Klima-, Energi- og Forsyningsudvalget 2022-23 (2. samling)
KEF Alm.del Bilag 291
Offentligt
2709817_0001.png
KEF, Alm.del - 2022-23 (2. samling) - Bilag 291: Klimastatus og –fremskrivning 2023 og Danmarks globale klimapåvirkning – Global afrapportering 2023
2709817_0002.png
INDHOLDSFORTEGNELSE
1
Klimastatus og -fremskrivning, 2023
Udgivet i april 2023 af:
Energistyrelsen, Carsten Niebuhrs Gade 43, 1577
København V
Telefon: 33 92 67 00, E-mail: [email protected]
Internet: http://www.ens.dk
Design og produktion: Energistyrelsen
KEF, Alm.del - 2022-23 (2. samling) - Bilag 291: Klimastatus og –fremskrivning 2023 og Danmarks globale klimapåvirkning – Global afrapportering 2023
2709817_0003.png
INDHOLDSFORTEGNELSE
2
Indholdsfortegnelse
Indholdsfortegnelse...................................................................................................... 2
1
Om Klimastatus og –fremskrivning 2023 ............................................................... 5
1.1
1.2
1.3
1.4
Hvad er baggrunden for KF23?..................................................................................... 5
Hvad omfatter KF23, og hvordan laves fremskrivningen? ............................................ 6
Hvad er usikkerheden knyttet til KF23? ........................................................................ 7
Hvordan er KF23 materialet organiseret? ..................................................................... 7
2
Det samlede billede ................................................................................................ 8
2.1
2.2
2.3
2.4
2.5
2.6
2.7
Status for klimalovens reduktionsmål ......................................................................... 10
Udvikling i rammebetingelser mv. siden KF22 ............................................................ 12
Udviklingen i udledninger på tværs af sektorer ........................................................... 14
Fremskrivningen af de enkelte sektorers udledninger 2019-2035 .............................. 17
Samlet energiforbrug og VE-andele ............................................................................ 22
Status ift. Danmarks EU reduktionsforpligtigelser ....................................................... 24
Usikkerhed .................................................................................................................. 25
3
Husholdninger ...................................................................................................... 27
3.1
3.2
3.3
3.4
Husholdningssektorens udledninger ........................................................................... 28
Rammebetingelser mv. for husholdningssektoren ...................................................... 29
Aktivitetsniveau, effektiviseringer og teknologiskift i husholdningssektoren ............... 30
Usikkerhed .................................................................................................................. 32
4
Transportsektoren ............................................................................................... 33
4.1
4.2
4.3
4.4
Transportsektorens udledninger ................................................................................. 35
Rammebetingelser mv. for transportsektoren ............................................................. 38
Aktivitetsniveau, effektiviseringer og teknologiskift i transportsektoren ...................... 39
Usikkerhed og følsomhedsberegninger ...................................................................... 43
5
Serviceerhverv ..................................................................................................... 45
5.1
5.2
5.3
5.4
Servicesektorens udledninger ..................................................................................... 46
Rammebetingelser mv. for servicesektoren ................................................................ 47
Aktivitetsniveau, effektiviseringer og teknologiskift i servicesektoren ......................... 47
Usikkerhed .................................................................................................................. 48
KEF, Alm.del - 2022-23 (2. samling) - Bilag 291: Klimastatus og –fremskrivning 2023 og Danmarks globale klimapåvirkning – Global afrapportering 2023
2709817_0004.png
INDHOLDSFORTEGNELSE
3
6
Fremstillingserhverv og bygge-anlægssektoren ................................................... 50
6.1
6.2
Fremstillings- og bygge-anlægssektorens udledninger .............................................. 51
Rammebetingelser mv. for fremstillingserhverv og bygge-anlægssektoren ............... 52
6.3
Aktivitetsniveau, effektiviseringer og teknologiskift i fremstillingserhverv og bygge-
anlægssektoren ....................................................................................................................... 52
6.4
Usikkerhed og følsomhedsberegninger ...................................................................... 53
7
Produktion af olie, gas og VE-brændsler .............................................................. 55
7.1
7.2
7.3
7.4
Udledninger i forbindelse med produktion af brændsler ............................................. 56
Rammebetingelser mv. for produktion af olie, gas og VE-brændstoffer ..................... 59
Aktivitetsniveau, effektiviseringer og teknologiskift ..................................................... 61
Usikkerhed og følsomhedsberegninger ...................................................................... 62
8
El- og fjernvarme .................................................................................................. 64
8.1
8.2
8.3
8.4
El- og fjernvarmesektorens udledninger ..................................................................... 65
Rammebetingelser mv. for El- og fjernvarmesektor.................................................... 66
Aktivitetsniveau, effektiviseringer og teknologiskift i El- og fjernvarmesektor ............. 66
Usikkerhed og følsomhedsberegninger ...................................................................... 69
9
Affaldssektoren (inkl. affaldsforbrænding) .......................................................... 72
9.1
9.2
9.3
9.4
Affaldssektorens udledninger ...................................................................................... 73
Rammebetingelser mv. for affaldssektoren ................................................................ 74
Aktivitetsniveau, effektiviseringer og teknologiskift i affaldssektoren.......................... 75
Usikkerhed og følsomhedsberegninger ...................................................................... 75
10
10.1
10.2
10.3
10.4
10.5
10.6
10.7
Landbrug, landbrugsarealer, skove, gartneri og fiskeri ..................................... 77
Samlede udledninger fra sektoren .............................................................................. 78
Rammebetingelser mv. for land- og skovbrugssektoren ............................................ 81
Udledninger fra landbrugsprocesser ........................................................................... 81
Udledninger fra landbrugets arealanvendelse ............................................................ 83
Udledninger og optag fra skove og høstede træprodukter ......................................... 84
Udledninger fra energiforbrug i landbrug, skovbrug, gartneri og fiskeri ...................... 85
Usikkerhed og følsomhedsberegninger ...................................................................... 86
11
11.1
11.2
11.3
Danmarks EU forpligtigelser ............................................................................ 89
Status for drivhusgasreduktionsforpligtelser: ESR og LULUCF ................................. 90
Status for vedvarende energi og energieffektivisering ................................................ 91
Usikkerhed og følsomhedsberegninger ...................................................................... 95
KEF, Alm.del - 2022-23 (2. samling) - Bilag 291: Klimastatus og –fremskrivning 2023 og Danmarks globale klimapåvirkning – Global afrapportering 2023
2709817_0005.png
INDHOLDSFORTEGNELSE
4
Appendiks 1: Sammenhæng mellem klimafremskrivningen (KF), Danmark globale
klimapåvirkning -Global afrapportering (GA), scenarier til klimaprogrammet (KP) og
analyseforudsætninger til Energinet (AF) ................................................................... 97
Appendiks 2: Oversigt over KF23 sektornotater og sektorforudsætningsnotater ..... 100
Appendiks 3: Oversigt over KF23-dataark ................................................................. 102
Appendiks 4: Sammenhæng mellem KF23 sektorer og KF22 sektorer samt CRF-tabel
................................................................................................................................. 103
Appendiks 5: Beregning af KF23 netto-udledninger inkl. korrektioner ud fra KF23 CRF-
opgørelsen ............................................................................................................... 106
Appendiks 6: Samlede biogene energirelaterede CO
2
-udledninger i KF23 ................ 107
Appendiks 7: Ordforklaringer og forkortelser ........................................................... 109
Appendiks 8: Referencer .......................................................................................... 113
KEF, Alm.del - 2022-23 (2. samling) - Bilag 291: Klimastatus og –fremskrivning 2023 og Danmarks globale klimapåvirkning – Global afrapportering 2023
2709817_0006.png
5
1
Om Klimastatus og –fremskrivning
2023
Klimastatus og –fremskrivning 2023 (herefter KF23) er en redegørelse for, hvordan
Danmarks drivhusgasudledninger har udviklet sig fra 1990 til 2021, samt en vurdering
af, hvordan udledningen af drivhusgasser samt energiforbrug og –produktion med de
angivne forudsætninger vil udvikle sig frem mod 2035 i et såkaldt ”frozen policy”-
scenarie.
”Frozen policy” indebærer, at udviklingen er betinget af et ”politisk fastfrossent”
fravær af nye tiltag på klima- og energiområdet ud over dem, som Folketinget eller EU
har besluttet før 1. januar 2023, eller som følger af bindende aftaler. Fastfrysningen
gælder alene Danmarks og EU's klima- og energipolitik og betyder ikke, at udviklingen
generelt forudsættes at gå i stå. Fx er den økonomiske vækst og
befolkningsudviklingen ikke underlagt fastfrysningen.
Klimafremskrivningen tjener dermed bl.a. til at beskrive, i hvilket omfang Danmarks
klima- og energimålsætninger og –forpligtelser forventes opfyldt inden for rammerne
af aftalt regulering.
1.1
Hvad er baggrunden for KF23?
Ifølge Lov om klima af 18. juni 2020 (herefter klimaloven) skal der årligt udarbejdes en
klimastatus og –fremskrivning
1
.
Klimaloven fastsætter et mål om, at Danmark skal reducere udledningen af
drivhusgasser med 50-54 pct. i 2025 og 70 pct. i 2030 ift. niveauet i 1990. Samtidig
fastlægger klimaloven, at Klima-, energi- og forsyningsministeren årligt udarbejder en
klimastatus og –fremskrivning (KF).
Klimastatus og -fremskrivning er en del af Klimalovens årshjul, som skal sikre en
løbende opfølgning på, om klimaindsatsen understøtter opfyldelsen af klimalovens
1
Klimaloven foreskriver også, at der skal udarbejdes en global afrapportering for de
internationale effekter af den danske klimaindsats. Den globale afrapportering udarbejdes og
offentliggøres parallelt med KF23 i en selvstændig publikation. Ved reference her til KF23 menes derfor
alene den nationale klimafremskrivning.
KEF, Alm.del - 2022-23 (2. samling) - Bilag 291: Klimastatus og –fremskrivning 2023 og Danmarks globale klimapåvirkning – Global afrapportering 2023
2709817_0007.png
6
målsætninger. Det fremgår bl.a. af årshjulet, at klimafremskrivningen hvert år i april
skal gøre status for opfyldelse af Danmarks klimamål.
1.2
Hvad omfatter KF23, og hvordan laves fremskrivningen?
For at forstå resultaterne i KF23, er det vigtigt at være opmærksom på, hvilke
udledninger der indgår i fremskrivningen, hvilke politiske tiltag mv. der indregnes i
fremskrivningen, samt hvordan fremskrivningen laves.
Hvilke udledninger indgår i KF23?
Klimaloven fastsætter både drivhusgasreduktionsmål og retningslinjer for, hvorledes
disse skal opgøres. Klimalovens mål for drivhusgasreduktioner skal som
udgangspunkt opfyldes på dansk grund, og drivhusgasudledningerne, som omfattes
af klimalovens målsætning, skal opgøres i overensstemmelse med FN’s
opgørelsesmetoder. Klimalovens målsætning omfatter Danmarks samlede
drivhusgasudledninger inklusiv kulstofoptag/-udledninger fra jord og skov (LULUCF),
negative udledninger fra teknologiske processer (fx lagring af CO
2
i undergrunden) og
indirekte CO
2
-udledninger (stoffer som senere omdannes til CO
2
i atmosfæren)
2
.
Hvilke politiske tiltag mv. indgår i KF23?
Skæringsdatoen for indregning af politiktiltag, der indgår i KF23’s modellering af
perioden 2022-2035, er sat til 1. januar 2023. Skæringsdatoen for indregning af
politiktiltag i den forrige Klimastatus og -fremskrivning 2022 var 1. januar 2022. De
nye politiktiltag, som indgår i KF23, omfatter bl.a. tiltag fra
Aftale om grøn
skattereform for industri mv., Klimaaftale om grøn strøm og varme
samt
Aftale om
kilometerbaseret vejafgift for lastbiler.
Den fulde oversigt over, hvilke nye politiktiltag,
der indgår i KF23, fremgår af KF23 sektorforudsætningsnotatet Principper og
politikker kapitel 2. I samme kapitel er også en oversigt over, hvilke tiltag der ikke har
kunnet indregnes i KF23, fx fordi de pågældende tiltag endnu ikke er konkretiseret,
eller fordi effekten af dem endnu ikke kan opgøres.
Hvordan er KF23 lavet?
KF23 er en samling af flere forskellige fremskrivninger fra både Energistyrelsen og
Nationalt Center for Miljø og Energi (DCE), som Energistyrelsen afslutningsvis
kombinerer med statistiske opgørelser til en samlet klimastatus og -fremskrivning.
Udarbejdelsen af KF23 er yderligere beskrevet i KF23 forudsætningsnotatet
2
Målsætningen omfatter, i overensstemmelse med FN-reglerne, ikke udledninger fra international skibs-
og luftfart og ej heller den direkte udledning af CO
2
fra forbruget af biomasse (afbrænding af fx træflis og
træpiller, såkaldte biogene CO
2
-udledninger). For uddybning af, hvilke udledninger der indgår i KF23, se
kapitel 3 i KF23 sektorforudsætningsnotatet om Principper og politikker.
KEF, Alm.del - 2022-23 (2. samling) - Bilag 291: Klimastatus og –fremskrivning 2023 og Danmarks globale klimapåvirkning – Global afrapportering 2023
2709817_0008.png
7
Introduktion til KF23 forudsætningsmaterialet imens de specifikke forudsætninger,
data og modeller, der anvendes til fremskrivningen, er præsenteret i de øvrige KF23
sektorforudsætningsnotater.
1.3
Hvad er usikkerheden knyttet til KF23?
Det er vigtigt, at KF23 læses og anvendes med bevidsthed om, at følsomme
antagelser og usikkerheder påvirker nøgleresultaterne. Med andre forudsætninger end
de anvendte vil der således fremkomme andre resultater. Fremskrivningen skuer mere
end 10 år frem i tid, og resultaterne kan variere fra år til år uafhængig af tiltag.
Fremskrivningsresultaterne er således både underlagt en generel metodeusikkerhed
samt en betydelig usikkerhed forbundet med udefrakommende variabler, herunder
uforudsete udviklinger i adfærd, teknologi og priser samt udsving i vejret mv.
Usikkerhederne forbundet med fremskrivningsresultaterne for de enkelte sektorer
behandles i kapitlerne om disse sektorer samt i de bagvedliggende sektornotater.
1.4
Hvordan er KF23 materialet organiseret?
Klimastatus og –fremskrivning 2023 består af en hovedrapport, bagvedliggende
sektornotater og sektorforudsætningsnotater samt en række dataark. For hvert af
hovedrapportens sektorkapitler (kap. 3-11) er der således udarbejdet et eller flere
sektornotater, hvor status og fremskrivning for den pågældende sektor er mere
detaljeret analyseret og dokumenteret. Forudsætningerne anvendt i fremskrivningen
er ligeledes dokumenteret i en række sektorforudsætningsnotater, der har været i
offentlig høring i januar 2023.
Ud over hovedrapport og sektornotater suppleres KF23 af en række dataark, der bl.a.
omfatter de såkaldte CRF-tabeller, energibalancen og yderligere data for udvalgte
sektorer. Data for indikatorer oplistet i
Klimahandlingsplan 2020
fremgår af bilag 5.2 i
de relevante sektornotater
3
.
3
I Klimahandlingsplan 2020 er der opstillet en række indikatorer, der fremadrettet kan bidrage til at
vurdere fremdriften i omstillingen af de enkelte sektorer.
KEF, Alm.del - 2022-23 (2. samling) - Bilag 291: Klimastatus og –fremskrivning 2023 og Danmarks globale klimapåvirkning – Global afrapportering 2023
2709817_0009.png
8
2
Det samlede billede
Klimastatus
er, at de samlede drivhusgasudledninger, inklusiv kulstofoptag og CO
2-
udledninger fra jord og skov
4
udgjorde 46,2 mio. ton CO
2
e i 2021
5
. I 2021 var
drivhusgasudledningerne således blevet reduceret med 41 pct. i forhold til Danmarks
samlede udledninger i 1990. Det skal her bemærkes, at covid-19 pandemien fortsat
havde indvirkning på aktivitetsniveauet i nogle sektorer i 2021, og dermed også på
disse sektorers energiforbrug og drivhusgasudledninger.
Klimafremskrivningen
viser, at med indregningen af den nuværende vedtagne politik
forventes de samlede netto-udledninger
6
at være faldet til 39,4 mio. ton CO
2
e i 2025
og 29,0 mio. ton CO
2
e i 2030. Dette svarer til en reduktion i udledningerne på hhv. 49,8
pct. og 63,1 pct. ift. 1990. I 2035 forventes de samlede netto-udledninger at være
4
Såkaldt LULUCF, Land Use, Land-Use Change & Forestry.
Efter indregning af den forventede effekt af biocovers.
6
Begrebet ”samlede netto-udledninger” refererer her til de samlede udledninger inkl. LULUCF og efter
5
indregning af CCS.
KEF, Alm.del - 2022-23 (2. samling) - Bilag 291: Klimastatus og –fremskrivning 2023 og Danmarks globale klimapåvirkning – Global afrapportering 2023
2709817_0010.png
9
yderligere reduceret til 25,7 mio. ton CO
2
e.
7
Klimafremskrivningen er i sagens natur behæftet med usikkerhed. Denne usikkerhed
er særligt udtalt i disse år, hvor covid-19 pandemien har haft indflydelse på
udledningerne i de seneste historiske opgørelsesår 2020 og 2021
8
. Dertil kommer
usikkerheden på energimarkederne, som har betydning for energipriser og
energiforbrug mv. fremadrettet. Disse forhold kan give varige effekter på adfærd,
struktur og teknologivalg, som ikke er afspejlet i den nuværende fremskrivning.
Den fremskrevne udvikling i netto-udledninger og afstanden ift. reduktionsmålene i
hhv. 2025 og 2030 er vist i figur 2.1.
Figur 2.1: De samlede netto-udledninger samt 2025 og 2030 reduktionsmålene
Samlede netto-udledninger ift. reduktionsmålene
mio. ton CO2e
2030 - 70 pct. reduktionsmål
100
90
80
70
60
50
2025 - 50 pct. reduktionsmål
2025 - 54 pct. reduktionsmål
40
30
20
10
0
Netto-udledning efter
korrektion ift.
metantabsregulering og
biocovers
Nettoudledning i CRF-
opgørelse
1990 1995 2000 2005 2010 2015 2020 2025 2030 2035
Note: De samlede KF23 nettoudledninger inkluderer indregning af en statistisk difference på historiske tal
for at sikre overensstemmelse ift. DCE’s officielle indberetninger.
7
Disse opgørelser af netto-udledningerne inkluderer indregning af korrektioner ift. forventet effekt af
metantabsregulering og biocovers. Som det senere uddybes, kan forventet effekt af metantabsregulering
samt biocovers ikke indregnes i CRF-opgørelserne på nuværende tidspunkt. Før indregning af de partielle
korrektioner for effekten af metantabsregulering og biocovers viser CRF-opgørelserne derfor netto-
udledninger på 39,9 mio. ton CO
2
e i 2025 og 29,6 mio. ton CO
2
e i 2030 (jf. også appendiks 5, der viser
beregningen af netto-udledninger inkl. partielle korrektioner ift. metantabsregulering og biocovers ud fra
KF23 CRF-opgørelsen).
8
Selv om 2021 er seneste statistik-år, vil modelkørslerne til KF23 derfor i nogle tilfælde fortsat tage
udgangspunkt i udledningerne i 2019, hvor aktivitetsniveauerne alt andet lige må antages at være mere
retvisende udgangspunkter.
KEF, Alm.del - 2022-23 (2. samling) - Bilag 291: Klimastatus og –fremskrivning 2023 og Danmarks globale klimapåvirkning – Global afrapportering 2023
2709817_0011.png
10
2.1
Status for klimalovens reduktionsmål
Ifm. Klimaaftale om grøn strøm og varme er der vedtaget en regulering af metantabet
fra biogasanlæg, som trådte i kraft den 1. januar 2023. Den forventede effekt af
metantabsreguleringen indgår ikke i KF23 CRF-opgørelserne pga.
opgørelsesprincipper fra DCE, men lægges jf. aftalen til grund for 2025 og 2030
mankoopgørelserne (jf. Klimaaftale om grøn strøm og varme 2022), og den indregnes
også ift. manko-opgørelsen for EU byrdefordelingsforpligtigelsen mv. Den forventede
effekt af biocovers indregnes ligeledes partielt i KF23 mankoopgørelserne mv.
9
Efter indregning af de partielle korrektioner ift. den forventede effekt af regulering
vedrørende lækage fra biogasanlæg samt biocovers indebærer dette en KF23
reduktionsmanko på 0,2-3,3 mio. ton CO
2
e ift. klimalovens indikative målsætning om
en reduktion i 2025-udledningerne på 50-54 pct. ift. 1990 niveauet, samt en
reduktionsmanko på 5,4 mio. ton CO
2
e ift. målsætningen om en reduktion i 2030-
udledningerne på 70 pct. ift. 1990-niveauet.
Det skal endvidere bemærkes, at nettoudledningerne og reduktionsmankoen for 2025
er opgjort under antagelse om fangst fra CCUS-puljen i 2025 på 0,4 mio. ton CO
2
.
Ifølge udbudsbetingelserne for CCUS-puljen er der først krav om fangst på minimum
0,4 mio. ton CO₂ fra og med 2026, men det vægtes positivt, såfremt der opnås
reduktioner tidligere. Det endelige resultat af CCUS-udbuddet, der forventes kendt til
maj, kan derfor øge 2025-nettoudledningerne med 0,4 mio. ton. CO2, hvormed 2025-
reduktionsmankoen så ville øges til 0,6-3,7 mio. ton CO2e.
Tabel 2.1: Status for målopfyldelse ift. klimalovens reduktionsmål
1990 2021
KF22 samlede nettoudledninger (mio. ton CO
2
e)
78,0
45,5
2025
41,4
2030 2035
33,6
30,2
KF23 samlede nettoudledninger inkl. partielle korrektioner**
Klimalovens reduktionsmål ift. KF23 (mio. ton CO
2
e)
KF23 manko ift. reduktionsmål (mio. ton CO
2
e)
78,4
46,2
39,4*
36,1-39,2
0,2- 3,3*
29,0
23,5
5,4
25,8
Note: I tabellen er både udledningerne i målår og tilhørende reduktionsmanko opgjort som rene
årsværdier.
9
For yderligere information om den partielle korrektion vedrørende regulering af metantab fra
biogasanlæg se bl.a. kapitel 2 i KF23 sektorforudsætningsnotat om Principper og politikker samt KF23
sektornotat 7B om Biogas, PtX og VE-brændstoffer. For information om den partielle korrektion
vedrørende biocovers, se KF23 forudsætningsnotat om Øvrigt affald og spildevand.
KEF, Alm.del - 2022-23 (2. samling) - Bilag 291: Klimastatus og –fremskrivning 2023 og Danmarks globale klimapåvirkning – Global afrapportering 2023
2709817_0012.png
11
*Netto-udledninger og reduktionsmanko for 2025 er opgjort under antagelse om fangst fra CCUS-puljen i
2025 på 0,4 mio. ton. CO
2
. Det endelige resultat af CCUS-udbuddet, der forventes kendt til maj, kan øge
2025 nettoudledningerne med 0,4 mio. ton. CO2 og 2025- reduktionsmankoen til 0,6-3,7 mio. ton CO2e.
** Beregningen af KF23 netto-udledninger inkl. partielle korrektioner ift. metantabsregulering og
biocovers ud fra KF23 CRF-opgørelsen fremgår af Appendiks 5.
I klimafremskrivningen opgøres udledningerne i målår og tilhørende reduktionsmanko
som rene årsværdier pba. antagelse om, at alle fremskrivningsår er ”normalår” og
udledninger fra arealer i fremskrivningen repræsenterer også et vægtet normalniveau.
Ifølge Klimaloven skal de realiserede udledninger ift. reduktionsmålene i både 2025 og
2030 dog opgøres som gennemsnitsmål over tre år for derved at minimere
betydningen af udsving i udledningerne i de faktiske enkeltår (fx som følge af
vejrudsving).
Sammenligning med KF22
Sammenlignet med sidste års klimafremskrivning (KF22) ses mindre udsving i
udledningerne i de første år, mest udtalt i 2024 med en stigning i udledningerne på 0,7
mio. ton CO2e (bl.a. som følge af brændselsforbruget i el og fjernvarmesektoren).
Som det fremgår af figur 2.2 skønnes KF23-udledningerne at være lavere end KF22-
udledningerne fra 2025 og frem. Udledningerne i KF23 ligger i 2025 ca. 2,1 mio. ton
CO
2
e under KF22-niveauet og denne difference stiger, således at KF23 udledningerne i
2027 ligger 3,1 mio. ton. CO
2
e under KF22-niveauet. Fra 2029 og frem stiger
differencen mellem KF22 og KF23 udledningerne yderligere, således at KF23
udledningerne ligger i omegnen af 4,5 mio. ton CO
2
e under KF22-niveauet, hvilket bl.a.
skal ses i lyset af, at CCS puljen fra Grøn skattereform antages at være fuldt indfaset i
2029 og bidrage med en fangst på 1,8 mio. ton CO
2
årligt.
Figur 2.2: Sammenligning af nettoudledningerne i KF23 og KF22
mio. ton CO
2
e
Samlede nettoudledninger
100
90
80
70
60
KF23 nettoudledning i CRF-
opgørelse
KF22 nettoudledning
50
40
30
20
10
0
KF23 nettoudledning efter
korrektion ift.
metantabsregulering og
biocovers
1990 1995 2000 2005 2010 2015 2020 2025 2030 2035
KEF, Alm.del - 2022-23 (2. samling) - Bilag 291: Klimastatus og –fremskrivning 2023 og Danmarks globale klimapåvirkning – Global afrapportering 2023
2709817_0013.png
12
Sammenlignet med KF22 er reduktionsmankoen for 2025-målet reduceret med ca.
2,25 mio. ton CO
2
e ift. KF22, mens reduktionsmankoen for 2030-målet er reduceret
med ca. 4,7 mio. ton CO
2
e ift. KF22.
Sammenligning med KP22
I Klimaprogram 2022 (fra september 2022), som omfattede KF22 opgørelsen samt de
partielt opgjorte effekter af 1) Aftale om grøn skattereform for industri mv., 2) Aftale
om kilometerbaseret vejafgift for lastbiler og 3) Klimaaftale om grøn strøm og varme,
blev reduktionsmankoen for 2025 opgjort til 0,4-3,5 mio. ton CO
2
e, og
reduktionsmankoen i 2030 blev opgjort til 5,0 mio. ton CO
2
e. Sammenlignet med
Klimaprogram 2022 er reduktionsmankoen i 2025 således reduceret med ca. 0,2 mio.
ton CO
2
e, mens reduktionsmankoen i 2030 er øget med ca. 0,4 mio. ton CO
2
e.
2.2
Udvikling i rammebetingelser mv. siden KF22
Udviklingen i udledningerne er et resultatet af en kombination af nye politiktiltag (både
nationale tiltag og EU tiltag), opdaterede forventninger til pris- og markedsudvikling,
og opdaterede datagrundlag. Derudover er den metodiske tilgang også blevet
opdateret på enkelte områder, hvilket kan påvirke resultatet.
Nye nationale tiltag indregnet i KF23
Væsentlige nye nationale politiktiltag, der er indregnet i KF23 omfatter bl.a.
10
:
Aftale om grøn skattereform for industri mv., 2022
Kilometerbaseret vejafgift for lastbiler, 2020. Selv om den har været kendt
siden 2020, har afgiften ikke kunnet indregnes i KF tidligere, da
modelgrundlaget herfor ikke var konkretiseret
Klimaaftale om grøn strøm og varme, 2022
Tillægsaftale om Energiø Bornholm, 2022
Opfølgende aftale om Klimaplan for en grøn affaldssektor og cirkulær
økonomi, 2022
Energiø Nordsøen indgår fortsat ikke i KF grundforløbet, da etablering af øen er
betinget af endnu ikke besluttede tiltag og derfor endnu ikke kan indregnes som
frozen policy. Mulig udbygning med 4 GW havvind fra Aftale om grøn strøm og varme
indgår heller ikke i KF23 grundforløbet
11
.
10
11
Jf. tabel 2.1 i kapitel 2 i KF23 sektorforudsætningsnotatet om Principper og politikker.
Dette skyldes, at modelkørslerne viser, at der med de for fremskrivningen i øvrigt gældende
forudsætninger ikke er den nødvendige plads i elmarkedet til at indplacere yderligere 4 GW havvind. I
KEF, Alm.del - 2022-23 (2. samling) - Bilag 291: Klimastatus og –fremskrivning 2023 og Danmarks globale klimapåvirkning – Global afrapportering 2023
2709817_0014.png
13
Nye EU tiltag indregnet i KF23
Nye EU politiktiltag, der er indregnet i KF22 omfatter bl.a.
12
:
Foreløbig aftale om revision af EU’s kvotehandelssystem (ETS1) er indregnet i
KF23 i det omfang effekten af aftalen er afspejlet i kvoteprisen. Udvidelsen til
søfart er dog ikke indregnet i KF23.
Foreløbig aftale om strengere CO
2
-emissionspræstationsstandarder for nye
biler og varebiler
Et nyt separat ETS til vejtransport og opvarmning af bygninger (ETS2) indgår ikke i
KF23, da det på tidspunktet for udarbejdelse af KF23 ikke er muligt at skønne over,
hvordan kvoteprisen i et nyt kvotehandelssystem vil udvikle sig. Hertil er det endvidere
ikke muligt at skønne over effekten af CO
2
-grænsetilpasningsmekanismen, der også
er en del af ”Fit for 55”.
Opdaterede forventninger til brændsels- og CO2-kvotepriser
Udledningerne i KF23 er også påvirket af opdaterede forventninger til CO
2
-kvoteprisen
og de fossile brændselspriser. For CO
2
-kvoteprisen anvendes Finansministeriets
fremskrivning fra januar 2023, der er baseret på den gennemsnitlige CO
2
-pris i EU’s
kvotesystem i december 2022, og dermed kan antages i et vist omfang at afspejle
markedets reaktion på december 2022 aftalen om revision af EU’s
kvotehandelssystem. KF23 kvoteprisen starter på nogenlunde samme niveau som i
KF22, men har en højere stigningstakst end det var tilfældet i KF22, og KF23
kvoteprisen skønnes således at nå 850 kr./ton i 2030 og 1.058 kr./ton i 2035 (opgjort i
2022-priser) (jf. kapitel 2 i KF23 sektorforudsætningsnotatet om Priser og vækst).
Brændselspriserne har ændret sig væsentlig siden KF22. I KF23 skønnes både de
fossile brændselspriser og biomassepriserne således at ligge betydeligt over priserne
fra KF22 på kort sigt, og de skønnede priser på kul og naturgas vedbliver at ligge over
KF22 priserne i hele fremskrivningsperioden (jf. også kapitel 1 i KF23
sektorforudsætningsnotatet om Priser og vækst).
Opdaterede forventninger til markedsudviklinger mv.
Ud over udviklingen i brændsels- og CO2-kvotepriser har opdaterede forventninger til
øvrig markedsudvikling mv. også betydning for udviklingen i udledningerne i KF23. Der
er bl.a. opdaterede forventninger til efterspørgslen på landbrugsmarkederne, hvilket
stedet er der foretaget følsomhedsberegninger hvor, Energiø Nordsøen og de ekstra 4 GW havvind
medregnes.
12
Jf. tabel 2.2 i kapitel 2 i KF23 sektorforudsætningsnotatet om Principper og politikker.
KEF, Alm.del - 2022-23 (2. samling) - Bilag 291: Klimastatus og –fremskrivning 2023 og Danmarks globale klimapåvirkning – Global afrapportering 2023
2709817_0015.png
14
har betydning for mængden af husdyr og afgrøder, der produceres i landbruget.
Sammenlignet med KF22 forventes der således færre kvæg i hele
fremskrivningsperioden samt færre grise i perioden frem mod 2030, mens antallet af
grise overstiger KF22-niveauet i de sidste år af fremskrivningsperioden.
Opdaterede datagrundlag og metodisk tilgang mv.
Datagrundlaget for fremskrivningen opdateres og forbedres løbende, og dette har i
nogle tilfælde også betydning for fremskrivningen af udledningerne. Væsentlige
opdateringer i datagrundlaget til KF23 omfatter bl.a. opdateret kortlægning af
energiforbrug og energibesparelser i produktionserhverv (jf. Viegand Maagøe for
Energistyrelsen, 2022).
Landbrugets procesudledninger er blevet genberegnet pga. skift til IPCCs 2019-
standard emissionsfaktorer (i stedet for IPCC 2006 faktorer, som blev anvendt i KF22)
samt beregningsmæssig korrektion ift. lagring af gylle, og begge disse ændringer har
betydning for både historiske og fremtidige udledninger. Ift. øvrigt affald har DCE
ligeledes foretaget ændringer i opgørelsen af udledninger fra deponeret affald, hvilket
også har betydning for både historiske og fremtidige udledninger.
2.3
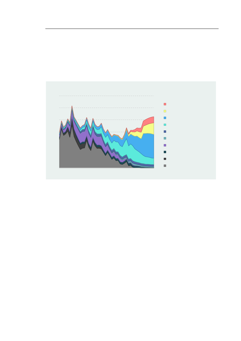
Udviklingen i udledninger på tværs af sektorer
Udviklingen i de samlede nettoudledninger er et resultat af udviklingen i de forskellige
underliggende sektorer. Figur 2.3 viser hvordan udledningerne i de enkelte sektorer
har udviklet sig fra 1990 frem til 2021, og hvordan de forventes at udvikle sig i
fremskrivningsperioden fra 2022 til 2035 for disse sektorer samt for
carbon capture
and storage
(CCS). Tabel 2.2 viser sektorernes udledningstal i udvalgte år, nærmere
bestemt 2021, 2025 og 2030.
Figur 2.3: De samlede udledninger fordelt på sektorer samt CCS
mio. ton CO
2
e
Samlede udledninger
100
90
80
70
60
50
40
30
20
10
0
-10
Korrektion: Statistisk diff. ift. DCE i
historiske år
Korrektion: Forventet reduktion fra
biocovers
Korrektion: Forventet reduktion fra
metantabsregulering
Husholdninger
Transport
Serviceerhverv
Fremstillingserhverv og bygge-anlæg
Produktion af olie, gas og VE-brændstoffer
(inkl. korrektion ift. metantabsregulering)
El og fjernvarme
Affald (inkl. affaldsforbrænding samt
korrektion ift. biocovers)
Landbrug, skove, gartneri og fiskeri
1990 1995 2000 2005 2010 2015 2020 2025 2030 2035
CCS
Note: I KF23 håndteres CCS teknisk som ikke-sektorfordelt, negativ udledning (jf. afsnit 2.4).
KEF, Alm.del - 2022-23 (2. samling) - Bilag 291: Klimastatus og –fremskrivning 2023 og Danmarks globale klimapåvirkning – Global afrapportering 2023
2709817_0016.png
15
Udledningerne i figuren bygger på CRF-opgørelserne, dvs. før korrektion for forventet effekt af
metantabsregulering og biocovers, men de forventede reduktioner fra disse tiltag er identificeret eksplicit
i figuren.
Tabel 2.2: De samlede udledninger fordelt på sektorer samt CCC i udvalgte år.
1990
Husholdninger
Transport
Serviceerhverv
Fremstillingserhverv og bygge-anlæg
Produktion af olie, gas og VE-brændstoffer (inkl.
korrektion ift. metantabsregulering)
El og fjernvarme
Affald (inkl. affaldsforbrænding samt korrektion ift.
biocovers)
Landbrug, skove, gartneri og fiskeri
CCS
5,1
11,7
1,5
8
2
24,4
2,5
23,2
0
2021
1,7
12,6
0,8
5,3
2,5
5
2,3
15,9
0
2025
0,9
12,2
0,4
4
2,1
1,2
2,2
17,4
-0,9
2030
0,4
10,5
0,2
2,1
1,9
0,1
1,7
15,3
-3,2
2035
0,3
8,2
0,1
2
1,8
0,1
1,2
14,9
-2,7
Note: Jf. note til figur 2.3 samt appendix 5 ift. partielle korrektioner vedr. metantabsregulering og
biocovers.
Udviklingen i udledningerne på tværs af sektorer over tid
El- og fjernvarmesektoren (ekskl. affaldsforbrænding) har frem til 2010 typisk stået
for mellem 30 pct. og 40 pct. af de samlede danske udledninger, men denne andel er
derefter faldet betydeligt, jf. figur 2.3, og i 2021 stod sektoren således kun for 11 pct.
af de samlede udledninger. I 2025 forventes denne andel at være faldet til 3 pct., og i
2030 forventes el og fjernvarme (ekskl. affaldsforbrænding) at udgøre under 1 pct. af
de samlede nettoudledninger
13
. Historisk har der endvidere været markante udsving i
udledningerne fra el- og fjernvarmesektoren. Disse udsving skyldtes primært
vejrforhold, fx kolde vintre eller svingende nedbørsmængder i Norden (der påvirker
den nordiske vandkraftproduktion). Udsvingene forventes at aftage fremover i takt
med, at de samlede udledninger fra el- og fjernvarmesektoren reduceres som følge af
udfasningen af fossilfyrede kraftværker og overgangen til el-produktion primært
baseret på vind, sol og biomasse.
I takt med de faldende udledninger fra el- og fjernvarmeproduktionen stiger de øvrige
sektorers andel af de samlede udledninger alt andet lige, når de ikke reduceres i
samme omfang. Udledningerne fra landbrug, skove, gartneri og fiskeri (der både
omfatter udledninger fra landbrugsprocesser, landbrugsarealer og skove samt
sektorens energiforbrug) er således gået fra historisk at have udgjort omkring 25 pct.
13
Affaldsforbrænding bidrager også til el- og fjernvarmeproduktion. Hvis man lægger udledningerne fra
affaldsforbrænding sammen med udledningerne fra el- og fjernvarmesektoren udgjorde disse sektorer 14
pct. af nettoudledningerne i 2021, og de forventes at udgøre hhv. 7 pct. i 2025 og 4 pct. 2030. Herudover
bidrager private sekundære producenter i andre sektorer også til el- og fjernvarme-produktionen, men
udledningerne herfra er forholdsvis begrænsede (jf. også sektornotat 8A).
KEF, Alm.del - 2022-23 (2. samling) - Bilag 291: Klimastatus og –fremskrivning 2023 og Danmarks globale klimapåvirkning – Global afrapportering 2023
2709817_0017.png
16
af de samlede udledninger til i 2021 at udgøre 34 pct. af de samlede udledninger. I
2025 forventes denne sektor at udgøre 44 pct. af nettoudledningerne og i 2030
forventes sektorens andel af de samlede udledninger at være steget yderligere til 52
pct. Tilsvarende er transportsektorens andel af de samlede nettoudledninger vokset
fra at udgøre 15 pct. i 1990 til 27 pct. i 2021, og i 2025 og 2030 forventes hhv. 31 pct.
og 35 pct. af nettoudledningerne at stamme fra transportsektoren.
Fordelingen af de samlede udledninger i 2030 på sektorer er vist i figur 2.3
14
. Som det
fremgår, vil udledningerne i 2030 være koncentreret på relativt få sektorer. Knap 90
pct. af de samlede netto-udledninger på 29,0 mio. ton CO
2
e efter indregning af
partielle korrektioner forventes således at stamme fra enten landbrug, skove, gartneri
og fiskeri eller transportsektoren. CCS spiller også en væsentlig rolle for
udledningerne, idet CCS forventes at ville udgøre -10 pct. af de samlede
nettoudledninger i 2030. Hvis der i stedet tages udgangspunkt i brutto-udledningerne
(dvs. udledningerne før indregning af CCS), så udgør udledningerne for landbrug,
skove, gartneri og fiskeri samt transportsektoren ca. 80 pct. af bruttoudledningerne i
2030.
Figur 2.4: Sektorernes andel af de samlede netto-udledninger i 2030
Husholdninger;
1 pct.
Transport;
36 pct.
Landbrug, skove,
gartneri og fiskeri;
53 pct.
CCS;
-11 pct.
Serviceerhverv;
1 pct.
Fremstillingserhverv
og bygge-anlæg;
7 pct.
Affald (inkl. affaldsforbrænding
samt korrektion ift. biocovers);
6 pct.
El og fjernvarme;
0.5 pct.
Produktion af olie, gas og VE-
brændstoffer (inkl. korrektion ift.
metantabsregulering); 6 pct.
Note: I KF22 håndteres CCS teknisk som ikke-sektorfordelt, negativ udledning (jf. afsnit 2.4).
14
Bemærk at sektoropdelingen i KF23 er ændret lidt ift. KF22, idet metanlækage fra biogasanlæg i KF23
er placeret under sektoren Produktion af olie, gas og VE-brændstoffer (hvor biogaslækage i KF22 var
placeret under affaldssektoren).
KEF, Alm.del - 2022-23 (2. samling) - Bilag 291: Klimastatus og –fremskrivning 2023 og Danmarks globale klimapåvirkning – Global afrapportering 2023
2709817_0018.png
17
2.4
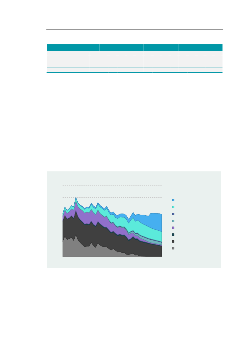
Fremskrivningen af de enkelte sektorers udledninger 2019-2035
Der er ikke kun forskel på, hvor stor en andel sektorerne udgør af de samlede
udledninger, der er også væsentlig forskel på, hvordan udledningerne i de enkelte
sektorer forventes at udvikle sig i fremskrivningsperioden, jf. figur 2.5, der viser
udviklingen i sektorernes udledninger relativt til 2021, der er seneste statistikår. I de
efterfølgende underafsnit beskrives udviklingen i udledningerne fra de forskellige
sektorer kort.
Figur 2.5: Udviklingen i sektorernes udledninger 2021-2035 (2021 = indeks 100)
Indeks (2021 = 100)
Indeks for sektorernes udledninger
Landbrug, skove, gartneri og
fiskeri
Produktion af olie, gas og VE-
brændstoffer (inkl. korrektion
ift. metantabsregulering)
Affald (inkl. affaldsforbrænding
samt korrekton ift. biocovers)
Transport
140
120
100
80
60
40
20
0
Fremstillingserhverv og bygge-
anlæg
Serviceerhverv
Husholdninger
El og fjernvarme
Note: CCS er ikke afbilledet i figuren, da CCS ikke var etableret i 2021.
Landbrug
Udledningerne fra landbrug, skove, gartneri og fiskeri udgjorde 15,9 mio. ton CO
2
e i
2021. Udledningerne forventes at stige til 17,4 mio. ton CO
2
e i 2025, for herefter at
aftage til 15,3 og 14,9 mio. ton CO
2
e i hhv. 2030 og 2035, svarende til et fald på 3 pct. i
2030 og 6 pct. i 2035 ift. 2021. Udviklingen i de samlede udledninger fra sektoren
dækker over forskellige udviklingstendenser i de forskellige delsektorer.
Således falder udledningerne fra landbrugsprocesser, som primært omfatter husdyr
og gødskning, fra 12,1 mio. ton CO
2
e i 2019 til 10,4 mio. ton i 2030, bl.a. som følge af
et faldende antal husdyr i fremskrivningsperioden (mest udtalt for køer) samt tiltag fra
landbrugsaftalen fra 2021 så som reduktionskrav for husdyrenes fordøjelse, hyppigere
udslusning af gylle, ekstensivering mv. LULUCF-udledninger fra landbrugsarealer
falder fra 5,1 mio. ton CO2e i 2021 til 4,7 mio. ton i 2025 og 3,7 mio. ton i 2030, hvilket
hovedsageligt skyldes udtag og vådlægning af kulstofrig jord. Skov går fra at levere et
netto-optag i 2021 på 2,9 mio. ton CO
2
til at have en netto-udledning på 0,3 mio. ton i
2025. Efter 2030 forventes skov igen at bidrage med et lille optag.
I Aftale om grøn omstilling af dansk landbrug fra oktober 2021, blev der fastsat et
bindende reduktionsmål for land- og skovbrugssektorens drivhusgasudledninger på
KEF, Alm.del - 2022-23 (2. samling) - Bilag 291: Klimastatus og –fremskrivning 2023 og Danmarks globale klimapåvirkning – Global afrapportering 2023
2709817_0019.png
18
55-65 pct. i 2030 ift. udledningen i 1990. Ift. denne målsætning viser KF23 en
reduktion i udledningerne på 31 pct. Dermed skønnes der i 2030 at restere en manko
på ca. 24-34 pct.-point ift. aftalens 2030-målsætning for sektorens udledninger,
svarende til 5,1-7,2 mio. ton CO
2
e.
Sammenlignet med KF22 ligger KF23 udledningerne fra landbrug, skove, gartneri og
fiskeri højere i hele fremskrivningsperioden, hvilket ikke mindst skal ses i lyset af
genberegningen af landbrugets procesudledninger. Differencen ift. KF22 er størst i
perioden frem til 2026, hvorefter bl.a. det faldende antal køer i højere grad slår
igennem.
Transport
Udledningerne fra transportsektoren udgjorde 12,6 mio. ton CO
2
e i 2021.
Transportudledningerne forventes at falde til 12,2 mio. ton CO
2
e i 2025 og 10,5 mio.
ton i 2030, og faldet fortsætter frem mod 2035, hvor transportudledningerne forventes
at være reduceret til 8,2 mio. ton CO
2
e svarende til et fald på 35 pct. ift. 2021. Faldet i
transportudledningerne kommer på trods af et stigende trafikarbejde og skyldes en
kombination af omstilling fra konventionelle til eldrevne køretøjer, iblanding af VE-
brændstoffer samt forbedret energieffektivitet i konventionelle køretøjer.
Bestanden af personbiler er lavere i KF23 end i KF22, men da trafikarbejdet er
nogenlunde uændret påvirkes udledningerne fra personbiler kun lidt. Ift. nysalget
indebærer stramningen af EU’s forordning om CO
2
-reduktionskrav til nye lette
køretøjer i praksis, at salg af nye person- og varebiler med forbrændingsmotorer
(herunder plug-in hybridbiler) udelukkes i EU fra 2035. For tung transport indebærer
introduktionen fra 2025 af en kilometerbaseret vejafgift for lastbiler i Danmark, som
differentieres efter lastbilernes CO
2
-udledning, at der lægges en dæmper på
udviklingen i lastbilernes samlede trafikarbejde og samtidig øges tilskyndelsen til
investering i batterilastbiler. Udledningerne fra lastbiler falder derfor fra 2025 og frem.
Uden for vejtransporten ses bl.a. også øget elektrificering af jernbanen i
fremskrivningsperioden, hvilket medfører at udledninger fra jernbanetrafikken falder
fra 0,2 mio. ton CO
2
e i 2021 til nul fra 2031 og frem.
Sammenlignet med KF22 ligger KF23 transportudledningerne lidt lavere i hele
fremskrivningsperioden, ikke mindst pga. de lavere udledninger fra lastbiler.
Produktion af olie, gas og VE-brændstoffer
Udledningerne fra produktion af olie, gas og VE-brændstoffer omfatter både
udledningerne forbundet med indvindingen i Nordsøen, udledningerne fra
raffinaderierne, og – som noget nyt – udledningerne forbundet med metanlækage fra
biogasanlæg (der i KF22 blev afrapporteret under affaldssektoren).
Udledningerne fra produktion af olie, gas og VE-brændstoffer udgjorde i 2021 2,5 mio.
ton CO
2
e. I fremskrivningsperioden skønnes udledningerne fra sektoren at toppe i
KEF, Alm.del - 2022-23 (2. samling) - Bilag 291: Klimastatus og –fremskrivning 2023 og Danmarks globale klimapåvirkning – Global afrapportering 2023
2709817_0020.png
19
2024 med 2,8 mio. ton CO
2
e, hvorefter de igen falder til 2,5 mio. ton CO
2
e i 2025, 2,4
mio. ton CO
2
e i 2030 og 2,3 mio. ton CO
2
e i 2035. De højere udledninger omkring 2024
hænger sammen med idriftsættelsen af Tyrakomplekset mv. For raffinaderierne er det
forudsat, at udledningerne falder som følge af indførslen af en CO
2
-afgift med Grøn
skattereform.
Udledningerne forbundet med lækage fra biogasanlæg er grundlæggende
proportionale med udviklingen i biogasproduktionen. Ifm. Klimaaftale om grøn strøm
og varme er der vedtaget en regulering af metantabet fra biogasanlæg, der som nævnt
ikke indregnes i KF23 CRF-opgørelsen, men fratrækkes partielt i mankoopgørelser mv.
Det er her antaget, at reguleringen får effekt fra 2024, og ved korrektion for den
skønnede effekt af metantabsreguleringen fås derfor et markant fald fra 2023 til 2024
i udledningerne forbundet med metanlækage fra biogasanlæg. KF23 korrektionen ift.
effekten af metantabsreguleringen er opgjort ud fra en beregningsteknisk antagelse
om, at alle biogasanlæg sænker metantabet til 1 pct. fra 2024. Det skal bemærkes, at
reguleringen alene kræver, at opgraderingsanlæg skal nedbringe metantabet til 1 pct.
fra 2024, mens biogasanlæg pålægges at nedbringe metantabet mest muligt. Der er
således usikkerhed forbundet med den forventede effekt af metantabsreguleringen,
bl.a. fordi biogasanlæggene skal identificere og planlægge udbedring af eventuelle
kilder til metantab. Der gennemføres et måleprojekt i 2025, med henblik på at
dokumentere effekten af metantabsreguleringen.
Sammenlignet med KF22 ligger KF23 udledningerne fra produktion og olie, gas, og VE-
brændstoffer relativt set væsentlig lavere, hvilket både skyldes nedjustering af
indvindingsprognosen, samt effekten af grøn skattereform på raffinaderiernes
energiforbrug og udledninger. Indregning af den forventede effekt af
metantabsreguleringen sænker KF23 udledningerne yderligere ift. KF22.
Fremstillingserhverv og bygge-anlæg
Udledningerne fra fremstillingserhverv og bygge-anlæg skønnes at falde fra 5,3 mio.
ton CO
2
e i 2021 til 4,0 mio. ton i 2025, 2,1 mio. ton i 2030 og 2,0 mio. ton CO
2
e i 2035.
Reduktionen skyldes bl.a. Grøn skattereform, som eksempelvis indfører en generel
CO
2
-afgift for både kvoteomfattede og ikke-kvoteomfattede virksomheder, der
indfases fra 2025 og frem til 2030. Reformen medfører et øget incitament til
konverteringer væk fra fossile brændsler samt energieffektiviseringer og forventes
også at give anledning til større strukturelle ændringer inden for
fremstillingserhvervene, særligt ses en større nedgang i indenlandsk produktion af
cement. Derudover bidrager den stigende VE-andel i ledningsgassen også til
reduktionen i sektorens udledninger.
Sammenlignet med KF22 udledningerne ligger KF23 udledningerne for
fremstillingserhverv og bygge-anlæg markant lavere fra 2025 og frem. Dette afspejler
i særlig grad CO
2
-afgiftens forudsatte struktureffekt i cementproduktion, samt
KEF, Alm.del - 2022-23 (2. samling) - Bilag 291: Klimastatus og –fremskrivning 2023 og Danmarks globale klimapåvirkning – Global afrapportering 2023
2709817_0021.png
20
afgiftens effekt på konverteringer til vedvarende alternativer som el-varmepumper og
biomasse.
Husholdninger og serviceerhverv
Husholdningernes udledninger skønnes at falde fra 1,7 mio. ton CO
2
e i 2021 til 0,9
mio. ton i 2025, 0,4 mio. ton i 2030 og 0,3 mio. ton i 2035. Langt størstedelen af
husholdningernes udledninger stammer fra individuel opvarmning, og faldet i
udledningerne skyldes en kombination af konverteringer fra olie- og gasfyr til kollektiv
fjernvarme eller individuelle varmepumper, den kraftigt stigende VE-andel i
ledningsgassen for dem der fortsat har gasfyr, samt energieffektiviseringer, der gør at
det samme behov kan dækkes med et mindre energiforbrug. Sammenlignet med KF22
ligger KF23 udledningerne fra husholdningerne lavere i hele fremskrivningsperioden.
Det skal bemærkes, at kommunernes igangværende varmeplanlægning ikke er
afspejlet i KF23.
Udledningerne fra servicesektoren skønnes at falde fra 0,8 mio. ton CO
2
e i 2021 til 0,4
mio. ton CO
2
e i 2025, 0,2 mio. ton CO
2
e i 2030 og 0,1 mio. ton CO
2
e i 2035. I starten af
fremskrivningsperioden stammer hovedparten af servicesektorens udledninger fra
individuel opvarmning, men i takt med at de energirelaterede udledninger falder
kommer udledninger af F-gasser fra kølemidler anvendt i køle- og fryseanlæg og
varmepumper til at udgøre en stadigt større andel af sektorens udledninger. Faldet i
energi-relaterede udledninger kan dels tilskrives udfasning af ledningsgas gennem
konvertering til varmepumper til rumvarme, dels den stigende VE-andel i
ledningsgassen, der sænker udledningen fra det resterende ledningsgasforbrug.
Sammenlignet med KF22 ligger KF23 udledningerne fra servicesektoren lavere fra
2023 og frem.
El og fjernvarmesektoren
Udledningerne fra el- og fjernvarmesektoren skønnes at falde fra 5,0 mio. ton CO
2
e i
2021 og 5,8 mio. ton CO
2
e i 2022 til 1,2 mio. ton CO
2
e i 2025. I 2030 og 2035 forventes
sektoren at udlede blot 0,1 mio. ton CO
2
. Baggrunden for de kraftigt faldende
udledninger er primært udfasning af de sidste kulfyrede kraftvarmeværker, fortsat
udbygning med vindkraft og solceller, kraftig udbygning med varmepumper til
produktion af fjernvarme og reduktion i kraftvarmeproduktion baseret på ledningsgas.
Energiø Bornholm indgår nu i KF23 grundforløbet (jf. Tillægsaftale om Energiø
Bornholm 2022). Energiø Nordsøen samt de 4 GW havvind fra Klimaaftale om grøn
strøm og varme indgår som nævnt ikke i KF23 grundforløbet, men de system- og
klimamæssige konsekvenser af den yderligere mængde havvind for den danske el- og
fjernvarmesektor belyses i en følsomhedsberegning.
Sammenlignet med KF22 ligger KF23 udledningerne fra el og fjernvarmesektoren
væsentlig højere i 2022 og 2024, mens de ligger en smule lavere i perioden frem mod
2032 (særligt i årene 2026 og 2027). Dette skal bl.a. ses i lyset af, at
KEF, Alm.del - 2022-23 (2. samling) - Bilag 291: Klimastatus og –fremskrivning 2023 og Danmarks globale klimapåvirkning – Global afrapportering 2023
2709817_0022.png
21
brændselssammensætningen i den termiske elproduktion er meget følsom over for
ændringer i de relative brændselspriser og elprisen.
Affaldssektoren (inkl. affaldsforbrænding)
Udledningerne fra affaldssektoren udgjorde 2,4 mio. ton CO
2
e i 2021 og skønnes at
ligge på 2,5 mio. ton frem til 2024, hvorefter de skønnes at falde til 2,2 mio. ton i 2025,
1,7 mio. ton i 2030 og 1,2 mio. ton i 2035. Affaldssektoren omfatter både udledninger
fra affaldsforbrænding, deponi, kompostering og spildevand (mens udledninger
forbundet med metanlækage fra biogasanlæg som nævnt indgår i sektoren produktion
af olie, gas og VE-brændstoffer i KF23).
Udledninger fra affaldsforbrænding udgjorde 1,6 mio. ton CO2e i 2021 og stiger til 1,8
mio. ton i 2022. I KF23 falder udledningerne herefter til 1,5 mio. ton i 2025, 1,0 mio.
ton i 2030 og 0,5 mio. ton i 2035. KF23 forløbet følger effektvurderingen for
konkurrenceudsættelse af affaldsforbrændingssektoren (jf.
Lovforslag om ny
organisering af affaldsforbrændingssektoren)
og indebærer en lavere tilgængelig
forbrændingskapacitet over perioden 2025-2035 ift. KF22 (efter justering for
udnyttelsesgrad). Styrket tilsyn med genanvendeligt erhvervsaffald (jf.
Opfølgende
aftale om Klimaplan for en grøn affaldssektor og cirkulær økonomi)
skønnes endvidere
at reducere de danske affaldsmængder ift. KF22 samt øge den fossile vægtandel i de
tilbageværende danske affaldsmængder. Sammenlignet med KF22 skønnes
udledningerne fra affaldsforbrænding i KF23 at være lavere i årene 2025-2026, og
højere i årene 2027-2033.
Sammenlignet med KF22 ligger KF23 udledningerne fra deponi lavere, da DCE har
nedjusteret estimaterne for mængden af deponeret organisk affald. Endvidere tager
KF23 højde for den forventede effekt af biocovers, der som nævnt fratrækkes partielt i
mankoopgørelser mv.
CCS (carbon capture and storage)
CCS er formelt set en kilde til reducerede udledninger fra fossile punktkilder eller en
kilde til negative udledninger, hvis teknologien anvendes til at indfange biogene
udledninger eller CO
2
fra atmosfæren. CCS indgår igen i år som en ikke-sektorfordelt
kilde til reduktion af udledningerne. I KF23 håndteres CCS derfor fortsat som en
separat, ikke-sektorfordelt kilde til negative emissioner. At CCS ikke er sektorfordelt
betyder samtidig, at CCS ikke indgår som en integreret del af systemberegningerne til
KF23, hvorfor afledte effekter, fx ift. energiforbrug mv., ikke vil være afspejlet i
fremskrivningens resultater.
CCS forventes at blive etableret som følge af Markedsbaseret tilskudspulje til CCUS
(fra Klimaaftale for energi og industri, 2020), teknologineutralt udbud af negative
emissioner (også kaldet NECSS-puljen fra Finansloven for 2022), samt den nye CCS
pulje fra Grøn skattereform. Den forventede årlige CO
2
-reduktionseffekt fra CCS er vist
i tabel 2.3 nedenfor.
KEF, Alm.del - 2022-23 (2. samling) - Bilag 291: Klimastatus og –fremskrivning 2023 og Danmarks globale klimapåvirkning – Global afrapportering 2023
2709817_0023.png
22
Tabel 2.3: Den indregnede årlige CO
2
-reduktionseffekt fra CCS
CO
2
(mio. ton)
CCUS-pulje
NECSS-pulje
Pulje fra Grøn skattereform
2022
2023
2024
2025
2026
2027
2028
2029
2030
2031
2032
2033
2034
2035
0
0
0
0
0
0
0
0
0
0
0
0
0,4
0,5
0
0,9
0,4
0,5
0,2
1,1
0,4
0,5
0,5
1,4
0,4
0,5
0,5
1,4
0,9
0,5
1,8
3,2
0,9
0,5
1,8
3,2
0,9
0,5
1,8
3,2
0,9
0,5
1,8
3,2
0,9
0
1,8
2,7
0,9
0
1,8
2,7
0,9
0
1,8
2,7
Reduktionseffekt i alt
Kilde: KF23 forudsætningsnotat om CCS (2023)
I første fase af CCUS-puljen stilles der i udbudsbetingelserne krav om fangst på
minimum 0,4 mio. ton CO₂ fra og med 2026, men det vægtes positivt, såfremt der
opnås reduktioner tidligere. I KF23 regnes der fortsat med fangst på 0,4 mio. ton CO
2
fra CCUS-puljen i 2025 indtil afgørelsen af udbuddet foreligger (denne forventes til
maj).
2.5
Samlet energiforbrug og VE-andele
Udviklingen i de energirelaterede udledninger afhænger både af det samlede
energiforbrug og andelen af vedvarende energi i energiforbruget. Figur 2.6 viser
sammensætningen af og udviklingen i det faktiske danske energiforbrug fra 1990 til i
dag og videre frem mod 2035.
Figur 2.6: Det samlede faktiske energiforbrug fordelt på energiformer (PJ)
PJ
Samlet faktisk energiforbrug
1200
1000
800
Vind og sol
Biomasse og øvrig VE
Biobrændstoffer
600
400
200
0
1990 1995 2000 2005 2010 2015 2020 2025 2030 2035
Biogas
Naturgas
Affald, ikke bionedbrydeligt
Olie
Kul & Koks
Note: Samlede faktiske energiforbrug omfatter også olie-gas indvinding i Nordsøen.
Vedvarende energi omfatter en lang række forskellige energikilder fra vind og sol, over
fast biomasse, til flydende biobrændstoffer og biogas mv. Nogle vedvarende
energikilder kan indgå direkte i sektorernes endelige energiforbrug (fx brug af træpiller
til rumvarme og procesvarme), mens andre vedvarende energikilder indgår i
produktionen af energivarer som elektricitet, fjernvarme, ledningsgas, og
transportbrændstoffer. I overensstemmelse med FN opgørelsesreglerne opgøres
forbrænding af biomasse som en nuludledning i den forbrugende sektor, da
KEF, Alm.del - 2022-23 (2. samling) - Bilag 291: Klimastatus og –fremskrivning 2023 og Danmarks globale klimapåvirkning – Global afrapportering 2023
2709817_0024.png
23
udledningen allerede er opgjort ifm. høsten af biomassen, men de biogene
energirelaterede CO2-udledninger indberettes som et såkaldt memo-item (jf. kapitel 3
i KF23 sektorforudsætningsnotater om Principper og politikker). De biogene CO2-
udledninger fra det samlede danske forbrug af biomasse til energirelaterede formål er
vist i appendiks 6.
15
VE-andele i ledningsgas, transportbrændstoffer og elforsyning
Mens udledningerne forbundet med el og fjernvarmeproduktion tilskrives el- og
fjernvarmesektoren (samt affaldssektoren fsva. udledningerne fra
affaldsforbrænding), så tilskrives udledninger forbundet med forbrug af ledningsgas
og transportbrændstoffer de respektive forbrugende sektorer. Udledningerne fra disse
sektorer afhænger derfor af VE-andelen i ledningsgas og transportbrændstoffer.
Tabel 2.4: VE-andel i forbrug af el, ledningsgas og transportbrændstoffer samt samlet VE-
andel
2021
VE-andel i elforbruget (RES-E)
VE-andel i ledningsgas
VE-andel i transportbrændstoffer
Samlet VE-andel (RES) (før salg)
63%
22%
5%
36%
2025
85%
50%
6%
53%
2030
117%
108%
9%
71%
2035
118%
127%
9%
79%
Note: Samlet RES er her opgjort før statistisk overførsel mellem Danmark og andre EU-medlemsstater.
For uddybning af Danmarks aftaler om statistisk overførsel af vedvarende energi til andre medlemsstater,
se KF23 sektornotat 11B.
Som det fremgår af tabel 2.4, er VE-andelen i ledningsgas stærkt stigende i
fremskrivningsperioden, fra 22 pct. i 2021 til 50 pct. i 2025 og fra 2030 overstiger
produktionen af opgraderet biogas forbruget af ledningsgas i KF23, hvorefter der ikke
længere opgørelsesmæssigt er (fossile) udledninger forbundet med forbrug af
ledningsgas. Dette er en væsentlig stigning ift. KF22, hvor VE-andelen i
ledningsgassen lå på hhv. 38 pct. i 2025, 75 pct. i 2030 og 92 pct. i 2035. Ændringen
skyldes i høj grad et markant fald i det samlede ledningsgasforbrug, som
fremskrivningen viser fra 2024 ligger mellem 20-30 pct. under ledningsgasforbruget i
KF22. Det skal her bemærkes, at fremskrivningen af ledningsgasforbruget er relativt
følsomt over for den antagende udvikling i både priser og aktivitetsniveauer i
15
De tilsvarende biogene energirelaterede CO
2
-udledninger fra de enkelte sektorer fremgår af bilagene til
de respektive sektornotater.
KEF, Alm.del - 2022-23 (2. samling) - Bilag 291: Klimastatus og –fremskrivning 2023 og Danmarks globale klimapåvirkning – Global afrapportering 2023
2709817_0025.png
24
industrien. Bemærk endvidere, at VE-andelen i ledningsgassen vil ændres for samtlige
gasforbrugere såfremt forbruget af ledningsgas ændres
16
.
VE-andelene i transportbrændstoffer stiger fra 5 pct. i 2021 til 6 pct. i 2025 og 9 pct. i
2030
17
. VE-andelen i transportbrændstoffer afhænger primært af det nationale CO
2
-
fortrængningskrav for transportbrændstoffer og er derfor meget lidt afhængigt af,
hvor stort det totale forbrug af transportbrændstoffer er (se også KF23 sektornotat
4B).
VE-andelen i elforsyningen (RES-E) er også stigende fra 63 pct. i 2020 til 117 pct. i
2030. RES-E er en målestok for overskud/underskud af VE-baseret elproduktion i det
danske elsystem ift. det danske elforbrug og kan derfor overstige 100 pct. Det er i
denne forbindelse værd at bemærke, at opfyldelse af målsætningen i PtX strategien
samt etablering af bl.a. energiø Nordsøen, der som nævnt ikke indgår i KF23
grundforløbet, vil øge hhv. elforbruget og elforsyningen markant ift. niveauerne i KF23.
VE-andelen i det samlede energiforbrug, der beregnes som faktisk endeligt VE-forbrug
i forhold til det udvidede endelige energiforbrug, stiger i KF23 fra 36 pct. i 2021 til 53
pct. i 2025, 71 pct. i 2030 og 79 pct. i 2035.
2.6
Status ift. Danmarks EU reduktionsforpligtigelser
Udover de nationale udledningsreduktionsmål i klimaloven er Danmark også underlagt
udledningsreduktionsmål i EU i form af byrdefordelingsforpligtigelsen og LULUCF-
forpligtigelsen
18
. Begge disse målsætninger er siden KF22 blevet strammet ifm. med
EU’s
Fit for 55-lovpakke.
Byrdefordelingsforpligtigelsen
Byrdefordelingsforpligtigelsen omfatter de af Danmarks udledninger der ikke er
omfattet af ETS1 og LULUCF. Det drejer sig om udledninger fra landbrugsprocesser,
16
Dette skyldes, at VE-delen af ledningsgas består af opgraderet biogas, og den producerede mængde
biogas er uafhængig af efterspørgslen, idet den i høj grad antages at være bestemt af støtteordningerne
(jf. kapitel 3 i KF23 sektorforudsætningsnotatet om Produktion af olie, gas og VE-brændstoffer, samt
KF23 sektornotat 7B og 7C). En reduktion i forbruget af ledningsgas vil derfor resultere i en tilsvarende
reduktion i forbruget af fossil naturgas. Reduktion i en sektors forbrug af ledningsgas vil derfor også
sænke udledningerne fra ledningsgasforbruget i andre sektorer, fordi VE-andelen i ledningsgassen
samtidig stiger.
17
Det skal her bemærkes at den her beregnede VE-andel i transportbrændstoffer adskiller sig fra RES-T,
der anvendes i EU opgørelserne. I RES-T indgår bl.a. de forskellige typer biobrændstoffer med forskellige
vægte afhængigt af deres oprindelse og anvendte biomassetype, ligesom bl.a. også elforbruget fra
elektrisk vejtransport og elektrisk jernbanetransport indgår, igen med forskellige vægte.
18
For en uddybende gennemgang af disse EU-forpligtigelser samt mulighederne for at indfri
reduktionsmankoerne henvises til kap. 11 samt KF23 sektornotat 11A.
KEF, Alm.del - 2022-23 (2. samling) - Bilag 291: Klimastatus og –fremskrivning 2023 og Danmarks globale klimapåvirkning – Global afrapportering 2023
2709817_0026.png
25
transport, ikke-energitunge erhverv, affald/spildevand, små fjernvarme- og
kraftvarmeværker samt husholdninger. Mankoen ift. byrdefordelings-forpligtigelsen
opgøres som den akkumulerede afvigelse fra en given reduktionssti for perioden
2021-2030. Reduktionsstien afhænger ikke mindst af det fastsatte 2030-
reduktionsmål, og for Danmarks vedkommende er 2030-reduktionsmålet blevet
strammet fra -39 pct. til -50 pct. ift. 2005-udledningen. Givet udviklingen i
udledningerne i KF23 betyder dette, at den akkumulerede byrdefordelingsmanko for
perioden 2021-2030 nu skønnes at ligge på ca. 16 mio. ton CO
2
e efter indregning af de
forventede effekter af hhv. metantabsreguleringen og biocovers.
LULUCF-forpligtigelsen omfatter LULUCF-udledninger og -optag fra landbrugsarealer,
skov og høstede træprodukter, samt fra 2026 også LULUCF-udledninger og -optag fra
by- og vådområder. LULUCF-forpligtigelsen er opdelt i delperioderne 2021-2025, 2026-
2029 samt 2030. Reduktionsmål for årene 2026-30 er blevet strammet betydeligt, og
samtidig er LULUCF-opgørelsesreglerne også blevet strammet ved at fjerne
muligheden for at overføre LULUCF-kreditter fra årene 2021-25 til årene 2026-30.
Givet udviklingen i udledningerne i KF23 betyder dette, LULUCF-
reduktionsforpligtelsen for perioden 2021-25 forventes overopfyldt med ca. 13 mio.
ton CO
2
e, mens der forventes at være reduktionsmankoer for LULUCF-forpligtigelsen
på hhv. ca. 9 mio. ton CO
2
e for perioden 2026-2029 og ca. 2 mio. ton i 2030.
2.7
Usikkerhed
Som allerede nævnt i kapitel 1 er det vigtigt, at KF23 resultaterne læses med en
bevidsthed om den usikkerhed, der knytter sig til fremskrivningen. Der er både tale om
den generelle usikkerhed, der altid vil være knyttet til at fremskrive
drivhusgasudledningerne, og den specifikke usikkerhed, der knytter sig til udviklingen
i energipriserne og -markederne samt eventuelle langtidseffekter af covid-19
pandemien.
Generel usikkerhed
Den generelle usikkerhed i fremskrivningen er bl.a. relateret til vanskelighederne med
at fremskrive udviklingen i aktiviteten i samfundet generelt samt udviklingen i
aktiviteten i erhverv med væsentlige drivhusgasudledninger (fx cementproduktion og
landbrugsproduktion)
En anden generel kilde til usikkerhed i fremskrivningen er usikkerhed ift.
investeringsadfærden, herunder særligt den hastighed hvormed nye teknologier
indfases (jf. fx elbiler i transport, begyndende skift væk fra fossile brændsler i
fremstillingserhverv og omstilling fra naturgasfyr til andre opvarmningsformer i
husholdninger mv.). Der vil endvidere også være usikkerhed omkring størrelsen af
effekten af CCS puljerne, der får stadigt større betydning for nettoudledningerne jo
længere frem vi kommer i fremskrivningsperioden (jf. også KF23 forudsætningsnotat
om CCS).
KEF, Alm.del - 2022-23 (2. samling) - Bilag 291: Klimastatus og –fremskrivning 2023 og Danmarks globale klimapåvirkning – Global afrapportering 2023
2709817_0027.png
26
Dertil kommer den generelle usikkerhed ift. fremskrivningens forudsætningsgrundlag,
herunder den økonomiske vækst, udviklingen i priser på ressourceinput og
teknologiudviklingen.
Covid-19 og energiforsyningskrisen
Der er fortsat usikkerhed knyttet til de mulige varige konsekvenser af covid-19-
pandemien, herunder hvorvidt der på længere sigt vil komme uforudsete struktur- eller
adfærdsændringer. Det skal i denne forbindelse særligt bemærkes, at 2021 er seneste
statistik år i KF23, men at den bagvedliggende fremskrivning i mange tilfælde har
taget udgangspunkt i 2019, der vurderes at være et mere hensigtsmæssigt og
retvisende fremskrivningsgrundlag.
Udviklingen på energimarkederne og energiforsyningskrisen bidrager også til en øget
usikkerhed i fremskrivningen. Der er dels betydelig usikkerhed om de fremtidige
energipriser, der indgår i fremskrivningen, og usikkerheden på energimarkederne kan
derudover også få betydning for husholdninger og virksomheders præferencer ift. valg
af fx opvarmningsformer. Sådanne mulige skift i præferencer kan først aflæses efter
nogle år. Da energiforsyningskrisen ikke blot er et dansk fænomen men også påvirker
EU og resten af verden, kan internationale forsyningsmuligheder og -vanskelligheder
endvidere også vise sig at få betydning for omstillingsmulighederne på et givent
tidspunkt mv.
Følsomhedsberegninger.
I de efterfølgende sektorkapitler gives der eksempler på væsentlige
usikkerhedsmomenter og i en del tilfælde også følsomhedsberegninger for de
pågældende sektorer. I de bagvedliggende sektornotater er der en yderligere
uddybning af disse.
KEF, Alm.del - 2022-23 (2. samling) - Bilag 291: Klimastatus og –fremskrivning 2023 og Danmarks globale klimapåvirkning – Global afrapportering 2023
2709817_0028.png
27
3
Husholdninger
Husholdningssektoren består af alle borgere i Danmark. Der er ca. 5,9 mio.
mennesker, som bor i ca. 2,7 mio. boliger
19
. Alle boliger har behov for opvarmning, og
en del får dette behov dækket gennem kollektiv fjernvarmeforsyning, mens andre
benytter individuelle opvarmningsformer som fx varmepumper eller gasfyr
20
.
Derudover anvender alle husstande en række el-apparater til bl.a. belysning, vask og
rengøring, madlavning og madopbevaring samt til underholdning.
Husholdningssektorens drivhusgasudledninger er i KF23 begrænset til de udledninger,
der knytter sig til individuel opvarmning samt gas-terrassevarmere, benzindrevne
plæneklippere, m.v. og udledninger fra f-gasser. Husholdningssektorens udledninger
19
Kilde: Statistikbanken, Danmarks Statistik. Tabellerne FOLK1A: Folketal den 1. i kvartalet efter område,
køn, alder og civilstand og BOL101: Boliger efter område, beboertype, anvendelse og tid. Antal boliger
omfatter alene beboede boliger.
20
I dette notat anses individuelle opvarmningsformer som de former, hvor rumvarme og varmt brugsvand
genereres i den enkelte bolig. Gasfyr betragtes således også som en individuel opvarmningsform, selvom
ledningsgassen bliver fordelt til boligerne gennem fælles rør. Ud over varmepumper og gasfyr er følgende
også kategoriseret som individuel opvarmningsformer: Biomassefyr, oliefyr samt solvarme.
KEF, Alm.del - 2022-23 (2. samling) - Bilag 291: Klimastatus og –fremskrivning 2023 og Danmarks globale klimapåvirkning – Global afrapportering 2023
2709817_0029.png
28
fra disse kilder udgjorde 1,7 mio. ton CO
2
e i 2021, svarende til ca. 4 pct. af Danmarks
samlede udledninger.
Fremskrivningen viser, at sektorens udledninger er hhv. 0,9, 0,4 og 0,3 mio. ton CO
2
e i
2025, 2030 og 2035 svarende til hhv. 3 pct., 1 pct. og 1 pct. af Danmarks samlede
udledninger. Udviklingen i sektorens udledninger skyldes især, at opvarmningen af
husholdninger bliver mindre CO
2
-intensiv. De primære årsager til de færre udledninger
er:
Konverteringer væk fra især olie- og gasfyr til kollektiv fjernvarme og
individuelle varmepumper
21
Stigende VE-andel (bionaturgas) i ledningsgassen, hvilket reducerer
udledningen for de husstande, der har gasfyr
Energieffektiviseringer, som gør, at samme behov kan dækkes af mindre
forbrug
22
3.1
Husholdningssektorens udledninger
Husholdningssektorens udledninger stammer fra en delmængde af sektorens
energiforbrug, nemlig den del af energiforbruget, der omfatter:
Individuel opvarmning særligt olie- og gasfyr
23
Gas-terrassevarmere, benzindrevne plæneklippere og lignende (kategoriseret
som ”øvrige”)
Derudover er der udledninger knyttet til individuelle varmepumper, idet disse anvender
kølemidler, der kategoriseres som drivhusgasser (såkaldte
F-gasser).
Udledningerne
sker både ved påfyldning, i driftsfasen og ved afskaffelse.
Udledningerne fra den øvrige del af husholdningernes energiforbrug ”allokeres” til
andre sektorer. Konkret gælder det udledningerne knyttet til husholdningernes brug af
transport, der tæller med under transportsektoren (jf. kapitel 4) imens udledningerne
fra affaldsforbrænding indgår under affaldssektoren (jf. kapitel 9). På samme måde
21
Dette reducerer udledningerne i husholdningssektoren fordi eventuelle udledninger knyttet til
fjernvarme opgøres i kapitel 8 om el- og fjernvarme og indgår dermed ikke længere i dette kapitel.
22
Energieffektiviseringer er eksempelvis energiforbedringer af eksisterende boliger såsom isolering samt
strengere energikrav i bygningsstandarder for nybyggeri. Ligesom konverteringen til fjernvarme og
varmepumper i sig selv betyder, at husholdningernes varmebehov bliver opfyldt mere energieffektivt.
Dertil kommer teknologiske forbedringer.
23
Med individuelle opvarmningsformer menes ”olie-, gas- eller biomassefyr samt individuelle
varmepumper og solvarme. Udledningerne fra individuelle opvarmningsformer kommer primært fra olie-
og gasfyr, som udleder CO
2
imens biomassefyr udleder lattergas og metan og varmepumper udleder f-
gasser.
KEF, Alm.del - 2022-23 (2. samling) - Bilag 291: Klimastatus og –fremskrivning 2023 og Danmarks globale klimapåvirkning – Global afrapportering 2023
2709817_0030.png
29
opgøres udledningerne forbundet med el- og fjernvarmeproduktion under el- og
fjernvarmesektoren (jf. kapitel 8) og det er uagtet om elektriciteten anvendes til
elbiler, varmepumper eller belysning.
Med disse forudsætninger viser figur 3.1 husholdningernes samlede udledninger for
perioden 1990-2035. Som det fremgår af figuren viser KF23, at sektorens udledninger
falder med 80 pct. fra 2021 til 2030. Faldet fortsætter frem mod 2035, hvor
husholdningernes udledning er 0,3 mio. ton CO
2
e ifølge fremskrivningen.
Sammenlignes med KF22, er udledninger i KF23 reduceret yderligere i både 2025 og
2030. Fra 2021 til 2030 reduceres udledningerne med yderligere 8 procentpoint i
KF23. Den yderligere reduktion skyldes særligt en større nedgang i udledningerne fra
individuel opvarmning herunder særligt fra den højere VE-andel i ledningsgassen i
KF23. Reduktionen i udledningerne fra individuel opvarmning mere end opvejer
stigningen i både husholdningernes udledningerne af f-gasser samt fra kategorien
”øvrige”.
Figur 3.1 Udledninger fra husholdninger for 1990-2035 i mio. ton CO
2
e
mio. ton CO
2
e
Udledninger fra husholdninger
6
5
4
3
F-gasser
Øvrige
Individuel opvarmning
2
1
0
1990
1995
2000
2005
2010
2015
2020
2025
2030
2035
Note: Kategorien ”Øvrige” består af udledningerne fra gas-terrassevarmere, benzindrevne plæneklippere
og lignende.
I de efterfølgende afsnit forklares herefter baggrunden for udviklingen i sektorens
udledninger med særligt fokus på målårene 2025 og 2030 samt slutår 2035.
3.2
Rammebetingelser mv. for husholdningssektoren
Udledningerne fra individuel opvarmning udgør langt størstedelen af udledningerne i
husholdningssektoren (jf. figur 3.1) og i 2022 er der vedtaget en række politiske
aftaler, som kan påvirke varmeforsyningen, herunder bl.a.
Klimaaftale om grøn strøm
og varme 2022, Aftale om målrettet varmecheck
og
Aftale om vinterhjælp mv.
Fælles
KEF, Alm.del - 2022-23 (2. samling) - Bilag 291: Klimastatus og –fremskrivning 2023 og Danmarks globale klimapåvirkning – Global afrapportering 2023
2709817_0031.png
30
for aftalerne er, at de skal fremme fjernvarme og andre grønne
opvarmningsmuligheder. En uddybning af, hvordan aftalerne indgår i beregningen af
de fremtidige udledninger, fremgår af sektorforudsætningsnotatet
Husholdninger og
erhvervs energiforbrug og procesudledninger, kapitel 2 Husholdningers opvarmning.
Krigen i Ukraine og behovet for at udfase russisk gas har medført høje energipriser og
øget politisk fokus på energiforbrug – også i husholdningssektoren.
3.3
Aktivitetsniveau, effektiviseringer og teknologiskift i
husholdningssektoren
Selv om husholdningerne kun tegner sig for 4 pct. af de samlede udledninger i 2021,
står sektoren for 27 pct. af det samlede endelige energiforbrug
24
.
Der er i husholdningerne set en stigning i både konverteringer over imod mindre CO
2
e-
udledende opvarmningsformer og energieffektiviseringer.
Konverteringer fra olie- og gasfyr til varmepumper og fjernvarme
Fremskrivningen viser, at udviklingen går mod mere fjernvarme og varmepumper på
bekostning af olie- og gasfyr, som det kan ses i figur 3.2.
I 2022 er det knap halvdelen af alle bygninger anvendt til beboelse, som har
fjernvarme som primær opvarmningsform
25
. I 2030 vil det være 58 pct., der primært
anvender fjernvarme, og stigningen fortsætter frem mod 2035 ifølge fremskrivningen.
For de individuelle opvarmningsformer viser fremskrivningen en stigning i
varmepumper, mens færre bygninger anvendt til beboelse, opvarmes med oliefyr,
gasfyr, biomassefyr mv. (træpiller, brænde og halm) eller elpaneler.
Varmepumper var den primære opvarmningsform i 11 pct. af bygningerne anvendt til
beboelse i 2022 og fremskrivningen viser, at andelen stiger til 18 pct. i 2030 og 23 pct.
i 2035.
Gas og olie var den primære opvarmningsform i hhv. 21 pct. og 4 pct. af bygningerne
anvendt til beboelse i 2022 og fremskrivningen viser, at andelen falder til hhv. 6 pct.
24
Dette skyldes ikke alene en stor andel af grøn energi, men også at udledningerne ”allokeres” til
produktionsstedet imens energiforbrug ”allokeres” til forbrugsstedet. Det vil eksempelvis sige, at
udledningerne fra el og fjernvarme ”allokeres” til el- og fjernvarmesektoren, men når el og fjernvarme
forbruges af husholdninger indgår energiforbruget i husholdningssektorens forbrug.
25
2022 er det seneste historiske år i dette data som er baseret på Danmarks Statistik, BBR-registeret
samt Energistyrelsens beregninger.
KEF, Alm.del - 2022-23 (2. samling) - Bilag 291: Klimastatus og –fremskrivning 2023 og Danmarks globale klimapåvirkning – Global afrapportering 2023
2709817_0032.png
31
for gas og 1 pct. for olie i 2035. Det betyder, at der i 2030 vil være omkring 210.000
bygninger, anvendt til beboelse, som primært opvarmes med gas og omkring 23.000
som primært opvarmes med olie ifølge fremskrivningen. Imens der i 2035 vil være
knap 17.000 bygninger, der anvendes til beboelse, som opvarmes med olie og godt
110.000, der opvarmes med gas jævnfør KF23.
Udviklingen kan påvirkes af kommende tiltag blandt andet som følge af 1) den
igangværende kommunale varmeplanlægning og 2) virkemidler til at understøtte
ambitionen om, at der fra 2035 ikke længere skal være boliger i Danmark, der
opvarmes af gasfyr jf.
Klimaaftale om grøn strøm og varme fra 2022.
Figur 3.2: Bygningers primære opvarmningsformer for 2011-2035 i 1.000 stk.
1000 stk.
Bygningers primære opvarmningsformer
2000
1800
1600
1400
1200
1000
Ukendt
Elpaneler
Fjernvarme
Varmepumpe
Biomassefyr mv.
Gasfyr
Oliefyr
800
600
400
200
0
Kilde: Danmarks Statistik, statistikbanken og egne beregninger.
Note: Antal styk for fx året 2022 afspejler bygningers primære opvarmningsform ultimo 2021 osv. Der er
nogen usikkerhed knyttet til antallet installationer i BBR, som Danmarks Statistiks opgørelser bygger på.
Andre datakilder viser færre oliefyr og flere varmepumper end data fra BBR peger på. Derfor er antallet af
oliefyr korrigeret nedad i forhold til data i BBR og antallet af varmepumpeinstallationer er korrige ret op ad
ift. Danmarks Statistik. Denne korrektion medfører, at der en gruppe af bygninger, hvis opvarmningsform
ikke kendes benævnt ”Ukendt” i figur 5.
26
26
Der er foretaget ændringer i forhold til opgørelsen i KF22 både metode- og datamæssigt.
Metodemæssigt blev bygningerne med ukendt opvarmningsform henregnet til fjernvarme i KF22 imens
det til KF23 er valgt at lave en særskilt kategori kaldt ”Ukendt”. Datamæssigt vurderes antallet af oliefyr til
KF23 noget højere end i KF22. Det skyldes opdaterede tal for, hvor mange adresser, der er leveret olie til.
Vurderingen af antallet af varmepumper er også justeret lidt op ad ift. Danmarks Statistik. På den
baggrund kan data for KF22 og KF23 ikke sammenlignes direkte.
2011
2012
2013
2014
2015
2016
2017
2018
2019
2020
2021
2022
2023
2024
2025
2026
2027
2028
2029
2030
2031
2032
2033
2034
2035
KEF, Alm.del - 2022-23 (2. samling) - Bilag 291: Klimastatus og –fremskrivning 2023 og Danmarks globale klimapåvirkning – Global afrapportering 2023
2709817_0033.png
32
Energieffektivisering reducerer energiforbruget til opvarmning
Fremskrivningen viser, at i 2030 vil godt 80 pct. af reduktionen i udledningerne fra
husholdningernes individuelle opvarmning komme fra et skift til andre
opvarmningsformer samt en stigende VE-andel i ledningsgassen. De resterende knap
20 pct. kommer fra energieffektiviseringer af varmeforbruget.
Energieffektiviseringer kan bl.a. reducere varmetabet, og dermed behovet for ”input”
af varme. Varmetabet er reduceret fra 20 pct. i 1990 til 12 pct. i 2021. Konkret betyder
det, at i 1990 blev en femtedel af den energi, som blev brugt til at producere rumvarme
og varmt brugsvand til husholdninger, ikke nyttiggjort til opvarmning af bygningerne. I
2030 er varmetabet reduceret til 7 pct. ifølge fremskrivningen.
3.4
Usikkerhed
Husholdningerne består af mange forskellige aktører med forskellige præferencer. Fx
vil den enkelte husholdnings vægtning af fx pris på hhv. installation, energiforbrug og
vedligeholdelse samt geografisk placering (i et fjernvarmeområde eller ej) påvirke,
hvilken opvarmningsform husholdningen vælger.
Desuden kan præferencerne ændre sig over tid på måder, som kan være svære at
forudse. Den samlede udvikling er summen af mange individuelle valg er derfor
vanskelig at fremskrive.
Ydermere pågår arbejdet med kommunale varmeplaner, et arbejde som kan påvirke
det antal husholdninger, som har mulighed for at skifte til fjernvarme. Disse
varmeplaner vil der blive kigget nærmere på frem mod KF24.
Derudover er der datausikkerhed tilknyttet bl.a. BBR-data vedr. opvarmningsform samt
usikkerhed om fremskrivning af parametre, som er vigtige for det fremtidige
energiforbrug, som fx antallet af husholdninger, antal opvarmede kvadratmeter osv.
KEF, Alm.del - 2022-23 (2. samling) - Bilag 291: Klimastatus og –fremskrivning 2023 og Danmarks globale klimapåvirkning – Global afrapportering 2023
2709817_0034.png
33
4
Transportsektoren
Medmindre vi cykler eller går, er al transport forbundet med et energiforbrug, der
påvirker vores energisystem og dermed potentielt også udledningen af drivhusgasser.
Transportsektorens udvikling og dertilhørende udledninger formes af vidt forskellige
behov for at transportere mennesker og varer, den gældende regulering og politiske
tiltag på området samt den teknologiske udvikling.
Transportsektoren omfatter både individuel og kollektiv persontransport samt
godstransport fordelt på følgende transportkategorier
27
:
Vejtransport
Banetransport
Indenrigsluftfart
27
Indenrigs luft- og søfart omfatter indenrigsruter samt ruter mellem Danmark og hhv. Grønland og
Færøerne. I overensstemmelse med FN’s opgørelsesmetode indgår udledninger fra udenrigs luft- og
søfart ikke i det danske klimaregnskab, men er beskrevet i Global Afrapportering 2023, som udkommer
parallelt med KF23.
KEF, Alm.del - 2022-23 (2. samling) - Bilag 291: Klimastatus og –fremskrivning 2023 og Danmarks globale klimapåvirkning – Global afrapportering 2023
2709817_0035.png
34
Indenrigssøfart
Øvrig transport (Forsvaret og fritidsfartøjer)
Transportsektoren udledte i 2019 13,5 mio. ton CO
2
e. Som følge af covid-19 aftog
efterspørgslen på transport og udledningerne faldt til 12,6 mio. ton CO
2
e i 2021.
Fremskrivningen viser, at udledningerne falder frem mod 2035, jf. tabel 1.
Tabel 4.1: Transportsektorens samlede udledninger
Mio. ton CO
2
e
Transportsektorens samlede
udledninger
- heraf vejtransport
- heraf indenrigssøfart
- heraf banetransport
- heraf indenrigsluftfart
- heraf øvrig
12,4
0,5
0,2
0,1
0,2
11,6
0,6
0,2
0,1
0,2
11,2
0,5
0,2
0,1
0,2
9,6
0,5
0,0
0,1
0,2
7,3
0,5
0,0
0,1
0,2
2019
13,5
2021
12,6
2025
12,2
2030
10,5
2035
8,2
Note: Tallene i tabellen er afrundet og en summering af udledningerne fra de enkelte transportkategorier
kan derfor variere fra transportsektorens samlede udledninger.
Fremskrivningen viser, at transportsektorens samlede udledninger i 2030 vil være 10,5
mio. ton CO
2
e, svarende til 35 pct. at Danmarks samlede udledninger, og at
udledningerne vil falde yderligere til 8,2 mio. ton CO
2
e i 2035.
Som det fremgår af tabel 4.1, står vejtransporten for langt størstedelen af de samlede
udledninger fra transportsektoren. Udviklingen i vejtransporten afhænger særligt af
følgende faktorer:
Voksende trafikarbejde (antal kørte kilometer stiger)
Elektrificering af vejtransporten gennem omstilling fra konventionelle
til eldrevne køretøjer
Iblanding af VE-brændstoffer
28
i benzin og diesel
Forbedret energieffektivitet for nye konventionelle køretøjer
28
VE-brændstoffer (brændstoffer produceret på grundlag af vedvarende energikilder) er i notatet en
fællesbetegnelse for både biomassebaserede brændstoffer (fx biodiesel og bioethanol) og brændstoffer
produceret vha. elektrolyse (Power-to-X-teknologi).
KEF, Alm.del - 2022-23 (2. samling) - Bilag 291: Klimastatus og –fremskrivning 2023 og Danmarks globale klimapåvirkning – Global afrapportering 2023
2709817_0036.png
35
Til trods for et stadig voksende trafikarbejde i vejtransporten viser fremskrivningen, at
udledningerne vil falde som følge af elektrificering, øget iblanding af VE-brændstoffer
samt mere effektive konventionelle køretøjer.
4.1
Transportsektorens udledninger
Udviklingen i transportsektorens samlede drivhusgasudledninger for perioden 1990-
2035 er vist i figur 4.1, hvor udledningerne er fordelt på transportkategorier.
Figur 4.1: Transportsektorens udledninger for 1990-2035 i CO
2
e fordelt på transportkategorier
mio. ton CO
2
e
Udledninger fra transportsektoren
16
14
12
10
Øvrig transport
Indenrigsluftfart
Indenrigssøfart
Banetransport
Vejtransport
8
6
4
2
0
1990
1995
2000
2005
2010
2015
2020
2025
2030
2035
Alle udledninger fra transportsektoren er knyttet til sektorens energiforbrug.
Sammenlignet med Klimastatus- og fremskrivning 2022 (KF22) viser fremskrivningen,
at sektorens samlede udledninger vil aftage hurtigere, særligt i perioden 2030-2035. I
2030 vil sektorens udledninger være ca. 0,25 mio. ton CO
2
e lavere ifølge KF23 end i
KF22.
I det følgende redegøres der for udledninger i hhv. vejtransporten, banetransporten,
indenrigsluftfarten og indenrigssøfarten.
Udledninger fra vejtransporten
Vejtransporten står for langt størstedelen af transportsektorens udledninger. I 2019
udledte vejtransporten 12,4 mio. ton CO
2
e svarende til 92 pct. af transportsektorens
samlede udledninger. Udledningerne faldt til 11,4 mio. ton CO
2
e i 2020 og 11,6 mio.
ton CO
2
e i 2021 primært som følge af covid-19. Fremskrivningen viser at,
udledningerne fra vejtransporten atter vil stige i 2022 for derefter at aftage mærkbart
på trods af en fortsat vækst i efterspørgslen på vejtransport. I 2025 vil udledningerne
KEF, Alm.del - 2022-23 (2. samling) - Bilag 291: Klimastatus og –fremskrivning 2023 og Danmarks globale klimapåvirkning – Global afrapportering 2023
2709817_0037.png
36
fra vejtransporten ifølge fremskrivningen være 11,2 mio. ton CO
2
e og frem mod 2030
og 2035 falder udledningerne til hhv. og 9,6 og 7,3 mio. ton CO
2
e.
Personbiler står for hovedparten af vejtransportens udledninger, 57 pct. i 2021,
efterfulgt af varebiler og lastbiler.
Dette fremgår af figur 4.2, som viser udledningen af drivhusgasser fra vejtransporten
opdelt på køretøjstyper samt grænsehandel
29
. Personbilerne er samtidig den
køretøjskategori, hvor faldet i udledningerne ifølge fremskrivningen er størst i
absolutte tal.
Figur 4.2: Udledninger fra vejtransporten fordelt på køretøjer, 1990-2035
mio. ton CO
2
e
Udledninger fra vejtransport
8
7
6
5
4
Personbiler
Varebiler
Lastbiler
3
2
1
0
-1
1990
1995
2000
2005
2010
2015
2020
2025
2030
2035
Grænsehandel
Busser
Motorcykler
På trods af den fortsatte stigning i trafikarbejdet viser fremskrivningen en reduktion i
udledningen af drivhusgasser fra alle køretøjstyper, som kan tilskrives omstilling til
eldrevne køretøjer, øget iblanding af VE-brændstoffer samt en fortsat
29
Ifølge FN’s opgørelsesmetode inkluderes udledninger forbundet med grænsehandel med brændstof i
det land, hvor brændstoffet tankes. Udledninger fra grænsehandel, dvs. brændstof som tankes i Danmark
men forbruges i udlandet, er opgjort særskilt og fastholdes i fremskrivningsperioden på 2019-niveau. Det
bemærkes, at der er tale om et skønnet niveau, da grænsehandlen ikke kan opgøres eksakt.
KEF, Alm.del - 2022-23 (2. samling) - Bilag 291: Klimastatus og –fremskrivning 2023 og Danmarks globale klimapåvirkning – Global afrapportering 2023
2709817_0038.png
37
energieffektivisering af konventionelle køretøjer. Indfasningen af eldrevne køretøjer
beskrives nærmere i afsnit 4.3.
Udledninger fra banetransporten
I 2019 udledte banetransporten 0,2 mio. ton CO
2
e, svarende til ca. 2 pct. af
transportsektorens udledninger. På trods af en forventning om udvidelse af togdriften,
reduceres udledningerne ifølge fremskrivningen betydeligt efter 2025 i takt med, at
fjern- og regionaltog, som står for hovedparten af udledningerne, elektrificeres. I 2030
viser fremskrivningen, at udledningerne fra banetransporten vil være 0,02 mio. ton
CO
2
e, altså blot en tiendedel af i dag, mens der i 2035 ingen udledninger vil være. De
sidste dieseltog ventes udfaset lige efter 2030.
Udledninger fra indenrigsluftfarten
Udledningerne fra indenrigsluftfarten faldt fra 0,15 mio. ton CO
2
e i 2019, svarende til
ca. 1 pct. af transportsektorens samlede udledninger, til 0,08 mio. ton CO
2
e i 2020 og
0,09 mio. ton CO
2
e i 2021 som konsekvens af covid-19. Aktiviteten i sektoren skønnes
at vokse gradvist som følge af en stigende efterspørgsel på indenrigsflyvninger. Der er
indlagt en forventning om, at aktiviteten i sektoren først i 2025 er tilbage på niveauet
før covid-19. Fremskrivningen tager endvidere højde for, at brændstof anvendt til
indenrigsluftfart fra 2025 pålægges en gradvist øget CO
2
-afgift, som fastsat i ’Aftale
om grøn skattereform for industri mv. fra 2022’, hvilket medvirker til at dæmpe
aktivitetsudviklingen. Derudover indgår en forventning om en generel
energieffektivitetsforbedring. Fremskrivningen viser, at udledningerne fra
indenrigsluftfarten stiger til 0,13 mio. ton CO
2
e i 2025 og 0,14 mio. ton CO
2
e i 2030,
hvorefter udledningerne vil være uændrede. Iblanding af VE-brændstoffer vurderes
ikke driftsøkonomisk rentabelt uden yderligere regulering, og der indgår derfor ingen
anvendelse af VE-brændstoffer i indenrigsluftfarten i fremskrivningen.
Udledninger fra indenrigssøfarten
Udledningerne fra indenrigssøfart udgjorde i 2019 3,9 pct. af transportsektorens
samlede udledninger. Fremskrivningen viser, at udledningerne vil være nogenlunde
konstante i perioden frem til 2035 på et niveau omkring 0,5 mio. ton CO
2
e. Der
forventes dog ifølge fremskrivningen en lille reduktion i udledningerne som følge af
elektrificering af en række mindre færgeruter, blandt andet drevet af udmøntning af
pulje til grøn omstilling af indenrigsfærger, hvoraf 11 færger fik tilsagn om tilskud i
2021 og yderligere tre færger i 2022. Endvidere vurderes indførelsen af en CO
2
-afgift,
jf. ’Aftale om grøn skattereform for industri mv. fra 2022’, at øge incitamentet til
investering i elfærger, når nye færger skal indkøbes. Der indgår i fremskrivningen
ingen anvendelse af VE-brændstoffer, fx ammoniak eller metanol til indenrigssøfart,
da dette ikke vurderes driftsøkonomisk rentabelt uden yderligere regulering. Selv med
KEF, Alm.del - 2022-23 (2. samling) - Bilag 291: Klimastatus og –fremskrivning 2023 og Danmarks globale klimapåvirkning – Global afrapportering 2023
2709817_0039.png
38
indførelse af den aftalte CO
2
-afgift, vurderes VE-brændstoffer at være forbundet med
en anseelig merpris, herunder krav til investeringer i infrastruktur mv.
4.2
Rammebetingelser mv. for transportsektoren
Siden KF22 er der vedtaget en række politiske aftaler med afgørende betydning for
den forventede udvikling i transportsektorens udledninger. Dette gælder særligt
vejtransporten, hvor følgende aftaler kan fremhæves:
Forordning om CO
2
-reduktionskrav for nye lette køretøjer: Målene i den
eksisterende forordning, (EU) 2019/631, stiller krav til CO
2
-udledningerne fra
nye person- og varebiler, der i forlængelse af EU’s Fit for 55-pakke og
Kommissionsforslag 2021/0197 (COD) er blevet strammet. Den reviderede
forordning pålægger nu bilproducenterne at reducere de gennemsnitlige
udledninger fra nye solgte person- og varebiler i EU med hhv. 55 pct. og 50 pct.
i 2030 i forhold til niveauet i 2021 og 100 pct. i 2035 for både person- og
varebiler. Kravet om 100 pct. reduktion i udledningerne udelukker i praksis
salget af nye person- og varebiler med forbrændingsmotorer
30
, herunder plug-
in hybridbiler, i EU fra 2035 – og effekten af 100 pct. reduktionskravene i 2035
er medtaget. Revisionen af forordningen skønnes at medføre en acceleration i
produktionen og salget af elektriske person- og varebiler, og i forhold til KF22
øges indfasningshastigheden af elbiler, som når en salgsandel på 100 pct. i
2035.
Kilometerbaseret vejafgift for lastbiler (aftale fra juni 2022): Fra 2025 indføres
en kilometerbaseret vejafgift for lastbiler i Danmark, som differentieres efter
lastbilernes CO
2
-udledning. Afgiften forventes at reducere og lægge en
dæmper på udviklingen i lastbilernes samlede trafikarbejde og samtidig øge
tilskyndelsen til investering i batterilastbiler, når eksisterende lastbiler skal
udskiftes. Aftalen bidrager således med et lavere trafikarbejde og en højere
andel batterilastbiler end i KF22.
Derudover bliver der med ’Aftale om grøn skattereform for industri mv. fra 2022’
indført en gradvist stigende CO
2
-afgift fra 2025, som bl.a. omfatter en delvis
omlægning af afgifterne på brændstof til vejtransport fra en energiafgift til en CO
2
-
30
I revisionen af forordningen om CO2-reduktionskrav har en åbning for salg af biler med
forbrændingsmotor, der udelukkende drives med elektrobrændstof. Denne mulighed ventes kun at
vedrøre nichekøretøjer uden for forordningens hovedfokus, og dermed ikke at få indflydelse på den
generelle udvikling.
KEF, Alm.del - 2022-23 (2. samling) - Bilag 291: Klimastatus og –fremskrivning 2023 og Danmarks globale klimapåvirkning – Global afrapportering 2023
2709817_0040.png
39
afgift. Fastlæggelsen af den konkrete omlægning er under udarbejdelse. I aftalen
indgår imidlertid, at der ikke skal ske en afgiftsstigning for benzin og diesel, hvorfor
der ikke er indregnet en effekt af denne del af aftalen. Aftalen omfatter også
brændstof anvendt til indenrigs sø- og luftfart. For indenrigssøfarten vurderes CO
2
-
afgiften at bidrage til at fremme elektrificeringen af indenrigsfærgerne, mens den for
indenrigsluftfarten er med til at lægge en dæmper på udviklingen i aktivitetsniveauet.
For både indenrigs sø- og luftfart vurderes CO
2
-afgiften ikke at påvirke anvendelsen af
VE-brændstoffer, da den ikke skønnes at give tilstrækkeligt incitament til yderligere
anvendelse af VE-brændstoffer i forhold til fossile brændstoffer.
Det bemærkes endvidere, at fremskrivningen ikke tager højde for revisionen af EU’s
kvotehandelssystem vedrørende luftfart, beslutningen om at udvide kvotesystemet til
at omfatte udledninger fra søfart fra 2024 samt oprettelsen af et særskilt
kvotehandelssystem for brændstoffer til vejtransport og opvarmning af bygninger,
som alle er en del af EU’s ’Fit for 55’-pakke. Der foreligger endnu ikke tilstrækkeligt
konkrete aftaletekster og det har på den baggrund ikke været muligt at vurdere og
indregne eventuelle effekter.
4.3
Aktivitetsniveau, effektiviseringer og teknologiskift i transportsektoren
Faldet i udledningen af drivhusgasser fra transportsektoren, som fremskrivningen
viser, er drevet af udviklingen i vejtransporten, som gennemgås nedenfor.
Udvikling i vejtransportens aktivitetsniveau
Vejtransportens aktivitet er opgjort som trafikarbejdet, dvs. antal kørte kilometer, som
ifølge fremskrivningen vokser i takt med den generelle økonomiske vækst.
Fremskrivningen viser, at det samlede trafikarbejde for hele vejtransporten stiger med
ca. 20 pct. fra 2021 til 2035. Mens personbilernes trafikarbejde stiger med ca. 23 pct.,
stiger lastbilers trafikarbejde betydeligt mindre i fremskrivningen, ca. 5 pct. over
perioden. Det skyldes indførslen af en kilometerbaseret vejafgift for lastbiler i
Danmark i 2025, som skønnes at reducere trafikarbejdet og dæmpe den efterfølgende
vækst.
Udbredelse af nul- og lavemissionskøretøjer i vejtransporten
For personbiler er der sket en teknologisk og markedsmæssig udvikling, som sammen
med en række lempelser i bilafgifterne har medført, at salget af el- og plug-in
hybridbiler er steget markant de seneste år.
I 2022 blev der solgt lidt over 30.000 nye elbiler og lidt mere end 26.000 nye plug-in
hybridbiler, svarende til hhv. 21 pct. og 18 pct. af nysalget. Udviklingen vurderes
yderligere forstærket frem mod 2030 og 2035, bl.a. som følge af forordningen om
CO
2
-reduktionskrav for nye lette køretøjer. Salget af elbiler ventes ifølge
KEF, Alm.del - 2022-23 (2. samling) - Bilag 291: Klimastatus og –fremskrivning 2023 og Danmarks globale klimapåvirkning – Global afrapportering 2023
2709817_0041.png
40
fremskrivningen at stige til omkring 120.000 biler i 2030 og omkring 290.000 biler i
2035, svarende til ca. 55 pct. af nysalget i 2030 og næsten 100 pct. af nysalget i
2035.
31
Salget af plug-in hybridbiler falder i hele fremskrivningsperioden primært som følge af,
at afgiftslempelserne for plug-in hybridbiler udfases, og at udbuddet af elbiler ventes
at stige betydeligt. Samtidig forventes elbilernes rækkevidde at øges og
ladeinfrastrukturen forbedret, hvormed flere forbrugeres behov forudsættes at kunne
dækkes af elbiler.
Revision af forordningen om CO
2
-reduktionskrav for nye lette køretøjer betyder
endvidere, at der ikke kan sælges nye plug-in hybridbiler i EU fra 2035 og frem. I 2030
viser fremskrivningen, at salget af plug-in hybridbiler vil udgøre ca. 6 pct. af nysalget.
Der forventes fortsat at være bilister med særlige kørselsbehov og præferencer,
eksempelvis hyppig langdistancekørsel, hvor elbiler kan være udfordret på
kombinationen af egenvægt, rækkevidde og pris, og hvor konventionelle teknologier
fortsat vil være attraktive. Det numeriske salg af nye benzin- og dieselbiler er ifølge
fremskrivningen nogenlunde uændret til og med 2034, selvom salgsandelene falder,
hvorefter kravet om 100 pct. reduktion i udledningerne fra nye biler i EU træder i kraft i
2035
32
.
Med disse forudsætninger vil fordelingen af nye personbiler på teknologier i perioden
2019-2035 se ud som i figur 4.3. Det bemærkes, at der i fremskrivningen sker en brat
stigning i salgsandelen for nye elbiler fra 2034 til 2035 (og en tilsvarende brat
udfasning af de øvrige teknologier). Det er dog usikkert, om udviklingen i perioden til
og med 2034 vil gå langsommere end antaget, og stigningen i salgsandelen derfor vil
være højere i 2035, eller om forordningen om CO
2
-reduktionskrav for nye lette
31
Da salget af nye biler dækker over nul år gamle biler (dvs. både nyregistrerede og importerede brugte
biler på nul år) indgår der i fremskrivningen et meget lille salg af konventionelle biler og plug -in hybridbiler
i 2035, som kommer fra importerede brugte biler (hvilket nødvendigvis må komme fra lande uden for EU,
da forordningen om CO
2
-reduktionskrav for nye lette køretøjer gælder på EU-niveau). Dette er et
beregningsteknisk resultat som følge af antagelsen om udviklingen i brugtvognsimporten og fordelingen
af denne på teknologier.
32
Fremskrivningen af salget af nye biler med forbrændingsmotor i årene op til 2035 er særdeles usikker.
Der kan både argumenteres for, at salget vil falde som følge af, at forbrændingsmotoren vil virke forældet,
knyttet til bekymring for gensalgsværdier og store afskrivninger, men der kan også argumenteres for, at
salget af konventionelle biler vil stige, da det er sidste mulighed for at købe en ny bil med
forbrændingsmotor.
KEF, Alm.del - 2022-23 (2. samling) - Bilag 291: Klimastatus og –fremskrivning 2023 og Danmarks globale klimapåvirkning – Global afrapportering 2023
2709817_0042.png
41
køretøjer i stedet vil medføre en hurtigere og mere konstant stigning i salgsandelen
for elbiler hen mod 100 pct. i 2035.
Figur 4.3: Salg af nye personbiler fordelt på teknologier, 2019-2035
1000 stk.
Salg af nye personbiler
350
300
250
200
150
100
50
0
Diesel
Benzin
Plug-in hybrid
El
2032
2019
2020
2021
2022
2023
2024
2025
2026
2027
2028
2029
2030
2031
2033
2034
Kilde: Bilstatistik.dk (DBI IT A/S) for årene 2019-2022 (data er behandlet, så de passer til
segmentopdelingen i Energistyrelsens fremskrivning).
Som fremskrivningen ligeledes viser, jf. Figur 4.3, sker der en stigning i det samlede
salg, hvilket bygger på en antagelse om et voksende bilejerskab i takt med økonomisk
vækst og en øget befolkning kombineret med, at personbiler relativt bliver billigere at
eje og anvende. Med revisionen af forordningen om CO
2
-reduktionskrav for nye lette
køretøjer er der dog betydelig usikkerhed omkring udviklingen i det samlede salg af
nye personbiler, da CO
2
-reduktionskravene kan skabe en række afledte effekter med
betydning herfor, eksempelvis i forhold til brugtvognsimporten og den gennemsnitlige
levetid for konventionelle biler.
33
Indfasningen af nye personbiler resulterer i en fremskrivning af bestanden som vist i
figur 4.4.
33
Der er dog en lang række andre faktorer, som bidrager til usikkerheden for udviklingen i det samlede
salg, herunder prisudviklingen for biler, klimabevidsthed hos forbrugerne, udbygningen af den kollektive
transport, vejinfrastruktur og parkeringsforhold i byerne.
2035
KEF, Alm.del - 2022-23 (2. samling) - Bilag 291: Klimastatus og –fremskrivning 2023 og Danmarks globale klimapåvirkning – Global afrapportering 2023
2709817_0043.png
42
Figur 4.4: Bestand af personbiler fordelt på teknologier, 2019-2035
1000 stk.
Bestand af personbiler
4000
3500
3000
2500
2000
1500
1000
Diesel
Benzin
Plug-in Hybrid
El
500
0
2029
2032
2019
2020
2021
2022
2023
2024
2025
2026
2027
2028
2030
2031
2033
2034
Kilde: Bilstatistik.dk (DBI IT A/S) for årene 2019-2022 (data er behandlet, så de passer til
segmentopdelingen i Energistyrelsens fremskrivning).
Fremskrivningen viser, at i 2030 vil bestanden af personbiler været steget til ca. 3,1
million, hvoraf el- og plug-in hybridbiler udgør godt 900.000, svarende til knap 30 pct.
af personbilsbestanden. Heraf er godt 660.000 ifølge fremskrivningen rene elbiler,
hvormed elbiler i 2030 udgør over 20 pct. af den samlede bestand af personbiler.
En tilsvarende udvikling mod flere eldrevne køretøjer ses i de øvrige
køretøjskategorier. For både varebiler og lastbiler er udviklingen på nuværende
tidspunkt bl.a. drevet af den eksisterende forordning om CO
2
-reduktionskrav for hhv.
lette nye køretøjer (person- og varebiler) og tunge nye køretøjer (lastbiler), som
samtidig bidrager til en forbedret brændstofeffektivitet for nye konventionelle benzin-
og dieselkøretøjer. Omstillingen til batterilastbiler forventes yderligere forstærket som
følge af den kilometerbaserede vejafgift for lastbiler i Danmark, der differentieres efter
lastbilernes CO
2
-udledning. I 2035 viser fremskrivningen, at elvarebiler vil udgøre 100
pct. af nysalget, mens batterilastbiler vil udgøre ca. halvdelen af salget af alle nye
lastbiler (svarende til hhv. 42 pct. af varebilsbestanden og 21 pct. af lastbilbestanden).
Det bemærkes, at der er stor usikkerhed forbundet med fremskrivningen af det
samlede salg af nye køretøjer, fordelingen heraf på teknologier, og dermed også på de
fremtidige køretøjsbestande.
2035
KEF, Alm.del - 2022-23 (2. samling) - Bilag 291: Klimastatus og –fremskrivning 2023 og Danmarks globale klimapåvirkning – Global afrapportering 2023
2709817_0044.png
43
Energiforbrug i vejtransporten
Vejtransportens energiforbrug er et produkt af aktiviteten i sektoren kombineret med
køretøjernes energieffektivitet. Hidtidige effektiviseringer af de konventionelle
køretøjer har ikke været tilstrækkelige til at imødegå det stigende trafikarbejde, hvilket
har resulteret i et øget energiforbrug. Da elektriske køretøjer er mere energieffektive
end konventionelle køretøjer, vil denne tendens imidlertid blive brudt i
fremskrivningsperioden og energiforbruget falder derfor frem mod 2035, som vist i
figur 4.5. Det samlede energiforbrug fra vejtransporten falder ifølge fremskrivningen
fra ca. 173 PJ i 2019 til 153 PJ i 2030 og 133 PJ i 2035. En del af energiforbruget vil
være VE-brændstoffer som følge af et dansk CO
2
e-fortrængningskrav, der gradvist
skærpes frem mod 2030, jf. KF23 sektornotat 4B.
Figur 4.5: Energiforbrug i vejtransporten fordelt på energivarer, 1990-2035
PJ
Energiforbrug i vejtransporten
200
180
160
140
Øvrige
Elektricitet
VE-brændstoffer
iblandet benzin
Benzin
VE-brændstoffer
iblandet diesel
Diesel
120
100
80
60
40
20
0
1990
1995
2000
2005
2010
2015
2020
2025
2030
2035
4.4
Usikkerhed og følsomhedsberegninger
Fremskrivning af transportens energiforbrug og udledninger frem til 2035 er forbundet
med betydelig usikkerhed. Det er vanskeligt at give en samlet usikkerhedsvurdering,
idet fremskrivningen bygger på en række forudsætninger, som kan trække udviklingen
i modsatte retninger. De overordnede faktorer, der driver transportsektorens
energiforbrug og udledninger, er udviklingen i trafikomfanget, omstillingen til nye og
mere energieffektive teknologier, herunder nul- og lavemissionskøretøjer, samt
anvendelsen af VE-brændstoffer. For at belyse betydningen for udledningerne, er der
lavet en række følsomhedsberegninger vedrørende indfasningshastigheden for hhv.
elbiler (personbiler) og batterilastbiler samt udviklingen i det samlede trafikarbejde for
vejtransporten.
KEF, Alm.del - 2022-23 (2. samling) - Bilag 291: Klimastatus og –fremskrivning 2023 og Danmarks globale klimapåvirkning – Global afrapportering 2023
2709817_0045.png
44
På trods af de seneste års stigning i salget af elbiler, og en generel enighed blandt
eksperter og bilproducenter om at elbiler vil drive omstillingen af personbiler, er der
fortsat stor usikkerhed forbundet med tempoet for omstillingen. For at anskueliggøre
betydningen for udledningerne er der beregnet to alternative salgsforløb for elbiler.
Dels et forceret forløb, hvor omstillingen til elbiler går hurtigere end i grundforløbet, og
dels et forsinket forløb, hvor omstillingen går langsommere. I begge forløb antages
fortsat, at forordningen om CO
2
-reduktionskrav, med et krav om 100 pct. reduktion i
udledningerne fra nye biler i 2035, opfyldes.
I 2030 resulterer det forcerede forløb i en salgsandel for elbiler på 68 pct., mens
andelen i det forsinkede forløb er 40 pct. De ændrede indfasningsforløb for elbiler
giver anledning til en reduktion i udledningerne ift. grundforløbet i KF23 på cirka 0,13
mio. tons i 2030 og 0,66 mio. tons i 2035 i det forcerede forløb og en stigning i
udledningerne ift. KF23 grundforløbet på ca. 0,42 mio. ton i 2030 og 0,95 mio. i 2035 i
det forsinkede forløb. Da udskiftningen af bilparken tager forholdsvis lang tid, er
effekten på udledningerne i 2025 minimale.
Følsomhedsberegningerne og de tilhørende effekter er beskrevet mere uddybende i
KF23 sektornotat nr. 4A.
KEF, Alm.del - 2022-23 (2. samling) - Bilag 291: Klimastatus og –fremskrivning 2023 og Danmarks globale klimapåvirkning – Global afrapportering 2023
2709817_0046.png
45
5
Serviceerhverv
Serviceerhverv omfatter sektorerne privat service, offentlig service og detail- og
engroshandel. Privat service dækker over en bred vifte af brancher, blandt andet
restauranter, pengeinstitutter og datacentre, mens den offentlige service blandt andet
dækker over daginstitutioner, skoler, hospitaler og offentlig administration. Detail- og
engroshandel omfatter handel fra supermarkeder til bilforhandlere mv.
Langt hovedparten af sektorens energiforbrug er el og fjernvarme, hvis udledninger
opgøres i el- og fjernvarmesektoren beskrevet i kapitel 8, ligesom udledninger knyttet
til transport opgøres i transportkapitlet. Servicesektorens øvrige udledninger, som er
emnet for dette kapitel, kommer derfor i dag hovedsageligt fra ledningsgas brugt til
individuel opvarmning, mens der også tidligere har været en betydelig udledning af F-
gasser.
Servicesektoren udledte i 2021 0,8 mio. ton CO
2
e, svarende til knap 2 pct. af
Danmarks samlede udledning. Fremskrivningen viser, at sektoren vil udlede hhv. 0,4,
0,2 og 0,1 ton CO
2
e i 2025, 2030 og 2035 svarende til ca. 1 pct. af de samlede danske
udledninger i 2025 og under 1 pct. i 2030 og 2035.
Udviklingen i udledninger skyldes især følgende faktorer:
Udfasning af ledningsgas gennem konvertering til varmepumper til rumvarme
KEF, Alm.del - 2022-23 (2. samling) - Bilag 291: Klimastatus og –fremskrivning 2023 og Danmarks globale klimapåvirkning – Global afrapportering 2023
2709817_0047.png
46
Stigende VE-andel (bionaturgas) i ledningsgassen, der sænker udledningen fra
det resterende ledningsgasforbrug
Datacentre hører under branchen privat service, og udbygges betydeligt i disse år.
Datacentrene bidrager til et væsentligt øget elforbrug i servicesektoren i 2030, men
udledningerne forbundet hermed indgår, som det også er tilfældet for sektorens
øvrige el- og fjernvarmeforbrug, i kapitel 8 om el- og fjernvarmesektoren.
5.1
Servicesektorens udledninger
Størstedelen af sektorens energiforbrug er elforbrug, mens sektorens direkte
udledninger i dag hovedsageligt kommer fra fossile brændsler brugt til rumvarme.
Servicesektorens samlede udledninger er vist i figur 5.1. Sektorens udledninger
omfatter både energirelaterede udledninger og F-gasser. Energirelaterede udledninger
dækker over udledninger fra individuel rumvarme, intern transport og procesvarme. De
relativt lave udledninger skal ses i lyset af, at udledninger afledt fra forbrug af el- og
fjernvarme, som nævnt indgår i opgørelsen af udledninger fra el- og
fjernvarmesektoren.
Figur 5.1: Udledninger fra serviceerhvervene fordelt på undersektorer og F-gasser
mio. ton CO
2
e
Udledninger fra serviceerhvervene
2
1,8
1,6
1,4
1,2
F-gasser
Metan, lattergas og indirekte CO2
Privat service
Offentlig service
Detail- og engroshandel
1
0,8
0,6
0,4
0,2
0
1990 1995 2000 2005 2010 2015 2020 2025 2030 2035
Fremskrivningen af sektorens samlede udledninger viser et fald til 0,2 mio. ton CO
2
e i
2030 og 0,1 mio. ton CO
2
e i 2035. Det svarer til et fald på hhv. 79 og 89 pct. ift. 2021.
Frem til i dag har reduktionerne særligt været drevet af skift fra oliefyrsbaseret
rumvarme til fjernvarme, mens den forventede reduktion frem mod 2030 og 2035 især
skyldes øget VE-andel i ledningsgassen og konvertering fra gasfyr til varmepumper. I
KEF, Alm.del - 2022-23 (2. samling) - Bilag 291: Klimastatus og –fremskrivning 2023 og Danmarks globale klimapåvirkning – Global afrapportering 2023
2709817_0048.png
47
2021 udgjorde udledninger fra ledningsgas ca. 60 pct. af sektorens samlede
udledning. I 2030 viser fremskrivningen, at ledningsgassen vil være grøn, og der er
derfor ingen udledning tilbage fra forbrug af gas.
Fremskrivningen for 2025 viser, at halvdelen af udledningen stammer fra rumvarme,
med langt størstedelen heraf fra ledningsgas. Den tilbageværende udledning i 2030 er
hovedsageligt fra f-gasser, og en mindre udledning fra rumvarme og intern transport,
mens der i 2035 stort set alene er udledning fra f-gasser og afbrænding af affald til
rumvarme.
5.2
Rammebetingelser mv. for servicesektoren
Ud over udledninger fra f-gasser er langt størstedelen af sektorens udledninger knyttet
til rumvarme, og derudover er der en lille udledning fra procesvarme, hvor der i 2022 er
vedtaget en række politiske aftaler, der kan påvirke energiforbruget.
For servicesektoren drejer det sig om følgende politiske aftaler, der tages højde for i
KF23:
Klimaaftale om grøn strøm og varme 2022
Aftale om grøn skattereform for industri mv.
5.3
Aktivitetsniveau, effektiviseringer og teknologiskift i servicesektoren
Selvom servicesektoren ikke står for mere end 2 pct. af de samlede udledninger, så
bruger sektoren 14 procent af Danmarks samlede endelige energiforbrug, stigende til
21 pct. i 2035.
Som det fremgår af figur 5.2, viser fremskrivningen af det endelige energiforbrug i
servicesektoren en stigning fra 84 PJ i 2021 til 121 PJ i 2035. På trods af forventning
om stigende produktion inden for handel og privatservice, sker stigningen i
servicesektorens energiforbrug hovedsageligt på grund af opførsel af datacentre. Det
skyldes, at der samtidig forventes øget energieffektivisering, der modvirker en større
stigning i energiforbruget i resten af sektoren.
I 2021 blev der brugt 4 PJ el i datacentre i Danmark, men det ventes at stige til ca. 28
PJ i 2030 og 36 PJ i 2035.
I handel er der både et stort elforbrug til belysning og til køling og ventilation. I den
private servicesektor er elforbruget, udover datacentre, særligt inden for
restaurationsbranchen, mens både skoler, daginstitutioner og hospitaler bruger en
betydelig mængde el i den offentlige service. Frem mod 2035 viser fremskrivningen et
skift fra opvarmning via ledningsgas over mod mere fjernvarme og flere
KEF, Alm.del - 2022-23 (2. samling) - Bilag 291: Klimastatus og –fremskrivning 2023 og Danmarks globale klimapåvirkning – Global afrapportering 2023
2709817_0049.png
48
varmepumper, hvilket sammen med etablering af flere datacentre, er med til at give et
større elforbrug.
I 2021 udgjorde el 41 pct. af sektorens endelige energiforbrug, hvilket med
fremskrivningen er steget til 62 pct. i 2035. Dermed står servicesektoren for mere end
40 pct. af det samlede endelige elforbrug i 2035 med den nuværende fremskrivning.
Figur 5.2: Endeligt energiforbrug i serviceerhvervene fordelt på energivarer
PJ
Energiforbrug i serviceerhvervene
140
120
Bygas
100
80
60
Elektricititet
Fjernvarme
Øvrig VE
Ledningsgas - VE-del
Ledningsgas - fossil-del
Øvrig fossil
40
20
0
1990
Olie
1995
2000
2005
2010
2015
2020
2025
2030
2035
Ledningsgas udgør størstedelen af servicesektorens fossile energiforbrug.
Servicesektorens ledningsgasforbrug lå på 9 PJ i 2021, men falder med
fremskrivningen til 5 PJ i 2030 og 2 PJ i 2035, hvor ledningsgassen forventes at være
grøn, og udledninger herfra derfor forsvinder helt. Reduktionen i gasforbruget skyldes
primært konvertering fra gasfyr til varmepumper.
5.4
Usikkerhed
Inden for servicesektoren er der særlig stor usikkerhed forbundet med udbygning af
datacentre, samt den fremtidige teknologiske udvikling og betydning heraf for
datacentrenes elforbrug og forbrugsprofil
34
. Dette påvirker dog ikke udledningerne fra
34
Der kan læses mere om forudsætningerne brugt til fremskrivning af elforbruget i KF23
forudsætningsnotat om datacentre.
KEF, Alm.del - 2022-23 (2. samling) - Bilag 291: Klimastatus og –fremskrivning 2023 og Danmarks globale klimapåvirkning – Global afrapportering 2023
2709817_0050.png
49
servicesektoren, som beskrevet i dette kapitel, da udledningerne fra elproduktion
ligger under el- og fjernvarmesektoren.
Ydermere pågår arbejdet med kommunale varmeplaner, et arbejde som kan påvirke,
hvor stor en del af servicesektoren, som har mulighed for at skifte til fjernvarme. Disse
varmeplaner vil der blive kigget nærmere på frem mod KF24.
KEF, Alm.del - 2022-23 (2. samling) - Bilag 291: Klimastatus og –fremskrivning 2023 og Danmarks globale klimapåvirkning – Global afrapportering 2023
2709817_0051.png
50
6
Fremstillingserhverv og bygge-
anlægssektoren
Fremstillingserhvervene omfatter virksomheder, som producerer varer, der sælges til
private eller andre virksomheder. Det drejer sig fx om fødevarer og tekstiler, møbler og
elektronik, kemiske og farmaceutiske produkter, byggematerialer og maskiner. Bygge-
anlægserhvervene omfatter virksomheder, som beskæftiger sig med alle typer af
opgaver inden for byggeri og anlægsarbejde.
Som vist i tabel 6.1 udledte fremstillings- og bygge-anlægssektoren i 2021 5,3 mio.
ton CO
2
e svarende til ca. 11 pct. af Danmarks samlede udledninger. Fremskrivningen
viser, at der i 2025, 2030 og 2035 udledes hhv. 4,0, 2,1 og 2,0 mio. ton CO
2
e i
sektorerne, hvilket fortsat svarer til 10-11 pct. af Danmarks samlede udledninger,
eftersom de samlede udledninger også falder frem mod 2035. Den fremskrevne
udvikling i sektorens udledninger skyldes særligt følgende forhold:
Øget elektrificering og energieffektivisering, herunder højere grad af
anvendelse af varmepumper til intern udnyttelse af overskudsvarme
Øget VE-andel i ledningsgassen
Fald i indenlandsk cementproduktion
KEF, Alm.del - 2022-23 (2. samling) - Bilag 291: Klimastatus og –fremskrivning 2023 og Danmarks globale klimapåvirkning – Global afrapportering 2023
2709817_0052.png
51
6.1
Fremstillings- og bygge-anlægssektorens udledninger
De samlede udledninger fra sektorerne omfatter både energirelaterede udledninger,
procesudledninger samt en mindre andel F-gasser. Procesudledninger er udledninger,
der fremkommer som produkt af en kemisk proces i produktionen.
Fremstillingserhvervene har en relativ stor andel af procesudledninger i forhold til
andre sektorer. Den største kilde til procesudledninger er fremstillingsprocesser, hvor
eksempelvis ler og kridt indgår som råstof, fx ved produktion af cement og tegl
gennem kalcinering af råstoffet ved høje temperaturer.
Ved energirelaterede udledninger forstås udledninger som følge af anvendelse af
fossile brændsler til produktionsprocesser, herunder procesvarme og intern
transport
35
.
Fremskrivningen viser, at fremstillings- og bygge-anlægssektoren frem mod 2035
gennemfører væsentligt større årlige CO
2
e-reduktioner, end hvad der hidtil er set. Fra
2021 og frem til 2030 reduceres udledningerne med over 3 mio. ton CO
2
e, svarende til
knap 60 pct. eller gennemsnitligt næsten 10 pct. årligt,
jf. figur 6.1.
Figur 6.1: Fremstillings- og bygge-anlægssektorens udledninger 1990-2035 i CO
2
e
mio. ton CO
2
e
Fremstillings- og bygge-anlægserhvervene
F-gasser
Procesudledninger - Øvrige
erhverv
Procesudledninger -
Cementproduktion
Energirelateret - Metan,
lattergas og indirekte CO2
Energirelateret CO2 -
Bygge- og anlægssektoren
Energirelateret CO2 -
Fremstillingserhverv
10
9
8
7
6
5
4
3
2
1
0
1990 1995 2000 2005 2010 2015 2020 2025 2030 2035
35
Udledninger fra forbrug af el- og fjernvarme regnes ikke med i dette kapitel, da de indgår i opgørelsen af udledninger
fra el- og fjernvarmesektoren (se kap 8).
KEF, Alm.del - 2022-23 (2. samling) - Bilag 291: Klimastatus og –fremskrivning 2023 og Danmarks globale klimapåvirkning – Global afrapportering 2023
2709817_0053.png
52
Fremskrivningen viser derudover, at udledningerne fra fremstillingserhverv og bygge-
anlæg i hele perioden fra 2024-2035 forventes at være lavere i KF23 end i KF22. For
årene 2022-2023 fremskrives højere udledninger i KF23 end i KF22, pga. det aktuelle
skifte væk fra ledningsgas og over til kul og olie som konsekvens af de relativt høje
priser på ledningsgas.
I de efterfølgende afsnit forklares baggrunden for udviklingen i sektorens udledninger
med særligt fokus på målårene 2025 og 2030 samt fremskrivningens slutår 2035.
6.2
Rammebetingelser mv. for fremstillingserhverv og bygge-
anlægssektoren
Fremskrivningen viser, at de samlede udledninger fra fremstillings og bygge-
anlægserhvervene i KF23 er markant lavere end i KF22. Det skyldes bl.a.
Aftalen om en
grøn skattereform for industri mv.
fra juni 2022, som eksempelvis indfører en generel
CO
2
-afgift for både kvoteomfattede og ikke-kvoteomfattede virksomheder. Denne
indfases fra 2025 og frem til 2030, hvor den vil være fuldt indfaset. Reformen
medfører et øget incitament til konverteringer væk fra fossile brændsler samt
energieffektiviseringer. Det forudsættes også at reformen vil give anledning til større
strukturelle ændringer inden for fremstillingserhvervene, særligt en større nedgang i
indenlandsk produktion af cement.
(Skatteministeriet,
2023).
6.3
Aktivitetsniveau, effektiviseringer og teknologiskift i
fremstillingserhverv og bygge-anlægssektoren
I KF23 fremskrives udledningerne fra fremstillings- og bygge-anlægserhvervene
samlet set reduceret med 63 pct. fra 2022 til 2035. Det er særligt de energirelaterede
udledninger, der reduceres frem mod 2035. Dette skyldes dels en reduktion af
forbruget af olie og kul til fordel for biomasse og ledningsgas, hvor sidstnævnte
forudsættes at være fossilfri i 2030. Hertil viser fremskrivningen en øget udnyttelse af
overskuds- og omgivelsesvarme ved hjælp af varmepumper og energibesparelser at
medføre en reduktion af sektorernes energirelaterede udledningerne.
Det lavere niveau for de samlede udledninger fra fremstillings og bygge-
anlægserhvervene i KF23 i forhold til KF22 følger af flere forhold, hvoraf følgende tre
kan fremhæves.
Det forudsættes i KF23, at der vil være et væsentlig fald i cementproduktionen
sammenlignet med KF22, hvilket primært følger af de indregnede struktureffekter fra
Aftalen om en grøn skattereform for industri mv.
Fra 2021 til 2030 forudsættes
cementproduktionen således at blive reduceret med ca. 32 pct. Det medfører, at
procesudledningerne fra cementproduktion reduceres fra 1,2 mio. ton i 2021 til 0,8
KEF, Alm.del - 2022-23 (2. samling) - Bilag 291: Klimastatus og –fremskrivning 2023 og Danmarks globale klimapåvirkning – Global afrapportering 2023
2709817_0054.png
53
mio. ton frem mod 2030. Fremskrivningen viser tilmed, at de energirelaterede
udledninger fra cementproduktion reduceres frem mod 2030, fra ca. 1 mio. ton i 2021
til 0,15 mio. ton i 2030. Herefter vil udledningerne stagnere frem mod 2035, og vil
hovedsageligt stamme fra afbrænding af fossilt affald,
jf. figur 6.2.
Figur 6.2: Udledninger fra cementproduktion opdelt på brændsler og proces
mio. ton CO
2
e
Udledninger fra cementproduktion
2,5
2
Ledningsgas - fossil-del
Affald, ikke bionedbrydeligt
1
Petrokoks mm.
Kul & Koks
0,5
Procesudledninger
1,5
0
KF23 viser derudover også en lavere vækst eller stagnering inden for fremstillings- og
bygge-anlægserhvervene frem mod 2030 sammenlignet med KF22, hvilket alt andet
lige medfører lavere udledning fra sektorerne.
6.4
Usikkerhed og følsomhedsberegninger
For fremstillings- og bygge-anlægssektorens udledninger er der bl.a. usikkerhed
forbundet med aktivitetsniveauer, særligt for cementproduktion, hvor der i forbindelse
med
Aftalen om en grøn skattereform for industri mv.
forudsættes en væsentlig
produktionsnedgang. Der er derfor foretaget en følsomhedsberegning, som
forudsætter fortsat produktion på dagens niveau i alle brancher. Konkret vil det sige,
at cementproduktionen overordnet fastholdes på samme niveau som i 2022, samt at
øvrige erhverv efterspørger en mængde energitjenester, der som minimum svarer til
KEF, Alm.del - 2022-23 (2. samling) - Bilag 291: Klimastatus og –fremskrivning 2023 og Danmarks globale klimapåvirkning – Global afrapportering 2023
2709817_0055.png
54
mængden af energitjenester, som de anvendte i 2022.
36
For cement er der også
foretaget en følsomhed, som forudsætter, at produktionen af indenlandsk cement
ophører og behovet for cement i Danmark i stedet opfyldes via import fra udlandet.
Der er for øvrige brancher ikke foretaget en følsomhed på lavere produktion end det,
der ligger til grund for KF23.
Resultatet af følsomhedsberegningerne præsenteres i tabel 6.1 herunder og viser, at
de samlede udledninger i fremstilling og bygge-anlægssektoren med ovenstående
forudsætninger er ca. 660.000 tons højere, hvis produktionen i sektoren som
minimum fortsætter på 2022-niveauet. Tabellen viser også, at udledningerne i
sektoren ville være ca. 950.000 tons lavere, hvis cementproduktion i Danmark
ophører.
Tabel 6.1: Udledninger i fremstilling- og bygge-erhverv sammenlignet med
følsomhedsberegning med fortsat produktion på dagens niveau samt stop for indenlandsk
produktion af cement
Enhed: mio. ton CO
2
KF23
KF23 – Fortsat
produktion
KF23 – cementproduktion
ophører
Samlet for fremstilling
og bygge-anlæg
Fremstilling (ekskl.
Cementproduktion)
Cementproduktion
Bygge-anlæg
2,14
0,80
0,95
0,39
2,68
0,98
1,27
0,43
1,19
0,80
0
0,39
Virksomhedernes energitjenester er defineret ud fra temperatur og funktion, som fx højtemperatur procesvarme,
rumopvarmning eller motoriseret drift.
36
KEF, Alm.del - 2022-23 (2. samling) - Bilag 291: Klimastatus og –fremskrivning 2023 og Danmarks globale klimapåvirkning – Global afrapportering 2023
2709817_0056.png
55
7
Produktion af olie, gas og VE-
brændsler
I Danmark indvindes og produceres en række forskellige brændsler, herunder fossil
olie og gas foruden VE-brændsler som biogas, biobrændstoffer og Power-to-X-
produkter.
Sektoren omfatter indvinding af olie og gas i Nordsøen, raffinaderiernes aktiviteter,
samt produktion af biogas, biobrændstoffer og Power-to-X (PtX). Sektoren udledte i
2021 2,5 mio. ton CO
2
e svarende til 5 pct. af Danmarks samlede udledninger.
Fremskrivningen viser, at sektoren i 2025, 2030 og 2035 udleder hhv. 2,1, 1,9 og 1,8
mio. ton CO
2
e inkl. korrektion ift. forventet effekt af metantabsregulering for biogas.
Den forventede udvikling i sektorens udledninger skyldes især følgende faktorer:
Idriftsættelse af Tyra-komplekset mv. giver stigning i udledninger fra olie- og
gasindvinding frem til 2024
Aldrende olie- og gasfelter i Nordsøen giver fald i indvinding af olie og gas og
dermed fald i dertilhørende udledninger
Raffinaderiernes energiforbrug og udledninger falder i fremskrivningen som
følge af aftalen om grøn skattereform
KEF, Alm.del - 2022-23 (2. samling) - Bilag 291: Klimastatus og –fremskrivning 2023 og Danmarks globale klimapåvirkning – Global afrapportering 2023
2709817_0057.png
56
Metantab fra biogasproduktion forøges i CRF-opgørelsen, som følge af
stigende aktivitet. Når der tages højde for den skønnede effekt af
metantabsreguleringen, reduceres metantabet fra 2024, hvorefter det igen vil
forøges fra et lavere udgangspunkt, i takt med at produktionskapaciteten
udvides
Derudover påvirkes udviklingen i sektorens energiforbrug også af udbygningen af PtX
(i form af elforbrug til elektrolyse). Drivhusgasudledningerne forbundet med dette
energiforbrug opgøres under el- og fjernvarmesektoren i kapitel 8. Endelig har
produktionen af biogas indvirkning på VE-andelen i ledningsgassen og dermed en
fortrængningseffekt på drivhusgasudledninger fra forbrug af ledningsgas, som
beskrevet i kapitel 2.
7.1
Udledninger i forbindelse med produktion af brændsler
Den primære årsag til udledninger fra sektoren er egetforbrug af fossile brændsler til
olie- og gasindvinding i Nordsøen og på raffinaderierne, samt metantab fra
biogasanlæg. En mindre del af udledningerne skyldes desuden flaring, som er
afbrænding af gas, der af sikkerhedsmæssige eller anlægstekniske grunde ikke
nyttiggøres på indvindingsplatformene i Nordsøen eller på raffinaderierne. Endelig er
brændstofproduktion i mindre omfang årsag til flygtige udledninger i form af
fordampning, udslip ved utætheder mm.
Udviklingen i sektorens udledninger i perioden 1990-2035 er vist i figur 7.1. Der ses
faldende udledninger gennem 00’erne, især grundet faldende udledninger fra flaring.
Egetforbrug af fossile brændsler på raffinaderier og boreplatforme udgør størstedelen
af udledningerne i dag og fremover. Reduktionen i udledningerne i 2020-2023 skyldes
ombygning af produktionsplatformen ved Tyrafeltet, som derved er ude af drift. De
øgede udledninger i 2024 hænger dels sammen med idriftsættelsen af
Tyrakomplekset, dels idriftsættelsen af en række andre mindre projekter, hvor
udledningerne er størst i begyndelsen af driftsfasen. Frem mod 2035 falder
indvindingen af olie og gas grundet aldrende felter, mens det er forudsat, at
udledningerne fra raffinaderierne falder som følge af indførslen af en CO
2
-afgift
(Aftale om grøn skattereform for industri, 2022).
KEF, Alm.del - 2022-23 (2. samling) - Bilag 291: Klimastatus og –fremskrivning 2023 og Danmarks globale klimapåvirkning – Global afrapportering 2023
2709817_0058.png
57
Figur 7.1: Udledninger fra brændstofproduktion fordelt efter oprindelse
mio. ton CO
2
e
Udledninger fra brændstofproduktion
Korrektion: Forventet reduktion fra
metantabsregulering
Metantab fra biogas inkl.
korrektion ift. metantabsregulering
Flaring
4,5
4
3,5
3
2,5
2
1,5
Flygtige udledninger fra olie og gas
Egetforbrug af fossile brændsler til
olie- og gasindvinding
Egetforbrug af fossile brændsler på
raffinaderier
1
0,5
0
1990 1995 2000 2005 2010 2015 2020 2025 2030 2035
Note: Egetforbruget af fossile brændsler til raffinaderier er inkl. udledninger forbundet med el- og
fjernvarmeproduktion på raffinaderierne. Udledningerne i figuren bygger på CRF-opgørelserne, dvs. før
korrektion for forventet effekt af metantabsregulering, men de forventede reduktioner fra dette tiltag er
identificeret eksplicit i figuren.
Indvinding af olie og gas
Udledningerne forbundet med olie- og gasindvinding hænger tæt sammen med
aktivitetsniveauet i sektoren. Udledningerne fra olie- og gasindvinding er fremskrevet
til ca. 0,9 mio. ton CO
2
i 2030, faldende til ca. 0,8 mio. ton CO
2
i 2035. Udledninger fra
olie- og gasindvinding i Nordsøen skyldes dels energiforbruget på platformene, som i
dag primært dækkes af naturgasfyrede gasturbiner, dels flaring. Gasforbruget på
platformene er naturgas, dvs. udelukkende fossil gas, i modsætning til
ledningsgassen, som består af en blanding af bionaturgas og naturgas. Figur 7.2 viser
den forventede udvikling fra 1990 til 2035 og viser, at indvindingen af olie og gas i
Nordsøen var på ca. 370 PJ i 1990 og voksede i de efterfølgende år, indtil
indvindingen toppede i midten af 00’erne på ca. 1200 PJ/år og herefter har været
faldende.
Indvindingen af olie og gas forventes at stige frem mod 2028, bl.a. som følge af
genopbygningen af anlægget på Tyrafeltet og idriftsættelsen af en række andre
mindre projekter. Efter 2028 forventes indvindingen at falde grundet aldrende felter.
Ifølge prognosen for indvindingen af olie og gas i Nordsøen, forventes det, at der
indvindes knap 80 PJ gas og knap 165 PJ olie i Nordsøen i 2035.
Danmark har været nettoeksportør af gas siden midten af 1980’erne, og det forventes,
at Danmark fortsat vil være nettoeksportør i hele fremskrivningsperioden, bortset fra
KEF, Alm.del - 2022-23 (2. samling) - Bilag 291: Klimastatus og –fremskrivning 2023 og Danmarks globale klimapåvirkning – Global afrapportering 2023
2709817_0059.png
58
årene 2021- 2024 på grund af genopbygning af anlæggene på Tyrafeltet. Derimod har
Danmark været nettoimportør af olie siden midten af 2010’erne, hvilket forventes at
fortsætte i hele fremskrivningsperioden.
Figur 7.2: Indvinding af olie og gas i Nordsøen
PJ
Indvinding af olie og gas i Nordsøen
1400
1200
1000
800
Naturgas
600
400
200
0
1990
Råolie
1995
2000
2005
2010
2015
2020
2025
2030
2035
Raffinaderier
Udledningerne fra raffinaderier er fremskrevet til ca. 0,6 mio. ton CO
2
i 2030 og i 2035.
I KF23 skønnes det, at udledningerne fra raffinaderiernes energiforbrug falder som
følge af både mindre produktion og omstilling af produktionen på grund af indførsel af
en CO
2
-afgift, jf. sektorforudsætningsnotat om indvinding af olie og naturgas samt
raffinaderier. Der har i den seneste historiske periode været en svag stigning i
aktiviteten. Udledningerne forbundet med denne meraktivitet er dog blevet modsvaret
af reduktioner, som følge af løbende effektiviseringer. Som det fremgår af Figur 7.1,
skønnes udledningerne fra raffinaderierne at være faldende frem til 2030, hvorefter de
skønnes at være konstante i resten af fremskrivningsperioden. I KF23 følger
forventningen til raffinaderiernes produktion og omstilling den partielle effekt opgjort i
forbindelse med aftalen om en grøn skattereform (Aftale om grøn skattereform for
industri, 2022). Som følge af aftalen forventes en nedgang i produktionen på
raffinaderierne med 29 pct. i 2030, og et skift til mere energieffektivisering og brug af
grønne alternativer til egetforbruget af raffinaderigas (Dokumentationsnotat, 2022).
Biogasproduktion
Biogassektorens drivhusgasudledninger består hovedsageligt af metantab, som følge
af lækage fra biogasanlæggene. Tabsraten anslås til henholdsvis 2,9 pct. for
KEF, Alm.del - 2022-23 (2. samling) - Bilag 291: Klimastatus og –fremskrivning 2023 og Danmarks globale klimapåvirkning – Global afrapportering 2023
2709817_0060.png
59
biogasanlæg og 6,9 pct. på spildevandsrenseanlæg, jf.
KF23 sektornotat 7B: Biogas,
PtX og VE-brændstoffer.
Ifm. Klimaaftale om grøn strøm og varme er der vedtaget en regulering af metantabet
fra biogasanlæg, som trådte i kraft den 1. januar 2023. Denne indgår som nævnt ikke i
KF23 CRF-opgørelsen, men fratrækkes partielt i mankoopgørelser mv. Til KF23 er
effekten af metantabsregulering opgjort ud fra en beregningsteknisk antagelse om, at
alle biogasanlæg sænker metantabet til 1 pct. fra 2024, hvormed metantab fra biogas
produktion reduceres til hhv. 0,2 mio. ton CO
2
e i 2025, 0,3 mio. ton CO
2
e i 2030 og 0,3
mio. ton CO
2
e i 2035.
Det skal bemærkes, at reguleringen alene kræver, at opgraderingsanlæg skal
nedbringe metantabet til 1 pct. fra 2024, mens biogasanlæg pålægges at nedbringe
metantabet mest muligt. Der er således usikkerhed forbundet med den forventede
effekt af metantabsreguleringen, bl.a. fordi biogasanlæggene skal identificere og
planlægge udbedring af eventuelle kilder til metantab. Der gennemføres et
måleprojekt i 2025, med henblik på at dokumentere effekten af
metantabsreguleringen.
PtX
PtX er i KF23 udelukkende inkluderet i form af elektrolysekapacitet til produktion af
grøn brint. Eventuel viderekonvertering til andre e-brændstoffer såsom ammoniak og
metanol indgår ikke i KF23. Det antages i KF23, at elektrolysekapaciteten udbygges til
ca. 700 MW i 2025, ca. 900 MW i 2030 og ca. 1650 MW i 2035. Brintproduktionen ved
elektrolyse ligger i fremskrivningen på ca. 10,8 PJ i 2030 og 20,3 PJ i 2035.
Elforbruget knyttet til elektrolyse ligger i fremskrivningen på ca. 16,3 PJ i 2030 og
29,8 PJ i 2035.
7.2
Rammebetingelser mv. for produktion af olie, gas og VE-brændstoffer
Siden KF22 er der indgået aftale om en grøn skattereform for industri mv., ligesom der
er set en stigning i brændselspriserne og EU's CO
2
-kvotepris. Endelig er der indgået
Klimaaftale om grøn strøm og varme 2022,
som justerer rammebetingelserne for
biogasproduktion.
Med aftalen om en grøn skattereform, bliver udledningerne fra både Nordsøen
og raffinaderierne, der ellers tidligere har været afgiftsfritaget, pålagt en CO
2
-
afgift på 75 kr. pr. ton CO
2
i 2025 stigende til 375 kr. pr. ton i 2030. For
indvinding fra Nordsøen, er aftalen indgået efter rettighedshaverne i
rapporteringer har indmeldt deres forventninger til prognosen, men prognosen
bygger på rettighedshavernes vurderinger af fremtiden, herunder effekter af
politikker.
KEF, Alm.del - 2022-23 (2. samling) - Bilag 291: Klimastatus og –fremskrivning 2023 og Danmarks globale klimapåvirkning – Global afrapportering 2023
2709817_0061.png
60
For raffinaderier er aktivitetsniveauet bestemt ud fra de beregninger af
struktureffekter, der blev anvendt i forbindelse med Aftale om grøn
skattereform for industri mv. fra juni 2022. De beregnede struktureffekter er i
aftalen opgjort på baggrund af samme modelapparat, som er anvendt til
Ekspertgruppen for en grøn skattereforms første delrapport.
Struktureffekten
for raffinaderierne kan siges at afspejle en sandsynlighed for at produktionen
lukker. I samarbejde med Skatteministeriet er det valgt, at struktureffekten i
grundforløbet indregnes som en procentvis reduktion i produktionen ift. den
forventede lineære baseline før aftalen (Skatteministeriet, 2023).
For indvinding af olie og gas i Nordsøen og for raffinaderier, kan de øgede
energipriser betyde en højere indtjening, og dermed give et øget incitament til
at producere. Stigningen i energipriserne er sket efter, at de partielle effekter af
en grøn skattereform er fundet, hvilket kan have betydning for raffinaderiernes
lukkesandsynlighed, men denne effekt er ikke indregnet for raffinaderierne i
KF23.
Med
Klimaaftale om grøn strøm og varme,
blev det besluttet at fremrykke et af
de seks støtteudbud for produktion af grønne gasser, som blev aftalt med
Klimaaftale for energi og industri mv.,
samt at reducere støttepuljen med ca. 30
mio. kr. Ydermere blev der vedtaget en regulering af metantab fra
biogasanlæg, som trådte i kraft den 1. januar 2023. Den forventede effekt af
metantabsreguleringen indregnes ikke i CRF-opgørelsen, men indlægges
partielt i mankoopgørelser mv., jf.
KF23 Sektornotat 7B: Biogas, PtX og VE-
brændstoffer.
Aftale om udvikling og fremme af brint og grønne brændstoffer
(Power-to-X
strategi) har introduceret en række tiltag, som skal fremme produktion af VE-
brændstoffer. Tiltagene indgår i KF23 i en samlet helhedsvurdering. Det
bemærkes, at mange tiltag anses som understøttende tiltag, som afventer
konkretiseringen eller realisering af støttekapaciteter.
Aftale om udvikling og fremme af brint og grønne brændstoffer
og
Klimaaftale
om grøn strøm og varme af 25. juni 2022
forventes herudover at forbedre
rammebetingelserne for en øget udbygning af VE-kapacitet, der kan forsyne
elektrolysekapaciteten til PtX. For at etablere et fungerende PtX-marked er
adgang til en tilstrækkelig mængde grøn strøm en blandt flere vigtige
forudsætninger.
KEF, Alm.del - 2022-23 (2. samling) - Bilag 291: Klimastatus og –fremskrivning 2023 og Danmarks globale klimapåvirkning – Global afrapportering 2023
2709817_0062.png
61
7.3
Aktivitetsniveau, effektiviseringer og teknologiskift
Indvinding af olie og gas
Både prognosen for produktionen af olie og salgsgas samt det tilhørende vedr.
egetforbrug og flaring inkluderer de direkte og de indirekte effekter af
Aftale om
fremtiden for olie- og gasindvinding i Nordsøen
af 3. december 2020. De direkte
effekter af aftalen på olie- og gasprognosen vedrører alene potentialerne med relation
til efterforskning og teknologi. Derudover er der indirekte effekter af aftalen, herunder
i form af yderligere reduktion af teknologi- og efterforskningsbidraget i den nyeste
olie-gas produktionsprognose, der ligger til grund for egetforbrug og flaring i KF23.
Dette skyldes i høj grad, at der forventes et reduceret incitament i udviklingen af ny
teknologi som følge af, at Nordsøaftalen har sat et sluttidspunkt for indvindingen i
2050 (Regeringen m.fl, 2020).
Raffinaderier
Ifølge aftalen om en grøn skattereform, medfører indførelsen af en CO
2
-afgift en 29
pct. nedgang i aktiviteten på raffinaderierne i 2030. Forventningen om faldende
aktivitetsniveau betyder, at egetforbruget af fossil energi og de tilhørende udledninger
falder. Derudover er det forudsat, at aftalen fører til øget elektrificering og øget brug af
VE-brændstoffer, der dermed reducerer udledningerne ydereligere frem mod 2030 i
forhold til KF22.
Biogasproduktion
Som følge af de ændrede rammebetingelser for biogasproduktion, lægges det til
grund for fremskrivningen, at aktiviteten i sektoren vil forøges tidligere end det var
tilfældet i KF22, idet støttemidler uddeles førend tidligere forventet. Dog medfører
reduktionen af støttepuljen, at det samlede aktivitetsniveau finder et lavere leje end i
KF22, jf. kapitel 3 i
KF23 Sektorforudsætningsnotat: Produktion af olie, gas og VE-
brændstoffer,
hvilket medvirker til at sænke det fremskrevne metantab fra
biogasproduktion.
Det er i fremskrivningen antaget, at den forøgede aktivitet som følge af
støtteudbuddene vil ske ved udbygning af produktionskapaciteten for biogas. Det kan
dog ikke afvises, at en del af denne aktivitet vil vise sig i form af effektiviseringer af
produktionen, eksempelvis i form af e-metanisering, jf. kapitel 3 i
KF23
Sektorforudsætningsnotat: Produktion af olie, gas og VE-brændstoffer.
PtX
De nye rammebetingelser for produktion af VE-brændstoffer gennem PtX, samt nye
udmeldinger om tilsagn af støtte herunder gennem EU-finansiering forudsætter, at der
i fremskrivningen er en højere produktion af brint end tidligere forventet.
KEF, Alm.del - 2022-23 (2. samling) - Bilag 291: Klimastatus og –fremskrivning 2023 og Danmarks globale klimapåvirkning – Global afrapportering 2023
2709817_0063.png
62
Derudover antages det i fremskrivningen, at en voksende efterspørgsel efter PtX-
produkter formentligt fra udlandet vil være med til at drive en fortsat stigende
udbygning af PtX i Danmark frem mod 2035.
Forløbet afviger fra den målsatte kapacitet om 4-6 GW i 2030, som fremgår af
Aftale
om udvikling og fremme om brint og grønne brændstoffer
af 15. marts 2022.
Afvigelsen skyldes, at etableringen af mange af de udmeldte projekter er betinget af
ændringer i de gældende rammevilkår og derfor ikke indgår i KF23. Konkrete tiltag, der
stimulerer efterspørgslen af PtX-produkter, ændring i tariffer samt direkte linjer, som
er igangsat, men ikke vedtaget endnu, samt øvrige forbedrede rammevilkår og en
politisk beslutning om rammevilkår for brintinfrastruktur vurderes at være vigtige for
at understøtte et forløb, som opfylder målet om 4-6 GW PtX i 2030.
7.4
Usikkerhed og følsomhedsberegninger
Olie- og gasindvinding
Der er generelt usikkerhed om forventningen til indvinding af olie og gas, og
usikkerheden er stigende når tidshorisonten udvides. Det er blandt andet usikkert
hvorvidt de højere priser på fossile brændsler kan øge incitamentet for olie- og
gasindvinding fra Nordsøen, hvilket kan øge indvindingen og dermed udledningerne.
Raffinaderier
Fremskrivningen af raffinaderiernes energiforbrug er forbundet med en vis usikkerhed,
særligt i lyset af dels effekt af indførsel af Grøn Skattereform, dels de højere priser på
raffinerede olieprodukter, der ses som konsekvens af krigen i Ukraine.
Nedgangen i produktion for raffinaderierne kan siges at afspejle sandsynligheden for,
at produktionen lukker. Lukkesandsynligheden er lagt ind som en 29 pct.
aktivitetsnedgang i 2030. I stedet for at omsætte den skønnede
lukningssandsynlighed til en egentlig produktionsnedgang, kan det antages, at der på
raffinaderierne enten produceres på omtrent fuld kapacitet, eller slet ikke produceres.
Der er derfor lavet tre følsomhedsanalyser. En hvor det antages at raffinaderierne
fortsætter produktionen på det nuværende niveau, og to hvor det antages at det ene
raffinaderi lukker i hhv. 2025 og 2030.
Fortsætter produktionen på det nuværende niveau vil udledningerne fra egetforbrug
være hhv. 0,9 mio. ton CO
2
e i 2025 og 0,8 mio. ton CO
2
e i 2030, i stedet for de hhv. 0,8
og 0,6 mio. ton i KF23 grundforløbet. Ved lukning af et raffinaderi i 2025, vil
udledningen falde til 0,5 mio. ton CO
2
e i 2025, mens lukning af et raffinaderi i 2030 vil
betyde en udledning fra egetforbruget af brændsler på 0,4 mio. ton. CO
2
e i 2030.
KEF, Alm.del - 2022-23 (2. samling) - Bilag 291: Klimastatus og –fremskrivning 2023 og Danmarks globale klimapåvirkning – Global afrapportering 2023
2709817_0064.png
63
Biogasproduktion
I tilgift til usikkerheden om den skønnede effekt af metantabsregulering, som
beskrives i afsnit 7.1, er fremskrivningen af biogasproduktion er forbundet med visse
andre usikkerheder. Eksempelvis ift. udbygningsraten af ny produktionskapaciteten og
udnyttelsen af eksisterende anlæg, og hvordan disse påvirker den samlede aktivitet i
sektoren. Der henvises til kapitel 3 i KF23 Sektorforudsætningsnotat for produktion af
olie, gas og VE-brændstoffer for en gennemgang af, hvordan disse usikkerheder
påvirker fremskrivningen af biogasproduktion.
KEF, Alm.del - 2022-23 (2. samling) - Bilag 291: Klimastatus og –fremskrivning 2023 og Danmarks globale klimapåvirkning – Global afrapportering 2023
2709817_0065.png
64
8
El- og fjernvarme
El- og fjernvarmesektoren omfatter i KF23 hovedparten af de anlæg, der forsyner det
danske samfund med el og fjernvarme, dog ikke affaldsforbrændingsanlæg, der
behandles som en del af affaldssektoren i kapitel 9.
37
Sektoren omfatter eksempelsvis
kraftvarmeanlæg, der laver både el og fjernvarme, vindkraftanlæg og solceller, der
laver el, samt kedler, solvarmeanlæg og varmepumper, der laver fjernvarme.
El- og fjernvarmesektoren (ekskl. affaldsforbrænding) udledte i 2021 5,0 mio. ton
CO2e svarende til 10 pct. af Danmarks samlede udledninger. I 2025, 2030 og 2035
forventes sektoren at udlede hhv. 1,1 mio. ton, 0,1 mio. ton og 0,1 mio. ton CO2e
svarende til hhv. 3 pct., 0,4 pct. og 0,4 pct. af Danmarks samlede udledninger de
37
Affaldsforbrændingsanlæg leverer også el og fjernvarme, men behandles i KF23 som en del af
affaldssektoren i kapitel 9. Derudover er der en række sekundære producenter, der også bidrager til el- og
fjernvarmeproduktion. Sekundære producenter er producenter, hvor hovedproduktet ikke er energi og
omfatter fx kraftvarmeanlæg i industri- og servicesektoren. Energiforbruget og tilhørende
drivhusgasudledning fra sekundære producenter opgøres i KF23 under de sektorer, hvor producenterne er
hjemmehørende.
KEF, Alm.del - 2022-23 (2. samling) - Bilag 291: Klimastatus og –fremskrivning 2023 og Danmarks globale klimapåvirkning – Global afrapportering 2023
2709817_0066.png
65
pågældende år. Den forventede udvikling i sektorens udledninger skyldes flere
forhold, herunder:
udfasning af de sidste kulfyrede kraftvarmeværker
fortsat udbygning med vindkraft og solceller
kraftig udbygning med varmepumper til produktion af fjernvarme
reduktion i kraftvarmeproduktion baseret på ledningsgas
8.1
El- og fjernvarmesektorens udledninger
El- og fjernvarmesektorens samlede udledninger for perioden 1990-2035 er vist i
nedenstående Figur 8.1. Sektorens udledninger omfatter udelukkende
energirelaterede udledninger (CRF-1), som stammer fra forbrænding af fossile
brændsler som kul, olie og naturgas.
Figur 8.1: Udledning fra el- og fjernvarmesektoren ekskl. affaldsforbrænding i perioden 1990-
2035 i CO
2
e
Udledninger fra el og fjernvarme ekskl. affaldsforbrænding
45
40
mio. ton CO
2
e
35
30
25
20
15
10
5
0
1990
1995
2000
2005
2010
2015
2020
2025
2030
2035
Som Figur 8.1 viser, har el- og fjernvarmesektoren fra 1990 til i dag bevæget sig fra at
være en sektor med store drivhusgasudledninger til at have et væsentligt mindre
klimaaftryk. I fremskrivningsperioden frem mod 2035 fortsætter denne udvikling, og
udledningen fra sektoren falder til ca. 0,1 mio. ton CO
2
e i 2030, hvilket svarer til en
reduktion på mere end 99 pct. i forhold til 1990-niveauet. Hvor sektoren i 1990
således var en væsentlig del af klimaudfordringen, er den i fremtiden i høj grad en del
af løsningen, idet el og fjernvarme produceret på basis af vedvarende energi forventes
at spille en vigtig rolle i nedbringelse af klimabelastningen fra andre sektorer.
Elforbruget forventes således at stige markant i fremskrivningsperioden frem mod
2035.
KEF, Alm.del - 2022-23 (2. samling) - Bilag 291: Klimastatus og –fremskrivning 2023 og Danmarks globale klimapåvirkning – Global afrapportering 2023
2709817_0067.png
66
I de efterfølgende afsnit forklares herefter baggrunden for udviklingen i sektorens
udledninger med særligt fokus på målårene 2025 og 2030 samt slutår 2035.
8.2
Rammebetingelser mv. for El- og fjernvarmesektor
Der er indgået tre politiske aftaler i løbet af 2022, som påvirker el- og
fjernvarmesektorens rammebetingelser:
Aftale om grøn skattereform for industri mv.
af 24. juni 2022
Klimaaftale om grøn strøm og varme 2022
af 25. juni 2022
Tillægsaftale om Energiø Bornholm 2022
af 29. august 2022
I
Aftale om grøn skattereform for industri mv.
er der bl.a. blevet aftalt højere og mere
ensartede CO
2
-afgifter ved omlægning af energiafgifter, samt introduceret en bundpris
for CO
2
-afgiften. Den nye CO
2
-afgifts effekt på el- og fjernvarmeproduktion er
medregnet i KF23.
Med
Klimaaftale om grøn strøm og varme 2022
udbydes områder, der kan rumme
yderligere mindst 4 GW havvind til etablering inden udgangen af 2030. Områderne
udbydes under forudsætning af, at havvindmølleparkerne ikke belaster statens
finanser negativt over projektperioden, og at der i relevant omfang er plads i elnettet.
KF23 indeholder ikke de 4 GW yderligere havvind i grundforløbet, men medregner dem
i et alternativt forløb. CO
2
-effekten på Danmarks klimaregnskab i KF23’s partielle
følsomhed med det alternative forløb er marginalt anderledes. Klimaaftalen om grøn
strøm og varme indeholder flere tiltag, som er relevant for el- og fjernvarmesektoren,
og som implicit medregnes i forudsætninger til udbygningen med vedvarende energi.
Dette er nærmere beskrevet i sektorforudsætningsnotatet om el og fjernvarme,
hvordan fremskrivningen er betinget af tiltagene.
Tillægsaftalen om Energiø Bornholm 2022
er udgangspunkt for den politiske aftale
mellem Danmark og Tyskland om tilkobling af Energiø Bornholm til Tyskland, og
etableringen af udlandsforbindelsen er en forudsætning for, at Energiø Bornholm kan
medregnes i KF23’s grundforløb. Der blev desuden aftalt at øge kapaciteten til mindst
3 GW. De 3 GW består af 2 GW aftalt med
Klimaaftale for energi og industri mv. 2020,
heraf 1 GW fra park 3 fra
Energiaftale 2018
samt 1 GW af de 2 GW aftalt med
Finansloven 2022.
8.3
Aktivitetsniveau, effektiviseringer og teknologiskift i El- og
fjernvarmesektor
Årsagen til det fortsatte fald i udledningerne fra el- og fjernvarmesektoren skal
således ikke findes i en faldende aktivitet i sektoren, men derimod i en fundamental
KEF, Alm.del - 2022-23 (2. samling) - Bilag 291: Klimastatus og –fremskrivning 2023 og Danmarks globale klimapåvirkning – Global afrapportering 2023
2709817_0068.png
67
omlægning af den måde el og fjernvarme fremstilles på. Som det fremgår af
nedenstående Figur 8.2, er udviklingen i el- og fjernvarmesektoren karakteriseret ved
en næsten fuldstændig omstilling til vedvarende energi, hvilket især er et resultat af
udfasningen af kulfyret kraftvarme på centrale værker, konvertering til biomasse, samt
fortsat udbygning med landvind, havvind og solceller.
Figur 8.2: El- og fjernvarmsektorens energiforbrug fordelt på energiformer [PJ]
PJ
Energiforbrug i el og fjernvarme (inkl. affaldsforbrænding)
600
500
400
300
200
Omgivelsesvarme
Solenergi
Vindenergi
Biomasse m.m.
Affald, bionedbrydeligt
Ledningsgas - VE-del og biogas
Ledningsgas - fossil-del
Affald, ikke-bionedbrydeligt
100
0
1990 1995 2000 2005 2010 2015 2020 2025 2030 2035
Olie
Kul
Overordnet bliver forbruget af fossile brændsler til el- og fjernvarmeproduktion i
fremskrivningen reduceret med ca. 73 pct., 99 pct. og 99 pct. i hhv. 2025, 2030 og
2035 sammenholdt med forbruget i 2020. Reduktionen af forbruget af fossile
brændsler inklusive den ikke-bionedbrydelige del af affald reduceres i fremskrivningen
med 56 pct., 83 pct. og 91 pct. i hhv. 2025, 2030 og 2035 ift. forbruget i 2020. Den
danske elproduktion vil således i fremtiden primært være baseret på sol- og
vindenergi, og den resterende andel af el- og fjernvarmeproduktionen vil
hovedsageligt være baseret på biomasse. Fossile brændsler anvendes alene på spids-
og reservelastanlæg og som tilsatsfyring, og dette forstærkes af, at VE-andelen af
ledningsgas vil stige yderligere og i 2030 nå 100 pct.
Sektorsamspil
VE-baseret el og fjernvarme kan forsyne andre sektorer og dermed bidrage til
nedbringelsen af deres respektive udledninger. Det kan enten ske gennem direkte
elektrificering af fx transport, opvarmning og industrielle processer, gennem
konvertering af tidligere ledningsgasopvarmede bygninger til fjernvarme eller gennem
indirekte elektrificering, fx via fremstillingen af syntetiske grønne brændstoffer
KEF, Alm.del - 2022-23 (2. samling) - Bilag 291: Klimastatus og –fremskrivning 2023 og Danmarks globale klimapåvirkning – Global afrapportering 2023
2709817_0069.png
68
(Power-to-X). En forudsætning herfor er dog, at det stigende elforbrug ledsages af en
fortsat VE-udbygning.
Elbalancen
Det danske elsystem er stærkt integreret i det nordeuropæiske elmarked, og historisk
har balancen mellem indenlandsk elproduktion og elimport svinget kraftigt afhængigt
af forholdene på markedet, som bl.a. påvirkes af vejrforhold som nedbør, temperatur
og vind.
Figur 8.3: Elforbrug inkl. transmissions- og distributionstab, elproduktion og elimport
TWh
Elforbrug, elproduktion og elimport
100
80
60
40
20
0
-20
-40
1990
1995
2000
2005
2010
2015
2020
2025
Elimport
2030
2035
Elproduktion
Elforbrug inkl. nettab
Det indenlandske elforbrug overstiger i fremskrivningen den indenlandske
elproduktion i de fleste år frem mod 2030. Efter 2030 viser fremskrivningen et
overskud af elproduktion grundet den kraftige indfasning af yderligere VE-kapacitet,
herunder bl.a. etableringen af Energiø Bornholm. Resultatet er dog forbundet med
væsentlige usikkerheder knyttet til flere forhold, både på produktionssiden, bl.a. om
idriftsættelse af kommende havvindmølleparker og solcelleprojekter, og på
forbrugssiden, herunder udviklingen i elforbruget fra fx store datacentre og PtX-
anlæg. Sammenholdt med udsving af vejrmæssig art må man derfor også i fremtiden
forvente, at der vil være år med netto eleksport og år med netto elimport, men disse
udsving vil betyde stadigt mindre for udledningerne.
Fluktuerende elproduktion og fleksibelt elforbrug
I en fremtid, hvor fluktuerende energikilder forventes at spille en stadigt større rolle i
elforsyningen, vil det ikke alene være en udfordring at sikre, at et stigende elforbrug
ledsages af en fortsat VE-udbygning. Der vil også være en udfordring med, at
KEF, Alm.del - 2022-23 (2. samling) - Bilag 291: Klimastatus og –fremskrivning 2023 og Danmarks globale klimapåvirkning – Global afrapportering 2023
2709817_0070.png
69
produktionen på alle tidspunkter matcher forbruget, hvilket fx øget fleksibilitet på
forbrugssiden og et samspil mellem sektorer kan bidrage til at løse.
I KF23 sektornotat 8B om forbrug af el er det beskrevet, hvordan en væsentlig del af
den forventede stigning i elforbruget sker som elforbrug i elbiler og varmepumper,
som potentielt vil kunne agere mere fleksibelt end det klassiske elforbrug. En anden
væsentlig del af stigningen i elforbruget skyldes datacentre, der er karakteriseret ved
at have et forbrug der er næsten konstant i alle årets timer. Det klassiske forbrug
udgjorde ca. 90 pct. i 2019. Denne andel reduceres i fremskrivningen til hhv. ca. 65
pct., ca. 50 pct. og ca. 40 pct. i 2025, 2030 og 2035. Sammensætningen af elforbruget
ser således markant anderledes ud frem mod 2030 og 2035 i fremskrivningen.
Elforbruget til transport, elektrolyse og til dels fjernvarmeforsyning kan ligeledes i
højere grad end det klassiske forbrug spille sammen med den fluktuerende
elproduktion fra vind og sol.
8.4
Usikkerhed og følsomhedsberegninger
På grund af den meget høje VE-andel i produktionen af el- og fjernvarme gælder
usikkerheden i fremskrivningen i mindre grad de fremtidige drivhusgasudledninger,
men primært i hvilket omfang og tempo sektoren vil kunne bidrage til omstillingen i
andre sektorer. Fx har variationer i nedbørs-, temperatur- og vindforhold tidligere
påvirket el- og fjernvarmesektorens udledning betydeligt, med variationer på +/- 5 mio.
ton CO
2
e, men sidst i fremskrivningsperioden, forventes sektorens udledninger at blive
betydeligt mindre påvirkelige af vejrmæssige udsving. I 2030 medfører variationer i
nedbørs-, temperatur- og vindforhold således kun variationer i størrelsesordenen på
+/- 0,1 mio. ton CO
2
e.
De væsentligste usikkerheder knytter sig til sektorens rammebetingelser, som fx
brændsels- og CO
2
-kvotepriser, priser på VE-teknologier, bl.a. som konsekvens af
svingende råvarepriser, udviklingen i elforbrug, planmæssige forhold omkring den
indenlandske udbygning med havvind, landvind og solceller, samt udviklingen i
sammensætningen af elproduktionskapaciteter i udlandet. Hertil kommer usikkerhed
om fremtidige investeringer i fjernvarmesektoren, fx knyttet til usikkerhed om
prisudviklingen på varmepumper o.lign.
I KF23 sektornotat 8A om el- og fjernvarmesektoren er der beskrevet flere
følsomhedsanalyser. Nedenfor beskrives alene, hvordan fremskrivningen og særligt
elbalancen kan blive påvirket, hvis Energiø Nordsøen og de 4 GW fra
Klimaaftalen om
grøn strøm og varme af 25. juni 2022
(DKMII-parker) medtages i fremskrivningen.
Ligeledes beskrives det, hvordan fremskrivningen kan blive påvirket, hvis Energiø
Bornholm ikke realiseres.
KEF, Alm.del - 2022-23 (2. samling) - Bilag 291: Klimastatus og –fremskrivning 2023 og Danmarks globale klimapåvirkning – Global afrapportering 2023
2709817_0071.png
70
Alternativt forløb med yderligere havvind
Dette alternative forløb indgår ikke i KF23-grundforløbet. De system- og
klimamæssige konsekvenser af den yderligere mængde havvind for den danske el- og
fjernvarmesektor søges derfor belyst med en partiel følsomhedsberegning, hvor
Energiø Nordsøen antages nettilsluttet i 2033, og hvor de 4 GW DKMII-parker antages
nettilsluttet inden udgangen af 2030, mens det indenlandske elforbrug holdes
uændret
38
.
Følsomhedsberegningen med yderligere havvind viser, at VE-andelen i elforbruget
stiger fra 117 pct. til 131 pct. i 2030 og fra 118 pct. til 162 pct. i 2035. En VE-andel i
elforbruget, som er højere end 100 pct., betyder, at Danmark forventes at have et
overskud af grøn elektricitet. Dette kan udnyttes til at nedbringe
drivhusgasudledningen fra andre sektorer gennem direkte eller indirekte
elektrificering, eller bidrage til at fortrænge fossil elproduktion i vores nabolande.
Følsomhedsberegningen viser også, at energiøerne alene har meget lille direkte
betydning for den danske drivhusgasudledning
39
. Årsagen til den lille effekt på de
danske udledninger er det i forvejen meget begrænsede omfang af fossilbaseret
elproduktion i Danmark. Den yderligere havvind fra Energiø Nordsøen og DKMII-parker
forventes dog at have en positiv klimaeffekt i det europæiske elsystem, eftersom
dansk eleksport vil fortrænge fossilbaseret elproduktion i udlandet, ligesom den
yderligere havvind også vil åbne muligheder for at dække nye indenlandske elforbrug,
fx til yderligere fremstilling af syntetiske grønne brændstoffer (Power-to-X), som kan
fortrænge fossile brændsler i andre sektorer.
Partielt alternativt forløb på forsyningssiden med mindre havvindsudbygning
For at belyse effekten af mindre havvindskapacitet i det danske elsystem undersøges
et alternativt forløb, hvor Energiø Bornholm ikke indgår. Energiø Bornholm indgår i
grundforløbet med 3 GW fra 2030. I forbindelse med opførelsen af energiøen
etableres to nye elforbindelser til og fra energiøen forbundet til hhv. Østdanmark og
Tyskland. I det alternative forløb vil de to elforbindelser heller ikke indgå.
38
En beskrivelse af antagelserne bag det partielle alternative forløb på forsyningssiden med yderligere
havvind findes i KF23 Sektornotat 8A.
39
Effekten på de danske CO
2
-udledninger sidst i fremskrivningsperioden vurderes at ligge på - 0,02 mio.
ton CO
2e
, se KF23 Sektornotat 8A.
KEF, Alm.del - 2022-23 (2. samling) - Bilag 291: Klimastatus og –fremskrivning 2023 og Danmarks globale klimapåvirkning – Global afrapportering 2023
2709817_0072.png
71
Beregningen med det alternative forløb viser ikke nævneværdige forskelle i
drivhusgasudledningen. Der ses dog et fald i VE-andelen i elforbrug (RES-E). I 2030 og
2035 er VE-andelen hhv. 104 pct. og 102 pct. mod hhv. 117 pct. og 118 pct. i KF23
grundforløbet. Hvis Energiø Bornholm ikke realiseres, vil der alt andet lige være et
mindre overskud af grøn strøm i Danmark.
KEF, Alm.del - 2022-23 (2. samling) - Bilag 291: Klimastatus og –fremskrivning 2023 og Danmarks globale klimapåvirkning – Global afrapportering 2023
2709817_0073.png
72
9
Affaldssektoren (inkl.
affaldsforbrænding)
Affaldssektoren omfatter i KF23 behandling af affald og spildevand fra husholdninger,
serviceerhverv og industri, samt kompostering af have- og parkaffald. Sektoren
udledte ca. 2,3 mio. ton CO
2
e i 2021 inkl. korrektion ift. forventet effekt af biocovers. I
2025, 2030 og 2035 forventes sektoren at udlede hhv. 2,2, 1,7 og 1,2 mio. ton CO
2
e,
svarende til 6, 6 og 5 pct. af Danmarks udledninger. Udledningerne er knyttet til de
konkrete mængder og typer af affald, samt hvordan dette behandles. Den forventede
udvikling i sektorens udledninger og ændringer i forhold til KF22 skyldes især
følgende faktorer:
Ny effektvurdering af kapacitetstilpasning i affaldsforbrændingssektoren som
følge af konkurrenceudsættelse (jf.
Lovforslag om ny organisering af
affaldsforbrændingssektoren)
Ny fremskrivning af affaldsmængder og -behandlingsform, som følge af
opfølgende aftale om klimaplan for en grøn affaldssektor og cirkulær økonomi
Revideret datagrundlag for deponerede affaldsmængder
KEF, Alm.del - 2022-23 (2. samling) - Bilag 291: Klimastatus og –fremskrivning 2023 og Danmarks globale klimapåvirkning – Global afrapportering 2023
2709817_0074.png
73
9.1
Affaldssektorens udledninger
Affaldssektoren er karakteriseret ved, at den bortskaffer restprodukter fra øvrige
sektorers forbrug og produktion af varer og tjenesteydelser. Affaldet forberedes til
genanvendelse, energiudnyttes eller deponeres, alt efter dets egenskaber.
Hovedparten af affaldet genanvendes, dog forbrændes ca. 33 pct. af affaldet, og
energiproduktionen herfra har de seneste 10 år dækket omkring 20 pct. af Danmarks
samlede fjernvarmeforsyning og 4 pct. af det endelige elforbrug. Affaldssektoren er
således tæt koblet til el- og fjernvarmesektoren, som beskrives i kapitel 8.
Figur 9.1: Affaldssektorens drivhusgasudledninger; 1990-2035 (mio. ton CO
2
e)
mio. ton CO
2
e
Affaldssektorens drivhusgasudledninger, 1990-2035
Korrektion: Forventet reduktion fra
biocovers
Deponi inkl. korrektion for
biocovers
Øvrig affaldshåndtering
3
2,5
2
1,5
Kompostering
1
Spildevand
0,5
Affaldsforbrænding
0
1990 1995 2000 2005 2010 2015 2020 2025 2030 2035
Note: Forventede udledninger fra affaldsforbrænding er opgjort eksklusiv den forventede effekt af Aftale
om grøn skattereform for industri mv. (2022). Udledningerne i figuren bygger på CRF-opgørelserne, dvs.
før korrektion for forventet effekt af biocovers, men de forventede reduktioner fra dette tiltag er
identificeret eksplicit i figuren.
Sektorens samlede udledninger for perioden 1990-2035 er vist i figur 9.1.
Sektorens udledninger omfatter både energirelaterede udledninger fra
affaldsforbrænding (CRF-1) og affaldsrelaterede udledninger (CRF-5), som stammer
fra deponi af biologisk materiale, kompostering og behandling af spildevand. De
energirelaterede udledninger består hovedsageligt af CO
2
, mens de affaldsrelaterede
udledninger fortrinsvis består af metan og lattergas.
Fremskrivningen viser, at sektorens samlede udledninger falder fra ca. 2,3 mio. ton
CO
2
e til 1,2 mio. ton CO
2
e fra 2021-2035.
KEF, Alm.del - 2022-23 (2. samling) - Bilag 291: Klimastatus og –fremskrivning 2023 og Danmarks globale klimapåvirkning – Global afrapportering 2023
2709817_0075.png
74
Sammenlignet med KF22 viser fremskrivningen en reduktion i sektorens udledninger
på ca. 0,3 mio. ton CO
2
e i 2025, en forøgelse på ca. 0,2 mio. ton CO
2
e i 2030 og en
reduktion på ca. 0,1 mio. ton i 2035.
40
Det bemærkes i den forbindelse, at
datagrundlaget for deponerede affaldsmængder er blevet revideret til KF23.
Revisionen medfører en reduktion af drivhusgasudledningerne fra deponi på ca. 0,1
mio. ton CO
2
e årligt, som følge af et lavere historisk udgangspunkt.
9.2
Rammebetingelser mv. for affaldssektoren
Der er indgået tre politiske aftaler i løbet af 2022, som påvirker affaldssektorens
rammebetingelser:
Opfølgende aftale om klimaplan for en grøn affaldssektor og cirkulær økonomi
Aftale om udvidet producentansvar for emballage og engangsprodukter
Aftale om selskabsgørelse af kommunernes levering af affaldsydelser
I
Opfølgende aftale om klimaplan for en grøn affaldssektor og cirkulær økonomi
fastsættes opdaterede frister for kommunernes husstandsnære indsamling af
tekstilaffald. Derudover fastlægges rammebetingelser for et styrket affaldstilsyn, som
skal sikre udsortering og øget genanvendelse af erhvervsaffald, samt
prisloftsregulering af kommunernes affaldsgebyrer. På den baggrund har
Miljøstyrelsen opdateret fremskrivningen af affaldsmængder og -behandling i
Danmark. De skærpede rammevilkår forventes at reducere mængden af dansk,
forbrændingsegnet affald med ca. 330.000 ton i 2030 i forhold til affaldsmængden i
KF22.
Aftale om udvidet producentansvar for emballage og engangsprodukter
fastlægger
rammer og principper for det kommende producentansvar. Producentansvaret indgik
som et virkemiddel i
Klimaplan for en grøn affaldssektor og cirkulær økonomi
(Klimaplanen) og har således været indregnet i klimafremskrivningen siden KF21.
Udspecificeringen af rammebetingelserne har ikke givet anledning til ændrede
forudsætninger i forhold til KF22.
40
I KF22 omfattede affaldssektoren drivhusgasudledninger forbundet med metan-tab på biogasanlæg. I
KF23 indgår disse udledninger i kapitel 7, hvorfor de er fratrukket affaldssektorens KF22-udledninger i
sammenligningen.
KEF, Alm.del - 2022-23 (2. samling) - Bilag 291: Klimastatus og –fremskrivning 2023 og Danmarks globale klimapåvirkning – Global afrapportering 2023
2709817_0076.png
75
Med
Aftale om selskabsgørelse af kommunernes levering af affaldsydelser
omorganiseres kommunerne således at driftsansvar og kundeforholdet til borgerne
adskilles fra de kommunale myndighedsopgaver på affaldsområdet. Aftalen har til
hensigt at udligne konkurrenceforvridning imellem private og kommunale leverandører
af affaldsydelser og vurderes ikke at have en direkte klimaeffekt.
9.3
Aktivitetsniveau, effektiviseringer og teknologiskift i affaldssektoren
Med Klimaplanen blev det vedtaget, at indføre en udbudsmodel for
affaldsforbrænding, hvor forbrændingsanlæggene fremover skal konkurrere om
behandlingen af det forbrændingsegnede affald. Det indebærer konkret, at det
forbrændingsegnede affald fra husholdninger skal sendes i udbud og anvisningsretten
for forbrændingsegnet erhvervsaffald ophæves.
Når anlæggene skal konkurrere om affaldet, forventes det at medføre, at anlæg der
ikke er konkurrencedygtige og dermed ikke rentable, vil udkonkurreres. Det vil dels
øge incitamentet til effektiv affaldsforbrænding for at være konkurrencedygtig, og
desuden at effektive anlæg potentielt kan udkonkurrere mindre effektive anlæg. På
den baggrund skønnes en del af den danske kapacitet at lukke og den samlede
danske kapacitet at reduceres frem mod 2035, jf. effektberegningen fra
Lovforslag om
ny organisering af affaldsforbrændingssektoren.
Miljøstyrelsen fremskriver et fald i mængden af forbrændingsegnet affald frem imod
2035, som følge af Klimaplanen og de opfølgende aftaler fra 2022. Det antages, at
affaldsforbrændingsanlæg vil fylde resterende kapacitet op med importeret affald.
Der forventes hverken effektiviseringer eller ændringer i aktivitetsniveauet for deponi,
kompostering, spildevandhåndtering eller øvrig affaldshåndtering.
Drivhusgasudledningerne fra disse aktiviteter forventes således at holdes forholdsvist
konstante frem imod 2035. Undtagelsen herfor er deponi, hvor
drivhusgasudledningerne forventes reduceret i takt med, at tidligere deponeret
biologisk materiale afgasser og der stort set ikke tilføres nyt biologisk materiale, som
følge af forbuddet imod deponi af forbrændingsegnet affald.
9.4
Usikkerhed og følsomhedsberegninger
Der er betydelig usikkerhed forbundet med fremskrivningen af drivhusgasudledninger
fra affaldssektoren, bl.a. den historiske mængde af deponeret affald og
sammensætning heraf, mængden af komposteret have-/parkaffald,
sammensætningen af forbrændingsegnet affald og kapacitetstilpasning som følge af
konkurrenceudsættelsen.
KEF, Alm.del - 2022-23 (2. samling) - Bilag 291: Klimastatus og –fremskrivning 2023 og Danmarks globale klimapåvirkning – Global afrapportering 2023
2709817_0077.png
76
Den mest betydende usikkerhed består dog i den forventede effekt af
konkurrenceudsættelse af affaldsforbrændingssektoren. Med henblik på at belyse
forbrændingskapacitetens påvirkning på fremskrivningens resultat, er der gennemført
to følsomhedsberegninger til KF23:
Et forløb uden kapacitetstilpasning
Et forløb, hvor Klimaplanens målsætning om 40 pct. kapacitetsreduktion i 2030
i forhold til den tilgængelige kapacitet i 2020 opfyldes
I et forløb uden kapacitetstilpasning forøges affaldssektorens drivhusgasudledninger
med hhv. 0,2 mio. ton CO
2
i 2025, 1,2 mio. ton CO
2
i 2030 og 1,5 mio. ton CO
2
i 2035.
I forløbet med fuld kapacitetstilpasning forøges affaldssektorens
drivhusgasudledninger indledningsvist med 0,2 mio. ton CO
2
i 2025, hvorefter de
reduceres med 0,3 mio. ton CO
2
i 2030. Effekten forbliver uændret i 2035, da
kapaciteten i grundforløbet forventes tilpasset til de danske affaldsmængder på dette
tidspunkt.
Herudover kan det nævnes, at en rapport fra COWI indikerer at mængden af affald, der
komposteres, kan være betydeligt lavere, hvorfor udledningen fra kompostering kan
være overestimeret med mere end 0,1 mio. ton CO
2
e. Det er ved at blive undersøgt, om
COWI-rapporten kan give anledning til at justere affaldsdata med henblik på at få en
mere retvisende emissionsopgørelse.
KEF, Alm.del - 2022-23 (2. samling) - Bilag 291: Klimastatus og –fremskrivning 2023 og Danmarks globale klimapåvirkning – Global afrapportering 2023
2709817_0078.png
77
10 Landbrug, landbrugsarealer, skove,
gartneri og fiskeri
Dette kapitel beskriver den forventede udvikling i udledninger og optag fra:
landbrugets processer
landbrugets arealanvendelse
skove og høstede træprodukter
energiforbrug i landbrug, gartneri, skovbrug og fiskeri
Sektoren omfatter landbrugsprocesser, landbrugsarealer, skove, gartneri og fiskeri.
Sektoren udledte i 2021 15,9 mio. ton CO
2
e svarende til 34 pct. af Danmarks samlede
udledninger. Dermed har sektoren reduceret udledningen med 32 pct. ift. 1990-
udledningen.
I 2025, 2030 og 2035 forventes sektoren at udlede hhv. 17,4, 15,3 og 14,9 mio. ton
CO
2
e. I 2035 svarer det til 56 pct. af Danmarks samlede nettoudledninger. I 2035
ventes sektorens samlede udledning at være reduceret med ca. 36 pct. ift. 1990-
udledningen. De overordnet set svagt faldende udledninger frem mod 2035 skyldes
især følgende faktorer:
KEF, Alm.del - 2022-23 (2. samling) - Bilag 291: Klimastatus og –fremskrivning 2023 og Danmarks globale klimapåvirkning – Global afrapportering 2023
2709817_0079.png
78
Et fald i udledninger fra landbrugets processer, som skyldes færre antal kvæg
og grise samt færre udledninger fra gødningshåndtering bl.a. som følge af
implementering af nye, politiske tiltag på området
Et fald i udledningen fra landbrugsarealer, som følge af udtag og vådgøring af
kulstofrige landbrugsarealer
Løbende energieffektiviseringer for bl.a. landbrugets maskiner og fiskeflåden,
samt en forventet udbredelse af varmepumper, som vil reducere udledninger
knyttet til lavtemperaturprocesser
Aftagende årlig kulstofbinding i de danske skove samt i puljen af træprodukter
bl.a. pga. foryngelse af gammel skov. Netto-CO
2
-optaget i skove og
træprodukter forventes at nærme sig nul i 2025, hvilket er årsagen til at hele
land- og skovbrugssektorens samlede nettoudledning forøges i 2025 set ift.
2021
Drivhusgasser relateret til energiforbruget i sektoren er ikke en del af reduktionsmålet
for land- og skovbrugssektorens drivhusgasudledninger på 55-65 pct. i 2030 ift.
udledningen i 1990, som vedtaget i aftalen om grøn omstilling af dansk landbrug.
Sektorens drivhusgasudledninger, altså eksklusive udledninger relateret til
energiforbruget, er i 2021 reduceret med 30 pct. og ventes i 2030 at være reduceret
med 31 pct. Dermed forventes i 2030 at restere en manko på ca. 24-34 pct.-point ift.
aftalens 2030-målsætning for sektorens udledninger.
10.1
Samlede udledninger fra sektoren
Dansk landbrugs udledninger af drivhusgasser er tæt forbundet med udviklingen i
husdyrbestanden, herunder især udviklingen i kvæg- og grisebestanden, samt
fordelingen på husdyrtyper. Ligeledes er det afgørende, hvordan landbrugets arealer
forvaltes, specielt kulstofrige landbrugsarealer.
Optaget af CO
2
i danske skove og den fortsatte kulstoflagring i høstede træprodukter
afhænger af flere parametre. Skovenes optag afhænger bl.a. af størrelsen af
skovarealet og det deraf følgende antal af træer og disse træers årlige CO
2
-optag,
samt af hvor meget kulstof, der fjernes når der høstes træer eller når træer, grene, nåle
og blade i skoven rådner. Lagringen i træprodukter afhænger dels af, hvor mange
træprodukter, der afskaffes, og dels af, hvor stor en andel af de høstede træer, der
anvendes til træprodukter.
Energiforbruget i landbrug, gartneri, skovbrug og fiskeri står for en mindre andel af
sektorens samlede udledninger. Energiforbruget er især forbundet med intern
transport (herunder særligt kørsel med landbrugsmaskiner og fiskekuttere) samt
procesvarme (fx til opvarmning af væksthuse og stalde).
Sektorens udledninger omfatter både energirelaterede udledninger (CRF-1) samt
landbrugsudledninger (CRF-3) og LULUCF-udledninger (CRF-4).
KEF, Alm.del - 2022-23 (2. samling) - Bilag 291: Klimastatus og –fremskrivning 2023 og Danmarks globale klimapåvirkning – Global afrapportering 2023
2709817_0080.png
79
Figur 10.1: Sektorens udledninger for 1990-2035 i mio. ton CO
2
e
Udledninger fra landbrug, gartneri, fiskeri, skove og øvrige
arealer
mio. ton CO
2
e
25
20
15
10
5
0
-5
Skov (LULUCF)
By- og vådområder (LULUCF)
Landbrugets arealanvendelse
(LULUCF)
Landbrugsprocesser
Energiforbrug - Landbrug, gartneri,
skovbrug og fiskeri
1990 1995 2000 2005 2010 2015 2020 2025 2030 2035
Sektorens samlede udledninger for perioden 1990-2035 er vist i figur 10.1.
Udledningerne er især drevet af udviklingen i udledninger fra landbrugsprocesser
samt landbrugets arealanvendelse. Udledningerne fra landbrugets processer
forventes at udgøre omkring 69 pct. af sektorens samlede nettoudledninger i 2035,
mens LULUCF
41
og energiforbruget fra landbrug, gartneri, skovbrug og fiskeri
forventes at stå for hhv. ca. 24 pct. og 6 pct. De resterende udledninger stammer fra
by- og vådområder, mens skove (inkl. høstede træprodukter) bidrager med et lille
nettooptag.
Sammenlignet med KF22 er sektorens udledninger lavere i 2021, primært som følge af
et stort nettooptag i skove, mens udledningen i 2025, 2030 og 2035 nu forventes at
ligge på et højere niveau (hhv. 0,7, 0,2 og 0,4 mio. ton CO
2
e), primært fordi der er sket
en opjustering af DCE’s estimat for udledningen fra landbrugets processer og for
LULUCF-nettoudledningen.
I de efterfølgende afsnit forklares baggrunden for udviklingen i sektorens udledninger
med særligt fokus på målårene 2025 og 2030 samt fremskrivningens slutår 2035.
LULUCF står for ’’Land use, land use change & forestry’’ og kan oversættes til
’’arealanvendelse, arealanvendelsesændringer og skovbrug’’.
41
KEF, Alm.del - 2022-23 (2. samling) - Bilag 291: Klimastatus og –fremskrivning 2023 og Danmarks globale klimapåvirkning – Global afrapportering 2023
2709817_0081.png
80
Tekstboks 10.1: Udledninger fra landbrugsprocesser, landbrugsarealer, skove, gartneri og
fiskeri fordelt på kilder
Udledninger fra landbrugsprocesser:
Landbrugets processer medfører især udledning af drivhusgasserne 1) metan (CH4)
fra husdyrenes fordøjelse og fra gødningshåndtering, samt 2) lattergas (N2O) fra
gødningshåndtering og fra dyrkning af marker. For en nærmere beskrivelse af
udledninger fra landbrugsprocesser henvises til sektornotat 10B.
Udledninger og optag fra landbrugsarealer:
Landbrugsarealer omfatter dyrkede arealer og græsarealer i landbruget, hvor
ændringer i de biologiske kulstofpuljer kan medføre optag eller frigivelse af CO2.
Kulstofpuljerne omfatter kulstofrig jord, mineraljord samt levende og død biomasse
i frugttræer, bærbuske, markkrat og læhegn. Udledninger og optag opgøres som del
af LULUCF-udledningerne, der også omfatter udledninger fra skov og øvrig
arealanvendelse (bebyggelse og vådområder). Udledningen fra landbrugsarealer
beskrives i sektornotat 10C.
Udledninger og optag fra skov:
Udledninger og optag fra skov samt høstede træprodukter opgøres ligeledes som
del af LULUCF-udledningerne. Når skoven vokser optager den CO2 i den stående
levende biomasse, ligesom skovrejsning på landbrugsarealer på sigt kan bidrage til
optag af CO2 i vedmassen. Når skoven hugges, afregnes dette som udledninger.
Hvis hugsten ikke afbrændes, men i stedet anvendes som høstede træprodukter fx
til byggematerialer, lagres kulstoffet i træet, hvilket opgøres som optag. Udledninger
og optag fra skov beskrives i sektornotat 10D.
Udledninger fra energiforbruget i landbrug, gartneri, skovbrug og fiskeri:
Udledningerne fra sektorens energiforbrug skyldes anvendelsen af fossile
brændsler, der anvendes til bl.a. intern transport og lavtemperatur procesvarme.
Energiforbruget er drevet af den økonomiske aktivitet i sektoren og påvirkes
samtidig af den teknologiske udvikling samt løbende energieffektivisering.
Udledningerne forbundet med sektorens forbrug af el og fjernvarme opgøres under
el- og fjernvarmesektoren i kapitel 8. For nærmere beskrivelse af udledninger fra
energiforbruget i landbrug, gartneri, skovbrug og fiskeri henvises til sektornotat
10A.
KEF, Alm.del - 2022-23 (2. samling) - Bilag 291: Klimastatus og –fremskrivning 2023 og Danmarks globale klimapåvirkning – Global afrapportering 2023
2709817_0082.png
81
10.2
Rammebetingelser mv. for land- og skovbrugssektoren
Elementer fra aftalen om grøn omstilling i landbruget er indregnet i KF23 og var
ligeledes indregnet i KF22. Det drejer sig bl.a. om den målrettede regulering,
udtagning af kulstofrig jorde og ekstensivering
Der forventes færre kvæg fremadrettet i KF23 i forhold til hvad der blev
forventet i KF22 bl.a. pga. modelændringer
Der er uændrede forventninger ift. KF22 til omfanget af udtag og vådgøring af
kulstofrige arealer i landbruget baseret på de afsatte støttemidler fra
ovennævnte aftale og fra Finansloven
Der er sket opdateringer vedrørende hvorledes den fremskrevne
afgrødesammensætning og udbytte indregnes, hvilket giver en forhøjet manko
ift. KF22
Der er uændrede forventninger ift. KF22 til skovrejsning og andre virkemidler,
der bidrager til at øge nettooptaget af CO2 i skove, baseret på midler afsat til
skovrejsning mm.
Incitamenter fra både Grøn Skattereform og klimaaftalens tilskudspulje
forventes at tilskynde til en konvertering til varmepumper til opvarmning af
stalde og væksthuse i landbrug og gartneri
For fiskeriet er den danske fiskeflådes tankning i udlandet
(grænsehandelseffekten) beregnet som en procentvis reduktion i
brændstofforbruget i fiskeribranchen. Derudover forventes et nationalt CO
2
e-
fortrængninskrav fra 2025 også at gøre sig gældende for intern transport,
hvorfor der antages en stigende iblanding af VE-brændsler i de anvendte
brændstoffer (se sektornotat 4B for detaljer om iblanding af biobrændsler i
fossile brændstoffer i intern transport)
10.3
Udledninger fra landbrugsprocesser
Landbrugets processer er karakteriseret ved en række komplicerede biologiske og
kemiske processer, som medfører udledninger af metan og lattergas og i mindre grad
CO
2
. Udledningerne fra landbrugsprocesser er reduceret fra 13,9 mio. ton CO
2
e i 1990
til 12,1 mio. ton CO
2
e i 2021. Denne udvikling forventes at fortsætte frem mod 2030,
hvor udledningerne forventes at udgøre ca. 10,4 mio. ton CO
2
e, hvilket svarer til en
reduktion på ca. 25 pct. ift. 1990. Faldet i udledningerne fra 2021 til 2030 er primært
drevet af et fald i udledningerne fra gødningshåndtering på 1,2 mio. ton CO
2
e, bl.a.
som følge af nye, politiske tiltag. Udledninger fra lattergas fra dyrkning af marker
forventes også at falde med 0,4 mio. ton CO
2
e primært pga. udtagning af dyrket
landbrugsareal fra 2021-2030. Endelig forventes metanudledninger relateret til
husdyrenes fordøjelse ligeledes at falde med 0,3 mio. ton CO
2
e fra 2021-2030 pga.
færre forventede kvæg og grise.
Husdyrenes fordøjelse
Udledningerne stammer hovedsageligt fra kvægproduktionen, hvoraf malkekvæg er
den største kilde. De samlede udledninger fra husdyrenes fordøjelse forventes at falde
KEF, Alm.del - 2022-23 (2. samling) - Bilag 291: Klimastatus og –fremskrivning 2023 og Danmarks globale klimapåvirkning – Global afrapportering 2023
2709817_0083.png
82
fra 4,1 mio. ton CO
2
e i 2021 til 3,9 mio. ton CO
2
e i 2030. Efter 2030 forventes
udledningerne at falde yderligere med 0,1 mio. ton CO
2
e i 2035.
Tabel 10.1 viser det forventede fald i bestanden af malkekvæg og øvrige kvæg, som
omfatter kalve, tyre, kvier og ammekøer, frem mod 2030. Fremskrivningen er baseret
på den europæiske AGMEMOD-model (se sektorforudsætningsnotat 10B for detaljer).
Tabel 10.1: Antal af malkekvæg og øvrige kvæg, samt udledningen relateret til deres fordøjelse
i 2021, 2025, 2030 og 2035
Dyrekategori
Malkekvæg
Øvrige kvæg
Fordøjelsesudledninger fra kvæg
(mio. ton CO
2e
)*
også mindre mængder metan ved fordøjelsen.
2021
564.193
1.108.715
3,6
2025
552.510
1.077.287
3,4
2030
523.000
1.039.655
3,3
2035
494.050
997.321
3,2
*Kvæg står for ca. 86 % af udledninger fra husdyrenes fordøjelse. Grise, heste, hjorte og fjerkræ udleder
Der indgår i KF23 et generelt reduktionskrav for husdyrenes fordøjelse, der følger af
Landbrugsaftalen. Kravet er indregnet som et krav om øget fedtfodring fra og med
2025 for konventionelle malkekvæg. En øget mængde fedt i foderet er ligesom andre
fodermidler og fodertilsætningsstoffer med til at reducere metanudledningerne.
Denne reduktion er dog ikke tilstrækkelig til at udligne de øgede udledninger, som er
en konsekvens af den indsats, erhvervet gør for at øge mælkeproduktionen, nemlig
genetisk forædling, øget foderindtag samt optimeret fodersammensætning.
Gødningshåndtering
Udledninger fra gødningshåndtering udgjorde 3,7 mio. ton CO
2
e i 2021 og forventes at
falde til 2,6 mio. ton CO
2
e i 2030. Efter 2030 forventes udledningerne kun at falde
marginalt ved fravær af nye politiske tiltag. Udledningerne, som omfatter metan og
lattergas fra stald og lager, stammer historisk set primært fra den danske
griseproduktion.
Tabel 10.2: Antal producerede smågrise og slagtesvin og antal søer, samt udledninger
relateret til deres gødningshåndteringen i 2021, 2025, 2030 og 2035
Dyrekategori
Søer
Smågrise
Slagtesvin
Gødningsudledninger fra
grise (mio. ton CO
2
)*
44% (2020) og 47% (2030).
2021
1.041.809
34.249.801
20.454.275
1,9
2025
959.472
32.621.758
19.096.629
1,4
2030
931.209
32.866.845
19.309.604
1,3
2035
894.539
32.685.062
19.031.039
1,2
*Grise står for ca. 54% (2020) og 50% (2030) af udledninger fra gødnings-håndteringen. Kvæg står for
KEF, Alm.del - 2022-23 (2. samling) - Bilag 291: Klimastatus og –fremskrivning 2023 og Danmarks globale klimapåvirkning – Global afrapportering 2023
2709817_0084.png
83
Ud over et forventet fald i griseproduktionen fra 2021 frem mod 2035 (Tabel 10.2),
skyldes faldende udledninger et krav om hyppigere udslusning af svinegylle fra 2023,
som vedtaget i Landbrugsaftalen. Hyppigere udslusning medfører en reduktion i
udledning af metan fra stalde. Derudover indregnes en øget brug af miljøteknologier i
stalde samt en betydeligt øget levering af svine- og kvæggylle til biogasproduktion
fremadrettet, hvilket ligeledes medfører en reduktion i udledninger fra
gødningshåndtering. Miljøteknologier omfatter bl.a. gyllekøling, forsuring i stalde og
ved udbringning samt luftrensning, og de påvirker lattergas- og metan-udledningen fra
gødningshåndtering. Den forventede udvikling i brug af miljøteknologier er baseret på
en vurdering udført af SEGES og beskrives nærmere i sektornotat 10B.
Lattergas fra dyrkning af marker
Lattergasudledninger fra dyrkning af marker stammer fra flere udledningskilder og
afhænger især af, hvor meget kvælstof, der tilføres jorden. Udledningerne forventes at
falde fra 4,3 mio. ton CO
2
e i 2021 til 3,9 mio. ton CO
2
e i 2030. Efter 2030 forventes
udledningerne at stabiliseres på nogenlunde 2030-niveauet ved fravær af nye politiske
tiltag. Faldet fra 2021 til 2030 skyldes bl.a. øgede forventninger til ekstensivering og
permanent udtagning af landbrugsarealer, som følge af Landbrugsaftalen og
implementeringen af EU’s fælles landbrugspolitik (CAP) 2023-2027. Begge tiltag
medfører et mindre forbrug af handelsgødning, som leder til en reduktion i
lattergasudledninger fra marker.
Tabel 10.3: Mængde kvælstof (kt N) og udledninger (mio. ton CO2e) fra kunstgødning i 2021,
2025, 2030 og 2035
2021
Mængde kvælstof fra handelsgødning (kt N)
Udledninger fra handelsgødning (mio. ton CO
2
)*
2030.
2025
218
0,9
2030
214
0,9
2035
218
0,9
229
1,0
*Handelsgødning står for 24 pct. af udledningerne fra lattergas fra dyrkning af marker i både 2021 og
10.4
Udledninger fra landbrugets arealanvendelse
De samlede udledninger fra landbrugets arealanvendelse er faldet fra 8,1 mio. ton
CO
2
e i 1990 til 5,4 mio. ton CO
2
e i 2021, og forventes at falde med yderligere 1,2 mio.
ton CO
2
e, resulterende i en samlet udledning på 4,2 mio. ton CO
2
e i 2035 (figur 10.2).
Reduktioner fra 2021 og frem er drevet af Landbrugsaftalen af d. 5 oktober 2021, samt
den danske CAP plan. Klart størstedelen af udledningerne fra landbrugets
arealanvendelse kommer fra drænede kulstofrige jorde, som står for ca. 95 pct. eller
5,1 mio. ton CO
2
e i 2021. Reduktionen i udledninger fra landbrugets arealanvendelse,
der sker frem imod 2035, er således stærkt afhængig af udtagningen af de kulstofrige
jorde.
KEF, Alm.del - 2022-23 (2. samling) - Bilag 291: Klimastatus og –fremskrivning 2023 og Danmarks globale klimapåvirkning – Global afrapportering 2023
2709817_0085.png
84
Figur 10.2: Udledninger fra LULUCF-sektoren eksklusiv skov
mio. ton CO
2
e
Udledninger fra LULUCF-sektoren, ekskl. skov
9
8
7
6
5
4
3
Dyrket mark
Græsarealer
Vådområder
Bebyggelse
2
1
0
1990
1995
2000
2005
2010
2015
2020
2025
2030
2035
Kilde: Energistyrelsen (2023a) på baggrund af tal fra DCE.
Ændringer siden KF22
Ift. KF22 forventes de samlede udledninger fra arealanvendelsen at være 0,26 mio. ton
CO
2
e højere i 2025, 0,27 mio. ton CO
2
e højere i 2030 og 0,41 mio. ton CO
2
e højere i
2035. Den øgede samlede udledning i KF23 ift. KF22 skyldes, at der er taget højde for
efterafgrødearealet i den fremskrevne afgrødesammensætning, samt et mindre fald i
den fremskrevne udbyttestigning.
10.5
Udledninger og optag fra skove og høstede træprodukter
Der er ikke udarbejdet en ny skovfremskrivning til KF23. Skovfremskrivningen fra
KF22 genbruges derfor i KF23. Som illustreret i figur 1 peger skovfremskrivningens
hovedresultat på, at danske skove og træprodukter samlet set vil gå fra at have haft
relativt store årlige nettooptag af drivhusgasser fra 1990 og frem til i dag, til
fremadrettet at få betydeligt mindre årlige nettooptag. Gennemsnitligt set er der siden
1990 tale om årlige nettooptag på 1,9 mio. ton CO
2
e, og i de seneste 10 år frem til og
med 2021 var de gennemsnitlige årlige nettooptag på 3,1 mio. ton CO
2
e. Frem mod
2035 ventes årlige nettooptag på gennemsnitligt 0,4 mio. ton CO
2
e, og i årene 2025-
2029 forventes en lille nettoudledning fra skovene isoleret set. Det forventede lave
niveau af optag de næste 15 år begrundes med den historiske skovudvikling og
aktuelle aldersstruktur og deraf følgende forventede tynding og fældning.
Nettoudledningen fra skovene i 2025 opvejes dog af et lidt større nettooptag i puljen
af høstede træprodukter. Skovfremskrivningen beskrives mere udførligt i KF23
sektornotat 10D.
KEF, Alm.del - 2022-23 (2. samling) - Bilag 291: Klimastatus og –fremskrivning 2023 og Danmarks globale klimapåvirkning – Global afrapportering 2023
2709817_0086.png
85
10.6
Udledninger fra energiforbrug i landbrug, skovbrug, gartneri og fiskeri
De samlede energirelaterede udledninger er reduceret fra 2,4 mio. tons CO
2
e i 1990 til
1,4 mio. tons i 2021 og forventes at falde yderligere til 0,8 mio. tons i 2035 i fravær af
nye politiske tiltag (figur 10.3). Det forventede niveau i 2035 svarer altså ca. til en
reduktion på 67% af niveauet i 1990.
Figur 10.3: Energirelaterede udledninger for 1990-2035 i mio. ton CO2e (identisk med figur 1 i
sektornotat 10A)
Energirelaterede udledninger fra landbrug, gartneri, skovbrug
og fiskeri
mio. ton CO
2
e
3
2,5
2
1,5
1
0,5
0
1990 1995 2000 2005 2010 2015 2020 2025 2030 2035
Metan, lattergas og indirekte CO2
(ikke sektorfordelt)
Fiskeri (CO2)
Landbrug, gartneri og skovbrug
(CO2)
For landbrug, skovbrug og gartneri stammer de energirelaterede udledninger i 2021
fra brugen af gas- og dieselolie til intern transport og til lavtemperatursprocesser som
opvarmning af stalde og væksthuse. Frem mod 2035 forventes udledningerne fra
lavtemperatursprocesser at falde betydeligt som en konsekvens af konvertering til
varmepumper. De energirelaterede udledninger i landbrug, skovbrug og gartneri
forventes at være på 0,62 mio. ton i 2030 og 0,57 mio. ton i 2035. Det svarer til en
reduktion på 43% ift. 2020 og 62% ift. 1990. Som konsekvens af udbredelsen af
varmepumper forventes en stigende andel af udledningerne at stamme fra intern
transport. Ud over konverteringen til varmepumper drives reduktionen af
udledningerne også af en løbende energieffektivisering.
For fiskeriet stammer udledningerne i 2021 udelukkende fra brug af gas- og dieselolie
til fiskekutterne. Fra 1990 til 2021 faldt fiskeriets energirelaterede udledninger fra 0,8
til 0,34 mio. ton. Udledningen forventes at falde yderligere til 0,23 mio. ton i 2035;
altså en reduktion på ca. 33% af udledningerne i 2021. Dette fald er drevet af en
løbende tilpasning af fiskeflåden mod større og mere energieffektive kuttere, samt en
lille indtrængning af VE-brændsler i flådens anvendte brændstoffer.
KEF, Alm.del - 2022-23 (2. samling) - Bilag 291: Klimastatus og –fremskrivning 2023 og Danmarks globale klimapåvirkning – Global afrapportering 2023
2709817_0087.png
86
10.7
Usikkerhed og følsomhedsberegninger
Udledninger fra landbrugets processer
Opgørelse og fremskrivning af udledninger fra landbrugsprocesser er behæftet med
usikkerhed ift. beregningsmetoder og aktivitetsdata. Usikkerheden vurderes at være
betydeligt højere i fremskrivningen end i opgørelsen af historiske udledninger, da en
række variable, som har væsentlig betydning for udledningsberegningerne, er
vanskelige at forudsige. Dette gælder fx udviklingen i antal husdyr og hektar afgrøder,
som afhænger af markedsforhold i EU og forbrugerpræferencer.
Et eksempel på usikkerheden ved beregningsmetoder er, at i år implementeres
standardværdier fra IPCCs 2019-retningslinjer i stedet for 2006-retningslinjer som er
benyttet i tidligere opgørelser og fremskrivninger. Disse ændringer har medført en
samlet stigning på 0,2-0,6 mio. ton CO
2
e i KF23 sammenlignet med KF22.
I KF23 indregnes Landbrugsaftalen og den nationale CAP-plan. Da den konkrete
implementering af nogle af disse aftaler endnu ikke er endeligt fastlagt, kan der i
kommende klimafremskrivninger forekomme justeringer af forudsætningerne. Til
KF23 har DCE beregnet bud på, hvordan udledningerne vil påvirkes, hvis det gældende
fedtfodringskrav til konventionelle malkekvæg fra 2025 udskiftes med et krav om
tilsætning af Bovaer. Der vil kunne forventes en reduktion af udledningerne på 0,4 mio.
ton CO
2
e i 2030, hvis der antages en 25 pct. reduktion af metanudledninger per
malkeko ved tilsætning af Bovaer. Tilsætning af Bovaer kræver dog stadig flere
nationale forsøg for kvalificering af sideeffekter.
Udledninger fra landbrugets arealanvendelse
Generelt vurderes det, at opgørelsen af udledninger og optag i LULUCF-sektoren er
forbundet med en større usikkerhed end for de fleste andre sektorer i KF23. Det
skyldes, at nettoudledninger og –optag er et resultat af små ændringer i meget store
kulstofpuljer, hvilket er vanskeligt at måle, og af biologiske non-linære interaktioner,
som bedst lader sig modellere ved relativt komplekse modeller.
Der er også usikkerhed om den nuværende antagelse om, at jorder med 6-12 pct.
kulstof har en emission svarende til halvdelen af jorderne med >12 pct. kulstof, hvilket
isoleret set kan betyde, at udledningen fra kulstofrig jord er højere end beregnet og
dermed også, at udtagningseffekten potentielt er højere.
Der er i fremskrivningen af udledninger/optag fra mineraljorderne, og udtagningen af
kulstofrig jorde foretaget følsomhedsanalyser, for at vurderer, hvor meget anderledes
de samlede udledninger/optag vil være ved hhv. ændret udtagningshastighed for de
kulstofrige jorde og ændret biomasse input på mineraljorderne. I KF23 antages en
udtagelseshastighed af kulstofrige jorde på 3 år, ændres dette til 5 år, vil det give en
samlet merudledning i 2026 på 0,24 mio. ton CO
2
e, der falder frem imod 2030. I et
KEF, Alm.del - 2022-23 (2. samling) - Bilag 291: Klimastatus og –fremskrivning 2023 og Danmarks globale klimapåvirkning – Global afrapportering 2023
2709817_0088.png
87
scenarie, hvor udtagelseshastighed er 7 år, vil den samlede udledning ligeledes stige
med 0,24 mio. ton CO
2
e og forsætte ind i 2030.
På mineraljorderne har følsomhedsanalyserne vist, at tilføjes der mindre biomasse vil
det påvirket optaget af kulstof. For en detaljeret beskrivelse se KF23 sektornotat 10C.
Udledninger og optag fra skove
Generelt vurderes opgørelsen og fremskrivningen af udledninger og optag fra skove
og fra puljen af høstede træprodukter samlet set at være forbundet med en større
metodisk måleusikkerhed end for de fleste andre sektorer. Det skyldes, at
nettoudledninger og -optag er et resultat af små relative ændringer i meget store
kulstofpuljer. Det er vanskeligt at forudsige omfanget af trætilvækst samt træfældning
der vil foregå i de enkelte år. Udviklingen i de årlige ændringer i skovens kulstofpulje
er derfor behæftet med usikkerhed, og forskydninger i hugst vil kunne påvirke det
faktiske forløb i årene, der kommer.
Der er i skovfremskrivningen foretaget følsomhedsanalyser for at vurdere, hvor meget
anderledes skovens optag og udledninger forventeligt ville udvikle sig under
forudsætning af fx yderligere øget årlig skovrejsning, ændret træartssammensætning i
tilplantning/genplantning, ændret hugst mm.
A) Hvis der fx ved ny skovrejsning udelukkende plantes hurtigt voksende
nåletræer, frem for en blanding af nål og løv, kan det årlige nettooptag blive
øget med 0,3 mio. ton CO
2
e i 2035.
B) Ligeledes, hvis træer opnår en højere levealder, da vil det kunne give et højere
nettooptag i de danske skove, indtil træerne fældes eller dør. Og omvendt, hvis
mange træer fældes i enkelte år må det formodes at kunne medføre betydelige
udledninger i de år. En følsomhedsberegning viser, at skovens nettooptag kan
blive øget ca. 1 mio. ton CO
2
e i 2030 såfremt der beregningsteknisk anvendes
en antagelse om en øget overlevelsessandsynlighed og dermed levetid for
træer i forskellige aldersklasser.
Energiforbruget i landbrug, gartneri, skovbrug og fiskeri
På trods af opdateringer i modelgrundlaget for både den økonomiske fremskrivning
og fremskrivningen af energiforbruget, er der betydelige usikkerheder forbundet
modelleringen af disse to. Desuden opererer både landbrug og fiskeri i et
internationalt marked, og er derfor følsomme overfor international konkurrence og
regulering. For eksempel er der stadig usikkerhed om udviklingen i fiskeriets aktivitet
som konsekvens af usikkerheden om tildeling af fiskekvoter, samt den langsigtede
konsekvens af Brexit for fiskeri.
Derudover hersker der også stadig stor tvivl om, hvornår elektriske motorer er parate
til at konkurrere på et frit marked som alternativer til forbrændingsmotorer. Eftersom
KEF, Alm.del - 2022-23 (2. samling) - Bilag 291: Klimastatus og –fremskrivning 2023 og Danmarks globale klimapåvirkning – Global afrapportering 2023
2709817_0089.png
88
intern transport i 2035 forventes at stå for langt den største del af de energirelaterede
udledninger vil en elektrificering af den interne transport kunne reducere
udledningerne forbundet med sektorens energiforbrug.
KEF, Alm.del - 2022-23 (2. samling) - Bilag 291: Klimastatus og –fremskrivning 2023 og Danmarks globale klimapåvirkning – Global afrapportering 2023
2709817_0090.png
89
11 Danmarks EU forpligtigelser
Danmark har en række forpligtelser i EU under fællesskabets 2030-ramme for klima-
og energipolitikken. Danmark er forpligtet til at:
1.
Reducere drivhusgasudledningerne fra sektorerne omfattet af EU’s Effort
Sharing Regulation (herefter byrdefordelingsaftalen)
42
og LULUCF-sektorerne i
perioden 2021-2030. Det drejer sig bl.a. om drivhusgasudledninger fra
landbrugs- og skovarealer (LULUCF), samt udledninger omfattet af
byrdefordelingsaftalen fx udledninger fra landbrugsprocesser, transport, ikke-
energitunge erhverv, affald/spildevand, små fjernvarme- og kraftvarmeværker
samt husholdninger.
2.
Opfylde en række forpligtelser vedrørende forbruget af vedvarende energi
samt energieffektivisering
43
.
42
Udledninger fra sektorer under byrdefordelingsaftalen har hidtil omfattet ikke-kvoteomfattede
udledninger og har derfor været betegnet som ”non-ETS udledninger”. Da nye EU-regler medfører, at der
om nogle år oprettes et kvotehandelssystem for en stor del af disse udledninger, benævnes disse
udledninger nu som udledninger under EU’s byrdefordelingsaftale.
43
Jf. hhv. VE-direktiver (RED) og energieffektiviseringsdirektivet (EED).
KEF, Alm.del - 2022-23 (2. samling) - Bilag 291: Klimastatus og –fremskrivning 2023 og Danmarks globale klimapåvirkning – Global afrapportering 2023
2709817_0091.png
90
I dette kapitel gøres status for udsigten til, at disse forpligtigelser kan forventes
opfyldt med de rammebetingelser og tiltag, som indregnes i KF23.
44
For så vidt angår Danmarks EU-fastsatte drivhusgasreduktionsmål er konklusionen, at
det vil være nødvendigt at reducere udledningen yderligere i både ESR- og LULUCF-
sektorerne for at nå de fastsatte mål.
For så vidt angår målene relateret til forbruget af vedvarende energi samt
energieffektivisering er der i forlængelse af EU's nye drivhusgasmålsætning ”Fit for
55” lagt op til at skærpe 2030-målsætningerne for både vedvarende energi og
energieffektivitet betydeligt. Samtidig introduceres med vedtagelsen af det
omarbejdede energieffektivitetsdirektiv en række nye forpligtende mål for
medlemsstaterne. Det er endnu for tidligt at fastslå, i hvilket omfang allerede
vedtagne politikker og virkemidler bidrager til opfyldelse af disse reviderede mål samt
størrelsen på en eventuel manko.
11.1
Status for drivhusgasreduktionsforpligtelser: ESR og LULUCF
Danmarks EU-fastsatte forpligtelser til at reducere drivhusgasudledningerne fra ESR-
og LULUCF-sektorerne er begge blevet strammet ganske betydeligt siden KF22. Ifølge
KF23-fremskrivningen ser det ikke ud til, at forpligtelserne vil kunne indfris uden at
foretage yderligere reduktionstiltag og/eller at anvende fleksibilitetsmekanismer.
Der forventes en manko ift. både ESR-forpligtelsen samlet set i perioden 2021-2030
og for LULUCF-forpligtelsen i perioden 2026-2029 og i 2030, som er to særskilte
forpligtelser.
Tabel 11.1: Forventede mankoer for Danmarks EU-drivhusgasreduktionsforpligtelser
Forpligtelse
Akkumuleret manko
(mio. ton CO
2
e)
Byrdefordelingsaftalen 2021-2030
LULUCF 2021-2025
LULUCF 2026-2029
LULUCF 2030
Note: En negativ manko angiver en overopfyldelse af forpligtelsen
16
-13
9
2
44
For en mere detaljeret gennemgang henvises til sektornotat 11a og 11b.
KEF, Alm.del - 2022-23 (2. samling) - Bilag 291: Klimastatus og –fremskrivning 2023 og Danmarks globale klimapåvirkning – Global afrapportering 2023
2709817_0092.png
91
Udledningerne under byrdefordelingsaftalen forventes ifølge KF23 at være reduceret
til ca. 25 mio. ton CO2e i 2030, svarende til en reduktion på 38 pct. i forhold til 2005-
niveauet. Det efterlader en manko på ca. 12 pct.-point ift. EU-forpligtelsen om en 50
pct. reduktion i året 2030. Dertil foretages, jf. kapitel 2, en partiel korrektion for den
forventede effekt af den nye regulering af metanlækage fra biogasanlæg samt
biocoverordningen, som samlet set forventes at reducere udledningen med 0,5 mio.
ton CO2e i 2025 stigende til 0,6 mio. ton CO
2
e i 2030. På den baggrund kan den
akkumulerede manko opgøres til ca. 16 mio. ton CO
2
e for 2021-2030. Mankoen kan
grundlæggende indfris på to måder, 1) ved yderligere nationale reduktioner og/eller 2)
ved brug af fleksibilitetsmekanismer. Danmark vurderes at have mulighed for
reducere mankoen med ca. 12 mio. ton CO
2
e ved brug af fleksibilitetsmekanismer i
form af annullering af CO
2
-kvoter og brug af LULUCF-kreditter. Dertil er der mulighed
for at købe andre medlemslandes evt. overskydende emissionstilladelser.
LULUCF-reduktionsforpligtelsen for perioden 2021-25 forventes overopfyldt med
udstedelse af ca. 13 mio. LULUCF-kreditter til følge. Ift. LULUCF-forpligtelsen for
perioden 2026-30 forventes der at opstå en reduktionsmanko på ca. 9 mio. ton CO
2
e
for perioden 2026 til 2029 og ca. 2 mio. ton i 2030. Derfor vil der forventeligt være
behov for tiltag, der kan sikre indfrielse af mankoen. LULUCF-mankoen kan
reduceres/indfries på flere måder. For det første kan LULUCF-udledningen reduceres
yderligere, hvis der vedtages nye klimatiltag fx som led i indfrielse af Klimalovens
drivhusgasreduktionsmål frem mod 2030. For det andet er det muligt at købe andre
medlemslandes evt. overskydende LULUCF-kreditter fra perioden 2026-30. For det
tredje kan overskydende danske udledningsrettigheder overføres til LULUCF-
forpligtelsen, såfremt Danmark måtte reducere udledningerne omfattet af
byrdefordelingsaftalen yderligere og dermed overopfylde reduktionsforpligtelsen
under byrdefordelingsaftalen.
Det bemærkes, jf. beskrivelsen i afsnit 11.3, at der er stor usikkerhed om både
opgørelsen og fremskrivningen af optag og udledninger i LULUCF-sektoren. Herudover
er der usikkerhed om den konkrete målfastsættelse, da målene skal baseres på
fremtidige udledninger og fremtidige rapporteringer af historiske udledninger som kan
blive revideret bagudrettet. Disse usikkerheder gør samlet set, at der er stor
usikkerhed forbundet med mankoopgørelsen for de to EU-fastsatte
drivhusgasreduktionsforpligtelser.
11.2
Status for vedvarende energi og energieffektivisering
Tabel 11.2 nedenfor beskriver Danmarks eksisterende EU forpligtelser i forhold til
vedvarende energi og gør status for, hvorvidt disse forpligtelser forventes opfyldt
under KF23.
KEF, Alm.del - 2022-23 (2. samling) - Bilag 291: Klimastatus og –fremskrivning 2023 og Danmarks globale klimapåvirkning – Global afrapportering 2023
2709817_0093.png
92
Tabel 11.2
Indikator
VE-andel (RES)
Forpligtelse
Ambitiøst bidrag til
EU's fælles VE-mål
om 32 pct. samlet
45
Forventet status
Opfyldt. Fremskrivningen
medfører en forventet VE-
andel på 71 pct. i 2030.
Dette overstiger de 55 pct.
som blev vurderet
”tilstrækkeligt ambitiøst” af
Kommissionen ved NECP-
rapporteringen i 2020.
Implementeringssporet
opfylder ligeledes kravet i
forordningen
Primær usikkerhed
VE-andel i transport
(RES-T) og elforbrug
(RES-E), især fsva.
tidspunkt for havvinds
og solcellers
idriftsættelse
VE-andel i
transport (RES-T)
Min. 14 pct. i 2030
46
Opfyldt. RES-T forventes i
fremskrivningen at nå 41
pct. i 2030
Elektrificeringsgrad og
RES-E
Avancerede
biobrændstoffer i
transport
Min. 0,2 pct. i 2022,
1,0 pct. i 2025 og 3,5
pct. i 2030 (beregnet
under RES-T
definition)
Forpligtelsen for 2022 forventes opfyldt, mens
forpligtigelserne for 2025 og 2030 ikke forventes
opfyldt (jf. KF23 sektornotat 4B). Andelen af
avancerede biobrændstoffer forventes i
fremskrivningen at nå ca. 0,4 pct. i 2022, ca. 0,5 pct. i
2025 og 0,6-2,0 pct. i 2030.
VE-andel i
opvarmning og
procesenergi
(RES-H&C)
Årlig forhøjelse på
1,1 pct.-point,
undtaget når RES-
H&C overstiger 60
pct.
Opfyldt. RES-HC forventes i
fremskrivningen at overstige
60 pct. fra 2022, men
derudover forventes også en
årlig stigningstakt større end
1,1 pct.-point i hovedparten
af årene frem mod 2030
Udviklingen i
fjernvarmen samt
udbredelsen af
varmepumper i
husholdninger og
industri
Figur 11.1 viser, at den samlede VE-andel (RES) forventes at stige fra knapt 42 pct. i
2020 til 70 pct. i 2030. Heri er ikke taget højde for eventuel statistisk overførsel
mellem Danmark og andre EU-medlemsstater .
47
Eksempelvis indgik Danmark i 2020
45
Som omtalt i indledningen, arbejdes der på at skærpe målsætningerne for både vedvarende energi og
energieffektivitet på baggrund af EU's nye drivhusgasmålsætning ”Fit for 55”. I forlængelse heraf har
Rådet og EU-parlamentet den 30/3 2023 indgået aftale om at skærpe målsætningen for RES i 2030 fra
32% til 42,5% (med mulighed for en yderligere forhøjelse på 2,5%).
46
I aftalen nævnt ovenfor hæves målet for RES-T fra 14% til 29% (også alternativ målopfyldelsesmulighed
– ikke relevant for DK).
47
Medlemsstaterne kan jf. VE-direktivet aftale statistisk overførsel af vedvarende energi, hvilket har til
formål at sikre et omkostningseffektivt samarbejde om projekter og støtteordninger, ligesom lande , der
KEF, Alm.del - 2022-23 (2. samling) - Bilag 291: Klimastatus og –fremskrivning 2023 og Danmarks globale klimapåvirkning – Global afrapportering 2023
2709817_0094.png
93
aftaler om statistiske overførsler til Nederlandene, Belgien og Irland, hvilket indebar at
den samlede danske VE-andel endte på knapt 32 pct. og ikke ovennævnte knapt 42
pct.
Fremskrivningen viser, at VE-andelen i elforbruget (RES-E) stiger fra 65 pct. i 2020 til
117 pct. i 2030 og topper i 2031 på 128 pct. Herefter forventes et stigende elforbrug
at overstige udbygningen med vedvarende energi i elforsyningen, således at VE-
andelen falder til 118 pct. frem mod 2035.
48
VE-andelen i opvarmning og procesenergi (RES-H&C) stiger fra 51 pct. i 2020 til 77
pct. i 2030, for herefter at flade ud og ligge på ca. 76 pct. i 2035. Stigningen skyldes
især en stigende andel af bionaturgas i ledningsgasforbruget samt øget anvendelse af
varmepumper i husholdninger, industri og fjernvarme.
VE-andelen i transportsektoren (RES-T) beregnes i fremskrivningen at stige fra knapt
10 pct. i 2020 til 41 pct. i 2030, hvilket især skyldes iblanding af biobrændstoffer i
diesel og benzin samt elektrificering af person- og varebiler og banetransport. Efter
2030 stiger RES-T yderligere for at nå 88 pct. i 2035. Bemærk dog, at beregningen af
RES-T omfatter multiplikatorer på visse typer energiforbrug, bl.a. el og biobrændsler
(for uddybning se bilag i KF23 sektornotat 11B). I vejtransporten, som udgør
hovedparten af transportsektorens energiforbrug, udgør benzin og diesel således i
fremskrivningen omkring 73 pct. af energiforbruget i 2035, mens el og VE-
brændstoffer dækker hhv. 19 pct. og 8 pct. (jf. også KF23 sektornotat 4B om Forbrug
og sammensætning af transportbrændstoffer).
har svært ved at nå deres mål, kan ”købe” fra lande, der overopfylder. Statistisk overførsel har alene
betydning for RES og indgår dermed ikke i opgørelsen af de øvrige VE-andele efter VE-direktivet.
48
Se evt. KF23 Sektornotat 8B om Elforbrug.
KEF, Alm.del - 2022-23 (2. samling) - Bilag 291: Klimastatus og –fremskrivning 2023 og Danmarks globale klimapåvirkning – Global afrapportering 2023
2709817_0095.png
94
Figur 1: VE-andele i samlet energiforbrug, elforbrug, opvarmning og procesenergi, samt
transport, 2019-2035
VE-andele
140%
120%
100%
80%
60%
40%
20%
0%
Elforbrug (RES-E)
Samlet (RES) (før salg)
Opvarmning og procesenergi (RES-H&C)
Transport (RES-T)
Note: VE-andele er opgjort iflg. VE-direktivet/Eurostat. Samlet RES er opgjort før eventuelle statistiske
overførsler mellem Danmark og andre EU-medlemsstater. Efter statistiske overførsler udgjorde RES 31,7
pct. i 2020. Bemærk endvidere, at beregningen af RES-T omfatter multiplikatorer på visse typer
energiforbrug, men at disse ikke indgår ved beregning af den samlede VE-andel (RES).
Danmark har også EU-forpligtelser vedrørende energieffektivisering, som nu udvides
bl.a. med det nyligt omarbejdede energieffektivitetsdirektiv (EED). Den primære
målsætning er EU’s samlede mål for energieffektivisering, som nu øges til en
reduktion på 11,7 pct. i 2030 (sammenlignet med Kommissionens fremskrivning
REF2020), hvilket svarer til et samlet bindende mål for EU for det endelige
energiforbrug på 763 Mtoe og et vejledende mål for det primære energiforbrug på
992,5 Mtoe i 2030. Alle medlemsstater, herunder Danmark, er forpligtet til at indmelde
et vejledende nationalt bidrag til opnåelsen af dette fælles EU-mål, som fastsættes
efter en vejledende formel i direktivet. Hertil forventes Kommissionens fremskrivning
(REF2020) at skulle opdateres senest ultimo 2023. Direktivet er endnu ikke trådt i
kraft, og det er forsat for tidligt at fastslå det vejledende bidrag for Danmark, og om
dette vil kunne opfyldes med allerede vedtagne politikker og virkemidler - dette vil
blive behandlet i senere klimafremskrivninger.
Derudover, bl.a. til understøttelse af indfrielsen af EU-målsætningen, er Danmark (og
andre medlemsstater) underlagt en række forpligtelser under bl.a. ECOdesign, EED og
Bygningsdirektivet (EBPD). Disse har til formål at genere energibesparelser og øge
energieffektiviteten, hvor energispareforpligtelsen, fastlagt under EED, er en væsentlig
generel EE-forpligtelse for Danmark. Energispareforpligtelsen øges med det nye
omarbejdede EED, hvilket betyder, at Danmark skal genere et større antal
energibesparelser end under det tidligere direktiv. Det er ikke alle energibesparelser,
der fremgår af klimafremskrivningen, der opgøres under Danmarks opfyldelse af
KEF, Alm.del - 2022-23 (2. samling) - Bilag 291: Klimastatus og –fremskrivning 2023 og Danmarks globale klimapåvirkning – Global afrapportering 2023
2709817_0096.png
95
energispareforpligtelsen. Der er særlige regler for, hvordan energibesparelser kan
medtælles under forpligtelsen, hvorfor indfrielsen af forpligtelsen opgøres særskilt.
Den forhøjede forpligtelse er ikke trådt i kraft endnu, og man skal nu se på, hvordan
denne skal indfries.
11.3
Usikkerhed og følsomhedsberegninger
Byrdefordelings- og LULUCF-forpligtelserne
De akkumulerede mankoer ift. byrdefordelings- og LULUCF-drivhusgasreduktions-
forpligtelserne er følsomme over for justeringer i de årlige udledninger.
De årlige udledninger under byrdefordelingsaftalen er især følsomme ift.
husdyrbestanden, sammensætningen af bilparken, herunder udbredelsen af elbiler,
samt udviklingen i VE-andelen i ledningsgas (der bl.a. påvirker udledningerne fra
husholdninger og erhverv). Fx har det i en tidligere fremskrivning været vurderet, at en
stigning eller et fald på 15 pct. af bestanden af malkekøer kan øge eller reducere den
årlige udledning med ca. 0,5 mio. ton CO
2
e. Hertil skal det bemærkes, at det separate
kvotehandelssystem for bygninger og transport, som forventes etableret i 2027, ikke
er indregnet, idet det på nuværende tidspunkt ikke er muligt at skønne effekten heraf.
Fsva. LULUCF-sektorerne er der betydelig usikkerhed om størrelsen af udledninger og
optag. Det skyldes blandt andet, at der er stor usikkerhed forbundet med at estimere
og fremskrive udledningen fra landbrugs- og skovarealer. Fx viser en
følsomhedsberegning til KF23, at skovens nettooptag i fremskrivningen kan blive øget
med ca. 1 mio. ton i 2030, såfremt der anvendes en beregningsforudsætning om at
træerne generelt opnår en øget alder førend de fældes. Omvendt kan udledningen fra
landbrugsarealer vise sig at blive højere end forventet, hvis der sker forsinkelser ift.
udtagning og vådlægning af kulstofrige landbrugsarealer.
Endelig er der usikkerhed om fastsættelsen af de præcise drivhusgasreduktionsmål,
som for både ESR-forpligtelsen og LULUCF-forpligtelsen først skal fastsættes på et
senere tidspunkt baseret på opdaterede udledningstal,
49
Desuden er det endnu ikke
afklaret i EU, om negative udledninger fra lagring af biogen CO
2
i undergrunden evt.
skal kunne bidrage til målopfyldelsen.
49
I den forbindelse er det på nuværende tidspunkt også usikkert i hvilket omfang lækket af metan fra
Nordstream-gasrørledningerne i dansk økonomisk zone skal medregnes i forhold til Danmarks ESR-
reduktionsforpligtelse i EU.
KEF, Alm.del - 2022-23 (2. samling) - Bilag 291: Klimastatus og –fremskrivning 2023 og Danmarks globale klimapåvirkning – Global afrapportering 2023
2709817_0097.png
96
VE- og EE-forpligtelserne
VE-andele i de enkelte år er særlig følsomme over for havvinds og solcellers
idriftsættelsestidspunkt. En partiel alternativberegning,
50
hvor energiøen i Nordsøen
samt 4 GW havvind fra Klimaaftale om grøn strøm og varme af 25. juni 2022 er
inkluderet, viser endvidere, at VE-andelen i elforbruget (RES-E) øges til 131 pct. i 2030
og yderligere til 162% i 2035 (for uændret elforbrug).
Som tidligere nævnt indgår, der i kommissions udspil i forlængelse af EU's nye
drivhusgasmålsætning ”Fit for 55” forslag til at skærpe målsætningerne for både
vedvarende energi og energieffektivitet. Hvordan stramningerne i forlængelse heraf
konkret udmøntes er endnu ikke endeligt besluttet, og størrelsen af de enkelte
medlemslandes bidrag til opfyldelsen af de nye mål er ej heller fastlagt.
KEF, Alm.del - 2022-23 (2. samling) - Bilag 291: Klimastatus og –fremskrivning 2023 og Danmarks globale klimapåvirkning – Global afrapportering 2023
2709817_0098.png
97
Appendiks 1: Sammenhæng
mellem klimafremskrivningen (KF),
Danmark globale klimapåvirkning -
Global afrapportering (GA),
scenarier til klimaprogrammet (KP)
og analyseforudsætninger til
Energinet (AF)
Klimafremskrivning
(KF)
Danmarks globale
klimapåvirkning –
Global afrapportering
(GA)
Baggrund
Del af klimalovens
årshjul (jf. §6 i
klimaloven).
Del af klimalovens
årshjul (jf. §6 i
klimaloven).
Klimaprogrammet
indgår i klimalovens
årshjul (jf. § 7 i
klimaloven) og
scenarierne
udarbejdes til
klimaprogrammet
Analyseforudsætninge
rne (AF) har til formål
at angive et
sandsynligt
udviklingsforløb for
det danske el- og
gassystem, og
udarbejdes til brug for
Energinets opgave
med at planlægge
udviklingen i el- og
gastransmissionsnett
et.
Fokus
Opgørelse af
Danmarks samlede
drivhusgas-
udledninger i
overensstemmelse
med FN’s
opgørelsesmetoder
(jf. kap. 3 i KF23
sektor-
forudsætningsnotat
om Principper og
politikker). I
overensstemmelse
med FN-reglerne
indregnes udledninger
fra international skibs-
og luftfart ikke i
fremskrivningen.
Konkret opgøres
udledninger forbundet
med Danmarks
forbrug, import og
eksport. Dertil ses
nærmere på den
globale
klimapåvirkning fra
dansk el-udveksling
med udlandet,
international sø- og
luftfart, erhvervslivets
indsats, samt
Belyser Danmarks
klimapåvirkning uden
for landets grænser –
både positivt og
negativt.
Scenarierne optegner
forskellige
fremtidsbilleder af,
hvordan opnåelse af
70%-målet i 2030 og
målet om
klimaneutralitet i 2050
vil kunne se ud. Der er
udarbejdet 4 scenarier
for
klimamålsopnåelse i
hhv. 2030 og 2050. De
4 scenarier er baseret
på forskellige
kombinationer af
antagelser om
udvikling i
rammevilkår
Fremskrivning af
forbrug og produktion
af el og gas i
Danmark.
Klimaprogram (KP) -
Scenarier
Analyse-
forudsætninger til
Energinet
KEF, Alm.del - 2022-23 (2. samling) - Bilag 291: Klimastatus og –fremskrivning 2023 og Danmarks globale klimapåvirkning – Global afrapportering 2023
2709817_0099.png
98
Klimafremskrivning
(KF)
Danmarks globale
klimapåvirkning –
Global afrapportering
(GA)
Klimaprogram (KP) -
Scenarier
Analyse-
forudsætninger til
Energinet
FN-
opgørelsesreglerne
indebærer generelt, at
udledninger opgøres
fra produktionssiden
(fremfor
forbrugssiden).
udledninger fra import
og forbrug af soja.
Afrapporteringen
belyser desuden,
hvordan Danmark
bidrager til at
reducere globale
udledninger via en
række forskellige
myndighedsindsatser
(teknologier,
markeder, priser, mv.).
Scenarierne er ikke
ideelle bud på,
hvordan
klimamålsopnåelse
bør se ud, og der
findes yderligere
scenarier for
målopnåelse, end dem
som er udarbejdet til
klimaprogrammet.
Tidshorisont
Historisk (fra 1990 til
2021 i KF23) og
fremskrivning (fra
2022 frem til 2035 i
KF23).
Historisk og aktuel
status. Historiske
dataserier varierer
tidsmæssigt
afhængigt af emnet,
men i nogle tilfælde
fra 1990 til seneste
statistikår 2021 eller
2022. Der er i GA23
endvidere en
fremskrivning af
elhandelbalancens
effekt på udenlandske
emissioner frem til
2035 baseret på KF,
en fremskrivning af
nettoimporten af
forskellige brændsler
frem til 2030 baseret
på KF, en
fremskrivning af det
forbrugsbaserede
klimaaftryk frem til
2035, samt en
fremskrivning af
klimaaftrykket af
offentlige indkøb frem
til 2030.
Der udarbejdes
scenarier for 2030
samt 2050.
Scenarierne for 2030
skal ses som
trædesten på vejen
mod scenarierne for
2050.
Frem til 2050
Type af
fremskrivning
Frozen policy,
dvs.”politisk
fastfrossent” fravær
af nye tiltag på klima-
og energiområdet ud
over dem, som
Folketinget eller EU
har besluttet før
skæringsdatoen eller
som følger af
bindende aftaler. For
KF23 er
AF beskriver et bud på
en udvikling af de dele
af energiområdet, der
er relevante for
Energinets
planlægning. AF tager
højde for den
generelle
teknologiudvikling og
forudsætter opnåelse
af politiske
målsætninger, også
KEF, Alm.del - 2022-23 (2. samling) - Bilag 291: Klimastatus og –fremskrivning 2023 og Danmarks globale klimapåvirkning – Global afrapportering 2023
2709817_0100.png
99
Klimafremskrivning
(KF)
Danmarks globale
klimapåvirkning –
Global afrapportering
(GA)
Klimaprogram (KP) -
Scenarier
Analyse-
forudsætninger til
Energinet
hvis der ikke er
vedtaget konkrete
virkemidler til
opnåelse heraf. AF
baserer sig således
ikke på et frozen
policy-scenarie.
skæringsdatoen 1.
januar 2023. (jf. også
kap. 1.i KF23
sektorforudsætningsn
otat om principper og
politikker
Anvendelse
Til undersøgelse af i
hvilket omfang
Danmarks klima- og
energimålsætninger
og –forpligtelser vil
blive opfyldt inden for
rammerne af
gældende regulering.
Opgør hvordan danske
forbrugere, erhvervsliv
og myndigheder
påvirker de globale
udledninger på godt
og ondt.
Scenarierne
udarbejdes som
teknisk
baggrundsmateriale til
klimaprogrammet og
gengives desuden i
selve
klimaprogrammet.
Scenarierne kan
anvendes som et
teknisk grundlag for
overvejelser vedr.
opnåelse af 70%-
målet i 2030 og målet
om netto-
nuludledninger i 2050.
AF anvendes af
Energinet til at
planlægge udviklingen
i det danske el- og
gastransmissionsnet.
For yderligere
info
https://ens.dk/service
/fremskrivninger-
analyser-
modeller/klimastatus-
og-fremskrivning-
2023
https://ens.dk/service
/fremskrivninger-
analyser-
modeller/global-
afrapportering-2022
https://ens.dk/service
/fremskrivninger-
analyser-
modeller/tekniske-
analyser-til-baggrund-
klimaprogram-2022
https://kefm.dk/aktue
lt/nyheder/2022/sep/
nyt-klimaprogram-
danmark-er-knap-
trefjerdedele-af-vejen-
til-klimamaalet-
https://ens.dk/service
/fremskrivninger-
analyser-
modeller/analyseforu
dsaetninger-til-
energinet
KEF, Alm.del - 2022-23 (2. samling) - Bilag 291: Klimastatus og –fremskrivning 2023 og Danmarks globale klimapåvirkning – Global afrapportering 2023
2709817_0101.png
100
Appendiks 2: Oversigt over KF23
sektornotater og
sektorforudsætningsnotater
KF23 omfatter ud over hovedrapporten også 18 sektornotater og 10
sektorforudsætningsnotater og forudsætningsnotater. Disse fremgår af tabellerne
nedenfor
Tabel A1.1: KF23 sektornotater
Notat nr.
3A
4A
4B
5A
6A
7A
7B
7C
8A
8B
9A
9B
10A
10B
10C
10D
11A
11B
Sektornotat
Husholdninger
Transport
Forbrug og sammensætning af transportbrændstoffer
Serviceerhverv
Fremstillingserhverv og bygge-anlæg
Indvinding af olie og naturgas samt raffinaderier
Biogas, PtX og VE-brændstoffer
Forbrug og sammensætning af ledningsgas
El og fjernvarme (ekskl. affaldsforbrænding)
Forbrug af el
Affaldsforbrænding
Øvrigt affald og spildevand
Energiforbrug i landbrug, gartneri, skovbrug og fiskeri
Landbrugsprocesser
Landbrugsarealer
Skov og høstede træprodukter
Danmarks drivhusgasreduktionsforpligtelser i EU
Danmarks EU forpligtelser ift. VE samt udvalgte nationale aftaler
Tabel A1.2: KF23 sektorforudsætningsnotater og forudsætningsnotater
Sektorforudsætningsnotat Kap. nr.
Principper og politikker
Kap. 1
Kap. 2
Kap. 3
Priser og vækst
Kap. 1
Kap. 2
Kap. 3
Transport
Kap. 1
Kap. 2
Kap. 3
Kap. 4
Kapitel
Introduktion til KF23 forudsætningsmaterialet
Principper for frozen policy
Politik og aftaler i KF23
Principper for udledningsopgørelse
Brændselspriser
CO2-kvotepris
Økonomiske vækstforudsætninger
Transportmodellen FREM
Modeller og metode for vejtransport
Forudsætninger for vejtransporten
Banetransport – Metode og forudsætninger
KEF, Alm.del - 2022-23 (2. samling) - Bilag 291: Klimastatus og –fremskrivning 2023 og Danmarks globale klimapåvirkning – Global afrapportering 2023
2709817_0102.png
101
Sektorforudsætningsnotat Kap. nr.
Kap. 5
Kap. 6
Kap. 7
Husholdninger og erhvervs
energiforbrug og proces-
udledninger
Kap. 1
Kap. 2
Kap. 3
Kap. 4
Kap. 5
Kap. 6
Kap. 7
Produktion af olie, gas og
VE-brændstoffer
Kap. 1
Kap. 2
Kap. 3
Kap. 4
El og fjernvarme
Kap. 1
Kap. 2
Kap. 3
Kap. 4
Kap. 5
Kap. 6
Kap. 7
Kap. 8
Forudsætningsnotat
Forudsætningsnotat
Forudsætningsnotat
Landbrugsprocesser,
landbrugsarealer og skov
Kap. 1
Kap. 2
Kap. 3
Kap. 4
Kapitel
Indenrigssøfart – Metode og forudsætninger
Indenrigsluftfart – Metode og forudsætninger
Øvrige transport – Metode og forudsætninger
IntERACT modellen
Husholdningernes opvarmning
Husholdningernes apparatforbrug
Datacentre
Cementproduktion
Energiforbrug i landbrug, gartneri, skovbrug og fiskeri
F-gasser
Olie-gas produktion
Raffinaderier
Biogasproduktion
Power-to-X
Ramses modellen
DH-Invest
Udenlandske elproduktionskapaciteter mv.
Danske interkonnektorer
Havvind
Landvind
Solceller
Termisk produktionskapacitet (ekskl. affaldsforbrænding)
Affaldsforbrænding
Øvrigt affald
CCS
Landbrugsprocesser
Landbrugsarealer og øvrige arealer
Skov og høstede træprodukter
DCE’s beregningsmetoder for landbrug og LULUCF
KEF, Alm.del - 2022-23 (2. samling) - Bilag 291: Klimastatus og –fremskrivning 2023 og Danmarks globale klimapåvirkning – Global afrapportering 2023
2709817_0103.png
102
Appendiks 3: Oversigt over KF23-
dataark
Ifm. med KF23 offentliggøres også en række dataark. Disse er oplistet i tabellen.
Tabel A2.1: KF23 dataark
Filnavn
KF23 resultater -
Tal bag figurer
KF23 forudsætninger - Tal bag
figurer
KF23 CRF-tabel
Emissionsopgørelse per drivhusgastype for årrækken 1990-
2035. Statistiske år er faktiske år, mens
fremskrivningsperioden er normalår.
I KF23 anvendes Energistyrelsens historiske udledningstal.
Totalerne er identiske med DCE’s historiske udledningstal,
men der er små forskelle i fordelingen af udledningerne på
visse kategorier.
KF23 CRF-tabel opdelt på ETS
og ESR omfattede udledninger
KF23 er opgjort ved brug af de nye global warming potential
faktorer fra IPCC’s 5. Assesment Report (AR5).
Emissionsopgørelse opdelt på henholdsvis kvoteomfattede
(ETS) og ikke-kvoteomfattede (ESR) udledninger for
årrækken 1990-2035. Statistiske år er faktiske år, mens
fremskrivningsperioden er normalår.
Energibalance
Sektordataark
KF23 er opgjort ved brug af de nye global warming potential
faktorer fra IPCC’s 5. Assesment Report (AR5).
National energibalance for brændsler for årrækken 2015-
2035
El og fjernvarme
Elsystem timeserier
Transport
Landbrug
LULUCF
Beskrivelse
Omfatter tal bag figurer i KF23 hovedrapporten og
sektornotaterne
Omfatter tal bag figurer i KF23 forudsætningsnotaterne
KEF, Alm.del - 2022-23 (2. samling) - Bilag 291: Klimastatus og –fremskrivning 2023 og Danmarks globale klimapåvirkning – Global afrapportering 2023
2709817_0104.png
103
Appendiks 4: Sammenhæng
mellem KF23 sektorer og KF22
sektorer samt CRF-tabel
Sammenhæng mellem KF23 sektorer og KF22 sektorer
Ligesom i KF22 er udledningerne i KF23 fordelt på otte sektorer samt CCS. Den eneste
ændring i sektorafgrænsningen mellem KF22 og KF23 er, at udledninger forbundet
med metanlækage fra biogasanlæg.
Tabel A3.1: KF23 sektorer
KF23 sektor
Husholdninger
Transport
Serviceerhverv
Fremstillingserhverv og bygge-
anlæg
Produktion af olie, gas og VE-
brændstoffer
El og fjernvarme
Affald og spildevand
Bemærkning
Ekskl. energiforbrug og udledninger forbundet med
transport, inkl. sektorens andel af F-gasudledning
Inkl. sektorens andel af F-gasudledning
Inkl. datacentre og inkl. sektorens andel af F-
gasudledning
Inkl. sektorens andel af F-gasudledning
Inkl. metanlækage fra biogasproduktion
Ekskl. udledninger fra affaldsforbrænding
Inkl. udledninger fra affaldsforbrænding, deponi,
spildevand, kompostering, ekskl.metanlækage fra
biogasanlæg.
Inkl. sektorens energiforbrug
Landbrug, landbrugsarealer,
skove, gartneri og fiskeri
udledning.
Note: Da CCS ikke er fordelt på sektorer i KF23 håndteres denne teknisk som en separat, negativ
Sammenhæng mellem KF23 sektorer og CRF-tabel
Sektorafgrænsningen i KF23 følger så vidt muligt kategorierne i CRF-tabellerne.
Tabellen nedenfor viser således, hvordan drivhusgasserne CO2, CH4, N2O, indirekte
CO2 under de forskellige CRF-kategorier er fordelt på KF23 sektorerne (her
identificeret med kapitelnumre i hovedrapporten). F-gasser er fordelt på sektorer ud
fra fordelingsnøglen vist i KF23 forudsætningsnotat 9C.
KEF, Alm.del - 2022-23 (2. samling) - Bilag 291: Klimastatus og –fremskrivning 2023 og Danmarks globale klimapåvirkning – Global afrapportering 2023
2709817_0105.png
104
Tabel A4.1: Fordelingsnøgle for CRF-kategorier på KF23 sektorer
CRF code
1A1a
1A1ax
1A1b
1A1c
1A2
1A2gvii
1A3a
1A3bi
1A3bii
1A3biiix
1A3biiiy
1A3biv
1A3bx
1A3c
1A3d
1A4ai
1A4aii
1A4bi
1A4bii
1A4ci
1A4cii
1A5bi
1A5bii
1B2a
1B2b
1B2c
2A0
2A1
2B
2C
2D
2E
2F
2G
2H
3A
3B
3D
3F
3G
3H
Description
Public electricity and heat production
Public electricity and heat production (Waste incieration)
Petroleum refining
Other energy industries (oil/gas extraction)
Combustion in manufacturing industry
Industry - Other (mobile)
Domestic aviation
Road transport - Cars
Road transport - Light duty trucks
Road transport - Heavy duty trucks
Road transport - Busses
Road transport - Motorcycles and mopeds
Road transport - Bordertrade
Railways
Domestic navigation
Commercial and institutional
Commercial and institutional (mobile)
Residential
Residential (mobile)
Agriculture, forestry and aquaculture
Ag/for./fish. (mobile)
Military (mobile)
Recreational boats (mobile)
Fugitive emissions from oil
Fugitive emissions from gas
Fugitive emissions from flaring
Mineral industry - excl. cement production
Mineral industry - cement production
Chemical industry
Metal industry
Non-energy products from fuels and solvent use
Electronic industry
Product uses as ODS substitutes
Other product manufacture and use
Other industrial processes
Enteric fermentation
Manure management
Agricultural soils
Field burning of agricultural residues
Liming
Urea application
CO2, CH4,
N2O, Indirekte
CO2
08
09
07
07
06
06
04
04
04
04
04
04
04
04
04
05
05
03
03
10
10
04
04
07
07
07
06
06
06
06
06
06
06
06
06
10
10
10
10
10
10
KEF, Alm.del - 2022-23 (2. samling) - Bilag 291: Klimastatus og –fremskrivning 2023 og Danmarks globale klimapåvirkning – Global afrapportering 2023
2709817_0106.png
105
CRF code
3I
4A
4B
4C
4D
4E
4F
4G
4H
5A
5B1
5B2
5C
5D1a
5D1b
5E
Description
Other carbon-containing fertilizers
Forest land
Cropland
Grassland
Wetlands
Settlements
Other Land
Harvested wood products
Other LULUCF
Solid waste disposal
Composting
Anaerobic digestion at biogas facilities
Incineration and open burning of waste
Emission, anaer. treat. Plants/Venting
Waste water treatment and discharge - other
Other waste
CO2, CH4,
N2O, Indirekte
CO2
10
10
10
10
10
10
10
10
10
09
09
07
09
07
09
09
Note: 03 er husholdninger; 04 transport; 05 serviceerhverv; 06 fremstillingserhverv og bygge-anlæg; 07
produktion af olie, gas og VE-brændstoffer; 08 El og fjernvarme; 09 affald, 10 landbrug, landbrugsarealer,
skove, gartneri og fiskeri. CH4 er metan og N20 er lattergas.
KEF, Alm.del - 2022-23 (2. samling) - Bilag 291: Klimastatus og –fremskrivning 2023 og Danmarks globale klimapåvirkning – Global afrapportering 2023
2709817_0107.png
106
Appendiks 5: Beregning af KF23
netto-udledninger inkl. korrektioner
ud fra KF23 CRF-opgørelsen
Tabel A5.1: Sammenhæng mellem KF23 netto-udledninger inkl. korrektion og KF23 CRF-opgørelse
Mio ton CO
2
e
KF23 netto- udledninger i
CRF-opgørelse
Partiel korrektion ift.
metanlækage fra biogas
Partiel korrektion ift.
biocovers på deponi
KF23 netto- udledninger
inkl. partielle korrektioner
46,2
46,5
42,8
43,6
39,4
37,4
35,4
33,8
30,3
29,0
28,1
27,5
27,2
26,7
25,8
0,0
0,0
0,0
0,0
0,0
0,0
0,0
0,0
0,0
0,0
0,0
0,0
0,0
0,0
0,0
0,0
0,0
0,0
-0,4
-0,5
-0,5
-0,5
-0,5
-0,5
-0,6
-0,6
-0,5
-0,5
-0,5
-0,5
46,3
46,5
42,8
44,0
39,9
37,9
35,9
34,4
30,9
29,6
28,7
28,0
27,8
27,2
26,3
2021
2022
2023
2024
2025
2026
2027
2028
2029
2030
2031
2032
2033
2034
2035
KEF, Alm.del - 2022-23 (2. samling) - Bilag 291: Klimastatus og –fremskrivning 2023 og Danmarks globale klimapåvirkning – Global afrapportering 2023
2709817_0108.png
107
Appendiks 6: Samlede biogene
energirelaterede CO
2
-udledninger i
KF23
Klimafremskrivningens opgørelse af sektorernes udledninger følger FN’s
opgørelsesregler, da udledningsopgørelsen ift. 70 pct. målsætningen ifølge klimaloven
skal følge disse. CO
2
-udledning fra forbruget af biomasse medregnes i LULUCF-
sektoren i det land, hvor biomassen høstes. Ved afbrænding af dansk og importeret
biomasse og biobrændsler til energiformål medregnes den heraf følgende biogene CO
2
-
udledning derfor ikke for at undgå dobbelttælling (jf. sektorforudsætningsnotat
Principper og politikker – Udledningsopgørelse). Ifølge FN-reglerne skal CO
2
-
udledningerne fra forbruget af biomasse til energi dog opgøres og indberettes under et
såkaldt ”memo item”. Dette bilag viser de samlede biogene energirelaterede CO
2
-
udledninger forbundet med forbrænding af biomasse og biobrændsler.
Som det fremgår af figur App.6.1 har de samlede biogene energirelaterede CO
2
-
udledninger været stigende i perioden fra 1990 frem til 2021, hvor de udgjorde 20,1
mio. ton CO
2
. Frem mod 2025 skønnes de biogene energirelaterede CO
2
-udledninger
at udgøre i størrelsesordenen 22 mio. ton CO
2
, undtagen i 2023 hvor de forventes at
ligge på 20,3 mio. ton. Udsvingene i denne periode stammer hovedsageligt fra el- og
fjernvarmesektoren, og skal ses i sammenhæng med udviklingen i de relative
brændselspriser, som har stor betydning for brændselssammensætningen i el- og
fjernvarmesektoren (jf. også KF23 sektornotat 8A). El- og fjernvarmesektoren er
generelt den sektor, der tegner sig for den største andel af de samlede biogene
energirelaterede CO
2
-udledninger i fremskrivningsperiode, om end el og
fjernvarmesektorens andel af de samlede biogene energirelaterede CO
2
-udledninger
falder fra 60 pct. i 2025 til 45 pct. i 2030.
KEF, Alm.del - 2022-23 (2. samling) - Bilag 291: Klimastatus og –fremskrivning 2023 og Danmarks globale klimapåvirkning – Global afrapportering 2023
2709817_0109.png
108
Figur A6.1: Samlede biogene energirelaterede CO
2
-udledninger fordelt på sektorer
mio. ton CO2e
Samlede biogene energirelaterede CO
2
-udledninger
Husholdninger
25
20
Transport
Serviceerhverv
15
Fremstillingserhverv og bygge-anlæg
Produktion af olie, gas og VE-
brændstoffer
El og fjernvarme
Affald (inkl. affaldsforbrænding)
10
5
0
1990 1995 2000 2005 2010 2015 2020 2025 2030 2035
Landbrug, skove, gartneri og fiskeri
Figur App.6.2 viser udviklingen i og sammensætningen af de biogene energirelaterede
CO
2
-udledninger fordelt på brændsler. Som det ses, stammer størstedelen af de
biogene energirelaterede CO
2
-udledninger fra træ i form af træflis, træpiller og øvrigt
træ. De biogene energirelaterede CO2-udledninger fra bionaturgas stiger også i takt
med den øgede produktion af bionaturgas og deraf stigende VE-andel i
ledningsgassen.
Figur A6.2: De samlede biogene energirelaterede CO
2
-udledninger fordelt på brændsler
mio. ton CO2e
Samlede biogene energirelaterede CO
2
-udledninger
25
Bioethanol
Biodiesel
Bioolie
Træpiller
Træflis
Træ Øvrig
20
15
10
5
Halm
Affald, bionedbrydeligt
0
1990
Biogas inkl. bionaturgas
1995
2000
2005
2010
2015
2020
2025
2030
2035
KEF, Alm.del - 2022-23 (2. samling) - Bilag 291: Klimastatus og –fremskrivning 2023 og Danmarks globale klimapåvirkning – Global afrapportering 2023
2709817_0110.png
109
Appendiks 7: Ordforklaringer og
forkortelser
Ordforklaringer
Biobrændstoffer:
Brændstof produceret af biologisk materiale. Der skelnes mellem 1.
og 2. generations biobrændstof. 1. generations biobrændstof er primært ethanol og
biodiesel, der produceres på basis af fødevareafgrøder. Bioethanol produceres typisk
af stivelses- og sukkerholdige afgrøder såsom korn og sukkerrør, mens biodiesel
typisk produceres af olieholdige afgrøder såsom raps, sojabønner og palmeolie. 2.
generations biobrændstof fremstilles typisk på basis af restprodukter fra landbrug og
industri.
Biogen energirelateret CO
2
-udledning:
Den CO
2
-udledning der er knyttet til afbrænding
af biomasse.
Biomasse:
En fælles betegnelse for al organisk materiale, som dannes ved planters
fotosyntese og med solen som energikilde. I energisammenhænge er de mest
almindelige produkter halm, brænde, træflis, træpiller, træaffald, bionedbrydeligt
affald, mm.
Bionaturgas:
Biogas som er opgraderet til at overholde leveringskrav for gas i
ledningsnettet.
CO
2
-intensitet:
Mål for udledningen af CO
2
i forhold til den økonomiske produktion.
Opgøres som forholdet mellem CO
2
-udledning og produktionsværdi.
Common Reporting Format (CRF):
Standard format for indberetning af
emissionsopgørelse under FN opgørelsesmetoden.
Drivhusgasudledninger:
Drivhusgasser omfatter kuldioxid (CO
2
), metan (CH
4
),
lattergas (N
2
O) samt F-gasser. Gasserne har forskellig drivhuseffekt, men omregnes
til
CO
2
-ækvivalenter
(forkortet CO
2
e) ud fra gassens opvarmningspotentiale i et
hundredårigt perspektiv i forhold til CO
2
. CO
2
e-udledninger er således en måde at
opgøre drivhusgasudledninger på, som muliggør en sammenlægning af forskellige
drivhusgasser med forskellig drivhuseffekt i forhold til gassens styrke og hvor længe
den er i atmosfæren. Med enheden CO
2
e omregnes klimaeffekten af den enkelte gas
til, hvad effekten ville svare til opgjort i CO
2
.
Energiintensitet:
Mål for energiforbrug i forhold til den økonomiske produktion.
Opgøres som forholdet mellem energiforbrug og produktionsværdi.
KEF, Alm.del - 2022-23 (2. samling) - Bilag 291: Klimastatus og –fremskrivning 2023 og Danmarks globale klimapåvirkning – Global afrapportering 2023
2709817_0111.png
110
Endeligt energiforbrug:
Det endelige energiforbrug udtrykker energiforbruget leveret til
slutbrugerne, dvs. private og offentlige erhverv samt husholdninger. Anvendelser
omfatter: fremstilling af varer og tjenester, rumopvarmning, belysning og andet
apparatforbrug samt transport. Hertil kommer et olieforbrug til ikke-energiformål, dvs.
smøring og rensning samt bitumen til asfaltering. Energiforbrug i forbindelse med
udvinding af energi, raffinering og konvertering er ikke inkluderet i det endelige
energiforbrug. Afgrænsningen og opdelingen af endeligt energiforbrug følger
retningslinjerne hos Det Internationale Energi Agentur (IEA) og Eurostat. Herefter
udskilles energiforbrug til transport på vej og bane, til søs, i luften og i rør -uanset
forbruger -som en særlig hovedkategori. Det betyder, at energiforbrug i erhverv og
husholdninger opgøres ekskl. forbrug til transportformål. Det endelige energiforbrug
er desuden ekskl. grænsehandel med olieprodukter, der er defineret som den mængde
af motorbenzin, gas-/dieselolie og petroleumskoks, der som følge af forskelle i prisen
indkøbes af privatpersoner og vognmænd m.fl. på den ene side af grænsen og
forbruges på den anden side af grænsen.
Faktisk energiforbrug:
Det faktiske energiforbrug fremkommer ved at tage det
endelige energiforbrug og hertil lægge distributionstab samt energiforbrug i
forbindelse med udvinding af energi og raffinering. Desuden tillægges det anvendte
egetforbrug af energi ved produktion af elektricitet og fjernvarme.
Ikke-kvoteomfattede drivhusgasudledninger (non-ETS):
Omfatter primært transport,
landbrug, husholdninger, øvrige erhverv, affald og et antal mindre, decentrale
kraftvarmeværker, dvs. talrige større og mindre udledningskilder. Reguleringen sker
gennem national indsats i de enkelte lande, der har fået reduktionsmål relativt til
2005-udledningerne. Basisåret er 2005, hvilket skyldes, at det er det tidligste år, hvor
der forelå data, der muliggjorde opdelingen mellem kvote- og ikke-kvoteomfattede
udledninger.
ILUC-effekt:
Når biomasse til biobrændstoffer dyrkes på et areal, der tidligere har
været anvendt til fødevarer, vil fødevareproduktionen blive overflyttet til nye arealer,
da efterspørgslen efter fødevarer antages uændret. ILUC er den udledning, der finder
sted når et tidligere u-dyrket areal omlægges til produktion af fødevareafgrøder, som
følge af anvendelse af biobrændstoffer.
Indirekte udledninger:
Indirekte CO
2
beregnes på baggrund af udledninger af CH
4
,
NMVOC og CO, som i atmosfæren oxideres til CO
2
. Det er kun fossile emissioner af
CH
4
, NMVOC og CO, der bidrager til beregningen.
Kulstofpulje:
Skove og øvrige arealer (primært dyrkede arealer og græsarealer i
landbruget) spiller en vigtig rolle som kulstofpulje, idet CO
2
enten kan lagres i eller
frigives fra træer, planter og jord. Størrelsen på kulstofpuljen i skove og øvrige arealer
er afhængig af, hvordan jorden og skoven anvendes.
KEF, Alm.del - 2022-23 (2. samling) - Bilag 291: Klimastatus og –fremskrivning 2023 og Danmarks globale klimapåvirkning – Global afrapportering 2023
2709817_0112.png
111
Kvoteomfattede drivhusgasudledninger (ETS):
Omfatter energiproduktion, tung
industri, luftfart og andre store punktkilder. Den samlede kvotemængde fastsættes på
EU-niveau, og mængden skærpes årligt. Kvoterne udbydes på et fælleseuropæisk
marked, hvor kvotevirksomhederne handler kvoter, hvilket betyder, at der ikke kan
foretages direkte regulering af kvotesektorens udledninger på nationalt niveau.
Ledningsgas:
I Danmark blandes fossil naturgas med bionaturgas (dvs. opgraderet
biogas) i ledningsgasnettet. Forbrugeren har ikke mulighed for at vælge, hvilken type
naturgas der anvendes, idet den fossile naturgas og bionaturgassen bliver blandet i
gasnettet og bliver til ledningsgas.
LULUCF:
Opgørelse af optag og udledninger af kulstof primært i forbindelse med
dyrkning af jord og drift af skove.
Trafikarbejde:
Antal kørte kilometer, som et køretøj tilbagelægger på et år.
VE (Vedvarende Energi):
Solenergi, vindkraft, vandkraft, geotermi, omgivelsesvarme til
varmepumper samt bioenergi (halm, skovflis, brænde, træpiller, træaffald, flydende
biobrændsler, bionaturgas, bionedbrydeligt affald og biogas).
VE-andele:
For opsummering af principper for opgørelse af VE-andele se bilag til
sektornotat 11B.
VE-brændstoffer:
B
rændstoffer produceret på grundlag af vedvarende energikilder
og er i
KF23
en fællesbetegnelse for både biomassebaserede brændstoffer (fx biodiesel og
bioethanol) og brændstoffer produceret vha. elektrolyse (Power-to-X-teknologi)
.
Forkortelser
BF20:
Basisfremskrivning 2020
CO
2
e.:
CO2-ækvivalenter
CRF:
Common reporting format
DCE:
Danish Centre for Environment and Energy
(Nationalt Center for Miljø og Energi,
Aarhus Universitet)
ETS:
Emission Trading System
(Det europæiske CO2-kvotemarked)
ESR:
EU’s såkaldte ”Effort Sharing Regulation” eller byrdefordelingsaftale
ILUC:
Indirect Land Use Change
KF21:
Klimastatus og -fremskrivning 2021
KF22:
Klimastatus og -fremskrivning 2022
LULUCF:
Land Use & Land Use Change & Forestry
(oversættes på dansk til
arealanvendelse, arealanvendelsesændringer og skovbrug)
KEF, Alm.del - 2022-23 (2. samling) - Bilag 291: Klimastatus og –fremskrivning 2023 og Danmarks globale klimapåvirkning – Global afrapportering 2023
2709817_0113.png
112
NECP:
National Energy and Climate Plan
Pct.:
Procent (%)
PJ:
Peta Joule (1 PJ = 1000 TJ = 1 mio. GJ = 1 mia. MJ)
PtX:
Power-to-X
RES:
Renewable Energy Share
(samlet VE-andel)
RES-E:
Renewable Energy Share - Electricity
(VE-andel i elforbruget)
RES-H&C
:
Renewable Energy Share - Heating and Cooling
(VE-andel i opvarmning og
procesenergi)
RES-T:
Renewable Energy Share – Transportation
(VE-andel i transport)
TWh:
Tera Watt-timer (1 TWh = 1000 GWh = 1 mio MWh = 1 mia kWh)
VE:
Vedvarende energi
KEF, Alm.del - 2022-23 (2. samling) - Bilag 291: Klimastatus og –fremskrivning 2023 og Danmarks globale klimapåvirkning – Global afrapportering 2023
2709817_0114.png
113
Appendiks 8: Referencer
Hvert KF23 sektornotater indeholder en referenceliste for det pågældende notat. Dette
appendiks omfatter alene referencer, som er direkte indeholdt i hovedrapporten, og
som ikke er en del af KF23 materialet. For liste over KF23 sektornotater og
forudsætningsnotater se appendiks 1.
Aftale om grøn omstilling af dansk landbrug af 4. oktober 2021,
https://fm.dk/media/25302/aftale-om-groen-omstilling-af-dansk-landbrug_a.pdf.
Aftale om grøn skattereform for industri mv. af 22. juni 2022,
https://fm.dk/media/26070/aftale-om-groen-skattereform-for-industri-mv-a.pdf.
Aftale om grøn strøm og varme, 25. juni 2022,
https://www.regeringen.dk/media/11470/klimaaftale-om-groen-stroem-og-varme.pdf.
Aftale om kilometerbaseret vejafgift for lastbiler, 29. marts 2023,
https://www.skm.dk/aktuelt/presse-nyheder/pressemeddelelser/ny-aftale-om-
kilometerbaseret-vejafgift-for-lastbiler-goer-danmark-groennere/.
Aftale om klimalov af 6. december 2019,
https://kefm.dk/Media/1/D/aftale-om-
klimalov-af-6-december-2019%20FINAL-a-webtilg%C3%A6ngelig.pdf.
Aftale om målrettet varmecheck af 11. februar 2022,
https://kefm.dk/Media/637801888446028492/Aftaletekst%20m%C3%A5lrettet%20va
rmecheck.pdf.
Aftalen om revision af EU’s kvotehandelssystem, 20. april 2023,
https://data.consilium.europa.eu/doc/document/PE-9-2023-INIT/da/pdf.
Aftale om vinterhjælp mv. af 23. september 2022,
https://fm.dk/media/26374/aftale-
om-vinterhjaelp.pdf.
Dokumentation og følsomhedsberegninger af effekter for erhverv og rumvarme,
februar 2022,
https://www.skm.dk/media/10987/dokumentationsnotat.pdf.
EUROPA-PARLAMENTETS OG RÅDETS DIREKTIV (EU) 2018/2001 af 11. december
2018 om fremme af anvendelsen af energi fra vedvarende energikilder (https://eur-
lex.europa.eu/legal-content/DA/TXT/HTML/?uri=CELEX:32018L2001&from=EN).
EUROPA-PARLAMENTETS OG RÅDETS DIREKTIV (EU) 2018/2002 af 11. december
2018 om ændring af direktiv 2012/27/EU om energieffektivitet Eurostat (https://eur-
lex.europa.eu/legal-content/DA/TXT/HTML/?uri=CELEX:32018L2002&from=EN).
Europa-Parlamentets og Rådet forordninger om CO2-reduktionskrav:
KEF, Alm.del - 2022-23 (2. samling) - Bilag 291: Klimastatus og –fremskrivning 2023 og Danmarks globale klimapåvirkning – Global afrapportering 2023
2709817_0115.png
114
-
-
(EU) 2019/631:
https://eur-lex.europa.eu/legal-
content/DA/TXT/?uri=CELEX:32019R0631
2021/0197 (COD):
https://eur-lex.europa.eu/legal-
content/EN/ALL/?uri=CELEX:52021PC0556
og:
https://eur-lex.europa.eu/legal-
content/DA/TXT/HTML/?uri=CELEX:52021PC0556&from=EN
-
(EU) 2019/1242:
https://eur-lex.europa.eu/legal-
content/DA/TXT/?uri=CELEX:32019R1242
EU’s Fit for 55-lovpakke, senest ajourført 27. april 2023,
https://www.consilium.europa.eu/da/policies/green-deal/fit-for-55-the-eu-plan-for-a-
green-transition/.
Finansloven for 2022, 22. december 2021,
https://fm.dk/udgivelser/2022/februar/finansloven-for-2022/.
Finansministeriets fremskrivning, 18. januar 2023,
https://ens.dk/sites/ens.dk/files/Basisfremskrivning/kf23_sektorforudsaetningsnotat
_priser_og_vaekst.pdf.
Foreløbig aftale om revision af EU’s kvotehandelssystem, 18. december 2022,
https://www.consilium.europa.eu/da/press/press-releases/2022/12/18/fit-for-55-
council-and-parliament-reach-provisional-deal-on-eu-emissions-trading-system-and-
the-social-climate-fund/.
Foreløbig aftale om strengere CO2-emissionspræstationsstandarder for nye biler og
varebiler, 25. januar 2023,
https://ens.dk/sites/ens.dk/files/Basisfremskrivning/kf23_offentligt_hoeringsmoede_
2023-01-25.pdf.
Fremtiden for olie- og gasindvinding i Nordsøen af 3. december 2020,
https://kefm.dk/Media/0/3/Nords%C3%B8aftale.pdf.
Kilometerbaseret vejafgift for lastbiler (24. juni 2022):
https://www.trm.dk/media/vzoeqemf/aftaletekst-kilometerbaseret-vejafgift.pdf.
Klimaaftale for energi og industri, 22. juni 2022,
https://kefm.dk/Media/8/8/aftaletekst-klimaaftale-energi-og-industri%20(1).pdf.
Klimaaftale om grøn strøm og varme 2022, et grønnere og sikrere Danmark, Danmark
kan mere II, af 25. juni 2022,
https://kefm.dk/Media/637920977082432693/Klimaaftale%20om%20gr%C3%B8n%2
0str%C3%B8m%20og%20varme%202022.pdf.
KEF, Alm.del - 2022-23 (2. samling) - Bilag 291: Klimastatus og –fremskrivning 2023 og Danmarks globale klimapåvirkning – Global afrapportering 2023
2709817_0116.png
115
Klimaprogram september 2022,
https://kefm.dk/Media/637995217763659018/Klimaprogram%202022.pdf.
Lovforslag om ny organisering af affaldsforbrændingssektoren, 16. juni 2020,
https://www.ft.dk/samling/20222/lovforslag/l115/index.htm.
LULUCF-forordning-revideret (EUROPA-PARLAMENTETS OG RÅDETS FORORDNING
(EU) 2023/839 af 19. april 2023 om ændring af FORORDNING (EU) 2018/841 af 30.
maj 2018 om medtagelse af drivhusgasemissioner og -optag fra arealanvendelse,
ændret arealanvendelse og skovbrug i klima- og energirammen for 2030)
https://eur-
lex.europa.eu/legal-
content/EN/TXT/?uri=CELEX%3A32023R0839&qid=1682050272773.
Opdateret kortlægning af energiforbrug og energibesparelser i produktionserhverv,
august 2022,
https://ens.dk/sites/ens.dk/files/Analyser/kortlaegning_af_energiforbrug_i_produktio
nserhvervene_2022.pdf.
Opfølgende aftale om Klimaplan for en grøn affaldssektor og cirkulær økonomi, 16.
juni 2022,
https://www.regeringen.dk/media/9591/aftaletekst.pdf.
”Rådet og Parlamentet indgår foreløbig aftale om direktivet om vedvarende energi”
Pressemeddelelse fra Det Europæiske Råd om Rådets og Parlamentets aftale af 30/3
2023 om at øge andelen af vedvarende energi.
https://www.consilium.europa.eu/da/press/press-releases/2023/03/30/council-and-
parliament-reach-provisional-deal-on-renewable-energy-directive/.
Skatteministeriet. (2023). SKM Notat om effekter af Aftale om grøn skattereform i
KF23. Hentet fra
https://ens.dk/service/fremskrivninger-analyser-
modeller/klimastatus-og-fremskrivning-2023.
Tillægsaftale om Energiø Bornholm, 29. august 2022,
https://kefm.dk/Media/637973611483004267/Aftaletekst%20till%C3%A6gsaftale%20
Energi%C3%B8%20Bornholm.pdf.
Statistikbanken, Danmarks Statistik. Tabel FOLK1A: Folketal den 1. i kvartalet efter
område, køn, alder og civilstand.
Statistikbanken, Danmarks Statistik, Tabel BOL101: Boliger efter område, beboertype,
anvendelse og tid. Antal boliger omfatter alene beboede boliger.
11 danske indenrigsfærger får tilskud til grøn omstilling, Transportministeriet
(22.12.2021), Trafikstyrelsen:
https://www.trm.dk/nyheder/2021/11-danske-
indenrigsfaerger-faar-tilskud-til-groen-omstilling/.
KEF, Alm.del - 2022-23 (2. samling) - Bilag 291: Klimastatus og –fremskrivning 2023 og Danmarks globale klimapåvirkning – Global afrapportering 2023
2709817_0117.png
116
Tre danske indenrigsfærger får tilskud til grøn omstilling, Transportministeriet
(23.09.2022):
https://www.trm.dk/nyheder/2022/tre-danske-indenrigsfaerger-faar-
tilskud-til-groen-omstilling.
Tillægsaftale om Energiø Bornholm 2022 af 29. august 2022,
https://kefm.dk/Media/637973611483004267/Aftaletekst%20till%C3%A6gsaftale%20
Energi%C3%B8%20Bornholm.pdf.
Aftale om grøn omstilling af vejtransporten af 4. dec. 2020
(https://fm.dk/media/18300/aftale-om-groen-omstilling-af-vejtransporten.pdf).
Aftale om Grøn Skattereform af 8. dec. 2020 (https://fm.dk/media/18317/aftale-om-
groen-skattereform.pdf).
Energistyrelsen, Basisfremskrivning 2020,
https://ens.dk/sites/ens.dk/files/Basisfremskrivning/basisfremskrivning_2020.pdf.
EU. Regulation 2018/1999 on the Governance of the Energy Union and Climate
Action. (2018).
Europaparlamentets og rådets CO2-forordninger (EU):
2019/631:
https://eur-lex.europa.eu/legal-
content/DA/TXT/PDF/?uri=CELEX:32019R0631&from=EN.
2019/1242:
https://eur-lex.europa.eu/legal-
content/DA/TXT/PDF/?uri=CELEX:32019R1242&from=DA.
Finanslov 2021 (https://fm.dk/media/18330/aftale-om-finansloven-for-2021-og-
aftale-om-stimuli-og-groen-genopretning.pdf).
Klimaaftale for energi og industri mv. 2020 af 22. juni 2020
(https://www.regeringen.dk/publikationer-og-aftaletekster/klimaaftale-for-energi-og-
industri-mv-2020/).
Klimalov og bemærkninger til lovforslaget:
https://www.ft.dk/samling/20191/lovforslag/L117/index.htm.
Klimaplan for grøn affaldssektor og cirkulær økonomi af 16. juni 2020
(https://www.regeringen.dk/media/9591/aftaletekst.pdf).