Boligudvalget 2022-23 (2. samling)
BOU Alm.del Bilag 68
Offentligt
2740823_0001.png
Seniorbofællesskaber
Hvad er gevinsten ved seniorbofællesskabet og for hvem?
Gunvor Christensen, Mette Lunde Christensen, Anders Winkler og
Morten Holm Enemark
BOU, Alm.del - 2022-23 (2. samling) - Bilag 68: Rapport om seniorbofællesskaber
Seniorbofællesskaber
– Hvad er gevinsten ved seniorbofællesskabet og for hvem?
© VIVE og forfatterne, 2022
e-ISBN: 978-87-7582-217-1
Modelfoto: Sine Fiig/VIVE
Projekt: 302013
Finansiering: Social-, Bolig- og Ældreministeriet
VIVE
Det Nationale Forsknings- og Analysecenter for Velfærd
Herluf Trolles Gade 11
1052 København K
www.vive.dk
VIVEs publikationer kan frit citeres med tydelig kildeangivelse.
BOU, Alm.del - 2022-23 (2. samling) - Bilag 68: Rapport om seniorbofællesskaber
2740823_0003.png
Forord
Indenrigs- og Boligministeriet – nu Social-, Bolig- og Æl-
dreministeriet – igangsatte i 2021 en undersøgelse af se-
niorbofællesskaber med henblik på at afdække omkost-
ninger og gevinster ved at bo i seniorbofællesskab.
Denne rapport beskriver de borgere, der bor i seniorbo-
fællesskab, og deres vej ind i seniorbofællesskabet. Vi
beskriver desuden, hvordan deres syn på seniorbofæl-
lesskabet er, og hvilke fordele de ser ved at bo i et seni-
orbofællesskab. Endelig beskriver vi, hvordan borgere i
seniorbofællesskaber modtager ydelser før og imens de
bor i seniorbofællesskab sammenlignet med andre grup-
per af borgere. Rapportens målgruppe er relevante mini-
sterier, kommuner og almene boligorganisationer.
Vi vil gerne rette en tak til Realdania/Methods for at dele
deres opgørelse over seniorbofællesskaber. Vi vil desu-
den gerne rette en stor tak til de borgere i to seniorbo-
fællesskaber, der har ladet sig interviewe om deres over-
vejelser om, syn på og oplevelser med at bo i et senior-
bofællesskab.
Rapporten er udarbejdet af Gunvor Christensen, Mette
Lunde Christensen, Anders Winkler og Morten Holm Ene-
mark. Gunvor Christensen har været projektleder på un-
dersøgelsen. Evalueringen er finansieret af Social-, Bolig-
og Ældreministeriet.
Lisbeth Pedersen
Forsknings- og analysechef for VIVE Arbejde og Ældre
BOU, Alm.del - 2022-23 (2. samling) - Bilag 68: Rapport om seniorbofællesskaber
2740823_0004.png
Indholdsfortegnelse
Hovedresultater
1
1.1
1.2
1.3
6
11
12
12
13
Baggrund, formål og metode
Formål
Data og metode
Identifikation af mulige gevinster ved seniorbofællesskaber
2
2.1
2.2
2.3
2.4
2.5
Hvad ved vi om seniorbofællesskabers betydning?
Årsager til at flytte eller blive boende i sin nuværende bolig
Hvor kan man flytte hen som senior?
Gevinster ved at bo i seniorbofællesskab
Livskvalitet, tryghed og ensomhed
Opsamling
19
20
21
23
24
25
3
3.1
3.2
Seniorbofællesskabet som en intervention
Antal seniorbofællesskaber
Geografisk placering og størrelse
27
27
29
31
32
3.3 Ejerform
3.4 Opsamling
4
4.1
4.2
Borgere i seniorbofællesskaber
Tiden lige før indflytning i seniorbofællesskab
At vælge det rigtige seniorbofællesskab
33
36
39
42
48
53
58
62
4.3 Kendetegn ved borgere i seniorbofællesskaber
4.4 Helbred og ydelser på indflytningstidspunkt
4.5
4.6
4.7
Varighed af at bo i seniorbofællesskab
Kendetegn ved borgere med præference for at bo i
seniorbofællesskab
Opsamling
BOU, Alm.del - 2022-23 (2. samling) - Bilag 68: Rapport om seniorbofællesskaber
2740823_0005.png
5
5.1
5.2
5.3
5.4
5.5
5.6
Tegn på gevinster ved seniorbofællesskaber
Fællesskab, helbred, aktiviteter og gøremål
Tryghed, ensomhed og livskvalitet
Fastholdelse af beskæftigelse efter efterløn og pension
Forbrug af hjemmehjælp
Forekomst af lægebesøg før og efter
Opsamling
64
68
77
80
83
89
91
6
6.1
6.2
6.3
Konklusion
Borgere i seniorbofællesskaber
Tegn på gevinster ved at bo i seniorbofællesskab
Seniorbofællesskabets bidrag til en god alderdom
93
94
95
96
Litteratur
Bilag 1 Data
Identifikation af seniorbofællesskaber: Metodebeskrivelse for
kortlægning af seniorbofællesskaber
Registerdata fra Danmarks Statistik
Data fra Ældredatabasen
Landsbyggefondens huslejeregister
98
101
101
103
106
108
Bilag 2 Supplerende figurer til kapitel 3
Bilag 3 Supplerende figurer og tabeller til kapitel 5
110
111
BOU, Alm.del - 2022-23 (2. samling) - Bilag 68: Rapport om seniorbofællesskaber
2740823_0006.png
Hovedresultater
Den danske befolkning bliver i stigende grad ældre og har sent i livet et rela-
tivt godt helbred og en aktiv livsstil. Sammenhængen mellem bolig og alder-
dom, og særligt hvordan boligforhold også kan bidrage til at understøtte et
godt liv i alderdommen, er derfor både samfundsmæssigt og forskningsmæs-
sigt interessant. Denne rapport om-
handler en undersøgelse af mulige
positive gevinster ved at bo i senior-
Hvad er et
seniorbofællesskab?
Der findes ikke en entydig afgrænsning af,
hvad et seniorbofællesskab er, men der fo-
rekommer at være konsensus om, at et se-
niorbofællesskab opfylder tre kriterier. For
at komme i betragtning skal borgerne for
det første være mindst 50-55 år og være
uden hjemmeboende børn. For det andet
har borgerne i seniorbofællesskabet ofte
eksklusiv råderet over et fælleshus eller
fællesareal, og for det tredje forventes det,
at borgerne indgår i sociale fællesskaber
med hinanden, om end der er forskellige
holdninger til, hvad der mere præcist ligger
i dette.
Ved udgangen af 2022 er der:
289 seniorbofællesskaber i Danmark.
Tilsammen dækker de 6.291 boliger.
I perioden fra 1995-2022 har 15.733
borgere på et tidspunkt boet i et seni-
orbofællesskab.
44 % af seniorbofællesskaberne er al-
mene boliger, mens 30 % er andelsbo-
liger. De resterende boliger er privat
udlejning, ejerbolig og øvrig ejerfom.
Godt otte ud ti af seniorbofællesska-
berne har mellem 10 og 30 boliger.
bofællesskaber både for de borgere,
der bor i seniorbofællesskaber, og
for samfundet i det hele taget.
Formålet med undersøgelsen har
været at opnå viden om, hvilke sam-
fundsmæssige gevinster der er ved
at bo i seniorbofællesskaber. Det vil
sige at undersøge, hvilken effekt se-
niorbofællesskabet har som en inter-
vention for de mennesker, der bor i
seniorbofællesskabet.
Undersøgelsen viser imidlertid, at det
er en særlig gruppe af borgere, der
bor i seniorbofællesskaber. Derfor er
det ikke muligt at identificere gevin-
ster, der med høj grad af sikkerhed
kan føres tilbage til seniorbofælles-
skaber. Derfor er hensigten i denne
undersøgelse at afdække, om der er
tegn på mulige gevinster med det
store forbehold, at disse tegn ikke
med sikkerhed kan føres tilbage til
seniorbofællesskabet som en inter-
vention.
6
BOU, Alm.del - 2022-23 (2. samling) - Bilag 68: Rapport om seniorbofællesskaber
2740823_0007.png
Etnisk danske, ressourcestærke borgere med
præference for fællesskab bor i
seniorbofællesskaberne
De borgere, der vælger at flytte ind i et seniorbofællesskab, er borgere, der
objektivt set er ressourcestærke og har et godt fysisk helbred, som i forvejen
er socialt engagerede og aktive og har et positivt syn på dem selv. Ved at
vælge et seniorbofællesskab til selekterer disse borgere sig ind i nogle bolig-
mæssige rammer, der giver dem de bedste chancer for at fastholde fælles-
skaber og socialt samvær – også når de når en alder, hvor de risikerer at blive
mindre fysisk mobile og risikerer at have flere aldersrelaterede og helbreds-
mæssige udfordringer.
61 % af borgere i seniorbofællesska-
ber har en kompetencegivende ud-
Populationer i rapporten
Borgere i seniorbofællesskab
Borgere med præference for seni-
orbofællesskab
Borgere med præference for seni-
orbofællesskab og bor i
seniorbofællesskab
dannelse. Det er en højere andel end
blandt 68-årige borgere generelt i
befolkningen. 19 % er i beskæfti-
gelse, når de flytter ind i et seniorbo-
fællesskab, og 58 % modtager folke-
pension. Borgere i seniorbofælles-
skaber har endvidere en højere gen-
nemsnitlig disponibel indkomst end
borgere i ældreboliger og 68-årige
borgere i populationen. For hoved-
parten af borgere i seniorbofælles-
skaber er der ikke indtruffet store
livsbegivenheder (fx at miste sin
partner), der kunne forventes at have
betydning for et boligskift. Interview
med borgere i seniorbofællesskaber
viser, at der er tale om et bevidst til-
valg af netop et seniorbofællesskab
Borgere i almene ældreboliger
Population af 68-årige
Borgere, der ikke har præference
for seniorbofællesskab
med henblik på at nedskalere til en overkommelig bolig med mindst mulig ved-
ligeholdelse og med henblik på at investere i at kunne opretholde fællesskab
og socialt samvær også sent i livet, når mobilitet og helbred måske begrænser
deres engagement i de fællesskaber og socialt samvær, som de har forud for
indflytning i seniorbofællesskab. Det kan tyde på, at valget af seniorbofælles-
skab falder i naturlig forlængelse af tidligere valg og præferencer, som bor-
gerne i seniorbofællesskaber har truffet.
Psykiatriske diagnoser og kronisk sygdom er langt mindre forekommende
blandt borgere i seniorbofællesskaber sammenlignet med borgere i almene
7
BOU, Alm.del - 2022-23 (2. samling) - Bilag 68: Rapport om seniorbofællesskaber
ældreboliger. Ligeledes kan vi se, at en ganske lille andel af borgerne, 1,2 %,
modtager en ydelse efter serviceloven, når de flytter i seniorbofællesskaber.
Til sammenligning er det 6 % af borgerne i ældreboliger, der modtager ydelser
efter serviceloven på indflytningstidspunktet.
Boligen i seniorbofællesskabet ser ud til at være den bolig, som borgerne for-
venter bliver den sidste bolig. Andelen, der hvert år ophører med at bo i et se-
niorbofællesskab, er på 4-7 %. Lidt over halvdelen ophører på grund af døds-
fald. Godt halvdelen af de, der flytter ud af seniorbofællesskabet, flytter i boli-
ger, der formentlig er plejeboliger eller plejehjem.
Når vi anvender borgere med en præference for seniorbofællesskab som ud-
tryk for de borgere, der bor i seniorbofællesskab, er der tegn på, at de har et
væsentligt større behov for fællesskaber og deltagelse i socialt samvær end
borgere, der ikke har en præference for seniorbofællesskaber. Tilsvarende er
borgere med præference for seniorbofællesskab også mere socialt aktive i en
række forskellige aktiviteter, samtidig med at de selv vurderer deres helbred
til alt i alt at være godt sammenlignet med borgere uden præference for seni-
orbofællesskab.
Fællesskab, socialt samvær og tryghed er tegn
på gevinster
Tegn på mulige gevinster ved at bo i seniorbofællesskaber er fællesskab og
socialt samvær med naboer; det er gevinster, der formentlig opnås på grund
af netop den type af mennesker, der vælger at bo i et seniorbofællesskab og
på grund af den ramme, som et seniorbofællesskab tilbyder.
På enkelte dimensioner af fællesskab og naboskab sker der forbedringer for
borgere, efter at de flytter ind i et seniorbofællesskab. Der er en signifikant
positiv udvikling i andelen af borgere, der, efter de flytter i seniorbofælles-
skab, bliver gode venner med naboer og giver udtryk for, at de kommer en del
sammen med naboerne. På øvrige dimensioner af fællesskab og socialt sam-
vær er der ikke tegn på, at der sker en signifikant forbedring efter indflytning i
seniorbofællesskaber, men omvendt er der heller ingen forværring. Dermed
kan det være, at seniorbofællesskabet er med til at opretholde et niveau af
fællesskab og socialt samvær, som måske ellers ville være blevet reduceret.
8
BOU, Alm.del - 2022-23 (2. samling) - Bilag 68: Rapport om seniorbofællesskaber
Lavere beskæftigelsesgrad blandt efterlønnere
og borgere, der modtager folkepension i
seniorbofællesskaber
Forud for tilbagetrækning fra arbejdsmarkedet (både i forhold til efterløn og
folkepension) har borgere i seniorbofællesskaber en signifikant højere gen-
nemsnitlig beskæftigelsesgrad end borgere i befolkningen. Efter overgangen
til efterløn er der en signifikant lavere gennemsnitlig beskæftigelsesgrad
blandt borgere i seniorbofællesskaber end i befolkningen. Efter overgangen til
folkepension er der også en signifikant lavere gennemsnitlig beskæftigelses-
grad blandt kvinder i seniorbofællesskaber end kvinder i befolkningen.
Det er således ikke tegn på nogen samfundsøkonomisk gevinst skabt af seni-
orbofællesskaber relateret til øget beskæftigelse.
Flere borgere i seniorbofællesskaber får
hjemmehjælp til praktiske gøremål
Relativt flere borgere i seniorbofællesskaber får hjemmehjælp end borgere i
befolkningen, men omfanget af hjemmehjælp – målt i timer – svarer til omfan-
get af hjemmehjælp i en sammenlignelig gruppe i befolkningen. Når vi ser på
omfanget af hjemmehjælp delt op på hjemmehjælp til praktiske gøremål og til
personlig pleje, ser vi, at der er en relativ højere andel af borgere i seniorbo-
fællesskaber, der modtager hjemmehjælp til praktiske gøremål sammenlignet
med befolkningen, og at niveauet for hjemmehjælp til personlig pleje blandt
borgere i seniorbofællesskaber er på niveau med en sammenlignelig gruppe i
befolkningen.
Det er således ikke tegn på nogen samfundsøkonomisk gevinst skabt af senior-
bofællesskaber relateret til reduceret forbrug af hjemmehjælp.
Lav forekomst af fysiske og psykiske
helbredsproblemer
I forhold til forbrug af ydelser efter serviceloven og helbredsydelser forbundet
med psykisk sygdom og længere hospitalsindlæggelser er forekomsten af
disse forhold så små blandt borgere i seniorbofællesskaber på indflytnings-
tidspunktet, at eventuelle tegn på gevinster er så marginale, at de vil være
9
BOU, Alm.del - 2022-23 (2. samling) - Bilag 68: Rapport om seniorbofællesskaber
2740823_0010.png
vanskelige at identificere i data. Usikkerheden givet det lave omfang vil endvi-
dere være alt for stor til at kunne udtale sig om tegn på gevinster.
Seniorbofællesskaber kan ikke udskrives på
recept og forebygge svær alderdom
For en særlig gruppe af borgere, der er ressourcestærke og har præferencer
for lokalt-baserede fællesskaber og socialt samvær, ser seniorbofællesskabet
ud til at kunne tilbyde gode rammer for fællesskab og socialt samvær også
sent i livet. Disse rammer kan formentlig indløse gevinster i form af gode na-
boskabsrelationer og forebygge ensomhed, der kan følge med, når ens fysiske
og mentale helbred gør, at man ikke kan opretholde fællesskaber i andre sam-
menhænge end det sted, man bor. Dermed kan det at flytte i seniorbofælles-
skab være en investering i en god alderdom for en bestemt gruppe af senio-
rer. Valget af seniorbofællesskab ser for disse borgere endvidere ud til at
falde i forlængelse af tidligere præferencer og tidligere valg. Dermed ser seni-
orbofællesskabet ud til at være et godt valg – eller en god investering – for
netop disse borgere.
Fakta om undersøgelsen
Vi har identificeret 289 seniorbofællesskaber og 15.733 borgere, der på et
tidspunkt fra 1995-2022 har boet i et seniorbofællesskab. Vi har koblet de-
mografiske, socioøkonomiske og helbredsmæssige registerdata på bor-
gerne. Derudover anvender vi data fra VIVEs Ældredatabase, som indehol-
der en lang række survey-spørgsmål vedrørende socialt samvær, aktiviteter
og helbred, som ikke findes i registerdata. I Ældredatabasen har vi identifi-
ceret en population af respondenter, der angiver at have præference for at
ville flytte i et seniorbofællesskab i fremtiden (præferencepopulationen) og
en population af respondenter, som ikke kunne tænke sig at flytte i et seni-
orbofællesskab. Derudover har vi fundet borgere, der bor i seniorbofælles-
skaber, og som også optræder som respondenter i Ældredatabasen, således
at vi for dem har udsagn om fællesskab, selvvurderet helbred, deltagelse i
aktiviteter og gøremål. Vi anvender Landsbyggefondens huslejeregister til at
identificere ældreboliger, hvor vi ligeledes kobler ældreboliger og borgere
samt registerdata sammen.
Endelig indgår der også 12 kvalitative interview med borgere i to forskellige
seniorbofællesskaber i datagrundlaget.
10
BOU, Alm.del - 2022-23 (2. samling) - Bilag 68: Rapport om seniorbofællesskaber
1
Baggrund, formål og metode
Jeg prøvede at lave en plan og tænke lidt frem. Pensionen var på
vej, man kunne skimte den, og jeg tænkte over, hvad det egentlig
var, jeg gerne ville. Jeg blev klar over, at det med at bo i hus og
bruge tid på hus og have, det ville jeg ikke mere. Jeg læste jo bredt
om alderdommen dengang, og jeg syntes, der var så mange nega-
tive ting ved alderdommen i den måde, den ofte blev anskuet på.
Og så tænkte jeg, kan man da ikke gøre noget selv? Der måtte da
være noget man selv kunne gøre.
(En borger i et seniorbofællesskab)
Levealderen er steget markant i de seneste 50 år i mange vestlige lande; her-
iblandt i Danmark. Andelen af personer over 65 år er steget fra 15,6 % til 19,9 % i
løbet af de sidste 10 år. Ifølge Danmarks Statistik er forventningen, at andelen
af ældre over 65 år i 2040 udgør en fjerdedel af befolkningen i Danmark.
Vi lever ikke kun længere; vi har også et bedre helbred og en mere aktiv livsstil
i det sene voksenliv end tidligere. Men omvendt er der også forhold, der er
mere eller mindre uundgåelige med alderen, som at helbredet med tiden bliver
svagere, at sygdomme indbefatter hospitalsindlæggelser, og at der er alders-
relaterede funktionsnedsættelser, der for mange medfører et stigende behov
for hjælp – ofte fra det offentlige.
En stigende aldrende befolkning, der er aktive og ved bedre helbred end tidli-
gere, stiller krav til boligens størrelse, indretning og placering både nu og i
fremtiden. Der er forskning, der peger på, at betydningen af, hvordan man bor,
bliver større med alderen. Den større betydning skyldes, at de umiddelbare fy-
siske omgivelser har en voksende betydning bl.a. for de daglige aktiviteter og
muligheder for at leve et selvstændigt liv (Hill & Sutton, 2010). Ligeledes er der
forskning, der peger på, at boligen og dens placering og indretning i et eller
andet omfang – direkte eller indirekte – påvirker borgerens helbred, funktions-
evne og velbefindende i det aldrende voksenliv (Perry, 2014).
Sammenhængen mellem bolig og alderdom, og særligt hvordan boligforhold
kan bidrage til at understøtte et godt liv også i alderdommen, er både sam-
fundsmæssigt og forskningsmæssigt interessant. Denne rapport omhandler en
undersøgelse af mulige positive gevinster ved at bo i seniorbofællesskaber
både for de borgere, der bor i seniorbofællesskaber, og for samfundet i det
hele taget.
11
BOU, Alm.del - 2022-23 (2. samling) - Bilag 68: Rapport om seniorbofællesskaber
1.1
Formål
Formålet med undersøgelsen har været at opnå viden om mulige samfunds-
økonomiske gevinster ved at bo i seniorbofællesskaber. Dette formål er un-
deropdelt i følgende undersøgelsesspørgsmål:
Hvilke typer af borgere bor i et seniorbofællesskab, og hvad kendeteg-
ner dem i forhold til socioøkonomiske forhold, deres ydelsesbehov og
helbred før og mens de bor i seniorbofællesskabet, samt varigheden af
at bo i seniorbofællesskab?
Hvad kendetegner borgere, som angiver en præference for at bo i et
seniorbofællesskab i fremtiden i forhold til fællesskab, sociale aktivite-
ter, selvvurderet helbred og daglige gøremål?
Hvilke overvejelser ligger bag seniorers valg om at flytte ind i et seni-
orbofællesskab?
Hvilke samfundsøkonomiske gevinster kan identificeres af at bo i seni-
orbofællesskaber?
1.2
Data og metode
Når man ønsker at identificere samfundsøkonomiske gevinster ved et senior-
bofælleskab, så er man metodemæssigt i en effektevaluering, hvor vi ønsker
at besvare spørgsmålet: ”Hvilken effekt har seniorbofællesskabet som en in-
tervention for de mennesker, der bor i seniorbofællesskabet?”.
Når vi skal forsøge at identificere effekter er der tre vigtige emner, vi skal for-
holde os til. For det første skal vi have en forandringsteori for den indsats, vi
gerne vil undersøge. Vi skal altså have en idé om, hvordan seniorbofællesskaber
påvirker borgerne, og på hvilken måde vi vil være i stand til at se resultatet af
denne indsats. For det andet skal vi have adgang til de data, som forandringste-
orien fremhæver som vigtige i forhold til indsatsen. For det tredje skal vi fast-
lægge, hvordan vi vil identificere indsatsens effekt.
Grundlæggende vil vi i en effektmåling gerne observere, hvordan seniorerne
bliver påvirket af seniorbofællesskabet. Det optimale ville være, hvis vi kunne
observere de samme seniorer, både efter de er flyttet ind i seniorbofælleska-
bet (dvs. modtager indsatsen), og hvis de ikke er flyttet ind i seniorbofælles-
skabet (dvs. de ikke modtager indsatsen). Det er dog selvsagt ikke muligt; det
næstbedste er at sammenligne borgere i seniorbofællesskaber med andre
borgere, der til en forveksling ligner dem – blot med den forskel, at de
ikke
bor
i et seniorbofællesskab.
12
BOU, Alm.del - 2022-23 (2. samling) - Bilag 68: Rapport om seniorbofællesskaber
Den store udfordring i at konstruere en sammenlignelig gruppe er at kunne
dokumentere, at den eneste forskel på borgere i seniorbofællesskaber og
sammenlignelige borgere er det at bo i seniorbofællesskaber; det vil eksem-
pelvis sige, at der
ikke
er forskel på de to gruppers præferencer for fællesska-
ber, personlighedstræk og socialt samvær, eller at der
ikke
er forskel på de to
gruppers håndtering af sygdom og livsbegivenheder.
Nedenfor vil vi først adressere mulighederne for at identificere gevinster og
dernæst beskrive de data, vi anvender. Teorien for, hvordan seniorbofælles-
skabet kan påvirke borgerne, er beskrevet i kapitel 2.
1.3
Identifikation af mulige gevinster ved
seniorbofællesskaber
En række studier af borgere i seniorbofællesskaber tyder på, at det ikke er spor
tilfældigt, hvem der bor i et seniorbofællesskab. Der er således en række tegn
på, at det er borgere, der objektivt set er ressourcestærke, og som forud for
indflytning i seniorbofællesskaber allerede er socialt engagerede og allerede er
en del af en række fællesskaber (Christensen & Winkler, 2022; Siren & Poulsen,
2016). Tilsvarende peger internationale studier på, at det er en helt særlig profil
blandt borgere, der flytter i seniorbofællesskaber: der er tale om etnisk hvide
borgere, der er højtuddannede, og som har middelklasseindkomst (fx Arbell,
2022), samt at de, der vælger et seniorbofællesskab, træffer det valg ud fra tid-
ligere præferencer og motiver (Abramsson, 2014; Kulander, 2018).
Et seniorbofællesskab ser således ud til at blive valgt til ud fra et bevidst valg.
Når der er bagvedliggende bevidste motiver for en handling, rejser problemet
med selektion sig med det samme. Selektionsproblemet er den store udfor-
dring i ethvert forsøg på at estimere effekter/gevinster, fordi det er overor-
dentlig vanskeligt at tilvejebringe systematiske data, der kan tage højde for
denne selektion. Vi kan tage højde for, at der kan være systematiske forskelle
i uddannelsesniveau mellem borgere, der bor i seniorbofællesskaber, og bor-
gere, der ikke gør. Men det, vi ikke systematisk kan tage højde for, er, at der
er forskellige præferencer, evner og personlighedstræk, som har betydning for
valg af eksempelvis uddannelse, men også betydning for andre forhold som
for ønsker om fællesskab og for sundhed og livskvalitet.
I de data, vi har adgang til, er der ikke systematiske og observerbare data for
præferencer, evner og personlighedstræk mv. blandt borgere i seniorbofæl-
lesskaber og øvrige borgere, og der findes heller ikke sådanne data. Det tæt-
teste på, vi kommer, er data fra VIVEs Ældredatabase, hvor et repræsentativt
13
BOU, Alm.del - 2022-23 (2. samling) - Bilag 68: Rapport om seniorbofællesskaber
udvalg af borgere gentagne gange bl.a. spørges til præferencer for fælles-
skab, livskvalitet og flytteønsker. Det er derfor rimeligt at antage, at vi vil have
svært ved at tage højde for den selektion, der forventeligt er mellem borgere i
seniorbofællesskaber og øvrige borgere.
Ud over at der er en mulig selektion, vi skal tage højde for i identifikation af
gevinster, så kræver en identifikation af gevinster endvidere, at der er for-
skelle på de relevante forhold, som vi – på baggrund af forandringsteorien –
forventer, vil kunne blive påvirket af seniorbofællesskabet som intervention.
Det vil sige, at når vi kigger på eksempelvis forbruget af helbredsydelser eller
brugen af hjemmehjælp, skal der være en signifikant forskel på det omfang,
som borgere i seniorbofællesskaber modtager, og det omfang, som sammen-
lignelige borgere modtager. Om der er disse forskelle, vil de empiriske analy-
ser i kapitel 4 og 5 vise.
1.3.1
Data
Vi anvender registerdata koblet til borgere, der bor i et seniorbofællesskab på
et givet tidspunkt samt til borgere i populationer, der anvendes til at sammen-
ligne. Vi anvender endvidere data fra Ældredatabasen, der er et paneldata-sur-
vey vedrørende ældres livskvalitet, som VIVE har kørt hvert 5. år siden 1997.
Den sidste tilgængelige wave i surveyet, som er den 5. wave, er fra 2017, og
den 6. wave, som blev indsamlet i 2022, bliver tilgængelig i løbet af 2023/2024.
Respondenterne er udtrukket blandt et repræsentativt udsnit af folk i alderen 52
år og opefter, første gang i 1997, og i de efterfølgende waves i 2002, 2007,
2012 og 2017 er respondenterne forsøgt geninterviewet i dét omfang, det har
været muligt, og de har ønsket at deltage i surveyet igen. Respondenterne i sur-
veyet kan derfor optræde alt fra 1 til 5 gange.
Derudover anvender vi kvalitative data til at belyse dimensioner af seniorbo-
fælleskaber, der ikke findes systematiske kvantitative data for.
Vi har således følgende datakilder:
Identifikation af seniorbofællesskab
o
o
Data fra Methods/Realdania
Egen screening af seniorbofællesskaber.
Registerdata fra Danmarks Statistik
o
Demografiske oplysninger: køn, alder, etnicitet og boligens ejerform
Socioøkonomiske oplysninger: uddannelse, beskæftigelse, beskæfti-
gelsesgrad, indkomst
o
14
BOU, Alm.del - 2022-23 (2. samling) - Bilag 68: Rapport om seniorbofællesskaber
o
Ydelser: boligstøtte, hjemmehjælp – hjemmehjælp personlig pleje,
hjemmehjælp praktisk hjælp, ydelser efter serviceloven (fx støttekon-
taktperson), helbredsydelser (lægekonsultationer og indlæggelser).
Data fra Ældredatabasen
o
o
Præference for seniorbofællesskab
Vurderinger af fællesskab og aktiviteter og af behov for fællesskab
Vurdering af helbred og kapaciteten til at håndtere hverdagslige gøre-
mål.
o
Landsbyggefondens huslejeregister
o
Ældreboliger.
Kvalitative data
o
Interviews med 12 borgere i to seniorbofællesskaber med henblik på at
opnå viden om deres vurderinger af seniorbofællesskabets betydning
for fællesskab, livskvalitet, trivsel og tryghed.
1.3.2
Kvantitativ analyse
Vi sammenligner gruppen af borgere, der bor i seniorbofællesskaber, med for-
skellige andre populationer af seniorer. Vi har følgende analysepopulationer:
Borgere i seniorbofællesskab
Borgere med præference for seniorbofællesskab
Borgere med præference for seniorbofællesskab og bor i seniorbofæl-
lesskab
Borgere i almene ældreboliger
Population af 68-årige i befolkningen
Borgere, der ikke har præference for seniorbofællesskab.
Borgere i seniorbofællesskaber
I Danmarks Statistiks data findes der ikke oplysninger om seniorbofællesska-
ber. Vi har derfor taget udgangspunkt i Realdanias opgørelse over seniorbo-
fællesskaber, som Methods har udarbejdet for Realdania. Denne opgørelse
baserer sig på boliger, der er betegnet som seniorbofællesskaber og er blevet
omtalt i medierne. Denne opgørelse har vi detaljeret gennemgået for at finde
præcise adresseangivelser med henblik på at kunne lægge disse adresser op
på forskermaskinen i Danmarks Statistik, således at der efterfølgende kan
kobles individer på adresserne og dernæst øvrige registerdata som demografi,
socioøkonomi, helbred samt ydelser.
15
BOU, Alm.del - 2022-23 (2. samling) - Bilag 68: Rapport om seniorbofællesskaber
Vi har også selvstændigt søgt på forekomsten af seniorbofællesskaber i kom-
muner, pensionskasser og almene boligorganisationer med henblik på at finde
seniorbofællesskaber, som ikke har været omtalt i medierne.
Vi har således identificeret 289 seniorbofællesskaber, der tilsammen har 6.291
boliger. I en kortlægning af samtlige bofællesskaber i Danmark finder Jensen
et al. (2022), at der i 2021 er 235 seniorbofællesskaber med 5.503 boliger. Re-
aldania har i 2020 opgjort antallet af seniorbofællesskaber til at være 287
(Realdania, 2020). BL-analyse har fundet 136 almene seniorbofællesskaber,
hvoraf der kan kobles borgere på 112, der dækker knap 2.500 boliger (BL-
Analyse, 2021). Vi har fundet 127 almene seniorbofællesskaber med i alt 2.742
boliger.
Borgere med præference for seniorbofællesskab
Denne gruppe udgøres af personer i Ældredatabasen, der har udtrykt en præ-
ference for at bo i seniorbofællesskab. Vi tager udgangspunkt i, at de svarer ja
mindst én gang til at have en præference for seniorbofællesskab, og vi tager
udgangspunkt i første gang, de svarer ja.
Borgere med præference for seniorbofællesskab, som bor i
seniorbofællesskab
Denne gruppe udgøres af personer, som i Ældredatabasen har angivet en
præference for at bo i seniorbofællesskab og på et eller andet tidspunkt flytter
i seniorbofællesskab. En del-population af denne gruppe er personer, som op-
træder i Ældredatabasen,
både
før og efter de flytter i seniorbofællesskab.
Denne delpopulation kan vi bruge til at undersøge, om der er tendenser til po-
sitive virkninger af seniorbofællesskabet.
Borgere i almene ældreboliger
En almen ældrebolig er en selvstændig lejebolig, der er kendetegnet ved at
være beliggende i nærheden af andre almene ældreboliger og ved at være ind-
rettet særligt til ældre og handicappede med elevator og plads til kørestol. Man
kan søge om en ældrebolig, hvis man eksempelvis har nedsat fysisk funktions-
evne, og herefter er det kommunen, der visiterer borgeren til en ældrebolig.
Ud af de borgere, der bor i en almen ældrebolig, er der en mindre population,
der bor i ældrebolig og optræder i Ældredatabasen, samtidig med at de er bo-
siddende i deres ældrebolig.
16
BOU, Alm.del - 2022-23 (2. samling) - Bilag 68: Rapport om seniorbofællesskaber
2740823_0017.png
Population af 68-årige
Gennemsnitsalderen for borgere, der flytter ind i et seniorbofællesskab, er
68,3 år på indflytningstidspunktet. Vi danner derfor en population af borgere i
befolkningen, der i året er 68 år, således at vi kan sammenligne populationen
af borgere i seniorbofællesskaber med en gennemsnitsborger i befolkningen
generelt.
Borgere, der ikke har præference for seniorbofællesskab
Denne gruppe udgøres af personer i Ældredatabasen, der
aldrig
har udtrykt en
præference for at bo i seniorbofællesskab. Vi har identificeret dem, der svarer
nej eller ved ikke alle gange, de har fået spørgsmålet, om de har lyst til at bo i
bofællesskab. Denne population bruger vi til at sammenligne, om der er forskel
på gruppen af borgere med og uden præference for at bo i et seniorbofælles-
skab.
Tabel 1.1
Population
Størrelse af populationer
Beskrivelse
Personer, der bor i et seniorbofællesskab på et gi-
vet tidspunkt i perioden 1995-2022
Personer, der i Ældredatabasen har udtrykt en
præference for at bo i seniorbofællesskab, hvor vi
tager udgangspunkt i, at de svarer ja mindst én
gang, og vi tager første gang, de svarer ja
Personer, som på et tidspunkt flytter i seniorbo-
fællesskab og også på et eller flere tidspunkter
optræder i Ældredatabasen
Heraf personer, som optræder i Ældredatabasen,
både
før og efter de flytter i seniorbofællesskab
I 2022 har vi identificeret 31.059 almene ældrebo-
liger
Personer, der bor i ældrebolig og som optræder i
Ældredatabasen, samtidig med at de er bosid-
dende i deres ældrebolig, fratrukket personer fra
præference populationen (40 personer)
For perioden 2005-2021
Personer, der aldrig har udtrykt en præference for
at bo i seniorbofællesskab, hvor vi tager udgangs-
punkt i, at de svarer nej eller ved ikke alle gange,
de er blevet spurgt
Antal personer
15.496 personer
4.030 personer
Seniorbofællesskab
Præference population
Borgere med præference
for seniorbofællesskab der
bor i seniorbofællesskab
113 personer
50 personer
33.062 personer
159 personer
Borgere i almene ældrebo-
liger
Population, der er 68 år i
året
Personer uden præference
42.584-.68.595
personer
7.962 personer
*
Note:
* I alt er kun 11.992 personer blevet stillet spørgsmålet om præference for seniorbofællesskab, idet dette spørgsmål var
underlagt et filter om aktuelle flytteplaner i årene 1997, 2002, 2007 og 2012. Derfor indeholder disse populationer en
overvægt af respondenter fra wave’n fra 2017.
Methods, Danmarks statistik, egne beregninger.
Kilde:
17
BOU, Alm.del - 2022-23 (2. samling) - Bilag 68: Rapport om seniorbofællesskaber
1.3.3
Kvalitativ analyse
Det kvalitative materiale består af 12 interviews med borgere i to forskellige se-
niorbofællesskaber samt uformelle snakke i forbindelse med deltagelse i efter-
middagskaffe/kaffeklub én gang begge steder. Ved begge seniorbofælleskaber
har vi indledningsvist deltaget i et kaffearrangement, hvor der ud over uformel
snak om løst og fast også er blevet snakket om denne undersøgelse og dens
formål. I forbindelse med udvælgelsen af interviewpersoner har vi tilstræbt vari-
ation i forhold til alder, antal år boet i seniorbofællesskabet samt køn.
De 12 interviewede borgere er i alderen 63 år til 87 år, og de har boet i senior-
bofælleskabet mellem 1,5 år og 24 år. 10 interviewpersoner er kvinder og 2 er
mænd, og det afspejler kønsfordelingen i begge seniorbofællesskaber.
Interviewene har en varighed mellem 45 og 90 minutter, og er alle på nær ét
blevet foretaget fysisk. Interviewguiden har tematisk fokuseret på:
baggrunden for seniorernes beslutning om at flytte i seniorbofællesskab
deres oplevelse med at bo i et, herunder om rammerne for og oplevelser
med fællesskabet og det sociale miljø i seniorbofællesskabet
livskvalitet, sociale relationer og oplevelser med ensomhed og tryghed i
hverdagen, forestillinger om og vurderinger af, hvilken betydning deres nu-
værende boligsituation har haft og aktuelt har for deres livssituation
forestillinger om fremtiden i deres nuværende bolig.
Interviewene er blevet foretaget som semi-strukturerede livsverdensinter-
views (Halkier, 2010; Kvale & Brinkmann, 2008; O’Reilly, 2005) med fokus på
de interviewedes egne oplevelser og erfaringer og med mulighed for og til-
skyndelse til, at interviewpersonen selv har kunnet præge samtalen i retning
af egne erfaringer og oplevelser eller andre temaer, som interviewpersonen
selv fundet betydningsfulde i forhold til deres oplevelse med at bo i seniorbo-
fællesskab. I forbindelse med spørgsmålene om seniorernes vurderinger af
deres boligsituations betydning for deres livssituation samt forestillinger om
fremtiden har vi benyttet en ’spekulativ interviewteknik’ (Gaspar, 2018). Med
udgangspunkt i denne har vi forsøgt at åbne op for borgernes forestillinger om
både mulige alternative livsforløb uden for seniorbofællesskabet, samt hvilken
betydning de i øjeblikket forestiller sig, at deres boligsituation har haft og
fremadrettet får for deres livssituation.
18
BOU, Alm.del - 2022-23 (2. samling) - Bilag 68: Rapport om seniorbofællesskaber
2
Hvad ved vi om
seniorbofællesskabers
betydning?
Formålet med dette kapitel er på baggrund af forskningslitteratur og andre ty-
per af undersøgelser at opstille en forandringsteori for, hvilke mulige sam-
fundsøkonomiske gevinster der kan opnås ved, at ældre bor i seniorbofælles-
skaber.
Den gruppe af borgere, der kan flytte i seniorbofællesskab, og som således kan
have få glæde af seniorbofællesskabet, er enlige og par over 50 år, som ikke
har hjemmeboende børn. For denne målgruppe er vi interesserede i at identifi-
cere den samfundsøkonomiske gevinst af at flytte ind i og bo i et seniorbofæl-
lesskab. Forud for at flytte i seniorbofællesskab (og til andre boliger eller bliver
boende) kan borgerne have forholdt sig til begivenheder, der kan være indtruf-
fet, eller som forventes at indtræffe. Disse forskellige udslagsgivende faktorer
er vigtige at forstå og tage højde for, når vi skal prøve at identificere en mulig
gevinst ved at bo i seniorbofællesskab, og vi bliver endvidere nødt til at under-
søge, om borgere, der vælger at flytte i et seniorbofællesskab, ser anderledes
ud på observerbare forhold end borgere, der bliver boende eller flytter til andre
typer af boliger.
I Figur 2.1 fremgår forandringsteorien, som vi uddyber nedenfor.
19
BOU, Alm.del - 2022-23 (2. samling) - Bilag 68: Rapport om seniorbofællesskaber
2740823_0020.png
Figur 2.1
Forventninger til seniorbofællesskabets bidrag til god
alderdom
Blive boende
i sin bolig
Udslagsgivende
faktorer for flytning:
Helbred
Livsbegivenhed
Økonomi
Tilpasning til
fremtidige behov
og muligheder
Præferencer for
bolig
Anden
familiebolig
Enlige og par
uden hjemme-
boende børn
og over 50 år
Fordele:
Livskvalitet og tryghed
Mindre sygdom
Hurtigere recovery
Mindre ensomhed
Færre logistik-omkostninger til hjemmehjælp
Fællesskaber og socialt samvær
Fastholdelse af beskæftigelse
Fællesøkonomi
Seniorbo-
fællesskab
Ældrebolig
Plejebolig
Ulemper:
Forbrug af hjemmehjælp
Forbrug ydelser efter serviceloven
Helbredsydelser
Psykisk sygdom
Længere indlæggelser på hospital
2.1
Årsager til at flytte eller blive boende i sin
nuværende bolig
I Danmark har der i de sidste
mange år været en ældrepoli-
tik målrettet at støtte ældre
borgere i at blive boende
længst muligt i eget hjem.
Dette kendetegner i øvrigt
ikke kun Danmark, men også
de øvrige skandinaviske
lande. Flyttemobiliteten
blandt ældre er heller ikke
særlig stor, hvilket fremgår af
Figur 2.2. Omkring 10 % af
borgere på 68 år og derover
flytter til en anden bolig i et
kalenderår. Dette er også et
mønster, som gælder svenske
seniorer (Abramsson & An-
dersson, 2012).
Skak & Bloze (2014) finder, at mellem 55 % og 60 % af 65-årige, der flytter,
flytter til en mindre bolig, og at de fleste flytter til en lejebolig. Skak og Bloze
14%
12%
10%
8%
6%
4%
2%
0%
1995
2000
2005
2010
2015
2020
Figur 2.2
Flyttemobilitet blandt borgere
på 68 år og derover
Anm.: N= (627.747 – 930.762)
Kilde:
Danmarks Statistik
20
BOU, Alm.del - 2022-23 (2. samling) - Bilag 68: Rapport om seniorbofællesskaber
finder, at ændringer af civilstanden, høj alder og flere hospitalsindlæggelser
ofte er det, som udløser en flytning. Andre studier har også fundet flyttemoti-
ver forbundet med dårligere helbred (Hansen & Gottschalk, 2006), livsbegi-
venheder som fx nedsat funktionsevne, sygdom, tab af partner (Egsgaard,
2022), økonomi (Kulander, 2018), tilpasning til fremtidige behov og muligheder
samt præferencer for bolig (Abramsson, 2014; Abramsson & Andersson, 2012).
Skak og Bloze finder desuden, at personer med højere uddannelse og formue
ved indgangen til pensionsårene bliver længere tid i deres bolig, og at mobilite-
ten er højest blandt de ældre, som er boligejere. Boligejere flytter oftere fra en
større ejerbolig til en mindre lejlighed eller rækkehus, mens lejere i længere tid
bliver i den bolig, som de havde ved indgangen til pensionsårene. Siren & Lar-
sen (2019) finder, at hver tredje dansker over 52 år kunne tænke sig at flytte i et
seniorbofællesskab. Det er særligt personer i aldersgruppen 52-62-år, der godt
kunne tænke sig at bo i bofællesskab. Denne aldersgruppe udgør en dobbelt så
stor andel som personer i alderen 82-97-år (Siren & Larsen, 2019).
I forlængelse af Skak og Blozes analyser er der et svensk studie, der peger på,
at der kan identificeres to grupper af seniorer, som flytter til en anden bolig.
Der er en gruppe, som foretager en livsstilsflytning, og der er en gruppe, som
flytter, fordi de ikke længere kan blive boende i deres nuværende bolig. Den
første gruppe flytter af lyst, mens den sidste gruppe flytter af nød (Abrams-
son, 2014).
Abramsson omtaler gruppen, der flytter af lyst som en gruppe, der er motive-
ret af at foretage valg, der passer til en nuværende og fremtidig livssituation,
og at denne form for motivation har drevet denne gruppe af borgere livet
igennem. De er således vant til at træffe aktive valg, der skaber de bedst mu-
lige livsomstændigheder og vilkår (Abramsson, 2014). Dette mønster finder
Kulander også i en analyse af ældre boligmotiver, og finder, at tidlige (i livet)
præferencer for bolig, hverdag og livsførelser har afgørende betydning for
valg af bolig i sen livsfase (Kulander, 2018).
2.2
Hvor kan man flytte hen som senior?
Nedenfor beskriver vi de forskellige typer af boliger, som seniorer kan flytte
ind i. De forskellige typer af bolig er afgørende at forstå i sammenhæng med,
at vi ønsker at identificere betydningen af seniorbofællesskabet som en inter-
vention, der kan bidrage til et godt liv i alderdommen.
Typen af boliger til seniorer deler sig i to hovedkategorier, der er betinget af,
om man kan klare sig i eget hjem eller ikke. Når man kan klare sig i et eget
hjem, sondrer vi mellem, at man kan bo i et seniorbofællesskab, blive boende
21
BOU, Alm.del - 2022-23 (2. samling) - Bilag 68: Rapport om seniorbofællesskaber
2740823_0022.png
eller flytte til en anden familiebolig, der enten er ejerbolig, lejebolig eller an-
delsbolig. Kan man ikke klare sig i en egen bolig, kan man visiteres til en æl-
drebolig, der er specielt indrettet til ældre
1
. Hvis man særlige plejebehov, kan
man visteres til en plejebolig eller plejehjemsplads.
I forhold til de empiriske analyser er det således afgørende at vide, at der er
forskellige veje til en bolig som senior, og at vejen til en ældre- og plejebolig
kræver, at borgeren har særlige behov, der gør, at borgere i disse to grupper
er vanskelige at sammenligne mere borgere i seniorbofællesskaber, hvor ind-
flytningen ikke er betinget af at have særlige behov.
2.2.1
Bolig i seniorbofællesskab
Seniorbofællesskaber kan enten være ejerboliger, andelsboliger eller lejeboli-
ger. Lejeboliger kan enten være almene eller private udlejningsboliger. Der fin-
des ikke en entydig definition eller afgrænsning af et seniorbofællesskab. Der
forekommer dog at være konsensus om, at et seniorbofællesskab opfylder tre
kriterier. For det første skal beboerne være mindst 50-55 år for at komme i
betragtning og være uden hjemmeboende børn. For det andet har beboer-
gruppen ofte eksklusiv råderet over et fælleshus eller fællesareal, og for det
tredje forventes det, at beboerne indgår i sociale fællesskaber med hinanden,
om end der er forskellige holdninger til, hvad der mere præcist ligger i dette
kriterium (Nielsen & Pedersen, 2016).
Ofte er der en bestyrelse eller et udvalg, der vurderer, hvem en ledig bolig skal
gå til. Det forudsætter, at der er flere borgere på én gang, der kan være inte-
resserede i få boligen. Det vil typisk gælde for seniorbofællesskaber, der be-
står af andelsboliger eller lejeboliger. Almene seniorbofællesskaber kan enten
være oprettet efter almenboligloven eller være opstået ved, at boliger lejes ud
ved hjælp af fleksibel udlejning (BL-Analyse, 2021). Fleksibel udlejning bety-
der, at en boligsøgende kan komme længere frem i køen, hvis vedkommende
opfylder visse kriterier. I forhold til seniorbofællesskaber vil det være, at man
er min 50 år og ikke har hjemmeboende børn.
2.2.2
Familieboliger
Familieboliger dækker over alle andre typer af boliger end seniorfælleskaber,
ældreboliger og plejeboliger. Det vil sige selvstændige boliger, hvor der ikke
følger særlige krav til at bo i disse boliger. Det er ejerboliger, lejeboliger –
både almene og private – samt andelsboliger.
1
Borgere med fysiske og/eller psykiske vanskeligheder kan også visiteres til en almen ældrebolig.
22
BOU, Alm.del - 2022-23 (2. samling) - Bilag 68: Rapport om seniorbofællesskaber
2.2.3
Ældreboliger
En ældrebolig er en selvstændig lejebolig, der er kendetegnet ved at være be-
liggende i nærheden af andre ældreboliger og ved at være indrettet særligt til
ældre og personer med handicap. Disse boliger har elevator og plads til køre-
stol. Man kan søge om en ældrebolig, hvis man eksempelvis har nedsat fysisk
funktionsevne, og herefter er det kommunen, der visiterer borgeren til en æl-
drebolig. Kommunen skal anvise boligen til den borger, der har størst behov
for boligen uanset borgerens placering på ventelisten.
2.2.4
Plejebolig
En plejebolig er en selvstændig ældrebolig med serviceareal og tilknyttet per-
sonale. Hvis man har et omfattende behov for hjælp eller af anden årsag har
brug for tryghed og pleje, kan man få en plejebolig, hvor der er tilknyttet per-
sonale døgnet rundt. Denne boligtype indgår i den aktuelle undersøgelse.
2.3
Gevinster ved at bo i seniorbofællesskab
I den forskningslitteratur, vi har gennemgået i forbindelse med at finde viden
om gevinster ved at bo i seniorbofællesskaber, er det ikke lykkes os at finde
studier, der metodisk er i stand til at tage højde for, at det efter alt at dømme
er en bestemt gruppe af mennesker, der vælger at bo i et seniorbofællesskab.
Det vil sige, at i de studier, som vi gennemgår nedenfor, og som fremhæver
gevinster af at bo i seniorbofællesskaber, er der ikke sikkerhed for, at disse
gevinster kan tilskrives seniorbofællesskabet. Det kan med andre ord lige så
vel være gevinster, som skyldes den gruppe af mennesker, der til en start
vælger at bo i et seniorbofællesskab.
Rambøll udarbejdede i 2016 en analyse af seniorbofællesskabers samfunds-
økonomiske betydning (Rambøll, 2016). Rambøll identificerer tre faktorer ved
seniorbofællesskaber, der
kan
bidrage til besparelser for kommunerne. Det er
vigtigt at fremhæve ordet ”kan”, fordi den metodiske analyse er baseret på in-
terviews i fem kommuner, og er således ikke baseret på systematiske obser-
verbare data gældende et repræsentativt udvalg af kommuner. Der er derfor
stor usikkerhed forbundet med identifikationen af de tre mulige gevinster: er
der tale om en reel besparelse, og skyldes det seniorbofællesskabet eller an-
dre forhold?
For det første nævnes en produktivitetsstigning i forbindelse med besparelse på
transporttid for omsorgspersonale qua, at flere ældre er samlet samme sted.
23
BOU, Alm.del - 2022-23 (2. samling) - Bilag 68: Rapport om seniorbofællesskaber
For det andet fremhæver Rambøll, at der kan ses en reduktion i behovet for
hjemmehjælp, idet borgerne i bofællesskaberne udvikler hjælperelationer og
dermed trækker mindre på fx hjemmehjælp til rengøring. For det tredje fremhæ-
ver Rambøll, at der er potentiale for at skabe en mere effektiv indretning af boli-
gerne, således at ældre i højere grad kan klare sig selv. Denne forventning læ-
ner sig formentlig op ad, at der i seniorbofællesskaber er mulighed for fælles-
rum, som kan bruges til socialt samvær og til, når man har gæster, således at
ens bolig kvadratmetermæssigt ikke behøver at være så stor. Den form for fæl-
lesøkonomi, der her er mulighed for i et seniorbofællesskab, kendes fra den al-
mene sektor, hvor lejerne kan låne fælleslokaler mv. Denne forventning til ge-
vinst er formentlig vanskelig at føre tilbage seniorbofællesskabet; den vil for-
mentlig også kunne opnås alene ved at bo i den almene boligsektor.
2.4
Livskvalitet, tryghed og ensomhed
En forventning til seniorbofællesskaber er, at det at bo i seniorbofællesskab
forebygger en forringelse af ældre borgeres livskvalitet, øger deres tryghed
og forebygger ensomhed. Et studie blandt britiske ældre borgere viser, at
øget tryghed ved det sted, de bor, tilsvarende øger deres livskvalitet (Sugiya-
ma et al., 2009). I forlængelse heraf viser andre studier, at der er sammen-
hænge mellem at føle sig utryg og at føle en svag kollektiv handlekraft på den
ene side og på den anden side at opleve en større grad af ensomhed. I disse
studier fremhæves netop det lokalt baserede fællesskab som en løsning på
disse udfordringer (Kearns et al., 2015). Christensen & Winkler (2022) viser, at
borgere i seniorbofælleskaber som udgangspunkt har en høj selvvurderet livs-
kvalitet, og at de sjældent har oplevet ensomhed. Det er også borgere, der
vurderer, at deres helbred er virkelig godt eller godt, og at deres helbred sam-
menlignet med jævnaldrendes helbred er bedre eller som de flestes. Det er
dog ikke muligt at identificere nogen udvikling på livskvalitet, ensomhed eller
opfattelse af helbred efter indflytningen i seniorbofællesskabet. Det kan netop
hænge sammen med de i forvejen høje andele. Et studie af sammenhængen
mellem socioøkonomi og livskvalitet blandt ældre borgere i England finder en
tydelig sammenhæng mellem økonomisk trængte ældre og lav livskvalitet, og
omvendt at økonomisk ressourcestærke ældre har bedre livskvalitet. Disse to
sammenhænge forstærkes af, om de ældre bor i et økonomisk trængt bolig-
område eller et mere rigt boligområde (Breeze et al., 2005).
En survey blandt borgere i seniorbofællesskaber viser, at 69 % oplever en
øget livskvalitet i forbindelse med deres flytning til bofællesskab, og 75 % op-
lever et bedre naboskab (Nielsen & Pedersen, 2016). Øvrige studier peger
også på, at bofællesskaber for ældre øger deres tilfredshed med at bo samt
har en positiv betydning for deres velbefindende (Althus & Mathews, 2002).
24
BOU, Alm.del - 2022-23 (2. samling) - Bilag 68: Rapport om seniorbofællesskaber
Der er dog også studier, der beskæftiger sig med, at fællesskaber i seniorbo-
fællesskaber (retirement villages) kan udfordres af, at der er ældre, der er
svage og er afhængige af naboerne, og at flertallet af beboerne gerne vil være
gode naboer, men ikke plejere for hinanden (Carr & Fang, 2022).
I undersøgelser af seniorbofællesskaber fremhæves, at de fysiske rammer og
den homogene beboergrupper bidrager til, at beboerne er aktive og indgår i
sociale relationer (Christensen & Winkler, 2022; Tyvimaa, 2011). Derudover ty-
der det på, at ældre i bofællesskaber har bedre naborelationer (Buys, 2001;
Siren & Poulsen, 2016). Christensen & Winkler (2022) finder, at borgere i for-
bindelse med indflytning i seniorbofællesskaber generelt har store forventnin-
ger til, at de udvikler nye venskaber og deltager i sociale aktiviteter. I forhold
til forventningen om at deltage i sociale aktiviteter er denne forventning blevet
indfriet hos borgere, mens forventningen om at udvikle nye venskaber i væ-
sentlig mindre grad ser ud til at være blevet indfriet. Til gengæld er det en
tendens, at flere borgere, end de selv forventede, har fået hjælp til praktiske
gøremål af naboerne. Endvidere tegner der sig et billede af, at de fleste bor-
gere er engagerede i et godt naboskab, hvor man hjælper hinanden både med
personlige og praktiske gøremål, og hvor netværket tilvejebringer en tryghed,
fortrolighed og anerkendelse. Tilfredsheden med naboskabet ser også ud til at
være større i seniorbofællesskabet sammenlignet med naboskabet det sted,
hvor beboerne tidligere boede.
Endelig er der studier, der beskæftiger sig med forhold som sygehusindlæg-
gelser, brug af serviceydelser og hurtig recovery. Rinehardt (2002) peger i et
studie på, at en særlig boligform til ældre ikke forsinker aldring, øget fysisk
svaghed og øget brug af serviceydelser, men omvendt kan boliger designet til
ældre tilbyde fysiske rammer, som kan øge borgerens tilfredshed de fysiske
rammer, og det er mere sandsynligt, at der vil være en øget brug af støtte og
serviceydelser.
2.5
Opsamling
Vi har i dette kapitel opstillet en forandringsteori for, hvilke mulige gevinster
der kan være af, at ældre bor i seniorbofællesskaber. I Figur 2.1 fremgår det,
at vi sondrer mellem fordele og ulemper ved at bo i seniorbofællesskaber. For-
ventninger til fordele er, at seniorerne vil opleve øget livskvalitet og tryghed,
øget fællesskab og socialt samvær, mindre ensomhed og sygdom samt hurti-
gere recovery efter sygdom. Derudover kan der muligvis være fordele forbun-
det med færre logistik-omkostninger til hjemmehjælp og fællesøkonomi, der
opstår ved at have adgang til fællesfaciliteter. Derudover har vi en forventning
25
BOU, Alm.del - 2022-23 (2. samling) - Bilag 68: Rapport om seniorbofællesskaber
til, at seniorerne i længere tid vil være i beskæftigelse, når de bor i seniorbo-
fællesskab, fordi der kan følge mindre vedligeholdelse ved en bolig i seniorbo-
fællesskab sammenlignet med en almindelig familiebolig.
Omvendt er der nogle mulige samfundsmæssige ulemper, som ikke kun knytter
sig til seniorbofællesskabet, men til at blive ældre. Det handler om øget forbrug
af hjemmehjælp, ydelser efter serviceloven, omkostninger forbundet med psy-
kisk sygdom og indlæggelser på hospital. En forventning kan være, at der er
færre og mindre intensive ulemper som følge af at bo i seniorbofællesskab.
26
BOU, Alm.del - 2022-23 (2. samling) - Bilag 68: Rapport om seniorbofællesskaber
2740823_0027.png
3
Seniorbofællesskabet som en
intervention
I dette kapitel beskriver vi, hvor udbredt seniorbofællesskaber er som et bolig-
valg til seniorer. Vi beskriver endvidere boligernes ibrugtagningsår, størrelse,
ejerform og geografisk placering. På baggrund af deskriptive analyser er der
følgende karakteristika ved seniorbofællesskaber:
Boks 3.1
Karakteristika ved seniorbofællesskaber
Ved udgangen af 2022 er der 289 seniorbofællesskaber i Danmark. Til-
sammen dækker de 6.291 boliger. I perioden fra 1995-2022 har 15.733
borgere på et tidspunkt boet i et seniorbofællesskab.
125 seniorbofællesskaber er blevet ibrugtaget i perioden 2000-2004.
Det er det største antal i en 5 års-periode set fra 1995 og frem.
Aarhus, Vejle, Odense, Næstved og kommuner i hovedstadsområdet er
de kommuner, der har flest seniorbofællesskaber, dvs. mere end 7 se-
niorbofællesskaber. Der er 14 kommuner – primært i Jylland og på de
mindre øer – der slet ikke har seniorbofællesskaber.
Godt otte ud af ti seniorbofællesskaber har mellem 10 og 30 boliger.
Hovedparten af seniorbofællesskaberne er almene boliger, mens 30 %
er andelsboliger.
3.1
Antal seniorbofællesskaber
I 2020 bor 68 % af alle over 50 år i ejerboliger. 17 % bor i almene boligorgani-
sationer, mens de 15 % bor i andelsbolig, privat udlejning eller anden for udlej-
ning. Det fremgår af Figur 3.1. Der er i alt 2,3 mio. mennesker over 50 år. Som
en lille del af boligudbuddet til borgere over 50 år (der ikke har hjemmeboende
børn) findes seniorbofællesskaberne.
27
BOU, Alm.del - 2022-23 (2. samling) - Bilag 68: Rapport om seniorbofællesskaber
2740823_0028.png
Vi har identificeret 289 seni-
orbofællesskaber, der tilsam-
men har 6.291 boliger. For
perioden 1995-2022 har der i
alt boet 15.733 mennesker i
en bolig i et seniorbofælles-
skab. Gennemsnitsalderen i
perioden 1995-2022 for at
flytte i seniorbofællesskab er
68,6 år. I en kortlægning af
samtlige bofællesskaber i
Danmark finder (Jensen et al.,
2022), at der i 2021 er 235
seniorbofællesskaber med
5.503 boliger. Realdania har i
2020 opgjort antallet af seni-
orbofællesskaber til at være
287 (Realdania, 2020). Se Bi-
lag 1 for en detaljeret beskriv-
else af, hvordan vi har identi-
ficeret seniorbofællesskaber.
I Figur 3.2 fremgår fordelingen af seniorbofællesskaber ud fra, hvornår de er
ibrugtaget. Op til 2000 var der 72 seniorbofællesskaber fordelt i hele landet.
Fra 2000-2004 blev der ibrugtaget 125 nye seniorbofællesskaber og er det
største antal, der i en 5 års periode er blevet ibrugtaget. Ibrugtagning af nye
seniorbofællesskaber dykkede markant lige efter finanskrisen. Fra 2015 og
frem til og med 2022 er der blevet ibrugtaget 49 nye seniorbofællesskaber.
Der er en tendens til, at flere seniorbofællesskaber etableres og ibrugtages i
disse år.
Personer
Beboede boliger
80%
70%
60%
50%
40%
30%
20%
10%
0%
Figur 3.1
Oversigt over boliger og
personer over 50 år i forhold
til, hvordan de bor, 2020
Anm.: N(personer)= 2.293.851 og N(boliger)= 2.655.216
Kilde:
Statistikbanken og egne beregninger.
28
BOU, Alm.del - 2022-23 (2. samling) - Bilag 68: Rapport om seniorbofællesskaber
2740823_0029.png
Figur 3.2
Fordeling af seniorbofællesskaber i forhold til etableringsår.
Antal.
140
120
100
80
60
40
20
0
-1995
1995-1999 2000-2004 2005-2009 2010-2014 2015-2019 2020-2022
Anm.: N = 289
Kilde:
Methods og VIVEs identifikation af seniorbofællesskaber.
3.2
Geografisk placering og størrelse
En forventning både blandt borgere, der vælger at flytte i seniorbofællesska-
ber, og blandt de, der etablerer seniorbofællesskaber, er, at der danner sig
fællesskaber mellem borgerne. Der er forsket på forskellig vis i sammenhæn-
gen mellem størrelse af et fællesskab, og om der udvikles fællesskabsrelatio-
ner og tilknytning til fællesskabet. McKnight et al. (2017) viser eksempelvis, at
mindre enheder har en positiv betydning for dannelse af fællesskaber, men
kun i sammenhæng med afstanden til bymæssige enheder. Det vil sige, at
dannelse af fællesskaber har de bedste vilkår, når afstanden til by er kort, og
fællesskabet er mindre i antal. I Figur 3.3 og 3.4 ser vi derfor dels på den geo-
grafiske spredning af seniorbofællesskaber, dels på størrelsen af seniorbofæl-
lesskaber.
Forekomsten af seniorbofællesskaber er særlig stor i og omkring de større
byer. Det fremgår af Figur 3.3, der viser den geografiske spredning på senior-
bofællesskaberne. Vi ser, at Aarhus, Vejle, Odense, Næstved og kommuner i
hovedstadsområdet er de kommuner, der har flest seniorbofællesskaber, dvs.
mere end 7 seniorbofællesskaber. Der er 14 kommuner, der slet ikke har seni-
orbofællesskaber. Det er særligt kommuner i Jylland og på de mindre øer.
29
BOU, Alm.del - 2022-23 (2. samling) - Bilag 68: Rapport om seniorbofællesskaber
2740823_0030.png
Figur 3.3
Geografisk fordeling af seniorbofællesskaber
Anm.: N (kommuner) = 98; N (seniorbofællesskaber) = 289
Kilde:
Methods og VIVEs identifikation af seniorbofællesskaber.
I Figur 3.4 fremgår variationen i størrelse af seniorbofællesskaber. Næsten
havdelen af seniorbofællesskaberne har mellem 10 og 20 boliger. Små 20 % af
seniorbofællesskaberne består af mere end 30 boliger. 4 % af seniorbofælles-
skaberne er meget små med mindre end 10 boliger.
Størstedelen af seniorbofællesskaberne ligger således størrelsesmæssigt mel-
lem 10 og 30 boliger.
30
BOU, Alm.del - 2022-23 (2. samling) - Bilag 68: Rapport om seniorbofællesskaber
2740823_0031.png
Figur 3.4
Fordeling af seniorbofællesskaber i forhold til deres
størrelse. Procent.
60
50
40
30
20
10
0
Mellem 1 og 10 Mellem 10 og Mellem 20 og Mellem 30 og Mellem 40 og 50 eller flere
boliger
20 boliger
30 boliger
40 boliger
50 boliger
boliger
Anm.: n = 289
Kilde:
Methods og VIVEs identifikation af seniorbofællesskaber, Danmarks Statistik.
3.3
Ejerform
Endelig ser vi ejerformen på seniorbofællesskaber i Figur 3.5. Det fremgår af
figuren, at hovedparten af seniorbofællesskaber er almene boliger. 44 % af
seniorbofællesskaber er almene, mens 30 % er andelsboliger, og 19 % er privat
udlejning. 5 % er ejerboliger, og godt 3 % tilhører kategorien af øvrige boliger,
der dækker boliger ejer af staten, regionen eller kommunen.
31
BOU, Alm.del - 2022-23 (2. samling) - Bilag 68: Rapport om seniorbofællesskaber
2740823_0032.png
Figur 3.5
Fordeling af ejerform af seniorbofællesskab
50,0%
45,0%
40,0%
35,0%
30,0%
25,0%
20,0%
15,0%
10,0%
5,0%
0,0%
Almen bolig
Andelsbolig
Privat udlejning
Ejerbolig
Øvrige boliger
Anm.: N = 272
Kilde:
Methods og VIVEs identifikation af seniorbofællesskaber, Danmarks Statistik.
3.4
Opsamling
I alt er der 2,3 mio. mennesker over 50 år i Danmark, og i perioden 1995-2022
har der i alt boet 15.733 mennesker i en bolig i et seniorbofællesskab. Det er så-
ledes en meget begrænset gruppe af borgere, der har erfaring med at bo i seni-
orbofællesskaber. Givet, at Siren & Larsen (2019) finder, at hver tredje dansker
over 52 år kunne tænke sig at flytte i et seniorbofællesskab, er der tegn på, at
udbuddet af seniorbofællesskaber er noget mindre end efterspørgslen. Det er
imidlertid vigtig at huske på, at det er omkostningsfrit at tilkendegive en præfe-
rence, og således kan populationen med hver tredje dansker, der gerne vil bo i
seniorbofællesskab, være højere end den reelle efterspørgsel.
32
BOU, Alm.del - 2022-23 (2. samling) - Bilag 68: Rapport om seniorbofællesskaber
4
Borgere i
seniorbofællesskaber
I dette kapitel beskriver vi borgere, der bor i seniorbofællesskaber. Vi beskri-
ver, hvilke typer af borgere der bor i et seniorbofællesskab, og hvad der ken-
detegner dem i forhold til socioøkonomiske forhold, deres ydelsesbehov og
helbred før og mens de bor i seniorbofællesskabet, samt varigheden af at bo i
seniorbofællesskab. Denne analyse er vigtig for at opnå viden om, dels hvor-
vidt borgere i seniorbofællesskaber på objektive forhold er forskellige eller lig-
ner øvrige borgere generelt, dels for at opnå viden om, på hvilke forhold (fx
ydelser efter serviceloven), der er tilstrækkelige i omfang til, at der kan iagtta-
ges en forskel fra før til efter indflytning i seniorbofællesskabet.
Vi beskriver endvidere, hvad der kendetegner borgere, som angiver en præfe-
rence for at bo i et seniorbofællesskab i fremtiden i forhold til fællesskab, so-
ciale aktiviteter, selvvurderet helbred og daglige gøremål. Denne analyse er
tilsvarende vigtig for at få en indikation af, om borgere, der flytter i seniorbo-
fællesskab, ser ud til at have andre præferencer, personlighedstræk mv. end
borgere, der ikke er orienteret mod seniorbofællesskaber.
Som vi har beskrevet ovenfor, ved vi fra andre forskningsprojekter og undersø-
gelser, at borgere i seniorbofællesskaber formentlig udgør en særlig gruppe, der
objektivt set er ressourcestærke, og som forekommer at have en præference
for fællesskab forud for, at de flytter ind i et seniorbofællesskab (Arbell, 2022;
Christensen & Winkler, 2022; Siren & Poulsen, 2016).
At der er tale om en selektion, der ikke kun kan iagttages i registerdata – ek-
sempelvis på uddannelse, beskæftigelse og indkomst – men også en selektion,
der kommer til udtryk i forskellige typer af præferencer, gør, at vi ikke blot kan
finde en sammenligningsgruppe ved at matche en gruppe borgere, der ikke
bor i seniorbofællesskaber, med borgere i seniorbofællesskaber på observer-
bare forhold i registerdata. Denne form for matching vil ikke kunne tage højde
for den selektion, der skyldes forskelle i præferencer, motiver mv. Da vi ikke i
tilstrækkeligt omfang kan løse selektionsproblemet, vælger vi at sammenligne
borgere i seniorbofællesskaber med tre andre populationer, der kan fungere
som sammenligningsgrundlag for niveauer og udviklinger over tid. De tre po-
pulationer er:
Borgere, der bor i almene ældreboliger.
Baggrunden for at vælge
denne gruppe er, at ældreboliger udgør en boligtype, der er afgræn-
set til fortrinsvis ældre borgere og dermed i boligtype ligner senior-
bofællesskaber, der også er afgrænset tydeligt i forhold seniorer.
33
BOU, Alm.del - 2022-23 (2. samling) - Bilag 68: Rapport om seniorbofællesskaber
2740823_0034.png
Denne population adskiller sig dog ved, at man skal visiteres til æl-
dreboliger, og det skal man ikke til seniorbofællesskaber.
Borgere, der angiver en præference for at bo i seniorbofællesskab.
Baggrunden for at vælge denne population er, at selvom de endnu
ikke bor i et seniorbofællesskab, og selvom vi ikke nødvendigvis ved,
om de ender med at vælge at flytte ind i et seniorbofællesskab, så
ligner de borgerne i seniorbofællesskab ved at dele præference for
seniorbofællesskabet.
Borgere, der er 68 år i et givet år.
Baggrunden for at vælge denne
population er, at vi gerne vil kunne sammenligne med en gruppe bor-
gere, der over tid bliver påvirket af de samme konjunkturer, som bor-
gere i seniorbofællesskaber påvirkes af. De 68-årige er valgt ud fra,
at gennemsnitsalderen for borgere, når de flytter ind i et seniorbofæl-
lesskaber, er 68,3 år
2
.
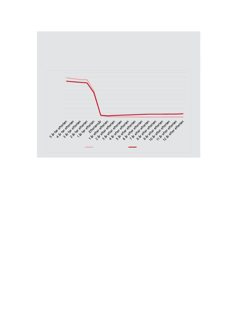
De hovedkonklusioner, der afrapporteres i kapitlet, fremgår af Boks 4.1.
2
Vi analyserer fortrinsvis på data i perioden 1995-2020. Gennemsnitsalderen for borgere i perioden
1995-2020, når de flytter ind i seniorbofællesskaber, er 68,3 år. Når vi kigger på gennemsnitalderen
for borgere, der flytter ind i seniorbofællesskaber i perioden 1995-2022, er den 68,6 år.
34
BOU, Alm.del - 2022-23 (2. samling) - Bilag 68: Rapport om seniorbofællesskaber
2740823_0035.png
Boks 4.1
Hovedkonklusioner i kapitlet
Borgere, der flytter i seniorbofællesskaber, er i gennemsnit mere ressource-
stærke end 68-årige borgere og i særlig grad sammenlignet med borgere,
der bor i almene ældreboliger. Borgere i seniorbofællesskaber ligner res-
sourcemæssigt borgere, der angiver en præference for i fremtiden at ville
bo i et seniorbofællesskab. Når vi anvender udsagn om fællesskab og soci-
alt engagement blandt borgere med præference for seniorbofællesskab
som udtryk for fællesskab og socialt engagement hos borgere, der bor i se-
niorbofællesskaber, tegner der sig et billede af, at borgere i seniorbofælles-
skab forud for seniorbofællesskabet har et stort behov for fællesskab og
socialt samvær, og at de allerede er særdeles aktive i fællesskaber og soci-
ale sammenhænge. På baggrund af disse analyser kan vi således konklu-
dere, at borgere i seniorbofællesskaber udgør en særlig gruppe af ressour-
cestærke borgere, der er engagerede i fællesskaber og socialt samvær. Det
er konklusionen baseret på følgende resultater:
61 % af borgere i seniorbofællesskaber har en kompetencegivende ud-
dannelse. Det er en højere andel end blandt gennemsnitlige 68-årige
borgere. Det er lavere end borgere med præference for seniorbofæl-
lesskab, hvilket formentlig skyldes, at præferencepopulationen i gen-
nemsnit er yngre end borgere, der bor i seniorbofællesskaber.
19 % er i beskæftigelse, når de flytter ind i seniorbofællesskaber, og
58 % modtager folkepension. 90 % af 68-årige modtager folkepension,
og 83 % af borgere, der flytter i ældreboliger, er tilsvarende folkepensio-
nister.
Borgere i seniorbofællesskaber har en højere gennemsnitlig disponibel
indkomst end borgere i ældreboliger og end 68-årige borgere, men la-
vere end borgere med præference for seniorbofællesskab.
67 % af borgere i seniorbofællesskaber har tidligere boet i ejerboliger,
og det svarer til præferencepopulationen og til 68-årige generelt.
For hovedparten (over 90 %) af borgere i seniorbofællesskaber er der
ikke indtruffet store livsbegivenheder som at miste en partner, lang
indlæggelse på hospital eller overgang til pension 1 år eller 2 år, før de
flytter ind i et seniorbofællesskab.
35
BOU, Alm.del - 2022-23 (2. samling) - Bilag 68: Rapport om seniorbofællesskaber
2740823_0036.png
19 % af borgere har på indflytningstidspunktet i seniorbofællesskaber
en kronisk sygdom (KOL, diabetes og/eller hjertesygdomme). Det sva-
rer til gennemsnittet i præferencepopulationen og blandt 68-årige.
38 % af borgere har en kronisk sygdom, når de flytter i ældrebolig.
Borgere, der flytter i seniorbofællesskaber, har samme erfaring med
indlæggelsesperioder på hospital som præferencepopulationen og 68-
årige generelt.
En ganske lille andel, 1,2 %, af borgere, modtager en serviceydelse, når
de flytter i seniorbofællesskaber. Til sammenligning er det 6 % af bor-
gere, der modtager en serviceydelse, når de flytter i ældrebolig.
Boligen i seniorbofællesskabet ser ud til at være den bolig, som borgerne
forventer bliver den sidste bolig. Andelen, der hvert år ophører med at
bo i et seniorbofællesskab, er på 4-7 %. Lidt over halvdelen ophører på
grund af dødsfald. Godt halvdelen af de, der flytter ud af seniorbofælles-
skab, flytter i boliger, der formentlig er plejeboliger eller plejehjem.
Borgere med præference for seniorbofællesskab har, sammenlignet
med borgere, der ikke har præference for seniorbofællesskab, et signi-
fikant større behov for socialt samvær, og de er signifikant mere aktive
i socialt samvær og fællesskaber. Der er tilsvarende signifikant flere i
præferencepopulationen, der vurderer, at de alt i alt i har et godt hel-
bred og et helbred, der er bedre end de flestes. De har ligeledes et sig-
nifikant højere aktivitetsniveau, og de er i signifikant mindre grad hæm-
met af ikke at kunne foretage sig gøremål som at gå på trapper, lave
varm mad og sørge for indkøb.
Borgerne, der bor i seniorbofællesskaber, har et ønske om at forebygge
fravær af fællesskab og socialt samvær, hvis de en dag bliver mindre fy-
siske mobile og har et fysisk eller mentalt helbred, der ikke muliggør at
opretholde de sociale relationer, de har på indflytningstidspunktet.
4.1
Tiden lige før indflytning i seniorbofællesskab
I dette afsnit undersøger vi, om der kan identificeres mulige livsomvæltende
begivenheder forud for borgernes indflytning i seniorbofællesskabet. Denne
del af analysen kan således tegne et billede af mulige udslagsgivende forhold
for at flytte, og vi sammenligner seniorbofællesskabspopulationen med ældre-
boligpopulationen.
36
BOU, Alm.del - 2022-23 (2. samling) - Bilag 68: Rapport om seniorbofællesskaber
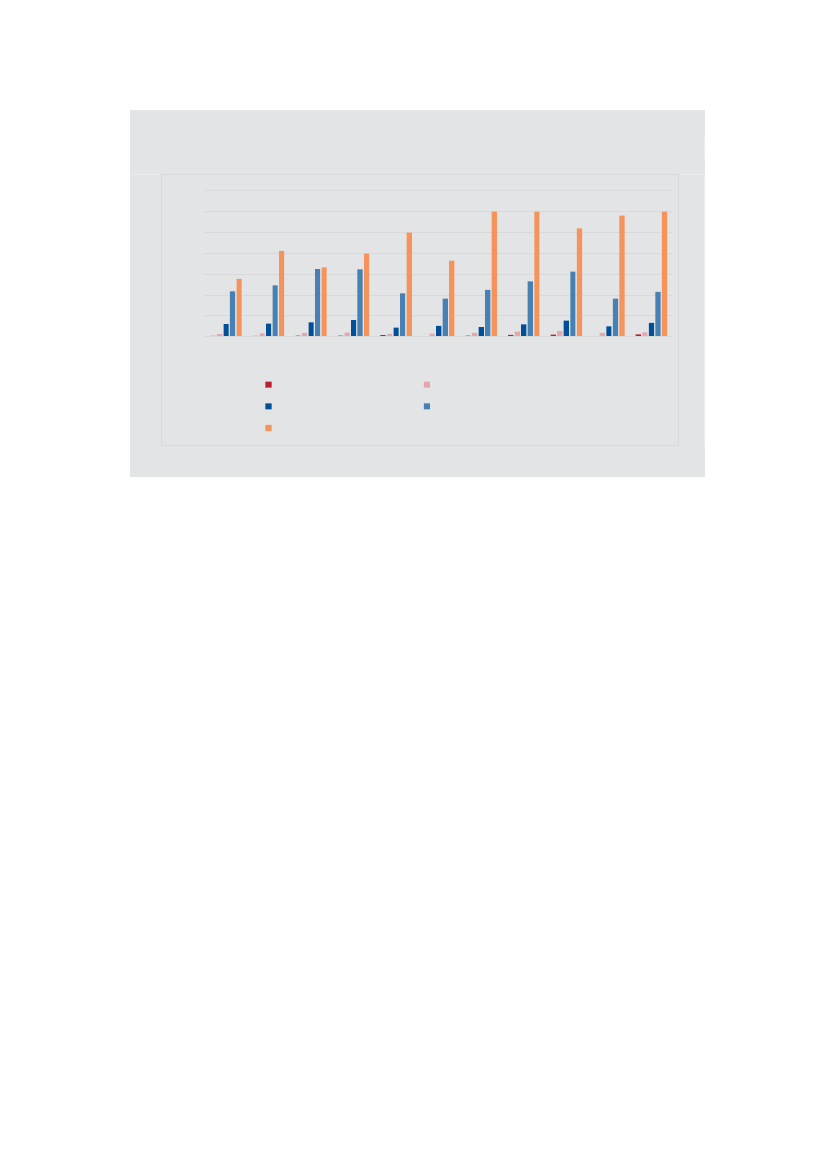
I Figur 4.1 fremgår fordelingen af livsbegivenheder, der er indtruffet 1 og 2 år,
før borgerne flytter i seniorbofællesskab sammenlignet med borgere, der flyt-
ter i ældrebolig. Vi ved fra Egsgaard (2022), Hansen & Gottschalk (2006) og
Skak & Bloze (2014), at helbred og tab af partner er forhold, der spiller ind på
at flytte bolig i alderdommen. Vi ser derfor på, om borgeren har oplevet at
være indlagt med sygdom i mindst 10 dage, har mistet sin partner og/eller er
gået på pension. Som det fremgår af figuren, er der ikke noget, som tyder på,
at der for hovedparten af borgere indtræffer en begivenhed 1 eller 2 år før, der
gør, at de flytter i seniorbofællesskab.
Når det gælder sygdom med indlæggelse i mindst 10 dage er der 2 % af bor-
gere i seniorbofællesskaber, der har oplevet det 1 og 2 år før indflytningen, og
dermed en væsentligt lavere andel end for borgere i ældreboliger, hvor det er
tæt på 10 %, der oplever sygdom med indlæggelse 1 år før deres indflytning.
Det peger på, at for borgere i seniorbofællesskab flytter de formentlig ind i se-
niorbofællesskab, før de oplever svær sygdom, hvorimod sygdom kan være en
udslagsgivende faktor for, at borgere flytter ind i ældreboliger. Et visitations-
krav til ældreboliger er, at man har særlige behov, som netop kan opstå med
sygdom.
6-7 % af borgere, der er i par, og som bor i seniorbofællesskaber, har oplevet
at miste deres ægtefælle 1 og 2 år før indflytningen. Det vil sige, at for hoved-
parten af borgere i par flytter de ind i seniorbofællesskabet som par. Det står i
kontrast til borgere, der flytter ind i ældreboliger, hvor næsten halvdelen af de
i par, der flytter i ældrebolig, har mistet deres partner 1 år før indflytningen.
Denne forekomst for borgere i ældreboliger kan både handle om, at der har
været en partner, som har kunnet hjælpe, og når denne partner død, så bort-
falder den nære personlige hjælp, og dermed opstår behovet for ældrebolig.
Tab af partner kan også medvirke til, at den tilbageblevne oplever eskalerede
behov som følge af tab (widow effect) (fx Egsgaard, 2022; Elwert & Christakis,
2008).
Endelig gælder det i forhold til at gå på pension, at 7 % og 13 % af de, der er
på pension i seniorbofællesskabet, er gået på pension henholdsvis 1 og 2 år,
før de flytter ind i seniorbofællesskabet. Det vil sige, at hovedparten af bebo-
erne er gået pension noget tid, før de flytter i seniorbofællesskab. Det ser så-
ledes ud til, at for en mindre gruppe af borgere ligger indflytningen i seniorbo-
fællesskaber i forlængelse af at være stoppet med at arbejde. For borgere,
der flytter ind i ældreboliger, er det væsentligt lavere andele, der er gået på
pension 1 og 2 år før indflytningen; pensionen er indtruffet mindst 2 år før ind-
flytning.
37
BOU, Alm.del - 2022-23 (2. samling) - Bilag 68: Rapport om seniorbofællesskaber
2740823_0038.png
Figur 4.1
Fordeling af indtrufne livsbegivenheder 1 og 2 år før
indflytning i seniorbofællesskab og ældrebolig
60%
50%
40%
30%
20%
10%
0%
1 år før
indflytning
2 år
indflytning
1 år før
indflytning
2 år
indflytning
1 år før
indflytning
2 år
indflytning
Mindst 10 dages indlæggelse
Mistet en ægtefælle
ældrebolig
gået på pension
seniorbofællesskab
Anm.: N (Indlæggelse, Seniorbofællesskab, 1 år før) = 15.401; N (Indlæggelse, Seniorbofællesskab, 2 år før) = 15.401; N
(Indlæggelse, Ældreboliger, 1 år før) = 119.759; N (Indlæggelse, Ældreboliger, 2 år før) = 119.759; N (Mistet ægte-
fælle, Seniorbofællesskab, 1 år før) = 9.880; N (Mistet ægtefælle, Seniorbofællesskab, 2 år før) = 10.357; N (Mistet
ægtefælle, Ældreboliger, 1 år før) = 37.278; N (Mistet ægtefælle, Ældreboliger, 2 år før) = 42.194; N (Gået på pen-
sion, Seniorbofællesskab, 1 år før) = 9.862; N (Gået på pension, Seniorbofællesskab, 2 år før) = 9.170; N (Gået på
pension, Ældreboliger, 1 år før) = 98.443; N (Gået på pension, Ældreboliger, 2 år før) = 97.527.
Kilde:
Danmarks Statistik og egne beregninger.
Endelig ser vi på, hvilken ejerform seniorerne flytter fra, inden de flytter i seni-
orbofællesskab. 67 % af de, der flytter ind i et seniorbofællesskab, kommer fra
en ejerbolig, og 14 % har boet i en almen bolig forinden. Borgere, der flytter
ind i seniorbofællesskab, ligner både populationen med præference og popu-
lationen af 68-årige, mens de ser markant anderledes ud end de, der flytter
ind i almene ældreboliger. 44 % af de, der flytter ind i en almen ældrebolig,
kommer fra en ejerbolig, og 28 % har tidligere også boet i en almen bolig.
38
BOU, Alm.del - 2022-23 (2. samling) - Bilag 68: Rapport om seniorbofællesskaber
2740823_0039.png
Figur 4.2
Boligen før indflytning i seniorbofællesskab sammenlignet
med indflytning i almen ældrebolig og i population af 68-
årige
80,0%
70,0%
60,0%
50,0%
40,0%
30,0%
20,0%
10,0%
0,0%
Almen bolig
Andelsbolig
Ejerbolig
før ældrebolig
Privat udlejning
Øvrige boliger
før seniorbofællesskab
population af 68-årige
Anm.: N (Før seniorbofællesskab) = 8.611; N (Før ældrebolig) = 99.736; N (Population af 68-årige) = 964.720 (2005-
2021).
Kilde:
Danmarks Statistik og egne beregninger.
4.2
At vælge det rigtige seniorbofællesskab
Interviewene med borgere i seniorbofællesskaber efterlader et klart mønster i,
at alle bevidst har tilvalgt ideen om seniorbofællesskabet og muligheden for at
opretholde fællesskaber og socialt engagement også i sen alderdom. De har
bevidst tilvalgt seniorbofællesskabet som en investering i at blive ældre i en
bolig, der fysisk er egnet til ældre, og hvor man har naboer at ældes med.
Blandt de interviewede borgere er der en vis variation mellem deres ’veje ind’ i
seniorbofællesskaberne. Der er eksempelvis forskel på, hvor længe borgerne
havde overvejet muligheden for at flytte i seniorbofællesskab, og herunder
hvordan de fandt frem til det seniorbofællesskab, de ender med at flytte ind i.
Nogle borgere havde ikke overvejet muligheden, førend de en dag så en an-
nonce for seniorbofællesskabet i avisen og umiddelbart efter søgte indflyt-
ning. Nogle fandt derimod frem til seniorbofællesskabet på baggrund af læn-
gerevarende søgning efter seniorbofællesskaber. Andre hørte om seniorbo-
fællesskabet gennem venner og bekendte, som enten selv boede der eller
39
BOU, Alm.del - 2022-23 (2. samling) - Bilag 68: Rapport om seniorbofællesskaber
kendte nogen, der gjorde. Der er også eksempler på borgere, som forud for
indflytning boede i nærheden, og som skrev sig på venteliste efter tilfældigt at
være faldet i snak med en daværende borger på en gåtur.
Langt de fleste boede forud for indflytningen i en ejerbolig beliggende i
samme kommune, ofte et parcelhus i en mindre by eller i et forstadsområde.
De fleste fortæller ligeledes om et ønske om at få en mindre bolig og en min-
dre have, der kræver mindre vedligehold. De fleste fortæller også om et ønske
om at indgå i et fællesskab med andre ældre, og herunder at have nogen at
have socialt samvær med. Flere fortæller i denne forbindelse om at have haft
en følelse af, at ’der skulle ske’ noget, eksempelvis efter at have boet det
samme sted i mange år, efter være blevet alene, efter at børnene var flyttet
hjemmefra, eller efter at venner og bekendte var flyttet fra nærområdet.
For de fleste borgere var det at flytte i seniorbofællesskab en måde at imøde-
komme ønskerne om en mindre bolig og et socialt fællesskab med andre på
kort sigt. Flere borgere fortæller samtidig om, at de også på længere sigt anså
den mindre bolig og det sociale fællesskab som en måde, hvorpå de fremad-
rettet ville kunne forblive selvhjulpne i længere tid og socialt aktive i højere
grad end i deres forrige bolig. For nogle af borgerne tog disse overvejelser
forud for indflytningen form af en eksplicit planlægning af alderdommen. En
borger fortæller eksempelvis:
Jeg prøvede at lave en plan og tænke lidt frem. Pensionen var på
vej, man kunne skimte den, og jeg tænkte over, hvad det egentlig
var, jeg gerne ville. Jeg blev klar over, at det med at bo i hus og
bruge tid på hus og have, det ville jeg ikke mere. Jeg læste jo bredt
om alderdommen dengang, og jeg synes, der var så mange nega-
tive ting ved alderdommen i den måde, den ofte blev anskuet på.
Og så tænkte jeg, kan man da ikke gøre noget selv? Der måtte da
være noget man selv kunne gøre.
Selvom nogle få borgere påpeger retrospektivt, at de ’ikke vidste, hvad de gik
ind til’, da de flyttede ind, fortæller de fleste borgere dog om at have afsøgt
information om seniorbofællesskaberne på deres hjemmesider, eller om at
have snakket med formanden, før de skrev sig på venteliste. Nogle af de inter-
viewede borgere fortæller endvidere om at have deltaget i processen omkring
selve opstarten og udformningen af seniorbofællesskabet. Borgernes beslut-
ning om at skrive sig på venteliste til de specifikke seniorbofællesskaber er
således i de fleste tilfælde truffet på baggrund af et kendskab til de fysiske
såvel som de sociale rammer.
40
BOU, Alm.del - 2022-23 (2. samling) - Bilag 68: Rapport om seniorbofællesskaber
4.2.1
Møde med potentielle indflyttere
I begge seniorbofællesskaber praktiseres samtaler med borgere, der kunne
tænke sig at flytte ind i seniorbofællesskabet. Når en bolig bliver ledig, bliver en
håndfuld potentielle indflyttere fra ventelisten indkaldt til at se boligen. Såfremt
de indkaldte borgere takker ja til boligen, bliver de dernæst indkaldt til en per-
sonlig samtale med et visiteringsudvalg bestående af nuværende borgere.
Erfaringen fra de to seniorbofællesskaber er, at der allerede ved den indle-
dende indkaldelse fra ventelisten kan forekomme en selektion med udgangs-
punkt i at bibeholde en vis aldersmæssig balance i gruppen af borgere. Det vil
sige, at der kan stå borgere forrest på ventelisten, der er relativt gamle, og
hvis der er behov for yngre borgere i seniorbofællesskabet, får de forrang gi-
vet deres alder.
Ved samtalen skal visiteringsudvalget og den nye borger lære hinanden at
kende, og der foregår en overordnet forventningsafstemning omkring ram-
merne for fællesskabet og den enkeltes forventede bidrag. På baggrund af
samtalerne skal visiteringsudvalget således vurdere, hvem der skal tildeles
boligen. Visiteringsudvalgets samlede vurdering sker på baggrund af forskel-
lige hensyn, eksempelvis til aldersmæssige balancer i borgergruppen, indflyt-
terens motivation for og lyst til at bidrage til fælleskabet samt en fornemmelse
for, om borgeren vil ’passe ind’ i fællesskabet. Sidstnævnte vurderes primært
på baggrund af oplevelsen med den personlige kemi mellem indflytteren og vi-
siteringsudvalget ved samtalen.
En interviewet borger forestiller sig i denne sammenhæng, at der er stor sand-
synlighed for, at der primært vælges nye kandidater, som i store træk ’ligner’
den eksisterende gruppe, eksempelvis i forhold til værdier, normer, interesser
eller personlighed. Borgeren forestiller sig videre, at det derfor ikke er alle
grupper af ældre, som ville have lige stor mulighed for at kunne få en bolig i
seniorbofællesskabet.
4.2.2
Efter indflytning
De interviewede borgere fortæller om, at det af og til sker, at der flytter bor-
gere ind, som relativt hurtigt vælger at flytte ud igen. I de tilfælde handler det
ofte om, at der alligevel ikke var et godt match mellem seniorbofællesskabet
og vedkommende, der er flyttet ind. Typisk er det, at selvom der har været
forventningsafstemning ved visitationsmødet, kan det vise sig i hverdagen, at
seniorbofællesskabets forventninger til fællesskab og samvær ikke matcher
den eller det par, der er flyttet ind.
41
BOU, Alm.del - 2022-23 (2. samling) - Bilag 68: Rapport om seniorbofællesskaber
2740823_0042.png
Hvis man i mange år har boet i parcelhus og har været vant til at kunne be-
stemme alting selv, kan det ifølge flere borgere være en krævende omstilling
at vænne sig til, at alle beslutninger om eksempelvis udearealer, fælleshuset,
fælles investeringer eller højden på hækkene skal træffes demokratisk mellem
alle borgerne.
4.3
Kendetegn ved borgere i seniorbofællesskaber
Der er en overvægt af kvinder i seniorbofællesskaber. 61 % af borgerne i senior-
bofællesskaber er kvinder, og blandt 68-årige generelt er 52 % kvinder. Det for-
holder sig også sådan, at kvinder er overrepræsenteret i de almene ældreboli-
ger og blandt borgere, der angiver en præference for seniorbofællesskaber.
Figur 4.3
Fordeling af mænd og kvinder i seniorfællesskaber, almene
ældreboliger og blandt borgere med præference for
seniorbofællesskab og i populationen af 68-årige
70,0%
60,0%
50,0%
40,0%
30,0%
20,0%
10,0%
0,0%
Mænd
Seniorbofællesskab
Præference for seniorbofællesskab
Kvinder
Almene ældreboliger
Population af 68 årige
Anm.: N (seniorbofællesskab) = 15.694; N (almene ældreboliger) = 121.617; N (præference for seniorbofællesskab) =
4.023; N (population af 68-årige) = 1.465.929 (1995-2022).
Kilde:
Danmarks Statistik og egne beregninger.
Gennemsnitsalderen ved indflytning i et seniorbofællesskab er 68,3 år. 42 %
er i alderen 60-69 år, når de flytter ind i et seniorbofællesskab, og 35 % er 70-
79 år. 13 % flytter ind i alderen 50-59 år. Sammenlignet med aldersfordelingen
42
BOU, Alm.del - 2022-23 (2. samling) - Bilag 68: Rapport om seniorbofællesskaber
2740823_0043.png
blandt borgere, der flytter ind i almene ældreboliger, er borgerne generelt
yngre i seniorbofællesskaber. Når vi sammenligner med aldersfordelingen
blandt borgere med præference for et seniorbofællesskab, er præferencebor-
gerne yngre end de, der bor i seniorbofællesskaber, hvilket formentlig hænger
sammen med, at det netop er en præference for et boligvalg, der skal foreta-
ges på et lidt senere tidspunkt.
Figur 4.4
Aldersfordeling blandt borgere på indflytningstidspunktet i
seniorfællesskaber og almene ældreboliger samt blandt
borgere på det tidspunkt, hvor de angiver en præference for
seniorbofællesskab
45,0%
40,0%
35,0%
30,0%
25,0%
20,0%
15,0%
10,0%
5,0%
0,0%
< 50 år
50-59 år
60-69 år
70-79 år
80-89 år
90+ år
Seniorbofællesskab
Almene ældreboliger
Præference for seniorbofællesskab
Anm.: N (seniorbofællesskab) = 15.694; N (almene ældreboliger) = 121.617; N (præference for seniorbofællesskab) =
4.023;
Kilde:
Danmarks Statistik og egne beregninger.
Borgere med vestlig og ikke-vestlig baggrund er underrepræsenterede blandt
borgere, der bor i seniorbofællesskaber. Det fremgår af Figur 4.5, hvor vi ser,
at 2,6 % af borgere i seniorbofællesskaber har en vestlig eller ikke-vestlig
baggrund, mens andelen af borgere med vestlig eller ikke-vestlig baggrund
blandt 68-årige er 4,7 %, og i de almene ældreboliger er andelen 4,8 %. Disse
resultater svarer til bl.a. Arbell (2022), der også viser, at borgerprofilen i seni-
orfællesskaber udgøres af den etniske majoritet.
43
BOU, Alm.del - 2022-23 (2. samling) - Bilag 68: Rapport om seniorbofællesskaber
2740823_0044.png
Figur 4.5
Fordeling af etniske danske og andre vestlige og ikke-vest-
lige borgere i seniorfællesskaber, almene ældreboliger og
blandt borgere med præference for seniorbofællesskab og i
populationen af 68-årige
100,0%
90,0%
80,0%
70,0%
60,0%
50,0%
40,0%
30,0%
20,0%
10,0%
0,0%
Dansk
Seniorbofællesskab
Præference for seniorbofællesskab
Vestlig og ikke-vestlig
Almene ældreboliger
Population af 68 årige
Anm.: N (seniorbofællesskab) = 15.694; N (almene ældreboliger) = 121.617; N (præference for seniorbofællesskab) =
4.023; N (population af 68-årige) = 1.465.929 (1995-2022)
Kilde:
Danmarks Statistik og egne beregninger.
I Figur 4.6 fremgår borgernes civilstatus på indflytningstidspunktet i seniorbo-
fællesskaber. Godt 60 % er i parforhold på indflytningstidspunktet, og 22 % er
enker/enkemænd. Både blandt borgere med en præference for seniorbofæl-
lesskaber og i populationen af 68-årige er en større andel i et parforhold, og
tilsvarende er der færre, hvor partneren er død. Det giver et billede af, at seni-
orbofællesskabet tiltrækker borgere, der har mistet en partner – dog på et tid-
ligere tidspunkt end 1-2 år før indflytningen (se Figur 4.1).
44
BOU, Alm.del - 2022-23 (2. samling) - Bilag 68: Rapport om seniorbofællesskaber
2740823_0045.png
Figur 4.6
Civilstatus på indflytningstidspunkt for borgere i senior-
fællesskaber og almene ældreboliger og blandt borgere på
det tidspunkt, hvor de angiver en præference for senior-
bofællesskab samt i populationen af 68-årige
70,0%
60,0%
50,0%
40,0%
30,0%
20,0%
10,0%
0,0%
Ægtepar/parforhold
Seniorbofællesskab
Fraskilt
Enke/Enkemand
Almene ældreboliger
Population af 68 årige
Ugift
Præference for seniorbofællesskab
Anm.: N (seniorbofællesskab) = 15.694; N (almene ældreboliger) = 121.617; N (præference for seniorbofællesskab) =
4.023; N (population af 68-årige) = 1.465.929 (1995-2022)
Kilde:
Danmarks Statistik og egne beregninger.
Borgere i seniorbofællesskaber har i gennemsnit flere uddannelsesmæssige
kompetencer, end 68-årige generelt og end borgere i ældreboliger. Det er
både i forhold til erhvervsfaglig uddannelse og videregående uddannelse. Bor-
gere, der har angivet en præference for seniorbofællesskaber, har i endnu hø-
jere grad en videregående uddannelsesprofil, hvilket formentlig hænger sam-
men med, at borgere i denne population er fra 2017 og frem. Borgere i almene
ældreboliger er kendetegnet ved primært at have grundskole som højest fuld-
førte uddannelse.
45
BOU, Alm.del - 2022-23 (2. samling) - Bilag 68: Rapport om seniorbofællesskaber
2740823_0046.png
Figur 4.7
Uddannelsesmæssig baggrund blandt borgere i senior-
fællesskaber, almene ældreboliger og blandt borgere med en
præference for seniorbofællesskab samt i populationen af
68-årige
70,0%
60,0%
50,0%
40,0%
30,0%
20,0%
10,0%
0,0%
Grundskole/ukendt
Seniorbofællesskab
Gymnasiale
Erhvervsfaglig
Almene ældreboliger
Population af 68 årige
Videregående
Præference for seniorbofællesskab
Anm.: N (seniorbofællesskab) = 15.401; N (almene ældreboliger) = 119.759; N (præference for seniorbofællesskab) =
4.023; N (population af 68-årige) = 1.403.950 (1995-2021)
Note:
Kilde:
Kort, mellemlang og lang videregående uddannelse er slået sammen i kategorien videregående uddannelse
Danmarks Statistik og egne beregninger.
Næsten 20 % af borgerne i seniorbofællesskaber er i beskæftigelse på indflyt-
ningstidspunktet. 60 % modtager folkepensionister, og de resterende godt
20 % tilhører kategorien ”andre”, som dækker borgere, der modtager efterløn,
permanente eller midlertidige ydelser. Sammenlignet med populationen af 68-
årige er borgerne i seniorbofællesskaber i langt højere grad i beskæftigelse.
46
BOU, Alm.del - 2022-23 (2. samling) - Bilag 68: Rapport om seniorbofællesskaber
2740823_0047.png
Figur 4.8
Beskæftigelsesmæssig baggrund blandt borgere i senior-
fællesskaber, almene ældreboliger og blandt borgere med en
præference for seniorbofællesskab samt i populationen af
68-årige
100,0%
90,0%
80,0%
70,0%
60,0%
50,0%
40,0%
30,0%
20,0%
10,0%
0,0%
Beskæftigede
Seniorbofællesskab
Præference for seniorbofællesskab
Folkepensionister
Almene ældreboliger
Population af 68 årige
Andre
Anm.: N (seniorbofællesskab) = 13.511; N (almene ældreboliger) = 107.655; N (præference for seniorbofællesskab) =
4.023; N (population af 68-årige) = 1.278.873 (1995-2019)
Note:
Kilde:
Andre dækker over borgere, der modtager efterløn. permanente eller midlertidige overførselsindkomster.
Danmarks Statistik og egne beregninger.
I Figur 4.9 fremgår den gennemsnitlige disponible familieindkomst for borgere i
seniorbofællesskaber sammenlignet med de øvrige populationer. Vi ser, at den
gennemsnitlige indkomst for borgere i seniorbofællesskaber er 239.806 kr. –
dermed noget højere end for borgere i almene ældreboliger og marginalt højere
en for 68-årig i befolkningen, men væsentligt lavere end blandt populationen
med præference for seniorbofællesskab, der oftere er i arbejde end borgere i
seniorbofællesskaber.
47
BOU, Alm.del - 2022-23 (2. samling) - Bilag 68: Rapport om seniorbofællesskaber
2740823_0048.png
Figur 4.9
Gennemsnitlig disponibel familieindkomst og
standardafvigelse for seniorbofællesskaber sammenlignet
med øvrige populationer
Ækvivalerede 2022-priser
400.000
350.000
300.000
250.000
200.000
150.000
100.000
50.000
0
Seniorbofællesskab
Ældreboliger
Præference for
seniorbofællesskab
Population af 68-
årige
Gns. Disponibel, ækvivaleret familieindkomst (2022-priser)
Standard afvigelse
Anm.: N (seniorbofællesskab) = 15.401; N (ældrebolig) = 119.759; N (præference for seniorbofællesskab) = 4.029; N (po-
pulation af 68-årige) = 1.392.880.
Note:
Kilde:
Den rigeste top 5 % er udeladt i beregningen af gennemsnitindkomst og standardafvigelse i befolkningen.
Danmarks Statistik og egne beregninger.
4.4
Helbred og ydelser på indflytningstidspunkt
En forventning til at bo i seniorbofællesskaber er, at det kan forebygge eller
udsætte forskellige behov for hjælp og støtte. Derfor kigger vi i det følgende
på forekomsten af psykiske diagnoser, serviceydelser og hospitalsindlæggel-
ser på indflytningstidspunktet blandt borgere i seniorbofællesskaber.
På indflytningstidspunktet har 4 % en psykiatrisk diagnose, som de har fået
stillet på et eller andet tidspunkt tidligere i deres liv. Til sammenligning har 5 %
af de, der angiver en præference for seniorbofællesskaber og 3 % blandt 68-
årige, en psykiatrisk diagnose. Noget højere er andelen med en psykiatrisk di-
agnose blandt borgere, der flytter ind i almene ældreboliger: 15 %. I forhold til
ældreboliger kan psykiatriske diagnoser være en grund til, at man kan få visi-
teret en ældrebolig.
48
BOU, Alm.del - 2022-23 (2. samling) - Bilag 68: Rapport om seniorbofællesskaber
2740823_0049.png
Figur 4.10
Forekomst af borgere med mindst en psykisk diagnose
(kumuleret) i seniorbofællesskaber og almene ældreboliger på
indflytningstidspunktet og blandt borgere på det tidspunkt,
hvor de angiver præferencer for seniorbofællesskab, samt
blandt borgere i populationen af 68-årige
Vi måler psykisk lidelse på baggrund af data fra Landspatientregisteret, som indeholder oplys-
ninger om alle kontakter til somatiske og psykiatriske sygehuse i Danmark. De psykiske diag-
noser, vi registrerer som psykiske lidelser, omfatter svære psykiske lidelser som fx skizofreni,
bipolar lidelse og borderline, men også mere moderate psykiske lidelser såsom depression,
angstlidelser, OCD, spiseforstyrrelser, ADHD og adfærdsforstyrrelser.
100,0%
90,0%
80,0%
70,0%
60,0%
50,0%
40,0%
30,0%
20,0%
10,0%
0,0%
Ingen psykiske diagnoser
Seniorbofællesskab
Præference for seniorbofællesskab
Mindst én psykisk diagnose
Almene ældreboliger
Population af 68 årige
Anm.: N (seniorbofællesskab) = 12.751; N (almene ældreboliger) = 101.378; N (præference for seniorbofællesskab) =
4.023; N (population af 68-årige) = 1.217.862 (1995-2018)
Kilde:
Danmarks Statistik og egne beregninger.
Der er større risiko for kronisk sygdom, jo ældre man bliver. I Figur 4.11 frem-
går den kumulerede kroniske sygdom hos borgere på det tidspunkt, hvor de
flytter ind i et seniorbofællesskab. Vi har kun medtaget de tre mest udbredte
kroniske sygdomme: KOL, hjertesygdomme og diabetes.
19 % borgere i seniorbofællesskab har en kronisk sygdom på indflytningstids-
punktet, mens det gælder for 38 % af borgere, der flytter ind i almene ældre-
boliger. Til sammenligning har 19 % af 68-årige en kronisk sygdom og 13 % af
borgere med en præference for seniorbofællesskab; den lavere andel kan
hænge sammen med, at præferencepopulationen i gennemsnit er yngre end
49
BOU, Alm.del - 2022-23 (2. samling) - Bilag 68: Rapport om seniorbofællesskaber
2740823_0050.png
seniorbofællesskabspopulationen og populationen af 68-årige. Den høje fore-
komst af kronisk sygdom blandt borgere i ældreboliger hænger formentlig
sammen med krav om visitation til ældreboliger.
Figur 4.11
Fordeling af kumuleret kronisk lidelse blandt borgere i
seniorbofællesskaber og almene ældreboliger på
indflytningstidspunktet og blandt borgere på det tidspunkt,
hvor de angiver præferencer for seniorbofællesskab samt
blandt borgere i populationen af 68-årige
Fordelingen er baseret på de tre mest udbredte kroniske sygdomme: KOL, hjertesygdomme og
diabetes.
45%
40%
35%
30%
25%
20%
15%
10%
5%
0%
Seniorbofællesskaber
Ældreboliger
population med
præference
Population af 68-årige
Anm.: N (seniorbofællesskab) = 15.694; N (ældreboliger) = 119.759; N (population med præferencer) = 4.030; N (senior-
bofællesskab) = 7.962.
Kilde:
Danmarks Statistik og egne beregninger.
Forekomsten af indlæggelsesdage blandt borgere, der flytter ind i seniorbo-
fællesskaber, er på niveau med borgere, der har en præference for seniorbo-
fællesskaber og borgere i populationen med 68-årige. Borgere i almene æl-
dreboliger har væsentligt flere indlæggelsesdage, og det skal forstås i lyset af
visitationskravene til ældreboliger.
50
BOU, Alm.del - 2022-23 (2. samling) - Bilag 68: Rapport om seniorbofællesskaber
2740823_0051.png
Figur 4.12
Forekomst af borgere med forskellige indlæggelsesvarigheder
(kumuleret) i seniorbofællesskaber og almene ældreboliger på
indflytningstidspunktet og blandt borgere på det tidspunkt,
hvor de angiver præferencer for seniorbofællesskab samt
blandt borgere i populationen af 68-årige
80,0%
70,0%
60,0%
50,0%
40,0%
30,0%
20,0%
10,0%
0,0%
0 sengedage
Seniorbofællesskab
Præference for seniorbofællesskab
1-4 sengedage
5-9 sengedage
Almene ældreboliger
Population af 68 årige
10+ sengedage
Anm.: N (seniorbofællesskab) = 14.418; N (almene ældreboliger) = 113.605; N (præference for seniorbofællesskab) =
4.023; N (population af 68-årige) = 1.340.739(1995-2020)
Kilde:
Danmarks Statistik og egne beregninger.
Endelig kigger vi på, om borgerne modtager boligstøtte (Figur 4.13) og ydelser
efter serviceloven (Figur 4.14). Vi ser i Figur 4.13, at 32 % af borgere i senior-
bofællesskaber får boligstøtte, mens 73 % af borgere i almene ældreboliger
får boligstøtte, og 15 % modtager boligstøtte i populationen af 68-årige. Bolig-
støtte omfatter boligydelse, boligsikring og lån til betaling af beboerindskud.
Når boligstøtten ydes til folkepensionister og førtidspensionister, hvor førtids-
pension er tilkendt før 01.01.2003, kaldes boligstøtten for boligydelse, mens
den til alle andre kaldes for boligsikring.
Boligstøtte kan søges af alle til lejeboliger. Boligstøtte til andels- og ejerboliger
ydes kun til husstande, der modtager folkepension, førtidspension, invaliditets-
ydelse, eller hvor et medlem af husstanden er stærkt bevægelseshæmmet. Bo-
ligstøtte til lejere ydes som tilskud til huslejen. For at være berettiget til bolig-
støtte skal: 1) man have fast bopæl her i landet, 2) boligen benyttes til helårsbe-
boelse, 3) boligen have køkken med indlagt vand. Ved beregning af boligstøtte
51
BOU, Alm.del - 2022-23 (2. samling) - Bilag 68: Rapport om seniorbofællesskaber
2740823_0052.png
indgår: 1) husstandens indkomst og formue, 2) boligudgiftens størrelse, 3) boli-
gens størrelse og 4) antallet af personer i husstanden.
Figur 4.13
Fordeling af borgere, der modtager boligstøtte opgjort efter,
om de bor i seniorbofællesskab, ældrebolig eller er i
populationen af 68-årige
90,0%
80,0%
70,0%
60,0%
50,0%
40,0%
30,0%
20,0%
10,0%
0,0%
Modtager boligstøtte
Seniorbofællesskab
Ældrebolig
Modtager ikke boligstøtte
Population af 68-årige
Anm.: N (seniorbofællesskab) = 7.701; N (ældrebolig) = 92.921; N (population af 68-årige) = 912.182
Kilde:
Danmarks Statistik og egne beregninger.
Der er stort set ingen forekomst af borgere, der modtager ydelser efter ser-
viceloven på grund af udsathed eller på grund af handicap på indflytningstids-
punktet i et seniorbofællesskab. Det fremgår af Figur 4.14. Dette gælder også
borgere med præference for seniorbofællesskab og borgere i populationen af
68-årige. Borgere i de almene ældreboliger skiller sig ud ved en højere andel,
der modtager disse ydelser, men det hænger også sammen med visitations-
kravene til at få en almen ældrebolig.
52
BOU, Alm.del - 2022-23 (2. samling) - Bilag 68: Rapport om seniorbofællesskaber
2740823_0053.png
Figur 4.14
Forekomst af borgere med mindst en serviceydelse
(kumuleret) i seniorbofællesskaber og almene ældreboliger på
indflytningstidspunktet og blandt borgere på det tidspunkt,
hvor de angiver præference for seniorbofællesskab samt
blandt borgere i populationen af 68-årige
100,0%
90,0%
80,0%
70,0%
60,0%
50,0%
40,0%
30,0%
20,0%
10,0%
0,0%
Ingen servicelovsydelser
Seniorbofællesskab
Præference for seniorbofællesskab
Mindst én servicelovsydelse
Almene ældreboliger
Population af 68 årige
Anm.: N (seniorbofællesskab) = 3.973; N (almene ældreboliger) = 43.427; N (præference for seniorbofællesskab) =
4.023; N (population af 68-årige) = 456.059 (2014-2020)
Kilde:
Danmarks Statistik og egne beregninger.
4.5
Varighed af at bo i seniorbofællesskab
Endelig har vi undersøgt varigheden af at bo i seniorbofællesskab, herunder
grunde til ophør i seniorbofællesskabet.
I Figur 4.15 og Figur 4.16 fremgår varigheden af at bo i seniorbofællesskab.
Hovedparten af borgerne i seniorbofællesskaberne bor der længe. En mindre
del ophører med at bo i seniorbofællesskabet inden for de første år efter ind-
flytningen. Det kan tyde på, at seniorbofællesskabet for denne gruppe ikke var
det, de søgte.
I Figur 4.15 fremgår varigheden for de borgere, der i 2022 ikke længere bor i
seniorbofællesskab. Vi ser, at hovedparten bor i lang tid i deres bolig i senior-
bofællesskabet, mens en mindre andel flytter igen inden for de første 3 år.
27 % har således boet i seniorbofællesskabet i mindre end 3 år, 59 % mellem 4
og 15 år, og de resterende 14 % i mere end 15 år.
53
BOU, Alm.del - 2022-23 (2. samling) - Bilag 68: Rapport om seniorbofællesskaber
2740823_0054.png
Figur 4.15
Varighed af at bo i seniorbofællesskab
70,0%
60,0%
50,0%
40,0%
30,0%
20,0%
10,0%
0,0%
1-3 år
4-15 år
16+ år
Anm.: N (1-3 år) = 2.036; N (4-15 år) = 4.423; N (16+ år) = 1.077
Kilde:
Danmarks Statistik og egne beregninger.
Når vi kigger på de, der i 2022 bor i seniorbofællesskaber, har 39 % boet i se-
niorbofællesskab i mindre end 5 år, 31 % mellem 6 og 15 år og 29 % i mere end
15 år.
Figur 4.16
Varighed af at bo i seniorbofællesskaber for de, der i 2022
bor i seniorbofællesskab. Procent.
70,0%
60,0%
50,0%
40,0%
30,0%
20,0%
10,0%
0,0%
1-5 år
6-15 år
16+ år
Anm.: N (1-5 år) = 3.220; N (6-15 år) = 2.574; N (16+ år) = 2.392.
Kilde:
Danmarks Statistik og egne beregninger.
54
BOU, Alm.del - 2022-23 (2. samling) - Bilag 68: Rapport om seniorbofællesskaber
2740823_0055.png
I Figur 4.17 fremgår andelen af borgere, der ophører med at bo i seniorbofæl-
lesskab over tid og årsager til, at de ophører med at bo i seniorbofællesska-
bet. Andelen, der hvert år flytter ud af et seniorbofællesskab, er på 4-7 %.
Denne andel er stabil over tid. I en periode på 26 år gælder for 19 af årene, at
over halvdelen, der ophører med at bo i seniorbofællesskab, ophører på grund
af, at de dør. Det vil sige, at dødsfald er den hyppigste årsag til ophør i senior-
bofællesskab.
Figur 4.17
Borgeres ophør i seniorbofælleskabet
70,0%
60,0%
50,0%
40,0%
30,0%
20,0%
10,0%
0,0%
1995
1996
1999
1998
1997
2000
2002
2003
2004
2005
2006
2009
2001
2007
2008
2012
2010
2013
2014
2015
2016
2019
2011
2017
2018
ophør i seniorbofællesskabet
ophør på grund af flytning
ophør på grund af død
Anm.: N (ophør i seniorbofællesskabet) = 677-7.582; N (ophør pga. flytning) = 30-514; N (ophør pga. død) = 30-514
Kilde:
Danmarks Statistik og egne beregninger.
Til sammenligning er der en større udskiftning af borgere i ældreboliger. I peri-
oden fra 2007 og til 2020 er der tæt på 20 % ophør i ældreboligen. Over 80 % i
alle årerne ophører på grund af, at de dør (Bilagsfigur 2.1).
Når vi ser på, hvor længe borgere, der ophører med at bo i seniorbofælles-
skab, bor, afhængig af om de ophører på grund af flytning, eller at de dør, ser
vi i Figur 4.18, at de, der flytter, fortrinsvis bor i seniorbofællesskabet i kortere
tid, mens de, der dør, bor der i længere tid.
2020
55
BOU, Alm.del - 2022-23 (2. samling) - Bilag 68: Rapport om seniorbofællesskaber
2740823_0056.png
Figur 4.18
Varighed af at bo i seniorbofællesskab for borgere, der
flytter ud til anden bolig og for borgere, der dør. Procent.
35%
30%
25%
20%
15%
10%
5%
0%
1 år
2-4 år
5-9 år
10-14 år
Dødsfald
15-19 år
20+ år
Flytter ud til anden bolig
Anm.: N (flytter ud til anden bolig) = 3.668; N (dødsfald) = 3.891
Kilde:
Danmarks Statistik og egne beregninger.
I Figur 4.19 fremgår, hvilken ejerform som borgere, der flytter ud af seniorbo-
fællesskabet, flytter i, sammenlignet med når borgere flytter ud af ældreboli-
ger. Vi ser, at den største andel, der flytter ud af et seniorbofællesskab, flytter
i ”øvrig bolig”, som bl.a. dækker over plejeboliger og plejehjemsboliger. 33 %
af fraflyttede borgere fra seniorbofælleskaber flytter til ”øvrige boliger”, og til
sammenligning er det 54 % af borgere i almene ældreboliger. Blandt fraflyt-
tede fra seniorbofællesskaber er der også en søgning mod almene boliger,
ejerboliger og privat udlejning.
56
BOU, Alm.del - 2022-23 (2. samling) - Bilag 68: Rapport om seniorbofællesskaber
2740823_0057.png
Figur 4.19
Fordeling af, hvilken bolig borgere flytter til efter ophør i
seniorbofællesskab
60%
50%
40%
30%
20%
10%
0%
Almen bolig
Andelsbolig
Ejerbolig
Privat udlejning
Ældrebolig
Øvrige boliger
Seniorbofællesskab
Anm.: N (seniorbofællesskab) = 2.817; N (ældrebolig) = 14.865
Kilde:
Danmarks Statistik og egne beregninger.
4.5.1
Overvejelser om at blive ældre i nuværende bolig
Samtlige af de interviewede borgere fremhæver, at de er glade for deres nu-
værende boligsituation, og at de ønsker at blive boende så længe som muligt.
Flere af de ældste interviewpersoner fremhæver eksplicit, at de håber at
kunne blive boende i seniorbofællesskabet ’til det sidste’. Forhåbningen er at
kunne forblive selvhjulpen i en sådan grad, at man ved egen og eventuelt
hjemmehjælpens hjælp kan forblive i egen bolig til ’det sidste’ og herved
undgå at flytte på plejehjem.
Blandt de fleste borgere er der en opfattelse af – og blandt nogle en decideret
oplevelse af – at jo ældre, man bliver, jo vigtigere vil det nære sociale liv i seni-
orbofællesskabet blive. Flere af de interviewede borgere giver udtryk for, at
nære fællesskaber i seniorbofællesskabet kan blive meget værdifuldt i tilfælde
af, at ens fysiske mobilitet eksempelvis reduceres, at ens partner eller øvrige
venner er gået bort, eller at ens mentale kapacitet er reduceret på en måde,
der gør, at deltagelse i bridgeklubben bliver uoverskuelig. Hvis livsomvælten-
de begivenheder eller fysiske og mentale forandringer gør, at man ikke kan få
57
BOU, Alm.del - 2022-23 (2. samling) - Bilag 68: Rapport om seniorbofællesskaber
tilfredsstillet sine sociale behov på samme måde som hidtil, kan man som bor-
ger tilpasse sig ved at lade fællesskabet i seniorbofællesskabet indtage en
mere central rolle i ens liv.
En borger fortæller eksempelvis, at boligen i seniorbofællesskabet kom til at
betyde endnu mere for hendes livskvalitet og livssituation, efter at hun mi-
stede sin partner. Hun fortæller, at hun begyndte at sætte endnu større pris
på at bo i seniorbofællesskabet, og herunder på de tillidsfulde relationer og de
lettilgængelige muligheder for social kontakt, som hun gradvist gjorde mere og
mere brug af. Boligen i seniorbofællesskabet betød også mere i forhold til
hendes følelse af tryghed i hverdagen, hvor boligernes tætte placering og den
sædvanlige grad af social kontakt ifølge hende ville betyde, at hun hurtigt ville
kunne få hjælp ved ubudne gæster, eller hvis hun en dag skulle falde eller
komme til skade i sit hjem.
4.6
Kendetegn ved borgere med præference for at
bo i seniorbofællesskab
I de foregående afsnit har vi, hvor det er meningsfuldt, sammenlignet populati-
onen af borgere i seniorbofællesskab med borgere, der har angivet en præfe-
rence for at bo i seniorbofællesskab. Præferencepopulationen er yngre, oftere
i arbejde og har en gennemsnitligt højere disponibel familieindkomst, men lig-
ner i øvrigt borgere i seniorbofællesskab. Det er rimeligt at antage, at borgere,
der bor i seniorbofællesskaber, er rekrutteret fra en væsentlig større popula-
tion af borgere med præference for seniorbofællesskab.
For at komme tættere på forhold som fællesskab, helbred, deltagelse i aktivi-
teter og gøremål hos borgere forud for, at de flytter i seniorbofællesskaber,
beskriver vi i det følgende præferencepopulationen i forhold til fællesskab,
helbred, aktiviteter og gøremål, og vi sammenligner præferencepopulationen
med en population, der ikke tilkendegiver en præference for at bo i seniorbo-
fælleskab.
I Figur 4.20 fremgår, hvordan borgere med en præference for seniorbofælles-
skab, og borgere, der ikke har denne præference, vurderer deres deltagelse i
fællesskab og socialt samvær. Vi ser generelt, at en signifikant større andel af
borgere i præferencepopulationen angiver, at de er alene, selvom de gerne vil
være sammen med andre, og samtidig har en signifikant højere andel af præ-
ferencepopulationen ofte samvær med venner og bekendte, dyrker hobbies i
og uden for klubregi samt kommer i en seniorklub.
58
BOU, Alm.del - 2022-23 (2. samling) - Bilag 68: Rapport om seniorbofællesskaber
2740823_0059.png
Det giver en indikation af, at borgere med præference for seniorbofællesskab i
gennemsnit har et større behov for fællesskab og socialt samvær, og at de i
øvrigt generelt er mere deltagende i fællesskaber og socialt samvær.
Figur 4.20
Vurdering af deltagelse i fællesskab og socialt samvær
Uddrag fra Ældredatabasen
Kommer i seniorklub*
Dyrker en hobby men ikke i klub-regi *
Dyrker en hobby i klub-regi*
Ofte samvær med venner og bekendte*
Man er alene, selvom man gerne vil være
sammen med andre*
0%
Har ikke en præference
20%
40%
60%
80%
100%
Har en præference
Anm.: N (har en præference for seniorbofællesskab) = 4.030; N (har ikke en præference for seniorbofællesskab) = 7.962
Note:
Svarene er grupperet i ja/nej på følgende måde, hvor figuren viser andelen med ’ja’. Kommer i seniorklub(ja). Dyr-
ker en hobby (dagligt, en eller flere gange om ugen, dagligt, en eller flere gange om måneden). Ofte samvær (en
eller flere gange om ugen, en eller flere gange om måneden). Alene (ofte eller af og til).
* signifikant forskel på de to grupper på 0,1 % signifikansniveau.
Ældredatabasen.
Kilde:
I Figur 4.21 fremgår selvvurderet helbred for de to populationer. Det fremgår
af figuren, at præferencepopulationen har en signifikant bedre vurdering af
deres helbred sammenlignet med ikke-præferencepopulationen. 74 % af bor-
gere i præferencepopulationen vurderer, at deres helbred alt i alt er godt, og
42 % vurderer, at deres helbred er bedre end andre på samme alder.
59
BOU, Alm.del - 2022-23 (2. samling) - Bilag 68: Rapport om seniorbofællesskaber
2740823_0060.png
Figur 4.21
Vurdering af ens helbred for præferencepopulationen og
populationen, der ikke har en præference
Vurdering af at ens helbred er bedre end
andre på samme alder*
Vurdering af at ens helbred alt i alt er godt*
0%
Har ikke en præference
20%
40%
60%
80%
Har en præference
Anm.: N (har en præference for seniorbofællesskab) = 4.030; N (har ikke en præference for seniorbofællesskab) = 7.962
Note:
Svarmulighederne er: kan alene uden besvær, kan alene dog med besvær, kan ikke uden hjælp, ved ikke. Figuren
viser andelen, der svarer ’kan alene uden besvær’.
* signifikant forskel på de to grupper på 0,1 % signifikansniveau.
Ældredatabasen.
Kilde:
Borgere med præference for at bo i seniorbofællesskab har endvidere en sig-
nifikant højere deltagelse i sociale aktiviteter sammenlignet med borgere, der
ikke har en præference for seniorbofællesskab. Det fremgår af Figur 4.22.
Disse resultater understreger, at præferencepopulationen har et større behov
for fællesskab og socialt samvær end borgere, der ikke tilkendegiver en præ-
ference for at bo i seniorbofællesskaber.
60
BOU, Alm.del - 2022-23 (2. samling) - Bilag 68: Rapport om seniorbofællesskaber
2740823_0061.png
Figur 4.22
Deltagelse i sociale aktiviteter
Spiller kort, brætspil, computerspil, banko*
Bruger internettet dagligt*
Læser dagligt bøger*
Læser dagligt aviser og ugeblade*
Går i teater, biograf, koncert, museum o.lign.
*
Går til undervisning*
Dyrker gymnastik og sport *
Går og cykler dagligt*
Laver frivilligt arbejde*
0%
Har ikke en præference
50%
Har en præference
100%
Anm.: N (har en præference for seniorbofællesskab) = 4.030; N (har ikke en præference for seniorbofællesskab) = 7.962
Note:
Svarene er grupperet i ja/nej på følgende måde. Spiller kort(ja). Teater (en eller flere gange om ugen, en eller flere
gange om måneden). Undervisning (dagligt eller en eller flere gange om ugen). Frivilligt arbejde (lavet frivilligt ar-
bejde inden for det seneste år).
* signifikant forskel på de to grupper på 0,1 % signifikansniveau.
Ældredatabasen.
Kilde:
Endelig har vi set på borgernes vurdering af, om de er i stand til at foretage en
række gøremål som fx at tage bad, varme mad, og gå på trapper uden besvær.
Disse gøremål kaldes for ”Activities of daily living” og er et udbredt mål for funk-
tionsevne. Det fremgår af Figur 4.23, at præferencepopulationen i signifikant
større udstrækning vurderer, at de uden besvær er i stand til at foretage en
række gøremål sammenlignet med populationen, der ikke tilkendegiver en præ-
ference for seniorbofællesskabet. Dette kan hænge sammen med, at præferen-
cepopulationen også tilkendegiver et bedre fysisk helbred.
61
BOU, Alm.del - 2022-23 (2. samling) - Bilag 68: Rapport om seniorbofællesskaber
2740823_0062.png
Figur 4.23
Vurdering af, om man er i stand til at gøre en række gøremål
uden besvær
Tage bad uden besvær*
Gå rundt i hjemme uden besvær*
Gå udendørs uden besvær*
Trapper uden besvær*
Tånegle uden besvær*
Indkøb uden besvær*
Varm mad uden besvær*
70%
75%
80%
85%
90%
95%
100%
Har ikke en præference
Har en præference
Anm.: N (har en præference for seniorbofællesskab) = 2.693; N (har ikke en præference for seniorbofællesskab) = 5.295
Note:
Svarmulighederne er: kan alene uden besvær, kan alene dog med besvær, kan ikke uden hjælp, ved ikke. Figuren
viser andelen, der svarer ’kan alene uden besvær’.
* signifikant forskel på de to grupper på 0,1 % signifikansniveau.
Ældredatabasen.
Kilde:
4.7
Opsamling
Formålet med analyserne i dette kapitel har været at opnå viden om, hvem mål-
gruppen i seniorbofællesskaber er. På baggrund af analyser af objektive forhold
som uddannelse, beskæftigelse og helbred er der tydelige tegn på, at borgere i
seniorbofællesskaber udgør en gruppe, der objektivt set må vurderes at være
ressourcestærke. Forskellige studier peger på, at der er klare sammenhænge
mellem objektivt set at klare sig godt, og forhold som livskvalitet, stor grad af
tryghed og lav grad af ensomhed og depression (fx Breeze et al., 2005). Det
kan give en indikation af, at borgere i seniorbofællesskaber i forvejen formentlig
klarer sig godt i forhold til livskvalitet, tryghed, mindre sygdom, ensomhed og
depression. Dette underbygges af, at når vi anvender borgere med en præfe-
rence for seniorbofællesskab som udtryk for borgere i seniorbofællesskab, er
der tilsvarende tegn på, at de har et væsentligt større behov for fællesskaber
og deltagelse i socialt samvær, og at de tilsvarende også er mere socialt aktive i
62
BOU, Alm.del - 2022-23 (2. samling) - Bilag 68: Rapport om seniorbofællesskaber
en række forskellige aktiviteter, samtidig med at de selvvurderer deres helbred
til alt i alt at være godt.
Således er der empirisk belæg for selektion i målgruppen til seniorbofælles-
skaber, og der er klare indikationer af, at den selektion ikke kun kan observe-
res i registerdata, men skal observeres i data om præferencer, personligheds-
træk mv. Dermed er muligheden for at identificere samfundsøkonomiske ge-
vinster på et tilstrækkeligt evidensgrundlag udelukket. Vi vil med andre ord
ikke kunne være sikre på, at de forskelle, vi eventuelt vil kunne se, skyldes se-
niorbofællesskabet som intervention og ikke det særlige segment af borgere,
der vælger at bo i seniorbofællesskabet. Det vil sige, at vi ikke med sikkerhed
vil kunne sige, at borgere i seniorbofællesskaber ikke ville klare sig lige så
godt, hvis de ikke boede i seniorbofællesskaber, men i en anden boligmæssig
sammenhæng.
Derudover er forekomsten af psykisk sygdom, kronisk sygdom og ydelser ef-
ter serviceloven blandt borgere i seniorbofællesskaber på indflytningstids-
punktet så lavt, at vi ikke vil kunne iagttage signifikante forbedringer efter ind-
flytningen. Et lidt andet spørgsmål kan være, om seniorbofællesskabet kan
forsinke sygdom og forbrug af ydelser. For at teste, om seniorbofællesskabet
kan bidrage med en forsinkelse, er det afgørende, at vi med sikkerhed kan
tage højde for selektionen, ellers vil vi ikke kunne vide, om forsinkelsen skyl-
des bedre forudsætninger for ikke at blive syg og få brug for ydelser, eller om
forsinkelsen skyldes seniorbofællesskabet.
At vi ikke kan identificere samfundsøkonomiske gevinster ved seniorbofælles-
skaber på et solidt evidensgrundlag er ikke det samme som, at der ikke findes
gevinster. I kapitel 5 prøver vi derfor at afdække mulige gevinster – mulige bi-
drag – ved seniorbofællesskaber, og vi gør det med det store forbehold, at
eventuelle bidrag ikke med sikkerhed kan føres tilbage til seniorbofællesska-
bet som en intervention.
63
BOU, Alm.del - 2022-23 (2. samling) - Bilag 68: Rapport om seniorbofællesskaber
5
Tegn på gevinster ved
seniorbofællesskaber
I dette kapitel beskriver vi de mulige gevinster ved at bo i seniorbofællesska-
ber baseret på kvantitative og kvalitative data. Der er tale om mulige gevin-
ster, fordi vi i kapitel 4 har dokumenteret, at det
ikke
er en tilfældig gruppe af
borgere, der bor i seniorbofællesskaber, men tværtimod en relativ ressource-
stærk gruppe af borgere, som samtidig forud for at flytte i seniorbofællesskab
har et stort behov for fællesskab og socialt samvær og er mere socialt aktive
end borgere, der ikke har en præference for at bo i seniorbofællesskab. Der
findes ikke tilstrækkelige gode data til at tage højde for præferencer, person-
ligstræk mv. blandt borgere i seniorbofællesskaber og øvrige borgere til, at vi
kan tage tilstrækkelig højde for selektionen. Det betyder, at såfremt vi finder
tegn på gevinster ved at bo i seniorbofællesskaber, vil vi ikke med sikkerhed
kunne henføre disse gevinster til seniorbofællesskabet. Gevinsterne kan skyl-
des, at borgere i seniorbofællesskaber til en start netop er ressourcestærke
og socialt engagerede, og gevinsterne kan også både være et resultat af, at
borgerne netop er ressourcestærke og socialt engagerede, og at de bor i et
seniorbofællesskab.
Med udgangspunkt i forandringsteorien og med udgangspunkt i analyserne i
kapitel 4 vil vi i dette kapitel undersøge tegn på mulige gevinster i forhold til
følgende fem forhold:
Fællesskab, aktiviteter, gøremål og selvvurderet helbred
Tryghed, ensomhed og livskvalitet
Fastholdelse af beskæftigelse
Forbrug af hjemmehjælp til personlig pleje og praktisk hjælp
Forbrug af lægebesøg.
En mulig gevinst i forhold til fællesskab, aktiviteter, gøremål og selvvurderet
helbred er dels motiveret af en forventning om, at seniorbofællesskaber kan
bidrage til disse forhold, dels at vi har data for borgere, der optræder i Ældre-
databasen, både før og efter de flytter i seniorbofællesskab, og som svarer på
en række spørgsmål om fællesskab, helbred, aktiviteter og gøremål. Vi kan så-
ledes se, hvordan de eventuelt svarer anderledes på de spørgsmål fra før til
efter deres indflytning. Vi kan dog ikke sammenligne med andre populationer i
samme alder, der foretager et tilsvarende skift i bolig, men vi har besvarelser
fra borgere, efter de er flyttet i en almen ældrebolig. Det giver mulighed for at
64
BOU, Alm.del - 2022-23 (2. samling) - Bilag 68: Rapport om seniorbofællesskaber
sammenligne niveauer i fællesskaber, helbred, aktiviteter og gøremål. Endvi-
dere har vi kvalitative interviews med borgere, der bor i seniorbofællesskaber,
om, hvordan de oplever fællesskabet, naborelationer og socialt samvær.
Seniorbofællesskabets mulige bidrag til tryghed og livskvalitet samt til at fore-
bygge ensomhed kan vi kun belyse kvalitativt på baggrund af interviews med
borgere i seniorbofællesskaber; vi har ikke systematiske data for forskellige
populationer af borgere. Det vil sige, at vi har ikke noget grundlag for at sam-
menligne disse borgeres udsagn om forholdene med andre borgeres udsagn
for at se, om der er forskelle i syn og niveauer.
Fastholdelse af beskæftigelse som en mulig gevinst er motiveret af, at vi i kapi-
tel 4 har fundet, at 60 % af borgerne i seniorbofællesskaber er på pension, når
de flytter ind i seniorbofællesskabet, mens 20 % stadig er i arbejde. For de, der
er gået på pension eller efterløn, kan en hypotese være, at seniorbofællesska-
bet muliggør, at selvom man er gået på pension eller efterløn, kan man stadig
varetage beskæftigelse i et eller andet omfang. For så vidt som man kan finde
en øget beskæftigelsesgrad blandt borgere i seniorbofællesskab, vil der poten-
tielt set være en samfundsmæssig gevinst forbundet med, at indkomst opnået
ved beskæftigelse giver en øget skattebetaling til gavn for samfundet.
Vi undersøger også forbrug af hjemmehjælp som en mulig gevinst ved et seni-
orbofællesskab. Denne analyse er motiveret af en arbejdshypotese (Rambøll,
2016) om, at borgere i seniorbofællesskaber først senere får brug for hjemme-
hjælp og i mindre omfang, fordi borgerne i seniorbofællesskabet kan hjælpe
hinanden. Baseret på analyser i kapitel 4 ville den bedste sammenlignings-
gruppe for borgere i seniorbofællesskaber være borgere med en præference
for at flytte i seniorbofællesskab, da de ligner hinanden på en række para-
metre – særligt på, at de begge har en præference for bofællesskabet som
boligform. Det viser sig imidlertid, at da gruppen af borgere med præference
for seniorbofællesskab er yngre end dem, der bor i seniorbofællesskab, er der
for få blandt dem med præference, som modtager hjemmehjælp, til at man kan
bruge dem som robust sammenligningsgruppe. Vi sammenligner derfor borge-
re i seniorbofællesskaber med befolkningen, hvor vi i begge grupper kun ser
på dem, der er 60 år og ældre. Vi undersøger, om der er forskelle i andelene af
personer, der får hjemmehjælp, og i omfanget af den hjemmehjælp, som de,
der modtager hjemmehjælp, får. Vi har hjemmehjælpsdata for visiteret hjem-
mehjælp for perioden 2008-2021. Visiteret hjemmehjælp er ikke nødvendigvis
det samme som leveret hjemmehjælp, men registeret for leveret hjemmehjælp
hos Danmarks Statistik dækker kun mellem 72 og 87 kommuner og starter
først i 2011, mens registeret for visiteret hjemmehjælp dækker alle kommuner
(på nær i 4 år, hvor der stadig er dækning for mellem 89 og 94 kommuner) og
starter allerede i 2008. Vi benytter derfor registeret for visiteret hjemmehjælp i
denne analyse.
65
BOU, Alm.del - 2022-23 (2. samling) - Bilag 68: Rapport om seniorbofællesskaber
Ligeledes undersøger vi omfanget af lægebesøg. Som samfund er vi interes-
serede i, at vi går til lige præcis det antal lægebesøg, som vi har behov for i
forhold til at forebygge sygdom og i forhold til behandling. For få lægebesøg
kan være problematisk, hvis det gør, at sygdom, der kan behandles, først bli-
ver opdaget for sent. For mange besøg kan ligeledes være problematisk, fordi
det begrænser kontakten mellem læger og de borgere, der har behov for læ-
gebesøg. Dette gør, at et fald eller en stigning fra før til efter indflytning ikke
kan tolkes entydigt som godt eller skidt – som en fordel eller ulempe. Det er
desværre ikke muligt at komme tættere på i data, fordi det ville kræve, at der
var en lægefaglig vurdering af behovet for lægebesøg; både hos borgere i se-
niorbofællesskabet før og efter indflytning samt hos øvrige borgere.
En hypotese som beskrevet i kapitel 2 er, at når borgere flytter fra en ejerbolig
til en lejebolig/andelsbolig er der mulighed for, at denne gruppe af borgere vil
kunne indtræde i et fællesskab med en vis form for fællesøkonomi givet fæl-
leslokaler, der kan rumme socialt samvær, som ikke behøver at kunne rummes
i den pågældende bolig. For de 67 %, der tidligere har boet i ejerboliger, kan
der måske være et potentiale i øget fællesøkonomi ved at flytte ind i et senior-
bofællesskab. Der vil dog formentlig være nogle af de 67 %, der også tidligere
har boet i rammer, hvor der er en form fællesøkonomi, fx en grundejerfor-
ening, der deler hjælpemidler og har fællesfaciliteter. For at komme dette po-
tentiale nærmere vil det kræve data om de enkelte husstandes forbrugsøko-
nomi og eventuel fællesøkonomi før og efter en indflytning og data om, hvor-
vidt borgere i seniorbofællesskaber bruger fællesfaciliteter i stedet for egne
faciliteter. Sådanne data har vi i denne undersøgelse ikke adgang og/eller
kendskab til, og selvom vi havde forbrugsøkonomi-data, ville det formentlig
være ekstremt vanskeligt at opstille troværdige beregninger for gevinster ved
en fællesøkonomi. Potentialet for fællesøkonomi har formentlig en større grad
af teoretisk fundering, end det vil være muligt at finde empirisk belæg for.
Logistik-omkostninger forbundet til hjemmehjælp har vi ikke data til at belyse,
og vi kan således ikke forfølge hypotesen om, at en koncentration af borgere,
der bor tæt på hinanden og alle skal have hjemmehjælp, vil være tids- og øko-
nomibesparende. Ud over at det ville kræve data om tid, afstande og niveau af
hjemmehjælp, vil det også kræve systematiske data over, hvordan kommuner
planlægger og koordinerer hjemmehjælp og ud fra hvilke hensyn. Potentialet
for denne form for besparelse har formentlig en større grad af teoretisk funde-
ring end empirisk belæg.
I forhold til brug af ydelser efter serviceloven og helbredsydelser forbundet
med psykisk sygdom og længere hospitalsindlæggelser er forekomsten af
disse forhold så små blandt borgere på indflytningstidspunktet, at eventuelle
tegn på gevinster er så marginale, at de vil være vanskelige at identificere i
data. Usikkerheden givet det lave omfang vil være alt for stor til endsige at
kunne udtale sig om tegn på gevinster.
66
BOU, Alm.del - 2022-23 (2. samling) - Bilag 68: Rapport om seniorbofællesskaber
2740823_0067.png
De hovedresultater, der afrapporteres i kapitlet, fremgår af Boks 5.1.
Boks 5.1
Hovedkonklusioner i kapitlet
Der kan være tendens til, at der på enkelte dimensioner af fællesskab og naboskab
sker forbedringer for borgere, efter de flytter ind i seniorbofællesskabet. Når det
gælder beskæftigelse og hjemmehjælp, er der ikke nogen tegn på samfundsøkono-
miske gevinster ved seniorbofællesskaberne. Alder ser generelt ud til at have en
stor betydning for både selvvurderet helbred, evne til at udføre forskellige gøremål
alene uden besvær og for forekomsten af hjemmehjælp. Seniorbofællesskabet fo-
rekommer ikke at kunne kompensere for en aldersbetinget udvikling.
Der er en signifikant positiv udvikling i andelen af borgere, der, efter de flyt-
ter i seniorbofællesskab, bliver gode venner med naboer og kommer en del
sammen med naboer.
På øvrige dimensioner af fællesskab og socialt samvær er der ikke tegn på,
at der sker en signifikant forbedring efter indflytning i seniorbofællesskaber.
Interviews med borgere i seniorbofællesskaber viser, at selvom borgerne har
valgt et seniorbofællesskab til, hvor der alt andet lige er de bedste rammer
for fællesskab og socialt samvær med naboer, er der ingen garanti for, at det
opnås. Der er forskellige forhold, der spiller ind på, om fællesskab lykkes,
som fx at værdier og aftaler om fællesskabets beskaffenhed kan ændres
over tid i takt med, at de, der bor i seniorbofællesskabet, bliver, og i takt med
at nye borgere flytter ind. Fællesskabet er således hele tiden til forhandling.
I forhold til selvvurderet helbred og at kunne foretage sig gøremål alene uden
besvær er der enten ingen eller en negativ udvikling.
Der er en signifikant lavere gennemsnitlig beskæftigelsesgrad blandt borgere
i seniorbofællesskaber end i befolkningen efter de går på efterløn og pen-
sion. Efter overgangen til folkepension er der også en signifikant lavere gen-
nemsnitlig beskæftigelsesgrad blandt kvinder i seniorbofællesskaber end
kvinder i befolkningen.
Relativt flere borgere i seniorbofællesskaber end i en sammenlignelig gruppe
af befolkningen får praktisk hjemmehjælp, men tendensen er, at omfanget af
hjemmehjælp (målt i timer) svarer til en sammenlignelig gruppe af befolknin-
gen.
67
BOU, Alm.del - 2022-23 (2. samling) - Bilag 68: Rapport om seniorbofællesskaber
2740823_0068.png
På baggrund af de kvalitative interviews finder vi, at der er stor grad af
hjælpsomhed og villighed til at hjælpe ekstraordinært i situationer, hvor en
nabo kortvarigt har brug for hjælp og støtte. Men der forekommer også at
være enighed om, at man ikke er professionel håndværker for hinanden eller
hinandens sosu-hjælper
Borgere i seniorbofællesskaber sammenlignet med borgere i ældreboliger har
generelt oftere haft kontakt til læge og på den måde oftere får en lægelig
vurdering af deres helbred.
5.1
Fællesskab, helbred, aktiviteter og gøremål
Vi har en population bestående af 50 borgere, der optræder i Ældredatabasen,
både før og efter de flytter i seniorbofællesskab. Der er her tale om en lille og
selekteret population, og dermed er der også en stor usikkerhed i forhold til, i
hvilken udstrækning resultaterne kan ekstrapoleres til at gælde for alle borgere i
seniorbofællesskaber.
I Figur 5.1 fremgår borgernes vurdering af deres fællesskab og sociale sam-
vær før og efter indflytning i et seniorbofællesskab. Det fremgår af figuren, at
der er en signifikant positiv udvikling fra før til efter i forhold til, at flere bor-
gere efter indflytningen svarer, at de er gode venner med deres naboer, og at
flere kommer en del sammen med deres naboer. Tilsvarende ser vi, at der sker
et signifikant fald i andelen af borgere, der kun hilser på deres naboer fra før
de flytter i seniorbofællesskab til efter de flytter i seniorbofællesskab. Vi fin-
der ligeledes, at der er signifikant flere, der efter indflytningen kommer i seni-
orklub; her ved vi ikke, om det er en seniorklub i regi af seniorbofællesskabet
eller ikke.
Vi finder ikke signifikante forskelle fra før til efter i forhold til, om man ofte er
alene, selvom man gerne ville være sammen med andre eller i forhold til sam-
vær med venner og bekendte. Ligeledes er der heller ikke signifikante for-
skelle på borgere, som dyrker en hobby i eller uden for en klub fra før til efter
indflytningen i seniorbofællesskabet.
68
BOU, Alm.del - 2022-23 (2. samling) - Bilag 68: Rapport om seniorbofællesskaber
2740823_0069.png
Figur 5.1
Vurdering af deltagelse i fællesskab og socialt samvær før og
efter indflytning
Er gode venner med sine naboer*
Kommer en del sammen med sine naboer*
Kun hilser på sine naboer*
Sker det, at du er alene selvom du egentlig
hellere vile være sammen med andre?
Hvor ofte er du sammen med venner/bekendte?
Kommer i seniorklub*
Hobby i klub
Hobby ikke i klub
0%
før
efter
50%
100%
Anm.: N = 50.
Note:
Svarene er grupperet i ja/nej på følgende måde, hvor figuren viser andelen med ’ja’. Alene (ofte eller af og til). Ofte
sammen med venner og bekendte (en eller flere gange om ugen, en eller flere gange om måneden). Kommer i se-
niorklub(ja). Hobby (dagligt, en eller flere gange om ugen, en eller flere gange om måneden).
* signifikant forskel på de to grupper på 5 % signifikansniveau.
Ældredatabasen.
Kilde:
Vi har endvidere undersøgt, om der er signifikante udviklinger fra før til efter
indflytning i seniorbofællesskaber i forhold selvvurderet helbred. Det fremgår
af Figur 5.2, at hverken i forhold til en vurdering af, om ens helbred alt i alt er
godt, eller i forhold til, om ens helbred er bedre end jævnaldrendes, er der no-
gen signifikant forskel fra før til efter. Når vi alene kigger på andele, kan der
være en tendens til, at færre efter indflytningen vurderer deres helbred godt
og/eller bedre end jævnaldrendes. Det kan hænge sammen med, at borgerne
tilsvarende er blevet ældre, og at seniorbofællesskabet ikke er i stand til at
kompensere for det.
69
BOU, Alm.del - 2022-23 (2. samling) - Bilag 68: Rapport om seniorbofællesskaber
2740823_0070.png
Figur 5.2
Vurdering af ens helbred før og efter indflytning i
seniorbofællesskaber
Vurdering af en ens helbred alt i alt er godt
Vurdering af at ends helbred er bedre end
andre på samme alder
0%
før
efter
50%
100%
Anm.: N = 50.
Kilde:
Ældredatabasen.
Borgernes deltagelse i forskellige aktiviteter har vi ligeledes undersøgt, hvilket
fremgår af Figur 5.3. Den eneste aktivitet, hvor der er en signifikant udvikling,
er i forhold til avislæsning, hvor der er blevet færre, der dagligt læser aviser
efter indflytningen. For de andre typer af aktiviteter er der ikke sket nogen ud-
vikling.
70
BOU, Alm.del - 2022-23 (2. samling) - Bilag 68: Rapport om seniorbofællesskaber
2740823_0071.png
Figur 5.3
Deltagelse i sociale aktiviteter før og efter indflytning i
seniorbofællesskaber
Internettet dagligt
Bøger dagligt
Aviser dagligt*
Teater, biograf, koncert, museum dagligt eller
en/flere gange om ugen/måneden
Går til undervisning
Gymnastik eller sport dagligt eller en/flere
gange om ugen
Går tur eller cykler en/flere gange om ugen
0%
før
efter
50%
100%
Anm.: N = 50.
Kilde:
Ældredatabasen.
I forhold til, om man er i stand til at udføre forskellige gøremål alene uden be-
svær før og efter indflytningen i seniorbofællesskabet, kan vi se, at der efter
indflytningen er en signifikant lavere andel, der uden besvær kan gå på trap-
per og uden besvær klare pleje af sine tånegle alene. Her må vi formode, at al-
deren og dermed fysikken spiller en rolle, der gør, at nogle gøremål bliver van-
skeligere med tiden, og at seniorbofællesskabet ikke kan kompensere for
disse forhold.
71
BOU, Alm.del - 2022-23 (2. samling) - Bilag 68: Rapport om seniorbofællesskaber
2740823_0072.png
Figur 5.4
Vurdering af om man er i stand til at gøre en række gøremål
uden besvær før og efter indflytning i seniorbofællesskab
Trapper uden besvær*
Tånegle uden besvær*
Indkøb uden besvær
Varm mad uden besvær
0%
20%
Før
40%
Efter
60%
80%
100%
Anm.: N = 50
Note:
Kilde:
* Andelene viser dem, der har svaret, de kan klare den pågældende opgave alene uden besvær.
Ældredatabasen.
5.1.1
Borgere i seniorbofællesskaber sammenlignet med borgere i
ældreboliger
I dette afsnit sammenligner vi borgere i seniorbofællesskaber med borgere i
ældreboliger efter en indflytning i henholdsvis et seniorbofællesskab og i en
ældrebolig. Vi har i kapitel 3 set, at der er klare forskelle på borgere i senior-
bofællesskaber og borgere i almene ældreboliger. Borgere i almene ældreboli-
ger er generelt mindre ressourcestærke sammenlignet med borgere i senior-
bofællesskaber, men også i forhold til befolkningen. De har også et generelt
svagere fysisk helbred, og ældreboligen er for 80 % af de, der bor i ældreboli-
ger, den sidste bolig de har, mens det samme kun gælder for halvdelen af bor-
gere i seniorbofællesskaber, hvilket også tyder på, at borgere i ældreboliger er
langt mindre ressourcestærke.
72
BOU, Alm.del - 2022-23 (2. samling) - Bilag 68: Rapport om seniorbofællesskaber
2740823_0073.png
Disse objektive forskelle på de to grupper af borgere kommer formentlig til
udtryk i en forskellig fællesskabsdannelse og forskellige grader af socialt sam-
vær, som vi ser på i Figur 5.5.
Figur 5.5
Vurdering af deltagelse i fællesskab og socialt samvær for
borgere efter indflytning i seniorbofællesskab og ældrebolig
Snakker med naboer når I mødes*
Er gode venner med naboer*
Kommer en del sammen med sine naboer*
hilser kun på sine naboer*
Sker det, at du er alene selvom du egentlig
hellere vile være sammen med andre?*
Hvor ofte er du sammen med
venner/bekendte?*
Kommer i seniorklub
Hobby i klub
0%
20%
40%
ældrebolig
60%
80%
100%
seniorbofællesskab
Anm.: N (seniorbofællesskab) = 143; N (ældrebolig) = 227.
Note:
Svarene er grupperet i ja/nej på følgende måde, hvor figuren viser andelen med ’ja’. Alene (ofte eller af og til). Ofte
sammen med venner og bekendte (en eller flere gange om ugen, en eller flere gange om måneden). Hobby (dag-
ligt, en eller flere gange om ugen, en eller flere gange om måneden).
* signifikant forskel på de to grupper på 2 % signifikansniveau.
Ældredatabasen.
Kilde:
Der er signifikant flere borgere i ældreboliger, der tilkendegiver, at det hæn-
der, at de er alene, selvom de hellere ville være sammen med andre, sammen-
lignet med borgere i seniorbofællesskaberne. Tilsvarende er der forskelle på
graden af samvær med naboer. I seniorbofællesskaber er der signifikant flere
borgere, der er gode venner med deres naboer og kommer en del sammen
73
BOU, Alm.del - 2022-23 (2. samling) - Bilag 68: Rapport om seniorbofællesskaber
2740823_0074.png
med dem. Omvendt er der signifikant flere borgere i ældreboliger, der kun hil-
ser på deres naboer sammenlignet med borgere i seniorbofællesskaber. Der er
tilsvarende signifikant flere borgere i seniorbofællesskaberne, der snakker
med deres naboer, når de mødes. Endelig er der signifikant flere borgere i se-
niorbofællesskaber, der ofte ses med venner og bekendte sammenlignet med
borgere i ældreboliger.
Det peger således på, at der er større grad af fællesskab og socialt samvær i
seniorbofællesskaber end i ældreboligerne, og når vi også tager den demo-
grafiske og socioøkonomiske baggrund hos borgere i de to typer af boliger
med i vurderingen, er der en del tegn på, at forskelle i fællesskaber og socialt
samvær hænger mere sammen med, at der er tale om to forskellige grupper af
borgere, og at vejen ind til et seniorbofællesskab og til en ældrebolig er vidt
forskellige, og det tydeliggøres i forhold som fælleskab og socialt samvær. Det
understreges tilsvarende af, at signifikant flere borgere i ældreboliger vurderer
deres helbred dårligere end borgere i seniorbofællesskab.
Figur 5.6
Vurdering af ens helbred efter indflytning i senior-
bofællesskab og ældreboliger
Vurdering af at ens helbred er bedre end andre
på samme alder*
Vurdering af at ens helbred alt i alt er godt*
0%
seniorbofællesskab
20%
ældrebolig
40%
60%
80%
Anm.: N (seniorbofællesskab) = 143; N (ældrebolig) = 227.
Note:
Kilde:
* p<0.000
Ældredatabasen.
74
BOU, Alm.del - 2022-23 (2. samling) - Bilag 68: Rapport om seniorbofællesskaber
5.1.2
Boligen som udgangspunkt for fællesskab
Grundlæggende oplever de interviewede borgerne i begge seniorbofællesska-
ber, at fællesskabet er velfungerende og lettilgængeligt, og at der er et aktivt
socialt liv med gode muligheder for samvær og deltagelse i forskellige aktivi-
teter. I begge seniorbofælleskaber er der eksempelvis faste, ugentlige aktivi-
teter i form af kaffeslabberaser og gåture. Der er også større månedlige eller
kvartalsvise arrangementer såsom udflugter og fester, der begge steder ar-
rangeres af et nedsat aktivitetsudvalg blandt borgerne. Imellem de faste og
planlagte aktiviteter forekommer der også mere spontane og forefaldende ak-
tiviteter og sammenkomster såsom filmvisninger i fælleshuset eller frokost på
fælleshusets terrasse.
I begge seniorbofællesskaber beskriver borgerne det sociale fællesskab at
være meget fleksibelt; eneste undtagelse er særlige beslutningsmøder, hvor
der er mødepligt. Flere borgere fremhæver, at frivilligheden og fleksibiliteten
muliggør, at borgerne kan tilpasse deres deltagelse efter egne ønsker og soci-
ale behov.
I begge seniorbofællesskaber er der stor variation i forhold til måden, den en-
kelte borger indgår i fællesskabet. Nogle borgere vurderer eksempelvis, at de
tager del i samvær med andre borgere en gang om ugen, mens andre vurde-
rer, at de tager del i samvær med andre borgere næsten hver dag. Nogle bor-
gere fortæller, at de meget bevidst kun socialiserer med de øvrige borgere på
de fælles udendørsarealer eller i fælleshuset, mens andre fortæller, at de altid
lader deres dør stå åben og glædeligt tager imod uventet besøg fra de øvrige
borgere. Nogle fortæller, at de bevidst prioriterer at dyrke interesser, venska-
ber og relationer uden for seniorbofælleskabet, mens andre fortæller, at de
bevidst prioriterer at dyrke relationerne til de øvrige borgere og bidrage til det
sociale liv i seniorbofællesskabet.
Den forhandlede frivillighed
Fællesskabernes fleksible rammer beror i høj grad på løbende forhandlinger af
fællesskabets karakter, dvs. forhandlinger af graden af fællesskab og af den
enkelte borgers bidrag til fællesskabet. Det kan over tid skabe en dynamik i
takt med, at borgere i seniorbofællesskabet bliver ældre, og i takt med, at nye
borgere flytter ind i seniorbofællesskabet.
Som udgangspunkt er der i begge seniorbofællesskaber en udtalt forventning
om, at borgerne som minimum påtager sig et medansvar for fællesskabets
formelle drift og engagerer sig i de fælles beslutninger. Det formelle medan-
svar indebærer, at man efter evne også bidrager til at vedligeholde fælleshu-
set og udendørsarealerne. Selvom borgere af fysiske årsager ikke kan bidrage
75
BOU, Alm.del - 2022-23 (2. samling) - Bilag 68: Rapport om seniorbofællesskaber
til selve arbejdet ved de fælles feje- og havedage, opfordres de ikke desto
mindre til at møde op for samværets skyld og eksempelvis bidrage ved at lave
kaffe.
Ud over det formelle medansvar er det op til de enkelte borgere at beslutte,
hvor meget de ønsker at tage del i aktiviteter eller socialt samvær med de øv-
rige. Selvom frivilligheden i begge seniorbofællesskaber har en status som
kerneværdi og grundprincip, indebærer den samtidig et potentielt dilemma. I
sin yderste konsekvens kan frivilligheden nemlig medføre en situation, hvor
samtlige borgere frivilligt vælger
ikke
at tage del i det sociale liv. Hvis ingen
borgere melder sig frivilligt til fællesskabets forskellige udvalg, arrangerer ak-
tiviteter eller blot opfordrer til socialt samvær mellem borgerne, vil fællesska-
bet og det sociale liv gå i opløsning.
Selvom samtlige af de interviewede borgere respekterer de øvrige borgeres
beslutning om ikke at deltage i aktiviteter eller socialt samvær, omtales så-
danne situationer af flere borgere med ærgrelse eller endda manglende for-
ståelse for, hvorfor de pågældende har valgt at flytte ind i første omgang. En
borger bemærker i denne sammenhæng, at hvis alle borgere valgte ikke at
deltage, ville seniorbofællesskabet blot være som en ’hvilken som helst anden
boligafdeling’.
Flere af borgerne er meget bevidste om, at en beslutning om ikke at deltage i
det sociale liv ikke blot har en betydning for én selv, men også for gruppen.
Hvis for mange borgere på samme tid træffer den beslutning, vil det således
gå ud over seniorbofællesskabet og det sociale liv som helhed.
For at fællesskabet kan bestå under de fleksible rammer med den principielle
værdisætning af frivillighed som bærende element, synes mange af borgerne
at vurdere, at det er af afgørende betydning, at nye indflyttere
frivilligt
har lyst
til at ville deltage i det sociale liv i en vis udstrækning. Borgerne fremhæver
eksempelvis, at nye indflyttere gerne skal være
’nysgerrige på andre’,
skal
’ville fællesskabet’
eller skal have en grundlæggende
’ lyst til at være sammen
med andre’.
Fællesskabet som afsæt for hjælp og støtte
Flere af de interviewede fortæller, at de gerne hjælper til, hvis en anden bor-
ger har brug for praktisk hjælp til eksempelvis at sætte en hylde op, eller hvis
de periodisk har brug for hjælp til hverdagens gøremål i forbindelse med et
sygdomsforløb. En borger var på et tidspunkt kommet til skade med hoften ef-
ter et fald, og hun fortæller, at der i den efterfølgende periode var et ’rend af
mennesker’, som dagligt tilbød deres hjælp, hvilket betød rigtig meget for
hende. Flere borgere fortæller videre, at de også ofte spørger ind til, hvordan
76
BOU, Alm.del - 2022-23 (2. samling) - Bilag 68: Rapport om seniorbofællesskaber
de øvrige borgere har det og gerne lytter, såfremt de har noget på hjerte eller
på sinde.
I denne sammenhæng fremhæver flere borgere, at de forestiller sig, at deres
børn sætter stor pris på, at de bor i et seniorbofællesskab, eftersom den prak-
tiske hjælp og de støttende snakke ellers kunne være afhængigt af dem.
For alle borgerne er der dog en grænse for, hvor meget de kan og vil hjælpe,
støtte og drage omsorg for de øvrige borgere. Samtlige borgere fremhæver
eksempelvis, at praktiske opgaver af en vis størrelse er et job for en professi-
onel håndværker, ligesom vedvarende og kontinuerlig hjælp til daglige gøre-
mål er et job for hjemmeplejen. Det samme gør sig gældende i forhold til om-
sorg og emotionel støtte. En borger fortæller eksempelvis, at hun på et tids-
punkt helt holdt op med at spørge ind til en specifik borger, efter at hun i en
længere periode havde hørt ’den samme klagesang om og om igen’. Borgeren
bemærkede hertil, at dette i stedet måtte være en sag for den pågældendes
familie at lytte til og håndtere.
Spørgsmålet om frivillighed fylder meget for borgerne i forhold til den indbyr-
des hjælp og støtte, eftersom hjælpen og støtten skal forekomme på et frivil-
ligt grundlag. En borger fremhæver i denne forbindelse, at selvom de gerne
hjælper og støtter hinanden i hverdagen, må det ikke blive reglen snarere end
undtagelsen, eftersom borgerne ikke er
’hinandens sosu-hjælpere’.
Flere bor-
gere gør ligeledes meget ud af at betone, at relationerne mellem borgerne al-
drig må antage en karakter af pleje eller aflastning, eftersom fællesskabet be-
ror på, at de alle indgår på lige fod og på frivillig basis, herunder deltager efter
behov og bidrager efter evne.
5.2
Tryghed, ensomhed og livskvalitet
Flere af de interviewede borgere fremhæver, at de i deres alder aldrig kan
vide, hvordan morgendagen ser ud, og herunder om deres fysiske og mentale
tilstand har forandret sig på en måde, der går ud over deres generelle funkti-
onsniveau. At kunne forblive selvhjulpen og opretholde en selvstændig livsfø-
relse i en vis grad er af stor betydning for mange af de interviewede borgere.
Flere borgere fremhæver, at de sætter stor pris på hver eneste dag, hvor de-
res fysiske og mentale tilstand fortsat tillader dem at gøre de ting, de gerne
vil, herunder eksempelvis at gå ture, dyrke fritidsinteresser, se venner og fa-
milie, tage til arrangementer af forskellig art og ikke mindst tage del i fælles-
skabet i seniorbofællesskabet. Endvidere fremhæver de det at kunne fast-
holde nære, menings- og tillidsfulde relationer til familie og venner som af stor
betydning for deres livskvalitet. De fleste af de interviewede fremhæver i
denne sammenhæng, at det er meget vigtigt for dem at kunne forblive socialt
77
BOU, Alm.del - 2022-23 (2. samling) - Bilag 68: Rapport om seniorbofællesskaber
aktive og indgå i meningsfulde sociale relationer i en vis udstrækning, også
selvom aldersbetingede fysiske og mentale forandringer måtte betyde, at de-
res sociale behov og evne til at tage del i sociale sammenhænge ændrer sig.
For samtlige borgere er boligen i seniorbofællesskabet mindre end den forrige
og kræver således mindre vedligeholdelse. Den mindre bolig i seniorbofælles-
skabet beskrives af samtlige interviewede som ’mere passende’ i forhold til
deres nuværende og fremtidige behov, og nogle borgere vurderer samtidig, at
de kan forblive selvhjulpne i længere tid og i større udstrækning i seniorbofæl-
lesskabet end i deres forrige bolig.
Ud over de fysiske rammer vurderer samtlige borgere, at fællesskabsfølelsen og
den lettilgængelige mulighed for social kontakt i seniorbofællesskabet er af stor
betydning for deres livskvalitet. Muligheden for at kunne skalere egen delta-
gelse efter formåen og behov, herunder muligheden for på uforpligtende vis at
kunne gå frem og tilbage mellem egen bolig og fælleshuset, fremhæves af flere
borgere som en mulighed for at kunne bevare livskvaliteten helt ’til det sidste’.
5.2.1
Borgernes vurdering af seniorbofællesskabets betydning for
den oplevede tryghed
At føle sig omgivet af personer, som man har kendskab og tillid til, og som kan
hjælpe ved behov samt generelt være opmærksomme i forhold til ubudne gæ-
ster eller uregelmæssigheder i ens adfærd, betyder meget for borgernes ge-
nerelt oplevede tryghed. Gennem boligernes tætte placering i seniorbofælles-
skabet og visheden om, at der altid er andre i nærheden, som man har kend-
skab og tillid til, har seniorbofællesskabet således stor betydning for de på-
gældende borgeres oplevede tryghed.
Flere borgere fortæller, at de generelt er opmærksomme på hinanden i senior-
bofællesskabet, herunder er opmærksomme på, om der eksempelvis er gået
lang tid, siden en borger har deltaget i arrangementer eller sidst er blevet set.
Selvom ’normalen’ for den indbyrdes interaktion og hyppigheden af den varierer
fra borger til borger og fra relation til relation, fremhæver borgerne, at de i seni-
orbofællesskabet har en fælles opmærksomhed på hinanden. En borger fortæl-
ler eksempelvis, at hans ene nabo altid trækker gardinerne fra hver morgen,
hvorfor han vil banke på døren, såfremt gardinerne i et par dage ikke har været
trukket fra. Hvis en borger er faldet i sit hjem eller på anden vis har brug for
hjælp, vurderer borgerne, at der større chance for, at de hurtigt vil blive opda-
get eller kunne få hjælp i seniorbofællesskabet end i deres forrige bolig. Af
denne grund fremhæver flere borgere, at de forestiller sig, at deres børn sætter
stor pris på, at de netop bor i et seniorbofællesskab og ikke i et parcelhus.
78
BOU, Alm.del - 2022-23 (2. samling) - Bilag 68: Rapport om seniorbofællesskaber
5.2.2
Vurdering af seniorbofællesskabets betydning for borgernes
oplevelse med ensomhed
Selvom borgerne har forskellige sociale behov, har langt de fleste søgt ind i
seniorbofællesskabet for at kunne indgå i et socialt fællesskab, herunder have
gode muligheder for at kunne have socialt samvær med andre. Med indflytnin-
gen forsøgte flere borgere eksplicit at sætte sig selv i en position, hvor risi-
koen for at blive ensom i alderdommen var mindre, end den ville have været,
hvis de var blevet boende i deres forrige bolig.
Samtlige borgere beskriver, at der i seniorbofællesskabet er gode muligheder
at indgå i et fællesskab med de øvrige borgere og for at have socialt samvær
med andre,
hvis
eller
når
man selv vil. Fællesskabsfølelsen og de lettilgænge-
lige muligheder for social kontakt fremhæves af alle borgerne som er stort
gode forbundet med boligen i seniorbofællesskabet.
Samtidig påpeger flere borgere, at boligen i seniorbofællesskabet ikke er no-
gen garanti for
ikke
at føle sig ensom. En borger fortæller, at de øvrige bor-
gere ofte gør en indsats for at inkludere nye borgere. Borgeren fortæller, at
hun eksempelvis selv er opsøgende i forhold til de nye borgere i den første tid
og eksempelvis banker på i forbindelse med de første kaffeslabberaser. Hun
påpeger dog, at borgerne ikke er
’støttepædagoger for hinanden’,
og der er
således ingen fast garanti for, at nogen ’kommer og henter dig’, hvis du ikke
selv er mødt op. Generelt går borgerne således ikke rundt og banker på alle
døre i forbindelse med arrangementer eller aktiviteter. Det er dermed op til
den enkelte borger at tage initiativ til fremmøde og selv tage de første opsø-
gende skridt hen mod fællesskabet.
5.2.3
At kunne forblive socialt aktiv trods fysiske og mentale
forandringer
Tilstedeværelsen af det nære, åbne og fleksible fællesskab vil ifølge flere bor-
gere kunne muliggøre en høj grad af social kontakt selv ved fald i ens fysiske
og eller mentale funktionsevne. En borger fremhæver, at selv hvis ens funkti-
onsniveau falder til et punkt, hvor man bliver træt og har brug for hvile efter
15-20 minutters social interaktion, ville det stadig være muligt at være social
ved at gå frem og tilbage fra kaffeslabberas i fælleshuset. Borgeren fortæller,
at det i princippet også ville være muligt at gå til og fra i forhold til familien,
men fremhæver her, at det ikke desto mindre føles mere passende og accep-
tabelt at ’gå tidligt’ i seniorbofællesskabet, eftersom der her både er en større
medmenneskelig og erfaringsbaseret forståelse for alderens genvordigheder
såvel som klare forventninger om, at de enkelte deltager ved behov og efter
evne. De tydelige forventninger omkring at kunne deltage på egne præmisser,
79
BOU, Alm.del - 2022-23 (2. samling) - Bilag 68: Rapport om seniorbofællesskaber
og fleksibiliteten i at have mulighed for at kunne gå frem og tilbage fra fælles-
huset ved behov og efter evne, fremhæves af flere som et yderst værdifuldt
element ved seniorbofællesskabet, der som alderen skrider frem muliggør en
høj grad af social kontakt og tilfredsstillelse af sociale behov.
5.3
Fastholdelse af beskæftigelse efter efterløn og
pension
Vi undersøger, om en mulig samfundsmæssig gevinst ved et seniorbofælles-
skab kan bestå i, at borgere, der bor i bofællesskab og modtager efterløn eller
folkepension, i højere grad end øvrige borgere stadig opretholder en beskæfti-
gelsesgrad, der kan give en skatteindtjening til samfundet.
Vi undersøger det på den måde, at vi sammenligner gruppen af borgere i seni-
orbofællesskaber med borgere i befolkningen, før og efter de modtager efter-
løn og folkepension. Hvis vi finder, at gruppen af borgere i seniorbofællesskab
har en højere gennemsnitlig beskæftigelse, efter de modtager efterløn eller
folkepension, vil der kunne være tegn på en gevinst, som skal undersøges
mere detaljeret.
I Figur 5.7 fremgår den gennemsnitlige beskæftigelsesgrad for borgere i seni-
orbofællesskaber og i befolkningen, før og efter modtager efterløn. Vi ser, at
der er en signifikant forskel på den gennemsnitlige beskæftigelsesgrad for
borgere i seniorbofællesskaber og i befolkningen, fem år før de modtager ef-
terløn. Der er således en signifikant højere gennemsnitlig beskæftigelsesgrad
for borgere i seniorbofællesskaber, før de modtager efterløn. Den gennem-
snitlige beskæftigelsesgrad falder naturligt markant, efter borgerne går på ef-
terløn, og vi ser, at der er en klar signifikant forskel på beskæftigelsesgrad hos
gruppen af borgere i seniorbofællesskaber og borgere i befolkningen. Der er
en gennemsnitligt højere beskæftigelsesgrad blandt borgere i befolkningen
end blandt borgere i seniorbofællesskaber, efter de modtager efterløn.
80
BOU, Alm.del - 2022-23 (2. samling) - Bilag 68: Rapport om seniorbofællesskaber
2740823_0081.png
Figur 5.7
Den gennemsnitlige beskæftigelsesgrad for borgere i
seniorbofællesskaber og i befolkningen, før og efter de
modtager efterløn
100%
90%
80%
70%
60%
50%
40%
30%
20%
10%
0%
Seniorbofællesskab
Befolkning
Anm.: N (seniorbofællesskab) = 106-910; N (befolkning) = 23.376-292.313.
Note:
Kilde:
Beskæftigelsesgraden er baseret på DREAM-data fra 2008-2020. Efterlønsåret er baseret på den væsentligste
indkomstkilde i året fra Arbejdsklassifikationsmodulet.
Danmarks Statistik og egne beregninger.
I Figur 5.8 fremgår den gennemsnitlige beskæftigelsesgrad for borgere i seni-
orbofællesskaber og i befolkningen, før og efter de modtager folkepension. I
figuren har vi delt op på mænd og kvinder. Vi ser, at der er en signifikant for-
skel på den gennemsnitlige beskæftigelsesgrad for kvinder i seniorbofælles-
skaber og kvinder i befolkningen, fem år før de modtager folkepension. Der er
således en signifikant højere gennemsnitlig beskæftigelsesgrad for kvinder i
seniorbofællesskaber, førend de modtager folkepension. Den gennemsnitlige
beskæftigelsesgrad falder naturligt markant, efter borgerne går på pension,
men vi ser, at der er en klar signifikant forskel på gruppen af kvinder i senior-
bofællesskaber og kvinder i befolkningen. Der er en gennemsnitligt lavere be-
skæftigelsesgrad blandt kvinder i seniorbofællesskaber, efter de modtager
folkepension, end blandt kvinder i befolkningen. Beskæftigelsesgraden for
mænd er ikke signifikant forskellige fra hinanden i seniorbofællesskaber og i
befolkningen.
81
BOU, Alm.del - 2022-23 (2. samling) - Bilag 68: Rapport om seniorbofællesskaber
2740823_0082.png
Figur 5.8
Den gennemsnitlige beskæftigelsesgrad for borgere i
seniorbofællesskaber og i befolkningen, før og efter de
modtager folkepension
100%
80%
60%
40%
20%
0%
Mænd
Seniorbofællesskab
Befolkning
100%
80%
60%
40%
20%
0%
Kvinder
Seniorbofællesskab
Befolkning
Anm.: N (seniorbofællesskab) = 52-1.214; N (befolkning) = 9.871-269.001.
Note:
Kilde:
Beskæftigelsesgraden er baseret på DREAM-data fra 2008-2020. Folkepensionsåret er baseret på den væsentlig-
ste indkomstkilde i året fra Arbejdsklassifikationsmodulet.
Danmarks Statistik og egne beregninger.
Både når vi beskriver den gennemsnitlige beskæftigelsesgrad efter efterløn og
efter folkepension for borgere i seniorbofællesskab og i befolkningen, er der
ikke noget i data, der peger på, at seniorbofællesskabet kunne have en positiv
82
BOU, Alm.del - 2022-23 (2. samling) - Bilag 68: Rapport om seniorbofællesskaber
betydning i forhold til at fastholde en tilknytning til arbejdsmarkedet. Tværti-
mod tyder data på, at kvinders beskæftigelsesgrad i seniorbofællesskaber er
lavere efter de modtager henholdsvis folkepension og efterløn end i befolknin-
gen.
5.4
Forbrug af hjemmehjælp
I Rambølls analyse af økonomiske gevinster ved seniorbofællesskab (2016)
fremkommer en hypotese om, at der vil kunne ske et reduceret forbrug af
hjemmehjælp for borgere i seniorbofællesskaber. Vi ser derfor på, hvor mange
der modtager hjemmehjælp, og på omfanget af den hjemmehjælp de modta-
ger over tid. Som tidligere beskrevet ser vi på perioden 2008-2021, da der kun
findes hjemmehjælpsdata hos Danmarks Statistik for disse år. Der bor 12.953
borgere i alderen 60 år og ældre i seniorbofællesskaberne i årene 2008-2021,
hvoraf 4.812 modtager hjemmehjælp på et eller andet tidspunkt i perioden.
Der er således nok personer i seniorbofællesskaber i hvert af årene til, at vi
kan analysere på data for hjemmehjælp.
Alder spiller en stor rolle både i forhold til, om en borger får hjemmehjælp, og i
forhold til omfanget af hjemmehjælpen – dvs. antal timers hjemmehjælp pr. må-
ned – som den enkelte modtager. For eksempel viser en fixed effect-regression
af omfanget af hjemmehjælp på alder, hvor vi ser på alle borgere over 60 år i
Danmark, at når vi følger de samme borgere over tid, så øges omfanget af den
hjemmehjælp, de modtager, med ca. 100 minutter i gennemsnit pr. måned for
hvert år, de bliver ældre. Vi finder endvidere ved forskellige statistiske tests, at
fixed effect-modellen, som tager højde for tidsinvariante individspecifikke ef-
fekter, som kan hænge sammen med omfanget af hjemmehjælp (fx sygdomme
eller handicap, som vi ikke kan observere i data), er den bedste model og at dét,
at personerne ældes, forklarer en større del af forskellene i omfanget af hjem-
mehjælp end forskelle i alder mellem forskellige personer.
Det er derfor vigtigt at sammenligne personer på samme alder, når man analy-
serer forbruget af hjemmehjælp. Borgerne i seniorbofællesskaber er generelt
ca. 10 år ældre i gennemsnit end befolkningen af 60+-årige. Derfor opdeler vi i
fire alderskategorier: 60-70 år, 70-80 år, 80-90 og 90 år og derover. Det vil
sige, at vi fx sammenligner andelen af 60-70-årige, som får hjemmehjælp i seni-
orbofællesskaber, med andelen af 60-70-årige, som får hjemmehjælp i befolk-
ningen.
83
BOU, Alm.del - 2022-23 (2. samling) - Bilag 68: Rapport om seniorbofællesskaber
2740823_0084.png
I Figur 5.9 fremgår andelen, der modtager hjemmehjælp i perioden 2008 til
2021 i de forskellige aldersintervaller. Vi sammenligner borgere i seniorbofæl-
lesskaber med befolkningen og med befolkningen, hvor vi har taget borgere i
ældreboliger og plejehjem ud.
3
I alle fire aldersintervaller fremgår det, at andelen af borgere i seniorbofælles-
skaber, som modtager hjemmehjælp, er højere end den tilsvarende alders-
gruppe både i befolkningen og i befolkningen uden ældreboliger og plejehjem.
Det vil sige, at borgere i seniorbofællesskaber i højere grad modtager hjem-
mehjælp end befolkningen, når vi tager højde for alder i 10-års intervaller.
Figur 5.9
Andel, der modtager hjemmehjælp
60-70-årige er figuren i øverste venstre hjørne, 70-80-årige er figuren i nederste venstre hjørne,
80-90-årige er figuren i øverste højre hjørne, og 90+-årige er figuren i nederste højre hjørne.
Anm.: Over årene 2008-2021: 60-70-årige: N (seniorbofællesskaber) = 1.193-2.014; N (befolkningen) = 660.204-
694.239; N (befolkningen uden ældreboliger og plejehjem) = 658.064-694.237. 70-80-årige: N (seniorbofælles-
skaber) = 2.911-3.409; N (befolkningen) = 368.536-592.957; N (befolkningen uden ældreboliger og plejehjem) =
366.006-579.451. 80-90-årige: N (seniorbofællesskaber) = 1.233-2.590; N (befolkningen) = 190.494-260.336;
N (befolkningen uden ældreboliger og plejehjem) = 179.798-244.892. 90+-årige: N (seniorbofællesskaber) = 98-
483; N (befolkningen) = 36.355-53.443; N (befolkningen uden ældreboliger og plejehjem) = 31.053-45.785 .
Kilde:
Danmarks Statistik og egne beregninger.
3
Borgere i ældreboliger er baseret på Landsbyggefondens huslejeregister, som kun dækker årene
2013-2020, dvs. det er først fra 2013, at vi med sikkerhed kan sige, om en borger er bosiddende i
en almen ældrebolig. Mellem 2008 og 2013 imputerer vi selv borgere i ældreboliger ved at sige, at
hvis de også tidligere boede i en bolig, som fra 2013 og frem er en ældrebolig, så antager vi, at de
også boede i ældrebolig tidligere. Borgere på plejehjem er baseret på registerdata (AEPI), som dæk-
ker årene 2008-2016, og som er imputeret af Danmarks Statistik baseret på kommuners indberet-
ninger. Vi imputerer igen selv borgere på plejehjem fra 2017 og frem ved at antage, at hvis en bor-
ger bor på plejehjem ifølge registerdata i 2008-2016, og denne borger ikke skifter bolig, så bor bor-
geren også på plejehjem i årene 2017-2020.
84
BOU, Alm.del - 2022-23 (2. samling) - Bilag 68: Rapport om seniorbofællesskaber
Andelen, der modtager hjemmehjælp blandt borgere i seniorbofællesskaber, lig-
ger konsekvent højere end i befolkningen (med og uden ældreboliger og pleje-
hjem) for alle aldersgrupperne i alle årene. Andelen af 60-70-årige, der modta-
ger hjemmehjælp, er forholdsvis lav på omkring 3-5 %; i 70-80-års alderen sti-
ger den til mellem 7 og 15 %, i 80-90 års-alderen til mellem 30 og 40 %, og for
borgere over 90 år er den forventeligt højest, oppe på mellem 50 og 70 %.
Selvom borgere i seniorbofællesskaber modtager hjemmehjælp i højere grad
end de tilsvarende aldersgrupper i befolkningen, kan det være, at dem, der
modtager hjælp, får mindre hjælp. Vi har derfor også undersøgt omfanget af
hjemmehjælp målt som det gennemsnitlige antal minutter pr. måned pr. person
for borgere i seniorbofællesskaber sammenlignet med befolkningen med og
uden ældreboliger og plejehjem for at se, om seniorbofællesskaberne modta-
ger færre minutters hjemmehjælp.
Først har vi undersøgt fordelingen af omfanget i de tre grupper over årene
2008-2021 (uden at tage højde for alder). Her kan man se, at gennemsnittet af
antal minutter pr. måned pr. person er omkring 200 minutter højere i befolk-
ningen og omkring 150 minutter højere i befolkningen uden ældreboliger og
plejehjem, end det er i seniorbofællesskaberne (se Bilagsfigur 3.1). Befolknin-
gen indeholder imidlertid personer, som får et meget højt omfang af hjemme-
hjælp (fx er der en række outliers i befolkningen, som målt på antal minutter
pr. måned ser ud til at få hjælp af flere hjemmehjælpere på én gang), og det
trækker gennemsnittet for befolkningen kunstigt op. Hvis man sammenligner
medianen i fordelingen af omfanget af hjemmehjælp for seniorbofællesskaber
og befolkningen, finder man en forskel på godt 1 times hjemmehjælp pr. må-
ned, hvorimod forskellen mellem 95 % percentilerne er helt oppe på 8 timers
hjemmehjælp pr. måned (Bilagsfigur 3.2). Dette indikerer, at fordelingen af
hjemmehjælp har en meget lang højre hale, dvs. at der er en del personer i be-
folkningen, som er meget plejekrævende af årsager, som vi ikke kan tage
højde for i data (fx alvorlige handicap eller invaliderende sygdom). Vi sammen-
ligner derfor også seniorbofællesskaber med befolkningen, hvor vi har taget
de 5 % af borgerne ud, som får allermest hjemmehjælp. Dette er 5 %, der er så
plejekrævende, at de formentligt aldrig ville kunne eller vælge at bo i et seni-
orbofællesskab.
Omfanget af hjemmehjælp i de fire aldersgrupper fremgår af Figur 5.9. Vi sam-
menligner med befolkningen generelt, befolkningen uden ældreboliger og ple-
jehjem samt befolkningen, hvor vi har taget de 5 % af borgerne ud, som får al-
lermest hjemmehjælp, så vi sammenligner med de resterende 95 % af befolk-
ningen. Over årene er der omkring 130-150.000 personer i befolkningen, der
modtager hjemmehjælp, så 5 % svarer til ca. 6.500-7.500 personer.
Der tegner sig det samme billede i de forskellige aldersgrupper, hvor man ser,
at borgere i seniorbofællesskaberne i gennemsnit får mindre hjemmehjælp end
85
BOU, Alm.del - 2022-23 (2. samling) - Bilag 68: Rapport om seniorbofællesskaber
2740823_0086.png
befolkningen generelt, og også befolkningen uden ældreboliger og plejehjem,
selvom forskellen her er lidt mindre. Når vi i stedet sammenligner med de kun
95 % af befolkningen, ligger borgere i seniorbofællesskab i gennemsnit på ni-
veau med befolkningen uden de 5 %, der modtager allermest hjemmehjælp
Figur 5.10
Omfang af hjemmehjælp. Minutter pr. måned.
60-70-årige er figuren i øverste venstre hjørne, 70-80-årige er figuren i øverste højre hjørne,
80-90-årige er figuren i nederste venstre hjørne, og 90+-årige er figuren i nederste højre
hjørne.
Anm.: Over årene 2008-2021: 60-70-årige: N (seniorbofællesskaber) = 51-104; N (befolkningen) = 20.047-25.653;
N (befolkningen uden ældreboliger og plejehjem) = 17.471-23.269. 70-80-årige: N (seniorbofællesskaber) = 259-
445; N (befolkningen) = 41.266-53.511; N (befolkningen uden ældreboliger og plejehjem) = 35.815-47.504. 80-90-
årige: N (seniorbofællesskaber) = 501-838; N (befolkningen) = 60.841-80.479; N (befolkningen uden ældreboliger
og plejehjem) = 51.909-69.372. 90+-årige: N (seniorbofællesskaber) = 68-340; N (befolkningen) = 20.524-
30.986; N (befolkningen uden ældreboliger og plejehjem) = 16.899-26.883.
Kilde:
Danmarks Statistik og egne beregninger.
I Figur 5.9 og 5.10 har vi i sammenligningerne af borgere i seniorbofællesskab
med befolkningen kun taget højde for alder i 10-års intervaller. For at forfine
sammenligningen i forhold til alder og for at tage højde for, at andelen af kvin-
der er højere i seniorbofællesskaber end i befolkningen generelt, mens ande-
len af personer med Menapt-oprindelse er langt lavere, danner vi én til sam-
menligningsgruppe (fra befolkningen) ved Propensity Score Matching, hvor vi
matcher på alder, køn og oprindelse samt også på, om man har en kronisk li-
delse i året (KOL, diabetes eller hjerte-karsygdomme). Regressioner af hen-
holdsvis om man modtager hjemmehjælp og omfanget af hjemmehjælp, om
personerne bor i seniorbofællesskab eller ej, når vi benytter de matchede
86
BOU, Alm.del - 2022-23 (2. samling) - Bilag 68: Rapport om seniorbofællesskaber
sammenligningsgrupper, viser i store træk det samme mønster som Figur 5.9
og 5.10 (se Bilagstabel 3.1). Der er en tendens til, at en højere andel af borgere
i seniorbofællesskaber modtager hjemmehjælp i nogle af årene, men forskel-
len i omfanget, som ses i de rå data, hvor borgere i seniorbofællesskaber
modtager et par timers mindre hjemmehjælp pr. måned i gennemsnit pr. per-
son, forsvinder, hvis vi udelukker de mest plejekrævende borgere fra sam-
menligningsgruppen. Når vi sammenholder disse resultater med kapitel 3’s re-
sultater om, at borgere, der vælger at flytte i seniorbofællesskaber, er en se-
lekteret ressourcestærk gruppe fra start, vurderer vi, at der ikke er gevinster i
form af forskelle i forbruget af hjemmehjælp, som kan henføres til seniorbo-
fællesskabet.
5.4.1
Hjemmehjælp til praktiske gøremål og personlig pleje
I dette afsnit deler vi hjemmehjælp op efter, om hjælpen ydes til praktiske gø-
remål (praktisk hjælp) eller til mere helbredsmæssige formål (personlig pleje).
Figur 5.11 viser andelen, der modtager praktisk hjælp i seniorbofællesskaber i
de forskellige aldersintervaller, og Figur 5.12 viser andelen, der modtager per-
sonlig pleje, også i de forskellige aldersintervaller.
87
BOU, Alm.del - 2022-23 (2. samling) - Bilag 68: Rapport om seniorbofællesskaber
2740823_0088.png
Figur 5.11
Andel, der modtager hjemmehjælp til praktiske gøremål
60-70-årige er figuren i øverste venstre hjørne, 70-80-årige er figuren i øverste højre hjørne,
80-90-årige er figuren i nederste venstre hjørne, og 90+-årige er figuren i nederste højre
hjørne.
Anm.: Over årene 2008-2021: 60-70-årige: N (seniorbofællesskaber) = 1.193-2.014; N (befolkningen) = 660.204-
694.239; N (befolkningen uden ældreboliger og plejehjem) = 658.064-694.237. 70-80-årige: N (seniorbofælles-
skaber) = 2.911-3.409; N (befolkningen) = 368.536-592.957; N (befolkningen uden ældreboliger og plejehjem) =
366.006-579.451; 80-90-årige: N (seniorbofællesskaber) = 1.233-2.590; N (befolkningen) = 190.494-260.336;
N (befolkningen uden ældreboliger og plejehjem) = 179.798-244.892; 90+-årige: N (seniorbofællesskaber) = 98-
483; N (befolkningen) = 36.355-53.443; N (befolkningen uden ældreboliger og plejehjem) = 31.053-45.785.
Kilde:
Danmarks Statistik og egne beregninger.
88
BOU, Alm.del - 2022-23 (2. samling) - Bilag 68: Rapport om seniorbofællesskaber
2740823_0089.png
Figur 5.12
Andel der modtager hjemmehjælp til personlige pleje
60-70-årige er figuren i øverste venstre hjørne, 70-80-årige er figuren i øverste højre hjørne,
80-90-årige er figuren i nederste venstre hjørne, og 90+-årige er figuren i nederste højre
hjørne.
Anm.: Over årene 2008-2021: 60-70-årige: N (seniorbofællesskaber) = 1.193-2.014; N (befolkningen) = 660.204-
694.239; N (befolkningen uden ældreboliger og plejehjem) = 658.064-694.237 70-80-årige: N (seniorbofælles-
skaber) = 2.911-3.409; N (befolkningen) = 368.536-592.957; N (befolkningen uden ældreboliger og plejehjem) =
366.006-579.451. 80-90-årige: N (seniorbofællesskaber) = 1.233-2.590; N (befolkningen) = 190.494-260.336;
N (befolkningen uden ældreboliger og plejehjem) = 179.798-244.892. 90+-årige: N (seniorbofællesskaber) = 98-
483; N (befolkningen) = 36.355-53.443; N (befolkningen uden ældreboliger og plejehjem) = 31.053-45.785.
Kilde:
Danmarks Statistik og egne beregninger.
Figurerne tegner et billede af, at de højere andele, der modtager hjemmehjælp
blandt seniorbofællesskaber, ser ud til at være drevet mest af, at borgere i se-
niorbofællesskab i højere grad modtager praktisk hjælp end befolkningen ge-
nerelt.
5.5
Forekomst af lægebesøg før og efter
Endelig har vi undersøgt forekomsten af lægebesøg blandt borgere, før og efter
de flytter i henholdsvis seniorbofællesskaber og ældreboliger. Det fremgår af
Figur 5.13, at borgere i seniorbofællesskaber både før og efter deres indflytning
89
BOU, Alm.del - 2022-23 (2. samling) - Bilag 68: Rapport om seniorbofællesskaber
2740823_0090.png
har en væsentligt højere forekomst af lægebesøg sammenlignet med borgere i
almene ældreboliger. Vi ser endvidere, at der sker et fald for begge grupper af
borgere efter indflytningen, og at faldet er relativt større for borgere i seniorbo-
fælleskab, når det gælder kontakt til psykolog og psykologhjælp, sammenlignet
med borgere i ældreboliger, men relativt mindre, når det gælder kontakt i for-
bindelse med depression, demens eller andre psykiske problemer (som i første
omgang udredes hos praktiserende læge).
Figur 5.13
Forekomst af forskellige typer af sundhedskontakter
18,0%
16,0%
14,0%
12,0%
10,0%
8,0%
6,0%
4,0%
2,0%
0,0%
Før indflytning
Efter indflytning
Før indflytning
Efter indflytning
Seniorbofællesskab
Mindst én kontakt til psykolog eller psykologhjælp
Ældrebolig
Mindst én kontakt relateret til depression, demens eller andre psykologiske problemer
Anm.: N (seniorbofællesskab) = 8.055; N (ældrebolig) = 80.044.
Kilde:
Danmarks Statistik og egne beregninger.
Mere eller mindre kontakt til praktiserende læger og psykologer siger i sig selv
ikke noget om, hvorvidt der er flere eller færre helbredsmæssige eller psykolo-
giske udfordringer, eller om der er for få, for mange eller lige tilpas med læge-
besøg. Men det, som data viser, er, at borgere i seniorbofællesskaber generelt
oftere har kontakt til egen læge og til psykolog og på den måde i højere grad får
en lægelig og psykologfaglig vurdering af deres helbred.
90
BOU, Alm.del - 2022-23 (2. samling) - Bilag 68: Rapport om seniorbofællesskaber
5.6
Opsamling
Der er en tendens til, at borgere, når de flytter i seniorbofællesskab, efter de-
res indflytning i stigende grad bliver gode venner med deres naboer og i sti-
gende grad kommer en del sammen med dem. Ligeledes bliver signifikant flere
en del af en seniorklub. På øvrige forhold af fællesskab og socialt samvær ser
vi ikke nogen udvikling fra før til efter deres indflytning. Tilsvarende ser vi hel-
ler ikke noget signifikant udvikling i, at flere borgerne efter indflytning får en
bedre selvvurdering af deres helbred. Derimod er der gøremål som fx at gå på
trapper, hvor signifikant flere efter indflytningen siger, at de ikke kan gøre det
alene uden besvær, hvilket formodentlig i større grad er relateret til, at de er
blevet ældre, end at de er flyttet i seniorbofællesskab.
Seniorbofællesskaber kan organiseres på mange forskellige måder, og der fore-
kommer at være mange forskellige versioner af, hvad et seniorbofællesskab er
og kan være. Hvilke værdier seniorbofællesskaber eksempelvis baserer sig på,
eller hvordan forventningerne til og normerne for det sociale liv tager sig ud, kan
således variere fra seniorbofællesskab til seniorbofællesskab og også internt i
et seniorbofællesskab over tid. Flere interviewede borgere i seniorbofællesska-
ber fremhæver vigtigheden af, at borgerne ved indflytning og ikke mindst efter-
følgende forventningsafstemmer omkring seniorbofællesskabets værdigrundlag
samt rammerne for og forventningerne til, hvordan værdigrundlaget skal efter-
leves, eksempelvis i forhold til spørgsmål om forventet aktivitetsniveau, sam-
værsgrad og individuelle bidrag.
At borgernes indbyrdes forventninger til fællesskabet og til hinanden i en vis
udstrækning er afstemte, er for de interviewede afgørende for, hvordan fæl-
lesskaberne fungerer i forhold til aktivitetsniveauet, samværsgraden, relatio-
ner mellem borgerne og ikke mindst den generelle oplevelse af ’grundstemnin-
gen’ i borgergruppen. Dette er eksempelvis en del af overvejelserne bag at
nedsætte et visiteringsudvalg, der bl.a. arbejder for at sikre en vis forvent-
ningsmæssig overensstemmelse i forhold til nye indflyttere forud for indflyt-
ningen.
Med andre ord er matchet mellem den enkelte borger og seniorbofællesska-
berne, og herunder hvorvidt der er en vis overensstemmelse mellem parternes
ønsker, behov og forventninger, af afgørende betydning for seniorbofællesska-
bets mulighed for at skabe rammen for fællesskab og socialt samvær, og at den
enkelte borger opnår den ønskede gevinst ved at bo i et seniorbofælleskab.
Eftersom fællesskabet beror på fælles medansvar og vedligehold samt frivillig
initiativtagen og deltagelse i det sociale, fremhæver flere borgere et ræsonne-
ment i, at den samlede borgergruppe består af borgere i forskellige aldre, da
evnen til at bidrage kan ændre sig med alderen. Der er en fælles konsensus om
91
BOU, Alm.del - 2022-23 (2. samling) - Bilag 68: Rapport om seniorbofællesskaber
at ville undgå ydertilfældene med at blive hinandens ’sosu-hjælpere og støtte-
pædagoger’, men det efterlader dog stadig et vist fortolkningsrum for borgerne i
forhold til at vurdere, hvornår man i så fald bliver dette. Hvor grænsen mellem
den ’passende’ og den ’ikke-passende’ form for hjælp og støtte drages, for-
handles således stadigvæk af den enkelte borger fra situation til situation.
Gevinster relateret til øget beskæftigelse, mindre forbrug af hjemmehjælp samt
forekomsten af lægebesøg peger samlet set på, at det er vanskeligt at finde be-
læg for, at seniorbofællesskabet har disse fordele. Når vi ser på beskæftigelse,
er der ikke tegn på, at borgere i seniorbofællesskaberne har en højere beskæfti-
gelsesgrad efter de går på henholdsvis efterløn og pension sammenlignet med
befolkningen. Når vi ser på forekomsten af hjemmehjælp til borgere i seniorbo-
fællesskab – både i forhold til, hvor stor en andel, der modtager hjemmehjælp i
det hele taget og i omfanget af den modtagne hjemmehjælp – er den stabil over
tid. Der er tendenser i retning af, at en relativt højere andel af borgere i senior-
bofællesskab får hjemmehjælp, men omfanget af hjemmehjælp ser ud til at
være på niveau med sammenlignelige borgere i befolkningen. Endelig fremgår
det af analyser, at borgere i seniorbofællesskaber sammenlignet med borgere i
ældreboliger generelt oftere har kontakt til læge og på den måde oftere får en
lægelig vurdering af deres helbred.
Det vil således sige, at på forhold, som vi har systematiske data for over tid og
for borgere i seniorbofællesskaber og øvrige borgere, er der ikke umiddelbare
tegn på gevinster ved at bo i et seniorbofællesskab. Tværtimod er der tegn på
lavere grad af beskæftigelse og større andel, der modtager hjemmehjælp til
praktiske gøremål. I forhold til mulige gevinster peger de i retning af fælles-
skab, livskvalitet, tryghed og mindre ensomhed. Det er dog kun identificeret
for en mindre gruppe af borgere i seniorbofællesskaber, og vi kan ikke isolere
disse mulige gevinster til seniorbofællesskabet. Hvis man fremadrettet skulle
belyse forhold som fællesskaber, livskvalitet, tryghed og mindre ensomhed, vil
det kræve systematisk indsamlede data både forud for indflytning i seniorbo-
fællesskaber, og efter borgerne er flyttet ind og har etableret sig i seniorbo-
fællesskabet. Det vil give mulighed for at undersøge udviklinger systematisk;
dog vil man her heller ikke kunne tage højde for selektionen.
92
BOU, Alm.del - 2022-23 (2. samling) - Bilag 68: Rapport om seniorbofællesskaber
6
Konklusion
I denne rapport har vi undersøgt, om der kan identificeres mulige samfunds-
økonomiske gevinster ved at bo i seniorbofællesskaber. Vi har undersøgt
dette ud fra følgende undersøgelsesspørgsmål:
Hvilke typer af borgere bor i et seniorbofællesskab, og hvad kendetegner
dem i forhold til socioøkonomiske forhold, deres ydelsesbehov og helbred,
før og mens de bor i seniorbofællesskabet, samt varigheden af at bo i seni-
orbofællesskab?
Hvad kendetegner borgere, som angiver en præference for at bo i et seni-
orbofællesskab i fremtiden i forhold til fællesskab, sociale aktiviteter, selv-
vurderet helbred og daglige gøremål?
Hvilke overvejelser ligger bag seniorers valg om at flytte ind i et seniorbo-
fællesskab?
Hvilke samfundsøkonomiske gevinster kan identificeres af at bo i seniorbo-
fællesskaber?
Hovedkonklusionen er, at de borgere, der vælger at flytte ind i et seniorbofæl-
lesskab, er borgere, der objektivt set er ressourcestærke og har et godt fysisk
helbred, og som i forvejen forekommer at være socialt engagerede og aktive
og har et positivt syn på dem selv. Ved at vælge et seniorbofællesskab til, se-
lekterer disse borgere sig ind i nogle boligmæssige rammer, der giver dem de
bedste chancer for at fastholde fællesskaber og socialt samvær; også når de
når en alder, hvor de risikerer at blive mindre fysisk mobile og har flere alders-
relaterede og helbredsmæssige udfordringer.
Ud fra de data, vi har i undersøgelsen, og ud fra kendskab til data, er det ikke
muligt at opstille en model for at identificere samfundsøkonomiske gevinster,
hvor vi kan håndtere den selektion, der er af borgere ind i seniorbofællesskaber.
Særligt er der forhold omkring præferencer, motivationer og personlighedstræk,
der ser ud til at have betydning for, om man bor i et seniorbofællesskab eller
ikke. Det er således ikke muligt at identificere gevinster, der med høj grad af
sikkerhed kan føres tilbage til seniorbofællesskaber. De studier og undersøgel-
ser, der er foretaget, og som vi har kendskab til, der udtaler sig om samfunds-
mæssige gevinster, er efter vores bedste overbevisning også udfordret af disse
metodiske og datamæssige problemer med at håndtere selektionen på en
måde, så effekten fra seniorbofællesskabet står tydelig og selvstændigt frem.
93
BOU, Alm.del - 2022-23 (2. samling) - Bilag 68: Rapport om seniorbofællesskaber
6.1
Borgere i seniorbofællesskaber
I 2022 er der er 289 seniorbofællesskaber i Danmark med tilsammen 6.291 bo-
liger. I perioden fra 1995-2022 har 15.733 borgere på et tidspunkt i kortere el-
ler længere tid boet i et seniorbofællesskab.
Godt otte ud af ti seniorbofællesskaber har mellem 10 og 30 boliger, og ho-
vedparten – 44 % – af seniorbofællesskaberne er almene boliger, mens 30 %
er andelsboliger. Aarhus, Vejle, Odense, Næstved og kommuner i hovedstads-
området er de kommuner, der har flest seniorbofællesskaber; de har alle mere
end syv seniorbofællesskaber hver især.
Borgere, der flytter i seniorbofællesskaber, er i gennemsnit mere ressource-
stærke end sammenlignelige 68-årige borgere i befolkningen og i særlig grad
sammenlignet med borgere, der bor i almene ældreboliger. Borgere i seniorbo-
fællesskaber ligner ressourcemæssigt borgere, der angiver en præference for
at ville bo i et seniorbofællesskab i fremtiden.
61 % af borgere i seniorbofællesskaber har en kompetencegivende uddan-
nelse. Det er en højere andel end blandt gennemsnitlige 68-årige borgere.
19 % er i beskæftigelse, når de flytter ind seniorbofællesskaber, og 58 % er
folkepensionister. Borgere i seniorbofællesskaber har endvidere en højere
gennemsnitlig disponibel indkomst end borgere i ældreboliger og 68-årige
borgere i populationen.
For hovedparten af borgere i seniorbofællesskaber er der ikke indtruffet store
livsbegivenheder som at miste en partner, opleve en lang indlæggelse på hos-
pital eller tilbagetrækning fra arbejdsmarkedet hverken 1 år eller 2 år, før de
flytter ind i et seniorbofællesskab.
Både i forhold til psykiatriske diagnoser og kronisk sygdom er det langt mindre
forekommende blandt borgere i seniorbofællesskaber sammenlignet med bor-
gere i almene ældreboliger. Borgere i seniorbofællesskaber ligger på niveau
med borgere, der angiver en præference for i fremtiden at ville bo i seniorbo-
fællesskab samt med 68-årige borgere i befolkningen. Borgere, der flytter i
seniorbofællesskaber, har ligeledes samme erfaring med indlæggelsesperio-
der på hospital som borgere med præference for seniorbofællesskab og 68-
årige generelt.
Endelig forholder det sig således, at en ganske lille andel, 1,2 %, af borgerne
modtager en social ydelse efter serviceloven, når de flytter i seniorbofælles-
skaber. Til sammenligning er det 6 % af borgerne, der modtager sådanne ydel-
ser, når de flytter i ældreboliger.
94
BOU, Alm.del - 2022-23 (2. samling) - Bilag 68: Rapport om seniorbofællesskaber
Når vi anvender udsagn om fællesskab og socialt engagement blandt borgere
med præference for seniorbofællesskab som udtryk fællesskab og socialt enga-
gement hos borgere, der
bor
i seniorbofællesskaber, tegner der sig et billede af,
at borgere i seniorbofællesskab forud for seniorbofællesskabet har er stort be-
hov for fællesskab og socialt samvær, og at de tilsvarende også er mere socialt
aktive i en række forskellige aktiviteter, samtidig med at de selvvurderer deres
helbred til alt i alt at være godt sammenlignet med borgere uden præference for
seniorbofællesskab. Dermed forekommer borgere i seniorbofællesskaber at ud-
gøre en særlig gruppe af ressourcestærke borgere, der har et relativt højt ni-
veau af engagement og deltagelse i fællesskaber, socialt samvær og aktiviteter
generelt.
Interview med borgere i seniorbofællesskaber peger ligeledes i retning af, at
der for disse borgere er tale om et bevidst tilvalg af netop et seniorbofælles-
skab med henblik på at nedskalere til en overkommelig bolig med mindst mulig
vedligeholdelse og med henblik på at investere i at kunne opretholde fælles-
skab og socialt samvær også sent i livet, når mobilitet og helbred måske be-
grænser deres engagement i de fællesskaber og socialt samvær, som de har
forud for indflytning i seniorbofællesskab.
6.2
Tegn på gevinster ved at bo i
seniorbofællesskab
Der kan være tendens til, at der på enkelte dimensioner af fællesskab og na-
boskab sker forbedringer for borgere, efter de flytter ind i seniorbofællesskab.
Der er en signifikant positiv udvikling i andelen af borgere, der – efter de flyt-
ter i seniorbofællesskab – bliver gode venner med naboer og kommer en del
sammen med dem. På øvrige dimensioner af fællesskab og socialt samvær er
der ikke tegn på, at der sker en signifikant forbedring efter indflytning i senior-
bofællesskaber, men omvendt er der heller ingen forværring. Dermed kan det
være, at seniorbofællesskabet er med til at opretholde et niveau af fællesskab
og socialt samvær, som måske ellers ville være blevet reduceret.
Interview med borgere peger på, at de er engagerede i fællesskab og socialt
samvær, og at seniorbofællesskabet således har indfriet deres forventninger.
De fremhæver tilsvarende, at det er vigtigt, at man som borger i et seniorbo-
fællesskab er opsøgende i forhold til fællesskab og godt naboskab, så hvis
man ikke er det i udgangspunktet, kan seniorbofællesskabet ikke løse dette.
Derudover viser interviewene, at borgerne i seniorbofællesskabet har en stor
grad af villighed til at hjælpe hinanden, men de er også meget tydelige i, at de
ikke kan fungere som professionelle håndværkere eller sosu-hjælpere.
95
BOU, Alm.del - 2022-23 (2. samling) - Bilag 68: Rapport om seniorbofællesskaber
Når det gælder øget beskæftigelse og reduceret forbrug af hjemmehjælp er
der ikke nogen tegn på, at seniorbofællesskaber bidrager til øget beskæfti-
gelse eller mindre forbrug af hjemmehjælp. Der er en tendens til, at kvinder i
seniorbofællesskaber har en lavere gennemsnitlig beskæftigelsesgrad, efter
de modtager efterløn og folkepension end kvinder i befolkningen. Ligeledes er
der en tendens til, at relativt flere borgere i seniorbofællesskaber får hjemme-
hjælp, men omfanget af hjemmehjælp svarer til en sammenlignelig gruppe af
befolkningen. Når vi ser på omfanget af hjemmehjælp delt op på hjemmehjælp
til praktiske gøremål og til personlig pleje, ser vi, at der er en relativ højere an-
del af borgere i seniorbofællesskaber, der modtager hjemmehjælp til praktiske
gøremål sammenlignet med befolkningen, og at niveauet for hjemmehjælp til
personlig pleje blandt borgere i seniorbofællesskaber er på niveau med be-
folkningen generelt. Endelig kan vi se, at borgere i seniorbofællesskaber sam-
menlignet med borgere i ældreboliger generelt oftere har kontakt til læge og
på den måde oftere får en lægelig vurdering af deres helbred end borgere i al-
mene ældreboliger.
6.3
Seniorbofællesskabets bidrag til en god
alderdom
Seniorbofællesskabet ser ud til at kunne tilbyde rammer for fællesskab og so-
cialt samvær, der formentlig kan indløse gevinster i form af gode naboskabs-
relationer og forebyggelse af ensomhed, der kan følge med, når ens fysiske og
mentale helbred gør, at man ikke kan opretholde fællesskaber i andre sam-
menhænge end det sted, man bor.
Der er ikke tegn på, at borgerne systematisk får det bedre hverken personligt,
socialt eller helbredsmæssigt af at flytte ind i seniorbofællesskaber. Ligeledes
er der ikke tegn på, at seniorbofællesskabet kan kompensere for eller forsinke
aldersbetingede forhold som større grad af fysiske udfordringer og øget behov
for hjemmehjælp.
Meget i de empiriske analyser peger på, at det valg, som borgere træffer om at
flytte i seniorbofællesskaber som en slags investering i alderdommen, er et
valg, der er forankret i tidlige præferencer og i andre valg om fx uddannelse,
beskæftigelse, deltagelse i fællesskaber mv. tidligere i livet. Valget af seniorbo-
fællesskab falder således i forlængelse af tidligere præferencer og tidligere
valg. Dette forhold rejser et spørgsmål om, hvem et seniorbofællesskab kan
være en værdi for. De kvalitative interviews med borgere i seniorbofællesskaber
peget ret entydigt på, at for at der kan indhøstes positive gevinster ved at bo
sammen med andre seniorer, skal man være villig til at investere i fællesskabet,
og man skal være villig til acceptere, at fællesskabets interesser står over den
96
BOU, Alm.del - 2022-23 (2. samling) - Bilag 68: Rapport om seniorbofællesskaber
enkeltes interesse, når der skal træffes fælles beslutninger. Endvidere er det
også tydeligt i interviewene, at den enkelte borger selv skal være opsøgende i
forhold til socialt samvær og fællesskab. Det peger indirekte på, at hvis en bor-
ger ikke selv er særligt udadvendt eller opsøgende, er det ikke sikkert, at den
pågældende bliver en del af fællesskabet; man kan ikke regne med, at andre vil
eller kan løfte en isoleret og ensom borger ind i fællesskabet – slet ikke, hvis
borgeren er ensom og isoleret allerede på indflytningstidspunktet.
Når vi kigger på populationen af borgere i seniorbofællesskaber og i ældreboli-
ger, er det tydeligt, at der er markante forskelle i forhold til uddannelsesniveau,
indkomst samt fysisk og mentalt helbred. Det peger på, at den sociale ulighed,
som vi godt kender til i samfundet, også kendetegner den ældre del af befolk-
ningen. Disse resultater peger måske i højere grad på, at der er behov for kom-
penserende indsatser, som har fokus på fysisk og mentalt helbred forud for al-
derdommen for at skabe den bedst mulige alderdom også for borgere i udsatte
positioner frem for at satse på, at seniorbofællesskabet kan forebygge disse
forhold.
97
BOU, Alm.del - 2022-23 (2. samling) - Bilag 68: Rapport om seniorbofællesskaber
Litteratur
Abramsson, M. (2014).
Lifestyle motives as reasons for moving to senior
housing
. The Retirement Migration Seminar, NISAL, Linköping University
16 Sept 2014.
Abramsson, M., & Andersson, E. (2012). Residential Mobility Patterns of
Elderly—Leaving the House for an Apartment.
Housing Studies
,
27
(5),
582–604.
Althus, D. E., & Mathews, R. M. (2002). Comparing the Satisfaction of Rural
Seniors with Housing Co-Ops and Congregate Apartments: Is Home
Ownership Important?
Journal of Housing for the Elderly
,
16
(1–2), 39–50.
Arbell, Y. (2022). Beyond Affordability: English Cohousing Communities ad
White Middle-Class Spaces.
Housing, Theory and Society
,
39
(4), 442–
463.
BL-Analyse. (2021).
Almene seniorbofællesskaber - hvem, hvorfor og hvordan
.
BL - Danmarks Almene Boliger.
Breeze, E., Jones, D. A., Willkenson, P., Bulpitt, C. J., Grundy, C., Latif, A. M., &
E., F. A. (2005). Area Deprivation, Social Class, and Quality of Life among
People aged 75 Years and over in Britain.
International Journal of
Epidemiology
,
34
(2), 276–283.
Buys, L. R. (2001). Life in a Retirement Village: Implications for Contact with
Community and Village Friends.
Gerontology
,
47
(1), 55–59.
Carr, S., & Fang, C. (2022). “We Are Good Neighbours, But We Are Not
Carers!”: Lived Experiences of Conflicting (In)dependence Needs in
Retirement Villages Across the United Kingdom and Australia.
The
Gerontogical Society of America
,
62
(7), 974–983.
Christensen, G., & Winkler, A. (2022).
Sociale fællesskabers betydning for
livskvalitet i seniorbofællesskab: Analyse af ændringer i livskvalitet blandt
ældre, der flytter i seniorbofællesskab
. VIVE.
Egsgaard, A. (2022). Home after Widowhood: A Longitudinal Study of
Residential Mobility and Housing Preferences Following a Partner’s
Death.
Housing Studies
, 1–26.
Elwert, F., & Christakis, N. A. (2008). The Effect of Widowhood on Mortality by
the Causes of Death of Both Spouses.
American Journal of Public Health
,
98
(11), 2029–2098.
Gaspar, A. (2018). Teaching Anthropology Speculatively.
Cadernos de Arte e
Antropologia
,
7
(2), 75–90.
98
BOU, Alm.del - 2022-23 (2. samling) - Bilag 68: Rapport om seniorbofællesskaber
Halkier. (2010). Fokusgrupper. In S. Brinkmann & L. Tanggaard (Eds.),
Kvalitative metoder: En grundbog
. Hans Reitzels Forlag.
Hansen, E. B., & Gottschalk, G. (2006). What Makes Older People Consider
Moving House and What Makes Them Move?
Housing, Theory and
Society
,
23
(1), 34–54.
Hill, K., & Sutton, L. (2010).
Housing Transitions: Older People’s Changing
Housing Needs
. Centre for Research in Social Policy.
Jensen, J. O., Stender, M., Andersen, H. S., Beck, A. F., Madsen, R., & Nielsen-
Englyst, C. (2022).
Kortlægning og analyse af bofællesskaber i Danmark
.
BUILD, Aalborg Universitet.
Kearns, A., Whitley, A., Tannahill, C., & Ellaway, A. (2015). “Lonesome Town”?
Is Lonelisness Associated with The Residential environment, Including
Housing and Neigbhourhoood Factors?
Journal of Community
Psychology
,
43
(7), 849–867.
Kulander, M. (2018). Moving Later in Life – Preferences and Opportunity.
International Journal of Housing Markets and Analysis
,
11
(5), 852–874.
Kvale, S., & Brinkmann, S. (2008).
InterView: Introduktion til et håndværk
. Hans
Reitzels Forlag.
McKnight, M. L., Sanders, S. R., Gibbs, B. G., & Brown, R. B. (2017).
Communities of Place? New Evidence for the Role of Distance and
Population Size in Community Attachmen.
Rural Sociology
,
82
(2), 291–
317.
Nielsen, K. T. (2022).
Kortlægning af seniorbofællesskaber 2021. Realdanie
“Rum og fællesskab for ældre”. PowerPoint præsentation
. Methods.
Nielsen, K. T., & Pedersen, M. (2016).
Seniorbofællesskaber. Afleveret til
Realdania den 25. maj 2016. PowerPoint præsentation
. Methods.
O’Reilly, K. (2005).
Ethnographic Methods
. Routledge.
Perry, T. E. (2014). Moving as a Gift: Relocation in Older Adulthood.
Journal of
Aging Studies
,
31
, 1–9.
Rambøll. (2016).
Analyse af sammenhængen mellem boligformer og
samfundsøkonomiske udgifter til ældre
. Realdania & Rambøll.
Realdania. (2020).
Antallet af seniorbofællesskaber stiger markant
.
https://realdania.dk/nyheder/2020/03/antallet-af-seniorbofaellesskaber-
stiger-markant
Rinehardt, B. H. (2002). Senior Housing: Pathway to Service Utilization.
Journal of Gerontological Social Work
,
39
(3), 57–75.
99
BOU, Alm.del - 2022-23 (2. samling) - Bilag 68: Rapport om seniorbofællesskaber
Siren, A., & Larsen, M. R. (2019).
Ældres boligsituation og fremtidige
boligønske
. VIVE.
Siren, A., & Poulsen, M. H. (2016).
Afrapportering, projektet ”Sammenhængen
mellem boligformer og livskvalitet for ældre”
. SFI.
Skak, M., & Bloze, G. (2014).
Flyttemønstre, indkomster og formuer blandt
ældre personer og husholdninger
. Boligøkonomisk Videncenter.
Sugiyama, T., Thompson, C. W., & Alves, S. (2009). Associations Between
Neighbourhood Open Space Attributes and Quality of Life for Older
People in Britan.
Environment and Behavior
,
41
(1), 3–21.
Tyvimaa, T. (2011). Social and Physical Environments in Senior Communities:
The Finnish experience.
International Journal of Housing Markets and
Analysis
,
4
(3), 197–209.
100
BOU, Alm.del - 2022-23 (2. samling) - Bilag 68: Rapport om seniorbofællesskaber
Bilag 1 Data
Til de beskrivende analyser af borgere i seniorbofælleskaber og i de populati-
oner, vi benytter til de forskellige sammenligninger, anvender vi data fra føl-
gende datakilder:
Data på seniorbofællesskaber
Registerdata fra Danmarks Statistik
Data fra Ældredatabasen
Landsbyggefondens huslejeregister.
I det følgende beskriver vi først, hvordan vi har identificeret seniorbofælles-
skaber; derefter registerdataene fra Danmarks Statistik, Ældredatabasen samt
Landsbyggefonden.
Identifikation af seniorbofællesskaber: Metodebeskrivelse
for kortlægning af seniorbofællesskaber
Kortlægningen af seniorbofællesskaber i Danmark er udarbejdet med udgangs-
punkt i en kortlægning udarbejdet af Methods for Realdania i 2021 (Nielsen,
2022). Med udgangspunkt i Methods’ kortlægning har vi foretaget en eksplora-
tiv søgning efter de opgjorte seniorbofællesskabers adresser på baggrund af
den foreliggende information fra Methods. Søgningen efter og identificeringen
af seniorbofællesskabernes adresser er udført jf. følgende
fremgangsmåde:
Trin 1) Indledende søgning efter adresser
Indledningsvis søgte vi på seniorbofællesskabets navn, by, beliggenhedskom-
mune, antal boliger, opførselsår og eventuelle bolig-, andels- eller ejerforenin-
ger. Denne indledende søgning ledte i de fleste tilfælde til seniorbofællesska-
bernes eventuelle egne hjemmesider, til eventuelle bolig-, andels- eller ejer-
foreningshjemmesider, eller til eventuel omtale af seniorbofællesskabet i me-
dier eller på øvrige hjemmesider såsom kommunale hjemmesider.
På baggrund af de første søgninger fik vi kendskab til forskellige opgørelser
over seniorbofællesskaber, som er udarbejdet af specifikke boligforeninger,
kommuner, interesseorganisationer, developere og foreninger. Den indledende
søgning indebar derfor også en systematisk søgning på
bofællesskab.dk
samt
på hjemmesider tilhørende Boligforeningen 3B, Lejerbo, KAB, DAB-Bolig, Aar-
hus Bolig, FABBO, CIVICA, PKA, PFA samt OK-Fonden.
101
BOU, Alm.del - 2022-23 (2. samling) - Bilag 68: Rapport om seniorbofællesskaber
Trin 1.1) Eventuel udvidet søgning efter adresser
Nogle tilfælde har krævet en mere udvidet og håndholdt søgning, hvortil infor-
mationer om seniorbofællesskabernes adresser i stedet er blevet fundet i ek-
sempelvis kommunale mødereferater, høringssvar, lokalplaner eller omtale på
sociale medier.
Trin 2) Identificering og validering af adresser
Efter den indledende søgning har vi krydstjekket de fundne adresser gennem
triangulering af information fra de forskellige førnævnte kilder samt via offent-
ligt tilgængelige geodata om matrikler, ejerforhold og foreningstilknytning fra
hjemmesiden
dingeo.dk.
Som led i identificeringen og valideringen af adresserne har vi i nogle tilfælde
endvidere foretaget opklarende opringninger til eksempelvis ejendomsadmini-
stratorer, foreninger eller specifikke borgere med tilknytning til de fundne
adresser.
Trin 3) Eksplorativ søgning efter øvrige seniorbofællesskaber
I forbindelse med trin 1 og trin 2 fik vi kendskab til øvrige seniorbofællesska-
ber, som ikke fremgik af kortlægningen fra Methods. Løbende med adresse-
søgningen har vi således tilføjet flere seniorbofællesskaber, for hvilke samme
procedure for identificering og validering af adresser blev foretaget.
Efter at have identificeret adresser på samtlige seniorbofællesskaber fra Me-
thods kortlægning foretog vi yderligere en eksplorativ søgning efter øvrige se-
niorbofællesskaber. Denne søgning blev foretaget som
snowballing
med ud-
gangspunkt i de kilder, vi havde benyttet i trin 1 og trin 2.
Trin 4) Søgning efter seniorbofællesskaber på kommuneniveau
I vores kortlægning identificerede vi indledningsvis seniorbofællesskaber i 83
ud af 98 danske kommuner. Sluttelig foretog vi derfor en eksplorativ søgning
efter seniorbofællesskaber i de resterende kommuner, som ikke var repræ-
senteret i kortlægningen.
102
BOU, Alm.del - 2022-23 (2. samling) - Bilag 68: Rapport om seniorbofællesskaber
2740823_0103.png
Registerdata fra Danmarks Statistik
I denne rapport anvender vi oplysninger fra Danmarks Statistiks registre for
perioden 1980-2022. For denne periode har vi oplysninger om hele befolknin-
gen. Hertil har vi knyttet oplysninger fra Sundhedsdatastyrelsen.
4
Registre
I denne rapport anvender vi oplysninger fra følgende registre fra Danmarks
Statistik:
BEF – Befolkningen
BBR – Bygge- og boligregister (enheder)
BEFADR – Adresseregisteret
IEPE – indvandrere og efterkommere
UDDA – uddannelser (BUE)
IND – Indkomst
LPR – Landspatientregisteret diagnoser (DIAG)
LPSY – Landspatientregisteret psykiatri – oplysninger om diagnoser (DIAG)
SSSY – Sygesikringsregisteret
AKM – Beskæftigelse for lønmodtagere
DREAM – Beskæftigelsesministeriets forløbsdatabase
HANDIC – Handicapydelser (efter serviceloven)
AEFV – Ældredokumentation visiteret hjemmehjælp
AEPI – Ældredokumentation borgere på plejehjem bolig (imputeret).
I det følgende beskriver vi nogle af de variable, som vi anvender til analyserne
i denne rapport.
Oprindelse
I enkelte analyser deler vi op i to grupper: personer med herkomst i et MENAPT-
land og personer med herkomst i et ikke-MENAPT-land. MENAPT-lande omfat-
ter Syrien, Kuwait, Libyen, Saudi-Arabien, Libanon, Somalia, Irak, Qatar, Sudan,
Bahrain, Djibouti, Jordan, Algeriet, Forenede Arabiske Emirater, Tunesien, Egyp-
ten, Marokko, Iran, Yemen, Mauretanien, Oman samt Afghanistan, Pakistan samt
Tyrkiet. Ikke-MENAPT indeholder Danmark og alle andre lande, der ikke er
MENAPT-lande.
4
Bemærk, at det ikke er alle registeroplysninger, vi har for hele perioden. Data fra 1980’erne og
1990’erne bruger vi udelukkende til at afgøre, om familiemedlemmer har oplevet misbrug, psykisk
sygdom og kriminalitet tilbage i tid og identificere uddannelsesbaggrund og beskæftigelse.
103
BOU, Alm.del - 2022-23 (2. samling) - Bilag 68: Rapport om seniorbofællesskaber
Uddannelsesoplysninger
Vi anvender højest fuldførte uddannelse i flere af analyserne i rapporten.
Tilknytningen til arbejdsmarkedet
Som mål for arbejdsmarkedstilknytningen på indflytningstidspunktet anvender
vi den socioøkonomiske klassifikation (SOCIO13). Den socioøkonomiske klas-
sifikation dannes ud fra oplysninger om personens væsentligste indkomstkilde
eller beskæftigelse i det pågældende år. Ud fra disse oplysninger fastlægges,
om personen er selvstændig, medarbejdende ægtefælle, lønmodtager, ar-
bejdsløs eller uden for arbejdsstyrken, herunder pensionist, kontanthjælps-
modtager eller uddannelsessøgende. Oplysninger om tilknytning til arbejds-
markedet er suppleret med oplysninger om deltagelse i uddannelse.
Beskæftigelsesgrad
Beskæftigelsesgraden er opgjort som andelen af timer i året (andel ud af fuld-
tidsbeskæftigelse), man er i lønnet arbejde, baseret på DREAM.
Indkomst
I beregningen af den gennemsnitlige disponible familieindkomst anvender vi
oplysninger om den disponible indkomst for hvert medlem af E-familien. Den
disponible indkomst beregnes som summen af erhvervsindkomst, offentlige
overførsler, private pensioner, formueindkomst samt anden personlig ind-
komst. Alle disse indkomster er før skat. Dernæst trækkes skatter, renteudgif-
ter og underholdsbidrag fra, og lejeværdi af egen bolig lægges til.
Psykisk lidelse
Vi måler psykisk lidelse på baggrund af data fra Landspatientregisteret, som in-
deholder oplysninger om alle kontakter til somatiske og psykiatriske sygehuse i
Danmark. De psykiske diagnoser, vi registrerer som en psykisk lidelse, omfatter
både svære psykiske lidelser som fx skizofreni, bipolar lidelse og borderline,
men også mere moderate psykiske lidelser såsom depression, angstlidelser,
OCD, spiseforstyrrelser, ADHD og adfærdsforstyrrelser. Bilagstabel 1.1 viser de
psykiatriske diagnoser med tilhørende ICD-10-diagnosekoder, som vi i denne
undersøgelse har defineret som en psykisk lidelse. Endelig er der en række psy-
kiske eller kognitive tilstande med lettere symptomer, som vi ikke medregner
som psykiske lidelser, fx kleptomani og ord- og talblindhed. Vi inddrager heller
ikke forskellige former for udviklingsforstyrrelser eller øvrige tilstande såsom
autisme, mental retardering og demens.
104
BOU, Alm.del - 2022-23 (2. samling) - Bilag 68: Rapport om seniorbofællesskaber
2740823_0105.png
I opgørelser af psykisk sygdom blandt familiemedlemmer anvender vi oplys-
ninger tilbage til 1995.
Bilagstabel 1.1
Diagnose
Skizofreni
Skizotypisk sindsli-
delse
Øvrige psykoser
Diagnoser for psykiske lidelser med tilhørende ICD-10-koder
ICD-10-kode
F20.0-20.9
F21.0-21.9
F22.0-29.9
F30.0-31.9
F60.3
F32.1, F32.2,
F32.8-32.9,
F33.1, F33.2,
F33.4-33.9
F32.2, F32.3,
F33.2, F33.3
F34.0-39.9
F40.0-41.9
F42.0-42.9
F43.0-43.9
F50.0-50.9
F60.0-60.30,
F60.32-62.9
F90.0-90.9,
F98.8C
F91.0-92.9
Indhold
-
-
Paranoide psykoser, induceret psykose, skizoaffektive psy-
koser mv.
Manisk enkeltepisode, bipolar affektiv sindslidelse mv.
Personlighedsforstyrrelser af borderline-typen
Depressiv enkeltepisode af lettere eller moderat grad, perio-
disk depression i episode af lettere eller moderat grad mv.
Mani og bipolar lidelse
Borderline
Let eller moderat de-
pression
Svær depression
Andre affektive lidelser
Angstlidelser
OCD
Svære belastnings- og
tilpasningsreaktioner
Spiseforstyrrelser
Personlighedsforstyr-
relser
ADHD
Adfærdsforstyrrelser
Depressiv enkeltepisode af svær grad, periodisk depression i
episode af svær grad mv.
Vedvarende affektive tilstande, andre affektive sindslidelser
eller tilstande mv.
Fobiske angsttilstande, andre angsttilstande, panikangst, ge-
neraliseret angst mv.
-
PTSD, akut belastningsreaktion, tilpasningsreaktion mv.
Nervøs spisevægring, nervøs spiseanfaldstilbøjelighed mv.
Specifikke forstyrrelser af personlighedsstrukturen, ikke-or-
ganiske personlighedsændringer, patologiske vane- og im-
pulshandlinger mv.
-
Usocialiseret adfærdsforstyrrelse, socialiseret adfærdsfor-
styrrelse, depressiv adfærdsforstyrrelse mv.
Herudover ser vi også i Sygesikringsregisteret (SSSY) på, om man har kontak-
tet egen læge med et formål omhandlende psykiske lidelser (fx demensudred-
ning, depressionstests), eller om man har været i kontakt med distriktspsyki-
atrien.
Hjemmehjælp
Vi baserer analyserne af hjemmehjælp på registeret for visiteret hjemmehjælp
AEFV.
105
BOU, Alm.del - 2022-23 (2. samling) - Bilag 68: Rapport om seniorbofællesskaber
Visiteret tid angives som et gennemsnitligt antal minutter pr. uge i en given må-
ned. Hvis der fx er angivet i data, at en person er visiteret til 300 minutter pr.
uge i en given måned, så finder man, jf. Danmarks Statistiks dokumentation, den
gennemsnitlige månedlige hjælp for personen ved at gange med 4,3 uger. Det
er dén variabel, vi kalder omfang. Det betyder ikke nødvendigvis, at personen
modtager hjemmehjælp hver uge; det kan også være, at personen i eksemplet
modtager i gennemsnit 600 minutter hver anden uge i dén måned. En borger
kan modtage hjemmehjælp fra flere forskellige leverandører (fx både en kom-
munal og en privat) eller flere forskellige kommuner (hvis man fx flytter kom-
mune i året, eller hvis man bor i én kommune og regelmæssigt kommer i aflast-
ning i en anden kommune). I tilfælde, hvor der er flere forskellige leverandører
for den samme borger i den samme måned, har vi summeret al hjælp i måneden
uanset leverandør.
Data på hjemmehjælp er imputeret i følgende omfang: Hvis en kommune har
indberettet et positivt forbrug af hjemmehjælp for en borger i et givet år, men
kommunen ikke har indberettet året efter, så antager Danmarks Statistik, at
personen stadig modtager hjemmehjælp året efter.
Plejehjem og plejeboliger
Borgere bosat på plejehjem eller i plejeboliger baseres på registeret for pleje-
hjem og plejeboliger AEPI fra Danmarks Statistik. Dette register er igen base-
ret delvist på kommuners indberetninger af borgere på plejehjem og i plejebo-
liger, og delvist på, at Danmarks Statistik imputerer ud fra en række kriterier,
bl.a. om personer over 80 år, kendte plejehjemsadresser og andelen af 80+-
årige bosat på samme adresse.
Data fra Ældredatabasen
Ældredatabasen er et panel data survey vedrørende ældres livskvalitet, som
VIVE har kørt hvert 5. år siden 1997. Den sidste tilgængelige wave i surveyet,
som er den 5. wave, er fra 2017, og den 6. wave, som blev indsamlet i 2022,
bliver tilgængelig i løbet af 2023/2024.
Respondenterne er udtrukket blandt et repræsentativt udsnit af folk i alderen
50 år og opefter – første gang i 1997, og i de efterfølgende waves i 2002,
2007, 2012 og 2017 er respondenterne forsøgt geninterviewet i dét omfang,
det har været muligt, og at de har ønsket at deltage i surveyet igen. Respon-
denterne i surveyet kan derfor optræde alt fra 1 til 5 gange.
Ældredatabasen indeholder mange spørgsmål, og batteriet af spørgsmål er
også blevet ændret undervejs. Af særlig interesse for dette projekt er først og
fremmest spørgsmålet om, hvorvidt man kunne tænke sig at bo i bofællesskab
106
BOU, Alm.del - 2022-23 (2. samling) - Bilag 68: Rapport om seniorbofællesskaber
med andre på ens egen alder – dvs. om man har en præference for at bo i se-
niorbofællesskab på et tidspunkt. Dette spørgsmål benytter vi til at danne bor-
gere med præference for seniorbofællesskab, også benævnt præferencepo-
pulationen. Spørgsmålet om præference for seniorbofællesskab er underlagt
et filter i de første 4 waves (1997, 2002, 2007 og 2012) og er derfor kun stillet
til de personer, som tidligere har svaret ja til, at de overvejer at flytte bolig in-
den for de næste 5 år. I 2017 er spørgsmålet stillet til alle uden filteret om ak-
tuelle flytteplaner. Vi benytter præferencepopulationen som en af vores sam-
menligningsgrupper for de personer, som bor i seniorbofællesskab, idet præ-
ferencepopulationen i hvert fald ligner seniorbofællesskabspopulationen på
dén parameter, at de begge er grupper, som har en præference for at bo i (se-
nior)bofællesskab, idet det at bo i bofællesskab ikke nødvendigvis er noget,
alle har en præference for – uanset alder.
En af de andre ideer i projektbeskrivelsen oprindeligt set var, at vi også ville
danne en population af de personer, som på et tidspunkt i Ældredatabasen har
sagt ja til, at de godt kunne tænke sig at flytte i seniorbofællesskab på et tids-
punkt, og som på et senere tidspunkt i vores data rent faktisk flytter i seniorbo-
fælleskab. Denne population ville vi så sammenligne med præferencepopulatio-
nen, og så ville vi have haft to populationer, der var helt ens på deres præfe-
rence for at bo i seniorbofællesskab, men hvor kun den ene rent faktisk gør det.
Dette ville være det tætteste, vi kunne komme på at sige noget om en virkning
af dét at bo i seniorbofællesskab (sammenlignet med ikke at gøre det). Dette
har imidlertid ikke været muligt, idet der er for få personer, som både optræder i
præferencepopulationen og i seniorbofællesskabspopulationen.
Derudover benytter vi spørgsmål om, hvor meget man ser andre mennesker,
og om det dækker ens sociale behov, om ens helbred (både selvvurderet og
spørgsmål, der fanger Activities of Daily Living), og om ens sociale aktiviteter
og andre fritidsaktiviteter, samt spørgsmål om, hvor godt man kender sine na-
boer. En oversigt over de benyttede spørgsmål ses i Bilagstabel 1.2.
Ældredatabasen indeholder i alt 18.914 respondenter, hvor en del optræder
flere gange. Vi danner følgende forskellige populationer baseret på personer i
Ældredatabasen:
107
BOU, Alm.del - 2022-23 (2. samling) - Bilag 68: Rapport om seniorbofællesskaber
2740823_0108.png
Bilagstabel 1.2
Population
Oversigt over population, personer og besvarelse
Beskrivelse
Personer, der har udtrykt en
præference for at bo i senior-
bofællesskab, hvor vi tager
udgangspunkt i, at de svarer
ja mindst én gang, og vi tager
første gang, de svarer ja
Personer, der aldrig har ud-
trykt en præference for at bo i
seniorbofællesskab, hvor vi
tager udgangspunkt i, at de
svarer nej eller ved ikke alle
gange, de er blevet spurgt
Personer, som på et tidspunkt
flytter i seniorbofællesskab,
og som også på et eller flere
tidspunkter optræder i Ældre-
databasen
Heraf personer, som optræ-
der i Ældredatabasen,
både
før og efter de flytter i senior-
bofællesskab
Personer, der bor i ældrebolig
og som optræder i Ældreda-
tabasen, samtidig med at de
er bosiddende i deres ældre-
bolig, fratrukket personer fra
præferencepopulationen (40
personer)
Antal personer
4.030 personer
Antal besvarelser
4.030* besvarelser
Præferencepopulation
Personer uden præfe-
rence
7.962 personer**
7.962 besvarelser
Overlap med seniorbofæl-
lesskabspopulationen
113 personer
324 besvarelser
50 personer
184 besvarelser
Overlap med ældreboliger
159 personer
227 besvarelser
* I de tilfælde, hvor den samme person optræder i Ældredatabasen flere gange, benytter vi besvarelsen fra før-
ste gang, de svarer ja til seniorbofællesskabs præference.
** I alt er kun 11.992 personer er blevet stillet spørgsmålet om præference for seniorbofællesskab, idet dette
spørgsmål var underlagt et filter om aktuelle flytteplaner i årene 1997, 2002, 2007 og 2012. Derfor summe-
rer de to populationer ikke til 18.914.
Landsbyggefondens huslejeregister
Ældreboliger
Vi anvender Landsbyggefondens huslejeregister over almene boliger til at
identificere ældreboliger. Registeret indeholder information om, hvilke boliger
der er ældreboliger, og denne information opdateres årligt. Landsbyggefon-
dens huslejeregister er tilgængeligt fra 2013 og frem, og vi kan således i peri-
oden 2013-2020 se præcis på boligenhedsniveau, hvilke boliger, der er (al-
mene) ældreboliger. Vi har endvidere valgt at ekstrapolere tilbage i tid ud fra
denne data på følgende måde: Vi trækker ældreboligerne (på adresseniveau)
tilbage i tid til 2007, dvs. vi antager, at ældreboliger i 2013-2020 også var æl-
dreboliger tilbage i tid til 2007. Endvidere trækker vi ældreboligerne tilbage i
tid fra 2007 så langt tilbage, som det er de samme beboere, der bor i dem.
108
BOU, Alm.del - 2022-23 (2. samling) - Bilag 68: Rapport om seniorbofællesskaber
Sluttelig lægger vi hele vejen igennem en aldersbegrænsning på om, at mindst
én af beboerne i en given bolig skal være mindst 50 år ved indflytning, samt at
der ingen hjemmeboende børn er. Formålet med at lave aldersrestriktionen og
restriktionen om ingen hjemmeboende børn er at forsøge at frasortere beboere,
som er unge, og som bor i en ældrebolig, fx fordi de har et handicap. Denne
ekstrapolering er grunden til, at antallet af beboere i ældreboliger i vores opgø-
relser er lavere, men stigende i årene inden 2013, hvorfra der hvert bor ca.
34.000 personer i ældreboliger i Danmark. Det vil sige, at i årene 1986-2012 får
vi ikke alle beboere i ældreboliger med i vores opgørelser, men jo tættere vi
kommer på 2013, jo mere præcis bliver vores opgørelse, og fra 2013 og frem er
vores opgørelse helt præcis.
109
BOU, Alm.del - 2022-23 (2. samling) - Bilag 68: Rapport om seniorbofællesskaber
2740823_0110.png
Bilag 2 Supplerende figurer til kapitel 3
Bilagsfigur 2.1
Borgeres ophør i en ældrebolig
90,0%
80,0%
70,0%
60,0%
50,0%
40,0%
30,0%
20,0%
10,0%
0,0%
2007 2008 2009 2010 2011 2012 2013 2014 2015 2016 2017 2018 2019 2020
ophør i seniorbofællesskabet
ophør på grund af flytning
ophør på grund af død
Anm.: N (ophør i seniorbofællesskab) = 32.122-34.375; N (ophør pga. flytning) = 5.550-6.428; N (ophør pga. død) =
5.550-6.428.
Kilde:
Danmarks Statistik og egne beregninger.
110
BOU, Alm.del - 2022-23 (2. samling) - Bilag 68: Rapport om seniorbofællesskaber
2740823_0111.png
Bilag 3 Supplerende figurer og tabeller til kapitel 5
En regression, der viser, at alder har en stor betydning for omfanget af hjem-
mehjælp. Vi estimerer en fixed effects-model for alle personer, som får (er vi-
siteret til) hjemmehjælp af, hvor meget at dét, at man bliver 1 år ældre, øger
det gennemsnitlige antal minutters hjemmehjælp pr. måned i gennemsnit. For
det første finder vi via Hausman test af en fixed effects-model mod en random
effects-model, at fixed effects-estimatoren er den rigtige (konsistente) esti-
mator. Fixed effects-estimatoren viser, at – givet at man får hjemmehjælp – så
vil omfanget af ens visiterede hjemmehjælp i gennemsnit øges med ca. 100
minutter pr. måned for hvert år, man bliver ældre. Vi ser endvidere, at den del
af variationen i omfanget af hjemmehjælp, som kan forklares af ”within varia-
tion” (dvs. variationen for den samme person), er ca. 9 %, mens den del af va-
riationen i omfanget af hjemmehjælp, som kan forklares af forskellen i alder
mellem personer er langt mindre – på 0,15 %. Dette viser, at en langt større del
af forskellene i omfanget af hjemmehjælp kan forklares af, at personerne bli-
ver ældre, mens en langt mindre kan forklares af forskelle i alder mellem for-
skellige personer. Samtidig viser regressionerne også, at mange andre fakto-
rer har indflydelse på omfanget af hjemmehjælp, man kan modtage, idet om-
kring 90 % af variationen i omfanget ikke kan forklares af alder alene.
Bilagstabel 3.1
Sammenhængen mellem omfanget af hjemmehjælp og alder
(1) Fixed effects
Alder
101.237***
(0.247)
(2) Random effects
44.199***
(0.160)
(3) Poolet OLS
7.398***
(0.111)
Konstantleddet
-7.265.150***
(19.879)
-2.606.704***
(12.932)
2.244.590
277.830***
(9.015)
2.244.590
Antal observationer
2.244.590
Anm.: Standardafvigelser I parenteser. * p < 0.1, ** p < 0.05, *** p < 0.01
Note:
Kilde:
Hausman test for fixed effects mod random effects forkaster nulhypotesen om random effects med p = 0.000.
Danmarks Statistik og egne beregninger.
111
BOU, Alm.del - 2022-23 (2. samling) - Bilag 68: Rapport om seniorbofællesskaber
2740823_0112.png
Bilagsfigur 3.1
Gennemsnittet af omfanget af hjemmehjælp over tid
opgjort for seniorbofællesskaber, befolkningen og
befolkningen uden ældreboliger og plejehjem
1000
900
800
700
600
500
400
300
200
100
0
2008 2009 2010 2011 2012 2013 2014 2015 2016 2017 2018 2019 2020 2021
Seniorbofællesskaber, mean
Befolkningen, mean
Befolkningen uden ældreboliger og plejehjem, mean
Anm.: Over årene 2008-2021: 60-70-årige: N (seniorbofællesskaber) = 51-104; N (befolkningen) = 20.047-25.653; N
(befolkningen uden ældreboliger og plejehjem) = 17.471-23.269. 70-80-årige: N (seniorbofællesskaber) = 259-
445; N (befolkningen) = 41.266-53.511; N (befolkningen uden ældreboliger og plejehjem) = 35.815-47.504. 80-90-
årige: N (seniorbofællesskaber) = 501-838; N (befolkningen) = 60.841-80.479; N (befolkningen uden ældreboliger
og plejehjem) = 51.909-69.372. 90+-årige: N (seniorbofællesskaber) = 68-340; N (befolkningen) = 20.524-
30.986; N (befolkningen uden ældreboliger og plejehjem) = 16.899-26.883.
Kilde:
Danmarks Statistik og egne beregninger.
112
BOU, Alm.del - 2022-23 (2. samling) - Bilag 68: Rapport om seniorbofællesskaber
2740823_0113.png
Bilagsfigur 3.2
Forskellen på niveauet ved 95 %-percentilen i fordelingen
af omfanget af hjemmehjælp for seniorbofællesskaber og
befolkningen uden ældreboliger og plejehjem
900
800
700
600
500
400
300
200
100
0
2008 2009 2010 2011 2012 2013 2014 2015 2016 2017 2018 2019 2020 2021
Forskel på seniorbof og Bef_uden, medianen
Forskel på seniorbof og Bef_uden på 95%
Anm.: Over årene 2008-2021: 60-70-årige: N (seniorbofællesskaber) = 51-104; N (befolkningen) = 20.047-25.653;
N (befolkningen uden ældreboliger og plejehjem) = 17.471-23.269. 70-80-årige: N (seniorbofællesskaber) = 259-
445; N (befolkningen) = 41.266-53.511; N (befolkningen uden ældreboliger og plejehjem) = 35.815-47.504. 80-90-
årige: N (seniorbofællesskaber) = 501-838; N (befolkningen) = 60.841-80.479; N (befolkningen uden ældreboliger
og plejehjem) = 51.909-69.372. 90+-årige: N (seniorbofællesskaber) = 68-340; N (befolkningen) = 20.524-
30.986; N (befolkningen uden ældreboliger og plejehjem) = 16.899-26.883.
Kilde:
Danmarks Statistik og egne beregninger.
113
BOU, Alm.del - 2022-23 (2. samling) - Bilag 68: Rapport om seniorbofællesskaber
2740823_0114.png
Bilagsfigur 3.3
Gennemsnitlig alder for personer i seniorbofællesskab i
præferencepopulationen og i befolkningen
80
75
70
65
60
55
50
2011
2012
2013
2014
2015
2016
2017
2018
2019
2020
2021
Seniorbof
Præference for seniorbof
Befolkninng
Anm.: N (seniorbofællesskab) = 12.336; N (præference for seniorbofællesskab) = 3.875; N (befolkning) = 2.135.202-
2.411.146
Kilde:
Danmarks Statistik og egne beregninger.
Bilagstabel 3.2
Propensity Score Matching-regressionsanalyser af andelene,
der får hjemmehjælp, og omfanget af hjemmehjælp for
seniorbofællesskaber sammenlignet med befolkningen.
Regressionskoefficienter og p-værdier.
p-værdi
hørende
til Model
(1)
0.378
0.118
0.408
0.702
0.391
0.421
0.104
0.194
0.000
Model
(2)
koeffici-
ent
-322
-199
-265
-178
-114
-131
-215
-176
-188
p-værdi
hørende
til Model
(2)
0.000
0.000
0.000
0.002
0.031
0.012
0.000
0.001
0.000
Model
(3)
koeffici-
ent
0.013
0.033
0.019
0.025
0.029
0.026
0.033
0.029
0.046
p-værdi
hørende
til Model
(3)
0.035
0.000
0.003
0.000
0.000
0.000
0.000
0.000
0.000
Model
(4)
koeffici-
ent
33.42
98.05
57.14
183.96
151.93
123.20
85.86
61.54
89.07
p-værdi
hørende
til Model
(4)
0.413
0.015
0.202
0.000
0.000
0.004
0.044
0.136
0.024
År
Model
(1)
koeffici-
ent
-0.005
0.010
-0.005
0.002
0.005
0.005
0.010
0.008
0.022
2008
2009
2010
2011
2012
2013
2014
2015
2016
114
BOU, Alm.del - 2022-23 (2. samling) - Bilag 68: Rapport om seniorbofællesskaber
2740823_0115.png
År
Model
(1)
koeffici-
ent
0.021
0.020
0.012
0.008
0.014
p-værdi
hørende
til Model
(1)
0.001
0.001
0.057
0.175
0.013
Model
(2)
koeffici-
ent
-211
-196
-166
-232
-167
p-værdi
hørende
til Model
(2)
0.000
0.000
0.001
0.000
0.000
Model
(3)
koeffici-
ent
0.041
0.044
0.021
0.007
0.022
p-værdi
hørende
til Model
(3)
0.000
0.000
0.001
0.200
0.000
Model
(4)
koeffici-
ent
61.34
122.93
75.2
-179.5
-145.7
p-værdi
hørende
til Model
(4)
0.125
0.002
0.070
0.001
0.001
2017
2018
2019
2020
2021
Anm.: Model (1) er regressioner af andelen, der modtager hjemmehjælp, på en dummy for seniorbofællesskab for sammenlig-
ningsgruppe fundet ved Propensity Score Matching på alder, køn, oprindelse og kronisk sygdom fra befolkningen.
Model (2) er regressioner af omfanget af hjemmehjælp på en dummy for seniorbofællesskab for sammenligningsgruppe
fundet ved Propensity Score Matching på alder, køn, oprindelse og kronisk sygdom fra befolkningen.
Model (3) er regressioner af andelen, der modtager hjemmehjælp, på en dummy for seniorbofællesskab for sammenlig-
ningsgruppe fundet ved Propensity Score Matching på alder, køn, oprindelse og kronisk sygdom fra befolkningen uden
den 5 % mest plejekrævende andel.
Model (4) er regressioner af omfanget af hjemmehjælp på en dummy for seniorbofællesskab for sammenligningsgruppe
fundet ved Propensity Score Matching på alder, køn, oprindelse og kronisk sygdom fra befolkningen uden den 5 % mest
plejekrævende andel.
Note:
Kilde:
Model (1) og (3): N (12.570-15.972). Model (2) og (4): N (2.140-3.045)
Danmarks Statistik og egne beregninger.
Bilagsfigur 3.4
Andelen, der får hjemmehjælp, præference for
seniorbofællesskab
70,0
60,0
50,0
40,0
30,0
20,0
10,0
0,0
2011
2012
2013
2014
2015
2016
2017
2018
2019
2020
2021
Mellem 50 og 60 år gammel
Mellem 70 og 80 år gammel
90 år og derover
Mellem 60 og 70 år gammel
Mellem 80 og 90 år gammel
Anm.: N (50-60-årige) = 436-1.331; N (60-70-årige) = 1.294-1.419; N (70-80-årige) = 569-1.256; N (80-90-årige) = 142-
498; N (90+-årige) = 15-93.
Kilde:
Danmarks Statistik og egne beregninger.
115
BOU, Alm.del - 2022-23 (2. samling) - Bilag 68: Rapport om seniorbofællesskaber
2740823_0116.png
Bilagsfigur 3.5
70,0
60,0
50,0
40,0
30,0
20,0
10,0
0,0
2011
Andelen, der får hjemmehjælp, befolkningen
2012
2013
2014
2015
2016
2017
2018
2019
2020
2021
Mellem 50 og 60 år gammel
Mellem 70 og 80 år gammel
90 år og derover
Mellem 60 og 70 år gammel
Mellem 80 og 90 år gammel
Anm.: N (50-60-årige) = 7.501-10.880; N (60-70-årige) = 15.209-21.873; N (70-80-årige) = 31.670-48.453; N (80-90-
årige) = 47.810-68.108; N (90+-årige) = 20.227-28.579.
Kilde:
Danmarks Statistik og egne beregninger.
116
BOU, Alm.del - 2022-23 (2. samling) - Bilag 68: Rapport om seniorbofællesskaber
2740823_0117.png