Skatteudvalget 2022-23 (2. samling)
SAU Alm.del Bilag 127
Offentligt
2697530_0001.png
April 2023
Februar 2023
Toldere stopper 1.100
forsøg på ulovlig indfør-
sel af tobak i 2022
Toldstyrelsen har registreret en stigning i antallet af
sager om ulovlig indførsel af tobak. Stigningen skyl-
des blandt andet en styrket kontrol med import af
tobak til Danmark.
Tobak er en afgiftspligtig vare i Danmark. Skatteforvaltningen samarbejder der-
for om kontrollen af tobaksvarer for at begrænse ulovlig indførsel og handel af
tobak i Danmark. Toldstyrelsen fører kontrol med indførslen af tobaksvarer til
Danmark, mens Skattestyrelsen kontrollerer tobaksvarer inden for landets græn-
ser i fx kiosker og butikker.
Toldstyrelsen har de seneste år styrket kontrollen på tobaksområdet gennem
forbedrede risikovurderinger af varer i forhold til ulovlig import af tobak. Kontrol-
len er desuden styrket gennem øget udveksling af viden og efterretninger med
politiet, internationale toldmyndigheder og Europol.
I 2022 har Toldstyrelsen registreret godt 1.100 sager på tobaksområdet. Det er
en stigning på over 400 sager fra 2021 og på niveau med 2019,
jf. figur 1.
Det
lavere antal tobakssager i 2020 og 2021 skyldes blandt andet covid-19, der re-
ducerede grænsehandlen og flytrafikken.
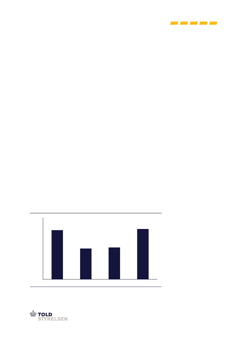
Figur 1. Sager på tobaksområdet, 2019-2021
1.400
1.200
1.000
800
600
400
200
-
2019
2020
2021
2022
724
1.143
1.116
1.100
Tobakssager
I 2022 registrerede Toldstyrelsen
godt 1.100 sager på tobaksområdet.
698
Kilde: Toldstyrelsen.
Anm.: Sagerne omfatter tilbageholdte cigaretter, cigarer, røgtobak, snus, vandpibetobak mm.
SAU, Alm.del - 2022-23 (2. samling) - Bilag 127: Publikation fra Toldstyrelsen, april 2023: Tilbageholdt tobak 2022
2697530_0002.png
Side 2
Toldstyrelsens sager på tobaksområdet kan overordnet inddeles i to typer. Den
første type er organiseret smugling, hvor sagerne er komplekse og med tilbage-
holdelser af relativt store mængder tobaksvarer, der ikke er betalt afgifter af.
Den anden type er privates forsøg på at indføre tobaksvarer udover den tilladte
mængde,
jf. boks 1.
Den sidste type sager tegner sig for langt størstedelen af re-
gistrerede tobaksager i Toldstyrelsen.
Flere større sager i 2022
I 2022 tilbageholdt tolderne knap 3,3 mio. cigaretter,
jf. figur 2.
Det er et fald på
ca. 9,4 mio. cigaretter i forhold til 2021. Statistikken er påvirket af store enkeltbe-
slag, der medfører udsving i tallene fra år til år.
Udsvinget i mængden af beslaglagte cigaretter fra 2021 til 2022 skyldes et sær-
ligt stort beslag på 10 mio. i en lastbil på Rødbyhavn i 2021, der trak det sam-
lede antal op på 12,7 mio. cigaretter.
Figur 2. Tilbageholdte cigaretter, 2019-2022 (mio. stk.)
18
16,2
16
14
12
10
8
6
4
2
0
2019
2020
2021
2022
5,9
3,3
12,7
3,3 mio.
tilbageholdte cigaretter
I 2022 tilbageholdt Toldstyrelsen
knap 3,3 mio. cigaretter.
Kilde: Toldstyrelsen.
Toldstyrelsen har haft flere større tobaksager i 2022. I slutningen af februar blev
to rejsende i Københavns Lufthavn stoppet med i alt 100 kilo vandpibetobak, der
ikke var betalt told og afgifter af. I midten af september blev en rejsende i samme
lufthavn standset med 29.800 cigaretter. Dagen efter blev endnu en rejsende
stoppet i lufthavnen med 50.000 cigaretter.
Det største beslag af tobak i 2022 skete ved Frøslev Grænseovergang, da toldere
i slutningen af september tilbageholdt en lastbil med i alt 2,4 mio. cigaretter.
Boks 1. Regler for indførsel af tobak
Inden for EU må borgere frit medbringe varer til eget brug, men der er undtagelser,
når det kommer til tobak. Ankommer man fra et EU-land som fx Tyskland, må man
som privatperson medbringe tobak til eget forbrug. De vejledende mængder for
privat forbrug er 800 cigaretter, 200 cigarer og 1 kilo røgtobak. Læs mere om reg-
lerne på rejseregler.dk.
www.toldst.dk
Toldstyrelsen er en
del af Skatteforvaltningen