Ældreudvalget 2022-23 (2. samling)
ÆLU Alm.del Bilag 3
Offentligt
2643728_0001.png
Evaluering af
afregningssystemet
for friplejehjem
Søren Kjær Foged og Ulf Hjelmar
ÆLU, Alm.del - 2022-23 (2. samling) - Bilag 3: Orientering om evaluering af afregningspriser for friplejeboliger
Evaluering af afregningssystemet for friplejehjem
© VIVE og forfatterne, 2023
e-ISBN: 978-87-7582-141-9
Arkivfoto: Mathilde Bech/Lars Degnbol/VIVE
Projekt: 302149/302150
Finansiering: Social- og Ældreministeriet
VIVE
Det Nationale Forsknings- og Analysecenter for Velfærd
Herluf Trolles Gade 11
1052 København K
www.vive.dk
VIVEs publikationer kan frit citeres med tydelig kildeangivelse.
ÆLU, Alm.del - 2022-23 (2. samling) - Bilag 3: Orientering om evaluering af afregningspriser for friplejeboliger
2643728_0003.png
Forord
Det nye afregningssystem for friplejeboliger trådte i kraft
den 1. juli 2015. Det nye afregningssystem afløste det
tidligere nationale afregningssystem, hvor leverandører
blev afregnet efter nationale takster.
Ifølge vejledningen på området er formålet med de nye af-
regningsregler at sikre sammenhæng mellem taksterne for
friplejeleverandørerne og det omkostnings- og serviceni-
veau, der eksisterer i den enkelte kommune. Denne evalu-
ering undersøger, i hvilken grad det nye afregningssystem
har bidraget til at skabe sammenhæng mellem taksterne
for friplejehjem og den enkelte kommunes omkostnings-
og serviceniveau.
Evalueringen bygger dels på en kortlægning af markedet
for friplejehjem, dels på interviews med repræsentanter
fra kommuner og leverandører i seks kommuner. VIVE
ønsker at takke alle de personer, som gav sig tid til at bi-
drage til evalueringen.
Rapporten er skrevet af chefanalytiker Søren Kjær Foged
og professor MSO Ulf Hjelmar. VIVE takker de to eks-
terne reviewere for at bidrage grundigt og konstruktivt til
kvalitetssikring af rapporten. Derudover rettes en tak til
de deltagende kommuner og friplejeleverandører. Under-
søgelsen er finansieret af Social- og Ældreministeriet.
Ulrik Hvidman
Forsknings- og analysechef for VIVE Styring og Ledelse
ÆLU, Alm.del - 2022-23 (2. samling) - Bilag 3: Orientering om evaluering af afregningspriser for friplejeboliger
2643728_0004.png
Indholdsfortegnelse
Hovedresultater
1
1.1
1.2
1.3
1.4
6
11
11
11
14
16
Formål og metode
Baggrund
Formål
Metode
Læsevejledning
2
2.1
2.2
2.3
2.4
Afregningssystemet for friplejehjem fra 2015
Friplejeboligloven og det tidligere afregningssystem
Det nye afregningssystem fra 2015
Den kommunale takstmodel
Opsummering
17
17
18
21
31
3
3.1
3.2
Markedet for friplejehjem
Antal og organiseringen af friplejehjem
Den kommunale udbredelse af friplejehjem
32
32
35
39
41
43
45
3.3 Antal pladser og markedsandel for friplejehjem
3.4 De anvendte afregningsmodeller
3.5
3.6
Afregningspriser blandt et udsnit af kommuner
Opsummering
4
4.1
4.2
Kommunernes syn på afregningssystemet
Overordnet syn på afregningssystemet
Afregningsmodeller og proces for takstfastsættelse
46
46
47
50
52
53
55
4.3 Takstgrundlag og takstberegninger
4.4 Borgere fra andre kommuner
4.5
4.6
Transaktionsomkostninger
Mulige forbedringer af afregningssystemet ifølge kommunerne
ÆLU, Alm.del - 2022-23 (2. samling) - Bilag 3: Orientering om evaluering af afregningspriser for friplejeboliger
2643728_0005.png
5
5.1
5.2
5.3
5.4
5.5
Leverandørernes syn på afregningssystemet
Overordnet syn på afregningssystemet
Afregningsmodeller og proces for takstfastsættelse
Takstgrundlag og takstberegninger
Borgere fra andre kommuner
Mulige forbedringer af afregningssystemet ifølge leverandørerne
56
56
57
60
62
63
6
Konklusion
65
69
Litteratur
ÆLU, Alm.del - 2022-23 (2. samling) - Bilag 3: Orientering om evaluering af afregningspriser for friplejeboliger
Hovedresultater
Plejecenterområdet har i Danmark traditionelt været domineret af offentlige
institutioner og i mindre grad selvejende plejecentre med driftsoverenskomst
med kommunen. Dette billede har i nogen grad ændret sig de seneste 15 år. I
2007 blev friplejeboligloven vedtaget, og dette betød lettere adgang for pri-
vate udbydere til at drive plejecentre. Formålet med loven var at øge konkur-
rencen og at give ældre borgere flere muligheder for at vælge mellem offent-
lige og private plejehjem. Siden 2007 er antallet af friplejehjem samt pladser
på friplejehjem steget – og fra 2013 til 2022 er antallet af friplejehjem og plad-
ser på friplejehjem tredoblet. Friplejehjemmenes andel af det samlede marked
for plejeboliger til ældre udgjorde cirka 5 % i 2021.
Det nye afregningssystem for friplejeboliger trådte i kraft 1. juli 2015. Det nye
afregningssystem afløste det tidligere nationale afregningssystem, hvor leve-
randører blev afregnet efter nationale takster. I det nye afregningssystem fra
2015 kan friplejeleverandøren og den enkelte kommune, med udgangspunkt i
friplejeboligleverandørens vejledende takster, aftale afregningstakster for le-
vering af hjælp og støtte efter serviceloven
(aftalt takstmodel)
. Indgås der ikke
en aftale, fastsættes taksterne af kommunen på baggrund af kommunens
gennemsnitlige langsigtede omkostninger ved drift af tilsvarende tilbud
(kom-
munal takstmodel).
Ifølge vejledningen på området er formålet med de nye afregningsregler at
sikre sammenhæng mellem taksterne for friplejeboligleverandørerne og det
omkostnings- og serviceniveau, der eksisterer i den enkelte kommune. Denne
evaluering undersøger, i hvilken grad det nye afregningssystem har bidraget
til at skabe en sådan sammenhæng mellem takster og den enkelte kommunes
omkostnings- og serviceniveau. Det er i den forbindelse en del af evalueringen
at vise variationen i casekommunernes praksis for takstfastsættelse. Derimod
er det
ikke
en del af evalueringen at foretage en revisionsgennemgang af de
deltagende kommuners afregningstakster. Evalueringen afgrænser sig til at
undersøge afregningssystemet for friplejeboliger på ældreområdet – og ved-
rører altså ikke friplejeboliger på det specialiserede socialområde.
6
ÆLU, Alm.del - 2022-23 (2. samling) - Bilag 3: Orientering om evaluering af afregningspriser for friplejeboliger
Resultater
Kortlægning af markedet for friplejehjem
VIVE har som en del af evalueringen foretaget en kortlægning af markedet og
udviklingen i markedet for friplejehjem. Kortlægningen er foretaget primo
2022. Kortlægningen viser:
Markedsudvikling
.
Antallet af friplejehjem og pladser på friplejehjem er
tredoblet siden 2013. Således var der primo 2022 i alt 53 friplejehjem
med i alt cirka 2.100 pladser. Friplejehjemmenes markedsandel er steget
fra cirka 1-2 % i 2013 til cirka 5 % i 2021. Kortlægningen tyder ikke på, at
det nye afregningssystem fra 2015 har ændret afgørende på stignings-
takten for udbredelsen af friplejehjem.
Afregningsmodeller
.
38 ud af de 53 friplejehjem opererer under det nye
afregningssystem, mens de resterende 15 friplejehjem endnu ikke er
overgået til de nye afregningsregler. Ifølge kommunerne afregnes 30 af
de 38 friplejehjem, der opererer under det nye afregningssystem, efter en
kommunal takst, mens 8 friplejehjem afregnes efter en aftalt takst. Evalu-
eringen viser også, at den aftalte takstmodel i mange tilfælde udmøntes
på en måde, som kan ligne den kommunale takstmodel.
Udenbys borgere.
En del af de friplejehjem, der af beliggenhedskommu-
nen afregnes efter en kommunal takst, oplyser, at de for udenbys borgere
afregnes efter en aftalt takst, der er forhandlet med visitationskommu-
nen. Udenbys borgere er beboere, der oprindelig er visiteret fra andre
kommuner (visitationskommunen) end den kommune, hvor friplejehjem-
met er beliggende (beliggenhedskommunen).
Takstens størrelse.
Den gennemsnitlige døgntakst tillagt sygepleje og et
evt. kommunalt kosttilskud i 2021 var lidt over 1.300 kr. for de 18 kommu-
ner, som VIVE har tal for. Denne gennemsnitstakst dækker over en varia-
tion i døgntaksten blandt de 18 kommuner fra lidt over 1.100 kr. til lidt un-
der 1.600 kr. Dette svarer til en forskel i afregningstaksten på 39 % fra
den laveste og til den højeste takst. Blandt de 18 kommuner synes der
ikke at være en klar sammenhæng mellem takstens størrelse, og hvorvidt
kommunerne afregner efter en aftalt takst eller kommunal takst.
7
ÆLU, Alm.del - 2022-23 (2. samling) - Bilag 3: Orientering om evaluering af afregningspriser for friplejeboliger
Kommunernes syn på afregningssystemet
VIVE har i forbindelse med evalueringen interviewet 6 kommuner, som alle har
ét eller flere friplejehjem, der afregnes efter det nye afregningssystem. Inter-
viewene viser:
Afregningssystemet.
Kommunerne bakker generelt op om det nye afreg-
ningssystems formål om at sikre sammenhæng mellem taksterne og den
enkelte kommunes omkostnings- og serviceniveau.
Afregningstaksten.
Kommunerne oplever generelt, at de er lykkedes
med at fastsætte en retvisende afregningstakst, der afspejler kommu-
nens eget omkostnings- og serviceniveau.
Behov for bedre vejledning.
Kommunerne oplever, at en bedre vejledning
kan understøtte mere retvisende takster og reducere kommunernes
transaktionsomkostninger forbundet med at beregne og drøfte taksterne.
Friplejeleverandørernes syn på afregningssystemet
VIVE har i evalueringen interviewet 3 friplejeleverandører. De interviewede fri-
plejeleverandører repræsenterer 9 ud af de i alt 10 friplejehjem, der opererer
under det nye afregningssystem i de 6 kommuner. Derudover repræsenterer
de interviewede leverandører mere end 3 ud af 4 friplejehjem i Danmark. Inter-
viewene viser:
Afregningssystemets formål.
Leverandørerne mener i hovedsagen, at
formålet og de overordnede principper i det nye afregningssystem er for-
nuftige, da der på papiret gives lige økonomiske vilkår for kommunale ple-
jecentre og friplejehjem.
Afregningssystemets udmøntning.
Leverandørerne oplever samtidig, at
der er et mindretal af kommuner, som har problemer med at beregne ret-
visende takster. Leverandørerne vurderer, at dette kan udmønte sig i af-
regningstakster, der ikke er retvisende for kommunens reelle omkostnin-
ger. En interviewet leverandør vurderer, at i omegnen af hver fjerde kom-
mune med friplejehjem ikke beregner sine takster efter reglerne.
Kommunernes beregninger og kompetencer.
Leverandørerne oplever, at
kommunerne i de fleste tilfælde bestræber sig på at beregne retvisende
takster. I de tilfælde, hvor der opleves problemer med at beregne kor-
rekte takster, oplever leverandørerne, at dette typisk skyldes udfordrin-
ger med at forstå og følge beregningsreglerne samt manglende kompe-
tencer hos kommunerne.
8
ÆLU, Alm.del - 2022-23 (2. samling) - Bilag 3: Orientering om evaluering af afregningspriser for friplejeboliger
Behov for bedre vejledning.
Leverandørerne oplever, at kommunerne i
deres beregninger især kan være udfordrede i forhold til at håndtere le-
delse og administration, bygninger og en række øvrige specifikke om-
kostninger. Leverandørerne udtrykker i den sammenhæng bl.a. et ønske
om en klarere vejledning med konkrete beregningseksempler.
Konklusion
Markedsudviklingen og aktørernes syn på det nye afregningssystem.
Analy-
sen peger overordnet på, at både kommuner og friplejeleverandører oplever,
at det nye afregningssystem i nogen grad har indfriet formålet om at sikre
sammenhæng mellem takster og den enkelte kommunes omkostnings- og ser-
viceniveau. Denne konklusion baserer sig bl.a. på følgende:
For det første
peger de interviewede kommuner og leverandører selv på,
at de fastsatte takster i kommunerne i de fleste tilfælde er et rimeligt ud-
tryk for kommunernes omkostnings- og serviceniveau.
For det andet
oplever både kommunale og private informanter, at der ge-
nerelt er en kommunal vilje til at beregne retvisende takster. Kommunerne
forsøger også, ifølge de interviewede leverandører, gennemgående at
udføre takstberegningen korrekt og er lydhøre over for eksterne input til
fastsættelse af taksten.
For det tredje
peger de fleste informanter hos kommuner og leverandører
på, at den nuværende mulighed i afregningssystemet for enten at aftale
en takst eller anvende en kommunal takst, hvis det ikke lykkes at indgå
en takstaftale, understøtter afregningssystemets formål. De to afreg-
ningsmodeller bidrager således, ifølge informanterne, til en vis fleksibilitet
i afregningssystemet.
For det fjerde
viser kortlægningen, at overgangen fra det gamle til det
nye afregningssystem i 2015 ikke synes at have reduceret konkurrencen
på markedet for friplejehjem. I hvert fald ikke, når man måler på antallet
og den kommunale udbredelse af friplejehjem.
Forskelle i afregningstakster.
Analysen viser også, at der som en konsekvens
af afregningssystemet kan iagttages forskelle i kommunernes afregningstakster.
Dette fremgår af VIVEs gennemgang af afregningstakster for 18 kommuner, der
anvender det nye afregningssystem. Afregningstaksterne for de 18 kommuner,
som VIVE har data for, er ikke nødvendigvis repræsentative for taksterne i de
øvrige kommuner med friplejehjem under det nye afregningssystem.
9
ÆLU, Alm.del - 2022-23 (2. samling) - Bilag 3: Orientering om evaluering af afregningspriser for friplejeboliger
2643728_0010.png
At der er forskelle i kommunernes takster er som udgangspunkt ikke overra-
skende, det er en naturlig konsekvens af det nye afregningssystem. Det er
uden for denne evaluerings rammer at vurdere, hvad de fundne takstforskelle
skyldes, herunder i hvilket omfang takstforskelle kan forklares med variation i
kommunernes omkostnings- og serviceniveau.
Opmærksomhedspunkter.
Analysen peger endelig på en række opmærksom-
hedspunkter vedrørende det nye afregningssystem:
For det første
er informanter fra både kommuner og leverandører enige
om, at nogle dele af taksten kan være særlig vanskelige for kommunerne
af beregne. Det gælder bl.a. indregning af ledelse og administration samt
vedligeholdelse, afskrivning og forretning af bygninger.
For det andet
oplever leverandørerne generelt, at det kan være svært at
gennemskue og eftergå kommunernes takstberegninger. I denne proces
for takstfastsættelsen kan leverandørerne opleve det som en udfordring,
at de efterfølgende skal samarbejde med kommunen.
For det tredje
er det generelt leverandørernes opfattelse, at den aftalte
takst ofte er mere en teoretisk end en reel mulighed, da kommunerne
stort set altid beregner deres omkostninger som grundlag for en takstaf-
tale. Evalueringen viser således, at den aftalte takstmodel i mange til-
fælde udmøntes på en måde, som kan ligne den kommunale takstmodel.
For det fjerde
oplever kommunerne, at det nye afregningssystem inde-
bærer visse transaktionsomkostninger for kommunerne.
Fakta om undersøgelsen
VIVE har primo 2022 gennemført en kortlægning af markedet for
friplejehjem.
VIVE har medio 2022 gennemført casestudier i 6 kommuner med i alt 10
friplejehjem, der afregnes efter det nye afregningssystem.
I forbindelse med casestudierne har VIVE gennemført dokumentanalyser og
interviews med repræsentanter fra kommunerne og friplejeleverandørerne i
de 6 kommuner.
10
ÆLU, Alm.del - 2022-23 (2. samling) - Bilag 3: Orientering om evaluering af afregningspriser for friplejeboliger
2643728_0011.png
1
1.1
Formål og metode
Baggrund
Plejecenterområdet har i Danmark traditionelt været domineret af offentlige
institutioner og i mindre grad selvejende plejecentre med driftsoverenskomst
med kommunen. Dette overordnede billede har i nogen grad ændret sig de se-
neste 15 år. I 2007 blev friplejeboligloven vedtaget, og dette betød lettere ad-
gang for private udbydere til at drive plejecentre. Formålet med friplejeboliglo-
ven var at øge konkurrencen og at give ældre borgere flere muligheder for at
vælge mellem offentlige og private udbydere.
1
Foruden kommunale plejecen-
tre, selvejende plejecentre og friplejehjem findes der i kommunerne også et
antal udliciterede plejecentre, hvor en privat leverandør driver et plejehjem på
baggrund af et offentligt udbud.
Det nye afregningssystem for friplejeboliger trådte i kraft 1. juli 2015 og følger
af § 32 i lov om friplejeboliger (friplejeboligloven). Det nye afregningssystem
omfatter alle leverandører, der har fået godkendt etablering af friplejeboliger
efter lovændringens ikrafttræden den 1. juli 2015. Friplejeboliger, der er etab-
leret efter reglerne fra før 1. juli 2015, afregnes fortsat efter det oprindelige af-
regningssystem i 10 år fra idriftsættelsen. Leverandører kan dog vælge at
overgå til det nye afregningssystem før de 10 år.
I den nye model gives friplejeleverandøren og kommunen mulighed for at for-
handle afregningspriser for levering af ydelser til borgere i friplejeboliger og for at
indgå aftaler om, at kommunen kan disponere over et antal pladser hos friplejele-
verandøren. I det nye afregningssystem fra 2015 kan friplejeleverandøren og
kommunen, med udgangspunkt i friplejeboligleverandørens vejledende takster,
således aftale afregningstakster for levering af hjælp og støtte efter serviceloven.
Indgås der ikke en aftale, fastsættes taksterne af kommunen på baggrund af kom-
munens gennemsnitlige langsigtede omkostninger ved drift af tilsvarende tilbud.
1.2
Formål
Af forarbejderne til lovændringen i 2015 fremgår det, at der skal foretages en
evaluering af det nye afregningssystem for friplejeboliger. Formålet med
denne evaluering er at undersøge, om det afregningssystem for friplejeboliger
1
Hjelmar et al., (2016).
11
ÆLU, Alm.del - 2022-23 (2. samling) - Bilag 3: Orientering om evaluering af afregningspriser for friplejeboliger
2643728_0012.png
på ældreområdet (herefter benævnt friplejehjem), som blev indført i 2015, har
medført de ændringer/resultater, som var intentionen.
VIVEs formål med evalueringen er således at gennemføre en evaluering af afreg-
ningssystemet målopfyldelse. Evalueringen består af:
En kortlægning af målsætning og indhold af det nye afregningssystem for
friplejehjem, som blev indført i 2015.
En analyse af, i hvilken grad det nye afregningssystem har levet op til
disse målsætninger, herunder mulige årsager til den påviste grad af
målopnåelse.
Evalueringen struktureres efter ét overordnet evalueringsspørgsmål, der be-
svares ved en række underliggende undersøgelsesspørgsmål. Det overord-
nede evalueringsspørgsmål og de uddybende undersøgelsesspørgsmål frem-
går af Tabel 1.1. Af Tabel 1.1 fremgår også, at evalueringen fokuserer på friple-
jehjem og dermed afgrænser sig fra friplejeboliger på det specialiserede soci-
alområde.
Et friplejehjem er et privatejet plejecenter, der har en privat finansiering ud
over det offentlige tilskud. Friplejehjem er til forskel fra selvejende institutioner
typisk ikke reguleret via en driftsoverenskomst med kommunen. Lovgivningen
giver også friplejehjem mulighed for at trække et overskud ud af deres drift,
hvilket det imidlertid ikke er alle friplejehjem, som benytter sig af.
2
Tabel 1.1
Spørgsmål og underspørgsmål i evalueringen
Spørgsmålstype
Overordnet evaluerings-
spørgsmål
Underliggende undersø-
gelsesspørgsmål
Spørgsmålsformulering
Har det afregningssystem for friplejehjem, som blev indført i 2015, med-
ført de ændringer/resultater, som var intentionen?
Hvad var intentionen med det afregningssystem for friplejehjem, som blev
indført i 2015?
Hvordan har friplejeboligmarkedet på ældreområdet udviklet sig siden
2015?
Hvilke afregningsmodeller anvendes for de friplejehjem, som ifølge lov-
givningen er omfattet af den nye afregningsmodel?
Hvilket beregningsgrundlag og takstberegninger danner grundlag for de
kommunale afregningspriser?
Hvad er kommunernes og friplejeleverandørernes syn på det nuværende
afregningssystem, herunder afregningspriserne?
2
Hjelmar et al. (2016).
12
ÆLU, Alm.del - 2022-23 (2. samling) - Bilag 3: Orientering om evaluering af afregningspriser for friplejeboliger
2643728_0013.png
Det overordnede evalueringsspørgsmål vedrører, om det afregningssystem, som
blev indført i 2015, har medført de ændringer/resultater, som var intentionen med
lovgivningen. I ”Vejledning om afregning af friplejeboligleverandører” er formålet
med de nye afregningsregler beskrevet på følgende måde:
”Formålet med afregningsreglerne, der blev indført pr. 1. juli 2015,
er at sikre sammenhæng mellem taksterne for friplejeboligleveran-
dørerne og det omkostnings- og serviceniveau, der eksisterer i den
enkelte kommune.”
3
Det er opfyldelsen af dette hovedformål med de nye afregningsregler, som er det
primære fokus for nærværende evaluering.
I bemærkningerne til lovforslaget blev det også nævnt, at baggrunden for det nye
afregningssystem var, at det tidligere nationale modulsystem var svært at om-
sætte til kommunens visitationspraksis, samt at man ville give kommuner og leve-
randører mulighed for at indgå aftale om, at kommunerne kunne aftage pladser
ved friplejeleverandørerne.
4
Evalueringen har ikke opfyldelsen af disse elementer
som et hovedfokus. Dette skyldes, at kommunerne med det nye afregningssy-
stem ikke længere skal omsætte deres visitationspraksis til et nationalt modulsy-
stem. Muligheden for, at kommunerne kan aftage et antal pladser ved leverandø-
ren er undersøgt som en mindre del af evalueringen (se afsnit 4.2.1).
Hovedformålet med denne evaluering er altså at undersøge, i hvilken grad det
nye afregningssystem har bidraget til at skabe sammenhæng mellem takster
og den enkelte kommunes omkostnings- og serviceniveau jf. formålsbeskrivel-
sen i vejledningen. Målopfyldelsen undersøges gennem en række under-
spørgsmål jf. Tabel 1.1. For det første kortlægges intentionen med afregnings-
systemet fra 2015 (kapitel 2). Dernæst kortlægges den samlede population af
friplejehjem i Danmark, og det undersøges bl.a., hvilken afregningsmodel disse
friplejehjem opererer under (kapitel 3). Dette vedrører, hvor mange leverandø-
rer, som har en aftalt takstmodel, kommunal takstmodel eller stadig er på den
tidligere nationale takstmodel. Endelig analyseres kommuners og leverandø-
rers syn på det nye afregningssystem i 6 udvalgte kommuner (kapitel 5 og 6).
Det er en del af evalueringen at vise variationen i casekommunernes praksis
for takstfastsættelse. Derimod er det
ikke
en del af evalueringen at foretage
en revisionsgennemgang af de deltagende kommuners afregningstakster, her-
under at vurdere, om casekommunernes takster er fastsat ifølge reglerne på
området.
5
3
4
5
Sundheds- og Ældreministeriet (2017)
,
s. 5.
Ministeriet for By, Bolig og Landdistrikter (2014).
Det bør i den sammenhæng bemærkes, at 3 af de 4 casekommuner, der har en kommunal takstmo-
del, oplyser, at de har fået deres takst godkendt af en ekstern revisor.
13
ÆLU, Alm.del - 2022-23 (2. samling) - Bilag 3: Orientering om evaluering af afregningspriser for friplejeboliger
1.3
Metode
Evalueringen bygger dels på en kortlægning af markedet for friplejehjem, dels
på interviews med repræsentanter fra kommuner og friplejeleverandører i 6
udvalgte casekommuner.
Formålet med kortlægningen har i særlig grad været at beskrive udbredelsen af
friplejehjem og de forskellige afregningsmodeller. Dette bl.a. med henblik på at
vurdere udbredelsen af de forskellige afregningsmodeller, og i hvilken grad det
nye afregningssystem har påvirket markedet for friplejehjem. Tilsvarende har
formålet med de 6 casestudier været at analysere indhold og processer i takst-
fastsættelsen samt kommuners og leverandørers syn på afregningssystemet.
Boks 1.1 viser et overblik over metode og data i evalueringen. Det fremgår, at
kortlægningen
har taget udgangspunkt i en gennemgang og validering af de
certificerede leverandører af friplejehjem. Kortlægningen er suppleret med op-
lysninger fra plejehjemsoversigten og en rundspørge til leverandører og kom-
muner. Som en del af kortlægningen er der også foretaget en række bag-
grundsinterviews med relevante aktører i og omkring markedet for fripleje-
hjem. Kortlægningen er gennemført primo 2022 og afsluttet i marts 2022.
14
ÆLU, Alm.del - 2022-23 (2. samling) - Bilag 3: Orientering om evaluering af afregningspriser for friplejeboliger
2643728_0015.png
Boks 1.1
Data og metode
Kortlægning af markedet for friplejehjem
VIVE har gennemført en kortlægning af markedet for friplejehjem. Kort-
lægningen er gennemført primo 2022 og afsluttet i marts 2022.
Kortlægningen baserer sig på en gennemgang af certificerede leveran-
dører, plejehjemsoversigten samt en rundspørge til leverandører og
kommuner.
Casestudier i 6 kommuner med i alt 10 friplejehjem
Der er gennemført casestudier i 6 kommuner med tilsammen 10 friple-
jehjem under det nye afregningssystem.
Caseudvælgelsen er bl.a. baseret på, om kommunerne har erfaring med
friplejehjem, og om der er cases med både en aftalt og kommunal takst.
Der er gennemført interviews med repræsentanter fra de 6 kommuner
og 9 af de 10 friplejehjem, der opererer under det nye afregningsstem i
de 6 kommuner. De interviewede leverandører repræsenterer derud-
over mere end 3 ud af 4 friplejehjem i Danmark.
Der er derudover gennemført
casestudier
i 6 kommuner med i alt 10 fripleje-
hjem under det nye afregningssystem. De 6 kommuner er primært valgt ud fra,
at kommunerne har erfaring med friplejehjem under det nye afregningssystem,
og at de repræsenterer kommuner og leverandører med både en aftalt og
kommunal takst. Dertil er der i udvælgelsen af cases sikret variation i forhold
til geografi, kommunestørrelse og leverandørernes ejerforhold. Der er medta-
get i alt 3 kommuner fra Sjælland og Fyn og 3 kommuner fra Jylland. Deltager-
kommunerne udgøres af 2 store kommuner, 2 mellemstore kommuner og 2
mindre kommuner.
En enkelt kommune havde ikke mulighed for at deltage i evalueringen og blev
erstattet med den næste kommune på en foruddefineret udvælgelsesliste.
Kommuner og leverandører indgår anonymt i undersøgelsen for at fremme de-
res villighed til at medvirke og understøtte, at informanterne i interviewene gi-
ver en ærlig beskrivelse og vurdering af afregningssystemet.
15
ÆLU, Alm.del - 2022-23 (2. samling) - Bilag 3: Orientering om evaluering af afregningspriser for friplejeboliger
2643728_0016.png
Der er gennemført interviews med repræsentanter fra de 6 kommuner og 9 af
de 10 friplejehjem. De interviewede repræsentanter fra kommuner og leveran-
dører har i alle interviews været ledere og i de fleste tilfælde også medarbej-
dere med særskilt viden om afregningssystemet. Ét enkelt friplejehjem havde
ikke mulighed for at medvirke i undersøgelsen. De interviewede repræsentan-
ter for leverandørerne har også friplejehjem i andre kommuner og repræsente-
rer på den måde mere end 3 ud af 4 friplejehjem i Danmark. De deltagende
kommuner sendte i forbindelse med interviewet informationsmateriale til VIVE
vedrørende deres beregning af afregningstaksterne.
I alt er der altså gennemført 9 semistrukturerede interviews med kommuner og
leverandører. Interviewguiden var opbygget efter en række temaer, herunder
synet på afregningssystemet, afregningsmodeller og proces for takstfastsæt-
telse, takstgrundlag og takstberegninger samt borgere fra andre kommuner.
Interviewene blev gennemført i perioden fra maj til september 2022.
1.4
Læsevejledning
Evalueringen er disponeret i følgende kapitler:
Første kapitel beskriver baggrund, formål og metode for evalueringen.
Andet kapitel beskriver det nye afregningssystem fra 2015, herunder
baggrund, formål og indholdet af det nye afregningssystem.
Tredje kapitel præsenterer resultaterne fra kortlægningen af markedet,
herunder udbredelsen af friplejehjem, de forskellige afregningsmodeller
og afregningspriser for et udsnit af kommuner.
Fjerde kapitel analyserer de interviewede kommuners praksis for takst-
fastsættelse og deres syn på afregningssystemet.
Femte kapitel analyserer de interviewede friplejeleverandørers syn på
kommunernes takstfastsættelse og afregningssystemet
Sjette kapitel sammenfatter evalueringens deleelementer i en samlet
konklusion.
16
ÆLU, Alm.del - 2022-23 (2. samling) - Bilag 3: Orientering om evaluering af afregningspriser for friplejeboliger
2643728_0017.png
2
Afregningssystemet for
friplejehjem fra 2015
Dette kapitel beskriver det nye afregningssystem for friplejehjem fra 2015. ka-
pitlet beskriver formålet med det nye afregningssystem set i lyset af erfarin-
gerne med det tidligere afregningssystem samt lovgivningsarbejdet og vejled-
ningerne forbundet med indførelsen af det nye system. Formålet med kapitlet
er at klarlægge målsætningerne med indførelsen af det nye afregningssystem
i 2015. Dette udgør således udgangspunktet for at vurdere afregningssyste-
mets hidtidige målopfyldelse.
2.1
Friplejeboligloven og det tidligere
afregningssystem
Lov om friplejeboliger (friplejeboligloven) trådte i kraft 1. februar 2007. Formå-
let med loven var at give borgere visiteret til plejebolig øget valgfrihed blandt
et mere varieret udbud af plejeboliger og skabe øget konkurrence mellem le-
verandører af plejeboliger.
Som en del af friplejeboligloven blev der etableret et nationalt afregningssy-
stem, hvor certificerede leverandører ansøgte om andel i et antal nationale
kvoter til en afregningstakst, som leverandørerne bød ind med. For personlig
og praktisk hjælp efter servicelovens §§ 83 og 87 skulle leverandørens takster
ligge inden for nationale maksimaltakster for tre behovsrelaterede plejemodu-
ler.
6
Der var også fastsat en national maksimaltakst for de indirekte omkost-
ninger forbundet med levering af hjælp og pleje efter servicelovens §§ 83 og
87. Maksimaltaksterne blev opgjort som tre forskellige døgntakster afhængig
af borgerens plejebehov. For levering af certificerede ydelser ud over service-
lovens §§ 83 og 87 blev leverandøren afregnet efter en national timetakst. Da
kvoterne sjældent blev udnyttet, var det i praksis de nationale maksimaltak-
ster, som dannede grundlag for kommunernes afregning til leverandørerne.
En evaluering fra 2012
7
pegede på visse udfordringer med det nationale afreg-
ningssystem. For det første anførte kommunerne, at afregningssystemet ikke i
tilstrækkelig grad tog hensyn til kommunale forskelle i serviceniveau og pro-
6
7
Borgerens plejebehov blev udtrykt ved intervaller for modtagne timer over 4 uger. Modul A vedrørte
borgere, der modtog < 35 timer pr. 4 uger, modul B vedrørte borgere, der modtog 35-106 timer pr.
4 uger, og modul C vedrørte borgere, der modtag > 106 timer pr. 4 uger.
Rambøll (2012)
.
17
ÆLU, Alm.del - 2022-23 (2. samling) - Bilag 3: Orientering om evaluering af afregningspriser for friplejeboliger
2643728_0018.png
duktivitet. Den enkelte beliggenhedskommune kunne således komme til at af-
regne friplejeleverandøren til en takst, der både kunne være højere og lavere
end kommunens reelle omkostninger.
For det andet kunne den nationale takststruktur i de tre plejemoduler være
uhensigtsmæssig, da takststrukturen, ifølge nogle aktører, ikke var finmasket
nok og var svær at omsætte til den enkelte kommunes takststruktur. Det mel-
lemste plejemodul blev vurderet som værende meget bredt, og nogle leveran-
dører havde indtryk af, at kommunerne sjældent visiterede til det tungeste
modul. Omvendt oplevede kommunerne, at det nationale modulsystem var
vanskeligt og administrativt tungt at omsætte til kommunens serviceniveau og
takststruktur. Det kunne fx være tilfældet, når en kommune skule omsætte
indholdet af deres servicepakker til modulsystemets tre kategorier.
For det tredje fordrede afregningssystemet ikke nødvendigvis priskonkur-
rence, da de nationale kvoter ikke blev udnyttet.
Endelig ytrede både leverandører og kommuner et ønske om at kunne indgå
aftaler om, at kommunerne kunne aftage pladser ved friplejeleverandørerne.
Begrundelsen var, at dette kunne give leverandørerne en vis sikkerhed for en
minimumsbelægning, samt at det kunne forbedre kommunernes muligheder
for at planlægge og styre kapaciteten af plejeboliger.
2.2
Det nye afregningssystem fra 2015
På baggrund af de identificerede udfordringer med det daværende afreg-
ningssystem var regeringen og KL enige om behovet for at se nærmere på af-
regningssystemet. Dette medførte, at der i forlængelse af økonomiaftalen for
2014 blev igangsat et arbejde med et nyt afregningssystem. I økonomiaftalen
for 2015 fremgik det således, at der blev arbejdet med
”en ny model for afreg-
ning, der sikrer mere lige vilkår for offentlige og private leverandører på områ-
det.”
8
Den nye afregningssystem trådte i kraft i 2015. Det nye afregningssystem om-
fattede alle friplejehjem, der havde fået godkendt etablering af friplejeboliger
efter lovændringen den 1. juli 2015. Friplejehjem, der var etableret ved kvote-
tildeling før 1. juli 2015, skulle fortsat afregnes efter det nationale afregnings-
system i 10 år fra det tidspunkt, hvor friplejehjemmet var gået i drift. Fripleje-
hjem kunne dog vælge frivilligt at overgå til det nye afregningssystem, før der
var gået 10 år fra deres idriftsættelse.
8
Finansministeriet (2014), s. 20.
18
ÆLU, Alm.del - 2022-23 (2. samling) - Bilag 3: Orientering om evaluering af afregningspriser for friplejeboliger
2643728_0019.png
Det overordnede grundlag for det nye afregningssystem er nedfældet i § 32 i
lov om friplejeboliger
9
og bekendtgørelse nr. 1170 af 30. september 2015 om
kommunalbestyrelsens fastsættelse af afregningspriser for ydelser efter ser-
viceloven i forhold til friplejeboligleverandører.
10
Indholdet af § 32 i lov om fri-
plejeboliger fremgår af Boks 2.1.
Boks 2.1
§ 32 i lov om friplejeboliger (afregning mv.)
Afregning m.v.
§ 32. Friplejeboligleverandøren fastsætter vejledende takster for ydelser efter lov
om social service, jf. lovens § 174, som friplejeboligleverandøren er certificeret til at
levere. Friplejeboligleverandøren og kommunalbestyrelsen i den kommune, der har
visiteret borgeren til en plejebolig eller en lignende boform, jf. § 3, stk. 1, kan med
udgangspunkt i de vejledende takster aftale den pris, som kommunalbestyrelsen
skal betale for den leverede hjælp og støtte, som borgeren er visiteret til.
Stk. 2. Indgås der ikke en aftale mellem kommunalbestyrelsen og friplejeboligleve-
randøren, jf. stk. 1, skal afregningspriserne for de ydelser, som friplejeboligleveran-
døren skal levere i henhold til lov om social service, fastsættes af kommunalbesty-
relsen i den kommune, hvor friplejeboligerne ligger.
Stk. 3. Ældreministeren fastsætter nærmere regler om afregning, herunder om kom-
munalbestyrelsens fastsættelse af afregningspriser i henhold til stk. 2. Ældremini-
steren kan endvidere fastsætte regler om kommunalbestyrelsens visitation af bor-
gere, om gennemsigtighed i forhold til indplacering af borgere i kommunens visitati-
onsstruktur og om leverandørernes mulighed for at få indsigt i og få efterprøvet be-
regningerne.
På baggrund af loven og bekendtgørelsen samt den udarbejdede ”Vejledning
om afregning af friplejeboligleverandører” består de gældende afregningsreg-
ler reelt af en model i følgende tre trin (VIVEs understregning)
11
:
Trin 1.
Friplejeboligleverandøren og kommunalbestyrelsen i den kom-
mune, der har visiteret borgeren til en plejebolig […], kan med udgangs-
punkt i [friplejeboligleverandørens] vejledende takster aftale den pris,
9
10
11
Indenrigs- og Boligministeriet (2017).
Sundhedsministeriet (2015).
Se også Sundheds- og Ældreministeriet (2017), s. 5.
19
ÆLU, Alm.del - 2022-23 (2. samling) - Bilag 3: Orientering om evaluering af afregningspriser for friplejeboliger
2643728_0020.png
som kommunalbestyrelsen skal betale for den leverede hjælp og støtte,
som borgeren er visiteret til.
12
Trin 2.
Indgås der ikke en aftale mellem kommunalbestyrelsen og fripleje-
boligleverandøren […], skal afregningspriserne for de ydelser, som friple-
jeboligleverandøren skal levere i henhold til lov om social service, fast-
sættes af kommunalbestyrelsen i den kommune, hvor friplejeboligerne
ligger.
13
Trin 3.
I de tilfælde, hvor kommunalbestyrelsen ikke har et grundlag for
beregning af afregningspriser, fordi der ikke er et tilsvarende kommunalt
tilbud i kommunen, som afregningsprisen kan beregnes på baggrund af,
fastsætter kommunalbestyrelsen i beliggenhedskommunen afregningspri-
sen, som den pris, som indsatsen ville koste kommunen i et tilsvarende
tilbud.
14
Det nye afregningssystem giver derved i praksis mulighed for to overordnede
afregningsmodeller, der forløber i ovenstående trin. I det første trin forsøger
leverandør og kommune at forhandle sig frem til en eller flere afregningstak-
ster, dvs. en
aftalt takstmodel
(Trin 1). Denne forhandling sker, ifølge formule-
ringen i lovgivningen, med udgangspunkt i friplejeleverandørens vejledende
takster, som denne skal fastsætte i henhold til servicelovens
§ 174
. Under den
aftalte takstmodel er det visitationskommunen, der har aftalekompetencen
med friplejeleverandøren (visitationskommunen kan være beliggenhedskom-
munen eller en anden kommune).
15
Hvis det ikke lykkes kommunen og leverandøren at indgå en aftale i Trin 1, an-
vendes en
kommunal takstmodel
(Trin 2 og 3). Under den kommunale takst-
model fastsætter kommunen en afregningspris, der svarer til kommunens gen-
nemsnitlige, langsigtede omkostninger ved drift af tilsvarende tilbud (Trin 2).
Kan kommunalbestyrelsen ikke beregne egne omkostninger til tilbuddet, fast-
sætter kommunen afregningsprisen med udgangspunkt i den takst, som den
ville kunne anbringe borgeren til i et tilsvarende tilbud (Trin 3). Under den
kommunale takstmodel er det altså beliggenhedskommunen, der fastsætter
afregningstaksten.
16
12
13
14
15
16
Indenrigs- og Boligministeriet (2017).
Indenrigs- og Boligministeriet (2017).
Se også Sundheds- og Ældreministeriet (2017), s. 5.
Visitationskommunen er den kommune, som har visiteret borgeren til et plejebolig. For udenbys bor-
gere er visitationskommunen altså en anden end beliggenhedskommunen, og visitationskommunen
og friplejehjemmet har, jf. § 32 stk. 1 i lov om friplejeboliger, mulighed for forhandle sig frem til en
aftalt takst.
Visitationskommunen er den kommune, som har visiteret borgeren til et plejebolig. For udenbys bor-
gere er visitationskommunen altså en anden end beliggenhedskommunen, og visitationskommunen
og friplejehjemmet har, jf. § 32 stk. 1 i lov om friplejeboliger, mulighed for forhandle sig frem til en
aftalt takst.
20
ÆLU, Alm.del - 2022-23 (2. samling) - Bilag 3: Orientering om evaluering af afregningspriser for friplejeboliger
2643728_0021.png
I ”Vejledning om afregning af friplejeboligleverandører” er formålet med det
nye afregningssystem beskrevet på følgende måde:
”Formålet med afregningsreglerne, der blev indført pr. 1. juli 2015,
er at sikre sammenhæng mellem taksterne for friplejeboligleveran-
dørerne og det omkostnings- og serviceniveau, der eksisterer i den
enkelte kommune.”
17
For at understøtte sammenhængen mellem afregningstakster og den enkelte
kommunes omkostnings- og serviceniveau, giver vejledningen en række an-
visninger til, hvordan kommunerne skal beregne takster, der er retvisende for
kommunens langsigtede omkostninger ved drift af tilsvarende tilbud. Vejled-
ningen beskriver en række forhold vedrørende medtagne omkostninger, om-
kostningernes indhold og de anvendte beregningsmetoder, der finder anven-
delse, hvis kommunerne selv fastsætter afregningstaksten. Reglerne vedrø-
rende den kommunale takstmodel uddybes i afsnit 2.3.
Sammenlignet med den kommunale takstmodel er der andre krav til den af-
talte takstmodel. Under den aftalte takstmodel aftaler kommunen og leveran-
døren en afregningspris med udgangspunkt i friplejeleverandørens vejledende
takster, jf. servicelovens § 174. Det følger således af servicelovens § 174, stk.
1, at den kommunale, regionale eller private leverandør fastsætter vejledende
takster for ydelser og tilbud på baggrund af samtlige budgetterede, direkte og
indirekte langsigtede omkostninger ved levering af ydelsen eller drift af tilbud-
det. Der er altså også tale om omkostningsbaserede takster, men her baseret
på friplejeleverandørens langsigtede omkostninger. Efter servicelovens § 174,
stk. 3 fastsætter social- og ældreministeren nærmere regler om beregningen
af de vejledende takster.
18
I det følgende gives en uddybende beskrivelse af reglerne vedrørende den
kommunale takstmodel, da denne evaluering viser, at det i praksis er kommu-
nens takstberegning, der bliver omdrejningspunkt for dialogen mellem kom-
munen og leverandøren – typisk også under den aftalte takstmodel (se også
afsnit 4.2.2).
2.3
Den kommunale takstmodel
Det overordnede juridiske grundlag for det nye afregningssystem er som omtalt
§ 32 i lov om friplejeboliger, bekendtgørelse nr. 1170 af 30. september 2015 og
17
18
Sundheds- og Ældreministeriet (2017)
,
s. 5.
Disse nærmere regler om friplejeleverandørens fastsættelse af vejledende takster fremgår af So-
cial- og Ældreministeriet (2022).
21
ÆLU, Alm.del - 2022-23 (2. samling) - Bilag 3: Orientering om evaluering af afregningspriser for friplejeboliger
2643728_0022.png
”Vejledning om afregning af friplejeboligleverandører”. Indenrigs- og Boligmini-
steriets generelle vejledning om omkostningskalkulationer er i den sammen-
hæng et supplement, der knytter sig til beregningen af omkostninger.
19
Af ”Vejledning om afregning af friplejeboligleverandører” fremgår det, at belig-
genhedskommunen skal beregne afregningsprisen på baggrund af kommu-
nens gennemsnitlige, langsigtede omkostninger ved drift af tilsvarende tilbud.
Med de samlede gennemsnitlige, langsigtede omkostninger forstås alle direkte
og indirekte omkostninger, der er forbundet med den pågældende opgaveva-
retagelse. Det vil sige både direkte og indirekte omkostninger, der dels kan
være en udgift i kommunens budget i samme år, dels kan være en udgift i
kommunens budget i et andet år. Endelig kan der være indirekte omkostnin-
ger, som skal medtages, som slet ikke figurerer i kommunens budgetter. Rele-
vante direkte omkostninger, der skal medtages i beregningen og som kan op-
træde som udgifter i et andet år, er fx forbrug af materialer, der ligger på la-
ger, samt årlige fluktuationer i reparations- og vedligeholdelsesudgifter. Indi-
rekte omkostninger, der ikke fremgår af årets budget, er fx omkostninger til
afskrivninger og forrentning af kapitalapparatet, herunder afskrivning på byg-
ninger og maskiner samt forrentning af drifts- og anlægskapital.
Evalueringens hovedindtryk er, at selvom den nuværende ”Vejledning om af-
regning af friplejeboligleverandører” opfattes som hjælpsom, så ser både kom-
muner og leverandører et potentiale for at forbedre vejledningen. Ifølge infor-
manterne kan vejledningen således på nogle områder blive mere præcis og i
højere grad give konkrete beregningseksempler (se også kapitel 4 og 5).
20
Figur 2.1 illustrerer, hvordan kommunens samlede gennemsnitlige langsigtede
omkostninger skal forstås som alle direkte og indirekte omkostninger, der er
forbundet med den pågældende opgave.
19
20
Indenrigs- og Boligministeriet (2022).
VIVE noterer sig i den sammenhæng, at der på evalueringstidspunktet var et arbejde i gang med en
ny vejledning initieret af Kommunernes Landsforening.
22
ÆLU, Alm.del - 2022-23 (2. samling) - Bilag 3: Orientering om evaluering af afregningspriser for friplejeboliger
2643728_0023.png
Figur 2.1
Definition af kommunens gennemsnitlige langsigtede
omkostninger
Kilde:
Indenrigs- og Boligministeriet (2022), s. 3.
2.3.1
Hvilke direkte og indirekte omkostninger skal medtages?
I ”Vejledning om afregning af friplejeboligleverandører” præciseres det, hvilke
omkostninger der skal medtages og ikke medtages i den kommunale takst, li-
gesom der gives eksempler på direkte og indirekte omkostninger. Dette frem-
går af Tabel 2.1.
Direkte omkostninger er omkostninger, der kan relateres direkte til en given
aktivitet, mens indirekte omkostninger ikke kan relateres direkte til den pågæl-
dende aktivitet. Som eksempler på direkte omkostninger, der skal medtages,
nævner vejledningen fx plejecentrenes personaleudgifter, køb af varer og ser-
vices, afskrivninger på bygninger samt husleje, el, varme, vand og forsikringer.
Som eksempler på indirekte omkostninger, der skal medtages, nævner vejled-
ningen tilsvarende en række udgifter, der typisk optræder et andet sted i kom-
munens budget. Det drejer sig om fællesudgifter til fx lokaler, decentral og cen-
tral administration, herunder indirekte omkostninger til administration, ledelse
og personale, lokaler, kontorhold, forsikringer, forrentning og afskrivninger.
23
ÆLU, Alm.del - 2022-23 (2. samling) - Bilag 3: Orientering om evaluering af afregningspriser for friplejeboliger
2643728_0024.png
Tabel 2.1
Omkostninger i beregningen af kommunens gennemsnitlige,
langsigtede omkostninger ved drift af tilsvarende tilbud
Direkte og indirekte omkostninger i beregningen
Omkostninger, der skal medtages
Direkte omkostninger
(omkostninger, der kan
relateres direkte til en
given aktivitet)
Eksempler på direkte omkostninger er:
Løn (samtlige lønandele, herunder pensionsbidrag, feriepenge, ATP og AER)
Vikarer og overarbejde/merarbejde
Tjenesterejser og befordring
Køb af råvarer, materialer og specielt anskaffet apparatur, fremmede tjeneste-
ydelser
Indretning og udstyr
Derudover skal der tages højde for en række omkostninger, der ikke fremgår af
årets budget – fx omkostninger til afskrivninger på bygninger, maskiner og for-
rentning af drifts- og anlægskapital.
Husleje, el, varme, vand og forsikringer
Eksempler på indirekte omkostninger er:
Lokaleudgifter (husleje, varme, vand, el, renovation, rengøring, drift og vedligehol-
delse mv.)
Kontorudgifter (telefon, porto, kontorartikler mv.)
Indirekte lønomkostninger (kantinetilskud, efteruddannelse, konferencer og semi-
narer)
Udgifter til it, telefoni, software, telefoner, tablets, pc mv.
Udgifter til ledelse, administration mv., herunder løn og indirekte lønomkostninger
Forsikringer
Udviklingsomkostninger
Beregnede udgifter vedr. andele af den centrale administration og ledelse (direk-
tion, HP, økonomi, it mv.)
Beregnede tjenestemandspensioner
Beregnede omkostninger til lovpligtige forsikringer
Beregnede skadesomkostninger (selvforsikring)
Forrentning af driftskapital og anlægskapital
Afskrivning af anlægsaktiver
Indirekte omkostninger
(omkostninger, der
ikke kan relateres di-
rekte til en given akti-
vitet)
Omkostninger, der ikke skal medtages
Hjemmesygepleje
Omkostninger til levering af hjemmesygepleje efter sundhedsloven skal ikke medta-
ges. Der er ikke noget til hinder for, at en friplejeleverandør og kommunalbestyrelsen
indgår aftale om, at friplejeleverandøren leverer hjemmesygepleje. Afregningen her-
for skal da aftales særskilt.
Der er særskilte regler om fastsættelse af takster for friplejeboligbeboeres betaling
for madservice, vask og linned. Omkostninger og indtægter for egenbetaling for
madservice, vask og linned skal derfor ikke medtages i beregningen.
Det er afgørende, at omkostningskalkulationen afgrænses til det formål, kalkulatio-
nen er tiltænkt. Det er væsentligt at foretage en sådan afgrænsning for at kunne
henføre samtlige relevante omkostninger til den aktivitet, for hvilken omkostningerne
ønskes opgjort.
Det skal i den forbindelse bemærkes, at der ved opgørelsen af omkostninger ved en
given serviceproduktion som hovedregel ikke indregnes omkostninger forbundet
med politisk virksomhed, myndighedsopgaver mv., medmindre kalkulationen i sig
selv har til formål at opgøre omkostningerne herved.
Madservice, vask og
linned
Politisk virksomhed og
myndighedsopgaver
Kilde:
Primær kilde er Sundheds- og Ældreministeriet (2017). Denne vejledning suppleres af Indenrigs- og Boligministeriet
(2022) samt Social- og Indenrigsministeriet (2008).
24
ÆLU, Alm.del - 2022-23 (2. samling) - Bilag 3: Orientering om evaluering af afregningspriser for friplejeboliger
2643728_0025.png
Samtidig er der dog også en række omkostninger, der
ikke
skal indgå i den
kommunale takst. Det drejer sig, ifølge vejledningen, om udgifter til hjemmesy-
gepleje efter sundhedsloven samt udgifter til madservice, vask og linned efter
serviceloven. Omkostninger til levering af hjemmesygepleje skal ikke medta-
ges i taksten, da friplejeleverandøren ifølge lovgivningen ikke certificeres til at
levere denne ydelse. Kommunen og leverandøren kan i stedet vælge at indgå
en særskilt aftale om levering af hjemmesygepleje, herunder en afregningspris
for dette. Ligeledes skal omkostninger til madservice, vask og linned holdes
ude af taksten, da der er særskilte bestemmelser for beboeres egenbetaling
for madservice, vask og linned.
Endelig skal omkostninger, der vedrører kommunens politiske virksomhed og
myndighedsopgaver, såsom visitation af borgere til plejebolig, ikke medtages i
den kommunale takst. I ”Vejledning om omkostningskalkulationer”, der er et sup-
plement til bekendtgørelsen og vejledningen på området, hedder det således:
”Det er afgørende, at omkostningskalkulationen afgrænses til det
formål kalkulationen er tiltænkt. Det er væsentligt at foretage en så-
dan afgrænsning med henblik på at kunne henføre samtlige rele-
vante omkostninger til den aktivitet, for hvilke omkostningerne øn-
skes opgjort.
Det skal i den forbindelse bemærkes, at der ved opgørelsen af om-
kostninger ved en given serviceproduktion som hovedregel ikke
indregnes omkostninger forbundet med politisk virksomhed, myn-
dighedsopgaver m.v., med mindre kalkulationen i sig selv har til for-
mål at opgøre omkostningerne herved.”
21
2.3.2
Indholdet af udvalgte omkostninger
En række omkostninger kan være vanskelige at opgøre for kommunerne og/el-
ler kan være forbundet med usikkerhed, fx i forhold til beregningsmetode. Ind-
holdet af nogle af de væsentligste af disse omkostninger uddybes i Tabel 2.2.
Det drejer sig for det første om indregningen af
afskrivninger og forrentning
af
anlægskapital i afregningsprisen. For så vidt angår afskrivninger skal dette
være udtryk for de langsigtede afskrivninger på de dele af kapitalapparatet,
der direkte eller indirekte kan relateres til den pågældende aktivitet. At af-
skrivninger skal være
langsigtede
indebærer, at kommunerne ikke kan operere
med fuldt afskrevne aktiver i deres takster. Afskrivninger skal foretages efter
21
Indenrigs- og Boligministeriet (2022), s. 1.
25
ÆLU, Alm.del - 2022-23 (2. samling) - Bilag 3: Orientering om evaluering af afregningspriser for friplejeboliger
2643728_0026.png
den lineære metode, hvor der afskrives lige meget hvert år på de pågældende
bygninger, maskiner mv. og med de autoriserede levetider på aktiver.
22
Tabel 2.2
Bestemmelser vedrørende indholdet af udvalgte omkostninger
Beskrivelse af udvalgte omkostninger
Afskrivninger
Afskrivningerne skal være et udtryk for de langsigtede afskrivninger.
Det betyder, at der ikke kan opereres med fuldt afskrevne aktiver
ved beregningen.
Beregningen foretages som udgangspunkt på grundlag af aktivernes
restværdi. Ved beregningen af omkostningerne til forrentning af an-
lægskapitalen medtages alle større anlægsaktiver – uanset om disse
optræder på drifts- eller anlægsbudgettet.
Vedrører både direkte og indirekte omkostninger. Følgende udgifter i
forbindelse med reparation og vedligeholdelse kan eksempelvis
være relevante ved opgørelsen af de direkte omkostninger:
Løbende vedligeholdelse af indvendige arealer og tekniske instal-
lationer
Genoprettende vedligeholdelse (mindre reparationer) af indven-
dige arealer og fornyelse af tekniske installationer
Vedligeholdelse af udvendige arealer
Renovering og renholdelse af indvendige og udvendige arealer.
Hvis en kommune har fået ekstra midler, fx puljemidler, der anven-
des til fx bedre bemanding på alle kommunens plejehjem og plejebo-
liger, skal afholdte udgifter, der finansieres af denne ekstra bevilling,
medregnes i kommunens gennemsnitlige langsigtede omkostninger.
Der skal i beregningerne indgå indretning og udstyr, der er nødven-
digt for at imødekomme arbejdsmiljøkrav eller effektivisere plejen.
Derimod kan hjælpemidler efter serviceloven ikke indgå i beregnin-
gerne. Heller ikke udstyr i fælles boligarealer, som fx møbler og ser-
vice, kan indgå i beregningerne, idet udgifter til møblering af og ud-
styr i øvrigt i fælles boligarealer skal finansieres af lejerne.
Følgende poster for inventar og specielt anskaffet udstyr kan eksem-
pelvis være relevante ved opgørelsen af de direkte omkostninger:
Plejesenge og sengeborde; Klargøring til loftslifte og traverser;
Hårde hvidevarer (i enhederne); Hårde hvidevarer (i afdelingerne);
Toiletter (skylle/tørre); Hæve- og sænkehåndvaske; Møblering af
servicearealer; Vaskeri- og rengøringsmaskiner; Træningsfaciliteter;
AV-udstyr (inkl. vedligeholdelse); Kalde- og alarmsystem (inkl. vedli-
geholdelse); Terapibad og lift; Demenssikring; Køkkeninventar (indu-
strikøkken); Loftslifte, der ikke er placeret i boliger; Havemaskiner.
Kommunerne kan afløfte momsen på de varer og tjenesteydelser,
som de køber på området som følge af den særlige momsrefusions-
ordning. Friplejeleverandører har ikke denne adgang. Derfor skal
kommunerne i beregningen medregne udgifterne til moms, som er
blevet refunderet.
Forrentning
Reparation og vedligeholdelse
Ekstra midler, herunder pulje-
midler
Indretning og udstyr
Moms
Kilde:
Primær kilde er Sundheds- og Ældreministeriet (2017). Denne vejledning suppleres af Indenrigs- og Boligministeriet
(2022) samt Social- og Indenrigsministeriet (2008).
22
Social- og Indenrigsministeriet (2008), s. 5.
26
ÆLU, Alm.del - 2022-23 (2. samling) - Bilag 3: Orientering om evaluering af afregningspriser for friplejeboliger
2643728_0027.png
Endvidere hedder det, at omkostninger til forrentning af anlægs- og driftskapi-
tal som udgangspunkt foretages på grundlag af aktivernes restværdi (anskaf-
felsesværdi fratrukket tidligere års afskrivninger). I beregningen af forrentning
af drifts- og anlægskapital skal kommunerne benytte markedsrenten. Mar-
kedsrenten kan være forskellig på tværs af kommuner, da den kan være ud-
tryk for lokale forhold, fx i form af forskellige aftaler mellem kommunerne og
deres pengeinstitutter. Som et alternativ til markedsrenten peger ”Vejledning
om kommuners og regioners beregning og afgivelse af kontrolbud” på den
gennemsnitlige effektive 10-årige statsobligationsrente som retningsgivende
for markedsrenten.
23
Også omkostninger til
reparationer og vedligeholdelse
, der skal indgå i den
kommunale takst, kan være forbundet med vanskeligheder og usikkerhed ved
opgørelsen. Dette kan skyldes, at reparations- og vedligeholdelsesudgifter
ofte varierer fra år til år. Direkte omkostninger til reparation og vedligeholdelse
kan fx vedrøre løbende indvendig vedligeholdelse samt udvendig renovering
og vedligeholdelse.
For så vidt angår
ekstra midler
, herunder puljemidler, følger det af vejlednin-
gen, at disse skal indgå i kommunens gennemsnitlige, langsigtede omkostnin-
ger i den udstrækning, de er relateret til kommunens drift af plejeboliger.
Dette er fx tilfældet, hvis puljemidler anvendes til at finansiere bemanding på
kommunens plejecentre.
24
Vedrørende omkostninger til
indretning og udstyr
skal der i taksten indgå de
udgifter til indretning og udstyr, der er nødvendige for at imødekomme ar-
bejdsmiljøkrav eller effektivisere plejen på plejecentrene. Udgifter til borge-
rens hjælpemidler efter serviceloven og udstyr i fælles boligarealer, som fx
møbler og service, skal omvendt ikke indgå i beregningerne. Det vil i praksis
sige, at udgifter til fx møbler og udstyr i fælles boligarealer finansieres af le-
jerne og dermed ikke indgår i den kommunale takst. Af eksempler på inventar
og specielt anskaffet udstyr, der kan indgå som en direkte omkostning i tak-
sten, nævner vejledningen fx plejesenge, loftslifte placeret i boligen og andre
steder (på fællesarealer og servicearealer), skylle- og tørretoiletter, møblering
af servicearealer, træningsfaciliteter samt kalde- og alarmsystem.
Endelig skal kommunerne tillægge
moms
i deres takster. Dette skyldes, at fri-
plejeleverandørerne i modsætning til kommunerne ikke har mulighed for at af-
løfte moms på de varer og tjenester, som de køber. Kommuner er således un-
derlagt den særlige momsrefusionsordning, hvorfor kommunerne skal med-
regne moms i deres afregningstakst.
23
24
Social- og Indenrigsministeriet (2008), s. 5.
Sundheds- og Ældreministeriet (2017), s. 12.
27
ÆLU, Alm.del - 2022-23 (2. samling) - Bilag 3: Orientering om evaluering af afregningspriser for friplejeboliger
2643728_0028.png
2.3.3
Metoden i den anvendte beregning
Beregningen.
Foruden en præcisering af indholdet af udvalgte omkostninger
giver lovgivningen også anvisninger, der i højere grad retter sig mod bereg-
ningsmetode og -grundlag for den kommunale takst. Nogle af de væsentligste
af disse anvisninger fremgår af Tabel 2.3.
For det første vedrører en række af bestemmelserne, hvad der skal udgøre
udgangspunktet og grundlaget for beregningen af den kommunale takst. Ta-
bel 2.3 viser således, at kommunerne skal tage udgangspunkt i egne omkost-
ninger ved drift af
tilsvarende tilbud
, hvor der med
”tilsvarende”
forstås tilbud,
der leverer tilsvarende ydelser. Har kommunen ikke selv tilbud, hvor der leve-
res tilsvarende ydelser, skal kommunen fastsætte afregningsprisen med ud-
gangspunkt i den takst, som den ville kunne anbringe borgeren til i et tilsva-
rende tilbud.
Derudover skal kommunerne opgøre deres afregningstakst efter samme
takst-
struktur
, som de selv anvender i ressourcetildelingen til egne plejecentre. An-
vendes der eksempelvis døgntakster for kommunens plejeboliger, skal der
også fastsættes døgntakster for friplejehjem. Kommunen skal i øvrigt sikre, at
der er en beskrivelse af kommunens takststruktur, som er tydelig og tilgænge-
lig for leverandøren.
Endelig præciserer vejledningen, at udelelige udgifter – det vil normalt sige
fællesomkostninger, hvoraf en del skal henføres til den kommunale takst for
drift af plejecentre – typisk må fordeles efter en
relevant fordelingsnøgle
. Det
er ifølge vejledningen væsentligt, at dette valg af fordelingsnøgle medfører, at
der opnås en realistisk opgørelse af de omkostninger, der medgår ved driften
af plejecentre. Fordelingsnøgler kan fx basere sig på tidsforbrug, lønandele,
antal ansatte, areal og lokaleudgifter.
25
25
Sundheds- og Ældreministeriet (2017), s. 13.
28
ÆLU, Alm.del - 2022-23 (2. samling) - Bilag 3: Orientering om evaluering af afregningspriser for friplejeboliger
2643728_0029.png
Tabel 2.3
Bestemmelser vedrørende metoden i beregning af omkostninger
Beskrivelse af metode i beregning af omkostninger
Udgangspunkt i tilsvarende
tilbud
Ved tilsvarende tilbud forstås tilbud, hvor der leveres tilsvarende
ydelser. Hvis kommunalbestyrelsen ikke kan beregne egne omkost-
ninger til tilbuddet, fx som følge af, at der ikke findes tilsvarende til-
bud i kommunen, skal kommunalbestyrelsen i beliggenhedskommu-
nen fastsætte afregningsprisen med udgangspunkt i den takst, som
den ville kunne anbringe borgeren til i et tilsvarende tilbud.
Afregningspriserne fastsættes med udgangspunkt i beliggenheds-
kommunens egen takststruktur. Beregnes der eksempelvis døgntak-
ster for kommunens plejeboliger, skal der også fastsættes døgntak-
ster for friplejeboliger.
Beliggenhedskommunen skal have en beskrivelse af kommunens
takststruktur, der er tydelig og tilgængelig for friplejeleverandøren.
På grund af de indirekte omkostningers ofte udelelige karakter må
de typisk fordeles efter en fordelingsnøgle. Det væsentlige ved val-
get af fordelingsnøgler er, at der opnås en realistisk opgørelse af de
omkostninger, der medgår ved produktionen af den pågældende ak-
tivitet (fx tidsforbrug, lønandele, antal ansatte, areal og lokaleudgif-
ter).
Kommunalbestyrelsen skal sikre sig, at kommunale og private leve-
randører ligestilles, og at samtlige gennemsnitlige langsigtede om-
kostninger medtages. Det følger heraf, at kommunalbestyrelsen skal
sikre sig, at friplejeleverandørerne løbende reguleres på samme
måde, som de kommunale leverandører reguleres, hvis det viser sig,
at taksterne ikke er fastsat i overensstemmelse med de kommunale
gennemsnitlige langsigtede omkostninger.
Kommunalbestyrelsen skal fremlægge grundlaget for beregningerne,
hvis friplejeleverandøren beder om det. Formålet hermed er at skabe
gennemsigtighed i forhold til kommunalbestyrelsens beregninger.
Det skal tydeligt fremgå, hvordan beregningen er foretaget, herun-
der fx, hvilke omkostninger der er medgået i beregningen, eller hvis
der er anvendt fordelingsnøgler.
Hvis borgeren ønsker en friplejebolig i en anden kommune end den,
der har visiteret borgeren til en plejebolig, kan visitationskommunen
aftale en pris med friplejeleverandøren. Afregningen vil så finde sted
til de priser, der er aftalt mellem de to parter. Indgås der ingen af-
tale, skal priserne fastsættes af eller aftales med den kommune,
hvor friplejeboligen er beliggende.
Det er friplejeboligernes beliggenhedskommune, der er handlekom-
mune for beboere i friplejeboliger. Når en borgers behov ændres, er
det derfor kommunalbestyrelsen i friplejeboligens beliggenhedskom-
mune, der skal revisitere borgeren. Den nye afgørelse vil skulle
danne udgangspunkt for en ny afregningspris for borgeren.
Takststruktur
Relevante fordelingsnøgler
(udelelige udgifter)
Regulering af takster
Gennemsigtigt og tydeligt
beregningsgrundlag
Borgere fra anden kommune
Kilde:
Primær kilde er Sundheds- og Ældreministeriet (2017). Denne vejledning suppleres af Indenrigs- og Boligministeriet
(2022) samt Social- og Indenrigsministeriet (2008).
Processen.
En række andre bestemmelser retter sig i højere grad mod pro-
cessen og åbenheden i beregningen. Som det fremgår af Tabel 2.3 vedrører
dette bl.a. den løbende
regulering
af afregningstaksterne. Her fastslår vejled-
ningen, at friplejeleverandørerne løbende skal reguleres på samme måde som
de kommunale leverandører, hvis det viser sig, at taksterne ikke er fastsat i
29
ÆLU, Alm.del - 2022-23 (2. samling) - Bilag 3: Orientering om evaluering af afregningspriser for friplejeboliger
2643728_0030.png
overensstemmelse med de kommunale gennemsnitlige langsigtede omkost-
ninger.
26
Et andet krav til kommunerne er, at de på leverandørernes anmodning skal
fremlægge grundlaget for beregningerne. I det fremlagte beregningsgrundlag
skal det tydeligt fremgå
, ”hvordan beregningen er foretaget, herunder for ek-
sempel hvilke omkostninger der er medgået i beregningen, eller hvis der er
anvendt fordelingsnøgler.”
27
Endelig er der også fastsat bestemmelser for det nye aftegningssystems
håndtering af borgere, som er visiteret i en anden kommune (visitationskom-
munen) end den, hvor leverandøren er beliggende (beliggenhedskommunen).
Her følger det af lovgivningen, at visitationskommunen først har mulighed for
at aftale en pris med friplejeleverandøren med udgangspunkt i leverandørens
vejledende takster. Det vil sige en aftalt takstmodel. Opnås der ikke en aftale
mellem visitationskommunen og leverandøren, aftales eller fastsættes afreg-
ningstaksten af beliggenhedskommunen. Da det er beliggenhedskommunen,
der er handlekommune for beboere på friplejehjem, er det beliggenhedskom-
munen, der skal revisitere borgeren. En borger på et friplejehjem, som belig-
genhedskommunen har revisiteret til et ændret plejebehov, kan danne ud-
gangspunkt for en ny afregningspris for borgeren. Denne afregningspris kan
igen først aftales mellem betalingskommunen (den oprindelige visitationskom-
mune) og leverandøren, og hvis der ikke opnås en aftale, enten aftales med el-
ler fastsættes af beliggenhedskommunen.
Klageadgang.
Af bekendtgørelsens § 5 fremgår det, at friplejeleverandøren
kan anmode Konkurrence- og Forbrugerstyrelsen om, i henhold til konkurren-
celoven, at undersøge en kommunes beregningsgrundlag, beregningsmetoder
og fastsættelse af afregningspriser, jf. bekendtgørelsens bestemmelser.
Hvis Konkurrence- og Forbrugerstyrelsen i den sammenhæng finder, at den
påklagede afregningspris er lavere end den pris, som kommunen skulle have
anvendt, kan Konkurrence- og Forbrugerstyrelsen udstede et påbud til kom-
munen. Et sådant påbud kan betyde, at kommunen skal ophøre med at be-
regne og fastsætte de pågældende afregningspriser, at kommunen skal an-
vende bestemte beregningsgrundlag, beregningsmetoder eller afregningspri-
ser, og at kommunen skal efterbetale et beløb til private friplejeleverandører.
26
27
Se Sundheds- og Ældreministeriet (2017)
,
s. 12.
Det fremgår dog ikke af vejledningen, om kommunerne skal efterregulere deres takster, fx hvis der
opstår kommunale budgetoverskridelser, og de gældende takster er beregnet ud fra budgettal
(Ernst & Young for Dansk Erhverv og Selveje Danmark, 2019).
Sundheds- og Ældreministeriet (2017), s. 17.
30
ÆLU, Alm.del - 2022-23 (2. samling) - Bilag 3: Orientering om evaluering af afregningspriser for friplejeboliger
2643728_0031.png
2.4
Opsummering
Dette kapitel viser, at det nye afregningssystem fra 2015 i praksis giver mulig-
hed for to nye afregningsmodeller. Først forsøger kommune og leverandør at
indgå en aftale om taksten med udgangspunkt i friplejeleverandørens vejle-
dende takster (
aftalt takstmodel
). Lykkes dette ikke, fastsætter kommunen
taksten på baggrund kommunens gennemsnitlige, langsigtede omkostninger
eller, hvis dette ikke muligt, med udgangspunkt i den takst, som kommunen
kan anbringe borgeren til i et tilsvarende tilbud (
kommunal takstmodel
).
Det er i vejledning om afregning af friplejeleverandører fremhævet, at formålet
med de nye afregningsregler er at sikre sammenhæng mellem taksterne for
friplejeleverandørerne og det omkostnings- og serviceniveau, der eksisterer i
den enkelte kommune.
”Vejledning om afregning af friplejeleverandører” skal understøtte dette formål
med at sikre afregningspriser, der er retvisende for kommunens egne omkost-
ninger ved drift af tilsvarende tilbud. ”Vejledning om afregning af friplejeleve-
randører” suppleres af ”Vejledning om omkostningskalkulationer” og ”Vejled-
ning om beregning og afgivelse af kontrolbud”.
Gennemgangen af ”Vejledning om afregning af friplejeleverandører” viser, at
kommunen i fastsættelsen af den kommunale takst skal medtage alle direkte
og indirekte omkostninger, der er forbundet med driften af plejeboliger. Der-
udover angiver vejledningen, hvilke udgifter som enten skal medtages eller
ikke medtages i afregningstaksten, samt efter hvilke metoder afregningsprisen
kan fastsættes.
31
ÆLU, Alm.del - 2022-23 (2. samling) - Bilag 3: Orientering om evaluering af afregningspriser for friplejeboliger
2643728_0032.png
3
Markedet for friplejehjem
I dette kapitel undersøges det, hvordan markedet for friplejehjem har udviklet
sig fra 2013 til 2022 (primo 2022). Den seneste kortlægning på området var
fra 2012
28
, hvorfor VIVEs kortlægning af markedsudviklingen er fastsat til at
starte i 2013. Formålet er at undersøge udviklingen i markedet for friplejehjem,
herunder om der kan identificeres en mulig betydning af det nye afregningssy-
stem for markedsudviklingen. Derudover er formålet at klarlægge udbredelsen
af de forskellige typer af afregningsmodeller (aftalt takstmodel, kommunal
takstmodel og den oprindelige nationale takstmodel) samt vise variationen i
afregningstakster blandt et udsnit af kommuner.
3.1
Antal og organiseringen af friplejehjem
VIVEs kortlægning af markedet for friplejehjem viser, at der primo 2022 var 53
friplejehjem i drift i Danmark. Derudover kunne der identificeres yderligere 9
friplejehjem, som var certificeret og planlagt til at gå i drift i løbet af 2022 og
2023.
29
Dette fremgår af Figur 3.1.
Figur 3.1
Antallet af friplejehjem, primo 2022
Kilde:
VIVEs egen kortlægning. Der tages forbehold for friplejehjem, som måtte være overset i VIVEs kortlægning.
28
29
Rambøll (2012)
.
Det er ikke undersøgt, hvilke ydelser efter serviceloven friplejehjemmene er certificeret til at levere.
32
ÆLU, Alm.del - 2022-23 (2. samling) - Bilag 3: Orientering om evaluering af afregningspriser for friplejeboliger
2643728_0033.png
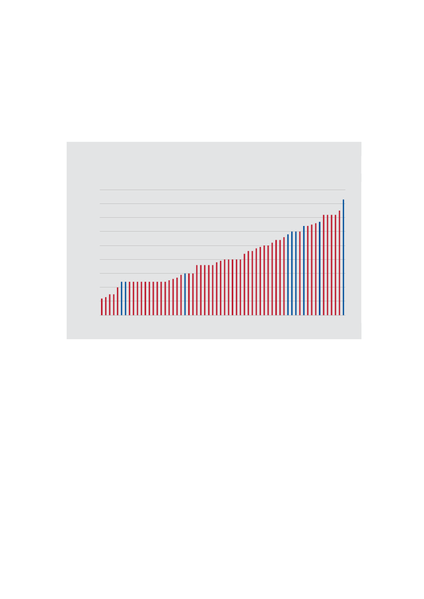
I Figur 3.2 er friplejehjemmene i Danmark fordelt efter størrelse i form af antal-
let af pladser. De røde søjler indikerer de 53 friplejehjem, som var i drift, mens
de 9 planlagte friplejehjem for 2022-2023 er markeret med blå søjler. Det
fremgår, at antallet af pladser varierer betydeligt blandt de idriftsatte fripleje-
hjem, da de mindste friplejehjem har lidt over 10 pladser, mens de største fri-
plejehjem har over 70 pladser. Det gennemsnitlige friplejehjem har cirka 40
pladser.
Figur 3.2
Antallet af pladser på de enkelte friplejehjem
90
80
70
60
50
40
30
20
10
0
Note:
Med rød de nuværende (primo 2022) friplejehjem og med blå de planlagte (2022-2023) friplejehjem. Der er en vis
usikkerhed forbundet med antallet af pladser, som er opgjort ud fra oplysninger fra leverandørerne og plejehjems-
oversigten.
VIVEs egen kortlægning.
Kilde:
Siden 2013 er antallet af friplejehjem tredoblet fra 18 friplejehjem i 2013 til 53
friplejehjem primo 2022. Denne stigning skal ses i lyset af et relativt lavt ud-
gangspunkt for udbredelsen af friplejehjem i 2013. Der ser ikke ud til at være
sket en væsentlig ændring i stigningstakten i antallet af friplejehjem i forbin-
delse med indførslen af det nye afregningssystem i 2015. Dette fremgår af Fi-
gur 3.3.
33
ÆLU, Alm.del - 2022-23 (2. samling) - Bilag 3: Orientering om evaluering af afregningspriser for friplejeboliger
2643728_0034.png
Figur 3.3
Udvikling i antallet af friplejehjem siden 2013
70
60
50
40
30
20
10
0
2013
2017
2021
Kommende
(2022-2023)
18
62
Anm.: Antallet af friplejehjem i 2021 er opgjort primo 2022. Der tages forbehold for friplejehjem, som måtte være overset
i VIVEs kortlægning.
Kilde:
VIVEs egen kortlægning.
Figur 3.4 viser ejerforholdene på markedet for friplejehjem. Figuren viser, at
44 af de 53 friplejehjem er ejet af eller har en administrationsaftale med en af
de 3 organisationer Danske Diakonhjem (35), Mariehjemmene (6) eller OK-
Fonden (3). Danske Diakonhjem er den klart største aktør med i alt 35 fripleje-
hjem i drift, heraf 20 som ejer og 15 friplejehjem som administrator. Der var
primo 2022 2 idriftsatte friplejehjem, som var ejet af de to virksomheder Alti-
den og Attendo Danmark.
30
30
Altiden indgår i Ambea, der er en af Nordens førende omsorgsvirksomheder.
34
ÆLU, Alm.del - 2022-23 (2. samling) - Bilag 3: Orientering om evaluering af afregningspriser for friplejeboliger
2643728_0035.png
Figur 3.4
Organisationerne på markedet for friplejehjem, primo 2022
50
45
40
35
30
25
20
15
10
5
0
Danske
Diakonhjem
Mariehjemmene
OK-Fonden
Altiden + Attendo
Andre
6
7
3
2
35
Antal leverandører, primo 2022
Anm.: Danske Diakonhjem var primo 2022 involveret i 35 idriftsatte friplejehjem, heraf 20 friplejehjem som ejer og 15 fri-
plejehjem som administrator.
Kilde:
VIVEs egen kortlægning.
3.2
Den kommunale udbredelse af friplejehjem
Udbredelsen af friplejehjem kan også observeres på kommunalt niveau. Figur
3.5 viser andelen af kommuner, hvor der ligger et eller flere friplejehjem. Figu-
ren viser, at der primo 2022 var friplejehjem i 34 kommuner, svarende til lidt
over en tredjedel af landets kommuner. Medtages de friplejehjem, som VIVE
har identificeret til at gå i drift i 2022-2023, vil der herefter være 39 danske
kommuner med et eller flere friplejehjem.
35
ÆLU, Alm.del - 2022-23 (2. samling) - Bilag 3: Orientering om evaluering af afregningspriser for friplejeboliger
2643728_0036.png
Figur 3.5
Antal kommuner, hvor der er etableret friplejehjem
50
45
40
35
30
25
20
15
10
5
0
I drift (primo 2022)
Kommende (2022-2023)
I alt
9
34
39
Anm.: Antallet af nuværende (34) og kommende (9) kommuner med friplejehjem summer ikke til 39, fordi 4 kommuner
med planlagte friplejehjem allerede har et eller flere friplejehjem i kommunen. Der tages forbehold for friplejehjem,
som måtte være overset i VIVEs kortlægning.
Kilde:
VIVEs egen kortlægning.
Figur 3.6 angiver, hvordan antallet af friplejehjem er fordelt på kommunerne.
Primo 2022 var der 25 kommuner med 1 friplejehjem, mens der var 9 kommu-
ner med 2 eller flere friplejehjem. I 6 kommuner var der primo 2022 3 eller
flere friplejehjem. Disse kommuner er Gribskov, København, Odense, Vejle, Vi-
borg og Aalborg.
36
ÆLU, Alm.del - 2022-23 (2. samling) - Bilag 3: Orientering om evaluering af afregningspriser for friplejeboliger
2643728_0037.png
Figur 3.6
Antal friplejehjem i de enkelte kommuner
35
30
25
20
15
10
5
0
1
25
29
3
2
4
4
2
3
2
4
4 eller derover
Antal kommuner (Friplejehjem i drift, primo 2022)
Antal kommuner (Friplejehjem i drift + kommende friplejehjem, 2022-2023)
Kilde:
VIVEs egen kortlægning. Der tages forbehold for friplejehjem, som måtte være overset i VIVEs kortlægning.
Udbredelsen af friplejehjem kan også illustreres geografisk. Dette fremgår af
landkortet, Figur 3.7. Kortet dækker over, at der primo 2022 var 37 fripleje-
hjem i Jylland, 11 friplejehjem på Sjælland og øerne samt 5 friplejehjem på Fyn.
Figur 3.7 viser, at friplejehjem især er udbredt i Midt- og Nordjylland.
37
ÆLU, Alm.del - 2022-23 (2. samling) - Bilag 3: Orientering om evaluering af afregningspriser for friplejeboliger
2643728_0038.png
Figur 3.7
Den geografiske udbredelse af friplejehjem, primo 2022
Intet friplejehjem
1 friplejehjem
2 eller flere friplejehjem
Anm.: Landkortet medtager kun friplejehjem som var gået i drift på opgørelsestidspunktet primo 2022. Derimod fremgår
det ikke, hvilke yderligere kommuner som i de kommende år forventes at få friplejehjem. Der tages forbehold for
friplejehjem, som måtte være overset i VIVEs kortlægning.
Kilde:
VIVEs egen kortlægning.
38
ÆLU, Alm.del - 2022-23 (2. samling) - Bilag 3: Orientering om evaluering af afregningspriser for friplejeboliger
2643728_0039.png
3.3
Antal pladser og markedsandel for friplejehjem
I takt med at antallet af friplejehjem er steget siden den seneste kortlægning
af området i 2012, er også antallet af pladser på friplejehjem steget. VIVEs
kortlægning i Figur 3.8 viser således, at der primo 2022 var lige over 2.100
pladser på friplejehjem i Danmark. Derudover havde de kommende fripleje-
hjem efter VIVEs oplysninger allerede planlagt at idriftsætte yderligere cirka
500 friplejeboligpladser til ældre frem mod udgangen af 2023.
Figur 3.8
Antal pladser på friplejehjem
Anm.: Der er en vis usikkerhed forbundet med antallet af pladser, som er opgjort ud fra oplysninger fra leverandørerne
og plejehjemsoversigten.
Kilde:
VIVEs egen kortlægning.
Fra 2013 til primo 2022 er antallet af pladser på friplejehjem dermed tredoblet
fra cirka 700 til cirka 2.100 pladser. Dette skal ses i sammenhæng med, at an-
tallet af friplejehjem også er tredoblet i samme periode jf. afsnit 3.1. Det bør
bemærkes, at stigningen skal ses i lyset af et relativt lavt udgangspunkt for
udbredelsen af friplejehjem i 2013. Der er ikke umiddelbart noget som indike-
rer, at indførelsen af det nye afregningssystem i 2015 har ændret væsentligt
på stigningstakten i udbredelsen af friplejehjem og pladser på friplejehjem.
39
ÆLU, Alm.del - 2022-23 (2. samling) - Bilag 3: Orientering om evaluering af afregningspriser for friplejeboliger
2643728_0040.png
Figur 3.9
Udviklingen i antallet af pladser på friplejehjem siden 2013
3.000
2.500
2.000
1.500
1.000
500
-
2013
2017
2021
Kommende
(2022-2023)
701
2.576
Anm.: Antallet af pladser på friplejehjem i 2021 er opgjort primo 2022. Der er en vis usikkerhed forbundet med antallet af
pladser, som er opgjort ud fra oplysninger fra leverandørerne og plejehjemsoversigten.
Kilde:
VIVEs egen kortlægning.
Det stigende antal friplejeboliger til ældre kan også sættes i forhold til antallet
af permanente plejeboliger til ældre, som er en del af den kommunale plejebo-
ligforsyning. Dermed fås en indikation af friplejehjemmenes markedsandel. Ta-
bel 3.1 viser, at friplejehjemmenes anslåede markedsandel er steget fra cirka
1-2 % i 2013 til cirka 5 % i 2021.
Tabel 3.1
Udviklingen i friplejehjemmenes markedsandel siden 2013
2013
Antal friplejeboliger til ældre
Antal permanente plejeboliger til ældre med døgndækning
(kommunale pladser + friplejeboliger til ældre)
Markedsandel
Note:
2017
1.114
2021
2.106
701
42.761
1,6 %
43.504
2,6 %
44.254
4,8 %
Antallet af pladser på friplejehjem i 2021 er opgjort primo 2022. Der er en vis usikkerhed forbundet med antallet af plad-
ser på friplejehjem, som er opgjort ud fra oplysninger fra leverandørerne og plejehjemsoversigten. Antallet af kommunale
pladser er opgjort som summen af pladser i plejebolig, på plejehjem og i beskyttet bolig. Der er også usikkerhed forbun-
det med opgørelsen af antallet af kommunale pladser, fx indberetter nogle kommuner betydelige udsving mellem bolig-
kategorier fra år til år.
VIVEs egen kortlægning og Danmarks Statistik (RESP01).
Kilde:
40
ÆLU, Alm.del - 2022-23 (2. samling) - Bilag 3: Orientering om evaluering af afregningspriser for friplejeboliger
2643728_0041.png
Da det ”kun” er lidt over en tredjedel af landets kommuner (34), hvor der
primo 2022 var friplejehjem, er friplejehjemmenes markedsandel større end
landsgennemsnittet i de fleste af disse kommuner. Dette fremgår af Figur 3.10.
Modsat har friplejehjemmene ingen andel af markedet i det flertal af kommu-
ner, hvor der primo 2022 ikke var etableret friplejehjem. Figur 3.10 viser, at fri-
plejehjem udgør over 20 % af det samlede antal permanente plejeboliger til
ældre (dvs. inklusive pladser på friplejehjem) i de kommuner, hvor fripleje-
hjemmene har den største lokale markedsandel.
Figur 3.10
Friplejehjemmenes markedsandel i deres
beliggenhedskommune (procent)
30%
25%
20%
15%
10%
5%
0%
Anm.: Antallet af pladser på friplejehjem i 2021 er opgjort primo 2022. Der er en vis usikkerhed forbundet med antallet af
pladser på friplejehjem, som er opgjort ud fra oplysninger fra leverandørerne og plejehjemsoversigten. Antallet af
kommunale pladser er opgjort som summen af pladser i plejebolig, på plejehjem og i beskyttet bolig. Der er også
usikkerhed forbundet med opgørelsen af antallet af kommunale pladser, fx indberetter nogle kommuner betydelige
udsving mellem boligkategorier fra år til år. Det samlede antal døgndækkede plejehjemspladser i casekommunerne
er opgjort inklusive pladser på friplejehjem. Det uvægtede gennemsnit er et gennemsnit for kommuner, hvor der er
beliggende en eller flere friplejehjem.
Kilde:
VIVEs egen kortlægning og Danmarks Statistik (RESP01).
3.4
De anvendte afregningsmodeller
VIVE har også kortlagt, hvilke afregningsmodeller kommunerne anvender over
for leverandørerne primo 2022. Figur 3.11 viser, at ud af de 53 friplejehjem af-
regnes 38 leverandører helt eller delvist efter det nye afregningssystem (27 +
3 + 8= 38), mens 15 friplejehjem endnu ikke er overgået til den nye ordning og
stadig anvender den nationale takstmodel. Ifølge kommunerne afregnes 30 af
41
ÆLU, Alm.del - 2022-23 (2. samling) - Bilag 3: Orientering om evaluering af afregningspriser for friplejeboliger
2643728_0042.png
disse 38 friplejehjem, der opererer under det nye afregningssystem, efter en
kommunal takst, mens 8 friplejehjem afregnes efter en aftalt takst. I den sam-
menhæng bør det dog nævnes, at evalueringen også viser, at den aftalte
takstmodel i mange tilfælde udmøntes på en måde, som kan ligne den kom-
munale takstmodel (se også afsnit 5.2).
Figur 3.11
De anvendte afregningsmodeller for friplejehjem ifølge
kommunerne, primo 2022
Anm.: 3 friplejehjem oplyser, at de både anvender en kommunal og national takst, da boligerne er etableret i flere om-
gange, og pladserne derfor har forskellige tidspunkter for, hvornår det nye afregningssystem træder i kraft. Der-
udover skal det bemærkes, at hvor kommunerne oplyser, at 8 friplejehjem opererer på en aftalt takst, så angiver
leverandørerne, at det tilsvarende tal er 2 friplejehjem. For leverandørerne kan det således i praksis være vanske-
ligt at skelne de to afregningsmodeller, da den aftalte takstmodel i mange tilfælde udmøntes på en måde, som kan
ligne den kommunale takstmodel.
Kilde:
VIVEs egen kortlægning.
Figur 3.11 viser endelig, at der er 3 friplejehjem, som benytter både en kom-
munal takst (nyt afregningssystem) og national takst (gammelt afregningssy-
stem). Dette skyldes, at friplejeboligerne på disse friplejehjem er etableret i
flere omgange, og pladserne derfor har forskellige tidspunkter for, hvornår det
nye afregningssystem træder i kraft. Ifølge lovgivningen afregnes friplejeleve-
randører således som udgangspunkt efter det oprindelige afregningssystem i
10 år fra idriftsættelsen af de pågældende friplejeboliger.
42
ÆLU, Alm.del - 2022-23 (2. samling) - Bilag 3: Orientering om evaluering af afregningspriser for friplejeboliger
2643728_0043.png
Det skal til Figur 3.11 bemærkes, at nogle de friplejehjem, der bliver afregnet
efter en kommunal takst for beliggenhedskommunens borgere, samtidig angi-
ver, at de for friplejehjemmets ”udenbys borgere” afregner efter en aftalt
takst. Udenbys borgere er beboere, der oprindelig er visiteret fra andre kom-
muner (visitationskommunen) end den kommune, hvor friplejehjemmet er be-
liggende (beliggenhedskommunen).
3.5
Afregningspriser blandt et udsnit af kommuner
VIVE har fået adgang til kommunale afregningstakster for lidt over halvdelen
af de 34 kommuner, som primo 2022 havde et eller flere friplejehjem.
31
Dette
fremgår af Figur 3.12, som viser døgntaksterne for 2021 i 18 kommuner, der
har friplejehjem under det nye afregningssystem.
Ud over døgntaksten for ydelser efter serviceloven indeholder døgntaksten i
Figur 3.12 også kommunernes takst for sygepleje og evt. kommunalt kosttil-
skud. Dette skyldes, at de interviewede leverandører lægger vægt på, at de
typisk ikke er snævert fokuseret på døgntaksten ifølge serviceloven, men at
de ser på den samlede økonomi forbundet med at drive friplejehjem, herunder
den samlede afregning fra kommunen efter serviceloven og sundhedsloven.
Derudover kan der være forskelle i, hvordan de enkelte kommuner registrerer
og konterer indsatser efter serviceloven og sundhedsloven. I forhold til at
sammenholde kommunernes takster vurderes det således i nærværende ana-
lyse som mere retvisende at sammenligne servicelovstaksterne inklusive sy-
gepleje og evt. kommunalt kosttilskud.
32
31
32
Det er ikke alle de 34 kommuner, som har friplejehjem under det nye afregningssystem.
Det skal bemærkes, at et forbehold i sammenligningen af taksterne i Figur 3.12 er, at det kan vari-
ere, om den indeholdte sygeplejetakst også inkluderer levering af sygeplejeydelser i ydertimerne.
Sygeplejeydelser i ydertimerne kan i nogle tilfælde leveres af friplejehjemmet selv og i andre til-
fælde af kommunen.
43
ÆLU, Alm.del - 2022-23 (2. samling) - Bilag 3: Orientering om evaluering af afregningspriser for friplejeboliger
2643728_0044.png
Figur 3.12
Døgntakster i 18 kommuner tillagt takst for sygepleje og evt.
kommunalt kosttilskud, 2021
1.600
1.500
1.400
1.300
1.200
Kr.
1.100
1.000
900
800
700
600
Døgntakst efter serviceloven tillagt takst for sygepleje og evt. kosttilskud, 2021
Gennemsnit
Anm.: VIVE har fået adgang til døgntaksterne tillagt sygepleje og evt. kommunalt kosttilskud i 18 kommuner. Af disse 18
kommuner oplyser de 13 kommuner, at de har en kommunal takst, mens 5 af kommunerne oplyser, at de har en aftalt
takst.
Kilde:
VIVEs egen kortlægning på baggrund af data stillet til rådighed af friplejeleverandør.
Figur 3.12 viser, at den gennemsnitlige døgntakst inklusive sygepleje og evt.
kommunalt kosttilskud var lidt over 1.300 kr. i 2021. Døgntaksten inklusive sy-
gepleje og evt. kosttilskud varierer i de 18 kommuner med knap 450 kr. fra den
laveste takst på lidt over 1.100 kr. til den højeste døgntakst på lidt under 1.600
kr. Dette svarer til, at den højeste takst er 39 % højere end den laveste takst
blandt de 18 kommuner, som VIVE har data for. Det er uden for rammerne af
denne evaluering at vurdere, hvad denne forskel skyldes, herunder i hvilket
omfang forskellene kan forklares med variation i kommunernes omkostnings-
og serviceniveau.
33
Det skal også bemærkes, at afregningstaksterne for de 18
kommuner, som VIVE har data for, ikke nødvendigvis er repræsentative for
taksterne i de øvrige kommuner med friplejehjem under det nye afregningssy-
stem.
En supplerende analyse af taksterne i de 18 kommuner tyder ikke på, at den
valgte afregningsmodel – dvs. om der anvendes en aftalt eller kommunal takst
33
Den fundne takstforskelle for friplejehjem synes ikke at variere betydeligt fra de forskelle, som er
fundet i kommunernes timepriser for hjemmepleje under godkendelsesmodellen. Således er forskel-
len på timepriser blandt den laveste og højeste decil (0,10 versus 0,90) i omegnen af 50 % for prak-
tisk hjælp og lidt lavere for personlig pleje (Dansk Industri, 2021a). Det er ikke undersøgt, om det er
de samme kommuner, der har en relativt lav/høj takst for hjemmepleje og plejecentre.
44
ÆLU, Alm.del - 2022-23 (2. samling) - Bilag 3: Orientering om evaluering af afregningspriser for friplejeboliger
2643728_0045.png
i de 18 kommuner – har en klar sammenhæng med takstens størrelse, hverken
i opadgående eller nedadgående retning.
34
3.6
Opsummering
Kortlægningen viser, at antallet af friplejehjem og pladser på friplejehjem er
tredoblet fra 2013 til primo 2022. Denne stigning skal ses i sammenhæng med
det relativt lave udgangspunkt for udbredelsen af friplejehjem i 2013. Kortlæg-
ningen tyder ikke på, at det nye afregningssystem har ændret afgørende på
denne stigningstakt i antal friplejehjem og pladser på friplejehjem. I 2021 ud-
gjorde friplejehjem omkring 5 % af markedet for permanente, døgndækkede
plejeboliger til ældre på tværs af alle landets kommuner.
Det nye afregningssystem gav mulighed for to overordnede afregningsmodeller
i form af henholdsvis en aftalt takstmodel og en kommunal takstmodel. Afreg-
ningsmodellerne fungerer på den måde, at kommunen og leverandøren først
forsøger at indgå en aftale om taksten (
aftalt takstmodel
). Lykkes dette ikke,
fastsætter kommunen taksten på baggrund kommunens gennemsnitlige, lang-
sigtede omkostninger ved drift af tilsvarende tilbud (
kommunal takstmodel
).
Kortlægningen viser, at ud af de 38 friplejehjem, som primo 2022 opererede
under det nye afregningssystem, afregnes 30 efter den kommunale takstmo-
del, mens 8 leverandører afregnes efter en aftalt takstmodel. Nogle fripleje-
hjem, der bliver afregnet efter den kommunale takst for beliggenhedskommu-
nens borgere, oplyser, at de derudover for friplejehjemmenes udenbys bor-
gere afregnes efter en aftalt takst. De resterende 15 friplejehjem er endnu ikke
overgået til det nye afregningssystem og afregnes efter den nationale takst-
model.
Kapitlet viser endelig, at den gennemsnitlige døgntakst inklusive sygepleje og
evt. kosttilskud i 2021 var lidt over 1300 kr. for de 18 kommuner, som VIVE har
tal for. Afregningstaksterne for de 18 kommuner, som VIVE har data for, er
ikke nødvendigvis repræsentative for taksterne i de øvrige kommuner med fri-
plejehjem under det nye afregningssystem. Det tyder ikke på, at den valgte af-
regningsmodel – dvs. om der anvendes en aftalt eller kommunal takst – har en
klar sammenhæng med takstens størrelse.
34
Denne supplerende analyse af de 18 kommuner, fordelt på 13 kommuner med kommunal takst og 5
kommuner med aftalt takst, er ikke vist i rapporten.
45
ÆLU, Alm.del - 2022-23 (2. samling) - Bilag 3: Orientering om evaluering af afregningspriser for friplejeboliger
4
Kommunernes syn på
afregningssystemet
Overordnet syn på afregningssystemet
De 6 casekommuner havde på undersøgelsestidspunktet hvert mellem ét og
tre friplejehjem i kommunen, svarende til i alt 10 friplejehjem under det nye af-
regningssystem. Friplejehjemmenes pladser udgjorde 10-30 % af det samlede
antal døgndækkede plejehjemspladser i casekommunerne (inklusive pladser
på friplejehjem).
Casekommunernes har forskellige erfaringer med friplejehjem, da nogle kom-
muner har haft friplejehjem i mange år, mens to kommuner har fået deres før-
ste friplejehjem for relativt nylig. Derudover er der betydelig variation i forhold
til, om etableringen af friplejehjem er og har været et lokalpolitisk ønske eller
ej. Karakteren af den kommunalpolitiske diskussion om friplejehjem nævnes
generelt som central for at forstå, hvordan den enkelte kommune har modta-
get og arbejdet med det nye afregningssystem.
Fælles for de kommunale informanter er en klar opbakning til det nye afreg-
ningssystems formål om at sikre sammenhæng mellem takster og det omkost-
nings- og serviceniveau, der eksisterer i den enkelte kommune. Ifølge case-
kommunerne udgør det nye afregningssystem således en betydelig forbedring
i forhold til det tidligere afregningssystem.
Casekommunerne er endelig af den opfattelse, at det generelt er lykkedes for
dem at udmønte afregningssystemets formål i en lokal afregningstakst, der af-
spejler kommunens eget omkostnings- og serviceniveau. De kommunale infor-
manter ser dog samtidig en række udfordringer med og potentialer for forbed-
ringer af det nye afregningssystem. Dette uddybes i de følgende afsnit.
4.1
46
ÆLU, Alm.del - 2022-23 (2. samling) - Bilag 3: Orientering om evaluering af afregningspriser for friplejeboliger
2643728_0047.png
4.2
Afregningsmodeller og proces for
takstfastsættelse
4.2.1
Afregningsmodeller og anvisningsret
Fire af casekommunerne oplyser, at de anvender den kommunale takstmodel,
og to kommuner angiver, at de anvender den aftalte takstmodel. Alle 6 kommu-
ner angiver derudover, at deres afregningstakster er udtryk for kommunens
egne omkostninger forbundet med at levere tilsvarende tilbud. Kommunernes
takstmodel og eventuelle anvisningsret hos friplejehjemmene fremgår af Tabel
4.1.
Tabel 4.1
Takstmodel og anvisningsret i casekommunerne
Kommune
A
Takstmodel
Aftale om
anvisningsret
Kommunal
takst
Nej
Kommune
B
Kommunal
takst
Nej
Kommune
C
Kommunal
takst
Nej
Kommune
D
Aftalt takst
Nej
Kommune
E
Kommunal
takst
Nej
Kommune
F
Aftalt takst
Nej
Casekommunerne er generelt tilfredse med afregningssystemets mulighed for
at kunne aftale en takst (aftalt takstmodel) eller anvende en kommunal takst,
hvis det ikke lykkes at indgå en takstaftale (kommunal takstmodel). En af de
casekommuner, som anvender den aftalte takst, fremhæver eksplicit fordelen
herved. Ifølge kommunen reducerer den aftalte model således de faldgruber,
som kan følge af den kommunale takstmodel, hvor man er bundet af mange og
ikke altid entydige regler for beregning af kommunens gennemsnitlige langsig-
tede omkostninger. Denne omkostningsberegning rummer således, ifølge
kommunen, en række faldgruber, man kan komme udenom ved at anvende
den aftalte model, som ikke medfører de samme krav.
Derudover giver den samme kommune udtryk for, at den aftalte takstmodel
understøtter et godt samarbejde mellem kommunen og friplejeleverandøren,
fordi taksten i princippet bygger på en forhandling og ikke ”blot” er fastsat af
kommunen. En anden anvendelse af den aftalte model, som nævnes af andre
informanter fra både kommunerne og leverandørerne, er, at den aftalte model
kan benyttes i en overgangsperiode, indtil der overgås til en kommunal takst.
47
ÆLU, Alm.del - 2022-23 (2. samling) - Bilag 3: Orientering om evaluering af afregningspriser for friplejeboliger
De øvrige fem kommuner er også tilfredse med at have muligheden for enten
at kunne aftale en takst (aftalt takstmodel) eller anvende en kommunal takst,
hvis det ikke lykkes at indgå en takstaftale (kommunal takstmodel). Nogle in-
formanter fremhæver dog, at den aftalte takstmodel i udgangspunktet kan fo-
rekomme lidt besynderlig, når formålet med det nye afregningssystem er at
skabe sammenhæng mellem afregningstakst og kommunens omkostninger og
serviceniveau. At det nye afregningssystem giver mulighed for, at man reelt
kan forhandle sig til en takst, som ikke nødvendigvis afspejler kommunens
omkostninger, forekommer i den sammenhæng lidt uforståeligt for nogle infor-
manter.
Ud over at det med det nye afregningssystem blev muligt enten at aftale en
takst (aftalt takstmodel) eller anvende en kommunal takst, hvis det ikke lykkes
at indgå en takstaftale (kommunal takstmodel), muliggjorde lovændringen
også, at leverandør og kommune kan aftale, at kommunen disponerer over et
antal pladser hos friplejeleverandøren. Ingen af casekommunerne har dog an-
vendt en sådan anvisningsret (se også Tabel 4.1).
Flere kommunale informanter forklarer i den sammenhæng, at det i forhold til
kommunens styring af plejeboligkapaciteten på den ene side godt kan give
mening at aftale en anvisningsret til et antal friplejepladser. På den anden side
nævner informanterne, at en sådan anvisningsret kan indebære, at kommunen
skal deponere eller nedskrive sin låneramme, hvilket gør aftaler om anvis-
ningsret mindre attraktive for kommunerne. Denne opfattelse deles af de in-
terviewede private leverandører.
Det er generelt VIVEs indtryk fra kortlægningen, at den kommunale anvis-
ningsret også på landsplan er meget lidt anvendt.
4.2.2
Proces for takstfastsættelse
Processen for takstfastsættelsen foregår typisk sådan, at casekommunerne –
uanset den valgte takstmodel – selv laver en beregning af en døgntakst, som
skal afspejle kommunens egne omkostninger til tilsvarende tilbud. Denne takst
forelægges leverandøren som kommunens takstudspil. Formuleringen i lovgiv-
ningen om, at en aftalt takst tager udgangspunkt i friplejeleverandørens vejle-
dende takster er dermed typisk ikke tilfældet ifølge informanter fra både kom-
muner og leverandører (se også afsnit 5.2). Friplejeleverandøren kan under
den aftalte takstmodel således sagtens fremlægge sine vejledende takster,
men typisk er det, ifølge informanterne, kommunens takstberegning, der bliver
omdrejningspunkt for forhandlingen – også under den aftalte takstmodel. På
den måde er den praktiske udmøntning af den aftalte tastmodel i mange til-
fælde ikke så forskellig fra den kommunale takstmodel.
48
ÆLU, Alm.del - 2022-23 (2. samling) - Bilag 3: Orientering om evaluering af afregningspriser for friplejeboliger
Det er med andre ord den kommunale takstberegning – også typisk under den
aftalte takstmodel – som er omdrejningspunkt for dialogen om afregningstak-
sten mellem kommune og leverandør. Friplejeleverandøren kan herefter kvali-
ficere og stille spørgsmål til beregningsgrundlag samt bede kommunen frem-
lægge grundlaget for beregningerne, hvilket de skal ifølge reglerne for den
kommunale takstfastsættelse. Formålet hermed er at skabe gennemsigtighed i
forhold til kommunalbestyrelsens beregninger. Det skal således tydeligt
fremgå, hvordan beregningen er foretaget, herunder hvilke omkostninger der
er medgået, og hvordan eventuelle fordelingsnøgler er anvendt.
Ifølge casekommunerne fungerer processen vedrørende takstfastsættelsen i
det store og hele godt, bl.a. fordi friplejehjemmene er med til at kvalificere
takstberegningen via deres viden om regler og erfaring fra andre kommuner.
Casekommunerne oplever dog ikke overraskende, at takstdiskussioner med
leverandøren også kan være konfliktfyldte, fordi kommunen og friplejehjem-
met har modstridende interesser i takstens størrelse. Dette syn på forhand-
lingsprocessen bekræftes ikke overraskende af leverandørerne (se kapitel 5).
En kommune under den aftalte takst beskriver i den sammenhæng, hvordan et
friplejehjem oprindeligt præsenterede en vejledende takst, som var betydeligt
højere end kommunens egne omkostninger. Takstforhandlingen krævede her-
efter inddragelse af kommunens topledelse før man kunne nå til enighed. Et
andet eksempel, under den kommunale takstmodel, er casekommuner, som
har oplevet, at leverandører har argumenteret for at få lagt omkostninger ind i
taksten, som ifølge reglerne ikke skal medregnes. De samme kommuner un-
derstreger dog samtidig, at de generelt oplever, at de private leverandører
som oftest er med til at kvalificere kommunens takstberegninger i positiv ret-
ning.
Ifølge casekommunerne opstår de væsentligste diskussioner om takst mellem
kommune og friplejehjem især i forbindelse med den initiale fastsættelse af
taksten. I den initiale takstfastsættelse foretager kommunen mange væsent-
lige valg, hvorefter kommunen i de følgende år ofte ”blot” opdaterer beregnin-
gen med nye tal. En typisk proces for takstfastsættelse er illustreret i Figur
4.1. Figuren viser, at leverandøren, under den aftalte takstmodel, kan frem-
lægge sine vejledende takster, men at kommunerne også i disse tilfælde ty-
pisk beregner egen takst som grundlag for en forhandling.
49
ÆLU, Alm.del - 2022-23 (2. samling) - Bilag 3: Orientering om evaluering af afregningspriser for friplejeboliger
2643728_0050.png
Figur 4.1
Typisk proces for fastsættelse af takst
4.3
4.3.1
Takstgrundlag og takstberegninger
Takststruktur og takstgrundlag
Casekommunerne anvender forskellige takststrukturer og et forskelligt grund-
lag for taksten. Dette fremgår af Tabel 4.2. Tabellen viser, at 5 ud af de 6
kommuner afregner friplejehjemmene med én gennemsnitlig døgntakst, der er
beregnet på baggrund af kommunens ordinære plejehjemspladser. De 5 på-
gældende kommuner har typisk også en højere takst for særlige pladser, fx til
svært demente og udviklingshæmmede. Denne takst gives dog ikke til fripleje-
hjemmene, da friplejehjemmene, ifølge de kommunale informanter, ikke har
disse borgere.
En enkelt casekommune, Kommune B, afregner til sammenligning efter fire be-
hovsbestemte døgntakster, der er differentierede efter det ugentlige antal vi-
siterede timer. Kommunen forventer at differentiere yderligere i takststruktu-
ren ved at arbejde med en endnu højere takst for de mest komplekse borgere.
Derved forventer Kommune B at få i alt fem døgntakster. En årsag til, at kom-
munen har valgt den differentierede takststruktur er, at kommunen ønsker at
tilskynde friplejehjem til også at tage de mere plejekrævende borgere.
Grundlaget for takstberegningen varierer mellem casekommunerne. 5 ud af 6
kommuner har beregnet taksten på baggrund af kommunens omkostninger til
alle kommunens ordinære pladser. Til sammenligning har en enkelt kommune
specifikt taget udgangspunkt i omkostningerne til 2 kommunale plejecentre
med omtrent samme antal pladser som på friplejehjemmet.
50
ÆLU, Alm.del - 2022-23 (2. samling) - Bilag 3: Orientering om evaluering af afregningspriser for friplejeboliger
2643728_0051.png
Tabel 4.2
Takststruktur og takstgrundlag i casekommunerne
Kommune A
Takststruktur
Takstgrundlag
1 døgntakst
Alle kommu-
nens plejecen-
tre (ordinære
pladser)
Kommune B
4 døgntakster
Alle kommu-
nens plejecen-
tre
Kommune C
1 døgntakst
Alle kommu-
nens plejecen-
tre (ordinære
pladser)
Kommune D
1 døgntakst
2 af kommu-
nens plejecen-
tre med samme
størrelse
Kommune E
1 døgntakst
Alle kommu-
nens plejecen-
tre (ordinære
pladser)
Kommune F
1 døgntakst
Alle kommu-
nens plejecen-
tre (ordinære
pladser)
(”tilsvarende
tilbud”)
4.3.2
Takstberegninger
De overordnede principper i det nye afregningssystem er, ifølge casekommu-
nerne, generelt fornuftige. Det er imidlertid, når disse principper og vejlednin-
ger skal omsættes til konkrete beregninger, at kommunerne i nogle tilfælde
kan opleve takstfastsættelsen som vanskelig. Der er forskel på, hvor vanskelig
og ressourcekrævende informanterne oplever takstberegningen. Den gene-
relle oplevelse på tværs af kommunale informanter er, at en mere præcis vej-
ledning med konkrete eksempler ville gøre beregningen lettere og mindre res-
sourcekrævende.
35
To af casekommunerne anvender den aftalte takstmodel. I den ene af disse
kommuner bunder dette valg i en opfattelse af, at den kommunale takstmodel
og de medfølgende retningslinjer for indregning af omkostninger forekommer
komplekse og indebærer en række faldgruber. I stedet har kommunen taget
udgangspunkt i kommunens mellemkommunale takst for plejehjemspladser,
der er tilpasset friplejeområdet, bl.a. ved at tillægge moms til taksten samt
indregne en række yderligere indirekte omkostninger til den mellemkommu-
nale overhead. Casekommunerne nævner generelt, at de i takstberegningen i
nogen grad er hjulpet på vej af, at de i forvejen opgør deres mellemkommunale
takster for en plejehjemsplads.
I den anden af kommunerne med en aftalt takst har man valgt en løsning, hvor
man frem for at indregne en række kommunale funktioner i taksten i stedet
stiller disse til rådighed for friplejehjemmet. Det drejer sig bl.a. om en række
kommunale specialistfunktioner og kompetenceudvikling for medarbejdere.
36
De fire casekommuner, som benytter en kommunal takstmodel, oplever over-
vejende, at takstberegningen er rimelig håndterbar. Det kræver naturligvis et
stykke beregningsarbejde, første gang taksten opgøres, herunder at sætte sig
35
36
VIVE noterer sig i den sammenhæng, at der på evalueringstidspunktet var et arbejde i gang med en
ny vejledning initieret af Kommunernes Landsforening.
En lignende model er i øvrigt brugt af visse kommuner i forhold til levering af sygepleje om aftenen
og i nattetimerne, idet kommunen og leverandøren i nogle tilfælde kan aftale, at kommunen leverer
sygepleje i ydertimerne, mens leverandøren leverer sygepleje i dagtimerne.
51
ÆLU, Alm.del - 2022-23 (2. samling) - Bilag 3: Orientering om evaluering af afregningspriser for friplejeboliger
2643728_0052.png
ind i regler og vejledninger. Herefter er det imidlertid mindre krævende at op-
datere taksterne i de følgende år. De fire kommuner nævner to specifikke om-
råder, hvor de oplever, at det kan være vanskeligere og mere komplekst at
udføre omkostningsberegningen.
Det gælder for det første beregninger af
afskrivninger og forrentning
af
kapital.
For det andet vedrører det, hvorvidt og med hvilke fordelingsnøgler for-
skellige typer af
indirekte omkostninger
skal indregnes. Som eksempler
på indirekte omkostninger, som kan være vanskelige at indregne, nævner
kommunerne fx forbrug af konsulenter og kompetenceudvikling.
Foruden disse to typer af omkostninger er der også en række øvrige udgifts-
poster, som casekommunerne skal tage stilling til, men som i mindre grad
nævnes som vanskelige. Det drejer sig fx om, hvad kommunen i deres takst-
beregning lægger til grund som et
tilsvarende kommunalt tilbud
. Som det
fremgår af Tabel 4.2 anvender casekommunerne i denne sammenhæng lidt
forskellige tilgange. Derudover oplever de fire kommuner med den kommunale
takstmodel generelt, at
ekstra midler
, herunder puljemidler, er relativt ukompli-
cerede at afregne til friplejehjemmene.
4.4
Borgere fra andre kommuner
Et særskilt opmærksomhedspunkt vedrørende afregningssystemet er, ifølge
flere af casekommunerne, håndteringen af borgere fra andre kommuner. Der
er således ikke mellemkommunal refusion for sundhedslovsydelser for borgere
fra andre kommuner. Dette betyder, at hvis friplejehjemmene tiltrækker relativt
mange udenbys borgere, sammenlignet med kommunens egne plejecentre, så
kan borgerne på friplejehjemmet blive relativt dyrere for beliggenhedskommu-
nens ældreområde, fordi denne ikke får refusion for leverede indsatser efter
sundhedsloven.
Det skal dog hertil bemærkes, at udenbys borgere også kan udløse indtægter
for beliggenhedskommunen, idet denne fx får nye indtægter fra indkomstskat
og den kommunale tilskuds- og udligningsordning.
37
Det er ikke overraskende den casekommune, som har en relativt stor andel af
udenbys borgere på deres friplejehjem, der tillægger udfordringen med uden-
bys borgere særlig stor betydning. Tabel 4.3 viser andelen af borgere fra an-
37
Dansk Industri (2021b)
.
52
ÆLU, Alm.del - 2022-23 (2. samling) - Bilag 3: Orientering om evaluering af afregningspriser for friplejeboliger
2643728_0053.png
dre kommuner på tværs af casekommunerne. For 5 af de 6 casekommuner ud-
gør andelen af borgere fra andre kommuner på friplejehjemmene mindre end
30 %, mens det for den sidste kommune, Kommune D, er cirka 60 % som er
udenbys borgere. Ifølge Kommune D er udfordringen med de mange udenbys
borgere den manglende mellemkommunale refusion på sundhedslovsydelser
og de potentielle afledte problemer med at styre kommunens samlede kapaci-
tet af plejeboliger.
Tabel 4.3
Borgere fra andre kommuner på kommunens friplejehjem
Kommune
A
Andel borgere fra
andre kommuner
< 20%
Kommune
B
Cirka 25 %
Kommune
C
< 20 %
Kommune
D
Cirka 60 %
Kommune
E
< 20 %
Kommune
F
< 20 %
Casekommunerne bemærker, at udfordringen vedrørende mellemkommunal
refusion på sundhedslovsydelser berører afregningssystemet i bred forstand.
Dette vil sige, at selvom afregningssystemet omfatter indsatser efter service-
loven, så er det svært at se bort fra betydningen af sundhedslovsydelser, da
disse er en integreret del af de indsatser, som leveres på et plejecenter.
I den sammenhæng viser en supplerende analyse af 16 kommuners takster,
som VIVE har fået adgang, at sygepleje i gennemsnit udgør 7 % af døgntak-
sten for servicelovsydelser (tillagt et evt. kommunalt kosttilskud). På tværs af
de 16 kommuner varierer taksten for sygepleje fra 2 % til 16 % af døgntaksten
for servicelovsydelser (tillagt et evt. kommunalt kosttilskud).
38
4.5
Transaktionsomkostninger
De 6 interviewede kommuner beskriver en række transaktionsomkostninger,
som er forbundet med det nye afregningssystem. Med transaktionsomkostnin-
ger forstås her omkostninger ved det nye afregningssystem, som ikke kan re-
lateres til kommunens egen levering af plejeboliger, og som derved udgør en
”ekstraomkostning” for kommunen. Der er altså ikke tale om en sammenligning
af transaktionsomkostninger ved det nye afregningssystem i forhold til det
38
De 16 kommuner er en delmængde af de 18 kommuner, hvis døgntakster inklusive sygepleje og evt.
kommunalt kosttilskud VIVE har fået adgang til, og hvor det har været muligt at opgøre sygeplejens
andel. Se også afsnit 3.5. Den supplerende analyse af de 16 kommuner er ikke vist i rapporten.
53
ÆLU, Alm.del - 2022-23 (2. samling) - Bilag 3: Orientering om evaluering af afregningspriser for friplejeboliger
2643728_0054.png
gamle afregningssystem, men derimod en beskrivelse af de kommunale trans-
aktionsomkostninger, som udspringer af det nye afregningssystem.
De kommunale informanter giver generelt udtryk for, at det nye afregningssy-
stemet indebærer transaktionsomkostninger af en vis størrelse. Kommunens
transaktionsomkostninger vedrører dels beregningen af taksten, dels efterføl-
gende spørgsmål og drøftelser af taksten jf. Figur 4.2.
Figur 4.2
Transaktionsomkostninger ved det nye afregningssystem
Ifølge flere casekommuner er det ofte ikke selve omkostningsberegningen,
som medfører de største transaktionsomkostninger for kommunen, men der-
imod de spørgsmål og diskussioner, som takstberegningen giver anledning til.
Det kan fx være spørgsmål, møder, drøftelser og klager til takstberegningen,
foranlediget af de private leverandører og deres interesseorganisationer.
Blandt andet for at reducere omfanget af disse spørgsmål og drøftelser af tak-
sten har 3 ud af de 4 casekommuner, som har en kommunal takstmodel, valgt
at få taksten gennemgået af en ekstern revisor. De pågældende kommuner
bemærker hertil, at betalingen til den eksterne revisor for at gennemgå tak-
sten naturligvis udgør en særskilt ekstraomkostning for kommunen.
Flere kommunale informanter mener samtidig, at transaktionsomkostninger –
ikke mindst forbundet med at beregne taksterne – givetvis vil aftage over tid.
Dette skyldes, at takstberegningen er mere ressourcekrævende, første gang
54
ÆLU, Alm.del - 2022-23 (2. samling) - Bilag 3: Orientering om evaluering af afregningspriser for friplejeboliger
den udføres, ligesom der ofte vil være flere spørgsmål og drøftelser med fri-
plejeleverandøren, første gang taksten fastsættes.
4.6
Mulige forbedringer af afregningssystemet
ifølge kommunerne
Casekommunerne har, ud over behovet for en mere udførlig vejledning, gene-
relt ikke mange konkrete forslag til at forbedre afregningssystemet. En stor
del af de kommunale informanter nævner, at en mere præcis vejledning med
konkrete praksiseksempler formentlig vil gøre beregningen lettere og mindre
ressourcekrævende. En bedre vejledning vil, ifølge casekommunerne, dermed
bidrage til retvisende takster og reducere kommunernes transaktionsomkost-
ninger forbundet med beregning og drøftelser af taksten.
Flere af de kommunale informanter bemærker dog samtidig, at der på trods af
en bedre vejledning fortsat vil være en del kompleksitet og skønsmæssige
valg forbundet med kommunernes takstberegning. I den sammenhæng næv-
ner enkelte informanter, at det kan overvejes, hvordan man kan gøre takstbe-
regningen endnu nemmere og mere simpel for kommunerne. Fx nævnes det,
at det kunne gøres muligt, at kommunerne for visse omkostninger anvender
markedspriser samt en fast national/regional takstprocent for eksempelvis
central administration og ledelse. En informant henviser i denne sammenhæng
til, at der måske kunne anvendes en fast overheadprocent, som det kendes
fra rammeaftaler på det sociale område.
55
ÆLU, Alm.del - 2022-23 (2. samling) - Bilag 3: Orientering om evaluering af afregningspriser for friplejeboliger
2643728_0056.png
5
Leverandørernes syn på
afregningssystemet
Overordnet syn på afregningssystemet
De interviewede friplejeleverandører repræsenterer friplejehjemmene under
det ny afregningssystem i de 6 casekommuner. I alt er der interviewet repræ-
sentanter fra 9 af de i alt 10 friplejehjem, der opererer under det nye afreg-
ningssystem, på tværs af de 6 kommuner. Derudover har de interviewede le-
verandører også friplejehjem, eller administrationsaftale med friplejehjem, i an-
dre kommuner. Dette svarer til, at de interviewede friplejeleverandører samlet
repræsenterer mere end 3 ud af 4 af de 53 friplejehjem, der ifølge kortlægnin-
gen var i drift primo 2022.
39
Leverandørerne har en klar forventning om vækst i antallet af friplejehjem de
kommende år. Leverandørerne oplever således en stor efterspørgsel fra kom-
munerne på at få etableret friplejehjem hos dem. Den afregningstakst, som le-
verandøren kan få i den enkelte kommune, indgår i den sammenhæng som et
centralt parameter i friplejeleverandørens beslutning om at etablere sig. Som
en hovedårsag til den stigende kommunale interesse angiver leverandørerne,
at en del kommuner ser en mulighed for at øge deres plejeboligkapacitet uden
at belaste deres anlægsramme.
De interviewede leverandørers syn på afregningssystemet varierer på nogle
områder. Informanterne er dog generelt enige om, at formålet og de overord-
nede principper i det nye afregningssystem grundlæggende er fornuftige, da
der på papiret gives lige økonomiske vilkår for kommunale plejecentre og fri-
plejehjem. Leverandørerne er også enige om, at det er et mindretal af kommu-
ner, som har problemer med at beregne en retvisende takst. Ifølge leverandø-
rerne skyldes en forkert kommunal afregningstakst normalt ikke en bevidst
underprissætning – selvom nogle informanter oplyser, at de i særlige tilfælde
kan mistænke en kommune for bevidst at fastsætte afregningstaksten for lavt.
Den gennemgående årsag til, at nogle kommuner har problemer med at fast-
sætte retvisende takster er derimod, ifølge leverandørerne, at disse kommu-
ner har udfordringer med at forstå og følge reglerne for omkostningsberegnin-
5.1
39
Det er ikke undersøgt, hvilke ydelser efter serviceloven friplejehjemmene er certificeret til at levere.
56
ÆLU, Alm.del - 2022-23 (2. samling) - Bilag 3: Orientering om evaluering af afregningspriser for friplejeboliger
gen. Denne udfordring med at forstå og følge reglerne for omkostningsbereg-
ningen, herunder udfordringen med at sikre tilstrækkelige kompetencer hos
medarbejderne, opleves generelt som lidt større i de mindre kommuner.
En interviewet leverandør vurderer i den sammenhæng, at i omegnen af hver
fjerde kommune med friplejehjem reelt ikke følger reglerne for takstberegnin-
gen, hvilket kan udmønte sig i for lave takster. En anden leverandør fortæller,
at kommunernes udfordringer med at beregne korrekte takster medfører, at
de formentlig både driver friplejehjem, hvor afregningen er lavere og højere
end kommunens egne reelle omkostninger.
5.2
Afregningsmodeller og proces for
takstfastsættelse
5.2.1
Afregningsmodeller
De interviewede leverandører er generelt tilfredse med, at de både kan afreg-
nes efter en aftalt og en kommunal takst. Ifølge leverandørerne er det i ud-
gangspunktet fint, at afregningssystemet giver denne fleksibilitet, som både
kan være i kommunens og leverandørens interesse. Det er dog samtidig leve-
randørernes opfattelse, at den aftalte takst i mange tilfælde er mere en teore-
tisk end en reel mulighed, da kommunerne stort set altid beregner sine egne
omkostninger som grundlag for en takstaftale. Formuleringen i lovgivningen
om, at en aftalt takst tager udgangspunkt i friplejeleverandørens vejledende
takster er dermed reelt en sjældenhed, ifølge de interviewede leverandører.
Friplejeleverandøren kan under den aftale takstmodel således sagtens frem-
lægge sine vejledende takster, men typisk er det kommunens takstberegning
(som kommunen stort set altid vil foretage), der bliver omdrejningspunkt for
forhandlingen – også under den aftalte takstmodel. På den måde er den prak-
tiske udmøntning af den aftalte tastmodel i mange tilfælde ikke så forskellig
fra den kommunale takstmodel.
Det er i den sammenhæng sigende, at VIVEs landsbaserede kortlægning viser,
at hvor
kommunerne
oplyser, at otte friplejehjem er på en aftalt takst, så angi-
ver
leverandørerne
, at det tilsvarende tal er to friplejehjem. For leverandørerne
kan det således i praksis være vanskeligt at skelne de to afregningsmodeller,
da lovgivningen indebærer, at den kommunale takst er ”fald-tilbage-optionen”,
hvis parterne ikke kan blive enige om en aftalt takst. Kan der ikke aftales en
takst, er det kommunens takstudspil, som i store træk bliver gældende, og
derved kan leverandøren opleve, at den lige så godt kan indgå en aftale. Dette
ifølge leverandørerne bl.a. for at bidrage til et godt fremtidigt samarbejde med
57
ÆLU, Alm.del - 2022-23 (2. samling) - Bilag 3: Orientering om evaluering af afregningspriser for friplejeboliger
kommunen. En leverandør nævner dog enkelte tilfælde, hvor den ikke har kun-
net nå til enighed med kommunen om en aftalt takst og derfor specifikt har
bedt kommunen om at beregne taksten efter reglerne i den kommunale takst-
model.
På grund af den kommunale takst som fald-tilbage-optionen og hensynet til et
godt fremtidigt samarbejde med kommunen, angiver nogle leverandører deres
forhandlingsposition i forhold til kommunen som svær. Omvendt kan den sti-
gende interesse for etablering af friplejehjem hos en række kommuner også
være med at styrke friplejehjemmenes forhandlingsposition i takstfastsættelsen.
En friplejeleverandør oplyser, at den generelt foretrækker den kommunale
takst frem for den aftalte takst, fordi den aftalte takstmodel er forbundet med
større økonomisk usikkerhed, da kommunen på et senere tidspunkt har mulig-
hed for at overgå til en (muligvis lavere) kommunal takst.
5.2.2
Proces for takstfastsættelse
De interviewede leverandører genkender grundlæggende casekommunernes
beskrivelse af den typiske proces for takstfastsættelse (se afsnit 4.2.2).
Leverandørerne beskriver således, hvordan kommunerne normalt opgør en
kommunal døgntakst, som forelægges leverandøren som takstudspil. Fripleje-
leverandøren kan under den aftale takstmodel også fremlægge sine vejle-
dende takster, men det er som oftest kommunens takstudspil, der reelt er om-
drejningspunkt for forhandlingen. I den forstand er den praktiske udmøntning
af den aftalte tastmodel i mange tilfælde ikke så forskellig fra den kommunale
takstmodel.
Friplejeleverandøren er herefter med til at kvalificere og stille spørgsmål til be-
regningsgrundlaget og kan bede kommunen fremlægge grundlaget for bereg-
ningerne. Ifølge leverandørerne opstår de væsentligste takstdiskussioner mel-
lem kommune og friplejehjem især, første gang taksten beregnes samt i den
efterfølgende opdatering af taksten, hvis kommunen fx annoncerer større
takstændringer, eller leverandøren har iagttaget kommunale investeringer på
plejeboligområdet, leverandøren mener skal indregnes.
Det er leverandørernes oplevelse, at de i høj grad er med til at kvalificere den
kommunale takstberegning via deres viden om takstregler og generelle erfa-
ring fra andre kommuner. Gennemgående oplever leverandørerne en kommu-
nal vilje til at leve op til reglerne i takstberegningen. I forhold til takstfastsæt-
telsen bemærker leverandørerne, at de ikke er snævert fokuserede på døgn-
58
ÆLU, Alm.del - 2022-23 (2. samling) - Bilag 3: Orientering om evaluering af afregningspriser for friplejeboliger
2643728_0059.png
taksten ifølge serviceloven, men at de ser på det samlede driftsmæssige bil-
lede, herunder den samlede afregning inklusive sygepleje og evt. kommunalt
kosttilskud (se også afsnit 3.5).
De interviewede friplejeleverandører oplever dog også udfordringer i proces-
sen med at fastsætte taksten. Først og fremmest oplever leverandørerne, at
det kan være svært at gennemskue og eftergå kommunens takstberegning.
Dette også selvom kommunen deler beregningsgrundlaget med leverandøren.
Det beregningsgrundlag, som kommunerne deler med leverandøren, kan være
alt fra lange regneark til et kortfattet notat om hovedprincipperne i den an-
vendte metode. Som et eksempel nævner flere informanter fra leverandø-
rerne, at kommunernes opgørelse af de indirekte omkostninger ofte forekom-
mer uigennemskuelig, fordi man ikke detaljeret kan se, hvilke indirekte om-
kostninger der indgår og ikke indgår.
Fremfor at forlade sig på det kommunale beregningsgrundlag – som kan være
svært at gennemskue – spørger leverandørerne typisk ind til en række om-
kostninger, som de har erfaring for volder kommunerne besvær. En oversigt
over de væsentligste af disse udgiftsposter, som leverandørerne har fokus på
i deres dialog med kommunerne, fremgår af afsnit 5.3. Leverandørerne kan i
praksis fx se på – og vurdere realismen i – hvor stor en andel af taksten, som
udgøres af centralt overhead.
40
Leverandørerne nævner også, at de ofte hen-
viser kommunen til bekendtgørelsen og vejledningen samt de mellemkommu-
nale takster og rapporter om emnet.
41
Ud over oplevelsen af, at det kan være svært at gennemskue og eftergå
grundlaget for kommunernes takstberegning, nævner nogle leverandører, at
det kan være en udfordring for takstfastsættelsen, at leverandørerne efterføl-
gende skal samarbejde med kommunen. Hensynet til det fremtidige samar-
bejde med kommunen kan, ifølge de pågældende leverandører, afholde dem
fra at stille for mange spørgsmål til kommunen endsige klage til Konkurrence-
og Forbrugerstyrelsen.
Friplejeleverandørerne nævner i den sammenhæng, at de i nogle tilfælde kan
overveje at involvere deres interesseorganisation ved uenighed om afregning-
staksten. Det er leverandørernes oplevelse, at inddragelsen af en interesseor-
ganisation kan betyde, at kommunerne ”gør sig mere umage” med takstbereg-
ningen. Omvendt nævner leverandørerne også, at der er en risiko for, at ind-
dragelsen af en interesseorganisation virker konfliktoptrappende og potentielt
40
41
En informant nævner i den sammenhæng, at man bl.a. ser på, om den centrale overheadprocent er i
nærheden af de 6 %, som der nogle steder regnes med i rammeaftalerne på det sociale område.
Fx Ernst & Young (2019)
.
59
ÆLU, Alm.del - 2022-23 (2. samling) - Bilag 3: Orientering om evaluering af afregningspriser for friplejeboliger
kan forværre det fremtidige samarbejde med kommunen. Sådanne overvejel-
ser kan ifølge leverandørerne afholde dem fra at inddrage eksterne parter, så-
som en interesseorganisation, i dialogen med kommunen.
Tilsvarende overvejelser om risikoen for at forværre samarbejdet med kom-
munen gør sig også gældende for leverandørernes stillingtagen til at anmode
Konkurrence- og Forbrugerstyrelsen om at undersøge en kommunes takster.
Ifølge en friplejeleverandør er det desuden usikkert, om Konkurrence- og For-
brugerstyrelsen ville tage en sådan klage op.
5.3
Takstgrundlag og takstberegninger
De interviewede leverandører har alle afregningstaksten som et helt centralt
fokusområde. Leverandørerne arbejder således typisk med nogle interne ret-
tesnore for, hvad en døgntakst, tillagt en særskilt sygeplejetakst, gerne skal
være for at sikre en holdbar drift. Selv mindre ændringer i en døgntakst kan
være mange penge for leverandøren, når taksten ganges op med dage og be-
boere.
I den sammenhæng har leverandørerne fokus på en række specifikke områder
og udgiftsposter, som de erfaringsmæssigt ved kan volde kommunerne be-
svær i takstberegningen. Disse opmærksomhedspunkter er sammenfattet i Fi-
gur 5.1. Gennemgående oplever leverandørerne, at kommunerne forsøger at
leve op til reglerne for takstberegningen, men at de nævnte omkostninger i Fi-
gur 5.1 i praksis er vanskelige at opgøre for kommunerne.
60
ÆLU, Alm.del - 2022-23 (2. samling) - Bilag 3: Orientering om evaluering af afregningspriser for friplejeboliger
2643728_0061.png
Figur 5.1
Opmærksomhedspunkter hos de private leverandører i
forhold til den kommunale takstberegning
Et første opmærksomhedspunkt for leverandørerne er, hvad kommunerne an-
vender som det
overordnede grundlag
for taksten, herunder om kommunen fx
anvender budget- eller regnskabstal, og hvilken belægningsgrad der lægges
til grund. Nogle informanter beretter fx, at de har oplevet, at kommuner læg-
ger en urealistisk høj belægningsgrad til grund for takstberegningen. Leveran-
dørerne oplever derudover, at der både er kommuner, som anvender budget-
tal og kommuner, som anvender regnskabstal. I enkelte særtilfælde har leve-
randører oplevet, at kommuner, som har anvendt budgettal i deres takstbe-
regning, har lavet en efterbetaling til friplejehjemmet på baggrund af en over-
skridelse af det oprindelige budget.
Et andet opmærksomhedspunkt for leverandørerne er kommunernes indreg-
ning af
ledelse og administration
, både lokalt og centralt. Her er opfattelsen, at
kommunerne i nogle tilfælde ikke foretager en tilstrækkelig afgrænsning af
omkostninger eller anvender objektive fordelingsnøgler for de udelelige udgif-
ter. Fx er leverandørerne opmærksomme på, at kommunerne i beregningen af
61
ÆLU, Alm.del - 2022-23 (2. samling) - Bilag 3: Orientering om evaluering af afregningspriser for friplejeboliger
2643728_0062.png
omkostninger til støttefunktioner ikke kun skal beregne den direkte timeløn,
men også medregne omkostninger til støttefunktionernes arbejdsplads i form
af eksempelvis husleje og andele af central ledelse og administration.
Et tredje opmærksomhedspunkt vedrører kommunernes håndtering af
bygnin-
ger og kapitalomkostninger.
Dette vedrører fx, om og hvordan kommunerne
indregner investeringer i og udgifter til vedligeholdelse af plejecentre, samt
om kommunens bygninger er afskrevet efter de gældende regler (se også af-
snit 2.3). Derudover har leverandørerne fokus på, at kommunen på en korrekt
måde medregner omkostninger forbundet med forretning af bygningernes
restværdi. Arbejder kommunen med bygninger, som er afskrevet mere end
hvad reglerne tilsiger, bliver de beregnede kapitalomkostninger for lave.
Der er endelig en række
specifikke omkostninger,
som leverandørerne ofte
sørger for at spørge ind til. Det drejer sig bl.a. om, hvorvidt og hvordan kom-
munerne har indregnet omkostninger til barselsudligning, forsikringer og ska-
desomkostninger, tilskud til madservice, puljemidler samt omkostninger til ud-
dannelse og elever.
5.4
Borgere fra andre kommuner
Hvor kommunerne især interesserer sig for antallet af udenbys borgere på
kommunens friplejehjem ud fra hensynet til sundhedslovsudgifter og den ge-
nerelle styring af plejeboligkapaciteten, så kan leverandørerne have en anden
interesse i antallet af udenbys borgere. Afregningssystemet giver således mu-
lighed for, at friplejeleverandøren kan aftale en anden takst med visitations-
kommunen, end den som anvendes i beliggenhedskommunen. I ”Vejledning
om afregning af friplejeboligleverandører” fremgår det således:
”Hvis borgeren ønsker en friplejebolig i en anden kommune end
den, der har visiteret borgeren til en plejebolig eller en lignende bo-
ligform, kan visitationskommunen aftale en pris med friplejeboligle-
verandøren. Afregningen vil så finde sted til de priser, der er aftalt
mellem de to parter. Indgås der ingen aftale, skal priserne fastsæt-
tes af eller aftales med den kommune, hvor friplejeboligen er belig-
gende.”
42
Blandt de 9 interviewede friplejehjem, der opererer under det ny afregnings-
system i de 6 casekommuner, er der 1 friplejehjem, som i nogle tilfælde tager
en højere takst for borgere fra andre kommuner. De resterende otte fripleje-
42
Sundheds- og Ældreministeriet (2017)
,
s. 10.
62
ÆLU, Alm.del - 2022-23 (2. samling) - Bilag 3: Orientering om evaluering af afregningspriser for friplejeboliger
hjem anvender beliggenhedskommunens takst for udenbys borgerne. Det fri-
plejehjem, som har valgt at tage en højere takst for borgere fra andre kommu-
ner, begrunder dette med, at de fastsætter taksten for udenbys borgere med
udgangspunkt i de pågældende borgeres plejebehov.
En anden leverandør, som på interviewtidspunktet anvendte den samme takst
for alle borgere, overvejer at tage en højere takst for udenbys borgere. Ifølge
denne leverandør kan det fx ske ved at den indfører en praksis, hvor man for
den enkelte beliggenhedskommune vurderer, om taksten er så lav, at leveran-
døren er nødt til at arbejde med en anden takst for udenbys borgere. Leveran-
døren nævner som en anden mulighed, at den kan beslutte generelt at tage en
differentieret takst for udenbys borgere på alle leverandørens friplejehjem.
5.5
Mulige forbedringer af afregningssystemet
ifølge leverandørerne
De interviewede leverandører har givet en række forslag til, hvordan afreg-
ningssystemet kan forbedres. Som det fremgår af Figur 5.2, falder størstepar-
ten af disse forslag inden for afregningssystemets nuværende rammer.
For det første ønsker alle de interviewede leverandører en klarere vejledning,
der meget gerne indeholder konkrete eksempler på kommunale beregninger.
Som et eksempel så en leverandør gerne, at der var en klarere vejledning/in-
struks med flere og mere eksplicitte krav til kommunens beregning af de indi-
rekte omkostninger. Dette ville medføre, at kommunerne i højere grad skulle
dokumentere indregningen af de forskellige delelementer af de indirekte om-
kostninger.
For det andet, og i sammenhæng med forslaget om en klarere vejledning, er
der generelt et ønske om, at de kommunale medarbejdere klædes bedre på til
at fastsætte taksten korrekt. Det kan de blive ved en klarere og mere udførlig
vejledning, men, ifølge nogle informanter, også via kompetenceudvikling, kur-
ser mv.
Endelig nævner nogle af leverandørerne behovet for en større gennemsigtig-
hed i de kommunale beregninger, således at de reelt har mulighed for at ef-
tergå disse. En enkelt leverandør nævner, at der kan være behov for en uaf-
hængig instans, som vurderer, om den kommunale takst er korrekt. Ifølge flere
leverandører er det nuværende klagesystem ikke egnet til at udgøre en sådan
instans, da denne klagevej kan virke konfliktoptrappende og kan besværlig-
gøre det fremtidige samarbejde med kommunen.
63
ÆLU, Alm.del - 2022-23 (2. samling) - Bilag 3: Orientering om evaluering af afregningspriser for friplejeboliger
2643728_0064.png
Figur 5.2
Friplejeleverandørernes forslag til forbedringer af
afregningssystem
En af leverandørerne nævner endelig et forslag, som falder uden for afreg-
ningssystemets nuværende rammer. Dette forslag går på at ændre afreg-
ningssystemet, således at kommunerne afregner friplejehjemmene efter en re-
gional fastsat timetakst.
64
ÆLU, Alm.del - 2022-23 (2. samling) - Bilag 3: Orientering om evaluering af afregningspriser for friplejeboliger
6
Konklusion
Formålet med denne evaluering har været at undersøge, i hvilken grad det nye
afregningssystem for friplejehjem fra 2015 har medført de ændringer, som var
intentionen. Ifølge vejledningen på området er formålet med de nye afreg-
ningsregler at sikre sammenhæng mellem taksterne for friplejeboligleverandø-
rerne og det omkostnings- og serviceniveau, der eksisterer i den enkelte kom-
mune. Det er i den forbindelse en del af evalueringen at vise variationen i ca-
sekommunernes praksis for takstfastsættelse. Derimod er det
ikke
en del af
evalueringen at foretage en revisionsgennemgang af de deltagende kommu-
ners afregningstakster.
Markedsudviklingen og aktørernes syn på det nye afregningssystem
Analysen peger overordnet på, at både kommuner og friplejehjemleverandører
oplever, at det nye afregningssystem i nogen grad har indfriet formålet om at
sikre sammenhæng mellem taksterne og den enkelte kommunes omkostnings-
og serviceniveau. Denne konklusion baserer sig bl.a. på følgende:
For det første
peger de interviewede kommuner og leverandører selv på, at de
fastsatte takster i kommunerne i de fleste tilfælde er et rimeligt udtryk for
kommunernes omkostnings- og serviceniveau. De private leverandører ople-
ver dog samtidig, at et mindretal af kommuner har problemer med at beregne
en retvisende takst. En privat leverandør vurderer, at i omegnen af hver fjerde
kommune med friplejehjem ikke i tilstrækkelig grad følger reglerne for takstbe-
regningen. Dette kan, ifølge leverandøren, udmønte sig i for lave takster. Til-
svarende nævner informanter på tværs af både kommuner og leverandører, at
de afregnede takster i nogle tilfælde kan være både højere og lavere end
kommunens reelle omkostninger. Dette kan fx skyldes, at kommunen fejlagtigt
har indregnet eller ikke indregnet specifikke omkostninger, eller at en aftalt
takst senere har vist sig højere/lavere end kommunens reelle omkostninger.
For det andet
oplever både kommunale og private informanter, at der generelt
er en kommunal vilje til at beregne retvisende takster. Dette understøtter fast-
sættelsen af korrekte takster, fordi kommunerne gennemgående forsøger at
udføre takstberegningen korrekt og også er lydhøre over for eksterne input til
takstfastsættelsen. Eksterne input kommer fx fra friplejeleverandører, der via
deres erfaring ofte er med til at kvalificere den kommunale takstberegning, og
ved at kommunerne kan bede eksterne revisorer om at gennemgå taksterne.
Der er i casestudierne fundet variation mellem deltagerkommunernes praksis
for takstfastsættelse, fx i forhold til om deres takststruktur består af en eller
flere takster, og om grundlaget for taksten er baseret på alle eller nogle af
kommunens plejecentre.
65
ÆLU, Alm.del - 2022-23 (2. samling) - Bilag 3: Orientering om evaluering af afregningspriser for friplejeboliger
For det tredje
peger de fleste af de gennemførte interviews på, at den nuvæ-
rende mulighed i afregningssystemet for enten at aftale en takst (
aftalt takst-
model
) eller anvende en kommunal takst, hvis det ikke lykkes at indgå en
takstaftale (
kommunal takstmodel
), understøtter afregningssystemets formål.
Ifølge flere informanter bidrager de to afregningsmodeller således til en vis
fleksibilitet i afregningssystemet. Det kan fx være tilfældet, hvis en kommune
oplever, at det vil være forbundet med mange usikre antagelser at beregne
sine langsigtede omkostninger, og kommunen således i stedet vælger at an-
vende en aftalt takst. Evalueringen viser også, at den praktiske udmøntning af
den aftalte tastmodel i mange tilfælde kan ligne takstfastsættelsen under den
kommunale takstmodel.
VIVEs kortlægning viser, at blandt de 38 friplejehjem, der helt eller delvist er
underlagt det nye afregningssystem, så afregnes 30 efter en kommunal takst,
og 8 efter en aftalt takst. En gennemgang af taksterne i 18 kommuner, der
opererer under det nye afregningssystem, tyder ikke på, at den valgte afreg-
ningsmodel har en klar sammenhæng med takstens størrelse – hverken i op-
adgående eller nedadgående retning.
I forhold til de to forskellige afregningsmodeller i det nye afregningssystem,
bemærkes det, at det nye system giver mulighed for, at friplejeleverandører
kan aftale en anden (fx højere) takst for udenbys borgere med visitationskom-
munen, end den som anvendes i beliggenhedskommunen. Friplejehjem, som
har valgt at tage en anden takst for udenbys borgere, forklarer at taksten i
disse tilfælde aftales med visitationskommunen med udgangspunkt i de på-
gældende udenbys borgeres konkrete plejebehov.
For det fjerde
viser VIVEs kortlægning af markedet for friplejehjem, at over-
gangen fra det gamle til det nye afregningssystem i 2015 ikke synes at have
reduceret konkurrencen på markedet for friplejehjem. Hvert fald ikke, når man
måler på antallet og den kommunale udbredelse af friplejehjem. Kortlægningen
viser således, at den forudgående stigning i udbredelsen af friplejehjem er
fortsat efter det nye afregningssystems indførelse i 2015. Kortlægningen viser
således, at antallet af friplejehjem og pladser på friplejehjem er tredoblet fra
2013 til primo 2022. Friplejehjemmenes anslåede markedsandel er tilsvarende
steget fra cirka 1-2 % i 2013 til cirka 5 % i 2021. Stigningen bør ses i sammen-
hæng med et relativt lavt udgangspunkt for udbredelsen af friplejehjem i 2013.
Forskelle i afregningstakster
Analysen viser også, at der som en konsekvens af afregningssystemet er for-
skelle i kommunernes afregningstakster. En gennemgang af taksterne i 18
kommuner, der anvender det nye afregningssystem, viser således, at kommu-
nernes døgntakst inklusive sygepleje og evt. kosttilskud varierer fra lidt over
66
ÆLU, Alm.del - 2022-23 (2. samling) - Bilag 3: Orientering om evaluering af afregningspriser for friplejeboliger
1.100 kr. til lidt under 1.600 kr. i 2021. Afregningstaksterne for de 18 kommu-
ner, som VIVE har data for, er ikke nødvendigvis repræsentative for taksterne i
de øvrige kommuner med friplejehjem under det nye afregningssystem.
At der er forskelle i kommunernes takster er som udgangspunkt ikke overra-
skende og en naturlig konsekvens af det nye afregningssystem. Det er uden
for denne evaluerings rammer at vurdere, hvad de fundne takstforskelle skyl-
des, herunder i hvilket omfang takstforskelle kan forklares med variation i
kommunernes omkostnings- og serviceniveau.
Opmærksomhedspunkter
Evalueringen peger endelig på en række opmærksomhedspunkter vedrørende
det nye afregningssystem:
For det første
er informanterne fra kommuner og leverandører enige om, at
nogle dele af taksten kan være særlig vanskelige for kommunerne af beregne.
Det gælder bl.a. indregning af ledelse og administration samt vedligeholdelse,
afskrivning og forretning af bygninger. En mere præcis vejledning med kon-
krete eksempler vil i den sammenhæng, ifølge både kommuner og leverandø-
rer, forbedre forudsætningerne for en korrekt takstfastsættelse.
For det andet
oplever de interviewede leverandører generelt, at det kan være
svært at gennemskue og eftergå kommunernes takstberegninger. Det kan fx
vedrøre kommunernes opgørelse af de indirekte omkostninger, hvor leverand-
øerne kan opleve det som uigennemskueligt, hvilke omkostningselementer
som indgår i taksten. Det beregningsgrundlag, som kommunerne deler med le-
verandøren, kan således opleves som svært at gennemskue for leverandøren
og have en meget varierende karakter. Derfor spørger leverandørerne typisk
skriftligt og/eller mundtligt ind til en række omkostninger, som de erfarings-
mæssigt ved kan være vanskelige for kommunerne at håndtere. I denne del af
processen for takstfastsættelse kan leverandørerne opleve det som en udfor-
dring, at de efterfølgende skal samarbejde med kommunen, hvilket kan af-
holde dem fra at stille spørgsmål til kommunen eller ultimativt klage til Konkur-
rence- og Forbrugerstyrelsen.
For det tredje
er det generelt leverandørernes opfattelse, at den aftalte takst
ofte er mere en teoretisk end en reel mulighed, da kommunerne stort set altid
beregner deres omkostninger som grundlag for en takstaftale. For leverandø-
rerne kan det dermed i praksis være vanskeligt at skelne den kommunale og
aftalte takstmodel, da lovgivningen indebærer, at den kommunale takst er
”fald-tilbage-optionen”. Grundet den kommunale takst som fald-tilbage-optio-
nen og hensynet til ikke at forværre et fremtidigt samarbejde med kommunen,
67
ÆLU, Alm.del - 2022-23 (2. samling) - Bilag 3: Orientering om evaluering af afregningspriser for friplejeboliger
angiver nogle leverandører deres forhandlingsposition i forhold til kommunen
som svær.
For det fjerde
oplever kommunerne, at det nye afregningssystem indebærer
visse transaktionsomkostninger. De kommunale transaktionsomkostninger
vedrører dels beregningen af taksten, dels efterfølgende spørgsmål og drøf-
telser af taksten. Kommunernes generelle oplevelse er, at det ofte ikke er
selve takstberegningen, men derimod de spørgsmål og diskussioner, som be-
regningen giver anledning til, der medfører de største transaktionsomkostnin-
ger. Casekommunerne oplever størrelsen på transaktionsomkostningerne for-
skelligt. Flere kommunale informanter vurderer, at transaktionsomkostnin-
gerne kan aftage over tid, i takt med at der opnås flere erfaringer med det nye
afregningssystem.
68
ÆLU, Alm.del - 2022-23 (2. samling) - Bilag 3: Orientering om evaluering af afregningspriser for friplejeboliger
Litteratur
Dansk Industri (2021):
DI Analyse. Stigende forskelle i kommunernes afreg-
ningspriser.
Dansk Industri (2021):
Økonomiske konsekvenser for kommunerne ved etable-
ring af et friplejehjem.
Ernst & Young for Dansk Erhverv og Selveje Danmark (2019):
Friplejeboliger:
Analyse af den anvendte afregningsmodel.
Finansministeriet (2014):
Aftaler om den kommunale og regionale økonomi for
2015.
Hjelmar, Ulf, Yosef Bhatti, Tine Rostgaard, Ole Helby Petersen, Karsten Vrang-
bæk, Patricia Thor Larsen og Lily Michelle Molsbergen Jacobsen (2016):
Kvalitet på offentlige og private plejecentre i Danmark.
VIVE.
Indenrigs- og Boligministeriet (2017): LBK nr. 1162 af 26/10/2017 (Gældende).
Bekendtgørelse af lov om friplejeboliger.
Indenrigs- og Boligministeriet (2022):
Budget- og regnskabssystem for kom-
muner. Kap. 9.3 Vejledning om omkostningskalkulationer. Juli 2020
.
Ministeriet for By, Bolig og Landdistrikter (2014): 2014/1 LSF 139 (Gældende).
Forslag til Lov om ændring af lov om friplejeboliger, lov om almene boliger
m.v., lov om social service og lov om individuel boligstøtte (Fri adgang til
plejeboligmarkedet, ophævelse af krav om genudbud, ændring af afreg-
nings-systemet, pantsætningsforbud, forenkling af friplejeboligordningen
m.v.).
Rambøll (2012):
Evaluering af lov om friplejeboliger.
Social- og Indenrigsministeriet (2008): Vejledning nr. 32 af 24/06/2008 (Gæl-
dende). Vejledning om kommuners og regioners beregning og afgivelse af
kontrolbud.
Social- og Ældreministeriet (2022): BEK nr. 219 af 10/02/2022. Bekendtgørelse
om finansiering af visse ydelser og tilbud efter lov om social service samt
betaling for unges ophold i Kriminalforsorgens institutioner.
69
ÆLU, Alm.del - 2022-23 (2. samling) - Bilag 3: Orientering om evaluering af afregningspriser for friplejeboliger
Sundhedsministeriet (2015): BEK nr. 1170 af 30/09/2015 (Gældende). Be-
kendtgørelse om kommunalbestyrelsens fastsættelse af afregningspriser
for ydelser efter serviceloven i forhold til friplejeboligleverandører.
Sundheds- og Ældreministeriet (2017): Vejledning nr. 10329 af 21/12/2017
(Gældende). Vejledning om afregning af friplejeboligleverandører.
70
ÆLU, Alm.del - 2022-23 (2. samling) - Bilag 3: Orientering om evaluering af afregningspriser for friplejeboliger
2643728_0071.png