Indfødsretsudvalget 2022-23 (2. samling)
IFU Alm.del Bilag 138
Offentligt
2725500_0001.png
Christian Bennekou Matthiesen
Fra:
Sendt:
Til:
Cc:
Christina Hjorth Korup <[email protected]>
23. januar 2019 13:25
Udlændinge-og Integrationsministeriet; Signe Brink; Thomas Viskum Lytken Larsen;
Folkeret og Menneskeret (JTFM)
Søren Halskov; Jeppe Sunddal Conradsen; Lone Skak-Nørskov; Jesper Fritz Schou-
Knudsen; Rasmus Fries Sørensen; Alexandra Christine Johansen; Stefan Wolf
Clausen; Tobias Pichard Christensen; Thomas Vikner; Peter Skøtt; Christian Vogel;
Bertel Dons Christensen; Peter Toftlund; Dan Brømsøe Termansen; Marlene Vincentz
Jensen; Nicolai Holm Larsen; [email protected]; Friis Arne Petersen; Berlin Indberetning
Berlin (Bern sideakkr.): Afdækning af andre landes erfaringer med screening for
ansøgere med antidemokratiske holdninger mv. før tildeling af statsborgerskab -
svar på instruktion (UM id: 3954078)
Fact Sheet Rechtsgrundlagen und Praxis zur Respektierung der Werte der BV.pdf;
Respektierung der Werte der BV.pdf; Fragekatalog zum Erhebungsbericht.pdf;
Ausbürgerung terroristischer Kämpfer.pdf
Opfølgning
Afmærket
Emne:
Vedhæftede filer:
Opfølgningsflag:
Flagstatus:
Berlin (Bern sideakkr.): Afdækning af andre landes erfaringer med screening for ansøgere med antidemokratiske
holdninger mv. før tildeling af statsborgerskab
Ref. JTFM-instruktion af 12.12.2018
Nedenfor følger besvarelsen for Schweiz, som er modtaget af chefen for den schweiziske justits- og
politidepartement, Michael Heckendorn, og oversat til dansk v. ambassaden.
Besvarelsen fra Tyskland følger snarest muligt.
1) Does Switzerland have any legislation or other procedures for screening an applicant’s sentiment on various
matters, such as anti-democratic sentiments, when granting a nationality by naturalisation? Which international
obligations regulate acquisition of nationality by naturalisation in the country?
Screening af ansøgeres sindelag og værdiholdninger, som er uforenelige med den schweiziske grundlov, foretages
under en personlige samtale i rammerne af ansøgningsproceduren. For myndighederne er det afgørende, at der
anvendes alment gyldige principper om en retsstatslig korrekt og fair fremgangsmåde. Internationale forpligtelser,
som ville gå længere end principperne i den schweiziske retsorden, er man ikke bekendt med og er ikke styrende.
Der henvises til diverse dokumenter (factsheet retsgrundlag og praksis, respekt for værdier i grundloven, spørgsmål
til screening af en ansøgers sindelag, se vedlagte originaldokumenter).
2) How is the nationality acquired by naturalization (administrative or by the parliament passing a bill like in
Denmark)? If administrative procedure; is it an administrative employee who assesses an applicant’s
sentiment and can this assessment be a decisive factor in the overall question of granting nationality?
Statsborgerskabsretten i Schweiz indeholder tre led. Der kræves billigelse fra det føderale niveau, fra
bopælskantonen og i visse tilfælde fra bopælssognet. På alle niveauer sker naturalisation i henhold til principperne
for retsstatslig forvaltningsskik. Dette indebærer, at tildeling af indfødsret i sidste ende er en administrativ afgørelse
og udstedes i form af en bestemmelse, der kan anfægtes. Kantonerne (eller sognene) er fritstillet fsva.
organiseringen og fastlæggelsen af de indfødsretsmyndigheder, der skal være ansvarlige for processen (myndighed
inden for den udøvende magt, den lovgivende magt eller en kommission). Afgørelsen skal dog kunne afprøves ved
domstolene og skal i tilfælde af en afvisning kunne underkastes en retlig begrundelse. Afgørelsen må ikke være
diskriminerende, indeholde retlige skævheder eller være vilkårlig. Uddybende informationer om forløbet findes på
følgende side (på tysk):
https://www.sem.admin.ch/sem/de/home/themen/buergerrecht/einbuergerung.html
1
IFU, Alm.del - 2022-23 (2. samling) - Bilag 138: Notat om individuelle samtaler og individuel behandling
2725500_0002.png
3) If any legislation or other procedures for screening an applicant’s sentiment, what specific sentiments are
screened and assessed (anti-democratic or others)? What type of questions are asked/addressed
(examples)? In addition, how is this information provided, for example through interviews, questionnaires,
background checks, social medias, observations from public fora etc., and are all applicants screened or is it
only a limited number of applicants based on spot checks? In addition, the Ministry kindly asks to provide
information on how the information from screenings is included in the overall question of granting a
nationality and how the results from screenings are weighed against the additionally requirements for
acquiring nationality by naturalisation? In addition, is the result of a screening based on a specific and
individual assessment on each applicant (estimations)?
Indholdet af de spørgsmål, som stilles i den personlige samtale, fremgår af de vedlagte bilag. Svarere noteres og
danner basis for afgørelsen om tildeling eller afvisning af indfødsret. Hvis der ved domstolene indbringes en klage
over afgørelsen, bliver disse notater inddraget. Det afgørende dokument ved sager om forenklet naturalisation er
den undersøgelsesrapport, som kantonerne udarbejder på vegne af det føderale niveau. Skabelonen for en sådan
undersøgelsesrapport findes her (på tysk):
https://www.sem.admin.ch/dam/data/sem/rechtsgrundlagen/weisungen/buergerrecht/mustererhebungsbericht-
d.pdf )
4) Finally, is it possible to start a case on deprivation of nationality if it – after the granting – turns out that the
applicant is of another sentiment than the one concluded during the acquisition process, or if the applicant
simply has changed his/her opinions afterwards?
Tidspunktet for en holdningsytring, der modsætter sig naturalisation, er her afgørende. Sker det inden eller under en
løbende ansøgningsprocedure, dvs. før myndighederne har truffet deres afgørelse, kan det ske ved henvisning til
bekæmpelse af misbrug, jf. art. 36 i indfødsretslovgivningen (procedure om ugyldighed). Sker holdningsytringen
først efter tildeling af schweizisk statsborgerskab, skal myndighederne handle på baggrund af art. 42 (annullering).
Se også vedlagte bilag, som er et tekstuddrag om fratagelse af statsborgerskab for terroristiske krigere.
Ambassaden Berlin / Christina Hjorth Korup
2
IFU, Alm.del - 2022-23 (2. samling) - Bilag 138: Notat om individuelle samtaler og individuel behandling
2725500_0003.png
e
Schwei7erische
Eidgenossenschaft
Confederation suisse
Eidgenössisches Justiz- und Polizeidepartement
EJPD
Staatssekretariat
für
Migration SEM
Direktionsbereich Zuwanderung Integration
Abteilung Bürgerrecht
Confederazione Svizzera
Confeder azi
u n svizr
a
3003 Bern-Wabern, November 2017
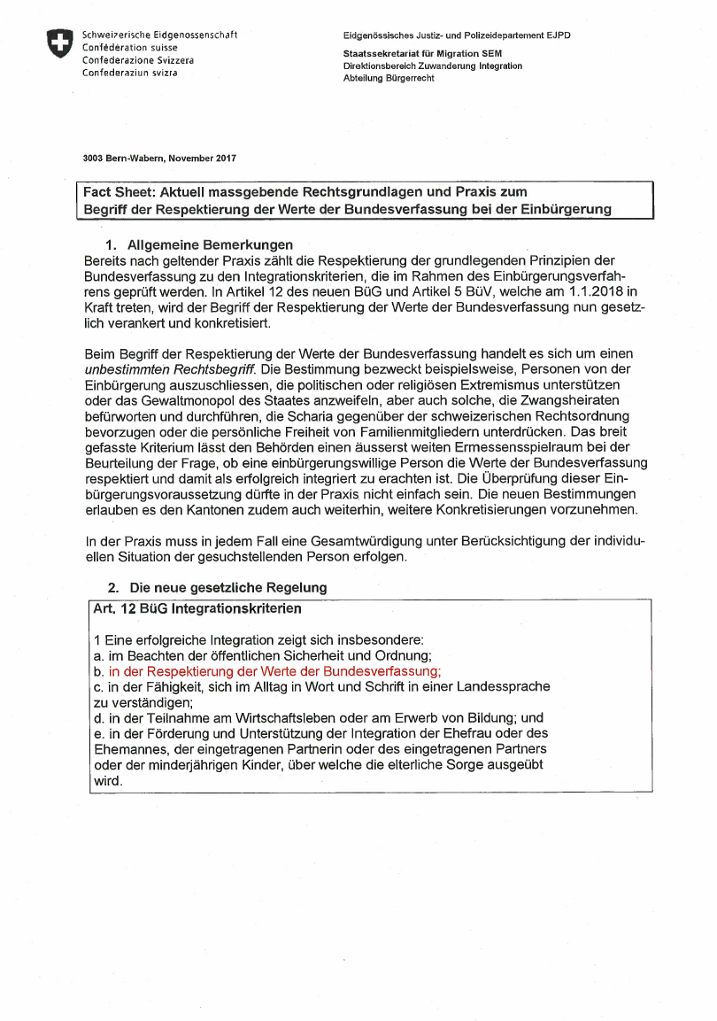
Fact Sheet: Aktuell massgebende Rechtsgrundlagen und Praxis zum
Begriff der Respektierung der Werte der Bundesverfassung bei der Einbürgerung
1. Allgemeine Bemerkungen
Bereits nach geltender Praxis zählt die Respektierung der grundlegenden Prinzipien der
Bundesverfassung zu den Integrationskriterien, die im Rahmen des Einbürgerungsverfah-
rens geprüft werden. In Artikel 12 des neuen BüG und Artikel 5 BüV, welche am 1.1.2018 in
Kraft treten, wird der Begriff der Respektierung der Werte der Bundesverfassung nun gesetz-
lich verankert und konkretisiert.
Beim Begriff der Respektierung der Werte der Bundesverfassung handelt es
sich
um einen
unbestimmten Rechtsbegriff.
Die Bestimmung bezweckt beispielsweise, Personen von der
Einbürgerung auszuschliessen, die politischen oder religiösen Extremismus unterstützen
oder das Gewaltmonopol des Staates anzweifeln, aber auch solche, die Zwangsheiraten
befürworten und durchführen, die Scharia gegenüber der schweizerischen Rechtsordnung
bevorzugen oder die persönliche Freiheit von Familienmitgliedern unterdrücken. Das breit
gefasste Kriterium lässt den Behörden einen äusserst weiten Ermessensspielraum bei der
Beurteilung der Frage, ob eine einbürgerungswillige Person die Werte der Bundesverfassung
respektiert und damit als erfolgreich integriert
zu
erachten ist. Die Überprüfung dieser Ein-
bürgerungsvoraussetzung dürfte in der Praxis nicht einfach sein. Die neuen Bestimmungen
erlauben es den Kantonen
zudem
auch weiterhin, weitere Konkretisierungen vorzunehmen.
In der Praxis muss in jedem Fall eine Gesamtwürdigung unter Berücksichtigung der individu-
ellen Situation der gesuchstellenden Person erfolgen.
2. Die neue gesetzliche Regelung
Art. 12 BüG Integrationskriterien
1 Eine erfolgreiche Integration zeigt sich insbesondere:
a. im Beachten der öffentlichen Sicherheit und Ordnung;
b.
in der Respektierung der Werte der Bundesverfassung;
c. in der Fähigkeit, sich im Alltag in Wort und Schrift in einer Landessprache
zu verständigen;
d. in der Teilnahme am Wirtschaftsleben oder am Erwerb von Bildung; und
e. in der Förderung und Unterstützung der Integration der Ehefrau oder des
Ehemannes, der eingetragenen Partnerin oder des eingetragenen Partners
oder der minderjährigen Kinder, über welche die elterliche Sorge ausgeübt
wird.
IFU, Alm.del - 2022-23 (2. samling) - Bilag 138: Notat om individuelle samtaler og individuel behandling
2725500_0004.png
Referenz/
A kt enzeichen: M ib, 06.11.2017
Art. 5 BüV Respektierung der Werte der Bundesverfassung
(Art. 12 Abs. 1 Bst. b, 20 Abs. 1 und 26 Abs. 1 Bst. d BüG)
1
Als Werte der Bundesverfassung
gelten namentlich folgende Grundprinzipien, Grundrechte und
Pflichten:
a. die rechtsstaatlichen Prinzipien sowie die freiheitlich demokratische Grundordnung der Schweiz;
b. die Grundrechte wie die Gleichberechtigung von Mann und Frau, das Recht auf Leben und per-
sönliche Freiheit, die Glaubens- und Gewissensfreiheit sowie die Meinungsfreiheit;
c. die Pflicht zum Militär- oder zivilen Ersatzdienst und zum Schulbesuch.
3. Botschaft des Bundesrates zum BüG (Ziffer 1.2.2.4, S. 2833)
https://www.admin.ch/opc/de/federal-gazette/2011/2825.pdf
4. Erläuternder Bericht zur BüV vom April 2016 (S. 14 und 15)
https://www.sem.admin.ch/dam/data/sem/aktuell/gesetzgebung/buev/entw-ber-d.pdf
5. Handbuch Bürgerrecht
https://www.sem.admin.ch/sem/de/home/publiservice/weisungen-
kreisschreiben/buergerrecht.html
6. Die Respektierung der Werte der Bundesverfassung im Ausländerrecht
Art. 4 Abs. 1 AuG
(Ziel der Integration ist das Zusammen/eben der einheimischen und
ausländischen Wohnbevölkerung auf der Grundlage der Werte der Bundesverfas-
sung und gegenseitiger Achtung und
Toleranz).
Voraussetzungen zur Erteilung einer vorzeitigen Niederlassungsbewilligung (Art. 34
Abs. 4 AuG i.V.m. Art. 62 Abs. 1 Bst. a VZAE,
Die Niederfassungsbewilligung kann
bei einer erfolgreichen Integration erteilt werden, wenn die Ausländerin oder der Aus-
länder namentlich die rechtsstaatliche Ordnung und die Werte der Bundesverfassung
respektiert)
Art. 77 Abs. 4 Bst. a VZAE bei der Verlängerung einer Aufenthaltsbewilligung nach
Auflösung der Familiengemeinschaft:
Eine erfolgreiche Integration nach Absatz 1
Buchstabe
a
sowie nach Artikel 50 Absatz 1 Buchstabe
a
AuG liegt vor, wenn die
Ausländerin oder der Ausländer namentlich die rechtsstaatliche Ordnung und die
Werte der Bundesverfassung respektiert
Art. 4 Bst. a VlntA:
Der Beitrag der Ausländerinnen und Ausländer
zu
ihrer Integration
zeigt sich namentlich in der Respektierung der rechtsstaatlichen Ordnung und der
Werte der Bundesverfassung
Art. 58a Bst. b des neuen Ausländer- und Integrationsgesetzes (AIG):
Siehe auch SEM-Weisungen im Ausländerbereich (Ziffer 5.6.12.1.1, S. 229 Respektie-
rung der Werte der Bundesverfassung)
https://www.sem.admin.ch/dam/data/sem/rechtsgrundlagen/weisungen/auslaender/weisunge
n-aug-d.pdf
7. Rechtsprechung, parlamentarische Vorstösse und und Lehre
7.1.
Schulpflicht/ Schwimmunterricht
Nachdem das Bundesgericht im Jahr 1993 noch entschied, dass die Dispensation für den
gemischtgeschlechtlichen Schwimmunterricht an der öffentlichen Schule für ein muslimi-
2/5
IFU, Alm.del - 2022-23 (2. samling) - Bilag 138: Notat om individuelle samtaler og individuel behandling
2725500_0005.png
Referenz/Aktenzeichen:
Mib, 06.11.2017
sches Mädchen zu gewähren sei
http://relevancy.bger.ch/php/clir/http/index.php?highlight docid=atf%3A %2F%2F119-IA-
178%3Ade&lang=de&type=show document&zoom=IN,
änderte es diese Rechtsprechung im
Jahr 2008 und führte aus, dass die lnteqrationsfraqe zwischenzeitlich ein grösseres Gewicht
erhalten habe. Das öffentliche Interesse zur Teilnahme am Schwimmunterricht für zwei mus-
limische Kinder sei höher zu gewichten als ihr privates Interesse an einer Nichtteilnahme
http://relevancy.bger.ch/php/clir/http/index. php?highlight docid=atf%3A %2 F%2 F135-l-
79%3Ade&lang=de&type=show document.
Das Bundesgericht bestätigte diese Haltung in
weiteren Entscheiden (z. B. Urteil 2C_666/2011 vom 7. März 2012 und 2C_ 1079/2012 vom
11. April 2013). Der Europäische Gerichtshof für Menschenrechte (EGMR) bekräftigte mit
seinem Urteil vom 10. Januar 2017 die Schweizer Praxis, wonach die öffentliche Schule eine
wichtige Rolle im Bereich der sozio-kulturellen Integration einnehme
-
insbesondere für aus-
ländische
Kinder. Die Verhängung einer Geldbusse gegen Eltern, die ihre Kinder nicht am
gemischtgeschlechtlichen Schwimmunterricht in der öffentlichen Schule teilnehmen liessen,
stelle keinen Verstoss gegen die Religionsfreiheit dar.
https://hudoc.echr.coe.int/eng#{"itemid":["001-170346"]}
(deutsche Zusammenfassung
EGMR-Urteil vom 10. Januar 2017:
http://sui-generis.ch/article/view/sg.31/518Kopftuch).
Siehe auch Humanrights: Übersicht der Bundesgerichtspraxis zur Dispensation vom
Schwimmunterricht:
https://www.humanrights.ch/de/menschenrechte-
schweiz/inneres/gruppen/religioese/dispens-schwimmunterricht-verweigert
1.1.
Tragen eines Kopftuchs
Gemäss den Entscheiden des Bundesgerichts wird das Diskriminierungsverbot ver-
letzt, wenn die Einbürgerung eines Ehepaares oder einer Einzelperson einzig mit der
Begründung verweigert wird, dass die Frau ein Kopftuch trägt. Das Tragen des Kopf-
tuches von Frauen, die sich zum Islam bekennen, sei Ausdruck eines religiösen Be-
kenntnisses, welches durch die Glaubens- und Gewissensfreiheit (Art. 15 BV) ge-
schützt ist. Das Tragen eines Kopftuchs kann aber zu einer Ablehnung der Einbürge-
rung führen, wenn auf Grund weiterer Umstände eine Haltung zum Ausdruck kommt,
die grundlegenden schweizerischen Wertvorstellungen zu Rechtsstaat und Demokra-
tie widerspreche.
BGE 134
1
49, naturalisation ordinaire. Le simple port du foulard, en tant que symbole
religieux, ne permettait pas non plus de refuser une naturalisation car il ne traduisait
pas en soi une attitude de manque de respect
a
l'eqard des valeurs dernocratiques et
constitutionnelles
http://relevancy.bger.ch/php/clir/http/index. php?highlight docid=atf%3A %2 F%2 F 134-
l-49%3Ade&lang=de&type=show
·
document
BGE 134
1
56, ordentliche Einbürgerung. Die Ungleichbehandlung des Beschwerde-
führers infolge eines religiösen Bekenntnisses und der Befolgung von religiösen Ge-
bräuchen durch die Ehefrau lässt sich durch keinerlei qualifizierte und objektive
Gründe rechtfertigen.
http://relevancy.bger.ch/php/clir/http/index. php?highlight docid=atf%3A %2 F%2 F 134-
l-56%3Afr&lang=fr&type=show document
http://swissblawg.ch/2008/03/1 d 112007-keine-verweigerung-der. html
http://www.servat.unibe.ch/dfr/bger/080227 1 D 12-2007.html
BGE 123
1
296. Das gegenüber einer in einer öffentlichen Schule tätigen Lehrerin
(Schweizerin) ausgesprochene Kopftuchverbot entspricht einem überwiegenden öf-
fentlichen Interesse (insbesondere der konfessionellen Neutralität und dem Religions-
frieden in der Schule) und ist verhältnismässig.
http://relevancy.bger.ch/php/clir/http/index. php?highlight docid=atf%3A %2 F%2F 123-
l-296%3Ade&lang=de&type=show document
BGE 142
1
49 (Schülerin mit Hijab). In einer öffentlichen Schule, die für atheistische,
3/5
IFU, Alm.del - 2022-23 (2. samling) - Bilag 138: Notat om individuelle samtaler og individuel behandling
2725500_0006.png
Referenz/Aktenzeichen:
Mib,
06.11.2017
aber auch verschiedene religiöse Bekenntnisse offen ist, erweist sich das Kopftuch-
verbot als unverhältnismässig.
http://relevancy.bger.ch/php/clir/http/index. php?highlight docid=atf%3A %2 F%2 F 142-
l-49%3Afr&lang=fr&type=show document
BGE 132
1
167, ordentliche Einbürgerung. Die Beschwerdeführerin verkehrt vorab im
Kreise ihrer Familie bzw. im Kreise von muslimischen Landsfrauen und der Moschee
in Basel und geht nicht auf die hiesige Bevölkerung zu,
http://relevancy.bger.ch/php/clir/http/index. php?highlight docid=atf%3A %2 F%2 F 132-
l-167%3Ade&lang=de&type=show document
1.2.
Handschlag
Zwei Schüler aus Therwil BL wollen der Lehrerin aus religiösen Gründen nicht die
Hand zur Begrüssung reichen. Ein Rechtsgutachten kommt zum Schluss, dass die
Baselbieter Schulen trotz Religionsfreiheit einen Händedruck einfordern und die
Sanktionsmöglichkeiten des Bildungsgesetzes anwenden können. Die Integration von
Ausländern überwiege die Religionsfreiheit der Schüler.
https://www.nzz.ch/schweiz/fall-therwil-kein-handschlag-trotz-rechtsgutachten-
ld.112342
Leitfaden Kanton Genf vom 19. August 2016
http://ge.ch/dip/actualites/laicite-lecole
Bundesrätin Simonetta Sommaruga: ,,Der Händedruck gehört zu unserer Kultur"
https://www.nzz.ch/schweiz/aktuelle-themen/simonetta-sommaruga-der-
haendedruck-gehoert-zu-unserer-kultur-ld.11627
1.3.
Zwangsheirat
BGE 134 II 1
E.
4.3.
http://relevancy.bger.ch/php/clir/http/index.php?highlight docid=atf%3A%2F%2F134-
ll-1 %3Ade&lang=de&type=show document
und 5C_526/2014 vom 10.6.2015:
http://www.servat.unibe.ch/dfr/bger/150610 2C 526-2014.html
Angehörigkeit zu einer extremistischen Organisation (FIS)
BGE 10_8/2010, ordentliche Einbürgerung
http://www.servat.unibe.ch/dfr/bger/110125 1 D 8-2010.html
Parlamentarische Vorstösse / Volksinitiative Verhüllungsverbot
Motion vom 9. März 2010 (10.3067 Einführung einer Charta bei Einbürgerungen
https://www.parlament.ch/de/ratsbetrieb/suche-curia-
vista/geschaeft?Affairld=20103067).
Im Vernehmlassungsentwurf zur BüV war die
Loyalitätserklärung in Artikel 5 Absatz 2 BüV noch vorgesehen, aufgrund der Stel-
lungnahmen im Rahmen des Vernehmlassungsverfahrens hat der Bundesrat diese
aber wieder fallen gelassen.
Volksinitiative
„Ja
zum Verhüllungsverbot" zustande gekommen
https://www.admin.ch/ch/d/pore/vi/vis465t.html
1.6.
Lehre
In der Lehre wirft die Anknüpfung an bestimmte, strafrechtlich nicht relevante Meinungen und
Verhaltensweisen grundlegende Fragen auf.
Barbara von Rütte, Anwaltsrevue 2017, S. 202, Das neue Bürgerrechtsgesetz
1.4.
1.5.
4/5
IFU, Alm.del - 2022-23 (2. samling) - Bilag 138: Notat om individuelle samtaler og individuel behandling
2725500_0007.png
Referenz/Aktenzeichen:
Mib, 06.11.2017
Swis s I ex_Anwa lts revu
e 2017 S.
202.pdf
2. Prof. Andreas Kley, Die Werte der Bundesverfassung, ZBI 116/2015, S. 565
ff.
Em
Swisslex_ZBI
116_2015 S. 565.pdf
3. Peter Übersax, Das Bundesgericht und das Bürgerrechtsgesetz mit einem Blick
auf
das neue Recht, Basler Juristische Mitteilungen, Nr. 4, Juli 2016, S. 169 ff. und
S.
202
mhe
Ausdruckseiten 24 und 25)
Swisslex_BJM
2016
s.
169.pdf
4. Umsetzung in der Praxis
Zukünftigen Regelung im Kanton Zürich
Siehe kantonale Bürgerrechtsverordnung vom 23. August 2017,
§
15 Abs. 1 lit. e,
Begründung S. 40
https://www.zh.ch/bin/ktzh/rrb/beschluss.pdf?rrbNr=7 41 &name=KBueV 23.8.17 &year
=2017& charset =UTF-8.
Die Kenntnis der Werte der Bundesverfassung kann im Einbürgerungsgespräch oder
im Grundkenntnistest geprüft werden. Die Frage nach der Respektierung der Werte
kann im Einbürgerungsgespräch angesprochen werden, wenn Anhaltspunkte vorlie-
gen, die auf eine Nichtrespektierung
schliessen
lassen. Eine Loyalitätserklärung darf
nicht verlangt werden.
Zukünftige Regelung im Kanton Bern
Kantonale Bürgerrechtsverordnung vom
20.September
2017, Artikel 10
https://www.belex.sites.be.ch/frontend/versions/1336?locale=de
Die Respektierung der verfassungsmässigen Grundwerte können
in
der Praxis
na-
mentlich mittels einer Erklärung geprüft werden. Die schriftliche Selbstdeklaration
stellt das Bekenntnis der Ausländerinnen und Ausländer
zu
diesen Grundwerten
dar.
Konkrete Ereignisse, die belegen, dass Ausländerinnen und Ausländer diese Grund-
werte nicht beachten, können eine Abweisung des Gesuchs rechtfertigen.
5. Überlegungen des SEM zur praktischen Umsetzung im Einbürgerungsverfahren
Welche Fragen können einer gesuchstellenden Person im Rahmen des Einbürgerungsver-
fahrens
gestellt werden um zu beurteilen, ob sie die Werte der Bundesverfassung respek-
tiert? Der beiliegende Fragenkatalog (ab Seite 6) und das Factsheet geben eine Übersicht
über mögliche Fragen im Rahmen des Einbürgerungsverfahrens
.
Fragekatalog
Werte BV.doc
Werte der BV
Factsheet Zye.do
...
5/5
IFU, Alm.del - 2022-23 (2. samling) - Bilag 138: Notat om individuelle samtaler og individuel behandling
2725500_0008.png
Schweizerische
Eidgenossenschaft
Eidgenössisches Justiz- und Polizeidepartement EJPD
Staatssekretariat für Migration SEM
Direktionsbereich Zuwanderung und Integration
Abteilung Bürgerrecht
Confederation
suisse
Confederazione Svizzera
Confederazi u n svizra
Bern-Wabern, November 2017
Respektierung der Werte der Bundesverfassung
Die Überprüfung dieser Einbürgerungsvoraussetzung dürfte in der Praxis nicht immer ein-
fach sein. Es handelt sich um nicht alltägliche Fragen zum schweizerischen Bundesstaats-
recht, welche für gewisse, wenn nicht sogar für die Mehrheit der Gesuchsteller, schwierig
zu
beantworten sein werden. Erschwerend kommt hinzu, dass auf das mündliche Sprachniveau
81 Rücksicht genommen werden muss.
Der Gesetzgeber möchte insbesondere die in Art. 5 BüV aufgeführten
„Werte
der Bundes-
verfassung" (Grundprinzipien, Grundrechte und Pflichten) überprüft haben. Grundsätzlich
kann die Einhaltung bzw. Respektierung der Grundrechte und
-freiheiten
im Integrationspro-
zess erkannt werden. Trotzdem erscheint es sinnvoll, die Punkte 1-4 immer abzufragen.
Anlässlich unserer Diskussionen haben sich zwei Varianten zur Überprüfung durchgesetzt:
Variante 1:
Möglichst offene und einfache Fragen zum Punkt 1 (Werte der Schweiz) stellen,
die Person frei sprechen lassen und bei Bedarf leitend (Beispiele/Themen sind unter Punkt 1
aufgeführt) eingreifen. Anschliessend mit den Fragen 2-4 fortfahren.
Variante 2:
Ebenfalls möglichst einfache aber konkretere Fragen
zu
den in der Verordnung
aufgeführten Grundrechten und Prinzipien stellen.
Beispiel: Was bedeutet für Sie Meinungsfreiheit, Gleichberechtigung von Frau und Mann?
Haben Sie Unterschiede zwischen Mann und Frau gegenüber Ihrem Heimatstaat bemerkt?
Was bedeutet für Sie Religionsfreiheit? Was bedeutet für Sie Recht auf Leben (Staat schützt
das Leben aller Menschen, Folterverbot, Todesstrafe)? Was verstehen Sie unter Demokra-
tie? Wie ist die staatliche Macht in der Schweiz verteilt (Gewaltenteilung)? Was bedeutet für
Sie Freiheit in Bezug auf Ihre Rechte? Was verstehen Sie unter persönlicher Freiheit
(selbstbestimmte Gestaltung des Lebens: Jede Person bestimmt selbst über ihren Beruf, ihre
Religion, Meinung, Wohnort, Familienleben, Studium etc.)?
1. Werte der
Schweiz(sollte immer gefragt werden)
Mögliche offene Einstiegsfragen, die auf allgemeine Antworten abzielen:
Was zeichnet
·
für Sie die Schweiz aus? Was schätzen Sie an der Schweiz?
Eventuell Vergleich mit Hei-
matstaat oder anderen Ländern ziehen Jassen.
Mögliche Antworten:
Die nachfolgenden Antworten können bei Bedarf als Anhaltspunkte
verwendet und der gesuchstellenden Person auch einzeln genannt werden:
Staatssekretariat für Migration SEM
Quellenweg 6, 3003 Bern-Wabern
Fax
+41
58 463 77 59
www.sem.admin.ch
IFU, Alm.del - 2022-23 (2. samling) - Bilag 138: Notat om individuelle samtaler og individuel behandling
2725500_0009.png
Referenz/Aktenzeichen:
COO
.2180.101.
7
.341236
/ 29/2014/2013/02389
Neutralität
Unabhängigkeit/Selbstbestimmung
(Jede Person darf ihr eigenes Leben
(Glaube, Tradition, Interessen, Sexualität) so leben, wie sie das möchte, solange
sie nicht gegen das Gesetz verstösst)
Eigenverantwortung
Zusammenhalt trotz
Multikulturalität:
verschiedene Schweizer Landesregionen
(d/f/i/r), Sprachenvielfalt (d/f/i/r), verschiedene Glaubensrichtungen (reformierter
und katholischer Glaube); Rücksichtnahme auf Minderheiten (die Stärke eines
Staates zeigt sich im Umgang mit den Schwächsten), humanitäre Tradition
Demokratie:
Möglichkeit der Beteiligung am gesellschaftlichen Entscheidungs-
prozess (Stimm- und Wahlrecht, Referendum/Initiative/ Unterschriftensammlung),
Gewaltenteilung
Sozialstaat:
(Schulobligatorium, Zugang zu Bildung für alle, gutes Gesundheits-
system, Altersvorsorge, Arbeit (tiefe Arbeitslosenquote, Arbeitslosenversiche-
rung), weitere Versicherungen, Sozialhilfe (niemand muss auf der Strasse leben)
etc.
Chancengleichheit
(Bsp.: alle Kinder dürfen (müssen) zur Schule und haben die
theoretische Möglichkeit, auch (günstig) weiterführende Schulen / Hochschulen
zu besuchen oder eineBerufsausbildung zu machen.)
Solidaritätsprinzip
Rechtsstaat
(Staat darf nur gestützt auf Gesetz handeln und hält sich an Geset-
ze, Gesetze werden umgesetzt; auch der Bürger muss sich an
'die
hier geltenden
Gesetze halten; Gesetze werden auf alle Menschen gleich angewendet und die
Rechte der Bürger werden gleich geschützt; Gleichheit aller Menschen; Selbstjus-
tiz ist verboten)
~Staat steht nicht unter ständigem Verdacht, korrupt zu sein,
Vertrauen in den Staat von Seiten der Bevölkerung
Gleichberechtigung
(Bspw. gleiche Rechte für Mann und Frau)
Sicherheit
(Wird durch den Staat gewährleistet; Bereitschaft der Bürger, Konflikte
gewaltfrei im Rahmen der Gesetze zu lösen)
Freiheit
Naturschutz/Denkmalpflege
(Sauberkeit, Abfalltrennung)
Pünktlichkeit, Zuverlässigkeit
Steuern: Mit den Steuergeldern werden verschiedene Bereiche im öffentlichen
Sektor finanziert. Dadurch erhält die Wohnbevölkerung im übertragenen Sinne
etwas zurück (z.B. Bildung)
Schutz des Eigentums
Gut ausgebauter öffentlicher Verkehr
Trennung von Staat und Kirche
2. Gewaltmonopol
(sollte immer gefragt werden)
a. Wer ist in der Schweiz für die Strafverfolgung bzw. Sicherheit zuständig?
Der Staat
(Staatsanwaltschaft, Polizei, Gerichte)
Wer glaubt, dass eine Behörde oder eine Privatperson Rechte verletzt hat, kann zu
einem Gericht gehen. Gerichte kontrollieren, ob die Behörde das Gesetz eingehalten
hat und können bestimmte Streitigkeiten zwischen Privatpersonen entscheiden.
Selbstjustiz ist verboten. Man darf eine andere Person nicht selbst bestrafen, wenn
sie gegen das Gesetz verstossen hat. Auch Freunde oder Verwandte dürfen nicht die
Person bestrafen, die gegen ein Gesetz verstossen hat.
.
b. Wenn Sie in der Schweiz ein Delikt beobachten oder selbst Opfer davon werden, bei
wem meldet man sich dann?
2/3
IFU, Alm.del - 2022-23 (2. samling) - Bilag 138: Notat om individuelle samtaler og individuel behandling
2725500_0010.png
Referenz/Aktenzeichen:
C00.2180.101.7.341236 / 29/2014/2013/02389
Polizei
c. Nehmen wir an, dass Sie familienintern Probleme haben (bspw. häusliche oder fami-
liäre Gewalt in Form von Drohungen, Beschimpfungen, Tätlichkeiten, Körperverlet-
zung etc.), an wen wenden Sie sich?
Polizei
d. Jemand schuldet Ihnen Geld. Was machen Sie? An wen wenden Sie sich?
Mahnen allenfalls betreiben; Betreibungsamt
3. Welche Rechte und Pflichten erwerben Sie als Schweizer Bür-
ger/Bürgerin?
(sollte immer gefragt werden)
Der Schweizer hat folgende
Rechte:
politische Rechte (Stimm- und Wahlrecht)
.
konsularischer Schutz im Ausland
Niederlassungsfreiheit
Recht, immer wieder in die Schweiz zurückzukehren
Ausweisungsverbot
Auslieferungsverbot
Den Schweizer treffen folgende
Pflichten:
Wehrpflicht der Männer/ziviler Ersatzdienst
Eventuell Stimmen
zählen
(bei Wahlen)
Steuer-, Versicherungs- und Schulpflicht (gilt auch für Ausländer)
4. Wie unterstützen Sie (Ihren Ehegatten/Ihre Ehegattin und) Ihre Kinder bei
ihrer Integration in die Schweizer Verhältnisse?
(sollte immer gefragt wer-
den)
Bei Zweifel
an
der Respektierung der Werte sind vertiefende Fragen zu stellen. Diese sollten
unseres Erachtens jedoch zielgerichtet sein und nur wenn entsprechende Hinweise ersicht-
lich sind, gestellt werden. So sind zum Beispiel Fragen nach der Häufigkeit eines Moschee-
besuchs nicht unbedingt hilfreich, da sie die Glaubensfreiheit betreffen.
3/3
IFU, Alm.del - 2022-23 (2. samling) - Bilag 138: Notat om individuelle samtaler og individuel behandling
2725500_0011.png
IFU, Alm.del - 2022-23 (2. samling) - Bilag 138: Notat om individuelle samtaler og individuel behandling
2725500_0012.png
IFU, Alm.del - 2022-23 (2. samling) - Bilag 138: Notat om individuelle samtaler og individuel behandling
2725500_0013.png
IFU, Alm.del - 2022-23 (2. samling) - Bilag 138: Notat om individuelle samtaler og individuel behandling
2725500_0014.png
IFU, Alm.del - 2022-23 (2. samling) - Bilag 138: Notat om individuelle samtaler og individuel behandling
2725500_0015.png
IFU, Alm.del - 2022-23 (2. samling) - Bilag 138: Notat om individuelle samtaler og individuel behandling
2725500_0016.png
IFU, Alm.del - 2022-23 (2. samling) - Bilag 138: Notat om individuelle samtaler og individuel behandling
2725500_0017.png
IFU, Alm.del - 2022-23 (2. samling) - Bilag 138: Notat om individuelle samtaler og individuel behandling
2725500_0018.png
Gehen die Kinder zur Schule?
Falls ja, in welche Klasse gehen sie?
Gehen sie gerne zur Schule?
Was gefällt ihnen dort am besten?
Geht Ihr Kind gerne in den Sport- resp.
Schwimmunterricht?
Wenn nicht, welche Gründe führen bei Ihrem Kind zu dieser ablehnenden Haltung?
Was sagen Sie als Elternteil dazu?
Wie ist Ihr Verhältnis zum Lehrer/zur Lehrerin/ zu den Schulbehörden?
Wie ist das Verhältnis Ihres Kindes/Ihrer Kinder zum Lehrer/zur Lehrerin?
Bietet Ihre Schule auch Schullager, wie bspw. Projektwochen und Skilager an?
Gehen Ihre Kinder gerne dorthin?
Hat Ihr Kind Hobbies?
(Ausführen lassen)
Wer geht an den Elternabend?
Wer übernimmt die Kinderbetreuung? (Wenn nicht gemeinsam, fragen, weshalb nicht
aufgeteilt.)
Was unternehmen Sie in Ihrer Freizeit?
Was unternimmt Ihr Ehemann/Ihre Ehefrau in seiner/ihrer Freizeit?
Haben Sie gemeinsame Hobbies?
Machen Sie manchmal auch etwas alleine für sich?
Geht Ihre Ehefrau/Ihr Ehemann einer Arbeit nach?
Falls nein, warum nicht?
Falls ja, wieviel Prozent und wo?
Wer fällt bei Ihnen zu Hause die Entscheidungen?
Beispiel: Fragen zur Religion
Welcher Religionsgemeinschaft gehören Sie an?
8/9
IFU, Alm.del - 2022-23 (2. samling) - Bilag 138: Notat om individuelle samtaler og individuel behandling
2725500_0019.png
Wie leben Sie Ihren Glauben aus?
Gehen Sie
in die Moschee?
Falls ja, wie oft?
Gehen Ihre Ehefrau/Ihr Ehemann/Ihre Kinder auch
in die Moschee?
(Häufigkeit?)
Wurden Sie und/oder Ihre Familie aufgrund Ihrer Religion im Alltag schon einmal mit
Schwierigkeiten konfrontiert?
(Welche? Was unternehmen Sie dagegen?)
Hatten Ihre Kinder in der Schule schon Schwierigkeiten aufgrund Ihrer Religionszu-
gehörigkeit?
(Welche? Was wird dagegen unternommen?)
Wie ist Ihr Verhältnis zum Lehrer/zur Lehrerin/ zu den Schulbehörden?
Wie ist das Verhältnis Ihres Kindes/Ihrer Kinder zum Lehrer/zur Lehrerin?
Wer geht an den Elternabend?
Bietet Ihre Schule auch Schullager, wie bspw. Projektwochen und Skilager an?
Gehen Ihre Kinder gerne dorthin?
Geht Ihr Kind gerne in den Sport-
resp. Schwimmunterricht?
Wenn nicht, welche Gründe führen bei Ihrem Kind zu dieser ablehnenden Haltung?
Was sagen Sie als Elternteil dazu?
Welche Werte geben Sie Ihrem Kind/Ihren Kindern mit auf den Weg?
Was wünschen Sie sich beruflich, familiär und allgemein für Ihr Kind/Ihre Kinder?
9/9
IFU, Alm.del - 2022-23 (2. samling) - Bilag 138: Notat om individuelle samtaler og individuel behandling
2725500_0020.png
Ausbürgerung terroristischer
Kämpfer
AJP/PJA
1
/2017
Ausbürgerung terroristischer
Kämpfer
Möglichkeiten nach der geltenden und nach
der revidierten Bürgerrechtsgesetzgebung
m
JüRG MARCEL TIEFENTHAL*
In
der geltenden Bürgerrechtsgesetzgebung
gibt es eine
umstrittene
Norm, die den Entzug
des Schweizer
Bürgerrechts betreffend Doppel-
bürger regelt.
Sie
wurde jüngst in Zusammenhang mit einem ausge-
reisten
«Dschinadisten»
durch die Verwaltungspraxis wiederentdeckt.
Mit dem tota/revidierten Bürgerrechtsgesetz und der vom Bundesrat
im
Juni
20
7
6
erlassenen
Ausführungsverordnung liegen
erstmals
kon-
kret definierte Kriterien
vor,
die
eine
Ausbürgerung
von
terroristischen
Kämpfern
ermöglichen.
Dennoch bestehen
weiterhin
Spannungsfelder
und
zentrale
Rechtsfragen bleiben ungeklärt.
II
existe
dans la legislation
sur
/a nationalite actuellement
en vigueur
une norme
controvetsee
qui reqlemente /e retrait de Ja nationaiite
suisse
aux doubles nationaux. Cette norme a
ete
recemment redecou-
verte
par
Ja
pratique administrative
en
relation avec un
«
djihadiste
»
ayant quiue le pays. La
/oi
sur
/a
nationoiite
entierement
revisee
et
/'ordonnance d'execution arretee
en
juin 207 6 par
le
Conseil iedera!
fournissent pour /a premiere fois des ctiteres concrets qui permettent
de faire perdre la nationalite aux
combattants
terroristes. Certaines
probtematiques
et
questions juridiques restent
cependant
non reso-
lues.
Inhaltsübersicht
Ausgangslage
II.
Historischer Hintergrund der Ausbürgerung
A. Gezielt
eingesetztes
Machtinstrument der NS-Diktatur
B..:_Einfluss
auf
die
Schweizer
ßundesqesetzqebunq
III.
Schweizer
Bürgerrecht nach
geltendem
Recht
A. Einheit und Rechtsnatur
B. Vermittelte Rechte und Pflichten
C. Kompetenzaufteilung
zwischen Bund
und Kantonen
D. Tragende Prinzipien
E. Erwerb und Verlust des Bürgerrechts
IV. Totalrevision der Bürgerrechtsgesetzgebung
A. Erkannter Reformbedarf
B.
Wichtigste Gesetzesänderungen
und Neuerungen
C.
Ausführungsrecht
V. Zum
Entzug des
Schweizer
Bürgerrechts im Besonderen
A. Entzug nach geltendem Recht (Art. 48 BüG)
1.
Wortlaut,
Systematik, Entstehungsgeschichte,
Sinn
und
Zweck
der Norm
2.
Bisherige Verwaltungspraxis mit Hinweisen
auf eine
zeitgemässe Auslegung
3.
Parlamentarischer
Vorstoss: Stellungnahme
beider Räte
und Ausgang
4.
Schlussfolgerungen (mit
Bezug
auf ein
Kurzgutachten
zuhanden
des
SEM)
B·. Entzug nach neuem
Recht
(Art.
42 nBüG
i.V.m.
Art. 30
nBüV)
1.
Übernahme
der bislang geltenden Gesetzesgrundlage
2.
Konkretisierung im
Ausführungsrecht
3. Schlussfolgerungen
.
VI. Ausbürgerung
-
Spannungsfelder und ungeklärte
Rechtsfragen
A. Völkerrechtliche
Rahmenbedingungen
B. Divergierende Rechtslage
und
Staatenpraxis
1.
Ausbürgerungsgründe
2.
Aktuelle
Entwicklungen
in
ausgewählten Staaten
C.
Problematische
Aspekte bei der Ausbürgerung
von
Doppelbürgern
1.
Vorbemerkungen
2.
Fallkonstellationen und mögliche Lösungsansätze
D. Unvermeidbares
Dilemma
1.
Ausgangslage
1.
Seit
längerem, namentlich
aber aufgrund
der in jüngerer
Zeit in Frankreich, Belgien und Deutschland
verübten
ter-
'--
roristischen Anschläge 111it islamistischem Hintergrund,
wird
in der Politik vieler
europäischer Länder
über die
Ausbürgerung sog.
«Foreign Fighters»
1
(vordergründig
solche
mit Doppelbürgerschaft) debattiert. Personen, die
zu
terroristischen
Zwecken
ins Ausland reisen, um dort
an Kampfhandlungen in bewaffneten
Konflikten
teilzu-
nehmen oder
sich
in
einem Terrorcamp ausbilden
lassen,
um daraufhin ins Heimatland zurückzukehren,
stellen
unbestritten für jede freiheitliche Zivilgesellschaft
ein
ernsthaftes
Sicherheitsrisiko dar. Deshalb
stellen sich
Po-
litiker
die
Frage,
inwiefern
es
rechtlich
zulässig
ist, diesen
potenziell
gefährlichen
Personen ihre
Staatsbürgerschaft
zu
entziehen
oder,
falls
die betreffende
nationale
Rechts-
ordnung
eine Ausbürgerung
nicht
zulassen sollte, wie
man
eine solche
mit
entsprechenden Gesetzesänderun-
gen sicherstellen
könnte.
2
Auch
in der
Schweizer
Politik
hat
es
bislang diesbezüglich mehrere
parlamentarische
Vorstösse gegeben,
mittels derer
versucht
worden
ist, ein-
gebürgerten
Personen mit doppelter
Staatsbürgerschaft
JORG MARCEL TIEFENTHAL,
Dr. iur., Uster,
wissenschaftliche
For-
schungstätigkeit.
Es
handelt
sich
hier um
den allgemeinen
Fachbegriff.
Im
deutschen
Sprachgebrauch
nennt
man
solche
Personen
«terroristische
Kämp-
fer»
bzw.
«terroristische
Kämpfer in
bewaffneten
Konflikten».
In der
Schweizer Bürgerrechtsgesetzgebung ist
stets vom «Entzug
des Bürgerrechts»
die
Rede; der Begriff
«Ausbürgerung» wird
·
sprachlich
hierfür
oftmals
synonym verwendet
und
steht somit
gleichermassen
für die Aberkennung
bzw.
den
Entzug
der betref-
fenden
Staatsbürgerschaft.
IFU, Alm.del - 2022-23 (2. samling) - Bilag 138: Notat om individuelle samtaler og individuel behandling
2725500_0021.png
Jürg
Marcel
Tiefenthal
AJP/PJA
1
/2017
m
unter
bestimmten Voraussetzungen das
Schweizer
Bür-
gerrecht wieder
zu entziehen, so etwa
vor ein
paar
Jahren
aufgrund von Straffälligkeit.
Die
jüngste
politische Initi-
ative setzte
die
Teilnahme
an
terroristischen Aktivitäten
oder Kampfhandlungen in der
Schweiz
oder im
Ausland
oder
nachweislich
freiwillig geleistete Kampfdienste
in
einer fremden Armee
resp.
einer anneeähnlichen,
ideolo-
gisch
motivierten Gruppierung
voraus. Sämtliche
bislang
behandelten Vorstösse
sind allerdings vom
Bundesparla-
ment
abgelehnt worden.
Demgegenüber hat der Bundesrat
-
beinahe unbe-
merkt
von
der Öffentlichkeit- mit der
am
17. Juni
2016
verabschiedeten
Verordnung über das Schweizer Bür-
gerrecht
(Bürgerrechtsverordnung; nBüV)3, die
zusam-
men mit dem neuen
totalrevidierten
Bürgerrechtsgesetz
(nBüG)
4
auf den 1. Januar
2018
in Kraft treten wird,
erst-
mals in der Geschichte des
Schweizerischen
Bundesstaa-
tes konkrete Kriterien bzw. Voraussetzungen definiert, die
den
Entzug
des
Schweizer
Bürgerrechts (bei Personen mit
Doppelbürgerschaft)
festlegenund einen solchen
recht-
fertigen
sollen.
Die neuen Rechtsgrundlagen basieren u.a.
auf den
Empfehlungen eines
Kurzgutachtens
zum Entzug
des Bürgerrechts nach derzeit noch
geltendem
Recht
5•
Der
vorliegende Aufsatz versucht
die umstrittene Thema-
tik in die relevanten
Zusammenhänge zu stellen, analy-
siert
und beurteilt im Speziellen die neue Rechtsgrundla-
ge
und
zeigt zudem
die
wesentlichen
Konfliktfelder bzw.
Zielkonflikte auf,
die
sich
unweigerlich
zwischen gesell-
schaftlicher
Lebenswirklichkeit und
völkerrechtlichen
Ansprüchen auftun.
nelle
und andere
unliebsame
Personen (z.B. Sclu·iftsteller,
Wissenschaftler)
6
vorzugehen.
7
Als Rechtsgmndlage
diente
das
«Gesetz
über
den Widerruf von Einbürgerungen und
die Aberkennung der deutschen Staatsangehörigkeit vom
14. Juli 1933»
8•
Gestützt auf
dieses
Gesetz veröffentlich-
te das
Nationalsozialistische
Regime unzählige
Ausbürge-
rungslisten. Gesamthaft
wurden auf
diese
Weise
nahezu
40'000 Personen unter dem
NS-Regime
bis
zum Ende
des
Zweiten
Weltkrieges
systematisch ausgebürgert.
9
Mit
den
«Nürnberger
Gesetzen» behielten deutsche Juden
zwar
noch ihre deutsche
Staatsangehörigkeit; allerdings waren
sie faktisch keine gleichberechtigten Staatsbürger
melu·.
Aufgrund der
«11.
Verordnung zum
Reichsbürgergesetz
vom 25. November
1941»'
0
verloren
nämlich Juden bei
Übersclu·eitung der deutschen Reichsgrenze umgehend
und definitiv ihre deutsche Staatsbürgerschaft."
B.
Einfluss auf die Schweizer Bundes-
gesetzgebung
Die Bundesgesetzgebung auf dem Gebiet des Bürger-
rechts
ging
bis
zum Zweiten
Weltkrieg
vom Grundsatz
der
«Unverlierbarkeit
des Bürgerrechts»
aus.
12
Dement-
II.
A.
Historischer Hintergrund
der Ausbürgerung
Gezielt eingesetztes Machtinstrument
der
NS-Diktatur
10
Ausbürgerungen werden
historisch
stets
mit Diktaturen
und mit
Notrecht
in Verbindung
gebracht. Erstmals
kon-
sequent
hatte
sich
das
«Dritte
Reich» der Praxis der
Aus-
bürgernng bedient,
vor
allem, um
gegen
Juden, Oppositio-
II
Die
Bürgerrechtsverordnung
ist
in
der amtlichen Sammlung
publi-
ziert:
AS
2016
·2577
ff. (neu: SR
141.01
).
Der Text des totalrevidierten
Bürgerrechtsgesetzes (nach abgelau-
fener Referendumsfrist)
ist
in der amtlichen Sammlung
publiziert:
AS 2016
2561
ff.
ALBERTO AcHERMANN,
Kurzgutachten zum Entzug
des
Bür-
gerrechts
nach
Artikel 48
BüG,
Zuhanden
des
Staatssekreta-
riats
für Migration, Bern 2015,
Internet: http://static.nzz.ch/
files/0/7
/0/Kurzgutachten+
Achermann
_
Entzug+
Bürgerrecht+
(2)_
1.
18775070.pdf
(Abruf
1.12.2016).
12
Bekannte
Opfer
von
der Ausbürgerung
durch das
NS-Regime
waren
u.a. Heinrich
Mann, Thomas Mann,
Hannah
Arendt, Willy
Brandt, Bertold Brecht, Albert Einstein.
Gesetzliche
Regelungen
zur
Ausbürgerung wurden
jedoch
bereits
während
des
Ersten Weltkrieges
in
gewissen
Ländern
eingeführt
(so
u.a.
in
Deutschland,
Frankreich
und
Grossbritannien);
zumindest
das
Ansinnen zur gesetzlichen Verankerung
der
Ausbürgerung
bestand
dannzuma] gleichfalls
in
der Schweiz (vgl.
NICOLE SCHWALBACH,
Ausbürgerung zur Zeit des Zweiten Weltkrieges,
in:
Brigitte Studer/
Gerald Arlettaz/Regula Argast
[Hrsg.), Das
Schweizer Bürgerrecht:
Erwerb, Verlust, Entzug
von
1848
bis zur Gegenwart, Zürich 2008, 268).
Der
Wortlaut
des
Gesetzestextes,
vgl.
Internet: http://www.docu
mentarchi v.de/ns/
1
933/deutsche-staatsangehocrigkei t_ges.
html
(Abruf
1.12.2016).
Zum
Ganzen
MtCHAEL
HEPP
(Hrsg.),
Die
Ausbürgerung
deutscher
Staatsangehöriger
1933-45 nach
den im Reichsanzeiger
veröffent-
lichten
Listen,
3 Bände, München (et al.)
1985-1988.
Der Wortlaut
des
Verordnungstextes
ist
abrufbar unter:
http://www.
verfassungen.de/de/de33-45/reichsbuerger35-vl
l .htm
(Abruf 1.12.2016).
Die
kommunistische bzw.
realsozialistische DDR-Diktatur
(SED-
Führung) griff ebenfalls
zum
Mittel der Ausbürgerung,
um
po-
litische
Oppositionelle zu
unterdrücken
und
auszugrenzen.
Ge-
stützt auf
§
13
des Staatsbürgerschaftsgesetzes
vom
20. Februar
1967 (Wortlaut des Gesetzestextes ist abrufbar
unter: http://www.
verfassungen.de/de/ddr/staatsbuergerschaft67
.htm;
Abruf
1.12.2016)
aberkannte
der
Ministerrat
der DDR den betreffenden unliebsamen
Personen
die
Staatsbürgerschaft
wegen grober
Verletzung
staats-
bürgerlicher Pflichten
oder politische Gefangene wurden
in der
Haft
gar genötigt,
einen
Antrag auf Entlassung aus
der
Staatsbür-
gerschaft zu
stellen.
BBI
1951 II 669 ff.,
679;
ZACCARIA
GrACOMETTl,
Das
Staatsrecht
der
schweizerischen
Kantone, Zürich
1941,
140;
vgl.
dazu
ferner
SCHWALBACH
(FN 7), 266.
IFU, Alm.del - 2022-23 (2. samling) - Bilag 138: Notat om individuelle samtaler og individuel behandling
2725500_0022.png
Ausbürgerung
terroristischer Kämpfer
AJP/PJA 1
/2017
sprechend finden sich
weder
im
ersten
«Bundesgesetz
betreffend die Erteilung des Schweizerbürgerrechts und
den Verzicht auf dasselbe vom 3.
Juli 1876»
13
noch im
zweiten,
darauf
folgenden
«Bundesgesetz
betreffend die
Erwerbung des Schweizerbürgerrechts und den V
erzicht
14
auf dasselbe vom
25.
Juni
1903»
,
welches
bis
zum In-
krafttreten des gegenwärtig geltenden
«Bundesgesetzes
über Erwerb und Verlust
des
Schweizer Bürgerrechts
vom 29. September
1952
(Bürgerrechtsgesetz; BüG)»
15
bestand,
keine
Norm
betreffend
den
Entzug
des Bürger-
rechts
(Ausbürgerung).
16
Im
Zuge
des
Vollmachtenregimes während
des
Zwei-
ten
Weltkriegs vollzog
die
Landesregierung
mit
zwei
Beschlüssen
eine Abkehr vom Grundsatz
der
Unverlier-
barkeit
des
Bürgerrechts.
Mit
«Bundesratsbeschluss
über
die
Abänderung
der V
orschriften über Erwerb und Verlust
des
Schweizerbürgerrechts vom 20. Dezember
1940»
17
erging eine Notverordnung,
durch
welche
neu die
Mög-
lichkeit
geschaffen wurde,
Doppelbürgern das
Schweizer
Bürgerrecht
zu entziehen,
und
zwar,
wenn
«das
V
erhalten
eines
Doppelbürgers
den
Interessen
oder dem Ansehen
der Schweiz erheblich
nachteilig
ist».
18
Laut
Bundesrat
sollte
diese
Ausbürgerung
nach
Art. 3
der
Notverordnung
nur
auf Auslandschweizer anwendbar sein.
19
Der
zwei-
te,
spätere
«Bundesratsbeschluss
über die Ausbürgerung
vom
18.
Mai
1943»
20
bestätigte
dieses Normverständnis
des Bundesrates.
Nach Art.
l dieses
Beschlusses entfiel
für
den
Entzug
des
Bürgerrechts
bei
Auslandschweizern
"
14
15
16
nun erstaunlicherweise sogar
das
Erfordernis
der
doppel-
ten Staatsbürgerschaft.
21
Die
Voraussetzungen für eine
Ausbürgerung wurden
nun
etwas
präziser umschrieben,
indem
hierfür
«ein
schweres Vergehen gegen die Sicher-
heit
oder die politische
Unabhängigkeit
der Schweiz»
verlangt wurde.
Die
Einführung
der
Ausbürgerung als staatliche
Schutz-
und Präventivmassnahme im Rahmen der.
Voll-
machtenbeschlüsse des
Bundesrates während
des
Zweiten
Weltkrieges steht
in direktem
Zusammenhang
mit
der
da-
mals realen nationalsozialistischen
Bedrohung.
Der
Ent-
zug
des
Schweizer
Bürgerrechts
fand
insbesondere bei
Personen
Anwendung,
die
sich
nationalsozialistisch betä-
tigten, dabei
aktiv
im In-
oder Ausland gegen
die
Schweiz
tätig
waren und auf
diese
Weise
die
Sicherheit
des
Lan-
des
gefährdeten.
Die
von NICOLE SCHWALBACH
historisch
umfassend
aufgearbeitete Ausbürgerungspraxis
belegt
denn
auch,
dass in den
Fällen
betreffend
Entzug
des Bür-
gerrechts
bei Doppelbürgern
grösstenteils Sachverhalte
vorliegen, in
denen
sich
die
betroffenen Personen
zum
Schaden
der
Schweiz
nationalsozialistisch betätigten.
22
Demgegenüber richteten
sich Ausbürgerungsentscheide,
die
sich-auf
den Bundesratsbeschluss
aus
dem Jahr 1943
stützten, ohne Ausnahme gegen
Personen, die
sich
der
Spionage,
des
Nachrichtendienstes
und
ähnlichen Aktivi-
täten
gegen
die
Schweiz schuldig gemacht
hatten und in
Abwesenheit zu
langjährigen
Freiheitsstrafen
bis hin
zur
Todesstrafe verurteilt worden waren.
23
17
18
19
20
AS 2
150
ff.
AS
19
690
ff.
SR
141.0
(Datum des Inkrafttretens: 1. Januar
1953).
Gestützt
auf
die
verfassungsrechtliche
Kompetenzordnung
war es
den Kantonen
auch verwehrt, eigene
Regelungen
betreffend
den
Verlust des Schweizer Bürgerrechts
zu
erlassen
(vgl. dazu ferner
GIACOME1Tl
[FN 12],
98 f.,
141
f.).
AS
56 2027
ff.
Gemäss
Art.
3
Abs.
1
der
Notverordnung.
Dieser Wortlaut
wurde
später
praktisch unverändert
in
das heute noch
geltende
Bürger-
rechtsgesetz.
vom
29.
September
1952
übernommen
(vgl.
Art. 48
BüG).
881
1941
372
ff.,
385. Zugleich
wurde
für
zwei
weitere Sachver-
halte die
Möglichkeit des Entzugs
des Bürgerrechts
geschaffen: So
nämlich dann,
wenn
eine
eingebürgerte
Person
sich
das
Schweizer
Bürgen-echt
erschlichen
hatte,
oder
sie sich
mit ihrem
Verhalten of-:
fenkundig unschweizerischer
Gesinnung
erwiesen
hatte; diesfalls
sollte
die
Nichtigerklärung
ihres
Bürgerrechts innert fünf
Jahren
erfolgen
können
(Art.
2 Abs.
1
der
Notverordnung; geändert
und
inhaltlich bestätigt mit
«Bundesratsbeschluss
über die
Abänderung
der
Vorschriften
über
Erwerb
und
Verlust
des
Schwcizerbürgcr-
rechts
vom
11.
November
1941» (AS
57
1257
ff.]
sowie
gültig
bis
zur
Inkraftsetzung des BüG
am
1.
Januar 1953).
AS 59 398
ff.;
der
zweite
Bundesratsbeschluss
blieb nach
einer
Verlängerung
um
weitere zwei
Jahre bis im Mai
1947
in Kraft
(AS 61 291)
und
wurde
später
nicht in
die ordentliche Gesetzge-
bung
(BüG)
überführt.
III.
Schweizer Bürgerrecht nach
geltendem Recht
Einheit und Rechtsnatur
A.
Laut A1t. 37 Abs.
1
der
Bundesverfassung
(BV)
24
ist
Schweizerbürgerin
oder
Schweizerbürger, wer
das
Bür-
gerrecht einer Gemeinde
und das
Bürgerrecht des
entspre-
chenden Kantons besitzt.
Es
ist
dabei
unerheblich,
ob die
betreffende Person das Schweizer Bürgerrecht von Ge-
.
21
22
2J
24
Der
Bundesrat
verfolgte
mit der
Ausbürgerung
von
Schweizer Bür-
gern ohne
Doppelbürgerrecht
gestützt auf seinen Beschluss
von
1943
die
Absicht,
eigenen
Staatsangehörigen,
die
gegen
ihr Hei-
matland
agierten,
und
sich
der
Schweizer
Justiz
entzogen
hatten,
zumindest
durch
Aberkennung
habhaft
zu
werden;
die
Ausbürge-
rung
sollte
allerdings
nicht
als
Strafe ausgestaltet werden,
denn
all-
fällige Lücken im
Strafrecht
müssten
auch
im
Rahmen
des
StGB
geschlossen werden (vgl. Näheres
zum
Ganzen
SCHWALBACH
[FN
7],
285 f.).
SCHWALBACH
(FN 7), 281.
SCHWALBACH
(FN
7),
286.
SRIOl.
IFU, Alm.del - 2022-23 (2. samling) - Bilag 138: Notat om individuelle samtaler og individuel behandling
2725500_0023.png
Jürg
M arcel
Tiefenthal
AJP/PJA 1
/2017
setzes
wegen (d.h.
durch
Abstammung)
25
oder durch
Ein-
bürgerung
erworben
hat. Infolgedessen besitzt jeder und
jede
Schweizer Staatsangehörige
drei Bürgerrechte: das
Gemeindebürgerrecht,
das Kantonsbürgerrecht und das
Schweizer
Bürgerrecht, welche
gemeinsam eine
untrenn-
bare
Einheit
bilden. So ist
es
denn
auch
unmöglich, ledig-
lich
eines
oder
allenfalls zwei
dieser drei Bürgerrechte
zu
besitzen.
26
Schliesslich widerspiegelt sich
im
dreigliedri-
gen
Bürgerrecht auch der historisch
entwickelte
föderalis-
27
tische Staatsautbau des
schweizerischen
Bundesstaates.
Die Bundesverfassung
sagt zwar
nichts
zur Frage
der
Zulässigkeit der Doppelbürgerschaft, d.h. dazu, ob
eine
Person neben der Schweizer Staatsbürgerschaft gleich-
zeitig eine
andere Staatsangehörigkeit besitzen darf. Bei
näherer Betrachtung
erweist sich
jedoch, dass die darauf
gestützte
schweizerische Bürgerrechtsgesetzgebung
nicht
auf die Verhinderung der Doppelbürgerschaft
ausgerich-
tet ist,
28
sondern vielmehr
darauf abzielt, die Staatenlosig-
keit
zu
vermeiden.
29
Die Rechtsnatur desS-chweizer Bürgerrechts ist
um-
stritten. Es
herrschen unterschiedliche Auffassungen
darüber, ob es
sich
beim Bürgerrecht
um
ein Rechtsver-
hältnis,
ein
Persönlichkeitsrecht oder gar
ein
Grundrecht
handelt." Ungeachtet der divergierenden
Ansichten
be-
steht
darin
Einigkeit,
dass das Schweizer Bürgerrecht den
Status der
Staatsangehörigkeit
verleiht und damit
ver-
bunden der bzw. dem Betroffenen besondere Rechte und
Pflichten vermittelt.
31
B.
Vermittelte Rechte und Pflichten
25
26
27
28
29
30
3'
Vgl. Art.
1
BüG.
ULRICH
HÄFELIN/WALTER HALLER/HELEN KELLERIDANIELA
THURNHERR, Schweizerisches
Bundesstaatsrecht, 9. A., Zürich/Ba-
sel/Genf
2016, N
1308;
ferner
KARL HARTMANNiLAURENT Mrnz,
Einbürgerung: Erwerb
und
Verlust
des
Schweizer
Bürgerrechts,
N
12.3, in: Peter
Uebersax/Beat
Rudin/Thomas Hugi
Yar/Thomas
Geiser (Hrsg.), Ausländerrecht,
Ausländerinnen
und
Ausländer
im
öffentlichen
Recht, Privatrecht,
Strafrecht,
Steuerrecht und Sozial-
recht der Schweiz,
2. A.,
Basel
2009.
FELIX HAFNERIDENISE BusER, in: Bernhard
Ehrenzeller/Benja-
min Schindler/Rainer
J.
Schweizer/Klaus
A. Vallender
(Hrsg.), Die
schweizerische
Bundesverfassung, St. Galler
Kommentar, 3. A.,
Zürich/St.
Gallen u.
Zürich/Basel/Genf 2014 (zit. SGK-HAFNERI
Bustsj.Art.
37
BVN 3 (m.w.Verw.).
Zum Ganzen ausführlich KATHARINA
MAUERHOFER, Mehrfache
Staatsangehörigkeit
-
Bedeutung und Auswirkungen
aus
Sicht des
schweizerischen
Rechts, Diss., Basel
2004,
126
ff.
MAUERHOFER (FN
28), 297; zur Vermeidung
der
Staatenlosigkeit:
vgl.
dazu
Näheres
unten lll.D.
sowie VI.A.
RENE ScHAFFHAUSER, Bürgerrechte;
328, N 39 (m.w.H.),
in: Da-
niel Thürer/Jean-Francois Aubert/Jörg Paul Müller (Hrsg.), Verfas-
sungsrecht
der
Schweiz, Zürich 2001.
Statt
vieler ANDREAS AuERIG10RGIO MALfNVERN1/M1CHEL
Hor-
TELIER,
Droit
constitutionnel suisse,
Vol. 1, L'Etat,
3.
A.,
Bern
2013,
N
404
ff.
Das Institut der
Staatsbürgerschaft stellte
ursprünglich
die
Grundlage
für das
sog.
«Recht auf
Rechte»
dar, eine
Formel, die aufHANNAH ARENDT
zurückgeht.
32
Der
zuneh-
mende
Einfluss
internationaler Grundrechtskataloge führ-
te
allerdings
auch in der
schweizerischen
Rechtsordnung
zu
einer Relativierung dieses Instituts.
33
Dementspre-
chend
schliesst
auch die Bundesverfassung
ausländische
Staatsangehörige
lediglich in
seltenen
Ausnahmefällen
vom persönlichen Schutzbereich
von
Grundrechten
aus.
Gestützt auf die Staatsbürgerschaft werden folgende
Grundrechte ausschliesslich Schweizerbürgerinnen/-bür-
gern vermittelt:
Niederlassungsfreiheit
(Art.
24
BV):
Das Recht,
sich
an
jedem Ort in der
Schweiz
niederzulassen (Abs.
1
);
das Recht, die Schweiz
zu
verlassen oder in die
Schweiz einzureisen (Abs. 2).
Ausweisungs-
und
Auslieferungsverbot
(Art.
25 Abs.
1
BV):
Der Schutz
vor
der Ausweisung aus derSchweiz
sowie
der Auslieferung an
eine ausländische
Behörde
(nur mit Einverständnis
der
betroffenen Person).
Diplomatischer Schutz im
Ausland:
Nach bundesge-
richtlicher Rechtsprechung besteht hierzu keine
völ-
kerrechtliche Verpflichtung;
laut
dem höchsten Ge-
richt fliesst die Kompetenz aus Art. 184 BV (früher
Art.
102
Ziff.
8
aBV
34);
allerdings besteht hierauf kei-
nerlei Rechtsanspruch.
35
-
Politische Rechte
(Art.
34 i.Vm.
Art.
136jf BV):
Das
Recht auf politische Partizipation in Bundessachen
(d.h. Teilnahme an
Nationalratswahlen
und Abstim-
mungen des Bundes,
Ergreifen
und Unterzeichnen von
Volksinitiativen und Referenden in Bundesangelegen-
heiten), sofern die/der Betroffene das 18. Altersjahr
zurückgelegt
hat und nicht
wegen
Geisteskrankheit
oder Geistesschwäche entmündigt ist.
36
32
33
3'
35
36
HANNAH ARENDT,
Elemente
und
Ursprünge
totaler Herrschaft,
Antisemitismus,
Imperialismus, totale Herrschaft,
7.
A.,
München
2000, 617.
Exemplarisch sei
hier
auf Art.
1
der
Europäischen Menschenrechts-
konvention (EMRK;
SR
0.101)
verwiesen, wonach grundsätzlich
«allen
ihrer
[die
Vertragsparteien]
Hoheitsgewalt unterstehenden
Personen» die in der
EMRK verbrieften
Rechte
zustehen.
AS
1, 1-37 (aBV
1874;
ersetzt
durch BV 1999).
Vgl.
BGE 130
T
312 E.
l. l m.H.
aufVPB 6
l (1997)
Nr.
75,
E. 2.
Die
enge
Verknüpfung der politischen Rechte mit der
Schweizer
Staatsangehörigkeit
ergibt sich aus
historischen Gründen:
vgl.
dazu
Näheres
bei MAUERHOFER (FN
28),
55
ff. So sind
die Kantone be-
fugt, ausländischen Staatsangehörigen auf kantonaler und kommu-
naler Ebene politische Mitbestimmungsrechte
zu
gewähren
(siehe
Art.
39 Abs.
1
BV);
auf
kantonaler
Ebene
tun dies die Kantone Jura
IFU, Alm.del - 2022-23 (2. samling) - Bilag 138: Notat om individuelle samtaler og individuel behandling
2725500_0024.png
Ausbürgerung terroristischer
Käm pfer
AJP/PJA
1
/201
7
Mit
dem
Schweizer Bürgerrecht sind aber gleichfalls
Pflichten
verbunden,
nämlich
im
Besonderen die Pflicht
zum Militärdienst nach.Art. 59 Abs.
1
BV (jedoch nur
für
Schweizer)
und
allenfalls
die Pflicht
zum
Zivilschutz-
dienst
(A1i.
61
Abs. 3 BV
und
A1i.
11
des
Bevölkerungs-
und
Zivilschutzgesetzes
[BZG]3
7).
Laut Art. 94
des
Mili-
tärstrafgesetzes
(MStG)
38
ist
es
zudem
jedem
Schweizer
untersagt,
fremden Militärdienst zu
leisten.
Auf Stufe der
kantonalen und
kommunalen
Rechtsordnungen
finden
sich weitere Bürgerpflichten. Betreffende
Regelungen
sind allerdings
nur in
einem sehr engen Rahmen
möglich
(vgl. Art. 37 Abs. 2
BV),
so z.B.
die kantonalgesetzlich
statuierte Stimm-
und
Teilnahmepflicht in
Bezug
auf eid-
genössische, kantonale
und
kommunale Abstimmungen
und
Wahlen
sowie
Gemeindeversammlungen
im
Kanton
Schaffhausen
39.
40
D.
Tragende Prinzipien
Das
geltende Schweizer
Bürgerrecht
ist
von
mehreren
Prinzipien
geprägt. Es
basiert
allem voran auf dem
be-
deutsamen
Grundsatz
des
sog.
«ius
sanguinis»
(Recht
des
Blutes;
Abstammungsprinzip), wonach für
den
Er-
werb
des Bürgerrechts die
Abstammung
massgebend
ist.
Ein Staat,
der
sein
Bürgerrecht hingegen nach dem
sog.
«ius
soli»
(Recht
des Bodens;
Geburtsorts-
oder Territo-
rialprinzip)
richtet, verleiht
seine
Staatsbürgerschaft allen
Kindern,
die
auf seinem Staatsgebiet geboren werden (so
z.B.
die
Vereinigten Staaten von Amerika),
und
zwar
un-
geachtet
der
Staatsbürgerschaft
deren
Eltern.
41
Einen wichtigen Aspekt
des
Schweizer Bürgerrechts
stellt
zudem
die Vermeidung
von Staatenlosigkeit dar.
Mit
diesem Prinzip
wird auch
dem
Ziel im
«überein-
C.
Kompetenzaufteilung zwischen
Bund und Kantonen
kommen zur Verringerung der Fälle von Staatenlosigkeit
vom
13.
September
1973»
42
entsprochen, welches von
der
Schweiz ratifiziert wurde.
43
Folglich
scheint
eine Ausbür-
gerung
bzw.
ein Entzug
des
Schweizer Bürgerrechts nach
geltendem Bürgerrecht (vgl. Art. 48 BüG) grundsätzlich
nur bei Doppelbürgern
möglich zu sein.
44
Schliesslich
ist die-Integration
als ebenso wesentliches
Prinzip bzw.
als spezifische Voraussetzung
zur
ordentli-
chen wie auch erleichterten Einbürgerung (Art.
14
bzw.
Art. 26 Abs.
1
lit.
a
BüG)
zu
nennen.
Der
Begriff wird
jedoch
nicht näher präzisiert;
Art.
14
BüG setzt für die
Eignung
-
auf
das
Erfordernis
der Integration bezogen
-
wörtlich
lediglich
voraus,
dass der
Bewerber/die Bewer-
berin insbesondere
«in die
schweizerischen
Verhältnisse
eingegliedert
ist»
(lit.
a) und
«mit
den schweizerischen
Art. 38
BV legt die
Kompetenzen
zwischen
Bund
und
Kantonen betreffend
Erwerb
und
Verlust
der Bürgerrechte
fest.:>
Der
Bund
ist
für
die Regelung
der folgenden Bereiche
zuständig:
Erwerb
des Bürgerrechts durch
Abstammung, Heirat
und
Adoption sowie
bei
staatenlosen Kinder;
Verlust des Bürgerrechts aus anderen Gründen;
Wiedereinbürgerung;
Erlass von Minimalvorschriften für
die
Einbürgerung
durch die Kantone und
Erteilung
der
entsprechenden
Einbürgerungsbewilligung.
Die
Kantone
ihrerseits
sind
verantwortlich für:
Erwerb des Bürgerrechts
aus anderen als familien-
rechtlichen Vorgängen
(d.h. durch Abstammung, Hei-
rat
und
Adoption)
sowie
bei
.staatenlosen
Kinder;
Beachtung
der bundesrechtlichen
Minirnalvorschrif-
ten.
Lebensgewohnheiten, Sitten und Gebräuchen vertraut
ist»
(lit.
b). Zumal
im
Ausländerrecht ein
gleichlauten-
41
42
37
38
39
0
'
und
Waadt
(vgl.
Art. 3
Loi
sur
les
droits
politiques [RSJU 161 l)
und
Art.
2
lit.
c
LDPND [RSV
141)).
SR520.l.
SR 321.0.
Siehe Art. 9
des Wahlgesetzes
(SHR
l
60.
100).
Eine
Aufführung weiterer
Beispiele
von
Bürgerpflichten
im
kanto-
nalen Recht
finden
sich
namentlich bei
RAINER
J.
SCHWEIZER,
Bür-
gerpflichten
im Recht
der Kantone,
in:
Markus
Rüssli/Julia Hänni/
Reto Häggi Furrer
(Hrsg.), Staats-
und
Verwaltungsrecht auf
vier
Ebenen, Festschrift für
Tobias
Jaag,
Zürich 2012, 301
ff.
43
44
Zu
den beiden Begriffen:
vgl.
RENE Rl-11Now/MARKUS ScHEFER,
Schweizerisches
Verfassungsrecht,
2.
A., Basel
2009,
N 298
f.
An-
lässlich
einer
Volksabstimmung
(26.
September
2004)
scheiterte
der
Versuch
einer
Einführung eines
beschränkten
ius
soli
für
Aus-
länder und
Ausländerinnen
der dritten und nachfolgenden Genera-
tionen;
zumal
es
für deren Einführung
eine
Verfassungsänderung
erfordert, konnte eine
solche auch
auf
dem
Weg
der Totalrevision
des BüG nicht
eingeführt werden
(vgl.
BBI
2011 2825
ff.,
2846
[Botschaft
zur
Totalrevision des BüG]).
SR0.141.0.
Zur
Vermeidung der Staatenlosigkeit:
vgl.
auch
Art. 4
lit.
b des
Europäischen Übereinkommens
vom
6.
November
1997
über die
Staatsangehörigkeit
(SEV
Nr.
166);
allerdings
hat
die Schweiz die-
ses
Übereinkommen nicht
ratifiziert.
Im
Übrigen
sieht
das
geltende
Bürgerrecht
(Art.
30
BüG
i.Y.m.
Art.
38 Abs.
3 BV)
die
Möglich-
keit einer erleichterten
Einbürgerung
für
staatenlose
minderjährige
Kinder
vor; vorausgesetzt,
das betroffene
Kind
hat insgesamt
fünf
Jahre in
der
Schweiz
gelebt,
wovon
ein
Jahr
unmittelbar
vor
Einrei-
chung
des
Gesuchs.
Vgl.
dazu
eingehend
unten
Y.A.
l. bis Y.A.4.
IFU, Alm.del - 2022-23 (2. samling) - Bilag 138: Notat om individuelle samtaler og individuel behandling
2725500_0025.png
Jürg
Marcel
Tiefenthal
AJP/PJA
1
/2017
der
Integrationsbegriff
existiert,
führt
dies
bisweilen
zu
Verständnisschwierigkeiten
und
sogar Missverständnis-
sen, weshalb
der
Gesetzgeber
im totalrevidierten Bür-
gerrechtsgesetz eine Klarstellung
der
Schlüsselbegriffe
anstrebte
und die Integration nicht nur im
Gesetzestext
präzisierte,
sondern gleichfalls
in der
Ausführungsverord-
nung
entsprechend
konkretisierte.
45
Hingegen ist das Prinzip
«Einheit
der
Familie»,
wel-
ches noch
während
langer
Zeit geschlechterspezifische
Unterschiede
in der Bürgerrechtsregelung begründete,
zu-
nehmend in
ein
rechtspolitisches Spannungsverhältnis
zur
Gleichberechtigung
von Frau
und Mann
geraten.
Im Rah-
men der
Neuregelung
des
zivilrechtlichen Namensrechts
(Name
von
Ehegatten
und
Kindern)
wurden
gleichzeitig
auch
die
Bestimmungen
über den
Erwerb
des
Bürger-
rechts geändert und das
einheitliche
Bürgerrecht für die
Familie
aufgegeben.
Seit
1. Januar
2013 gilt
die Regelung
von Art.
161
ZGB
46,
wonach
jeder
Ehegatte sein
Kantons-
und Gemeindebürgerrecht behält,
sowie
im Weiteren die
Regelung
von A1D71
ZGB,
wonach
das Kind das Kan-
tons- und Gemeindebürgerrecht desjenigen
Elternteils er-
hält, dessen
Namen es
trägt.
47
E.
Erwerb und Verlust des Bürgerrechts
Der
Erwerb
des
Schweizer
Bürgerrechts
erfolgt entweder
von
Gesetzes
wegen
(Art. 1-7 BüG) oder durch
Einbür-
gerung
(Art. 12-41 BüG).
Von
Gesetzes
wegen erfolgt
dies in
erster
Linie durch
Abstammung
(Art. 1 BüG), und
zwar,
wenn die Mutter und/oder der
verheiratete Vater
Schweizer/-in
ist, oder
wenn
der unverheiratete Schwei-
zer
Vater das Kind
anerkennt; ebenfalls geschieht
dies
von Gesetzes wegen
im
Falle
der Adoption
eines
minder-
jährigen
ausländischen
Kindes durch
eine Schweizer
Bür-
gerin
bzw.
einen Schweizer Bürger
(Art.
7
BüG).
Erfolgt der Erwerb
des
Schweizer
Bürgerrechts mit-
tels
Einbürgerung, so
unterscheidet das Gesetz
zwischen
der
sog.
«ordentlichen
Einbürgerung»
(Art.
12-16 BüG),
der
«erleichterten
Einbürgerung»
(Art.
26-32
BüG)
so-
wie
der
«
Wiedereinbürgerung»
(Art. 18-25 BüG). Die
Einbürgerung
im ordentlichen
Verfahren setzt eine Ein-
bürgerungsbewilligung des Bundes
voraus. Sie
hat
so-
dann
sowohl
durch den
Wohnsitzkanton als
auch die
Wohnsitzgemeinde
zu
erfolgen
und
richtet sich nach
dem
betreffenden
kantonalen Verfahrensrecht (Art.
15a BüG).
Kanton
und
Gemeinde sind
dabei
verpflichtet,
ihren je-
weiligen Entscheid
zu
begründen
(Art.
15b
BüG).
Die
Kantone dürfen
im
Rahmen der bundesrechtlichen Min-
destvorschriften
zusätzliche
Voraussetzungen
für die
Er-
teilung des Bürgerrechts
aufstellen.
48
Die
erleichterte Einbürgerung
betrifft insbesondere
ausländische Ehegatten eines Schweizer
Bürgers bzw.
ei-
ner
Schweizer
Bürgerin.
49
Die
Eignung
der
einzubürgern-
den Person
wird auch
hier
vorausgesetzt (Art. 26
BüG),
.
wobei es
laut
Bundesgericht hierauf keinen Rechtsan-
spruch gibt."
Die
Zuständigkeit
für die
erleichte1ie Ein-
bürgerung
liegt
beim Bund; die
zuständige
Bundesbehör-
de ist das
Staatssekretariat
für
Migration (SEM),
das den
Kanton vor seiner Entscheidung anhört
(Art.
32
BüG).
Dasselbe Verfahren
gilt auch
für die Fälle der Wiederein-
bürgerung,
welche
diejenigen Personen betrifft, die
we-
gen
ihrer
Geburt
im
Ausland (aus entschuldbaren Grün-
den) ihr
Schweizer
Bürgerrecht
verwirkt
haben(Art.
21
BüG), oder
solche,
die aus dem
Schweizer
Bürgerrecht
entlassen
worden
sind (Art. 23
BüG).
Der Verlust des
Schweizer
Bürgerrechts
erfolgt ent-
weder von Gesetzes
wegen
(Art. 8-11
BüG) oder durch
behördlichen Beschluss (Art. 42-48 BüG).
Von Gesetzes
wegen trifft dies
zu, wenn
das Kindesverhältnis
zum El-
ternteil, der dem Kind das
Schweizer
Bürgerrecht
vermit-
telt hat,
aufgehoben wird
(A1i.
8
BüG), durch
Adoption
eines Ausländers (Alt. 8a
BüG)
oder
durch
Verwirkung
bei
einem
im Ausland
geborenen
Kind
eines schweizeri-
schen Elternteils, welches
noch
eine andere
Staatsangehö-
rigkeit besitzt
(A1i.
10 BüG).
48
49
45
'
6
47
8812011 2825 ff., 2831 f.;
zu
den Integrationskriterien:
vgl. Art.
12
nBüG und
Art. 2-8
nBüY.
SR210.
Vgl. zum Ganzen
8812009
7573 ff., 7581; AS 2012 2569
ff.
50
Vgl. BGE
138 l
305 E.
I
.4.3; ausführlich
zu
den bundesrechtlichen
Mindestvorschriften
und deren
Beachtung:
vgl.
SGK-HAFNER/
BusER
(FN 27), Art. 38
BV
N 8 ff. (insb. N
l l
ff.).
Die
unterschied-
lichen
kantonalen Voraussetzungen für die ordentliche Einbürge-
rung
sind eine
Folge des föderalistischen Staatsaufbaus;
der
Ver-
fassungsgeber
hat
von einer
Änderung der Kompetenzverteilung
zwischen
Bund und
Kantonen
und der
Schaffung einer
umfassen-
den
Gesetzgebungskompetenz
des Bundes in
Einbürgerungsfragen
abgesehen (DIES.
[FN
27],
Art. 38 BV N
8).
Zu
den besonderen
Fällen erleichterter
Einbürgerung: vgl.
Art.
29
BüG (irrtümlich angenommenes Schweizer
Bürgerrecht),
Art. 30
BüG
(staatenloses
Kind),
Art. 3la BüG (ausländisches Kind,
das
nicht
in die
Einbürgerung eines Elternteils einbezogen worden
ist)
und
Art.
31
b
BüG (ausländisches Kind, der
das
Schweizer Bürger-
recht
verloren
hat).
BGE
129 ll
401 E. 2.5.
IFU, Alm.del - 2022-23 (2. samling) - Bilag 138: Notat om individuelle samtaler og individuel behandling
2725500_0026.png
Ausbürgerung terroristischer Käm pfer
AJP/PJA
1
/2017
&
IV.
A.
Totalrevision der Bürgerrechts-
gesetzgebung
Erkannter Reformbedarf
muss bei der
Gesuchstellung zwingend
im Besitz der
Niederlassungsbewilligung
(C-Ausweis)
sein (Art. 9
Abs.
1 lit.
a
nBüG) und
hat bei der
Gesuchstellung einen Aufenthalt von
ins-
gesamt
mindestens
zehn
Jahren in
der Schweiz, wo-
von
drei in den letzten fünf Jahren
vor Einreichung
des
Gesuchs,
nachzuweisen
(Art. 9 Abs.
1 lit. b nBüG).
55
'--t
!
Nachdem
das
geltende
Bürgerrechtsgesetz
vom 29. Sep-
tember 1952 (BüG) in der Vergangenheit durch
zahlrei-
che Revisionen
geändert worden war,
wornnter dessen
Verständlichkeit und Lesbarkeit immer mehr
gelitten
haben, hat
sich
-
insbesondere
vor
dem Hintergrnnd des
totalrevidierten
Ausländergesetzes vom
16. Dezember
51
2005
(AuG)
-
ein grösserer
Refonnbedarf
abgezeich-
net.
Neben
der Vereinfachung
und
Harmonisierung der
Einbürgerungsverfahren
und der
Angleichung
des Inte-
grationsbegriffs an
das
geänderte Ausländerrecht sollten
auch grundsätzliche Neuerungen eingeführt werden,
die
jedoch
-
wie
bereits
einzelne
frühere
Anpassungen
bzw.
Neuerungen
-
keiner Verfassungsrevision bedürften.
52
Nach
einer
langen, intensiven parlamentarischen Debatte
einigten sich
National- und
Ständerat sozusagen
in letzter
Minute und folgten dem
Antrag
der
Einigungskonferenz.
Die beiden Räte
verabschiedeten am 20.
Juni
2014
das to-
talrevidierte Bürgerrechtsgesetz (nBüG) in ihrer jeweili-
gen Schlussabstimmung.
53
Materielle Voraussetzungen für
das
Schweizer Bürger-
recht (ordentliche Einbürgerung):
Die
antragsstellende
Person
muss
erfolgreich
integriert
sein (Art.
11 lit. a nBüG),
hat
sich
mit den
schweizerischen Lebensverhältnissen
vertraut gemacht (Art.
11 lit. b
nBüG)
und
darf keine
Gefährdung
der inneren und
äusseren Si-
cherheit
der
Schweiz
darstellen
(Art.
11 lit.
c
nBüG).
Harmonisierung
der
kantonalen
und
kommunalen
Vor-
schriften:
Die
kantonalen Gesetze müssen künftig eine Mindest-
aufenthaltsdauer von
zwei
bis fünf Jahren
vorsehen
(Art. 18 nBüG).
-Eine
erfolgreiche
Integration
misst sich
insbesondere
an
den
folgenden
Kriterien
(Art.
12
i.
Vm. Art.
11 lit.
a nBüG):
Beachtung
der
öffentlichen Sicherheit
und Ordnung
(Art.
12 lit.
a
nBüG);
Respektierung der
Werte
(Art.
12 lit. b nBüG);
der
Bundesverfassung
B.
Wichtigste Gesetzesänderungen
und Neuerungen
Der
Bundesrat
hat
anlässlich
der
Verabschiedung der
neuen
Ausführungsverordnung
beschlossen, das
vollstän-
dig revidierte Bürgerrechtsgesetz
(nBüG)
und die neue
Bürgerrechtsverordnung
(nBüV) auf
den 1. Januar
2018
in
Kraft zu setzen,
zumal
Anpassungen
des kantonalen
Rechts und der kantonalen
Organisationsstrukturen erfor-
54
derlich
sind.
Das neue, totalrevidierte
Gesetz sieht
na-
mentlich
folgende Neuerungen vor:
Sprachkompetenz
im
Alltag
in
einer Landessprache
in
Wort
und
Schrift (Art.
12 lit.
c
nBüG);
Teilnahme am
Wirtschaftsleben
oder am Erwerb von
Bildung (Art.
12 lit.
e
nBüG); und
Förderung
und
Unterstützung
der
Integration
der
Ehe-
frau oder
des
Ehemannes,
der
eingetragenen
Partnerin
oder
des
eingetragenen Partners
oder der minderjähri-
gen Kinder, über welche
die
elterliche Sorge ausgeübt
wird (Art.
12 lit.
e
nBüG).
Formelle Voraussetzungen für das Schweizer Bürger-
recht (ordentliche Einbürgerung):
Die antragstellende
Person
Verschärfung der materiellen Voraussetzungen bei der
er-
leichterten
Einbürgerung
(Art.
20 nBüG):
Die
Integrationskriterien
von
Alt.
12
Abs.
l lit.
a
und b
nBüG, d.h.
sowohl
die
Beachtung der öffentlichen Sicher-
heit und
Ordnung als auch die Respektierung der Werte
der Bundesverfassung, müssen zwingend
erfüllt sein.
5
;
51
52
53
54
SR
142)0.
SGK-HAFNER/BusER (FN 27), A11. 38
BV
N 6
und
10
(m.
Verw.).
Zum
Ganzen AB
2014 N
1299
(135
zu 60 Stimmen,
bei
2 Enthal-
tungen) und AB
2014 S
678
(29 zu
12
Stimmen,
bei 4
Enthaltun-
gen); zum
Schlussabstimmungstext:
vgl.
BBI
20145133
ff.
«Neues
Bürgerrechtsgesetz
tritt
am
l.
Januar 2018
in
Kraft», Me-
dienmitteilungen, Der Bundesrat,
17.6.2016, Internet:
https://www.
sern.adrnin.ch/sem/de/horne/aktuell/news/2016/ref 2016-06-172.
html (Abruf 1.12.2016);
zum Zeitpunkt
der Jnkraftsetzung:
vgl.
ferner Staatssekretariat für Migration
(SEM),
Bericht über die
Er-
gebnisse
des Vernehmlassungsverfahrens,
Ausführungserlass zum
revidierten Bürgerrechtsgesetz, April
2016, 9.
Für
die
Berechnung der
Aufenthaltsdauer
nach
Art. 9
Abs.
1
lit. b
nBüG
wird
die
von
der
antragsstellenden
Person
zwischen
dem
vollendeten 8.
und
18.
Lebensjahr in der
Schweiz verbrachte Zeit
doppelt gerechnet.
Sollte
eine vorerst vorläufig aufgenommene
Person
später eine Einbürgerung
beantragen,
so wird
die Hälfte der
Aufenthaltsdauer unter dem
Status
der
vorläufigen Aufnahme an-
gerechnet
(Art.
33 Abs.
l lit.
b nBüG).
IFU, Alm.del - 2022-23 (2. samling) - Bilag 138: Notat om individuelle samtaler og individuel behandling
2725500_0027.png
Jürg
M arcel
Tiefenthal
AJP/PJA
1
/2017
C.
Ausführungsrecht
Die neue
vom Bundesrat verabschiedete Bürgerrechts-
verordnung (nBüV) verfolgt vor allem
das
Ziel,
die für
eine Einbürgerung
massgebenden Integrationskriterien
aus Art.
12 nBüG näher
zu
konkretisieren (vgl.
Art. 2-8
nBüV). Der Bundesrat hat namentlich
auch
die Praxis
bei bestehenden Vorstrafen und bei
Abhängigkeit von
der
Sozialhilfe angepasst
bzw.
substantiiert. Strafurteile sind
bereits unter
geltendem
Recht
ein Einbürgenmgshinder-
nis und der Bund
verweigert eine Einbürgerung,
wenn
ein
Eintrag
im
Strafregister-Infonnationssystem
VOSTRA
besteht (vgl. dazu
Art.
4
Abs. 2-5
nBüV).
Eine Einbür-
gerung soll
künftig nicht möglich
sein, wenn eine einbür-
gerungswillige
Person in den letzten drei Jahren
vor Ge-
suchstellung Sozialhilfe
in
Anspruch genommen
hat
oder
während
des
Einbürgenmgsverfahrens sozialhilfeabhän-
gig gewesen
ist;
wer
jedoch die in den drei Jahren unmit-
telbar
vor Einreichung
des
Gesuchs
bezogene
Sozialhilfe
zurückerstattet
hat, ist
von
dieser Regellmg
ausgenommen
(Art.
7 Abs. 3
nBüV). Im
Übrigen
regelt die neue
BüV an
verschiedenen Stellen die Zusammenarbeit
des
zuständi-
gen
Staatssekretariats für
Migration (SEM)
mit
anderen
Bundesstellen und den
kantonalen Einbürgerungsbehör-
den, legt
Verfahrensfristen
für die
zuständigen
Behörden
fest
(Art.
22
f.
nBüV) und integriert
eine Gebührenrege-
lung, die derzeit in
Form
der
geltenden
Gebührenverord-
nung BüG
(GebV-BüG)
56
besteht (Art.
24-29 nBüV).
57
tels
«Verlust
durch
behördlichen
Beschluss»
die
Bestim-
mung von Art. 48 BüG
mit
folgendem Wortlaut:
Art. 48 BüG
Das Bundesamt kann
mit
Zustimmung
der
Behörde des Hei-
matkantons einem Doppelbürger das Schweizer, Kantons-
und
Gemeindebürgerrecht entziehen, wenn sein Verhalten
den Inte-
ressen oder dem Ansehen
der
Schweiz erheblich
nachteilig ist.
V.
Zum Entzug des Schweizer Bürger-
rechts im Besonderen
Entzug nach geltendem Recht
(Art. 48 BüG)
Wortlaut, Systematik, Entstehungs-
qeschichte=, Sinn und Zweck der Norm
A.
1.
Im
geltenden
Bürgerrechtsgesetz
vom 29. September
1952 findet
sich
unter dem
Untertitel «b. Entzug»
des Ti-
Der Wortlaut
dieser
Norm
ist bis heute
-
abgesehen von
einer
rein organisationsrechtlichen
Anpassung
59 -
unver-
ändert geblieben.
In historischer
wie
teleologischer Hinsicht
gibt
die
«Botschaft
des Bundesrates
an
die Bundesversamm-
lung
zum Entwurf zu einem
Bundesgesetz über
Erwerb
und
Verlust
des
Schweizerbürgenechts vom 9. August
60
1951
» Aufschluss
über die
ursprüngliche
Intention des
Gesetzgebers
bzw. den
Sinn
und
Zweck
der
gegenwärtig
(noch)
geltenden Norm.
Sowohl im
Allgemeinen Teil
der
Botschaft
wie auch
im Besonderen Teil
zu
Begründung
und
Erläuterung
der
einzelnen
Bestimmungen des
Geset-
zesentwurfs
bekräftigt die Botschaft des Bundesrates,
was
bereits
aus
dem
Wortlaut
der Bestimmung hervorgeht:
Doppelbürgern
soll
das
Schweizer
Bürgerrecht
entzogen
werden
können,
wenn
die
Voraussetzungen gemäss
der
besagten
Norm vorliegen,
d.h. das Verhalten der betref-
fenden
Person mit Doppelbürgerschaft den Interessen
oder dem
Ansehen
der
Schweiz erheblich
nachteilig ist
-
·
dies im
Gegensatz zu einer
Person, die
einzig Schweizer-
bürger ist, denn diese würde durch
einen solchen Entzug
des
Schweizer
Bürgerrechts
staatenlos.
61
Damit
wurde an
die
Stossrichtung
der beiden Bundesratsbeschlüsse der
Jahre 1940 und 1943
angeknüpft
mit
Ausnahme
des Ver-
zichtes auf
die Regelung über die
Möglichkeit
des
Ent-
zugs
des Bürgerrechts bei Bürgern, die
ausschliesslich
die
Schweizer
Staatsangehörigkeit besitzen. Die Botschaft
verrät,
dass der Bundesrat ursprünglich
gar
die
Absicht
verfolgte,
die
Schwelle
für
einen Entzug
des
Schweizer
Bürgerrechts bei Doppelbürgern noch tiefer
anzusetzen,
nämlich deren
Ausbürgerung sogar auch
dann
zu ermög-
lichen,
wenn «deren
Verhalten
oder
Tätigkeit
klar
darauf
schliessen
lässt, das
sie sich eindeutig
für den
andern
Hei-
59
56
57
58
SR
141.21. Die
Gebührentarife für eine erleichterte Einbürgerung,
Wiedereinbürgerung
und
Nichtigerklärung der Einbürgerung sowie
für
die
Erstellung des
kantonalen
Erhebungsberichts sind teilweise
erhöht worden.
Vgl. zum Ganzen ausführlich Eidgenössisches
Justiz- und Polizei-
departement (EJPD), Erläuternder Bericht, Entwurf zur Verord-
nung
zum Bürgerrechtsgesetz, April 2016.
Zur Entstehungsgeschichte: vgl.
dazu bereits
die
historischen Hin-
weise oben
ll.B.
wie auch
die
Ausführungen mit diversen Verwei-
sungen
bei
ÄCHERMANN
(FN 5), 4 ff.
60
61
Am 22. März 2002 wurde
im
Rahmen der Anpassung verschiede-
ner
Organisationsbestimmungen
des
Bundesrechts die bis
dorthin
beim
«Eidgenössisches
Justiz-
und
Polizeidepartement»
gelegene
Verfügungskompetenz
neu dem
«Bundesamt»
(heute: Staatssekre-
tariat
für
Migration
SEM) zugewiesen (AS 2003
187
ff.,
191
).
BBJ
1951
II
669 ff.
.
BBl
1951 II
669 ff., 678, 704.
Im
Rahmen
des
erläuternden
Be-
richts zur
neuen Bürgerrechtsverordnung betont der
Bundesrat mit
Bezug auf
die
Entstehungsgeschichte von Art. 48 BüG, dass
mit
dem
Entzug
des
Schweizer Bürgerrechts
die
Neutralität
bzw.
Sou-
veränität
der
Schweiz geschützt werden sollte
(EJPD [FN
57], 33).
IFU, Alm.del - 2022-23 (2. samling) - Bilag 138: Notat om individuelle samtaler og individuel behandling
2725500_0028.png
Aus
b ü
r
g
er u n
g
t e rr o r ist i scher K
ä
m
p
f er
AJP/PJA 1
/2017
rnatstaat
entschieden haben
und
für
die
Schweiz als Bür-
ger
tatsächlich
verloren
sind»
62•
Schliesslich verzichtete
der Bundesrat
aber auf eine entsprechende Ergänzung
der
Norm
im
Gesetzesentwurf,
zumal
die
mit dem
Entwurf
betraute
Expertenkommission sich
einstimmig
gegen des-
sen Ansinnen ausgesprochen
hatte.
63
2.
Bisherige Verwaltungspraxis mit Hinweisen
auf eine zeitgemässe Auslegung
Der
geltende
Art. 48 BüG kam
in der
Verwaltungspraxis
des Bundes bis
zur Einreichung
der
«Parlamentarischen
Initiative
(14.450) betreffend den Entzug
des
Schweizer
Bürgerrechts für Söldner»
64
von Nationalrat
Toni
Brunner
(SVP) am 26. September 2014 erstaunlicherweise seit
In-
kraftsetzung
des BüG am
1. Januar 1953 (während
fast
63
Jahren) nicht
ein einziges Mal
zur
Anwendung.
65
Es
scheint,
dass
diese Norm
in
völlige Vergessenheit
geraten
ist
und erst
jüngere
Entwicklungen (Bürgerkriege
in
Sy-
rien
und Irak) bzw.
auf
die
Thematik
bezugnehmende po-
litische
Vorstösse wohl
dazu
führten,
dass die
zuständige
Bundesbehörde in
einem
jüngst
Aufsehen erregenden Fall
betreffend
einen
italienisch-schwg_iz~rischen Doppelbür-
ger
-
einen
mutmasslichen
Dschihadisten aus Winterthur,
der
sich
als Söldner
der
Terrororganisation
«Islamischer
Staat» (IS)
angeschlossen
hatte und mittlerweile
gestor-
66
ben
sein soll
-,
erst Art. 48 BüG entdeckte
und
ein Ver-
fahren
um
Entzug von dessen Schweizer
Bürgerrecht
ein-
leitete.
67
Die
faktisch
bis dahin
inexistente Verwaltungspraxis
zum
Entzug
des
Schweizer Bürgerrechts
nach
Art. 48
BüG wirft
die
grundlegende Frage auf, weshalb einer
solchen
Rechtsnorm
-
trotz ihres unmissverständlichen
Wortlautes
-
derart
lange die
Anwendung versagt geblie-
ben
ist.
Es ist zu bezweifeln,
dass in
63
Jahren kein
ein-
ziger
Sachverhalt betreffend einen
Doppelbürger
vorge-
legen hat, bei
welchem
die
Voraussetzungen
nach
Art. 48
BüG erfüllt gewesen
und
folglich ein Entzug
der
Schwei-
zer
Staatsbürgerschaft gerechtfertigt
gewesen
wäre
-
so
etwa
namentlich
während
des
Kalten Krieges gegenüber
Kommunisten oder gegenüber Sympathisanten
mit
Kon-
takten
zu ausländischen Extremistengruppen (RAF, Rote
Brigaden, ETA
usw.).
Es
besteht
vielmehr
der
Verdacht,
dass die
Behörden resp.
der
Bundesrat nicht daran
interes-
siert war( en),
diese bestehende,
sozusagen
«schlafende»
Norm,
ins
öffentliche Bewusstsein zu
rufen und deren
An-
wendung entsprechend rechtfertigen
zu
müssen.
3.
Parlamentarischer Vorstoss: Stellungnahme
beider Räte und Ausgang
Die von Nationalrat Toni Brunner-(-S-1/P) eingereichte Par-
lamentarische Initiative
verlangte eine Ergänzung
des
gel-
tenden Art. 48 BüG um einen
zweiten
Absatz
mit dem
fol-
genden Wortlaut:
«Bei
einer
Teilnahme an terroristischen
Aktivitäten oder
Kampfhandlungen in
der Schweiz oder
im
Ausland
ist
der Entzug
zwingend.»
Der
zwingend zu
erfolgende Entzug
des
Schweizer Bürgerrechts wurde
da-
mit begründet, dass
Schweizer Bürger,
insbesondere
Dop-
pelbürger,
sich vermehrt an der
Planung,·
Vorbereitung
und Ausführung
terroristischer
Aktionen oder Kampf-
handlungen betätigten und
derzeit Kriegswillige
nach
Sy-
rien,
nach
Irak
und in
weitere Länder pilgerten,
um
auf
Seiten von Organisationen wie der
«al-Nusra-Front»
oder
dem
«Islamischen
Staat»
68
an
Kampfhandlungen oder ter-
roristischen Aktionen teilzunehmen.
Kehrten
solche
Söld-
62
63
6
'
65
66
67
BBI
195
l
II
669 ff.,
704.
BBI
l
95
l II
669
ff.,
705.
Eingehend
zur
Parlamentarischen Initiative (
14.450):
vgl.
sogleich
unten V.A.3.
Die
gesetzliche
Möglichkeit
zur
Ausbürgerung von
Doppelbürgern
bestand bereits
während
des Vollmachtenregimes:
Zwei
bis 1947
geltende
Bundesratsbeschlüsse
sahen vor,
das Schweizer Bürger-
recht bei
«unschweizcrischern
Verhalten»
oder
bei
einem
Sicher-
heitsrisiko
zu
entziehen (AS
l 943
398,
AS
1945
29
l
),
was während
des
Zweiten
Weltkrieges
scheinbar
in
23 Fällen
auch Anwendung
fand; ein letztes Mal im
Nachkriegsjahr
194
7
(so
laut
Ständerat An-
drea
Caroni
in der
ständerätlichen
Vorprüfungsdebatte, der implizit
auf die aufgearbeitete
Praxis
während
der
Zeit
des Vollmachten-
Regimes
von
SCHWALBACH
(FN 7], 274,
28!
u.
284,
Bezug
zu
neh-
men
scheint:
AB 2016 S
505).
Mit Bezug
zur
Praxis betreffend
das
Phänomen
sog. «terroristi-
scher
Kämpfern:
vgl. auch
ACHERMANN
(FN
5),
10
f.
Zur
Eröffnung
des
Verfahrens
betreffend
Entzug
des
Schweizer
Bürgerrechts im
oben
erwähnten
Fall:
vgl. Notifikation
im Bun-
desblatt mit
Aufforderung
zur
Stellungnahme (BBI
2016 3836).
Der Bund hat
sich
beim Vorgehen
im
vorliegenden
Fall an
der
Stellungnahme
des
Bundesrates
zur
«Motion
Romano
(14.3705),
Aberkennung
des
Schweizer
Bürgerrechtes
bei
Dschihadisten mit
Doppelbürgerschaft»,
orientiert.
Dieser
stützte sich
dabei
auf
die
Beratungen
des
Bürgerrechtsgesetzes
ab
(BBI
1951 II
669
ff.)
und
kam
zum Schluss,
dass
der
geltende
Art. 48
BüG dann
zur An-
68
wendung
kommen
kann,
wenn
die betreffende Person Delikte
wie
Völkermord, Verbrechen
gegen
die
Menschlichkeit, Kriegsverbre-
chen
oder Verbrechen
gegen
den
Staat
begangen hat. Jedoch
hielt
er es
für unverhältnismässig,
einem
Doppelbürger
bereits
dann das
Schweizer
Bürgerrecht
zu entziehen, wenn
dieser
sich
in
einem
anderen Staat
niederlassen und
dort in
der regulären
Armee Mili-
tärdienst
leisten
würde. Zudem erachtete
der
Bundesrat
es
als
pro-
blematische Unterscheidung,
eine Ausbürgerung
nur
bei
eingebür-
gerten
Personen
vorzusehen
und
demgegenüber
z.B.
Doppelbürger,
die
das Schweizer Bürgerrecht durch
Abstammung
erhalten
hätten,
davon
auszuschliessen (vgl.
zum
Ganzen
Stellungnahme
des Bun-
desrates
vom 5. November 2014,
Internet: https://www.parlament.
ch/de/ratsbetrieb/suche-curia-vista/geschaeft? A
ffairTd=20
l
43
705
[Abruf
1.12.2016]).
Vormals
«Islamischer
Staat
in
Irak
und
Syrien»
(Isis).
IFU, Alm.del - 2022-23 (2. samling) - Bilag 138: Notat om individuelle samtaler og individuel behandling
2725500_0029.png
Jürg
M
arcel
Tiefenthal
AJP/PJA
1
/201 7
ner in
die Schweiz zurück, ginge von diesen ein enormes
Gefahrenpotenzial für
den
Staat
und
seine Bevölkerunz
b
aus.
69
Der
Nationalrat
behandelte die parlamentarische Ini-
tiative
am
7.
Dezember
2015
(über
ein
Jahr nach deren
Einreichung).
Der Initiant machte im Rat
geltend,
dass
dschihadistische Söldner als Schweizer Bürger nicht
tragbar
wären
und den Vollzugsbehörden in
solchen Fäl-
len auch keinerlei
Ermessensspielraum gegeben werden
dürfte."
Dieser
Automatismus war auch einer
der Gründe
weshalb die
vorberatende Staatspolitische
Kommission
'
sich gegen
die Initiative
ausgesprochen
hatte; nach deren
Ansicht
würde
sich
der
Gesetzgeber zur
Judikative
auf-
schwingen
und damit das Prinzip der
Gewaltenteilung
verletzen. Es wurde
auf das derzeit laufende
Ausbürge-
rungsverfahren
gegen
den bekannten dschihadistischen
Doppelbürger
aus
Winterthur
verwiesen;
der Kommis-
sionssprecher
(Nationalrat Kurt Fluri) betonte die bereits
zur
Verfügung
stehende
Möglichkeit der
Ausbürgerung
nach
geltendem
Recht und die
ausreichenden
Mittel des
geltenden
Strafrechts." Trotz der
geschilderten
Bedenken
nahm der Nationalrat die parlamentarische Initiative mit
l 02
zu 85
Stimmen (bei
vier Enthaltungen) an."
Der Ständerat lehnte
am
14. Juni
2016
die parlamen-
tarische Initiative von SVP-Nationalrat
Toni
Brunner mit
27
zu 12 Stimmen (bei
einer Enthaltung) ab, womit
der
Vorstoss definitiv
erledigt war.
73
Die kleine Kammer
er-
achtete eine
neue Regelung für unnötig,
zumal eine
Ausbürgerung
bereits bei
geltender
Rechtslage möglich
sei, wenn ein
Doppelbürger den Interessen der Schweiz
schade, wie gerade
auch
ein aktuell
laufendes Verfah-
ren
gegen einen
Dschihadreisenden
zeige, stellte
der
Kommissionssprecher (Ständerat
Andrea Caroni)
der
Staatspolitischen
Kommission
fest; er sprach
der parla-
mentarischen Initiative immerhin das
Verdienst zu,
dass
die Verwaltung,
wohl auch
dank ihr,
eine
bereits beste-
hende N01m
wiederentdeckt
hätte. In diesem Zusammen-
hang verwies der Kommissionssprecher
auf
den Katalog
von Ausbürgerungsg1ünden,
der im
Entwurf
der neuen
Ausführungsverordnung zum
Bürgerrechtsgesetz
vorlie-
ge, wobei er gleichzeitig zu
bedenken
gab,
dass
Ausbür-
gerungen
das Problem nicht
wirklich
lösten,
zumal
nur
Doppelbürger
ausgebürgert werden
könnten und
sich
die
Frage
stelle, ob
mit
einer Ausbürgerung
nicht
eine
Prob-
69
lematik
einfach auf einen anderen Staat
übertragen
wer-
de.
Zwar würde
die
Kommission Ausbürgerungen nicht
ablehnen, sie stelle sich aber klar gegen einen gesetzlich
verankerten Automatismus.
74
4.
Schlussfolgerungen (mit Bezug auf
ein Kurzgutachten zuhanden des SEM)
In
Übereinstimmung
mit dem Kurzgutachten
von
Prof.
ALBERTO AcHERMANN
ist
festzustellen,
dass
es sich
bei der
geltenden
Rechtsgrundlage
von
Art,
48 BüG dem Wortlaut
nach um
eine
relativ offene Formulierung
Verhalten,
welches
den Interessen oder
dem Ansehen
der
Schweiz er-
heblich nachteilig ist»)
handelt, die nur ungenügend
subs-
tantiiert ist. Die
Gesetzesmaterialien
belegen unbestritten
den
Ursprung
der
Norm, welche
in der Bedrohungslage
der
Schweiz während
des
Zweiten
Weltkrieges
zu
veror-
ten ist. Mit
Ausnahme eines
derzeit laufenden
Ausbürge-
rungsverfahrens
existiert
jedoch über Jahrzehnte hinweg
keine
Anwendungspraxis
der
zuständigen
Bundesbehörde
zu Art.
48 BüG. In
Anbetracht
der Tragweite
eines Ent-
zugs
des Bürgerrechts überlässt die
geltende
Bestimmung
der
Verwaltungsbehörde einen erheblichen, wenn
nicht
gar zu weiten Ennessensspielraum.
Der Gutachter fordert
deshalb
de lege ferenda
zu
Recht klarer und detaillierter
definierte Tatbestandselemente
(Tatbeitrag, Gehilfen-
schaft,
Vorliegen
einer
rechtskräftigen Verurteilung im In-
land/
Ausland etc.)
für
einen Entzug
des Bürgerrechts, und
zwar zumindest
auf N onnenhierarchiestufe
einer
Verord-
nung.
75
Im Weiteren plädiert
er
auch für die Regelung der
Rechtsfolgen
einer Ausbürgernng:
Dabei handelt
es sich
um
Fragen
wie beispielsweise, ob
ein Entzug
des Bürger-
rechts
gleichermassen eingebürgerte Familienangehörige
miteinschliesst
oder
ob
es einen Unterschied
macht, ob
die betroffene
ausgebürgerte
Person ihr
Schweizer
Bür-
gerrecht
damals durch behördlichen Beschluss
oder von
Gesetzes wegen erworben
hat.
76
In
Beantwortung der
«
Motion
Romano
(14. 3 705),
Aberkennung
des
Schweizer
Bürgerrechtes
bei
Dschiha-
disten mit Doppelbürgerschafrn"
führte der Bundesrat
aus,
das Bürgerrecht
könne
dann
entzogen werden, wenn
die betreffende Person Delikte
wie
Völkermord und Ver-
brechen
gegen
die
Menschlichkeit (Art. 264
ff.
StGB),
Kriegsverbrechen
(A1t. 264b
ff.
StGB) oder Verbrechen
gegen
den
Staat
und die Landesverteidigung
(Art. 265
ff.
StGB) begangen hat.
Aufgnmd
des Wortlautes
von Art.
48
70
71
72
73
Vgl.
zum
Ganzen
Informationen
abrufbar
unter: https://www.
parlament.ch/de/ratsbetrieb/suche-curia-vista/geschaeft?
Affairld=
20140450 (Abruf
1.12.2016).
AB 2015 N 2077 (Votum
Toni
Brunner).
Zum Ganzen AB 2015 N 2078 (Votum
Kurt Fluri).
AB 2015 N 2079 (Abstimmung).
AB 2016 S 506 (Abstimmung).
74
75
76
77
Zum Ganzen AB 2016 S 505
f.
"(Votum
Andrea Caroni).
ÄCHERMANN
(FN 5),
19
u.
22.
ÄCHERMANN
(FN 5),
19
ff.
Vgl.
dazu
ferner
bereits
oben Y.A.2. (FN 67).
IFU, Alm.del - 2022-23 (2. samling) - Bilag 138: Notat om individuelle samtaler og individuel behandling
2725500_0030.png
Ausbürgerung terroristischer Kämpfer
AJP/PJA
1/2017
BüG dürfte
ein solches Verhalten wohl einen Entzug
des
Schweizer Bürgerrechts rechtfertigen, denn die potenziel-
le Gefahr, die von Schweizer Doppelbürgern
ausgeht,
die
sich währendihrss Aufenthalts
in Kriegsgebieten
radika-
lisiert haben und in die
Schweiz zurückkehren, sowie von
solchen,
die an bewaffneten Konflikten im Ausland teil-
genommen
haben,
werden
durch den Wortlaut
von A1t.
48
BüG
gedeckt,
und
zwar
auch dann,
wenn
die
genannten
Straftaten nicht direkt
gegen
die
Schweiz gerichtet sind.
Allerdings
stellen sich
im
Falle
der
Ausbürgerung
terro-
ristischer Kämpfer
weitere
Fragen, die mit dem Grundsatz
der Vermeidung der Staatenlosigkeit (Konstellationen
von Doppel- oder Mehrfachstaatsangehörigkeiten, die
zu
Anwendungsschwierigkeiten führen können)
verbunden
sind und unter der
gegenwärtigen
Rechtslage ungelöst
bleiben.
78
2.
Konkretisierung im Ausführungsrecht
B.
1.
Entzug nach neuem Recht
(Art. 42 nBüG
i.V.m.
Art. 30 nBüV)
Übernahme der bislang geltenden
Gesetzesgrundlage
Bereits die bundesrätliche Botschaft
zum
neuen
Bür-
gerrechtsgesetz hat
vorgesehen,
die bestehende
Norm
(Art. 48 BüG) unverändert
zu
übernehmen.
Es wird
be-
tont, dass nur
ein
«erhebliches
nachteiliges
Verhalten»
den
Entzug
des Schweizer Bürgerrechts rechtfertigen
könne und demzufolge die Messlatte
sehr
hoch angesetzt
sei, so
dass
ein
bloss
«nachteiliges
Verhalten»
nicht
ge-
nüge. Der
Entzug
des Bürgerrechts
sei
als
«ultima
ratio»
gedacht;
so
läge bislang kein einziger Fall
eines
Entzugs
gestützt
auf die
geltende
Rechtsgrundlage vor. Diese sei
insbesondere für Kriegszeiten
gedacht gewesen, argu-
mentiert der Bundesrat und führt das Beispiel
eines
Dop-
pelbürgers auf, der Kriegsverbrechen oder Landesverrat
begangen hatte. Die Beibehaltung der
Norm
begründet er
mit dem
Anwendungsbeispiel eines Schweizer
Doppel-
bürgers, der
einen
Terroranschlag
verüben sollte.
79
Die
definitiv
verabschiedete
Version
von Art.
42 nBüG
ent-
spricht- abgesehen von einer
redaktionellen
sprachlichen
Anpassung-
dem
Wortlaut
des
geltenden Art. 48 BüG.
80
Mit Art.
30
nBüV wird Art. 42 nBüG konkretisiert. Ge-
stützt
auf die Vernehmlassungsergebnisse
wurde
die
Ver-
ordnungsvorlage u.a. in diesem Punkt
angepasst
bzw.
81
ergänzt. Der
erste
Absatz definiert
einen
Katalog
von
Straftatbeständen, mit deren Begehung eine Person die
Interessen oder das Ansehen der Schweiz in
erheblicher
Weise beeinträchtigt. Der
zweite Absatz setzt
hierfür
grundsätzlich eine
rechtskräftige Verurteilung voraus.
Der
Entzug
des Bürgerrechts
stellt
trotz
seines straf-
ähnlichen Charakters eine von
der Strafe unabhängige
verwaltungsrechtliche Massnahme bzw. Sanktion dar,
die
sich auf schweizerisch-ausländische
Doppelbürger
beschränkt, die in
schwerwiegender
Weise
gegen
die In-
teressen der Schweiz aktiv
geworden sind
und damit die
Sicherheit des Landes
gefährden.
Die
zuständige
Bun-
desbehörde für den Entzug ist das SEM, das
vorher
die
Zustimmung des betreffenden Heimatkantons
einholen
muss. Der Verordnungsgeber nimmt im
erläuternden
Bericht
zu
Art. 30 nBüV
explizit
Bezug
auf
die
Entste-
hungsgeschichte der (noch)
geltenden
bzw. der neuen
Gesetzesbestimmung (Ai:t~8 BüG bzw.
Art.
42 nBüG)
und
verweist
auf deren
eigentlichen
Zweck, nämlich den
Schutz
der
Neutralität
bzw.
Souveränität
der Schweiz.
Art. 48 BüG beruht
ursprünglich
auf
einer Notverordnung
des Bundesrates aus dem Zweiten Weltkrieg, die insbe-
sondere aufgrund
der damaligen nationalsozialistischen
Bedrohung
geschaffen wurde.
82
Art. 30
Abs.
I nBüV definiert in
Form einer Aufzäh-
lung von konkreten Tatbeständen des Strafgesetzbuches
83
(StGB)
,
mit deren Begehung bzw.
Erfüllung
«die
Inte-
ressen oder das
Ansehen
der
Schweiz
in
erheblicher
Wei-
se
beeinträchtigt»
werden
und damit die Voraussetzung
für die verwaltungsrechtliche
Sanktion
des
Entzugs
des
Schweizer Bürgerrechts bilden.
Begehung
eines Verbrechens oder Vergehens
nach
Art. 30 Abs.
1 fit.
a
nBiiV
-
Angriffe auf
die
Unabhängigkeit
der
Eigenossenschaft
(Art.
266
StGB);
gegen die Sicherheit
der
Schweiz gerichtete ausländi-
sche Unternehmungen
und
Bestrebungen (Art.
266bis
StGB);
verbotener
politischer/wirtschaftlicher/militärischer
Nachrichtendienst (A1t. 272-274 StGB);
78
79
80
Vgl.
dazu
Näheres
unten
VI.C.2.
Zum
Ganzen BBI
2011 2825
ff,
2865.
Zum Wortlaut
des
verabschiedeten
Art.
42
nBüG:
siehe
BBl
2014
5133 ff,
5144.
Das bezeichnete
zuständige
Bundesamt (BFM)
hat
inzwischen
seinen
Namen geändert
(neu:
SEM), was
bis
zum
In-
krafttreten des Gesetzes per
1.
Januar
2018 gewiss
noch
redaktio-
nell korrigiert werden
wird.
81
82
83
EJPD
(FN
57), 6.
Vgl.
dazu
bereits eingehend oben
II.B.
(m.Verw.); ferner
explizit
EJPD
(FN
57), 33.
SR311.0.
IFU, Alm.del - 2022-23 (2. samling) - Bilag 138: Notat om individuelle samtaler og individuel behandling
2725500_0031.png
Jürg
Marcel Tiefenthal
A)P/PJA
1
/201
7
BI
Angriffe
auf
die
verfassungsmässige
Ordnung
(Art.
275
StGB);
staatsgefährliche
Propaganda (Art.
275bis
StGB);
rechtswidrige Vereinigung (Art. 275,e, StGB).
84
Begehung
eines
schweren Verbrechens nach Art. 30
Abs.
1 fit. b
nBiiV:
im Rahmen
von
terroristischen
Aktivitäten;
im Rahmen
von gewalttätigem Extremismus;
im Rahmen
von
der organisierten Kriminalität.
85
Begehung
eines
besonders
schweren Verbrechens nach
Art. 30 Abs.
1 fit.
c
nBiiV, welches
die internationale
Ge-
meinschaft
als Ganzes betrifft:
Völkermord
(Art. 264 StGB);
Verbrechen gegen
die Menschlichkeit
(Art. 264a
StGB);
schwere Verletzung
der
Genfer Konventionen vom
12.
August
1949 (Art.
264c StGB); oder
ein anderes ----izi·iegsverbrechen
(Art.
264d-264h
StGB).
86
Dauerhafte
Gefährdung
der
guten
Beziehungen
der
Schweiz zu
einem
fremden
Staat nach Art. 30 Abs.
1 fit.
d
nBiiV:
-
durch die
Beleidigung
des
fremden Staates
(Art.
296
StGB).
87
Schliesslich setzt
der
Entzug
des Bürgerrechts
gestützt
auf Art.
42 nBüG
grundsätzlich ein entsprechendes
rechtskräftiges
Urteil voraus (vgl. Art. 30 Abs. 2
nBüV).
In
Ausnahmefällen
ist
ein Entzug allerdings auch ohne
rechtskräftige Verurteilung
der betreffenden Person mög-
lich, nämlich dann,
wenn ein Strafverfahren aufgrund
84
tatsächlicher Umstände (z.B.
eines
fehlenden, funktionie-
renden
Justizsystems
oder
in
Bürgerkriegsgebiete) oder
aus
beweisrechtlichen
Gründen (namentlich wegen feh-
lenden
politischen Willens oder mangelnder
Rechtshilfe
seitens
des Tatortstaates) nicht
erfolgreich zum Abschluss
gebracht werden
kann. Der
zweite
Absatz greift
insbeson-
dere das Konzept des
«not willing
or
able»
des Römer
Statuts
des Internationalen
Strafgerichtshofes
(IGH)
88
auf,
wonach die Straflosigkeit eines Täters,
die daraus resul-
tiert, dass
ein Staat
nicht
willens oder
nicht in der Lage ist,
ein Strafverfahren
zu
führen oder
einem ausländischen
Rechtshilfeersuchen
zu entsprechen,
nicht
zu einer
Bes-
serstellung
des
Täters
führen
soll.
89
3.
Schlussfolgerungen
85
86
87
Die aufgeführten Strafbestimmungen
des 13.
Titels
des
StGB die-
nen dem
Schutz der schweizerischen Gebietshoheit
und
der Wah-
rung der
Unabhängigkeit der Schweiz;
laut
erläuterndem
Bericht
des Bundesrates
zur
nBüV
wird
mit dem
Verweis
auf
diese
zum
einen
der
Entstehungsgeschichte
von
Art. 48 BüG
bzw.
Art. 42
nBüG
Rechnung
getragen (Entzug wegen Landesverrat),
zum
an-
deren
werden
Handlungen
gegen
die
wirtschaftlichen
Interessen
der
Schweiz konkretisiert (EJPD
[FN
57], 33).
Die drei
Straftatbestände sind bereits
in
Art. 3
lit.
a-c
nBüV
(Ge-
fährdung
der inneren und
äusseren Sicherheit der Schweiz) auf-
gelistet,
die im Rahmen
der
Prüfung der
Voraussetzungen für eine
Einbürgerung Gegenstand
sind.
Der
Verordnungsgeber
hält
explizit
fest,
dass
jedoch für
den
Entzug des
Bürgerrechts höhere
Massstä-
be gälten als bei einer Einbürgerung (EJPD
[FN
57],
33).
Die
geschützten
Rechtsgüter und
die
Deliktsarten
rechtfertigen
ei-
nen
Entzug
der
Staatsangehörigkeit (EJPD [FN 57],
33).
Art. 296 StGB schützt
in
erster
Linie
die Interessen der
Schwei-
zer
Aussenpolitik;
letztendlich
geht
es
um
die Gewährleistung
der
Sicherheit
der
Schweiz
und die
Wahrung
des Friedens, die durch
eine
Beleidigung
gegenüber einem fremden Staat
gefährdet werden
könnte (EJPD
[FN
57], 33 f.)
Mit der Konkretisierung
von Art. 42
nBüG in
Art. 30
nBüV ist der
Verordnungsgeber
der hauptsächlichen For-
derung des Kurzgutachtens
zuhanden
des
SEM
nachge-
kommen und
illlleine genügende,
d.h. hinreichend be-
stimmte
Rechtsgrundlage für
eine Ausbürgerung
bzw.
einen Entzug
des Bürgerrechts
(bei
Doppelbürgern)
geschaffen.
Durch die
genaue
Nennung
spezifischer
Straftatbestände
(Abs. 1)
sind
die Voraussetzungen für
die
Anwendung
der
Gesetzesnorm geklärt.
Dem
Grund-
satz
nach ist
eine
rechtkräftige
Verurteilung erforderlich,
allerdings
mit dem Verzicht in jenen
Fällen,
in denen
eine
strafrechtliche Verfolgung
aussichtslos wäre
(Abs. 2).
Dagegen unterlässt der
Verordnungsgeber
die
Un-
terscheidung,
ob
die betreffende
Person
mit Doppelbür-
gerrecht
ihr
Schweizer
Bürgerrecht von Gesetzes
wegen
(
durch
Abstammung) erworben
hat
oder
ihr dieses durch
behördlichen Beschluss
erteilt worden
ist.
Angesichts
der
Schwere des
Verbrechens, welches
überhaupt für
einen
Entzug
der
Schweizer Staatsbürgerschaft Voraussetzung
bilden
soll, erscheint
die Differenzierung nach der A1i,
wie
das
Schweizer
Bürgerrecht
verliehen worden
ist-
wie
vom Gutachter gefordert
-
jedoch
von
untergeordneter
Bedeutung,
so
dass die
Gleichbehandlung aller auslän-
disch-schweizerischen Doppelbürgern
gerechtfertigt er-
scheint.
Im
Falle von
Doppelbürgern, deren
Familienange-
hörige
ein von
ihnen
abgeleitetes
Bürgerrecht besitzen,
stellt sich
die
wesentliche
Frage,
ob sich
der
Entzug
ihres
Schweizer
Bürgerrechts auch
auf
deren
Familienangehö-
rigen
erstrecken soll.
Im
Gegensatz zur Nichtigerklärung
der
Einbürgenmg,
die
sich auf Art.
41 BüG
stützt
resp.
auf
Art. 36
nBüG
stützen wird,
äussem
sich weder
die
gelten-
88
89
SR0.312.1.
Siehe
zum
Konzept
Art.
17 des Römer
Statuts des
JGH.
IFU, Alm.del - 2022-23 (2. samling) - Bilag 138: Notat om individuelle samtaler og individuel behandling
2725500_0032.png
Ausbürgerung
terroristischer Kämpfer
AJP/PJA
1
/2017
de
noch
die neue Rechtsgrundlage zu den Auswirkungen
der Ausbürgerung für die betroffenen Familienangehöri-
gen.
Da
sich
für
den Entzug ähnliche Rechtsfragen wie
im
Fall
der
Nichtigerklärung einer Einbürgerung
stellen,
hätte
sich
der
Gesetzgeber
sinnvollerweise
analog an
der
Praxis
zum geltenden Art. 41 BüG
resp.
am Wortlaut des
neuen Art. 36 Abs. 4 nBüG orientieren können.??
Die
neue
Gesetzesnorm über die Nichtigerklärung
übernimmt
näm-
lich
sinngemäss
die
vom zuständigen
Staatssekretariat
für
Migration entwickelten
und
vom
Bundesverwaltungs-
gericht
bestätigten
Richtlinien (Praxis)
betreffend
die
Erstreckung der Nichtigerklärung
der
Einbürgerung auf
Familienangehörige.
91
Dessen
ungeachtet
verbleibt so-
wohl
bei
geltender als auch künftiger
Rechtslage
keinerlei
Raum für
eine Erstreckung
der
Ausbürgerung auf Fami-
lienangehörige mit
abgeleitetem
Bürgerrecht
-
was einer
Art
«Sippenhaft»
gleichkäme
-,
ausser
diese hätten
sich
selbst an
den
schweren
Verbrechen nach Art. 30 Abs.
1
nBüV beteiligt.
92
VI.
Ausbürgerung - Spannungsfelder
und ungeklärte Rechtsfragen
Völkerrechtliche Rahmenbedingungen
A.
Mit
besonderem Blick
auf
den
Aspekt der
doppelten
bzw.
mehrfachen
Staatsbürgerschaft steht fest, dass das gel-
tende Völkerrecht
den
Entzug
des
Bürgerrechts
nicht
von
vornherein verbietet, obschon die Staatenlosigkeit als sol-
che völkerrechtlich
unbestritten
als
unerwünscht
gilt,
was
namentlich durch
die
Stossrichtung
verschiedener
inter-
nationaler
Übereinkommen
zum
Ausdruck kommt. Den-
noch
verpflichtet das Völkerrecht
die
Staaten, im Rahmen
ihrer
Souveränität
bestimmte
Schranken
in
Bezug auf
den
Entzug der Staatsbürgerschaft
zu
beachten
(v.a.
den
Schutz vor willkürlicher Behandlung
93
sowie
vor
Diskri-
minierung'"). So können
laut jüngerer Praxis
des Europä-
ischen
Gerichtshofs für Menschenrechte (EGMR) Fragen
der
Staatsangehörigkeit
sogar
unter den
Schutzbereich
des
Rechts
auf
Privatleben
von Art.
8
der
Europäischen
Menschenrechtskonvention (EMRK)
subsumiert
werden
und infolgedessen i.V.m.
Art.
14
EMRK auch
jegliche
Diskriminierungen
im Rahmen des
Entzugs
der
Staatsan-
gehörigkeit
als
unzulässig
gelten.
95
Diese
Tendenz
in der
EGMR-Rechtsprechung
unterstreicht die
zunehmende
Bedeutung
der
Staatsangehörigkeit als Menschenrecht."
Wie
bereits
erwähnt stellt die Vermeidung der Staatenlo-
sigkeit
als völkerrechtliches Prinzip gleichermassen
ei-
nes der
tragenden
Prinzipien dar,
von welchem
sich
die
schweizerische
Bürgenechtsgesetzgebung
leiten lässt.
Diesem Prinzip kommt jedoch
keine absolute Geltung
zu,
und
zwar
sowohl im völkerrechtlichen Kontext als auch
in
der schweizerischen
Rechtsordnung.
Die Schweiz
un-
terstützt das Ansinnen
der
Vermeidung Staatenlosigkeit,
was sie
namentlich durch
die
Ratifikation
des
«überein-
kommen vom 13. September
1973
zur Verringerung
der
Fälle von Staatenlosigkeit»
bekräftigt
hat. Dagegen ist
sie
-anderen
internationalen
Abkommen
nicht
beigetreten,
so
namentlich
dem
«übereinkommen
vom 30.
August
1961
zur
Verminderung der Staatenlosigkeit»
97,
welches
in
A1i. 8 Abs.
1
explizit
den
Entzug
der
Staatsangehörigkeit
verbietet, wenn
die Person
dadurch
staatenlos
wird. Al-
lerdings
sieht sogar
dieses Übereinkommen Ausnahmen
93
94
90
91
92
Das Bundesgericht überlässt
es explizit
der Rechtspraxis, in
wel-
chen
Fällen
von
der
Nichtigkeit
der
Einbürgerung
der
Familienmit-
glieder abzusehen
ist,
zumal
Art. 41 Abs. 3 BüG keine ausdrückli-
chen Kriterien
dafür nennt.
Es
betont
aber, dass
sich
die Behörden
von der
BV
sowie von
Sinn
und
Zweck
des
BüG
leiten
zu
lassen
haben,
ob
im
Einzelfall eine Erstreckung
der
Nichtigkeit der
er-
schlichenen Einbürgerung auf Familienangehörige
als
angemessen
oder
unangemessen
zu
betrachten
ist
(zum Ganzen
BGE 135
[[
161
E. 5.3).
Staatssekretariat für Migration SEM (Hrsg.),
Handbuch
Bürger-
recht,
Kap. 6, Ziff. 6.6., S.
10;
vgl. auch
BVGer,
C-5957/2012,
24.7.2012, E.
LI;
vgl.
im
Übrigen
interessanter
Hinweis
von
ACHERMANN
(FN 5), 20 (m.Verw.).
Vgl.
betreffend Art. 48 BüG
im
Ergebnis gl.M.
ÄCHERNIANN
(FN 5), 21.
9
;
96
97
Vgl. dazu bereits das Verbot
zum willkürlichen Entzug·
der
Staats-
angehörigkeit
(Art.
15
Abs. 2
der Allgemeinen
Erklärung
der Men-
schenrechte);
ferner das Verbot, jemandem
willkürlich
das Recht
zu
entziehen,
in
sein eigenes
Herkunftsland
einzureisen
(Art.
12
Abs.
4 des
UNO-Pakts
II [SR
0.103.2]);
Schutz vor
Ausweisung
aus
dem
eigenen
Herkunftsland
(Art.
3
des
TV.
Zusatzprotokolls
zur
EMRK;
nicht von der Schweiz
ratifiziert).
Zur staatlichen
Pflicht der
Beachtung
des Disk.riminierungsverbo-
tes nicht nur
beim Erwerb
des Bürgerrechts,
sondern
gleichcrmas-
sen
bei dessen
Entzug: vgl.
WALrER
KÄLIN/JöRG
KüNZLI,
Uni-
verseller
Menschenrechtsschutz,
Der
Schutz des
Individuums
auf
globaler
und regionaler
Ebene, 3. A., Basel 2013, 590
f.;
vgl. ferner
Bezüge
zum
Verbot
der Diskriminierung hinsichtlich Rechtsvor-
schriften
über
Staatsangehörigkeit, Staatsbürgerschaft oder Einbür-
gerung
in
Art.
1
Abs.
2
der
Rassendisk.riminierungskonvcntion (SR
0.104)
oder
über
Erwerb, Wechsel oder
Beibehaltung der
Staats-
angehörigkeit
bei Frauen in
A1i. 9
der Frauendiskriminierungskon-
vention
(SR 0.108).
Zur
neueren
EGMR-Praxis:
vgl.
insbesondere
EGMR, Nr.
53124/
09,
Genovese
vs.
Malta,
11.10.2011.
Vgl.
zum
Ganzen
die
Ausführungen von
ÄCllERMANN
(FN
5),
11 ff. (m.w.Verw.).
Der
Wortlaut des Übereinkommens
ist abrufbar unter:
http://www.
unhcr.
ch/fi
lead min/rechts
i
nfos/staa ten
I
osigke
i
t/staa
ten
1-
U
ebcrei
n
kommen_Verminderung.pdf (Abruf
1.12.20 l
6).
IFU, Alm.del - 2022-23 (2. samling) - Bilag 138: Notat om individuelle samtaler og individuel behandling
2725500_0033.png
Jürg
M arcel
Tiefenthal
AJP/PJA
1
/201 7
für
einen Entzug vor, so
dass in
gewissen
Fällen trotzdem
Personen
staatenlos
werden können.
B.
1.
Divergierende
Rechtslage
und Staatenpraxis
Ausbürgerungsgründe
Die
Staatenpraxis kennt eine Vielzahl
von
Entzugsgrün-
den der
Staatsbürgerschaft,
die unterschiedlich
geregelt
sind.
Diese
können
-
abhängig vom jeweiligen Staat
-
entweder eine Staatenlosigkeit
zur
Folge
haben, oder, im
Falle einer sich
daraus
ergebenden Staatenlosigkeit, ex-
plizit keine
Anwendung finden, wie
dies teilweise
z.B.
auch
im
Falle
der
Schweiz
zutrifft.
Heutzutage
verfügen
die meisten
Staaten
in ihrer Rechtsordnung
über gesetz-
lich
statuierte Gründe, die einen Entzug
der
Staatsbürger-
schaft zur Folge
haben.
Zu
den bedeutendsten
Entzugsgründen
zählen
na-
mentlich:
fami
lienrechtliche
Vorgänge;
Erwerb einer
neuen
Staatsangehörigkeit;
Verzicht auf eine
bestehende
Staatsangehörigkeit;
Betrug beim
Erwerb einer
neuen
Staatsangehörigkeit
(mit Folge
derer
Nichtigerklärung);
Wohnsitz
im
Ausland (nach einer gewissen Frist
je
nach
Staat);
Landesverrat;
Illoyalität;
Militärdienstleistung für einen fremden Staat;
Unterstützung eines feindlichen Staates (z.B.
durch
Spionage);
·
Begehung
bestimmter
Arten von schweren Verbrechen
(z.B. im Ausland
oder
auch
im Inland,
während einer
Frist
nach
erfolgter Einbürgerung).
98
2.
.Aktuelle
Entwicklungen in
ausgewählten Staaten
Schweiz, die in ihrer Gesetzgebung
nur
von
«Doppelbür-
gern»
spricht.
99
Im
Gegensatz
zur
international feststell-
baren
Tendenz, auf eine rechtskräftige Verurteilung
als rechtliche Voraussetzung der Ausbürgerung
zu
ver-
zichten,
hat
der Verordnungsgeber in der Schweiz
die-
se Voraussetzung als Grundsatz
explizit
verankert
und
gleichzeitig
die
Ausnahmen
hiervon
festgelegt.
100
Die
zunehmende
Bedrohung durch Terrorismus
und
der
einhergehenden Gefahr
der
Radikalisierung
durch
den
«Islamischen
Staat»,
der
zum
«Dschihad»
gegen
den
Westen
im
In-
und
Ausland aufruft,
haben in
den
letzten
Jahren
zahlreiche Staaten
dazu bewegt, die
gesetzlichen
Gründe für
die
Ausbürgerung
zu
ändern
bzw.
entspre-
chende Pläne
in den jeweiligen nationalen politischen
Ge-
setzgebungsprozess einzubringen'?'
Hierzu
sind
exemp-
larisch
folgende Staaten zu
nennen:
(a)
Grossbritannien:
Nach
den
Bombenanschlägen auf
die
Londoner U-Bahn
im Juli
2005 sind
mehrmals die
Gesetze zur Ausbürgerung verschärft worden. Seit 2006
ist
eine Nichtigerklärung einer Staatsbürgerschaft
durch
den Innenminister möglich,
wenn
dies dem
öffentlichen
Wohlergehen
dient. Das Ministerium
vertritt
die
Ansicht,
dass
es sich
bei der
Staatsbürgerschaft
um
ein
Privileg
und
kein
Recht handle.
Nach einer Änderung
des
«Natio-
nality
Act»
am 29.
Juli
2014
durch den
«Immigration Act»
ist
es
im Vereinigten Königreich
erlaubt, eingebürgerten
Personen bei
Vorliegen eines Verhaltens,
das den
Staats-
interessen
schadet,
die britische
Staatsangehörigkeit zu
entziehen, sofern es gute
Gründe
zur Annahme gibt,
dass
die betreffenden Personen die
Möglichkeit
besitzen,
eine
andere Staatsangehörigkeit zu erwerben.
102
(b)
Kanada:
Mit der
Änderung
des
«Canadian
Citizen-
ship Act»
im Juni
2015
wurde die
gesetzliche Grundlage
erlassen, aufgrund
derer Doppelbürgern, die
wegen Terro-
rismus,
Landesverrats
oder der
Spionage für fremde
Re-
gierungen verurteilt worden sind,
die
Staatsbürgerschaft
zu
entziehen
ist.
103
Die
meisten Staaten setzen für einen Entzug des Bürger-
rechts
voraus,
dass die
betroffene
Person dadurch nicht
staatenlos wird. Einige Staaten
nehmen
jedoch eine ex-
plizite
Differenzierung
zwischen
eingebürgerten
Per-
sonen
und
Personen, welche
das Bürgerrecht durch
Ab-
stammung erhalten haben, vor.
Dies trifft nicht
zu für die
99
100
101
98
Die
hier
aufgeführten
Entzugsgründe finden sich als Suchkrite-
rien
in
der
Datenbank
des
«European
Union Observatory on Ci-
tizenship»
(EUDO),
Internet: http://www.eudo-citizenship.eu/data
bases/modes-of-loss (Abruf
1.12.2016).
102
103
Siehe den Wortlaut
sowohl
in
Art. 48 BüG als.auch in Art. 42
nBüG.
Siehe Art. 30 Abs.
2
nBüV.
Zur
Veranschaulichung der neueren Rechtsentwicklungen:
vgl.
statt
vieler
ALISON
HARVEY,
Recent Developments on Deprivation
ofNationality on Grounds ofNational Security and Terrorism Re-
sulting
in Statelessness,
in: Immigration,
Asylum
an
Nationality
Law
28, Nr.
4/2014,
336
ff.; ferner· die diversen Beiträge auf dem
EUDO-Fomm,
Internet http://eudo-citizenship.eu/commentaries/
citizenshi
p-forum/ 1268-the-return-of-banishment-do-the-new-
denationalisation-policies-weaken-citizenship (Abruf
1.12.2016).
Dazu
eingehend
HARVEY
(FN
101
), 345
f.
Siehe
«Citizenship
Act, R.S.C.,
1985,
c.
C-29,
Part II
(Loss of Citi-
zenship),
Section
10,
Revocation
by
Minister
-
convictions
relating
IFU, Alm.del - 2022-23 (2. samling) - Bilag 138: Notat om individuelle samtaler og individuel behandling
2725500_0034.png
Ausbürgerung terroristischer Kämpfer
AJP/PJA 1
/2017
m
(c)
Niederlanden:
Das Parlament
hat
im Mai 2016 ei-
nem
Gesetzesentwurf zugestimmt,
laut
dem terroristische
Kämpfer
mit doppelter
Staatsangehörigkeit, die aus
dem
Dschihad
zurückkehren, künftig ausgebürgert werden
können.
Personen, die
sich
einer
terroristischen
Organi-
sation angeschlossen haben, gelten
laut Justizministerium
als
unerwünschte
Ausländer. Es
bedarf keiner
Verurtei-
lung; das Justizministerium
entscheidet
über
den Entzug
der
Staatsbürgerschaft.
104
( d)
Portugal:
Das
Staatsangehörigkeitsgesetz
Portugals
wurde am 22.
Juni
2015 revidiert
und
gibt
der
Staatsan-
waltschaft das Recht, bei Personen,
von
denen
eine
Be-
drohung
für
die nationale
Sicherheit ausgeht oder die
in
terroristische
Aktivitäten verwickelt sind, Einspruch ge-
gen
deren
Einbürgerung oder Bürgerrechtserwerb
durch
Heirat
einzulegen,
und
zwar, ohne dass
die betreffende
Person
ein Verbrechen begangen
haben
muss.l'"
(e)
Frankreich:
Die
Regierung Frankreichs
beabsichtig-
te nach den terroristischen
Anschlägen
in Paris
vom No-
vember 2015 ein Gesetz zur Ausbürgerung von
Doppel-
bürgern, die
seit
ihrer
Geburt Franzosen sind, zu erlassen.
Nach heftigem
Widerstand
und dem Rücktritt der Justiz-
ministerin im Januar
2016 zog die
Regierung
schliesslich
ihr
Vorhaben zurück.
Derzeit
ermöglicht
die
Gesetzge-
bung lediglich
einen Entzug des französischen Bürger-
rechts
bei
eingebürgerten Franzosen (Doppelbürgern),
die
bereits
wegen
terroristischer
Straftaten verurteilt worden
sind.!"
(t)
Deutschland:
Das
deutsche
Grundgesetz verbietet
grundsätzlich
die
Ausbürgerung, wenn
die
Folge eine
Staatenlosigkeit
ist.
In
den letzten
Jahren, namentlich
nach den jüngsten
Anschlägen
im
Bundesland Bayern,
wird
in der deutschen Politik
vor allem über eine Auswei-
tung des Bürgerrechtsentzugs
bei Bürgern mit
doppelter
Staatsangehörigkeit diskutiert.
107
Soweit kann
nach
deut-
schem
Recht
eine Ausbürgernng
bei Doppelbürgern nur
erfolgen, wenn
die betreffende Person
ohne Genehmi-
gung
in die
Streitkräfte oder einen vergleichbaren
bewaff-
neten Verband
eines ausländischen Staates eintritt, dessen
Staatsangehörigkeit er
besitzt.
108
(g)
Türkei:
In jüngerer
Zeit sorgte
der türkische Präsi-
dent Recep
Tayyip Erdogan erstmals
im
Frühling 2016
in
Zusammenhang
mit der
Ergreifung von Massnahmen
zur
Bekämpfung
des
Terrorismus für Aufsehen, als er
ankündigte, ein Gesetz auf
den Weg
zu
bringen, das
er-
möglichen
soll,
Unterstützern
von Terrororganisationen
die türkische
Staatsbürgerschaft abzuerkennen. Er
machte
dabei deutlich, dass
seine Worte sich auf die Arbeiterpar-
tei Kurdistans
(PKK) bezogen und kritische
Akademiker,
Journalisten
und Politiker
zu
deren
Unterstützern zählten;
zwischen
ihnen
und
Terroristen,
die
Bomben
legten,
gäbe
es
keinen
Unterschied,
zumal sie
dasselbe
Ziel verfolgten
wie
die Terrororganisation.
Es gäbe keine Verpflichtung,
Leute
mitzutragen,
die
ihren
Staat
und ihr Volk
verraten
würden."?
(h)
Vereinigte Staaten von Amerika:
In
den
USA
besteht
keine gesetzliche
Regelung
zur
Ausbürgernng,
denn die
Verfassung verbietet sie."?
Die Regierung Obama
soll
deshalb in
Anspruch nehmen, eigene Staatsbürger ohne
Prozess
per Drohne im
Ausland
hinzurichten.
So sorgte
der
Fall
des 16-jährigen
Abdulrahman al-Awlaki, geboren
in Denver
(Colorado)
und
Sohn eines radikalen Predigers,
für
grosses
mediales
Aufsehen.
Der Jugendliebe
wurde
-
ohne
Bekanntgabe
eines Gnmdes
-
in einem Strassencafe
im Jemen aus
der
Luft getötet.
111
107
104
105
06
'
to national
security (2/b)»; vgl.
Internet:
http://eudo-citizenship.
eu/news/c
i
tizensh
i
p-news/
1402-canadian-govern
men t-now-a b
le-
to-revoke-ci tizensh i p-of-du
a
1-c i tizens-con
vi
cted-o
f-terrori
s
(Abruf 1. Dezember
2016);
Näheres
zur
Kontroverse: vgl.
Internet:
http
://www.
l
exo
I
ogy.
com/1
i brary
/
deta
i 1.as
px? g=3
d3 dOe
fa-08db-
4098-af85-84678bdc0e
l O
(Abruf
1.12.2016).
Siehe Gesetzesentwurf
Nr. 34 'O
16
(Niederlande): vgl.
hierauf den
Hinweis
von
ÄCHERMANN
(FN 5),
14.
Siehe
«Lei
Orgänica no.
8/2015
de
22 de
junho,
Artige 6 (1/e),
Artigo 9 (d)»; vgl.
Internet: http://eudo-citizenship.eu/news/citi
zenship-news/
1413-portugal-includes-anti-terrorist-measures-in-
nationality-act (Abruf
1.12.2016).
Siehe
«Code
civil, Livre
I
":
Des personnes, Titre
I"
bis: De
la
na-
tionalite francaise,
Chapitre
IV: De
la
perte, de
la
decheance
et
de
la
reintegration
dans
la
nationalite
francaise,
Section
1:
De
la
perle de
la
nationalite francaise,
Article 23».
108
109
110
11
'
Der deutsche Bundesinnenminister Thomas de
Maiziere
hat im
Rahmen
seines
~111
l l.
August
2016 verkündeten Massnahmenka-
taloges
zur
Terrorbekämpfung u.a. in
Aussicht gestellt,
Deutschen,
die an Kampfhandlungen im
Ausland
teilnehmen und
eine weite-
re Staatsbürgerschaft besitzen,
künftig die
deutsche
Staatsbürger-
schaft
entziehen
zu
können:
vgl.
http://www.spiegel.de/politik/
deutsch
I
a
nd/thomas-de-mai
ziere-in
nenm
in
i
s
ter-wi
l l-s
ich
erhei
ts
gesetze-verschaerfcn-a-1107183.html
(Abruf 1.12.2016).
Siehe
§
28 Staatsangehörigkeitsgesetz
(StAG).
Zum
Ganzen Berichterstattung in
NZZ online
von
INGA
Rooo,
NZZ online
vom
6.4.2016,
Internet: http://www.nzz.ch/internatio
na
1/
eu ropa/kurdenko
n fl i kt-in-der-türke i-erdo
gan-wi
11-sei ne-
gegner-ausbuergern-ld.1204 7 (Abruf
1.12.2016).
Siehe
dazu
«Zusatzartikel
XIV
der
Verfassung
der
Vereinigten
Staaten von
Amerika» (
1868
in Kraft
getreten).
Näheres
zu
diesem
Fall: vgl. zusammengetragene
Quellen
auf:
https://en.wikipedia.org/wiki/Abdulrahman_al-Awlaki (Abruf
1.12.
2016).
IFU, Alm.del - 2022-23 (2. samling) - Bilag 138: Notat om individuelle samtaler og individuel behandling
2725500_0035.png
Jürg
M arcel
Tiefenthal
AJP/PJA
1
/2017
~
~
C.
1.
Problematische Aspekte bei der
Ausbürgerung von Doppelbürgern
Vorbemerkungen
Die
Schweizer
Rechtsordnung
verbietet
die Doppel- bzw.
Mehrfachstaatsbürgerschaft nicht.
112
Damit
gehört
die
Schweiz zu einer
deutlichen Minderheit
von
nur rund
60 Staaten,
die
eine
mehrfache
Staatsangehörigkeit
recht-
lich
zulassen.'!'
In Bezug
auf
die
Fragestellung
der Mög-
lichkeiten
zur Ausbürgerung von
terroristischen Kämp-
fern
lässt der
Schweizer Gesetzgeber eine solche
lediglich
für den
eingeschränkten
Personenkreis der Doppelbürger
zu
(vgl.
A1i.
48 BüG
resp. Art.
42 nBüG). Demzufolge
kann die
Schweiz sich ihrer eigenen Staatsangehörigen,
die
einzig
über
ein Schweizer
Staatsbürgerschaft durch
Abstammung verfügen, oder solche,
die in den Besitz
ihrer
Schweizer Staatsbürgerschaft
mittels
Einbürgerung
gekommen sind, aber gleichzeitig
von ihrem Herkunfts-
staat gezwungen-wurden, auf
ihre ursprüngliche
Staats-
bürgerschaft
zu verzichten
11
4,
nicht mittels Ausbürgerung
«entledigen».
Gleiches
gilt
für Schweizer Staatsbürger,
die ursprünglich
staatenlos waren
(wie insbesondere
staa-
tenlose Kinder und
anerkannte Flüchtlinge)
und
später
eingebürgert worden sind.
115
2.
Fallkonstellationen und mögliche
Lösungsansätze
Konstellationen einstellen, die
in
der Praxis zu Anwen-
dungsschwierigkeiten führen:
Schweizerisch-ausländischer Doppelbürger:
Ein Schwei-
zer Staatsangehöriger (Abstammung),
der
sich
in
Frankreich einbürgern
liess, lebt in Deutschland und
begeht
eine Straftat gemäss A1i. 30 Abs.
1
nBüV i.V.m.
A1i.
42 nBüG
(z.B.
Beteiligung
an
Kriegsverbrechen in
Syrien).
Ausländisch-schweizerischer Doppelbürger:
Ein
in
der
Schweiz eingebürgerter Ausländer (z.B. Franzo-
se)
begeht
eine Straftat gemäss Art. 30 Abs.
l nBüV
i.V.m. Art. 42 nBüG (z.B. Beteiligung
an Kriegsver-
brechen in
Syrien).
Schweizerisch-ausländischer Doppelbürger (ohne
Be-
zug
zur zweiten Staatsbürgerschaft):
Ein Schweizer
Staatsangehöriger (Abstammung) erwirbt
durch Hei-
rat
eine zweite Staatsbürgerschaft (z.B.
französische
oder
niederländische),
ohne aber
jemals in diesem
Staat gelebrztr
haben, und begeht
eine Straftat gemäss
Art. 30 Abs.
1
nBüV i.V.m.
Art.
42 nBüG
(z.B. Betei-
ligung
an
Kriegsverbrechen in Syrien).
In
all
den oben beschriebenen
Fallkonstellationen sind
die
Voraussetzungen
für
eine
rechtlich
zulässige Ausbür-
gerung erfüllt. Sofern
der jeweils
andere Staat, von wel-
chem
die betroffene Person die
zweite Staatsbürgerschaft
besitzt, über
eine ähnliche
Rechtsnorm
zum Entzug
des
Bürgerrechts
verfügt,
könnte dieser
gleichfalls
das Bür-
gerrecht aberkennen.
Damit könnte die Person mit ur-
sprünglich zwei Staatsangehörigkeiten
letztlich
sogar
staatenlos werden, was sowohl
das Völkerrecht
als auch
die
schweizerische
Rechtsordnung
zu vermeiden ver-
sucht.
Infolgedessen hängt
es
im konkreten
Einzelfall
da-
von ab, welcher Staat zuerst
die
Ausbürgerung verfügt. Es
scheint
in der Praxis
unvermeidbar,
dass
es
im
Einzelfall
zu einer Art Wettlauf
der
Ausbürgerung zwischen zwei
oder allenfalls
mehreren
Staaten
kommen kann.
Mangels
einer global gültigen
Vereinbarung ist
es
möglich, dass in
den
oben erläuterten
Konstellationen
eine
Person
sogar
staatenlos
wird: dann nämlich,
wenn
der
andere
beteilig-
te
Staat (wie
die
Schweiz) keine absolut geltende verfas-
sungsrechtliche
bzw.
gesetzliche Verpflichtung
kennt,
die
Staatenlosigkeit
zu
vermeiden.
Dementsprechend besteht
im Kontext der
Schweizer
Bürgerrechtsgesetzgebung
auch
die Idee
zu verlangen,
dass neben der
zu erfüllenden
tatbestandsmässigen Voraussetzung (Begehung
eines ge-
setzlichen
Straftatbestandes)
ein
Bürgerrechtsentzug nur
dann
erfolgen
darf,
wenn
die betroffene Person
zu einem
anderen
Staat,
dessen Staatsangehörigkeit
sie
besitzt, über
eine effektive, engere
Beziehung
verfügt. Eine solche
Be-
urteilung könnte praktisch
anhand
der
Aufenthaltsdauer
Im
schweizerischen
Rechtskontext
(nach
nBüG) können
sich
in Bezug
auf
terroristische
Kämpfer
mit Doppel-/
Mehrfachstaatsbürgerschaften
folgende
unterschiedliche
112
113
1
"
115
Vgl. dazu Näheres SEM (FN 91),
Kap.
5, Ziff. 5.1, S.
1
ff.
Ein
internationaler
Vergleich fällt aufgrund
der
Komplexität der
Thematik schwer, zumal
die
Gesetzgebung der einzelnen Staaten
sehr
unterschiedlich
ausgestaltet ist. Ein wohl
nicht mehr
ganz ak-
tueller
Überblick aus
dem Jahr
2009 nennt
120
Staaten,
die
sich
das Recht zur Ausbürgerung zumindest vorbehalten, wenn einer
ih-
rer
Staatsbürger eine ausländische Staatsbürgerschaft erwirbt,
und
61 Staaten,
die
eine
mehrfache
Staatsangehörigkeit gewähren (vgl.
WILLIAM
THOMAS
WoRSTER,
International Law and the Expulsion
of
lndividuals
with
more
than one Nationality, UCLA
Journal
of
International Law
and Foreign Affairs
14/2009,
457
ff.).
So.etwa einige europäische Staaten wie z.B.
Dänemark,
die Tsche-
chische Republik, Estland, Spanien, Lettland, Litauen
und
Norwe-
gen.
Ganz anders verhält es sich zwar bei
Personen, denen das
Schwei-
zer Bürgerrecht wegen Verdachts auf Scheinehe entzogen worden
ist
(Nichtigerklärung gestützt auf Art.
41
BüG).
Bei Vorliegen die-
ses Sachverhalts wird eine allfällige Staatenlosigkeit
der betrof-
fenen
Person(en)
schlicht
in
Kauf genommen;
dennoch kann
die
Schweizeine solche staatenlos gewordene
Person
ohne geregelten
Aufenthalt
de facto
nirgendwohin
ausweisen
bzw.
ausschaffen.
IFU, Alm.del - 2022-23 (2. samling) - Bilag 138: Notat om individuelle samtaler og individuel behandling
2725500_0036.png
Ausbürgerung
terroristischer Käm pfer
AJP/PJA 1
/2017
m
und
des Familienlebens erfolgen.
116
Eine andere Lösung
könnte
das
per Abstammungsprinzip erworbene
Bürger-
recht stärker gewichten und
deshalb die
Verantwortung
für
die betroffene
Person
diesem
Staat belassen,
so
dass
bei
einer
Doppelbürgerschaft das
Recht zur Ausbürgerung
vorrangig
demjenigen
Staat, welcher
der betroffenen
Per-
son
das Bürgerrecht durch
Einbürgerung verliehen
hat,
vorbehalten wäre.
117
Doppelbürger
(z.B.
Dschihad-Rückkehrer), dem im
Vor-
feld
bereits
von
seinem
Herkunftsland die
Staatsbürger-
schaft entzogen wurde,
die
Einreise
mittels
Ausbürgerung
willkürlich
verweigert
und durch
eine solche spezielle
Form
der
Fernhaltung
den ratifizierten
UNO-Pakt
II
ver-
letzt. Im Rahmen
einer
Rechtsgüterabwägung
stehen
sich
das individuelle Grundrecht des
Einzelnen
und die
Schutzpflicht
des
Staates gegenüber. Geht
nun im konkre-
ten
Einzelfall von
der betreffenden Person
eine reale
ter-
roristische Gefahr aus, so
kann
eine Fernhaltung
mittels
Ausbürgerung als
probates und
rechtlich
legitimes
Mit-
tel bezeichnet
werden,
und
zwar sowohl aus
menschen-
rechtlicher Sicht (gestützt auf Art.
10
BV) als auch aus
gefahrenabwehrspezifischer
bzw.
sicherheitspolitischer
Sicht.
Die traurige Realität der in jüngerer
Zeit verübten
Terroranschläge in
den Nachbarländern
Frankreich
und
Deutschland
hat
aufgezeigt,
dass
eine solche
Bedrohung
latent
auch
für das
Schweizer Territorium
besteht. Des-
halb bedarf
es zwingend
einer Klärung
der
Frage, wer
letztlich rechtlich
zuständig
wäre
bzw. in der
politischen
Verantwortung stünde, sollte
der
Staat
-
wider
besseres
Wissen
-
einen
potenziellen
Gefährder
nicht präventiv
mittels Ausbürgerung
ferngehalten uncl damit die
erfolg-
reiche Ausführung eines
Terroranschlages
auf Schweizer
Territorium verhindert
haben.
Selbstredend
müsste
eine
präventiv
erfolgte Ausbürgerung einer
potenziell
gefähr-
lichen Person
aus sicherheitspolitischer Sicht gegenüber
der internationalen Gemeinschaft
umgehend
kommuni-
ziert
werden, so dass die
betreffende Person nicht
vom
Radar
der
Nachrichtendienste
und der
Sicherheitsbehör-
den verschwinden
könnte und
zur
unkontrollierbaren
Ge-
fahr für alle würde.
D.
Unvermeidbares Dilemma
Im Rahmen der
Ausbürgerung
von
Personen mit
zwei
Staatsangehörigkeiten
liegt in
zweifacher
Hinsicht
ein ju-
ristisches bzw. politisches Dilemma
vor:
Erstens steht
das
Grundrecht
bzw. rechtsstaatliche
Prinzip der
Gleichbehandlung
dem
völkerrechtlichen
Grundsatz
der Vermeidung der
Staatenlosigkeit, welcher
auch als tragendes Prinzip der Schweizer
Bürgerrechts-
gesetzgebung gilt,
gegenüber.
Die beiden Prinzipien
sind
im
konkreten Einzelfall
nicht
wirklich
miteinander
vereinbar. Werden
nämlich
nur
diejenigen terroristischen
Kämpfer
ausgebürgert,
die
auch eine
zweite
Staatsbürger-
schaft
besitzen,
wird
dadürchdas rechtsstaatliche Prinzip,
alle Bürger gleich
zu
behandeln,
verletzt.
Wird hingegen
das
Gleichbehandlungsgebot
respektiert,
sind
infolge-
dessen
zwingend
sämtliche
terroristischen
Kämpfer aus-
zubürgern
-
und
zwar,
dessen ungeachtet,
ob
nun
die
be-
treffende Person
Doppelbürger
ist
oder
nicht.
Allerdings
wird
damit unweigerlich
das
völkerrechtliche
Prinzip,
niemanden
zum
Staatenlosen
machen
zu
dürfen,
verletzt.
Das
zu
diesen beiden miteinander nicht
zu vereinbaren-
den Positionen
Ausgeführte
ist im
schweizerischen
Kon-
text jedoch insofern
zu
relativieren, als dass zum einen
in
der
Lehre
umstritten
ist, ob es sich
bei der
Einbürgerung
um
ein Grundrecht
handelt,
zum anderen
in der
Schwei-
zer
Rechtsordnung dem
völkerrechtlichen
Prinzip der
Vermeidung der Staatenlosigkeit keine absolute Geltung
zukommt.
Schliesslich bestehen in jeder
Rechtsordnung
begründete
Ungleichbehandlungen,
so
etwa
bekannter-
massen im Falle der Schweizer Rechtsordnung
in
Art. 59
Abs.
l
BV, wonach
die
Militärdienstpflicht ausschliess-
lich
für
Schweizer
Bürger
gilt.
Zweitens
stellt
sich
mit
direktem
Bezug auf die öffent-
liche
Sicherheit der Schweizer Bevölkerung die Frage, ob
es
legitim
ist, wenn die Schweiz
einem
ursprünglichen
116
So
explizit vorgeschlagen
im besagten Kurzgutachten
von
MANN
(FN 5),
18
f.
AcHER-
117
Weiterführende
Fragen
zu
den Folgen
eines
Ausbürgerungsent-
scheides
in den
genannten
Fallkonstellationen
sind separat
zu be-
handeln.
IFU, Alm.del - 2022-23 (2. samling) - Bilag 138: Notat om individuelle samtaler og individuel behandling
2725500_0037.png
Christian Bennekou Matthiesen
Fra:
Sendt:
Til:
Cc:
Emne:
Frederik Due Rabenschlag <[email protected]>
22. januar 2019 16:15
Udlændinge-og Integrationsministeriet; Signe Brink
Nicolai Holm Larsen; [email protected]; [email protected]; Folkeret og Menneskeret (JTFM);
Sagsbehandlere (INTERNAL) DL; René Dinesen
Wien: Svar på instruktion vedr. Østrig: Afdækning af andre landes erfaringer med
screening for ansøgere med antidemokratiske holdninger mv. før tildeling af
statsborgerskab med frist den 22. januar 2019. (UM id: 3950514)
Opfølgning
Afmærket
Opfølgningsflag:
Flagstatus:
Wien, d. 22. januar 2019
Svar på instruktion vedr. screening for ansøgere med antidemokratiske holdninger mv. før
tildeling af statsborgerskab. Østrig.
F2-sagsnummer: 2018-45944
I Østrig er håndhævelsen af reglerne om statsborgerskab underlagt forbundslandenes kompetencer,
hvorfor proceduren herfor kan variere fra forbundsland til forbundsland.
Ansøgninger om østrigsk statsborgerskab indgives til forbundsregeringen i det forbundsland, som
ansøgeren er bosiddende i. Der træffes administrativ afgørelse i sagerne.
Grundlæggende skal ansøgeren opfylde en række betingelserne for at få tildelt statsborgerskabet;
heriblandt skal ansøgeren afgive et løfte om, at han bekender sig til de østrigske love og demokratiske
værdier.
Det er almindelig praksis, at der under ansøgningsproceduren afholdes personlige interviews mellem
ansøgeren og ansatte i myndigheden samt skriftlige prøver, under hvilke ansøgerens kendskab til og
syn på demokratiske værdier, fx ligestilling og retsstaten,
testes. Den konkrete procedure varierer som
nævnt fra forbundsland til forbundsland. Det er som udgangspunkt alle ansøgere, der testes.
Oplysningerne om ansøgerens (anti)demokratiske holdninger indgår som et element i en samlet
vurdering, idet der også lægges vægt på en række andre forhold (bl.a. tysksproglige kompetencer,
omfanget af ophold i Østrig, økonomisk situation, retskaffenhed, almenvellets interesser, statens
interesser).
Frakendelse af statsborgerskab hører ligeledes til forbundslandenes kompetence, som i praksis kan
indlede en administrativ sag herom.
Ambassaden har været i kontakt med det østrigske indenrigsministerium. Endvidere kan information om det
østrigske statsborgerskab findes på
denne hjemmeside.
Wien / Frederik Due Rabenschlag
Til:
Cc:
Fra:
Bruxelles hovedpostkasse ([email protected]), Haag ([email protected]), Dublin ([email protected]), Wien
([email protected]), Rom ([email protected]), Paris ([email protected]), Warszawa ([email protected]), Berlin
([email protected]), London ([email protected]), Stockholm ([email protected]), Oslo ([email protected]), Madrid
([email protected]), Lissabon ([email protected]), Helsinki ([email protected]), Canberra ([email protected]),
Ottawa ([email protected]), Washington ([email protected])
Mette Nørgaard Dissing-Spandet ([email protected]), Lars Bjørn Holbøll ([email protected]), JTFM-
Menneskerettigheder (INTERNAL) DL (Distributionsliste), Signe Brink ([email protected]), Nicolai Holm Larsen
([email protected]), [email protected] ([email protected])
Thomas Viskum Lytken Larsen ([email protected])
1
IFU, Alm.del - 2022-23 (2. samling) - Bilag 138: Notat om individuelle samtaler og individuel behandling
2725500_0038.png
Titel:
Sv: Instruktion: Afdækning af andre landes erfaringer med screening for ansøgere med antidemokratiske
holdninger mv. før tildeling af statsborgerskab med frist den 22. januar 2019.
Sendt:
13-12-2018 10:58:52
Kære alle
I stedet for at mange af jer sidder og oversætter spørgsmålene nedenfor til engelsk, så har jeg aftalt
med UIM, at de fremsender spørgsmålene på engelsk til jer, så der bliver brugt den samme
terminologi og alle ikke sidder og bruger tid på det. Nedenstående kan I så bruge som baggrund for
evt. samtaler.
UIM fremsender spørgsmålene en af dagene.
Tak til UIM - og Warszawa for ideen.
/Thomas
Til:
Bruxelles hovedpostkasse ([email protected]), Haag ([email protected]), Dublin ([email protected]), Wien
([email protected]), Rom ([email protected]), Paris ([email protected]), Warszawa ([email protected]), Berlin
([email protected]), London ([email protected]), Stockholm ([email protected]), Oslo ([email protected]), Madrid
([email protected]), Lissabon ([email protected]), Helsinki ([email protected]), Canberra ([email protected]),
Ottawa ([email protected]), Washington ([email protected])
Cc:
Mette Nørgaard Dissing-Spandet ([email protected]), Lars Bjørn Holbøll ([email protected]), JTFM-
Menneskerettigheder (INTERNAL) DL (Distributionsliste), Signe Brink ([email protected]), Nicolai Holm Larsen
([email protected]), [email protected] ([email protected])
Fra:
Thomas Viskum Lytken Larsen ([email protected])
Titel:
Instruktion: Afdækning af andre landes erfaringer med screening for ansøgere med antidemokratiske
holdninger mv. før tildeling af statsborgerskab med frist den 22. januar 2019.
Sendt:
12-12-2018 14:13:26
Instruktion: Afdækning af andre landes erfaringer med screening for ansøgere med antidemokratiske
holdninger mv. før tildeling af statsborgerskab. Frist 22. januar 2019.
Der søges information om
Belgien, Nederlandene, Irland, Østrig, Italien, Frankrig, Polen, Tyskland,
statsborgerskab.
Storbritannien, Sverige, Norge, Spanien, Schweiz, Luxembourg, Portugal, Finland, Australien, New Zealand,
Canada og USA's
erfaringer med
screening for ansøgere med antidemokratiske holdninger mv. før tildeling af
Til ambassaderne i Bruxelles, Haag, Dublin, Wien, Rom, Paris, Warszawa, Berlin, London, Stockholm, Oslo,
Madrid, Lissabon, Helsinki, Canberra, Ottawa og Washington
På vegne af Udlændinge- og Integrationsministeriet anmodes ambassaderne om at belyse, hvorvidt der er
regler eller anden procedure for at afdække en ansøgers holdninger til diverse spørgsmål, herunder
antidemokratiske holdninger, i forbindelse med erhvervelse af statsborgerskab:
1.
Regeringen har den 29. juni 2018 indgået en aftale med Socialdemokratiet og Dansk Folkeparti om nye
retningslinjer for erhvervelse af dansk indfødsret ved naturalisation. I den forbindelse er aftaleparterne
blevet enige om, at der skal iværksættes en undersøgelse af andre landes erfaringer med screening for
ansøgere med antidemokratiske holdninger mv. før tildeling af statsborgerskab.
2.
Udlændinge- og Integrationsministeriet skal således anmode om svar på, hvorvidt der er nationale
regler eller anden procedure for en afdækning af en ansøgers holdninger til diverse spørgsmål, herunder
antidemokratiske holdninger, i forbindelse med erhvervelse af statsborgerskab. I den forbindelse skal
ministeriet også bede om svar på, hvilke internationale forpligtelser, der danner rammerne for de krav,
som staten kan stille til ansøgere om statsborgerskab.
2
IFU, Alm.del - 2022-23 (2. samling) - Bilag 138: Notat om individuelle samtaler og individuel behandling
2725500_0039.png
Udlændinge- og Integrationsministeriet skal endvidere bede om svar på, hvorvidt erhvervelse af
statsborgerskab sker ved naturalisation (administrativt eller ved, at parlamentet vedtager en lov som i
Danmark), herunder om det i tilfælde af administrativ erhvervelse, vil være overladt til en administrativ
medarbejder at vurdere en ansøgers holdning, herunder om denne vurdering kan være afgørende for
erhvervelsen.
I tilfælde af, at der er nationale regler eller anden procedure for afdækning af en ansøgers holdninger i
forbindelse med erhvervelsen, bedes det herudover belyst, hvilke holdninger der afdækkes, herunder om
det eksempelvis er antidemokratiske holdninger. Hvad vil der helt konkret blive spurgt til (eksempler)? I
den forbindelse skal ministeriet også bede om svar på, hvordan oplysningerne tilvejebringes, eksempelvis
via interviews, spørgeskema, baggrundsundersøgelser, opslag på sociale medier, offentlige ytringer mv.,
og om oplysningerne skal tilvejebringes for samtlige ansøgere, eller om det alene er udvalgte ansøgere,
der undersøges, eksempelvis på baggrund af stikprøver. Udlændinge- og Integrationsministeriet skal
herudover bede om svar på, hvordan de tilvejebragte oplysninger indgår i den endelige vurdering af
tildeling af statsborgerskab, herunder hvilken vægt svarene har over for de øvrige krav for
statsborgerskab. Er der nogen fast standard for vurderingen, eller vil det være en konkret og individuel
vurdering i form af et skøn for hver enkelt ansøger?
Endelig skal Udlændinge- og Integrationsministeriet bede om svar på, hvorvidt der kan indledes en
frakendelsessag af statsborgerskabet, hvis det efterfølgende kan konstateres, at den pågældende ikke har
den holdning, der var bestemmende for erhvervelsen af statsborgerskabet, eller den pågældende har
skiftet holdninger efter erhvervelsen.
Andre relevante aspekter af spørgsmålet må gerne belyses i besvarelsen.
3.
Ambassaden anmodes om at sende svar på instruktionen
senest 22. januar 2019.
Svaret bedes sendt
direkte til Udlændinge- og Integrationsministeriet ([email protected]) og
[email protected]
samt i kopi til
[email protected]
og
[email protected].
Spørgsmål vedrørende instruktionen kan rettes til
Nicolai Holm Larsen i Udlændinge- og
Integrationsministeriet
på + 45 61 98 34 87 eller
[email protected].
JTFM - Thomas Viskum Lytken Larsen
_______________________________________________
THOMAS VISKUM LYTKEN LARSEN /
[email protected]
HEAD OF SECTION / INTERNATIONAL LAW AND HUMAN RIGHTS
DIRECT +45 3392 0073 / MOBILE +45 6168 0447
MINISTRY OF FOREIGN AFFAIRS OF DENMARK
ASIATISK PLADS 2 / DK-1448 KØBENHAVN K
TLF. +45 3392 0000
HOW WE PROCESS PERSONAL INFORMATION
3