Skatteudvalget 2022-23 (2. samling)
SAU Alm.del Bilag 91
Offentligt
2680473_0001.png
ANALYSE
Marts 2023
Virksomhedernes
skattebetaling
Indsatsen mod social dumping
SAU, Alm.del - 2022-23 (2. samling) - Bilag 91: Publikation: Virksomhedernes skattebetaling
Virksomhedernes skattebetaling
Side 1
Indholdsfortegnelse
Indledning ............................................................................................................................ 2
1.
Nøgletal om virksomhedernes skattebetaling ............................................ 4
Virksomheder har indbetalt 470 mia. kr. ................................................................................. 5
87 pct. af provenuet kommer fra selskaber........................................................................... 8
Færre virksomheder angiver deres oplysninger korrekt ............................................... 10
Selvstændigt erhvervsdrivende begår ofte fejl .................................................................. 13
2.
Indsatsen mod social dumping ......................................................................16
Fælles myndighedsindsats mod social dumping.............................................................. 17
Fokusområder og udvælgelse til kontrol ............................................................................. 18
Kontrol mod social dumping i hele landet ........................................................................... 19
Indsatsen har givet opkrævninger for 1,9 mia. kr. ............................................................ 21
Flest sager i bygge- og anlægsbranchen ............................................................................ 23
Vejledning i at undgå social dumping.................................................................................... 24
Vejledningssamarbejde på tværs af grænser .................................................................... 25
Fremtiden for indsatsen mod social dumping ................................................................... 26
SAU, Alm.del - 2022-23 (2. samling) - Bilag 91: Publikation: Virksomhedernes skattebetaling
Virksomhedernes skattebetaling
Side 2
Indledning
Virksomheder betalte knap 470 mia. kr. i skatter og afgifter i 2021. Provenuet
fra virksomhederne udgør mere end en tredjedel af det samlede skatte- og af-
giftsprovenu på godt 1.200 mia. kr., som bidrager til finansieringen af det dan-
ske velfærdssamfund.
Skattestyrelsen er ansvarlig for at sikre, at virksomhederne betaler korrekte
skatter og afgifter til tiden. Det sker blandt andet gennem målrettede vejled-
nings- og kontrolindsatser.
Virksomhedernes skattebetaling
er en årligt tilbagevendende publikation, der
sætter fokus på virksomhedernes skattebetaling. Det gøres i to dele
faste nøg-
letal og et udvalgt tema.
I nøgletallene præsenteres en række nøgletal om virksomhedernes skattebeta-
ling, herunder provenuet fra forskellige skatter og afgifter samt virksomheder-
nes regelefterlevelse. Særligt for dette års publikation er, at nøgletallene omfat-
ter både 2020 og 2021.
I temaet sættes der fokus på vejledning mod og kontrol af social dumping. Skat-
testyrelsen vejleder og kontrollerer i fællesskab med politiet og Arbejdstilsynet
steder, hvor der er mistanke om social dumping. Det forsøges løbende at udvikle
og forbedre vejledningen om danske skatteforhold, så det bliver nemmere for
virksomheder og personer at overholde lovgivningen. Skattestyrelsen kontrolle-
rer samtidig, at virksomheder og personer indberetter korrekt.
SAU, Alm.del - 2022-23 (2. samling) - Bilag 91: Publikation: Virksomhedernes skattebetaling
2680473_0004.png
Virksomhedernes skattebetaling
Side 3
1
39 %
Nøgletal om
virksomhedernes skattebetaling
Stor andel af det
samlede provenu
Størstedelen af indbetalin-
gerne er moms og løn-
sumsafgifter
Virksomheder
begår ofte fejl
259 mia. kr.
I 2021 indbetalte virksomheder
mere end 259 mia. kr. i moms og
lønsumsafgifter.
71 %
Tæt på tre ud af fire virksomheder
angiver ikke deres skatteoplysninger
korrekt. 71 pct. begår fejl.
I 2021 indbetalte virksomheder
knap 39 pct. af det samlede
skatte- og afgiftsprovenu.
2
Skattestyrelsens indsats mod social dumping
Kontroller mod so-
cial dumping
Regulering i mere end
hver anden kontrol
Knap to milliarder i
opkrævninger
25.000
Fra 2015 til 2022 har Skatte-
styrelsen gennemgørt mere
end 25.000 kontroller mod so-
cial dumping.
53 %
I 2022 var der træf i 53 pct. af
Skattestyrelsens kontroller mod
social dumping.
1,9 mia. kr.
Samlet har Skattestyrelsen sendt op-
krævninger for 1,9 mia. kr. fra 2015
til 2022 som følge af kontrolindsat-
sen.
SAU, Alm.del - 2022-23 (2. samling) - Bilag 91: Publikation: Virksomhedernes skattebetaling
2680473_0005.png
Virksomhedernes skattebetaling
Side 4
Nøgletal om
virksomhedernes
skattebetaling
1
SAU, Alm.del - 2022-23 (2. samling) - Bilag 91: Publikation: Virksomhedernes skattebetaling
2680473_0006.png
Virksomhedernes skattebetaling
Side 5
Virksomheder har indbetalt 470 mia. kr.
Hvert år indbetaler virksomheder i Danmark en række skatter og afgifter til den
danske stat. Det gælder fx moms, lønsumsafgift, selskabsskat og personskat af
overskud fra selvstændigt erhvervsdrivende. Erhvervslivets skatte- og afgiftsind-
betalinger udgør tilsammen en stor indtægtskilde for den danske stat.
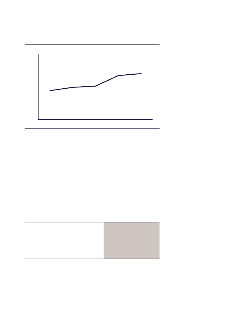
I 2021 udgjorde virksomhedernes skatte- og afgiftsprovenu knap 470 mia. kr.,
jf.
figur 1.
Samlet udgør virksomhedernes skatte- og afgiftsbetaling 39 pct. af det
samlede skatte- og afgiftsprovenu i Danmark på knap 1.200 mia. kr.
Fra 2017 til 2021 er skatte- og afgiftsprovenuet steget med knap 75 mia. kr.,
jf.
figur 1.
Stigningen kan ses i lyset af den generelle prisudvikling og den økonomi-
ske udvikling, der er sket i samme periode. I perioder med økonomisk fremgang
i samfundet producerer og sælger virksomheder flere varer. På den måde øges
virksomhedernes skatte- og afgiftsindbetalinger.
Provenuet er særligt steget i 2021, hvilket blandt andet kan tilskrives økonomi-
ske tiltag under coronakrisen. Folketinget har vedtaget en række låneordninger
for at styrke likviditeten hos økonomisk trængte virksomheder under krisen. Virk-
somheder har blandt andet haft mulighed for at optage rentefrie moms- og A-
skattelån hos Skattestyrelsen. Lånene kunne optages under betingelse af, at
virksomhederne inberettede og betalte skatter og afgifter til tiden. Dette anta-
ges også at have haft en effekt på virksomhedernes skattebetaling.
Samtidig har borgerne haft mulighed for at få udbetalt indefrosne feriepenge,
hvilket kan have været med til at øge forbruget og dermed give et højere moms-
og afgiftsprovenu. Dette har sammen med en generel øget økonomisk aktivitet
bidraget til, at skatte- og afgiftsbetalingen fra danske virksomheder er øget
både under og efter coronakrisen.
Figur 1. Udvikling i virksomhedernes skatte- og afgiftsprovenu, 2017-2021
Mia. kr.
500
450
395
400
350
300
250
200
150
100
50
0
2017
2018
2019
2020
2021
388
407
408
470
39 %
Skatte- og afgiftsprovenu
Skatte- og afgiftsprovenuet fra virk-
somheder udgjorde 39 pct. af det
samlede provenu i 2021
Kilde: Skattestyrelsen.
I perioden fra 2017 til 2021 udgjorde moms og lønsumsafgifter den største an-
del af det samlede provenu fra virksomheder. Fra 2019 til 2021 steg virksomhe-
dernes indbetaling af moms og lønsumsafgifter med knap 30 mia. kr. og ud-
gjorde i 2021 knap 260 mia. kr.,
jf. figur 2.
Den største stigning er sket fra 2020 til
SAU, Alm.del - 2022-23 (2. samling) - Bilag 91: Publikation: Virksomhedernes skattebetaling
2680473_0007.png
Virksomhedernes skattebetaling
Side 6
2021. Stigningen i moms og lønsumsafgift udgør 57 pct. af den samlede stig-
ning i provenuet fra virksomhederne fra 2017 til 2021.
Moms er en afgift, som momspligtige virksomheder skal opkræve af deres
momspligtige salg af varer og ydelser. Det er dog ikke alle virksomheder, der er
momspligtige, og det er ikke al salg, der er momspligtigt. Virksomheder, der sæl-
ger visse former for ydelser, fx den finansielle sektor, dagblade og taxabran-
chen, er fritaget for moms og betaler som regel lønsumsafgift i stedet. Lønsums-
afgift betales som en andel af virksomhedens samlede lønudgifter, omsætning
og/eller overskud.
Langt størstedelen af afgifter og moms betales af forbrugerne, når de køber va-
rer og ydelser. Det er dog virksomhedernes ansvar efterfølgende at indbetale
moms og afgifter til Skattestyrelsen.
Selskabsskatteprovenuet er steget fra ca. 75 mia. kr. i 2019 til knap 100 mia. kr. i
2021,
jf. figur 2.
I 2020 faldt provenuet fra selskabskatten til knap 68 mia. kr..
Provenuet fra personskat af overskud fra selvstændigt erhvervsdrivende er ste-
get fra 35 mia. kr. i 2019 og 2020 til 40 mia. kr. i 2021, mens virksomheders af-
giftsbetalinger har været stabil i samme periode, dog med en lille stigning fra
2020 til 2021,
jf. figur 2.
Figur 2. Udvikling i provenu fra skatter og afgifter, 2017-2021
259 mia.
Moms og lønsumsafgifter
I 2021 indbetalte virksomheder mere end 259
mia. kr. i moms og lønsumsafgifter.
500
450
400
350
300
250
200
150
100
50
0
2017
Selskabsskat
2018
2019
2020
2021
Afgifter
33
79
40
31
64
35
74
35
68
101
217
226
232
240
259
66
67
67
66
70
Skat af overskud fra personligt ejede virksomheder
Moms og lønsum
Anm.: 1) Provenuet fra personskat af overskud fra selvstændigt erhvervsdrivende er opgjort som et skøn
på 40 pct. af virksomhedens skattemæssige resultat. 2) Selskabsskatter omfatter selskabsskat og
kulbrinteskat. Selskabsskattesatsen udgjorde 22 pct. for hele perioden. 3) Refusion af energiafgifter er
fratrukket i det samlede afgiftsprovenu. Tallene for 2017 til 2020 er opgjort d. 10. august 2022. Tallene for
2021 er opgjort d. 19. januar 2023. Der kan forekomme afrundingsdifferencer.
Kilde: Skattestyrelsen.
Boks 1. Satser for skatter og afgifter
Selskabsskat
: Satsen var i 2021 på 22 pct. af det skattepligtige overskud i selskabet.
Personskat af overskud
: Selvstændigt erhvervsdrivende (ejerne) skal som udgangspunkt
betale skat af virksomhedens nettoresultat, hvor satsen afhænger af personlige skattefor-
hold. I tillæg kan selvstændigt erhvervsdrivende vælge at anvende virksomhedsordningen
eller kapitalafkastordningen, der giver skattemæssige vilkår, som til en vis grad kan sidestil-
les med selskabernes.
SAU, Alm.del - 2022-23 (2. samling) - Bilag 91: Publikation: Virksomhedernes skattebetaling
2680473_0008.png
Virksomhedernes skattebetaling
Side 7
Moms
: Satsen udgør 25 pct. af værdien af de solgte varer (salgsmoms), hvor
virksomheden
kan fratrække den moms, virksomheden selv har betalt ved køb af varer (købsmoms).
Lønsumsafgift
: Der findes i lønsumsafgiftsloven fire forskellige metoder, hvor satser og af-
giftsgrundlag varierer. Satsen var i 2021 mellem 3,54 pct. og 15,3 pct. Afgiftsgrundlaget af-
hænger af metode og omfatter lønsum, omsætning og/eller overskud.
Afgifter
: Indbetales af virksomheder, der handler med eller forbruger en række produkter,
som er afgiftsbelagte. Afgiftssatsen og -grundlaget varierer mellem forskellige typer af afgif-
ter.
SAU, Alm.del - 2022-23 (2. samling) - Bilag 91: Publikation: Virksomhedernes skattebetaling
2680473_0009.png
Virksomhedernes skattebetaling
Side 8
87 pct. af provenuet kommer fra selskaber
I 2021 var der godt 930.000 registrerede virksomheder i Danmark. Det er mere
end 14.000 flere end i 2019. Virksomhederne varierer i ejerform og dækker over
alt fra små selvstændigt erhvervsdrivende til store multinationale selskaber. Der-
med varierer det også, hvor meget virksomhederne indbetaler i skatter og afgif-
ter, og hvilke skatte- og afgiftspligter de er underlagt. I denne publikation er virk-
somhederne grupperet i to ejerformer:
Selskaber
dækker over den type virksomhed, hvor ejerne fx ejer anpar-
ter eller aktier i selskabet. Typiske eksempler på selskaber er aktie- og
anpartsselskaber, men betegnelsen dækker også over fonde og for-
eninger mv.
Selvstændigt erhvervsdrivende
dækker over alle de driftsformer, hvor
ejeren hæfter personligt. Det kan være enkeltmandsvirksomheder eller
ejerledet virksomhed med få ansatte, som fx en tømrermester eller en
frisør.
Hovedparten af selskaberne er mindre selskaber registreret som anpartsselska-
ber. For anpartsselskaber er der et kapitalkrav på 40.000 kr. i forbindelse med
etableringen af selskabet. Aktieselskaber er typisk større selskaber med et kapi-
talkrav på 400.000 kr. ved etablering af et aktieselskab. For en uddybende gen-
nemgang af de særlige forhold, som knytter sig til selskaber, kan der henvises til
publikationen
Selskabernes skattebetaling.
I Danmark er der væsentligt flere selskaber end selvstændigt erhvervsdrivende.
Omtrent 550.000 virksomheder var i 2021 registreret som selskaber, mens godt
380.000 var registreret som selvstændigt erhvervsdrivende. Selskaber står
også for størstedelen af skatte- og afgiftsprovenuet. I 2021 stod de med en
samlet indbetaling på 408 mia. kr. for 87 pct. af det samlede provenu fra virk-
somheder,
jf. figur 3.
Figur 3. Antal virksomheder og skatte- og afgiftsprovenu fordelt på ejerform, 2021
Selskaber
Selvstændigt
erhvervsdrivende
550.172
Antal:
382.782
Antal:
Skatte- og afgiftsprovenu:
Skatte- og afgiftsprovenu:
408
mia. kr.
62
mia. kr.
nu: enu:
Anm.: 1) Provenuet for gruppen af selvstændigt erhvervsdrivende omfatter både selvstændigt
erhvervsvirksomheder med SE-numre og dem uden SE-numre, såsom mindre udlejningsvirksomheder.
Kilde: Skattestyrelsen.
SAU, Alm.del - 2022-23 (2. samling) - Bilag 91: Publikation: Virksomhedernes skattebetaling
2680473_0010.png
Virksomhedernes skattebetaling
Side 9
Selvstændigt erhvervsdrivende betaler generelt færre afgifter end selskaber, da
de typisk er servicevirksomheder, hvis ydelser ikke er afgiftsbelagt i samme om-
fang.
I 2021 indbetalte selvstændigt erhvervsdrivende godt 62 mia. kr. og stod for de
resterende 13 pct. af det samlede provenu fra virksomheder,
jf. figur 3.
Selskaber betaler selskabsskat af deres skattepligtige overskud. I 2021 indbe-
talte selskaber godt 100 mia. kr. i selskabsskat,
jf. tabel 1.
Siden 2020 er sel-
skabsskatteprovenuet steget markant med knap 33 mia. kr.
Selskaber betaler også en række afgifter. Det gælder blandt andet
miljøafgifter,
energiafgifter samt
punktafgifter på varer som fx chokolade, spiritus og vin. I
2021 indbetalte selskaber godt 235 mia. kr. i moms og lønsumsafgift, og ind- og
udbetaling af afgifter resulterede i et provenu på knap 72 mia. kr.,
jf. tabel 1.
Ud-
viklingen skal ses i lyset af den økonomiske aktivitet i samfundet.
Provenuet fra de selvstændigt erhvervsdrivende har været stabilt i årene 2019
og 2020.
Tabel 1. Samlet skatte- og afgiftsprovenu fordelt på ejerform og skatte- og afgiftstyper, 2021
Mia. kr. (løbende priser)
Selskabsskat
Personskat af overskud
Moms og lønsumsafgift
Afgifter
Selskaber
100,8
0
235,5
71,5
Selvstændigt
erhvervsdrivende
0
40,0
23,3
-1,7
Samlet
100,8
40,0
258,8
69,8
Samlet
407,8
61,6
469,4
Anm.: 1) For selvstændigt erhvervsdrivende er provenuet for personskat af overskud opgjort som et skøn
på 40 pct. af virksomhedens skattemæssige resultat. 2) Det samlede provenu for ”afgifter” ved
selvstændigt erhvervsdrivende er negativt, fordi de selvstændigt erhvervsdrivende samlet set har modtaget
mere i refusion af elafgifter og andre energiafgifter, end de har betalt i punktafgifter. 3) For selskaber
inkluderer tabellen det samlede skatteprovenu indbetalt af aktie- og anpartsselskaber, fonde og foreninger
samt øvrige selskaber. Selskabsskatter omfatter selskabsskat og kulbrinteskat. Refusion af energiafgifter er
fratrukket i det samlede afgiftsprovenu. 4) Der kan forekomme afrundingsdifferencer.
Kilde: Skattestyrelsen.
Boks 2: Sådan er tallene opgjort
Alle tal og data, der danner grundlag for analysen om virksomhedernes samlede skatte- og afgifts-
provenu, er baseret på virksomhedernes aktuelle ansættelse for perioden 2017 til 2021. Alle op-
lysninger for 2017
2020 er opgjort d. 10. august 2022, mens oplysninger for 2021 er opgjort d.
19. januar 2023. Der kan forekomme afrundingsdifferencer, og der kan efterfølgende forekomme
ændringer, da virksomhederne og Skatteforvaltningen har mulighed for at foretage ændringer tre
år tilbage i tiden. Derfor kan derfor også forekomme forskelle i forhold til opgørelser i tidligere ud-
gaver af publikationen. For indkomståret 2021 indgår kun ansættelser på person- og selskabsskat
modtaget inden 19. januar 2023. Det fulde omfang af skatteansættelser vil derfor først kunne op-
gøres, når skatteforvaltningen har foretaget skønsmæssig ansættelse i form af taksationer for de
manglende angivelser.
SAU, Alm.del - 2022-23 (2. samling) - Bilag 91: Publikation: Virksomhedernes skattebetaling
2680473_0011.png
Virksomhedernes skattebetaling
Side 10
Færre virksomheder angiver deres oplysninger
korrekt
Mange virksomheder begår fejl ved angivelsen af skatte- og momsoplysninger.
Det viser Skattestyrelsens undersøgelser af regelefterlevelsen blandt små og
mellemstore virksomheder med under 250 ansatte. Undersøgelserne danner et
billede af virksomheders vilje og evne til at efterleve skatte- og momsreglerne og
giver dermed Skattestyrelsen mulighed for at målrette vejlednings- og kontrol-
indsatser mod de virksomheder, hvor risikoen for at begå fejl eller svindel er
størst,
jf. boks 3.
Virksomheder begår flere fejl end borgere. Det skyldes først og fremmest, at
godt 92 pct. af skatteoplysningerne på personområdet automatisk overføres til
årsopgørelsen fra tredjeparter, som fx arbejdsgivere, banker og pensionsselska-
ber. Virksomheder skal derimod i langt højere grad selv angive oplysninger om fx
indkomst, overskud, gæld og omkostninger, hvilket øger risikoen for fejl.
Fejl i indberetning af skat
Skattestyrelsens undersøgelser viser, at flere virksomheder begår fejl i angivel-
sen af skatteoplysninger. Andelen af virksomheder, der begår fejl, er steget fra
54 pct. i 2011 til 71 pct. i 2020,
jf. figur 4.
Generelt viser Skattestyrelsens under-
søgelser, at virksomhederne har en stigende tendens til fejl i angivelsen af skat.
Fra 2020 og frem gennemføres undersøgelsen årligt med en mindre stikprøve,
hvilket øger usikkerheden,
jf. boks 3.
Derfor skal udviklingen fra 2018 til 2020
tolkes med forsigtighed.
Figur 4. Udvikling i andelen af virksomheder med fejl i angivelsen af skat, 2011-2020
Pct.
100
71 %
Fejl i angivelse af skat
71 pct. af virksomhederne begår fejl i
angivelsen af skat.
80
68
60
54
56
58
71
40
20
0
2011
2013
2015
2018
2020
Anm.: Fra 2020 gennemføres undersøgelsen årligt på baggrund af en mindre stikprøve. Den mindre
stikprøve medfører, at estimaterne for regelefterlevelsen er forbundet med en større usikkerhed.
Usikkerheden i undersøgelserne i 2011, 2013, 2015 og 2018 er +/- 2 procentpoint. Usikkerheden i 2020
er +/- 4 procentpoint. Dermed er stigningen fra 2018 til 2020 ikke statistisk signifikant.
Kilde: Skattestyrelsen.
Når der konstateres fejl, kan langt de fleste henføres til simple fejl, som fx kan
skyldes manglende viden, uhensigtsmæssige interne processer eller misforståel-
ser. En mindre andel af virksomhederne begår grove fejl. Undersøgelser fra Skat-
testyrelsen viser, at det i perioden 2011 til 2020 er mellem 8 pct. og 12 pct. af
virksomhederne, der begår grove fejl.
SAU, Alm.del - 2022-23 (2. samling) - Bilag 91: Publikation: Virksomhedernes skattebetaling
2680473_0012.png
Virksomhedernes skattebetaling
Side 11
Fra 2018-undersøgelsen opereres der ikke længere med en bagatelgrænse for
fejl,
jf. boks 4.
Det skønnes, at ca. halvdelen af stigningen i fejlprocenten fra 2015
til 2018 kan forklares med, at der ikke længere opereres med en bagatelgrænse
for fejl.
Fejl i angivelse af moms
Virksomhederne begår færre fejl på momsområdet sammenlignet med skatte-
området. Dog ses der også på momsområdet en stigende tendens til, at virk-
somhederne begår fejl. I 2011 begik 41 pct. af de momspligtige virksomheder
fejl i momsangivelsen, mens andelen var steget til 64 pct. i 2020,
jf. figur 5.
Som
for skatteområdet skal udviklingen fra 2018 til 2020 dog fortolkes med forsigtig-
hed, da den reducerede stikprøvestørrelse øger usikkerheden,
jf. boks 3.
Figur 5. Udvikling i andelen af virksomhederne med fejl i angivelsen af moms, 2011-2020
Pct.
100
64 %
Fejl i momsangivelser
64 pct. af virksomhederne begår fejl i
momsangivelser.
80
65
60
46
41
40
48
64
20
0
2011
2013
2015
2018
2020
Anm.: Fra 2020 gennemføres undersøgelsen årligt på baggrund af en mindre stikprøve. Den mindre
stikprøve medfører, at estimaterne for regelefterlevelsen er forbundet med en større usikkerhed.
Usikkerheden i undersøgelserne i 2011, 2013 og 2015 er +/- 2 procentpoint. Usikkerheden i 2018 er +/-
3 procentpoint. Usikkerheden i 2020 er +/- 5 procentpoint. Dermed er faldet fra 2018 til 2020 ikke statistisk
signifikant.
Kilde: Skattestyrelsen.
Ligesom det gælder for skatteområdet, viser undersøgelser fra Skattestyrelsen,
at de fleste momsfejl kan henføres til manglende viden, misforståelser, mv.,
mens en mindre andel af virksomhederne har grove fejl. I perioden 2011 til 2020
er det således mellem 9 pct. og 14 pct. af virksomhederne, der har grove fejl i
angivelsen af moms.
Det skønnes, at ca. en tredjedel af stigningen fra 2015 til 2018 kan forklares
med, at der ikke længere opereres med en fast bagatelgrænse,
jf. boks 4.
Skattestyrelsen arbejder løbende på fokuserede vejlednings- og kontrolindsat-
ser målrettet virksomheder, hvor risikoen for at begå fejl eller svindel er størst.
Det gælder eksempelvis den gruppe af virksomheder, som begår grove fejl. Det
kan være virksomheder, som fortsætter driften, selvom de er blevet tvangsaf-
meldte, eller virksomheder, som tidligere har begået grove fejl.
Der er ligeledes ekstra fokus på nyregistrerede virksomheder, hvor både vejled-
ning og kontrol sikrer, at virksomhederne kommer godt fra start.
Endelig har Skattestyrelsen også en særlig indsats i forhold til digital platforms-
økonomi, hvor der eksempelvis kan opstå tvivl om, hvorvidt der er tale om reel
SAU, Alm.del - 2022-23 (2. samling) - Bilag 91: Publikation: Virksomhedernes skattebetaling
2680473_0013.png
Virksomhedernes skattebetaling
Side 12
selvstændig virksomhed, eller om der er tale om arbejdstager/arbejdsgiverfor-
hold.
Boks 3. Sådan måler Skattestyrelsen små og mellemstore virksomheders regelefterlevelse
Små og mellemstore virksomheders regelefterlevelse måles ved at kontrollere en tilfældigt ud-
valgt stikprøve af virksomhederne. Stikprøven udvælges, så den udgør et repræsentativt udsnit af
alle små og mellemstore virksomheder med under 250 ansatte. Undersøgelsen afdækker ikke
told og afgifter. På grund af kompleksiteten i store virksomheder med mere end 250 ansatte
gennemføres der ikke de samme regelefterlevelsesundersøger af disse. Dog samler Skattestyrel-
sen generelt viden på andre måder, blandt andet ved målrettede kontroller og international ud-
veksling af oplysninger.
For de små og mellemstore virksomheder foretages en grundig gennemgang af virksomheder-
nes moms- og skattemæssige forhold. I tilfælde, hvor der ikke er selvangivet korrekt, registreres
de forskellige typer af fejl, og ændringen af beskatningsgrundlaget opgøres. Ligeledes vurderes
virksomhedernes vilje og evne til at angive korrekt ud fra antallet og karakteren af fejl. Informatio-
ner om regelefterlevelsen giver Skattestyrelsen indblik i, hvilke fejltyper, der er hyppigst, og hvilke
forhold der karakteriserer virksomheder, som begår simple og grove fejl.
Vurderingen af, om en virksomhed begår simple eller grove fejl, sker som en samlet betragtning
af virksomhedens fejl. Her indgår blandt andet størrelsen på den samlede regulering, antallet af
fejl samt hvorvidt fejlene er enkeltstående eller begået gentagne gange. For momspligtige virk-
somheder sker vurderingen på tværs af skat og moms.
Hvor undersøgelserne tidligere er blevet gennemført med nogle års mellemrum, bliver de fra og
med 2020-undersøgelsen gennemført årligt, men på baggrund af en mindre stikprøve.. Den min-
dre stikprøve medfører imidlertid, at estimaterne for regelefterlevelsen i 2020 er forbundet med
en større usikkerhed, og derfor bør tolkes med forsigtighed.
Boks 4. Bagatelgrænse og sagstilskæring
Skattestyrelsen har tidligere i forbindelse med undersøgelse af regelefterlevelse opereret med en
bagatelgrænse på 4.000 kr. for skat og 2.500 for moms. Mellem 2015 og 2018-undersøgelsen
blev retningslinjerne for sagstilskæring i forbindelse med Skattestyrelsens kontrolarbejde ændret.
Det betød, at det ikke længere var muligt at fastsætte en beløbsgrænse for, hvornår en sag blev
registret med fejl. For Skattestyrelsens stikprøveundersøgelser af små og mellemstore virksom-
heder betød ændringen, at flere mindre sager med reguleringer, der tidligere ville være faldet for
bagatelgrænsen, nu indgår i undersøgelsen.
Retningslinjerne for sagstilskæring blev igen tilrettet, inden 2020-undersøgelsen blev gennem-
ført. Med denne tilpasning kan Skattestyrelsen undlade at foretage en regulering, når der er tale
om fejl af mindre betydning, og hvor der ikke er risiko for gentagelse eller hvor det vurderes, at
vejledning i den konkrete situation vil have større effekt. I modsætning til tidligere er der ikke tale
om en egentlig beløbsmæssig bagatelgrænse, men om en konkret vurdering i hver enkelt sag.
Disse ændringer har selvsagt betydning for udfaldet af undersøgelserne af regelefterlevelsen.
Skattestyrelsen vurderer, at den seneste ændring af retningslinjerne har mindre effekt på fejlpro-
centen, end da den beløbsmæssige bagatelgrænse blev fjernet.
SAU, Alm.del - 2022-23 (2. samling) - Bilag 91: Publikation: Virksomhedernes skattebetaling
2680473_0014.png
Virksomhedernes skattebetaling
Side 13
Selvstændigt erhvervsdrivende begår ofte fejl
Skattestyrelsens undersøgelser viser, at selvstændigt erhvervsdrivende i sti-
gende grad begår fejl med skatte- og momsangivelserne. Fejlene kan ofte hen-
føres til manglende kendskab til regler, manglende evne til at indberette korrekt
eller simpelthen misforståelser.
I perioden 2011 til 2020 er andelen af selvstændigt erhvervsdrivende, der laver
fejl i skatteangivelsen, steget fra 60 pct. til 78 pct.,
jf. figur 6.
Som nævnt er der
større usikkerhed forbundet med den seneste undersøgelse, hvorfor udviklingen
fra 2018 til 2020 skal tolkes med forsigtighed,
jf. boks 3.
Figur 6. Udvikling i fejlprocenten for skat for selvstændigt erhvervsdrivende, 2011-2020
Pct.
100
78 %
Fejl i angivelse af skat
78 pct. af selvvstændigt erhvervsdri-
vende begår fejl i angivelsen af skat i.
80
60
60
61
61
78
72
40
20
0
2011
2013
2015
2018
2020
Anm.: Fra 2020 gennemføres undersøgelsen årligt på baggrund af en mindre stikprøve. Den mindre
stikprøve medfører, at estimaterne for regelefterlevelsen er forbundet med en større usikkerhed.
Usikkerheden i undersøgelserne i 2011, 2013 og 2015 er +/- 2 procentpoint. Usikkerheden i 2018 er +/-
3 procentpoint. Usikkerheden i 2020 er +/- 5 procentpoint. Dermed er stigningen fra 2018 til 2020 ikke
statistisk signifikant.
Kilde: Skattestyrelsen.
Ligesom for skat ses der også en stigende tendens til, at de selvstændigt er-
hvervsdrivende begår fejl, når de angiver moms. Fra 2011 til 2020 er fejlprocen-
ten for moms steget fra 44 pct. til 70 pct,
jf. figur 7.
Igen skal udviklingen fra 2018 til 2020 tolkes med forsigtighed, da den reduce-
rede stikprøvestørrelse i 2020 øger usikkerheden,
jf. boks 3.
SAU, Alm.del - 2022-23 (2. samling) - Bilag 91: Publikation: Virksomhedernes skattebetaling
2680473_0015.png
Virksomhedernes skattebetaling
Side 14
Figur 7. Udvikling i fejlprocent for moms for selvstændigt erhvervsdrivende, 2011-2020
Pct.
100
80
67
60
49
44
40
70
51
70 %
Fejl i momsangivelser
70 pct. af selvvstændige erhvervsdri-
vende begår fejl i momsangivelser.
20
0
2011
2013
2015
2018
2020
Anm.: Fra 2020 gennemføres undersøgelsen årligt på baggrund af en mindre stikprøve. Den mindre
stikprøve medfører, at estimaterne for regelefterlevelsen er forbundet med en større usikkerhed.
Usikkerheden i undersøgelserne i 2011, 2013, 2015 og 2018 er +/- 3 procentpoint. Usikkerheden i 2020
er +/- 6 procentpoint. Dermed er stigningen fra 2018 til 2020 ikke statistisk signifikant.
Kilde: Skattestyrelsen.
En del af stigningen i fejlprocent for både skatte- og momsangivelserne fra
2015 til 2018 kan forklares med, at der ikke længere er en bagatelgrænse,
jf.
boks 4.
Dertil skal udviklingen fra 2018 til 2020 fortolkes med forsigtighed på
grund af en mindre stikprøve.
Fejl i indberetning af skat
Når selvstændigt erhvervsdrivende begår fejl i skatteangivelsen, hører fejlene
ofte til fejltypen
private udgifter.
Det omfatter udgifter af privat karakter, som er
virksomheden uvedkommende, men som alligevel er fratrukket i virksomhedens
skattepligtige indkomst. Fx har en erhvervsdrivende fratrukket udgifter til advo-
kat ved køb af privat ejendom. I gennemsnit begik ca. hver fjerde selvstændigt
erhvervsdrivende fejl i angivelsen af private udgifter fra 2011 til 2020,
jf. tabel
2.
Tabel 2. Hyppige fejltyper i skatteangivelsen for selvstændigt erhvervsdrivende, 2011-2020
Fejltyper
Andel med fejl
(gennemsnit, årene
2011-2020)
Diverse private udgifter
Ikke fradragsberettigede udgifter
Ikke selvangivne erhvervsmæssige indtægter
26 pct.
17 pct.
12 pct.
26 %
Private udgifter
Godt 26 pct. af de selvstændigt er-
hvervsdrivende fratrækker fejlagtigt
private udgifter i indberetningen af
skat.
Kilde: Skattestyrelsen.
Fejltypen
ikke fradragsberettigede udgifter
omfatter udgifter, der ikke opfylder
dokumentationskrav eller ikke kan fradrages. Fx har en erhvervsdrivende ikke
dokumenteret udgifter til optankning af rejsekort som værende erhvervsmæs-
sige udgifter. I gennemsnit begik ca. hver femte selvstændigt erhvervsdrivende
denne type fejl i årene 2011 til 2020,
jf. tabel 2.
Fejltypen
ikke selvangivne erhvervsmæssige indtægter
omfatter indtægter, som
ikke er opgivet til Skattestyrelsen. Fx havde en erhvervsdrivende ikke medregnet
omsætningen af deres solcelleanlæg. I gennemsnit begik knap 12 pct. af selv-
stændigt erhvervsdrivende denne type fejl i perioden 2011 til 2020, jf.
tabel 2.
SAU, Alm.del - 2022-23 (2. samling) - Bilag 91: Publikation: Virksomhedernes skattebetaling
2680473_0016.png
Virksomhedernes skattebetaling
Side 15
Fejl i angivelse af moms
Ved momsangivelsen begår selvstændigt erhvervsdrivende ofte fejl, der handler
om forholdet mellem virksomhedens økonomi og ejerens privatøkonomi.
Der begås flest fejl i fejltypen
diverse private udgifter.
Det omfatter fejlagtigt fra-
drag for købsmoms af udgifter, der kvalificeres som private. Fx har en virksom-
hed fratrukket moms af udgifter til private restaurationsbesøg. I gennemsnit har
ca. hver femte selvstændigt erhvervsdrivende fra 2011 til 2020 begået denne
type fejl,
jf. tabel 3.
Tabel 3. Hyppige fejltyper i momsangivelsen for selvstændigt erhvervsdrivende, 2011-2020
Fejltyper
Andel med fejl
(gennemsnit, årene
2011-2020)
Diverse private udgifter
Privat andel
Manglende dokumentation for købsmomsen
22 pct.
16 pct.
10 pct.
22 %
Fejl med private udgifter
22 pct. af de selvstændigt erhvervs-
drivende fratrækker fejlagtigt private
udgifter i momsangivelsen.
Kilde: Skattestyrelsen.
Fejltypen
privat andel
omfatter en ændret fordeling af driftsudgifter mellem pri-
vat og erhverv. Fx har en erhvervsdrivende fratrukket den private andel af købs-
momsen ved køb af en computer. Fra 2011 til 2020 begik i gennemsnit ca. 16
pct. af de selvstændigt erhvervsdrivende denne type fejl,
jf. tabel 3.
Fejltypen
manglende dokumentation for købsmomsen
omfatter fradrag for
købsmomsen, der ikke er godkendt på grund af manglende dokumentation for
udgiften. Fx har en erhvervsdrivende fratrukket købsmoms af telefon uden doku-
mentation for købet. I gennemsnit begik ca. 10 pct. af de selvstændigt erhvervs-
drivende denne type fejl fra 2011 til 2020,
jf. tabel 3.
SAU, Alm.del - 2022-23 (2. samling) - Bilag 91: Publikation: Virksomhedernes skattebetaling
2680473_0017.png
Virksomhedernes skattebetaling
Side 16
Indsatsen mod
social dumping
2
SAU, Alm.del - 2022-23 (2. samling) - Bilag 91: Publikation: Virksomhedernes skattebetaling
2680473_0018.png
Virksomhedernes skattebetaling
Side 17
Fælles myndighedsindsats mod social dumping
Arbejdskraftens frie bevægelighed betyder, at virksomheder og borgere i EU frit
kan udføre arbejde i hele EU. Langt størstedelen af virksomheder og arbejdsta-
gere i Danmark udfører arbejde under danske løn- og arbejdsvilkår.
I nogle brancher er der dog en tendens til, at virksomheder i mindre grad følger
danske regler, og at udenlandske arbejdstagere arbejder på dårligere vilkår end
danske arbejdstagere. Det skaber unfair konkurrence for de virksomheder og ar-
bejdstagere, der overholder lovgivningen på arbejdsmarkedet, og som betaler
de korrekte skatter og afgifter. Det betegnes
social dumping.
Siden 2012 har Skattestyrelsen indgået i en fælles myndighedsindsats mod so-
cial dumping med Arbejdstilsynet og politiet. Formålet er at sikre, at arbejde i
Danmark foregår på ordentlige vilkår og følger den danske lovgivning samt at
forebygge konkurrenceforvridning blandt virksomheder, der anvender uden-
landske underleverandører og ansatte. Det sker gennem målrettede fælles kon-
trolaktioner mod brancher og virksomheder, hvor der vurderes at være risiko for
svindel, fx på byggepladser, restauranter, gartnerier, rengøring og i landbruget.
Indsatsen indebærer, at Skattestyrelsen, Arbejdstilsynet og politiet gennemfører
fælles kontrolaktioner af virksomhedernes arbejdsmiljø, skatteforhold og ar-
bejds- eller opholdstilladelser,
jf. figur 8.
Figur 8. Eksempel på myndighedssamarbejde under fællesaktioner
Kilde: Skattestyrelsen.
De tre myndigheder holder tæt kontakt og underretter hinanden, hvis de på egne
kontroller får mistanke om lovbrud på de andre myndigheders område. Samar-
bejdet har medført, at Arbejdstilsynet, Skattestyrelsen og politiet er blevet bedre
til at understøtte indsatser på tværs, og sikrer en effektiv og målrettet kontrol
mod social dumping.
Skattestyrelsens rolle i myndighedssamarbejdet er at kontrollere, om udenland-
ske virksomheder og arbejdstagere er registreret korrekt i forhold til moms og
skat, samt om moms og skat er angivet og betalt korrekt.
SAU, Alm.del - 2022-23 (2. samling) - Bilag 91: Publikation: Virksomhedernes skattebetaling
2680473_0019.png
Virksomhedernes skattebetaling
Side 18
Fokusområder og udvælgelse til kontrol
I den fælles myndighedsindsats er der fokus på de brancher, hvor der erfarings-
mæssigt er størst risiko for social dumping. Det er særligt brancherne byggeri,
service og det grønne område. Dertil kommer en række øvrige brancher som fx
autoværksteder, industri, offshore, ejendomsudlejning,
jf. figur 9.
Figur 9. Fokusområder i den fælles myndighedsindsats mod social dumping
Kilde: Skattestyrelsen.
Kontrolaktioner i myndighedssamarbejdet planlægges og gennemføres målret-
tet inden for de udvalgte fokusområder, samtidig med at det sikres, at der tages
udgangspunkt i et bredt udsnit af arbejdssteder fordelt over hele landet. Udvæl-
gelse af adresser til kontrol foretages i tæt samarbejde mellem de tre myndighe-
der. Det sker ud fra en vurdering af risiko og aktualitet eller en konkret mistanke
om arbejdsmæssige forhold relateret til social dumping. Der kan også ske kon-
trol af fx en byggeplads, såfremt myndighederne i forbindelse med gennemfør-
sel af andre kontroller støder på åbenlyse forhold, som skal kontrolleres.
Skattestyrelsens udvælgelse sker ved gennemgang af anmeldelser og udsøg-
ning af relevante kontroloplysninger på virksomheder i fokusbrancherne,
jf. figur
10.
Udsøgningen henter blandt andet oplysninger i Erhvervsstyrelsens Register
for Udenlandske Tjenesteydere (RUT), hvor udenlandske virksomheder skal
være registrerede. Yderligere udsøger Skattestyrelsen oplysninger om danske
arbejdsgiveres indberetninger af løn, skat og afgifter, som så vidt muligt sam-
menholdes med oplysninger fra RUT.
Figur 10. Skattestyrelsens strategi mod social dumping
Kilde: Skattestyrelsen.
SAU, Alm.del - 2022-23 (2. samling) - Bilag 91: Publikation: Virksomhedernes skattebetaling
2680473_0020.png
Virksomhedernes skattebetaling
Side 19
Kontrol mod social dumping i hele landet
Skattestyrelsen, Arbejdstilsynet og politiet udveksler løbende viden og erfaringer.
Der er etableret en national koordineringsgruppe samt tre regionale planlæg-
ningsgrupper, som hver repræsenterer et geografiske område svarende til Ar-
bejdstilsynets tre tilsynscentre. Disse grupper koordinerer og prioriterer de
landsdækkende og regionale fælles kontrolaktioner.
Som led i det fælles myndighedssamarbejde har Skattestyrelsen fra 2015 til
2022 gennemført godt 25.000 kontroller fordelt over hele Danmark. Det har re-
sulteret i mere end 13.000 sager,
jf. figur 11.
Når Skattestyrelsen gennemfører en kontrol af en virksomhed eller person, ind-
går den i en sag. En sag kan indeholde flere kontroller af samme virksomhed el-
ler person,
jf. boks 6.
Figur 11. Antal kontroller og sager, 2015-2022
4.000
3.500
3.000
2.500
2.000
1.500
1.000
500
-
2015
2016
2017
2018
2019
Antal kontroller
2020
2021
2022
2.335
1.837
1.532
1.589
1.283
1.367
1.452
1.647
2.931
25.000
Kontroller
I perioden 2015 til 2022 har Skattesty-
relsen gennemført mere end 25.000
kontroller.
3.587
3.508
3.394
2.963
2.682
2.917
3.343
Antal sager
Anm.: Opgørelsesmetoden af antal kontroller og provenu er ændret i 2015, hvorfor der ikke fremgår tal for
tidligere år. Metoden, der er anvendt fra 2015, sikrer et ensartet grundlag for at sammenligne antal
kontroller mv. på tværs af de enkelte kontrolaktiviteter.
Kilde: Skattestyrelsen.
I 2021 og 2022 gennemførte Skattestyrelsen godt 6.200 kontroller, hvilket resul-
terede i knap 3.100 afsluttede sager fordelt over hele landet,
jf. figur 11.
I perio-
den var der flest sager i Region Hovedstaden med over 1.100 sager, hvilket er
markant flere sager end de øvrige regioner. Med ca. 260 sager blev der afsluttet
færrest sager i Region Nordjylland,
jf. figur 12.
SAU, Alm.del - 2022-23 (2. samling) - Bilag 91: Publikation: Virksomhedernes skattebetaling
2680473_0021.png
Virksomhedernes skattebetaling
Side 20
Figur 12. Antallet af afsluttede sager om social dumping fordelt på regioner, 2021-2022
262 sager
Region Nordjylland
651 sager
Region Midtjylland
1.121 sager
Region Hovedstaden
658 sager
Region Syddanmark
407 sager
Region Sjælland
Kilde: Skattestyrelsen.
Boks 6. Begreber anvendt i kontrollen mod social dumping
Kontrol:
Én kontrol af skatte- eller afgiftsart hos én virksomhed eller én person i ét indkomstår.
Træf:
Når der i en kontrol konstateres fejl i virksomheder eller personers skatteforhold, fx ind-
komst, moms, arbejdsudleje skat, A-skat eller AM-bidrag.
Sag:
En gennemgang af en virksomhed eller en person. En sag kan indeholde flere kontroller.
Regulering:
Når en sag fører til en eller flere ændringer af en person eller virksomheds skattefor-
hold.
Opkrævning:
Det beløb, som Skattestyrelsen beregner, som sendes til opkrævning hos den en-
kelte virksomhed eller person.
SAU, Alm.del - 2022-23 (2. samling) - Bilag 91: Publikation: Virksomhedernes skattebetaling
2680473_0022.png
Virksomhedernes skattebetaling
Side 21
Indsats har resulteret opkrævninger for 1,9 mia.
kr.
Hvis Skattestyrelsen opdager fejl i angivelserne eller manglende betaling af skat-
ter og afgifter, registreres de som træf i kontrollen. På baggrund af alle træf i en
sag foretager Skattestyrelsen en regulering, dvs. en forhøjelse eller nedsættelse i
virksomhedens eller personens skatte- og afgiftsforhold,
jf. boks 6.
Som følge af
reguleringen sender Skattestyrelsen som oftest en opkrævning. Det er eksem-
pelvis tilfældet, såfremt Skattestyrelsen vurderer, at en person skal betale skat i
Danmark.
I 2022 gennemførte Skattestyrelsen godt 3.300 kontroller, der førte til knap
1.800 træf.
Det svarer til, at Skattestyrelsen fandt fejl i angivelserne eller mang-
lende betaling af skatter og afgifter i 53 pct. af alle kontroller. Siden 2015 er
træfprocenten steget markant.
Figur 13. Antal kontroller, antal træf og træfprocent, 2015-2022
Antal kontroller
4.000
3.500
3.000
2.500
2.000
1.500
1.000
500
0
2015
2016
2017
2018
2019
2020
2021
2022
20
10
0
33
34
45
42
40
30
55
49
59
53
Træfprocent
53 %
Træfprocent i kontroller
I 2022 var der træf i 53 pct. af Skatte-
styrelsens kontroller mod social dum-
ping.
60
50
Antal kontroller
Antal træf
Træfprocent
Anm.: Tallene kan variere i forhold til de tidligere offentliggjorte tal som følge af blandt andet
efterregistreringer.
Kilde: Skattestyrelsen.
Antallet af kontroller faldt under covid-19-nedlukningen i 2020, mens antal træf
og dermed træfprocenten steg. Det skyldes blandt andet, at Skattestyrelsen fo-
kuserede på at afslutte igangværende sager og gennemføre skrivebordskontrol-
ler. Udgående kontroller giver typisk lavere træfprocent. Modsat giver udgående
kontroller også øget synlighed og dermed en øget opfattelse af risiko for at blive
opdaget. Et øget antal skrivebordskontroller, hvor der målrettet kan udsøges ef-
ter væsentlighed og risiko, har medført en højere træfprocent.
I 2022 medførte Skattestyrelsens indsats mod social dumping skatteopkrævnin-
ger for 317 mio. kr. Samlet har indsatsen ført til opkrævninger for knap 1,9 mia.
kr. siden 2015,
jf. figur 14.
1,9 mia.
Skatteopkrævninger
Indsatsen mod social dumping førte i
perioden 2015 til 2022 til opkrævnin-
ger for 1,9 mia. kr.
SAU, Alm.del - 2022-23 (2. samling) - Bilag 91: Publikation: Virksomhedernes skattebetaling
2680473_0023.png
Virksomhedernes skattebetaling
Side 22
Figur 14. Opkrævninger ved kontrol mod social dumping, 2015-2022
Mio. kr.
1.854
1.800
1.600
1.400
1.200
1.000
800
600
400
200
0
2015
2016
2017
2018
2019
2020
2021
2022
128
291
136
189
237
245
311
317
419
744
555
981
1.226
1.537
Opkrævninger
Opkrævninger akkumuleret
Anm.: Opgørelsesmetoden af antal kontroller og provenu er ændret i 2015, hvorfor der ikke fremgår tal for
tidligere år. Metoden, der er anvendt fra 2015, sikrer et ensartet grundlag for at sammenligne antal
kontroller mv. på tværs af de enkelte kontrolaktiviteter.
Kilde: Skattestyrelsen.
Udover den direkte regulering af fejl har kontrolindsatsen også en forebyggende
virkning, da den er med til at sikre, at de pågældende virksomheder og arbejds-
tagere fremover får registreret og angivet deres skatte- og momsmæssige for-
hold korrekt.
Boks 7. Ni virksomheder i Silkeborg tjekket af Skattestyrelsen
Onsdag den 11. maj 2022 fik ni virksomheder i Silkeborg besøg af Skattestyrelsen. Seks af disse
virksomheder kan se frem til yderligere kontrol.
De virksomheder, som Skattestyrelsen besøgte i Silkeborg, var udvalgt på forhånd på baggrund
af informationer og registreringer, som tyder på, at skat eller moms ikke bliver afregnet korrekt til
Danmark.
Aktionen viste, at der i nogle tilfælde var danske virksomheder, som ikke indeholdt og betalte ar-
bejdsudlejeskat for de kontrollerede udenlandske virksomheder, hvor udenlandske ansatte ud-
førte arbejde for danske virksomheder. Samtidigt var der også udenlandske enkeltmandsvirk-
somheder, hvor det vurderes, at de skal beskattes som lønmodtagere i stedet.
SAU, Alm.del - 2022-23 (2. samling) - Bilag 91: Publikation: Virksomhedernes skattebetaling
2680473_0024.png
Virksomhedernes skattebetaling
Side 23
Flest sager i bygge- og anlægsbranchen
I perioden fra 2015 til 2022 har Skattestyrelsen afsluttet godt 13.000 sager i ind-
satsen mod social dumping. Med godt 6.700 sager blev der afsluttet flest sager i
bygge- og anlægsbranchen,
jf. figur 15.
Det svarer til 51 pct. af alle sager.
Figur 15. Antal sager mod social dumping fordelt på brancher, 2015-2022
2.481
Bygge og anlæg
1.098
6.711
Service
Det grønne område
Øvrige
2.752
Kilde: Skattestyrelsen.
Fra 2015 til 2022 førte knap 5.500 sager til en regulering, hvor Skattestyrelsen
vurderede, at der skulle ændres i virksomhedens eller personens skatteforhold.
49 pct. af reguleringerne blev foretaget i bygge- og anlægsbranchen, hvor der
blev foretaget reguleringer i knap 2.700 sager.
Reguleringer i bygge- og anlægsbranchen foretages ofte på grund af fejl og
mangler i udenlandske virksomheders og ansattes registreringsforhold, der
medfører manglende eller fejlagtig afregning af skat og moms.
Boks 8. Social dumping-aktion rettet mod byggebranchen i København og omegn
I september 2020 besøgte myndighedssamarbejdet 69 virksomheder fordelt på 39 adresser i
hele landet. Ud af disse var 16 virksomheder fra byggebranchen i København og omegn, hvoraf
der blev fulgt op på 15 efterfølgende. Det drejer sig fx om, hvorvidt lønnen og skatten er indberet-
tet korrekt for de ansatte samt at sikre, at både virksomheder og ansatte er registreret korrekt.
For 7 ud af de 16 virksomheder gjaldt det, at de på papiret stod til at være selvstændige, men at
Skattestyrelsen vurderede, at de burde være registrerede som lønmodtagere.
5.500
Reguleringer
Skattestyrelsens kontroller mod social
dumping har fra 2015 til 2022 ført til
reguleringer i godt 5.500 sager.
SAU, Alm.del - 2022-23 (2. samling) - Bilag 91: Publikation: Virksomhedernes skattebetaling
2680473_0025.png
Virksomhedernes skattebetaling
Side 24
Vejledning i at undgå social dumping
Erfaringen fra den fælles myndighedsindsats mod social dumping er, at ikke alle
virksomheder og arbejdstagere har kendskab til de danske skatte- og afgiftsreg-
ler.
Skattestyrelsen gennemfører derfor målrettede vejledningsindsatser og samar-
bejder for at sikre, at arbejdstagere og arbejdsgivere har de bedste forudsætnin-
ger for at sikre ordentlige arbejdsvilkår og følge de danske regler. Skattestyrel-
sen vejleder eksempelvis udenlandske virksomheder og arbejdstagere i, hvor-
dan de registrerer sig korrekt, når de skal udføre arbejde i Danmark. På skat.dk
er der samlet en række guides og tjeklister,
jf. figur 16.
Figur 16. Eksempler på vejledning
Kilde: Skattestyrelsen.
Flere af vejledningerne er tilgængelige på engelsk, men også på sprog som tysk,
polsk, litauisk og rumænsk, som er de lande, hvor den største andel af uden-
landsk arbejdskraft i Danmark kommer fra.
Skattestyrelsen har også vejledningsinitiativer målrettet danske virksomheder,
som gør brug af udenlandsk arbejdskraft. Danske virksomheder og personer
topper listen over de kontrolleredes nationalitet med 54 pct. Det skyldes, at dan-
ske virksomheder ofte hyrer udenlandsk arbejdskraft eller anvender udenland-
ske underleverandører og derfor ofte har pligt til at angive og indberrette skat og
afgifter for den udenlandske arbejdskraft.
Siden 2015 har Skattestyrelsen derfor blandt andet afholdt møder med større,
relevante danske virksomheder og revisorer om blandt andet skattepligt, løn-
modtagerbeskatning og arbejdsudleje. Skattestyrelsens erfaring er, at virksom-
heder, der har deltaget i vejledningsmøder og modtaget vejledningsmateriale,
efterfølgende udviser en højere regelefterlevenhed.
SAU, Alm.del - 2022-23 (2. samling) - Bilag 91: Publikation: Virksomhedernes skattebetaling
2680473_0026.png
Virksomhedernes skattebetaling
Side 25
Vejledningssamarbejde på tværs af grænser
Skattestyrelsen arbejder løbende på at forbedre vejledningen om danske skatte-
forhold, så det bliver nemmere at betale den korrekte skat også i samarbejde
med andre lande. Skattestyrelsen deltager fx løbende i kampagner med andre
EU-lande mod social dumping og sort arbejde. Hertil kommer, at Skattestyrelsen
løbende etablerer samarbejde med udvalgte lande såsom Rumænien med hen-
blik på at vejlede virksomheder og arbejdstagere, der krydser grænser for at ar-
bejde.
På kontrolaktionerne mod social dumping møder Skattestyrelsen typisk virksom-
heder eller udenlandske arbejderstagere med europæiske nationaliteter, især
fra vores nabolande i Skandinavien og Tyskland, Baltikum samt i Øst- og Sydeu-
ropa. Skattestyrelsen har derfor et særligt fokus på disse lande.
Figur 17. Samarbejder med andre lande mod social dumping
Kilde: Skattestyrelsen.
SAU, Alm.del - 2022-23 (2. samling) - Bilag 91: Publikation: Virksomhedernes skattebetaling
Virksomhedernes skattebetaling
Side 26
Fremtiden for indsatsen mod social dumping
Selvom Skattestyrelsens indsats mod social dumping er blevet styrket betydeligt
over de seneste år, og opdagelsesrisikoen er øget markant, arbejder Skattesty-
relsen løbende på at udvikle indsatsen. Fremadrettet vil der være fokus på tre
udviklingsområder.
Styrket myndigheds- og branchedialog
Skattestyrelsen er løbende i dialog med virksomheder, organisationer
og myndigheder om at øge regelefterlevelsen i forhold til social dum-
ping. Dialogen kan handle om udbredelse af kendskabet til indsatserne
mod social dumping, fortolkning af reglerne for arbejdsudleje samt drøf-
telse af relevante regler. Samarbejdet med relevante myndigheder om-
handler blandt andet vejledningstiltag og udveksling af kontroloplysnin-
ger.
Fremrykket vejledning
Skattestyrelsen arbejder løbende på at udvikle og forbedre vejlednings-
indsatsen mod social dumping. Fx har Skattestyrelsen tidligere set posi-
tive effekter af at udsende kontrolvejledning om skattereglerne for ar-
bejdsudleje til potentielle arbejdsgivere med udenlandsk arbejdskraft.
Indsatsen var ressourcetung, blandt andet i forhold til at besvare efter-
følgende henvendelser, men effekterne af initiativet var så positive, at
udsendelsen af kontrolvejledningen genoptages.
Rekruttering og kompetenceudvikling
Løbende tilgang af nye medarbejdere til indsatsen mod social dumping
har vist, at indsatsens kompleksitet og dybe faglighed kræver en omfat-
tende onboarding. Samtidig er der behov for løbende at udbygge kom-
petencer blandt erfarne medarbejdere. Derfor har Skattestyrelsen etab-
leret et uddannelsesforløb om social dumping, en mentorordning og fo-
kus på at sikre kompetente medarbejdere.
SAU, Alm.del - 2022-23 (2. samling) - Bilag 91: Publikation: Virksomhedernes skattebetaling
2680473_0028.png
Virksomhedernes skattebetaling
Side 27
www.sktst.dk
Skattestyrelsen er en
del af Skatteforvaltningen