Sundhedsudvalget 2022-23 (2. samling)
SUU Alm.del Bilag 116
Offentligt
2675316_0001.png
Udvalgte udfordringer i det danske sundhedsvæsen
…set fra et sundhedsøkonomisk perspektiv
Kim Rose Olsen, Søren Rud Kristensen og Dorte Gyrd-Hansen
Folketingets Sundhedsudvalg
SUU, Alm.del - 2022-23 (2. samling) - Bilag 116: Præsentation fra møde med DaCHE, Dansk Center for Sundhedsøkonomi, SDU 14/3-23, om sundhedsvæsenets udfordringer
2675316_0002.png
Hvem er vi?
1
SUU, Alm.del - 2022-23 (2. samling) - Bilag 116: Præsentation fra møde med DaCHE, Dansk Center for Sundhedsøkonomi, SDU 14/3-23, om sundhedsvæsenets udfordringer
2675316_0003.png
DaCHE – Dansk Center for Sundhedsøkonomi
DaCHEs forskningsområder
Adfærd,
incitamenter
og
motivation
Lighed
i sundhed
og
adgang
til
sundhedsvæsnet
Effektevalueringer af
sundhedsinterventioner
Patienter og borgeres
præferencer
og
værdier
Læs om DaCHE på
www.dache.dk
Twitter (@DaCHE_SDU) eller LinkedIn
2
Illustration: www.colourbox.com
SUU, Alm.del - 2022-23 (2. samling) - Bilag 116: Præsentation fra møde med DaCHE, Dansk Center for Sundhedsøkonomi, SDU 14/3-23, om sundhedsvæsenets udfordringer
2675316_0004.png
DaCHE har +25 senior- og juniorforskere
3
SUU, Alm.del - 2022-23 (2. samling) - Bilag 116: Præsentation fra møde med DaCHE, Dansk Center for Sundhedsøkonomi, SDU 14/3-23, om sundhedsvæsenets udfordringer
2675316_0005.png
Udvalgte udfordringer
4
SUU, Alm.del - 2022-23 (2. samling) - Bilag 116: Præsentation fra møde med DaCHE, Dansk Center for Sundhedsøkonomi, SDU 14/3-23, om sundhedsvæsenets udfordringer
2675316_0006.png
EFTERSPØRGSEL↑
1.
Produktivitet
3.
Patientforløb
4.
Kvalitet
UDBUD?
2.
Fastholdelse
og rekruttering
5.
Prioritering
5
Illustration: www.colourbox.com
SUU, Alm.del - 2022-23 (2. samling) - Bilag 116: Præsentation fra møde med DaCHE, Dansk Center for Sundhedsøkonomi, SDU 14/3-23, om sundhedsvæsenets udfordringer
2675316_0007.png
Produktiviteten på sygehuse
6
SUU, Alm.del - 2022-23 (2. samling) - Bilag 116: Præsentation fra møde med DaCHE, Dansk Center for Sundhedsøkonomi, SDU 14/3-23, om sundhedsvæsenets udfordringer
2675316_0008.png
Hvordan ser det ud?
7
SUU, Alm.del - 2022-23 (2. samling) - Bilag 116: Præsentation fra møde med DaCHE, Dansk Center for Sundhedsøkonomi, SDU 14/3-23, om sundhedsvæsenets udfordringer
2675316_0009.png
Hvordan ser det ud?
2019-2020
8
SUU, Alm.del - 2022-23 (2. samling) - Bilag 116: Præsentation fra møde med DaCHE, Dansk Center for Sundhedsøkonomi, SDU 14/3-23, om sundhedsvæsenets udfordringer
2675316_0010.png
Tre vigtige budskaber
A. Evidens for at anciennitet og
teamsammensætning har stor betydning for
kvaliteten (og nok også produktivitet) i
hospitalssektoren
B. Vi bør afdække hvordan vagtplanlægning og
arbejdstilrettelæggelse påvirker
hospitalsansattes helbred/trivsel og dermed
produktiviteten
C. Økonomiske incitamenter kan spille ind … men
ikke altid som vi forventer
9
SUU, Alm.del - 2022-23 (2. samling) - Bilag 116: Præsentation fra møde med DaCHE, Dansk Center for Sundhedsøkonomi, SDU 14/3-23, om sundhedsvæsenets udfordringer
2675316_0011.png
Mangel på sundhedspersonale
Negativ
spiral?
10
SUU, Alm.del - 2022-23 (2. samling) - Bilag 116: Præsentation fra møde med DaCHE, Dansk Center for Sundhedsøkonomi, SDU 14/3-23, om sundhedsvæsenets udfordringer
2675316_0012.png
Negativ spiral?
Hvad motiverer
sundhedspersonale?
Skjulte omkostninger
Hvilke styringsredskaber kan
benyttes?
11
SUU, Alm.del - 2022-23 (2. samling) - Bilag 116: Præsentation fra møde med DaCHE, Dansk Center for Sundhedsøkonomi, SDU 14/3-23, om sundhedsvæsenets udfordringer
2675316_0013.png
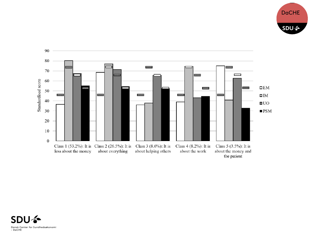
Motivationsprofiler almen praktiserende læger
Ikke monetære incitamenter?
Alternative ansættelsesformer?
Øget specialisering (for nogle)?
12
SUU, Alm.del - 2022-23 (2. samling) - Bilag 116: Præsentation fra møde med DaCHE, Dansk Center for Sundhedsøkonomi, SDU 14/3-23, om sundhedsvæsenets udfordringer
2675316_0014.png
Sammenhæng på tværs af sektorer
13
SUU, Alm.del - 2022-23 (2. samling) - Bilag 116: Præsentation fra møde med DaCHE, Dansk Center for Sundhedsøkonomi, SDU 14/3-23, om sundhedsvæsenets udfordringer
2675316_0015.png
2.5 mio borgere med
flersektorkontakt
70.000 forebyggelige
akutte sygehusophold
40.000
færdigbehandlingsdage
17% genindlæggelser
for borgere over 80 år
Kilde: Sundhedsdatastyrelsen, Datapakker til Sundhedsklynger, hele landet
14
SUU, Alm.del - 2022-23 (2. samling) - Bilag 116: Præsentation fra møde med DaCHE, Dansk Center for Sundhedsøkonomi, SDU 14/3-23, om sundhedsvæsenets udfordringer
2675316_0016.png
Er sundhedsklynger løsningen?
Klynger I
England
Penge
og klare
mål
Flere
liggedage
for
multisyge
INCIDIA-forskningsprojekt
Designer og tester
aflønningssystemer
som
giver incitament til
tværsektorielt
samarbejde
Forventet involvering af sygehuse, almen
praksis, kommuner mv. (sundhedsklynger)
Samarbejde med
Steno Diabetes Center
Aarhus
15
SUU, Alm.del - 2022-23 (2. samling) - Bilag 116: Præsentation fra møde med DaCHE, Dansk Center for Sundhedsøkonomi, SDU 14/3-23, om sundhedsvæsenets udfordringer
2675316_0017.png
Ved vi nok om behandlingskvaliteten?
16
SUU, Alm.del - 2022-23 (2. samling) - Bilag 116: Præsentation fra møde med DaCHE, Dansk Center for Sundhedsøkonomi, SDU 14/3-23, om sundhedsvæsenets udfordringer
2675316_0018.png
Ved vi og borgerne nok om
kvalitet i almen praksis?
17
Kilde: Sundheds- og ældreministeriet: Almen praksis analyser - kort fortalt
SUU, Alm.del - 2022-23 (2. samling) - Bilag 116: Præsentation fra møde med DaCHE, Dansk Center for Sundhedsøkonomi, SDU 14/3-23, om sundhedsvæsenets udfordringer
2675316_0019.png
Måle klinisk kvalitet
Belønne høj kvalitet
Hvad kan man gøre?
Offentliggøre informationen
18
Spørge patienterne
SUU, Alm.del - 2022-23 (2. samling) - Bilag 116: Præsentation fra møde med DaCHE, Dansk Center for Sundhedsøkonomi, SDU 14/3-23, om sundhedsvæsenets udfordringer
2675316_0020.png
Det skæve prioriteringsspil
19
SUU, Alm.del - 2022-23 (2. samling) - Bilag 116: Præsentation fra møde med DaCHE, Dansk Center for Sundhedsøkonomi, SDU 14/3-23, om sundhedsvæsenets udfordringer
2675316_0021.png
Negativ spiral?
Tilvalg er lettere end fravalg
Ved tilvalg er taberne ikke
identificerede
Fast budget:
QALY versus QALY
Ved for dyre QALY – så mister
vi flere QALY end vi vinder
Øget fokus på hvad vi IKKE
skal? Mindre grønthøster –
lavere skyggepris
Skjulte omkostninger
20
SUU, Alm.del - 2022-23 (2. samling) - Bilag 116: Præsentation fra møde med DaCHE, Dansk Center for Sundhedsøkonomi, SDU 14/3-23, om sundhedsvæsenets udfordringer
2675316_0022.png
Lige adgang for lige behov suppleret
med
ulige
adgang for
ulige
behov?
God
sundhed
Fremtidig
sundhedsfordeling
Resso
urces
Nuværende
sundhedsfordeling
Dårlig
sundhed
Lav socio-
økonomi
Høj socio-
økonomi
Fra omkostningseffektivitet til ”distributional”
omkostningseffektivitet?
Mindre til nogle, og mere til andre?
21
SUU, Alm.del - 2022-23 (2. samling) - Bilag 116: Præsentation fra møde med DaCHE, Dansk Center for Sundhedsøkonomi, SDU 14/3-23, om sundhedsvæsenets udfordringer
2675316_0023.png
Hovedpointer til diskussion
Bæredygtig udvikling af
arbejdskraftressourcen
kræver balance mellem høj
produktivitet, helbred,
fastholdelse og rekruttering
Sundhedsprofessionelles
motivation varierer.
Der er andre virkemidler end de
monetære. De monetære kan
give bagslag.
Offentligt tilgængelig viden
om kvalitet er essentiel
for at understøtte frie valg og
ensartet behandlingskvalitet
Sammenhæng på tværs af sektorer
kan understøttes af klare mål,
tidstro data og løbende evaluering.
Organiseringsform og afregningsordninger
bør ikke stå i vejen for borgenes oplevelser
af sammenhæng
Større fokus på
aktive
fravalg?
Prioritering for mindre ulighed i
sundhed?
22
SUU, Alm.del - 2022-23 (2. samling) - Bilag 116: Præsentation fra møde med DaCHE, Dansk Center for Sundhedsøkonomi, SDU 14/3-23, om sundhedsvæsenets udfordringer
2675316_0024.png
Tak for opmærksomheden!
Dorte Gyrd-Hansen
[email protected]
@DorteGyrd
https://portal.findresearcher.sdu.dk/da/persons/dgh
Dansk Center for Sundhedsøkonomi – DaCHE
@DaCHE_SDU
dache.dk
23