Sundhedsudvalget 2022-23 (2. samling)
SUU Alm.del Bilag 135
Offentligt
2680918_0001.png
Regionshuset
Viborg
Sundhedsplanlægning
Skottenborg 26
Postboks 21
DK-8800 Viborg
Tel. +45 7841 0000
[email protected]
www.rm.dk
Til Indenrigs- og sundhedsministeren
1. del af faglig redegørelse vedr. Region Midtjyllands
håndtering af patienter med fremskreden tarmkræft
Indenrigs- og sundhedsministeren har anmodet Region Midtjylland
om en faglig redegørelse vedr. håndtering af patienter med
fremskreden tarmkræft. Grundet tidsfristen og ønsket om at besvare
hurtigst muligt, er det aftalt med Sundhedsstyrelsen, at besvarelsen
deles op i to dele. Første del fremsendes i indeværende skrivelse,
mens anden del fremsendes efter Sundhedsstyrelsens møde fredag
den 24. marts med repræsentanter fra Region Midtjylland.
Redegørelsen er udarbejdet med en kort deadline og under stort
tidspres, der kan derfor være behov for efterfølgende at foretage
yderligere præciseringer.
Sagen handler om, at Mave-og Tarmkirurgi på Aarhus
Universitetshospital (AUH), på grund af vedvarende
kapacitetsproblemer, desværre ikke har kunnet tilbyde alle
kræftpatienter operationstider i overensstemmelse med de
maksimale ventetider på kræft- og hjerteområdet. Der er tale om
komplekse kirurgiske patienter med kræft i mave-tarm regionen, der
for en stor del behandles i højt specialiserede funktioner.
Der har på afdelingen igennem længere tid været udfordringer med
at rekruttere et tilstrækkeligt antal sygeplejersker med de
nødvendige specialkompetencer, hvilket har betydet, at man har
været tvunget til at lukke senge. Dette kombineret med et stigende
behov for visse former for behandling har presset kapaciteten
yderligere.
Patienter, der ikke kan tilbydes en tid i overensstemmelse med de
maksimale ventetider, skal informeres om, at hospitalet har en
udvidet pligt til at finde en tid til behandlingen inden for de
maksimale ventetider, såfremt patienten ønsker det.
Hospitalsledelsen på AUH oplyser, at i 2022 blev alle patienter enten
Dato 23-03-2023
Mette Riishøj Væggemose Svendsen
[email protected]
1-31-72-35-22
Side 1
SUU, Alm.del - 2022-23 (2. samling) - Bilag 135: Orientering om første redegørelse fra Region Midtjylland vedrørende sag om kræft og maksimale ventetider på Mave- og Tarmkirurgi på Aarhus Universitetshospital, fra indenrigs- og sundhedsministeren
2680918_0002.png
tilbudt en tid - på eller uden for AUH - i overensstemmelse med
maksimale ventetider, eller samtykkede til den ekstra ventetid.
Siden man blev bekendt med udfordringerne på Mave- og
Tarmkirurgi, har afdelingen og AUH arbejdet med forskellige tiltag.
Region Midtjylland tager sagen meget alvorligt, og netop derfor er det
besluttet, at der allerede nu igangsættes yderligere initiativer, der
beskrives nærmere i denne redegørelse.
Redegørelsen nedenfor er inddelt i de punkter Sundhedsstyrelsen har
noteret.
Patientgrupper, funktioner og omfang
Indeværende redegørelse afgives i forhold til Mave- og Tarmkirurgi,
AUH. Oplysningerne vedrører alene kræftpatienter på Mave- og
Tarmkirurgi, AUH, der har ventet udover de i bekendtgørelsen
angivne maksimale ventetider.
Nedenstående opgørelse tager udgangspunkt i perioden januar 2022
til februar 2023. Bemærk dog, at de tal der har været omtalt i
medierne, dækker perioden maj 2022 til december 2022.
Tabel 1: Antal patienter, der har ventet udover de i bekendtgørelsen
angivne maksimale ventetider på Mave- og Tarmkirurgi på AUH,
januar 2022-februar 2023, fordelt efter måned, samt gennemsnitlig
overskridelse.
År
Måned
Antal
patienter
15
11
18
20
14
19
19
42
29
23
23
28
18
14
293
Gennemsnitlig
overskridelse
(antal dage)
6,1
5,2
18,2
9,5
18,2
15,7
12,9
11,3
7,5
12,5
10,8
15,9
22,2
22,7
12,7
Variation i antal
dage overskredet
1-16
1-13
1-40
1-21
13-24
2-39
5-34
1-25
1-18
3-27
1-33
1-35
1-56
1-51
1-56
Januar
Februar
Marts
April
Maj
Juni
Juli
August
September
Oktober
November
December
2023
Januar
Februar
Total i perioden
2022
Side 2
SUU, Alm.del - 2022-23 (2. samling) - Bilag 135: Orientering om første redegørelse fra Region Midtjylland vedrørende sag om kræft og maksimale ventetider på Mave- og Tarmkirurgi på Aarhus Universitetshospital, fra indenrigs- og sundhedsministeren
2680918_0003.png
Tabel 2: Antal patienter med overskredne forløb, januar 2022-februar
2023 på Mave- og Tarmkirurgi, AUH, fordelt på kræftform/behandling
Behandling/kræftform
Antal patienter
Endetarmskræft
110
HIPEC operationer
36
Bugspytkirtelkræft
23
Kræft i galdegang
5
Sarkom
22
Kræft i spiserør, mavesæk og
8
mavemund
Metastaser
10
Primær leverkræft
7
Tyktarmskræft
14
Øvrige*
58
Note: *Øvrige: Bl.a. NET- og GIST-tumorer.
AUH tager udfordringerne med at overholde de maksimale ventetider
meget alvorligt, og har derfor ultimo 2022 taget initiativ til en række
tiltag, der skal medvirke til, at kræftpatienter på AUH bliver tilbudt
operationstider i overensstemmelse med de maksimale ventetider.
Der er særlige udfordringer forbundet med HIPEC-behandlingen, som
AUH foretager. Der er tale om en højtspecialiseret funktion, som kun
Aarhus Universitetshospital har tilladelse til at varetage i Danmark.
Det er en operation, der kræver specialiserede kompetencer både
operativt og i forhold til den efterfølgende pleje. Der er tale om en
multidisciplinær behandlingsform, der involverer flere lægelige
specialer, lang indlæggelsestid, risiko for komplikationer og stort
plejebehov efter operation.
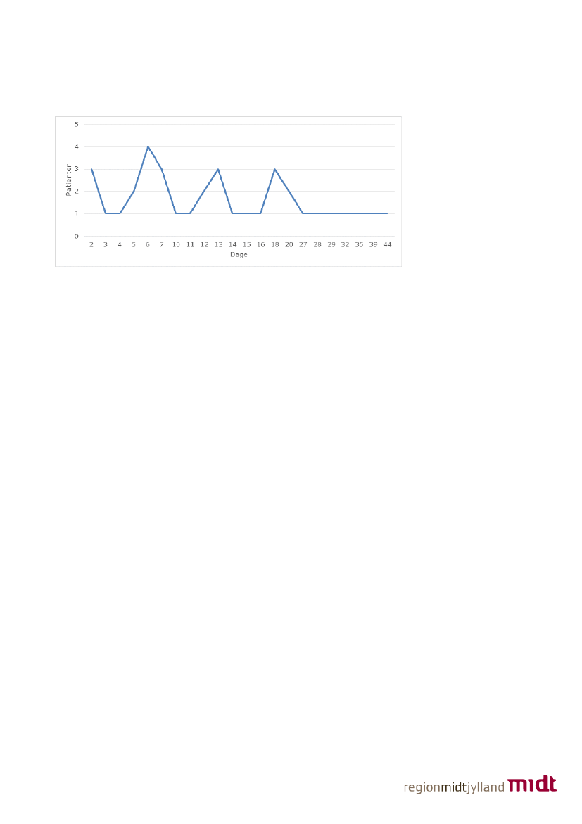
Nedenstående diagram, der viser, hvor mange dage ventetiderne
overskrides med, bekræfter at der desværre er patienter, der har
ventet op til 8 uger på en HIPEC operation på AUH. Langt de fleste
patienter, der ikke tilbydes tider i overensstemmelse med de
maksimale ventetider, tilbydes HIPEC operation 3-4 uger efter deres
samtykke til operation.
Side 3
SUU, Alm.del - 2022-23 (2. samling) - Bilag 135: Orientering om første redegørelse fra Region Midtjylland vedrørende sag om kræft og maksimale ventetider på Mave- og Tarmkirurgi på Aarhus Universitetshospital, fra indenrigs- og sundhedsministeren
2680918_0004.png
Diagram 1: Ekstra ventetid på HIPEC-behandling på AUH i 2022
AUH kan ikke udelukke, at den ekstra ventetid til operationer har
medført en forværring af sygdommen hos nogle af de patienter, der
har ventet længere end de maksimale ventetider.
Jævnfør Sundhedsstyrelsens specialeplan er AUH godkendt til at
varetage 25-30 patienter årligt, men der er en stærkt stigende
volumen - op mod 60 patienter årligt. Set i lyset af denne stigning,
bør det vurderes, om der er behov for yderligere godkendelser til
HIPEC i Danmark.
Primære årsager til de aktuelle udfordringer
De beskrevne udfordringer med at tilbyde patienterne tider til
behandling i overensstemmelse med de maksimale ventetider,
skyldes hovedsageligt mangel på sygeplejersker på sengeafsnittene
på Mave- og Tarmkirurgi, AUH.
Sygeplejerskemangel har betydet, at det har været nødvendigt at
lukke senge i hele 2022 på Mave- og Tarmkirurgi, AUH.
Nedenstående diagram viser udviklingen i antallet af fuldtidsstillinger
på de elektive sengeafsnit på Mave- og Tarmkirurgi, AUH.
Side 4
SUU, Alm.del - 2022-23 (2. samling) - Bilag 135: Orientering om første redegørelse fra Region Midtjylland vedrørende sag om kræft og maksimale ventetider på Mave- og Tarmkirurgi på Aarhus Universitetshospital, fra indenrigs- og sundhedsministeren
2680918_0005.png
Diagram 2: Antal fuldtidsstillinger på de elektive sengeafsnit på
Mave- og Tarmkirurgi, AUH
I perioden fra maj 2022 til d.d. har det været nødvendigt at have 14
lukkede senge som følge af personalemangel.
Patienter med fremskreden tarmkræft kræver specialiseret sygepleje
under indlæggelse, da de ofte har komplekse problematikker som
følge af deres operation. Manglen på kvalificerede sygeplejersker til
at pleje denne patientgruppe begrænser derfor, hvor mange patienter
der kan være indlagt efter operation, og som konsekvens heraf, hvor
stor operationsaktivitet afdelingen kan gennemføre.
Afdelingen har i hele 2022 og frem til nu arbejdet systematisk med
rekruttering og fastholdelse af plejepersonale samt frigørelse af de til
rådighed værende senge ved omlægning og flytning af patientforløb
mv. Der er ansat personale med anden faglighed (terapeuter,
farmakonomer mv) til at løse blandt andet mobiliserings- og
medicineringsopgaver, så der frigøres tid for sygeplejerskerne. Det
har desværre ikke været muligt at finde tilstrækkelige løsninger på
kapacitetsudfordringen i den pågældende periode.
Registrerings- og indberetningspraksis vedr. maksimale
ventetider
Region Midtjylland har ved indførelsen af de maksimale ventetider
oprettet en regional retningslinje, der er udarbejdet på baggrund af
bekendtgørelsen om maksimale ventetider og dertilhørende
vejledning. Regionens gældende retningslinje er vedhæftet til
orientering, som bilag A.
Side 5
SUU, Alm.del - 2022-23 (2. samling) - Bilag 135: Orientering om første redegørelse fra Region Midtjylland vedrørende sag om kræft og maksimale ventetider på Mave- og Tarmkirurgi på Aarhus Universitetshospital, fra indenrigs- og sundhedsministeren
2680918_0006.png
Det er Region Midtjyllands klare opfattelse, at man har fulgt reglerne
og praksis for indberetning af overskridelser af de maksimale
ventetider til Sundhedsstyrelsen. Regionerne skal hver måned
indberette de tilfælde, hvor bekendtgørelsen om de maksimale
ventetider ikke overholdes.
Indberetninger skal ske i tilfælde, hvor hospitalet ikke har levet op til
sin forpligtelse, dvs. givet patienten den nødvendige information om
overskridelse af maksimale ventetider og information om muligheden
for at blive behandlet på andet hospital i enten ind- eller udland.
I de tilfælde, hvor de maksimale ventetider er overskredet, men
patienten er informeret og har samtykket hertil, er således ikke
situationer, der skal indberettes.
Som det fremgår af indberetninger til Sundhedsstyrelsen, så har
Region Midtjylland i 2021 indberettet 6 tilfælde, hvor det ikke har
været muligt at overholde bekendtgørelsen vedrørende de maksimale
ventetider på Mave- og Tarmkirurgi, AUH. Disse overskridelser
skyldes eksempelvis menneskelige fejl i forbindelse med bookingen af
patienten, samt uklarhed vedrørende visitation til en uddybende
undersøgelse.
Region Midtjylland har i 2022 ikke indberettet overskridelser af
bekendtgørelsen vedrørende de maksimale ventetider på Mave- og
Tarmkirurgi, AUH – jævnfør ovenstående beskrivelse af
bekendtgørelsen og gældende praksis.
Som tidligere nævnt er der en fast regional retningslinje, der
beskriver arbejdsgangene vedrørende de maksimale ventetider,
herunder hvordan hospitalerne skal agere, hvis de ikke kan overholde
de maksimale ventetider, og skal afsøge mulighederne for behandling
både i ind- og udland. I den konkrete sag vedrørende HIPEC-
behandling er hospitalsledelsen på AUH bekendt med to patienter,
der har bedt afdelingen afsøge mulighederne for behandling i
udlandet. Ingen af de to patienter besluttede at takke ja til de anviste
behandlingstilbud i hhv. Sverige og England.
Region Midtjylland finder, at det er helt afgørende, at patienter får
den rette information og mulighed for at blive henvist til andre steder
i landet eller udlandet. Der er i forbindelse med denne sag rejst tvivl
om patienterne har fået tilstrækkelig information om deres
muligheder for behandling andre steder i henhold til bekendtgørelsen.
Denne konkrete sag har således givet anledning til, at Region
Midtjylland og AUH gennemgår gældende retningslinjer og praksis,
Side 6
SUU, Alm.del - 2022-23 (2. samling) - Bilag 135: Orientering om første redegørelse fra Region Midtjylland vedrørende sag om kræft og maksimale ventetider på Mave- og Tarmkirurgi på Aarhus Universitetshospital, fra indenrigs- og sundhedsministeren
2680918_0007.png
for at sikre, at patienter får den rette information om behandling
andre steder.
Region Midtjylland vil på baggrund af denne tvivl gennemgå den
regionale retningslinje og vurdere om der er behov for præciseringer,
ligesom der er fokus på at sikre, at den omsættes korrekt i daglig
klinisk praksis, således at alle patienter informeres i henhold til den
regionale retningslinje.
Yderligere har regionens Task Force for Forløbstider på Kræftområdet
onsdag den 22. marts 2023 besluttet, at man i en midlertidig periode
vil indføre en udvidet indberetningspraksis for maksimale ventetider,
der vil gælde alle regionens hospitaler således at regionen får et
samlet overblik over antallet af patienter, der ikke behandles indenfor
de maksimale ventetider.
Tiltag for at imødegå udfordringerne
AUH har et vedvarende fokus på at udnytte mulighederne for at
anvende andet personale i sengeafsnittene for på denne måde at øge
kapaciteten.
AUH har derudover igangsat en lang række tiltag for at frigøre
sengekapacitet til patienter med kræft på Mave- og Tarmkirurgi:
Prioritering af akutte patienter og patienter med kræft, hvilket
desværre har den konsekvens, at benign kirurgi må vente,
eller om muligt modtage behandling andet sted
Flytning af patientforløb på hoved- og regionsfunktionsniveau
til regionshospitalerne
Tidligere overflytning af patienter med lange indlæggelser til
hjemsygehus, såfremt det vurderes fagligt forsvarligt
Flytning af binyrepatienter til anden afdeling
Omlægning til sammedagskirurgi, hvor patienterne kan
opholde sig i eget hjem efter operationen
Aftale om lånesenge på anden afdeling til patienter, som ikke
behøver specialiseret sygepleje på Mave- og Tarmkirurgi
Tiltagene ovenfor har bidraget til en bedring i rekrutteringssituationen
i de første måneder af 2023.
Afsøgning af muligheder for behandling på andet hospital
Region Midtjylland er sammen med AUH, i lyset af den nuværende
situation, i gang med at afsøge forskellige muligheder for at sikre, at
det er muligt at kunne behandle patienterne indenfor de angivne
ventetider. Et af tiltagene er at flytte mindre komplicerede
Side 7
SUU, Alm.del - 2022-23 (2. samling) - Bilag 135: Orientering om første redegørelse fra Region Midtjylland vedrørende sag om kræft og maksimale ventetider på Mave- og Tarmkirurgi på Aarhus Universitetshospital, fra indenrigs- og sundhedsministeren
2680918_0008.png
patientforløb væk fra AUH, således at AUH øger kapaciteten til de
komplicerede forløb.
Der er i 2022 genforhandlet en aftale med Regionshospitalet Horsens
med henblik på at sikre, at der kan overflyttes to akutte kirurgiske
patienter dagligt til Horsens, hvilket kan frigøre kapacitet til
kræftpatienterne på Mave- og Tarmkirurgi, AUH.
Der er netop lavet en aftale om en udvidelse af aftalen fra to til fire
patienter i de næste 3 måneder.
Der er i januar 2023 indgået aftale med Herlev og Rigshospitalet om
at tage sarkomer og avanceret endetarmskræft fra eget
optageområde, som tidligere er blevet opereret på AUH.
Der er indgået aftale med Rigshospitalet om, at de kan operere nogle
af de sarkompatienter, der er bosiddende i AUH's optageområde.
Der er påbegyndt dialog med Rigshospitalet, om hvorvidt de kan
aflaste AUH på yderligere højt specialiserede patienter på kort sigt.
Der er indgået en aftale med Regionshospitalet Gødstrup om at
hjælpe med behandlingen af patienter med kræft i endetarm, hvor
AUH og Gødstrup begge har regionsfunktion. Der er tillige kontakt til
både Region Nordjylland og Syddanmark i forhold til eventuel
assistance til behandling af denne patientgruppe.
Ovenstående initiativer forventes at frigive kapacitet til at en større
andel af kræftpatienterne på Mave- og Tarmkirurgi, AUH tilbydes
tider i overensstemmelse med de maksimale ventetider.
AUH kan ikke for nuværende vurdere, hvorvidt ovenstående tiltag er
tilstrækkelige ift. at sikre, at hovedparten af patienter kan behandles
indenfor de maksimale ventetider, men der er en forventning om, at
de følges meget nøje, samtidig med at man fortsat ser på yderligere
muligheder.
AUH vil desuden sikre, at alle patienter på afdelingen der aktuelt ikke
kan behandles indenfor de maksimale ventetider, får information om
muligheden for at blive behandlet i andre regioner eller i udlandet.
Region Midtjylland ser frem til mødet med Sundhedsstyrelsen og
modtager meget gerne rådgivning til om der kan iværksættes
yderligere tiltag. Til mødet med Sundhedsstyrelsen ønsker Region
Midtjylland at drøfte eventuelle tiltag nationalt, fx at ændre
specialeplanen, således at HIPEC-behandling kan varetages på mere
end ét hospital i Danmark.
Side 8
SUU, Alm.del - 2022-23 (2. samling) - Bilag 135: Orientering om første redegørelse fra Region Midtjylland vedrørende sag om kræft og maksimale ventetider på Mave- og Tarmkirurgi på Aarhus Universitetshospital, fra indenrigs- og sundhedsministeren
2680918_0009.png
Afslutningsvist skal vi understrege, at Region Midtjylland ser med stor
alvor på denne sag, og den har givet anledning til, at vi ser nærmere
på vores interne kommunikations- og afrapporteringsprocedurer,
således at vi kan sikre patienter med kræft behandling indenfor
rammerne af de maksimale ventetider.
Med venlig hilsen
Helene Bilsted Probst
Koncerndirektør
Side 9