelse blandt hjemmehjælpsmod-
tagere og plejehjemsbeboere, og der blev i 2021 i den sammenhæng gennemført en bruger-
tilfredshedsundersøgelse blandt hjemmehjælpsmodtagere og plejehjemsbeboere.
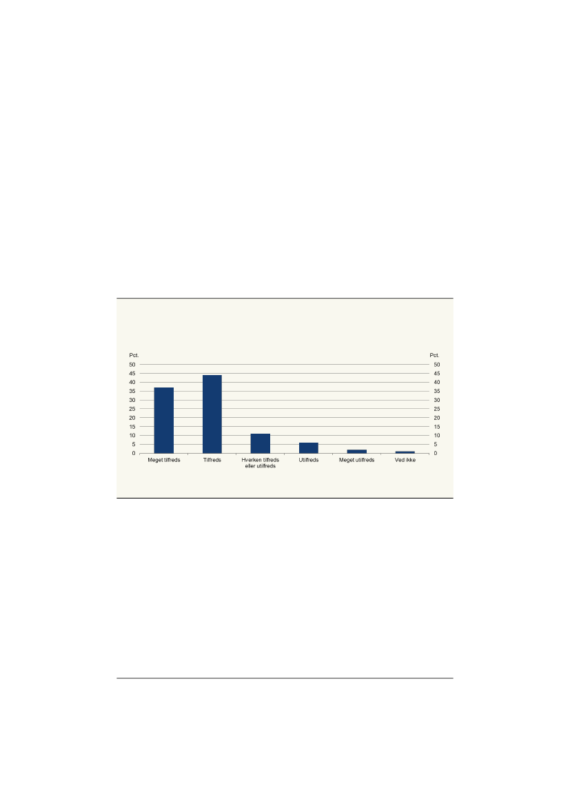
Resultaterne fra brugertilfredshedsundersøgelserne viser blandt andet, at 81 pct. af hjemme-
hjælpsmodtagerne er meget tilfredse eller tilfredse med den hjælp og støtte, de modtager,
jf.
figur 2.1.
Figur 2.1
Brugertilfredshedsundersøgelse blandt hjemmehjælpsmodtagere: Tilfredshed med hjælpen og støt-
ten
Anm.: Pilotbrugertilfredshedsundersøgelse i 2021 blandt hjemmehjælpsmodtagere. Tal i figur 2.1 bygger på svar
fra online spørgeskema og telefoninterviews. 2.977 personer besvarede spørgeskemaet i pilotbrugertilfredsheds-
undersøgelsen blandt hjemmehjælpsmodtagere, hvilket udgjorde en svarprocent på 50 pct.
Respondenterne blev spurgt:
”Hvor tilfreds er du samlet set med den hjælp og støtte, du får?”.
Sum afviger fra
100 som følge af afrunding.
Kilde: Sundhedsdatastyrelsen, esundhed.dk.
Sammenhæng mellem funktionsevnerelaterede ressourcer og hjemmehjælp
Ældrebefolkningen er langt fra en homogen gruppe. Ligesom det gælder for andre befolknings-
grupper, er ældregruppen præget af mangfoldighed. I 70-80-års alderen vil der således være
en betydelig andel, der fungerer lige så godt som de midaldrende, men også en stor gruppe,
der har problemer med helt almindelige daglige gøremål (Rockwoolfonden, 2022). Denne he-
terogenitet kommer også til udtryk i ældres behov for ældrepleje. Nogle ældre vil være res-
sourcestærke og ved godt helbred til langt oppe i årene, mens andre ældre vil være afhængige
af hjælp.
REDEGØRELSE OM ÆLDREOMRÅDET 2024
15
ÆLU, Alm.del - 2023-24 - Bilag 41: Redegørelsen om ældreområdet 2024, fra ældreministeren
2830411_0016.png
En undersøgelse fra VIVE (2024) viser således også, at der er en sammenhæng mellem æl-
dres funktionsevnerelaterede ressourcer og sandsynligheden for at modtage hjemmehjælp.
Ældre, der har 3-6 funktionsnedsættelser, har en signifikant højere sandsynlighed for at mod-
tage hjemmehjælp sammenlignet med ældre med 0-2 funktionsnedsættelser.
Analysen viser endvidere, at andelen af ældre, der modtager hjemmehjælp, er faldet i perioden
fra 2012 til 2022. Hertil viser analysen, at sandsynligheden for at modtage personlig pleje også
er faldet for ældre med 3-6 funktionsnedsættelser. Ældre med 3-6 funktionsnedsættelser har
dermed mindre sandsynlighed for at modtage personlig pleje i 2022 end i 2012 og 2017. For
den praktiske hjælp ses et fald fra 2012 til 2017, hvorefter der er en tendens til en stigning fra
2017 til 2022.
Utryghed vedrørende tilstrækkelig pleje i alderdommen
Tryghedsmålinger har igennem mange år spurgt ind til en række utrygheder i befolkningen, så
udviklingen kan følges over tid. Målingerne viser, at andelen, der erklærer sig meget/noget
utrygge for ikke at få tilstrækkelige pleje, når de bliver gamle, steg fra ca. 40 pct. i 2009 til knap
60 pct. i 2019. Herefter faldt andelen af utrygge brat under COVID19-pandemien. I de senere
år er andelen af utrygge begyndt at stige igen, og i 2023 var 53 pct. af borgerne mellem 18 og
65 år meget/noget utrygge for, om de vil få tilstrækkelig pleje i deres alderdom (Trygfonden,
2023).
3. Plejehjemsområdet
Plejehjemsområdet udgør en væsentlig del af den kommunale indsats på ældreområdet. I
dette afsnit ses nærmere på området. Afsnittet kommer ind på antallet af plejehjem og pleje-
hjemspladser, ældre på venteliste til plejehjem samt brugertilfredsheden blandt plejehjems-
beboere.
Antal plejehjem og plejehjemspladser
I 2023 var der i alt 947 plejehjem målrettet ældre, hvilket omfatter kommunale, private og
selvejende plejehjem samt friplejeboliger. Der var i alt godt 44.600 plejehjemspladser, sva-
rende til 47 pladser i gennemsnit pr. plejehjem,
jf. tabel 3.1
16
REDEGØRELSE OM ÆLDREOMRÅDET 2024
ÆLU, Alm.del - 2023-24 - Bilag 41: Redegørelsen om ældreområdet 2024, fra ældreministeren
2830411_0017.png
Tabel 3.1
Antal plejehjem og plejehjemspladser målrettet ældre, 2019-2023
Plejehjem
Plejehjemspladser
Gennemsnitlige antal
pladser pr. plejehjem
--------------------------------------- Antal ---------------------------------------
2019
2020
2021
2022
2023
938
939
943
942
947
43.377
43.646
44.050
44.331
44.607
46
46
47
47
47
Anm.: Antallet af plejehjem og plejehjemspladser er opgjort pr. ultimo november 2020-2023. Tallene for 2019
bygger på januar 2020, da der ikke er et nedslag ultimo 2019. Tallene er opgjort på baggrund af informationer fra
Plejehjemsoversigen.dk.
Kilde: Plejehjemsoversigten.dk
Der er knap 38.300 personer, som bor på plejehjem i 2023, hvilket svarer til et lille fald i for-
hold til 2022. Antallet af plejehjemsbeboere har ligget mellem knap 38.300 og knap 38.600 i
alle år i perioden 2019-2023, og det har hermed ikke ændret sig meget de seneste fem år,
jf.
tabel 3.2.
Tabel 3.2
Antal plejehjemsbeboere på 67 år og derover, 2019-2023
2019
2020
2021
2022
2023
------------------------------------------------------- Antal -------------------------------------------------------
38.357
38.396
38.262
38.572
38.292
Anm.: Antal unikke plejehjemsbeboere er opgjort som et tværsnit pr. 1. december i 2019-2023 på baggrund af
Sundhedsdatastyrelsens plejehjemsdata sammenstillet med CPR-registret.
Kilde: Sundhedsdatastyrelsen.
Andelen af befolkningen på 67 år og derover, der bor på plejehjem, er dog faldet med 0,3
procentpoint fra 3,8 pct. i 2019 til 3,5 pct. i 2023,
jf. tabel 3.3.
Tabel 3.3
Andel personer i alderen 67 år og derover, som bor på plejehjem, 2019-2023
2019
2020
2021
2022
2023
------------------------------------------------------- Pct. -------------------------------------------------------
3,8
3,7
3,6
3,6
3,5
Anm.: Se anmærkning til tabel 3.2 for opgørelse af plejehjemsbeboere. Folketallet er opgjort for 4. kvartal i året.
Kilde: Opgørelse fra Sundhedsdatastyrelsen og FOLK1 samt egne beregninger.
REDEGØRELSE OM ÆLDREOMRÅDET 2024
17
ÆLU, Alm.del - 2023-24 - Bilag 41: Redegørelsen om ældreområdet 2024, fra ældreministeren
2830411_0018.png
Visitation og ældre på venteliste til plejehjem
Borgere, som visiteres til en plejehjemsplads, kommer på venteliste til en plads. Blandt de
visiterede borgere bliver plejehjemspladserne tildelt efter behov. I 2009 trådte plejeboliggaran-
tien i kraft. Plejeboliggarantien giver personer i alderen 67 år og derover, der er visiteret til en
plejehjemsplads, en garanti for et tilbud om en bolig senest to måneder efter visitationen til en
plejehjemsplads. Borgere, der er visiteret til en plejehjemsplads, har ret til frit at vælge pleje-
hjem. Plejeboliggarantien gælder ikke, hvis man ønsker at anvende det frie valg og bo på et
specifikt plejehjem. Borgerne, der ikke ønsker at anvende det frie valg, kommer på den gene-
relle venteliste til en plejehjemsplads i kommunen, mens borgerne, der ønsker at benytte deres
frie valg, kommer på en venteliste til det konkrete plejehjem.
I 2022 havde 20.100 personer i alderen 67 år og derover på et tidspunkt i løbet af året været
på venteliste til en plejehjemsplads. Heraf har godt 14.400 været på ventelisten for personer,
som ønskede at gøre brug af det frie valg, mens knap 5.700 personer har været på den gene-
relle venteliste. Mellem 2016 og 2022 er antallet af ældre, der har været på venteliste til en
plejehjemsplads, steget med knap 2.000 personer. Herunder er antallet af personer, der har
været på den generelle venteliste, steget med godt 1.300 personer, mens antallet af ældre,
som gør brug af det frie valg, er steget med 700 personer i samme periode,
jf. tabel 3.4.
Tabel 3.4
Udviklingen i antal personer i alderen 67 år og derover, der har været på venteliste til en plejehjems-
plads, herunder personer, som gør brug af det frie valg, 2016-2022
2016
2022
Udvikling 2016-2022
----------------------------- Antal -----------------------------
Der gør brug af frit valg
Der ikke gør brug af de frie valg (ge-
nerelle venteliste)
I alt
13.700
4.400
18.100
14.400
5.700
20.100
700
1.300
2.000
------------------- Andel af 67+-årige (pct.) -------------------
Der gør brug af frit valg
Der ikke gør brug af de frie valg (ge-
nerelle venteliste)
I alt
1,4
0,5
1,9
1,3
0,5
1,9
-0,1
0,1
0,0
Anm.: Antal er afrundet til nærmeste 100. Danmarks Statistik modtager indberetninger fra kommunerne over an-
tal personer på den generelle venteliste og antal personer, der har ønsket at gøre brug af frit valg én gang årligt.
Indberetningerne omfatter alle personer, der har fremgået af ventelisterne på et tidspunkt i løbet af det pågæl-
dende år. Danmarks Statistik udregner det samlede antal personer, der har været på venteliste som summen af
personerne på de to lister. Det skal bemærkes, at tallet
ikke
er et udtryk for, hvor mange der aktuelt er på venteli-
ste til en plejehjemsplads. Derudover bemærkes det, at det ikke kan afvises, at der kan være personer, som både
fremgår i opgørelsen over antal personer på den generelle venteliste og antal personer, der gør brug af frit valg,
fx hvis personen først har modtaget plejehjemsplads via den generelle venteliste og efterfølgende ønsker en
plads via frit valg. I 2017-2020 er der flere kommuner, som mangler at indberette data. For disse er deres tal be-
regnet som gennemsnittet af året før og året efter. Andelen er beregnet som antal på venteliste sat i forhold til
den samlede befolkningsgruppe på 67 år og derover.
Kilde: Danmarks Statistik, AED16 og FOLK1A samt egne beregninger.
18
REDEGØRELSE OM ÆLDREOMRÅDET 2024
ÆLU, Alm.del - 2023-24 - Bilag 41: Redegørelsen om ældreområdet 2024, fra ældreministeren
2830411_0019.png
Stigningen i
antallet
af ældre, som har været på en venteliste til en plejehjemsplads, skal dog
ses i lyset af, at befolkningsgruppen på 67 år og derover har været voksende de seneste år.
Således er der ikke sket en stigning i
andelen
af ældre på 67 år og derover, som har været på
venteliste til en plejehjemsplads i løbet af året, idet andelen er uændret for den samlede ven-
teliste, når der sammenlignes med 2016.
Brugertilfredshed blandt plejehjemsbeboere
Der blev i 2021 gennemført en brugertilfredshedsundersøgelse blandt plejehjemsbeboere i
lighed med den, der er gennemført blandt hjemmehjælpsmodtagere. Se afsnit 1 for nærmere
baggrund. Undersøgelsen viser blandt andet, at 89 pct. af plejehjemsbeboerne føler sig
trygge og tilpas på plejehjemmet,
jf. figur 3.1.
Resultaterne i figur 3.1 er forbundet med usik-
kerhed, blandt andet fordi dataindsamlingen var præget af COVID-19-restriktionerne på ple-
jehjem.
Figur 3.1
Brugertilfredshedsundersøgelse blandt plejehjemsbeboere: Andel som føler sig tryg og tilpas på
plejehjemmet
Anm.: Pilotbrugertilfredshedsundersøgelse i 2021 blandt plejehjemsbeboere. Tal i figur 3.1 bygger på besøgsin-
terview foretaget i 2021. Dataindsamlingen for besøgsinterview var præget af COVID-19-restriktionerne på pleje-
hjem. Danmarks Statistik tog direkte kontakt til et stort antal af kommunerne, herunder især kommuner med et
lavt smittetryk. På denne måde kunne kommunerne selv tage stilling til, om de ønskede at deltage i dataindsam-
lingen. I alt 458 plejehjemsbeboere blev interviewet, hvilket vurderes at være et begrænset antal. Der foreligger
ikke opgørelser af svarprocenten.
Respondenterne blev spurgt:
”Føler du dig tryg og tilpas her på plejehjemmet?”.
Sum afviger fra 100 som følge af
afrunding.
Kilde: Sundhedsdatastyrelsen, esundhed.dk
REDEGØRELSE OM ÆLDREOMRÅDET 2024
19
ÆLU, Alm.del - 2023-24 - Bilag 41: Redegørelsen om ældreområdet 2024, fra ældreministeren
2830411_0020.png
4. Personale og rekruttering
Medarbejderne på ældreområdet består af en række forskellige faggrupper, som blandt an-
det omfatter social- og sundhedshjælpere, social- og sundhedsassistenter, sygeplejersker
samt ergoterapeuter og fysioterapeuter. Herudover er der en del medarbejdere, der ikke er
uddannet inden for social- og sundhedssektoren. De største faggrupper er social- og sund-
hedshjælpere og social- og sundhedsassistenter, og dette afsnit har derfor primært fokus på
dem.
Medarbejdere ansat på ældreområdet i kommunerne
I 2023 var der ansat godt 61.000 social- og sundhedsmedarbejdere, 10.500 sygeplejersker
samt 1.400 ergoterapeuter og 900 fysioterapeuter på ældreområdet i kommunerne,
jf. tabel
4.1.
Mellem 2018 og 2023 er antallet af social- og sundhedsmedarbejdere steget med godt 1.400,
mens antallet af sygeplejersker er steget med godt 900 medarbejdere, og ergoterapeuter og
fysioterapeuter begge er steget med knap 300 medarbejdere. Stigningen i antallet af social-
og sundhedsmedarbejdere dækker over et fald i antallet af uddannede social- og sundheds-
medarbejdere og en stigning i antallet af ikke-uddannede social- og sundhedsmedarbejdere.
Andelen af ikke-uddannede social- og sundhedsmedarbejdere udgør knap 17 pct. af den
samlede gruppe af social- og sundhedsmedarbejdere i 2023 mod godt 8 pct. i 2018. Ikke-ud-
dannede social- og sundhedsmedarbejdere omfatter medarbejdere, der udfører lignende op-
gaver som social- og sundhedsmedarbejdere, men ikke har en uddannelse inden for områ-
det. Det kan være medarbejdere, der eksempelvis har en gymnasial uddannelse som højest
fuldførte uddannelse, men det kan for eksempel også være medarbejdere med en pædago-
gisk uddannelse, der er ansat som social- og sundhedsmedarbejder.
20
REDEGØRELSE OM ÆLDREOMRÅDET 2024
ÆLU, Alm.del - 2023-24 - Bilag 41: Redegørelsen om ældreområdet 2024, fra ældreministeren
2830411_0021.png
Tabel 4.1
Medarbejdere ansat på ældreområdet i kommunerne
2018
2023
Udvikling
(2018-2023)
2018
(Andel i pct.)
2023
(Andel i pct.)
Social- og sundhedspersonale
I alt
Social- og sundhedsassi-
stenter
Social- og sundhedshjæl-
pere
Øvrige personalegrupper
Ikke-uddannet social- og
sundhedspersonale
59.600
21.100
29.200
4.400
4.900
61.000
20.400
27.700
2.700
10.300
1.400
-700
-1.600
-1.700
5.400
Sygeplejersker
I alt
Sygeplejersker (ikke-le-
dende)
Ledende sygeplejersker
9.600
8.000
1.600
10.500
8.700
1.800
900
700
200
Ergoterapeuter
I alt
Ergoterapeuter (ikke-le-
dende)
Ledende ergoterapeuter
1.100
1.000
100
1.400
1.300
100
300
200
-
Fysioterapeuter
I alt
Fysioterapeuter (ikke-le-
dende)
Ledende fysioterapeuter
600
500
100
900
800
100
300
300
-
100 pct.
88,8 pct.
11,2 pct.
100 pct.
87,7 pct.
12,3 pct.
100 pct.
91,3 pct.
8,7 pct.
100 pct.
90,9 pct.
9,1 pct.
100 pct.
83,5 pct.
16,5 pct.
100 pct.
83,2 pct.
16,8 pct.
100 pct.
35,3 pct.
49,1 pct.
7,4 pct.
8,1 pct.
100 pct.
33,4 pct.
45,3 pct.
4,4 pct.
16,8 pct.
Anm.: Medarbejdere er opgjort som fuldtidsbeskæftigede, dvs. at både deltids- og heltidsansatte indgår i opgørel-
sen, men er vægtet i forhold til deres arbejdstid. Opgjort i januar, ekskl. elever og ekstraordinært ansatte. Afrun-
det til nærmeste 100. Afvigelse mellem totalen og sum skyldes afrunding. Ældreområdet er afgrænset til hoved-
funktion
5.30 Tilbud til ældre
i den kommunale kontoplan (aktuel struktur).
Øvrige personalegrupper
omfatter øv-
rige stillingskategorier under overenskomstområdet
Social- og sundhedspersonale, KL,
som blandt andet inde-
holder, plejehjemsassistenter, sygehjælpere og hjemmehjælpere.
Kilde: Kommunernes og Regionernes løndatakontor (KRL) og egne beregninger.
Det er kommunerne, som visiterer borgere til hjemmehjælp i eget hjem, plejehjem og plejebo-
lig samt en række øvrige indsatser på ældreområdet. VIVE har estimeret, at der er ansat om-
kring 1.550 visitatorer på ældreområdet i kommunerne (VIVE, 2022).
REDEGØRELSE OM ÆLDREOMRÅDET 2024
21
ÆLU, Alm.del - 2023-24 - Bilag 41: Redegørelsen om ældreområdet 2024, fra ældreministeren
2830411_0022.png
Medarbejdere på deltid
Blandt medarbejderne på ældreområdet i kommunerne arbejder en stor andel på deltid. For
den største medarbejdergruppe, social- og sundhedsmedarbejdere, arbejder 74 pct. på del-
tid, mens 19 pct. arbejder på heltid. Hertil arbejder en mindre andel som timelønnede. Blandt
alle kommunalt ansatte arbejder 39 pct. på deltid, og 57 pct. arbejder på heltid, mens en min-
dre andel arbejder som timelønnede,
jf. figur 4.1.
Figur 4.1
Andel på deltid og heltid samt timelønnede blandt social- og sundhedsmedarbejdere ansat på
ældreområdet i kommunerne, 2023
Pct
.
80
70
60
50
40
30
20
10
0
Heltid
Deltid
Timelønnede
Social- og sundhedsmedarbejdere ansat på ældreområdet i kommunerne
Alle kommunalt ansatte
Pct
.
80
70
60
50
40
30
20
10
0
Anm.: Opgjort som fuldtidsbeskæftigede i januar 2023, ekskl. elever og ekstraordinært ansatte. Ældreområdet er
afgrænset til hovedfunktion
5.30 Tilbud til ældre
i den kommunale kontoplan. Social- og sundhedspersonale om-
fatter overenskomstområdet
Social- og sundhedspersonale, KL.
Kilde: Kommunernes og Regionernes løndatakontor (KRL) og egne beregninger.
Rekruttering
Tiltrækning og fastholdelse af medarbejdere er afgørende for at skabe en ældrepleje med tid
og omsorg for den enkelte ældre.
Arbejdsgiverne melder dog om udfordringer med at rekruttere de social- og sundhedshjæl-
pere og social- og sundhedsassistenter, som de har behov for. For social- og sundhedsassi-
stenter blev stillingen ikke besat i 13 pct. af rekrutteringsforsøgene i perioden marts 2023 til
august 2023, mens det for social- og sundhedshjælpere gjorde sig gældende for 16 pct.
Blandt alle rekrutteringsforsøg på tværs af stillingskategorier blev 12 pct. af stillingerne ikke
besat i samme periode. Ud over de ubesatte stillinger blev 9 pct. af stillingerne for social- og
sundhedsassistenter og 14 pct. af stillingerne for social- og sundhedshjælpere besat af med-
arbejdere uden alle de ønskede kvalifikationer. Det tilsvarende gjorde sig gældende for 12
pct. for alle rekrutteringsforsøgene på tværs af stillingskategorier,
jf. figur 4.2.
22
REDEGØRELSE OM ÆLDREOMRÅDET 2024
ÆLU, Alm.del - 2023-24 - Bilag 41: Redegørelsen om ældreområdet 2024, fra ældreministeren
2830411_0023.png
Figur 4.2
Andel ikke besatte rekrutteringsforsøg og stillinger besat af medarbejdere uden alle de ønskede
kvalifikationer blandt social- og sundhedsassistenter og social- og sundhedshjælpere i perioden
marts 2023 til og med august 2023
Anm.: Data beregnes p.ba. svar fra STARs rekrutteringssurvey, hvor virksomheder (herunder kommunale, regio-
nale og private), der har slået stillinger op som elektroniske jobopslag bliver spurgt til, om deres forsøg på at re-
kruttere har været succesfulde eller forgæves. ”Stillinger besat af medarbejdere uden alle de ønskede kvalifikatio-
ner” svarer til ”Rekrutteringer besat med anden profil (Substituerede)” fra jobindsats.dk. ”Ikke besatte rekrutte-
ringsforsøg” og ”Stillinger besat af medarbejdere uden alle de ønskede kvalifikationer” er opgjort som andel af det
samlede antal rekrutteringsforsøg.
Kilde: Jobindsats.dk, som bygger på data fra STARs rekrutteringssurvey, og egne beregninger.
De aktuelle rekrutteringsudfordringer efter SOSU-uddannede forventes at fortsætte. Mekani-
ske fremskrivninger efter arbejdskraft på velfærdsområderne peger på, at ændringen i efter-
spørgslen efter SOSU-uddannede samlet set ventes at overstige ændringen i udbuddet med
knap 15.000 personer i 2035 set i forhold til 2021 (Finansministeriet, 2023). Efterspørgslen
efter SOSU-uddannede skal ses i lyset af den forventede demografiske udvikling,
jf. afsnit 1.
5. Økonomi
Kommunernes økonomiske rammer, herunder servicerammen, der også dækker ældreområ-
det, aftales hvert år for kommunerne under ét i de årlige forhandlinger mellem regeringen og
KL om kommunernes økonomi. Det er herefter op til den enkelte kommunalbestyrelse at fast-
lægge og vedtage et budget, hvor de økonomiske ressourcer fordeles mellem ældreområdet
og andre kommunale velfærdsområder ud fra lokale prioriteringer og under hensyntagen til den
samlede serviceramme.
De kommunale regnskaber giver mulighed for at følge udviklingen i udgifterne til ældreområdet,
som blandt andet omfatter udgifter til hjemmehjælp for borgere i eget hjem, udgifter til beboere
på plejehjem samt kommunal sygepleje mv.
REDEGØRELSE OM ÆLDREOMRÅDET 2024
23
ÆLU, Alm.del - 2023-24 - Bilag 41: Redegørelsen om ældreområdet 2024, fra ældreministeren
2830411_0024.png
De samlede offentlige udgifter til ældreområdet udgjorde 53,6 mia. kr. i 2022 og er mellem
2018 og 2022 steget med 5,5 mia. kr. Se anmærkningen til tabel 5.1 for opgørelsesmetode og
afgrænsning mv.
Udgifterne til ældreområdet kan yderligere underopdeles. En væsentlig del af udgifterne til be-
boere på plejehjem opgøres som udgifter til hjemmehjælp undtaget frit valg mv., hvilket udgør
omkring halvdelen af de samlede offentlige udgifter til ældreområdet med 26,9 mia. kr. i 2022.
Udgifterne til hjemmehjælp og rehabiliteringsforløb for ældre bosiddende i eget hjem var 14,6
mia. kr. i 2022. Udgifter til kommunal sygepleje udgjorde 6,6 mia. kr.
Stigningen i de samlede udgifter mellem 2018 og 2022 skyldes særligt en stigning i udgifterne
til hjemmehjælp undtaget frit valg mv. på 3,1 mia. kr., mens udgifter til kommunal sygepleje er
steget med 1,1 mia. kr., og udgifter til hjemmehjælp og rehabiliteringsforløb i eget hjem er
steget med 1,0 mia. kr. i samme periode,
jf. tabel 5.1.
Tabel 5.1
De samlede offentlige udgifter til ældreområdet (23-pl).
2018
2019
2020
2021
2022
Udvikling
2018-2022
----------------------------------------- Mia. kr. ----------------------------------------
Hjemmehjælp undtaget frit valg
mv.
Hjemmehjælp og rehabiliterings-
forløb i eget hjem
Kommunal sygepleje
Aflastningstilbud og forebyg-
gende hjemmebesøg mv.
Hjælpemidler mv.
Plejevederlag mv.
I alt
23,8
13,6
5,5
2,7
2,3
0,2
48,1
24,8
13,7
5,8
2,7
2,2
0,2
49,5
26,1
13,8
6,2
2,8
2,3
0,2
51,5
26,4
14,5
6,5
3,0
2,3
0,2
52,8
26,9
14,6
6,6
3,1
2,2
0,2
53,6
3,1
1,0
1,1
0,4
0,0
0,0
5,5
Anm.: 2023-pl. Udgifterne er opgjort som de samlede offentlige nettodriftsudgifter på baggrund af kommuner-
nes regnskaber. Opgjort for
hovedfunktion 5.30 Tilbud til ældre
i den kommunale kontoplan (udgifter forbundet
med en række kommunale tilbud, der i overvejende grad gives til ældre), dranst 1 eks. udgiftsarten tjeneste-
mandspensioner mv. Der er ikke korrigeret for meropgaver i medfør af DUT mv. Summen afviger fra i alt som
følge af afrunding. Hjemmehjælp undtaget frit valg mv. er opgjort som funktion 5.30.27. Hjemmehjælp og re-
habiliteringsforløb i eget hjem er opgjort som funktion 5.30.26. Kommunal sygepleje er opgjort som funktion
5.30.28. Aflastningstilbud og forebyggende hjemmebesøg mv. er opgjort som funktion 5.30.29. Hjælpemidler
mv. er opgjort som funktion 5.30.31. Plejevederlag mv. er opgjort som funktion 5.30.36. Udgifter til kommunal
sygepleje er i kommunernes kontoplan ikke afgrænset til ældre personer særskilt.
Kilde: Danmarks Statistik, REGK100, og egne beregninger.
Sættes udgifterne til ældreområdet i forhold til antallet af ældre, er de steget med 3,7 pct. i
perioden 2018-2022 opgjort pr. person i alderen 67 år og derover, mens de i samme periode
er faldet med 1,8 pct. opgjort pr. person i alderen 80 år og derover,
jf. tabel 5.2.
24
REDEGØRELSE OM ÆLDREOMRÅDET 2024
ÆLU, Alm.del - 2023-24 - Bilag 41: Redegørelsen om ældreområdet 2024, fra ældreministeren
2830411_0025.png
Tabel 5.2
De samlede offentlige udgifter til ældreområdet pr. indbygger i alderen 67 år og derover og pr. ind-
bygger i alderen 80 år og derover, 2018-2022 (23-pl).
Relativ ud-
vikling
2018-2022
----- Pct. ---
--
3,7
-1,8
2018
2019
2020
2021
2022
------------------------------------ 1.000 kr. pr. indbygger ------------------------------
------
67 år og derover
80 år og derover
49
187
49
187
50
189
51
187
50
184
Anm.: 2023-pl. Indbyggertal er opgjort pr. 1. januar i året. Udgifter pr. indbygger i tabel 5.2 er afrundet til nærmeste
1.000 kr. Se anmærkning til tabel 5.1 for opgørelse af udgifter. Det bemærkes, at tabel 5.2 angiver udgifterne pr.
indbygger og således både omfatter personer, som modtager indsatser fra kommunerne, og personer, som ikke
gør.
Kilde: Danmarks Statistik, REGK100 og BEFOLK1, og egne beregninger.
Udgifterne på ældreområdet i tabel 5.1 og tabel 5.2 er opgjort ekskl. løft til ældreområdet på
finansloven placeret under det statslige delloft for driftsudgifter. Stigningen i udgifterne mellem
2018 og 2022 kan herunder ses i lyset af, at løft på finansloven, placeret under det statslige
delloft for driftsudgifter, løbende omlægges til generel kommunal finansiering og dermed af-
spejles i opgørelsen af kommunernes serviceudgifter. Se boks 5.1 for yderligere uddybning.
Boks 5.1
Løft af kommunernes serviceudgifter til ældreområdet, der følger af finanslovsaftalerne, placeret un-
der det statslige delloft for driftsudgifter
Udgifterne på ældreområdet i tabel 5.1 og tabel 5.2 er opgjort ekskl. løft af de kommunale serviceudgifter til
ældreområdet, der følger af finanslovsaftalerne, og som ligger under det statslige delloft for driftsudgifter. Løft,
der er placeret under det statslige delloft for driftsudgifter, udmøntes som statslige driftstilskud efter ansøgning
og fremgår derfor ikke af de kommunale serviceudgifter, da disse opgøres som nettodriftsudgifter, hvor stats-
lige driftstilskud og udgifter udlignes. En del af udviklingen i kommunernes serviceudgifter på ældreområdet
kan derfor ses i lyset af, at løft, der følger af finanslovsaftalerne, løbende omlægges til generel kommunal
finansiering og dermed bliver afspejlet i opgørelsen af kommunernes serviceudgifter. Udviklingen i udgifterne
på ældreområdet fra 2018 til 2019 skal således ses i lyset af, at ansøgningspuljen i 2017 og 2018 på 380 mio.
kr. (2017-pl) til ”Klippekort til ekstra hjælp” målrettet plejehjemsbeboere i 2019 blev omlagt til generel kom-
munal finansiering og dermed afspejles udgifterne i kommunernes serviceramme fra 2019, jf. aftalen om fi-
nansloven for 2017. Det samme gælder udviklingen i udgifterne på ældreområdet fra 2019 til 2020, som skal
ses i lyset af, at ”værdighedsmilliarden”, som afsat med aftalen om finansloven for 2016, blev omlagt til ge-
nerel kommunal finansiering og dermed afspejles udgifterne i kommunernes serviceramme fra 2020.
REDEGØRELSE OM ÆLDREOMRÅDET 2024
25
ÆLU, Alm.del - 2023-24 - Bilag 41: Redegørelsen om ældreområdet 2024, fra ældreministeren
2830411_0026.png
6. Tilsyn
Der føres på ældreområdet i dag en række tilsyn. Styrelsen for Patientsikkerhed fører i en
forsøgsperioden fra 1. juli 2018 til 31. december 2024 tilsyn med den fornødne kvalitet af den
social- og plejefaglige indsats efter servicelovens §§ 83–87 på ældreområdet (Ældretilsynet),
ligesom styrelsen fører et risikobaseret tilsyn med den sundhedsfaglige behandling på en
række behandlingssteder, herunder bl.a. plejehjem, midlertidige pladser og hjemmeplejeen-
heder. Derudover bliver der efter serviceloves §§ 148, 148a, 151 og §§ 151 a – c på ældre-
området foretaget kommunale tilsyn i hjemmeplejen og på plejehjem. Efter disse bestemmel-
ser skal kommunen bl.a. føre tilsyn med, at en række opgaver i plejeenhederne (kommunale
og private) løses i overensstemmelse med kommunens afgørelser og de kommunale kvali-
tetsstandarder. Kommunen skal endvidere bl.a. føre et såkaldt personrettet tilsyn med, at den
hjælp, der er truffet afgørelse om i forhold til den enkelte borger, fortsat opfylder sit formål.
Dette afsnit har fokus på Ældretilsynet i regi af Styrelsen for Patientsikkerhed.
Tilsynet omfatter personlig pleje og praktisk hjælp og madservice, rehabiliteringsforløb, aflast-
ning og afløsning og midlertidige ophold, socialpædagogisk bistand samt genoptræning og
vedligeholdelsestræning efter serviceloven.
Af Styrelsen for Patientsikkerhed erfaringsopsamling fra september 2023 fremgår, at styrel-
sen i perioden fra 1. marts 2021 til 28. februar 2023 gennemførte 314 ældretilsyn. Heraf var
167 planlagt ud fra stikprøver, 95 blev foretaget som reaktive tilsyn ud fra konkrete bekymrin-
ger for den fornødne kvalitet f.eks. efter bekymringshenvendelser om bestemte plejeenheder
eller efter kritisk omtale af en plejeenhed i pressen. Endelig blev 52 tilsyn foretaget som op-
følgning, efter Styrelsen for Patientsikkerhed tidligere havde udstedt påbud til en plejeenhed
om at rette op på større eller kritiske problemer af betydning for den fornødne kvalitet,
jf. figur
6.1.
26
REDEGØRELSE OM ÆLDREOMRÅDET 2024
ÆLU, Alm.del - 2023-24 - Bilag 41: Redegørelsen om ældreområdet 2024, fra ældreministeren
2830411_0027.png
Figur 6.1
Antal ældretilsyn fordelt på typer af plejeenheder i perioden 1. marts 2021- 28. februar 2023
180
160
140
120
100
80
60
40
20
0
Planlagte,
stikprøvebaserede tilsyn
Plejehjem
Reaktive tilsyn
Hjemmepleje
Opfølgende tilsyn
Midlertidige pladser
180
160
140
120
100
80
60
40
20
0
Anm.: Perioden var frem til foråret 2022 præget af COVID-19-forholdsregler, som bl.a. betød, at Styrelsen for Pa-
tientsikkerhed i perioder afstod fra at gå ud på stikprøvebaserede tilsyn for at begrænse antallet af besøg i ældre-
plejen og dermed minimere risikoen for at bringe smitte ind på fx plejehjem. Til gengæld oplevede styrelsen i peri-
oden en stigning i antallet af bekymringshenvendelser fra bl.a. personale og pårørende, der opfordrede styrelsen
til at undersøge forholdene i konkrete plejeenheder. Dette gav anledning til en del reaktive tilsyn på området.
Kilde: Styrelsen for Patientsikkerhed
I forbindelse med tilsynene vurderes plejeenhederne overordnet ud fra fire kategorier i for-
hold til den fornødne kvalitet af den social- og plejefaglige indsats. De fire kategorier er:
ingen
problemer
af betydning for den fornødne kvalitet,
mindre problemer
af betydning for den for-
nødne kvalitet,
større problemer
af betydning for den fornødne kvalitet samt
kritiske proble-
mer
af betydning for den fornødne kvalitet.
Samlet set var der ved 21 pct. af ældretilsynene ingen problemer af betydning for den for-
nødne kvalitet, mens der ved 60 pct. af tilsynene var mindre problemer af betydning for den
fornødne kvalitet. Ved 17 pct. af ældretilsynene var der større problemer, og denne vurdering
udløser et påbud til plejeenheden om at rette op på problemerne inden for en nærmere fast-
sat tidsfrist. Et påbud vil blive fulgt op af et nyt tilsyn. 3 pct. af tilsynene mundede ud i vurde-
ringen kritiske problemer af betydning for den fornødne kvalitet. Det vil sige, at der var alvor-
lige mangler inden for alle tilsynets temaer, og at kvaliteten af den social og plejefaglige ind-
sats blev vurderet som kritisk. Ved kritiske problemer udsteder Styrelsen for Patientsikkerhed
et påbud om at rette op på problemerne, og de kan påbyde plejeenheden helt eller delvist at
indstille aktiviteten. Styrelsen for Patientsikkerhed følger udviklingen tæt i sådanne sager.
Der følges altid op med et nyt tilsyn. De kritiske problemer blev oftest fundet ved reaktive til-
syn, hvor 8 pct. af tilsynene mundede ud i denne vurdering. Omvendt fandt de opfølgende
tilsyn i knap halvdelen af tilfældene ingen problemer af betydning for den fornødne kvalitet,
jf.
figur 6.2.
REDEGØRELSE OM ÆLDREOMRÅDET 2024
27
ÆLU, Alm.del - 2023-24 - Bilag 41: Redegørelsen om ældreområdet 2024, fra ældreministeren
2830411_0028.png
Figur 6.2
Fordeling af vurderingskategorier for forskellige typer af ældretilsyn
Pct
.
100
11 pct.
8 pct.
19 pct.
3 pct.
31 pct.
3 pct.
17 pct.
Pct
.
80
60
70 pct.
62 pct.
21 pct.
60 pct.
40
20
19 pct.
0
Planlagte,
stikprøvebaserede
tilsyn
Ingen problemer
11 pct.
Reaktive tilsyn
46 pct.
21 pct.
Opfølgende tilsyn
I alt
Mindre problemer
Større problemer
Kritiske problemer
Kilde: Styrelsen for Patientsikkerhed
7. Sociale relationer og ensomhed
Der er en stærk sammenhæng mellem menneskers sociale relationer og deres fysiske og
psykiske helbred. Personer med stærke relationer har således oftere et bedre helbred, bliver
sjældnere syge og kommer sig hurtigere over sygdom end personer med svage sociale rela-
tioner.
Til belysning af sociale relationer præsenteres nedenfor to indekser for henholdsvis tegn på
social isolation og ensomhed. Ofte benyttes social isolation og ensomhed synonymt, selvom
de typisk beskriver hver sin dimension af sociale relationer. Mens social isolation normalt be-
skriver den strukturelle dimension (kvantitative aspekter af relationerne, det vil sige, hvor
mange og hvilke personer man har kontakt med) af sociale relationer, afspejler ensomhed
derimod i højere grad den funktionelle dimension (henviser til mere kvalitative aspekter af
éns sociale relationer). Nedenstående resultater skal ses i lyset af, at data er indsamlet i en
periode, hvor der i forbindelse med håndteringen af covid-19-pandemien var indført en række
midlertidige tiltag og restriktioner i Danmark.
28
REDEGØRELSE OM ÆLDREOMRÅDET 2024
ÆLU, Alm.del - 2023-24 - Bilag 41: Redegørelsen om ældreområdet 2024, fra ældreministeren
2830411_0029.png
Når man ser på ældre, der har tegn på social isolation, ses det overordnet, at flere ældre i al-
deren 75 år og derover har tegn på social isolation end ældre i alderen 65-74 år. Dette gør
sig gældende både for mænd og kvinder. 11 pct. af mændene og 9,8 pct. af kvinderne i alde-
ren 65-74 år havde således tegn på social isolation, mens 14,2 pct. af mændene og 15,7 pct.
af kvinderne i alderen 75 år og derover havde tegn på social isolation i 2021,
jf. figur 7.1.
Figur 7.1
Andel ældre, der har tegn på social isolation, 2021
Pct
.
18
16
14
12
10
8
6
4
2
0
Mænd
65-74 år
Kvinder
≥ 75 år
Pct
.
18
16
14
12
10
8
6
4
2
0
Anm.: Den nationale sundhedsprofil benytter et indeks til belysning af social isolation. Det benyttede indeks til
belysning af tegn på social isolation er en tilpasset og modificeret version af Valtorta-indekset, der er et relativt
nyt indeks for social isolation. Indekset omfatter spørgsmål om, hvorvidt man bor sammen med andre, hvor ofte
man fysisk eller digitalt er i kontakt med venner, familie og bekendte, samt hvorvidt man går i skole, er under ud-
dannelse eller i arbejde. Det er muligt at opnå en score i intervallet nul til seks, og jo højere score, desto tydeli-
gere tegn på social isolation. I den nationale sundhedsprofils undersøgelse er der defineret en grænseværdi for
tegn på social isolation ved en score på fire eller derover.
Kilde: Den Nationale Sundhedsprofil, 2021.
Når man ser på ældre, der har tegn på ensomhed, ses det ligeledes overordnet, at flere æl-
dre i alderen 75 år og derover har tegn på ensomhed end ældre i alderen 65-74 år. Dette gør
sig gældende for både mænd og kvinder. 5,8 pct. af mændene og 9,1 pct. af kvinderne i al-
deren 65-74 år havde således tegn på ensomhed, mens 6,9 pct. af mændene og 11,6 pct. af
kvinderne i alderen 75 år og derover havde tegn på ensomhed i 2021. Andelen af ældre kvin-
der, der har tegn på ensomhed, er således højere end andelen af ældre mænd, der har tegn
på ensomhed,
jf. figur 7.2
REDEGØRELSE OM ÆLDREOMRÅDET 2024
29
ÆLU, Alm.del - 2023-24 - Bilag 41: Redegørelsen om ældreområdet 2024, fra ældreministeren
2830411_0030.png
Figur 7.2
Andel ældre, der har tegn på ensomhed, 2021
Pct
.
14
12
10
8
6
4
2
0
Mænd
65-74 år
Kvinder
≥ 75 år
Pct
.
14
12
10
8
6
4
2
0
Anm.: Den nationale sundhedsprofil benytter et indeks til belysning af ensomhed. Indekset Three-Item Loneliness
Scale (T-ILS) er benyttet i den nationale sundhedsprofil, som tager udgangspunkt i besvarelser af et spørgsmål
om, hvordan svarpersonerne nogle gange har det. Besvarelserne dækker over, hvor ofte man henholdsvis føler
sig isoleret fra andre, savner nogle at være sammen med og føler sig udenfor. I spørgsmålene skelnes der ikke
mellem forbigående og længerevarende tegn på ensomhed. Det er muligt at opnå en score i intervallet nul til ni,
og jo højere score, desto tydeligere tegn på ensomhed. Grænseværdien for tegn på ensomhed er defineret til en
score på syv eller derover
.
Kilde: Den Nationale sundhedsprofil, 2021.
Ovenstående resultater skal ses i lyset af, at data er indsamlet i en periode, hvor der i forbin-
delse med håndteringen af covid-19-pandemien var indført en række midlertidige tiltag og re-
striktioner i Danmark. Det overordnede formål hermed var at reducere smittespredningen, og
blandt de mest essentielle budskaber i denne strategi var, at borgerne skulle holde afstand til
hinanden samt begrænse antallet af personer, de havde fysisk kontakt med, ud over personer
i egen husstand. En naturlig konsekvens af myndighedernes anbefalinger og påbud var, at
karakteren, formatet og hyppigheden af kontakt mellem mennesker var anderledes under co-
vid-19-pandemien end under normale forhold.
30
REDEGØRELSE OM ÆLDREOMRÅDET 2024
ÆLU, Alm.del - 2023-24 - Bilag 41: Redegørelsen om ældreområdet 2024, fra ældreministeren
2830411_0031.png
Litteraturliste
Finansministeriet (2023): ”Økonomisk Analyse: Rekruttering af velfærdsmedarbejdere nu og i
fremtiden”
KL og Kombits videncenter for digitalisering og teknologi (2023): ”Kommunernes Teknologira-
dar 2023”
Styrelsen for Patientsikkerhed (2023): ”Ældretilsynet: Erfaringsopsamling 2021-2023”
Sundhedsstyrelsen (2022): ”Danskernes sundhed, Den Nationale Sundhedsprofil, 2021”
Trygfonden (2023): Tryghed og velfærd i Danmark 2023
Rockwool Fondens Forskningsenhed (2022): ”Et aldrende Danmark”
VIVE (2022): ”Estimat på årsværk af visitatorer ansat på det kommunale ældreområde”
VIVE (2024): ”Ældres livskvalitet og ressourcer”
REDEGØRELSE OM ÆLDREOMRÅDET 2024
31
ÆLU, Alm.del - 2023-24 - Bilag 41: Redegørelsen om ældreområdet 2024, fra ældreministeren
2830411_0032.png