Uddannelses- og Forskningsudvalget 2022-23 (2. samling)
UFU Alm.del
Offentligt
2767746_0001.png
Ministeren
Uddannelses- og Forskningsudvalget
Folketinget
Christiansborg
1240 København K
I brev af 21. september har udvalget efter ønske fra Katrine Robsøe (RV) stillet
mig følgende spørgsmål:
Alm. del spørgsmål 249
Vil ministeren redegøre for sammenhængen i dag mellem antallet af ugentlige
undervisningstimer og studerendes samlede ugentlige studietidsforbrug som op-
gjort i seneste dataindsamling af Danmarks Studiemiljøundersøgelse?
Svar
I Danmarks Studieundersøgelse angiver de studerende, hvor mange timer de
typisk anvender på hhv. undervisning, forberedelse og praktik pr. uge, samt hvor
mange timer de anvender på hhv. lønnet og frivilligt arbejde pr. uge. De studeren-
des tidsforbrug er således selvrapporteret og er derfor et udtryk for, hvor mange
timer de studerende selv har angivet, de anvender pr. uge. Opgørelsen tager så-
ledes ikke højde for, hvor mange undervisningstimer der udbydes på den pågæl-
dendes uddannelse.
Det er lagt til grund for besvarelsen af spørgsmålet, at
de studerendes samlede
ugentlige stuetidsforbrug
består af deres selvangivne tidsforbrug på hhv. under-
visning, forberedelse og praktik. De studerendes
ugentlige undervisningstimer
består af de studerendes selvangivne tidsforbrug på undervisning. Det bemærkes,
at antallet af undervisningstimer således er inkluderet i begge variable, hvorfor det
følger naturligt, at de studerendes samlede tidsforbrug stiger, når deres ugentlige
undervisningstimer stiger (hvis de studerendes tidsforbrug på forberedelse og
praktik vel at mærke er konstant eller derover).
I opgørelsen anvendes seneste indsamling af data fra Danmarks Studieundersø-
gelse fra 2021. Opgørelsen er afgrænset til kandidatstuderende.
Generelt skal det bemærkes, at det ikke er muligt på baggrund af Danmarks Stu-
dieundersøgelse at udtale sig om, hvorvidt der er kausale sammenhænge mellem
de studerendes ugentlige undervisningstimer og hhv. deres samlede ugentlige
studietidsforbrug og samlede ugentlige arbejdstid. Eksempelvis kan øvrige studi-
emæssige forhold eller personlige faktorer omkring den studerende påvirke både
hvor mange undervisningstimer, den studerende går til, samt hvor meget den stu-
derende forbereder sig eller arbejder.
19. oktober 2023
Uddannelses- og
Forskningsministeriet
Børsgade 4
Postboks 2135
1015 København K
Tel. 3392 9700
www.ufm.dk
CVR-nr. 1680 5408
Ref.-nr.
426753
Side 1/3
UFU, Alm.del - 2022-23 (2. samling) - Endeligt svar på spørgsmål 249: Spm. om sammenhængen i dag mellem antallet af ugentlige undervisningstimer og studerendes samlede ugentlige studietidsforbrug som opgjort i seneste dataindsamling af Danmarks Studiemiljøundersøgelse
2767746_0002.png
Ifølge de studerendes selvrapporterede tidsforbrug er den gennemsnitlige studie-
tid for kandidatstuderende ca. 36 timer om ugen. Den gennemsnitlige selvrappor-
terede studietid er højere for studerende, der i har mere end 15 ugentlige under-
visningstimer om ugen,
jf. figur 1.
Figur 1
Gennemsnitligt ugentligt studietidsforbrug for kandidatstuderende fordelt efter antal ugentli-
ge undervisningstimer, timer pr. uge, 2021
Samlet studietidsforbrug (gns. timer/uge)
60
52
50
43
40
30
20
10
0
0-5
6-10
11-15
16-20
21-25
25+
Ugentlige undervisningstimer
39
34
34
30
Samlet studietid (gns. timer/uge)
Anm.:
Kilde:
Gns.
Antal respondenter: 14.483. Fordeling af respondenter på hhv. 0-5 timer: 1.869, 6-10 timer:
3.936, 11-15 timer: 3.483, 16-20 timer: 2.684, 21-25 timer: 1.136 og 25+ timer: 1.375.
Danmarks Studieundersøgelse (studerende) 2021, Uddannelses- og Forskningsstyrelsen.
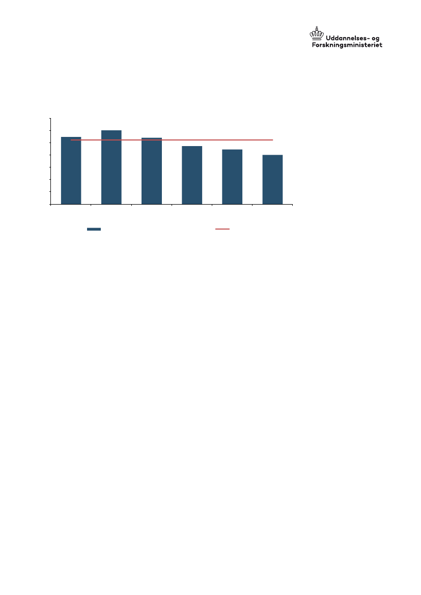
Kandidatstuderende angiver, at de i gennemsnit bruger 11 timer om ugen på løn-
net og frivilligt arbejde. Generelt er det selvrapporterede tidsforbrug på arbejde
(lønnet og frivilligt) højere blandt kandidatstuderende med færre ugentlige under-
visningstimer,
jf. figur 2.
Det bemærkes, at der er tale om gennemsnitlig arbejdstid blandt alle adspurgte
kandidatstuderende
både dem, som har et arbejde og dem, som ikke har et
arbejde ved siden af deres studie. Den gennemsnitlige arbejdstid blandt kandidat-
studerende, som arbejder ved siden af deres studie (lønnet eller frivilligt), er 14
timer pr. uge.
Side 2/3
UFU, Alm.del - 2022-23 (2. samling) - Endeligt svar på spørgsmål 249: Spm. om sammenhængen i dag mellem antallet af ugentlige undervisningstimer og studerendes samlede ugentlige studietidsforbrug som opgjort i seneste dataindsamling af Danmarks Studiemiljøundersøgelse
2767746_0003.png
Figur 2
Gennemsnitlig arbejdstid for kandidatstuderende fordelt efter antal ugentlige undervisnings-
timer, timer pr. uge, 2021
Arbejde (gns. timer/uge)
14
12
12
10
8
6
4
2
0
0-5
6-10
11-15
16-20
21-25
25+
11
11
9
9
11
8
Undervisning (timer/uge)
Arbejde (lønnet og frivilligt)
Anm.:
Gns.
Kilde:
Antal respondenter: 14.413. Fordeling af respondenter på hhv. 0-5 timer: 1.869, 6-10 timer:
3.936, 11-15 timer: 3.483, 16-20 timer: 2.684, 21-25 timer: 1.136 og 25+ timer: 1.375.
Arbejde inkluderer både lønnet og frivilligt arbejde. Gennemsnittet er beregnet pba. af alle
kandidatstuderende (dvs. også studerende med 0 timers arbejde).
Danmarks Studieundersøgelse (studerende) 2021, Uddannelses- og Forskningsstyrelsen.
Med venlig hilsen
Christina Egelund
Side 3/3