Boligudvalget 2022-23 (2. samling)
BOU Alm.del Bilag 76
Offentligt
2747580_0001.png
Brandsikkerhed i garageanlæg,
oplag af litium-ion batterier
og
batterier til solcelleanlæg i bygninger
Dato:
2022-01-14
Version: 02
BOU, Alm.del - 2022-23 (2. samling) - Bilag 76: Henvendelse af 6/9-23 fra Bjarne Engelbrecht Larsen vedr. anmodning om at ministeren tilbagetrækker bek. 181 sikkerhed f.s.v.a. Pyrotekniske batterier
Indholdsfortegnelse
1
2
3
Indledning ................................................................................................................................................................... 4
Projektbeskrivelse....................................................................................................................................................... 5
Anbefalinger og konklusioner ..................................................................................................................................... 7
3.1
3.2
3.3
4
4.1
4.2
4.3
4.4
4.5
4.6
4.7
5
5.1
5.2
5.3
5.4
6
6.1
6.1.1
6.1.2
6.1.3
6.1.4
6.1.5
6.1.6
6.1.7
6.2
6.2.1
6.2.2
6.3
6.3.1
6.3.2
6.4
6.4.1
6.4.2
6.5
6.5.1
Brandsikkerhed i garageanlæg og i bygninger med garageanlæg ..................................................................... 8
Oplag af litium-ion batterier ........................................................................................................................... 10
Batterier til solcelleanlæg i bygninger (BESS) .................................................................................................. 11
Almindelige typer af litium-ion batterier ........................................................................................................ 13
Typiske fejl i forbindelse med litium-ion batterier .......................................................................................... 15
Termisk runaway (TRA) ................................................................................................................................... 17
Brandbelastning litium-ion batterier............................................................................................................... 19
Udvikling af giftige gasser fra litium-ion batterier .......................................................................................... 20
Bekæmpelse af brand i litium-ion batterier .................................................................................................... 21
Nøgletal vedrørende energiindhold. ............................................................................................................... 22
Eksempler på garageanlæg over terræn, integreret del af bygning ............................................................... 25
Eksempler på garageanlæg under terræn, integreret del af bygning ............................................................. 26
Eksempler på fritliggende garageanlæg .......................................................................................................... 27
Eksempler på automatiseret garageanlæg ..................................................................................................... 28
Generelt .......................................................................................................................................................... 30
Sandsynlighed for antændelse .................................................................................................................... 30
Brandbelastning .......................................................................................................................................... 31
Brandeffekt ................................................................................................................................................. 32
Brandspredning........................................................................................................................................... 34
Udvikling af giftige røggasser i forbindelse med brand i køretøjer ............................................................. 35
Termisk runaway i forbindelse med køretøjer ............................................................................................ 36
Tendenser i andre lande ............................................................................................................................. 36
Evakuering og redning af personer ................................................................................................................. 36
Bygningsreglementet .................................................................................................................................. 36
Analyse vedrørende evakuering og redning ............................................................................................... 37
Bærende konstruktioners brandmodstandsevne ........................................................................................... 38
Bygningsreglementet .................................................................................................................................. 38
Analyse vedrørende bærende konstruktioner ............................................................................................ 40
Antændelse og brand- og røgspredning.......................................................................................................... 42
Antændelse ................................................................................................................................................. 42
Brand- og røgspredning .............................................................................................................................. 42
Redningsberedskabets indsatsmuligheder ..................................................................................................... 42
Redningsmuligheder ................................................................................................................................... 42
Side
2
af
68
Litium-ion batterier generelt .................................................................................................................................... 13
Garageanlæg generelt .............................................................................................................................................. 23
Brandsikkerhed i og ved garageanlæg ...................................................................................................................... 30
BOU, Alm.del - 2022-23 (2. samling) - Bilag 76: Henvendelse af 6/9-23 fra Bjarne Engelbrecht Larsen vedr. anmodning om at ministeren tilbagetrækker bek. 181 sikkerhed f.s.v.a. Pyrotekniske batterier
6.5.2
6.5.3
6.6
6.6.1
6.6.2
7
7.1
7.2
8
8.1.1
8.2
8.3
8.4
9
Slukningsmuligheder ................................................................................................................................... 43
Analyse af redningsberedskabets indsatsmuligheder ................................................................................ 43
Brandtekniske installationer ........................................................................................................................... 44
Bygningsreglementet .................................................................................................................................. 44
Analyse af brandtekniske installationer ...................................................................................................... 46
Nye litium ion-batterier................................................................................................................................... 52
Brugte litium-ion batterier .............................................................................................................................. 53
Analyse vedrørende BESS anlæg ................................................................................................................. 56
Mindre anlæg (enfamiliehuse) ........................................................................................................................ 58
Mellem anlæg (Virksomheder og etageejendomme) ..................................................................................... 59
Store anlæg (Større virksomheder, infrastruktur og forsyningsvirksomheder) .............................................. 61
Oplag af litium-ion batterier ..................................................................................................................................... 51
Batterier til solcelleanlæg (BESS) i bygninger ........................................................................................................... 55
Forkortelser .............................................................................................................................................................. 63
10 Referencer ................................................................................................................................................................ 64
Side
3
af
68
BOU, Alm.del - 2022-23 (2. samling) - Bilag 76: Henvendelse af 6/9-23 fra Bjarne Engelbrecht Larsen vedr. anmodning om at ministeren tilbagetrækker bek. 181 sikkerhed f.s.v.a. Pyrotekniske batterier
1
Indledning
Nærværende rapport vedrørende brandsikkerhed i garageanlæg, i bygninger med garageanlæg, oplag af nye og brugte
litium-ion batterier samt batterier til solcelleanlæg i bygninger i relation til byggelovens og bygningsreglementets be-
stemmelser, er udarbejdet i et samarbejde mellem DBI (Dansk Brand- og sikringsteknisk Institut) og TI (Teknologisk
Institut).
Projektet er gennemført på baggrund af opdrag og projektbeskrivelse fra Bolig- og Planstyrelsen, jf. afsnit 2.
Rapporten er udarbejdet i perioden oktober 2021 til medio januar 2022 baseret på tilgængelige erfaringer og viden. Det
bemærkes i den sammenhæng, at projektet og rapporten dækker et område, der er i hurtig udvikling, hvor ny viden
løbende kommer til.
Projektet og rapporten er primært gennemført og udarbejdet af:
Kjeld Nørregaard, TI
Lars Vædeled Roed, DBI
Simon Møiniche Skov, TI
Derudover har Ib Bertelsen, DBI deltaget i projektet med sparring og indhentning af viden fra netværk.
Litteraturstudiet, der er indarbejdet i rapporten, er gennemført af:
Elena Funk, DBI
Karlis Livkiss, DBI
Thushadh Wijesekere, DBI
Kortlægningen af garageanlæg og udtræk fra BBR er foretaget af:
Viktor Rimdal, DBI
Carsten Møller, DBI har stået for koordinering af projektet og aftalegrundlag med Bolig- og Planstyrelsen.
Side
4
af
68
BOU, Alm.del - 2022-23 (2. samling) - Bilag 76: Henvendelse af 6/9-23 fra Bjarne Engelbrecht Larsen vedr. anmodning om at ministeren tilbagetrækker bek. 181 sikkerhed f.s.v.a. Pyrotekniske batterier
2747580_0005.png
2
Projektbeskrivelse
1) Brandsikkerhed i garageanlæg og i bygninger med garageanlæg
Formål
Projektet har til formål at afdække følgende forhold:
1) For eksisterende bygninger og garageanlæg opført efter regler før BR18:
a. Er der med den nuværende anvendelse et forsvarligt sikkerhedsniveau i forhold til risikoen for brands op-
ståen, brandbelastning, konstruktive forhold, evakueringsmuligheder og redningsberedskabets rednings-
og slukningsindsats.
b. Vil der med den fremtidige anvendelse, med forventet flere el- og hybridbiler om 5-10 år være et forsvarligt
sikkerhedsniveau i forhold til risikoen for brands opståen, brandbelastning, konstruktive forhold, evakue-
ringsmuligheder og redningsberedskabets rednings- og slukningsindsats.
Projektet skal inddele undersøgelsen i forhold til alderen på bygningerne/garageanlæggene med reference til de regler,
anlæggene er opført efter.
2) For nybyggeri opført efter nuværende regler i BR18:
a. Er der med den nuværende anvendelse et forsvarligt sikkerhedsniveau i forhold til risikoen for brands op-
ståen, brandbelastning, konstruktive forhold, evakueringsmuligheder og redningsberedskabets rednings-
og slukningsindsats.
b. Vil der med den fremtidige anvendelse med forventet flere el- og hybridbiler om 5-10 år være et forsvarligt
sikkerhedsniveau i forhold til risikoen for brands opståen, brandbelastning, konstruktive forhold, evakue-
ringsmuligheder og redningsberedskabets rednings- og slukningsindsats.
Indhold
Projektet skal afdække de relevante forhold, der kan have indflydelse på sikkerhedsniveauet i garageanlæg og bygninger
med garageanlæg, herunder brandbelastning, oplag, brand- og røgudvikling, de konstruktive forhold og redningsbered-
skabets rednings- og slukningsarbejde. Projektet skal endvidere kortlægge eksisterende garageanlæg og anvendelsen
af disse.
Projektet omfatter et litteraturstudie og analyse med indhentning af den tilgængelige viden på området fra både ind-
og udland.
Litteraturstudiet og analysen skal omfatte en tilbundsgående afdækning af brand- og risikomæssige forhold for garage-
anlæg, herunder om bygningsreglementets krav til garageanlæg i passende omfang tager højde for risikoen for, at der
opstår brand i biler.
På baggrund af oplysninger indhentet via litteraturstudiet/analysen, data og erfaringer skal der udarbejdes vurderinger,
herunder risikovurderinger, med klare anbefalinger og konklusioner.
Følgende afdækkes:
Garageanlæg generelt, garageanlæg over og under terræn, fritliggende anlæg samt anlæg, der indgår som en
integreret del af en bygning. Herunder skal undersøges:
o
Sektionsstørrelser
o
Brandbelastning/anvendelse
o
Andel af sprinklede/ikke sprinklede anlæg
Både konventionelle biler og el-/hybridbiler for så vidt angår:
o
Traditionelle slukningsmetoders effektivitet
o
Aktive sikringsanlæg, herunder:
Sprinkleranlægs effektivitet
Brug af skumanlæg
Andre mulige anlæg
o
Sandsynlighed for brands opståen
o
Brandudvikling og brandeffekt
o
Udvikling af giftige røggasser
o
Brandpåvirkning af bærende konstruktioner med risiko for kollaps
o
Rednings- og slukningsmuligheder
Side
5
af
68
BOU, Alm.del - 2022-23 (2. samling) - Bilag 76: Henvendelse af 6/9-23 fra Bjarne Engelbrecht Larsen vedr. anmodning om at ministeren tilbagetrækker bek. 181 sikkerhed f.s.v.a. Pyrotekniske batterier
2747580_0006.png
El-/hybridbiler under opladning og hvorvidt de har større sandsynlighed for at bryde i brand end, når de ikke
oplader.
Oplag af både nye og brugte litium-ion batterier.
2) Batterier til solcelleanlæg i bygninger
Formål og indhold
Projektet har til formål at afdække eventuel brandfare ved batterier til solcelleanlæg (BESS) i bygninger, herunder om
der bør stilles krav til batteriets maksimale størrelse (effekt og kapacitet), placering i bygningen og/eller brandmæssig
afskærmning fra bygningens øvrige funktioner.
Der skal differentieres mellem
a) Mindre BESS, f.eks. til enfamiliehuse.
b) Mellem BESS, f.eks. til virksomheder eller til etageejendomme.
c) Store BESS, f.eks. til store virksomheder, kritisk infrastruktur og større forsyningsvirksomheder (energiprodu-
center).
Side
6
af
68
BOU, Alm.del - 2022-23 (2. samling) - Bilag 76: Henvendelse af 6/9-23 fra Bjarne Engelbrecht Larsen vedr. anmodning om at ministeren tilbagetrækker bek. 181 sikkerhed f.s.v.a. Pyrotekniske batterier
3
Anbefalinger og konklusioner
Litium-ion batterier er et relativt nyt teknologiområde med voldsomt stigende efterspørgsel til mobil energiforsyning
og stationær energilagring. Flerdobling i batteriproduktionskapaciteten frem mod 2030 betyder faldende priser og for-
bedrede egenskaber samt endnu flere forskellige typer Litium-ion batterier. I denne rapport fremlægges information
baseret på vidensindsamling fra de seneste 10 år frem til udgangen af 2021. Der har længe været nogen usikkerhed
omkring behov for ekstra foranstaltninger i forbindelse med udbredelsen af elbiler. Nyhedsmedier og sociale medier
har over de seneste 15 år ofte anlagt en relativt kritisk vinkel på elbiler. Der har f.eks. været flere misvisende beretninger
om højere emissioner i forbindelse med kørsel i og produktion af elbiler (EV) end for forbrændingsbilerne (ICEV), og der
har været relativt mange billeder af brande i elbiler med tilknyttede diskussioner om brandfarlighed af elbiler
givetvis
fordi elbilen har mere nyhedsværdi end brand i andre biler. Litteraturstudiet bekræfter, at batteriteknologien er rykket
fra laboratorieforsøg til at være et almindeligt industriprodukt i de seneste år. Elbiler bliver nu hurtigt almindelige på
vejene og i garagerne. Der kan findes reel statistik for elbilsflåder i realistisk sammenligning med forbrændingsbilerne,
og generelt synes risikoen for brand totalt set at være lidt lavere for elbiler end ICEV
også når opladning af elbiler
inkluderes.
De vigtigste konklusioner omkring biler fra undersøgelsen er følgende:
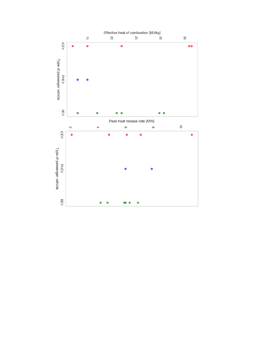
1. Risiko for brand i elbiler (inklusive opladning) er mindre end biler med forbrændingsmotor jf. bl.a. ny, norsk statistik.
2. Varmeenergien ved brand fra nye elbiler svarer stort set til varmeenergien for nye forbrændingsmotorbiler (ICEV)
(baseret bl.a. på fuldskala afbrændingsforsøg).
3. Nye biler (både EV og ICEV) har ca. et 40 % højere varmebidrag end anvendte standardværdier ved bygningsdimen-
sionering. Den maksimale brandeffekt for en bil er øget fra 5 MW standardværdi til 6-10 MW ifølge litteraturen.
Der bør som minimum anvendes en værdi på 7 MW fremadrettet.
4. Nye biler (både EV og ICEV) afgiver de samme typer farlige emissioner ved brand, men for EV er koncentrationen
af HF-gas noget højere. Der er samme behov for personligt beskyttelsesudstyr ved brandindsats for alle biltyper.
5. En brand i EV eller PHEV (Plugin hybrid) batteripakke er vanskelig at slukke udefra på grund af batterikemi og ind-
bygningen i bilen. Dette giver et anderledes og længere forløb, men
5.1. varmebidraget fra en batteribrand kan reduceres væsentligt hvis branden ikke får adgang til ilt fra luften.
5.2. køling med vand kan reducere varmeeffekten fra branden ved at forsinke (eller undertiden standse) sprednin-
gen af brand internt i batteripakken.
5.3. brandspredning til en anden nærtstående EV-batteripakke kan undgås ved køling med vand / vandtåge.
6. Samtidig med at nye biler har en højere brandeffekt, er der en tendens til at øge tætheden af biler i garageanlæg.
6.1. P-pladser og adgangsveje gøres smallere for at give plads til flere biler i forhold til bygningsomkostningen (til
besvær for bilernes passagerer og brandfolk i tilfælde af brand)
6.2. Der ses undertiden parkeringsarealer til små biler, hvor der kan parkeres tættere
6.3. Der kan indbygges lift-parkeringsanlæg i to eller flere lag for at udnytte loftshøjden til flere P-pladser
6.4. Der opføres automatiske P-anlæg, hvor biler kan pakkes tæt i et ubemandet robotlager
7. I garageanlæg kan man ikke forvente at parkerende brugere alarmerer brandvæsenet i tilfælde af brand
folk ser
på, men ringer ikke alarm. Garageanlæg bør have automatisk branddetektering og alarmering.
8. Brandventilationsforhold er ikke nødvendigvis et effektivt virkemiddel mod brandspredning fra bil til bil. (Der er
flere eksempler på relativt hurtig brandspredning i åbne garageanlæg med brandventilation via åbninger i faca-
derne).
9. En enkelt brændende bil med høj brandeffekt anses ikke for kritisk for garageanlæg, men den højere brandeffekt
er medvirkende til, at brandspredning hurtigere bliver kritisk. Derfor tilrådes særligt fokus på at forsinke eventuel
brandspredning i garageanlæg fx vha. øget krav til installation af sprinkleranlæg.
10. Ved flere større garagebrande er der set en hurtigere brandspredning end forudsat uanset biltype. Kombineret med
øget brandbelastning og brandeffekt fra bilerne kan en række eksisterende garageanlæg derfor være problematiske
i forhold til risiko for brandspredning, hvis en eller flere af følgende forhold er gældende for garageanlægget:
10.1. Brandtekniske konstruktionsforudsætninger ud fra hidtidige kriterier (maksimal brandeffekt på 5 MW per bil
og et begrænset antal biler antages involveret i brand).
10.2. Det er større end 150 m
2
og er udført uden sprinkleranlæg eller brandventilation. (Kan også gælde mange
garageanlæg større end 600m
2
, især opført efter 2004.)
10.3. Det er integreret sammen med en overliggende bygning, i særdeleshed hvor den overliggende bygning er
indrettet til natophold (hvor personer sover). Relevant uanset etageareal under terræn eller over terræn.
Side
7
af
68
BOU, Alm.del - 2022-23 (2. samling) - Bilag 76: Henvendelse af 6/9-23 fra Bjarne Engelbrecht Larsen vedr. anmodning om at ministeren tilbagetrækker bek. 181 sikkerhed f.s.v.a. Pyrotekniske batterier
Vigtigste anbefalinger vedrørende garageanlæg:
På baggrund af de oplistede delkonklusioner vurderes det relevant at overveje nye krav til såvel eksisterende som frem-
tidige garageanlæg:
A. Risiko for brandspredning mellem biler skal mindskes. Sprinkleranlæg anses for mest effektivt og anbefales
derfor til garageanlæg større end 150 m
2
B. For garager på højst 150 m
2
, men indeholdende mere end 100 GJ samlet brandbelastning (svarende til 6
7
biler) anbefales også krav om brandtekniske installationer til at modvirke brandspredning mellem biler og an-
det brandbart materiale.
Det er således hele bilflåden, og ikke kun elbiler, der giver anledning til at overveje revision af retningslinjerne for brand-
sikring af garageanlæg.
Anbefalingerne og konklusionerne i dette afsnit skal ses i sammenhæng med byggelovens og bygningsreglementets
brandmæssige bestemmelser og formål om sikkerhed for personer og for redningsberedskabets indsats i forbindelse
med redning af personer og begrænsning af væsentlig brandspredning i forbindelse hermed. Ligeledes er også sammen-
hæng med de generelle niveauer af brandsikringstiltag der findes i bygningsreglementet med tilhørende vejledninger
relevant for bl.a. anvendelsen og kompleksiteten af et givet byggeri inklusive de særlige risici for de omhandlede gara-
geanlæg, oplag af litium-ion batterier og batterier til solcelleanlæg i bygninger (BESS) behandlet i denne rapport.
Anbefalingerne og konklusionerne tager således ikke direkte hensyn til sikring af værdier, hvorfor bygningsejere og bru-
gere af et byggeri, kan have behov for at etablere yderligere brandsikringstiltag, evt. i samspil med fx deres forsikrings-
selskab.
Undersøgelsen er relevant selvom nogle informationer givetvis vil være forældede, når rapporten læses, da litium-ion
teknologien udvikles meget hurtigt. Det anbefales, at arbejdet revideres minimum hvert femte år, for blot at holde
informationen rimeligt tidssvarende og relevante.
3.1
Brandsikkerhed i garageanlæg og i bygninger med garageanlæg
Litteraturstudiet har vist, at brandbelastningen i forbindelse med nyere biler generelt er steget med 40 % de senere år
pga. den væsentligt øgede brug af plastmaterialer i nyere biler sammenholdt med tidligere. Dette uanset hvilket driv-
middel der anvendes, om det er konventionelle benzin- eller diesel-drevne biler eller om det er el- eller hybridbiler. Den
øgede brandbelastning medfører en øget brandeffekt for det enkelte køretøj og større risiko for brandspredning mellem
flere køretøjer. Risikoen for brandspredning mellem køretøjer er desuden afhængig af geometrien af parkeringsplad-
serne og selve garageanlægget, primært mht. afstanden mellem de enkelte parkeringspladser og loftshøjde. Begge di-
mensioner er under pres på grund af økonomiske hensyn. Nyere biler har tendens til også at blive bredere og p-pladser
samtidig smallere for at give plads til flere biler samtidig med at en lavere loftshøjde spares byggeomkostninger, men
det medfører også hurtigere brandspredning
Der har været eksempler på brande i garageanlæg i Liverpool, Stavanger og Amsterdam, hvor brandspredningen mellem
de første køretøjer er gået meget hurtigt. Faktisk så hurtigt, at brandvæsnet i forbindelse med disse brande ikke har
haft umiddelbar mulighed for at begrænse brandspredningen ved ankomst til brandstedet.
Der er i forbindelse med brande i garageanlæg blevet observeret højere temperaturer end standardbrandkurven angi-
ver i forhold til dimensionering af brandmæssige bærende og adskillende bygningsdele. Dette kan have den konsekvens,
at bæreevnen eller brandmodstandsevnen af en konstruktion kan være mindre end forudsat og dermed give uventet
svigt af bærende og adskillende konstruktioner. Det vil desuden betyde, at der er kortere tid til at foretage evakuering
af bygningen og for redningsberedskabet til at foretage deres indsats. Dette vil specielt gøre sig gældende for garage-
anlæg, hvori der ikke findes sprinkleranlæg.
Litteraturstudiet og erfaringer fra brandtests har vist, at automatisk sprinkleranlæg i garageanlæg er en afgørende faktor
i forhold til begrænsning af væsentlig brandspredning og i forhold til at sikre redningsberedskabets indsatsmuligheder.
Effekten af brandventilation, ofte i form af permanente åbninger i facaden, er usikker.
Side
8
af
68
BOU, Alm.del - 2022-23 (2. samling) - Bilag 76: Henvendelse af 6/9-23 fra Bjarne Engelbrecht Larsen vedr. anmodning om at ministeren tilbagetrækker bek. 181 sikkerhed f.s.v.a. Pyrotekniske batterier
Brand i el- eller hybridbiler medfører samme gas-emissionstyper som nyere diesel- og benzinbiler, men der er specifikke
problemstillinger i forhold til batteripakken, bl.a. problematiske muligheder for slukning af brand, samt frigivelse af
øgede mængder af nogle specifikke giftige og brændbare gasser sammenlignet med biler med forbrændingsmotor.
Selvom de giftige gasser allerede findes i alle bilbrande, bør højere koncentration af emissioner medføre en øget risiko-
bevidsthed for redningsberedskabets indsatsmandskab, men også øget fokus på potentiel eksponering af mennesker
og dyr i øvrigt. Placering af batteripakken, typisk i bunden af et køretøj, og indkapslingen omkring batteripakken gør det
desuden vanskeligt at foretage en effektiv indsats i forbindelse med brand, hvor batteripakken formodes eller er invol-
veret i brand. En effektiv kølingsindsats kræver således relativt store mængder vand. Desuden er det et kendt fænomen,
at batteripakken kan genantænde pga. de kemiske processer og gå i brand igen. Det kan indtræffe flere timer efter, at
branden ellers er blevet bekæmpet og slukket. Ideelt bør brandramte køretøjer, hvor batteripakken potentielt kan være
i brand eller er i brand, derfor flyttes fra garageanlægget til et sikkert sted for endelig afkøling af køretøjet. Det medfører
alt sammen en ressourcekrævende indsats fra redningsberedskabet.
Den relative sandsynlighed for brand i el- eller hybridbiler er ikke højere sammenlignet med køretøjer udelukkende med
forbrændingsmotor. Det understøttes af statistikker fra Norge, hvor el- eller hybridbiler er mere udbredte end i Dan-
mark. Statistikkerne viser, at den relative sandsynlighed for brand i el- eller hybridbiler er lavere sammenlignet med
køretøjer udelukkende med forbrændingsmotor. Der er således ikke grundlag for at forvente højere hyppighed af
brande i fremtiden som følge af omstilling til el- og hybridbiler. En lavere sandsynlighed for brand i el- eller hybridbiler
forventes derfor at medføre et færre antal bilbrande i fremtiden, i takt med at andelen af biler med forbrændingsmotor
bliver mindre.
Ud over de forannævnte problemstillinger ved brand i el- eller hybridbiler i garageanlæg, er etablering af ladestandere
i garageanlæg en ny problemstilling, der naturligvis ikke er relevant for køretøjer med forbrændingsmotor. Der findes
forskellige typer af ladestandere afhængigt af lademåde. Der er sikkerhedsmæssige krav og standarder for etablering
og opbygning af ladestandere. Disse krav er primært relateret til elektrisk sikkerhed, der tillige vil være med til at redu-
cere sandsynligheden for, at der opstår brand i forbindelse med ladestandere. Derudover er der indbygget sikkerheds-
funktioner i selve køretøjet i interfacet med ladestanderen, når opladning finder sted. Litteraturanalyse og statistikover-
sigt viser, at opladning af EV/PHEV i garageanlæg ikke øger risikoen for brand signifikant.
Kortlægningen af lovgivningen vedrørende garageanlæg i Danmark gennem forskellige versioner af bygningsreglemen-
tet med tilhørende vejledninger, har med hensyn til størrelsen af garageanlæg relateret til etagearealet af det enkelte
brandmæssige bygningsafsnit, afdækket at følgende grænser er relevante:
600 m
2
(fra 1972 til 2004)
1.000 m
2
(fra 1972 til nu)
2.000 m
2
(fra 1972 til nu)
De angivne størrelser af garageanlæg er relateret til krav om brandtekniske installationer, primært hvornår der skal
installeres automatisk sprinkleranlæg eller automatisk brandventilation og til dels placeringen af garageanlæg i forhold
til terræn og antal etager.
For garageanlæg med etageareal større end 600 m
2
er der med få undtagelser generelt installeret enten automatisk
brandventilation eller automatisk sprinkleranlæg (dvs. garageanlæg opført efter bygningsreglement 1972 (BR 1972) og
frem til ændringen af bygningsreglement 1995 (BR 1995) og frem til 2004, hvor der indføres funktionsbaserede brand-
krav). Fra 2004 og efterfølgende bygningsreglementer til gældende bygningsreglement 2018 (BR2018) er den tilsva-
rende grænse for garageanlæg større end 1.000 m
2
. De angivne grænser for etageareal af garageanlæg er pr. rum eller
brandsektion (brandmæssigt bygningsafsnit). Garageanlægget kan være opdelt i enheder, der er mindre end de angivne
grænser, hvor det samlede etageareal overstiger de angivne grænser for garageanlægget uden af garageanlægget, bli-
ver berørt af de angivne krav.
For visse garageanlæg over terræn er der en højere grænse på 2.000 m
2
i forhold til, hvornår der skal være installeret
sprinkleranlæg. Det drejer som om garageanlæg i én etage over terræn og garageanlæg, der er beregnet til udelukkende
stedkendte personer, fx ved en virksomhed.
Side
9
af
68
BOU, Alm.del - 2022-23 (2. samling) - Bilag 76: Henvendelse af 6/9-23 fra Bjarne Engelbrecht Larsen vedr. anmodning om at ministeren tilbagetrækker bek. 181 sikkerhed f.s.v.a. Pyrotekniske batterier
De efterfølgende eksisterende garageanlæg anses for at være problematiske i forhold til, om de har et tilstrækkeligt
sikkerhedsniveau. Det omfatter garageanlæg:
Der er større end 600 m
2
og er udført uden sprinkleranlæg eller brandventilation. Det omfatter særligt anlæg
opført efter 2004 og fremefter.
Under terræn eller over terræn uanset etageareal, der er en integreret del af en overliggende bygning, herun-
der særligt hvor den overliggende del af bygningen er indrettet til natophold (hvor personer sover).
Garageanlæg, hvor de bærende konstruktioner er baseret på en brandteknisk dimensionering på grundlag af de hidti-
dige kriterier, hvor der fx er anvendt en værdi for den maksimale brandeffekt på 5 MW og begrænsning af, hvor
mange biler der antages involveret i brand.
Det anbefales for denne gruppe af garageanlæg, at der foretages individuelle analyser af risikoen forbundet med brand
i dem. Det er, som beskrevet andre steder i rapporten, den øgede brandbelastning for bilflåden generelt, der er proble-
matisk, og som gør, at skal ses nærmere på brandsikkerheden i disse garageanlæg.
For de ovennævnte, eksisterende garageanlæg vil de samme brandsikringstiltag, der anbefales for nye garageanlæg
fremadrettet være relevante. De nødvendige brandsikringstiltag bør dog baseres på individuelle analyser af det enkelte
garageanlæg.
Garageanlæg vil i fremtiden næsten kun indeholde El- eller hybridbiler ifølge regeringens planer for den grønne omstil-
ling. Det vil ikke give mening at indføre konkrete begrænsninger for anvendelsen af garageanlæg for specifikke typer af
køretøjer (afhængigt af drivmiddel). Ud fra hensyn til den øgede brandbelastning alle typer af nyere biler generelt synes
at udgøre, anbefales det:
At grænsen fremadrettet for, hvornår der skal etableres sprinkleranlæg i bygningsafsnit generelt, ændres fra
1.000 m
2
/2.000 m
2
til 150 m
2
. Dette særligt for bygninger, der tillige indeholder bygningsafsnit, hvor personer
sover (natophold), dvs. fx etageboligbyggeri, hoteller, plejehjem mv.
At den samlede brandbelastning fra køretøjer er højst 100 GJ i garageanlæg med et etageareal på højst 150 m
2
(uden sprinkleranlæg).
For fremtidige projekter anbefales det:
At effekten og funktionen af brandventilation i garageanlæg undersøges nærmere i sammenhæng med den
generelt større brandbelastning for nyere biler i forhold til bl.a. at reducere risikoen for brandudbredelse i
rummet og i forhold til den øgede temperaturpåvirkning af konstruktioner.
At undersøge, hvilken indflydelse de geometriske forhold i et garageanlæg har i forhold til risikoen for brand-
spredning og brandudbredelse. De geometriske forhold kan være en begrænsende faktor i forhold til risikoen
ved brand. Større afstande mellem de enkelte parkeringspladser og evt. opdeling mellem grupper af flere kø-
retøjer med større indbyrdes afstand (friarealer) samt rumhøjden af garageanlæg kan være begrænsende for-
hold for brandspredning.
At muligheden for at indføre anbefalinger om etablering af central afbryder af strømforsyning til ladestandere
til brug for redningsberedskabet undersøges nærmere i forhold til bl.a. tekniske løsninger og mulighed for at
sikre, at det kun er redningsberedskabet, som kan betjene den centrale afbryder.
Grænsen på 600 m
2
for, hvornår der skal etableres enten automatisk brandventilation eller sprinkleranlæg, svarer til
bestemmelserne i bygningsreglementet fra 1972 og frem til overgangen til funktionsbaserede brandkrav i bygnings-
reglement 1995 i 2004.
3.2
Oplag af litium-ion batterier
Oplag af litium-ion batterier er en ny problemstilling, og ofte er der ikke så meget fokus på, at litium-ion batterier kan
bidrage med betydelig varmeenergi ved brand. Problemstillingerne findes både ved oplag af nye batterier og brugte
batterier i genbrugsvirksomhederne. Det er særdeles usikkert
at opstille ”typiske” værdier for produkter, der videreud-
vikles i så højt tempo. I afsnit 7 er dog angivet
en ”standardværdi” for
varmebidrag per kg batteri for at kunne estimere
brandbelastningen, når anden detaljeret information ikke forefindes. Hvis en virksomhed med oplag af litium-ion bat-
terier kvalificeret kan redegøre for risiko, foranstaltninger og maksimalt varmebidrag, bør dette kunne accepteres i ste-
det for en standardværdiansættelse.
Side
10
af
68
BOU, Alm.del - 2022-23 (2. samling) - Bilag 76: Henvendelse af 6/9-23 fra Bjarne Engelbrecht Larsen vedr. anmodning om at ministeren tilbagetrækker bek. 181 sikkerhed f.s.v.a. Pyrotekniske batterier
Hvis der skal udarbejdes mere udførlige vejledninger for specifikke områder, vil det kræve målrettede undersøgelser
underbygget med forsøg.
Beredskabsstyrelsen udsendte i 2021
”MEDDELELSE
NR. 25 om litiumionbatterier” i forhold til, hvornår de kommunale
redningsberedskaber med beredskabslovgivningens bestemmelser vil kunne fastsætte brandmæssige vilkår for oplag af
nye og brugte litium-ion batterier. I meddelelsen blev indirekte grænser givet på baggrund de tekniske forskrifter for
brandfarlige og brændbare væsker svarende til 800 oplagsenheder og for brændbare faste stoffer svarende til 1.000 m
3
.
Dette er grænserne for, hvornår sådanne oplag kræver godkendelse fra det kommunale redningsberedskab. Disse græn-
ser er i afsnit 7 blevet anvendt til at opstille grænser for størrelser af oplag af nye og brugte litium-ion batterier.
Der er undtagelsesgrænser for mindre oplag hos fx privatpersoner, der ikke reguleres i beredskabslovgivningens tekni-
ske forskrifter. Ved at drage en parallel til denne nedre grænse kan anbefales en nedre grænse, hvor oplag af nye og
brugte litium-ion batterier kan oplagres frit (uden særlige eller nogen krav til, hvor det placeres eller skal brandsikres) i
et byggeri. Undtagelsesgrænsen for den samlede effekt af et oplag af batteri (også batterier i forbindelse med udstyr),
der oplagres samme sted vil være højst 20 kWh pr. brandmæssig enhed (uden særlige brandsikringstiltag ud over det
som følger af bygningsreglementets generelle bestemmelser og anvisninger). Det kan fx være i forbindelse med en bolig,
butik eller erhvervsvirksomhed.
Oplag, der overstiger denne undtagelsesgrænse vil skulle betragtes som industrielt oplag. Sådanne oplag vil således
skulle brandsikres efter de brandtekniske præ-accepterede løsninger for industri- og lagerbygninger, hvori kravene bl.a.
differentieres i forhold til den brandbelastning batterier udgør i det pågældende lager. Brandbelastningen relateres i
den sammenhæng til gulvarealet af den pågældende brandmæssige enhed (MJ/m
2
).
I forhold til Beredskabslovgivningens bestemmelser er der foretaget en grov sammenligning mellem 800 oplagsenheder
brandfarlig væske klasse I (svarende til 800 liter benzin), og det tilsvarende oplag af litium-ion batteri. Det er således
blevet estimeret, at ca. 6.000 kg batteri med flygtig elektrolyt, svarer til 800 liter benzin (svarende til 7,5 kg batteri per
liter benzin). Dette tal kan anvendes som en grov retningslinje for, hvor stort et oplag, der kan være i den enkelte brand-
mæssige enhed (brandsektion), såfremt en virksomhed med oplag ikke i øvrigt kan redegøre nærmere for brandlasten
forbundet med den aktuelle batteritype.
Efterfølgende udgør anbefalinger, ud over de brandmæssige præ-accepterede løsninger, for oplag i bygningsafsnit ind-
rettet til lager.
Nye og brugte litium-ion batterier
Ved etablering af oplag på mere end 200 kg batterier (svarende til ca. 25 oplagsenheder) anbefales det at overveje
muligheder og løsninger for:
Automatisk detektering af brand.
Etablering af tørt sprinkleranlæg, hvor redningsberedskabet har mulighed for at tilkoble brandslanger udenfor
den aktuelle brandcelle
Røgudluftning til bortventilering af giftige og brændbare gasser.
Det bemærkes, at de forannævnte tiltag primært vil være med til at sikre, at redningsberedskabet har mulighed for at
begrænse væsentlig brandspredning. Personer, der måtte opholde sig i eller ved rum med oplag vil ved detektering
og varsling have gode forudsætninger (tid) og muligheder for at evakuere ud af bygningen.
3.3
Batterier til solcelleanlæg i bygninger (BESS)
Store udsving på energipriser giver en ekstra interesse for solcelleanlæg som det beskrives i afsnit 8. Det er særdeles
usikkert at opstille ”typiske” værdier for produkter, der videreudvikles
i så højt tempo. Herunder angives dog nogle
forslag til størrelsesgrænser ved forskellig placering. Disse grænser tager udgangspunkt i en konservativt (men ikke
worst-case) antaget brandbelastning. Hvis ejeren kvalificeret kan redegøre for risiko, foranstaltninger og maksimalt var-
mebidrag fra større anlæg end de anbefalede grænser. Dokumentationen herfor bør udarbejdes af en certificeret brand-
rådgiver.
Hvis der skal udarbejdes mere udførlige vejledninger for specifikke områder, vil det kræve målrettede undersøgelser
underbygget med forsøg.
Side
11
af
68
BOU, Alm.del - 2022-23 (2. samling) - Bilag 76: Henvendelse af 6/9-23 fra Bjarne Engelbrecht Larsen vedr. anmodning om at ministeren tilbagetrækker bek. 181 sikkerhed f.s.v.a. Pyrotekniske batterier
Mindre batterianlæg (Enfamiliehuse)
Det anbefales:
At BESS er testet i henhold til standarden IEC 62619 eller IEC 63056.
At BESS ikke opsættes i opholdsrum, som fx soveværelse, stue, og køkken, og at de placeres i en selvstændig
brandmæssig enhed som brandcelle, tilsvarende fyrrum til fx pillefyr og oliefyr.
At BESS, der opsættes i boliger, har en maksimal kapacitet på 20 kWh.
At der opsættes røgalarm i rummet, hvor BESS anlæg opsættes. Røgalarmen bør serieforbindes med evt. andre
røgalarmer i den enkelte bolig.
Opsættes BESS anlæg i integrerede garager, carporte, udhuse i forbindelse med boliger (med krævet brandmæssig ad-
skillelse), anbefales det, at de kan have en kapacitet på op til højst 100 kWh uden særlige foranstaltninger i form af
ekstra brandadskillelse eller afstand til sikring mod brandspredning til andre bygninger på egen grund eller anden grund.
Mellem batterianlæg (Virksomheder og etageejendomme)
Anbefalede krav:
At BESS er testet i henhold til standarden IEC 62619 eller IEC 63056.
At BESS placeres en i selvstændig brandmæssig enhed med en brandmodstandsevne på mindst 60 minutter
set i forhold til batteriets energiindhold svarende til teknikrum for andre tekniske installationer. 5 MWh anses
for maksimal acceptabel batteristørrelse.
Det anbefales:
At ved opstilling af flere BESS-delsystemer eksempelvis i racks, at disse ikke placeres helt tæt sammen. I det
omfang den elektriske installation tillader opstilling med fx mere end 60 cm tom plads mellem de enkelte racks,
begrænses risikoen for eventuel brandspredning fra ét rack til det næste betydeligt.
At der udføres detektering og overvågning i rummet (ABA-anlæg eller røgalarmanlæg), afhængigt af den øvrige
anvendelse af bygningen, (fx til natophold), og størrelsen af anlægget.
At der ved større anlæg etableres et tørt sprinkleranlæg, hvor redningsberedskabet har mulighed for at tilkoble
brandslanger udenfor den aktuelle brandmæssige enhed.
At der udføres mulighed for røgudluftning for bortventilering af giftige og specielt brændbare gasser.
Der kan ikke opstilles generelle anbefalinger for den maksimale kapacitet af BESS i etageejendomme, da det afhænger
af de konkrete parametre for selve anlægget og valg af brandsikringstiltag, som beskrevet i foranstående, samt tiltag til
at minimere risikoen for brandspredning mellem fx flere racks med batterier enten i form af afstand eller brandmæssige
barriere mellem racks.
BESS på op til 5 MWh kan placeres uden for bygninger, når de placeres med afstand til sikring mod brandspredning til
tilstødende bygninger på egen grund eller anden naboejendom. Afstanden til skel mod nabo skal mindst være 2,5 m.
Afstanden til
bygninger på egen grund fastlægges ud fra ”sumregel” princippet.
Større anlæg, vil kræve individuelle
analyser og brandsikringstiltag afhængigt af bl.a. størrelsen, placeringen mv.
Store batterianlæg (Større virksomheder, infrastrukturanlæg, forsyningsvirksomheder)
Der anses ikke at være behov for opstilling af generelle krav eller begrænsninger for store BESS anlæg.
Store BESS anlæg ventes at blive relevante for stabilitet og fleksibilitet for fremtidens fossilfri elnet. Der bør ikke være
grund til at underlægge store BESS anlæg mere restriktive krav end for kraftværker.
Som for øvrige store byggerier og industriinstallationer skal der inden byggestart altid fremlægges specifikke risikoana-
lyser, hvor relevante myndigheder inddrages med mulighed for at påvirke foranstaltninger.
Side
12
af
68
BOU, Alm.del - 2022-23 (2. samling) - Bilag 76: Henvendelse af 6/9-23 fra Bjarne Engelbrecht Larsen vedr. anmodning om at ministeren tilbagetrækker bek. 181 sikkerhed f.s.v.a. Pyrotekniske batterier
2747580_0013.png
4
Litium-ion batterier generelt
Litium-ion batterier er et relativt nyt teknologiområde med voldsomt stigende efterspørgsel til mobil energiforsyning
og stationær energilagring. Litium-ion batterierne forbedres såvel med henblik på omkostningseffektiv produktion og
med henblik på at kunne opnå højere energitæthed til mobile applikationer fra høreapparater, mobiltelefoner til elbiler.
BNEF (Bloomberg New Energy Finance) vurderer at prisen falder med 18 % hver gang batteriproduktionskapaciteten
fordobles. Verdens produktionskapacitet for litiumbatterier ventes fordoblet to til tre gange frem mod 2030, og dette
burde give teknisk mulighed for mellem 30 % og 50 % billigere batterier i 2030. Selvom stor efterspørgsel kan holde
prisen lidt højere, er det sandsynligt, at batterier vil blive endnu mere udbredte og at typiske batterianlæg bliver større
år for år.
I det efterfølgende fremlægges information baseret på vidensindsamling fra de seneste 10 år frem til udgangen af 2021.
Mange informationer om batterier kan være forældede når rapporten læses, da der forskes og udvikles intenst på
mange områder af litium-ion teknologien. Det anbefales, at arbejdet revideres minimum hvert femte år, for blot at
holde informationen rimeligt tidssvarende og relevant.
Det er særdeles usikkert at opstille ”typiske” værdier for pro-
dukter, der videreudvikles i så højt tempo, men der er forsøgt i det følgende for at give udgangspunkter for vurdering
af nye applikationer. Der er ligeledes vigtigt at disse typiske værdier planlægges revideret relativt hyppigt, så længe
udvikling af batterier sker hurtigt.
4.1
Almindelige typer af litium-ion batterier
Litium-baserede batterier findes både som primære batterier (engangsbatterier) og sekundære batterier (genoplade-
lige). Litium-baserede primærbatterier kendetegnes af meget højt energiindhold i forhold til almindelige alkaline batte-
rier (til lamper og radioer mm.), men er oftest beregnet til meget lang driftstid ved lav effekt. Eksempler herpå: 10 til 18
års levetid i energimålere, 5+ års levetid i trådløse termostater og alarmfølere og 1 til 4 års levetid i trådløse prisskilte i
supermarkeder. Den elektriske energitæthed i f.eks. Litium Thionyl Chloride primære battericeller kan være op til 700
Wh/kg.
Litiumbaserede sekundærbatterier er baseret på migration af Litium-ioner mellem forskellige kombinationer af anode
og katodematerialer. Den elektriske energitæthed ligger typisk omkring 130 Wh/kg og op til 260 Wh/kg for højydelses-
energibatterier. Litium ion-batterier forkortes ofte til Li-Ion eller LIB. Den mekaniske opbygning af en Li-ion battericelle
kan være meget forskellig.
nap celle
cylinder celle
ly
prisma sk celle
pose celle
Figur 1: Den mekaniske opbygning af en Li-ion battericelle kan være meget forskellig. Til energiformål som lagring og transport an-
vendes oftest pose celler og prismatiske celler, men f.eks. Tesla har med succes opbygget deres batteripakker af tusindvis cylindri-
ske celler i format 18650 (18 mm diameter og 65 mm længde). Knap celler anvendes almindeligvis til primære celler.
Side
13
af
68
BOU, Alm.del - 2022-23 (2. samling) - Bilag 76: Henvendelse af 6/9-23 fra Bjarne Engelbrecht Larsen vedr. anmodning om at ministeren tilbagetrækker bek. 181 sikkerhed f.s.v.a. Pyrotekniske batterier
2747580_0014.png
Figur 2: Batteribegreber. Et batteri modul består af flere celler - typisk i egen indkapsling. En batteripakke består af flere celler eller
moduler. Et batterisystem består af flere celler, moduler eller pakker koblet sammen samt et batteri beskyttelsessystem.
Bortset fra Tesla består de fleste elbil-batterier af prismatiske celler og i få tilfælde af poseceller. En prismatisk celle
fremstår som en kasse i plast eller metal. Indholdet i den prismatiske kasse kan være det samme som indholdet i en
posecelle, men ofte samles flere poseceller i én prismatisk celle, da det gør håndtering og elektrisk tilslutning nemmere.
Flere bilfabrikker er på vej mod nogle standardiserede, prismatiske moduler, som automatiseret kan sammensættes
modulært i bilens batteripakke. De enkelte moduler kan så opbygges med forskellige batteriprodukter afhængig af le-
verandør, ydelseskrav og pris. Tesla er lykkedes med at opbygge store batterimoduler af hundredvis af cylindriske celler.
Det ser ud til at Tesla holder fast i dette princip, men de øger dog størrelsen af de enkelte celler i fremtiden.
I Tabel 1 sammenlignes litium ion-batterier med forskellige kemiske sammensætninger.
Tabel 1: Der findes flere hundrede varianter af Litium ion-batteri typer, men til transport og energilagringsformål er der relativt få
hovedvarianter. LFP (Litium Jern Fosfat) er ikke afhængig af dyre metaller og anses for at være et af de mere robuste og sikre LIB-
typer, men desværre er energitætheden lidt ringere.
LIB type
Specifikt energi-
indhold
[Wh/kg]
155
90 - 130
100 - 150
150 - 260
160 - 260
50 - 82
Spænding ved
50 % SoC
[V]
3.9
3.4
4
3.7
3.8
2,3
Levetid
Sikkerhed
Prisniveau
LCO
LFP
LMO
NCA
NMC
LTO
Medium
Høj
Lav
Medium
Høj
Meget høj
Medium
Meget høj
Høj
Medium
Høj
Meget høj
Medium
Medium
Lav
Høj
Høj
Høj
I Figur 3 ses eksempler på nogle almindelige batterityper, som kan forekomme i Danmark.
Til venstre vises et batterimodul fra AESC med 8 celler, som det anvendes i Nissan Leaf. Dette batteri er ekstra interes-
sant i dansk sammenhæng, da visse batterianlæg produceret i Danmark under produktnavnet XOLTA også anvender
dette batterimodul. Otte poseceller samles i et 8,8 kg modul, der består af 2 stk. 2p2s-delmoduler. 2p betyder at to
celler sidder parallelt 2s betyder at to 2p celler sidder i serie. Det gør, at der nemt kan laves fire cellepar i serie (2p4s)
eller 4 parallelle celler i serie (4p2s). Energitætheden på celleniveau er 205 Wh/kg medens den i modulet bliver til 186
Wh/kg.
Til højre i samme figur ses en LIB LFP som også anvendes af danske batteriproducenter (man er batteriproducent, hvis
man samler et batteri af celler og udbyder dette på markedet). CALB er en af flere populære producenter af Litium-
Jernfosfat battericeller. Trods en lidt lavere energitæthed er LFP populær hos industrivirksomheder på grund af modu-
laritet, mekanisk og termisk robusthed, lang levetid, samt rimelig pris. LFP-battericeller benyttes af flere danske virk-
somheder i produktion af batterianlæg til bl.a. renovationskøretøjer, gaffeltrucks, entreprenørmaskiner, BESS mm.
Når battericeller samles til batterimoduler og batteripakker falder, energitætheden hurtigt på grund af vægten af strøm-
skinner, skruer, skiver, kabel, sensorledninger mm. Dertil kommer de mekaniske kasser og rammer, som er nødvendige
for at understøtte batteriet.
Side
14
af
68
BOU, Alm.del - 2022-23 (2. samling) - Bilag 76: Henvendelse af 6/9-23 fra Bjarne Engelbrecht Larsen vedr. anmodning om at ministeren tilbagetrækker bek. 181 sikkerhed f.s.v.a. Pyrotekniske batterier
2747580_0015.png
Figur 3: Eksempler på to forskellige LIB-batteri typer.
Modulet til venstre i Figur 3 har dimensionerne: 300 X 222 X 68 mm 8,8 kg 1,64 kWh (186 Wh/kg).
Til højre ses en Litium-jernfosfat battericelle fra CALB. Cellens dimensioner: 279x180x71 mm 5,7 kg 0,58 kWh (101
Wh/kg).
På Figur 4 ses en skitse over den kemiske proces, der foregår inde i et batteri. Litium-ionerne transporteres gennem
elektrolytten fra anoden til katoden. Langt de fleste elektrolytter i LIB består af litium Hexafluorophosphate (LiPF6)
salte og organiske carbonat opløsninger. Elektrolytten er følsom overfor temperatur og spænding og kan begynde at
dekomponere eller reagere med f.eks. elektrodemateriale, hvis batteriet kommer udenfor det definerede
arbejdsvindue.
Figur 4: Skitsering af processen inde i et batteri, hvor ionerne transporteres gennem elektrolytten.
4.2
Typiske fejl i forbindelse med litium-ion batterier
LIB er produktionsmæssigt en moden teknologi, hvor der generelt synes at være godt styr på kvaliteten fra de store
batterifabrikker med store produktionstal.
Når man ser på fejlfrekvensen på de LIB, der ses i volumenanvendelser (store mængder), såsom mobiltelefoner, hånd-
værktøj og elbiler, er den meget lav og sammenlignelig med eller bedre end de tilsvarende produkter, de afløser. For
elbiler på det norske marked i oktober 2021 ser frekvensen af brande i elbiler ud til at være lavere end for tilsvarende
biler med forbrændingsmotor. Det norske Direktoratet for Samfunnssikkerhet og Beredskap (DSB) har sammenlignet
bilbrande i perioden 2016 til og med 2019. DSB har set 60 elbilbrande i en bestand på 250.000 elbiler i forhold til 2.651
Side
15
af
68
BOU, Alm.del - 2022-23 (2. samling) - Bilag 76: Henvendelse af 6/9-23 fra Bjarne Engelbrecht Larsen vedr. anmodning om at ministeren tilbagetrækker bek. 181 sikkerhed f.s.v.a. Pyrotekniske batterier
2747580_0016.png
bilbrande i benzin- og dieselbiler (ICEV) ud af 2,5 millioner køretøjer. Dette svarer til 0,024 % for elbiler mod 0,106 % for
ICEV-biler.
Der er således ikke nogen statistisk begrundelse for at indføre generelle restriktive krav eller begrænsninger på produk-
ter med LIB, når disse har dokumenteret kvalitet i batteristyring og produktion.
En ekstern brand, som opvarmer battericeller eller hele batterianlægget over kritisk niveau, vil ofte resultere i en bat-
teribrand, men det vil ikke altid være tilfældet. Ved branden i P-huset ved Stavanger Lufthavn var der brændte elbiler,
hvor batteripakken til fremdrift ikke blev antændt.
Alle typer af litium-baserede batterier kan fejle og må forventes at kunne bryde i brand, som følge af fejlagtig brug eller
eventuelt en skjult tilfældig produktionsfejl. Interne kortslutninger er sjældne, men intet normalt overvågningsudstyr
kan hindre eller stoppe termisk runaway (selvforstærkende termisk reaktion, der kan ske i et batteri også omtalt som
Thermal Runaway (TRA). På Figur 6 ses processerne i et termisk runaway samt hvilke temperaturer de forekommer ved.
Med risikoen for termisk runaway er det naturligvis relevant at risikovurdere brand i LIB. Risikoen bør vurderes ud fra
hændelsessandsynlighed og konsekvens, menneskelige konsekvenser og materielle omkostninger, samt naturligvis de
risikoscenarier, der normalt accepteres i tilsvarende miljøer (stearinlys, brændeovne, pillefyr, mv.).
Selv om fejl er sjældne, er der nogle få fejlscenarier som er mere sandsynlige end andre tilfældige fejltyper. Termisk
runaway er ubetinget den vigtigste fejlsituation at håndtere i forbindelse med LIB. Termisk runaway skyldes ofte op-
varmning, materialefejl eller dendritter, der gennemborer separatoren, se Figur 5.
Figur 5: Dendritter er en af de potentielle uønskede effekter i et LIB. Hvis der er metallisk litium (eller kobber) aflejret på SEI laget,
så er der risiko for at der dannes dendritter, der vandrer gennem separatoren og laver kortslutning mellem anode og katode. En
intern kortslutning kan medføre termisk runaway (TRA).
Når LIB anvendes inden for det definerede arbejdsområde er risikoen for termisk runaway meget lille.
Til at sikre at batteriet kun arbejder inden for det sikre arbejdsområde, skal hver celle overvåges af et batteristyringssy-
stem (BMS = Battery Management System). Batteristyringssystemets funktion er beskyttelse i den aktuelle situation
samt sikring af en forventelig levetid af cellerne. Levetiden sikres dels ved balancering af ladningen mellem de enkelte
battericeller og dels ved at begrænse tilladt ydelse i arbejdsområder, som ellers kan give anledning til tidlig slitage. Et
almindeligt eksempel er reduktion af tilladt ladestrøm når batteritemperaturen er lav, samt generel strømreduktion hvis
temperaturen er høj.
En MS bør have en ”hukommelse”, således at en battericelle,
der har været under tilladt minimum spænding, ikke må
kunne oplades igen. Nogle batteribrande kan henføres til netop manglende sikring mod genopladning efter lang hen-
stilling uden vedligeholdsladning.
Side
16
af
68
BOU, Alm.del - 2022-23 (2. samling) - Bilag 76: Henvendelse af 6/9-23 fra Bjarne Engelbrecht Larsen vedr. anmodning om at ministeren tilbagetrækker bek. 181 sikkerhed f.s.v.a. Pyrotekniske batterier
2747580_0017.png
Figur 6: Termisk runaway (TRA) kan ske, når en battericelle kommer udenfor det definerede sikre arbejdsområde. LCO-type LIB må
anses for usikker og brandfarlig allerede ved en relativt lav overtemperatur. Der er eksempler på termisk runaway i den mere robu-
ste LFP- type LIB, som ikke har resulteret i brand. De angivne temperaturer i figuren for de forskellige typer af LIB angiver grænsen
for termisk runaway.
4.3
Termisk runaway (TRA)
På grund af deres lave grad af emissioner, høje energitæthed, begrænsede hukommelseseffekter og højere arbejds-
spænding er litium ion-batterier (LIB) den mest udbredte strømkilde i meget elektronisk udstyr både mht. forskellige
størrelser og anvendelsesområder [1]. Populariteten af litium ion-batterier betyder ikke nødvendigvis, at de ikke er
modtagelige for interne eller eksterne påvirkninger, der kan føre til uønskede konsekvenser. De forskellige måder,
hvorpå et LIB potentielt kan blive beskadiget af både interne og eksterne påvirkninger, kan opdeles i tre kategorier:
Termisk misbrug
Elektrisk misbrug
Mekanisk misbrug
Eksponering for brande eller andre eksterne eller interne varmekilder falder under kategorien termisk misbrug. Intern
kortslutning, overopladning og overafladning kategoriseres som almindeligt elektrisk misbrug, mens almindeligt meka-
nisk misbrug omfatter penetrering eller knusning af batteriet, hvilket fx er muligt i tilfælde af en ulykke med køretøj [2].
En af de største ulemper ved litium-ion batterier er, at det optimale driftstemperaturområde, som er relativt snævert,
er omkring 20 °C til 40 °C [3], [1], [4], mens de ekstreme grænser kan udvides til temperaturer mellem -30 °C til +55° [5].
Selvom det optimale driftstemperaturområde er snævert, forventes litium-ion batterier at fungere uden for dette om-
råde, under den nedre grænse og over den øvre grænse [3]. Drift over dette temperaturområde kan potentielt føre til
kemiske reaktioner, som kan resultere i overophedning af batteriet. Ved drift under det optimale område øges batteri-
ets indre modstand. Der kan ske dannelse af dendritter. Uanset hvad, vil disse i sidste ende resultere i en intern kort-
slutning, som er den mest almindelige mekanisme, hvorigennem TRA induceres [1]. Af disse årsager er batteri systemer
ofte udstyret med dedikerede varme/køle systemer for at opretholde den optimale temperatur.
Nedbrydning af laget i grænseflade mellem elektrolytten og elektroden (SEI-laget), sker som et resultat af begge disse
fænomener [1]. SEI-laget fungerer som en barriere mellem anoden og elektrolytten, hvilket gør det umuligt for anoden
Side
17
af
68
BOU, Alm.del - 2022-23 (2. samling) - Bilag 76: Henvendelse af 6/9-23 fra Bjarne Engelbrecht Larsen vedr. anmodning om at ministeren tilbagetrækker bek. 181 sikkerhed f.s.v.a. Pyrotekniske batterier
at reagere med elektrolytmolekylerne [5], [1]. Wang Q. mfl. [6] viste ved hjælp af en LiPF6-elektrolyt og lithieret grafit-
anode, at den termiske nedbrydning af SEI-laget starter omkring 70 °C, men det første trin af termisk misbrug starter,
når temperaturerne når op omkring 85 °C til 90 °C. Denne nedbrydning af SEI-laget foregår indtil temperaturen har nået
omkring 120 °C, hvorefter temperaturstigningerne for det meste er styret af reaktionerne mellem elektrolytten og ano-
den.
Når 135 °C nås, begynder separatoren mellem katode og anode, som typisk er lavet af polyethylen eller polypropylen
at smelte og krympe. Dette skaber en intern kortslutning i batteriet, som muliggør selvafladning mellem katoden og
anoden [1]. Under elektrisk misbrug eller mekanisk misbrug starter TRA fra dette tidspunkt ved at kompromittere sepa-
ratoren. Når separatoren først er kompromitteret, aflades elektrisk energi med ekstremt høje hastigheder. Dette kan
udløse TRA på grund af den hurtige stigning i indre temperatur [1], [7].
Næste trin i processen er nedbrydningen af katoden, hvorigennem O
2
frigives. Den frigivne O
2
udløser til sidst en række
eksoterme reaktioner i kombination med elektrolytopløsningsmidlet [1]. Yasunori B. mfl. fastlagde dette to-trins reak-
tionsmønster ved at observere vægtreduktionen af katoden sammen med temperaturen af elektrolytopløsningsmid-
lerne [8]. Afhængigt af den anvendte katodetype varierer starttemperaturen for disse reaktioner. Ældre katoder lavet
af LiCoO
2
nedbrydes, når temperaturen når 160 °C, mens nyere katoder lavet af LiFePO
4
, som er mere termisk stabile,
kan holde til temperaturer lige over 300 °C. Ovenstående værdier blev opnået af Jiang j. mfl. [8] i 2004 ved hjælp af
ethylcarbonat/diethylcarbonat opløsningsmiddel og forskellige typer katoder. Det blev også påpeget i samme undersø-
gelse, at selvopvarmningshastighederne også kan variere afhængigt af katodetypen med LiCoO
2
, der viser maksimale
selvopvarmningshastigheder på 10°C /min, hvilket er en faktor 10 højere end maksimale selvopvarmningshastigheder
af LiFePO
4
registreret til under 1°C /min.
Nedbrydningen af elektrolytten ved højere temperaturer introducerer flere komplikationer ved at frigive CO
2
og HF,
som udgør en ekstra trussel på grund af toksiciteten af disse gasser [5], [9]. De genererede gasformige stoffer vil blive
tilbageholdt i batteriet, indtil de frigives via en overtryksventil. Påbegyndelsen af "sikkerhedsudluftning" angives ved
tab af masse af litium-ion batterier samtidig med, at tiden hertil er blevet observeret for litium-ion batterier med for-
skellige ladetilstande (SoC) af Liu X. mfl, [10]. De har sammenlignet massevariationen af LIB som funktion af tiden for
batterier med forskellige opladningsniveauer. Interessant nok blev der kun observeret et enkelt tilfælde af massetab for
batteriet med 0 % SoC, mens to tilfælde af massetab blev observeret for opladede batterier. Alle batterier gav det initiale
tab af masse på tilsvarende tidspunkter, som batteriet med 0 % SoC, hvilket indikerer, at batteriernes SOC'er ikke var
en afgørende faktor i det initiale massetab. Dette massetab blev anset for at forekomme ved begyndelsen af åbningen
af batteriernes sikkerhedsventiler og blev bekræftet af lyden af åbningsventilerne på samme tid. Det bemærkes, at 0 %
SOC er for den enkelte battericelle og at SOC for en batteripakke ikke nødvendigvis er 0 %. Det andet tab af masse blev
anset for at forekomme ved begyndelsen af TRA.
Det sidste trin i processen med TRA er reaktionerne i grænsefladen mellem bindemiddel og katode. Bindemidlet funge-
rer som en accelerator for disse reaktioner eller involveres direkte i reaktionerne afhængigt af katodens type [10]. Det
mest brugte bindemiddel; polyvinylfluorid kan også angribe carbon-anoderne ved temperaturer over 260 °C. Alle disse
reaktioner er eksoterme og frigiver mere varme, hvilket bidrager til TRA [11].
TRA er forskningsmæssigt blevet identificeret som en kompliceret mekanisme. Batteriproducenter har gjort en indsats
for at forhindre eller forsinke påbegyndelsen af TRA og øge sikkerhedsniveauet for litium-ion batterier ved hjælp af
forskellige celledesigns, forskellige materialer til elektroder, elektrolyt og endda kølesystemer gennem årene [10]. TRA
står dog stadig som en primær risiko, som er svær at kontrollere og forudsige. En nylig undersøgelse viser [12], at det er
muligt at inducere TRA uden intern kortslutning af batteriet. Dette viser kompleksiteten af kemien bag fænomenet TRA
og behovet for bedre forståelse og mere effektive løsninger på dette problem, som har været fremherskende siden
introduktionen af litium-ion batterier.
I en anden nylig undersøgelse fra 2021 [13] blev der gjort interessante observationer, hvor 15 litium-ion batterier blev
opvarmet ved hjælp af en brænder. Inden for de første 50 sekunder blev der observeret emission af varme gasser, når
batterienhederne opnåede en temperatur omkring 80 °C. Inden for 70 sekunder efter opvarmning blev der observeret
eksplosioner, mens batteritemperaturen stadig var omkring 90 °C. I samme forsøg nåede man temperaturer lige under
290 °C efter godt 8 minutters opvarmning. I nogle tilfælde blev batteriet genantændt, og TRA indtraf for anden gang.
Det er usikkert om forsøgene er blevet gjort på enkelte battericeller, - moduler eller -pakker, set ud fra den hurtige
udvikling og observationen af eksplosioner.
Side
18
af
68
BOU, Alm.del - 2022-23 (2. samling) - Bilag 76: Henvendelse af 6/9-23 fra Bjarne Engelbrecht Larsen vedr. anmodning om at ministeren tilbagetrækker bek. 181 sikkerhed f.s.v.a. Pyrotekniske batterier
2747580_0019.png
4.4
Brandbelastning litium-ion batterier
Batteripakker i biler og BESS-anlæg kan have meget forskellige opbygninger. Det er
vanskeligt at opstille generelle repræsentative testbetingelser, og det er vanskeligt og
bekosteligt at udføre tests. Der foreligger nogle få tilgængelige målinger af varmebi-
drag og gasser ved afbrænding af LIB-celler i åben brandtest. Brandlast for batterier
tager ofte udgangspunkt i den nominelle elektriske lagringskapacitet og den aktuelle
SoC (State of Charge = Ladestatus). Energiindholdet kan omregnes fra kWh til joule
med følgende forhold: 1 kWh = 3,6 MJ
Den samlede energimængde, frigivet ved brandtest, synes stort set uafhængig af SoC,
men SoC har betydning for, hvor hurtigt energien udløses. Den højeste effekt ses ved
100 % SoC.
I en åben brandtest fastholdes ekstern varmepåvirkning indtil der ikke længere frigives
energi fra testemnet. Scenariet kan være relevant i forbindelse med en længereva-
rende ekstern brand, der påvirker et batterianlæg, som anlægget ikke kan modstå i
længden. Resultater fra en åben brandtest på en enkelt celle kan dog ikke direkte op-
Figur 7: I en åben brandtest fast-
holdes ekstern varmepåvirkning
skaleres til et batterisystem.
Producenten af et batterianlæg har mulighed for at opbygge sit system:
Så risiko for brand på grund af TRA minimeres
Så risiko for intern brandspredning efter en TRA i én celle minimeres:
o
F.eks. dokumenteret med IEC 62619 propagation test
Med indbygget overvågning der tidligst muligt giver alarm (minimum svarende til en røgalarm)
med større
chance for begrænsende indsats
f.eks. ventilation og køling med vand
Med internt system der fortrænger ilt ved TRA og dermed begrænser varme afgivelse i forhold til elektrisk
energi sammenlignet med åben brandtest, hvilket giver reduceret risiko for brandspredning.
Tabel 2 angiver data fra en række afbrændingstest udført af RISE.
Tabel 2: Summerede resultater fra målinger under åben afbrændingstest udført af RISE [14] ;
(data fra
https://www.nature.com/articles/s41598-017-09784-z
30 August 2017
Tabel 1 + 3 samt Figur 2). I en åben brandtest
fastholdes en ekstern varmepåvirkning indtil der ikke længere frigives energi fra testemnet. Scenariet kan være relevant for en eks-
tern brand, der påvirker et batterianlæg, som anlægget ikke kan modstå i længden. Testscenariet belyser dog ikke effekter af ekstra
beskyttelse påbygget et batterisystem
f.eks. beskyttelse mod brandspredning ved termisk runaway i en enkelt celle.
Batteri
Antal
batterier
per test
Type
Nominel
kapacitet
per
batteri
Ah
Nominel
spænding
per bat-
teri
V
Celle
pakning
Nominel
elektrisk
energi
Varme
afgivelse
Maksimal HRR
ved forskellige
State of Charge
(SoC)
Normali-
seret (W/Wh)
100 50 0 %
%
%
612
416
214
HF-gas-
ser
indtil der ikke længere frigives
energi fra testemnet.
-
Wh
A
5-10
LCO
(LiCoO
2
)
LFP
(LiFePO
4
)
LFP
(LiFePO
4
)
LFP
(LiFePO
4
)
LFP
(LiFePO
4
)
NCA-LATP
(LiNiCOAlO
2
-
LiAlTiPO
4
)
From laptop
6,8
3,75
B
C
D
E
F
2
5
9
5
2
20,0
7,0
3,2
8,0
30,0
3,2
3,2
3,2
3,3
2,3
Prismatisk
Hård
Alu-dåse
Pose
Pose
Cylinder
18650
Cylinder
18650
Pose
26
Gange
elektrisk
energi
5,0
mg/Wh
25
64
22
10
26
69
14,0
20,0
8,0
14,0
14,0
538
461
149
200
100
25
100
100
G
2
5,6
11,1
Cylinder
62
7,5
20
Side
19
af
68
BOU, Alm.del - 2022-23 (2. samling) - Bilag 76: Henvendelse af 6/9-23 fra Bjarne Engelbrecht Larsen vedr. anmodning om at ministeren tilbagetrækker bek. 181 sikkerhed f.s.v.a. Pyrotekniske batterier
2747580_0020.png
Batteri
Antal
batterier
per test
Type
Nominel
kapacitet
per
batteri
Ah
Nominel
spænding
per bat-
teri
V
Celle
pakning
Nominel
elektrisk
energi
Varme
afgivelse
-
Wh
Gange
elektrisk
energi
Maksimal HRR
ved forskellige
State of Charge
(SoC)
Normali-
seret (W/Wh)
100 50 0 %
%
%
HF-gas-
ser
mg/Wh
(2P3S)
18650
Figur 8: Afbrænding i battericeller i kvælstoffyldt kalorimeter viser at blokering af ilt kan reducere varmeudviklingen fra mange
gange til 2 gange den elektriske energi.
Samlet varmebidrag (ΔH
t
); Lagret elektrisk energi (E); Kemisk energi ved aktuel andel af lag-
ret elektrisk energi (ΔU
rxn
)
Kilde: Energy Release by Rechargeable Litium-Ion Batteries in Thermal Runaway - Using Nitrogen Bomb
Calorimeter. Technical Note DOT DOT/FAA/TC-TN16/22 April 2016 [15].
Varmebidraget fra en LIB-brand bør således kunne reduceres med almindelige slukningsmetoder, der hindrer iltnæring
fra luften (Figur 8 i forhold til Tabel 2) og gennem køling af både brændende battericeller og deres nabobattericeller.
4.5
Udvikling af giftige gasser fra litium-ion batterier
Elektrolytten i LIB består for en stor del af organiske opløsningsmidler, der brænder udmærket. Ved forbrænding opstår
der forbindelse mellem brint og fluor fra elektrolytten
denne forbindelse (HF-gas) er meget giftig.
Side
20
af
68
BOU, Alm.del - 2022-23 (2. samling) - Bilag 76: Henvendelse af 6/9-23 fra Bjarne Engelbrecht Larsen vedr. anmodning om at ministeren tilbagetrækker bek. 181 sikkerhed f.s.v.a. Pyrotekniske batterier
2747580_0021.png
Figur 9: RISE har målt høje emissioner af HF fra afbrænding af batterier. [16].
Der henvises til uddybende beskrivelse af risikoen ved udviklingen af toksiske gasser i garageanlæg i afsnit 6.1.5.
4.6
Bekæmpelse af brand i litium-ion batterier
Bekæmpelse af brande i litium-ion batterier er van-
skelige af flere årsager:
Når branden først er i gang, er alle elementer
i brandtrekanten til stede inde i cellen. Den
eneste mulighed for at bremse branden er at
fjerne varme hurtigere end den genereres.
Det er ofte umuligt eller meget vanskeligt at
få adgang til at køle effektivt på en bræn-
dende eller overophedet celle på grund af de
mekaniske indbygningsforhold.
Selv hvis en celle nedkøles til branden tilsyne-
ladende stoppes vil den ofte blusse op igen,
da der stadig pågår en kemisk reaktion i cellen
selv eller i naboceller, der er blevet ustabile.
LIB
BRANDTREKANT
Brændstof
Elektrolyt, Anode, Separator
Figur 10: LIB Brandtrekant. Ilten i LFP er bundet så stærkt at LFP
ikke bidrager med intern ilt til forbrændingen.
Det betyder dog ikke, at det er nyttesløst at bekæmpe en brand i et litium-ion batteri.
Battericellen indeholder ikke ilt nok til at forbrænde al elektrolyt-, anode- og separator-materiale. Er branden
først i gang, og hvis ilt fra luften kan nære branden, vil der udvikles meget mere varme. Derfor vil iltfortræn-
gende eller iltblokerende slukningsmidler medføre væsentligt mindre varmebidrag fra batteribranden jf. resul-
tater i Figur 8.
Sand, brandtæppe og skum kan benyttes som slukningsmiddel, men også vand kan anvendes ved brand i el- og
hybrid-biler blot ladekablet er fjernet fra bilen (eller helt afbrudt, inklusive jordforbindelsen).
Side
21
af
68
BOU, Alm.del - 2022-23 (2. samling) - Bilag 76: Henvendelse af 6/9-23 fra Bjarne Engelbrecht Larsen vedr. anmodning om at ministeren tilbagetrækker bek. 181 sikkerhed f.s.v.a. Pyrotekniske batterier
Køling med vand kan normalt effektivt virke til at begrænse brandudbredelse. Ved køling af en brændende elbil
og intakte nabobiler med vandtåge er der god mulighed for at begrænse branden til den allerede brændende
elbil.
Da elbiler og andre køretøjer og anlæg indeholdende litium-ion batterier sjældent er placeret, så man kan lade
emnet udbrænde kontrolleret på stedet, vil der være behov for slukning. Hvis der kan etableres en midlertidig
vandfyldt dæmning rundt om et brændende køretøj, således at batteriet kan oversvømmes og holdes over-
svømmet i mindst en time, vil batteriet oftest være kølet tilstrækkeligt ned til, at det kan flyttes til en sikret
plads, hvor eventuel gentænding og udbrænding kan ske uden risiko. En elbil eller hybridbil bør stå til observa-
tion i to uger efter en alvorlig batterihændelse.
4.7
Nøgletal vedrørende energiindhold.
Der tages i det efterfølgende udgangspunkt i tal for energitæthed i afsnit 4.1.
Forsøgsresultater fra RISE viser, at LFP typisk har højere varmeafgivelse end øvrige batterityper (bl.a. på grund af mæng-
den af elektrolyt). 10-20 % af batteriet kan være elektrolyt, ofte med højt indhold af organiske opløsningsmidler (80 %
til 90 %). Brandlasten i form af energibidrag fra elektrolytten vil være tæt på brandlasten af benzin. Data fra RISE-test
på syv LIB-celler i Tabel 2 er på ingen måde en afdækning af, hvilke typer batterier, der findes på markedet. Men det er
karakteristisk at tre af de syv celler har et varmebidrag på 14 gange den elektriske kapacitet, hvor gennemsnittet ligger
på en faktor 11,8. Der anvendes herefter en faktor 14 som konservativ høj værdi i forhold til den elektriske nominelle
kapacitet, selvom tabellen indeholder en enkelt værdi på faktor 20, da betingelserne i en batteripakke sjældent vil tillade
fuld udbrænding af alt brændbart materiale
bl.a. pga. begrænset adgang til ilt og varmeledning.
For battericeller antages en høj gennemsnitlig elektrisk energitæthed på 130 Wh/kg, hvilket svarer til maksimum for
LFP.
Dette svarer til et forventeligt maksimalt varmebidrag per kg battericelle: 1,8 kWh/kg = 6,5 MJ/kg.
Er cellerne bygget sammen til en batteripakke er energitætheden typisk det halve, svarende til ca. 1 kWh/kg = 3,6 MJ/kg.
Side
22
af
68
BOU, Alm.del - 2022-23 (2. samling) - Bilag 76: Henvendelse af 6/9-23 fra Bjarne Engelbrecht Larsen vedr. anmodning om at ministeren tilbagetrækker bek. 181 sikkerhed f.s.v.a. Pyrotekniske batterier
5
Garageanlæg generelt
Undersøgelsen i efterfølgende afsnit 6 af brandkravene gennem forskellige bygningsreglementer fra BR 1961 til BR
2018, har vist i forhold til, hvornår der er sket væsentlige ændringer i kravene, at følgende årstal er relevante:
1972
2004
Indtil BR1972, var der ikke detailkrav i bygningsreglementet for garageanlæg, som dog indeholdt lovhjemmel til at
bygningsmyndigheden kunne fastsætte krav for garageanlæg.
I 2004 indførtes med tillæg 8 til BR 1995, funktionsbaserede brandkrav og anvisninger til opfyldelse af brandkravene i
”Eksempelsamling
om brandsikring af byggeri”.
Med hensyn til størrelsen af garageanlæg relateret til etagearealet af det enkelte brandmæssige bygningsafsnit er føl-
gende grænser relevante:
600 m
2
(fra 1972 til 2004)
1.000 m
2
(fra 1972 til nu)
2.000 m
2
(fra 1972 til nu)
De angivne størrelser af garageanlæg er relateret til krav om brandtekniske installationer, herunder primært hvornår
der skal installeres automatisk sprinkleranlæg eller automatisk brandventilation. Automatisk brandventilation er i visse
situationer en sidestillet brandteknisk løsning med automatisk sprinkleranlæg, når den fysiske indretning af garagean-
lægget muliggør denne løsning.
Der findes ikke en enkelt metode eller måde til at fastlægge, hvor mange garageanlæg der findes i Danmark. Deraf
følger, at det er endnu vanskeligere at kategorisere garageanlæg, afhængigt af om de er en integreret del af en bygning,
placeret i kælder eller over terræn, eller som fritliggende garageanlæg. Det er således heller ikke helt enkelt at opdele
garageanlæg efter, hvilke brandsikringstiltag, som fx brandtekniske installationer, de er udført med.
I dette projekt er der søgt at fastlægge antallet af garageanlæg ud fra søgning og udtræk i BBR (Bygnings- og Boligregi-
stret).
I BBR kan der på adresse- og bygningsniveau udtrækkes lister med data for opførelsesår, bygningsarealer, antal etager
og anvendelse.
I BBR findes forskellige anvendelseskoder for bygninger. Fx dækker kode 313 over bygning til
”parkerings-
og transport-
anlæg”.
Denne kode dækker således ikke alene garageanlæg, men fx også bygninger hos virksomheder, der måske an-
vendes til både parkering af køretøjer og maskiner samt lagerfunktion. Desuden findes en anden kode, 310 (udfases) til
transport- og garageanlæg.
Udtræk på disse anvendelseskoder giver en bruttoliste med flere tusinde bygninger. Dette giver dermed ikke et billede
af, hvor mange garageanlæg der findes i Danmark.
Derudover kommer, at der kan være bygninger med garageanlæg, som tillige har anden anvendelse, og dermed ikke
nødvendigvis er registreret under en af disse koder i BBR.
Baseret på foranstående, kan der kun gives et groft estimat over antallet af garageanlæg i Danmark. Det estimeres
således, at der er omkring 300 garageanlæg i Danmark med et etageareal større end 600 m
2
.
En mere præcis opgørelse over antallet af garageanlæg i Danmark og deres kategorisering samt udførte brandsikrings-
tiltag kunne gøres via spørgeskemaundersøgelse til kommunerne eller ved feltstudie.
Ved en evt. videre analyse af garageanlæg i Danmark vil de årstal og etagearealer, der er nævnt i starten af dette afsnit,
være relevante at inddrage. Dels i forhold til, hvornår der er sket ændringer i bygningsreglementet og dels i forhold til,
hvornår der er krav til sprinkleranlæg eller brandventilation i garageanlæg.
Side
23
af
68
BOU, Alm.del - 2022-23 (2. samling) - Bilag 76: Henvendelse af 6/9-23 fra Bjarne Engelbrecht Larsen vedr. anmodning om at ministeren tilbagetrækker bek. 181 sikkerhed f.s.v.a. Pyrotekniske batterier
For garageanlæg opført før bygningsreglementet 1972 var der ikke detailkrav i reglementet eller brandlovgivningen. Der
var dog lovhjemmel i de første bygningsreglementer fra 1961 og 1966 til, at bygningsmyndigheden kunne stille krav til
garageanlæg. Der har også i den ældre brandlovgivning været fokus på brandsikring i forbindelse med parkering af kø-
retøjer i bygninger generelt. Garageanlæg opført frem til bygningsreglementet 1972 vil således være brandsikret i et
eller andet omfang.
Garageanlæg opført efter bygningsreglement 1972 og efterfølgende reglementer frem til 2004, hvor de funktionsbase-
rede brandkrav indførtes med tillæg 8 til BR 1995, har skullet opfylde krav til sprinkleranlæg eller brandventilation i visse
tilfælde allerede fra et etageareal på 600 m
2
. Denne gruppe af garageanlæg har i udgangspunktet således et relativt højt
brandsikringsniveau. Effekten af brandventilation er dog usikker, hvorved den gruppe af garageanlæg kan være proble-
matiske.
Garageanlæg opført fra 2004, hvor de funktionsbaserede brandkrav indførtes med tillæg 8 til BR 1995, og frem til nu
har højere grænser i forhold til etagearealer mht., hvornår der er krav om brandtekniske installationer. Denne gruppe
er således interessant idet, der forventes at være en del garageanlæg, hvor der ikke er brandtekniske installationer i
form af sprinkleranlæg eller brandventilation. Sikkerheden for denne gruppe af garageanlæg beror på den brandmæs-
sige opdeling og de begrænsninger, der er med hensyn til etagearealer for at undgå brandtekniske installationer. Den
brandmæssige opdeling begrænser, hvor store områder, der kan blive berørt af en brand.
Det er generelt, uanset opførelsesår, de garageanlæg der ikke er udført med sprinkleranlæg eller brandventilation, som
kræver særlig bevågenhed. For denne gruppe af garageanlæg vil begrænsningen af brandudviklingen og -udbredelsen i
høj grad afhænge af redningsberedskabets indsats. Dermed også af en hurtigere og mere offensiv indsats fra rednings-
beredskabet.
Den øgede brandbelastning for nyere biler uanset typen medfører større risiko for hurtigere brandudvikling og brand-
spredning, samt øgede temperaturer (ophobning af varme) i forbindelse med brand i garageanlæg. Derfor er garagean-
læg uden sprinkleranlæg og brandventilation særlige problematiske, da der her ikke er brandsikringstiltag, som begræn-
ser risikoen for brandudbredelse eller medvirker til begrænsning af temperaturstigning i garageanlæg. Øgede tempera-
turer kan påvirke bærende konstruktioner kritisk i forhold til dimensioneringskriterierne med svigt til følge før end for-
udsat. Dvs. garageanlæg med etagearealer uanset størrelse, uden de nævnte brandsikringstiltag anses som særligt pro-
blematiske. Effekten af brandventilation er som nævnt dog usikker.
I den sammenhæng har garageanlæg opført efter indførslen af funktionsbaserede brandkrav i 2004 i bygningsreglement
1995 og fremefter de højeste grænser med hensyn til etagearealer for, hvilke brandsikringstiltag garageanlæggene er
udført med. Garageanlæg opført i denne periode kan derfor være særlige interessante i forhold til disse grænser. Der
er tillige nyere garageanlæg, hvor dimensioneringen af det enkelte garageanlæg, fx mht. til bærende konstruktioner er
baseret på brandteknisk dimensionering baseret på forudsætninger omkring brandbelastning og brandudvikling/-spred-
ning i garageanlæg. De anvendte dimensioneringsforudsætninger kan potentielt være på den usikre som følge af den
øgede brandbelastning mv.
I forhold til bygningsreglementets bestemmelser med tilhørende vejledninger er et etageareal på 600 m
2
en grænse,
der anvendes i forskellige sammenhænge, bl.a. med hensyn til differentiering af kravene til indretning og brandsikring
ud fra forskellige risikobetragtninger, bl.a. en bygnings anvendelse og kompleksitet. Generelt øges kravene omkring
etablering af forskellige brandsikringstiltag når etagearealet øges. Med et større etageareal vil større områder af en
bygning naturligt kunne blive berørt af en brand, hvilket kan påvirke muligheden for evakuering og redning af personer,
samt redningsberedskabets indsatsmuligheder i forbindelse med at bistå med dette og samtidig med at begrænse væ-
sentlig brandspredning mellem brandmæssige enheder. Redningsberedskabets muligheder for en hurtig og effektiv ind-
sats vil være relativt enklere jo mindre et etageareal branden omfatter. Opdelingen skal således også ses i sammenhæng
med redningsberedskabets muligheder for at foretage en succesfuld indsats. En fuldt udviklet brand i sammenhæng
med garageanlæg på 600 m
2
vil være udfordrende for redningsberedskabet.
Det særligt de garageanlæg under terræn, sekundært i eller over terræn, og som er integreret med overliggende byg-
ning, der kan være problematiske. Ved denne type af garageanlæg kan en brand potentielt påvirke overliggende etager.
Garageanlægget og overliggende etager vil være brandmæssigt adskilt. Den øgede brandbelastning i garageanlæg, som
beskrevet i foranstående, kan som nævnt medføre svigt af både bærende konstruktioner og brandmæssige adskillelser
tidligere i brandforløbet end forudsat ved dimensioneringen. Dette giver kortere tid til evakuering og redning af perso-
ner i den resterende del af bygningen samt til redningsberedskabets indsats samtidig med, at brand i garageanlæg uden
Side
24
af
68
BOU, Alm.del - 2022-23 (2. samling) - Bilag 76: Henvendelse af 6/9-23 fra Bjarne Engelbrecht Larsen vedr. anmodning om at ministeren tilbagetrækker bek. 181 sikkerhed f.s.v.a. Pyrotekniske batterier
sprinkleranlæg først vil skulle opdages af personer, som derefter alarmerer redningsberedskabet. Branden kan således
udvikle sig i et tidsrum inden den overhovedet bliver registreret, specielt om natten, hvor der vil være relativt færre
personer, der færdes omkring et garageanlæg til at opdage en brand samtidig med at der kan være flere biler parkeret.
Dette vil være særligt kritisk, hvor den overliggende del af bygningen til dels anvendes til natophold (personer der sover).
Garageanlæg i eller over terræn, som er en integreret del af bygningen, som er adskilt/sammenbygget med lodrette
adskillelser (vægge) anses for mindre problematiske. I sådanne tilfælde vil der selvfølgelig ikke være den samme risiko
for lodret brandpåvirkning, ligesom der heller ikke vil være flugtveje og redningsmuligheder over garageanlægget, der
kan blive påvirket af brand.
Fritliggende garageanlæg ses ikke som værende problematiske i forhold til personsikkerhed på baggrund af evakue-
ringsmulighederne fra garageanlæg, samt at der ved en brand ikke er risiko for påvirkning af evakueringsmulighederne
i en anden af del af bygningen. Den øgede brandbelastning i garageanlæg kan naturligvis medføre svigt af bærende
konstruktioner, som for de øvrige garageanlæg, men det anses ikke at kunne få indflydelse på evakuering af garagean-
lægget og personsikkerhed.
Efterfølgende garageanlæg anses således for at være problematiske i forhold til, om de har et tilstrækkeligt sikkerheds-
niveau. Det omfatter garageanlæg:
Der er større end 600 m
2
og er udført uden sprinkleranlæg eller brandventilation, dvs. særligt anlæg opført
efter 2004 og fremefter.
Under terræn eller over terræn uanset etageareal, der er en integreret del af en overliggende bygning, herun-
der særligt hvor den overliggende del af bygningen anvendes til natophold (personer der sover).
For denne gruppe af garageanlæg bør der ses nærmere på risikoen ved brand i eksisterende garageanlæg. Det er, som
beskrevet andre steder i rapporten, den øgede brandbelastning for bilflåden generelt, der er problematisk, og som gør,
at der skal ses nærmere på brandsikkerheden i disse garageanlæg. Der anbefales i den forbindelse også, at sikkerheden
for garageanlæg, der er baseret på en brandteknisk dimensionering skal undersøges nærmere.
På baggrund af ovenstående problemstilling anbefales en fremtidig grænse på 150 m
2
for, hvornår der skal etableres
sprinkleranlæg i garageanlæg.
Det anbefales at den maksimale brandbelastning fastsættes til 100 GJ for garageanlæg på højst 150 m
2
.
Den maksimale brandbelastning er fastlagt ud fra en brandbelastning på 660 MJ/m
2
af gulvarealet for garageanlægget,
som angivet i anbefalinger for dimensionering af garageanlæg i afsnit 6.3.2. Det svarer til 6–7 biler ud fra energibidraget
fra et enkelt køretøj angivet i samme afsnit.
Et sprinkleranlæg skal som minimum dimensioneres for at kunne kontrollere brand i køretøjer i garageanlæg. Herunder
skal sprinkleranlæg kunne køle alle sider af et køretøj, der vender mod andre siderne af andre køretøjer.
Efterfølgende afsnit 5.1-5.4 giver eksempler på garageanlæg over og under terræn, der er en integreret del af en byg-
ning, fritliggende garageanlæg samt automatiserede garageanlæg. I forhold til bygningsreglementets formål og hen-
syn omkring personsikkerhed vil der i fuldautomatiserede garageanlæg ikke være personophold i lagerdelen for køre-
tøjer. Indretning af fuldautomatiserede garageanlæg vil kræve individuelle analyser af indretningen og nødvendige
brandsikringstiltag, ofte i form af forskellige brandtekniske installationer, først og fremmest sprinkleranlæg. Automati-
serede garageanlæg behandles i øvrigt ikke videre i rapporten.
5.1
Eksempler på garageanlæg over terræn, integreret del af bygning
Axel Doms P-hus Fredericia
Købmagergade 60, 7000 Fredericia
Bygget i 2010
5.978 m
2
200 pladser
6 etager
Side
25
af
68
BOU, Alm.del - 2022-23 (2. samling) - Bilag 76: Henvendelse af 6/9-23 fra Bjarne Engelbrecht Larsen vedr. anmodning om at ministeren tilbagetrækker bek. 181 sikkerhed f.s.v.a. Pyrotekniske batterier
2747580_0026.png
https://bbr.dk/se-bbr-oplysninger/0/1/0/607%7C194733%7C
P-hus ved Salling i Århus (1968)
Østergade 27, 3 tv. 8000 Aarhus C
Bygget i 1968
6.742 m
2
Ca. 700 pladser
Flere etager
https://bbr.dk/se-bbr-oplysninger/0/1/0/0751%7C558627%7C
5.2
Eksempler på garageanlæg under terræn, integreret del af byg-
ning
Aarhus Ø:
Mariane Thomsens Gade 21, 8000 Aarhus C
Bygget i 2014
3.642m
2
94 pladser
1 etage
Side
26
af
68
BOU, Alm.del - 2022-23 (2. samling) - Bilag 76: Henvendelse af 6/9-23 fra Bjarne Engelbrecht Larsen vedr. anmodning om at ministeren tilbagetrækker bek. 181 sikkerhed f.s.v.a. Pyrotekniske batterier
2747580_0027.png
https://bbr.dk/se-bbr-oplysninger/0/1/0/751%7C983758%7C
P-kælder under prismet Århus
Silkeborg vej 2, 8000 Aarhus C
Bygget i år 2002
2.144 m
2
58 pladser
Muligvis 1 etage
https://bbr.dk/se-bbr-oplysninger/0/1/0/751%7C778171%7C
5.3
Eksempler på fritliggende garageanlæg
Lego Campus P-hus:
Højmarksvej 11, 7190 Billund
Bygget i år 2019
28.812 m
2
Ca. 2.160 pladser
5 etager
Side
27
af
68
BOU, Alm.del - 2022-23 (2. samling) - Bilag 76: Henvendelse af 6/9-23 fra Bjarne Engelbrecht Larsen vedr. anmodning om at ministeren tilbagetrækker bek. 181 sikkerhed f.s.v.a. Pyrotekniske batterier
2747580_0028.png
https://bbr.dk/se-bbr-oplysninger/0/1/0/0530%7C000613%7C
Fischersgade, Randers
Fischersgade 26, 8900 Randers
Bygget i år 1990
13.770 m
2
485 pladser
5 etager
https://bbr.dk/se-bbr-oplysninger/0/1/0/0730%7C029447%7C
5.4
Eksempler på automatiseret garageanlæg
DOKK 1:
Hack Kampmanns Plads 2, 8000 Aarhus C
Bygget i 2015
1.000 pladser
Side
28
af
68
BOU, Alm.del - 2022-23 (2. samling) - Bilag 76: Henvendelse af 6/9-23 fra Bjarne Engelbrecht Larsen vedr. anmodning om at ministeren tilbagetrækker bek. 181 sikkerhed f.s.v.a. Pyrotekniske batterier
2747580_0029.png
https://bbr.dk/se-bbr-oplysninger/0/1/0/0751%7C986893%7C
Side
29
af
68
BOU, Alm.del - 2022-23 (2. samling) - Bilag 76: Henvendelse af 6/9-23 fra Bjarne Engelbrecht Larsen vedr. anmodning om at ministeren tilbagetrækker bek. 181 sikkerhed f.s.v.a. Pyrotekniske batterier
6
6.1
6.1.1
Brandsikkerhed i og ved garageanlæg
Generelt
Sandsynlighed for antændelse
Sandsynligheden og frekvensen for initiering af brand kan estimeres ved at analysere sandsynligheden for fejlhændelser,
der fører til antændelse. Det kan gøres relativt enkelt for simple og velkendte systemer. Elektriske køretøjer (EV) og
plug-in hybridkøretøjer (PHEV) derimod er meget komplekse systemer. Batteriintegration og sikkerhedsfunktioner i kø-
retøjerne kan variere mellem de forskellige modeller. Der er forskellige modeller på markedet for helt eller delvist elek-
triske køretøjer (hybrid, plug-in hybrid, udvidet rækkevidde, fuldt elektriske eller brændselscelle) [17]. På trods af be-
grænsningerne, som beskrevet senere i dette afsnit, kan et estimat af sandsynligheden for, at der opstår brand i
EV/PHEV findes ved at se på den overordnede statistik for generelle grupper af køretøjstyper.
Sandsynligheden for EV/PHEV-brand er relateret både til sandsynligheden for EV/PHEV-brand generelt og antallet af
EV/PHEV forventet på et givet sted (fx i garageanlæg). I EU er markedsandelen af nyregistreringer af EV/PHEV-person-
biler steget fra 3,0 % i 2019 til 10,5 % i 2020. Det samlede antal EV/PHEV-personbiler i Europa er steget fra 0,46 % i 2019
til 0,87 % i 2020 for den samlede gruppe af personbiler [18].
I Danmark er markedsandelen af nyregistreringer af EV/PHEV-personbiler steget fra 4,2 % i 2019 til 16,6 % i 2020. An-
delen af EV/PHEV-personbiler er steget fra 0,93 % i 2019 til 2,10 % i 2020 [18]. I 2021 er andelen steget yderligere ifølge
statistik fra de Danske Bilimportører til 37 % for EV/PHEV-personbiler. Danmark har desuden besluttet at stoppe salget
af nye biler med forbrændingsmotor (ICEV) inden 2030, og lignende tendenser forventes i andre EU-lande [19]. Baseret
på disse tendenser, forventes antallet af EV/PHEV-personbiler i garageanlæg at stige markant i løbet af det næste årti.
I Danmark i 2020 var frekvensen for brande, der involverer EV/PHEV sammenlignet med andre køretøjer, 2,7 mod 4,0
pr. 10.000 køretøjer, hvilket indikerer ca. 1,5 gange lavere sandsynlighed for antændelse [20]. Data fra norske forsik-
ringsselskaber viser, at antallet af EV involveret i brand udgør omkring 2,3 % til 4,8 % i forhold til det samlede antal
køretøjer involveret i brand [17]. I betragtning af, at andelen af EV/PHEV i 2016 var 7,1 %, kan det umiddelbart konklu-
deres, at sandsynligheden for brand i EV/PHEV er 1,5 til 3,2 gange lavere sammenlignet med køretøjer med forbræn-
dingsmotor [21]. Baseret på forskellige statistikker har Bisschop mfl. [17] konkluderet, at trods mediebevågenheden ved
brande i elektriske køretøjer, så er sandsynligheden for brand i fx en Tesla ca. 20 gange mindre end sandsynligheden for
bilbrande generelt. Desuden opstår en betydelig andel af disse brande på grund af sammenstød ved ulykker [17], og de
er derfor ikke nødvendigvis repræsentative for garageanlæg.
Ud fra 11 EV brandrelaterede hændelser i Finland mellem 2015 og 2019 er tre hændelser blevet rapporteret til at være
opstået under opladning [22]. Baseret på litteratur- og statistikoversigt konkluderede Brandt og Glansberg, at opladning
af EV/PHEV i garageanlæg ikke øger risikoen for brand signifikant [23].
Ifølge en statistik har Londons brandvæsen håndteret brande i 54 EV/PHEV sammenlignet med 1.898 brande i benzin-
og dieselbiler (ICEV) [24]. Det er dog svært at estimere sandsynligheden for brand i EV/PHEV sammenlignet med ICEV-
bilerne på grund af det ukendte antal af hver biltype i London. Det bemærkes desuden, at der i England har været
mulighed for ombygning af køretøjer til EV uden godkendelseskrav og dermed potentiel lavere sikkerhed end fabriks-
byggede køretøjer. Der har erfaringsmæssigt været registreret brande i ombyggede køretøjer.
Forsikringseksperter fra autoinsuranceEZ.com har analyseret data fra USA fra National Transportation Safety Board,
Bureau of Transportation Statistics og tilbagekaldelsesdata fra myndighederne [25]. De konkluderede, at der var 25,1
brande i elbiler (EV) pr. 100.000 solgte EV sammenlignet med 1.529,9 tilfælde for benzindrevne køretøjer. Hybridbilerne
har den dårligste statistik med 3.474,5 brande per 100.000 solgte biler hybridbiler. Det anføres også, at for både hybrid-
biler og EV havde det hovedsageligt været batteriproblemer, der havde ført til brand [25], [26]. Det bemærkes, at stati-
stikken fra autoinsuranceEZ.com viser en dobbelt så stor hyppighed for brand i hybridbiler sammenlignet med ICEV. Der
angives ikke nogen nærmere baggrund eller årsag for dette. Det er uklart, hvordan fordelingen er mellem hybrid og
PHEV. Denne statistik giver således et andet billede end statistikker fra Danmark og Norge. Statistikken fra autoinsuran-
ceEZ.com sammenholdes som nævnt med tilbagekaldelsesdata fra myndighederne. Da EV og hybrid endnu udgør en
relativ lille andel af den samlede bilflåde i USA, kan enkelte, problematiske bilmodeller, der har givet anledning til
brande, have stor indflydelse på den samlede statistik. Desuden kan der være tale om ombyggede modeller. Det kan
dette udsving for hybrid være et udtryk for. Det kan dermed også være bilmodeller, der ikke i samme grad er blevet
Side
30
af
68
BOU, Alm.del - 2022-23 (2. samling) - Bilag 76: Henvendelse af 6/9-23 fra Bjarne Engelbrecht Larsen vedr. anmodning om at ministeren tilbagetrækker bek. 181 sikkerhed f.s.v.a. Pyrotekniske batterier
solgt på fx det norske eller danske marked, hvorfor statistikken ikke nødvendigvis er sammenlignelig eller repræsentativ
med danske forhold.
Der er betydelige begrænsninger, når man ser på brandstatistikker for EV/PHEV og sammenlignet med traditionelle
køretøjer (ICEV). Først og fremmest er EV/PHEV en ret ny teknologi, og størstedelen af EV/PHEV er relativt nye sam-
menlignet med ICE-biler. Dette indikeres af den stigende markedsandel, men alligevel lave samlede antal EV/PHEV [18].
I USA er 77 % af de mekaniske eller elektriske fejl i biler (alle brændstoftyper inkluderet afhængigt af om modellerne er
tilgængelige på det tidspunkt) blevet registreret for bilmodeller fra 2007 og tidligere [27]. Derfor kan den mindre risiko
for antændelse for EV/PHEV være relateret til køretøjets alder, snarere end med brændstoftypen. For det andet er
antallet af EV/PHEV'er relativt lille sammenlignet med ICEV-køretøjer, hvorfor statistikken ikke nødvendigvis er repræ-
sentativ og sammenlignelig [18].
Umiddelbart forventes elbiler ikke at have de samme risici for brand pga. af aldring, som biler med forbrændingsmotor.
Biler med forbrændingsmotor har brændstofforsyning, ledninger og varme komponenter, der med alderen giver øget
risiko for uheld pga. fejl og slid. Elbiler har ikke tilsvarende dele. Der er i elbiler indbygget sikkerhed (BMS) i forhold til
overvågning af batteripakken. Batteripakken vil oftest kunne holde i bilens levetid eller blive udskiftet når kapaciteten
kommer under 70 % af den oprindelige kapacitet. På denne baggrund antages sandsynligheden for brand at være rela-
tivt mindre for elbiler ved aldring.
6.1.2
Brandbelastning
Litium-ion batteriet i EV eller PHEV bidrager til brand på samme måde som ethvert konventionelt brændstof gør. Design
af litium-ion batterier i køretøjer er drevet af målsætninger om lavere pris, lavere vægt, højere energikapacitet, således
udvikler og ændrer batterier sig konstant [3]. Batterier i EV eller PHEV indeholder flere mindre batterier, kaldet batteri-
celler, beskyttet af en ekstern kapsling mod det eksterne miljø og ekstern påvirkning. Disse celler er forbundet til hin-
anden i moduler enten parallelt eller i serie. Én batteripakke kan indeholde flere moduler [28].
Sun mfl. analyserede og sammenlignede brandbelastningen af et konventionelt køretøj (ICE) med en EV ved alene at se
på energibidraget fra en batteripakke og de brændbare materialer indeholdt heri [3]. For at lave en bedre sammenlig-
ning blev der lavet beregninger for den energi der skal til for, at EV og ICEV opnår samme rækkevidde (90 kWh batteri-
pakke svarer groft til 30 liter benzin). Beregningerne viser, at batteripakken frigiver 2,3 GJ, hvilket er mere end 2 gange
den energi 30 liter benzin frigiver (estimeret til 1 GJ). En typisk ICEV har typisk en tankstørrelse på 45-65 liter benzin,
der forbruges under kørslen. På den anden side varierer den frigivne energi fra litium-ion batterier ikke væsentligt af-
hængigt af SoC i området på 100 % til 20 %.
Moderne køretøjer indeholder store mængder plastik, 2 - 4 gange mere end vægten af selve brændstoffet [3], hvilket
bidrager mest til den samlede energiafgivelse ved brand. Den eneste forskel mellem EV og ICEV med hensyn til brand-
belastning er, at EV indeholder udelukkende batterier i stedet for brændstof. Brændværdien for et EV-batteri udgør 2-
4 MJ/kg, hvilket er mere end en faktor 10 lavere sammenlignet med brændværdien for fx benzin på 42-43 MJ/kg. For at
EV kan opnå samme rækkevidde (kilometer) som ICEV er batteriet dog større og tungere, hvilket betyder, at vægten af
batteripakken i EV ca. er en faktor 10 større sammenlignet med vægten af brændstof i ICEV. Vægten af batteripakken
ændrer sig ikke med ændringer i ladetilstanden (SoC) [3].
Watanabe mfl. har udført en serie af brandtests for både ICEV og to typer af EV [29], [30]. Brandtestene er udført på en
2011 Nissan Leaf (EV), en 2003 Honda Fit (EV) begge hatchbacks-typer og Toyota sedan-type personbil fremstillet i de
tidlige 1990’er.
Alle ICEV havde 10 liter benzin i brændstoftanken. Selvom de to EV’er, Nissan Leaf og Honda Fit, var
sammenlignelige i størrelse,
vejede Nissan Leaf’en 245 kg mere end Honda Fit’en.
Nissan Leaf’en vejede 1.520 kg, hvilket
var 160 kg mere den anvendte Toyota af sedan-typen. Resultaterne af brandtestene
at Nissan Leaf’en
havde en væsent-
lig højere maksimal brandeffekt på 6 MW sammenlignet med
en maksimal brandeffekt på 2 MW for Honda Fit’en og
3-
4 MW fra Toyota’en af sedan-typen.
I de samme studier blev den totale energi, der blev frigivet fra hvert køretøj analyseret. Den totale energi der blev
frigivet, var henholdsvis 6,4 GK (Nissan Leaf), 5,0 GJ (Toyota sedan) og 4,3 GJ (Honda Fit). I andre tilsvarende studier [31]
med et køretøj (ICEV) med 10 liter benzin i brændstoftanken med en vægt på 1.440 kg, som er 80 kg mindre end for
Nissan Leaf, blev den totale energi målt til 5,3 GJ.
Den termokemiske energi frigives fra et batteri under en brand, og i tilfælde, hvor TRA opstår, kan batteriet frigive 5-10
gange mere energi, end hvad der er lagret indeni, afhængig af SOC. Sun mfl. har estimeret, at for EV og ICEV med samme
Side
31
af
68
BOU, Alm.del - 2022-23 (2. samling) - Bilag 76: Henvendelse af 6/9-23 fra Bjarne Engelbrecht Larsen vedr. anmodning om at ministeren tilbagetrækker bek. 181 sikkerhed f.s.v.a. Pyrotekniske batterier
rækkevidde kan brændstofbelastningen (samlet energibidrag) fra EV være omkring to gange højere sammenlignet med
ICEV. Brændstofbelastningen fra batteripakken (i Joule) sammenholdes med energiindholdet af brændstoftanken på en
ICEV. Ikke desto mindre er det værd at bemærke, at tankene med brændstof i konventionelle køretøjer ofte giver meget
større rækkevidde. Den samlede brandeffekt for de forskellige køretøjstyper som helhed bør derfor inddrages for at
drage konklusioner om konsekvenserne ved brand og ikke alene gøre det ud fra brændstofbelastningen af henholdsvis
batteripakke (EV) og brændstoftank (ICEV), jf. efterfølgende afsnit. Det er også den samlede brandeffekt af køretøjer,
der er relevant at tage højde for ved dimensionering af garageanlæg.
6.1.3
Brandeffekt
For at få oplysninger om brandeffekten (HRR) kræves fuldskala brandtest udført. Antallet af fuldskala brandtest udført
på EV er begrænset på grund af de høje omkostninger ved sådanne tests. Samtidig frigives nye EV på markedet, hvilket
øger usikkerheden i de nuværende tilgængelige HRR-data. Talrige tests på EV er blevet udført og rapporteret i litteratu-
ren [32], [33], [34], [35]. En undersøgelse sammenlignede brandudviklingen for ellers identiske EV og ICEV [36].
Brandeffekten er en af de parametre, der styrer konsekvenserne af branden; temperaturer, brandspredning og røgud-
vikling og dermed udvikling af røglagshøjde. Brandeffekten (HRR) er defineret ved, hvor meget energi pr. tidsenhed
[kW] et objekt frigiver ved forbrænding [37]. Batterier i EV har forskellige typer kapslinger (prismatiske, poseformede
eller cylindriske), og batteripositionerne er forskellige fra køretøj til køretøj. Alle disse variable kan påvirke brandeffek-
ten. For eksempel har en brandtest udført af RISE [38] vist, at et posebatteri sandsynligvis vil blive næsten fuldstændigt
involveret i brand, hvilket resulterer i en højere HRR, hvorimod prismatiske celler har en bedre beskyttelse og derfor
tager længere tid at antænde eller længere tid til der sker spredning mellem cellerne. Andre faktorer, der påvirker HRR,
er elektrolytkemi og SOC [36]. Afhængigt af elektrolytten vil antændelsestemperaturen variere, hvilket betyder tidligere
eller senere indtræden af TRA. Undersøgelser har vist, at jo højere SOC, jo mere energi vil der blive frigivet [36].
ICEV'er er løbende blevet udviklet på inden for mange områder inklusive sikkerhed, siden de blev mere udbredt i be-
gyndelsen af det 20. århundrede [39]. Denne udvikling omfatter udskiftning af metaldele med lettere, plastbasererede
polymermaterialer. De plastbasererede materialer bidrager til brandbelastningen i forhold til metaller, hvilket resulterer
i større energipotentiale i nyere køretøjer. Derfor kan en ældre ICEV ikke nødvendigvis sammenlignes med en nyere
ICEV med hensyn til de brandmæssige egenskaber. Udviklingen af plastindholdet i køretøjer er blevet gennemgået af
NFPA for nylig, og deres resultater viser en stigning i plastindholdet efter vægt fra 6 % til over 8 % i de sidste to årtier
[40].
Der er blevet foretaget en omfattende gennemgang af personbiler fra 1970'erne til 1990'erne i forhold til HRR og den
samlede energi frigivet af Tohir M.Z.M. og Spearpoint M. i 2013 [41]. Forfatterne har indsamlet eksperimentelle data
fra en lang række undersøgelser med forskellige typer af køretøjer lige fra mindre personbiler som Rover-Austion Metro
LS, mellemstore biler som Peugeot 406 til større biler som Chevrolet Camaro. Undersøgelsen omfatter også data fra
SUV'er. Uden at gå i detaljer med resultaterne fra alle køretøjer, som kan findes i rapporten, blev de højeste værdier for
samlet energi frigivet i gennemsnit registreret for køretøjer fra 1980'erne (5,7 GJ), mens det laveste gennemsnit var fra
1970'erne (3,4 GJ). Køretøjerne fra 1990'erne, som måske stadig findes i vist omfang, viser en gennemsnitlig energiaf-
givelse på 4,2 GJ.
Der er blevet udført fuldskalatests for køretøjer fra det sidste årti, herunder både
EV’er
og ICEV’er for at analysere deres
reaktion på ekstern brand. Det er beskrevet i en nyere undersøgelse af Lam mfl. [33]. Fremstillingsåret for ICEV'erne var
2013 og 2015. Begge køretøjer havde fuld brændstoftank med benzin forud for testene. Energiafgivelseshastigheder
(HRR) blev registreret gennem testen, og den maksimale HRR for ICEV fra 2013 blev registreret til 12 MW, mens den
nyere ICEV fra 2015 kun nåede 10 MW under forsøget. Disse maksimalværdier er betydeligt større end værdierne op-
nået for køretøjer i 1990'erne. Selvom det ikke er nævnt i undersøgelsen, kan det skyldes det øgede plastindhold i
moderne køretøjer, som nævnt tidligere.
En anden gennemgang af udviklingen af HRR for køretøjer fra forskellige årtier fra 1970'erne til 2010'erne er blevet
præsenteret i en rapport fra NFPA [42] bl.a. med ovenstående data og med inddragelse af de nyere data offentliggjort
af Lam mfl. [33]. HRR'erne fra de nyere køretøjer viser en betydelig større brandvæksthastighed, hvor en maksimal
værdi af HRR på 9 MW nås inden for 8 minutter efter branden initieres. De forskellige antændelseskilder, der blev brugt
i disse tests, kan dog have haft en indflydelse på den indledende brandvækst, hvilket også understreges i rapporten fra
NFPA.
Side
32
af
68
BOU, Alm.del - 2022-23 (2. samling) - Bilag 76: Henvendelse af 6/9-23 fra Bjarne Engelbrecht Larsen vedr. anmodning om at ministeren tilbagetrækker bek. 181 sikkerhed f.s.v.a. Pyrotekniske batterier
2747580_0033.png
En vigtig erfaring blev gjort af RISE, når man sammenlignede EV med konventionelle køretøjer. RISE har udført sammen-
lignelige fuldskala brandtests mellem to identiske køretøjer med forskellige brændstoffer (drivmidler); EV og ICEV.
Denne undersøgelse omfattede også et tredje køretøj, en EV-familiebil [36]. Konklusionen var, at der ikke er nogen stor
forskel mellem den maksimale HRR eller endda den samlede energi, der frigives for de forskellige køretøjer. Ikke desto
mindre viste disse tests, at indholdet af HF og nogle metaller (Ni, Co, Li, Mn) frigivet i røgen fra EV er højere sammenlig-
net med konventionelle køretøjsbrande. Det vigtigste var, at det ikke er køretøjstypen, der betyder noget (EV eller ICEV),
men derimod, hvordan branden starter (idet batteripakken typisk ikke er involveret i den indledende fase af en brand.
Når batteripakken involveres, ses en yderligere maksimal top af HRR. Denne har størst indflydelse på brandspredningen
[36].
Lam mfl. [33] udførte flere fuldskalatests på forskellige EV, PHEV og som reference på ICEV. Resultaterne viste, at tilste-
deværelsen af et batteri i et køretøj generelt ikke udgjorde en større fare set ud fra den maksimale HRR sammenlignet
med et konventionelt køretøj. Denne konklusion er baseret på det faktum, at brand i ICEV viser en tendens til højere
maksimal HRR tidligere eller ved lignende tidspunkter sammenlignet med EV'er. Denne maksimale HRR er relateret til
forbrænding af brændstoftankens indhold i ICEV'er. To HRR-toppe blev observeret i
EV’er,
først på grund af afbrænding
af de ikke-batterirelaterede komponenter. En yderligere topværdi af HRR blev noteret i en EV-test, idet batteripakken
blev involveret i branden. SoC blev bemærket at påvirke begyndelsen af den anden topværdi af HRR. For PHEV var den
anden topværdi mindre sammenlignet med EV, formentlig grundet det mindre antal celler og energiindhold i PHEV i
forhold til brandeffekt, maksimal HRR og den totale frigivne energi.
Den maksimale HRR identificeret i en oversigt over tests af elektriske køretøjer er 6,1 ±1,7 MW [36]. Ikke desto mindre
har få andre tests vist, at en højere HRR (større end 7 MW) kan forventes [42], især i lukkede brandrum. Dette kan have
vigtig betydning på grund af den lave højde til loftet i garageanlæg. Interessant nok viser flere undersøgelser ingen
eksplosiv opførsel af batteripakken under brandtest [3]. Der er også den mulighed, at sandsynligheden for at et sådant
fænomen opstår, er blevet gjort større i medierne, end det reelt er [43], [44]. Wang mfl. [45] har offentliggjort et gene-
relt estimat over sandsynligheden for, at et litium-ion batterier skulle eksplodere. Det er fra én ud af en 1 million til én
ud af 10 millioner batterier. Det bemærkes, at dette estimat i praksis formentligt er noget lavere ud fra det antal batte-
riceller, der allerede findes i køretøjer og ud fra det faktiske antal hændelser. Der er tillige forskel på, om der er tale om
en enkelt celle eller batteripakke mht. om fænomenet skulle kunne forekomme. Sun mfl. [3] konkluderede, at en EV
med batterikapacitet på 20-40 kWh og PHEV med batterikapacitet på 1-2 kWh vil udgøre en risiko i forhold til brand-
spredning, der kan sammenlignes med et konventionelt køretøj.
Resultaterne fra testene nævnt i dette afsnit vedrørende både EV'er og ICEV'er er blevet præsenteret i en undersøgelse
udført af RISE i 2020 [36] med fokus på toksiciteten af emissioner fra EV-brande. Efterfølgende figur viser den maksimale
HRR, den samlede frigivne varme og den effektive forbrændingsvarme fra EV'er og ICEV'er.
Figur 11A: Total energiafgivelse (første figur), effektiv brændværdi (anden figur) og maksimal HRR'er (tredje figur) af
forskellige typer køretøjer [36] (fortsættes næste side).
Side
33
af
68
BOU, Alm.del - 2022-23 (2. samling) - Bilag 76: Henvendelse af 6/9-23 fra Bjarne Engelbrecht Larsen vedr. anmodning om at ministeren tilbagetrækker bek. 181 sikkerhed f.s.v.a. Pyrotekniske batterier
2747580_0034.png
Figur 11B: Total energiafgivelse (første figur), effektiv brændværdi (anden figur) og maksimal HRR'er (tredje figur) af
forskellige typer køretøjer [36] (fortsat fra forrige side).
6.1.4
Brandspredning
Undersøgelser, der sammenlignede konsekvenserne af brand i EV og ICEV, har vist, at den maksimale HRR og den sam-
lede afledte effektive forbrændingsenergi (integration af HRR-profilet) var tæt på at være ens for sammenlignelige kø-
retøjer [32], [36]. Desuden har RISE udgivet en rapport om brand i garageanlægget i Stavanger lufthavn [46], hvori det
fastslås, at EV ikke bidrog til udviklingen af brand ud over, hvad der er typisk for konventionelle køretøjer. Der er i
øjeblikket ingen fuldskalatests tilgængelige i litteraturen med fokus på brandspredning i forbindelse med EV [38]. Derfor
behandles elbiler i forhold til spørgsmålet om brandspredningen på samme måde som traditionelle køretøjer med for-
brændingsmotor gør. Ud fra et forsigtighedsprincip bør man ved risikovurdering af elbiler være forsigtig på grund af det
ukendte omfang af evt. farer forårsaget af EV-batterier, såsom eksplosionsrisiko, jetflamme og længere varighed af
brand. Det bemærkes dog, at eksplosioner i forbindelse med batteripakker i elbiler ikke virker særligt sandsynligt.
BRE (Building Research Establishment) i England har gennemført et treårigt projekt med titlen Fire Spread in Car Parks
[47]. Som en del af projektet blev der udført en serie på 11 fuldskala brandtests, hvor der i alt blev afbrændt 16 biler.
Brandtestene blev udført i et halvlukket rum (dvs. med den ene side af rummet helt åben) og med en højde på 2,9 m.
Bilerne, der blev anvendt i testene i dette forskningsprogram, blev udelukkende udvalgt på baggrund af deres alder,
størrelse og tilgængelighed. Alle biler skulle enten være højst fem år gamle eller, hvis ældre, være af en nuværende
model. Den eksperimentelle undersøgelse omfattede følgende parametre: materialers reaktion ved brand, bilers brand-
udvikling og brandspredning mellem biler. Det blev observeret, at brandspredningstiderne varierer betydeligt, ved at
brandspredningstiderne mellem 1. og 2. bil blev registreret indenfor intervallet 5 - 21 minutter ved disse eksperimen-
telle forsøg [47].
Side
34
af
68
BOU, Alm.del - 2022-23 (2. samling) - Bilag 76: Henvendelse af 6/9-23 fra Bjarne Engelbrecht Larsen vedr. anmodning om at ministeren tilbagetrækker bek. 181 sikkerhed f.s.v.a. Pyrotekniske batterier
NFPA offentliggjorde en rapport i juli 2020 [48] med det formål at kvantificere brandfaren ved moderne køretøjer i
garageanlæg for at give vejledning til de relevante tekniske udvalg i USA. Rapporten forklarer, at der er sket en stigning
i brandfaren pga. ændringer i køretøjsdesign og øget brug af plast og andre brændbare materialer i køretøjer. Det øgede
plastindhold i moderne køretøjer viser sig som lettere antændelse, hurtigere brandspredning i køretøjet, og hurtigere
brandspredning til nabokøretøjer. Der er begrænsede testdata tilgængelige om denne spredning mellem flere køretøjer,
især på nyere biler. Tests af flere moderne køretøjer har vist meget hurtig brandspredning mellem første og andet kø-
retøj i et garageanlæg i størrelsesordenen 5-28 minutter. Baseret på resultaterne bør testdata fra ældre køretøjer (> 15-
20 år i skrivende stund) ikke bruges som grundlag for udvikling af standarder og retningslinjer.
Samlet set er det i litteraturen blevet observeret, at brandspredningstiderne varierer endnu mere, hvilket viser brand-
spredningstiderne mellem 1. og 2. bil varierer i intervallet 5 - 50
+
minutter ved disse eksperimentelle forsøg [49], [50].
Dette er blevet tilskrevet mange faktorer (afstand mellem bilerne, brandtilvæksthastighed for den første bil, garagean-
læggets/parkeringspladsens geometri, åbne vinduer i bilerne osv.). Vindens afgørende rolle er demonstreret i [51], [52],
[53]. Ved svage vindforhold varierede brandspredningstiden fra 16 minutter til 40 minutter. Med hensyn til stærke vind-
forhold blev tiden for brandspredning bestemt til at være 6 minutter.
Brandspredning kan påvirkes af flere faktorer, såsom: mængde og type af brændbart materiale, den fysiske udformning
af det brændbare materiale, indretningen af parkeringspladsen, herunder afstanden mellem de parkerede biler, vind
og garageanlæggets udformning, som fx rumhøjde, ventilation osv. Flere referencer viser høj variabilitet i den maksi-
male HRR'er for brand i et enkelt køretøj værende mellem 1,5 MW og op til 10,8 MW. Det kan nævnes, at maksimal
HRR er afhængig af flere faktorer, dvs. køretøjets alder, køretøjets vægt, køretøjets design, mængden af brændbart
materiale, atmosfæriske forhold (vind/ingen vind) osv. Ifølge [54] er den gennemsnitlige parkeringsafstand mellem biler
65 cm. Undersøgelsen er nået til denne afstand efter at have udført mere end 1.500 målinger af parkeringsafstande på
18 forskellige garageanlæg i 4 forskellige lande.
Den mest ekstreme brandspredning, som er observeret ved tidligere hændelser, opstod ved branden i Schiphol Lufthavn
i Amsterdam. Vidnesbyrd fra Schiphol branden [49] fortæller, at den spredte sig fra 1 til 10-15 biler i løbet af 8 minutter.
Erfaringer fra af Schiphol-branden var at:
Alle biler blev parkeret i en lille afstand fra hinanden, hvilket kan øge brandspredningen fra bil til bil (40 cm)
Alle biler var nye, og nye biler indeholder flere plastikdele end ældre biler.
Alle bilers brændstoftanke var helt fyldte, hvilket førte til en høj brandbelastning.
Brændstoftankene var lavet af plastik og begyndte at lække brændstof, hvilket skabte pølbrande, som også kan
forårsage spredning af brand, ved at løbe væk og ind under andre biler.
6.1.5
Udvikling af giftige røggasser i forbindelse med brand i køretøjer
Røggas fra enhver form for brændende køretøj er giftig og sundhedsfarlig, da den indeholder CO, HF, HCl, SO
2
og små
sodpartikler. I afsnit 4.5 er vist grafer for udvikling af HF. Nogle af de producerede gasser (H
2
, N
2
, CO
2
, methan, CO, HCN)
er farlige på grund af deres kvælende virkning. Dvs. disse gasser erstatter let ilten i luften eller forhindrer absorption af
O
2
i cellerne, hvilket forårsager bevidstløshed. Andre har en akut irriterende virkning, såsom HF, HCl, SO
2
, NO
2
. Nogle
undersøgelser peger på, at virkningen af de irriterende gasser er mere signifikant sammenlignet med den kvælende
effekt [55].
EV og PHEV bliver mere almindelige i garageanlæg, som beskrevet i afsnit 6.1.1, hvilket medfører en øget risiko forbun-
det med brændende litium-ion batterier. På grund af tilstedeværelsen af batterier indeholder røg fra EV mere HF og
nogle specifikke metaller, såsom Ni, Co, Li og Mn, sammenlignet med køretøjer med forbrændingsmotor (ICEV) [36].
Højere koncentration af HF kan øge sundhedsfaren for redningsberedskabets indsatsmandskab eller personer i nærhe-
den, da hydrogenfluorid-ioner kan absorberes gennem huden. I blodet forårsager HF forstyrrelser i niveauerne af cal-
cium, kalium og magnesium. Effekterne af indånding og absorption gennem huden kan være forsinket i 2-3 dage [36].
Lecocq mfl. har udført forsøg der viste, at udviklingen af hydrogenfluorid kan være 60 % højere i EV sammenlignet med
ICEV [14], hvilket udgør en alvorlig risiko for påvirkning i forhold til dens giftighed, især i lukkede garageanlæg. Det
bemærkes, at HF således også udvikles ved brand i ICEV og derved også vil udgøre en risiko ved brand i ICEV.
Når litium-ion batterier i en EV antændes og frigiver giftige forbindelser, er viden om hastigheden af dets frigivelse
afgørende for brandsikkerheden og sundhedsfare for personer. Frigivelsen af HF under en brand i EV-batteriet vil af-
hænge af batteritypen og batteriets ladetilstand (SoC). Højere grad af udvikling af HF er blev noteret i forbindelse med
Side
35
af
68
BOU, Alm.del - 2022-23 (2. samling) - Bilag 76: Henvendelse af 6/9-23 fra Bjarne Engelbrecht Larsen vedr. anmodning om at ministeren tilbagetrækker bek. 181 sikkerhed f.s.v.a. Pyrotekniske batterier
2747580_0036.png
poseceller sammenlignet med cylindriske batterier og batterier med lavere SoC [36]. Mængden af frigivet HF afhænger
også af batteriets indhold, dvs. dets elektrolyt og de igangsatte kemiske reaktioner. En række test viser stor spredning
mellem HF-emissionsraterne [14], [56]. Desuden har HF en kort halveringstid på 7 minutter og absorberes let af over-
flader [36]. Dette udgør en høj risiko for redningsberedskabets indsatsmandskab. Det bør bemærkes, at der også ses
farlige niveauer af HF fra brand i nye ICEV, så behovet for beskyttelsesudstyr er det samme uanset biltype.
6.1.6
Termisk runaway i forbindelse med køretøjer
Mekanismer bag termisk runaway er beskrevet nærmere i afsnit 4.3. Set fra et brandteknisk perspektiv giver de afledte
effekter af termisk runaway udfordringer for brandbekæmpelse og redningsberedskabets indsats på grund af emission
af giftige og brandfarlige gasser under processen og evt. eksplosioner med udslyngning af fragmenter [57], [58]. Risiko
for mindre eksplosioner fra de enkelte celler afhænger dog af type og mekanisk opbygning. Udslyngning af battericelle-
dele er sjældne for EV-brande, da battericellerne i en EV ofte er gemt bag flere lag mekanisk indkapsling. Efter tilsyne-
ladende slukning er der risiko for genantændelse med tilsvarende alvorlighed, og derfor samtidig behov for længereva-
rende køling [59]. Med udbredelsen af EV er der sandsynlighed for, at brande involverende EV også kan opstå i lukkede
garageanlæg, hvor potentialet for brandspredning er højere. Forholdene i garageanlæg gør EV-brande endnu mere ud-
fordrende mht. brandbekæmpelse og redningsberedskabets indsats. Som tidligere nævnt bemærkes det dog, som væ-
rende mindre sandsynligt, at der opstår brand i EV sammenlignet med ICEV.
6.1.7
Tendenser i andre lande
I løbet af projektperioden er der søgt at indhente tendenser fra andre lande i Europa om, hvorvidt der er ændringer på
vej i reguleringen vedrørende brandsikring af garageanlæg. Det bemærkes, at reguleringen i de enkelte lande ikke nød-
vendigvis er sammenlignelige med Danmark, da der kan ligge forskellige hensyn og strategier bag kravene samt traditi-
oner for brandsikring.
I Norge og Sverige samt Tyskland er der pt. Ikke ændringer på vej i forhold til brandsikringstiltag for garageanlæg. I
Belgien og Holland er der forslag fremme om at sænke grænsen i forhold til etagearealet for, hvornår brandtekniske
installationer i form af automatisk brandalarmanlæg eller sprinkleranlæg skal installeres. Dette kan være rimeligt i for-
hold til at brandeffekten synes øget for nye biler. Der er imidlertid ikke fundet dokumentation, der kan forklare bag-
grunden for, at der tilsyneladende i flere lande på nationalt eller regionalt niveau har været overvejelser fremme lige
fra forbud mod el- og hybridbiler i garageanlæg, samt overvejelser om retningslinjer for, hvor i garageanlæg ladestan-
dere kan placeres. Med en statistisk dokumentation for mindre brandhyppighed for EV sammenlignet med ICEV under
såvel kørsel som opladning synes sådanne overvejelser at bunde i medie-misinformation frem for evidens.
6.2
6.2.1
Evakuering og redning af personer
Bygningsreglementet
Kravene til og principperne for antal udgange fra garageanlæg til flugtveje har ikke ændret sig væsentligt gennem de
forskellige bygningsreglementer fra BR 1972 til BR 2018. Principperne beskrives herefter under et med udgangspunkt i
anvisningerne i Bilag 9 Præ-accepterede løsninger for garageanlæg i Bygningsreglementets vejledning til kapitel 5
Brand.
Kravene relaterer sig primært til arealet af brandcellen med garageanlæg efter følgende principper:
Fra små brandceller, der er højst 150 m
2
, vil det være tilstrækkeligt med én udgang, når brandcellen har red-
ningsåbninger.
Hvor en brandcelle er højst 600 m
2
, kan brandcellen udføres med to udgange, der vender mod samme flugt-
vejsgang, når brandcellen har redningsåbninger.
Udgangene skal være placeret i eller umiddelbart ved garageanlæggets modstående ender.
Når en brandcelle er større end 600 m
2
skal brandcellen have mindst to udgange, der fører til flugtveje, der
uafhængigt af hinanden fører til terræn i det fri. Ved uafhængige flugtveje forstås flugtveje, som er adskilte fra
hinanden
med mindst bygningsdel klasse EI 60 [bygningsdel-BD 60].
Udgangene skal være placeret i eller umiddelbart ved garageanlæggets modstående ender.
I brandceller i flere etager vil det, for at undgå at personer bliver fanget i brandcellen, være nødvendigt, at der
er udgange fra hver etage.
Hvor etagearealet af den enkelte etage er højst 150 m
2
, vil det være tilstrækkeligt med én udgang fra etagen.
Når etagearealet er større end 150 m
2
skal der være mindst to udgange fra etagen. Overstiger etagearealet af
Side
36
af
68
BOU, Alm.del - 2022-23 (2. samling) - Bilag 76: Henvendelse af 6/9-23 fra Bjarne Engelbrecht Larsen vedr. anmodning om at ministeren tilbagetrækker bek. 181 sikkerhed f.s.v.a. Pyrotekniske batterier
den enkelte etage 600 m
2
, skal der på etagen være mindst to udgange, der fører til flugtveje, der uafhængigt
af hinanden fører til terræn i det fri. Hvor flere etager forbindes med flugtvejstrapper, der fører til terræn i det
fri, kan den samme trappe fungere som udgang fra flere etager i brandcellen. Dermed kan to trapper fungere
som uafhængige flugtveje fra flere etager.
Typisk vil udgange fra større garageanlæg indrettet i kælder eller flere etager være til flugtvejstrappe.
Indkørsel/udkørsel til garageanlæg vil kunne anvendes som en udgang, når de er udformet hertil.
Før indførslen af BR 2018 var princippet, at afstanden til nærmeste udgang fra et vilkårligt punkt et garageanlæg desu-
den højst måtte være 25 m*, hvilket typisk blev målt i lige linje, som cirkelslag.
*I BR 1972 og BR 1977 måtte der dog
være højst 50 m til nærmeste udgang i sprinklede garageanlæg.
Med indførslen af BR 2018 er princippet blevet ændret til, at afstanden til nærmeste udgang højst må være 30 m i
ganglinje. Under hensyntagen til udformningen og indretningen af garageanlægget findes forskellige beregningsmeto-
der til bestemmelse af ganglængden.
Krav om en højeste afstand til nærmeste udgang medfører at yderligere udgange, i forhold til foranstående oplistning,
må etableres og dermed typisk flere trapperum.
6.2.2
Analyse vedrørende evakuering og redning
Under en TRA i EV-batterier kan store mængder giftige og brandfarlige gasser blive frigivet. Når dette sker i et garage-
anlæg (især et større garageanlæg) bliver det meget hurtigt svært at orientere sig i garageanlægget. Der er eksempler
på brande i garageanlæg med meget alvorlige situationer eller nærved-ulykker for redningsberedskabets indsatsmand-
skab [60].
I afsnit 6.1.5 blev det beskrevet, at brand i EV/PHEV er kendt for at frigive mere HF og specifikke metaller, udover tilsva-
rende niveauer af andre giftige røggasser, sammenlignet med konventionelle køretøjer. Disse gasser er kendt for at
være enten kvælende eller irriterende. Grænseværdien for kvælende stoffer er defineret ved hjælp af den fraktionerede
effektive dosis (FED) defineret i ISO 13571: 2012. I bund og grund tager FED-konceptet højde for det kvælende stofs
gennemsnitlige koncentration i stepvise tidsrum, under hensyntagen til hyperventilering forårsaget af eksponering for
CO
2
. Per definition vil 50 % af befolkningen ved FED = 1 være uarbejdsdygtige, derfor anbefales en værdi på 0,3 til brug
i designformål, hvor 11 % af befolkningen vil være uarbejdsdygtige. Den fraktionerede effektive koncentration (FEC)
hjælper med at estimere virkningen af irriterende stoffer i forhold til personers modstandsevne defineret af ISO 13571
for HCL, HF, NO og SO
2
. For hvert irriterende stof beregnes FEC som et forhold mellem den tilstedeværende gennem-
snitlige koncentration og den kendte koncentration, der kan svække modstandsevnen alvorligt på et givet tidspunkt.
Konceptet ligner ellers FED som beskrevet i foranstående [61], [36].
I rapporten "Toxic gases from fire in electric vehicles" har RISE testet EV og brugt dataene som input til modellering af
en EV-brand i et garageanlæg. FED og FEC er modelleret i hovedhøjde på forskellige tidspunkter, med et særligt fokus
på HF, der anses for at være invaliderende efter 10 minutter ved 95 ppm [62]. Konklusionen fra denne undersøgelse er,
at grænserne for den kritiske grænseværdi på tværs af hele garageanlægget nås, før batteripakken bliver involveret i
brand. Derfor udgør EV ikke højere risiko end for konventionelle køretøjer. Uanset køretøjstypen udvikles som nævnt
forskellige forbrændingsgasser, herunder HF, ved forbrænding af plastmaterialer. En anden konklusion var, at FED- og
FEC-værdier er stærkt afhængige af rumgeometri, ventilationsforhold og brandens placering [36]. Den kritiske grænse-
værdi opnås hurtigere i et mindre garageanlæg end et større, pga. af mindre af volumen som røggasser kan blive blandet
med og derved fortyndet.
Węgrzyński W.
[63] fokuserede på mindre brande i en sprinklerbeskyttet garage (brandeffekt 0,25
1,5 MW), der vok-
sede til at toppe ekstremt hurtigt (30 sekunder). Mængden af frigivet energi og modstandsevnen blev sammenlignet i
de første fem minutter, som er vigtige for evakuering. I simuleringsanalyserne varierede højderne i garageanlæg fra 2,4
m til 3,6 m sammen med forskellige røgbeskyttelsesforanstaltninger, hvilket resulterede i samlet 480 simuleringer. Der
blev foretaget en sammenligning med den belgiske TNO-designbrand som reference [64]. Undersøgelsen konkluderede,
at det hurtigt voksende brandscenarie er mere udfordrende end TNO-designbranden med hensyn til grænseværdier for
kvælende eller irriterende gasser. Anbefalingen er at give en større frihøjde i større garageanlæg [63].
Side
37
af
68
BOU, Alm.del - 2022-23 (2. samling) - Bilag 76: Henvendelse af 6/9-23 fra Bjarne Engelbrecht Larsen vedr. anmodning om at ministeren tilbagetrækker bek. 181 sikkerhed f.s.v.a. Pyrotekniske batterier
2747580_0038.png
6.3
6.3.1
Bærende konstruktioners brandmodstandsevne
Bygningsreglementet
Tabel 3 angiver præ-accepterede løsninger for tilstrækkelig brandmodstandsevne for bærende bygningsdele med ud-
gangspunkt i Bygningsreglementets vejledning til kapitel 5
Brand, Kapitel 3: Bærende konstruktioner. De præ-accep-
terede løsninger relaterer sig til bygningens højde, som måles fra terræn i det fri til overkant af gulv i øverste etage.
Der er ikke særskilte præ-accepterede løsninger for brandmodstandsevne af bærende bygningsdele i garageanlæg.
Brandmodstandsevnen for bærende bygningsdele bestemmes og fastlægges derfor ud fra om garageanlægget henføres
til et bygningsafsnit i anvendelseskategori 1 eller anvendelseskategori 3. I praksis er der ikke forskelle på de præ-accep-
terede løsninger om bygningsafsnittet er henført til anvendelseskategori 1 eller 3. Der er dog indirekte forskelle med
hensyn til bygningens udformning, bygningsafsnittenes placering over terræn samt antal personer i bygningsafsnit med
fælles flugtvej i forhold til, hvilke situationer de to anvendelseskategorier kan henføres til risikoklasse 1-3.
Risikoklasse 1-3 er desuden begrænset af, at det kun omfatter bygningsafsnit med højst én etage under terræn, hvor
gulv er højst 5,0 m under terræn. Dvs. garageanlæg med flere kælderniveauer eller hvor gulv er mere 5,0 m under
terræn ikke er inkluderet i de præ-accepterede løsninger.
Kravene til bærende konstruktioner for garageanlæg ses ikke at være ændret væsentligt gennem de forskellige udgaver
af BR 1972 til BR 2018.
For garageanlæg over terræn, hvor gulv i øverste etage er mere end 12,0 m over terræn, er der sket en ændring i kravene
for de øverste 12,0 m af en sådan bygning. De bærende konstruktioner kunne frem til indførslen af funktionsbaserede
brandkrav i BR 1995 i 2004, udføres som BS-60 i de øverste 12,0 m af en bygning. De underliggende bærende konstruk-
tioner skulle udføres som BS-120 i denne type bygninger. Dvs. der var lidt lempeligere krav for den øverste del af høje
bygninger sammenholdt med i dag. Efter indførslen af de funktionsbaserede brandkrav i BR 1995 i 2004, har de bærende
konstruktioner skulle udføres som BS-120 op til gulv i øverste etage ved byggeri, hvor gulv i øverste etage er mere end
12,0 m over terræn.
Tabel 3: Brandmodstandsevne af bærende bygningsdele.
Beskrivelse
Etageadskillelse over kælder
samt de bygningsdele, der
bærer denne etageadskillelse
Bygninger i en etage
Bygninger, hvor gulv i øverste
etage højst 12 m over terræn
Bygninger, hvor gulv i øverste
etage er mere end 12 m og
højst 45 m over terræn
Bygninger i en etage
Generelt
Etageareal højst 600 m
2
Etageareal større end 600 m
2
Etageareal højst 1.000 m
2
Etageareal større end 1.000
m
2
Med let tagkonstruktion og
automatisk brandventilation
Bygninger i flere etager, hvor
gulv i øverste etage er højst
5,1 m over terræn
Bygningsdel klasse
Bygningsreglement
2018 2015 2010 2008 1995 1995 1982 1977 1972 1966 1961
R 60 / A2-s1,d0
[BS 60]
R 60 / A2-s1,d0
[BS 60]
R 120 / A2-s1,d0
[BS 120]
+
+
+
1)
+
+
+
1)
+
+
+
1)
+
+
+
1)
+
+
+
1)
+
+
+
1)
+
+
+
1)
+
+
+
1)
+
+
+
1)
R 30
[BD 30]
R 30
[BD 30]
R 60
[BD 60]
R 30
[BD 30]
R 60
[BD 60]
Uden brandmod-
standsevne
+
+
2)
-
+
2)
-
+
-
+
2)
-
+
2)
-
-
+
2)
-
+
+
+
-
+
2)
-
+
+
+
-
+
2)
+
2)
+
2)
+
2)
+
-
+
+
-
+
2)
+
-
2)
-
2)
-
2)
-
2)
-
2)
-
2)
-
2)
-
2)
-
2)
-
2)
-
2)
-
2)
+
+
+
+
Side
38
af
68
BOU, Alm.del - 2022-23 (2. samling) - Bilag 76: Henvendelse af 6/9-23 fra Bjarne Engelbrecht Larsen vedr. anmodning om at ministeren tilbagetrækker bek. 181 sikkerhed f.s.v.a. Pyrotekniske batterier
2747580_0039.png
Beskrivelse
Generelt
Bygningsdel klasse
R 60
[BD 60]
R 60 / A2-s1,d0
[BS 60]
Bygningsreglement
2018 2015 2010 2008 1995 1995 1982 1977 1972 1966 1961
+
+
+
+
+
+
-
-
-
+
3)
+
3)
+
3)
+
3)
+
3)
+
3)
+
+
+
Bygninger i flere etager, hvor
gulv i øverste etage er mere
end 5,1 m og højst 12,0 m
over terræn
a)
b)
c)
Bygninger i flere etager, hvor
gulv i øverste etage er mere
end 12 m og højst 45 m over
terræn
Generelt
Bygningens øverste 12 m reg-
net fra gulv i øverste etage
Bygningsdele i bygningens
øverste etage (for bygninger i
flere etager)
Hvor højden til gulv i øverste
etage er højst 12 m over ter-
ræn
Hvor højden til gulv i øverste
etage er mere end 12 m og
højst 45 m over terræn
1)
R 60 / A2-s1,d0
[BS 60]
R 60 / D-s2,d2 +
Beskyttelse ved mere
end 20 % eksponeret
overflade
R 60 / D-s2,d2 + Auto-
matisk sprinkleranlæg
+
4)
+
4)
+
5)
+
5)
+
5)
+
5)
+
5)
+
5)
+
5)
+
5)
+
5)
+
5)
+
-
+
-
+
-
+
4)
+
5)
+
5)
+
5)
+
5)
+
5)
-
-
-
R 120 / A2-s1,d0
[BS 120]
R 60 / A2-s1,d0
[BS 60]
+
-
+
-
+
-
+
-
+
-
+
+
+
+
+
+
+
+
R 30
[BD 30]
R 60
[BD 60]
+
+
+
+
+
+
+
+
+
+
-
-
-
-
-
-
-
2)
BR2018, BR2015, BR2010, BR2008, BR1995 (funktionsbaseret), BR1995 (præskriptivt), BR1982, BR1977, BR1972
I BR2018, er det en forudsætning for at kunne anvende de præ-accepterede løsninger for bærende konstruktioner i forbin-
delse med bygningsafsnit med garageanlæg, som har gulv i øverste etage mere end 22,0 og højst 45,0 m over terræn, at
bygningsafsnittet kan henføres til anvendelseskategori 1.
BR2015, BR2010, BR2008 BR1995 (funktionsbaseret) er baseret på anvisningerne vedrørende brandmodstandsevnen for
bærende konstruktioner i Eksempelsamling om brandsikring af byggeri, hvori der kun blevet givet anvisninger for byggeri
med gulv i øverste etage højst 22 m over terræn.
BR1995 (præskriptivt) BR1982, BR1977, BR1972 indeholdt ikke en direkte grænse for højde til gulv i øverste etage.
BR2018 efter opdatering og ændring af Bygningsreglementets vejledning til kap. 5
Brand: Kap. 3 Bærende konstruktioner i
januar 2021 er de generelle anvisninger for brandmodstandsevnen af bærende konstruktioner for bygninger med én etage byg-
ningsdel klasse R 30 [BD-bygningsdel 30] uanset etagearealet af bygningen.
BR2015, BR2010, BR2008, BR1995 (funktionsbaseret) ifølge de forskellige versioner Eksempelsamling om brandsikring af
byggeri var anvisningerne, at brandmodstandsevnen for bærende konstruktioner for bygninger med én etage henholdsvis
bygningsdel klasse R 30 [BD-bygningsdel 30] eller klasse R 60 [BD-bygningsdel 60], afhængigt af om etagearealet af bygnin-
gen var højst eller større end 1.000 m
2
.
BR1995 (præskriptivt) kravene ændredes pr. 01.08.2000, hvor grænsen for, hvornår bygningsdele kunne have en brand-
modstandsevne som bygningsdel klasse R 30 [BD-bygningsdel 30] indtil da var et etageareal på højst 600 m
2
, hvorefter den
øgedes til højst 1.000 m
2
.
BR1982 kravene til brandmodstandsevnen for bærende konstruktioner for bygninger med én etage var henholdsvis byg-
ningsdel klasse R 30 [BD-bygningsdel 30] eller klasse R 60 [BD-bygningsdel 60], afhængigt af om etagearealet af bygningen
var højst eller større end 600 m
2
.
BR1977 og BR1972 indeholdt ikke direkte krav til bærende konstruktioner for bygninger i én etage, der alene skulle anven-
des og indrettes til garageanlæg.
Side
39
af
68
BOU, Alm.del - 2022-23 (2. samling) - Bilag 76: Henvendelse af 6/9-23 fra Bjarne Engelbrecht Larsen vedr. anmodning om at ministeren tilbagetrækker bek. 181 sikkerhed f.s.v.a. Pyrotekniske batterier
2747580_0040.png
3)
4)
5)
BR2018, BR2015, BR2010, BR2008, BR1995 (funktionsbaseret) ifølge Bygningsreglementets vejledning til kap. 5
Brand: Kap. 3
Bærende konstruktioner og de forskellige versioner Eksempelsamling om brandsikring af byggeri
De bærende konstruktioner har kunnet og kan udføres med en brandmodstandsevne mindst som bygningsdel klasse R 60
[BD-bygningsdel 60].
BR1995 (præskriptivt) kravene ændredes pr. 01.08.2000, hvor brandmodstandsevnen af bærende konstruktioner indtil da
mindst skulle være bygningsdel klasse R 60 / A2-s1,d0 [BS-bygningsdel 60], hvorefter bærende konstruktioner udføres med
en brandmodstandsevne mindst som bygningsdel klasse R 60 [BD-bygningsdel 60].
BR2018 efter opdatering og ændring af Bygningsreglementets vejledning til kap. 5
Brand: Kap. 3 Bærende konstruktioner i
januar 2021
Der findes deri følgende generelle anvisninger for brandmodstandsevnen af bærende konstruktioner for bygninger, hor
gulv i øverste etage er mere end 5,1 m over terræn og højst 12,0 m over terræn 3 muligheder:
a) Bygningsdel klasse R 60 / A2-s1,d0 [BS-bygningsdel 60]
b) Bygningsdel klasse R 60 / D-s2,d2, [BD-bygningsdel 60, klasse B materiale], hvor de bærende konstruktioners samlede
brandeksponerede overflade, indenfor de første 60 minutter af standardbrandforløbet udgør højst 20 % af rummets
samlede væg- og loftoverflader. Hvor den bærende konstruktions samlede brandeksponerede overflade overstiger 20
% inddækkes den del, der overstiger 20 % på en af følgende måder: Brandbeskyttende beklædning udført af materiale
klasse A2-s1,d0, hvor det dokumenteres ifølge DS/EN 1995-1-2, at der ikke sker indbrænding af træet i de første 60
minutter af en standardbrandpåvirkning alternativt brandbeskyttelsessystem klasse K2 60 / A2-s1,d0 [60 min brand-
beskyttelsessystem].
c) Bygningsdel klasse R 60 / D-s2,d2 [BD-bygningsdel 60, klasse B materiale] og hele bygningen er dækket af et automatisk
sprinkleranlæg.
BR2015, BR2010, BR2008, BR1995 (funktionsbaseret) ifølge de forskellige versioner af Eksempelsamling om brandsikring af byg-
geri
Anvisningerne var, at brandmodstandsevnen for bærende konstruktioner for bygninger med gulv i øverste etage var mel-
lem 5,1 m og højst 9,6 m over terræn skulle være mindst bygningsdel klasse R 60 / A2-s1,d0 [BS-bygningsdel 60] eller
bygningsdel R 60 / D-s2,d2 [BD-bygningsdel 60, klasse B materiale], når bygningen er udført med enten automatisk sprink-
leranlæg eller bygningsdele er udført med beklædning klasse K
2
60 / A2-s1,d0 [60 minutters brandbeskyttelsessystem].
BR1995 (præskriptivt) kravene ændredes pr. 01.08.2000, hvor brandmodstandsevnen af bærende konstruktioner for byg-
ninger med gulv i øverste etage var mellem 5,1 m og højst 9,6 m over terræn indtil da mindst skulle være bygningsdel klasse
R 60 / A2-s1,d0 [BS-bygningsdel 60], hvorefter bærende konstruktioner udføres med en brandmodstandsevne mindst som
bygningsdel klasse R 60 [BD-bygningsdel 60].
6.3.2
Analyse vedrørende bærende konstruktioner
Brandudviklingen for EV er blevet rapporteret at svare til ICEV i flere fuldskalatests [33], [36]. Ikke desto mindre udgør
Litium-ion batterier en kendt risiko for TRA med mulighed for høje temperaturer og dermed påvirkning af de omgivende
bærende konstruktioner bl.a., jf. afsnit 4.3. NFPA's rapport om fare ved moderne køretøjer i garageanlæg konkluderede,
at temperaturerne i røggaslaget i et garageanlæg fra et enkelt brændende køretøj vil begynde at falde, når først køre-
tøjet er brændt ud, og det er ikke sikkert, at det medfører høj nok temperatur til at have stor påvirkning af de bærende
konstruktioner. Omvendt kan det have stor indflydelse på omgivende strukturer, når flere køretøjer bliver involveret i
brand. [48].
Et eksempel på en sådan brandpåvirkning fra flere køretøjer er branden i garageanlægget ved Stavanger Lufthavn i
Norge i januar 2020. Blandt de 1.600 biler, der befandt sig i garageanlægget, blev cirka 400 biler involveret i branden.
Branden forårsagede strukturelt kollaps af en del af garageanlæggets bærende stålkonstruktioner. Søjler og bjælker,
der kollapsede, var lavet af ubeskyttet stål med præfabrikerede betongulvelementer [48].
De mekaniske egenskaber af bærende stålelementer ændrer sig med temperaturen. Derfor er det vigtigt at overveje,
hvordan ændringerne i brandbelastning (dvs. EV eller PHEV) påvirker stabiliteten og bæreevnen af de bærende kon-
struktioner. Ved en kritisk temperatur på 538 °C reduceres elasticitetsmodulet for konstruktionsdelen med en faktor 2
[65], hvilket forårsager permanent deformation. Test med brændende køretøjer har vist, at ubeskyttede stålkonstruk-
tioner i lavloftede rum kan nå denne kritiske temperatur på få minutter efter antændelse. Dette indebærer, at flere
samtidige, brændende køretøjer (EV eller PHEV) sandsynligvis vil påvirke integriteten af overliggende lastbærende kon-
struktioner [48].
Tramoni mfl. har i samarbejde med AccelorMittal [66] udført tests af den termiske påvirkning af ubeskyttede stålele-
menter på grund af brand i alternative drevne køretøjer. Testene blev udført i en underjordisk hangar. Et af fem testede
køretøjer var en EV, hvorimod et dieseldrevet køretøj blev brugt som reference for et konventionelt køretøj. De øvrige
Side
40
af
68
BOU, Alm.del - 2022-23 (2. samling) - Bilag 76: Henvendelse af 6/9-23 fra Bjarne Engelbrecht Larsen vedr. anmodning om at ministeren tilbagetrækker bek. 181 sikkerhed f.s.v.a. Pyrotekniske batterier
alternative drevne køretøjer omfattede køretøjer drevet af H2 (brint), CNG (naturgas), LPG (Liquefied petroleum gas)
og brændselscelle. Testene var designet til at skabe en begrænsning i spredning af varme i et afgrænset område, og et
ekstra køretøj blev placeret ved siden af det først antændte. Antændelseskilden blev placeret på køretøjets sæde, og
ruderne blev efterladt åbne. Den målte temperatur af stålkonstruktionselementer var lavere (772 °C) sammenlignet
med brandtest for alternative drevne køretøjer (brændselscelle, flydende gas), men selv ICEV nåede over 900 °C. Der
blev gjort et forsøg på at udløse TRA ved at tilføje noget brændstof under testen, hvilket mislykkedes. Der blev ikke
observeret TRA [66].
Afspaltning af beton i forbindelse med brand er et fænomen, der er svært at forudsige [67]. Det udvikler sig, når tem-
peraturen inde i betonen når 374 °C, og jo højere temperaturer, desto hurtigere afspaltning. Det kan resultere i svigt af
konstruktioner, der kan medføre brandspredning (som i tilfælde af branden i Stavanger Lufthavn [46] og Liverpool [68]),
men det sker normalt flere timer efter brandens start og bidrager således ikke under brandudviklingen i øvrigt [48].
Branden i King's Dock garageanlægget i Liverpool spredte sig ukontrolleret til 1.039 biler, hvilket resulterede i alvorlige
skader på dækelementer, nogle steder med blotlagt armering på grund af afspaltning. Afspaltningen skete mellem præ-
fabrikeret gulv og et betonlag på toppen [69].
Anvendelsen af stålkonstruktioner i garageanlæg er blevet mere udbredt på grund af en række årsager såsom; mindre
søjlestørrelser, der giver mere plads, lavere byggeomkostninger, lavere miljøbelastning under fremstilling og stålsøjler
vejer mindre, hvilket fører til mindre fundamenter. Designet af disse garageanlæg baseres på retningslinjerne i den
europæiske standard ISO/TC92/SC4, hvor ubeskyttede stålelementer er tilladt i åbne garageanlæg. En ældre europæisk
standard for lukkede parkeringspladser muliggør også brugen af ubeskyttede stålelementer i tilfælde af en brand i en-
kelt, hvor det antages, at de opvarmede dele af konstruktionen vil blive understøttet af resten af konstruktionen, som
ikke påvirkes af høje temperaturer [70].
I de senere år er brandbelastningen som tidligere påpeget, for nyere køretøjer steget. Det giver derfor en højere risiko
for brandspredning til de tilstødende køretøjer. Når branden har spredt sig over et område af konstruktionen, kan det
ikke længere antages, at der kun sker en lokal opvarmning og temperaturpåvirkning af konstruktionen. Garageanlæg
designet efter de førnævnte retningslinjer vil ikke længere være sikre, når branden har spreder sig til flere køretøjer i
garageanlægget. Dette problem er blevet behandlet i en nyere undersøgelse [71], som også indeholder nogle forslag til
forudsætninger for dimensionering af garageanlæg i stål, der tager højde for risikoen for brandspredning.
Ifølge denne undersøgelse [71] er brandspredning mellem køretøjer i et garageanlæg afhængig af flere faktorer såsom;
ventilation, loftshøjde, køretøjstype, brændstofmængde, afstand mellem biler, antændelsessted og vejrforhold (for
åbne garageanlæg). Køretøjstypen, mængden af brændstof og brændstoftypen, er de vigtigste bidragydere til brandbe-
lastningen, og hvor der er sket væsentlige ændringer i løbet af de sidste par årtier. På grund af dette udgør moderne
køretøjer en højere risiko ved brand og for brandspredning (øget antændelighed på grund af brug af plast, brændstof-
spild fra plastikbrændstoftanke, brug af flere elektriske komponenter). Ifølge undersøgelsen har de ændrede design og
anvendelse af plastbaserede materialer for køretøjer øget brandbelastningen af en moderne ICEV til 12 GJ og til 15 GJ
for EV i 2021. Som et gennemsnit for et garageanlæg med 25 % elbiler anbefaler forfatterne en gennemsnitsværdi for
brandbelastning ved 13 GJ i fremtiden af et køretøj. Ud over den større brandbelastning, som nyere køretøjer udgør,
har afstanden mellem biler også ændret sig gennem årene, og denne værdi kan gå helt ned til 40 cm, hvilket øger risi-
koen for brandspredning endnu mere.
Forslagene til kriterier for dimensionering af garageanlæg i stål omfatter:
1. At der bør ses bort fra antagelsen om lokal opvarmning af enkeltelementer.
2. At flydespænding fy(T) fastsættes til 0,2 % styrke ved høje temperaturer.
3. At fuldt udviklede brandforløb kan betragtes som et worst-case scenarie, indtil der er forsket mere i brand-
spredningen mellem køretøjer både eksperimentelt og numerisk.
4. At energibidraget pr. bil fastsættes til 13 GJ/bil for et garageanlæg med 25 % elbiler (fremadrettet). (Den nu-
værende værdi er 12 GJ) eller;
5. At brandbelastning fastsættes til 660 MJ/m
2
af gulvarealet eller 330 MJ/m
2
af det omsluttende areal ved par-
keringspladser med et areal på 18 m
2
(tætplacerede).
6. At brandbelastningen fastsættes til 260 MJ/m
2
omsluttende areal for garageanlæg med større parkeringsplad-
ser.
Side
41
af
68
BOU, Alm.del - 2022-23 (2. samling) - Bilag 76: Henvendelse af 6/9-23 fra Bjarne Engelbrecht Larsen vedr. anmodning om at ministeren tilbagetrækker bek. 181 sikkerhed f.s.v.a. Pyrotekniske batterier
Der er ved hjælp af foranstående kriterier [71] foretaget sammenlignende beregninger mellem ubeskyttede og beskyt-
tede stålelementer. Disse beregninger viser effekten af isolering på både en stålsøjle og en stålbjælke. Ifølge de bereg-
nede resultater når ubeskyttede søjler temperaturer over 1.000
o
C. Med et Youngs modul på 0,0076, vil en stålsøjle ikke
være i stand til at bære sin last og derved ikke have nogen bæreevne. For en stålbjælke viste beregningerne, at en
ubeskyttet bjælke ikke engang kan opnå en R 30 klassificering (30 minutters bæreevne under brand) i forhold til stan-
dardbrandkurven. Mens de isolerede elementer kunne opnå en R 90 klassificering (90 minutters bæreevne under
brand). Det skal dog bemærkes, at klassificering af de beskyttede elementer afhænger af typen af isolering og den an-
vendte tykkelse.
Beregningseksempler viser at anvendelsen af forældede dimensioneringskriterier kan medføre, at konstruktioner ikke
har tilstrækkelig sikkerhed ved brand, og viser samtidig vigtigheden af konstant at dimensioneringskriterierne løbende
tilpasses udviklingen indenfor bilindustri.
6.4
6.4.1
6.4.2
Antændelse og brand- og røgspredning
Antændelse
Brand- og røgspredning
Der henvises til afsnit 6.1.1 for analyse af sandsynligheden for antændelse.
Sikring mod brand- og røgspredning i forhold til indvendige og udvendige beklædninger samt afstande til bygninger på
samme grund samt afstand til skel mod nabo og vej- og stimidte følger de almindelige principper for brandsikringstiltag
og har ikke ændret sig væsentligt gennem de forskellige bygningsreglementer fra BR 1972 til BR 2018.
Tilsvarende har principperne for brandmæssige adskillelser og sikring mod brandspredning omkring brandmæssige ad-
skillelser via facaden og tagfladen heller ikke ændret sig væsentligt med de forskellige bygningsreglementer.
Opdelingen i brandmæssige enheder (brandsektioner) af større garageanlæg vil typisk afhænge af kravene til brandtek-
niske installationer, herunder en strategi om at undgå krav om visse brandtekniske installationer, som fx sprinkleranlæg
eller automatisk brandventilation. Det kunne fx være et spørgsmål om opdeling af garageanlæg i brandsektioner på
højst 1.000 m
2
.
Derudover findes en grænse for størrelse af sprinklede brandsektioner på højst 10.000 m
2
i én brandsektion. For de
forskellige niveauer af omfang af brandtekniske installationer relateret til etagearealet af garageanlæg henvises til afsnit
6.6.
For de brandmæssige adskillelser gælder samme forhold som for de bærende konstruktioner, at øget brandbelastning
mv. kan medføre højere temperaturer end standardbrandkurven angiver. Det kan betyde svigt af de brandmæssige
adskillelser hurtigere end dimensioneringen efter standardbrandkurven giver. Det kan være kritisk i forhold til evakue-
ring og redningsberedskabets indsatsmuligheder.
6.5
6.5.1
Redningsberedskabets indsatsmuligheder
Redningsmuligheder
Redningsberedskabets indsatsmuligheder og primære indsatsveje vil være via flugtvejene fra garageanlægget. Dvs. ind-
og udkørselsvejen til garageanlæg og derudover typisk via flugtvejstrapper for garageanlæg i kældre og i flere etager.
I garageanlæg større end 600 m
2
, jf. afsnit 6.2 vedrørende evakuering og redningsforhold, er der krav om mindst 2
udgange til uafhængige flugtveje. Dermed er der ikke behov for etablering af redningsåbninger for denne type garage-
anlæg.
Dermed vil der ved større garageanlæg ikke være et direkte behov for redningsberedskabet for at skulle foretage per-
sonredning via redningsåbninger eller assistere ved evakuering i forhold til anvendelseskategorien af garageanlæg, idet
der vil være mindst 2 udgange til uafhængige flugtveje.
Side
42
af
68
BOU, Alm.del - 2022-23 (2. samling) - Bilag 76: Henvendelse af 6/9-23 fra Bjarne Engelbrecht Larsen vedr. anmodning om at ministeren tilbagetrækker bek. 181 sikkerhed f.s.v.a. Pyrotekniske batterier
6.5.2
Slukningsmuligheder
For garageanlæg i kælder eller flere etager vil redningsberedskabets primære indsatsveje som nævnt være via byggeri-
ets flugtvejstrapper og ind-/udkørsel til garageanlægget.
Der er for redningsberedskabets primære indsatsveje via flugtvejstrapper krav til, at redningsberedskabet skal kunne
fremføre vand til brandslukning. Principperne herfor afhænger af trappen og trapperummets udformning om rednings-
beredskabet kan anvende deres egne slanger til fremføring af vand til brandslukning eller om der skal etableres stigrør
i forbindelse med trappen.
Principperne herfor er ikke ændret væsentligt gennem de forskellige bygningsreglementer fra BR 1972 til BR 2018.
6.5.3
Analyse af redningsberedskabets indsatsmuligheder
Brandslukning i garageanlæg giver indsatsmandskabet mange udfordringer uafhængigt af hvilket drivmiddel de invol-
verede køretøjer har. Derudover er der specifikke risici forbundet med typen af EV/PHEV. Særlige brandslukningsværk-
tøjer og -taktikker skal bruges, når man har at gøre med EV/PHEV.
Garageanlæg er kendetegnet ved at have et relativt stort grundareal og lavt til loftet. På grund af den lave loftshøjde er
indgangen med brandkøretøjer ofte ikke mulig, og det er nødvendigt for redningsberedskabets indsatsmandskab at
foretage indsats over større afstande via lange slangeudlægninger [72]. Lave loftshøjder kan også medføre et miljø med
lav sigtbarhed i tilfælde af brand, når der udføres brandslukningsindsats [72]. Garageanlæg har endvidere typisk flere
biler placeret relativt tæt på hinanden, hvilket potentielt fremmer brandspredningen. Et af eksemplerne med katastro-
fale konsekvenser, hvor branden involverede mange køretøjer, var branden i et garageanlæg i Liverpool, England i 2017
[68].
I Holland er hovedprioriteten for redningsberedskabets slukningsindsats relateret til personsikkerhed, som i Danmark.
I betragtning af at personer ofte er evakueret fra garageanlæg ved ankomsten af redningsberedskabet, vil redningsbe-
redskabet typisk ikke gå ind i garageanlægget for at slukke branden. Offensivt indvendigt angreb med det formål at
redde personer og bekæmpe branden i garageanlæg anvendes derfor ikke i den indledende indsats [69]. I Danmark
anbefales at overveje en strategi om at fjerne EV/PHEV fra garageanlægget, hvis der er væsentlig risiko for brandspred-
ning mellem flere biler. Dette kan gøres på specielle "rulleskøjter" placeret under bilens hjul [73].
Der er specifikke risici forbundet med typen af batterier, der bruges i EV/PHEV, som redningsberedskabet bør være
opmærksomme på [23], [73], [74]. Disse er:
Risiko for elektrisk stød fra højspændingsbatterisystemet [74]. Det er ikke klart, om der er risici forbundet med
elektrisk fare [74] under brandslukningen. Ikke desto mindre angives det i de danske anbefalinger at overveje
potentialet for sådanne risici [73]. Brandtest udført af FM Global i USA, præsenteret i reference [59], indikerede
at der ingen signifikante strøm- eller spændingsaflæsninger var under brandslukning i EV.
Udluftning af giftige og brandfarlige gasser under batteripakkens TRA [74]. Frigivelse af HF (hydrogenfluorid)
udgør en særlig risiko [75]. Ikke desto mindre frigives andre meget giftige gasser (fx phosphorylfluorid,
phosphorpent fluorid) og meget brandfarlige gasser (fx methan, hydrogen) under branden. Desuden er der
risiko for lækage af elektrolytten, hvilket er irriterende for hud og øjne, og dets dampe kan skabe luftvejsirrita-
tion og forgiftning [14], [60].
I betragtning af de ovennævnte risici er det nødvendigt at kunne skelne EV/PHEV fra ICEV-køretøjer samt at genkende
kritiske dele af køretøjet, fx hvor batteripakkerne er placeret [75], [60].
Endvidere skal redningsberedskabet være forberedt på at træne i at håndtere EV/PHEV-brande. Under EV/PHEVs brand-
slukningsindsats er de samme brandslukningsmidler og slukningsudstyr egnede sammenlignet med konventionelle kø-
retøjsbrande. Det mest passende slukningsmiddel er vand [76] [59], se afsnit 6.6.2. Effektiviteten af forskellige ty-
per/størrelser af indsatsslanger såvel som forskellige vandforsyningssystemer (industrielle systemer, vandtåge, høj-
trykssystemer og skumbaserede systemer) er blevet testet i laboratorieforsøg og præsenteret i referencen [77]. Udover
vand kan håndslukningsudstyr bruges ved spændinger op til 380 V, pulverslukkere op til 1.000 V og kulsyresneslukkere
op til 10.000 V [78]. For mere diskussion om undertrykkelsen se afsnit 6.6.2.
”The Fire Protection Research Foundation” har
udarbejdet anbefalinger for brandsluknings- og indsatstaktik af EV/PHEV
[48]. Samme principper bliver givet i anbefalinger til de danske beredskaber i en vejledning fra Beredskabsstyrelsen [73].
Side
43
af
68
BOU, Alm.del - 2022-23 (2. samling) - Bilag 76: Henvendelse af 6/9-23 fra Bjarne Engelbrecht Larsen vedr. anmodning om at ministeren tilbagetrækker bek. 181 sikkerhed f.s.v.a. Pyrotekniske batterier
2747580_0044.png
Brand i batteripakken i EV/PHEV kræver betydelige mængder vand for at slukke [23]. Batteripakkerne er godt beskyttet
som en del af EV/PHEV-systemet, hvorved det er mere udfordrende at tilføre slukningsmidlet til batteripakken. Anbe-
falingerne foreslår, at man forbereder sig på en langvarig brandbekæmpelsesindsats (en time eller længere), så der
kræves yderligere personale til afløsning og udskiftning. En mere effektiv strategi er at påføre vandet ved at "over-
svømme" batteripakken [75]. Nedsænkning af bilen i vandfyldt container, hvor EV/PHEV trækkes ind i containeren eller
nedsænkes med en kran kan anvendes [73], [76], [78].
På grund af risikoen for giftige gasser bør indsatsmandskab uden åndedrætsværn holde sig på afstand fra branden og
undgå dampe fra branden [76]. En taktik med at nærme sig branden med vindretningen eller bruge en mobil overtryks-
ventilator for at drive den giftige og brændbare gas væk fra indsatsmandskabet, foreslås tillige [60], [79]. Vandtåge kan
som tidligere nævnt også bruges til at rense luften for giftige stoffer og partikler [60].
Termisk kamera kan bruges til at overvåge temperaturfaldet og dermed effektiviteten af brandslukningsindsatsen ved
EV/PHEV under slukning/afkøling med vand [73]. Det skal bemærkes, at køretøjets karosseri skjuler batteripakken, og
termokamera målingerne ikke nødvendigvis er repræsentative for de reelle temperaturer og kan give en falsk følelse af
sikkerhed [76], [48].
Endvidere bør indsatsmandskabet være forberedt på genantændelse af batterier efter afkølingsprocessen, hvilket kan
forekomme selv mange timer efter brandens bekæmpelse. I laboratorietest er dette observeret op til 22 timer efter
slukningen [59] [6]. En metode til at begrænse konsekvenserne i dette tilfælde ville være at flytte EV/PHEV væk fra
andre brændbare genstande og overvåge EV/PHEV efter slukningen [60].
6.6
6.6.1
Brandtekniske installationer
Bygningsreglementet
Tabel 4 indeholder en oversigt over krav til brandtekniske installationer i garageanlæg fra BR 1972 til BR 2018. Kravene
i BR 1972, BR 1982 og BR 1982 var identiske. Med indførslen af BR 1995,
udgik det specifikke krav til sprinkling af ”2.
kælder” ellers var kravene til brandtekniske installationer også identiske
i BR 1995 frem til indførslen af funktionsbase-
rede brandkrav.
Med indførslen af funktionsbaserede brandkrav i BR1995 øgedes grænsen for, hvornår der generelt skal etableres
sprinkleranlæg til henholdsvis 1.000 m
2
og 2.000 m
2
for garageanlæg i anvendelseskategori 1 og 3. Dog indførtes et
parallelt krav om, at der i rum større end 1.000 m
2
enten skal etableres automatisk brandventilation eller sprinkleran-
læg.
Det bemærkes, at i garageanlæg, hvor der i BR 1972, BR1977 og BR 1982 og frem til indførslen af funktionsbaserede
brandkrav i BR 1995 var mulighed for at udføre brandventilation i stedet for sprinkling under visse forudsætninger.
Tabel 4: Brandtekniske installationer i garageanlæg.
Anlægstype
Krav
Varslingsanlæg
Bygningsafsnit i anvendelseskategori 3 med tilhørende
flugtveje, som er indrettet til flere end 150 personer.
Varslingsanlæg kan udelades, hvis alle opholdsrum har
dør direkte til terræn i det fri, og der ikke er opholdsrum
til flere end 150 personer.
Flugtvejsbelysning
I garageanlæg med et etageareal større end 600 m
2
Panikbelysning
I garageanlæg med et etageareal større end 2.000 m
2
Slangevinder
Ingen direkte krav for garageanlæg.
Bygningsafsnit i anvendelseskategori 3,
som er indrettet til flere end 150 personer.
Garageanlæg (i anvendelseskategori 1 og 3),
hvis etagearealet er større end 600 m
2
.
Automatisk brandalarmanlæg
Ingen direkte krav for garageanlæg
Automatisk sprinkleranlæg
Bygningsreglement
2018 2015 2010 2008 1995 1995 1982 1977 1972 1966 1961
+
1)
+
1)
+
1)
+
1)
+
1)
-
-
-
-
+
1)
+
1)
+
+
-
+
1)
+
1)
-
-
+
1)
+
1)
+
1)
-
-
+
1)
+
1)
+
1)
-
-
+
1)
+
1)
+
1)
-
-
+
1)
+
+
-
-
+
+
2)
+
2)
-
-
+
+
2)
+
2)
-
-
+
+
2)
+
2)
+
-
-
-
3)
-
3)
-
3)
-
-
-
-
Side
44
af
68
BOU, Alm.del - 2022-23 (2. samling) - Bilag 76: Henvendelse af 6/9-23 fra Bjarne Engelbrecht Larsen vedr. anmodning om at ministeren tilbagetrækker bek. 181 sikkerhed f.s.v.a. Pyrotekniske batterier
2747580_0045.png
Anlægstype
Krav
I rum, der er større end 1.000 m
2
,
eller automatisk brandventilation (alternativt).
Garageanlæg
”2.
kælder”
Garageanlæg med etageareal større end 600 m
2
Bygningsafsnit i anvendelseskategori 3,
der har et etageareal større end 1.000 m
2
,
og som er beliggende i bygninger i mere en én etage.
Bygningsafsnit i anvendelseskategori 1 og 3,
der har et etageareal større end 2.000 m
2
,
og som er beliggende i bygninger i én etage
samt for bygningsafsnit i anvendelseskategori 1, som er
er beliggende i bygninger med mere end én etage.
Bygningsafsnit i garageanlæg med frie åbne ramper mel-
lem bygningsafsnittene, når det samlede etageareal af
bygningsafsnittene er større end 10.000 m
2
.
Automatisk brandventilation
I rum, der er større end 1.000 m
2
,
eller automatisk sprinkleranlæg (alternativt).
Bygninger i én etage der udføres med let tagkonstruk-
tion og uden brandmodstandsevne af de bærende kon-
struktioner.
Ventilation
Der kan fjerne eksplosive dampe og kulilte, hvis etage-
arealet er større end 150 m
2
.
1)
Bygningsreglement
2018 2015 2010 2008 1995 1995 1982 1977 1972 1966 1961
+
4)
+
4)
+
4)
+
4)
+
4)
-
-
-
-
-
-
+
-
-
+
-
-
+
-
-
+
-
-
+
-
+
7)
-
+
+
8)
-
+
+
8)
-
+
+
8)
-
+
+
+
+
+
+
7)
+
8)
+
8)
+
8)
+
5)
+
6)
+
6)
+
6)
+
6) 7)
+
7)
+
8)
+
8)
+
8)
+
4)
+
+
4)
+
+
4)
+
+
4)
+
+
4)
+
-
+
-
+
-
+
-
+
+
+
+
+
+
9)
+
9)
+
9)
+
9)
+
9)
2)
3)
4)
5)
6)
BR2018, BR2015, 2010, BR2008, BR1995 (funktionsbaseret)
Flere bygningsafsnit/garageanlæg i samme anvendelseskategori med fælles flugtveje skal anses som et bygningsafsnit/ga-
rageanlæg.
BR 1982, BR 1977, BR 1972
Kravet om nød og panikbelysning var gældende for garageanlæg, hvor der ikke var dagslys.
BR2018, BR2015, BR 2010
Automatisk brandalarm kan være et indirekte krav, hvis andre bygningsafsnit i anvendelseskategori 3, som garageanlægget
har fælles flugtveje med, anvendes på en måde, der forringer muligheden for sikker evakuering, som fx høj musik, mørke,
scenerøg mv. Varslingsanlæg skal derved aktiveres af et automatisk brandalarmanlæg.
BR2018, BR2015, BR 2010, BR2008, BR1995 (funktionsbaseret)
I rum større end 1.000 m
2
skal der installeres automatisk brandventilation eller automatisk sprinkleranlæg for at reducere
risikoen for brandudbredelse i rummet.
BR 2018
Bygningsafsnit i garageanlæg med frie åbne ramper mellem bygningsafsnittene, når det samlede etageareal af bygningsaf-
snittene er højst 10.000 m
2
, hvor der ikke installeres sprinkleranlæg, er forudsætningerne ifølge Bilag 9 præ-accepterede
løsninger i Bygningsreglementets vejledning til kapitel 5
Brand, at:
I.
Etagearealet af den enkelte etage ikke må være mere end 2.000 m
2
for garageanlæg i anvendelseskategori 1 og 1.000
m
2
for garageanlæg i anvendelseskategori 3.
II.
Der skal på hver etage etableres ventilationsåbninger til det fri på følgende vis:
a. Åbningerne skal have et frit åbningsareal på mindst 5 % af etagearealet.
b. Åbningerne skal være jævnt fordelt og må ikke kunne lukkes. Åbningerne kan dog afskærmes med riste,
balustre, gitre mv. Arealet af afskærmningen må ikke overstige 5 % af åbningsarealet, og må ikke indgå i
bestemmelsen af det fri åbningsareal.
c. Der må intet sted i garageanlægget være mere end 12 m vandret afstand til nærmeste åbning,
d. Åbningerne kan placeres i taget eller i en ydervæg.
e. Hvor åbningerne placeres i ydervægge, skal de placeres i den øverste halvdel af ydervæggen.
III.
Etageadskillelserne udføres som mindst bygningsdel REI 60/ A2-s1,d0,
IV.
Etagerne alene står i åben forbindelse med hinanden via køreramper.
BR 2015, BR 2010, BR 2008, BR1995 (funktionsbaseret fra 1. september 2006)
Garageanlæg over terræn udført med brandventilation, kunne udføres med et samlet etageareal på indtil 10.000 m
2
, så-
fremt etagerne kun stod i åben forbindelse med hinanden via køreramper. For garageanlæg over terræn, hvor etagerne er
forbundet med køreramper inde i bygningen, ville det sammenhængende etageareal udgør ét rum. Hvor flere etager i
Side
45
af
68
BOU, Alm.del - 2022-23 (2. samling) - Bilag 76: Henvendelse af 6/9-23 fra Bjarne Engelbrecht Larsen vedr. anmodning om at ministeren tilbagetrækker bek. 181 sikkerhed f.s.v.a. Pyrotekniske batterier
7)
8)
9)
garageanlæg udgjorde et rum, skulle etagerne udføres (anses) som selvstændige røgzoner. Der kunne anvendes perma-
nente åbninger i garageanlæg til brandventilation. Effektiviteten af åbningerne skulle vurderes fra gang til gang. Det frie
aerodynamiske åbningsareal for brandventilation skulle være 10 m
2
pr. røgzone på højst 2.000 m
2
. Afstanden til nærmeste
åbning måtte højst være 12 m.
BR 1995 (præskriptivt og funktionsbaseret frem til den 1. september 2006)
1 etages garageanlæg med gulv i eller over terræn skulle dog først forsynes med sprinkleranlæg, når etagearealet var over
2.000 m
2
. Sprinkling kunne endvidere undlades, når der udførtes ventilationsåbninger med et frit åbningsareal på mindst 5
% af etagearealet. Åbninger skulle være jævnt fordelt og måtte ikke kunne lukkes. Der måtte ind sted i garageanlægget
være mere end 12 m vandret afstand til nærmeste åbning.
BR 1982, BR 1977, BR 1972
For garageanlæg med gulv under terræn, men loft i eller over terræn (1. kælder) var følgende gældende:
I.
Garageanlæg med et etageareal større end 600 m
2
(dog 500 m
2
i BR 1972) skulle forsynes med automatisk sprinkler-
anlæg, jf. dog efterfølgende:
a. Sprinkleranlæg kunne undlades i garageanlæg på højst 2.000 m
2
, når garageanlægget opdeltes i lukkede
garager, hver på højst 100 m
2
. Opdeling skulle ske med vægge mindst som BS-bygningsdel 30 og med døre
mindst som F-dør 30.
b. Sprinkleranlæg kunne undlades i garageanlæg, når der i loftskonstruktionen eller umiddelbart ved loftet ud-
førtes ventilationsåbninger til det fri med et samlet areal på mindst 5 % af gulvarealet. Åbninger skulle være
jævnt fordelt og måtte ikke kunne lukkes. Der måtte intet sted i garageanlægget være mere end 12 m
vandret afstand til nærmeste åbning.
II.
Garageanlæg med gulv i eller over terræn skulle forsynes med automatisk sprinkleranlæg, medmindre garageanlæg
blev forsynet med ventilationsåbninger, som angivet i foranstående pkt. b. Kravet gjaldt ikke for garageanlæg i 1 etage
med et etageareal på højst 2.000 m
2
.
BR 1995 (præskriptivt og funktionsbaseret frem til den 1.april 2006), BR 1982, BR 1977, BR 1972
Dog for garageanlæg på mere end 100 m
2
.
6.6.2
6.6.2.1
Analyse af brandtekniske installationer
Sprinkleranlæg
Det er sandsynligt, at et batterisvigt vil føre til en TRA i tilfælde af en brand i betragtning af de temperaturniveauer,
batteriet vil blive udsat for i et sådant scenarie. Når først batteriet er involveret i TRA, kan det ikke længere betragtes
som et normalt brandscenarie, fordi de reaktioner, der opstår i batteriet, ikke afhænger af tilgængeligheden af ilt. Dette
gør effektiviteten af de almindelige brandslukningsmetoder lavere end normalt.
Effektiviteten af sprinklersystemer ved brand i ICEV er blevet analyseret så tidligt som i 1992 af Stephens J. [80], hvor
der blev testet dobbeltdækkerbusser og i forhold til tørt sprinkleranlæg. I de eksperimenter blev der ifølge Collier P. C.
R. [81] parkeret tre til seks busser med 45 cm mellemrum mellem to busser. Der blev brugt et sprinkleranlæg med en
aktiveringstemperatur på 68
o
C og en RTI-værdi på 200 med en vandydelse på 14 mm/min. Dette kunne stoppe brand-
spredningen til tilstødende busser. Sprinkleranlægget var dog ikke i stand til at stoppe brandspredningen i den bræn-
dende bus. Vandydelse på mindre end 10 mm/min var ikke i stand til at begrænse branden til en enkelt bus og tillod
branden at sprede sig til andre busser. De angivne vandydelse er højere end for personbiler alene, der jf. efterfølgende
kræver en vandydelse på 5-10 mm/min.
I Holland er blev udført et andet fuldskalaforsøg udført med tre busser, som var parkeret 1 m fra hinanden [82]. Brænd-
stoftanken i bussen i midten blev fyldt til 66 % kapacitet, og bussen blev antændt. De resterende busser havde tomme
tanke. Teststedet var et større rum med 40 sprinklere, hvoraf 12 blev aktiveret fuldt ud for at hindre, at branden spredte
sig til de resterende busser.
Ovenstående data understøtter argumentet om, at sprinklere er i stand til at kontrollere brandspredning, selv ved større
køretøjer med større brandbelastning. I forbindelse med garageanlæg med lavere frihøjde, vil køretøjer af denne type
størrelse selvfølgelig ikke være involveret på grund af manglende adgangsmulighed. Der er blevet udført fuldskalatest
og der er beskrevet af Santangelo P. E. i 2016 [83] ved hjælp af ICEV'er inde i et testrum med en højde på 3,5 m ved brug
af både vandtåge- og sprinkleranlæg i forhold til at kontrollere en brand, dvs. at begrænse brandspredning. For at gøre
forholdene endnu mere udfordrende blev branden startet under køretøjet, hvor det kan være vanskeligt for vandet fra
slukningsanlægget at nå initialbranden. Testene omfattede sæt af tre køretøjer (Rover 414i, Rover 214Si, Citroen ZX 1.4i
og en Ford Sierra 2.0i) inde i testrummet parkeret ved siden af hinanden, men med tomme brændstoftanke.
Side
46
af
68
BOU, Alm.del - 2022-23 (2. samling) - Bilag 76: Henvendelse af 6/9-23 fra Bjarne Engelbrecht Larsen vedr. anmodning om at ministeren tilbagetrækker bek. 181 sikkerhed f.s.v.a. Pyrotekniske batterier
Analyse af ovenstående test efter branden viser, at de tilstødende køretøjer i alle tilfælde var beskyttet mod brand-
spredning, før testene blev afsluttet inden for 30 min. Det blev dog observeret ulmebrand ved afslutningen af testen.
Sprinkler- og vandtågeanlæg var udstyret med 68
o
C bulbe og RTI-værdi svarende
’superhurtig’. I alle tilfælde blev den
første aktivering observeret mellem 82 sekunder til 311 sekunder.
For nylig er der blevet udført fuldskalatests i forbindelse med FIRESAFE-projektet med fokus på både deluge-anlæg
(tørsprinkler) og andre slukningsanlæg på køretøjsbrande på ro-ro færger [84]. Detaljer om typerne af køretøjer og
køretøjsplacering ikke er givet i afrapportering. Deluge-anlægget var designet i overensstemmelse med gældende ret-
ningslinjer for denne anvendelse og indretning. Det var i stand til at begrænse brandspredningen med en vandydelse
på 10 mm/min. I lighed med de tidligere nævnte test af Stephens var en vandydelse på 5 mm/min ikke tilstrækkelig til
at undgå, at branden spredte sig til tilstødende køretøjer.
Un C. og Aydın .
[13] udførte eksperimenter med brand i flere typer litium-ion batterier og cobra-vandslukningsanlæg
for at undertrykke ilden. Det blev observeret i alle tilfælde, at betydelige mængder vand var nødvendige for at slukke
en enkelt batteripakke. Der blev påført vand direkte på selve batteriet, hvilket ikke altid er muligt, når et helt køretøj er
gået i brand. Geometrien og komponenterne i et køretøj, der hindrer direkte adgang til batteripakken, betyder at den
nødvendige mængde vand, der skal anvendes, vil være endnu højere.
Normalt er brande kategoriseret i forskellige klasser afhængigt af typen af brændbart materiale. Hver type er blevet
tildelt specifikke sluknings- og bekæmpelsesmetoder udelukkende baseret på egenskaberne for hver type brændbart
materiale [85]. Men når et litium-ion batteri går i brand, vil der løbende blive introduceret og tilføjet forskellige typer
brændbare stoffer til branden drevet af TRA som påpeget af Ghiji M. mfl. [2]. Det påpeges også i samme undersøgelse,
at uanset hvilket slukningsmiddel, der måtte anvendes, så skal det være i stand til både at undertrykke branden og også
give tilstrækkelig afkøling af battericellerne for at forhindre brandudbredelse til tilstødende celler. Forskellige sluknings-
midlers evne til at opfylde begge foranstående kriterier bestemmer effektiviteten af det enkelte slukningsmiddel.
Vand som slukningsmetode kan give både kølende og undertrykkende effekter, når det bruges. Desuden har vand en
række yderligere fordele ved at være let tilgængelig, have en lav miljøpåvirkning i sig selv og lave omkostninger.
Forskere ved RISE forskningsinstitut i Sverige har eksperimentelt analyseret virkningerne af både vandspray og fin vand-
tåge på en enkelt batteripakke opvarmet af en brænder for at udløse TRA [86]. I disse eksperimenter blev vandtågedy-
serne installeret i batteripakken, mens både intern og ekstern vandspray blev anvendt. Temperaturudviklingen inde i
batteripakken blev påvirket af den anvendte type systemer (vandspray eller vandtåge) og placeringen af dyserne (internt
i eller eksternt ved batteriet).
Placering af undertrykkelsessystemerne i selve batteripakken var langt mere effektivt til at kontrollere varmeoverførslen
inde i batteripakken blandt cellerne [86]. Vandtågesystemet var dog i stand til at give bedre og længerevarende køleef-
fekt i forsøgene. Varmeudbredelse til tilstødende celler blev kun ubetydeligt reduceret med en ekstern vandspray. Den
eksterne vandspray lykkedes dog med at slukke branden uden for batteripakken og til dels kontrollere brandsprednin-
gen. Det blev påpeget, at uden tilstrækkelig afkøling af batteripakkens interne battericeller vil emissionerne af gasser
fra batteripakken sandsynligvis akkumulere, hvilket øger risikoen for eksplosion i brændbare gasser. Selvom denne un-
dersøgelse har sammenlignet to typer vandslukningssystemer, er der ingen tilgængelige data om mængden af brugt
vand, hvilket også er en nøglefaktor.
Der er også nogle virkelige hændelser, hvor en brand, der er startet i et elektrisk køretøj, med succes er blevet kontrol-
leret af vandsprinklere inde i en garageanlæg [87]. Det vides ikke, om køretøjets batteripakke var involveret i branden.
Effektiviteten af eksterne sprinkleranlæg, når de kontrollerer branden fra at påvirke batteripakken, fremgår ikke af
denne hændelse.
Selvom vand giver meget afkøling, skal det bemærkes, at der kræves direkte indvirkning på battericellerne for at opnå
den højeste effektivitet som påpeget af Wilkens K. et al. [88]. I tilfælde af ekstern vandspray eller eksterne vandtågesy-
stemer er det højst usandsynligt, at vanddråber vil nå til branden i batteripakken, og internt fastgjorte undertrykkelses-
systemer er nødvendige for at køle battericellerne ned under grænsen for TRA.
Påføring af vand direkte på højspændings-litium-ion batterier bør ske med forsigtighed på grund af risikoen for stødfare
fra komponenterne i motorrummet og udvikling af brændbare gasser under påføring af vand [59]. Produktionen af HF
Side
47
af
68
BOU, Alm.del - 2022-23 (2. samling) - Bilag 76: Henvendelse af 6/9-23 fra Bjarne Engelbrecht Larsen vedr. anmodning om at ministeren tilbagetrækker bek. 181 sikkerhed f.s.v.a. Pyrotekniske batterier
2747580_0048.png
ved brug af vand som slukningsmiddel er blev observeret til at være næsten fordoblet sammenlignet med et frit bræn-
dende batteri under en række eksperimenter udført med poseceller [89].
ICEV er sammenlignelige med EV i forhold til effektiviteten af sprinkleranlæg. Det bemærkes dog, at sprinkleranlæg
dimensioneres for en vist tidsrum, som vandforsyningen skal kunne opretholdes til sprinkleranlægget. Det vil således
ikke have en længerevarende effekt i forhold til køling af batteripakke.
6.6.2.2
Brandventilation
Det er velkendt, at brand i el- og hybrid-biler, på grund af batteripakkens involvering, udsender meget giftige gasser,
væsker og faste stoffer som HF, POF
3
, H
3
PO
4
, PH
3
og støvpartikler af tungmetaller, som ikke udsendes ved konventio-
nelle brande [90], [91], [92], se afsnit 6.1.5.
Figur 12 Totale emissioner af metaller og anioner på sodpartikler fra afbrændingsforsøg på hhv. en ICEV varevogn, tilsvarende EV
varevogn og en mindre EV (EV B) [36].
Ud af de mange gasformige emissioner er HF en velkendt giftig gas, hvoraf små mængder kan være dødelige for men-
nesker [62]. Der er flere risici forbundet med disse gasformige emissioner, ikke kun under branden, men også efter, at
branden er blevet bekæmpet. For eksempel kan disse gasser fortrænges til andre steder i bygningen uafhængigt af
branden. Derfor kan brandventilering virke som en effektiv løsning til at fortynde koncentrationerne af disse gasser og
også for at forhindre fortrængning til andre steder i bygningen.
Information om fuldskala brandventilationstest for brande i el- og hybrid-biler er sparsomme. Et fuldskalaforsøg er ble-
vet udført af et schweizisk forskerhold med fokus på brande i elektriske køretøjer [92] i forbindelse med tunneler (un-
derjordiske brande). Dette forsøg repræsenterer ikke brand inde i et garageanlæg. Desuden repræsenterer den 160
meter lange tunnelkonfiguration, der blev anvendt i forsøgene, heller ikke et garageanlæg med lavt til loftet. Resulta-
terne fra forsøgene bekræfter dog, at koncentrationerne af gasformige emissioner er væsentligt reduceret over tid, når
mekanisk ventilation var i funktion under branden. Når man betragter støvpartiklerne af tungmetaller, var der kun en
brøkdel tilbage i forsøgsområdet.
Side
48
af
68
BOU, Alm.del - 2022-23 (2. samling) - Bilag 76: Henvendelse af 6/9-23 fra Bjarne Engelbrecht Larsen vedr. anmodning om at ministeren tilbagetrækker bek. 181 sikkerhed f.s.v.a. Pyrotekniske batterier
Begrænsningen af disse gasformige emissioner kan være yderst effektiv i forhold til at sikre tilstrækkelig evakueringstid
(ASET), i tilfælde af evakuering fra branden, især i et ellers lukket garageanlæg. Det er også kendt, at impulsventilatorer
kan hjælpe redningsberedskabets indsatsmandskab ved at skubbe røgen i en bestemt retning og give indsatsmandska-
bet en adgangsvej til at nå det brandramte område. Dette koncept bruges i øjeblikket i Belgien reguleret af NBN S 21-
208-2-standarden for røg- og brandventilation i lukkede garageanlæg [93]. Denne tilgang er ikke nødvendigvis udviklet
med fokus på brande i elektriske køretøjer, og den kræver også viden om computational fluid dynamics (CFD) for at
designe brandventilationssystemet, hvilket kan blive en omkostningstung løsning i sidste ende.
Pietreanu C.M. mfl. [94] sammenlignede effektiviteten af impulsventilatorer til røgkontrol med konventionelle røgud-
sugningssystemer. Det kan også fremhæves, at impulsventilatorer kan bruges til at kontrollere CO og benzindampe i et
garageanlæg, når de er koblet sammen med detektering af disse. Her installeres impulsventilatorer hovedsageligt for at
styre røggasserne inde i garageanlægget. Udsugningskanaler var installeret i den ene ende af garageanlægget. En for-
bedret version af dette koncept anvendes i den tidligere nævnte belgiske standard, hvor der er mere end ét udsugnings-
punkt, og afhængigt af placeringen af de røgmæssige barrierer vil impulsventilatorerne kunne lede røggasserne til et
bestemt udsugningspunkt i garageanlægget.
Węgrzyński W. har udført et omfattende antal numeriske
undersøgelser med fokus på garageanlæg [63]. Resultaterne
af disse CFD-simuleringer viser, at den mest kritiske designfaktor fortsat var højden i garageanlægget, og at ventilati-
onsparametrene ikke havde så stor effekt på sigtbarheden som forventet.
Selvom udledningen af giftige og/eller brandfarlige gasformige emissioner under brande i elbiler er velkendte, er der
meget mindre fokus på analyse af brandventilationsanlæg i forhold til elbilbrande. Blandt de få udførte arbejder er der
både udført fuldskala tests og numeriske undersøgelser vha. computersimuleringer og beregninger. Mere arbejde på
dette område er dog påkrævet for at levere afgørende løsninger og viden.
Elbiler og konventionelle biler har sammenlignelige egenskaber med hensyn til brandbelastning og -effekt samt risiko
for brandspredning mellem køretøjer. Effekten af brandventilation i et garageanlæg vil derved være sammenlignelig
uafhængigt af køretøjstype.
Det kan således ikke ud fra litteraturstudiet vurderes, hvorvidt de løsninger for brandventilation i garageanlæg, der
anvendes i Danmark, er passende i forhold til at reducere risikoen for brandudbredelse i garageanlæg. Det gælder både
ved brand i elbiler og konventionelle biler i forhold til den generelt øgede brandbelastning og -effekt for nyere køretøjer.
Det bemærkes i den forbindelse, at man i USA har øget kapaciteten (vandydelsen) af sprinkleranlæg. Det vil derfor
tilsvarende være nærliggende at undersøge nærmere om dimensioneringskriterierne for brandventilation er passende.
6.6.2.3
Andre slukningsanlæg
CO
2
er et almindeligt anvendt gasformigt brandslukningsmiddel, som kan fortynde O
2
-koncentrationen til et punkt, hvor
forbrændingen ikke længere er mulig. Derudover har CO
2
fordelen af ikke af være ledende, hvilket gør det til et ideelt
medie til brug ved brand i elektriske komponenter. Men som påpeget i en eksperimentel undersøgelse, der involverer
litium-ion batterier til elektriske køretøjer og CO
2
som undertrykkelsesmiddel [95], er CO
2
's køleeffekt ikke tilstrækkelig
til at overvinde en TRA. Det er muligvis effektivt at bruge CO
2
til at begrænse branden i den indledende fase, hvor
temperaturen på batteriet ikke er begyndt at stige hurtigt.
Andre slukningsmidler såsom pulver, skum og aerosoler mangler også denne køleevne, der ligner CO
2
, hvilket også gør
dem mindre effektive under litium-ion batteribrande [96]. Yuan S. mfl. [96] har udført en omfattende gennemgang af
effektiviteten af forskellige typer slukningsmidler og har konkluderet, at et
”brandslukningsmiddel”
med høj befugt-
ningsevne, lav viskositet, fremragende isoleringsegenskaber, høj varmekapacitet, miljøvenligt og gode røgabsorptions-
evner er den ideelle løsning til brandbekæmpelse i litium-ion batteribrande.
Ud af de aktuelt tilgængelige brandslukningsmidler ser det ud til, at vandbaserede brandslukningsmidler herunder skum
er den eneste brugbare mulighed, selvom de medfører yderligere risici på grund af vands elektriske ledningsevne og
produktion af giftige gasser såsom HF. Den største ulempe ved gasformige eller kemiske brandslukningsmidler er den
lave køleevne, som ikke forhindrer en TRA, hvis batteriet når dette niveau.
Effektiviteten af alternative brandslukningsmidler på ICEV'er er blevet analyseret med fuldskala brandtest på ro-ro fær-
ger i det tidligere nævnte FIRESAFE-projekt [84]. I disse tests blev der brugt skumslukningssystem og trykluftskum (CAF)-
Side
49
af
68
BOU, Alm.del - 2022-23 (2. samling) - Bilag 76: Henvendelse af 6/9-23 fra Bjarne Engelbrecht Larsen vedr. anmodning om at ministeren tilbagetrækker bek. 181 sikkerhed f.s.v.a. Pyrotekniske batterier
systemer. Sammenlignet med ydeevnen af deluge-anlæg, hvor en vandydelse på 10 mm/min var nok, mens 5 mm/min
ikke var nok til at forhindre brandspredning, vurderes skumslukningssystemets ydeevne at være lige ca. imellem disse
med en vandydelse på 6,5 mm/min. Det er ikke nævnt, om brandspredning blev forhindret eller ej. Men i tilfælde af
brændstofspild via en lækage af en brændstoftank i en brand, kan tilsætning af skum vise sig at være endnu mere ef-
fektiv end et delugeanlæg.
CAF-systemet blev også testet mod samme testopsætning, men CAF-systemet var ikke i stand til at kontrollere branden
med succes, og testen blev afsluttet på grund af dens lave effekt overfor branden. Det nævnes i rapporten, at dette
sandsynligvis skyldtes den lave vandydelse (2,4 mm/min), der valgtes at anvende under denne test. Som afsluttende
bemærkninger om CAF-systemet nævnes i rapporten fleksibiliteten ved et CAF-system og de muligheder, det giver med
at kunne tilpasninger afhængigt af anvendelsen.
Tilsvarende gør sig gældende for konventionelle biler, at det bedst egnet brandslukningsmiddel, er vand evt. tilsat skum-
middel til slukning af brand i køretøjer. Der er som nævnt i foranstående ikke større forskel i brandudviklingen i el- og
hybridbiler og konventionelle køretøjer. Den største forskel er naturligvis bekæmpelse af brand i eller ved batteripakken
og behovet for køling af denne. Samt det forhold, at der er behov for en længerevarende indsats i forhold til bekæmpelse
og overvågning af brand i el- og hybridbiler.
6.6.2.4
Automatisk brandalarmanlæg (detektering)
Der er som angivet i afsnit 6.6.1 ikke direkte krav om etablering af automatisk brandalarmanlæg i garageanlæg i Dan-
mark.
Erfaringer fra brande i garageanlæg, bl.a. branden i garageanlægget ved lufthavnen i Stavanger, viser at kan gå relativt
lang tiden inden tilstedeværende personer reagerer på branden i forhold til at få alarmeret redningsberedskabet, sam-
tidig med at brand potentielt kan opstå, når der ikke er personer til stede i eller ved garageanlægget. Detektering af
brand i garageanlæg ved brug af automatisk brandalarmanlæg vil sikre, at redningsberedskabet bliver alarmeret tidligt
i brandforløbet. Der er dog tillige erfaringer fra brande i garageanlæg, hvor brandspredning mellem køretøjer er sket så
hurtigt, at redningsberedskabet selv, hvis de bliver alarmeret via automatisk brandalarmanlæg, vil have vanskeligt ved
at begrænse brandspredningen yderligere i garageanlægget. I det tilfælde vil et automatisk slukningsanlæg have en
større effekt i forhold til at kunne kontrollere branden, udover blot at alarmere redningsberedskabet. Samtidig vil red-
ningsberedskabet ikke i samme grad være afhængigt af at skulle foretage en hurtig og offensiv indsats med de risici og
vanskelige arbejdsforhold det indebærer i et garageanlæg.
Side
50
af
68
BOU, Alm.del - 2022-23 (2. samling) - Bilag 76: Henvendelse af 6/9-23 fra Bjarne Engelbrecht Larsen vedr. anmodning om at ministeren tilbagetrækker bek. 181 sikkerhed f.s.v.a. Pyrotekniske batterier
2747580_0051.png
7
Oplag af litium-ion batterier
Da der ikke findes regler rettet mod opbevaring af litium-ion batterier (LIB), tages der udgangspunkt i gældende for-
skrifter om oplag af brandfarlige materialer reguleret i beredskabslovgivningen. Forskrifterne om brandfarlige stoffer
indeholder forskellige niveauer, afhængigt af typen af det brandfarlige stof og mængden heraf. I forskrifterne er der
typisk en nedre undtagelsesgrænse afhængigt af mængden, hvorunder forskrifterne ikke finder anvendelse. Disse min-
dre oplag kan således opbevares uden særlige krav til placering eller oplagsstedet. Dernæst er der i forskrifterne et
niveau, hvor et oplag er omfattet af forskrifterne, men det kræver ikke godkendelse fra det kommunale redningsbered-
skab i henhold til beredskabslovgivningen. Det er en forudsætning, at et givet oplag i det tilfælde brandsikres, indrettes
og placeres i en bygning, som angivet i forskrifterne. Endelig er der større oplag af brandfarlige stoffer, der kræver
godkendelse til etablering af det kommunale redningsberedskab. Beredskabsstyrelsen angiver således indirekte græn-
ser for maksimale oplag, der kan siges at kunne rummes i bygningsreglementets bestemmelser for ét enkelt, samlet
oplag, der er brandmæssigt adskilt uden, at det kræver godkendelse iht. beredskabslovgivningen. Grænserne i forhold
til de tekniske forskrifter for brandfarlige og brændbare væsker er 800 oplagsenheder og for brændbare faste stoffer
1.000 m
3
.
800 oplagsenheder brændbare væsker svarer til 800 liter benzin, hvilket svarer til 7,1 MWh ved 32 MJ/liter (ved densitet
0,750 kg/l).
Brændbare faste stoffer kan variere dels i densitet af det brændbare materiale og dels i brændværdi, fx fra knap 20
MJ/kg for træ op til 40 MJ/kg for visse plastmaterialer.
800 oplagsenheder svarer for litium-ion celler til ca. 3,9 ton battericeller svarende til mere end 500 kWh LFP-batteri.
1.000 m
3
bøgetræ á 600 kg/m
3
á 19 MJ/kg svarer til 11.400 GJ, hvilket svarer til 1.740 ton battericeller (~226 MWh
batteri).
Batteriet er ikke helt så volatilt som benzin, men er vanskeligere at slukke end en brand i træ.
Oplagrede batterier kan antages at have en lav ladetilstand
typisk under 20 % SoC (Under transport skal ladetilstanden
(SoC) være lavere end 30 % og under lagring anbefaler batteriproducenter også en relativ ladetilstand for at øge leveti-
den). Bidraget fra en elektriske energi vil være ret begrænset, så en væsentlig del af brandlasten kommer fra elektrolyt-
ten. 10 % til 20 % af batteriet udgøres af elektrolyt, ofte med højt indhold af organiske opløsningsmidler (80-90 %).
Brandlasten af dette vil være tæt på brandlasten af benzin.
I runde tal udgør ca. 10 % af et batteri flygtige organiske opløsningsmidler, ikke nødvendigvis så højviskose som benzin,
men brændbare når de på grund af opvarmning går på gasform. Et oplag af op til seks ton batterier med lav ladningstil-
stand, men med ca. 600 kg flygtig elektrolyt kan på den baggrund antages at svare til ca. 800 oplagsenheder af benzin.
Det vil dog være optimalt at foretage nogle målrettede tests før en grænse på seks tons batterier per brandsektion
besluttes. Men det kunne være en værdi, der anvendes hvis virksomheden ikke kan redegøre for brandlasten i den
aktuelle batteri-type i forbindelse med en risikoanalyse.
Som nedre grænse for hvornår der bør overvejes særlige foranstaltning i forhold til batterioplag foreslås oplag på
mere end 200 kg batterier
1
(svarende til ca. 25 oplagsenheder).
Ved ét oplag af nye og brugte batterier tages der udgangspunkt i, at de vil skulle brandsikres og indrettes efter de præ-
accepterede løsninger i Bilag 10
Præ-accepterede løsninger for industri- og lagerbygninger i én etage i Bygningsregle-
mentets vejledning til kapitel 5
Brand. De præ-accepterede løsninger for industri- og lagerbygninger differentieres
afhængigt af, hvilken industri- og lagerklasse et givet oplag kan henføres til. Kategoriseringen af industri- og lagerklas-
serne afhænger bl.a. af brandbelastningen relateret til gulvarealet. Brandbelastningen er den samlede mængde brænd-
bart materiale inklusiv evt. bygningsdele. Der er i dette afsnit givet en grov indikation af, hvilket bidrag til brandbelast-
ningen, som kan forventes fra batterier. I kategoriseringen af industri- og lagerklasserne indgår tillige brandtilvækstfak-
toren, der afhænger af flere forhold, bl.a. det brandbare materiale, evt. emballering og geometrien af et oplag. Der er
forskel på, om der er tale om et kompakt oplag på gulv (blokstabling) eller stabling af et oplag i reoler, samt højden af
et oplag, i forhold til geometrien af et oplag.
1
25 oplagsenheder = 25 liter benzin * 7,5 kg batteri/liter benzin = 187,5 kg batteri => oprundet til 200 kg batteri.
Side
51
af
68
BOU, Alm.del - 2022-23 (2. samling) - Bilag 76: Henvendelse af 6/9-23 fra Bjarne Engelbrecht Larsen vedr. anmodning om at ministeren tilbagetrækker bek. 181 sikkerhed f.s.v.a. Pyrotekniske batterier
Det næste forventede udviklingsspring for litium ion batterier ventes at blive solid state batterier. I denne type er elek-
trolytten erstattet af et ikke-flygtigt materiale. Brandlasten må derfor ventes at blive meget lavere i fremtiden når solid-
state litium-ion batterier bliver tilgængelige.
En typisk livscyklus for en litium-ion battericelle kan bestå af følgende 10 trin [97]:
1. Fremstilling af battericellen.
2. Forsendelse fra producenten af battericellen til batteripakkemontøren.
3. Kombination af batterier i batteripakker på montagefaciliteterne.
4. Forsendelse til elektronik- eller køretøjsfabrikant.
5. Installation af batterier i elektronikken eller køretøjet.
6. Forsendelse til distributionscenteret.
7. Opbevaring, salg og transport af den producerede vare (elektronik eller køretøj) til forbrugeren.
8. Brug af genstanden med batterierne.
9. Batteriet udskiftes og kasseres.
10. Transport til bortskaffelse af fast affald eller genbrugsplads.
Opbevaring af litium ion-batterierne finder således sted flere gange i løbet af deres livscyklus. Det sker på forskellige
faciliteter hos involverede parter og i forskellige arrangementer (individuelle celler, cellepakker, inden for en enhed/ud-
styr).
7.1
Nye litium ion-batterier
Opmagasinering af nye batterier sker hos importører og producenter. Der er tale om professionelle parter, som bør
kende deres produkter. De bør således vurdere, hvornår en kritisk masse i forhold til en eventuel godkendelse eller
risikovurdering af acceptabel brandlast overskrides.
Nye opladelige litium-ion batterier leveres og opbevares normalt med mindre end 30 % State of Charge (SoC)
ofte
mindre end 20 % SoC på grund af krav fra transportøren af battericellerne.
Emballagen for batterier er oftest brandbar og indeholder normalt ikke nogen form for brandmæssig adskillelse eller
barriere i forhold til at bremse brandudbredelse ved TRA. Men risikoen for TRA er ekstrem lille, da batterierne er helt
passive og stabile. Ved en ekstern brand vil emballage dog bidrage til opvarmning af battericellerne og fuld udbrænding
af battericellerne må forventes ved ekstern brand omkring oplagrede litium-ion batterier .
I forbindelse med risikovurdering og mitigering kan risiko reduceres gennem f.eks.:
Opdeling i mindre enheder
Automatisk brandslukningsudstyr (sprinkler)
Overvågning med alarmkald
Eksempler på oplag af batterier:
Flåde af robotter, plukketrucks og gaffeltrucks svarer de facto risikomæssigt til oplag af batterier.
Cykelbatterier til natopladning hos budservices. Der kan samles flere hundrede cykelbatterier til ladning. Ener-
giindhold per batteri kan ligge mellem 200 Wh og 600 Wh
o
400 cykelbatterier á 500 Wh svarer til et batterianlæg med 200 kWh Indretningen af lokaler til oplad-
ning bør tage hensyn til risiko for brandspredning
der bør tænkes over opdeling i flere brandmæssige
adskilte afsnit f.eks. med 10 til 20 kWh i hvert afsnit.
Batteriopbevaringen kan have de tilhørende risici [97] som beskrevet i efterfølgende:
Risiko for mekanisk skade. Dette kan ske under håndteringsprocessen. Eksempler inkluderer, hvis batteripak-
kerne tabes fra højden eller beskadiges af gaffeltruck. Knusnings- eller punkteringsskader kan føre til udslip af
elektrolyt, kortslutning og TRA.
Ekstern opvarmning, hvilket resulterer i udluftning eller TRA.
Intern cellefejl, hvilket resulterer i TRA. En række brande relateret til den interne cellefejl er anført i reference
[97].
Oplistning med forslag til opbevaring af litium-ion batterier i forskellige størrelser:
Side
52
af
68
BOU, Alm.del - 2022-23 (2. samling) - Bilag 76: Henvendelse af 6/9-23 fra Bjarne Engelbrecht Larsen vedr. anmodning om at ministeren tilbagetrækker bek. 181 sikkerhed f.s.v.a. Pyrotekniske batterier
Opbevaring ved reduceret SoC vil reducere risikoen for TRA [81]. Virksomheden Tektronix anbefaler fx at holde
litium-ion batteriet ved 50 % opladning under opbevaring samt genoplade det til 50 % hver 6. måned [98].
Opladning af batterierne foretages ikke på selve oplagsstedet [97].
Opbevare batterierne adskilt fra den enhed/det produkt, det skal bruges i [98].
Opbevare batterierne adskilt fra andre brændbare stoffer og eventuelt i et metalskab [99].
Opbevare batteriet ved temperaturer 5
20 °C [98], [99].
Bortskaffelse af batteripakken, hvis det lækker væsker [98].
Ud over de ovenfor anførte opbevaringsanbefalinger anbefales muligheden for detektering og bekæmpelse, for at be-
grænse brandskaderne. Branddetektion kan sikres på cellen, batteripakken, udstyret, eller på rumniveau. Detektions-
metoderne omfatter røg-, varme- eller gasdetektering. Der kan være behov for flere detektionsmetoder i kombination
for at sikre en pålidelig detektering [100].
Yderligere anbefalinger for brandtekniske installationer kan som tidligere beskrevet i rapporten findes i afsnit 6.6. En
undersøgelse vedrørende brug af sprinkleranlæg til undertrykkelse af brand i litium-ion batterier opbevaret i papkasser
er blevet udført af FM Global, hvilket har indikeret et godt potentiale for brug af sprinklere [101].
7.2
Brugte litium-ion batterier
Midlertidig oplagring af brugte batterier vil blive et stigende problem. Der er mange initiativer i gang for at skabe en
levedygtig genbrugsstrøm for brugte batterier. Problemet er i øjeblikket, at værdien af f.eks. et LFP litium-ion batteri er
så lav, at det ikke kan betale sig at genindvinde materialerne.
Producenten eller agenten, der bringer batteriet på markedet i EU, skal også tage ansvar for forsvarlig bortskaffelse.
Elbilproducenter vil håndtere deres egne batterier og følge dem gennem eventuelle
”second-life”
anvendelser. Disse
batterier ventes ikke at blive bortskaffet via de offentlige genbrugssystemer.
Det kan være mere problematisk med batterier til anvendelse i mobile enheder så som mobiltelefoner, håndværktøj,
haveredskaber, elcykler og stationære husstandsbatterier.
Da rigtigt mange battericeller ligner hinanden vil det være uhyre vanskeligt at sortere efter andet end form og vægt.
Nogle litium-primærbatterier leveres i samme type batteriindpakning som NiMH batterier, så alle typer forbrugsbatte-
rier må forventes sammenblandede, i det mindste indtil batteriblandingen har været igennem en sortering.
Da det således er uvist, hvad der måtte ligge i en blandet dynge af batterier, må tilgangen have en vis sikkerhedsmargin.
Det kan ikke antages, at alle batterier er afladte, når de kasseres. Langt de fleste litium-ion batterier vil indeholde energi,
når de kasseres.
Retningslinjer bør tage udgangspunkt i at brugte batterier kan indeholde næsten lige så meget energi som nye fuldt
opladede batterier. Ofte vil indsamlingsvirksomheder, som eksempelvis Stena Recycling, ikke kunne definere præcist,
hvilke typer af batterier og ladetilstande, der opmagasineres indtil disse sendes til slutbehandling. Indsamlingsvirksom-
heder bør dog kunne vurdere andelen af litium-ion batterier af den samlede mængde. Der vil her kunne tages udgangs-
punkt i vægten af de opmagasinerede litium-ion batterier, når den potentielle brandlast skal vurderes.
Hvis der antages en højt ansat gennemsnitlig elektrisk energitæthed på 130 Wh/kg (~ svarende til maksimum for LFP),
vil det svare til et forventeligt maksimalt varmebidrag per kg battericelle på 6,5 MJ/kg.
Tallet på 6,5 MJ/kg batteri kan anvendes som retningstal, hvis virksomheden ikke kan angive et mere nøjagtigt estimat
i forbindelse med risikovurderingen for oplagsstedet.
Selvom det ikke er nævnt i livscyklussen for litium-ion batterier ovenfor i afsnit 7, undersøges mulighederne for at gen-
bruge litium-ion batterier efter "end of Life" (EoL). Batteriets levetid eller levetid afhænger af batteriets kemi og brugen
af batteriet. Litium Cobalt Oxide (LCO) katodebatterier nedbrydes efter færre cyklusser sammenlignet med Litium jern
Phosfate (LFP) batterier der typisk bruges i biler og energilagringsenheder. I gennemsnit vil batterierne, der bruges i
elbiler (EV), bevare 80 % af sin kapacitet efter 2.000 opladningscyklusser [102].
Det er blevet foreslået, at slutningen af et batteris levetid kan defineres ved at det fjernes fra dets originale anvendel-
sesenhed eller system [102]. I dag kommer de fleste batterier, der når deres end-of-life, fra mindre elektronikenheder,
Side
53
af
68
BOU, Alm.del - 2022-23 (2. samling) - Bilag 76: Henvendelse af 6/9-23 fra Bjarne Engelbrecht Larsen vedr. anmodning om at ministeren tilbagetrækker bek. 181 sikkerhed f.s.v.a. Pyrotekniske batterier
efterfulgt af mindre køretøjer, som fx løbehjul, cykler scootere [102]. Batterierne kan potentielt genbruges i en anden
enhed, idet en betydelig kapacitet af batteriet er tilbage.
Følgende overvejelser vedrørende brandsikkerhed er vigtig i forbindelse EoL-batterier herunder:
Ved opbevaring i forbindelse med bortskaffelsesprocessen
Genbrug og genindbygning af batterierne i anden enhed
Litium-ion batteripakker, der er blevet indleveret til genbrug eller som genbruges, kan indeholde betydelig elektrisk og
kemisk energi. Derfor er det meget vigtigt at beskytte batterierne mod kortslutning og mekanisk beskadigelse også
under opbevaringen efter batterilevetiden [97]. Brande i store affaldsbeholdere fyldt med batterier uden tapede elek-
troder er blevet rapporteret på transport- og genbrugscentre [97].
Side
54
af
68
BOU, Alm.del - 2022-23 (2. samling) - Bilag 76: Henvendelse af 6/9-23 fra Bjarne Engelbrecht Larsen vedr. anmodning om at ministeren tilbagetrækker bek. 181 sikkerhed f.s.v.a. Pyrotekniske batterier
2747580_0055.png
8
Batterier til solcelleanlæg (BESS) i bygninger
Faldende priser på solceller og hastig udvikling af solceller, der samtidig kan fungere som tag og klimaskærm, betyder
en forventet øgning af solcellekapaciteten på bygninger fremover. De stærkt svingende energipriser øger også interes-
sen for solceller. I takt med at elproduktionen fra solcellerne ikke kan udnyttes indenfor installationen øges interessen
for at supplere solcellerne med et batterianlæg. De første batterianlæg til husstande var baseret på blybatterier og var
ganske uøkonomiske. Nu har litium-ion batterierne (LIB) overtaget det seriøse solcellemarked med markant længere
levetider og forbedret økonomi. De faldende priser på LIB vil givetvis betyde et skift mod større og større batterianlæg
fremover.
Herunder foreslås nogle generelle retningslinjer for størrelsesbegrænsninger ved forskellig placering. Grænserne skal
ikke opfattes som absolutte grænser, men som oplæg til retningslinje, hvis der ikke foreligger konkret kvalificeret infor-
mation om det aktuelle anlægs varmebidrag i tilfælde af brand.
Grænser for husstandsinstallationer:
20 kWh i teknikrum i bygning
100 kWh i garage, carport, huse.
Mellemstore anlæg:
5 MWh i bygning og i det fri.
Elektriske batterilagre til stationær anvendelse kendes under forskellige betegnelser. Betegnelserne EES (Electric Energy
Storage) og BESS (Battery Energy Storage System) anvendes ofte for lidt større anlæg, medens batterienheder i forbin-
delse med solcelleanlæg i private huse ofte omtales som husstandsbatterier, energilagre eller blot batterier. Fælles for
alle disse systemer er, at de ud over selve det batteri-baserede DC-energilager, er tilsluttet til AC-elnettet via en elektrisk
konverter
i nogle tilfælde er batteri og konverter sammenbygget for husstandsanlæg og mindre mellemstørrelse BESS.
Tilslutning af et batterianlæg til elnettet kræver overholdelse af Energinets Teknisk Forskrift 3.3.1, hvor batterianlæg
inddeles i fire effektstørrelser, som har lidt forskellige elektriske krav:
A. Energilageranlæg op til 125 kW
B. Energilageranlæg fra og med 125 kW op til 3 MW
C. Energilageranlæg fra og med 3 MW op til 25 MW
D. Energilageranlæg fra og med 25 MW eller tilsluttet over 100 kV
Effektstørrelsen siger ikke noget direkte om energiindholdet, men ofte vil der være en sammenhæng. Elektrisk effekt
og energiindhold vil ofte matche 1:1 for mindre anlæg i 2021, dvs. 6 kW solcelleanlæg vil ofte sættes sammen med 6
kWh batteri, men med tendens til at energiindholdet bliver større end effekten. Til større batterianlæg, der leverer
serviceydelser til elnettet, vil effekten ofte være 2 til 4 gange større end energiindholdet.
Tabel 5: Klasser af batterianlæg i forhold til maksimum elektrisk effekt.
Batterianlæg
klasse
A
Maksimum elek-
trisk effekt [MW]
0 til 0,125
Typisk energi til effekt-faktor
(Energiindhold [MWh] som faktor
til aktuel elektrisk effekt)
1 til 10
Eksempler på applikationer og typiske størrelser
for disse applikationer
Husstandsbatteri: 4-20 kWh @400V
Lokalt batteri (beboelsesejendom, mindre virk-
somhed o.lign.) 20-200 kWh @400V
Buffer batteri til ladeanlæg, marina o.lign.: 150
kWh til 2 MWh
Frekvensydelser til elnettet: 500 kWh til 4 MWh
B
0,125 til 3
0,25 til 10
C
D
3 til 25
>25 eller > 100kV
0,25 til 4
0,25 til 4
Batteri af klasse C og D placeres normalt uden for bygninger med anden anvendelse. Klasse A og B placeres ofte i, eller
direkte i forbindelse med bygninger, herunder også bygninger med natophold.
Der vil i brandsikkerhedsmæssig tilgang ikke være forskel på BESS og UPS-anlæg
begge kategorier må anses for at
være nettilsluttet og jordforbundet.
Side
55
af
68
BOU, Alm.del - 2022-23 (2. samling) - Bilag 76: Henvendelse af 6/9-23 fra Bjarne Engelbrecht Larsen vedr. anmodning om at ministeren tilbagetrækker bek. 181 sikkerhed f.s.v.a. Pyrotekniske batterier
Opstår der brand i et BESS eller risiko for brandspredning til et BESS, er første sikkerhedsforanstaltning, som ved enhver
brand i nettilsluttet elektrisk udstyr, at afbryde forbindelsen til elnettet og solceller eller vindmølle, hvis noget sådan er
tilsluttet. Da det i praksis ofte er urealistisk at afbryde alle muligheder for jordforbindelse til BESS-anlægget, bør elektrisk
ledende dele tilsluttet batteriet anses for potentielt berøringsfarlige i forhold til jord, indtil en kvalificeret person har
målt og erklæret anlægget berøringssikkert.
Der findes per december 2021 ikke specifikke obligatoriske sikkerhedskrav til BESS ud over transportsikkerhedsrele-
vante krav (UN38.3) og krav til elektrisk udstyr.
Der findes dog flere relevante standarder som kan benyttes til at dokumentere et vist sikkerhedsniveau. IEC 62619
tester flere sikkerhedsscenarier, som ikke dækkes af UN38.3, bl.a. om termisk runaway i en enkelt battericelle kan ud-
brænde cellen uden at antænde naboceller i en batteripakke. IEC 62619 anses for særdeles relevant, når der ønskes et
højere sikkerhedsniveau ved batterianlæg placeret i eller i direkte tilknytning til beboelse eller brændbare materialer.
8.1.1
Analyse vedrørende BESS anlæg
Som mange andre europæiske lande bevæger Danmark sig frem imod en fremtid uafhængig af fossile brændstoffer
[103]. I Danmark står vindkraft allerede for over en tredjedel af den samlede elproduktion. Solenergi er stadig stigende
i Danmark, og i 2019 blev 3 % af den samlede elektricitet produceret ved hjælp af solenergi [104]. Med udbredelsen af
solenergi som en vedvarende energikilde er flere projekter skudt i gang med batterienergilagringssystemer (BESS) rundt
om i Danmark [105]. Disse BESS, der er knyttet til solpaneler, bruges primært til at forsyne boliger [106]. I fremtiden
forventes tillige i større grad industriel anvendelse [107].
Solcellepaneler lagrer energi i BESS'en, som indeholder litium-ion batterier. Disse gør det muligt at bruge eller levere
den genererede strøm til de lokale net [101]. Udover batterierne består BESS'er også af et kølesystem og en holder til
batterierne. BESS'er til boliger, herunder etageboliger, og virksomheder installeres i bygningen eller udvendigt i forbin-
delse med bygningen, mens store kommercielle eller industrielle BESS'er typisk installeres i det fri. Litium-ion batteri-
erne i disse energilagringssystemer udgør de samme risici som beskrevet tidligere, såsom selvopretholdende kædere-
aktioner, høj varmeudvikling og frigivelse af giftige og brændbare gasser i tilfælde af brand. Ydermere kræver brande
forbundet med litium-ion batterier, som nævnt mange ressourcer fra redningsberedskaber og er tidskrævende at be-
kæmpe og slukke.
Der mangler generelt forskning inden for BESS brandsikkerhed. Der er i øjeblikket som bekendt ingen retningslinjer
knyttet til det danske bygningsreglement til regulering af, hvordan disse systemer skal placeres i boliger [108]. Dette
skyldes ikke mangel på hændelser med brande rundt omkring i verden, der involverer brande i BESS'er, men mest på
grund af manglende viden på dette område.
SINTEF [109] undersøgte brandsikkerheden i det norske byggeri med litium-ion batteri-installationer til solcelleanlæg.
Undersøgelsen understregede behovet for tidlig erkendelse af brand, som kan opnås ved detektion og overvågning på
batteri- og/eller bygningsniveau. Detektion på tidlige stadier er udfordrende, men kan omfatte temperaturkontrol, røg-
og gasdetektering. Den norske NELFO-retningslinje for litium-ion batterier i beboelsesbyggeri begrænser den maksimale
batterikapacitet til 14 kWh, specificerer at enheden placeres i en separat brandmæssig enhed eller i en separat bygning
(garage) og forbyder brugen af genbrugte batterier
”second
life-batterier”. Der mangler retningslinjer for erhvervsbyg-
geri, med installation af litium ion-batterier med større kapacitet (>100 kWh). Generelle resultater af denne undersø-
gelse rapporterer om manglende viden om brandsikkerhed blandt interessenterne indenfor området. Manglen på sær-
lige krav til batterirum er en bekymring, da sådanne batterier ikke har nogen intern opvarmning. Men den største be-
kymring er generelt, at EV-batterier sælges på det norske marked, og bliver anvendt som stationær energilagring i byg-
ninger [109].
I 2018 alene i Sydkorea blev der rapporteret om 23 brande, der involverede BESS'er, i anlæg med kapaciteter op til 40
MW [110]. Et udpeget panel undersøgte brandene, hvorefter de har identificeret de potentielle årsager til at være in-
stallationsfejl, utilstrækkelige beskyttelsesforanstaltninger mod elektrisk stød og manglende vedligeholdelse i omgivel-
serne, fx ophobning af støv og manglende isolering [111]. Produktionsfejl blev også fundet i BESS'erne fra én producent,
selvom disse defekte enheder havde gennemgået verifikationstesten med succes, uden antændelse [110].
I øjeblikket mangler der fuldskala brandtests relateret til BESS'er knyttet til solpaneler. Et omfattende multi-skala forsøg
er blevet dokumenteret af forskningsafdelingen hos FM Global med brande i litium baserede BESS og sprinklere [112].
Side
56
af
68
BOU, Alm.del - 2022-23 (2. samling) - Bilag 76: Henvendelse af 6/9-23 fra Bjarne Engelbrecht Larsen vedr. anmodning om at ministeren tilbagetrækker bek. 181 sikkerhed f.s.v.a. Pyrotekniske batterier
Forsøgene varierede fra brand i et enkelt modul, brand i seks moduler til større brandtest med et helt rack af batteri-
moduler. I disse forsøg blev der valgt to forskellige kemier for litium-ion batterierne; litium jernfosfat (LFP) og litium
nikkel oxid/litium mangan oxide (LMO) batterier. Brændværdien af LFP-typen er næsten halvdelen af LMO-typen, hvil-
ket fremhæver effekten af de forskellige kemier, der bruges i litium-ion batterier i tilfælde af en brand. I overensstem-
melse med størrelsen af brandbelastningen med de to typer afgav LMO-batterier en større mængde energi med HRR'er
på 1.000 kW. Den konvektive del af HRR toppede ved 400 kW. Ved LFP-typen blev observeret en mindre alvorlig brand,
med en konvektiv del af HRR på maksimalt 200 kW. Lignende tendenser blev også observeret i de større tests, hvor LFP-
typen producerede mindre varme sammenlignet med LMO-batterier.
I de store test fortsatte det med at brænde i 220 min, før end de aktivt blev slukket med brandslanger. De maksimale
HRR'er for brandene for LFP- og LMO-typer blev registreret til ca. 2 MW og 10 MW. Forskellen i brandene for de to
forskellige kemier var tydelig fra alle testene og for alle skalaer af test. Uanset kemien blev det påvist, at en brand, der
involverede et enkelt modul, nemt kunne involvere de tilstødende batterimoduler, hvilket førte til, at TRA opstod i flere
batterimoduler på én gang.
Opfølgningen på forsøgene dokumenteret i [112] kan findes i [113], hvor der er udført fuldskalaforsøg for at analysere
sprinklersystemers effektivitet mht. at kontrollere brande i BESS. Forskellen i batterikemien viste sig igen at være afgø-
rende for omfanget af brandspredning, selv ved sprinkling. Under eksperimenterne begrænsede brand i LFP-batteri til
et rack med en enkelt sprinkler, mens der ved brand LMO-batteripakken skete antændelse af tilstødende racks, et stykke
tid efter deaktivering af sprinklerne. Fire sprinklere blev aktiveret under branden med batteripakker af typen LMO.
Det konkluderes efter eksperimenterne i [112] og [113], at et loftmonteret sprinkleranlæg kun er i stand til at minimere
brandspredning til nærliggende racks, men ikke tilstrækkeligt til at slukke en brand med succes i sig selv. For at hjælpe
effektiviteten af sprinkleranlæggene anbefales installation af barrierer mellem racks.
Der er blevet udviklet adskillige retningslinjer for regulering af BESS’s installationer i USA. NFPA 855 [114] standarden
dækker installationen af stationære BESS med fokus på sprinklerinstallation til brandsikring. Lignende strategier anven-
des i Property Loss Prevention Data Sheets 5-33 [115] af FM Global.
Retningslinjerne fra FM Global identificerer, som angivet andre steder, TRA og elektriske brande som de to hovedpro-
blemstillinger relateret til BESS'er med litium-ion batterier. De fraråder anvendelse af brugte battericeller og -moduler.
Valget af battericelletype har en enorm effekt på de risici og konsekvenser, der er forbundet med brandsikkerheden
[112]. Derfor anbefales det, at valget baseres på den nødvendige lade-/afladningskapacitet. Litteraturstudiet har afdæk-
ket en række anbefalinger fremsat af FM Global. De er blevet opsummeret i efterfølgende underafsnit 8.1.1.1 til 8.1.1.3.
Retningslinjerne er meget omfattende, da de dækker mange andre områder såsom mekanisk ventilation, beskyttelse af
udstyr, vedligeholdelse af udstyr og renholdelse. I lighed med brande i elektriske køretøjer anbefales gasslukningssyste-
mer ikke til brandbekæmpelse i BESS på grund af deres begrænsede kølningseffekt og manglende mulighed for genak-
tivering i tilfælde af genantændelse af BESS'en. Disse retningslinjer er dog for det meste rettet mod store eller mellem-
store BESS'er frem for en lille BESS installeret til en enkelt boligenhed.
I tilfælde af BESS i boligenheder er der for nuværende ingen direkte retningslinjer, der omhandler brandsikkerheden
eller forebyggelsesstrategierne for brande i BESS. Der er altså et betydeligt hul på dette område. Reglerne, der anvendes
til BESS i stor skala, er i overensstemmelse med brandsikkerheden i elektriske køretøjer, når det kommer til anbefalede
metoder til bekæmpelse. Men i forhold til mængden af forskning på begge områder, er der endnu ikke nået et tilstræk-
keligt niveau af viden, selvom der er kommet øget fokus på dette i den seneste tid.
8.1.1.1
Placering af BESS anlæg
FM Global anbefaler placering af BESS anlæg i prioriteret rækkefølge:
Placering i egen indkapsling (vejrligsbeskyttelse) udenfor og væk fra bygningen
Dedikeret bygning til BESS
Dedikeret udvendigt rum med adgang for redningsberedskabet indsatsmandsskab.
Dedikeret indvendigt
”hjørnerum”
i bygningen med adgang for redningsberedskabet indsatsmandsskab.
Dedikeret indvendigt rum i bygningen med adgang for redningsberedskabet indsatsmandsskab.
Med rum menes en selvstændig brandmæssig enhed (brandcelle) udført som teknikrum.
Side
57
af
68
BOU, Alm.del - 2022-23 (2. samling) - Bilag 76: Henvendelse af 6/9-23 fra Bjarne Engelbrecht Larsen vedr. anmodning om at ministeren tilbagetrækker bek. 181 sikkerhed f.s.v.a. Pyrotekniske batterier
8.1.1.2
Vejrligsbeskyttede BESS anlæg
FM global anbefaler følgende vedrørende vejrligsbeskyttede BESS anlæg:
At vejrligsbeskyttelse udføres af ubrændbare materialer, som fx metal.
At de placeres med mindst 6,0 m indbyrdes afstand ved flere vejrligsbeskyttede BESS anlæg og til bygninger.
At de brandmæssigt adskilles med brandsektionsadskillelse hvis afstanden er mindre end 6,0 m
At ventilationsåbninger og gennemføringer (kabelkanaler, døre, HVAC-systemer) placeres i retning væk fra byg-
ninger.
8.1.1.3
Sprinklerbeskyttelse af BESS anlæg
FM global anbefaler følgende vedrørende sprinklerbeskyttelse:
At vandydelse dimensioneres med 12 mm/min og for et dækningsområde på 230 m
2
eller hele arealet, alt efter
hvad der er størst.
At der etableres termiske barrierer mellem racks fra gulv til loft for at begrænse brandspredning
At der etableres røgdetektering.
8.2
Mindre anlæg (enfamiliehuse)
Der er i dag ingen direkte krav til hvor et husstandsbatteri må placeres og hvor stort må det være.
For den elektriske tilslutning gælder de almindelige installationstekniske krav. Et batterianlæg må ikke tilsluttes via en
tilfældig stikkontakt i hjemmet, men skal tilsluttes i eltavlen på egen egnet strømkreds eller eventuelt i forbindelse med
f.eks. solcelleanlæg, hvis batteri-systemet er en del af dette.
Et EUDP-projektsamarbejde
”Safe ESS” med bl.a. Tekniq
og Teknologisk Institut anbefalede i 2018, at husstandsbatte-
rianlæg ikke placeres i beboelsesrum, og at der med hensyn til størrelse kan tages udgangspunkt i regler om opbevaring
af farlige materialer.
SafeBESS-projektet angiver følgende som faste krav:
Teknisk Forskrift 3.3.1 (betingelse for tilslutning til elnet, kun fokus på elnettets stabilitet).
UN38.3 (For litium-Ion Transport af farligt gods).
Fællesregulativet (krav til tilslutning og tilmelding).
Arbejdsmiljøbekendtgørelse 1072.
Elsikkerhedslov bek. 525.
Installationsbekendtgørelse 1082 (erstatter stærkstrømsbekendtgørelsen afsnit 6).
DS/HD 60364-standard serien (Den nye harmoniserede stærkstrømsbekendtgørelse).
EN50110-1
(”Ny L-AUS”) –
Drift af elektriske installationer og elektriske anlæg.
Instrueret personale (minimum sagkyndig instruktion inkl.
”L-AUS” regler).
Krav om autorisation ved faste elektriske installationer (både DC og AC).
Røgalarm eller røgalarmanlæg i samme rum som batterianlæg til alarmering af husets beboere.
SafeBESS-projektet angiver følgende anbefalinger:
Ikke placering i beboelige rum (fx ikke i soveværelse, køkken eller stue.)
Indendørs i parcelhus < 20 kWh elektrisk energiindhold.
Udendørs (100 kWh eller større ifm. Integreret garage/udhus, fritstående endnu større).
Ventilation (bortventilere eventuelt giftigt gasudslip og røg ved meget sjælden termisk runaway).
Automatisk driftsovervågning anbefales
herunder tekniske alarmer / fejltilstande.
For lidt større BESS anlæg
afhængig af placering:
o
60 minutters brand barriere +
Tør sprinkler med ekstern tilkobling af brandslange - eller
Vandsprinkler.
o
Brandovervågning
detektering med manuel eller automatisk alarmopkald.
SafeBESS-projektet angiver følgende anbefalinger for højere sikkerhed:
Dokumentation på overholdelse af IEC 62619 safety requirements for Li-Ion batteries (indeholder bl.a. Thermal
Runaway propagation test)
Side
58
af
68
BOU, Alm.del - 2022-23 (2. samling) - Bilag 76: Henvendelse af 6/9-23 fra Bjarne Engelbrecht Larsen vedr. anmodning om at ministeren tilbagetrækker bek. 181 sikkerhed f.s.v.a. Pyrotekniske batterier
2747580_0059.png
Danske SafeBESS tjek-lister for batteri anlæg (disse er indarbejdet i Tekniqs KLS (Kvalitets-ledelses-System) til
medlemmer)
For større anlæg foretages risikovurdering foretages (fx iht. IEC 61508-5 functional safety, damage prevention)
Fra vejledning om ” randfarlige stoffer i hjemmet” fra
beredskabsstyrelsen (BRS)
2
”Hvis du opbevarer mindre end 25 liter af de mest brandfarlige væsker, stilles der ingen krav. Dette gælder
både indendørs og udendørs”
o
Implicit gælder således også, at i etageejendomme må man opbevare op til 25 liter af de mest brand-
farlige væsker i hver lejlighed.
25 liter benzin svarer til 25 liter á ca. 9 kWh/L = 225 kWh
I en beboelse må der være op til maksimalt 3 stk. gasflasker af 11 kg.
33 kg propangas svarer til 33 kg á 14 kWh/kg = 461 kWh
Udendørs må opbevares 40 kg gas, svarende til ca. 550 kWh
Over jorden må en fyringsolietank i stål være op til 6.000 liter uden at der stilles særlige krav til brandsikring.
6000 liter fyringsolie svarer til ca. 55 MWh.
Med worst case faktor 20 på maksimalt varmebidrag i forhold til elektrisk energiindhold kunne anbefalinger derfor være:
15 kWh maksimum BESS anbefales foreløbigt indendørs (~5 % af 2 gasflasker)
45 kWh maksimum BESS anbefales foreløbigt i en garage (~5 % af 100 liter benzin)
2,5 MWh maksimum BESS anbefales foreløbigt udendørs uden særlige foranstaltninger til brandsikring (~5 %
af 6.000 liter fyringsolie)
Det anses dog normalt som acceptabelt at have 2 biler med 80 liters brændstoftanke eller 100 kWh batteri (Tesla) i en
privat garage. Et husstandsbatterianlæg med tilsvarende energiindhold i garage eller udhus vil af lægmand derfor
næppe opfattes som problematisk.
Worst case betragtningen herover forudsætter fuld udbrænding af alt energiindhold i batteriet ved hjælp af en ekstern
varmekilde. Med interne forholdsregler mod TRA og 75 % af gennemsnitlig elektriske energiindhold kan en væsentlig
lavere sikkerhedsfaktor på mindre end en faktor 10 overvejes. Dette kunne betyde:
20 kWh maksimum BESS anbefales foreløbigt indendørs (~7 % af 2 gasflasker)
måske kombineret med en røg-
/gas-alarm
100 kWh maksimum BESS anbefales foreløbigt i en garage (~10 % af 100 liter benzin)
5 MWh maksimum BESS anbefales foreløbigt udendørs uden særlige foranstaltninger til brandsikring (~ 10 %
af 6.000 liter fyringsolie).
8.3
Mellem anlæg (Virksomheder og etageejendomme)
For mellemstore batterianlæg med litium-ion kan Beredskabsstyrelsens Meddelelse 25 [116] anvendes og omfanget vil
bero på en konkret vurdering, så der er proportionalitet mellem risikoen for brand og de brandmæssige krav, der even-
tuelt stilles. Der refereres til Beredskabslovgivningen § 34, stk. 2 (og evt. § 4 i bekendtgørelsen om brandfarlige og
brændbare væsker).
I forbindelse med ansøgningsmateriale, angives nogle informationer som nødvendige ifølge Beredskabsstyrelsen [116]
En redegørelse for oplagets/systemets størrelse og kemi.
Oplysning om, hvor længe oplaget eller systemet skal placeres på stedet (permanent/midlertidigt).
o
Oplag/BESS i en bygning er også omfattet af byggelovgivningen.
o
Hvis oplaget/BESS placeres i en eller flere containere, er de dog kun omfattet af byggelovgivningen,
hvis containerne placeres samme sted i mere end 6 uger.
2
Opbevaring af brandfarlige stoffer i hjemmet (brs.dk)
Side
59
af
68
BOU, Alm.del - 2022-23 (2. samling) - Bilag 76: Henvendelse af 6/9-23 fra Bjarne Engelbrecht Larsen vedr. anmodning om at ministeren tilbagetrækker bek. 181 sikkerhed f.s.v.a. Pyrotekniske batterier
Hvis redningsberedskabet har vurderet, at der bør stilles vilkår til et konkret oplag/BESS efter beredskabslovgiv-
ningen, anbefaler Beredskabsstyrelsen, at ansøgningen som minimum indeholder følgende oplysninger:
Oplagets eller systemets placering i forhold til skel og omkringliggende bygninger og oplag på egen grund.
Forebyggende tiltag som f.eks. gasdetektering (samt den efterfølgende handling til at stoppe gasudslippet) og
ventilering.
Tiltag mod brandspredning til/fra oplaget/systemet fra/til omgivelserne.
Hvordan redningsberedskabet kan gennemføre indsats, f.eks. hvordan et BESS afbrydes, og om der findes et
egnet slukningsanlæg.
Redningsberedskabet bør vurdere, om der er behov for at fastsætte krav i relation til
Vandforsyning. I forbindelse med en indsats ved brand i større oplag/store BESS kan der være behov for en
stor mængde vand.
o
Store BESS kan være afskærmet med et ydre kabinet eller lign. samt være tilbageholdt af yderligere
metal- og/eller plastikbeklædning. Dette kan medføre, at vand blokeres fra at nå branden, hvilket be-
tyder, at der er behov for en stor mængde vand for at få fjernet varmen fra branden.
o
Om karakteren af de konkrete forhold er sådan, at der kan pålægges pligt til etablering af særskilte
vandforsyningssteder beror på et fagligt og konkret skøn.
Med indsatsplaner bør redningsberedskabets indsatsleder have nemmere ved at organisere rednings- og sluk-
ningsarbejdet. I forbindelse med store oplag eller større BESS vil det være essentielt, at der f.eks. angives
o
kontaktpersoner fra virksomheden/ producenten, der kan assistere med viden om oplaget/ systemet.
o
basisinformationer, f.eks. i form af et sikkerhedsdatablad, til brug for redningsberedskabets håndte-
ring af indsatsen i forhold til det elektriske system.
Ved placering af BESS uden for bygninger vil 5 MWh BESS være muligt uden særlige foranstaltninger til brandsikring
(~10 % af 6.000 liter fyringsolie).
Ved placering i bygning kan op til 5 MWh være muligt ved placering i bygning ved placering i teknikrum, der er brand-
mæssigt adskilt.
Ved placering af BESS-anlæg inde i erhvervsbygninger bør størrelsesbegrænsning tage udgangspunkt i den brandlast
bygningen er konstrueret til på installationsstedet. Dertil kan der dog være hensyn til risiko for
Personer i forbindelse med evakuering. Her kan overvågning og alarmanlæg være et forebyggende tiltag.
Brand- og røgspredning kan eksempelvis imødekommes med installation af et sprinkler-system for at mindske brand-
spredning.
Der er erfaringer med at installation i visse kommuner
skal ”godkendes”
af den lokale brandmyndighed. I København
ønsker den lokale brandmyndighed fx at blive inddraget hvis batterikapaciteten er større end 20 kWh.
Ved placering af BESS anlæg i kældre under beboelsesejendomme, bør der, ud over brandlast tages specielt hensyn til
minimering (fx ved ventilation) af eventuelle farlige (eksplosive og giftige) gasser fra BESS ved TRA, så personer i byg-
ningen ikke risikerer skader, inden de er klar over risikoen. Overvågning og varsling kan være relevant. Der bør foreligge
overvejelser om, hvordan evakuering kan ske i forhold til minimal eksponering for røggasser.
Ud over almindelig 60 minutters brandmæssig adskillelse kan lettelse af brandslukning ske ved at forberede installatio-
nen til oversvømmelse via eksempelvis en tør sprinkler med mulighed for, at redningsberedskabet kan tilkoble vandfor-
syning via brandslanger med Storz kobling udenpå bygningen.
SafeBESS-projektet angiver følgende som faste krav:
Teknisk Forskrift 3.3.1 (betingelse for tilslutning til elnet, kun fokus på elnettets stabilitet).
UN38.3 (For Litium-Ion Transport af farligt gods).
Fællesregulativet (krav til tilslutning og tilmelding).
Arbejdsmiljøbekendtgørelse 1072.
Elsikkerhedslov bek. 525.
Installationsbekendtgørelse 1082 (erstatter stærkstrømsbekendtgørelsen afsnit 6).
DS/HD 60364-standard serien (Den nye harmoniserede stærkstrømsbekendtgørelse).
Side
60
af
68
BOU, Alm.del - 2022-23 (2. samling) - Bilag 76: Henvendelse af 6/9-23 fra Bjarne Engelbrecht Larsen vedr. anmodning om at ministeren tilbagetrækker bek. 181 sikkerhed f.s.v.a. Pyrotekniske batterier
EN50110-1
(”Ny L-AUS”) –
Drift af elektriske installationer og elektriske anlæg.
Instrueret personale (minimum sagkyndig instruktion inkl.
”L-AUS” regler).
Krav om autorisation ved installation af faste elektriske installationer (både DC og AC).
Røgalarm i samme rum som batterianlæg til alarmering af husets beboere.
SafeBESS-projektet angiver følgende anbefalinger:
Ventilation (bortventilere eventuelt giftigt gasudslip og røg ved meget sjælden termisk runaway).
Automatisk driftsovervågning anbefales
herunder tekniske alarmer/fejltilstande.
For lidt større BESS anlæg
afhængig af placering:
o
Redegørelse for evakuering af bygningen i forhold til eksponering af farlige røggasser.
o
Placering i teknikrum, der er brandmæssigt afskilt
o
60 minutters brand barriere +
Tør sprinkler med ekstern tilkobling af brandslange eller
Vandsprinkler.
o
Brandovervågning
detektering med manuel eller automatisk alarmopkald.
SafeBESS-projektet angiver følgende anbefalinger for højere sikkerhed:
Dokumentation på overholdelse af IEC 62619 safety requirements for Li-Ion batteries (indeholder bl.a. Thermal
Runaway propagation test)
Danske SafeBESS tjek-lister for batteri anlæg (disse er indarbejdet i Tekniqs KLS (Kvalitets-ledelses-system) til
medlemmer)
For større anlæg bør foretages risikovurdering (fx iht. IEC 61508-5 functional safety, damage prevention).
8.4
Store anlæg (Større virksomheder, infrastruktur og forsyningsvirk-
somheder)
Der vurderes ikke at være behov for opstilling af generelle krav eller begrænsninger i forhold til store BESS anlæg af
batteriklasse C og D od over de angivne i Beredskabsstyrelsens Meddelelse 25 om bl.a.:
For store batterianlæg med litium-ion anvendes Beredskabsstyrelsens Meddelelse 25 [116]. Omfanget vil bero på en
konkret vurdering, så der er proportionalitet mellem risikoen for brand og de brandmæssige krav, der eventuelt stilles.
Der refereres til Beredskabslovgivningen § 34, stk. 2 (og evt. § 4 i bekendtgørelsen om brandfarlige og brændbare væ-
sker).
I forbindelse med ansøgningsmateriale, angives nogle informationer som nødvendige ifølge Beredskabsstyrelsen [116]
En redegørelse for oplagets/systemets størrelse og kemi.
Oplysning om, hvor længe oplaget eller systemet skal placeres på stedet (permanent/midlertidigt).
o
Oplag/BESS i en bygning er også omfattet af byggelovgivningen.
o
Hvis oplaget/BESS placeres i en eller flere containere, er de dog kun omfattet af byggelovgivningen,
hvis containerne placeres samme sted i mere end 6 uger.
Hvis redningsberedskabet har vurderet, at der bør stilles vilkår til et konkret oplag/BESS efter beredskabslovgiv-
ningen, anbefaler Beredskabsstyrelsen, at ansøgningen som minimum indeholder følgende oplysninger:
Oplagets eller systemets placering i forhold til skel og omkringliggende bygninger og oplag på egen grund.
Forebyggende tiltag som f.eks. gasdetektering (samt den efterfølgende handling til at stoppe gasudslippet) og
ventilering.
Tiltag mod brandspredning til/fra oplaget/systemet fra/til omgivelserne.
Hvordan redningsberedskabet kan gennemføre indsats, f.eks. hvordan et BESS afbrydes, og om der findes et
egnet slukningsanlæg.
Redningsberedskabet bør vurdere, om der er behov for at fastsætte krav i relation til Vandforsyning
I forbindelse med en indsats ved brand i større oplag/store BESS kan der være behov for en stor mængde vand.
o
Større oplag af litiumionbatterier kan være afskærmet af ydre emballage som f.eks. paller, papkasser
og krympefolie og indre emballage/batteriets beklædning. Store BESS kan være afskærmet med et
Side
61
af
68
BOU, Alm.del - 2022-23 (2. samling) - Bilag 76: Henvendelse af 6/9-23 fra Bjarne Engelbrecht Larsen vedr. anmodning om at ministeren tilbagetrækker bek. 181 sikkerhed f.s.v.a. Pyrotekniske batterier
ydre kabinet eller lign. samt være tilbageholdt af yderligere metal- og/eller plastikbeklædning. Dette
kan medføre, at vand blokeres fra at nå branden, hvilket betyder, at der er behov for en stor mængde
vand for at få fjernet varmen fra branden.
o
For meget store oplag eller meget store BESS kan der være behov for særskilt vandforsyning, jf. § 14 i
dimensioneringsbekendtgørelsen (bekendtgørelse nr. 1085 af 25. oktober 2019 om risikobaseret di-
mensionering af det kommunale redningsberedskab).
o
Om karakteren af de konkrete forhold er sådan, at der kan pålægges pligt til etablering af særskilte
vandforsyningssteder beror imidlertid på et fagligt og konkret skøn. Heri skal (bl.a.) indgå på den ene
side, at kommunalbestyrelsen i medfør af beredskabslovens § 15 har pligt til at sikre tilstrækkelig
vandforsyning til redningsberedskabets arbejde (brandslukning), og på den anden side, at forholdene
angående en konkret bygning eller et konkret grundareal er af en særlig risikopræget karakter, ek-
sempelvis ved at der er en særlig stor risiko for brandes opståen, udvikling eller spredning til omkring-
liggende ejendomme m.v., og at risikoen herved om nødvendigt begrunder en yderligere særskilt
vandforsyning.
Med indsatsplaner bør redningsberedskabets indsatsleder have nemmere ved at organisere rednings- og sluk-
ningsarbejdet. I forbindelse med store oplag eller større BESS vil det være essentielt, at der f.eks. angives
o
kontaktpersoner fra virksomheden/ producenten, der kan assistere med viden om oplaget/ systemet.
o
basisinformationer, f.eks. i form af et sikkerhedsdatablad, til brug for redningsberedskabets håndte-
ring af indsatsen i forhold til det elektriske system.
Meget store BESS anlæg vil typisk have system-understøttende funktioner for elnettet svarende til kraftværker. Der bør
i fremtiden uden størrelsesbegrænsninger kunne etableres meget store BESS anlæg i elnettet
Placeret i dedikeret
bygning med betydelig afstand til naboer, som det er typisk for kraftværker. Der bør f.eks. kunne placeres store BESS
anlæg på nedlagte kraftværker med en størrelse og effekt svarende til de enkelte nedlagte blokke.
Som for kraftværker og andre store byggerier og industrier fortages inden byggestart omfattende specifikke risikovur-
deringer og planlægning af tilsvarende nødvendige foranstaltninger. Der skal altid laves en risikovurdering og minime-
ring af risiko, samt optimering af beredskabets mulighed for optimal indsats. Risikovurderingen bør også afdække risiko
for røgspredning, og om der kan være behov for at foretage særlige foranstaltninger mod spredning af farlige røggasser
i høje koncentrationer, kapsling, bekæmpelsesanlæg el.lign. Myndigheder herunder brandberedskab skal inddrages al-
lerede i planlægningsfasen.
Tekniske krav til stor BESS anlæg afgøres dels af økonomiske forhold og dels af net-tilslutningskrav.
Side
62
af
68
BOU, Alm.del - 2022-23 (2. samling) - Bilag 76: Henvendelse af 6/9-23 fra Bjarne Engelbrecht Larsen vedr. anmodning om at ministeren tilbagetrækker bek. 181 sikkerhed f.s.v.a. Pyrotekniske batterier
9
Forkortelser
Vekselstrøm
Available Safe Egress Time/ Tid til rådighed for evakuering
Battery Energy Storage System / Batteri energi lagringssystem
Battery Management System/ Batteristyringssystem
Building Research Establishment /Engelsk forskningsinstitut
Computational Fluid Dynamics
Jævnstrøm
End of Life (cycle)
Det Energiteknologiske Udviklings- og Demonstrationsprogram
Electric Vehicle / Elbil
Fractional Effective Dose
Amerikansk gensidigt forsikringsselskab
Hydrogenfluorid
Heat Release Rate/ brandeffekt
Systemer for opvarmning, ventilation og aircondition
Internal Combustion Engine Vehicle/ Bil med forbrændingsmotor
International Electrotechnical Commission / Standardiseringsorgan
Lavspændingsarbejde under spænding / Sikkerhed ved arbejde med elektriske installationer
Litium Cobalt Oxide
Litium ion-batterier
Litium Hexafluorophosphate
Litium Mangan Oxide
Litium Nikkel Oxid
Litium Iron Phosfate / Litium jern fosfat
Litium Thionyl Chloride
Litium Titanium Oxide
Litium Nickel Cobalt Alumimium
Norsk brancheorganisation indenfor bl.a. elomådet
National Fire Protection Association
Litium Nickel Magan Cobalt
Nikkel-metalhydrid batterier
Plug-in hybrid electric vehicle / Hybridbil med batteri og forbrændingsmotor
Research Institutes of Sweden / Svensk forskningsinstitut
Stiftelsen for industriel og teknisk forskning / Norsk forskningsinstitut
Solid Electrolyte Interphase
State of Charge / Ladetilstand, ladningsgrad
Thermal run away/ Termisk runaway
Uninterruptible power supply / Nødstrømsforsyning
AC
ASET
BESS
BMS
BRE
CFD
DC
EoL
EUDP
EV
FED
FM GLobal
HF
HRR
HVAC
ICEV
IEC
L-AUS
LCO
LIB/ Li-Ion
LiPF6
LMO
LNO
LFP
LTC
LTO
NCA
NELFO
NFPA
NMC
NiMH
PHEV
RISE
SINTEF
SEI
SoC
TRA
UPS
Side
63
af
68
BOU, Alm.del - 2022-23 (2. samling) - Bilag 76: Henvendelse af 6/9-23 fra Bjarne Engelbrecht Larsen vedr. anmodning om at ministeren tilbagetrækker bek. 181 sikkerhed f.s.v.a. Pyrotekniske batterier
10
[1]
[2]
[3]
[4]
[5]
[6]
[7]
[8]
Referencer
Q. Wang, . Mao, S. I. Stoliarov, and J. Sun, “A review of lithium ion battery failure mechanisms and fire
prevention strategies,” Prog.
Energy Combust. Sci., vol. 73, pp. 95–131, 2019, doi: 10.1016/j.pecs.2019.03.002.
M. Ghiji et al., “A review of lithium-ion battery fire suppression,” Energies, vol. 13, no. 19, pp. 1–30,
2020, doi:
10.3390/en13195117..
P. Sun, R. Bisschop, H. Niu, and X. Huang, A Review of Battery Fires in Electric Vehicles, vol. 56, no. 4. Springer
US, 2020.
M. aliaperumal et al., “Cause and mitigation of lithium-ion
battery failure—a
review,” Materials ( asel)., vol.
14, no. 19, 2021, doi: 10.3390/ma14195676.
C. Zu, H. Yu, and H. Li, “Enabling the thermal stability of solid electrolyte interphase in Li-ion battery,” InfoMat,
vol. 3, no. 6, pp. 648–661, 2021, doi: 10.1002/inf2.12190.
Q. Wang, J. Sun, X. Yao, and C. Chen, “Thermal ehavior of Lithiated Graphite with Electrolyte in Lithium-Ion
atteries,” J. Electrochem.
Soc., vol. 153, no. 2, p. A329, 2006, doi: 10.1149/1.2139955.
H. Zhang, M.-Y. Zhou, C.-E.
Lin, and . Zhu, “Progress in Polymeric Separators for Lithium Ion atteries,” RSC
Adv.
J. Jiang and J. R. Dahn, “ARC studies of the thermal stability of three different cathode materials: LiCoO2;
Li[Ni0.1Co0.8Mn0.1]O 2;
and LiFePO4, in LiPF6 and Li o EC/DEC electrolytes,” Electrochem. commun., vol. 6,
no. 1, pp. 39–43, 2004, doi: 10.1016/j.
. L. D. Rinkel, D. S. Hall, I. Temprano, and C. P. Grey, “Electrolyte oxidation pathways in lithium-ion batteries,”
J. Am. Chem. Soc., vol. 142, no. 35, pp. 15058–15074, 2020, doi: 10.1021/jacs.0c06363..
X. Liu, S. I. Stoliarov, M. Denlinger, A. Masias, and . Snyder, “Comprehensive calorimetry of the thermally-
induced failure of a lithium ion battery,” J. Power Sources,
vol. 280, pp. 516–525, 2015, doi:
10.1016/j.jpowsour.2015.01.125.
A. Du Pasquier, F. Disma, T. Bowmer, A. S. Gozdz, G. Amatucci, and J.-M.
Tarascon, “Differential Scanning
Calorimetry Study of the Reactivity of Carbon Anodes in Plastic Li-Ion Batteries,”
J. Electrochem.
Soc., vol. 145,
no. 2, pp. 472–477, Feb. 1998, doi.
X. Liu et al., “Thermal Runaway of Lithium-Ion atteries without Internal Short Circuit,” Joule, vol. 2, no. 10,
pp. 2047–2064, 2018, doi: 10.1016/j.joule.2018.06.015..
C. Un and . Aydın, “Thermal Runaway and Fire Suppression Applications for Different Types of Lithium Ion
atteries,” Vehicles, vol. 3, no. 3, pp. 480–497,
2021, doi: 10.3390/vehicles3030029.
F. Larsson, P. Andersson, P. lomqvist, and . E. Mellander, “Toxic fluoride gas emissions from lithium-ion
battery fires,” Sci.
Rep., vol. 7, no. 1, pp. 1–13, 2017, doi: 10.1038/s41598-017-09784-z.
Energy Release by Rechargeable Lithium-Ion Batteries in Thermal Runaway - Using Nitrogen Bomb
Calorimeter. Technical Note DOT DOT/FAA/TC-TN16/22 April 22 April 2016..
High values of HF-gas measured by RISE Sweden in open fire tests August 2017
https://www.nature.com/articles/s41598-017-09784-z..
R. Bisschop, O. Willstrand, F. Amon, and M. Rosengren, Fire safety of lithium-ion batteries in road vehicles, vol.
50. 2019.
European Alternative Fuels Obseravatory, “AF market share new registrations M1,” 2020.
https://www.eafo.eu/vehicles-and-fleet/m1.
Energy Technology Policy (ETP) and International Energy Agency (IEA), “Global EV Outlook 2020,” Glob.
EV
Outlook 2020, 2020, doi: 10.1787/d394399e-en.
eredskab Styrelsen, “Status for håndtering af brande i litiumionbatterier
og el-
og hybridbiler,” no. october,
pp. 1–7, 2021.
Norsk elbilforening, “Elbilbestand,” 2021. https://elbil.no/om-elbil/elbilstatistikk/elbilbestand/.
V. Linja-aho,
“Hybrid and Electric Vehicle Fires in Finland,” Int.
Conf. Fires Veh. 2020, no. December, 2020.
A. W. Brandt and K. Glansberg,
“Charging of electric cars in parking garages,” 2020.
[9]
[10]
[11]
[12]
[13]
[14]
[15]
[16]
[17]
[18]
[19]
[20]
[21]
[22]
[23]
Side
64
af
68
BOU, Alm.del - 2022-23 (2. samling) - Bilag 76: Henvendelse af 6/9-23 fra Bjarne Engelbrecht Larsen vedr. anmodning om at ministeren tilbagetrækker bek. 181 sikkerhed f.s.v.a. Pyrotekniske batterier
[24]
[25]
[26]
[27]
[28]
[29]
[30]
[31]
[32]
edfordshire Fire and Rescue Service, “Fires in electric vehicles.” https://www.bedsfire.gov.uk/Community-
safety/Road-safety/Fire-in-Electric-Vehicles.aspx.
R. odine and R. rennan, “Gas vs. Electric Car Fires [2021 Findings],” AutoinsuranceEZ, 2021.
https://www.autoinsuranceez.com/gas-vs-electric-car-fires/.
Larson Law firm PC, “Do Electric Cars Catch Fire More Than Gas-Powered Vehicles?,” 2021.
https://ndakotalaw.com/do-electric-cars-catch-fire-more-than-gas-powered-vehicles/.
M. Ahrens, “Vehicle Fires,” 2020.
Samsung SDI, “The Composition of EV atteries: Cells? Modules? Packs? Let’s Understand Properly!”
https://www.samsungsdi.com/column/all/detail/54344.html.
N. Watanabe et al., “Comparison of fire behaviours of an electric-battery-powered
vehicle and gasoline
powered vehicle in a real scale fire test,” 2012.
. Okamoto et al., “ urning behavior of sedan passenger cars,” Fire Saf. J., vol. 44, no. 3, pp. 301–310,
2009,
doi: 10.1016/j.firesaf.2008.07.001..
K. Okamoto, T. Otake, H. Miyamoto,
M. Honma, and N. Watanabe, “ urning behavior of minivan passenger
cars,” Fire Saf. J., vol. 62, no.
PART C, pp. 272–280, 2013, doi: 10.1016/j.firesaf.2013.09.010..
A. Lecocq, M. ertana, . Truchot, and G. Marlair, “Comparison of the Fire Consequences of an Electric Vehicle
and an Internal Combustion Engine Vehicle.,” in Fires in Vehicles
- FIVE 2012 September 27-28, 2012, 2012, pp.
1–324.
C. Lam, D. MacNeil,
R. roeker, G. Lougheed, and G. Lalime, “Full-scale
fire testing of electric and internal
combustion engine vehicles,” in Fires in Vehicles
- FIVE 2014, 2014, pp. 221–230.
P. Sturm et al., “ randversuch mit E-Fahrzeugen in Tunnelanlagen,” HM erg-
und Hüttenmännische
Monatshefte, vol. 165, no. 12, pp. 651–657, 2020, doi: 10.1007/s00501-020-01054-2.
P. Andersson, J. Brandt, and O. Willstrand, Full scale fire-test of an electric hybrid bus. 2016.
O. Willstrand et al., “Toxic Gases from Fire in Electric Vehicles Toxic Gases from Fire in Electric Vehicles,”
Borås, 2020.
B. Karlsson and J. Quintiere, Enclosure Fire Dynamics. Boca Raton, 1999.
W. Wgrzyski, “ attery fires with Roeland isschop,” 2021. https://www.firescienceshow.com/005-battery-
fires-with-roeland-bisschop/#show-notes.
N. Måns, K. Hillman, A. Rickne, and T. Magnusson, Paving the road to sustainable transport. Governace and
innovation in low carbon vehicle. 2012.
H. oehmer, M. lassen, and S. Olenick, “Modern Vehicle Hazards in Parking Structures and Vehicle Carriers,”
no. July, p. 60, 2020, [Online]. Available: https://www.nfpa.org/News-and-Research/Data-research-and-
tools/Building-and-Life-Safety/Modern-Vehicle.
Mohd Zahirasri Mohd Tohir, “Multiple Vehicle Design Fire Scenarios in Car Parking uildings,” PhD Thesis,
2015.
H. oehmer, M. lassen, and S. Olenick, “Modern Vehicle Hazards in Parking Structures and Vehicle Carriers,”
no. July, p. 60, 2020, [Online]. Available: https://www.nfpa.org/News-and-Research/Data-research-and-
tools/Building-and-Life-Safety/Modern-Vehicle.
Gaogongxin Automotive Review, “Lifan 650EV Guangzhou spontaneous fire, the official response stated that it
was caused by a short circuit caused by water immersion in the battery,” 2015. https://www.gg-
ev.com/asdisp2-65b095fb-26641-.html.
The Nation Thailand, “ t10m Porsche up in flames as battery charging goes wrong,” 2018.
https://www.nationthailand.com/news/30341102.
Q. Wang, P. Ping, X. Zhao, G. Chu, J. Sun, and C. Chen, “Thermal runaway caused fire and explosion of lithium
ion
battery,” J. Power Sources, vol. 208, pp. 210–224,
2012, doi: 10.1016/j.jpowsour.2012.02.038.
K. Storesund, C. Sesseng, R. F. Mikalsen, O. Anders Holmvaag, and A. Steen-Hansen, Evaluation of the Fire in
Parking Garage at Stavanger Airport Sola 7. January 2020 (In Norwegian). 2020..
RE, “Fire spread in car parks,” 2010, [Online]. Available:
http://webarchive.nationalarchives.gov.uk/20120919132719/http://www.communities.gov.uk/documents/pl
anningandbuilding/pdf/1795610.pdf.
[33]
[34]
[35]
[36]
[37]
[38]
[39]
[40]
[41]
[42]
[43]
[44]
[45]
[46]
[47]
Side
65
af
68
BOU, Alm.del - 2022-23 (2. samling) - Bilag 76: Henvendelse af 6/9-23 fra Bjarne Engelbrecht Larsen vedr. anmodning om at ministeren tilbagetrækker bek. 181 sikkerhed f.s.v.a. Pyrotekniske batterier
[48]
Fire Protection Research Foundation (NFPA), “Modern Vehicle Hazards in Parking Structures and Vehicle
Carriers,” no. July, p. 60, 2020, [Online]. Available: https://www.nfpa.org/News-and-Research/Data-research-
and-tools/Building-and-Life-Safety/Modern-Veh.
T. Marton, A. Dederichs, and L. Giuliani, “Modelling of fire in an open car park,” 2015.
Mohd Zahirasri Mohd Tohir, “Multiple Vehicle Design Fire Scenarios in Car Parking uildings,” PhD Thesis,
2015.
D. Joyeux, “Natural Fires in Closed Car Parks
-
Car Fire Tests,” 1997.
M. G. M. van der Heijden, M. G. L. C. Loomans, A. D. Lemaire,
and J. L. M. Hensen, “Fire safety assessment of
semi-open
car parks based on validated CFD simulations,” uild.
Simul., vol. 6, no. 4, pp. 385–394, 2013, doi:
10.1007/s12273-013-0118-7.
M. G. M. Van Der Heijden, a D. Lemaire, M. G. L. C. Loomans,
and J. L. M. Hensen, “Heat and smoke removal in
semi-open
car parks,” Distribution, 2010.
Edith Cresson, “Development of design rules for steel structures subjected to natural fires in closed car parks,”
no. European Comission.
Y. Peng
et al., “A comprehensive investigation on the thermal and toxic hazards of large format lithium-ion
batteries with LiFePO4 cathode,” J. Hazard.
Mater., vol. 381, no. June 2019, p. 120916, 2020, doi:
10.1016/j.jhazmat.2019.120916..
D. G. A. Maritime, “Technical reference for Li-ion
battery explosion risk and fire suppression: 2019-1025,”
2019.
F. A. Mier, R. Morales, C. A. Coultas-Mc
enney, M. J. Hargather, and J. Ostanek, “Overcharge and thermal
destructive testing of lithium metal oxide and lithium metal phosphate batteries incorporating optical
diagnostics,” J. Energy Storage, vol. 13, pp. 3.
F. Larsson, P. Andersson, and . E. Mellander, “Lithium-ion
battery aspects on fires in electrified vehicles on
the basis of
experimental abuse tests,” atteries, vol. 2, no. 2, pp. 1–13,
2016, doi: 10.3390/batteries2020009.
R. T. Long Jr. et al., “ est Practices for Emergency Response to Incidents Involving Electric Vehicles attery
Hazards : A Report on Full-Scale
Testing
Results,” J. Chem. Inf.
Model., vol. 53, no. June, pp. 1009–1010, 2013..
L. Vylund, J. Gehandler, P. arlsson, . Peraic, C. Huang, and F. Evegren, “Fire-fighting
of alternative fuel
vehicles in ro-ro
spaces,” RISE, 2019..
SIS, “Life-threatening
components of fire
Guidelines for the estimation of time to compromised tenability in
fires (ISO 13571, IDT).” 2021..
National Research Council, Acute Exposure Guideline Levels for Selected Airborne Chemicals. Washington,
D.C.: The national academies press, 2004.
W. Węgrzyński, “What If Fires in Car Parks Developed Quicker Than We Think?,” FPEextra, no. 64, pp. 1–6,
2021.
N. van Oerle, A. Lemaire, and P. van de Leur, “Effectiveness of Forced Ventilation in Closed Car Parks: TNO
Rep. No. 1999-CVB-RR1442,”
1999.
M. J. Hurley, SFPE handbook of fire protection engineering (1995), vol. 29, no. 5. 1997.
J. . Tramoni, C. Thauvoye, F. Hanus, . Poutrain, M. Suzanne, and A. Thiry, “Temperature assessment of steel
members subjected to fire generated by
alternative fuel vehicles: Experimental tests,” Fire Mater., vol. 45, no.
8, pp. 1096–1105, 2021, doi: 10..
. . G. Lottman, E. A. . oenders, C. . M. lom, and J. C. Walraven, “Spalling of fire exposed concrete,”
Heron, vol. 62, no. 3, pp. 129–166, 2017.
C, “Liverpool car park fire: Hundreds of burnt-out vehicles removed,” 2018.
https://www.bbc.com/news/uk-england-merseyside-46290095.
. Terlouw, “The fire safety of car parks: focusing on structural damage,” 2019.
E. Cresson, “Development of design rules for steel structures subjected to natural fires in closed car parks,” p.
160, 1991, [Online]. Available:
https://www.google.be/url?sa=t&rct=j&q=&esrc=s&source=web&cd=1&cad=rja&uact=8&ved=0ahUKEwiG7fu
O4cvXAhUEXBoKHf.
. D. Hertz, L. S. Sørensen, and L. Giuliani, “Reliable assumptions for structural fire design of steel car parks,” J.
Struct. Fire Eng., 2021, doi: 10.1108/JSFE-01-2021-0002.
Side
66
af
68
[49]
[50]
[51]
[52]
[53]
[54]
[55]
[56]
[57]
[58]
[59]
[60]
[61]
[62]
[63]
[64]
[65]
[66]
[67]
[68]
[69]
[70]
[71]
BOU, Alm.del - 2022-23 (2. samling) - Bilag 76: Henvendelse af 6/9-23 fra Bjarne Engelbrecht Larsen vedr. anmodning om at ministeren tilbagetrækker bek. 181 sikkerhed f.s.v.a. Pyrotekniske batterier
[72]
[73]
[74]
[75]
A. øe and N. . Reitan, “Fire Risks of Electrical Vehicles in Underground Car Parks,” in Fourth International
Conference on Fire in Vehicles, 2016, pp. 243–246.
eredskab Styrelsen, “Temahæfte: Indsats ved brand i El- og hybridbiler,” 2021..
NTS , “Safety Risks to Emergency Responders from Lithium-Ion attery Fires in Electric Vehicles,” vol. 2018,
no. 20. p. 80, 2020, [Online]. Available: https://www.ntsb.gov/safety/safety-studies/Documents/SR2001.pdf..
C. Petit oulanger et al., “a Partnership etween Renault and French First Responders
To Ensure Safe
Intervention on Crash or Fire-Damaged
Electrical Vehicles.,” 24th ESV-Conference,
pp. 1–7, 2015, [Online].
Available: http://www.nhtsa.gov/ESV.
VTT Technical Research Centre of Finland Firefighting, “Firefighting in case of Li-Ion
battery fire in
underground conditions,” 2019.
L. Vylund and P. Mindykowski, “Methods and equipment for fire fighting with alternative fuel vehicles in ro-ro
spaces,” orås, 2019.
A. F. olbasov, . arpukhin, O. V Dvoenko, and I. A. Olkhovsky, “The main approaches to the system of fire
extinguishing
and elimination of consequences of accidents of electric vehicles,” IOP Conf. Ser.
Earth Environ.
Sci., vol. 867, no. 1, p. 012092, 2.
J. Eriksson, Brand i moderna bilar. 2017.
J. Stephens, “Using sprinklers in bus garages,” Fire Prev., vol. 253, pp. 26–9,
1992..
P. C. R. Collier, “Car parks
-
Fires involving Modern Cars and Stacking Systems,” RANZ uild.
Res. Levy., vol.
ISSN: 1179, p. 108, 2011..
M. Arvidson, H.
Ingason, and H. Persson, “WATER ASED FIRE PROTECTION SYSTEMS FOR VEHICLE DEC S ON
RO-RO PASSENGER FERRIES. BRANDFORSK PROJECT (421-941),”
1997.
Santangelo PE, Tarozzi L, Tartarini P. Fire Technol. 2016; 52(5): 1369-1407..
M. Arvidson et al., “FIRESAFE II Alternative fixed-fire
extinguishing systems for ro-ro
spaces on ships,” no.
December, pp. 1–116, 2018.
Y. W. Rodrigues, E. S. M. Teixeira, D. de M. Albach, D. C. Weiss, and M. L. L. R. Okimoto, “Visual Perception of
the Physical Affordances of a Fire Extinguisher using an Eye Tracking Device,” Prod.
Manag. Dev., vol. 15, no. 1,
pp. 45–55, 2017, doi: 10.432.
O. Willstrand, M. Rosengren, and R. isschop, “Fire Suppression Tests for Vehicle attery Pack,” no.
October,
p. 10, 2019.
Sprinkler.nl, “Sprinklers controleren brand parkeergarage Epe.” https://sprinkler.nl/sprinklers-controleren-
brand-parkeergarage-epe/.
. Wilkens, . Johnsen, A. hargava, and A. Dragsted, “Project LUE ATTERY , Part II :
Assessment of existing
fire protection strategies and recommendation for future work,” 2017.
F. Larsson, P. Andersson, P. lomqvist, A. Lorén, and . E. Mellander, “Characteristics of lithium-ion
batteries
during fire tests,” J. Power Sources, vol.
271, pp. 414–420, 2014, doi: 10.1016/j.jpowsour.2014.08.027..
A. Lecocq, M. ertana, . Truchot, and G. Marlair, “Comparison of the Fire Consequences of an Electric Vehicle
and an Internal Combustion Engine Vehicle .,” Int.
Conf. Fires Veh., pp. 183–194, 2012.
P. Andersson, P. Blomqvist, and A. Lorén, Investigation of fire emissions from Li-ion batteries Investigation of
fire emissions from Li-ion batteries. 2013.
L. D. Mellert, U. Welte, M. Tuchschmid, M. Held, M. Hermann, and M. ompatscher, “Risk minimisation
of
electric vehicle fires in underground traffic infrastructures,” no.
August 2020, 2020.
ICS: Standard NBN S 21-208-2:2014,
“Fire protection in buildings
- Design of smoke and heat exhaust
ventilation systems (SHEV) for enclosed car park.” 2014, [Online]. Available:
https://www.nbn.be/shop/en/standard/nbn-s-21-208-2-2014_32148/.
Pietreanu Costel-Marian, S. Robert-Dumitru,
and P. Valeriu, “Smoke control and noxes in car parks,” J. Eng.
Stud. Res., vol. 18, no. 2, pp. 94–101, 2012.
R. J. Si, D. Q. Liu, and S. Q. Xue, “Experimental Study on Fire and Explosion Suppression of Self-ignition
of
Lithium Ion attery,” Procedia Eng., vol. 211, pp. 629–634,
2018, doi: 10.1016/j.proeng.2017.12.057.
S. Yuan et al., “A review of fire-extinguishing
agent on suppressing lithium-ion
batteries fire,” J. Energy Chem.,
vol. 62, pp. 262–280, 2021, doi: 10.1016/j.jechem.2021.03.031.
[76]
[77]
[78]
[79]
[80]
[81]
[82]
[83]
[84]
[85]
[86]
[87]
[88]
[89]
[90]
[91]
[92]
[93]
[94]
[95]
[96]
Side
67
af
68
BOU, Alm.del - 2022-23 (2. samling) - Bilag 76: Henvendelse af 6/9-23 fra Bjarne Engelbrecht Larsen vedr. anmodning om at ministeren tilbagetrækker bek. 181 sikkerhed f.s.v.a. Pyrotekniske batterier
[97]
[98]
[99]
C. Mikolajczak, M. ahn, . White, and R. T. Long, “Lithium-ion batteries hazard and use assessment,” 2011.
doi: 10.1007/978-1-4614-3486-3_4.
Tektronix, “Lithium-Ion attery Maintenance Guidelines,” Tektronix, pp. 1–5,
2000, [Online]. Available:
http://www.newark.com/pdfs/techarticles/tektronix/LIBMG.pdf.
R. Reif, M. Liffers, N. Forrester, and . Peal, “Lithium attery Safety,” Prof. Saf.,
no. February, pp. 32–38, 2010..
[100]
Fire Industry Association, “Guidance Note Guidance on Li Ion attery Fires,” 2020..
[101]
R. T. Long and A. F. lum, “Lithium Ion atteries Hazard and Use Assessment
-
Phase III,” Fire Prot. Res. Found.
Rep., no. November, pp. 1–54, 2016, [Online]. Available: https://www.nfpa.org/-/media/Files/News-and-
Research/Resources/Research-Foundation/Re.
[102]
H. E. Melin, “The lithium-ion battery life cycle report 2021,” Circ.
Energy Storage Res. Consult., 2021..
[103]
Danish Energy Agency, “Facts about solar energy,” 2021. https://ens.dk/en/our-responsibilities/solar-
energy/facts-about-solar-energy..
[104]
Ea Energy Analyses, “The value of electricity storage. An outlook on services and market opportunities in,”
2020.
[105] P. Pavani, B. Bak-Jensen,
and J. R. Pillai, “Maximizing the self-consumption
of Solar-PV using Battery Energy
Storage System in Samso-Marina,”
Proc. 2019 IEEE PES Innov.
Smart Grid Technol. Eur. ISGT-Europe 2019,
2019, doi: 10.1109/ISGTEurope.2019.8905498.
[106]
V. uddensiek, “First urban battery storage system in Denmark to support renewables,” Sun and wind energy,
2017. https://www.sunwindenergy.com/photovoltaics-wind-energy-review/first-urban-battery-storage-
system-denmark-to-support-renewables.
[107]
Technical University of Denmark, “Solar energy.” https://baeredygtighed.dtu.dk/en/teknologi/solenergi..
[108]
CFPA Europe, “ atteries and fire hazards making their way into our buildings.” https://cfpa-e.eu/batteries-
and-fire-hazards-making-their-way-into-our-buildings/ (accessed Feb. 12, 2021).
[109]
. Risholt and . Olsø, “Fire Safety of Norwegian uildings
with Lithium Ion Batteries for stationary energy
storage Author,” 2019, p. 930, doi: 10.22323/1.340.0930..
[110]
The orea Herald, “Panel blames electric shock, poor management system for ESS fires, not companies,” 2019.
http://www.koreaherald.com/view.php?ud=20190611000679..
[111]
L. arelli et al., “A novel concept for grid Li-ion
BESS safety: Integration of Vanadium-air flow battery
technology in fire protection system,” J. Energy Storage, vol. 42, no.
July, p. 103086, 2021, doi:
10.1016/j.est.2021.103086.
[112]
. Ditch and D. Zeng, “Fire Hazard of Lithium-ion
Battery Energy Storage Systems: 1. Module to Rack-scale Fire
Tests,” Fire Technol., 2020, doi: 10.1007/s10694-020-01041-6..
[113]
R. T. Long, P. E. Cfei, and A. M. Misera, “Sprinkler Protection Guidance
for Lithium-Ion Based Energy Storag e
Systems FINAL REPORT Y,” no. June, 2019, [Online]. Available: https://www.fmglobal.com/research-and-
resources/research-and-testing/research-tec.
[114]
NFPA, “855 Standard for installation of stationary energy storage systems,” 2020. [Online]. Available:
https://www.nfpa.org/codes-and-standards/all-codes-and-standards/list-of-codes-and-
standards/detail?code=855.
[115]
FM Global, “Property loss prevention data sheets: electrical energy storage systems,” 2017. [Online].
Available: https://eur-lex.europa.eu/legal-
content/PT/TXT/PDF/?uri=CELEX:32016R0679&from=PT%0Ahttp://eur-
lex.europa.eu/LexUriServ/LexUriServ.do?uri=CELEX.
[116] Beredsskabstyrelsen, »MEDDELELSE NR. 25 om lithiumionbatterier,« Beredsskabsstyrelsen, 2021.
Side
68
af
68