Børne- og Undervisningsudvalget 2021-22
BUU Alm.del
Offentligt
2588635_0001.png
Fra:
Sendt:
Til:
Cc:
Emne:
Vedhæftede filer:
Mads Bentzen
9. marts 2022 12:51
'Rikke Dyrberg'
Jens Refslund Poulsen; Frederik Stobbe
VS: Aktindsigt
sag 22-00834.pdf; sag 22-01927.pdf; sag 22-00753.pdf; sag 22-00756.pdf; sag
22-00832.pdf
Kære Rikke
Vedlagt finder du nytilkomne akter og opdaterede aktlister i to af sagerne, jf. din aktindsigtsanmodning af
28. februar 2022. Endvidere er aktlisten på de tre øvrige sager vedlagt.
Vedlagte akter:
22/00834
Akt 1-12 er tidligere udleveret.
Akt 13-15 gives der nu aktindsigt i, med anonymisering.
22/01927
Akt 1-6 er tidligere udleveret.
Akt 7-9 gives der nu aktindsigt i, med anonymisering i akt 8.
Kun aktlister:
22/00753
22/00756 (akt 10-11 indgår i filen, men disse har tidligere været fremsendt)
22/00832
Styrelsen har ikke modtaget yderligere klager vedrørende Herlufsholm.
Med venlig hilsen
Mads Bentzen
Chefkonsulent
Styrelsen for Undervisning og Kvalitet
Kontor for Gymnasier
Frederiksholms Kanal 26
1220 København K
Tlf. nr.: 33 92 50 00
Direkte tlf.: +45 4126 9491
E-mail:
[email protected]
BUU, Alm.del - 2021-22 - Endeligt svar på spørgsmål 247: Spm. om at oversende alle dokumenter i sagen, som TV2 har fået aktindsigt i, i forbindelse med produktionen af dokumentaren 'Herlufsholms hemmeligheder', til børne- og undervisningsministeren
2588635_0002.png
Fra:
Mads Bentzen
Sendt:
1. marts 2022 15:29
Til:
'Rikke Dyrberg' <[email protected]>
Emne:
SV: Aktindsigt
Kære Rikke
Jeg kvitterer for modtagelsen.
Med venlig hilsen
Mads Bentzen
Chefkonsulent
Børne- og Undervisningsministeriet
Styrelsen for Undervisning og Kvalitet
Kontor for Gymnasier
Frederiksholms Kanal 26
1220 København K
Direkte tlf.: +45 4126 9491
E-mail:
[email protected]
-----Oprindelig meddelelse-----
Fra: Rikke Dyrberg <[email protected]>
Sendt: 28. februar 2022 22:12
Til: Mads Bentzen <[email protected]>
Emne: Aktindsigt
Hej Mads
Tak for beskrivelsen af videomaterialet.
Jeg anmoder hermed om aktindsigt i samtlige sagsakter, der er tilgået de fire klagesager (bortviste elever
fra Herlufsholm) og STUK’s generelle tilsynssag (Herlufsholm) siden seneste anmodning og frem til den 9.
marts, hvor tidsfristen for besvarelsen af denne anmodning udløber. Jeg forventer, at der blandt
sagsakterne vil være et referat af dagens møde mellem STUK og Herlufsholm. Jeg vil også gerne have
tilsendt samtlige aktlister.
Har der været andre klager over den nuværende rektor på Herlufsholm siden de fire sager?
Bekræft venligst, at henvendelsen her er modtaget.
BUU, Alm.del - 2021-22 - Endeligt svar på spørgsmål 247: Spm. om at oversende alle dokumenter i sagen, som TV2 har fået aktindsigt i, i forbindelse med produktionen af dokumentaren 'Herlufsholms hemmeligheder', til børne- og undervisningsministeren
På forhånd tak for hjælpen.
MVH Rikke, Kompagniet (mobil 20861413)
Sendt fra min iPhone
BUU, Alm.del - 2021-22 - Endeligt svar på spørgsmål 247: Spm. om at oversende alle dokumenter i sagen, som TV2 har fået aktindsigt i, i forbindelse med produktionen af dokumentaren 'Herlufsholms hemmeligheder', til børne- og undervisningsministeren
2588635_0004.png
Sagsresume
22100834
Klage over bortvisning
-
Herlufsholm skole
Sagens
N r.
dokumenter
Titel
1
2
Klagesag
fremsendt
til styrelsen
fra skolen
Kvitteringssvar
Klager anmoder
om fysisk
møde
med styrelsen
om
møde
3
4
5
6
7
8
Svar til klager vedr. anmodning
Ny mail fra klager
Klager fremsender
Afgørelse
sendt
selv
sagens akter til STUK bilagt USB-stik
til klagerne
Mailudveksling
med institutionen,
der har ønsket at modtage
de videoer,
som
klager har sendt til styrelsen
9
10
Styrelsens fremsender kopi af videomateriale
Mailudveksling
med klager om videomateriale
modtaget
fra klager
11
12
13
14
Mail til skolen (på vegne af fire
elever)
Beskrivelse
Henvendelse
af indhold på fremsendte
videoer
og billeder
fra klager til skolen (i kopi til styrelsen)
Skolens
svar pä henvendelse
fra klager (i kopi til styrelsen)
15
Ny henvendelse
fra klager til skolen (i kopi til styrelsen)
/
BUU, Alm.del - 2021-22 - Endeligt svar på spørgsmål 247: Spm. om at oversende alle dokumenter i sagen, som TV2 har fået aktindsigt i, i forbindelse med produktionen af dokumentaren 'Herlufsholms hemmeligheder', til børne- og undervisningsministeren
2588635_0005.png
á
BUU, Alm.del - 2021-22 - Endeligt svar på spørgsmål 247: Spm. om at oversende alle dokumenter i sagen, som TV2 har fået aktindsigt i, i forbindelse med produktionen af dokumentaren 'Herlufsholms hemmeligheder', til børne- og undervisningsministeren
2588635_0006.png
Fra:
Sendt:
Til:
Cc:
1.
marts 2022 14:03
Martin Horst
Arvedlund
Mads
Bentzen; Torben
von
Lowzow;
Hanne
Leth Andersen;
Noemi Katznelson;
Anne
5
nh
°
Emne:
Prioritet:
Herlufshol
Høj
"***"… " "'N' "'
.
"
°"
Han
Franck;
Phlllp
Søren Thorsen;
Kære
Arvedlund
På vegne af
s a
p.
'1 jeg
gerne
høre
om der er
fremskred
i
sagerne
og
om vi
kunnebede
dig om en at
komme
tilbage
med dit
yderligere
svar
jf din
kvitteringsmail
den 21 feb 22
a
Best
Regards
From:
Martin
Date:
Monday,
To:
Horst
Arvedlund
<[email protected]>
21 February
2022
at
10.09
(Mads.Bentzeatukuvm.dk>,
Torben von
Lowzow
Sebastian
Franck
Cc: [email protected]
<[email protected]>,
Hanne
Leth Andersen <[email protected]>,
Noemi Katznelson
<[email protected]>,
Anne Sophie K. Vilsbøll
<[email protected]>,
Malou
Skeel <[email protected]<>,
([email protected]>
Philip Søren
Thorsen <[email protected]>,
Subject:
SV.
Kære
erlufsholm
Jeg kvitterer hermed for
modtagelsen.
Vi vender
tilbage
med yderligere
svar.
Med venlig hilsen
Martin
Arvedlund
Fra:
Sendt: 2
.
februar 2022 09:43
BUU, Alm.del - 2021-22 - Endeligt svar på spørgsmål 247: Spm. om at oversende alle dokumenter i sagen, som TV2 har fået aktindsigt i, i forbindelse med produktionen af dokumentaren 'Herlufsholms hemmeligheder', til børne- og undervisningsministeren
2588635_0007.png
Til: Martin Horst Arvedlund
<[email protected]>
Cc:
[email protected]; Torben
von
Lowzow
<[email protected]>;
Hanne
Leth Andersen <[email protected]>;
Noemi Katznelson <[email protected]>;
<pst@
mazanti.dk>;
hmne:
Fwd:
Her
ufsholm
Anne
Sephia
K. Vilsbøll
<[email protected]>;
Malou Skeel
<[email protected]>; Sebastian Franck <Sebastian.Franc
isobar.com>; Philip
Søren Thorsen
Nedenstående
tekst er
også
vedhæftet
Kære
vicerektor Martin
Horst
Arvedlund,
nedenstående
skal
betragtes
som et
fælles
svar fra
(S
med en
fælles afgørelse a
vores
fremsendte
klager.
forældre
til
det vi
alle
har modtaget mails fra
Styrelsen
for Undervisning og Kvalitet
Som bekendt har
STUK
givet os medhold i vores klager og har valgt at hjemvise dem til evt.
fornyet
behandling.
Drengene
er
således
ikke bortvist
længere.
en identisk mail til
alle
fire
parter,
hvor
vi dog bliver cplyst
D.
15-02-2022 skriver
rektor Mikkel
Kjellberg
om, at
drengene
fortsat
er
hjemsendt
idet rektor
agter
at
genoptage
behandlingen af
sagen.
Rektor Mikkel
Kjellberg
vælger, ud af
alle
de punkter som vi
forældre
får medhold i, udelukkende at henvise
til at skolen ikke har indsamlet videomaterialet. Rektor Mikkel
Kjellberg
sagsbehandlingen
ved
bl.a.
at
anmode
om, at vi
fremsender
videodokumentation.
ønsker nu at genoptage
Vi stiller os
undrende
over
for
denne
anmodning. Rektor har jo
anmodet
STUK
om det videomateriale, vi har
fremsendt
dertil.
Gennem
sagen
har vi på forskellig vis
argumenteret
for en usaglig,
unuanceret
og uprofessionel
sagsbehandling og der er eksemplarisk
under
høringsperioden argumenteret for
diverse nuancer,
der
forventeligt skal inddrages i den genoptagede sagsbehandling, jf. anvisningen i
STUKs
afgørelse.
Vores
perspektiv på
denne
sag, fremgår
tydeligt igennem klagerne, hvor det
fremgår,
at de episoder der
henvises til, ikke afviger fra habituel
adfærd
og hverdag på
Herlufsholm
Kostskole og praktiseres af
adskillige elever antageligt
dagligt i
et givet
format.
De involverede har
handlet
i god
tro,
inden for en given
norm
og kultur på
Herlufsholm kostskole
og afviger ikke fra
normen
af
adfærd
og kultur på
Herlufsholm
Kostskole.
Set fra vores perspektiv er det
derfor
også
forventeligt, at hvis skolen ønsker
fornyet
sagsbehandling, må
rektor Mikkel
Kjellberg
og
kostskolelederSusanne
Geisler
løfte
opgaven
forbundet
med at fremskaffe
relevant materiale og en relevant og
denne
gang
kon'ekt
sagsbehandling.
der kan sikre et tilstrækkeligt
grundlag
for at
træffe
en kvalificeret beslutning. på et
oplyst
og
nuanceret
grundlag.
Og at vi som
forældre
ikke skal
løse
skolens
problem
med at
løfte
den
afgørende
bevisbyrde. Hertil kommer, at vi har
fået
en frist
til d.
21/2,
lige
efter
en officiel ferieperiode, hvorfor
bl.a.
kontakt til vores advokater besværliggøres.
Dette
virker urimeligt og
uden
hensyntagen
til familierne og de involverede.
Vi har som nævnt
allerede
forevist rektor Mikkel
Kjellberg
og kostskoleleder
Susanne
Geisler de videoer.
der
hører
Lil
påstandene
i anklagen såvel som
nuancerende
videoer af det
påstående
mobbeoffer. Disse
videoer er
alle
fire
drenges
familier i besiddelse af.
Videoeme
er ligeledes
også
indsendt til
STUK
ifm.
klagen.
BUU, Alm.del - 2021-22 - Endeligt svar på spørgsmål 247: Spm. om at oversende alle dokumenter i sagen, som TV2 har fået aktindsigt i, i forbindelse med produktionen af dokumentaren 'Herlufsholms hemmeligheder', til børne- og undervisningsministeren
2588635_0008.png
Vi har
flere
gange
undervejs tilbudt at mødes og løse sagen
i
rnindelighed,
også
for at forkorte vores drenges
fravær fra skolen, undervisningen deres kammeratskaber.
og
Dette er aldrig blevet imødekommetog først
efter klagentil
S'I'UK
fremsendt
og deresafgørelse
er
foreligger.da foreslårskolenvoresegettilbud.
Vi foreslår derfor,
i
og med at skolen fortsat har bevisbyrden, at når rektor Mikkel Kjellberg har indhentet sit
bevismateriale for sagen som svarer til anldagemes påstande, kan vi mødes og fremvise/sarrunenholdevores
videoer(igen) med det, rektormåtte fremskaffe.
Vi kan hertil oplyse,at vi er
i
kommeti besiddelse nyt materiale,der kundgørfølgende;
af
At
_
var med på og klar over, at episodernevar for
sjov
og at han var indforstået med dem og
indgik i
dissepå ligeværdig
vis.
At skolen har presset -
forældre
i
flere omgange til at politianmelde vores drenge. Forældrene til
Rolandhar afslåetdette.
At det undskyldningsbrev
som
_
svarer de
ener
pålydende,
afleveredetil rektor Mikkel Kjellberg og
kostskaleleder
Susanne
Geislertil deres
høringsmøde
aldriger viderebragt
_
ti]
Da
—forældre
siger dette
til skolen.
"Nå ja, det har vi, ville
I
gerne have det?"
At episoden med "ballerne." var en forståelig gengældelse for, at "elv
hovedpudebetræktilhørende
havde
tørret ende
i
et
At …er
forsøgt at tale vores drengessag hos rektor Mikkel Kjellberg og kostskoleleder
Susanne
"Hvis
det er din opfattelse, at de drenge er
Geisler
og til dette skulle de havde responderet til
_
uskyldige,anbefalervi, at du opsøger
psykologhjælp."
At den nylige
politianmeldelse
af en
homoseksuel
krænkelse på skolen, udelukkende har haft den
konsekvens krænkeren, denneer blevet flyttet til en andensovesal og dermedpt.
ikke
er
bortvist.
for
at
-
Vi
stiller
os
ydermere
meget undrende over, at dele af
STUK's
afgørelse nu ser ud til at blive undladt
i
den
nye sagsbehandling,
ifølge seneste
mail fra rektorMikkel Kjellberg, og at det bør kraftigt overvejes,hvordan
dette vil blive behandlet
i
genoptagelsenaf sagen,jf.
STUK's
hjemvisning af klagen:
Bevismateriale
”Skolen har således efter der oplyste ikke sørge! for at ska]??? en kopi af de videoer, som den baserer
sig
sanktionssagemepå. Derved har det heller ikke
været
muligt for
skolen
at lade videoerne indgå
i
grundlaget
for partshøring af eleverne. Styrelsen er ikke enig med skolen i, at reglerne om persondatabeskyttelse
i
det
konkretetilfælde udelukker,at skolenkan lade videoerne
evt.
i
en forkortet
form,
hvori kun de sekvenser,
som
skolen
lægger
vægt
på, medtages
indgå
i
grundlagetforpartshøring af eleverne.
"
Prucesfejl
”Styrelsen
finder
ud fi'a sagernes
materiale,
at der
i
alie sager foreligger væsentlige
sagsbehandlingsmæssige
mangler.
I
den
forbindelse
henvises
der til, at bestemmelserneforvalmingsloven
i
i
henhold
n'!
§
8, nr. 1, 1.
pkt.,
i
bekendtgørelse nr.
1338
af 9. december
2019
om
studie-
og
ordensregler
m.v.
i
de gymnasiale uddannelsergælder for skolens afgørelsesvirksomhed
ener
studie-
og
ordensregleme,
uanset at
skolen
ikke er en de! af den offentlige forvaltning.
"
Ugyldige sanktioner
BUU, Alm.del - 2021-22 - Endeligt svar på spørgsmål 247: Spm. om at oversende alle dokumenter i sagen, som TV2 har fået aktindsigt i, i forbindelse med produktionen af dokumentaren 'Herlufsholms hemmeligheder', til børne- og undervisningsministeren
2588635_0009.png
”På
baggrund
af
sagens
oplysninger
finder
styrelsen
ikke,
at det er
påvist.
at
skolen
har silver sig et
tilstrækkeligt
oplysningsgrundlag iværksættelse sanktioner
overfor
eleverne.
for
af
Episoder
taget
ud af
kontekst - manglende
nuancering i beslutningsgrundlaget
"Dertil
kommer,
at det
i
undersøgelseqfasen
er
kommetfrem.
dels at de
konkrete videoer angiveligt
er en del
af en større
flerhed
af
videooptagelser
sammenlignelige
episoder,
sam alle skulle
forefindes
i
en
fælles
af
lukket
chatgruppe
for eleveme på den
pågældende
elevgård, dels at
visse
af
disseandre videoer angiveligt
kan
nuancereopfattelsen
af den
femte
elevs rolle. Det fremgår imidlertid
ikke,
at
skolen
har sørget
for,
at
disse øvrige videoer kam
i
skolens besiddelse med
henblik
på at
indgå
i
beslutningsgrundlaget.
Nogle
af
videoerne
har dog
væretfarevist
skolens
ledelse
af én af
klagerne
i
selve høringsjäsen.
Manglende inddragelse
af fnrældremyndigheden
krænkende afhøring og hjemsendelse
"Swrelsen
konstaterer
videre. at
skolen
i forbindelse
eller tilbud om bisidder til den
grænseoverskridende
og
med den
første
mundtlige
høringsfase øjensynlig
ikke
har
haft
informeret
og
inddraget
forældremyndighedens
jf idenfarbindelse
5
8, nr. I, 2.
pkt..
i
bekendtgørelsen.
indehavere
for de elever,
hvor
det var
aktuelt,
Sagen
har
i
skrivende
stundstået
i
over
80
dage/Z
'A
måned
og lader til
fortsat
at
trække
ud, udelukkende
pga.
rektor Mikkel
Kjellbergs
initiale og
sidenhen
ubrudterække
af
procesfejl.
Som
tiden
går, er det kun
vore
sønner
det går ud over. Og
bemærk
at drengene
under hele
forløbet
IKKE
har
fået
muligheden for at
tage
afsked
med
deres
skolekammerater,
venner og lærere. Selve
dagen
for
afhøringen
og hjemsendelsen var håbløst krænkende og det virker
i
alt som en bevidst ydmygelse af
vores
drenge.
To af
vores
drenge har
allerede
udmeldt,
at de slet ikke ønsker at komme tilbage til Herlufsholm
Kostskole,
repræsenteret
af
nuværende
ledelse,
herunder
rektor
Mikkel
Kjellberg og kostskoleleder
Susanne
Geisler.
Det er derfor
fortsat
vores konklusion, at hele sagen er behandlet og
fortsat
behandles med en
sjældengrad
af
hensynsløshed
over
for enkeltpersonerlvores drenge såvel som en mangel på eftercænksomhed og evne til at
tænke blot et til to skridt
frem
-
uforståeligt,
uigennemtænkt
og
præget
af en
næsten ubrudt kæde
af
fejlbeslutninger ink]. forsøg på at
dække
over
disse
fejl
på stn'be. med heraf følgende store menneskelige
omkostninger for de implicerede og risiko for alvorlig skade på Herlufsholms fremtidige virke.
Med venlig hilsen
Start
videresendt
besked:
Fra:
Mikkel
Kjellberg <mke
Emne:
SV:
Herlufsholm
Dato:
15. februar
herlufsholm.dk>
CET
2022
kl.
19.02.59
Til:
'
‘I
Vedr. genoptagelsen
af
sanktionssag
BUU, Alm.del - 2021-22 - Endeligt svar på spørgsmål 247: Spm. om at oversende alle dokumenter i sagen, som TV2 har fået aktindsigt i, i forbindelse med produktionen af dokumentaren 'Herlufsholms hemmeligheder', til børne- og undervisningsministeren
2588635_0010.png
4
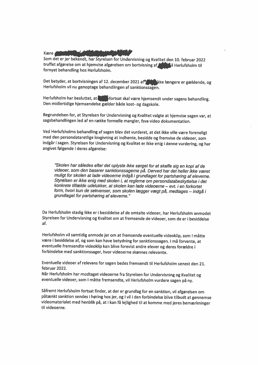
Kære
Som det erjer bekendt, har Styrelsen for Undervisning og Kvalitet den 10. februar
2022
truffet
afgørelse
cm at hjemvise
afgørelsen
om bortvisning
afwil
Herlufsholm
til
fornyet behandling hos Herlufsholm.
Det betyder, at bortvisningen af 12. december
2021 aP—kke
Herlufsholm vil nu genoptage behandlingen af sanktionssagen.
længere er
gældende,
og
Herlufsholm har besluttet,
at—fortsat
skal være hjemsendt under
sagens behandling.
Den midlertidige hjemsendelse gælder både kast- og dagskole.
Begrundelsen for, at Styrelsen for Undervisning og
Kvalitet valgte
at
hjemvise sagen var,
at
sagsbehandlingen
led af en række formelle mangler,
fsva
video dokumentation.
Ved Herlufsholms
behandling
af sagen
blev
det vurderet,
at det ikke ville være foreneligt
med den persondataretllge lovgivning at indhente. besidde og fremvise de
videoer.
som
indgår
i
sagen. Styrelsen for Undervisning og
Kvalitet
er
ikke
enig i denne vurdering, og har
angivet følgende i deres afgørelse:
"Skolen har
således
ener der oplyste ikke sørget for at skaffe sig en kopi af de
videoer,
som den
baserer sanktionssagerne
på.
Derved
har det heller ikke været
muligt for skolen at lade videoerne indgå
i
grundlaget for partshøring af eleverne.
Styrelsen er ikke enig med skolen i, at reglerne om
persondarabeskyttelse
idet
konkrete
tilfælde udelukker, at skolen kan lade videoerne -
evt.
ien
forkortet
form, hvori
kun de
sekvenser,
som
skolen
lægger vægt på, medtages —indgå :”
grundlaget for partshøring af ele veme.
"
Da
Herlufsholm stadig ikke
er
i
besiddelse af de omtalte videoer, har Herlufsholm anmodet
Styrelsen for Undervisning og Kvalitet am at fremsende de videoer, som de er
i
besiddelse
af.
Herlufsholm vil samtidig anmode jer om at fremsende eventuelle videoklip, som
l
måtte
være i besiddelse af, og som kan
have
betydning for sanktionssagen.
I
må forvente, at
eVentuelle fremsendte videoklip kan blive forevist andre elever og
deres forældre
i
forbindelse med sanktianssager,
hvor
videoerne skønnes relevante.
Eventuelle videoer af relevans for sagen
bedes
fremsendt til
Herlufsholm
senest den 21.
februar
2022.
Når Herlufsholm har modtaget videoerne fra Styrelsen for Undervisning og Kvalitet og
eventuelle videoer, som
I måtte
fremsendte, vil Herlufsholm vurdere sagen på ny.
Såfremt Herlufsholm
fortsat finder,
at der er grundlag for en sanktion, vil afgørelsen om
påtænkt sanktion sendes i høring hos jer, og
l
vil i den forbindelse blive tilbudt at gennemse
videomaterialet med henblik på, at I kan få
Iejlighed
til at
komme
med jeres bemærkninger
til videoerne.
BUU, Alm.del - 2021-22 - Endeligt svar på spørgsmål 247: Spm. om at oversende alle dokumenter i sagen, som TV2 har fået aktindsigt i, i forbindelse med produktionen af dokumentaren 'Herlufsholms hemmeligheder', til børne- og undervisningsministeren
2588635_0011.png
Gennemsyn
af
videoerne
vil foregå hos SIRIUSadvokater, Dampfærgevej 10, 2100
København Ø.
Henvendelser
vicerektor
vedrørende
sagen
og
fremsendelse
på mha
af eventuelle
videoer
bedes ske til
Martin
Horst Arvedlund
herlufsholmdk.
Med
venlig hilsen
Mikkel Kjellberg
Rektor
Herlufsholm skole og
Gods
Herlufsholm Allé 170
4700
Næstved.
DK
Tlf.:
55 75 35 00
E—mail:
mnheflufshulmgk
Sikk
rm
il ilMikk
IK'
ll er
Web: ….hgrlgfsholmdk
.
sang.;
ll
1
v
HERLll FSHOLM
Vilniu-
……
('a—rv—
Fra:
Mikkel
Kjellberg
Sendt: 1
'
februar 2022
16:44
Til:
Emne:
Herlufsholm
Kære
I forlængelse af STUKsafgørelse am at hjemvise behandlingen af bortvisningssagentil
videre
behandling, dateret 10. februar 2022, skaljeg oplyse om, at skolen
genoptager
sagsbehandlingen, for eventuel fortsættelse som
elev.
Vi
vender tilbage
med nærmere oplysninger om den
konkrete
sagsbehandling
i
den
kommende uge.
Med
venlig hilsen
Mikkel Kjellberg
Rektor
Herlufsholm Skule og Gods
Herlufsholm
Allé
170
4700
Næstved,
DK
BUU, Alm.del - 2021-22 - Endeligt svar på spørgsmål 247: Spm. om at oversende alle dokumenter i sagen, som TV2 har fået aktindsigt i, i forbindelse med produktionen af dokumentaren 'Herlufsholms hemmeligheder', til børne- og undervisningsministeren
2588635_0012.png
TIL:
55 75 35 OD
E-rnail: mke
h
rl
ikker maillilMikk
holm.dk
IK'
II
r
Web:
www.herlulähglmdk
BUU, Alm.del - 2021-22 - Endeligt svar på spørgsmål 247: Spm. om at oversende alle dokumenter i sagen, som TV2 har fået aktindsigt i, i forbindelse med produktionen af dokumentaren 'Herlufsholms hemmeligheder', til børne- og undervisningsministeren
2588635_0013.png
á
BUU, Alm.del - 2021-22 - Endeligt svar på spørgsmål 247: Spm. om at oversende alle dokumenter i sagen, som TV2 har fået aktindsigt i, i forbindelse med produktionen af dokumentaren 'Herlufsholms hemmeligheder', til børne- og undervisningsministeren
2588635_0014.png
Fra:
Sendt:
Til:
Cc:
Martin
2. ma
Horst Arvedlund
19-
5
<[email protected]>
Mads Bentzen; Torben von Lowzow; Hanne Leth Andersen;
Sophie K. Vilsbøll; Malou Skeel; Sebastian
Noemi Katznelson; Anne
Franck; Philip Søren Thorsen;
Emne:
SV: Herlufsholrr
Kære
"
Tak for
henvendelsen
og fuld
forståelse
for
jeres ønske
om en update samt yderligere svar.
Vi er ved at
indsamle
materiale og næsten i mål med det. Vi forventer
derfor
at
kunne
sende
høringsbrev/udkast til ny afgørelse
i begyndelsen
af næste
uge.
Kan det ske før gør vi det.
Med
venlig
hilsen
Martin
Fra:
Sendt: 1. marts 2022 14:03
Til:
Martin
Horst
Arvedlund
<[email protected]>
Cc: [email protected];
Torben
von Lowzow <[email protected]>; Hanne Leth AnderSEn <[email protected]>;
Noemi Katznelson<[email protected]>;
Anne Sophie
K.
Vilsbøll
<[email protected]>;
Malou
Skeel
<[email protected]>;
S
bastian
Fran
<Sebastian
[email protected]>;
Philip Søren
Thorsen
<[email protected]>;
:H
r
u s olm
Prioritet: Høj
Kære
Arvedlund
vegne
af
om vi
kunne
bede
dig om en a
omme
l
vil jeg
gerne
høre
om der er
fremskred i
sagerne og
age men un
yderligere
svar jf din
kvitteringsmail
den 21 feb 22 a
s a p.
Best
Regards
BUU, Alm.del - 2021-22 - Endeligt svar på spørgsmål 247: Spm. om at oversende alle dokumenter i sagen, som TV2 har fået aktindsigt i, i forbindelse med produktionen af dokumentaren 'Herlufsholms hemmeligheder', til børne- og undervisningsministeren
2588635_0015.png
á
BUU, Alm.del - 2021-22 - Endeligt svar på spørgsmål 247: Spm. om at oversende alle dokumenter i sagen, som TV2 har fået aktindsigt i, i forbindelse med produktionen af dokumentaren 'Herlufsholms hemmeligheder', til børne- og undervisningsministeren
2588635_0016.png
Fra:
Sendt:
3.
marts 2022 13:08
Til:
Cc:
Martin Horst Arvedlund
Mads
Bentzen;
Torben
von
Lowzow; Hanne Leth
Andersen;
Noemi Katznelson;
Anne
Sophie
K.
Vilsbøll; Malou Skeel; Sebastian F anck; Philip Søren Thorsen;
Emne:
Re:
er u
sholm,
Kære
Arvedlund
Tak for at du svarer hurtigt på min
mail,
det
sætterjeg stor pris
på.
Det er dog
nødvendigt
for
mig,
at
minde alle
heri
mail tråden
om, at
disse
følsomme
sager
har været
i
gang
siden
den 29 nov
21!.
Det må
betragtes
som
ganske
usundt
for alle parter, ikke
mindst
hovedpersonerne.
Go dag
l
Best Regards
From: Martin
Horst Arvedlund <[email protected]>
Date:
Wednesday,
2
March
2022
at
19.26
To: [email protected]
<[email protected]>
Cc: [email protected]
<[email protected]>,
<[email protected]>,
Torben
von
Lowzow
Hanne
Leth
Andersen
<[email protected]>,
Noemi Katznelson <[email protected]>,
Anne
Sophie
K.
Vilsbøll
<[email protected]>, Maiou Skeel <malou®birkelse.dk>,
<Sebastia
.Fra [email protected]>,
Philip
Søren
Thorsen <[email protected]>
Sebastian Franck
Subject:
V:Herl_ufs om]
Tak for henvendelsen og
fuld forståelse
forjeres ønske om en
update samt yderligere svar.
Vi er ved at
indsamle materiale
og næsten
i
mål med det. Vi forventer
derfor
at kunne sende
høringsbrev/udkast
til ny
afgørelse i begyndelsen
af næste
uge.
Kan det ske før gør vi
det.
BUU, Alm.del - 2021-22 - Endeligt svar på spørgsmål 247: Spm. om at oversende alle dokumenter i sagen, som TV2 har fået aktindsigt i, i forbindelse med produktionen af dokumentaren 'Herlufsholms hemmeligheder', til børne- og undervisningsministeren
2588635_0017.png
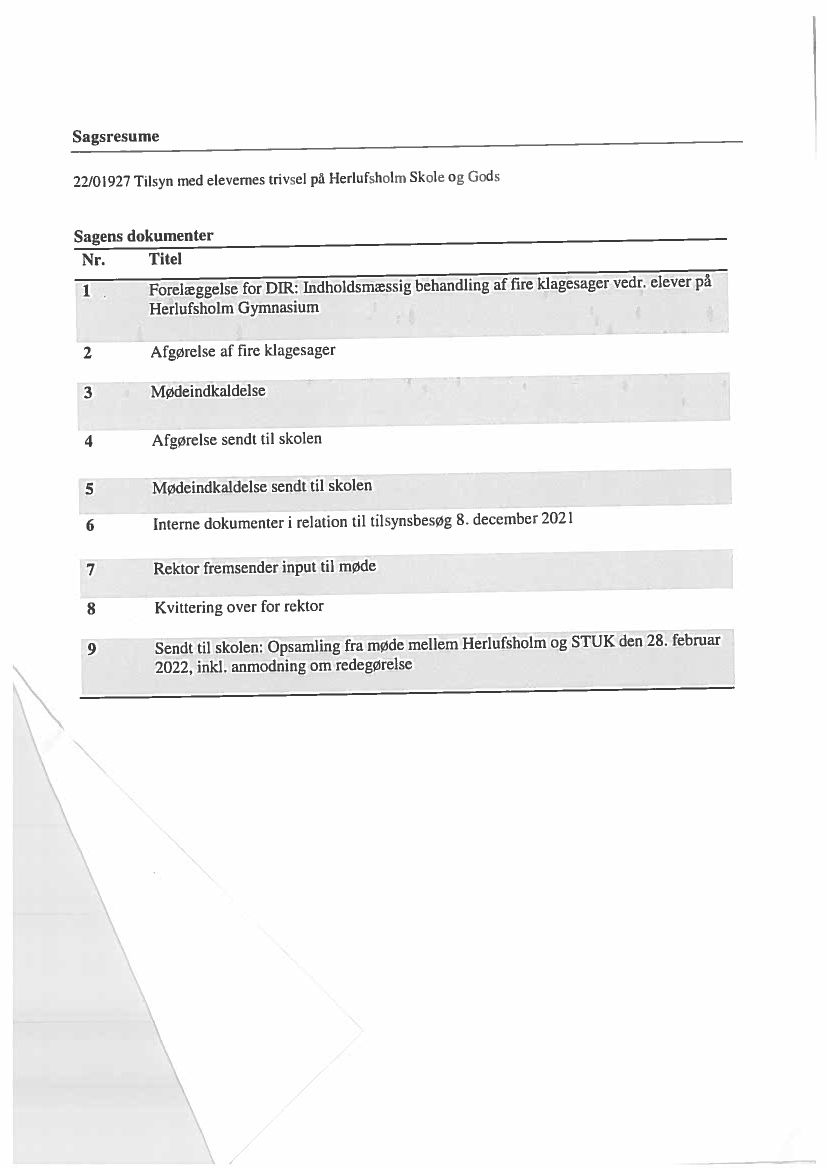
Sagsresume
22101927
Tilsyn
med
elevernes
trivsel på Herlufsholm
Skole og
Gods
Sagens
Nr.
dokumenter
Titel
I
.
Forelæggelse for DIR: Indholdsmæssig
Herlufsholm
Gymnasium
af fire klagesager
behandling af fire klagesager vedr. clever på
2
3
Afgørelse
Mødeindkaldelse
4
5
6
7
8
9
Afgørelse
sendt til skolen
Mødeindkaldelse
Interne
dokumenter
sendt
til skolen
til tilsynsbesøg
8. december
2021
i
relation
Rektor fremsender
input
til møde
Kvittering
over for rektor
Sendt til skolen: Opsamling fra møde mellem Herlufsholm og STUK den 28. februar
2022, inkl. anmodning
om redegørelse
BUU, Alm.del - 2021-22 - Endeligt svar på spørgsmål 247: Spm. om at oversende alle dokumenter i sagen, som TV2 har fået aktindsigt i, i forbindelse med produktionen af dokumentaren 'Herlufsholms hemmeligheder', til børne- og undervisningsministeren
2588635_0018.png
á
BUU, Alm.del - 2021-22 - Endeligt svar på spørgsmål 247: Spm. om at oversende alle dokumenter i sagen, som TV2 har fået aktindsigt i, i forbindelse med produktionen af dokumentaren 'Herlufsholms hemmeligheder', til børne- og undervisningsministeren
2588635_0019.png
Fra:
Sendt:
Til:
Cc:
Emne:
Mikkel Kjellberg
<[email protected]>
25. februar 2022 14:12
Poulsen;
Mads
Bentzen
Trine Rhein—Knudsen
SV:
Mødeindkaldelse
Jens Refslund
Vedhæftede filer:
Kære Jens
Mode
med STUK28. feb 2022.pptx
På vores
møde
på mandag vil jeg
i relation
til den af STUK
udmeldte
dagsorden for
mødet
gerne
gennemgå
vedhæftede præsentation.
Med
venlig hilsen
Mikkel Kjellberg
Rektor
Herlufsholm Skule ag Gods
Heriufsholm
Allé
170
4700 Næstved. DK
Tlf.: 55 75 35 00
Email:
mktgrlgghulmdk
ikkerm
il 'I
Mikkel
K' Ilber
Web: ….herlundk
"
gsm»
I'l
.-.
Æ
vm…
Mum
L
E."!-
HER!." FSHOLM
Fra:
Mikkel
Kjellberg
Sendt: 23. februar 2022 12:30
Til:
'Jens Refslund Poulsen'
<jens.refslund.poulsen€zlstukuvm.dk>;
<[email protected]>
Cc:
Trine Rhein-Knudsen
<[email protected]>
Mads Bentzen
Emne: SV: Mødeindkaldelse
Kære
Jens
Tak, det er
også lykkedes
Hanne at rykke
lidt
rundt, så det kan lykkes.
Vi
kommer:
Mikkel
Kjellberg,
rektor
Torben von Lowzow, bestyrelsesfarmand
Hanne
Leth Andersen,
næstformand
i
bestyrelsen
Pernille
Backhausen, advokat
BUU, Alm.del - 2021-22 - Endeligt svar på spørgsmål 247: Spm. om at oversende alle dokumenter i sagen, som TV2 har fået aktindsigt i, i forbindelse med produktionen af dokumentaren 'Herlufsholms hemmeligheder', til børne- og undervisningsministeren
2588635_0020.png
Med venlig hilsen
Mikkel Kjellberg
Rektor
Herlufsholm Skole
og
Gods
Herlufsholm
Allé 170
4700
Næstved.
DK
Tlf.:
55 75 35 00
E-rnail: mkeflhgrlgfihglmgk
Sikk
r
iltil Mikk
IK
ll
r
Web:
m.tagrlglsholmfik
,
V
fb
ll
fr
H
ER…
FSHOLM
vunn—
…»—
['n-ln—
Fra: Jens Refslund
Poulsen <'ens.refslund.
Sendt:
22. februar
Til:
Mikkel
Kjellberg
2022
14:50
<mke
herlufsholm.dk>;
oulsen
stukuvm.dk>
stukuvrn.dk>
Mads
Bentzen
<Mads.Bentzen
stukuvm.dk>
Cc: Trine
Rhein—Knudsen
(TrineRhein-Knudsen
Emne:
SV: Mødeindkaldelse
Kære
Mikkel
Det er
desværre
ikke
muligt
at rykke
mødet
til kl. 8, og vi beder am, at mødetidspunktet
fastholdes
(dog
afkortet
med
% time,
jf.
mødeindkaidelse
i
outlook, dvs.
fra kl.
9.30 -
10.30). Hanne
Leth
Andersen er
velkommen til at
deltage.
Fsva.
dit
spørgsmål
om
dagsorden
vil jeg
henvise
til mødeindkaldelsen,
i
det
igangværende
tilsyn
med elevernes
trivsel
skolen.
hvoraf
det
fremgår,
at styrelsen
ønsker
at
drøfte skolens
videre behandling af de konkrete elevsager og
evantuelle andre elevsager
som led
Jeg
beder
om, at
1
giver
en melding om den præcise
deltagerkreds
-
om muligt
gerne
i løbet af i morgen
onsdag.
Med
vanlig
hilsen
Jens Refslund Poulsen
Kontorchef
m
8
...-..
BØRNE-
OG
UNDERVISNINGSMINISTERIET
SWRELSEN FOR
UNDERVISNING OG
KVALITET
BUU, Alm.del - 2021-22 - Endeligt svar på spørgsmål 247: Spm. om at oversende alle dokumenter i sagen, som TV2 har fået aktindsigt i, i forbindelse med produktionen af dokumentaren 'Herlufsholms hemmeligheder', til børne- og undervisningsministeren
2588635_0021.png
Børne-
og Undervisningsministeriet
Styrelsen for Undervisning og Kvalitet
Kontor for Gymnasier
Frederiksholms
Kanal 26
1220
København K
Direkte
tlf.: +45 25 65 92 06
oulsen
stukuvm.dk
E-mail:'ens.refslund.
Fra:
Mikkel
Kjellberg <mke
heriufsholm.dk>
Sendt: 21.
februar
2022
13:34
Til: Mads
Bentzen
<Mads.Bentzen
stukuvm.dk>
oulsen
stukuvm.dk>
Cczlens Refslund
Poulsen ("ens.refslund.
Emne: SV: Mødeindkaldelse
Kære
Mads
På mødet d. 28/2
ønsker
vi, at
Hanne
Leth
Andersen
fra vores bestyrelse
også
deltager, det vil dog kræve at
mødet
flyttes, f.eks. til start kl. 8:00 samme dag, er det muligt ?
-alternativt en anden
dag.
Med
venlig hilsen
Mikkel
Kjellberg
Rektor
Herlufsholm skole og Gods
Herlufsholm
Allé
170
4700
Næstved,
DK
TIL: 55 75 35 00
E-mail:
mkeghgngghglmdk
Sikk rm illilMikk IK ll
Web:
www.hgrlufsholmnk
r
(
”'=__~,gg!figb
l
=;
1:
H Elllll FSHOLM
Vilniu-
……
[_l-—
Fra:
Mikkel Kjellberg
Sendt: 16. februar 2022 08:31
Til: 'Mads Bentzen' <Mads.Bentzen
Emne: 5V:
Mødeindkaldelse
Kære Mads
5tukuvm.dk>
oulsen
stukuvm.dk>
Cc:
Jens
Refslund
Poulsen
<'ens.refslund.
BUU, Alm.del - 2021-22 - Endeligt svar på spørgsmål 247: Spm. om at oversende alle dokumenter i sagen, som TV2 har fået aktindsigt i, i forbindelse med produktionen af dokumentaren 'Herlufsholms hemmeligheder', til børne- og undervisningsministeren
2588635_0022.png
I forlængelse af nedenstående
mødeindkaldelse
vil jeg bede om, hvis
muligt,
at få fremsendt en dagsorden
for
mødet.
Med
venlig hilsen
Mikkel Kjellberg
Rektor
Herlufsholm skole og Guds
Herlufsholm Allé
110
4700
Næstved,
DK
TH.:
55 75 35 00
E—mall:
mkterluisholmdk
Sikk
rmaillil
Mikk
IK'
llber
Web: ….herlufsholmnk
afS!
ll,
ll
__
H ERlll
FSHOLM
Vinn—
mn—
[__-1!—
Fra: Mads Bentzen
<Mads.Bentzen
Sendt: 10. februar 2022
stukuvm.dk>
15:51
stukuvm.dk>
Til: Mikkel
Kjellberg
<mke
herlufsholm.dk>
Cc:
Jens
Refslund
Poulsen c'ensxefslund. oulsen
Emne: Mødeindkaldelse
Kære
Mikkel
Kjellberg
vegne
af Jens Refslund Poulsen fremsendes
mødeindkaldelse.
Med venlig hilSEn
Mads Bentzen
Chefkonsulent
3
m
......-
BØRN
E- OG
UNDERVISNINGSMINISTERIET
STYRELSEN
FOR
UNDERVISNING
OG KVALITET
Styrelsen for Undervisning og Kvalitet
Kontor for
Gymnasier
Frederiksholms Kanal 26
1220 København K
Tlf.
nr.:
33 92 SO 00
Direkte tlf.: +45 4126 9491
BUU, Alm.del - 2021-22 - Endeligt svar på spørgsmål 247: Spm. om at oversende alle dokumenter i sagen, som TV2 har fået aktindsigt i, i forbindelse med produktionen af dokumentaren 'Herlufsholms hemmeligheder', til børne- og undervisningsministeren
2588635_0023.png
E-rnail:Mads.Bentzen
stukuvmdk
BUU, Alm.del - 2021-22 - Endeligt svar på spørgsmål 247: Spm. om at oversende alle dokumenter i sagen, som TV2 har fået aktindsigt i, i forbindelse med produktionen af dokumentaren 'Herlufsholms hemmeligheder', til børne- og undervisningsministeren
2588635_0024.png
w—n-r...
Ingen laering uden
2022
trivsel
3.35
Møde med STUK den 28.
februar
__
&
._
_
__ Bi.
. .
51
r—
_
_
'r.
J'
BUU, Alm.del - 2021-22 - Endeligt svar på spørgsmål 247: Spm. om at oversende alle dokumenter i sagen, som TV2 har fået aktindsigt i, i forbindelse med produktionen af dokumentaren 'Herlufsholms hemmeligheder', til børne- og undervisningsministeren
2588635_0025.png
l.
Præsentation aktuelle
afde
Elevsagers hidtil
fnrlnh
2. Præsentationplan den
af
fnr
fornyede
sagsbehandling
deaktuelle
af
alevsager
3. Fræsentatinn
afSkolens
strategi periuden
fur
2015-2525 i
den
samt
fnrhindelse
aktuelle
trivseisfremmendeug
tilleg
trivselsdata.
a) Trivsel at affundamenterne
sum
fur
Herlufsholms
Strategi
2025
b)
Knnkretisering
trivsel
af
(definition)
c) Aktiviteter forbedret
mnd
trivsel
d) Måling trivsel
af
i.
ETU
ii.
Frafald
iii.
Dversigt
[werbrud ordensregler
iv.
Etc.
4. Analyse
skulekultur.
af
detaljeret
analyseugstatus trivsel
Herlufshnlrn
af
5.
Uheldig
sammenblanding side
fraSTLIK's mellem
generelle
detkonkrete
det
og
_1
J.
I'll
ll
°
l
"
I
4"
'I
I
II
BUU, Alm.del - 2021-22 - Endeligt svar på spørgsmål 247: Spm. om at oversende alle dokumenter i sagen, som TV2 har fået aktindsigt i, i forbindelse med produktionen af dokumentaren 'Herlufsholms hemmeligheder', til børne- og undervisningsministeren
2588635_0026.png
'
Furevist fra elevpåmnhilskærm
film
'
Indledende
møder
5
medvirkende
med
elever. elleerkendte
hver
deres
relleugdeltagelse de
ifht.
beskrevne
episoder.
'
Hjemsendelse elever
af
5
mhp. umkring
ru
yderligere
upklering
andreeleveri gruppen.
'
Yderligere
meder
med—ng
'
Varsling
bnrtvisning elever.
ef
af4
samt
skærpet
advarsel l4 dages
ug
hjemsendelseden5.
af
elev
'
I4 dages
heringsperiude
'
Meddelelsesenktinn
klagefrist
ef
ng
'
Modtagelseklage afgivelse klegesvar
af
ng
af
'
Afsendelseklage
ef
Derhari sagsbehandlingen npmærksnmhed beskytte parter.
været
pået
alle
2
l4ll.'
-lI
"
'oool'
l
BUU, Alm.del - 2021-22 - Endeligt svar på spørgsmål 247: Spm. om at oversende alle dokumenter i sagen, som TV2 har fået aktindsigt i, i forbindelse med produktionen af dokumentaren 'Herlufsholms hemmeligheder', til børne- og undervisningsministeren
2588635_0027.png
'
Håndteres vicerektor uddannelsesleder:
af
ug
°
DE
elever
hjemsendt2
ønsker
at
returnere.
4
er
-
ikke
'
indhentning yderligere
af
materiale, STUK evt.
fra
ng
andre
'
yderligere
samtaler
elever
med
omkring
sagen
lfald detpåtænkes dersanktinneres haringsperiude forevisning viden
at
ny
med
af
ng
nytklagefurlah.
3
l
**
I'll
ll
-
l
III
.'
'I
I
II
'IIII‘
II
BUU, Alm.del - 2021-22 - Endeligt svar på spørgsmål 247: Spm. om at oversende alle dokumenter i sagen, som TV2 har fået aktindsigt i, i forbindelse med produktionen af dokumentaren 'Herlufsholms hemmeligheder', til børne- og undervisningsministeren
2588635_0028.png
Trivsel
influerer
klart
mest på skolevalg
og
betones
indskrive
på en
kostskole.
når det går
i
7.-10.
klasse.
særligt
af forældre
Uddannelsestilbud
med overvejelser
om at lade
og
karakterer
ligger
længere
deres
nede
skulle
vælge
en
anden
skole til
klassetrin
7
-
:o. klasse. I
hvilken grad
ville
folgende
have positiv betydning
for valg af
skole?
Base: Alle. n-E5n
barn
på listen
Sp.6 Forestil
dig, al dull
I
ho] grad/meget
ho] grad
TrivseL/socialt fokus
=
.
=
.
.
i".
'
;.L";
&
_
a 94:;
Skolens ry/omdomme
Et fokus på den enkelte elev
Skolens værdier
'
,
'
'
2o
:
.
..
,,
.
"- -.. __
_
""
.
0--
Kunne
I hØj grad/megel
ho; grad overveje at
_
Dit/Jeres kendskab til skolen
GL".
Skolen
ligger geografisk tæt på
Uddannelsestilbud
(fx udbuddet
af valgfag)
'
"nå?
=
Mullgheden for at kombinere
"'
....
lade
bamIndgkrwe
pa
med
fritidsaktiviteter
'
'
--
"
'
'
_
.. '” '”
_
.-
'
'—
.
koctfkolel
7 -10 klase
"1.52;
Karakterer/National
benchmarking eksamenssnit
for
"DL "
I
_. e' .:; :;
40
.32.:
'
Et
internationalt
perspektiv
. .
_
10%
20%
30%
e» fix
'
'
'
Skolen er offentlig
Skolen
er prwat
.
0%
40%
50%
60%
70%
80%
90%
100%
YouGov
4
ll°llll.-
"'
H
'IIII'
II
'
ll
-
.
o-ll
ll
'
BUU, Alm.del - 2021-22 - Endeligt svar på spørgsmål 247: Spm. om at oversende alle dokumenter i sagen, som TV2 har fået aktindsigt i, i forbindelse med produktionen af dokumentaren 'Herlufsholms hemmeligheder', til børne- og undervisningsministeren
2588635_0029.png
Strategiske omkring
faglighed.
mål
ha]
personlig
udvikling
bæredygtighed
ug
Vigtigt
Herlufsholm
skabe:
fur
at
'
-l-
z
et miljø.
hvnr
elever
trives.
udfordres
udvikler
ug
sig
1l.
_
"l
-
w…
1'-
'I-
'
en kultur.
hvarelever forældre
ug
trygt
kanhenvende vedrørende
sig
negative
samspil
mellem
Elever
Sager
konstantudvikle både
at
skulen fagligt.
pædagngisk
ug
sucialt
I
Samarbejde eksterne
med
Venlighed.
hensynsfuldhed
ugrespekt
forskellighed vigtige
værdier skulen
for
er
for
Mange
fnrskellige
initiativer
i
Elevernes
hverdag
'
Mentur
eller
suvesalslærer
ug/
.::!
.
tr?
i
J..
...—.
l
'
Lave
klassekvutienter
ä
.
"r
1-
I.
J.
.
'
Engagereda
lærere
'
Trivselsteam
.;
l,
'
Trivselsarnhassadnrnrdning
=?-
.f
I
'
Præfekter
,.
__,»l
b'…
.?
..
—Lv
[3
I
"
l
lll
.'
'l
I
l
I'll
II
'
BUU, Alm.del - 2021-22 - Endeligt svar på spørgsmål 247: Spm. om at oversende alle dokumenter i sagen, som TV2 har fået aktindsigt i, i forbindelse med produktionen af dokumentaren 'Herlufsholms hemmeligheder', til børne- og undervisningsministeren
2588635_0030.png
Trivsalsteam
.-"H—
.
+-
%..
!
.
.
.
.
'
'a,
=?!” a.....
_
.-
_,r
l.
*”
.rq
159
"'Il
ÅS" q
'SI—q
***—1,53
:r-
.
1
'
Ledelsesrepræsentant
3
skulefnrmer.
fra de
trivselslærer.ungerådgiver.
1
X,
'
å.,
"i,"
ht.
sygeplejerske.
rektor
"
- Samarbejde
eksterne
med
aktører fx LMS. ug
Samfund.
som
Sex
Kræftens
"
"»"...
1113;
'
'
G
l
æ'
Bekæmpelse
og
SSP
:
u
'm
'
'
Aktiviteterkryds tværs
og
haller. cafeaftener.
skulekumedier.
...,
.!
'
.
- Traditiunelle
arrangementer.
Fugleskydning.
tværs—dag
idrætsdag.
]
Lg.
hytteture.
Ekspeditioner
ng
konferencer
--'.
=1:
bl
.-
Lave
klassekvutienter
' Klasselnft
elever
grundskolen
på23
i
.,
”far,.
-M-.-
'
.
'..-
.fh:-'.-"__,
;.
.
fé.
£53,?
.
11."
°
Klasselufl 25 elever STX/IH
i
,
DetEkstraskulære
Program
*
fl.
.”.
'f'.
'
+
EI]
forskellige
aktiviteter skuletid
Efter
.
:=;
M:
..- ..
_
.
.-
å:"?
å
-
The
Award hrunzeniveau Brå. årgang
fur
' Herlufshnlm
Udmærkelsen
gymnasieelever
fur
.
h:.
MHJ?
'
i-
I“
*-
i':
d'
;:
.. -
-
_
i.… 35.5 "*”
-
"
'
*”
.?
.
___-=.
"f
?
ll
-
l
I
"..-
l l
-
l
l
-
c
I
BUU, Alm.del - 2021-22 - Endeligt svar på spørgsmål 247: Spm. om at oversende alle dokumenter i sagen, som TV2 har fået aktindsigt i, i forbindelse med produktionen af dokumentaren 'Herlufsholms hemmeligheder', til børne- og undervisningsministeren
2588635_0031.png
Mentor
-
Fukus den
enkelte
elevs
trivsel
udvikling
ng
'
Skabefællesskahsfalelse
Snvesalslærer
'
Burpåefevgården kan
og
træffes
døgnet
rundt
'
_
s,_.
"
Central
person
i kustelevarnes
hverdag
'
Afholder
mentarsarntalergiver
og
suvesalsvvrd
'1
Præfektnrdning
'
Elever derEF
i
3.9.
tilknyttet
Blevgårdene
-
Uddannet
i
kommunikation
ngkunflikthåndtering
Trivseisambassadar‘
l
I
-
Elever
Lg. skaber-
mere
i
der
at
levende
klassefællesskab
Fukus klassen
Skulevejleder
(grundskulen)
Studieveiledere
(gymnasiet)
MiLife
'
Bidragar
udvikling
af
elevernes
til
trivselfur derefterat nge klassens
sociale
udvikling
Kommunal
sundhedspleje
B
I
"l
il.
."
I
"
'llll'
II
'
ll
l
l'ol
"
'
BUU, Alm.del - 2021-22 - Endeligt svar på spørgsmål 247: Spm. om at oversende alle dokumenter i sagen, som TV2 har fået aktindsigt i, i forbindelse med produktionen af dokumentaren 'Herlufsholms hemmeligheder', til børne- og undervisningsministeren
2588635_0032.png
l .
Æ»…
1" f-ää'
HMBHOIM
”åå
.1
Hul...
Ungerådgiver
'
Rådgiver,
vejleder nuacher
ng
elaver'i
gymnasiet
'
_:
Implementerer
forebyggende
indsatser konfliktløsning
ug
Trivsefslmr'ar
-
Hiælpar
elever. falarfx
angst,
der
frygtfur gruppearbejde
lignende
og
_.
F
Sygeplejerske
f..
- Bnr skulen er
tilgængelig
skolens
ug
sygaafdaling
(SUS)
-
Varetager
daglige
det
arbejde umsurg ogbehandling
med
fur
afkustelevar
r"; Ti.-
.
-
Bistår
udredning
elever
dårlig
ved
af
i
trivsel
.»:
l
__
.
i'
l
Matamatikvejlader
1,
.:
'
l
..?-*,
,
?""
"
*
';
1
Læsevejleder
i'-
Talentudvikling
°
Fokus at
fremme
denenkelte
elevs
talent. gårfuran tageransvar
der
ng
...-in.
,.u-l'
fursig ng
selv fællesskabet
71.
...-...
9
l
"
l
Ill
.”
‘I
.
l
l'll
on
-
BUU, Alm.del - 2021-22 - Endeligt svar på spørgsmål 247: Spm. om at oversende alle dokumenter i sagen, som TV2 har fået aktindsigt i, i forbindelse med produktionen af dokumentaren 'Herlufsholms hemmeligheder', til børne- og undervisningsministeren
2588635_0033.png
_
-
......-
..__.
%?
_
_.
l
m
for Stx på
Herlufsholm
Skole
Ekimrtertil5DF
®
BORNE- OG
UNDERVISNMGS-
MINISTERIET
Overbliksvisning
og
Gods
Ø
%
4‘38
99
41“]
Nystartede
45
elever
192
9,0
4,0
Gennemsnit på spørgsmålet:
'Jeg
er glad for at
gå i skole', hvor
1
er dårligst og 5 er bedst
Karaktergennemsnlt ved studentereksamen
Landsgennemsnit:
(skoleår: 2021/2022]
"igang
u
opdmre: '. :; me: d::emter 2021
Antal studenter: 77
Landsgennemsnit: 7,7
Landsgennemsnit:
4,1
Det
forventede gennemsnit
i forhold til
eiever
med
samme
baggrund: ——
294
Elever I alt
&
Landsgennemsnlt:
557
(Skoleår:
2020/2021)
(Skoleår:
2020/2021)
(skoleår:
2021/2022)
$13
Data
for
overgange mellem uddannelser
opdateret.
Vi
forventer
at
vise
dem
i
overbliksvisnlngen
snarest mullgt.
Indtil da er de
tilgængelige
Overgäg
til
uddannelse
her:
(Excelvigning)
(Skoleår:
2018/2019)
er
SEEING
«
unggu- p: 31 uante
2021
Studieretningemes
hovedområder eller fagpakker
7355 Samfundmdenskabe l;
numeretnin:
2555 Naturvidensknhehg
stud eretnlng
5,6%
Afbrøcl det første skoleår
Heraf var der:
4,696
der
skiftede
uddannelse
—--
der gik ud af
uddannelsessystemet
Baseret
på 1.3/2.hf elever
(Skoleåf:
2019/2020)
Landsgennemsnit (afbrød
det
første skoleår):
7,396
(skoleår:
2020/2021)
iD
I
H.-
-lI
ll
'Illo
BUU, Alm.del - 2021-22 - Endeligt svar på spørgsmål 247: Spm. om at oversende alle dokumenter i sagen, som TV2 har fået aktindsigt i, i forbindelse med produktionen af dokumentaren 'Herlufsholms hemmeligheder', til børne- og undervisningsministeren
2588635_0034.png
Oversigt
ove r
elevtrivsel
Dashboardet giver et overblik over trivslen på en valgt afdeling
i 2021
uidufshnlmjkuluzändsån
Vælg
år/Nuistil
anb
l
ma
Eksporter
PDF-
til
Emil
2319
2015
Samlet
lndnamrsvar
på:
Trivselsindikator
"Jeger gladfor at gå lsknle“
c}
$$$,
"s
.\
053. g-
Gl"
-=
qgfäx
Q
.
$
@0139)“
&
.1
5
c?”
N,???
‘1"
I Heffutnlm StølecgGadsl uncsptm
":
1
2
3
I
Hmufshclm
snu ogGodsu Lindzplan
! lll:på en
ndikatorknap nedenfor
for at se de
t'lhørende svarfordel
nger for en
vaigt
a‘deling
W3 trivsel
Sødal!rlvsei
læringsmiljø
Pres bekymringer
ng
Mobnins
%
i
I
"
I
.II
å
.'
'I
I
II
P
'oloo'
II
9
ll
'
ll
I
O'II
H
°
BUU, Alm.del - 2021-22 - Endeligt svar på spørgsmål 247: Spm. om at oversende alle dokumenter i sagen, som TV2 har fået aktindsigt i, i forbindelse med produktionen af dokumentaren 'Herlufsholms hemmeligheder', til børne- og undervisningsministeren
2588635_0035.png
Hmm…
Nøgletal
fra Børne- og Undervisningsministeriet
Herlufsholm
Skole
.m.
.
II-
l'lå'
Landsgennemsnit
0.6)
85.8%
Starter
ungdoms—
Karaktergennemsnit
i
bundne prøver
9.
klasse
uddannelse
www uddannelsesstatistik
dk
-
opdatereret
den 10
februar
2022
I
';
'
'
l
I
'
"
2015/2016
2016/2017
97
81
2017/2018
92
89
2018/2019
85
77
2019/2020
95
90
100
Pre—IB;
82
97
94
94
95
91
12
BUU, Alm.del - 2021-22 - Endeligt svar på spørgsmål 247: Spm. om at oversende alle dokumenter i sagen, som TV2 har fået aktindsigt i, i forbindelse med produktionen af dokumentaren 'Herlufsholms hemmeligheder', til børne- og undervisningsministeren
2588635_0036.png
l
Hmm…
-....-
.__-_-—
.....
Eksterne
konsulenter
afdækker
skulekulturprujekt
vares
i
et
..r
I
w. .I-
n
UVM's
Gymnasiale
Læringskunsulenter
er inviteret at være
til
mad furhuld at
i
til
.
'I.
;
”:*:
'.—
rådgive eventuelle
um
pædagogiske
interventiuner
baggrund
Nordic
af
[earnings
j"
undersøgelse
Furlahet sted
finder
december tilmaj
ZUZI
2022
involverer:
ug
-
Spargeskamaundersagelser elever som
rettet
mnd
såvel furældre
;.
°
flbservatiuner
påskulen
P
I
'
Fukusgruppeinterviews lærereogledere
af elever.
-
Skriftlige
prudukter‘fra
elever
H"
IL
Vedafslutning
undersøgelserne
af
træfferskolens
ledelse
afgm'else
um
i-i
eventual
pædagogisk
intervention
mad referencetil undersagelserne
ng
analyserne
.c-
:l
51.
531":k
;
1..
'.
&
&
"21;-
‘i
..-
NJ“;-
I
rn;
5,3;-
r-
å
'
-l-.
.-.
I.
__
{Hf
13
I
"
l
10.
'I
I
l
-n...
lII
.
n-u-
ll
'
BUU, Alm.del - 2021-22 - Endeligt svar på spørgsmål 247: Spm. om at oversende alle dokumenter i sagen, som TV2 har fået aktindsigt i, i forbindelse med produktionen af dokumentaren 'Herlufsholms hemmeligheder', til børne- og undervisningsministeren
2588635_0037.png
á
BUU, Alm.del - 2021-22 - Endeligt svar på spørgsmål 247: Spm. om at oversende alle dokumenter i sagen, som TV2 har fået aktindsigt i, i forbindelse med produktionen af dokumentaren 'Herlufsholms hemmeligheder', til børne- og undervisningsministeren
2588635_0038.png
Fra:
Jens Refslund
Poulsen
Sendt:
Til:
Cc:
Emne:
Kære
Mikkel
25. februar 2022 16:03
Mikkel
Kjellberg; Mads
Bentzen
Trine
Rhein—Knudsen
SV: Mødeindkaldelse
Tak for mail og det tilsendte, som du
selvfølgelig
er velkommen til at medbringe og omtale på
mødet.
Vi vil
dog indledningsvist
lægge
for på
mødet
med nogle
spørgsmål,
som relaterer sig til mødets
formål.
jf.
indkaldelsen.
På gensyn på mandag.
Med
venlig hilsen
lens
Refslund Poulsen
Kontorchef
m
_—
3
BØRNE- OG
UNDERVISNINGSMINISTERIET
STYRELSEN FOR
UNDERVISNING
OG
KVALITET
Børne- og Undewisningsministeriet
Styrelsen for Undervisning og Kvalitet
Kontor for
Gymnasier
Frederiksholms
Kanal 26
1220
København
Direkte
K
tlf.: +45 25 65 92 06
E-mail: [email protected]
Fra:
Mikkel Kjellberg <[email protected]>
Sendt: 25. februar 2022 14:12
Til:
Jens Refslund Poulsen
<[email protected]>;
(Mads.Bentzeatukuvm.dk>
Cc:
Trine Rhein-Knudsen
<[email protected]>
Emne: SV: Mødeindkaldelse
Kære Jens
Mads Bentzen
På vores
møde
på mandag vil jeg i relation til den af STUK
udmeldte
dagsorden for
mødet
gerne
gennemgå
vedhæftede
præsentation.
Med
venlig hilsen
Mikkel Kjellberg
Rektor
BUU, Alm.del - 2021-22 - Endeligt svar på spørgsmål 247: Spm. om at oversende alle dokumenter i sagen, som TV2 har fået aktindsigt i, i forbindelse med produktionen af dokumentaren 'Herlufsholms hemmeligheder', til børne- og undervisningsministeren
2588635_0039.png
Herlufsholm Skole og Gods
Heriufshoim
Allé
170
4700
Næstved.
DK
Tlf.: 55 75 35 00
Email: mnherlulsholmdk
Sikker
mailtiIMlkk
IK'
II
:
Web:
www.hgrlgfghglmdk
y.- Er
"' åh!!!
HER!." FSHOI-M
Mm
lun":—
[.um-n.
Fra:
Mikkel
Kjellberg
Sendt: 23. februar 2022 12:30
Til:
'Jens
Refslund Poulsen'
<'ens.refslund.
<Mads.Bentzen
stukuvm.dk>
stukuvm.dk>
oulsen
stukuvm.dk>;
Mads Bentzen
Cc:
Trine Rhein—Knudsen
<Trine.Rhein-Knudsen
Emne: SV: Mødeindkaldelse
Kære Jens
Tak, det er også lykkedes Hanne at
rykke lidt rundt,
så det kan
lykkes.
Vi
kommer:
Mikkel
Kjellberg,
rektor
Torben von Lowzow, bestyrelsesformand
Hanne
Leth Andersen,
næstformand i bestyrelsen
Pernille
Backhausen, advokat
Med
venlig hilsen
Mikkel Kjellberg
Rektor
Heriufsholm Skole og Guds
Heriufshalm
Allé
170
4700 Næstved. DK
TH.: 55 75 35 00
E—mail:
mk
h II
II lm.dk
ikk rm il il Mikke!
K'ellber
Web:
www.hgrlyfghglmgk
BUU, Alm.del - 2021-22 - Endeligt svar på spørgsmål 247: Spm. om at oversende alle dokumenter i sagen, som TV2 har fået aktindsigt i, i forbindelse med produktionen af dokumentaren 'Herlufsholms hemmeligheder', til børne- og undervisningsministeren
2588635_0040.png
'.”
"
"A
1n-
HERLU fSHOLM
Vit…
……
[.I—
Fra:
.Iens Refslund
Poulsen <'ens.refslund.
oulsen
stukuvm.dk>
Sendt:
22. februar
2022 14:50
Til: Mikkel
Kjellberg
<mke herlufsholm.dk>;
Cc: Trine
Rhein-Knudsen
<Trine.Rhein-Knudsen
Emne: SV: Mødeindkaldelse
Kære Mikkel
Mads Bentzen
<Mads.Bentzen
stukuvm.dk>
stukuvm.dk>
Det er
desværre ikke muligt
at rykke mødet til kl. B, og vi
beder
om, at
mødetidspunktet fastholdes (dug
afkortet
med
% time,
jf.
mødeindkaldelse i
outlook,
dvs.
fra kl.
9.30
10.30). Hanne Leth Andersen
er
velkommen til at deltage.
Fsva.
dit spørgsmål om
dagsorden
vil jeg henvise til
mødeindkaldelsen, hvoraf
det
fremgår,
at
styrelsen
ønsker at
drøfte
skolens videre behandling af de
konkrete elevsager
og eventuelle
andre elevsager
som led
i det
igangværende
tilsyn med elevernes
trivsel
på skolen.
Jeg beder om, at
!
giver en melding om den
præcise deltagerkreds
-
om muligt gerne i løbet af
i
morgen
onsdag.
Med venlig hilsen
Jens
Refslund
Poulsen
Kontorchef
m
3
...—..
BØRNE-
OG
UNDERVISNINGSMINISTERIET
STYRELSEN FOR
UNDERVISNING OG
KVALITET
Børne—
Undervisningsministeriet
og
Styrelsen
for Undervisning og
Kvafitet
Kontur
for Gymnasier
Frederiksholms
Kanal
26
1220
København K
Direkte
tlf.:
+45
25
55 92 06
oulsen
stukuvmdk
E-mail:'ens.refslund.
Fra: Mikkel Kjellberg <mke
herlufsholmdb
Sendt:
21.
februar 2022
13:34
BUU, Alm.del - 2021-22 - Endeligt svar på spørgsmål 247: Spm. om at oversende alle dokumenter i sagen, som TV2 har fået aktindsigt i, i forbindelse med produktionen af dokumentaren 'Herlufsholms hemmeligheder', til børne- og undervisningsministeren
2588635_0041.png
Til: Mads Bentzen
<Mads.Bentzen
Emne:
SV:
Mødeindkaldelse
Kære
Mads
stukuvm.dk>
oulsen
stukuvm.dk>
Cc:
Jens
Refslund
Poulsen
<‘ens.refslund.
mødet
d. 28/2
ønsker
vi, at
Hanne
Leth
Andersen
fra vores bestyrelse
også
deltager, det vil dog kræve at
mødet flyttes, f.eks. til start kl. 8:00 samme dag, er det muligt
?
-alternativt en anden
dag.
Med
venlig
hiIsen
Mikkel Kjellberg
Rektor
Herlufsholm Skole og Guds
Herlufsholm Allé 170
4700 Næstved. DK
Tlf.:
55 75 35 00
Email:
mktgrlmshQImgk
Sikk
rn il il Mikk
IK"
llber
Web:
www.hgrlglshgmgk
?a‘.‘
"'
HER!." FSHOLM
Mn—
[.::-n.-
[:.-n—
Fra:
Mikkel
Kjellberg
Sendt: 15. februar 2022 08:31
Til:
'Mads
Bentzen'
<Mads.Bentzen
Emne: SV:
Mødeindkaldelse
Kære Mads
stukuvm.dk>
oulsen
stukuvm.dk>
Cc: Jens Refslund
Poulsen
<‘ens.refslund.
I forlængelse
af
nedenstående
mødeindkaldelse vil jeg
bede
om,
hvis
muligt, at få fremsendt en dagsorden
for mødet.
Med
venlig hilsen
Mikkel Kjellberg
Rektor
Heriufsholm Skole og Gods
Herlufsholm
Allé
170
4700 Næstved. DK
Tlf.:
55 75 35 DO
BUU, Alm.del - 2021-22 - Endeligt svar på spørgsmål 247: Spm. om at oversende alle dokumenter i sagen, som TV2 har fået aktindsigt i, i forbindelse med produktionen af dokumentaren 'Herlufsholms hemmeligheder', til børne- og undervisningsministeren
2588635_0042.png
E-majl:
mnhgrlggholmgk
Slkk
rm
il
ilkeIK'
ll
Web:
mmhgrlgfghglmdk
”:..-H
.
"
l
!].,__4l
lQ=¢=LL
..
:!
HERLUFSHOLM
Udin—
Km…
(.um-
Fra: Mads Bentzen
<Mads.Bentzen
Sendt: 10. februar
2022 15:51
stukuvm.clk>
Til:
Mikkel
Kjellberg <mke
Emne: Mødeindkaldelse
Kære Mikkel
Kjellberg
herlufsholm.dk>
oulsen
stukuvm.dk>
Cc:
Jens
Refslund Poulsen <'ens.refslund.
vegne
af Jens Refslund Poulsen fremsendes
mødeindkaldelse.
Med venlig
hilsen
Mads Bentzen
Chefkonsulent
8
m
_
BØRN
E- OG
UNDERVISNINGSMINISTERIET
STYRELSEN
FOR
UNDERVISNING
OG KVALITET
Styrelsen for Undervisning og Kvalitet
Kontor fur Gymnasier
Frederiksholms Kanal 26
1220 København K
Tlf.
nr.: 33 92 50 00
Direkte
tlf.: +45 4126 9491
ntzen
stukuvmdk
E-mail:
Mads.B
BUU, Alm.del - 2021-22 - Endeligt svar på spørgsmål 247: Spm. om at oversende alle dokumenter i sagen, som TV2 har fået aktindsigt i, i forbindelse med produktionen af dokumentaren 'Herlufsholms hemmeligheder', til børne- og undervisningsministeren
2588635_0043.png
á
BUU, Alm.del - 2021-22 - Endeligt svar på spørgsmål 247: Spm. om at oversende alle dokumenter i sagen, som TV2 har fået aktindsigt i, i forbindelse med produktionen af dokumentaren 'Herlufsholms hemmeligheder', til børne- og undervisningsministeren
2588635_0044.png
Fra:
Trine Rhein-Knudsen
Sendt:
Til:
Emne:
Vedhæftede filer:
4. marts 2022 15:20
'[email protected]';
'[email protected]'
Møde
med STUKden 28. februar 2022
Opsamling fra
møde mellem Herlufsholm
og
STUK
280222.pdf
Til
Herlufsholms
bestyrelse og
rektor
Vedlagt
fremsendes
opsamling fra
møde i
Styrelsen for Undervisning og Kvalitet den 28. februar 2022.
Skrivelsen indeholder
en anmodning om redegørelse, som bedes sendt til styrelsen senest den 25. marts
2022.
Med
venlig
hilsen
Trine Rhein-Knudsen
Chefkonsulent
3
m
...—_
BØRNE- OG
UNDERVISNINGSMINISTERIET
STYRELSEN FDR
UNDERVISNING
OG KVALITET
Styrelsen for Undervisning og Kvalitet
Kontor for
Gymnasier
Frederiksholms
Kanal 26
1220 København K
Tlf.:
33 92 50 GD
Direkte tlf.: +45 33 92 50 41
E-mail:Trine.Rhein-Knudsen
stukuvm.dk
BUU, Alm.del - 2021-22 - Endeligt svar på spørgsmål 247: Spm. om at oversende alle dokumenter i sagen, som TV2 har fået aktindsigt i, i forbindelse med produktionen af dokumentaren 'Herlufsholms hemmeligheder', til børne- og undervisningsministeren
2588635_0045.png
8
m
._..
BØRNE-
OG
UNDERVISNINGS—
MINISTERIET
STYRELSEN
FOR
UNDERVISNlNG
OG
KVALITET
Til bestyrelsesformandTorben von
Lowzow
og rektorMikkel Kjellberg,
Herlufsholm Skole og
Gods
Styrelsen for Undervisnhug og
Kvalitet
Kontor for Gymnasier
Frederiksholms
Kanal
26
1220
København
K
Tlf. nr.:
33
92
SD 00
E-mafl:
[email protected]
www.stukuwndk
CVR-nr.:
29634750
Anmodning
om redegørelse fra bestyrelsen som led
i
det verse-
rende tilsyn om elevtrivslen på Herlufsholm Skole på
baggrund
af
styrelsens møde med Herlufsholm Skole &
Gods
den
28.
februar
2022.
S
l en 111 de
Herluf
holm
kole
0
God
Som led i styrelsens verserende
tilsyn
med elevtrivslen på
Herlufsholms
Skole
holdt
styrelsen den
28.
februar
2022,
kl.
9.30
10.30,
ct møde med
2.
mam
Sagsnr.:
2022
22/01927
formand
og
næstformand
for bestyrelsen for
Herlufsholms
Skole og
Gods
(Torben von
Lowzow
og Hanne Leth Andersen) og skolens rektor
(Mikkel Kjellberg).
I mødet deltog
tillige
Herlufsholms
Skole og
Gods”
advokat,
advokat
Pernille Backhausen,
SIRIUS advokater.
Fra styrelsen
deltog
direktørjulie Elm Vig Albertsen, vicedirektør
Simon
Pasquali,
juridisk
kommitteret Per Hansen, kontorchefjens Refslund
Poulsen og chefkonsulent Trine Rhein-Knudsen imødet.
Styrelsens direktør ridsede formålet med
mødet
op: Styrelsen har en ver-
serende
tilsynssag
med
Herlufsholm
om elevtrivsel, og skolen har
samti-
dig verserende elevsager om episoder med
fysisk
og
psykisk
afstraffelse
eleverne imellem. Styrelsen ønsker med
mødet
i relation til de verse-
rende elevsagcr
at få et overblik over det aktuelle situationsbillede på
Herlufsholmi forhold
til den generelle elevtrivsel på skolen, herunder
om skolen har bidraget
i
tilsmekkcljg
grad
til at oplyse dlsynssagen på
styrelsens tilsynsbesøg på skolen d. 8. december
2021.
Rektor anførte, at
skolcn
anser de aktuelle elevsager for at være ekstraor-
dinære og opfatter dem ikke som
udtryk
for en generelt
dårlig
elevkultur,
idet det ikke er skolens oplevelse, at der finder systematiske krænkelser
sted eleverne imellem på skolen.
I
den forbindelse oplystes det, at flere
forældre til eleverne
i
de verserende elevsager har
anført,
at der er meget
”hyggemobning”
på skolen. Rektor oplyste, at skolen opfatter det som et
partsindlæg
i de verserende sager, som ikke kan genkendes af skolen.
Han oplyste desuden, at de:
i
den forgangne weekend beklageligvis har
BUU, Alm.del - 2021-22 - Endeligt svar på spørgsmål 247: Spm. om at oversende alle dokumenter i sagen, som TV2 har fået aktindsigt i, i forbindelse med produktionen af dokumentaren 'Herlufsholms hemmeligheder', til børne- og undervisningsministeren
2588635_0046.png
m
_
$
været en voldsepisode
skolen.
mellem nogle
elever
i forbindelse med en fest på
Bånnääälgämcs-
MINISTERIET
STYRELSEN
FOR
UNDERVISNING KVALITET
oc;
Det
blev
derudover fra skolens side anført, at
skolen
generelt ha.: god
elevuivsel, jf. seneste elevu'ivselsundersøgelse, men at der altid vil være
eksempler på uhensigtsmæssig elevadfærd, når unge mennesker er
sam-
lct.
De verserende elevsaget viser, at en gruppe elever hm:
foretaget digi-
tal deling af videoer, som indeholder uacceptabel elevadfærd.
Det oplystes endvidere fra skolens side, at skolen har iværksat følgende
indsatser for at imødegå trivselsudfordringer:
.
Ressourcer til bemanding af sovesalene er øget, og
sovesalslæ-
rerne har individuelle samtaler med kosteleveme hver fiortcnde
dag.
Skolen
har
skrevet
til
alle forældre
med opfordring til at kontakte
skolen,
hvis
de oplever
trivselsudfordringer
hos deres børn.
'
0
Et konsulentfirma, Nordic Learning, udfører p.t. en undersøgelse
af
skolens trivsel,
bl.a. for at identificcre behov for organisatori-
ske justeringer, således at skolen får lettere ved at opdage og
håndtere eventuelle episoder med uacceptabel elevadfærd. Her—
lufsholm ønsker at indgå
i
et spam'ngsforløb med styrelsens læ-
ringskonsulenter herom.
Præfekterne
har
ikke
et særligt
ansvar
for trivslen på kostskolen,
'
men de har blandt andet har til opgave at iværksætte aktiviteter,
'
der fremmer elevtrivsel på skolen.
Øvrige tiltag ift. tn'vsel:
Mentortimer
i
hver klasse, ekstraskolære
aktiviteter, ungerådgiver, sygeplejerske, trivselsvejleder, præfekt-
uddannelse, trivselsårshjul.
Bestyrelsesformanden
og næstformanden anførte, at også
bestyrelsen
er
meget optaget af at sikre trivsel og ønsker at bidrage med åbenhed over
for styrelsen omkring ttivslen på skolen. Man mener dog ikke, at Her-
lufsholm eri særlig risiko for at
have trivselsudfordxinger
ift. mobning.
elsens
or lø i vurderin
å a
nd af mø et
Styrelsen
vurderer,
at skolen i forbindelse med styrelsens tilsynsbesøg på
skolen d. 8.
december
2021 ikke i tilstrækkelig grad bidrog til at oplyse
sagen. Skolen burde efter styrelsens vurdering i højere grad have
oplyst
styrelsen om de konkrete
elevsagers
indhold, som skolen på daværende
tidspunkt var bekendt med. Styrelsen vurderer desuden, at skolens viden
om de konkrete elevsager burde have bidraget
til,
at skolen tegnede et
mere nuanceret billede af trivslen på
skolen,
som imidlertid på besøget d.
8. december
2021
blev beskrevet entydigt positivt. Styrelsen undrer sig
blandt andeti den forbindelse over, at sovesalslæreme
på forespørgsel
fra
styrelsen
tilsyneladende ikke kendte til mobbeepisodeme.
2
BUU, Alm.del - 2021-22 - Endeligt svar på spørgsmål 247: Spm. om at oversende alle dokumenter i sagen, som TV2 har fået aktindsigt i, i forbindelse med produktionen af dokumentaren 'Herlufsholms hemmeligheder', til børne- og undervisningsministeren
2588635_0047.png
«ir
_-
Styrelsen undrer sig desuden over, at den tætte organisatoriske
struktur
som efter det oplyste omgiver skolens kostafdcling (kostledclsc, sovesals-
lærere, trivselsvejlcdere, sygeplejerske m.v. samt på elevside præfektord-
ningen)
-
som blandt andet har til opgave at sikre trivsel og god
clevad-
BØRNE-
OG
UNDERVISNINGS-
MINISTERIET
STYRELSEN
FOR
UNDERVISNING
OG
KVALITET
færd, ikke i højere
grad
forhindrer, at sager med alvorlig mobning og
uacceptabel elevadfærd udvikler sig. Dette kan efter styrelsens vurdering
være indikation på et muligt skred eller problem på skolen i opfattelsen
af almene normer for god orden og godt samvær for eleverne.
Styrelsen er på det foreliggende grundlag
ikke
tilstrækkeligt bctrygget i, at
de verserende clcvklagesager som anført af skolen er ekstraordinære epi-
soder og ikke er
udtryk
en bredere og mere generel udfordring med
for
trivsel, uhensigtsmæssig elevadfærd og mobning. Dette begrundes blandt
andet i antallet af delte videoer og det formodede brede kendskab hertil
af minimum 14 elever på to sovcsale, herunder præfekter. Dertil kommer
den for nylig stedfundne og politianmeldte voldsepisode mellem elever
til en fest på skolen. Særligt for så
vidt
angår skolens ønske om, at styrel—
sens læringskonsulenter indgår i et sparringsforløb med skolen og Nordic
Learning, er det styrelsens vurdering, at dcttc ikke er hensigtsmæssigt, så
længe den verserende tilsynssag pågår.
Anmodning
om redegørelse
Styrelsen anmoder på baggrund af ovenstående om, at bestyrelsen for
Herlufsholm Skole og
Gods
sender en skriftlig redegørelse til styrelsen,
hvori den i relation til de verserende elevsager redegør for det helt
aktu—
af elevu'ivslen og elevkulturen på skolen, herunder
særligt på skolens kostafdcling.
I
den forbindelse anmodes bestyrelsen
særligt om at uddybe, hvorpå skolens udsagn om, at dc verserende elev-
sager ikke er
udtryk
for en generelt dårlig elevkultur, konkret bygger.
Redegørelsen skal ud over en gennemgang af alle relevante faktuelle
for—
hold i relation til elevtrivslen og elevkulturen på skolen indeholde en be-
skrivelse og Vurdering af skolens kapacitet til at håndtere den helt
aktu-
elle situation på skolen
samt
til at opbygge og styrke elevtrivslcn og elev-
kulturen fremover.
Bestyrelsen bedes sende redegørelsen til styrelsen senest den 25.
marts
2022 på mail lil chefkonsulent Trine Rhein—Knudsen på mail: trine.rhein-
knud
en stukuvmdk.
elle situationsbillede
Med venlig hilsen
Jens Refslund Poulsen
Kontorchef
3
BUU, Alm.del - 2021-22 - Endeligt svar på spørgsmål 247: Spm. om at oversende alle dokumenter i sagen, som TV2 har fået aktindsigt i, i forbindelse med produktionen af dokumentaren 'Herlufsholms hemmeligheder', til børne- og undervisningsministeren
2588635_0048.png
Sagsresume
22100753
Klage
over
bortvisning
-
Herlufsholm
Sagens
Nr.
dokumenter
Titel
Klage
over
bortvisning
(sendt til skolen med kopi til
STUK)
l
Kvittering
Kvittering
Klagernes
fra rektor (i kopi til STUK)
fra klagerne
bemærkninger
på kvitteringen
(i kopi til STUK)
(sendt i kopi til STUK)
til rektors udtalelse
5
Klagesagen
Herlufsholrn
fremsendes
Skole
af rektor til styrelsen
Klage over bortvisning-
Kvitteringssvar.
Afgørelse sendt til klagerne
BUU, Alm.del - 2021-22 - Endeligt svar på spørgsmål 247: Spm. om at oversende alle dokumenter i sagen, som TV2 har fået aktindsigt i, i forbindelse med produktionen af dokumentaren 'Herlufsholms hemmeligheder', til børne- og undervisningsministeren
2588635_0049.png
Sagsresume
22l00756
Klage
over
bortvisning
-
Herlufsholm
Sagens
Nr.
dokumenter
Titel
Klage over bortvisning
Kvittering
(sendt i kopi til
STUK)
1
2
3
fra rektor (i kopi til STUK)
Klagernes bemærkninger til rektors udtalelse (sendt
i
kopi til
STUK)
Klage
over
af 12. december
2021
Herlufsholm
Skole)
4
5
Rettelser
-
VS:
Att:
Kontor for gymnasiet
(
Klage over bortvisning af 12.
december
2021
-
Herlufsholm
Skole)
6
Svar på rettelser fra Mikkel
bortvisning af 12. december
Kjellberg
-
Att: Kontor for gymnasiet
2021
Herlufsholm
Skole)
( Klage over
7
8
9
Kvitteringssvar
Mail modtaget
fra klager
Afgørelse sendt til klagerne
Kopi af
mail
til skolen (på vegne af fire elever) og skolens
kvittering
herfor
10
11
Mailudveksling
mellem
elevens
fader og bestyrelsesformanden
BUU, Alm.del - 2021-22 - Endeligt svar på spørgsmål 247: Spm. om at oversende alle dokumenter i sagen, som TV2 har fået aktindsigt i, i forbindelse med produktionen af dokumentaren 'Herlufsholms hemmeligheder', til børne- og undervisningsministeren
2588635_0050.png
á
BUU, Alm.del - 2021-22 - Endeligt svar på spørgsmål 247: Spm. om at oversende alle dokumenter i sagen, som TV2 har fået aktindsigt i, i forbindelse med produktionen af dokumentaren 'Herlufsholms hemmeligheder', til børne- og undervisningsministeren
2588635_0051.png
Fra:
Sendt:
Til:
Emne:
10.
februar
2022
11:30
af
_
Mads Bentzen; STUK
-
STUK
Fwd: Att: Kontor
for
gymnasiet
(
Klage over
bortvisning
Vedhæftede
filer:
af 12. december
2021
-
Herlufsholm Skole)
Behandling
af Mistillidserklæring til Rektors dømmekraft
krænkelsessag
mod
Rektanpdf
og
Kære Mads Bentzen,
som far til—
ønsker jeg:
1) at høre, hvorlangt I pt. er med sagsbehandlingen
kvittering eller journalnummer)?
af nærværende
sag (har iøvrigt
ikke
modtaget
2) at sikre mig at mistillidserklæringen
til rektors dømmekraft
rektor bliver behandlet ifm sagen? Se vedhæftede bilag.
3) Dernæst ønsker jeg at tilføje ny og essentiel information:
såvel som krænkelsessagen
mod
Vi forældre til de bortviste drenge er i de seneste dage blevet kontaktet af journalist
Bjarke Stender.
Det viser
sig,
at han gennem lang tid (ea.
1
år) har arbejdet på en TV2 dokumentarfilm om
Herlufsholm. Temaet handler om "kulturen" på Herlufsholm. Han har
søgt
aktindsigt
i vores klager
med flere sendt Lil
STUK
og er bekendt med vores sager med flere, såvel som
kontakt
til flere
gamle lærere og elever og nuværende elever
-
og ønsker at vi
også
skal deltage
i
dokumentaren. Han fortalte
også,
at han
inden,
han
havde
fået indsigt
i
vores klager, havde lavet et
interview om emnet med rektor Mikkel Kjellberg.
Dette sætter unægtelig vores sag
i
et nyt lys: dette er jo netop den manglende
brik,
der får de
beskrevne mystiske ender til mødes. Det viser sig jo nu, at det var en bunden opgave, at finde nogle
syndebukke, så rektor kunne udvise handlekraft og statuere et eksempel grundet mediernes
fokuslintenriewetldokumentaren.
Dette forklarer netop så mange ellers uforståelige dele af
sagen
-
ikke
mindst rektors umådelige mange procesfejl
i
sin forhastede iver.
“En umoden rektors ageren
-
en opsummering:
Hvis
man vil styre andres adfærd. må man
også
kunne styre sin egen.
Rektors umodne ageren viser sig netop ved benyttelsen
af et ekstremt forsigtighedsprincip:
ingen
elevs handling må på nogen måde kunne opfattes som mobning eller krænkelse.
Men i sin iver for
dette
har rektor selv tilsidesat enhver form for forsigtighed:
1) vilkårlige
episoder taget ud af kontekst og sammensat
af bevismateriale,
til en bunden opgave
dette
-
et bagholdsangreb
2) ingen ordentlig granskning af bevismateriale
3) ingen indsamling
trods intet har hindret
4) grove fejlopfattelser
og deraf gengivelser
i påstande
BUU, Alm.del - 2021-22 - Endeligt svar på spørgsmål 247: Spm. om at oversende alle dokumenter i sagen, som TV2 har fået aktindsigt i, i forbindelse med produktionen af dokumentaren 'Herlufsholms hemmeligheder', til børne- og undervisningsministeren
2588635_0052.png
5)
indkaldelse
til
afhøring
uden
bisidder
6)
dybt
grænseoversla'idende og krænkende
afhøring
7) ingen diskretion om sagen
blandt
skolens lærere
8) hjemsendelse uden nogen tanke for høringsperiodens
prøver; en skueproces uden reel
høring
10)
11)
12)
13)
14)
14 dages undervisningsforløb,
møder
eller
9) ingen udlevering af bevismateriale og dermed forsømmelse af
editionspligten
ingen dialog eller
imødekommenhed for at løse situationen
rektors
uværdige
adfærd
ved
afsked
med elev
udelukkende
arrogant
ageren som tilmed er tilsat løgne for at dække over fejl
komplet manglende proportionalitet og sammenhæng
i
sanktioner
bevisbyrden
er
aldrig
blevet løftet
Derudover viser det sig, at rektor har opstartet processen under skolens årlige
Komediebal, hvorfor
man let kan
forestille sig, hvorledes
den umodne rektor havner
i
denne
overreaktion.
Men at
overreagere
er ikke det samme som at
være
forsigtig.
Forsigtighed er ikke uden videre en dyd
-
slet
ikke når der er tale om et
styringsredskab
som anvendes
i blinde, og som helt glemmes,
når det er
allervigtigst.
Og motivet og den manglende brik for hele miseren
-
viser det sig nu
at rektor er under pres
er,
grundet en kommende
TV2
dokumentarfilm
-
hvorfor
der for alt i
verden
hurtigst muligt
skulle
findes nogle syndebukke."
Med venlig hilsen
Start
på videresendt besked:
Fra:
Mikkel Kjellberg
<[email protected]>
Emne:
Att:
Kontor for gymnasiet ( Klage over bortvisning
2021 - Herlufshnlm
Skole)
Dato:
12.
januar
2022
kl.
02.11.56
GMT—4
af
af 12. december
Til:
"smkØstukuvmdk"
Cc:
<stuk(ctukuvm.dl-c>
Vedrørende klage over
bortvisnin
Kære
STUK
af 12.
december
2021
Hermed fremsendes kla e af 29.
december 2021
over Herlufsholm
Skules beslutning
om
bortvisning
at…af
12.
december
2021.
Hoslagt skolens
og klagers bemærkninger. Skolen finder ikke, at der
i
hlringsfasen er fremkommet
oplysninger, der giver anledning til at ændre skolens beslutning om at bortvise eleven.
BUU, Alm.del - 2021-22 - Endeligt svar på spørgsmål 247: Spm. om at oversende alle dokumenter i sagen, som TV2 har fået aktindsigt i, i forbindelse med produktionen af dokumentaren 'Herlufsholms hemmeligheder', til børne- og undervisningsministeren
2588635_0053.png
Til grund for bortvisningen er overtrædelse af skolens ordensregler,
sådan
som de er
fastsat
jf.
Herlufsholm Skolehåndbog
2021
2022
s. 47
ff.,
og i henhold til Bekendtgørelse om studie- og
ordensregler
m.v.
i
de gymnasiale
uddannelser
BEK nr. 1338 af
19/12/2019.
I skolens sagsbehandling er
indgået
det
materiale,
som skolen har
haft
dgang
til
herunder
det det
a
materiale,
der er
modtaget
fra klager under høringsfasen.
Det er skolens opfattelse, at behandlingen af klagesagen med udgangspunkt
i
det materiale, som
skolen har
modtaget
indenfor de
i
bekendtgørelse om
studie—
ordensregler
fastsatte
procedurer
og
samt
gældende
klagefristen
Skolen
står
naturligvis til rådighed for yderligere uddybning, skulle
STUK
finde behov herfor.
Med venlig hilsen
Mikkel Kjellberg
Rektor
Herlufsholm Skole
og
Gods
Herlufsholm Allé 170
4700
Næstved,
DK
Tlf.: 55 75 35 00
E—rnailzmke
herlufsholmdk
Sikker mail til Mikkel K'ellber
Web: www.herlufsholm.dk
HERLIIFSHOLM
VW…
……
(.in—
BUU, Alm.del - 2021-22 - Endeligt svar på spørgsmål 247: Spm. om at oversende alle dokumenter i sagen, som TV2 har fået aktindsigt i, i forbindelse med produktionen af dokumentaren 'Herlufsholms hemmeligheder', til børne- og undervisningsministeren
2588635_0054.png
á
BUU, Alm.del - 2021-22 - Endeligt svar på spørgsmål 247: Spm. om at oversende alle dokumenter i sagen, som TV2 har fået aktindsigt i, i forbindelse med produktionen af dokumentaren 'Herlufsholms hemmeligheder', til børne- og undervisningsministeren
2588635_0055.png
Fra:
Sendt:
Til:
Cc:
Martin
Horst Arvedlund
<[email protected]>
21. februar 2022
09:53
Mads Bentzen;
or en von Lowzow; Hanne
Leth
Andersen; Noemi Katznelson;
Malou
Skeel;
Sebastian
Franck;
Philip
Søren Thorsen;
Anne Sophie
K.
Vilsbøll:
Emne:
Kær
SV:
Herlufsholm
Jeg
kvitterer
hermed
for
modtagelsen.
Vi
vender
tilbage med
yderligere
svar.
Med venlig
hilsen
Martin
Arvedlund
Fra:
Sendt: 21. februar 2022 09:43
Til: Martin
Horst Arvedlund
<[email protected]>
Cc: [email protected];
<[email protected]>;
<[email protected]>-
Emne:
Fwd: Herlufsholm
Torben von Lowzow <[email protected]>;
Hanne
Leth
Andersen
<[email protected]>;
Noemi Katznelson <[email protected]>;
Anne
Sophie l<.
Vilsbøll
<[email protected]>;
Malou
Skeel
Sebastian Franck <Sebastian.Fr
[email protected]>;
Philip Søren Thorsen
Nedenstående
tekst
er også vedhæftet
Kære
vicerektor
Martin
Horst
Arvedlund,
e
enstående
skal
betragtes som et
fælles
svar fra
(S UK) med en
fælles
afgørelse
på vores fremsendte
klager.
forældre
til
idet
vi alle har
modtaget
mails
fra
Styrelsen
for
Undewisning
og
Kvalitet
Som
bekendt
har
STUK givet
os
medhold
i
vores
klager
og har valgt at
hjemvise
dem til
evt.
fornyet
behandling.
Drengene
er
således
ikke
bortvist
længere.
D. 15-02-2022
skriver
rektor
Mikkel
Kjellberg
en
identisk
mail
til
alle fire
parter,
hvor
vi dog
bliver aplyst
om, at drengene
fortsater hjemsendt
idet rektor
agterat genoptage
behandlingen sagen.
af
Rektor Mikkel
Kjellberg
vælger,
ud af
alle
de
punkter
somvi
forældre
får
medhold
i,
udelukkende
at henvise
til at
skolen ikke
har
indsamlet
videomaterialet.
Rektor Mikkel
Kjellberg
ønsker
nu at genoptage
sagsbehandlingenved bl.a. at anmode om, at vi fremsender
videodokumentatiun.
Vi
stiller
os undrende
over
for denne
anmodning. Rektor
har jo
anmodet
STUK
om det videomateriale, vi har
fremsendt dertil.
Gennem
sagen
har vi på
forskellig
vis
argumenteret
for en
usaglig,
unuanceret og uprofessionel
sagsbehandling
og der er
eksemplarisk
under høringsperioden
argumenteret
for
diverse
nuancer, der
forventeligt
skal
inddrages
i
den
genoptagede
sagsbehandling,
anvisningen
i
jf.
STUKs
afgørelse.
BUU, Alm.del - 2021-22 - Endeligt svar på spørgsmål 247: Spm. om at oversende alle dokumenter i sagen, som TV2 har fået aktindsigt i, i forbindelse med produktionen af dokumentaren 'Herlufsholms hemmeligheder', til børne- og undervisningsministeren
2588635_0056.png
Vores perspektiv på denne
sag,
fremgår tydeligt igennem klagerne, hvor det fremgår, at de episoder der
henvises
til,
ikke
afviger fra
habituel
adfærd og hverdag på Herlufsholm Kostskole og praktiseresaf
adskillige elever
antageligt
dagligt
i
et givet format. De involverede har handlet
i
god tro, inden for en given
norm og kultur på Herlufsholm kostskoleog afviger
ikke
fra normen af adfærd og
kultur
på Herlufsholm
Kostskole.
Set fra vores perspektiver det
derfor
også
forventeligt,at
hvis
skolen
ønsker fornyet sagsbehandling,
rektor Mikkel Kjellberg og
kostskoleleder
Susanne Geisler løfte
opgaven forbundet med at fremskaffe
relevant materiale og en relevant og denne gang korrekt sagsbehandling, der kan sikre et
tilstrækkeligt
grundlag for at træffe en kvalificeret
beslutning.
på et
oplyst
og nuanceret grundlag. Og at vi som
forældre
ikke
skal løse skolens problem
med at løfte den afgørende
bevisbyrde.Hertil kommer. at
vi
har fået en
frist
til
d.
21/2,
lige efter en
officiel
ferieperiode,hvorfor bl.a. kontakt
til
vores advokaterbesværliggøres.
Dette
virker urimeligt og uden hensyntagen
til
familierne og de involverede.
Vi
har som nævnt allerede forevist rektor Mikkel Kjellberg og
kostskoleleder Susanne Geisler
de videoer,
der hører
til
påstandene
i
anklagen såvel som nuancerende videoer af det påstående mobbeoffer. Disse
videoer er alle fire
drenges
familier
i
besiddelse af. Videoeme er ligeledes
også
indsendt til
STUK ifm.
klagen.
Vi har
flere gange undervejs
tilbudt
at
mødes
og
løse sagen i
mindelighed,ogsåfor at forkortevoresdrenges
fravær fra skolen, undervisningen og deres kammeratskaber. Dette er
aldrig
blevet imødekommet og først
efter klagen
til
STUK
er fremsendt og deres afgørelse foreligger, da foreslår skolen vores eget
tilbud.
Vi
foreslårderfor,
i
og med at
skolen
fortsathar bevisbyrden, når rektor Mikkel Kjellberg har indhentetsit
at
bevismateriale sagensom svarer
til
anklagernes
for
påstande,
kan
vi
mødesog
fremvise/sammenholde vores
videoer (igen)
med
det. rektor måtte fremskaffe.
Vi kan
hertil oplyse,
at vi er
i
kommet
i
besiddelse
af nyt materiale,der kundgørfølgende;
At—Jar
med på og klar over, at episoderne for
sjov
og at han var indforståetmed dem og
indgik i
var
disse på ligeværdig
vis.
At skolen har presset ”forældre
i
flere omgange
til
at
politianmelde
vores drenge.
Forældrene
til
—har
afslået dette.
som
afleverede
til
re or Mikkel Kiellberg og kostskoleleder Susanne
At det
undskyldningsbrev
Geisler
til
dereshøringsmøde
aldrig
er viderebragttil
Da
”forældre
siger dette
til
skolen,
svarer
de efter pålydende, "Nå ja, det har vi, ville
I
gerne have det?"
At episoden ”ballerne" en forståelig
med
var
gengældelse at
_
for,
hovedpudebetræk tilhlrende
sovesal.
Selvhavde
tørretende
i
et
At
_
har forsøgt at
tale vores
drenges sag hos
r
ktor
Mikkel
Kjellberg og kostskoleleder Susanne
Geisler og
til
dette skulle de havde responderet
til
"Hvis
det er din opfattelse, at de drenge er
uskyldige, anbefaler
vi,
at du opsøger
psykologhjælp."
At den nylige
politianmeldelse
af en
homoseksuel
krænkelse på skolen, udelukkende har haft den
konsekvens krænkeren, denneer blevet flyttet til en andensovesal
-
og
dermed
pt.
ikke
er
henvist.
for
at
BUU, Alm.del - 2021-22 - Endeligt svar på spørgsmål 247: Spm. om at oversende alle dokumenter i sagen, som TV2 har fået aktindsigt i, i forbindelse med produktionen af dokumentaren 'Herlufsholms hemmeligheder', til børne- og undervisningsministeren
2588635_0057.png
Vi
stiller
os ydermere
meget
undrendeover, at dele af
STUK's
afgørelsenu ser ud til at blive
undladt i
den
nye sagsbehandling.
ifølge seneste
mail
fra rektor Mikkel Kjellberg, og at det bør
kraftigt
overvejes,
hvordan
dettevil blive behandleti genoptagelsen sagen,
STUK's
hjemvisningaf klagen:
af
jf.
Bevismateriale
”Skolen har således efter det opbøsleikke
sørget
far at
skam
sig en
kopi
af de videoer. som den baserer
sankn’onssagerne
på. Derved har det
heller ikke været
mulig:
for
skolen
at lade videoerne
indgå
i
grundlaget
for
partshøring
af
eleveme.
Styrelsen er ikke enig med skolen f, at reglerne om
persondatabeskytrelse
i
det
konkrete tilfælde udelukker, at
skolen
kan lade videoerne
evt.
i
en forkortet
farm,
hvori
kun de sekvenser,
som
skolen
lægger
vægt
på, medtages
indgå
igrundlagerforpartshøring afeleverne.
Procesfejl
”Slyrelsen
finder
ud fra
sagernes materiale. at der
i
alle
sager
foreligger
væsentlige
sagsbehandlingsmæssige
mangler.
I
den forbindelse henvises der
til',
at bestemmelserne:”
forvaltningsloven
:"
henhold
til
å
8, nr. 1, 1.
pkt.,
i
bekendtgørelse nr.
1338
af 9. december
2019
om studie- og ordensregler
m.v.
:" de gymnasiale uddannelser gælder for
skolens
afgørelsesvirksomhed
efter studie-
og ordensreglerne,
uanset
at skolenikke er en del af den offentlige
forvaltning.
Ugyldige sanktioner
”På
baggrund
af sagens oplysninger
finder
styrelsen
ikke,
at det er
påvist,
at skolen har sikret sig et
tilstrækkeligt
oplysningsgrundlagjbr
iværksættelseaf
sanktioner
averjbr eleverne.
"
Episoder
taget ud af kontekst
-
manglende nuancering
i
beslumingsgrundlaget
"Dertil kommer, a! det
i
undersøgelseqfasen kammetfrem, dels at de konkrete videoer angiveligt er en de!
er
af en større
flerhed
af videooptagelser sammenlignelige
af
episoder,som ane
skulle
forefindes
i
en fælles
lukket
chatgruppe
for eleverne på den pågældende efevgård, dels at visse af disse
andre
videoer angiveligt
kan nuancere
opfattelsen
af den femte
elevs rolle.
Det fremgår imidlertid
ikke,
at
skolen
har
sørget
for,
at
disse øvrige
videoer
kom
i
skolens besiddelse med henblik på at
indgå
i
besIumingsgrundIaget. Nogle af
videoerne har dog væretforevist skolens ledelse
afén
afklagerne :"
selve
høringsfasen.
"
Manglende
inddragelse af
fnrældremyndigheden
krænkende afhøring
og
hjemsendelse
eller
tilbud
om
bisidder
til den
grænseoverskridende
og
"Szyrelsen
konstaterervidere, at skolen ifarbindelse med den
første
mundtlige
høringsfaseøjensynlig
ikke har
haft
informeret og inddraget forældremyndighedens indehavere for de
elever,
hvor
det var aktuelt,
jf? :"denforbindeise
§
8, nr. 1, 2.
pkt.,
i
bekendtgørelsen.
Sagen har
i
skrivende stund stået på
i
over 80
dager?
'A måned og
lader
til fortsat at
trække
ud, udelukkende
pga. rektor Mikkel Kjellbergsinitiale og
sidenhen ubrudte række
af
procesfejl.
Som
tiden
går,
er det kun vore sønner det går ud over. Og bemærk at
drengene
under
hele forløbet
IKKE
har
fået mulighedenfor at tageafskedmed deresskolekammerater,
vennerog lærere.Selve dagenfor afhøringen
og hjemsendelsen
håbløst
krænkende det virker
i
alt somen bevidstydmygelseaf voresdrenge.
var
og
To af vores drengehar alleredeudmeldt,at de slet
ikke ønsker
at kommetilbage til HerlufsholmKostskole,
repræsenteret nuværende
af
ledelse, herunder rektor
Mikkel Kjellberg og kostskoleleder
Susanne
Geisler.
BUU, Alm.del - 2021-22 - Endeligt svar på spørgsmål 247: Spm. om at oversende alle dokumenter i sagen, som TV2 har fået aktindsigt i, i forbindelse med produktionen af dokumentaren 'Herlufsholms hemmeligheder', til børne- og undervisningsministeren
2588635_0058.png
Det er derfor
fortsat
vores
konklusion,
at
hele
sagen er behandlet og
fortsat
behandles med en sjælden
grad
af
hensynsløshedover for
enkeltpersoner/vores
drenge såvel som en mangel på eftertænksomhed og evne til at
tænke
blot
et til to
skridt
frem
-
uforståeligt,
uigennemtænkt og præget af en næsten
ubrudt
kæde af
fejlbeslutninger inkl.
forsøg
på at dække over disse fejl på
stribe,
med
heraf
følgende
store
menneskelige
omkostninger
for de implicerede og risiko for alvorlig skade på
Herlufsholms
fremtidige virke.
Med venlig hilsen
Start
videresendt
besked:
Fra:
Mikkel
Kjellberg
<mke
Emne:
SV:
Herlufsholm
herlufsholm.dk>
CET
Dato:
15.
februar 2022
kl.
19.02.59
Til:
Vedr.
genoptagelsen af
sanktionssag
Kære
Som det er jer bekendt, har Styrelsen or n ervisning og Kvalitet den 10.
februar 2022
truffet
afgørelse om at hjemvise afgørelsen om bortvisning
af—til
Herlufsholm
til'
fornyet behandling hos
Herlufsholm.
Det
betyder,
at bortvisningen af
12. december 2021
af
.ikke
Herlufsholm
vil nu genoptage behandlingen af sanktionssagen.
længere er gældende, og
Herlufsholm
har besluttet, at
"fortsat
skal
være hjemsendt under sagens behandling.
Den midlertidige hjemsendelse gælder både kost- og
dagskole.
Begrundelsen for, at Styrelsen for Undervisning og Kvalitet valgte at hjemvise sagen
var,
at
sagsbehandlingen led af en række formelle mangler,
fsva
video dokumentation.
Ved
Herlufsholms
behandling af sagen
blev
det vurderet, at det ikke ville
være
foreneligt
med den persondataretlige lovgivning at indhente, besidde og fremvise de videoer, som
indgår i sagen. Styrelsen for Undervisning og Kvalitet er ikke enig
i denne
vurdering, og har
angivet
følgende i deres afgørelse:
"Skolen har således
efter
det oplyste ikke sørget for at skaffe sig en kopi af de
videoer. som den baserer sanktionssagerne på.
Derved
har det heller ikke været
muiigt for skolen at iade videoerne indgå i grundlaget for partshøring af eieverne.
Styreisen er ikke enig med skolen i, at reglerne om
persondarabeskynelse
i det
konkrete tilfælde udelukker, at skolen kan lade videoerne —
evt.
i en
forkortet
form.
hvori kun de sekvenser. som
skolen
iægger
vægt
på. medtages
-
indgå i
grundlaget for partshøring af eieveme. ”
BUU, Alm.del - 2021-22 - Endeligt svar på spørgsmål 247: Spm. om at oversende alle dokumenter i sagen, som TV2 har fået aktindsigt i, i forbindelse med produktionen af dokumentaren 'Herlufsholms hemmeligheder', til børne- og undervisningsministeren
2588635_0059.png
Da Herlufsholm
stadig ikke
eri
besiddelse
af de
omtalte videoer,
har Herlufsholm
anmodet
Styrelsen
for
Undervisning
og
Kvalitet
cm at fremsende de
videoer,
som de er i besiddelse
af.
Herlufsholm vil
samtidig
anmode jer om at fremsende eventuelle
videoklip,
som
I
måtte
være
i besiddelse
af, og som kan
have betydning
for
sanktionssagen.
I må forvente, at
eventuelle fremsendte videoklip
kan
blive
forevist
andre
elever og
deres
forældre
i
forbindelse
med
sanktionssager,
hvor
videoerne
skønnes
relevante.
Eventuelle
videoer af
relevans
for
sagen bedes fremsendt
til Herlufsholm senest den 21.
februar 2022.
Når Herlufsholm har
modtaget videoerne
fra Styrelsen for Undervisning og
Kvalitet
og
eventuelle
videoer. som
I måtte fremsendte,
vil Herlufsholm vurdere
sagen
på ny.
Såfremt Herlufsho1mfortsat
finder, at der er
grundlag
for en
sanktion,
vil
afgørelsen
om
påtænkt sanktion sendes i høring
hos
jer,
og I vil
i
den forbindelse blive
tilbudt
at gennemse
videomaterialet
med henblik på, at
l
kan få lejlighed til at komme med
ieres
bemærkninger
til videoerne.
Gennemsyn af videoerne vil foregå hos
SIRIUS
advokater,
Dampfærgevej
10,
2100
København
Ø.
Henvendelser vedrørende
sagen
og
fremsendelse
af eventuelle
videoer bedes
ske til
vicerektor Martin Horst
Arvedlund på mha herlufsholmdk.
Med venlig hilsen
Mikkel Kjellberg
Rektor
Herlufsholm Skole
og
Guds
Herlulsholm Allé 170
4700 Næstved.
DK
Tlf.: 55 75 35 00
E—rnall:
mkterlufshulmdk
S'kker
mail
til
Mikk
l
K' il
Web:
mvwheriuisholmdk
:=
""å-Jää-
HERlll
FSHOLM
Vik…
……
Eau…
Fra:
Mikkel Kjellberg
Sendt:
11.
februar 2022
16:44
BUU, Alm.del - 2021-22 - Endeligt svar på spørgsmål 247: Spm. om at oversende alle dokumenter i sagen, som TV2 har fået aktindsigt i, i forbindelse med produktionen af dokumentaren 'Herlufsholms hemmeligheder', til børne- og undervisningsministeren
2588635_0060.png
Til:
Emne:
Her ufsho
m
Kære
I forlængelse
af
STUKsafgørelse
om at
hjemvise behandlingen
af
bortvisningssagen
til
videre behandling, dateret
10.
februar 2022, skal
jeg oplyse om, at
skolen genoptager
sagsbehandlingen,
for eventuel
fortsættelse
som elev.
Vi vendertilbage med nærmere
oplysninger
om den konkrete
sagsbehandlingi
den
kommende
uge.
Med venlig hilsen
Mikkel Kjellberg
Rektor
Herlufsholm Skole
og
Gods
Herlufsholm
Allé
170
4700
Næstved.
DK
TH.:
55 75 35 DD
E-mail: mktgrlgahglmgk
Sikk
rm
iltiIMikk
lK'eIIber
Web: mwherlufghglmgk
BUU, Alm.del - 2021-22 - Endeligt svar på spørgsmål 247: Spm. om at oversende alle dokumenter i sagen, som TV2 har fået aktindsigt i, i forbindelse med produktionen af dokumentaren 'Herlufsholms hemmeligheder', til børne- og undervisningsministeren
2588635_0061.png
á
BUU, Alm.del - 2021-22 - Endeligt svar på spørgsmål 247: Spm. om at oversende alle dokumenter i sagen, som TV2 har fået aktindsigt i, i forbindelse med produktionen af dokumentaren 'Herlufsholms hemmeligheder', til børne- og undervisningsministeren
2588635_0062.png
Fra:
Sendt:
Til:
Cc:
Torben
von
Lowzow <[email protected]>
22.
februar
2022 07:22
Noemi
Katznelson; Anne Sophie Kierkegaard
Mads Bentzen
Hanne Leth
Andersen;
Vilsbøll;
Malou Scheel;
Sebastian Franck;
Philip
S.
Thorsen
( Klage
over bortvisning
a1
Emne:
Re:
Att:
Kontor
for
gymnasiet
af 12.
december
2021 -
Herlufsholm
Skole)
Kære…
Jeg har
i
mit svar til dig d. 30.
december
skrevet følgende:
"Vedr.
dine
bemærkninger
til bestyrelsen
andre
forældre til elever på Herlufsholm,
bestyrelsen,
hvis I har oplevet
adfærd
om
rektor,
kan jeg bekræfte, at
disse
er modtaget. I, og
er naturligvis
velkomne
til at
rette
henvendelse til
ledelse,
herunder
rektor,
sam
I
ikke
mener,
er
fra skolens
acceptabel, sådan
som I
konkret
har
gjort.
Bestyrelsen
ønsker imidlertid ikke
at
orientere
jer om sin
behandling af den
rejste
kritik
og mener heller
ikke,
at I her
krav
herpå.
Jeg har
noteret,
at
skolens
og herunder
rektors
håndtering af bortvisningen af blandt
andre
indgåri den
klage, I
har indgivet, og som det derfor må
forventes,
at STUK vil forholde sig til 1
relevant
omfang".
Jeg kan orientere dig om, at
rektor
såvel i denne sag som generelt har bestyrelsens
fulde opbalming
og tillid.
Med venlig hilsen
Torben
Torben von
Lowzow
Istocorp
Tlf.
+45
26372007
Mail:
[email protected]
Den 21. feb.
2022
kl.
10.33
skrev
Kære
Torben og bestyrelse,
vi har
stadig
ikke
hørt
tilbage fra Jer
vedr.
mistillidserklæringen
krænkelsessagen
mod
rektor.
Disse
sager
ligger
igen
Jeres
bord
efter
til
rektors dømmekraft
og
STUKs
afgørelse
og hjemvisning.
BUU, Alm.del - 2021-22 - Endeligt svar på spørgsmål 247: Spm. om at oversende alle dokumenter i sagen, som TV2 har fået aktindsigt i, i forbindelse med produktionen af dokumentaren 'Herlufsholms hemmeligheder', til børne- og undervisningsministeren
2588635_0063.png
STUKs
afgørelse understreger
iøvrigt disse
to
sager!
Som bekendt
agter
skolen at
genoptage
bortvisningssageme
hertil.
og vi har
idag
sendt
vores
responsum
Efter hjemvisningen bør
disse ikke
behandles
sammen
med
mistillidserklæringen
til rektors
dømmekraft
og Ia'ænkelsessagen
mod rektor.
til
rektors
Med
andre
ord vi ser frem til
Jeres
svar på en
separat
behandling
af
mistillidserldæringen
dømmekraft og la'ænkelsessagen
mod
rektor.
Med
venlig hilsen
Den 10. feb. 2022 kl. 17.20 skrev
Kære bestyrelse,
jeg
nåede
lige
at
afsende
nedenstående
idag
hvorefter jeg
modtog
STUKs
afgørelse
denne
videresender
jeg
i
efterflg.
mail.
STUK
har
givet
os medhold og har
hjemvist sageme
til fomyet behandling.
Jeg
håber
inderligt,
at bestyrelsen
benytter denne
lejlighed
til at tænke sig
grundigt
om denne gang.
bestyrelsen
nu vil behandle
mistillidserklæringen
til rektor
Jeg ser
også
frem til at
høre,
hvorledes
såvel sum krænkelsessagen.
Jeg gentager for Gud ved
hvilken
gang,
at jeg
håber,
vi kan løse sagen
i mindelighed.
Med
venlig hilsen
Start på
videresendt
besked:
Fra.
Emne:
Vs:
Att: Kontor
for
gymnasiet
(
Klage over
bortvisning
af 12.
december 2021
-
Herlufsholm Skole)
af—
Dato:
.
februar
2022
kl.
06.30.08
GMT—4
stukuvm.dk,stuk
stukuvm.dk
Til:
MadsBentzen
Kære
Mads
Bentzen,
BUU, Alm.del - 2021-22 - Endeligt svar på spørgsmål 247: Spm. om at oversende alle dokumenter i sagen, som TV2 har fået aktindsigt i, i forbindelse med produktionen af dokumentaren 'Herlufsholms hemmeligheder', til børne- og undervisningsministeren
2588635_0064.png
som far til
_
ønsker jeg:
1) at høre, hvorlangt I pt. er med sagsbehandlingen
ikke
modtaget kvittering eller journalnummer)?
af nærværende
sag (har iøvrigt
2) at sikre mig at mistillidserldæringen
til rektors
dømmekraft
såvel som
krænkelsessagen
mod rektor bliver behandlet ifm sagen? Se vedhæftede bilag.
3) Dernæst ønsker jeg at tilføje ny og essentiel information:
Vi forældre til de bortviste drenge eri de seneste dage blevet kontaktet af journalist
Bjarke Stender. Det viser
sig,
at han gennem lang tid (ca.
1
år) har arbejdet på en
TV2 dokumentarfilm om
Herlufsholm.
Temaet
handler om "kulturen" på
Herlufsholm. Han har
søgt
aktindsigt
i
vores klager med flere sendt til
STUK
og er
bekendt med vores sager med flere, såvel som kontakt til flere gamle lærere og
elever og nuværende elever
-
og ønsker at vi
også
skal deltage i dokumentaren. Han
fortalte
også,
at han inden, han havde fået indsigt i vores klager, havde lavet et
interview om emnet med rektor Mikkel Kjellberg.
Dette sætter unægtelig vores sag i et nyt lys: dette er jo netop den manglende
brik,
der får de beskrevne mystiske ender til mødes. Det viser sig jo nu, at det var en
bunden opgave, at finde nogle syndebukke, så rektor kunne udvise handlekraft og
statuere et eksempel grundet mediernes fokus/interviewet/dokumentaren.
Dette
forklarer netop så mange ellers uforståelige dele af sagen -ikke mindst rektors
umådelige mange procesfejl
i
sin forhastede iver.
“En umoden rektors ageren
-
en opsummering:
Hvis man vi] styre andres adfærd, må man
også
kunne styre sin egen.
Rektors umodne ageren viser sig netop ved benyttelsen af et ekstremt
forsigtighedsprincip:
ingen elevs handling må på nogen måde kunne opfattes som
mobning eller krænkelse.
Men i sin iver for dette har rektor selv tilsidesat enhver form for forsigtighed:
1) vilkårlige episoder taget ud af kontekst og sammensat
bagholdsangreb
2) ingen ordentlig granskning af bevismateriale
4) grove fejlopfattelser
og deraf gengivelser
i påstande
til en
bunden
opgave
-
et
3) ingen indsamling af bevismateriale, trods intet har hindret dette
BUU, Alm.del - 2021-22 - Endeligt svar på spørgsmål 247: Spm. om at oversende alle dokumenter i sagen, som TV2 har fået aktindsigt i, i forbindelse med produktionen af dokumentaren 'Herlufsholms hemmeligheder', til børne- og undervisningsministeren
2588635_0065.png
5)
indkaldelse
til afhøring
uden
bisidder
6) dybt
grænseoverskridende
og
krænkende
afhøring
7) ingen
diskretion
om
sagen
blandt
skolens
lærere
8) hjemsendelse
uden nogen
tanke
for
høringsperiodens
14
dages
møder eller prøver; en
skueproces
uden reel høring
undervisningsforløb,
9) ingen udlevering af bevismateriale og dermed forsømmelse af editionspligten
for at løse
situationen
10) ingen dialog eller imødekommenhed
11) rektors uværdige
adfærd
ved
afsked
med elev
12)
udelukkende
arrogant
ageren
som
tilmed
er tilsat løgne for at
dække
over fejl
13)
komplet
manglende proportionalitet og
sammenhæng
i sanktioner
14) bevisbyrden er aldrig blevet løftet
Derudover
Komediebal,
viser det
sig,
at
rektor
har opstartet
processen
under
skolens
årlige
hvorfor
man let kan forestille
sig,
hvorledes
den
umodne
rektor
havner
i
denne
overreaktion.
Men at overreagere er
ikke
det
samme
som at være forsigtig.
Forsigtighed er
ikke
uden videre en dyd
-
slet
ikke
når der er
tale
om et
styringsredskab
som
anvendes
i
blinde, og som helt
glemmes,
når det er
allervigtigst.
Og motivet og den manglende
brik
for hele miseren
-
viser det sig nu
-
er, at
rektor
er
under
pres
grundet en
kommende
TV2
dokumentarfilm
-
hvorfor der for alt
i
verden
hurtigst muligt skulle findes nogle syndebukke.“
Med venlig hilsen
<Behand1ing
af Mistillidserklaering
til Rektor
s
dømmekraft
og
krænkelsessag
mod
Rektor.pdf>
Start på videresendt
besked:
Fra: Mikkel
Kjellberg
<mke
herlufsholrn.dk>
Emne: Att: Kontor
for
gymnasiet ( Klage over bortvisning
af 12.
december 2021
-
Herlufsholm
Skole)
Dato:
12.
januar 2022
kl.
02.11.56
GMT-4
af
Til:
"äukästukuvmdk"
Cc:
<stuk®stukuvmdk>
Vedrørende
klage
over bortvisning af…
Kære
STUK
af 12.
december
2021
BUU, Alm.del - 2021-22 - Endeligt svar på spørgsmål 247: Spm. om at oversende alle dokumenter i sagen, som TV2 har fået aktindsigt i, i forbindelse med produktionen af dokumentaren 'Herlufsholms hemmeligheder', til børne- og undervisningsministeren
2588635_0066.png
Hermed fremsendes
klage af 29. december
2021
over
Herlufsholm
Skoles
beslutning
om bortvisning af
f
12. december
2021.
Hoslagt skolens og klagers bemærkninger.
Skolen
finder ikke, at der
i
høringsfasen
er
fremkommet
oplysninger,
at bortvise eleven.
der giver anledning til at ændre skolens beslutning
om
Til grund for henvisningen
er overtrædelse af skolens ordensregler,
sådan
som de er
fastsat
jf. Herlufsholm Skolehåndbog 2021
—2022
s. 47
ff.,
og
i
henhold til
Bekendtgørelse om studie- og ordensregler
m.v.
i de gymnasiale uddannelser BEK
nr. 1338 af
19/12/2019.
I skolens sagsbehandling er indgået det materiale, som skolen har
haft
adgang
til
herunder det det materiale, der er
modtaget
fra klager under høringsfasen.
Det er skolens
opfattelse,
behandlingen af klagesagen med udgangspunkt i det
at
materiale, som skolen har
modtaget
indenfor de i bekendtgørelse om studie- og
ordensregler
fastsatte
procedurer
samt
gældende klagefristen
til rådighed
for yderligere uddybning,
skulle
STUK
finde
Skolen står naturligvis
behov herfor.
Med venlig hilsen
Mikkel
Rektor
Kjellberg
Herlufsholm Skole
og
Guds
Herlufsholm Allé 170
4700
Næstved,
Tlf.:
DK
55 75 35 00
E-mail: mke
herlufsholm.dk
Sikker mail Lil Mikkel K'ellber
Web:
www.herlufsholm.dk
<image001.png>
BUU, Alm.del - 2021-22 - Endeligt svar på spørgsmål 247: Spm. om at oversende alle dokumenter i sagen, som TV2 har fået aktindsigt i, i forbindelse med produktionen af dokumentaren 'Herlufsholms hemmeligheder', til børne- og undervisningsministeren
2588635_0067.png
Sagsresume
22100832
Klage over bortvisning
Herlufsholm
Skole og
Gods.
Sagens
Nr.
1
dokumenter
Titel
VS: Kontor for gymnasier
Herlufsholm
Skole)
(Klage over bortvisning
af 12. december
2021
-
2
3
Kvitteringssvar
Afgørelse
sendt til klagerne