Klima-, Energi- og Forsyningsudvalget 2022-23 (2. samling)
KEF Alm.del Bilag 293
Offentligt
2710137_0001.png
Folketingets Udvalg for Digitalisering og It
Frederiksberg, 2023-05-15
Elmålerdata indsamles i strid med loven
Vi er stødt på en bekymrende opdagelse: Den måde, vi indsamler elmålerdata på, er i strid
med loven.
Det er uklart for os, hvordan vi skal agere på den opdagelse, og vi beder derfor Folketingets
Digitaliseringsudvalg om råd.
Med venlig hilsen
Ole Tange
Forbruger med fjernaflæst elmåler
Christian Wadskov
Forbruger med fjernaflæst elmåler
John Plate
Forbruger med fjernaflæst elmåler
Mikkel Morgen Mark
Forbruger med fjernaflæst elmåler
Hans Schou
Forbruger med fjernaflæst elmåler
1
KEF, Alm.del - 2022-23 (2. samling) - Bilag 293: Henvendelse af 16/5-23 fra Ole Tange vedr. indsamling af elmålerdata
Resume
Problemet består i, at der i de særlige bemærkninger til Elforsyningsloven står, at
dataindsamlingen skal leve op til privacy-by-design. Privacy-by-design er ikke et tilfældigt
udtryk, men klart defineret. Man kan således ikke kalde hvad som helst for privacy-by-design,
ligesom man ikke kan kalde al frugt for økologisk.
Men de forskrifter, som elmålerdata indsamles efter, lever ikke op til privacy-by-design.
Det giver god mening, at man har stillet krav om privacy-by-design, for de data, der
indsamles i dag, røber bl.a. religion, hvis man fejrer ramadan, og artikel 9 i Den Europæiske
Menneskerets Konvention gør det klart, at man har ret til at praktisere sin religion uden
offentlige myndigheder kan se med over skulderen.
Det virker som en fejl, at kravet om privacy-by-design ikke er kommet med i
kravspecifikationen til dataindsamlingssystemet. Heldigvis kræver det kun en softwarerettelse
at fikse problemet.
2
KEF, Alm.del - 2022-23 (2. samling) - Bilag 293: Henvendelse af 16/5-23 fra Ole Tange vedr. indsamling af elmålerdata
2710137_0003.png
Baggrund
1 Privacy by design
Privacy-by-design er et fast defineret begreb.
På den måde minder det lidt om:
økologi: man kan kalde alle frugter bæredygtige, men økologiske skal opfylde faste
krav
advokat: enhver kan kalde sig sagfører, men hvis man vil kalde sig advokat, skal man
opfylde faste krav
kvadrat: enhver kan tegne et rektangel, men kalder man det for et kvadrat, så skal det
opfylde faste krav
Privacy by design is based on seven "foundational principles":
Proactive not reactive; preventive not remedial
Privacy as the default setting
Privacy embedded into design
Full functionality – positive-sum, not zero-sum
End-to-end security – full lifecycle protection
Visibility and transparency – keep it open
Respect for user privacy – keep it user-centric
Man kan kalde alt for privatlivsbeskyttelse, men kalder man noget for privacy-by-design, så
skal det leve op til disse principper.
For privacy-by-design defineres principperne af Cavoukian
1
:
2 Forskrifter for elmålere
Forskrifterne, som angiver hvordan elmålerdata indsamles, er D1
2
. Kort fortalt sendes
timeforbruget i kWh til Energinets Datahub. Det vil sige, at for hver eneste time kan man se,
hvad forbruget i kWh har været for en husstand.
2.1 Lov om elforsyning (indførelse af datahubben)
Ved Elforsyningslovens ændringer har såvel Ministeriet som Folketinget selv karakteriseret
måleroplysninger som
følsomme,
ligesom Folketinget og Ministeren i sin fremsættelse
eksplicit har pålagt aktører at iagttage privacy-by-design, bl.a. ved ændringen af
Elforsyningsloven i 2015.
1
2
https://iab.org/wp-content/IAB-uploads/2011/03/fred_carter.pdf
https://energinet.dk/regler/el/elmarked/
3
KEF, Alm.del - 2022-23 (2. samling) - Bilag 293: Henvendelse af 16/5-23 fra Ole Tange vedr. indsamling af elmålerdata
2710137_0004.png
Elforsyningslovens ændring i 2015 (Lov nr 577 af 04/05/2015 om ændring af lov om
elforsyning (Justering og udskydelse af engrosmodellen og udskydelse af leveringspligten)
3
)
regulerede en række forhold og ændringer i opgaver mellem elhandelsvirksomhederne og
netvirksomhederne, om bl.a. indrapportering af aftagere mv.
Herunder blev bl.a. ændret i Elforsyningslovens §72c. Og i den forbindelse blev føjet et stk 2
til §72c med følgende ordlyd:
Stk. 2. Elhandelsvirksomheden indberetter data til datahubben vedrørende
identifikation af forbrugeren på et givent aftagenummer, som
elhandelsvirksomheden har indgået aftale med.
4
Af de særlige bemærkninger til §72c stk. 2 i lovforslaget (L 151 FT 2014-15,fremsat 25.
februar 2015 af klima-, energi- og bygningsministeren, “Forslag til lov om ændring af lov om
elforsyning”) fremgår bl.a. :
Med bestemmelsen i stk. 2 foreslås det, at elhandelsvirksomhederne overtager
ansvaret for at indberette identifikation af forbrugeren på et givent aftagenummer,
som elhandelsvirksomheden har indgået aftale med, til datahubben.
Netvirksomhederne har i dag denne opgave, men da forbrugerne efter april 2016
alene vil have aftale med elhandelsvirksomhederne om det løbende forbrug, vil
kun elhandelsvirksomhederne kunne varetage opgaven. Der vil være en
overgangsfase mellem netvirksomhedernes registrering og
elhandelsvirksomhedernes registrering, som vil blive styret af Energinet.dk’s
forskrifter efter § 28, stk. 2, nr. 12, der bliver nr. 13, jf. lovforslagets § 1, nr. 10.
Udformningen af forskrifterne for datahubben vil ske i overensstemmelse med
persondataloven
og i respekt for principperne om »privacy by design«,
således at
der bl.a. træffes
de fornødne tekniske og organisatoriske
sikkerhedsforanstaltninger eller foranstaltninger til sikring af følsomme
personoplysninger.
Det forhold, at elhandelsvirksomheden varetager indberetning
af forbrugerens identitet på hvert enkelt aftagenummer, hindrer ikke, at
netvirksomhederne kan anvende informationen fra datahubben om forbrugerens
identitet. Det vil f.eks. være nødvendigt, når netvirksomheden skal udsende
aflæsningskort, eller indkalde til valg til forbrugerrepræsentationen. Indhentning
af personoplysninger fra datahubben skal ske inden for rammerne af
persondataloven.
5
(Vores fremhævning)
Således pålægges Energinet i sin fastlæggelse af forskrifter at iagttage privacy-by-design – et
allerede da anerkendt og anvendt databeskyttelsesprincip - også inden GDPR fik virkning
2018-05-25.
Datatilsynets høringssvar af 2014-12-05 gør specifikt opmærksom på netop den bemærkning.
Det er således tydeligt, at der faktisk
menes
privacy-by-design i loven og ikke blot
privatlivsbeskyttelse.
3 Privacy by design og forskrifterne
Vi har rådført os med 4 eksperter i privatlivsteknologier, og spurgt om de mener, at de
nuværende forskrifter lever op til privacy-by-design.
3
4
5
https://www.retsinformation.dk/eli/lta/2015/577
https://www.retsinformation.dk/eli/lta/2015/577
https://www.retsinformation.dk/eli/ft/201412L00151
4
KEF, Alm.del - 2022-23 (2. samling) - Bilag 293: Henvendelse af 16/5-23 fra Ole Tange vedr. indsamling af elmålerdata
2710137_0005.png
Eksperterne er:
Carsten Baum
PhD, Adjunkt i Cybersecurity Engineering, DTU <[email protected]>
Stephan Engberg
Ekspert i digital sikkerhed og zero-knowledge kryptering, Priway
<[email protected]>
Bernardo Machado David
PhD, Associate Professor, Computer Science, ITU <[email protected]>
Diego F. Aranha
PhD, Associate Professor, Computer Science, Aarhus University
<[email protected]>
De er alle enige om, at forskrifterne ikke lever op til privacy-by-design.
Det design, som bruges idag, har ingen sikring, hvis der sker et datalæk fra datahubben –
f.eks. fra en ansat med adgang til data, som bl.a. kendes fra Se- og Hør-skandalen
6
, og det er
derfor svært at se, at
”It anticipates and prevents privacy invasive events before they happen.”
Faktisk er det modsatte tilfældet.
Dermed lever forskrifterne ikke op til privacy-by-design og dermed lever de ikke op til de
særlige bemærkninger til §72c stk. 2, og dermed lever de ikke op til loven.
Eksperterne er alle villige til at stille sig til rådighed for Digitaliseringsudvalget, hvis det
ønskes.
4 En alternativ løsning
Nu kunne grunden til at man ikke har implementeret privacy-by-design jo være, at det teknisk
er umuligt at lave.
For at illustrere at det ikke er tilfældet har vi som amatører lavet en designskitse. Den
illustrerer, hvordan et muligt design kunne se ud i grove træk. Det er alene tænkt som en eye-
opener, der er nemt at forstå – et design i praksis bør udarbejdes med eksperter i design af
sådanne systemer, f.eks. eksperterne omtalt i 3 (Privacy by design og forskrifterne).
Løsningen er beskrevet i 9 (Designskitse).
5 En svipser
Vi tror, at vi har opdaget en fejl.
I IT-sprog ville vi kalde det en bug, og bugs skal rettes.
Vi ser ikke noget, der tyder på, at dette er sket med ond vilje, men alene at man er kommet til
at glemme at få kravet om privacy-by-design med i kravspecifikationen.
Heldigvis ser det ud til at en løsning relativt nemt kan laves: Man skal blot ændre softwaren.
De fleste fjernaflæste elmålere kan man fjernstyre og opgradere softwaren i. Så en ændring af
softwaren kræver hverken teknikerbesøg eller udskiftning af elmåleren, og kan formodentlig
gøres uden ulempe for borgeren.
6
https://da.wikipedia.org/wiki/Se_og_H%C3%B8r-sagen
5
KEF, Alm.del - 2022-23 (2. samling) - Bilag 293: Henvendelse af 16/5-23 fra Ole Tange vedr. indsamling af elmålerdata
2710137_0006.png
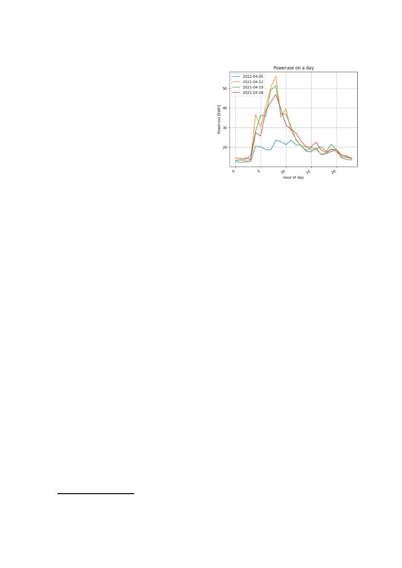
6 Vigtigheden af privatlivsbeskyttelse
Det er ret overraskende, hvor meget man kan se
ud af elmålerdata.
Jens Hjort Schwee (<[email protected]> -
Energinet) præsenterede denne graf på ADD-
konferencen 2023-02-02.
Grafen viser elforbruget for et boligområde med
mange indvandrere på fire mandage: 2021-04-
05, 2021-04-12, 2021-04-19, 2021-04-28.
Alene ud fra et simpelt kik på grafen er det
tydeligt, at forbruget er markant anderledes de
tre sidste mandage (orange, grøn og rød) i
forhold til den første (blå).
Ramadanen startede 2021-04-12 og sluttede 2021-05-12, og ser man et forskudt
elforbrugsmønster, der præcis falder sammen med ramadan, så er det ikke urimeligt at antage,
at man fejrer ramadan i husstanden, og dermed kan man se husstandens religion.
Jens Hjort Schwee præsenterede på samme konference, at han med simpel statistik (altså ikke
komplekse analyser) kunne udlede:
Hvornår står husstanden op om morgenen
Hvor meget ferie husstanden holder
Hvor meget hjemmearbejde de har
Hvor meget går husstanden i bad (under visse omstændigheder)
Hvad familiens ca. indkomst er
Visse sundhedsinformationer (f.eks. begyndende demens)
Om familien har en elbil eller en hybridbil
Hvor langt el/hybridbilen kører dagligt
Om alle arbejder i husstanden
Om der er børn i husstanden
De fleste af disse oplysninger er ikke artikel 9-oplysninger, men giver dog et godt billede af,
at det ikke er uvæsentlige ting man kan udlede af en families elforbrug.
Han mener desuden, at man med bedre analyser kan finde langt flere oplysninger, og referer
her til et irsk studie
7
.
Tilsvarende observationer gør Lisa Hjerrild i sin PhD-afhandling:
Retlige rammer for
fjernaflæste elmålere
8
.
Netop derfor bør vi tage privatlivsbeskyttelsen seriøst, og det er formodentlig den type
overvejelser, der har ligget til grund for kravet om privacy-by-design i de særlige
bemærkninger til loven.
7
8
https://www.sciencedirect.com/science/article/pii/S0957178722001102
https://www.jurabibliotek.dk/display/book/9788771987966/book-part-9788771987966-sec17.xml
6
KEF, Alm.del - 2022-23 (2. samling) - Bilag 293: Henvendelse af 16/5-23 fra Ole Tange vedr. indsamling af elmålerdata
7 Ændring af softwaren i stedet for ændring af
loven
I princippet kunne man blot ændre loven, så den var i overensstemmelse med den ulovlige
praksis.
Men for det første vil det være i strid med menneskerettighedernes artikel 9:
ARTICLE 9
Freedom of thought, conscience and religion
1. Everyone has the right to freedom of thought, conscience and religion;
this
right includes freedom to
change his religion or belief and freedom, either alone
or in community with others and
in
public or
private, to manifest his religion
or
belief,
in
worship, teaching,
practice and observance.
idet man jo netop ikke kan praktisere sin religion i privat fortrolighed, hvis ens elmåler
rapporterer om det. Hvis der ikke havde været et alternativ, så kunne man måske forsvare det,
men det er der her – og det kræver kun en softwareændring.
For det andet giver det en usund praksis, hvor vi tilretter lovgivning til en ulovlig praksis -
bl.a. omtalt i 10 (Kommentar i Berlingske).
For det tredje vil det sætte en ret ubehagelige præcedens, at IT-folk på forventet efterbevilling
kan lave softwaren, som de har lyst uden respekt for politikernes beslutning.
8 Overtrædelse af GDPR
Det er muligvis en overtrædelse af GDPR, men det er ikke det, som vores opdagelse går på.
Den går alene på de særlige bemærkninger om krav om privacy-by-design. En henvisning til
GDPR vil derfor være misforstået.
7
KEF, Alm.del - 2022-23 (2. samling) - Bilag 293: Henvendelse af 16/5-23 fra Ole Tange vedr. indsamling af elmålerdata
9 Designskitse
9.1 Baggrund
Hovedideen er, at netselskabet sender prisen for den seneste time, der så ganges med det
aktuelle forbrug på elmåleren og summen af disse rapporteres ind for hver faktura (f.eks. en
gang om måneden).
Målet er at løse flg. problemer:
Indkøbsprisen for el-handelsselskabet (også kaldet elleverandøren) varierer
Indkøbsprisen af transport varierer (måske i fremtiden)
Salgsprisen per kWh varierer - og kan ikke nødvendigvis udregnes ud fra købsprisen
Netbalanceringen har behov for real-time data til at afgøre, om der skal tændes for
endnu et kraftværk
Kapacitetsplanlægning og kvalitetskontrol (incl. drift og vedligehold) har behov for
data.
Borgeren skal kunne se sit eget timeforbrug - også via en app
En dommer skal kunne få adgang til enhvers timeforbrug
At leve op til kravet om dataminimering i GDPR artikel 5 og 25, og kravet om
privatlivsbeskyttelse by default i artikel 25, herunder for data, der kan bruges til at
udlede GDPR artikel 9-oplysninger
At leve op til menneskerettighedernes krav om proportionalitet
På sigt: Hjælpe den grønne omstilling ved at gøre det muligt at lave automatik i
hjemmet, der flytter strømforbruget
Løsningen skal være så simpel, at man kan forklare den til ikke-teknikere. Der kan med andre
ord sagtens være bedre tekniske løsninger, der bare ikke er så nemme at forklare.
9.2 Selve løsningen
9.2.1 Den lokale måling
El-måleren har 5 konti:
Forbrug af el i kWh
Total indkøbspris fra elleverandør til kunde
Total salgspris fra elleverandør til kunde
Total indkøbspris af eltransport fra netselskab til kunde
Total salgspris fra netselskab til kunde
Produktion i kWh
Total salgspris fra kunde til elleverandøren
Total indkøbspris af eltransport fra kunde til netselskab
Egenproducenter (folk med solceller) udstyres med nogle ekstra konti:
8
KEF, Alm.del - 2022-23 (2. samling) - Bilag 293: Henvendelse af 16/5-23 fra Ole Tange vedr. indsamling af elmålerdata
De målte data skal i krypteret form til enhver tid kunne indhentes fra den fjernaflæste elmåler
af netvirksomheden - typisk 1-4 gange i timen. De indsendes til datahubben. Kun elmåleren,
borgeren og en dommer kan dekryptere disse. Denne form for kryptering kalder vi for
egenkryptering: Det er kryptering fra sig selv til sig selv – præcis som man også kan sende en
krypteret backup til en onlinetjeneste, der ikke kan dekryptere backuppen.
Borgeren kan bruge de egenkrypterede data hos datahubben til at se sit forbrug time for time,
så han kan lave fine grafer over timeforbruget. Data hentes fra datahubben. Dekrypteringen
kan f.eks. ske i borgerens aflæsningsapp. Dekrypteringsnøglen fås fra elmåleren. Dommeren
kan åbne de krypterede aflæsninger fra datahubben, hvis der er mistanke om kriminalitet eller
en borger flytter midt i måneden uden at aflæse.
1-4 gange i timen rapporterer netselskabet indkøbs- og salgspris for hhv. netselskab,
elleverandør og producent til elmåleren, så den kan lave ovenstående udregning.
Hver måned sendes månedssummen for hver konto (altså det samlede antal kWh, men ikke
splittet op time for time, og den total indkøbspris og salgspris for elleverandør, den total
indkøbspris og salgspris for netselskab, den totale produktion og salgspris for producent) til
netselskabet hhv. elleverandøren (via Energinet Danmarks datahub). Månedssummerne kan
dekrypteres af netselskabet og el-leverandøren. Disse kan bruges til kontrol og fakturering.
9.2.2 Balancering, kapacitetsplanlægning, kontrol og
kvalitetssikring
Netselskabet sætter målere op "tæt" på husstanden (f.eks. for hver gade, hver opgang eller
hver transformatorstation), så de kan lave netbalancering, kapacitetsplanlægning og kontrol
hen til denne måler. Da denne måler dækker flere husstande er målinger herfra ikke
persondata, og netselskabet kan frit aflæse denne så tit de ønsker.
Alarmer om forsyningsafbrud kan ske på samme måde, som det sker i dag, og på forespørgsel
fra netvirksomheden kan målersystemet overføre afbrudsdata. Så hvis der mangler spænding
eller registreres en over/underspænding, 0-fejl eller registreres fejl på måleren selv, så kan
disse sendes.
9.2.2.1 Kontrol
af hustandsmålinger
Her er to simple eksempler på, hvordan man kunne lave en kontrol, der sikrer mod fejl og
snyd på husstandsmåleren. Igen er det værd at understrege, at dette
kun
er ment som en eye-
opener. Hvis man ønsker et design, der lever op til alle kravene i loven er man nødt til at
indhente ekspertviden på området og forberede sig på, at designet bliver langt sværere at
forstå.
9.2.2.1.1 Gademåler får alle data og laver kontrol
Antag, at vi har et højhus med n målere og en fælles elmåler ved gaden. Fællesmåleren måler
det totale forbrug for hele højhuset for hver time.
Nu vil vi gerne vide, om summen af de individuelle elmålere i højhuset er det samme som
totalen, som gademåleren har målt. Hvis summen er det samme som totalen, er det rimeligt at
antage, at alle målere fungerer korrekt. Hvis de ikke er ens, er det rimeligt at antage at mindst
een elmåler måler forkert.
Hver time sender de n målere deres forbrug til gademåleren. Gademåleren lægger forbruget
sammen for de n målere og sammenholder det med det totale forbrug for højhuset.
Hvis det matcher, antages det at målingerne er korrekte og de slettes fra gademåleren.
9
KEF, Alm.del - 2022-23 (2. samling) - Bilag 293: Henvendelse af 16/5-23 fra Ole Tange vedr. indsamling af elmålerdata
Hvis det ikke matcher, antages det at der er fejl i målingerne, og der rejses derfor en alarm, og
målingerne gives videre til netselskabet.
Denne model lever ikke op til privacy-by-design, men giver dog en bedre
privatlivsbeskyttelse end det nuværende system.
9.2.2.1.2 Gademåler laver kontrol, men på en privatlivsbeskyttende måde
En lidt mere kompleks løsning kan give en privatlivsbeskyttelse, så gademåleren kan lave
kontrollen, men uden at have de individuelle målinger.
Antag igen, at vi har et højhus med n målere og en fælles elmåler ved gaden. Fællesmåleren
måler det totale forbrug for hele højhuset for hver time.
Nu vil vi gerne vide, om summen af de individuelle elmålere i huset er det samme som
totalen, som gademåleren har målt. Hvis summen er det samme som totalen, er det rimeligt at
antage, at alle målere fungerer korrekt. Hvis de ikke er ens, er det rimeligt at antage at mindst
een elmåler måler forkert.
Vi ønsker samtidigt, at ingen elmåler (heller ikke gademåleren) kender andre målinger end sin
egen.
Det kan gøres på følgende måde:
Gademåleren finder på et stort tilfældigt tal, som den giver til måler 1. Tallet skal være mindst
100 gange større end det totale forbrug.
Måler nr 1 finder også på et stort tilfældigt tal, lægger sit forbrug til det og til tallet fra
gademåleren. Så sendes det videre til måler 2, som også finder på et stort tilfældigt tal, lægger
sit forbrug til det og til tallet modtaget fra måler 1. Så sendes det videre til måler 3, som også
finder på et stort tilfældigt tal, lægger sit forbrug til det og til tallet modtaget fra måler 2, og
sender det videre til måler 4. Sådan fortsættes videresendelse indtil vi når måler n.
Den sidste måler sender resultatet til måler 1, som nu trækker sit hemmelige tal fra summen.
Den sendes videre til måler 2, som nu trækker sit hemmelige tal fra summen. Den sendes
videre til måler 3, som nu trækker sit hemmelige tal fra summen. Sådan fortsættes
videresendelse indtil vi når måler n.
Til slut sendes tallet til gademåleren, som trækker sit hemmelige tal fra summen, og tilbage er
summen af målinger fra måler 1..n. Men uden at nogen af målerne kender til andre målinger
end sin egen.
Hvis det ikke matcher med den måling, som gademåleren selv har lavet for hele højhuset, så
er der noget galt, og der rejses en alarm.
Ved den alarm får netselskabet en retskendelse, hvor en dommer så åbner for de individuelle
målinger fra hustandsmålerne, som jo sendes til Datahubben krypteret på en sådan måde, at
kun elmåleren selv, borgeren og en dommer kan åbne krypteringen.
Derved har vi sikret, at netselskabet kan kontrollere, at målingerne er korrekte, og
netselskabet får kun adgang til de individuelle målinger, når de kan se, at der er noget galt.
Under normal drift gives borgerne derfor en højere privatlivsbeskyttelse.
9.2.2.1.3 Gennemregning af eksempel
Her er et simpelt gennemregnet eksempel. Farverne indikerer hvordan data sendes rundt
mellem målerne.
10
KEF, Alm.del - 2022-23 (2. samling) - Bilag 293: Henvendelse af 16/5-23 fra Ole Tange vedr. indsamling af elmålerdata
2710137_0011.png
Simpelt eksempel – urealistiske tal
Runde 1
Runde 2
Måle- Indkommende Hemmeligt
Indkommende Fratrukket
Måler
data tal
valgt tal
Sum
Sendes til sum
hemmeligt tal Sendes til
Gademåler
25
10000
10000 Måler 1
10025
25
Måler 1
7
10000
200000
210007 Måler 2
543210025
543010025 Måler 2
Måler 2
9
210007
3000000
3210016 Måler 3
543010025
540010025 Måler 3
Måler 3
6
3210016 40000000 43210022 Måler 4
540010025
500010025 Måler 4
Måler 4
3
43210022 500000000 543210025 Måler 1
500010025
10025 Gademåler
Simpelt eksempel – realistiske tal
Runde 1
Runde 2
Måle Indkommende Hemmeligt
Indkommende Fratrukket
Måler
data tal
valgt tal
Sum
Sendes til sum
hemmeligt tal Sendes til
Gademåler
25
18312749 18312749 Måler 1
18312774
25
Måler 1
7
18312749 59182634 77495390 Måler 2
225953086
166770452 Måler 2
Måler 2
9
77495390 29236432 106731831 Måler 3
166770452
137534020 Måler 3
Måler 3
6
106731831 91873423 198605260 Måler 4
137534020
45660597 Måler 4
Måler 4
3
198605260 27347823 225953086 Måler 1
45660597
18312774 Gademåler
Nedenfor illustreres samme flow i et diagram, som måske er nemmere at forstå, og herefter er
et eksempel, hvor måler 2 måler forkert.
11
KEF, Alm.del - 2022-23 (2. samling) - Bilag 293: Henvendelse af 16/5-23 fra Ole Tange vedr. indsamling af elmålerdata
2710137_0012.png
Flow for urealistiske tal
Runde 1
Gade
Måling
Hemmeligt
Måler 1
Måling
Fra Gade
Hemmeligt
Sum
Runde 2
25
10000
7
10000
200000
210007
Fra måler 4
Hemmeligt
Differens
543210025
200000
543010025
Måler 2
Måling
Fra Måler 1
Hemmeligt
Sum
Måler 3
Måling
Fra Måler 2
Hemmeligt
Sum
Måler 4
Måling
Fra Måler 3
Hemmeligt
Sum
Gade
Måling
Hemmeligt
9
210007
3000000
3210016
Fra Måler 1
Hemmeligt
Differens
543010025
3000000
540010025
6
3210016
40000000
43210022
Fra Måler 2
Hemmeligt
Differens
540010025
40000000
500010025
3
43210022
500000000
543210025
Fra Måler 3
Hemmeligt
Differens
500010025
500000000
10025
25
10000
Fra måler 4
Hemmeligt
Differens
=
10025
10000
25
25
Kontrol
25
Målingerne er korrekte: 25 = 25
12
KEF, Alm.del - 2022-23 (2. samling) - Bilag 293: Henvendelse af 16/5-23 fra Ole Tange vedr. indsamling af elmålerdata
2710137_0013.png
Flow for urealistiske tal – fejl i måler 2
Runde 1
Gade
Måling
Hemmeligt
Måler 1
Måling
Fra Gade
Hemmeligt
Sum
Runde 2
25
10000
7
10000
200000
210007
Fra måler 4
Hemmeligt
Differens
543210033
200000
543010033
Måler 2
Måling
Fra Måler 1
Hemmeligt
Sum
Måler 3
Måling
Fra Måler 2
Hemmeligt
Sum
Måler 4
Måling
Fra Måler 3
Hemmeligt
Sum
Gade
Måling
Hemmeligt
17
210007
3000000
3210024
Fra Måler 1
Hemmeligt
Differens
543010033
3000000
540010033
6
3210024
40000000
43210030
Fra Måler 2
Hemmeligt
Differens
540010033
40000000
500010033
3
43210030
500000000
543210033
Fra Måler 3
Hemmeligt
Differens
500010033
500000000
10033
25
10000
Fra måler 4
Hemmeligt
Differens
=
10033
10000
33
33
Kontrol
25
Der er sket en fejl: 25 ≠ 33
Hvis Måler 2 måler forkert, så vil summen ikke passe og Gademåleren vil kunne se, at
summen adskilder sig fra det, som den har målt leveret. Derfor rejser den en alarm, så en
dommer kan åbne for de krypterede måledata fra Måler 1-4.
9.2.2.2 Distribution af strømprisen
Elhandelsselskaberne har typisk ikke forskellige priser fra enkeltkunde til enkeltkunde. De har
grupper af kunder, der køber et givent produkt til samme pris.
Lad os antage, at der findes 10 elhandelsselskaber, som hver har 10 forskellige produkter - i
alt 100 priser. I virkeligheden er der nærmere 50 elhandelsselskaber, men princippet er det
samme.
13
KEF, Alm.del - 2022-23 (2. samling) - Bilag 293: Henvendelse af 16/5-23 fra Ole Tange vedr. indsamling af elmålerdata
Netselskabet kan så nøjes med at sende
de samme
100 priser til
alle
elmålere, og elmåleren
for en kunde, som har produkt 7 hos elhandelsselskab 4, kan så blot bruge pris nummer 7 i
gruppe 4 eller pris nummer 47 ud af de 100.
Ved at udsende samtlige 100 priser til alle elmålere, så udgør disse lister over priser ikke
persondata, og de kan principielt sendes ukrypteret.
Da målerne er i et mesh-netværk, så er ret billigt at sende præcis den samme information til
alle elmålere (man kalder det for broadcast).
Kun ved skift af elhandelsselskab skal elmåleren informeres om det nye elhandelsselskab (så
den f.eks. ikke længere bruger pris nummer 47, men i stedet prisen for produkt 2 fra
elhandelsselskab nummer 3, altså pris nummer 32 ud af de 100).
Hvis man ønsker, kan skift af elhandelsselskab også ske krypteret: Data sendes fra
elhandelsselskabet via datahubben men krypteret med elmålerens nøgle, så kun elmåleren kan
se dette. Derved får netselskabet heller ikke adgang til den personoplysning.
9.2.2.3 Automatiseret flytning af forbrug - den grønne omstilling
Vi ved at mennesker er vanedyr: Der skal utroligt meget til at ændre folks vaner. Hvis den
grønne omstilling skal lykkes, så skal vi finde løsninger, der gør det nemt at være med. Det
kan f.eks. ske gennem at lave automatiske løsninger, der kan flytte forbruget til perioder, hvor
produktionen er grønnest.
Ved at sørge for, at elmåleren kender prisen nu (og gerne nogle timer frem) kan man på sigt
udvikle et lokalnet (måske ala netværk over strømledninger?) som kan distribuere elprisen fra
elmåleren til alle apparater i hjemmet, så disse automatisk kan tænde og bruge den grønne
strøm. F.eks. vil man kunne opsætte sin opvaskemaskine, vaskemaskine, varmepumpe eller
elbil til altid at finde det bedste tidspunkt at bruge strøm inden for de næste 12 timer, når man
trykker “start”.
14
KEF, Alm.del - 2022-23 (2. samling) - Bilag 293: Henvendelse af 16/5-23 fra Ole Tange vedr. indsamling af elmålerdata
10 Kommentar i Berlingske
Rasmus Grønved Nielsen, dr.jur. og lektor i forvaltningsret, Københavns Universitet har
skrevet nedenstående kommentar: “Offentlig digitalisering kan lede til et tilfældighedernes
tyranni”.
Publiceret 2023-05-08 kl. 11.00 på https://www.berlingske.dk/kommentarer/offentlig-
digitalisering-kan-lede-til-et-tilfaeldighedernes-tyranni
15