Uddannelses- og Forskningsudvalget 2022-23 (2. samling)
UFU Alm.del
Offentligt
2754593_0001.png
Folketingets Uddannelses- og Forskningsudvalg
Christiansborg
25. september 2023
Svar på Uddannelses- og Forskningsudvalgets spørgsmål nr. 213
(Alm. del) af 28. august 2023 stillet efter ønske fra Katrine Robsøe
(RV)
Spørgsmål
Vil ministeren redegøre for de skønnede velstandseffekter af den sektordimensio-
nering, der indgår i ”Aftale om rammerne for reform af universitetsuddannelserne
i Danmark” (2023) og de bagvedliggende
antagelser og forudsætninger? Herunder
bedes både den samlede velstandseffekt, produktivitet og beskæftigelse opgjort pr.
år frem til 2075.
Svar
Virkningen af sektordimensionering,
der indgår i ”Aftale om rammerne for re-
form af universitetsuddannelserne
i Danmark” (2023),
skønnes isoleret set at øge
velstanden målt ved strukturelt BNP med 1,4 mia. kr. i 2030,
jf. tabel 1 og faktaarket
”Provenu-
og beskæftigelsesvirkninger af Aftale om rammerne for reform af universitetsuddannel-
serne i Danmark” af
27. juni 2023.
Virkningen på velstanden af sektordimensione-
ring kan henføres til øget arbejdsudbud som følge af en tidligere udtræden på ar-
bejdsmarkedet.
Den isolerede velstandsvirkning fra sektordimensionering vurderes at være negativ
på lang sigt, svarende til knap -13 mia. kr. i 2075, som følge af en lavere beregnet
produktivitet for dimittender fra erhvervsakademi- og professionsbacheloruddan-
nelser sammenlignet med kandidatuddannelser, hvilket følger regneprincipper for
ændringer i uddannelsesniveauer.
Tabel 1
Velstandsvirkning af sektordimensionering i
”Aftale om rammerne for reform af
universitetsuddannelserne
i Danmark” (2023)
målt ved strukturel BNP
Mia. kr. (2023-niveau)
Sektordimensionering
2025
0,0
2026
0,1
2027
0,1
2028
0,2
2029
0,7
2030
1,4
2032
1,2
2034
1,0
2075
-12,7
Anm.:
Tallene i tabel 1 fremgår også af faktaarket ”Provenu-
og beskæftigelsesvirkninger af Aftale om rammerne
for reform af universitetsuddannelserne i Danmark” af 27. juni 2023.
Kilde: Faktaarket
”Provenu-
og beskæftigelsesvirkninger af Aftale om rammerne for reform af universitetsuddan-
nelserne i Danmark”.
Finansministeriet · Christiansborg Slotsplads 1 · 1218 København K
UFU, Alm.del - 2022-23 (2. samling) - Endeligt svar på spørgsmål 213: Spm. om de skønnede velstandseffekter af den sektordimensionering, der indgår i Aftale om rammerne for reform af universitetsuddannelserne i Danmark (2023) og de bagvedliggende antagelser og forudsætninger
2754593_0002.png
Side 2 af 3
I beregningerne af reformøkonomien er der taget udgangspunkt i den forventede
ændring i optaget til de akademiske bacheloruddannelser som følge af sektordi-
mensionering på 8 pct. Den forventede ændring i optaget fremgår af faktaarket
”Tilpasning
af optag på universiteterne”
af 27. juni 2023.
De bagvedliggende anta-
gelser og forudsætninger fremgår af boks 1.
Boks 1
Antagelser og forudsætninger i beregningerne
Det er lagt til grund, at reduktionen i optaget på de akademiske bacheloruddannelser medfører en tilsvarende sam-
let stigning i optaget på professionsbachelor- og erhvervsakademiuddannelser for danske studerende. Dette medfø-
rer, at der er forudsat et kortere uddannelsesforløb og lavere uddannelsesniveau for den omfattede gruppe.
Det er lagt til grund, at et kortere uddannelsesforløb medfører en tidligere udtræden på arbejdsmarkedet, hvilket
isoleret set har en positiv indvirkning på den samlede lønsum og dermed velstandsniveauet. Samtidig er et lavere
uddannelsesniveau isoleret set
via lavere forventet produktivitet
forbundet med en reduktion i den samlede løn-
sum og påvirker dermed velstandsniveauet negativt.
Samtidig er det forudsat, at beskæftigelsesgrad og timeløn er positivt korreleret med uddannelsesniveau, og at der
ikke er fuldt gennemslag på beskæftigelse og produktivitet ved skift mellem uddannelsesniveauer. Dette følger af
Finansministeriets regneprincipper, som bl.a. er nærmere
beskrevet i ”Finansredegørelse 2014”.
I figur 1 er vist den skønnede virkning af sektordimensioneringen på velstandsni-
veauet målt ved strukturelt BNP opdelt på hhv. bidraget fra produktivitet og
strukturel beskæftigelse. Figuren viser, at bidraget fra strukturel beskæftigelse er
positivt fra 2025 som følge af effekten af kortere uddannelsesforløb. Derudover
viser figuren, at bidraget fra produktivitet er negativt fra 2028, hvilket skyldes et
lavere uddannelsesniveau. Det positive bidrag fra øget strukturel beskæftigelse do-
minerer indtil 2039, hvorefter det negative bidrag fra lavere produktivitet domine-
rer.
Figur 1
Opdelt velstandsvirkning af sektordimensionering i
”Aftale om rammerne for reform af
universitetsuddannelserne
i Danmark” (2023)
Mia. kr.
4
Mia. kr.
4
2
0
-2
-4
-6
-8
-10
-12
2024
2025
2026
2027
2028
2029
2030
2031
2032
2033
2034
2035
2036
2037
2038
2039
2040
2041
2042
2043
2044
2045
2046
2047
2048
2049
2050
2051
2052
2053
2054
2055
2056
2057
2058
2059
2060
2061
2062
2063
2064
2065
2066
2067
2068
2069
2070
2071
2072
2073
2074
2075
2
0
-2
-4
-6
-8
-10
-12
-14
-14
Velstand
Bidrag fra produktivitet
Bidrag fra strukturel beskæftigelse
Anm.: Beregningerne tager udgangspunkt i en sektordimensionering på 8 pct. fra 2025. Den samlede
velstandsvirkning er målt ved strukturelt BNP og er opdelt på hhv. bidraget fra produktivitet og strukturel
beskæftigelse.
Kilde: Egne beregninger.
UFU, Alm.del - 2022-23 (2. samling) - Endeligt svar på spørgsmål 213: Spm. om de skønnede velstandseffekter af den sektordimensionering, der indgår i Aftale om rammerne for reform af universitetsuddannelserne i Danmark (2023) og de bagvedliggende antagelser og forudsætninger
2754593_0003.png
Side 3 af 3
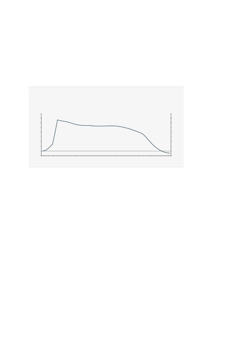
I figur 2 er vist den skønnede virkning af sektordimensionering på den strukturelle
beskæftigelse opgjort i fuldtidspersoner. Figuren viser, at sektordimensioneringen
øger den strukturelle beskæftigelse indtil 2071, da virkningen ved tidligere udtræ-
den på arbejdsmarkedet er mest markant. Derefter er virkningen på den struktu-
relle beskæftigelse negativ, da effekten ved lavere uddannelsesniveau
og dermed
lavere forudsat beskæftigelsesgrad samt lavere tilbagetrækningsalder
dominerer.
Figur 2
Virkning på strukturel beskæftigelse af sektordimensionering i
”Aftale om rammerne for reform af
universitetsuddannelserne
i Danmark” (2023)
Fuldtidspersoner
1.600
1.400
Fuldtidspersoner
1.600
1.400
1.200
1.000
800
600
400
1.200
1.000
800
600
400
200
0
2024
2025
2026
2027
2028
2029
2030
2031
2032
2033
2034
2035
2036
2037
2038
2039
2040
2041
2042
2043
2044
2045
2046
2047
2048
2049
2050
2051
2052
2053
2054
2055
2056
2057
2058
2059
2060
2061
2062
2063
2064
2065
2066
2067
2068
2069
2070
2071
2072
2073
2074
2075
200
0
-200
-200
Anm.: Beregningerne tager udgangspunkt i en sektordimensionering på 8 pct. fra 2025.
Kilde: Egne beregninger.
Med venlig hilsen
Nicolai Wammen
Finansminister