Sundhedsudvalget 2022-23 (2. samling)
SUU Alm.del Bilag 250
Offentligt
2720209_0001.png
2023
Monitorering af
forløbstider på
kræftområdet
Opgørelse for 1. kvartal 2023
SUU, Alm.del - 2022-23 (2. samling) - Bilag 250: Orientering om rapport om Monitorering af forløbstider på kræftområdet – opgørelse for 1. kvartal 2023, fra indenrigs- og sundhedsministeren
2720209_0002.png
Monitorering af forløbstider på kræftområdet, 1. kvartal 2023
Side 2/46
Monitorering af forløbstider på kræftområdet
Opgørelse for 1. kvartal 2023
© Sundhedsstyrelsen, 2023.
Publikationen kan frit refereres
med tydelig kildeangivelse.
Sundhedsstyrelsen
Islands Brygge 67
2300 København S
www.sst.dk
Elektronisk
ISBN: 978-87-7014-555-8
Sprog:
Dansk
Version:
1
Versionsdato:
2.6.2023
Format:
pdf
Udgivet af Sundhedsstyrelsen,
Juni 2023
SUU, Alm.del - 2022-23 (2. samling) - Bilag 250: Orientering om rapport om Monitorering af forløbstider på kræftområdet – opgørelse for 1. kvartal 2023, fra indenrigs- og sundhedsministeren
Monitorering af forløbstider på kræftområdet, 1. kvartal 2023
Side 3/46
Indholdsfortegnelse
Resumé................................................................................................................................. 4
1. Baggrund ......................................................................................................................... 9
1.1. Implementering af nyt landspatientregister LPR3 i 2019 ............................................. 9
2. Vejledning til Sundhedsstyrelsens kommentarer .................................................... 10
3. Sundhedsstyrelsens kommentarer
nationalt niveau ............................................ 12
4. Organspecifikke pakkeforløb ...................................................................................... 18
4.1 Brystkræft (B01) ......................................................................................................... 18
4.2 Hoved- og halskræft (B02) ........................................................................................ 20
4.3 Lymfeknudekræft og kronisk lymfatisk leukæmi (B03) ............................................. 21
4.4 Myelomatose (B04).................................................................................................... 21
4.5 Akut leukæmi og fremskreden myelodysplastisk syndrom (B05) ............................ 22
4.6 Kronisk myeloide sygdomme (B06) .......................................................................... 23
4.7 Kræft i bugspytkirtlen (B07) ....................................................................................... 23
4.8 Kræft i galdegang (B08) ............................................................................................ 24
4.9 Kræft i spiserøret/mavemunden/mavesækken (ECV) (B09) ................................... 25
4.10 Primær leverkræft (B10) .......................................................................................... 25
4.11 Kræft i tyk- og endetarm (B12) ................................................................................ 26
4.12 Kræft i urinveje (B13) ............................................................................................... 29
4.13 Kræft i blæren (B14) ................................................................................................ 30
4.14 Kræft i nyre (B15) .................................................................................................... 31
4.15 Kræft i prostata (B16) .............................................................................................. 31
4.16 Kræft i penis (B17) ................................................................................................... 33
4.17 Kræft i testikel (B18) ................................................................................................ 33
4.18 Kræft i ydre kvindelige kønsorganer (vulva) (B19) ................................................. 33
4.19 Livmoderkræft (B20) ................................................................................................ 34
4.20 Kræft i æggestok (B21) ........................................................................................... 35
4.21 Livmoderhalskræft (B22) ......................................................................................... 37
4.22 Kræft i hjernen (B23) ............................................................................................... 37
4.23 Kræft i øjne og orbita (B24) ..................................................................................... 38
4.24 Modermærkekræft i hud (B25) ................................................................................ 38
4.25 Lungekræft (B26) ..................................................................................................... 38
4.26 Sarkom i knogle (B27) ............................................................................................. 41
4.27 Sarkom i bløddele (B29) .......................................................................................... 42
4.28 Kræft hos børn (B30) ............................................................................................... 42
4.29 Analkræft (B31) ........................................................................................................ 42
4.30 Kræft i nyrebækken eller urinleder (B32) ................................................................ 43
4.31 Lungehindekræft (B33) ............................................................................................ 43
5. Diagnostisk pakkeforløb .............................................................................................. 45
SUU, Alm.del - 2022-23 (2. samling) - Bilag 250: Orientering om rapport om Monitorering af forløbstider på kræftområdet – opgørelse for 1. kvartal 2023, fra indenrigs- og sundhedsministeren
2720209_0004.png
Monitorering af forløbstider på kræftområdet, 1. kvartal 2023
Side 4/46
Resumé
Sundhedsstyrelsens kommentarer til den nationale monitorering af forløbstiderne på
kræftområdet for 1. kvartal 2023
fokuserer på forløbstider fra ”henvisning er modtaget til
start på behandling” inden for det
organspecifikke kræftområde med sammenligning mel-
lem de enkelte pakkeforløb samt regioner.
På landsplan blev i alt 79 % af de registrerede forløb gennemført inden for standardfor-
løbstiden. På det regionale niveau er andelen af registrerede forløb, der blev gennemført
inden for standardforløbstiden, 87 % i Region Nordjylland, 82 % i Region Syddanmark,
79 % i Region Hovedstaden, 77 % i Region Midtjylland og 72 % i Region Sjælland.
Regionale forskelle kan skyldes forskelle i demografi, organisering mv. på tværs af regio-
nerne. Derudover vil regionale udfordringer i specifikke kræftpakkeforløb, særligt pakke-
forløb med et stort patientvolumen, influere på det regionale gennemsnit.
Sundhedsstyrelsen er som vanligt særligt opmærksom på de forløb, der ligger under den
’nationale 1. kvartil’ dvs. den fjerdedel af pakkeforløbene, der har den
laveste andel gen-
nemførte patientforløb inden for standardforløbstiderne. Den nationale 1. kvartil for 1.
kvartal 2023 er 67 %, hvilket betyder, at standardforløbstiden blev fulgt i op til 67 % af for-
løbene for den fjerdedel af pakkeforløbene, der havde den laveste andel af forløb gen-
nemført inden for standardforløbstiden.
I tabel 1 vises de pakkeforløb, hvor andelen af patientforløb gennemført inden for stan-
dardforløbstiden falder på eller under den nationale 1. kvartil på 67 %. Der vises kun pak-
keforløb med flere end 10 forløb.
Tabel 1.
Andel forløb på nationalt og regionalt plan, der er gennemført inden for angivne standardforløbstider,
der ligger under eller lig med 1. kvartil samt antal forløb i alt, fordelt på pakkeforløbsnummer, sygehusregion,
landsplan og indikator, 1. kvartal 2023.
Pakke-
forløbs
nummer
B01
Pakkeforløb opdelt
efter organspecifik
kræfttype
Brystkræft
Region /
Nationalt
Behandlingstype
Andel forløb
inden for
standardfor-
løbstiden
55 %
Antal
forløb
i alt
406
Hovedstaden
Kirurgisk
SUU, Alm.del - 2022-23 (2. samling) - Bilag 250: Orientering om rapport om Monitorering af forløbstider på kræftområdet – opgørelse for 1. kvartal 2023, fra indenrigs- og sundhedsministeren
2720209_0005.png
Monitorering af forløbstider på kræftområdet, 1. kvartal 2023
Side 5/46
Pakke-
forløbs
nummer
B01
B01
B01
Pakkeforløb opdelt
efter organspecifik
kræfttype
Brystkræft
Brystkræft
Brystkræft
Region /
Nationalt
Behandlingstype
Andel forløb
inden for
standardfor-
løbstiden
32 %
65 %
Antal
forløb
i alt
103
1027
Sjælland
Hele landet
Midtjylland
Kirurgisk
Kirurgisk
Kirurgisk med plastik-
kirurgisk assistance
67 %
24
B01
Brystkræft
Hele landet
Kirurgisk med plastik-
kirurgisk assistance
65 %
45
B02
B02
B02
B02
B02
B02
B05
Hoved- og halskræft
Hoved- og halskræft
Hoved- og halskræft
Hoved- og halskræft
Hoved- og halskræft
Hoved- og halskræft
Akut leukæmi/fremskre-
den myelodysplastisk
syndrom (MDS)
Hele landet
Midtjylland
Hovedstaden
Sjælland
Hele landet
Hele landet
Midtjylland
Medicinsk
Strålebehandling
Strålebehandling
Strålebehandling
Strålebehandling
Partikelterapi
Medicinsk
62 %
62 %
60 %
61 %
65 %
65 %
15
34
45
31
159
25
58 %
12
B05
Akut leukæmi/fremskre-
den myelodysplastisk
syndrom (MDS)
Syddanmark
Medicinsk
67 %
12
B05
Akut leukæmi/fremskre-
den myelodysplastisk
syndrom (MDS)
Hovedstaden
Medicinsk
33 %
15
B05
Akut leukæmi/fremskre-
den myelodysplastisk
syndrom (MDS)
Hele landet
Medicinsk
56 %
50
B07
B12
Kræft i bugspytkirtlen
Kræft i tyk- og endetarm
Sjælland
Midtjylland
Medicinsk
Strålebehandling
42 %
67 %
12
18
SUU, Alm.del - 2022-23 (2. samling) - Bilag 250: Orientering om rapport om Monitorering af forløbstider på kræftområdet – opgørelse for 1. kvartal 2023, fra indenrigs- og sundhedsministeren
2720209_0006.png
Monitorering af forløbstider på kræftområdet, 1. kvartal 2023
Side 6/46
Pakke-
forløbs
nummer
B12
B14
B14
B14
B14
B14
B14
B14
B14
B15
B16
B16
B16
B16
B17
B17
B20
B20
B21
B21
B21
B22
Pakkeforløb opdelt
efter organspecifik
kræfttype
Kræft i tyk- og endetarm
Kræft i blæren
Kræft i blæren
Kræft i blæren
Kræft i blæren
Kræft i blæren
Kræft i blæren
Kræft i blæren
Kræft i blæren
Kræft i nyre
Kræft i prostata
Kræft i prostata
Kræft i prostata
Kræft i prostata
Kræft i penis
Kræft i penis
Livmoderkræft
Livmoderkræft
Kræft i æggestok
Kræft i æggestok
Kræft i æggestok
Livmoderhalskræft
Region /
Nationalt
Behandlingstype
Andel forløb
inden for
standardfor-
løbstiden
65 %
46 %
55 %
18 %
67 %
63 %
64 %
64 %
52 %
62 %
45 %
46 %
44 %
47 %
15 %
45 %
51 %
56 %
29 %
64 %
54 %
58 %
Antal
forløb
i alt
17
48
11
11
12
19
11
11
25
42
11
24
55
15
13
30
39
36
14
14
60
19
Syddanmark
Hele landet
Nordjylland
Midtjylland
Hovedstaden
Midtjylland
Syddanmark
Hovedstaden
Hele landet
Midtjylland
Nordjylland
Syddanmark
Hele landet
Hele landet
Midtjylland
Hele landet
Midtjylland
Sjælland
Midtjylland
Sjælland
Hele landet
Hovedstaden
Strålebehandling
Kirurgisk
Kirurgisk
Kirurgisk
Kirurgisk
Medicinsk
Medicinsk
Strålebehandling
Strålebehandling
Kirurgisk
Kirurgisk
Kirurgisk
Kirurgisk
Strålebehandling
Kirurgisk
Kirurgisk
Kirurgisk
Kirurgisk
Medicinsk
Medicinsk
Medicinsk
Kirurgisk
SUU, Alm.del - 2022-23 (2. samling) - Bilag 250: Orientering om rapport om Monitorering af forløbstider på kræftområdet – opgørelse for 1. kvartal 2023, fra indenrigs- og sundhedsministeren
2720209_0007.png
Monitorering af forløbstider på kræftområdet, 1. kvartal 2023
Side 7/46
Pakke-
forløbs
nummer
B26
Pakkeforløb opdelt
efter organspecifik
kræfttype
Lungekræft
Region /
Nationalt
Behandlingstype
Andel forløb
inden for
standardfor-
løbstiden
59 %
Antal
forløb
i alt
41
Sjælland
Kirurgisk
Kilde: Landspatientregisteret per 10. maj 2023, Sundhedsdatastyrelsen.
Anmærkning: Der tages forbehold for foreløbige tal.
Sundhedsstyrelsen er løbende i dialog med regionerne om udfordringer på kræftområdet
bl.a. i regi af Task Force for Patientforløb på Kræft- og Hjerteområdet. Som grundlag for
drøftelser i Task Force beder styrelsen regionerne om redegørelser for de pakkeforløb,
der er udfordrede i forhold til at gennemføre patientforløb inden for standardforløbsti-
derne og tiltag til forbedring på området. Forbedring af registreringspraksis og behov for
justering af pakkeforløbsbeskrivelser bliver ligeledes drøftet løbende i Task Force for Pa-
tientforløb på Kræft- og Hjerteområdet.
På baggrund af opgørelserne for 1. kvartal 2023 vil Sundhedsstyrelsen bede følgende re-
gioner om redegørelser for udvalgte områder med udfordringer:
Region Sjælland, kirurgisk behandling af brystkræft
Region Midtjylland, medicinsk behandling af akut leukæmi/fremskreden mye-
lodysplastisk syndrom (MDS)
Region Syddanmark, medicinsk behandling af akut leukæmi/fremskreden mye-
lodysplastisk syndrom (MDS)
Region Hovedstaden, medicinsk behandling af akut leukæmi/fremskreden mye-
lodysplastisk syndrom (MDS)
Region Sjælland, medicinsk behandling af kræft i bugspytkirtlen
Region Nordjylland, kirurgisk behandling af kræft i prostata
Region Syddanmark, kirurgisk behandling af kræft i prostata
Region Sjælland, kirurgisk behandling af livmoderkræft
Region Midtjylland, medicinsk behandling af kræft i æggestok
Sundhedsstyrelsen har udvalgt ovenstående redegørelser bl.a. med baggrund i den nati-
onale 1. kvartil, lav andel af gennemførte forløb inden for standardforløbstiden sammen-
lignet med andre regioner, udvikling i andelen af gennemførte forløb inden for standard-
forløbstiderne sammenlignet med tidligere kvartaler samt markante fald i andelen af gen-
nemførte forløb inden for standardforløbstiden.
Sundhedsstyrelsen vil drøfte monitoreringen af forløbstider med regionerne på et kom-
mende møde i Task Force for Patientforløb på Kræft- og Hjerteområdet.
Der er registreret i alt 42.402 patientforløb med udredning i et pakkeforløb for kræft i 1.
kvartal 2023. For 9.646 af disse forløb viser registreringen, at diagnosen blev bekræftet,
eller at der fortsat er begrundet mistanke om kræft. Til sammenligning blev der i 4. kvartal
SUU, Alm.del - 2022-23 (2. samling) - Bilag 250: Orientering om rapport om Monitorering af forløbstider på kræftområdet – opgørelse for 1. kvartal 2023, fra indenrigs- og sundhedsministeren
Monitorering af forløbstider på kræftområdet, 1. kvartal 2023
Side 8/46
2022 registreret i alt 41.446 forløb til udredning i et pakkeforløb for kræft. For 9.648 af
disse forløb viste registreringen, at diagnosen blev bekræftet, eller at der fortsat er be-
grundet mistanke om kræft. Der har således været en stigning på 956 patientforløb med
udredning i pakkeforløb samt et fald i antallet af bekræftede diagnoser på 2 forløb i 1.
kvartal 2023 sammenlignet med 4. kvartal 2022.
Kvartalsopgørelsen tager udgangspunkt i standardforløbstiderne for de forskellige pakke-
forløb. Forløbstiderne i pakkeforløbene er opstillet som faglige rettesnore for standardpa-
tientforløb. Konkrete forhold som f.eks. anden betydende sygdom (komorbiditet), særligt
kompliceret sygdomsforløb eller hensyn til patientens eget ønske kan betyde, at forløbsti-
den for den enkelte patient afviger fra standardforløbstiden. Sundhedsstyrelsen har der-
for ikke en forventning om, at standardforløbstiderne skal realiseres for alle forløb i samt-
lige pakkeforløb. Det kan være fagligt relevant og nødvendigt, at forløbstiden er længere
for nogle patienter, ligesom patientens egne præferencer kan betyde, at standardforløbs-
tiden afviges. I kapitel 4 vil mulige årsager til længere forløbstid for nogle af de organspe-
cifikke pakkeforløb blive beskrevet.
Opgørelsen for 1. kvartal 2023
medtager data fra registrerede forløb, hvor ”henvisning til
pakkeforløb start” er registreret i perioden
1. januar 2023 til 31. marts 2023 og hvor den
initiale behandling er registreret fra 1. januar 2023 og frem til opgørelsestidspunktet for
datagrundlaget den 10. maj 2023. Forløb, hvor den initiale behandling er registreret efter
opgørelsestidspunktet, den 10. maj 2023, medtages ikke i opgørelsen.
SUU, Alm.del - 2022-23 (2. samling) - Bilag 250: Orientering om rapport om Monitorering af forløbstider på kræftområdet – opgørelse for 1. kvartal 2023, fra indenrigs- og sundhedsministeren
Monitorering af forløbstider på kræftområdet, 1. kvartal 2023
Side 9/46
1. Baggrund
På baggrund af problemer med udvalgte forløb for patienter med kræft bad Ministeren for
Sundhed og Forebyggelse i januar 2012 Task Force for Patientforløb på Kræft- og Hjer-
teområdet om at sikre en robust monitorering af pakkeforløb på både kræft- og hjerteom-
rådet. Efterfølgende har Sundhedsdatastyrelsen i samarbejde med regionerne og Sund-
hedsstyrelsen udviklet en national model til monitorering af forløbstider i pakkeforløb for
kræft.
Monitoreringen varetages af Sundhedsdatastyrelsen og data offentliggøres kvartalsvis og
årligt. Ved offentliggørelsen kommenterer Sundhedsstyrelsen systematisk på udvalgte
monitoreringsdata, herunder udviklingen over tid.
1.1. Implementering af nyt landspatientregister LPR3 i 2019
De data, der benyttes i monitoreringen af forløbstider på kræftområdet, stammer fra regi-
onernes egne indberetninger til Landspatientregisteret (LPR). På baggrund af en omfat-
tende og tiltrængt omlægning af registeret blev det tidligere LPR2 i starten af 2019 erstat-
tet af LPR3. I februar 2019 overgik Region Hovedstaden, Region Sjælland og Region
Midtjylland til LPR3, efterfulgt af Region Syddanmark og Region Nordjylland i marts 2019.
I løbet af første halvår 2019 overgik privathospitalerne ligeledes til at indberette til LPR3.
Omlægning af Landspatientregisteret har resulteret i et databrud i 2019, hvorfor der
endnu ikke forligger kvartals- eller årsrapport for 2019. Derudover opstod der i foråret
2019 væsentlige performanceproblemer, hvorfor der i en længere periode er blevet arbej-
det på at sikre, at LPR3 kom i stabil drift samt at sikre tilstrækkelig datakvalitet.
Monitoreringen af forløbstider på kræftområdet har i 2019 og 2020 fulgt en interim moni-
toreringsmodel, hvor regionerne løbende har indberettet data for antal og andel patient-
forløb gennemført inden for standardforløbstiden for udvalgte pakkeforløb og behandlin-
ger til Sundhedsstyrelsen. Sundhedsstyrelsen har anmodet regionerne om supplerende
redegørelser for udvalgte forløb, hvilke har været drøftet på Task Force for Patientforløb
på Kræft- og Hjerteområdet.
SUU, Alm.del - 2022-23 (2. samling) - Bilag 250: Orientering om rapport om Monitorering af forløbstider på kræftområdet – opgørelse for 1. kvartal 2023, fra indenrigs- og sundhedsministeren
Monitorering af forløbstider på kræftområdet, 1. kvartal 2023
Side 10/46
2. Vejledning til Sundhedsstyrel-
sens kommentarer
Opgørelsen viser, hvor stor en andel (procentdel) af patientforløbene, der er gennemført
inden for de standardforløbstider, der er angivet i Sundhedsstyrelsens beskrivelser af de
enkelte kræftpakkeforløb.
Sundhedsstyrelsen kan herved kun kommentere på forløb, for hvilke der er angivet en
standardforløbstid, hvilket betyder, at der for nogle kræftformer kun kommenteres på for-
løbstiden for kirurgisk behandling, men ikke for fx medicinsk behandling eller strålebe-
handling. Derudover nævnes det samlede antal forløb i det pågældende pakkeforløb for
1. kvartal 2023 samt andelen af forløb, hvor begrundet mistanke afkræftes. Dette gøres
med henblik på at illustrere forskelle i patientvolumen i de enkelte pakkeforløb.
Et pakkeforløb beskriver et standardpatientforløb med angivelse af nødvendige undersø-
gelser og behandlinger, samt for de enkelte dele i forløbet de fagligt begrundede forløbs-
tider for en standardpatient.
Forløbstiderne i de enkelte pakkeforløb er opstillet som faglige rettesnore for standardfor-
løbet. Konkrete forhold som fx anden betydende sygdom (komorbiditet), særligt kompli-
cerede forløb eller patientens egne præferencer kan betyde, at forløbstiden for den en-
kelte patient vil afvige fra standardforløbstiden. Det er derfor ikke forventeligt, at stan-
dardforløbstiderne opfyldes for alle patienter i alle pakkeforløb.
Endelig skal standardforløbstiderne i pakkeforløb for kræft ikke forveksles med de lov-
bundne maksimale ventetider for livstruende sygdom, som forpligter regionerne til at til-
byde behandling inden for bestemte tidsgrænser. Sundhedsstyrelsen overvåger overhol-
delsen af reglerne om de maksimale ventetider ved at modtage månedlige indberetninger
af overtrædelser fra regionerne.
Der er ikke fastlagt en national tærskelværdi for hvilken andel af patientforløbene, der bør
være gennemført inden for standardforløbstiderne. Det må samtidig antages, at en opgø-
relse af andelene for de forskellige pakkeforløb ikke vil være normalfordelt (symmetrisk
fordelt omkring en middelværdi). Sundhedsstyrelsen har derfor fundet det hensigtsmæs-
sigt at basere sin systematiske kommentering på en opgørelse af data i kvartiler, hvorved
datasættet deles i fire lige store mængder.
Som følge af denne opgørelsesmetode vil 1. kvartil per definition afgrænse den fjerdedel
af pakkeforløbene, der har den laveste andel af patientforløb, der er gennemført inden for
standardforløbstid. Sundhedsstyrelsen har valgt at fokusere sine kommentarer på denne
fjerdedel af pakkeforløbene, der ligger under den ’nationale 1. kvartil’.
SUU, Alm.del - 2022-23 (2. samling) - Bilag 250: Orientering om rapport om Monitorering af forløbstider på kræftområdet – opgørelse for 1. kvartal 2023, fra indenrigs- og sundhedsministeren
Monitorering af forløbstider på kræftområdet, 1. kvartal 2023
Side 11/46
Kvartilerne er beregnet på basis af samtlige gennemførte patientforløb, hvor der er anbe-
falet en forløbstid for behandlingsformen, uanset antallet af patienter i det enkelte pakke-
forløb. Sundhedsstyrelsen har valgt alene at kommentere på pakkeforløb med flere end
10 forløb, idet der ikke er udregnet en andel for gennemførte forløb inden for standardfor-
løbstiden for pakkeforløb med færre end 10 forløb. Det betyder, at ikke alle pakkeforløb
optræder i oversigten.
Sundhedsstyrelsens kommentarer angår alene andele af patientforløb gennemført inden
for standardforløbstiden. For alle opgørelserne vedrørende de organspecifikke forløb
gælder, at der ses på forløbstiden fra henvisning modtaget til pakkeforløb til start på initial
behandling.
For udvalgte kræftformer og pakkeforløb med standardforløbstider under den nationale 1.
kvartil er der indsat ekstra grafiske fremstillinger af forløb inden for standardforløbstiden.
Graferne viser andelen af forløb gennemført inden for pakkeforløbets standardforløbstid
på landsplan og på regionalt niveau samt antal forløb i alt fordelt på sygehusregion. Gra-
fiske fremstillinger med udvikling over tid er udeladt, da databruddet i 2019 vanskeliggør
fremstilling af disse.
Sundhedsstyrelsens kommentarer vedrører den samlede monitoreringsstatus for 1. kvar-
tal 2023 på nationalt og regionalt niveau. Dertil har Sundhedsstyrelsen valgt på enkelte
områder at inddrage generelle betragtninger omkring den kvartalsvise udvikling i det om-
fang, at dette har vist sig relevant. Kommenteringen af den kvartalsmæssige udvikling ta-
ger sit udgangspunkt i statiske data fra monitoreringen af forløbstiderne på kræftområdet
for 1. kvartal 2023, uanset at disse tal er blevet opdateret sidenhen med regionernes lø-
bende indberetninger.
Sammenligningen med 4. kvartal 2022 angives i [kantede parenteser].
SUU, Alm.del - 2022-23 (2. samling) - Bilag 250: Orientering om rapport om Monitorering af forløbstider på kræftområdet – opgørelse for 1. kvartal 2023, fra indenrigs- og sundhedsministeren
2720209_0012.png
Monitorering af forløbstider på kræftområdet, 1. kvartal 2023
Side 12/46
3. Sundhedsstyrelsens kommen-
tarer
nationalt niveau
Den nationale andel af patientforløb gennemført inden for standardforløbstiden uanset
behandlingsmodalitet var 79 % for hele 1. kvartal 2023, hvilket er samme niveau som 4.
kvartal 2022.
Opgørelserne for årrækken 2014-2018 vises adskilt fra 2020-2023 i hhv. tabel 2a og 2b.
Data i årene 2014-2018 er opgjort med sammenlignelige perioder efter hver kvartalsaf-
slutning, hvorimod opgørelsestidspunktet for året 2020 samt 1. kvartal 2021 er senere
end normalt. Data for 2. kvartal 2021 - 1. kvartal 2023 er opgjort på vanligt tidspunkt med
sammenlignelige perioder efter hver kvartalsafslutning.
I tabel 2a ses udviklingen af andelen af gennemførte forløb inden for standardforløbsti-
den fordelt på regionalt niveau samt samlet for hele landet i perioden 1. kvartal 2014 til 4.
kvartal 2018.
I tabel 2b ses udviklingen af andelen af gennemførte forløb inden for standardforløbsti-
den fordelt på regionalt niveau samt samlet for hele landet i perioden 1.-4. kvartal 2020
samt 1. kvartal 2021-1. kvartal 2023.
Det skal bemærkes, at data for 1.-4. kvartal 2020 er opgjort den 10. juni 2021 og dermed
betydeligt senere end det vanlige opgørelsestidspunkt for kvartalsopgørelser. Tallene fra
1.-4. kvartal 2020 kan genfindes i årsrapporten 2020.
1
1
https://www.sst.dk/da/Udgivelser/2021/Monitorering-af-forloebstider-paa-kraeftomraadet---aarsopgoerelse-for-2020
SUU, Alm.del - 2022-23 (2. samling) - Bilag 250: Orientering om rapport om Monitorering af forløbstider på kræftområdet – opgørelse for 1. kvartal 2023, fra indenrigs- og sundhedsministeren
2720209_0013.png
Monitorering af forløbstider på kræftområdet, 1. kvartal 2023
Side 13/46
Tabel 2a.
Andel forløb gennemført inden for angivne standardforløbstider, uanset behandlingsform og organspecifik kræfttype samt antal
forløb i alt, fordelt på sygehusregion og hele landet, 1. kvartal 2014 - 4. kvartal 2018.
Nordjylland
Kvartal
1.kvt2014
2.kvt2014
3.kvt2014
4.kvt2014
1.kvt2015
2.kvt2015
3.kvt2015
4.kvt2015
1.kvt2016
2.kvt2016
3.kvt2016
4.kvt2016
1.kvt2017
2.kvt2017
3.kvt2017
4.kvt2017
1.kvt2018
2.kvt2018
3.kvt2018
4.kvt2018
Andel
83
78
82
78
81
84
85
81
81
83
82
83
83
74
82
85
83
85
83
82
Antal
393
403
573
516
508
491
543
576
568
641
608
656
658
571
621
648
608
662
642
620
Midtjylland
Andel
87
83
84
86
87
85
83
84
87
84
89
87
85
73
82
80
83
78
81
78
Antal
742
778
869
1079
1060
898
910
1164
1043
1145
1051
1161
981
939
985
1153
895
953
1041
1072
Syddanmark
Andel
87
86
89
87
88
86
89
89
88
86
86
88
88
86
88
86
85
83
86
86
Antal
1023
1042
1067
1214
1124
1028
1054
1014
1016
1248
1070
1213
1267
1158
1168
1346
1186
1280
1119
1283
Hovedstaden
Andel
82
76
80
80
80
78
83
84
85
81
77
81
86
75
85
81
81
80
80
76
Antal
1352
1231
1180
1266
1266
1263
1227
1259
1232
1180
883
599
505
632
1114
1441
1425
1596
1541
1696
Sjælland
Andel
83
73
80
75
80
82
84
80
82
75
81
78
77
74
80
81
76
77
73
78
Antal
700
611
584
677
712
673
735
766
781
853
685
708
796
702
713
565
486
631
730
836
Hele landet
Andel
84
80
83
82
84
83
85
84
85
82
83
84
84
77
84
83
83
81
81
80
An t a l
4210
4065
4273
4752
4670
4353
4469
4779
4640
5067
4297
4337
4207
4002
4601
5153
4600
5122
5073
5507
Kilde: Landspatientregisteret, Sundhedsdatastyrelsen.
Anmærkning: Data for 2014-2018 vises med anvendelse af stationære data.
Bemærk at data fra 1.-4. kvartal 2019 ikke er medtaget grundet databrud ved overgangen fra LPR2 til LPR3.
SUU, Alm.del - 2022-23 (2. samling) - Bilag 250: Orientering om rapport om Monitorering af forløbstider på kræftområdet – opgørelse for 1. kvartal 2023, fra indenrigs- og sundhedsministeren
2720209_0014.png
Monitorering af forløbstider på kræftområdet, 1. kvartal 2023
Side 14/46
Tabel 2b.
Andel forløb gennemført inden for angivne standardforløbstider, uanset behandlingsform og organspecifik kræfttype samt antal
forløb i alt, fordelt på sygehusregion og hele landet, 1. kvartal 2020 - 1. kvartal 2023.
Nordjylland
1.kvt2020
2.kvt2020
3.kvt2020
4.kvt2020
1.kvt2021
2.kvt2021
3.kvt2021
4.kvt2021
1.kvt2022
2022
2.kvt2022
3.kvt2022
4.kvt2022
1.kvt2023
77
82
84
80
84
85
81
83
87
88
88
86
87
810
728
804
821
793
818
746
832
604
576
673
765
759
Midtjylland
78
78
77
75
80
78
83
79
80
77
81
77
77
1418
1255
1446
1395
1414
1326
1364
1364
1413
1335
1425
1446
1471
1448
Syddanmark
86
83
85
81
82
85
86
81
82
76
79
81
82
1411
1360
1371
1325
1375
1293
1253
1260
1211
1111
1168
1295
1303
Hovedstaden
82
84
82
81
82
77
78
78
80
72
74
79
79
1908
1781
1860
1939
1885
1727
1666
1796
1802
1792
1888
1992
2084
Sjælland
73
73
69
74
76
65
64
63
76
64
68
70
72
872
834
910
939
869
894
866
881
851
871
869
868
875
Hele landet
80
81
80
79
81
78
79
77
81
74
77
79
79
6419
5958
6391
6419
6336
6058
5895
6182
5803
5775
6044
6391
6469
Kilde: Landspatientregisteret 1.-4. kvartal 2020 per 10. juni 2021, 1. kvartal 2021 per 10. juni 2021, 2. kvartal 2021 per 10. august 2021, 3. kvartal 2021 per 10.
november 2021, 4. kvartal 2021 per 10. februar 2022, 1. kvartal 2022 per 10. maj 2022, 2. kvartal 2022 pr. 10. august 2022, 3. kvartal pr. 10. november 2022, 4.
kvartal 2022 pr. 10. februar 2023, 1. kvartal 2023 pr. 10. maj 2023, Sundhedsdatastyrelsen.
Anmærkning: Der tages forbehold for foreløbige tal.
Bemærk at tallene for 1.-4. kvartal 2020 er taget fra årsrapporten 2020, da 1.-4. kvartalsrapporten er trukket tilbage grundet fejl i data. Tallene for 1.-4. kvartal
2020 er derfor opgjort senere end det vanlige opgørelsestidspunkt for kvartalsopgørelser.
Af tabel 2b fremgår det, at andelen af gennemførte forløb inden for standardforløbstiden
er steget i tre regioner med 1 og 2 procentpoint sammenlignet med 4. kvartal 2022. I Re-
gion Midtjylland og Region Hovedstaden er andelen af gennemførte forløb inden for stan-
dardforløbstiden på samme niveau med andelen i 4. kvartal 2022.
SUU, Alm.del - 2022-23 (2. samling) - Bilag 250: Orientering om rapport om Monitorering af forløbstider på kræftområdet – opgørelse for 1. kvartal 2023, fra indenrigs- og sundhedsministeren
2720209_0015.png
Monitorering af forløbstider på kræftområdet, 1. kvartal 2023
Side 15/46
Tabel 3.
Antal patientforløb udredt i pakkeforløb (organspecifik kræfttype) i alt, uanset om diagnosen er af- eller
bekræftet og antal bekræftede diagnoser, 4. kvartal 2022 og 1. kvartal 2023.
4. kvartal
2023
Antal patientforløb i alt
41.446
1. kvartal
2023
42.402
Antal udredningsforløb, der førte til bekræftet
diagnose eller forsat mistanke
9.648
9.646
Kilde: Landspatientregisteret 4. kvartal 2022 pr. 10. februar 2023, 1. kvartal 2023 pr. 10. maj 2023, Sundhedsdatastyrelsen.
Anmærkning: Der tages forbehold for foreløbige tal.
Tabel 3 viser den kvartalsvise opgørelse for hhv. 4. kvartal 2022 og 1. kvartal 2023 af an-
tallet af patientforløb udredt i et organspecifikt kræftpakkeforløb samt antallet af udred-
ningsforløb, hvor en kræftdiagnose blev bekræftet, eller der fortsat var en begrundet mis-
tanke om kræft.
Data for 1. kvartal 2023 viser, at der var 42.402 registrerede forløb i pakkeforløb for or-
ganspecifik kræft, hvilket er 956 flere forløb i forhold til 4. kvartal 2022. Derudover var der
i 1. kvartal 2023 9.646 forløb, hvor udredningsperioden resulterede i, at diagnosen blev
bekræftet, eller at der fortsat var mistanke om kræft. I 4. kvartal 2022 var dette antal
9.648 forløb, og der har således været et fald i antal bekræftede diagnoser på 2 forløb i
1. kvartal 2023 sammenlignet med 4. kvartal 2022.
Herunder ses kvartilfordelingen for andele patientforløb gennemført inden for standard-
forløbstiden for årene 2014-2018 samt 2020-2023. Opgørelserne for årrækken 2014-
2018 vises adskilt fra 2020-2023 i hhv. tabel 4a og 4b. Data i årene 2014-2018 er opgjort
med sammenlignelige perioder efter hver kvartalsafslutning, hvorimod opgørelsestids-
punktet for året 2020 samt 1. kvartal 2021 er senere end normalt. Data for 2. kvartal
2021- 1. kvartal 2023 er opgjort på vanligt tidspunkt med sammenlignelige perioder efter
hver kvartalsafslutning.
Data for 1.-4. kvartal 2020 samt 1. kvartal 2021 er opgjort den 10. juni 2021. Dette inde-
bærer, at der potentielt tages flere forløb med i 1.-4. kvartal 2020 samt 1. kvartal 2021.
Tabel 4a viser kvartilfordelingen for andele af patientforløb gennemført inden for stan-
dardforløbstiden fra 1. kvartal 2014 til 4. kvartal 2018.
Tabel 4b viser kvartilfordelingen for andele af patientforløb gennemført inden for stan-
dardforløbstiden for 1. kvartal 2020 til 1. kvartal 2023.
SUU, Alm.del - 2022-23 (2. samling) - Bilag 250: Orientering om rapport om Monitorering af forløbstider på kræftområdet – opgørelse for 1. kvartal 2023, fra indenrigs- og sundhedsministeren
2720209_0016.png
Monitorering af forløbstider på kræftområdet, 1. kvartal 2023
Side 16/46
Tabel 4a.
Kvartilfordeling for andele af patientforløb gennemført inden for standardforløbstiden i perioden 1.
kvartal 2014-4. kvartal 2018.
Kvartal
1. kvartal 2014
2. kvartal 2014
3. kvartal 2014
4. kvartal 2014
1. kvartal 2015
2. kvartal 2015
3. kvartal 2015
4. kvartal 2015
1. kvartal 2016
2. kvartal 2016
3. kvartal 2016
4. kvartal 2016
1. kvartal 2017
2. kvartal 2017
3. kvartal 2017
4. kvartal 2017
1. kvartal 2018
2. kvartal 2018
3. kvartal 2018
4. kvartal 2018
Nedre kvartil,
procent
63
54
64
65
60
67
70
64
67
67
67
71
68
50
67
67
67
66
65
63
Median, procent
83
75
83
83
83
86
87
84
86
83
89
89
89
73
84
81
84
83
83
83
Øvre kvartil,
procent
100
97
100
100
100
100
100
99
100
97
100
100
100
94
100
97
100
100
100
100
Kilde: Landspatientregistret per 11. maj 2014, 11. august 2014, 11. november 2014, 9. februar 2015, 11. maj 2015, 10. au-
gust 2015, 9. november 2015, 9. februar 2016, 9. maj 2016, 28. august 2016, 12. november 2016, 6. februar 2017, 13. maj
2017, 13. august 2017, 10. februar 2018, 12. maj 2018, 11. august 2018, 10. november 2018 og 2. februar 2019, Sundheds-
datastyrelsen.
Anmærkning: Der tages forbehold for foreløbige tal.
Bemærk at data fra 1.-4. kvartal 2019 ikke er medtaget grundet databrud ved overgangen fra LPR2 til LPR3.
SUU, Alm.del - 2022-23 (2. samling) - Bilag 250: Orientering om rapport om Monitorering af forløbstider på kræftområdet – opgørelse for 1. kvartal 2023, fra indenrigs- og sundhedsministeren
2720209_0017.png
Monitorering af forløbstider på kræftområdet, 1. kvartal 2023
Side 17/46
Tabel 4b.
Kvartilfordeling for andele af patientforløb gennemført inden for standardforløbstiden i perioden 1.
kvartal 2020 til 1. kvartal 2023.
Kvartal
1. kvartal 2020
2. kvartal 2020
3. kvartal 2020
4. kvartal 2020
1. kvartal 2021
2. kvartal 2021
3. kvartal 2021
4. kvartal 2021
1. kvartal 2022
2. kvartal 2022
3. kvartal 2022
4. kvartal 2022
1. kvartal 2023
Nedre kvartil,
procent
60
61
61
57
60
58
67
62
63
56
57
61
67
Median, procent
80
80
80
77
77
80
82
80
80
79
80
80
80
Øvre kvartil,
procent
94
95
94
91
92
97
100
99
99
93
93
94
96
Kilde: Landspatientregistret 1.-4. kvartal 2020 per 10. juni 2021, 1. kvartal 2021 per 10. juni 2021,2. kvartal 2021 per 10. au-
gust 2021, 3. kvartal 2021 per 10. november 2021, 4. kvartal 2021 per 10. februar 2022, 1. kvartal 2022 per 10. maj 2022, 2.
kvartal 2022 per 10. august 2022, 3. kvartal 2022 pr. 10. november 2022, 4. kvartal 2022 pr. 10. februar 2023, 1. kvartal
2023 pr. 10. maj 2023 Sundhedsdatastyrelsen.
Anmærkning: Der tages forbehold for foreløbige tal.
Bemærk at tallene for 1.-4. kvartal 2020 er taget fra årsrapporten 2020, da 1.-4. kvartalsrapporten er trukket tilbage grundet
fejl i data. Tallene for 1.-4. kvartal 2020 er derfor opgjort senere end det vanlige opgørelsestidspunkt for kvartalsopgørelser.
For den fjerdedel (øvre kvartil) af pakkeforløbene, der i 1. kvartal 2023 havde den højeste
andel af forløb gennemført inden for standardforløbstiden gælder, at disse blev fulgt i 96
% af tilfældene. For den halvdel (medianen) af pakkeforløbene, der i 1. kvartal 2023
havde den næsthøjeste andel af forløb gennemført inden for standardforløbstiden gæl-
der, at disse blev fulgt i mindst 80 % af tilfældene. Tilsvarende ses det, at for den fjerde-
del af pakkeforløbene (nedre kvartil), der i 1. kvartal 2023 havde den laveste andel af for-
løb gennemført inden for standardforløbstiden, blev disse fulgt i op til 67 % af tilfældene.
SUU, Alm.del - 2022-23 (2. samling) - Bilag 250: Orientering om rapport om Monitorering af forløbstider på kræftområdet – opgørelse for 1. kvartal 2023, fra indenrigs- og sundhedsministeren
2720209_0018.png
Monitorering af forløbstider på kræftområdet, 1. kvartal 2023
Side 18/46
4. Organspecifikke pakkeforløb
4.1 Brystkræft (B01)
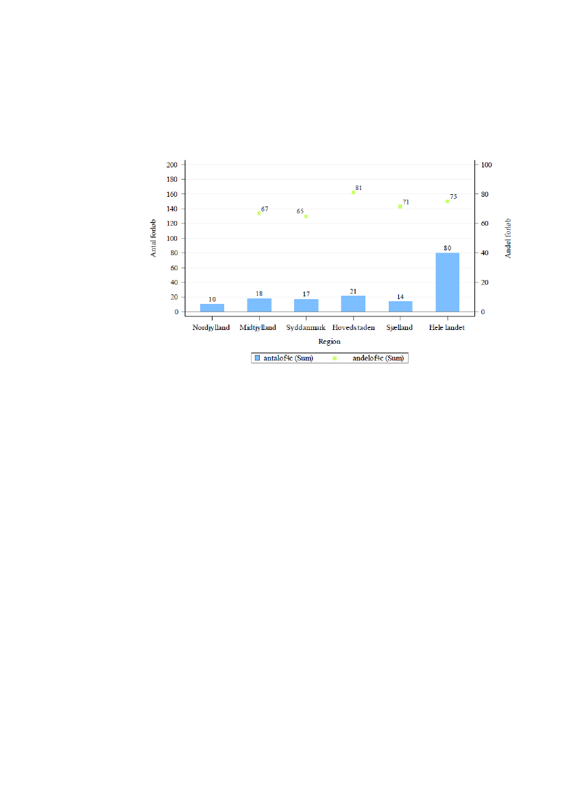
For brystkræft var andelen af kirurgiske behandlingsforløb, der blev gennemført inden for
standardforløbstiden 65 % i 1. kvartal 2023, når tallene opgøres på landsplan [4. kvartal
2022: 64 %], hvilket er under den nationale 1. kvartil på 67%.
Der ses en regional variation i andelen af gennemførte forløb inden for standardforløbsti-
den på 32 % i Region Sjælland [4. kvartal 2022: 39 %], 55 % i Region Hovedstaden [4.
kvartal 2022: 58 %], 71 % i Region Syddanmark [4. kvartal 2022: 52 %], 81 % i Region
Midtjylland [4. kvartal 2022: 84 %] og 88 % i Region Nordjylland [4. kvartal 2022: 97 %].
Region Sjælland og Region Hovedstaden ligger under den nationale 1. kvartil i forhold til
andelen af kirurgiske behandlingsforløb gennemført inden for standardforløbstiden ved
behandling af brystkræft. Det er en stigning på 19 procentpoint i Region Syddanmark i
forhold til 4. kvartal 2022.
Den regionale fordeling i forhold til kirurgisk behandling ses i figur 1.
Figur 1.
Andel forløb gennemført inden for den angivne standardforløbstid for kirurgisk behandling af brystkræft
samt antal forløb i alt, fordelt på sygehusregion og indikator, 1. kvartal 2023
Kilde: Landpatientregisteret 10. maj 2023, Sundhedsdatastyrelsen
Note: Der tages forbehold for foreløbige tal. OF4a angiver forløb gennemført inden for standardforløbstiden for kirurgisk be-
handling, samlet tid til behandling, fra henvisning til pakkeforløb start til initiale behandling.
SUU, Alm.del - 2022-23 (2. samling) - Bilag 250: Orientering om rapport om Monitorering af forløbstider på kræftområdet – opgørelse for 1. kvartal 2023, fra indenrigs- og sundhedsministeren
2720209_0019.png
Monitorering af forløbstider på kræftområdet, 1. kvartal 2023
Side 19/46
Andelen af forløb med kirurgisk behandling med plastikkirurgisk assistance, der blev gen-
nemført inden for standardforløbstiden, var 65 % i 1. kvartal 2023, når tallene opgøres på
landsplan [4. kvartal 2022: 62 %].
Det er kun Region Syddanmark og Region Midtjylland, der har registreret flere end 10
forløb med kirurgi med plastikkirurgisk assistance, hvorfor der kun er anført andele af for-
løb gennemført inden for standardforløbstiden for disse regioner. Andelen af gennem-
førte forløb er på 71 % og 67 % i hhv. Region Syddanmark [4. kvartal 2022: 57 %] og Re-
gion Midtjylland [4. kvartal 2022: 81 %].
Den regionale fordeling i forhold til kirurgi med plastikkirurgisk assistance ses i figur 2.
Figur 2.
Andel forløb gennemført inden for den angivne standardforløbstid for kirurgisk behandling af brystkræft
med plastikkirurgisk assistance samt antal forløb i alt, fordelt på sygehusregion og indikator, 1. kvartal 2023
Kilde: Landpatientregisteret 10. maj 2023, Sundhedsdatastyrelsen
Note: Der tages forbehold for foreløbige tal. OF4a1 angiver forløb gennemført inden for standardforløbstiden for kirurgisk
behandling med plastikkirurgisk assistance, samlet tid til behandling, fra henvisning til pakkeforløb start til initiale behandling.
Der er ikke en standardforløbstid for medicinsk behandling samt strålebehandling, hvorfor
disse forløb ikke kommenteres.
Der har på landsplan i 1. kvartal 2023 været i alt 1027 registrerede forløb i pakkeforløb
for brystkræft, der gennemgik kirurgisk behandling som initial behandling, 45 forløb med
kirurgi med plastikkirurgisk assistance som initial behandling, 378 forløb med medicinsk
behandling og færre end 10 forløb med strålebehandling som initial behandling.
SUU, Alm.del - 2022-23 (2. samling) - Bilag 250: Orientering om rapport om Monitorering af forløbstider på kræftområdet – opgørelse for 1. kvartal 2023, fra indenrigs- og sundhedsministeren
Monitorering af forløbstider på kræftområdet, 1. kvartal 2023
Side 20/46
I 80 % af alle patientforløb i pakkeforløbet for brystkræft blev den begrundede mistanke
om brystkræft afkræftet i udredningsperioden.
Det bemærkes, at der gennem længere tid været udfordringer med kapacitet på bryst-
kræftområdet, særligt i forhold til screening og udredning med klinisk mammografi ved
mistanke om brystkræft. Sundhedsstyrelsen følger disse udfordringer løbende, bl.a. i regi
af Task Force for Patientforløb på Kræft- og Hjerteområdet.
4.2 Hoved- og halskræft (B02)
Andelen af kirurgiske behandlingsforløb gennemført inden for standardforløbstiden for
hoved- og halskræft var på landsplan 89 % i 1. kvartal 2023 [4. kvartal 2022: 87 %].
Der ses en regional variation i andelen af kirurgiske forløb gennemført inden for stan-
dardforløbstiden på 84 % i Region Midtjylland [4. kvartal 2022: 78 %], 88 % i Region
Sjælland [4. kvartal 2022: 72 %], 89 % i Region Hovedstaden [4. kvartal 2022: 89 %], 90
% i Region Syddanmark [4. kvartal 2022: 100 %] og 100 % i Region Nordjylland [4. kvar-
tal 2022: 92 %]. Alle regioner ligger således over den nationale 1. kvartil i forhold til ande-
len af kirurgiske behandlingsforløb gennemført inden for standardforløbstiden. Andelen af
forløb gennemført indenfor standardforløbstiden er steget med 16 procentpoint i Region
Sjælland. Andelen af forløb gennemført indenfor standardforløbstiden er faldet med 10
procentpoint i Region Syddanmark.
Andelen af medicinske behandlingsforløb gennemført inden for standardforløbstiden for
hoved- og halskræft var på 62 % [4. kvartal 2022: n.a.] på nationalt niveau. Der er ikke
beregnet regionale andele, da alle regioner havde færre end 10 registrerede forløb.
Andelen af forløb gennemført inden for standardforløbstiden for strålebehandling af ho-
ved- og halskræft var på landsplan 65 % i 1. kvartal 2023 [4. kvartal 2022: 68 %], hvilket
er under den nationale 1. kvartil på 67 %. Andelen var 60 % i Region Hovedstaden [4.
kvartal 2022: 67 %], 61 % i Region Sjælland [4. kvartal 2022: 72 %], 62 % i Region
Midtjylland [4. kvartal 2022: 64 %], 70 % i Region Nordjylland [4. kvartal: 68 %], og 81 % i
Region Syddanmark [4. kvartal 2022: 69 %]. Region Midtjylland, Region Hovedstaden og
Region Sjælland ligger under den nationale 1. kvartil. I Region Sjælland er andelen faldet
med 11 procentpoint sammenlignet med 4. kvartal 2022. I Region Syddanmark er ande-
len steget med 12 procentpoint.
Andelen af forløb gennemført inden for standardforløbstiden for behandling med partikel-
terapi var på landsplan 65 % i 1. kvartal 2023 [4. kvartal 2022: 67], hvilket er under den
national 1. kvartil. Alene Region Syddanmark havde mere end 10 forløb. Andelen af gen-
nemførte forløb indenfor standardforløbstiden var her på 82 % [4. kvartal 2022: n.a.].
På landsplan var der i 1. kvartal 2023 i alt 330 registrerede forløb i pakkeforløb for hoved-
og halskræft, der gennemgik kirurgisk behandling som initial behandling, mens der var 15
forløb med medicinsk behandling som initial behandling, 159 forløb med strålebehandling
som initial behandling, og 25 forløb med partikelterapi.
SUU, Alm.del - 2022-23 (2. samling) - Bilag 250: Orientering om rapport om Monitorering af forløbstider på kræftområdet – opgørelse for 1. kvartal 2023, fra indenrigs- og sundhedsministeren
Monitorering af forløbstider på kræftområdet, 1. kvartal 2023
Side 21/46
I 73 % af alle patientforløb i pakkeforløbet for hoved- og halskræft blev den begrundede
mistanke om kræft afkræftet i udredningsperioden.
4.3
Lymfeknudekræft og kronisk lymfatisk leukæmi (B03)
Andelen af medicinske behandlingsforløb gennemført inden for standardforløbstiden for
lymfeknudekræft og kronisk lymfatisk leukæmi var i hele landet på 90 % i 1. kvartal 2023
[4. kvartal 2022: 88 %]. Den regionale variation ligger på mellem 75 % i Region Nordjyl-
land [4. kvartal 2022: 70 %] og 96 % i både Region Syddanmark [4. kvartal 2022: 94 %]
og Region Hovedstaden [4. kvartal 2022: 89%]. I Region Midtjylland er andelen steget
med 11 procentpoint, og alle regioner ligger over den nationale 1. kvartil.
Andelen af behandlingsforløb med strålebehandling gennemført inden for standardfor-
løbstiden er 83 % på nationalt plan [4. kvartal 2022: 72 %]. Alene i Region Hovedstaden
er der registreret over 10 forløb med 83 % gennemført inden for standardforløbstiden [4.
kvartal 2022: n.a.].
Der er ikke en standardforløbstid for kirurgisk behandling, hvorfor disse forløb ikke kom-
menteres.
Der har på landsplan i 1. kvartal 2023 været i alt 235 registrerede forløb i pakkeforløb for
lymfeknudekræft og kronisk lymfatisk leukæmi, der gennemgik medicinsk behandling
som initial behandling, og 25 forløb der gennemgik strålebehandling som initial behand-
ling.
I 16 % af alle patientforløb i pakkeforløb for lymfeknudekræft og kronisk lymfatisk leu-
kæmi blev den begrundede mistanke om kræft afkræftet i udredningsperioden.
4.4
Myelomatose (B04)
I 1. kvartal 2023 var andelen af medicinske behandlingsforløb gennemført inden for stan-
dardforløbstiden for myelomatose 93 % [4. kvartal 2022: 97 %].
Region Syddanmark, Midtjylland og Hovedstaden havde registreret mere end 10 forløb,
hvorfor andelen af forløb gennemført indenfor standardforløbstiden kun er beregnet for
disse regioner. Den regionale variation er på 84 % i Region Midtjylland [4. kvartal 2022:
100 %], og 100 % i både Region Syddanmark [4. kvartal 2022: n.a.] og Region Hovedsta-
den [4. kvartal 2022: 100 %].
Idet der ikke er angivet standardforløbstider for kirurgisk behandling og strålebehandling
ved myelomatose, kommenterer Sundhedsstyrelsen ikke på disse forløb.
Der har på landsplan i 1. kvartal 2023 været i alt 73 registrerede forløb i pakkeforløb for
myelomatose, der gennemgik medicinsk behandling som initial behandling, ingen der
SUU, Alm.del - 2022-23 (2. samling) - Bilag 250: Orientering om rapport om Monitorering af forløbstider på kræftområdet – opgørelse for 1. kvartal 2023, fra indenrigs- og sundhedsministeren
2720209_0022.png
Monitorering af forløbstider på kræftområdet, 1. kvartal 2023
Side 22/46
gennemgik kirurgisk behandling som initial behandling og færre end 10 der gennemgik
strålebehandling som initial behandling.
I 28 % af alle patientforløb i pakkeforløb for myelomatose blev den begrundede mistanke
om kræft afkræftet i udredningsperioden.
4.5
Akut leukæmi og fremskreden myelodysplastisk syndrom (B05)
I 1. kvartal 2023 var andelen af medicinske behandlingsforløb gennemført inden for stan-
dardforløbstiden for akut leukæmi og fremskreden myelodysplastisk syndrom 56 % på
landsplan [4. kvartal 2022: 77 %], hvilket er under den nationale 1. kvartil. Andelen er
desuden faldet med 21 procentpoint sammenlignet med 4. kvartal 2022.
Der ses en regional variation på mellem 33 % i Region Hovedstaden [4. kvartal 2022: 82
%], 58 % i Region Midtjylland [4. kvartal 2022: 77 %], og 67 % i Region Syddanmark [4.
kvartal 2022: 67 %]. Andelen er faldet med 19 og 48 procentpoint i hhv. Region Midtjyl-
land og Region Hovedstaden. Region Nordjylland og Region Sjælland havde færre end
10 registrerede forløb i pakkeforløb for medicinsk behandling af akut leukæmi og frem-
skreden myelodysplastisk syndrom, hvorfor andelen ikke er beregnet for disse regioner.
Den regionale variation fremgår af figur 3.
Figur 3.
Andel forløb gennemført inden for den angivne standardforløbstid for medicinsk behandling af akut leu-
kæmi og fremskreden myelodysplastisk syndrom samt antal forløb i alt, fordelt på sygehusregion og indikator, 1.
kvartal 2023
Kilde: Landpatientregisteret 10. maj 2023, Sundhedsdatastyrelsen
Note: Der tages forbehold for foreløbige tal. OF4B angiver forløb gennemført inden for standardforløbstiden for medicinsk
behandling samlet tid til behandling, fra henvisning til pakkeforløb start til initiale behandling.
SUU, Alm.del - 2022-23 (2. samling) - Bilag 250: Orientering om rapport om Monitorering af forløbstider på kræftområdet – opgørelse for 1. kvartal 2023, fra indenrigs- og sundhedsministeren
Monitorering af forløbstider på kræftområdet, 1. kvartal 2023
Side 23/46
Der er ikke en standardforløbstid for kirurgisk behandling samt strålebehandling, hvorfor
disse forløb ikke kommenteres.
På landsplan var der i 1. kvartal 2023 i alt 50 registrerede forløb i pakkeforløb for akut
leukæmi og fremskreden myelodysplastisk syndrom, der gennemgik medicinsk behand-
ling som initial behandling, og ingen der gennemgik kirurgisk behandling og strålebe-
handling som initial behandling.
I 24 % af alle patientforløb i pakkeforløbet for akut leukæmi og fremskreden myelodyspla-
stisk syndrom blev den begrundede mistanke om kræft afkræftet i udredningsperioden.
4.6
Kronisk myeloide sygdomme (B06)
Idet der ikke er angivet standardforløbstider for behandlingsmuligheder ved kronisk mye-
loide sygdomme, kommenterer Sundhedsstyrelsen ikke på disse forløb.
Der har på landsplan i 1. kvartal 2023 været 65 registrerede forløb i pakkeforløb for kro-
nisk myeloide sygdomme, der gennemgik medicinsk behandling som initial behandling.
Der var ingen registrerede forløb der gennemgik kirurgisk behandling eller strålebehand-
ling som initial behandling.
I 54 % af alle patientforløb i pakkeforløbet for kronisk myeloide sygdomme blev den be-
grundede mistanke om kræft afkræftet i udredningsperioden.
4.7
Kræft i bugspytkirtlen (B07)
Andelen af kirurgiske behandlingsforløb gennemført inden for standardforløbstiden for
kræft i bugspytkirtlen var på landsplan 87 % i 1. kvartal 2023 [4. kvartal 2022: 91 %]. Alle
regioner med undtagelse af Region Hovedstaden og Region Midtjylland havde færre end
10 registrerede forløb. Andelen var på 86% i Region Midtjylland [4. kvartal 2022: n.a.] og
82 % i Region Hovedstaden [4. kvartal 2022: 88 %].
Andelen af forløb gennemført inden for standardforløbstiden for medicinsk behandling af
kræft i bugspytkirtlen var på landsplan 78 % i 1. kvartal 2023 [4. kvartal 2022: 87 %].
Den regionale variation ligger på mellem 42 % i Region Sjælland [4. kvartal 2022: 64 %],
71 % i Region Syddanmark [4. kvartal 2022: 100 %], 83 % i Region Hovedstaden [4.
kvartal 2022: 86 %] og 100 % i Region Midtjylland [4. kvartal 2022: 85 %]. Region Nord-
jylland havde færre end 10 registrerede forløb. Andelen i Region Midtjylland er steget
med 15 procentpoint sammenlignet med 4. kvartal 2022. Andelen i Region Syddanmark
og Region Sjælland er faldet med hhv. 29 og 23 procentpoint sammenlignet med 4. kvar-
tal 2022.
Den regionale variation fremgår af figur 4.
SUU, Alm.del - 2022-23 (2. samling) - Bilag 250: Orientering om rapport om Monitorering af forløbstider på kræftområdet – opgørelse for 1. kvartal 2023, fra indenrigs- og sundhedsministeren
2720209_0024.png
Monitorering af forløbstider på kræftområdet, 1. kvartal 2023
Side 24/46
Figur 4.
Andel forløb gennemført inden for den angivne standardforløbstid for medicinsk behandling af kræft i
bugspytkirtlen samt antal forløb i alt, fordelt på sygehusregion og indikator, 1. kvartal 2023
Kilde: Landpatientregisteret 10. maj 2023, Sundhedsdatastyrelsen
Note: Der tages forbehold for foreløbige tal. OF4B angiver forløb gennemført inden for standardforløbstiden for medicinsk
behandling, samlet tid til behandling, fra henvisning til pakkeforløb start til initiale behandling.
Der har på landsplan i 1. kvartal 2023 været i alt 50 registrerede forløb i pakkeforløb for
kræft i bugspytkirtlen med kirurgisk behandling som initial behandling, mens der var 89
forløb med medicinsk behandling som initial behandling. Der var færre end 10 registre-
rede forløb med strålebehandling som initialbehandling.
I 42 % af alle patientforløb i pakkeforløbet for kræft i bugspytkirtlen blev den begrundede
mistanke om kræft afkræftet i udredningsperioden.
Det skønnes, at omkring 25 % af patienter med bugspytkirtelkræft har behov for aflast-
ning af galdeveje forud for medicinsk behandling. Dette kan medvirke til, at forløbet varer
længere end den angivne standardforløbstid for disse patientforløb.
4.8
Kræft i galdegang (B08)
Andelen af kirurgiske behandlingsforløb gennemført inden for standardforløbstiden for
kræft i galdegang var på landsplan 81 % i 1. kvartal 2023 [4. kvartal 2022: 88 %]. Ingen
regioner havde flere end 10 registrerede forløb i pakkeforløb for kirurgisk behandling af
kræft i galdegang.
Andelen af medicinske behandlingsforløb gennemført inden for standardforløbstiden for
kræft i galdegang var på landsplan 93 % i 1. kvartal 2023 [4. kvartal 2022: 81 %], hvilket
SUU, Alm.del - 2022-23 (2. samling) - Bilag 250: Orientering om rapport om Monitorering af forløbstider på kræftområdet – opgørelse for 1. kvartal 2023, fra indenrigs- og sundhedsministeren
Monitorering af forløbstider på kræftområdet, 1. kvartal 2023
Side 25/46
er en stigning på 12 procentpoint sammenlignet med 4. kvartal 2022. Ingen regioner har
registreret flere end 10 forløb.
Der har på landsplan i 1. kvartal 2023 været i alt 20 registrerede forløb i pakkeforløb for
kræft i galdegang, der gennemgik kirurgisk behandling som initial behandling og 15 regi-
strerede forløb, hvor medicinsk behandling var den initiale behandling. Der er ingen regi-
strerede forløb med strålebehandling som initial behandling.
I 31 % af alle patientforløb i pakkeforløbet for kræft i galdegang blev den begrundede
mistanke om kræft afkræftet i udredningsperioden.
Det skønnes, at hovedparten af patienter med kræft i galdegange har behov for aflast-
ning af galdeveje forud for medicinsk eller kirurgisk behandling. Derudover skønnes det,
at cirka halvdelen af patienter med kræft i galdegang endvidere har behov for portal em-
bolisering med en efterfølgende aflastningsperiode på 4 uger inden kirurgisk behandling.
Dette kan medvirke til, at forløbet varer længere end den angivne standardforløbstid.
4.9
Kræft i spiserøret/mavemunden/mavesækken (ECV) (B09)
For kræft i spiserøret/mavemunden/mavesækken var andelen af medicinske behand-
lingsforløb gennemført inden for standardforløbstiden på landsplan 89 % i 1. kvartal 2023
[4. kvartal 2022: 84 %].
På regionalt niveau ses der en variation i andelen af forløb gennemført inden for stan-
dardforløbstiden på mellem 75 % i både Region Sjælland [4. kvartal 2022: 59 %] og Re-
gion Hovedstaden [4. kvartal 2022: 82 %], 94 % i Region Syddanmark [4. kvartal 2022:
97 %], og 100 % i både Region Midtjylland [4. kvartal 2022: 90 %] og Region Nordjylland
[4. kvartal 2022: 92 %]. Den regionale andel er steget med 10 og 16 procentpoint i hhv.
Region Midtjylland og Region Sjælland.
Der var færre end 10 registrerede forløb der gennemgik kirurgisk behandling på både na-
tionalt og regionalt niveau, hvorfor andelen herfor ikke er beregnet. Der er ikke en stan-
dardforløbstid for strålebehandling, hvorfor disse forløb ikke kommenteres.
I 1. kvartal 2023 var der i alt 10 registrerede forløb i pakkeforløb for kræft i spiserøret/ma-
vemunden/mavesækken der gennemgik kirurgisk behandling som initial behandling,
mens der var 103 forløb der gennemgik medicinsk behandling som initial behandling, og
45 forløb der gennemgik strålebehandling som initial behandling.
I 89 % af alle patientforløb i pakkeforløbet for kræft i spiserøret/mavemunden/mavesæk-
ken blev den begrundede mistanke om kræft afkræftet i udredningsperioden.
4.10
Primær leverkræft (B10)
Andelen af kirurgiske behandlingsforløb gennemført inden for standardforløbstiden for
primær leverkræft var på landsplan 80 % i 1. kvartal 2023 [4. kvartal 2022: 88 %].
SUU, Alm.del - 2022-23 (2. samling) - Bilag 250: Orientering om rapport om Monitorering af forløbstider på kræftområdet – opgørelse for 1. kvartal 2023, fra indenrigs- og sundhedsministeren
Monitorering af forløbstider på kræftområdet, 1. kvartal 2023
Side 26/46
Inden for kirurgisk behandling er det kun Region Midtjylland og Region Hovedstaden, der
har registreret flere end 10 forløb, hvorfor den regionale variation alene er beregnet for
disse to regioner. Andelen er på 77 % i Region Hovedstaden [4. kvartal 2023: 77 %] og
89 % i Region Midtjylland [4. kvartal 2022: 95 %].
Andelen af medicinske behandlingsforløb gennemført inden for standardforløbstiden for
primær leverkræft var på landsplan 75 % i 1. kvartal 2023 [4. kvartal 2022: 71 %]. Ingen
regioner har registreret 10 eller flere medicinske behandlingsforløb, hvorfor den regionale
variation ikke er beregnet.
Der har på landsplan i 1. kvartal 2023 været i alt 40 registrerede forløb i pakkeforløb for
primær leverkræft med kirurgisk behandling som initial behandling, mens 20 forløb er re-
gistreret med medicinsk behandling som initial behandling. Der var færre end 10 registre-
rede forløb med strålebehandling som initialbehandling.
I 41 % af alle patientforløb i pakkeforløbet for primær leverkræft blev den begrundede
mistanke om kræft afkræftet i udredningsperioden.
Det skønnes at en mindre del af patienter med primær leverkræft har behov aflastning af
galdeveje forud for medicinsk behandling. Omkring 5-10 % af patienter med primær le-
verkræft vurderes at have behov for aflastning af galdeveje samt portal embolisering med
en efterfølgende aflastningsperiode på 4 uger inden kirurgisk behandling. Dette kan med-
virke til, at forløbet varer længere end den angivne standardforløbstid for disse patientfor-
løb.
4.11
Kræft i tyk- og endetarm (B12)
Ved kræft i tyk- og endetarm var andelen af kirurgiske behandlingsforløb gennemført in-
den for standardforløbstiden på landsplan 80 % i 1. kvartal 2023 [4. kvartal 2022: 78 %].
På regionalt niveau ses der en variation i andelen af forløb gennemført inden for stan-
dardforløbstiden på mellem 74 % i Region Hovedstaden [4. kvartal 2022: 76 %] og 86 % i
Region Syddanmark [4. kvartal 2022: 84 %]. Alle regioner ligger således over den natio-
nale 1. kvartil i forhold til andelen af kirurgiske behandlingsforløb gennemført inden for
standardforløbstiden ved kirurgisk behandling af kræft i tyk- og endetarm. Andelen er ste-
get med 10 procentpoint i Region Nordjylland.
Den regionale fordeling i forhold til kirurgisk behandling ses i figur 5.
SUU, Alm.del - 2022-23 (2. samling) - Bilag 250: Orientering om rapport om Monitorering af forløbstider på kræftområdet – opgørelse for 1. kvartal 2023, fra indenrigs- og sundhedsministeren
2720209_0027.png
Monitorering af forløbstider på kræftområdet, 1. kvartal 2023
Side 27/46
Figur 5.
Andel forløb gennemført inden for den angivne standardforløbstid for kirurgisk behandling af kræft i tyk-
og endetarm samt antal forløb i alt, fordelt på sygehusregion og indikator, 1. kvartal 2023
Kilde: Landspatientregisteret per 10. maj 2023, Sundhedsdatastyrelsen.
Anmærkning: Der tages forbehold for foreløbige tal. OF4a angiver forløb gennemført inden for standardforløbstiden for kirur-
gisk behandling, samlet tid til behandling, fra henvisning til pakkeforløb start til initiale behandling
Andelen af forløb gennemført inden for standardforløbstiden for medicinsk behandling af
kræft i tyk- og endetarm var på landsplan 77 % i 1. kvartal 2023 [4. kvartal 2022: 77 %].
På regionalt niveau ses der en variation på mellem 71 % i Region Syddanmark [4. kvartal
2022: 80 %] og 79 % Region Hovedstaden [4. kvartal 2022: 80 %].
Den regionale fordeling i forhold til medicinsk behandling ses i figur 6.
SUU, Alm.del - 2022-23 (2. samling) - Bilag 250: Orientering om rapport om Monitorering af forløbstider på kræftområdet – opgørelse for 1. kvartal 2023, fra indenrigs- og sundhedsministeren
2720209_0028.png
Monitorering af forløbstider på kræftområdet, 1. kvartal 2023
Side 28/46
Figur 6.
Andel forløb gennemført inden for den angivne standardforløbstid for medicinsk behandling af kræft i
tyk- og endetarm samt antal forløb i alt, fordelt på sygehusregion og indikator, 1. kvartal 2023.
Kilde: Landspatientregisteret per 10. maj 2023, Sundhedsdatastyrelsen.
Anmærkning: Der tages forbehold for foreløbige tal.
OF4B angiver forløb gennemført inden for standardforløbstiden for medicinsk behandling, samlet tid til behandling, fra hen-
visning til pakkeforløb start til initiale behandling.
For strålebehandling af kræft i tyk- og endetarm var andelen af forløb gennemført inden
for standardforløbstiden på landsplan 75 % for 1. kvartal 2023 [4. kvartal 2022: 73 %].
På regionalt niveau ses der en variation på 65 % i Region Syddanmark [4. kvartal 2022:
86 %], 67 % i Region Midtjylland [4. kvartal 2022: 38 %], 71 % i Region Sjælland [4. kvar-
tal 2022: 82 %], og 81 % i Region Hovedstaden [4. kvartal 2022: 79 %]. Region Nordjyl-
land havde registreret færre end 10 forløb, hvorfor andelen ikke er beregnet herfor.
Der ses et fald på 21 procentpoint i Region Syddanmark og 10 procentpoint i Region
Sjælland. Der ses en stigning på 28 procentpoint i Region Midtjylland. Andelen i Region
Syddanmark og Region Midtjylland ligger hhv. under og lig med den nationale 1. kvartil.
Den regionale fordeling i forhold til strålebehandling ses i figur 7.
SUU, Alm.del - 2022-23 (2. samling) - Bilag 250: Orientering om rapport om Monitorering af forløbstider på kræftområdet – opgørelse for 1. kvartal 2023, fra indenrigs- og sundhedsministeren
2720209_0029.png
Monitorering af forløbstider på kræftområdet, 1. kvartal 2023
Side 29/46
Figur 7.
Andel forløb gennemført inden for den angivne standardforløbstid for strålebehandling af kræft i tyk- og
endetarm samt antal forløb i alt, fordelt på sygehusregion og indikator, 1. kvartal 2023.
Kilde: Landspatientregisteret per 10. maj 2023, Sundhedsdatastyrelsen.
Anmærkning: Der tages forbehold for foreløbige tal.
OF4c angiver forløb gennemført inden for standardforløbstiden for strålebehandling, samlet tid til behandling, fra henvisning
til pakkeforløb start til initiale behandling.
Der har på landsplan i 1. kvartal 2023 været i alt 660 registrerede forløb i pakkeforløb for
kræft i tyk- og endetarm med kirurgisk behandling som initial behandling, 120 forløb med
medicinsk behandling som initial behandling, og 80 forløb med strålebehandling som ini-
tial behandling.
I 88 % af alle patientforløb i pakkeforløbet for kræft i tyk- og endetarm blev den begrun-
dede mistanke om kræft afkræftet i udredningsperioden.
Nogle patienter i pakkeforløb for tyk- og endetarmskræft vurderes at have gavn af et 4
ugers præhabiliteringsforløb forud for behandling. Dette kan medvirke til, at forløbet varer
længere end den angivne standardforløbstid for disse patientforløb.
4.12
Kræft i urinveje (B13)
Der er ikke kommenteret på det fælles primære udredningsforløb for kræft i urinveje, da
der ikke er standardforløbstider for disse forløb.
På landsplan i 1. kvartal 2023 var der i alt 269 registrerede forløb i pakkeforløb for kræft i
urinveje med kirurgisk behandling som initial behandling, 92 forløb med medicinsk be-
handling som initial behandling og 30 forløb med strålebehandling som initial behandling.
SUU, Alm.del - 2022-23 (2. samling) - Bilag 250: Orientering om rapport om Monitorering af forløbstider på kræftområdet – opgørelse for 1. kvartal 2023, fra indenrigs- og sundhedsministeren
Monitorering af forløbstider på kræftområdet, 1. kvartal 2023
Side 30/46
Andelen af forløb, hvor den begrundede mistanke om kræft i urinveje blev afkræftet, er
78 %.
Vedrørende kommentarer for behandlingsforløb for ’kræft i blære’, ’kræft i nyre’ og ’kræft i
nyrebækken og urinleder’ se nedenfor i hhv. ’ Kræft i blæren (B14)’, ’ Kræft i nyre (B15)’
og ’Kræft i nyrebækken eller urinleder (B32)’.
4.13
Kræft i blæren (B14)
På landsplan var andelen af forløb gennemført inden for standardforløbstiden for kirur-
gisk behandling af kræft i blæren 46 % i 1. kvartal 2023 [4. kvartal 2022: 58 %], hvilket er
under den nationale 1. kvartil.
For kirurgisk behandling af kræft i blæren er det kun Region Nordjylland, Region Midtjyl-
land og Region Hovedstaden der har registreret flere end 10 patientforløb. Andelen af
forløb gennemført inden for standardforløbstiden var på 18 % i Region Midtjylland [4.
kvartal 2022: 57 %], 55 % i Region Nordjylland [4. kvartal 2022: n.a.] og 67 % i Region
Hovedstaden [4. kvartal: n.a.]. Andelen i Region Nordjylland og Region Midtjylland er så-
ledes under den nationale 1. kvartil, og der ses et fald på 39 procentpoint i Region
Midtjylland.
Ved medicinsk behandling var andelen af forløb gennemført inden for standardforløbsti-
den på landsplan 75 % i 1. kvartal 2023 [4. kvartal 2022: 65 %]. På regionalt niveau er
det kun Region Midtjylland, Region Syddanmark og Region Hovedstaden, der har regi-
streret flere end 10 medicinske behandlingsforløb, hvorfor der alene er angivet andele for
disse regioner. Andelen var på 63 % i Region Midtjylland [4. kvartal 2022: 53 %] og 64 %
i Region Syddanmark [4. kvartal 2022: n.a.], hvilket er under den nationale 1. kvartil. An-
delen af forløb gennemført inden for standardforløbstiden var 92 % i Region Hovedsta-
den [4. kvartal 2022: 75 %]. Andelen er steget med 10 procentpoint i Region Midtjylland
og 17 procentpoint i Region Hovedstaden.
Ved strålebehandling af blærekræft var andelen af forløb gennemført inden for standard-
forløbstiden 52 % på landsplan i 1. kvartal 2023 [4. kvartal 2022: 78 %], hvilket er et fald
på 26 procentpoint og under den nationale 1. kvartil. Kun Region Hovedstaden havde re-
gistreret flere end 10 forløb, hvor den regionale andel kun er beregnet herfor. Andelen
var 64 % i Region Hovedstaden [4. kvartal 2022: n.a.]
Der har på landsplan i 1. kvartal 2023 været i alt 48 registrerede forløb i pakkeforløb for
kræft i blæren med kirurgisk behandling som initial behandling, mens der var 50 forløb
med medicinsk behandling som initial behandling og 25 forløb med strålebehandling som
initial behandling.
Andelen af forløb, hvor den begrundede mistanke om kræft i blæren blev afkræftet, er
ikke beregnet.
SUU, Alm.del - 2022-23 (2. samling) - Bilag 250: Orientering om rapport om Monitorering af forløbstider på kræftområdet – opgørelse for 1. kvartal 2023, fra indenrigs- og sundhedsministeren
Monitorering af forløbstider på kræftområdet, 1. kvartal 2023
Side 31/46
4.14
Kræft i nyre (B15)
Ved kræft i nyrerne var den nationale andel af kirurgiske behandlingsforløb gennemført
inden for standardforløbstiden 74 % i 1. kvartal 2023 [4. kvartal 2022: 75 %].
På regionalt niveau ses der en variation i andelen af kirurgiske behandlingsforløb gen-
nemført inden for standardforløbstiden for kræft i nyrerne på mellem 62 % i Region
Midtjylland [4. kvartal 2022: 43 %], 68 % i Region Syddanmark [4. kvartal 2022: 71 %], 71
% i Region Nordjylland [4. kvartal 2022: 74 %], 76 % i Region Sjælland [4. kvartal 2022:
89 %] og 85 % i Region Hovedstaden [4. kvartal 2022: 96 %]. I Region Midtjylland er an-
delen steget med 19 procentpoint. Andelen i Region Hovedstaden og Region Sjælland er
faldet med hhv. 11 og 12 procentpoint. Region Midtjylland ligger under den nationale 1.
kvartil.
Andelen af medicinske behandlingsforløb gennemført inden for standardforløbstiden for
kræft i nyre er 87 % på landsplan i 1. kvartal 2023 [4. kvartal 2022: 86 %]. Alene Region
Midtjylland har registreret flere end 10 forløb med medicinsk behandling, og andelen af
forløb gennemført inden for standardforløbstiden var her 91 % [4. kvartal 2022: n.a.].
Der er ikke en standardforløbstid for strålebehandling af kræft i nyre, hvorfor dette ikke
kommenteres.
På landsplan i 1. kvartal 2023 var der i alt 209 registrerede forløb i pakkeforløb for kræft i
nyren med kirurgisk behandling som initial behandling, 30 forløb hvor medicinsk behand-
ling var de initiale behandling, og 10 registrerede forløb med strålebehandling som initial
behandling.
Andelen af forløb, hvor den begrundede mistanke om kræft i nyre blev afkræftet, er ikke
beregnet.
4.15
Kræft i prostata (B16)
I 1. kvartal 2023 var den nationale andel af forløb gennemført inden for standardforløbsti-
den for kirurgisk behandling af kræft i prostata på 44 % [4. kvartal 2022: 50 %], hvilket er
under den nationale 1. kvartil.
Der er en alene registreret flere end 10 forløb med kirurgisk behandling i Region Nordjyl-
land og Region Syddanmark, hvorfor der kun er beregnet andele herfor. Andelen var på
45 % i Region Nordjylland [4. kvartal: 38 %] og 46 % i Region Syddanmark [4. kvartal
2022: 74 %]. Der ses et fald på 28 procentpoint i Region Syddanmark sammenlignet med
4. kvartal 2022, og begge regioner ligger således under den nationale 1. kvartil.
Den regionale fordeling ses i figur 8.
SUU, Alm.del - 2022-23 (2. samling) - Bilag 250: Orientering om rapport om Monitorering af forløbstider på kræftområdet – opgørelse for 1. kvartal 2023, fra indenrigs- og sundhedsministeren
2720209_0032.png
Monitorering af forløbstider på kræftområdet, 1. kvartal 2023
Side 32/46
Figur 8.
Andel forløb gennemført inden for angivne standardforløbstid for kirurgisk behandling af prostatakræft
samt antal forløb i alt, fordelt på sygehusregion og indikator, 1. kvartal 2023.
Kilde: Landspatientregisteret per 10. maj 2023, Sundhedsdatastyrelsen.
Anmærkning: Der tages forbehold for foreløbige tal.
OF4a angiver forløb gennemført inden for standardforløbstiden for kirurgisk behandling, samlet tid til behandling, fra henvis-
ning til pakkeforløb start til initiale behandling.
Andelen af forløb gennemført inden for standardforløbstiden for nervebesparende kirur-
gisk behandling af kræft i prostata var 92 % på landsplan i 1. kvartal 2023 [4. kvartal
2022: 93 %]. Der ses en regional variation i andelen af forløb gennemført inden for stan-
dardforløbstiden for nervebesparende kirurgisk behandling af kræft i prostata i 4. kvartal
2022 på mellem 79 % i Region Midtjylland [4. kvartal 2022: 87 %], 89 % i Region Hoved-
staden [4. kvartal 2022: 94 %], 96 % Region Syddanmark [4. kvartal 2022: 94 %] og 100
% I Region Sjælland [4. kvartal 2022: 93 %]. Region Nordjylland havde færre end 10 re-
gistrerede forløb.
Der er ikke en standardforløbstid for medicinsk behandling, hvorfor disse forløb ikke kom-
menteres.
Andelen af strålebehandlingsforløb gennemført inden for standardforløbstiden i 1. kvartal
2023 var 47 % på nationalt niveau [4. kvartal 2022: 57 %], hvilket er under den nationale
1. kvartil. Ingen regioner havde registreret flere end 10 strålebehandlingsforløb, hvorfor
den regionale variation ikke er beregnet.
Der har på landsplan i 1. kvartal 2023 været i alt 55 registrerede forløb i pakkeforløb for
kræft i prostata med kirurgisk behandling (eksklusiv nervebesparende kirurgi) som initial
behandling, mens 88 forløb var med nervebesparende kirurgi som initial behandling, 540
forløb var med medicinsk behandling som initial behandling og 15 forløb var med stråle-
behandling som initial behandling.
SUU, Alm.del - 2022-23 (2. samling) - Bilag 250: Orientering om rapport om Monitorering af forløbstider på kræftområdet – opgørelse for 1. kvartal 2023, fra indenrigs- og sundhedsministeren
Monitorering af forløbstider på kræftområdet, 1. kvartal 2023
Side 33/46
I 38 % af alle patientforløb i pakkeforløbet for kræft i prostata blev den begrundede mis-
tanke om kræft afkræftet i udredningsperioden.
Regionerne er i gang med at implementere en ny diagnostisk strategi i udredningen af
prostatakræft med øget brug af MR-skanning. Denne implementering forløber over de
næste par år (2022-2023), hvor kapaciteten af MR-skanninger forventes at blive øget.
Andelen af gennemførte forløb inden for standardforløbstiden kan være påvirket af
dette i denne periode.
4.16
Kræft i penis (B17)
I 1. kvartal 2023 var den nationale andel af forløb gennemført inden for standardforløbsti-
den for kirurgisk behandling af kræft i penis på 45 % [4. kvartal 2022: 56 %], hvilket er et
fald på 11 procentpoint og under den nationale 1. kvartil. Den regionale variation er på 15
% i Region Midtjylland [4. kvartal 2022: n.a.] og 73 % Region Hovedstaden [4. kvartal
2022: n.a.]. Region Midtjylland ligger således under den nationale 1. kvartil. De øvrige re-
gioner havde registreret færre end 10 forløb med kirurgisk behandling, hvorfor der ikke er
beregnet andele herfor.
Ved medicinsk behandling og strålebehandling er andelen af forløb gennemført inden for
standardforløbstiden ikke beregnet, da der er registreret færre end 10 forløb med både
medicinsk behandling eller strålebehandling som initial behandling på både regionalt og
nationalt niveau.
Der har på landsplan i 1. kvartal 2023 været i alt 30 registrerede forløb i pakkeforløb for
kræft i penis, der gennemgik kirurgisk behandling.
I 79 % af alle patientforløb i pakkeforløbet for kræft i penis blev den begrundede mistanke
om kræft afkræftet i udredningsperioden.
4.17
Kræft i testikel (B18)
Idet der ikke er standardforløbstider for behandlingsmuligheder for testikelkræft, har
Sundhedsstyrelsen ikke kommentarer til disse forløb, men konstaterer, at der på lands-
plan i 1. kvartal 2023 i alt har været 15 kirurgiske behandlingsforløb i pakkeforløb for
kræft i testiklerne, færre end 10 registrerede forløb, hvor medicinsk behandling var den
initiale behandling og ingen registrerede forløb, hvor strålebehandling var den initiale be-
handling.
I 80 % af alle patientforløb i pakkeforløbet for kræft i testikel blev den begrundede mis-
tanke om kræft afkræftet i udredningsperioden.
4.18
Kræft i ydre kvindelige kønsorganer (vulva) (B19)
Andelen af forløb gennemført inden for standardforløbstiden for kirurgisk behandling af
kræft i ydre kvindelige kønsorganer var 82 % på landsplan i 1. kvartal 2023 [4. kvartal
SUU, Alm.del - 2022-23 (2. samling) - Bilag 250: Orientering om rapport om Monitorering af forløbstider på kræftområdet – opgørelse for 1. kvartal 2023, fra indenrigs- og sundhedsministeren
Monitorering af forløbstider på kræftområdet, 1. kvartal 2023
Side 34/46
2022: 74 %]. Region Hovedstaden og Region Midtjylland havde registreret flere end 10
forløb i pakkeforløb for kirurgisk behandling af kræft i ydre kvindelige kønsorganer. Ande-
len af forløb gennemført inden for standardforløbstiden var på 80 % i Region Midtjylland
[4. kvartal 2022: 70 %] og 88 % i Region Hovedstaden [4. kvartal 2022: 82 %]. Der ses
en stigning i Region Midtjylland på 10 procentpoint.
Der er ikke en standardforløbstid for medicinsk behandling, hvorfor disse forløb ikke kom-
menteres. Der er færre end 10 registrerede forløb der gennemgik strålebehandling, hvor-
for andelen af forløb gennemført inden for standardforløbstiden ikke er beregnet.
I 1. kvartal 2023 var der i alt på landsplan 35 registrerede forløb, med kirurgisk behand-
ling som initial behandling, ingen forløb med medicinsk behandling som initial behandling,
og færre end 10 forløb hvor strålebehandling var den initiale behandling.
I 47 % af alle patientforløb i pakkeforløbet for kræft i ydre kvindelige kønsorganer blev
den begrundede mistanke om kræft afkræftet i udredningsperioden.
4.19
Livmoderkræft (B20)
Ved livmoderkræft var andelen af kirurgiske behandlingsforløb, der blev gennemført in-
den for standardforløbstiden 74 % i 1. kvartal 2023, når tallene opgøres på landsplan [4.
kvartal 2022: 76 %].
På regionalt niveau ses der en variation på 51 % i Region Midtjylland [4. kvartal 2022: 51
%], 56 % i Region Sjælland [4. kvartal 2022: 71 %], 81 % i både Region Syddanmark [4.
kvartal 2022: 81 %] og Region Hovedstaden [4. kvartal 2022: 87 %], og 100 % i Region
Nordjylland [4. kvartal 2022: 94 %]. Region Midtjylland og Region Sjælland ligger således
under den nationale 1. kvartil. Andelen er faldet med 15 procentpoint i Region Sjælland
sammenlignet med 4. kvartal 2022.
Den regionale fordeling ses i figur 9.
SUU, Alm.del - 2022-23 (2. samling) - Bilag 250: Orientering om rapport om Monitorering af forløbstider på kræftområdet – opgørelse for 1. kvartal 2023, fra indenrigs- og sundhedsministeren
2720209_0035.png
Monitorering af forløbstider på kræftområdet, 1. kvartal 2023
Side 35/46
Figur 9.
Andel forløb gennemført inden for angivne standardforløbstid for kirurgisk behandling af livmoderkræft
samt antal forløb i alt, fordelt på sygehusregion og indikator, 1. kvartal 2023.
Kilde: Landspatientregisteret per 10. maj 2023, Sundhedsdatastyrelsen.
Anmærkning: Der tages forbehold for foreløbige tal.
OF4a angiver forløb gennemført inden for standardforløbstiden for kirurgisk behandling, samlet tid til behandling, fra henvis-
ning til pakkeforløb start til initiale behandling.
Der er ikke en standardforløbstid for medicinsk behandling og strålebehandling af livmo-
derkræft, hvorfor disse ikke kommenteres.
Der har på landsplan i 4. kvartal 2022 været i alt 213 registrerede forløb i pakkeforløb for
livmoderkræft med kirurgisk behandling som initial behandling, 15 forløb med medicinsk
behandling som initial behandling, og ingen forløb med strålebehandling som initial be-
handling.
I 87 % af alle patientforløb i pakkeforløbet for livmoderkræft blev den begrundede mis-
tanke om kræft afkræftet efter udredningen.
4.20
Kræft i æggestok (B21)
På landsplan var andelen af kirurgiske behandlingsforløb gennemført inden for standard-
forløbstiden for kræft i æggestok 85 % i 1. kvartal 2023 [4. kvartal 2022: 87 %].
Der ses en regional variation på mellem 68 % i Region Midtjylland [4. kvartal 2022: 76
%], 91 % i både Region Hovedstaden [4. kvartal 2022: 89 %] og Region Syddanmark [4.
kvartal 2022: 90 %], 92 % i Region Sjælland [4. kvartal 2022: 94 %], og 100 % i Region
Nordjylland [4. kvartal 2022: 92 %].
SUU, Alm.del - 2022-23 (2. samling) - Bilag 250: Orientering om rapport om Monitorering af forløbstider på kræftområdet – opgørelse for 1. kvartal 2023, fra indenrigs- og sundhedsministeren
2720209_0036.png
Monitorering af forløbstider på kræftområdet, 1. kvartal 2023
Side 36/46
Ved medicinsk behandling var andelen af forløb gennemført inden for standardforløbsti-
den 54 % på landsplan i 1. kvartal 2023 [4. kvartal 2022: 68 %], hvilket er under den nati-
onale kvartil og et fald på 14 procentpoint sammenlignet med 4. kvartal 2022.
Der ses en regional variation på mellem 29 % i Region Midtjylland [4. kvartal 2022: 43
%], 64 % i Region Sjælland [4. kvartal 2022: n.a.] og 71% i Region Hovedstaden [4. kvar-
tal 2022: 78 %]. Andelen er ikke beregnet for Region Syddanmark og Region Nordjylland,
da der er færre end 10 registrerede forløb i disse regioner. Der ses et fald på 14 procent-
point for Region Midtjylland. Andelen i Region Midtjylland og Region Sjælland ligger un-
der den nationale 1. kvartil.
Den regionale fordeling ses i figur 10.
Figur 10.
Andel forløb gennemført inden for angivne standardforløbstid for medicinsk behandling af kræft i æg-
gestok samt antal forløb i alt, fordelt på sygehusregion og indikator, 1. kvartal 2023.
Kilde: Landspatientregisteret per 10. maj 2022, Sundhedsdatastyrelsen.
Anmærkning: Der tages forbehold for foreløbige tal.
OF4b angiver forløb gennemført inden for standardforløbstiden for medicinsk behandling, samlet tid til behandling, fra hen-
visning til pakkeforløb start til initiale behandling.
Der er ikke en standardforløbstid for strålebehandling, hvorfor disse forløb ikke kommen-
teres.
På landsplan i 1. kvartal 2023 var der i alt 132 registrerede patientforløb i pakkeforløb for
kræft i æggestok der gennemgik kirurgisk behandling som initial behandling, mens der
var 60 forløb med medicinsk behandling som initial behandling, og ingen forløb med strå-
lebehandling som initial behandling.
SUU, Alm.del - 2022-23 (2. samling) - Bilag 250: Orientering om rapport om Monitorering af forløbstider på kræftområdet – opgørelse for 1. kvartal 2023, fra indenrigs- og sundhedsministeren
Monitorering af forløbstider på kræftområdet, 1. kvartal 2023
Side 37/46
I 42 % af alle patientforløb i pakkeforløbet for kræft i æggestok blev den begrundede mis-
tanke om kræft afkræftet i udredningsperioden.
4.21
Livmoderhalskræft (B22)
I 1. kvartal 2023 var andelen af kirurgiske behandlingsforløb gennemført inden for stan-
dardforløbstiden for livmoderhalskræft 70 % på landsplan [4. kvartal 2022: 56 %], hvilket
er en stigning på 14 procentpoint. På regionalt niveau er der alene registreret over 10 for-
løb i Region Hovedstaden med en andel på 58 % [4. kvartal 2022: 42 %] og i Region
Midtjylland med en andel på 75 % [4. kvartal 2022: 50 %]. Andelen er steget med 16 pro-
centpoint i Region Hovedstaden og 25 procentpoint i Region Midtjylland sammenlignet
med 4. kvartal 2022. Region Hovedstaden ligger under den nationale 1. kvartil.
Andelen af medicinske behandlingsforløb gennemført inden for standardforløbstiden af
livmoderhalskræft er ikke beregnet, da der var færre end 10 registrerede forløb på både
nationalt og regionalt niveau.
Andelen af forløb gennemført inden for standardforløbstiden for strålebehandling af liv-
moderhalskræft var 93 % på nationalt niveau i 1. kvartal 2023 [4. kvartal 2022: 93 %].
Kun Region Hovedstaden havde registreret flere end 10 patientforløb med strålebehand-
ling af livmoderkræft, hvorfor andele kun er beregnet for Region Hovedstaden. Andelen
af forløb gennemført inden for standardforløbstiden for strålebehandling af livmoderhals-
kræft var 93 % i Region Hovedstaden [4. kvartal 2022: n.a.].
På landsplan i 1. kvartal 2023 var der i alt 40 registrerede forløb i pakkeforløb for livmo-
derhalskræft med kirurgisk behandling som initial behandling, 10 med medicinsk behand-
ling som initial behandling, og 30 forløb med strålebehandling som initial behandling.
I 30 % af alle patientforløb i pakkeforløbet for livmoderhalskræft blev den begrundede
mistanke om kræft afkræftet i udredningsperioden.
4.22
Kræft i hjernen (B23)
Der er ikke standardforløbstider for kirurgisk behandling af kræft i hjernen, hvorfor disse
forløb ikke kommenteres. Hverken nationalt og regionalt var der registreret flere end 10
forløb med medicinsk behandling eller partikelterapi, hvorfor andelen af forløb gennem-
ført inden for standardforløbstiden ikke er beregnet herfor.
Andelen af forløb gennemført inden for standardforløbstiden for strålebehandling af kræft
i hjernen var på landsplan 100 % i 1. kvartal 2023 [4. kvartal 2022: 93 %].
Kun Region Hovedstaden og Region Sjælland havde flere end 10 registrerede patientfor-
løb for strålebehandling af kræft i hjernen, hvorfor andelen kun er udregnet for disse regi-
oner. Andelen af forløb gennemført inden for standardforløbstiden var på 100 % i både
Region Hovedstaden [4. kvartal 2022: 95 %] og Region Sjælland [4. kvartal 2022: n.a.].
SUU, Alm.del - 2022-23 (2. samling) - Bilag 250: Orientering om rapport om Monitorering af forløbstider på kræftområdet – opgørelse for 1. kvartal 2023, fra indenrigs- og sundhedsministeren
Monitorering af forløbstider på kræftområdet, 1. kvartal 2023
Side 38/46
Der har på landsplan i 1. kvartal 2023 været i alt 60 registrerede pakkeforløb for kræft i
hjernen, der gennemgik strålebehandling som initial behandling, mens ingen gennemgik
kirurgisk behandling som initial behandling, og færre end 10 gennemgik medicinsk be-
handling eller partikelterapi som initial behandling.
I 86 % af alle patientforløb i pakkeforløbet for kræft i hjernen blev den begrundede mis-
tanke om kræft afkræftet i udredningsperioden.
4.23
Kræft i øjne og orbita (B24)
Der er ikke standardforløbstider for behandlingsmuligheder for kræft i øjne og orbita,
hvorfor Sundhedsstyrelsen ikke kommenterer disse forløb.
På landsplan var der i 1. kvartal 2023 registeret færre end 10 forløb i pakkeforløb for
kræft i øjne og orbita med kirurgisk behandling, samt ingen registrerede forløb med medi-
cinsk behandling og strålebehandling som initial behandling.
I 71 % af alle patientforløb i pakkeforløbet for om kræft i øjne og orbita blev den begrun-
dede mistanke om kræft afkræftet i udredningsperioden.
4.24
Modermærkekræft i hud (B25)
Andelen af kirurgiske behandlingsforløb gennemført inden for standardforløbstiden for
modermærkekræft i huden var i hele landet på 93 % i 1. kvartal 2023 [4. kvartal 2022: 94
%].
På regionalt niveau ses en variation på mellem 85 % i Region Sjælland [4. kvartal 2022:
83 %] og 100 % i Region Nordjylland [4. kvartal 2022: 99 %]. Alle regioner ligger således
over den nationale 1. kvartil i forhold til andelen af kirurgiske behandlingsforløb gennem-
ført inden for standardforløbstiden ved behandling af modermærkekræft i hud.
Der er ikke standardforløbstider for medicinsk behandling og strålebehandling for moder-
mærkekræft i huden, hvorfor disse ikke kommenteres.
I 1. kvartal 2023 var der på landsplan i alt 865 registrerede forløb i pakkeforløb for moder-
mærkekræft i hud med kirurgisk behandling som initial behandling, mens der var færre
end 10 forløb med medicinsk behandling som initial behandling, og ingen forløb med
strålebehandling som initial behandling.
I 55 % af alle patientforløb i pakkeforløbet for modermærkekræft i hud blev den begrun-
dede mistanke om kræft afkræftet i udredningsperioden.
4.25
Lungekræft (B26)
Ved kirurgisk behandling for lungekræft var der på landsplan i 1. kvartal 2023 82 % af for-
løbene, der blev gennemført inden for standardforløbstiden [4. kvartal 2022: 75 %].
SUU, Alm.del - 2022-23 (2. samling) - Bilag 250: Orientering om rapport om Monitorering af forløbstider på kræftområdet – opgørelse for 1. kvartal 2023, fra indenrigs- og sundhedsministeren
2720209_0039.png
Monitorering af forløbstider på kræftområdet, 1. kvartal 2023
Side 39/46
På regionalt niveau ses en variation på mellem 59 % i Region Sjælland [4. kvartal 2022:
47 %], 80 % i Region Nordjylland [4. kvartal 2022: 84 %], 82 % i Region Midtjylland [4.
kvartal 2022: 83 %], 89 % i Region Hovedstaden [4. kvartal 2022: 65 %] og 91 % i Re-
gion Syddanmark [4. kvartal 2022: 93 %]. Region Sjælland ligger dermed under den nati-
onale 1. kvartil for andelen af kirurgiske behandlingsforløb gennemført inden for stan-
dardforløbstiden ved behandling af lungekræft. Der ses en stigning på 12 procentpoint i
Region Sjælland og 24 procentpoint i Region Hovedstaden.
Den regionale fordeling ses i figur 11.
Figur 11.
Andel forløb gennemført inden for angivne standardforløbstid for kirurgisk behandling af lungekræft
samt antal forløb i alt, fordelt på sygehusregion og indikator, 1. kvartal 2023.
Kilde: Landspatientregisteret per 10. maj 2023, Sundhedsdatastyrelsen.
Anmærkning: Der tages forbehold for foreløbige tal.
OF4a angiver forløb gennemført inden for standardforløbstiden for kirurgisk behandling, samlet tid til behandling, fra henvis-
ning til pakkeforløb start til initiale behandling.
Ved forløb i medicinsk behandling for lungekræft var der på landsplan i 1. kvartal 2023 90
% af forløbene, der blev gennemført inden for standardforløbstiden [4. kvartal 2022: 87
%]. Der ses en regional variation på mellem 84 % i Region Sjælland [4. kvartal 2022: 72
%] og 94 % i Region Hovedstaden [4. kvartal 2022: 94 %]. Der ses en stigning på 13 pro-
centpoint i Region Sjælland.
Den regionale fordeling ses i figur 12.
Figur 12.
Andel forløb gennemført inden for angivne standardforløbstid for medicinsk behandling af lungekræft
samt antal forløb i alt, fordelt på sygehusregion og indikator, 1. kvartal 2023.
SUU, Alm.del - 2022-23 (2. samling) - Bilag 250: Orientering om rapport om Monitorering af forløbstider på kræftområdet – opgørelse for 1. kvartal 2023, fra indenrigs- og sundhedsministeren
2720209_0040.png
Monitorering af forløbstider på kræftområdet, 1. kvartal 2023
Side 40/46
Kilde: Landspatientregisteret per 10. maj 2023, Sundhedsdatastyrelsen.
Anmærkning: Der tages forbehold for foreløbige tal.
OF4b angiver forløb gennemført inden for standardforløbstiden for medicinsk behandling, samlet tid til medicinsk behandling,
fra henvisning til pakkeforløb start til initiale medicinsk behandling.
For strålebehandling af lungekræft var andelen af forløb gennemført inden for standard-
forløbstiden på 80 % på landsplan i 1. kvartal 2023 [4. kvartal 2022: 73 %].
Der ses en regional variation på 72 % i Region Sjælland [4. kvartal 2022: 52 %], 76 % i
Region Nordjylland [4. kvartal 2022: 88 %], 78 % i Region Midtjylland [4. kvartal 2022: 64
%], 83 % i Region Hovedstaden [4. kvartal 2022: 78 %], og 84 % i Region Syddanmark
[4. kvartal 2022: 88 %]. Andelen i Region Nordjylland er faldet med 11 procentpoint sam-
menlignet med 4. kvartal 2022. I Region Midtjylland og Region Sjælland er andelen ste-
get med hhv. 14 og 20 procentpoint.
Den regionale fordeling ses i figur 13.
SUU, Alm.del - 2022-23 (2. samling) - Bilag 250: Orientering om rapport om Monitorering af forløbstider på kræftområdet – opgørelse for 1. kvartal 2023, fra indenrigs- og sundhedsministeren
2720209_0041.png
Monitorering af forløbstider på kræftområdet, 1. kvartal 2023
Side 41/46
Figur 13.
Andel forløb gennemført inden for angivne standardforløbstid for strålebehandling af lungekræft samt
antal forløb i alt, fordelt på sygehusregion og indikator, 1. kvartal 2023.
Kilde: Landspatientregisteret per 10. maj 2023, Sundhedsdatastyrelsen.
Anmærkning: Der tages forbehold for foreløbige tal.
OF4c angiver forløb gennemført inden for standardforløbstiden for strålebehandling, samlet tid til strålebehandling, fra henvisning
til pakkeforløb start til initiale strålebehandling.
På landsplan var der i 1. kvartal 2023 i alt 323 registrerede forløb i pakkeforløb for lunge-
kræft der gennemgik kirurgisk behandling som initial behandling, mens der var 468 forløb
der gennemgik medicinsk behandling som initial behandling, og 319 forløb med strålebe-
handling som initial behandling.
I 62 % af alle patientforløb i pakkeforløbet for lungekræft blev den begrundede mistanke
om kræft afkræftet i udredningsperioden.
4.26
Sarkom i knogle (B27)
Der har ikke været et tilstrækkeligt antal registrerede forløb til at opgøre andelen af forløb
gennemført inden for standardforløbstiden ved behandling af sarkom i knoglerne.
Der har på landsplan i 1. kvartal 2023 været 10 forløb i pakkeforløb for sarkom i knogle,
hvor den initiale behandling var kirurgisk, mens der har været ingen registrerede forløb,
hvor den initiale behandling var medicinsk eller strålebehandling.
I 50 % af alle patientforløb i pakkeforløbet for sarkom i knogle blev den begrundede mis-
tanke om kræft afkræftet i udredningsperioden.
SUU, Alm.del - 2022-23 (2. samling) - Bilag 250: Orientering om rapport om Monitorering af forløbstider på kræftområdet – opgørelse for 1. kvartal 2023, fra indenrigs- og sundhedsministeren
Monitorering af forløbstider på kræftområdet, 1. kvartal 2023
Side 42/46
4.27
Sarkom i bløddele (B29)
Andelen af kirurgiske behandlingsforløb for sarkom i bløddele gennemført inden for stan-
dardforløbstiden var 72 % på landsplan i 1. kvartal 2023 [4. kvartal 2022: 70 %].
På regionalt niveau er det kun Region Midtjylland og Region Hovedstaden, der har regi-
streret flere end 10 patientforløb i et kirurgisk behandlingsforløb for sarkom i bløddele.
Andelen af gennemførte forløb inden for standardforløbstiden var på 69 % i Region
Midtjylland [4. kvartal 2022: 65%] og 76 % i Region Hovedstaden i 1. kvartal 2023 [4.
kvartal 2022: 80 %].
Andelen af medicinske behandlingsforløb og strålebehandlingsforløb gennemført inden
for standardforløbstiden for sarkom i bløddele er ikke beregnet, da der ikke har været et
tilstrækkeligt antal registrerede forløb til at opgøre andelen.
Der har på landsplan i 1. kvartal 2023 været 60 registrerede forløb i pakkeforløb for sar-
kom i bløddele med kirurgisk behandling som initial behandling, samt 10 forløb med me-
dicinsk behandling som initial behandling, og ingen forløb med strålebehandling som ini-
tial behandling.
I 52 % af alle patientforløb i pakkeforløbet for sarkom i bløddele blev den begrundede
mistanke om kræft afkræftet i udredningsperioden.
4.28
Kræft hos børn (B30)
Der er ikke standardforløbstider for behandlingsmuligheder ved pakkeforløb for kræft hos
børn. Sundhedsstyrelsen kommenterer derfor ikke disse forløb.
På landsplan var der i 1. kvartal 2023 færre end 10 registrerede forløb i pakkeforløb for
kræft hos børn, der gennemgik kirurgisk behandling og 20 forløb med medicinsk behand-
ling som initial behandling. Der var ingen registrerede behandlingsforløb med strålebe-
handling.
I 43 % af alle patientforløb i pakkeforløbet for kræft hos børn blev den begrundede mis-
tanke om kræft afkræftet i udredningsperioden.
4.29
Analkræft (B31)
Der er ikke en standardforløbstid for kirurgisk behandling af analkræft, hvorfor Sundheds-
styrelsen ikke kommenterer på disse forløb. Andelen af medicinske behandlingsforløb
gennemført inden for standardforløbstiden for analkræft er ikke beregnet, da der på
landsplan er færre end 10 registrerede forløb.
Andelen af strålebehandlingsforløb der er gennemført inden for standardforløbstiden i 1.
kvartal 2023 var på landsplan 78 % [4. kvartal 2022: 79 %].
SUU, Alm.del - 2022-23 (2. samling) - Bilag 250: Orientering om rapport om Monitorering af forløbstider på kræftområdet – opgørelse for 1. kvartal 2023, fra indenrigs- og sundhedsministeren
Monitorering af forløbstider på kræftområdet, 1. kvartal 2023
Side 43/46
På regionalt niveau er det kun Region Hovedstaden og Region Midtjylland, der har regi-
streret flere end 10 patientforløb med strålebehandling som initial behandling for anal-
kræft. Andelen af gennemførte forløb inden for standardforløbstiden var på 73 % i Region
Hovedstaden i 1. kvartal 2023 [4. kvartal 2022: 76 %] og på 75 % i Region Midtjylland [4.
kvartal 2022: 77 %].
Der har på landsplan i 1. kvartal 2023 været færre end 10 registrerede forløb i pakkefor-
løb for analkræft med kirurgisk behandling som initial behandling, 10 forløb med medi-
cinsk behandling som initial behandling, og 30 registrerede forløb med strålebehandling
som initial behandling.
I 22 % af alle forløb i pakkeforløb for analkræft blev den begrundede mistanke om kræft
afkræftet i udredningsperioden.
4.30
Kræft i nyrebækken eller urinleder (B32)
For kirurgisk behandling af kræft i nyrebækken eller urinleder var andelen af forløb gen-
nemført inden for standardforløbstiden på landsplan 75 % i 1. kvartal 2023 [4. kvartal
2022: 36 %], hvilket er en stigning på 39 procentpoint. Inden for kirurgisk behandling har
ingen regioner registreret flere end 10 forløb, hvorfor de regionale andele ikke er bereg-
net.
Der er få registrerede forløb med medicinsk behandling som initial behandling for kræft i
nyrebækken eller urinleder, hvorfor der ikke er beregnet andele på hverken nationalt eller
regionalt plan. Der er ikke en standardforløbstid for strålebehandling som initial behand-
ling for kræft i nyrebækken eller urinleder, hvorfor disse ikke kommenteres.
Der har på landsplan i 1. kvartal 2023 været 15 forløb i pakkeforløb for kræft i nyrebæk-
ken eller urinleder med kirurgisk behandling som initial behandling, 10 forløb med medi-
cinsk behandling som initial behandling, og ingen forløb med strålebehandling som initial-
behandling.
Andelen af forløb, hvor den begrundede mistanke om kræft i nyrebækken og urinleder
blev afkræftet, er ikke beregnet.
4.31
Lungehindekræft (B33)
Der er ikke standardforløbstider for hverken kirurgisk behandling eller strålebehandling
for lungehindekræft, hvorfor disse forløb ikke kommenteres.
For medicinsk behandling af lungehindekræft var andelen af forløb gennemført inden for
standardforløbstiden i 1. kvartal 2023 på 78 % på landsplan [4. kvartal 2022: 71 %]. Den
regionale variation er ikke opgjort, da ingen regioner har registreret mere end 10 forløb.
SUU, Alm.del - 2022-23 (2. samling) - Bilag 250: Orientering om rapport om Monitorering af forløbstider på kræftområdet – opgørelse for 1. kvartal 2023, fra indenrigs- og sundhedsministeren
Monitorering af forløbstider på kræftområdet, 1. kvartal 2023
Side 44/46
Der har på landsplan i 1. kvartal 2023 været i alt 20 registrerede forløb i pakkeforløb for
lungehindekræft med medicinsk behandling som initial behandling, og ingen registrerede
forløb med hverken kirurgisk behandling eller strålebehandling.
I 36 % af alle patientforløb i pakkeforløbet for lungehindekræft blev den begrundede mis-
tanke om kræft afkræftet i udredningsperioden.
SUU, Alm.del - 2022-23 (2. samling) - Bilag 250: Orientering om rapport om Monitorering af forløbstider på kræftområdet – opgørelse for 1. kvartal 2023, fra indenrigs- og sundhedsministeren
Monitorering af forløbstider på kræftområdet, 1. kvartal 2023
Side 45/46
5. Diagnostisk pakkeforløb
Diagnostisk pakkeforløb adskiller sig fra de organspecifikke pakkeforløb. Hvor de organ-
specifikke pakkeforløb er udviklet til patienter, der præsenterer sig med alarmsymptomer,
der giver mistanke om kræft, er Diagnostisk pakkeforløb udviklet til udredning af patienter
med uspecifikke symptomer, der giver mistanke om alvorlig sygdom, der kan være kræft.
Opgørelsen for Diagnostisk Pakkeforløb kommenteres separat.
Pakkeforløbet ’Diagnostisk pakkeforløb for patienter med uspecifikke symptomer
på al-
vorlig sygdom, der kunne være kræft’ og pakkeforløb ’Metastaser uden organspecifik
kræfttype’ er blevet revideret og samlet i ’Diagnostisk Pakkeforløb’ med implementering
den 1. juli 2022. Pakkeforløbet har fortsat adskilte modeller for indberetning af de to pati-
entgrupper. De to patientgrupper der er omfattet af Diagnostik Pakkeforløb, er defineret
således:
Patienter med uspecifikke symptomer på alvorlig sygdom, der kan være kræft
(MAS)
Patienter med metastasesuspekte forandringer (erkendt ved klinisk eller billeddi-
agnostisk undersøgelse) uden kendt primær tumor og patienter med biopsi-
/vævsverificerede metastase uden kendt primær tumor (MUP)
For patientgruppen med uspecifikke symptomer på alvorlig sygdom, der kan være kræft,
lå andelene af diagnostiske forløbsperioder gennemført inden for standardforløbstiden i
sygehusregi i hele landet på 86 % i 1. kvartal 2023 [4. kvartal 2022: 85 %]. Der var i 1.
kvartal 2023 en regional variation på mellem 70 % i Region Sjælland [4. kvartal 2022: 69
%] og 92 % i Region Syddanmark [4. kvartal 2022: 88 %].
På landsplan var der i alt 2.556 registrerede forløb i diagnostisk pakkeforløb i 1. kvartal
2023 [4. kvartal 2022: 2.494]. Sundhedsstyrelsen konstaterer en væsentlig regional varia-
tion på mellem 160 forløb i Region Nordjylland til 1.314 forløb i Region Hovedstaden.
For patientgruppen med metasuspekte forandringer uden kendt primær tumor og med bi-
opsi-/vævsverificerede metastase uden kendt primær, lå andelene af diagnostiske for-
løbsperioder inden for standardforløbstiden i sygehusregi i hele landet på 72 % [4. kvartal
2022: 72 %]. Der var i 1. kvartal 2023 en regional variation på mellem 62 % i Region
Sjælland [4. kvartal 2022: 63 %] og 100 % i Region Hovedstaden [4. kvartal 2022: n.a.].
På landsplan var der i alt 177 registrerede forløb i diagnostisk pakkeforløb i 1. kvartal
2023 [4. kvartal 2022: 167]. Sundhedsstyrelsen konstaterer en væsentlig regional varia-
tion på mellem 11 forløb i Region Hovedstaden til 79 forløb i Region Sjælland.
SUU, Alm.del - 2022-23 (2. samling) - Bilag 250: Orientering om rapport om Monitorering af forløbstider på kræftområdet – opgørelse for 1. kvartal 2023, fra indenrigs- og sundhedsministeren
2720209_0046.png
Monitorering af forløbstider på kræftområdet, 1. kvartal 2023
Side 46/46
Sundhedsstyrelsen
Islands Brygge 67
2300 København S
www.sst.dk