Børne- og Undervisningsudvalget 2021-22
BUU Alm.del
Offentligt
2588615_0001.png
Til:
Emne:
Vedhæftede filer:
'[email protected]'
Fremsendelse af aktindsigt
Sag 20-13586, 20-01575 og 20-10877 - afgørelse i aktindsigtssag efter OFL.pdf;
Sag 20-10877 - Akt 1-7 + aktliste.pdf; Sag 20-13586 - Aktliste med
bemærkninger.pdf; Sag 20-13586 - Akt 1-31.pdf; Sag 20-13586 - Tidligere
behandlet anmodninger om aktindsigt.pdf; Sag 20-01575 - Akt 1-27 .pdf; Sag 20-
01575 - Aktliste med bemærkninger.pdf; Sag 20-01575 - Tidligere behandlet
anmodninger om aktindsigt.pdf
Kære Rikke Dyrberg, Kompagniet
Se venligst vedhæftede brev angående din anmodning om aktindsigt.
Med fremsendelsen af denne mail og vedhæftede filer, betragter styrelsen din anmodning om aktindsigt
som færdigbehandlet.
Med venlig hilsen
Melike Ugur
Studentermedhjælper
Børne- og Undervisningsministeriet
Styrelsen for Undervisning og Kvalitet
Kontor for Frie Skoler
Frederiksholms Kanal 26
1220 København K
Direkte tlf.: +45 23 42 86 90
E-mail:
[email protected]
BUU, Alm.del - 2021-22 - Endeligt svar på spørgsmål 247: Spm. om at oversende alle dokumenter i sagen, som TV2 har fået aktindsigt i, i forbindelse med produktionen af dokumentaren 'Herlufsholms hemmeligheder', til børne- og undervisningsministeren
2588615_0002.png
Rikke Dyrberg, Kompagniet
Styrelsen for Undervisning og
Kvalitet
Frederiksholms Kanal 26
1220 København K
Tlf. nr.: 33 92 50 00
E-mail: [email protected]
www.stukuvm.dk
CVR nr.: 29634750
Afgørelse om aktindsigt i styrelsens tilsynssag med Herlufsholm
Skole og Gods sags nr. 20/13586, 20/01575 og 20/10877
Ved e-mail af 11. maj til Styrelse for Undervisning og Kvalitet, har du an-
modet om aktindsigt på følgende måde:
”aktindsigt
i styrelsens tilsynsrapporter ifm ordinære/anmeldte og ekstraordi-
nære/uanmeldte tilsyn på kostskolen Herlufsholm ved Næstved i perioden 2016-
2020.”
Din anmodning vedrører følgende dokumenter:
Sag 20/13586 – Akt 1-31
Sag 20/01575 – Akt 1-27
Sag 20/10877 – Akt 1-7
Styrelsen har behandlet din anmodning efter reglerne i offentlighedslo-
ven.
Styrelsen meddelte ved e-mail af den 25. maj 2021, at behandlingen af sa-
gen ikke kunne afsluttes inden for syv arbejdsdage på grund af sagens
omfang, jf. offentlighedslovens § 36, stk. 2, og at behandlingen af sagen
forventedes afsluttet senest 3. juni 2021.
Styrelsen har nu afsluttet behandlingen af sagen.
Begrundelse
Anmodningen om aktindsigt kan delvist imødekommes. Vedlagt findes
en aktlisten vedrørende sagerne 20/13586, 20/01575 og 20/10877.
Styrelsen skal særligt henlede din opmærksomhed på de følgende akter:
Sag 20/13586 – Akt 1, 2, 3, 5, 6, 7, 9, 10, 11, 17, 27, 28 og 29.
26. maj 2021
Sags nr.: 20/13586
Sags nr.: 20/01575
Sags nr.: 20/10877
BUU, Alm.del - 2021-22 - Endeligt svar på spørgsmål 247: Spm. om at oversende alle dokumenter i sagen, som TV2 har fået aktindsigt i, i forbindelse med produktionen af dokumentaren 'Herlufsholms hemmeligheder', til børne- og undervisningsministeren
Enkelte oplysninger undtaget, jf. offentlighedslovens § 30, nr.
1.
Sag 20/01575 – Akt 14, 16, 17 og 19.
Enkelte oplysninger undtaget, jf. offentlighedslovens § 30, nr.
1.
Sag 20/01575 – Akt 20
Fejloprettet akt
Sag 20/13586 – Akt 4, 13, 14, 19, 23 og 30.
Interne arbejdsdokumenter undtaget, jf. offentlighedslovens §
23, stk. 1, nr. 1
Sag 20/10877 – Akt 1 og 5.
Interne arbejdsdokumenter undtaget, jf. offentlighedslovens §
23, stk. 1, nr. 1
Neden for følger styrelsens begrundelse.
Efter offentlighedslovens § 23, stk. 1, nr. 1, omfatter retten til aktindsigt
ikke interne dokumenter, dvs. dokumenter, der er oprettet af en myndig-
hed og ikke er afgivet til udenforstående.
Sag 20/13586 akt 4, 13, 14, 19, 23 og 30 samt sag 20/10877 akt 1 og 5,
er interne dokumenter, idet der er tale om dokumenter, der er oprettet af
styrelsen og ikke er afgivet til udenforstående. Det er styrelsens vurde-
ring, at ovennævnte akter i begge sager vil miste sin interne karakter ved
meddeles af aktindsigt i dokumentet.
Styrelsen har vurderet, at akterne uanset deres interne karakter ikke inde-
holder oplysninger, der kan begrunde, at der kan meddeles aktindsigt i
medfør af offentlighedslovens § 26, nr. 1-5.
Styrelsen har vurderet, at sag 20/13586 akt 14 faktiske oplysninger frem-
går af sag 20/13586 akt 15, hvorfor der ikke meddeles aktindsigt i akt 14
jf. § 28, stk. 2, nr. 2. Det er videre Styrelsens vurdering, at de øvrige
nævnte akter ikke indeholder ekstraheringspligtige oplysninger, jf. offent-
lighedslovens § 28, stk. 1.
Endelig har Styrelsen i medfør af meroffentlighedsprincippet foretaget
en afvejning af på den ene side de beskyttelsesinteresser, herunder styrel-
sens interne beslutningsproces, der ligger bag undtagelsesbestemmelsen i
offentlighedslovens § 23, og på den anden side den berettigede interesse
i, at anmodningen om aktindsigt imødekommes, jf. offentlighedslovens §
14, stk. 1. Styrelsen har på den baggrund vurderet, at der ikke kan med-
deles aktindsigt i dokumentet.
Efter offentlighedslovens § 30, nr. 1, omfatter retten til aktindsigt ikke
enkeltpersoner private, herunder økonomiske, forhold.
2
BUU, Alm.del - 2021-22 - Endeligt svar på spørgsmål 247: Spm. om at oversende alle dokumenter i sagen, som TV2 har fået aktindsigt i, i forbindelse med produktionen af dokumentaren 'Herlufsholms hemmeligheder', til børne- og undervisningsministeren
2588615_0004.png
Styrelsen har vurderet, at sag 20/13586 akt 1, 2, 3, 5, 6, 7, 9, 10, 11, 17,
27, 28 og 29 samt sag 20/01575 akt 14, 16, 17 og 19, indeholder oplys-
ninger om enkeltpersoners private forhold, hvorfor der alene meddeles
delvist aktindsigt i dokumentet.
Styrelsen skal gøre opmærksom på, at sag 20/01575 akt 20 er en fejlop-
rettet akt uden indhold, hvorfor alene aktnummeret fremgår af det frem-
sendte.
Styrelsen kan oplyse, at der ikke tidligere er givet aktindsigt i sag
20/10877.
Klagevejledning
Klage over denne afgørelse kan indbringes for Børne- og Undervisnings-
ministeriet, jf. offentlighedslovens § 37, stk. 1. Du skal dog indlednings-
vist fremsende din klage til Styrelsen for Undervisning og Kvalitet. Hvis
din klage ikke giver anledning til at ændre afgørelse, videresender Styrel-
sen for Undervisning og Kvalitet klagen samt sagens akter, herunder af-
gørelsen, til Børne- og Undervisningsministeriet snarest og som udgangs-
punkt senest 7 dage efter modtagelsen af klagen, jf. offentlighedslovens §
37, stk. 2.
Med venlig hilsen
Melike Ugur
Studentermedhjælper
Direkte tlf.: +45 23 42 86 90
E-mail:
[email protected]
3
BUU, Alm.del - 2021-22 - Endeligt svar på spørgsmål 247: Spm. om at oversende alle dokumenter i sagen, som TV2 har fået aktindsigt i, i forbindelse med produktionen af dokumentaren 'Herlufsholms hemmeligheder', til børne- og undervisningsministeren
Retsgrundlag
Lov om offentlighed i forvaltningen, lovbekendtgørelse nr. 145 af den 24. fe-
bruar 2020
Relevante bestemmelser
§7
Enhver kan forlange at blive gjort bekendt med dokumenter, der er indgået
til eller oprettet af en myndighed m.v. som led i administrativ sagsbehand-
ling i forbindelse med dens virksomhed.
Stk. 2.
Retten til aktindsigt omfatter med de i §§ 19-35 nævnte undtagelser
1. alle dokumenter, der vedrører den pågældende sag, og
2. indførelser i journaler, registre og andre fortegnelser vedrørende
den pågældende sags dokumenter.
Stk. 3.
Retten til aktindsigt efter stk. 2, nr. 1, i et dokument, der er afsendt af myn-
digheden m.v., gælder først fra dagen efter afsendelsen af dokumentet.
§9
En anmodning om aktindsigt efter §§ 7 og 8 skal
nr. 1, indeholde de oplysninger, som er nødvendige, for at den sag eller de
nr. 2, dokumenter, der ønskes aktindsigt i, kan identificerer, og angive det
tema, sagen eller dokumentet vedrører.
Stk. 2.
Behandlingen af en anmodning om aktindsigt efter § 7 kan, uanset at betin-
gelserne i stk. 1 er opfyldt, afslås, i det omfang
1. behandlingen af anmodningen vil nødvendiggøre et uforholdsmæs-
sigt ressourceforbrug eller
2. anmodningen må antages at skulle tjene et retsstridigt formål el.lign.
§ 14
Det skal i forbindelse med behandlingen af en anmodning om aktindsigt
overvejes, om der kan gives aktindsigt i dokumenter og oplysninger i videre
omfang, end hvad der følger af §§ 23-35. Der kan gives aktindsigt i videre
omfang, medmindre det vil være i strid med anden lovgivning, herunder
regler om tavshedspligt og regler i Europa-Parlamentets og Rådets forord-
ning nr. 2016/679 af 27. april 2016 om beskyttelse af fysiske personer i for-
bindelse med behandling af personoplysninger og om fri udveksling af så-
danne oplysninger, databeskyttelsesloven og lov om retshåndhævende myn-
digheders behandling af personoplysninger.
Stk. 2.
Stk. 1 gælder også i forbindelse med behandlingen af en anmodning om akt-
indsigt i dokumenter og oplysninger, som indgår i sager, der er undtaget fra
aktindsigt efter §§ 19-21.
4
BUU, Alm.del - 2021-22 - Endeligt svar på spørgsmål 247: Spm. om at oversende alle dokumenter i sagen, som TV2 har fået aktindsigt i, i forbindelse med produktionen af dokumentaren 'Herlufsholms hemmeligheder', til børne- og undervisningsministeren
§ 23
Retten til aktindsigt omfatter ikke interne dokumenter. Som interne doku-
menter anses
1. dokumenter, der ikke er afgivet til udenforstående,
2. dokumenter, der efter § 24, stk. 1, udveksles på et tidspunkt, hvor
der er konkret grund til at antage, at en minister har eller vil få be-
hov for embedsværkets rådgivning og bistand, og
3. dokumenter, der efter § 25 udveksles i forbindelse med økonomiske
eller politiske forhandlinger eller i forbindelse med drøftelser om
fælles kommunale og regionale politiske initiativer.
Stk. 2.
Dokumenter omfattet af stk. 1, der afgives til udenforstående, mister deres
interne karakter, medmindre afgivelsen sker af retlige grunde, til forsknings-
mæssig brug eller af andre lignende grunde.
§ 26
Retten til aktindsigt omfatter uanset § 23, stk. 1, interne dokumenter, som
foreligger i endelig form, når
1. dokumenterne alene gengiver indholdet af den endelige beslut-
ning vedrørende en sags afgørelse,
2. dokumenterne alene indeholder en gengivelse af oplysninger,
som der har været pligt til at notere efter § 13,
3. dokumenterne er selvstændige dokumenter, der er udarbejdet for
at tilvejebringe bevismæssig eller anden tilsvarende klarhed med
hensyn til en sags faktiske omstændigheder,
4. dokumenterne indeholder generelle retningslinjer for behandlin-
gen af bestemte sagstyper eller
5. dokumenterne indeholder en systematiseret gengivelse af praksis
på bestemte sagsområder
§ 28
Retten til aktindsigt i dokumenter omfattet af § 23, § 24, stk. 1, § 25 og § 27,
nr. 1-4, omfatter uanset disse bestemmelser oplysninger om en sags faktiske
grundlag, i det omfang oplysningerne er relevante for sagen. Det samme
gælder oplysninger om eksterne faglige vurderinger, som findes i dokumen-
ter, der er omfattet af § 23, § 24, stk. 1, § 25 og § 27, nr. 1-3.
Stk. 2.
Stk. 1 gælder ikke, i det omfang
1. det vil nødvendiggøre et uforholdsmæssigt ressourceforbrug,
2. de pågældende oplysninger fremgår af andre dokumenter, som
udleveres i forbindelse med aktindsigten, eller
3. oplysningerne er offentligt tilgængelige
5
BUU, Alm.del - 2021-22 - Endeligt svar på spørgsmål 247: Spm. om at oversende alle dokumenter i sagen, som TV2 har fået aktindsigt i, i forbindelse med produktionen af dokumentaren 'Herlufsholms hemmeligheder', til børne- og undervisningsministeren
§ 30
Retten til aktindsigt omfatter ikke oplysninger om
1. enkeltpersoners private, herunder økonomiske, forhold og
2. tekniske indretninger eller fremgangsmåder eller om drifts- eller
forretningsforhold el.lign., for så vidt det er af væsentlig økono-
misk betydning for den person eller virksomhed, oplysningerne
angår, at anmodningen ikke imødekommes
§ 33
Retten til aktindsigt kan begrænses, i det omfang det er nødvendigt til be-
skyttelse af væsentlige hensyn til:
1. Forebyggelse, efterforskning og forfølgning af lovovertrædelser,
straffuldbyrdelse og lign. og beskyttelse af sigtede, vidner eller
andre i sager om strafferetlig eller disciplinær forfølgning.
2. Gennemførelse af offentlig kontrol, regulerings- eller planlæg-
ningsvirksomhed eller af påtænkte foranstaltninger i henhold til
skatte- og afgiftslovgivningen.
3. Det offentliges økonomiske interesser, herunder udførelsen af
det offentliges forretningsvirksomhed.
4. Forskeres og kunstneres originale ideer samt foreløbige forsk-
ningsresultater og manuskripter.
5. Private og offentlige interesser, hvor hemmeligholdelse efter for-
holdets særlige karakter er påkrævet.
§ 34
Hvis de hensyn, der er nævnt i §§ 30-33, kun gør sig gældende for en del af
et dokument, skal der meddeles aktindsigt i dokumentets øvrige ind-
hold. Det gælder dog ikke, hvis
1. det vil medføre en prisgivelse af det eller de hensyn, der er nævnt
i §§ 30-33,
2. det vil indebære, at der gives en klart vildledende information, el-
ler
3. det resterende indhold i dokumentet ikke har et forståeligt eller
sammenhængende meningsindhold
§ 35
Pligten til at meddele oplysninger er begrænset af særlige bestemmelser
om tavshedspligt fastsat ved lov eller med hjemmel i lov for personer,
der virker i offentlig tjeneste eller hverv.
§ 36
Bliver der fremsat anmodning om aktindsigt vedrørende dokumenter, der
indgår i en sag, hvori der er eller vil blive truffet afgørelse af en myndighed
m.v., afgør denne myndighed m.v., om ansøgningen kan imødekommes. I
andre tilfælde afgøres sager om aktindsigt af den myndighed m.v., der har
dokumentet i sin besiddelse.
Stk. 2.
Vedkommende myndighed m.v. afgør snarest, om en anmodning om akt-
indsigt kan imødekommes. En anmodning om aktindsigt skal færdigbe-
handles inden 7 arbejdsdage efter modtagelsen, medmindre dette på grund
6
BUU, Alm.del - 2021-22 - Endeligt svar på spørgsmål 247: Spm. om at oversende alle dokumenter i sagen, som TV2 har fået aktindsigt i, i forbindelse med produktionen af dokumentaren 'Herlufsholms hemmeligheder', til børne- og undervisningsministeren
af f.eks. sagens omfang eller kompleksitet undtagelsesvis ikke er mu-
ligt. Den, der har anmodet om aktindsigt, skal i givet fald underrettes om
grunden til fristoverskridelsen og om, hvornår anmodningen kan forventes
færdigbehandlet
§ 37
Afgørelser om aktindsigt kan påklages særskilt og direkte til den myndighed,
der er øverste klageinstans i forhold til afgørelsen eller behandlingen i øvrigt
af den sag, anmodningen om aktindsigt vedrører.
Stk. 2.
Klagen fremsendes til den myndighed m.v., hvis afgørelse der klages
over. Myndigheden skal, hvis den vil fastholde afgørelsen, snarest og som
udgangspunkt senest 7 arbejdsdage efter modtagelsen af klagen videresende
sagen og dens dokumenter til klageinstansen
7
BUU, Alm.del - 2021-22 - Endeligt svar på spørgsmål 247: Spm. om at oversende alle dokumenter i sagen, som TV2 har fået aktindsigt i, i forbindelse med produktionen af dokumentaren 'Herlufsholms hemmeligheder', til børne- og undervisningsministeren
2588615_0009.png
Sagsresume
20/10877
Herlufsholm
Skole og
Gods
-
anmodning
om redegørelse
-
Tematisk
tilsyn
med Iærerkompetencer.
Sagens
Nr.
dokumenter
T
e
Dok.dato.
Titel
1
'In—téfnt
natal: nien
294033"
2020
02-06-
2020
EÅUEE:
Herlufshblhi's'kole -'BreVE—ti1 institutibiiéfå
tilsyn
fortsættes =
anmodning
om yderligereDOCX
Mail sendt til Herlufsholm Skole og Gods
-
anmodning
om fedegørelse
npffiigning
2
3
4
5
Indgående
brev…
Indgående
02-06-
Mutitagéi;
redegørelse
af 2.
juni
2020
bra.?
Indgående
_brev
Internt
notat
uden
3.020
03-06—
2020
30-06—
2020
.
Kvittering for modtagelse
_
_
MEE:
Tematisk
tilsyn med
lærerkompetencer
afslutning'shrev
-—
6
"7
opfølga'gg
Udgående
brev
Internt
04-09-
2020
04-09—'
Brev sendt til Herlufsholm Skole og Gods om afslutning
af tematisk tilsyn med lærerkprqpetencer
Telefonnotatfraiektor
Heflufshohn
og
Gods
på.
Skole
.
.
notat
uden
91l
2020
baggr-uflflafbrev
vedr.
afslutning. af tematisk-tilsyn med
..-
….
Jæmrkgm
_
tencer
_
.. - -
.
. .-..
.-
Bemærkninger
Del bemærkes,
at akt nr. l og 5 er
undtaget
fra
aktindsigten,
jf.
§
23,
stk.
I, nr. 1,
i
Offentlighedsloven,
idel
der er tale om
inteme
dokumenter, som
ikke
er afgivet lil
udenforstående.
BUU, Alm.del - 2021-22 - Endeligt svar på spørgsmål 247: Spm. om at oversende alle dokumenter i sagen, som TV2 har fået aktindsigt i, i forbindelse med produktionen af dokumentaren 'Herlufsholms hemmeligheder', til børne- og undervisningsministeren
2588615_0010.png
1.
BUU, Alm.del - 2021-22 - Endeligt svar på spørgsmål 247: Spm. om at oversende alle dokumenter i sagen, som TV2 har fået aktindsigt i, i forbindelse med produktionen af dokumentaren 'Herlufsholms hemmeligheder', til børne- og undervisningsministeren
2588615_0011.png
2.
BUU, Alm.del - 2021-22 - Endeligt svar på spørgsmål 247: Spm. om at oversende alle dokumenter i sagen, som TV2 har fået aktindsigt i, i forbindelse med produktionen af dokumentaren 'Herlufsholms hemmeligheder', til børne- og undervisningsministeren
2588615_0012.png
Rebecca
Fra:
Sendt:
Ma
Ysbæk-Nielsen
Kontor for Gymnasier
2.juni 2020 15:37
Til:
Cc:
Emne:
Vedhæftede
'[email protected]': '[email protected]'
Mette Vedel
Afslutning af tematisk tilsyn med Iærerkompetencer
Herlufsholm Skole og Guds
-
tilsyn med lærerkompetencerpdf;
RedegørelsesskabelonDOCX
filer:
Til institutionens
bestyrelse og øverste ledelse
Se venligst vedlagte brev vedrørende tematisk
tilsvn
med lærerkompetencer.
Jeg
skal
desuden anmode om, at der kvitteres for
modtagelsen
af denne
mail, samt
at mailen videresendes til
institutionens bestyrelse.
Med venlig hilsen
Hanne
Woller
Specialkonsulent
63
.—
BØRN
E- OG
UNDERVISNINGS
STYRELSEN FDR
UNDERVISNING
MINISTERIET
OG
KVALITET
Styrelsen for Undervisning og Kvalitet
Frederiksholms
Kanal
26
1220 København
K
Tlf.
nr.: 33 92 50 DO
Direkte
tlf.:
+45 33 95 53 35
E-mail:Hanne.Woller
5tukuvm.dk
BUU, Alm.del - 2021-22 - Endeligt svar på spørgsmål 247: Spm. om at oversende alle dokumenter i sagen, som TV2 har fået aktindsigt i, i forbindelse med produktionen af dokumentaren 'Herlufsholms hemmeligheder', til børne- og undervisningsministeren
2588615_0013.png
8
m
._..
BØRNE-
OG
UNDERVISNINGS-
MINISTERIET
STYRELSEN
FOR
UNDERVISNING
OG
KVALITET
Styrelsen for Undervisning
Kvalitet
Frederiksholms
Kanal
26
og
1220 København
K
Tlf.
nr.: 33 92 50 00
E-rmil:
[email protected]
www.srukuvmdk
CVR nr.: 29634750
Den 2.
iuni
2020
Tematisk tilsyn med lærerkompetencer
relse)
.
(anmodning
om redego—
Sags
"r"
20/1087?
Skole og Gods blev i 2019;r 20 udtaget til indberetning
i
Sty-
relsen for Undervisning og Kvalitets tematiske tilsyn med lærerkompe-
tencer.
Tilsynet havde til
formål
at tilvejebringe et overblik over sektorens efter-
levelse af reglerne om pædagogikum,
i hvilket omfang
hvor hovedfokus
var på at afdække,
pædagogiske
lærerne har gennemfort
den obligatoriske
Herlufsholm
uddannelse
(pædagogikurn)
inden
for det
første
ansættelsen.
:"u'
af
80 gymnasiale institutioner indgik
i
det tematiske tilsyn fordelt på de fire
gymnasiale uddannelser (stx, hhx, hhx og hf).
I
forbindelse hermed ind-
sendte de udtagne institutioner oplysninger vedrorende lærernes
ansæt-
telsesforhold
og gennemført
pædagogikum.
Indbcrctningen viste, at på de 80 institutioner, som indgiki tilsynet, var
der samlet set 148 fastansatte lærere, som har været
ansat
længere end 12
måneder
og ikke var påbegyndt
pædagogikurn
i overensstemmelse
med
reglerne. Styrelsen konstaterede
måneder på institutionen,
gogikum.
endvidere, at 42 af de 80 institutioner
mere end 12
angav, at de ikke har lærere ansat, som har været fastansat
Af de 38 institutioner,
og ikke har påbegyndt eller gennemfort
pæda-
som havde angivet, at de hat fastansatte
det første år nf ansættelsen,
lærere, som ikke har været i pædagogikum
oplyser 15 institutioner,
nt det drejer sig om én lærer, mens det på otte
skoler drejede sig om to lærere.
For at sikre, at data var indberettet korrekt, foretog styrelsen en stikpro-
vekontrol af de indberettede
data
pit tilfældigt udvalgte uddannelsesinsti—
tutioner.
BUU, Alm.del - 2021-22 - Endeligt svar på spørgsmål 247: Spm. om at oversende alle dokumenter i sagen, som TV2 har fået aktindsigt i, i forbindelse med produktionen af dokumentaren 'Herlufsholms hemmeligheder', til børne- og undervisningsministeren
2588615_0014.png
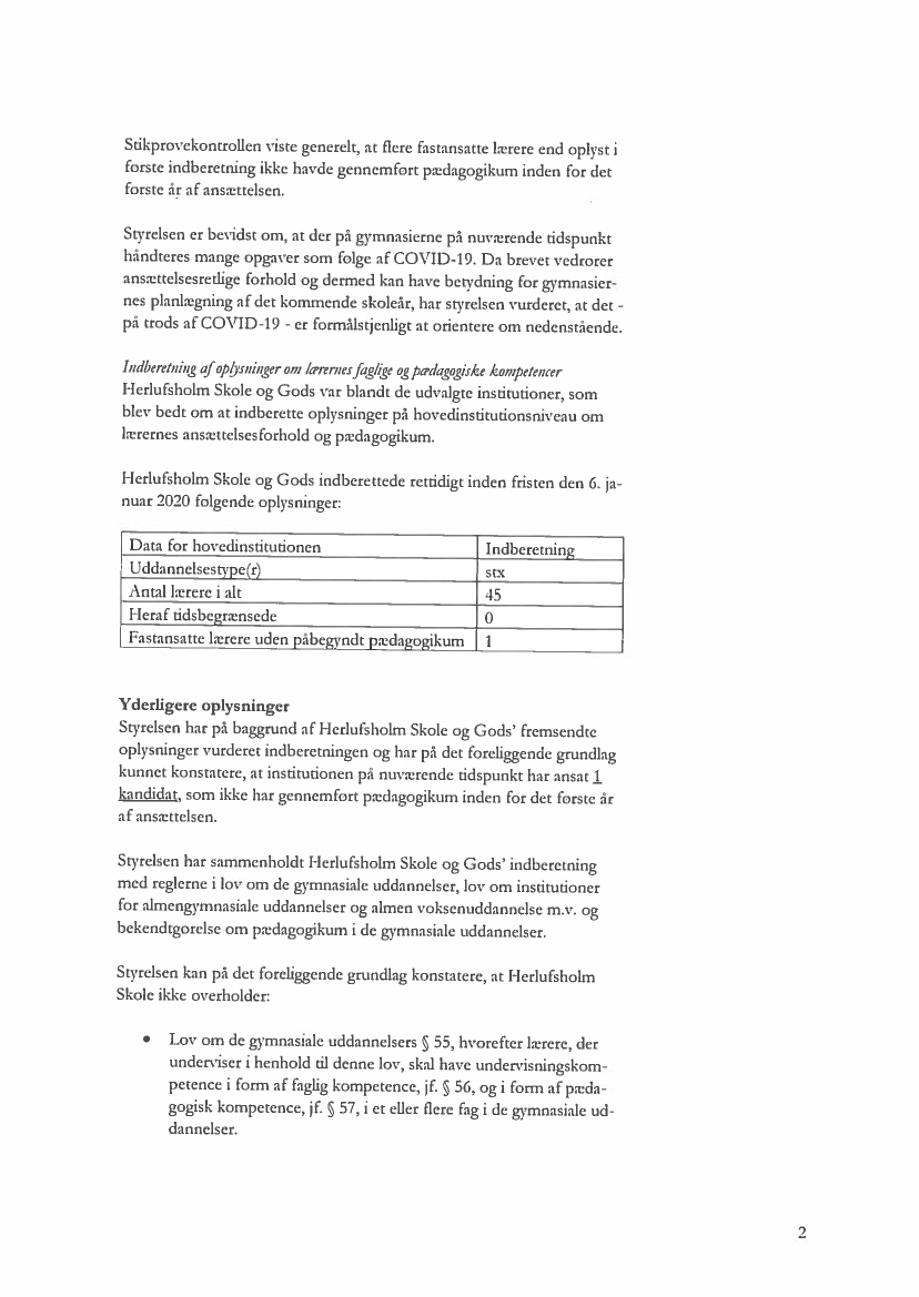
Stikprovekontrollen viste generelt, at flere fastansatte lærere end oplysti
første indberetning ikke havde gennemført pædagogikurn inden for det
første 513: ansættelsen.
af
Styrelsen er bevidst om, at det på gymnasierne på nuværende tidspunkt
håndteres mange opgaver som folge af COVID—IQ. Da brevet vedrører
anszettelsesreth'ge forhold og dermed kan have betydning for gymnasiet—
nes planlægning af det kommende skoleår, hat styrelsen vurderet, at det
på trods af COVID-19 — formålstjenligt at orientere om nedenstående.
er
I
ndberemiqg qfap-ljzmiqger lawnmfligfirge qgpædngmée Æoligbetmær
am
Herlufsholm Skole og
Gods
var blandt de udvalgte institutioner, som
blev bedt om at indberette oplysninger på hovedinstimn'onsniveau
lærernes ansættelses forhold og pædagogikum.
Herlufsholm
Skole og
Gods
indberettede
om
rettidigt inden fristen den 6. ja—
nuar
2020
følgende oplysninger:
Dam for hovedinstitutionen
Uddannelses
Heraf tidsbe
Fastansattelærere
Indberetnin
sn:
45
r
e
:
rænsede
uden
åbe
ndt
:eda
o
ikum
Antal lærere i alt
0
1
I'J
Yderligere oplysninger
Styrelsen har på baggrund af Herlufsholm Skole og
Gods’
fremsendte
oplysninger vurderet indberetninger] og har på det foreliggende grundlag
kunnet konstatere, at institutionen på nuværende tidspunkt hm-
ansat
1
kg
ndidnt,
som ikke har gennemført pædagogikum inden for det første år
af ansættelsen.
Styrelsen har sammenholdt Herlufsholm Skole og Gods” indberetning
med reglerne i lov om de gymnasiale uddannelser, lov om institutioner
for almengymnasiale uddannelser og almen voksenuddannelse
m.v.
og
bekendtgørelse
om pædagogikurn i de gymnasiale uddannelser.
Styrelsen kan på det foreliggende grundlag konstatere, at Herlufsholm
Skole ikke overholder:
'
Lov om de gymnasiale uddannelsers
underviser
i henhold
§
55, hvorefter lærere, del:
til denne lov, skal have undervisningskom-
petence
i
form
faglig kompetence, if.
$
56, ogi form af preda—
af
gogisk kompetence, if.
§
57,
i
et eller flere fagi de gymnasiale ud-
dannelser.
BUU, Alm.del - 2021-22 - Endeligt svar på spørgsmål 247: Spm. om at oversende alle dokumenter i sagen, som TV2 har fået aktindsigt i, i forbindelse med produktionen af dokumentaren 'Herlufsholms hemmeligheder', til børne- og undervisningsministeren
2588615_0015.png
.
Bekendtgørelse
om pædagogikum
i
de gymnasiale uddannelsers
i henhold
til
E
%]
5, stk. l, hvorefter
lærere med faglig kompetence
4, som
ansættes
i en fast stilling, skal gennemføre
inden for det første år afnnsættelsen,
pmdngogikum
if. dogfi 3, stk. 3. Fnsmn—
sættelscn er betinget af, at læreren består pædagogikurn.
Styrelsen
redegøre
skal
baggrund
af ovenstående
anmode
institutionen
om at
for hver enkelt
kandidat,
som har været
ansat
længere end 12
måneder og ikke c: påbegyndt pædagogikum inden for det første :‘u:
af
sin ansættelse, herunder relevante forhold i henhold u] “g3, stk.
3,
i
bc—
kendtgørelse
om pædagogikum
i
de gymnasiale
uddannelser.
Videre proces
Styrelsen skal anmode om at modtage Herlufsholm Skole og Gods”
sup—
plerende oplysninger,
senest
den 15. juni 2020 til
Sluk.
vlcfihtukuvmdk
.
Institutionen bedes anvende vedlagte skema.
Såfremt ovenstående giver anledning til spørgsmål, er institutionen vel-
kommen til
at
kontakte specialkonsulent Hanne Waller på tlf.
33955335
eller på
[
Izmnc.“
nllcrffnstukux
mdk.
Med
venlig
hilsen
Hanne \Voller
Specialkonsulent
Kontor for Gymnasiet
Direkte tlf. +45 33 95 53
35
I-Iannc.\\[email protected]
3:
BUU, Alm.del - 2021-22 - Endeligt svar på spørgsmål 247: Spm. om at oversende alle dokumenter i sagen, som TV2 har fået aktindsigt i, i forbindelse med produktionen af dokumentaren 'Herlufsholms hemmeligheder', til børne- og undervisningsministeren
2588615_0016.png
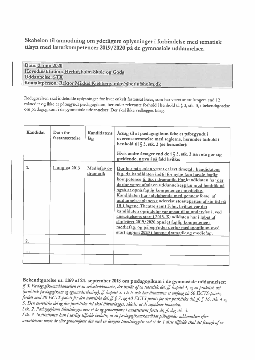
Skabelon
til
anmodning
om
yderligere oplysningeri
forbindelse
med
tematisk
tilsyn
med
lærerkompetencer
2019/ 2020
på de
gymnasiale uddannelser.
Dato:
Hovcdinstitution:
Uddannelse:
Kontaktperson:
Redegørelsen skal indeholde oplysninger
for
hver enkelt fastansat lære:,
som har
været
ansat længere
end 12
måneder
og
ikke
er
påbegyndt pmdagogikum, herunder relevante forhold i henhold
til
g
3,
stk.
3,
i bekendtgørelse
om
pædagogikum i
de
gymnasiale uddannelse:.
Det
skal ikke vedlægges bilag.
Kandidat
Data for
fastansænelse
Kandidatens
fag
Årsag
til nt
pædagogikum ikke
er
påbegyndt i
overensstemmelse
med
reglerne, herunder forhold
i
henhold
til
S
3, stk.
3
(se
herunder):
Hvis
andre årsager
end de
i
5
3,
stk.
3 nævnte
gar sig
ældende,
nævn
i
fald hvilke:
1.
2.
Bekendtgørelse
nr.
1169
af 24.
september
2018
om
pædagogikum
i
de
gymnasiale
uddannelsen
5 3. Pædagogikmfmddamrehm er er: wÆæ/nddmme/Je, der bmär q
!eamiifk [MJ kapitel 4, qg mprafétixk del
abrakfifk pædagogik;”) qg egenundemimiqg),j kaffe! 5. De f0 dele bar fi/mmmw e! omfang på
6
0
ECTS-POI'HH,
finial! med 20
E
CT S 1901';s den feamrixkedel,] _0'
,
qg
4
0
ECTS-pointsfinr denprakrtlfke deåjf _D' Hk. 4 qg
fir
7
16,
5. Den reømfiJÆe qgdenpraktinée de!skal Ii/mæ/æggef,Jå/edeJ de .mpp/erer
de!
af
hinanden.
Stk. 2. Pædagogikum
!ilrvtleiaggef el år qggennemfim i aeæ/fe/Jemjbrxfe å.",jf dagmå. 3 .
over
Stk. 3
.
Invitational kan imr/{ge
t:"!fæ/de
befinne, a! enpædagogiémukaudidarpåbeynder
uddamzelm:
after
afna'Ile/Jemjbrxte ellergwnmflmr den med m lmggen’
är
tflmfle/agge/m af år.
I
dim Ii/fi'lde Ilia! delfmmgé
q
end
jbrr/abigffddallllelje$lmhj fi' 21, bwrdzm rrddmme/Jen
ti/mre/aggc:med arggitre/Je
q/forvemef .rfart— Jfllflidlplllhéf.
qg
Uddmme/m:
_néa/far dim kandidaterpåbcgyndex Jem! et år åer amæm/Jen. Særlige iz'Z/Zz'lde alene qam? .ramfi/I’ge
km:
a
f
1) e! Jamie! lav! fiwemlpå imtimriøum i kaudidatemfizg,
2) kandidater:; grgdom, barre!
el/er
orlov,
e/ler
3
)
ar del hverkenØer .rli/Ætgmpxiag
el/erpå anden måde er ”11%n .rréqfli
at
[mm ri! at carriage
ffffdewisfrilgefi: effizg.
hvorforkandidaten! :!aæfqgf/Je
tyder: ordinære
mzdervimiigmmr/tggør normal!pwdagogiétmfir/ob.
ef
BUU, Alm.del - 2021-22 - Endeligt svar på spørgsmål 247: Spm. om at oversende alle dokumenter i sagen, som TV2 har fået aktindsigt i, i forbindelse med produktionen af dokumentaren 'Herlufsholms hemmeligheder', til børne- og undervisningsministeren
2588615_0017.png
3.
BUU, Alm.del - 2021-22 - Endeligt svar på spørgsmål 247: Spm. om at oversende alle dokumenter i sagen, som TV2 har fået aktindsigt i, i forbindelse med produktionen af dokumentaren 'Herlufsholms hemmeligheder', til børne- og undervisningsministeren
2588615_0018.png
Rebecca
Fra:
Sendt:
Ma
Ysbæk-Nielsen
Mikkel Kjellberg <[email protected]>
2. juni 2020 21 :06
Til:
Cc:
Emne:
Kontor for Gymnasier
Martin
Horst
Arvedlund
Afslutning af
tematisk tilsyn
med lærerkompetencer.
Herlufsholm Skole
Vedhæftede filer:
RedegørelsesskabelonDOCX
Til rette vedkommende
Vedhæftet
udfyldt redegørelsesskabelon
jf. nedenstående.
Med venlig hilsen
Mikkel Kjellberg
Hektor
Herlufsholm
Skole
og Guds
Hedufsholm Allé 170
4700 Næstved. DK
Tlf
55 75 35 00
E-mail
mke :_:herlufsholm dk
Web: www.herlufsholm dk
HERLIIESHOLM
Mn.-
IT—r-n-I
I_n—
Fra:
Kontor for Gymnasier <STUK.GK stukuvm.dk>
Sendt:
2.
juni
2020
15:37
Til:
Rektorkontor
POST
<Rektorkontor
herlufsholm.dk>; Martin Horst Arvedlund <mha
Cc: Mette Vedel <Mette.Vedel
stukuvm.dk>
Emne:
Afslutning af
tematisk tilsyn
med lærerkompetencer
Til institutionens
bestyrelse
og øverste ledelse
herlufsholm.dk>
Se venligst
vedlagte
brev
vedrørende tematisk tilsyn
med Iærerknmpetencer.
Jeg
skal desuden anmode
om, at der kvitteres for
modtagelsen
af denne
mail, samt
at mailen videresendes
institutionens bestyrelse.
til
Med venlig hilsen
Hanne Woller
Specialkonsulent
1
BUU, Alm.del - 2021-22 - Endeligt svar på spørgsmål 247: Spm. om at oversende alle dokumenter i sagen, som TV2 har fået aktindsigt i, i forbindelse med produktionen af dokumentaren 'Herlufsholms hemmeligheder', til børne- og undervisningsministeren
2588615_0019.png
Skabelon til
anmodning
om
yderligere oplysninger i forbindelse
med
tematisk
tilsyn
med
lærerkompetencer
2019/ 2020 på de
gymnasiale uddannelser.
Dato:2_p_1…
Hovedinstitution:H
Uddannelse:
STX
rlu
holm
Skole
Go
5
Kontaktperson: Rektor Mikkel K"
llber_
mke
h
tlufsholm
dk
Redegørelsen skal indeholde oplysninger
for
hver enkelt
fastansat
lærer,
som har været
ansat
længere
cnd 12
måneder
og
ikke
c:
påbegyndt pædagogikum, herunder relevante forhold
i
henhold
til
§
3, stk. 3,
i bekendtgørelse
om
pædagogikum i
de
gymnasiale uddannelser.
Der
skal ikke vedlægges bilag.
Kandidat
Dato for
fnstansættelse
Kandidatene.
fag
Årsag til at pædagogikum ikke er påbegyndt i
overensstemmelse
med
reglerne,
herunder
forhold i
henhold
til
S
3, stk. 3 (se
herunder):
Hvis
andre årsager end de i
S
3,
stk.
3 nævnte gør sig
ældende,
1.
1. august
2013
Mediefag
dramatik
og
Der har
fa
kom
eten
nævn i
så fald hvilke:
!:
skolen
været
indtil
et lavt timetal
for
n
'li
i kandidatens
fu tli
da kandidaten
kun
havde
tik.
For kandidaten
hur dcr
dcrfnr været
aftalt
en
uddannelses
Ian med henblik
&
o
så at
o
nå fa li kom ctcncc
i mcdiefa
.
Kandidaten
har sidelobcn
c med
cnncmforsel
af
uddannelses
kandidaten
ansættclsens
skoleåret
mcdi
start
fa
au
2019
0
0
Innen undervist
samt
Film
rindeli
sturste
hvilket
arten
af sin tid
i
ved
af
i
med
.
å
IB i fa cnc Theatre
var det
har
i
løbet
knm
æda
o
etcnce
0
ikum
mcdiefa
c til Six
i
dram
var ansat
fn li
til at undervise
start
i
2013.
2020
o
nået
åbe
undidatcn
'
det
derfor
ust 2020 i fa cm: dramatik
2.
Bekendtgørelse
nr. 1169 af 24. september 2018 om pædagogikum
i
de
gymnasiale
uddannelser:
5
3. Pædagogik:zzzmddamæ/Jen er: uekxefuddmmelxe,der
består
afar:
feømfixk død!]: kapitel 4, qg
m
praktisk del
er
abraénlrk
pædagogikzwz egewmdemimirzg),_lf
qg
Æcpire/ De to delebarti/Japmm: ømjlvgpå 60
ECTS-pahm,
5.
e!
finial! med20
E
CT
S
1505afir denfeamtifke
del,]
J' 7, og40
ECTJ-poz'ntir
denprakizlrfée
del,]
J' 16, må.
4
qg
5. Deu !eøætirke del og denpraÆIiJÆe Ike! filæIIe/æggex,
de!
Jå/edesat de mppferer
hinanden.
Stk. 2. Pædagogikum
tilmflelagge: ef år aggennem:]bre:
war
i
anræfte/Jemjiwt0"a dagmå.
3
.
e
Stk. 3.
I
nm'mtiønen
kan z'Ja'rlg'ge
fiåfæfde
bedrifts,af enpadagagiknmkandidalpåbqnder uddannelser:
g/i‘er
mtfætte/Jemjbrxfc ellergemiemfømr med
m
larger? fi/me/wgge/Ie end e! år.
I
dine fiyæ/de
.rka/ detfrwggå
den
år
den
BUU, Alm.del - 2021-22 - Endeligt svar på spørgsmål 247: Spm. om at oversende alle dokumenter i sagen, som TV2 har fået aktindsigt i, i forbindelse med produktionen af dokumentaren 'Herlufsholms hemmeligheder', til børne- og undervisningsministeren
2588615_0020.png
fiam/obig
;:ddaiefielJelair,1/f 21, brfardan
_0'
nddamze/Jen
!ilretle/Ægge; angivelxe
med
afjönfem'e!
start-
qgshttfidApmtél.
U
ddmme/Ierz
JÆa/jbr
(fluekandidaterpåbqndefJennie! dr afla-m::æfie/Jen.
Særlige
!i/fæ/de alene
fear:
opstå
.com-fuge
0
f
1) e! Jamie![aer !iwefa/på i::J/imfz'wzen kaudidaiemfag
:"
2) kandidatene gåder”, barre] eller
orlov,
eller
3
)
al dethverken .r/i/firgxapdag
efter
e/lerpåanden
måde 1):”n af ew? Imamti! af varetage
er
nndewfmz'rggen
!
etfag,
bwgfzrkandidaten;
varelagelre
afden ordinær?
tmdemkm'qg
mmr/{ggar normal!
er
pmdagøgiémfybrlab.
BUU, Alm.del - 2021-22 - Endeligt svar på spørgsmål 247: Spm. om at oversende alle dokumenter i sagen, som TV2 har fået aktindsigt i, i forbindelse med produktionen af dokumentaren 'Herlufsholms hemmeligheder', til børne- og undervisningsministeren
2588615_0021.png
4.
BUU, Alm.del - 2021-22 - Endeligt svar på spørgsmål 247: Spm. om at oversende alle dokumenter i sagen, som TV2 har fået aktindsigt i, i forbindelse med produktionen af dokumentaren 'Herlufsholms hemmeligheder', til børne- og undervisningsministeren
2588615_0022.png
Rebecca
Fra:
Ma
Ysbæk-Nielsen
Birgit Brenting <[email protected]>
Sendt:
Til:
Cc:
Emne:
3.juni 2020 10:52
Kontor for
Gymnasier
Mette Vedel
SV: Afslutning af tematisk
tilsyn
med lærerkompetencer
Vi bekræfter
modtagelsen
af denne mail.
Med venlig hilsen
Birgit
Brenting
Sekretæmekiorkontor
Herlufsholm
Skole
og
Gods
Herlufsholm
Allé
170
4700 Næstved. DK
Tlf.: 55 75 35 00
Direkte 55 75 35 42
E—mail: bböherlufsholm
Web:
www.heriufsholmdk
dk
'L
HERLUI'SHOLM
Mn—
hr.".-
f—n—
Fra:
Kontor for Gymnasier <[email protected]>
Sendt:
2. juni 2020 15:37
Til: Rektorkontor
POST
<[email protected]>;
Cc: Mette Vedel <[email protected]>
Emne: Afslutning af tematisk
tilsyn
med lærerkompetencer
Til institutionens
bestyrelse
og øverste ledelse
Martin
Horst
Arvedlund <[email protected]>
Se venligst
vedlagte
brev vedrørende
tematisk
tilsyn med lærerkompetencer.
Jeg
skal
desuden
anmode
om, at der kvitteres for
modtagelsen
af denne
mail, samt
at mailen videresendes til
institutionens bestyrelse.
Med venlig hilsen
Hanne
Woller
Specialkonsulent
1
BUU, Alm.del - 2021-22 - Endeligt svar på spørgsmål 247: Spm. om at oversende alle dokumenter i sagen, som TV2 har fået aktindsigt i, i forbindelse med produktionen af dokumentaren 'Herlufsholms hemmeligheder', til børne- og undervisningsministeren
2588615_0023.png
5.
BUU, Alm.del - 2021-22 - Endeligt svar på spørgsmål 247: Spm. om at oversende alle dokumenter i sagen, som TV2 har fået aktindsigt i, i forbindelse med produktionen af dokumentaren 'Herlufsholms hemmeligheder', til børne- og undervisningsministeren
2588615_0024.png
6.
BUU, Alm.del - 2021-22 - Endeligt svar på spørgsmål 247: Spm. om at oversende alle dokumenter i sagen, som TV2 har fået aktindsigt i, i forbindelse med produktionen af dokumentaren 'Herlufsholms hemmeligheder', til børne- og undervisningsministeren
2588615_0025.png
Rebecca
Fra:
Sendt:
Til:
Ma
Ysbæk-Nielsen
Hanne
Waller
4. september 2020 10:31
'[email protected]';
'Martin Horst
Arvedlund'
Cc:
Emne:
Vedhæftede
filer:
Mette Vedel: RebeccaMay Ysbæk-Nielsen
Afslutning af tematisk
tilsyn
med lærerkompetencer
Brev til Herlufsholm Skole og
Guds
vedrørende afslutning af tematisk tilsyn med
tærerkompetencerpdf
Til institutionens
bestyrelse og øverste ledelse
Se venligst vedlagte brev vedrørende
afslutning
af tematisk tilsyn med lærerkompetencer.
Jeg
skal
desuden anmode om, at der kvitteres for modtagelsen af denne
mail, samt
at mailen videresendes til
institutionens bestyrelse.
Med venlig hilsen
Hanne Woller
SpecialkonSulent
z;
m
._—
BØR
N
E- OG
UNDERVISNINGSMINISTERI
STYRELSEN FOR
UNDERVISNI NG OG KVALITET
Styrelsen for Undervisning
Frederiksholms
Kanal
26
1220
København K
Tlf. nr.: 33 92 50 00
Direkte
tlf.:
+45 33 95 53 35
ET
og Kvalitet
E-mail: [email protected]
1
BUU, Alm.del - 2021-22 - Endeligt svar på spørgsmål 247: Spm. om at oversende alle dokumenter i sagen, som TV2 har fået aktindsigt i, i forbindelse med produktionen af dokumentaren 'Herlufsholms hemmeligheder', til børne- og undervisningsministeren
2588615_0026.png
tb
BØRNE-
OG
UNDERVISNINGS-
MINISTERIET
STYRELSEN
FOR
UNDERVISNING
OG
KVALITET
Herlufsholm Skole og Gods
Styrelsen
for Undervisning
Kvalitet
Frederiksholms
1220 Kobenhavn
Kanal
K
26
og
Tlf.
nr.: 33 92 50 00
Email:
smklfifimkuvmdk
www.smkuvmdk
CVR
nr.:
29634750
Tematisk
tilsyn
med
lærerkompetencer
-
afslutningsbrev
4. sn:l'>fembcr
2030
Sags nr.:20,-"108'.-'7
Styrelsen for Undervisning og Kvalitet har
i
skoleåret 20193r20 gennem-
fort et tematisk tilsyn med lærerkompctencer på det gymnasiale område,
hvor
Herlufsholm Skole og
Gods
blev udtaget.
Tilsynet havde til
formål
tilvejebringe et overblik over
sektorens
efter-
at
levelsc af reglerne om pædagogikum,
hvor
hovedfokus var på at afdække,
i hvilket omfang lærerne har gennemført den obligatoriske pædagogiske
uddannelse (pmdagogikum) inden for det første år af ansættelsen.
Skole og Gods hm: efter anmodning fm styrelsen indsendt
oplysninger vedrørende lærernes ansættelsesforhold og gennemfort
pa:-
dagogikurn,
herunder
anført, at institutionen
hat én kandidat,
som ikke
Herlufsholm
har gennemført
pædagogikum
inden for det første år af ansættelsen.
Styrelsen anmodede herefter institutionen om nt redegøre for årsagen til,
at den pågældende
kandidat
ikke er påbegyndt pædagogikum inden for
det første år af sin ansættelse, herunder relevante forhold
i
henhold til 53.
3,
stk.
3, i bekendtgørelse orn pædagogikum
i
dc gymnasiale uddannelser.
litnrianem
mdegare/Je
I Ierlufsholm Skole og Gods fremsendte den 2. juni 2020 en redegørelse
til styrelsen med relevante oplysninger om uddannelses— og ansættelses-
mæssige forhold for den pågældende kandidat.
Af redegørelsen fremgår det, nt den pågældende kandidat hm: manglet
faglig kompetence
i
sit undetvisningsfagi
forbindelse med sidefagsfor—
længelse. Det fremgår endvidere, at der på institutionen hm: været et lavt
timetal i kandidatens
fag.
Det fremgår endvidere, at den pågældende kandidat har været fastansat
siden 2013 og er tilmeldt pmdagogikum uddannelsen for skoleåret
2020/21.
BUU, Alm.del - 2021-22 - Endeligt svar på spørgsmål 247: Spm. om at oversende alle dokumenter i sagen, som TV2 har fået aktindsigt i, i forbindelse med produktionen af dokumentaren 'Herlufsholms hemmeligheder', til børne- og undervisningsministeren
2588615_0027.png
Sy'relmu wtrderiqg
Styrelsen tager det oplyste ad nomm, herunder at den pågældende kandi-
dat nu opfylder kravene om faglig kompetence, if. [:;56 i lov om de gym—
nasiale uddannelser.
fastansat
Styrelsen kan dog konstatere, nt kandidaten blev
pædagogikum
burde være påbegyndt
og gen—
i 2013, hvorfor
nemfort
tidligere.
Styrelsen henstiller til, at Herlufsholm
gikum ignngsættes som oplyst.
Skole og
Gods
sikrer, at pædago—
Styrelsen bemærker, at fastansmttelsc af en lærer forudsætter at
pågæl-
dende opfylder de faglige mindstekmv i undervisningsfngene, hvilket
fremgår af g 56 i lov om de gymnasiale uddannelser. Det bemærkes end-
videre, at det
i
særlige
tilfælde
er muligt for institutionen,
at ansætte lære-
re uden faglig kompetence i tidsbegrænsede siillinger, if.
5
6,
stk.
1, i be-
kendtgørelse om pædagogikum i de gymnasiale uddannelser.
Styrelsen forventer, nt Herlufsholm Skole og
Gods
folger
ovenstående
henstilling, hvorfor styrelsen på det foreliggende grundlag betragter til-
synssagcn som afsluttet.
Øvrigt
D21 tilsynet og stikprøvekontrollernc
har vist, at der er udfordringer på
området, vil styrelsen derfor
have
skærpet opmærksomhed herpå og føl-
ge udviklingen
tatti
dc kommende år. Ligeledes henstiller styrelsen til, at
institutionens ledelse fortsat har skærpet opmærksomhed på området.
Såfremt ovenstående giver anledning til spørgsmål, er
institutionen
vel-
kommen til at kontakte specialkonsulent Hanne Weller på tlf. 33 95 53
35 eller på hzmnuw:>llcsrukmmxll—z.
IQ
Med
venlig
hilsen
Hanne Weller
Specialkonsulent
Kontor for Gymnasier
Direkte tlf. +45 33 95 53 35
Hannc.\[email protected]
BUU, Alm.del - 2021-22 - Endeligt svar på spørgsmål 247: Spm. om at oversende alle dokumenter i sagen, som TV2 har fået aktindsigt i, i forbindelse med produktionen af dokumentaren 'Herlufsholms hemmeligheder', til børne- og undervisningsministeren
2588615_0028.png
7.
BUU, Alm.del - 2021-22 - Endeligt svar på spørgsmål 247: Spm. om at oversende alle dokumenter i sagen, som TV2 har fået aktindsigt i, i forbindelse med produktionen af dokumentaren 'Herlufsholms hemmeligheder', til børne- og undervisningsministeren
2588615_0029.png
cb
_—
Telefonnotat
UNDERVISNINGS-
STYRELSEN
FOR
UNDERVISNING
OG
KVALITET
BØRNE—
oc
MINISTERIET
Samtaledato
Talt
med
04—09-2020
Rektor på Herlufsholm skole og
gods
Indhold
På baggrund af udsendt afslutningsbrev om tematisk tilsyn med lærerkompctencer ha: rektor på
Herlufsholm skole og gods gjort opmærksom på nt styrelsens brev dateret
04-09-2020
og afslut-
ning af tematisk
tilsyn
med lærerkompetcncer ikke helt korrekt gengiver den korrekte
situation
for pågældende lærer, som ikke hat været
i
pædagogikum inden for det første år af
ansættelsen.
I
brevet
havde
styrelsen angivet at lærerne var ansat
i
2013
hvilket kun var gældende for ansættelse
på IB. Læreren påbegyndte således undervisningen på stx i
2016
Dato
4. september
Navn
Handling
[Tekst]
2020
Hanne Weller
BUU, Alm.del - 2021-22 - Endeligt svar på spørgsmål 247: Spm. om at oversende alle dokumenter i sagen, som TV2 har fået aktindsigt i, i forbindelse med produktionen af dokumentaren 'Herlufsholms hemmeligheder', til børne- og undervisningsministeren
2588615_0030.png
Sagsresume
20/13586 Herlufsholm Skole og Gods (grundskolen) - enkeltsagstilsyn
Sagens dokumenter
Nr. Type
Dok.dato. Titel
Indgående 23-06-
I: Henvendelse vedr. Herlufsholm
1
brev
2020
Skole og Gods (grundskolen),
modtaget 23-06-2020
Indgående 23-06-
I: Redigeret henvendelse vedr.
2
brev
2020
Herlufsholm Skole og Gods
(grundskolen), modtaget 23-06-2020
Udgående 30-06-
U: Svar på henvendelse, sendt 30-
3
brev
2020
06-2020
4
5
Internt
notat uden
opfølgning
Indgående
brev
30-06-
2020
13-08-
2020
Resolutionsskema vedr. henvendelse
om Herlufsholm Skole og Gods
I: Henvendelse fra rektor på
Herlufsholm Skole og Gods ang.
forældrehenvendelse til styrelsen,
modtaget 13-08-2020
Telefonnotat vedr. samtale med
forældre Anja du Toit ang.
oplysninger i henvendelse, 14-08-
2020
Telefonnotat vedr. samtale med
rektor Mikkel Kjellberg ang.
forældrehenvendelse, 14-08-2020
Anmodning om redegørelse til
Herlufsholm Skole og Gods
(grundskolen)
U: Styrelsens brev til skolen med
anmodning om redegørelse, sendt
11-09-2020
I: Skolens kvittering for modtagelse
af styrelsens brev, modtaget 11-09-
2020
I: Skolens redegørelse, modtaget 16-
09-2020
U: Styrelsens kvittering for
modtagelse af skolens redegørelse,
sendt 16-09-2020
Intern vurdering af redegørelse fra
Herlufsholm.docx
Bemærkninger
Vedlagt. Enkelte
oplysninger undtaget jf.
OFL §30, nr. 1.
Vedlagt. Enkelte
oplysninger undtaget jf.
OFL §30, nr. 1.
Vedlagt. Enkelte
oplysninger undtaget jf.
OFL §30, nr. 1.
Undtaget. Internt
dokument der undtages jf.
OFL 23, stk. 1, nr. 1
Vedlagt. Enkelte
oplysninger undtaget jf.
OFL §30, nr. 1.
Vedlagt. Enkelte
oplysninger undtaget jf.
OFL §30, nr. 1.
Vedlagt. Enkelte
oplysninger undtaget jf.
OFL §30, nr. 1.
Vedlagt
Vedlagt. Enkelte
oplysninger undtaget jf.
OFL §30, nr. 1.
Vedlagt. Enkelte
oplysninger undtaget jf.
OFL §30, nr. 1.
Vedlagt. Enkelte
oplysninger undtaget jf.
OFL §30, nr. 1.
Vedlagt
Undtaget. Internt
dokument der undtages jf.
OFL 23, stk. 1, nr. 1
6
Internt
14-08-
notat uden 2020
opfølgning
Internt
notat uden
opfølgning
Internt
notat uden
opfølgning
Udgående
brev
Indgående
brev
Indgående
brev
Udgående
brev
14-08-
2020
01-09-
2020
11-09-
2020
11-09-
2020
16-09-
2020
16-09-
2020
7
8
9
10
11
12
13
Internt
15-12-
notat uden 2020
opfølgning
BUU, Alm.del - 2021-22 - Endeligt svar på spørgsmål 247: Spm. om at oversende alle dokumenter i sagen, som TV2 har fået aktindsigt i, i forbindelse med produktionen af dokumentaren 'Herlufsholms hemmeligheder', til børne- og undervisningsministeren
2588615_0031.png
14
15
16
17
18
19
20
21
22
23
24
25
26
27
28
29
30
Internt
notat uden
opfølgning
Udgående
brev
Indgående
brev
Indgående
brev
Udgående
brev
Internt
notat uden
opfølgning
Internt
notat uden
opfølgning
Indgående
brev
Udgående
brev
Internt
notat uden
opfølgning
Udgående
brev
Indgående
brev
Udgående
brev
Indgående
brev
Udgående
brev
Internt
notat uden
opfølgning
Internt
notat uden
opfølgning
16-12-
2020
19-01-
2021
19-01-
2021
05-02-
2021
05-02-
2021
09-02-
2021
08-03-
2021
09-03-
2021
09-03-
2021
15-03-
2021
13-04-
2021
13-04-
2021
14-04-
2021
26-04-
2021
29-04-
2021
06-05-
2021
06-05-
2021
UDKAST til anmodning om
redegørelse på Herlufsholm -
december 2020
Styrelsens brev med anmodning om
redegørelse - sendt 19-01-2021
Skolens kvitteringssvar på
modtagelse af anmodning om
redegørelse - modtaget 19-01-2021
I: Skolens redegørelse - modtaget
05-02-2021
U: Styrelsens kvitteringssvar på
modtagelse af redegørelse - sendt
05-02-2021
Intern vurdering af redegørelse fra
Herlufsholm modtaget 05-02-
2021.DOCX
Telefonnotat 08.03.21 PPR Næstved
Kommune
I: PPR Næstved sender 09.03.21
oversigt over antal indstillinger til
PPV fra Herlufsholm 2019-2021
U: STUK kvitterer PPR 09.03.21 for
oversigt over antal PPV
Resolutionsskema 2. udgave.docx
U: STUK beder 13.04.21 om et
møde med ledelse og en ansvarlig
for specialundervisning
I: Grundskoleleder kvitterer 13.04.21
for modtagelse af mail om møde
vedr. specialundervisning
U: STUK bekræfter mødeaftale
14.04.21
I: Skolens mail med supplerende
oplysninger i forlængelse af dialog
fredag - modtaget 26-04-2021
U: Styrelsens kvittering på
modtagelse af supplerende
oplysninger - sendt 29-04-2021
Referat af møde med
grundskoleleder og læsevejl.
23.04.21.docx
Resolutionsskema 3 -
Herlufsholm.DOCX
Undtaget. Internt
dokument der undtages jf.
OFL 23, stk. 1, nr. 1
Vedlagt
Vedlagt
Vedlagt. Enkelte
oplysninger undtaget jf.
OFL §30, nr. 1.
Vedlagt
Undtaget. Internt
dokument der undtages jf.
OFL 23, stk. 1, nr. 1
Vedlagt
Vedlagt
Vedlagt
Undtaget. Internt
dokument der undtages jf.
OFL 23, stk. 1, nr. 1
Vedlagt
Vedlagt
Vedlagt
Vedlagt. Enkelte
oplysninger undtaget jf.
OFL §30, nr. 1.
Vedlagt. Enkelte
oplysninger undtaget jf.
OFL §30, nr. 1.
Vedlagt. Enkelte
oplysninger undtaget jf.
OFL §30, nr. 1.
Undtaget. Internt
dokument der undtages jf.
OFL 23, stk. 1, nr. 1
BUU, Alm.del - 2021-22 - Endeligt svar på spørgsmål 247: Spm. om at oversende alle dokumenter i sagen, som TV2 har fået aktindsigt i, i forbindelse med produktionen af dokumentaren 'Herlufsholms hemmeligheder', til børne- og undervisningsministeren
2588615_0032.png
31
Internt
20-05-
notat uden 2021
opfølgning
Telefonnotat: Samtale med psykolog
Næstved Kommune 19-05-2021
Vedlagt
BUU, Alm.del - 2021-22 - Endeligt svar på spørgsmål 247: Spm. om at oversende alle dokumenter i sagen, som TV2 har fået aktindsigt i, i forbindelse med produktionen af dokumentaren 'Herlufsholms hemmeligheder', til børne- og undervisningsministeren
1
BUU, Alm.del - 2021-22 - Endeligt svar på spørgsmål 247: Spm. om at oversende alle dokumenter i sagen, som TV2 har fået aktindsigt i, i forbindelse med produktionen af dokumentaren 'Herlufsholms hemmeligheder', til børne- og undervisningsministeren
2588615_0034.png
Fra:
Sendt:
Til:
Cc:
Emne:
Anja du Toit <[email protected]>
23. juni 2020 22:03
Karen-Kathrine Vedel Sørensen; Sofie Marie Jørgensen Alber
Elsebeth Aller
på Herlufsholm - vi manglede en ansvarlig og handlingsplan i år. Nu
trækker vi stikket :(
Kære Karen og Sofie,
Fremsender hermed min opsummering af en meget kedelig oplevelse for vores
dreng på
Herlufsholm. Jeg sender nedenstående til skolen, så snart jeg har hele bestyrelsens mail adresser. Jeg
skriver til jer / involverer jer, da jeg forstår på Elsebeth Aller, kopieret, at det er jeres opgave at føre tilsyn
med de private grundskoler. Jo flere gange jeg har læst min egen opsummering af forløbet igennem, jo
mere absurd, synes jeg det vi har gennemgået og oplevet er. Derfor henvendelsen. Jeg håber I kan hjælpe
med at få rettet op på struktur, procedurer og ansvar, som har manglet i denne her sag. Det er rigtig vigtigt,
at der ikke er flere elever og forældre, der skal opleve og gennemgå, hvad vi har.
MVH
Anja
Kære Mikkel, Anne-Louise og bestyrelse
Jeg er ked af at meddele
ikke kommer til at fortsætte på Herlufsholm næste skoleår. Vi er SÅ kede af
ikke at kunne fortsætte, men det går ikke
.
Jeg har nedenfor lavet en punktvis opsummering af, hvor vi/jeg synes det er gået galt.
Hermed en opsummering af vores/min oplevelse af, hvorfor det ikke lykkedes. Håber det kan hjælpe
Herlufsholm /jer til at gøre det bedre. Det er i hvert fald grunden til, jeg bruger tid på at opsummere. Håber
I modtager den i den ånd, den er produceret. Herlufsholm er fantastisk. Vi har været rigtig glade for
forløb og for at lære alle jer, der holder skibet i søen at kende. Og ved og forstår, der er mange
udfordringer, og vi ikke er de eneste forældre, der påkalder os jeres opmærksomhed. Mange tak for alt, der
er blevet gjort, for I har da prøvet, det er sikkert. Men her er oplevelsen fra vores side, det er ikke
ensbetydende med det er den enegyldige sandhed. I har jo jeres oplevelse. Men mange har jo fulgt vores
forløb, og gør det stadig. Så deler min oplevelse, så I får noget at arbejde med for fremtiden, hvis I vil?
Én ansvarlig
Der er ingen person udpeget med ansvar for
på Herluf. De skoler jeg har
været på (har arbejdet som lærervikar på 4 i Næstved) har ALLE en spiseseddel, som udpeger, ved navns
nævnelse og e-mail, hvem der er overordnet ansvarlig for dit barns læring, hvem der står IT delen og hvem
for det faglige. Og hvornår man – forældre og børn, kommer på kursus i det
software som skolen
brugte. Den delte jeg med dig Anne-Louise og spurgte om skolen ikke kunne kopiere en sådan struktur, for
det ville være rart som forældre at vide, hvem der er ansvarlig. Hvem man skal gå til.
Og det er her jeg
synes problemet ligger. Jeg har ikke oplevet, der var nogen, der tog det samlede ansvar for
læring. I skolen og på gården.
Som forældre til et kostbarn, har man jo ”købt en pakke”. Vi skelner ikke
mellem ’skole’ og ’gård’. For os er Herlufsholm en samlet institution, der uddanner vores børn. Jeg har
BUU, Alm.del - 2021-22 - Endeligt svar på spørgsmål 247: Spm. om at oversende alle dokumenter i sagen, som TV2 har fået aktindsigt i, i forbindelse med produktionen af dokumentaren 'Herlufsholms hemmeligheder', til børne- og undervisningsministeren
2588615_0035.png
manglet en person, der ville koordinere indsatsen mellem skole og gården. Eller én person der havde
ansvaret for min søns uddannelse om det handler om lektier, afleveringer,
. Vi
forældre kan ikke styre/påvirke, hvad der forgår, hverken i klasselokalet eller ved skrivebordet på gården.
Kommunikation til hjemmet alt for mangelfuld
Feedback på karakterer / vyrd er alt for kort og mangler uddybning… der skal være noget for elev og
forældre at kunne tage fat i. En karakter fortæller jo ikke, hvor der skal sættes ind for at forbedre.
og jeg fik et blankt karakterark, hvad kommentarer angår. INTET
fra de lærere,
Jeg var rasende og indkaldte til et møde. Fordi jeg ikke følte,
der var nogen der havde hånd i hanke med
læring. duede ikke, han fik ikke
Brendas uopfordrede ’heads-up’ var fantastiske og en kæmpe hjælp, når man sidder 8.000 km fra sit barn.
Men vel ikke anderledes, hvis man sidder i Randers.
Handlingsplan, tak! … Mange tilbud, men ingen sammenhæng. Hvad skete der med handlingsplaner på
Hhlm?
gik ti
… jeg mistede overblikket, da det fremstod, både for
og jeg som spredt fægtning. Anne-Louise sørgede venligst for at vi fik kontakt til en privatlærer i
Næstved. Der var
på skolen for
, lektiehjælp fra én pige, der skulle have guldmedalje i Duke of Edinburgh award. Så var
der en anden -
Mette fra 2.G., og så Krabbe – lektiehjælp og organiseringshjælp fra 1.G.
Alt sammen fine initiativer, som jeg ikke helt ved, hvor endte – de gled ud og manglede en eller anden form
for samlet fundament. Jeg kan ikke helt sætte ord på, og vi er selvfølgelig glade for tilbuddene, men der
manglede sammenhæng og struktur/fastholdelse…. Jeg tror svaret hedder
’handlingsplan’?
Én ansvarlig
medarbejder med overblikket over alle indsatsområder – nedskrevet i en individuel handlingsplanen. Jeg
bad om en handlingsplan flere gange i min korrespondance med dig Anne-Louise og jeg husker, du svarede
mig, hvad jeg egentlig mente med det. Jeg finder gerne tråden. Summa sumarum er, at der ikke har været
tilbudt en vurdering af
behov ej heller udarbejdet en samlet plan for hans undervisning. En
handlingsplan.
Alle elever i folkeskolen, som har læringsudfordringer har krav på og får lavet en handlingsplan. Jeg er
stadigvæk overrasket over, man ikke ved, hvad det er på Hhlm. Vi havde en langstrakt korrespondance
omkring påske da
gik i
og starten af
– efter vores fællesmøde, jeg havde indkaldt til
efter
fik sin vyrd
uden så meget som en kommentar (bortset fra Brenda, som
altid leverer en uddybende status på barnet). Det møde, hvor jeg bad alle involverede være tilstede
(Vedhæfter tråden, ellers er det også fremsendt til Ettie)) I den korrespondance gjorde jeg opmærksom på,
at folkeskoleloven pålægger private grundskoler at tilbyde det samme til alle elever som folkeskolen skal.
Og individuelle handlingsplaner er et af dem!
Det er meget belastende og stressende, at aflevere sit barn med
som er fuldstændig
italesat mellem forældre og skole og så ikke blive oplyst om og involveret i barnets udvikling. Et tal fortæller
jo intet om hvad problemet er, hvor vi skal hen og hvordan vi/han kommer derhen. Jeg har aldrig haft
overblik over, hvad planen var med
i nogen som helst fag. Det har man i folkeskolen.
Handlingsplaner. NB jeg har arbejdet som lærervikar på 2 skoler (reelt fire) alle de 3 år jeg har boet med
i
så taler med opdateret indsigt.
Vores ’efter- krisemøde-dialog’ som varede fra påske til jul
(der kom en sommerferien i mellem)
sluttede med svar fra dig Anne-Louise, hvor du gør os opmærksom på, at hvis det grundskolen tilbyder ikke
er godt nok, så må vi finde en anden løsning til
Altså en anden skole.
Jeg har aldrig, som i ’aldrig’ trukket kortet ’vi betaler rent faktisk for det her’… og det gør jeg sådan set
heller ikke nu. Men der kommer andre efter os – heldigvis, så jeg gør her på falderebet opmærksom på,
hvordan man/vi jo ikke kan undgå at tænke, når man betaler for en privatskole, så forventer man også
BUU, Alm.del - 2021-22 - Endeligt svar på spørgsmål 247: Spm. om at oversende alle dokumenter i sagen, som TV2 har fået aktindsigt i, i forbindelse med produktionen af dokumentaren 'Herlufsholms hemmeligheder', til børne- og undervisningsministeren
2588615_0036.png
’mere’ end en folkeskolen kan tilbyde. Jeg synes, en handlingsplan er et minimum og i øvrigt lovpligtigt.
Men jeg havde ønsket mig at skolen pga af de ekstra penge vi betalte havde mobiliseret én ansvarlig (lærer
– ikke frivillige gymnasieelever og præfekter), der påtog sig opgaven at sørge for mit barns uddannelse hele
vejen rundt.
Fastholde ham i en klasse med en lærer han ikke forstod,
der stod for 50-60% af undervisningen –
Matematik, geografi og naturfag, som han ikke forstod. Både pga af hendes accent og didaktik…
blev
gentagende gange opfordret til at spørge, når han ikke forstod og det gjorde han. Men som han sagde
”mor, hun siger jo bare det samme, som hun sagde oppe ved tavlen – det var jo det, jeg allerede ikke
forstod”. Det skal lige nævnes at jeg talte med de andre forældre, hvis børn – hverken
eller
også havde problemer med at forstå den lærer. Så hvorfor fastholde ham i en klasse
med en lærer end ikke de danske børn ikke forstår? Jeg tror ikke vi stod her i dag, hvis
havde været i
en klasse som Christian og Jesper’s fra starten.
Fastholde ham i en klasse med en dansklærer som ikke hverken kommunikerede eller kom i spil med
’læsevejledning’
… en dansklærer som udleverede kompendier, så han ikke kunne
. Og som i øvrigt ALDRIG kommunikerede med mig i de 2 år han var i hendes varetægt, på trods
af jeg udelukkende flyttede med til DK for at være støttehjul for
skolegang og jeg gang på gang
gjorde opmærksom på dette. En dansklærer som jeg fik at vide var læsevejleder og derfor havde var den
bedste til at arbejde med
– læsevejledere skulle have erfaring med / uddannelse i
af en
art. Sådan blev det i hvert fald solgt til mig. Det var bedst at holde under Heidis paraply, for hun kunne
/ville hjælpe ham som ”ekspert”.
mener selv at det værste, der er sket for ham er, at han havde Heidi
og Marianna som lærere. Han har fortalt efter han har forladt klassen, at han fuldstændig mistede sin
motivation, fordi han intet forstod og de aldrig prøvede at hjælpe ham til at forstå. Eller rettere bare
ignorerede – som jeg hører hans forklaring, den
elev tilstede i klassen. Iflg
og 3 andre klassekammerater, blev
aldrig spurgt om han forstod eller kunne følge med.
, som også var
blev trukket ud af sine forældre, fordi de synes indsatsen var for ringe
og de havde samme oplevelse af Heidi og Marianna, som beskrevet – jeg talte med moderen.
Jeg spurgte
mange gange, om Heidi gjorde noget særligt i undervisningen for ham – på mange
kringlede måder (jeg er både journalist og har bedrevet antropologiske/sociologiske forskningsinterview)
fordi, jeg ved de/ årige ikke ser, hvad vi ser. I kan regne ud hvad resultatet af mine interviews var. Jeg
spurgte så sidenhen – på samme – for børnene, uigennemskuelig måde, enkelte af hans klassekammerater,
om samme…. Ingen havde bemærket, at der var en læsevejleder, der skulle tage sig lidt ekstra af
læring, tilstede i klasselokalet. Jeg må sige, at det har rystet mig hele vejen igennem. At Heidi ALDRIG har
gjort sig den ulejlighed at orientere mig eller være i dialog med mig- på trods af hun/I vidste jeg KUN og
udelukkende var flyttet til Danmark for at støtte
og jer i at få ham ordentlig på plads i skolen -
Herlufsholm. Den manglede dialog var ikke gået i folkeskolen. Så havde der været en klagesag!
fortæller grædende om sin skolestart – sit første år, sine første 2 år: ”det værste der kunne ske var, at jeg
fik Marianna og Heidi… jeg forstod ingenting… jeg sad bare og kiggede og forstod ingenting, det var det
værste der kunne ske.” … og fortsætter med at fortælle at
, som startede med
havde det lige sådan, og derfor viste
hvordan man kunne se YouTube i timen for at slå tiden ihjel. De
var alligevel helt koblet af.
IT redskabet fungerede ikke 8 måneder inde i første skoleår.
De 8 måneder, hvor jeg rodede rundt med
hele problematikken,
, ny på Hhlm, blev jeg alt for mange gange henvist til
den pige fra 2.G. som frivilligt fungerede som
-coach. Det er voldsomt og efter min mening
upassende at lægge ansvaret for sådan en opgave hos en frivillig elev.
Jeg var selvfølgelig i kontakt med IT kontoret over tlf og mail. Jeg blev mødt mere end en gang med
beskeder som, at ’
måtte selv møde op’ (hvilket han glemte hele tiden - klasses-dreng) … og når
han så endelig huskede det, fik han flere gange at vide, at han skulle vi sørge for IT-kontoret havde tid, når
BUU, Alm.del - 2021-22 - Endeligt svar på spørgsmål 247: Spm. om at oversende alle dokumenter i sagen, som TV2 har fået aktindsigt i, i forbindelse med produktionen af dokumentaren 'Herlufsholms hemmeligheder', til børne- og undervisningsministeren
2588615_0037.png
vi kom … og endelig at ’der var andre mere presserende opgaver i IT, som havde prioritet’… så han måtte
vente. Det skete mere end en gang! Hvad er mere vigtigt end eleverne kan være med i undervisningen?
for
et problem:
På et tidspunkt i de første 8 mdr, hvor IT redskabet ikke fungerede, måtte jeg presse lidt rigeligt på at få set
. Jeg oplevede at blive ’den irriterende mor’, der hele tiden var i røret. Men
det var virkelig problematisk at
ikke kunne bruge sit IT redskab, fordi hele institutionen Hhlm
for ham. Så vi blev jo revet
henviste IT-redskabet, som om den ville klare hele
med og selvfølgelig stressede over at den ikke virkede. Det var jo
, der skulle redde os/ham.
Vi mødtes endelig med Lotte, som prøvede at løse problemet. Men som også måtte sande, den ikke duede.
Lotte henviste til
der åbenbart ligger i hobetal på nettet. Vi var lettede og gik glade
hjem. Men…. De duede heller ikke,
.
Måske noget at tage til indtægt for fremtiden?
Overlade anskaffelse af undervisningsmateriale til
barn:
skulle selv lære – årig dreng, at
– det gør man for eleverne i
folkeskolen. Det er et lovkrav. Der er forhindringer nok i forvejen som
så I kan nok forestille jer
hvordan det gik. Sovesalslæreren/Mads skulle vise ham, hvordan man gør. Men hvis ansvar er det egentlig?
30 min daglig læsning som aldrig blev gennemført
, SKAL bruge tid på at læse
på dansk. Det skal alle elever. Og det gjorde sovesalslærer Mads meget klart, da vi startede. At det gør
eleverne hver dag på gården. Det gjorde de så ikke.
Selv ’at finde en bog’ som kunne bruges på hans niveau, blev der aldrig taget ordentlig hånd om.
sagde der aldrig var nogen på biblioteket (jeg spurgte til det hver rejseweekend), det passer sikkert ikke –
men en
årig, med
skal holdes i hånden for at komme i gang. Og fastholdes!
Sovesalslærer Mads fandt ’noget’ til ham. Ja, det var i den ånd ’noget’. Et barn
, skal
ikke have ’noget’. De skal virkelig sælges ’en bog’ og
. Men igen, hvem har
ansvaret?
læste med mig hver dag, da han boede hjemme. Når man kalder sig ’home away from
home’ så skal der jo være noget forældrestyring på lektielæsning, som rækker udover at checke de har
tændt computeren.
Jeg har nu fundet ud af min søn gennem sine år på Herluf, kun har læst 2 bøger udover dem, jeg har
sørget for han læste hjemme i weekenderne. Den ene bog fik
Asger, ham motiveret til at læse. Den anden bog fandt han selv liggende fremme hos en kammerat og blev
interesseret. Begge blev læst her i
Min oplevelser er, at der ingen opsyn er med, hvad de laver i LAL.
Jo opsyn med, at de er på deres pind, men ikke hvad der foregår på skærmen. På trods af vi alle kender
teenagedrenges hang til spil & YouTube. Og det er
blevet rigtig god til – altså gaming. Hvem har
ansvaret?
talte engelsk på gården:
… behøver ikke udpensle så meget her, det var bare et problem, at
endte med at hænge ud med de engelsktalende. Eller rettere, de andre drenge synes jo, det er cool at tale
engelsk (og det er jo fint for dem), som er Youtube/gaming sprog. Så hver gang jeg ringede, og han tog
telefonen forlod han en samtale på engelsk –
tager altid telefonen, mens han forsætter samtalen,
BUU, Alm.del - 2021-22 - Endeligt svar på spørgsmål 247: Spm. om at oversende alle dokumenter i sagen, som TV2 har fået aktindsigt i, i forbindelse med produktionen af dokumentaren 'Herlufsholms hemmeligheder', til børne- og undervisningsministeren
2588615_0038.png
han er i. Og jeg kunne høre, der blev talt engelsk i baggrunden. Jeg talte flere gange med sovesalslærer
Mads om, der var noget man kunne gøre, men han syntes, de talte dansk sammen.
Meget af ovenstående har jeg gjort opmærksom på i en den korrespondance, som bestyrelsen har været
kopieret på. Men det er nok ikke så tydeligt, som det forhåbentligt fremstår her i et mere samlet overblik
over vores oplevelse.
Jeg ønsker Herlufsholm, elever, personale og bestyrelse alt det bedste. Vi kæmpede år for at blive, fordi vi
synes det er en fantastisk skole på mange fronter. Men der er også brug for udvikling, så I ikke taber flere
på gulvet, men måske endda kan bryste jer af at have styr på det – vi holdt fast i for lang tid, ser vi nu. Og
det er
der er den store taber i det her forløb. Det gør ondt! … Det bliver stejlt op ad bakke at starte
– og så er han jo stadig
så endnu stejlere for ham.
Altid. Og drengen og vi er dybt ulykkelige over at skulle forlade jer, venner og forældre…. Det gør rigtig
ondt! Men han har også lidt alt for længe… håber ikke, der kommer andre efter ham. Andre der skal lide
nederlag som
Mange hilsner fra
Anja &
– og Mike
Anja du Toit, MA Mass Comm & Journalist
Kenya + 254 722 20 30 63
Denmark +45 29 91 08 11
www.malostables.com
www.facebook.com/NairobiForestRides
BUU, Alm.del - 2021-22 - Endeligt svar på spørgsmål 247: Spm. om at oversende alle dokumenter i sagen, som TV2 har fået aktindsigt i, i forbindelse med produktionen af dokumentaren 'Herlufsholms hemmeligheder', til børne- og undervisningsministeren
2588615_0039.png
2
BUU, Alm.del - 2021-22 - Endeligt svar på spørgsmål 247: Spm. om at oversende alle dokumenter i sagen, som TV2 har fået aktindsigt i, i forbindelse med produktionen af dokumentaren 'Herlufsholms hemmeligheder', til børne- og undervisningsministeren
2588615_0040.png
Fra:
Sendt:
Til:
Cc:
Emne:
Anja du Toit <[email protected]>
23. juni 2020 23:06
Karen-Kathrine Vedel Sørensen; Sofie Marie Jørgensen Alber
Elsebeth Aller
Version 2
på Herlufsholm - vi manglede en ansvarlig og handlingsplan i
år. Nu trækker vi stikket :(
Kære Karen og Sofie,
Fremsender
igen
min opsummering af en meget kedelig oplevelse for vores
Herlufsholm.
Har redigeret i denne version. Nu får I ikke flere, promise.
dreng på
Jeg sender nedenstående til skolen, så snart jeg har hele bestyrelsens mail adresser. Jeg skriver til jer /
involverer jer, da jeg forstår på Elsebeth Aller, kopieret, at det er jeres opgave at føre tilsyn med de private
grundskoler. Jo flere gange jeg har læst min egen opsummering af forløbet igennem, jo mere absurd, synes
jeg det vi har gennemgået og oplevet er. Derfor henvendelsen. Jeg håber I kan hjælpe med at få rettet op
på struktur, procedurer og ansvar, som har manglet i denne her sag. Det er rigtig vigtigt, at der ikke er flere
elever og forældre, der skal opleve og gennemgå, hvad vi har.
MVH
Anja
Kære Mikkel, Anne-Louise og bestyrelse
Jeg er ked af at meddele
ikke kommer til at fortsætte på Herlufsholm næste skoleår. Vi er SÅ kede af
ikke at kunne fortsætte, men det går ikke
Jeg har nedenfor lavet en punktvis opsummering af, hvor vi/jeg synes det er gået galt.
Hermed en opsummering af vores/min oplevelse af, hvorfor det ikke lykkedes. Håber det kan hjælpe
Herlufsholm /jer til at gøre det bedre. Det er i hvert fald grunden til, jeg bruger tid på at opsummere. Håber
I modtager den i den ånd, den er produceret. Herlufsholm er fantastisk. Vi har været rigtig glade for
forløb og for at lære alle jer, der holder skibet i søen at kende. Og ved og forstår, der er mange
udfordringer, og vi ikke er de eneste forældre, der påkalder os jeres opmærksomhed. Mange tak for alt, der
er blevet gjort, for I har da prøvet, det er sikkert. Men her er oplevelsen fra vores side, det er ikke
ensbetydende med det er den endegyldige sandhed. I har jo jeres oplevelse. Men mange har jo fulgt vores
forløb, og gør det stadig. Så deler min oplevelse, så I får noget at arbejde med for fremtiden, hvis I vil?
Én ansvarlig
BUU, Alm.del - 2021-22 - Endeligt svar på spørgsmål 247: Spm. om at oversende alle dokumenter i sagen, som TV2 har fået aktindsigt i, i forbindelse med produktionen af dokumentaren 'Herlufsholms hemmeligheder', til børne- og undervisningsministeren
2588615_0041.png
Der er ingen person udpeget med ansvar for
på Herluf. De skoler jeg har
været på (har arbejdet som lærervikar på 4 i Næstved) har ALLE en spiseseddel, som udpeger, ved navns
nævnelse og e-mail, hvem der er overordnet ansvarlig for dit barns læring, hvem der står IT delen og hvem
for det faglige. Og hvornår man – forældre og børn, kommer på kursus i det
software som skolen
brugte. Den delte jeg med dig Anne-Louise og spurgte om skolen ikke kunne kopiere en sådan struktur, for
det ville være rart som forældre at vide, hvem der er ansvarlig. Hvem man skal gå til.
Og det er her jeg
synes problemet ligger. Jeg har ikke oplevet, der var nogen, der tog det samlede ansvar for
læring. I skolen og på gården.
Som forældre til et kostbarn, har man jo ”købt en pakke”. Vi skelner ikke
mellem ’skole’ og ’gård’. For os er Herlufsholm en samlet institution, der uddanner vores børn. Jeg har
manglet en person, der ville koordinere indsatsen mellem skole og gården. Eller én person der havde
ansvaret for min søns uddannelse om det handler om lektier, afleveringer,
. Vi
forældre kan ikke styre/påvirke, hvad der forgår, hverken i klasselokalet eller ved skrivebordet på gården.
Kommunikation til hjemmet alt for mangelfuld
Feedback på karakterer / vyrd er alt for kort og mangler uddybning… der skal være noget for elev og
forældre at kunne tage fat i. En karakter fortæller jo ikke, hvor der skal sættes ind for at forbedre.
og jeg fik et blankt karakterark, hvad kommentarer angår. INTET
fra de lærere, der havde droppet karakteren. Jeg var rasende og indkaldte til et møde. Fordi jeg ikke følte,
der var nogen, der havde hånd i hanke med
læring.
duede ikke, han fik ikke
Brendas uopfordrede ’heads-up’, var fantastiske. Intet mindre. Hun fortalte både om, hvor drengen stod
fagligt, men så sandelig også om hans trivsel i klassen/hendes timer. Det var en kæmpe hjælp, når man
sidder 8.000 km fra sit barn. Men vel ikke anderledes, hvis man sidder i Randers. Jeg efterspurgte en
lignede feedback flere gange, men har aldrig fået noget der ligner – kig på
vyrd. Bed hans lærere
om korrespondancen med mig. Den eksisterer ikke!
Handlingsplan, tak! … Mange tilbud, men ingen sammenhæng. Hvad skete der med handlingsplaner på
Hhlm?
gik ti
… jeg mistede overblikket, da det fremstod, både for
og jeg som spredt fægtning. Anne-Louise sørgede venligst for at vi fik kontakt til en privatlærer i
Næstved. Der var
på skolen for
, lektiehjælp fra én pige, der skulle have guldmedalje i Duke of Edinburgh award. Så var
der en anden -
Mette fra 2.G., og så Krabbe – lektiehjælp og organiseringshjælp fra 1.G.
Alt sammen fine initiativer, som jeg ikke helt ved, hvor endte – de gled ud og manglede en eller anden form
for samlet fundament. Jeg kan ikke helt sætte ord på, og vi er selvfølgelig glade for tilbuddene, men der
manglede sammenhæng og struktur/fastholdelse…. Jeg tror svaret hedder
’handlingsplan’?
Én ansvarlig
medarbejder med overblikket over alle indsatsområder – nedskrevet i en individuel handlingsplanen. Jeg
bad om en handlingsplan flere gange i min korrespondance med dig Anne-Louise og jeg husker, du svarede
mig, hvad jeg egentlig mente med det. Jeg finder gerne tråden. Summa sumarum er, at der ikke har været
tilbudt en vurdering af
behov ej heller udarbejdet en samlet plan for hans undervisning. En
handlingsplan.
BUU, Alm.del - 2021-22 - Endeligt svar på spørgsmål 247: Spm. om at oversende alle dokumenter i sagen, som TV2 har fået aktindsigt i, i forbindelse med produktionen af dokumentaren 'Herlufsholms hemmeligheder', til børne- og undervisningsministeren
2588615_0042.png
Alle elever i folkeskolen, som har læringsudfordringer har krav på og får lavet en handlingsplan. Jeg er
stadigvæk overrasket over, man ikke ved, hvad det er på Hhlm. Vi havde en langstrakt korrespondance
omkring påske da
gik i
og starten af
– efter vores fællesmøde, jeg havde indkaldt til
efter
fik sin vyrd
uden så meget som en kommentar (bortset fra Brenda, som
altid leverer en uddybende status på barnet). Det møde, hvor jeg bad alle involverede være tilstede
(Vedhæfter tråden, ellers er det også fremsendt til Ettie)) I den korrespondance gjorde jeg opmærksom på,
at folkeskoleloven pålægger private grundskoler at tilbyde det samme til alle elever som folkeskolen skal.
Og individuelle handlingsplaner er et af dem!
Det er meget belastende og stressende, at aflevere sit barn med
som er fuldstændig
italesat mellem forældre og skole og så ikke blive oplyst om og involveret i barnets udvikling. Et tal fortæller
jo intet om hvad problemet er, hvor vi skal hen og hvordan vi/han kommer derhen. Jeg har aldrig haft
overblik over, hvad planen var med
i nogen som helst fag. Det har man i folkeskolen.
Handlingsplaner. NB jeg har arbejdet som lærervikar på 2 skoler (reelt fire) alle de 3 år jeg har boet med
i
så taler med opdateret indsigt.
Vores ’efter- krisemøde-dialog’ som varede fra påske til jul
(der kom en sommerferien i mellem) og
der var lang ventetid på svarene, som jeg husker. Jeg blev ed med at spørge til ’handlingsplanen’ og
oplevede det som om spørgsmålet blev undveget. Udvekslingen – min fortsatte spørgen til
handlingsplanen, sluttede d også med et svar fra dig Anne-Louise, hvor du gør os opmærksom på, at hvis
det grundskolen tilbyder ikke er godt nok, så må vi finde en anden løsning til
Altså en anden skole.
Jeg fik aldrig en handlingsplan for
uddannelse. (Igen jeg har tråden og det har Ettie også)
Jeg har aldrig, som i ’aldrig’ trukket kortet ’vi betaler rent faktisk for det her’… og det gør jeg sådan set
heller ikke nu. Men der kommer andre efter os – heldigvis, så jeg gør her på falderebet opmærksom på,
hvordan man/vi jo ikke kan undgå at forvente, at når man betaler for en privatskole, at så får man også
’mere’ end en folkeskole kan tilbyde. Jeg synes, en handlingsplan er et minimum og i øvrigt lovpligtigt, så
vidt jeg forstår. Men jeg havde ønsket mig at skolen pga af de ekstra penge vi betalte, havde udpeget én
ansvarlig (lærer – ikke frivillige gymnasieelever og præfekter), der påtog sig opgaven at sørge for mit barns
uddannelse hele vejen rundt.
Fastholde ham i en klasse med en lærer han ikke forstod,
der stod for 50-60% af undervisningen –
Matematik, geografi og naturfag, som han ikke forstod. Både pga af hendes accent og didaktik…
blev
gentagende gange opfordret til at spørge, når han ikke forstod og det gjorde han. Men som han sagde
”mor, hun siger jo bare det samme, som hun sagde oppe ved tavlen – det var jo det, jeg allerede ikke
forstod”. Det skal lige nævnes at jeg talte med de andre forældre, hvis børn – hverken
eller
også havde problemer med at forstå den lærer. Så hvorfor fastholde ham i en klasse
med en lærer end ikke de danske børn ikke forstår? Jeg tror ikke vi stod her i dag, hvis
havde været i
en klasse som Christian og Jesper’s fra starten.
Fastholde ham i en klasse med en dansklærer som ikke hverken kommunikerede eller kom i spil med
’læsevejledning’
… en dansklærer som udleverede kompendier, så han ikke kunne
Og som i øvrigt ALDRIG kommunikerede med mig i de 2 år han var i hendes varetægt, på trods
af jeg udelukkende flyttede med til DK for at være støttehjul for
skolegang og jeg gang på gang
gjorde opmærksom på dette. En dansklærer som jeg fik at vide var læsevejleder og derfor havde var den
bedste til at arbejde med
– læsevejledere skulle have erfaring med / uddannelse i
af en
BUU, Alm.del - 2021-22 - Endeligt svar på spørgsmål 247: Spm. om at oversende alle dokumenter i sagen, som TV2 har fået aktindsigt i, i forbindelse med produktionen af dokumentaren 'Herlufsholms hemmeligheder', til børne- og undervisningsministeren
2588615_0043.png
art. Sådan
blev det i
hvert fald
solgttil
/ville
hjælpe
ham som ”ekspert”.-
som lærere.
fordi han intet forstod
og Marianna
motivation,
-
—,
mig. Det var bedst åt holde.
mener
selv at det værste,
at hjælpe
under Heidis paraply,
for hun kunne
der er sket for ham er, at han havde Heidi
ham til at
forstå. Eiler rettere bare
elev tilstede
i klassen.
Iflg
eller kunne følge med.-
Han har
fortalt efter
han
harforiadt
og de aldrig prøvede
den
blev-
blev
trukket
klassen,
at han
fuldstændig mistede
sin
ignorerede
—som jeg
hører hans
forklaring,
og 3
andre klassekammerater,
som også
var-
aldrig
spurgt, om han forstod
ud
af
sine forældre,
som beskrevet
fordi
de
synes indsatsen
var for
ringe
—jeg
talte
med
moderen.
for ham —
på mange
forskningslnterviewj
af
hans klassekammerater,
læring,
og de havde samme
oplevelse
åf Heidi og
Marianna,
Jeg spurgte-
krlnglede
spurgte
mange gange, om Heidi gjorde
noget særligt i
undervisningen
åntropologiske/sociologiske
måde, enkelte
måder (jeg er både journalist
så sidenhen
og har bedrevet
fordl, jeg ved de/Iårige
om
samme
den ulejlighed
udelukkende
Herlufsholm.
fik
Marianna
med-
ikke
ser, hvad
vi ser Iken regne ud hvad resultatet
uigennemskuelig
at der var en læsevejleder,
af
mine interviews var.
Jeg
— på samme— for børnene,
Ingen havde bemærket,
at orientere
var flyttet
Den manglede
der skulle tage sig ekstra åf-
tilstede
i klasseiokaiet.
Jeg
slge, et det har rystet mlg hele vejen igennem.
til Danmark
for at
støtte-
ogjer
At Heidi
ALDRIG
har gjort sig
piads
i skolen -
mig eller være
i
dialog med mlg- på
trods
af
hun/i vidste
jeg KUN og
i
at
ham ordentllg
dialog
var ikke
gået
i folkeskoien.
Så havde
der
været
en klagesagl-
ingenting,
det var det
som
startede
for at
slå
fortæller grædende
om sin
skolestart—
slt første år, sine første 2 år:
"det værste
der
kunne
ske var, atjeg
og
Heidi... jeg forstod ingenting...
jeg
sad bare
og
kiggede
og forstod
..og
fortsætter
med at
fortælle
at_
hvordan
havde
det
lige sådan,
og derfor viste-
værste der kunne ske.
(også—
man kunne se
YouTube i
timen
tiden
lhjel. De var
alligevel
helt koblet af.
IT redskabet
fungerede
ikke
8 måneder
fungerede
inde
i
første skoleår.
De
8
måneder,
,
ny
tm,
som_-coach.
hvorjeg
rodede
rundt med
til
hele problematikken,
den pige fre 2.6. som frivilligt
blev
jeg alt for mange gange henvist
elev.
blev
mødt mere
end en
gang
med
hele tiden
-
.
kiasses—dreng)
. . og når
Det er
voldsomt
og
efter
min
mening
upassende
at
lægge ansvaret
for sådan en opgeve hos en frivillig
Jeg var selvfølgellg
beskeder
vi kom
som, at
_
i
kontakt
med iT kontoret
over tlf og måil.1eg
måtte seiv møde
op'
(hvilket
han glemte
opgaver
han
så endelig huskede det,
fik han
flere gange
at
vide,
at han skulle vi sørge for iT-kontoret
og endelig at
'der
var
andre mere presserende
i
IT, som
havde prioritet'...
vente. Det
skete mere
end en
gang! Hvad
er
mere
vigtlgt
end eleverne
havde tid, når
så han måtte
kan være med
i
undervisningen?
oplevede
-
klare hele
for
at
blive 'den irriterende
et
problem:
måtte
jeg presse
lidt
rigellgt
et
tidspunkt
i de
første
8
mdr,
hvor lT
at
redskabet
ikke
fungerede,
på at få set på
tm
henviste
lT-redskabet,
.
Jeg
problematisk
som om den ville
over at den
mor', der hele tlden var i
røret.
Men det var virkelig
for ham. Så vi
blev
jo revet med og selvfølgelig
der skulle
redde os/ham.
ikke
kunne bruge
sit IT
redskab, fordi
hele
institutionen
stressede
ikke
virkede.
Det
varj_,
Vi
mødtes endelig
med Lotte, som
prøvede
et løse problemet.
Lotte henviste
til
hjem. Men....
De
duede heller
ikke,
Men som også måtte sende, den Ikke
duede.
der
åbenbart ligger
i
hobetal
nettet.
Vi var
lettede
og gik
glade
BUU, Alm.del - 2021-22 - Endeligt svar på spørgsmål 247: Spm. om at oversende alle dokumenter i sagen, som TV2 har fået aktindsigt i, i forbindelse med produktionen af dokumentaren 'Herlufsholms hemmeligheder', til børne- og undervisningsministeren
2588615_0044.png
Måske noget at tage til indtægt for fremtiden?
Overlade anskaffelse af undervisningsmateriale til
barn:
skulle selv lære – årig dreng, at
– det gør man for eleverne i
folkeskolen. Det er et lovkrav. Der er forhindringer nok i forvejen som
så I kan nok forestille jer
hvordan det gik. Sovesalslæreren/Mads skulle vise ham, hvordan man gør. Men hvis ansvar er det egentlig?
30 min daglig læsning som aldrig blev gennemført:
, SKAL bruge tid på at læse
på dansk. Det skal alle elever. Og det gjorde sovesalslærer Mads meget klart, da vi startede. At det gør
eleverne hver dag på gården. Det gjorde de så ikke.
Selv ’at finde en bog’ som kunne bruges på hans niveau, blev der aldrig taget ordentlig hånd om.
sagde der aldrig var nogen på biblioteket (jeg spurgte til det hver rejseweekend), det passer sikkert ikke –
men en
årig, med
skal holdes i hånden for at komme i gang. Og fastholdes!
Sovesalslærer Mads fandt ’noget’ til ham. Ja, det var i den ånd ’noget’. Et barn
, skal
ikke have ’noget’. De skal virkelig sælges ’en bog’ og
. Men igen, hvem har
ansvaret?
læste med mig hver dag, da han boede hjemme. Når man kalder sig ’home away from
home’ så skal der jo være noget forældrestyring på lektielæsning, som rækker udover at checke de har
tændt computeren.
Jeg har nu fundet ud af min søn gennem sine år på Herluf, kun har læst 2 bøger udover dem, jeg har
sørget for han læste hjemme i weekenderne. Den ene bog fik
Asger, ham motiveret til at læse. Den anden bog fandt han selv liggende fremme hos en kammerat og blev
interesseret. Begge blev læst her i
Min oplevelser er, at der ingen opsyn er med, hvad de laver i LAL.
Jo opsyn med, at de er på deres pind, men ikke hvad der foregår på skærmen. På trods af vi alle kender
teenagedrenges hang til spil & YouTube. Og det er
blevet rigtig god til – altså gaming. Hvem har
ansvaret?
talte engelsk på gården:
… behøver ikke udpensle så meget her, det var bare et problem, at
endte med at hænge ud med de engelsktalende. Eller rettere, de andre drenge synes jo, det er cool at tale
engelsk (og det er jo fint for dem), som er Youtube/gaming sprog. Så hver gang jeg ringede, og han tog
telefonen forlod han en samtale på engelsk –
tager altid telefonen, mens han forsætter samtalen,
han er i. Og jeg kunne høre, der blev talt engelsk i baggrunden. Jeg talte flere gange med sovesalslærer
Mads om, der var noget man kunne gøre, men han syntes, de talte dansk sammen.
Meget af ovenstående har jeg gjort opmærksom på i en den korrespondance, som bestyrelsen har været
kopieret på. Men det er nok ikke så tydeligt, som det forhåbentligt fremstår her i et mere samlet overblik
over vores oplevelse.
Jeg ønsker Herlufsholm, elever, personale og bestyrelse alt det bedste. Vi kæmpede år for at blive, fordi vi
synes, det er en fantastisk skole på mange fronter. Men der er også brug for udvikling, så I ikke taber flere
på gulvet, men måske endda kan bryste jer af at have styr på det – vi holdt fast i for lang tid, ser vi nu. Fordi
BUU, Alm.del - 2021-22 - Endeligt svar på spørgsmål 247: Spm. om at oversende alle dokumenter i sagen, som TV2 har fået aktindsigt i, i forbindelse med produktionen af dokumentaren 'Herlufsholms hemmeligheder', til børne- og undervisningsministeren
2588615_0045.png
vi stolede på jer som eksperter i uddannelse og fordi I er troværdige sympatiske mennesker. Men der skal
mere til… Og det er
der er den store taber i det her forløb. Det gør ondt! … Det bliver stejlt op ad
bakke for ham at starte
– og så er han jo stadig
forevigt, så endnu stejlere for ham. Og drengen (og vi) er dybt ulykkelig over at skulle forlade jer, venner og
venners forældre. Det gør rigtig ondt! Men han har lidt nederlag alt for længe. Mistet motivationen og har
store sår på selvtilliden. Store! … håber ikke, der kommer andre efter ham. Andre der i den grad skal lide
nederlag som
Mange hilsner fra
Anja &
– og Mike
Anja du Toit, MA Mass Comm & Journalist
Kenya + 254 722 20 30 63
Denmark +45 29 91 08 11
www.malostables.com
www.facebook.com/NairobiForestRides
BUU, Alm.del - 2021-22 - Endeligt svar på spørgsmål 247: Spm. om at oversende alle dokumenter i sagen, som TV2 har fået aktindsigt i, i forbindelse med produktionen af dokumentaren 'Herlufsholms hemmeligheder', til børne- og undervisningsministeren
2588615_0046.png
3
BUU, Alm.del - 2021-22 - Endeligt svar på spørgsmål 247: Spm. om at oversende alle dokumenter i sagen, som TV2 har fået aktindsigt i, i forbindelse med produktionen af dokumentaren 'Herlufsholms hemmeligheder', til børne- og undervisningsministeren
2588615_0047.png
Fra:
Sendt:
Til:
Emne:
Karen-Kathrine
VedelSørensen
30. juni 202010:33
'Anja du Toit'
SV:Version2
på Herlufsholm- vi mangledeen ansvarligog
handlingsplan år. Nu trækker vi stikket :(
i
Kære Anja du Toit
Tak for din henvendelse af 23. juni 2020 til Styrelsen for Undervisning
og Kvalitet.
Styrelsen skal oplyse, at styrelsen ikke er en klageinstans i forhold til konflikter mellem forældre/elever
og private grundskoler og de konkrete beslutninger, som den enkelte skole har truffet. Det betyder, at vi
ikke kan gå ind i din konkrete sag.
Styrelsen kan henvise til forældrerådgivningen,
der rådgiver forældre og andre, der oplever problemer i
forbindelse med et barns skolegang. Du finder kontaktinformationer
på forældrerådgivningen
her:
http: //foraeldreraadgivningen.dk/formular/kontaktformular
Styrelsen for Undervisning og Kvalitet fører et overordnet tilsyn med undervisningen på en fri grundskole,
og den frie grundskoles overholdelse af friskoleloven. Det drejer sig blandt andet om, hvorvidt
undervisningspligtige
elever får en undervisning, der står mål med, hvad der almindeligvis kræves i
folkeskolen, samt om skolerne forbereder eleverne til at leve i et samfund som det danske med frihed og
folkestyre. Dette omfatter også specialundervisningstilbud.
Styrelsen vil nu vurdere, om dine oplysninger
Du vil ikke blive orienteret
giver anledning til tilsynsmæssige
skridt i forhold til skolen.
om sagens videre forløb.
Med venlighilsen
Karen-Kathrine
VedelSørensen
Fuldmægtig
Styrelsen Undervisning Kvalitet
for
og
Frederiksholms
Kanal26
1220København
K
Tlf. nr.: 33 92 50 00
Direktetlf.: +45 33 92 51 86
E-mail:[email protected]
Fra: Anja du Toit <[email protected]>
Sendt:23. juni 2020 23:06
Til: Karen-Kathrine
VedelSørensen
<[email protected]>; Marie Jørgensen
Sofie
Alber <[email protected]>
Cc:ElsebethAller <[email protected]>
Emne:Version2
på Herlufsholm- vi mangledeen ansvarligog handlingsplan år. Nu trækker vi
i
stikket :(
BUU, Alm.del - 2021-22 - Endeligt svar på spørgsmål 247: Spm. om at oversende alle dokumenter i sagen, som TV2 har fået aktindsigt i, i forbindelse med produktionen af dokumentaren 'Herlufsholms hemmeligheder', til børne- og undervisningsministeren
2588615_0048.png
Kære Karen og Sofie,
Fremsender
igen
min opsummering af en meget kedelig oplevelse for vores
Herlufsholm.
Har redigeret i denne version. Nu får I ikke flere, promise.
dreng på
Jeg sender nedenstående til skolen, så snart jeg har hele bestyrelsens mail adresser. Jeg skriver til jer /
involverer jer, da jeg forstår på Elsebeth Aller, kopieret, at det er jeres opgave at føre tilsyn med de private
grundskoler. Jo flere gange jeg har læst min egen opsummering af forløbet igennem, jo mere absurd, synes
jeg det vi har gennemgået og oplevet er. Derfor henvendelsen. Jeg håber I kan hjælpe med at få rettet op
på struktur, procedurer og ansvar, som har manglet i denne her sag. Det er rigtig vigtigt, at der ikke er flere
elever og forældre, der skal opleve og gennemgå, hvad vi har.
MVH
Anja
Kære Mikkel, Anne-Louise og bestyrelse
Jeg er ked af at meddele
ikke kommer til at fortsætte på Herlufsholm næste skoleår. Vi er SÅ kede af
ikke at kunne fortsætte, men det går ikke.
Jeg har nedenfor lavet en punktvis opsummering af, hvor vi/jeg synes det er gået galt
Hermed en opsummering af vores/min oplevelse af, hvorfor det ikke lykkedes. Håber det kan hjælpe
Herlufsholm /jer til at gøre det bedre. Det er i hvert fald grunden til, jeg bruger tid på at opsummere. Håber
I modtager den i den ånd, den er produceret. Herlufsholm er fantastisk. Vi har været rigtig glade for
forløb og for at lære alle jer, der holder skibet i søen at kende. Og ved og forstår, der er mange
udfordringer, og vi ikke er de eneste forældre, der påkalder os jeres opmærksomhed. Mange tak for alt, der
er blevet gjort, for I har da prøvet, det er sikkert. Men her er oplevelsen fra vores side, det er ikke
ensbetydende med det er den endegyldige sandhed. I har jo jeres oplevelse. Men mange har jo fulgt vores
forløb, og gør det stadig. Så deler min oplevelse, så I får noget at arbejde med for fremtiden, hvis I vil?
Én ansvarlig
Der er ingen person udpeget med ansvar for
på Herluf. De skoler jeg har
været på (har arbejdet som lærervikar på 4 i Næstved) har ALLE en spiseseddel, som udpeger, ved navns
nævnelse og e-mail, hvem der er overordnet ansvarlig for dit barns læring, hvem der står IT delen og hvem
for det faglige. Og hvornår man – forældre og børn, kommer på kursus i det
software som skolen
brugte. Den delte jeg med dig Anne-Louise og spurgte om skolen ikke kunne kopiere en sådan struktur, for
det ville være rart som forældre at vide, hvem der er ansvarlig. Hvem man skal gå til.
Og det er her jeg
synes problemet ligger. Jeg har ikke oplevet, der var nogen, der tog det samlede ansvar for
BUU, Alm.del - 2021-22 - Endeligt svar på spørgsmål 247: Spm. om at oversende alle dokumenter i sagen, som TV2 har fået aktindsigt i, i forbindelse med produktionen af dokumentaren 'Herlufsholms hemmeligheder', til børne- og undervisningsministeren
2588615_0049.png
læring. I skolen og på gården.
Som forældre til et kostbarn, har man jo ”købt en pakke”. Vi skelner ikke
mellem ’skole’ og ’gård’. For os er Herlufsholm en samlet institution, der uddanner vores børn. Jeg har
manglet en person, der ville koordinere indsatsen mellem skole og gården. Eller én person der havde
ansvaret for min søns uddannelse om det handler om lektier, afleveringer,
. Vi
forældre kan ikke styre/påvirke, hvad der forgår, hverken i klasselokalet eller ved skrivebordet på gården.
Kommunikation til hjemmet alt for mangelfuld
Feedback på karakterer / vyrd er alt for kort og mangler uddybning… der skal være noget for elev og
forældre at kunne tage fat i. En karakter fortæller jo ikke, hvor der skal sættes ind for at forbedre
og jeg fik et blankt karakterark, hvad kommentarer angår. INTET
fra de lærere, der havde droppet karakteren. Jeg var rasende og indkaldte til et møde. Fordi jeg ikke følte,
der var nogen, der havde hånd i hanke med
læring.
duede ikke, han fik ikke
Brendas uopfordrede ’heads-up’, var fantastiske. Intet mindre. Hun fortalte både om, hvor drengen stod
fagligt, men så sandelig også om hans trivsel i klassen/hendes timer. Det var en kæmpe hjælp, når man
sidder 8.000 km fra sit barn. Men vel ikke anderledes, hvis man sidder i Randers. Jeg efterspurgte en
lignede feedback flere gange, men har aldrig fået noget der ligner – kig på
vyrd. Bed hans lærere
om korrespondancen med mig. Den eksisterer ikke!
Handlingsplan, tak! … Mange tilbud, men ingen sammenhæng. Hvad skete der med handlingsplaner på
Hhlm?
gik til
… jeg mistede overblikket, da det fremstod, både for
og jeg som spredt fægtning. Anne-Louise sørgede venligst for at vi fik kontakt til en privatlærer i
Næstved. Der var
på skolen for
lektiehjælp fra én pige, der skulle have guldmedalje i Duke of Edinburgh award. Så var
der en anden -
Mette fra 2.G., og så Krabbe – lektiehjælp og organiseringshjælp fra 1.G.
Alt sammen fine initiativer, som jeg ikke helt ved, hvor endte – de gled ud og manglede en eller anden form
for samlet fundament. Jeg kan ikke helt sætte ord på, og vi er selvfølgelig glade for tilbuddene, men der
manglede sammenhæng og struktur/fastholdelse…. Jeg tror svaret hedder
’handlingsplan’?
Én ansvarlig
medarbejder med overblikket over alle indsatsområder – nedskrevet i en individuel handlingsplanen. Jeg
bad om en handlingsplan flere gange i min korrespondance med dig Anne-Louise og jeg husker, du svarede
mig, hvad jeg egentlig mente med det. Jeg finder gerne tråden. Summa sumarum er, at der ikke har været
tilbudt en vurdering af
behov ej heller udarbejdet en samlet plan for hans undervisning. En
handlingsplan.
Alle elever i folkeskolen, som har læringsudfordringer har krav på og får lavet en handlingsplan. Jeg er
stadigvæk overrasket over, man ikke ved, hvad det er på Hhlm. Vi havde en langstrakt korrespondance
omkring påske da
gik i
og starten af
– efter vores fællesmøde, jeg havde indkaldt til
efter
fik sin vyrd
uden så meget som en kommentar (bortset fra Brenda, som
altid leverer en uddybende status på barnet). Det møde, hvor jeg bad alle involverede være tilstede
(Vedhæfter tråden, ellers er det også fremsendt til Ettie)) I den korrespondance gjorde jeg opmærksom på,
BUU, Alm.del - 2021-22 - Endeligt svar på spørgsmål 247: Spm. om at oversende alle dokumenter i sagen, som TV2 har fået aktindsigt i, i forbindelse med produktionen af dokumentaren 'Herlufsholms hemmeligheder', til børne- og undervisningsministeren
2588615_0050.png
at folkeskoleloven pålægger private grundskoler at tilbyde det samme til alle elever som folkeskolen skal.
Og individuelle handlingsplaner er et af dem!
Det er meget belastende og stressende, at aflevere sit barn med
som er fuldstændig
italesat mellem forældre og skole og så ikke blive oplyst om og involveret i barnets udvikling. Et tal fortæller
jo intet om hvad problemet er, hvor vi skal hen og hvordan vi/han kommer derhen. Jeg har aldrig haft
overblik over, hvad planen var med
i nogen som helst fag. Det har man i folkeskolen.
Handlingsplaner. NB jeg har arbejdet som lærervikar på 2 skoler (reelt fire) alle de 3 år jeg har boet med
i
så taler med opdateret indsigt.
Vores ’efter- krisemøde-dialog’ som varede fra påske til jul
(der kom en sommerferien i mellem) og
der var lang ventetid på svarene, som jeg husker. Jeg blev ed med at spørge til ’handlingsplanen’ og
oplevede det som om spørgsmålet blev undveget. Udvekslingen – min fortsatte spørgen til
handlingsplanen, sluttede d også med et svar fra dig Anne-Louise, hvor du gør os opmærksom på, at hvis
det grundskolen tilbyder ikke er godt nok, så må vi finde en anden løsning til
Altså en anden skole.
uddannelse. (Igen jeg har tråden og det har Ettie også)
Jeg fik aldrig en handlingsplan for
Jeg har aldrig, som i ’aldrig’ trukket kortet ’vi betaler rent faktisk for det her’… og det gør jeg sådan set
heller ikke nu. Men der kommer andre efter os – heldigvis, så jeg gør her på falderebet opmærksom på,
hvordan man/vi jo ikke kan undgå at forvente, at når man betaler for en privatskole, at så får man også
’mere’ end en folkeskole kan tilbyde. Jeg synes, en handlingsplan er et minimum og i øvrigt lovpligtigt, så
vidt jeg forstår. Men jeg havde ønsket mig at skolen pga af de ekstra penge vi betalte, havde udpeget én
ansvarlig (lærer – ikke frivillige gymnasieelever og præfekter), der påtog sig opgaven at sørge for mit barns
uddannelse hele vejen rundt.
Fastholde ham i en klasse med en lærer han ikke forstod,
der stod for 50-60% af undervisningen –
Matematik, geografi og naturfag, som han ikke forstod. Både pga af hendes accent og didaktik…
blev
gentagende gange opfordret til at spørge, når han ikke forstod og det gjorde han. Men som han sagde
”mor, hun siger jo bare det samme, som hun sagde oppe ved tavlen – det var jo det, jeg allerede ikke
forstod”. Det skal lige nævnes at jeg talte med de andre forældre, hvis børn – hverken
eller
også havde problemer med at forstå den lærer. Så hvorfor fastholde ham i en klasse
med en lærer end ikke de danske børn ikke forstår? Jeg tror ikke vi stod her i dag, hvis
havde været i
en klasse som Christian og Jesper’s fra starten.
Fastholde ham i en klasse med en dansklærer som ikke hverken kommunikerede eller kom i spil med
’læsevejledning’
… en dansklærer som udleverede kompendier, så han ikke kunne
Og som i øvrigt ALDRIG kommunikerede med mig i de 2 år han var i hendes varetægt, på trods
af jeg udelukkende flyttede med til DK for at være støttehjul for
skolegang og jeg gang på gang
gjorde opmærksom på dette. En dansklærer som jeg fik at vide var læsevejleder og derfor havde var den
bedste til at arbejde med
– læsevejledere skulle have erfaring med / uddannelse i
af en
art. Sådan blev det i hvert fald solgt til mig. Det var bedst at holde under Heidis paraply, for hun kunne
/ville hjælpe ham som ”ekspert”.
mener selv at det værste, der er sket for ham er, at han havde Heidi
og Marianna som lærere. Han har fortalt efter han har forladt klassen, at han fuldstændig mistede sin
motivation, fordi han intet forstod og de aldrig prøvede at hjælpe ham til at forstå. Eller rettere bare
ignorerede – som jeg hører hans forklaring, den
elev tilstede i klassen. Iflg
og 3 andre klassekammerater, blev
aldrig spurgt, om han forstod eller kunne følge med.
BUU, Alm.del - 2021-22 - Endeligt svar på spørgsmål 247: Spm. om at oversende alle dokumenter i sagen, som TV2 har fået aktindsigt i, i forbindelse med produktionen af dokumentaren 'Herlufsholms hemmeligheder', til børne- og undervisningsministeren
2588615_0051.png
som også var
blev trukket ud af sine forældre, fordi de synes indsatsen var for ringe
og de havde samme oplevelse af Heidi og Marianna, som beskrevet – jeg talte med moderen.
Jeg spurgte
mange gange, om Heidi gjorde noget særligt i undervisningen for ham – på mange
kringlede måder (jeg er både journalist og har bedrevet antropologiske/sociologiske forskningsinterview)
fordi, jeg ved de/ årige ikke ser, hvad vi ser. I kan regne ud hvad resultatet af mine interviews var. Jeg
spurgte så sidenhen – på samme – for børnene, uigennemskuelig måde, enkelte af hans klassekammerater,
om samme…. Ingen havde bemærket, at der var en læsevejleder, der skulle tage sig ekstra af
læring,
tilstede i klasselokalet. Jeg må sige, at det har rystet mig hele vejen igennem. At Heidi ALDRIG har gjort sig
den ulejlighed at orientere mig eller være i dialog med mig- på trods af hun/I vidste jeg KUN og
udelukkende var flyttet til Danmark for at støtte
og jer i at få ham ordentlig på plads i skolen -
Herlufsholm. Den manglede dialog var ikke gået i folkeskolen. Så havde der været en klagesag!
fortæller grædende om sin skolestart – sit første år, sine første 2 år: ”det værste der kunne ske var, at jeg
fik Marianna og Heidi… jeg forstod ingenting… jeg sad bare og kiggede og forstod ingenting, det var det
værste der kunne ske.” … og fortsætter med at fortælle at
(også
som startede
med
havde det lige sådan, og derfor viste
hvordan man kunne se YouTube i timen for at slå
tiden ihjel. De var alligevel helt koblet af.
IT redskabet fungerede ikke 8 måneder inde i første skoleår.
De 8 måneder, hvor jeg rodede rundt med
hele problematikken,
, ny på Hhlm, blev jeg alt for mange gange henvist til
den pige fra 2.G. som frivilligt fungerede som
-coach. Det er voldsomt og efter min mening
upassende at lægge ansvaret for sådan en opgave hos en frivillig elev.
Jeg var selvfølgelig i kontakt med IT kontoret over tlf og mail. Jeg blev mødt mere end en gang med
beskeder som, at ’
måtte selv møde op’ (hvilket han glemte hele tiden - klasses-dreng) … og når
han så endelig huskede det, fik han flere gange at vide, at han skulle vi sørge for IT-kontoret havde tid, når
vi kom … og endelig at ’der var andre mere presserende opgaver i IT, som havde prioritet’… så han måtte
vente. Det skete mere end en gang! Hvad er mere vigtigt end eleverne kan være med i undervisningen?
for
et problem:
På et tidspunkt i de første 8 mdr, hvor IT
redskabet ikke fungerede, måtte jeg presse lidt rigeligt på at få set på
Jeg
oplevede at blive ’den irriterende mor’, der hele tiden var i røret. Men det var virkelig problematisk at
ikke kunne bruge sit IT redskab, fordi hele institutionen Hhlm henviste IT-redskabet, som om den ville
klare hele
for ham. Så vi blev jo revet med og selvfølgelig stressede over at den
ikke virkede. Det var jo
, der skulle redde os/ham.
Vi mødtes endelig med Lotte, som prøvede at løse problemet. Men som også måtte sande, den ikke duede.
Lotte henviste til
der åbenbart ligger i hobetal på nettet. Vi var lettede og gik glade
hjem. Men…. De duede heller ikke,
BUU, Alm.del - 2021-22 - Endeligt svar på spørgsmål 247: Spm. om at oversende alle dokumenter i sagen, som TV2 har fået aktindsigt i, i forbindelse med produktionen af dokumentaren 'Herlufsholms hemmeligheder', til børne- og undervisningsministeren
2588615_0052.png
Måske noget at tage til indtægt for fremtiden?
Overlade anskaffelse af undervisningsmateriale til
barn:
skulle selv lære – årig dreng, at
– det gør man for eleverne i
folkeskolen. Det er et lovkrav. Der er forhindringer nok i forvejen som
så I kan nok forestille jer
hvordan det gik. Sovesalslæreren/Mads skulle vise ham, hvordan man gør. Men hvis ansvar er det egentlig?
30 min daglig læsning som aldrig blev gennemført:
, SKAL bruge tid på at læse
på dansk. Det skal alle elever. Og det gjorde sovesalslærer Mads meget klart, da vi startede. At det gør
eleverne hver dag på gården. Det gjorde de så ikke.
Selv ’at finde en bog’ som kunne bruges på hans niveau, blev der aldrig taget ordentlig hånd om.
sagde der aldrig var nogen på biblioteket (jeg spurgte til det hver rejseweekend), det passer sikkert ikke –
men en
årig, med
skal holdes i hånden for at komme i gang. Og fastholdes!
Sovesalslærer Mads fandt ’noget’ til ham. Ja, det var i den ånd ’noget’. Et barn
g, skal
ikke have ’noget’. De skal virkelig sælges ’en bog’ og
. Men igen, hvem har
ansvaret?
læste med mig hver dag, da han boede hjemme. Når man kalder sig ’home away from
home’ så skal der jo være noget forældrestyring på lektielæsning, som rækker udover at checke de har
tændt computeren.
Jeg har nu fundet ud af min søn gennem sine år på Herluf, kun har læst 2 bøger udover dem, jeg har
sørget for han læste hjemme i weekenderne. Den ene bog fik
Asger, ham motiveret til at læse. Den anden bog fandt han selv liggende fremme hos en kammerat og blev
interesseret. Begge blev læst her i
Min oplevelser er, at der ingen opsyn er med, hvad de laver i LAL.
Jo opsyn med, at de er på deres pind, men ikke hvad der foregår på skærmen. På trods af vi alle kender
teenagedrenges hang til spil & YouTube. Og det er
blevet rigtig god til – altså gaming. Hvem har
ansvaret?
talte engelsk på gården:
… behøver ikke udpensle så meget her, det var bare et problem, at
endte med at hænge ud med de engelsktalende. Eller rettere, de andre drenge synes jo, det er cool at tale
engelsk (og det er jo fint for dem), som er Youtube/gaming sprog. Så hver gang jeg ringede, og han tog
telefonen forlod han en samtale på engelsk –
tager altid telefonen, mens han forsætter samtalen,
han er i. Og jeg kunne høre, der blev talt engelsk i baggrunden. Jeg talte flere gange med sovesalslærer
Mads om, der var noget man kunne gøre, men han syntes, de talte dansk sammen.
Meget af ovenstående har jeg gjort opmærksom på i en den korrespondance, som bestyrelsen har været
kopieret på. Men det er nok ikke så tydeligt, som det forhåbentligt fremstår her i et mere samlet overblik
over vores oplevelse.
Jeg ønsker Herlufsholm, elever, personale og bestyrelse alt det bedste. Vi kæmpede år for at blive, fordi vi
synes, det er en fantastisk skole på mange fronter. Men der er også brug for udvikling, så I ikke taber flere
på gulvet, men måske endda kan bryste jer af at have styr på det – vi holdt fast i for lang tid, ser vi nu. Fordi
vi stolede på jer som eksperter i uddannelse og fordi I er troværdige sympatiske mennesker. Men der skal
mere til… Og det er
der er den store taber i det her forløb. Det gør ondt! … Det bliver stejlt op ad
bakke for ham at starte
– og så er han jo stadig
forevigt, så endnu stejlere for ham. Og drengen (og vi) er dybt ulykkelig over at skulle forlade jer, venner og
venners forældre. Det gør rigtig ondt! Men han har lidt nederlag alt for længe. Mistet motivationen og har
BUU, Alm.del - 2021-22 - Endeligt svar på spørgsmål 247: Spm. om at oversende alle dokumenter i sagen, som TV2 har fået aktindsigt i, i forbindelse med produktionen af dokumentaren 'Herlufsholms hemmeligheder', til børne- og undervisningsministeren
2588615_0053.png
store sår på selvtilliden. Store! … håber ikke, der kommer andre efter ham. Andre der i den grad skal lide
nederlag som
Mange hilsner fra
Anja &
– og Mike
Anja du Toit, MA Mass Comm & Journalist
Kenya + 254 722 20 30 63
Denmark +45 29 91 08 11
www.malostables.com
www.facebook.com/NairobiForestRides
BUU, Alm.del - 2021-22 - Endeligt svar på spørgsmål 247: Spm. om at oversende alle dokumenter i sagen, som TV2 har fået aktindsigt i, i forbindelse med produktionen af dokumentaren 'Herlufsholms hemmeligheder', til børne- og undervisningsministeren
2588615_0054.png
4
BUU, Alm.del - 2021-22 - Endeligt svar på spørgsmål 247: Spm. om at oversende alle dokumenter i sagen, som TV2 har fået aktindsigt i, i forbindelse med produktionen af dokumentaren 'Herlufsholms hemmeligheder', til børne- og undervisningsministeren
2588615_0055.png
5
BUU, Alm.del - 2021-22 - Endeligt svar på spørgsmål 247: Spm. om at oversende alle dokumenter i sagen, som TV2 har fået aktindsigt i, i forbindelse med produktionen af dokumentaren 'Herlufsholms hemmeligheder', til børne- og undervisningsministeren
2588615_0056.png
Fra:
Sendt:
Til:
Emne:
Mikkel Kjellberg <[email protected]>
13. august 2020 10:25
Karen-Kathrine Vedel Sørensen; Sofie Marie Jørgensen Alber; Elsebeth
Aller
VS: Version 2
på Herlufsholm - vi manglede en ansvarlig og
handlingsplan i år. Nu trækker vi stikket :(
Kære Alle 3
Anja du Toit har gjort mig opmærksom på, at hun har sendt nedenstående til Jer også. Hvis der er
noget som I i den forbindelse ønsker at drøfte med skolen, står vi naturligvis til rådighed.
Med venlig hilsen
Mikkel Kjellberg
Rektor
Herlufsholm Skole og Gods
Herlufsholm Allé 170
4700 Næstved, DK
Tlf.: 55 75 35 00
E-mail:
[email protected]
Web:
www.herlufsholm.dk
Kære Mikkel, Anne-Louise og bestyrelse
Jeg er ked af at meddele
ikke kommer til at fortsætte på Herlufsholm næste skoleår. Vi er SÅ
kede af ikke at kunne fortsætte, men det går ikke.
Jeg har nedenfor lavet en punktvis opsummering af, hvor vi/jeg synes det er gået galt.
BUU, Alm.del - 2021-22 - Endeligt svar på spørgsmål 247: Spm. om at oversende alle dokumenter i sagen, som TV2 har fået aktindsigt i, i forbindelse med produktionen af dokumentaren 'Herlufsholms hemmeligheder', til børne- og undervisningsministeren
2588615_0057.png
Hermed en opsummering af vores/min oplevelse af, hvorfor det ikke lykkedes. Håber det kan
hjælpe Herlufsholm /jer til at gøre det bedre. Det er i hvert fald grunden til, jeg bruger tid på at
opsummere. Håber I modtager den i den ånd, den er produceret. Herlufsholm er fantastisk. Vi har
været rigtig glade for
forløb og for at lære alle jer, der holder skibet i søen at kende. Og ved
og forstår, der er mange udfordringer, og vi ikke er de eneste forældre, der påkalder os jeres
opmærksomhed. Mange tak for alt, der er blevet gjort, for I har da prøvet, det er sikkert. Men her er
oplevelsen fra vores side, det er ikke ensbetydende med det er den endegyldige sandhed. I har jo
jeres oplevelse. Men mange har jo fulgt vores forløb, og gør det stadig. Så deler min oplevelse, så I
får noget at arbejde med for fremtiden, hvis I vil?
Én ansvarlig
Der er ingen person udpeget med ansvar for
på Herluf. De skoler jeg
har været på (har arbejdet som lærervikar på 4 i Næstved) har ALLE en spiseseddel, som udpeger,
ved navns nævnelse og e-mail, hvem der er overordnet ansvarlig for dit barns læring, hvem der står
IT delen og hvem for det faglige. Og hvornår man
forældre og børn, kommer på kursus i det
software som skolen brugte. Den delte jeg med dig Anne-Louise og spurgte om skolen
ikke kunne kopiere en sådan struktur, for det ville være rart som forældre at vide, hvem der er
ansvarlig. Hvem man skal gå til.
Og det er her jeg synes problemet ligger. Jeg har ikke oplevet, der
var nogen, der tog det samlede ansvar for
læring. I skolen og på gården.
Som forældre til
et kostbarn, har man jo ”købt en pakke”. Vi skelner ikke mellem ’skole’ og ’gård’. For os er
Herlufsholm en samlet institution, der uddanner vores børn. Jeg har manglet en person, der ville
koordinere indsatsen mellem skole og gården. Eller én person der havde ansvaret for min søns
uddannelse om det handler om lektier, afleveringer,
. Vi forældre kan
ikke styre/påvirke, hvad der forgår, hverken i klasselokalet eller ved skrivebordet på gården.
Kommunikation til hjemmet alt for mangelfuld
Feedback på karakterer / vyrd er alt for kort og mangler uddybning… der skal være noget for elev
og forældre at kunne tage fat i. En karakter fortæller jo ikke, hvor der skal sættes ind for at forbedre.
og jeg fik et blankt karakterark, hvad
kommentarer angår. INTET fra de lærere, der havde droppet karakteren. Jeg var rasende og
indkaldte til et møde. Fordi jeg ikke følte, der var nogen, der havde hånd i hanke med
læring.
duede ikke, han fik ikke
Brendas uopfordrede ’heads-up’,
var fantastiske. Intet mindre. Hun fortalte både om, hvor drengen
stod fagligt, men så sandelig også om hans trivsel i klassen/hendes timer. Det var en kæmpe hjælp,
når man sidder 8.000 km fra sit barn. Men vel ikke anderledes, hvis man sidder i Randers. Jeg
BUU, Alm.del - 2021-22 - Endeligt svar på spørgsmål 247: Spm. om at oversende alle dokumenter i sagen, som TV2 har fået aktindsigt i, i forbindelse med produktionen af dokumentaren 'Herlufsholms hemmeligheder', til børne- og undervisningsministeren
2588615_0058.png
efterspurgte en lignede feedback
flere
gange, men
har aldrig fået
nogel der hgner
_
kig på-
vyrd. Bed
hans
lærere
om
korrespondancen med mig. Den eksisterer ikke!
Handlingsplan,
tak!
Mange
tilbud,
men ingen sammenhæng.
Hvad
skete
der
med
handlingsplaner
på tm?
ik til
jeg
mistede overblikket.
da det
fremstod. både
for
og
jeg som spredt
fægtning. Anne-Louise sørgede Venhgsl
for at v1 fik kontakt til en
rivatlærer i
Næstved.
Der var—
skolen
for
leknehjælp fra én i
e, der skulle have guldmedalje
i
Duke of
Edinburgh
award.
Så Var der en
anden
Mette
fra
2.G.,
og så
Krabbe
_
lektiehjælp
og organisenngshjælp
fra 1.G. Alt
sammen fine
initiativer,
somjeg
ikke helt ved,
hvor
endte
_
de
gled
ud
og manglede en
eller anden
form
for
samlet fundament.
Jeg kan ikke helt
sætte
ord på, og Vi
er selvfølgelig glade
for
tilbuddene,
men
der manglede sammenhæng og
strulmu/fastholdelse.
.
..
Jeg
tror svaret hedder
'hamllingsplan
'? En ansvarlig
medarbejder
med
overblikket over alle
lndsalsområder
_
nedskrevet
i
en individuel handlingsplanen.
Jeg bad om en handlingsplan
flere
gange i min
korrespondance
med dlg
Aune-Louise
og jeg husker, du svarede mig,
hvad
jeg egentlig
meme
med det.
Je finder gerne tråden.
Summa
sumarum
er,
at der ikke har været tilbudt en
vurdering af
behov ej heller udarbejdet en samlet
plan for hans
undervisning.
En
handlingsplan.
Alle elever
i folkeskolen, som har læringsudfordriuger
har krav på og får lavet en haudhngsplan.
Jeg er
stadigvæk overrasket
over,
man
ikke ved.
hvad
det er på tm.
Vi havde en langstrakt
korrespondance omkring
påske da-
gik i
og starten af
_
efter Vores fællesmøde,
jeg
havde indkaldt
til efter-
fik sin vyr
uden så
meget
som
en
kommentar (bortset
fra
Brenda,
som altid leverer en uddybende
status
på barnet). Det
møde, hvor
jeg bad
alle involverede
være tilstede (Vedhæfter tråden, ellers er
det
også
fremsendt
lil
Ettie))
I
den
korrespondance gjorde jeg
opmærksom på, at
folkeskoleloven pålægger
private
grundskoler
at
tilbyde det samme
til
alle elever
som folkeskolen skal.
Og individuelle handlingsplaner er et
af
dem!
Det er meget belastende ug stressende,
at
aflevere
sit
barn
med
som er
fuldstaendig
italesat
mellem forældre og skole
og så ikke blive oplyst om og involverer i barnets
udv1kling. El tal
fortæller
jo intel om
hvad problemet
er,
hvor
Vi skal hen
o hvordan
vi/han
kommer
derhen. Jeg har aldrig haft overblik over,
hvad
planen var med
i nogen
som
helst
fag. Det har
man
1 folkeskolen. Handlin
s
lan
B
'e
har
arbejdet
som lærervikar på
2 skoler
(reell fire) alle de 3
årjeg
har
boet medä
i
så teller med opdalerel
indsigt.
Vores
’efler- krlsemude-dialog’
som
varede
fra påske lil jul-
(der kom
en
sommerferien
i
mellem) og der
Var lang ventetid på svareneI som jeg husker. Jeg blev
ed med
al spørge nl
handlingsplanen,
og oplevede
det som om spørgsmålet
blev undveget. Udvekslingen
_
min
fortsatte spørgen
til
handlingsplanen, sluttede d også
med
et
svar fra
dig Anne-Louise,
hvor du
gør
os opmærksom
å, at
hvis
det
grundskolen
tilbyder ikke er
godt
nok. så må Vi
fmde
en
anden
løsmng
nl
Altså en anden
skole.
Jeg fik aldrig
en
handlingsplan
for-
uddannelse.
(Igen
jeg har
tråden
og det har
Eme
også)
BUU, Alm.del - 2021-22 - Endeligt svar på spørgsmål 247: Spm. om at oversende alle dokumenter i sagen, som TV2 har fået aktindsigt i, i forbindelse med produktionen af dokumentaren 'Herlufsholms hemmeligheder', til børne- og undervisningsministeren
2588615_0059.png
Jeg har aldrig, som i ’aldrig’ trukket kortet ’vi betaler rent faktisk for det her’… og det gør jeg
sådan set heller ikke nu. Men der kommer andre efter os
heldigvis, så jeg gør her på falderebet
opmærksom på, hvordan man/vi jo ikke kan undgå at forvente, at når man betaler for en privatskole,
at så får man også ’mere’ end en folkeskole kan tilbyde. Jeg synes, en handlingsplan er et minimum
og i øvrigt lovpligtigt, så vidt jeg forstår. Men jeg havde ønsket mig at skolen pga af de ekstra
penge vi betalte, havde udpeget én ansvarlig (lærer
ikke frivillige gymnasieelever og præfekter),
der påtog sig opgaven at sørge for mit barns uddannelse hele vejen rundt.
Fastholde ham i en klasse med en lærer han ikke forstod,
der stod for 50-60% af undervisningen
Matematik, geografi og
naturfag, som han ikke forstod. Både pga af hendes accent og didaktik…
blev gentagende gange opfordret til at spørge, når han ikke forstod og det gjorde han. Men
som han sagde ”mor, hun siger jo bare det samme, som hun sagde oppe ved tavlen –
det var jo det,
jeg allerede ikke forstod”. Det skal lige nævnes at jeg talte med de andre forældre, hvis børn –
hverken
eller
også havde problemer med at forstå den lærer. Så
hvorfor fastholde ham i en klasse med en lærer end ikke de danske børn ikke forstår? Jeg tror ikke
vi stod her i dag, hvis
havde været i en klasse som Christian og Jesper’s fra starten.
Fastholde ham i en klasse med en dansklærer som ikke hverken kommunikerede eller kom i
spil med ’læsevejledning’
… en dansklærer
som udleverede kompendier, så han ikke kunne
Og som i øvrigt ALDRIG kommunikerede med mig i de 2 år han var
i hendes varetægt, på trods af jeg udelukkende flyttede med til DK for at være støttehjul for
skolegang og jeg gang på gang gjorde opmærksom på dette. En dansklærer som jeg fik at vide var
læsevejleder og derfor havde var den bedste til at arbejde med
læsevejledere skulle have
erfaring med / uddannelse i
af en art. Sådan blev det i hvert fald solgt til mig. Det var
bedst at holde under Heidis paraply, for hun kunne /ville hjælpe ham som ”ekspert”.
mener
selv at det værste, der er sket for ham er, at han havde Heidi og Marianna som lærere. Han har
fortalt efter han har forladt klassen, at han fuldstændig mistede sin motivation, fordi han intet
forstod og de aldrig prøvede at hjælpe ham til at forstå. Eller rettere bare ignorerede
som jeg hører
hans forklaring, den
elev tilstede i klassen. Iflg
og 3 andre
klassekammerater, blev
aldrig spurgt, om han forstod eller kunne følge med.
som også var
blev trukket ud af sine forældre, fordi de synes indsatsen var for
ringe og de havde samme oplevelse af Heidi og Marianna, som beskrevet
jeg talte med moderen.
Jeg spurgte
mange gange, om Heidi gjorde noget særligt i undervisningen for ham
mange kringlede måder (jeg er både journalist og har bedrevet antropologiske/sociologiske
forskningsinterview) fordi, jeg ved de/ årige ikke ser, hvad vi ser. I kan regne ud hvad resultatet af
mine interviews var. Jeg spurgte så sidenhen
på samme
for børnene, uigennemskuelig måde,
enkelte af hans klassekammerater, om samme…. Ingen havde bemærket, at der var en læsevejleder,
der skulle tage sig ekstra af
læring, tilstede i klasselokalet. Jeg må sige, at det har rystet mig
hele vejen igennem. At Heidi ALDRIG har gjort sig den ulejlighed at orientere mig eller være i
dialog med mig- på trods af hun/I vidste jeg KUN og udelukkende var flyttet til Danmark for at
støtte
og jer i at få ham ordentlig på plads i skolen - Herlufsholm. Den manglede dialog var
ikke gået i folkeskolen. Så havde der været en klagesag!
fortæller grædende om sin skolestart
sit første år, sine
første 2 år: ”det værste der kunne ske var, at jeg fik Marianna og Heidi… jeg
BUU, Alm.del - 2021-22 - Endeligt svar på spørgsmål 247: Spm. om at oversende alle dokumenter i sagen, som TV2 har fået aktindsigt i, i forbindelse med produktionen af dokumentaren 'Herlufsholms hemmeligheder', til børne- og undervisningsministeren
2588615_0060.png
forstod
ingenting.
. .
jeg
sad
bate
og kiggede og forstod ingenting. del var det værste der kunne ske."
og fortsætter med at fortælle a1
(også—
som startede med-
havde det lige
sådan,
og
derfor viste
hvordan
man
kunne
se
YouTube i timen
for at
slå
liden
ihjel. De var alligevel helt koblet af.
IT redskabet fungerede ikke
8
måneder inde
i
første skoleår.
De
8
måneder, hvor jeg rodede
rundt med hele problematikken,
ny på tm,
blev jeg
alt for
mange gauge
henvist nl den
pige
fra
2.G.
som
frivdligl fungerede
som--coach.
Det er
voldsomt og
efter
min mening upassende at lægge
ansvaret
for
sådan
en opgave hos en friv1llig
elev.
Jeg var selvfølgelig
i
kontakt med
IT
kontoret over
tlf og mai].
Jeg
blev mødt mere end en gang
med
beskeder som. at
-
måtte selv møde op" (hvilket
han
glemte hele liden - I
klasses-dreng)
og når han
endelig huskede det, fik han flere gange at vide, at han skulle vi
sørge
for IT-
kontoret havde lid. når vi kom
og
endelig
al
”der
var andre mere presserende opgaver i IT. som
havde
prioritet”
.
..
han måtte vente. Det skele mere end en
gang!
Hvad er mere vigtig end
eleverne kan være med i underv1snmgen?
for
et
problem:
På et
tidspunkt
i de første 8
mdr, hvor IT redskabet ikke fungerede, måtte jeg presse lidt rigeligt
at
set
. Jeg o
levede at
blive
”den irriterende
moi”. der hele tiden var
i
røret. Men
det var virkelig
problemausk
alp—
ikke kunne
bmge
sit IT redskab, fordi hele institutionen
tm
henviste IT—redskåbet, som om den ville klare hele
for ham.
vi
blevjo revet med og
selvfølgelig stressede over
at den
ikke virkede.
Del
Varjo
, der
skulle redde
(:s/ham.
Vi
mødles endelig
med Lotte, som prøvede al
løse problemet.
Men som også
målte sande,
den
ikke
duede. Lotte henviste
til
der åbenbart ligger i
hobelal
nettet.
Vi var lettede
oe
ik
lade
h'em. Men.
De duede heller ikke.
Måske noget at
tage
til
iudlægt for
fremtiden?
Overlade
anskaffelse
af
undervisningsmateriale
lil—
barn:
_
det
nok
i
forvejen som
ør man for eleverne i
I
kan nok
skulle selv lære
_.
årig dreng, at
folkeskolen. Det er et lovkrav. Der er forhindrmger
BUU, Alm.del - 2021-22 - Endeligt svar på spørgsmål 247: Spm. om at oversende alle dokumenter i sagen, som TV2 har fået aktindsigt i, i forbindelse med produktionen af dokumentaren 'Herlufsholms hemmeligheder', til børne- og undervisningsministeren
2588615_0061.png
forestille jer hvordan det gik. Sovesalslæreren/Mads skulle vise ham, hvordan man gør. Men hvis
ansvar er det egentlig?
30 min daglig læsning som aldrig blev gennemført:
, SKAL bruge tid
på at læse på dansk. Det skal alle elever. Og det gjorde sovesalslærer Mads meget klart, da vi
startede. At det gør eleverne hver dag på gården. Det gjorde de så ikke.
Selv ’at finde en bog’ som kunne bruges på hans niveau, blev der aldrig taget ordentlig
hånd om.
sagde der aldrig var nogen på biblioteket (jeg spurgte til det hver rejseweekend), det passer
sikkert ikke
men en
årig, med
skal holdes i hånden for at komme i gang. Og
fastholdes! Sovesalslærer Mads fandt ’noget’ til ham. Ja, det var i den ånd ’noget’. Et barn
skal ikke have ’noget’. De skal virkelig sælges ’en bog’ og
Men igen, hvem har ansvaret?
læste med mig hver dag, da han boede
hjemme. Når man kalder
sig ’home away from home’ så skal der jo være noget forældrestyring på
lektielæsning, som rækker udover at checke de har tændt computeren.
Jeg har nu fundet ud af min søn gennem sine år på Herluf, kun har læst 2 bøger udover dem, jeg
har sørget for han læste hjemme i weekenderne. Den ene bog fik vores egen private matematik-
lektiestøtte
Asger, ham motiveret til at læse. Den anden bog fandt han selv liggende fremme hos
en kammerat og blev interesseret. Begge blev læst her i
Min oplevelser er, at der ingen
opsyn er med, hvad de laver i LAL. Jo opsyn med, at de er på deres pind, men ikke hvad der foregår
på skærmen. På trods af vi alle kender teenagedrenges hang til spil & YouTube. Og det er
blevet rigtig god til
altså gaming. Hvem har ansvaret?
talte engelsk på gården:
… behøver ikke udpensle så meget her, det var bare et problem, at
endte med at hænge ud med de engelsktalende. Eller rettere, de andre drenge synes jo, det er
cool at tale engelsk (og det er jo fint for dem), som er Youtube/gaming sprog. Så hver gang jeg
tager altid telefonen, mens
ringede, og han tog telefonen forlod han en samtale på engelsk
han forsætter samtalen, han er i. Og jeg kunne høre, der blev talt engelsk i baggrunden. Jeg talte
flere gange med sovesalslærer Mads om, der var noget man kunne gøre, men han syntes, de talte
dansk sammen.
Meget af ovenstående har jeg gjort opmærksom på i en den korrespondance, som bestyrelsen har
været kopieret på. Men det er nok ikke så tydeligt, som det forhåbentligt fremstår her i et mere
samlet overblik over vores oplevelse.
Jeg ønsker Herlufsholm, elever, personale og bestyrelse alt det bedste. Vi kæmpede år for at blive,
fordi vi synes, det er en fantastisk skole på mange fronter. Men der er også brug for udvikling, så I
ikke taber flere på gulvet, men måske endda kan bryste jer af at have styr på det
vi holdt fast i for
lang tid, ser vi nu. Fordi vi stolede på jer som eksperter i uddannelse og fordi I er troværdige
sympatiske mennesker. Men der skal mere til…
Og det er
der er den store taber i det her
forløb. Det gør ondt! … Det bliver stejlt op ad bakke for ham at starte
og så er han jo stadig
forevigt, så endnu stejlere for ham. Og drengen (og
vi) er dybt ulykkelig over at skulle forlade jer, venner og venners forældre. Det gør rigtig ondt! Men
han har lidt nederlag alt for længe. Mistet motivationen og har store sår på selvtilliden. Store!
håber ikke, der kommer andre efter ham. Andre der i den grad skal lide nederlag som
Mange hilsner fra
BUU, Alm.del - 2021-22 - Endeligt svar på spørgsmål 247: Spm. om at oversende alle dokumenter i sagen, som TV2 har fået aktindsigt i, i forbindelse med produktionen af dokumentaren 'Herlufsholms hemmeligheder', til børne- og undervisningsministeren
2588615_0062.png
Anja &
og Mike
Anja du Toit, MA Mass Comm & Journalist
Kenya + 254 722 20 30 63
Denmark +45 29 91 08 11
www.malostables.com
www.facebook.com/NairobiForestRides
--
Anja du Toit
MA Mass Comm. & Journalist
+254 722 20 30 63 or
+45 29 91 08 11
BUU, Alm.del - 2021-22 - Endeligt svar på spørgsmål 247: Spm. om at oversende alle dokumenter i sagen, som TV2 har fået aktindsigt i, i forbindelse med produktionen af dokumentaren 'Herlufsholms hemmeligheder', til børne- og undervisningsministeren
2588615_0063.png
6
BUU, Alm.del - 2021-22 - Endeligt svar på spørgsmål 247: Spm. om at oversende alle dokumenter i sagen, som TV2 har fået aktindsigt i, i forbindelse med produktionen af dokumentaren 'Herlufsholms hemmeligheder', til børne- og undervisningsministeren
2588615_0064.png
Telefonnotat
Samtaledato
Talt med
14-08-2020
Forældre, Anja du Toit
Indhold
Undertegnede kontaktede Anja du Toit på baggrund af hendes henvendelse til STUK af 23. juni
2020.
Undertegnede spurgte Anja, om hendes søn var blevet
ifm. sin skolegang på Her-
lufsholm Skole og Gods. Hertil svarede Anja, at det var han ikke, og at der, jf. hendes henvendel-
se, ikke var lavet en handleplan for ham ift. hans
Undertegnede spurgte yderligere,
om det i henvendelsen omtalte ”IT-redskab” var en
. Anja svarede, at det var det ikke.
IT-redskabet var et program, som blev lagt over på sønnens private computer. Anja oplyste vide-
re, at programmet ikke virkede i de første 8 måneder og at skolen ikke stillede hjælp til rådighed
trods flere henvendelser fra Anja.
Undertegnede takkede for samtalen, som derefter blev afsluttet.
Dato
14-08-2020
Navn
Karen-Kathrine Vedel Sørensen
Handling
Journaliseret
BUU, Alm.del - 2021-22 - Endeligt svar på spørgsmål 247: Spm. om at oversende alle dokumenter i sagen, som TV2 har fået aktindsigt i, i forbindelse med produktionen af dokumentaren 'Herlufsholms hemmeligheder', til børne- og undervisningsministeren
2588615_0065.png
7
BUU, Alm.del - 2021-22 - Endeligt svar på spørgsmål 247: Spm. om at oversende alle dokumenter i sagen, som TV2 har fået aktindsigt i, i forbindelse med produktionen af dokumentaren 'Herlufsholms hemmeligheder', til børne- og undervisningsministeren
2588615_0066.png
Telefonnotat
Samtaledato
Talt med
14-08-2020
Mikkel Kjellberg, rektor på Herlufsholm Skole og
Gods
Indhold
Ved e-mail af 13. august 2020 oplyste Mikkel Kjellberg, rektor ved Herlufsholm Skole og Gods,
at skolen stod til rådighed for evt. drøftelse med styrelsen af forældrehenvendelsen fra Anja du
Toit, som har rejst kritik af skolens indsats i forhold til sit barn med
Undertegnede rettede på den baggrund dags dato telefonisk henvendelse til Mikkel Kjellberg og
anmodede om hans bemærkninger til forældrehenvendelsen.
Mikkel Kjellberg oplyste, at skolen har styrket skolens praksis for
i de seneste år.
Skolen har en læsevejleder, som står for indsatsen. I forhold til den konkrete forældrehenvendelse
har forælderen misforstået den rolle, som 2.G-mentoren har haft i forhold til eleven. Mentorens
rolle har alene været en ekstrastøtte som et supplement til skolens indsats.
Undertegnede spurgte til, hvorfor drengen ikke var
Mikkel Kjellberg oplyste, at
det skulle afklares med grundskolelederen, som ikke pt. var til stede.
Mikkel Kjellberg oplyste videre, at eleven ikke havde haft det nemt med at komme på kostskole,
hvilket ikke kun skyldtes
men
. Eleven havde endvidere
Undertegnede spurgte til, hvilke tilbud skolen giver til elever
.
Mikkel Kjellberg oplyste, at skolen har to medarbejdere, der er uddannet
og at eleven har modtaget
. Herudover har skolen modtaget en privat
donation, som går til et ’crash course’ for elever,
. Kurset in-
deholder
Undertegnede oplyste afslutningsvist, at styrelsen vil affatte et brev, hvor skolen får mulighed for
på skrift at redegøre nærmere for sagen og skolens praksis vedr.
mv.
Dato
14.08.20
Navn
Sofie Alber
Handling
BUU, Alm.del - 2021-22 - Endeligt svar på spørgsmål 247: Spm. om at oversende alle dokumenter i sagen, som TV2 har fået aktindsigt i, i forbindelse med produktionen af dokumentaren 'Herlufsholms hemmeligheder', til børne- og undervisningsministeren
2588615_0067.png
8
BUU, Alm.del - 2021-22 - Endeligt svar på spørgsmål 247: Spm. om at oversende alle dokumenter i sagen, som TV2 har fået aktindsigt i, i forbindelse med produktionen af dokumentaren 'Herlufsholms hemmeligheder', til børne- og undervisningsministeren
2588615_0068.png
Herlufsholm Skole og Gods
Herlufsholm Allé 170
4700 Næstved
Att. skoleleder og bestyrelsesformand
Styrelsen for Undervisning og
Kvalitet
Frederiksholms Kanal 26
1220 København K
Tlf. nr.: 33 92 50 00
E-mail: [email protected]
www.stukuvm.dk
CVR nr.: 29634750
11. september 2020
Sags nr.: 20/13586
Anmodning om redegørelse
Styrelsen modtog den 23. juni 2020 en henvendelse fra Anja du Toit, der
er forælder til en tidligere elev på Herlufsholm Skole og Gods. Henven-
delsen vedrører manglende støtte til hendes
søn på Herlufs-
holm Skole og Gods. Anja du Toit oplyser i sin henvendelse, at hun vil
sende den samme henvendelse til skoleledelsen og bestyrelsen på skolen.
Henvendelsen er vedlagt dette brev.
Efter modtagelse af henvendelsen har styrelsen taget kontakt til forælde-
ren, som yderligere oplyste, at skolen ikke tilbød at
eleven.
Styrelsen har endvidere på baggrund af henvendelsen indhentet oplys-
ninger fra styrelsens kontor for specialpædagogisk støtte, som har oplyst,
at der i grundskoledelen på Herlufsholm Skole og Gods udelukkende er
søgt støtte til én elev, som handlede om at få overført en allerede bevil-
get
fra en tidligere skole. Styrelsen finder, at dette tal er
usædvanligt lavt set i forhold til skolens elevtal.
På den baggrund skal styrelsen som led i sin tilsynsvirksomhed, jf. frisko-
lelovens § 9 f, stk. 1, anmode om følgende:
a. Skolens evt. bemærkninger til de fremsatte konkrete kritikpunk-
ter.
b. Det fremgår af friskolelovens § 3, stk. 1, 1. pkt., at en skole skal
give specialundervisning og anden specialpædagogisk bistand til
elever i medfør af § 3, stk. 2, 2. pkt., i lov om folkeskolen. Skolen
bedes redegøre for, hvordan skolen sikrer dette.
c. Det fremgår af friskolelovens § 3, stk. 1, 2. pkt., at en skole skal
tilbyde supplerende undervisning eller anden faglig støtte til ele-
ver, der har brug for støtte, og som ikke kan understøttes alene
ved brug af undervisningsdifferentiering og holddannelse, med
henblik på elevens inklusion i den almindelige undervisning, jf. §
BUU, Alm.del - 2021-22 - Endeligt svar på spørgsmål 247: Spm. om at oversende alle dokumenter i sagen, som TV2 har fået aktindsigt i, i forbindelse med produktionen af dokumentaren 'Herlufsholms hemmeligheder', til børne- og undervisningsministeren
3 a, 1. pkt., i lov om folkeskolen. Skolen bedes redegøre for,
hvordan skolen sikrer dette.
d. Skolen bedes redegøre for, hvordan skolen identificerer elever
med eventuelle støttebehov.
De ovennævnte oplysninger skal være modtaget i styrelsen senest fredag
den 25. september 2020 og sendes til karen-
[email protected] og [email protected]
Det bemærkes, at ovenstående oplysninger samt eventuelle bilag skal
fremsendes til styrelsen i elektronisk form pr. e-mail, jf. friskolelovens §
20 b. Styrelsen skal i den forbindelse anmode om, at skolen samtidig
overstreger eventuelle cpr.nr., således at disse ikke fremgår af det frem-
sendte materiale.
Endvidere skal styrelsen anmode om, at besvarelsen af ovenstående
punkter fremgår tydeligt fx ved angivelse af a., b., c., d.
Med venlig hilsen
Karen-Kathrine Vedel Sørensen
Fuldmægtig
Direkte tlf. +45 33 92 51 86
[email protected]
2
BUU, Alm.del - 2021-22 - Endeligt svar på spørgsmål 247: Spm. om at oversende alle dokumenter i sagen, som TV2 har fået aktindsigt i, i forbindelse med produktionen af dokumentaren 'Herlufsholms hemmeligheder', til børne- og undervisningsministeren
2588615_0070.png
9
BUU, Alm.del - 2021-22 - Endeligt svar på spørgsmål 247: Spm. om at oversende alle dokumenter i sagen, som TV2 har fået aktindsigt i, i forbindelse med produktionen af dokumentaren 'Herlufsholms hemmeligheder', til børne- og undervisningsministeren
2588615_0071.png
Fra:
Sendt:
Til:
Emne:
Vedhæftedefiler:
Karen-Kathrine
VedelSørensen
11. september202014:29
'[email protected]'
Brev fra Styrelsen Undervisning Kvalitet
for
og
Anmodningom redegørelse
HerlufsholmSkoleog Gods.pdf;Henvendelse 23-
af
06-2020.
pdf
Til institutionens
bestyrelse og øverste ledelse
brev.
for modtagelsen
af denne mail, og at mailen videresendes
til
Se venligst vedhæftede
Jeg skal anmode om, at der kvitteres
institutionens bestyrelse.
Med venlighilsen
Karen-Kathrine
VedelSørensen
Fuldmægtig
Styrelsen Undervisning Kvalitet
for
og
Frederiksholms
Kanal26
1220København
K
Tlf. nr.: 33 92 50 00
Direktetlf.: +45 33 92 51 86
E-mail:[email protected]
BUU, Alm.del - 2021-22 - Endeligt svar på spørgsmål 247: Spm. om at oversende alle dokumenter i sagen, som TV2 har fået aktindsigt i, i forbindelse med produktionen af dokumentaren 'Herlufsholms hemmeligheder', til børne- og undervisningsministeren
2588615_0072.png
Herlufsholm Skole og Gods
Herlufsholm Allé 170
4700 Næstved
Att. skoleleder og bestyrelsesformand
Styrelsen for Undervisning og
Kvalitet
Frederiksholms Kanal 26
1220 København K
Tlf. nr.: 33 92 50 00
E-mail: [email protected]
www.stukuvm.dk
CVR nr.: 29634750
11. september 2020
Sags nr.: 20/13586
Anmodning om redegørelse
Styrelsen modtog den 23. juni 2020 en henvendelse fra Anja du Toit, der
er forælder til en tidligere elev på Herlufsholm Skole og Gods. Henven-
delsen vedrører manglende støtte til hendes
søn på Herlufs-
holm Skole og Gods. Anja du Toit oplyser i sin henvendelse, at hun vil
sende den samme henvendelse til skoleledelsen og bestyrelsen på skolen.
Henvendelsen er vedlagt dette brev.
Efter modtagelse af henvendelsen har styrelsen taget kontakt til forælde-
ren, som yderligere oplyste, at skolen ikke tilbød at
eleven.
Styrelsen har endvidere på baggrund af henvendelsen indhentet oplysnin-
ger fra styrelsens kontor for specialpædagogisk støtte, som har oplyst, at
der i grundskoledelen på Herlufsholm Skole og Gods udelukkende er
søgt støtte til én elev, som handlede om at få overført en allerede bevil-
get
fra en tidligere skole. Styrelsen finder, at dette tal er
usædvanligt lavt set i forhold til skolens elevtal.
På den baggrund skal styrelsen som led i sin tilsynsvirksomhed, jf. frisko-
lelovens § 9 f, stk. 1, anmode om følgende:
a. Skolens evt. bemærkninger til de fremsatte konkrete kritikpunk-
ter.
b. Det fremgår af friskolelovens § 3, stk. 1, 1. pkt., at en skole skal
give specialundervisning og anden specialpædagogisk bistand til
elever i medfør af § 3, stk. 2, 2. pkt., i lov om folkeskolen. Skolen
bedes redegøre for, hvordan skolen sikrer dette.
c. Det fremgår af friskolelovens § 3, stk. 1, 2. pkt., at en skole skal
tilbyde supplerende undervisning eller anden faglig støtte til ele-
ver, der har brug for støtte, og som ikke kan understøttes alene
ved brug af undervisningsdifferentiering og holddannelse, med
henblik på elevens inklusion i den almindelige undervisning, jf. §
BUU, Alm.del - 2021-22 - Endeligt svar på spørgsmål 247: Spm. om at oversende alle dokumenter i sagen, som TV2 har fået aktindsigt i, i forbindelse med produktionen af dokumentaren 'Herlufsholms hemmeligheder', til børne- og undervisningsministeren
3 a, 1. pkt., i lov om folkeskolen. Skolen bedes redegøre for,
hvordan skolen sikrer dette.
d. Skolen bedes redegøre for, hvordan skolen identificerer elever
med eventuelle støttebehov.
De ovennævnte oplysninger skal være modtaget i styrelsen senest fredag
den 25. september 2020 og sendes til karen-kathrine.vedel.soren-
[email protected] og [email protected]
Det bemærkes, at ovenstående oplysninger samt eventuelle bilag skal
fremsendes til styrelsen i elektronisk form pr. e-mail, jf. friskolelovens §
20 b. Styrelsen skal i den forbindelse anmode om, at skolen samtidig
overstreger eventuelle cpr.nr., således at disse ikke fremgår af det frem-
sendte materiale.
Endvidere skal styrelsen anmode om, at besvarelsen af ovenstående
punkter fremgår tydeligt fx ved angivelse af a., b., c., d.
Med venlig hilsen
Karen-Kathrine Vedel Sørensen
Fuldmægtig
Direkte tlf. +45 33 92 51 86
[email protected]
2
BUU, Alm.del - 2021-22 - Endeligt svar på spørgsmål 247: Spm. om at oversende alle dokumenter i sagen, som TV2 har fået aktindsigt i, i forbindelse med produktionen af dokumentaren 'Herlufsholms hemmeligheder', til børne- og undervisningsministeren
2588615_0074.png
Karen-Kathrine Vedel Sørensen
Fra:
Sendt:
Til:
Cc:
Emne:
Anja du Toit <[email protected]>
23. juni 2020 23:06
Karen-Kathrine Vedel Sørensen; Sofie Marie Jørgensen Alber
Elsebeth Aller
Version 2
på Herlufsholm - vi manglede en ansvarlig og handlingsplan i
år. Nu trækker vi stikket :(
esdh-uvm-stil
20/13586-2
-1
AppServerName:
DocumentID:
DocumentIsArchived:
Kære Karen og Sofie,
Fremsender
igen
min opsummering af en meget kedelig oplevelse for vores
redigeret i denne version. Nu får I ikke flere, promise.
dreng på Herlufsholm.
Har
Jeg sender nedenstående til skolen, så snart jeg har hele bestyrelsens mail adresser. Jeg skriver til jer / involverer jer,
da jeg forstår på Elsebeth Aller, kopieret, at det er jeres opgave at føre tilsyn med de private grundskoler. Jo flere
gange jeg har læst min egen opsummering af forløbet igennem, jo mere absurd, synes jeg det vi har gennemgået og
oplevet er. Derfor henvendelsen. Jeg håber I kan hjælpe med at få rettet op på struktur, procedurer og ansvar, som
har manglet i denne her sag. Det er rigtig vigtigt, at der ikke er flere elever og forældre, der skal opleve og
gennemgå, hvad vi har.
MVH
Anja
Kære Mikkel, Anne-Louise og bestyrelse
Jeg er ked af at meddele
ikke kommer til at fortsætte på Herlufsholm næste skoleår. Vi er SÅ kede af ikke at
kunne fortsætte, men det går ikke.
Jeg har nedenfor lavet en punktvis opsummering af, hvor vi/jeg synes det er gået galt.
Hermed en opsummering af vores/min oplevelse af, hvorfor det ikke lykkedes. Håber det kan hjælpe Herlufsholm
/jer til at gøre det bedre. Det er i hvert fald grunden til, jeg bruger tid på at opsummere. Håber I modtager den i den
ånd, den er produceret. Herlufsholm er fantastisk. Vi har været rigtig glade for
forløb og for at lære alle jer,
der holder skibet i søen at kende. Og ved og forstår, der er mange udfordringer, og vi ikke er de eneste forældre, der
påkalder os jeres opmærksomhed. Mange tak for alt, der er blevet gjort, for I har da prøvet, det er sikkert. Men her
er oplevelsen fra vores side, det er ikke ensbetydende med det er den endegyldige sandhed. I har jo jeres oplevelse.
Men mange har jo fulgt vores forløb, og gør det stadig. Så deler min oplevelse, så I får noget at arbejde med for
fremtiden, hvis I vil?
Én ansvarlig
1
BUU, Alm.del - 2021-22 - Endeligt svar på spørgsmål 247: Spm. om at oversende alle dokumenter i sagen, som TV2 har fået aktindsigt i, i forbindelse med produktionen af dokumentaren 'Herlufsholms hemmeligheder', til børne- og undervisningsministeren
2588615_0075.png
Der er ingen person udpeget med ansvar for
på Herluf. De skoler jeg har været på (har
arbejdet som lærervikar på 4 i Næstved) har ALLE en spiseseddel, som udpeger, ved navns nævnelse og e-mail,
hvem der er overordnet ansvarlig for dit barns læring, hvem der står IT delen og hvem for det faglige. Og hvornår
man – forældre og børn, kommer på kursus i det
software som skolen brugte. Den delte jeg med dig
Anne-Louise og spurgte om skolen ikke
kunne kopiere en sådan struktur, for det ville være rart som forældre at vide,
hvem der er ansvarlig. Hvem man skal gå til.
Og det er her jeg synes problemet ligger. Jeg har ikke oplevet, der var
nogen, der tog det samlede ansvar for
læring. I skolen og på gården.
Som forældre til et kostbarn, har man
jo ”købt en pakke”. Vi skelner ikke mellem ’skole’ og ’gård’. For os er Herlufsholm en samlet institution, der
uddanner vores børn. Jeg har manglet en person, der ville koordinere indsatsen mellem skole og gården. Eller én
person der havde ansvaret for min søns uddannelse om det handler om lektier, afleveringer,
Vi forældre kan ikke styre/påvirke, hvad der forgår, hverken i klasselokalet eller ved skrivebordet på gården.
Kommunikation til hjemmet alt for mangelfuld
Feedback på karakterer / vyrd er alt for kort og mangler uddybning… der skal være noget for elev og forældre at
kunne tage fat i. En karakter fortæller jo ikke, hvor der skal sættes ind for at forbedre.
og jeg fik et blankt karakterark, hvad kommentarer angår. INTET fra de lærere, der havde
droppet karakteren. Jeg var rasende og indkaldte til et møde. Fordi jeg ikke følte, der var nogen, der havde hånd i
hanke med
læring
duede ikke, han fik ikk
Brendas uopfordrede ’heads-up’, var fantastiske. Intet mindre. Hun fortalte både om, hvor drengen stod fagligt,
men så sandelig også om hans trivsel i klassen/hendes timer. Det var en kæmpe hjælp, når man sidder 8.000 km fra
sit barn. Men vel ikke anderledes, hvis man sidder i Randers. Jeg efterspurgte en lignede feedback flere gange, men
har aldrig fået noget der ligner – kig på
vyrd. Bed hans lærere om korrespondancen med mig. Den eksisterer
ikke!
Handlingsplan, tak! … Mange tilbud, men ingen sammenhæng. Hvad skete der med handlingsplaner på Hhlm?
gik til
… jeg mistede overblikket, da det fremstod, både for
og jeg
som spredt fægtning. Anne-Louise sørgede venligst for at vi fik kontakt til en privatlærer i Næstved. Der var
på skolen for
lektiehjælp fra én pige,
der skulle have guldmedalje i Duke of Edinburgh award. Så var der en anden -
Mette fra 2.G., og så
Krabbe – lektiehjælp og organiseringshjælp fra 1.G. Alt sammen fine initiativer, som jeg ikke helt ved, hvor endte –
de gled ud og manglede en eller anden form for samlet fundament. Jeg kan ikke helt sætte ord på, og vi er
selvfølgelig glade for tilbuddene, men der manglede sammenhæng og struktur/fastholdelse…. Jeg tror svaret hedder
’handlingsplan’?
Én ansvarlig medarbejder med overblikket over alle indsatsområder – nedskrevet i en individuel
handlingsplanen. Jeg bad om en handlingsplan flere gange i min korrespondance med dig Anne-Louise
og jeg husker,
du svarede mig, hvad jeg egentlig mente med det. Jeg finder gerne tråden. Summa sumarum er, at der ikke har
været tilbudt en vurdering af
behov ej heller udarbejdet en samlet plan for hans undervisning. En
handlingsplan.
Alle elever i folkeskolen, som har læringsudfordringer har krav på og får lavet en handlingsplan. Jeg er stadigvæk
overrasket over, man ikke ved, hvad det er på Hhlm. Vi havde en langstrakt korrespondance omkring påske da
gik i
og starten af
– efter vores fællesmøde, jeg havde indkaldt til efter
fik sin vyrd
uden så meget som en kommentar (bortset fra Brenda, som altid leverer en uddybende status på barnet).
Det møde, hvor jeg bad alle involverede være tilstede (Vedhæfter tråden, ellers er det også fremsendt til Ettie)) I
den korrespondance gjorde jeg opmærksom på, at folkeskoleloven pålægger private grundskoler at tilbyde det
samme til alle elever som folkeskolen skal. Og individuelle handlingsplaner er et af dem!
Det er meget belastende og stressende, at aflevere sit barn med
som er fuldstændig italesat
mellem forældre og skole og så ikke blive oplyst om og involveret i barnets udvikling. Et tal fortæller jo intet om
2
BUU, Alm.del - 2021-22 - Endeligt svar på spørgsmål 247: Spm. om at oversende alle dokumenter i sagen, som TV2 har fået aktindsigt i, i forbindelse med produktionen af dokumentaren 'Herlufsholms hemmeligheder', til børne- og undervisningsministeren
2588615_0076.png
hvad problemet er, hvor vi skal hen og hvordan vi/han kommer derhen. Jeg har aldrig haft overblik over, hvad
planen var med
i nogen som helst fag. Det har man i folkeskolen. Handlingsplaner. NB jeg har arbejdet som
lærervikar på 2 skoler (reelt fire) alle de 3 år jeg har boet med
i
så taler med opdateret indsigt.
Vores ’efter- krisemøde-dialog’ som varede fra påske til jul
(der kom en sommerferien i mellem) og der var
lang ventetid på svarene, som jeg husker. Jeg blev ed med at spørge til ’handlingsplanen’ og oplevede det som om
spørgsmålet blev undveget. Udvekslingen – min fortsatte spørgen til handlingsplanen, sluttede d også med et svar
fra dig Anne-Louise, hvor du gør os opmærksom på, at hvis det grundskolen tilbyder ikke er godt nok, så må vi finde
en anden løsning til
Altså en anden skole. Jeg fik aldrig en handlingsplan for
uddannelse. (Igen jeg har
tråden og det har Ettie også)
Jeg har aldrig, som i ’aldrig’ trukket kortet ’vi betaler rent faktisk for
det her’… og det gør jeg sådan set heller ikke nu.
Men der kommer andre efter os –
heldigvis, så jeg gør her på falderebet opmærksom på, hvordan man/vi jo ikke kan
undgå at forvente, at når man betaler for en privatskole, at så får man også ’mere’ end en
folkeskole kan tilbyde. Jeg
synes, en handlingsplan er et minimum og i øvrigt lovpligtigt, så vidt jeg forstår. Men jeg havde ønsket mig at skolen
pga af de ekstra penge vi betalte, havde udpeget én ansvarlig (lærer – ikke frivillige gymnasieelever og præfekter),
der påtog sig opgaven at sørge for mit barns uddannelse hele vejen rundt.
Fastholde ham i en klasse med en lærer han ikke forstod,
der stod for 50-60% af undervisningen – Matematik,
geografi og naturfag, som han ikke forstod. Både pga af hendes accent og didaktik…
blev gentagende gange
opfordret til at spørge, når han ikke forstod og det gjorde han. Men som han sagde ”mor, hun siger jo bare det
samme, som hun sagde oppe ved tavlen – det var jo det, jeg allerede ikke forstod”. Det skal lige nævnes at jeg talte
med de andre forældre, hvis børn – hverken
eller
også havde problemer med at forstå
den lærer. Så hvorfor fastholde ham i en klasse med en lærer end ikke de danske børn ikke forstår? Jeg tror ikke vi
stod her i dag, hvis
havde været i en klasse som Christian og Jesper’s fra starten.
Fastholde ham i en klasse med en dansklærer som ikke hverken kommunikerede eller kom i spil med
’læsevejledning’
… en dansklærer som udleverede kompendier, så han ikke kunne
.
Og som i øvrigt ALDRIG kommunikerede med mig i de 2 år han var i hendes varetægt, på trods af jeg udelukkende
flyttede med til DK for at være støttehjul for
skolegang og jeg gang på gang gjorde opmærksom på dette. En
dansklærer som jeg fik at vide var læsevejleder og derfor havde var den bedste til at arbejde med
læsevejledere skulle have erfaring med / uddannelse i
af en art. Sådan blev det i hvert fald solgt til mig.
Det var bedst at holde under Heidis paraply, for hun kunne /ville hjælpe ham som ”ekspert”.
mener selv at
det værste, der er sket for ham er, at han havde Heidi og Marianna som lærere. Han har fortalt efter han har forladt
klassen, at han fuldstændig mistede sin motivation, fordi han intet forstod og de aldrig prøvede at hjælpe ham til at
forstå. Eller rettere bare ignorerede – som jeg hører hans forklaring, den
elev tilstede i
klassen. Iflg
og 3 andre klassekammerater, blev
aldrig spurgt, om han forstod eller kunne følge med.
, som også var
blev trukket ud af sine forældre, fordi de synes indsatsen var for ringe og
de havde samme oplevelse af Heidi og Marianna, som beskrevet – jeg talte med moderen.
Jeg spurgte
mange gange, om Heidi gjorde noget særligt i undervisningen for ham – på mange kringlede
måder (jeg er både journalist og har bedrevet antropologiske/sociologiske forskningsinterview) fordi, jeg ved
de/ årige ikke ser, hvad vi ser. I kan regne ud hvad resultatet af mine interviews var. Jeg spurgte så sidenhen – på
samme – for børnene, uigennemskuelig måde, enkelte af hans klassekammerater, om samme…. Ingen havde
bemærket, at der var en læsevejleder, der skulle tage sig ekstra af
læring,
tilstede i klasselokalet. Jeg må sige,
at det har rystet mig hele vejen igennem. At Heidi ALDRIG har gjort sig den ulejlighed at orientere mig eller være i
dialog med mig- på trods af hun/I vidste jeg KUN og udelukkende var flyttet til Danmark for at
støtte
og jer i at
få ham ordentlig på plads i skolen - Herlufsholm. Den manglede dialog var ikke gået i folkeskolen. Så havde der
været en klagesag!
fortæller grædende om sin skolestart – sit første år, sine første 2 år: ”det værste der kunne
ske var, at jeg fik Marianna og Heidi… jeg forstod ingenting… jeg sad bare og kiggede og forstod ingenting, det var
det værste der kunne ske.” … og fortsætter med at fortælle at
(også
som startede med
havde det lige sådan, og derfor viste
hvordan man kunne se YouTube i timen for at slå tiden ihjel. De
var alligevel helt koblet af.
3
BUU, Alm.del - 2021-22 - Endeligt svar på spørgsmål 247: Spm. om at oversende alle dokumenter i sagen, som TV2 har fået aktindsigt i, i forbindelse med produktionen af dokumentaren 'Herlufsholms hemmeligheder', til børne- og undervisningsministeren
2588615_0077.png
IT redskabet fungerede
problematikken
ikke
8
måneder
som
inde
iførste
skoleår. De
8
måneder,
hvor jeg rodede rundt med hele
upassende at lægge
, ny på tm,
blev jeg alt for
mange
gange henvist til den pige fra
2.6.
som frivilligt fungerede
-c0åch. Det er voldsomt og efter mln
mening
ansvaret for sådan en opgave hos en frivillig elev.
Jeg var selvfølgelig i kontakt med IT kontoret overtlf
-
måtte selv møde op'
(hvilket
og mail. Jeg blev mødt mere end en gang med beskeder som, at
klasses-dreng)
og når han så endelig huskede det,
og endelig at 'der var andre
havde tid, når vi kom
han glemte
hele tiden -
.
fik han flere gange at vide, at han skulle vi sørge for lT-kontoret
mere vigtigt end eleverne kan være med i undervisningen?
mere presserendeopgaver
i
IT, som havde prioritet'... så han måtte
vente.
Det skete mere end en gang! Hvad er
for
irriterende
et problem:
På et tidspunkt
i
de første
at
8
mdr,
hvor IT redskabet
ikke fungerede, måtte jeg presse lidt rigelig! på at få set p"
mor', der hele tiden var
i
røret. Men det var virkelig problematisk
.
Jegoplevede at blive 'den
ikke kunne bruge sit IT
,der skulle
redskab,
fordi hele
institutionen tm
redde os/ham.
henviste IT-redskabet, som om den ville klare hele
for
ham.
Så vi blev jo revet med og selvfølgelig stressede over al den ikke virkede. Det var]
Vi mødtes endellg med Lotte, som prøvede at løse problemet.
henviste
til
der åbenbart
duede heller ikke,
Men som også måtte
sande,
den
ikke duede. Lotte
ligger i hobetal på nettet. Vi var lettede og gik glade hjem. Me
Måske noget at tage tll indtægt for fremtiden?
Overlade
_
anskaffelse
af undervisningsmateriåle
årig
dreng,
at
nok i forvejen som
til_
barn:
det gør man for eleverne i folkeskolen.
I
kan nok forestille jer hvordan det gik.
man gør Men hvis ansvar er det egentllg?
,
SKAL
bruge tid på at læse på dansk.
Det
skulle selv lære —.
er et lovkrav. Der er forhindringer
Sovesålslæreren/Mads
skulle vise ham,
hvordan
30 min
daglig
læsning som aldrig blev gennemført:
gården. Det gjorde de så ikke.
Selv'at
med_
bog'
hjemme.
Det skal
alle elever.
Og det gjorde sovesalslærer Mads meget klart, då vi startede. At det gør eleverne hver dag på
finde en bog' som kunne bruges på hans niveau, blev der aldrig tåget ordentlig hånd om.-
(jeg spurgte til det hver rejseweekend),
det passer sikkert ikke
men e
ågde der
årig,
aldrig var nogen på biblioteket
skal holdes
i hånden
for at komme lgång. Og fastholdes! Sovesalslærer Mads fandt 'noget' til
skal ikke have 'noget'. De skål virkelig sælges 'en
læste med mig hver dag, da han boede
iektielæsning,
.
Men igen, hvem har ansvaret?-
ham. Ja, det var i den ånd 'noget'. Et barn
Når man kalder sig 'home
away
from home' så skal derjo
være noget foræidrestyring
som rækker udover at checke de har tændt computeren.
Jeg har nu fundet ud af min søn gennem sinel
læste hjemme i weekenderne.
_
Den ene bog fik
hos en kammerat
år på Herluf, kun har læst
2
bøger udover dem, jeg har sørget for han
—Asger, ham motiveret
og blev Interesseret.
til
Begge blev læst her i
at læse. Den anden bog fandt han selv liggende fremme
Min oplevelser er, at der ingen opsyn er med, hvad de laver i
LAL.
Jo
opsyn med,
at de er på deres pind, men
4
BUU, Alm.del - 2021-22 - Endeligt svar på spørgsmål 247: Spm. om at oversende alle dokumenter i sagen, som TV2 har fået aktindsigt i, i forbindelse med produktionen af dokumentaren 'Herlufsholms hemmeligheder', til børne- og undervisningsministeren
2588615_0078.png
ikke hvad der foregår på skærmen. På trods af vi alle kender teenagedrenges hang til spil & YouTube. Og det er
blevet rigtig god til – altså gaming. Hvem har ansvaret?
talte engelsk på gården:
… behøver ikke udpensle så meget her, det var bare et problem, at
endte med
at hænge ud med de engelsktalende. Eller rettere, de andre drenge synes jo, det er cool at tale engelsk (og det er jo
fint for dem), som er Youtube/gaming sprog. Så hver gang jeg ringede, og han tog telefonen forlod han en samtale
på engelsk –
tager altid telefonen, mens han forsætter samtalen, han er i. Og jeg kunne høre, der blev talt
engelsk i baggrunden. Jeg talte flere gange med sovesalslærer Mads om, der var noget man kunne gøre, men han
syntes, de talte dansk sammen.
Meget af ovenstående har jeg gjort opmærksom på i en den korrespondance, som bestyrelsen har været kopieret
på. Men det er nok ikke så tydeligt, som det forhåbentligt fremstår her i et mere samlet overblik over vores
oplevelse.
Jeg ønsker Herlufsholm, elever, personale og bestyrelse alt det bedste. Vi kæmpede år for at blive, fordi vi synes,
det er en fantastisk skole på mange fronter. Men der er også brug for udvikling, så I ikke taber flere på gulvet, men
måske endda kan bryste jer af at have styr på det – vi holdt fast i for lang tid, ser vi nu. Fordi vi stolede på jer som
eksperter i uddannelse og fordi I er troværdige sympatiske mennesker. Men der skal mere til… Og det er
der
er den store taber i det her forløb. Det gør ondt! … Det bliver stejlt op ad bakke for ham at starte
– og så er han jo stadig
forevigt, så endnu stejlere for ham. Og drengen (og
vi) er dybt ulykkelig over at skulle forlade jer, venner og venners forældre. Det gør rigtig ondt! Men han har lidt
nederlag alt for længe. Mistet motivationen og har store sår på selvtilliden. Store! … håber ikke, der kommer andre
efter ham. Andre der i den grad skal lide nederlag som
Mange hilsner fra
Anja &
– og Mike
Anja du Toit, MA Mass Comm & Journalist
Kenya + 254 722 20 30 63
Denmark +45 29 91 08 11
www.malostables.com
www.facebook.com/NairobiForestRides
5
BUU, Alm.del - 2021-22 - Endeligt svar på spørgsmål 247: Spm. om at oversende alle dokumenter i sagen, som TV2 har fået aktindsigt i, i forbindelse med produktionen af dokumentaren 'Herlufsholms hemmeligheder', til børne- og undervisningsministeren
2588615_0079.png
10
BUU, Alm.del - 2021-22 - Endeligt svar på spørgsmål 247: Spm. om at oversende alle dokumenter i sagen, som TV2 har fået aktindsigt i, i forbindelse med produktionen af dokumentaren 'Herlufsholms hemmeligheder', til børne- og undervisningsministeren
2588615_0080.png
Fra:
Sendt:
Til:
Emne:
Vedhæftedefiler:
Birgit Brenting<[email protected]>
11. september202014:45
Karen-Kathrine
VedelSørensen
VS:Brevfra Styrelsen Undervisning Kvalitet
for
og
Anmodningom redegørelse
HerlufsholmSkoleog Gods.pdf;Henvendelse 23-
af
06-2020.pdf
KæreKaren-Kathrin
VedelSørensen
HerlufsholmSkolebekræftermodtagelsen dennemail.
af
God weekend.
Med venlig hilsen
Birgit Brenting
Sekretær,rektorkontor
Herlufsholm Skole og Gods
Herlufsholm Allé 170
4700 Næstved, DK
Tlf.: 55 75 35 00
Direkte: 55 75 35 42
E-mail: [email protected]
Web: www.herlufsholm.dk
Fra: Karen-Kathrine
VedelSørensen [email protected]
<
>
Sendt:11. september202014:29
Til: RektorkontorPOST [email protected]
<
>
Emne:Brevfra Styrelsen Undervisning Kvalitet
for
og
Til institutionens
bestyrelse og øverste ledelse
brev.
for modtagelsen
af denne mail, og at mailen videresendes
til
Se venligst vedhæftede
Jeg skal anmode om, at der kvitteres
institutionens bestyrelse.
Med venlighilsen
Karen-Kathrine
VedelSørensen
Fuldmægtig
BUU, Alm.del - 2021-22 - Endeligt svar på spørgsmål 247: Spm. om at oversende alle dokumenter i sagen, som TV2 har fået aktindsigt i, i forbindelse med produktionen af dokumentaren 'Herlufsholms hemmeligheder', til børne- og undervisningsministeren
2588615_0081.png
Styrelsen for Undervisning og Kvalitet
Frederiksholms Kanal 26
1220 København K
Tlf. nr.: 33 92 50 00
Direkte tlf.: +45 33 92 51 86
E-mail:
[email protected]
BUU, Alm.del - 2021-22 - Endeligt svar på spørgsmål 247: Spm. om at oversende alle dokumenter i sagen, som TV2 har fået aktindsigt i, i forbindelse med produktionen af dokumentaren 'Herlufsholms hemmeligheder', til børne- og undervisningsministeren
2588615_0082.png
HerlufsholmSkoleog Gods
HerlufsholmAllé 170
4700Næstved
Att. skoleleder bestyrelsesformand
og
Styrelsen Undervisning
for
og
Kvalitet
Frederiksholms
Kanal26
1220København
K
Tlf. nr.: 33 92 50 00
E-mail [email protected]
:
www.stukuvm.dk
CVR nr.: 29634750
11. september
2020
Sags : 20/13586
nr.
Anmodning om redegørelse
Styrelsen
modtogden23. juni 2020en henvendelse Anja du Toit, der
fra
er forælder en tidligereelevpå HerlufsholmSkoleog Gods Henven-
til
.
delsen
vedrører
manglende
støttetil hendes
sønpå Herlufs-
holm Skoleog Gods Anja du Toit oplyser sin henvendelse, hun vil
.
i
at
sende samme
den
henvende til skoleledelsen bestyrelsen skolen.
lse
og
Henvendelsen vedlagt
er
dettebrev.
Efter modtagelse henvendelsen styrelsen
af
har
tagetkontakttil forælde-
ren,somyderligere
oplyste, skolenikke tilbød at
at
eleven.
Styrelsen endvidere baggrund henvendelsen
har
af
indhentetoplysnin-
gerfra styrelsens
kontor for specialpædagogisk somhar oplys at
støtte,
t,
der i grundskoledelen HerlufsholmSkoleog Godsudelukkende
er
søgtstøttetil én elev somhan
,
dledeom at få overførten allerede
bevil-
get
fra en tidligereskole Styrelsen
.
finder,at dettetal er
usædvanligt seti forhold til skolens
lavt
elevtal
.
Pådenbaggrund styrelsen led i sin tilsynsvirksomhed, frisko-
skal
som
jf.
lelovens 9 f, stk. 1, anmode følgende:
§
om
a. Skolensevt. bemærkninger de fremsatte
til
konkretekritikpunk-
ter.
b. Det fremgåraf friskolelovens 3, stk. 1, 1. pkt., at en skoleskal
§
givespecialundervisning andenspecialpædagogisk
og
bistandtil
eleveri medføraf § 3, stk.2, 2. pkt., i lov om folkeskolenSkolen
.
bedes
redegøre , hvordanskolensikrerdette.
for
c. Det fremgåraf friskolelovens 3, stk.1, 2. pkt., at en skoleskal
§
tilbydesupplerende
undervisning andenfagligstøttetil ele-
eller
ver,der har brugfor støtte,og somikke kanunderstøttes
alene
vedbrugaf undervisningsdifferentiering holddannelse
og
, med
henblikpå elevens
inklusioni denalmindelige
undervisning, §
jf.
BUU, Alm.del - 2021-22 - Endeligt svar på spørgsmål 247: Spm. om at oversende alle dokumenter i sagen, som TV2 har fået aktindsigt i, i forbindelse med produktionen af dokumentaren 'Herlufsholms hemmeligheder', til børne- og undervisningsministeren
2588615_0083.png
3 a,1. pkt., i lov om folkeskolen.
Skolenbedes
redegøre
for,
hvordanskolensikrerdette.
d. Skolenbedes
redegøre hvordanskolenidentificerer
for,
elever
medeventuelle
støttebehov.
De ovennævnte
oplysninger være dtageti styrelsen
skal
mo
senest
fredag
den25. september
2020og sendes karenkathrine.vedel.soren-
til
-
sen
@stukuvm.dk [email protected]
og
Det bemærkes, ovenstående
at
oplysninger
samteventuelle
bilagskal
fremsendes styrelsen elektronisk
til
i
form pr. e-mail,jf. friskolelovens
§
20 b. Styrelsen i denforbindelse
skal
anmod om, at skolensamtidig
e
overstreger
eventuelle
cpr.nr.,således disse
at
ikke fremgå af det frem-
r
sendte
materiale.
Endvidere styrelsen
skal
anmode
om, at besvarelsen ovenstående
af
punkterfremgårtydeligtfx vedangivelse a.,b., c., d.
af
Med venlighilsen
Karen KathrineVedelSørensen
-
Fuldmægtig
Direktetlf. +45 33 92 51 86
Karen [email protected]
-
2
BUU, Alm.del - 2021-22 - Endeligt svar på spørgsmål 247: Spm. om at oversende alle dokumenter i sagen, som TV2 har fået aktindsigt i, i forbindelse med produktionen af dokumentaren 'Herlufsholms hemmeligheder', til børne- og undervisningsministeren
2588615_0084.png
Karen-Kathrine Vedel Sørensen
Fra:
Sendt:
Til:
Cc:
Emne:
Anja du Toit <[email protected]>
23. juni 2020 23:06
Karen-Kathrine Vedel Sørensen; Sofie Marie Jørgensen Alber
Elsebeth Aller
Version 2
på Herlufsholm - vi manglede en ansvarlig og handlingsplan i
år. Nu trækker vi stikket :(
esdh-uvm-stil
20/13586-2
-1
AppServerName:
DocumentID:
DocumentIsArchived:
Kære Karen og Sofie,
Fremsender
igen
min opsummering af en meget kedelig oplevelse for vores
redigeret i denne version. Nu får I ikke flere, promise.
dreng på Herlufsholm.
Har
Jeg sender nedenstående til skolen, så snart jeg har hele bestyrelsens mail adresser. Jeg skriver til jer / involverer jer,
da jeg forstår på Elsebeth Aller, kopieret, at det er jeres opgave at føre tilsyn med de private grundskoler. Jo flere
gange jeg har læst min egen opsummering af forløbet igennem, jo mere absurd, synes jeg det vi har gennemgået og
oplevet er. Derfor henvendelsen. Jeg håber I kan hjælpe med at få rettet op på struktur, procedurer og ansvar, som
har manglet i denne her sag. Det er rigtig vigtigt, at der ikke er flere elever og forældre, der skal opleve og
gennemgå, hvad vi har.
MVH
Anja
Kære Mikkel, Anne-Louise og bestyrelse
Jeg er ked af at meddele
ikke kommer til at fortsætte på Herlufsholm næste skoleår. Vi er SÅ kede af ikke at
kunne fortsætte, men det går ikke.
Jeg har nedenfor lavet en punktvis opsummering af, hvor vi/jeg synes det er gået galt.
Hermed en opsummering af vores/min oplevelse af, hvorfor det ikke lykkedes. Håber det kan hjælpe Herlufsholm
/jer til at gøre det bedre. Det er i hvert fald grunden til, jeg bruger tid på at opsummere. Håber I modtager den i den
ånd, den er produceret. Herlufsholm er fantastisk. Vi har været rigtig glade for
forløb og for at lære alle jer,
der holder skibet i søen at kende. Og ved og forstår, der er mange udfordringer, og vi ikke er de eneste forældre, der
påkalder os jeres opmærksomhed. Mange tak for alt, der er blevet gjort, for I har da prøvet, det er sikkert. Men her
er oplevelsen fra vores side, det er ikke ensbetydende med det er den endegyldige sandhed. I har jo jeres oplevelse.
Men mange har jo fulgt vores forløb, og gør det stadig. Så deler min oplevelse, så I får noget at arbejde med for
fremtiden, hvis I vil?
Én ansvarlig
1
BUU, Alm.del - 2021-22 - Endeligt svar på spørgsmål 247: Spm. om at oversende alle dokumenter i sagen, som TV2 har fået aktindsigt i, i forbindelse med produktionen af dokumentaren 'Herlufsholms hemmeligheder', til børne- og undervisningsministeren
2588615_0085.png
Der er ingen person udpeget med ansvar for
på Herluf. De skoler jeg har været på (har
arbejdet som lærervikar på 4 i Næstved) har ALLE en spiseseddel, som udpeger, ved navns nævnelse og e-mail,
hvem der er overordnet ansvarlig for dit barns læring, hvem der står IT delen og hvem for det faglige. Og hvornår
man – forældre og børn, kommer på kursus i det
software som skolen brugte. Den delte jeg med dig
Anne-Louise og spurgte om skolen ikke
kunne kopiere en sådan struktur, for det ville være rart som forældre at vide,
hvem der er ansvarlig. Hvem man skal gå til.
Og det er her jeg synes problemet ligger. Jeg har ikke oplevet, der var
nogen, der tog det samlede ansvar for
læring. I skolen og på gården.
Som forældre til et kostbarn, har man
jo ”købt en pakke”. Vi skelner ikke mellem ’skole’ og ’gård’. For os er Herlufsholm en samlet institution, der
uddanner vores børn. Jeg har manglet en person, der ville koordinere indsatsen mellem skole og gården. Eller én
person der havde ansvaret for min søns uddannelse om det handler om lektier, afleveringer,
Vi forældre kan ikke styre/påvirke, hvad der forgår, hverken i klasselokalet eller ved skrivebordet på gården.
Kommunikation til hjemmet alt for mangelfuld
Feedback på karakterer / vyrd er alt for kort og mangler uddybning… der skal være noget for elev og forældre at
kunne tage fat i. En karakter fortæller jo ikke, hvor der skal sættes ind for at forbedre.
og jeg fik et blankt karakterark, hvad kommentarer angår. INTET fra de lærere, der havde
droppet karakteren. Jeg var rasende og indkaldte til et møde. Fordi jeg ikke følte, der var nogen, der havde hånd i
hanke med
læring
duede ikke, han fik ikk
Brendas uopfordrede ’heads-up’, var fantastiske. Intet mindre. Hun fortalte både om, hvor drengen stod fagligt,
men så sandelig også om hans trivsel i klassen/hendes timer. Det var en kæmpe hjælp, når man sidder 8.000 km fra
sit barn. Men vel ikke anderledes, hvis man sidder i Randers. Jeg efterspurgte en lignede feedback flere gange, men
har aldrig fået noget der ligner – kig på
vyrd. Bed hans lærere om korrespondancen med mig. Den eksisterer
ikke!
Handlingsplan, tak! … Mange tilbud, men ingen sammenhæng. Hvad skete der med handlingsplaner på Hhlm?
gik til
jeg mistede overblikket, da det fremstod, både for
og jeg
som spredt fægtning. Anne-Louise sørgede venligst for at vi fik kontakt til en privatlærer i Næstved. Der var
på skolen for
lektiehjælp fra én pige,
der skulle have guldmedalje i Duke of Edinburgh award. Så var der en anden -
Mette fra 2.G., og så
Krabbe – lektiehjælp og organiseringshjælp fra 1.G. Alt sammen fine initiativer, som jeg ikke helt ved, hvor endte –
de gled ud og manglede en eller anden form for samlet fundament. Jeg kan ikke helt sætte ord på, og vi er
selvfølgelig glade for tilbuddene, men der manglede sammenhæng og struktur/fastholdelse…. Jeg tror svaret hedder
’handlingsplan’?
Én ansvarlig medarbejder med overblikket over alle indsatsområder – nedskrevet i en individuel
handlingsplanen. Jeg bad om en handlingsplan flere gange i min korrespondance med dig Anne-Louise
og jeg husker,
du svarede mig, hvad jeg egentlig mente med det. Jeg finder gerne tråden. Summa sumarum er, at der ikke har
været tilbudt en vurdering af
behov ej heller udarbejdet en samlet plan for hans undervisning. En
handlingsplan.
Alle elever i folkeskolen, som har læringsudfordringer har krav på og får lavet en handlingsplan. Jeg er stadigvæk
overrasket over, man ikke ved, hvad det er på Hhlm. Vi havde en langstrakt korrespondance omkring påske da
gik i
og starten af
– efter vores fællesmøde, jeg havde indkaldt til efter
fik sin vyrd
uden så meget som en kommentar (bortset fra Brenda, som altid leverer en uddybende status på barnet).
Det møde, hvor jeg bad alle involverede være tilstede (Vedhæfter tråden, ellers er det også fremsendt til Ettie)) I
den korrespondance gjorde jeg opmærksom på, at folkeskoleloven pålægger private grundskoler at tilbyde det
samme til alle elever som folkeskolen skal. Og individuelle handlingsplaner er et af dem!
Det er meget belastende og stressende, at aflevere sit barn med
som er fuldstændig italesat
mellem forældre og skole og så ikke blive oplyst om og involveret i barnets udvikling. Et tal fortæller jo intet om
2
BUU, Alm.del - 2021-22 - Endeligt svar på spørgsmål 247: Spm. om at oversende alle dokumenter i sagen, som TV2 har fået aktindsigt i, i forbindelse med produktionen af dokumentaren 'Herlufsholms hemmeligheder', til børne- og undervisningsministeren
2588615_0086.png
hvad problemet er, hvor vi skal hen og hvordan vi/han kommer derhen. Jeg har aldrig haft overblik over, hvad
planen var med
i nogen som helst fag. Det har man i folkeskolen. Handlingsplaner. NB jeg har arbejdet som
lærervikar på 2 skoler (reelt fire) alle de 3 år jeg har boet med
i
så taler med opdateret indsigt.
Vores ’efter- krisemøde-dialog’ som varede fra påske til jul
(der kom en sommerferien i mellem) og der var
lang ventetid på svarene, som jeg husker. Jeg blev ed med at spørge til ’handlingsplanen’ og oplevede det som om
spørgsmålet blev undveget. Udvekslingen – min fortsatte spørgen til handlingsplanen, sluttede d også med et svar
fra dig Anne-Louise, hvor du gør os opmærksom på, at hvis det grundskolen tilbyder ikke er godt nok, så må vi finde
en anden løsning til
Altså en anden skole. Jeg fik aldrig en handlingsplan for
uddannelse. (Igen jeg har
tråden og det har Ettie også)
Jeg har aldrig, som i ’aldrig’ trukket kortet ’vi betaler rent faktisk for
det her’… og det gør jeg sådan set heller ikke nu.
Men der kommer andre efter os –
heldigvis, så jeg gør her på falderebet opmærksom på, hvordan man/vi jo ikke kan
undgå at forvente, at når man betaler for en privatskole, at så får man også ’mere’ end en
folkeskole kan tilbyde. Jeg
synes, en handlingsplan er et minimum og i øvrigt lovpligtigt, så vidt jeg forstår. Men jeg havde ønsket mig at skolen
pga af de ekstra penge vi betalte, havde udpeget én ansvarlig (lærer – ikke frivillige gymnasieelever og præfekter),
der påtog sig opgaven at sørge for mit barns uddannelse hele vejen rundt.
Fastholde ham i en klasse med en lærer han ikke forstod,
der stod for 50-60% af undervisningen – Matematik,
geografi og naturfag, som han ikke forstod. Både pga af hendes accent og didaktik…
blev gentagende gange
opfordret til at spørge, når han ikke forstod og det gjorde han. Men som han sagde ”mor, hun siger jo bare det
samme, som hun sagde oppe ved tavlen – det var jo det, jeg allerede ikke forstod”. Det skal lige nævnes at jeg talte
med de andre forældre, hvis børn – hverken
eller
også havde problemer med at forstå
den lærer. Så hvorfor fastholde ham i en klasse med en lærer end ikke de danske børn ikke forstår? Jeg tror ikke vi
stod her i dag, hvis
havde været i en klasse som Christian og Jesper’s fra starten.
Fastholde ham i en klasse med en dansklærer som ikke hverken kommunikerede eller kom i spil med
’læsevejledning’
… en dansklærer som udleverede kompendier, så han ikke kunne
Og som i øvrigt ALDRIG kommunikerede med mig i de 2 år han var i hendes varetægt, på trods af jeg udelukkende
flyttede med til DK for at være støttehjul for
skolegang og jeg gang på gang gjorde opmærksom på dette. En
dansklærer som jeg fik at vide var læsevejleder og derfor havde var den bedste til at arbejde med
læsevejledere skulle have erfaring med / uddannelse i
af en art. Sådan blev det i hvert fald solgt til mig.
Det var bedst at holde under Heidis paraply, for hun kunne /ville hjælpe ham som ”ekspert”.
mener selv at
det værste, der er sket for ham er, at han havde Heidi og Marianna som lærere. Han har fortalt efter han har forladt
klassen, at han fuldstændig mistede sin motivation, fordi han intet forstod og de aldrig prøvede at hjælpe ham til at
forstå. Eller rettere bare ignorerede – som jeg hører hans forklaring, den
elev tilstede i
klassen. Iflg
og 3 andre klassekammerater, blev
aldrig spurgt, om han forstod eller kunne følge med.
, som også var
blev trukket ud af sine forældre, fordi de synes indsatsen var for ringe og
de havde samme oplevelse af Heidi og Marianna, som beskrevet – jeg talte med moderen.
Jeg spurgte
mange gange, om Heidi gjorde noget særligt i undervisningen for ham – på mange kringlede
måder (jeg er både journalist og har bedrevet antropologiske/sociologiske forskningsinterview) fordi, jeg ved
de/ årige ikke ser, hvad vi ser. I kan regne ud hvad resultatet af mine interviews var. Jeg spurgte så sidenhen – på
samme – for børnene, uigennemskuelig måde, enkelte af hans klassekammerater, om samme…. Ingen havde
bemærket, at der var en læsevejleder, der skulle tage sig ekstra af
læring,
tilstede i klasselokalet. Jeg må sige,
at det har rystet mig hele vejen igennem. At Heidi ALDRIG har gjort sig den ulejlighed at orientere mig eller være i
dialog med mig- på trods af hun/I vidste jeg KUN og udelukkende var flyttet til Danmark for at
støtte
og jer i at
få ham ordentlig på plads i skolen - Herlufsholm. Den manglede dialog var ikke gået i folkeskolen. Så havde der
været en klagesag!
fortæller grædende om sin skolestart – sit første år, sine første 2 år: ”det værste der kunne
ske var, at jeg fik Marianna og Heidi… jeg forstod ingenting… jeg sad bare og kiggede og forstod ingenting, det var
det værste der kunne ske.” … og fortsætter med at fortælle at
(også
som startede med
havde det lige sådan, og derfor viste
hvordan man kunne se YouTube i timen for at slå tiden ihjel. De
var alligevel helt koblet af.
3
BUU, Alm.del - 2021-22 - Endeligt svar på spørgsmål 247: Spm. om at oversende alle dokumenter i sagen, som TV2 har fået aktindsigt i, i forbindelse med produktionen af dokumentaren 'Herlufsholms hemmeligheder', til børne- og undervisningsministeren
2588615_0087.png
IT redskabet fungerede ikke 8 måneder inde i første skoleår.
De 8 måneder, hvor jeg rodede rundt med hele
problematikken,
, ny på Hhlm, blev jeg alt for mange gange henvist til den pige fra
2.G. som frivilligt fungerede som
-coach. Det er voldsomt og efter min mening upassende at lægge
ansvaret for sådan en opgave hos en frivillig elev.
Jeg var selvfølgelig
i kontakt med IT kontoret over tlf og mail. Jeg blev mødt mere end en gang med beskeder som, at
måtte selv møde op’ (hvilket han glemte hele tiden - klasses-dreng) … og når han så endelig huskede det,
fik han flere gange at vide, at han skulle vi sørge for IT-kontoret havde tid, når vi kom … og endelig at ’der var andre
mere presserende opgaver i IT, som havde prioritet’… så han måtte vente. Det skete mere end en gang! Hvad er
mere vigtigt end eleverne kan være med i undervisningen?
for
et problem:
På et tidspunkt i de første 8 mdr, hvor IT redskabet
ikke fungerede, måtte jeg presse lidt rigeligt på at få set på
Jeg oplevede at blive ’den
irriterende mor’, der hele tiden var i røret. Men det var virkelig problematisk at
ikke kunne bruge sit IT
redskab, fordi hele institutionen Hhlm henviste IT-redskabet, som om den ville klare hele
, der skulle
for ham. Så vi blev jo revet med og selvfølgelig stressede over at den ikke virkede. Det var jo
redde os/ham.
Vi mødtes endelig med Lotte, som prøvede at løse problemet. Men som også måtte sande, den ikke duede. Lotte
henviste til
der åbenbart ligger i hobetal på nettet.
Vi var lettede og gik glade hjem. Men…. De
duede heller ikke,
Måske noget at tage til indtægt for fremtiden?
Overlade anskaffelse af undervisningsmateriale til
barn:
skulle selv lære – årig dreng, at
– det gør man for eleverne i folkeskolen. Det
er et lovkrav. Der er forhindringer nok i forvejen som
så I kan nok forestille jer hvordan det gik.
Sovesalslæreren/Mads skulle vise ham, hvordan man gør. Men hvis ansvar er det egentlig?
30 min daglig læsning som aldrig blev gennemført:
, SKAL bruge tid på at læse på dansk.
Det skal alle elever. Og det gjorde sovesalslærer Mads meget klart, da vi startede. At det gør eleverne hver dag på
gården. Det gjorde de så ikke.
Selv ’at finde en bog’ som kunne bruges på hans niveau, blev der aldrig taget ordentlig hånd om.
sagde der
aldrig var nogen på biblioteket (jeg spurgte til det hver rejseweekend), det passer sikkert ikke – men en
årig,
med
skal holdes i hånden for at komme i gang. Og fastholdes! Sovesalslærer Mads fandt ’noget’ til
ham. Ja, det var i den ånd ’noget’. Et barn
, skal ikke have ’noget’. De skal virkelig sælges ’en
bog’
Men igen, hvem har ansvaret?
læste med mig hver dag, da han boede
hjemme. Når man kalder sig ’home away from home’ så skal der jo være noget forældrestyring på lektielæsning,
som rækker udover at checke de har tændt computeren.
Jeg har nu fundet ud af min søn gennem sine år på Herluf, kun har læst 2 bøger udover dem, jeg har sørget for han
læste hjemme i weekenderne. Den ene bog fik
– Asger, ham motiveret til
at læse. Den anden bog fandt han selv liggende fremme hos en kammerat og blev interesseret. Begge blev læst her i
Min oplevelser er, at der ingen opsyn er med, hvad de laver i LAL. Jo opsyn med, at de er på deres pind, men
4
BUU, Alm.del - 2021-22 - Endeligt svar på spørgsmål 247: Spm. om at oversende alle dokumenter i sagen, som TV2 har fået aktindsigt i, i forbindelse med produktionen af dokumentaren 'Herlufsholms hemmeligheder', til børne- og undervisningsministeren
2588615_0088.png
ikke hvad der foregår på skærmen. På trods af vi alle kender teenagedrenges hang til spil & YouTube. Og det er
blevet rigtig god til – altså gaming. Hvem har ansvaret?
talte engelsk på gården:
… behøver ikke udpensle så meget her, det var bare et problem, at
endte med
at hænge ud med de engelsktalende. Eller rettere, de andre drenge synes jo, det er cool at tale engelsk (og det er jo
fint for dem), som er Youtube/gaming sprog. Så hver gang jeg ringede, og han tog telefonen forlod han en samtale
på engelsk –
tager altid telefonen, mens han forsætter samtalen, han er i. Og jeg kunne høre, der blev talt
engelsk i baggrunden. Jeg talte flere gange med sovesalslærer Mads om, der var noget man kunne gøre, men han
syntes, de talte dansk sammen.
Meget af ovenstående har jeg gjort opmærksom på i en den korrespondance, som bestyrelsen har været kopieret
på. Men det er nok ikke så tydeligt, som det forhåbentligt fremstår her i et mere samlet overblik over vores
oplevelse.
Jeg ønsker Herlufsholm, elever, personale og bestyrelse alt det bedste. Vi kæmpede år for at blive, fordi vi synes,
det er en fantastisk skole på mange fronter. Men der er også brug for udvikling, så I ikke taber flere på gulvet, men
måske endda kan bryste jer af at have styr på det – vi holdt fast i for lang tid, ser vi nu. Fordi vi stolede på jer som
eksperter i uddannelse og fordi I er troværdige sympatiske mennesker. Men der skal mere til… Og det er
der
er den store taber i det her forløb. Det gør ondt! … Det bliver stejlt op ad bakke for ham at starte
– og så er han jo stadig
forevigt, så endnu stejlere for ham. Og drengen (og
vi) er dybt ulykkelig over at skulle forlade jer, venner og venners forældre. Det gør rigtig ondt! Men han har lidt
nederlag alt for længe. Mistet motivationen og har store sår på selvtilliden. Store! … håber ikke, der kommer andre
efter ham. Andre der i den grad skal lide nederlag som
Mange hilsner fra
Anja &
– og Mike
Anja du Toit, MA Mass Comm & Journalist
Kenya + 254 722 20 30 63
Denmark +45 29 91 08 11
www.malostables.com
www.facebook.com/NairobiForestRides
5
BUU, Alm.del - 2021-22 - Endeligt svar på spørgsmål 247: Spm. om at oversende alle dokumenter i sagen, som TV2 har fået aktindsigt i, i forbindelse med produktionen af dokumentaren 'Herlufsholms hemmeligheder', til børne- og undervisningsministeren
2588615_0089.png
11
BUU, Alm.del - 2021-22 - Endeligt svar på spørgsmål 247: Spm. om at oversende alle dokumenter i sagen, som TV2 har fået aktindsigt i, i forbindelse med produktionen af dokumentaren 'Herlufsholms hemmeligheder', til børne- og undervisningsministeren
2588615_0090.png
Fra:
Sendt:
Til:
Emne:
Vedhæftedefiler:
Mikkel Kjellberg<[email protected]>
16. september202014:16
Karen-Kathrine
VedelSørensen;
Centerfor Grundskole
SV:Brevfra Styrelsen Undervisning Kvalitet
for
og
Anmodningom redegørelse
HerlufsholmSkoleog Gods.pdf;Henvendelse 23-
af
06-2020.pdf;16092020111531-0001.pdf
Vedhæftetfremsendes
redegørelse
som ønsketjf. nedenstående
henvendelse.
Med venlig hilsen
Mikkel Kjellberg
Rektor
Herlufsholm Skole og Gods
Herlufsholm Allé 170
4700 Næstved, DK
Tlf.: 55 75 35 00
E-mail: [email protected]
Web: www.herlufsholm.dk
Fra: Karen-Kathrine
VedelSørensen [email protected]
<
>
Sendt:11. september202014:29
Til: RektorkontorPOST [email protected]
<
>
Emne:Brevfra Styrelsen Undervisning Kvalitet
for
og
Til institutionens
bestyrelse og øverste ledelse
brev.
for modtagelsen
af denne mail, og at mailen videresendes
til
Se venligst vedhæftede
Jeg skal anmode om, at der kvitteres
institutionens bestyrelse.
Med venlighilsen
Karen-Kathrine
VedelSørensen
Fuldmægtig
BUU, Alm.del - 2021-22 - Endeligt svar på spørgsmål 247: Spm. om at oversende alle dokumenter i sagen, som TV2 har fået aktindsigt i, i forbindelse med produktionen af dokumentaren 'Herlufsholms hemmeligheder', til børne- og undervisningsministeren
2588615_0091.png
Styrelsen for Undervisning og Kvalitet
Frederiksholms Kanal 26
1220 København K
Tlf. nr.: 33 92 50 00
Direkte tlf.: +45 33 92 51 86
E-mail:
[email protected]
BUU, Alm.del - 2021-22 - Endeligt svar på spørgsmål 247: Spm. om at oversende alle dokumenter i sagen, som TV2 har fået aktindsigt i, i forbindelse med produktionen af dokumentaren 'Herlufsholms hemmeligheder', til børne- og undervisningsministeren
2588615_0092.png
HerlufsholmSkoleog Gods
HerlufsholmAllé 170
4700Næstved
Att. skoleleder bestyrelsesformand
og
Styrelsen Undervisning
for
og
Kvalitet
Frederiksholms
Kanal26
1220København
K
Tlf. nr.: 33 92 50 00
E-mail [email protected]
:
www.stukuvm.dk
CVR nr.: 29634750
11. september
2020
Sags : 20/13586
nr.
Anmodning om redegørelse
Styrelsen
modtogden23. juni 2020en henvendelse Anja du Toit, der
fra
er forælder en tidligereelevpå HerlufsholmSkoleog Gods Henven-
til
.
delsen
vedrører
manglende
støttetil hendes
sønpå Herlufs-
holm Skoleog Gods Anja du Toit oplyser sin henvendelse, hun vil
.
i
at
sende samme
den
henvende til skoleledelsen bestyrelsen skolen.
lse
og
Henvendelsen vedlagt
er
dettebrev.
Efter modtagelse henvendelsen styrelsen
af
har
tagetkontakttil forælde-
ren,somyderligere
oplyste, skolenikke tilbød at
at
eleven.
Styrelsen endvidere baggrund henvendelsen
har
af
indhentetoplysnin-
gerfra styrelsens
kontor for specialpædagogisk somhar oplys at
støtte,
t,
der i grundskoledelen HerlufsholmSkoleog Godsudelukkende
er
søgtstøttetil én elev somhan
,
dledeom at få overførten allerede
bevil-
get
fra en tidligereskole Styrelsen
.
finder,at dettetal er
usædvanligt seti forhold til skolens
lavt
elevtal
.
Pådenbaggrund styrelsen led i sin tilsynsvirksomhed, frisko-
skal
som
jf.
lelovens 9 f, stk. 1, anmode følgende:
§
om
a. Skolensevt. bemærkninger de fremsatte
til
konkretekritikpunk-
ter.
b. Det fremgåraf friskolelovens 3, stk. 1, 1. pkt., at en skoleskal
§
givespecialundervisning andenspecialpædagogisk
og
bistandtil
eleveri medføraf § 3, stk.2, 2. pkt., i lov om folkeskolenSkolen
.
bedes
redegøre , hvordanskolensikrerdette.
for
c. Det fremgåraf friskolelovens 3, stk.1, 2. pkt., at en skoleskal
§
tilbydesupplerende
undervisning andenfagligstøttetil ele-
eller
ver,der har brugfor støtte,og somikke kanunderstøttes
alene
vedbrugaf undervisningsdifferentiering holddannelse
og
, med
henblikpå elevens
inklusioni denalmindelige
undervisning, §
jf.
BUU, Alm.del - 2021-22 - Endeligt svar på spørgsmål 247: Spm. om at oversende alle dokumenter i sagen, som TV2 har fået aktindsigt i, i forbindelse med produktionen af dokumentaren 'Herlufsholms hemmeligheder', til børne- og undervisningsministeren
2588615_0093.png
3 a,1. pkt., i lov om folkeskolen.
Skolenbedes
redegøre
for,
hvordanskolensikrerdette.
d. Skolenbedes
redegøre hvordanskolenidentificerer
for,
elever
medeventuelle
støttebehov.
De ovennævnte
oplysninger være dtageti styrelsen
skal
mo
senest
fredag
den25. september
2020og sendes karenkathrine.vedel.soren-
til
-
sen
@stukuvm.dk [email protected]
og
Det bemærkes, ovenstående
at
oplysninger
samteventuelle
bilagskal
fremsendes styrelsen elektronisk
til
i
form pr. e-mail,jf. friskolelovens
§
20 b. Styrelsen i denforbindelse
skal
anmod om, at skolensamtidig
e
overstreger
eventuelle
cpr.nr.,således disse
at
ikke fremgå af det frem-
r
sendte
materiale.
Endvidere styrelsen
skal
anmode
om, at besvarelsen ovenstående
af
punkterfremgårtydeligtfx vedangivelse a.,b., c., d.
af
Med venlighilsen
Karen KathrineVedelSørensen
-
Fuldmægtig
Direktetlf. +45 33 92 51 86
Karen [email protected]
-
2
BUU, Alm.del - 2021-22 - Endeligt svar på spørgsmål 247: Spm. om at oversende alle dokumenter i sagen, som TV2 har fået aktindsigt i, i forbindelse med produktionen af dokumentaren 'Herlufsholms hemmeligheder', til børne- og undervisningsministeren
2588615_0094.png
Karen-Kathrine Vedel Sørensen
Fra:
Sendt:
Til:
Cc:
Emne:
Anja du Toit <[email protected]>
23. juni 2020 23:06
Karen-Kathrine Vedel Sørensen; Sofie Marie Jørgensen Alber
Elsebeth Aller
Version 2
på Herlufsholm - vi manglede en ansvarlig og handlingsplan i
år. Nu trækker vi stikket :(
esdh-uvm-stil
20/13586-2
-1
AppServerName:
DocumentID:
DocumentIsArchived:
Kære Karen og Sofie,
Fremsender
igen
min opsummering af en meget kedelig oplevelse for vores
redigeret i denne version. Nu får I ikke flere, promise.
dreng på Herlufsholm.
Har
Jeg sender nedenstående til skolen, så snart jeg har hele bestyrelsens mail adresser. Jeg skriver til jer / involverer jer,
da jeg forstår på Elsebeth Aller, kopieret, at det er jeres opgave at føre tilsyn med de private grundskoler. Jo flere
gange jeg har læst min egen opsummering af forløbet igennem, jo mere absurd, synes jeg det vi har gennemgået og
oplevet er. Derfor henvendelsen. Jeg håber I kan hjælpe med at få rettet op på struktur, procedurer og ansvar, som
har manglet i denne her sag. Det er rigtig vigtigt, at der ikke er flere elever og forældre, der skal opleve og
gennemgå, hvad vi har.
MVH
Anja
Kære Mikkel, Anne-Louise og bestyrelse
Jeg er ked af at meddele
ikke kommer til at fortsætte på Herlufsholm næste skoleår. Vi er SÅ kede af ikke at
kunne fortsætte, men det går ikke.
Jeg har nedenfor lavet en punktvis opsummering af, hvor vi/jeg synes det er gået galt.
Hermed en opsummering af vores/min oplevelse af, hvorfor det ikke lykkedes. Håber det kan hjælpe Herlufsholm
/jer til at gøre det bedre. Det er i hvert fald grunden til, jeg bruger tid på at opsummere. Håber I modtager den i den
ånd, den er produceret. Herlufsholm er fantastisk. Vi har været rigtig glade for
forløb og for at lære alle jer,
der holder skibet i søen at kende. Og ved og forstår, der er mange udfordringer, og vi ikke er de eneste forældre, der
påkalder os jeres opmærksomhed. Mange tak for alt, der er blevet gjort, for I har da prøvet, det er sikkert. Men her
er oplevelsen fra vores side, det er ikke ensbetydende med det er den endegyldige sandhed. I har jo jeres oplevelse.
Men mange har jo fulgt vores forløb, og gør det stadig. Så deler min oplevelse, så I får noget at arbejde med for
fremtiden, hvis I vil?
Én ansvarlig
1
BUU, Alm.del - 2021-22 - Endeligt svar på spørgsmål 247: Spm. om at oversende alle dokumenter i sagen, som TV2 har fået aktindsigt i, i forbindelse med produktionen af dokumentaren 'Herlufsholms hemmeligheder', til børne- og undervisningsministeren
2588615_0095.png
Der er ingen person udpeget med ansvar for
på Herluf. De skoler jeg har været på (har
arbejdet som lærervikar på 4 i Næstved) har ALLE en spiseseddel, som udpeger, ved navns nævnelse og e-mail,
hvem der er overordnet ansvarlig for dit barns læring, hvem der står IT delen og hvem for det faglige. Og hvornår
man – forældre og børn, kommer på kursus i det
software som skolen brugte. Den delte jeg med dig
Anne-Louise og spurgte om skolen ikke
kunne kopiere en sådan struktur, for det ville være rart som forældre at vide,
hvem der er ansvarlig. Hvem man skal gå til.
Og det er her jeg synes problemet ligger. Jeg har ikke oplevet, der var
nogen, der tog det samlede ansvar for
læring. I skolen og på gården.
Som forældre til et kostbarn, har man
jo ”købt en pakke”. Vi skelner ikke mellem ’skole’ og ’gård’. For os er Herlufsholm en samlet institution, der
uddanner vores børn. Jeg har manglet en person, der ville koordinere indsatsen mellem skole og gården. Eller én
person der havde ansvaret for min søns uddannelse om det handler om lektier, afleveringer,
Vi forældre kan ikke styre/påvirke, hvad der forgår, hverken i klasselokalet eller ved skrivebordet på gården.
Kommunikation til hjemmet alt for mangelfuld
Feedback på karakterer / vyrd er alt for kort og mangler uddybning… der skal være noget for elev og forældre at
kunne tage fat i. En karakter fortæller jo ikke, hvor der skal sættes ind for at forbedre
og jeg fik et blankt karakterark, hvad kommentarer angår. INTET fra de lærere, der havde
droppet karakteren. Jeg var rasende og indkaldte til et møde. Fordi jeg ikke følte, der var nogen, der havde hånd i
hanke med
læring
duede ikke, han fik ikke
Brendas uopfordrede ’heads-up’, var fantastiske. Intet mindre. Hun fortalte både om, hvor drengen stod fagligt,
men så sandelig også om hans trivsel i klassen/hendes timer. Det var en kæmpe hjælp, når man sidder 8.000 km fra
sit barn. Men vel ikke anderledes, hvis man sidder i Randers. Jeg efterspurgte en lignede feedback flere gange, men
har aldrig fået noget der ligner – kig på
vyrd. Bed hans lærere om korrespondancen med mig. Den eksisterer
ikke!
Handlingsplan, tak! … Mange tilbud, men ingen sammenhæng. Hvad skete der med handlingsplaner på Hhlm?
gik til
jeg mistede overblikket, da det fremstod, både for
og jeg
som spredt fægtning. Anne-Louise sørgede venligst for at vi fik kontakt til en privatlærer i Næstved. Der var
på skolen for
lektiehjælp fra én pige,
der skulle have guldmedalje i Duke of Edinburgh award. Så var der en anden -
Mette fra 2.G., og så
Krabbe – lektiehjælp og organiseringshjælp fra 1.G. Alt sammen fine initiativer, som jeg ikke helt ved, hvor endte –
de gled ud og manglede en eller anden form for samlet fundament. Jeg kan ikke helt sætte ord på, og vi er
selvfølgelig glade for tilbuddene, men der manglede sammenhæng og struktur/fastholdelse…. Jeg tror svaret hedder
’handlingsplan’?
Én ansvarlig medarbejder med overblikket over alle indsatsområder – nedskrevet i en individuel
handlingsplanen. Jeg bad om en handlingsplan flere gange i min korrespondance med dig Anne-Louise
og jeg husker,
du svarede mig, hvad jeg egentlig mente med det. Jeg finder gerne tråden. Summa sumarum er, at der ikke har
været tilbudt en vurdering af
behov ej heller udarbejdet en samlet plan for hans undervisning. En
handlingsplan.
Alle elever i folkeskolen, som har læringsudfordringer har krav på og får lavet en handlingsplan. Jeg er stadigvæk
overrasket over, man ikke ved, hvad det er på Hhlm. Vi havde en langstrakt korrespondance omkring påske da
gik i
og starten af
– efter vores fællesmøde, jeg havde indkaldt til efter
fik sin vyrd
uden så meget som en kommentar (bortset fra Brenda, som altid leverer en uddybende status på barnet).
Det møde, hvor jeg bad alle involverede være tilstede (Vedhæfter tråden, ellers er det også fremsendt til Ettie)) I
den korrespondance gjorde jeg opmærksom på, at folkeskoleloven pålægger private grundskoler at tilbyde det
samme til alle elever som folkeskolen skal. Og individuelle handlingsplaner er et af dem!
Det er meget belastende og stressende, at aflevere sit barn med
som er fuldstændig italesat
mellem forældre og skole og så ikke blive oplyst om og involveret i barnets udvikling. Et tal fortæller jo intet om
2
BUU, Alm.del - 2021-22 - Endeligt svar på spørgsmål 247: Spm. om at oversende alle dokumenter i sagen, som TV2 har fået aktindsigt i, i forbindelse med produktionen af dokumentaren 'Herlufsholms hemmeligheder', til børne- og undervisningsministeren
2588615_0096.png
hvad
problemet
planen var med-
er, hvor vi skal hen og hvordan vl/han kommer derhen. Jeg har aldrig haft overblik over, hvad
i nogen som helst fag. Det har man
i
folkeskolen. Handlingsplaner.
_
NBjeg har arbejdet som
indsigt.
så taler med opdateret
lærervikar på
2
skoler (reelt fire) alle de 3 årjeg har boet med-
Vores 'efter- krisemøde-dialog'
som varede fra påske til jul-
(der kom en sommerferien
i
mellem) og der var
lang ventetid på svarene, som jeg husker. Jeg
blev
ed med at spørge til 'handlingsplanen'
spørgsmålet
blev
undveget. Udvekslingen
min fortsatte spørgen til handlingsplanen,
fra dlg Anne-Louise, hvor du gør os opmærksom
en anden løsning til-
tråden og det har Ettie også)
Altså en anden skole. Jeg fik aldrlg en handlingsplan
for-
og oplevede det som om
sluttede d også med et svar
uddannelse.
(Igen
jeg har
på, at hvis det grundskolen tilbyder ikke er godt nok, så må vi finde
Jeg har aldrig, som i 'aldrig' trukket kortet 'vi betaler rent faktlsk for det her'... og det gørjeg sådan set heller
ikke
nu.
Men der kommer andre efter os
heldigvis, så jeg gør her på falderebet
synes, en handlingsplan er et minimum
opmærksom
på, hvordan man/vi jo ikke kan
undgå at forvente, at når man betaler for en privatskole, at så får man også 'mere' end en folkeskole kan tilbyde. Jeg
og
i
øvrigt lovpligtigt, så vidt jeg forstår. Men jeg havde Ønsket mig at skolen
og præfekter),
pga af de ekstra penge vi betalte, havde udpeget en ansvarlig (lærer— ikke frivillige gymnasieelever
der påtog sig opgaven at sørge for mit barns uddannelse hele vejen rundt.
Fastholde ham i en klasse med en lærer han ikke forstod, der stod for
50-60%
opfordret
afundervisningen
Matematik,
gange
geografl og naturfag, som han ikke forstod. Både pga af hendes accent og didaktik…-
blev gentagende
tIl at spørge, når han ikke forstod og det gjorde han. Men som han sagde ”mor, hun sigerjo bare det
hvis børn
hverken-
eller
også havde problemer
fra starten.
med at forstå
samme, som hun sagde oppe ved tavlen
det var jo det, jeg allerede ikke forstod”. Det skal lige nævnes at jeg talte
med de andre forældre,
stod her i dag, hvis-
den lærer. Så hvorfor fastholde ham i en klasse med en lærer end ikke de danske børn ikke forstår? Jeg tror ikke vi
havde været i en klasse som Christian oglesper's
Fastholde ham i en klasse med en dansklærer
'læsevejledning'
flyttede
Og som i øvrigt
ALDRIG
kommunikerede
som ikke hverken kommunikerede
kompendier,
så han ikke kunne
eller kom i spil med
på trods afjeg udelukkende
på dette. En
mener selv at
en dansklærer som udleverede
med mig i de
2
år han vari hendes varetægt,
med til DK for at være støttehjul for-
skolegang og jeg gang på gang gjorde opmærksom
og derfor havde var den bedste til at arbejde med-
dansklaerer som jeg fik at vide var læsevejleder
læsevejledere
Det var bedst at holdel
skulle have erfaring med
/
uddannelse i_
afen art. Sådan blev det i hvert fald solgt til mlg.
som lærere. Han har fortalt efter han har forladt
elev tilstede i
under Heidis paraply, for hun kunne /ville hjaelpe ham som ”ekspert”.-
mistede sin motivation,
det værste, der er sket for ham er, at han havde Heidi og Marianna
klassen, at han fuldstændlg
klassen. iflg
fordi han intet forstod og de aldrig prøvede at hjælpe ham til at
aldrig spurgt, om han forstod eller kunne følge med.
—jeg talte med moderen.
for ham
på mange kringlede
fordi, jeg ved
forstå. Eller rettere bare ignorerede
som jeg hører hans forklaring, den
og
3
andre klassekammerater,
,som også var-
blev-
blev trukket ud af sine forældre, fordi de synes indsatsen var for ringe og
som beskrevet
de havde samme oplevelse af Heidl og Marianna,
Jeg spurgte-
de/lårige
bemærket,
mange gange, om Heidl gjorde noget særligt i undervisningen
ikke ser, hvad vi ser. ! kan regne ud hvad resultatet
at der var en læsevejleder,
måder (jeg er både journalist og har bedrevet antropologlske/soclologiske
samme —for børnene, uigennemskuelig
forskningsinterview)
af mine interviews var. Jeg spurgte så sidenhen
om samme.... Ingen havde
mig eller være i
og jer i at
læring, tilstede
l
klasselokalet. Jeg må sige,
til Danmark for at støtte-
måde, enkelte af hans klassekammerater,
der skulle tage sig ekstra åf-
varflyttet
at det har rystet mig hele vejen igennem. At Heidl ALDRIG har gjort sig den ulejlighed at orientere
dlalog med mig- på trods af hun/l vidste jeg KUN og udelukkende
været en klagesagl-
ske var, at jeg fik Marianna
_
få ham ordentlig på plads i skolen
-
Herlufsholm. Den manglede dialog var ikke gået i folkeskolen. Så havde der
fortæller grædende om sin skolestart
sit første år, sine første 2 år: "det værste der kunne
og Heidi... jeg forstod ingenting… jeg sad bare og kiggede og forstod ingenting, det var
med at fortælle at_
(også-
som startede med
hvordan man kunne se YouTube i timen for at slå tiden ihjel. De
det værste der kunne ske." .
.
og fortsætter
havde det lige sådan, og derfor viste-
var alligevel helt koblet af.
3
BUU, Alm.del - 2021-22 - Endeligt svar på spørgsmål 247: Spm. om at oversende alle dokumenter i sagen, som TV2 har fået aktindsigt i, i forbindelse med produktionen af dokumentaren 'Herlufsholms hemmeligheder', til børne- og undervisningsministeren
2588615_0097.png
IT redskabet fungerede ikke 8 måneder inde i første skoleår.
De 8 måneder, hvor jeg rodede rundt med hele
problematikken,
, ny på Hhlm, blev jeg alt for mange gange henvist til den pige fra
2.G. som frivilligt fungerede som
-coach. Det er voldsomt og efter min mening upassende at lægge
ansvaret for sådan en opgave hos en frivillig elev.
Jeg var selvfølgelig
i kontakt med IT kontoret over tlf og mail. Jeg blev mødt mere end en gang med beskeder som, at
måtte selv møde op’ (hvilket han glemte hele tiden - klasses-dreng) … og når han så endelig huskede det,
fik han flere gange at vide, at han skulle vi sørge for IT-kontoret havde tid, når vi kom … og endelig at ’der var andre
mere presserende opgaver i IT, som havde prioritet’… så han måtte vente. Det skete mere end en gang! Hvad er
mere vigtigt end eleverne kan være med i undervisningen?
for
et problem:
På et tidspunkt i de første 8 mdr, hvor IT redskabet
ikke fungerede, måtte jeg presse lidt rigeligt på at få set på
. Jeg oplevede at blive ’den
irriterende mor’, der hele tiden var i røret. Men det var virkelig problematisk at
ikke kunne bruge sit IT
redskab, fordi hele institutionen Hhlm henviste IT-redskabet, som om den ville klare hele
, der skulle
for ham. Så vi blev jo revet med og selvfølgelig stressede over at den ikke virkede. Det var jo
redde os/ham.
Vi mødtes endelig med Lotte, som prøvede at løse problemet. Men som også måtte sande, den ikke duede. Lotte
henviste til
der åbenbart ligger i hobetal på nettet.
Vi var lettede og gik glade hjem. Men…. De
duede heller ikke,
Måske noget at tage til indtægt for fremtiden?
Overlade anskaffelse af undervisningsmateriale til
barn:
skulle selv lære – årig dreng, at
– det gør man for eleverne i folkeskolen. Det
er et lovkrav. Der er forhindringer nok i forvejen som
så I kan nok forestille jer hvordan det gik.
Sovesalslæreren/Mads skulle vise ham, hvordan man gør. Men hvis ansvar er det egentlig?
30 min daglig læsning som aldrig blev gennemført:
, SKAL bruge tid på at læse på dansk.
Det skal alle elever. Og det gjorde sovesalslærer Mads meget klart, da vi startede. At det gør eleverne hver dag på
gården. Det gjorde de så ikke.
Selv ’at finde en bog’ som kunne bruges på hans niveau, blev der aldrig taget ordentlig hånd om.
sagde der
aldrig var nogen på biblioteket (jeg spurgte til det hver rejseweekend), det passer sikkert ikke – men en
årig,
med
skal holdes i hånden for at komme i gang. Og fastholdes! Sovesalslærer Mads fandt ’noget’ til
ham. Ja, det var i den ånd ’noget’. Et barn
, skal ikke have ’noget’. De skal virkelig sælges ’en
bog’ og
Men igen, hvem har ansvaret?
læste med mig hver dag, da han boede
hjemme. Når man kalder sig ’home away from home’ så skal der jo være noget forældrestyring på lektielæsning,
som rækker udover at checke de har tændt computeren.
Jeg har nu fundet ud af min søn gennem sine år på Herluf, kun har læst 2 bøger udover dem, jeg har sørget for han
læste hjemme i weekenderne. Den ene bog fik
Asger, ham motiveret til
at læse. Den anden bog fandt han selv liggende fremme hos en kammerat og blev interesseret. Begge blev læst her i
Min oplevelser er, at der ingen opsyn er med, hvad de laver i LAL. Jo opsyn med, at de er på deres pind, men
4
BUU, Alm.del - 2021-22 - Endeligt svar på spørgsmål 247: Spm. om at oversende alle dokumenter i sagen, som TV2 har fået aktindsigt i, i forbindelse med produktionen af dokumentaren 'Herlufsholms hemmeligheder', til børne- og undervisningsministeren
2588615_0098.png
ikke hvad der foregår på skærmen. På trods af vi alle kender teenagedrenges hang til spil & YouTube. Og det er
blevet rigtig god til – altså gaming. Hvem har ansvaret?
talte engelsk på gården:
… behøver ikke udpensle så meget her, det var bare et problem, at
endte med
at hænge ud med de engelsktalende. Eller rettere, de andre drenge synes jo, det er cool at tale engelsk (og det er jo
fint for dem), som er Youtube/gaming sprog. Så hver gang jeg ringede, og han tog telefonen forlod han en samtale
på engelsk –
tager altid telefonen, mens han forsætter samtalen, han er i. Og jeg kunne høre, der blev talt
engelsk i baggrunden. Jeg talte flere gange med sovesalslærer Mads om, der var noget man kunne gøre, men han
syntes, de talte dansk sammen.
Meget af ovenstående har jeg gjort opmærksom på i en den korrespondance, som bestyrelsen har været kopieret
på. Men det er nok ikke så tydeligt, som det forhåbentligt fremstår her i et mere samlet overblik over vores
oplevelse.
Jeg ønsker Herlufsholm, elever, personale og bestyrelse alt det bedste. Vi kæmpede år for at blive, fordi vi synes,
det er en fantastisk skole på mange fronter. Men der er også brug for udvikling, så I ikke taber flere på gulvet, men
måske endda kan bryste jer af at have styr på det – vi holdt fast i for lang tid, ser vi nu. Fordi vi stolede på jer som
eksperter i uddannelse og fordi I er troværdige sympatiske mennesker. Men der skal mere til… Og det er
der
er den store taber i det her forløb. Det gør ondt! … Det bliver stejlt op ad bakke for ham at starte
– og så er han jo stadig
forevigt, så endnu stejlere for ham. Og drengen (og
vi) er dybt ulykkelig over at skulle forlade jer, venner og venners forældre. Det gør rigtig ondt! Men han har lidt
nederlag alt for længe. Mistet motivationen og har store sår på selvtilliden. Store! … håber ikke, der kommer andre
efter ham. Andre der i den grad skal lide nederlag som
Mange hilsner fra
Anja &
– og Mike
Anja du Toit, MA Mass Comm & Journalist
Kenya + 254 722 20 30 63
Denmark +45 29 91 08 11
www.malostables.com
www.facebook.com/NairobiForestRides
5
BUU, Alm.del - 2021-22 - Endeligt svar på spørgsmål 247: Spm. om at oversende alle dokumenter i sagen, som TV2 har fået aktindsigt i, i forbindelse med produktionen af dokumentaren 'Herlufsholms hemmeligheder', til børne- og undervisningsministeren
2588615_0099.png
Herlufho‘m Skole d.15.09.2020
Anmudnin
11.09.2020
om rede
rebe 'f.sa
20 13586 henvendelse fra B ren O undervisnm smmisteriet
Redegørelsen udfærdiget af Grundskole‘eder Anne—Louise
Boelsmand,
har gået På Heriufshmm
Skole siden
,
hvor han cptageti
klasse.
AV:
Manglende
Skolen
havde
den første samtale med _3g
Anja du Taxt d.
hvor de Fortæller at .zr
HerlufShmm
Skme har ingen grund Ul at betvwle
kvaHteten
af denne test
Herlufsholm
Skole har Wøbende særligt
fokus
på de kostelever,
der er
Herlufsholm
Skoles
anvendelse af SPSmidler:
Når en e‘ev søger
optagelse
på Herlufsholm
Iedelsesrepræsentant.
Denne samtale
Ved sammen
forældrene
er et suppWEment {H den skriftlige
spørges derindtnb1.a.evt.-,0Henteres
og eleven um skolens praksis:
ansøgmng,
skolen om, at eleven har-orienteres
Sko‘e,
indkaldes
eleven altid [H en samtale
med en
>> Har eleven allerede en_
tidligere
”iv
skole, hms det ønskes.
orienteres
Forae‘drene
forbindelse
Sam det fremgår
søger Her…fsholm Skole cm at få _overført
på Herlufsholm
Sko‘e
Der tilbydes
i
den
fra
om IT—hjælpeprogrammer
også samtale
af den trykte
med en af sko‘ens \eesevejledere.
for afk‘aring
af hjaelpemid‘er.
Herlufsholm
SkaWes
der har
skolehåndbog
side 88, får E‘even mulighed
Vurderingen
for at benytte
udbud af
WT—programmer
til at afhjælpe
af, hvilke
programmer
BUU, Alm.del - 2021-22 - Endeligt svar på spørgsmål 247: Spm. om at oversende alle dokumenter i sagen, som TV2 har fået aktindsigt i, i forbindelse med produktionen af dokumentaren 'Herlufsholms hemmeligheder', til børne- og undervisningsministeren
2588615_0100.png
bedst effekt, sker i samarbejde
til programmerne.
med en af skoiens Iæsevejledere,
som også er behjælpeiig
med introduktion
AL skolen ikke har ansøgt om SPS—midler er iKKE et udtryk for, at vi ikke stiller
iT—programmer
eiier
vejiedning lil rådighed forvores elever med
_
Det gør vi bestemt
En ansvarlig:
På Herlufsholm
Skeie er det skoiens to iæsevejledere,
der har det primære
ansvarfor
at hjælpe elever med
_
De er begge uddannede
eh dei af skoiens samiede
og en praktikvejleder.
Ipunkt
B redegøres
fur skciens
procedure
til at sikre, at alle eiever med fonologiske
vanskellgheder
eller
iæsevejledere
vejiederteam,
og har et stort og indgående
kendskab
til eiever med
_
De er
der
også
består af en matematikvejleder,
en uddanneisesvejleder
-i
får den fornødne hjælp af læsevejlederteamet.
har et tæt og indgående
samarbejde
med kiasseteamet
omkring
eiever med
_
Læsevejiederne
En afslmlens
skifte
klasse,
iæsevejledere
da han ønskede
har været dansklærer
at komme
i en klasse,
for
hvor
der varflere
kiasse, hvorefter-
kostelevdrenge.
valgte at
Skolen Frarådede dette
cg samtidig
skifte, da han derved
viiie komme
væk fra danskiæreren,
der også var læsevejieder,
og at
skuiie skifte til en klasse, hvor de faghge måi var nået gennem
til den forestående
til hjemmet
andet fagstof,
for-
teksmpglvelserne
Kommunikation
eksamen
derfor
kunne være ukendte
alt for mangelfuld:
Der eri perioden, hvor-
Se bilag 1V
Det erbekiageiigt,
har gået på skolen lavet nye retningslinjer for Vyrd»givning(vidnesbyrd).
afdenne
procedure
at han ikke har nået at opleve effekten
Skøien tager kritikken
at forbedre
af mangeiruld
kommunikation
med hjemmettii
efterretning.
Der vii blive arbejdet
dette punkt.
oplever,
samarbejde
ikke at være blevet orienteret
ikke kunne etabieres.
side 139 er det nuværende
afhoides
Furældresamarbejde
beskrevet
samt
en årlig skoiehjemsamtaie.
om sit barns skoiemæssige
styrker
og svagheder,
Vii
Hvis en forældre
et konstruktivt
i den (rykte
skoiehåndbog
Heraf fremgår
Derudover
detJ at der i grundskoien
at kontakte
et årligt foræidremøde,
er det muiigt
skoiens lærere via maii ng teiefon.
afieveringer
og
Skolen kan formidie information nl forældrene via faraeidreintra.
Foræidre
vil ligeiedes
kunne føige deres barns skolegang
via iectio, hvor opgaver,
lektier,
fraværsreglstrering
er tilgængeiig.
mor og skolen, hvor brugen af iectio blev gennemgået med
Der harværet afhoidt eL møde med-
ikke kunne tilgå hele ieclio Via iectio-Appen, hviiket gjorde, at hun ikke
hende, Det viste sig, at-mor
hans opgaver Dg afleveringer.
kunne se danskiærerens bemærkninger og vejledninger tii-ifm
BUU, Alm.del - 2021-22 - Endeligt svar på spørgsmål 247: Spm. om at oversende alle dokumenter i sagen, som TV2 har fået aktindsigt i, i forbindelse med produktionen af dokumentaren 'Herlufsholms hemmeligheder', til børne- og undervisningsministeren
2588615_0101.png
Dette
biev
afkiaret
1)
på møde!
der
biev
aihoidt
hvor
6/4—2019,
nedenstående
biev ført tll referat:
handler
om ukorrekt
brug
af
Den
manglende
Lectio.
kommunikation
til
hjemmerfAnia/Mads/Kristinu)
*S*
a
Anja/Kristinu
har haft
'rigtig'
har
ikke kunnsrfinde
adgang
udføriige
de
udførlige
opgavebeskr/velser,
fordi
Kristina/Anja
Ikke
rii
Lectio
og har
brugt app’en.
apgavebeskuvelser
opgaver).
vi kan
følge
med
i
_
via computeren
b,
Heidis/iærerne;
opguveme
ligger
der
Også
tilbagemeldinger
{under afleverede
Det er
i tl'lbageme/dmgerne,
Vi er nødt
tvi
affinde
præstation
ikke app'en.
og
udvikiing
opgaver/iektier
Vi
ernødr
tli at
have
_
skrive
rii
Lotte
bede
Som nu er: Brugernavn:
_
log—in.
skai kommunikeres
tri
aiie:
Kode:
_
-
Anja,
Mad:
Hun må
ikke ændre
det.
Hvis
han gør og
ikke
kan
huske
det, skal vi
(Anja/Mads/Kristina)
om er
nyt,
mm
Kristina.
Handleplan,
tak!.......Mange
tilbud,
men
ingen
sammenhæng.
Hvad skete
der med
handleplaner
for
tm?
Jeg kan som skoieleder
Skolen heri
indeværende
Ved skoieårets
ikke genkende
skoleår
beskriveisen
af“dansksprogede
eiever
med behov”.
i
Danskz
i
Grundskolen.
i
Grundskolen
Ligeledes
afsat
3
klakketimer/uge
lii
undervisning
baggrund,
er der
afsat
1V1kiokketime/uge
start screenes
måirettet
eiever
på 10 årgang.
der optages
alle elever med
udeniandsk
Heriufshoim
Skoie.
Del kan være
eiever:
>
Med danske foræidre, men som ervokset op
i
udlandet og har en
udeniandsk
skoiebaggrund.
foræidre,
forældre,
og som har et fremmedsprog
som
modersmäi
Med to
udeniandska
men som er vokset op l' Danmark
eieveme
på homogene
hold,
';— Med én
udeniandsk
Efter gennemgang
Undervisningen
Dertil kommer,
af screeningen,
af lærere
inddeles
varetages
med Danskz som Hnjefag.
en
åriig
donation
fra Brødrene
Witt.
Denne donation
er
måirettet
at vi på skoien modtager
eiever
med et andet modersmål
Disse eiever
riibyderefterskoletid
linjefag
]
DanskZ
End dansk.
et
intenSivf
kursus i dansk. Disse timer
iæses ligeledes
af lærere med
Ønsker forældrene
undervisning
Det er korrekt,
æidste
jf. den trykte
afen
skoiehåndbog
side
77 Foræidrebetalt
ekstraundervismng,
lærere.
kan vi henvise til
varetaget
af skolens ændre elever eller en afskoiens
at skolen er en del af The Award,
hvor
service
er et af
eiementeme.
struktur,
Eiever
fra
gymnasiets
specifikke
faglige
klasser kan nlbyde
lignende,
at hjæipe elever fra
grundskolen
med lektier,
udfordringerog
et supplement
Dette er Ikke og har
aidrig
været,
den
primære
indsats
for skolens-siever.
Det er Udeiukkende
m skolens to beskrevne
fremgår
indsatser.
Et sådanne
suppiement
af
bilag
2.
BUU, Alm.del - 2021-22 - Endeligt svar på spørgsmål 247: Spm. om at oversende alle dokumenter i sagen, som TV2 har fået aktindsigt i, i forbindelse med produktionen af dokumentaren 'Herlufsholms hemmeligheder', til børne- og undervisningsministeren
2588615_0102.png
IT redskaber fungerede
ikke
8
måneder inde
i
året:
Grundskoien har gjort brug af en
IT-café,
hvor ældre elever med erfaringi
stillede
sig til rådighed,
for andre
elever
med tekniske
udfordringer
i netop
disse programmer.
Dette er bestemt IKKE skole ns primærindsats,
etablerede
indsatser.
men som beskrevet ovenfor, et ekstra supplement tii skolens
Heriufsholm Skole har en iT—afdeling, der supporterer
elever og medarbejdere.
Det er korrekt, at
_
af flere omgange er blevet bedt om at tage kontakt tii vores IT—afdeling hvilket har
været yderst svært at få ham
til.
Vi har ikke tidligere
(eiler senere) opievet udfordringeri
brugen af de lT-hjælpemidler
hjæipe vores eiever.
til at få afklaret udfordringen.
skolen stiller til
rådighed. Ej heller at skolens IT-afdeling ikke harviiie
Men nårvi møder en sådanne kritik, er vi forpligtet
Overlader
anskaffelsen
af undervisningsmaterialer
tii -arn:
Alle grundskolens
introduktion
lærere er undervist i, hvordan der scannes materiale til elever med
_
10 delrådsmøder.
Dette
har fundet sted på et afårets
_
vil kunne få hjælp til scanningfra enhver af skolenslærere,
Det er korrekt, at ui_tii
rådighed for vores ældste elever, så de
Langt hovedparten
elever
af materialet
der anvendes lægges i iectio, Dg findes derfor allerede elektronisk. Alle
også findes.
hvor en stor del af undervisningsmaterialet
Det er ikke skolens pra ksis.
Jeg skal beklage, hvis .har
været sat i en situation, hvor han er blevet bedt om—
B.:
Alle nye klasser og nye elever alle årgange testesi
ST og TL.
Testene
gennemgås
på sprogkonference
med de pågældende
med de standardiserede
materialer
dansklærere.
Eleveri risikogruppe
Elever
for læse—stavevanskeligheder tilbydes undervisning
på små hold.
tilbydes yderligere og afdækkende test inden den egentlige
_
Efterfølgende
inviteres forældrene
til et møde, hvor rapporten
fremlægges og plan og mål
for eleven gennemgås.
BUU, Alm.del - 2021-22 - Endeligt svar på spørgsmål 247: Spm. om at oversende alle dokumenter i sagen, som TV2 har fået aktindsigt i, i forbindelse med produktionen af dokumentaren 'Herlufsholms hemmeligheder', til børne- og undervisningsministeren
2588615_0103.png
Elever
åHerJufsholm
Lærerteamet
tilbydes
omkring
eleven orienteres,
således at undervisningen
fremadrettet
kan tHgodese eleven
Løbende tllb des elever
Når We heden byder sig, hare‘everne
h
Dertilbydes
De e‘ever, der går på prøveforberedende
årgange, tHbydes
Alle undervisere
i Herlufsholm
Skoles Grundskole
har modtaget
undervisning
Dertil kommer,
Se hflag 3.
C.:
Skolen afsætter
at vejlederteamet
på Herlufshmm
Skole har udarbejdet
et testbatteri
hvert år 230 timer IH ]æsevejledmng
ti] \aesevejledning
fremgår
og 165 timer til matematikvej‘edning.
Funktionsbeskrivefse
Læsevejlederen
faglig
kompetent
Der… kommer,
D.:
af
bilag
A,
og konsultatwt,
så den enkelte
Wærer er
arbejder,
som de fremgår
af bHag 4, profylalmsk
tH at inkludere
at skolen afsætter
eleven med særllge behov
i
klassen.
15 timer/uge
[H ekstra støtte
og holdundervrsnmg
hvert år,
Der henvises til skolens testbatteri
(bilag
3) samt procedurebeskrvvelse
punkt B.
BUU, Alm.del - 2021-22 - Endeligt svar på spørgsmål 247: Spm. om at oversende alle dokumenter i sagen, som TV2 har fået aktindsigt i, i forbindelse med produktionen af dokumentaren 'Herlufsholms hemmeligheder', til børne- og undervisningsministeren
2588615_0104.png
S‘utteflgt
genbesøge
at det vigtigt
at understrege,
at aHe henvendelser
fra skuffede
ForæWdre giver anledning
til at
skolens praksis.
fra Anja du Toit bestemt
også
gjort,
sig yderst
positivt
gennem
de sidste 2-3 år.
Del har henvendelsen
Grundskolens
veHederteams
at
_
virke og praksis har udet
ikke nåede at få udbytte
Det er beklageligt,
af den udviag.
Me
enllgHHsen
,'
MM/
Grundskmeleder
Anne-Louise
Boe‘smand
Skme
på Herlufsholm
BUU, Alm.del - 2021-22 - Endeligt svar på spørgsmål 247: Spm. om at oversende alle dokumenter i sagen, som TV2 har fået aktindsigt i, i forbindelse med produktionen af dokumentaren 'Herlufsholms hemmeligheder', til børne- og undervisningsministeren
2588615_0105.png
BUU, Alm.del - 2021-22 - Endeligt svar på spørgsmål 247: Spm. om at oversende alle dokumenter i sagen, som TV2 har fået aktindsigt i, i forbindelse med produktionen af dokumentaren 'Herlufsholms hemmeligheder', til børne- og undervisningsministeren
2588615_0106.png
BUU, Alm.del - 2021-22 - Endeligt svar på spørgsmål 247: Spm. om at oversende alle dokumenter i sagen, som TV2 har fået aktindsigt i, i forbindelse med produktionen af dokumentaren 'Herlufsholms hemmeligheder', til børne- og undervisningsministeren
2588615_0107.png
M
Rekto
rkomm‘
Hui…
,,…
ISHOLM
……
Tilbud o
11.58ptembcr
2019
Jeg vil meget gerne
Inviterejex'
til et efiemuddagskursus
på skolen.
Mandag
d. 7,
oktober
og
unsdag
d 9,
oktober
Kl.14,40—15,40
Lokale 7.B i Skygmngen
I vil
blive undervist
i
Undervlser
er
Den første kursusgang
stille spørgsmål
Vil
I
blive
introduceret
til programmerne,
og der vil være mulighed
for at
til anvendelsen.
for forskellige
små øvelser. så vi kan se, om
I
kan
Den anden
kursusgang
vil I
blive
præsenteret
anvende
programmerne
Tilmelding
senest
d. onsdag d. 2.0kmber
til ALDJLI 1nLul_shohn.dL
Der v11 blive serveret
vand
og mfislibar.
Mcd venlig hilsen
Anne-Louise
Boelsmand
Grundskoleleder
NERLUFSHDLM
oc cons
«
HERLUFSHOLMALLE
DK nun
NÆSTVED
cvn NR sa 5953
m »
amwmnnmm
SKULE
nu
.
li.….vmn—W
Imam
m
v…;
w
m;…»
w.:y
m
J…»…um
……—hm.…l…
.u
Mrruwn—Lmuu
mu—
.umaun
mmg
H
»
nu
n
;…
…i 1: 5r’
_
.H
mm mm,“ wn/m-‘ul-Jmh‘.‘ AL
BUU, Alm.del - 2021-22 - Endeligt svar på spørgsmål 247: Spm. om at oversende alle dokumenter i sagen, som TV2 har fået aktindsigt i, i forbindelse med produktionen af dokumentaren 'Herlufsholms hemmeligheder', til børne- og undervisningsministeren
2588615_0108.png
MAL.
afundervisning
for e‘everne
i grundskolen
>
Al
skabe
en slkkert grund‘ag
for tttelæggelse
»
m
mbydeekstraugdgrvisning mavermedfagc udfordringer
sa
mung;
sommuliggagkgnne
Årgang
T5
ALB
_
Matematlk
LBJ
Tesltidspunkt
S
_ ___
__
,
[
T_esltager
Mat 5
__
Matematik
__
äesttager
_
Kommende
Juni mden skolestart
6Vårgang
_
__
5
argang
ST
Staveprøvea
M317
Okt/nov
Apr/maj
F1
Natiuna‘eTest
Dbg‘
TPSt
Nationm
TL
Læseprøve 1
\
Dansk‘aereren
nsklærcrcn
Da
Laesevejl,
l
Læsevejlv
__
j
i
elevertestes
,
Awe
'
_
Dansklærercn
; Laesevejl.
.
:
Læseve
DecF2
Aug/scp
Kunmelever
ag læsmng
Ane elevernaliona‘testes
_
__
elevertestes
AHe
TestF2
Nauonal
ST?
Stavepmve
TL
Laesepmve 2
testes stavning
STS
Staveprwve
TL
Læseprøve
3
Kun flyg elever testes.
&
__
's érgafig
''
Aug/sep
;
StaveprøveSTS
Læseprøve
AHcm/g
elever testes.
TL
4
Læsevqx.
Læsevejl,
Læsevejl
Læsevej].
melevertestés, hvlsdet
1
=
nndesnødvendigt
_
,,
Å
_
___!
*,
3
&
Aug/sep
AHeMÅeWevertcslcs
«'
eftcr _
Der Lestes
_
Der testes ener behov
Læsg/gjl,
f
fag
[ages ener behov. Anne-Lomse
Boe‘smand
3V1un12018
Tcstlmrcrne
skal '! størst muhg omfang varetage
ekstraundervisn‘mgcn
1
deres respektwe
BUU, Alm.del - 2021-22 - Endeligt svar på spørgsmål 247: Spm. om at oversende alle dokumenter i sagen, som TV2 har fået aktindsigt i, i forbindelse med produktionen af dokumentaren 'Herlufsholms hemmeligheder', til børne- og undervisningsministeren
2588615_0109.png
BUU, Alm.del - 2021-22 - Endeligt svar på spørgsmål 247: Spm. om at oversende alle dokumenter i sagen, som TV2 har fået aktindsigt i, i forbindelse med produktionen af dokumentaren 'Herlufsholms hemmeligheder', til børne- og undervisningsministeren
2588615_0110.png
BUU, Alm.del - 2021-22 - Endeligt svar på spørgsmål 247: Spm. om at oversende alle dokumenter i sagen, som TV2 har fået aktindsigt i, i forbindelse med produktionen af dokumentaren 'Herlufsholms hemmeligheder', til børne- og undervisningsministeren
2588615_0111.png
12
BUU, Alm.del - 2021-22 - Endeligt svar på spørgsmål 247: Spm. om at oversende alle dokumenter i sagen, som TV2 har fået aktindsigt i, i forbindelse med produktionen af dokumentaren 'Herlufsholms hemmeligheder', til børne- og undervisningsministeren
2588615_0112.png
Fra:
Sendt:
Til:
Emne:
Kære Mikkel Kjellberg
Jeg kvitterer
Karen-Kathrine
VedelSørensen
16. september202014:34
'Mikkel Kjellberg'
SV:Brevfra Styrelsen Undervisning Kvalitet
for
og
hermed for modtagelsen
af skolens redegørelse.
og skolen hører nærmere snarest muligt.
Styrelsen vil behandle de indkomne oplysninger,
Med venlighilsen
Karen-Kathrine
VedelSørensen
Fuldmægtig
Styrelsen Undervisning Kvalitet
for
og
Frederiksholms
Kanal26
1220København
K
Tlf. nr.: 33 92 50 00
Direktetlf.: +45 33 92 51 86
E-mail:[email protected]
Fra: Mikkel Kjellberg<[email protected]
>
Sendt:16. september202014:16
Til: Karen-Kathrine
VedelSørensen [email protected]
<
>; Centerfor Grundskole
<[email protected]
>
Emne:SV:Brevfra Styrelsen Undervisning Kvalitet
for
og
Vedhæftetfremsendes
redegørelse
som ønsketjf. nedenstående
henvendelse.
Med venlig hilsen
Mikkel Kjellberg
Rektor
Herlufsholm Skole og Gods
Herlufsholm Allé 170
4700 Næstved, DK
Tlf.: 55 75 35 00
E-mail: [email protected]
Web: www.herlufsholm.dk
BUU, Alm.del - 2021-22 - Endeligt svar på spørgsmål 247: Spm. om at oversende alle dokumenter i sagen, som TV2 har fået aktindsigt i, i forbindelse med produktionen af dokumentaren 'Herlufsholms hemmeligheder', til børne- og undervisningsministeren
2588615_0113.png
13
BUU, Alm.del - 2021-22 - Endeligt svar på spørgsmål 247: Spm. om at oversende alle dokumenter i sagen, som TV2 har fået aktindsigt i, i forbindelse med produktionen af dokumentaren 'Herlufsholms hemmeligheder', til børne- og undervisningsministeren
2588615_0114.png
14
BUU, Alm.del - 2021-22 - Endeligt svar på spørgsmål 247: Spm. om at oversende alle dokumenter i sagen, som TV2 har fået aktindsigt i, i forbindelse med produktionen af dokumentaren 'Herlufsholms hemmeligheder', til børne- og undervisningsministeren
2588615_0115.png
15
BUU, Alm.del - 2021-22 - Endeligt svar på spørgsmål 247: Spm. om at oversende alle dokumenter i sagen, som TV2 har fået aktindsigt i, i forbindelse med produktionen af dokumentaren 'Herlufsholms hemmeligheder', til børne- og undervisningsministeren
2588615_0116.png
Fra:
Sendt:
Til:
Emne:
Vedhæftedefiler:
Til institutionens
CamillaNielsen
19. januar 202110:48
'[email protected]'
Anmodningfra Styrelsenfor Undervisning Kvalitet
og
Anmodningom redegørelse
HerlufsholmSkoleog Gods.pdf
bestyrelse og øverste ledelse
anmodning om redegørelse.
for modtagelsen
af denne mail, og at mailen videresendes
til
Se venligst vedhæftede
Jeg skal anmode om, at der kvitteres
institutionens bestyrelse.
Med venlighilsen
CamillaNielsen
Pædagogisk
konsulent
Styrelsen Undervisning Kvalitet
for
og
Frederiksholms
Kanal26
1220København
K
Tlf. nr.: 33 92 50 00
Direktetlf.: +45 20 71 66 51
E-mail:[email protected]
BUU, Alm.del - 2021-22 - Endeligt svar på spørgsmål 247: Spm. om at oversende alle dokumenter i sagen, som TV2 har fået aktindsigt i, i forbindelse med produktionen af dokumentaren 'Herlufsholms hemmeligheder', til børne- og undervisningsministeren
2588615_0117.png
HerlufsholmSkoleog Gods
HerlufsholmAllé 170
4700Næstved
Att. skoleleder bestyrelsesformand
og
Styrelsen Undervisning
for
og
Kvalitet
Frederiksholms
Kanal26
1220København
K
Tlf. nr.: 33 92 50 00
E-mail [email protected]
:
www.stukuvm.dk
CVR nr.: 29634750
19. januar202
1
Sags : 20/13586
nr.
Anmodning om yderligere oplysninger
Styrelsen
modtogden16. september
2020skolens
bemærkninger
angå-
endefremsatte
kritikpunkterfra en tidligereforælder skolens
og
redegø-
relsefor, hvordanskolenleverop til ;
1. friskolelovens 3, stk.1, 1. pkt., om at en skoleskalgivespecialun-
§
dervisning andenspecialpædagogisk
og
bistandtil eleveri medføraf
§ 3, stk. 2, 2. pkt., i lov om folkeskolen
2. friskolelovens 3, stk.1, 2. pkt., om at en skoleskaltilbydesupple-
§
rendeundervisning andenfagligstøttetil elever, har brug
eller
der
for støtte,og somikke kanunderstøttes
alene brug af undervis-
ved
ningsdifferentiering holddannelse, henblikpå elevens
og
med
inklu-
sioni denalmindelige
undervisning, § 2, 3 a, 1. pkt., i lov om fol-
jf.
keskolen.
Pådenbaggrund styrelsen led i sin tilsynsvirksomhed, frisko-
skal
som
jf.
lelovens 9 f, stk. 1, anmode følgende
§
om
yderligere
oplysninger
angå-
endefriskolelovens 3, stk. 1, 1. og 2. pkt. Skolenbedes
§
derfor redegøre
for:
a) Hvordanskolenkortlægger
elevermedsærlige
behovs
vanske-
ligheder
(udoverde beskrevne
fagligetest),fx kognitivevanske-
ligheder.
b) Skolens
samarbejde Pædagogisk
med
Psykologisk
Rådgivning
i
Næstved
Kommuneangående
kortlægning elever
af
medsærlige
behovog udarbejdelse individuelle
af
handleplaner.
c) Skolens
samarbejde forældre elevermedsærlige
med
til
behov.
d) Skolens
planlægning,
gennemførelse evaluering skolens
og
af
un-
dervisning elevermedsærlige
af
behov,herunder
indsende
ek-
sempler skolens
udarbejdede
individuelle
handleplaner ele-
ver medsærlige
behovmedangivelse 1) elevens
af
vanskelighe-
der,2) individuel målfor eleven, beskrivelse skolens
le
3)
af
ind-
satssamt4) hvordanog hvor ofte der evalueres indsatsen.
BUU, Alm.del - 2021-22 - Endeligt svar på spørgsmål 247: Spm. om at oversende alle dokumenter i sagen, som TV2 har fået aktindsigt i, i forbindelse med produktionen af dokumentaren 'Herlufsholms hemmeligheder', til børne- og undervisningsministeren
2588615_0118.png
e) Skolens
usædvanligt antalelevermedSPSstøtteseti forhold
lave
-
til skolens
elevtal.
Skolenhar i redegørelsen 16. september
den
2020besk
revetskolens
for-
skellige
tilbud til elevermedsærlige
behov,og det fremgå af redegørel-
r
sen at eleven tilvælger
,
selv
disse
tilbud. A ngående
elevernes
anvendelse
af elektroniske
hjælpemidler
fremgårdet,at det er elevens ansvar
eget
at
sikre,at disse
virker.Påbagg
rund af dettebedes
skolenredegøre
for:
f) Hvorvidt en elevkanfravælge
skolens
tilbud, og i såfald hvor-
danskolensåpå andenvis sikrer,at skolentilbydesandenspeci-
alundervisning andenspecialpædagogisk
eller
bistand.
g) Hvordanskolen sikrer,at eleverne elektroniske
har
hjælpemidler
,
der virker.
De ovennævnte
oplysninger være dtageti styrelsen
skal
mo
senest
onsdag
den 10. februar202 og sendes cn@s
1
til
tukuvm.dkog
[email protected]
Det bemærkes, ovenstående
at
oplysninger
samteventuelle
bilagskal
fremsendes styrelsen elektronisk
til
i
form pr. e-mail,jf. friskolelovens
§
20 b. Styrelsen i den forbindelse
skal
anmode
om, at skolensamtidig
overstreger
eventuelle
cpr.nr.,således disse
at
ikke fremgå af det frem-
r
sendte
materiale.
Endvidere styrelsen
skal
anmode
om, at besvarelsen ovenstående
af
punkterfremgårtydeligtfx vedangivelse a.,b., c., d., e.,f., g..
af
Med venlighilsen
CamillaNielsen
Pædagogisk
konsulent
Direktetlf. +45 20 71 66 51
[email protected]
2
BUU, Alm.del - 2021-22 - Endeligt svar på spørgsmål 247: Spm. om at oversende alle dokumenter i sagen, som TV2 har fået aktindsigt i, i forbindelse med produktionen af dokumentaren 'Herlufsholms hemmeligheder', til børne- og undervisningsministeren
2588615_0119.png
16
BUU, Alm.del - 2021-22 - Endeligt svar på spørgsmål 247: Spm. om at oversende alle dokumenter i sagen, som TV2 har fået aktindsigt i, i forbindelse med produktionen af dokumentaren 'Herlufsholms hemmeligheder', til børne- og undervisningsministeren
2588615_0120.png
Fra:
Sendt:
Til:
Emne:
KæreCamillaNielsen
MarianneBøgh<[email protected]>
19. januar 202111:47
CamillaNielsen
SV:Anmodningfra Styrelsen Undervisning Kvalitet
for
og
Jegbekræfter modtagelsen mailen.
af
Jegvideresender
mailen til ForstanderTorbenvon Lowzowog RektorMikkel Kjellberg.
Med venlig hilsen
Marianne Bøgh
Sekretær
Herlufsholm Skole og Gods
Herlufsholm Allé 170
4700 Næstved, DK
Tlf.: 55 75 35 00
Direkte: 55 75 35 41
E-mail: [email protected]
Web: www.herlufsholm.dk
Fra: CamillaNielsen<[email protected]
>
Sendt:19. januar 202110:48
Til: RektorkontorPOST [email protected]
<
>
Emne:Anmodningfra Styrelsenfor Undervisning Kvalitet
og
Til institutionens
bestyrelse og øverste ledelse
anmodning om redegørelse.
for modtagelsen
af denne mail, og at mailen videresendes
til
Se venligst vedhæftede
Jeg skal anmode om, at der kvitteres
institutionens bestyrelse.
Med venlighilsen
CamillaNielsen
Pædagogisk
konsulent
BUU, Alm.del - 2021-22 - Endeligt svar på spørgsmål 247: Spm. om at oversende alle dokumenter i sagen, som TV2 har fået aktindsigt i, i forbindelse med produktionen af dokumentaren 'Herlufsholms hemmeligheder', til børne- og undervisningsministeren
2588615_0121.png
Styrelsen for Undervisning og Kvalitet
Frederiksholms Kanal 26
1220 København K
Tlf. nr.: 33 92 50 00
Direkte tlf.: +45 20 71 66 51
E-mail:
[email protected]
BUU, Alm.del - 2021-22 - Endeligt svar på spørgsmål 247: Spm. om at oversende alle dokumenter i sagen, som TV2 har fået aktindsigt i, i forbindelse med produktionen af dokumentaren 'Herlufsholms hemmeligheder', til børne- og undervisningsministeren
2588615_0122.png
17
BUU, Alm.del - 2021-22 - Endeligt svar på spørgsmål 247: Spm. om at oversende alle dokumenter i sagen, som TV2 har fået aktindsigt i, i forbindelse med produktionen af dokumentaren 'Herlufsholms hemmeligheder', til børne- og undervisningsministeren
2588615_0123.png
Fra:
Sendt:
Til:
Cc:
Emne:
Vedhæftede filer:
Birgit Brenting <[email protected]>
5. februar 2021 14:43
Camilla Nielsen; Center for Grundskole
Mikkel Kjellberg; Torben von Lowzow; Anne-Louise Boelsmand
Vedr. sagsnummer, 20/13586
Brev Børne- og undervisningsministeriet.pdf; Handleplan for elever med særlige
behov.pdf; Handleplan for elever med
- Caroline Vindfeldt Styrbæk.pdf;
Handleplan for elever med
- Sarah van Weezel.pdf
Opfølgning
Afmærket
Opfølgningsflag:
Flagstatus:
Til Børne- og Undervisningsministeriet/Styrelsen for Undervisning og Kvalitet
På vegne af grundskoleleder Anne-Louise Boelsmand fremsendes vedhæftet respons på anmodning om
yderligere oplysninger februar 2021.02.05
Er der behov for uddybning af vedhæftede kan Anne-Louise Boelsmand kontaktes på
[email protected]
Med venlig hilsen
Birgit Brenting
Sekretær, rektorkontor
Herlufsholm Skole og Gods
Herlufsholm Allé 170
4700 Næstved, DK
Tlf.: 55 75 35 00
Direkte: 55 75 35 42
E-mail:
[email protected]
Web:
www.herlufsholm.dk
BUU, Alm.del - 2021-22 - Endeligt svar på spørgsmål 247: Spm. om at oversende alle dokumenter i sagen, som TV2 har fået aktindsigt i, i forbindelse med produktionen af dokumentaren 'Herlufsholms hemmeligheder', til børne- og undervisningsministeren
2588615_0124.png
53,7n
,
_
mm
lllll>
_
N
Rektorkontor
v
l
HERLUFSHOLM
……
m…… W……
5
.
febmar
ae-
og Undewisningsmjnisleriel
Styrelsen for Undervisning
og Kvalitet
Frederiksholms
Kanal 26
1220
København K
2021
Svar
på henvendelse
af
19.01.2021
”Anmodning
om yderligere
oplysninger”:
Nedenstående
bemærkninger
skal ses med udgaugspuuld
i skolens værdier. der er
m
finde
på skolens hjemmeside www.herlufsliolmdk
Værdier
Faglighed
Engagement.
Ansvarlighed
Vi er et fællesskab byggefpå faglighed,
engagement
og
ansvarllghed, hvor
Vl
sammen
skaber
de
rammer,
der
udvtkler
elever,
der
ved
mere,
kan mere
og gør
mere.
Er wetdisaeL der er afspejlet
i den elev- og forældregmppe.
Vi hat på skalen.
Ligeledes er det vigtigt at oplyse, åt gmndskoleu på Herlufsholm
Skole udgør
6.-10.
klasse, hvilket betyder. at eu Væsentlig del af de elever med særlige behov, vi har i
gmndskolen,
allerede er udredt inden oplag på Herlufsholm
skole.
Antallet af elever i grundskolen med-
fordelt på
8
klasser
-
ud af gnuldskolens
i skoleåret
245 elever.
2020/2021
udgør.
elever
-
Herlufsholm
Skole bar de sidste 2 år arbejdet målrettet på at professionalisete
og udvikle
processeme
for håndtering af elever med særlige behov. Eu elevgnlppe det. historisk ser,
ikke har fyldt Lue et å skolen. Meni takt med udviklingen i
samfimdet
og
bl.a.
den øgede
screening for
har vi oplevet et behov for udvikling på det område.
Derfor vil nogle af nedenstående
processer/procedurer
være relativt nye og implementeret
frå
1.8.2020.
Uddybning
Gnuldskolen
.
åf
a
:
i:
er organiseret
Klasseleam
.
Årgangsteam
der i et afdisse
teams
adfærd i en elevgmppe
adfærd hos en enkelt elev
_
med eller
uden
mistanke
om diagnose
Obselveres
o
.
[hensigtsmæssig
Ukensigtsmæssig
HERLUFSHDLM
SKOLE
DG
EODS
l
HERLUFSHOLM
ALLE1701DK
-
Una
NÆSTVED 1
CVR NR 55 59 53 1a
*
aANKAJAJ 9G4137n
Rcklorkomor
Dlrckuonsknnmr
Konmrud
kl
8
UU
-
13.00
Tlf >45 55 75 351…
Komurud
lcl
kl
X
(10 — 001 *En-dag kl 8 00
15
dk
-
H……
>45 55 75 35 III
F-mml
rcklorkomomhlvcvluläholm
dk
E-lnail dlrcktlnllmhcriulåholm
BUU, Alm.del - 2021-22 - Endeligt svar på spørgsmål 247: Spm. om at oversende alle dokumenter i sagen, som TV2 har fået aktindsigt i, i forbindelse med produktionen af dokumentaren 'Herlufsholms hemmeligheder', til børne- og undervisningsministeren
2588615_0125.png
Elever i mistrivsel: cutting, sorg, skilsmisseproblematikker, skolevægring, angst…..
Didaktiske udfordringer; deltagelse ved klassegennemgang, arbejdshukommelse,
dysleksi og andet
kontaktes relevante personer fra vejlederteamet på skolen.
Vejlederteamet består af 2 læsevejledere, 1 matematikvejleder, en skolevejleder samt en
praktikvejleder.
Ligeledes kan en person fra skolens trivselsudvalg inddrages. Her tænkes primært på
skolens ungerådgiver eller sygeplejerske.
Er der tale om en problemstilling, der ikke kan løses af skolens kompetencepersoner
inddrages grundskoleledelsen.
Grundskoleledelsen kontakter relevant fagperson fra Næstved Kommune PPR for
afholdelse af et netværksmøde.
Netværksmøder består af de personer omkring den pågældende elev, der kan bibringe
viden til hjælp for eleven.
PPRs mødedeltager vurderer, om der skal laves en indstilling på eleven.
Næstved Kommunes procedure for indberetning og udredning følges herefter.
Efter udredning, udfærdiges en handleplan for eleven (se vedhæftede skabelon)
Grundskoleledelsen
er ansvarlig for, at denne proces følges.
På Herlufsholm Skole har vi primært ressourcestærke forældre, der oftest vælger en
privatpraktiserende psykolog/læge til udredning af deres barn ved mistanke om kognitive
vanskeligheder.
Når udredning i privat regi er tilendebragt, kan skolen enten:
Deltage i gennemgang af udredningen
Få tilsendt rapport fra udredningen
I begge tilfælde danner ovenstående grundlag for udfærdigelse af en handleplan for eleven.
Uddybning af b):
Samarbejdet med PPR i Næstved kommune kan initieres af en henvendelse:
fra skolen, eller
fra forældrene.
I begge tilfælde startes samarbejdet op med et netværksmøde, hvor alle relevante
interessenter omkring barnet deltager.
Der tages referat af disse netværksmøder, som sendes til alle mødets deltagere og som
indgår i sagen.
2
BUU, Alm.del - 2021-22 - Endeligt svar på spørgsmål 247: Spm. om at oversende alle dokumenter i sagen, som TV2 har fået aktindsigt i, i forbindelse med produktionen af dokumentaren 'Herlufsholms hemmeligheder', til børne- og undervisningsministeren
2588615_0126.png
(se også ”uddybning af a)”)
Uddybning af c):
Kommunikationen med forældre til elever med særlige behov, har tidligere foregået via
nedenstående kanaler:
Lectio, hvor forældre kan følge med i bl.a. indhold af undervisningen, fysisk
fravær, afleveringer, opgaver og andet
Skolen har givet karakterer 3 gange i løbet af skoleåret. Et karakterblad består af
hhv. karaktergivning i alle fag, en vurdering af arbejdsindsatsen samt
bemærkninger, der bl.a. indeholder målsætninger.
En årlig skole/hjemsamtale
Dialogmøder med relevante lærere, repræsentanter fra grundskoleledelsen, forældre
og elev.
På disse møder blev indsatsområder for eleven fastlagt.
Tovholdere for disse møder har været skolens vejlederteam (primært læsevejleder,
matematikvejleder og skolevejleder).
Løbende dialog med forældrene via telefon, mails, Skype eller Facetime (primært
for kostskoleelever).
Herlufsholm Skole har ikke før skolestart 2020, haft handleplansskemaer for elever med
særlige behov. Denne praksis er indført fra dette skoleår.
Der arbejdes nu med 2 handleplansskemaer:
Handleplan for elever med dysleksi
Handleplan for elever med særlige behov (dette skema har ikke været anvendt
endnu).
At der ikke tidligere har været formkrav til handleplanerne, betyder ikke, at de ikke har
været lavet. Dog må vi erkende, at det har været vanskeligt at følge op på og fastholde den
systematiske opfølgning, som eleven har krav på.
At der tidligere har været lavet handleplaner for vores elever, bekræftes af nedenstående
uddrag fra tilsynsrapporten 2019, hvor der var et særligt fokus på elever med særlige
behov:
”Skolens læsevejleder fortalte, at alle nye elever på skolen bliver testet. Desuden testes
elever, hvor læreren i det pågældende fag finder det hensigtsmæssigt. Resultater bruges
som grundlag for planlægning af undervisningen og målsætningen og handleplan for den
pågældende elev.”
Den fulde rapport er at finde på skolens hjemmeside.
3
BUU, Alm.del - 2021-22 - Endeligt svar på spørgsmål 247: Spm. om at oversende alle dokumenter i sagen, som TV2 har fået aktindsigt i, i forbindelse med produktionen af dokumentaren 'Herlufsholms hemmeligheder', til børne- og undervisningsministeren
2588615_0127.png
Når Grundskolen har valgt fremadrettet, at arbejde ud fra en skabelon for handleplaner for
elever med dysleksi og elever med særlige behov, skyldes det bl.a. at vi ønsker at anvende
et dokument, der sikrer:
At der er en kendt og accepteret skriftlig plan for eleven
At vi har et brugbart, tydeligt og ensartet dialogværktøj i arbejdet med eleven og
dennes forældre.
At vi derved sikrer en systematisk og løbende evaluering af indsatsen over for
eleven.
At vi sikrer, at eleven får den støtte og hjælp, som eleven har brug for og krav på.
Grundskolen på Herlufsholm Skole har ingen elever, der modtager specialundervisning i 9
timer/uge (12 x 45 minutter/uge).
Uddybning af d):
Se vedhæftede bilag
Uddybning af e):
Herlufsholm Skoles antal elever med SPS-støtte skal ses i relation til skolens profil (se
indledning).
Ligeledes er det relevant at se på, hvor mange elever skolen har med
støttebehov.
Som tidligere nævnt har skolen i indeværende skoleår
potentielt støttebehov.
og andet
elever fordelt på 8 klasser, med
På Børne- og undervisningsministeriets hjemmeside om SPS-støtter står der skrevet:
Når Herlufsholm Skole optager elever til Grundskolen, afholdes der en obligatorisk
samtale med en repræsentant fra Grundskoleledelsen.
Ved denne samtale drøftes bl.a. særlige forhold omkring barnet, herunder testning for
Ved denne samtale afklares det, om eleven har en pc/MacBook de ønsker at anvende,
eller om skolen skal være behjælpelig.
Vi oplever ikke familier, der ikke har mulighed for at anskaffe hardware til deres
barn/børn.
Skolen stiller
til rådighed for eleverne.
I skolehåndbogen s. 82 står der skrevet:
4
BUU, Alm.del - 2021-22 - Endeligt svar på spørgsmål 247: Spm. om at oversende alle dokumenter i sagen, som TV2 har fået aktindsigt i, i forbindelse med produktionen af dokumentaren 'Herlufsholms hemmeligheder', til børne- og undervisningsministeren
2588615_0128.png
Elever
I Grundskolen anvendes som udgangspunkt
som lærerne har modtaget
kursus i at anvende.
Ligeledes har lærerne været indkaldt til opfølgende kursus i
d. 04.10.2020,
der dog måtte aflyses grundet Corona restriktioner.
Uddybning af f):
Jeg skal beklage, hvis formuleringerne i den første fremsendte redegørelse af
15.09.2020 har givet indtryk af, at de tiltag skolen giver til elever med
er
frivillige, og at eleverne har mulighed for at melde til og fra.
Jeg kan sagtens forstå denne tolkning, da ordlyden ”tilbydes” kan være misvisende.
De nævnte indsatser:
-Løbende tilbydes elever
Elever
De elever, der går på prøveforberedende årgange
Der er i ovennævnte tilfælde ikke tale om tilbud til eleverne, men om indsatser i
skoledagen, hvor der er mødepligt.
Skolens tiltag i forbindelse med:
Teaterture
Læringsfestival
Videndelingsgrupper med ældre elever
er tilbud til eleverne, som de efter behov kan vælge til eller fra.
Uddybning af g):
5
BUU, Alm.del - 2021-22 - Endeligt svar på spørgsmål 247: Spm. om at oversende alle dokumenter i sagen, som TV2 har fået aktindsigt i, i forbindelse med produktionen af dokumentaren 'Herlufsholms hemmeligheder', til børne- og undervisningsministeren
2588615_0129.png
Herlufsholm Skole har en IT-afdeling, der er åben i skolens åbningstid eller efter
aftale, da kosteleverne i sjældne tilfælde vil have brug for assistance efter kl. 16:00,
hvor skolens administration og IT-afdelingen lukker.
IT-afdelingen består af medarbejdere, der tilbyder ansatte og elever teknisk, såvel som
pædagogisk support.
Med venlig hilsen
Anne-Louise Boelsmand
Grundskoleleder
Herlufsholm Skole
6
BUU, Alm.del - 2021-22 - Endeligt svar på spørgsmål 247: Spm. om at oversende alle dokumenter i sagen, som TV2 har fået aktindsigt i, i forbindelse med produktionen af dokumentaren 'Herlufsholms hemmeligheder', til børne- og undervisningsministeren
2588615_0130.png
Handleplan for elever med særlige behov
Elevens navn:
Klasse:
Elevnummer:
Beskrivelse af elevens særlige behov
Dato:
Er eleven udredt af PPR
Dato:
Er eleven udredt af privatpraktiserende Dato:
psykolog eller læge
Hvilket indsatser er iværksat over for
Indsatser fra afgivende skole:
eleven:
Konkrete aktiviteter:
Pædagogiske tiltag:
Didaktiske tiltag:
Materialevalg:
Arbejdsorganisering:
(holddeling, individuel undervisning, støttelærer,
samtaler, gruppearbejde)
Fysiske læringsmiljø:
Erfaringer fra evaluering af tidligere indsats
omkring eleven - Konkrete aktiviteter, herunder
hvordan de understøtter arbejdet hen imod de
konkrete delmål - Pædagogisk tilgang -
Undervisningsmateriale - Fysisk læringsmiljø
(lokaleindretningen m.v.) - Arbejdsorganisering
(individuelt arbejde, støttelærer, holddeling,
gruppearbejde, fællesaktivitet, m.v.)
Individuelle mål for eleven
Evaluering/opfølgning
Beskrives gerne i stikordsform:
Hvad skal evalueres?
Evalueringsmetode:
Tidspunkt for evaluering:
BUU, Alm.del - 2021-22 - Endeligt svar på spørgsmål 247: Spm. om at oversende alle dokumenter i sagen, som TV2 har fået aktindsigt i, i forbindelse med produktionen af dokumentaren 'Herlufsholms hemmeligheder', til børne- og undervisningsministeren
2588615_0131.png
Formidling af evalueringen:
Hvordan følges der op på evalueringen:
Andet
Hvem har deltaget i udfærdigelsen af
handleplanen:
BUU, Alm.del - 2021-22 - Endeligt svar på spørgsmål 247: Spm. om at oversende alle dokumenter i sagen, som TV2 har fået aktindsigt i, i forbindelse med produktionen af dokumentaren 'Herlufsholms hemmeligheder', til børne- og undervisningsministeren
2588615_0132.png
Handleplan
for
elever
med
dysleksi
Elevens navn:
Klasse:
Elevnummer:
Dato for oprettelse
Handleplan
af handleplan
af:
Anne-Louise
Læsevejleder
Caroline
Dato for dysleksitest
Hvor
er testen taget (land)?
Hvem har forestået
Anvendt
dysleksitest
testen?
(navn på test)
National
Angivet
ordblindetest
ordblindetestscore:
se
Se data
basen
Boelsmand
og
dansklærer
Henriette
.
kostelev
_
_
Herlufsholm
da—
startede
skole
i
klasse
udarbejdet
-Forældremyndighedsindehaver
-Skoleleder
-Øvrige
Holde Jørgensen
Testresultat
databasen
Har eleven tidligere
studiestøttetimer,
særlig tilrettelagt
og
i
hvor lang tid?
Modtager
tidspunkt
eleven
på nuværende
modtaget
kurser og/eller
undervisning?
Hvilke
studiestøttetimer?
BUU, Alm.del - 2021-22 - Endeligt svar på spørgsmål 247: Spm. om at oversende alle dokumenter i sagen, som TV2 har fået aktindsigt i, i forbindelse med produktionen af dokumentaren 'Herlufsholms hemmeligheder', til børne- og undervisningsministeren
2588615_0133.png
Hvilke Læse/Skrive-Teknologi
anvender
eleven?
_
lhvilken
udstrækning
anvender
eleven
Svar med: ”Meget
— Lidt —Slet ikke"
LST i forhold til:
Oplæsning
Ordforslag
OCR-behandling
Stavekontrol
Søgefunktion
Ordbogsfunktion
Fremmedsprogsstøtte
Ihvilke
fag anvender
eleven
LST?
Er der fag,
hvor
det er særligt
vanskeligt
at anvende
LST?
_
Er der fag eleven ønsker mere hjælp til
anvendelse
af LST?
oplever
eleven
ved
_
Hvilke udfordringer
anvendelse
Hvad
virker
af LST?
ikke?
BUU, Alm.del - 2021-22 - Endeligt svar på spørgsmål 247: Spm. om at oversende alle dokumenter i sagen, som TV2 har fået aktindsigt i, i forbindelse med produktionen af dokumentaren 'Herlufsholms hemmeligheder', til børne- og undervisningsministeren
2588615_0134.png
Hvem bistår introduktion
vedligeholdelse
til og
af elevens brug af LST?
Er eleven tilmeldt
NOTA?
Tilsagn om prøver/eksaminer på
særlige
vilkår
jvf. Folkeskoleloven
Målsætning
I
skolen
I
hjemmet
og aftaler for eleven
BUU, Alm.del - 2021-22 - Endeligt svar på spørgsmål 247: Spm. om at oversende alle dokumenter i sagen, som TV2 har fået aktindsigt i, i forbindelse med produktionen af dokumentaren 'Herlufsholms hemmeligheder', til børne- og undervisningsministeren
2588615_0135.png
Øvrige indsatser
Evaluering/opfølgning
Andet
BUU, Alm.del - 2021-22 - Endeligt svar på spørgsmål 247: Spm. om at oversende alle dokumenter i sagen, som TV2 har fået aktindsigt i, i forbindelse med produktionen af dokumentaren 'Herlufsholms hemmeligheder', til børne- og undervisningsministeren
2588615_0136.png
Handleplan
for
elever
med
dysleksi
Elevens navn:
Klasse:
Elevnummer:
Dato for oprettelse
Handleplan
af handleplan
af:
Anne-Louise
Læsevejleder
Jørgensen
Dato for dysleksitest
Hvor er testen taget (land)?
Hvem har forestået
Anvendt
dysleksitest
testen?
(navn på test)
Testen
er
taget
Herlufsholm
Læsevejleder
Jørgensen
National
ordblindetest
Henriette
Holde
skole
Boelsmand
Henriette
Holde
-
dagelev
udarbejdet
-Forældremyndighedsindehaver
-Skoleleder
-Øvrige
Testresultat
Angivet ordblindetestscore-
Har eleven tidligere
studiestøttetimer,
særlig tilrettelagt
og i hvor lang tid?
Modtager
tidspunkt
modtaget
kurser og/eller
Hvilke
undervisning?
eleven på nuværende
studiestøttetimer?
BUU, Alm.del - 2021-22 - Endeligt svar på spørgsmål 247: Spm. om at oversende alle dokumenter i sagen, som TV2 har fået aktindsigt i, i forbindelse med produktionen af dokumentaren 'Herlufsholms hemmeligheder', til børne- og undervisningsministeren
2588615_0137.png
Hvilke Læse/Skrive-Teknologi
eleven?
anvender
I
hvilken udstrækning
LST i forhold til:
anvender
eleven
Svar med: ”Meget
— Lidt —Slet ikke”
Oplæsning
Ordforslag
OCR-behandling
Stavekontrol
Søgefunktion
Ordbogsfunktion
_
_
Fremmedsprogsstøtte
I
hvilke fag anvender
eleven
LST?
Er der fag,
hvor
det er særligt
vanskeligt
at anvende
LST?
Er der fag eleven ønsker mere hjælp til
anvendelse
af LST?
oplever
eleven
ved
_
Hvilke udfordringer
anvendelse
Hvad
virker
af LST?
ikke?
BUU, Alm.del - 2021-22 - Endeligt svar på spørgsmål 247: Spm. om at oversende alle dokumenter i sagen, som TV2 har fået aktindsigt i, i forbindelse med produktionen af dokumentaren 'Herlufsholms hemmeligheder', til børne- og undervisningsministeren
2588615_0138.png
Hvem bistår introduktion
vedligeholdelse
til og
af elevens brug af LST?
Er eleven tilmeldt
NOTA?
Tilsagn om prøver/eksaminer på
særlige vilkår jvf. Folkeskoleloven
Målsætning
I
skolen
I
hjemmet
og aftaler for eleven
BUU, Alm.del - 2021-22 - Endeligt svar på spørgsmål 247: Spm. om at oversende alle dokumenter i sagen, som TV2 har fået aktindsigt i, i forbindelse med produktionen af dokumentaren 'Herlufsholms hemmeligheder', til børne- og undervisningsministeren
2588615_0139.png
Øvrige indsatser
Evaluering/opfølgning
Andet
BUU, Alm.del - 2021-22 - Endeligt svar på spørgsmål 247: Spm. om at oversende alle dokumenter i sagen, som TV2 har fået aktindsigt i, i forbindelse med produktionen af dokumentaren 'Herlufsholms hemmeligheder', til børne- og undervisningsministeren
2588615_0140.png
18
BUU, Alm.del - 2021-22 - Endeligt svar på spørgsmål 247: Spm. om at oversende alle dokumenter i sagen, som TV2 har fået aktindsigt i, i forbindelse med produktionen af dokumentaren 'Herlufsholms hemmeligheder', til børne- og undervisningsministeren
2588615_0141.png
Fra:
Sendt:
Til:
Emne:
Kære Birgit Brenting
Camilla Nielsen
5. februar 2021 15:15
'Birgit Brenting'
SV: Vedr. sagsnummer, 20/13586
Styrelse for Undervisning og Kvalitet kvitterer hermed for modtagelsen af skolens redegørelse den 5.
februar 2021.
Med venlig hilsen
Camilla Nielsen
Pædagogisk konsulent
Styrelsen for Undervisning og Kvalitet
Frederiksholms Kanal 26
1220 København K
Tlf. nr.: 33 92 50 00
Direkte tlf.: +45 20 71 66 51
E-mail:
[email protected]
Fra:
Birgit Brenting <[email protected]>
Sendt:
5. februar 2021 14:43
Til:
Camilla Nielsen <[email protected]>; Center for Grundskole <[email protected]>
Cc:
Mikkel Kjellberg <[email protected]>; Torben von Lowzow <[email protected]>; Anne-Louise Boelsmand
<[email protected]>
Emne:
Vedr. sagsnummer, 20/13586
Til Børne- og Undervisningsministeriet/Styrelsen for Undervisning og Kvalitet
På vegne af grundskoleleder Anne-Louise Boelsmand fremsendes vedhæftet respons på anmodning om
yderligere oplysninger februar 2021.02.05
Er der behov for uddybning af vedhæftede kan Anne-Louise Boelsmand kontaktes på
[email protected]
Med venlig hilsen
Birgit Brenting
Sekretær, rektorkontor
Herlufsholm Skole og Gods
BUU, Alm.del - 2021-22 - Endeligt svar på spørgsmål 247: Spm. om at oversende alle dokumenter i sagen, som TV2 har fået aktindsigt i, i forbindelse med produktionen af dokumentaren 'Herlufsholms hemmeligheder', til børne- og undervisningsministeren
2588615_0142.png
Herlufsholm Allé 170
4700 Næstved, DK
Tlf.: 55 75 35 00
Direkte: 55 75 35 42
E-mail:
[email protected]
Web:
www.herlufsholm.dk
BUU, Alm.del - 2021-22 - Endeligt svar på spørgsmål 247: Spm. om at oversende alle dokumenter i sagen, som TV2 har fået aktindsigt i, i forbindelse med produktionen af dokumentaren 'Herlufsholms hemmeligheder', til børne- og undervisningsministeren
2588615_0143.png
19
BUU, Alm.del - 2021-22 - Endeligt svar på spørgsmål 247: Spm. om at oversende alle dokumenter i sagen, som TV2 har fået aktindsigt i, i forbindelse med produktionen af dokumentaren 'Herlufsholms hemmeligheder', til børne- og undervisningsministeren
2588615_0144.png
20
BUU, Alm.del - 2021-22 - Endeligt svar på spørgsmål 247: Spm. om at oversende alle dokumenter i sagen, som TV2 har fået aktindsigt i, i forbindelse med produktionen af dokumentaren 'Herlufsholms hemmeligheder', til børne- og undervisningsministeren
2588615_0145.png
Telefonnotat
Samtaledato
Talt med
8. marts 2021
Koordinator ved PPR, Næstved Kommune, Inge
Hanberg
Indhold
Undertegnede kontaktede faglig koordinator Inge Hanberg (IH) mhp. afdækning af samarbejdet
mellem Herlufsholm Skole og PPR, Næstved. IH fortalte, at hun har været ansat ved PPR i 25 år.
Om rammerne for samarbejdet fortalte IH, at skolen kontakter PPR ved behov, og at dette sker
relativt sjældent. PPR har ikke fast tilstedeværelsestid på skolen. IH vurderede, at antallet af
henvendelser var øget en smule, efter skolen havde fået en ny leder, som tidligere var ansat ved
kommunen. IH vurderede dog, at der stadig er få henvendelser – ikke mindst i betragtning af, at
skolen optager yngre årgange end tidligere. Undertegnede spurgte, om IH ville forvente at se en
stigning i antal elever med behov for PPR ifm. optag af yngre elever. Hertil svarede IH ja.
IH forklarede, at PPR inviteres til konsultative dialogmøder om børn på skolen 4-8 gange om året
(anslået efter hukommelse). Her deltager den pågældende elevs forældre og lærere. Disse møder
kan føre til, at PPR udarbejder PPV på eleven. Herudover kontakter skoleleder ved behov PPR
for telefonisk rådgivning.
IH sagde, at skolen generelt har været og er usynlig i PPR-regi. Skolen håndterer selv følelses- og
udviklingsmæssige vanskeligheder, og PPR er derfor kun involveret i sager med fx opmærksom-
hedsforstyrrelser og generelle indlæringsvanskeligheder. PPR foretager interviews med forældre
og lærere, observerer eleven i den daglige undervisning og udfører test. Herefter indstilles evt. til,
at der udarbejdes PPV på barnet.
Adspurgt om antal udarbejdede PPV’er inden for de seneste år fortalte IH, at PPR ikke
udarbejdede ret mange på elever på Herlufsholm. Hendes bud var 1-2 om året. Hun fortalte, at
PPR for nyligt var begyndt at føre statistik over disse. Hun var dog ikke sikker på, hvor mange år
hun kunne finde informationer fra. IH tilbød at sende undertegnede et overblik over udarbejdede
PPV’er for en mulig årrække.
Undertegnede spurgte til sidst til skolens specialundervisningsindsats. IH svarede, at PPR ikke har
indblik i de konkrete indsatser.
Dato
8. marts 2021
Navn
Lise Kloborg Pedersen
Handling
[Tekst]
BUU, Alm.del - 2021-22 - Endeligt svar på spørgsmål 247: Spm. om at oversende alle dokumenter i sagen, som TV2 har fået aktindsigt i, i forbindelse med produktionen af dokumentaren 'Herlufsholms hemmeligheder', til børne- og undervisningsministeren
2588615_0146.png
21
BUU, Alm.del - 2021-22 - Endeligt svar på spørgsmål 247: Spm. om at oversende alle dokumenter i sagen, som TV2 har fået aktindsigt i, i forbindelse med produktionen af dokumentaren 'Herlufsholms hemmeligheder', til børne- og undervisningsministeren
2588615_0147.png
Fra:
Sendt:
Til:
Emne:
KæreLise
Inge KragHanberg<[email protected]>
9. marts 202108:22
LiseKloborgPedersen
Indstillingertil PPVfra HerlufsholmKostskole
Af voresstatistik fremgårdet, at vi har fået følgendeantal indstillingertil pædagogisk
psykologisk
vurdering
i de seneste3 år:
År 2019:
År 2020:
År 2021:
Hilsen
Inge
Venlig hilsen
0
1
1
Center for Børn og Unge
BørnefamilieEn
heden
Psykologgruppen
Næstved Kommune
Herlufsholm Allé 20
4700 Næstved
Telefon: +45 5588 3160
www.naestved.dk
Inge Krag Hanberg
Faglig Koordinator
Direkte: +45 2545 0970
Mobil: +45 2545 0970
E- mail: [email protected]
Denne e-mail og eventuelle vedhæftede dokumenter kan indeholde fortroligt materiale,
som kun er beregnet for den angivne modtager. Har du ved en fejltagelse modtaget denne e-mail,
bedes du venligst omgående underrette Inge Krag Hanberg samt slette e-mailen.
BUU, Alm.del - 2021-22 - Endeligt svar på spørgsmål 247: Spm. om at oversende alle dokumenter i sagen, som TV2 har fået aktindsigt i, i forbindelse med produktionen af dokumentaren 'Herlufsholms hemmeligheder', til børne- og undervisningsministeren
2588615_0148.png
22
BUU, Alm.del - 2021-22 - Endeligt svar på spørgsmål 247: Spm. om at oversende alle dokumenter i sagen, som TV2 har fået aktindsigt i, i forbindelse med produktionen af dokumentaren 'Herlufsholms hemmeligheder', til børne- og undervisningsministeren
2588615_0149.png
Fra:
Sendt:
Til:
Emne:
Kære Inge
Lise Kloborg Pedersen
9. marts 2021 08:39
'Inge Krag Hanberg'
SV: Indstillinger til PPV fra Herlufsholm Kostskole
Mange tak for oplysningerne.
Med venlig hilsen
Lise Kloborg Pedersen
Pædagogisk konsulent
Styrelsen for Undervisning og Kvalitet
Frederiksholms Kanal 26
1220 København K
Tlf. nr.: 33 92 50 00
Direkte tlf.: +45 29 61 79 25
E-mail:
[email protected]
BUU, Alm.del - 2021-22 - Endeligt svar på spørgsmål 247: Spm. om at oversende alle dokumenter i sagen, som TV2 har fået aktindsigt i, i forbindelse med produktionen af dokumentaren 'Herlufsholms hemmeligheder', til børne- og undervisningsministeren
2588615_0150.png
23
BUU, Alm.del - 2021-22 - Endeligt svar på spørgsmål 247: Spm. om at oversende alle dokumenter i sagen, som TV2 har fået aktindsigt i, i forbindelse med produktionen af dokumentaren 'Herlufsholms hemmeligheder', til børne- og undervisningsministeren
2588615_0151.png
24
BUU, Alm.del - 2021-22 - Endeligt svar på spørgsmål 247: Spm. om at oversende alle dokumenter i sagen, som TV2 har fået aktindsigt i, i forbindelse med produktionen af dokumentaren 'Herlufsholms hemmeligheder', til børne- og undervisningsministeren
2588615_0152.png
Fra:
Sendt:
Til:
Cc:
Emne:
Lise Kloborg Pedersen
13. april 2021 12:21
'[email protected]'
'[email protected]'
Anmodning om møde
Kære Anne-Louise Boelsmand
I forlængelse af skolens redegørelse af den 05.02.21 har styrelsen nogle opfølgende spørgsmål vedr.
grundskolens specialundervisningsindsats.
Styrelsen beder derfor skolen om et møde med en repræsentant fra skolens ledelse og en lærer eller leder,
som er ansvarlig for skolens specialundervisning.
Mødet vil foregå virtuelt og være af ca. en times varighed. Styrelsen foreslår, at mødet finder sted enten
fredag den 23. april i tidsrummet kl. 10.00-15.00 eller mandag den 26. april i tidsrummet kl. 10.00-12.00.
Kan skolen deltage en af disse dage?
Med venlig hilsen
Lise Kloborg Pedersen
Pædagogisk konsulent
Styrelsen for Undervisning og Kvalitet
Frederiksholms Kanal 26
1220 København K
Tlf. nr.: 33 92 50 00
Direkte tlf.: +45 29 61 79 25
E-mail:
[email protected]
BUU, Alm.del - 2021-22 - Endeligt svar på spørgsmål 247: Spm. om at oversende alle dokumenter i sagen, som TV2 har fået aktindsigt i, i forbindelse med produktionen af dokumentaren 'Herlufsholms hemmeligheder', til børne- og undervisningsministeren
2588615_0153.png
25
BUU, Alm.del - 2021-22 - Endeligt svar på spørgsmål 247: Spm. om at oversende alle dokumenter i sagen, som TV2 har fået aktindsigt i, i forbindelse med produktionen af dokumentaren 'Herlufsholms hemmeligheder', til børne- og undervisningsministeren
2588615_0154.png
Fra:
Sendt:
Til:
Cc:
Emne:
Anne-Louise Boelsmand <[email protected]>
13. april 2021 15:11
Lise Kloborg Pedersen
Mikkel Kjellberg; Henriette Holde Jørgensen
SV: Anmodning om møde
Kære Lone Kloborg Pedersen
Tak for din mail.
Vi vil have mulighed for at mødes til virtuelt møde fredag d. 23.04.2021 kl. 10:00
Deltagerne vil være:
Anne-Louise Boelsmand, Grundskoleleder
[email protected]
Henriette Holde Jørgensen, Læsevejleder
[email protected]
Vi ser frem til en konstruktiv dialog.
Med venlig hilsen
Anne-Louise Boelsmand
Grundskoleleder,
Herlufsholm Skole og Gods
Herlufsholm Allé 170
4700 Næstved, DK
Tlf.:+45 55 75 35 00
Direkte: +45 55 75 35 43
Mobil: +45 23 42 21 14
Mail:
[email protected]
Web:
www.herlufsholm.dk
BUU, Alm.del - 2021-22 - Endeligt svar på spørgsmål 247: Spm. om at oversende alle dokumenter i sagen, som TV2 har fået aktindsigt i, i forbindelse med produktionen af dokumentaren 'Herlufsholms hemmeligheder', til børne- og undervisningsministeren
2588615_0155.png
26
BUU, Alm.del - 2021-22 - Endeligt svar på spørgsmål 247: Spm. om at oversende alle dokumenter i sagen, som TV2 har fået aktindsigt i, i forbindelse med produktionen af dokumentaren 'Herlufsholms hemmeligheder', til børne- og undervisningsministeren
2588615_0156.png
Fra:
Sendt:
Til:
Emne:
Kære Anne-Louise
Lise Kloborg Pedersen
14. april 2021 13:02
'Anne-Louise Boelsmand'
SV: Anmodning om møde
Mange tak for den hurtige tilbagemelding.
Min kollega har indkaldt til mødet fredag d. 23/4 kl. 10.
Med venlig hilsen
Lise Kloborg Pedersen
Pædagogisk konsulent
Styrelsen for Undervisning og Kvalitet
Frederiksholms Kanal 26
1220 København K
Tlf. nr.: 33 92 50 00
Direkte tlf.: +45 29 61 79 25
E-mail:
[email protected]
BUU, Alm.del - 2021-22 - Endeligt svar på spørgsmål 247: Spm. om at oversende alle dokumenter i sagen, som TV2 har fået aktindsigt i, i forbindelse med produktionen af dokumentaren 'Herlufsholms hemmeligheder', til børne- og undervisningsministeren
2588615_0157.png
27
BUU, Alm.del - 2021-22 - Endeligt svar på spørgsmål 247: Spm. om at oversende alle dokumenter i sagen, som TV2 har fået aktindsigt i, i forbindelse med produktionen af dokumentaren 'Herlufsholms hemmeligheder', til børne- og undervisningsministeren
2588615_0158.png
Fra:
Sendt:
Til:
Cc:
Emne:
Vedhæftede filer:
Kære Camilla
Tak for dialogen i fredags.
Anne-Louise Boelsmand <[email protected]>
26. april 2021 09:33
Camilla Nielsen
Henriette Holde Jørgensen
Supplerende oplysninger i forlængelse af dialog fredag
Indstilling af elev til ekstrahjælp i dansk eller matematik.docx
I havde nogle spørgsmål til os, som vi gerne vil have lov til at understøtte.
Bl.a. ønskede I at få uddybet processen for indstilling til ekstrahjælp på vores skole. Som supplement til det
fortalte på mødet, sender jeg hermed det skema, som den enkelte lærer/klasseteam skal fremsende til
vejlederteamet i den forbindelse.
I spurgte ligeledes ind til forklaring på skolens relative lave antal ansøgninger til SPS-midler og i den
forbindelse, om vi fravalgte elever på baggrund af evt. faglige problemstillinger eller anden
Det afviste vi i dialogen.
Vi har ikke tidligere modtaget ansøgninger fra elever/forældre, der har berettiget til ansøgning om SPS-
midler.
Det ændres i det kommende skoleår. da vi d.
har fremsendt tilbud om optagelse på Herlufsholm
Skole klasse til en pige,
Der er klart, at der i den forbindelse vil blive fremsendt en ansøgning om midler til specialpædagogisk
støtte.
Vi har afholdt lovpligtigt tilsyn i efteråret, inden vi gik på Lockdown. Dertil kommer, at der har været afholdt
virtuelt tilsyn i lockdown-perioden med fokus på håndtering af nedlukningen.
Som nævnt i vores dialog finder jeg det relevant at det lovpligtige tilsyn, der er planlagt på Herlufsholm
Skole ultimo maj, tager sit udgangspunkt i arbejde med elever med særlige behov, herunder
Jeg vil i denne uge kontakte vores tilsynsførende for dette.
Med ønske om en god dag.
Med venlig hilsen
Anne-Louise Boelsmand
Grundskoleleder, Head of Lower Secundary School
Herlufsholm Skole og Gods
Herlufsholm Allé 170
4700 Næstved, DK
Tlf.:+45 55 75 35 00
Direkte: +45 55 75 35 43
Mobil: +45 23 42 21 14
Mail:
[email protected]
Web:
www.herlufsholm.dk
BUU, Alm.del - 2021-22 - Endeligt svar på spørgsmål 247: Spm. om at oversende alle dokumenter i sagen, som TV2 har fået aktindsigt i, i forbindelse med produktionen af dokumentaren 'Herlufsholms hemmeligheder', til børne- og undervisningsministeren
2588615_0159.png
BUU, Alm.del - 2021-22 - Endeligt svar på spørgsmål 247: Spm. om at oversende alle dokumenter i sagen, som TV2 har fået aktindsigt i, i forbindelse med produktionen af dokumentaren 'Herlufsholms hemmeligheder', til børne- og undervisningsministeren
2588615_0160.png
Indstilling af elev til ekstrahjælp i dansk eller matematik
Elevens navn:
Elevens klasse:
Indstilles til hjælp i (fag):
Baggrund for indstilling til ekstrahjælp i faget, herunder en beskrivelse af elevens faglige udfordringer:
Beskriv kort, hvilke faglige udfordringer, samt styrker og discipliner, der observeres hos eleven:
Hvilke observationer ligger til grund for vurderingen af behovet for ekstrahjælp (deltagelse i timerne,
skriftlige afleveringer, test eller andet):
Vurdering fra faglærerne.
BUU, Alm.del - 2021-22 - Endeligt svar på spørgsmål 247: Spm. om at oversende alle dokumenter i sagen, som TV2 har fået aktindsigt i, i forbindelse med produktionen af dokumentaren 'Herlufsholms hemmeligheder', til børne- og undervisningsministeren
2588615_0161.png
Hvilke indsatser har der været foranstaltet i klassen/den daglige undervisning, for at imødekomme
elevens udfordringer:
Elevens forældre orienteres om indstillingen og der indhentes samtykke til testning.
Med venlig hilsen
Vejlederteamet
Herlufholm Skole
Samtykke fra forældre
Undertegnede giver hermed samtykke til testning af (elevens navn og klasse) med afsæt i
ovenstående beskrivelse af problemstillingen:
Mors underskrift og dato:
Fars underskrift og dato:
BUU, Alm.del - 2021-22 - Endeligt svar på spørgsmål 247: Spm. om at oversende alle dokumenter i sagen, som TV2 har fået aktindsigt i, i forbindelse med produktionen af dokumentaren 'Herlufsholms hemmeligheder', til børne- og undervisningsministeren
2588615_0162.png
28
BUU, Alm.del - 2021-22 - Endeligt svar på spørgsmål 247: Spm. om at oversende alle dokumenter i sagen, som TV2 har fået aktindsigt i, i forbindelse med produktionen af dokumentaren 'Herlufsholms hemmeligheder', til børne- og undervisningsministeren
2588615_0163.png
Fra:
Sendt:
Til:
Cc:
Emne:
Kære Anne-Louise
Camilla Nielsen
29. april 2021 10:38
'Anne-Louise Boelsmand'
Henriette Holde Jørgensen
SV: Supplerende oplysninger i forlængelse af dialog fredag
Styrelsen for Undervisning og Kvalitet kvitterer hermed modtagelsen af din mail den 26. april 2021.
Med venlig hilsen
Camilla Nielsen
Pædagogisk konsulent
Styrelsen for Undervisning og Kvalitet
Frederiksholms Kanal 26
1220 København K
Tlf. nr.: 33 92 50 00
Direkte tlf.: +45 20 71 66 51
E-mail:
[email protected]
Fra:
Anne-Louise Boelsmand <[email protected]>
Sendt:
26. april 2021 09:33
Til:
Camilla Nielsen <[email protected]>
Cc:
Henriette Holde Jørgensen <[email protected]>
Emne:
Supplerende oplysninger i forlængelse af dialog fredag
Kære Camilla
Tak for dialogen i fredags.
I havde nogle spørgsmål til os, som vi gerne vil have lov til at understøtte.
Bl.a. ønskede I at få uddybet processen for indstilling til ekstrahjælp på vores skole. Som supplement til det
fortalte på mødet, sender jeg hermed det skema, som den enkelte lærer/klasseteam skal fremsende til
vejlederteamet i den forbindelse.
I spurgte ligeledes ind til forklaring på skolens relative lave antal ansøgninger til SPS-midler og i den
forbindelse, om vi fravalgte elever på baggrund af evt. faglige problemstillinger eller anden
Det afviste vi i dialogen.
BUU, Alm.del - 2021-22 - Endeligt svar på spørgsmål 247: Spm. om at oversende alle dokumenter i sagen, som TV2 har fået aktindsigt i, i forbindelse med produktionen af dokumentaren 'Herlufsholms hemmeligheder', til børne- og undervisningsministeren
2588615_0164.png
Vi har ikke tidligere modtaget ansøgninger fra elever/forældre, der har berettiget til ansøgning om SPS-
midler.
Det ændres i det kommende skoleår. da vi d.
har fremsendt tilbud om optagelse på Herlufsholm
Skole klasse til en pige,
Der er klart, at der i den forbindelse vil blive fremsendt en ansøgning om midler til specialpædagogisk
støtte.
Vi har afholdt lovpligtigt tilsyn i efteråret, inden vi gik på Lockdown. Dertil kommer, at der har været afholdt
virtuelt tilsyn i lockdown-perioden med fokus på håndtering af nedlukningen.
Som nævnt i vores dialog finder jeg det relevant at det lovpligtige tilsyn, der er planlagt på Herlufsholm
Skole ultimo maj, tager sit udgangspunkt i arbejde med elever med særlige behov, herunder dysleksi.
Jeg vil i denne uge kontakte vores tilsynsførende for dette.
Med ønske om en god dag.
Med venlig hilsen
Anne-Louise Boelsmand
Grundskoleleder, Head of Lower Secundary School
Herlufsholm Skole og Gods
Herlufsholm Allé 170
4700 Næstved, DK
Tlf.:+45 55 75 35 00
Direkte: +45 55 75 35 43
Mobil: +45 23 42 21 14
Mail:
[email protected]
Web:
www.herlufsholm.dk
BUU, Alm.del - 2021-22 - Endeligt svar på spørgsmål 247: Spm. om at oversende alle dokumenter i sagen, som TV2 har fået aktindsigt i, i forbindelse med produktionen af dokumentaren 'Herlufsholms hemmeligheder', til børne- og undervisningsministeren
2588615_0165.png
29
BUU, Alm.del - 2021-22 - Endeligt svar på spørgsmål 247: Spm. om at oversende alle dokumenter i sagen, som TV2 har fået aktindsigt i, i forbindelse med produktionen af dokumentaren 'Herlufsholms hemmeligheder', til børne- og undervisningsministeren
2588615_0166.png
Referat
Møde/dato:
Referent:
Til stede:
Møde med Herlufsholm Skole og Kostskole den 23.
april 2021
Lise Kloborg Pedersen
Grundskoleleder Anne-Louise Boelsmand og
læsevejleder Henriette Holte
Fra STUK: Camilla Nielsen og Lise Kloborg Pedersen
Styrelsen for Undervisning og
Kvalitet
Møde med Herlufsholm Skole og Kostskole
Grundet Covid-19 afholdtes mødet virtuelt.
Mødet indledtes med en kort præsentation af grundskoleleder Anne-
Louise Boelsmand (AB) og læsevejleder Henriette Holte (HH).
Styrelsen opsummerede, at mødet var en opfølgning på skolens
redegørelse af 5. februar 2021, da styrelsen havde brug for yderligere
oplysninger vedr. skolens specialundervisnings- og støtteindsats.
Vedr. optagelsesprocedure og –krav
Om skolens optagelsesprocedure fortalte AB, at elever, der søger
optagelse, generelt er velinformerede om skolens værdigrundlag og
elevprofil. Skolen afholder orienteringsmøder, og herefter sender
forældre og elever en skriftlig ansøgning. Der medsendes materiale, der
beskriver barnet som skoleelev, og evt. elevplaner og/eller karakterblad
fra elevens nuværende skole. Kommer eleven fra en prøve- og testfri
skole, medsendes skoleudtalelse.
AB fortalte endvidere, at alle, der søger optagelse, kommer til samtale.
Her uddybes ansøgningen ud fra et holistisk syn på eleven; Skolen
spørger til elevens fritidsinteresser, om eleven har let ved at få venner
m.m. Ligeledes drøftes skolens ønskede elevprofil.
AB fortalte, at skolen indimellem optager elever, som af forskellige
årsager kommer med skoletræthed eller skolevægring. I disse tilfælde
hjælper Herlufsholms ”Cool Kids”-program med at løfte eleverne ind i
den faglige arena.
Styrelsen spurgte, om skolen har erfaring med, at der opdages
problematikker hos en elev, efter eleven er blevet optaget på skolen. AB
forklarede, at skolen har oplevet, at alle informationer om en elev ikke er
blevet fremlagt i forbindelse med optagelsesproceduren. Det var hendes
vurdering, at nogle forældre har så stort et ønske om optagelse, at de ikke
fortæller om eventuelle trivselsforløb eller andet, eleven har været
Frederiksholms Kanal 26
1220 København K
Tlf. nr.: 33 92 50 00
E-mail: [email protected]
www.stukuvm.dk
CVR nr.: 29634750
21. maj 2021
Sags nr.: 20/13586
BUU, Alm.del - 2021-22 - Endeligt svar på spørgsmål 247: Spm. om at oversende alle dokumenter i sagen, som TV2 har fået aktindsigt i, i forbindelse med produktionen af dokumentaren 'Herlufsholms hemmeligheder', til børne- og undervisningsministeren
2588615_0167.png
igennem på en tidligere skole. Skolen beder herefter forældrene om
samtykke til at indhente dokumentation fra den pågældende skole og
laver derpå en handleplan for eleven.
AB fortalte, at der har været enkelte eksempler på, at skolen har
udskrevet elever pga. manglende oplysninger. Hun gav et eksempel med
en elev, som havde så store iboende trivselsvanskeligheder, at skolen
trods en målrettet indsats ikke kunne nå i mål med eleven.
AB forklarede endvidere, at skolen gør forældrene opmærksomme på
skolens begrænsninger. For eksempel har nogle forældre været vant til, at
et barn med særlige behov, som har gået i skole i udlandet, har været i
konstant nærhed af en kontaktlærer, som har fungeret som sekretær for
eleven. Skolen gør tydeligt opmærksom på, at sådan er forholdene ikke
på Herlufsholm.
Vedr. fravalg af elever og opsigelse af samarbejder
Ifølge AB har skolen ikke i hendes tid (8-9 år) fravalgt en elev pga.
dennes faglige niveau eller særlige behov. Hun forklarede, at skolen ikke
stiller krav til elevens faglige niveau, men kun stiller krav til, at eleven kan
lide at gå i skole og gerne vil blive dygtig. Der er dog eksempler på, at
skolen har fravalgt elever med interesser, skolen ikke kan honorere.
Dette gælder fx elever med stor interesse for musik og/eller teater. AB
uddybede, at i disse tilfælde er Herlufsholm ikke det rette match.
AB fortalte endvidere, at inden for de seneste ni år er i alt to elever
blevet udskrevet af skolen. Årsagen var, at eleverne, trods massive,
målrettede indsatser fra skolens side, hverken kunne eller ville efterleve
skolens værdier og elevprofil. Skolen var derfor af den opfattelse, at
eleverne ikke ville blive en integreret del af fællesskabet og endte med at
opsige samarbejdet med eleverne.
AB fortalte, at skolen i øjeblikket har en dreng i
Herlufsholm fra
klasse, som kom til
Styrelsen gjorde opmærksom på skolens forpligtelse til at yde elever med
særlige behov den nødvendige støtte og spurgte, hvordan skolen løfter
drengen fagligt ud fra hans behov, hvis skolen ikke har kompetencerne
til dette. Hertil svarede AB, at skolens to læsevejledere godt kan løfte
opgaven i en periode. Skolen hjælper desuden med at finde en passende
efterskole.
2
BUU, Alm.del - 2021-22 - Endeligt svar på spørgsmål 247: Spm. om at oversende alle dokumenter i sagen, som TV2 har fået aktindsigt i, i forbindelse med produktionen af dokumentaren 'Herlufsholms hemmeligheder', til børne- og undervisningsministeren
Vedr. kortlægning af elever med særlige behov
AB fortalte, at elever med ADHD er veludredte og velfungerende, når de
kommer til skole. Som regel har eleverne ressourcestærke forældre og
kommer ikke fra dysfunktionelle familier. Ligeledes er børn med dysleksi
også udredt og kommer som oftest til skolen med en IT-rygsæk og en
rapport fra den nationale ordblindetest.
HH redegjorde for kortlægningen af elever med særlige behov; Hvis en
elev er i mistrivsel eller har faglige vanskeligheder, drøftes eleven på et
teammøde, som afholdes enten hver eller hver anden uge. Et fast punkt
på dagsordenen er ”elever med lup på”, og det besluttes, hvad teamet
skal rette særlig opmærksomhed på hos den enkelte elev i den
kommende tid. Der oprettes et dokument (handleplan) med de vedtagne
indsatser.
Efter en planlagt periode vurderes det, om indsatsen har virket. Hvis den
ikke har været tilstrækkelig, inddrages vejledningsteamet, og der indledes
dialog med elevens forældrene om en fremtidig indsats.
Hvis denne ikke er tilstrækkelig, inddrages skolens ledelse, og det
vurderes, om der skal tages kontakt til PPR. Herudover undersøges, om
eleven har en historik hos en tidligere sagsbehandler. Hvis der er tale om
en kostelev, inddrages desuden en sovesalslærer.
Det kan ske, at skolen meget hurtigt kan se, at de ikke vil kunne håndtere
en elevs udfordringer inden for egne rækker og derfor med det samme
beder om at få eleven udredt hos en psykolog.
AB fortalte, at det kan være svært at få øje på elever med dysleksi, som
ikke tidligere har været udredt. Disse elever er gode til at anvende
strategier til at skjule deres handikap.
SPS-støtte
Om årsagen til, at skolen ikke har søgt SPS-støtte til nogen elever,
fortalte AB, at ingen elever modtager – eller har brug for – mere end ni
timers støtte. Elever med dysleksi klarer sig rigtig godt fagligt og er
velkørende i læse- og skriveteknologier (LST).
Vedr. samarbejde med PPR og privatpraktiserende psykologer
AB beskrev samarbejdet med Næstved Kommunes PPR som
velfungerende. Ved behov tager skolen initiativ til netværksmøder, hvor
alle interessenter omkring barnet deltager, herunder forældre, klasselærer,
evt. underviser fra skolens ekstraskolære program og en psykolog fra
PPR.
AB og HH mente, at skolen nok afholder fire-seks netværksmøder om
året. Her besluttes det, om skolen selv skal håndtere udfordringerne, eller
om PPR skal inddrages i løsningen.
AB og HH fortalte, at de en gang i kvartalet mødes med skolens
tilknyttede psykolog fra PPR. På møderne giver skolen psykologen en
status over, hvilke sager han kan forvente i den kommende periode.
3
BUU, Alm.del - 2021-22 - Endeligt svar på spørgsmål 247: Spm. om at oversende alle dokumenter i sagen, som TV2 har fået aktindsigt i, i forbindelse med produktionen af dokumentaren 'Herlufsholms hemmeligheder', til børne- og undervisningsministeren
Styrelsen spurgte til skolens antal indstillinger til PPV inden for de
seneste år, og AL og HH fortalte, at skolen indstiller ca. to pr. klasse i
løbet af et skoleforløb fra 6.-10. klasse.
Da der kan være lang ventetid (fire-seks måneder) på udredning via PPR,
vælger mange forældre at benytte en privatpraktiserende psykolog, som
kan lave den samme udredning som PPR. Ifølge AB anbefaler skolen
dog aldrig dette, men henviser som udgangspunkt altid til PPR.
Dog er der tre psykologer i Næstved, som kender skolen, og derfor kan
skolen anbefale disse, når forældrene har taget beslutningen om at bruge
en privatpraktiserende psykolog og beder skolen om vejledning.
Derudover er en psykolog i Lyngby meget anvendt – af uvisse årsager
for AB.
Når en privatpraktiserende psykolog har udarbejdet sin rapport,
modtager skolen den på lige fod med en tilsvarende fra PPR. Skolen kan
også deltage i et møde hos psykologen, hvor rapporten gennemgås.
AB fortalte, at skolen indimellem oplever, at forældre vil bruge en
psykolog i udlandet. Dette vanskeliggør dog skolens planlægning af et
fremtidigt forløb for eleven, da udredninger foretaget i udlandet er for
lidt sammenlignelige med de danske. Skolen afviser derfor denne løsning.
Vedr. indsatser og handleplaner
AB og HH fortalte om specialundervisningsindsatser, at der indledes
med et møde med forældre, dansklærer og en af skolens læsevejledere.
Her planlægges den fremtidige indsats. Som udgangspunkt støtter skolen
op om de tiltag, eleven kommer med fra sin tidligere skole.
Fsva. dyslektikere kan skolen tilbyde undervisning på små hold, som
dannes ud fra forskellige hensyn – faglige eller personlige. Desuden er
der særligt fokus på eleven fra hele det lærerteam, der er tilknyttet
klassen, og alle lærere har været på kursus i at OCR-behandle tekster.
Fsva. elever med øvrige vanskeligheder (fx ADHD) tages der ligeledes
udgangspunkt i den forrige skoles indsats. Her tilbyder HH fx hjælp på
små hold til opstart af større skriftlige opgaver. Lærerne i teamet
beslutter fælles fremgangsmåder i undervisningen til understøttelse af
eleven – fx en individuel snak med eleven efter fælles klassegennemgang.
Desuden kan eleverne ved behov sidde afskærmet, sidde med ryggen til
klassen, sidde på gangen, bruge hovedtelefoner m.m.
HH fortalte, at alle elever screenes vha. ST og TL-prøverne. Herefter
tilbydes elever med særlige behov individuel undervisning i specifikke
områder. Til dette anvendes bl.a. materialer som Stavevejen, Tryllestaven
og elektroniske platforme.
4
BUU, Alm.del - 2021-22 - Endeligt svar på spørgsmål 247: Spm. om at oversende alle dokumenter i sagen, som TV2 har fået aktindsigt i, i forbindelse med produktionen af dokumentaren 'Herlufsholms hemmeligheder', til børne- og undervisningsministeren
2588615_0170.png
AB fortalte, at skolen endvidere tilbyder ugentlig rådgivning i LST.
Styrelsen påpegede, at de fremsendte eksempler på handleplaner ikke
beskriver faglige mål for eleverne. AB og HH forklarede, at
handleplanerne er udarbejdet i samråd med den enkelte elev, og at
elevernes fokus generelt er meget rettet mod karakterer. Derfor findes fx
en formulering som ”skal arbejde hen imod 4-7 i retstavning” i
handleplanerne. AB og HH forklarede endvidere, at skolens
handleplaner ikke beskriver den konkrete indsats for eleven, men at det
faglige indhold ligger implicit i den enkelte plan. HH eksemplificerede
dette ved at forklare, hvordan de involverede lærere og læsevejledere ved,
hvordan en elev kan forbedre sin stavning ved at arbejde med
udgangspunkt i staveudviklingstrin.
Styrelsen påpegede endvidere, at det alene fremgår af planerne, at
eleverne selv skal opsøge hjælp. Det fremgår ikke, hvorledes lærerne i
deres planlægning eller udførelse af undervisning tilgodeser elever med
særlige behov. AB forklarede, at lærerteamet tager højde for den enkelte
elevs vanskeligheder, men at det ikke fremgår af handleplanerne af
samme årsag som tidligere: at det ligger implicit i planerne. Ligeledes
indgås aftaler omkring evaluering, uden at det fremgår af planerne.
AB tilkendegav, at styrelsen havde ret i sit kritikpunkter af
handleplanerne, at skolen var glad for at blive gjort opmærksom på
manglerne, og at skolen fremover vil rette fokus på at præcisere
planernes indhold fsva. beskrivelse af faglige mål og den
forestående/igangværende indsats.
Vedr. læringsmiljø
Afslutningsvist fortalte AB, at der ikke er plads til at indrette skolens
lokaler med forskellige miljøer såsom sofaområder, men at skolen har
kuglepuder, som eleverne kan låne.
AB fortalte endvidere, at lærerne generelt arbejder med faglig
dokumentation ved at udsmykke lokalerne med materialer, der visuelt
understøtter den aktuelle undervisning.
Eleverne må ved behov medbringe diverse ”nulreting”.
5
BUU, Alm.del - 2021-22 - Endeligt svar på spørgsmål 247: Spm. om at oversende alle dokumenter i sagen, som TV2 har fået aktindsigt i, i forbindelse med produktionen af dokumentaren 'Herlufsholms hemmeligheder', til børne- og undervisningsministeren
2588615_0171.png
30
BUU, Alm.del - 2021-22 - Endeligt svar på spørgsmål 247: Spm. om at oversende alle dokumenter i sagen, som TV2 har fået aktindsigt i, i forbindelse med produktionen af dokumentaren 'Herlufsholms hemmeligheder', til børne- og undervisningsministeren
2588615_0172.png
31
BUU, Alm.del - 2021-22 - Endeligt svar på spørgsmål 247: Spm. om at oversende alle dokumenter i sagen, som TV2 har fået aktindsigt i, i forbindelse med produktionen af dokumentaren 'Herlufsholms hemmeligheder', til børne- og undervisningsministeren
2588615_0173.png
Telefonnotat
Samtaledato
Talt med
19-05-2021
Jacob Hyldig Nielsen (JHN), psykolog i Næstved
Kommune, tlf.nr. 20588763
Indhold
Undertegnede ringede til JHN og spurgte ind til dennes samarbejde med Herlufsholm Kostskole.
Undertegnede oplyste, at der er notatpligt, og at der vil blive skrevet et telefonnotat, som der kan
søges aktindsigt i.
JHN oplyste, at han har været tilknyttet skolen siden 1. november 2020, og at han siden da har
haft kontakt med grundskolelederen på ugentlig basis enten telefonisk eller virtuelt grundet Co-
vid-19 situationen i Danmark. JHN oplyste, at han typisk giver skolelederen sparring og vejled-
ning om konkrete elever og om organisatoriske forhold i Næstved Kommune, fx ift. hvor skolens
skal henvende sig med underretninger.
JHN oplyste endvidere, at han udover møderne med skolelederen har konsultative møder eller
netværksmøder i gennemsnit ca. hver 2.-3. uge, hvor JHN primært taler med lærere om konkrete
børn problematikker, og hvor JHN nogle sparrer med lærerne enten ved at tage ekspertrolle,
hvor han rådgiver med konkrete tiltag eller den mere udforskende rolle, hvor der spørges ind til
eleven problematikker og skolens arbejde hermed.
Derudiver oplyste JHN, at han har møder omkring skolens indsillinger til PPR's udarbejdelse af
PPV'er. Det blev oplyst, at skolen siden 1. november 2021 har lavet tre indstillinger, hvor én er
færdigbehandlet af PPR.
JHN oplyste, at statistisk set kunne der godt være flere elever på Herlufsholm som har særlige
behov, end dem han er oplyst om , da antallet af elever fra Herlufsholm i PPR Næstved regi er
lavt. JHN oplyste, at han har en hypotese om, at det lave tal kan skyldes, at der er mange ressour-
cestærke forældre på skolen, som selv tager kontakt til privatpraktiserende psykologer eller privat
ekstraundervisning.
JHN oplyste, at hans vurdering er, at skolen gør det fint ift. elever med særlige behov, og at han
har et godt og åbent samarbejde med skolen, hvor skolen aktivt bruger ham. JHN oplyste, at han
ikke er bekymret for skolens kompetencer ift. elever med særlige behov, og at han oplever, at der
er en god faglighed. Det blev oplyst, at JHN selv aktivt har grebet ud efter skolen ift. samarbejde,
og at skolen har modtaget ham åbent.
JHN oplyste, at han har observeret undervisning på Herlufsholm, og at han ikke har nogle be-
kymringer for undervisningen i den forbindelse.
Til sidst gennemgik undertegnede de punkter der var blevet talt om.
Dato
Navn
Handling
BUU, Alm.del - 2021-22 - Endeligt svar på spørgsmål 247: Spm. om at oversende alle dokumenter i sagen, som TV2 har fået aktindsigt i, i forbindelse med produktionen af dokumentaren 'Herlufsholms hemmeligheder', til børne- og undervisningsministeren
20. maj 2021
Camilla Nielsen
[Tekst]
2
BUU, Alm.del - 2021-22 - Endeligt svar på spørgsmål 247: Spm. om at oversende alle dokumenter i sagen, som TV2 har fået aktindsigt i, i forbindelse med produktionen af dokumentaren 'Herlufsholms hemmeligheder', til børne- og undervisningsministeren
2588615_0175.png
./
Nr.
21/01244
21/01401
zl/mszs
Tue!
aklindsigt skum tilsyn Avisen
i frie
i
m
DK
Aktindsigt, grundskoler AHzn
me
1
u1syn. Spangsberg Avisen
Hansen, Danmark,14.01.2021
Aklindsigl. Dyrberg,
R1kke
Kompagniet,
Hermrshalm
Skole,11.05
2021
BUU, Alm.del - 2021-22 - Endeligt svar på spørgsmål 247: Spm. om at oversende alle dokumenter i sagen, som TV2 har fået aktindsigt i, i forbindelse med produktionen af dokumentaren 'Herlufsholms hemmeligheder', til børne- og undervisningsministeren
1
BUU, Alm.del - 2021-22 - Endeligt svar på spørgsmål 247: Spm. om at oversende alle dokumenter i sagen, som TV2 har fået aktindsigt i, i forbindelse med produktionen af dokumentaren 'Herlufsholms hemmeligheder', til børne- og undervisningsministeren
2588615_0177.png
Fra:
Sendt:
Til:
Emne:
Vedhæftede filer:
Camilla Nielsen
28. januar 2020 13:08
'[email protected]'
Udtagelse til tilsyn
Brev til Herlufholm Skole.28.01.2020.pdf; Svarskabelon til redegørelser -
kombinerede institutioner med kostafdeling 28.01.2020.docx
Til institutionens bestyrelse og øverste ledelse
Se venligst vedlagte brev samt bilag vedrørende Styrelsen for Undervisning og Kvalitets tematiske tilsyn
med frihed og folkestyre-kravet på kombinerede institutioner med kostafdeling.
Jeg skal desuden anmode om, at der kvitteres for modtagelsen af denne mail, samt at mailen videresendes
til institutionens bestyrelse.
Med venlig hilsen
Camilla Nielsen
Pædagogisk konsulent
Styrelsen for Undervisning og Kvalitet
Frederiksholms Kanal 26
1220 København K
Tlf. nr.: 33 92 50 00
Direkte tlf.: +45 20 71 66 51
E-mail:
[email protected]
BUU, Alm.del - 2021-22 - Endeligt svar på spørgsmål 247: Spm. om at oversende alle dokumenter i sagen, som TV2 har fået aktindsigt i, i forbindelse med produktionen af dokumentaren 'Herlufsholms hemmeligheder', til børne- og undervisningsministeren
2588615_0178.png
Herlufholm Skole
Herlufholm Allé 170
4700 Næstved
Att. Institutionens ledelse og bestyrelse
Styrelsen for Undervisning og
Kvalitet
Frederiksholms Kanal 26
1220 København K
Tlf. nr.: 33 92 50 00
E-mail: [email protected]
www.stukuvm.dk
CVR nr.: 29634750
28. januar 2020
Sags nr.: 20/01575
Tematisk tilsyn med kombinerede institutioner med kostafdeling
Styrelsen for Undervisning og Kvalitet fører tilsyn med, at privat- og fri-
skoler, de gymnasiale uddannelser samt efterskoler og frie fagskoler over-
holder henholdsvis lov om friskoler og private grundskoler, lov om pri-
vate institutioner for gymnasiale uddannelser samt lov om efterskoler og
frie fagskoler. Styrelsen fører bl.a. tilsyn med, om institutionerne over-
holder frihed og folkestyre-kravet, som gælder for alle de nævnte skole-
former.
Styrelsen har besluttet at gennemføre et tematisk tilsyn med frihed og
folkestyre-kravet på i alt fire kombinerede institutioner med kostafdeling,
der har både grundskole og gymnasium. Tilsynet vil have et særligt fokus
på en række elementer i hele skolens virke, som særligt gør sig gældende
på institutioner af denne karakter.
Styrelsen skal på denne baggrund meddele, at Herlufholm Skole er udta-
get til styrelsens tematiske tilsyn med kombinerede institutioner med
kostafdeling.
Nedenfor følger en gennemgang af indholdet af styrelsens tilsyn, kriterier
for udvælgelse af institutioner samt en anmodning om redegørelse.
Indhold
Det fremgår af frihed og folkestyre-kravet, at skolerne i hele deres virke
skal forberede eleverne til at leve i et samfund som det danske med fri-
hed- og folkestyre samt udvikle og styrke elevernes demokratiske dan-
nelse og deres kendskab til og respekt for grundlæggende friheds- og
menneskerettigheder, herunder ligestilling mellem kønnene.
Frihed og folkestyre-kravet indebærer bl.a., at institutionerne skal forbe-
rede eleverne til medbestemmelse, medansvar, ytringsfrihed, rettigheder
og pligter i et samfund med frihed og folkestyre. Enhver institution skal
således efter loven have det sigte med al sin undervisning og hele sit
BUU, Alm.del - 2021-22 - Endeligt svar på spørgsmål 247: Spm. om at oversende alle dokumenter i sagen, som TV2 har fået aktindsigt i, i forbindelse med produktionen af dokumentaren 'Herlufsholms hemmeligheder', til børne- og undervisningsministeren
2588615_0179.png
virke i øvrigt, at enhver elev udvikler sig til demokratisk medborgerskab i
et samfund som det danske.
Dette vil ikke alene skulle fremgå formelt af institutionens formål m.v.,
men også af institutionens samlede faktiske liv og virke.
I den forbindelse er fx forhold vedrørende elevrelationer, ordensregler,
opsyn med elever, og hvordan skolen arbejder med elevernes trivsel vig-
tige at afdække, idet disse forhold kan sige noget om, hvordan skolen ar-
bejder med frihed og folkestyre-kravet, herunder medbestemmelse og
demokratisk dannelse.
Styrelsen vil således have fokus på følgende områder:
elevinddragelse og medindflydelse
elevrelationer- og omgangsformer, herunder
o
ligestilling mellem kønnene
o
opsyn med elever
o
eventuelle ordensregler
o
eventuelle præfektsystemer øvrige elev-til-elev aktiviteter
elevernes trivsel
Tilsynet vil ligeledes omfatte institutionernes praksis i forhold til under-
retninger og samarbejde med relevante kommunale myndigheder.
Kriterier for udvælgelse
Baggrunden for udvælgelsen af de fire kombinerede institutioner er, at
det er styrelsens vurdering, at eventuelle problemer med ovenstående
forhold vil kunne opleves som særligt belastende for kostskoleelever, idet
de bor på institutionen, og idet de i mindre grad end elever i et alminde-
ligt grundskoletilbud eller gymnasietilbud har et frirum uden for instituti-
onen.
Det er endvidere styrelsens vurdering, at dette kan gøre sig yderligere
gældende på en kombineret institution, hvor elever fortsætter fra grund-
skolen til gymnasiet og således kan blive fastholdt i eventuelle negative
mønstre.
Anmodning om redegørelse
Styrelsen skal på ovennævnte baggrund anmode institutionen om at ind-
sende en redegørelse (se vedlagte skabelon)
senest den 18. februar 2020
til
[email protected].
I bedes anvende vedlagte redegørelsesskabelon, hvor der er oplistet en
række spørgsmål, som danner rammen for redegørelsen. Redegørelsen
skal maksimalt være fem sider, og der skal ikke vedlægges bilag. Når re-
degørelsen foreligger, vil styrelsen efterfølgende aflægge institutionerne i
2
BUU, Alm.del - 2021-22 - Endeligt svar på spørgsmål 247: Spm. om at oversende alle dokumenter i sagen, som TV2 har fået aktindsigt i, i forbindelse med produktionen af dokumentaren 'Herlufsholms hemmeligheder', til børne- og undervisningsministeren
2588615_0180.png
det tematiske tilsyn et tilsynsbesøg. Nærmere information om tilsynsbe-
søg følger.
Såfremt I har spørgsmål til ovenstående, er I velkomne til at kontakte
følgende:
Camilla Nielsen på tlf. 20716651 eller på e-mail
[email protected]
(grundskolen)
Rebecca May Ysbæk-Nielsen på tlf. 33925237 eller på e-mail
Re-
[email protected]
(gymnasiet)
Med venlig hilsen
Camilla Nielsen
Pædagogisk konsulent
Direkte tlf.: +45 20 71 66 51
E-mail: [email protected]
3
BUU, Alm.del - 2021-22 - Endeligt svar på spørgsmål 247: Spm. om at oversende alle dokumenter i sagen, som TV2 har fået aktindsigt i, i forbindelse med produktionen af dokumentaren 'Herlufsholms hemmeligheder', til børne- og undervisningsministeren
2588615_0181.png
Svarskabelon til redegørelser – tematisk tilsyn med kombinerede institutioner med
kostafdeling
Hovedinstitution:
Kontaktperson(er) fra ledelsen:
Generelt
Giv en beskrivelse af institutionens værdigrundlag/mål og intentioner for den daglige praksis på
institutionen:
Giv en beskrivelse af institutionens elevgruppe:
Indsæt link til institutionens seneste selvevaluering (
gælder kun for gymnasieafdelingen
):
Indsæt link til institutionens seneste opfølgningsplan (
gælder kun for gymnasieafdelingen
):
Indsæt link til institutionens seneste trivselsundersøgelse (
ikke obligatorisk at gennemføre for privat- og
friskoler og efterskoler, så indsættes kun hvis trivselsundersøgelsen er gennemført
):
Indsæt link til institutionens seneste undervisningsmiljøvurdering:
Indsæt link til institutionens eventuelle lokale studie- og ordensregler:
Redegør for institutionens overvejelser om frihed og folkestyre-kravet, herunder elevinddragelse,
demokratisk dannelse og kønsligestilling:
Har institutionen et formelt elevråd? Hvis ja, hvordan er det organiseret? Hvis nej, hvordan sikres
elevinddragelsen så?
Beskriv kort hvordan institutionen organiserer følgende situationer på institutionen, herunder fordeling
af ansvar/opsyn vedrørende:
- spisetid
- lektiecafe
- sovetid
- rengøring
- fritid
Har institutionen et præfektsystem eller øvrige elev-til-elev aktiviteter, fx mentor- og storebror/søster-
ordninger? Hvis ja, hvordan er det organiseret?
Beskriv hvordan institutionen arbejder med elevernes trivsel, fx ift. hjemve, mobning, elevrelationer,
fagligt/socialt, kønsligestilling m.m.:
Har der inden for de seneste tre år været foretaget underretninger om institutionens elever? I
bekræftende fald, beskriv venligst omfanget heraf samt en beskrivelse af institutionens eventuelle
procedurer for underretninger, herunder en beskrivelse af samarbejdet med kommunen:
Beskriv institutionens samarbejde med øvrige eksterne aktører, der kan være relevant for elevernes
trivsel, herunder for grundskolerens vedkommende samarbejdet med PPR:
BUU, Alm.del - 2021-22 - Endeligt svar på spørgsmål 247: Spm. om at oversende alle dokumenter i sagen, som TV2 har fået aktindsigt i, i forbindelse med produktionen af dokumentaren 'Herlufsholms hemmeligheder', til børne- og undervisningsministeren
2588615_0182.png
Øvrige oplysninger
?
Institutionen bedes redegøre for, om der er andre informationer, som styrelsen bør
kende til:
BUU, Alm.del - 2021-22 - Endeligt svar på spørgsmål 247: Spm. om at oversende alle dokumenter i sagen, som TV2 har fået aktindsigt i, i forbindelse med produktionen af dokumentaren 'Herlufsholms hemmeligheder', til børne- og undervisningsministeren
2588615_0183.png
2
BUU, Alm.del - 2021-22 - Endeligt svar på spørgsmål 247: Spm. om at oversende alle dokumenter i sagen, som TV2 har fået aktindsigt i, i forbindelse med produktionen af dokumentaren 'Herlufsholms hemmeligheder', til børne- og undervisningsministeren
2588615_0184.png
Fra:
Sendt:
Til:
Emne:
Kære Camilla
Mikkel Kjellberg <[email protected]>
28. januar 2020 14:00
Camilla Nielsen
SV: Udtagelse til tilsyn
Hermed kvitteres for modtagelsen.
Med venlig hilsen
Mikkel Kjellberg
Konstitueret rektor
Herlufsholm Skole og Gods
Herlufsholm Allé 170
4700 Næstved, DK
Tlf.: 55 75 35 00
E-mail:
[email protected]
Web:
www.herlufsholm.dk
Fra:
Camilla Nielsen <[email protected]>
Sendt:
28. januar 2020 13:23
Til:
Mikkel Kjellberg <[email protected]>
Emne:
VS: Udtagelse til tilsyn
Med venlig hilsen
Camilla Nielsen
Pædagogisk konsulent
Styrelsen for Undervisning og Kvalitet
Frederiksholms Kanal 26
1220 København K
Tlf. nr.: 33 92 50 00
BUU, Alm.del - 2021-22 - Endeligt svar på spørgsmål 247: Spm. om at oversende alle dokumenter i sagen, som TV2 har fået aktindsigt i, i forbindelse med produktionen af dokumentaren 'Herlufsholms hemmeligheder', til børne- og undervisningsministeren
2588615_0185.png
Direkte tlf.: +45 20 71 66 51
E-mail:
[email protected]
Fra:
Camilla Nielsen
Sendt:
28. januar 2020 13:21
Til:
'[email protected]' <[email protected]>
Emne:
VS: Udtagelse til tilsyn
Med venlig hilsen
Camilla Nielsen
Pædagogisk konsulent
Styrelsen for Undervisning og Kvalitet
Frederiksholms Kanal 26
1220 København K
Tlf. nr.: 33 92 50 00
Direkte tlf.: +45 20 71 66 51
E-mail:
[email protected]
Fra:
Camilla Nielsen
Sendt:
28. januar 2020 13:08
Til:
'[email protected]' <[email protected]>
Emne:
Udtagelse til tilsyn
Til institutionens bestyrelse og øverste ledelse
Se venligst vedlagte brev samt bilag vedrørende Styrelsen for Undervisning og Kvalitets tematiske tilsyn
med frihed og folkestyre-kravet på kombinerede institutioner med kostafdeling.
Jeg skal desuden anmode om, at der kvitteres for modtagelsen af denne mail, samt at mailen videresendes
til institutionens bestyrelse.
Med venlig hilsen
Camilla Nielsen
Pædagogisk konsulent
BUU, Alm.del - 2021-22 - Endeligt svar på spørgsmål 247: Spm. om at oversende alle dokumenter i sagen, som TV2 har fået aktindsigt i, i forbindelse med produktionen af dokumentaren 'Herlufsholms hemmeligheder', til børne- og undervisningsministeren
2588615_0186.png
Styrelsen for Undervisning og Kvalitet
Frederiksholms Kanal 26
1220 København K
Tlf. nr.: 33 92 50 00
Direkte tlf.: +45 20 71 66 51
E-mail:
[email protected]
BUU, Alm.del - 2021-22 - Endeligt svar på spørgsmål 247: Spm. om at oversende alle dokumenter i sagen, som TV2 har fået aktindsigt i, i forbindelse med produktionen af dokumentaren 'Herlufsholms hemmeligheder', til børne- og undervisningsministeren
2588615_0187.png
3
BUU, Alm.del - 2021-22 - Endeligt svar på spørgsmål 247: Spm. om at oversende alle dokumenter i sagen, som TV2 har fået aktindsigt i, i forbindelse med produktionen af dokumentaren 'Herlufsholms hemmeligheder', til børne- og undervisningsministeren
2588615_0188.png
Fra:
Sendt:
Til:
Emne:
Vedhæftede filer:
Birgit Brenting <[email protected]>
28. januar 2020 14:03
Camilla Nielsen
VS: Udtagelse til tilsyn
Brev til Herlufholm Skole.28.01.2020.pdf; Svarskabelon til redegørelser -
kombinerede institutioner med kostafdeling 28.01.2020.docx
Kære Camilla Nielsen
Vi bekræfter modtagelsen af denne mail.
Med venlig hilsen
Birgit Brenting
Sekretær
Herlufsholm Skole og Gods
Herlufsholm Allé 170
4700 Næstved, DK
Tlf.: 55 75 35 00
Direkte: 55 75 35 42
E-mail:
[email protected]
Web: www.herlufsholm.dk
Fra:
Camilla Nielsen <[email protected]>
Sendt:
28. januar 2020 13:21
Til:
Rektorkontor POST <[email protected]>
Emne:
VS: Udtagelse til tilsyn
Med venlig hilsen
Camilla Nielsen
Pædagogisk konsulent
BUU, Alm.del - 2021-22 - Endeligt svar på spørgsmål 247: Spm. om at oversende alle dokumenter i sagen, som TV2 har fået aktindsigt i, i forbindelse med produktionen af dokumentaren 'Herlufsholms hemmeligheder', til børne- og undervisningsministeren
2588615_0189.png
Styrelsen for Undervisning og Kvalitet
Frederiksholms Kanal 26
1220 København K
Tlf. nr.: 33 92 50 00
Direkte tlf.: +45 20 71 66 51
E-mail:
[email protected]
Fra:
Camilla Nielsen
Sendt:
28. januar 2020 13:08
Til:
'[email protected]' <[email protected]>
Emne:
Udtagelse til tilsyn
Til institutionens bestyrelse og øverste ledelse
Se venligst vedlagte brev samt bilag vedrørende Styrelsen for Undervisning og Kvalitets tematiske tilsyn
med frihed og folkestyre-kravet på kombinerede institutioner med kostafdeling.
Jeg skal desuden anmode om, at der kvitteres for modtagelsen af denne mail, samt at mailen videresendes
til institutionens bestyrelse.
Med venlig hilsen
Camilla Nielsen
Pædagogisk konsulent
Styrelsen for Undervisning og Kvalitet
Frederiksholms Kanal 26
1220 København K
Tlf. nr.: 33 92 50 00
Direkte tlf.: +45 20 71 66 51
E-mail:
[email protected]
BUU, Alm.del - 2021-22 - Endeligt svar på spørgsmål 247: Spm. om at oversende alle dokumenter i sagen, som TV2 har fået aktindsigt i, i forbindelse med produktionen af dokumentaren 'Herlufsholms hemmeligheder', til børne- og undervisningsministeren
2588615_0190.png
Herlufholm Skole
Herlufholm Allé 170
4700 Næstved
Att. Institutionens ledelse og bestyrelse
Styrelsen for Undervisning og
Kvalitet
Frederiksholms Kanal 26
1220 København K
Tlf. nr.: 33 92 50 00
E-mail: [email protected]
www.stukuvm.dk
CVR nr.: 29634750
28. januar 2020
Sags nr.: 20/01575
Tematisk tilsyn med kombinerede institutioner med kostafdeling
Styrelsen for Undervisning og Kvalitet fører tilsyn med, at privat- og fri-
skoler, de gymnasiale uddannelser samt efterskoler og frie fagskoler over-
holder henholdsvis lov om friskoler og private grundskoler, lov om pri-
vate institutioner for gymnasiale uddannelser samt lov om efterskoler og
frie fagskoler. Styrelsen fører bl.a. tilsyn med, om institutionerne over-
holder frihed og folkestyre-kravet, som gælder for alle de nævnte skole-
former.
Styrelsen har besluttet at gennemføre et tematisk tilsyn med frihed og
folkestyre-kravet på i alt fire kombinerede institutioner med kostafdeling,
der har både grundskole og gymnasium. Tilsynet vil have et særligt fokus
på en række elementer i hele skolens virke, som særligt gør sig gældende
på institutioner af denne karakter.
Styrelsen skal på denne baggrund meddele, at Herlufholm Skole er udta-
get til styrelsens tematiske tilsyn med kombinerede institutioner med
kostafdeling.
Nedenfor følger en gennemgang af indholdet af styrelsens tilsyn, kriterier
for udvælgelse af institutioner samt en anmodning om redegørelse.
Indhold
Det fremgår af frihed og folkestyre-kravet, at skolerne i hele deres virke
skal forberede eleverne til at leve i et samfund som det danske med fri-
hed- og folkestyre samt udvikle og styrke elevernes demokratiske dan-
nelse og deres kendskab til og respekt for grundlæggende friheds- og
menneskerettigheder, herunder ligestilling mellem kønnene.
Frihed og folkestyre-kravet indebærer bl.a., at institutionerne skal forbe-
rede eleverne til medbestemmelse, medansvar, ytringsfrihed, rettigheder
og pligter i et samfund med frihed og folkestyre. Enhver institution skal
således efter loven have det sigte med al sin undervisning og hele sit
BUU, Alm.del - 2021-22 - Endeligt svar på spørgsmål 247: Spm. om at oversende alle dokumenter i sagen, som TV2 har fået aktindsigt i, i forbindelse med produktionen af dokumentaren 'Herlufsholms hemmeligheder', til børne- og undervisningsministeren
2588615_0191.png
virke i øvrigt,at enhverelevudviklersigtil demokratisk
medborger i
skab
et samfund
somdet danske.
Dette vil ikke alene
skullefremgåformelt af institutionens
formål m.v.,
menogsåaf institutionens
samlede
faktiskeliv og virke.
I denforbindelse fx forhold vedrørende
er
elevrelationer,
ordensregler,
opsynmedelever, hvordanskolenarbejder
og
medelevernes
trivselvig-
tigeat afdække, disse
idet
forhold kansigenogetom, hvordanskolenar-
bejdermedfrihed og folkestyrekravet,herunder
-
medbestemmelse
og
demokratisk
dannelse
.
Styrelsen således
vil
havefokuspå følgende
områder:
elevinddragelse medindflydelse
og
elevrelationerog omgangsformer,
-
herunder
o ligestilling em kønnene
mell
o opsynmedelever
o eventuelle
ordensregler
o eventuelle
præfektsystemer
øvrigeelevtil -elevaktiviteter
-
elevernes
trivsel
Tilsynetvil ligeledes
omfatteinstitutionernes
praksis forhold til under-
i
retninger samarbejde relevante
og
med
kommunale
myndigheder.
Kriterier for udvælgelse
Baggrundefor udvælgelsen de fire kombinerede
n
af
institutionerer, at
det er styrelsens
vurdering at eventuelle
,
problemer
medovenstående
forhold vil kunneopleves
somsærligt
belastende kostskoleelever,
for
idet
de bor på institutionenog idet de i mindregradendeleveri et alminde-
,
ligt grundskoletilbud gymnasietilbudar et frirum udenfor instituti-
eller
h
onen
.
Det er endvidere
styrelsens
vurde
ring, at dettekangøresigyderligere
ldendepå en kombineret
institu
tion, hvor eleverfortsætterfra grund-
skolentil gymnasiet således blive fastholdti eventuelle
og
kan
negative
mønstre
.
Anmodning om redegørelse
Styrelsen på ovennævnte
skal
baggrund
anmode
institutionen at ind-
om
sende redegørelse vedlagte
en
(se
skabelon)
senestden 18. februar 2020
til [email protected]
.
I bedes
anvende
vedlagte
redegørelsesskabelon, der er oplisteten
hvor
række
spørgsmål, dannerrammen redegørelsen.
som
for
Redegørelsen
skalmaksimalt
være
fem sider,og der skalikke vedlægges
bilag.Når re-
degørelsen igger,vil styrelsen
forel
efterfølgende
aflægge
institutionerne
i
2
BUU, Alm.del - 2021-22 - Endeligt svar på spørgsmål 247: Spm. om at oversende alle dokumenter i sagen, som TV2 har fået aktindsigt i, i forbindelse med produktionen af dokumentaren 'Herlufsholms hemmeligheder', til børne- og undervisningsministeren
2588615_0192.png
det tematiske
tilsynet tilsynsbesøg.
Nærmere
informationom tilsynsbe-
sø følger.
g
Såfremt har spørgsmål ovenstående, I velkomne at kontakte
I
til
er
til
følgende:
CamillaNielsenpå tlf. 20716651 på e-mail [email protected]
eller
(grundskolen)
Rebecca ayYsbæk
M
-Nielsenpå tlf. 33925237 på e-mail Re-
eller
becca.May.Ysbaek
[email protected])
(g
Med venlighilsen
CamillaNielsen
Pædagogisk
konsulent
Direktetlf.: +45 20 71 66 51
E-mail:[email protected]
3
BUU, Alm.del - 2021-22 - Endeligt svar på spørgsmål 247: Spm. om at oversende alle dokumenter i sagen, som TV2 har fået aktindsigt i, i forbindelse med produktionen af dokumentaren 'Herlufsholms hemmeligheder', til børne- og undervisningsministeren
2588615_0193.png
Svarskabelon til redegørelser – tematisk tilsyn med kombinerede institutioner med
kostafdeling
Hovedinstitution:
Kontaktperson(er) fra ledelsen:
Generelt
Giv en beskrivelse af institutionens værdigrundlag/mål og intentioner for den daglige praksis på
institutionen:
Giv en beskrivelse af institutionens elevgruppe:
Indsæt link til institutionens seneste selvevaluering (
gælder kun for gymnasieafdelingen
):
Indsæt link til institutionens seneste opfølgningsplan (
gælder kun for gymnasieafdelingen
):
Indsæt link til institutionens seneste trivselsundersøgelse (
ikke obligatorisk at gennemføre for privat- og
friskoler og efterskoler, så indsættes kun hvis trivselsundersøgelsen er gennemført
):
Indsæt link til institutionens seneste undervisningsmiljøvurdering:
Indsæt link til institutionens eventuelle lokale studie- og ordensregler:
Redegør for institutionens overvejelser om frihed og folkestyre-kravet, herunder elevinddragelse,
demokratisk dannelse og kønsligestilling:
Har institutionen et formelt elevråd? Hvis ja, hvordan er det organiseret? Hvis nej, hvordan sikres
elevinddragelsen så?
Beskriv kort hvordan institutionen organiserer følgende situationer på institutionen, herunder fordeling
af ansvar/opsyn vedrørende:
- spisetid
- lektiecafe
- sovetid
- rengøring
- fritid
Har institutionen et præfektsystem eller øvrige elev-til-elev aktiviteter, fx mentor- og storebror/søster-
ordninger? Hvis ja, hvordan er det organiseret?
Beskriv hvordan institutionen arbejder med elevernes trivsel, fx ift. hjemve, mobning, elevrelationer,
fagligt/socialt, kønsligestilling m.m.:
Har der inden for de seneste tre år været foretaget underretninger om institutionens elever? I
bekræftende fald, beskriv venligst omfanget heraf samt en beskrivelse af institutionens eventuelle
procedurer for underretninger, herunder en beskrivelse af samarbejdet med kommunen:
Beskriv institutionens samarbejde med øvrige eksterne aktører, der kan være relevant for elevernes
trivsel, herunder for grundskolerens vedkommende samarbejdet med PPR:
BUU, Alm.del - 2021-22 - Endeligt svar på spørgsmål 247: Spm. om at oversende alle dokumenter i sagen, som TV2 har fået aktindsigt i, i forbindelse med produktionen af dokumentaren 'Herlufsholms hemmeligheder', til børne- og undervisningsministeren
2588615_0194.png
Øvrige oplysninger
?
Institutionen bedes redegøre for, om der er andre informationer, som styrelsen bør
kende til:
BUU, Alm.del - 2021-22 - Endeligt svar på spørgsmål 247: Spm. om at oversende alle dokumenter i sagen, som TV2 har fået aktindsigt i, i forbindelse med produktionen af dokumentaren 'Herlufsholms hemmeligheder', til børne- og undervisningsministeren
2588615_0195.png
4
BUU, Alm.del - 2021-22 - Endeligt svar på spørgsmål 247: Spm. om at oversende alle dokumenter i sagen, som TV2 har fået aktindsigt i, i forbindelse med produktionen af dokumentaren 'Herlufsholms hemmeligheder', til børne- og undervisningsministeren
2588615_0196.png
Fra:
Sendt:
Til:
Emne:
Rebecca
May Ysbæk-Nielsen
4. februar 202016:30
'[email protected]'
Vedr. tematisktilsyn med frihed og folkestyre-kravet kombinerede
institutioner med kostafdeling.
Kære Mikkel Kjellberg
Jeg henvender mig på baggrund af styrelsens brev sendt den 28. januar 2020 til Herlufsholm Skole og
Gods om tematisk tilsyn med frihed og folkestyre-kravet
på kombinerede institutioner med kostafdeling.
Af brevet fremgår det, at styrelsen vil aflægge Herlufsholm Skole og Gods et tilsynsbesøg. Jeg vil på
denne baggrund spørge, om det vil være muligt, at styrelsen kan komme på tilsynsbesøg på skolen
tirsdag den 10. marts 2020?
Nærmere information
om indhold og tidspunkt
for tilsynsbesøget
m.m. følger.
Med venlighilsen
Rebecca
May YsbækNielsen
-
Fuldmægtig
Børne og Undervisningsministeriet
-
Styrelsenfor Undervisning Kvalitet
og
Kontor for Gymnasier
Frederiksholms
Kanal21
1220 København
K
Direkte tlf.: +45 33 92 52 37
E-mail: Rebecca.May.Ysbaek
-Nielsen
@stukuvm.dk
BUU, Alm.del - 2021-22 - Endeligt svar på spørgsmål 247: Spm. om at oversende alle dokumenter i sagen, som TV2 har fået aktindsigt i, i forbindelse med produktionen af dokumentaren 'Herlufsholms hemmeligheder', til børne- og undervisningsministeren
2588615_0197.png
5
BUU, Alm.del - 2021-22 - Endeligt svar på spørgsmål 247: Spm. om at oversende alle dokumenter i sagen, som TV2 har fået aktindsigt i, i forbindelse med produktionen af dokumentaren 'Herlufsholms hemmeligheder', til børne- og undervisningsministeren
2588615_0198.png
Fra:
Sendt:
Til:
Emne:
Mikkel Kjellberg<[email protected]>
4. februar 202016:36
Rebecca
May Ysbæk-Nielsen
Re:Vedr. tematisktilsyn med frihed og folkestyre-kravetpå kombinerede
institutioner med kostafdeling.
KæreRebecca
Ja,d. 10 marts passerfint. Vendgernetilbagemed tidsplanhurtigst muligt, så jeg kan bookede relevante
personer.
mvh. Mikkel
Fra: Rebecca
May Ysbæ[email protected]
<
>
Sendt:tirsdagden 4. februar 202016.29
Til: [email protected]
Emne:Vedr. tematisktilsyn med frihed og folkestyre-kravetpå kombineredeinstitutioner med
kostafdeling.
Kære Mikkel Kjellberg
Jeg henvender mig på baggrund af styrelsens brev sendt den 28. januar 2020 til Herlufsholm Skole og
Gods om tematisk tilsyn med frihed og folkestyre-kravet
på kombinerede institutioner med kostafdeling.
Af brevet fremgår det, at styrelsen vil aflægge Herlufsholm Skole og Gods et tilsynsbesøg. Jeg vil på
denne baggrund spørge, om det vil være muligt, at styrelsen kan komme på tilsynsbesøg på skolen
tirsdag den 1 0. marts 2020?
Nærmere information
om indhold og tidspunkt
for tilsynsbesøget
m.m. følger.
Med venlighilsen
Rebecca
May YsbækNielsen
-
Fuldmægtig
Børne og Undervisningsministeriet
-
Styrelsenfor Undervisning Kvalitet
og
Kontor for Gymnasier
Frederiksholms
Kanal21
1220 København
K
Direkte tlf.: +45 33 92 52 37
E-mail: Rebecca.May.Ys [email protected]
baek
BUU, Alm.del - 2021-22 - Endeligt svar på spørgsmål 247: Spm. om at oversende alle dokumenter i sagen, som TV2 har fået aktindsigt i, i forbindelse med produktionen af dokumentaren 'Herlufsholms hemmeligheder', til børne- og undervisningsministeren
2588615_0199.png
6
BUU, Alm.del - 2021-22 - Endeligt svar på spørgsmål 247: Spm. om at oversende alle dokumenter i sagen, som TV2 har fået aktindsigt i, i forbindelse med produktionen af dokumentaren 'Herlufsholms hemmeligheder', til børne- og undervisningsministeren
Herlufsholm Skole og Gods Studenterkurset
Fakta:
Kontaktinformationer:
rektor: Mikkel Kjellberg, grundskoleleder: Anne-Louise Boelsmand, udd. Leder Martin Arvedlund, kostskoleleder: Niels
Christian Koefoed
Elevtal:
Grundskole
192
60
252
Gymnasiet
151
126
277
Dagelever
Kostelever
I alt
Historie:
Skolen blev grundlagt i 1565 og er Danmarks ældste kostskole. I dag huser Herlufsholm elever fra 6. klasse til gymnasiets 3.g. Eleverne
kommer fra lokalområdet, det videre Danmark eller fra deres hjem i udlandet.
Kostskolen:
Herlufsholm Kostskole er opdelt i 9 elevgårde, hvor eleverne bor i mindre grupper sammen med en sovesalslærer og dennes familie.
BUU, Alm.del - 2021-22 - Endeligt svar på spørgsmål 247: Spm. om at oversende alle dokumenter i sagen, som TV2 har fået aktindsigt i, i forbindelse med produktionen af dokumentaren 'Herlufsholms hemmeligheder', til børne- og undervisningsministeren
2588615_0201.png
Tilsvnshismrik
17/04505
13/09492,
”Visit…
15/15267,
15/15828
Værdigrundlag
Hermfshulms
ks…eværuw
erpevsonhg
udvikling,
lærmg,
ansvarhghed
livslang sama
og
glnbah
udsyn
Hmm bevidst dansk
Dg
knr-Lent
dannelse; kullurgmndlag
Dg
v,
m
va…
mm…
bed…—
m
m
uddanne
mennesker
skole
unge
m
m
foran
:…
m]
…… , forsig for
hmm…,
farda:
selv,
fæHesJkub
En u].
v1 del
er
Missiurl
v,mus, Ekstraordinære
mmmEr/ør
ekslraoldmærjughg
ug
p…anng
udw'klmg.
Verdi:!
Faglighed
Engagement.
Ansvur/ighed
vrg,ezfænesskab på
bygget
fuy/rg/vsd,
engagement
ngumvurlrghed,
vimmmen
hv…
skaber
rammer, mme, e/ever, ved
de
dsr
de, m…,
……aggør
mere."
Visinn/missinn
un.
Herwshomelever
rustes at
møde verden,
eri konstant
n1
en
der
forandring.
En
slam
rænesskabsmewse udsyn
udgangspunktet
at
elever Herlufsholm
oglør
Dg grabs“ er
EL
For,
m
kan
[age
personhgl
a……
_
f…
selv,
deres
Sig for
fæueskabfor samtid,
lever
og den
de
Mission"
n…memves udfurdresm
fagHg
persoaudviklmg.
Dg
2151'd og
s……
historie,
trad oner
meme:
Dg
dannerhmdzment
e:
uvslangt
m
fæHeskab
Selvevaluering
Af…en; sewevaluermg
Fra
)anuzr
fremgår rungende e‘evtrivse‘
2019
m.;
vedr.
”December
mum; den
zum
første
lovphgtige
Elevrrivrelmndersøgelse
r
gymnasrst
Rew/mm
"g……
vi…
mf…
aung…
meme
mm/sundmgge/ser,
ar
skolens g……"
Erg/ude
deres
elever
for
Skolevalg, på
skolen
oplever
godt
……
og
Et
Samarbejde skolens
med
undervisere.Er enmumsm,urflsre
Dug der
elever
Herlufsholm
andre
end
skuler
Dplever
nød»…
bemærkninger.eret
Dene
fokuspunkt
mme]…
,
sum
elevråd lærerka/Vegrel
mn…
m 5:
herlufsholmAk
media
7254
mnasielyselvevaluerin
72019.
df
SE ovenstående
Opfølgningsulan
Afgymnaswels
upmgningspm
r…
zm/zuzo
(remgårdel,
zliko‘en et
start
har
generell p5
elevtrivsel.
udaF7
fukus
Mars
indsatsområder awewwse».
vedrører
Herunderses
fx:
.
”Styrkelse
alelevtnvslen
p: Ma afskolefurmar”
\ntern
—)
a]
efteruddannelse
b)$parringie1evråd
Dg
udvalg
-
"Styrkelse
:felevtrivselmindskelse
og
aliursømmalser"
—>
Forbevedelse
afny
mentornruktur
gennem
Erasmuskursev, efieruddannelse
anden
mm.
.
"Styrkelse
afelemivslen …… afskoleformer”
—>
swam og
lrivselsdage Ivars afskolefumvev
Årshjul
elsudvalg
Elevråd
Jamed
m
räpræsenlanter hverHasse
Fra
Resultat
trivsels-
af
m 5:
herlufsholmdk
media
o
[nelnm
s
lanrfmr
7309
mnasielrlfllflrZOZO.
df
Afskc-Jens
hjemmesvdefremgår
En
navneliste
Dversatge
elevrepræsentamer
hhv.,gmndskmeuug
gymnasielfselmk
m 5:
herlufsholmk
media exe…adeu
am
aarhermfshmm
df
Gennemsnil‘
3,5(so musea, muse»,
faglig
læringsmihø,ogbekymrmgerog
pres
mobning)
undersøgelse
Frivillig trivsels-
Fur
2017/15:
pnnlal ud
EY
undersøgelse
BUU, Alm.del - 2021-22 - Endeligt svar på spørgsmål 247: Spm. om at oversende alle dokumenter i sagen, som TV2 har fået aktindsigt i, i forbindelse med produktionen af dokumentaren 'Herlufsholms hemmeligheder', til børne- og undervisningsministeren
2588615_0202.png
Undervilninp-
millmrderinger
Linkhawker ul mlsundemgptsu
A!skulen;
uw afa. februar
znzufremgår H.121 dur
under
mtshiflen:
da
m…… magma u usm
punhw
up:
_
Mnrivamndz
undervisning
upleuetefzvlnd/Pydek;
ngmel
_
Gad
vedligämfd:
og…guingummm
_
lndrnæde ny
immmmmnde
Inhaler
german.
T‘Isvam‘nd! under
erder
mmm" ”»;n
viudfizrdringw" m mun
listet
punkterup. der
hvar 5:q uppådisse mrskrlften
undet
'llandleplin'
(hmm
nedenstående
'-)'
pll
Indlkerec
_
_
Knnnii afafkvafingsfidspmln
aiu;
fnrshiftlige
nmruplm
tilfreds!
lend!
afulwemz Gymnasiukdelsen at
—)
skal
sikre.
Ikke
hmrdineringsker
i
waning
mad elever,pg rasuhathnnidls
Oplevelsen
iht ram respehzmr almen. w lagger
humdng
lidt …du
_
_
landsgenumnm
—)
Atl:!v
kaldt
grimme
navne simply.
fordeling
—)
:fzhvlyper
dmi…
_
dag s5den
ikke
.:a
inflates. Inhus må alle
Samt pa
elevgmppermed lilmh'e arrangementer
Opleve al blive pressen]! mm
man Ikke har lyst ul -) Eåtdmider
'
ll
Fvsiäk
milil
E"—
(4
ul;
u
med"
W202
"asiat.
Særligt
Harudarbejdet
anlimnhbeshalegi
Fremhæver påtrivsel
Fukus
Præ'eklsystem
Er
certificeret
laleakule astra)
(af
Linkfjlanlimnbbeslrale erlufshalmd
:( s:
media075 møghul…
anlimobbstralegigdf
For
gymnasiet
er
amimubhailralegien
under
indsat overskriften
"konanapalmr
i
ovenstående
link.
Afa"irtilæl zwisendkfvemgår
m
mkkk
da,=:
elevath
amukhalm
mug
hir
krænlæudnikanempå gågaden ng lign.
?
Næstved qua dams unlfunny/sknlegmg på
medinnmhle
Studi:
og
nrdenueglzr
:
skolehaandb
.herlufsholm.d ?
2:44
Halufshnlm link
_
g
h
-
.
'
.d el
r
khans
hazum
h
:
sknlehaandb
.hedukholmd a gu
?
"anus nu 77
artikel
BUU, Alm.del - 2021-22 - Endeligt svar på spørgsmål 247: Spm. om at oversende alle dokumenter i sagen, som TV2 har fået aktindsigt i, i forbindelse med produktionen af dokumentaren 'Herlufsholms hemmeligheder', til børne- og undervisningsministeren
2588615_0203.png
7
BUU, Alm.del - 2021-22 - Endeligt svar på spørgsmål 247: Spm. om at oversende alle dokumenter i sagen, som TV2 har fået aktindsigt i, i forbindelse med produktionen af dokumentaren 'Herlufsholms hemmeligheder', til børne- og undervisningsministeren
2588615_0204.png
Fra:
Sendt:
Til:
Emne:
Vedhæftede filer:
Mikkel Kjellberg <[email protected]>
7. februar 2020 13:53
[email protected]
Tematisk tilsyn med kombinerede institutioner med kostafdeling, Herlufsholm
Svarskabelon til redegørelser - kombinerede institutioner med kostafdeling
Herlufsholm 05.02.2020.docx
Vedhæftet fremsendes ønsket redegørelse.
Med venlig hilsen
Mikkel Kjellberg
rektor
Herlufsholm Skole og Gods
Herlufsholm Allé 170
4700 Næstved, DK
Tlf.: 55 75 35 00
E-mail:
[email protected]
Web:
www.herlufsholm.dk
BUU, Alm.del - 2021-22 - Endeligt svar på spørgsmål 247: Spm. om at oversende alle dokumenter i sagen, som TV2 har fået aktindsigt i, i forbindelse med produktionen af dokumentaren 'Herlufsholms hemmeligheder', til børne- og undervisningsministeren
2588615_0205.png
Svarskabelon til redegørelser – tematisk tilsyn med kombinerede institutioner med
kostafdeling
Hovedinstitution: Herlufsholm Skole og Gods
Kontaktperson(er) fra ledelsen: rektor Mikkel Kjellberg
Generelt
Giv en beskrivelse af institutionens værdigrundlag/mål og intentioner for den daglige praksis på
institutionen:
Vision
Vi vil være Nordens bedste skole til at uddanne unge mennesker til at gå foran og tage ansvar – for sig
selv, for hinanden, for det fællesskab vi alle er en del af.
Mission
Vi skaber ekstraordinære rammer for ekstraordinær faglig og personlig udvikling.
Værdier
Faglighed. Engagement. Ansvarlighed
Vi er et fællesskab bygget på faglighed, engagement og ansvarlighed, hvor vi sammen skaber de
rammer, der udvikler elever, der ved mere, kan mere og gør mere.
Vores fundament
Vi har erfaringen, viljen, omsorgen og udsynet.
Erfaringen. På Herlufsholm har vi mere end 450 års erfaring med moderne Nordisk dannelse. Ønsket
om at give talentfulde og engagerede unge mennesker mulighed for at dygtiggøre sig til deres eget og
fællesskabets bedste grundlagde skolen tilbage i 1565. Det ønske gælder den dag i dag. Vi værner om
traditioner, der fremmer identitetsskabelse og fællesskab – et sammenhold for livet, bygget på
humanisme, demokrati, innovation, kreativitet og tolerance.
Viljen. På Herlufsholm er vi inspireret af de bedste. Vi er en dansk kostskole drevet af konkurrence
med de bedste uddannelsesinstitutioner verden over. Vi har fokus på nye tendenser inden for læring,
pædagogik, akademisk tradition, faglighed og personlig udvikling – uanset hvor tendenserne findes. Vi
er levende interesserede i hele tiden at blive bedre, at udvikle skolen, vores elever og os selv –
menneskeligt såvel som fagligt.
Omsorgen. På Herlufsholm er omsorg, tryghed og trivsel i højsædet. Vi er en skole med fokus på at se
den enkelte elev, og hos os skal alle føle sig hjemme og godt tilpas. Vi støtter og udfordrer vores elever
til både faglig og personlig udvikling gennem skolegang, ekstraskolære aktiviteter og en tolerant,
hjælpende kultur.
Udsynet. På Herlufsholm dyrker vi det globale udsyn og den lokale forankring. Vi bidrager til vores
lokalsamfund og samarbejder både på både nationalt og internationalt plan med
uddannelsesinstitutioner, virksomheder og organisationer. Vores uddannelsestilbud, udvekslingsophold,
studieture, besøg, konferencedeltagelse, velgørenhedsarbejde m.m. skaber unikke muligheder for læring
og personlig udvikling. Gennem fokus på uddannelse i miljø og ressourcebevidsthed udvikler viden og
redskaber til at skabe ansvarlige indsatser i forhold til FN´s mål for bæredygtig udvikling på
verdensplan.
Målsætninger for Herlufsholm, år 2025
Herlufsholm Skole vil være en unik og førende skole i Norden, der i takt med globale udfordringer
giver skolens elever en stærk faglig uddannelse, en nutidig dannelse, evnerne til at arbejde med viden,
og lysten til i deres videre karriere og liv at gøre en positiv forskel. Dette gør Herlufsholm ved:
BUU, Alm.del - 2021-22 - Endeligt svar på spørgsmål 247: Spm. om at oversende alle dokumenter i sagen, som TV2 har fået aktindsigt i, i forbindelse med produktionen af dokumentaren 'Herlufsholms hemmeligheder', til børne- og undervisningsministeren
2588615_0206.png
Høj faglighed
Skolen tilbyder relevante uddannelser med højt fagligt niveau. Målene er:
STX, top 10 i Danmark
Grundskolen, top 10% i Danmark
IB, Et gennemsnit på 34 point samt max score på mindst 40 point.
75 % af skolens årlige KOT optag skal være til længerevarende videregående uddannelser
Skolen har et lærerkollegium, der er blandt de stærkeste i Danmark. Målene er:
Samarbejde og videndeling i forpligtende læringsfællesskaber for alle.
Arbejdsvilkår, der sikrer bedre mulighed for efteruddannelse, forberedelse og evaluering, end de
offentlige skoler.
Undervisning i grundskolen varetages af lærere med linjefagskompetence i de fag, de underviser i.
Gymnasielærere med kandidateksamen og pædagogikum. Alle faggrupper er repræsenterede ved
ministeriets FIP kurser, efteruddanner sig i faglige foreninger, og ca. 20% af lærerne i gymnasiet er
censorer ved skriftlige eksamener.
Undervisning i IB varetages af lærere med universitetsgrader i de fag, de underviser i, samt IB
specifikke kurser certificeret af IBO.
Kompetenceplaner der gennem interne og eksterne kursustilbud sikrer at den enkelte er opdateret på
nyeste viden.
En undervisningsevalueringsplan der sikrer, at den enkelte lærers praksis evaluereres i forhold til
opfyldelsen af skolens mål om trivsel, personlig udvikling og faglighed.
Løbende udvikling af egen praksis i dialog med ledelsen, med inddragelse af undervisningsevalueringer
samt observeret undervisning.
Personlig udvikling
Skolens elever engageres i aktiviteter, der gennem skolens fokus på globalt udsyn, bæredygtighed og
social ansvarlighed fremmer den enkelte elevs personlige udvikling. Målene er:
Alle skolens klasser deltager årligt i mindst et flerfagligt projekt der understøtter globalt udsyn, social
ansvarlighed eller bæredygtighed. Klassens lærerteam sikrer i samarbejde med ledelsen en progression
herfor.
Herlufsholm Udmærkelsen fuldføres af alle STX/IB kostelever med mindst 2 års skolegang på skolen,
og af 75 % af STX/IB dageleverne.
Global Competence Aptitude Test, eller tilsvarende, skal dokumentere et højt niveau i forhold til
benchmark. STX elever optaget fra egen grundskole skal have et højere startniveau i disse tests end
gennemsnittet for elever optaget fra andre skoler.
Skolen støtter hver enkelt elevs trivsel, faglige- og personlige udvikling, samt tager et særligt ansvar for
kostelevernes dagligdag.
Målene er:
Andelen af elever der afbryder deres flerårige uddannelse på skolen efter kun 1 skoleår skal være under
5%.
Fastholdelsesprocenten fra egne afgangsklasser i grundskolen skal være 70%
Fravær fra undervisningen skal være under 8%
Udeblivelser fra ekstraskolære aktiviteter skal være under 10%
At elever i samarbejde med lærer og sovesalslærer gøres bevidst om og motiveres til en adfærd der er
motiveret i Herlufsholms værdisæt.
BUU, Alm.del - 2021-22 - Endeligt svar på spørgsmål 247: Spm. om at oversende alle dokumenter i sagen, som TV2 har fået aktindsigt i, i forbindelse med produktionen af dokumentaren 'Herlufsholms hemmeligheder', til børne- og undervisningsministeren
2588615_0207.png
Skolestørrelser som understøtter et godt studiemiljø med mulighed for oprettelse af relevante linjer og
fag.
Bæredygtighed
Skolen bliver selvforsynende med hensyn til både strøm og varme. Målene er:
Etablering af et solcelleanlæg der i 2021 leverer alt nødvendigt strøm.
Etablering af en varmepumpepark i 2022 som supplement til flis anlægget.
Gennem en målrettet indsats at reducere el- og varmeforbruget med 15 % frem til 2025 i forhold til i
dag. Dette skal ske ved at alle forpligter sig til korrekt energimæssig opførelse.
Reducere omkostningerne til vedligeholdelse. Målet er:
Reducere de samlede vedligeholdelsesomkostninger til bygningsmassen med 20 %
Skolens CO2 udledning frem til 2025 reduceres – niveau fastsættes ifm. etablering af solcelleanlæg.
At reducere madspil under produktion med 10 % frem til 2023.
At andelen af bionedbrydelig plastemballage vokser fra at udgøre 30% i dag til at udgøre 60% i 2025.
At andelen af lokale råvarer vokser fra at udgøre 10% i dag til at udgøre 25% i 2025.
Giv en beskrivelse af institutionens elevgruppe:
Elever der ønsker skolegang med fokus på høj faglighed, forankret i den nordiske dialogiske tradition,
suppleret med fokus på personlig udvikling understøttet af et bredt udbud af ekstraskolære tilbud.
Indsæt link til institutionens seneste selvevaluering (
gælder kun for gymnasieafdelingen
):
https://herlufsholm.dk/media/7254/gymnasiets-selvevaluering-2019.pdf
Indsæt link til institutionens seneste opfølgningsplan (
gælder kun for gymnasieafdelingen
):
https://herlufsholm.dk/media/7309/opfoelgningsplan-for-gymnasiet-2019-2020.pdf
Indsæt link til institutionens seneste trivselsundersøgelse (
ikke obligatorisk at gennemføre for privat- og
friskoler og efterskoler, så indsættes kun hvis trivselsundersøgelsen er gennemført
):
https://herlufsholm.dk/media/7255/elevtrivselsunderoegelse-2017-18-herlufsholm-grundskole.pdf
Indsæt link til institutionens seneste undervisningsmiljøvurdering:
https://herlufsholm.dk/media/7549/umv-2020-grundskolen.pdf
https://herlufsholm.dk/media/7548/umv-2020-gymnasiet.pdf
Indsæt link til institutionens eventuelle lokale studie- og ordensregler:
http://skolehaandbog.herlufsholm.dk/#/
Redegør for institutionens overvejelser om frihed og folkestyre-kravet, herunder elevinddragelse,
demokratisk dannelse og kønsligestilling:
Der henvises til tilsynsrapporterne der er tilgængelige på skolens hjemmeside.
Der vælges at linke til de 3 sidste rapporter, da skolen har skiftet tilsynsførende (lovpligtigt skift).
Af rapporterne fremgår det, at den af ministeriet certificerede tilsynsførende ikke finder anledning til
bemærkninger i forbindelse med frihed og folkestyre-kravet, herunder elevinddragelse, demokratisk
dannelse og kønsligestilling:
Tilsynsførendes udtalelse (2019)
Tilsynsførendes udtalelse (2018)
Tilsynsførendes udtalelse (2017)
BUU, Alm.del - 2021-22 - Endeligt svar på spørgsmål 247: Spm. om at oversende alle dokumenter i sagen, som TV2 har fået aktindsigt i, i forbindelse med produktionen af dokumentaren 'Herlufsholms hemmeligheder', til børne- og undervisningsministeren
2588615_0208.png
Har institutionen et formelt elevråd? Hvis ja, hvordan er det organiseret? Hvis nej, hvordan sikres
elevinddragelsen så?
Elevråd for gymnasiet/IB:
Hver klasse har en repræsentant og en suppleant. Elevrådets arbejde understøttes af skolens
ungevejleder. Elevrådet vælger en formand, en næstformand og en sekretær. Formanden deltager i
skolens bestyrelsesmåder og udvalgte lærermøder. Elevrådet kan på eget initiativ tage emner op til
drøftelse internt og med skolens ledelse, ligesom skolens ledelse kan bede elevrådet om input til aktuelle
temaer.
Fritidsudvalget:
Hver elegård har en repræsentant i fritidsudvalget. Her drøftes og evalueres skolens fritidstilbud, i
samarbejde med skolens leder af ekstraskolære aktiviteter
Round Square komité:
Eleverne vælger en Round Square komité som sammen med skolens Round Square koordinator står får
initiativer til at fremme skolens og elevernes opmærksomhed på Round Squares IDEALS:
Internationalisering, Demokratisering, Environment, Activity, Leadership, Service.
Elevernes forretningsudvalg:
Elevernes forretningsudvalg består af formand, næstformand og sektretær fra gymnasiets elevråd,
formand og næstformand for Round Square komitéen, formand for fritidsudvalget, leder af
ekstraskolære aktiviteter, kostskoleleder og rektor.
Udvalget koordinerer indsatser i de forskellige udvalg og skolens ledelse.
Elevråd for grundskolen:
Hver klasse har en repræsentant og en suppleant. Elevrådets arbejde understøttes af en lærer. Elevrådet
vælger en formand, en næstformand og en sekretær. Elevrådet kan på eget initiativ tage emner op til
drøftelse internt og med skolens ledelse, ligesom skolens ledelse kan bede elevrådet om input til aktuelle
temaer.
Beskriv kort hvordan institutionen organiserer følgende situationer på institutionen, herunder fordeling
af ansvar/opsyn vedrørende:
- spisetid :Der er mødepligt for kostelever til morgenbord og aftenbord. Til frokostbordet er der
mødepligt for alle elever. Der er ved alle måltider pædagogisk personale til stede, som dels sikrer en
behagelig stemning, men også efter behov vejleder de mindste elever om hvordan de sammensætter et
sundt måltid ud fra buffeten.
- lektiecafe: Der er frivillig studiecafe 1 time 3 gange ugentligt i forlængelse af skoledagen. For kostelevr
suppleres lektiecafeen med faste tidsrum på elevgårdene allokeret til lektielæsning.
- sovetid :7. og 8. klasse går i seng senest kl. 22, 9.kl 10.kl 1.g og 2.g senest kl. 22:30. 3.g senest kl. 23:30
Eleverne vækkes kl. 6:50
- rengøring: Rengøringen varetages af skolens personale. Eleverne skal sikre at de er rengøringsparat på
deres værelse.
- fritid :Skolen tilbyder et bredt udvalg af ekstraskolære aktiviteter efter endt skoledag, disse aktiviteter
er tilgængelige for alle skolens elever. Der er forskellige krav til de forskellige elevtyper for deres
minimums engagement heri. F.eks. skal alle grundskolens elever deltage i mindst en ugentlig aktivitet,
og alle skolens kostelever skal deltage i mindst en ugentlig sportsaktivitet.
BUU, Alm.del - 2021-22 - Endeligt svar på spørgsmål 247: Spm. om at oversende alle dokumenter i sagen, som TV2 har fået aktindsigt i, i forbindelse med produktionen af dokumentaren 'Herlufsholms hemmeligheder', til børne- og undervisningsministeren
2588615_0209.png
Har institutionen et præfektsystem eller øvrige elev-til-elev aktiviteter, fx mentor- og storebror/søster-
ordninger? Hvis ja, hvordan er det organiseret?
Skolen udnævner efter ansøgning fra eleverne et antal 3.g elever der hjælper sovesalslæreren med at
koordinere hverdagen og vejlede de øvrige elever på gården. Rektor afgør i samråd med
sovesalslærerne, hvilke elever blandt ansøgerene der bliver præfekter. Eleverne kan spørge præfekterne
til råds om både skolearbejdet og personlige anliggender, og præfekterne er i det hele taget med til at
sikre et godt miljø på den enkelte elevgård. Skolen holdet hvert år kurser for præfekterne i konstruktivt
samspil og konfliktløsning.
Beskriv hvordan institutionen arbejder med elevernes trivsel, fx ift. hjemve, mobning, elevrelationer,
fagligt/socialt, kønsligestilling m.m.:
Skolen har foruden studievejledere ansat en ungerådgiver, en sygeplejerske og en MiLife instruktør,
som alle indgår som centrale personer i skolens trivselsarbejde. Derudover har skolen en
mentorordning som sikrer at alle elever har en de kan gå til. Skolens har et tæt samarbejde med
forældrene til eleverne, og søger at løse alle konflikter på lavest muligt niveau.
Skolen er bevidst om at sikre de kønnene lige adgang til skolens tilbud.
Har der inden for de seneste tre år været foretaget underretninger om institutionens elever? I
bekræftende fald, beskriv venligst omfanget heraf samt en beskrivelse af institutionens eventuelle
procedurer for underretninger, herunder en beskrivelse af samarbejdet med kommunen:
Skolen har inden for de sidste 3 år fremsendt 3 underretninger (2 grundskoleelever + 1 gymnasieelev).
Der er taget afsæt i den særlige underretningspligt Efter lov om social service, § 153, og
underretningspligtsbekendtgørelsen (nr. 1466 af 16. december 2010).
Skolen vil beskrive samarbejdet med de 3 kommuner (Næstved, Vordingborg og Gentofte)som
konstruktivt og inddragende. I alle 3 sager har der været inviteret til dialogmøder.
Beskriv institutionens samarbejde med øvrige eksterne aktører, der kan være relevant for elevernes
trivsel, herunder for grundskolerens vedkommende samarbejdet med PPR:
Skolen samarbejder med et større antal eksterne aktører for at fremme elevernes trivsel. Nedenstående
en et udsnit af samarbejdsparterne:
- Sex og Samfund
- LMS (foreningen mod spiseforstyrrelser og selvskade)
- Mygind & Mygind
- Knud Lindholm Lau (stigmatiserende sprogbrug)
- SSP (undervisning ved lokalpoliti: grænser på nettet, social kapital & pejling)
- Patrick Larsen; foredrag for Gymnasiets elevråd – om at tro på sig selv)
- Girl Talk
Skolen samarbejder med Næstved Kommunes PPR, såvel profylaktisk konsultativt som omkring
elevsager.
Øvrige oplysninger
?
Institutionen bedes redegøre for, om der er andre informationer, som styrelsen bør
kende til:
BUU, Alm.del - 2021-22 - Endeligt svar på spørgsmål 247: Spm. om at oversende alle dokumenter i sagen, som TV2 har fået aktindsigt i, i forbindelse med produktionen af dokumentaren 'Herlufsholms hemmeligheder', til børne- og undervisningsministeren
2588615_0210.png
8
BUU, Alm.del - 2021-22 - Endeligt svar på spørgsmål 247: Spm. om at oversende alle dokumenter i sagen, som TV2 har fået aktindsigt i, i forbindelse med produktionen af dokumentaren 'Herlufsholms hemmeligheder', til børne- og undervisningsministeren
2588615_0211.png
Fra:
Sendt:
Til:
Emne:
Camilla Nielsen
18. februar 2020 11:46
'Mikkel Kjellberg'
SV: Tematisk tilsyn med kombinerede institutioner med kostafdeling,
Herlufsholm
Kære Mikkel Kjellberg
Styrelsen for Undervisning og Kvalitet kvitterer hermed for modtagelsen af Herlufsholms Skoles redegørelse
Med venlig hilsen
Camilla Nielsen
Pædagogisk konsulent
Styrelsen for Undervisning og Kvalitet
Frederiksholms Kanal 26
1220 København K
Tlf. nr.: 33 92 50 00
Direkte tlf.: +45 20 71 66 51
E-mail:
[email protected]
Fra:
Mikkel Kjellberg <[email protected]>
Sendt:
7. februar 2020 13:53
Til:
[email protected]
Emne:
Tematisk tilsyn med kombinerede institutioner med kostafdeling, Herlufsholm
Vedhæftet fremsendes ønsket redegørelse.
Med venlig hilsen
Mikkel Kjellberg
rektor
Herlufsholm Skole og Gods
Herlufsholm Allé 170
4700 Næstved, DK
Tlf.: 55 75 35 00
E-mail:
[email protected]
Web:
www.herlufsholm.dk
BUU, Alm.del - 2021-22 - Endeligt svar på spørgsmål 247: Spm. om at oversende alle dokumenter i sagen, som TV2 har fået aktindsigt i, i forbindelse med produktionen af dokumentaren 'Herlufsholms hemmeligheder', til børne- og undervisningsministeren
2588615_0212.png
BUU, Alm.del - 2021-22 - Endeligt svar på spørgsmål 247: Spm. om at oversende alle dokumenter i sagen, som TV2 har fået aktindsigt i, i forbindelse med produktionen af dokumentaren 'Herlufsholms hemmeligheder', til børne- og undervisningsministeren
2588615_0213.png
9
BUU, Alm.del - 2021-22 - Endeligt svar på spørgsmål 247: Spm. om at oversende alle dokumenter i sagen, som TV2 har fået aktindsigt i, i forbindelse med produktionen af dokumentaren 'Herlufsholms hemmeligheder', til børne- og undervisningsministeren
2588615_0214.png
Herlufsholm Skole
Herlufsholm Allé 170
4700 Næstved
Att. Institutionens ledelse og bestyrelse
Styrelsen for Undervisning og
Kvalitet
Frederiksholms Kanal 26
1220 København K
Tlf. nr.: 33 92 50 00
E-mail: [email protected]
www.stukuvm.dk
CVR nr.: 29634750
21. februar 2020
Sags nr.:20/01575
Tilsynsbesøg på Herlufsholm Skole
Ifølge aftale med skolen aflægger Styrelsen for Undervisning og Kvalitet
tilsynsbesøg på Herlufsholm Skole og Gods
tirsdag den 10. marts
2020.
Formålet med tilsynsbesøget er at tilse, at institutionen lever op til reg-
lerne om frihed og folkestyre, jf. lov om friskoler og private grundskoler
og lov om private institutioner for gymnasiale uddannelser.
Styrelsen vil under besøget have fokus på følgende områder:
elevinddragelse og medindflydelse
elevrelationer- og omgangsformer, herunder
ligestilling mellem kønnene
opsyn med elever
eventuelle ordensregler
eventuelle præfektsystemer
øvrige elev-til-elev aktiviteter
elevernes trivsel
Der henvises i øvrigt til styrelsens brev af 28. januar 2020.
Program for tilsynsbesøg
Styrelsen foreslår følgende program for besøget, som eventuelt kan til-
passes lokale ringetider:
8.00-9.00 Kort præsentation og rundvisning på skolen
9.00- 11.00 Observation af undervisning
Fra kl. 11.00 og fremefter foreslår styrelsen, at skolen selv fastsætter et
tidsprogram, som skal indeholde følgende punkter:
BUU, Alm.del - 2021-22 - Endeligt svar på spørgsmål 247: Spm. om at oversende alle dokumenter i sagen, som TV2 har fået aktindsigt i, i forbindelse med produktionen af dokumentaren 'Herlufsholms hemmeligheder', til børne- og undervisningsministeren
-
-
-
-
-
Fællesmøde med ledelsen fra både gymnasiet og grundskolen og
med repræsentanter fra kostafdelingen om tilsynets fokusområ-
der
Fællesmøde med lærere fra både gymnasiet og grundskolen om
tilsynets fokusområder
Samtale med elever fra gymnasiet om tilsynets fokusområder
Samtale med AKT-lærer, elevrådsansvarlig lærer eller lignende
med fokus på grundskoleelevernes perspektiv på tilsynets fokus-
områder
Observation af diverse elevaktiviteter på skolen, herunder fro-
kost og pause, samt fx lektiecafe, elevrådsmøde eller lign.
Styrelsen forventer, at skolens rektor samt relevante repræsentanter fra
ledelsen for henholdsvis grundskolen og kostafdelingen er at træffe på
skolen under besøget.
Samtaler med elever fra gymnasiet kan fx være en gruppe elever eller
elever fra elevrådet. Styrelsen ønsker, at elever fra både 1., 2. og 3. g. er
repræsenteret.
Institutionens bestyrelsesformand eller anden repræsentant fra bestyrel-
sen er velkommen til at være til stede under besøget.
Fra styrelsen deltager fra Center for Grundskole chefkonsulent Ditte
Wenzel Pedersen og pædagogisk konsulent Camilla Nielsen og fra Kon-
tor for Gymnasier deltager specialkonsulent Mette Vedel og fuldmægtig
Rebecca May Ysbæk-Nielsen.
Til brug i styrelsens planlægning af besøget bedes skolen
snarest muligt
sende klasseskemaer til [email protected].
Opfølgning på tilsynsbesøget
Hvis der på baggrund af tilsynsbesøget og styrelsens øvrige undersøgel-
ser af institutionens virke er tvivl om, hvorvidt institutionen lever op til
gældende regler, vil styrelsen kontakte institutionen herom og eventuelt
iværksætte yderligere tiltag i forhold til institutionen.
Hvis I har spørgsmål eller bemærkninger til ovenstående, kan I kontakte
følgende:
Camilla Nielsen på tlf. 20716651 eller på e-mail [email protected]
(grundskolen)
Rebecca May Ysbæk-Nielsen på tlf. 33925237 eller på e-mail Re-
[email protected] (gymnasiet)
2
BUU, Alm.del - 2021-22 - Endeligt svar på spørgsmål 247: Spm. om at oversende alle dokumenter i sagen, som TV2 har fået aktindsigt i, i forbindelse med produktionen af dokumentaren 'Herlufsholms hemmeligheder', til børne- og undervisningsministeren
Med venlig hilsen
Camilla Nielsen
Pædagogisk konsulent
Direkte tlf.: +45 20 71 66 51
E-mail: [email protected]
3
BUU, Alm.del - 2021-22 - Endeligt svar på spørgsmål 247: Spm. om at oversende alle dokumenter i sagen, som TV2 har fået aktindsigt i, i forbindelse med produktionen af dokumentaren 'Herlufsholms hemmeligheder', til børne- og undervisningsministeren
2588615_0217.png
10
BUU, Alm.del - 2021-22 - Endeligt svar på spørgsmål 247: Spm. om at oversende alle dokumenter i sagen, som TV2 har fået aktindsigt i, i forbindelse med produktionen af dokumentaren 'Herlufsholms hemmeligheder', til børne- og undervisningsministeren
2588615_0218.png
Fra:
Sendt:
Til:
Emne:
Vedhæftede filer:
[email protected]
21. februar 2020 12:11
'[email protected]'
Brev om tilsynsbesøg
Brev om tilsynsbesøg - Herlufsholm Skole .pdf
Til institutionens bestyrelse og øverste ledelse
Se venligst vedlagte brev vedrørende Styrelsen for Undervisning og Kvalitets tematiske tilsyn med frihed og
folkestyre-kravet på kombinerede institutioner med kostafdeling. Brevet indeholder oplysninger om
planlagt tilsynsbesøg.
Jeg skal desuden anmode om, at der kvitteres for modtagelsen af denne mail, samt at mailen videresendes
til institutionens bestyrelse.
Med venlig hilsen
Kamilla Liebermann
Børne- og Undervisningsministeriet
Styrelsen for Undervisning og Kvalitet
Center for Grundskole
Frederiksholms Kanal 26
1220 København K
Direkte tlf.: +45 3392 5000
E-mail:
[email protected]
BUU, Alm.del - 2021-22 - Endeligt svar på spørgsmål 247: Spm. om at oversende alle dokumenter i sagen, som TV2 har fået aktindsigt i, i forbindelse med produktionen af dokumentaren 'Herlufsholms hemmeligheder', til børne- og undervisningsministeren
2588615_0219.png
Herlufsholm Skole
Herlufsholm Allé 170
4700 Næstved
Att. Institutionens ledelse og bestyrelse
Styrelsen for Undervisning og
Kvalitet
Frederiksholms Kanal 26
1220 København K
Tlf. nr.: 33 92 50 00
E-mail: [email protected]
www.stukuvm.dk
CVR nr.: 29634750
21. februar 2020
Sags nr.:20/01575
Tilsynsbesøg på Herlufsholm Skole
Ifølge aftale med skolen aflægger Styrelsen for Undervisning og Kvalitet
tilsynsbesøg på Herlufsholm Skole og Gods
tirsdag den 10. marts
2020.
Formålet med tilsynsbesøget er at tilse, at institutionen lever op til reg-
lerne om frihed og folkestyre, jf. lov om friskoler og private grundskoler
og lov om private institutioner for gymnasiale uddannelser.
Styrelsen vil under besøget have fokus på følgende områder:
elevinddragelse og medindflydelse
elevrelationer- og omgangsformer, herunder
ligestilling mellem kønnene
opsyn med elever
eventuelle ordensregler
eventuelle præfektsystemer
øvrige elev-til-elev aktiviteter
elevernes trivsel
Der henvises i øvrigt til styrelsens brev af 28. januar 2020.
Program for tilsynsbesøg
Styrelsen foreslår følgende program for besøget, som eventuelt kan til-
passes lokale ringetider:
8.00-9.00 Kort præsentation og rundvisning på skolen
9.00- 11.00 Observation af undervisning
Fra kl. 11.00 og fremefter foreslår styrelsen, at skolen selv fastsætter et
tidsprogram, som skal indeholde følgende punkter:
BUU, Alm.del - 2021-22 - Endeligt svar på spørgsmål 247: Spm. om at oversende alle dokumenter i sagen, som TV2 har fået aktindsigt i, i forbindelse med produktionen af dokumentaren 'Herlufsholms hemmeligheder', til børne- og undervisningsministeren
-
-
-
-
-
Fællesmøde med ledelsen fra både gymnasiet og grundskolen og
med repræsentanter fra kostafdelingen om tilsynets fokusområ-
der
Fællesmøde med lærere fra både gymnasiet og grundskolen om
tilsynets fokusområder
Samtale med elever fra gymnasiet om tilsynets fokusområder
Samtale med AKT-lærer, elevrådsansvarlig lærer eller lignende
med fokus på grundskoleelevernes perspektiv på tilsynets fokus-
områder
Observation af diverse elevaktiviteter på skolen, herunder fro-
kost og pause, samt fx lektiecafe, elevrådsmøde eller lign.
Styrelsen forventer, at skolens rektor samt relevante repræsentanter fra
ledelsen for henholdsvis grundskolen og kostafdelingen er at træffe på
skolen under besøget.
Samtaler med elever fra gymnasiet kan fx være en gruppe elever eller
elever fra elevrådet. Styrelsen ønsker, at elever fra både 1., 2. og 3. g. er
repræsenteret.
Institutionens bestyrelsesformand eller anden repræsentant fra bestyrel-
sen er velkommen til at være til stede under besøget.
Fra styrelsen deltager fra Center for Grundskole chefkonsulent Ditte
Wenzel Pedersen og pædagogisk konsulent Camilla Nielsen og fra Kon-
tor for Gymnasier deltager specialkonsulent Mette Vedel og fuldmægtig
Rebecca May Ysbæk-Nielsen.
Til brug i styrelsens planlægning af besøget bedes skolen
snarest muligt
sende klasseskemaer til [email protected].
Opfølgning på tilsynsbesøget
Hvis der på baggrund af tilsynsbesøget og styrelsens øvrige undersøgel-
ser af institutionens virke er tvivl om, hvorvidt institutionen lever op til
gældende regler, vil styrelsen kontakte institutionen herom og eventuelt
iværksætte yderligere tiltag i forhold til institutionen.
Hvis I har spørgsmål eller bemærkninger til ovenstående, kan I kontakte
følgende:
Camilla Nielsen på tlf. 20716651 eller på e-mail [email protected]
(grundskolen)
Rebecca May Ysbæk-Nielsen på tlf. 33925237 eller på e-mail Re-
[email protected] (gymnasiet)
2
BUU, Alm.del - 2021-22 - Endeligt svar på spørgsmål 247: Spm. om at oversende alle dokumenter i sagen, som TV2 har fået aktindsigt i, i forbindelse med produktionen af dokumentaren 'Herlufsholms hemmeligheder', til børne- og undervisningsministeren
Med venlig hilsen
Camilla Nielsen
Pædagogisk konsulent
Direkte tlf.: +45 20 71 66 51
E-mail: [email protected]
3
BUU, Alm.del - 2021-22 - Endeligt svar på spørgsmål 247: Spm. om at oversende alle dokumenter i sagen, som TV2 har fået aktindsigt i, i forbindelse med produktionen af dokumentaren 'Herlufsholms hemmeligheder', til børne- og undervisningsministeren
2588615_0222.png
11
BUU, Alm.del - 2021-22 - Endeligt svar på spørgsmål 247: Spm. om at oversende alle dokumenter i sagen, som TV2 har fået aktindsigt i, i forbindelse med produktionen af dokumentaren 'Herlufsholms hemmeligheder', til børne- og undervisningsministeren
2588615_0223.png
Fra:
Sendt:
Til:
Emne:
Vedhæftede filer:
[email protected]
21. februar 2020 12:29
'[email protected]'
Brev om tilsynsbesøg
Brev om tilsynsbesøg - Herlufsholm Skole .pdf
Til institutionens bestyrelse og øverste ledelse
Se venligst vedlagte brev vedrørende Styrelsen for Undervisning og Kvalitets tematiske tilsyn med frihed og
folkestyre-kravet på kombinerede institutioner med kostafdeling. Brevet indeholder oplysninger om
planlagt tilsynsbesøg.
Jeg skal desuden anmode om, at der kvitteres for modtagelsen af denne mail, samt at mailen videresendes
til institutionens bestyrelse.
Med venlig hilsen
Kamilla Liebermann
Børne- og Undervisningsministeriet
Styrelsen for Undervisning og Kvalitet
Center for Grundskole
Frederiksholms Kanal 26
1220 København K
Direkte tlf.: +45 3392 5000
E-mail:
[email protected]
BUU, Alm.del - 2021-22 - Endeligt svar på spørgsmål 247: Spm. om at oversende alle dokumenter i sagen, som TV2 har fået aktindsigt i, i forbindelse med produktionen af dokumentaren 'Herlufsholms hemmeligheder', til børne- og undervisningsministeren
2588615_0224.png
Herlufsholm Skole
Herlufsholm Allé 170
4700 Næstved
Att. Institutionens ledelse og bestyrelse
Styrelsen for Undervisning og
Kvalitet
Frederiksholms Kanal 26
1220 København K
Tlf. nr.: 33 92 50 00
E-mail: [email protected]
www.stukuvm.dk
CVR nr.: 29634750
21. februar 2020
Sags nr.:20/01575
Tilsynsbesøg på Herlufsholm Skole
Ifølge aftale med skolen aflægger Styrelsen for Undervisning og Kvalitet
tilsynsbesøg på Herlufsholm Skole og Gods
tirsdag den 10. marts
2020.
Formålet med tilsynsbesøget er at tilse, at institutionen lever op til reg-
lerne om frihed og folkestyre, jf. lov om friskoler og private grundskoler
og lov om private institutioner for gymnasiale uddannelser.
Styrelsen vil under besøget have fokus på følgende områder:
elevinddragelse og medindflydelse
elevrelationer- og omgangsformer, herunder
ligestilling mellem kønnene
opsyn med elever
eventuelle ordensregler
eventuelle præfektsystemer
øvrige elev-til-elev aktiviteter
elevernes trivsel
Der henvises i øvrigt til styrelsens brev af 28. januar 2020.
Program for tilsynsbesøg
Styrelsen foreslår følgende program for besøget, som eventuelt kan til-
passes lokale ringetider:
8.00-9.00 Kort præsentation og rundvisning på skolen
9.00- 11.00 Observation af undervisning
Fra kl. 11.00 og fremefter foreslår styrelsen, at skolen selv fastsætter et
tidsprogram, som skal indeholde følgende punkter:
BUU, Alm.del - 2021-22 - Endeligt svar på spørgsmål 247: Spm. om at oversende alle dokumenter i sagen, som TV2 har fået aktindsigt i, i forbindelse med produktionen af dokumentaren 'Herlufsholms hemmeligheder', til børne- og undervisningsministeren
-
-
-
-
-
Fællesmøde med ledelsen fra både gymnasiet og grundskolen og
med repræsentanter fra kostafdelingen om tilsynets fokusområ-
der
Fællesmøde med lærere fra både gymnasiet og grundskolen om
tilsynets fokusområder
Samtale med elever fra gymnasiet om tilsynets fokusområder
Samtale med AKT-lærer, elevrådsansvarlig lærer eller lignende
med fokus på grundskoleelevernes perspektiv på tilsynets fokus-
områder
Observation af diverse elevaktiviteter på skolen, herunder fro-
kost og pause, samt fx lektiecafe, elevrådsmøde eller lign.
Styrelsen forventer, at skolens rektor samt relevante repræsentanter fra
ledelsen for henholdsvis grundskolen og kostafdelingen er at træffe på
skolen under besøget.
Samtaler med elever fra gymnasiet kan fx være en gruppe elever eller
elever fra elevrådet. Styrelsen ønsker, at elever fra både 1., 2. og 3. g. er
repræsenteret.
Institutionens bestyrelsesformand eller anden repræsentant fra bestyrel-
sen er velkommen til at være til stede under besøget.
Fra styrelsen deltager fra Center for Grundskole chefkonsulent Ditte
Wenzel Pedersen og pædagogisk konsulent Camilla Nielsen og fra Kon-
tor for Gymnasier deltager specialkonsulent Mette Vedel og fuldmægtig
Rebecca May Ysbæk-Nielsen.
Til brug i styrelsens planlægning af besøget bedes skolen
snarest muligt
sende klasseskemaer til [email protected].
Opfølgning på tilsynsbesøget
Hvis der på baggrund af tilsynsbesøget og styrelsens øvrige undersøgel-
ser af institutionens virke er tvivl om, hvorvidt institutionen lever op til
gældende regler, vil styrelsen kontakte institutionen herom og eventuelt
iværksætte yderligere tiltag i forhold til institutionen.
Hvis I har spørgsmål eller bemærkninger til ovenstående, kan I kontakte
følgende:
Camilla Nielsen på tlf. 20716651 eller på e-mail [email protected]
(grundskolen)
Rebecca May Ysbæk-Nielsen på tlf. 33925237 eller på e-mail Re-
[email protected] (gymnasiet)
2
BUU, Alm.del - 2021-22 - Endeligt svar på spørgsmål 247: Spm. om at oversende alle dokumenter i sagen, som TV2 har fået aktindsigt i, i forbindelse med produktionen af dokumentaren 'Herlufsholms hemmeligheder', til børne- og undervisningsministeren
Med venlig hilsen
Camilla Nielsen
Pædagogisk konsulent
Direkte tlf.: +45 20 71 66 51
E-mail: [email protected]
3
BUU, Alm.del - 2021-22 - Endeligt svar på spørgsmål 247: Spm. om at oversende alle dokumenter i sagen, som TV2 har fået aktindsigt i, i forbindelse med produktionen af dokumentaren 'Herlufsholms hemmeligheder', til børne- og undervisningsministeren
2588615_0227.png
12
BUU, Alm.del - 2021-22 - Endeligt svar på spørgsmål 247: Spm. om at oversende alle dokumenter i sagen, som TV2 har fået aktindsigt i, i forbindelse med produktionen af dokumentaren 'Herlufsholms hemmeligheder', til børne- og undervisningsministeren
2588615_0228.png
Fra:
Sendt:
Til:
Cc:
Emne:
Vedhæftede filer:
Til Camilla Nielsen.
Lotte Beck Jensen <[email protected]>
22. februar 2020 13:22
Camilla Nielsen
Mikkel Kjellberg; Martin Horst Arvedlund
Skema til tilsynsbesøg på Herlufsholm Skole.
10. marts skemaer.pdf
Hermed fremsendes klasseskemaer for samtlige klasser på Herlufsholm Skole til brug ved tilsynsbesøg
tirsdag d. 10.3.2020.
Med venlig hilsen
Lotte Beck Jensen
Vicegrundskoleleder
Herlufsholm Skole og Gods
Herlufsholm Allé 170
4700 Næstved, DK
Tlf.: 55 75 35 00
Direkte: 55 75 35 39
Mobil: 24 89 19 48
E-mail:
[email protected]
Web: www.herlufsholm.dk
BUU, Alm.del - 2021-22 - Endeligt svar på spørgsmål 247: Spm. om at oversende alle dokumenter i sagen, som TV2 har fået aktindsigt i, i forbindelse med produktionen af dokumentaren 'Herlufsholms hemmeligheder', til børne- og undervisningsministeren
2588615_0229.png
HERLUFSHOLM
6.3
'
110541
50575105
BADAN
.
LAH ,—
.Dz
Skoleskema
6.13
65 REL. 8TH .
y
D'
for
alle klasser
2020
7-c
TC DW
-
HL
"
:”
3514—
Videmere‘KunnemerfiGfiremere
7.a
10.
marts
TA DAN.CTR
j
.TAo1—E—
2 mow
moroa)
MW
D 35 511
J. '11od41
BAV1AT.JDN1
;
.DZ
EBV1AT.V1LP
,;
.D'.
;*
TCEVG-CFU-
J
7c um
F'e'mægge
BA
,!
GAE
;
FRA
.JKE-
BAE
!
FRA
-JKE-
55
;
7ABC1DE.
CTR KJE MLP
.AHTP
;
?MB
4
C
151?-
TYS
.TLR-
TVS
.HLC-
4D
,
'z 40
5 "10341
65 EAN-STH
y
-D"
'24571325
6 mm
'33071433
1445
]
_
S
mom:
TA
DAN
]
DA]
;
Dal
‘E
.33
{m_m.
_D-
1445;
;;
'
1445
,
14-15
,
_
Da.
DAN
TEEI,6.HBM ,1
“Ems
14451545
F'fn'mnm"
f
!
TC PK- ‘v‘ST-
!
1411…11
1445
j
1445
1545
1545
1545
15-15
1545
'
1545
'
,,
E5 pimimg
1445_ 1445 ;,
'
'
1545
1545
15451645
“54071540
Baw-
x
ESBashelG—Qd
8.a
8.b
J;
&:
sc BL.HHJ-KREA
;?
'
mow
905-905
2 110141
9207-320
SA'MAT.V1ST.8A1D"C
;?
a»;
[1_i_11.TLR.S/-_1n—1C 35 SA .1.11=1.—
j
.as 51.11
ac E L.HHJ.KREA
ly
3 "…”
50354135
1 110341
=” :
y
35—311—1
'
BBH mm…
:
_…
1
_
.,,
” Joy 5149
5
mom
FS
;
g;
;,
3915
,…»
3
2
35 De’RA
VS
!
y
PS
;
SAE
;,
3…
*2—15'1325
‘3 m…
Kcm—
'
TVS
*
‘C
f
Kom
'
C
;
Trg
u
a
GÅE‘D-KJE-WB
ac DmÆThaz
”3304
7 “1°C“
_
..55101-11
?
DBDAH-NRA
j
E
sceczmv
.MrB
f
14554555
ma
SAWE-
1ov<
C
,!
.545
'
1.15,
[171379
'
.as—15111
8 410541
*54071549
1545-
15-15
]
Basma",
1533…
;
,
"
1545
15.15
fl
1545”,
,
'
1545
1545
=
Eas—e'
1545-
,
'545.
45
I
Fr11nr11111g
.
HERLUFSHOLM
SKOLE GODS
1 HERLUFSHOLMALLE 1 DKVA'IOO
oc
nu
NÆSTVED CVRNR 85895318 1 BANK43439Ml370
1
Rekrorkonmr
Ko…orudkl
Tel
'
3.00-15
UO
DO
Du'eknonsknumx
Knnlomd
Tel *45
k1. 8.00-15
'
Ol
00 1 FJedag
k1 8700-1430
E-mml
re nox 0mm fr
herlufsholm
dk
E-ma 11
d
u ekumh'gLhex111fsholm.(1k
BUU, Alm.del - 2021-22 - Endeligt svar på spørgsmål 247: Spm. om at oversende alle dokumenter i sagen, som TV2 har fået aktindsigt i, i forbindelse med produktionen af dokumentaren 'Herlufsholms hemmeligheder', til børne- og undervisningsministeren
2588615_0230.png
HERLU fSHOLM
Vide
mere
.
Kunne
mere
'
Care mere
”HDCJl
S 05
'
EH15
1 mm
9
ZB
_
"3‘ 20
3 mom:
D 35 ,11
.,-
J. mmm
"
4D
’2 4O
5 710111
'2-15—13
6 110311
'330714
25
9
.;— 14;
3
m
s
a
r _;
33
i4.
7 mom:
’4 35 71
‘3
,
f
3
__
_
9
C
f
e
__
.,
S
mom:
54071540
”now1
S
05
05
B
Teater
A199
2 'nu…
9207
"020
hassns
e‘e‘e'.
ELF
JHf—
JKA'ESA
‘135
9
j
3 www
‘0357
9
4
;
_
e
_
y
Hr
1 110311
Q
&….
" Jo
,
*: 49
5
170241
”2-157
1325
A3
_
y
9
15 mom
'3 30 71
9
>!
£4
j
%
__…
9
g
FM.
9
7—-
.i
c
'1105'41
‘J 35 715 35
14 45-154
Ummate
E9 Ulmate
15 457165
F'io'mm;
a‘l
8 mom
‘5 .10715 .10
r.
7154‘
y
11345
ES F'iymnv‘g
HERLUFSHOLM
SKOLE GODS
1 HERLUFSHOLMALLE 1 DKVA'IOO
oc
17a
NÆSTVED CVRNR 55595315 1
BANK43439Ml370
1
Rekrorkonmr
Ko…orudkl
Tel
'
8.00-15
01)
DO
Du'eknonskontm
Knnmmd
k1.
s
(10-15 1
m)
Tel745 55'
01
dk
Fletlag
kl
&OO-H
30
E-mml
re nm 0mm (!
herlufsholm
E-mml
dneknolm
hvfsholm.dk
hex
BUU, Alm.del - 2021-22 - Endeligt svar på spørgsmål 247: Spm. om at oversende alle dokumenter i sagen, som TV2 har fået aktindsigt i, i forbindelse med produktionen af dokumentaren 'Herlufsholms hemmeligheder', til børne- og undervisningsministeren
2588615_0231.png
HERLUFSHOLM
Vide mere
.
Kunne
mere
Core mere
STX
/
IB
';45
1:45
55 395313
1
BANK4343
9041370
BUU, Alm.del - 2021-22 - Endeligt svar på spørgsmål 247: Spm. om at oversende alle dokumenter i sagen, som TV2 har fået aktindsigt i, i forbindelse med produktionen af dokumentaren 'Herlufsholms hemmeligheder', til børne- og undervisningsministeren
2588615_0232.png
HERLU fSHOLM
Vide
mere
.
Kunne
mere
'
Care mere
2.i
'
730541
,5-
j
: *.13'1—HL
2
,r'
"
:"
;"
2.x
Mana. HSF‘
«,
5
05
'
9 05
2 www!
«
,"
_
9 20
_
'a 20
E- «10:41
2‘
!
3‘
j
"
21— . SEA.
SA
J
!
"D 35 —1135
511.
F1—1—
TY
4
www
“404110
5
mow
HL 31
21 _;
[11-
'
HL 11
RS Kama
HL.
11 ;»
….
HL.
j
2w11F. FEM" ,;
.TY
RS
_;
‘2 45. 1325
6
mom:
'330'1433
RSmme 1020.mm.
f
'
m
'
;
'
;
,
.
z…
WLTGN
.
REE
;
7—www!
_
43571535
.
'1105J1
-~
Hm
2‘ M…,
.— 1445.
11-15
,,
C
unters'n
un—
545
f
,
f”
”45
5,
!
L
»
””.;
.
-.
'545
5
MaprSL-
U1'1'a1e
5.104549
mm-
,
‘Q
ZÅUEW
16331733
"
.
,
3.i
ESE"
3.3
'
”now1
EvahFRF.
_;
33m
M
j
‘j
31511
y
805—905
z mom
920. 920
3 wow
“03571135
131551:
3are.FNE.RE
m..
H1JF.1—.—1A.2
j
study: d.
APA LN…TF
HLmHA
.h—ER
3101
,"
HLJW.
. 1.421:
BLE'lA-HL
FLA- EN
3
EnAu
-
f
1 '1105J1
"
JD
’2 JD
31
E1Ar1-11.EMASL.
:
FL. . E‘d
,"
5
'…)d
'2—15'1325
6 mom
3307‘
1 170cm
‘4 35 715 35
3:
.
DaA.
,
;.
.lb
_
]
.
144:1/
,
HU
8 'med…
‘5 40 r16 .13
Counter
'745
Caumer
511112
EQ E-
1545
gm-
.
m
m
HERLUFSHOLM
SKOLE GODS
1 HERLUFSHOLMALLE 1 DKVA'IOO
oc
17a
NÆSTVED CVRNR 85895318 1
BANK43439Ml370
1
Rekrorkonmr
Ko…orudkl
Tel
'
3.00-15
Ul)
DO
Dxreknousknnmx
Knnmmd
k1.s.(10-15 1
00
Tel745 '
01
dk
FJedag
k1 &OO-H
30
E-mml
re nox
omelfrherlufsholm
E-mml
duekuonw'gL
hvfsholm.dk
hex
BUU, Alm.del - 2021-22 - Endeligt svar på spørgsmål 247: Spm. om at oversende alle dokumenter i sagen, som TV2 har fået aktindsigt i, i forbindelse med produktionen af dokumentaren 'Herlufsholms hemmeligheder', til børne- og undervisningsministeren
2588615_0233.png
$
”«.—
[3]
HERLUFSHOLM
Vide mete
Kunne mete - føle
mete
3.v
1
modul
8:05-9:05
3.x
3x FY
.
TGN
.
,
FY,A
3.y
/
3y ol. LNJ
.
RE
,
aabv
MA.
HUR.
D
,
MA
2
av EN
.
ARA.
EN
'
vodul
920
abid 3vid.ARA
LNJ.TR
I
3xMA.IBJ.
MA}
[
3yHl.EBR.MYB
]
,
10:20
3,modul
10,35—11235
Babv
/
Fy.
TGN
.
3ebv
]
Ke.
JIH
.
Sabv
Ke.
'
JIH
.
3vD
I
!
Bi-
3vx
Bi.
MCA
.
*
I
l
l
m Bi-MCA
[
D
-Bl.L
Bvx Bi.
MCA.
EIIL
3y
ol.LNJ.EN
[
4, modul
11:40—12240
Sabv
Fy.
,
TGN
.
]
3y ol. LNJ
.
SP
,
5
modul
12345
13:25
6_rrludul
13'30-14130
3v
HI.FHO.FR
,
3x
H1.EBR.
NÆR
[
7_ modul
1435—1535
3v HI.
FHO-FR
I
14,45.
17745
I
3axy
SPB
[
1445
. '
,
Sexy
SFB
I
14745
.
'
45
,
j“
I
Counlemnke
-T30-
1545
& modul
ES E-spnn
JBO- 15:45 15.45
15:40
16:40
Counterstnke
EVE: ..
_
HERLqHoLu SKOLE GODS
1 HERLUFSHOLMALLE 1
DK747DD
os
nu
NÆSTVED CVRNR 85896313
1
BANK43439n4137u
1
Rektorkonlor
Konlorfid
Tel+45
kl. S.OD-ISDO
55 75 35 00
Direktionskonlm'
Konlonid
kl.
8.00-5.00
1
‘Fredag
kl.
8.00-1430
Tel +45 55 75 35 01
E-mail
reklorkonlorQherlufshoLm.dk
E-mail
[email protected]
BUU, Alm.del - 2021-22 - Endeligt svar på spørgsmål 247: Spm. om at oversende alle dokumenter i sagen, som TV2 har fået aktindsigt i, i forbindelse med produktionen af dokumentaren 'Herlufsholms hemmeligheder', til børne- og undervisningsministeren
2588615_0234.png
13
BUU, Alm.del - 2021-22 - Endeligt svar på spørgsmål 247: Spm. om at oversende alle dokumenter i sagen, som TV2 har fået aktindsigt i, i forbindelse med produktionen af dokumentaren 'Herlufsholms hemmeligheder', til børne- og undervisningsministeren
2588615_0235.png
Fra:
Sendt:
Til:
Emne:
Kære Lotte Beck Jensen
Camilla Nielsen
24. februar 2020 08:43
'Lotte Beck Jensen'
SV: Skema til tilsynsbesøg på Herlufsholm Skole.
Styrelsen for Undervisning og Kvalitet kvitterer hermed for modtagelsen af skolens skemaer.
Med venlig hilsen
Camilla Nielsen
Pædagogisk konsulent
Styrelsen for Undervisning og Kvalitet
Frederiksholms Kanal 26
1220 København K
Tlf. nr.: 33 92 50 00
Direkte tlf.: +45 20 71 66 51
E-mail:
[email protected]
Fra:
Lotte Beck Jensen <[email protected]>
Sendt:
22. februar 2020 13:22
Til:
Camilla Nielsen <[email protected]>
Cc:
Mikkel Kjellberg <[email protected]>; Martin Horst Arvedlund <[email protected]>
Emne:
Skema til tilsynsbesøg på Herlufsholm Skole.
Til Camilla Nielsen.
Hermed fremsendes klasseskemaer for samtlige klasser på Herlufsholm Skole til brug ved tilsynsbesøg
tirsdag d. 10.3.2020.
Med venlig hilsen
Lotte Beck Jensen
Vicegrundskoleleder
Herlufsholm Skole og Gods
Herlufsholm Allé 170
4700 Næstved, DK
Tlf.: 55 75 35 00
Direkte: 55 75 35 39
Mobil: 24 89 19 48
E-mail:
[email protected]
Web: www.herlufsholm.dk
BUU, Alm.del - 2021-22 - Endeligt svar på spørgsmål 247: Spm. om at oversende alle dokumenter i sagen, som TV2 har fået aktindsigt i, i forbindelse med produktionen af dokumentaren 'Herlufsholms hemmeligheder', til børne- og undervisningsministeren
2588615_0236.png
BUU, Alm.del - 2021-22 - Endeligt svar på spørgsmål 247: Spm. om at oversende alle dokumenter i sagen, som TV2 har fået aktindsigt i, i forbindelse med produktionen af dokumentaren 'Herlufsholms hemmeligheder', til børne- og undervisningsministeren
2588615_0237.png
14
BUU, Alm.del - 2021-22 - Endeligt svar på spørgsmål 247: Spm. om at oversende alle dokumenter i sagen, som TV2 har fået aktindsigt i, i forbindelse med produktionen af dokumentaren 'Herlufsholms hemmeligheder', til børne- og undervisningsministeren
2588615_0238.png
Fra:
Sendt:
Til:
Cc:
Emne:
Vedhæftede filer:
Kære Camilla Nielsen
Mikkel Kjellberg <[email protected]>
4. marts 2020 08:45
Camilla Nielsen
Skoleledelse
Tilsynsbesøg, Herlufsholm Skole d. 10/3-2020
Tilsynsbesøg 10. marts PROGRAM.pdf
Vedhæftet forslag til program for jeres besøg på Herlufsholm på tirsdag d. 10/3.
Giv endelig besked hvis der er noget I ønsker ændret.
Med venlig hilsen
Mikkel Kjellberg
Rektor
Herlufsholm Skole og Gods
Herlufsholm Allé 170
4700 Næstved, DK
Tlf.: 55 75 35 00
E-mail:
[email protected]
Web:
www.herlufsholm.dk
BUU, Alm.del - 2021-22 - Endeligt svar på spørgsmål 247: Spm. om at oversende alle dokumenter i sagen, som TV2 har fået aktindsigt i, i forbindelse med produktionen af dokumentaren 'Herlufsholms hemmeligheder', til børne- og undervisningsministeren
2588615_0239.png
TILSYNSBESØG
HERLUFSHOLM SKOLE
D. 10/
3
2020
8:00
_
9:00
Fælles
På Rekmrkomoret. Præsentation af skolen v. rektor Mikkel Kjellberg, uddannelsesleder
uasiet Marlin Horst Arvedlund og grundskoleleder Anne—Louise Boelsmand
Morgensang
Observation
i
gym—
9:05
_
9-20
i kirken
af2. modul
Gua Matematik
og 8.c Billedkunst
HT].
HH]
7.a
9:20
_
10:20
Grundskolen:
Dansk
CTR
Observation
og
3.v
Idræt
afZ. modu1
ARA/LN]
Gymnasiet:
3.y Historie EBR,
2
b
Matematik
LBT. 3.b
10:20
,
10:35
Fælles
Formiddagsbolle
Observation
med
eleverne
v.
rektor
Mikkel Kjellberg og køkkenleder
Observation
kundskab
Henny Hovgaard
af 1. del
åf3.
modul
af 1. del
af3. modul
LN]
10:35
_
11.00
Grundsko1en:
Instruktion
komedie
til 9. kl.
skoler
Gymnasiet:
1.v Historie PNE,
3.y
Oldtidsf
Fælles
11:00
,
11:35
Møde på Rekiorkontur
lund,
Niels
Head
ofIB
Koefoed
med:
Rektor Mikkel Kjellberg, uddannelsesleder
Philip,
grundskoleleder
åktiVAteler
Aune—Louise
Jacob
Normann
Martin H. Arved—
kuslskoleleder
Natascha
Boelsmand,
&
leder
af ekstråskolære
Grundskole
tilsyn
Gymnasie
tilsyn
I
FR.dep: Møde elever fra gynmasiels
elevråd:
Formand
11:40
_
12:30
.g.,
Frokost og Observation afgrundskoleus
frokostpause
g.,
'
g.,
g.,
' '
ig og ungerå
g.,
samt
e
evrådsansvar
Lorentzen
giver
Maria
I FR
dep:
Møde med ansvarlig for
grund—
skolens
12:40
,
13:25
Holde
elevråd
Louise
Holst
Hansen,
grundskolens
Jørgensen
trivselsvejleder
samt
Henriette
MiLife—instruktør
Frokost og observation af gymnasiets
frokostpause
Brenda
Lynn Petersen
13:30
,
14:00
Fælles
Møde ] FR.dep med tre undervisere fra
grundskolen:
Uddannelsesvejleder Marie Louise Petersen,
malemaflkvejleder Helene Tiber: Jensen, læsevejleder Heidi Løwe og ire undervisere frå gymna—
Siel:
Studievejleder
Charlotte
Frausing, formand for pædagogisk råd Peter
Neidel,
tillidsrepræsen—
tam
Morten
U. Jensen
Fælles
Møde på Rektorkomoret
14:00
14:30
med fire
præfekter:
og tovholder for præfektuddannelsen
samt
kostsko1e—
Inge Olhoff—Iakob—
1eder
Niels Koefoed, uddannelsesleder
sen og rektor Mikkel Kjellberg
Fælles
Observation
af
stud1ecafé
og ekstraskolære
aktiviteter
v.
leder
af ekstraskolære
aktiviteter
låcob
Normann
og formand for fritidsudvalget—
15:30
_
16:00
Fælles
Afrunding på Rektorkomoret
v
rektor Mikkel Kjellberg,
uddannelses1eder1
gymnasiet Martin
Honst Arvedlund
og
grundskoleleder
Anne—Louise Boelsmand
BUU, Alm.del - 2021-22 - Endeligt svar på spørgsmål 247: Spm. om at oversende alle dokumenter i sagen, som TV2 har fået aktindsigt i, i forbindelse med produktionen af dokumentaren 'Herlufsholms hemmeligheder', til børne- og undervisningsministeren
2588615_0240.png
15
BUU, Alm.del - 2021-22 - Endeligt svar på spørgsmål 247: Spm. om at oversende alle dokumenter i sagen, som TV2 har fået aktindsigt i, i forbindelse med produktionen af dokumentaren 'Herlufsholms hemmeligheder', til børne- og undervisningsministeren
2588615_0241.png
Fra:
Sendt:
Til:
Emne:
Kære Mikkel Kjellberg
Camilla Nielsen
6. marts 2020 08:38
'Mikkel Kjellberg'
SV: Tilsynsbesøg, Herlufsholm Skole d. 10/3-2020
Styrelsen har modtaget jeres forslag til program. Vi kontakter jer senere, og aftaler nærmere.
Med venlig hilsen
Camilla Nielsen
Pædagogisk konsulent
Styrelsen for Undervisning og Kvalitet
Frederiksholms Kanal 26
1220 København K
Tlf. nr.: 33 92 50 00
Direkte tlf.: +45 20 71 66 51
E-mail:
[email protected]
Fra:
Mikkel Kjellberg <[email protected]>
Sendt:
4. marts 2020 08:45
Til:
Camilla Nielsen <[email protected]>
Cc:
Skoleledelse <[email protected]>
Emne:
Tilsynsbesøg, Herlufsholm Skole d. 10/3-2020
Kære Camilla Nielsen
Vedhæftet forslag til program for jeres besøg på Herlufsholm på tirsdag d. 10/3.
Giv endelig besked hvis der er noget I ønsker ændret.
Med venlig hilsen
Mikkel Kjellberg
Rektor
Herlufsholm Skole og Gods
Herlufsholm Allé 170
4700 Næstved, DK
Tlf.: 55 75 35 00
E-mail:
[email protected]
Web:
www.herlufsholm.dk
BUU, Alm.del - 2021-22 - Endeligt svar på spørgsmål 247: Spm. om at oversende alle dokumenter i sagen, som TV2 har fået aktindsigt i, i forbindelse med produktionen af dokumentaren 'Herlufsholms hemmeligheder', til børne- og undervisningsministeren
2588615_0242.png
BUU, Alm.del - 2021-22 - Endeligt svar på spørgsmål 247: Spm. om at oversende alle dokumenter i sagen, som TV2 har fået aktindsigt i, i forbindelse med produktionen af dokumentaren 'Herlufsholms hemmeligheder', til børne- og undervisningsministeren
2588615_0243.png
16
BUU, Alm.del - 2021-22 - Endeligt svar på spørgsmål 247: Spm. om at oversende alle dokumenter i sagen, som TV2 har fået aktindsigt i, i forbindelse med produktionen af dokumentaren 'Herlufsholms hemmeligheder', til børne- og undervisningsministeren
2588615_0244.png
Fra:
Sendt:
Til:
Emne:
Vedhæftede filer:
Kære Camilla
Mikkel Kjellberg <[email protected]>
6. marts 2020 11:53
Camilla Nielsen
SV: Tilsynsbesøg, Herlufsholm Skole d. 10/3-2020
Tilsynsbesøg 10. marts PROGRAM, revideret.pdf
Vedhæftet revideret program for tilsynsbesøget på tirsdag, jf. telefonsamtale d.d.
Med venlig hilsen
Mikkel Kjellberg
Rektor
Herlufsholm Skole og Gods
Herlufsholm Allé 170
4700 Næstved, DK
Tlf.: 55 75 35 00
E-mail:
[email protected]
Web:
www.herlufsholm.dk
Fra:
Mikkel Kjellberg
Sendt:
4. marts 2020 08:45
Til:
'Camilla Nielsen' <[email protected]>
Cc:
Skoleledelse <[email protected]>
Emne:
Tilsynsbesøg, Herlufsholm Skole d. 10/3-2020
Kære Camilla Nielsen
Vedhæftet forslag til program for jeres besøg på Herlufsholm på tirsdag d. 10/3.
Giv endelig besked hvis der er noget I ønsker ændret.
Med venlig hilsen
Mikkel Kjellberg
Rektor
Herlufsholm Skole og Gods
Herlufsholm Allé 170
4700 Næstved, DK
Tlf.: 55 75 35 00
E-mail:
[email protected]
BUU, Alm.del - 2021-22 - Endeligt svar på spørgsmål 247: Spm. om at oversende alle dokumenter i sagen, som TV2 har fået aktindsigt i, i forbindelse med produktionen af dokumentaren 'Herlufsholms hemmeligheder', til børne- og undervisningsministeren
2588615_0245.png
Web:
www.herlufsholm.dk
BUU, Alm.del - 2021-22 - Endeligt svar på spørgsmål 247: Spm. om at oversende alle dokumenter i sagen, som TV2 har fået aktindsigt i, i forbindelse med produktionen af dokumentaren 'Herlufsholms hemmeligheder', til børne- og undervisningsministeren
2588615_0246.png
TILSYNSBESØG
HERLUFSHOLM SKOLE
D.
10/3
2020
8:00
_
9:00
Fælles
På Rekmrkomoret. Præsentation af skolen
samt
rundvisning v. rektor Mikkel Kjellberg, ud—
dannelsesleder
i gymnasiet Martin Hors! Arvedlund og gruudskoleleder Aune—Louise
Boels—
mand
Morgensang
Observation
9:05
_
9:20
1
kirken
af 2. modul
og 8.c Billedkunst
HH]
Observation
og 3.v Idræt
afZ. modu1
ARA/LN]
9:20
_
10:20
Grundskolen:
6.3 Matematik HT]. 7.3
Dansk
CTR
Gymnasiet:
3.y Historie
EBR, 2
b
Matematik
LBT. 3.b
10:20
,
10:35
Furmiddagsbolle
Fælles
med eleverne v. rektor Mikkel Kjellberg og køkkenleder
Fælles
Henny Hovgaard
10:35 —11:35
Møde på Rektorkontor
lund, uddannelsesleder
Anne—Louise Boelsmand.
Jacob
Normann
med-
Rektor Mikkel Kjellberg,
uddannelses1eder
Martin H. Arved—
Inge Olhol'f—Iakobseu, Head ()l
Natascha Philip, grundskoleleder
kostskoleleder
Niels Koefoed
&
leder af ekstraskolære
aktiviteter
Grundskole
tilsyn
Gymnasie
tilsyn
I
FR.dep: Møde elever fra gymnasiets
11:40 —12:30
elevråd-
Frokost og Observation afgrundskolens
frokostpause
Formand
.g..
.g
,
.g.,
g.,
.g-
g.
.g.
I FR.dep: Møde med ansvarlig for grund—
skolens
12:40
_
13:25
elevråd
Louise
Holst
Hansen,
grundskolens
Holde
trivselsvejleder
Henriette
Brenda
Frokost og Observation af gymnasiets
frokostpause
Jørgensen,
MiLife—instruktør
Lynn Petersen
Lorentzen
saml
ungerådgiver
Maria
Fælles
13:30
,
14:15
Møde i FR.dep med tre undervisere fra
grundskolen: Uddannelsesvej1eder
Marie Louise Petersen,
matematikvejleder Helene len
Jensen, læsevejleder Heidi Løwe og tre undervisere fra gymna—
sist:
Studievejleder Charlotte Frausing,
formand
for pædagogisk råd Peter Neidel, tillidsrepræsen—
tam
Morten
U. Jensen
Fælles
Møde
i
FR.dep med fire
præfekter:
14:15
_
14:45
Koefoed, uddannelsesleder
Mikkel Kjellberg
og tovholder for praefekmddannelsen
saml
koslskoleleder Niels
Inge Olhoflilakobsen og rektor
Fælles
14:45
_
15:30
Observation
af
studiecafé
og ekstraskolære
aktiviteter
v. leder
af ekstraskolære
aktiv1teter
Jacob
Normann
og formand for fritidsudvalget—
15:30
Fælles
Afrunding på Reklorkontoret v.
rektor
Mikkel Kjellberg, uddannelsesleder
Hons!
Arvedlund og grundskoleleder Aune—Louise Boelsmand
1
gymnasiet Martin
BUU, Alm.del - 2021-22 - Endeligt svar på spørgsmål 247: Spm. om at oversende alle dokumenter i sagen, som TV2 har fået aktindsigt i, i forbindelse med produktionen af dokumentaren 'Herlufsholms hemmeligheder', til børne- og undervisningsministeren
2588615_0247.png
17
BUU, Alm.del - 2021-22 - Endeligt svar på spørgsmål 247: Spm. om at oversende alle dokumenter i sagen, som TV2 har fået aktindsigt i, i forbindelse med produktionen af dokumentaren 'Herlufsholms hemmeligheder', til børne- og undervisningsministeren
2588615_0248.png
Fra:
Sendt:
Til:
Emne:
Vedhæftede filer:
Mikkel Kjellberg <[email protected]>
6. marts 2020 12:01
Camilla Nielsen
SV: Tilsynsbesøg, Herlufsholm Skole d. 10/3-2020
Tilsynsbesøg 10. marts PROGRAM opdateret version 2.pdf
Beklager, det var en fejl, vedhæftet den rigtige hvor mødet med præfekterne er uden deltagelse af lærere.
Mvh.
Mikkel
Fra:
Mikkel Kjellberg
Sendt:
6. marts 2020 11:53
Til:
'Camilla Nielsen' <[email protected]>
Emne:
SV: Tilsynsbesøg, Herlufsholm Skole d. 10/3-2020
Kære Camilla
Vedhæftet revideret program for tilsynsbesøget på tirsdag, jf. telefonsamtale d.d.
Med venlig hilsen
Mikkel Kjellberg
Rektor
Herlufsholm Skole og Gods
Herlufsholm Allé 170
4700 Næstved, DK
Tlf.: 55 75 35 00
E-mail:
[email protected]
Web:
www.herlufsholm.dk
Fra:
Mikkel Kjellberg
Sendt:
4. marts 2020 08:45
Til:
'Camilla Nielsen' <[email protected]>
Cc:
Skoleledelse <[email protected]>
Emne:
Tilsynsbesøg, Herlufsholm Skole d. 10/3-2020
Kære Camilla Nielsen
Vedhæftet forslag til program for jeres besøg på Herlufsholm på tirsdag d. 10/3.
BUU, Alm.del - 2021-22 - Endeligt svar på spørgsmål 247: Spm. om at oversende alle dokumenter i sagen, som TV2 har fået aktindsigt i, i forbindelse med produktionen af dokumentaren 'Herlufsholms hemmeligheder', til børne- og undervisningsministeren
2588615_0249.png
Giv endelig besked hvis der er noget I ønsker ændret.
Med venlig hilsen
Mikkel Kjellberg
Rektor
Herlufsholm Skole og Gods
Herlufsholm Allé 170
4700 Næstved, DK
Tlf.: 55 75 35 00
E-mail:
[email protected]
Web:
www.herlufsholm.dk
BUU, Alm.del - 2021-22 - Endeligt svar på spørgsmål 247: Spm. om at oversende alle dokumenter i sagen, som TV2 har fået aktindsigt i, i forbindelse med produktionen af dokumentaren 'Herlufsholms hemmeligheder', til børne- og undervisningsministeren
2588615_0250.png
TILSYNSBESØG
HERLUFSHOLM SKOLE
D.
10/3
2020
8:00
_
9:00
Fælles
På Rekmrkomoret. Præsentation af skolen
samt
rundvisning v. rektor Mikkel Kjellberg, ud—
dannelsesleder
i gymnasiet Martin Hors! Arvedlund og gruudskoleleder Aune—Louise
Boels—
mand
Morgensang
Observation
9:05
_
9:20
1
kirken
af 2. modul
og 8.c Billedkunst
HH]
Observation
og 3.v Idræt
afZ. modu1
ARA/LN]
9:20
_
10:20
Grundskolen:
6.3 Matematik HT]. 7.3
Dansk
CTR
Gymnasiet:
3.y Historie
EBR, 2
b
Matematik
LBT. 3.b
10:20
,
10:35
Furmiddagsbolle
Fælles
med eleverne v. rektor Mikkel Kjellberg og køkkenleder
Fælles
Henny Hovgaard
10:35 —11:35
Møde på Rektorkontor
lund, uddannelsesleder
Anne—Louise Boelsmand.
Jacob
Normann
med-
Rektor Mikkel Kjellberg,
uddannelses1eder
Martin H. Arved—
Inge Olhol'f—Iakobseu, Head ()l
Natascha Philip, grundskoleleder
kostskoleleder
Niels Koefoed
&
leder af ekstraskolære
aktiviteter
Grundskole
tilsyn
Gymnasie
tilsyn
I
FR.dep: Møde elever fra gymnasiets
11:40 —12:30
elevråd-
Frokost og Observation afgrundskolens
frokostpause
Forman
g
B
»
.g.,
g.
"E"
g.,
.g.
I FR.dep: Møde med ansvarlig for grund—
skolens
12:40
_
13:25
elevråd
Louise
Holst
Hansen,
grundskolens
Holde
trivselsvejleder
Henriette
Brenda
Frokost og Observation af gymnasiets
frokostpause
Jørgensen,
MiLife—instruktør
Lynn Petersen
Lorentzen
saml
ungerådgiver
Maria
Fælles
13:30
,
14:15
Møde i FR.dep med tre undervisere fra
grundskolen: Uddannelsesvej1eder
Marie Louise Petersen,
matematikvejleder Helene len
Jensen, læsevejleder Heidi Løwe og tre undervisere fra gymna—
sist:
Studievejleder Charlotte Frausing,
formand
for pædagogisk råd Peter Neidel, tillidsrepræsen—
tam
Morten
U. Jensen
Fælles
14:15
_
14:45
MødeiFR.de
medfire
ræfekter:
Fælles
14:45
_
15:30
Observation
af
studiecafé
og ekstraskolære
aktiviteter
v. leder
af ekstraskolære
aktiviteter
Jacob
Normann
og formand for fritidsudvalge—
15:30
Fælles
Afrunding på Reklorkontoret v.
rektor
Mikkel Kjellberg, uddannelsesleder
Hons!
Arvedlund og grundskoleleder Anne—Louise Boelsmand
1
gymnasiet Martin
BUU, Alm.del - 2021-22 - Endeligt svar på spørgsmål 247: Spm. om at oversende alle dokumenter i sagen, som TV2 har fået aktindsigt i, i forbindelse med produktionen af dokumentaren 'Herlufsholms hemmeligheder', til børne- og undervisningsministeren
2588615_0251.png
18
BUU, Alm.del - 2021-22 - Endeligt svar på spørgsmål 247: Spm. om at oversende alle dokumenter i sagen, som TV2 har fået aktindsigt i, i forbindelse med produktionen af dokumentaren 'Herlufsholms hemmeligheder', til børne- og undervisningsministeren
2588615_0252.png
Fra:
Sendt:
Til:
Emne:
Kære Mikkel
Camilla Nielsen
6. marts 2020 12:24
'Mikkel Kjellberg'
SV: Tilsynsbesøg, Herlufsholm Skole d. 10/3-2020
Styrelsen kvitterer hermed for modtagelsen af skolens program.
Med venlig hilsen
Camilla Nielsen
Pædagogisk konsulent
Styrelsen for Undervisning og Kvalitet
Frederiksholms Kanal 26
1220 København K
Tlf. nr.: 33 92 50 00
Direkte tlf.: +45 20 71 66 51
E-mail:
[email protected]
Fra:
Mikkel Kjellberg <[email protected]>
Sendt:
6. marts 2020 12:01
Til:
Camilla Nielsen <[email protected]>
Emne:
SV: Tilsynsbesøg, Herlufsholm Skole d. 10/3-2020
Beklager, det var en fejl, vedhæftet den rigtige hvor mødet med præfekterne er uden deltagelse af lærere.
Mvh.
Mikkel
Fra:
Mikkel Kjellberg
Sendt:
6. marts 2020 11:53
Til:
'Camilla Nielsen' <[email protected]>
Emne:
SV: Tilsynsbesøg, Herlufsholm Skole d. 10/3-2020
Kære Camilla
Vedhæftet revideret program for tilsynsbesøget på tirsdag, jf. telefonsamtale d.d.
Med venlig hilsen
BUU, Alm.del - 2021-22 - Endeligt svar på spørgsmål 247: Spm. om at oversende alle dokumenter i sagen, som TV2 har fået aktindsigt i, i forbindelse med produktionen af dokumentaren 'Herlufsholms hemmeligheder', til børne- og undervisningsministeren
2588615_0253.png
Mikkel Kjellberg
Rektor
Herlufsholm Skole og Gods
Herlufsholm Allé 170
4700 Næstved, DK
Tlf.: 55 75 35 00
E-mail:
[email protected]
Web:
www.herlufsholm.dk
Fra:
Mikkel Kjellberg
Sendt:
4. marts 2020 08:45
Til:
'Camilla Nielsen' <[email protected]>
Cc:
Skoleledelse <[email protected]>
Emne:
Tilsynsbesøg, Herlufsholm Skole d. 10/3-2020
Kære Camilla Nielsen
Vedhæftet forslag til program for jeres besøg på Herlufsholm på tirsdag d. 10/3.
Giv endelig besked hvis der er noget I ønsker ændret.
Med venlig hilsen
Mikkel Kjellberg
Rektor
Herlufsholm Skole og Gods
Herlufsholm Allé 170
4700 Næstved, DK
Tlf.: 55 75 35 00
E-mail:
[email protected]
Web:
www.herlufsholm.dk
BUU, Alm.del - 2021-22 - Endeligt svar på spørgsmål 247: Spm. om at oversende alle dokumenter i sagen, som TV2 har fået aktindsigt i, i forbindelse med produktionen af dokumentaren 'Herlufsholms hemmeligheder', til børne- og undervisningsministeren
2588615_0254.png
19
BUU, Alm.del - 2021-22 - Endeligt svar på spørgsmål 247: Spm. om at oversende alle dokumenter i sagen, som TV2 har fået aktindsigt i, i forbindelse med produktionen af dokumentaren 'Herlufsholms hemmeligheder', til børne- og undervisningsministeren
2588615_0255.png
Referat af tilsynsbesøg
Skolens navn:
Dato for tilsynsbesøg:
Ansvarlige tilsynsførende:
Styrelsen for Undervisning og
Kvalitet
Herlufsholm Skole og Gods
10. marts 2020
Ditte Wenzel Pedersen
Rebecca May Ysbæk-Nielsen
Camilla Nielsen
Frederiksholms Kanal 26
1220 København K
Tlf. nr.: 33 92 50 00
E-mail: [email protected]
www.stukuvm.dk
CVR nr.: 29634750
28. februar 2020
Sags nr.: 20/01575
Formål med besøget:
Uanmeldt/anmeldt?
Anmeldt besøg, som en del af STUK’s temati-
ske tilsyn med frihed og folkestyre på kostsko-
ler med grundskole og gymnasium.
Formøde, møde midt på dagen og rundvisning med ledelsen
(Rebecca) (Måske Camilla)
Styrelsen talte med ledelsen ved et indledende møde, et møde midt på
dagen og et afsluttende møde. På mødet midt på dagen deltog rektor,
uddannelsesleder på gymnasiet, uddannelsesleder og tovholder på præ-
fektuddannelsen, grundskoleleder samt leder af ekstraskolære aktiviteter.
Kostskolelederen, som skulle have deltaget, var syg. På møderne blev
følgende oplyst:
Frihed og folkestyre
Skolen oplyste, at skolen i forhold til frihed- og folkestyre-kravet er en
Round Square skole, et netværk af skoler fra forskellige lande som arbej-
der for blandt andet demokratisering i mange lande. Der er syv elevvalgte
elever i Round Square- udvalget, som mødes hver 14. dag. Alle elever
kan vælge at stille op, men elever kan også indstille hinanden til at stille
op. Udvalget undersøger og beslutter hvilke konferencer skolen skal del-
tage i ud fra forskellige emner. Skolen deltager også i modeled United
Nations.
Skolen har en elevudvalgsstruktur, hvor der i forskellige udvalg arbejdes
med elevinitierede emner såsom anorexi, planlægning af fester. Et af
disse udvalg er fritidsudvalget, hvor repræsentanter fra hver elevgård,
valgt demokratisk, giver input til nye aktiviteter. Skoleledelsen oplyste, at
der pt. er ca. 45 fritidsaktiviteter, hvor af ca. halvdelen er sportsaktivite-
ter, nogle aktiviteter stimulerer hjernen (fx matematik og skak) og andre
er musiske.
BUU, Alm.del - 2021-22 - Endeligt svar på spørgsmål 247: Spm. om at oversende alle dokumenter i sagen, som TV2 har fået aktindsigt i, i forbindelse med produktionen af dokumentaren 'Herlufsholms hemmeligheder', til børne- og undervisningsministeren
2588615_0256.png
Skoleledelsen oplyste, at der er religionsfrihed på skolen, og det blev
understreget, at der ved morgensamlingen i skolens kirke ikke bliver
bedt, men at der læses op af biblen. Ved konfirmationer er der et alterna-
tiv til konfirmationsforberedelse til de elever, som ikke skal konfirmeres.
Skolen er med i skolevalg. Skolen afvikler endvidere politiske debatter i
forbindelse med valg, og har også enkelte politikere ud til debat, hvor
skolen altid sikrer, at der er mindst to politikere, og at disse repræsenterer
to forskellige holdninger. I forbindelse med undervisningen i faget sam-
fundsfag besøges endvidere byrådet og Folketinget
Det blev endvidere oplyst, at skolen er engageret i lokale velgørende or-
ganisationer, og at skolen har en omvendt julekalender, hvor formålet er
at give fx ved oplæsning for blinde på et hjem i lokalområdet eller skral-
deindsamling. Derudover samler skolen via SOS-børnebyerne ind til et
hus i Botswana.
Skolens redegørelse – om nye pædagogiske tendenser
I skolens redegørelse beskrives det, at skolen arbejder med nye pædago-
giske tendenser. Dette blev uddybet på mødet, hvor skoleledelse oplyste,
at dette dækkede over blandt andet dialogbaseret undervisning ved Steen
Bech, elevinddragelse og at elever opfordres til at være kritiske, deltage
og selv være aktive.
Skoleledelsen fortalte, at pre IB elever, som har gået i skole i andre lande,
ofte skal akklimatiseres og vænne sig til den danske måde at undervise
på. Blandt andet skal de lære, at selvom lærerne kaldes ved fornavn og er
smilende og venlige, så er der stadig en forventning om seriøsitet om-
kring skolearbejdet. 28% af kost-elevernes forældre bor i udlandet.
Kønsligestilling
I trivselsudvalget har elever kigget på de forskellige ikoner, der findes
rundt om på skolen, i forhold til hvordan man kan spejle sig i disse. Det
er fx ikoner til toiletterne, så der ikke kun er ikoner for mand og kvinde.
Dertil nævnes det ligeledes, at der på skolen er "nederdelsmulighed" og
ikke pligt ift. pigernes uniform på skolen.
Skolen oplever, at skolen tiltrækker elever med en anden kønsidentitet,
og at alle elever er meget rummelige i den henseende.
har allere-
de skiftet køn rent juridisk, og der findes kompromiser ift. idræt og om-
klædning og lejrskoler, så der tages hensyn til alle elever. Det kan fx være
svært, hvis det er en dreng, som har været en pige, og endnu ikke krops-
ligt har skiftet køn, at klæde om med de andre drenge.
Skolen tager hensyn til kønsligestilling og anden diversitet ved sammen-
sætningen af diverse udvalg og grupper og uddeling af legater.
2
BUU, Alm.del - 2021-22 - Endeligt svar på spørgsmål 247: Spm. om at oversende alle dokumenter i sagen, som TV2 har fået aktindsigt i, i forbindelse med produktionen af dokumentaren 'Herlufsholms hemmeligheder', til børne- og undervisningsministeren
2588615_0257.png
Andre elevaktiviteter
Der er lektiecafe med opsyn for gymnasieeleverne, hvor 2-3 gymnasielæ-
rere deltager og er ansvarlige. Grundskoleelever må gerne komme i lek-
tiecafeén, hvor de også kan få hjælp af ældre elever, som skal lave frivil-
ligt arbejde (såkaldte services). Eleverne kan endvidere få hjælp på sko-
lens bibliotek, hvor der er en bibliotekar hver dag til kl. 16.
I de ekstraskolære aktiviteter er der også lektiehjælp, og eleverne hjælper
endvidere hinanden eller får hjælp af præfekterne.
Om præfekterne oplyste skoleledelsen, at de får en præfektuddannelse,
som blandt andet indeholder rollespil, neuron spejling og marte meo.
Præfekternes primære opgave er at være med til, at eleverne har det godt.
Der er 2-3 præfekter på hver gård som alle er 3.g-ere. En god præfekt
skal være omsorgsfuld, have fagligt og socialt overskud, være en rolle-
model og kunne motivere andre til deltagelse i forskellige arrangementer.
En dårlig præfekt er vidende om elevers mistrivsel uden at gå videre med
det, og er optaget af sig selv.
Skolen oplyste, at der altid er en voksen der er ansvarlig fx sovesalslære-
ren ogat gårdene kan fungere uden en præfekt. Mange vil gerne være
præfekter, fordi man bliver set og anerkendt og er rollemodeller samt får
mulighed for at få præfekt-uddannelsen. Som præfekt kan der være pro-
blematikker med jævnaldrende, og i uddannelsen trænes det, hvordan
man kommer ud af en situation uden at nogle taber ansigt. Det er sjæl-
dent, at en elev stopper som præfekt, men det er sket på foranledning af
forældrene.
Trivsel
Skolen oplyste, at hvis eleverne har problemer, så har de mulighed for
atkontakte mange forskellige voksne, som de er trygge ved fx sygeplejer-
sken på deres eget sygehus (SUS), ungerådgiveren, sovesalslæreren eller
en lærer. De kan også tale med deres præfekt. På sygehuset er en ekstra
sovesal for dem, der er syge, men man kan også få lov at sove der, hvis
man har lidt problemer, fx med hjemve.
På det afsluttende møde med rektor, grundskoleleder og uddannelsesle-
der på gymnasiet spurgte styrelsen ind til skolens seneste selvevaluering
og undervisningsmiløvurdering på gymnasiet og trivselsmålinger for
grundskolen og hvordan skolen har fulgt op på disse. Målingerne for
gymnasiet havde bl.a. dårlige resultater i forhold til spørgsmål vedr.
”stødende bemærkninger” og ” ”blive presset til ting, man ikke har lyst
til”. Skolen oplyste, at lærerne nu er særlige opmærksomme på elevernes
opførsel og på at gribe ind og sige tydeligt fra over for stødende be-
mærkninger. Angående ”blive presset til…”, blev det nævnt, at der kan
være et gruppepres fx til at ryge. Et andet eksempel var udklædning til
maskebal, hvor dem man er venner med fx har aftalt at være udfordren-
3
BUU, Alm.del - 2021-22 - Endeligt svar på spørgsmål 247: Spm. om at oversende alle dokumenter i sagen, som TV2 har fået aktindsigt i, i forbindelse med produktionen af dokumentaren 'Herlufsholms hemmeligheder', til børne- og undervisningsministeren
de klædt, men at man ikke selv har lyst til det. Skolen har endvidere haft
fokus på flertalsmisforståelser, såsom at ”alle andre er bedre end mig til
…”, for at styrke elevernes selvforståelse. Skolen har samarbejdet med
SSP omkring dette.
Skolen har desuden gjort mere for at integrere IB elever og stx elever
samt kostelever og dagelever, idet det bl.a. var blandt disse grupper, der
kunne være en dårlig omgangstone indbyrdes. Det har således været op-
pe i elevrådet, og der er holdt caféaftener, hvor man har inviteret hinan-
den. Endvidere sørger man for at fordele IB-elever og stx’er i gårdene.
Skolen har desuden implementeret nye tiltag for at sikre trivslen, som
inkluderer brug af en ungerådgiver (uddannet socialrådgiver), MyLife
instruktør og Coolkids instruktør. De kommer ud i de enkelte klasser og
laver arrangementer, der ikke er bundet op på faglighed, fx spisegrupper,
hvor man er hjemme og spise hos hinanden. Skolen har endvidere op-
rettet et trivselsudvalg for ca. halvandet år siden. Udvalget skal have et
overblik over indsatser, og udvalget skal hvert år arbejde med bl.a. em-
nerne seksualitet, misbrug af stoffer mv. samt selvværd.
Skolen gav udtryk for, at eleverne føler sig presset af såvel skolens for-
ventninger, som egne, forældres og samfundets forventninger. Nogle
elever har ikke selvværdet til det, og så kan det virke uoverstigeligt.
Præfekter
På det afsluttende møde spurgte styrelsen til, om præfekterne har særlige
privilegier og om de har sanktionsmuligheder over for andre elever.
Skolen oplyste, at eleverne ikke har særlige privilegier, dog kommer de til
en middag med rektor, de får en udtalelese fra deres sovesalslærer til de-
res CV, de går lidt senere i seng end de øvirige elever, og de kan sy et
særligt mærke på jakken.
Om sanktionsmuligheder oplyste skolen, at præfekterne ikke har sådan-
ne, udover at de kan tage en snak med de elever, de er præfekt for. Tidli-
gere havde præfekterne sanktionsmuligheder, fx kunne de sende andre
elever ud at løbe en tur eller lade dem vaske trapper.
Andet
(fra
formødet)
Man kan blive kostelev i 7. klasse. Kosteleverne bliver fordelt i de eksi-
sterende klasser.
Skolen oplyste, at der er en metorordning i gymnasiet, hvor en lærer er
knyttet til klassen. Tidligere havde man tre mentorer pr. klasse, men det
blev for rodet. Der er også en ekstra studievejleder.
4
BUU, Alm.del - 2021-22 - Endeligt svar på spørgsmål 247: Spm. om at oversende alle dokumenter i sagen, som TV2 har fået aktindsigt i, i forbindelse med produktionen af dokumentaren 'Herlufsholms hemmeligheder', til børne- og undervisningsministeren
2588615_0259.png
Skolen ex ved at emblem scholmships £01 elever, hvox familjen ikke har
[åd ul at
kl. fox at
betale
at gå på skolen, foxdi man game Vil gå fomn med et
fm
under
1,2 mio.
del hm
godt eksempel. Man skal have an hustandsmdkomst
kommei
betmgtuiug. Elevane
skal ikke vide, hnne
fået scholmsln'ps.
Endvidem
ne image.
Ot/miøna
Elevane
mo
myldlede
mam/m
foregå
oplyste ledelsen, at man a(beldm xnåhettet på et mere moder—
Morgensamling
1
'
ken. Klasserne hm
faste
pladser
J
kirken.
md og snakkede. Da
xektol
kom ind, blev da 10.
REkIOl sagde lidt om Llrde Tuesday og Comm. DeLefreL synges en sang
om Hellufsholm. D61 sluttes
afmed
en elevheste FadeL V01.
nt
Observation
9
309 40
af undervisnin
maul:
i
ldskole
Lnden
men 511…
blev
:( mmm mm elem udvalgtul :L gi ud
m
cmmmw
pqg
6
Islam,
hold
i
mamman):
Indhold
Fæmghcdslegmngm ct mene Elevezdu
havde
brug fol
h‘zlp
smede
su;
A
m1 lærerenskztedef,og be……b.2111 ef… tm Der
m
mx En Clemkø
kc
dem
Blevet
u
elem,
m
halt
sul]:
lokaletDemmm: dvlduell
du
J
Lndnmmg
rommdsboldc,
zcuveboud, horder
pi
fu… en devIi eugangshzfle
ul
matemankbogm
”wank"
,
Eleverne blandede
sad
{image p.gu
og
9403
45
6
klasse,
hold
z
matmmuk
Lndbom
Tnmmgsoppvu
mmmukbog:
m
Colom
klasse
a
Elever13elever,
m
mu
sul]:
del
1101:5c læreren
og
glkmndt
hordene
ved
og
hlzlp
elevaneElem: ubejdzde
mdmduelt
Indxemmg
burden:stem
hestesko
amme sadblandede
flæng:ogpga Du
m
palkzlel Trygfondm mobmng
En
om
Udeufm mu
pa
9 4579
50
Uv
m
to shift,hun de: stod"dlengesko"
og"p1gesko"
Indhold
Fkldtghedsicgmngx fox6
klasse
Dppvefmhgct …f elev
lm…
m
En
mvendrc
ceuucuhes
tzuemztcuzle, lå en
lommeregner
elevens
som
ogdu
rom
phd:
Elm…
amade:
mdmdudt
mum g—Zu oghwdpumum
fanme
cg
nmdt
fm mm.
m
sim
hun
a
uddannet
mtemaukveuedu, nrskolen
J
pug
og
u
med
m
5q: mdsalsen elem md mgu?nn$kzhgheden
fox
mlemuk
Bennie…
fandt: Imam,
m
mm……
på s &… er
.
gang :: me
(:…n
med
um cm…,du skal
gennemgås
klasse
=(roaming nytfox
J
r.
Det
hemme,
:: de
spinatmedog:( ib…om forlumnden, :1:er wed mme sug detmg
mm
m
ul
hhv:
gløde det
fm
E:…
filslasse,
hold
3
Eksm
mamman):
7
clever, m smie
du
uoxum
Lndxemmg sten
gruppebum
EL
A
skolens
Inbhotak
9
50710
10
7,
klasse
dusk
Lndbom
Samler pa klassen en hmmm,
klassen
vedn s: og…:…l
snak
om
m
,
pmjdsloden/zcuvtboud nr
[Amen
stoppetDet[(ung—Ak
mm
m
af summen,
at
mmmhandlede en mug, sum
m
klemt
um
mu… Sme
mmm, som
m
mn
Hm hawk(… en
hund
……fu, mendetgavhamp(obkmumednrme has
henholdsms
og
mor,
hunden
en bud: mum mum: elevane
s…
m
blev
=1
spørgsmål, eleven):
og
smede
handsopmkmg
ved
Imam
m
mega
swmndc
og
spørgsmålene ledende,
blev:
mange
w
der
sullel
J……
spmgsmal ”Erbanen god
&
BUU, Alm.del - 2021-22 - Endeligt svar på spørgsmål 247: Spm. om at oversende alle dokumenter i sagen, som TV2 har fået aktindsigt i, i forbindelse med produktionen af dokumentaren 'Herlufsholms hemmeligheder', til børne- og undervisningsministeren
2588615_0260.png
few, hmmlen elevsmede"ner, ogeftucgendc ”El mo…. god…n hm
en
en elevsmedeme., hunsm Eleeeme kunmedmm sm Lem… sede
kom
eftufnLgcnde
kodmmenpu; [genden
w
meget
J
voldsum, en dreng
hm:
d(æhez hundmeden ster dedeblevdogAkk: Meku Eau
kuppet
en
ns:
mmdede
menu om,
m
dethate
u
edmm hmm. splugte hm en melder",hvem!en
"er
elevsmede ”ja,hm
laget
mlsvu”,
anden
splugte
eu
elev
”kunne
deke
han bm
meme denenendnehmdep",
he……
adbmd
cg sngde’11mls, et en
eleven
at du
wing mag
,
vi skal nudepi all:
mung:
Aske
losmngu
"
me… 19elem
Lm‘kemmg huge mekka med hold:, pmlektox/acuwcboz(d. Elevprodncelede
plakaterpå Væggen "fred
i
verden", "kunder er ikke en me",
om
”sto
10
10—10
25
Bk]
Krea
Jausm"
mv.
O
så en
lakzt
Em T
fodne om mobnin
.
Lndbold
Elevaneskulle
nnhnga
(afukansk
mede
hmmm;pi en mzltphde
Eleven):
mamas udm en blymtsme,de selv
mme hvet PilokalmAcuve
Baud
m
derenbeskuvcls: hvad
klassen
yam, musemlenzkt de
af,
skull:
og
skulle
bruge
EleverDex 13de… somsadwed gruppehoxde
m
an afshppusrmmmg,
m
4
Del
ogda blev
spilet
munk
m
mmm Acuvebmld elem
m
opmgcr
Aue
inbejdet
med
m
male
Indremmg
Bdledlnmsdokzle vu produkter Udhgele
Dex
m
undemsmng
blandt
mm nogle "inhedsuglet" som en
B
klnss:
havdehvet
Observation
09 25—09 43
afuudervisnin
i
mnasium
berm
IndholdTzdcundemsmg "denkolde medmddngelse elverne,
dm
bug”
af
hvuuf
elev
havde
mikael dgmm pi spmgsmilel atkuem si bleveleven
sulle!
bedt
cm at
skuwe
ep pa mvlen
……
Snmte
clever
d… alene
……;håndeuogmme
computeren
fo… dg
melon
havde
hggende
ugeledes
klassen;
dansk koblede
og
de
to fagmedpedpekuvedng mil gemxempfede
ul
em…
%
c:
13720
drenge de de første
elever,
pi
mekka
5
Fuge: bagerste
og
lække
Indlemmg'
unuddelhm
bmlogddkde
et
3
y—hxsroue
snu andel båded(euge pga
dello;
meget
en
af
og
em…
undemsmuegn
5151
en
09454
o
on
2
b,m…,
mug
Lndhold
Tavlcundtmsnmg
om
"haunomske
Wei
"
medmddngelse elever
ef
Enkelt:
elem deltog
mm ogsmedepi spøgsmål, hamn suuede =1:c
som
Fa
sedmeddems
cumpum,
s…smdelen
norethånden
hm
skrev
J
Imaan
gacelveme
en opgave, elevane
uqade
medmdmduen
sum
M
19de…,
3 Engel
resten
og
d….ge
Lndxemmg' lokale,
sd…
\m-uddelbm
hmmm
100540 20
iv, ……
IndholdEleveme
spulede holdspfi: hv…
el
hold,
negle pi miu:ogobsemezme
sed
de md:: mamma stopped:
lammespulet opfordrede
og
elverne n mim um;
m
pa
deres
hemndu:s ardrengen:
huld,
spmede
noget
mm
m
p.geme
%
Stort
hmmf1m] foxdehng
ham,
zfdmng:ogpga
Lndremmg' gymmsukszl
s…
Obsen'ation
Hven
founiddag
af mor
enbolle
uddelt
en bolle
1
et fælleslokale.
Eleverne
alle elever
hentede
deres belle og gik rundt blandt hinanden
og snakkede,
6
BUU, Alm.del - 2021-22 - Endeligt svar på spørgsmål 247: Spm. om at oversende alle dokumenter i sagen, som TV2 har fået aktindsigt i, i forbindelse med produktionen af dokumentaren 'Herlufsholms hemmeligheder', til børne- og undervisningsministeren
2588615_0261.png
Observation af frokost i grundskolen
En af styrelsens medarbejdere deltog i frokosten for grundskoleeleverne
sammen med lederen af grundskolen og en lærer. Læreren havde opsynet
med eleverne. Normalt er der to lærere, der har opsyn. Eleverne tog mad
fra buffet. Lærere og køkkenpersonale holder øje med, om eleverne får
nok på tallerkenen og kan på den måde opdage, om der er elever, der
evt. har spiseforstyrrelser.
Eleverne sad i to sale klassevis. 6., 8. og 10. i en sal og 7. og 9. i en anden
sal, for at få aldersspredning. Eleverne skulle fylde op ved bordene, så
man sætter sig på den næste ledige plads for at undgå grupperinger.
Eleverne snakkede og grinede, mens de spiste.
Nogle af pigerne havde jeans på, hvilket ikke er en del af skolebeklædni-
nen, og da de gik forbi grundskolelederen på vej ud af salen, blev de ven-
ligt bedt om at skifte bukser.
Observation af frokost i gymnasiet
En af styrelsens medarbejdere deltog i frokosten for gymnasieeleverne.
Vedkommende talte med to lærer, som havde opsyn med elverne under
frokosten den pågældende dag. Den ene lærer gik løbende til og fra bor-
det for at være iblandt elverne under frokosten.
Læreren oplyste, at eleverne til frokost sætter sig der, hvor de har lyst,
men at der for kosteleverne er faste pladser til morgen og aften. Her er
det kostskolelederen, som sammensætter fordelingen af eleverne ved
bordene ud fra forskellige kriterier, herunder bl.a. en præfekt ved hvert
bord.
Læreren har det overordnede ansvar for opsyn med eleverne under fro-
kosten, men derudover kan præfekterne ligeledes bidrage til at sikre god
ro og orden ved måltidet.
Samtale med elever fra gymnasiets elevråd kl. 11.40-12.30
Styrelsen talte med 7 elever fra gymnasiets elevråd. Styrelsen kom først
med en kort præsentation af tilsynet, hvorefter eleverne fortalte om sko-
len, kort om præfekter, om elevrådsarbejdet og om elevrådets arbejde
med trivselsundersøgelsen:
Generelt om skolen
Eleverne fortalte, at det er en skole, som både vægter det sociale og det
faglige. En elev gav udtryk for, at det var godt med en struktureret hver-
dag, og en anden fortalte, at når lektielæsningen er lagt i rammer, så lærer
alle. Alle har et ansvar for sig selv, og man bliver god til at løse konflik-
ter, for det bliver man nødt til i det tætte fællesskab.
7
BUU, Alm.del - 2021-22 - Endeligt svar på spørgsmål 247: Spm. om at oversende alle dokumenter i sagen, som TV2 har fået aktindsigt i, i forbindelse med produktionen af dokumentaren 'Herlufsholms hemmeligheder', til børne- og undervisningsministeren
2588615_0262.png
Kosteleverne fortalte, at det er hyggeligt med sovesale, da man så ikke
skal sove alene. Eleverne kan ønske hvilken gård de vil på, men de kan
ikke selv vælge. Sovesalslæreren kan vælge at flytte rundt på hvordan
eleverne sover på sovesalene, hvis det bliver nødvendigt.
Om præfekter
En elev, som selv er præfekt, fortalte, at præfekterne er til for at hjælpe
fagligt og omgås eleverne socialt og på den måde være med til at skabe
bedre trivsel. Eleverne fortalte, at der er nogle ting man bedre kan tale
med en præfekt om end de voksne.
Om morgenen bliver kosteleverne vækket af præfekten eller sovesalslæ-
reren med musik og klokker, og ved morgenmaden og aftensmaden tjek-
ker præfekten, hvem der er kommet.
Om aftenen er det bl.a. præfektens opgave at tjekke om alle laver lektier
og fx ikke sidder og ser netflix, medmindre en elev har "frilal", hvor man
ikke behøver at lave lektier, men skal sidde stille på sit hummer. Hvis
man ikke har nogle lektier for kan man spørge præfekten om tilladelse til
at få "frilal".
Elevrådsarbejdet
Elevrådet holder møder cirka hver 14. dag. Der er forskellige udvalg fx et
kostudvalg, beklædningsudvalg og et festudvalg. Beklædningsudvalget
kan fx komme med ideer til ændringer af reglerne for idrætstøj.
Elevrådsrepræsentanterne fortæller deres klasse om indholdet i elevrå-
dets arbejde efter elevrådsmøderne.
Elevrådsformanden fortalte, at elevrådet på Herlufsholm har ekstraordi-
nært meget indflydelse, idet elevrådsformanden deltager på skolens be-
styrelsesmøder, og rektor lytter meget til elevrådets ideer.
Arbejdet med trivsel og trivselsundersøgelsen
I forholdet mellem kostelever og dagelever er der en naturlig gruppering,
idet kostelever naturligt er mere tætte med hinanden end med dagsele-
verne.
Angående arbejdet med trivselsundersøgelsen, så ser formanden, næst-
formanden og sekretæren på trivselsundersøgelsen og fremlægger rele-
vante problematikker for resten af elevrådet.
I den aktuelle trivselsundersøgelse er en problematik ”stødende bemærk-
ninger”, og dette forklarede elevrådet med at drenge der bor sammen
godt kan udvikle et lidt hård sprog, og at andre der hører det, selv det
ikke er rette mod dem, godt kan finde det stødende.
En anden problematik i den aktuelle trivselsundersøgelse er, at flere ele-
ver føler sig presset til at gøre ting. Elevrådet forklarede, at det er særligt
for Herlufsholm som en kostskole, da det sociale pres derfor kan være
stort, og en elev kan føle gruppepres til at gøre noget, man ikke må fx
rygning.
8
BUU, Alm.del - 2021-22 - Endeligt svar på spørgsmål 247: Spm. om at oversende alle dokumenter i sagen, som TV2 har fået aktindsigt i, i forbindelse med produktionen af dokumentaren 'Herlufsholms hemmeligheder', til børne- og undervisningsministeren
2588615_0263.png
Samtale med trivselslærere kl. 12.40-13.25
Styrelsen havde en samtale med skolens trivselsvejleder, ungerrådgiver og
sygeplejerske. De sidder alle tre i skolens trivselsudvalg.
Ungerrådgiveren er socialrådgiveruddannet. Hun er tilknyttet både
grundskolen og gymnasiet. Hun har desuden tilsyn med elevrådet, og
elevrådet kan gå til hende med forslag mv. Der er startet et trivselsudvalg
op i elevrådet. Ungerådgiveren deltager i det lokale SSP-samarbejde og
deltager på det nationale SSP-årsmøde. Hun fortalte, at SSP har været
inde i undervisningen i 6. -8. klasse og fortalt om bl.a. alkohol.
Ungerådgiveren har mange samtaler med elever, som har forskellige pro-
blemer. Det kan fx dreje sig om skilsmisse, seksuel orientering, identitet,
karakterræs, parfold mv. Hun henviser nogle videre til eksterne psykolo-
ger. I dette skoleår har hun haft 48 elever i samtaleforløb af kortere eller
længere varighed.
Trivselsvejlederen er tilknyttet grundskolen. Hun har også almindelig
undervisning, er læsevejleder og underviser elever med dysleksi. Hun har
desuden en Cool Kids uddannelse. Hun har samtaler med elever om fx
angst, ensomhed, bekymringer, identitet, overvejelser om at være kost-
eller dagelev. I dette skoleår har hun haft ca. 12 elever i samtaleforløb.
Sygeplejersken har været ansat på skolen i mange år. Hun bor i den byg-
ning, som huser skolens ”sygehus”, som er en åben skadestue, og hvor
man kan være, hvis man er syg. Her er der 16 senge. Eleverne komme
også for at snakke om problemer som nævnt af trivselsvejlederen og
ungerådgiveren. De tre taler sammen for at finde de bedste løsninger for
de elever, der har brug for hjælp. Sygeplejersken tager sig dog primært af
kostskoleeleverne og arbejder meget sammen med sovesalslærerne. Nog-
le elever har tunge problemer. Det er fx dem, der kommer fra udlandet
og ikke kender det danske skolesystem, og hvor der er problemer i
hjemmet med fx skilsmisse.
De tre fortæller, at det ikke er altid, at forældrene oplyser om de proble-
mer, deres barn har. De tre sender nogle elever videre til ungdomspsyki-
atrien via læge eller PPR. De har få elever med selvskadende adfærd som
fx cutting og spisevægring, og de oplever ikke, at det ”smitter”. Kostsko-
leeleverne er god til at få øje på det hos deres kammerater og kommer og
siger det til de voksne.
Skolen har haft et foredrag ved Foreningen mod Selvskade for gymnasiet
og grundskolen. Skolen er endvidere ved at starte et samarbejde op med
Girl talk. Skolen har arbejdet med teambuilding på pigegårdene, fordi der
9
BUU, Alm.del - 2021-22 - Endeligt svar på spørgsmål 247: Spm. om at oversende alle dokumenter i sagen, som TV2 har fået aktindsigt i, i forbindelse med produktionen af dokumentaren 'Herlufsholms hemmeligheder', til børne- og undervisningsministeren
var noget pigefnidder sidste år. Det har bl.a. omhandlet, hvordan man
taler ordentligt til hinanden.
Drengegruppen har ikke samme behov, men skolen anvender konflikt-
håndtering, hvis der er konflikter.
Der er gennemført trivselsundersøgelser for grundskolen, gymnasiet og
kostskoleeleverne. På den baggrund er der nu fokus på digital dannelse.
Skolen har haft et oplæg med Christian Mogensen og eleverne har arran-
geret et oplæg, der hed ”tro på dig selv” om, hvordan man taler til hin-
anden og ”til sig selv”.
Der er udarbejdet et årshjul for trivselsudvalget, som sørger for, at man
kommer omkring bestemte emner. Skolen har bl.a. haft oplæg ved Peter
Mygind om stofmisbrug, hvor han bl.a. var rundt og tale med elever på
skolen. Skolen deltager i ”Skolernes Trivselsdag” og anvender bl.a. mate-
riale fra Red Barnet om trivsel.
Skolen har også et samarbejde med politiet og diskoteker med fokus på
stoffer.
Kosteleverne i 3. g. må gå i byen to gange om året fra skolen, men når
eleverne er på besøg hos deres forældre går de i byen der.
Adspurgt herom oplyste de tre, at eleverne er glade for at sove på sove-
sale, men at man kan få lov at sove på sit værelse, hvis man har brug for
det.
Adspurgt herom oplyste de tre, at det varierer fra klasse til klasse om
eleverne grupperer sig i kostelever og daglever. Dageleverne må mere i
deres fritid, og det kan være svært for kosteleverne at opleve. Nogle gan-
ge opleves, at kosteleverne ekskluderer dageleverne. Skolen prøver at
blande kost- og daglever i klasserne og generelt. Alle skal fx gå til bord
til måltiderne og ikke på hummer, man må gerne have besøg af dagelever
på kostafdelingen og også overnatte der, ligesom der er fælles aktiviteter
efter undervisningen. Der er også mulighed for at prøve at være kostelev
i en periode for at se, om det er noget for én, og der er en del dagelever,
der bliver kostelever, fordi de har lyst til det.
Adspurgt om, hvorvidt skolen oplever problemer på baggrund af famili-
ers forskellige indkomstforhold oplyste de tre, at det ikke er noget, de
oplever. Eleverne har den samme beklædning, og det afhjælper nogle
ting, selvom man kan signalere noget med fx fodtøj og smykker.
Adspurgt om, hvorvidt der er høje forventninger til eleverne hjemmefra,
svarede de tre, at eleverne er meget dygtige og har meget høje forvent-
ninger til sig selv, at der er et pres fra samfundet og fra forældre. Der var
10
BUU, Alm.del - 2021-22 - Endeligt svar på spørgsmål 247: Spm. om at oversende alle dokumenter i sagen, som TV2 har fået aktindsigt i, i forbindelse med produktionen af dokumentaren 'Herlufsholms hemmeligheder', til børne- og undervisningsministeren
2588615_0265.png
ikke helt enighed om, hvorvidt forventningerne fra forældrene til deres
børn er større på skolen end på andre skoler.
Samtale med lærere fra grundskole og gymnasiet
Styrelsen havde en samtale med seks lærere: uddannelsesvejleder, mate-
matiskvejleder og læsevejleder fra grundskolen og studievejleder, for-
mand for pædagogisk råd og tillidsrepræsentant fra gymnasiet.
Styrelsen spurgte, hvilke overvejelser lærerne gør sig i forhold til frihed
og folkestyre-kravet i lovgivningen, og hvordan de inddrager det i under-
visningen, herunder demokratisk dannelse.
Lærerne fra gymnasiet oplyste, at de naturligvis underviser i emner, der
er relevante for frihed og folkestyre-kravet, da det ligger i bekendtgørel-
sen. Det omhandler fx i samfundsfag styreformer, grundlovens friheds-
rettigheder og domstolssystemet. Det samme gælder i historie, hvor em-
ner som national identitet blev nævnt. I religion blev nævnt, at der un-
dervises i mange religioner, og at man lige har haft forløb om islam.
Endvidere blev nævnt den måde, der arbejdes på, hvor man som lærer
bl.a. skal være lydhør over for eleverne.
Fra lærerne i grundskolen blev nævnt, at man fx inddrager eleverne i,
hvad der kunne være spændende at arbejde med i matematik, ligesom det
drøftes meget i matematikgruppen. For faget tysk blev nævnt, at hele den
tyske historie er relevant for frihed og folkestyrekravet, og at faget dansk
grundlæggende handler om dannelse gennem arbejdet med tekster.
Endvidere blev nævnt kritisk kildesøgning og kreative produkter om
verdensmålene.
Lærerne oplyste, at der er meget gruppearbejde på skolen. Det er forskel-
ligt, hvordan grupper laves, men det er som oftest lærerne, der sammen-
sætter grupperne i grundskolen. I gymnasiet vil eleverne hest ikke have
grupper over fire personer. Eleverne i gymnasiet er generelt lidt mere
skeptiske over for gruppearbejde, idet eleverne føler, at de får mere ud af
undervisningen, hvis det forgår i plenum. En lærer tilføjer, at dette kan
hænge sammen med det præstationsfokus, som er iblandt eleverne, her-
under at nogle ønsker at blive hørt og set af læreren.
Lærerne oplyste endvidere, at eleverne i gymnasiet evaluerer undervis-
ningen to gange årligt, hvor eleverne giver udtryk for forskellige emner,
som de ønsker forbedret og at evalueringerne fx drøftes med eleverne i
mentorordningen. Eleverne evaluerer også efter enkeltstående forløb.
Lærerne i grundskolen oplyste, at det kan være svært for eleverne fra
udlandet (særligt IB elever) at forstå det danske skolesystem, fordi det er
mere loose i Danmark, selvom det ikke er specielt loose på skolen. I 6 –
7 klasse skal eleverne lærer at give respons, have en mening, og det er nyt
for elever fra udlandet.
11
BUU, Alm.del - 2021-22 - Endeligt svar på spørgsmål 247: Spm. om at oversende alle dokumenter i sagen, som TV2 har fået aktindsigt i, i forbindelse med produktionen af dokumentaren 'Herlufsholms hemmeligheder', til børne- og undervisningsministeren
2588615_0266.png
Adspurgt om trivselsundersøgelserne oplyste lærerne, at de er oppe på
elevrådsmøder, lærerrådsmøder og tidligere i mentorteams, at man ser
på, hvad der er behov for i de enkelte klasser. Lærerne får resultaterne,
men kunne ikke helt huske processen, men gav udtryk for, at man hånd-
terer eventuelle problemer i de enkelte klasser. De nævnte, at der havde
været noget med trivsel mellem kost- og dagelever. Der er bl.a. fulgt op
med, at kosteleverne ikke må gå på hummer i pauserne, idet meningen er
at man her skal være sammen med de andre elever, og at man fylder op
ved bordene til spisning, så man sætter sig på den første ledige plads, så
man ikke kan gruppere sig.
Adspurgt om hvordan lærerne arbejder med kønsligestilling, fortalte en
af lærerne om en klasse med nogle meget urolige drenge, som især de
stille piger kan føle sig presset af, og derfor laver læreren grupperne, så
der tages hensyn hertil. I en anden klasse, var det drengene der trak det
faglige læs, og der havde læreren også lavet grupper, så de andre elever
fik plads.
En anden lærer fortalte, at det er naturligt at arbejde med kønsligestilling
i dansk, når man arbejder med kvinder i litteraturen og kvinder gennem
tiden. I samfundsfag er det også et emne, man diskuterer.
I idræt er der både forløb, hvor kønnene er blandede og opdelte.
Styrelsen spurgte, om præfektordningen har betydning i undervisningen.
Lærerne oplyste, at det har den ikke, for præfekterne er først og frem-
mest præfekter for nogen, der er yngre end dem selv. De yngre bruger
præfekterne som rollemodeller.
Adspurgt om eleverne kommer til lærerne med trivselsproblemer oplyste
gymnasielærerne, at eleverne mere går til sovesalslærerne og studievejle-
deren, og at eleverne i høj grad selv prøver at håndtere det, så lærerne
opdager ikke altid konflikter på tværs af klasser. Grundskolelærerne nik-
kede til, at elverne kommer til dem.
Samtale med præfekter
Styrelsen havde møde med fire præfekter, heraf to kvinder og to mænd,
alle fra 3. g.
Styrelsen spurgte, hvordan man bliver præfekt.
Præfekterne oplyste, at man udfærdiger en skriftlig ansøgning om ens
kompetencer. Man skal have gode karakterer, for at man kan holde det
faglige niveau, samtidig med at man bruger tid på præfektopgaver. Det er
vigtigt, at man som person er åben, imødekommende, positiv og har
socialt og fagligt oveskud. Ansøgninger drøftes af sovesalslærerne, og
herefter kommer de udvalgte mulige kandidater til en samtale med rek-
tor. Langt de fleste søger om at blive præfekt. Man kan først blive præ-
12
BUU, Alm.del - 2021-22 - Endeligt svar på spørgsmål 247: Spm. om at oversende alle dokumenter i sagen, som TV2 har fået aktindsigt i, i forbindelse med produktionen af dokumentaren 'Herlufsholms hemmeligheder', til børne- og undervisningsministeren
fekt i 3. g. mod tidligere, hvor man kunne blive det i 2. g. Nogle af dem,
der ikke bliver præfekter, kan godt reagere negativt i forhold til dem, der
bliver præfekter, og fx vælge ikke længere at ville være venner med dem,
der er præfekter. Man kan ikke være præfekt for 3.g’ere længere.
Adspurgt om præfekternes opgaver, oplyste præfekterne, at deres vigtig-
ste opgave er det sociale, de skal hjælpe med, at der ikke opstår spændin-
ger mellem elever, lægge mærke til, om elever trives og gøre sovesalslæ-
ren opmærksom på elever, der ikke har det godt. Præfekterne bor sam-
men med de elever, de er præfekt for. Præfekterne beskrev sovesalslæren
som en slags forælder og præfekten som en slags storebror eller storesø-
ster.
Præfekterne har også til opgave at gå rundt til eleverne på deres hummer,
når de skal læse lektier, og høre hvordan dagen er gået. Præfekterne kan
sige til eleverne, at de skal lave lektier, gøre rent, rede seng, hvis de ikke
har gjort det af sig selv. Hvis eleverne ikke gør det, kan præfekterne gen-
tage det og fx sige, at eleven må stramme op, at det skal vi her, eller at
præfekten må gå til sovesalslæren.
Præfekterne gennemgår syv kurser med uddannelsesleder og tovholder
for præfektuddannelsen, Inge, inden de starter op som præfekter. Et
kursus havde handlet om personlighedstyper, herunderhvordan man
håndterer forskellige personlighedstyper samt et kursus om balancen
mellem at være elev og være præfekt.
Adspurgt om det gode ved at være præfekt oplsyte præfekterne, at det er
rart at hjælpe andre, godt at se eleverne vokse, rart at påvirke andre på en
positiv møde, at man som præfekt selv udvikler sig, at det er rart at have
som mål at være en god præfekt, hvis man selv har haft en dårlig præfekt.
Præfekterne oplyste, at skolen har fjernet meget af den autoritet og de
redskaber, som præfekter havde tidligere. Fx tidlig sengning, hvor præ-
fekterne kunne sende elever tidligt i seng. De oplyste dog, at præfekterne
i forhold til de yngre elever godt kan give dem en advarsel, hvis de fx
larmer, og hvis det ikke virker, så sende dem ind på deres hummer eller
lade dem ordne køkkenet om aftenen.
Styrelsen spurgte, hvordan eleverne modtager det, og præfekterne svare-
de, at når man vælger at gå på skolen, så accepterer man det bare.
Adspurgt til eventuelle privilegier ved at være præfekt, oplyste præfekter-
ne, at præfekterne ikke skal ordne køkken, ikke skal hente kl. fem-mad,
ikke selv skal aflevere linned til vask, må gå en halv time senere i seng,
kan få et særligt skjold syet på jakken, kommer til en lækker middag med
rektor og får uddannelsen på syv kurser.
13
BUU, Alm.del - 2021-22 - Endeligt svar på spørgsmål 247: Spm. om at oversende alle dokumenter i sagen, som TV2 har fået aktindsigt i, i forbindelse med produktionen af dokumentaren 'Herlufsholms hemmeligheder', til børne- og undervisningsministeren
2588615_0268.png
Præfekterne oplyste også, at der er et særligt fortov på skolen, som kun
3.g’ere og lærere må bruge.
Observation af ekstraskolære aktiviteter og studiecafé
Styrelsen havde først et møde med den lærer, der er ansvarlig for de
ekstraskolære aktiviteter samt en elev.
Eleverne skal tilmelde sig forskellige aktiviteter.
Ved mødet blev det desuden oplyst, at elever på Herlufholm er en del af
”The Duke of Edinburgh’s Award”. Målet er, at alle elever ved afslutnin-
gen af 9. klasse skal opnå bronze ud fra award-systemet. Eleverne skal
uddannes og derefter deltage i forskelligt arbejde fx i form af frivilligt
arbejde, sport og mental skills. Der indgår også en ekspedition, som på
Herlufsholm er en overlevelsestur til Sverige i starten af 9. klasse. Det
blev oplyst, at nogle elever oplever turen som grænseoverskridende, men
man skal genenmføre den Turen er 15 km med oppakning. Eleverne kan
vælge at fortsætte til guld, hvor guldturen omfatter en tre dages overle-
velsestur. Guldturen er 80 km. Lærerne er ca. en km fra eleverne, så de
kan træde til, hvis der sker noget. Man skal være 16 år for at begynde på
Guld og så kan man måske nå at være færdig, når man er 18 år.
Det blev oplyst, at deltagelse i award-en ser godt ud på elevens cv, hvis
de ønsker at søge ind på en videregående uddannelse i England.
Skolen er ved at udvikle ”Herlufsholms Udemærkelsen”, hvor eleverne
skal sætte sig et mål i 1. g. og bruge mindst 75 timer på at opnå dette mål.
Målet skal være nået inden 2. g. og kan fx være frivilligt arbejde, udgive
en digtsamling mv.
Elever, der dimitterer fra Herlufsholm, får en portefølje med de ekstra-
skolære aktiviteter de har deltaget i.
Efter mødet fik styrelsen en hurtig rundvisning i forskellige klasselokaler,
hvor der blev givet lektiehjælp og i hallen, i e-sportslokalet og i krea-
lokalet, hvor der var ekstraskolære aktiviteter.
14
BUU, Alm.del - 2021-22 - Endeligt svar på spørgsmål 247: Spm. om at oversende alle dokumenter i sagen, som TV2 har fået aktindsigt i, i forbindelse med produktionen af dokumentaren 'Herlufsholms hemmeligheder', til børne- og undervisningsministeren
2588615_0269.png
Fra:
Sendt:
Til:
Emne:
Vedhæftede filer:
Til rektor Mikkel Kjellberg
Ditte Wenzel Pedersen
24. april 2020 14:45
'[email protected]'
anmodning om supplerende oplysninger Herlufsholm
Brev anmodning om supplerende oplysninger Herlufsholm 24.04.2020.pdf
I forlængelse af vores telefonsamtale i går sender jeg hermed som aftalt opfølgende spørgsmål efter
styrelsens tilsynsbesøg den 10. marts 2020.
Med venlig hilsen
Ditte Wenzel Pedersen
Chefkonsulent
Styrelsen for Undervisning og Kvalitet
Frederiksholms Kanal 26
1220 København K
Tlf. nr.: 33 92 50 00
Direkte tlf.: +45 33 92 54 66
E-mail:
[email protected]
BUU, Alm.del - 2021-22 - Endeligt svar på spørgsmål 247: Spm. om at oversende alle dokumenter i sagen, som TV2 har fået aktindsigt i, i forbindelse med produktionen af dokumentaren 'Herlufsholms hemmeligheder', til børne- og undervisningsministeren
2588615_0270.png
20
BUU, Alm.del - 2021-22 - Endeligt svar på spørgsmål 247: Spm. om at oversende alle dokumenter i sagen, som TV2 har fået aktindsigt i, i forbindelse med produktionen af dokumentaren 'Herlufsholms hemmeligheder', til børne- og undervisningsministeren
2588615_0271.png
21
BUU, Alm.del - 2021-22 - Endeligt svar på spørgsmål 247: Spm. om at oversende alle dokumenter i sagen, som TV2 har fået aktindsigt i, i forbindelse med produktionen af dokumentaren 'Herlufsholms hemmeligheder', til børne- og undervisningsministeren
2588615_0272.png
Ledelsen HerlufsholmSkoleog Gods
HerlufsholmAllé 170
4700Næstved
Styrelsen Undervisning
for
og
Kvalitet
Frederiksholms
Kanal26
1220København
K
Tlf. nr.: 33 92 50 00
E-mail [email protected]
:
www.stukuvm.dk
CVR nr.: 29634750
Anmodning om supplerendeoplysninger til tilsynssag
I forlængelse telefonsamtale rektor Mikkel Kjellbergden23.april
af
med
2020skalStyrels for Undervisning Kvalitet hermedsomopfølgning
en
og
på tilsynsbesøgen 11.marts2020anmode
d
skolenom en række
supple-
rendeoplysninger.
Skolenhar oplyst,at den af hensyn andreopgaver ønskerat svare
til
mv.
hurtigstmuligt og forventerat kunnesvare 1. maj2020
den
Styrelsen somogsåoplysttelefonisk
er
opmærksom at der på grund
på,
af COVID -19-situationen mange
er
forhold og opgaver,
somskalhånd-
teresudepå institutionerne/
skolerne nuværende
tidspunkt.Såhvis I
får udfordringer
medat sende
oplysninger
indenfristen,må I endelig
vendetilbage, vi kanaftaleet nyt tidspunkt
.
U nderretninger
Dette punkt blev ikke færdigbehandlet tilsynsbesøget.
Styrelsen
skal
derfor anmode oplysning om:
om
er
1. Hvorvidt skolenevt.har skriftligeellermundtligeprocedurer
for
underretninger de sociale
til
myndigheder
.
2. Hvordanskolensikrer,at alleskolens
medarbejdere
kenderderes
skærpede
underretningspligt
.
Præfektordningen
3. Skoleledelsen
oplysteadspurgt
herom at en " dårligpræfekt er
,
"
vidende elevers
om
mistrivsel
udenat gåvideremeddet,og er
optaget sigselv.Styrelsen anmode
af
skal
skole om at uddybe
n
dette,herunder skolenhar haft eksempler dette,og hvor-
om
danskoleni givetfald har håndteret
det.
24. april 2020
Sags : 20/01575
nr.
BUU, Alm.del - 2021-22 - Endeligt svar på spørgsmål 247: Spm. om at oversende alle dokumenter i sagen, som TV2 har fået aktindsigt i, i forbindelse med produktionen af dokumentaren 'Herlufsholms hemmeligheder', til børne- og undervisningsministeren
2588615_0273.png
4. Skoleledelsen
oplysteendvidere, det er sjældent, elevstop-
at
en
per sompræfekt,
menat det er sketpå foranledning præfek-
af
tensforældreStyrelsen anmode
.
skal
skolenom at uddybeforæl-
drenes
begrundelse
herfor.
Præfekternes
opgaver,
privilegierog sanktionsmuligheder.
Skoleledelsen
oplyste, præfekternes
at
primære
opgave at være
er
medtil
at sikre,at eleverne det godt.
har
Skoleledelsen
oplysteendvidere, præfekterne har særlige le-
at
ikke
privi
gier,dog kommerde til en middagmedrektor,de får en udtalelse de-
fra
ressovesalslærer deres
til
CV, de gårlidt senere sengendde øvrigeele-
i
ver,og de kansyet særligt
mærke jakken.
5. Om sanktionsmuligheder
oplysteskoleledelsen, præfekterne
at
ikke har sådanne,
udoverat de kantageen snakmedde elever,
de er præfekt Ledelsen
for.
oplysteendvidere, præfekterne
at
tid-
ligerehavdesanktionsmuligheder, kunnede sende
fx
andreelever
ud at løbeen tur ellerladedemvaske
trapper.Styr lsenskalan-
e
modeom oplysning hvornårdetteophørte.
om,
6. Styrelsen på tilsynsbesøget
fik
i øvrigtoplyst,at præfekten
tjek-
ker,hvemder er kommettil morgenmaden aftensmaden,
og
at
det om aften bl.a.er præfektens
en
opgave tjekke,om allelaver
at
lektierog fx ikke serN etflix, og at præfekten givetilladelse
kan
til
”frilal ” , hvis en elevikke har lektierfor. Styrelsen anmode
skal
om skolens
bemærkn
ingerhertil samten nærmere
beskrivelse
af
præfekternes
opgaver.
7. Styrelsen desuden tilsynsbesøget
fik
oplyst,at præfekterne
kan
sigetil eleverne, de skallavelektier,gørerent ellerredeseng,
at
hvis de ikke har gjort det af sigselv.Styrelsenik endvidere
f
op-
lyst,at skolenhar fjernetmegetaf denautoritetog de redskaber,
sompræfekter
havdetidligere,
dog kanpræfekterneforhold til
i
de yngreelever
godt givedemen advarsel, de fx larmer,og
hvis
hvis det ikke virker,såsende
demind på deresværelse lade
eller
demordnekøkkenet aftenen.
om
Styrelsen anmode sko-
skal
om
lensbemærkninger
hertil.
Beklædningsregler
8. Styrelsen anmode
skal
skolenom at redegøre sineovervejel-
for
serom, hvordanskolens
beklædningsregler
spillersammen
med
køns
ligestilling ønskerom beklædning, udspringer reli-
og
der
af
giøsoverbevisning
.
Andet
2
BUU, Alm.del - 2021-22 - Endeligt svar på spørgsmål 247: Spm. om at oversende alle dokumenter i sagen, som TV2 har fået aktindsigt i, i forbindelse med produktionen af dokumentaren 'Herlufsholms hemmeligheder', til børne- og undervisningsministeren
2588615_0274.png
9. Styrelsen endvidere
fik
oplyst,at der er et særligt
fortov på sko-
len,somkun 3.g’ere lærere bruge.Styrelsen anmode
og
skal
om
skolens
bemærkninger
hertil.
10. D et fremgåraf skolens
skolehånbog,at der er en ” bordholder
d
vedto af dagens
måltider,somskalsikreen god atmosfære
og
bordskik.Styrelsen anmode oplysning
skal
om
om, hvorvidt
bordholderen en elevelleren lærer. vis bordholderen en
er
H
er
elev,skalstyrelsen
endvid re anmode oplysninger bord-
e
om
om
holderens
opgaver
Med venlighilsen
Ditte WenzelPedersen
Chefkonsulent
Direktetlf. +45 33 92 54 66
[email protected]
3
BUU, Alm.del - 2021-22 - Endeligt svar på spørgsmål 247: Spm. om at oversende alle dokumenter i sagen, som TV2 har fået aktindsigt i, i forbindelse med produktionen af dokumentaren 'Herlufsholms hemmeligheder', til børne- og undervisningsministeren
2588615_0275.png
22
BUU, Alm.del - 2021-22 - Endeligt svar på spørgsmål 247: Spm. om at oversende alle dokumenter i sagen, som TV2 har fået aktindsigt i, i forbindelse med produktionen af dokumentaren 'Herlufsholms hemmeligheder', til børne- og undervisningsministeren
2588615_0276.png
Fra:
Sendt:
Til:
Emne:
Vedhæftede filer:
Mikkel Kjellberg <[email protected]>
30. april 2020 13:27
Ditte Wenzel Pedersen
VS: anmodning om supplerende oplysninger Herlufsholm
Tilsynsbesøg - supplerende oplysninger 24.04.2020 svar.docx
Kære Ditte Wenzel Pedersen
Vedhæftet finder du svar på de opfølgende spørgsmål. Har I yderligere spørgsmål i forlængelse heraf, er I
naturligvis velkomne til at tage kontakt igen.
Med venlig hilsen
Mikkel Kjellberg
Rektor
Herlufsholm Skole og Gods
Herlufsholm Allé 170
4700 Næstved, DK
Tlf.: 55 75 35 00
E-mail:
[email protected]
Web:
www.herlufsholm.dk
Fra:
Ditte Wenzel Pedersen <[email protected]>
Sendt:
24. april 2020 14:45
Til:
Rektorkontor POST <[email protected]>
Emne:
anmodning om supplerende oplysninger Herlufsholm
Til rektor Mikkel Kjellberg
I forlængelse af vores telefonsamtale i går sender jeg hermed som aftalt opfølgende spørgsmål efter
styrelsens tilsynsbesøg den 10. marts 2020.
Med venlig hilsen
Ditte Wenzel Pedersen
Chefkonsulent
BUU, Alm.del - 2021-22 - Endeligt svar på spørgsmål 247: Spm. om at oversende alle dokumenter i sagen, som TV2 har fået aktindsigt i, i forbindelse med produktionen af dokumentaren 'Herlufsholms hemmeligheder', til børne- og undervisningsministeren
2588615_0277.png
Styrelsen for Undervisning og Kvalitet
Frederiksholms Kanal 26
1220 København K
Tlf. nr.: 33 92 50 00
Direkte tlf.: +45 33 92 54 66
E-mail:
[email protected]
BUU, Alm.del - 2021-22 - Endeligt svar på spørgsmål 247: Spm. om at oversende alle dokumenter i sagen, som TV2 har fået aktindsigt i, i forbindelse med produktionen af dokumentaren 'Herlufsholms hemmeligheder', til børne- og undervisningsministeren
2588615_0278.png
Ledelsen på Herlufsholm Skole og Gods
Herlufsholm Allé 170
4700 Næstved
Styrelsen for Undervisning og
Kvalitet
Frederiksholms Kanal 26
1220 København K
Tlf. nr.: 33 92 50 00
E-mail: [email protected]
www.stukuvm.dk CVR
nr.: 29634750
Anmodning om supplerende oplysninger til tilsynssag
I forlængelse af telefonsamtale med rektor Mikkel Kjellberg den 23. april
2020 skal Styrelsen for Undervisning og Kvalitet hermed som opfølgning
på tilsynsbesøg den 11. marts 2020 anmode skolen om en række
supplerende oplysninger.
Skolen har oplyst, at den af hensyn til andre opgaver mv. ønsker at svare
hurtigst muligt og forventer at kunne svare den 1. maj 2020
24. april 2020
Sags nr.: 20/01575
Styrelsen er som også oplyst telefonisk opmærksom på, at der på grund
af COVID-19-situationen er mange forhold og opgaver, som skal
håndteres ude på institutionerne/skolerne på nuværende tidspunkt. Så
hvis I får udfordringer med at sende oplysninger inden fristen, må I
endelig vende tilbage, så vi kan aftale et nyt tidspunkt.
Underretninger
Dette punkt blev ikke færdigbehandlet på tilsynsbesøget. Styrelsen skal
derfor anmode om oplysninger om:
1. Hvorvidt skolen evt. har skriftlige eller mundtlige procedurer for
underretninger til de sociale myndigheder.
På skolens intranet findes en skriftlig procedure for underretninger til de sociale myndigheder.
Det indgår desuden i funktionsbeskrivelsen for skolens Ungerådgiver, at denne funktion skal bistå og
vejlede ifm underretninger.
Dette er det samlede pædagogiske personale orienteret om mundtligt på møder.
2. Hvordan skolen sikrer, at alle skolens medarbejdere kender deres
skærpede underretningspligt.
Skolen afholder hvert år ved skoleårets start et velkomstmøde for nyansatte lærere i såvel STX, IB og
Grundskole.
Blandt flere orienteringspunkter er også den skærpede underretningspligt.
BUU, Alm.del - 2021-22 - Endeligt svar på spørgsmål 247: Spm. om at oversende alle dokumenter i sagen, som TV2 har fået aktindsigt i, i forbindelse med produktionen af dokumentaren 'Herlufsholms hemmeligheder', til børne- og undervisningsministeren
Ligeledes er det tydeligt italesat ved flere lejligheder, at det forventes at alle medarbejdere på
Herlufsholm Skole holder sig ajour med gældende lovstof for området.
Aktuelt er 4 medarbejdere tilmeldt kurset ”Omsorgssvigt, vold og underretning” udbudt af LIVA
kurser.
Præfektordningen
3. Skoleledelsen oplyste adspurgt herom, at en "dårlig præfekt" er
vidende om elevers mistrivsel uden at gå videre med det, og er
optaget af sig selv. Styrelsen skal anmode skolen om at uddybe
dette, herunder om skolen har haft eksempler på dette, og
hvordan skolen i givet fald har håndteret det.
Samtalen med skoleledelsen om den ”dårlige præfekt” tog udgangspunkt i spørgsmålet om at beskrive
karakteristika, som ville forhindre, at en elev kunne blive præfekt, ikke i forhold vedr. eksisterende
præfekter. Der har været tale om få tilfælde, hvor en elevs adfærd har været i strid med skolens regler,
typisk alkoholregler, og vedkommende derfor er stoppet som præfekt på skolens foranledning og
hjemmet orienteret.
Der vil naturligvis være tale om, at en præfekt i sin daglige færden oplever kammeraterne i mange
situationer, herunder elever, der kan have en dårlig dag i skolen eller på kostskolen. Her kan det for nogle
elever være rart at tale med præfekten om problemet – og en del elever fortæller, at præfekter har været en
hjælp.
I situationer med manglende trivsel er det forventeligt, at præfekten orienterer sovesalslæreren. Det er
ikke præfekters opgave at håndtere mistrivsel hos en elev. Ansvaret for at have tæt kontakt med eleverne
og handle i tilfælde af mistrivsel ligger hos de pædagogisk faglige medarbejdere – for kostelevernes
vedkommende vil det oftest være den sovesalslærer, der er ansvarlig for eleverne på den enkelte elevgård.
Desuden er der ansat en ungerådgiver og en sygeplejerske på kostskolen, hvis primære arbejdsopgaver er
trivsel.
Der har tidligere i præfektsystemet været eksempler på, at præfekter mente at skulle klare en sag på egen
hånd, men det er et omdrejningspunkt i præfektkurserne og elevgårdenes hverdag at understrege, at
præfekterne ikke har pædagogisk tilsyn og handlingskompetence.
4.
Skoleledelsen oplyste endvidere, at det er sjældent, en elev stopper som præfekt,
men at det er sket på foranledning af præfektens forældre. Styrelsen skal anmode
skolen om at uddybe forældrenes begrundelse herfor.
Der har gennem det seneste årti været tale om ganske få tilfælde, hvor en præfekts adfærd har været i strid
med skolens regler, typisk alkoholregler, og vedkommende derfor er stoppet som præfekt på skolens
foranledning og hjemmet orienteret. I enkelte andre tilfælde har elev og familie vurderet, at en elev ikke
havde overskud til at følge både STX-uddannelsen og præfektkurserne, og vi har i samarbejde aftalt, at
eleven ophørte med at optræde som præfekt.
Præfekternes opgaver, privilegier og sanktionsmuligheder.
Skoleledelsen oplyste, at præfekternes primære opgave er at være med til
at sikre, at eleverne har det godt.
Skoleledelsen oplyste endvidere, at præfekterne ikke har særlige privilegier, dog
kommer de til en middag med rektor, de får en udtalelse fra deres sovesalslærer
til deres CV, de går lidt senere i seng end de øvrige elever, og de kan sy et særligt
mærke på jakken.
Middag og udtalelse er korrekt, ligeledes skjold på blazer. Normal sengetid for
3.g er kl.23:30, og det gælder alle, at de i rimeligt omfang kan arbejde lidt senere,
hvis skolearbejdet gør det nødvendigt.
BUU, Alm.del - 2021-22 - Endeligt svar på spørgsmål 247: Spm. om at oversende alle dokumenter i sagen, som TV2 har fået aktindsigt i, i forbindelse med produktionen af dokumentaren 'Herlufsholms hemmeligheder', til børne- og undervisningsministeren
5. Om sanktionsmuligheder oplyste skoleledelsen, at præfekterne
ikke har sådanne, udover at de kan tage en snak med de elever, de
er præfekt for. Ledelsen oplyste endvidere, at præfekterne
tidligere havde sanktionsmuligheder, fx kunne de sende andre
elever ud at løbe en tur eller lade dem vaske trapper. Styrelsen
skal anmode om oplysning om, hvornår dette ophørte.
Skolen fik ny rektor november 1993, hvorefter sanktions-
mulighederne blev afskaffet fra skoleåret 1994/95.
6. Styrelsen fik på tilsynsbesøget i øvrigt oplyst, at præfekten
tjekker, hvem der er kommet til morgenmaden og aftensmaden,
at det om aftenen bl.a. er præfektens opgave at tjekke, om alle
laver lektier og fx ikke ser Netflix, og at præfekten kan give
tilladelse til ”frilal”, hvis en elev ikke har lektier for. Styrelsen skal
anmode om skolens bemærkninger hertil samt en nærmere
beskrivelse af præfekternes opgaver.
7. Styrelsen fik desuden på tilsynsbesøget oplyst, at præfekterne kan
sige til eleverne, at de skal lave lektier, gøre rent eller rede seng,
hvis de ikke har gjort det af sig selv. Styrelsen fik endvidere
oplyst, at skolen har fjernet meget af den autoritet og de
redskaber, som præfekter havde tidligere, dog kan præfekterne i
forhold til de yngre elever godt give dem en advarsel, hvis de fx
larmer, og hvis det ikke virker, så sende dem ind på deres værelse
eller lade dem ordne køkkenet om aftenen. Styrelsen skal anmode
om skolens bemærkninger hertil.
De i pkt. 6 og 7, nævnte eksempler på præfekters ´beføjelser` er en del af
det pædagogiske tilsyn med skolearbejde, trivsel m.v., der ligger hos
sovesalslæreren.
Præfekternes funktion er at være opmærksomme på elevgårdens trivsel
og inkluderende i forhold til alle elevgrupper.
Vi har på skolen arbejdet meget med at ændre og udvikle præfektrollen i
erkendelse af, at præfekterne tidligere deltog i opgaver, der alene ligger
hos skolens pædagogiske medarbejdere. Præfekternes opgave er at være
gode kammerater og rollemodeller for trivsel og inklusion, men vi vil nu
følge op på de modstridende oplysninger i ovenstående og dermed
diskutere evt. uklarhed og sikre ensartethed.
Beklædningsregler
8. Styrelsen skal anmode skolen om at redegøre for sine
overvejelser om, hvordan skolens beklædningsregler spiller
sammen med kønsligestilling og ønsker om beklædning, der
udspringer af religiøs overbevisning.
Trods den ensartethed, der naturligvis ligger i skolebeklædningen, har vi
også været i stand til at tage individuelle hensyn, når det var nødvendigt.
Imidlertid har vi igennem det sidste halve år arbejdet på en revision af
skolebeklædningen, der vil tage højde for kønsligestilling.
Vi har traditionelt haft mange forskellige trosretninger i gruppen af elever
og har ikke oplevet, at skolebeklædningen støder imod forskellige former
for religiøs overbevisning.
BUU, Alm.del - 2021-22 - Endeligt svar på spørgsmål 247: Spm. om at oversende alle dokumenter i sagen, som TV2 har fået aktindsigt i, i forbindelse med produktionen af dokumentaren 'Herlufsholms hemmeligheder', til børne- og undervisningsministeren
Andet
9. Styrelsen fik endvidere oplyst, at der er et særligt fortov på
skolen, som kun 3.g’ere og lærere må bruge. Styrelsen skal
anmode om skolens bemærkninger hertil.
Det er korrekt, at der på skolens område er et fortov, der i elevernes
bevidsthed kun må benyttes af 3.g. Vi har fra skolens side arbejdet meget
med denne fejlopfattelse – hidtil med dialog og påbud – og er fortsat
meget opmærksomme på løbende at bearbejde elevernes holdning.
10. Det fremgår af skolens skolehåndbog, at der er en ”bordholder”
ved to af dagens måltider, som skal sikre en god atmosfære og
bordskik. Styrelsen skal anmode om oplysning om, hvorvidt
bordholderen er en elev eller en lærer. Hvis bordholderen er en
elev, skal styrelsen endvidere anmode om oplysninger om
bordholderens opgaver
Bordholderne er elever, nærmere betegnet præfekterne i 3.g, og
har en vigtig funktion ved at være med til at skabe et fællesskab omkring
spisningen, herunder have blik for at inddrage alle i samtalen og i det hele
taget sikre en god og inkluderende atmosfære.
Problemer i spisesalene er få og små og påhviler ved alle måltider de
tilsynsførende lærere.
Med venlig hilsen
Ditte Wenzel Pedersen
Chefkonsulent
Direkte tlf. +45 33 92 54 66 [email protected]
BUU, Alm.del - 2021-22 - Endeligt svar på spørgsmål 247: Spm. om at oversende alle dokumenter i sagen, som TV2 har fået aktindsigt i, i forbindelse med produktionen af dokumentaren 'Herlufsholms hemmeligheder', til børne- og undervisningsministeren
2588615_0282.png
23
BUU, Alm.del - 2021-22 - Endeligt svar på spørgsmål 247: Spm. om at oversende alle dokumenter i sagen, som TV2 har fået aktindsigt i, i forbindelse med produktionen af dokumentaren 'Herlufsholms hemmeligheder', til børne- og undervisningsministeren
2588615_0283.png
Fra:
Sendt:
Til:
Emne:
Kære Mikkel Kjellberg
Ditte Wenzel Pedersen
30. april 2020 14:10
'Mikkel Kjellberg'
SV: anmodning om supplerende oplysninger Herlufsholm
Tak for de tilsendte svar på styrelsens opfølgende spørgsmål. Vi vil hurtigst muligt gå videre i sagen og
vender tilbage, hvis vi har behov for yderligere oplysninger.
Med venlig hilsen
Ditte Wenzel Pedersen
Chefkonsulent
Styrelsen for Undervisning og Kvalitet
Frederiksholms Kanal 26
1220 København K
Tlf. nr.: 33 92 50 00
Direkte tlf.: +45 33 92 54 66
E-mail:
[email protected]
Fra:
Mikkel Kjellberg <[email protected]>
Sendt:
30. april 2020 13:27
Til:
Ditte Wenzel Pedersen <[email protected]>
Emne:
VS: anmodning om supplerende oplysninger Herlufsholm
Kære Ditte Wenzel Pedersen
Vedhæftet finder du svar på de opfølgende spørgsmål. Har I yderligere spørgsmål i forlængelse heraf, er I
naturligvis velkomne til at tage kontakt igen.
Med venlig hilsen
Mikkel Kjellberg
Rektor
Herlufsholm Skole og Gods
Herlufsholm Allé 170
4700 Næstved, DK
Tlf.: 55 75 35 00
E-mail:
[email protected]
Web:
www.herlufsholm.dk
BUU, Alm.del - 2021-22 - Endeligt svar på spørgsmål 247: Spm. om at oversende alle dokumenter i sagen, som TV2 har fået aktindsigt i, i forbindelse med produktionen af dokumentaren 'Herlufsholms hemmeligheder', til børne- og undervisningsministeren
2588615_0284.png
Fra:
Ditte Wenzel Pedersen <[email protected]>
Sendt:
24. april 2020 14:45
Til:
Rektorkontor POST <[email protected]>
Emne:
anmodning om supplerende oplysninger Herlufsholm
Til rektor Mikkel Kjellberg
I forlængelse af vores telefonsamtale i går sender jeg hermed som aftalt opfølgende spørgsmål efter
styrelsens tilsynsbesøg den 10. marts 2020.
Med venlig hilsen
Ditte Wenzel Pedersen
Chefkonsulent
Styrelsen for Undervisning og Kvalitet
Frederiksholms Kanal 26
1220 København K
Tlf. nr.: 33 92 50 00
Direkte tlf.: +45 33 92 54 66
E-mail:
[email protected]
BUU, Alm.del - 2021-22 - Endeligt svar på spørgsmål 247: Spm. om at oversende alle dokumenter i sagen, som TV2 har fået aktindsigt i, i forbindelse med produktionen af dokumentaren 'Herlufsholms hemmeligheder', til børne- og undervisningsministeren
2588615_0285.png
24
BUU, Alm.del - 2021-22 - Endeligt svar på spørgsmål 247: Spm. om at oversende alle dokumenter i sagen, som TV2 har fået aktindsigt i, i forbindelse med produktionen af dokumentaren 'Herlufsholms hemmeligheder', til børne- og undervisningsministeren
2588615_0286.png
Herlufsholm Skole og Gods
Herlufsholms Allé 170
4700 Næstved
Att.: Skoleleder og bestyrelsesformand
Styrelsen for Undervisning og
Kvalitet
Frederiksholms Kanal 26
1220 København K
Tlf. nr.: 33 92 50 00
E-mail: [email protected]
www.stukuvm.dk
CVR nr.: 29634750
Afslutning af det tematiske tilsyn med kombinerede institutioner med
kostafdelingStyrelsen for Undervisning og Kvalitet har gennemført et
tematisk tilsyn med fire kombinerede institutioner med kostafdeling,
herunder Herlufsholm Skole og Gods.
Styrelsen har udtaget de fire kombinerede institutioner med kostafdeling,
der har både grundskole og gymnasium, til tilsyn. En af institutionerne
har også efterskole.
Tilsynet omhandler institutionernes efterlevelse af frihed og folkestyre-
kravet med særligt fokus på elevinddragelse og elevernes trivsel.
Styrelsen har sammenholdt sine oplysninger om Herlufsholm Skole og
Gods med reglerne i friskoleloven, jf. lovbekendtgørelse nr. 816 af 14.
august 2019, og lov om private institutioner for gymnasiale uddannelser,
jf. lovbekendtgørelse nr. 3. af 6. januar 2020.
Det er på det foreliggende grundlag styrelsens vurdering, at skolen lever
op til frihed og folkestyre-kravet. Styrelsen afslutter derfor det tematiske
tilsyn med skolens opfyldelse af frihed og folkestyre-kravet.
Styrelsen henstiller dog, at skolen fortsat har en opmærksomhed på at
forebygge og afhjælpe mistrivsel blandt eleverne, hvilket er særligt vigtigt
på en institution med kostafdeling, idet eleverne bor dér og sjældnere ser
deres familie, og generelt ikke har samme frirum som andre børn og un-
ge uden for skolen.
Styrelsen vil følge op på henstillingen i anden halvdel af skoleåret
2020/2021.
Det er endvidere efter styrelsens vurdering vigtigt, at skolen vedvarende
– såvel skriftligt, som mundtligt – sikrer sig, at præfekter og øvrige elever
ikke kan komme i tvivl om, hvilke opgaver præfekterne har, samt præci-
28. august 2020
Sags nr.: 20/01575
BUU, Alm.del - 2021-22 - Endeligt svar på spørgsmål 247: Spm. om at oversende alle dokumenter i sagen, som TV2 har fået aktindsigt i, i forbindelse med produktionen af dokumentaren 'Herlufsholms hemmeligheder', til børne- og undervisningsministeren
serer, at pædagogiske og ordensmæssige opgaver ligger hos det ansatte
personale på skolen.
Endelig skal styrelsen anmode skolen om undlade at anvende betegnel-
sen ”blebal” i skolens skolehåndbog og i øvrigt i skolens virke. Samtidig
anmoder styrelsen skolen om at tage beklædningsreglerne om, at kun
elever i 3. g. må gå med hvide benklæder og hvid nederdel, op til fornyet
vurdering med henblik på at sikre, at disse ikke modvirker en respektfuld
ligeværdighed mellem yngre og ældre elever.
Styrelsens vurdering og det grundlag, den hviler på, er nærmere uddybet
nedenfor. Sagens faktiske omstændigheder fremgår af bilag 1. Det rele-
vante retsgrundlag fremgår af bilag 2.
Baggrund for styrelsens tilsyn
Styrelsen fører tilsyn med privat- og friskolernes, efterskolernes og de
private gymnasiers efterlevelse af frihed og folkestyre-kravet, jf. friskole-
lovens § 1, stk. 2, 2. pkt., efterskolelovens § 1, stk. 5, og lov om private
institutioner for gymnasiale uddannelsers § 1 a.
Styrelsen for Undervisning og Kvalitet gennemfører i 2020 et tematisk
tilsyn med kombinerede institutioner med kostafdeling, der har både
grundskole og gymnasie. Tilsynet har fokus på en række elementer i hele
skolens virke, som særligt gør sig gældende for institutioner af denne
karakter.
Frihed og folkestyre-kravet indebærer bl.a., at institutionerne skal forbe-
rede eleverne til medbestemmelse, medansvar, ytringsfrihed, rettigheder
og pligter i et samfund med frihed og folkestyre. Enhver institution skal
således efter loven have det sigte med al sin undervisning og hele sit vir-
ke i øvrigt, at enhver elev udvikler sig til demokratisk medborgerskab i et
samfund som det danske.
I den forbindelse er fx forhold vedrørende elevrelationer, ordensregler,
opsyn med elever, og hvordan skolen arbejder med elevernes trivsel vig-
tige at afdække, idet disse forhold kan sige noget om, hvordan skolen
arbejder med frihed og folkestyre-kravet, herunder medbestemmelse og
demokratisk dannelse.
Styrelsens tilsyn har således fokus på følgende områder:
Elevrelationer- og omgangsformer, herunder
elevernes trivsel,
eventuelle præfektsystemer eller øvrige elev-til-elev aktiviteter,
opsyn med elever,
eventuelle ordensregler,
ligestilling mellem kønnene og
2
BUU, Alm.del - 2021-22 - Endeligt svar på spørgsmål 247: Spm. om at oversende alle dokumenter i sagen, som TV2 har fået aktindsigt i, i forbindelse med produktionen af dokumentaren 'Herlufsholms hemmeligheder', til børne- og undervisningsministeren
Elevinddragelse og medindflydelse.
Tilsynet omfatter ligeledes institutionernes praksis i forhold til underret-
ninger og samarbejde med relevante kommunale myndigheder.
Styrelsens vurdering
Frihed og folkestyre-kravet
Styrelsens vurdering omhandler de fokuspunkter, som er indgået i styrel-
sens tilsyn. Styrelsen er dog ikke under tilsynet blevet opmærksom på
andre forhold, der har givet anledning til en nærmere undersøgelse. Ne-
denfor fremgår grundlaget for styrelsens vurdering.
Det er på det foreliggende grundlag styrelsens vurdering, at skolen lever
op til frihed og folkestyre-kravet. Styrelsen afslutter derfor det tematiske
tilsyn med skolens opfyldelse af frihed og folkestyre-kravet, idet styrelsen
dog har en række henstillinger og opfordringer til skolen, som fremgår
nedenfor
Elevernes trivsel
Det er styrelsens vurdering, at skolen er opmærksom på og arbejder med
elevernes trivsel. Styrelsen har lagt vægt på, at skolen har iværksat en
række initiativer med henblik på at sikre elevernes trivsel, herunder udar-
bejdet en plan for opfølgning på undervisningsmiljøvurderingen 2020 i
gymnasiet og en antimobbestrategi samt nedsat et trivselsudvalg. Derud-
over har skolen personale ansat, som indgår i trivselsarbejdet.
Styrelsen henstiller dog, at skolen fortsat har en opmærksomhed på at
forebygge og afhjælpe mistrivsel blandt eleverne, hvilket er særligt vigtigt
på en institution med kostafdeling, idet eleverne bor dér og sjældnere ser
deres familie, og generelt ikke har samme frirum som andre børn og un-
ge uden for skolen.
Styrelsen bemærker i den forbindelse, at det fremgår af skolens trivsels-
undersøgelser og undervisningsmiljøvurderinger, at der består en række
udfordringer for så vidt angår elevernes trivsel. Det fremgår således af
den nationale gymnasiale trivselsmåling, at Herlufsholm Skole og Gods
befinder sig blandt de 10 pct. laveste på landsplan med hensyn til to (pres
og bekymringer og mobning) af de fem differentierede indikatorer for
trivsel i henhold til trivselsdata fra 2018. Det fremgår endvidere, af sko-
lens seneste undervisningsmiljøvurdering for 2020 for gymnasiet, at op-
levelsen af, at lærerne respekterer eleverne, ligger lidt under landsgen-
nemsnittet. Derudover ligger oplevelsen af, at blive kaldt grimme navne
og at blive presset til noget, man ikke har lyst til, over landsgennemsnit-
tet.
Det er styrelsens vurdering, at disse resultater kræver en særlig indsats fra
skolens side.
3
BUU, Alm.del - 2021-22 - Endeligt svar på spørgsmål 247: Spm. om at oversende alle dokumenter i sagen, som TV2 har fået aktindsigt i, i forbindelse med produktionen af dokumentaren 'Herlufsholms hemmeligheder', til børne- og undervisningsministeren
Samarbejde med eksterne
Det er styrelsens vurdering, at skolen har et samarbejde med eksterne
aktører, som understøtter skolens arbejde med elevtrivsel.
Styrelsen har i sin vurdering lagt vægt på, at skolen bl.a. samarbejder med
PPR, Sex & Samfund og LMS (foreningen mod spiseforstyrrelser).
Opsyn med elever, eventuelle præfektsystemer og øvrige elev-til-elev aktiviteter
Det er styrelsens vurdering, at skolens præfektsystem kan have negative
konsekvenser for elevernes trivsel, og at der er behov for, at skolen over
for præfekter og øvrige elever præciserer, hvilke opgaver præfekterne
har, samt præciserer, at pædagogiske og ordensmæssige opgaver ligger
hos det ansatte personale på skolen.
Styrelsen har i sin vurdering lagt vægt på, at styrelsen har modtaget mod-
stridende oplysninger om præfekternes opgaver og beføjelser fra hen-
holdsvis skolens ledelse og skolens præfekter og elevrådet.
Skolens ledelse har således i sin første redegørelse og på tilsynsbesøg
oplyst, at præfekternes primære rolle er at være med til at sikre, at elever-
ne har det godt. Ledelsen har endvidere oplyst, at præfekterne ikke har
sanktionsmuligheder, udover at de kan tage en snak med de elever, de er
præfekter for. Omvendt har præfekterne nævnt, at de kan sige til elever-
ne, at de skal rede seng, lave lektier eller gøre rent, hvis de ikke har gjort
det af sig selv, og at de kan give de yngre elever en advarsel, og hvis det
ikke virker, så sende dem ind på deres værelse eller lade dem ordne køk-
ken.
Styrelsen har taget til efterretning, at Herlufsholm Skole og Gods har
oplyst at ville følge op på de modstridende oplysninger, som styrelsen
har modtaget for så vidt angår præfekternes opgaver og sanktionsmulig-
heder.
Det er dog samlet set styrelsens vurdering, at den autoritet, som præfek-
terne er udstyret med, kan medvirke til at understøtte et ulige forhold
mellem præfekter og øvrige elever, som kan have negative konsekvenser
for elevernes trivsel.
Styrelsen har hertil noteret, at det af skolens skolehåndbog fremgår, at
der er en bordholder ved to af dagens måltider, og at det er en selvfølge,
at man retter sig efter en henstilling eller en påtale fra bordholderen,
hvilket udstyrer bordholderen med en vis formel autoritet. Skolen har
efterfølgende oplyst, at bordholderen er præfekten.
Det er efter styrelsens vurdering vigtigt, at skolen vedvarende – såvel
skriftligt, som mundtligt – sikrer sig, at præfekter og øvrige elever ikke
4
BUU, Alm.del - 2021-22 - Endeligt svar på spørgsmål 247: Spm. om at oversende alle dokumenter i sagen, som TV2 har fået aktindsigt i, i forbindelse med produktionen af dokumentaren 'Herlufsholms hemmeligheder', til børne- og undervisningsministeren
kan komme i tvivl om, hvilke opgaver præfekterne har, samt præciserer,
at pædagogiske og ordensmæssige opgaver ligger hos det ansatte perso-
nale på skolen.
Ordensregler
Det er styrelsens vurdering, at der er elementer af skolens ordensregler,
som kan give anledning til tvivl om, hvorvidt de understøtter elevernes
trivsel og respekt eleverne imellem.
Styrelsen skal her henlede opmærksomheden på anvendelsen af beteg-
nelsen ”blebal” i skolens skolehåndbog og på beklædningsreglerne om, at
kun elever i 3. g. må gå med hvide benklæder og hvid nederdel.
Styrelsen anmoder derfor skolen om undlade at anvende betegnelsen
”blebal” i skolens skolehåndbog og i øvrigt i skolens virke. Samtidig an-
moder styrelsen skolen om at tage beklædningsreglerne om, at kun elever
i 3. g. må gå med hvide benklæder og hvid nederdel, op til fornyet vurde-
ring i forhold til at sikre, at disse ikke modvirker en respektfuld ligevær-
dighed mellem yngre og ældre elever.
Ligestilling mellem kønnene
Det er styrelsens vurdering, at skolens beklædningsregler indeholder en-
kelte elementer, som ikke bidrager til ligestilling mellem kønnene på sko-
len.
Styrelsen har noteret, at skolen i sit svar på styrelsens anmodning om
supplerende oplysninger har oplyst, at den i de nye beklædningsregler,
som er ved at blive udarbejdet, vil tage højde for kønsligestilling.
Styrelsen har ikke derudover bemærkninger vedrørende kønsligestilling
på skolen, herunder henset til at skolen på tilsynsbesøget har oplyst, at
kønsligestilling indgår som emne i en række fag, og at skolen er opmærk-
som på kønsfordelingen i udvalg mv.
Styrelsen har endvidere noteret, at skolen har oplyst, at man oplever, at
skolen tiltrækker elever med en anden kønsidentitet end klassisk
mand/kvinde, og at eleverne er meget rummelige i forhold hertil, og at
man på skolen finder løsninger i forhold til idræt, omklædning og lejr-
skoler, så der tages hensyn til alle elever.
Endelig har styrelsen på tilsynsbesøget observeret, at eleverne i de fleste
klasser sad blandede drenge og piger, hvilket også gjorde sig gældende til
måltider. Derudover interagerede eleverne på tværs af køn i såvel under-
visningen, som i pauserne.
Elevinddragelse og medindflydelse på skolen
Det er styrelsens vurdering, at skolen inddrager eleverne i forhold på
skolen, at eleverne har medindflydelse, og at skolen på den måde er med
5
BUU, Alm.del - 2021-22 - Endeligt svar på spørgsmål 247: Spm. om at oversende alle dokumenter i sagen, som TV2 har fået aktindsigt i, i forbindelse med produktionen af dokumentaren 'Herlufsholms hemmeligheder', til børne- og undervisningsministeren
2588615_0291.png
til at forberede eleverne til et samfund som det danske med frihed og
folkestyre.
Styrelsen har i sin vurdering lagt vægt på, at skolen har en lang række råd,
udvalg og foreninger, som eleverne deltager i og vælges til på demokra-
tisk vis, at disse kan tage emner op til drøftelse internt eller med ledelsen,
og at de mødes med en fast mødekadence. Det gælder fx elevråd i
grundskolen og gymnasiet, fritidsudvalg, Round Square komité og for-
retningsudvalg.
Styrelsen har desuden lagt vægt på, at elevrådsformanden i gymnasiet
deltager i skolens bestyrelsesmøder.
Styrelsen har endvidere lagt vægt på, at skolen deltager i fx skolevalg og
er engageret i lokale velgørende organisationer.
Styrelsen har endelig lagt vægt på, at i en del af den undervisning, som
styrelsen så, inddrog lærerne eleverne, og eleverne deltog aktivt.
Underretninger til de sociale myndigheder
Det er styrelsens vurdering, at skolen på tilfredsstillende vis sørger for, at
skolens ansatte kender deres skærpede underretningspligt og underretter
de sociale myndigheder, når det er relevant.
Styrelsen har i vurderingen lagt vægt på, at skolen har interne procedurer
for underretninger, at skolens personale orienteres om underretningsplig-
ten på møder mv., at nyansatte orienteres ved ansættelsesstart, samt at
skolen har en række ansatte med særlige funktioner som trivselsvejleder,
sygeplejerske og Ungerådgiver, som er opmærksomme på den skærpede
underretningspligt. Ungerådgiveren har decideret til opgave at bistå og
vejlede i forbindelse med underretninger.
Hvis I har spørgsmål til ovenstående, er I velkomne til at kontakte chef-
konsulent Ditte Wenzel Pedersen på e-mail:
[email protected]
eller tele-
fon 33 92 54 66.
Med venlig hilsen
Liz Nymann Lausten
Kontorchef
6
BUU, Alm.del - 2021-22 - Endeligt svar på spørgsmål 247: Spm. om at oversende alle dokumenter i sagen, som TV2 har fået aktindsigt i, i forbindelse med produktionen af dokumentaren 'Herlufsholms hemmeligheder', til børne- og undervisningsministeren
Bilag 1.
2. Sagens faktiske omstændigheder
Styrelsen for Undervisning og Kvalitet udtog ved brev af 28. januar 2020
Herlufsholm Skole og Gods til tilsyn. Styrelsen anmodede i den forbin-
delse skolen om at indsende en redegørelse for en række forhold, bl.a.
skolens overvejelser om frihed og folkestyre-kravet, herunder elevind-
dragelse, demokratisk dannelse og kønsligestilling. Styrelsen anmodede
endvidere om en beskrivelse af, hvordan ansvar og opsyn varetages ved
spisetid, lektiecafé mv., en beskrivelse af et evt. præfektsystem eller øvri-
ge elev-til-elev aktiviteter, som fx mentorordninger. Endelig anmodede
styrelsen om en beskrivelse af arbejdet med elevernes trivsel, underret-
ninger til kommunen samt skolens samarbejde med eksterne aktører med
relevans for elevernes trivsel.
Skolens redegørelse
Styrelsen modtog skolens redegørelse den 18. februar 2020. Skolen har i
sin redegørelse for skolens værdigrundlag/mål og intentioner for daglige
praksis på skolen bl.a. redegjort for skolens vision, mission, mål og fun-
dament. Skolens fundament er erfaring, vilje, omsorg og udsyn. Det
fremgår heraf, at skolen bl.a. har fokus på nye tendenser inden for pæda-
gogik, og at omsorg, tryghed og trivsel er i højsædet. Det fremgår endvi-
dere, at skolen indgår i samarbejder nationalt og internationalt, som bl.a.
omfatter studieture, konferencedeltagelse og velgørenhedsarbejde, og at
skolen har fokus på FN’s mål for bæredygtig udvikling, bl.a. ved at blive
selvforsynende med strøm og varme og rette fokus på madspild.
Om elevgruppen fremgår det, at denne består af elever, der ønsker en
skolegang med fokus på høj faglighed og personlig udvikling, som er
understøttet af ekstraskolære tilbud.
Trivselsundersøgelser mv.
Skolen har indsendt link til trivselsundersøgelser mv.
Det fremgår bl.a. af skolens frivillige trivselsundersøgelse for grundsko-
len for 2017 – 2018, at en del elever kun er delvist enige eller delvist
uenige i udsagn som ”stemningen i min klasse er præget af forståelse og
respekt for hinanden”, ”jeg føler mig tryg på skolen”, ”jeg er generelt
glad og positiv”, ”mit humør er ikke tynget af store problemer”, ”jeg
føler, at jeg kan leve op til de krav, min uddannelse stiller mig”, ”synes
du samspillet mellem kostelever og dagelever fungerer”, ”synes du skolen
reagerer fornuftigt, hvis en elev overtræder reglerne.” Det fremgår vide-
re, at en del elever indimellem føler sig holdt uden for eller mobbet. I 6.
og. 9. klasse gælder det ca. en femtedel og i 8. klasse ca. en fjerdedel af
eleverne.
7
BUU, Alm.del - 2021-22 - Endeligt svar på spørgsmål 247: Spm. om at oversende alle dokumenter i sagen, som TV2 har fået aktindsigt i, i forbindelse med produktionen af dokumentaren 'Herlufsholms hemmeligheder', til børne- og undervisningsministeren
Det fremgår bl.a. af skolens selvevaluering for gymnasiet 2018, at elever-
ne generelt trives på skolen, men at der er en tendens til, at flere på gym-
nasiet oplever stødende bemærkninger end på andre gymnasier. Af gym-
nasiets opfølgningsplan for 2019/2020 fremgår det, at skolen har et
stærkt fokus på elevernes trivsel, idet fem ud af syv initiativer vedrører
elevtrivsel, der er en plan for iværksættelse af konkrete initiativer samt en
tidsplan herfor.
I skolens seneste undervisningsmiljøvurdering for 2020 for gymnasiet er
listet nogle udfordringer op. Det omhandler bl.a., at oplevelsen af, at
lærerne respekterer eleverne, ligger lidt under landsgennemsnittet, og at
nogle oplever at blive kaldt grimme navne, og at nogle oplever at blive
presset til noget, de ikke har lyst til, ligger over landsgennemsnittet. Det
fremgår, at skolen har udarbejdet en handleplan med konkrete initiativer
til at imødekomme disse udfordringer.
Frihed og folkestyre-kravet
For så vidt angår frihed og folkestyre-kravet, herunder elevinddragelse,
demokratisk dannelse og kønsligestilling har skolen henvist til den lokale
certificerede tilsynsførendes tre seneste tilsynsrapporter, og at det frem-
går af rapporterne, at den tilsynsførende ikke finder anledning til be-
mærkninger i forbindelse med frihed og folkestyre-kravet, herunder elev-
inddragelse, demokratisk dannelse og kønsligestilling.
Skolen har endvidere i redegørelsen anført, at den har en høj faglighed,
herunder at undervisning i grundskolen varetages af lærere med linje-
fagskompetencer i de fag, de underviser i, og at skolen har fokus på ef-
teruddannelse. Det fremgår endvidere, at skolen har en undervisnings-
evalueringsplan, der sikrer den enkelte lærers praksis i forhold til opfyl-
delse af skolens mål om trivsel, personlig udvikling og faglighed.
Endvidere fremgår af redegørelsen, at skolen har fokus på elevernes per-
sonlige udvikling gennem bl.a. aktiviteter med fokus på globalt udsyn,
bæredygtighed og social ansvarlighed. Alle klasser skal fx årligt deltage i
mindst et tværfagligt projekt, der understøtter dette.
Det anføres endvidere, at skolen støtter hver enkelt elevs trivsel, faglige
og personlige udvikling og tager særligt ansvar for kostelevernes daglig-
dag.
Elevråd og andre udvalg
Det fremgår af redegørelsen, at skolen har et elevråd for grundskolen,
hvor hver klasse har en repræsentant og en suppleant. Elevrådets arbejde
understøttes af en lærer. Elevrådet kan på eget initiativ tage emner op til
drøftelse internt og med skolens ledelse, ligesom ledelsen kan bede elev-
rådet om input til aktuelle temaer.
8
BUU, Alm.del - 2021-22 - Endeligt svar på spørgsmål 247: Spm. om at oversende alle dokumenter i sagen, som TV2 har fået aktindsigt i, i forbindelse med produktionen af dokumentaren 'Herlufsholms hemmeligheder', til børne- og undervisningsministeren
Skolen har endvidere et elevråd for gymnasiet/IB (International Bacca-
laureate) Også her har hver klasse en repræsentant og en suppleant.
Elevrådets arbejde understøttes af skolens ungevejleder. Elevrådsfor-
manden deltager i bestyrelsesmøder og udvalgte lærermøder. Elevrådet
kan på eget initiativ tage emner op til drøftelse internt og med skolens
ledelse, ligesom ledelsen kan bede elevrådet om input til aktuelle temaer.
Skolen har desuden et fritidsudvalg med en repræsentant fra hver elev-
gård, som drøfter skolens fritidstilbud i samarbejde med skolens leder af
de ekstraskolære aktiviteter.
Eleverne vælger endvidere en Round Square komité, som sammen med
skolens Round Square koordinator står for initiativer til at fremme sko-
lens og elevernes opmærksomhed på Round Square Idealer, som bl.a. er
demokratisering og miljø.
Endelig har eleverne et forretningsudvalg, der består af formand, næst-
formand og sekretær fra gymnasiets elevråd og fra Round Square komi-
téen samt formanden for fritidsudvalget, leder af de ekstraskolære aktivi-
teter, kostskoleleder og rektor. Udvalget koordinerer indsatser i de for-
skellige udvalg og skolens ledelse.
Organisering af og ansvar/opsyn med spisetid mv.
Det fremgår af redegørelsen, at der ved alle måltider er pædagogisk per-
sonale til stede. Det fremgår endvidere, at rengøring varetages af perso-
nale.
Præfektsystem eller andre elev-til-elev aktiviteter
Det fremgår af redegørelsen, at skolen efter ansøgning udnævner et antal
3.g elever til præfekter. Rektor afgør sammen med sovesalslærerne, hvem
der bliver præfekter. Præfekterne hjælper sovesalslærerne med at koordi-
nere hverdagen, vejlede de øvrige elever på den enkelte gård og sikre et
godt miljø på den enkelte gård. Eleverne kan spørge præfekterne til råds
om både skolearbejde og personlige anliggender. Skolen holder hvert år
et kursus for præfekterne i konstruktivt samspil og konfliktløsning.
Trivsel
Det fremgår, at skolen foruden studievejledere har ansat en ungerådgi-
ver, en sygeplejerske og en MiLife instruktør, som indgår i skolens triv-
selsarbejde. Skolen har endvidere et tæt samarbejde med forældre. Det
fremgår endelig, at skolen er bevidst om at sikre kønnene lige adgang til
skolens tilbud.
Underretninger
Det fremgår, at skolen inden for de seneste tre år har indsendt tre under-
retninger. Skolen har oplevet samarbejdet med de tre involverede kom-
muner som konstruktivt og inddragende.
9
BUU, Alm.del - 2021-22 - Endeligt svar på spørgsmål 247: Spm. om at oversende alle dokumenter i sagen, som TV2 har fået aktindsigt i, i forbindelse med produktionen af dokumentaren 'Herlufsholms hemmeligheder', til børne- og undervisningsministeren
2588615_0295.png
Samarbejde med eksterne
Det fremgår, at skolen for at fremme elevernes trivsel bl.a. samarbejder
med PPR, Sex og Samfund, LMS (Foreningen mod spiseforstyrrelser),
Mygind og Mygind, SSP, Girl Talk.
Anmeldt tilsynsbesøg den 10. marts 2020
Styrelsen aflagde et anmeldt tilsynsbesøg den 10. marts 2020. Styrelsen
havde et indledende møde med en del af ledelsen, hvor rektor bl.a. præ-
senterede skolen. Herefter fik styrelsen en rundtur på skolen og deltog i
morgensamling i kirken.
Møde med ledelsen
Styrelsen talte med ledelsen ved et indledende møde, et møde midt på
dagen og et afsluttende møde. På mødet midt på dagen deltog rektor,
uddannelsesleder på gymnasiet, uddannelsesleder og tovholder på præ-
fektuddannelsen, grundskoleleder samt leder af ekstraskolære aktiviteter.
Kostskolelederen, som skulle have deltaget, var syg.
Frihed og folkestyre
Styrelsen bad skolen supplere sin redegørelse med yderligere overvejelser
om, hvordan skolen arbejder med frihed- og folkestyre-kravet. Skolen
oplyste, at den er en Round Square skole, som er et netværk af skoler fra
forskellige lande som arbejder for blandt andet demokratisering i mange
lande. Der er syv elevvalgte elever i Round Square-udvalget, som mødes
hver 14. dag. Alle elever kan vælge at stille op, men elever kan også ind-
stille hinanden til at stille op. Udvalget undersøger og beslutter bl.a.,
hvilke konferencer skolen skal deltage i ud fra forskellige emner. Skolen
deltager også i Model United Nations.
Skolen har en elevudvalgsstruktur, hvor der i forskellige udvalg arbejdes
med elevinitierede emner, spændende fra fx anorexi til planlægning af
fester. Skolen nævnte bl.a. fritidsudvalget, hvor repræsentanter fra hver
elevgård, valgt demokratisk, giver input til nye aktiviteter.
Skoleledelsen oplyste, at der er religionsfrihed på skolen, og understrege-
de, at der ved morgensamlingen i skolens kirke ikke bliver bedt, men at
der læses op af biblen. Ved konfirmationer er der et alternativ til konfir-
mationsforberedelse til de elever, som ikke skal konfirmeres.
Skolen er med i skolevalg. Skolen afvikler endvidere politiske debatter i
forbindelse med valg og har også enkelte politikere ude til debat, hvor
skolen altid sikrer, at der er mindst to politikere, og at disse repræsenterer
to forskellige holdninger. I forbindelse med undervisningen i faget sam-
fundsfag besøges endvidere byrådet og Folketinget.
10
BUU, Alm.del - 2021-22 - Endeligt svar på spørgsmål 247: Spm. om at oversende alle dokumenter i sagen, som TV2 har fået aktindsigt i, i forbindelse med produktionen af dokumentaren 'Herlufsholms hemmeligheder', til børne- og undervisningsministeren
Skoleledelsen oplyste endvidere, at skolen er engageret i lokale velgøren-
de organisationer, og at skolen har en omvendt julekalender, hvor formå-
let er at give, fx ved oplæsning for blinde på et hjem i lokalområdet eller
deltage i skraldeindsamling. Derudover samler skolen via SOS-
børnebyerne ind til et hus i Botswana.
Styrelsen spurgte ind til de nye pædagogiske tendenser, som skolen i sin
redegørelse har anført, at den arbejder med. Skoleledelsen oplyste, at
dette blandt andet omfatter dialogbaseret undervisning ved Steen Bech,
elevinddragelse, og at elever opfordres til at være kritiske, deltage og selv
være aktive.
Skoleledelsen fortalte endvidere, at pre IB elever, som har gået i skole i
andre lande, ofte skal afklimatiseres og vænne sig til den danske måde at
undervise på. Blandt andet skal de lære, at selvom lærerne kaldes ved
fornavn og er smilende og venlige, så er der stadig en forventning om
seriøsitet omkring skolearbejdet.
Kønsligestilling
Styrelsen bad skolen supplere sin redegørelse med øvrige overvejelser
omkring, hvordan skolen arbejder med kønsligestilling. Skoleledelsen
oplyste, at elever i trivselsudvalget har kigget på de forskellige ikoner på
skolen, herunder fx ikoner til toiletterne, så der ikke kun er ikoner for
mand og kvinde. Skoleledelsen oplyste desuden for så vidt angår pigernes
beklædning, at der på skolen er mulighed for at bære nederdel, men ikke
pligt til det. Der er bestemte krav til beklædningen, men man kalder det
ikke en skoleuniform.
Skoleledelsen oplyste endvidere, at man oplever, at skolen tiltrækker ele-
ver med en anden kønsidentitet, og at alle elever er meget rummelige i
den henseende. En elev har skiftet juridisk køn, og der findes løsninger
fx i forhold til idræt og omklædning og lejrskoler, så der tages hensyn til
alle elever.
Skolen tager desuden hensyn til kønsligestilling og anden diversitet ved
sammensætningen af diverse udvalg og grupper og ved uddeling af lega-
ter.
Trivsel
Skolen oplyste, at hvis eleverne har problemer, så har de mulighed for at
kontakte mange forskellige voksne, som de er trygge ved, fx sygeplejer-
sken på deres eget sygehus, ungerådgiveren, sovesalslæreren eller en læ-
rer. De kan også tale med deres præfekt. På sygehuset er en ekstra sove-
sal for dem, der er syge, men man kan også få lov at sove der, hvis man
har andre problemer, fx med hjemve.
11
BUU, Alm.del - 2021-22 - Endeligt svar på spørgsmål 247: Spm. om at oversende alle dokumenter i sagen, som TV2 har fået aktindsigt i, i forbindelse med produktionen af dokumentaren 'Herlufsholms hemmeligheder', til børne- og undervisningsministeren
På det afsluttende møde med rektor, grundskoleleder og uddannelsesle-
der på gymnasiet spurgte styrelsen ind til skolens trivselsmåling fra 2018,
og hvordan skolen har fulgt op på den. Målingen havde bl.a. dårlige re-
sultater i forhold til spørgsmål vedr. ”stødende bemærkninger” og ”blive
presset til ting, man ikke har lyst til”. Skolen oplyste, at lærerne nu er
særlige opmærksomme på elevernes opførsel og på at gribe ind og sige
tydeligt fra over for stødende bemærkninger. Angående spørgsmålet om
at ”blive presset til…”, nævnte ledelsen, at der kan være et gruppepres fx
til at ryge. Et andet eksempel var udklædning til maskebal, hvor dem,
man er venner med, fx har aftalt at være udfordrende klædt, men at nog-
le elever ikke har lyst til det.
Skolen har desuden gjort mere for at integrere IB elever og stx elever
samt kostelever og dagelever, idet det bl.a. var blandt disse grupper, der
kunne være en dårlig omgangstone indbyrdes. Det har således været op-
pe i elevrådet, og der er holdt caféaftener, hvor man har inviteret hinan-
den. Endvidere sørger man for at fordele IB-elever og stx’er i gårdene.
Skolen har desuden implementeret nye tiltag for at sikre trivslen. Det
omfatter bl.a. ungerådgiver, MyLife instruktør og Coolkids instruktør.
De kommer ud i de enkelte klasser og laver arrangementer, der ikke er
bundet op på faglighed, fx spisegrupper, hvor man er hjemme og spise
hos hinanden. Skolen har endvidere oprettet et trivselsudvalg for ca.
halvandet år siden. Udvalget skal have et overblik over indsatser, og ud-
valget skal hvert år arbejde med bl.a. emnerne seksualitet, misbrug af
stoffer mv. samt selvværd.
Skolen gav udtryk for, at eleverne føler sig presset af såvel skolens for-
ventninger, som egne, forældres og samfundets forventninger.
Om præfektordning og andre elev-til elev aktiviteter
Skoleledelsen oplyste, at der er lektiecafe med opsyn for gymnasieelever-
ne, hvor 2-3 gymnasielærere deltager og er ansvarlige. Grundskoleelever
må gerne komme i lektiecafeén, hvor de også kan få hjælp af ældre ele-
ver, som skal lave frivilligt arbejde (såkaldte services). Eleverne kan end-
videre få hjælp på skolens bibliotek, hvor der er en bibliotekar hver dag
til kl. 16.
I de ekstraskolære aktiviteter er der også lektiehjælp, og eleverne hjælper
endvidere hinanden eller får hjælp af præfekterne.
Om præfekterne oplyste skoleledelsen, at de får en præfektuddannelse,
som blandt andet indeholder rollespil og metoder om kommunikation og
samspil mellem mennesker som fx neuron spejling og Marte Meo. Præ-
fekternes primære opgave er at være med til at sikre, at eleverne har det
godt. Der er 2-3 præfekter på hver gård, som alle er 3.g-ere. Adspurgt til
definitionen på en god og en dårlig præfekt oplyste ledelsen, at en god
12
BUU, Alm.del - 2021-22 - Endeligt svar på spørgsmål 247: Spm. om at oversende alle dokumenter i sagen, som TV2 har fået aktindsigt i, i forbindelse med produktionen af dokumentaren 'Herlufsholms hemmeligheder', til børne- og undervisningsministeren
2588615_0298.png
præfekt skal være omsorgsfuld, have fagligt og socialt overskud, være en
rollemodel og kunne motivere andre til deltagelse i forskellige arrange-
menter. En dårlig præfekt er vidende om elevers mistrivsel uden at gå
videre med det og er optaget af sig selv.
Skolen oplyste, at der altid er en voksen, der er ansvarlig, fx sovesalslære-
ren, og at gårdene kan fungere uden en præfekt. Mange vil gerne være
præfekter, fordi man bliver set og anerkendt og er rollemodeller samt har
mulighed for at få præfekt-uddannelsen. Som præfekt kan der være pro-
blematikker med jævnaldrende, og i uddannelsen trænes det, hvordan
man kommer ud af en situation, uden at nogen taber ansigt. Det er sjæl-
dent, at en elev stopper som præfekt, men det er sket på foranledning af
forældrene.
På det afsluttende møde med en del af ledelsen spurgte styrelsen til, om
præfekterne har særlige privilegier, og om de har sanktionsmuligheder
over for andre elever.
Skolen oplyste, at eleverne ikke har særlige privilegier, dog kommer de til
en middag med rektor, de får en udtalelse fra deres sovesalslærer til deres
CV, de går lidt senere i seng end de øvrige elever, og de kan sy et særligt
mærke på jakken.
Om sanktionsmuligheder oplyste skolen, at præfekterne ikke har sådan-
ne, udover at de kan tage en snak med de elever, de er præfekt for. Tidli-
gere havde præfekterne sanktionsmuligheder, fx kunne de sende andre
elever ud at løbe en tur eller lade dem vaske trapper.
Møde med gymnasiets elevråd
Styrelsen havde en samtale med syv elever fra gymnasiets elevråd, heraf
to piger og fem drenge
Generelt om skolen
Eleverne fortalte, at skolen både vægter det sociale og det faglige. En
elev gav udtryk for, at det er godt med en struktureret hverdag, og en
anden fortalte, at når lektielæsningen er lagt i rammer, så lærer alle. Alle
har et ansvar for sig selv, og man bliver god til at løse konflikter, for det
bliver man nødt til i det tætte fællesskab.
Kosteleverne fortalte, at det er hyggeligt med sovesale, da man så ikke
skal sove alene. Eleverne kan ønske hvilken gård, de vil bo på, men de
kan ikke selv vælge. Sovesalslæreren kan vælge at flytte rundt på, hvordan
eleverne sover på sovesalene, hvis det er nødvendigt.
Om præfekter
En elev, som selv er præfekt, fortalte, at præfekterne er til for at hjælpe
de andre elever fagligt og omgås eleverne socialt og på den måde være
13
BUU, Alm.del - 2021-22 - Endeligt svar på spørgsmål 247: Spm. om at oversende alle dokumenter i sagen, som TV2 har fået aktindsigt i, i forbindelse med produktionen af dokumentaren 'Herlufsholms hemmeligheder', til børne- og undervisningsministeren
2588615_0299.png
med til at skabe bedre trivsel. Eleverne fortalte, at der er nogle ting man
bedre kan tale med en præfekt om end med de voksne.
Om morgenen bliver kosteleverne vækket af præfekten eller sovesalslæ-
reren med musik og klokker, og ved morgenmaden og aftensmaden tjek-
ker præfekten, hvem der er kommet.
Om aftenen er det bl.a. præfektens opgave at tjekke om alle laver lektier
og fx ikke ser Netflix, medmindre en elev har "frilal" (lal betyder lektie-
læsning), hvor man ikke behøver at lave lektier, men skal sidde stille på
sit værelse. Hvis man ikke har lektier for, kan man spørge præfekten om
tilladelse til at få "frilal".
Elevrådsarbejdet
Elevrådet holder møde cirka hver 14. dag. Der er forskellige udvalg fx et
kostudvalg, beklædningsudvalg og et festudvalg. Beklædningsudvalget
kan fx komme med ideer til ændringer af reglerne for idrætstøj.
Elevrådsrepræsentanterne fortæller deres klasse om indholdet i elevrå-
dets arbejde efter elevrådsmøderne.
Elevrådsformanden fortalte, at elevrådet på Herlufsholm har ekstraordi-
nært meget indflydelse, idet elevrådsformanden deltager på skolens be-
styrelsesmøder, og rektor lytter meget til elevrådets ideer.
Arbejdet med trivsel og trivselsundersøgelsen
I forholdet mellem kostelever og dagelever er der en naturlig gruppering,
idet kostelever naturligt er tættere på hinanden end dagseleverne.
Angående arbejdet med trivselsundersøgelsen, så ser formanden, næst-
formanden og sekretæren på trivselsundersøgelsen og fremlægger rele-
vante problematikker for resten af elevrådet. I den aktuelle trivselsunder-
søgelse er en problematik ”stødende bemærkninger”, og dette forklarede
elevrådet med, at drenge, der bor sammen, godt kan udvikle et lidt hårdt
sprog, og at andre, der hører det, selvom det ikke er rettet mod dem, kan
finde det stødende. En anden problematik i den aktuelle trivselsundersø-
gelse er, at flere elever føler sig presset til at gøre ting. Elevrådet forkla-
rede, at det er særligt for Herlufsholm som en kostskole, da det sociale
pres kan være stort, og en elev kan føle gruppepres til at gøre noget, man
ikke må, fx rygning.
Styrelsen kunne konstatere, at det primært var formanden, som tog or-
det.
Møde med trivselsvejleder, ungerådgiver og sygeplejerske
Styrelsen havde en samtale med skolens trivselsvejleder, ungerådgiver og
sygeplejerske, som alle er med i skolens trivselsudvalg.
14
BUU, Alm.del - 2021-22 - Endeligt svar på spørgsmål 247: Spm. om at oversende alle dokumenter i sagen, som TV2 har fået aktindsigt i, i forbindelse med produktionen af dokumentaren 'Herlufsholms hemmeligheder', til børne- og undervisningsministeren
Ungerådgiveren er socialrådgiveruddannet. Hun er tilknyttet både grund-
skolen og gymnasiet. Hun har desuden tilsyn med elevrådet, og elevrådet
kan gå til hende med forslag mv. Der er startet et trivselsudvalg op i elev-
rådet. Ungerådgiveren deltager i det lokale SSP-samarbejde og SSP har
været inde i undervisningen i 6. -8. klasse og fortalt om bl.a. alkohol.
Ungerådgiveren har mange samtaler med elever, som har forskellige pro-
blemer. Det kan fx dreje sig om skilsmisse, seksuel orientering, identitet,
karakterræs mv. Hun henviser nogle elever videre til eksterne psykologer.
I dette skoleår har hun haft 48 elever i samtaleforløb af kortere eller læn-
gere varighed.
Trivselsvejlederen er tilknyttet grundskolen. Hun er desuden læsevejleder
og underviser elever med dysleksi. Hun har endvidere en Cool Kids ud-
dannelse. Hun har samtaler med elever om fx angst, ensomhed og identi-
tet. I dette skoleår har hun haft ca. 12 elever i samtaleforløb.
Sygeplejersken bor i den bygning, som huser skolens ”sygehus”. Elever-
ne komme også der for at snakke om problemer som nævnt af trivsels-
vejlederen og ungerådgiveren. De tre taler sammen for at finde de bedste
løsninger for de elever, der har brug for hjælp. Sygeplejersken tager sig
dog primært af kostskoleeleverne og arbejder meget sammen med sove-
salslærerne. Nogle elever har "tunge" problemer. Det er fx dem, der
kommer fra udlandet og ikke kender det danske skolesystem, og hvor
der er problemer i hjemmet med fx skilsmisse.
De tre sender nogle elever videre til ungdomspsykiatrien via læge eller
PPR. De har få elever med selvskadende adfærd som fx cutting og spise-
vægring, og de oplever ikke, at det ”smitter”. Kostskoleeleverne er gode
til at få øje på det hos deres kammerater og kommer og siger det til de
voksne.
Skolen har haft et foredrag ved Foreningen mod Selvskade for gymnasiet
og grundskolen. Skolen er endvidere ved at starte et samarbejde op med
Girl Talk, og skolen har arbejdet med teambuilding på pigegårdene.
Drengegruppen har ikke samme behov, men skolen anvender konflikt-
håndtering, hvis der er konflikter.
Der er gennemført trivselsundersøgelser for grundskolen, gymnasiet og
kostskoleeleverne. På den baggrund er der nu bl.a. fokus på digital dan-
nelse, og skolen har haft forskellige oplæg herom.
Der er udarbejdet et årshjul for trivselsudvalget, som sørger for, at man
kommer omkring bestemte emner. Skolen deltager i ”Skolernes Trivsels-
dag” og anvender bl.a. materiale fra Red Barnet om trivsel.
15
BUU, Alm.del - 2021-22 - Endeligt svar på spørgsmål 247: Spm. om at oversende alle dokumenter i sagen, som TV2 har fået aktindsigt i, i forbindelse med produktionen af dokumentaren 'Herlufsholms hemmeligheder', til børne- og undervisningsministeren
2588615_0301.png
Skolen har også et samarbejde med politiet og diskoteker med fokus på
stoffer.
Eleverne er glade for at sove på sovesale, men man kan få lov at sove på
sit værelse, hvis man har brug for det.
Det varierer fra klasse til klasse, om eleverne grupperer sig i kostelever
og daglever. Skolen prøver at blande kost- og daglever i klasserne og
generelt. Alle skal fx gå til fælles spisning og ikke på deres værelse i pau-
ser, da det er meningen, at man skal være sammen. Man må som kostelev
gerne have besøg af dagelever på kostafdelingen og også overnatte der,
ligesom der er fælles aktiviteter efter undervisningen.
Eleverne har meget høje forventninger til sig selv, og der er som på an-
dre skoler et pres fra samfundet og fra forældre om at klare sig godt.
Samtale med lærere
Styrelsen havde en samtale med seks lærere: uddannelsesvejleder, mate-
matikvejleder og læsevejleder fra grundskolen og studievejleder, formand
for pædagogisk råd og tillidsrepræsentant fra gymnasiet.
Om deres overvejelser for så vidt angår frihed og folkestyre-kravet og
hvordan de inddrager det i undervisningen, oplyste lærerne, at de natur-
ligvis underviser i emner, der er relevante for frihed og folkestyre-kravet,
da det ligger i bekendtgørelsen. Det omhandler fx i samfundsfag styre-
former, grundlovens frihedsrettigheder og domstolssystemet. Det samme
gælder i historie, hvor emner som national identitet blev nævnt. I religion
blev nævnt, at der undervises i mange religioner, og at man lige har haft
forløb om islam. Endvidere blev nævnt den måde, der arbejdes på, hvor
man som lærer bl.a. skal være lydhør over for eleverne.
Fra lærerne i grundskolen blev nævnt, at man fx inddrager eleverne i,
hvad der kunne være spændende at arbejde med, for faget tysk blev
nævnt, at hele den tyske historie er relevant for frihed og folkestyre-
kravet, og at faget dansk grundlæggende handler om dannelse gennem
arbejdet med tekster. Endvidere blev nævnt kritisk kildesøgning og krea-
tive produkter om verdensmålene.
Lærerne oplyste, at der er meget gruppearbejde på skolen. Det er forskel-
ligt, hvordan grupper laves, men det er som oftest lærerne, der sammen-
sætter grupperne i grundskolen. Lærerne oplyste endvidere, at eleverne i
gymnasiet generelt er lidt mere skeptiske over for gruppearbejde, idet
eleverne føler, at de får mere ud af undervisningen, hvis det forgår i ple-
num. En lærer tilføjede, at dette kan hænge sammen med det præstati-
onsfokus, som er iblandt eleverne, herunder at nogle i højere grad ønsker
at blive hørt og set af læreren.
16
BUU, Alm.del - 2021-22 - Endeligt svar på spørgsmål 247: Spm. om at oversende alle dokumenter i sagen, som TV2 har fået aktindsigt i, i forbindelse med produktionen af dokumentaren 'Herlufsholms hemmeligheder', til børne- og undervisningsministeren
2588615_0302.png
Lærerne oplyste endvidere, at eleverne i gymnasiet evaluerer undervis-
ningen to gange årligt, hvor eleverne giver udtryk for forskellige emner,
som de ønsker forbedret. Eleverne evaluerer også efter enkeltstående
forløb.
Lærerne i grundskolen oplyste, at det kan være svært for eleverne fra
udlandet (særligt IB elever) at forstå det danske skolesystem, fordi det er
mere ”loose” i Danmark, selvom det ikke er specielt ”loose” på skolen. I
6. – 7. klasse skal eleverne lære at give respons, have en mening, og det
er nyt for elever fra udlandet.
Adspurgt om trivselsundersøgelserne oplyste lærerne, at de drøftes på
elevrådsmøder og lærerrådsmøder. Lærerne får resultaterne, og de gav
udtryk for, at man håndterer eventuelle problemer i de enkelte klasser.
De nævnte, at der havde været noget med trivsel mellem kost- og dag-
elever. De oplyste, som også oplyst af trivselsvejleder m.fl. at der bl.a. er
fulgt op med, at kosteleverne ikke må gå på deres værelse i pauserne, idet
meningen er, at man skal være sammen med de andre elever, og at man
fylder op ved bordene til spisning, så man sætter sig på den første ledige
plads, så man ikke kan grupperer sig.
Adspurgt om hvordan lærerne arbejder med kønsligestilling, fortalte en
af lærerne om en klasse med nogle meget urolige drenge, som især de
stille piger kunne føle sig presset af, og derfor laver læreren grupperne, så
der tages hensyn hertil. I en anden klasse, var det drengene, der trak det
faglige læs, og der havde læreren også lavet grupper, så de andre elever
fik plads.
En anden lærer fortalte, at det er naturligt at arbejde med kønsligestilling
i dansk, når man arbejder med kvinder i litteraturen og kvinder gennem
tiden. I samfundsfag er det også et emne, man diskuterer.
I idræt er der både forløb, hvor kønnene er blandede og opdelte.
Styrelsen spurgte, om præfektordningen har betydning i undervisningen.
Lærerne oplyste, at det har den ikke, for præfekterne er først og frem-
mest præfekter for nogen, der er yngre end dem selv. De yngre bruger
præfekterne som rollemodeller.
Adspurgt om eleverne kommer til lærerne med trivselsproblemer, oplyste
gymnasielærerne, at eleverne mere går til sovesalslærerne og studievejle-
deren, og at eleverne i høj grad selv prøver at håndtere det, så lærerne
opdager ikke altid konflikter på tværs af klasser. Grundskolelærerne nik-
kede til, at eleverne kommer til dem.
Møde med præfekter
Styrelsen havde møde med fire præfekter, heraf to kvinder og to mænd,
alle fra 3. g.
17
BUU, Alm.del - 2021-22 - Endeligt svar på spørgsmål 247: Spm. om at oversende alle dokumenter i sagen, som TV2 har fået aktindsigt i, i forbindelse med produktionen af dokumentaren 'Herlufsholms hemmeligheder', til børne- og undervisningsministeren
Styrelsen spurgte, hvordan man bliver præfekt. Præfekterne oplyste, at
man udfærdiger en skriftlig ansøgning om sine kompetencer. Man skal
have gode karakterer, for at man kan holde det faglige niveau, samtidig
med at man bruger tid på præfektopgaver. Det er vigtigt, at man som
person er åben, imødekommende, positiv og har socialt og fagligt ove-
skud. Ansøgninger drøftes af sovesalslærerne, og herefter kommer de
udvalgte mulige kandidater til en samtale med rektor. Langt de fleste
søger om at blive præfekt. Man kan først blive præfekt i 3. g. mod tidlige-
re, hvor man kunne blive det i 2. g. Man kan ikke være præfekt for
3.g’ere længere. Nogle af dem, der ikke bliver præfekter, reagerer negativt
i forhold til dem, der bliver præfekter, og vælger fx ikke længere at ville
være venner med dem, der er præfekter.
Adspurgt om præfekternes opgaver, oplyste præfekterne, at deres vigtig-
ste opgave er det sociale. De skal hjælpe med, at der ikke opstår spæn-
dinger mellem elever, lægge mærke til om elever trives og gøre sovesals-
læren opmærksom på elever, der ikke har det godt. Præfekterne bor
sammen med de elever, de er præfekt for. Præfekterne beskrev sovesals-
læren som en slags forælder og præfekten som en slags storebror eller
storesøster.
Præfekterne har også til opgave at gå rundt til eleverne på deres værelser,
når de skal læse lektier, og høre, hvordan dagen er gået. Præfekterne kan
sige til eleverne, at de skal lave lektier, gøre rent eller rede seng, hvis de
ikke har gjort det af sig selv. Hvis eleverne ikke gør det, kan præfekterne
gentage det og fx sige, at eleven må stramme op, ”at det skal vi her,” eller
at præfekten må gå til sovesalslæren.
Præfekterne gennemgår syv kurser med uddannelseslederen og tovholde-
ren for præfektuddannelsen, inden de starter op som præfekter.
Et kursus havde handlet om personlighedstyper, herunder hvordan man
håndterer forskellige personlighedstyper samt et kursus om balancen
mellem at være elev og være præfekt.
Adspurgt om det gode ved at være præfekt oplyste præfekterne, at det er
rart at hjælpe andre, godt at se eleverne vokse, rart at påvirke andre på en
positiv måde, at man som præfekt selv udvikler sig, at det er rart at have
som mål at være en god præfekt, hvis man selv har haft en dårlig præfekt.
Præfekterne oplyste, at skolen har fjernet meget af den autoritet og de
redskaber, som præfekter havde tidligere. Fx nævnte de ”tidlig seng-
ning,” hvor præfekterne kunne sende elever tidligt i seng. De oplyste
dog, at præfekterne i forhold til de yngre elever godt kan give dem en
advarsel, hvis de fx larmer, og hvis det ikke virker, så sende dem ind på
deres værelse eller lade dem ordne køkkenet om aftenen.
18
BUU, Alm.del - 2021-22 - Endeligt svar på spørgsmål 247: Spm. om at oversende alle dokumenter i sagen, som TV2 har fået aktindsigt i, i forbindelse med produktionen af dokumentaren 'Herlufsholms hemmeligheder', til børne- og undervisningsministeren
2588615_0304.png
Styrelsen spurgte, hvordan eleverne modtager det, og præfekterne svare-
de, at når man vælger at gå på skolen, så accepterer man det bare.
Adspurgt til eventuelle privilegier ved at være præfekt, oplyste præfekter-
ne, at præfekterne ikke skal ordne køkken, ikke skal hente kl. fem-mad,
ikke selv skal aflevere linned til vask, må gå en halv time senere i seng,
kan få et særligt mærke syet på jakken, kommer til en lækker middag med
rektor og får uddannelsen på syv kurser.
Præfekterne oplyste endvidere, at der er et særligt fortov på skolen, som
kun 3.g’ere og lærere må bruge.
Observation af undervisning i grundskolen
Styrelsen observerede undervisning i matematik i to 6. klasser. I den ene
klasse lavede eleverne færdighedsregning i deres hæfter, og i den anden
klasse arbejdede de med træningsopgaver fra matematikbogen Colorit 6.
klasse. Eleverne arbejdede individuelt. I den ene klasse gik elever, der
havde brug for hjælp op til læreren ved katederet, og i den anden klasse
gik læreren rundt og hjalp. Styrelsen så herefter ekstramatematik. Elever-
ne lavede færdighedsregning i deres hæfter. Eleverne arbejdede individu-
elt, og læreren gik rundt og hjalp.
Eleverne på alle tre hold sad blandede drenge og piger. Der var helt stille
på alle tre hold. Der var plakater fra Trygfonden om mobning i et af
lokalerne. Udenfor på gangen var to skilte, hvor der stod ”drengesko” og
”pigesko”.
Styrelsen talte kort med den ene lærer, som er uddannet matematikvejle-
der. Hun fortalte, at skolen er i gang med at styrke indsatsen for elever
med faglige vanskeligheder i matematik. Derudover fortalte hun, at ma-
tematiklærerne på 6. årgang er i gang med at lave en oversigt over emner,
der skal gennemgås i 6. klasse. Det er forholdsvis nyt for lærerne, at de
sparrer med og er åbne over for hinanden, men de er ved at vænne sig til
det og blive glade for det.
Herefter observerede styrelsen dansk i 7. klasse. Klassen var ved at se en
kortfilm og i gang med en samlet snak om filmen. Læreren stillede ele-
verne spørgsmål, og eleverne svarede ved håndsoprækning. Undervis-
ningen var lærerstyret, og der blev stillet mange ja/nej spørgsmål, fx ”Er
han en god far?” ”Er moren en god mor?”. Eleverne kom med korte
svar. Der var elevproducerede plakater på væggen om ”fred i verden”,
”kvinder er ikke en vare”, ”stop racism” mv. Der var også en plakat fra
Trygfonden om mobning.
Styrelsen observerede krea i 8. klasse, som den dag primært var billed-
kunst. Eleverne skulle male Tingatinga (afrikansk billedstil) på en male-
plade. Eleverne arbejdede ud fra en blyantskitse, de selv havde lavet. På
19
BUU, Alm.del - 2021-22 - Endeligt svar på spørgsmål 247: Spm. om at oversende alle dokumenter i sagen, som TV2 har fået aktindsigt i, i forbindelse med produktionen af dokumentaren 'Herlufsholms hemmeligheder', til børne- og undervisningsministeren
2588615_0305.png
lokalets Active Board var der en beskrivelse af, hvad klassen skulle lave
og hvilke materialer, de skulle bruge. Der var 18 elever som sad ved fire
gruppeborde blandet drenge og piger. Der var en afslappet stemning, og
der blev spillet musik fra lokalets Activeboard. Alle elever var optaget af
arbejdet med at male.
Undervisningen foregik i billedkunstlokalet. Der var produkter fra tidli-
gere undervisning, blandt andet nogle ”frihedsugler”, som en 8. klasse
havde lavet.
Observation af undervisning i gymnasiet
Styrelsen observerede historie i 3. g, hvor eleverne arbejdede med den
kolde krig. Der var tavleundervisning med inddragelse af eleverne, hvor-
af en stor andel af både drenge og piger deltog meget aktivt i undervis-
ningen. Læreren havde ligeledes klassen i dansk og koblede de to fag
med perspektivering til tidligere gennemgåede emner. Der var i alt ca. 15-
20 elever; drenge på de tre første rækker og fem piger på bagerste række.
Styrelsen observerede herefter matematik i 2. g. Eleverne var i gang med
tavleundervisning om "harmoniske svingninger " med løbende inddra-
gelse af eleverne. Enkelte elever deltog aktivt og svarede på spørgsmål,
som læreren stillede. Læreren gav herefter eleverne en opgave, som ele-
verne arbejdede med individuelt. Der var 19 elever i alt, heraf tre piger
og resten drenge.
Styrelsen observerede efterfølgende idræt i 3. g. Eleverne spillede et
boldspil i hold, og nogle sad på siden og observerede de andre. Under-
vejs stoppede læreren spillet og opfordrede eleverne til at ændre taktik på
deres hold, herunder fx at drengene skulle spille noget mere til pigerne.
Det var et stort hold med en jævn fordeling af drenge og piger. Under-
visningen foregik i en stor idrætshal.
Observation af morgensang og spisepauser
Morgensamlingen foregik i kirken. Klasserne har faste pladser i kirken.
Eleverne myldrede ind og snakkede. Da rektor kom ind, blev der ro.
Rektor sagde lidt om Little Tuesday og Corona. Derefter sang de en sang
om Herlufsholm, og der blev sluttet af med, at en elev læste Fader Vor.
Ved frokosten for grundskoleeleverne havde en lærer opsyn med elever-
ne. Normalt er der to lærere, der har opsyn. Eleverne tog mad fra buffe-
ten, og ledelsen oplyste, at lærere og køkkenpersonale holder øje med,
om eleverne får nok på tallerkenen, og de kan på den måde opdage, om
der er elever, der evt. har spiseforstyrrelser.
Eleverne sad i to sale klassevis. 6., 8. og 10. sad i en sal og 7. og 9. i en
anden sal for at få aldersspredning. Eleverne skulle fylde op ved bordene,
så man sætter sig på den næste ledige plads for at undgå grupperinger.
20
BUU, Alm.del - 2021-22 - Endeligt svar på spørgsmål 247: Spm. om at oversende alle dokumenter i sagen, som TV2 har fået aktindsigt i, i forbindelse med produktionen af dokumentaren 'Herlufsholms hemmeligheder', til børne- og undervisningsministeren
2588615_0306.png
Eleverne snakkede og grinede, mens de spiste.
Nogle af pigerne havde jeans på, hvilket ikke er en del af skolebeklæd-
ningen, og da de gik forbi grundskolelederen på vej ud af salen, blev de
venligt bedt om at gå op på deres værelse og skifte bukser.
Ved frokosten for gymnasieeleverne havde to lærere opsyn med elever-
ne. Den ene lærer gik løbende til og fra sin egen plads for at være blandt
eleverne under frokosten.
Læreren oplyste, at eleverne til frokost sætter sig der, hvor de har lyst,
men at der for kosteleverne er faste pladser til morgen og aften. Det er
kostskolelederen, som sammensætter eleverne ved bordene ud fra for-
skellige kriterier. Der skal bl.a. sidde en præfekt ved hvert bord.
Læreren har det overordnede ansvar for opsyn med eleverne under fro-
kosten, men derudover kan præfekterne ligeledes bidrage til at sikre god
ro og orden ved måltidet.
Observation af studiecafé og ekstraskolære aktiviteter
Styrelsen havde et møde med den lærer, der er ansvarlig for de ekstrasko-
lære aktiviteter samt en elev. De oplyste, at alle elever skal tilmelde sig et
antal forskellige aktiviteter.
De oplyste desuden, at elever på Herlufsholm er en del af ”The Duke of
Edinburghs Award”. Målet er, at alle elever ved afslutningen af 9. klasse
skal opnå bronze ud fra award-systemet. Eleverne skal bl.a. for at opnå
en award deltage i forskellige aktiviteter fx i frivilligt arbejde og sport.
Der indgår også en ekspedition, som på Herlufsholm er en overlevelses-
tur til Sverige i starten af 9. klasse. Det blev oplyst, at nogle elever ople-
ver turen som grænseoverskridende, men man skal gennemføre den.
Turen er 15 km med oppakning. Eleverne kan vælge at fortsætte til guld,
hvor guldturen omfatter en tre dages overlevelsestur. Guldturen er 80
km. Lærerne er under turen ca. en km fra eleverne, så de kan træde til,
hvis der sker noget. Man skal være 16 år for at begynde på Guld, og så
kan man måske nå at være færdig, når man er 18 år.
Skolen er desuden ved at udvikle ”Herlufsholms Udmærkelsen”, hvor
eleverne skal sætte sig et mål i 1. g. og bruge mindst 75 timer på at opnå
dette mål. Målet skal være nået inden 2. g. og kan fx være frivilligt arbej-
de, udgive en digtsamling mv.
Elever, der dimitterer fra Herlufsholm, får en portefolio med de ekstra-
skolære aktiviteter, de har deltaget i.
21
BUU, Alm.del - 2021-22 - Endeligt svar på spørgsmål 247: Spm. om at oversende alle dokumenter i sagen, som TV2 har fået aktindsigt i, i forbindelse med produktionen af dokumentaren 'Herlufsholms hemmeligheder', til børne- og undervisningsministeren
2588615_0307.png
Efter mødet fik styrelsen en hurtig rundvisning i forskellige klasselokaler,
hvor der blev givet lektiehjælp, og i hallen, i e-sportslokalet og i krea-
lokalet, hvor der var ekstraskolære aktiviteter. Lærere forestod alle steder
de forskellige aktiviteter.
Styrelsens egne undersøgelser
Styrelsen har den 22. april 2020 gennemgået skolens skolehåndbog. Det
fremgår heraf bl.a., at skolen afholder et såkaldt årligt ”blebal” for 6. – 7.
årgang.
Det fremgår desuden, at hår kun må farves i naturlige farver, at piercin-
ger og andre eksperimenterende udtryk ikke er tilladt, og at man ikke må
bære sminke i 6. og 7. klasse.
Endelig fremgår, at der er en bordholder ved to af dagens måltider, som
skal sikre en god atmosfære og bordskik. Det fremgår endvidere, at det
er en selvfølge, at man retter sig efter en henstilling eller en påtale fra
bordholderen.
Styrelsen har endvidere gennemgået skolens beklædningsregler. Det
fremgår bl.a. af beklædningsregler for pigerne, at pigernes nederdele ikke
må være kortere end 10 cm. over knæene. Endvidere fremgår, at skjorter
uden ærmer ikke må benyttes alene, men kun under pullover.
Piger i 3.g. kan vælge at gå i hvide benklæder eller hvid nederdel og dren-
ge i 3. g. kan vælge at gå i hvide benklæder. Øvrige elever må kun gå i
gråt eller mørkeblåt tøj.
Styrelsens anmodning om supplerende oplysninger af 23. april 2020.
Styrelsen anmodede den 23. april 2020 skolen om supplerende oplysnin-
ger vedrørende underretninger til de sociale myndigheder, præfektord-
ningen, beklædningsregler mv.
Skolens redegørelse af 30. april 2020
Skolen fremsendte sit svar på styrelsens anmodning den 30. april 2020.
Underretninger
Det fremgår af skolens svar, at skolen har en skriftlig procedure for un-
derretninger til de sociale myndigheder, som findes på skolens intranet.
Det indgår desuden i funktionsbeskrivelsen for skolens Ungerådgiver, at
denne funktion skal bistå og vejlede i forbindelse med underretninger.
Det samlede pædagogiske personale er orienteret herom mundtligt på
møder.
Det fremgår desuden, at skolen, for at sikre at alle skolens medarbejdere
kender deres skærpede underretningspligt, hvert år ved skoleårets start
afholder et velkomstmøde for nyansatte lærere, hvor den skærpede un-
22
BUU, Alm.del - 2021-22 - Endeligt svar på spørgsmål 247: Spm. om at oversende alle dokumenter i sagen, som TV2 har fået aktindsigt i, i forbindelse med produktionen af dokumentaren 'Herlufsholms hemmeligheder', til børne- og undervisningsministeren
derretningspligt er et orienteringspunkt. Skolen har endvidere ved flere
lejligheder tydeligt italesat, at det forventes, at alle medarbejdere på sko-
len holder sig ajour med gældende lovstof for området. Aktuelt er fire
medarbejdere tilmeldt kurset ”Omsorgssvigt, vold og underretning” ud-
budt af LIVA kurser.
Præfektordningen
Skolen har i sit svar oplyst, at præfekterne oplever deres kammerater i
mange situationer, herunder elever, der kan have en dårlig dag, og at det
for nogle elever kan være rart at tale med præfekten om problemet – og
en del elever fortæller, at præfekter har været en hjælp.
I situationer med manglende trivsel forventer skolen, at præfekten orien-
terer sovesalslæreren. Det er ikke præfekters opgave at håndtere mistriv-
sel hos en elev. Ansvaret for at have tæt kontakt med eleverne og handle
i tilfælde af mistrivsel ligger hos de pædagogisk faglige medarbejdere –
for kostelevernes vedkommende vil det oftest være den sovesalslærer,
der er ansvarlig for eleverne på den enkelte elevgård. Desuden henviser
skolen i sit svar til ungerådgiveren og sygeplejersken på kostskolen, hvis
primære arbejdsopgaver er trivsel.
Endelig har skolen oplyst, at der tidligere i præfektsystemet har været
eksempler på, at præfekter mente at skulle klare en sag på egen hånd,
men det er et omdrejningspunkt i præfektkurserne og elevgårdenes hver-
dag at understrege, at præfekterne ikke har pædagogisk tilsyn og hand-
lingskompetence
Af skolens svar fremgår, at skolen fik ny rektor i november 1993, hvoref-
ter præfekternes sanktionsmuligheder, som fx at sende elever på en løbe-
tur, blev afskaffet fra skoleåret 1994/95.
Styrelsen anmodende i sit brev af 23. april 2020 om skolens bemærknin-
ger til en række oplysninger fra præfekterne og til dels fra elevrådet. Det
gjaldt oplysninger om præfekternes opgaver, herunder at præfekten tjek-
ker, hvem der er kommet til morgenmaden og aftensmaden, at det om
aftenen bl.a. er præfektens opgave at tjekke, om alle laver lektier, og at
præfekten kan give tilladelse til ”frilal”, hvis en elev ikke har lektier for.
For så vidt angår sanktionsmuligheder anmodede styrelsen om skolens
bemærkninger til, at præfekterne ifølge dem selv kan sige til eleverne, at
de skal lave lektier, gøre rent eller rede seng, hvis de ikke har gjort det af
sig selv, og at præfekterne i forhold til de yngre elever kan give dem en
advarsel, hvis de fx larmer, og hvis det ikke virker, så sende dem ind på
deres værelse eller lade dem ordne køkkenet om aftenen.
Skolen har i sit svar oplyst, at de opgaver og beføjelser, som styrelsen har
henvist til i sit brev af 23. april 2020, ikke er korrekte, men er en del af
23
BUU, Alm.del - 2021-22 - Endeligt svar på spørgsmål 247: Spm. om at oversende alle dokumenter i sagen, som TV2 har fået aktindsigt i, i forbindelse med produktionen af dokumentaren 'Herlufsholms hemmeligheder', til børne- og undervisningsministeren
det pædagogiske tilsyn med skolearbejde, trivsel mv, som ligger hos so-
vesalslæreren.
Skolen har endvidere oplyst, at præfekternes funktion er at være op-
mærksomme på elevgårdens trivsel og inkluderende i forhold til alle
elevgrupper. Det fremgår af skolens svar, at skolen har arbejdet meget
med at ændre og udvikle præfektrollen i erkendelse af, at præfekterne
tidligere deltog i opgaver, der alene ligger hos skolens pædagogiske med-
arbejdere. Præfekternes opgave er at være gode kammerater og rollemo-
deller for trivsel og inklusion, men skolen vil nu følge op på de mod-
stridende oplysninger, som styrelsen har modtaget og dermed diskutere
eventuel uklarhed og sikre ensartethed.
Styrelsen har i sit brev desuden anmodet skolen om at redegøre for sine
overvejelser om, hvordan skolens beklædningsregler spiller sammen med
kønsligestilling og ønsker om beklædning, der udspringer af religiøs
overbevisning.
Skolen har i sit svar oplyst, at den trods den ensartethed, der ligger i sko-
lebeklædningen, har været i stand til at tage individuelle hensyn, når det
var nødvendigt. Skolen har det sidste halve år arbejdet på en revision af
skolebeklædningen, der vil tage højde for kønsligestilling.
Skolen har endvidere oplyst, at den traditionelt har haft mange forskelli-
ge trosretninger i elevgruppen og ikke har oplevet, at skolebeklædningen
støder imod forskellige former for religiøs overbevisning.
Styrelsen har endvidere anmodet om skolens bemærkninger til de oplys-
ninger, styrelsen modtog på sit tilsynsbesøg om et særligt fortov på sko-
len, som kun 3.g’ere og lærere må bruge. Skolen har hertil oplyst, at
det er korrekt, at der på skolens område er et fortov, der i elevernes be-
vidsthed kun må benyttes af 3.g, men at skolen har arbejdet meget med
denne fejlopfattelse med både dialog og påbud, og at skolen fortsat er
meget opmærksom på løbende at bearbejde elevernes holdning.
Endelig har styrelsen anmodet om oplysning, om hvorvidt den ”bord-
holder”, der omtales i skolens skolehåndbog, som skal sikre en god at-
mosfære og bordskik, er en lærer eller en elev.
Skolen har i sit svar oplyst, at bordholderne er præfekterne, og at de
har en vigtig funktion ved at være med til at skabe et fællesskab omkring
spisningen, herunder have blik for at inddrage alle i samtalen og i det
hele taget sikre en god og inkluderende atmosfære. Det fremgår endvide-
re af skolens svar, at problemer i spisesalene er få og små og påhviler ved
alle måltider de tilsynsførende lærere.
Fremsendelse af tilsynserklæring
24
BUU, Alm.del - 2021-22 - Endeligt svar på spørgsmål 247: Spm. om at oversende alle dokumenter i sagen, som TV2 har fået aktindsigt i, i forbindelse med produktionen af dokumentaren 'Herlufsholms hemmeligheder', til børne- og undervisningsministeren
2588615_0310.png
Skolen fremsendte den 18. juni 2020 skolens tilsynserklæring for skole-
året 2019/2020.
Sammenligning med landsdækkende trivselsmålinger
Styrelsen har undersøgt resultaterne af skolens trivsels- og undervis-
ningsmiljømålinger i forhold til landsgennemsnittet.
For så vidt angår undervisningsmiljøvurderingen i gymnasiet er tallene
direkte sammenlignelige med landsgennemsnittet. Styrelsen kan i den
forbindelse fx konstatere, at 15 % af eleverne på Herlufsholm i 2018 på
spørgsmål om at blive kaldt grimme navne, gjort nar af eller drillet på en
anden sårende måde har svaret meget tit, tit eller engang imellem, mens
det tilsvarende tal på landsplan er 7 %.
For så vidt angår fx spørgsmålet om at blive presset til at gøre ting, som
man ikke har lyst til at gøre, har 18 % af eleverne på Herlufsholm svaret
meget tit, tit eller engang imellem, mens det tilsvarende tal på landsplan
er 11 %.
Styrelsen kan endvidere konstatere, at i forhold til den nationale gymna-
siale trivselsmåling befinder Herlufsholm Skole og Gods sig blandt de 10
pct. laveste på landsplan med hensyn til to (pres og bekymringer og
mobning) af de fem differentierede indikatorer for trivsel i henhold til
trivselsdata fra 2018.
Styrelsen bemærker endvidere, at Herlufsholm på det foreliggende
grundlag fortsat befinder sig blandt de 10 pct. laveste på landsplan i den
seneste gymnasiale trivselsmåling fra 2019 med hensyn til indikatoren
mobning.
På grundskoleområdet, er de fleste af skolens resultater ikke direkte
sammenlignelige med landsdækkende data for folkeskolen, da spørgsmå-
lene ikke er de samme. Styrelsen kan dog fx konstatere, at en femtedel af
eleverne i 6. og 9. klasse og en fjerdedel i 8. klasse på Herlufsholm ifølge
trivselsundersøgelsen for 2017/2018 indimellem følte sig holdt udenfor
eller mobbet. Det gjaldt for 8,5 % af eleverne i folkeskolen på 4. - 9.
klasse i samme skoleår, at de meget tit, tit eller engang imellem følte sig
mobbet.
Gennemgang af skolens hjemmeside
Styrelsen har gennemgået skolens hjemmeside den 9. juni 2020. Det
fremgår heraf, at skolen i februar 2020 har gennemført en undervis-
ningsmiljøvurdering af det fysiske og æstetiske undervisningsmiljø og
udarbejdet en opfølgende handleplan.
Det fremgår endvidere, at skolen har udarbejdet en antimobbestrategi.
25
BUU, Alm.del - 2021-22 - Endeligt svar på spørgsmål 247: Spm. om at oversende alle dokumenter i sagen, som TV2 har fået aktindsigt i, i forbindelse med produktionen af dokumentaren 'Herlufsholms hemmeligheder', til børne- og undervisningsministeren
26
BUU, Alm.del - 2021-22 - Endeligt svar på spørgsmål 247: Spm. om at oversende alle dokumenter i sagen, som TV2 har fået aktindsigt i, i forbindelse med produktionen af dokumentaren 'Herlufsholms hemmeligheder', til børne- og undervisningsministeren
2588615_0312.png
Bilag 2.
Relevant retsgrundlag
- Lov om friskoler og private grundskoler m.v., jf. lovbekendtgørelse nr.
816 af 14. august 2019 (friskoleloven).
- Lov om private institutioner for gymnasiale uddannelser, jf. lovbe-
kendtgørelse nr. 3. af 6. januar 2020.
- Lov om social service, jf. lovbekendtgørelse nr. 798 af 7. august 2019
(serviceloven)
- Bekendtgørelse nr. 1466 af 16. december 2010 om underretningspligt
over for kommunen efter lov om social service.
- Bekendtgørelse af lov om elevers og studerendes undervisningsmiljø, jf.
lovbekendtgørelse nr. 316 af 5. april 2017 (undervisningsmiljøloven)
Relevante indholdsbestemmelser m.v.
Frihed og folkestyre-kravet
Friskolelovens § 1, stk. 2, 2. pkt.:
”Stk.
2.
Skolerne skal efter deres formål og i hele deres virke forberede eleverne til at
leve i et samfund som det danske med frihed og folkestyre samt udvikle og styrke ele-
vernes demokratiske dannelse og deres kendskab til og respekt for grundlæggende
friheds- og menneskerettigheder, herunder ligestilling mellem kønnene.”
Lov om private institutioner for gymnasiale uddannelsers § 1 a:
1 a.
Skolen eller kurset skal efter sit formål og hele sit virke forberede eleverne eller
kursisterne til at leve i et samfund som det danske med frihed og folkestyre samt udvik-
le og styrke elevernes eller kursisternes demokratiske dannelse og deres kendskab til og
respekt for grundlæggende friheds- og menneskerettigheder, herunder ligestilling mel-
lem kønnene."
Elevråd
Friskolelovens § 1, stk. 6:
”Stk.
6.
Skolens elever har ret til efter egen bestemmelse at danne elevråd eller på anden
demokratisk måde varetage deres fælles interesser vedrørende skolen, og skolens leder
er forpligtet til at opfordre dem hertil, hvis de ikke benytter denne ret. Skolens leder
kan opfordre eleverne til at vælge en bestemt demokratisk måde, som stemmer overens
med skolens overbevisning, men skal med passende mellemrum tage op med eleverne,
hvilken demokratisk måde de ønsker.”
Lov om private institutioner for gymnasiale uddannelsers § 7, 1. pkt.:
7.
Ved hver skole og kursus har eleverne henholdsvis kursisterne ret til at danne et
elevråd henholdsvis et kursistråd."
Servicelovens § 153:
”§
153.
Personer, der udøver offentlig tjeneste eller offentligt hverv, skal underrette
kommunalbestyrelsen, hvis de under udøvelsen af tjenesten eller hvervet får kendskab
til eller grund til at antage,
27
BUU, Alm.del - 2021-22 - Endeligt svar på spørgsmål 247: Spm. om at oversende alle dokumenter i sagen, som TV2 har fået aktindsigt i, i forbindelse med produktionen af dokumentaren 'Herlufsholms hemmeligheder', til børne- og undervisningsministeren
2588615_0313.png
1) at et barn eller en ung under 18 år kan have behov for særlig støtte,
2) at et barn umiddelbart efter fødslen kan få behov for særlig støtte på grund af de
vordende forældres forhold,
3) at et barn eller en ung under 18 år kan have behov for særlig støtte på grund af
barnets eller den unges ulovlige skolefravær eller undladelse af at opfylde undervis-
ningspligten, eller
4) at et barn eller en ung under 18 år har været udsat for overgreb.
Stk. 2.
Skoleledere på folkeskoler skal underrette kommunalbestyrelsen, når en elev har
ulovligt skolefravær på 15 pct. eller derover inden for et kvartal.
Stk. 3.
Børne- og socialministeren kan fastsætte regler om underretningspligt for andre
grupper af personer, der under udøvelsen af deres erhverv får kendskab til forhold eller
grund til at antage, at der foreligger forhold, som bevirker, at der kan være anledning til
foranstaltninger efter denne lov. Børne- og socialministeren kan endvidere fastsætte
regler om, at andre grupper af personer har underretningspligt efter stk. 1, nr. 2, i for-
bindelse med aktiviteter uafhængigt af deres erhverv.”
Bekendtgørelse om underretningspligt over for kommunen efter lov om
social service
§ 1, stk. 1, nr. 2, og stk. 2:
"Følgende personer har underretningspligt over for kommunen efter stk. 2:
2) ansatte ved frie grundskoler og frie kostskoler,
Stk. 2.
Underretningspligten foreligger, når personerne under udøvelsen af deres er-
hverv får kendskab til eller grund til at antage,
1) at et barn eller en ung under 18 år kan have behov for særlig støtte efter service-
lovens kapitel 11,
2) at et barn umiddelbart efter fødslen kan få behov for særlig støtte efter servicelo-
vens kapitel 11 på grund af de vordende forældres forhold, eller
3) at et barn eller en ung under 18 år har været udsat for vold eller andre overgreb.”
Undervisningsmiljøloven
§
6:
”§ 6:
Uddannelsesstedets ledelse sørger for, at der udarbejdes en skriftlig undervis-
ningsmiljøvurdering af sikkerheds- og sundhedsforholdene samt forholdene vedrørende
det psykiske og æstetiske miljø på uddannelsesstedet.”
3.2 Relevante tilsynsbestemmelser
Friskolelovens § 9 f, stk. 1:
”§
9 f.
Børne- og undervisningsministeren fører tilsyn med, at frie grundskoler over-
holder § 1, stk. 2, § 1 a og § 2, stk. 3, 1. pkt.”
Friskolelovens § 20 b, stk. 2, 1. pkt.:
”Stk.
2.
Børne- og undervisningsministeren kan indhente alle oplysninger fra skolerne,
herunder ved skolebesøg, om uddannelserne, eleverne, personalet, udstyret, huslejeafta-
ler, aftaler om ejendomskøb og andre aftaler og om skolernes drift i øvrigt og om besty-
relsens medlemmer, jf. § 5, stk. 8 og 9, til brug for fastlæggelse af tilskud, gennemgang
af årsrapporter, gennemførelse af tilsyn og udarbejdelse af statistik.”
Lov om private institutioner for gymnasiale uddannelsers § 24, stk. 1:
24.
Børne- og undervisningsministeren fører tilsyn med, at skolerne og kurserne
overholder lovens bestemmelser, herunder betingelserne for statstilskuddene."
28
BUU, Alm.del - 2021-22 - Endeligt svar på spørgsmål 247: Spm. om at oversende alle dokumenter i sagen, som TV2 har fået aktindsigt i, i forbindelse med produktionen af dokumentaren 'Herlufsholms hemmeligheder', til børne- og undervisningsministeren
2588615_0314.png
Lov om private institutioner for gymnasiale uddannelsers § 26, stk. 1, 1.
pkt.:
26.
Børne- og undervisningsministeren kan indhente alle oplysninger fra skolerne og
kurserne, herunder ved besøg på skolerne og kurserne, om uddannelserne, elever, kursi-
ster, personalet, udstyret, huslejeaftaler, aftaler om ejendomskøb og andre aftaler samt
om skolernes og kursernes drift i øvrigt og om bestyrelsens medlemmer, jf. § 4, stk. 3
og 4, til brug for fastlæggelse af tilskud, gennemgang af årsregnskaber, gennemførelse af
tilsyn og udarbejdelse af statistik."
Friskolelovens § 24 a, stk. 1:
24 a.
Finder børne- og undervisningsministeren, at der ikke er tilstrækkelig sikkerhed
for, at en skoles virksomhed er i overensstemmelse med denne lov eller de regler eller
aftaler, der er fastsat eller indgået i henhold til loven, kan ministeren udstede påbud til
skolen om at foretage konkrete ændringer af den pågældende virksomhed."
Lov om private institutioner for gymnasiale uddannelsers § 24, stk. 2:
"Stk.
2.
Finder børne- og undervisningsministeren, at en skoles eller et kursus’ virk-
somhed ikke er i overensstemmelse med denne lov eller de regler eller aftaler, der er
fastsat eller indgået i henhold til loven, kan ministeren udstede påbud til bestyrelsen om
at ændre den pågældende virksomhed."
29
BUU, Alm.del - 2021-22 - Endeligt svar på spørgsmål 247: Spm. om at oversende alle dokumenter i sagen, som TV2 har fået aktindsigt i, i forbindelse med produktionen af dokumentaren 'Herlufsholms hemmeligheder', til børne- og undervisningsministeren
2588615_0315.png
25
BUU, Alm.del - 2021-22 - Endeligt svar på spørgsmål 247: Spm. om at oversende alle dokumenter i sagen, som TV2 har fået aktindsigt i, i forbindelse med produktionen af dokumentaren 'Herlufsholms hemmeligheder', til børne- og undervisningsministeren
2588615_0316.png
Fra:
Sendt:
Til:
Emne:
Vedhæftede filer:
Kære Ditte
Mikkel Kjellberg <[email protected]>
18. juni 2020 09:59
Ditte Wenzel Pedersen
VS: Tilsynserklæring 2019/2020
Tilsynserklæring 2019-2020 Herlufsholm Skole og Gods.pdf
Vi nærmer os slutningen af 2. kvartal hvor I jf. tidligere samtale forventes at være færdige med det
igangværende tilsyn, så måske kan I ikke nå at inddrage yderligere materiale, som her vedhæftes i form af
grundskolens netop færdiggjorte tilsynserklæring for skoleåret 2019/20.
Med venlig hilsen
Mikkel Kjellberg
Rektor
Herlufsholm Skole og Gods
Herlufsholm Allé 170
4700 Næstved, DK
Tlf.: 55 75 35 00
E-mail:
[email protected]
Web:
www.herlufsholm.dk
Fra:
Anne-Louise Boelsmand <[email protected]>
Sendt:
18. juni 2020 09:33
Til:
Mikkel Kjellberg <[email protected]>
Emne:
Tilsynserklæring 2019/2020
Som lovet
ALB
Fra:
Finn Sonne Holm <[email protected]>
Sendt:
17. juni 2020 21:10
Til:
Anne-Louise Boelsmand <[email protected]>
Emne:
Tilsynserklæring 2019/2020
Kære Anne-Louise
Jeg har netop færdiggjort og indsendt tilsynserklæringen for 2019/2020.
BUU, Alm.del - 2021-22 - Endeligt svar på spørgsmål 247: Spm. om at oversende alle dokumenter i sagen, som TV2 har fået aktindsigt i, i forbindelse med produktionen af dokumentaren 'Herlufsholms hemmeligheder', til børne- og undervisningsministeren
Det er ikke muligt at indsætte tabeller mm i den elektroniske erklæring. Layout-faciliteterne er
heller ikke de bedste.
Jeg har derfor vedlagt min pdf-version.
Den er identisk med den indsendte. Dog indeholder min version et par tabeller.
Donationerne er hentet fra Tilsynsportalen.
vh Finn
BUU, Alm.del - 2021-22 - Endeligt svar på spørgsmål 247: Spm. om at oversende alle dokumenter i sagen, som TV2 har fået aktindsigt i, i forbindelse med produktionen af dokumentaren 'Herlufsholms hemmeligheder', til børne- og undervisningsministeren
2588615_0318.png
Tilsynserklæring for skoleåret 2019/2020 for Herlufsholm Skole og Gods
Skolens navn og skolekode
Skolekode: 373024
Skolens navn: Herlufsholm Skole og Gods
Navn på den eller de tilsynsførende
Finn Sonne Holm
1: OM BESØGENE
1.1 Angivelse af datoer for tilsynsbesøg samt i hvilke klasser og fag, tilsynet har overværet
undervisningen, på de enkelte datoer.
Efter lov om friskoler og private grundskoler § 9 d, skal den tilsynsførende overvære undervisningen i et omfang
afstemt efter skolens størrelse, svarende til mindst én hel skoledag, overvære undervisningen inden for hvert af de
fagområder, som folkeskolens fagkreds naturligt kan opdeles i, drøfte indholdet af skolens undervisningsplaner
med skolens leder og lærere og vurdere det anvendte undervisningsmateriales faglige og pædagogiske kvalitet.
Dato
06.12.2019
06.12.2019
06.12.2019
06.12.2019
06.12.2019
09.06.2020
09.06.2020
09.06.2020
09.06.2020
09.06.2020
Klasse
Hele skolen
8. A
7. A
7. A
10. kl.
7. C
6. A
8. A
8. A
8. C
Fag
Morgensang
Samfundsfag
Dansk
Engelsk
Idræt
Matematik
Dansk, nødundervisning
Matematik, nødundervisning
Dansk, nødundervisning
Fysik/geografi, nødundervisning
Fagområde
Humanistisk
Humanistisk
Humanistisk
Praktisk-musisk
Naturfagligt
Humanistisk
Naturfagligt
Humanistisk
Naturfagligt
Tilsynsførende
Finn Sonne Holm
Finn Sonne Holm
Finn Sonne Holm
Finn Sonne Holm
Finn Sonne Holm
Finn Sonne Holm
Finn Sonne Holm
Finn Sonne Holm
Finn Sonne Holm
Finn Sonne Holm
1.2 Beskrivelse af tilsynsbesøg
Nedenfor følger den tilsynsførendes opsamling på tilsynet:
Inden tilsynsbesøgene havde skolens ledelse sammensat et program for mig efter de ønsker jeg havde.
Under mine besøg overværede jeg undervisning inde for alle tre faggrupper (det humanistiske, det
naturfaglige og det praktisk-musiske fagområde). Jeg talte med lærerne om deres undervisning, talte
med eleverne, og mødtes med ledelsen.
Corona og nødundervisning
Skolens ledelse fremlagde de overvejelser de havde i forbindelse Corona-krisen og de planer, de havde
lagt for nødundervisning. På den baggrund kan jeg sige flg.:
Det er min vurdering, at den gennemførte nødundervisning har været ’lige efter bogen’ og på nogle
områder eksemplarisk.
Ledelsen har igennem hele Corona-perioden haft et ønske om at være nærværende over for forældre og
elever og har derfor sendt ugentlige videohilsner til forældrene.
-
-
-
Skolen lukkede ned den 12/3. Der blev tilbudt nødpasning, hvilket 3 elever havde behov for.
Det normale skema kørte videre, hvilket betød, at der fortsat blev undervist i samtlige fag.
Den 18/5 kunne eleverne komme tilbage til skolen. Der var udarbejdet en plan for, hvor eleverne
skulle opholde sig og modtage undervisning, således at corona-retningslinjerne kan overholdes.
BUU, Alm.del - 2021-22 - Endeligt svar på spørgsmål 247: Spm. om at oversende alle dokumenter i sagen, som TV2 har fået aktindsigt i, i forbindelse med produktionen af dokumentaren 'Herlufsholms hemmeligheder', til børne- og undervisningsministeren
2588615_0319.png
-
-
-
Iperioden
overholdeise
fra den 18/5
blev
undervisning
af retningslinjerne.
i de obligatoriske
valgfag suspenderet
af hensyn til
9. og 10. kl.
blev
sendt på læseferie
9. og 10. kl. vender
uge primært
undervisning
elevernes
omk.
Kristi
Himmelfartsferien.
Der gennemføres
i den
tiibage til skoien den sidste uge inden sommerferien.
'ud af huset'.
For at imødekomme
samtidig
platforms:
samtidig
fastholde
ønske om en tættere
digitai kontakt
i tiden med fjernundervisning,
har en lærer udvikiet
2 samarbejds-
Dette har fastholdt
og
en undervisning
med et
højt
fagligt niveau,
dervar
én til sociai kontakt
imødekommet
og en tii det faglige arbejde.
et
højt
fagligt niveau og
den sociaie kontakt,
imponerende
og 'Atmosfæren'.
behov for i denne periode.
undervisningsforiøb
med overskrifter
individueit
flere naturfaglige
Projektarbejdet
som fx ',
hjemme
fag og
skulle afsluttes
for
hos
En anden lærer har pianiagt
Vejret',
eieven.
dermed
'Sund matematik',
udfordrer
naturfagiige
Disse projekter
kunne gennemføres
projekterne
Fæiies for disse projekter
og formulering
er, at de hver især inddragertemaerfra
Desuden indehoidt
og praktiske
eksperimenter.
eieven
i
at tænke
tværfagiigt.
af svar, fototeknik
både
iæsning
af tekster,
besvarelse
kiassen.
Elevrådet
til ledeisen
rådgivningen
med et produkt,
der fx
kunne
være en PowerPoint-præsentation,
der senere kan præsenteres
har i corona-perioden
til ledeisen,
været en aktiv medspiller
for ledeisen.
Elevrådet
har kommet
havde inden
med
input
om, hvad der var svært, og hvad dervar
involveret
behov for mere af. Elevrådet
de øvrige elever, således at alles input blev hørt.
i
timerne,
i denne periode
biomstrede
op og
Fiere lærere opievede
kom til orde.
Jeg spurgte
enighed
Trivsel
Skolens iedelse opiyser,
trivselsmålingsværktøi.
Det har derfor
Elevfravær
Skolen fører'protokoi'
skelner ikke meilem
med hinanden,
at elever, der kunne være 'usynlige'
en klasse om deres oplevelser
om, at lærerne
lyttede
i
starten
til elevernes
af nødundervisningen
'overlæssede
frustrationer
i den periode,
dette.
hvor de var hjemme.
Dervar
også
stor
Der
var stor enighed
dem med skriftlige
og ændrede
opgaver'.
om, at lærerne
at de havde besluttet,
Pga.
Corona-nedlukningen
at man i år ville benytte
Skoie, at gennemføre
Undervisningsministeriets
afvikiingsperioden.
i år.
måiingen
udskød Undervisningsministeriet
ikke været muligt for Herlufsholm
over elevernes
forskeliige
fravær.
Dette gøres på time-basis
eiev opfyides
[sygdom
elier andet),
i
det webbaserede
system
Skoien
Lectio. Skolen kan derved
sikre sig, at den enkeite
tvperfravær
sin undervisnings-forpiigtigeise.
men forældre
og skoie er
i kontakt
hvis
en elev ikke møder tii undervisning.
på 7,1
%
for grundskolen
og gymnasieskolen
tiisammen.
Skoien har en
Skolen har et samiet fravær
måisætning
om, at fraværet
skai være under 8 %. Dette mål er ikke nået for 8. cg 10. årgang.
l
-
Herlufsholms
'
I
6,6
%
5,8
%
8,6
%
6,8
%
8,8
%
Skole og Gods, 2018/2019
Obligatorisk
valgfag
120 timers valgfag svarende
til det vejledende
timetal
for to vaigfag. Skolen
Eleverne skai tilbydes
udbyder
tre af fire obligatoriske
biev også gennemført
at gennemføre
vaigfag: musik, madkundskab
i den Corona-periode,
cg
billedkunst.
var hjemme.
Men det har ikke
Vaigfagene
været muligt
hvor eleverne
vaigfagene
som nødundervisning
på skolen.
BUU, Alm.del - 2021-22 - Endeligt svar på spørgsmål 247: Spm. om at oversende alle dokumenter i sagen, som TV2 har fået aktindsigt i, i forbindelse med produktionen af dokumentaren 'Herlufsholms hemmeligheder', til børne- og undervisningsministeren
2588615_0320.png
2: STÅ MÅL MED
2.1 Foregår undervisningen udelukkende på dansk i alle fag, sprogfag undtaget?
Ja
Efter lov om friskoler og private grundskoler m.v. § 2, stk. 3 er undervisningssproget i en fri grundskole dansk, dog
er undervisningssproget i de tyske mindretalsskoler tysk. § 6 a Skolens lærere skal beherske dansk i skrift og tale,
dette gælder dog ikke lærerne ved de tyske mindretalsskoler eller ved skoler, der har fået godkendt et andet
undervisningssprog end dansk.
Uddybning
2.2 Står undervisningen inden for det humanistiske fagområde mål med, hvad der
almindeligvis kræves i folkeskolen?
Ja
Efter lov om friskoler og private grundskoler § 9 d, skal den tilsynsførende, overvære undervisningen i et omfang
afstemt efter skolens størrelse, svarende til mindst én hel skoledag, overvære undervisningen inden for hvert af de
fagområder, som folkeskolens fagkreds naturligt kan opdeles i, drøfte indholdet af skolens undervisningsplaner
med skolens leder og lærere og vurdere det anvendte undervisningsmateriales faglige og pædagogiske kvalitet.
Uddybning
Jeg har både overværet ordinær undervisning og nødundervisning. Undervisningen var i alle timer
relevant, fint tilrettelagt og gennemført med varierede metoder, herunder indeholdende bøger og
anvendelse af IT. I undervisning oplevedes gode relationer mellem lærere og elever.
2.3 Står undervisningen inden for det naturfaglige fagområde mål med, hvad der almindeligvis
kræves i folkeskolen?
Ja
Efter lov om friskoler og private grundskoler § 9 d, skal den tilsynsførende, overvære undervisningen i et omfang
afstemt efter skolens størrelse, svarende til mindst én hel skoledag, overvære undervisningen inden for hvert af de
fagområder, som folkeskolens fagkreds naturligt kan opdeles i, drøfte indholdet af skolens undervisningsplaner
med skolens leder og lærere og vurdere det anvendte undervisningsmateriales faglige og pædagogiske kvalitet.
Uddybning
Jeg har både overværet ordinær undervisning og nødundervisning. Undervisningen var i alle timer
relevant, fint tilrettelagt og gennemført med varierede metoder, herunder bøger og IT. I undervisning
oplevedes engagerede lærere og gode relationer mellem lærer og elever.
2.4 Står undervisningen inden for det praktisk-musiske fagområde mål med, hvad der
almindeligvis kræves i folkeskolen?
Ja
Efter lov om friskoler og private grundskoler § 9 d, skal den tilsynsførende, overvære undervisningen i et omfang
afstemt efter skolens størrelse, svarende til mindst én hel skoledag, overvære undervisningen inden for hvert af de
fagområder, som folkeskolens fagkreds naturligt kan opdeles i, drøfte indholdet af skolens undervisningsplaner
med skolens leder og lærere og vurdere det anvendte undervisningsmateriales faglige og pædagogiske kvalitet.
BUU, Alm.del - 2021-22 - Endeligt svar på spørgsmål 247: Spm. om at oversende alle dokumenter i sagen, som TV2 har fået aktindsigt i, i forbindelse med produktionen af dokumentaren 'Herlufsholms hemmeligheder', til børne- og undervisningsministeren
2588615_0321.png
Uddybning
Ved årets første besøg overværedes undervisning i faget i idræt. Timen var fint planlagt og gennemført
med gode relationer mellem lærere og elever. Skolen råder over egen idrætshal.
Forårets besøg fandt sted under Corona-krisen, hvorfor al planlagt undervisning fandt sted jf.
Bekendtgørelse nr. 242 om nødundervisning. Jf. bekendtgørelsens §2 stk. 4 blev der ved forårets besøg
derfor ikke gennemført nødundervisning.
2.5 Står elevernes standpunkt i dansk mål med, hvad der almindeligvis kræves i folkeskolen?
Ja
Mulighed for uddybning af elevernes standpunkt i dansk
Den overværede undervisning i dansk var relevant og fagligt udfordrende for eleverne.
FP9 i dansk i skoleåret 2018/2019 viste et flot samlet karaktergennemsnit for dansk på 8,2, hvilket er
væsentligt højere end landsgennemsnittet på 6,8.
I forhold til de enkelte fagdiscipliner ses en større variation i karaktergennemsnittene. Det højeste
karaktergennemsnit ses i mundtlig dansk (8,9) og den laveste i læsning (7,2).
Den socioøkonomiske reference viser, at der i mundtlig dansk og i læsning,
scores som værende ’på
niveau’ med det forventede, mens der i dansk retskrivning og skriftlig fremstilling scores 1,0 højere end
forventet.
Se tabel under pkt.8.1.
2.6 Står elevernes standpunkt i matematik mål med, hvad der almindeligvis kræves i folkeskolen?
Ja
Mulighed for uddybning af elevernes standpunkt i matematik
Den overværede undervisning i matematik var relevant og fagligt udfordrende for eleverne.
FP9 i matematik i skoleåret 2018/2019 viste et samlet karaktergennemsnit for matematik på 8,8, hvilket
er væsentligt højere end landsgennemsnittet på 7,1. Den socioøkonomiske reference viser, at dette
vurderes som værende 0,8 højere end forventet.
I forhold til de enkelte fagdiscipliner ses et ensartet niveau på 8,8 for både matematik uden hjælpemidler
og matematik med hjælpemidler. Dette vurderes i forhold til den socio-økonomiske reference som
værende 0,8 højere end forventet.
Se tabel under pkt.8.1.
2.7 Står elevernes standpunkt i engelsk mål med, hvad der almindeligvis kræves i folkeskolen?
Ja
Mulighed for uddybning af elevernes standpunkt i engelsk
FP9 i engelsk i skoleåret 2018/2019 viste et flot karaktergennemsnit for engelsk på 10,2 mod et
landsgennemsnit på 8,0. Den socioøkonomiske reference viser, at dette vurderes som værende 1,0 bedre
end forventet.
Se tabel under pkt.8.1.
2.8 Fører skolen til prøve i historie?
Ja
BUU, Alm.del - 2021-22 - Endeligt svar på spørgsmål 247: Spm. om at oversende alle dokumenter i sagen, som TV2 har fået aktindsigt i, i forbindelse med produktionen af dokumentaren 'Herlufsholms hemmeligheder', til børne- og undervisningsministeren
2588615_0322.png
Mulighed
for uddybning
i skoieåret
"lforhold
af
elevernes
2018/2019
standpunkt
i historie
på 8,8 med et landsgennemsnit
'på niveau'
FPS
i
historie
Dette
vurderes
viste et fiat
karaktergennemsnit
vurderes
7,8.
tH den socioøkonomiske
som værende
med det forventede.
2.9
Står
skolens
hvad
Ja
samlede
undervisningstilbud
kræves
i folkeskolen
ud fra en helhedsvurdering
mål med,
der almindeligvis
Uddybning
Den overværede
undervisning,
undervisning,
resultaterne
undervisning
var relevant
undervisning
samarbejder
og fagiigt
udfordrende
med træning
for eleverne.1eg
så rigtig god
cg formidle
både
traditionei
hvor eleverne
af arbejdet.
af færdigheder,
og projektorienteret
om at løse en udfordring/probiemstilling
benyttet
IT bliver fllttigt
for de bundne
Karaktergennemsnittet
forhold
prøvefag
er 8,8 med et landsgennemsnit
end forventet'.
på 7,1. Dette vurderes
i
tH den socioøkonomiske
i de enkelte
reference
som
værende
’bedre
Se
karaktererne
bundne
fag og fagdiscipHner
herunder:
Male
matik
B""d"e
EngelskFælles
Historie
prøvefag
prøve
mdt.
i alt
10 2‘
9,
S*
B.?
HerlufsholmsSkoleog
Gods,
2018/2019
8,
2
76
8,
3
8,
*
B
s,
6
Herlufsholms
Skoleog
Gods,
2017/2013
Herlufsholms
Skoleog
Gods,
2016/2017
9,
4
9,
1
3,7
g
3
...--
.-
mm--—
*;Sociuøkunomisk
reference:
signifikant endforventet
bed”:
læs:
Herlufsholms
Skole og
Gods,
2017/2018
72
sk fren
uden
8,6.
8,
Z
8,
S*
8,
8
*
Sucinøknnumisk le erence:sf
m'
ikant bedre
end Dn/entet
3:
FRIHED
OG
FOLKESTYRE
3.1 Forbereder
det danske
Ja
skolen
efter
sit
formål
og i hele sit virke
eleverne
til at leve
i
et samfund
som
med frihed
og folkestyre?
Uddybning
Det er et
kendetegn
ved skolen at Inddrage
l undervisningen.
I den forbindelse
ressourcebevidsthed.
Skolen arbejder overordnet
danneise
cg i undervisningsforiøb
med at udvikle
cg styrke elevernes
demokratiske
og deres
kendskab
til og
respekt
for grundiæggende
friheds-
og menneskerettigheder.
det omgivne
samfund
cg natlonale
cg internationale
forhold
er der fokus på
FN's
verdensmå!
cg
arbejdet
med miljø- og
BUU, Alm.del - 2021-22 - Endeligt svar på spørgsmål 247: Spm. om at oversende alle dokumenter i sagen, som TV2 har fået aktindsigt i, i forbindelse med produktionen af dokumentaren 'Herlufsholms hemmeligheder', til børne- og undervisningsministeren
2588615_0323.png
Herlufsholm Skole er af undervisningsministeriet udtaget til ’tematisk tilsyn’ i forhold temaet ’frihed og
folkestyre’.
Ministeriet har endnu ikke udsendt den endelige rapport.
3.2 Udvikler og styrker skolen elevernes demokratiske dannelse?
Ja
Uddybning
Eleverne har formel medbestemmelse via elevråd. Desuden har eleverne generelt altid mulighed for at
blive hørt og medinddraget. Dette viste sig fx under Corona-krisen i forhold til hjemmearbejde (se pkt.
2.1).
Undervisningen i samfundsfag og historie er med til at uddybe demokratiforståelsen.
Se desuden pkt. 10.1
3.3 Udvikler og styrker skolen elevernes kendskab til og respekt for grundlæggende friheds
og menneskerettigheder?
Ja
Uddybning
Se pkt. 9
3.4 Er der kønsligestilling på skolen?
Ja
Uddybning
3.5 Har skolens elever dannet elevråd eller varetager eleverne på anden demokratisk måde
deres fælles interesser vedrørende skolen?
Ja
Uddybning
Skolen har flere elevudvalg: fritidsudvalg, kostudvalg, Round Square Komité og elevråd.
Hver klasse har en repræsentant og en suppleant i elevrådet. Elevrådets arbejde understøttes af en
lærer. Elevrådet vælger en formand, en næstformand og en sekretær. Elevrådet kan på eget initiativ tage
emner op til drøftelse internt og med skolens ledelse, ligesom skolens ledelse kan bede elevrådet om
input til aktuelle temaer.
4: DONATIONER
4.1 Donationer
Har skolen i det foregående kalenderår modtaget en eller flere donationer som tilsammen
overstiger 20.000 kr. eksklusiv moms fra samme donator?
Ja
BUU, Alm.del - 2021-22 - Endeligt svar på spørgsmål 247: Spm. om at oversende alle dokumenter i sagen, som TV2 har fået aktindsigt i, i forbindelse med produktionen af dokumentaren 'Herlufsholms hemmeligheder', til børne- og undervisningsministeren
2588615_0324.png
4.2 Angiv den samlede størrelse af alle donationer i kr. eksklusiv moms.
16.317.153,00
kr.
4.3 Oplys navn og adresse og beløb i kr. eksklusiv moms i forbindelse med donatorer, der
har givet en eller flere donationer, der tilsammen overstiger 20.000 kr. eksklusiv moms.
Donationerne kan være givet som kontantbeløb, varer, tjenesteydelser mv.
Navn
Mister i Næstved
Professor J. August P. Lunds Legat
Fabrikant Chas. Otzens Fond
Ulla og Erik Hoff-Clausens Familiefond
William Demants og Hustru Ida Emilies
Fond
Fonden Herlufsholm Skoles Legater
Herlufsholmfonden
H.C.Sonnes Fond af 1952 til fremme af
skoleformål på Herlufsholm
The Helen Lee Doherty Fund
Adresse
Kindhestegade 12 G, 4700 Næstved
Nørre Voldgade 12, 2.th., 1358
København K
Skodsborg Strandvej 253, 2942
Skodsborg
Dyrnæsvej 32, 4700 Næstved
c/o Oticon A/S, Strandvejen 58, 2900
Hellerup
c/o Herlufsholm Skole og Gods,
Herlufsholm Alle 170, 4700 Næstved
Vognmagergade 7, 3., 1120
København K
c/o Herlufsholm Skole og Gods,
Herlufsholm Alle 170, 4700 Næstved
c/o Herlufsholm Skole og Gods,
Herlufsholm Alle 170, 4700 Næstved
Beløb i kroner
50.000,00
50.000,00
50.000,00
143.450,00
250.000,00
605.435,00
1.000.000,00
524.4140,00
8850.000,00
5: ØVRIGE
5.1 Tilsynets sammenfatning
Herlufsholm Skole og Gods er kendetegnet ved tydelige strukturer i undervisningen, der er med til at
skabe en god ramme for læring og trivsel.
Jeg har oplevet fagligt dygtige og engagerede lærere, som formår at tilbyde et højt fagligt niveau og et
spændende læringsmiljø, hvor eleverne kender målene for undervisningen.
Det min klare opfattelse, at skolens faglige og pædagogiske kvalitet som i forhold til undervisningens
tilrettelæggelse og gennemførelse står helt klart mål med Folkeskoleloven.
BUU, Alm.del - 2021-22 - Endeligt svar på spørgsmål 247: Spm. om at oversende alle dokumenter i sagen, som TV2 har fået aktindsigt i, i forbindelse med produktionen af dokumentaren 'Herlufsholms hemmeligheder', til børne- og undervisningsministeren
2588615_0325.png
26
BUU, Alm.del - 2021-22 - Endeligt svar på spørgsmål 247: Spm. om at oversende alle dokumenter i sagen, som TV2 har fået aktindsigt i, i forbindelse med produktionen af dokumentaren 'Herlufsholms hemmeligheder', til børne- og undervisningsministeren
2588615_0326.png
Fra:
Sendt:
Til:
Emne:
Vedhæftedefiler:
Ditte WenzelPedersen
28. august202013:01
'Mikkel Kjellberg';'[email protected]'
Afslutningsbrev
Herlufsholmi det tematisketilsyn med kombinerede
institutioner med kostafdeling
Afslutningsbrev
Herlufsholmtematisktilsyn med kombineredeinstitutioner med
kostafdeling.pdf
på Herlufsholm
Skole og Gods
Til rektor og bestyrelsesformand
Hermed fremsendes afslutningsbrev
kostafdeling.
i det tematiske
tilsyn med kombinerede
institutioner
med
Skolen bedes venligst kvittere for modtagelsen.
Med venlighilsen
Ditte WenzelPedersen
Chefkonsulent
Styrelsen Undervisning Kvalitet
for
og
Frederiksholms
Kanal26
1220København
K
Tlf. nr.: 33 92 50 00
Direktetlf.: +45 33 92 54 66
E-mail:[email protected]
BUU, Alm.del - 2021-22 - Endeligt svar på spørgsmål 247: Spm. om at oversende alle dokumenter i sagen, som TV2 har fået aktindsigt i, i forbindelse med produktionen af dokumentaren 'Herlufsholms hemmeligheder', til børne- og undervisningsministeren
2588615_0327.png
Herlufsholm Skole og Gods
Herlufsholms Allé 170
4700 Næstved
Att.: Skoleleder og bestyrelsesformand
Styrelsen for Undervisning og
Kvalitet
Frederiksholms Kanal 26
1220 København K
Tlf. nr.: 33 92 50 00
E-mail: [email protected]
www.stukuvm.dk
CVR nr.: 29634750
Afslutning af det tematiske tilsyn med kombinerede institutioner med
kostafdelingStyrelsen for Undervisning og Kvalitet har gennemført et te-
matisk tilsyn med fire kombinerede institutioner med kostafdeling, her-
under Herlufsholm Skole og Gods.
Styrelsen har udtaget de fire kombinerede institutioner med kostafdeling,
der har både grundskole og gymnasium, til tilsyn. En af institutionerne
har også efterskole.
Tilsynet omhandler institutionernes efterlevelse af frihed og folkestyre-
kravet med særligt fokus på elevinddragelse og elevernes trivsel.
Styrelsen har sammenholdt sine oplysninger om Herlufsholm Skole og
Gods med reglerne i friskoleloven, jf. lovbekendtgørelse nr. 816 af 14.
august 2019, og lov om private institutioner for gymnasiale uddannelser,
jf. lovbekendtgørelse nr. 3. af 6. januar 2020.
Det er på det foreliggende grundlag styrelsens vurdering, at skolen lever
op til frihed og folkestyre-kravet. Styrelsen afslutter derfor det tematiske
tilsyn med skolens opfyldelse af frihed og folkestyre-kravet.
Styrelsen henstiller dog, at skolen fortsat har en opmærksomhed på at fo-
rebygge og afhjælpe mistrivsel blandt eleverne, hvilket er særligt vigtigt
på en institution med kostafdeling, idet eleverne bor dér og sjældnere ser
deres familie, og generelt ikke har samme frirum som andre børn og
unge uden for skolen.
Styrelsen vil følge op på henstillingen i anden halvdel af skoleåret
2020/2021.
Det er endvidere efter styrelsens vurdering vigtigt, at skolen vedvarende
– såvel skriftligt, som mundtligt – sikrer sig, at præfekter og øvrige elever
28. august 2020
Sags nr.: 20/01575
BUU, Alm.del - 2021-22 - Endeligt svar på spørgsmål 247: Spm. om at oversende alle dokumenter i sagen, som TV2 har fået aktindsigt i, i forbindelse med produktionen af dokumentaren 'Herlufsholms hemmeligheder', til børne- og undervisningsministeren
2588615_0328.png
ikke kan kommei tvivl om, hvilkeopgaver
præfekterne samtpræci-
har,
serer, pædagogiske ordensmæssige
at
og
opgaver
liggerhosdet ansatte
personale skolen.
Endeligskalstyrelsen
anmode
skolenom undlade anvende
at
betegnel-
sen” blebal i skolens
skolehåndbog i øvrigti skolens
og
virke.Samtidig
anmoder
styrelsen
skolenom at tagebeklædningsreglerne at kun ele-
om,
ver i 3. g. må gåmedhvidebenklæder hvid nederdelop til fornyet
og
,
vurderingmedhenblikpå at sikre,at disse
ikke modvirkeren respektfuld
ligeværdig mellemyngreog ældre
hed
elever.
Styrelsens
vurderingog det grundlag, hviler på,er nærmere
den
uddybet
nedenfor.
Sagens
faktiskeomstændigheder
fremgåraf bilag1. Det rele-
vanteretsgru
ndlagfremgåraf bilag2.
Baggrund for styrelsenstilsyn
Styrelsen
fører tilsynmedprivat og friskolernes,
-
efterskolernes de
og
privategymnasiers
efterlevelse frihed og folkestyrekravet,jf. friskole-
af
-
lovens§ 1, stk. 2, 2. pkt., efterskolelovens1, stk. 5, og lov om private
§
institutionerfor gymnasiale
uddannelser 1 a.
Styrelsen Undervisning Kvalitet gennemfører2020et tematisk
for
og
i
tilsynmedkombinerede
institutionermedkostafdeling, har både
der
grundskole gymnasie.
og
Tilsynethar fokuspå en række
elementer hele
i
skolens
virke,somsærliggør siggældende institutioneraf denneka-
t
for
rakter.
Frihedog folkestyrekravetindebærer
-
bl.a.,at institutionerne forbe-
skal
redeeleverne medbestemmelse,
til
medansvar,
ytringsfrihed,
rettigheder
og pligteri et samfund
medfrihed og folkestyre. ver institutionskal
Enh
således
efter lovenhavedet sigtemedal sin undervisning helesit
og
virke i øvrigt,at enhverelevudviklersigtil demokratisk
medborgerskab
i
et samfund
somdet danske.
I denforbindelse fx forhold vedrørende
er
elevrelationer
, ordensregler,
opsynmedelever, hvordanskolenarbejder
og
medelevernes
trivselvig-
tigeat afdække, disse
idet
forhold kansigenogetom, hvordanskolenar-
bejdermedfrihed og folkestyrekravet,herunder
-
medbestemmelse
og
demokratisk
dannelse.
Styrelsens
tilsynhar således
fokuspå følgende
områder:
Elevrelationerog omgangsformer,
-
herunder
elevernes
trivsel
,
eventuelle
præfektsystemer øvrigeelevtil -elevaktiviteter
eller
-
,
opsynmedelever
,
eventuelle
ordensregler
,
2
BUU, Alm.del - 2021-22 - Endeligt svar på spørgsmål 247: Spm. om at oversende alle dokumenter i sagen, som TV2 har fået aktindsigt i, i forbindelse med produktionen af dokumentaren 'Herlufsholms hemmeligheder', til børne- og undervisningsministeren
2588615_0329.png
ligestilling
mellemkønnene
og
Elevinddragelse medindflydelse
og
.
Tilsynetomfatterligeledes
institutionernes
praksis forhold til underret-
i
ningerog samarbejde relevante
med
kommunale
myndigheder.
Styrelsens
vurdering
Frihed og folkestyrekravet
-
Styrelsens
vurderingomhand de fokuspunkter,
ler
somer indgået styrel-
i
sens
tilsyn.Styrelsen dog ikke undertilsynetblevetopmærksom an-
er
dre forhold, der har givetanledning en nærmere
til
undersøgelse.
Neden-
for fremgårgrundlaget styrelsens
for
vurdering.
Det er på det foreliggende
grundlag
styrelsens
vurdering, skolenlever
at
op til frihed og folkestyrekravet.Styrelsen
-
afslutterderfor det tematiske
tilsynmedskolens
opfyldelse frihed og folkestyrekravet idet styrelsen
af
-
,
dog har en række
henstillinger opfordringertil skolen,somfremgår
og
nedenfor
Elevernes
trivsel
Det er styrelsens
vurdering, skolener opmærksom og arbejder
at
med
elevernes
trivsel.Styrelsen lagtvægtpå,at skolenhar iværksat
har
en
række
initiativermedhenblikpå at sikreelevernes vsel,herunder
tri
udar-
bejdeten planfor opfølgningpå undervisningsmiljøvurderingen i
2020
gymnasiet en antimobbestrategi nedsat trivselsudvalg.
og
samt
et
Derud-
over har skolenpersonale
ansat,
somindgåri trivselsarbejdet.
Styrelsen
henstiller
dog,at skolen fortsathar en opmærksomhed at fo-
rebygge afhjælpe
og
mistrivsel
blandteleverne,
hvilketer særligt
vigtigt
på en institutionmedkostafdeling, eleverne dér og sjældnere
idet
bor
ser
deres
familie,og generelt
ikke har samme
frirum somandrebørn og
ungeudenfor skolen.
Styrelsen
bemærkerdenforbindelseat det fremgåraf skolens
i
,
trivsels-
undersøgelser undervisningsmiljøvurderinger, består række
og
at der
en
udfordringer såvidt angårelevernes
for
trivsel.Det fremgårsåledes
af
dennationale mnasiale
gy
trivselsmåling HerlufsholmSkoleog Gods
, at
befindersigblandtde 10 pct. laveste landsplan
medhensyn to (pres
til
og bekymringer mobning)af de fem different
og
ierede
indikatorerfor
trivseli henholdtil trivselsdata 2018.Det fremgårendvidere,f sko-
fra
a
lensseneste
undervisningsmiljøvurdering 2020for gymnasiet, ople-
for
at
velsen at lærerne
af,
respekterer
eleverne,
liggerlidt underlandsgennem-
snittet Derudoverliggeroplevelsen at blive kaldtgrimmenavneog at
.
af,
blive presset noget,manikke har lyst til, over landsgennemsnittet.
til
Det er styrelsens
vurdering, disse
at
resultater
kræver særlig
en
indsats
fra
skolens
side.
3
BUU, Alm.del - 2021-22 - Endeligt svar på spørgsmål 247: Spm. om at oversende alle dokumenter i sagen, som TV2 har fået aktindsigt i, i forbindelse med produktionen af dokumentaren 'Herlufsholms hemmeligheder', til børne- og undervisningsministeren
Samarbejde med eksterne
Det er styrelsens vurdering, at skolen har et samarbejde med eksterne ak-
tører, som understøtter skolens arbejde med elevtrivsel.
Styrelsen har i sin vurdering lagt vægt på, at skolen bl.a. samarbejder med
PPR, Sex & Samfund og LMS (foreningen mod spiseforstyrrelser).
Opsyn med elever, eventuelle præfektsystemer og øvrige elev-til-elev aktiviteter
Det er styrelsens vurdering, at skolens præfektsystem kan have negative
konsekvenser for elevernes trivsel, og at der er behov for, at skolen over
for præfekter og øvrige elever præciserer, hvilke opgaver præfekterne
har, samt præciserer, at pædagogiske og ordensmæssige opgaver ligger
hos det ansatte personale på skolen.
Styrelsen har i sin vurdering lagt vægt på, at styrelsen har modtaget mod-
stridende oplysninger om præfekternes opgaver og beføjelser fra hen-
holdsvis skolens ledelse og skolens præfekter og elevrådet.
Skolens ledelse har således i sin første redegørelse og på tilsynsbesøg op-
lyst, at præfekternes primære rolle er at være med til at sikre, at eleverne
har det godt. Ledelsen har endvidere oplyst, at præfekterne ikke har
sanktionsmuligheder, udover at de kan tage en snak med de elever, de er
præfekter for. Omvendt har præfekterne nævnt, at de kan sige til ele-
verne, at de skal rede seng, lave lektier eller gøre rent, hvis de ikke har
gjort det af sig selv, og at de kan give de yngre elever en advarsel, og hvis
det ikke virker, så sende dem ind på deres værelse eller lade dem ordne
køkken.
Styrelsen har taget til efterretning, at Herlufsholm Skole og Gods har op-
lyst at ville følge op på de modstridende oplysninger, som styrelsen har
modtaget for så vidt angår præfekternes opgaver og sanktionsmulighe-
der.
Det er dog samlet set styrelsens vurdering, at den autoritet, som præfek-
terne er udstyret med, kan medvirke til at understøtte et ulige forhold
mellem præfekter og øvrige elever, som kan have negative konsekvenser
for elevernes trivsel.
Styrelsen har hertil noteret, at det af skolens skolehåndbog fremgår, at
der er en bordholder ved to af dagens måltider, og at det er en selvfølge,
at man retter sig efter en henstilling eller en påtale fra bordholderen, hvil-
ket udstyrer bordholderen med en vis formel autoritet. Skolen har efter-
følgende oplyst, at bordholderen er præfekten.
Det er efter styrelsens vurdering vigtigt, at skolen vedvarende – såvel
skriftligt, som mundtligt – sikrer sig, at præfekter og øvrige elever ikke
4
BUU, Alm.del - 2021-22 - Endeligt svar på spørgsmål 247: Spm. om at oversende alle dokumenter i sagen, som TV2 har fået aktindsigt i, i forbindelse med produktionen af dokumentaren 'Herlufsholms hemmeligheder', til børne- og undervisningsministeren
kan komme i tvivl om, hvilke opgaver præfekterne har, samt præciserer,
at pædagogiske og ordensmæssige opgaver ligger hos det ansatte perso-
nale på skolen.
Ordensregler
Det er styrelsens vurdering, at der er elementer af skolens ordensregler,
som kan give anledning til tvivl om, hvorvidt de understøtter elevernes
trivsel og respekt eleverne imellem.
Styrelsen skal her henlede opmærksomheden på anvendelsen af betegnel-
sen ”blebal” i skolens skolehåndbog og på beklædningsreglerne om, at
kun elever i 3. g. må gå med hvide benklæder og hvid nederdel.
Styrelsen anmoder derfor skolen om undlade at anvende betegnelsen
”blebal” i skolens skolehåndbog og i øvrigt i skolens virke. Samtidig an-
moder styrelsen skolen om at tage beklædningsreglerne om, at kun elever
i 3. g. må gå med hvide benklæder og hvid nederdel, op til fornyet vurde-
ring i forhold til at sikre, at disse ikke modvirker en respektfuld ligevær-
dighed mellem yngre og ældre elever.
Ligestilling mellem kønnene
Det er styrelsens vurdering, at skolens beklædningsregler indeholder en-
kelte elementer, som ikke bidrager til ligestilling mellem kønnene på sko-
len.
Styrelsen har noteret, at skolen i sit svar på styrelsens anmodning om
supplerende oplysninger har oplyst, at den i de nye beklædningsregler,
som er ved at blive udarbejdet, vil tage højde for kønsligestilling.
Styrelsen har ikke derudover bemærkninger vedrørende kønsligestilling
på skolen, herunder henset til at skolen på tilsynsbesøget har oplyst, at
kønsligestilling indgår som emne i en række fag, og at skolen er opmærk-
som på kønsfordelingen i udvalg mv.
Styrelsen har endvidere noteret, at skolen har oplyst, at man oplever, at
skolen tiltrækker elever med en anden kønsidentitet end klassisk
mand/kvinde, og at eleverne er meget rummelige i forhold hertil, og at
man på skolen finder løsninger i forhold til idræt, omklædning og lejr-
skoler, så der tages hensyn til alle elever.
Endelig har styrelsen på tilsynsbesøget observeret, at eleverne i de fleste
klasser sad blandede drenge og piger, hvilket også gjorde sig gældende til
måltider. Derudover interagerede eleverne på tværs af køn i såvel under-
visningen, som i pauserne.
Elevinddragelse og medindflydelse på skolen
Det er styrelsens vurdering, at skolen inddrager eleverne i forhold på
skolen, at eleverne har medindflydelse, og at skolen på den måde er med
5
BUU, Alm.del - 2021-22 - Endeligt svar på spørgsmål 247: Spm. om at oversende alle dokumenter i sagen, som TV2 har fået aktindsigt i, i forbindelse med produktionen af dokumentaren 'Herlufsholms hemmeligheder', til børne- og undervisningsministeren
2588615_0332.png
til at forberede eleverne til et samfund som det danske med frihed og fol-
kestyre.
Styrelsen har i sin vurdering lagt vægt på, at skolen har en lang række råd,
udvalg og foreninger, som eleverne deltager i og vælges til på demokra-
tisk vis, at disse kan tage emner op til drøftelse internt eller med ledelsen,
og at de mødes med en fast mødekadence. Det gælder fx elevråd i grund-
skolen og gymnasiet, fritidsudvalg, Round Square komité og forretnings-
udvalg.
Styrelsen har desuden lagt vægt på, at elevrådsformanden i gymnasiet
deltager i skolens bestyrelsesmøder.
Styrelsen har endvidere lagt vægt på, at skolen deltager i fx skolevalg og
er engageret i lokale velgørende organisationer.
Styrelsen har endelig lagt vægt på, at i en del af den undervisning, som
styrelsen så, inddrog lærerne eleverne, og eleverne deltog aktivt.
Underretninger til de sociale myndigheder
Det er styrelsens vurdering, at skolen på tilfredsstillende vis sørger for, at
skolens ansatte kender deres skærpede underretningspligt og underretter
de sociale myndigheder, når det er relevant.
Styrelsen har i vurderingen lagt vægt på, at skolen har interne procedurer
for underretninger, at skolens personale orienteres om underretningsplig-
ten på møder mv., at nyansatte orienteres ved ansættelsesstart, samt at
skolen har en række ansatte med særlige funktioner som trivselsvejleder,
sygeplejerske og Ungerådgiver, som er opmærksomme på den skærpede
underretningspligt. Ungerådgiveren har decideret til opgave at bistå og
vejlede i forbindelse med underretninger.
Hvis I har spørgsmål til ovenstående, er I velkomne til at kontakte chef-
konsulent Ditte Wenzel Pedersen på e-mail:
[email protected]
eller tele-
fon 33 92 54 66.
Med venlig hilsen
Liz Nymann Lausten
Kontorchef
6
BUU, Alm.del - 2021-22 - Endeligt svar på spørgsmål 247: Spm. om at oversende alle dokumenter i sagen, som TV2 har fået aktindsigt i, i forbindelse med produktionen af dokumentaren 'Herlufsholms hemmeligheder', til børne- og undervisningsministeren
Bilag 1.
2. Sagens faktiske omstændigheder
Styrelsen for Undervisning og Kvalitet udtog ved brev af 28. januar 2020
Herlufsholm Skole og Gods til tilsyn. Styrelsen anmodede i den forbin-
delse skolen om at indsende en redegørelse for en række forhold, bl.a.
skolens overvejelser om frihed og folkestyre-kravet, herunder elevinddra-
gelse, demokratisk dannelse og kønsligestilling. Styrelsen anmodede end-
videre om en beskrivelse af, hvordan ansvar og opsyn varetages ved spi-
setid, lektiecafé mv., en beskrivelse af et evt. præfektsystem eller øvrige
elev-til-elev aktiviteter, som fx mentorordninger. Endelig anmodede sty-
relsen om en beskrivelse af arbejdet med elevernes trivsel, underretninger
til kommunen samt skolens samarbejde med eksterne aktører med rele-
vans for elevernes trivsel.
Skolens redegørelse
Styrelsen modtog skolens redegørelse den 18. februar 2020. Skolen har i
sin redegørelse for skolens værdigrundlag/mål og intentioner for daglige
praksis på skolen bl.a. redegjort for skolens vision, mission, mål og fun-
dament. Skolens fundament er erfaring, vilje, omsorg og udsyn. Det
fremgår heraf, at skolen bl.a. har fokus på nye tendenser inden for pæda-
gogik, og at omsorg, tryghed og trivsel er i højsædet. Det fremgår endvi-
dere, at skolen indgår i samarbejder nationalt og internationalt, som bl.a.
omfatter studieture, konferencedeltagelse og velgørenhedsarbejde, og at
skolen har fokus på FN’s mål for bæredygtig udvikling, bl.a. ved at blive
selvforsynende med strøm og varme og rette fokus på madspild.
Om elevgruppen fremgår det, at denne består af elever, der ønsker en
skolegang med fokus på høj faglighed og personlig udvikling, som er un-
derstøttet af ekstraskolære tilbud.
Trivselsundersøgelser mv.
Skolen har indsendt link til trivselsundersøgelser mv.
Det fremgår bl.a. af skolens frivillige trivselsundersøgelse for grundsko-
len for 2017 – 2018, at en del elever kun er delvist enige eller delvist
uenige i udsagn som ”stemningen i min klasse er præget af forståelse og
respekt for hinanden”, ”jeg føler mig tryg på skolen”, ”jeg er generelt
glad og positiv”, ”mit humør er ikke tynget af store problemer”, ”jeg fø-
ler, at jeg kan leve op til de krav, min uddannelse stiller mig”, ”synes du
samspillet mellem kostelever og dagelever fungerer”, ”synes du skolen
reagerer fornuftigt, hvis en elev overtræder reglerne.” Det fremgår vi-
dere, at en del elever indimellem føler sig holdt uden for eller mobbet. I
6. og. 9. klasse gælder det ca. en femtedel og i 8. klasse ca. en fjerdedel af
eleverne.
7
BUU, Alm.del - 2021-22 - Endeligt svar på spørgsmål 247: Spm. om at oversende alle dokumenter i sagen, som TV2 har fået aktindsigt i, i forbindelse med produktionen af dokumentaren 'Herlufsholms hemmeligheder', til børne- og undervisningsministeren
Det fremgår bl.a. af skolens selvevaluering for gymnasiet 2018, at ele-
verne generelt trives på skolen, men at der er en tendens til, at flere på
gymnasiet oplever stødende bemærkninger end på andre gymnasier. Af
gymnasiets opfølgningsplan for 2019/2020 fremgår det, at skolen har et
stærkt fokus på elevernes trivsel, idet fem ud af syv initiativer vedrører
elevtrivsel, der er en plan for iværksættelse af konkrete initiativer samt en
tidsplan herfor.
I skolens seneste undervisningsmiljøvurdering for 2020 for gymnasiet er
listet nogle udfordringer op. Det omhandler bl.a., at oplevelsen af, at læ-
rerne respekterer eleverne, ligger lidt under landsgennemsnittet, og at
nogle oplever at blive kaldt grimme navne, og at nogle oplever at blive
presset til noget, de ikke har lyst til, ligger over landsgennemsnittet. Det
fremgår, at skolen har udarbejdet en handleplan med konkrete initiativer
til at imødekomme disse udfordringer.
Frihed og folkestyre-kravet
For så vidt angår frihed og folkestyre-kravet, herunder elevinddragelse,
demokratisk dannelse og kønsligestilling har skolen henvist til den lokale
certificerede tilsynsførendes tre seneste tilsynsrapporter, og at det frem-
går af rapporterne, at den tilsynsførende ikke finder anledning til be-
mærkninger i forbindelse med frihed og folkestyre-kravet, herunder elev-
inddragelse, demokratisk dannelse og kønsligestilling.
Skolen har endvidere i redegørelsen anført, at den har en høj faglighed,
herunder at undervisning i grundskolen varetages af lærere med linjefags-
kompetencer i de fag, de underviser i, og at skolen har fokus på efterud-
dannelse. Det fremgår endvidere, at skolen har en undervisningsevalue-
ringsplan, der sikrer den enkelte lærers praksis i forhold til opfyldelse af
skolens mål om trivsel, personlig udvikling og faglighed.
Endvidere fremgår af redegørelsen, at skolen har fokus på elevernes per-
sonlige udvikling gennem bl.a. aktiviteter med fokus på globalt udsyn,
bæredygtighed og social ansvarlighed. Alle klasser skal fx årligt deltage i
mindst et tværfagligt projekt, der understøtter dette.
Det anføres endvidere, at skolen støtter hver enkelt elevs trivsel, faglige
og personlige udvikling og tager særligt ansvar for kostelevernes daglig-
dag.
Elevråd og andre udvalg
Det fremgår af redegørelsen, at skolen har et elevråd for grundskolen,
hvor hver klasse har en repræsentant og en suppleant. Elevrådets arbejde
understøttes af en lærer. Elevrådet kan på eget initiativ tage emner op til
drøftelse internt og med skolens ledelse, ligesom ledelsen kan bede elev-
rådet om input til aktuelle temaer.
8
BUU, Alm.del - 2021-22 - Endeligt svar på spørgsmål 247: Spm. om at oversende alle dokumenter i sagen, som TV2 har fået aktindsigt i, i forbindelse med produktionen af dokumentaren 'Herlufsholms hemmeligheder', til børne- og undervisningsministeren
Skolen har endvidere et elevråd for gymnasiet/IB (International Bacca-
laureate) Også her har hver klasse en repræsentant og en suppleant. Elev-
rådets arbejde understøttes af skolens ungevejleder. Elevrådsformanden
deltager i bestyrelsesmøder og udvalgte lærermøder. Elevrådet kan på
eget initiativ tage emner op til drøftelse internt og med skolens ledelse,
ligesom ledelsen kan bede elevrådet om input til aktuelle temaer.
Skolen har desuden et fritidsudvalg med en repræsentant fra hver elev-
gård, som drøfter skolens fritidstilbud i samarbejde med skolens leder af
de ekstraskolære aktiviteter.
Eleverne vælger endvidere en Round Square komité, som sammen med
skolens Round Square koordinator står for initiativer til at fremme sko-
lens og elevernes opmærksomhed på Round Square Idealer, som bl.a. er
demokratisering og miljø.
Endelig har eleverne et forretningsudvalg, der består af formand, næst-
formand og sekretær fra gymnasiets elevråd og fra Round Square komi-
téen samt formanden for fritidsudvalget, leder af de ekstraskolære aktivi-
teter, kostskoleleder og rektor. Udvalget koordinerer indsatser i de for-
skellige udvalg og skolens ledelse.
Organisering af og ansvar/opsyn med spisetid mv.
Det fremgår af redegørelsen, at der ved alle måltider er pædagogisk per-
sonale til stede. Det fremgår endvidere, at rengøring varetages af perso-
nale.
Præfektsystem eller andre elev-til-elev aktiviteter
Det fremgår af redegørelsen, at skolen efter ansøgning udnævner et antal
3.g elever til præfekter. Rektor afgør sammen med sovesalslærerne, hvem
der bliver præfekter. Præfekterne hjælper sovesalslærerne med at koordi-
nere hverdagen, vejlede de øvrige elever på den enkelte gård og sikre et
godt miljø på den enkelte gård. Eleverne kan spørge præfekterne til råds
om både skolearbejde og personlige anliggender. Skolen holder hvert år
et kursus for præfekterne i konstruktivt samspil og konfliktløsning.
Trivsel
Det fremgår, at skolen foruden studievejledere har ansat en ungerådgi-
ver, en sygeplejerske og en MiLife instruktør, som indgår i skolens triv-
selsarbejde. Skolen har endvidere et tæt samarbejde med forældre. Det
fremgår endelig, at skolen er bevidst om at sikre kønnene lige adgang til
skolens tilbud.
Underretninger
Det fremgår, at skolen inden for de seneste tre år har indsendt tre under-
retninger. Skolen har oplevet samarbejdet med de tre involverede kom-
muner som konstruktivt og inddragende.
9
BUU, Alm.del - 2021-22 - Endeligt svar på spørgsmål 247: Spm. om at oversende alle dokumenter i sagen, som TV2 har fået aktindsigt i, i forbindelse med produktionen af dokumentaren 'Herlufsholms hemmeligheder', til børne- og undervisningsministeren
2588615_0336.png
Samarbejde med eksterne
Det fremgår, at skolen for at fremme elevernes trivsel bl.a. samarbejder
med PPR, Sex og Samfund, LMS (Foreningen mod spiseforstyrrelser),
Mygind og Mygind, SSP, Girl Talk.
Anmeldt tilsynsbesøg den 10. marts 2020
Styrelsen aflagde et anmeldt tilsynsbesøg den 10. marts 2020. Styrelsen
havde et indledende møde med en del af ledelsen, hvor rektor bl.a. præ-
senterede skolen. Herefter fik styrelsen en rundtur på skolen og deltog i
morgensamling i kirken.
Møde med ledelsen
Styrelsen talte med ledelsen ved et indledende møde, et møde midt på
dagen og et afsluttende møde. På mødet midt på dagen deltog rektor, ud-
dannelsesleder på gymnasiet, uddannelsesleder og tovholder på præfekt-
uddannelsen, grundskoleleder samt leder af ekstraskolære aktiviteter.
Kostskolelederen, som skulle have deltaget, var syg.
Frihed og folkestyre
Styrelsen bad skolen supplere sin redegørelse med yderligere overvejelser
om, hvordan skolen arbejder med frihed- og folkestyre-kravet. Skolen
oplyste, at den er en Round Square skole, som er et netværk af skoler fra
forskellige lande som arbejder for blandt andet demokratisering i mange
lande. Der er syv elevvalgte elever i Round Square-udvalget, som mødes
hver 14. dag. Alle elever kan vælge at stille op, men elever kan også ind-
stille hinanden til at stille op. Udvalget undersøger og beslutter bl.a.,
hvilke konferencer skolen skal deltage i ud fra forskellige emner. Skolen
deltager også i Model United Nations.
Skolen har en elevudvalgsstruktur, hvor der i forskellige udvalg arbejdes
med elevinitierede emner, spændende fra fx anorexi til planlægning af fe-
ster. Skolen nævnte bl.a. fritidsudvalget, hvor repræsentanter fra hver
elevgård, valgt demokratisk, giver input til nye aktiviteter.
Skoleledelsen oplyste, at der er religionsfrihed på skolen, og understre-
gede, at der ved morgensamlingen i skolens kirke ikke bliver bedt, men at
der læses op af biblen. Ved konfirmationer er der et alternativ til konfir-
mationsforberedelse til de elever, som ikke skal konfirmeres.
Skolen er med i skolevalg. Skolen afvikler endvidere politiske debatter i
forbindelse med valg og har også enkelte politikere ude til debat, hvor
skolen altid sikrer, at der er mindst to politikere, og at disse repræsenterer
to forskellige holdninger. I forbindelse med undervisningen i faget sam-
fundsfag besøges endvidere byrådet og Folketinget.
10
BUU, Alm.del - 2021-22 - Endeligt svar på spørgsmål 247: Spm. om at oversende alle dokumenter i sagen, som TV2 har fået aktindsigt i, i forbindelse med produktionen af dokumentaren 'Herlufsholms hemmeligheder', til børne- og undervisningsministeren
Skoleledelsen oplyste endvidere, at skolen er engageret i lokale velgø-
rende organisationer, og at skolen har en omvendt julekalender, hvor
formålet er at give, fx ved oplæsning for blinde på et hjem i lokalområdet
eller deltage i skraldeindsamling. Derudover samler skolen via SOS-bør-
nebyerne ind til et hus i Botswana.
Styrelsen spurgte ind til de nye pædagogiske tendenser, som skolen i sin
redegørelse har anført, at den arbejder med. Skoleledelsen oplyste, at
dette blandt andet omfatter dialogbaseret undervisning ved Steen Bech,
elevinddragelse, og at elever opfordres til at være kritiske, deltage og selv
være aktive.
Skoleledelsen fortalte endvidere, at pre IB elever, som har gået i skole i
andre lande, ofte skal afklimatiseres og vænne sig til den danske måde at
undervise på. Blandt andet skal de lære, at selvom lærerne kaldes ved for-
navn og er smilende og venlige, så er der stadig en forventning om seriø-
sitet omkring skolearbejdet.
Kønsligestilling
Styrelsen bad skolen supplere sin redegørelse med øvrige overvejelser
omkring, hvordan skolen arbejder med kønsligestilling. Skoleledelsen op-
lyste, at elever i trivselsudvalget har kigget på de forskellige ikoner på
skolen, herunder fx ikoner til toiletterne, så der ikke kun er ikoner for
mand og kvinde. Skoleledelsen oplyste desuden for så vidt angår pigernes
beklædning, at der på skolen er mulighed for at bære nederdel, men ikke
pligt til det. Der er bestemte krav til beklædningen, men man kalder det
ikke en skoleuniform.
Skoleledelsen oplyste endvidere, at man oplever, at skolen tiltrækker ele-
ver med en anden kønsidentitet, og at alle elever er meget rummelige i
den henseende. En elev har skiftet juridisk køn, og der findes løsninger
fx i forhold til idræt og omklædning og lejrskoler, så der tages hensyn til
alle elever.
Skolen tager desuden hensyn til kønsligestilling og anden diversitet ved
sammensætningen af diverse udvalg og grupper og ved uddeling af lega-
ter.
Trivsel
Skolen oplyste, at hvis eleverne har problemer, så har de mulighed for at
kontakte mange forskellige voksne, som de er trygge ved, fx sygeplejer-
sken på deres eget sygehus, ungerådgiveren, sovesalslæreren eller en læ-
rer. De kan også tale med deres præfekt. På sygehuset er en ekstra sove-
sal for dem, der er syge, men man kan også få lov at sove der, hvis man
har andre problemer, fx med hjemve.
11
BUU, Alm.del - 2021-22 - Endeligt svar på spørgsmål 247: Spm. om at oversende alle dokumenter i sagen, som TV2 har fået aktindsigt i, i forbindelse med produktionen af dokumentaren 'Herlufsholms hemmeligheder', til børne- og undervisningsministeren
På det afsluttende møde med rektor, grundskoleleder og uddannelsesle-
der på gymnasiet spurgte styrelsen ind til skolens trivselsmåling fra 2018,
og hvordan skolen har fulgt op på den. Målingen havde bl.a. dårlige re-
sultater i forhold til spørgsmål vedr. ”stødende bemærkninger” og ”blive
presset til ting, man ikke har lyst til”. Skolen oplyste, at lærerne nu er sær-
lige opmærksomme på elevernes opførsel og på at gribe ind og sige tyde-
ligt fra over for stødende bemærkninger. Angående spørgsmålet om at
”blive presset til…”, nævnte ledelsen, at der kan være et gruppepres fx til
at ryge. Et andet eksempel var udklædning til maskebal, hvor dem, man
er venner med, fx har aftalt at være udfordrende klædt, men at nogle ele-
ver ikke har lyst til det.
Skolen har desuden gjort mere for at integrere IB elever og stx elever
samt kostelever og dagelever, idet det bl.a. var blandt disse grupper, der
kunne være en dårlig omgangstone indbyrdes. Det har således været
oppe i elevrådet, og der er holdt caféaftener, hvor man har inviteret hin-
anden. Endvidere sørger man for at fordele IB-elever og stx’er i gårdene.
Skolen har desuden implementeret nye tiltag for at sikre trivslen. Det
omfatter bl.a. ungerådgiver, MyLife instruktør og Coolkids instruktør.
De kommer ud i de enkelte klasser og laver arrangementer, der ikke er
bundet op på faglighed, fx spisegrupper, hvor man er hjemme og spise
hos hinanden. Skolen har endvidere oprettet et trivselsudvalg for ca.
halvandet år siden. Udvalget skal have et overblik over indsatser, og ud-
valget skal hvert år arbejde med bl.a. emnerne seksualitet, misbrug af
stoffer mv. samt selvværd.
Skolen gav udtryk for, at eleverne føler sig presset af såvel skolens for-
ventninger, som egne, forældres og samfundets forventninger.
Om præfektordning og andre elev-til elev aktiviteter
Skoleledelsen oplyste, at der er lektiecafe med opsyn for gymnasieele-
verne, hvor 2-3 gymnasielærere deltager og er ansvarlige. Grundskoleele-
ver må gerne komme i lektiecafeén, hvor de også kan få hjælp af ældre
elever, som skal lave frivilligt arbejde (såkaldte services). Eleverne kan
endvidere få hjælp på skolens bibliotek, hvor der er en bibliotekar hver
dag til kl. 16.
I de ekstraskolære aktiviteter er der også lektiehjælp, og eleverne hjælper
endvidere hinanden eller får hjælp af præfekterne.
Om præfekterne oplyste skoleledelsen, at de får en præfektuddannelse,
som blandt andet indeholder rollespil og metoder om kommunikation og
samspil mellem mennesker som fx neuron spejling og Marte Meo. Præ-
fekternes primære opgave er at være med til at sikre, at eleverne har det
godt. Der er 2-3 præfekter på hver gård, som alle er 3.g-ere. Adspurgt til
definitionen på en god og en dårlig præfekt oplyste ledelsen, at en god
12
BUU, Alm.del - 2021-22 - Endeligt svar på spørgsmål 247: Spm. om at oversende alle dokumenter i sagen, som TV2 har fået aktindsigt i, i forbindelse med produktionen af dokumentaren 'Herlufsholms hemmeligheder', til børne- og undervisningsministeren
2588615_0339.png
præfekt skal være omsorgsfuld, have fagligt og socialt overskud, være en
rollemodel og kunne motivere andre til deltagelse i forskellige arrange-
menter. En dårlig præfekt er vidende om elevers mistrivsel uden at gå vi-
dere med det og er optaget af sig selv.
Skolen oplyste, at der altid er en voksen, der er ansvarlig, fx sovesalslære-
ren, og at gårdene kan fungere uden en præfekt. Mange vil gerne være
præfekter, fordi man bliver set og anerkendt og er rollemodeller samt har
mulighed for at få præfekt-uddannelsen. Som præfekt kan der være pro-
blematikker med jævnaldrende, og i uddannelsen trænes det, hvordan
man kommer ud af en situation, uden at nogen taber ansigt. Det er sjæl-
dent, at en elev stopper som præfekt, men det er sket på foranledning af
forældrene.
På det afsluttende møde med en del af ledelsen spurgte styrelsen til, om
præfekterne har særlige privilegier, og om de har sanktionsmuligheder
over for andre elever.
Skolen oplyste, at eleverne ikke har særlige privilegier, dog kommer de til
en middag med rektor, de får en udtalelse fra deres sovesalslærer til deres
CV, de går lidt senere i seng end de øvrige elever, og de kan sy et særligt
mærke på jakken.
Om sanktionsmuligheder oplyste skolen, at præfekterne ikke har så-
danne, udover at de kan tage en snak med de elever, de er præfekt for.
Tidligere havde præfekterne sanktionsmuligheder, fx kunne de sende an-
dre elever ud at løbe en tur eller lade dem vaske trapper.
Møde med gymnasiets elevråd
Styrelsen havde en samtale med syv elever fra gymnasiets elevråd, heraf
to piger og fem drenge
Generelt om skolen
Eleverne fortalte, at skolen både vægter det sociale og det faglige. En
elev gav udtryk for, at det er godt med en struktureret hverdag, og en an-
den fortalte, at når lektielæsningen er lagt i rammer, så lærer alle. Alle har
et ansvar for sig selv, og man bliver god til at løse konflikter, for det bli-
ver man nødt til i det tætte fællesskab.
Kosteleverne fortalte, at det er hyggeligt med sovesale, da man så ikke
skal sove alene. Eleverne kan ønske hvilken gård, de vil bo på, men de
kan ikke selv vælge. Sovesalslæreren kan vælge at flytte rundt på, hvordan
eleverne sover på sovesalene, hvis det er nødvendigt.
Om præfekter
En elev, som selv er præfekt, fortalte, at præfekterne er til for at hjælpe
de andre elever fagligt og omgås eleverne socialt og på den måde være
13
BUU, Alm.del - 2021-22 - Endeligt svar på spørgsmål 247: Spm. om at oversende alle dokumenter i sagen, som TV2 har fået aktindsigt i, i forbindelse med produktionen af dokumentaren 'Herlufsholms hemmeligheder', til børne- og undervisningsministeren
2588615_0340.png
med til at skabe bedre trivsel. Eleverne fortalte, at der er nogle ting man
bedre kan tale med en præfekt om end med de voksne.
Om morgenen bliver kosteleverne vækket af præfekten eller sovesalslæ-
reren med musik og klokker, og ved morgenmaden og aftensmaden tjek-
ker præfekten, hvem der er kommet.
Om aftenen er det bl.a. præfektens opgave at tjekke om alle laver lektier
og fx ikke ser Netflix, medmindre en elev har "frilal" (lal betyder lektie-
læsning), hvor man ikke behøver at lave lektier, men skal sidde stille på
sit værelse. Hvis man ikke har lektier for, kan man spørge præfekten om
tilladelse til at få "frilal".
Elevrådsarbejdet
Elevrådet holder møde cirka hver 14. dag. Der er forskellige udvalg fx et
kostudvalg, beklædningsudvalg og et festudvalg. Beklædningsudvalget
kan fx komme med ideer til ændringer af reglerne for idrætstøj.
Elevrådsrepræsentanterne fortæller deres klasse om indholdet i elevrå-
dets arbejde efter elevrådsmøderne.
Elevrådsformanden fortalte, at elevrådet på Herlufsholm har ekstraordi-
nært meget indflydelse, idet elevrådsformanden deltager på skolens be-
styrelsesmøder, og rektor lytter meget til elevrådets ideer.
Arbejdet med trivsel og trivselsundersøgelsen
I forholdet mellem kostelever og dagelever er der en naturlig gruppering,
idet kostelever naturligt er tættere på hinanden end dagseleverne.
Angående arbejdet med trivselsundersøgelsen, så ser formanden, næst-
formanden og sekretæren på trivselsundersøgelsen og fremlægger rele-
vante problematikker for resten af elevrådet. I den aktuelle trivselsunder-
søgelse er en problematik ”stødende bemærkninger”, og dette forklarede
elevrådet med, at drenge, der bor sammen, godt kan udvikle et lidt hårdt
sprog, og at andre, der hører det, selvom det ikke er rettet mod dem, kan
finde det stødende. En anden problematik i den aktuelle trivselsundersø-
gelse er, at flere elever føler sig presset til at gøre ting. Elevrådet forkla-
rede, at det er særligt for Herlufsholm som en kostskole, da det sociale
pres kan være stort, og en elev kan føle gruppepres til at gøre noget, man
ikke må, fx rygning.
Styrelsen kunne konstatere, at det primært var formanden, som tog or-
det.
Møde med trivselsvejleder, ungerådgiver og sygeplejerske
Styrelsen havde en samtale med skolens trivselsvejleder, ungerådgiver og
sygeplejerske, som alle er med i skolens trivselsudvalg.
14
BUU, Alm.del - 2021-22 - Endeligt svar på spørgsmål 247: Spm. om at oversende alle dokumenter i sagen, som TV2 har fået aktindsigt i, i forbindelse med produktionen af dokumentaren 'Herlufsholms hemmeligheder', til børne- og undervisningsministeren
Ungerådgiveren er socialrådgiveruddannet. Hun er tilknyttet både grund-
skolen og gymnasiet. Hun har desuden tilsyn med elevrådet, og elevrådet
kan gå til hende med forslag mv. Der er startet et trivselsudvalg op i elev-
rådet. Ungerådgiveren deltager i det lokale SSP-samarbejde og SSP har
været inde i undervisningen i 6. -8. klasse og fortalt om bl.a. alkohol.
Ungerådgiveren har mange samtaler med elever, som har forskellige pro-
blemer. Det kan fx dreje sig om skilsmisse, seksuel orientering, identitet,
karakterræs mv. Hun henviser nogle elever videre til eksterne psykologer.
I dette skoleår har hun haft 48 elever i samtaleforløb af kortere eller læn-
gere varighed.
Trivselsvejlederen er tilknyttet grundskolen. Hun er desuden læsevejleder
og underviser elever med dysleksi. Hun har endvidere en Cool Kids ud-
dannelse. Hun har samtaler med elever om fx angst, ensomhed og identi-
tet. I dette skoleår har hun haft ca. 12 elever i samtaleforløb.
Sygeplejersken bor i den bygning, som huser skolens ”sygehus”. Ele-
verne komme også der for at snakke om problemer som nævnt af triv-
selsvejlederen og ungerådgiveren. De tre taler sammen for at finde de
bedste løsninger for de elever, der har brug for hjælp. Sygeplejersken ta-
ger sig dog primært af kostskoleeleverne og arbejder meget sammen med
sovesalslærerne. Nogle elever har "tunge" problemer. Det er fx dem, der
kommer fra udlandet og ikke kender det danske skolesystem, og hvor
der er problemer i hjemmet med fx skilsmisse.
De tre sender nogle elever videre til ungdomspsykiatrien via læge eller
PPR. De har få elever med selvskadende adfærd som fx cutting og spise-
vægring, og de oplever ikke, at det ”smitter”. Kostskoleeleverne er gode
til at få øje på det hos deres kammerater og kommer og siger det til de
voksne.
Skolen har haft et foredrag ved Foreningen mod Selvskade for gymnasiet
og grundskolen. Skolen er endvidere ved at starte et samarbejde op med
Girl Talk, og skolen har arbejdet med teambuilding på pigegårdene.
Drengegruppen har ikke samme behov, men skolen anvender konflikt-
håndtering, hvis der er konflikter.
Der er gennemført trivselsundersøgelser for grundskolen, gymnasiet og
kostskoleeleverne. På den baggrund er der nu bl.a. fokus på digital dan-
nelse, og skolen har haft forskellige oplæg herom.
Der er udarbejdet et årshjul for trivselsudvalget, som sørger for, at man
kommer omkring bestemte emner. Skolen deltager i ”Skolernes Trivsels-
dag” og anvender bl.a. materiale fra Red Barnet om trivsel.
15
BUU, Alm.del - 2021-22 - Endeligt svar på spørgsmål 247: Spm. om at oversende alle dokumenter i sagen, som TV2 har fået aktindsigt i, i forbindelse med produktionen af dokumentaren 'Herlufsholms hemmeligheder', til børne- og undervisningsministeren
2588615_0342.png
Skolen har også et samarbejde med politiet og diskoteker med fokus på
stoffer.
Eleverne er glade for at sove på sovesale, men man kan få lov at sove på
sit værelse, hvis man har brug for det.
Det varierer fra klasse til klasse, om eleverne grupperer sig i kostelever
og daglever. Skolen prøver at blande kost- og daglever i klasserne og ge-
nerelt. Alle skal fx gå til fælles spisning og ikke på deres værelse i pauser,
da det er meningen, at man skal være sammen. Man må som kostelev
gerne have besøg af dagelever på kostafdelingen og også overnatte der,
ligesom der er fælles aktiviteter efter undervisningen.
Eleverne har meget høje forventninger til sig selv, og der er som på an-
dre skoler et pres fra samfundet og fra forældre om at klare sig godt.
Samtale med lærere
Styrelsen havde en samtale med seks lærere: uddannelsesvejleder, mate-
matikvejleder og læsevejleder fra grundskolen og studievejleder, formand
for pædagogisk råd og tillidsrepræsentant fra gymnasiet.
Om deres overvejelser for så vidt angår frihed og folkestyre-kravet og
hvordan de inddrager det i undervisningen, oplyste lærerne, at de natur-
ligvis underviser i emner, der er relevante for frihed og folkestyre-kravet,
da det ligger i bekendtgørelsen. Det omhandler fx i samfundsfag styre-
former, grundlovens frihedsrettigheder og domstolssystemet. Det samme
gælder i historie, hvor emner som national identitet blev nævnt. I religion
blev nævnt, at der undervises i mange religioner, og at man lige har haft
forløb om islam. Endvidere blev nævnt den måde, der arbejdes på, hvor
man som lærer bl.a. skal være lydhør over for eleverne.
Fra lærerne i grundskolen blev nævnt, at man fx inddrager eleverne i,
hvad der kunne være spændende at arbejde med, for faget tysk blev
nævnt, at hele den tyske historie er relevant for frihed og folkestyre-kra-
vet, og at faget dansk grundlæggende handler om dannelse gennem arbej-
det med tekster. Endvidere blev nævnt kritisk kildesøgning og kreative
produkter om verdensmålene.
Lærerne oplyste, at der er meget gruppearbejde på skolen. Det er forskel-
ligt, hvordan grupper laves, men det er som oftest lærerne, der sammen-
sætter grupperne i grundskolen. Lærerne oplyste endvidere, at eleverne i
gymnasiet generelt er lidt mere skeptiske over for gruppearbejde, idet ele-
verne føler, at de får mere ud af undervisningen, hvis det forgår i ple-
num. En lærer tilføjede, at dette kan hænge sammen med det præstati-
onsfokus, som er iblandt eleverne, herunder at nogle i højere grad ønsker
at blive hørt og set af læreren.
16
BUU, Alm.del - 2021-22 - Endeligt svar på spørgsmål 247: Spm. om at oversende alle dokumenter i sagen, som TV2 har fået aktindsigt i, i forbindelse med produktionen af dokumentaren 'Herlufsholms hemmeligheder', til børne- og undervisningsministeren
2588615_0343.png
Lærerne oplyste endvidere, at eleverne i gymnasiet evaluerer undervisnin-
gen to gange årligt, hvor eleverne giver udtryk for forskellige emner, som
de ønsker forbedret. Eleverne evaluerer også efter enkeltstående forløb.
Lærerne i grundskolen oplyste, at det kan være svært for eleverne fra ud-
landet (særligt IB elever) at forstå det danske skolesystem, fordi det er
mere ”loose” i Danmark, selvom det ikke er specielt ”loose” på skolen. I
6. – 7. klasse skal eleverne lære at give respons, have en mening, og det
er nyt for elever fra udlandet.
Adspurgt om trivselsundersøgelserne oplyste lærerne, at de drøftes på
elevrådsmøder og lærerrådsmøder. Lærerne får resultaterne, og de gav
udtryk for, at man håndterer eventuelle problemer i de enkelte klasser.
De nævnte, at der havde været noget med trivsel mellem kost- og dagele-
ver. De oplyste, som også oplyst af trivselsvejleder m.fl. at der bl.a. er
fulgt op med, at kosteleverne ikke må gå på deres værelse i pauserne, idet
meningen er, at man skal være sammen med de andre elever, og at man
fylder op ved bordene til spisning, så man sætter sig på den første ledige
plads, så man ikke kan grupperer sig.
Adspurgt om hvordan lærerne arbejder med kønsligestilling, fortalte en
af lærerne om en klasse med nogle meget urolige drenge, som især de
stille piger kunne føle sig presset af, og derfor laver læreren grupperne, så
der tages hensyn hertil. I en anden klasse, var det drengene, der trak det
faglige læs, og der havde læreren også lavet grupper, så de andre elever
fik plads.
En anden lærer fortalte, at det er naturligt at arbejde med kønsligestilling
i dansk, når man arbejder med kvinder i litteraturen og kvinder gennem
tiden. I samfundsfag er det også et emne, man diskuterer.
I idræt er der både forløb, hvor kønnene er blandede og opdelte.
Styrelsen spurgte, om præfektordningen har betydning i undervisningen.
Lærerne oplyste, at det har den ikke, for præfekterne er først og frem-
mest præfekter for nogen, der er yngre end dem selv. De yngre bruger
præfekterne som rollemodeller.
Adspurgt om eleverne kommer til lærerne med trivselsproblemer, oplyste
gymnasielærerne, at eleverne mere går til sovesalslærerne og studievejle-
deren, og at eleverne i høj grad selv prøver at håndtere det, så lærerne
opdager ikke altid konflikter på tværs af klasser. Grundskolelærerne nik-
kede til, at eleverne kommer til dem.
Møde med præfekter
Styrelsen havde møde med fire præfekter, heraf to kvinder og to mænd,
alle fra 3. g.
17
BUU, Alm.del - 2021-22 - Endeligt svar på spørgsmål 247: Spm. om at oversende alle dokumenter i sagen, som TV2 har fået aktindsigt i, i forbindelse med produktionen af dokumentaren 'Herlufsholms hemmeligheder', til børne- og undervisningsministeren
Styrelsen spurgte, hvordan man bliver præfekt. Præfekterne oplyste, at
man udfærdiger en skriftlig ansøgning om sine kompetencer. Man skal
have gode karakterer, for at man kan holde det faglige niveau, samtidig
med at man bruger tid på præfektopgaver. Det er vigtigt, at man som
person er åben, imødekommende, positiv og har socialt og fagligt ove-
skud. Ansøgninger drøftes af sovesalslærerne, og herefter kommer de
udvalgte mulige kandidater til en samtale med rektor. Langt de fleste sø-
ger om at blive præfekt. Man kan først blive præfekt i 3. g. mod tidligere,
hvor man kunne blive det i 2. g. Man kan ikke være præfekt for 3.g’ere
længere. Nogle af dem, der ikke bliver præfekter, reagerer negativt i for-
hold til dem, der bliver præfekter, og vælger fx ikke længere at ville være
venner med dem, der er præfekter.
Adspurgt om præfekternes opgaver, oplyste præfekterne, at deres vigtig-
ste opgave er det sociale. De skal hjælpe med, at der ikke opstår spændin-
ger mellem elever, lægge mærke til om elever trives og gøre sovesalslæren
opmærksom på elever, der ikke har det godt. Præfekterne bor sammen
med de elever, de er præfekt for. Præfekterne beskrev sovesalslæren som
en slags forælder og præfekten som en slags storebror eller storesøster.
Præfekterne har også til opgave at gå rundt til eleverne på deres værelser,
når de skal læse lektier, og høre, hvordan dagen er gået. Præfekterne kan
sige til eleverne, at de skal lave lektier, gøre rent eller rede seng, hvis de
ikke har gjort det af sig selv. Hvis eleverne ikke gør det, kan præfekterne
gentage det og fx sige, at eleven må stramme op, ”at det skal vi her,” eller
at præfekten må gå til sovesalslæren.
Præfekterne gennemgår syv kurser med uddannelseslederen og tovholde-
ren for præfektuddannelsen, inden de starter op som præfekter.
Et kursus havde handlet om personlighedstyper, herunder hvordan man
håndterer forskellige personlighedstyper samt et kursus om balancen
mellem at være elev og være præfekt.
Adspurgt om det gode ved at være præfekt oplyste præfekterne, at det er
rart at hjælpe andre, godt at se eleverne vokse, rart at påvirke andre på en
positiv måde, at man som præfekt selv udvikler sig, at det er rart at have
som mål at være en god præfekt, hvis man selv har haft en dårlig præfekt.
Præfekterne oplyste, at skolen har fjernet meget af den autoritet og de
redskaber, som præfekter havde tidligere. Fx nævnte de ”tidlig seng-
ning,” hvor præfekterne kunne sende elever tidligt i seng. De oplyste
dog, at præfekterne i forhold til de yngre elever godt kan give dem en ad-
varsel, hvis de fx larmer, og hvis det ikke virker, så sende dem ind på de-
res værelse eller lade dem ordne køkkenet om aftenen.
Styrelsen spurgte, hvordan eleverne modtager det, og præfekterne sva-
rede, at når man vælger at gå på skolen, så accepterer man det bare.
18
BUU, Alm.del - 2021-22 - Endeligt svar på spørgsmål 247: Spm. om at oversende alle dokumenter i sagen, som TV2 har fået aktindsigt i, i forbindelse med produktionen af dokumentaren 'Herlufsholms hemmeligheder', til børne- og undervisningsministeren
2588615_0345.png
Adspurgt til eventuelle privilegier ved at være præfekt, oplyste præfek-
terne, at præfekterne ikke skal ordne køkken, ikke skal hente kl. fem-
mad, ikke selv skal aflevere linned til vask, må gå en halv time senere i
seng, kan få et særligt mærke syet på jakken, kommer til en lækker mid-
dag med rektor og får uddannelsen på syv kurser.
Præfekterne oplyste endvidere, at der er et særligt fortov på skolen, som
kun 3.g’ere og lærere må bruge.
Observation af undervisning i grundskolen
Styrelsen observerede undervisning i matematik i to 6. klasser. I den ene
klasse lavede eleverne færdighedsregning i deres hæfter, og i den anden
klasse arbejdede de med træningsopgaver fra matematikbogen Colorit 6.
klasse. Eleverne arbejdede individuelt. I den ene klasse gik elever, der
havde brug for hjælp op til læreren ved katederet, og i den anden klasse
gik læreren rundt og hjalp. Styrelsen så herefter ekstramatematik. Ele-
verne lavede færdighedsregning i deres hæfter. Eleverne arbejdede indivi-
duelt, og læreren gik rundt og hjalp.
Eleverne på alle tre hold sad blandede drenge og piger. Der var helt stille
på alle tre hold. Der var plakater fra Trygfonden om mobning i et af lo-
kalerne. Udenfor på gangen var to skilte, hvor der stod ”drengesko” og
”pigesko”.
Styrelsen talte kort med den ene lærer, som er uddannet matematikvejle-
der. Hun fortalte, at skolen er i gang med at styrke indsatsen for elever
med faglige vanskeligheder i matematik. Derudover fortalte hun, at mate-
matiklærerne på 6. årgang er i gang med at lave en oversigt over emner,
der skal gennemgås i 6. klasse. Det er forholdsvis nyt for lærerne, at de
sparrer med og er åbne over for hinanden, men de er ved at vænne sig til
det og blive glade for det.
Herefter observerede styrelsen dansk i 7. klasse. Klassen var ved at se en
kortfilm og i gang med en samlet snak om filmen. Læreren stillede ele-
verne spørgsmål, og eleverne svarede ved håndsoprækning. Undervisnin-
gen var lærerstyret, og der blev stillet mange ja/nej spørgsmål, fx ”Er han
en god far?” ”Er moren en god mor?”. Eleverne kom med korte svar.
Der var elevproducerede plakater på væggen om ”fred i verden”, ”kvin-
der er ikke en vare”, ”stop racism” mv. Der var også en plakat fra Tryg-
fonden om mobning.
Styrelsen observerede krea i 8. klasse, som den dag primært var billed-
kunst. Eleverne skulle male Tingatinga (afrikansk billedstil) på en male-
plade. Eleverne arbejdede ud fra en blyantskitse, de selv havde lavet. På
lokalets Active Board var der en beskrivelse af, hvad klassen skulle lave
og hvilke materialer, de skulle bruge. Der var 18 elever som sad ved fire
gruppeborde blandet drenge og piger. Der var en afslappet stemning, og
19
BUU, Alm.del - 2021-22 - Endeligt svar på spørgsmål 247: Spm. om at oversende alle dokumenter i sagen, som TV2 har fået aktindsigt i, i forbindelse med produktionen af dokumentaren 'Herlufsholms hemmeligheder', til børne- og undervisningsministeren
2588615_0346.png
der blev spillet musik fra lokalets Activeboard. Alle elever var optaget af
arbejdet med at male.
Undervisningen foregik i billedkunstlokalet. Der var produkter fra tidli-
gere undervisning, blandt andet nogle ”frihedsugler”, som en 8. klasse
havde lavet.
Observation af undervisning i gymnasiet
Styrelsen observerede historie i 3. g, hvor eleverne arbejdede med den
kolde krig. Der var tavleundervisning med inddragelse af eleverne,
hvoraf en stor andel af både drenge og piger deltog meget aktivt i under-
visningen. Læreren havde ligeledes klassen i dansk og koblede de to fag
med perspektivering til tidligere gennemgåede emner. Der var i alt ca. 15-
20 elever; drenge på de tre første rækker og fem piger på bagerste række.
Styrelsen observerede herefter matematik i 2. g. Eleverne var i gang med
tavleundervisning om "harmoniske svingninger " med løbende inddra-
gelse af eleverne. Enkelte elever deltog aktivt og svarede på spørgsmål,
som læreren stillede. Læreren gav herefter eleverne en opgave, som ele-
verne arbejdede med individuelt. Der var 19 elever i alt, heraf tre piger
og resten drenge.
Styrelsen observerede efterfølgende idræt i 3. g. Eleverne spillede et
boldspil i hold, og nogle sad på siden og observerede de andre. Under-
vejs stoppede læreren spillet og opfordrede eleverne til at ændre taktik på
deres hold, herunder fx at drengene skulle spille noget mere til pigerne.
Det var et stort hold med en jævn fordeling af drenge og piger. Under-
visningen foregik i en stor idrætshal.
Observation af morgensang og spisepauser
Morgensamlingen foregik i kirken. Klasserne har faste pladser i kirken.
Eleverne myldrede ind og snakkede. Da rektor kom ind, blev der ro.
Rektor sagde lidt om Little Tuesday og Corona. Derefter sang de en sang
om Herlufsholm, og der blev sluttet af med, at en elev læste Fader Vor.
Ved frokosten for grundskoleeleverne havde en lærer opsyn med ele-
verne. Normalt er der to lærere, der har opsyn. Eleverne tog mad fra
buffeten, og ledelsen oplyste, at lærere og køkkenpersonale holder øje
med, om eleverne får nok på tallerkenen, og de kan på den måde opdage,
om der er elever, der evt. har spiseforstyrrelser.
Eleverne sad i to sale klassevis. 6., 8. og 10. sad i en sal og 7. og 9. i en
anden sal for at få aldersspredning. Eleverne skulle fylde op ved bordene,
så man sætter sig på den næste ledige plads for at undgå grupperinger.
Eleverne snakkede og grinede, mens de spiste.
20
BUU, Alm.del - 2021-22 - Endeligt svar på spørgsmål 247: Spm. om at oversende alle dokumenter i sagen, som TV2 har fået aktindsigt i, i forbindelse med produktionen af dokumentaren 'Herlufsholms hemmeligheder', til børne- og undervisningsministeren
2588615_0347.png
Nogle af pigerne havde jeans på, hvilket ikke er en del af skolebeklædnin-
gen, og da de gik forbi grundskolelederen på vej ud af salen, blev de ven-
ligt bedt om at gå op på deres værelse og skifte bukser.
Ved frokosten for gymnasieeleverne havde to lærere opsyn med ele-
verne. Den ene lærer gik løbende til og fra sin egen plads for at være
blandt eleverne under frokosten.
Læreren oplyste, at eleverne til frokost sætter sig der, hvor de har lyst,
men at der for kosteleverne er faste pladser til morgen og aften. Det er
kostskolelederen, som sammensætter eleverne ved bordene ud fra for-
skellige kriterier. Der skal bl.a. sidde en præfekt ved hvert bord.
Læreren har det overordnede ansvar for opsyn med eleverne under fro-
kosten, men derudover kan præfekterne ligeledes bidrage til at sikre god
ro og orden ved måltidet.
Observation af studiecafé og ekstraskolære aktiviteter
Styrelsen havde et møde med den lærer, der er ansvarlig for de ekstrasko-
lære aktiviteter samt en elev. De oplyste, at alle elever skal tilmelde sig et
antal forskellige aktiviteter.
De oplyste desuden, at elever på Herlufsholm er en del af ”The Duke of
Edinburghs Award”. Målet er, at alle elever ved afslutningen af 9. klasse
skal opnå bronze ud fra award-systemet. Eleverne skal bl.a. for at opnå
en award deltage i forskellige aktiviteter fx i frivilligt arbejde og sport.
Der indgår også en ekspedition, som på Herlufsholm er en overlevelses-
tur til Sverige i starten af 9. klasse. Det blev oplyst, at nogle elever ople-
ver turen som grænseoverskridende, men man skal gennemføre den. Tu-
ren er 15 km med oppakning. Eleverne kan vælge at fortsætte til guld,
hvor guldturen omfatter en tre dages overlevelsestur. Guldturen er 80
km. Lærerne er under turen ca. en km fra eleverne, så de kan træde til,
hvis der sker noget. Man skal være 16 år for at begynde på Guld, og så
kan man måske nå at være færdig, når man er 18 år.
Skolen er desuden ved at udvikle ”Herlufsholms Udmærkelsen”, hvor
eleverne skal sætte sig et mål i 1. g. og bruge mindst 75 timer på at opnå
dette mål. Målet skal være nået inden 2. g. og kan fx være frivilligt ar-
bejde, udgive en digtsamling mv.
Elever, der dimitterer fra Herlufsholm, får en portefolio med de ekstra-
skolære aktiviteter, de har deltaget i.
Efter mødet fik styrelsen en hurtig rundvisning i forskellige klasselokaler,
hvor der blev givet lektiehjælp, og i hallen, i e-sportslokalet og i krea-lo-
kalet, hvor der var ekstraskolære aktiviteter. Lærere forestod alle steder
de forskellige aktiviteter.
21
BUU, Alm.del - 2021-22 - Endeligt svar på spørgsmål 247: Spm. om at oversende alle dokumenter i sagen, som TV2 har fået aktindsigt i, i forbindelse med produktionen af dokumentaren 'Herlufsholms hemmeligheder', til børne- og undervisningsministeren
2588615_0348.png
Styrelsens egne undersøgelser
Styrelsen har den 22. april 2020 gennemgået skolens skolehåndbog. Det
fremgår heraf bl.a., at skolen afholder et såkaldt årligt ”blebal” for 6. – 7.
årgang.
Det fremgår desuden, at hår kun må farves i naturlige farver, at piercin-
ger og andre eksperimenterende udtryk ikke er tilladt, og at man ikke må
bære sminke i 6. og 7. klasse.
Endelig fremgår, at der er en bordholder ved to af dagens måltider, som
skal sikre en god atmosfære og bordskik. Det fremgår endvidere, at det
er en selvfølge, at man retter sig efter en henstilling eller en påtale fra
bordholderen.
Styrelsen har endvidere gennemgået skolens beklædningsregler. Det
fremgår bl.a. af beklædningsregler for pigerne, at pigernes nederdele ikke
må være kortere end 10 cm. over knæene. Endvidere fremgår, at skjorter
uden ærmer ikke må benyttes alene, men kun under pullover.
Piger i 3.g. kan vælge at gå i hvide benklæder eller hvid nederdel og
drenge i 3. g. kan vælge at gå i hvide benklæder. Øvrige elever må kun gå
i gråt eller mørkeblåt tøj.
Styrelsens anmodning om supplerende oplysninger af 23. april 2020.
Styrelsen anmodede den 23. april 2020 skolen om supplerende oplysnin-
ger vedrørende underretninger til de sociale myndigheder, præfektord-
ningen, beklædningsregler mv.
Skolens redegørelse af 30. april 2020
Skolen fremsendte sit svar på styrelsens anmodning den 30. april 2020.
Underretninger
Det fremgår af skolens svar, at skolen har en skriftlig procedure for un-
derretninger til de sociale myndigheder, som findes på skolens intranet.
Det indgår desuden i funktionsbeskrivelsen for skolens Ungerådgiver, at
denne funktion skal bistå og vejlede i forbindelse med underretninger.
Det samlede pædagogiske personale er orienteret herom mundtligt på
møder.
Det fremgår desuden, at skolen, for at sikre at alle skolens medarbejdere
kender deres skærpede underretningspligt, hvert år ved skoleårets start
afholder et velkomstmøde for nyansatte lærere, hvor den skærpede un-
derretningspligt er et orienteringspunkt. Skolen har endvidere ved flere
lejligheder tydeligt italesat, at det forventes, at alle medarbejdere på sko-
len holder sig ajour med gældende lovstof for området. Aktuelt er fire
22
BUU, Alm.del - 2021-22 - Endeligt svar på spørgsmål 247: Spm. om at oversende alle dokumenter i sagen, som TV2 har fået aktindsigt i, i forbindelse med produktionen af dokumentaren 'Herlufsholms hemmeligheder', til børne- og undervisningsministeren
medarbejdere tilmeldt kurset ”Omsorgssvigt, vold og underretning” ud-
budt af LIVA kurser.
Præfektordningen
Skolen har i sit svar oplyst, at præfekterne oplever deres kammerater i
mange situationer, herunder elever, der kan have en dårlig dag, og at det
for nogle elever kan være rart at tale med præfekten om problemet – og
en del elever fortæller, at præfekter har været en hjælp.
I situationer med manglende trivsel forventer skolen, at præfekten orien-
terer sovesalslæreren. Det er ikke præfekters opgave at håndtere mistriv-
sel hos en elev. Ansvaret for at have tæt kontakt med eleverne og handle
i tilfælde af mistrivsel ligger hos de pædagogisk faglige medarbejdere –
for kostelevernes vedkommende vil det oftest være den sovesalslærer,
der er ansvarlig for eleverne på den enkelte elevgård. Desuden henviser
skolen i sit svar til ungerådgiveren og sygeplejersken på kostskolen, hvis
primære arbejdsopgaver er trivsel.
Endelig har skolen oplyst, at der tidligere i præfektsystemet har været ek-
sempler på, at præfekter mente at skulle klare en sag på egen hånd, men
det er et omdrejningspunkt i præfektkurserne og elevgårdenes hverdag at
understrege, at præfekterne ikke har pædagogisk tilsyn og handlingskom-
petence
Af skolens svar fremgår, at skolen fik ny rektor i november 1993, hvoref-
ter præfekternes sanktionsmuligheder, som fx at sende elever på en løbe-
tur, blev afskaffet fra skoleåret 1994/95.
Styrelsen anmodende i sit brev af 23. april 2020 om skolens bemærknin-
ger til en række oplysninger fra præfekterne og til dels fra elevrådet. Det
gjaldt oplysninger om præfekternes opgaver, herunder at præfekten tjek-
ker, hvem der er kommet til morgenmaden og aftensmaden, at det om
aftenen bl.a. er præfektens opgave at tjekke, om alle laver lektier, og at
præfekten kan give tilladelse til ”frilal”, hvis en elev ikke har lektier for.
For så vidt angår sanktionsmuligheder anmodede styrelsen om skolens
bemærkninger til, at præfekterne ifølge dem selv kan sige til eleverne, at
de skal lave lektier, gøre rent eller rede seng, hvis de ikke har gjort det af
sig selv, og at præfekterne i forhold til de yngre elever kan give dem en
advarsel, hvis de fx larmer, og hvis det ikke virker, så sende dem ind på
deres værelse eller lade dem ordne køkkenet om aftenen.
Skolen har i sit svar oplyst, at de opgaver og beføjelser, som styrelsen har
henvist til i sit brev af 23. april 2020, ikke er korrekte, men er en del af
det pædagogiske tilsyn med skolearbejde, trivsel mv, som ligger hos sove-
salslæreren.
23
BUU, Alm.del - 2021-22 - Endeligt svar på spørgsmål 247: Spm. om at oversende alle dokumenter i sagen, som TV2 har fået aktindsigt i, i forbindelse med produktionen af dokumentaren 'Herlufsholms hemmeligheder', til børne- og undervisningsministeren
Skolen har endvidere oplyst, at præfekternes funktion er at være op-
mærksomme på elevgårdens trivsel og inkluderende i forhold til alle elev-
grupper. Det fremgår af skolens svar, at skolen har arbejdet meget med
at ændre og udvikle præfektrollen i erkendelse af, at præfekterne tidligere
deltog i opgaver, der alene ligger hos skolens pædagogiske medarbejdere.
Præfekternes opgave er at være gode kammerater og rollemodeller for
trivsel og inklusion, men skolen vil nu følge op på de modstridende op-
lysninger, som styrelsen har modtaget og dermed diskutere eventuel
uklarhed og sikre ensartethed.
Styrelsen har i sit brev desuden anmodet skolen om at redegøre for sine
overvejelser om, hvordan skolens beklædningsregler spiller sammen med
kønsligestilling og ønsker om beklædning, der udspringer af religiøs over-
bevisning.
Skolen har i sit svar oplyst, at den trods den ensartethed, der ligger i sko-
lebeklædningen, har været i stand til at tage individuelle hensyn, når det
var nødvendigt. Skolen har det sidste halve år arbejdet på en revision af
skolebeklædningen, der vil tage højde for kønsligestilling.
Skolen har endvidere oplyst, at den traditionelt har haft mange forskel-
lige trosretninger i elevgruppen og ikke har oplevet, at skolebeklædnin-
gen støder imod forskellige former for religiøs overbevisning.
Styrelsen har endvidere anmodet om skolens bemærkninger til de oplys-
ninger, styrelsen modtog på sit tilsynsbesøg om et særligt fortov på sko-
len, som kun 3.g’ere og lærere må bruge. Skolen har hertil oplyst, at
det er korrekt, at der på skolens område er et fortov, der i elevernes be-
vidsthed kun må benyttes af 3.g, men at skolen har arbejdet meget med
denne fejlopfattelse med både dialog og påbud, og at skolen fortsat er
meget opmærksom på løbende at bearbejde elevernes holdning.
Endelig har styrelsen anmodet om oplysning, om hvorvidt den ”bord-
holder”, der omtales i skolens skolehåndbog, som skal sikre en god at-
mosfære og bordskik, er en lærer eller en elev.
Skolen har i sit svar oplyst, at bordholderne er præfekterne, og at de
har en vigtig funktion ved at være med til at skabe et fællesskab omkring
spisningen, herunder have blik for at inddrage alle i samtalen og i det
hele taget sikre en god og inkluderende atmosfære. Det fremgår endvi-
dere af skolens svar, at problemer i spisesalene er få og små og påhviler
ved alle måltider de tilsynsførende lærere.
Fremsendelse af tilsynserklæring
Skolen fremsendte den 18. juni 2020 skolens tilsynserklæring for skole-
året 2019/2020.
24
BUU, Alm.del - 2021-22 - Endeligt svar på spørgsmål 247: Spm. om at oversende alle dokumenter i sagen, som TV2 har fået aktindsigt i, i forbindelse med produktionen af dokumentaren 'Herlufsholms hemmeligheder', til børne- og undervisningsministeren
2588615_0351.png
Sammenligning med landsdækkende trivselsmålinger
Styrelsen har undersøgt resultaterne af skolens trivsels- og undervisnings-
miljømålinger i forhold til landsgennemsnittet.
For så vidt angår undervisningsmiljøvurderingen i gymnasiet er tallene
direkte sammenlignelige med landsgennemsnittet. Styrelsen kan i den
forbindelse fx konstatere, at 15 % af eleverne på Herlufsholm i 2018 på
spørgsmål om at blive kaldt grimme navne, gjort nar af eller drillet på en
anden sårende måde har svaret meget tit, tit eller engang imellem, mens
det tilsvarende tal på landsplan er 7 %.
For så vidt angår fx spørgsmålet om at blive presset til at gøre ting, som
man ikke har lyst til at gøre, har 18 % af eleverne på Herlufsholm svaret
meget tit, tit eller engang imellem, mens det tilsvarende tal på landsplan
er 11 %.
Styrelsen kan endvidere konstatere, at i forhold til den nationale gymna-
siale trivselsmåling befinder Herlufsholm Skole og Gods sig blandt de 10
pct. laveste på landsplan med hensyn til to (pres og bekymringer og
mobning) af de fem differentierede indikatorer for trivsel i henhold til
trivselsdata fra 2018.
Styrelsen bemærker endvidere, at Herlufsholm på det foreliggende
grundlag fortsat befinder sig blandt de 10 pct. laveste på landsplan i den
seneste gymnasiale trivselsmåling fra 2019 med hensyn til indikatoren
mobning.
På grundskoleområdet, er de fleste af skolens resultater ikke direkte sam-
menlignelige med landsdækkende data for folkeskolen, da spørgsmålene
ikke er de samme. Styrelsen kan dog fx konstatere, at en femtedel af ele-
verne i 6. og 9. klasse og en fjerdedel i 8. klasse på Herlufsholm ifølge
trivselsundersøgelsen for 2017/2018 indimellem følte sig holdt udenfor
eller mobbet. Det gjaldt for 8,5 % af eleverne i folkeskolen på 4. - 9.
klasse i samme skoleår, at de meget tit, tit eller engang imellem følte sig
mobbet.
Gennemgang af skolens hjemmeside
Styrelsen har gennemgået skolens hjemmeside den 9. juni 2020. Det
fremgår heraf, at skolen i februar 2020 har gennemført en undervisnings-
miljøvurdering af det fysiske og æstetiske undervisningsmiljø og udarbej-
det en opfølgende handleplan.
Det fremgår endvidere, at skolen har udarbejdet en antimobbestrategi.
25
BUU, Alm.del - 2021-22 - Endeligt svar på spørgsmål 247: Spm. om at oversende alle dokumenter i sagen, som TV2 har fået aktindsigt i, i forbindelse med produktionen af dokumentaren 'Herlufsholms hemmeligheder', til børne- og undervisningsministeren
2588615_0352.png
Bilag 2.
Relevant retsgrundlag
- Lov om friskoler og private grundskoler m.v., jf. lovbekendtgørelse nr.
816 af 14. august 2019 (friskoleloven).
- Lov om private institutioner for gymnasiale uddannelser, jf. lovbe-
kendtgørelse nr. 3. af 6. januar 2020.
- Lov om social service, jf. lovbekendtgørelse nr. 798 af 7. august 2019
(serviceloven)
- Bekendtgørelse nr. 1466 af 16. december 2010 om underretningspligt
over for kommunen efter lov om social service.
- Bekendtgørelse af lov om elevers og studerendes undervisningsmiljø, jf.
lovbekendtgørelse nr. 316 af 5. april 2017 (undervisningsmiljøloven)
Relevante indholdsbestemmelser m.v.
Frihed og folkestyre-kravet
Friskolelovens § 1, stk. 2, 2. pkt.:
”Stk.
2.
Skolerne skal efter deres formål og i hele deres virke forberede eleverne til at
leve i et samfund som det danske med frihed og folkestyre samt udvikle og styrke ele-
vernes demokratiske dannelse og deres kendskab til og respekt for grundlæggende fri-
heds- og menneskerettigheder, herunder ligestilling mellem kønnene.”
Lov om private institutioner for gymnasiale uddannelsers § 1 a:
1 a.
Skolen eller kurset skal efter sit formål og hele sit virke forberede eleverne eller
kursisterne til at leve i et samfund som det danske med frihed og folkestyre samt ud-
vikle og styrke elevernes eller kursisternes demokratiske dannelse og deres kendskab til
og respekt for grundlæggende friheds- og menneskerettigheder, herunder ligestilling
mellem kønnene."
Elevråd
Friskolelovens § 1, stk. 6:
”Stk.
6.
Skolens elever har ret til efter egen bestemmelse at danne elevråd eller på anden
demokratisk måde varetage deres fælles interesser vedrørende skolen, og skolens leder
er forpligtet til at opfordre dem hertil, hvis de ikke benytter denne ret. Skolens leder
kan opfordre eleverne til at vælge en bestemt demokratisk måde, som stemmer overens
med skolens overbevisning, men skal med passende mellemrum tage op med eleverne,
hvilken demokratisk måde de ønsker.”
Lov om private institutioner for gymnasiale uddannelsers § 7, 1. pkt.:
7.
Ved hver skole og kursus har eleverne henholdsvis kursisterne ret til at danne et
elevråd henholdsvis et kursistråd."
Servicelovens § 153:
”§
153.
Personer, der udøver offentlig tjeneste eller offentligt hverv, skal underrette
kommunalbestyrelsen, hvis de under udøvelsen af tjenesten eller hvervet får kendskab
til eller grund til at antage,
1) at et barn eller en ung under 18 år kan have behov for særlig støtte,
26
BUU, Alm.del - 2021-22 - Endeligt svar på spørgsmål 247: Spm. om at oversende alle dokumenter i sagen, som TV2 har fået aktindsigt i, i forbindelse med produktionen af dokumentaren 'Herlufsholms hemmeligheder', til børne- og undervisningsministeren
2588615_0353.png
2) at et barn umiddelbart efter fødslen kan få behov for særlig støtte på grund af de
vordende forældres forhold,
3) at et barn eller en ung under 18 år kan have behov for særlig støtte på grund af
barnets eller den unges ulovlige skolefravær eller undladelse af at opfylde undervis-
ningspligten, eller
4) at et barn eller en ung under 18 år har været udsat for overgreb.
Stk. 2.
Skoleledere på folkeskoler skal underrette kommunalbestyrelsen, når en elev har
ulovligt skolefravær på 15 pct. eller derover inden for et kvartal.
Stk. 3.
Børne- og socialministeren kan fastsætte regler om underretningspligt for andre
grupper af personer, der under udøvelsen af deres erhverv får kendskab til forhold eller
grund til at antage, at der foreligger forhold, som bevirker, at der kan være anledning til
foranstaltninger efter denne lov. Børne- og socialministeren kan endvidere fastsætte
regler om, at andre grupper af personer har underretningspligt efter stk. 1, nr. 2, i for-
bindelse med aktiviteter uafhængigt af deres erhverv.”
Bekendtgørelse om underretningspligt over for kommunen efter lov om
social service
§ 1, stk. 1, nr. 2, og stk. 2:
"Følgende personer har underretningspligt over for kommunen efter stk. 2:
2) ansatte ved frie grundskoler og frie kostskoler,
Stk. 2.
Underretningspligten foreligger, når personerne under udøvelsen af deres er-
hverv får kendskab til eller grund til at antage,
1) at et barn eller en ung under 18 år kan have behov for særlig støtte efter service-
lovens kapitel 11,
2) at et barn umiddelbart efter fødslen kan få behov for særlig støtte efter servicelo-
vens kapitel 11 på grund af de vordende forældres forhold, eller
3) at et barn eller en ung under 18 år har været udsat for vold eller andre overgreb.”
Undervisningsmiljøloven
§
6:
”§ 6:
Uddannelsesstedets ledelse sørger for, at der udarbejdes en skriftlig undervis-
ningsmiljøvurdering af sikkerheds- og sundhedsforholdene samt forholdene vedrørende
det psykiske og æstetiske miljø på uddannelsesstedet.”
3.2 Relevante tilsynsbestemmelser
Friskolelovens § 9 f, stk. 1:
”§
9 f.
Børne- og undervisningsministeren fører tilsyn med, at frie grundskoler overhol-
der § 1, stk. 2, § 1 a og § 2, stk. 3, 1. pkt.”
Friskolelovens § 20 b, stk. 2, 1. pkt.:
”Stk.
2.
Børne- og undervisningsministeren kan indhente alle oplysninger fra skolerne,
herunder ved skolebesøg, om uddannelserne, eleverne, personalet, udstyret, huslejeafta-
ler, aftaler om ejendomskøb og andre aftaler og om skolernes drift i øvrigt og om besty-
relsens medlemmer, jf. § 5, stk. 8 og 9, til brug for fastlæggelse af tilskud, gennemgang
af årsrapporter, gennemførelse af tilsyn og udarbejdelse af statistik.”
Lov om private institutioner for gymnasiale uddannelsers § 24, stk. 1:
24.
Børne- og undervisningsministeren fører tilsyn med, at skolerne og kurserne
overholder lovens bestemmelser, herunder betingelserne for statstilskuddene."
27
BUU, Alm.del - 2021-22 - Endeligt svar på spørgsmål 247: Spm. om at oversende alle dokumenter i sagen, som TV2 har fået aktindsigt i, i forbindelse med produktionen af dokumentaren 'Herlufsholms hemmeligheder', til børne- og undervisningsministeren
2588615_0354.png
Lov om private institutioner for gymnasiale uddannelsers § 26, stk. 1, 1.
pkt.:
26.
Børne- og undervisningsministeren kan indhente alle oplysninger fra skolerne og
kurserne, herunder ved besøg på skolerne og kurserne, om uddannelserne, elever, kursi-
ster, personalet, udstyret, huslejeaftaler, aftaler om ejendomskøb og andre aftaler samt
om skolernes og kursernes drift i øvrigt og om bestyrelsens medlemmer, jf. § 4, stk. 3
og 4, til brug for fastlæggelse af tilskud, gennemgang af årsregnskaber, gennemførelse af
tilsyn og udarbejdelse af statistik."
Friskolelovens § 24 a, stk. 1:
24 a.
Finder børne- og undervisningsministeren, at der ikke er tilstrækkelig sikkerhed
for, at en skoles virksomhed er i overensstemmelse med denne lov eller de regler eller
aftaler, der er fastsat eller indgået i henhold til loven, kan ministeren udstede påbud til
skolen om at foretage konkrete ændringer af den pågældende virksomhed."
Lov om private institutioner for gymnasiale uddannelsers § 24, stk. 2:
"Stk.
2.
Finder børne- og undervisningsministeren, at en skoles eller et kursus’ virksom-
hed ikke er i overensstemmelse med denne lov eller de regler eller aftaler, der er fastsat
eller indgået i henhold til loven, kan ministeren udstede påbud til bestyrelsen om at æn-
dre den pågældende virksomhed."
28
BUU, Alm.del - 2021-22 - Endeligt svar på spørgsmål 247: Spm. om at oversende alle dokumenter i sagen, som TV2 har fået aktindsigt i, i forbindelse med produktionen af dokumentaren 'Herlufsholms hemmeligheder', til børne- og undervisningsministeren
2588615_0355.png
27
BUU, Alm.del - 2021-22 - Endeligt svar på spørgsmål 247: Spm. om at oversende alle dokumenter i sagen, som TV2 har fået aktindsigt i, i forbindelse med produktionen af dokumentaren 'Herlufsholms hemmeligheder', til børne- og undervisningsministeren
2588615_0356.png
Fra:
Sendt:
Til:
Emne:
Mikkel Kjellberg<[email protected]>
28. august202013:09
Ditte WenzelPedersen
SV:Afslutningsbrev
Herlufsholmi det tematisketilsyn med kombinerede
institutioner med kostafdeling
KæreDitte WenzelPedersen
Hermedkvitteres for modtagelsen afslutningsbrev
af
vedr. tematisktilsyn.
Med venlig hilsen
Mikkel Kjellberg
Rektor
Herlufsholm Skole og Gods
Herlufsholm Allé 170
4700 Næstved, DK
Tlf.: 55 75 35 00
E-mail: [email protected]
Web: www.herlufsholm.dk
Fra: Ditte WenzelPedersen [email protected]
<
>
Sendt:28. august202013:01
Til: Mikkel Kjellberg<[email protected] RektorkontorPOST [email protected]
>;
<
>
Emne:Afslutningsbrev
Herlufsholmi det tematisketilsyn med kombineredeinstitutioner med kostafdeling
Til rektor og bestyrelsesformand
på Herlufsholm
Skole og Gods
Hermed fremsendes afslutningsbrev
kostafdeling.
i det tematiske
tilsyn med kombinerede
institutioner
med
Skolen bedes venligst kvittere for modtagelsen.
Med venlighilsen
Ditte WenzelPedersen
Chefkonsulent
BUU, Alm.del - 2021-22 - Endeligt svar på spørgsmål 247: Spm. om at oversende alle dokumenter i sagen, som TV2 har fået aktindsigt i, i forbindelse med produktionen af dokumentaren 'Herlufsholms hemmeligheder', til børne- og undervisningsministeren
2588615_0357.png
Styrelsen for Undervisning og Kvalitet
Frederiksholms Kanal 26
1220 København K
Tlf. nr.: 33 92 50 00
Direkte tlf.: +45 33 92 54 66
E-mail:
[email protected]
BUU, Alm.del - 2021-22 - Endeligt svar på spørgsmål 247: Spm. om at oversende alle dokumenter i sagen, som TV2 har fået aktindsigt i, i forbindelse med produktionen af dokumentaren 'Herlufsholms hemmeligheder', til børne- og undervisningsministeren
2588615_0358.png
Sagsresume
20/01575 Tematisk tilsyn med kombinerede institutioner med kostafdeling, Herlufsholm Skole og Gods
Sagens dokumenter
Nr. Type
Dok.dato. Titel
Udgående 28-01-
Styrelsens brev om udtagelse til
1
brev
2020
tilsyn - Herlufholm - sendt 28-01-
2020
Indgående 28-01-
Skolens kvittering for brev om
2
brev
2020
udtagelse til tilsyn - modtaget 28-
01-2020
Indgående 28-01-
Skolens kvittering for udtagelse til
3
brev
2020
tilsyn- modtaget 28-01-2020
Udgående 04-02-
Anmodning om bekræftelse på dato
4
brev
2020
for tilsynsbesøg den 10. marts 2020.
Indgående 04-02-
Bekræftelse fra skolen om
5
brev
2020
tilsynsbesøg den 10. marts 2020.
Internt
06-02-
Udkast - Herlufsholm Skole og
6
notat uden 2020
Gods Studenterkurset
opfølgning
(analyseskema) (002).docx
Indgående 07-02-
Herlufholms redegørelse - modtaget
7
brev
2020
18-02-2020
Udgående 18-02-
Styrelsens kvitteringsmail for
8
brev
2020
modtagelse af redegørelse - sendt
18-02-2020
Internt
21-02-
Tilsynsbesøg på Herlufsholm Skole
9
notat uden 2020
opfølgning
Udgående 21-02-
Forkert mailadresse - denne udgår -
10
brev
2020
Brev om tilsynsbesøg
Udgående 21-02-
Brev om tilsynsbesøg
11
brev
2020
Indgående 22-02-
Skolens mail om skema til
12
brev
2020
tilsynsbesøg på Herlufsholm Skole
- mpdtaget 22-02-2020
Udgående 24-02-
Styrelsens kvitteringsmail på
13
brev
2020
modtagelse af skemaer - sendt 24-
02-2020
Indgående 04-03-
Skolens udkast til plan over
14
brev
2020
Tilsynsbesøg, Herlufsholm Skole d.
10/3-2020 - modtaget 04-03-2020
Udgående 06-03-
Styrelsens kvitteringssvar på
15
brev
2020
modtagelse af skolens forslag til
program - sendt 06-03-2020
Bemærkninger
Vedlagt
Vedlagt
Vedlagt
Vedlagt
Vedlagt
Vedlagt
Vedlagt
Vedlagt
Vedlagt
Vedlagt
Vedlagt
Vedlagt
Vedlagt
Vedlagt. Enkelte
oplysninger undtaget jf.
OFL §30, nr. 1.
Vedlagt
BUU, Alm.del - 2021-22 - Endeligt svar på spørgsmål 247: Spm. om at oversende alle dokumenter i sagen, som TV2 har fået aktindsigt i, i forbindelse med produktionen af dokumentaren 'Herlufsholms hemmeligheder', til børne- og undervisningsministeren
2588615_0359.png
16
17
18
19
20
21
Indgående
brev
Indgående
brev
Udgående
brev
Internt
notat uden
opfølgning
Internt
notat uden
opfølgning
Udgående
brev
06-03-
2020
06-03-
2020
06-03-
2020
16-03-
2020
24-03-
2020
24-04-
2020
Skolens reviderede program -
modtaget 06-03-2020
nyt revideret program fra skolen -
modtaget 06-03-2020
styrelsens kvitteringsmail - sendt
06-03-2020
Referat af tilsynsbesøg på
Herlufholm 10-03-2020.DOCX
Fejloprettet
U: STUK sender anmodning af 24.
april 2020 om supplerende
oplysninger til Herlufsholm vedr.
præfektordning, underretninger,
beklædningsregler mv.
I: Herlufsholm sender svar af 30.
april 2020 om supplerende
oplysninger vedr præfket mv
U: Styrelsen kvitterer for
modtagelse af supplerende
oplysninger
INTERN wordversion af
afslutningsbrev Herlufsholm 28.
august 2020
I: Herlufsholm sender
Tilsynserklæring 2019/2020
U: Afslutningsbrev til Herlufsholm
28. august 2020 i det tematiske
tilsyn med kombinerede
institutioner med kostafdeling
I: Herlufsholm kvitterer for
modtagelse af afslutningsbrev vedr.
tematisk tilsyn med kombinerede
institutioner med kostafdeling
Vedlagt. Enkelte
oplysninger undtaget jf.
OFL §30, nr. 1.
Vedlagt. Enkelte
oplysninger undtaget jf.
OFL §30, nr. 1.
Vedlagt
Vedlagt. Enkelte
oplysninger undtaget jf.
OFL §30, nr. 1.
Fejloprettet
Vedlagt
22
23
24
25
26
Indgående
brev
Udgående
brev
Internt
notat uden
opfølgning
Indgående
brev
Udgående
brev
Indgående
brev
30-04-
2020
30-04-
2020
09-06-
2020
18-06-
2020
28-08-
2020
28-08-
2020
Vedlagt
Vedlagt
Vedlagt
Vedlagt
Vedlagt
27
Vedlagt
BUU, Alm.del - 2021-22 - Endeligt svar på spørgsmål 247: Spm. om at oversende alle dokumenter i sagen, som TV2 har fået aktindsigt i, i forbindelse med produktionen af dokumentaren 'Herlufsholms hemmeligheder', til børne- og undervisningsministeren
2588615_0360.png
«
Nr.
21/01244
---
Mew
aktindswgt
i [rie
sko‘eri
tilsyn m Avisen DK
z1/1oszs
Aktindsigt, Dyrberg,
Rakke
Kompagniet,
Hermfshalm 11052021
Skole,