Klima-, Energi- og Forsyningsudvalget 2022-23 (2. samling)
KEF Alm.del Bilag 363
Offentligt
2729636_0001.png
Juni 2023
HVORDAN KOMMER VI BEDST VIDERE MED CCS?
Analyse udarbejdet af
seniorrådgiver Finn Lauritzen
KEF, Alm.del - 2022-23 (2. samling) - Bilag 363: Henvendelse af 27/6-2023 fra Finn Lauritzen, Axcelfuture vedr. notat om CCS
2729636_0002.png
HOVEDKONKLUSIONER
Danmark er nu i gang med at fange, transportere og lagre kulstof. I marts 2023 blev den første CO2 lagret i
Nordsøen
og i maj 2023 vandt Ørsted det første CCUS-udbud.
Det er en god start, og Danmark har stemplet ind i en begrænset klub af europæiske lande, der er i gang med helt
konkrete CCS-projekter. Men spørgsmålet er, hvordan vi bedst kommer videre. Hvad er udfordringerne, og hvad
er løsningerne?
Fire spørgsmål er relevante: Hvor mange statslige midler skal vi afsætte til CCS, hvor stor risiko skal
virksomhederne bære, hvor hurtigt skal det gå, og hvad skal statens rolle være?
Det er en bunden opgave for Danmark at blive klimaneutral i 2045 og 10 pct. ”klimapositiv” i 2050.
De 10 pct. i
”overopfyldelse” af målet om klimaneutralitet kan kun opnås ved at fange biogent CO2
(BECCS) og herefter af
lagre det.
Fremover er det realistisk, at CCS-omkostningerne kan falde, og at CO2-kvotepriser og CO2-afgifter vil stige så
meget, at CCS af fossilt CO2 bliver rentabelt. For den biogene del af CO2´en har det første udbud vist, at der
findes private virksomheder
i Ørsteds tilfælde Microsoft
som er villige til at betale for retten til at anvende
fangsten og lagringen i sit klimaregnskab. Disse indtægter kan delvist modsvare den besparelse, som fossile CO2-
udledere kan få gennem CCS i form af sparede CO2-kvotepriser og CO2-afgifter. Denne form for aftaler kan
betyde, at Danmark kan realisere de nuværende CCS-ambitioner med det nuværende støtteniveau. Det er dog
ikke sikkert, at
betalingsviljen fra disse private ”sponsorer” er vedvarende.
Den samlede statsstøtte skal derfor
i en periode - øges. De næste 20 år er der afsat 2 mia. kr. i støttemidler pr
år for at opnås en samlet CO2-fangst med efterfølgende lagring på 3,2 mio. tons om året. Men det må anses for
sandsynligt, at der vil blive behov for større CCS-mængder for at nå Danmarks klimamål. Det taler for at afsætte
flere statsmidler til CCS. Staten kunne passende starte med at bruge momsen af støttebeløbet til at øge støtten.
Spørgsmålet om virksomhedernes risiko er også vigtigt. Flere virksomheder kunne ikke byde, fordi risikoen var
større, end de kunne håndtere. Hvis Danmark skal øge CCS-indsatsen bliver det derfor, i hvert fald i de
kommende år, nødvendigt at designe udbuddene, så virksomhedernes risiko mindskes. Et vigtigt skridt kunne her
være at droppe de bøder, som har været en del af det første CCUS-udbud.
Det tredje spørgsmål er, hvor meget det haster at få gang i CCS. Det er et svært spørgsmål, som må balancere to
hensyn. På den ene side haster det globalt at øge tempoet i den grønne omstilling, og herunder at få etableret
fangstanlæg, en CO2-infrastruktur og lagring. På den anden side er etableringen af disse ting tidskrævende. I det
første udbud gik der kun tre år fra budfristen til CCS´en skulle starte, og for en del virksomheder var dette
umuligt. For Ørsted, som vandt det første udbud, ledte tre-års-kravet til væsentlige omkostningsforhøjelser og til, at
en del af CO2´en i de første år skal transporteres i lastbil mellem Avedøre og Kalundborg. Dette taler klart for at
give 4-5 år til etableringen i de næste udbud.
Endelig er der spørgsmålet om, hvad statens rolle skal være. Staten skal selvfølgelig stå for støtteuddeling samt
miljø- og lagringstilladelser. Men hvilken rolle skal staten spille i opbygningen af en transport-infrastruktur? Vores
vurdering er, at der både kan argumenteres for en vigtig statslig rolle i at planlægge og finansiere en
”back-bone”
infrastruktur og for mulighed for private til at byde ind med tilslutningsledninger.
Nogle af disse fire overordnede spørgsmål har betydning for, hvordan de næste CCUS-udbud skal udformes, og i
et teknisk bilag har analysen en række konkrete anbefalinger om det.
AXCELFUTURE
2
KEF, Alm.del - 2022-23 (2. samling) - Bilag 363: Henvendelse af 27/6-2023 fra Finn Lauritzen, Axcelfuture vedr. notat om CCS
2729636_0003.png
HVOR MANGE STØTTEKRONER KRÆVER DET AT FÅ GANG
I DANSK CCS?
Med afgørelsen af det først danske CCUS-støtteudbud i maj 2023, som Ørsted vandt, er der for alvor taget
hul på CCS i Danmark. For et ikke-offentliggjort støttebeløb på højst ca. 8 mia. kr. over 20 år vil Ørsted fange
430.000 tons årligt. Da støtten er inkl. moms, som umiddelbart tilbagebetales til statskassen, er den reelle
støtte mindre, nemlig højst 6,5 mia. kr. over 20 år.
FIGUR 1: CCUS-STØTTEMIDLER
Kilde: kefm.dk
Samlet er der afsat 37 mia. kr. over 20 år, og målet er at fange 3,2 mio. tons CO2 om året i 2030-32. NECCS-
puljen er dog kun 8-årig, så målet for fangst og lagring vil kun udgøre 2,7 mio. tons om året fra 2033.
Det er dog muligt, at de kommende udbud vil give større fangstmængder (lige som det første CCUS-udbud)
og
det er også muligt, at nogle vil tilbyde fangsten for et mindre beløb end støtteloftet.
I det første CCUS-støtteudbud er der også mulighed for, at nogle af de statslige midler tilbageføres, hvis
omkostningerne til CCS falder ift. i dag. Det vil tilbageføre midler, der vil muliggøre yderligere CCS. Vi vil anbefale,
at der indgås en klar politisk aftale om dette.
Det må imidlertid samlet vurderes, at der vil være behov for at fange en væsentligt større mængde end 2,7-3,2
mio tons om året, hvis Danmark skal nå de fastsatte klimamål
både i 2030 og på sigt. Det må vurderes at kræve
væsentligt flere støttemidler, i hvert fald i de kommende år, end det afsatte beløb på ca. 2 mia. kr om året.
Det er i denne forbindelse værd at bemærke, at ved indgåelsen af Klimaaftalen for energi og industri i juni
2020 blev der afsat 16 mia. kr. (i 2020-priser) til CCS. Efter denne aftale var beløbet i 2020-priser og inkl.
afledt afgiftstab. Siden da er beløbet blevet opjusteret til 2022-priser
men samtidig gjort momspligtigt,
hvilket ikke fremgik af 2020-aftalen. Det betyder, at støtten i CCUS-udbuddet var begrænset til 1021 kr inkl.
moms pr tons CO2 (i 2022-priser), og at den reelle støtte, dvs. beløbet excl. moms, kun er på 800 kr. pr
AXCELFUTURE
3
KEF, Alm.del - 2022-23 (2. samling) - Bilag 363: Henvendelse af 27/6-2023 fra Finn Lauritzen, Axcelfuture vedr. notat om CCS
2729636_0004.png
tons CO2, og dermed 20 pct. mindre end forudsat i 2020-aftalen. Der skal derfor afsættes flere penge til
CCS, hvis beløbet skal være i overensstemmelse med 2020-aftalen.
EN GRØN SALGSAFTALE BETALER EN DEL AF
OMKOSTNINGERNE
Vi vurderer, at de samlede omkostninger i de afgivne bud ligger i den høje ende af spændet angivet i
Axcelfutures analyse fra februar 2023
1
på 700-1690 kr pr tons
2
. Og da støttelofter udgør 744 kr pr tons, og
da Ørsteds udledninger er biogene og dermed hverken pålagt udgifter til CO2-kvoter eller CO2-afgifter,
kunne projektet ikke umiddelbart finansieres. Når dette alligevel har kunnet lade sig gøre, skyldes det, at
Microsoft har købt offset-værdien af 2,67 millioner tons CO2 over 11 år, svarende til ca. 250.000 tons om
året i 11 år
3
. Det er ikke offentliggjort, præcist hvor stort et beløb, Microsoft har betalt. Ørsted har dermed
solgt lagringen af CO2´en fra Asnæs-værket i denne periode, men endnu ikke lagringen af CO2´en fra
Avedøre-værket. Ørsted og Microsoft vil indgå aftale en med uafhængig tredjepart, som skal verificere
CCS´en gennem et certifikat.
I forhold til de kommende CCUS-udbud er det afgørende, om andre biogene udledere ville kunne indgå
lignende grønne salgsaftaler. Det har vi talt med flere aktører i markedet om.
De fleste vurderer, at dette vil være muligt
men på den anden side heller ikke nemt. Microsoft ønsker med
købet at kompensere for deres historiske udledninger, hvilket det formentlig kun vil være en afgrænset
gruppe af større, globalt orienterede virksomheder, som vil føle sig forpligtet til
hvor mange virksomheder
vil nøjes med at reducere eller fjerne deres fremadrettede klimaemissioner. Men omvendt er der en del
større virksomheder, hvor udledningerne er vanskelige at fjerne, og hvor det derfor kan have en særlig værdi
at kunne kompensere for de historiske udledninger. Det er dog uklart, hvor stor betalingsviljen for sådanne
aftaler er.
Disse virksomheder, der køber sådanne certifikater, vil naturligt stille krav til en troværdig tredjeparts-
verificering af, at den CO2, der lagres, både er fuldt ud grøn og herudover bæredygtig, fx mht. afledte ILUC-
effekter. Omkostningerne til en sådan verifikation og det forhold, at der endnu ikke er et egentligt marked for
disse aftaler kan betyde, at det fortrinsvis vil være store, multinationale virksomheder, der køber disse
certifikater, og store, velrenommerede udledere, der sælger dem.
Samlet vurderer de kilder, vi har talt med, at det i hvert fald i de kommende år også vil være muligt for andre
CCS-projekter, hvor CO2´en er biogen, at sælge retten til privat anvendelse i køberens klimaregnskab til
interesserede virksomheder.
1
2
https://axcelfuture.dk/s/Finansiering-af-CCS.pdf
Dette var endda ved en skala på 1 millions tons om året, mindre anlæg kan være endnu dyrere
3
Kilde: Ole Thomsen, Senior VP, Ørsted, i Klimamonitor 16. maj 2023
AXCELFUTURE
4
KEF, Alm.del - 2022-23 (2. samling) - Bilag 363: Henvendelse af 27/6-2023 fra Finn Lauritzen, Axcelfuture vedr. notat om CCS
2729636_0005.png
HVOR STOR RISIKO KAN VIRKSOMHEDERNE BÆRE?
Axcelfuture har gennemført interviews
både med de bydende virksomheder i første udbud og med andre
virksomheder. Et væsentligt fællestræk mellem næsten alle disse virksomheder er et kraftigt ønske om at finde
modeller, der reducerer virksomhedernes risiko ved at byde. Denne risiko er stor
hvilket bedst ses af, at mange
CCS-projekter i forskellige lande er forsinket og har haft uventede omkostningsstigninger.
Ved forsinkelser og omkostningsstigninger har udlederne en risiko for større udgifter til leverandøren af
fangstanlægget, til transportvirksomheden, til lagringsvirksomheden og endelig for at miste en del af tilskuddet og
oveni skulle betale en bøde til Energistyrelsen.
Basalt set skal virksomhedernes egenkapital kunne bære disse fire risici. Men det er svært for virksomheder, der ikke
er meget store. Det er også svært for fjernvarme- og affaldsselskaber, der i dag er underlagt et hvile-i-sig-selv regime
og derfor ikke umiddelbart kan spare op til CCS. Affaldsområdet er endvidere netop liberaliseret, hvilket formentlig
vil sætte deres indtjening under pres og gøre det endnu vanskeligere for dem at finansiere CCS-projekter.
Det er derfor vores vurdering, at udbudsbetingelserne bør lempes på en række områder for at tilskynde flere
virksomheder til at byde. Flere bydende virksomheder vil muliggøre større CCS-mængder og dermed et bedre
dansk klimaregnskab, lige som flere bydende virksomheder vil presse prisen og omkostningerne til CCS ned.
Først og fremmest bør det overvejes, om det er nødvendigt
og rimeligt
at give byderne bøder ved forsinkelser.
Ideelt kan bødekravene være en metode til sondre mellem ”seriøse” og ”mindre seriøse” bydere –
men der er risiko
for, at man i stedet kommer til at sondre mellem bydere med stor og lille egenkapital. Og det er tankevækkende, at
ved udviklingen af andre grønne energiløsninger, som var usikre, blev der enten ikke eller kun i begrænset omfang
givet bøder. Det gælder fx biogasanlæggene, som i dag er en succes, men hvoraf en del har haft
indkøringsproblemer. Hvis disse projekter havde været truet med bøder, er det ikke sikkert, vi havde set den stærke
vækst i biogasproduktionen, som er realiseret de seneste år.
HVOR MEGET HASTER CCS?
I det første CCUS-udbud spillede det en stor rolle at få virksomhederne så hurtigt i gang som muligt. Dette blev
afspejlet i udbudsbetingelserne, som gav ekstrapoint til virksomheder, der kunne starte i 2025. Det blev også
afspejlet i bødekravene.
Bødekravene gælder for hele den 20-årige periode
men opfattes af de fleste først og fremmest som en bøde for
forsinkelser. De anvendte fangst-, transport- og lagringsteknologier er så kendte, at få tvivler på det realistiske i
projekterne
men til gengæld er risikoen for forsinkelser stor. Disse forsinkelser kan skyldes vanskeligheder med
at producere, teste indkøre udstyret
men også forsinkelser ift at lægge CO2-rør eller at bygge CO2-skibe.
Eksempelvis har vi talt med redere, som vurderer, at det vil tage 4 år at bygge CO2-skibe.
Mange af de potentielle bydere vurderer, at det vil tage 4 �½ år fra en virksomhed har vundet et CCUS-
støtteudbud, til den med stor sandsynlighed kan påbegynde CO2-fangsten i fuldt omfang. Da det også tager
mindst nogle måneder for myndighederne at vurdere buddene taler dette for, at der bør
under de nuværende
AXCELFUTURE
5
KEF, Alm.del - 2022-23 (2. samling) - Bilag 363: Henvendelse af 27/6-2023 fra Finn Lauritzen, Axcelfuture vedr. notat om CCS
2729636_0006.png
markedsforhold - gå 5 år fra fristen til at afgive endelige bud til at CCS´en skal være fuldt indfaset.
I det første danske CCUS-udbud var der kun tre år at løbe på, idet fristen for det endelige bud var ultimo 2022 og
fangsten skulle starte senest ultimo 2025.
Det var muligt for Ørsted at klare dette
men konsekvenserne heraf var, at CO2-en lagres i Norge, hvor
Northern Lights-projektet startede for en del år siden; at en del af CO2´en må transporteres i lastbil fra Avedøre
til Kalundborg i de første år, og endelig at de samlede omkostninger til CCS´en blev noget højere, end det ellers
var muligt.
Denne fordyrelse kan synes ligegyldig, givet projektets begrænsede størrelse
men hvis Danmark ønsker at være
klima-foregangsland med løsninger, der kan inspirere andre lande, er det afgørende at få nedbragt omkostningerne
til CCS.
HVAD SKAL STATENS ROLLE VÆRE?
Ingen betvivler, at energi- og miljømyndighederne har en vigtig rolle ifm. godkendelsen af CCS-anlæggene
herunder både fangst, transport og lagring. Men skal staten også spille en rolle ved etableringen af
infrastrukturen til transport af CO2?
Transporten kan ske på mindst tre måder
rør, skib og lastbil. Axcelfuture har i en analyse fra september
2022 nærmere analyseret muligheder, barrierer og omkostninger ved disse tre transportomkostninger, som
alle kommer til at spille en rolle.
Lastbiltransporten er den dyreste, med omkostninger på ca. 300 kr pr tons (afhængigt af afstandene)
og
også den mindste bæredygtige, både mht. energiforbrug og mht. andre miljøeksternaliteter. Til gengæld kan de
nødvendige lastvognstog anskaffes med relativt kort varsel.
Skibstransporten er den billigste over meget lange afstande - over 500-1000 km. Skibstransporten er fleksibel,
når der er alternative lagringsmuligheder. Men skibene er dyre, hvilket i praksis betyder, at de fleste udledere
vil være for små til selv at eje eller drive et CO2-skib. Det vil være mere realistisk, at lagringsvirksomhederne
køber skibe, som kan betjene forskellige udledere. Det er i dag denne forretningsmodel, som Northern
Lights-projektet bruger, idet dette projekt selv ejer skibe, der kan hente CO2-en hos udlederne
sådan som
det også vil ske med Ørsteds CO2.
Over kortere afstande, og over land, er rørtransport både den billigste og den mest bæredygtige løsning. Hvis
CCS skal være et billigt og effektivt klimainstrument skal vi derfor have en dansk CO2-rørstruktur. Det vil i
øvrigt også være en betingelse for, at Danmark kan realisere en erhvervs-succes, hvor CO2 fra andre lande
lagres i Danmark.
I analysen fra september 2022 argumenterede vi for, at i hvert fald det, man kan
kalde ”back-bone” af et
CO2-rørsystem har karakter af et såkaldt naturligt monopol. Det betyder, at det er økonomisk meningsløst
at have flere, parallelle rør eller net (selv om man i princippet godt kunne have en infrastrukturvirksomhed i
Jylland og en anden på Sjælland).
Det er samme tænkning, der gør, at jernbanenettet, gasnettet og eltransmissionsnettet er statsejet.
Det betyder som næste skridt, at det vil være naturligt at et sådant net kan bygges med statslig finansiering,
som er væsentligt billigere end den finansiering, der kan opnås med banklån.
AXCELFUTURE
6
KEF, Alm.del - 2022-23 (2. samling) - Bilag 363: Henvendelse af 27/6-2023 fra Finn Lauritzen, Axcelfuture vedr. notat om CCS
2729636_0007.png
Evida er en statsejet virksomhed (med Finansministeriet som ejer), som kan lægge CO2-rør. Men da CO2-rør
ikke betragtes som en vigtig infrastruktur kan det i dag ikke ske med statslån, hvilket fordyrer rørlægningen.
Investeringer i fx el-transmissionsnettet kan således i dag finansieres med statslån til en rente på ca. 3,5 pct.
pa. (på et tiårigt lån). Men Evida vil være nødt til at finansiere investeringen i et CO2-rør i markedet til en
rente på formentlig 6-8 pct
4
. Dette vil øge de årlige omkostninger til en CO2-rørstruktur med 10-15 pct. Det
er en unødig hindring, og det må anbefales, at regeringen vælger at betragte CO2-rør som kritisk infrastruktur
på linje med elkabler og gasrør, hvilket vil betyde, at rørinfrastruktur får de samme lånemuligheder, som
investeringer i disse net har.
Vi er opmærksomme på, at andre virksomheder end Evida kan tilbyde rørlægning, og at man kan
argumentere for, at det i en sådan situation vil være konkurrenceforvridende at give Evida statslån. Dette
problem kan løses ved at sondre mellem et statsligt ”back-bone” rørsystem og
mindre tilførselsrør, som
kunne bygges af alle interesserede virksomheder.
Det vil også være hensigtsmæssigt for at opnå klarhed om prissætningen, at Evida underlægges samme form
for indtægtsrammer, som fsva. gasnettet. Det bør især undgås, at de første kunder, der kun kan bruge en del
af kapaciteten, ikke skal betale for hele røret.
Der er endvidere ikke fundet en løsning på det problem, at det vil være hensigtsmæssigt at lægge rør med
tilstrækkelig kapacitet til at kunne rumme den forventede fremtidige efterspørgsel efter CO2-transport. Hvis
dette skal finansieres af de første transportkunder, er der risiko for, at rørene slet ikke bliver lagt. Det vil
derfor være hensigtsmæssigt, at Finansministeriet som ejer af Evida tager den særlige risiko ved
startinvesteringen
med mulighed for at få investeringen tilbagebetalt på sigt ved brugerafgifter, såfremt
efterspørgslen udvikler sig som forventet. Konkret kan det ske efter den model, som Energinet bruger for el-
transmissionsnettet, hvor selskabet kan investere langsigtet efter den forventede fremtidige behov, som skal
være i overensstemmelse med Energistyrelsens analyseforudsætninger. Et andet instrument kan være en
politisk beslutning om meget lange afskrivningsperioder på 50-100 år.
BILAG: FORSLAG TIL ÆNDREDE UDBUDSBETINGELSER
Resume
Det første danske CCUS-udbud i 2022-23 endte med to konditionsmæssige tilbud, fra hhv. Ørsted Bioenergy og
Thermal Power A/S (herefter Ørsted) og I/S Vestforbrænding. Ørsteds bud fik flest point og vandt. Spørgsmålet er
nu, hvordan det eller de næste udbud skal tilrettelægges, og det er emnet for denne analyse. Vurderingerne bygger
på interview med både bydende og andre virksomheder, men er alene Axcelfutures ansvar.
Analysen indeholder følgende anbefalinger til det eller de næste udbud:
1) Tidskravene bør lempes. I det første CCUS-udbud var der krav om start senest 1. januar 2026 og
ekstrapoint for start i 2025. Dette tidspres afholdt flere virksomheder fra at byde og fordyrede det
vindende bud. I de næste udbud bør tidskravet have mindre vægt.
4
Såfremt Evida overhovedet kan optage lån. Vi har talt med bankkilder, der vurderer, at CO2-rør med de
nuværende usikre reguleringsvilkår ikke er ”bankable”.
AXCELFUTURE
7
KEF, Alm.del - 2022-23 (2. samling) - Bilag 363: Henvendelse af 27/6-2023 fra Finn Lauritzen, Axcelfuture vedr. notat om CCS
2729636_0008.png
2) Bødekravene bør fjernes eller subsidiært reduceres. Bødekravet blev lempet undervejs i udbuddet (som
var udbud efter forhandling med en forudgående markedsdialog), men blev fortsat af nogle virksomheder
opfattet som urimeligt høj
især henset til den betydelige risiko, de første CCS-projekter har.
3) Betingelserne om tilbagebetaling af en del af tilskuddet, hvis vinderen efterfølgende reducerer sine
omkostninger, bør lempes. Tilbagebetalingen muliggør, at en del af midlerne kan bruges til andre CCS-
udbud og dermed til mere klima for pengene
men procenten er pt så stor, at den ikke giver et
tilstrækkeligt incitament til omkostningsreduktioner.
4) Det virker herudover urimeligt, at merudgifter i en af de to udgiftskategorier
hhv. udgifter til transport
og lagring, og andre udgifter
ikke kan modregnes i effektiviseringerne i den anden kategori inden en del
af tilskuddet kræves tilbageført.
5) Byderne er også blevet afkrævet en ubegrænset moderskabsgaranti. Alle de virksomheder, vi har talt med,
ser dette som en vidtgående krav, der bør lempes.
6) Virksomhederne har også peget på, at det vil gøre det væsentligt nemmere for dem at byde, uden at
reducere de samlede nutidsomkostninger, hvis en del af støtten gives up-front. Vi foreslår derfor, at 25
pct. af støtten gives up-front.
7) Udbuddet er herudover administrativt kompliceret og kan forenkles. Begge de afgivne bud fyldte mere
end 1000 sider.
8) Det har endeligt givet anledning til kritik fra markedet, at byderne har forhandlet med på den ene side
Energistyrelsen og på den anden side Evida, som er ejet af Finansministeriet. Energistyrelsen har lagt vægt
på så hurtig en start af CCS-projektet som muligt. Men Evida har haft svært ved at garantere en hurtig
rørføring, især pga. manglende lånemuligheder hos Finansministeriet. For ikke bare at lægge denne risiko
over på byderne bør forsinkelser af rørføring (uanset om rørene lægges af Evida eller af en anden
virksomhed, der får lov til at lægge rør) betragtes som en gyldig forsinkelsesgrund, som ikke straffes med
bøde til udleder-virksomheden, men som udskyder det tidspunkt, hvor støtten begynder at blive udbetalt.
9) Vi foreslår også, at en lignende undtagelsesbestemmelse udarbejdes for forsinkelser hos
lagringsvirksomheder.
10) Det vil også være en god ide at designe udbuddet, så de ønskede mængder øges, og der bliver plads til
flere vindende bud ved siden af hinanden.
11) Endelig anbefaler vi, at Varmeforsyningsloven ændres, så kommunale selskaber får bedre vilkår for at
deltage. For at beskytte fjernvarmekunderne kræves det i dag, at CCS-aktiviteterne er såkaldt tilknyttet
virksomhed i et særskilt selskab, hvor udgifterne konteres. Men besparelsen ved, at udgifterne til CO2-
kvoter og afgifter falder, tilfalder varmeselskabet. Fjernvarmeselskabet kan derfor blive tvunget til at
reducere varmepriserne, også i en situation, hvor de samlede udgifter og indtægter ved CCS går lige op.
Der er derfor behov for, at de sparede CO
2
-kvoter og CO
2
-afgifter kan bidrage til finansieringen af CCS.
Det bemærkes, at ovenstående anbefalinger ikke alle direkte kan henføres til enkelte af de virksomheder, vi har talt
med. Virksomhederne opererer på forskellige markeder og har vidt forskellige kapital- og ejerforhold, hvilket
betyder, at de har forskellig evne til at bære de betydelige risici, som det de første gange indebærer at gennemføre
et CCS-projekt.
I det følgende gennemgås udbuddet, herunder med en udbygning af disse anbefalinger.
Baggrund og vinderen af det første udbud
I december 2021 blev der indgået en CCS-aftale mellem den daværende S-regering og alle partier i Folketinget på
nær Nye Borgerlige. Aftalen lagde en strategi for CCS, og første led heri var et CCUS-udbud med fangst af mindst
0,4 millioner tons CO2 om året fra 2025.
AXCELFUTURE
8
KEF, Alm.del - 2022-23 (2. samling) - Bilag 363: Henvendelse af 27/6-2023 fra Finn Lauritzen, Axcelfuture vedr. notat om CCS
2729636_0009.png
Planen var tildeling af støtten til en udbyder i 2. halvår 2022. I august 2022 offentliggjorde Energistyrelsen, at
styrelsen havde modtaget fire komplette ansøgninger, hvoraf tre var blevet prækvalificerede
nemlig Aalborg
Portland, Vestforbrænding og Ørsted.
Tidsplanen for budfristerne og for annoncering af udbudsvinderen blev udskudt flere gange. I april blev det
offentliggjort, at Aalborg Portland havde trukket sig, og den 15. maj blev Ørsted offentliggjort som vinder af
udbuddet.
Ørsted forpligter sig til at fange 0,43 millioner tons om året i 20 år fra den 1. december 2025. Fangsten vil ske fra
Asnæs-værket ved Kalundborg med ca. 250.000 tons om året og ca. 180.000 tons om året fra Avedøre-værket.
Begge kilder er fuldt biogene
og Ørsted kan inden for aftalen ændre forholdet mellem de to CO2-kilder. Ørsted
har indgået aftale med Aker Carbon Capture om fangsten og med Northern Lights-projektet om transport og
lagring. Transporten vil foregå med skib fra Kalundborg til Norge, hvor lagringen vil ske i den norske del af
Nordsøen. Transporten af CO2 fra Avedøre til Kalundborg vil i de første fem år ske med lastbil.
I Axcelfutures analyse af finansieringsmulighederne for CCS-projekter
5
blev det vurderet, at omkostningerne pr
tons fanget, transporteret og lagret CO2 i starten vil udgøre op mod 1700 kr pr tons
6
. Støtten kan maksimalt
udgøre 800 kr pr tons
7
. Hertil kommer, for virksomheder med fossile CO2-udledninger, sparede udgifter til ETS-
kvoter og til den kommende CO2-afgift.
I Ørsteds tilfælde, hvor hele udledningen er biogen, og med en årlig fanget mængde på 430.000 tons, udgør
støtteloftet kun 744 kr pr tons. En del af det betydelige gab mellem disse to beløb, på formentlig 8-900 kr pr tons,
dækkes i Ørsteds tilfælde af Microsoft, som har købt offset-værdien af 2,67 millioner tons CO2 over 11 år,
svarende til 250.000 tons om året i 11 år
8
.
Første udkast til udbudsbetingelser og CCS-alliancens høringssvar
I februar 2022 offentliggjorde Energistyrelsen det første udkast til udbudsbetingelser. CCS-alliancen fandt
udbudsbetingelserne for rigide og fremsendte derfor et høringssvar til Energistyrelsen, Klimaministeriet og
Folketingets Klimaudvalg. Det blev her påpeget, at med den positive vægt i udbudsbetingelserne for lagring i 2025,
kombineret med at lagringstilladelserne i den danske undergrund først vil blive givet i løbet af 2024, så ville
udbuddet lede til CO2-lagring i Norge og ikke i Danmark.
Det blev herudover især kritiseret, at bødebestemmelserne var vidtgående (herunder at betingelserne for at
indrømme force majeure var begrænsede), og at det var vanskeligt for fjernvarmeselskaber at byde pga. af
begrænsninger i Varmeforsyningsloven. Efterfølgende blev bødevilkårene lempet lidt, og der blev indsat en hjemmel
i Varmeforsyningsloven til CCS-fangst, dog under betingelse af at fangsten organiseres i et særskilt selskab som
”tilknyttet aktivitet”,
og såfremt virksomheden modtager statsstøtte. Herudover forudsættes i udbudsbetingelserne
en soliditetsgrad hos selskabet på mindst 20 pct.
Det grundlæggende krav om start af CCS-fangsten så hurtigt som muligt blev fastholdt.
Et specielt krav i udbuddet var krav om ”åbne bøger”, dvs. at byderne skulle vise Energistyrelsen detaljerede
budgetter for deres projekter, og ikke bare deres endelige tilbudspris. Budgetterne anvendes til en efterfølgende
korrektion/justering af støtten, jf. nærmere nedenfor. Dette er lidt usædvanligt
men en god metode i det
foreliggende tilfælde, hvor løsningerne og markederne for leverancerne til løsningen var relativt ukendte for såvel
Energistyrelsen som for de bydende virksomheder. Det kan også overvejes at fastholde dette krav i det næste
udbud, men herefter bør kravet ophæves. Kravet er ressourcekrævende for Energistyrelsen og kan også give et
disincitament til efterfølgende effektiviseringer, jf. senere.
Markedsdialog
5
6
Axcelfuture, februar 2023: https://axcelfuture.dk/s/Finansiering-af-CCS.pdf
Dette var dog ved en skala på 1 million tons om året, mindre anlæg kan være dyrere pr tons
7
Svarende til 1000 kr pr tons inkl. moms, som formuleret i udbudsbetingelserne
8
Kilde: Ole Thomsen, Senior VP, Ørsted, i Klimamonitor 16. maj 2023
AXCELFUTURE
9
KEF, Alm.del - 2022-23 (2. samling) - Bilag 363: Henvendelse af 27/6-2023 fra Finn Lauritzen, Axcelfuture vedr. notat om CCS
2729636_0010.png
Alle tre prækvalificerede virksomheder, og en del andre potentielle bydere, har deltaget i en markedsdialog med
Energistyrelsen. Det er både sket gennem offentlige høringer og gennem individuelle møder med Energistyrelsen.
Dette er efter udbudsretten fuldt acceptabelt, så længe alle væsentlige input og beslutninger kommunikeres på lige
vilkår til alle deltagerne i udbuddet.
Der er en vis kritik fra nogle markedsdeltagere af manglende lydhørhed og vilje til at imødekomme
virksomhedernes ønsker.
Tidskrav
I det første udbud var det et krav at kunne lagre fra 1. januar 2026
og en positiv faktor i pointgivningen at kunne
starte lagringen i løbet af 2025. Dette krav har afholdt flere fra at byde.
Fsva lagring i den danske undergrund forventes det pt kun at være muligt at lagre onshore i begrænsede mængder
i Stenlille på Sjælland fra 2025, samt fra Greensandfeltet fra 2027. Det forventes, at der i 2024 vil blive givet flere
onshore efterforskninglicenser. Det er imidlertid den efterfølgende udviklingslicens, der er afgørende, og denne
kommer først senere.
Det forventes først at være muligt at lagre CO2 i Harald-feltet (Bifrost-projektet) fra sidst i 2020´erne.
Årsagen til den vægt, Energistyrelsen har lagt på muligheden for at lagre i 2025, er hensynet til Danmarks klimamål
for dette år. I de kommende udbud vil det være for sent at påvirke dette mål, og det bør derfor, for at holde
omkostningerne ned og at sikre en reel og skarp konkurrence om CCUS-midlerne, anbefales at lagring først bliver
et krav fra et senere tidspunkt.
I det første udbud skulle lagringen starte ca. 3 år efter fristen for ”BAFO” –
best and final offer. I det næste udbud
bør fristen først sættes til 4�½ -5 år efter BAFO. Alle de virksomheder, vi har talt med, understreger, at mere tid til
forberedelse
og til at gennemføre egentlige udbud af underleverancer, efter at vinderen er fundet
vil reducere
omkostningerne.
Vi vurderer, at tidskravet i det første udbud medførte, at de samlede omkostninger til hele CCS-processen blev
øget. Det skyldes for det første, at byderne var nødt til selv at kræve bøder fra deres leverandører ved
forsinkelser, hvilket leverandørerne var nødt til at indregne i prisen. For det andet betød tidskravet, at Ørsted er
nødt til i de første år at transportere CO2´en med lastbil fra Avedøre til Kalundborg, hvilket er en dyrere (og
mindre bæredygtig) løsning end rørtransport
9
.
Konkret blev tidskravet især udmøntet gennem bødekravene.
Det første udbud blev afgjort med et pointsystem med 60 pct. vægt på støtteomkostningerne pr ton CO2, 20 pct.
til kvalitative parametre
10
, 10 point for at lagre allerede i 2025 og 10 point for at lagre 0,2 millioner tons ekstra om
året i 20 år.
Bødekrav
Bødekravene i det første udbud var opdelt efter underperformance ift minimumskravene (0,4 millioner tons CO2
om året) og underperformance i forhold til budte CO2-mængder ud over minimumskravene, hvor bødekravene
er mindre.
I styrelsens første udbudsbetingelser udgjorde bødekravet som funktion af underperformance en kompliceret S-
I vores analyse ”Transport og infrastruktur for CCS” fra september 2022 skønner vi, at omkostningerne
til lastbiltransport er 150-200 kr pr tons CO2 dyrere end rørtransport: https://axcelfuture.dk/s/Transport-af-
CO2-endelig.pdf
10
Nogle markedsaktører har også efterspurgt, at bæredygtighed indgår i vægtningen – enten som en
særskilt parameter eller som en del af kvalitetsvurderingen. Det vil især være relevant at inddrage CO2-
belastning og evt. andre eksternaliteter ved transporten, afhængigt af om den foregår med lastbil, skib
eller rørtransport
9
AXCELFUTURE
10
KEF, Alm.del - 2022-23 (2. samling) - Bilag 363: Henvendelse af 27/6-2023 fra Finn Lauritzen, Axcelfuture vedr. notat om CCS
2729636_0011.png
kurve. I de endelige udbudsbetingelser blev bøden fast efter en matematisk kompleks formel, jf. boksen. Som det
fremgår af boksen, kunne man have valgt en simplere sammenhæng med for praktiske formål samme resultat.
Generelt er udbuddet skåret efter den model, som entrepriseudbud normalt har. Her leveres ydelsen/produktet
en gang for alle, fx som et bygningskompleks. Dette produkt skal beskrives meget nøje for at undgå efterfølgende
uenigheder om kvalitet, fejl og mangler og andre afvigelser. Det er også normalt med store forsinkelsesbøder, idet
brugeren kan have store ekstraomkostninger, fx til leje af alternative bygninger, flytning oma.
I CCUS-udbuddene løber virksomhederne også uden bøder en stor risiko
mange andre CCS-projekter i hele
verden forsinkes og bliver dyrere end forventet. Dette taler klart for helt at fjerne bøderne. Vi ser det som
tankevækkende, at staten ikke har anvendt bødetrusler på andre områder, hvor der skulle udvikles nye
klimaløsninger. Et godt eksempel herpå er bioasgasproduktionen, som i dag er en succes, men som har haft en
række indkøringsproblemer, der i dag er løst. Hvis disse projekter var blevet truet af bøder, var mange af dem
formentlig ikke blevet realiseret.
Hvis Klimaministeriet på trods heraf fortsat ønsker bøder, anbefaler vi, at de reduceres mest muligt
og i øvrigt
bliver enklere, jf. boksen.
Boks 1. Underperformance og bøde
Sammenhængen mellem underperformance og bøde følger denne formel (skrevet direkte efter betingelsernes
formulering, på engelsk):
Penalty(%) = e
c * ln [(PS - PSmin)/(100 % - PSmin)
og
Penalty (DKK) = Penalty(Max)
Penalty(Max) * Penalty(%)
C er en “steepness parameter”. PS
min
er fastsat til 0,5 og Penalty(Max) er fastsat til 110 mio. kr. i 2022-priser.
Resultatet er en stigende og nedad krummende sammenhæng, jf. figuren. En simplere sammenhæng med
næsten samme resultat ville være en bøde på 2,5 mio. kr. for hver procent underperformance og en maksimal
bøde på 100 millioner kroner. En bøde på 2,5 mio. kr. svarer til ca. 0,625 pct. af budloftet.
120
100
Bøde, mio 2022- kr
80
60
40
20
0
0 2 4 6 8 10 12 14 16 18 20 22 24 26 28 30 32 34 36 38 40 42 44 46 48 50
Underpræstation, pct.
Bøde, mio kr
Alternativ
”Beskatning” af omkostningsbesparelser og ekstraindtægter
I det første udkast til udbudsbetingelser blev tilskuddet beskåret med 90 pct. af omkostningsbesparelser og
ekstraindtægter fratrukket støtten. Dette kunne sammenholdes med, at evt. omkostningsforhøjelser ikke ville kunne
overvæltes i en højere støtte. Efter kritik fra bla. CCS-alliancen om, at dette indebar en så høj de facto beskatning,
at det formentlig ville fjerne incitamentet til sådanne besparelser, blev betingelserne lempet, så de første 10 pct.
omkostningsbesparelser kunne beholdes af virksomheden, mens yderligere besparelser ”beskattes” med 90 pct.,
når der er tale om udgifter til transport og lagring, og med 75 pct., hvis der er tale om andre omkostninger.
AXCELFUTURE
11
KEF, Alm.del - 2022-23 (2. samling) - Bilag 363: Henvendelse af 27/6-2023 fra Finn Lauritzen, Axcelfuture vedr. notat om CCS
2729636_0012.png
Det er forståeligt, at Klimaministeriet gerne vil inddrage omkostningsbesparelser, som tilfalder virksomheden som
”windfall gain”, dvs. uden en særlig indsats. I denne situation kan de sparede penge
bruges som tilskud til andre
CCS-projekter
og dermed sikre en yderligere klimagevinst. En sådan ”windfall gain” kan fx være et resultat af en ny
lagringstilladelse, der er billigere eller tættere på end den alternative lagringsmulighed., hvilket kan være en
begrundelse for den særligt høje sats på 90 pct. for transport og lagring.
Ved fremtidige CCUS-udbud vil transport- og lagringsmulighederne forhåbentligt være klarlagt i væsentligt større
grad end i det første udbud
hvor flere virksomheder, som vi har talt med, har angivet usikkerheden om disse
forhold som et stort problem. Når denne usikkerhed er fjernet, vil behovet for en meget høj reduktionssats for
omkostninger til transport og lagring falde bort.
Det fremadrettede problem med den meget høje reduktionssats er, at hvis udlederen skal realisere
omkostningsreduktioner, så skal dette ske gennem forhandlinger, som kan være besværlige, og som kan påvirke
samarbejdsklimaet mellem virksomhederne. Den høje sats medfører derfor stor risiko for, at de mulige
omkostningsbesparelser ikke realiseres.
Det bør derfor overvejes at nedsætte den høje sats på 90 pct til 80 pct, og at nedsætte satsen på 75 pct. til fx 50
pct.
Modregning af ekstra omkostninger i ekstra indtægter
Et andet problem i udbuddet, som virksomhederne har fremført, er, at ekstraordinære indtægter i en af de to
omkostningskategorier nævnt ovenfor ikke kan modregnes i ekstraordinære omkostninger i den anden kategori
inden korrektionen.
Behovet for en sådan modregning kan bedst illustreres ved at se på tal for omkostningsudviklingen.
Det angives i udbudsmaterialet, at støtten
og andre økonomiske forhold som fx bøder
opskrives i ft. 2022-
niveauet med stigningen i forbrugerprisindekset. Problemet hermed er imidlertid, at dette indeks dækker en række
hjemlige serviceydelser uden særlig relevans for CCS. Virksomhederne angiver, at der i de sidste år er sket
betydelige omkostningsstigninger
bla. er udgifterne til metaller, maskiner, gravearbejde oma. steget væsentligt
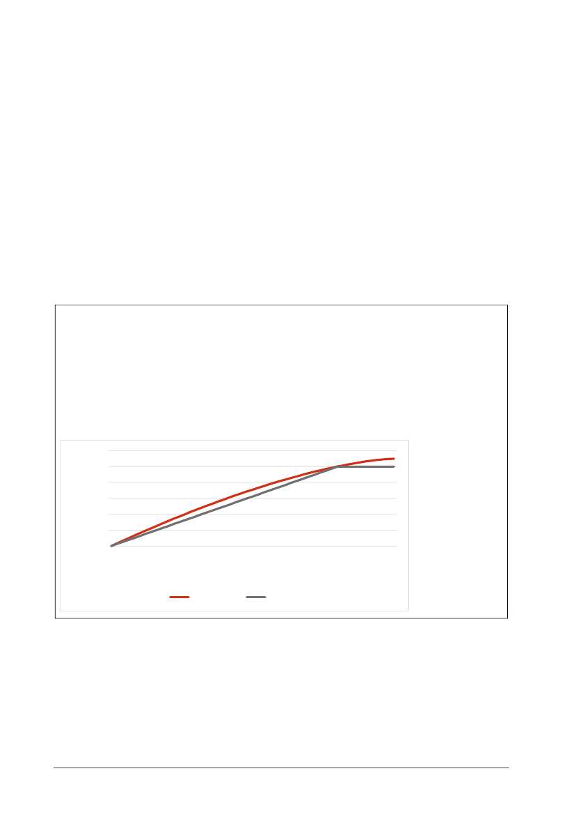
mere end forbrugerprisindekset. Dette er illustreret i figuren nedenfor, hvor forbrugsprisindekset er sammenholdt
med tre indeks fra Danmarks Statistik indeks for anlægsomkostninger, nemlig omkostningerne til jordarbejde,
betonkonstruktioner og jernkonstruktioner, samt et indeks for elprisen for store virksomheder. Det fremgår
tydeligt, at anlægsindeksene er steget væsentligt mere end forbrugerprisindekset i de seneste år.
Løsningen på dette problem kunne være at finde et bedre indeks end forbrugerprisindekset, formentlig ved at
vægte de viste indeks. Det vil dog være svært at gøre i praksis, bla. fordi de forskellige løsninger, der konkurrerer
med hinanden, vil have en forskellig sammensætning.
Men det vil være yderst rimeligt, hvis virksomhederne kan modregne disse omkostningsstigninger i evt.
ekstraordinære indtægter, inden disse modregnes.
AXCELFUTURE
12
KEF, Alm.del - 2022-23 (2. samling) - Bilag 363: Henvendelse af 27/6-2023 fra Finn Lauritzen, Axcelfuture vedr. notat om CCS
2729636_0013.png
Figur 2. Prisindeks
275
Indeks, 2015=100
225
175
125
75
2010
2011
2012
2013
2014
2015
2016
2017
2018
2019
2020
2021
2022
Elpris
Jordarbejde mv.
Betonkonstruktioner
Jernkonstruktioner
Forbrugerprisindeks
Moderselskabsgaranti
Byderne er blevet afkrævet en moderselskabsgaranti to gange i budprocessen
først for et afgrænset beløb, og
senere en ubegrænset moderselskabsgaranti. Dette krav betragtes som unødvendigt vidtgående.
Vi foreslår derfor, at der alene kræves en begrænset moderselskabsgaranti svarende til nogle års maksimale støtte.
Udbetaling af en del af støtten up-front
Virksomhederne peger endvidere på, at det vil gøre det væsentligt nemmere for dem at finansiere et CCS-projekt
vel at mærke uden at øge de samlede, tilbagediskonterede støtteomkostninger
hvis en del af støtten udbetales
up-front. Vi er helt opmærksomme på, at der er en grænse for, hvor stor en andel, der kan være tale om, hvis ikke
statens risiko omvendt skal blive for stor
fx risikoen for at støtte dårlige projekter med udstyr, der ikke er
designet til at kunne holde i mange år.
Vi vurderer, at fangstomkostningerne vil udgøre ca. halvdelen af de samlede omkostninger, og at CAPEX ved fangst
vil udgøre ca. halvdelen af TOTEX ved fangst. En god model kunne derfor være at udbetale fx 25 pct. af den
samlede støtte over hele projektets 20-årige levetid, når de første måneders succesfulde fangst og lagring er
demonstreret
11
. Det vil fastholde et incitament til hurtig igangsættelse, men samtidig reducere virksomhedernes
finansieringsbyrde. Det må forventes, at det vil lede til skarpere bud og således kunne ske uden at øge statens
samlede, tilbagediskonterede støtteomkostninger.
Udbuddets kompleksitet
Det er omkostningskrævende og komplekst både at udarbejde udbudsmateriale for Energistyrelsen og at
udarbejde tilbudsmateriale for virksomhederne. Men da det også er vigtigt at sikre konkurrence om midlerne for at
flest mulige klimaforbedringer for pengene er dette formentligt uomgængeligt. Men de bydende virksomheder har
brugt op mod 50 mio. kr. pr virksomhed i interne og eksterne omkostninger, så en forenkling og standardisering af
udbudsbetingelserne bør derfor tilstræbes.
Et fælles kritikpunkt er omfattende krav i udbudsmaterialet til dokumentation og beskrivelse af virksomhedernes
produktions- og styringsprocesser
også processer, der ikke har noget med CCS at gøre. Begge de virksomheder,
der endte med at byde, måtte således indlevere et udbudsmateriale på mere end 1000 sider.
11
Vi er opmærksomme på, at dette også vil kræve en korrektion af betalingerne, hvis en virksomhed
vælger at træde ud inden 20 år.
AXCELFUTURE
13
KEF, Alm.del - 2022-23 (2. samling) - Bilag 363: Henvendelse af 27/6-2023 fra Finn Lauritzen, Axcelfuture vedr. notat om CCS
2729636_0014.png
AXCELFUTURE
14
KEF, Alm.del - 2022-23 (2. samling) - Bilag 363: Henvendelse af 27/6-2023 fra Finn Lauritzen, Axcelfuture vedr. notat om CCS
2729636_0015.png
Usikkerheden ved rørlægning
Det er generelt valgt at lade det være op til hver enkelt bydende selv at sørge for transport og lagring. Dette giver
risiko for suboptimeringer og dyrere løsninger end ellers.
I Norge er der fx valgt en struktur, hvor et delvist statsligt selskab har ansvar for både transport og lagring, og
udlederen alene skal fokusere på at etablere CCS-fangst og at integrere dette i virksomhedens drift. En sådan
model er mere attraktiv for virksomhederne. Hvis det alligevel fastholdes at pålægge udlederen ansvaret for hele
værdikæden, bør undtagelsesbestemmelserne i udbudsmaterialet ændres.
På sigt vil en sikker, billig og bæredygtig transport på land af CO2´en bedst kunne ske ved rørtransport frem for
ved lastbiltransport. Transport til søs er et andet spørgsmål, hvor skibstransporten kan ske billigere og mere
bæredygtigt end ved lastbiltransport.
I forbindelse med det første udbud har Evida haft forhandlinger med flere af de bydende, men Evidas muligheder
for at kunne forpligte sig til både at kunne lægge rørene hurtigt og til omkostninger, der ikke er højere end
nødvendigt, har været hæmmet af uklarhed om finansieringen.
Der er allerede indført undtagelsesbestemmelser i udbudsmaterialet, hvorefter virksomhederne ikke pålægges
bøde, hvis deres CO2-udledning falder som følge af teknologiske forbedringer eller manglende afsætning. Der bør
indføres en lignende undtagelse, hvorefter virksomhederne ikke pålægges bøde, hvis de har indgået aftale med en
virksomhed, der har fået tilladelse til at lægge CO2-rør, men denne virksomhed bliver forsinket. Det er vores
vurdering efter at have talt med virksomhederne, at dette vil fjerne en væsentlig usikkerhedsfaktor for dem og øge
tilskyndelsen til at byde i de kommende CCUS-udbud.
Vi anbefaler også, at støtteudbetalingerne først starter, når virksomheden går i gang, og at virksomheden ved
forsinkelser fortsat kan modtage støtte i 20 år.
Vi er opmærksomme på, at dette vil kræve en nøjere afgrænsning af, hvornår rørvirksomheden er forsinket, men
vurderer ikke, at dette vil give mere usikkerhed end de andre undtagelsesbestemmelser.
Usikkerheden ved lagring
En tilsvarende risikoreduktion for de bydende virksomheder vil kunne opnås ved at indsætte en
undtagelsesbestemmelse, som fritager de bydende virksomheder for bøder, hvis en virksomhed, der har opnået
lagringstilladelse og indgået kontrakt med en byder om lagring, forsinkes
uanset om en sådan forsinkelse skyldes
tekniske vanskeligheder eller miljøklager ea. Lige som ved forsinket rørtransport bør starttidspunktet for
støtteudbetalingen også her flyttes, så den samlede støtte ikke ændres.
Skalaen på udbuddet
I det første CCUS-udbud skulle der findes en, samlet vinder. I de næste udbud vil det være en fordel, hvis
mængderne (og dermed også midlerne) er større, så der bliver plads til både store og små vindere. For en
virksomhed som Aalborg Portland vil der være behov for lagring af op til 1 million tons CO2 om året, og en række
mindre virksomheder og anlæg vil have behov for at fange mindre mængder. For at nå de danske klimamål vil det
være nødvendigt at have mange virksomheder med.
Varmeforsyningsloven
For at beskytte fjernvarmekunderne er det et krav, at CCS-aktiviteterne organiseres som såkaldt tilknyttet
virksomhed i et særskilt selskab. Udgifterne til CCS konteres i dette selskab. Men besparelsen ved, at udgifterne til
CO2-kvoter og afgifter falder, tilfalder varmeselskabet. Forsyningstilsynets praksis efter Varmeforsyningsloven,
hvorefter kun ”nødvendige omkostninger” må overvæltes på forbrugerne, kan derfor betyde, at
fjernvarmeselskabet kan blive tvunget til at reducere varmepriserne - også i en situation, hvor de samlede udgifter
og indtægter ved CCS går lige op. Dette er uhensigtsmæssigt.
På sigt bør CCS betragtes som en aktivitet, der er en lige så naturlig del af driften af affalds- og varmeanlæg som
det er at rydde op og rengøre regelmæssigt
eller som at rense røggassen for NOX- og svovlforbindelser. Og det
AXCELFUTURE
15
KEF, Alm.del - 2022-23 (2. samling) - Bilag 363: Henvendelse af 27/6-2023 fra Finn Lauritzen, Axcelfuture vedr. notat om CCS
2729636_0016.png
bør kunne ske i hovedvirksomheden. Ellers vil det fortsat være vanskeligt for en stor del af varme- og
affaldsselskaberne at lave CCS, og uden disse selskabers medvirken bliver det svært at nå det danske klimamål.
AXCELFUTURE
16