Transportudvalget 2021-22
TRU Alm.del
Offentligt
2517377_0001.png
Dato
Journalnr:
21. januar 2021
22/00123-6
Bilag til TRU 156
Status for færdiggørelsen af Niels Bohr Bygningen
________________________________________________________
Dette notat orienterer om status for færdiggørelsen af Niels Bohr Bygningen.
Vejdirektoratet orienterede senest Folketinget om projektets status ved brev oversendt
af transportministeren til Finansudvalget den 8. november 2021. Det fremgik heraf, at
det omfattende udbedringsbehov af ca. 10.000 af entreprenørernes fejludførte brand-
lukninger var styrende for projektets tidsplan, og dermed for den forventede overdra-
gelsesdato til Københavns Universitet. På tidspunktet forventedes brandlukningsar-
bejdet færdiggjort i maj, således at bygningen er brandgodkendt og klar til overdragelse
den 1. juli.
Et stort sygdomsudbrud hen over årsskiftet 2021/22 blandt nøglepersonalet for brand-
lukningsudbedringen har bidraget til at presse tidsplanen. Den aktuelle status er dog,
at bygningen fortsat forventes klar til kundeoverdragelse den 1. juli 2022.
Denne orientering oversendes i forbindelse med transportministerens besvarelse af
udvalgsspørgsmål vedrørende Niels Bohr Bygningen. Der henvises derfor til ministe-
rens besvarelse af FIU alm. del spm. 80-95, TRU alm. del spm. 138-145 og UFU alm.
del. spm. 59-72.
Baggrund
Vejdirektoratet overtog bygherreansvaret fra Bygningsstyrelsen i 2018. Siden da har
det gentagne gange været nødvendigt at udskyde projektets forventede færdiggørelses-
tidspunkt, hvilket selvfølgelig er meget beklageligt.
Der er tidligere orienteret om, hvordan byggeriet af Niels Bohr Bygningen gennem hele
sin levetid har været underlagt en række uhensigtsmæssige rammebetingelser, herun-
der særligt forhold relateret til den valgte udbudsform, entrepriseform, løbende kun-
deinitierede projektændringer og entreprenørers manglende vilje til at overholde de
aftaler, som de har indgået. For en mere udførlig gennemgang af disse forhold kan der
bl.a. henvises til orienteringen oversendt til Finansudvalget den 8. november 2021.
Aktuel status
Bygningen forventes klar til kundeoverdragelse den 1. juli 2022. Det er stadig udbed-
ringsarbejdet af brandlukningerne, der er styrende for den endelige overdragelse af
byggeriet. Det er i alt nødvendigt at omgøre ca. 10.000 brandlukninger.
Vejdirektoratet
Carsten Niebuhrs Gade 43, 5. sal
1577 København V.
Telefon +45 7244 3333
[email protected]
vejdirektoratet.dk
SE 60729018
EAN 5798000893450
TRU, Alm.del - 2021-22 - Endeligt svar på spørgsmål 156: Spm. om ministeren vil give en status på Niels Bohr Bygningen, til transportministeren
2517377_0002.png
Bygningens brandlukninger har siden april 2019 været konstateret mangelfulde og fejl-
behæftede af bygherres tilsyn. Problemet er løbende blevet påtalt over for entreprenø-
rerne allerede under udførelsen. De fleste entreprenører har dog ikke villet tage ansva-
ret for deres fejludførte brandlukninger. Enkelte entreprenører har selv afhjulpet egne
fejl og mangler, mens andre har forsøgt sig med en udbedring, som har vist sig ikke at
være tilstrækkelig. Bygherre har derfor måttet lade disse fejl og mangler udbedre på
entreprenørernes regning. Til denne opgave er i alt indhentet 4 specialistfirmaer.
Det har ikke været muligt at lade specialisterne overtage de originalt udførende entre-
prenørers arbejde tidligere, idet de originalt udførende entreprenører har ret og pligt
til at udbedre egne fejl og mangler. Af kontraktgrundlaget fremgår det, at entreprenø-
rerne varsles og levnes rimelig tid til udbedring af egne mangler (jf. AB92). Der er dog
ikke fastsat specifikke tidsfrister for varsling overfor entreprenørerne i kontraktgrund-
laget. Entreprenørerne har været bekendt med deres fejl i meget lang tid, og Vejdirek-
toratet har inden for en rimelig periode varslet, at bygherren overtager opgaven. I for-
bindelse med alle kontraktuelle uenigheder inddrages Kammeradvokaten løbende i
forvaltningen af entrepriserne.
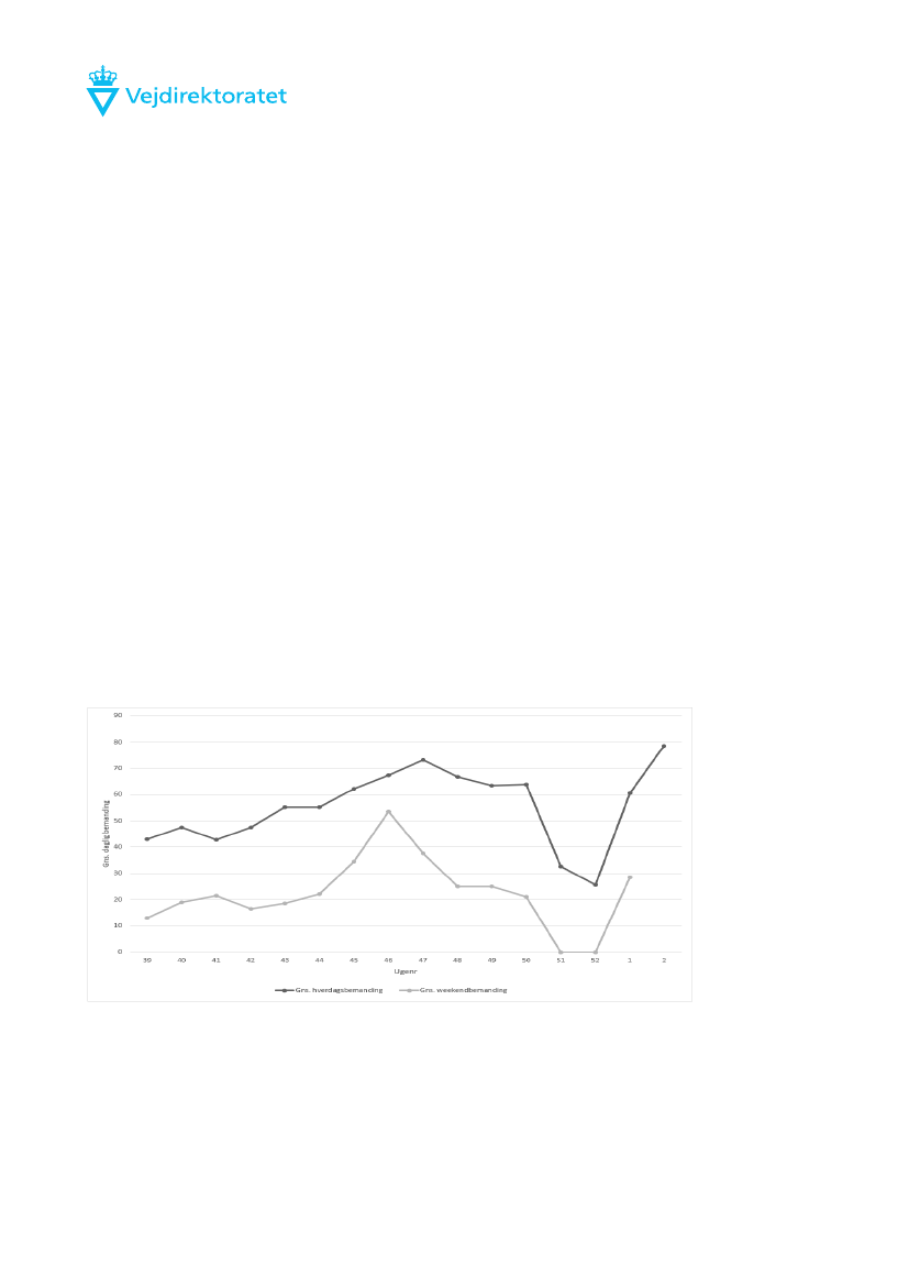
Specialistfirmaernes realiserede udførelseskadence og fremmødte mandskab har dog
siden vist sig under det forudsatte. Til eksempel var den gennemsnitlige daglige be-
manding i august på 23, svarende til ca. halvdelen af det forudsatte. Fra september
2021 og frem er det dog lykkedes at få specialistfirmaerne til at øge deres bemanding i
et støt tempo.
Figur 1: Gennemsnitlig daglig bemanding hos brandlukningsentreprenørerne
Anm: Dataserien løber fra den 1. oktober 2021 til den 14. januar 2022.
Frem til slutningen af 2021 blev der opnået en bemanding, som vurderes at kunne sikre
at den overordnede tidsplan overholdes. Den seneste corona-smittebølge har dog skabt
væsentlige bemandingsmæssige udfordringer i nogle uger hen over julen. I de første
uger af januar er der igen mandet op, så bemandingen nu er højere end den var i efter-
året.
2
TRU, Alm.del - 2021-22 - Endeligt svar på spørgsmål 156: Spm. om ministeren vil give en status på Niels Bohr Bygningen, til transportministeren
2517377_0003.png
Der arbejdes aktuelt på at indhente den tabte fremdrift hen over årsskiftet.
Udviklingen og fremdriften på udbedringerne af brandlukningerne følges nøje, og i det
omfang markedssituationen tillader det, vil der fortsættes med at sikre projektet den
nødvendige bemanding til det altafgørende udbedringsarbejde af brandlukningerne.
Såfremt godkendelsesproceduren for entreprenørernes genoprettede brandlukninger
skulle blive en hæmmende faktor for den overordnede tidsplan, vil Vejdirektoratet li-
geledes allokere ekstra ressourcer til funktionærstaben.
Siden de første indikationer i sommeren 2021 på, at brandlukningerne kunne indtræde
på projektets kritiske sti, er der igangsat en lang række initiativer, som samlet skal bi-
drage til at brandlukningsarbejdet hurtigst muligt kan afsluttes. Heraf kan bl.a. næv-
nes:
For at skabe en tættere og styrket ledelse af udførelsen er der nedsat et fælles byg-
geledelsesteam mellem bygherrens og entreprenørernes medarbejdere.
Bygherren har indsat egne byggeledere i entreprenørernes byggeledelse for at
skabe forbedringer for produktionsraten og kvaliteten af udbedringsindsatsen.
Ligeledes har bygherrens medarbejdere i et større omfang medvirket i ledelsen af
håndværkerne i forbindelse med udbedringernes gennemførelse.
Processen hvorved genoprettede brandlukninger bliver godkendt og genafleveret
er strømlinet i samarbejde med totalrådgiveren.
Der er leveret bistand til entreprenørerne med udformning og kommentering af
arbejdsbeskrivelser, anvist hvorledes arbejderne skulle gribes an og gennemføres,
samt hvorledes disse arbejder skal dokumenteres korrekt.
Bygherren har i samarbejde med totalrådgiveren udarbejdet og fået godkendt en
dispensationsansøgning der har kunnet minimere antallet af vægge med krav til
brandmodstandsevne omkring laboratorierne.
I det omfang det har været nødvendigt, er enkelte mandskabshold hos de udfø-
rende hjemsendt grundet gentagne tilfælde af manglende kvalitet i udførelsen.
Foruden brandlukningerne udestår nogle enkelte aktiviteter. Navnlig udestår perfor-
mance test, brugerinstruktioner, færdiggørelse af brandanlæg i forlængelse af brand-
lukningerne og myndighedsbehandling. Fælles for mange af disse aktiviteter gælder
det, at de er udskudt som følge af den pågående udbedring af brandlukningerne. Her-
efter kommer mindre mangler og enkelte udskudte aktiviteter i terræn, som ikke har
betydning for overdragelsestidspunktet.
Med afsæt i de tidligere erfaringer med entreprenørernes fremdrift og projektets kom-
pleksitet er tidsplanen nødvendigvis behæftet med usikkerhed. Hertil kommer den op-
hedede markedssituation inden for bygge- og anlægsbranchen, hvilket kan medføre
fortsatte udfordringer med at sikre den nødvendige kompetente bemanding på bygge-
sagen. Ligeledes følges bemandingssituation nøje i forhold til den aktuelle corona-
smitte. Måtte der igen - som hen over årsskiftet - optræde udbredt smitte blandt med-
arbejdere på projektet, vil det vanskeliggøre opretholdelsen af den nødvendige produk-
tion på byggepladsen.
3
TRU, Alm.del - 2021-22 - Endeligt svar på spørgsmål 156: Spm. om ministeren vil give en status på Niels Bohr Bygningen, til transportministeren
2517377_0004.png
Udfordringerne søges håndteret, så de ikke får afgørende betydning for bygningens
færdiggørelse.
Økonomi
Folketinget blev senest orienteret om projektets økonomiske status ved brev fra trans-
portministeren til Finansudvalget af 8. november 2021. Det fremgik heraf, at projek-
tets totaludgift forventedes at blive 4.627,2 mio. kr. inkl. risikotillæg.
Denne ramme er fortsat overholdt, men i og med at den påkrævede udbedringskadence
blev realiseret noget senere end ventet, samtidigt med at vinterens COVID-19-smitte
har haft betydelig indvirkning på bemandingssituationen, er der dog risiko for at yder-
ligere fordyrelser kan indtræde frem mod overdragelsesdatoen. Det skyldes, at det i
højere omfang kan blive nødvendigt at gøre flere tiltag for at sikre den maksimale be-
manding, herunder større anvendelse af forcering. Eventuelle fordyrelser vil indgå i de
rejste modkrav overfor entreprenørerne. Projektets merudgift reduceres dermed i det
omfang bygherren får medhold i de rejste krav mod entreprenører.
4