Børne- og Undervisningsudvalget 2021-22
BUU Alm.del
Offentligt
2583011_0001.png
Evaluering af
optagelsessystemet til de
videregående uddannelser
September 2020
BUU, Alm.del - 2021-22 - Endeligt svar på spørgsmål 219: Spm. om børn og unges trivsel, til børne- og undervisningsministeren
Evaluering af optagelsessystemet til de videregående uddannelser
Udgivet af
Uddannelses- og Forskningsministeriet
Børsgade 4
Postboks 2135
1015 København K
Tel.: 3392 9700
[email protected]
www.ufm.dk
Forsidefoto
Layout
Tryk
Flemming Leitorp
Uddannelses- og Forskningsministeriet
Rosendahls
Publikationen kan hentes på ufm.dk/publikationer
ISBN: 978-87-93807-25-9
ISBN (elektronisk publikation): 978-87-93807-26-6
2
Uddannelses- og Forskningsministeriet
BUU, Alm.del - 2021-22 - Endeligt svar på spørgsmål 219: Spm. om børn og unges trivsel, til børne- og undervisningsministeren
Evaluering af
optagelsessystemet til de
videregående uddannelser
September 2020
Evaluering af optagelsessystemet til de videregående uddannelser
Denne side er med vilje efterladt uden indhold.
Uddannelses- og Forskningsministeriet
3
BUU, Alm.del - 2021-22 - Endeligt svar på spørgsmål 219: Spm. om børn og unges trivsel, til børne- og undervisningsministeren
Evaluering af optagelsessystemet til de videregående uddannelser
Denne side er med vilje efterladt uden indhold.
4
Uddannelses- og Forskningsministeriet
BUU, Alm.del - 2021-22 - Endeligt svar på spørgsmål 219: Spm. om børn og unges trivsel, til børne- og undervisningsministeren
Evaluering af optagelsessystemet til de videregående uddannelser
Indhold
1. Indledning
11
1.1 Baggrund for evalueringen
11
1.2 Temaer i evalueringen
11
1.2.1 Tema 1. Sammenhæng mellem ungdomsuddannelserne og
optagelsessystemet til de videregående uddannelser
13
1.2.2 Tema 2. Informeret ansøgning til de videregående
uddannelser
13
1.2.3 Tema 3. Udvælgelse på faglige forudsætninger og motivation 13
1.2.4 Tema 4. Social mobilitet i optagelsessystemet
13
1.2.5 Tema 5. Gennemsigtighed i optagelsessystemet
14
1.2.6 Tema 6. Effektiv fordeling af uddannelsespladser
14
1.3 Analysedesign
14
1.4 Læsevejledning
16
2. Sammenfatning og samlet vurdering
17
2.1 Temaer i evalueringen
17
2.2 Opmærksomhedspunkter og samlet vurdering af optagelsessystemet 18
2.3 Evalueringens hovedresultater
23
2.3.1 Tema 1. Sammenhæng mellem ungdomsuddannelserne og
optagelsessystemet til de videregående uddannelser
23
2.3.2 Tema 2. Informeret ansøgning til de videregående
uddannelser
35
2.3.3 Tema 3. Udvælgelse på faglige forudsætninger og motivation 41
2.3.4 Tema 4. Social mobilitet i optagelsessystemet
47
2.3.5 Tema 5. Gennemsigtighed i optagelsessystemet
53
2.3.6 Tema 6. Effektiv fordeling af uddannelsespladser
56
3. Beskrivelse af optagelsessystemet til de videregående
uddannelser
3.1 Udvikling i optagelsessystemet 1977-2020
3.2 Regler og proces for optagelse på de videregående uddannelser
3.2.1 Regler for optagelsen er fastlagt i tre
adgangsbekendtgørelser
59
60
64
64
Uddannelses- og Forskningsministeriet
5
BUU, Alm.del - 2021-22 - Endeligt svar på spørgsmål 219: Spm. om børn og unges trivsel, til børne- og undervisningsministeren
Evaluering af optagelsessystemet til de videregående uddannelser
3.2.2 Alle ansøgere bliver kun tilbudt én studieplads
64
3.2.3 Proces for optagelsen strækker sig over hele året
65
3.3 Regler om adgangskrav, kvoter og udvælgelse på de videregående
uddannelser
69
3.3.1 Der er generelle og specifikke adgangskrav til de videregående
uddannelser
69
3.4 Kvotesystemet og udvælgelse på de videregående uddannelser
70
3.4.1 Uddannelsespladserne bliver fordelt via to kvoter ved
adgangsbegrænsning
70
3.4.2 Uddannelserne fastlægger kvotefordeling
71
3.4.3 I kvote 1 sker udvælgelsen på baggrund af
karaktergennemsnit
72
3.4.4 I kvote 2 sker udvælgelse på baggrund af andre kriterier
73
3.5 Ansøgernes svar på tilbud om uddannelsesplads og efteroptagelsen 74
3.5.1 Optagne, der takker nej
75
3.5.2 Efteroptagelsen på de videregående uddannelser
75
4. Udvikling siden 2009 – et dataoverblik
77
4.1 Introduktion til ansøgning og optagelse 2019
78
4.1.1 Knap 90.000 søgte ind på en videregående uddannelse i
2019
78
4.2 Udvikling i ansøgere 2009-2019
80
4.2.1 Andelen af ansøgere er steget med 53 procent
80
4.2.2 En større andel 1. prioritetsansøgninger bliver behandlet i kvote
2
80
4.2.3 Andelen af ansøgere med gymnasial eksamen er stabil
81
4.3 Udvikling i ansøgninger 2009-2019
82
4.3.1 Ansøgerne søger gennemsnitligt flere uddannelser
82
4.4 Udviklingen i optagne 2009-2019
84
4.4.1 Andelen af optagne er steget med 41 procent
84
4.5 Udviklingen i ikke-optagne fra 2009-2019
89
4.5.1 Andelen af afviste kvalificerede ansøgere er stabil i perioden 89
4.5.2 Andelen af ikke-kvalificerede ansøgere er steget med 3
procentpoint
93
5. Betydningen af karakterer og grænsekvotienter for elever i
de gymnasiale uddannelser
95
5.1 Karaktergennemsnittets betydning for uddannelsesmuligheder
97
5.1.1 Halvdelen af uddannelserne havde i 2019 en grænsekvotient 97
5.1.2 Et givent karaktergennemsnit fra gymnasiet giver alle
ansøgere adgang til færre uddannelser i dag i forhold til tidligere 99
5.2 Elevernes oplevelse af karaktergennemsnit
103
5.2.1 Eleverne overvurderer betydningen af karaktergennemsnit 103
5.3 Betydning af afskaffelsen af 1,08-reglen for
uddannelsesmuligheder
106
5.3.1 Grænsekvotienterne falder og pladser bliver omfordelt
106
6
Uddannelses- og Forskningsministeriet
BUU, Alm.del - 2021-22 - Endeligt svar på spørgsmål 219: Spm. om børn og unges trivsel, til børne- og undervisningsministeren
Evaluering af optagelsessystemet til de videregående uddannelser
6. Optagelsessystemets betydning for elevernes studieadfærd i
de gymnasiale uddannelser
111
6.1 Karaktergennemsnittets betydning for elevernes studieadfærd
112
6.1.1 Størstedelen af eleverne vælger fag, de synes er spændende 112
6.1.2 Nogle elever fravælger fag, de synes er spændende, hvis det
trækker karaktergennemsnittet ned
115
6.1.3 Karakterer er for nogle elever det vigtigste
115
6.1.4 Størstedelen af eleverne tilpasser deres arbejdsindsats for at
øge karaktergennemsnittet
119
6.1.5 To tredjedele fortryder ikke valg i den gymnasiale
uddannelse
123
7. Ansøgernes søgeadfærd
125
7.1 Ansøgernes søgemønstre og fordeling i optagelsessystemet
127
7.1.1 Ansøgere med høje karakterer søger de samme få
uddannelser
127
7.1.2 Nogle elever bruger grænsekvotienten til at styre deres
uddannelsesvalg
133
7.2 Faktorer, der påvirker ansøgernes uddannelsesvalg
135
7.2.1 To tredjedele af ansøgerne var opmærksomme på
efterfølgende jobmuligheder ved deres uddannelsesvalg
135
7.2.2 Hver sjette ansøger ændrer uddannelsesvalg alene på grund af
en højere grænsekvotient
138
7.2.3 Der er forskel på, hvad ansøgerne selv opfatter som prestige,
og hvad de tror, andre mener
140
7.3 Ansøgernes afklaring om uddannelsesvalg
141
7.3.1 Størstedelen af ansøgerne søger information om
uddannelserne
141
7.3.2 Størstedelen af ansøgerne følte sig afklarede om deres
uddannelsesvalg
143
7.3.3 I alt 10 procent af de optagne takker nej til studiepladsen 145
8. Udvælgelse af ansøgere til de videregående uddannelser 147
8.1 Adgangskrav til de videregående uddannelser
149
8.1.1 Stigning i brugen af karakterkrav som adgangskrav
149
8.2 Udvælgelse af ansøgere på baggrund af karaktergennemsnit i kvote
1
150
8.2.1 Ansøgere med højere karaktergennemsnit får højere karakterer
på uddannelsen
150
8.2.2 Ansøgere med højere karaktergennemsnit falder i lavere grad
fra
152
8.2.3 Ansøgere med højere karaktergennemsnit har lavere ledighed
efter endt uddannelse
153
8.3 Brugen af flere udvælgelseskriterier i kvote 2
157
8.3.1 Uddannelserne bruger forskellige udvælgelseskriterier
157
Uddannelses- og Forskningsministeriet
7
BUU, Alm.del - 2021-22 - Endeligt svar på spørgsmål 219: Spm. om børn og unges trivsel, til børne- og undervisningsministeren
Evaluering af optagelsessystemet til de videregående uddannelser
8.3.2 Dokumenteret erfaring, karakterer og motiveret ansøgning er
de hyppigst anvendte kriterier i kvote 2 – og ofte i kombination 159
8.3.3 Sammenhæng mellem karakterer og rangering i kvote 2
164
8.3.4 Uddannelsesinstitutionerne vurderer generelt de samme
ansøgere højt i både kvote 1 og kvote 2
164
8.3.5 Sammenhængen mellem karaktergennemsnit og rangering i
kvote 2 afhænger af udvælgelseskriterier
165
8.3.6 Rangering af ansøgere hænger sammen med
udvælgelseskriterier
166
8.4 Udvælgelse af ansøgere på baggrund af flere udvælgelseskriterier i
kvote 2
168
8.4.1 Ansøgere med bedre kvote 2-vurdering klarer sig bedre på
uddannelsen
168
8.4.2 Studerende optaget via kvote 2 har lavere sandsynlighed for
frafald
171
8.4.3 Optagne med en erhvervsuddannelse har lavere sandsynlighed
for frafald
173
8.4.4 Ansøgere, der venter med at søge optagelse, bliver vurderet
bedre i kvote 2
173
9. Optagelsessystemets betydning for social mobilitet
175
9.1 Social mobilitet forud for optagelsessystemet
176
9.1.1 Unge med forældre med en videregående uddannelse vælger
oftere en gymnasial uddannelse
177
9.2 Social mobilitet i optagelsessystemet
177
9.2.1 Flere unge med faglærte eller ufaglærte forældre optages på en
videregående uddannelse
177
9.2.2 Unge med forældre med en videregående uddannelse søger
oftere selv en videregående uddannelse end unge med faglærte eller
ufaglærte forældre
178
9.2.3 Ansøgere med faglærte og ufaglærte forældre søger hurtigere
optagelse
180
9.3 Social mobilitet i udvælgelsen i kvote 1
182
9.3.1 Karaktergennemsnittet stiger med forældrenes
uddannelsesniveau
182
9.4 Social mobilitet i udvælgelsen i kvote 2
186
9.4.1 En større andel ansøgere med faglærte forældre søger kvote
2
186
9.4.2 Udvælgelseskriterierne har betydning for social mobilitet i
kvote 2
188
9.4.3 Der er forskelle mellem institutionernes rangering af
ansøgerne
193
9.4.4 Simulering af at flytte kvote 2-pladser til kvote 1, påvirker 15
procent af ansøgerne
196
10. Ansøgernes forståelse af optagelsessystemet
199
8
Uddannelses- og Forskningsministeriet
BUU, Alm.del - 2021-22 - Endeligt svar på spørgsmål 219: Spm. om børn og unges trivsel, til børne- og undervisningsministeren
Evaluering af optagelsessystemet til de videregående uddannelser
10.1 Ansøgernes forståelse af ansøgningsprocessen og
udvælgelseskriterierne
201
10.1.1 En tredjedel vurderer, at ansøgningsprocessen er klar og
201
overskuelig
10.1.2 Udvælgelsen i kvote 1 er nemmere forstå end udvælgelsen i
kvote 2
204
10.2 Ansøgernes forståelse af afgørelserne
211
10.2.1 En tredjedel blev overrasket over at blive optaget på deres 1.
prioritet
211
10.2.2 I alt to tredjedele af ansøgerne ved, hvorfor de er optaget eller
afvist
213
11. Optagnes oplevelse af uddannelsen
219
11.1 De optagne ansøgeres forventninger til uddannelsen
220
11.1.1 Størstedelen af optagne oplever, at det faglige indhold lever
op til deres forventninger
220
11.1.2 Knap en fjerdel af dem, der ikke er faldet fra, er i tvivl, om de
valgt den rigtige uddannelse
222
11.1.3 En fjerdedel har opdaget andre spændende uddannelser
223
11.1.4 Årsager til, at ansøgerne falder fra deres uddannelse
227
12. Fordeling af uddannelsespladser
229
12.1 Fordeling af uddannelsespladser via Den Koordinerede Tilmelding 230
12.1.1 Den Koordinerede Tilmelding betyder, at der højst tilbydes én
studieplads til hver ansøger
231
12.1.2 Fordelingen kan ske uanset udvælgelseskriterier
232
12.1.3 Pladsfordelingen er effektiv
232
12.1.4 Vinter- og efteroptagelsen koordineres ikke centralt
232
12.2 Uddannelsesinstitutionernes oplevelse af fordeling af
uddannelsespladser
234
12.2.1 Kvote 1 bliver oplevet som let og effektivt at administrere 234
12.2.2 Kvote 2 opfattes som mindre effektivt af institutionerne 236
13. Bilag
13.1 Bilag 1. Organisering af evaluering
13.1 Bilag 2. Tidslinje over større ændringer i optagelsessystemet
13.1.1 Tidslinje over større ændringer i optagelsessystemet
13.2 Bilag 3. Evalueringens analysedesign
13.2.1 Undersøgelsesspørgsmål
13.2.2 Afgrænsning af evalueringen
13.2.3 Analysespor
13.2.4 Spor 1. Kortlægning af eksisterende viden
13.2.5 Spor 2. Kvalitativ undersøgelse
13.2.6 Spor 3. Kvantitative analyser og simulering
13.3 Bilag 4. Litteraturliste
239
239
240
240
244
244
244
245
246
246
247
248
Uddannelses- og Forskningsministeriet
9
BUU, Alm.del - 2021-22 - Endeligt svar på spørgsmål 219: Spm. om børn og unges trivsel, til børne- og undervisningsministeren
Evaluering af optagelsessystemet til de videregående uddannelser
Denne side er med vilje efterladt uden indhold.
10
Uddannelses- og Forskningsministeriet
BUU, Alm.del - 2021-22 - Endeligt svar på spørgsmål 219: Spm. om børn og unges trivsel, til børne- og undervisningsministeren
Evaluering af optagelsessystemet til de videregående uddannelser
1. Indledning
1.1 Baggrund for evalueringen
Optagelsessystemet til de videregående uddannelser fordeler årligt ca. 90.000 ansø-
gere med forskellige adgangsgivende grundlag til alle typer af videregående uddannel-
ser i hele Danmark. Ansøgningstallet er steget markant over de sidste 40 år, og opta-
gelsessystemet er i store træk forblevet uændret.
Med denne rapport foreligger der nu en samlet evaluering af optagelsessystemet. I rap-
porten undersøges i hvilket omfang, det nuværende optagelsessystem understøtter, at
det er kvalificerede og motiverede ansøgere, der søger og bliver optaget på landets vi-
deregående uddannelser.
Det er samtidig væsentligt at holde sig for øje, at optagelsessystemet til de videregå-
ende uddannelser er ét element i de unges uddannelsesvej fra ungdomsuddannelsen til
de videregående uddannelser. Også andre forhold må forventes at have en betydning
for, hvilke videregående uddannelser de unge søger ind på. Selvom disse forhold ikke er
den egentlige genstand for evalueringen, er der taget højde for dem i forbindelse med
udarbejdelsen af analyser mv. til evalueringen.
Evalueringen er gennemført fra 2019 til 2020 af Uddannelses- og Forskningsministeriet
med bidrag fra /Kl.7 og Realize Aps. Evalueringen er afgrænset til at handle om optaget
til de videregående uddannelser, der er en del af Den Koordinerede Tilmelding. Til evalu-
eringen har været knyttet en referencegruppe med repræsentanter for de videregående
uddannelsesinstitutioner, samt en følgegruppe med øvrige interessenter. Rapportens
konklusioner har også været diskuteret med fire forskere, jf. bilag 1.
1.2 Temaer i evalueringen
Temaerne i evalueringen af optagelsessystemet er udvalgt med udgangspunkt i ansø-
gerens rejse mod og gennem optagelsesprocessen på de videregående uddannelser.
Ansøgerens vej mod de videregående uddannelser begynder tidligt i uddannelsessyste-
met. De valg, ansøgeren træffer om og under sin ungdomsuddannelse, har betydning for
den videre færd gennem uddannelsessystemet. Efter ungdomsuddannelsen skal ansø-
geren vælge videregående uddannelse, og herefter skal ansøgeren gennem udvælgel-
sesprocessen i optagelsessystemet til de videregående uddannelser.
De første tre temaer retter fokus mod de enkelte led i ansøgerens rejse, mens de sidste
tre er tværgående med betydning for hele ansøgerens rejse, jf. figur 1.
Uddannelses- og Forskningsministeriet
11
BUU, Alm.del - 2021-22 - Endeligt svar på spørgsmål 219: Spm. om børn og unges trivsel, til børne- og undervisningsministeren
2583011_0012.png
Evaluering af optagelsessystemet til de videregående uddannelser
Figur 1
Temaer i evaluering af optagelsessystemet til de videregående uddannelser
I de følgende afsnit bliver der redegjort for temaerne og deres betydning. Undervejs i af-
snittene bruges der en række centrale begreber. Begrebernes betydning bliver kort op-
summeret i boks 1.1.
Boks 1.1 Centrale begreber i evalueringen
Adgangskrav
er en samlebetegnelse for de krav, ansøgeren skal opfylde for at
komme i betragtning til en studieplads.
Generelle adgangskrav
er krav om f.eks. en
bestået gymnasial eksamen eller tilsvarende niveau.
Specifikke adgangskrav
er
krav om bestemte beståede gymnasiale fag på bestemte niveauer.
Karakterkrav
er
et adgangskrav om bestemte minimumskarakter i krævede fag, eller et bestemt mi-
nimumsgennemsnit fra den gymnasiale eksamen.
Grænsekvotient (eller adgangskvotient)
er det karaktergennemsnit, der som mini-
mum skal til for optagelse i kvote 1 på en bestemt uddannelse i et givet år på ud-
dannelser, hvor der ikke er plads til alle kvalificerede ansøgere.
Rangering
bruges som betegnelse for det, uddannelserne gør, når de vælger og sor-
terer ansøgere.
Udvælgelseskriterier
er de kriterier, uddannelserne bruger til at rangere ansøgerne
f.eks. karaktergennemsnit eller motiveret ansøgning.
Ungdomsuddannelser
er en samlet betegnelse for både de gymnasiale uddannelser
(stx, htx, hf, hhx og eux) og erhvervsuddannelserne (eux og EUD).
12
Uddannelses- og Forskningsministeriet
BUU, Alm.del - 2021-22 - Endeligt svar på spørgsmål 219: Spm. om børn og unges trivsel, til børne- og undervisningsministeren
Evaluering af optagelsessystemet til de videregående uddannelser
1.2.1 Tema 1. Sammenhæng mellem ungdomsuddannelserne og
optagelsessystemet til de videregående uddannelser
De gymnasiale uddannelser (stx, hhx, htx, hf og eux) er i dag forberedende til en videre-
gående uddannelse. Har man et bestået eksamensbevis i hånden, og lever man op til de
specifikke afgangskrav, er man vurderet studieparat. Der går dermed en linje i uddan-
nelsessystemet fra de gymnasiale uddannelser til de videregående uddannelser, og det
er optagelsessystemet, der binder de to uddannelsesniveauer sammen. Samtidig giver
optagelsessystemet også mulighed for, at ansøgere med andre adgangsgrundlag kan
optages – herunder ansøgere med en erhvervsuddannelse.
Optagelsessystemet er dermed en vigtig brik i at understøtte sammenhængen, særligt
mellem de gymnasiale uddannelser og de videregående uddannelser. Optagelsessyste-
met kan derfor have betydning for, om eleverne gives de rette incitamenter til at for-
dybe og dygtiggøre sig både generelt og særligt inden for deres faglige interesseom-
råde – og hvilke valg, de træffer i de gymnasiale uddannelser.
1.2.2 Tema 2. Informeret ansøgning til de videregående uddannelser
Forud for, at ansøgerne sender deres ansøgning, ligger en længere afklaringsproces. Her
skal ansøgerne træffe et valg om, hvilke(n) af de knap 900 forskellige udbud af videre-
gående uddannelser, de vil søge optagelse på. Her kan ansøgerne blive klogere på deres
egne interesser og på de videregående uddannelsers faglige indhold, undervisningsform
og jobsigte.
Optagelsessystemets indretning kan derfor have betydning for ansøgernes refleksion
over egne interesser i uddannelsesvalget. Ansøgernes mulighed for at vælge hvilke vi-
deregående uddannelser, de vil søge ind på på et reflekteret grundlag har dermed be-
tydning for, om ansøgernes forventninger kommer til at stemme overens med uddannel-
sens indhold og jobsigte.
1.2.3 Tema 3. Udvælgelse på faglige forudsætninger og motivation
Alle ansøgere skal i dag leve op til de fastsatte adgangskrav for at være kvalificerede.
Når der er flere kvalificerede ansøgere end uddannelsespladser sker der i dag en udvæl-
gelse i kvote 1 alene på baggrund af karaktergennemsnittet fra ansøgerens gymnasiale
uddannelse. Karaktergennemsnittet anvendes dermed som indikator for rangering af
ansøgernes faglige forudsætninger for at læse på uddannelsen. Udvælgelse i kvote 2
kan ske på baggrund af en række forskellige kriterier, som de videregående uddannelser
selv fastlægger, og som dermed fungerer som indikatorer for rangering af ansøgernes
faglige forudsætninger og/eller motivation til at læse på uddannelsen.
Uddannelsernes mulighed for at tilrettelægge optagelsen, så den vurderer ansøgernes
faglige forudsætninger og motivation for den søgte uddannelse og dens jobsigte, bidra-
ger dermed til, at de studerende kan gennemføre uddannelsen med et godt resultat.
1.2.4 Tema 4. Social mobilitet i optagelsessystemet
En lang række af de forhold, der spiller ind i forhold til social mobilitet i uddannelsessy-
stemet, sker før de unge møder optagelsessystemet til de videregående uddannelser.
Uddannelses- og Forskningsministeriet
13
BUU, Alm.del - 2021-22 - Endeligt svar på spørgsmål 219: Spm. om børn og unges trivsel, til børne- og undervisningsministeren
Evaluering af optagelsessystemet til de videregående uddannelser
Det gælder blandt andet sandsynligheden for at have gennemført en ungdomsuddan-
nelse, samt hvilke kompetencer de unge har tilegnet sig gennem grundskolen og ung-
domsuddannelsen, og hvilke uddannelser de unge søger ind på.
Mulighederne for at blive optaget på en videregående uddannelse er således en af flere
faktorer, der har betydning for den sociale mobilitet. Optagelsessystemets indretning
har i sig selv en betydning for unges mulighed for at blive optaget på en videregående
uddannelse – uanset deres forældres uddannelsesniveau. Optagelsessystemet påvirker,
hvilke ansøgere der bliver optaget på hvilke uddannelser, herunder både via de ad-
gangskrav, der stilles til ansøgerne, og de udvælgelseskriterier der benyttes til at tildele
uddannelsespladser til ansøgere på uddannelser, hvor der er flere kvalificerede ansø-
gere, end der er pladser – også kaldet adgangsbegrænsede uddannelser.
1.2.5 Tema 5. Gennemsigtighed i optagelsessystemet
Det danske optagelsessystem er i dag karakteriseret ved at være et kvotesystem,
hvor der er afsat et bestemt antal pladser i hhv. kvote 1 og kvote 2, og hvor udvæl-
gelsen til adgangsbegrænsede uddannelser foretages på baggrund af forskellige
(kombinationer af) kriterier. Fælles for alle uddannelser er, at ansøgerne skal have en
gymnasial eksamen eller en anden adgangsgivende uddannelse, som f.eks. en er-
hvervsuddannelse (kaldet det generelle adgangskrav) og have taget bestemte gym-
nasiale fag på bestemte niveauer evt. med en minimumskarakter (kaldet specifikke
adgangskrav).
For at kunne søge ind på en videregående uddannelse, skal ansøgerne derfor kunne
forstå optagelsessystemet. De skal vide, hvor de kan søge information om uddannel-
serne, hvad de forskellige begreber som f.eks. adgangskrav og grænsekvotienter be-
tyder, og hvad der skal til for, at de kan kvalificere sig til at blive optaget på en vide-
regående uddannelse. Den viden er afgørende for ansøgernes mulighed for at fore-
tage en kvalificeret ansøgning og i sidste ende at blive optaget.
1.2.6 Tema 6. Effektiv fordeling af uddannelsespladser
Formålet med Den Koordinerede Tilmelding (KOT) er at koordinere optagelsen til de vi-
deregående uddannelser, så alle ansøgere kun skal søge et sted og kun bliver tilbudt
studieplads et sted – på den højst mulige søgte prioritet. Måden, optagelsessystemet
fordeler ansøgerne på, har en betydning for graden af administration og ressourceffek-
tivitet for ansøgerne, staten og uddannelsesinstitutionerne.
Det får også en betydning for, om ansøgerne har mulighed for at starte på en uddan-
nelse i umiddelbar forlængelse af deres adgangsgivende eksamen. Endelig har fordelin-
gen en betydning for, hvorvidt ansøgerne kan søge om optagelse på flere uddannelser i
samme optagelsesrunde, samtidig med, at de har mulighed for at deltage i aktiviteter,
der tilrettelægges som et led i udvælgelsesprocessen uden unødig forsinkelse.
1.3 Analysedesign
Evalueringen bygger på en række kvantitative og kvalitative analyser. Der er i analyse-
designet lagt vægt på, at en række forskellige data og analytiske tilgange supplerer
hinanden til at belyse temaerne. Analysedesignet har derfor været delt op i tre spor: 1)
14
Uddannelses- og Forskningsministeriet
BUU, Alm.del - 2021-22 - Endeligt svar på spørgsmål 219: Spm. om børn og unges trivsel, til børne- og undervisningsministeren
2583011_0015.png
Evaluering af optagelsessystemet til de videregående uddannelser
eksisterende viden, 2) kvalitative analyser og 3) kvantitative analyser, jf. figur 1.2. For en
yderligere beskrivelse af evalueringens metode, se bilag 3.
Figur 1.2
Evalueringens analysedesign
Der er således indsamlet en mængde data via forskellige metoder. De bærende elemen-
ter er brugen af data fra KOT, registerdata fra Danmarks Statistik samt to store spør-
geskemaundersøgelser med hhv. elever i gymnasiale uddannelser og ansøgere til vide-
regående uddannelser, jf. boks 1.2. Analyserne er baseret på data fra 2009-2019, som
var de nyeste tilgængelige data på analysetidspunktet.
Uddannelses- og Forskningsministeriet
15
BUU, Alm.del - 2021-22 - Endeligt svar på spørgsmål 219: Spm. om børn og unges trivsel, til børne- og undervisningsministeren
2583011_0016.png
Evaluering af optagelsessystemet til de videregående uddannelser
Boks 1.2 Dataindsamlingsmetoder
Gennemført af Uddannelses- og Forskningsministeriet:
Kortlægning af eksisterende viden om det danske optagelsessystem
Indhentning af viden om optagelsessystemerne i en række udvalgte lande
Deskriptiv analyse af data fra KOT
Statistisk analyse af data fra KOT og Danmarks Statistik
Kontrafaktisk simulering af data fra KOT.
Gennemført af KL7 og Realize Aps:
– Spørgeskemaundersøgelse blandt elever på gymnasiale uddannelser (stx, hhx, htx
og hf)
– Interview med elever på gymnasiale uddannelser (stx, hhx og htx)
– Spørgeskemaundersøgelse blandt ansøgere til de videregående uddannelser (stx,
hhx, htx, hf, eux og EUD)
– Interview med repræsentanter fra uddannelsesinstitutioner.
Spørgeskemaundersøgelserne har især fokuseret på at spørge elever og ansøgere
direkte til deres adfærd, og samtidig indirekte at afsløre, om elever og ansøgere vi-
ser en anden adfærd, end de giver udtryk for. Alle datakilderne bliver derfor i evalu-
eringen brugt til at belyse bl.a. elever og ansøgernes adfærd fra forskellige vinkler
for at give et samlet billede.
Derudover er der gennemført en workshop med studievej-
ledere fra Studievalg Danmark, der bidrog med perspektiver på data om eleverne.
1.4 Læsevejledning
Rapporten er struktureret i 12 kapitler. Kapitlerne indledes hver især med en opsumme-
ring af hovedresultaterne.
Kapitel 1
beskriver evalueringens baggrund, formål, temaer og analysedesign.
Kapitel 2
sammenfatter evalueringens hovedresultater og giver en samlet vurdering af
fordele og ulemper ved optagelsessystemet. Kapitel 2 kan læses selvstændigt eller som
en del af den samlede evaluering.
Kapitel 3
beskriver regler og rammer for optagelsessystemet.
Kapitel 4
giver et overblik over status og udvikling i ansøgere og optagne på de videre-
gående uddannelser 2009-2019.
Kapitel 5-12
udgør evalueringens analyser. Kapitlerne er bygget op om ansøgerens vej
fra elev på en ungdomsuddannelse til optagelse som studerende på en videregående
uddannelse.
16
Uddannelses- og Forskningsministeriet
BUU, Alm.del - 2021-22 - Endeligt svar på spørgsmål 219: Spm. om børn og unges trivsel, til børne- og undervisningsministeren
Evaluering af optagelsessystemet til de videregående uddannelser
2. Sammenfatning og
samlet vurdering
Dette kapitel sammenfatter evalueringens hovedresultater
for hvert af de seks temaer: sammenhæng, ansøgning,
udvælgelse, social mobilitet, gennemsigtighed og
effektivitet. Kapitlet identificerer en række opmærksom-
hedspunkter på baggrund af en samlet vurdering af fordele
og ulemper ved optagelsessystemet. Sammenfatningen
kan læses selvstændigt eller som en del af den samlede
evaluering.
2.1 Temaer i evalueringen
Temaerne i evalueringen af optagelsessystemet er udvalgt med udgangspunkt i ansø-
gerens rejse fra den gymnasiale uddannelse til optagelsesprocessen på de videregå-
ende uddannelser. Temaerne er opsummeret i boks 2.1.
Uddannelses- og Forskningsministeriet
17
BUU, Alm.del - 2021-22 - Endeligt svar på spørgsmål 219: Spm. om børn og unges trivsel, til børne- og undervisningsministeren
2583011_0018.png
Evaluering af optagelsessystemet til de videregående uddannelser
Boks 2.1 Temaer i evalueringen
Tema 1: Sammenhæng
Optagelsessystemets bidrag til at skabe sammenhæng mellem ungdomsuddannelserne
og de videregående uddannelser, herunder at optagelsessystemet understøtter en god
studieadfærd og dybdelæring på de gymnasiale uddannelser.
Tema 2: Informeret ansøgning
Optagelsessystemets betydning for ansøgernes refleksion og informationssøgning frem
mod ansøgning til en videregående uddannelse.
Tema 3: Udvælgelse
Optagelsessystemets bidrag til at de videregående uddannelser kan udvælge ansøgere,
der er både kvalificerede og motiverede.
Tema 4: Social mobilitet
Optagelsessystemets betydning for social mobilitet.
Tema 5: Gennemsigtighed
Optagelsessystemets gennemsigtighed og forståelsen af optagelsessystemet blandt
ansøgere og andre aktører.
Tema 6: Effektivitet
Optagelsessystemets effektivitet i udvælgelse og fordeling af ansøgere til de videregå-
ende uddannelser, herunder ressourceeffektivitet for samfundet.
Evalueringen af optagelsessystemet indeholder en lang række analyseresultater. Her
opsummeres de centrale resultater under hvert af de seks temaer, som optagelsessy-
stemet er evalueret ud fra.
2.2 Opmærksomhedspunkter og samlet vurdering af
optagelsessystemet
På baggrund af den samlede evaluering er der udvalgt en række opmærksomhedspunk-
ter under hvert af evalueringens temaer, jf. boks 2.2.
18
Uddannelses- og Forskningsministeriet
BUU, Alm.del - 2021-22 - Endeligt svar på spørgsmål 219: Spm. om børn og unges trivsel, til børne- og undervisningsministeren
2583011_0019.png
Evaluering af optagelsessystemet til de videregående uddannelser
Boks 2.2 Udvalgte opmærksomhedspunkter fra evalueringen
Tema 1: Sammenhæng
Optagelsessystemet, herunder anvendelsen af karakterer, bidrager til en overordnet
god sammenhæng i uddannelsessystemet og tilskynder elever i de gymnasiale uddan-
nelser til at dygtiggøre sig. Men fordi betydningen af selv små forskelle i karaktergen-
nemsnittet for elevernes videre uddannelsesmuligheder er steget, er fokus på karakter-
gennemsnittet med til at forvride nogle elevers valg af fag og fagniveauer på de gym-
nasiale uddannelser. Således fravælger nogle elever fag eller at hæve fagniveauer,
selvom de finder fagene spændende, hvis de vurderer, at det risikerer at sænke deres
karaktergennemsnit. Dette kan påvirke elevernes dybdelæring på de gymnasiale ud-
dannelser.
Tema 2: Informeret ansøgning
Mens mange ansøgere vælger uddannelse efter faglig interesse, ændrer nogle ansøgere
uddannelsesvalg alene på grund af en grænsekvotient. Nogle ansøgere finder således
uddannelser mere attraktive alene, fordi den året før havde en høj grænsekvotient. Det
hænger sammen med, at grænsekvotienter bliver opfattet som et udtryk for uddannel-
sens prestige, selvom de alene udtrykker forholdet mellem antal ansøgere og uddannel-
sespladser. Påvirkningen fra grænsekvotienter er styrende for unges søgemønstre og
medvirkende til, at mange ansøgere i toppen af karakterskalaen søger de samme få ud-
dannelser og dermed ikke i så høj grad søger andre uddannelser.
Tema 3: Udvælgelse
Optagelsessystemets kvote 1 understøtter en effektiv udvælgelse på baggrund af fag-
lige forudsætninger (karaktergennemsnit). Derimod vægtes bl.a. ansøgernes motivation
og andre specifikke faglige forudsætninger for uddannelsen i mindre grad i udvælgelsen
i kvote 1. Blandt andet dette kan være medvirkende til, at mange optagne er i tvivl om,
hvorvidt de har valgt den rette uddannelse, mange takker nej til en tilbudt studieplads
og mange af de optagne, der falder fra, angiver uddannelsens indhold eller jobsigte som
årsag. Den individuelle vurdering af ansøgeren i kvote 2 giver en ekstra information om
ansøgeren i tillæg til de faglige forudsætninger, der måles via karakterer. Omvendt er
udvælgelseskriterierne i kvote 2 mindre effektive og gennemsigtige end karakterer,
Tema 4: Social mobilitet
Optagelsessystemet giver mulighed for alle kvalificerede ansøgere at søge om opta-
gelse – uanset forældrenes uddannelsesniveau. Imidlertid får ansøgere med forældre
med videregående uddannelse højere karakterer på de gymnasiale uddannelser, og er
derfor bedre stillet i kvote 1. Således er ansøgere med ufaglærte eller faglærte forældre
stillet ringere i kvote 1. Ansøgere med forældre med en videregående uddannelse bliver
yderligere vurderet bedre end ansøgere med ufaglærte eller faglærte forældre i kvote 2,
selvom de har samme karaktergennemsnit. Imidlertid er unge med ufaglærte eller fag-
lærte forældre mindre tilbøjelige til at gennemføre en gymnasial uddannelse og søge ind
på en videregående uddannelse end unge med forældre med en videregående uddan-
nelse. Dermed begrænses mulighederne for via optagelsessystemet at påvirke den so-
ciale mobilitet, da den sker allerede langt tidligere i uddannelsessystemet.
Uddannelses- og Forskningsministeriet
19
BUU, Alm.del - 2021-22 - Endeligt svar på spørgsmål 219: Spm. om børn og unges trivsel, til børne- og undervisningsministeren
2583011_0020.png
Evaluering af optagelsessystemet til de videregående uddannelser
Tema 5: Gennemsigtighed
Væsentlige dele af optagelsesprocessen er let at forstå for ansøgerne – særligt kvote 1.
Dele af optagelsessystemet er sværere at forstå for ansøgerne – særligt de mange ud-
vælgelseskriterier, der anvendes i kvote 2, samt varierende adgangskrav mellem uddan-
nelser.
Tema 6: Effektivitet
Optagelsessystemet fordeler effektivt og hurtigt en stor mængde af ansøgere med an-
vendelse af relativt få økonomiske ressourcer på baggrund af karaktergennemsnit i
kvote 1.
De udvalgte opmærksomhedspunkter er baseret på en samlet vurdering af de centrale
fordele og ulemper ved optagelsessystemet, jf. tabel 2.1.
Tabel 2.1
Samlet vurdering af de centrale fordele og ulemper ved optagelsessystemet
Fordele
Ulemper
Tema 1. Sammenhæng mellem ungdomsuddannelserne og optagelsessystemet
Optagelsessystemets brug af adgangskrav og karakte- Over de seneste ti år har karakterer - og små udsving i
rer tilskynder eleverne i de gymnasiale uddannelser til karakterdecimaler - fået større betydning for andelen af
at dygtiggøre sig bredt set, og bidrager overordnet til
en god sammenhæng mellem gymnasiale uddannel-
ser, optagelsessystemet og de videregående uddan-
nelser.
Optagelsessystemet understøtter muligheden for di-
rekte overgang fra de gymnasiale uddannelser, og
supplering giver samtidig mulighed for et fagligt spor-
skifte.
videregående uddannelser, eleverne kan komme ind på.
Derudover overvurderer eleverne, hvor meget karakterer
betyder for deres uddannelsesmuligheder.
Den stigende betydning af karaktergennemsnittet i opta-
gelsessystemet påvirker nogle af elevernes studiead-
færd i de gymnasiale uddannelser, hvor nogle elever fra-
vælger fag eller at hæve fagniveauer, som de vurderede
var spændende, hvis det risikerer at sænke deres karak-
tergennemsnit, og dermed give dem adgang til færre vi-
deregående uddannelser.
Mange elever har et stort fokus på at få høje karakterer
for at øge deres karaktergennemsnit, og dermed give
dem mulighed for at søge optagelse på flere videregå-
ende uddannelser. Det kan påvirke elevernes dybdelæ-
ring og trivsel negativt.
Optagelsessystemet medvirker til en mindre tydelig
sammenhæng mellem erhvervsuddannelserne og de vi-
deregående uddannelser – bl.a. fordi ansøgere med en
erhvervsuddannelse kan optages på færre uddannelser
end ansøgere med en gymnasial uddannelse og kun
via kvote 2.
20
Uddannelses- og Forskningsministeriet
BUU, Alm.del - 2021-22 - Endeligt svar på spørgsmål 219: Spm. om børn og unges trivsel, til børne- og undervisningsministeren
2583011_0021.png
Evaluering af optagelsessystemet til de videregående uddannelser
Fordele
Ulemper
Tema 2. Informeret og reflekteret ansøgning til de videregående uddannelser
Størstedelen af ansøgerne følte sig afklarede ift. deres
valg af videregående uddannelse, da de søgte ind,
hvilket kan afspejle, at de har reflekteret tilstrækkeligt
over deres ansøgning. Det ses ved, at de fleste ansø-
gere lægger vægt på jobmuligheder og det faglige ind-
hold på uddannelse, når de vælger, hvilken uddan-
Grænsekvotienter påvirker i sig selv, hvordan nogle an-
søgere vælger uddannelse. Nogle ansøgere finder ud-
dannelser mere attraktive alene, fordi den har en høj
grænsekvotient, og ændrer på den baggrund deres ud-
dannelsesvalg. Og omvendt finder de uddannelser -
som de ellers synes er de fagligt mest interessante -
nelse de gerne vil søge ind på. Derudover søger ansø- mindre attraktive alene, fordi de ikke har en grænsekvo-
tient.
gere generelt bredere i dag end tidligere.
Det hænger sammen med, at grænsekvotienter af ansø-
gerne bliver opfattet som et udtryk for uddannelsens
prestige, selvom kvotienterne alene afspejler udbud og
efterspørgsel.
Blandt ansøgerne med de højeste karaktergennemsnit
søger mange mod de samme få udbud af videregående
uddannelser med høje grænsekvotienter, mens andre
uddannelser modtager færre ansøgninger fra denne
gruppe. Det gælder f.eks. en række erhvervs- og profes-
sionsrettede uddannelser, herunder de store velfærds-
uddannelser. Særligt i helt i toppen af karakterfordelin-
gen søger de unge meget koncentreret på få udbud.
En ud af ti ansøgere, der tilbydes en studieplads, takker
nej. Det kan afspejle, at denne gruppes ansøgninger
ikke er tilstrækkeligt reflekterede.
Tema 3. Udvælgelse på baggrund af faglige forudsætninger og motivation
Anvendelsen af adgangskrav og karakterer i optagel-
sessystemets kvote 1 giver mulighed for en let tilgæn-
gelig vurdering af faglige forudsætninger og generel
studieegnethed.
Kvotesystemet giver uddannelserne fleksibilitet til at
udvælge ansøgerne på forskellige måder.
Ansøgerne i kvote 1 udvælges alene på marginale for-
skelle i decimaler i karaktergennemsnit som udtryk for
faglige forudsætninger. Det er ikke muligt i kvote 1 at
måle særskilt information om ansøgernes motivation for
uddannelsens indhold, jobsigte eller andre kompetencer,
som kunne være særligt relevante for en given uddan-
nelse eller job.
Anvendelsen af andre udvælgelseskriterier i kvote 2 gi- Kvotesystemet har gensidig afhængighed mellem kvo-
ver uddannelserne ekstra information om ansøgernes terne. Hvis optagelsen bliver øget i kvote 2, og dermed
studieegnethed og motivation. På uddannelser, hvor
ansøgerne skal møde op til eksempelvis en optagel-
sesprøve, er der nogle ansøgere, der ikke møder op.
Dermed undgår disse uddannelser at optage ansø-
gere, der ikke reelt er interesserede i uddannelsens
indhold.
reduceret i kvote 1, påvirker det isoleret set grænsekvo-
tienterne i kvote 1 i opadgående retning, hvilket kan give
utilsigtede virkninger og kan reducere uddannelsernes
fleksibilitet.
Der er betydeligt frafald på mange uddannelser. Frafal-
det har mange årsager. Mange af de optagne, der falder
fra, angiver uddannelsens indhold eller jobsigte som år-
sag. Dette kan afspejle, at motivation for uddannelsen
ikke vurderes i høj grad i optagelsessystemet
Uddannelses- og Forskningsministeriet
21
BUU, Alm.del - 2021-22 - Endeligt svar på spørgsmål 219: Spm. om børn og unges trivsel, til børne- og undervisningsministeren
2583011_0022.png
Evaluering af optagelsessystemet til de videregående uddannelser
Fordele
Hovedparten af de optagne oplever, at det faglige ind-
hold lever op til deres forventninger. Det gælder uan-
set, hvilken kvote ansøgerne er blevet optaget via.
Ulemper
Blandt de adspurgte optagne, der ikke er faldet fra på 1.
studieår, er 23 procent i høj eller nogen grad i tvivl, om
de har valgt den rigtige uddannelse.
Uddannelser uden adgangsbegrænsning har ringe mu-
lighed for at afvise ansøgere, der opfylder de fastsatte
adgangskrav, men som i optagelsesprocessen ikke vur-
deres studieegnede til den konkrete uddannelse.
Tema 4. Social mobilitet i optagelsessystemet
Fordi optaget er steget markant, blev der i 2019 opta-
get ca. 6.500 flere ansøgere med faglærte eller ufag-
lærte forældre end i 2009.
Optagelsessystemet giver mulighed for, at unge med
alle ungdomsuddannelser har mulighed for optagelse.
F.eks. har ansøgere med en erhvervsuddannelse –
som i højere grad end ansøgere med en gymnasial ud-
De tidligere stadier i uddannelsessystemet og unges liv
har stor betydning for den sociale mobilitet. Unge med
ufaglærte eller faglærte forældre er mindre tilbøjelige til
at gennemføre en gymnasial uddannelse og søge ind på
en videregående uddannelse. Dermed begrænses mu-
ligheden for at påvirke den sociale mobilitet i optagel-
sessystemet.
dannelse har faglærte eller ufaglærte forældre – mulig- Både karakterer og andre udvælgelseskriterier begræn-
ser social mobilitet i optagelsessystemet. Ansøgere med
hed for optagelse via kvote 2.
ufaglærte og faglærte forældre får i gennemsnit lavere
med forældre, der har en videregående uddannelse.
Derfor rangeres disse ansøgere lavere i kvote 1.
karakterer på de gymnasiale uddannelser end ansøgere
Udvælgelseskriterierne, der bliver brugt i kvote 2 i dag,
herunder særligt motiverede ansøgninger og dokumen-
teret erfaring, medvirker til en lavere grad af social mobi-
litet end kvote 1 blandt ansøgere med en gymnasial
baggrund.
Ansøgere med en erhvervsuddannelse kan ikke konkur-
rere om pladser i kvote 1, hvorimod personer med en
gymnasial uddannelse kan konkurrere om alle pladser i
både kvote 1 og 2. Blandt ansøgerne med en erhvervs-
uddannelse, er andelen med faglærte og ufaglærte for-
ældre højere end blandt ansøgerne med en gymnasial
uddannelse.
Tema 5. Gennemsigtighed for ansøgerne i optagelsessystemet
En stor del af ansøgerne har let ved at forstå udvæl-
gelseskriteriet i kvote 1 (karaktergennemsnit), som er
hovedvejen til de videregående uddannelser for fler-
tallet af ansøgerne.
Nogle af ansøgere mener, at kriterierne i kvote 2 er
svære at gennemskue, bl.a. fordi udvælgelseskriterierne
varierer fra uddannelsessted til uddannelsessted for de
samme uddannelser.
Mange ansøgere tror, at de obligatoriske adgangskrav
alene er vejledende og søger uddannelser, selvom de
ikke lever op til adgangskravene.
22
Uddannelses- og Forskningsministeriet
BUU, Alm.del - 2021-22 - Endeligt svar på spørgsmål 219: Spm. om børn og unges trivsel, til børne- og undervisningsministeren
2583011_0023.png
Evaluering af optagelsessystemet til de videregående uddannelser
Fordele
Ulemper
Optagelsessystemet er på nogle områder komplekst.
Vejledning om optagelsesregler og forskellige udvælgel-
seskriterier fra Studievalg Danmark og eVejledning fyl-
der uforholdsmæssigt meget i forhold til kerneopgaven
om valgvejledning.
Tema 6. Effektivitet i hele optagelsessystemet
Den Koordinerede Tilmelding fordeler uddannelses-
pladserne effektivt, så hver ansøger kun tildeles én
plads uanset, hvordan ansøgerne udvælges.
Anvendelsen af karaktergennemsnit i kvote 1 under-
støtter en hurtigere og mere effektiv udvælgelse af an-
søgere med dansk gymnasial baggrund på baggrund
af faglige forudsætninger end anvendelsen af andre
udvælgelseskriterier i kvote 2.
Uddannelsernes fleksibilitet ift. valg af udvælgelseskri-
terier i kvote 2 betyder, at ressourceforbrug og opnået
effekt på optagelsen kan afvejes på de enkelte uddan-
nelser.
Andelen af ansøgere, der søger, bliver vurderet i og op-
taget via kvote 2 er steget over de sidste ti år. Det giver
et større ressourceforbrug på uddannelserne.
Der er en række nuværende forhold, der sænker effekti-
viteten i optagelsessystemet f.eks. to ansøgningsfrister,
vurdering af udenlandske ansøgere på den enkelte ud-
dannelsesinstitution og manglende koordinering af efter-
og vinteroptagelse.
Nogle kriterier i kvote 2 er mindre omkostningseffektive
end kvote 1, idet det dog ikke er vurderet, om de enkelte
kriterier samlet set er mere eller mindre omkostningsef-
fektive for samfundet, når der tages højde for f.eks. fra-
fald.
2.3 Evalueringens hovedresultater
I de følgende afsnit bliver evalueringens hovedresultater gennemgået. Hvert afsnit star-
ter med en kort redegørelse for indholdet i det enkelte tema. Herefter bliver hovedresul-
taterne oplistet i en boks, hvorefter de bliver uddybet i den efterfølgende tekst.
2.3.1 Tema 1. Sammenhæng mellem ungdomsuddannelserne og
optagelsessystemet til de videregående uddannelser
Optagelsessystemet er en vigtig brik i at understøtte sammenhængen mellem ung-
domsuddannelserne, særligt de gymnasiale uddannelser, og de videregående uddannel-
ser. Optagelsessystemet kan derfor have betydning for, om eleverne gives de rette inci-
tamenter til at fordybe og dygtiggøre sig både generelt og særligt inden for deres fag-
lige interesseområde – og hvilke valg, de træffer i de gymnasiale uddannelser. Evalue-
ringens hovedresultater vedrørende sammenhæng mellem ungdomsuddannelser og op-
tagelsessystemet til de videregående uddannelser fremgår af boksen.
Uddannelses- og Forskningsministeriet
23
BUU, Alm.del - 2021-22 - Endeligt svar på spørgsmål 219: Spm. om børn og unges trivsel, til børne- og undervisningsministeren
2583011_0024.png
Evaluering af optagelsessystemet til de videregående uddannelser
Karakterer og specifikke adgangskrav understøtter, at der er en god overgang
mellem de gymnasiale uddannelser og de videregående uddannelser
– I 2019 søgte 78 procent af ansøgerne ind på baggrund af en gymnasial ud-
dannelse. Af dem er det 9 ud af 10, der søger uden at tage gymnasial supple-
ringskurser efterfølgende. De resterende 22 procent af alle ansøgere søger ind
på et andet grundlag f.eks. en udenlandsk eksamen (8 procent), en erhvervs-
uddannelse (4 procent), hf-fag (5 procent), International Baccalaureate (2
procent) eller andet (3 procent).
– Den typiske ansøger med en middelkarakter (karaktergennemsnit på 7,1 i
2019) kunne i 2019 blive optaget på 79 procent af uddannelserne, hvis ansø-
geren lever op til de generelle og specifikke adgangskrav.
– En gennemgang af udvalgte landes optagelsessystemer viser, at man i Dan-
mark i modsætning til andre lande tildeler størstedelen af uddannelsesplad-
serne alene på baggrund af de kvalifikationer (karaktergennemsnit), man har
med sig fra den gymnasiale eksamen.
Størstedelen af elever på de gymnasiale uddannelser vælger fag, der vækker
deres nysgerrighed
– Når elever i en spørgeskemaundersøgelse til 900 elever på sidste år af deres
gymnasiale uddannelse (stx, hhx, htx, og hf) bliver spurgt ind til, hvordan de
vælger fag, så angiver 46 procent af de adspurgte, at de i høj grad og 47 pro-
cent, at de i nogen grad vælger fag, der vækker deres nysgerrighed, selv om
de oplever dem som svære.
– Når eleverne skal vurdere, om det er vigtigere for dem, at deres fag er spæn-
dende end at de får gode karakterer, angiver 34 procent, at det i høj grad er
tilfældet, og 52 procent, at det i nogen grad er tilfældet.
Nogle elever på
gymnasiale uddannelser
har større fokus på at få høje karak-
terer end på muligheden for at lære noget nyt
– Når eleverne skal tage stilling til, om det vigtigste for dem lige nu er at for-
bedre deres karaktergennemsnit, så svarer 38 procent af de adspurgte, at det
i høj grad er tilfældet, og 38 procent, at det i nogen grad er tilfældet.
– Når eleverne skal vælge, hvad der er
vigtigst
for dem på deres gymnasiale ud-
dannelse, peger en fjerdel af eleverne på, at høje karakterer er det vigtigste
for dem (24 procent af de adspurgte) – vigtigere end muligheden for at lære
noget nyt (13 procent af de adspurgte).
24
Uddannelses- og Forskningsministeriet
BUU, Alm.del - 2021-22 - Endeligt svar på spørgsmål 219: Spm. om børn og unges trivsel, til børne- og undervisningsministeren
2583011_0025.png
Evaluering af optagelsessystemet til de videregående uddannelser
Nogle elever på gymnasiale uddannelser tilpasser deres studieadfærd og valg af
fag for at øge deres karaktergennemsnit mest muligt
– Samlet angiver 26 procent af de adspurgte elever, at de har tilpasset deres
adfærd og fravalgt fag og/eller at hæve fagniveauer, som de vurderede var
spændende, men kunne trække deres samlede karaktergennemsnit ned.
Karakterer er blevet vigtigere, fordi et givent karaktergennemsnit fra gymna-
siet giver alle ansøgere adgang til færre uddannelser i dag i forhold til tidligere
– For den typiske ansøger med en middelkarakter (karaktergennemsnit på 7,1 i
2019), er andelen af videregående uddannelser (udbud), ansøgeren kan blive
optaget på via kvote 1, faldet med 10 procentpoint fra 89 procent i 2009 til
79 procent i 2019.
– For en ansøger med karaktergennemsnit på grænsen til top 10 procent (ka-
raktergennemsnit på 10,4 i 2019), og som oveni får 1,08-bonus, er andelen
faldet med cirka 0,5 procentpoint fra 99,5 til 99 procent. Et begrænset fald re-
lativt set. Men hvor der blot var én uddannelse, som denne gruppe ikke kunne
komme ind på i 2009, var det steget til syv uddannelser i 2019 – heriblandt
psykologi i både Aarhus og København.
Små udsving i gymnasiekaraktererne påvirker andelen af mulige videregående
uddannelser for
alle ansøgere
mere end tidligere
– I forhold til den andel af mulige videregående uddannelsesudbud, som ansø-
gerne kan komme ind på via kvote 1, er betydningen af karaktererne i den en-
kelte eksamen på den gymnasiale uddannelse omtrent fordoblet fra 2009 til
2019. Det gælder ansøgere i hele karakterfordelingen.
– Et fald på et procentpoint i karakterfordelingen (svarende til 0,1 i karakter-
gennemsnittet) betød i 2009, at der var 0,2 procentpoint færre videregående
uddannelsesudbud, ansøgeren kunne blive optaget på. Det svaret til to ud-
dannelser. I 2019 betød et tilsvarende fald, at der i stedet var 0,5 procentpoint
færre videregående uddannelsesudbud, ansøgeren kunne blive optaget på
svarende til fire færre videregående uddannelsesudbud – det gælder ansø-
gere i hele karakterfordelingen.
– Da ansøgere med karaktergennemsnit på grænsen til top 10 procent (karak-
tergennemsnit på 10,4 i 2019) søger mere snævert end andre ansøgere, er
konkurrencen om pladserne hårdere blandt denne gruppe ansøgere. For de an-
søgere vil et fald på 0,1 i karaktergennemsnittet i 2019 øge antallet af videre-
gående uddannelsesudbud, ansøgeren
ikke
kan blive optaget på fra 7 til 11
svarende til en stigning på 57 procent.
Uddannelses- og Forskningsministeriet
25
BUU, Alm.del - 2021-22 - Endeligt svar på spørgsmål 219: Spm. om børn og unges trivsel, til børne- og undervisningsministeren
2583011_0026.png
Evaluering af optagelsessystemet til de videregående uddannelser
Elever på gymnasiale uddannelser overvurderer betydningen af gymnasie-
karakterer for deres videre uddannelsesmuligheder
– Når adspurgt, så vurderer elever, at de kan komme ind på 63 procent af alle
videregående uddannelser med et gymnasiegennemsnit på 7,3 (medianen i
2018). Dermed undervurderer nogle af eleverne mulighederne, idet et gymna-
siegennemsnit på 7,3 reelt giver adgang til 74 procent af alle videregående
uddannelser (2018-tal).
2.3.1.1 Karakterer og specifikke adgangskrav understøtter, at der er en god overgang
mellem de gymnasiale uddannelser og de videregående uddannelser
I 2019 søgte 78 procent af ansøgerne ind på baggrund af en gymnasial uddannelse. Af
dem er det 9 ud af 10, der søger uden at tage gymnasiale suppleringskurser efterføl-
gende. De resterende 22 procent af ansøgerne søger ind på et andet grundlag f.eks. en
udenlandsk eksamen (8 procent), en erhvervsuddannelse (4 procent), hf-fag (5 procent),
International Baccalaureate (2 procent) eller andet (3 procent).
Den typiske ansøger med en middelkarakter (karaktergennemsnit på 7,1 i 2019) kunne i
2019 blive optaget på 79 procent af uddannelserne, hvis ansøgeren levede op til de ge-
nerelle og specifikke adgangskrav.
En gennemgang af udvalgte landes optagelsessystemer viser, at Danmark er et af de
lande, der lægger størst vægt alene på karaktergennemsnittet i udvælgelsen i kvote 1.
Gennemgangen viser også, at det danske optagelsessystem indeholder en mindre grad
af ”second chance” end andre lande, herunder Sverige og Norge. I Danmark består se-
cond chance-elementet i, at ansøgere kan søge om optagelse via kvote 2 og blive vur-
deret på andre kriterier end karaktergennemsnittet. Det kan være relevant for både an-
søgere fra de gymnasiale uddannelser, der ikke har et tilstrækkeligt karaktergennemsnit
i forhold til kvote 1, og for ansøgere med andre adgangsgrundlag (f.eks. en erhvervsud-
dannelse). På mange uddannelser – f.eks. på universiteterne - omfatter kvote 2 dog en
meget afgrænset af del af uddannelsespladserne.
I andre lande som bl.a. Sverige, Norge og Israel fylder second chance-elementet mere. I
Sverige tildeles en tredjedel af pladserne pba. af en national test. I Norges gives et til-
læg af point til karaktergennemsnittet pba. forskellige andre udvælgelseskriterier, og i
Israel er det en pointscore fra en national test, der bliver lagt til resultatet fra den ad-
gangsgivende eksamen.
2.3.1.2 Størstedelen af elever på gymnasiale uddannelser vælger fag, der vækker deres
nysgerrighed
I en spørgeskemaundersøgelse blandt eleverne på sidste år af deres gymnasiale uddan-
nelse (stx, hhx, htx og hf) angiver 46 procent af de adspurgte, at de i høj grad og 47 pro-
cent, at de i nogen grad vælger fag, der vækker deres nysgerrighed, selv om de oplever,
at fagene er svære, jf. figur 2.1.
26
Uddannelses- og Forskningsministeriet
BUU, Alm.del - 2021-22 - Endeligt svar på spørgsmål 219: Spm. om børn og unges trivsel, til børne- og undervisningsministeren
2583011_0027.png
Evaluering af optagelsessystemet til de videregående uddannelser
Spørgeskemaundersøgelsen er designet, så eleverne svarer på forskellige spørgsmål,
der belyser samme tema. Selvom eleverne umiddelbart svarer meget entydigt her, peger
elevernes vurderinger i forskellige retninger, jf. de følgende afsnit.
Figur 2.1
De adspurgte elevers svar på, om de vælger fag, der vækker deres nysgerrighed, selv om de
oplever dem som svære, andel svar, 2019
Procent
50
45
40
35
30
25
20
15
10
5
0
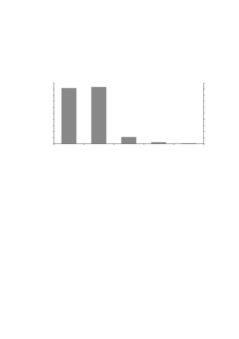
I høj grad
I nogen grad
I ringe grad
Slet ikke
Udsagnet er ikke
relevant for mig
Procent
50
45
40
35
30
25
20
15
10
5
0
Anm.:
Kilde:
”Jeg
vælger fag, der vækker min nysgerrighed, selv om de er svære”.
Antal besvarelser: 911 ele-
ver på sidste år af deres stx, hhx, htx eller hf.
Uddannelses- og Forskningsministeriet på baggrund af spørgeskemaundersøgelse til elever i
gymnasiale uddannelser gennemført af /KL.7 & Realize.
Samtidig vurderer 34 procent af de adspurgte elever, at det i høj grad er vigtigere for
dem, at deres fag er spændende end, at de får gode karakterer, mens 52 procent vurde-
rer, at det i nogen grad er tilfældet.
Alle elevernes besvarelser skal generelt ses i lyset af, at de er på sidste år af deres
gymnasiale uddannelse. Det kan på den ene side betyde, at de er mere reflekterede om-
kring deres studieadfærd. På den anden side inkluderer besvarelserne ikke elever på 1.
og 2. år, herunder de elever der er faldet fra i løbet af de første år på deres gymnasiale
uddannelse.
2.3.1.3 Nogle elever på gymnasiale uddannelser har større fokus på at få høje
karakterer end på muligheden for at lære noget nyt
Når eleverne skal tage stilling til, om det vigtigste for dem lige nu på deres sidste år af
ungdomsuddannelserne er at forbedre deres karaktergennemsnit, så svarer 38 procent
af de adspurgte, at det i høj grad er tilfældet, mens 38 procent svarer, at det i nogen
grad er tilfældet.
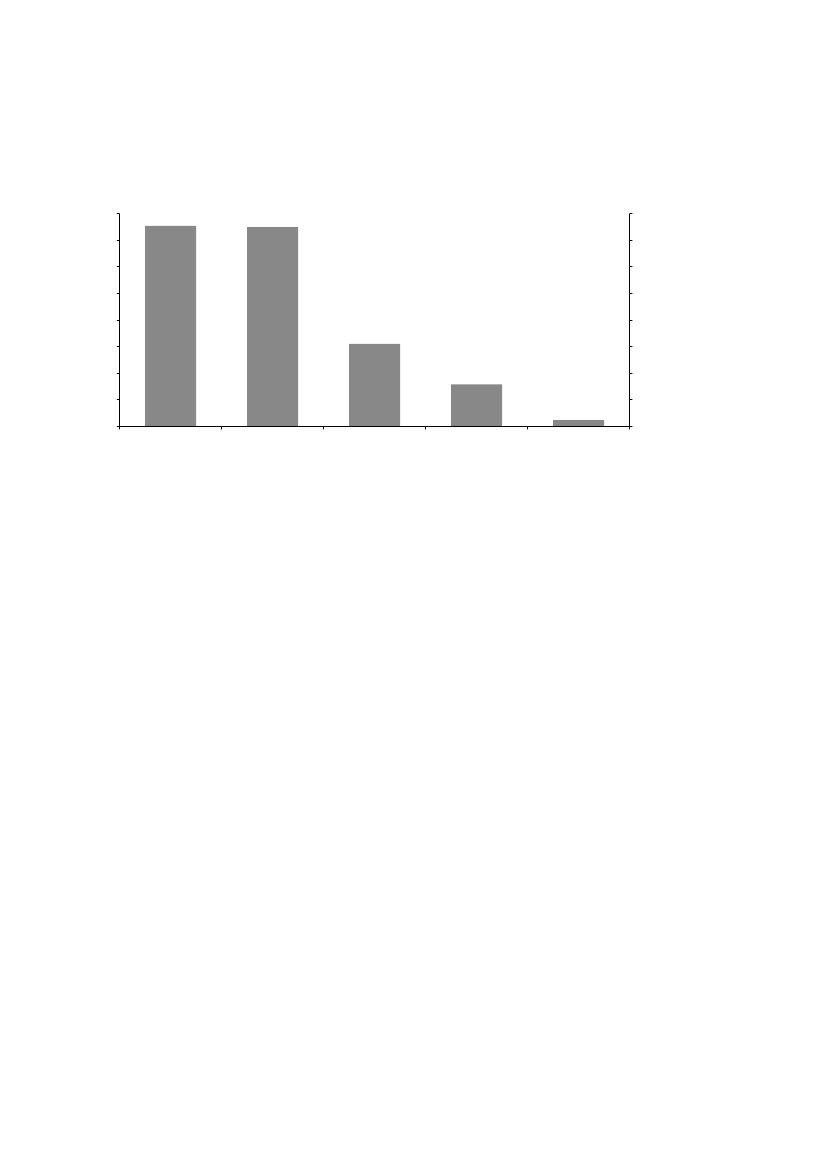
Når eleverne herefter bliver bedt om at vurdere, hvad der er
det vigtigste
for dem af en
række valgmuligheder, så angiver den største andel af de adspurgte, at karakterer er
det vigtigste
for dem (24 procent) – vigtigere end gode venner (19 procent) og at lære
noget nyt (13 procent), jf. figur 2.2.
Uddannelses- og Forskningsministeriet
27
BUU, Alm.del - 2021-22 - Endeligt svar på spørgsmål 219: Spm. om børn og unges trivsel, til børne- og undervisningsministeren
2583011_0028.png
Evaluering af optagelsessystemet til de videregående uddannelser
Figur 2.2
De adspurgte elevers svar på, hvad der er vigtigst for dem på deres ungdomsuddannelse, an-
del svar, 2019
0
Høje karakterer
Gode venner
Relevante adgangsgivende fag og niveauer til
videregående uddannelse
Mulighed for at lære noget nyt
Jeg ved ikke, hvad der er vigtigst for mig lige nu
Tid til at slappe af og have det sjovt
Faglige udfordringer
0
5
10
15
20
25
30
Procent
5
10
15
20
25
Procent
30
Anm.:
Kilde:
Hvad er lige nu det vigtigste for dig på din nuværende uddannelse? (Du kan vælge én ting) At
have…”
Antal besvarelser: 911 elever på sidste år af deres stx, hhx, htx eller hf.
Uddannelses- og Forskningsministeriet på baggrund af spørgeskemaundersøgelse til elever i
gymnasiale uddannelser gennemført af /KL.7 & Realize.
Slås kategorierne ’Gode venner’ (19 procent) og ’Tid til at slappe af og have det sjovt’
(10 procent) sammen, er det samlet set en højere andel end dem, der svarer ’Høje karak-
terer’. Ser man på, hvor mange, der samlet set svarer ’Mulighed for at lære noget nyt’ (13
procent) og ’Faglige udfordringer’ (4 procent) er det forsat under den andel, der svarer
’Høje karakterer’.
Ser man på elevernes egne fortællinger i interview, så handler det for dem, der svarer
’Høje karakterer’ om at arbejde målrettet mod et bestemt karaktergennemsnit. Det gør
især de, der ønsker at søge ind på en videregående uddannelse med en høj grænsekvo-
tient. Og dem, der er i tvivl om, hvilken videregående uddannelse, de vil søge ind på, for-
klarer, at de prøver at øge deres karaktergennemsnit så meget som muligt. Det er det,
eleverne kalder ”at holde alle døre åbne”. Med andre ord er elevernes fokus på at få høje
karakterer forbundet til mulighederne for at søge ind på en videregående uddannelse.
28
Uddannelses- og Forskningsministeriet
BUU, Alm.del - 2021-22 - Endeligt svar på spørgsmål 219: Spm. om børn og unges trivsel, til børne- og undervisningsministeren
2583011_0029.png
Evaluering af optagelsessystemet til de videregående uddannelser
Boks 2.3 Viden om karakterers betydning og trivsel på de gymnasiale uddannelser
Børne- og undervisningsministeriet følger løbende med i trivsel for eleverne i ungdoms-
uddannelserne. Ministeriet offentliggjorde i september 2019 en trivselsmåling for elever i
de gymnasiale uddannelser. Undersøgelsen viser, at 82 procent af de adspurgte elever
er ’helt enig’ eller ’delvist enig’ i, at de glade for at gå i skole.
Når eleverne bliver spurgt ind til karakterer, så svarer 58 procent af de adspurgte elever,
at de ‘meget tit’ eller ’tit’ føler du sig ofte presset på grund af karakterer. Samtidig sva-
rer 64 procent af eleverne, at de ´meget tit’ eller ’tit’ føler sig presset på grund af egne
krav og forventninger til skolen.
Samtidig peger en evaluering fra Danmarks Evalueringsinstitut fra 2019 på, at gymna-
sieelevernes forhold til karakterer er præget af ambivalens. Evalueringen tager afsæt i
et toårigt forsøg med karakterfritagelse i 1.g på 15 gymnasier. Resultaterne viser, at to
ud af tre elever i forsøget (63 procent) på den ene side føler sig mindre pressede, når de
ikke får karakterer. På den anden side oplever fire ud af fem elever (80 procent), at når
de ikke får karakterer, så bliver de usikre, fordi de ikke ved, hvilket fagligt niveau de lig-
ger på.
2.3.1.4 Nogle elever på gymnasiale uddannelser tilpasser deres studieadfærd og valg
af fag for at øge deres karaktergennemsnit mest muligt
Karakterer er blevet vigtigere over tid ift. elevernes uddannelsesmuligheder, jf. næste
afsnit (afsnit 2.3.1.5). Den reelle og oplevede betydning af karakterer og strategien om
”at holde alle døre åbne” kan tilskynde eleverne til en adfærd, der understøtter, at de
kan øge deres karaktergennemsnit så meget som muligt for at kunne blive optaget på
flest mulige videregående uddannelser. Det kan f.eks. ske ved generelt at have stort fo-
kus på at dygtiggøre sig mest muligt, men også via strategisk adfærd på de gymnasiale
uddannelser.
Spørgeskemaundersøgelsen til eleverne viser, at 65 procent af de adspurgte vælger fag
og fagniveauer ud fra nysgerrighed, og hvad de synes er spændende - også selvom de
vurderede, at det kunne trække deres karaktergennemsnit ned, jf. figur 2.3. Men for 26
procent af de adspurgte elever har de bevidst fravalgt fag og/eller at hæve fagniveauer,
som de synes var spændende, men vurderede, kunne trække deres samlede karakter-
gennemsnit ned.
Uddannelses- og Forskningsministeriet
29
BUU, Alm.del - 2021-22 - Endeligt svar på spørgsmål 219: Spm. om børn og unges trivsel, til børne- og undervisningsministeren
2583011_0030.png
Evaluering af optagelsessystemet til de videregående uddannelser
Figur 2.3
De adspurgte elevers svar på, om de fravælger fag eller at hæve niveauer i fag, andel svar,
2019
Procent
100
90
80
70
60
50
40
30
20
10
0
Ja
Ja, jeg har fravalgt at hæve niveauer i fag
Ja, jeg har fravalgt fag og at hæve niveauer i fag
Nej
Ja, jeg har fravalgt fag
Ved ikke
Procent
100
90
80
70
60
50
40
30
20
10
0
Anm.:
Kilde:
”Tænk
på dit valg af studieretning og valgfag på din nuværende uddannelse. Har du fravalgt fag
eller fravalgt at hæve niveauer i fag, du syntes var spændende, men som du vurderede kunne
trække dit samlede gennemsnit nedad?”
Antal besvarelser: 911 elever på sidste år af deres stx,
hhx, htx eller hf.
Uddannelses- og Forskningsministeriet på baggrund af spørgeskemaundersøgelse til elever i
gymnasiale uddannelser gennemført af /KL.7 & Realize.
Således fravælger nogle elever fag eller at hæve fagniveauer, selvom de finder fagene
spændende, hvis de vurderer, at det risikerer at sænke deres karaktergennemsnit. Dette
kan påvirke elevernes dybdelæring på de gymnasiale uddannelser.
Derudover angiver 72 procent af eleverne, at de har valgt at lægge en ekstra stor eller
lille arbejdsindsats i bestemte fag på deres ungdomsuddannelse ud fra en samlet vur-
dering af, hvad der bedst kunne øge deres samlede karaktergennemsnit.
Boks 2.4 Viden om elevers læringsstrategier
Forskning i læringsstrategier blandt elever på de gymnasiale uddannelser peger på sær-
ligt to forhold i relation til karakterers betydning for elevernes læringsstrategier. Dels
kan karakterer give et positivt incitament ved at tilskynde den enkelte elev til gennem
flid og engagement at opnå en god karakter. Dels kan et meget ensidigt fokus på at øge
sine karakterer så meget som muligt have en negativ betydning for elevernes læring
(Biesta, 2010). Det kan ske ved en målforskydning, hvor karakteren bliver målet i sig
selv. Det øger sandsynligheden for, at en elev adapterer en overfladisk tilgang til læring.
Her reproduceres viden via en instrumentel tilgang, hvilket betyder, at eleven er fokuse-
ret på at gengive viden. Der er en risiko for, at det sker på bekostning af dybdelæring,
hvor eleven selv formår at analysere og omsætte det faglige indhold.
30
Uddannelses- og Forskningsministeriet
BUU, Alm.del - 2021-22 - Endeligt svar på spørgsmål 219: Spm. om børn og unges trivsel, til børne- og undervisningsministeren
2583011_0031.png
Evaluering af optagelsessystemet til de videregående uddannelser
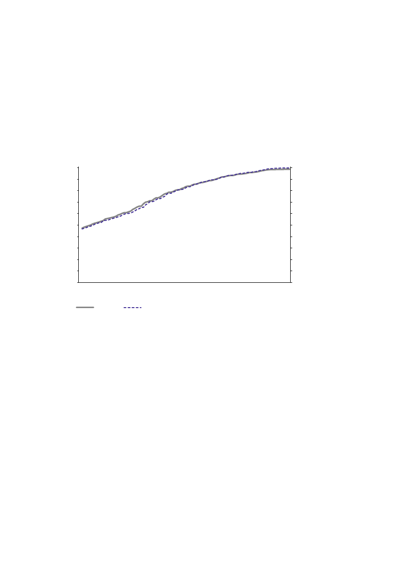
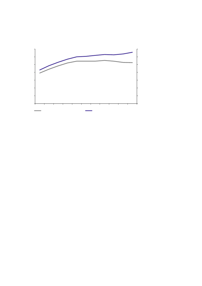
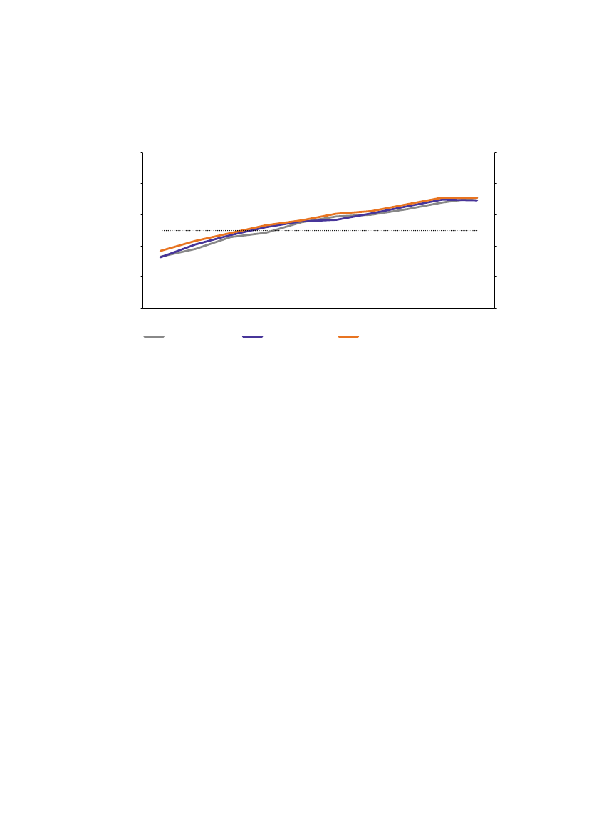
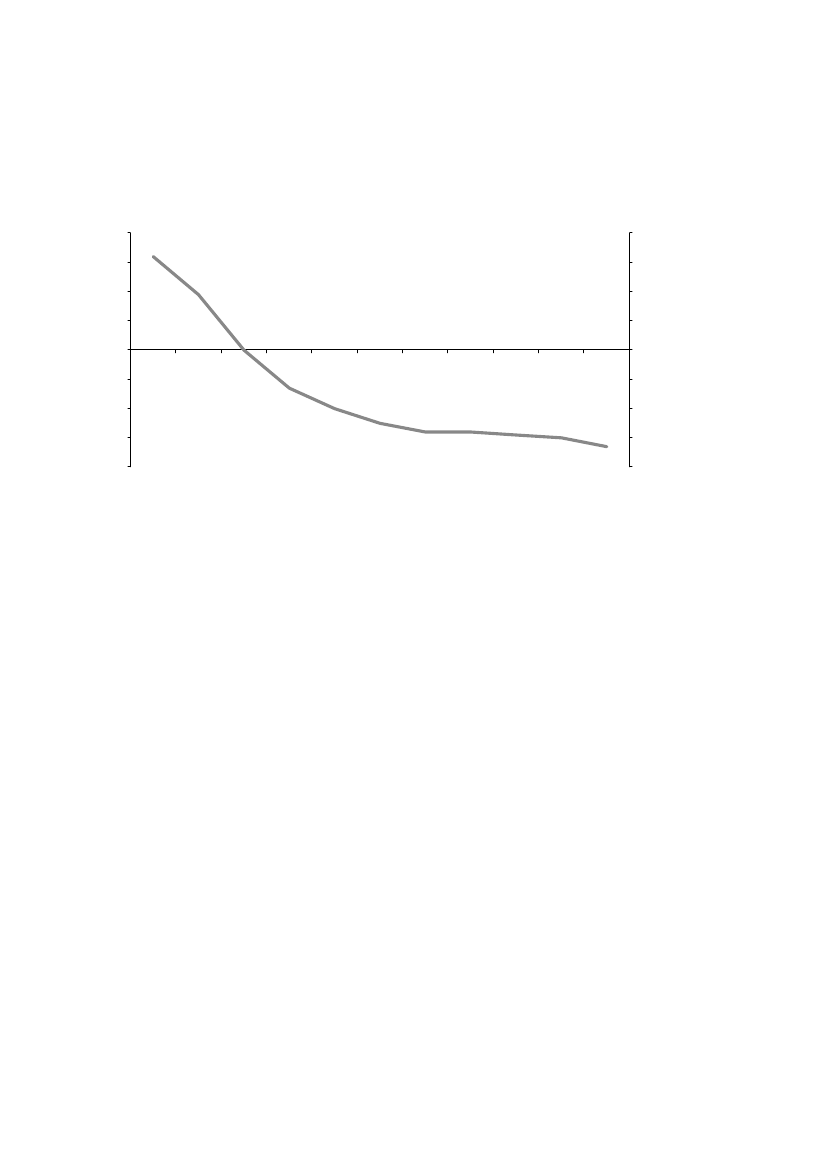
2.3.1.5 Et givent gennemsnit fra gymnasiet giver alle ansøgere adgang til færre
uddannelser i dag i forhold til tidligere
I løbet af de sidste 11 år er andelen af videregående uddannelser, ansøgerne kan blive
optaget på via kvote 1 med et givent karaktergennemsnit, faldet. For den typiske ansø-
ger med middelkarakterer (karaktergennemsnit på 7,1 i 2019) er andelen af videregå-
ende uddannelser, ansøgeren kan blive optaget på, faldet fra 89 procent i 2009 til 79
procent i 2019, jf. figur 2.4.
Mens det i 2009 var 76 videregående uddannelser, den typiske ansøger ikke kunne blive
optaget på via kvote 1, så var det 175 i 2019. Karakterer er derfor blevet vigtigere for
eleverne over tid. Analysens resultater for et givent år er sat i forhold til karakterforde-
lingen for det samme års studenter. På den måde tages der højde for den generelle stig-
ning i karaktererne i perioden.
Figur 2.4
Andelen af uddannelsesudbud med grænsekvotienter under karaktergennemsnittet, i forhold
ansøgerens placering i karakterfordelingen, 2009 og 2019
Procent
Andel af uddannelsesudbud (kvote 1), man kan blive optaget
100
90
80
70
60
50
40
30
20
10
0
Lavt karaktergennemsnit
Placering i karakterfordelingen blandt årets studenter
2009
2019
Procent
100
90
80
70
60
50
40
30
20
10
0
Højt karaktergennemsnit
Anm.:
Kilde:
Andelen er udregnet i forhold til uddannelser med optagelse i kvote 1. Karakterfordelingen er
baseret på karakterfordelingen blandt det givne års dimittender fra de gymnasiale uddannelser,
og er inklusive 1,08 bonus for tidlig studiestart Karakterfordelingen er forskellig mellem årene. I
2009 ville et karaktergennemsnit på 9,7 placere ansøgeren blandt de 10 procent med de høje-
ste gennemsnit, mens dette det ville kræve 10,4 i 2019.
Uddannelses- og Forskningsministeriet på baggrund af data fra Den Koordinerede Tilmelding.
Udviklingen siden 2009 skyldes en kombination af markant større søgning mod de
videregående uddannelser, samtidig med at antallet af uddannelsespladser på de
mest søgte uddannelser ikke er steget tilsvarende. At flere uddannelser er begyndt
at indføre minimumskarakterkrav som adgangskrav påvirker denne udvikling yderli-
gere – det er dog stadig i mindre grad, da der stadig er tale om forholdsvis få uddan-
nelser.
Uddannelses- og Forskningsministeriet
31
BUU, Alm.del - 2021-22 - Endeligt svar på spørgsmål 219: Spm. om børn og unges trivsel, til børne- og undervisningsministeren
2583011_0032.png
Evaluering af optagelsessystemet til de videregående uddannelser
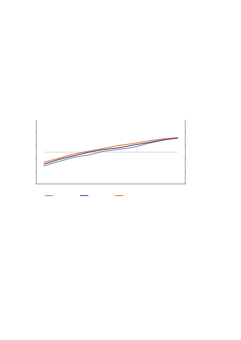
I takt med at andelen af de videregående uddannelser, en ansøger kan blive optaget
på via kvote 1, er faldet for samtlige ansøgere, er betydningen af små udsving i ka-
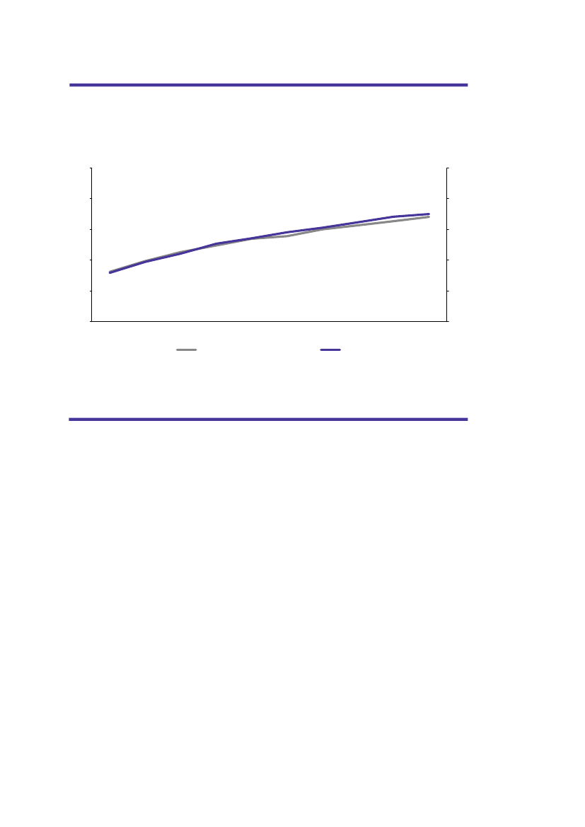
raktergennemsnit steget. Med andre ord er karakterdecimalerne blevet vigtigere, Et
fald på et procentpoint i karakterfordelingen (svarende til ca. 0,1 i karaktergennem-
snittet) betød i 2009, at der var 0,2 procentpoint færre videregående uddannelser,
ansøgeren kunne blive optaget på. Det svarede til knap 2 uddannelser. I 2019 betød
et tilsvarende fald, at der i stedet var 0,5 procentpoint færre uddannelser svarende
til fire færre videregående uddannelser, ansøgeren kunne blive optaget på, jf. figur
2.5.
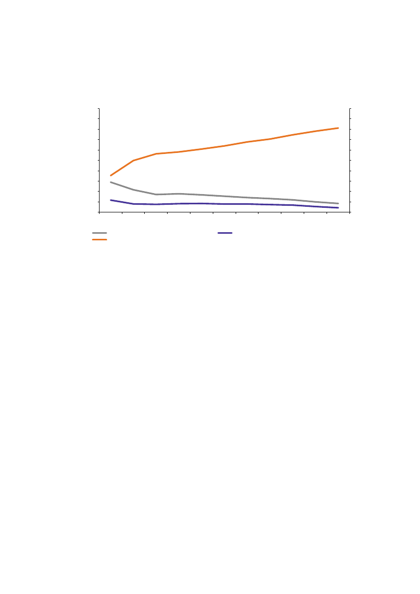
Figur 2.5
Fald i andelen af uddannelsesudbud ansøgerne kan blive optaget på ved et fald i karakter-
fordelingen på 1 procentpoint, 2009 og 2019
Procentpoint
Ændring i andelen af uddannelsesudbud (kvote 1), man kan
blive optaget på
1,2
Procentpoint
1,2
1,0
1,0
0,8
0,8
0,6
0,6
0,4
0,4
0,2
0,2
0,0
Lavt karaktergennemsnit
Placering i karakterfordelingen blandt årets studenter
0,0
Højt karaktergennemsnit
2009
2019
Anm.:
Kilde:
De stiplede linjer angiver gennemsnittet på tværs af karakterfordelingen for de givne år. Karak-
terfordelingen er baseret på karakterfordelingen blandt det givne års studenter.
Uddannelses- og Forskningsministeriet på baggrund af data fra Den Koordinerede Tilmelding.
Konsekvensen af at få f.eks. 7,0 i stedet for 10,0 i en eksamen i gymnasiet er steget
for alle ansøgere – uanset, hvad ens karaktergennemsnit er. For ansøgere med ka-
raktergennemsnit, der bedre end 40 procent af årets studenter (4. decil), betyder et
fald i karaktergennemsnittet på et procentpoint f.eks., at der vil være otte færre vi-
deregående uddannelser, ansøgeren ikke kan blive optaget på via kvote 1.
Da ansøgere med de højeste karaktergennemsnit søger mere snævert end andre an-
søgere, er konkurrencen om pladserne hårdere blandt denne gruppe ansøgere. For
ansøgere med karaktergennemsnit på grænsen til top 10 procent (karaktergennem-
snit på 10,4 i 2019) vil et fald på 0,1 i karaktergennemsnittet i 2019 således øge an-
tallet af videregående uddannelser, ansøgeren ikke kan blive optaget på fra syv til
11, eller hvad der svarer til en stigning på 57 procent (2019-tal). Til sammenligning er
det være 3 procent færre for den typiske ansøger (medianen).
32
Uddannelses- og Forskningsministeriet
BUU, Alm.del - 2021-22 - Endeligt svar på spørgsmål 219: Spm. om børn og unges trivsel, til børne- og undervisningsministeren
Evaluering af optagelsessystemet til de videregående uddannelser
En fremskrivning i Uddannelses- og Forskningspolitisk Redegørelse 2019 viser, at
antallet af 18-25-årige vil falde med knap 4 procent i 2025 og ca. 10 procent frem
mod 2030. Det forventes at nedbringe antallet af ansøgere til de videregående ud-
dannelser. Samtidig er den såkaldte 1,08-regel blevet afskaffet med virkning fra op-
tagelsen 2020. Faldende ungdomsårgange (og dermed faldende gymnasieårgange)
forventes således at reducere noget af den stigende betydning, som små udsving i
karaktergennemsnittet har fået over de seneste 11 år. Der er imidlertid ikke tale om
et omfang, der fjerner den stigende betydning over det sidste årti.
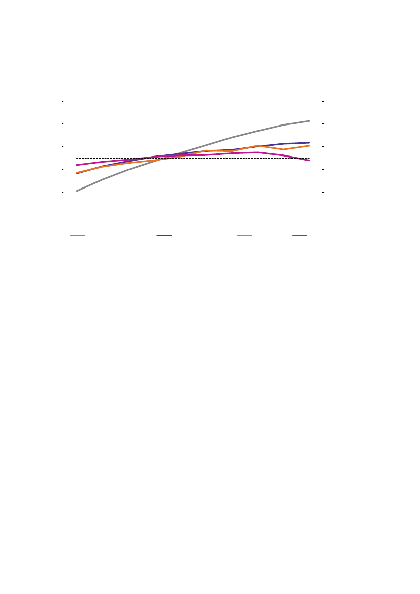
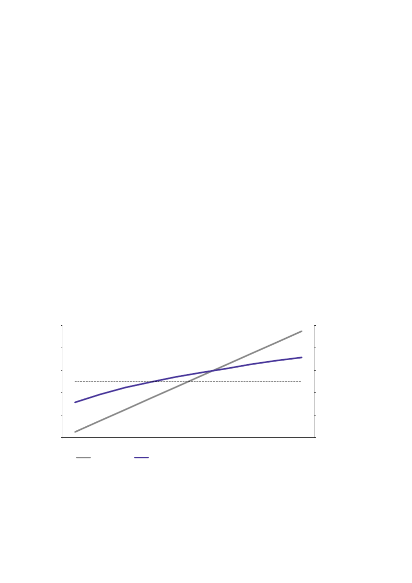
2.3.1.6 Elever på de gymnasiale uddannelser overvurderer i nogen grad betydningen af
karaktergennemsnittet for deres videre uddannelsesmuligheder
Mens den reelle betydning af karakter er steget, er der tegn på, at eleverne i nogen grad
samtidig overvurderer den faktiske betydning af gymnasiekaraktererne for deres videre
uddannelsesmuligheder.
Målt på grænsekvotienten, kunne en ansøger med en gymnasiekarakter på 7,3 (media-
nen) i 2018 blive optaget på 74 procent af alle videregående uddannelser. Adspurgt vur-
derer elever på de gymnasiale uddannelser selv, at et gennemsnit på 7,3 vil give dem
adgang til 63 procent af alle videregående uddannelser, dvs. 11 procentpoint lavere end
reelt er tilfældet, jf. figur 2.6. Tendensen er den samme, når eleverne bliver bedt om at
vurdere deres uddannelsesmuligheder ved lavere og højere karaktergennemsnit.
Uddannelses- og Forskningsministeriet
33
BUU, Alm.del - 2021-22 - Endeligt svar på spørgsmål 219: Spm. om børn og unges trivsel, til børne- og undervisningsministeren
2583011_0034.png
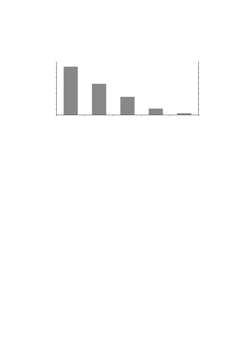
Evaluering af optagelsessystemet til de videregående uddannelser
Figur 2.6
De adspurgte elevers svar på, hvor stor en andel af videregående uddannelser de kan blive
optaget på med et karaktergennemsnit på 7,3 (grænsekvotienter fra 2018), akkumulerede
frekvenser, 2019
Akkumuleret frekvens
100
90
80
70
60
50
40
30
20
10
0
1
0
5
10
2
15
4
20
25
6
30
7
35
10
12
15
30
24
39
63 pct.
74 pct.
95
89
78
66
Akkumuleret frekvens
98
99
100
90
80
70
60
49
50
40
30
20
10
0
40
45
50
55
60
65
70
75
80
85
90
95
100
Anm.:
Kilde:
”Forestil dig, at du har et karaktergennemsnit på 7,3, når du er færdig med din nuværende ud-
dannelse. Hvor stor en andel af alle videregående uddannelser tror du, at du kan komme ind på
med ovenstående gennemsnit?”
Antal besvarelser: 314 elever på sidste år af deres stx, hhx, htx
eller hf. De 74 procent er ekskl. udbud med 100 procent optagelse i kvote 2 og udbud uden for
kvotesystemet.
Uddannelses- og Forskningsministeriet på baggrund af spørgeskemaundersøgelse til ansøgere
til videregående uddannelser 2018 gennemført af /KL.7 & Realize.
Elevernes overvurdering af karakterers betydning har sandsynligvis bidraget til et
endnu større karakterfokus blandt eleverne end, hvad den faktiske udvikling i karakte-
rers betydning i sig selv skulle tilsige.
34
Uddannelses- og Forskningsministeriet
BUU, Alm.del - 2021-22 - Endeligt svar på spørgsmål 219: Spm. om børn og unges trivsel, til børne- og undervisningsministeren
2583011_0035.png
Evaluering af optagelsessystemet til de videregående uddannelser
2.3.2 Tema 2. Informeret ansøgning til de videregående uddannelser
Ansøgernes mulighed for at vælge, hvilke videregående uddannelser de vil søge ind på
på et reflekteret grundlag, har betydning for, om ansøgernes forventninger kommer til
at stemme overens med uddannelsens indhold og jobsigte. Evalueringens hovedresulta-
ter vedrørende informeret ansøgning til de videregående uddannelser fremgår af bok-
sen.
Det er uklart, i hvilken grad ansøgerne følte sig afklarede om deres
uddannelsesvalg
– Når ansøgere til de videregående uddannelser i en spørgeskemaundersøgelse
bliver bedt om at tænke tilbage, så angiver 61 procent af de adspurgte, at de i
høj grad var afklaret om deres valg af videregående uddannelse, da de søgte
ind.
– Omvendt opdagede 25 procent af ansøgerne efter ansøgningsfristen d. 5. juli
2018 andre interessante uddannelser, som de ville ønske, de havde kendt til,
da de søgt ind. Af dem ville 34 procent ønske, at de havde søgt ind på en af de
uddannelser i stedet.
– Blandt ansøgere, der får tilbudt en uddannelsesplads, vælger 10 procent at
takke nej til pladsen inden studiestart.
Ansøgere med høje gymnasiekarakterer søger de samme få videregående
uddannelser
– Top 10 procent af ansøgerne – målt på gymnasiekarakterer – rettede i 2019
til sammen 23 procent af deres 1. prioritetsansøgninger mod fem udbud af vi-
deregående uddannelser (et udbud er én uddannelse på én uddannelsesinsti-
tution). Tendensen til snæver søgning gælder også for en bredere gruppe i
toppen af karakterskalaen. Blandt den fjerdedel af ansøgerne med de højeste
karaktergennemsnit fra den gymnasiale uddannelse, søger 30 procent af dem
de fire samme uddannelser som 1. prioritet (medicin, jura, statskundskab og
psykologi). Dette har været stabilt siden 2009.
– Ansøgerne med høje karaktergennemsnit søger således en mindre gruppe af
uddannelser. Ansøgere blandt de øverste ti procent (10. decil) søger fire gange
så koncentreret i forhold til ansøgere i midten af karakterfordelingen målt på
et koncentrationsindeks.
– Siden 2009 har der generelt været et fald i koncentrationen af 1. prioritetsan-
søgninger til de videregående uddannelser på tværs af karakterniveauer.
Samtidig er der er kommet flere forskellige uddannelsesudbud og dermed flere
valgmuligheder for ansøgerne.
Uddannelses- og Forskningsministeriet
35
BUU, Alm.del - 2021-22 - Endeligt svar på spørgsmål 219: Spm. om børn og unges trivsel, til børne- og undervisningsministeren
2583011_0036.png
Evaluering af optagelsessystemet til de videregående uddannelser
– Koncentrationen er særligt faldet midt i karakterfordelingen. Ansøgere med
middelkarakterer søgte godt 35 procent mindre koncentreret i 2019 i forhold
til 2009. Koncentrationen er faldet mindst i toppen og i bunden af karakter-
fordelingen. De øverste ti procent (10. decil) er faldet med 8 procent, mens
koncentrationen for de ti procent med de laveste karakterer (1. decil) er faldet
med 16 procent.
Grænsekvotienter påvirker nogle ansøgeres uddannelsesvalg
– Der er – i tillæg til søgningen mod få uddannelser blandt ansøgere med høje
karaktergennemsnit - en række indikationer på, at nogle ansøgeres valg af
uddannelser bliver påvirket af optagelsessystemet – nærmere bestemt af de
grænsekvotienter, der opstår i kvote 1.
– Grænsekvotienter påvirker i sig selv, hvordan ansøgerne vælger uddannelse. I
en spørgeskemaundersøgelse til ansøgere til de videregående uddannelser i
2018 ændrer en ud af seks ansøgere i et eksperiment deres uddannelsesvalg
alene på baggrund af grund af en stigning i grænsekvotienten. Det nuværende
optagelsessystem er karakteriseret ved at være et kvotesystem med brug af
grænsekvotienter i kvote 1.
– Nogle ansøgere finder således uddannelser med en høj grænsekvotient mere
attraktive og uddannelser uden grænsekvotient mindre attraktive. Et neutralt
optagelsessystem ville tilsige, at ingen ansøgere ville finde en uddannelse
mere attraktiv alene, fordi den har en grænsekvotient og en anden uddannelse
mindre attraktiv, fordi den ikke har en grænsekvotient.
– De adspurgte ansøgere vurderer, at
andre
mener, at prestigefyldte videregå-
ende uddannelser er kendetegnet ved høj grænsekvotient (62 procent) og høj
startløn efter endt uddannelse (61 procent).
Selv
mener 33 procent af de ad-
spurgte, at en prestigefuld videregående uddannelse er kendetegnet ved en
høj grænsekvotient og 34 procent ved en høj startløn, mens de selv vægter
andre faktorer væsentlig højere f.eks. gode undervisere og spændende fagligt
indhold.
2.3.2.1 Det er uklart, om ansøgerne følte sig afklarede om deres uddannelsesvalg
Når ansøgere til de videregående uddannelser i 2018 bliver bedt om at tænke tilbage, så
angiver 61 procent af de adspurgte, at de i høj grad var afklarede omkring deres valg af
videregående uddannelse, da de søgte ind, mens 26 procent i nogen grad var afklarede.
Omvendt var der efter ansøgningsfristen d.5. juli 2018 i alt 25 procent af ansøgerne, der
opdagede andre interessante uddannelser, de ville ønske, de havde kendt til, da de
søgte ind. Af dem ville 34 procent ønske, at de havde søgt ind på en af de uddannelser i
stedet. Det indikerer, at ansøgerne ikke altid får foretaget den nødvendige refleksion in-
den ansøgningen. Blandt ansøgere, der får tilbudt en studieplads vælger 10 procent at
takke nej til pladsen inden studiestart.
36
Uddannelses- og Forskningsministeriet
BUU, Alm.del - 2021-22 - Endeligt svar på spørgsmål 219: Spm. om børn og unges trivsel, til børne- og undervisningsministeren
2583011_0037.png
Evaluering af optagelsessystemet til de videregående uddannelser
2.3.2.2 Ansøgere med høje karaktergennemsnit søger de samme få videregående
uddannelser
Ansøgerne med høje karaktergennemsnit søger en mindre gruppe af uddannelse. Ansø-
gere blandt de øverste 10 procent (10. decil) er således fire gange så koncentrerede om
bestemte uddannelser i forhold til ansøgere i midten af karakterfordelingen målt på et
koncentrationsindeks, jf. figur 2.7.
Top 10 procent af ansøgerne – målt på karaktergennemsnit fra den gymnasiale uddan-
nelse – retter i 2019 til sammen 23 procent af deres ansøgninger mod fem videregående
uddannelsesudbud. De fem mest søgte udbud af videregående uddannelser blandt top
10 procent var i 2019 medicin på Københavns Universitet, medicin på Aarhus Universi-
tet, psykologi på Københavns Universitet, jura på Københavns Universitet og stats-
kundskab på Københavns Universitet.
Figur 2.7
Ansøgerkoncentrationen fordelt på placering i karakterfordelingen, 2019
Herfindahl-indeks x 100
2,0
1,8
1,6
1,4
1,2
1,0
0,8
0,6
0,4
0,2
0,0
1. decil
2. decil
3. decil
4. decil
5. decil
6. decil
7. decil
8. decil
9. decil
10. decil
Herfindahl-indeks x 100
2,0
1,8
1,6
1,4
1,2
1,0
0,8
0,6
0,4
0,2
0,0
Placering i karakterfordelingen
Anm.:
Kilde:
Koncentrationen er målt ved et koncentrationsindeks baseret på 1. prioritetsansøgninger. Alle
ansøgere er rangeret efter den placering i karakterfordelingen i det år, de dimitterede fra den
gymnasiale uddannelse.
Uddannelses- og Forskningsministeriet på baggrund af data fra Den Koordinerede Tilmelding.
Det er ikke kun i toppen af karakterskalaen, at ansøgerne søger koncentreret. Blandt
den fjerdedel af ansøgerne med de højeste karakterer fra de gymnasiale uddannelser,
søger 30 procent af dem de fire samme uddannelser som 1. prioritet (medicin, jura,
statskundskab og psykologi). Dette har været stabilt siden 2009. Til sammenligning var
det blandt den samme gruppe af ansøgere med høje karaktergennemsnit 5 procent, der
søgte de fire store velfærdsuddannelser til folkeskolelærer, sygeplejerske, pædagog og
socialrådgiver.
Siden 2009 har der været et generelt
fald
i koncentrationen af ansøgernes uddannel-
sesønsker. Med andre ord søger ansøgerne bredere generelt på tværs af karakterforde-
lingen.
Uddannelses- og Forskningsministeriet
37
BUU, Alm.del - 2021-22 - Endeligt svar på spørgsmål 219: Spm. om børn og unges trivsel, til børne- og undervisningsministeren
2583011_0038.png
Evaluering af optagelsessystemet til de videregående uddannelser
Koncentrationen er særligt faldet midt i karakterfordelingen, Ansøgere med middelka-
rakterer søgte godt 35 procent mindre koncentreret i 2019 i forhold til 2009. Samme
tendens gælder for hele den midterste del af karakterfordelingen. Koncentrationen er
faldet mindst i toppen og i bunden af karakterfordelingen. Koncentrationen blandt de
øverste ti procent (10. decil) er faldet med 8 procent, mens koncentrationen blandt de ti
procent med de laveste karaktere (1. decil) er faldet med 16 procent, jf. figur 2.8.
Figur 2.8
Ansøgerkoncentrationen fordelt på placering i karakterfordelingen, indeks 2009=100, 2009-
2019
(Indeks 2009=100)
120
100
80
60
40
20
0
(Indeks 2009=100)
120
100
80
60
40
20
0
2009
2010
2011
1. decil
2012
2013
2014
5. decil
2015
2016
2017
2018
10. decil
2019
Anm.:
Kilde:
Koncentrationen er målt ved et koncentrationsindeks baseret på 1. prioritetsansøgninger. Tal-
lene er indekseret med 2009=100. Alle ansøgere er rangeret efter den placering i karakterfor-
delingen i det år, de dimitterede fra den gymnasiale uddannelse.
Uddannelses- og Forskningsministeriet på baggrund af data fra Den Koordinerede Tilmelding.
2.3.2.3 Grænsekvotienter påvirker nogle ansøgeres uddannelsesvalg
Tendensen til en koncentration af ansøgninger blandt ansøgerne med de højeste karak-
tergennemsnit kan bl.a. være drevet af, at nogle ansøgere har en præference efter ud-
dannelser med høje grænsekvotienter.
Det ses bl.a. ved, at en højere grænsekvotient til de videregående uddannelser i et spør-
geskemaeksperiment gør uddannelser mere attraktive for den samme ansøger, selvom
uddannelsen ikke ændrer indhold. En ud af seks ansøgere til de videregående uddannel-
ser i 2018 ændrer i et spørgeskemaeksperiment uddannelsesvalg alene på grund af en
højere grænsekvotient. Det indikerer, at grænsekvotienter i sig selv påvirker ansøgernes
uddannelsesvalg, jf. figur 2.9.
38
Uddannelses- og Forskningsministeriet
BUU, Alm.del - 2021-22 - Endeligt svar på spørgsmål 219: Spm. om børn og unges trivsel, til børne- og undervisningsministeren
2583011_0039.png
Evaluering af optagelsessystemet til de videregående uddannelser
Figur 2.9
Ansøgeres angivelse af, om de skifter prioritet i uddannelsesvalg ved indførelse af en græn-
sekvotient, andel svar, 2019
Anm.:
Kilde:
”Trin 1: Forestil dig, at der ikke er nogen grænsekvotienter på de videregående uddannelser. No-
tér 2 videregående uddannelser, som du gerne vil søge ind på. Skriv dem i prioriteret rækkefølge:
[1. prioritet], [2. prioritet]. Trin 2: Forestil dig nu, at du har et karaktergennemsnit på 11,0. Hvilken
af de to nedenstående uddannelser vil du helst søge ind på?”
Antal besvarelser: 2.707 ansøgere
til videregående uddannelser i 2018. Resultaterne er statistisk signifikante med et 95 procent
konfidensinterval.
Uddannelses- og Forskningsministeriet på baggrund af spørgeskemaundersøgelse til ansøgere
til videregående uddannelser 2018 gennemført af /KL.7 & Realize.
Der kan være flere årsager til, at grænsekvotienten har en betydning i sig selv. En af
dem kan være, at de adspurgte ansøgere tror, andre mener, at prestigefyldte videregå-
ende uddannelser er kendetegnet ved høj grænsekvotient (62 procent) og høj startløn
efter endt uddannelse (61 procent), jf. figur 2.10. Selv mener 33 procent af de adspurgte,
at en prestigefuld videregående uddannelse er kendetegnet ved en høj grænsekvotient
og 34 procent ved en høj startløn.
Det kan også skyldes, at ansøgerne har en opfattelse af, at jo højere grænsekvotient, jo
højere fagligt niveau – et niveau, de mener vil passe til deres eget faglige niveau. Græn-
sekvotienterne udtrykker imidlertid ikke uddannelsernes faglige niveau, men alene for-
holdet mellem antal ansøgere, ansøgernes karaktergennemsnit og antallet af uddannel-
sespladser. Endelig kan ændringen i prioritering skyldes ønsket om at studere sammen
med andre ansøgere med samme karakterniveau.
Uddannelses- og Forskningsministeriet
39
BUU, Alm.del - 2021-22 - Endeligt svar på spørgsmål 219: Spm. om børn og unges trivsel, til børne- og undervisningsministeren
2583011_0040.png
Evaluering af optagelsessystemet til de videregående uddannelser
Figur 2.10
De adspurgte ansøgeres svar på, hvad der kendetegner en uddannelse med høj prestige, an-
del svar, 2019
Procent
0
Høj grænsekvotient
Høj startløn
Stor andel der kommer i job, når de er færdiguddannede
Spændende fagligt indhold
Gode undervisere
Gode faciliteter på uddannelsesstedet
Et godt udbytte af undervisningen
Et godt socialt miljø
Lavt frafald
Andet, noter her:
Ved ikke
Ingen af de ovenstående
0
"Hvad tror du, at andre mener…"
10
20
30
40
50
60
70
Procent
10
20
30
40
50
60
70
"Hvad mener du kendetegner…"
Anm.:
Kilde:
”Hvad mener du kendetegner [Hvad tror du, at andre mener kendetegner] en uddannelse med
høj prestige? (Vælg op til 3 svarmuligheder)”
Respondenternes fordeling på svarkategorierne.
Spørgsmålet findes i to versioner, hvor hver version på randomiseret vis er stillet til halvdelen af
ansøgerne i stikprøven. Dvs. respondenterne har kun svaret på ét af de to spørgsmål. Antal be-
svarelser: 3192 ansøgere til videregående uddannelser i 2018, heraf 1.596 ansøgere, som har
fået formuleringen
”Hvad mener du kendetegner…”
og 1.596 ansøgere, som har fået formulerin-
gen
”Hvad tror du, at andre mener…”.
Resultaterne er statistisk signifikante med et 95 procent
konfidensinterval.
Uddannelses- og Forskningsministeriet på baggrund af spørgeskemaundersøgelse til ansøgere
til videregående uddannelser 2018 gennemført af /KL.7 & Realize.
40
Uddannelses- og Forskningsministeriet
BUU, Alm.del - 2021-22 - Endeligt svar på spørgsmål 219: Spm. om børn og unges trivsel, til børne- og undervisningsministeren
2583011_0041.png
Evaluering af optagelsessystemet til de videregående uddannelser
2.3.3 Tema 3. Udvælgelse på faglige forudsætninger og motivation
Uddannelsernes mulighed for at vurdere ansøgernes faglige forudsætninger og motiva-
tion for den søgte uddannelse og dens jobsigte får en betydning for, hvilke ansøgere der
bliver optaget – og om de har de rette forudsætninger for at gennemføre uddannelsen
med et godt resultat. Evalueringens hovedresultater vedrørende udvælgelse på faglige
forudsætninger og motivation fremgår af boksen.
Karakterer som udvælgelseskriterie i kvote 1 betyder, at ansøgerne i højere
grad udvælges på generel studieegnethed end motivation
– En analyse af data fra Den Koordinerede Tilmelding viser, at en studerende
med et karaktergennemsnit på 4,0 fra den gymnasiale eksamen har 17 pro-
cent sandsynlighed for at falde fra i løbet af første studieår. Heraf starter
knap 8 procentpoint på en anden uddannelse inden for et år. En studerende
med et karaktergennemsnit på 10,0 har 12 procent sandsynlighed for at falde
fra i løbet af første studieår. Heraf starter 7 procentpoint på en ny uddannelse
inden for et år.
– I interview med repræsentanter for uddannelsesinstitutionerne udtrykker de,
at det er svært for dem i udvælgelsen i kvote 1 at vide, om ansøgerne er moti-
verede for den konkrete uddannelse. Det skyldes, at der i kvote 1 udelukkende
udvælges på information om ansøgernes karaktergennemsnit.
– For at kunne frasortere ansøgere (ofte i begge kvoter), havde 20 procent af
alle uddannelsesudbud, primært universitetsuddannelserne, i 2019 et mini-
mumskarakterkrav som adgangskrav. I 2009 var det 2 procent.
Udvælgelseskriterier i kvote 2 giver uddannelserne ekstra viden om
ansøgerne
– En kortlægning af udvælgelseskriterier i kvote 2 viser, at 89 procent af de vi-
deregående uddannelser vurderer ansøgerne ud fra mere end ét kriterie i
kvote 2. I alt 79 procent af uddannelserne vurderer ansøgeren pba. de såkaldte
dokumenterede erfaringer (bl.a. erhvervserfaring, udlandsophold e.l.). Knap 5
procent gør brug af samtaler med påkrævet fremmøde.
– En statistisk analyse viser, at de optagne, som en given uddannelse giver en
højere rangering i kvote 2, i gennemsnit får
0,4 karakterpoint højere karak-
terer det første studieår
end de optagne, som uddannelsen giver en lavere
rangering. De optagne, som uddannelsen giver den højeste rangering i kvote 2,
har i gennemsnit 12 procent lavere sandsynlighed for frafald på 1. studieår end
de optagne, som uddannelsen giver en lavere rangering.
Uddannelses- og Forskningsministeriet
41
BUU, Alm.del - 2021-22 - Endeligt svar på spørgsmål 219: Spm. om børn og unges trivsel, til børne- og undervisningsministeren
2583011_0042.png
Evaluering af optagelsessystemet til de videregående uddannelser
Størstedelen af de optagne, der stadig går på uddannelsen, oplever, at det
faglige niveau lever op til deres forventninger
– I en spørgeskemaundersøgelse til ansøgerne angiver 37 procent af de optagne
ansøgere, at de oplever, at det faglige indhold på uddannelsen (1. studieår)
meget godt op til deres forventninger, mens 47 procent angiver, at det lever
godt op til deres forventninger. Der er ikke forskel på ansøgerenes oplevelse
af match afhængigt af, hvilken kvote de er blevet optaget via.
– Blandt de optagne ansøgerne, der stadig går på uddannelsen på 1. studieår,
angiver 6 procent, at de høj grad er i tvivl og 17 procent, at de i nogen grad er i
tvivl om, hvorvidt de har valgt den rette uddannelse.
Nogle af de optagne, der falder fra, angiver uddannelsens jobsigte eller
faglige indhold som årsag
– De fem hyppigst angivne årsager til at falde fra uddannelsen er det sociale
miljø (29 procent), uddannelsens jobsigte (29 procent), personlige forhold (26
procent), manglende refleksion (23 procent) og det faglige indhold i undervis-
ningen (21 procent).
2.3.3.1 Karakterer som udvælgelseskriterie i kvote 1 betyder, at i der i højere grad
udvælges på generel studieegnethed end motivation
I 2019 blev 67 procent af de optagne optaget via kvote 1. Der er en sammenhæng mel-
lem ansøgerens gymnasiekarakterer og sandsynligheden for at falde fra deres uddan-
nelse. En studerende med et karaktergennemsnit på 4,0 har 17 procent sandsynlighed
for at falde fra i løbet af 1. studieår. Heraf starter knap 8 procentpoint på en anden ud-
dannelse inden for et år. En studerende med et karaktergennemsnit på 10,0 har 12 pro-
cent sandsynlighed for at falde fra i løbet af 1. studieår. Heraf starter 7 procentpoint på
en ny uddannelse indenfor et år, jf. figur 2.11.
Fire år efter studiestart er 33 procent af de studerende optaget via kvote 1 med et ka-
raktergennemsnit på 4,0 faldet fra, mens 58 procent har færdiggjort uddannelsen. For
studerende optaget via kvote 1 med gymnasiekarakter på 10,0 er 18 procent faldet fra,
mens 75 procent har færdiggjort uddannelsen, jf. figur 2.11.
42
Uddannelses- og Forskningsministeriet
BUU, Alm.del - 2021-22 - Endeligt svar på spørgsmål 219: Spm. om børn og unges trivsel, til børne- og undervisningsministeren
2583011_0043.png
Evaluering af optagelsessystemet til de videregående uddannelser
Figur 2.11
Frafald og gennemførsel for optagne kvote 1 fordelt på karaktergennemsnit, procent, 2009-
2014
Procent
100
90
80
70
60
50
40
30
20
10
0
2
3
4
5
6
7
8
9
Karaktergennemsnittet fra den gymnasiale uddannelse
10
11
12
Procent
100
90
80
70
60
50
40
30
20
10
0
Samlet frafald på 1. studieår
Gennemført indenfor 4 år
Frafald på 1. studieår der skyldes studieskift
Anm.:
Kilde:
Figuren dækker ansøgere, der er optaget i kvote 1 i 2009-2014 I figuren er der kontrolleret for
uddannelsesudbud og tilgangsår. Det betyder, at niveauforskelle, der skyldes, at nogle uddan-
nelser generelt har lavere frafald m.m., er fjernet. Frafald på 1. studieår er opgjort ét år efter, at
de studerende er tilgået uddannelsen. Frafald med studieskift er opgjort som frafald, hvor den
studerende inden for ét år er startet på en ny uddannelse.
Uddannelses- og Forskningsministeriet på baggrund af data fra Den Koordinerede Tilmelding.
Sammenlignes de studerende, der er optaget via kvote 1, med studerende, der er blevet
optaget via kvote 2, så har studerende optaget via kvote 2 i gennemsnit ca. 25-30 pro-
cent lavere risiko for at falde fra på 1. studieår end studerende optaget via kvote 1.
Karaktergennemsnittet er ikke entydigt et udtryk for, om ansøgeren vil klare sig bedre
på den konkrete uddannelse end på en anden uddannelse. Da karaktergennemsnittet er
et udtryk for ansøgerens generelle faglige niveau, må det forventes, at personer med
høje karaktergennemsnit har gode forudsætninger for at klare sig godt generelt betrag-
tet, også hvis de var blevet optaget på en anden uddannelse. I interview med repræsen-
tanter for uddannelsesinstitutionerne udtrykker de, at det er svært for dem i udvælgel-
sen i kvote 1 at få viden om og understøtte, at ansøgerne er reflekterede og afklarede
om deres studievalg - og dermed typisk også motiverede for den konkrete uddannelse.
På nogle uddannelser kommer det bl.a. til udtryk ved, at nogle af disse ansøgere bliver
optaget, men senere falder fra uddannelsen.
Uddannelsesinstitutionerne anvender i stigende grad minimumskarakterkrav både i
kvote 1 og kvote 2 for at frasortere ansøgere inden udvælgelsen. Kortlægning af data
fra Den Koordinerede Tilmelding viser, at 20 procent af alle uddannelsesudbud i 2019
havde et minimumskarakterkrav. Det er en stigning på 18 procentpoint fra 2009. Det
betyder, at der i stigende grad udvælges ansøgere ved først en sortering på karakter-
kravet og efterfølgende en rangering enten på grænsekvotient (kvote 1) eller individuel
vurdering (kvote 2). Derudover er der specifikke adgangskrav i både kvote 1 og 2 – f.eks.
bestemte gymnasiale fagniveauer eller karakterer i bestemte fag.
Uddannelses- og Forskningsministeriet
43
BUU, Alm.del - 2021-22 - Endeligt svar på spørgsmål 219: Spm. om børn og unges trivsel, til børne- og undervisningsministeren
2583011_0044.png
Evaluering af optagelsessystemet til de videregående uddannelser
2.3.3.2 Udvælgelseskriterier i kvote 2 giver uddannelserne ekstra viden om ansøgerne
Kvote 2 anvendes til at vurdere ansøgernes faglige forudsætninger og motivation ved
at benytte andre kriterier end karaktergennemsnittet alene. I 2019 blev 23 procent af de
optagne optaget via kvote 2. I alt 89 procent af uddannelsesudbuddene med optagelse
i kvote 2 vurderer ansøgerne ud fra mere end ét kriterie. Herunder anvender 79 procent
af udbuddene såkaldt dokumenteret erfaring som f.eks. erhvervsarbejde. Vurdering af
ansøgere ud fra aktiviteter som f.eks. erhvervsarbejde, motiveret ansøgning og karakte-
rer er de mest anvendte kriterier i kombination. Knap 5 procent af uddannelsesudbud-
dene gør brug af samtaler, hvor fremmøde er påkrævet.
En individuel vurdering af ansøgere i kvote 2 giver en ekstra information ud over den,
der er indeholdt i gymnasiekarakteren. En statistisk analyse af to ”ens” ansøgere med
samme gymnasiekarakterer viser, at optagne med en højere rangering i kvote 2 i gen-
nemsnit får 0,4 højere karakterer på 1. studieår end dem med lavere rangering, jf. figur
2.12. De optagne, som er højst rangeret kvote 2, har i gennemsnit 1,4 procentpoint lavere
frafald på 1. studieår, end dem med lavere rangering, jf. figur 2.13.
Figur 2.12
Karakterer på 1. studieår, 2007-2016
Karaktergennemsnit
7,5
7,4
7,3
7,2
7,1
7,0
6,9
6,8
6,7
6,6
6,5
Ringere rangering i kvoteBedre rangering i kvote 2
2
Karaktergennemsnit
7,5
7,4
7,3
7,2
7,1
7,0
6,9
6,8
6,7
6,6
6,5
Figur 2.13
Frafald 1., 2. og 3. studieår, procent, 2000-
2017
Frafald i procent
14
12
10
8
6
4
2
0
1. studieår
2. studieår
3. studieår
Ringere rangering i kvote 2
Bedre rangering i kvote 2
Frafald i procent
14
12
10
8
6
4
2
0
Anm.:
Kilde:
Kun kvote 1-optagne i 2007-2016, der
også har søgt i kvote 2, sammenlignes.
Uddannelses- og Forskningsministeriet
på baggrund af data fra Den Koordine-
rede Tilmelding.
Anm.:
Kilde:
Kun kvote 1-optagne i 2000-2017, der
også har søgt i kvote 2, sammenlignes.
Uddannelses- og Forskningsministeriet
på baggrund af data fra Den Koordine-
rede Tilmelding.
Ansøgere fra de gymnasiale uddannelser kan søge om optagelse i kvote 1 og kvote 2.
Ansøgere uden et karaktergennemsnit fra en gymnasial uddannelse, som f.eks. ansø-
gere med en erhvervsuddannelse, kan alene søge om optagelse via kvote 2. Da 23 pro-
cent af alle ansøgerne bliver optaget via kvote 2 (2019-tal), konkurrerer de dermed om
en mindre andel af pladserne, uanset om de af uddannelsesinstitutionerne er vurderet til
at have stærke faglige forudsætninger.
44
Uddannelses- og Forskningsministeriet
BUU, Alm.del - 2021-22 - Endeligt svar på spørgsmål 219: Spm. om børn og unges trivsel, til børne- og undervisningsministeren
Evaluering af optagelsessystemet til de videregående uddannelser
2.3.3.3 Størstedelen af de optagne, der stadig går på uddannelsen, oplever, at det
faglige niveau lever op til deres forventninger
I en spørgeskemaundersøgelse til ansøgerne angiver 37 procent af de optagne, der
stadig går på uddannelsen, at det faglige indhold på uddannelsen (1. studieår) lever
meget godt op til deres forventninger, mens 47 procent angiver, at det lever godt op
til deres forventninger. Der er ikke forskel på ansøgerenes oplevelse afhængigt af,
hvilken kvote de er blevet optaget via. Samtidig angiver 6 procent af dem, der blev
optaget, og stadig går på uddannelsen (1. studieår) imidlertid, at de i høj grad er i
tvivl om, hvorvidt de har valgt den rette uddannelse, mens 17 procent er i nogen grad
i tvivl.
2.3.3.4 Nogle af de optagne, der falder fra, angiver uddannelsens jobsigte eller indhold
som årsag
På tværs af de videregående uddannelser falder ca. 16 procent fra uddannelsen i løbet 1.
studieår. Frafald har mange årsager og kan ikke alene tilskrives optagelsessystemet.
Ikke desto mindre viser interview på de videregående uddannelsesinstitutioner, at re-
spondenterne ofte anvender et lavt frafald som en indikator for, om der et godt match
mellem uddannelsen og de optagne.
De fem hyppigst angivne årsager til frafald blandt de adspurgte ansøgere, der er faldet
fra, er det sociale miljø (29 procent), uddannelsens jobsigte (29 procent), personlige for-
hold (26 procent), manglende refleksion (23 procent) og det faglige indhold i undervis-
ningen (21 procent), jf. figur 2.14. Tre ud af de fem mest angivne årsager vedrører uddan-
nelsens indhold og jobsigte.
Uddannelses- og Forskningsministeriet
45
BUU, Alm.del - 2021-22 - Endeligt svar på spørgsmål 219: Spm. om børn og unges trivsel, til børne- og undervisningsministeren
2583011_0046.png
Evaluering af optagelsessystemet til de videregående uddannelser
Figur 2.14
Ansøgernes angivelse af, hvorfor de faldt fra uddannelsen, andel, 2019
Procent
0
Jeg trivedes ikke i det sociale miljø
De jobs, som uddannelsen førte til, var ikke noget for mig
Personlige forhold (familie, børn, helbred mm.)
Jeg fik søgt ind uden at tænke mig ordentligt om
Indholdet i undervisningen var ikke relevant for mig
Kvaliteten af undervisningen
Jeg følte mig presset til at søge ind
Jeg var kommet for langt bagud på uddannelsen
Uddannelsen var for svær
Jeg boede for langt væk
Jeg følte mig ikke klar til at studere
Uddannelsens faglige niveau var for lavt
Jeg ville gerne tage et ekstra sabbatår
Jeg blev optaget på en anden uddannelse
Uddannelsen lå lavt på min prioriteringsliste, da jeg ansøgte
Jeg fik tilbudt et arbejde
Ingen eller få i min omgangskreds startede på en…
Jeg kunne ikke overskue at flytte til en ny by
Jeg kunne ikke finde bolig
Ingen af ovenstående
0
5
10
15
20
25
30
35
Procent
5
10
15
20
25
30
35
Anm.:
Kilde:
"Hvorfor stoppede du på den uddannelse, du blev optaget på d. 28. juli 2018?"
Antal besvarelser:
228 ansøgere til videregående uddannelser i 2018, som er frafaldet uddannelsen.
Uddannelses- og Forskningsministeriet på baggrund af spørgeskemaundersøgelse til ansøgere
til videregående uddannelser i 2018 gennemført af /KL.7 & Realize.
46
Uddannelses- og Forskningsministeriet
BUU, Alm.del - 2021-22 - Endeligt svar på spørgsmål 219: Spm. om børn og unges trivsel, til børne- og undervisningsministeren
2583011_0047.png
Evaluering af optagelsessystemet til de videregående uddannelser
2.3.4 Tema 4. Social mobilitet i optagelsessystemet
Mulighederne for at blive optaget på en videregående uddannelse er en af flere faktorer,
der har betydning for den sociale mobilitet. Derfor har optagelsessystemets indretning i
sig selv også betydning for unges mulighed for at blive optaget på en videregående ud-
dannelse – uanset deres forældres uddannelsesniveau. Evalueringens hovedresultater
vedrørende social mobilitet (uddannelsesmobilitet) fremgår af boksen.
Flere unge med faglærte eller ufaglærte forældre optages på en videregå-
ende uddannelse
– I 2019 blev der optaget ca. 6.500 flere ansøgere med faglærte eller ufaglærte
forældre end i 2009. Det skyldes bl.a., at optaget til de videregående uddan-
nelser er steget markant.
Unge med ufaglærte forældre får i mindre grad en gymnasial uddannelse
– Ti år efter de har afsluttet folkeskolen, har 35 procent af unge med ufaglærte
forældre gennemført en gymnasial uddannelse. Det tilsvarende tal for unge
med forældre med en videregående uddannelse er 75 procent. Da de gymnasi-
ale uddannelser er hovedvejen ind i optagelsessystemet, betyder det, at færre
unge med ufaglærte forældre søger ind på en videregående uddannelse.
Udvælgelse på baggrund af karaktergennemsnit i kvote 1 begrænser social
mobilitet
– Ansøgere med forældre med en videregående uddannelse har generelt væ-
sentligt højere karaktergennemsnit fra den gymnasiale uddannelse end ansø-
gere med faglærte og ufaglærte forældre. I gennemsnit har de et karaktergen-
nemsnit, der er 1,0 karakterpoint højere end ansøgere med faglærte forældre,
og 1,5 karakterpoint højere end ansøgere med ufaglærte forældre. Det stiller
dem markant bedre, når de bliver vurderet i kvote 1. Forskellen på et karakter-
gennemsnit på f.eks. 7,0 og 8,0 betød en forskel på, hvorvidt man kunne
komme ind på 82 (svarende til knap 10 procent) af uddannelsesudbuddene i
2019.
Uddannelses- og Forskningsministeriet
47
BUU, Alm.del - 2021-22 - Endeligt svar på spørgsmål 219: Spm. om børn og unges trivsel, til børne- og undervisningsministeren
2583011_0048.png
Evaluering af optagelsessystemet til de videregående uddannelser
Udvælgelseskriterierne i kvote 2 begrænser den sociale mobilitet yderligere,
end hvis der alene anvendes karaktergennemsnit
– Der er forskel på, hvordan ansøgere bliver vurderet i kvote 2 afhængigt af,
hvilket uddannelsesniveau deres forældre har. I kvote 2 bliver ansøgere med
en gymnasial eksamen med faglærte eller ufaglærte forældre typisk vurderet
lavere end ansøgere med forældre med en videregående uddannelse, der er
rangeret på samme niveau i kvote 1.
– Udvælgelseskriterierne i kvote 2 varierer i forhold til, hvordan de stiller
ansøgere med forskellig baggrund. Ansøgere med gymnasial eksamen med
forældre med en videregående uddannelse klarer sig især bedre, når de bliver
vurderet på motiverede ansøgninger i forhold til ansøgere med gymnasial
eksamen med faglærte eller ufaglærte forældre.
Udvælgelseskriterierne i kvote 2 betyder, at ansøgere med en gymnasial
uddannelse og ufaglærte forældre er stillet dårligere end i kvote 1
– Med den nuværende anvendelse af udvælgelseskriterier, f.eks. motiveret
ansøgning og dokumenteret erfaring, vil ansøgere med gymnasial eksamen og
faglærte og ufaglærte forældre alt andet lige blive bedre stillet, hvis der alene
blev optaget på baggrund af karaktergennemsnit (kvote 1). Det viser en
simulering af, hvilke ansøgere, der ville være blevet optaget i 2018, hvis man i
stedet for kvote 2 havde fordelt pladserne efter karaktergennemsnittet i
kvote 1, for ansøgere med en gymnasial eksamen.
– Der er indikationer på, at der kan være forskellige virkninger afhængigt af,
hvilke udvælgelseskriterier uddannelserne vælger i kvote 2. F.eks. har Syd-
dansk Universitet indført et testbaseret optagelsesforløb i kvote 2, hvor de i
højere grad optager ansøgere med faglærte forældre, end hvis pladserne blev
fordelt i kvote 1.
2.3.4.1 Unge med ufaglærte forældre får i langt mindre grad en gymnasial uddannelse
Ti år efter de har afsluttet folkeskolen, har 35 procent af unge med ufaglærte forældre
gennemført en gymnasial uddannelse. Det tilsvarende tal for unge med forældre med
videregående uddannelse er 75 procent. Da de gymnasiale uddannelser er hovedvejen
ind i optagelsessystemet, betyder det, at flere unge med ufaglærte forældre ikke søger
ind på en videregående uddannelse.
Ud over de unge, der har taget en gymnasial uddannelse, var det ca. 8 procent, der inden
for ti år efter de afsluttede 9. klasse, søgte om optagelse uden en gymnasial uddannelse
og f.eks. med en erhvervsuddannelse i stedet. Det var henholdsvis 9 og 8 procent af de
unge med ufaglærte og faglærte forældre, der søgte ind med et andet adgangsgrundlag,
mens det var 6 procent af de unge med forældre med en videregående uddannelse.
48
Uddannelses- og Forskningsministeriet
BUU, Alm.del - 2021-22 - Endeligt svar på spørgsmål 219: Spm. om børn og unges trivsel, til børne- og undervisningsministeren
2583011_0049.png
Evaluering af optagelsessystemet til de videregående uddannelser
I absolutte tal optages flere unge med faglærte eller ufaglærte forældre på en videregå-
ende uddannelse. I 2019 blev der optaget ca. 6.500 flere ansøgere med faglærte eller
ufaglærte forældre end i 2009. Det skyldes bl.a., at optaget til de videregående uddan-
nelser er steget.
2.3.4.2 Udvælgelse på baggrund af karaktergennemsnit i kvote 1 begrænser social
mobilitet
Mulighederne for at blive optaget på en videregående uddannelse er en af flere faktorer,
der har betydning for den sociale mobilitet. Analyserne i de følgende afsnit er afgrænset
til at se på betydningen af forældres uddannelsesniveau. Andre karakteristika som f.eks.
køn og etnicitet indgår ikke i analysen.
Ansøgere med forældre med en videregående uddannelser har generelt et højere karak-
tergennemsnit fra deres gymnasiale uddannelse end ansøgere med faglærte eller ufag-
lærte forældre. I gennemsnit har ansøgere med en forældre med en videregående ud-
dannelse et karaktergennemsnit, der er 1,0 karakterpoint højere end ansøgere med fag-
lærte forældre, og 1,5 karakterpoint højere end ansøgere med ufaglærte forældre, jf. fi-
gur 2.15.
Figur 2.15
Karakterfordelingen for ansøgere fordelt på forældres uddannelsesbaggrund, procent, 2016-
2018
Procent
2,0
1,8
1,6
1,4
1,2
1,0
0,8
0,6
0,4
0,2
0,0
2
3
4
5
6
7
8
9
Karaktergennemsnit fra den gymnasiale uddannelse
Faglærte forældre
10
11
12
Procent
2,0
1,8
1,6
1,4
1,2
1,0
0,8
0,6
0,4
0,2
0,0
Ufaglærte forældre
Forældre med en videregående uddannelse
Anm.: Tallene er eksklusive bonus for tidlig studiestart (1,08-reglen). Tallene er for ansøgere med et ka-
raktergennemsnit fra en dansk gymnasial uddannelse. Forældrenes uddannelsesniveau er define-
ret efter den forældre med den højest fuldførte uddannelse. Ufaglærte inkluderer personer uden en
kompetencegivende uddannelse. Personer, hvor begge forældres uddannelsesbaggrund er ukendt,
er udeladt.
Kilde: Uddannelses og forskningsministeriet på baggrund af data fra Danmarks Statistik.
Ansøgere med ufaglærte eller faglærte forældre bliver derfor generelt rangeret lavere i
kvote 1 i forhold ansøgere med forældre med en videregående uddannelse. Forskellen på
Uddannelses- og Forskningsministeriet
49
BUU, Alm.del - 2021-22 - Endeligt svar på spørgsmål 219: Spm. om børn og unges trivsel, til børne- og undervisningsministeren
2583011_0050.png
Evaluering af optagelsessystemet til de videregående uddannelser
et karaktergennemsnit på f.eks. 7,0 og 8,0 betød en forskel på, hvorvidt man kunne
komme ind på 82 (svarende til knap 10 procent) af uddannelsesudbuddene i 2019.
2.3.4.3 Udvælgelseskriterierne i kvote 2 mindsker den sociale mobilitet yderligere, end
hvis der alene anvendes karaktergennemsnit
Når ansøgere med ufaglærte forældre bliver vurderet i kvote 2, bliver de i gennemsnit
rangeret lavere, end de ville være blevet i kvote 1, jf. figur 2.16. Det svarer til, at ansø-
gere med ufaglærte forældre sammenlignet med andre unge med
samme gymnasie-
karakterer
har lavere sandsynlighed for at blive optaget, når de vurderes i kvote 2.
Figur 2.16
Placering af ansøgere i kvote 2 efter deres rangering i kvote 1, fordelt på forældres uddan-
nelse, 2016-2018
Gennemsnitlig rangering kvote 2
100
Gennemsnitlig rangering kvote 2
100
80
80
60
60
40
40
20
20
0
Lav
Ufaglært
Faglært
Rangering i
kvote 1
Videregående
Høj
0
Anm.:
Kilde:
Figuren indeholder kun ansøgere, der er vurderet i både kvote 1 og kvote 2, det vil sige ansøgere
med en gymnasial uddannelse. Ansøgere med en erhvervsuddannelse indgår derfor ikke.
Uddannelses og Forskningsministeriet på baggrund af data fra Danmarks Statistik.
Det er kun muligt at sammenligne rangering i kvote 1 og kvote 2 af ansøgere med et ka-
raktergennemsnit fra en gymnasial uddannelse og ikke ansøgere med f.eks. en er-
hvervsuddannelse, der ikke har et karaktergennemsnit og kun kan søge via kvote 2. An-
søgere med en erhvervsuddannelse udgør 4 procent af ansøgerne i 2019.
Erhvervsuddannede kan ikke konkurrere om pladser i kvote 1. Blandt ansøgerne med en
erhvervsuddannelse, er andelene med faglærte og ufaglærte forældre højere end blandt
ansøgerne med gymnasiale uddannelser.
2.3.4.4 Udvælgelseskriterierne i kvote 2 mindsker den sociale mobilitet yderligere end
hvis der alene anvendes karaktergennemsnit
En metode til at vurdere betydningen af den nuværende kvote 2 for den sociale mobili-
tet er at simulere et kontrafaktisk optagelsesforløb af, hvem der ville være blevet opta-
get, hvis kvote 2 omlægges, og alle ansøgere med en gymnasial uddannelse optages på
50
Uddannelses- og Forskningsministeriet
BUU, Alm.del - 2021-22 - Endeligt svar på spørgsmål 219: Spm. om børn og unges trivsel, til børne- og undervisningsministeren
2583011_0051.png
Evaluering af optagelsessystemet til de videregående uddannelser
baggrund af deres karaktergennemsnit. Under antagelse af, at søgemønstret ville være
uændret, kan 2018-optagelsen simuleres, hvor ansøgere med en med en gymnasial ud-
dannelse ikke kan optages via kvote 2, og pladserne i stedet er fordelt i kvote 1.
Når man simulerer en omlæggelse af kvote 2, og samtidig flytter pladserne til kvote 1, vil
det påvirke omkring 15 procent af ansøgerne. Heraf ville lidt over halvdelen af de be-
rørte ansøgere være bedre stillet.
Af ansøgerne med ufaglærte forældre ville 3,2 procent, der tidligere ikke ville være ble-
vet optaget, nu blive optaget, mens 4,0 procent ikke ville blive optaget. Netto viser si-
mulationen derfor, at 0,8 procent færre med ufaglærte forældre ville blive optaget, jf.
tabel 2.2. Det skal ses i forhold til, at der samlet ville blive optaget ca. 1 procent færre
ansøgere i simulationen, da søgeadfærden ikke er tilpasset. Der er derfor pladser, som
ikke bliver fuldt udnyttet.
En afskaffelse af kvote 2 ville dog bidrage til, at 6,0 procent af ansøgerne med ufag-
lærte forældre vil blive stillet bedre, da de ville blive optaget på en højere prioritet. Sam-
tidig ville 3,4 procent blive stillet dårligere ved at komme ind på en lavere prioritet. Sam-
let ville en omlæggelse af kvote 2 derfor netto bidrage til, at flere ansøgere med ufag-
lærte forældre ville blive stillet bedre.
Tabel 2.2
Ansøgere fordelt på konsekvenserne ved en omlæggelse af kvote 2, fordelt på forældres ud-
dannelse, procent, 2018
Vil blive
optaget
Optages på
højere
prioritet
6,0
4,8
4,7
3,3
4,7
Uændret
Optages på
lavere
prioritet
3,4
3,3
3,3
4,2
3,4
Bliver ikke
længere
optaget
4,0
4,1
3,3
8,0
4,1
I alt
Ufaglærte forældre
Faglærte forældre
Forældre med en videre-
gående uddannelse
Ukendt uddannelsesbag-
grund for forældre
Alle
3,2
3,4
3,0
0,2
3,1
83,5
84,5
85,8
81,7
84,7
100
100
100
100
100
Anm.:
Kilde:
Resultat af kontrafaktisk simulering af 2018-optagelsen. Simuleringen er under antagelse af
uændret søgeadfærd, og er forbundet med en simuleringsusikkerhed. Forældrenes uddannelses-
niveau er defineret efter den forældre med den højest fuldførte uddannelse. Ufaglærte inklude-
rer personer uden en kompetencegivende uddannelse. Der må påregnes en usikkerhed i simule-
ringerne. Både baselinescenarie og scenariet med omlæggelse af kvote 2-pladser til ansøgere
med en gymnasial uddannelse simuleres for at holde modelusikkerheden konstant på tværs af
begge scenarier.
Uddannelses- og Forskningsministeriet på baggrund af data fra Den Koordinerede Tilmelding.
Da der er forholdsvis få ansøgere med ufaglærte forældre, ville det netto være ca. 130
ansøgere med ufaglærte forældre, der ville blive bedre stillet. For ansøgere med faglærte
forældre vil det netto være ca. 200, der bliver bedre stillet. For ansøgere med forældre,
der har en videregående uddannelse, vil det netto være ca. 550, der bliver bedre stillet.
Uddannelses- og Forskningsministeriet
51
BUU, Alm.del - 2021-22 - Endeligt svar på spørgsmål 219: Spm. om børn og unges trivsel, til børne- og undervisningsministeren
Evaluering af optagelsessystemet til de videregående uddannelser
Ansøgere, hvor begge forældres uddannelse er ukendt (hovedsageligt udlændinge), vil
det netto være ca. 470 ansøgere, der bliver dårligere stillet. Ansøgere, hvor forældrenes
uddannelsesbaggrund er ukendt, er hovedsagligt ansøgere, der selv er udlændinge, og
personer med udenlandske forældre.
De samlede resultater for kvote 2 bliver særligt drevet af de mest udbredte udvælgel-
seskriterier, som er
dokumenteret erfaring, karakterer i udvalgte fag
og
motiverede an-
søgninger.
På grund af et lille datagrundlag er tendensen mindre entydig hvad angår
test
og
optagelsessamtaler.
Der er dog ikke noget, der tyder på, at disse udvælgelses-
kriterier isoleret set og generelt stiller ansøgere med faglærte eller ufaglærte forældre
bedre end deres rangering på baggrund af karakterer, mens der dog er indikationer på,
at de kunne blive stillet dårligere. Det er imidlertid vanskeligt at konkludere entydigt
fordi udvælgelseskriterierne ofte kombineres.
Da der er stor metodefrihed for institutionerne ift. at tilrettelægge optagelsen i kvote 2,
kan det ikke udelukkes, at der er nogle uddannelser, der benytter udvælgelseskriterier,
der understøtter en større grad af social mobilitet end kvote 1. F.eks. har Syddansk Uni-
versitet arbejdet systematisk med en optagelsesprocedure på en række af deres ud-
dannelser, som består af kognitiv test og samtaler (multiple mini interviews). I 2018 op-
tog de på de uddannelser, der benyttede metoden, en højere grad af ansøgere med fag-
lærte forældre i forhold til, hvem de ville have optaget, hvis de kun havde benyttet sig af
karaktergennemsnittet. Samtidig optog de også lidt færre med ufaglærte forældre.
Samlet set optog SDU i 2018 flere med forældre uden en videregående uddannelse, end
hvis de havde optaget alene baseret på karakterer. Der er ikke foretaget analyser af
uddannelser, der kombinerer generelle minimumskarakterkrav som grovsortering med
forskellige udvælgelseskriterier.
52
Uddannelses- og Forskningsministeriet
BUU, Alm.del - 2021-22 - Endeligt svar på spørgsmål 219: Spm. om børn og unges trivsel, til børne- og undervisningsministeren
2583011_0053.png
Evaluering af optagelsessystemet til de videregående uddannelser
2.3.5 Tema 5. Gennemsigtighed i optagelsessystemet
For at kunne søge ind på en videregående uddannelse, skal ansøgerne kunne forstå op-
tagelsessystemet. Den viden er afgørende for ansøgernes mulighed for at foretage en
kvalificeret ansøgning og i sidste ende at blive optaget. Evalueringens hovedresultater
vedrørende gennemsigtighed i optagelsessystemet fremgår af boksen.
Størstedelen af ansøgerne har svært ved at få overblik over ansøgnings-
processen og adgangskravene
– Når ansøgerne til de videregående uddannelser i 2018 i en spørgeskemaun-
dersøgelse skal give en samlet vurdering af ansøgningsprocessen, vurderer en
tredjedel, at ansøgningsprocessen var klar og overskuelig.
– Ved sommeroptagelsen i 2019 var der 9.851 ikke-kvalificerede ansøgere, som
ikke opfyldte adgangskravene på nogen af deres søgte uddannelser. Det sva-
rer til 11 procent af ansøgerne.
Størstedelen af ansøgerne har en god forståelse for udvælgelseskriterierne
i kvote 1
– I spørgeskemaundersøgelsen angiver i alt 48 procent af ansøgerne, at de me-
get enige i, at det er let at forstå udvælgelseskriteriet i kvote 1. I alt angiver 31
procent, at de er enige.
Kvote 2 er mindre gennemsigtig for ansøgerne sammenlignet med kvote 1
– I alt 24 procent af ansøgerne, som har søgt i kvote 2, er meget enige i, at det
er let at forstå udvælgelseskriterierne i kvote 2, mens 39 procent er enige.
– I alt har 35 procent af ansøgerne oplevet kvote 2 som uklar. Dermed er kvote 2
det mest uklare for ansøgerne blandt forskellige svarmuligheder om elementer
i optagelsessystemet. Det kan skyldes, at udvælgelseskriterierne i kvote 2 er
svære at gennemskue bl.a., fordi de varierer fra uddannelsessted til uddannel-
sessted.
Halvdelen af ansøgerne i kvote 2 bliver overraskede over, at de bliver
optaget på 1. prioritet
– I alt 49 procent af de adspurgte ansøgere, der bliver optaget via kvote 2 angi-
ver, at de er overraskede over, at de blev optaget på deres 1. prioritet. Det
samme gælder 19 procent af dem, der bliver optaget via kvote 1.
– En tredjedel af de adspurgte ansøgere kender ikke årsagen til, at de er blevet
optaget eller afvist på deres 1. prioritet.
Uddannelses- og Forskningsministeriet
53
BUU, Alm.del - 2021-22 - Endeligt svar på spørgsmål 219: Spm. om børn og unges trivsel, til børne- og undervisningsministeren
Evaluering af optagelsessystemet til de videregående uddannelser
2.3.5.1 Størstedelen af ansøgerne har svært ved at få overblik over
ansøgningsprocessen og adgangskravene
Når ansøgerne til de videregående uddannelser i 2018 i en spørgeskemaundersøgelse
skal give en samlet vurdering af ansøgningsprocessen, vurderer en tredjedel, at ansøg-
ningsprocessen var klar og overskuelig. Noget af det, ansøgerne vurderer er uoverskue-
ligt er f.eks., at der hvert år er to ansøgningsfrister til sommeroptagelsen – en for kvote
2 d.15. marts og en for kvote 1 d.5. juli.
Samtidig angiver 24 procent af ansøgerne bl.a., at de obligatoriske adgangskrav er
vej-
ledende
optagelseskriterier, og ikke krav, som skal være opfyldt for at ansøgeren er
kvalificeret til uddannelsen. Ved sommeroptagelsen i 2019 var der 9.851 ikke-kvalifice-
rede ansøgere, som ikke opfyldte adgangskravene på nogen af deres søgte uddannel-
ser. Det svarer til ca. 11 procent af ansøgerne.
2.3.5.2 Størstedelen af ansøgerne har en god forståelse for udvælgelseskriterierne i
kvote 1
I spørgeskemaundersøgelsen angiver i alt 48 procent af ansøgerne, at de meget enige i,
at det er let at forstå udvælgelseskriteriet i kvote 1. I alt angiver 31 procent, at de er
enige. Enigheden er størst blandt ansøgere fra de gymnasiale uddannelser, der kan søge
via kvote 1, mens forståelsen er mindst blandt ansøgere med en erhvervsuddannelse,
der ikke har et karaktergennemsnit, og derfor ikke kan søger via kvote 1, jf. figur 2.17.
54
Uddannelses- og Forskningsministeriet
BUU, Alm.del - 2021-22 - Endeligt svar på spørgsmål 219: Spm. om børn og unges trivsel, til børne- og undervisningsministeren
2583011_0055.png
Evaluering af optagelsessystemet til de videregående uddannelser
Figur 2.17
Ansøgernes svar på, hvor let det er at forstå udvælgelseskriteriet i kvote 1 opdelt på ung-
domsuddannelse, andel svar, 2019
Procent
0
stx
htx
hhx
hf
eux
EUD
0
10
Meget enig
20
Enig
30
40
50
60
Uenig
70
80
Meget uenig
90
100
Procent
Ved ikke
10
20
30
40
50
60
70
80
90
100
Hverken enig eller uenig
Anm.:
Kilde:
”Hvor enig eller uenig er du i følgende udsagn? Jeg synes, det er let at forstå kriterierne for at
ansøge om optag i kvote 1".
Antal besvarelser: 2922 ansøgere til videregående uddannelser i
2018. Spørgsmålet er stillet til ansøgere fra stx, hf, htx, hhx, eux og EUD i samplet.
Uddannelses- og Forskningsministeriet på baggrund af spørgeskemaundersøgelse til ansøgere
til videregående uddannelser i 2018 gennemført af /KL.7 & Realize.
2.3.5.3 Kvote 2 er mindre gennemsigtigt sammenlignet med kvote 1
I alt 24 procent af ansøgerne, som har søgt i kvote 2, er meget enige i, at det er let at
forstå udvælgelseskriterierne i kvote 2, mens 39 procent er enige. Det er en lavere andel
end kvote 1. I alt 65 procent af ansøgerne angiver, at det er svært at forstå, at kriteri-
erne i kvote 2 varierer fra uddannelsessted til uddannelsessted. I alt har 35 procent af
ansøgerne oplevet kvote 2 som uklart. Kvote 2 det mest uklare for ansøgerne blandt
forskellige svarmuligheder om elementer i optagelsessystemet.
2.3.5.4 Ansøgerne i kvote 2 bliver overraskede over, at de bliver optaget på 1. prioritet
I alt 49 procent af de ansøgere, der bliver optaget via kvote 2 angiver, at de er overra-
skede over, at de blev optaget på deres 1. prioritet. Det tal er 19 procent af dem, der bli-
ver optaget via kvote 1. En tredjedel af alle ansøgere kender ikke årsagen til, at de er
blevet optaget eller afvist på deres 1. prioritet.
Ansøgere med en erhvervsuddannelse kan kun søge i kvote 2, da de ikke har et gym-
nasialt karaktergennemsnit. Spørgeskemaundersøgelsen viser, at de har relativt let-
tere ved at forstå kriterierne for optagelse via kvote 2 end ansøgere fra andre ung-
domsuddannelser. Dog har de relativt sværere ved at forstå kvote 2-kriterierne end
andre ansøgere har ved at forstå kvote 1-kriteriet. Ligeledes angiver 39 procent af
de adspurgte ansøgere, at det er svært at forstå, hvor mange, der bliver optaget via
kvote 2, det vil sige deres sandsynlighed for at blive optaget.
Uddannelses- og Forskningsministeriet
55
BUU, Alm.del - 2021-22 - Endeligt svar på spørgsmål 219: Spm. om børn og unges trivsel, til børne- og undervisningsministeren
2583011_0056.png
Evaluering af optagelsessystemet til de videregående uddannelser
2.3.6 Tema 6. Effektiv fordeling af uddannelsespladser
Fordeling af ansøgere via Den Koordinerede Tilmelding har en betydning for graden af
administration og ressourceffektivitet for ansøgerne, staten og uddannelsesinstitutio-
nerne. Evalueringens hovedresultater vedrørende effektivitet fremgår af boksen.
Den Koordinerede Tilmelding fordeler effektivt og hurtigt en stor mængde
af ansøgere
– Den Koordinerede Tilmelding understøtter en ressourceoptimering for uddan-
nelsesinstitutionerne, fordi ansøgerne kun bliver tilbudt én studieplads. Insti-
tutionerne har dermed mulighed for at vurdere, hvor mange af de optagne, der
ender med at begynde på uddannelsen.
– Den Koordinerede Tilmelding fordeler pladserne baseret på institutionernes
sagsbehandling - uanset hvilke kvoter og hvilke udvælgelseskriterier instituti-
onerne benytter.
Enkelte elementer i optagelsessystemet kræver mere sagsbehandling for
institutionerne
– Enkelte decentrale elementer som f.eks. efteroptagelse og vinteroptagelse,
som håndteres manuelt, samt behandling af udenlandske ansøgeres eksa-
mensbeviser kræver mere sagsbehandling for institutionerne end fordeling i
sommeroptagelsen, som er understøttet af Den Koordinerede Tilmelding.
– Ansøgere kan have svært ved at vurdere deres optagelseschancer i kvote 1
og søger derfor i kvote 2. I 2019 blev 46 procent af de optagne behandlet i
kvote 2, og halvdelen af dem blev optaget via enten kvote 1 eller på udbud
med alle optaget. Det øger arbejdsmængden for institutionerne unødigt.
Optagelsessystemet giver uddannelserne mulighed for selv at tilrettelægge
relevante udvælgelsesprocesser
– Udvælgelse i kvote 1 opleves som effektivt af institutionerne både ift. at for-
dele pladserne, men er også omkostningseffektivt, idet kvote 1 for de allerfle-
ste ansøgere ikke kræver særlig meget sagsbehandling.
– De fleste udvælgelseskriterier i kvote 2 er mere omkostningstunge og mindre
fordelingseffektive end kvote 1, da institutionerne skal lave en individuel vur-
dering af ansøgerne.
– Det er nogle uddannelsesinstitutioners vurdering, at det samlet set betaler sig
at bruge andre udvælgelseskriterier i kvote 2, da oplever, at de optagne er
mere motiverede og i mindre grad falder fra uddannelsen.
56
Uddannelses- og Forskningsministeriet
BUU, Alm.del - 2021-22 - Endeligt svar på spørgsmål 219: Spm. om børn og unges trivsel, til børne- og undervisningsministeren
Evaluering af optagelsessystemet til de videregående uddannelser
2.3.6.1 Den Koordinerede Tilmelding fordeler effektivt og hurtigt en stor mængde af
ansøgere
Den Koordinerede Tilmelding håndterer hvert år ansøgninger fra ca. 90.000 ansø-
gere årligt i en centralt koordineret proces. Det betyder, at hver ansøger får svar
umiddelbart efter sidste ansøgningsfrist, og kun får tilbudt én plads, der er ansøge-
rens højest mulige prioritet. Koordineringen understøtter en ressourceoptimering for
uddannelsesinstitutionerne, fordi institutionerne har bedre mulighed for at vurdere,
hvor mange af de optagne, der ender med at begynde på uddannelsen, fordi de op-
tagne ikke har fået tilbudt andre uddannelsespladser.
Den Koordinerede Tilmelding fordeler pladserne på baggrund af ansøgernes priorite-
ringslister, institutionernes indberetning af uddannelsespladser og fordelingen af plad-
ser mellem kvote 1 og kvote 2 samt resultatet af den sagsbehandling, som de videregå-
ende uddannelsesinstitutioner laver af ansøgningerne. Derfor kan Den Koordinerede Til-
melding fungere uanset udvælgelseskriterier.
2.3.6.2 Enkelte elementer i optagelsessystemet kræver mere sagsbehandling for
institutionerne
Den decentrale optagelse, som benyttes i efteroptagelsen og vinteroptagelsen, er ikke
lige så gennemsigtig eller effektiv for hverken ansøger eller institutioner som sommer-
optagelsen. Der optages omkring 10.000 ansøgere i efteroptagelsen og vinteroptagel-
sen, hvor der i sommeroptagelsen optages omkring 65.000.
Den decentrale behandling af udenlandske ansøgeres eksamensbeviser betyder, at
samme ansøger bliver vurderet flere gange, samt at der i mindre grad oparbejdes kom-
petence i behandlingen. I 2019 drejede det sig om knap 24.500 ansøgninger fra 8.500
udenlandske ansøgere, som skulle behandles og omregnes ift. fagniveauer, karakterer
og karaktergennemsnit.
Ansøgere kan have svært ved at vurdere deres optagelseschancer i kvote 1 og søger
derfor gennem kvote 2. I 2019 blev 46 procent af de optagne behandlet i kvote 2, og
halvdelen af dem blev optaget via enten kvote 1 eller på udbud med alle optaget. Det
øger arbejdsmængden for institutionerne unødigt.
2.3.6.3 Optagelsessystemet giver uddannelserne mulighed for selv at tilrettelægge
relevante udvælgelsesprocesser
Udvælgelsen i kvote 1 opleves som effektiv af institutionerne både ift. at fordele plad-
serne, men er også omkostningseffektivt, idet kvote 1 for de allerfleste ansøgere ikke
kræver særlig meget sagsbehandling.
Optagelsessystemet giver i dag uddannelserne en fleksibilitet til selv at tilrettelægge
optagelsesprocessen i kvote 2. Det kommer til udtryk ved, at 89 procent af uddannel-
serne med optagelse via kvote 2 bruger en kombination af forskellige udvælgelseskrite-
rier. Udvælgelseskriterier i kvote 2 er mere omkostningstunge og mindre fordelingsef-
fektive end kvote 1, da institutionerne skal lave en individuel vurdering af ansøgerne.
Det er samtidig nogle uddannelsesinstitutioners vurdering, at det samlet set betaler sig
at bruge andre udvælgelseskriterier i kvote 2, da oplever, at de optagne er mere motive-
rede og i mindre grad falder fra uddannelsen end dem, der bliver optaget via kvote 1.
Uddannelses- og Forskningsministeriet
57
BUU, Alm.del - 2021-22 - Endeligt svar på spørgsmål 219: Spm. om børn og unges trivsel, til børne- og undervisningsministeren
Evaluering af optagelsessystemet til de videregående uddannelser
Denne side er med vilje efterladt uden indhold.
58
Uddannelses- og Forskningsministeriet
BUU, Alm.del - 2021-22 - Endeligt svar på spørgsmål 219: Spm. om børn og unges trivsel, til børne- og undervisningsministeren
Evaluering af optagelsessystemet til de videregående uddannelser
3. Beskrivelse af
optagelsessystemet til
de videregående
uddannelser
I dette kapitel bliver de væsentligste regler og rammer for
det danske optagelsessystem beskrevet. Optagelses-
systemet har eksisteret siden 1977 uden grundlæggende
ændringer og er karakteriseret ved at være et kvotesystem
med en centralt koordineret pladsfordeling.
Det centralt koordinerede optagelsessystem, som vi kender det i dag, har eksisteret si-
den 1977. Dette afsnit beskriver de væsentligste hovedtræk i udviklingen i optagelses-
systemet 1977-2020. Kapitlet bygger på en kortlægning af den historiske udvikling af
optagelsessystemet samt de relevante lovgrundlag.
Uddannelses- og Forskningsministeriet
59
BUU, Alm.del - 2021-22 - Endeligt svar på spørgsmål 219: Spm. om børn og unges trivsel, til børne- og undervisningsministeren
2583011_0060.png
Evaluering af optagelsessystemet til de videregående uddannelser
Hovedresultater
– Den Koordinerede Tilmelding (KOT) blev indført med virkning fra optagelsen i
1977 for at håndtere en større ansøgermængde på universiteterne.
– Formålet med KOT er at understøtte, at enhver ansøger i den samme optagel-
sesrunde kan søge optagelse på op til 8 uddannelser på én samlet portal, men
højst blive tilbudt én studieplads, og dette på den højst mulige af de ansøgte
prioriteter.
– KOT fungerer uanset, hvordan optagelsessystemet og udvælgelseskriterierne
i øvrigt er indrettet, så længe uddannelsesinstitutionernes vurdering leder til
en rangering af den enkelte ansøger.
– Det danske optagelsessystem er karakteriseret ved at være et kvotesystem
– det vil sige, at der træder kvoter i kraft, hvis der er flere ansøgere end ud-
dannelsespladser.
3.1 Udvikling i optagelsessystemet 1977-2020
Den Koordinerede Tilmelding (KOT) blev indført med loven om adgangsregulering ved
de videregående uddannelser i 1976, som fik virkning ved optagelsen i 1977. Dette skete
som konsekvens af, at der på flere universitetsuddannelser i 1970’erne begyndte at
komme mange flere ansøgere end der var uddannelsespladser, og at der derfor blev ad-
gangsbegrænsning på uddannelserne. Tidligere var der fri adgang på næsten alle ud-
dannelser, og førsteårsprøver var et instrument til at sortere studerende fra uddannel-
sen i relevant omfang.
KOT dækkede på daværende tidspunkt primært universiteter og lærerseminarerne. Da
KOT blev indført i 1977 var der en adgangsbegrænsning på 20.000 pladser og i alt
35.400 ansøgninger fra 20.864 personer. Det førte til, at 16.700 studerende blev opta-
get på de videregående uddannelsesinstitutioner. Ved optagelsesrunden i 2019 var der
237.716 ansøgninger fra 88.757 ansøgere, som blev behandlet i optagelsessystemet. Det
førte til 65.714 optagne.
Optagelsen blev ved etableringen af KOT i 1977 tilrettelagt sådan, at fordelingen af
pladser primært skulle ske på baggrund af karaktergennemsnit fra den gymnasiale ek-
samen (kvote 1) eller på baggrund af erhvervsarbejde (kvote 2). Fordelingen af andel
pladser til kvoter blev fastlagt på forhånd. Derudover var der særlige optagelsesmulig-
heder for dispensater, ansøgere med udenlandske eksamensbeviser og ansøgere over
25 år. Der har særligt siden 2004 været en række tilpasninger af optagelsessystemet, jf.
den koordinerede
tilmelding (kot) opstår i 1977 og oprettes som konsekvens af adgangsbe-
grænsning på de videregående uddannelser i takt med at flere uddannelser har langt flere
ansøgere end studiepladser. tidligere var der fri adgang på næsten alle uddannelser. optagel-
sen blev tilrettelagt sådan, at den primært skulle ske på baggrund af karaktergennemsnit
ved den adgangsgivende eksamen (kvote 1) og på baggrund af erhvervsarbejde (kvote 2). i
kvote 2 blev karaktergennemsnittet forhøjet efter hvor meget erhvervsarbejde ansøger har
60
Uddannelses- og Forskningsministeriet
BUU, Alm.del - 2021-22 - Endeligt svar på spørgsmål 219: Spm. om børn og unges trivsel, til børne- og undervisningsministeren
Evaluering af optagelsessystemet til de videregående uddannelser
haft (maks. 18 måneder). nedenfor er en oversigt over de større ændringer optagelsessyste-
met har gennemgået i nyere tid.
Se også bilag 2 for en detaljeret redegørelse for tilpasningerne af optagelsessystemet.
Uddannelses- og Forskningsministeriet
61
BUU, Alm.del - 2021-22 - Endeligt svar på spørgsmål 219: Spm. om børn og unges trivsel, til børne- og undervisningsministeren
2583011_0062.png
Evaluering af optagelsessystemet til de videregående uddannelser
Figur 3.1
Tidslinje over større ændringer i optagelsessystemet
Den Koordinerede Tilmelding (KOT) opstår i 1977 og oprettes som konsekvens af adgangsbegrænsning på de
videregående uddannelser i takt med at flere uddannelser har langt flere ansøgere end studiepladser. Tidli-
gere var der fri adgang på næsten alle uddannelser. Optagelsen blev tilrettelagt sådan, at den primært skulle
ske på baggrund af karaktergennemsnit ved den adgangsgivende eksamen (kvote 1) og på baggrund af er-
hvervsarbejde (kvote 2). I kvote 2 blev karaktergennemsnittet forhøjet efter hvor meget erhvervsarbejde an-
søger har haft (maks. 18 måneder). Nedenfor er en oversigt over de større ændringer optagelsessystemet har
gennemgået i nyere tid.
2004
Universiteterne kan fast-
sætte karakterkrav
Universiteterne får mulighed for at fastsætte et krav om et bestemt minimums-
karaktergennemsnit og/eller krav om minimumskarakter i enkelte fag.
2005
Optagelsessamtaler og
prøver i kvote 2
Det bliver muligt at indføre optagelsessamtaler og -prøver i kvote 2. Institution-
erne skal dog have ministerens tilladelse.
2006
Målsætning om, at 50%
gennemfører en videre-
gående uddannelse
50%-målsætningen udspringer af Globaliseringsrådets fokus på, at Danmark
skal være et videnssamfund, og er en målsætning om, at 50 pct. af en ungdoms-
årgang skal gennemføre en videregående uddannelse. Dertil kommer en uofficiel
målsætning om, at 20 pct. skal gennemføre en lang videregående uddannelse.
2008
Målsætning om en 90:10-
fordeling mellem kvote 1
og kvote 2
90:10-fordelingen afspejler den daværende regerings øgede krav til kvalitet på
universitetsuddannelserne. Tidligere var kvotefordelingen fri, så universiteterne
selv kunne fastsætte denne, hvilket betød at kvotefordelingen kunne være op til
50:50 på universitetsuddannelser. Endvidere er der et politisk ønske om at be-
grænse antallet af sabbatår som unge brugte til aktiviteter, der var pointgivende
i kvote 2, dvs. komme pointjagt til livs.
De fagspecifikke adgangskrav skærpes og der indføres krav om, at de specifikke
adgangskrav skal være bestået. Der indføres bl.a. krav om Dansk A og Engelsk B
på alle universitetsuddannelser.
De fagspecifikke adgangskrav blev ensrettet, så ens og beslægtede uddannelser
har de samme krav. Formålet var at understøtte muligheden for at kvalificere sig
til flere uddannelser uden at skulle supplere fagniveauer.
Øgede krav om fagspeci-
fikke adgangskrav
Fagspecifikke adgangskrav
ensrettes
2009
1,08-reglen
(hurtigstartbonus)
Med 1,08-reglen (hurtigstartbonus) kan ansøgere gange deres karaktergennem-
snit med 1,08, hvis de starter inden for 2 år efter afsluttet gymnasial uddannelse.
Incitamentsstrukturen bag pointjagt i kvote 2 havde ført til en kultur, hvor flere
og flere tog mange års sabbat. Undersøgelser viste endvidere, at de færdigheder
de unge havde tillært sig på de gymnasiale uddannelser, særligt på de naturvi-
denskabelige fag, lå langt væk, hvis man holdt for mange sabbatår.
Bonus A betyder, at ansøgere, med fem A-fag, kan gange deres gennemsnit
med 1,03, og med seks A-fag kan gange med 1,06. Formålet er at belønne de
ansøgere, der gør en ekstra indsats på deres gymnasiale uddannelse.
Sommersupplering gør det muligt for ansøgere at læse ét fag op i løbet af
sommerferien, så de har bedre mulighed for at imødekomme de specifikke ad-
gangskrav samme år, deres gymnasiale uddannelse færdiggøres.
Bonus A-fag
Sommersupplering
62
Uddannelses- og Forskningsministeriet
BUU, Alm.del - 2021-22 - Endeligt svar på spørgsmål 219: Spm. om børn og unges trivsel, til børne- og undervisningsministeren
2583011_0063.png
Evaluering af optagelsessystemet til de videregående uddannelser
Lodtrækning blandt
ansøgere med samme
optagelseskvotient
Hvis der, efter fastsættelsen af grænsekvotienten i kvote 1, er flere ledige
studiepladser, fordeles de resterende studiepladser ved lodtrækning. Lodtræk-
ningen omfatter alle ansøgere, der har et karaktergennemsnit, der er 0,1 karak-
terpoint lavere end grænsekvotienten. Tidligere blev de resterende pladser ved
kvotient-lighed fordelt efter faldende alder på ansøgerne.
2011
De videregående
uddannelser samles
under et ministerium
Adgangsprøver
Optagelsessamtaler og
-prøver i kvote 2 skal ikke
længere godkendes
De videregående uddannelser samles under et ministerium. Siden er praksis på
optagelsesområdet mellem universiteterne, erhvervsakademierne og profes-
sionshøjskolerne tilpasset og harmoniseret.
Institutionerne kan indføre krav om bestået adgangsprøve, således at institu-
tionerne kan optage til 100 pct. af studiepladserne i kvote 2.
Ministeriet skal ikke længere godkende, hvis institutionerne vil anvende opta-
gelsessamtaler og -prøver i kvote 2.
2012
Kvotefordelingen frigives
Målsætningen for kvotefordelingen er ikke længere 90:10 mellem kvote 1 og 2.
Regeringen opfordrer institutionerne til at arbejde mere uddannelsesspecifikt
med deres optagelse.
Med læreruddannelsesforliget indføres der et politisk vedtaget karakterkrav
på mindst 7,0, herunder skal ansøgeren bestå en test for at blive optaget. Det
er første gang, et karakterkrav og udvælgelsesmetode fastsættes politisk på
en specifik uddannelse.
Universiteterne får mulighed for at sidestille resultatet af en prøve med opfyl-
delse af et karakterkrav. Det vil sige, at resultatet af en prøve aflagt på univer-
sitetet kan erstatte et eventuelt krav om, at den adgangsgivende eksamen er
gennemført med et bestemt karaktergennemsnit som minimum.
2013
Læreruddannelsesforlig
2015
Resultatet af en prøve kan
sidestilles med karakter-
krav
2016
Institutionerne kan fast-
sætte karakterkrav der
varierer imellem kvoterne
Reglen giver institutionerne mulighed for at fastsætte karakterkrav der ude-
lukkende knytter sig til den ene kvote, eller forskellige karakterkrav i kvote 1
og kvote 2.
2018
Kvotefordelingen kan
variere
Kvotefordelingen kan variere for samme uddannelse på forskellige institutio-
ner og mellem internationale og nationale uddannelser/udbud.
2019
Supplerende overbyg-
ningsforløb på HF-
uddannelsen nødvendigt
For at en hf fra gymnasiereformen 2017 er adgangsgivende til universitets-
uddannelser, kræves der nu en overbygning.
2020
Afskaffelse af 1,08-reglen
træder i kraft
Fra sommeroptagelsen 2020 er 1,08-reglen (hurtigstartsbonus) afskaffet.
Kommende ændringer
Genberegning af gen-
nemsnit ved gymnasial
supplering
Når genberegningen træder i kraft, vil fag taget ved gymnasial supplering, med
henblik på at opfylde specifikke adgangskrav til en videregående uddannelse,
indgå i en genberegning af det adgangsgivende gennemsnit, i tilfælde hvor
prøveresultaterne fra suppleringsfagene reducerer karaktergennemsnittet fra
eksamensbeviset.
63
Uddannelses- og Forskningsministeriet
BUU, Alm.del - 2021-22 - Endeligt svar på spørgsmål 219: Spm. om børn og unges trivsel, til børne- og undervisningsministeren
Evaluering af optagelsessystemet til de videregående uddannelser
3.2 Regler og proces for optagelse på de videregående
uddannelser
Optagelsessystemet og processen for optagelsen er i dag reguleret gennem en række
bekendtgørelser. Dette afsnit redegør for de væsentligste lovgivningsmæssige rammer
og uddyber formålet med KOT. Endelig redegøres for årshjulet i optagelsen til de videre-
gående uddannelser.
3.2.1 Regler for optagelsen er fastlagt i tre adgangsbekendtgørelser
I dag er reglerne for optagelse på de videregående uddannelser i KOT fastlagt i tre ad-
gangsbekendtgørelser og en bekendtgørelse om digital kommunikation:
– Bekendtgørelse om adgang til universitetsuddannelser tilrettelagt på heltid (ad-
gangsbekendtgørelsen)
– Bekendtgørelse om adgang til erhvervsakademiuddannelser og professionsba-
cheloruddannelser (adgangsbekendtgørelsen)
– Bekendtgørelse om adgang til videregående kunstneriske uddannelser tilrettelagt
på heltid (adgangsbekendtgørelsen)
– Bekendtgørelse om digital kommunikation ved ansøgning om optagelse på vide-
regående uddannelse.
Alle ansøgere skal søge optagelse digitalt via ansøgningsportalen Optagelse.dk. De an-
søgte uddannelsesinstitutioner afhenter ansøgninger til sagsbehandling fra Opta-
gelse.dk, mens Styrelsen for Forskning og Uddannelse (SFU) afhenter ansøgernes priori-
teringsrækkefølge fra Optagelse.dk til KOT.
3.2.2 Alle ansøgere bliver kun tilbudt én studieplads
Den årlige optagelse til de videregående uddannelser på Uddannelses- og Forsknings-
ministeriets område er centralt koordineret i KOT. Det overordnede formål med en koor-
dinering af optagelsen er at understøtte, at enhver ansøger i den samme optagelses-
runde kan søge optagelse på op til 8 uddannelser, men højst blive tilbudt én studieplads,
og dette på den højst mulige af de ansøgte prioriteter. Koordineringsarbejdet i KOT ud-
føres af SFU. Optagelsen til kandidatuddannelser og top-up uddannelser (selvstændige
overbygningsuddannelser til professionsbachelor, hvor en erhvervsakademiuddannelse
er en forudsætning for optagelse) er ikke omfattet af KOT.
KOT understøtter dels optagelsessystemets effektivitet ved både at kunne fordele ud-
dannelsespladserne til mange ansøgere på kort tid, og dels ved at flest mulige tildeles
en studieplads ved, at enhver ansøger højst får tilbudt én plads. Fordelingsmekanismen,
der bliver benyttet i KOT, bidrager derudover til, at ansøgerne er bedst stillet ved at
være ”sandfærdige” om deres prioriteter af uddannelser. Det betyder, at ansøgerne ikke
kan "spille" systemet for at blive bedre stillet, jf. boks 3.1.
64
Uddannelses- og Forskningsministeriet
BUU, Alm.del - 2021-22 - Endeligt svar på spørgsmål 219: Spm. om børn og unges trivsel, til børne- og undervisningsministeren
2583011_0065.png
Evaluering af optagelsessystemet til de videregående uddannelser
Boks 3.1 Fordelingsmekanismen i KOT
Den mekanisme, der benyttes i KOT til at fordele ansøgere til uddannelsespladser, er
den såkaldte Gale-Shapley algoritme (Gale and Shapley, 1962). Algoritmen har to po-
sitive egenskaber, der gør den særligt egnet til formålet.
1. Algoritmen giver en stabil fordeling af pladser. Det vil sige, at der ikke vil være
nogle ansøgere, som har prioriteret en uddannelse højere end den, de er blevet
optaget på, og hvor uddannelsen samtidig ville foretrække dem frem for en af de
personer, de har optaget. Algoritmen giver dertil den optimale stabile fordeling,
hvilket vil sige at alle ansøgere er mindst så godt stillet som under enhver mulig
stabil fordeling (Gale & Shapley, 1962). Den egenskab betyder, ansøgerne kommer
ind på deres højest mulige prioritet givet, at fordelingen skal være stabil.
2. Den bedste strategi for ansøgerne er at afsløre deres sande præferencer, da der
ikke er omkostninger forbundet med at søge flere uddannelser, hvis ansøgerne har
mulighed for at søge et ubegrænset antal uddannelser på deres ansøgning (Du-
bins, Lester E & David A Freedman, 1981 og Haeringer, Guillaume & Flip Klijn,
2009).
Denne egenskab betyder, at ansøgerne ikke er bedre stillet ved at tænke strate-
gisk i forhold til, hvordan de rangerer deres uddannelsesvalg. Ansøgerne kan ikke
opnå et bedre resultat end ved reelt at angive deres ønskede uddannelser i priori-
teret rækkefølge. Det følger af, at sandsynligheden for optagelse på en uddan-
nelse er uafhængig af prioriteringsrækkefølgen.
Forudsætningerne for denne egenskab er dog ikke fuldt opfyldt i det nuværende
system, da ansøgerne er begrænset til otte prioriteter. Dertil kan det at søge flere
uddannelser være forbundet med ikke-monetære omkostninger, f.eks. en tids-
mæssig omkostning ved at skulle skrive en motiveret ansøgning.
KOT spiller ikke en rolle i vurderingen og udvælgelsen af ansøgere. KOT fungerer uanset,
hvordan optagelsessystemet og udvælgelseskriterierne i øvrigt er indrettet, så længe
uddannelsesinstitutionernes vurdering leder til en finmasket rangering af ansøgerne.
KOT kan også fungere sammen med både et kvotesystem med to eller flere kvoter eller
andre typer af optagelsessystemer uden kvoter.
3.2.3 Proces for optagelsen strækker sig over hele året
Årets optagelse til de videregående uddannelser begynder i efteråret året før, hvor in-
stitutionerne skal indmelde til SFU, hvilke nye uddannelser de ønsker at udbyde i den
kommende sommeroptagelsesrunde samt ændringer til eksisterende uddannelser, her-
under ændringer af adgangskrav. Ansøgerne kan søge optagelse fra d. 1. februar med to
forskellige ansøgningsfrister, jf. boks 3.2.
Uddannelses- og Forskningsministeriet
65
BUU, Alm.del - 2021-22 - Endeligt svar på spørgsmål 219: Spm. om børn og unges trivsel, til børne- og undervisningsministeren
2583011_0066.png
Evaluering af optagelsessystemet til de videregående uddannelser
Boks 3.2 Ansøgningsfrister til de videregående uddannelser
Ansøgningsfrist d. 15. marts kl. 12.00:
– Alle ansøgere, der søger optagelse i kvote 2, fordi de vurderer, at de ikke har et
karaktergennemsnit, der er højt nok til kvote 1.
– Alle ansøgere, der ikke kan vurderes i kvote 1, fordi de ikke har et karakter-
gennemsnit, f.eks. ansøgere med en erhvervsuddannelse.
– Ansøgere med udenlandske og international adgangsgivende eksamen, her-
under også International Baccalaureate (IB) – uanset om uddannelsen er ta-
get i Danmark eller i udlandet.
– Ansøgere til uddannelser med adgangsprøve.
Ansøgere, der søger optagelse inden ansøgningsfristen den 15. marts vil automatisk
blive bedømt i både kvote 1 og kvote 2, hvis de har en dansk gymnasial eksamen eller
en gymnasial eksamen, der kan omregnes til et eksamensgennemsnit efter den dan-
ske 7-trins-skala.
Ansøgningsfrist d. 5. juli kl. 12.00:
– Alle ansøgere med en dansk gymnasial eksamen, der udelukkende ønsker at
blive vurderet på baggrund af deres
karakter
gennemsnit.
I juli indmelder uddannelsesinstitutionerne deres sagsbehandlingsresultater til SFU i
form af en rangering af ansøgerne efter vurderede kvalifikationer. SFU fordeler derefter
pladserne i KOT. Ansøgerne får svar d. 28. juli. Optagne skal senest i august acceptere
den tilbudte studieplads. Det er også muligt at søge om optagelse på uddannelser med
ledige uddannelsespladser i efteroptagelsen i løbet af august uden om KOT.
Der er ansøgningsfrist for uddannelser med selvstændigt vinteroptagelse i starten af
december og studiestart for uddannelser med vinterstart i februar, jf. figur 3.2.
66
Uddannelses- og Forskningsministeriet
BUU, Alm.del - 2021-22 - Endeligt svar på spørgsmål 219: Spm. om børn og unges trivsel, til børne- og undervisningsministeren
2583011_0067.png
Evaluering af optagelsessystemet til de videregående uddannelser
Figur 3.2
Årshjul for optagelsen til de videregående uddannelser
7. december
Institutionernes frist
for udbudsoprettelse i
ansøgningsportalen
Optagelse.dk.
Omkring 1. december
Ansøgningsfrist til uddannelser
med selvstændig vinteroptag
udenom KOT.
1. februar
Optagelse.dk åbner.
Studiestart for
uddannelser med
vinterstudiestart.
Marts
Kvotefordeling
fastsættes.
15. marts
Omkring 20. september
Institutionernes frist for
ønsker til ændringer af
uddannelsestitler, specifikke
adgangskrav, karakterkrav mv.
Ansøgningsfrist for
kvote 2, uddannelser
med adgangsprøve og
ansøgere med
international/udenland
sk adgangseksamen.
1. September
Studiestart for
uddannelser med
sommerstudiestart.
Primo august
Ansøgerne
takker ja/nej til
studieplads.
Ansøgning om
optagelse på
ledige pladser
uden om KOT.
5. juli
Ansøgningsfrist for kvote 1,
frist for at annullere
ansøgninger/ændre
prioriteringsrækkefølgen.
Omkring 13. juli
Institutionernes
frist for endeligt
antal pladser
fordelt på kvoter
og indberetning af
sagsbehandlingsr
esultat til KOT.
Juli
Pladserne
fordeles af
KOT.
28. juli
Ansøgerne
modtager
svar.
Kilde: Uddannelses- og Forskningsministeriet 2020.
De videregående uddannelsesinstitutioner sagsbehandler alle ansøgninger uagtet deres
prioriteringsrækkefølge, da ansøgerne løbende kan ændre deres prioriteringsrækkefølge
i Optagelse.dk. Uddannelsesinstitutionerne skal vurdere, om ansøgerne opfylder ad-
gangskravene i kvote 1 og kvote 2, og løbende sende afslag til de ansøgere, der ikke op-
fylder adgangskravene. Derudover skal institutionerne vurdere kvote 2-ansøgerne efter
de institutionsfastsatte udvælgelseskriterier, jf. figur 3.3.
Uddannelses- og Forskningsministeriet
67
BUU, Alm.del - 2021-22 - Endeligt svar på spørgsmål 219: Spm. om børn og unges trivsel, til børne- og undervisningsministeren
2583011_0068.png
Evaluering af optagelsessystemet til de videregående uddannelser
Figur 3.3
Udvælgelse af ansøgere til de videregående uddannelser
Anm..: *Ud over adgangskravene skal uddannelsesinstitutionerne behandle dispensationsansøgninger for
at afgøre, om en ansøger, der søger dispensation, skal sagsbehandles som en kvalificeret ansøger.
Det kan eksempelvis være en ansøger, som søger dispensation for manglende adgangsgivende
eksamen. Får ansøgeren dispensation medtages ansøgeren som en del af de kvalificerede ansø-
gere. Får ansøgeren ikke dispensation afviser uddannelsesinstitutionen ansøgeren direkte, og an-
søgeren er dermed ikke en del af gruppen af kvalificerede ansøgere.
**Resultatet af uddannelsesinstitutionernes sagsbehandling er en rangering af ansøgere, instituti-
onen ønsker optaget i hhv. kvote 1 og 2. Pladserne fordeles i Den Koordinerede Tilmelding på bag-
grund af institutionernes vurdering.
Kilde: Uddannelses- og Forskningsministeriet 2020.
Endelig er der en række områder, som også er en del af institutionernes sagsbehandling:
– Ansøgere, der søger optagelse via den grønlandske særordning
– Ansøgere med beståede eksamener fra videregående uddannelser, der kan give
merit ved evt. optagelse på ny uddannelse. Ansøgere, der allerede har bestået,
hvad der svarer til mindst 60 ECTS på den nye uddannelse, skal behandles som
ansøgere til direkte indskrivning til et senere trin af uddannelsen uden om Den
Koordinerede Tilmelding. Ansøgere kan indskrives, såfremt der er plads på det re-
levante trin af uddannelsen
– Dispensationsansøgninger.
Uddannelsesinstitutionerne leverer sagsbehandlingsresultatet til Den Koordinerede Til-
melding. Uddannelsespladserne fordeles i Den Koordinerede Tilmelding på baggrund af
sagsbehandlingsresultaterne, kvotefordelingen, antallet af uddannelsespladser og an-
søgernes prioriteringsrækkefølge. Har en uddannelse ikke et tilstrækkeligt højt antal an-
søgere til at fylde alle pladserne i en af kvoterne, flyttes pladserne i Den Koordinerede
Tilmelding til den anden kvote.
68
Uddannelses- og Forskningsministeriet
BUU, Alm.del - 2021-22 - Endeligt svar på spørgsmål 219: Spm. om børn og unges trivsel, til børne- og undervisningsministeren
Evaluering af optagelsessystemet til de videregående uddannelser
Når fordelingen er afsluttet, får institutionerne en tilbagemelding med det endelige re-
sultat. Institutionerne svarer de ansøgere, der enten skal tilbydes en studieplads eller en
standby-plads, mens SFU på institutionernes vegne leverer afslag til de ansøgere, der
ikke kan tilbydes plads på nogen af de søgte uddannelser.
3.3 Regler om adgangskrav, kvoter og udvælgelse på de
videregående uddannelser
Brugen af adgangskrav, kvoter og udvælgelseskriterier er med til at definere det danske
optagelsessystem. Dette afsnit redegør for regler for de generelle og specifikke ad-
gangskrav, kvotesystemet og udvælgelseskriterierne på de videregående uddannelser.
3.3.1 Der er generelle og specifikke adgangskrav til de videregående
uddannelser
For at søge om optagelse på en videregående uddannelse kræver det, at ansøgerne har
en adgangsgivende eksamen eller en bestemt uddannelsesbaggrund. En gymnasial ek-
samen giver adgang til at søge om optagelse på samtlige videregående uddannelser
(bortset fra installatøruddannelserne i stærkstrøm og VVS, som kræver en relevant er-
hvervsuddannelse).
Alle erhvervsuddannelser med en varighed på over tre år, hvilket er de fleste, giver mu-
lighed for at søge optagelse på næsten alle erhvervsakademisuddannelser og udvalgte
professionsbacheloruddannelser, hvor erhvervsuddannelsen vurderes som relevant for
det faglige område.
Nogle videregående uddannelser godkender andre typer kvalifikationer som adgangs-
grundlag, eksempelvis adgangskurser til ingeniøruddannelserne og maskinmesterud-
dannelserne eller fagpakker, der typisk består af fire gymnasiale enkeltfag som ad-
gangsgrundlag til eksempelvis sygeplejerske- eller pædagoguddannelsen.
Ud over krav om en bestemt uddannelsesbaggrund, er der på de fleste uddannelser spe-
cifikke adgangskrav og evt. krav om bestået adgangsprøve, sprogkrav eller karakter-
krav:
Specifikke adgangskrav
er krav om, at ansøgeren skal have bestået bestemte
gymnasiale fag på bestemte niveauer. Specifikke adgangskrav er nationalt fast-
satte med det udgangspunkt, at samme eller tilsvarende uddannelser har samme
specifikke adgangskrav
Adgangsprøve
er et krav om,
at
ansøgeren har bestået en adgangsprøve, der af-
holdes af uddannelsesinstitutionen
Sprogkrav
er krav til sprogkundskaber i dansk eller engelsk på henholdsvis danske
og engelsksprogede uddannelser
Karakterkrav
er krav om, at ansøgeren har bestemte minimumskarakterer i ud-
valgte gymnasiale fag, eller at ansøgeren har et bestemt minimumskaraktergen-
nemsnit fra den gymnasiale eksamen. Karakterkrav fastsættes lokalt på uddan-
nelsesinstitutionerne. Ansøgere kan supplere for at opfylde karakterkrav i enkelt-
fag, men ikke for at opfylde krav om et bestemt minimumskaraktergennemsnit
fra den gymnasiale eksamen.
Uddannelses- og Forskningsministeriet
69
BUU, Alm.del - 2021-22 - Endeligt svar på spørgsmål 219: Spm. om børn og unges trivsel, til børne- og undervisningsministeren
2583011_0070.png
Evaluering af optagelsessystemet til de videregående uddannelser
Ansøgerne skal opfylde adgangskravene for at være kvalificerede til at kunne komme i
betragtning til en uddannelsesplads. Uddannelsesinstitutionerne kan dog beslutte, at
ansøgerne kan søge om betinget optagelse, hvis ansøgeren via gymnasial supplering –
typisk i løbet af sommeren – kan nå at opfylde adgangskravene inden studiestart. Der
er typisk kun tid til at sommersupplere ét fag. Hvis ansøgeren bliver optaget betinget,
vil studiepladsen være betinget af, at ansøgeren består sommersuppleringen (evt. med
en minimumskarakter) inden studiestart eller umiddelbart derefter. Ansøgere med uden-
landsk eksamen vurderes på samme måde som ansøgere med dansk eksamen, jf. boks
3.3.
Boks 3.3 Ansøgere med en udenlandsk eksamen
Ansøgere med en udenlandsk eksamen fra EU/EØS eller en international eksamen, som
f.eks. International Baccalaureate (IB), vurderes på samme måde som danske ansøgere.
Har de en gymnasial eksamen, der kan omregnes til den danske 7-trinsskala, vurderes
de i kvote 1 og evt. kvote 2. Er der tale om en uddannelse, der er adgangsgivende, men
ikke er på gymnasialt niveau, vurderes de udelukkende i kvote 2.
Ansøgere med en eksamen uden for EU/EØS, der vurderes som adgangsgivende, vurde-
res udelukkende i kvote 2. Omregning af eksamensbeviser og vurdering af opfyldelse af
adgangskrav foretages af hver af de ansøgte uddannelsesinstitutioner.
3.4 Kvotesystemet og udvælgelse på de videregående
uddannelser
Det danske optagelsessystem er karakteriseret ved at være et kvotesystem – det vil
sige, at der træder kvoter i kraft, hvis der er flere ansøgere end uddannelsespladser.
3.4.1 Uddannelsespladserne bliver fordelt via to kvoter ved
adgangsbegrænsning
Ansøgerne bliver optaget, når de opfylder adgangskravene, og der er færre eller samme
antal ansøgere, som der er uddannelsespladser. Det betyder, at alle, der lever op til ad-
gangskravene, optages. Antallet af uddannelsespladser bliver fastsat af uddannelserne
selv, bortset fra de uddannelser, der er dimensioneret, jf. boks 3.4.
70
Uddannelses- og Forskningsministeriet
BUU, Alm.del - 2021-22 - Endeligt svar på spørgsmål 219: Spm. om børn og unges trivsel, til børne- og undervisningsministeren
2583011_0071.png
Evaluering af optagelsessystemet til de videregående uddannelser
Boks 3.4 Dimensionering af uddannelsespladser på videregående uddannelser
Dimensioneringen af de videregående uddannelser betyder, at de videregående uddan-
nelsesinstitutioner på nogle uddannelser ikke frit kan fastsætte antallet af uddannel-
sespladser. Dimensioneringen fastsættes ud fra primært to forskellige ordninger:
1. Ledighedsbaseret dimensionering:
Trådte i kraft med optagelsen i 2015 og begrænser antallet af uddannelsespladser
på uddannelser med systematisk høj ledighed blandt nyuddannede.
2. Uddannelsesspecifik dimensionering:
Fastsætter antallet af uddannelsespladser efter uddannelsens arbejdsmarked,
herunder antallet af praktikpladser. Det er f.eks. professionsbacheloruddannelser
til sygeplejerske, pædagog og lærer samt autorisationsgivende akademiske ba-
chelor- og kandidatuddannelser til f.eks. læge, tandlæge og dyrlæge.
Der findes også andre mindre udbredte former for dimensionering. F.eks. modtager de
kunstneriske uddannelser en fast årlig rammebevilling, ligesom der har været en tilpas-
ning af de engelsksprogede uddannelser på professionshøjskolerne og erhvervsakade-
mierne og de maritime uddannelser, som er fastsat i finanslovens anmærkninger.
På uddannelser, hvor der er flere ansøgere, end der er uddannelsespladser, er der ad-
gangsbegrænsning. På uddannelser med adgangsbegrænsning skal uddannelsesplad-
serne fordeles mellem alle de ansøgere, der lever op til adgangskravene. Her bliver ud-
dannelsespladserne fordelt gennem to kvoter: kvote 1 og kvote 2.
Ansøgerne skal som udgangspunkt opfylde adgangskravene, uanset om de søger opta-
gelse i kvote 1 eller kvote 2. Uddannelsesinstitutionerne kan dog fastsætte karakter-
krav, der er forskellige for de to kvoter. Fra optagelsen 2020 kan uddannelsesinstitutio-
nerne desuden introducere en adgangsprøve, der kun er et adgangskrav i den ene af
kvoterne.
3.4.2 Uddannelserne fastlægger kvotefordeling
Der er for hver uddannelse afsat en andel af pladserne til henholdsvis kvote 1 og kvote
2. Kvotefordelingen fastsættes hvert år af SFU efter indstilling fra uddannelsesinstituti-
onerne. På universitetsområde har de fleste uddannelser en kvotefordeling med 90 pro-
cent af pladserne afsat til kvote 1, mens 10 procent er afsat til kvote 2. På universitets-
uddannelser, der arbejder med tests som udvælgelseskriterie, er der typisk afsat halv-
delen af pladserne til kvote 2.
På professionsbacheloruddannelser og erhvervsakademiuddannelser er der typisk en
mere ligelig fordeling af pladserne, f.eks. 50/50 eller 65/35. På de kunstneriske uddan-
nelser er der for de fleste uddannelser krav om en adgangsprøve, hvorfor alle pladserne
er afsat til kvote 2. Endelig optager de maritime uddannelser på baggrund af en hel-
hedsvurdering uden for kvotesystemet.
Uddannelses- og Forskningsministeriet
71
BUU, Alm.del - 2021-22 - Endeligt svar på spørgsmål 219: Spm. om børn og unges trivsel, til børne- og undervisningsministeren
Evaluering af optagelsessystemet til de videregående uddannelser
3.4.3 I kvote 1 sker udvælgelsen på baggrund af karaktergennemsnit
I kvote 1 bliver ansøgerne alene udvalgt efter faldende karaktergennemsnit fra den
gymnasiale eksamen, hvilket betyder, at en ansøger med et højere karaktergennemsnit
bliver optaget foran en ansøger med et lavere karaktergennemsnit. Ansøgerne i kvote 1
søger optagelse på baggrund af karaktergennemsnittet fra den første gymnasiale ek-
samen og karaktergennemsnittet kan aldrig forbedres.
Det karaktergennemsnit, der som minimum skal til for at blive optaget i kvote 1, kaldes
grænsekvotienten (nogle gange også benævnt adgangskvotienten). Den er udtryk for
det karaktergennemsnit, som den sidst optagne i kvote 1 på uddannelsen havde. Hvis
der ikke er plads til alle ansøgere med et givent karaktergennemsnit, trækkes der i KOT
lod om pladserne. Hvis der eksempelvis er plads til alle ansøgere med 10,6, men kun
nogle af ansøgerne med 10,5, trækkes der lod blandt de ansøgere, der har 10,5. Grænse-
kvotienten bliver 10,6 som den sidste hele kvotientgruppe, hvorfra alle blev optaget,
men der tilbydes samtidig også plads til de ansøgere med 10,5, der blev trukket ud.
Grænsekvotienten på den enkelte uddannelse kan variere år for år, da den for den en-
kelte uddannelse opstår på baggrund af antallet af ansøgere til uddannelsen, antallet af
uddannelsespladser i kvote 1, samt hvilke karaktergennemsnit ansøgerne har. Grænse-
kvotienten er således ikke et udtryk for uddannelsens kvalitet eller sværhedsgrad.
Grænsekvotienten opstår som en del af pladsfordelingen i KOT i juli og er dermed ikke
kendt af hverken institutioner eller ansøgere på forhånd. Grænsekvotienten er således
ikke et adgangskrav. Grænsekvotienterne bliver hvert år offentliggjort ultimo juli på
samme dag, hvor ansøgerne får svar.
Hvis der fastsættes en kvotefordeling med flere uddannelsespladser i kvote 2, vil det alt
andet lige medføre en højere grænsekvotient på uddannelser, der har et overskud af an-
søgere til både kvote 1 og kvote 2, fordi der bliver færre pladser i kvote 1. Kvoterne kan
således ikke betragtes adskilt. De er forbundne kar.
En ansøger med en gymnasial eksamen, der er afsluttet op til to år før ansøgningsåret,
har frem til optagelsen 2020 på ansøgningstidspunktet fået justeret sit karaktergen-
nemsnit ved, at karaktergennemsnittet blev ganget med 1,08 (også kaldet 1,08-reglen
eller hurtigstartsbonus). Dette er afskaffet med optagelsen 2020. Derudover er det af-
talt i gymnasiereformen fra 2016, at ansøgere, der har taget gymnasial supplering skal
have genberegnet deres karaktergennemsnit. Reglerne er endnu ikke trådt i kraft, jf.
boks 3.5.
72
Uddannelses- og Forskningsministeriet
BUU, Alm.del - 2021-22 - Endeligt svar på spørgsmål 219: Spm. om børn og unges trivsel, til børne- og undervisningsministeren
2583011_0073.png
Evaluering af optagelsessystemet til de videregående uddannelser
Boks 3.5 Genberegning af karaktergennemsnit
Gymnasial supplering er for ansøgere, der har afsluttet en gymnasial eksamen og efter-
følgende mangler et eller flere fag for at opfylde de specifikke adgangskrav. Som en del
af gymnasiereformen 2016, blev det besluttet, at karakterer opnået via gymnasial sup-
plering skal indregnes i det samlede karaktergennemsnit fra den gymnasiale eksamen,
hvis karakteren fra suppleringsfaget trækker karaktergennemsnittet ned. Karakteren
fra suppleringsfaget indgår ikke i det samlede karaktergennemsnit, hvis den trækker
gennemsnittet op.
Genberegningen vil gælde for alle, der afslutter en dansk gymnasial eksamen 1. maj i
ikrafttrædelsesåret eller senere og efterfølgende supplerer. Ikrafttrædelsestidspunktet
fastsættes af Ministeren for Børn og Undervisning. Genberegningen vil betyde, at ansø-
gere med supplering søger optagelse med forskellige karaktergennemsnit til uddannel-
ser med forskellige specifikke adgangskrav.
Ansøgere, der ikke har en gymnasial eksamen, eksempelvis ansøgere med en erhvervs-
uddannelse, en enkeltfags-fagpakke eller adgangskursus til ingeniøruddannelserne, kan
ikke vurderes i kvote 1, da de ikke har et karaktergennemsnit, der kan sammenlignes
med et karaktergennemsnit fra en gymnasial eksamen. De kan derfor udelukkende søge
optagelse i kvote 2 og dermed alene konkurrere om de uddannelsespladser, der er afsat
i kvote 2, selvom de har en adgangsgivende uddannelse.
3.4.4 I kvote 2 sker udvælgelse på baggrund af andre kriterier
I kvote 2 bliver uddannelsespladserne tildelt efter en konkret vurdering og rangering af
ansøgerne. Formålet med kvote 2 er dels at give en mulighed for at blive optaget for an-
søgere, der ikke har et tilstrækkelig højt karaktergennemsnit, og dels at ansøgere uden
et karaktergennemsnit fra en gymnasial uddannelse kan blive optaget. I kvote 2 kan ud-
dannelserne dermed forsøge at få information både om ansøgernes generelle og speci-
fikke faglige forudsætninger og motivation for uddannelsen ud fra anden information
end karaktergennemsnittet.
Uddannelsesinstitutionerne fastsætter normalt udvælgelseskriterierne i kvote 2 lokalt.
Ansøgerne skal undersøge kriterierne på alle de uddannelsessteder, som de ønsker at
søge, da kriterier kan være forskellige, også på samme eller sammenlignelige uddannel-
ser. På læreruddannelsen er det politisk bestemt, at alle udbud har fælles udvælgelses-
kriterier. Læs mere i kapitel 8, boks 8.11.
Uddannelsesinstitutionerne skal på deres hjemmesider offentliggøre, hvilke udvælgel-
seskriterier de benytter i vurderingen af den enkelte ansøger. Såfremt uddannelsesinsti-
tutionerne anvender dokumenteret erfaring (også kaldet objektive kriterier), kan der i
vurderingen højst vægtes en periode på sammenlagt 12 måneder. Dokumenteret erfa-
ring kan eksempelvis være karakterer fra udvalgte, gymnasiale fag, erhvervsarbejde,
beståede gymnasiale fag ud over fag i den samlede gymnasiale eksamen, beståede
prøver fra videregående uddannelser, frivilligt foreningsarbejde, højskoleophold eller ud-
landsophold.
Uddannelses- og Forskningsministeriet
73
BUU, Alm.del - 2021-22 - Endeligt svar på spørgsmål 219: Spm. om børn og unges trivsel, til børne- og undervisningsministeren
2583011_0074.png
Evaluering af optagelsessystemet til de videregående uddannelser
Nogle uddannelsessteder vælger at benytte skriftlige motiverede ansøgninger som sup-
plement til dokumenteret erfaring. Andre uddannelsessteder benytter test som udvæl-
gelseskriterie – f.eks. skriftlige test, multiple choice test, interview eller samtaler – eller
en kombination af kriterierne. Endelig er der uddannelser, der kun optager via en ad-
gangsprøve (100 procent kvote 2). Læs mere i kapitel 8, afsnit 0.
Ansøgerne til kvote 2 rangeres efter den konkrete vurdering, og kan således blive vurde-
ret meget forskelligt fra uddannelse til uddannelse. Rangeringen gør det muligt at ud-
vælge hvilke ansøgere, der tildeles en studieplads, når der er pladsbegrænsning. Derud-
over er det muligt for uddannelserne at tilbyde ansøgere en standby-plads, jf. boks 3.6.
Boks 3.6 Optagelse på en standby-plads
På de fleste adgangsbegrænsede uddannelser afsætter uddannelsesinstitutionerne et
mindre antal uddannelsespladser til standby. I de tilfælde, hvor optagne ansøgere tak-
ker nej til en tilbudt plads, tilbydes pladserne til de ansøgere, som har søgt og fået en
standby-plads. Ansøgere, der får en standby-plads, vil enten få tilbudt en plads i det in-
deværende optagelsesår eller få et tilsagn om en plads året efter. Det betyder, at ansø-
gere, der får tildelt et tilsagn om en plads og søger året efter ansøgningen, kommer ind
på uddannelsen, uanset om ansøgerens karaktergennemsnit er lavere end grænsekvoti-
enten det pågældende år.
Ansøgere, der får en standby-plads, får ikke samtidig tilbudt en plads på en evt. lavere
prioriteret uddannelse. Ansøgere skal derfor, før de søger en standby-plads, overveje,
om de er villige til at vente et år med at starte på en uddannelse, eller om de hellere vil i
gang med en lavere prioriteret uddannelse i det kommende studieår.
De fleste uddannelsesinstitutioner tildeler standby-pladser efter samme principper som
kvote 1. Derfor vil der også være en grænsekvotient for standby. Der kan dog også til-
deles standby-pladser i kvote 2. Institutionerne skal afsætte standby-pladser til er-
hvervsakademiuddannelser og professionsbacheloruddannelser, mens det er valgfrit på
bacheloruddannelser og de kunstneriske uddannelser.
Hvis det viser sig, at der ikke bliver adgangsbegrænsning på en given uddannelse, træ-
der kvotesystemet ikke i kraft. Alle ansøgerne, der opfylder adgangskravene, optages
(alle optaget), uanset om de har søgt kvote 1 eller kvote 2 og uanset, hvorledes de har
klaret sig i eventuelle prøver. Dette er medmindre, der er tale om en adgangsprøve, som
skal bestås for, at ansøgeren opfylder adgangskravet.
3.5 Ansøgernes svar på tilbud om uddannelsesplads og
efteroptagelsen
Ansøgerne modtager et tilbud om en uddannelsesplads d. 28. juli, som de selv skal takke
ja eller nej til. Dette afsnit redegør for, hvad der sker, når ansøgerne takker nej, og hvad
der sker med uddannelsespladser på uddannelser, der ikke havde nok kvalificerede an-
søgere til at fylde pladserne op.
74
Uddannelses- og Forskningsministeriet
BUU, Alm.del - 2021-22 - Endeligt svar på spørgsmål 219: Spm. om børn og unges trivsel, til børne- og undervisningsministeren
Evaluering af optagelsessystemet til de videregående uddannelser
3.5.1 Optagne, der takker nej
Alle de ansøgere, der modtager et tilbud om en studieplads d. 28. juli, skal aktivt takke ja
eller nej til pladsen. Uddannelsesinstitutionerne fastsætter selv en dato for, hvornår de
optagne senest skal takke ja eller nej til den tilbudte plads. Svarer de optagne ikke,
bortfalder tilbuddet, og går i stedet til en ansøger på standby-listen, hvis uddannelsen
har en sådan.
Uddannelser, hvor ansøgere takker nej (eller ikke takker ja) til en plads, kan fylde de nu
tomme uddannelsespladser på flere måder: 1) Hvis uddannelsen har tilbudt ansøgere
standby-pladser, kan de standby-optagne tilbydes en plads. 2) Hvis uddannelsen har
valgt at overbooke uddannelsen ved at optage flere ansøgere, end de har plads til, har
de, selvom mange takker nej, nok optagne. 3) Endelig kan uddannelser, som udbyder le-
dige pladser efter optagelsen d. 28. juli, fylde de ekstra ledige pladser, der er opstået
som følge af ansøgere, der takker nej, sammen med de øvrige ledige pladser.
For den enkelte ansøger, der er blevet tilbudt en uddannelsesplads, har det ingen konse-
kvenser at takke nej. Det kan dog være øvrige effekter. På uddannelser med adgangs-
begrænsning optager ansøgere, der takker nej, en plads fra andre kvalificerede ansø-
gere. Hvis ansøgere, der ender med at takke nej, havde afklaret, om de ville have plad-
sen, før de havde søgt eller havde annulleret ansøgningen før pladsfordelingen, havde
andre kvalificerede ansøgere kunne få pladsen.
En tom plads fra en optagen, der takker nej, går til en ansøger fra standby-listen. Dette
er ikke nødvendigvis den samme ansøger, som ville have fået pladsen, hvis den optagne,
der takkede nej, havde valgt at annullere sin ansøgning på et tidligere tidspunkt. Dette
skyldes, at der kun tildeles standby-pladser til ansøgere, der selv har ønsket det. Havde
en uddannelse en grænsekvotient d. 28. juli, kan uddannelsen ikke udbyde de tomme
pladser, der opstår som følge af ansøgere, der takker nej, som ledige uddannelsesplad-
ser. Uddannelsen kan derfor risikere at stå med ledige pladser, som ikke kan fyldes, hvis
der ikke kan fyldes op med standby-optagne.
Muligheden for at takke nej giver altså institutionen en mulighed for at nå at fylde plad-
sen op. På den måde er det en fordel for institutionen, at ansøgeren takker nej, hvis al-
ternativet ville være en optagen, der ikke møder op eller falder fra uddannelsen.
3.5.2 Efteroptagelsen på de videregående uddannelser
De uddannelser, som ikke får fyldt alle pladser ved optagelsen d. 28. juli, fordi de ikke
modtog et tilstrækkeligt stort antal kvalificerede ansøgere, har mulighed for at udbyde
de ledige pladser i efteroptagelsen. Uddannelser, der ikke fik et tilstrækkeligt stort antal
ansøgere til standby, har mulighed for at udbyde ledige standby-pladser.
Uddannelsen fastsætter selv procedurer og deadlines for ansøgning til ledige pladser i
efteroptagelsen og ledige standby-pladser. Efteroptagelsen koordineres ikke i KOT, og
ansøgere har derfor mulighed for at blive tilbudt plads på mere end en uddannelse. Ef-
teroptagelsen består af ansøgere, som har søgt og fået tilbudt en plads efter d. 28. juli
samt ansøgere, som har fået tilbudt en standby-plads d. 28. juli og har fået indløst
standby-pladsen til en plads i den indeværende optagelsesrunde.
Uddannelses- og Forskningsministeriet
75
BUU, Alm.del - 2021-22 - Endeligt svar på spørgsmål 219: Spm. om børn og unges trivsel, til børne- og undervisningsministeren
Evaluering af optagelsessystemet til de videregående uddannelser
Nogle uddannelser har studiestart i februar og optager derfor ansøgere frem til denne
frist. Dette medregnes til vinteroptagelsen og er ikke medregnet i efteroptagelsen, der
opgøres 1. oktober. En del uddannelser optager ansøgere efter d. 28. juli. Efteroptagelsen
gør det muligt at blive optaget på en uddannelse for de ansøgere, som ikke søgte i for-
året, ikke fik tilbudt en plads d. 28. juli, eller fik tilbudt en plads, de alligevel ikke ønskede.
76
Uddannelses- og Forskningsministeriet
BUU, Alm.del - 2021-22 - Endeligt svar på spørgsmål 219: Spm. om børn og unges trivsel, til børne- og undervisningsministeren
Evaluering af optagelsessystemet til de videregående uddannelser
4. Udvikling siden 2009
– et dataoverblik
Dette kapitel giver et overblik over de vigtigste
udviklingstendenser i optagelsen i perioden 2009-2019.
Kapitlet viser bl.a., at der har været en stor stigning i
antallet af ansøgere og optagne på de videregående
uddannelser i perioden.
Mængden af ansøgere til de videregående uddannelser har en betydning for, hvordan
optagelsessystemet kan fordele ansøgerne til de videregående uddannelser. Derfor er
det relevant at se på udviklingen i ansøgere og optagne på de videregående uddannel-
ser. Kortlægningen er baseret på data fra Den Koordinerede Tilmelding (KOT).
Uddannelses- og Forskningsministeriet
77
BUU, Alm.del - 2021-22 - Endeligt svar på spørgsmål 219: Spm. om børn og unges trivsel, til børne- og undervisningsministeren
2583011_0078.png
Evaluering af optagelsessystemet til de videregående uddannelser
Hovedresultater
Søgningen til de videregående uddannelser er steget med 53 procent fra
knap 59.000 ansøgere i 2009 til knap 89.000 ansøgere i 2019. Til sam-
menligning steg antallet af 19-25-årige i befolkningen med 19 procent fra
2009 til 2019.
Ansøgerne søger flere uddannelser fra gennemsnitligt 2 i 2009 til 3 i 2019.
Antallet af ansøgninger til de videregående uddannelser er steget med
106 procent fra 116.000 ansøgninger i 2009 til 238.000 ansøgninger i
2019.
I 2019 søgte 78 pct. af ansøgerne ind på baggrund af en gymnasial ud-
dannelse. Af dem er det 9 ud af 10, der søger uden at tage gymnasial sup-
pleringskurser efterfølgende. De resterende 22 pct. af alle ansøgere søger
ind på et andet grundlag f.eks. en udenlandsk eksamen (8 pct.), en er-
hvervsuddannelse (4 pct.), hf-fag (5 pct.), International Baccalaureate (2
pct.) eller andet (3 pct.).
Antallet af ansøgere er steget relativt mere end antallet af optagne. Op-
tagelsen på de videregående uddannelser er steget fra omkring 46.700
optagne i 2009 til knap 65.700 optagne i 2019. Det er en stigning på 41
procent. Andelen af afviste ansøgninger er steget fra 16 procent i 2009 til
19 procent i 2019.
Flere søger og bliver optaget gennem kvote 2. Optagelsen i kvote 1 er
steget med 72 procent fra 2009 til 2019, mens optagelsen i kvote 2 er
steget med 144 procent i samme periode. Ca. halvdelen af de optagne,
som søgte i kvote 2 i 2019 endte med at blive optaget i kvote 1 eller på en
uddannelse med alle optaget.
4.1 Introduktion til ansøgning og optagelse 2019
Hvert år ansøger omkring 90.000 personer om optagelse på de videregående uddan-
nelser. Dette afsnit giver en overordnet introduktion til optagelsen i 2019.
4.1.1 Knap 90.000 søgte ind på en videregående uddannelse i 2019
I 2019 søgte 88.757 ansøgere ind på en videregående uddannelse, jf. figur 4.1. Hver an-
søger søgte i gennemsnit 2,7 uddannelser, hvilket betød, at de videregående uddannel-
ser i alt modtog 237.712 ansøgninger, jf. boks 4.1.
78
Uddannelses- og Forskningsministeriet
BUU, Alm.del - 2021-22 - Endeligt svar på spørgsmål 219: Spm. om børn og unges trivsel, til børne- og undervisningsministeren
2583011_0079.png
Evaluering af optagelsessystemet til de videregående uddannelser
Figur 4.1
Ansøgninger, 1. prioritetsansøgninger og optagne fordelt på uddannelsestype, antal, 2019
Antal
250.000
Antal
250.000
200.000
200.000
150.000
150.000
100.000
100.000
50.000
50.000
0
Ansøgninger
Bacheloruddannelse
1. prioritetsansøgninger
Erhvervsakademiuddannelse
Optagne
Professionsbacheloruddannelse
0
Anm.: Antal ansøgere er opgjort efter 1. prioritetsansøgninger. Tallene omfatter uddannelser med opta-
gelse via KOT. Uddannelser, som ikke hører under én af de tre kategorier (erhvervsakademi-, pro-
fessionsbachelor- eller bacheloruddannelser) er placeret under den uddannelsestype, som har den
samme længde.
Kilde: Uddannelses- og Forskningsministeriets på baggrund af data fra Den Koordinerede Tilmelding.
Heraf var ca. 78.200 ansøgere kvalificerede ansøgere til mindst en af de ansøgte ud-
dannelser. Ca. 10.600 ansøgere var ikke-kvalificerede ansøgere, det vil sige, at de enten
ikke levede op til adgangskravene på nogen af de søgte uddannelser, eller selv annulle-
rede deres ansøgninger.
Ud af de ca. 78.200 kvalificerede ansøgere i 2019 blev 65.714 optaget på en videregå-
ende uddannelse via KOT, og ca. 4.000 blev tilbudt en standby-plads. De resterende ca.
8.400 ansøgere blev afvist, fordi der ikke var tilstrækkelig pladser på de uddannelser, de
søgte om optagelse på. Bacheloruddannelserne modtager flest ansøgninger og optager
også flest. Dernæst kommer professionsbacheloruddannelserne og til sidst erhvervs-
akademiuddannelserne.
Boks 4.1 Ansøgere og ansøgninger
Hvert år søger flere tusinde ind på en videregående uddannelse. Hver
ansøger
kan søge
optagelse på op til 8 uddannelser i prioriteret rækkefølge. Hver prioritet udgør en
an-
søgning.
Ansøgningerne kan være til forskellige uddannelsesinstitutioner og forskellige uddan-
nelsestyper. Derfor opgøres ansøgerne, med mindre andet er anført, på deres 1. priori-
tetsansøgning, som er den uddannelse, de helst vil optages på, og som ca. 81 procent af
de optagne optages på. Hvis opgørelsen viser ansøgninger, viser den hver enkelt ansøg-
ning, og den samme ansøger medregnes derfor flere gange, hvis de har søgt flere ud-
dannelser – en gang for hver prioritet.
Uddannelses- og Forskningsministeriet
79
BUU, Alm.del - 2021-22 - Endeligt svar på spørgsmål 219: Spm. om børn og unges trivsel, til børne- og undervisningsministeren
2583011_0080.png
Evaluering af optagelsessystemet til de videregående uddannelser
4.2 Udvikling i ansøgere 2009-2019
Fra 2009 til 2019 er der sket en stor stigning i antallet af ansøgere til de videregående
uddannelser. I de følgende afsnit gennemgås en række nøgletal for udviklingen, herunder
ansøgere til de forskellige uddannelsestyper og ansøgernes adgangsgrundlag.
4.2.1 Andelen af ansøgere er steget med 53 procent
Fra 2009 til 2019 steg søgningen til de videregående uddannelser fra knap 58.000 til
knap 89.000 ansøgere, jf. figur 4.2. Det er en stigning på 53 procent. Søgningen var
størst i 2016, hvor knap 95.000 søgte, hvorefter det er faldet en smule. Til sammenlig-
ning steg antallet af 19-25-årige i befolkningen med 19 procent fra 2009 til 2019
1
.
Figur 4.2
1. prioritetsansøgninger til de videregående uddannelser, antal, 2009-2019
Antal
100.000
90.000
80.000
70.000
60.000
50.000
40.000
30.000
20.000
10.000
0
2009
2010
2011
2012
2013
2014
2015
2016
2017
2018
2019
Antal
100.000
90.000
80.000
70.000
60.000
50.000
40.000
30.000
20.000
10.000
0
I alt
Bacheloruddannelse
Erhvervsakademiuddannelse
Professionsbacheloruddannelse
Anm.: Antal ansøgere er opgjort efter 1. prioritetsansøgninger. Tallene omfatter uddannelser med opta-
gelse via KOT. Uddannelser, som ikke hører under én af de tre kategorier (erhvervsakademi-, pro-
fessionsbachelor- eller bacheloruddannelser) er placeret under den uddannelsestype, som har den
samme længde.
Kilde: Uddannelses- og Forskningsministeriets på baggrund af data fra Den Koordinerede Tilmelding.
Erhvervsakademiuddannelserne har oplevet den største stigning i antallet af 1. priori-
tetsansøgninger fra 2009 til 2019 med en stigning på 78 procent. Søgningen på er-
hvervsakademiuddannelserne er dermed steget forholdsvist mere end den samlede
søgning, selvom erhvervsakademiuddannelserne stadig har det laveste antal 1. priori-
tetsansøgninger. Bacheloruddannelserne har oplevet den mindste procentmæssige
stigning med 33 procent. Bacheloruddannelserne modtager dog stadig det største antal
1. prioritetsansøgninger.
4.2.2 En større andel 1. prioritetsansøgninger bliver behandlet i kvote 2
I alt blev 42 procent af 1. prioritetsansøgningerne behandlet i kvote 2 i 2019, hvor det i
2009 kun var 35 procent. Andelen af 1. prioritetsansøgningerne, som bliver behandlet i
1
Forventet stigning. Kilde: Notat 11: Demografisk udvikling, Sommerens optagelsesnotater 2018.
80
Uddannelses- og Forskningsministeriet
BUU, Alm.del - 2021-22 - Endeligt svar på spørgsmål 219: Spm. om børn og unges trivsel, til børne- og undervisningsministeren
2583011_0081.png
Evaluering af optagelsessystemet til de videregående uddannelser
kvote 2, er dermed steget med 82 procent fra 2009 til 2019. Stigningen er større end
den generelle stigning i antallet af ansøgere på 53 procent, hvilket betyder at relativ
flere søger ind på uddannelser i kvote 2 end i kvote 1.
Andelen af 1. prioritetsansøgninger, som behandles i kvote 2, er størst på professions-
bacheloruddannelserne, hvor knap halvdelen i 2019 bliver behandlet i kvote 2. På de
akademiske bacheloruddannelser blev 35 procent behandlet i kvote 2 i 2019. For både
professionsbachelor- og bacheloruddannelser er andelen steget i forhold til 2009. På
erhvervsakademiuddannelserne faldt andelen af 1. prioritetsansøgninger, som blev be-
handlet i kvote 2 frem til 2012, hvorefter andelen igen er steget til 44 procent i 2019.
4.2.3 Andelen af ansøgere med gymnasial eksamen er stabil
I alt 78 procent af ansøgerne søgte ind på baggrund af en dansk gymnasial uddannelse i
2019. En andel som ikke har ændret sig væsentligt i perioden 2009 til 2019, jf. figur 4.3.
Af de gymnasiale uddannelser er ansøgere med en stx den største gruppe, idet de med
45 procent udgør næsten halvdelen af det samlede antal ansøgere i 2019. Ansøgere
med en htx er den mindste gymnasiale gruppe med 6 procent af ansøgerne.
Figur 4.3
Ansøgere fordelt på dansk gymnasial eksa-
men som adgangsgrundlag, procent, 2009-
2019
Procent
90
80
70
60
50
40
30
20
10
2009
2010
2011
2012
2013
2014
2015
2016
2017
2018
2019
0
Procent
90
80
70
60
50
40
30
20
10
0
Figur 4.4
Ansøgere fordelt på adgangsgrundlag und-
tagen dansk gymnasial eksamen, procent,
2009-2019
Procent
30
25
20
15
10
5
2009
2010
2011
2012
2013
2014
2015
2016
2017
2018
2019
0
Procent
30
25
20
15
10
5
0
Studentereksamen (stx)
Højere teknisk eksamen (htx)
Højere handelseksamen (hhx)
Højere forberedelseseksamen (hf)
IB (Danmark og udland)
Andet fra udland
EUD og eux
Ingen adgangsgivende eksamen
GIF og adgangseks. Ingeniør
Andet adgangsgrundlag
Kilde: Uddannelses- og Forskningsministeriet på
baggrund af data fra Den Koordinerede Til-
melding.
Kilde: Uddannelses- og Forskningsministeriet på
baggrund af data fra Den Koordinerede Til-
melding
I alt 8 procent af ansøgerne havde et udenlandsk adgangsgrundlag i 2019, hvilket er et
svagt fald fra starten af perioden, jf. figur 4.4. Andelen af ansøgere med en International
Baccalaureate (IB) fra Danmark eller udlandet er fordoblet fra 1 procent i 2009 til 2 pro-
cent i 2019. I alt havde 4 procent af ansøgerne i 2019 en erhvervsuddannelse eller eux.
Andelen af ansøgere og optagne med gymnasial eksamen, der ikke har taget et gymna-
sial suppleringskurser (GSK) fra 2009 til 2019, jf. figur 4.5.
Uddannelses- og Forskningsministeriet
81
BUU, Alm.del - 2021-22 - Endeligt svar på spørgsmål 219: Spm. om børn og unges trivsel, til børne- og undervisningsministeren
2583011_0082.png
Evaluering af optagelsessystemet til de videregående uddannelser
Figur 4.5
Udviklingen i andelen af ansøgere og optagne med gymnasial eksamen, der ikke har taget et
gymnasial suppleringsfag, 2009-2019
Procent
94
92
90
88
86
84
82
80
78
76
Procent
94
92
90
88
86
84
82
80
78
76
2009
2010
2011
2012
2013
2014
2015
2016
2017
2018
2019
Ansøgere uden GSK
Optagne uden gsk
Anm.: Tallene indeholder alle ansøgere og optagne med en dansk gymnasial eksamen, som er indberettet
til Eksamensdatabasen, som har bestået et eller flere GSK i perioden fra de færdiggjorde den
gymnasiale eksamen til september i det år, hvor de søgte ind via KOT.
Kilde: Uddannelses- og Forskningsministeriets på baggrund af data fra Den Koordinerede Tilmelding.
4.3 Udvikling i ansøgninger 2009-2019
Hver ansøger kan søge om optagelse på op til 8 videregående uddannelser i prioriteret
rækkefølge. Dette afsnit kortlægger udviklingen i ansøgninger, herunder det gennem-
snitlige antal ansøgninger per ansøger og udviklingen fordelt på kvoterne.
4.3.1 Ansøgerne søger gennemsnitligt flere uddannelser
I 2009 søgte hver ansøger gennemsnitligt 2 udbud, men over tid er det steget til gen-
nemsnitligt 2,7 udbud i 2019, jf. figur 4.6. Det stigende antal af udbud af uddannelser an-
søgerne søger (prioriteter) samt det stigende antal ansøgere fra 2009 til 2019 betyder,
at antallet af ansøgninger til de videregående uddannelser er steget med 106 procent i
perioden fra 116.000 ansøgninger til knap 238.000 ansøgninger.
82
Uddannelses- og Forskningsministeriet
BUU, Alm.del - 2021-22 - Endeligt svar på spørgsmål 219: Spm. om børn og unges trivsel, til børne- og undervisningsministeren
2583011_0083.png
Evaluering af optagelsessystemet til de videregående uddannelser
Figur 4.6
Ansøgninger til de videregående uddannelser, antal, 2009-2019
Antal
300.000
Antal
300.000
250.000
250.000
200.000
200.000
150.000
150.000
100.000
100.000
50.000
50.000
0
2009
2010
2011
2012
2013
2014
2015
2016
2017
2018
2019
0
I alt
Erhvervsakademiuddannelse
Professionsbacheloruddannelse
Bacheloruddannelse
Kilde: Uddannelses- og Forskningsministeriets på baggrund af data fra Den Koordinerede Tilmelding.
Det er især erhvervsakademiuddannelserne og professionsbacheloruddannelserne, som
modtager flere ansøgninger med en stigning på hhv. 189 procent og 155 procent fra
2009-2019, jf. figur 4.6.
4.3.1.1 Udvikling i ansøgninger fordelt på kvoter
Antallet af ansøgninger, som behandles i kvote 2 er steget forholdsvist mere end det
samlede antal ansøgninger, idet de er steget med 130 procent fra 2009 til 2019, jf. figur
4.7. I samme periode er antallet af ansøgninger, som kun behandles i kvote 1 steget med
67 procent, jf. figur 4.8. Det betyder, at relativt flere søger ind i kvote 2 end i kvote 1.
Antallet af kvote 2-ansøgninger er vokset kraftigst på professionsbacheloruddannel-
serne, hvor der er sket en stigning på 187 procent, jf. figur 4.7. Til sammenligning er an-
tallet af ansøgninger, som kun bliver behandlet i kvote 1 til professionsbacheloruddan-
nelserne, steget med 108 procent.
Uddannelses- og Forskningsministeriet
83
BUU, Alm.del - 2021-22 - Endeligt svar på spørgsmål 219: Spm. om børn og unges trivsel, til børne- og undervisningsministeren
2583011_0084.png
Evaluering af optagelsessystemet til de videregående uddannelser
Figur 4.7
Ansøgninger til kvote 2, antal, 2009-
2019
Antal
180.000
160.000
140.000
120.000
100.000
80.000
60.000
40.000
20.000
2009
2010
2011
2012
2013
2014
2015
2016
2017
2018
2019
0
Antal
180.000
160.000
140.000
120.000
100.000
80.000
60.000
40.000
20.000
0
Figur 4.8
Ansøgninger til kvote 1, antal, 2009-2019
Antal
180.000
160.000
140.000
120.000
100.000
80.000
60.000
40.000
20.000
2009
2010
2011
2012
2013
2014
2015
2016
2017
2018
2019
0
Antal
180.000
160.000
140.000
120.000
100.000
80.000
60.000
40.000
20.000
0
Professionsbacheloruddannelse
Erhvervsakademiuddannelse
Bacheloruddannelse
Professionsbacheloruddannelse
Erhvervsakademiuddannelse
Bacheloruddannelse
Kilde: Uddannelses- og Forskningsministe-
riet på baggrund af data fra Den Ko-
ordinerede Tilmelding.
Kilde: Uddannelses- og Forskningsministeriet på
baggrund af data fra Den Koordinerede Tilmel-
ding.
Der er stor forskel på, hvor mange kvote 2-ansøgninger den enkelte institution behand-
ler. Københavns Professionshøjskole, Aarhus Universitet og Professionshøjskolen VIA
behandlede i 2019 flest kvote 2-ansøgninger med henholdsvis 11.089, 10.307 og 8.735
ansøgninger hver. Modsat behandlede Erhvervsakademi MidtVest kun 58 kvote 2-an-
søgninger, idet institutionen havde plads til alle ansøgere på de fleste uddannelser.
4.4 Udviklingen i optagne 2009-2019
En ansøger bliver højst tilbudt plads på én uddannelse, nemlig den højst mulige priorite-
rede uddannelse af de uddannelser, hvor ansøgeren opfylder adgangskravene. Dette af-
snit redegør for udviklingen i optagne på de videregående uddannelser, herunder fordelt
på kvoterne og standby-optagelse.
4.4.1 Andelen af optagne er steget med 41 procent
En ”optagen” defineres som en ansøger, der har fået tilbud om en studieplads på en af
sine prioriteter, jf. boks 4.2. Fra 2009 til 2019 er optagelsen på de videregående uddan-
nelser steget fra omkring 46.700 optagne til ca. 65.700 optagne, jf. figur 4.9. Det er en
stigning på 41 procent. Optagelsen var størst i 2016, hvor ca. 66.400 blev optaget,
hvorefter den er faldet en smule.
84
Uddannelses- og Forskningsministeriet
BUU, Alm.del - 2021-22 - Endeligt svar på spørgsmål 219: Spm. om børn og unges trivsel, til børne- og undervisningsministeren
2583011_0085.png
Evaluering af optagelsessystemet til de videregående uddannelser
Figur 4.9
Optagne på de videregående uddannelser, antal, 2009-2019
Antal
70.000
60.000
50.000
40.000
30.000
20.000
10.000
0
Antal
70.000
60.000
50.000
40.000
30.000
20.000
10.000
0
I alt
2009
2010
2011
2012
2013
2014
2015
2016
2017
2018
2019
Erhvervsakademiuddannelse
Professionsbacheloruddannelse
Bacheloruddannelse
Kilde: Uddannelses- og Forskningsministeriet på baggrund af data fra Den Koordinerede Tilmelding
Professionsbacheloruddannelserne har oplevet den største stigning i optagelsen fra
2009 til 2019 med en stigning på 43 procent. Erhvervsakademiuddannelserne har ople-
vet den mindste stigning med 36 procent.
Boks 4.2 Optagelse i kvote 1, kvote 2 og uddannelser med alle optaget
Ansøgere til de videregående uddannelser kan optages i kvote 1, i kvote 2 og på en ud-
dannelse med alle optagne. Ansøgere, som er blevet behandlet i kvote 2, vil blive opta-
get i kvote 1, hvis de har et eksamensgennemsnit fra den gymnasiale eksamen, som er
lig med eller højere end grænsekvotienten på uddannelsen.
På udbud, hvor der er flere pladser end kvalificerede ansøgere, finder kvotesystemet
ikke anvendelse. Optagne på disse udbud bliver derfor optaget på udbud med alle opta-
get, uanset om de har været behandlet i kvote 2 eller kun i kvote 1.
4.4.1.1 Udvikling i optagne fordelt på kvoter og uddannelser med alle optaget
Fra 2009 til 2019 er andelen af personer, som bliver optaget på en uddannelse med alle
optaget, faldet fra omkring halvdelen af de optagne til 29 procent, jf. figur 4.10. I samme
periode er optagelsen i både kvote 1 og kvote 2 steget med ca. 10 procentpoint hver.
Uddannelses- og Forskningsministeriet
85
BUU, Alm.del - 2021-22 - Endeligt svar på spørgsmål 219: Spm. om børn og unges trivsel, til børne- og undervisningsministeren
2583011_0086.png
Evaluering af optagelsessystemet til de videregående uddannelser
Figur 4.10
Optagne fordelt i kvote 1, kvote 2 og udbud med alle optaget, procent, 2009-2019
Procent
100
90
80
70
60
50
40
30
20
10
0
2009
Procent
100
90
80
70
60
50
40
30
20
10
0
2019
2010
2011
2012
2013
2014
2015
2016
2017
2018
Optagne i kvote 1
Optagne i kvote 2
Optagne på udbud med alle optaget
Kilde: Uddannelses- og Forskningsministeriet på baggrund af data fra Den Koordinerede Tilmelding.
Relativt set er optagelsen i kvote 2 steget markant mere end optagelsen i kvote 1. Op-
tagelsen i kvote 1 er steget med 72 procent fra 2009-2019, mens optagelsen i kvote 2
er steget med 144 procent i samme periode, jf. figur 4.10.
En langt større andel af de optagne er dog blevet behandlet i kvote 2, selvom de ender
med at blive optaget i kvote 1 eller på en uddannelse med alle optaget. Således blev 38
procent af de optagne i 2009 behandlet i kvote 2, mens tallet i 2019 var steget til 46
procent.
Andelen af optagne i kvote 2 er størst på professionsbacheloruddannelserne, jf. figur
4.11. Professionsbacheloruddannelserne har også oplevet den største vækst i antallet af
optagne i kvote 2 fra 2009 til 2019 fra 17 procent til 32 procent i 2019.
86
Uddannelses- og Forskningsministeriet
BUU, Alm.del - 2021-22 - Endeligt svar på spørgsmål 219: Spm. om børn og unges trivsel, til børne- og undervisningsministeren
2583011_0087.png
Evaluering af optagelsessystemet til de videregående uddannelser
Figur 4.11
Fordeling af optagelse i kvoter, procent, 2019
Procent
100
90
80
70
60
50
40
30
20
10
0
Erhvervsakademiuddannelse
Optagne i kvote 1
Professionsbacheloruddannelse
Optagne i kvote 2
Bacheloruddannelse
Procent
100
90
80
70
60
50
40
30
20
10
0
Optagne på udbud med alle optaget
Anm.: Af figuren fremgår de procentmæssige andele af optagelsen efter uddannelsestype, der optages i
kvote 1, kvote 2 og på uddannelser med alle optaget. Tallene omfatter uddannelser med optagelse
via KOT. Uddannelser, som ikke hører under én af de tre kategorier (erhvervsakademi-, professi-
onsbachelor- eller bacheloruddannelser) er placeret under den uddannelsestype, som har den
samme længde.
Kilde: Uddannelses- og Forskningsministeriet på baggrund af data fra Den Koordinerede Tilmelding.
På erhvervsakademiuddannelserne er andelen af optagne i kvote 1 steget fra 15 procent
i 2009 til 36 procent i 2019, samtidig med at optagelsen på udbud med alle optaget er
faldet. På bacheloruddannelser er andelen af optagne i kvote 1 steget fra 54 procent i
2009 til 60 procent i 2019. Bacheloruddannelserne er således de udbud, som har den
største andel optagne i kvote 1 i alle årene. Optagelsen i kvote 2 er steget fra 9 procent
til 15 procent i samme periode, mens optagelsen på udbud med alle optaget er faldet
tilsvarende.
4.4.1.2 Udvikling i optagne fordelt på adgangsgrundlag
I alt 83 procent af de optagne har søgt ind på baggrund af en dansk gymnasial uddan-
nelse i 2019, hvilket er en stigning fra 78 procent i 2009. I alt 5 procent af de optagne
havde et udenlandsk adgangsgrundlag i 2019, hvilket er et fald fra 2009. Også 5 pro-
cent havde en erhvervsuddannelse eller en eux, hvilket er en stigning fra 3 procent i
2009. Andelen af optagne med et andet adgangsgrundlag er faldet i perioden fra 8 pro-
cent i 2009 til 4 procent i 2019. Samtidig er andelen af optagne med en International
Baccalaureate fra Danmark eller udlandet konstant i perioden på 1 procent.
Stigningen i andelen af optagne med en erhvervsuddannelse skyldes primært optagne
med en eux, (der endnu ikke var oprettet i 2009), men andelen af optagne med en er-
hvervsuddannelse er også steget svagt. Det dækker over stor variation på tværs af ud-
dannelserne, jf. boks 4.3.
Uddannelses- og Forskningsministeriet
87
BUU, Alm.del - 2021-22 - Endeligt svar på spørgsmål 219: Spm. om børn og unges trivsel, til børne- og undervisningsministeren
2583011_0088.png
Evaluering af optagelsessystemet til de videregående uddannelser
Boks 4.3 Erhvervsuddannede ansøgere til sygeplejerskeuddannelsen
Ansøgerandelen med andet adgangsgrundlag end en dansk gymnasial eksamen vari-
erer efter uddannelsestype. Eksempelvis havde 9 procent af ansøgerne til erhvervs-
akademiuddannelserne i 2019 en erhvervsuddannelsen, mens andelen til professions-
bacheloruddannelser var 6 procent.
Der er stor forskel på, hvor stor en andel de erhvervsuddannede udgør af optagelsen
mellem både forskellige typer af uddannelser og inden for de enkelte udbud af samme
uddannelse. Sygeplejerskeuddannelsen er et godt eksempel.
Samlet set udgør de erhvervsuddannede (i perioden 2017-2019) ca. 9 procent af de
optagne på sygeplejerskeuddannelsen. Der er dog store forskelle mellem de enkelte
udbud. På flere e-læringsudbud udgør de erhvervsuddannede næsten en tredjedel af
optagelsen. På en række ordinære udbud uden for de store byer udgør de erhvervsud-
dannede 15-20 procent af de optagne på sygeplejerskeuddannelsen.
De institutioner, der har de største andele optagne med en erhvervsuddannelse som
adgangsgrundlag, er Professionshøjskolen Absalon med 14 procent og University Col-
lege Syd med 13 procent. University College Nordjylland og Professionshøjskolen VIA
har den mindste andel i perioden, hvor de kun har optaget hhv. 3 og 5 procent med en
erhvervsuddannelse som adgangsgrundlag. Størrelsen af kvote 2, hvorigennem de er-
hvervsuddannede optages, er den samme på alle udbud (50 procent).
4.4.1.3 Udviklingen i standby-optagne
Erhvervsakademi- og professionsbacheloruddannelserne benytter i højere grad standby
end bacheloruddannelserne, hvor standby er frivilligt for institutionerne at benytte. An-
tallet af optagne på standby er fordoblet i perioden fra 2009 til 2019, jf. figur 4.12. I
2019 var 9 procent af de optagne på professionsbacheloruddannelserne optaget på en
standby-plads, for erhvervsakademi- og akademiske bacheloruddannelser gjaldt det
hhv. 5 og 4 procent af de optagne.
88
Uddannelses- og Forskningsministeriet
BUU, Alm.del - 2021-22 - Endeligt svar på spørgsmål 219: Spm. om børn og unges trivsel, til børne- og undervisningsministeren
2583011_0089.png
Evaluering af optagelsessystemet til de videregående uddannelser
Figur 4.12
Optagne på en standby-plads, antal, 2009-2018
Antal
6.000
5.000
4.000
3.000
2.000
1.000
0
Antal
6.000
5.000
4.000
3.000
2.000
1.000
0
I alt
2009
2010
2011
2012
2013
2014
2015
2016
2017
2018
2019
Erhvervsakademiuddannelse
Professionsbacheloruddannelse
Bacheloruddannelse
Kilde: Uddannelses- og Forskningsministeriet på baggrund af data fra Den Koordinerede Tilmelding.
Erhvervsakademiuddannelserne har den største relative stigning i antallet af optagne
på standby. Dette skal dog ses i lyset af, at der i 2009 var meget få standby-optagne
på disse uddannelser. Professionsbacheloruddannelserne er de uddannelser, som fra
2013 og frem har optaget flest ansøgere på standby.
4.5 Udviklingen i ikke-optagne fra 2009-2019
Ikke-optagne ansøgere er ansøgere, som ikke har fået tilbud om optagelse på nogen af
de uddannelser, de har søgt. Det kan enten være afviste kvalificerede ansøgere eller
ikke-kvalificerede ansøgere. Dette afsnit redegør for udviklingen i begge typer af ikke-
optagne ansøgere.
4.5.1 Andelen af afviste kvalificerede ansøgere er stabil i perioden
De ikke-kvalificerede ansøgere er ansøgere, der ikke lever op til adgangskravene eller
selv annullerer deres ansøgninger, mens de afviste kvalificerede ansøgere er ansøgere,
som pga. adgangsbegrænsning ikke har fået tilbudt en plads, jf. boks 4.4.
Uddannelses- og Forskningsministeriet
89
BUU, Alm.del - 2021-22 - Endeligt svar på spørgsmål 219: Spm. om børn og unges trivsel, til børne- og undervisningsministeren
2583011_0090.png
Evaluering af optagelsessystemet til de videregående uddannelser
Boks 4.4 Afviste kvalificerede ansøgere og ikke-kvalificerede ansøgere
Ansøgere, som ikke bliver optaget på en uddannelse, kan deles op i afviste kvalifice-
rede ansøgere og ikke-kvalificerede ansøgere.
Afviste kvalificerede ansøgere
er ansøgere, som opfylder adgangskravene og der-
med er kvalificerede ansøgere, men som ikke bliver optaget, fordi der er flere kvalifi-
cerede ansøgere end pladser på alle de uddannelser, hvor de har søgt.
Ikke-kvalificerede ansøgere
er ansøgere, der ikke opfylder adgangskravene til de
søgte uddannelser, eller ansøgere der selv har annulleret deres ansøgninger inden an-
søgningsfristens udløb. De ikke-kvalificerede ansøgere er ikke-kvalificerede på alle
de uddannelser, de har søgt.
Afviste kvalificerede ansøgere
ville være blevet optaget, hvis der havde været flere
uddannelsespladser, mens de
ikke-kvalificerede ansøgere
ikke ville blive optaget
uanset antallet af uddannelsespladser.
Antallet af afviste ansøgere steg fra ca. 6.500 i 2009 til ca. 11.900 i 2015, jf. figur 4.13.
Fra 2015-2019 er antallet af afviste ansøgere faldet til ca. 8.400. I samme periode er
der også sket en stigning i antallet af ansøgere. Andelen af ansøgere, som bliver afvist,
er således relativt stabil i perioden på omkring 11 procent.
Figur 4.13
Afviste ansøgere, procent af ikke-optagne og ansøgere i alt, 2009-2019
Procent
60
50
40
30
20
10
0
Procent
60
50
40
30
20
10
0
2009
2010
2011
2012
2013
2014
2015
2016
2017
2018
2019
Andel af ikke-optagne
Andel af ansøgere
Kilde: Uddannelses- og Forskningsministeriets på baggrund af data fra Den Koordinerede Tilmelding.
90
Uddannelses- og Forskningsministeriet
BUU, Alm.del - 2021-22 - Endeligt svar på spørgsmål 219: Spm. om børn og unges trivsel, til børne- og undervisningsministeren
2583011_0091.png
Evaluering af optagelsessystemet til de videregående uddannelser
I 2019 afviste bacheloruddannelserne den største andel med 11 procent af ansøgerne,
hvor erhvervsakademiuddannelserne og professionsbacheloruddannelserne afviste 8
procent, jf. figur 4.14.
På bacheloruddannelserne er andelen af afviste ansøgere faldet siden 2009, hvor 15
procent blev afvist. Andelen er til gengæld steget på erhvervsakademiuddannelserne (4
procent i 2009), mens professionsbacheloruddannelserne afviser ca. samme andel af
ansøgerne i 2009 og 2019 (7 procent i 2009) jf. figur 4.14.
Figur 4.14
Andel afviste ansøgere fordelt på uddannel-
sestype, procent, 2009-2019
Procent
18
16
14
12
10
8
6
4
2
2009
2010
2011
2012
2013
2014
2015
2016
2017
2018
2019
0
Procent
18
16
14
12
10
8
6
4
2
0
1.000
0
1.000
0
Figur 4.15
Afviste fordelt på uddannelsestype, Antal,
2009-2019
Antal
7.000
6.000
5.000
4.000
3.000
2.000
Antal
7.000
6.000
5.000
4.000
3.000
2.000
2009
2010
2011
2012
2013
2014
2015
2016
2017
2018
Erhvervsakademiuddannelse
Professionsbacheloruddannelse
Bacheloruddannelse
Erhvervsakademiuddannelse
Professionsbacheloruddannelse
Bacheloruddannelse
Anm.: Ansøgere, som er blevet afvist på eksem-
pelvis både en bacheloruddannelse og en er-
hvervsakademiuddannelse, tælles som afvist
i begge.
Kilde: Uddannelses- og Forskningsministeriet på
baggrund af data fra Den Koordinerede Til-
melding.
Anm.: Ansøgere, som er blevet afvist på eksempel-
vis både en bacheloruddannelse og en er-
hvervsakademiuddannelse, tælles som afvist
i begge.
Kilde: Uddannelses- og Forskningsministeriet på
baggrund af data fra Den Koordinerede Til-
melding.
Selvom andelen af afviste ansøgere er faldet på bacheloruddannelserne, er det dog sta-
dig her, det største antal ansøgere afvises. I perioden 2009-2019 er flest ansøgere ble-
vet afvist på bacheloruddannelser alle år med undtagelse af 2014, 2015 og 2016, hvor
det største antal blev afvist på professionsbacheloruddannelserne, jf. figur 4.15. De af-
vist ansøgere er særligt karakteriseret ved kun at søge færre prioriteter end gennem-
snittet, jf. boks 4.5.
Uddannelses- og Forskningsministeriet
2019
91
BUU, Alm.del - 2021-22 - Endeligt svar på spørgsmål 219: Spm. om børn og unges trivsel, til børne- og undervisningsministeren
2583011_0092.png
Evaluering af optagelsessystemet til de videregående uddannelser
Boks 4.5 Karakteristisk af de afviste ansøgere
Afviste ansøgere søger om optagelse på færre uddannelser end gennemsnittet. I 2019
havde de i gennemsnit 1,9 prioriteter, hvilket er færre end de 2,7 prioriteter, ansøgerne
gennemsnitligt havde.
Omkring 90 procent af de afviste ansøgere søger kun én prioritet. Andelen er steget fra
89 procent i 2009 til 92 procent i 2019 (10 og 9 procent af disse søgte hhv. medicin og
psykologi). I alt 33 procent af de afviste ansøgere søgte i 2019 på baggrund af en gym-
nasial eksamen fra samme år (2019) eller året før, de søgte optagelse (2018).
De fleste af de afviste ansøgere er blevet behandlet i kvote 2 på mindst en af deres pri-
oriteter. Andelen er steget fra 48 procent i 2009 til 61 procent i 2019. Andelen var størst
i 2017, hvor 68 procent af de afviste ansøgere blev behandlet i kvote 2.
Andelen af afviste kvalificerede ansøgninger er steget fra 16 procent i 2009 til 19 pro-
cent i 2019, jf. figur 4.16. I alt blev 33 procent af ansøgningerne i 2019 behandlet uden at
føre til optagelse, jf. figur 4.16. Det svarer til, at i alt 19.000 ansøgere ikke blev optaget
enten fordi de ikke var kvalificerede, fordi der ikke var pladser nok, eller fordi de annulle-
rede samtlige af deres ansøgninger. Heraf kan der være ansøgere, der blev optaget på
en lavere prioritet.
Figur 4.16
Ansøgninger fordelt på optagelsesstatus, procent, 2009-2019
Procent
100
90
80
70
60
50
40
30
20
10
0
2009
Procent
100
90
80
70
60
50
40
30
20
10
0
2019
2010
2011
2012
2013
2014
2015
2016
2017
Optaget
2018
Ikke-kvalificerede ansøgninger
Optaget på standby
Afviste kvalificerede ansøgninger
Optaget på højere prioritet
Kilde: Uddannelses- og Forskningsministeriet på baggrund af data fra Den Koordinerede Tilmelding.
Endelig er der en væsentlig del af ansøgningerne, hvor ansøgeren er blevet optaget på
en højere prioritet. Denne anden er steget fra 27 procent i 2009 til 37 procent i 2019.
92
Uddannelses- og Forskningsministeriet
BUU, Alm.del - 2021-22 - Endeligt svar på spørgsmål 219: Spm. om børn og unges trivsel, til børne- og undervisningsministeren
2583011_0093.png
Evaluering af optagelsessystemet til de videregående uddannelser
4.5.2 Andelen af ikke-kvalificerede ansøgere er steget med 3 procentpoint
Antallet af ikke-kvalificerede ansøgere, primært ansøgere der ikke opfylder adgangs-
kravene, steg fra 5.408 i 2009 til 11.963 i 2016 og er herefter stabiliseret, jf. figur 4.17.
Det svarer til en stigning fra 9 procent til 12 procent fra 2009-2019, jf. figur 4.18. Ande-
len af de ikke-kvalificerede ansøgere, der selv har annulleret alle ansøgninger, ligger på
10 procent.
Figur 4.17
Ikke-kvalificerede
ansøgere,
antal, 2009-
2019
Antal
14.000
12.000
10.000
8.000
6.000
4.000
2.000
0
Antal
14.000
12.000
10.000
8.000
6.000
4.000
2.000
0
Figur 4.18
Ikke-kvalificerede
ansøgninger,
antal, 2009-
2019
Antal
60.000
50.000
40.000
30.000
20.000
10.000
0
Antal
60.000
50.000
40.000
30.000
20.000
10.000
0
Erhvervsakademiuddannelse
Professionsbacheloruddannelse
Bacheloruddannelse
I alt
Erhvervsakademiuddannelse
Professionsbacheloruddannelse
Bacheloruddannelse
I alt
Anm.: Ikke-kvalificerede ansøgere på samtlige pri-
oriteter.
Kilde: Uddannelses- og Forskningsministeriet på
baggrund af data fra Den Koordinerede Til-
melding.
Anm.: Ikke-kvalificerede ansøgninger på samtlige
prioriteter.
Kilde: Uddannelses- og Forskningsministeriet på
baggrund af data fra Den Koordinerede Til-
melding.
Stigningen i ikke-kvalificerede ansøgere er større end stigningen i afviste kvalificerede
ansøgere (hhv. 96 procent og 30 procent) i perioden 2009-2019. Andelen af ikke-op-
tagne, som er ikke-kvalificerede ansøgere, er vokset, så de i 2019 udgør 56 procent af
de ikke-optagne, hvor de i 2009 udgjorde 46 procent. De ikke-kvalificerede ansøgere
har oftere en udenlandsk eksamen, jf. boks 4.6.
Boks 4.6 Ikke-kvalificerede ansøgere har i højere grad udenlandsk eksamen
Ansøgere med udenlandsk eksamen udgør en forholdsvis større andel af de ikke-kvalifi-
cerede ansøgere (22 procent) i 2019 mod 8 procent af den samlede mængde ansøgere.
De er samtidig den største gruppe blandt ikke-kvalificerede ansøgere. Til sammenlig-
ning udgør ikke-kvalificerede ansøgere med stx som adgangsgrundlag i 2019 også 22
procent, mens de udgør 45 procent af alle ansøgere.
Ikke-kvalificerede ansøgere søgte i 2019 ind på flere uddannelser end gennemsnittet,
idet de i gennemsnit havde 3,3 prioriteter mod gennemsnittet på 2,7 ansøgninger.
Uddannelses- og Forskningsministeriet
93
BUU, Alm.del - 2021-22 - Endeligt svar på spørgsmål 219: Spm. om børn og unges trivsel, til børne- og undervisningsministeren
Evaluering af optagelsessystemet til de videregående uddannelser
Denne side er med vilje efterladt uden indhold.
94
Uddannelses- og Forskningsministeriet
BUU, Alm.del - 2021-22 - Endeligt svar på spørgsmål 219: Spm. om børn og unges trivsel, til børne- og undervisningsministeren
Evaluering af optagelsessystemet til de videregående uddannelser
5. Betydningen af
karakterer og
grænsekvotienter for
elever i de gymnasiale
uddannelser
Dette kapitel undersøger bl.a., hvad karaktergennemsnittet
fra gymnasiet betyder for eleverne i de gymnasiale
uddannelser og deres mulighed for at blive optaget på en
videregående uddannelse. Analyserne viser bl.a., at
karaktergennemsnittet fra de gymnasiale uddannelser har
fået en stigende betydning for andelen af videregående
uddannelser, ansøgerne kan blive optaget på i kvote 1.
Antallet af ansøgere til de videregående uddannelser er steget markant – og stigningen
er mere markant end stigningen i antallet af optagne, jf. kapitel 4. Derfor er det relevant
at undersøge, hvordan karaktergennemsnit påvirker elevernes mulighed for at blive op-
taget på en videregående uddannelse via kvote 1. Analyserne er baseret på statistiske
analyser og simulering af data fra Den Koordinerede Tilmelding og en spørgeskemaun-
dersøgelse blandt elever på sidste år af deres gymnasiale uddannelser.
Uddannelses- og Forskningsministeriet
95
BUU, Alm.del - 2021-22 - Endeligt svar på spørgsmål 219: Spm. om børn og unges trivsel, til børne- og undervisningsministeren
2583011_0096.png
Evaluering af optagelsessystemet til de videregående uddannelser
Hovedresultater
– Andelen af uddannelsesudbud uden en grænsekvotient er faldet fra 76 pro-
cent i 2009 til 49 procent i 2019, af uddannelsesudbuddene med optag i
kvote 1.
– For den typiske ansøger (med et karaktergennemsnit på 7,1 i 2019) og som får
1,08-bonus, er andelen af videregående uddannelser, ansøgeren kan blive op-
taget på via kvote 1, faldet med knap 10 procentpoint siden 2009 fra 89 pro-
cent til 79 procent.
– For en ansøger med karaktergennemsnit på grænsen til top 10-procent (ka-
raktergennemsnit på 10,4 i 2019) og som får 1,08-bonus (således at de søger
optagelse med et karaktergennemsnit på 11,3 i 2018), er andelen af uddannel-
ser, ansøgeren kan blive optaget på, faldet med ca. 0,5 procentpoint fra 99,5
til 99 procent.
Et begrænset fald relativt set.
Men hvor der blot var én ud-
dannelse (udbud), som denne gruppe ikke kunne komme ind på via kvote 1 i
2009, var det steget til syv uddannelser i 2019 – heriblandt psykologi på både
Aarhus Universitet og Københavns Universitet.
– Små udsving i karaktergennemsnit har fået større betydning for alle ansøgere
i kvote 1. Et fald på et procentpoint i karakterfordelingen (svarende til 0,1 i
karaktergennemsnittet) betød i 2009, at der var 0,2 procentpoint svarende til
to færre videregående uddannelser, ansøgeren kunne blive optaget på. I 2019
betød et tilsvarende fald, at der i stedet var 0,5 procentpoint svarende til fire
færre videregående uddannelser, ansøgeren kunne blive optaget på – og det
gælder ansøgere i hele karakterfordelingen.
– Da ansøgere med karaktergennemsnit på grænsen til top 10-procent (karak-
tergennemsnit på 10,4 i 2019) søger mere snævert end andre ansøgere, er
konkurrencen om pladserne hårdere blandt denne gruppe ansøgere. For de an-
søgere vil et fald på 0,1 i karaktergennemsnit i 2019 øge andelen af videregå-
ende uddannelsesudbud, ansøgeren ikke kan blive optaget på i kvote 1 fra 7 til
11 svarende til en stigning på 57 procent).
– To ud af tre elever i de gymnasiale uddannelser vurderer selv, at de kan
komme ind på 63 procent af alle videregående uddannelser med et karakter-
gennemsnit på 7,3 (medianen i 2018). Dermed undervurderer eleverne deres
muligheder, idet et karaktergennemsnit på 7,3 reelt giver adgang til 74 procent
af alle videregående uddannelser (2018-tal).
– Når bonus for tidlig studiestart (1,08-reglen) afskaffes fra optagelsen 2020,
forventes grænsekvotienterne generelt at falde. Det dækker over forskellige
tendenser, hvor grænsekvotienten på nogle udbud falder, mens den stiger på
andre.
96
Uddannelses- og Forskningsministeriet
BUU, Alm.del - 2021-22 - Endeligt svar på spørgsmål 219: Spm. om børn og unges trivsel, til børne- og undervisningsministeren
2583011_0097.png
Evaluering af optagelsessystemet til de videregående uddannelser
5.1 Karaktergennemsnittets betydning for
uddannelsesmuligheder
I det nuværende optagelsessystem bliver ansøgerne fordelt efter karaktergennemsnit-
tet fra den gymnasiale uddannelse i kvote 1. Det kan være relevant at undersøge, hvor-
dan udviklingen i antallet af ansøgere har påvirket ansøgernes mulighed for at blive op-
taget på en videregående uddannelse i kvote 1.
5.1.1 Halvdelen af uddannelserne havde i 2019 en grænsekvotient
I 2019 var der 894 forskellige udbud af videregående uddannelser, som ansøgere kunne
søge optagelse på. Af disse havde 396 udbud ingen grænsekvotient og optog alle kvali-
ficerede ansøgere, jf. figur 5.1. I den anden ende af skalaen ”sprængte” et udbud karak-
terskalaen med en grænsekvotient over 12,0 (International Business på CBS med 12,4).
Figur 5.1
Udbud fordelt på grænsekvotient, antal udbud, 2019
Antal udbud
500
450
400
350
300
250
200
150
100
50
0
Antal udbud
500
450
400
350
300
250
200
150
100
50
0
Uden
kvotient
2-3
3,1-4
4,1-5
5,1-6
6,1-7
7,1-8
8,1-9
9,1-10
10,1-11 11,1-12 12,1-13
Grænsekvotient
Ledige pladser
100 procent kvote 2
Alle optaget
Udenfor kvotesystem
Ikke oprettet
Anm.: Antal uddannelser er i ovenstående opgjort efter antal udbud (KOT-numre) i 2019. Tallene omfat-
ter uddannelser med optagelse via KOT. Ledige pladser er udbud med alle optaget, der derudover
endte med at have ledige uddannelsespladser. 68 yderligere udbud havde heller ingen grænsekvo-
tient, hvilket skyldes, at der enten var 100 procent kvote 2-optagelse på udbuddet, det var et ud-
bud uden for kvotesystemet (maritime uddannelsesudbud), eller at et udbud ikke er blevet opret-
tet grundet for få kvalificerede ansøgere.
Kilde: Uddannelses- og Forskningsministeriets på baggrund af data fra Den Koordinerede Tilmelding.
Opgørelserne er baseret på data fra 2019, som var de nyeste tilgængelige data på ana-
lysetidspunktet. Som eksempel kunne en ansøger i 2019 på baggrund af et karakter-
gennemsnit fra en gymnasial eksamen på 7,0 blive optaget på 618 forskellige udbud via
kvote 1, så længe ansøgeren opfyldte uddannelsens adgangskrav.
Uddannelses- og Forskningsministeriet
97
BUU, Alm.del - 2021-22 - Endeligt svar på spørgsmål 219: Spm. om børn og unges trivsel, til børne- og undervisningsministeren
2583011_0098.png
Evaluering af optagelsessystemet til de videregående uddannelser
I 2019 blev 33 procent af det samlede antal optagne optaget på et udbud uden grænse-
kvotient, jf. figur 5.2. Heraf blev størstedelen optaget på et udbud, som enten havde le-
dige pladser eller, som optog alle kvalificerede ansøgere.
Figur 5.2
Optagne fordelt på uddannelsens grænsekvotient, antal, 2019
Antal
25.000
Antal
25.000
20.000
20.000
15.000
15.000
10.000
10.000
5.000
5.000
-
Uden
kvotient
2-3
3,1-4
4,1-5
5,1-6
6,1-7
Alle optaget
7,1-8
8,1-9
9,1-10 10,1-11 11,1-12 12,1-13
Udenfor kvotesystem
-
Grænsekvotient
Kvote 1
Ledige pladser
100 procent kvote 2
Anm.: De grå søjler viser det samlede antal optagne fordelt på uddannelser med en given grænsekvoti-
ent. De orange søjler viser det samme, men kun for optagelse i kvote 1. Tallene omfatter uddannel-
ser med optagelse via KOT. Ledige pladser er udbud med alle optaget, der derudover endte med at
have ledige uddannelsespladser.
Kilde: Uddannelses- og Forskningsministeriets på baggrund af data fra Den Koordinerede Tilmelding..
Når der i analyserne bliver refereret til ”uddannelser”, dækker dette over et specifikt ud-
bud af en uddannelse, jf. boks 5.1.
Boks 5.1 Udbud af uddannelser
Når der i analyserne refereres til ”antal uddannelser”, er der teknisk set tale om antal af
udbud af uddannelser. De er opgjort efter det enkelte udbuds nummer i KOT. Det bety-
der eksempelvis, at uddannelsen sygeplejerske ikke opgøres som én uddannelse, men
som én uddannelse per by, den bliver udbudt i. Udbydes sygeplejerske derudover som e-
læring eller som vinterstart, tælles dette med som yderligere udbud per by. Udbuddene
omfatter uddannelser med optagelse via Den Koordinerede Tilmelding – det vil sige er-
hvervsakademiuddannelser, professionsbacheloruddannelser og bacheloruddannelser.
98
Uddannelses- og Forskningsministeriet
BUU, Alm.del - 2021-22 - Endeligt svar på spørgsmål 219: Spm. om børn og unges trivsel, til børne- og undervisningsministeren
2583011_0099.png
Evaluering af optagelsessystemet til de videregående uddannelser
5.1.2 Et givent karaktergennemsnit fra gymnasiet giver alle ansøgere
adgang til færre uddannelser i dag i forhold til tidligere
I løbet af de sidste 11 år er andelen af videregående uddannelser, ansøgerne kan blive
optaget på via kvote 1 med et givent karaktergennemsnit, faldet. Det gælder for ansø-
gere i hele karakterfordelingen. For den typiske ansøger med middelkarakterer (karak-
tergennemsnit på 7,1 i 2019) er andelen af videregående uddannelser, ansøgeren kan
blive optaget på, faldet fra 89 procent i 2009 til 79 procent i 2019, jf. figur 5.3. Mens det i
2009 var 76 videregående uddannelser, den typiske ansøger ikke kunne blive optaget
på i kvote 1, så var det 175 i 2019. Analysens resultater for et givent år er sat i forhold til
karakterfordelingen for det samme års studenter. På den måde tages der højde for den
generelle stigning i karaktergennemsnittet i perioden.
Figur 5.3
Andelen af uddannelsesudbud med grænsekvotienter under karaktergennemsnittet i forhold
til ansøgerens placering i karakterfordelingen, procent, 2009 og 2019
Procent
Andel af uddannelsesudbud (kvote 1), man kan blive optaqget på
100
90
80
70
60
50
40
30
20
10
0
Procent
100
90
80
70
60
50
40
30
20
10
0
Højt karaktergennemsnit
Placering i karakterfordelingen blandt årets studenter
2009
2019
Lavt karaktergennemsnit
Anm.: Andelen er udregnet i forhold til uddannelser med optagelse i kvote 1. Karakterfordelingen er base-
ret på karakterfordelingen blandt det givne års dimittender fra de gymnasiale uddannelser, og er
inklusive 1,08-bonus for tidlig studiestart. Karakterfordelingen er forskellig mellem årene. I 2009
ville et karaktergennemsnit på 9,7 placere ansøgeren blandt de 10 procent med de højeste gen-
nemsnit, mens dette det ville kræve 10,4 i 2019.
Kilde: Uddannelses- og Forskningsministeriet på baggrund af på baggrund af data fra Den Koordine-
rede Tilmelding.
For ansøgere med karaktergennemsnit på grænsen til top 10-procent (karaktergen-
nemsnit på 10,4 i 2019), hvor ansøgerne får tildelt 1,08-bonus, således at de søger op-
tagelse med et karaktergennemsnit på 11,2, er andelen af videregående uddannelser,
ansøgeren kan blive optaget på faldet fra 99,9 til 99,2 procent, jf. figur 5.3. Det svarer til,
at antallet af uddannelser, ansøgeren ikke kan blive optaget på i kvote 1, er steget fra
én i 2009 til syv i 2019.
Uddannelses- og Forskningsministeriet
99
BUU, Alm.del - 2021-22 - Endeligt svar på spørgsmål 219: Spm. om børn og unges trivsel, til børne- og undervisningsministeren
2583011_0100.png
Evaluering af optagelsessystemet til de videregående uddannelser
Udviklingen siden 2009 skyldes to forhold. For det første har der over tid været en stig-
ning i studenternes karaktergennemsnit fra de gymnasiale uddannelser. I 2009 var den
typiske students karaktergennemsnit på 6,5 (median), mens dette var steget til 7,1 i
2019. For det andet er antallet af ansøgere til de videregående uddannelser steget, hvil-
ket har medført, at der er større konkurrence om uddannelsespladserne. Udviklingen bli-
ver forstærket af, at ansøgere med de højeste karaktergennemsnit søger snævert. På
uddannelser med adgangsbegrænsning er andelen af optagne i kvote 2 desuden steget
i perioden, hvormed adelen af optagne i kvote 1 er faldet tilsvarende.
I takt med, at andelen af de videregående uddannelser, en ansøger kan blive optaget
på i kvote 1, er faldet for samtlige ansøgere, er betydningen af små udsving i karak-
tergennemsnit steget. Et fald på et procentpoint i karakterfordelingen (svarende til
ca. 0,1 i karaktergennemsnittet) betød i 2009, at der var 0,2 procentpoint færre vi-
deregående uddannelser, ansøgeren kunne blive optaget på, jf. figur 5.4. Det svarede
til knap to uddannelser. I 2019 betød et tilsvarende fald, at der i stedet var 0,5 pro-
centpoint svarende til fire færre videregående uddannelser, ansøgeren kunne blive
optaget på, jf. figur 5.4.
Figur 5.4
Fald i andelen af uddannelsesudbud ansøgerne kan blive optaget på ved et fald i karakter-
fordelingen på 1 procentpoint, procentpoint, 2009 og 2019
Procentpoint
Ændring i andelen af uddannelsesudbud (kvote 1), man kan
blive optaget på
1,2
Procentpoint
1,2
1,0
1,0
0,8
0,8
0,6
0,6
0,4
0,4
0,2
0,2
0,0
Lavt karaktergennemsnit
Placering i karakterfordelingen blandt årets studenter
0,0
Højt karaktergennemsnit
2009
2019
Anm.: De stiplede linjer angiver gennemsnittet på tværs af karakterfordelingen for de givne år. Karakter-
fordelingen er baseret på karakterfordelingen blandt det givne års dimittender fra de gymnasiale
uddannelser. Figuren viser hældningen for figur 5.3.
Kilde: Uddannelses- og Forskningsministeriet på baggrund af data fra Den Koordinerede Tilmelding.
Konsekvenserne af små udsving i karaktergennemsnit er steget over hele karakter-
fordelingen. For ansøgere med karaktergennemsnit bedre end 40 procent af årets
100
Uddannelses- og Forskningsministeriet
BUU, Alm.del - 2021-22 - Endeligt svar på spørgsmål 219: Spm. om børn og unges trivsel, til børne- og undervisningsministeren
Evaluering af optagelsessystemet til de videregående uddannelser
studenter (4. decil), betyder et fald i karakterfordelingen på et procentpoint f.eks., at
der er otte videregående uddannelser, ansøgeren ikke kan blive optaget på i kvote 1.
Da ansøgere med de højeste karaktergennemsnit søger mere snævert end andre an-
søgere, er konkurrencen om pladserne hårdere blandt denne gruppe. For ansøgere
med karaktergennemsnit på grænsen til top 10-procent (karaktergennemsnit på
10,4 i 2019) vil et fald på 0,1 i karaktergennemsnit i 2019 øge antallet af videregå-
ende uddannelser, ansøgeren ikke kan blive optaget på med 57 procent (2019-tal). Til
sammenligning er det 3 procent færre for den typiske ansøger (medianen).
Karakternes stigende betydning skyldes primært, at antallet af ansøgere er steget med
over 50 procent fra 2009 til 2018, mens antallet af uddannelsespladser ikke er steget
tilsvarende. Det har medført, at der er en større konkurrence om pladserne, hvilket har
fået grænsekvotienterne til at stige. For at illustrere betydningen af antallet af uddan-
nelsespladser for grænsekvotienterne er der gennemført simulering af en forøgelse af
antallet af uddannelsespladser på alle uddannelser jf. boks 5.2.
Uddannelses- og Forskningsministeriet
101
BUU, Alm.del - 2021-22 - Endeligt svar på spørgsmål 219: Spm. om børn og unges trivsel, til børne- og undervisningsministeren
2583011_0102.png
Evaluering af optagelsessystemet til de videregående uddannelser
Boks 5.2 Betydning af antallet af uddannelsespladser for uddannelsesmuligheder
Simuleringen viser, at det ville kræve en forøgelse af antallet af pladser på 40 procent,
for, at en given placering i karakterfordelingen giver samme muligheder som i 2009, jf.
figur 5.5.
Figur 5.5
Uddannelsesudbud med grænsekvotienter under karaktergennemsnittet i forhold til ansøge-
rens placering i karakterfordelingen ved forskellige simulerede antal uddannelsespladser, an-
del, 2018
Andel af uddannelsesudbud (kvote 1), man kan blive optaget på
Procent
100
90
80
70
60
50
40
30
20
10
0
Lavt karaktergennemsnit
Placering i karakterfordelingen blandt årets studenter
2018-optaget
10 pct
20 pct
40 pct
Procent
100
90
80
70
60
50
40
30
20
10
0
Højt karaktergennemsnit
Anm.: Kontrafaktisk optagelse ses via en simulering af data fra Den Koordinerede Tilmelding. Data for
alle kurver er simulerede, og 2018-kurven vil derfor ikke svare fuldstændigt til den reelle fordeling i
2018.
Kilde: Uddannelses- og Forskningsministeriet på baggrund af data fra Den Koordinerede Tilmelding og
Danmarks Statistik.
Simuleringerne er lavet under antagelse om, at søgeadfærden vil være uændret. Det er
sandsynligt, at søgeadfærden vil ændre sig, hvis antallet af uddannelsespladser stiger
markant. Derfor skal simuleringerne alene ses som en illustration af betydningen af an-
tallet uddannelsespladser for grænsekvotienterne.
102
Uddannelses- og Forskningsministeriet
BUU, Alm.del - 2021-22 - Endeligt svar på spørgsmål 219: Spm. om børn og unges trivsel, til børne- og undervisningsministeren
2583011_0103.png
Evaluering af optagelsessystemet til de videregående uddannelser
Metode: Simulering af øget antal uddannelsespladser
Simuleringerne er udført for 2018-data på baggrund af data fra Den Koordinerede
Tilmelding. Simuleringerne øger antallet uddannelsespladser på alle uddannelsesud-
bud med 10, 20 og 40 procent. Antallet af pladser bliver øget både i kvote 1 og
kvote 2.
Beregningerne er kontrafaktiske, idet de beregner 2018-optagelsen i en situation,
hvor der havde været flere uddannelsespladser, men at ansøgerne havde indsendt
de samme ansøgninger. Simuleringerne tager således ikke højde for, at ansøgerne
muligvis ville søge anderledes, hvis der var flere uddannelsespladser.
Der må påregnes en usikkerhed i simuleringerne. Både scenariet for 2018-optagel-
sen og scenarierne med flere pladser simuleres for at holde modelusikkerheden
konstant på tværs af begge scenarier. Dette betyder, at de konkrete grænsekvoti-
enter i 2018-scenariet kan variere en smule ift. de reelle grænsekvotienter for
2018-optagelsen.
5.2 Elevernes oplevelse af karaktergennemsnit
Ændringer i karaktergennemsnittet (målt på en decimal) er blevet vigtigere for antallet
af uddannelser, en ansøger kan blive optaget på. Det kan være med til at påvirke ele-
verne i de gymnasiale uddannelser og deres oplevelse af karaktergennemsnittets be-
tydning for deres videre uddannelsesmuligheder – og ikke mindst, om og hvordan de til-
passer deres adfærd herefter.
5.2.1 Eleverne overvurderer betydningen af karaktergennemsnit
I 2018 havde 74 procent af alle videregående uddannelser en grænsekvotient på 7,3
(medianen af karaktergennemsnit i 2018) eller derunder. Elever på sidste år af deres
gymnasiale uddannelse i en spørgeskemaundersøgelse er blevet bedt om at vurdere,
hvor mange uddannelser de tror, de kan komme ind på med samme karaktergennemsnit.
Elevernes vurdering af, hvor mange udbud de kan komme ind på med et karaktergen-
nemsnit på 7,3, ligger 11 procentpoint lavere, end hvad reelt er tilfældet, jf. figur 5.6. I
alt23 procent af eleverne vurderer tæt på rigtigt, ift. hvor mange udbud de kan komme
ind på med et karaktergennemsnit på 7,3 – dvs. mellem 70 og 80 procent af udbuddene.
I alt 71 procent af elevenerne undervurderer, hvor mange videregående uddannelser de
kan komme ind på med et karaktergennemsnit på 7,3.
Uddannelses- og Forskningsministeriet
103
BUU, Alm.del - 2021-22 - Endeligt svar på spørgsmål 219: Spm. om børn og unges trivsel, til børne- og undervisningsministeren
2583011_0104.png
Evaluering af optagelsessystemet til de videregående uddannelser
Figur 5.6
De adspurgte elevers svar på, hvor stor en andel af videregående uddannelser de kan blive
optaget på med et karaktergennemsnit på 7,3 (grænsekvotienter for 2018), kumulerede fre-
kvenser, 2019
Akkumuleret frekvens
100
90
80
70
60
50
40
30
20
10
0
1
0
5
10
2
15
6
25
30
7
35
10
12
15
30
24
39
49
66
78
89
Akkumuleret frekvens
95
98
99
100
90
80
70
60
50
40
30
20
10
0
63 pct.
74 pct.
4
20
40
45
50
55
60
65
70
75
80
85
90
95
100
Anm.: ”Forestil
dig, at du har et karaktergennemsnit på 7,3, når du er færdig med din nuværende uddan-
nelse. Hvor stor en andel af alle videregående uddannelser tror du, at du kan komme ind på med
ovenstående gennemsnit?”
Antal besvarelser: 292 elever på sidste år af deres stx, hhx, htx eller hf.
De 74 procent er ekskl. udbud med 100 procent optagelse i kvote 2 og udbud uden for kvotesyste-
met.
Kilde: Uddannelses- og Forskningsministeriet på baggrund af spørgeskemaundersøgelse til elever i gym-
nasiale uddannelser gennemført af /KL.7 & Realize.
Spørgsmålet er formuleret, så det dækker optagelse på uddannelser med enten alle op-
taget eller optagelse via kvote 1 (hvor karaktergennemsnittet er udvælgelseskriteriet).
Optagelse via kvote 2 er ikke inkluderet. Her vil eleverne højst sandsynligt på længere
sigt have mulighed for at blive optaget på endnu flere uddannelser. Derfor er elevernes
vurdering et konservativt skøn, og deres mulighed for at blive optaget vil sandsynligvis
være højere, hvis optagelse via kvote 2 var inkluderet.
Tendensen er den samme, når man spørger eleverne ind til både et lavere og et endnu
højere karaktergennemsnit Når man ser på, hvor mange uddannelser en ansøger med et
karaktergennemsnit lige over grænsen for at have bestået en gymnasial eksamen (ka-
raktergennemsnit på 2,1) kunne komme ind på i 2018, så var det 44 procent af alle vide-
regående uddannelser i kvote 1. Når elever i de gymnasiale uddannelser bliver spurgt,
vurderer de, at et karaktergennemsnit på 2,1 alene vil give dem adgang til 29 procent af
alle videregående uddannelser, dvs. 15 procentpoint lavere end reelt. I alt undervurderer
76 procent af eleverne, hvor mange videregående uddannelser de kan få adgang til med
et karaktergennemsnit på 2,1.
I 2018 havde 85 procent af alle videregående uddannelser en grænsekvotient på 9,5 el-
ler derunder. Elevernes vurdering ligger 10 procentpoint lavere. Af de adspurgte elever
104
Uddannelses- og Forskningsministeriet
BUU, Alm.del - 2021-22 - Endeligt svar på spørgsmål 219: Spm. om børn og unges trivsel, til børne- og undervisningsministeren
2583011_0105.png
Evaluering af optagelsessystemet til de videregående uddannelser
vurderer 72 procent, at de med et karaktergennemsnit på 9,5 kan komme ind på en la-
vere andel videregående uddannelser, end de faktisk kan. I alt 19 procent vurderer, at de
med et karaktergennemsnit på 9,5 kan komme ind på færre end 65 procent af den sam-
lede mængde videregående uddannelser.
Metode: Spørgeskemaundersøgelse til elever i gymnasiale uddannelser
Spørgeskemaundersøgelsen til elever på sidste år af deres gymnasiale uddan-
nelse er foretaget i foråret 2019 på 16 gymnasiale uddannelser (stx, hhx, htx, hf)
af /KL.7 og Realize. Uddannelserne er udvalgt på baggrund af spredning i type af
gymnasial uddannelse, geografisk placering og antallet af elever på uddannelses-
stedet.
Udvælgelse af respondenter
Eleverne på det sidste år af den gymnasiale uddannelse er dem, der er tættest på
at skulle vælge en videregående uddannelse. Det er derfor antaget, at de er dem,
der har reflekteret mest over tilrettelæggelse af deres fag, eksamen og videre ud-
dannelsesmuligheder, og derfor er bedst i stand til at besvare spørgsmål relateret
til optagelsessystemet. Der er samtidig sket en udvikling for eleverne, hvor de tid-
ligere på deres ungdomsuddannelse allerede har valgt deres studieretning, og de-
res besvarelser er dermed retrospektive. Det skal der tages højde for i fortolknin-
gen af besvarelserne, der dermed kan fremstå i et andet lys for eleverne.
Der er ikke samlet besvarelser fra elever på de første år af den gymnasiale
uddannelse. Der er derfor noget information fra elever, som er faldet fra deres
gymnasiale uddannelse, der ikke bliver indfanget i besvarelserne. Der kan der-
for ikke drages konklusioner om eleverne på de første år af deres gymnasiale
uddannelse eller den udvikling, der sker med eleverne fra de første til sidste år.
Der kan også være nogle faktorer relateret til optagelsessystemet, der har
spillet en rolle i forhold til frafaldet på de første år af de gymnasiale uddan-
nelser. Dette forholder denne evaluering sig ikke til.
Repræsentativitet
Der er i alt 911 elever, der har besvaret undersøgelsen. På syv gymnasiale uddan-
nelse var /KL.7 og Realize fysisk til stede til at guide eleverne igennem undersø-
gelsen. Her deltog 632 elever fordelt på 34 afgangsklasser. Svarprocenten var 95
procent blandt dem, der påbegyndte undersøgelsen.
På ni gymnasiale uddannelser var /KL.7 og Realize ikke fysisk til stede. Her deltog
279 elever i undersøgelsen via et link delt på Lectio. Blandt de elever, der påbe-
gyndte undersøgelsen, var svarprocenten 80 procent. Der er ikke foretaget en
bortfaldsanalyse, da sampling-strategien er tilfældig udvælgelse og populationen
af elever, der har set linket, ikke er kendt.
Uddannelses- og Forskningsministeriet
105
BUU, Alm.del - 2021-22 - Endeligt svar på spørgsmål 219: Spm. om børn og unges trivsel, til børne- og undervisningsministeren
Evaluering af optagelsessystemet til de videregående uddannelser
5.3 Betydning af afskaffelsen af 1,08-reglen for
uddannelsesmuligheder
Bonus for tidlig studiestart (1,08-reglen) har betydet, at ansøgere med en gymnasial
eksamen kunne gange deres karaktergennemsnit med 1,08, hvis de søgte optagelse på
en videregående uddannelse senest to år efter dimission. Denne regel bliver afskaffet
fra optagelsen 2020. Derfor er det relevant at simulere, hvordan afskaffelsen vil påvirke
grænsekvotienterne.
5.3.1 Grænsekvotienterne falder og pladser bliver omfordelt
Når bonus for tidlig studiestart (1,08-reglen) afskaffes fra optagelsen 2020, forventes
grænsekvotienterne generelt at falde. Effekten på grænsekvotienter ved at afskaffe
1,08-reglen kan overordnet set gå gennem to forskellige udviklinger:
1.
Generel nedjustering:
Afskaffelsen medfører, at karaktergennemsnittene for ansøgere, der søger op-
tagelse senest to år efter dimittendtidspunktet for den gymnasiale uddannelse,
falder, når karaktergennemsnittet ikke længere ganges med 1,08. Dette vil i sig
selv lede til et fald i grænsekvotienter.
Omfordeling af pladser:
Ansøgere, der søger optagelse senere end to år efter dimittendtidspunktet for
den gymnasiale eksamen, får ikke ændret deres karaktergennemsnit og er der-
med i en mere fordelagtig konkurrencesituation, end da de ikke kunne gange
deres karaktergennemsnit med 1,08, mens andre kunne. Dette kan lede til for-
skelle i, hvem der bliver optaget.
2.
For at vurdere hvad afskaffelsen af 1,08-reglen vil betyde, er 2018 optaget simuleret
under antagelse om, at søgeadfærden er uændret.
Generelt er der en lille effekt på grænsekvotienten af afskaffelsen af 1,08-reglen. Medi-
anen af grænsekvotienter ændrer sig relativt lidt fra 4,8 til 4,6, jf. figur 5.7 (den stiplede
linje).
106
Uddannelses- og Forskningsministeriet
BUU, Alm.del - 2021-22 - Endeligt svar på spørgsmål 219: Spm. om børn og unges trivsel, til børne- og undervisningsministeren
2583011_0107.png
Evaluering af optagelsessystemet til de videregående uddannelser
Figur 5.7
Ændring i grænsekvotienter for udvalgte uddannelsesudbud ved simulering af afskaffelse af
1,08-reglen, grænsekvotienter, 2018
Anm.: Medianen er beregnet ved at tildele uddannelser med alle optaget en grænsekvotient på 2,0. Grå
linjer markerer øvrige uddannelser. Kun uddannelser, der ikke svinger mellem at have grænsekvoti-
ent og alle optaget, er medtaget i figuren. Grænsekvotienterne er simuleret på baggrund af data
fra Den Koordinerede Tilmelding og kan derfor variere på decimalen ift. de reelle grænsekvotienter
i 2018. De faktiske grænsekvotienter i optagelsen 2020 afhænger af evt. ændringer i ansøgernes
søgeadfærd, hvilket beregningen ikke tager højde for.
Kilde: Uddannelses- og Forskningsministeriet på baggrund af data fra Den Koordinerede Tilmelding og
Danmarks Statistik.
Nogle uddannelser oplever markant faldende grænsekvotienter ved afskaffelse af 1,08-
reglen, som f.eks.
International Business
ved CBS og
Psykologi
ved KU. Andre uddannel-
ser oplever
stigende
grænsekvotienter. Dette gælder blandt andet diplomingeniørud-
dannelserne
Kemiteknik og International Business
og
Elektroteknologi
ved DTU. Stig-
ningen skyldes, at nogle af de, der ikke længere kan komme ind på en højere prioritet
Uddannelses- og Forskningsministeriet
107
BUU, Alm.del - 2021-22 - Endeligt svar på spørgsmål 219: Spm. om børn og unges trivsel, til børne- og undervisningsministeren
2583011_0108.png
Evaluering af optagelsessystemet til de videregående uddannelser
gennem deres karaktergennemsnit tillagt bonus, bliver optaget på en lavere prioritet og
derved rykker grænsekvotienten op på den lavere prioritet.
De generelt faldende grænsekvotienter vil kun i mindre grad påvirke andelen af uddan-
nelser, ansøgerne kan optages på på baggrund af deres karaktergennemsnit. Andelen af
uddannelser, ansøgere kan blive optaget på givet deres placering i karakterfordelingen,
vil være stort set upåvirket, jf. figur 5.8.
Figur 5.8
Andelen af uddannelser, ansøgere kan blive optaget på før og efter afskaffelse af 1,08-reg-
len, procent, 2018
Procent
Andel af uddannelsesudbud (kvote 1), man kan blive optaget på
100
90
80
70
60
50
40
30
20
10
0
Lavt karaktergennemsnit
Procent
100
90
80
70
60
50
40
30
20
10
0
Højt karaktergennemsnit
Placering i karakterfordelingen blandt årets studenter
2018
Uden 1.08
Anm.: Kontrafaktisk optagelse ses via en simulering af data fra Den Koordinerede Tilmelding. Data for
begge kurver er simulerede, og 2018-kurven vil derfor ikke svare fuldstændigt til den reelle forde-
ling i 2018.
Kilde: Uddannelses- og Forskningsministeriet på baggrund af data fra Den Koordinerede Tilmelding og
Danmarks Statistik.
Det samme er gældende for betydningen af karakterdecimaler, der stadig vil være på
ca. samme niveau som før ændringen, jf. figur 5.9.
108
Uddannelses- og Forskningsministeriet
BUU, Alm.del - 2021-22 - Endeligt svar på spørgsmål 219: Spm. om børn og unges trivsel, til børne- og undervisningsministeren
2583011_0109.png
Evaluering af optagelsessystemet til de videregående uddannelser
Figur 5.9
Fald i andelen af uddannelsesudbud ansøgerne kan blive optaget på ved et fald i karakter-
fordelingen på 1 procentpoint, med og uden 1,08-reglen
Procent-point
Ændring i andelen af uddannelsesudbud (kvote 1), man
kan blive optaget på
1,4
1,2
1,0
0,8
0,6
0,4
0,2
0,0
Lavt karaktergennesnit
Procent-point
1,4
1,2
1,0
0,8
0,6
0,4
0,2
0,0
Højt karaktergennemsnit
Placering i karakterfordelingen blandt årets studenter
2018
Uden 1.08
Anm.: Kontrafaktisk optagelse ses via en simulering af data fra Den Koordinerede Tilmelding.
Kilde: Uddannelses- og Forskningsministeriet på baggrund af data fra. Den Koordinerede Tilmelding og
Danmarks Statistik.
Faldende ungdomsårgange (og dermed faldende gymnasieårgange) forventes at redu-
cere noget af den stigende betydning, som små udsving i gymnasiekarakterer har fået
over de seneste ti år alene ved, at det skønnes, at der vil være færre ansøgere til det
samme antal uddannelsespladser, jf. boks 5.2.
Boks 5.3 Den demografiske udvikling
I de kommende år vil ungdomsårgangene blive mindre. En fremskrivning i Uddannelses-
og Forskningspolitisk Redegørelse 2019 viser, at antallet af 18-25-årige vil falde med
knap 4 procent i 2025 og ca. 10 procent frem mod 2030.
Hvis andelen af en ungdomsårgang, der tager en videregående uddannelse fastholdes,
(det vil sige hverken stiger eller falder), vil antallet af ansøgere til de videregående ud-
dannelser falde. Den demografiske udvikling frem mod 2025 skønnes isoleret set at
medføre et fald i antallet af ansøgere til de videregående uddannelser på knap 3 pro-
cent svarende til ca. 2.100 færre ansøgere sammenlignet med 2018. I 2030 skønnes fal-
det til knap 3,5 procent svarende til knap 2.700 færre ansøgere. Det skønnes at mindske
optagelsen på de videregående uddannelser med op mod 2 procent i 2025 og med mere
en 2 procent i 2030.
Uddannelses- og Forskningsministeriet
109
BUU, Alm.del - 2021-22 - Endeligt svar på spørgsmål 219: Spm. om børn og unges trivsel, til børne- og undervisningsministeren
2583011_0110.png
Evaluering af optagelsessystemet til de videregående uddannelser
Metode: Simulering af afskaffelse af 1,08-reglen
Simuleringen er udført for 2018 på baggrund af data fra Den Koordinerede Tilmel-
ding. Karaktergennemsnittet er indberettet af institutionerne med eventuel 1,08-
bonus tillagt. I de tilfælde, hvor karaktergennemsnittet er 1,08 gange større end
karaktergennemsnittet fra den nationale eksamensdatabase, nedjusteres karak-
tergennemsnittet. Omkring 57 procent af de ikke-afmeldte ansøgninger får ned-
justeret karaktergennemsnittet.
Modellen omregner rangeringen i kvote 1 inkl. standby. Kvote 2 holdes konstant.,
da 1,08-reglen udelukkende har indflydelse på de karaktergennemsnit, der kon-
kurreres på baggrund af i kvote 1. Det antages dermed, at ansøgeres mulighed for
at gange sit gennemsnit ikke påvirker vurderingen i kvote 2.
Beregningerne er kontrafaktiske, idet de beregner 2018-optagelsen i en situation,
hvor der ikke havde været bonus for tidlig studiestart (1,08). Man kan således ikke
forvente, at 2020-optagelsen, hvor 1,08 afskaffes, fuldt afspejler indeværende
analyses resultater, idet både ansøgerene (og deres præferencer) og uddannel-
sernes kapacitet ændrer sig år for år.
Der må påregnes en usikkerhed i simuleringerne. Både scenariet for 2018-opta-
gelsen og scenariet med afskaffelse af 1,08-reglen simuleres for at holde model-
usikkerheden konstant på tværs af begge scenarier. Dette betyder, at de kon-
krete grænsekvotienter i 2018-scenariet kan variere en smule ift. de reelle græn-
sekvotienter for 2018-optagelsen.
110
Uddannelses- og Forskningsministeriet
BUU, Alm.del - 2021-22 - Endeligt svar på spørgsmål 219: Spm. om børn og unges trivsel, til børne- og undervisningsministeren
Evaluering af optagelsessystemet til de videregående uddannelser
6. Optagelsessystemets
betydning for elevernes
studieadfærd i de
gymnasiale uddannelsr
I dette kapitel bliver betydningen af karaktergennemsnit og
grænsekvotienter for elevernes adfærd i de gymnasiale
uddannelser analyseret. Analysen viser bl.a., at størstedelen
af eleverne vælger fag efter faglig interesse. Men for nogen
elever betyder fokus på karakterer, at de har fravalgt fag
og fagniveauer, de selv synes er spændende, fordi de er
bekymrede for, om de vil få et lavere karaktergennemsnit.
Optagelsessystemet kan have betydning for, om eleverne fordyber og dygtiggør sig
både generelt og særligt inden for deres faglige interesseområder. Derfor er det relevant
at se på, om og i givet fald hvordan optagelsessystemets vægt på karaktergennemsnit
påvirker eleverne og deres studieadfærd i de gymnasiale uddannelser. Kapitlets analy-
ser bygger på en spørgeskemaundersøgelse blandt og interview med elever på sidste år
af deres gymnasiale uddannelser.
Uddannelses- og Forskningsministeriet
111
BUU, Alm.del - 2021-22 - Endeligt svar på spørgsmål 219: Spm. om børn og unges trivsel, til børne- og undervisningsministeren
2583011_0112.png
Evaluering af optagelsessystemet til de videregående uddannelser
Hovedresultater
– Når eleverne bliver spurgt ind til, hvordan de vælger fag i den gymnasiale ud-
dannelse, angiver 46 procent af de adspurgte elever, at de i høj grad vælger
fag, der vækker deres nysgerrighed, selv om fagene er svære, og 47 procent i
nogen grad. I en række kvalitative interviews fortæller eleverne, at de generelt
vælger fag, som de synes er spændende, også selvom de oplever dem som
fagligt udfordrende, og de mener, at de risikerer at få en lav karakter.
– Når eleverne skal vurdere, om det er vigtigere for dem, at deres fag er spæn-
dende, end at de får gode karakterer, angiver 34 procent, at det i høj grad er
tilfældet og 52 procent, at det i nogen grad er tilfældet.
– Spørgeskemaundersøgelsen viser, at 26 procent af elever på de gymnasiale
uddannelser bevidst har fravalgt fag eller fravalgt at hæve fagniveauer, som
de synes var spændende, men som de vurderede, kunne trække deres samlede
karaktergennemsnit ned.
– Når eleverne skal tage stilling til, om det vigtigste for dem lige nu er at for-
bedre deres karaktergennemsnit, så svarer 38 procent af de adspurgte, at det
i høj grad er tilfældet og 38 procent, at det i nogen grad er tilfældet.
– Når eleverne skal vælge, hvad der er
vigtigst
for dem i deres gymnasiale ud-
dannelse, peger flest elever dog på, at høje karakterer er det vigtigste for dem
(24 procent af de adspurgte) – vigtigere end muligheden for at lære noget nyt
(13 procent af de adspurgte).
– I alt 72 procent af de adspurgte elever angiver, at de tilpasser deres arbejds-
indsats på den gymnasiale uddannelse efter en vurdering af, hvad de vurderer
bedst kan øge deres karaktergennemsnit.
– To ud af tre af de adspurgte elever (67 procent) angiver, at de ikke har for-
trudt nogen af deres uddannelsesvalg defineret som valg af ungdomsuddan-
nelse, studieretning og/eller fag eller niveau.
6.1 Karaktergennemsnittets betydning for elevernes
studieadfærd
Karaktergennemsnit har fået en større betydning for elever og ansøgere i dag end tidli-
gere, og elevernes oplevede betydning af karaktergennemsnit er samtidig endnu større
end den reelle, jf. kapitel 5. Den større betydning af karaktergennemsnit kan være med
til at skabe et incitament for eleverne i de gymnasiale uddannelser til at øge deres ka-
raktergennemsnit så meget som muligt – for nogle på bekostning af dybdelæring.
6.1.1 Størstedelen af eleverne vælger fag, de synes er spændende
Eleverne i de gymnasiale uddannelser er blevet spurgt, hvordan de vælger fag, og hvad
de vægter, når de skal vælge. I alt 46 procent af de adspurgte elever angiver, at de i høj
112
Uddannelses- og Forskningsministeriet
BUU, Alm.del - 2021-22 - Endeligt svar på spørgsmål 219: Spm. om børn og unges trivsel, til børne- og undervisningsministeren
2583011_0113.png
Evaluering af optagelsessystemet til de videregående uddannelser
grad og 47 procent, at de i nogen grad vælger fag, der vækker deres nysgerrighed, selv
om de oplever, at fagene er svære, jf. figur 6.1.
Figur 6.1
De adspurgte elevers svar på, om de vælger fag, der vækker deres nysgerrighed, selv om de
oplever dem som svære, andel svar, 2019
Procent
50
45
40
35
30
25
20
15
10
5
0
I høj grad
I nogen grad
I ringe grad
Slet ikke
Udsagnet er ikke
relevant for mig
Procent
50
45
40
35
30
25
20
15
10
5
0
Anm.: ”Jeg
vælger fag, der vækker min nysgerrighed, selv om de er svære”.
Antal besvarelser: 911 elever
på sidste år af deres stx, hhx, htx eller hf.
Kilde: Uddannelses- og Forskningsministeriet på baggrund af spørgeskemaundersøgelse til elever i
gymnasiale uddannelser gennemført af /KL.7 & Realize.
Spørgeskemaundersøgelserne både til elever og ansøgere har fokuseret på at spørge
dem direkte ind til deres adfærd. Det indebærer en risiko for, at respondenterne svarer
det, de vurderer er socialt acceptabelt i en given kontekst.
Metode: Fortolkning af elevernes besvarelser
Når respondenter i spørgeskemaundersøgelser spørges direkte til deres adfærd,
kan der være en tendens til, at de svarer det, de mener er social acceptabelt (se
f.eks. van de Mortel, 2008). Eleverne i de gymnasiale uddannelser kan f.eks. svare
det, de tror deres undervisere gerne vil høre, eller som fremstiller dem som flittige
eller dygtige elever – men som ikke er retvisende for deres faktiske adfærd.
Spørgeskemaundersøgelserne til elever og ansøgere er derfor designet sådan, at
de dels bliver spurgt direkte ind til deres adfærd, samtidig med at der er formule-
ret spørgsmål for indirekte at afsløre, om de viser en anden adfærd, end de giver
udtryk for. Et eksempel på dette er spørgsmålet rapporteret i figur 6.1, der spør-
ger eleverne direkte til, hvordan de vælger fag. Spørgsmålene rapporteret i figur
6.2 og figur 6.3 er yderligere forsøg på at spørge ind til samme emne, men på an-
dre måder, for tilsammen at danne et billede af elevernes adfærd. Derfor kan sva-
rene også pege i forskellige retninger.
Uddannelses- og Forskningsministeriet
113
BUU, Alm.del - 2021-22 - Endeligt svar på spørgsmål 219: Spm. om børn og unges trivsel, til børne- og undervisningsministeren
2583011_0114.png
Evaluering af optagelsessystemet til de videregående uddannelser
Når eleverne alene skal vurdere, hvad der er
det vigtigste
for dem – spændende fag eller
karakterer - så vurderer 34 procent, at det i høj grad og 52 procent, at det i nogen grad
er vigtigere for dem, at deres fag er spændende end, at de får gode karakterer, jf. figur
6.2.
Figur 6.2
De adspurgte elevers svar på, om det er vigtigere, at deres fag er spændende, end at de får
gode karakterer, andel svar, 2019
Procent
60
50
40
30
20
10
0
Procent
60
50
40
30
20
10
0
I høj grad
I nogen grad
I ringe grad
Slet ikke
Udsagnet er ikke
relevant for mig
Anm.:
”Det er vigtigere for mig, at mine fag er spændende, end at jeg får gode karakterer.”
Antal besva-
relser: 911 elever på sidste år af deres stx, hhx, htx eller hf.
Kilde: Uddannelses- og Forskningsministeriet på baggrund af spørgeskemaundersøgelse til elever i gym-
nasiale uddannelser gennemført af /KL.7 & Realize.
Elevernes besvarelser peger på, at det mest styrende for deres valg af fag er deres fag-
lige interesse. Dykker man ned i, hvilke overvejelser eleverne har i forbindelse med valg
af fag og niveauer i fag, så viser analysen, at eleverne har forskellige tilgange til valg af
fag – nogle gange også i kombination, jf. boks 6.1.
Boks 6.1 Forskellige tilgange til at vælge fag og fagniveauer
/KL.7 og Realize har for Uddannelses- og Forskningsministeriet gennemført en række in-
terview med elever på sidste år af deres gymnasiale uddannelse. Interviewene viser, at
eleverne har forskellige tilgange til, hvordan de vælger fag og fagniveauer. Nogle elever
siger, at de vælger fag og/eller at hæve niveau i fag ud fra deres faglige interesse, men
andre elever vælger fag og/eller at hæve niveau i fag, fordi de forventer at kunne få en
god karakter i faget.
Samtidig siger eleverne også, at de kan vælge fag og/eller at hæve niveau i fag, fordi
det giver dem adgang til specifikke videregående uddannelser eller ”holder flest mulige
døre åbne”. Endelig har nogle elever fokus på fremtidige jobmuligheder, når de vælger
fag og/eller hæver niveau i fag. Tilgangene er ikke gensidigt udelukkende. Der kan f.eks.
være en naturlig sammenhæng mellem de fag, eleverne interesserer sig for og de fag, de
forventer at kunne få en god karakter i.
114
Uddannelses- og Forskningsministeriet
BUU, Alm.del - 2021-22 - Endeligt svar på spørgsmål 219: Spm. om børn og unges trivsel, til børne- og undervisningsministeren
2583011_0115.png
Evaluering af optagelsessystemet til de videregående uddannelser
6.1.2 Nogle elever fravælger fag, de synes er spændende, hvis det trækker
karaktergennemsnittet ned
Det er relevant at se på, hvad omfanget er af den tilgang til at vælge fag ud fra en tan-
kegang om at øge karaktergennemsnittet så meget som muligt. I alt svarer 26 procent
af eleverne, at de bevidst har fravalgt fag eller at hæve niveauer i fag, som de synes var
spændende, men som de vurderede kunne trække deres samlede karaktergennemsnit
ned, jf. figur 6.3.
Figur 6.3
De adspurgte elevers svar på, om de har fravalgt fag eller at hæve niveauer i fag, procent,
2019
Procent
70
60
50
40
30
20
10
0
Procent
70
60
50
40
30
20
10
0
Ja
Ja, jeg har fravalgt at hæve niveauer i fag
Nej
Ja, jeg har fravalgt fag
Ved ikke
Ja, jeg har fravalgt fag og at hæve niveauer i fag
Anm.: ”Tænk
på dit valg af studieretning og valgfag på din nuværende uddannelse. Har du fravalgt fag
eller fravalgt at hæve niveauer i fag, du syntes var spændende, men som du vurderede kunne
trække dit samlede gennemsnit nedad?”
Antal besvarelser: 911 elever på sidste år af deres stx,
hhx, htx eller hf.
Kilde: Uddannelses- og Forskningsministeriet på baggrund af spørgeskemaundersøgelse til elever i gym-
nasiale uddannelser gennemført af /KL.7 & Realize.
To tredjedele angiver, at de ikke har fravalgt fag og/eller hævet et niveau i et fag med
tanke på, at det kunne trække deres karaktergennemsnit i en negativ retning.
6.1.3 Karakterer er for nogle elever det vigtigste
Betydningen af små ændringer i karaktergennemsnittet for at kunne blive optaget på
en videregående uddannelse i kvote 1 er steget, og i elevernes bevidsthed opfatter de
betydningen af karaktergennemsnit som endnu mere begrænsende, end hvad tilfældet
er, jf. kapitel 5. Samtidig viste afsnit 6.1.1, at eleverne primært vælger fag efter deres
faglige interesse.
Beder man eleverne tage stilling til, om det vigtigste for dem lige nu (givet de fag, de har
valgt) er at øge deres karaktergennemsnit, så svarer 38 procent af eleverne (på sidste
år af deres gymnasiale uddannelse), at det i høj grad er tilfældet og 38 procent, at det i
nogen grad er tilfældet, jf. figur 6.4.
Uddannelses- og Forskningsministeriet
115
BUU, Alm.del - 2021-22 - Endeligt svar på spørgsmål 219: Spm. om børn og unges trivsel, til børne- og undervisningsministeren
2583011_0116.png
Evaluering af optagelsessystemet til de videregående uddannelser
Figur 6.4
Elevernes angivelse af, om det vigtigste for dem lige nu er at forbedre deres karakteregen-
nemsnit, procent, 2019
Procent
40
35
30
25
20
15
10
5
0
Procent
40
35
30
25
20
15
10
5
0
I høj grad
I nogen grad
I ringe grad
Slet ikke
Udsagnet er ikke
relevant for mig
Anm.:
”Det vigtigste for mig lige nu er at forbedre mit karaktergennemsnit.”.
Antal besvarelser = 911.
Kilde: Uddannelses- og Forskningsministeriet på baggrund af spørgeskemaundersøgelse til elever i gym-
nasiale uddannelser gennemført af /KL.7 & Realize.
Ser man på elevernes egne fortællinger, så handler det for dem, der angiver karakterer
som det vigtigste, om at arbejde målrettet mod et bestemt gennemsnit, jf. boks 6.2.
116
Uddannelses- og Forskningsministeriet
BUU, Alm.del - 2021-22 - Endeligt svar på spørgsmål 219: Spm. om børn og unges trivsel, til børne- og undervisningsministeren
2583011_0117.png
Evaluering af optagelsessystemet til de videregående uddannelser
Boks 6.2 Elevernes egne fortællinger om betydning af karakterer
Elevernes svar i fritekstfelterne i spørgeskemaundersøgelsen viser overordnet set to år-
sager til, at de oplever karaktergennemsnit som det vigtigste. Den ene er at arbejde
målrettet mod et bestemt karaktergennemsnit, fordi de gerne vil søge ind på en be-
stemt uddannelse:
”For at kunne komme ind på den videregående uddannelse, jeg drømmer om (medicin),
kræver det et gennemsnit på 11,4, samt at jeg har gennemført min stx (mat/biotek).
Derfor er det vigtigste at gennemføre det med et højt snit”.
Den anden er at øge sit karaktergennemsnit så meget som muligt. Det er den strategi,
eleverne kalder ”at holde alle døre åbne”:
”Selvom jeg ville ønske, at mit fokus kunne ligge et andet sted, så er det i høj grad de
høje karakterer, der fylder i mit hoved, fordi det virker så afgørende for muligheden for,
at jeg kan komme ind på den uddannelse, jeg ønsker, og at jeg ikke bliver begrænset,
fordi mit karaktergennemsnit ikke er højt nok”.
Denne adfærd må vurderes i særlig grad at gøre sig gældende for elever, der ikke har
besluttet sig for, hvad de vil efter den gymnasiale uddannelse. Studievalg Danmark ud-
trykker desuden, at mange unge giver udtryk for, at de anser karaktergennemsnittet
som en ’livstidsdom’, da karaktergennemsnittet aldrig kan forbedres. Dette medvirker til
et stort karakterfokus.
Når eleverne skal prioritere, hvad det er det vigtigste for dem blandt en række mulighe-
der, så svarer 24 procent, at høje karakterer er det vigtigste for dem lige nu, jf. figur 6.5.
Det er det hyppigst angivne svar af alle de mulige, men omtrent på niveau med de 19
procent, der svarer gode venner, og de 18 procent, der svarer, at det vigtigste for dem er
relevante adgangsgivende fag og niveauer. I alt 4 procent angiver faglige udfordringer,
mens 13 procent angiver muligheden for at lære noget nyt.
Uddannelses- og Forskningsministeriet
117
BUU, Alm.del - 2021-22 - Endeligt svar på spørgsmål 219: Spm. om børn og unges trivsel, til børne- og undervisningsministeren
2583011_0118.png
Evaluering af optagelsessystemet til de videregående uddannelser
Figur 6.5
De adspurgte elevers svar på, hvad der er vigtigst for dem på deres gymnasiale uddannelse,
procent, 2019
Procent
30
0
Høje karakterer
Gode venner
Relevante adgangsgivende fag og niveauer til
videregående uddannelse
Mulighed for at lære noget nyt
Jeg ved ikke, hvad der er vigtigst for mig lige nu
Tid til at slappe af og have det sjovt
Faglige udfordringer
0
5
10
15
20
25
5
10
15
20
25
30
Procent
Anm.: ”Hvad
er lige nu det vigtigste for dig på din nuværende uddannelse? (Du kan vælge én ting) At
have…”
Antal besvarelser: 911 elever på sidste år af deres stx, hhx, htx eller hf.
Kilde: Uddannelses- og Forskningsministeriet på baggrund af spørgeskemaundersøgelse til elever i gym-
nasiale uddannelser gennemført af /KL.7 & Realize.
Slås kategorierne ’Gode venner’ (19 procent) og ’Tid til at slappe af og have det sjovt’
(10 procent) sammen, er det samlet set en højere andel end dem, der svarer ’Høje karak-
terer’. Ser man på, hvor mange, der samlet set svarer ’Mulighed for at lære noget nyt’ (13
procent) og ’Faglige udfordringer’ (4 procent) er det forsat under den andel, der svarer
’Høje karakterer’.
At eleverne både har fokus på at vælge fag efter fagligt fokus, og samtidig angiver ka-
raktererne som det vigtigste, er ikke nødvendigvis to uforenelige tilgange. Dels skal be-
svarelserne ses i lyset af, at de adspurgte elever er på sidste år af deres gymnasiale ud-
dannelse, hvorfor fokus på karakterer kan fylde mere end på de første år på uddannel-
sen. Dels har /KL.7 gennemført en profilanalyse af elevernes vægt på hhv. karakterfokus
og fagligt fokus ud fra elevernes besvarelse af spørgeskemaundersøgelsen, der viser, at
eleverne kan deles op i to profiler, jf. boks 6.3.
118
Uddannelses- og Forskningsministeriet
BUU, Alm.del - 2021-22 - Endeligt svar på spørgsmål 219: Spm. om børn og unges trivsel, til børne- og undervisningsministeren
2583011_0119.png
Evaluering af optagelsessystemet til de videregående uddannelser
Boks 6.3 To elevprofiler: Karakterfokus eller fagligt fokus
Analysen viser, at eleverne kan opdeles i to profiler: elever med karakterfokus og elever
med fagligt fokus.
Karakterfokus
En elev med karakterfokus er bl.a. kendetegnet ved i højere grad at være ekstrinsisk
motiveret, dvs. motiveret af ydre faktorer end af det faglige indhold. Det er f.eks. høje
karakterer, gode jobmuligheder og en høj startløn, der motiverer disse elever. I alt kan 46
procent af de adspurgte elever karakteriseres som havende et karakterfokus.
Fagligt fokus
En elev med fagligt fokus er bl.a. kendetegnet ved i højere grad at være intrinsisk moti-
veret, dvs. motiveret af indre faktorer end af f.eks. høje karakterer. Det vil bl.a. sige, det
at lære noget nyt og få et størst muligt fagligt udbytte. I alt kan 54 procent af de ad-
spurgte karakteriseres som havende et fagligt fokus.
6.1.4 Størstedelen af eleverne tilpasser deres arbejdsindsats for at øge
karaktergennemsnittet
Den oplevede effekt af karaktergennemsnit og strategien om ”at holde alle døre åbne”
kan tilskynde eleverne yderligere til en adfærd, der understøtter at øge karaktergen-
nemsnittet så meget som muligt for at have (en oplevelse af) adgang til flest mulige vi-
deregående uddannelser. Det underbygges af konklusioner fra eksisterende undersøgel-
ser, jf. boks 6.4.
Boks 6.4 Danmarks Evalueringsinstitut, 2014: ”Det svære uddannelsesvalg”
En interviewbaseret undersøgelse fra Danmarks Evalueringsinstitut af gymnasieelevers
valgprocesser viser, at der generelt er tre forskellige strategier for eleverne, når de skal
vælge videregående uddannelse. Den mest dominerende strategi er at ”holde alle døre
åbne”. Her bliver det at øge sit karaktergennemsnit så meget som muligt anskuet som
noget, der holder alle døre til de videregående uddannelser åbne for eleverne. På den
måde kan de skubbe deres valg af videregående uddannelse så langt foran sig som mu-
ligt. De to andre strategier handler dels om at arbejde målrettet mod et bestemt karak-
tergennemsnit for de elever, der er meget afklarede, og dels om at fokusere på nuet og
tage tingene, som de kommer.
Spørgeskemaundersøgelsen foretaget i denne evaluering viser, at 72 procent af de ad-
spurgte elever i de gymnasiale uddannelser tilpasser deres arbejdsindsats på uddannel-
sen efter en vurdering af, hvad der bedst kan øge karaktergennemsnittet – 48 procent
har lagt en større indsats, 29 procent har ikke ændret deres arbejdsindsats, mens 24
procent har lagt en mindre indsats., jf. figur 6.6.
Uddannelses- og Forskningsministeriet
119
BUU, Alm.del - 2021-22 - Endeligt svar på spørgsmål 219: Spm. om børn og unges trivsel, til børne- og undervisningsministeren
2583011_0120.png
Evaluering af optagelsessystemet til de videregående uddannelser
Figur 6.6
De adspurgte elevers svar på, om de varierer deres arbejdsindsats i forskellige fag i den
gymnasiale uddannelse for at øge deres samlede karaktergennemsnit, procent, 2019
Procent
60
50
40
30
20
10
0
Procent
60
50
40
30
20
10
0
Ja, jeg har lagt en større
arbejdsindsats i nogle fag
Nej
Ja, jeg har lagt en mindre
arbejdsindsats i nogle fag
Ved ikke
Anm.: ”Tænk
på din arbejdsindsats på din nuværende uddannelse. Har du valgt at lægge en ekstra stor
eller lille arbejdsindsats i bestemte fag ud fra din vurdering af, hvad der bedst kunne øge dit sam-
lede gennemsnit?”
(Det er muligt at sætte flere krydser). Antal besvarelser: 911 elever på sidste år
af deres stx, hhx, htx eller hf.
Kilde: Uddannelses- og Forskningsministeriet på baggrund af spørgeskemaundersøgelse til elever i gym-
nasiale uddannelser gennemført af /KL.7 & Realize.
At tilpasse sin arbejdsindsats kan have forskellige årsager for eleverne, jf. boks 6.5.
120
Uddannelses- og Forskningsministeriet
BUU, Alm.del - 2021-22 - Endeligt svar på spørgsmål 219: Spm. om børn og unges trivsel, til børne- og undervisningsministeren
2583011_0121.png
Evaluering af optagelsessystemet til de videregående uddannelser
Boks 6.5 Tilgange til at tilpasse sin arbejdsindsats blandt eleverne
I fritekstfelterne i spørgeskemaundersøgelsen har eleverne kunne uddybe, hvilke til-
gange de har til at tilpasse deres arbejdsindsats. Svarene viser, at der er en række til-
gange, eleverne anvender. De udelukker ikke nødvendigvis hinanden og bruges også
ofte i kombination. De hyppigste er:
Fokus på fagenes relevans i forhold til den videregående uddannelse
”Fordi nogen fag er mere relevante til den videre gående uddannelse jeg gerne vil ind på
end andre.”
Fokus på faglig interesse
”… Ud over dette har det nok også noget at gøre med, om jeg finder dem interessante.”
Fokus på at forbedre karaktergennemsnittet
”Jeg har lagt en større arbejdsindsats i de fag, som jeg tror kan trække mit gennemsnit
op.”
”Jeg har lagt en større arbejdsindsats i fag, hvor jeg i forvejen ved, jeg er stærk. På den
måde håber jeg på at få høje karakterer i disse fag, så de fag, hvor jeg er knap så stærk,
ikke trækker lige så meget ned.”
Fokus på de fag, man har sværest ved
”De fag, jeg har svært ved, har jeg brugt ekstra tid på for at kunne præstere bedre.”
”De
fag, jeg har svært ved, øger jeg min arbejdsindsats i, så karakteren kan øges.”
Forskning i elevers læringsstrategier peger på, at måden eleverne vurderes på ved f.eks.
karakterer har en betydning for, hvordan eleverne tilegner sig viden – også kaldet deres
læringsstrategi, jf. boks 6.6.
Uddannelses- og Forskningsministeriet
121
BUU, Alm.del - 2021-22 - Endeligt svar på spørgsmål 219: Spm. om børn og unges trivsel, til børne- og undervisningsministeren
2583011_0122.png
Evaluering af optagelsessystemet til de videregående uddannelser
Boks 6.6 Viden om elevers læringsstrategier
Forskning i læringsstrategier blandt elever på de gymnasiale uddannelser peger på sær-
ligt to forhold i relation til karakterers betydning for elevernes læringsstrategi. Dels kan
karakterer give et positivt incitament ved at tilskynde den enkelte elev til gennem flid
og engagement at opnå en god karakter. Dels kan et meget ensidigt fokus på at øge
sine karakterer så meget som muligt have en negativ betydning for elevernes lærings-
strategier (Biesta, 2010).
Den negative betydning kan komme til udtryk ved en målforskydning, hvor karakteren
bliver målet i sig selv. Det øger sandsynligheden for, at eleverne adapterer en overfla-
disk tilgang til læring. Her reproduceres viden via en instrumentel tilgang, hvilket bety-
der, at eleverne er fokuseret på at gengive viden. Der er en risiko for, at det sker på be-
kostning af dybdelæring, hvor eleverne selv formår at analysere og omsætte det faglige
indhold.
Ligeledes finder en undersøgelse fra Center fra Ungdomsforskning fra 2018, at en ofte
brugt strategi for eleverne i de gymnasiale uddannelser er at fokusere på at præstere i
de næste fag, eleverne afslutter, for at få en god karakter. Rapporten konkluderer bl.a.,
at denne karakterorientering og det, de kalder ’præstationsorientering’, særligt er frem-
trædende i dele af hhx og stx, og at der her er basis for at tale om en egentlig præstati-
onskultur.
Undersøgelsen peger på to forhold uden for de gymnasiale uddannelser, nemlig brugen
af karaktergennemsnit i optagelsessystemet til de videregående uddannelser og en ge-
nerel perfektionskultur blandt de unge. Her opfatter særligt elever i hhx, stx og hf, at de-
res karakterer er afgørende for de muligheder, de har i fremtiden. Mulighederne opleves
ikke som nogle, de har, men nogle de selv skal skabe.
Tendensen blandt nogle elever til at fokusere på karaktergennemsnittet og tilpasse de-
res studieadfærd derefter kan påvirke, hvordan de elever trives i gymnasiet. Det er ikke i
evalueringen undersøgt, om optagelsessystemet isoleret set påvirker elevernes trivsel,
men andre undersøgelser peger på, at selv om eleverne generelt trives i gymnasiet, så
oplever nogle elever at føle sig pressede på grund af karakterer, jf. boks 6.7.
122
Uddannelses- og Forskningsministeriet
BUU, Alm.del - 2021-22 - Endeligt svar på spørgsmål 219: Spm. om børn og unges trivsel, til børne- og undervisningsministeren
2583011_0123.png
Evaluering af optagelsessystemet til de videregående uddannelser
Boks 6.7 Børne- og Undervisningsministeriets trivselsmåling 2019
Børne- og undervisningsministeriet følger løbende med i trivsel for eleverne i ungdoms-
uddannelserne. Ministeriet offentliggjorde i september 2019 en trivselsmåling for elever i
de gymnasiale uddannelser. Undersøgelsen viser, at 82 procent af de adspurgte elever
er ’helt enig’ eller ’delvist enig’ i, at de glade for at gå i skole.
Når eleverne bliver spurgt ind til, hvordan brugen af karakterer påvirker dem, så svarer
58 procent af de adspurgte elever, at de ‘meget tit’ eller ’tit’ føler sig pressede på grund
af karakterer. Samtidig svarer 64 procent af eleverne, at de ’meget tit’ eller ’tit’ føler sig
pressede på grund af egne krav og forventninger til skolen.
Samtidig peger en evaluering fra Danmarks Evalueringsinstitut fra 2019 på, at
gymnasieelevernes forhold til karakterer er præget af ambivalens. Evalueringen ta-
ger afsæt i et toårigt forsøg med karakterfritagelse i 1.g på 15 gymnasier.
Resultaterne viser, at to ud af tre elever i forsøget (63 procent) på den ene side fø-
ler sig mindre pressede, når de ikke får karakterer. På den anden side oplever fire ud
af fem elever (80 procent), at når de ikke får karakterer, så bliver de usikre, fordi de
ikke ved, hvilket fagligt niveau de ligger på.
6.1.5 To tredjedele fortryder ikke valg i den gymnasiale uddannelse
Størstedelen af elever i de gymnasiale uddannelser fortryder ikke deres valg af enten
ungdomsuddannelse, studieretning, fag eller niveauer. Således svarer to ud af tre af de
adspurgte elever (67 procent) i spørgeskemaundersøgelsen, at de ikke har fortrudt no-
gen af deres valg i den gymnasiale uddannelse, jf. figur 6.7.
Uddannelses- og Forskningsministeriet
123
BUU, Alm.del - 2021-22 - Endeligt svar på spørgsmål 219: Spm. om børn og unges trivsel, til børne- og undervisningsministeren
2583011_0124.png
Evaluering af optagelsessystemet til de videregående uddannelser
Figur 6.7
De adspurgte elevers svar på om de fortryder valg af ungdomsuddannelse, studieretning el-
ler fag, andel svar, 2019
Procent
70
60
50
40
30
20
10
0
Procent
70
60
50
40
30
20
10
0
Nej, jeg fortryder ingen af
mine uddannelsesvalg
Ja, at jeg valgte
studieretning
Ja, at jeg valgte at hæve et
eller flere af følgende fag til
et højere niveau
Ja at jeg valgte en
ungdomsuddannelse
Anm.:
Kilde:
”Har
du fortrudt et eller flere af dine valg af studieretning eller fag? (Du kan sætte flere kryd-
ser)”.
Antal besvarelser: 911 elever på sidste år af deres stx, hhx, htx eller hf.
Uddannelses- og Forskningsministeriet på baggrund af spørgeskemaundersøgelse til elever i
gymnasiale uddannelser gennemført af /KL.7 & Realize.
Samlet set svarer en tredjedel af eleverne, at de enten fortryder deres valg af ungdoms-
uddannelse, studieretning og/eller fag eller niveau (33 procent). Færrest fortryder deres
valg af ungdomsuddannelse (8 procent), mens 16 procent fortryder deres valg af stu-
dieretning og 14 procent valg af fag eller niveau, jf. figur 6.7. Der kan være mange for-
skellige årsager til, at eleverne fortryder et eller flere af deres valg, jf. boks 6.8.
Boks 6.8 Årsager til at fortryde valg på ungdomsuddannelsen
I et fritekstfelt i spørgeskemaundersøgelsen har den gruppe af elever, der har fortrudt et
af deres valg, haft mulighed for at begrunde, hvorfor de har fortrudt. Der er tre årsager,
eleverne hyppigst angiver:
1. Eleverne oplever, at enten studieretningen, faget eller uddannelsen var for svær og
tidskrævende (51 procent af dem, der har udfyldt tekstfeltet)
2. Eleverne oplever, at valget reducerer deres uddannelsesmuligheder efterfølgende
(33 procent af dem, der har udfyldt tekstfeltet)
3.
At studieretningen, faget eller uddannelsen ikke var så spændende som håbet (13
procent af dem, der har udfyldt tekstfeltet).
124
Uddannelses- og Forskningsministeriet
BUU, Alm.del - 2021-22 - Endeligt svar på spørgsmål 219: Spm. om børn og unges trivsel, til børne- og undervisningsministeren
Evaluering af optagelsessystemet til de videregående uddannelser
7. Ansøgernes
søgeadfærd
I dette kapitel bliver der redegjort for ansøgernes
søgeadfærd, herunder hvad der påvirker ansøgernes valg af
videregående uddannelse. Analyserne viser bl.a., at
ansøgerne generelt søger flere uddannelser end tidligere –
bortset fra ansøgere med de højeste karaktergennemsnit,
der i højere grad søger enkelte uddannelser med høje
grænsekvotienter.
Optagelsessystemets indretning kan have betydning for ansøgernes refleksion over
egne interesser i uddannelsesvalget. Derfor undersøges det i dette kapitel, hvordan an-
søgernes søgeadfærd har ændret sig over tid, og om optagelsessystemet i sig selv på-
virker ansøgernes søgeadfærd. Kapitlets analyser bygger på statistiske analyser af
data fra Den Koordinerede Tilmelding (KOT), en spørgeskemaundersøgelse blandt elever
på sidste år af deres gymnasiale uddannelse og en spørgeskemaundersøgelse blandt
ansøgere til de videregående uddannelser i 2018.
Uddannelses- og Forskningsministeriet
125
BUU, Alm.del - 2021-22 - Endeligt svar på spørgsmål 219: Spm. om børn og unges trivsel, til børne- og undervisningsministeren
2583011_0126.png
Evaluering af optagelsessystemet til de videregående uddannelser
Hovedresultater
– Ansøgere med høje karaktergennemsnit søger de samme få uddannelser. Top
10-procent af ansøgerne (ansøgere med karaktergennemsnit på 10,4 eller
derover) retter tilsammen 23 procent af deres 1. prioritetsansøgninger mod de
samme fem uddannelsesudbud.
– To tredjedele af ansøgerne var opmærksomme på efterfølgende jobmulighe-
der, da de skulle vælge uddannelse. Det er det hyppigst angivne opmærksom-
hedspunkt efterfulgt af uddannelsens faglige indhold (55 procent).
– Grænsekvotienter påvirker i sig selv, hvordan ansøgerne vælger uddannelse. I
en spørgeskemaundersøgelse til ansøgere til de videregående uddannelser i
2018 ændrer en ud af seks ansøgere i et eksperiment deres uddannelsesvalg
alene på grund af en stigning i grænsekvotienten.
– De adspurgte ansøgere vurderer, at andre mener, at prestigefyldte videregå-
ende uddannelser er kendetegnet ved en høj grænsekvotient (62 procent) og
høj startløn efter endt uddannelse (61 procent). Selv mener 33 procent af de
adspurgte, at en prestigefuld videregående uddannelse er kendetegnet ved en
høj grænsekvotient og 34 procent ved en høj startløn.
– Når ansøgere til de videregående uddannelser i en spørgeskemaundersøgelse
bliver bedt om at tænke tilbage, så angiver 87 procent af de adspurgte, at de i
høj grad eller i nogen grad var afklarede om deres valg af videregående ud-
dannelse, da de søgte optagelse.
– Blandt ansøgere, der fik tilbudt en studieplads valgte 10 procent i 2019 at
takke nej. I 2018 var i alt 66 procent af dem, der takkede nej til en plads, til-
budt en plads på deres 1. prioritet.
126
Uddannelses- og Forskningsministeriet
BUU, Alm.del - 2021-22 - Endeligt svar på spørgsmål 219: Spm. om børn og unges trivsel, til børne- og undervisningsministeren
Evaluering af optagelsessystemet til de videregående uddannelser
7.1 Ansøgernes søgemønstre og fordeling i optagelsessystemet
Ansøgere kan i optagelsessystemet vurderes på de uddannelser, hvor de opfylder ad-
gangskravene. I dette afsnit analyseres, i hvor høj grad ansøgere søger samme type ud-
dannelser.
7.1.1 Ansøgere med høje karakterer søger de samme få uddannelser
Der er stor forskel på, hvilke uddannelser ansøgerne med de laveste og højeste karak-
tergennemsnit søger. En lille række uddannelser modtager langt størstedelen af 1. priori-
tetsansøgningerne fra de ansøgere med de højeste karaktergennemsnit, jf. figur 7.1.
F.eks. søger 8 procent af ansøgerne med de højeste karaktergennemsnit medicin på Kø-
benhavns Universitet som deres 1. prioritet. Det andet mest populære udbud for denne
gruppe er medicin på Aarhus Universitet som modtager over 5 procent af 1. prioritets-
ansøgningerne.
Samlet udgør de fem mest populære udbud 25 procent af 1. prioritetsansøgningerne
blandt ansøgerne med de højeste karaktergennemsnit (top 5 procent). Det vil sige an-
søgere med karaktergennemsnit på 11,0 eller derover (før bonus). Den tilsvarende andel
for de 10 procent af ansøgerne med de højeste karaktergennemsnit, dvs. ansøgere med
karaktergennemsnit på 10,4 eller derover, er 23 procent, jf. figur 7.1. Alle fem udbud
havde i 2019 en grænsekvotient over 10,4.
Uddannelses- og Forskningsministeriet
127
BUU, Alm.del - 2021-22 - Endeligt svar på spørgsmål 219: Spm. om børn og unges trivsel, til børne- og undervisningsministeren
2583011_0128.png
Evaluering af optagelsessystemet til de videregående uddannelser
Figur 7.1
Andelen af 1. prioritetsansøgninger for forskellige karaktergrupper, 2019
Anm.: Kun 1. prioritetsansøgninger er medtaget. Alle ansøgere er rangeret efter deres placering i karak-
terfordelingen i det år, de dimitterede fra den gymnasiale uddannelse. Uddannelserne er repræsen-
teret ved uddannelsesudbud. Andelene er beregnet inden for kvintiler, dvs. grupperinger af 5 pro-
cent. Uddannelser med de 10 højeste andele blandt ansøgere med de 5 procent højeste karakter-
gennemsnit (dvs. karaktergennemsnit på 11,0 eller derover for 2019) er farvede. Den blå stiplede
linje er uddannelsen med den højeste andel blandt ansøgere med de laveste karakterer. De grå
streger repræsenterer øvrige uddannelser. Andelene er beregnet for søgningen i 2019 samlet, og
summer horisontalt til hundrede.
Kilde: Uddannelses- og Forskningsministeriet på baggrund af data fra Den koordinerede Tilmelding
For en række af de uddannelser med de højeste grænsekvotienter begynder andelene at
stige brat allerøverst i fordelingen af karaktergennemsnit. Eksempelvis er
International
Business
på Copenhagen Business School, Handelshøjskolen og
Forsikringsøkonomi
Københavns Universitet kun rigtigt populære blandt de fem procent ansøgere med de
højeste karaktergennemsnit. Begge disse uddannelser har hvert år ganske høje grænse-
kvotienter på f.eks. hhv. 12,4 og 11,5 (2019).
Blandt ansøgere med de laveste karaktergennemsnit er pædagoguddannelserne den
mest søgte 1. prioritetsuddannelse. Blandt de fem procent af ansøgerne med de laveste
128
Uddannelses- og Forskningsministeriet
BUU, Alm.del - 2021-22 - Endeligt svar på spørgsmål 219: Spm. om børn og unges trivsel, til børne- og undervisningsministeren
2583011_0129.png
Evaluering af optagelsessystemet til de videregående uddannelser
karaktergennemsnit søger 17 procent pædagoguddannelser. Den tilsvarende andel, der
søger disse uddannelser, blandt de 5 procent ansøgere med de højeste karaktergen-
nemsnit er på 0,3 procent. Det skal også ses i sammenhæng med, at søgningen mod de
fire store velfærdsuddannelser generelt er faldet de sidste fra 2016-2019, jf. boks 7.1
Boks 7.1 Søgning og tilgang til velfærdsuddannelser
Uddannelses- og Forskningsministeriet har i Uddannelses- og Forskningspolitisk Rede-
gørelse 2019 belyst ansøgning og tilgang til uddannelserne til folkeskolelærer, pædagog,
socialrådgiver og sygeplejerske. Redegørelsen viser, at:
– Antallet af 1. prioritetsansøgninger til de fire uddannelser er faldet med knap
12 procent fra 2016 til 2019. I samme periode er antallet af 1. prioritetsansøg-
ninger til professionsbacheloruddannelserne samlet set faldet med 8 procent.
– Næsten 9 ud af 10 optagne på de fire uddannelser (det vil her sige alle udbud
af uddannelserne) havde den uddannelse, de blev optaget på, som 1. prioritet i
2018.
– I 2019 blev der afvist knap 1.600 kvalificerede ansøgere til de fire uddannelser.
– Tilgangen til socialrådgiver og sygeplejerskeuddannelsen er steget med hhv.
149 og 43 procent fra 2000 til 2018, mens tilgangen til pædagog- og lærerud-
dannelsen er faldet med hhv. 5 procent og med 14 procent. I samme periode
steg tilgangen til de videregående uddannelser med over 40 procent.
Knap halvdelen af tilgangen til folkeskolelærer, pædagog, socialrådgiver og
sygeplejerske i 2018 var til uddannelsesudbud, der lå uden for København, Aar-
hus, Odense og Aalborg.
Ansøgerne med høje karaktergennemsnit søger en mindre gruppe af uddannelser. Ansø-
gere blandt de øverste 10 procent (10. decil) er således fire gange så koncentrerede om
bestemte uddannelser i forhold til ansøgere i midten af karakterfordelingen målt på et
koncentrationsindeks, jf. figur 7.2.
Uddannelses- og Forskningsministeriet
129
BUU, Alm.del - 2021-22 - Endeligt svar på spørgsmål 219: Spm. om børn og unges trivsel, til børne- og undervisningsministeren
2583011_0130.png
Evaluering af optagelsessystemet til de videregående uddannelser
Figur 7.2
Ansøger koncentrationen fordelt på placering i karakterfordelingen, 2019
Herfindahl-indeks x 100
2,0
1,8
1,6
1,4
1,2
1,0
0,8
0,6
0,4
0,2
0,0
1. decil
2. decil
3. decil
4. decil
5. decil
6. decil
7. decil
8. decil
9. decil
10. decil
Herfindahl-indeks x 100
2,0
1,8
1,6
1,4
1,2
1,0
0,8
0,6
0,4
0,2
0,0
Placering i karakterfordelingen
Anm.: Koncentrationen er målt ved et koncentrationsindeks baseret på 1. prioritetsansøgninger. Se me-
todebeskrivelse om beregning af koncentration. Alle ansøgere er rangeret efter den placering i ka-
rakterfordelingen i det år, de dimitterede fra den gymnasiale uddannelse.
Kilde: Uddannelses- og Forskningsministeriet på baggrund af data fra Den Koordinerede Tillmelding.
Siden 2009 har der været et generelt
fald
i koncentrationen af ansøgernes uddannel-
sesønsker. Med andre ord søger ansøgerne generelt bredere. Dette er dog kun i mindre
grad tilfældet for de ansøgere, der ligger højest i karakterfordelingen, jf. figur 7.3
Koncentrationen er særligt faldet midt i karakterfordelingen. Ansøgerne i den 5. decil
søgte godt 35 procent mindre koncentreret i 2019 i forhold til 2009, jf. figur 7.3. Samme
tendens gælder for hele den midterste del af karakterfordelingen. Koncentrationen er
faldet mindst i toppen og bunden af karakterfordelingen. De øverste ti procent (10. de-
cil) er faldet med 8 procent, mens koncentrationen for de 10 procent med de laveste
karakterer (1. decil) er faldet med 16 procent.
130
Uddannelses- og Forskningsministeriet
BUU, Alm.del - 2021-22 - Endeligt svar på spørgsmål 219: Spm. om børn og unges trivsel, til børne- og undervisningsministeren
2583011_0131.png
Evaluering af optagelsessystemet til de videregående uddannelser
Figur 7.3
Ansøgerkoncentrationen fordelt på placering i karakterfordelingen, 2009-2019, indeks
2009=100
(Indeks 2009=100)
120
100
80
60
40
20
0
(Indeks 2009=100)
120
100
80
60
40
20
0
2009
2010
2011
1. decil
2012
2013
2014
5. decil
2015
2016
2017
2018
10. decil
2019
Anm.: Koncentrationen er målt ved et koncentrationsindeks baseret på 1. prioritetsansøgninger. Tallene
er indekseret med 2009=100. Alle ansøgere er rangeret efter den placering i karakterfordelingen i
det år, de dimitterede fra den gymnasiale uddannelse.
Kilde: Uddannelses- og Forskningsministeriet på baggrund af data fra Den Koordinerede Tillmelding.
Metode: Beregning af koncentration
Koncentrationen af uddannelsesønsker beregnes via et Herfindahl-indeks. I denne
boks illustreres indekset ved koncentrationen i ansøgninger, og det vil sige, at in-
dekset måler koncentrationen i uddannelsesønsker i søgningen, og ikke selve op-
tagelsen. Selve beregningen er dog den samme, uanset om man kigger på søgning
eller optagelse.
Herfindahl-indekset er defineret som følger:
2
����
=
∑ ����
����
,
����
����
hvor
����
����
angiver andelen af ansøgere der søger uddannelse
����
, og hvor
����
angiver
antallet af uddannelser. Sagt med andre ord er indekset summen af kvadrerede
markedsandele. Jo højere værdien af indekset, jo højere er koncentrationen.
Hvis alle søger den samme uddannelse, vil indekset være lig med 1. Den mindst
mulige koncentration opnås, når alle søger tilfældige uddannelser. I så fald vil alle
1
uddannelser have den samme andel af ansøgere, og indekset være lig .
Indekset beregnes for 1. prioritetsansøgninger.
����
Uddannelses- og Forskningsministeriet
131
BUU, Alm.del - 2021-22 - Endeligt svar på spørgsmål 219: Spm. om børn og unges trivsel, til børne- og undervisningsministeren
2583011_0132.png
Evaluering af optagelsessystemet til de videregående uddannelser
Som konsekvens af søgemønstret er der forskel på, hvilken type ansøgere som hhv. uni-
versitets-, professionsbachelor- og erhvervsakademiuddannelserne modtager – det,
man kan kalde uddannelsernes rekrutteringsgrundlag, jf. boks 7.2.
Boks 7.2 Uddannelsernes rekrutteringsgrundlag
Ansøgere med høje karaktergennemsnit søger i høj grad de akademiske bacheloruddan-
nelser og i mindre grad professionsbachelor- og erhvervsakademiuddannelserne. Samti-
dig er der også forskel på, hvor mange af ansøgerne, som uddannelsestyperne reelt har
mulighed for at optage, idet bacheloruddannelserne i mindre grad end professionsba-
chelor- og erhvervsakademiuddannelserne oplever, at ansøgere med meget høje karak-
tergennemsnit bliver optaget på en højere prioritet.
Dette kan f.eks. illustreres ved de fire store velfærdsuddannelser på professionshøjsko-
lerne. Blandt alle ansøgerne har knapt 18 procent enten uddannelsen til folkeskolelære,
sygeplejerske, pædagog eller socialrådgiver som 1. prioritet. Ansøgningerne kommer dog
ikke ligeligt fra ansøgere med forskelligt karaktergennemsnit fra den gymnasiale ud-
dannelse. Blandt den fjerdedel af ansøgerne med de højeste karakterer, er det godt 5
procent, der søger de fire uddannelser, jf. figur 7.4.
Figur 7.4
Andelen af 1. prioritetsansøgninger blandt ansøgere med de højeste karakterer, 2019
Folkeskolelærer
Sygeplejerske
Pædagog
Socialrådgiver
Andre
Anm.: Figuren viser 1. prioritetsansøgninger blandt de 25 pct. af ansøgerne med de højeste karakterer fra
gymnasiale uddannelser i det år de dimitterede. I 2019 krævede det et karaktergennemsnit fra de
gymnasiale uddannelser på 9,1 for at være blandt de 25 pct. med de højeste karakterer.
Kilde: Uddannelses- og Forskningsministeriet på baggrund af data fra Den Koordinerede Tilmelding.
132
Uddannelses- og Forskningsministeriet
BUU, Alm.del - 2021-22 - Endeligt svar på spørgsmål 219: Spm. om børn og unges trivsel, til børne- og undervisningsministeren
2583011_0133.png
Evaluering af optagelsessystemet til de videregående uddannelser
Til sammenligning modtog medicin, psykologi, jura og statskundskab samlet 30 procent
af 1. prioritetsansøgningerne fra den fjerdel af ansøgerne med de højeste karakterer, jf.
figur 7.5. Det betyder, at medicin alene får over dobbelt så mange 1. prioritetsansøgnin-
ger fra gruppen af ansøgere med høje karaktergennemsnit som de fire store velfærds-
uddannelser på professionshøjskolerne til sammen.
STEM-uddannelserne, der er en samlet betegnelse for alle uddannelsesudbud inden for
Science, Technologies, Engineering and Mathematics, modtog 18 procent af 1. priori-
tetsansøgninger fra den fjerdedel af ansøgerne med de bedste karakterer fra den gym-
nasiale uddannelse, jf.
figur 7.6
. Det er samlet set lidt færre end medicin og psykologi
tilsammen.
Figur 7.5
Andelen af 1. prioritetsansøgninger blandt
ansøgere med de højeste karakterer, 2019
Figur 7.6
Andelen af 1. prioritetsansøgninger blandt
ansøgere med de højeste karakterer, 2019
Medicin
Statskundskab
Psykologi
Andre
Jura
STEM
Andre
Anm.: Figuren viser 1. prioritetsansøgninger blandt de 25 pct. af ansøgerne med de højeste karakterer fra
gymnasiale uddannelser i det år, de dimitterede. I 2019 krævede det et karaktergennemsnit fra de
gymnasiale uddannelser på 9,1 for at være blandt de 25 pct. med de højeste karakterer. STEM-ud-
dannelserne følger OECD-definitionen af STEM afgrænset til ikke-dimensionerede STEM-uddan-
nelser.
Kilde: Uddannelses- og Forskningsministeriet på baggrund af data fra Den Koordinerede Tilmelding.
7.1.2 Nogle elever bruger grænsekvotienten til at styre deres
uddannelsesvalg
I spørgeskemaundersøgelsen til elever i de gymnasiale uddannelser er eleverne blevet
bedt om at angive, hvilken videregående uddannelse de gerne vil søge optagelse på gi-
vet deres forventede karaktergennemsnit. Her udgør de fire mest søgte uddannelser
blandt ansøgere med de højeste karakterer – medicin, psykologi, jura og statskundskab
– tilsammen 15 procent af de valgte uddannelser blandt eleverne, jf. figur 7.7.
Når eleverne i et tænkt scenarie herefter får at vide, at karaktergennemsnittet ikke har
betydning for deres mulighed for at blive optaget, så udgør de tre uddannelser i stedet
19 procent af elevernes ønsker, hvilket er en vækst på 21 procent.
Uddannelses- og Forskningsministeriet
133
BUU, Alm.del - 2021-22 - Endeligt svar på spørgsmål 219: Spm. om børn og unges trivsel, til børne- og undervisningsministeren
2583011_0134.png
Evaluering af optagelsessystemet til de videregående uddannelser
Figur 7.7
De adspurgte elevers svar på hvilke videregående uddannelser, de gerne vil søge optagelse
på, andel af alle, besvarelser, 2019
Procent
0
Medicin
Psykologi
Jura
Journalistik
Statskundskab
Ingeniør
Sygeplejerske
Design
Erhvervsøkonomi
Finansøkonom
0
1
2
3
4
5
6
7
1
2
3
4
5
6
Procent
7
Forestil dig, at karakterer ikke er afgørende. Hvad vil du gerne søge ind på?
Hvad vil du gerne søge ind på?
Anm.: ”Forestil
dig, at dine karakterer ikke er afgørende for, hvilke videregående uddannelser du kan
komme ind på. Nævn mellem 1 og 5 videregående uddannelser, som du gerne vil søge ind på. Skriv
dem i prioriteret rækkefølge.” Spørgsmålet
er stillet i to variationer. Hver version er på randomise-
ret vis stillet til halvdelen af eleverne i samplet, som overvejer at læse en videregående uddan-
nelse. Antal besvarelser: 812 elever på sidste år af deres stx, hhx, htx eller hf. Resultaterne er stati-
stisk signifikante med et 95 procent konfidensinterval.
Kilde: Uddannelses- og Forskningsministeriet på baggrund af spørgeskemaundersøgelse til elever i gym-
nasiale uddannelser gennemført af /KL.7 & Realize.
Præferencen for disse uddannelser kan skyldes en række årsager – både faglig inte-
resse, men også andre forhold som f.eks. et meget klart jobsigte eller en høj grad af pre-
stige forbundet med uddannelsen. For at undersøge, hvilke andre forhold end den fag-
lige interesse, der vægter i elevernes tanker om uddannelsesvalg, er de blevet spurgt ind
til de i spørgeskemaundersøgelsen, jf. boks 7.3.
134
Uddannelses- og Forskningsministeriet
BUU, Alm.del - 2021-22 - Endeligt svar på spørgsmål 219: Spm. om børn og unges trivsel, til børne- og undervisningsministeren
2583011_0135.png
Evaluering af optagelsessystemet til de videregående uddannelser
Boks 7.3 Analyse af elevernes præferencer
/KL.7 har foretaget en såkaldt conjoint-analyse af eleverne fra de gymnasiale uddan-
nelsers besvarelser af spørgeskemaet. Her tester de, hvilke af fire forhold, der har størst
betydning for elevernes valg af uddannelse:
Grænsekvotient
Afstanden fra nuværende bopæl til uddannelsessted
Forventet arbejdsløshed
Forventet startløn
Eleverne blev i undersøgelsen bedt om at notere den uddannelse, som de helst ville
søge ind på. Derefter blev de bedt om at vælge mellem to fiktive uddannelser, hvor
indholdet på uddannelsen er det samme, mens de fire faktorer varierer.
Analysen viser, at den foretrukne uddannelse for eleverne er en uddannelse, der ligger
fem minutter væk på cykel og giver en startløn på 45.000 kr. Derimod fravælges ud-
dannelsen, hvis den har lang transporttid eller alternativt behov for, at man bosætter
sig i en ny by, eller at der er en startløn på 21.000 kr.
Forventet arbejdsløshed og grænsekvotienten har mindre betydning for uddannelses-
valget end afstand til bopæl og forventet startløn. Dog fravælges uddannelser med en
høj
forventet ledighed (uddannelser hvor 33 procent er arbejdsløse efter et halvt år)
og
høj
grænsekvotient (11,1) systematisk. Dette kan skyldes elevernes faktiske karak-
terer. I det tilfælde, at den ligger et stykke under 11,1, vil sandsynligheden for, at ele-
verne ville blive optaget i kvote 1 være meget lille. Det kan gøre, at de systematisk
vælger disse uddannelser fra.
7.2 Faktorer, der påvirker ansøgernes uddannelsesvalg
Der kan være mange årsager til, at ansøgerne søger forskellige videregående uddannel-
ser. Nogle kan være knyttet til ansøgernes faglige interesser, kompetencer og nysger-
righed. Ansøgerne kan også være påvirket af forskellige andre faktorer. Dette afsnit be-
lyser, hvilke årsager der kan være til at søge videregående uddannelser, og om nogle af
dem stammer fra den måde, optagelsessystemet er indrettet på.
7.2.1 To tredjedele af ansøgerne var opmærksomme på efterfølgende
jobmuligheder ved deres uddannelsesvalg
I alt angiver 66 procent af ansøgerne i en spørgeskemaundersøgelse, at de var opmærk-
somme på jobmuligheder efter uddannelsen, da de skulle vælge uddannelse, jf. figur 7.8.
Herefter angiver 55 procent det faglige indhold på uddannelsen. I alt 49 procent var op-
mærksomme på adgangskravene, mens 36 procent var opmærksomme på grænsekvoti-
enten fra året før.
Uddannelses- og Forskningsministeriet
135
BUU, Alm.del - 2021-22 - Endeligt svar på spørgsmål 219: Spm. om børn og unges trivsel, til børne- og undervisningsministeren
2583011_0136.png
Evaluering af optagelsessystemet til de videregående uddannelser
Figur 7.8
De adspurgte ansøgeres svar på, hvad de var opmærksomme på ved valg af uddannelse, an-
del svar, flere svar muligt, 2019
Procent
80
70
60
50
40
30
20
10
Udnytte karaktergennemsnit
Overbygning**
Uddannelsens placering
Jobsikkerhed/arbejdsløshed
Manglende information*
Afstand til bopæl
Højt fagligt niveau
Undervisningsformen
Praktisk orienteret
Sikret optagelse
Jobmuligheder
Fagligt indhold
Sociale miljø
Udveksling
Andet:
Antal undervisningstimer
Grænsekvotienten
Sværhedsgrad
Teoretisk orienteret
Adgangskrav
Praktik i uddannelsen
Husker ikke
Intet
0
Procent
80
70
60
50
40
30
20
10
0
Total
1. Prioritet med grænsekvotient
1. Prioritet med alle optaget
Anm.: ”Du
skal fortsat tænke tilbage på tiden inden, du søgte ind på en videregående uddannelse. Hvad
var du opmærksom på i forbindelse med dit valg af uddannelse? (Sæt gerne flere krydser).
*Manglende
information: Det var svært at finde ud af, hvilke uddannelser, jeg kunne søge ind på.
**Overbygning: Uddannelsen bygger naturligt videre på min tidligere uddannelse.
Besvarelserne er
opdelt på, hvorvidt ansøgerens 1. prioritet i 2018 havde alle optaget (frit optag) eller grænsekvoti-
ent i kvote 1”. Antal besvarelser: 3.192 ansøgere til videregående uddannelser i 2018, heraf 2.296
ansøgere, hvis 1. prioritet havde en grænsekvotient, og 695 ansøgere, hvis 1. prioritet havde frit
optag. Resultaterne er statistisk signifikante med et 95 procent konfidensinterval.
Kilde: Uddannelses- og Forskningsministeriet på baggrund af spørgeskemaundersøgelse til ansøgere til
videregående uddannelser i 2018 gennemført af /KL.7 & Realize.
I alt svarer 20 procent af ansøgerne, der blev optaget på deres 1. prioritet med alle op-
taget, at de var opmærksomme på grænsekvotienten året før. Det gælder 40 procent af
de ansøgere, der blev optaget på deres 1. prioritet i kvote 1 – det vil sige med en græn-
sekvotient. At andelen er højere blandt dem, der bliver optaget på en uddannelse med
en grænsekvotient kan skyldes, at de er mere opmærksomme på grænsekvotienterne,
fordi de ved, at der kan være adgangsbegrænsning på den uddannelse, de søger ind på.
I forlængelse af dette er der blandt de adspurgte 29 procent, der svarer, at de i forbin-
delse med deres valg af uddannelse var særligt opmærksomme på, at de kunne være
sikre på at blive optaget, jf. figur 7.8. Ansøgere med 1. prioritet til en uddannelse med alle
optaget er mere tilbøjelige til at angive, at de var opmærksomme på at være sikre på at
blive optaget (30 procent), sammenlignet med ansøgere med 1. prioritet til en uddan-
nelse med grænsekvotient (19 procent).
136
Uddannelses- og Forskningsministeriet
BUU, Alm.del - 2021-22 - Endeligt svar på spørgsmål 219: Spm. om børn og unges trivsel, til børne- og undervisningsministeren
2583011_0137.png
Evaluering af optagelsessystemet til de videregående uddannelser
Metode: Spørgeskemaundersøgelse til ansøgere
I alt har 20.055 ansøgere til de videregående uddannelser i 2018 modtaget en
spørgeskemaundersøgelse til besvarelse i foråret 2019. Ansøgerne er udtrukket i
en stratificeret stikprøve blandt de ca. 90.000 ansøgere, der søgte ind i 2018. I alt
har 3250 ansøgere besvaret spørgeskemaundersøgelsen, hvilket giver en svar-
procent på 15 procent.
Repræsentativitet
Der er udført en såkaldt bortfaldsanalyse, hvor gruppen af ansøgere i stikprøven,
der har besvaret undersøgelsen, sammenlignes med gruppen af ansøgere i stik-
prøven, der ikke har besvaret undersøgelsen på tre parametre: ungdomsuddan-
nelse, alder og karaktergennemsnit.
Der ses en mindre, signifikant forskel på fordelingen på ungdomsuddannelse. An-
søgere fra hf og hhx er en smule underrepræsenteret i undersøgelsen, mens htx og
stx er en smule overrepræsenteret. Niveauet for EUD og eux stemmer overens
mellem de to grupper. Den signifikante forskel er påvist gennem en
χ^2-test.
Der ses en mindre, signifikant forskel på aldersgennemsnittet for gruppen, der har
besvaret undersøgelsen (gnsn. alder 24,0) og gruppen, som ikke har besvaret un-
dersøgelsen (gnsn. alder 23,7). Der er også signifikant flere ansøgere med et højt
karaktergennemsnit, som har besvaret undersøgelsen, hvor der er 1,0 i forskel på
karaktergennemsnittet mellem de to grupper (besvaret undersøgelsen: gnsn. ka-
raktergennemsnit 8,2; ikke besvaret undersøgelsen: gnsn. karaktergennemsnit 7,2).
Seks procent af de adspurgte ansøgere fremhæver, at de var særligt opmærksomme på
at udnytte deres karaktergennemsnit, da de skulle vælge uddannelse, jf. figur 7.8. Blandt
ansøgere, der har et karaktergennemsnit på 10,0 eller derover, er det 14 procent, der
svarer dette. Besvarelserne kan derfor være udtryk for en række overvejelser, jf. boks
7.4.
Boks 7.4 Hvad betyder det for ansøgerne ikke at ”spilde deres snit”
For de elever med de højeste karakterer, der er opmærksomme på ikke at spilde deres
snit, kan det være udtryk for, at disse ansøgere har arbejdet målrettet mod et bestemt
karaktergennemsnit, fordi de i gymnasiet vidste, at de gerne vil søge ind på en meget
adgangsbegrænset uddannelse.
I fritekstfelterne i spørgeskemaundersøgelsen er der eksempler på, at ansøgerne laver
en direkte kobling mellem prestige og grænsekvotienten:
“Med et gennemsnit på 11, vil et væld af uddannelser være muligt. Mit valg ville med stor
sandsynlighed falde på et, der ligger inden for mit interesseområde, men også med en
vis prestige, da jeg ikke vil 'spilde' det gennemsnit, jeg har arbejdet på at opnå.”
Uddannelses- og Forskningsministeriet
137
BUU, Alm.del - 2021-22 - Endeligt svar på spørgsmål 219: Spm. om børn og unges trivsel, til børne- og undervisningsministeren
2583011_0138.png
Evaluering af optagelsessystemet til de videregående uddannelser
Ses der særskilt på ansøgere med en erhvervsuddannelse, så angiver 76 procent af an-
søgerne med en erhvervsuddannelse, at de i høj grad eller i nogen grad tænkte over vi-
dereuddannelsesmulighederne, da de i sin tid valgte deres erhvervsuddannelse. I alt 55
procent af ansøgerne med en erhvervsuddannelse svarer, at videreuddannelsesmulighe-
derne i høj grad eller i nogen grad var en medvirkende årsag til, at de i sin tid valgte en
erhvervsuddannelse, jf. boks 7.5.
Boks 7.5 Undersøgelser af, hvordan folkeskoleelever vælger ungdomsuddannelse
Der er forskel på, hvilke muligheder man får i optagelsessystemet afhængigt af, hvilken
type ungdomsuddannelse, man har. Med en erhvervsuddannelse kan man kun optages
via kvote 2 og kun på nogle af de videregående uddannelser.
En undersøgelse fra Center for Ungdomsforskning viser, at eleverne vælger de gymnasi-
ale uddannelser til frem for erhvervsuddannelserne, fordi de tænker, at disse giver flere
muligheder – og fordi det giver dem længere betænkningstid i forhold til at træffe et
karrierevalg.
En analyse fra Tænketanken DEA konkluderer i forlængelse heraf, at eleverne allerede i
folkeskolen har en forestilling om, at gymnasiet åbner døre, og de reflekterer over ikke
at være gammel nok til at vælge ”fag for livet”. Et afgørende element for unges ung-
domsuddannelsesvalg er dermed at holde alle muligheder for videregående uddannelse
åbne og udskyde et valg af bestemt faglig retning.
7.2.2 Hver sjette ansøger ændrer uddannelsesvalg alene på grund af en
højere grænsekvotient
I spørgeskemaundersøgelsen til ansøgere i 2018 fik de adspurgte mulighed for at angive
helt frit (dvs. hvis der ingen begrænsninger var for optagelse) deres 1. prioritet og 2. pri-
oritet af alle videregående uddannelser. Herefter blev ansøgerne bedt om vælge mellem
de samme to uddannelser i en situation, hvor 1. prioriteten havde alle optaget, og 2. pri-
oriteten havde en grænsekvotient på 10,0, og de selv havde et karaktergennemsnit på
11,0.
Formålet med spørgsmålet var at se, hvor mange af de adspurgte ansøgere, som æn-
drede deres 2. prioritet til deres 1. prioritet ved introduktionen af ”alle optaget” på 1. pri-
oriteten og en høj grænsekvotient på 2. prioriteten. I alt vælger 83 procent at bekræfte
deres 1. prioritet, mens 17 procent ændrer deres valg og vælger deres 2. prioritet som en
ny 1. prioritet, jf. figur 7.9.
138
Uddannelses- og Forskningsministeriet
BUU, Alm.del - 2021-22 - Endeligt svar på spørgsmål 219: Spm. om børn og unges trivsel, til børne- og undervisningsministeren
2583011_0139.png
Evaluering af optagelsessystemet til de videregående uddannelser
Figur 7.9
Ansøgernes angivelse af, om de skifter prioritet i uddannelsesvalg ved indførelse af en græn-
sekvotient, andel svar, 2019
Anm.:
”Trin 1: Forestil dig, at der ikke er nogen grænsekvotienter på de videregående uddannelser. Notér 2
videregående uddannelser, som du gerne vil søge ind på. Skriv dem i prioriteret rækkefølge: [1. prio-
ritet], [2. prioritet]. Trin2: Forestil dig nu, at du har et karaktergennemsnit på 11,0. Hvilken af de to
nedenstående uddannelser vil du helst søge ind på?”
Antal besvarelser: 2.707 ansøgere til videre-
gående uddannelser i 2018. Resultaterne er statistisk signifikante med et 95 procent konfidensin-
terval.
Kilde: Uddannelses- og Forskningsministeriet på baggrund af spørgeskemaundersøgelse til ansøgere til
videregående uddannelser i 2018 gennemført af /KL.7 & Realize.
Resultaterne viser, at hver 6. ansøger opfatter uddannelser med en høj grænsekvotient
som mere attraktive for dem. Det kan der være forskellige årsager til, jf. boks 7.6.
Boks 7.6 Årsager til, at grænsekvotienten påvirker ansøgerne
Der kan være forskellige årsager til, at grænsekvotienten påvirker ansøgerne. Nedenfor
nævnes tre mulige årsager, der alle er relateret til optagelsessystemet:
– At ansøgerne opfatter en høj grænsekvotient i sig selv som udtryk for uddannel-
sens kvalitet eller prestige.
– At ansøgerne søger mod uddannelser, hvor de mener, det faglige niveau udtrykt
ved grænsekvotienten vil passe til deres eget, selvom grænsekvotienter ikke af-
spejler uddannelsens kvalitet. Dette kan f.eks. være tilfældet, hvis ansøgere, der
har fået høje karakterer på deres gymnasiale uddannelse, foretrækker at læse på
en uddannelse sammen med andre med høje karakterer. I det tilfælde kan et valg
af en uddannelse med en høj grænsekvotient være en metode for ansøgere til at
opnå dette.
– At ansøgerne vil udnytte det signal, der er forbundet med at være blevet optaget
på en uddannelse, der er vanskelig at blive optaget på - på grund af en stor kon-
kurrence om pladserne. Det er f.eks. en mulighed, at det efterfølgende belønnes på
arbejdsmarkedet, hvor det er en mulighed, at nogle arbejdsgivere måske tillægger
bestemte uddannelser med høje grænsekvotienter en højere værdi end andre.
Uddannelses- og Forskningsministeriet
139
BUU, Alm.del - 2021-22 - Endeligt svar på spørgsmål 219: Spm. om børn og unges trivsel, til børne- og undervisningsministeren
2583011_0140.png
Evaluering af optagelsessystemet til de videregående uddannelser
7.2.3 Der er forskel på, hvad ansøgerne selv opfatter som prestige, og hvad
de tror, andre mener
Når de adspurgte ansøgere svarer på, hvad de tror, andre mener kendetegner en uddan-
nelse med høj prestige, er de mest tilbøjelige til at svare ‘Høj grænsekvotient’ (62 pro-
cent) og ‘Høj startløn’ (61 procent), jf. figur 7.10.
Når de i stedet svarer på egne vegne, er de relativt mere tilbøjelige til at svare, at ud-
dannelser med høj prestige er kendetegnet ved ‘Gode undervisere’ (37 procent), ‘Spæn-
dende fagligt indhold’ (37 procent), ‘Gode faciliteter på uddannelsesstedet’ (28 procent)
og ‘Et godt udbytte af undervisningen’ (28 procent).
Figur 7.10
De adspurgte ansøgeres svar på, hvad der kendetegner en uddannelse med høj prestige, an-
del svar, 2019
Procent
0
Høj grænsekvotient
Høj startløn
Stor andel der kommer i job, når de er færdiguddannede
Spændende fagligt indhold
Gode undervisere
Gode faciliteter på uddannelsesstedet
Et godt udbytte af undervisningen
Et godt socialt miljø
Lavt frafald
Andet, noter her:
Ved ikke
Ingen af de ovenstående
0
"Hvad tror du, at andre mener…"
10
20
30
40
50
60
70
Procent
10
20
30
40
50
60
70
"Hvad mener du kendetegner…"
Anm.:
”Hvad mener du kendetegner [Hvad tror du, at andre mener kendetegner] en uddannelse med høj
prestige? (Vælg op til 3 svarmuligheder)”
Respondenternes fordeling på svarkategorierne. Spørgs-
målet findes i to versioner, hvor hver version på randomiseret vis er stillet til halvdelen af ansø-
gerne i stikprøven. Dvs. respondenterne har kun svaret på ét af de to spørgsmål. Antal besvarelser:
3.192 ansøgere til videregående uddannelser i 2018, heraf 1.596 ansøgere, som har fået formulerin-
gen ”Hvad
mener du kendetegner…”
og 1.596 ansøgere, som har fået formuleringen
”Hvad tror du,
at andre mener…”.
Resultaterne er statistisk signifikante med et 95 procent konfidensinterval.
Kilde: Uddannelses- og Forskningsministeriet på baggrund af spørgeskemaundersøgelse til ansøgere til
videregående uddannelser 2018 gennemført af /KL.7 & Realize.
Sammenlignet med ansøgere med en gymnasial eksamen adskiller ansøgere med er-
hvervsuddannelse sig i forhold til, hvad de selv og andre forbinder med prestige i en vi-
deregående uddannelse. De svarer i mindre omfang end gennemsnittet, at andre forbin-
140
Uddannelses- og Forskningsministeriet
BUU, Alm.del - 2021-22 - Endeligt svar på spørgsmål 219: Spm. om børn og unges trivsel, til børne- og undervisningsministeren
2583011_0141.png
Evaluering af optagelsessystemet til de videregående uddannelser
der prestige med høj grænsekvotient (31 procent) og høj startløn (41 procent). Selv me-
ner 8 procent af ansøgere med erhvervsuddannelse, at en prestigefuld uddannelse er
kendetegnet ved en høj grænsekvotient og 18 procent ved en høj startløn.
Ansøgere med erhvervsuddannelse svarer også i højere grad end gennemsnittet, at
både de selv og andre mener, at prestige kendetegnes ved gode undervisere (46 pro-
cent), spændende fagligt miljø (52 procent) og godt udbytte af undervisningen end an-
søgerne fra de gymnasiale uddannelser (38 procent).
På uddannelsesinstitutionerne oplever de, at hvorvidt uddannelserne året for havde ’alle
optaget’ eller en grænsekvotient kan have en betydning for ansøgernes opfattelse af
uddannelserne, jf. boks 7.7.
Boks 7.7 Uddannelsernes oplevelse af betydning af grænsekvotienter
I interview med repræsentanter fra uddannelsesinstitutionerne fortæller de, at de på
uddannelser med en høj andel optagne i kvote 1 oplever, at en lav grænsekvotient kan
betyde, at uddannelsen ikke modtager ansøgninger fra ansøgere med høje karaktergen-
nemsnit, og at ansøgerne af samme årsag tror, at det er en nem uddannelse. På uddan-
nelser med høj grænsekvotient kan man omvendt opleve, at ansøgerne søger uddannel-
sen ikke ud fra faglig interesse, men ud fra en forståelse af, at det er en prestigefyldt
uddannelse.
Uddannelserne oplever også, at grænsekvotienter eller fraværet af dem kan have en
betydning for, hvem der søger uddannelserne. Nogle uddannelser med 100 procent op-
tagelse gennem kvote 2 oplever at blive ”glemt” af ansøgerne, dvs. at de kun modtager
få ansøgninger.
7.3 Ansøgernes afklaring om uddannelsesvalg
Frem mod selve ansøgningen til de videregående uddannelser sker en afklaringsproces
for ansøgerne. Graden af ansøgernes afklaring kan være en indikation på, om og hvor-
dan ansøgerne søger information om de videregående uddannelser og i hvilken grad de
reflekterer, før de ansøger.
7.3.1 Størstedelen af ansøgerne søger information om uddannelserne
Langt de fleste adspurgte ansøgere (94 procent) angiver, at de søgte information om
den eller de uddannelser, som de søgte ind på, inden de søgte optagelse, jf. figur 7.11.
Uddannelses- og Forskningsministeriet
141
BUU, Alm.del - 2021-22 - Endeligt svar på spørgsmål 219: Spm. om børn og unges trivsel, til børne- og undervisningsministeren
2583011_0142.png
Evaluering af optagelsessystemet til de videregående uddannelser
Figur 7.11
De adspurgte ansøgeres svar på, hvorvidt de havde søgt information, inden de søgte opta-
gelse på en videregående uddannelse, procent, 2019
Procent
70
60
50
40
30
20
10
0
Procent
70
60
50
40
30
20
10
0
Ja, i høj grad
Ja, i nogen grad
Ja, i mindre grad
Nej, slet ikke
Ved ikke
Anm.:
”Havde du søgt information om den eller de uddannelser, inden du søgte optagelse?”
Antal besva-
relser: 3192 ansøgere til videregående uddannelser i 2018. Resultaterne er statistisk signifikante
med et 95 procent konfidensinterval.
Kilde: Uddannelses- og Forskningsministeriet på baggrund af spørgeskemaundersøgelse til ansøgere til
videregående uddannelser i 2018 gennemført af /KL.7 & Realize.
Når eleverne i de gymnasiale uddannelser finder ud af, hvilken videregående uddan-
nelse, de gerne vil søge ind på, så sker det ved at søge inspiration gennem en række kil-
der, jf. boks 7.8.
Boks 7.8 Elevernes valg af uddannelse
Eleverne i de gymnasiale uddannelser fortæller i interview, at de finder inspiration til de-
res valg af uddannelsesvalg fra mange forskellige kilder. Eleverne fortæller, at de bl.a.
finder inspiration til deres uddannelsesvalg gennem:
Uddannelsesguiden
Konkrete personlige oplevelser
Samtale med venner og familie
Fag og lærere i skolen
Sociale medier og lignende.
Herefter prøver eleverne at blive klogere på de konkrete uddannelser via uddannel-
sesinstitutionernes egne hjemmesider og forskellige arrangementer som messer,
åbent hus, uddannelsesdag etc. Herudover har alle de adspurgte elever orienteret sig i
grænsekvotienter og adgangskrav – også de, som planlægger sabbatår.
142
Uddannelses- og Forskningsministeriet
BUU, Alm.del - 2021-22 - Endeligt svar på spørgsmål 219: Spm. om børn og unges trivsel, til børne- og undervisningsministeren
2583011_0143.png
Evaluering af optagelsessystemet til de videregående uddannelser
I nogle lande er afklaring omkring uddannelsesvalg en integreret del af optagelsessy-
stemet. Det vil sige, at deltagelse i forskellige typer vejledningsaktiviteter er et ad-
gangskrav til en uddannelse, ligesom det er tilfældet i Holland, jf. boks 7.9.
Boks 7.9 Brug af ”matching-programmer” i optagelsessystemet i Holland
I Holland skal de videregående uddannelser gennemføre matching-programmer, som
ansøgerne skal igennem inden studiestart. Matching-programmerne er et adgangskrav,
men ikke et udvælgelseskriterie. Formålet er at understøtte ansøgernes refleksion over,
hvordan det konkrete match er mellem den ansøgte uddannelse og ansøgeren.
Matching-programmerne overlader udvælgelsen af de bedst egnede ansøgere til ansø-
gernes selvselektion i stedet for, at institutionen (eller et gymnasialt karaktergennem-
snit) udvælger ansøgerne. I Holland er der kun adgangsbegrænsning på få, meget søgte
uddannelser, og resten af uddannelserne optager alle, der lever op til adgangskravene. I
det hollandske uddannelsessystem vælger eleverne som 12-årige mellem tre typer af
ungdomsuddannelser, hvoraf to af dem giver adgang til de videregående uddannelser –
enten med et erhvervs- og professionsrettet sigte eller et akademisk sigte. Derfor sker
der en selektion tidligere end i det danske uddannelsessystem.
7.3.2 Størstedelen af ansøgerne følte sig afklarede om deres
uddannelsesvalg
I alt 61 procent af de adspurgte ansøgere svarer, at de i høj grad var afklarede med de-
res valg af videregående uddannelse, da de søgte optagelse, mens 26 procent i nogen
grad var afklarede. De erhvervsuddannede er de mest afklarede ansøgere. Af dem var 72
procent i høj grad afklarede, mens det var 50 procent af ansøgerne med en gymnasial
uddannelse, jf. figur 7.12.
Uddannelses- og Forskningsministeriet
143
BUU, Alm.del - 2021-22 - Endeligt svar på spørgsmål 219: Spm. om børn og unges trivsel, til børne- og undervisningsministeren
2583011_0144.png
Evaluering af optagelsessystemet til de videregående uddannelser
Figur 7.12
De adspurgte ansøgeres svar på, hvor afklarede de var omkring valget af videregående ud-
dannelse, andel svar, 2019
Procent
0
stx
htx
hhx
hf
eux
EUD
Andet, notér:
0
I høj grad afklaret
20
I nogen grad afklaret
40
60
80
Slet ikke afklaret
100
Procent
Husker ikke
20
40
60
80
100
I mindre grad afklaret
Anm.: "Hvor
afklaret var du omkring dit valg af videregående uddannelser, da du ansøgte?"
Antal besva-
relser: 3.192 ansøgere til videregående uddannelser i 2018. Resultaterne er statistisk signifikante
med et 95 procent konfidensinterval.
Kilde: Uddannelses- og Forskningsministeriet på baggrund af spørgeskemaundersøgelse til ansøgere til
videregående uddannelser i 2018 gennemført af /KL.7 & Realize.
Ansøgerne er blevet bedt om at vurdere, hvor afklarede de var retrospektivt. Det kan
påvirke, hvordan ansøgerne besvarer spørgsmålet. Andelen, der er i høj grad er afklaret,
stemmer overens med resultaterne af en anden undersøgelse af uddannelsesvalg, som
Uddannelses- og Forskningsministeriet tidligere har gennemført, jf. boks 7.10.
144
Uddannelses- og Forskningsministeriet
BUU, Alm.del - 2021-22 - Endeligt svar på spørgsmål 219: Spm. om børn og unges trivsel, til børne- og undervisningsministeren
2583011_0145.png
Evaluering af optagelsessystemet til de videregående uddannelser
Boks 7.10 Undersøgelse af udviklingspotentialer til Uddannelsesguiden, 2018
Ansøgerne til de videregående uddannelser i 2018 er i undersøgelsen, der er foretaget af
Uddannelses- og Forskningsministeriet, blevet spurgt til, hvor sikre, de vurderer, de var
på deres uddannelsesvalg et halvt år før ansøgningstidspunktet, og hvor sikre, de vur-
derer, de var umiddelbart efter ansøgningstidspunktet.
Et halvt år før ansøgningstidspunktet var det 31 procent af ansøgerne, der var helt sikre
på deres uddannelsesvalg. Lige efter, ansøgerne havde sendt deres ansøgning afsted,
var 45 procent af ansøgerne helt sikre på deres uddannelsesvalg, jf. figur 7.13.
Figur 7.13
Ansøgernes angivelse af, hvor sikre de følte sig på deres valg af uddannelse, procent, 2018
Procent
0
7 Jeg var helt sikker
6
5
4
3
2
1 Jeg var overhovedet ikke sikker
0
Efter fremsendelse af ansøgning
5
10
15
20
25
30
35
40
45
50
Procent
5
10
15
20
25
30
35
40
45
50
Et halvt år før ansøgning
Anm.:
”Hvor sikker var du på, hvilke(n) videregående uddannelse(r) du ville søge optagelse på, et halvt år
inden du søgte optagelse?” ”Hvor sikker var du på dit valg af uddannelse(r) lige efter, du havde
sendt din(e) ansøgning(er)?”
Opgørelsen er baseret på svar fra ansøgere til de videregående ud-
dannelser i 2018. Data er vægtet på baggrund af adgangsgrundlag. Antal besvarelser: 1.653 efter
fremsendelse af ansøgning og 1.548 et halvt år før ansøgning.
Kilde: Uddannelses- og Forskningsministeriet på baggrund af spørgeskemaundersøgelse blandt ansø-
gerne til Den Koordinerede Tilmelding.
7.3.3 I alt 10 procent af de optagne takker nej til studiepladsen
Alle, der modtager et tilbud om en studieplads d. 28. juli, skal aktivt takke ja til pladsen.
Takker de optagne ikke ja til pladsen, bortfalder den. I 2019 var det 10 procent af de op-
tagne, som takkede nej til den tilbudte studieplads. I alt 66 procent af dem var optaget
på deres 1.prioritet. I 2019 var der samtidig flere, der har takkede nej til en plads, end der
blev optaget i efteroptagelsen frem til d. 1. oktober.
Uddannelses- og Forskningsministeriet
145
BUU, Alm.del - 2021-22 - Endeligt svar på spørgsmål 219: Spm. om børn og unges trivsel, til børne- og undervisningsministeren
Evaluering af optagelsessystemet til de videregående uddannelser
Denne side er med vilje efterladt uden indhold.
146
Uddannelses- og Forskningsministeriet
BUU, Alm.del - 2021-22 - Endeligt svar på spørgsmål 219: Spm. om børn og unges trivsel, til børne- og undervisningsministeren
Evaluering af optagelsessystemet til de videregående uddannelser
8. Udvælgelse af
ansøgere til de
videregående
uddannelser
I dette kapitel bliver der redegjort for de eksisterende
udvælgelseskriterier i kvote 1 og kvote 2. Derefter belyses
en række udvalgte effekter af de forskellige udvælgelses-
kriterier. Analyserne viser bl.a., at karaktergennemsnit som
udvælgelseskriterier giver uddannelserne information om
ansøgerens generelle studieegnethed, og at udvælgelses-
kriterierne i kvote 2 giver en yderligere information om
ansøgerne.
Optagelsessystemet er med til at understøtte udvælgelse af kvalificerede ansøgere til
de videregående uddannelser og bidrager dermed til, at de studerende kan gennemføre
uddannelsen med et godt resultat. Derfor er det relevant at se på, om de eksisterende
udvælgelseskriterier giver uddannelserne mulighed for at vurdere ansøgernes faglige
kvalifikationer og motivation for den søgte uddannelse og dens jobsigte. Kapitlet byg-
ger på statistiske analyser af data fra Den Koordinerede Tilmelding, en spørgeskema-
undersøgelse og interview med repræsentanter for de videregående uddannelsesinsti-
tutioner.
Uddannelses- og Forskningsministeriet
147
BUU, Alm.del - 2021-22 - Endeligt svar på spørgsmål 219: Spm. om børn og unges trivsel, til børne- og undervisningsministeren
2583011_0148.png
Evaluering af optagelsessystemet til de videregående uddannelser
Hovedresultater
– For at kunne frasortere ansøgerne i begge kvoter har 20 procent af alle ud-
dannelsesudbud i 2019 et lokalt fastsat karakterkrav. I 2009 var det 2 pro-
cent.
– En analyse af data fra Den Koordinerede Tilmelding viser, at 17 procent af de
studerende med et karaktergennemsnit på 4,0 fra den gymnasiale eksamen
falder fra i løbet af første studieår. Heraf starter knap 8 procentpoint på en
anden uddannelse inden for et år. Blandt studerende med et karaktergennem-
snit på 10,0 falder 12 procent fra i løbet af første studieår. Heraf starter 7 pro-
centpoint på en ny uddannelse inden for et år.
– En analyse viser, at studerende, der får en højere rangering i kvote 2, i gen-
nemsnit får 0,4 karakterpoint højere det første studieår end dem med lavere
rangering, og at de i gennemsnit har 12 procent lavere sandsynlighed for fra-
fald på første studieår end dem med lavere rangering
– I interview med repræsentanter for uddannelsesinstitutionerne udtrykker de,
at det er svært for dem i udvælgelsen i kvote 1 at vide, om ansøgerne er moti-
verede for den konkrete uddannelse.
– En kortlægning af udvælgelseskriterier i kvote 2 viser, at 89 procent af de vi-
deregående uddannelser rangerer ansøgerne ud fra mere end ét kriterie i
kvote 2. I alt 79 procent af uddannelserne rangerer ansøgeren på baggrund af
dokumenteret erfaring (f.eks. erhvervserfaring, udlandsophold e.l.). Knap 5 pro-
cent gør brug af samtaler med påkrævet fremmøde.
– I gennemsnit bliver de ansøgere, der bliver rangeret højt i kvote 1, også vurde-
ret højere i kvote 2. Det vil sige, at kvote 2 i nogen grad optager de samme
ansøgere, der ville blive optaget i kvote 1.
– Der er en stor variation i, hvor stærk sammenhængen mellem ansøgernes ran-
gering i kvote 1 og 2 er på tværs af, hvilke udvælgelseskriterier uddannelses-
institutionerne benytter. Således er der nogle udvælgelseskriterier, hvor pla-
ceringen i de to kvoter næsten er sammenfaldende, mens der er nogle uddan-
nelser, hvor der tæt på ingen sammenhæng er.
– Studerende, der er blevet optaget i kvote 2, har i 1. og 2. semester ca. 25-30
procent lavere risiko for at falde fra end studerende optaget i kvote 1.
148
Uddannelses- og Forskningsministeriet
BUU, Alm.del - 2021-22 - Endeligt svar på spørgsmål 219: Spm. om børn og unges trivsel, til børne- og undervisningsministeren
Evaluering af optagelsessystemet til de videregående uddannelser
8.1 Adgangskrav til de videregående uddannelser
En ansøger skal leve op til det generelle adgangskrav og uddannelsens specifikke ad-
gangskrav for at være kvalificeret til at søge om optagelse. Derudover har uddannelser-
nes mulighed for at bortsortere ansøgere i kvote 2 ved at anvende et minimumskarak-
terkrav som adgangskrav. Det er derfor relevant at se på, hvordan uddannelserne an-
vender adgangskrav.
8.1.1 Stigning i brugen af karakterkrav som adgangskrav
Det generelle adgangskrav til de videregående uddannelser er en bestået gymnasial ek-
samen (stx, hhx, htx, hf eller eud eller en tilsvarende eksamen fra udlandet) eller en er-
hvervsuddannelse – men det kan også være f.eks. fire gymnasiale enkeltfag. I alt blev 78
procent af ansøgerne i 2019 optaget på baggrund af en dansk gymnasial uddannelse
som adgangsgrundlag.
I det nuværende optagelsessystem er der også nationalt fastsatte specifikke adgangs-
krav for alle uddannelser med henblik på dels at understøtte ansøgerenes relevante
faglige forudsætninger for at kunne gennemføre uddannelsen, uanset om uddannelsen
er adgangsbegrænset eller ej, og dels for at understøtte, at samme eller nærtbeslæg-
tede uddannelser har samme adgangskrav.
Endelig har uddannelserne mulighed for at indføre et karakterkrav som adgangskrav.
Det er den eneste mulighed, uddannelserne har for en større frasortering af ansøgere,
medmindre de anvender en adgangsprøve med 100 procent af pladserne i kvote 2.
Samlet havde 20 procent af alle uddannelsesudbud i 2019 et lokalt fastsat karakterkrav
som adgangskrav. Det er en stigning på 18 procentpoint fra 2 procent i 2009. Det er
mest udbredt på bacheloruddannelserne, hvor 43 procent af alle udbud i 2019 havde
karakterkrav som adgangskrav – en vækst på 40 procent fra 3 procent i 2009. Det be-
tyder, at ansøgere, som ikke lever op til karakterkravene, har færre uddannelser, de er
kvalificerede til at søge.
For uddannelserne betyder det, at det alene er ansøgere, som vurderes at have de rette
faglige forudsætninger, der kommer i betragtning til yderligere udvælgelse. Det er såle-
des en mindre gruppe ansøgere, der skal prøves ved en individuel vurdering i kvote 2.
Karakterkrav kan på den måde biddrage til at fokusere ressourceforbruget på færre an-
søgere i kvote 2. Samtidig fungerer karakterkrav som en vigtigt oplysning til ansøgerne
om, hvilket minimumsniveau uddannelsen kræver, jf. boks 8.1.
Uddannelses- og Forskningsministeriet
149
BUU, Alm.del - 2021-22 - Endeligt svar på spørgsmål 219: Spm. om børn og unges trivsel, til børne- og undervisningsministeren
2583011_0150.png
Evaluering af optagelsessystemet til de videregående uddannelser
Boks 8.1 Bacheloruddannelserne i fysik, kemi og datalogi på Aarhus Universitet
På Aarhus Universitet (AU) har man på det naturvidenskabelige fakultet i 2018 og 2019
indført karakterkrav i både kvote 1 og kvote 2 og dermed skærpet adgangskravene væ-
sentligt på en række uddannelser. Uddannelserne var i 2019 alle bl.a. karakteriseret ved
at have en relativt lav eller ingen grænsekvotient og et frafald på omkring en tredjedel.
AU har på bl.a. fysik, kemi og datalogi karakterkrav på mindst 7,0 i gennemsnit i den ad-
gangsgivende eksamen (inkl. bonus for ekstra A-fag) og mindst 7,0 i gennemsnit i Ma-
tematik A. På datalogi og matematik er antallet af ansøgere faldet efter karakterkra-
vets indførsel, mens der modsat på fysik har været en stigning i antallet af ansøgere.
8.2 Udvælgelse af ansøgere på baggrund af karaktergennemsnit i
kvote 1
Hvis en ansøger er kvalificeret, det vil sige, at vedkommende lever op til det generelle og
de specifikke adgangskrav, så antages det, at ansøgeren både har de generelle studie-
kompetencer fra den gymnasiale uddannelse og de konkrete faglige forudsætninger for
den konkrete uddannelse. Herefter er karaktergennemsnittet fra en gymnasial eksamen
udvælgelseskriteriet i kvote 1. Derfor er det relevant at undersøge, om karaktergennem-
snittet alene er en god indikator for, hvordan ansøgeren vil klare sig på uddannelsen og
efter endt uddannelse.
8.2.1 Ansøgere med højere karaktergennemsnit får højere karakterer på
uddannelsen
Karaktergennemsnittet er den eneste indikator på ansøgernes studieegnethed i kvote 1.
I 2019 blev 47 procent optaget i kvote 1, 24 procent i kvote 2 og 29 procent på uddan-
nelser med alle optaget. I alt 67 procent af de optagne på adgangsbegrænsede uddan-
nelser blev i 2019 optaget i kvote 1.
Analysen viser, at de optagne i gennemsnit får
0,5
karakterpoint
højere karaktergen-
nemsnit på det første studieår
for hvert karakterpoint i karaktergennemsnittet fra den
gymnasiale uddannelse, jf. figur 8.1.
150
Uddannelses- og Forskningsministeriet
BUU, Alm.del - 2021-22 - Endeligt svar på spørgsmål 219: Spm. om børn og unges trivsel, til børne- og undervisningsministeren
2583011_0151.png
Evaluering af optagelsessystemet til de videregående uddannelser
Figur 8.1
Karaktergennemsnit 1. studieår, fordelt på karaktergennemsnit fra gymnasiet, 2009-2014
Karaktergennemsnittet på 1. studieår
12
10
8
6
4
2
0
Karaktergennemsnittet på 1. studieår
12
10
8
6
4
2
0
2
3
4
5
6
7
8
9
10
11
12
Karaktergennemsnittet fra den gymnasiale uddannelse
Anm.: Figuren dækker ansøgere, der er optaget i kvote 1 i 2009-2014. I figuren er der kontrolleret for ud-
dannelsesudbud og tilgangsår. Det betyder, at niveauforskelle, der skyldes, at nogle uddannelser
generelt tildeler højere karakterer, er fjernet.
Kilde:
Uddannelses- og Forskningsministeriet på baggrund af data fra Danmarks Statistik.
Karaktergennemsnittet er ikke entydigt et udtryk for, om ansøgeren vil klare sig bedre
på den konkrete uddannelse end på en anden uddannelse. Da karaktergennemsnittet
kan ses som et udtryk for ansøgerens faglige niveau, og ansøgere med høje karakter-
gennemsnit fra den gymnasiale uddannelse i gennemsnit klarer sig godt på tværs af de
videregående uddannelser, må det forventes, at de har gode forudsætninger for klare
sig godt i forhold til gennemførselstid, karaktergennemsnit og frafald, også selvom de
var blevet optaget på en anden videregående uddannelse.
Boks 8.2 Uddannelsernes oplevelse af udvælgelse i kvote 1
Karaktergennemsnittet indeholder information om ansøgerens generelle faglige niveau.
Det kan også indeholde information om ansøgerens motivation, hvis en ansøger f.eks.
arbejder målrettet mod bestemte karakterer i bestemte fag for at kunne leve op til ad-
gangskravene på en specifik videregående uddannelse.
Den kvalitative undersøgelse viser, at uddannelsesinstitutionerne oplever, at det kan
være svært for dem i udvælgelsen i kvote 1 at understøtte, at ansøgerne er motiverede
for uddannelsen. Det skyldes, at der i kvote 1 ikke kan anvendes andre kriterier end ka-
raktergennemsnit. Informanterne peger derfor på, at det stiller krav til ansøgernes re-
fleksion før, de når frem til at søge om optagelse.
Uddannelses- og Forskningsministeriet
151
BUU, Alm.del - 2021-22 - Endeligt svar på spørgsmål 219: Spm. om børn og unges trivsel, til børne- og undervisningsministeren
2583011_0152.png
Evaluering af optagelsessystemet til de videregående uddannelser
8.2.2 Ansøgere med højere karaktergennemsnit falder i lavere grad fra
Der er også en sammenhæng mellem ansøgerens karaktergennemsnit og sandsynlighe-
den for at falde fra en videregående uddannelse. Blandt studerende med et karakter-
gennemsnit fra den gymnasiale uddannelse på 4,0 falder 17 procent fra i løbet af første
studieår. Heraf startede knap 8 procentpoint på en anden uddannelse inden for et år.
Blandt studerende med et karaktergennemsnit på 10,0 falder 12 procent fra i løbet af
første studieår. Heraf starter 7 procentpoint på en ny uddannelse indenfor et år, jf. figur
8.2.
Figur 8.2
Frafald og gennemførsel for optagne via kvote 1 fordelt på karaktergennemsnit, procent,
2009-2014
Procent
100
90
80
70
60
50
40
30
20
10
0
2
3
4
5
6
7
8
9
Karaktergennemsnittet fra den gymnasiale uddannelse
10
11
12
Procent
100
90
80
70
60
50
40
30
20
10
0
Samlet frafald på 1. studieår
Gennemført indenfor 4 år
Frafald på 1. studieår der skyldes studieskift
Anm.: Figuren dækker ansøgere, der er optaget i kvote 1 i 2009-2014. I figuren er der kontrolleret for ud-
dannelsesudbud og tilgangsår. Det betyder, at niveauforskelle, der skyldes, at nogle uddannelser
generelt har lavere frafald m.m., er fjernet. Frafald 1. studieår er opgjort ét år efter, at de stude-
rende er tilgået uddannelsen Frafald med studieskift er opgjort som frafald, hvor den studerende
inden for ét år er startet på en ny uddannelse.
Kilde:
Uddannelses- og Forskningsministeriet på baggrund af data fra Danmarks Statistik.
Fire år efter studiestart har 56 procent af de studerende med et karaktergennemsnit på
4,0 fra den gymnasiale uddannelse gennemført uddannelsen. For studerende med et ka-
raktergennemsnit på 10,0 har 75 procent gennemført uddannelsen, jf. figur 8.2.
Omvalg og frafald er dog ikke en entydig indikator på, om den optagne er kommet ind
på en uddannelse, der passer godt til vedkommende, jf. boks 8.3.
152
Uddannelses- og Forskningsministeriet
BUU, Alm.del - 2021-22 - Endeligt svar på spørgsmål 219: Spm. om børn og unges trivsel, til børne- og undervisningsministeren
2583011_0153.png
Evaluering af optagelsessystemet til de videregående uddannelser
Boks 8.3 Omvalg og frafald på de videregående uddannelser
Frafald og forsøget på at mindske frafald har gennem mange år været et centralt fo-
kuspunkt for det videregående uddannelsesområde. Frafald kan være en udfordring
både for samfundsøkonomien, for uddannelsesinstitutionernes interne økonomi og ikke
mindst for den enkelte studerende, der bruger tid, kræfter og ressourcer på et afbrudt
studieforløb.
I Danmark har frafaldet på de videregående uddannelser gennem flere år ligget stabilt
på omkring 16 procent efter første år på uddannelsen og omkring 30 procent efter
femte år. Langt de fleste af de studerende, som stopper på en videregående uddan-
nelse, bliver dog efterfølgende optaget på en ny uddannelse, hvor nogle får merit for
elementer fra den uddannelse, de er faldet fra. Af de studerende, som begyndte på en
uddannelse i 2014, og efterfølgende faldt fra, var knap 70 procent i gang med en ny ud-
dannelse i 2017.
Frafald betyder således oftest ikke, at den studerende falder ud af det videregående
uddannelsessystem. Tværtimod ender de fleste, der starter på en videregående uddan-
nelse, med at fuldføre en videregående uddannelse før eller siden.
Den måde, optagelsessystemet fungerer på, kan have en betydning for, om de stude-
rende falder fra deres uddannelse eller skifter til en anden uddannelse. Det kan f.eks.
være, hvis der i optagelsessystemet ikke er tidstrækkelig incitament til at foretage et
informeret og reflekteret studievalg. Men optagelsessystemet er langt fra den eneste
årsag til frafald. F.eks. viste analyser i Uddannelses- og Forskningspolitisk Redegørelse
2018, at sygdom under uddannelsen er en af de faktorer, der statistisk set øger risikoen
for frafald mest. Spørgeskemaundersøgelsen foretaget i forbindelse med denne evalue-
ring viser, at uddannelsens indhold er blandt de studerendes hyppigst angivne årsager
til frafald, jf. kapitel 11.
8.2.3 Ansøgere med højere karaktergennemsnit har lavere ledighed efter
endt uddannelse
Der er ligeledes en sammenhæng mellem vurderingen i kvote 1 og
bruttoledighed efter
færdiggørelsen af uddannelsen.
De, der blev optaget med et karaktergennemsnit på
10,0, har i gennemsnit 4 procentpoint lavere ledighed efter endt uddannelse end de op-
tagne med et karaktergennemsnit på 4,0, jf. figur 8.3.
Uddannelses- og Forskningsministeriet
153
BUU, Alm.del - 2021-22 - Endeligt svar på spørgsmål 219: Spm. om børn og unges trivsel, til børne- og undervisningsministeren
2583011_0154.png
Evaluering af optagelsessystemet til de videregående uddannelser
Figur 8.3
Bruttoledighed efter gennemførsel af uddannelse, procent, 2009-2014
Procent
14
12
10
8
6
4
2
0
Procent
14
12
10
8
6
4
2
0
2
3
4
5
6
7
8
9
10
11
12
Karaktergennemsnit fra den gymnasiale uddannelse
Anm.: Figuren dækker ansøgere, der er optaget i kvote 1 i 2009-2014. I figuren er der kontrolleret for ud-
dannelsesudbud og tilgangsår. Det betyder, at niveauforskelle, der skyldes, at nogle uddannelser
generelt tildeler højere karakterer, er fjernet. Ledigheden er opgjort som dage ledig i perioden 12-23
måneder efter fuldførelsestidspunktet.
Kilde: Uddannelses- og Forskningsministeriet på baggrund af data fra Danmarks Statistik.
Analysens resultater støttes af lignende statistiske undersøgelser, jf. boks 8.4.
Boks 8.4 Danmarks Evalueringsinstitut, 2015: ”Gymnasiekarakterers betydning for
succes på videregående uddannelser”
Undersøgelsen peger på, at karaktergennemsnit fra gymnasiale uddannelser kan bruges
til at forudsige substantielle forskelle i sandsynligheden for 1. årsfrafald, påbegyndelse
af ph.d.-uddannelse og dimittendledighed.
Undersøgelsen viser, at studerende med højere karaktergennemsnit fra deres gymnasi-
ale uddannelse gennemsnitligt har:
1. Lavere sandsynlighed for at falde fra inden for det første år på studiet
2. Højere sandsynlighed for at blive optaget på en ph.d.-uddannelse
3. Lavere sandsynlighed for at blive ledighed efter endt uddannelse.
I international sammenligning Danmark er et af de lande, hvor andelen af studerende
der falder fra ligger over OECD-gennemsnittet, jf. boks 8.5.
154
Uddannelses- og Forskningsministeriet
BUU, Alm.del - 2021-22 - Endeligt svar på spørgsmål 219: Spm. om børn og unges trivsel, til børne- og undervisningsministeren
2583011_0155.png
Evaluering af optagelsessystemet til de videregående uddannelser
Boks 8.5 International sammenligning af frafald og gennemførsel
Internationalt ligger Danmark forholdsvist højt målt på andelen af studerende, der falder
fra deres uddannelse. Andelen af studerende, der starter på en bachelor- eller en pro-
fessionsbacheloruddannelse, og afbryder den før starten af 2. studieår, er over OECD-
gennemsnittet, jf.
figur 8.4
. Det samme er tilfældet for andelen, der afbryder deres ud-
dannelse inden for normeret tid, samt normeret tid plus tre år.
Figur 8.4
Andel af fuldtidsstuderende på bachelor- og professionsbacheloruddannelser, der har af-
brudt uddannelsen (og ikke gennemført), OECD, 2017
Procent
50
45
40
35
30
25
20
15
10
5
Danmark
Chile
Frankrig (3
Slovenien
Flamsktalende Belgien (2
Storbritannien
Australien
Canada (3
Fransktalende Belgien (1
Gennemsnit
Portugal
Schweiz
New Zealand
USA (3,4
Irland (3
Litauen
Sverige
Estland
Israel (2
Holland
Finland
Island
Østrig
Norge
0
Procent
50
45
40
35
30
25
20
15
10
5
0
Afbrudt før andet studieår
Afbrudt indenfor normeret tid
Afbrudt indenfor normeret tid + 3 år
Anm.:
Kilde:
Andelen af studerende, der afbryder uddannelsen kan inkludere studerende, der har forladt lan-
det før gennemførsel. 1) Data referer kun til hautes écoles (HE) og écoles des arts (ESA), De re-
præsenterer omkring 60 pct. af tilgangen. 2) Gennemførselsraterne er for studerende bachelor-
studerende og er eksklusiv studerende, der er skiftet til og gennemført korte videregående ud-
dannelser. 3) Referenceåret er forskelligt fra 2017. 4) For USA er det normeret tid plus tre år, i
stedet for normeret tid plus 3 år. Da der ikke er indberettet data for Danmark til Education at a
Glance 2019, har Uddannelses- og Forskningsministeriet beregnet fuldførelses- og afbrydel-
sesprocenter for personer, som læser på en akademiske bachelor- eller professionsbachelor ud-
dannelse (ISCED6) i Danmark. Opgørelserne er beregnet med udgangspunkt i studieåret 2017.
Der er for hver uddannelse taget udgangspunkt i uddannelsens normerede studietid, som for
nogle uddannelser varierer mellem sommer- og vinterstartere. Afbrydelsesprocenten er bereg-
net inklusiv studieskift mellem ISCED6-uddannelser. Dvs. personer som falder fra en ISCED6-
uddannelse, men som inden for måleperioden påbegynder eller fuldfører en anden ISCED6-ud-
dannelse indgår ikke som afbrudte
Uddannelses- og Forskningsministeriet på baggrund af Education at a Glance 2019 og Dan-
marks Statistik.
Andelen af studerende i Danmark, der er tilgået en bachelor- eller professionsbachelor-
uddannelse og har gennemført en videregående uddannelse på normeret tid, er over
gennemsnittet for OECD-landene. Dertil er gennemførslen indenfor normeret tid plus tre
år på niveau med OECD-gennemsnittet, jf. figur 8.5.
Uddannelses- og Forskningsministeriet
155
BUU, Alm.del - 2021-22 - Endeligt svar på spørgsmål 219: Spm. om børn og unges trivsel, til børne- og undervisningsministeren
2583011_0156.png
Evaluering af optagelsessystemet til de videregående uddannelser
Figur 8.5
Gennemførselsrater for fuldtidsstuderende på bachelor- og professionsbacheloruddannelser,
OECD, 2017
Procent
90
80
70
60
50
40
30
20
10
0
Procent
90
80
70
60
50
40
30
20
10
0
Danmark
Irland (1
Storbritannien
Frankrig (1
Flamsktalende Belgien (2
Canada (1
Australien
Gennemførselsrate på normeret tid
Gennemførselsrate på normeret tid + 3 år
Anm.:
Kilde:
Gennemførselsraten inkluderer studerende, der har skiftet studie og har gennemført en anden
videregående uddannelse. 1) Referenceåret er forskelligt fra 2017. 2) Gennemførselsraterne er
for studerende bachelorstuderende og er eksklusiv studerende, der er skiftet til og gennemført
korte videregående uddannelser. 3) For USA er det normeret tid plus tre år, i stedet for normeret
tid plus 3 år. 4) Data referer kun til hautes écoles (HE) og écoles des arts (ESA), De repræsente-
rer omkring 60 pct. af tilgangen. Da der ikke er indberettet data for Danmark til Education at a
Glance 2019, har Uddannelses- og Forskningsministeriet beregnet fuldførelses- og afbrydel-
sesprocenter for personer, som læser på en akademisk bachelor- eller professionsbachelorud-
dannelse (ISCED6) i Danmark. Opgørelserne er beregnet med udgangspunkt i studieåret 2017.
Der er for hver uddannelse taget udgangspunkt i uddannelsens normerede studietid, som for
nogle uddannelser varierer mellem sommer- og vinterstartere. Fuldførelsesprocenten er bereg-
net inklusiv studieskift mellem ISCED6-uddannelser. Dvs. personer som falder fra en ISCED6-
uddannelse, men som gennemfører en uddannelse på et andet niveau, opgøres som afbrudte.
Uddannelses- og Forskningsministeriet på baggrund af Education at a Glance 2019 og Dan-
marks Statistik.
En international kortlægning af optagelsessystemer viser, at der er stor forskel på, hvor
stor vægt der i de enkelte lande lægges på forskellige typer af udvælgelseskriterier. I in-
ternational sammenligning er Danmark er et af de lande, hvor karaktergennemsnittet
betyder mest i udvælgelsen til de videregående uddannelser, jf. boks 8.7.
Fransktalende Belgien (4
Gennemsnit
New Zealand
Slovenien
Litauen
Finland
Schweiz
Estland
USA (1,3
Portugal
Israel (2
Sverige
Norge
Island
Holland
Østrig
156
Uddannelses- og Forskningsministeriet
Chile
BUU, Alm.del - 2021-22 - Endeligt svar på spørgsmål 219: Spm. om børn og unges trivsel, til børne- og undervisningsministeren
2583011_0157.png
Evaluering af optagelsessystemet til de videregående uddannelser
Boks 8.6 Education at a Glance, 2019: International kortlægning af optagelsessyste-
mer
OECD har i Education at a Glance 2019 kortlagt optagelsessystemerne til de videregå-
ende uddannelser i 38 medlems- og partnerlande. Kortlægningen viser bl.a., at der i syv
ud af 38 lande lægges stor vægt på karaktergennemsnittet fra en gymnasial uddan-
nelse i udvælgelsen til de videregående uddannelser. Ud over Danmark er det lande som
Canada, Frankrig, Korea, Portugal, Sverige og Ungarn, hvor karaktergennemsnittet fra
den gymnasiale uddannelser har en stor betydning.
10 lande bruger slet ikke karaktergennemsnittet i udvælgelsen. I fire ud af 38 lande har
interview en høj betydning i udvælgelsen. Andre kriterier, der anvendes er f.eks. er-
hvervserfaring, frivilligt arbejde, anbefalinger, ansøgningsbrev eller motiveret ansøgning,
familiens indkomst og ansøgerens etnicitet.
8.3 Brugen af flere udvælgelseskriterier i kvote 2
Størstedelen af ansøgere til de videregående uddannelser optages via deres karakter-
gennemsnit i kvote 1. Men ved at optage ansøgere i kvote 2 har uddannelserne mulighed
for at få flere informationer om ansøgerne end det, karaktergennemsnittet giver. Det
betyder også, at uddannelserne kan udvælge ansøgere, der ikke har et karaktergen-
nemsnit og derfor ikke kan søge optagelse i kvote 1. I dette afsnit ses på de forskellige
udvælgelseskriterier, uddannelserne bruger i kvote 2, og hvordan de fungerer i forhold til
at rangere ansøgerne.
8.3.1 Uddannelserne bruger forskellige udvælgelseskriterier
Formålet med kvote 2 er dels, at de ansøgere, der ikke har tilstrækkelig højt karakter-
gennemsnit fra en gymnasial eksamen, har en mulighed for at blive optaget på uddan-
nelsen, og dels at ansøgere, der ikke har et karaktergennemsnit, men søger optagelse på
et andet grundlag end en gymnasial eksamen, f.eks. ansøgere med en erhvervsuddan-
nelse, har mulighed for at blive optaget.
Uddannelses- og Forskningsministeriet har foretaget en gennemgang af de udvælgel-
seskriterier, som uddannelserne anvender i kvote 2. Den viser, at der overordnet er seks
typer af udvælgelseskriterier, der bliver brugt i kvote 2 i det danske optagelsessystem,
jf. boks 8.7.
Uddannelses- og Forskningsministeriet
157
BUU, Alm.del - 2021-22 - Endeligt svar på spørgsmål 219: Spm. om børn og unges trivsel, til børne- og undervisningsministeren
2583011_0158.png
Evaluering af optagelsessystemet til de videregående uddannelser
Boks 8.7 Anvendte udvælgelseskriterier i kvote 2
Karakterer
Karakterer fra en gymnasial eksamen kan også anvendes i kvote 2-vurderingen. Det
kan være karaktergennemsnittet fra den gymnasiale eksamen, enkeltkarakterer i speci-
fikke, gymnasiale fag eller gennemsnit af karakterer fra flere specifikke gymnasiale fag.
Dokumenteret erfaring
Dokumenteret erfaring er aktiviteter ud over den adgangsgivende ungdomsuddannelse,
eksempelvis erhvervsarbejde, frivilligt foreningsarbejde, højskoleophold eller udlandsop-
hold.
Motiveret ansøgning
En motiveret ansøgning kan sammenlignes med en jobansøgning og indeholder typisk
en tilkendegivelse af motivation for uddannelsen og angivelse af relevante erfaringer og
kvalifikationer. En motiveret ansøgning kan også indeholde en beskrivelse af ansøge-
rens forståelse for uddannelsens indhold og struktur.
Samtaler
En samtale kan sammenlignes med en jobsamtale, der giver uddannelsesinstitutionen et
indtryk af f.eks. studieparathed, motivation og match til uddannelsens indhold og job-
sigte. Samtaler kaldes også nogle steder for interview og kan dække over enkeltstående
samtaler/interview eller flere, mindre interview som f.eks. metoden, der kaldes Multiple
Mini Interview (MMI).
Tests
Tests kan foregå på mange forskellige måder og kan kræve personligt fremmøde, en
kombination af en hjemmeopgave og personligt fremmøde eller en digital prøve. Det ty-
piske testformer er:
Kognitive test:
Består af multiple-choice spørgsmål og har ofte tre elementer:
1) matematiske færdigheder, 2) kritisk/logisk tænkning og 3) sproglige færdig-
heder.
Fagspecifikke test:
Tester fagspecifik viden og kan både teste ansøgerens
forudsætning for at kunne gennemføre uddannelsen og fungere som en for-
ventningsafstemning i forhold til ansøgeren.
Kombination af fagspecifikke test og kognitive test:
Ansøgerne skal oftest
først igennem en kognitiv test og efterfølgende en fagspecifik test.
Optagelsesprøve:
Test, samtaler eller en kombination af disse kaldes ofte en optagel-
sesprøve. En optagelsesprøve består typisk af tre dele: 1) Hjemmeopgave, 2) test med
fysisk tilstedeværelse og 3) samtale.
Kriterierne varierer i forhold til hvilken grad af aktivitet, der kræves af ansøgerne. For
eksempel vil samtaler og tests typisk kræve, at ansøgeren møder personligt op, mens
karakterer i enkeltfag ikke kræver en ekstra indsats, hvis det er fag, som ansøgeren har
fra sin gymnasiale uddannelse.
158
Uddannelses- og Forskningsministeriet
BUU, Alm.del - 2021-22 - Endeligt svar på spørgsmål 219: Spm. om børn og unges trivsel, til børne- og undervisningsministeren
2583011_0159.png
Evaluering af optagelsessystemet til de videregående uddannelser
8.3.2 Dokumenteret erfaring, karakterer og motiveret ansøgning er de
hyppigst anvendte kriterier i kvote 2 – og ofte i kombination
De fem grupper af kriterier bliver anvendt i forskellige grader på de videregående ud-
dannelser. Dokumenteret erfaring og karakterer er de langt mest anvendte til at vurdere
ansøgerne i kvote 2, jf. figur 8.6. I alt anvender 79 procent af uddannelserne dokumente-
ret erfaring, mens 75 procent af uddannelserne lader karakterer indgå. Motiveret ansøg-
ning bliver også brugt af lidt under halvdelen af uddannelserne, der vurderer ansøgere i
kvote 2.
Figur 8.6
Uddannelser, som i kvote 2 anvender de forskellige udvælgelseskriterier, andel, 2019
Procent
100
80
60
40
20
0
Procent
100
80
60
40
20
0
Dokumenteret erfaring
Karakterer
Adgangsprøve
Samtale
Motiveret ansøgning
Anm.: Søjlerne summer ikke til 100, idet institutionerne ofte anvender kombinationer af de forskellige
metoder. Opgørelsen inkluderer kun uddannelsesudbud, hvor der har været afviste i kvote 2, dvs. at
udvælgelseskriterierne har været benyttet. Opgørelsen er inklusiv de maritime uddannelser, der er
uden for kvotesystemet, da de i praksis stort set fungerer som uddannelser med 100 procent
kvote 2.
Kilde: Uddannelses- og Forskningsministeriet på baggrund af data fra Den Koordinerede Tilmelding.
Andelen af uddannelser, der bruger dokumenteret erfaring til vurderingen af ansøgere,
er steget med knap 16 procent siden 2010, mens andelen, der bruger test, er fordoblet.
Der er store udsving i brugen af test, men det afspejler, at andelen, der bruger test, er
lav i udgangspunktet. Dertil er andelen, der bruger samtaler faldet med 30 procent. An-
delen, der bruger de øvrige metoder, har været relativt stabil.
De forskellige metoder til at vurdere ansøgerne i kvote 2 bliver ofte kombineret. Således
anvender knap 89 procent af udbuddene en kombination af flere forskellige metoder.
Nogle kombinationer af metoder er mere populære end andre. Dokumenteret erfaring,
karakterer og motiveret ansøgning anvendes ofte sammen, jf. figur 8.7.
Uddannelses- og Forskningsministeriet
Kriterier ikke angivet
Test
159
BUU, Alm.del - 2021-22 - Endeligt svar på spørgsmål 219: Spm. om børn og unges trivsel, til børne- og undervisningsministeren
2583011_0160.png
Evaluering af optagelsessystemet til de videregående uddannelser
Figur 8.7
Andel uddannelser, der kombinerer udvælgelseskriterier, andel, 2019
Anm.: Figuren angiver andelen, der anvender en given metode på x-aksen, betinget på, at de anvender
metoden på y-aksen. Diagonalen er dermed 100 procent per definition.
Kilde: Uddannelses- og Forskningsministeriet på baggrund af data fra Den Koordinerede Tilmelding.
Tre metoder (dokumenteret erfaring, karakterer og motiveret ansøgning) optræder of-
test sammen. Af de uddannelser, der anvender dokumenteret erfaring, er det 96 procent,
der også anvender karakterer og 70 procent, der anvender motiverede ansøgninger. Med
andre ord komplementerer disse metoder i praksis ofte hinanden.
Givet, at uddannelserne anvender én af disse tre metoder, er der en lille andel, der an-
vender samtaler og tests. Det skal ses i lyset af, at ca. 5 og 10 procent af uddannelserne
bruger samtaler og tests, jf. figur 8.6.
Af de uddannelser, der anvender samtaler, kombineres det i 50 procent af tilfældene
også med dokumenteret erfaring, mens 37 procent kombinerer det med en motiveret
ansøgning, jf. figur 8.7. Tests bliver i højere grad anvendt som enkeltstående kriterium,
uden at metoden kombineres med andre udvælgelseskriterier. Dog anvender 8 procent
af uddannelserne, der bruger tests, også en motiveret ansøgning. På SDU anvendes i
kvote 2 som eksempel en test, der inkluderer samtaler, jf. boks 8.8.
160
Uddannelses- og Forskningsministeriet
BUU, Alm.del - 2021-22 - Endeligt svar på spørgsmål 219: Spm. om børn og unges trivsel, til børne- og undervisningsministeren
2583011_0161.png
Evaluering af optagelsessystemet til de videregående uddannelser
Boks 8.8 Testbaseret optagelse på Syddansk Universitet
Syddansk Universitet (SDU) har indført et testbaserede optagelsesforløb i kvote 2 på
alle deres uddannelser. Optagelsesforløbet er indført for at understøtte, at SDU optager
mere afklarede og motiverede ansøgere, samt øge sandsynligheden for at ansøgerne
vælger den rigtige uddannelse fra start. SDU har et testbaseret optagelsesforløb i kvote
2, hvor ansøgeren både skal til uniTEST og en eller flere fagspecifikke test alt efter hvil-
ken uddannelse, de søger.
UniTEST
En kognitiv test består af 90 spørgsmål og varer 2,5 time. Den skal vurdere ansøgerens
generelle studieegnethed inden for tre områder:
– Kritisk tænkning
– Kvantitativ tænkning
– Sproglig og kulturel forståelse.
Fagspecifikke test
På alle uddannelser skal ansøgeren igennem fagspecifikke test, der tester deres viden,
personlige færdigheder og motivation for valg af studie.
Multiple Mini Interview (MMI)
SDU anvender på nogle uddannelser også Multiple Mini Interview (MMI) - seks strukture-
rede mini-interviews og teststationer, hvor ansøgerens faglige og personlige kompeten-
cer og praktiske færdigheder vurderes.
SDUs egne tal viser, at studerende, der har søgt og er optaget via kvote 2 i perioden
2017-2019, har et frafald på 13 procent, mens studerende, der alene har søgt og er ble-
vet optaget via kvote 1, har et frafald på 23 procent. Samtidig angiver underviserne, at
de oplever, at ansøgere, der er optaget via kvote 2 er mere afklarede omkring deres stu-
dievalg, og at deres forventninger til uddannelsen stemmer bedre overens med uddan-
nelsens indhold og jobsigte.
På veterinæruddannelsen på Københavns Universitet indførte man i 2008 en lignende
kombination af en skriftlig prøve og en samtale, jf. boks 8.9.
Uddannelses- og Forskningsministeriet
161
BUU, Alm.del - 2021-22 - Endeligt svar på spørgsmål 219: Spm. om børn og unges trivsel, til børne- og undervisningsministeren
2583011_0162.png
Evaluering af optagelsessystemet til de videregående uddannelser
Boks 8.9 Skriftlig prøve og samtale på veterinæruddannelsen
Udvælgelseskriterierne for optagelse til veterinærmedicin på Københavns Universitet
(KU) blev ændret i 2008. I årene op til ændringen havde aftagerne udtrykt kritik af, at
der blev uddannet for få dyrlæger med interesse og viden om produktionsdyr til fordel
for husdyr/kæledyr. Dette betød, at det var svært at skaffe dyrlæger inden for slagteri-
erhvervet og landbruget. Universitetet ønskede derfor at justere udvælgelseskriterierne
for at øge mangfoldigheden i optaget for dermed at få nyuddannede dyrlæger med en
bredere profil.
Ændringen betød, at halvdelen af ansøgerne fremover skulle optages igennem kvote 2.
Optagelsesproceduren i kvote 2 indebar en skriftlig prøve og efterfølgende semistruk-
tureret interview med de ansøgere, der havde scoret højest i den skriftlige prøve. Det
semistrukturerede interview evaluerer erfaring med husdyr, dyrevelfærdsproblematikker
og veterinærerhverv i Danmark samt studieparathed, samarbejds- og lederevner samt
motivation.
I 2016 gennemførte KU en måling af udvælgelseskriterierne og fandt bl.a., at kvote 1 og
kvote 2-optagne ikke fordeler sig ligeligt på studieretningerne. Relativt flere optaget via
kvote 2 tildeles pladser inden for produktionsdyr/besætningssundhed og fødevarevare-
sikkerhed/One-Health, mens relativt flere af de optagne via kvote 1 tildeles pladser in-
den for familiedyrs-, heste- og biomedicindifferentiering. Herudover medførte ændrin-
gen en øget andel af mænd på uddannelsen samt en øget aldersspredning. Optagelsen i
kvote 1 understøttede udvælgelse af ansøgere, der som studerende klarer sig akade-
misk bedre på bacheloruddannelsen (udlignes på kandidatdelen) end studerende opta-
get i kvote 2. Optagelsen i kvote 2 leverede mere motiverede og vedholdende stude-
rende i forhold til studerende optaget i kvote 1.
Der er også forskel på, hvor udbredte de forskellige testkoncepter er. I Danmark findes
ikke en centralt udviklet, national egnethedstest. Det gør man brug af i f.eks. Sverige og
Israel, jf. boks 8.10.
162
Uddannelses- og Forskningsministeriet
BUU, Alm.del - 2021-22 - Endeligt svar på spørgsmål 219: Spm. om børn og unges trivsel, til børne- og undervisningsministeren
2583011_0163.png
Evaluering af optagelsessystemet til de videregående uddannelser
Boks 8.10 Brugen af en national test i Sverige og Israel
I Sverige har man en centralt udviklet national egnethedsprøve, ”Högskoleprovet”, som
tester ansøgerens matematiske og sproglige færdigheder. Prøven er på svensk, og den
kan tages af alle – også dem som har en gymnasial uddannelse, og den fungerer der-
med som en ”second chance”. Til uddannelser med adgangsbegrænsning fungerer prø-
ven som udvælgelseskriterie til minimum 1/3 af alle uddannelsespladser og maksimum
2/3 af uddannelsespladserne. Ansøgerne, der tager Högskoleprovet, konkurrerer både på
deres testresultat og på deres karaktergennemsnit, der har sin egen kvote.
I Israel har man en national test kaldet ”Psychometric Entrance Test”. Den tester ansø-
gernes matematiske og sproglige færdigheder, samt deres engelske sprogfærdigheder. I
Israel optages ansøgere til universiteterne på baggrund af en kombination af karakter-
gennemsnittet fra den gymnasiale uddannelse og resultatet fra den psykometriske test
omregnet til point. Ansøgerne bliver optaget, hvis de har en samlet score over en mini-
mumspointscore. Det betyder, at uddannelserne sætter en pointscore, og at ansøgerne
derefter er garanteret optagelse, hvis de har en samlet pointscore over minimumssco-
ren. Det svarer til optagelse ved et minimumskarakterkrav bestående af både afgangs-
karakter og testresultat.
Det er også en andel af uddannelserne, der kræver, at ansøgeren møder personligt op i
forbindelse med vurderingen i kvote 2. Det er blandt andet et krav i optagelsen i kvote 2
på Københavns Universitet. Et andet eksempel er læreruddannelsen, der indførte opta-
gelsessamtaler med personligt fremmøde på alle udbud af uddannelsen i kvote 2 i 2013,
jf. boks 8.11.
Boks 8.11 Brugen af optagelsessamtaler på læreruddannelsen
I 2013 blev der indført optagelsessamtaler for ansøgere i kvote 2 på læreruddannelsen.
Ansøgere, som har under 7,0 i gennemsnit fra den gymnasiale eksamen (inklusiv evt. bo-
nus for tidlig studiestart og flere fag på A-niveau) – eller som endnu ikke er sikre på at
få et gennemsnit på 7,0 eller derover, skal til optagelsessamtale. Ansøgere, som ikke har
en gymnasial eksamen, skal også til samtale, hvis der er givet dispensation for dette
adgangskrav. Der blev afholdt 2.358 samtaler i 2018.
Optagelsessamtalerne er tilrettelagt med udgangspunkt i et såkaldt multiple mini-in-
terview-koncept med to optagelsessamtaler i forlængelse af hinanden og på baggrund
af skriftligt materiale/cases. Her bliver ansøgerne vurderet kvalitativt inden for seks
forskellige temaer: motivation, etisk formåen, samarbejdsevne og integritet, kommuni-
kationsevne, kognitiv formåen samt tekstforståelse og -håndtering. Ansøgerens præ-
station vurderes på en skala fra 1-7 for hvert temaer. Ansøgerne skal som minimum
samlet opnå 30 point inkl. point for deres karaktergennemsnit.
Uddannelses- og Forskningsministeriet
163
BUU, Alm.del - 2021-22 - Endeligt svar på spørgsmål 219: Spm. om børn og unges trivsel, til børne- og undervisningsministeren
2583011_0164.png
Evaluering af optagelsessystemet til de videregående uddannelser
8.3.3 Sammenhæng mellem karakterer og rangering i kvote 2
I 2018 blev over 15.000 ansøgere optaget gennem kvote 2, og mere end 42.000 ansø-
gere afsendte mindst én kvote 2-ansøgning. I alt blev 90.646 ansøgninger vurderet i
kvote 2. Da alle kvote 2-ansøgninger skal sagsbehandles individuelt, kræver dette tid og
ressourcer. Derfor er det vigtigt, hvorvidt den ekstra information uddannelsesinstitutio-
nerne får gennem udvælgelseskriterierne i kvote 2, giver sig udslag i et bedre match
mellem ansøger og uddannelse.
8.3.4 Uddannelsesinstitutionerne vurderer generelt de samme ansøgere
højt i både kvote 1 og kvote 2
Hvis uddannelsesinstitutionen rangerer de samme ansøgere (som har et karaktergen-
nemsnit) højt i både kvote 1 og kvote 2, fungerer kvote 2 som en udvidelse af kvote 1.
Det er imidlertid også muligt, at uddannelsesinstitutionerne i kvote 2 rangerer ansøgere
på en sådan måde, at de, der vurderes mest egnede i kvote 2,
ikke
er dem, der ville være
blevet optaget, hvis antallet af pladser havde været større i kvote 1.
I gennemsnit bliver de ansøgere, der bliver rangeret højt i kvote 1, også vurderet højere i
kvote 2, jf. figur 8.8. Det vil sige, at kvote 2 i nogen grad optager de samme ansøgere,
der ville blive optaget i kvote 1. Modsat er rangeringerne i kvote 1 og kvote 2 ikke ens,
hvilket betyder, at kvote 2 også til en vis grad optager nogle andre ansøgere, end kvote
1 ville gøre.
Figur 8.8
Gennemsnitlig rangering af ansøgere i kvote 2 fordelt på deres rangering i kvote 1, 2016-
2018
Gennemsnitlig rangering i kvote 2
100
Gennemsnitlig rangering i kvote 2
100
80
80
60
60
40
40
20
20
0
Lav
Kvote 1
Kvote 2
Rangering i
kvote 1
Høj
0
Anm.: Den stiplede linje markerer den forventede placering, hvis der ikke var en sammenhæng mellem-
vurderingen i kvote 1 og i kvote 2.
Kilde: Uddannelses og forskningsministeriet på baggrund af data fra Den Koordinerede Tilmelding.
164
Uddannelses- og Forskningsministeriet
BUU, Alm.del - 2021-22 - Endeligt svar på spørgsmål 219: Spm. om børn og unges trivsel, til børne- og undervisningsministeren
Evaluering af optagelsessystemet til de videregående uddannelser
Det er kun muligt at foretage rangeringen for de ansøgere, der har et karaktergennem-
snit fra en gymnasial eksamen. I alt 71 procent af de ansøgere, som blev behandlet i
kvote 2 i 2019, havde en gymnasial eksamen og dermed også mulighed for at søge op-
tagelse i kvote 1. Til sammenligning søgte 6 procent af ansøgerne i 2019 ind på bag-
grund af en erhvervsuddannelse.
Den tætte sammenhæng mellem karaktergennemsnit og prioritering i kvoten genfindes
op til et vist punkt i kvote 2. En høj rangering i kvote 1 leder dermed til en højere place-
ring i kvote 2. Sammenhængen er dog aftagende, så sammenhængen mellem vurderin-
gen i kvote 1 og kvote 2 er mindre stærk for ansøgere, der bliver rangeret højt i kvote 1.
Det kan ses som et udtryk for, at karakterer på næsten tre fjerdedele af uddannelses-
udbuddene spiller en rolle i udvælgelsen i kvote 2, men det kan også pege på, at de fak-
torer, der giver høje karakterer på ungdomsuddannelserne, også leder til, at ansøgeren
fremstår mere attraktiv for uddannelsen, da optagne med høje karaktergennemsnit ge-
nerelt klarer sig bedre på uddannelsen.
8.3.5 Sammenhængen mellem karaktergennemsnit og rangering i kvote 2
afhænger af udvælgelseskriterier
Der er variation i, hvilke udvælgelseskriterier uddannelsesinstitutionerne anvender til at
rangere ansøgere i kvote 2. Når forskellige kriterier tages i brug, er det forventeligt, at
disse kriterier rangerer ansøgerne forskelligt. Det ses i figur 8.9, som viser den gennem-
snitlige rangering på uddannelserne fordelt på, hvilke metoder uddannelsesinstitutio-
nerne anvender. Den stiplede linje markerer, hvordan det ville se ud, hvis placeringen i
kvote 2 var uafhængig af den rangering, som ansøgerne har fået i kvote 1.
Sammenhængen mellem rangeringen i kvote 2 og kvote 1 er ikke ensartet på tværs af
typer af udvælgelseskriterier, jf. figur 8.9.
Uddannelses- og Forskningsministeriet
165
BUU, Alm.del - 2021-22 - Endeligt svar på spørgsmål 219: Spm. om børn og unges trivsel, til børne- og undervisningsministeren
2583011_0166.png
Evaluering af optagelsessystemet til de videregående uddannelser
Figur 8.9
Rangering af ansøgere i kvote 2 som funktion af ansøgernes rangering i kvote 1, forskellige
udvælgelseskriterier, 2016-2018
Gennemsnitlig rangering i kvote 2
100
Gennemsnitlig rangering i kvote 2
100
80
80
60
60
40
40
20
20
0
Lav
Dokumenteret erfaring*
Rangering i
kvote 1
Motiveret ansøgning
Samtaler
Høj
Test
0
Anm.: Den vandrette stiplede linje markerer den forventede placering ved tilfældig rangering af ansøgere.
*Dokumenteret erfaring er eksklusiv de uddannelser, der benytter dokumenteret erfaring i sam-
menhæng med motiveret ansøgning.
Kilde: Uddannelses og Forskningsministeriet på baggrund af data fra Den Koordinerede Tilmelding.
Sammenhæng mellem rangeringen i kvote 1 og rangering i kvote 2 er stærkere for de
uddannelser, der anvender dokumenteret erfaring (uden kombination med motiveret an-
søgning). Dermed synes udvælgelseskriteriet ’dokumenteret erfaring’ i høj grad at ran-
gere ansøgere på samme måde som karaktergennemsnit. Det er derfor ikke et udvæl-
gelseskriterie, som leverer en mulighed for ”second chance” for ansøgerne. Sammen-
hængen aftager dog en smule jo højere ansøgerne var rangeret i kvote 1.
Man genfinder det samme mønster, men i mindre grad, for uddannelser, der anvender
motiveret ansøgning og samtaler som kriterier til at rangere ansøgerne i kvote 2. Også
for disse uddannelser er der en klar positiv sammenhæng mellem rangeringen i kvote 1
og ansøgerens rangering i kvote 2. Sammenhængen er mindre stærk, og disse udvælgel-
seskriterier bidrager dermed i højere grad til, at der optages andre ansøgere end dem,
der ville blive optaget i kvote 1.
8.3.6 Rangering af ansøgere hænger sammen med udvælgelseskriterier
På tværs af brugen af udvælgelseskriterier er der generelt en positiv sammenhæng mel-
lem karaktergennemsnit (dvs. rangeringen i kvote 1) og rangeringen i kvote 2, jf. figur
8.10. Uddannelser, der anvender dokumenteret erfaring, har i gennemsnit den højeste
korrelation på mellem 0,4 og 0,5. Koefficienten kan maksimalt være 1. Med andre ord vil
dokumenteret erfaring som udvælgelseskriterie i høj grad give anledning til samme ran-
gering som i kvote 1.
166
Uddannelses- og Forskningsministeriet
BUU, Alm.del - 2021-22 - Endeligt svar på spørgsmål 219: Spm. om børn og unges trivsel, til børne- og undervisningsministeren
2583011_0167.png
Evaluering af optagelsessystemet til de videregående uddannelser
Figur 8.10
Den gennemsnitlige sammenhæng mellem rangering i kvote 1 og kvote 2 ved forskellige ud-
vælgelseskriterier, 2016-2018
Korrelationskoefficient
0,6
0,5
0,4
0,3
0,2
0,1
0,0
-0,1
-0,2
-0,3
-0,4
Dokumenteret erfaring
Karakterer
Motiveret ansøgning
Samtale
Test
Korrelationskoefficient
0,6
0,5
0,4
0,3
0,2
0,1
0,0
-0,1
-0,2
-0,3
-0,4
Gennemsnit
Kontrolleret for kombinationer
Anm.: De grå søjler er den gennemsnitlige sammenhæng mellem rangeringen i kvote 1 og kvote 2 for det
enkelte udvælgelseskriterie, når der ikke tages højde for at udvælgelseskriterierne benyttes i kom-
bination. De blå søjler viser sammenhængen mellem udvælgelseskriterierne og rangeringen af an-
søgere, når man kontrollerer for, at metoderne kombineres. Se metodeboks for yderligere beskri-
velse.
Kilde: Uddannelses- og Forskningsministeriet på baggrund af data fra Den Koordinerede Tilmelding.
De forskellige udvælgelseskriterier i kvote 2 anvendes ofte i kombination. Hvis uddan-
nelsen anvender karakterer som udvælgelseskriterie, er der for eksempel stor sandsyn-
lighed for, at de også anvender dokumenteret erfaring. Det kan afspejle, at nogle kom-
binationer af udvælgelseskriterier er oftere anvendt end andre.
Når man kontrollerer for kombinationer, er motiveret ansøgning og samtaler hver især
med til at
mindske
sammenhængen mellem rangeringen i kvote 2 og rangeringen i kvote
1. Det sandsynliggør, at der med disse udvælgelseskriterier er en mulighed for at vurdere
andre aspekter af ansøgeren end blot deres karaktergennemsnit. Det skal ses i sam-
menhæng med, at særligt motiveret ansøgning ofte anvendes i kombination med doku-
menteret erfaring og karakterer. Der kan dermed i praksis fortsat være en prioritering af
ansøgere med høje karaktergennemsnit, selvom motiveret ansøgning eller samtale er
taget i brug, hvilket betyder, at rangeringen i kvote 2 får tæt sammenhæng med range-
ringen i kvote 1 – og at uddannelserne dermed udvælger de samme ansøgere i kvote 2,
som de ville have gjort i kvote 1.
Uddannelses- og Forskningsministeriet
167
BUU, Alm.del - 2021-22 - Endeligt svar på spørgsmål 219: Spm. om børn og unges trivsel, til børne- og undervisningsministeren
2583011_0168.png
Evaluering af optagelsessystemet til de videregående uddannelser
Metode: Rangering af ansøgere i kvote 2
For at optage ansøgere gennem den Koordinerede Tilmelding (KOT), skal institutio-
nerne indberette en rangering af ansøgere til hvert enkelt udbud. Dermed er Den
Koordinerede Tilmelding i besiddelse af en rangering af ansøgerne i kvote 2. En an-
søgers plads i denne liste kaldes et
ventelistenummer.
For at beskrive hvordan ansøgerne rangeres, udregnes det gennemsnitlige venteli-
stenummer i celler, der er kombinationer af år, uddannelsesudbud, kvote og karak-
tergennemsnit i heltal. Der kan derefter tages gennemsnit af disse gennemsnit for
at beskrive variationer i data. Disse ”gennemsnit af gennemsnit” er dermed vægtet
således, at der kontrolleres for forskelligartet ansøgningsfelt på tværs af tid, ud-
dannelser, kvoter og karaktergrupper. Hvis ansøgerne blev tilfældig fordelt, ville den
gennemsnitlige rangering ligge på 50 procent.
Udeladelser af celler
Celler med mindre end 5 ansøgere udelades. Som kvote 1 og kvote 2 anvendes de
grupper i KOT, der er angivet med gruppenummer hhv. 10 og 20. Der medtages kun
adgangsbegrænsede uddannelser, dvs. uddannelser, der ikke har alle optaget.
8.4 Udvælgelse af ansøgere på baggrund af flere
udvælgelseskriterier i kvote 2
Optagelsen i kvote 2 kan ske på forskellig vis, men forudsætter altid en individuel vur-
dering af ansøgere på baggrund af fastsatte udvælgelseskriterier. Hvis den ekstra in-
formation i kvote 2 er brugbar til at vurdere ansøgerne, bør det give sig udslag i, at de
bedst rangerede ansøgere i kvote 2 klarer sig bedre end ansøgere med en ringere range-
ring, også selvom de har det samme karaktergennemsnit.
8.4.1 Ansøgere med bedre kvote 2-vurdering klarer sig bedre på
uddannelsen
Optagne med bedre rangering i kvote 2 har i gennemsnit har 0,2 måneder kortere stu-
dietid end dem med en ringere rangering i kvote 2, jf. figur 8.11. De optagne, som er
bedst rangeret i kvote 2, har i gennemsnit
1,4 procentpoint lavere frafald på 1. studieår,
end dem med en ringere rangering i kvote 2. , jf. figur 8.12.
168
Uddannelses- og Forskningsministeriet
BUU, Alm.del - 2021-22 - Endeligt svar på spørgsmål 219: Spm. om børn og unges trivsel, til børne- og undervisningsministeren
2583011_0169.png
Evaluering af optagelsessystemet til de videregående uddannelser
Figur 8.11
Gennemsnitlig studietid, måneder, 2000-
2013
Studietid i antal måneder
40,0
39,9
39,8
39,7
39,6
39,5
39,4
39,3
39,2
39,1
39,0
Ringere rangering i
kvote 2
Bedre rangering i
kvote 2
Studietid i antal måneder
40,0
39,9
39,8
39,7
39,6
39,5
39,4
39,3
39,2
39,1
39,0
Figur 8.12
Frafald 1., 2. og 3. studieår, procent, 2000-
2017
Frafald i procnt
14
12
10
8
6
4
2
0
1. studieår
2. studieår
3. studieår
Ringere rangering i kvote 2
Bedre rangering i kvote 2
Frafald i procnt
14
12
10
8
6
4
2
0
Anm.: Kun kvote 1-optagne i 2000-2013, der også
har søgt i kvote 2, sammenlignes.
Kilde: Uddannelses- og Forskningsministeriet på
baggrund af data fra Den Koordinerede Til-
melding.
Anm.: Kun kvote 1-optagne i 2000-2017, der også
har søgt i kvote 2, sammenlignes.
Kilde: Uddannelses- og Forskningsministeriet på
baggrund af data fra Den Koordinerede Til-
melding.
Analyse fokuserer på den samlede gennemsnitlige effekt af de forskellige udvælgelses-
kriterier for ansøgere, der har søgt både i kvote 1 og 2, ved at sammenligne kvote 2-vur-
deringen af ens optagne i kvote 1 på samme uddannelse, i samme år og med samme
karaktergennemsnit. Analysen ser på, om optagne med en bedre rangering i kvote 2,
klarer sig bedre på udvalgte parametre. Analysen inkluderer ikke ansøgere i kvote 2, som
ikke har et karaktergennemsnit fra en gymnasial uddannelse, som f.eks. ansøgere med
en erhvervsuddannelse.
Herudover viser analysen, at de optagne med den bedste rangering i kvote 2 i gennem-
snit får
0,4 højere karakterer det første studieår,
end dem med en ringere rangering i
kvote 2, jf. figur 8.13.
Rangeringen i kvote 2 kan også forudse succes
efter færdiggørelsen af uddannelsen.
De, der blev optaget med bedre rangering i kvote 2 har i gennemsnit 0,6 procentpoint
lavere ledighed efter endt uddannelse end dem med ringere rangering, jf. figur 8.14.
Uddannelses- og Forskningsministeriet
169
BUU, Alm.del - 2021-22 - Endeligt svar på spørgsmål 219: Spm. om børn og unges trivsel, til børne- og undervisningsministeren
2583011_0170.png
Evaluering af optagelsessystemet til de videregående uddannelser
Figur 8.13
Karaktergennemsnit 1. studieår, 2007-2017
Karaktergennemsnit
7,5
7,4
7,3
7,2
7,1
7,0
6,9
6,8
6,7
6,6
6,5
Ringere rangering i
kvote 2
Bedre rangering i
kvote 2
Karaktergennemsnit
7,5
7,4
7,3
7,2
7,1
7,0
6,9
6,8
6,7
6,6
6,5
Figur 8.14
Bruttoledighed efter færdiggørelse af ud-
dannelse, procent, 2000-2013
Ledighed
10,6
10,5
10,4
10,3
10,2
10,1
10,0
9,9
9,8
9,7
9,6
Ringere rangering i
kvote 2
Bedre rangering i
kvote 2
Ledighed
10,6
10,5
10,4
10,3
10,2
10,1
10,0
9,9
9,8
9,7
9,6
Anm.: Kun kvote 1-optagne i 2007-2017, der også
har søgt i kvote 2, sammenlignes.
Kilde: Uddannelses- og Forskningsministeriet på
baggrund af data fra Den Koordinerede Til-
melding.
Anm.: Kun kvote 1-optagne i 2000-2013, der også
har søgt i kvote 2, sammenlignes. Ledighe-
den er opgjort som dage ledig i perioden 12-
23 måneder efter fuldførelsestidspunktet.
Kilde: Uddannelses- og Forskningsministeriet på
baggrund af data fra Den Koordinerede Til-
melding.
170
Uddannelses- og Forskningsministeriet
BUU, Alm.del - 2021-22 - Endeligt svar på spørgsmål 219: Spm. om børn og unges trivsel, til børne- og undervisningsministeren
2583011_0171.png
Evaluering af optagelsessystemet til de videregående uddannelser
Metode: Matchinganalyse af kvote 2-vurderinger
Til denne analyse er der foretaget en matchinganalyse af kvote 2-vurderinger ved
at se på optagnes kvote 2-ventelistenumre (rangering). At en ansøger har et kvote
2-ventelistenummer betyder, at personen har søgt om optagelse på den givne ud-
dannelse gennem kvote 2. Den ansøger med det bedste ventelistenummer (højere
rangering), har uddannelsesinstitutionen i kvote 2 vurderet, er bedre kvalificeret end
den ansøger med et dårligere ventelistenummer (lavere rangering).
Matchinganalysen foregår i dette tilfælde ved, at man i den samlede bestand af
personer, man vil måle på, sammenkobler profiler i par eller matches, der begge er
optaget gennem kvote 1 med det samme karaktergennemsnit, på den samme ud-
dannelse, det samme år og begge samtidig har søgt om optagelse i kvote 2, og der-
med har et kvote 2-ventelistenummer.
At de sammenkoblede personer er så ens som muligt betyder, at den eneste obser-
verede forskel mellem dem er deres kvote 2-ventelistenumre. Denne sammenkob-
ling gør det muligt at finde ud af, om der er en signifikant korrelation mellem det at
have et højere eller lavere kvote 2-ventelistenummer og udvalgte parametre for
succes på uddannelsen og efterfølgende: karakterer på 1. studieår, studietid, frafald
og ledighed efter endt studie.
Det måles helt konkret, for eksempel ved studietid, ved at se på de to sammenkob-
lede personers personlige studietid, og derefter se om den med det højere eller la-
vere ventelistenummer har brugt kortest tid på at komme igennem studiet. Over
hele bestanden af matches kan man således se, om der er en korrelation mellem
kvote 2-ventelistenummer og studietid, og om denne er positiv eller negativ.
8.4.2 Studerende optaget via kvote 2 har lavere sandsynlighed for frafald
Studerende, der er blevet optaget via kvote 2, har på 1. og 2. semester ca. 25-30 procent
lavere risiko for at falde fra end studerende optaget via kvote 1, jf. figur 8.15. Denne ef-
fekt er højere for studerende på akademiske bacheloruddannelser end for studerende
på professionsbacheloruddannelser og erhvervsakademiuddannelser. For de studerende,
der fortsat er på studiet på 3.-5. semester, er forskellen mindre. På uddannelsens afslut-
tende semester er frafaldsandsynligheden for studerende optaget hhv. via kvote 1 og
kvote 2 ca. den samme. Samlet over studieforløbet har studerende optaget i kvote 2,
væsentligt lavere risiko for frafald.
Studerende på uddannelser med alle optaget har højere risiko for frafald end stude-
rende på uddannelser med adgangsbegrænsning, jf. figur 8.15. På uddannelser med alle
optaget er risikoen for frafald ca. 15-50 procent højere efter de første to semestre. Be-
tydningen er dog mindre på erhvervsakademiuddannelserne.
Uddannelses- og Forskningsministeriet
171
BUU, Alm.del - 2021-22 - Endeligt svar på spørgsmål 219: Spm. om børn og unges trivsel, til børne- og undervisningsministeren
2583011_0172.png
Evaluering af optagelsessystemet til de videregående uddannelser
Figur 8.15
Betydningen af faktorer ved optagelsen for odds for at falde fra, pr. semester efter studie-
start, odds ratio i forhold til kvote 1, 2001-2017
Odds ratio for frafald
1,75
1,50
1,25
1,00
0,75
0,50
0,25
0,00
Odds ratio for frafald
1,75
1,50
1,25
1,00
0,75
0,50
0,25
0,00
1. sem
Optaget i kvote 1
2. sem
3. sem
Optaget i kvote 2
4. sem
Alle optagne
5. sem
Afsluttende sem
Anm.: ”Alle optaget” angiver, at de studerende er optaget på uddannelser, hvor alle kvalificerede ansø-
gere blev optaget. Odds ratio er i forhold til frafaldet i kvote 1. Der er kontrolleret for en række
baggrundsvariable, bl.a. køn, forældrebaggrund og karaktergennemsnit fra gymnasial uddannelse.
”Afsluttende semester” er det afsluttende semester uanset uddannelsens længde.
Kilde: Uddannelses- og Forskningspolitisk Redegørelse på baggrund af data fra Danmarks Statistik og
Den Koordinerede Tilmelding.
Jf. tidligere boks 8.3 kan omvalg og frafald skyldes mange forskellige (kombinationer af)
faktorer. Når ansøgere, der er optaget i kvote 2 har lavere frafald på de første år af ud-
dannelsen, peger en undersøgelse fra Danmarks Evalueringsinstitut på, at ansøgere op-
taget i kvote 2 er mere motiverede for uddannelsen, jf. boks 8.12.
Boks 8.12 Danmarks Evalueringsinstitut, 2019: ”Kortlægning af kvote 2-systemet
på de videregående uddannelser”
En spørgeskemaundersøgelse fra Danmarks Evalueringsinstitut viser, at ansøgere, der
selv angiver, at de har søgt via kvote 2, er mere motiverede for at starte på deres ud-
dannelse end ansøgere, der ikke har søgt ind via kvote 2. I alt 62 procent af de ad-
spurgte kvote 2-ansøgere angiver, at de er meget motiverede for at starte på den ud-
dannelse, de er blevet optaget på. Det samme gælder 46 procent af studerende, der
ikke søgte ind via kvote 2.
Undersøgelsen peger på, at resultatet ikke nødvendigvis skal tolkes som udtryk for, at
en kvote 2-ansøgning gør ansøgerne mere motiverede for at starte. Forskellen kan lige
så godt være udtryk for, at meget motiverede ansøgere oftere vil have lyst til at lægge
den ekstra indsats, det kræver at søge ind på en uddannelse i kvote 2.
172
Uddannelses- og Forskningsministeriet
BUU, Alm.del - 2021-22 - Endeligt svar på spørgsmål 219: Spm. om børn og unges trivsel, til børne- og undervisningsministeren
Evaluering af optagelsessystemet til de videregående uddannelser
8.4.3 Optagne med en erhvervsuddannelse har lavere sandsynlighed for
frafald
Ansøgere med en erhvervsuddannelse har ikke et gymnasialt karaktergennemsnit og
indgår derfor ikke i analysen ovenfor. Sammenligner man frafaldssandsynligheden for
hhv. optagne med en erhvervsuddannelse og optagne med en gymnasial uddannelse
som adgangsgrundlag, viser det, at optagne med en erhvervsuddannelse på professi-
onsbacheloruddannelserne er 11,8 procent faldet fra efter 1. studieår, mens det gælder
13,3 procent med en stx.
De studerende med en erhvervsuddannelse er samtidig den gruppe med lavest frafald
på 1. studieår. På erhvervsakademiuddannelserne er tendensen den samme. Her er 16,9
procent med en erhvervsuddannelse faldet fra på 1. studieår, mens det gælder 18 pro-
cent med en stx.
Forskellen kan hænge sammen med, at optagne med en erhvervsuddannelse er mere af-
klarede om deres studievalg end optagne med en gymnasial uddannelse. Det kan være
fordi, de har færre videregående uddannelser at vælge imellem, og at uddannelsen er et
reelt tilvalg, da ansøgere med en erhvervsuddannelse har mulighed for at finde beskæf-
tigelse med deres erhvervsuddannelse. Det kan også skyldes, at studerende med en er-
hvervsuddannelse, der tager en videregående uddannelse, er bedre kvalificerede til den
konkrete uddannelse end den gennemsnitlige studerende med en gymnasial uddannelse.
8.4.4 Ansøgere, der venter med at søge optagelse, bliver vurderet bedre i
kvote 2
Ansøgere, som søger optagelse samme år, de dimitterer eller venter 1 år, får i gennem-
snit den laveste rangering i kvote 2. Ansøgere, der venter 3 år eller længere i gennemsnit,
får en bedre rangering i kvote 2 jo flere år, de venter med at søge. Trenden gælder alle
dimittendaldre, men er ikke signifikant efter 5. år, jf. figur 8.16.
Uddannelses- og Forskningsministeriet
173
BUU, Alm.del - 2021-22 - Endeligt svar på spørgsmål 219: Spm. om børn og unges trivsel, til børne- og undervisningsministeren
2583011_0174.png
Evaluering af optagelsessystemet til de videregående uddannelser
Figur 8.16
Gennemsnit af normaliserede kvote 2-ventelistenumre fordelt på alder på adgangsgivende
eksamen, 2009-2018
Gennemsnitlig rangering i kvote 2
0,4
0,3
0,2
0,1
0,0
-0,1
-0,2
-0,3
-0,4
Gennemsnitlig rangering i kvote 2
0,4
0,3
0,2
0,1
0,0
-0,1
-0,2
-0,3
-0,4
0
1
2
3
4
5
6
7
8
9
10
Alder på adgangsgivende eksamen i år
Anm.: Analysen inkluderer alle studerende, der er startet i årene 2009-2018. De normaliserede kvote 2-
ventelistenumre er en omregning af de sande ventelistenumre (rangeringen). For at kunne sam-
menligne numrene for uddannelser med forskellige antal ansøgere, har hvert ventelistenummer
fået fratrukket gennemsnittet og er derefter blevet divideret med standardafvigelsen. Det midter-
ste ventelistenummer har derfor fået værdien 0,0. Negative værdier er de ventelistenumre, der er
bedre end det midterste, og positive værdier er de ventelistenumre, der er ringere.
Kilde: Uddannelses- og Forskningsministeriets på baggrund af data fra Den Koordinerede Tilmelding.
Tendensen kan skyldes, at ansøgere, der venter med søge optagelse, har haft mere tid
til at erhverve sig relevant erfaring som f.eks. erhvervserfaring, udlandsophold eller høj-
skoleophold, som uddannelserne kan bruge i vurderingen i kvote 2. Dette indikerer, at
optagelsen i kvote 2 belønner ansøgere, der bruger lang tid, før de starter en uddannelse.
Dette er på trods af, at uddannelserne ifølge gældende regler højst må vurdere aktivite-
ter for en periode på sammenlagt 12 måneder.
For uddannelser, der angiver dokumenteret erfaring som et udvælgelseskriterie, vil an-
tallet af år mellem den gymnasiale uddannelse og optagelse på en videregående ud-
dannelse, have en tæt sammenhæng, alene fordi ansøgerne har haft tid til at foretage
sig relevante aktiviteter. Denne sammenhæng vil ikke nødvendigvis være lige så enty-
dig, hvis man alene så på andre udvælgelseskriterier end dokumenteret erfaring.
174
Uddannelses- og Forskningsministeriet
BUU, Alm.del - 2021-22 - Endeligt svar på spørgsmål 219: Spm. om børn og unges trivsel, til børne- og undervisningsministeren
Evaluering af optagelsessystemet til de videregående uddannelser
9. Optagelsessystemets
betydning for social
mobilitet
I dette kapitel undersøges, hvordan optagelsessystemet
påvirker social mobilitet målt ved forældres
uddannelsesbaggrund. Analyserne viser bl.a., at ansøgere
med ufaglærte og faglærte forældre i ringere grad søger
optagelse på videregående uddannelser, konkurrerer på et
lavere karaktergennemsnit i kvote 1 og i gennemsnit bliver
vurderet ringere i kvote 2 i forhold til deres vurdering i kvote
1 sammenlignet med ansøgere med forældre med en
videregående uddannelse.
Måden, optagelsessystemet virker på i forhold til at give ansøgere lige adgang til de vi-
deregående uddannelser, kan have betydning for den sociale mobilitet i Danmark. I
denne evaluering afgrænses social mobilitet til at handle om uddannelsesmobilitet –
det vil sige i hvilket omfang, unge har mulighed for at blive optaget på en uddannelse på
et højere niveau end deres forældre. Derfor er det relevant at se på, om der er elementer
i optagelsessystemet, der kan være med til at påvirke uddannelsesmobiliteten. Kapit-
lets analyser er baseret på statistiske analyser af data fra Den Koordinerede Tilmelding
og Danmarks Statistik.
Uddannelses- og Forskningsministeriet
175
BUU, Alm.del - 2021-22 - Endeligt svar på spørgsmål 219: Spm. om børn og unges trivsel, til børne- og undervisningsministeren
2583011_0176.png
Evaluering af optagelsessystemet til de videregående uddannelser
Hovedresultater
– I 2019 blev der optaget ca. 6.500 flere ansøgere med faglærte eller ufaglærte
forældre end i 2009. Det svarer til 34 procent flere. Det skyldes bl.a., at opta-
get til de videregående uddannelser er steget markant.
– Ti år efter de har afsluttet folkeskolen, har 35 procent af unge med ufaglærte
forældre gennemført en gymnasial uddannelse. Det tilsvarende tal for unge
med forældre med en videregående uddannelse er 75 procent. Da de gymnasi-
ale uddannelser er hovedvejen ind i optagelsessystemet, betyder det, at flere
unge med en ufaglærte forældre ikke søger ind på en videregående uddan-
nelse.
– Ansøgere med forældre med en videregående uddannelse har generelt væ-
sentligt højere karaktergennemsnit fra den gymnasiale uddannelse end ansø-
gere med faglærte og ufaglærte forældre. I gennemsnit har de et karaktergen-
nemsnit, der er 1,0 karakterpoint højere end ansøgere med faglærte forældre,
og 1,5 karakterpoint højere end ansøgere med ufaglærte forældre. Det stiller
dem bedre, når de bliver vurderet i kvote 1. Forskellen på et karaktergennem-
snit på f.eks. 7,0 og 8,0 betød en forskel på, hvorvidt man kunne komme ind på
82, eller knap 10 procent, af uddannelsesudbuddene i 2019
– Der er forskel på, hvordan ansøgere bliver vurderet i kvote 2 afhængigt af,
hvilket uddannelsesniveau deres forældre har. I kvote 2 bliver ansøgere med
en gymnasial eksamen med faglærte eller ufaglærte forældre typisk vurderet
lavere end ansøgere med forældre med en videregående uddannelse, der er
rangeret på samme niveau i kvote 1.
– En simulering viser, at med den nuværende anvendelse af udvælgelseskriterier
i kvote 2, vil ansøgere med faglærte eller ufaglærte forældre alt andet lige
blive bedre stillet, hvis man i stedet for kvote 2 havde fordelt pladserne efter
karaktergennemsnit i kvote 1.
– Der er indikationer på, at der kan være forskellige virkninger afhængigt af,
hvilke udvælgelseskriterier uddannelserne vælger i kvote 2. F.eks. har Syd-
dansk Universitet indført et testbaseret optagelsesforløb i kvote 2, hvor de i
højere grad optager ansøgere med faglærte forældre, end hvis pladserne blev
fordelt i kvote 1.
9.1 Social mobilitet forud for optagelsessystemet
Hvis der er stor forskel på, hvor stor en andel af henholdsvis unge med forældre med en
videregående uddannelse og unge med faglærte eller ufaglærte forældre, der søger mod
en videregående uddannelse, vil den direkte effekt af optagelsessystemet på uddannel-
sesmobiliteten være relativt begrænset, da forskellen mellem grupperne viser sig på et
tidligere tidspunkt i uddannelsessystemet.
176
Uddannelses- og Forskningsministeriet
BUU, Alm.del - 2021-22 - Endeligt svar på spørgsmål 219: Spm. om børn og unges trivsel, til børne- og undervisningsministeren
Evaluering af optagelsessystemet til de videregående uddannelser
9.1.1 Unge med forældre med en videregående uddannelse vælger oftere en
gymnasial uddannelse
Forskningen viser, at de tidlige barndomsår er essentielle for etableringen af social arv
både gennem normer, kognitive og ikke-kognitive evner, se f.eks. Heckman, 2006. Det
betyder, at en del af grundlaget for, om de unge bliver optaget på en videregående ud-
dannelse, ligger lang tid før, de unge møder optagelsessystemet. Det gælder blandt an-
det sandsynligheden for at have gennemført en ungdomsuddannelse samt hvilke kom-
petencer, som de unge har tilegnet sig gennem grundskolen og ungdomsuddannelsen.
Dertil kan der være en sammenhæng mellem forældrenes uddannelsesniveau, og hvilke
uddannelser ansøgerne vælger at søge, herunder også betydningen af f.eks. geografisk
afstand og institutionstyper. Disse sammenhænge er ikke undersøgt i evalueringen.
For mange unge dukker spørgsmålet om at tage en videregående uddannelse op tidli-
gere i deres liv, f.eks. i forbindelse med valget af ungdomsuddannelse. Den tydeligste
forskel i den sociale mobilitet sker i overgangen mellem grundskole og en gymnasial ud-
dannelse, hvor eksempelvis kun 35 procent af dem med ufaglærte forældre tager en
gymnasial uddannelse. Dette tal er 75 procent for unge med forældre med en videregå-
ende uddannelse. Da de gymnasiale uddannelser er hovedvejen ind i optagelsessyste-
met, betyder det, at flere unge med ufaglærte forældre ikke søger ind på en videregå-
ende uddannelse.
9.2 Social mobilitet i optagelsessystemet
Optagelsessystemet påvirker hvilke ansøgere, der bliver optaget på hvilke uddannelser.
Det gælder til dels i forhold til de adgangskrav, uddannelserne har, og dels i forhold til
hvilke udvælgelseskriterier, der benyttes til at rangere ansøgere på uddannelserne. For-
skellige kriterier til rangering af ansøgere vil forventeligt være mere eller mindre neutrale
over for forskellige typer af ansøgere. Dette er de direkte effekter på uddannelsesmobi-
litet af optagelsessystemet.
9.2.1 Flere unge med faglærte eller ufaglærte forældre optages på en
videregående uddannelse
Den store stigning i optaget på de videregående uddannelser har betydet, at antallet af
unge med faglærte og ufaglærte forældre, der bliver optaget på en videregående ud-
dannelse, er steget væsentligt. I 2019 var der således 6.500 flere ansøgere med fag-
lærte og ufaglærte forældre der blev optaget i forhold til 2009, jf. figur 9.1. Det svarer til
en stigning på 34 procent.
Uddannelses- og Forskningsministeriet
177
BUU, Alm.del - 2021-22 - Endeligt svar på spørgsmål 219: Spm. om børn og unges trivsel, til børne- og undervisningsministeren
2583011_0178.png
Evaluering af optagelsessystemet til de videregående uddannelser
Figur 9.1
Optagne på de videregående uddannelser fordelt på forældres uddannelse, antal, 2009-2019
Antal optagne
35.000
30.000
25.000
20.000
15.000
10.000
5.000
0
Antal optagne
35.000
30.000
25.000
20.000
15.000
10.000
5.000
0
2009
2010
2011
2012
2013
2014
2015
2016
2017
2018
2019
Faglærte eller ufaglærte forældre
Forældre med en videregående uddannelse
Kilde:
Uddannelses- og Forskningsministeriets på baggrund af data fra Den Koordinerede Tilmelding
Udviklingen kan ikke tilskrives optagelsessystemet, men er en indikation på størrelses-
ordenen for den sociale mobilitet i uddannelsessystemet i Danmark. Stigningen for an-
søgere med forældre med en videregående uddannelse, er 53 procent flere i 2019 i for-
hold til 2009. Dette skal dog ses i lyset af, at der siden 2009 er sket en stor stigning i
andelen af voksne danskere, der har en videregående uddannelse. Der var i 2019 knap
30 pct. flere personer i alderen 40-59 år, der havde en videregående uddannelse i for-
hold til 2009, mens antallet af faglærte og ufaglærte i samme aldersgruppe, var stort
set uændret.
9.2.2 Unge med forældre med en videregående uddannelse søger oftere
selv en videregående uddannelse end unge med faglærte eller ufaglærte
forældre
Ser man på overgangen fra gymnasial uddannelse til de videregående uddannelser, er
forskellen ift. forældres uddannelsesniveau mindre markant, idet 86 procent af dem med
ufaglærte forældre søger optagelse, mens det er 91 procent af dem med forældre med
en videregående uddannelse, jf. figur 9.2. Samlet betyder det, at ud af 28.000 unge med
ufaglærte forældre endte 8.000 (knap 30 procent) med at søge ind på en videregående
uddannelse med en gymnasial eksamen inden for ti år efter de færdiggjorde 9. klasse.
For unge med forældre med en videregående uddannelse var det 68 procent.
178
Uddannelses- og Forskningsministeriet
BUU, Alm.del - 2021-22 - Endeligt svar på spørgsmål 219: Spm. om børn og unges trivsel, til børne- og undervisningsministeren
2583011_0179.png
Evaluering af optagelsessystemet til de videregående uddannelser
Figur 9.2
Social mobilitet i forud for optagelsessystemet for unge, der afsluttede 9. klasse i
2006-2008
Anm.: Grundskolen er de personer, der har afsluttet 9. klasse i studieåret 2006, 2007 eller 2008.
Gymnasial uddannelse er opgjort som andelen af de personer, der afsluttede 9. klasse i stu-
dieåret 2006, 2007 eller 2008 og indenfor 10 år fuldført gymnasial uddannelse. Søgningen
via KOT med en gymnasial uddannelse er de personer, der afsluttede 9. klasse i studieåret
2006, 2007 eller 2008, har gennemført en gymnasial uddannelse og har søgt første gang
gennem KOT 10 år efter. Forældrenes uddannelsesniveau er defineret efter den forældre
med den højest fuldførte uddannelse. Ufaglærte inkluderer personer uden en kompetencegi-
vende uddannelse. Personer, hvor begge forældres uddannelsesbaggrund er ukendt, er ude-
ladt af figuren.
Kilde: Uddannelses- og Forskningsministeriet på baggrund af data fra Danmarks Statistik og Den
Koordinerede Tilmelding.
Ud over de unge, der har taget en gymnasial uddannelse, var det ca. 8 procent, der inden
for ti år efter de afsluttede 9. klasse, søgte om optagelse uden en gymnasial uddan-
nelse, f.eks. med en erhvervsuddannelse. Det var henholdsvis 9 og 8 procent af de unge
med ufaglærte og faglærte forældre, der søgte ind med et andet adgangsgrundlag,
mens det var 6 procent af de unge med forældre med en videregående uddannelse, jf.
figur 9.3.
Uddannelses- og Forskningsministeriet
179
BUU, Alm.del - 2021-22 - Endeligt svar på spørgsmål 219: Spm. om børn og unges trivsel, til børne- og undervisningsministeren
2583011_0180.png
Evaluering af optagelsessystemet til de videregående uddannelser
Figur 9.3
Andelen af unge, der afsluttede 9. klasse i 2006-2008, der ti år efter afslutningen af 9.
klasse har søgt ind på en videregående uddannelse, fordelt på forældre uddannelsesniveau
Procent
80
70
60
50
40
30
20
10
0
Procent
80
70
60
50
40
30
20
10
0
Ufaglærte forældre
Gymnasial uddannelse
Faglærte forældre
Andet ansøgningsgrundlag
Forældre med en videregående
uddannelse
Anm.: Forældrenes uddannelsesniveau er defineret efter den forældre med den højest fuldførte uddan-
nelse. Ufaglærte inkluderer personer uden en kompetencegivende uddannelse. Personer, hvor
begge forældres uddannelsesbaggrund er ukendt, er udeladt af figuren.
Kilde: Uddannelses- og Forskningsministeriet på baggrund af data fra Danmarks Statistik.
9.2.3 Ansøgere med faglærte og ufaglærte forældre søger hurtigere
optagelse
Henholdsvis 45 procent af dem med ufaglærte forældre og 34 procent af dem med fag-
lærte forældre søger optagelse samme år, som de har afsluttet en gymnasial uddan-
nelse, jf. Figur 9.4. Det tilsvarende tal for dem med forældre med en videregående ud-
dannelse er 27 procent.
180
Uddannelses- og Forskningsministeriet
BUU, Alm.del - 2021-22 - Endeligt svar på spørgsmål 219: Spm. om børn og unges trivsel, til børne- og undervisningsministeren
2583011_0181.png
Evaluering af optagelsessystemet til de videregående uddannelser
Figur 9.4
Akkumuleret andel af personer, der har søgt ind på en videregående uddannelse blandt per-
soner, der afsluttede en gymnasial uddannelse i 2013, fordelt på forældres uddannelsesbag-
grund, procent, 2013-2018
Procent
100
90
80
70
60
50
40
30
20
10
0
2013
Ufaglært
2014
2015
Faglært
2016
2017
2018
Procent
100
90
80
70
60
50
40
30
20
10
0
Videregående uddannelse
Anm.: Forældrenes uddannelsesniveau er defineret efter den forældre med den højest fuldførte uddan-
nelse. Ufaglærte inkluderer personer uden en kompetencegivende uddannelse. Personer, hvor
begge forældres uddannelsesbaggrund er ukendt, er udeladt af figuren.
Kilde: Uddannelses- og Forskningsministeriet på baggrund af data fra Danmarks Statistik.
Der er mindre forskelle på, hvorvidt ansøgerne søger i kvote 1 eller i kvote 2 alt efter for-
ældrenes uddannelsesniveau. En mindre andel af ansøgerne med forældre med en vide-
regående uddannelse søger i kvote 2 i forhold til ansøgere med faglærte eller ufaglærte
forældre. I 2018 var det 38 procent af ansøgerne med forældre med en videregående
uddannelse, der søgte i kvote 2 på deres første prioritet. Tilsvarende var det 43 procent
af ansøgerne med faglærte forældre og 41 procent af ansøgerne med ufaglærte foræl-
dre, jf. Figur 9.5.
Uddannelses- og Forskningsministeriet
181
BUU, Alm.del - 2021-22 - Endeligt svar på spørgsmål 219: Spm. om børn og unges trivsel, til børne- og undervisningsministeren
2583011_0182.png
Evaluering af optagelsessystemet til de videregående uddannelser
Figur 9.5
1. prioritetsansøgninger fordelt på henholdsvis kvote 1 og kvote 2 og forældres uddannelses-
baggrund, procent, 2018
Procent
100
90
80
70
60
50
40
30
20
10
0
Ufaglærte forældre
Kvote 1
Kvote 2
Faglærte forældre
Forældre med en videregående
uddannelse
Procent
100
90
80
70
60
50
40
30
20
10
0
Anm.: Forældres uddannelsesniveau er defineret efter den forældre med den højest fuldførte uddannelse.
Ufaglærte inkluderer personer uden en kompetencegivende uddannelse. Personer, hvor begge for-
ældres uddannelsesbaggrund er ukendt, er udeladt af figuren.
Kilde: Uddannelses og forskningsministeriet på baggrund af data fra Den Koordinerede Tilmelding.
9.3 Social mobilitet i udvælgelsen i kvote 1
I de ovenstående afsnit er det vist, at de store forskelle i forhold til social mobilitet i for-
hold til de videregående uddannelser finder sted i tiden inden optagelsessystemet. Så-
ledes gælder det i forhold til størrelsesordnerne (antallet af personer) for den social mo-
bilitet, at optagelsessystemet samlet set er af mindre betydning.
Der, hvor optagelsessystemets har den mest direkte påvirkning på sociale mobilitet, er i
hvilke udvælgelseskriterier, der benyttes til at tildele uddannelsespladser til ansøgere på
uddannelser, hvor der er flere kvalificerede ansøgere end der er pladser. I optagelsessy-
stemet benyttes forskellige udvælgelseskriterier i henholdsvis kvote 1 og 2. Det er der-
for relevant at sammenligne udvælgelseskriterierne, og hvordan de bruges til at vurdere
ansøgere afhængigt af forældrenes uddannelsesniveau.
9.3.1 Karaktergennemsnittet stiger med forældrenes uddannelsesniveau
Det er muligt, at to personer med de samme kvalifikationer vurderes forskelligt, når de
måles på de forskellige indikatorer afhængig af deres baggrund (Kang & Banaji, 2006).
Det er dog også muligt, at de forskellige indikatorer i forskellig grad måler kvalifikatio-
ner, der varierer på tværs af samme baggrund f.eks. pga. forskellige opdragelse (Björk-
lund & Salvanes, 2010)
182
Uddannelses- og Forskningsministeriet
BUU, Alm.del - 2021-22 - Endeligt svar på spørgsmål 219: Spm. om børn og unges trivsel, til børne- og undervisningsministeren
2583011_0183.png
Evaluering af optagelsessystemet til de videregående uddannelser
I kvote 1 vurderes ansøgere alene på baggrund af karaktergennemsnittet fra den gym-
nasiale uddannelse. Hvilken effekt kvote 1 har på social mobilitet, vil derfor i høj grad
hænge sammen med, hvilken sammenhæng der er mellem forældrenes uddannelse og
karaktergivningen i de gymnasiale uddannelser.
Ansøgere med forældre med en videregående uddannelse, har generelt væsentligt hø-
jere karaktergennemsnit fra den gymnasiale eksamen end ansøgere med faglærte og
ufaglærte forældre, jf. Figur 9.6. I gennemsnit har ansøgere med forældre med en videre-
gående uddannelse et karaktergennemsnit, der er 1,0 højere end ansøgere med faglærte
forældre, og 1,5 højere end ansøgere med ufaglærte forældre.
Figur 9.6
Karakterfordelingen for ansøgere fordelt på forældres uddannelsesbaggrund, procent, 2016-
2018
Procent
2,0
1,8
1,6
1,4
1,2
1,0
0,8
0,6
0,4
0,2
0,0
2
3
4
5
6
7
8
9
Karaktergennemsnit fra den gymnasiale uddannelse
Faglærte forældre
10
11
12
Procent
2,0
1,8
1,6
1,4
1,2
1,0
0,8
0,6
0,4
0,2
0,0
Ufaglærte forældre
Forældre med en videregående uddannelse
Anm.: Tallene er eksklusive bonus for tidlig studiestart (1,08-reglen). Tallene er for ansøgere med et ka-
raktergennemsnit fra en dansk gymnasial uddannelse. Forældrenes uddannelsesniveau er define-
ret efter den forældre med den højest fuldførte uddannelse. Ufaglærte inkluderer personer uden en
kompetencegivende uddannelse. Personer, hvor begge forældres uddannelsesbaggrund er ukendt,
er udeladt.
Kilde: Uddannelses og forskningsministeriet på baggrund af data fra Danmarks Statistik.
Fordelingerne viser ikke,
hvorfor
ansøgere har forskellige karaktergennemsnit fra de
gymnasiale uddannelser på tværs af forældrenes uddannelsesniveau. Hvis ansøgere
med forældre med en videregående uddannelse generelt har tillært sig kompetencer, der
gør dem mere studieegnede, kan karaktergennemsnit være et retvisende mål for ansø-
gernes evner.
Omvendt kan det være, at ansøgere med forældre med en videregående uddannelse i
højere grad kan tillære sig metoder til at få højere karakterer, uanset evner og motiva-
tion. Det kunne eksempelvis være, at unge med forældre med en videregående uddan-
nelse i højere grad kan tale det samme sprog som underviseren, fremstår mindre usikre
ved mundtlige præstationer eller får hjælp af forældre i skriftlige præstationer. Det ville
være udtryk for, at der var en såkaldt ’teacher bias’ i gymnasiet. Forskning fra Danmark
Uddannelses- og Forskningsministeriet
183
BUU, Alm.del - 2021-22 - Endeligt svar på spørgsmål 219: Spm. om børn og unges trivsel, til børne- og undervisningsministeren
2583011_0184.png
Evaluering af optagelsessystemet til de videregående uddannelser
på folkeskoleområdet finder ikke evidens for teacher-bias i årskaraktererne, men svag
evidens for det i eksamenskaraktererne (Jæger & Møllegaard, 2017).
Da karaktergennemsnit fra de gymnasiale uddannelser er grundlaget for udvælgelsen i
kvote 1, betyder det, at ansøgere med forældre med en videregående uddannelse alt
andet lige har større sandsynlighed for at blive optaget i kvote 1. I perioden 2016-2018
blev 35 procent af ansøgerne med forældre med en videregående uddannelse optaget
på deres 1. prioritet via kvote 1. Modsat gjaldt det for 16 procent af ansøgerne med
ufaglærte forældre, jf. Figur 9.7.
Figur 9.7
Ansøgere, der bliver optaget på deres 1. prioritet i fordelt på kvote 1, kvote 2 og uddannel-
sesudbud med alle optaget, fordelt på forældres uddannelsesniveau, andel, 2016-2018
Andel af ansøgere
60
50
40
30
20
10
0
Andel af ansøgere
60
50
40
30
20
10
0
Optaget kvote 1
Ufaglærte forældre
Optaget kvote 2
Faglærte forældre
Alle optaget
Ikke optaget på 1. prioritet
Forældre med en videregående uddannelse
Anm.: Søjlerne summer til 100 procent, så de grå søjler sammenlagt udgør alle ansøgere med ufaglærte
forældre osv. Figuren inkludere ansøgere, der bliver afvist, da de ikke lever op til adgangskravene.
Forældrenes uddannelsesniveau er defineret efter den forældre med den højest fuldførte uddan-
nelse. Ufaglærte inkluderer personer uden en kompetencegivende uddannelse. Personer, hvor
begge forældres uddannelsesbaggrund er ukendt, er udeladt af figuren.
Kilde: Uddannelses og forskningsministeriet på baggrund af data fra Den Koordinerede Tilmelding.
Forskellene i andelene af det samlede antal ansøgere, der bliver optaget på deres 1. pri-
oritet via kvote 2, er mindre forskellige på tværs af forældrenes uddannelsesniveau. Af
det samlede antal ansøgere med faglærte forældre er det 15 procent, der bliver optaget
på deres første prioritet via. kvote 2 og 18 procent på uddannelsesudbud med alle opta-
get. For ansøgere med ufaglærte forældre gælder det for henholdsvis 13 og 16 procent,
hvilket også gælder for ansøgere med forældre med en videregående uddannelse. Sam-
let betyder det, at 63 pct. af ansøgere med forældre med en videregående uddannelse
bliver optaget på deres første prioritet, mens det er 59 pct. af ansøgerne med faglærte
forældre og 45 pct. af ansøgerne med ufaglærte forældre.
Forældrenes uddannelsesniveau er en af flere parametre, det kan være relevant at vur-
dere udvælgelseskriterierne i optagelsessystemet ud fra. Et andet relevant parameter
kunne være forskelle på tværs af køn, jf. boks 9.1.
184
Uddannelses- og Forskningsministeriet
BUU, Alm.del - 2021-22 - Endeligt svar på spørgsmål 219: Spm. om børn og unges trivsel, til børne- og undervisningsministeren
2583011_0185.png
Evaluering af optagelsessystemet til de videregående uddannelser
Boks 9.1 Udvælgelseskriterier og køn
Kvindelige ansøgere har generelt højere karaktergennemsnit fra deres gymnasiale ek-
samen, jf. figur 9.8. I gennemsnit havde kvindelige ansøgere et karaktergennemsnit 0,3
karakterpoint højere end mandlige ansøgere. De kvindelige ansøgere er derfor generelt
stillet bedre i kvote 1.
Figur 9.8
Karakterfordelingen for ansøgere fordelt på køn, procent, 2016-2018
Procent
1,8
1,6
1,4
1,2
1,0
0,8
0,6
0,4
0,2
0,0
2
3
4
5
6
7
8
9
10
11
12
Procent
1,8
1,6
1,4
1,2
1,0
0,8
0,6
0,4
0,2
0,0
Karaktergennemsnit fra den gymnasiale uddannelse
Mænd
Kvinder
Anm.: Tallene er eksklusive bonus for tidlig studiestart (1,08-reglen). Tallene er for ansøgere med et ka-
raktergennemsnit fra en dansk gymnasial uddannelse.
Kilde: Uddannelses og forskningsministeriet på baggrund af data fra Danmarks Statistik.
I kvote 2 bliver kvinder generelt vurderet lidt højere end mænd givet deres rangering i
kvote 1, jf. figur 9.9. Det betyder at kvinder generelt er lidt bedre stillet i kvote 2, end de
ville være i kvote 1.
Uddannelses- og Forskningsministeriet
185
BUU, Alm.del - 2021-22 - Endeligt svar på spørgsmål 219: Spm. om børn og unges trivsel, til børne- og undervisningsministeren
2583011_0186.png
Evaluering af optagelsessystemet til de videregående uddannelser
Figur 9.9
Gennemsnitlig rangering af ansøgere i kvote 2 efter deres rangering i kvote 1, fordelt på køn,
2016-2018
Gennemsnitlig rangering i kvote 2
100
Gennemsnitlig rangering i kvote 2
100
80
80
60
60
40
40
20
20
0
Lav
Mænd
Rangering i
kvote 1
Kvinder
Høj
0
Anm.: Figurerne inkluderer kun personer, der er vurderet i både kvote 1 og kvote 2.
Kilde: Uddannelses og forskningsministeriet på baggrund af data fra Danmarks Statistik og Den Koordi-
nerede Tilmelding..
9.4 Social mobilitet i udvælgelsen i kvote 2
Uddannelsesinstitutionerne benytter en lang række forskellige udvælgelseskriterier i
kvote 2. Disse kriterier kan stille forskellige typer ansøgere bedre eller dårligere, herun-
der også ansøgere med forskellig baggrunde. Som beskrevet i kapitel 8, er der en sam-
menhæng mellem ansøgernes karaktergennemsnit fra de gymnasiale uddannelser, og
den vurdering, de får i kvote 2. Sammenhængen er dog ikke en-til-en. Som det fremgår
af afsnit 9.3, har ansøgere med forældre med en videregående uddannelse i gennemsnit
højere karaktergennemsnit fra den gymnasiale eksamen, og er derfor bedre stillet i
kvote 1. Dette afsnit gennemgår, hvordan ansøgere fra forskellige baggrunde bliver vur-
deret i kvote 2.
9.4.1 En større andel ansøgere med faglærte forældre søger kvote 2
En større del af ansøgerne med faglærte forældre optages på deres 1. prioritet via kvote
2, jf. figur 9.7. Det skyldes ikke nødvendigvis, at de er bedre stillet i kvote 2 end i kvote 1.
En del af det skyldes, at en større andel ansøgere med faglærte forældre søger kvote 2.
Det gælder 43 procent af ansøgerne med faglærte forældre mod 38 procent af ansø-
gere med forældre med en videregående uddannelse. Dertil kommer, at fordi ansøgerne
med forældre med en videregående uddannelse i gennemsnit har højere karaktergen-
nemsnit, bliver flere af dem optaget i kvote 1, selvom de også har søgt kvote 2.
186
Uddannelses- og Forskningsministeriet
BUU, Alm.del - 2021-22 - Endeligt svar på spørgsmål 219: Spm. om børn og unges trivsel, til børne- og undervisningsministeren
2583011_0187.png
Evaluering af optagelsessystemet til de videregående uddannelser
Rangeringen af ansøgere i kvote 2 korrelerer i høj grad med ansøgerens rangering i
kvote 1, så ansøgere, der er rangeret højt i kvote 1, generelt får en bedre rangering i
kvote 2.
De meste udbredte udvælgelseskriterier i kvote 2 er dokumenteret
erfaring, karakterer
og motiverede ansøgninger,
jf. kapitel 8. Ansøgere med ufaglærte forældre har generelt
en lidt ringere mulighed for optagelse, når de rangeres i kvote 2 i forhold til andre ansø-
gere, når man ser på ansøgere med samme rangering i kvote 1, dvs. med samme karak-
tergennemsnit på samme uddannelse. Kvote 2-ansøgere med faglærte eller ufaglærte
forældre rangeres således generelt lavere end kvote 2-ansøgere med forældre med en
videregående uddannelse med samme rangering i kvote 1, jf. figur 9.10 og figur 9.11.
Uddannelsesinstitutionerne vurderer ansøgere med ufaglærte forældre ca. 4,5 procent-
point lavere i forhold til ansøgere med forældre med en videregående uddannelse. Dette
gælder dog ikke for de ansøgere med den højeste vurdering i kvote 1, hvor forskellen an-
søgerne på tværs af forældrenes uddannelsesniveau er mere lige.
Figur 9.10
Gennemsnitlig rangering af ansøgere i kvote
2 efter deres rangering i kvote 1, fordelt på
forældres uddannelse, 2016-2018
Gennesmsnitlitg rangering i kvote 2
100
80
60
100
40
20
0
90
Figur 9.11
Gennemsnitlig rangering af ansøgere i kvote
2 efter deres rangering i kvote 1, fordelt på
forældres uddannelse, indekseret. 2016-2018
Gennemsnitlig rangering i kvote 2 (indeks gns.=100)
120
110
80
Lav
Rangering i kvote 1
Ufaglærte forældre
Faglærte forældre
Forældre med en videregående
Høj
Lav
Rangering i kvote 1
Ufaglærte forældre
Faglærte forældre
Forældre med en videregående
Høj
Anm.: Figurerne inkluderer kun personer, der er vurderet i både kvote 1 og kvote 2. Den vandrette stiplede
linje i figur 9.10 markerer den forventede placering ved tilfældig prioritering af ansøgere. Se boks
for metodebeskrivelse. Figur 9.11 viser de gennemsnitlige rangeringer i kvote 2 indekseret efter den
gennemsnitlige rangering. Forældrenes uddannelsesniveau er defineret efter den forældre med den
højest fuldførte uddannelse. Ufaglærte inkluderer personer uden en kompetencegivende uddan-
nelse. Personer, hvor begge forældres uddannelsesbaggrund er ukendt, er udeladt af figuren.
Kilde: Uddannelses og forskningsministeriet på baggrund af data fra Danmarks Statistik og Den Koordi-
nerede Tilmelding.
Ligesom for karaktergennemsnit viser resultaterne ikke,
hvorfor
ansøgere med samme
karaktergennemsnit rangeres forskelligt i kvote 2 afhængigt af forældrenes uddannel-
sesniveau. Det er usikkert, hvorvidt dette mønster er udtryk for reelle forskelle i forud-
sætninger, eller fordi ansøgere med forældre med en videregående uddannelse har let-
tere ved at leve op til udvælgelseskriterierne i kvote 2.
Uddannelses- og Forskningsministeriet
187
BUU, Alm.del - 2021-22 - Endeligt svar på spørgsmål 219: Spm. om børn og unges trivsel, til børne- og undervisningsministeren
2583011_0188.png
Evaluering af optagelsessystemet til de videregående uddannelser
Omvendt kan det være, at ansøgere med forældre med en videregående uddannelse har
tillært sig metoder, der gør, at uddannelserne rangerer dem højere, uanset faglige forud-
sætninger og motivation. Eksempelvis kan de fremstå mindre usikre til en optagelses-
samtale eller have bedre forudsætninger på uddannelser, der vægter omkostningsfulde
aktiviteter som eksempelvis udlandsophold og højskoleophold. Endelig kan de have et
mere relevant netværk ift. muligheden for at kvalificere sig via dokumenteret erfaring,
såsom relevant erhvervsarbejde. Dertil kommer, at da ansøgere med faglærte og ufag-
lærte forældre søger optagelse hurtigere efter de har afsluttet deres gymnasiale ud-
dannelse, har de kortere tid til aktiviteter som udlandsophold og erhvervsarbejde, inden
de søger optagelse.
Metode: Rangering af ansøgere i kvote 2
For at optage ansøgere gennem den Koordinerede Tilmelding, skal institutionerne
indberette en rangeret liste af ansøgere, og Den Koordinerede Tilmelding kender
derfor ansøgernes rangering i henholdsvis kvote 1 og kvote 2. En ansøgers plads i
denne liste kaldes et
ventelistenummer.
Hvis kvote 2-ansøgere har en karaktergennemsnit fra en gymnasial eksamen, bli-
ver de også automatisk vurderet i kvote 1. For ansøgere, der har søgt kvote 2, og
har et karaktergennemsnit, kan deres rangering i henholdsvis kvote 1 og kvote 2
således sammenlignes.
For at beskrive, hvordan ansøgerne rangeres, udregnes det gennemsnitlige vente-
listenummer i kvote 2 i grupper, der er en kombination af år, uddannelsesudbud,
samt ansøgernes rangering i kvote 1 opgjort på deciler.
Derefter er der taget et gennemsnit af grupperne. Disse ”gennemsnit af gennem-
snit” er dermed vægtet, således at der kontrolleres for et forskelligartet ansøg-
ningsfelt på tværs af tid og uddannelser.
Ansøgeren placeres i analyserne efter den forældre med det højeste uddannel-
sesniveau, da ansøgeren var 13 år gammel, og refereres til som ansøgere med for-
ældre med en videregående uddannelse, ansøgere med faglærte forældre og an-
søgere med ufaglærte forældre.
Udeladelser af celler
Celler med mindre end 5 ansøgere udelades. Da det er nødvendigt at sammen-
ligne kvote 1 og kvote 2 anvendes udelukkende ansøgere med en gymnasial eksa-
men og derved et karaktergennemsnit, der også er vurderet i kvote 2. Der medta-
ges kun adgangsbegrænsede uddannelser, dvs. uddannelser, der ikke har alle op-
taget.
9.4.2 Udvælgelseskriterierne har betydning for social mobilitet i kvote 2
Uddannelserne anvender i dag en række forskellige (kombinationer af) udvælgelseskri-
terier i kvote 2. Omfanget af social mobilitet i kvote 2 varierer ift. udvælgelseskriterier,
188
Uddannelses- og Forskningsministeriet
BUU, Alm.del - 2021-22 - Endeligt svar på spørgsmål 219: Spm. om børn og unges trivsel, til børne- og undervisningsministeren
Evaluering af optagelsessystemet til de videregående uddannelser
jf. Figur 9.12. Første graf i figuren viser de uddannelser, der benytter dokumenteret erfa-
ring og karakterer uden samtidig at benytte motiverede ansøgninger.
Uddannelsesinstitutionerne vurderer ansøgere med faglærte og ufaglærte forældre lidt
lavere end deres rangering i kvote 1 (ca. 3 procentpoint). Samtidig er der en meget
stærk sammenhæng mellem rangeringen af ansøgerne i kvote 1 og kvote 2, hvilket be-
tyder, at det i høj grad er de samme ansøgere, der ville blive optaget, hvis pladserne
alene var blevet fordelt i kvote 1.
Den anden graf viser de uddannelser, som benytter motiverede ansøgninger, hvilket of-
test bruges i sammenhæng med dokumenteret erfaring (92 procent af uddannelserne).
Det følger den generelle tendens for kvote 2, hvor ansøgere med faglærte eller ufag-
lærte forældre bliver rangeret henholdsvis 2 og 5 procentpoint lavere i kvote 2 i forhold
til deres rangering i kvote 1.
Uddannelses- og Forskningsministeriet
189
BUU, Alm.del - 2021-22 - Endeligt svar på spørgsmål 219: Spm. om børn og unges trivsel, til børne- og undervisningsministeren
2583011_0190.png
Evaluering af optagelsessystemet til de videregående uddannelser
Figur 9.12
Gennemsnitlig rangering af ansøgere i kvote 2 efter deres rangering i kvote 1, fordelt på
udvælgelseskriterier og forældres uddannelsesbaggrund, 2016-2018
Dokumenteret erfaring uden motiveret
ansøgning*
Gennemsnitlig rangering kvote 2
100
80
60
40
20
0
Motiveret ansøgning
Gennemsnitlig rangering kvote 2
100
80
60
40
20
0
Lav
Rangering i kvote 1
Høj
Lav
Rangering i kvote 1
Høj
Samtaler
Gennemsnitlig rangering kvote 2
100
80
60
40
20
0
Test
Gennemsnitlig rangering kvote 2
100
80
60
40
20
0
Lav
Rangering i kvote 1
Høj
Lav
Rangering i kvote 1
Høj
Ufaglærte forældre
Faglærte forældre
Forældre med en videregående uddannelse
Anm.: *Da dokumenteret erfaring ofte benyttes sammen med motiverede ansøgninger, er denne figur
eksklusiv de uddannelser, der benytter sig af motiverede ansøgninger. De udgør 34 procent af de
uddannelser, der benytter dokumenteret erfaring. Dokumenteret erfaring er inklusiv karakterkrite-
rier. Forældrenes uddannelsesniveau er defineret efter den forældre med den højest fuldførte ud-
dannelse. Ufaglærte inkluderer personer uden en kompetencegivende uddannelse. Personer, hvor
begge forældres uddannelsesbaggrund er ukendt, er udeladt af figuren.
Kilde: Uddannelses og forskningsministeriet på baggrund af data fra Danmarks Statistik og Den Koordi-
nerede Tilmelding .
Ud over de tre mest udbredte udvælgelseskriterier i kvote 2 benytter ca. 8 procent af
uddannelsesudbuddene sig af samtaler i kvote 2 (tredje graf i figur 9.12), og 6 procent af
uddannelsesudbuddene benytter sig af test (fjerde graf i figur 9.12). Data for disse ud-
vælgelseskriterier er dog usikre grundet den lille andel af uddannelser, der anvender
disse udvælgelseskriterier.
Blandt de uddannelser, der anvender test, kan rangeringen i kvote 1 ikke i samme grad
som f.eks. dokumenteret erfaring og motiverede ansøgninger forudsige rangeringen i
kvote 2. Selvom der er tale om usikre tal, er der en tendens på uddannelser, der anvender
190
Uddannelses- og Forskningsministeriet
BUU, Alm.del - 2021-22 - Endeligt svar på spørgsmål 219: Spm. om børn og unges trivsel, til børne- og undervisningsministeren
2583011_0191.png
Evaluering af optagelsessystemet til de videregående uddannelser
test og samtaler, til, at ansøgere med ufaglærte forældre bliver vurderet dårligere i
kvote 2 end i kvote 1 i forhold til ansøgere med faglærte forældre eller forældre med en
videregående uddannelse.
Kvote 2 stiller samlet set ansøgere med ufaglærte forældre lidt dårligere end kvote 1. Da
der er frihed for institutionerne til selv at vælge udvælgelseskriterier i kvote 2, er der
også stor forskel på, hvordan ansøgerne bliver rangeret i kvote 2. Nogle institutioner har
arbejdet målrettet med deres kvote 2-optagelse, jf. boks 9.2.
Boks 9.2 Kvote 2-optagelsen på Syddansk Universitet og social mobilitet
Syddansk Universitet (SDU) benyttede testbaseret optagelse i deres kvote 2-op-
tagelse for 29 uddannelsesudbud i 2018. Blandt uddannelserne var bl.a. medicin,
psykologi og jura. På nogle uddannelser anvendes alene uniTest, mens andre også
inkluderer interview, jf. boks 8.8. SDU optog i alt 768 ansøgere i kvote 2 på de på-
gældende uddannelser i 2018.
En simulering viser ændringen i hvilke ansøgere, der ville være blevet optaget på
uddannelserne i 2018, hvis pladserne i stedet var blevet fordelt i kvote 1. Her ville
SDU have optaget 17 færre med faglærte forældre og 8 flere med ufaglærte foræl-
dre. Ændringen udgør hhv. 7 og 12 procent af kvote 2-optagelsen.
Tabel 9.1
Optagne via kvote 2 på udvalgte uddannelser, ændring ved en omlæggelse af kvote 2-plad-
ser for ansøgere med en gymnasial uddannelse, fordelt på forældres uddannelsesniveau, an-
tal, 2018
Optagne i kvote 2
Ufaglærte forældre
Faglærte forældre
Forældre med videregående ud-
dannelse
Forældre med ukendt uddan-
nelse
I alt
65
250
425
28
768
Ændring i optagne uden
kvote 2
8
-17
5
5
1
Ændringen i forhold til
kvote 2 optagelsen,
procent
12
-7
1
18
0
Anm.: Resultat af kontrafaktisk simulering af 2018-optagelsen. Tabellen indeholder data for de 29 ud-
dannelser på SDU, der benyttede sig af et testbaseret kvote 2-optagelse i 2018. Forældrenes ud-
dannelsesniveau er defineret efter den forældre med den højest fuldførte uddannelse. Ufaglærte
inkluderer personer uden en kompetencegivende uddannelse. Der må påregnes en usikkerhed i si-
muleringerne. Både baselinescenarie og scenariet med omlæggelse af kvote 2-pladser til ansøgere
med en gymnasial uddannelse simuleres for at holde modelusikkerheden konstant på tværs af
begge scenarier
Kilde: Uddannelses og forskningsministeriet på baggrund af data fra Den Koordinerede Tilmelding og
Den Koordinerede Tilmelding.
Der har tidligere været lavet flere undersøgelser af udvælgelseskriteriernes betydning
for den sociale mobilitet, jf. boks 9.3.
Uddannelses- og Forskningsministeriet
191
BUU, Alm.del - 2021-22 - Endeligt svar på spørgsmål 219: Spm. om børn og unges trivsel, til børne- og undervisningsministeren
2583011_0192.png
Evaluering af optagelsessystemet til de videregående uddannelser
Boks 9.3 Studier af optagelsessystemet og social mobilitet i Danmark
Danmarks Evalueringsinstitut, 2015: ”Den sociale profil i optagelsessystemet”
Undersøgelsen fra Danmarks Evalueringsinstitut (EVA) viser, at der er en sammenhæng
mellem social baggrund (defineret som forældres uddannelsesbaggrund og husstands-
indkomst) og hvilke karakterer, unge opnår på gymnasiale uddannelser, for studerende,
der er blevet optaget på en universitetsuddannelse.
Forskellen i det gymnasiale karaktergennemsnit mellem studerende, hvor mindst én af
forældrene har en lang videregående uddannelse, og studerende, hvor ingen af foræl-
drene har en kompetencegivende uddannelse og samtidig har lav indkomst, er på 1,5
karakterpoint. Sammenhængen mellem karaktergennemsnittet fra de gymnasiale ud-
dannelser og sandsynligheden for førsteårsfrafald er stort set ens for alle socialgrupper.
Studerende med høje karakterer falder generelt mindre fra i alle socialgrupper.
Sammenholdes dette med anden forskning på området, peger det ifølge EVA på, at an-
vendelse af gymnasiale karakterer som optagelseskriterium i flere tilfælde skaber min-
dre social ulighed i optaget til universiteterne sammenlignet med andre optagelseskri-
terier.
Dette baseres på Thomsen, 2016, se neden for. Derudover refererer EVA til udenlandsk
forskning (Geisler& Santelics, 2007), som finder, at generelle egnethedstest er væsent-
ligt tættere korreleret med social baggrund end karaktergennemsnittet fra gymnasiale
uddannelser.
Jens Peter Thomsen, 2016: “Test-based admission to selective universities: A lever for
first-generation students or a safety net for the professional classes?”
Undersøgelsen fokuserer på effekten af kvote 2 og de studerendes sociale profil på uni-
versitetsuddannelser i 1996-2007. Undersøgelsen finder ikke, at kvote 2 har bidraget til
at mindske den sociale skævhed. På enkelte mere professionsrettede universitetsud-
dannelser som medicin og arkitekt viser undersøgelsen, at der er lidt flere studerende
med forældre med en videregående uddannelser, der bliver optaget i kvote 2 end i kvote
1.
Undersøgelsen baserer sig på optagelsestal fra før 2007 og dermed knytter sig til en
periode, hvor reglerne for optag på universiteterne var nogle andre end i dag. F.eks. var
det før, der blev indført regler om 90/10 kvotefordeling på universiteterne og en konkret
individuel vurdering i kvote 2.
Jørgen Møller Nielsen, 2017: ”Evaluering af optagelsessystemets betydning for social
mobilitet på CBS”
Som led i udviklingskontrakten gennemførte Copenhagen Business School (CBS) i peri-
oden 2015-2017 en evaluering af deres udvælgelseskriteriers effekt på social mobilitet.
Der er adgangsbegrænsning på alle uddannelser på CBS. De fleste uddannelsespladser
er afsat i kvote 1 (77 procent), hvor man alene optages pba. karaktergennemsnit. Ud-
vælgelseskriterierne i kvote 2 på CBS består af en konkret vurdering pba. dokumenteret
erfaring med eller uden motiveret ansøgning.
192
Uddannelses- og Forskningsministeriet
BUU, Alm.del - 2021-22 - Endeligt svar på spørgsmål 219: Spm. om børn og unges trivsel, til børne- og undervisningsministeren
2583011_0193.png
Evaluering af optagelsessystemet til de videregående uddannelser
Evalueringen viser, at ansøgere fra mere privilegerede hjem har langt bedre chance for
at blive optaget på CBS, fordi udvælgelseskriterierne er baseret på karaktergennemsnit,
og deres ansøgere fra mere privilegerede hjem har højere karaktergennemsnit. Ansøgere
fra mere privilegerede hjem har næsten dobbelt så stor chance for at blive optaget som
ansøgere med ufaglært familiebaggrund.
Evalueringen viser, at ansøgere med høje karaktergennemsnit søger mod de af CBS’ ud-
dannelser med høje grænsekvotienter, og der bliver tale om en selvforstærkende ten-
dens. Ansøgere med lave karaktergennemsnit søger omvendt mod uddannelser med
lave eller ingen grænsekvotienter.
Evalueringen viser endelig, at kvote 2 ikke afhjælper social ulighed, da socialt mindre
privilegerede ansøgere er mindre tilbøjelige til at søge i kvote 2. Især ansøgere med an-
den etnisk baggrund end dansk søger oftest ind på CBS umiddelbart efter studenterek-
samen og har således ikke noget nævneværdig dokumenteret erfaring at lægge til
grund for en kvote 2-ansøgning.
9.4.3 Der er forskelle mellem institutionernes rangering af ansøgerne
Omfanget af social mobilitet i kvote 2 varierer på tværs af institutionstyper. I professi-
onshøjskolernes kvote 2-optagelse bliver ansøgere med faglærte og ufaglærte forældre
rangeret lavere end deres rangering i kvote 1, jf. figur 9.13. Det gælder særligt ansøgere,
der blev rangeret i midterfeltet i kvote 1, hvor en ansøger med en ufaglært forældre i
gennemsnit bliver vurderet 10 procentpoint lavere end ansøgere med forældre med en
videregående uddannelse med den samme rangering i kvote 1.
Uddannelses- og Forskningsministeriet
193
BUU, Alm.del - 2021-22 - Endeligt svar på spørgsmål 219: Spm. om børn og unges trivsel, til børne- og undervisningsministeren
2583011_0194.png
Evaluering af optagelsessystemet til de videregående uddannelser
Figur 9.13
Professionshøjskolernes gennemsnitlige rangering af ansøgere i kvote 2 efter deres range-
ring i kvote 1, fordelt på forældres uddannelsesniveau, 2016-2018
Gennemsnitlig rangering kvote 2
100
Gennemsnitlig rangering kvote 2
100
80
80
60
60
40
40
20
20
0
Lav
Ufaglærte forældre
Faglærte forældre
Rangering i
kvote 1
Høj
Forældre med en videregående uddannelse
0
Anm.: Den vandrette stiplede linje markerer den forventede placering ved tilfældig prioritering af ansø-
gere. Se boks for metodebeskrivelse. Forældrenes uddannelsesniveau er defineret efter den foræl-
dre med den højest fuldførte uddannelse. Ufaglærte inkluderer personer uden en kompetencegi-
vende uddannelse. Personer, hvor begge forældres uddannelsesbaggrund er ukendt, er udeladt af
figuren.
Kilde: Uddannelses- og Forskningsministeriet på baggrund af data fra Danmarks Statistik og Den Koor-
dinerede Tilmelding.
I universiteternes kvote 2-optagelse er tendensen til, at ansøgere med faglærte og
ufaglærte forældre bliver vurderet lavere, mindre udtalt end på professionshøjskolerne,
jf. figur 9.14. Ansøgere med ufaglærte forældre vurderes ca. 3 procentpoint lavere end
ansøgere med samme rangering i kvote 1 med forældre med en videregående uddan-
nelse.
194
Uddannelses- og Forskningsministeriet
BUU, Alm.del - 2021-22 - Endeligt svar på spørgsmål 219: Spm. om børn og unges trivsel, til børne- og undervisningsministeren
2583011_0195.png
Evaluering af optagelsessystemet til de videregående uddannelser
Figur 9.14
Universiteternes gennemsnitlige rangering af ansøgere i kvote 2 efter deres rangering i kvote
1, fordelt på forældres uddannelsesniveau, 2016-2018
Gennemsnitlig rangering kvote 2
100
Gennemsnitlig rangering kvote 2
100
80
80
60
60
40
40
20
20
0
Lav
Ufaglærte forældre
Faglærte forældre
Rangering
i kvote 1
Høj
Forældre med en videregående uddannelse
0
Anm.: Den vandrette stiplede linje markerer den forventede placering ved tilfældig prioritering af ansø-
gere. Se boks for metodebeskrivelse. Forældrenes uddannelsesniveau er defineret efter den foræl-
dre med den højest fuldførte uddannelse. Ufaglærte inkluderer personer uden en kompetencegi-
vende uddannelse. Personer, hvor begge forældres uddannelsesbaggrund er ukendt, er udeladt af
figuren.
Kilde: Uddannelses- og Forskningsministeriet på baggrund af data fra Danmarks Statistik og Den Koor-
dinerede Tilmelding.
I erhvervsakademiernes kvote 2-optagelse bliver ansøgere med ufaglærte forældre vur-
deret lavere i forhold til deres rangering i kvote 1, jf. figur 9.15. Det gælder særligt for an-
søgere, der blev rangeret i midten eller i bunden i kvote 1. For ansøgere, der blev range-
ret højt i kvote 1, blev ansøgere med ufaglærte forældre rangeret højere i kvote 2 end
ansøgere med forældre med en videregående uddannelse.
Uddannelses- og Forskningsministeriet
195
BUU, Alm.del - 2021-22 - Endeligt svar på spørgsmål 219: Spm. om børn og unges trivsel, til børne- og undervisningsministeren
2583011_0196.png
Evaluering af optagelsessystemet til de videregående uddannelser
Figur 9.15
Erhvervsakademiernes gennemsnitlige rangering af ansøgere i kvote 2 efter deres rangering i
kvote 1, fordelt på forældres uddannelse, 2016-2018
Gennemsnitlig rangering kvote 2
100
Gennemsnitlig rangering kvote 2
100
80
80
60
60
40
40
20
20
0
Lav
Ufaglærte forældre
Faglærte forældre
Rangering i
kvote 1
Høj
Forældre med en videregående uddannelse
0
Anm.: Den vandrette stiplede linje markerer den forventede placering ved tilfældig prioritering af ansø-
gere. Se boks for metodebeskrivelse. Forældrenes uddannelsesniveau er defineret efter den foræl-
dre med den højest fuldførte uddannelse. Ufaglærte inkluderer personer uden en kompetencegi-
vende uddannelse. Personer, hvor begge forældres uddannelsesbaggrund er ukendt, er udeladt af
figuren.
Kilde: Uddannelses- og Forskningsministeriet på baggrund af data fra Danmarks Statistik og Den Koor-
dinerede Tilmelding.
9.4.4 Simulering af at flytte kvote 2-pladser til kvote 1, påvirker 15
procent af ansøgerne
En metode til at vurdere betydningen af den nuværende kvote 2 for den sociale mobili-
tet er at simulere et kontrafaktisk optagelsesforløb, hvor kvote 2-pladser for ansøgere
med en gymnasial uddannelse omlægges, og alle ansøgere med gymnasiale uddannelser
optages på baggrund af deres karaktergennemsnit. Under antagelse af, at søgemøn-
stret ville være uændret, kan 2018-optagelsen simuleres, hvor kvote 2-pladser for an-
søgere med en gymnasial uddannelse ikke eksisterer, og deres pladser i stedet er fordelt
i kvote 1.
For langt størstedelen af ansøgere vil en omlæggelse af kvote 2-pladser ingen betyd-
ning have. Hvis man flyttede alle kvote 2-pladserne til kvote 1, ville det påvirke omkring
15 procent af ansøgerne. Heraf ville lidt over halvdelen af de berørte ansøgere være
bedre stillet, da de ville komme ind på en højere prioriteret uddannelse, og under halvde-
len ville være dårligere stillet ved at komme ind på en lavere prioriteret uddannelse eller
slet ikke komme ind, jf. tabel 9.2.
196
Uddannelses- og Forskningsministeriet
BUU, Alm.del - 2021-22 - Endeligt svar på spørgsmål 219: Spm. om børn og unges trivsel, til børne- og undervisningsministeren
2583011_0197.png
Evaluering af optagelsessystemet til de videregående uddannelser
Tabel 9.2
Ansøgere fordelt på konsekvenserne ved en omlæggelse af kvote 2, fordelt på forældres ud-
dannelse, procent, 2018
Vil blive
Optages på
Uændret
optaget højere prioritet
Ufaglærte forældre
Faglærte forældre
Forældre med videre-
gående uddannelse
Forældre med ukendt
uddannelse
Alle
Anm.:
3,2
3,4
3
0,2
3,1
6,0
4,8
4,7
3,3
4,7
83,5
84,5
85,8
81,7
84,7
Optages på
lavere prioritet
3,4
3,3
3,3
4,2
3,4
Bliver ikke
længere optaget
4,0
4,1
3,3
8,0
4,1
I alt
100
100
100
100
100
Kilde:
Resultat af kontrafaktisk simulering af 2018-optagelsen. Forældrenes uddannelsesniveau er
defineret efter den forældre med den højest fuldførte uddannelse. Ufaglærte inkluderer personer
uden en kompetencegivende uddannelse. Der må påregnes en usikkerhed i simuleringerne. Både
baselinescenarie og scenariet med omlæggelse af kvote 2-pladser til ansøgere med en gymna-
sial uddannelse simuleres for at holde modelusikkerheden konstant på tværs af begge scenarier
Uddannelses og forskningsministeriet på baggrund af data fra Danmarks Statistik og Den Ko-
ordinerede Tilmelding.
Af ansøgerne med ufaglærte forældre ville 3,2 procent, der tidligere ikke ville blevet
være optaget, blive optaget, mens 4,0 procent ikke længere ville blive optaget. Netto
viser simulationen derfor at 0,8 procent færre med ufaglærte forældre ville blive opta-
get, jf. tabel 9.2. Det skal ses i forhold til, at der samlet ville blive optaget ca. 1 procent
færre ansøgere i simulationen, da søgeadfærden ikke er tilpasset, og der derfor er plad-
ser, som ikke bliver fuldt udnyttet.
En omlæggelse af kvote 2-pladserne ville dog bidrage til, at 6,0 procent af ansøgerne
med ufaglærte forældre ville blive stillet bedre ved, at de ville blive optaget på en højere
prioritet. Samtidig ville 3,4 procent blive stillet dårligere ved, at komme ind på en lavere
prioritet. Samlet ville en omlæggelse af kvote 2 derfor netto bidrage til, at flere ansø-
gere med ufaglærte forældre ville blive stillet bedre.
Det samme vil i mindre grad være tilfældet for ansøgere med faglærte forældre eller
forældre med en videregående uddannelse. Den gruppe, der stilles dårligst ved en om-
læggelse af kvote 2-pladserne, ville være personer, hvis forældres uddannelsesdata ikke
er dækket i Danmarks Statistik. Dette gælder i særlig grad indvandrere, inklusiv dem,
der flytter til Danmark for at studere.
Da der er forholdsvis få ansøgere med ufaglærte forældre, ville det netto være ca. 130
ansøgere med ufaglærte forældre, der ville blive bedre stillet, jf. Tabel 9.3. For ansøgere
med faglærte forældre vil det netto være ca. 200, der bliver bedre stillet, og for ansø-
gere med forældre der har en videregående uddannelse, vil det netto være ca. 390, der
bliver bedre stillet. Ansøgere hvor begge forældres uddannelse er ukendt, vil det netto
være ca. 550, der bliver dårligere stillet.
Uddannelses- og Forskningsministeriet
197
BUU, Alm.del - 2021-22 - Endeligt svar på spørgsmål 219: Spm. om børn og unges trivsel, til børne- og undervisningsministeren
2583011_0198.png
Evaluering af optagelsessystemet til de videregående uddannelser
Tabel 9.3
Ansøgere fordelt på konsekvenserne ved en omlæggelse af kvote 2, fordelt på forældres ud-
dannelse, antal, 2018
Vil blive
optaget
Ufaglærte forældre
Faglærte forældre
Forældre med videregå-
ende uddannelse
Forælder med ukendt ud-
dannelse
Alle
Anm.:
230
850
1.110
250
2.450
Optages på
Uændret
højere prioritet
440
1.210
1.760
300
3.710
6.140
21.360
32.260
7.330
67.090
Optages på
lavere prioritet
250
830
1.230
380
2.690
Bliver ikke
længere optaget
290
1.030
1.250
720
3.290
Kilde:
Resultat af kontrafaktisk simulering af 2018-optagelsen. Forældrenes uddannelsesniveau er
defineret efter den forældre med den højest fuldførte uddannelse. Ufaglærte inkluderer personer
uden en kompetencegivende uddannelse. Tallene er afrundet til nærmeste 10. Der må påregnes
en usikkerhed i simuleringerne. Både baselinescenarie og scenariet med omlæggelse af kvote 2-
pladser til ansøgere med en gymnasial uddannelse simuleres for at holde modelusikkerheden
konstant på tværs af begge scenarier
Uddannelses og forskningsministeriet på baggrund af data fra Danmarks Statistik og Den Ko-
ordinerede Tilmelding.
Metodebeskrivelse
Simuleringen er udført med data fra optagelsen via Den Koordinerede tilmelding i
2018. I simuleringen er alle pladserne i kvote 2, der går til ansøgere med et karak-
tergennemsnit fra den gymnasiale eksamen, overført til kvote 1.
Ansøgere, der optages via kvote 2 uden en gymnasial uddannelse, er ikke ændret i
simuleringen. Det samme gør sig gældende for uddannelser, der udelukkende op-
tager via kvote 2, såsom de kunstneriske. Dertil udelades læreruddannelserne pga.
af den særlige optagelsesproces for ansøgere med karaktergennemsnit under 7,0.
Beregningerne er kontrafaktiske, idet de beregner 2018-optagelsen i en situation,
hvor der ikke havde været pladser for ansøgere med en gymnasial uddannelse i
kvote 2, mens både ansøgerne (og deres præferencer og søgemønster) er fast-
holdt.
Der må påregnes en usikkerhed i simuleringerne. Både baselinescenarie og scena-
riet med omlæggelse af kvote 2-pladser til ansøgere med en gymnasial uddan-
nelse simuleres for at holde modelusikkerheden konstant på tværs af begge sce-
narier.
Når ansøgerne kobles til baggrundskarakteristika for forældres uddannelsesni-
veau, vil der ikke være oplysninger på alle ansøgere. Dette gælder i særlig grad
indvandrere og dem, der flytter til Danmark for at studere.
198
Uddannelses- og Forskningsministeriet
BUU, Alm.del - 2021-22 - Endeligt svar på spørgsmål 219: Spm. om børn og unges trivsel, til børne- og undervisningsministeren
Evaluering af optagelsessystemet til de videregående uddannelser
10. Ansøgernes
forståelse af
optagelsessystemet
Dette kapitel fokuserer på, hvordan ansøgerne forstår
elementerne i optagelsessystemet, herunder om det er
tydeligt for ansøgere med forskellige typer af
ungdomsuddannelser, hvad institutionerne lægger vægt på
i udvælgelsen. Analyserne viser bl.a., at ansøgerne har let
ved at forstå udvælgelseskriteriet i kvote 1, mens
udvælgelseskriterierne i kvote 2 er sværere at forstå for
ansøgerne.
Ansøgernes forståelse af optagelsesprocessen og de centrale begreber, der ligger til
grund for udvælgelsen, har en betydning for ansøgernes mulighed for at blive optaget,
og for om de forstår udfaldet af deres ansøgning. Det er derfor relevant at undersøge, i
hvilken grad ansøgerne forstår optagelsessystemets elementer og begreber, der er ud-
slagsgivende for, om de optages eller ej. Kapitlets analyser bygger på en spørgeskema-
undersøgelse blandt ansøgere til de videregående uddannelser i 2018.
Uddannelses- og Forskningsministeriet
199
BUU, Alm.del - 2021-22 - Endeligt svar på spørgsmål 219: Spm. om børn og unges trivsel, til børne- og undervisningsministeren
2583011_0200.png
Evaluering af optagelsessystemet til de videregående uddannelser
Hovedresultater
– Blandt ansøgere til de videregående uddannelser i 2018 vurderer en tredjedel,
at ansøgningsprocessen var klar og overskuelig.
– Ved sommeroptagelsen i 2019 var der 9.851 ikke-kvalificerede ansøgere, det
vil sige ansøgere, som ikke opfyldte adgangskravene på nogen af deres søgte
uddannelser eller selv annullerede deres ansøgninger. Det svarer til 11 procent
af ansøgerne.
– I spørgeskemaundersøgelsen angiver i alt 48 procent af ansøgerne, at de me-
get enige i, at det er let at forstå udvælgelseskriteriet i kvote 1. I alt angiver 31
procent, at de er enige.
– I alt 24 procent af ansøgerne, som har søgt i kvote 2, er meget enig i, at det er
let at forstå udvælgelseskriterierne i kvote 2, mens 39 procent er enige.
– I alt har 35 procent af ansøgerne oplevet kvote 2 som uklart. Dermed er kvote
2 det mest uklare for ansøgerne blandt forskellige svarmuligheder om elemen-
ter i optagelsessystemet.
– I alt 65 procent af ansøgerne angiver i spørgeskemaundersøgelsen, at det er
svært at forstå, at kriterierne i kvote 2 på den samme uddannelse varierer fra
uddannelsessted til uddannelsessted.
– Ansøgere med erhvervsuddannelse, der kun kan søge gennem kvote 2, har re-
lativt lettere ved at forstå kriterierne for optagelse via kvote 2 end ansøgere
fra andre ungdomsuddannelser. Dog har de relativt sværere ved at forstå
kvote 2-kriterierne, end andre ansøgere har ved at forstå kvote 1-kriteriet.
– I alt 49 procent af de adspurgte ansøgere, der bliver optaget i kvote 2, angi-
ver, at de er overraskede over, at de blev optaget på deres 1. prioritet. Det
samme gælder 19 procent af dem, der bliver optaget via kvote 1.
– En tredjedel af de adspurgte ansøgere kender ikke årsagen til, at de er blevet
optaget eller afvist på deres 1. prioritet. Ansøgere optaget via kvote 1 kender i
langt højere grad årsagen (81 procent) end ansøgere optaget via kvote 2 (38
procent).
200
Uddannelses- og Forskningsministeriet
BUU, Alm.del - 2021-22 - Endeligt svar på spørgsmål 219: Spm. om børn og unges trivsel, til børne- og undervisningsministeren
2583011_0201.png
Evaluering af optagelsessystemet til de videregående uddannelser
10.1 Ansøgernes forståelse af ansøgningsprocessen og
udvælgelseskriterierne
Ansøgernes forståelse af ansøgningsprocessen og udvælgelseskriterierne har en betyd-
ning for ansøgernes mulighed for at blive optaget. Den information siger også noget om,
i hvilken grad optagelsessystemet er indrettet på en hensigtsmæssig måde, så det er
gennemskueligt for ansøgerne.
10.1.1 En tredjedel vurderer, at ansøgningsprocessen er klar og overskuelig
Optagelsessystemet bliver understøttet af en række forskellige centralt koordinerede
platforme, der skal give ansøgerne information om de videregående uddannelser og an-
søgningsprocessen, jf. boks 10.1.
Boks 10.1 Uddannelsesguiden, Studievalg Danmark og eVejledningen
UddannelsesGuiden (ug.dk) er en portal med information om alle uddannelser i Danmark
på alle niveauer. Her kan ansøgerne desuden finde information om optagelsen til de vi-
deregående uddannelser, f.eks. information om kvotesystemet og grænsekvotienterne.
Ug.dk henviser til de videregående uddannelsesinstitutioner for information om kvote 2.
Studievalg Danmark og eVejledningen vejleder elever i ungdomsuddannelserne om valg
af videregående uddannelser. Vejledningen i Studievalg Danmark foregår både som kol-
lektiv og individuel vejledning, hvor vejlederne er til stede på de enkelte skoler. Derud-
over har eleverne adgang til eVejledningen, der vejleder via digitale platforme, også
uden for elevernes skoletid. Studievalg Danmark og eVejledningen vejleder også unge,
der holder sabbatår, og voksne om valg af videregående uddannelse.
Blandt ansøgere til de videregående uddannelser i 2018 vurderer i alt 35 procent, at an-
søgningsprocessen var rimelig klar og overskuelig, jf. figur 10.1. Når ansøgerne skal for-
holde sig til, hvad, de synes, var mest uklart, så er den hyppigst angivne faktor, hvordan
man bliver vurderet i kvote 2 (35 procent).
Uddannelses- og Forskningsministeriet
201
BUU, Alm.del - 2021-22 - Endeligt svar på spørgsmål 219: Spm. om børn og unges trivsel, til børne- og undervisningsministeren
2583011_0202.png
Evaluering af optagelsessystemet til de videregående uddannelser
Figur 10.1
De adspurgte ansøgeres svar på, hvad der er uklart i ansøgningsprocessen, andel svar, 2019
Procent
0
Hvordan man vurderes i kvote 2
Nej, jeg synes, at alt var rimelig klart og overskueligt
Hvordan man skriver en motiveret ansøgning
Antallet, der optages på hhv. kvote 1 og kvote 2
Bonusordninger/gange-ordninger (f.eks. 1,08 for hurtig start…
Hvordan optagelsesprøver/tests afvikles
Adgangskravene
Forskellen på kvote 1 og kvote 2
Svarfristerne for ansøgning
Hvad adgangskvotienten betyder
Ansøgningsfristerne
Andet
Ved ikke
0
Ikke behandlet i kvote 2
5
10
15
20
25
30
Total
35
40
45
5
10
15
20
25
30
35
40
45
Behandlet i kvote 2
Procent
Anm.:
”Er der noget af følgende, som du har oplevet som uklart i forbindelse med ansøgning til en videre-
gående uddannelse? (Du kan vælge flere svarmuligheder).”
Antal besvarelser: 3.192 ansøgere til
videregående uddannelser i 2018.
Kilde: Uddannelses- og Forskningsministeriet på baggrund af spørgeskemaundersøgelse til ansøgere til
videregående uddannelser i 2018 gennemført af /KL.7 & Realize.
De ansøgere, der er behandlet i kvote 2, oplever det relativt mere uklart, hvordan man
bliver vurderet i kvote 2, end dem, der ikke er behandlet i kvote 2, jf. figur 10.2. Samtidig
angiver en relativt større andel af dem, der ikke er behandlet i kvote 2 (dvs. behandlet i
kvote 1 eller optaget på en uddannelse med alle optaget), at alt var rimelig klart og
overskueligt.
Ansøgere med en erhvervsuddannelse kan kun ansøge via kvote 2, da de ikke har et ka-
raktergennemsnit fra en gymnasial uddannelse. Ansøgere med en erhvervsuddannelse
oplever færre uklarheder om søgningen i kvote 2, f.eks. hvordan man skriver en motive-
ret ansøgning, og hvordan man vurderes i kvote 2, jf. figur 10.2.
202
Uddannelses- og Forskningsministeriet
BUU, Alm.del - 2021-22 - Endeligt svar på spørgsmål 219: Spm. om børn og unges trivsel, til børne- og undervisningsministeren
2583011_0203.png
Evaluering af optagelsessystemet til de videregående uddannelser
Figur 10.2
De adspurgte ansøgeres svar på, hvad der er uklart i ansøgningsprocessen opdelt på ansø-
gere med erhvervsuddannelse og gymnasiale uddannelser, andel svar, 2019
Procent
0
Hvordan man vurderes i kvote 2
Nej, jeg synes, at alt var rimelig klart og overskueligt
Hvordan man skriver en motiveret ansøgning
Bonusordninger/gange-ordninger (f.eks. 1,08 for hurtig start…
Adgangskravene
Antallet, der optages på hhv. kvote 1 og kvote 2
Hvordan optagelsesprøver/tests afvikles
Forskellen på kvote 1 og kvote 2
Hvad adgangskvotienten betyder
Svarfristerne for ansøgning
Ansøgningsfristerne
Andet
Ved ikke
0
5
10
EUD
15
20
25
30
35
40
Procent
Gymnasiale uddannelser
5
10
15
20
25
30
35
40
Anm.:
”Er der noget af følgende, som du har oplevet som uklart i forbindelse med ansøgning til en videre-
gående uddannelse?” (flere svarmuligheder er mulige).
Antal besvarelser: 450 ansøgere med er-
hvervsuddannelse og 2.800 ansøgere med gymnasial uddannelse.
Kilde: Uddannelses- og Forskningsministeriet på baggrund af spørgeskemaundersøgelse til ansøgere til
videregående uddannelser i 2018 gennemført af /KL.7 & Realize.
Ved optagelsen 2019 var der 9.851 ikke-kvalificerede ansøgere svarende til 11 procent,
som ikke opfyldte adgangskravene på nogen af deres søgte uddannelser (herunder an-
søgere som havde søgt for sent, ikke mødte op til en adgangsprøve, ikke bestod en ad-
gangsprøve eller selv annullerede alle ansøgninger).
I alt 62 procent af de adspurgte ansøgere med en gymnasial uddannelse svarer rigtigt,
at et adgangskrav er et krav om bestemte fag på bestemte niveauer og/eller en mini-
mumskarakter, mens 38 procent har angivet et forkert svar (her samlet i kategorien
”andet”), jf. figur 10.3. Det er 20 procent af de erhvervsuddannede, der kender det rigtige
svar.
Samtidig er det 63 procent af de adspurgte ansøgere med en gymnasial uddannelse, der
svarer rigtigt, at en grænsekvotient er udtryk for ”det gennemsnit, man skulle have for
at blive optaget sidste år” og/eller ”om der er flere ansøgere end pladser", mens 37 pro-
cent har angivet et forkert svar (her samlet i kategorien ”andet”), jf. figur 10.4. Det er 30
procent af de erhvervsuddannede, der kender det rigtige svar.
Uddannelses- og Forskningsministeriet
203
BUU, Alm.del - 2021-22 - Endeligt svar på spørgsmål 219: Spm. om børn og unges trivsel, til børne- og undervisningsministeren
2583011_0204.png
Evaluering af optagelsessystemet til de videregående uddannelser
Figur 10.3
De adspurgte ansøgeres svar på, hvad et
adgangskrav er, andel svar, 2019
Procent
100
80
60
40
20
0
Andet
"En minimumskarakter, fx på 7,0", "Krav om bestemte
fag på bestemte niveauer"
Procent
100
80
60
40
20
0
Figur 10.4
De adspurgte ansøgeres svar på, hvad en
grænsekvotient er udtryk for, andel svar,
2019
Procent
100
80
60
40
20
0
Andet
Procent
100
80
60
40
20
0
EUD
Gymnasial
uddannelse
EUD
Gymnasial
uddannelse
"Hvor højt et gennemsnit man skulle have for at
blive optaget sidste år", "Om der er flere
ansøgere end pladser"
Anm.: ”Hvad
er et adgangskrav til en videregående
uddannelse?”
Antal besvarelser: 1.608 ansø-
gere til videregående uddannelser i 2018.
Kilde: Uddannelses- og Forskningsministeriet på
baggrund af spørgeskemaundersøgelse til
ansøgere til videregående uddannelser i
2018 gennemført af /KL.7 & Realize.
Anm.: ”
Hvad er en grænsekvotient udtryk for?”
Antal besvarelser: 1.584 ansøgere til videre-
gående uddannelser i 2018.
Kilde: Uddannelses- og Forskningsministeriet på
baggrund af spørgeskemaundersøgelse til
ansøgere til videregående uddannelser i
2018 gennemført af /KL.7 & Realize.
Vejledere fra Studievalg Danmark svarer i interview, at ansøgerne generelt er informeret
om og forstår de centrale begreber som ’grænsekvotienter’ og ’adgangskrav’, og hvilken
rolle de spiller i forhold til optagelsen. Det kan altså være, at der blandt dem, der har
svaret ”andet”, kan der være ansøgere, der ved, hvad et adgangskrav er - altså, at de
skal have bestået bestemte fag på bestemte niveau - men måske ikke ved, at det hed-
der ’adgangskrav’. Omvendt var der i 2019 12 procent afviste ansøgere – det vil sige, at
de ikke var kvalificerede til nogen af de uddannelser, de søgte ind på ved, at de ikke le-
vede op til adgangskravene, jf. kapitel 4.
10.1.2 Udvælgelsen i kvote 1 er nemmere forstå end udvælgelsen i kvote 2
I spørgeskemaundersøgelsen angiver i alt 48 procent af ansøgerne, at de meget enige i,
at det er let at forstå udvælgelseskriteriet i kvote 1. I alt angiver 31 pro-cent, at de er
enige. Ansøgere fra de gymnasiale uddannelser har relativt nemmest ved at forstå kri-
teriet, mens de erhvervsuddannede, der ikke kan søge via kvote 1, har relativt sværest
ved at forstå det, jf. figur 10.5.
204
Uddannelses- og Forskningsministeriet
BUU, Alm.del - 2021-22 - Endeligt svar på spørgsmål 219: Spm. om børn og unges trivsel, til børne- og undervisningsministeren
2583011_0205.png
Evaluering af optagelsessystemet til de videregående uddannelser
Figur 10.5
Ansøgernes svar på, hvor let det er at forstå udvælgelseskriteriet i kvote 1 opdelt på ung-
domsuddannelse, andel svar, 2019
Procent
0
stx
htx
hhx
hf
eux
EUD
0
10
20
Enig
30
40
50
60
Uenig
70
80
Meget uenig
90
100
Procent
Ved ikke
10
20
30
40
50
60
70
80
90
100
Meget enig
Hverken enig eller uenig
Anm.: ”Hvor
enig eller uenig er du i følgende udsagn: Jeg synes, det er let at forstå kriterierne for at an-
søge om optag i kvote 1".
Antal besvarelser: 2.921 ansøgere til videregående uddannelser i 2018.
Kilde: Uddannelses- og Forskningsministeriet på baggrund af spørgeskemaundersøgelse til ansøgere til
videregående uddannelser i 2018 gennemført af /KL.7 & Realize.
Udvælgelseskriterierne i kvote 2 opleves generelt af ansøgerne som mindre klare end
kvote 1. Her er 67 procent af ansøgerne med erhvervsuddannelse meget enige eller
enige i, at det er let at forstå udvælgelseskriterierne i kvote 2, mens i alt 48 procent af
ansøgerne fra de gymnasiale uddannelser er enige, jf. figur 10.5.
Uddannelses- og Forskningsministeriet
205
BUU, Alm.del - 2021-22 - Endeligt svar på spørgsmål 219: Spm. om børn og unges trivsel, til børne- og undervisningsministeren
2583011_0206.png
Evaluering af optagelsessystemet til de videregående uddannelser
Figur 10.6
Ansøgernes svar på, hvor let det er at forstå udvælgelseskriterierne i kvote 2 opdelt på ung-
domsuddannelse, andel svar, 2019
Procent
0
stx
htx
hhx
hf
eux
EUD
0
10
Meget enig
20
Enig
30
40
50
60
Uenig
70
80
90
Ved ikke
100
Procent
10
20
30
40
50
60
70
80
90
100
Hverken enig eller uenig
Meget uenig
Anm.:
”Hvor enig er du i følgende udsagn? ’Jeg synes, det er let at forstå kriterierne for at ansøge i kvote
2’”.
Antal besvarelser: 3.248 ansøgere til videregående uddannelser i 2018.
Kilde: Uddannelses- og Forskningsministeriet på baggrund af spørgeskemaundersøgelse til ansøgere til
videregående uddannelser i 2018 gennemført af /KL.7 & Realize.
Selv om ansøgere med erhvervsuddannelse har lettere ved at forstå kriterierne for op-
tagelse gennem kvote 2 end ansøgere med gymnasiale uddannelser, så har erhvervsud-
dannede relativt sværere ved at forstå optagelseskriterierne for den
relevante
optagel-
sesvej end øvrige ansøgere.
Det er, fordi kvote 2 er den eneste optagelsesvej for ansøgere med erhvervsuddannelse.
I Norge omregnes alle adgangsgrundlag til point, så alle ansøgere søger med point, jf.
boks 10.2.
Boks 10.2 Pointbaseret optagelse i Norge
I Norge omregnes adgangsgrundlaget til point, hvilket gør det muligt at sammenligne
forskellige adgangsgrundlag, f.eks. erhvervsuddannelser og gymnasiale uddannelser.
I Norge udvælges alle ansøgere i begge de norske kvoter på baggrund af point. Pointene
beregnes forskelligt i de to kvoter. Pointene i den ene kvote er beregnet på baggrund af
præstationer alene i ungdomsuddannelsen (både gymnasium og erhvervsuddannelser
med 1 års gymnasial overbygning), i den anden kvote beregnes point på baggrund af
både resultater fra ungdomsuddannelse og diverse tillægskompetencer, man gerne vil
understøtte. Det kan være alder, sprog, resultater fra andre uddannelser, højskole, mili-
tærtjeneste mv, som man får tillægspoint for, dvs. oveni de point, man har med fra ung-
domsuddannelsen.
206
Uddannelses- og Forskningsministeriet
BUU, Alm.del - 2021-22 - Endeligt svar på spørgsmål 219: Spm. om børn og unges trivsel, til børne- og undervisningsministeren
2583011_0207.png
Evaluering af optagelsessystemet til de videregående uddannelser
Ser man i stedet på, om ansøgerens ansøgning er blevet behandlet i kvote 2, så er der
en større forståelse blandt dem, der er blevet behandlet i kvote 2. Hvis ansøgerens an-
søgning er behandlet i kvote 2, angiver 24 procent, at de er meget enige, mens den er 15
procent for dem, der ikke er blevet behandlet i kvote 2, jf. figur 10.7.
Figur 10.7
De adspurgte ansøgeres svar på, om der er let at forstå kriterierne for at søge i kvote 2, an-
del svar, 2019
Procent
0
20
40
60
80
100
Total
Ikke behandlet i kvote 2
Behandlet i kvote 2
0
Meget enig
Enig
20
40
Hverken enig eller uenig
Uenig
60
Meget uenig
80
Ved ikke
100
Procent
Anm.: ”Jeg
synes, det er let at forstå kriterierne for at søge ind i kvote 2.”
Antal besvarelser: 3.192 ansø-
gere til videregående uddannelser i 2018.
Kilde: Uddannelses- og Forskningsministeriet på baggrund af spørgeskemaundersøgelse til ansøgere
til videregående uddannelser i 2018 gennemført af /KL.7 & Realize.
Det kan indikere, at det at sætte sig ind i udvælgelseskriterierne og gennemgå en ud-
vælgelsesproces i kvote 2 giver ansøgerne en større forståelse for kriterierne.
De ansøgere, der har angivet, at de synes, det var svært at forstå udvælgelseskriteri-
erne i kvote 2, har fået en række ekstra spørgsmål hertil. Her er det relevant at se på, om
der forskelle mellem ansøgere med erhvervsuddannelse og gymnasial uddannelse. Flest
ansøgere fra begge målgrupper har svært ved at forstå hvilke erfaringer, der er rele-
vante for at ansøge en given uddannelse, jf. figur 10.8.
Uddannelses- og Forskningsministeriet
207
BUU, Alm.del - 2021-22 - Endeligt svar på spørgsmål 219: Spm. om børn og unges trivsel, til børne- og undervisningsministeren
2583011_0208.png
Evaluering af optagelsessystemet til de videregående uddannelser
Figur 10.8
De adspurgte ansøgeres svar på hvorfor det er svært at forstå kriterierne for kvote 2, andel
svar, 2019
Procent
0
Det er svært at forstå hvilke erfaringer, der er relevante for
uddannelsen
Ansøgningsprocessen er mere kompliceret end kvote 1
Det er usikkert, hvor mange der optages via kvote 2
Kriterierne varierer fra uddannelsessted til uddannelsessted
Fristen for ansøgning er tidligere end kvote 1
Andet
0
Gynmasiale uddannelser
2
4
6
8
EUD
10
12
14
16
Procent
2
4
6
8
10
12
14
16
Anm.:
”Hvorfor er det svært at forstå kriterierne for at søge ind i kvote 2?” (flere svarmuligheder er mu-
lige).
Antal besvarelser: 529 ansøgere med gymnasiale uddannelser og 53 ansøgere med erhvervs-
uddannelse.
Kilde: Uddannelses- og Forskningsministeriet på baggrund af spørgeskemaundersøgelse til ansøgere til
videregående uddannelser i 2018 gennemført af /KL.7 & Realize.
Mange ansøgere peger også på, at ansøgningsprocessen via kvote 2 er mere komplice-
ret end kvote 1. Usikkerhed omkring hvor mange (eller hvor få), der optages via kvote 2,
gør det også vanskeligt at forstå kriterierne for mange ansøgere.
Færre ansøgere med erhvervsuddannelse end gymnasiale uddannelse har problemer
med at forstå varierende optagelseskriterier mellem uddannelsessteder. Det kan skyl-
des, at ansøgere med erhvervsuddannelse ikke kan søge alle typer, herunder bachelor-
uddannelser, hvor udvælgelseskriterierne varierer meget.
Et illustrativt eksempel på, hvorledes dokumentationskrav og udvælgelseskriterier i
kvote 2 kan variere på samme uddannelse fra uddannelsessted til uddannelsessted, er
de fire udbud af medicinuddannelsen i Danmark, jf. boks 10.3.
208
Uddannelses- og Forskningsministeriet
BUU, Alm.del - 2021-22 - Endeligt svar på spørgsmål 219: Spm. om børn og unges trivsel, til børne- og undervisningsministeren
2583011_0209.png
Evaluering af optagelsessystemet til de videregående uddannelser
Boks 10.3 Forskellige udvælgelseskriterier i kvote 2 til medicin
Tabel 11.1
Udvælgelseskriterier i kvote 2 på de 4 udbud af medicin, 2019
Dokumentation
Københavns Universitet
Eksamensbevis og karakterkrav på 6,0.
Herudover:
1) Motiveret ansøgning
2) CV
3) Dokumentation for udført erhvervsarbejde mv.
Helhedsvurdering af faglig motivation og studenterpoten-
tiale på baggrund af 7 kriterier:
1) Motivation og studiepotentiale
2) Relevant erhvervsarbejde
3) Relevant uddannelse
4) Udlandsophold
5) Anden relevant erfaring
6) Karaktergennemsnit
7) Karakterer fra relevante fag
Aarhus Universitet
Alle ansøgere med et gennemsnit på mindst 6,0 invite- Udvælgelse sker pba resultatet af uniTest. Aarhus Uni-
res til uniTest.
versitet ikke længere har MMI-prøve som del af sin kvote
2 optagelse til Medicin
.
Udvælgelseskriterier i kvote 2
Syddansk Universitet
Alle ansøgere med et gennemsnit på mindst 6,0 invite- Udvælgelse foregår over to runder:
res til uniTest.
1) Ansøgere med højeste score i uniTest inviteres til
MMI
På baggrund af resultaterne fra uniTesten inviteres ef- 2) Resultatet af MMI afgør fordelingen af pladser i kvote
2 blandt ansøgerne med de højeste score.
terfølgende til Multiple Mini Interviews (MMI).
Aalborg Universitet
Eksamensbevis.
Herudover:
ter.
Udvælgelse sker pba en konkret helhedsvurdering, hvor
der lægges vægt på:
2) Relevante aktiviteter
3) Adgangsgivende eksamen.
1) Dokumentation for gennemført og relevante aktivite- 1) Karaktergennemsnit i adgangskravene
Studievejlederne hos Studievalg Danmark og eVejledningen fremfører, at de oplever en
stigning i den tid, de bruger på at forklare mere regelorienterede elementer af optagel-
sessystemet for ansøgerne. Det er f.eks. de to ansøgningsfrister, hvad standby betyder,
forskel på karakterkrav lokalt på uddannelserne, udvælgelseskriterier i kvote 2 og lig-
nende.
Vejlederne nævner, at optagelsessystemet på enkelte områder er så teknisk, at ansø-
gerne fokuserer mest på, hvordan de søger ind, og mindre på, hvordan man finder ud af,
Uddannelses- og Forskningsministeriet
209
BUU, Alm.del - 2021-22 - Endeligt svar på spørgsmål 219: Spm. om børn og unges trivsel, til børne- og undervisningsministeren
2583011_0210.png
Evaluering af optagelsessystemet til de videregående uddannelser
hvad man skal vælge, hvad det faglige indhold er på uddannelsen, og hvad et fremtidigt
job indebærer. Det kan illustreres ved, at der f.eks. i Danmark er to centrale ansøgnings-
frister til Den Koordinerede Tilmelding samt individuelle frister til vinteroptagelsen,
modsat færre ansøgningsfrister i andre lande, jf. boks 10.4.
Boks 10.4 Erfaringer fra udlandet: Ansøgningsfrister
En gennemgang af optagelsessystemerne i udvalgte lande viser, at Danmark adskiller
sig fra de andre lande ved at have en ansøgningsfrist, som ligger meget sent. Hertil
kommer, at man i Danmark ikke har én ansøgningsfrist om sommeren men to, dels d. 15.
marts (kvote 2) og dels 5. juli (kvote 1), jf.
tabel 10.1.
Tabel 10.1
Ansøgningsfrister i udvalgte lande
Land
Danmark
Sverige
Norge
Holland
Israel
Sommeroptagelse
15. marts + 5. juli
16.april
15.april
15. januar
januar
november
Vinteroptagelse
Flere individuelle frister
16. oktober
I Norge giver man desuden særlige grupper mulighed for at få tidligt svar på deres an-
søgning (d. 20. maj) med henblik på, at bl.a. ansøgere i beskæftigelse eller ansøgere med
børn, der skal flytte for at kunne læse, kan nå at etablere sig i nærhed af uddannelsen.
Tidlig optagelse gives kun til de ansøgere i målgruppen, der er sikre på at blive optaget,
dvs. på uddannelser, der kan optage alle kvalificerede ansøgere, eller hvis ansøgeren har
et højt pointtal i forhold til sidste års pointgrænse.
210
Uddannelses- og Forskningsministeriet
BUU, Alm.del - 2021-22 - Endeligt svar på spørgsmål 219: Spm. om børn og unges trivsel, til børne- og undervisningsministeren
2583011_0211.png
Evaluering af optagelsessystemet til de videregående uddannelser
10.2 Ansøgernes forståelse af afgørelserne
Ansøgerne modtager deres svar på, om de er blevet optaget d. 28. juli hvert år. Det er
relevant at se på, hvorvidt ansøgerne forstår afgørelsen af deres ansøgning, da det er
en indikation af, om optagelsessystemet er gennemskueligt for ansøgerne.
10.2.1 En tredjedel blev overrasket over at blive optaget på deres 1.
prioritet
Resultaterne viser overordnet, at de adspurgte ikke blev overrasket over at være blevet
optaget på deres 1. prioritet. 43 procent af de adspurgte blev ”slet ikke” overrasket over
dette, mens 19 procent svarer i ”nogen grad”, og 12 procent svarer i ”høj grad”, jf. figur
10.9. Adspurgte kvote 1-ansøgere har en lavere tendens til at være overraskede, mens
adspurgte ansøgere optaget via kvote 2 og i særdeleshed adspurgte ansøgere på
standby var signifikant mere overraskede over, at de blev optaget på deres 1. prioritet.
Figur 10.9
De adspurgtes ansøgeres svar på, hvor overrasket de blev, da de blev optaget på deres 1.
prioritet, procent, 2019
Procent
0
10
20
30
40
50
60
70
80
90
100
Total
Standby-plads
Kvote 2
Kvote 1
0
I høj grad
10
I nogen grad
20
30
40
Slet ikke
50
Ved ikke
60
70
80
90
I mindre grad
100
Procent
Anm.: ”I
hvilken grad blev du overrasket over, at du blev optaget på din 1. prioritet?”
Antal besvarelser:
2375 ansøgere til videregående uddannelser i 2018.
Kilde: Uddannelses- og Forskningsministeriet på baggrund af spørgeskemaundersøgelse til ansøgere til
videregående uddannelser i 2018 gennemført af /KL.7 & Realize.
Ansøgere med erhvervsuddannelse kan kun søge optagelse via kvote 2. Af den gruppe
oplever 41 procent i høj grad at være overrasket – det vil sige 29 procentpoint højere
end gennemsnittet i alt, og 19 procentpoint højere end gennemsnittet for kvote 2.
De angivne grunde til, at ansøgerne i kvote 1 ikke er overraskede, er enten en viden om,
at man på den søgte uddannelse optog alle kvalificerede ansøgere året før, eller at man
havde et eksamensgennemsnit, der lå højere eller tæt på grænsekvotienten det foregå-
ende år.
Uddannelses- og Forskningsministeriet
211
BUU, Alm.del - 2021-22 - Endeligt svar på spørgsmål 219: Spm. om børn og unges trivsel, til børne- og undervisningsministeren
Evaluering af optagelsessystemet til de videregående uddannelser
Anderledes forholder det sig i kvote 2. For denne gruppe gælder, at knap halvdelen af de
adspurgte enten i nogen grad eller høj grad var overrasket over at blive optaget på de-
res 1. prioritet. Som grund angives i fritekstfelterne bl.a., at der var mange, der kæmpede
om få pladser. Dette gør sig især gældende på bacheloruddannelser med en meget lille
kvote 2.
I alt blev 22 procent af de adspurgte kvote 2-ansøgere slet ikke overraskede over deres
optagelse. Blandt denne gruppe angiver ansøgerne i fritekstfelterne, at den primære år-
sag til, at de ikke blev overraskede er, at alle ansøgere normalt blev optaget på uddan-
nelsen (alle optaget).
Der er stor forskel på kvotefordelingen mellem kvote 1 og 2 og dermed sandsynligheden
for at blive optaget i de respektive kvoter. Således benytter 57 procent af bachelorud-
dannelserne sig af en kvotefordeling, som betyder, at 90 procent af pladserne fordeles i
kvote 1, og 10 procent af pladserne fordeles i kvote 2. Den største afvigelse herfra er
bacheloruddannelser, som benytter sig af adgangsprøver og tests, idet disse typisk har
50 procent af pladserne i kvote 2. Det kan have betydning for ansøgernes sandsynlig-
hed for at blive optaget og for deres forståelse for, på hvilket grundlag afgørelsen om
optagelse er truffet.
Mens kvote 2 på bacheloruddannelserne typisk udgør 10 procent eller 20 procent af
pladserne bacheloruddannelserne, så udgør kvote 2 typisk 35 procent eller 50 procent
på erhvervsakademi- og professionsbacheloruddannelserne. Det gør det vanskeligt for
ansøgerne at sammenligne grænsekvotienter på tværs af samme uddannelser med for-
skellig kvotefordeling som f.eks. medicinuddannelsen, jf. boks 10.5.
212
Uddannelses- og Forskningsministeriet
BUU, Alm.del - 2021-22 - Endeligt svar på spørgsmål 219: Spm. om børn og unges trivsel, til børne- og undervisningsministeren
2583011_0213.png
Evaluering af optagelsessystemet til de videregående uddannelser
Boks 10.5 Forskellig kvotestørrelse på tværs af medicinuddannelserne
Medicinuddannelsen bliver udbudt fire steder i landet. I 2019 varierede grænsekvotien-
ten fra 10,8 til 11,1 på de fire uddannelser. Kvotefordelingen, antallet af uddannelses-
pladser og antallet af ansøgere varierer betragteligt på tværs af de fire udbud, jf. tabel
10.2.
Det betyder, at hvor sandsynligheden for at komme ind i 2019 var stort set den samme
på tværs af de fire uddannelser i kvote 1, var der betydelige forskelle i sandsynligheden
for optagelse i kvote 2 på de fire uddannelsesinstitutioner. På Aarhus Universitet og
Syddansk Universitet er der testbaseret optagelse i kvote 2, hvorfor antallet af ansø-
gere per studieplads illustrerer, at mange ansøgere ikke møder op til testen og derfor
ikke kan kvalificere sig til optagelse i kvote 2.
Tabel 10.2
Kvotefordelingen, antallet af uddannelsespladser og antallet af ansøgere på de fire udbud af
medicinuddannelsen, procent og antal, 2019
Andel pladser i kvote 2
Københavns Universitet
Aarhus Universitet
Syddansk Universitet
Aalborg Universitet
10 procent
20 procent
50 procent
20 procent
Ansøgere/uddannelses-
pladser i kvote 2
1135/64
366/110
365/188
1085/39
Ansøgere per studieplads i
kvote 2
18
3
2
28
10.2.2 I alt to tredjedele af ansøgerne ved, hvorfor de er optaget eller
afvist
Det er 81 procent af de ansøgere, der er optaget i kvote 1, kender årsagen til udfaldet af
deres ansøgning. Det gælder kun 38 procent af de ansøgere, der er optaget i kvote 2, jf.
figur 10.10.
Uddannelses- og Forskningsministeriet
213
BUU, Alm.del - 2021-22 - Endeligt svar på spørgsmål 219: Spm. om børn og unges trivsel, til børne- og undervisningsministeren
2583011_0214.png
Evaluering af optagelsessystemet til de videregående uddannelser
Figur 10.10
De adspurgte ansøgeres svar på, om de kender årsagerne til udfaldet af deres ansøgning om
optagelse, andel svar, 2019
Procent
100
90
80
70
60
50
40
30
20
10
0
Ja
Kvote 1
Kvote 2
Nej
Standby-plads
Ved ikke
Ved ikke
Ikke optaget
Procent
100
90
80
70
60
50
40
30
20
10
0
Anm.:
”Kender du årsagen til, at du kom ind på din 1. prioritet?”, ”Kender du årsagen til du ikke kom ind på
din 1. prioritet?”, ”Kender du årsagen til, at du ikke kom ind på en videregående uddannelse?”
Antal
besvarelser: 3.161 ansøgere til videregående uddannelser i 2018 fordelt på kvoten, de er optaget i.
Ansøgere, der har svaret "Husker ikke" til spørgsmål om, hvorvidt de kom ind på deres 1. prioritet er
ikke medtaget i figuren.
Kilde: Uddannelses- og Forskningsministeriet på baggrund af spørgeskemaundersøgelse til ansøgere til
videregående uddannelser i 2018 gennemført af /KL.7 & Realize.
Trods angivelse af en relativ god forståelse af kriterierne for optagelse i kvote 2 blandt
ansøgere med erhvervsuddannelse kender en tredjedel årsagen til, at de
blev
optaget
på deres førsteprioritet, jf. figur 10.11. Tilsvarende kender 32 procent årsagen til, at de
ikke blev
optaget på deres 1. prioritet, jf. figur 10.12.
214
Uddannelses- og Forskningsministeriet
BUU, Alm.del - 2021-22 - Endeligt svar på spørgsmål 219: Spm. om børn og unges trivsel, til børne- og undervisningsministeren
2583011_0215.png
Evaluering af optagelsessystemet til de videregående uddannelser
Figur 10.11
De adspurgtes angivelse af, om de ken-
der årsagen til, at de blev optaget på
deres 1. prioritet, andel svar, 2019
Procent
100
90
80
70
60
50
40
30
20
10
0
EUD eux
Ja
hf
hhx
Nej
htx
stx
Ved ikke
Procent
100
90
80
70
60
50
40
30
20
10
0
Figur 10.12
De adspurgtes angivelse af, om de ken-
der årsagen til, at de ikke blev optaget
på deres 1. prioritet, andel svar, 2019
Procent
100
90
80
70
60
50
40
30
20
10
0
EUD eux
Ja
hf
hhx
Nej
htx
stx
Ved ikke
Procent
100
90
80
70
60
50
40
30
20
10
0
Anm.: ”Kender du årsagen til, at du kom ind på
din 1. prioritet?”. Antal besvarelser:
2.417 ansøgere til videregående uddan-
nelser i 2018.
Kilde: Uddannelses- og Forskningsministeriet
på baggrund af spørgeskemaundersø-
gelse til ansøgere til videregående ud-
dannelser i 2018 gennemført af /KL.7 &
Realize.
Anm.: ”Kender du årsagen til, at du ikke kom
ind på din 1. prioritet?”. Antal besvarel-
ser: 369 ansøgere til videregående ud-
dannelser i 2018.
Kilde: Uddannelses- og Forskningsministeriet
på baggrund af spørgeskemaundersø-
gelse til ansøgere til videregående ud-
dannelser i 2018 gennemført af /KL.7 &
Realize.
Blandt de ansøgere, som
kender
årsagen til, at de kom ind på deres 1. prioritet, angiver
63 procent deres karaktergennemsnit fra den gymnasiale eksamen, jf. figur 10.11. Det er
samtidig den hyppigst angivne årsag. Herefter angiver 42 procent deres karakterer i ud-
valgte fag som grunden. Blandt de ansøgere, som
ikke kender
til årsagen til afgørelsen,
er den hyppigst angivne årsag, at ansøgerne tror, uddannelsen har lagt vægt på er-
hvervserfaring (42 procent), mens 41 procent angiver, at de tror, uddannelsen har lagt
vægt på deres motiverede ansøgning.
Uddannelses- og Forskningsministeriet
215
BUU, Alm.del - 2021-22 - Endeligt svar på spørgsmål 219: Spm. om børn og unges trivsel, til børne- og undervisningsministeren
2583011_0216.png
Evaluering af optagelsessystemet til de videregående uddannelser
Figur 10.13
De adspurgte ansøgeres svar på, hvilke kriterier uddannelsesinstitutionen har lagt vægt på i
behandling af deres ansøgning, andel svar, 2019
Procent
0
Mit karaktergennemsnit fra min ungdomsuddannelse
Mine fag og niveauer fra min gymnasiale uddannelse
Mine karakterer i relevante fag
Erhvervserfaring (inkl. frivilligt arbejde)
Min motiverede ansøgning
Min optagelsesprøve/test
Anden relevant erfaring (f.eks. kurser eller højskole)
Min optagelsessamtale
Udlandsophold
Andet
Ved ikke
0
Kender ikke årsag
10
20
30
40
50
60
70
Procent
10
20
30
40
50
60
70
Kender årsag
Anm.:
”Hvilke af følgende kriterier har uddannelsesinstitutionen lagt vægt på i behandlingen af din an-
søgning?”, ”Hvilke af følgende kriterier tror du, at uddannelsesinstitutionen har lagt vægt på i be-
handlingen af din ansøgning?”
Antal besvarelser: 3.161 ansøgere til videregående uddannelser i
2018.
Kilde: Uddannelses- og Forskningsministeriet på baggrund af spørgeskemaundersøgelse til ansøgere til
videregående uddannelser i 2018 gennemført af /KL.7 & Realize.
Det er uddannelsesinstitutionerne, der vurderer, om ansøgerne opfylder adgangskra-
vene i kvote 1 og kvote 2 og løbende sender afslag til de ansøgere, der ikke opfylder ad-
gangskravene. Derudover skal uddannelsesinstitutionerne vurdere kvote 2-ansøgerne
efter de institutionsfastsatte udvælgelseskriterier. Udvælgelseskriterierne kan være til-
rettelagt som en adgangsprøve som på de kunstneriske videregående uddannelser, jf.
boks 10.6.
216
Uddannelses- og Forskningsministeriet
BUU, Alm.del - 2021-22 - Endeligt svar på spørgsmål 219: Spm. om børn og unges trivsel, til børne- og undervisningsministeren
2583011_0217.png
Evaluering af optagelsessystemet til de videregående uddannelser
Boks 10.6 Adgangsprøver på de kunstneriske videregående uddannelser
Optagelsesprocesserne på de kunstneriske videregående uddannelser er generelt kom-
plekse og krævende. Alle ansøgere skal igennem adgangsprøver, som de skal bestå for
at kunne blive optaget. Alle ansøgere skal derfor søge inden 15. marts, idet der tale om
100 procent kvote 2 med adgangsprøver. Søger en ansøger optagelse på flere instituti-
oner, skal vedkommende igennem adgangsprøver alle steder.
Formålet med adgangsprøverne er generelt både at teste ansøgernes kompetencer ift.
den pågældende uddannelse og at skabe større bevidsthed hos ansøgere om uddannel-
sens indhold og jobsigte.
Uddannelserne lægger vægt på, at der er meget information tilgængelig om optagelses-
processen, for at gøre det gennemsigtigt for den enkelte, hvad der kræves, og hvornår
de skal gøre hvad. Endelig gives der de fleste steder point undervejs, så det er tydeligt,
på hvilket grundlag afgørelse om optagelse er truffet, dvs. hvilken pointscore, der skal
til. Et eksempel er arkitektuddannelsen på Arkitektskolen Aarhus, jf. tabel 10.3.
Tabel 10.3
Adgangsprøve på arkitektuddannelse på Arkitektskolen Aarhus, 2019
Dokumentation
Motiveret ansøgning
Hjemmeopgave
(opgaven modtages digitalt d. 5. april
kl. 12.00. Afleveringsfrist d. 24. april kl. 12.00
På baggrund af en faglig bedømmelse af hjemmeop-
gaven inviteres ca. 250 til 2 dages
prøve
d. 15.-16.
juni
I forlængelse med prøven gennemføres en individuel
samtale
på ca. 15. min, hvor såvel motiveret ansøg-
ning som besvarelsen af hjemmeopgaven lægges til
grund
Udvælgelseskriterier i kvote 2
På baggrund af en helhedsvurdering af de fire delele-
menter udvælger skolen de bedste ansøgere ud fra flg.
kriterier:
1. analytisk evne
2. rumlig forståelse
3. evne til at arbejde med udvikling af form og rum
inden for en defineret ramme
4. ansøgeren som potentiel studerende
Uddannelses- og Forskningsministeriet
217
BUU, Alm.del - 2021-22 - Endeligt svar på spørgsmål 219: Spm. om børn og unges trivsel, til børne- og undervisningsministeren
Evaluering af optagelsessystemet til de videregående uddannelser
Denne side er med vilje efterladt uden indhold.
218
Uddannelses- og Forskningsministeriet
BUU, Alm.del - 2021-22 - Endeligt svar på spørgsmål 219: Spm. om børn og unges trivsel, til børne- og undervisningsministeren
2583011_0219.png
Evaluering af optagelsessystemet til de videregående uddannelser
11. Optagnes oplevelse
af uddannelsen
I dette kapitel bliver der redegjort for de optagnes
oplevelse af deres uddannelse, herunder om den lever op til
deres forventninger. Analysen viser bl.a., at optagne i både
kvote 1 og kvote 2 oplever, at uddannelsen lever op til deres
forventninger. Det belyses også, hvilke årsager der kan
være til, at optagne efterfølgende falder fra deres
uddannelse.
Ansøgernes egen oplevelse af den uddannelse, de er blevet optaget på, kan være en in-
dikator for, om optagelsessystemet bidrager til at fordele de studerende på en hen-
sigtsmæssig måde. Derfor er det relevant at undersøge, hvilke forventninger ansøgerne
havde til den uddannelse, de søgte om optagelse på, og om uddannelsen efter opta-
gelse lever op til deres forventninger. Kapitlets analyser bygger på en spørgeskemaun-
dersøgelse blandt ansøgere til de videregående uddannelser i 2018.
Hovedresultater
Adspurgt angiver 37 procent af de optagne ansøgere, at de oplever, at det
faglige indhold på uddannelsen (1. studieår) meget godt op til deres for-
ventninger, mens 47 procent angiver, at det lever godt op til deres forvent-
ninger. Der er ikke forskel på ansøgerenes oplevelse af match afhængigt
af, hvilken kvote de er blevet optaget via.
– Ca. 30 pct. af de optagne falder fra på første studieår. Blandt de optagne, der
stadig går på uddannelsen, angiver 24 procent, at de på første studieår er i
tvivl om, hvorvidt de har valgt den rette uddannelse.
– Efter ansøgningsfristen opdagede 25 procent af ansøgerne andre interessante
uddannelser, som de ville ønske, de havde kendt til, da de søgte optagelse. Af
dem ville 34 procent ønske, at de havde søgt ind på en af de uddannelser i ste-
det for dem, de søgte ind på.
– De fem hyppigst angivne årsager til at falde fra uddannelsen er det sociale
miljø (29 procent), uddannelsens jobsigte (29 procent), personlige forhold (26
procent)., manglende refleksion (23 procent) og indholdet i undervisningen (21
procent).
Uddannelses- og Forskningsministeriet
219
BUU, Alm.del - 2021-22 - Endeligt svar på spørgsmål 219: Spm. om børn og unges trivsel, til børne- og undervisningsministeren
2583011_0220.png
Evaluering af optagelsessystemet til de videregående uddannelser
11.1 De optagne ansøgeres forventninger til uddannelsen
Ansøgerne kan bruge ansøgningsprocessen til at afklare, hvilken uddannelse de gerne
vil søge ind på. Det indebærer blandt andre ting at undersøge uddannelsens indhold og
jobsigte for afklare sine faglige forudsætninger og motivation. Hvorvidt, uddannelsen
efterfølgende lever op til de optagnes forventninger, kan derfor ses som en indikator for,
i hvilken grad ansøgerne har brugt ansøgningsprocessen til at reflektere over deres ud-
dannelsesvalg, og om udvælgelsesprocessen har bidraget til at udvælge studerende,
med faglige forudsætninger og motivation for uddannelsen.
11.1.1 Størstedelen af optagne oplever, at det faglige indhold lever op til
deres forventninger
Når adspurgt, så angiver 37 procent af de optagne, at de oplever, at det faglige indhold
på uddannelsen (1. studieår) lever meget godt op til deres forventninger, mens 47 pro-
cent angiver, at det lever godt op til deres forventninger, jf. figur 11.1. Der er ikke forskel
på ansøgernes oplevelse afhængigt af, om de er blevet behandlet i kvote 1 eller kvote 2.
Tallene er inklusive de optagne, der efterfølgende er faldet fra uddannelsen.
Figur 11.1
De optagnes svar på, i hvilken grad uddannelsen lever op til deres forventninger, andel svar,
2019
Procent
0
Undervisningsformen
20
40
60
80
100
Det faglige indhold på uddannelsen
Jobmuligheder efter uddannelsen
Uddannelsens sværhedsgrad
Det sociale miljø på uddannelsen
0
Meget godt
Godt
20
Hverken/eller
40
Dårligt
60
Meget dårligt
80
Ved ikke
100
Procent
Anm.: ”Hvordan
synes du, at følgende på uddannelsen lever op til dine forventninger?”
Antal besvarelser:
2.309 optagne ansøgere til videregående uddannelser i 2018.
Kilde: Uddannelses- og Forskningsministeriet på baggrund af spørgeskemaundersøgelse til ansøgere til
videregående uddannelser i 2018 gennemført af /KL.7 & Realize.
På uddannelserne er der forskellige erfaringer med, i hvor høj grad ansøgerne reflekterer
over deres valg af uddannelse. Et eksempel på, hvordan det kan gøres, er professions-
bacheloruddannelsen i ernæring og sundhed på Professionshøjskolen Absalon, jf. boks
11.1.
220
Uddannelses- og Forskningsministeriet
BUU, Alm.del - 2021-22 - Endeligt svar på spørgsmål 219: Spm. om børn og unges trivsel, til børne- og undervisningsministeren
2583011_0221.png
Evaluering af optagelsessystemet til de videregående uddannelser
Boks 11.1 Forventningsafstemning i optagelsesforløbet på ernæring og sundhed
Professionshøjskolen Absalon oplevede tidligere, at mange af de studerende, der blev
optaget på professionsbacheloruddannelsen i ernæring og sundhed, havde andre for-
ventninger til uddannelsens indhold end det faktiske.
Absalon har derfor i 2019 inviteret ansøgere i kvote 2 til en frivillig motivationswork-
shop, hvor ansøgerne har mulighed for at møde studerende og undervisere samt have
en dialog om uddannelsen, efter at de har søgt ind. Selvom Absalon også afholder ”Åben
hus” arrangementer mv. er indtrykket, at de studerende er et andet sted i valgproces-
sen, efter at de har sendt en ansøgning, ligesom de stadig har mulighed for at søge en
ny uddannelse inden 5. juli, hvis de via motivationsworkshoppen finder ud af, at de hel-
lere vil vælge en anden uddannelse.
Blandt de optagne, der efterfølgende er faldet fra, oplevede 15 procent af de optagne,
at det faglige indhold på uddannelsen (første studieår) meget godt op til deres forvent-
ninger og 36 procent, at det levede godt op til deres forventninger, jf. figur 11.2.
Figur 11.2
De optagnes, der efterfølgende er faldet fra, svar på i hvilken grad uddannelsen levede op til
deres forventninger, andel svar, 2019
Procent
0
Jobmuligheder efter uddannelsen
20
40
60
80
100
Uddannelsens sværhedsgrad
Undervisningsformen
Det sociale miljø på uddannelsen
Det faglige indhold på uddannelsen
0
Meget godt
Godt
20
Hverken/eller
40
Dårligt
60
Meget dårligt
80
Ved ikke
100
Procent
Anm.:
”Hvordan synes du, at følgende på uddannelsen lever op til dine forventninger?”
Antal besvarelser:
228 frafaldne optagne.
Kilde: Uddannelses- og Forskningsministeriet på baggrund af spørgeskemaundersøgelse til ansøgere til
videregående uddannelser i 2018 gennemført af /KL.7 & Realize.
/KL.7, der har gennemført spørgeskemaundersøgelsen til ansøgere til de videregående
uddannelser, har undersøgt, hvilke oplevede faktorer der har størst betydning for, om de
adspurgte falder fra den uddannelse, de blev optaget på, jf. boks 11.2.
Uddannelses- og Forskningsministeriet
221
BUU, Alm.del - 2021-22 - Endeligt svar på spørgsmål 219: Spm. om børn og unges trivsel, til børne- og undervisningsministeren
2583011_0222.png
Evaluering af optagelsessystemet til de videregående uddannelser
Boks 11.2 Kombination af det faglige indhold og det sociale miljø har størst sammen-
hæng med frafald
/KL.7 har foretaget en regressionsanalyse af besvarelserne af spørgeskemaundersøgel-
sen blandt ansøgere til de videregående uddannelser i 2018. Den viser, at ansøgerne, der
oplever et ’meget godt’ match både ift. det faglige indhold og det sociale miljø, har en
reduceret sandsynligheden for at falde fra - fra 43 procent til 11 procent. Analysen kon-
trollerer for følgende variable:
Køn
Alder
Adgangsgivende eksamen
Karaktergennemsnit fra adgangsgivende eksamen
Om ansøgeren har søgt i kvote 2
Afklarethed (selvangivet)
Informationssøgning (selvangivet)
Antal prioriteter ved ansøgning
Hvorvidt ansøgeren er optaget på sin 1. prioritet eller ej
11.1.2 Knap en fjerdel af dem, der ikke er faldet fra, er i tvivl, om de valgt
den rigtige uddannelse
I 2018 faldt ca. 16 procent af de studerende fra deres uddannelse i løbet af deres første
studieår – heraf skiftede knap 8 procentpoint uddannelse. Samtidig er der en del af
dem, der fortsat er på uddannelsen i tvivl om, hvorvidt de har valgt den rigtige uddan-
nelse. Blandt de optagne, der stadig går på uddannelsen, angiver 46 procent, at de slet
ikke er tvivl om, hvorvidt de har valgt den rette uddannelse. Imidlertid er 29 procent i
mindre grad i tvivl, 6 procent i høj grad i tvivl, og 17 procent er i nogen grad i tvivl, jf. figur
11.3.
222
Uddannelses- og Forskningsministeriet
BUU, Alm.del - 2021-22 - Endeligt svar på spørgsmål 219: Spm. om børn og unges trivsel, til børne- og undervisningsministeren
2583011_0223.png
Evaluering af optagelsessystemet til de videregående uddannelser
Figur 11.3
De optagnes, der stadig går på uddannelsen, svar på, i hvilken grad de er i tvivl, om de har
valgt den rigtige uddannelse, andel svar, 2019
Procent
50
45
40
35
30
25
20
15
10
5
0
Slet ikke
I mindre grad
I nogen grad
I høj grad
Udsagnet er ikke
relevant for mig
Procent
50
45
40
35
30
25
20
15
10
5
0
Anm.:
”Jeg er i tvivl om, hvorvidt jeg har valgt den rigtige uddannelse.”
Antal besvarelser: 2.309 ansøgere
til videregående uddannelser i 2018, som stadig læser på uddannelsen.
Kilde: Uddannelses- og Forskningsministeriet på baggrund af spørgeskemaundersøgelse til ansøgere til
videregående uddannelser 2018 gennemført af /KL.7 & Realize.
Besvarelserne er blandt de optagne, der stadig går på uddannelsen (sidste semester af
første studieår). Det betyder, at der kan være optagne, som var i tvivl, der er faldet fra
uddannelsen frem mod tidspunktet for spørgeskemaet. Hvis disse var inkluderet, ville
andelen, der var i tvivl, sandsynligvis være højere.
11.1.3 En fjerdedel har opdaget andre spændende uddannelser
Efter ansøgningsfristen opdagede i alt 25 procent af ansøgerne andre interessante ud-
dannelser, de ville ønske, de havde kendt til, da de søgte ind, jf. figur 11.4. Blandt de op-
tagne, der efterfølgende er faldet fra er andelen højere – nemlig 42 procent.
Uddannelses- og Forskningsministeriet
223
BUU, Alm.del - 2021-22 - Endeligt svar på spørgsmål 219: Spm. om børn og unges trivsel, til børne- og undervisningsministeren
2583011_0224.png
Evaluering af optagelsessystemet til de videregående uddannelser
Figur 11.4
De optagnes svar på, om de har opdaget andre spændende uddannelser, efter de har søgt
om optagelse, andel svar, 2019
Procent
0
20
40
60
80
100
Ansøgere, der fortsat går på uddannelsen
Ansøgere, der er frafaldet uddannelse
Ansøgere, der ikke er startet på uddannelse
Total
0
Ja, 1-2 uddannelser
20
40
60
Nej
80
Ja, 3 eller flere uddannelser
100
Procent
Ved ikke
Anm.:
”Har du opdaget andre spændende uddannelser i løbet af din studietid [Opdagede du efter ansøg-
ningsperioden andre spændende uddannelser], som du ville ønske, at du havde kendt til, da du
skulle søge ind på en videregående uddannelse?”
Antal besvarelser: 3.192 ansøgere til videregå-
ende uddannelser i 2018.
Kilde: Uddannelses- og Forskningsministeriet på baggrund af spørgeskemaundersøgelse til ansøgere til
videregående uddannelser i 2018 gennemført af /KL.7 & Realize.
Samtidig angiver 24 procent af de optagne, at de er i tvivl om, hvorvidt de har valgt den
rette uddannelse (første studieår). Det kan indikere både, at ansøgerne ikke altid får fo-
retaget den nødvendige refleksion inden ansøgningen, men også at ansøgerene fortsat
reflekterer over deres uddannelsesvalg, når de er påbegyndt en uddannelse.
Af de adspurgte ansøgere, der har opdaget én eller flere interessante uddannelser, efter
de har ansøgt, ville 34 procent ønske, at de havde søgt ind på en af disse uddannelser, jf.
figur 11.5. Blandt de adspurgte ansøgere, der er faldet fra uddannelsen, ville 67 procent
ønske, at de havde søgt én af disse uddannelser i stedet, jf. figur 11.5.
224
Uddannelses- og Forskningsministeriet
BUU, Alm.del - 2021-22 - Endeligt svar på spørgsmål 219: Spm. om børn og unges trivsel, til børne- og undervisningsministeren
2583011_0225.png
Evaluering af optagelsessystemet til de videregående uddannelser
Figur 11.5
De adspurgte ansøgeres svar på, om de ville ønske, at de havde søgt ind på en anden videre-
gående uddannelse, andel svar, 2019
Procent
0
20
40
60
80
100
Ansøgere, der fortsat går på uddannelsen
Ansøgere, der er frafaldet uddannelse
Ansøgere, der ikke er startet på uddannelse
Total
0
Ja
20
Nej
40
60
Ved ikke
80
100
Procent
Anm.: ”Ville
du ønske, at du havde søgt ind på en af disse uddannelser i stedet?”
Andel besvarelser: 871
ansøgere til videregående uddannelser i 2018, som har fundet andre spændende uddannelser efter
de havde søgt om optagelse.
Kilde: Uddannelses- og Forskningsministeriet på baggrund af spørgeskemaundersøgelse til ansøgere til
videregående uddannelser i 2018 gennemført af /KL.7 & Realize.
Blandt de ansøgere, der ikke har opdaget andre spændende uddannelser i løbet af deres
studietid, går 94 procent fortsat på uddannelsen.
Ni procent af de adspurgte ansøgere er i løbet af deres foreløbige studietid blevet op-
mærksomme på andre spændende uddannelser, som de ville ønske, at de havde søgt ind
på i stedet, jf. figur 11.6. Af disse går 67 procent fortsat på uddannelsen, mens 33 pro-
cent er faldet fra uddannelsen.
Uddannelses- og Forskningsministeriet
225
BUU, Alm.del - 2021-22 - Endeligt svar på spørgsmål 219: Spm. om børn og unges trivsel, til børne- og undervisningsministeren
2583011_0226.png
Evaluering af optagelsessystemet til de videregående uddannelser
Figur 11.6
De adspurgte ansøgeres svar på, om de har opdaget andre spændende uddannelser i løbet
af 1. studieår, og om de ville ønske, at de havde søgt ind på en af disse, opdelt på frafald, an-
del svar, 2019
Procent
0
20
40
60
80
100
Ansøger har ikke opdaget andre spændende uddannelser
Ansøger har opdaget andre spændende uddannelser, men
vil ikke have søgt ind på en af disse
Ansøger har opdaget andre spændende uddannelser men er
i tvivl om han/hun gerne vil have søgt ind på en af disse
Ansøger har opdaget andre spændende uddannelser, og
ville gerne have søgt ind på en af disse
Total
0
Ansøgere, der fortsat er på uddannelsen
20
40
60
80
100
Procent
Ansøgere, der er frafaldet uddannelsen
Anm.:
”Har du opdaget andre spændende uddannelser i løbet af din studietid, som du ville ønske, at du
havde kendt til, da du skulle søge ind på en videregående uddannelse?” ”Ville du ønske, at du
havde søgt ind på en af disse uddannelser i stedet?”
Antal besvarelser: 2.537 ansøgere til videre-
gående uddannelser. Ansøgere, der endnu ikke er startet, vises ikke i figuren.
Kilde: Uddannelses- og Forskningsministeriet på baggrund af spørgeskemaundersøgelse til ansøgere til
videregående uddannelser i 2018 gennemført af /KL.7 & Realize.
Blandt de adspurgte ansøgere, som er faldet fra deres uddannelse, og som under ud-
dannelsen blev opmærksom på andre interessante uddannelser, svarer 39 procent, at en
af disse uddannelser var medvirkende til, at de faldt fra deres nuværende uddannelse, jf.
figur 11.7.
226
Uddannelses- og Forskningsministeriet
BUU, Alm.del - 2021-22 - Endeligt svar på spørgsmål 219: Spm. om børn og unges trivsel, til børne- og undervisningsministeren
2583011_0227.png
Evaluering af optagelsessystemet til de videregående uddannelser
Figur 11.7
Frafaldne ansøgeres svar på, om opdagelser af nye uddannelser var medvirkende til, at de
faldt fra uddannelsen, andel svar, 2019
Procent
60
50
40
30
20
10
0
Procent
60
50
40
30
20
10
0
Ja
Nej
Ved ikke
Anm.: ”Var
en af disse uddannelser medvirkende til, at du stoppede på uddannelsen?”
Antal besvarelser:
108 ansøgere til videregående uddannelser i 2018 som er frafaldet den videregående uddannelse,
de blev optaget på d. 28 juli 2018.
Kilde: Uddannelses- og Forskningsministeriet på baggrund af spørgeskemaundersøgelse til ansøgere til
videregående uddannelser i 2018 gennemført af /KL.7 & Realize.
11.1.4 Årsager til, at ansøgerne falder fra deres uddannelse
På tværs af de videregående uddannelser faldt 16 procent af de studerende, der star-
tede på deres uddannelse i 2018, fra i løbet af første studieår. I interview med ansatte
på de videregående uddannelser, der arbejder med optagelse, fremgår det, at uddannel-
serne generelt anvender et lavt frafald som en indikator for, om der et godt match mel-
lem uddannelsen og de optagne.
Af de adspurgte ansøgere, der er faldet fra, angiver 29 procent, at de ikke trivedes i det
sociale miljø, jf. figur 11.8. Det er samtidig den hyppigst angivne årsag. Dernæst angiver
29 procent de job, uddannelsen fører til, som årsag. Dernæst følger personlige forhold
(26 procent), manglende refleksion (23 procent) og indholdet i undervisningen (21 pro-
cent).
Uddannelses- og Forskningsministeriet
227
BUU, Alm.del - 2021-22 - Endeligt svar på spørgsmål 219: Spm. om børn og unges trivsel, til børne- og undervisningsministeren
2583011_0228.png
Evaluering af optagelsessystemet til de videregående uddannelser
Figur 11.8
Ansøgernes angivelse af, hvorfor de faldt fra uddannelsen, andel, 2019
Procent
0
Jeg trivedes ikke i det sociale miljø
De jobs, som uddannelsen førte til, var ikke noget for mig
Personlige forhold (familie, børn, helbred mm.)
Jeg fik søgt ind uden at tænke mig ordentligt om
Indholdet i undervisningen var ikke relevant for mig
Kvaliteten af undervisningen
Jeg følte mig presset til at søge ind
Jeg var kommet for langt bagud på uddannelsen
Uddannelsen var for svær
Jeg boede for langt væk
Jeg følte mig ikke klar til at studere
Uddannelsens faglige niveau var for lavt
Jeg ville gerne tage et ekstra sabbatår
Jeg blev optaget på en anden uddannelse
Uddannelsen lå lavt på min prioriteringsliste, da jeg ansøgte
Jeg fik tilbudt et arbejde
Ingen eller få i min omgangskreds startede på en…
Jeg kunne ikke overskue at flytte til en ny by
Jeg kunne ikke finde bolig
Ingen af ovenstående
0
5
10
15
20
25
30
35
Procent
5
10
15
20
25
30
35
Anm.: "Hvorfor
stoppede du på den uddannelse, du blev optaget på d. 28. juli 2018?"
Antal besvarelser:
228 ansøgere til videregående uddannelser i 2018, som er frafaldet uddannelsen.
Kilde: Uddannelses- og Forskningsministeriet på baggrund af spørgeskemaundersøgelse til ansøgere til
videregående uddannelser i 2018 gennemført af /KL.7 & Realize.
Af de hyppigst angivne årsager handler 3 ud af 5 om uddannelsens indhold og jobsigte,
det vil sige faktorer, som ansøgerne må forventes at kunne sætte sig ind i, før de søger
optagelse.
Kvaliteten af undervisningen er den 7. mest angivne (20 procent). Det er imidlertid den
hyppigst angivne årsag i en anden spørgeskemaundersøgelse blandt frafaldne stude-
rende og studieskiftere gennemført af Uddannelses- og Forskningsministeriet i 2018.
Analysen viser, at 45 procent af de frafaldne angiver uddannelsens faglige niveau som
årsag til, at de er faldet fra. Det er den årsag, den største andel angiver. Herefter følger,
at 44 procent angiver, at de job, som uddannelsen førte til, ikke var noget for dem. Selv
om andelen er mindre, så peger begge undersøgelser på, at noget af frafaldet kunne
undgås ved en større forventningsafstemning og refleksion forud for ansøgning.
228
Uddannelses- og Forskningsministeriet
BUU, Alm.del - 2021-22 - Endeligt svar på spørgsmål 219: Spm. om børn og unges trivsel, til børne- og undervisningsministeren
Evaluering af optagelsessystemet til de videregående uddannelser
12. Fordeling af
uddannelsespladser
I dette kapitel bliver fordeling af uddannelsespladser
gennem Den Koordinerede Tilmelding kortlagt ud fra et
effektivitetsperspektiv. Analyserne viser bl.a., at Den
Koordinerede Tilmelding understøtter en effektiv fordeling
af uddannelsespladser, der kan fungere uanset
udvælgelseskriterier.
Måden, optagelsessystemet fordeler ansøgerne på, har en betydning for graden af ad-
ministration for ansøgerne, uddannelsesinstitutionerne og staten. Derfor er det relevant
at belyse, i hvilket omfang optagelsessystemet bidrager til effektivt at fordele ansø-
gerne på landets uddannelsespladser. Kapitlets analyser er baseret på kortlægning af
processerne i Den Koordinerede Tilmelding og interview med repræsentanter for de vi-
deregående uddannelsesinstitutioner.
Uddannelses- og Forskningsministeriet
229
BUU, Alm.del - 2021-22 - Endeligt svar på spørgsmål 219: Spm. om børn og unges trivsel, til børne- og undervisningsministeren
2583011_0230.png
Evaluering af optagelsessystemet til de videregående uddannelser
Hovedresultater
– Den Koordinerede Tilmelding fordeler pladserne baseret på institutionernes
sagsbehandlingsresultat, dvs. rangering af ansøgerne, uanset hvilke udvælgel-
seskriterier institutionerne benytter. En ændring i udvælgelseskriterierne og
udvælgelsesprocessen vil som udgangspunkt ikke ændre effektiviteten i Den
Koordinerede Tilmelding for så vidt angår fordeling af pladserne.
– Den Koordinerede Tilmelding understøtter en ressourceoptimering for uddan-
nelsesinstitutionerne, fordi ansøgerne kun bliver tilbudt én studieplads. Insti-
tutionerne har dermed bedre mulighed for at vurdere hvor mange af de op-
tagne, der ender med at begynde på uddannelsen.
– Optagelsessystemet giver uddannelserne mulighed for selv at tilrettelægge
relevante udvælgelsesprocesser.
– Efteroptagelse og vinteroptagelse er ikke centralt understøttede og håndte-
res lokal på uddannelsesinstitutionerne. Dette kan betyde, at samme ansøger
optages flere gange, og dermed er disse optagelsesrunder mindre effektive
for institutionerne end fordelingen i sommeroptagelsen.
– Vurderingen af udenlandske ansøgere foretages lokalt på uddannelsesinstitu-
tionerne. Det betyder, at samme ansøger får vurderet sine fagniveauer og
omregnet sit karaktergennemsnit for hver uddannelsesinstitution, ansøgeren
har søgt optagelse på.
– Udvælgelse i kvote 1 opleves som effektivt af institutionerne både ift. at for-
dele pladserne, men også omkostningseffektivt, idet kvote 1 for de allerfleste
ansøgere ikke kræver særlig meget sagsbehandling.
– De fleste udvælgelseskriterier i kvote 2 er mindre fordelingseffektive end
kvote 1, da institutionerne skal lave en individuel vurdering af ansøgerne. Så-
ledes bliver 47 procent af de optagne i 2018 behandlet i kvote 2, hvoraf halv-
delen blev optaget i enten kvote 1 eller på udbud med alle optaget.
– Udvælgelseskriterierne i kvote 2 er mere ressourcetunge for institutionerne
end kvote 1, hvor karaktergennemsnit er umiddelbart tilgængelige. Ønsker in-
stitutionerne eksempelvis at indføre test i kvote 2, skal institutionen selv ud-
vikle og finansiere den.
12.1 Fordeling af uddannelsespladser via Den Koordinerede
Tilmelding
Den Koordinerede Tilmelding koordinerer optagelsen til de videregående uddannelser.
Derfor er det relevant at se på, hvordan KOT fungerer ift. at fordele pladserne ud fra an-
søgernes prioriteringslister og institutionernes rangering af ansøgerne.
230
Uddannelses- og Forskningsministeriet
BUU, Alm.del - 2021-22 - Endeligt svar på spørgsmål 219: Spm. om børn og unges trivsel, til børne- og undervisningsministeren
2583011_0231.png
Evaluering af optagelsessystemet til de videregående uddannelser
12.1.1 Den Koordinerede Tilmelding betyder, at der højst tilbydes én
studieplads til hver ansøger
Den Koordinerede Tilmeldings overordnede formål er at koordinere optagelsen til de vi-
deregående uddannelser, så hver ansøger kun får tilbudt en plads – den højst mulige.
Koordineringen understøtter en ressourceoptimering for uddannelsesinstitutionerne.
Det skyldes, at institutionerne har bedre mulighed for at vurdere, hvor mange af de op-
tagne der ender med at begynde på uddannelsen, end de har i et system, hvor ansø-
gerne har flere tilbud om optagelse at vælge mellem. Det skyldes, at institutionerne ud
over det bortfald før studiestart, som de oplever i dag, ikke ville kunne vurdere, hvor
mange af de ansøgere, de har tilbudt plads, der samtidig er tilbudt plads på en for ansø-
geren mere attraktiv uddannelse på en anden institution.
En fejlvurdering af bortfaldet mellem optagelse og studiestart betyder, at en uddan-
nelse enten risikerer at stå med ledige pladser, fordi flere end ventet takkede nej, eller at
have for mange nye studerende ift. kapaciteten, fordi færre end ventet takkede nej. Ko-
ordineringen af optagelsen, så hver ansøger kun tilbydes én studieplads, mindsker usik-
kerheden ved institutionernes vurdering af, hvor mange optagne, som begynder på ud-
dannelsen, hvorfor institutionerne i langt højere grad kan planlægge f.eks. antallet af un-
dervisere og lokaler, der er behov for. Danmark er et af de lande med mest koordinering
af optagelsen, jf. boks 12.1.
Boks 12.1 Graden af central koordinering i forskellige landes optagelsessystemer
Danmark er et af de OECD-lande, som har den højeste grad af koordinering i optagel-
sen på de videregående uddannelser. Ud af 39 lande, som er blevet sammenlignet i Edu-
cation at a Glance, benytter 9 lande ud over Danmark sig af central allokering af ud-
dannelsespladserne, 12 har en central allokering af bevillinger, og 9 har et centraliseret
optagelsessystem.
Enkelte lande har mere central styring af antallet af pladser på uddannelserne end Dan-
mark, hvor institutionerne selv fastsætter pladsantallet på ikke-dimensionerede uddan-
nelser. Blandt de andre lande, som også har en høj grad af central koordinering kan
nævnes Grækenland, Slovenien og Norge.
Det norske optagelsessystem kan vurderes at have den højeste grad af central koordi-
nering. Her er udvælgelseskriterier, som er knyttet til et pointsystem, nationalt fastsat
og ens på alle uddannelser (med få undtagelser). Det betyder bl.a., at der kun er én insti-
tution, der behandler en ansøger uanset, hvor mange prioriteter ansøgeren har søgt. Det
betyder, at hver enkelt ansøger kun sagsbehandles én gang og af den samme sagsbe-
handler, som ansøgeren kan kontakte ved spørgsmål. Dette giver en effektiv proces for
både institutioner og ansøgere.
Uddannelses- og Forskningsministeriet
231
BUU, Alm.del - 2021-22 - Endeligt svar på spørgsmål 219: Spm. om børn og unges trivsel, til børne- og undervisningsministeren
Evaluering af optagelsessystemet til de videregående uddannelser
12.1.2 Fordelingen kan ske uanset udvælgelseskriterier
Den Koordinerede Tilmelding fordeler pladserne på baggrund af ansøgernes priorite-
ringslister, institutionernes indberetning af uddannelsespladser og fordelingen af plad-
ser mellem kvote 1 og kvote 2 samt resultatet af den sagsbehandling, som de videregå-
ende uddannelsesinstitutioner laver af ansøgningerne, som udmøntes i en finsorteret
rangering af de kvalificerede ansøgere i hver kvote.
Det er en forudsætning for pladsfordelingen i KOT, at institutionernes sagsbehandling
af ansøgerne resulterer i en finsortering af ansøgerne, således at det på individniveau
kan vurderes, om en ansøger er rangeret højere end en anden ansøger. Hvordan institu-
tionerne er nået frem til den konkrete finsortering af ansøgerne eller hvilke kvoter, om
nogen, ansøgerne er finsorteret i, påvirker derimod ikke pladsfordelingen i KOT, som
derfor kan fungere uanset hvilke udvælgelseskriterier, institutionerne benytter.
Effektiviteten af pladsfordelingen i Den Koordinerede Tilmelding vil derfor ikke blive på-
virket, hvis der sker ændringer f.eks. i kvotesystemet eller i udvælgelseskriterier. Foran-
dringer i optagelsessystemet kan dog kræve udvikling og tilpasning af de it-systemer,
som bruges til pladsfordelingen.
12.1.3 Pladsfordelingen er effektiv
Selve fordelingen af pladserne foregår ved hjælp af et it-system, som løbende bliver
opdateret i forhold til regelændringer og optimering af pladsfordelingsprocessen. Tidli-
gere skete en del af kontrollen manuelt, men i 2015 blev et nyt it-system implementeret,
der introducerede en række kontrolprocedurer enten fuldt ud automatiseret eller it-un-
derstøttet. Det nye it-system har således medført en yderligere optimering af pladsfor-
delingen.
Det betyder, at det tager 4-5 arbejdsdage fra Den Koordinerede Tilmelding modtager
indberetningerne fra de 32 uddannelsesinstitutioner med deres rangering eller annulle-
ring af ca. 90.000 ansøgeres ca. 240.000 ansøgninger til, at institutionerne modtager
en foreløbig fordeling af pladserne. Institutionerne har på baggrund af denne mulighed
for at øge pladsantallet, samt kontrollere resultatet af pladsfordelingen.
Derefter tager det igen 3-4 dage at lave den endelige pladsfordeling på baggrund af de
evt. rettelser, som institutionerne har i forbindelse med den foreløbige pladsfordeling.
Arbejdstiden i Den Koordinerede Tilmelding benyttes til at indlæse indberetningerne fra
institutionerne i Den Koordinerede Tilmeldings it-system, lave sagsbehandling og kon-
trol af indberetningerne, fordele pladserne og lave tilbagemeldinger til institutionerne.
Der er også indberegnet tid til evt. uforudsete udfordringer. Opgaven varetages af 5
medarbejdere i Styrelsen for Forskning og Uddannelse.
12.1.4 Vinter- og efteroptagelsen koordineres ikke centralt
Lidt under halvdelen af de videregående uddannelser optager ikke kun ansøgere i for-
bindelse med sommerens optagelse, men optager også ansøgere på ledige pladser i ef-
teroptagelsen og/eller på pladser til uddannelser med vinterstart i en lokal vinteropta-
gelsesrunde. Disse optagelsesrunder er ikke koordineret i Den Koordinerede Tilmelding,
232
Uddannelses- og Forskningsministeriet
BUU, Alm.del - 2021-22 - Endeligt svar på spørgsmål 219: Spm. om børn og unges trivsel, til børne- og undervisningsministeren
2583011_0233.png
Evaluering af optagelsessystemet til de videregående uddannelser
hvorfor ansøgere i efteroptagelse og vinteroptagelsen skal søge lokalt hos hver institu-
tion og kan få tilbudt optagelse på mere end en uddannelse.
På den led er efteroptagelsen og vinteroptagelsen ikke lige så effektive som sommer-
optagelsen, hverken for ansøgerne eller for institutionerne. Som konsekvens af, at efter-
optagelsen og vinteroptagelsen ikke er centralt koordineret varierer ansøgningsfrister
og –procedurer fra uddannelse til uddannelse, hvilket gør processen mindre gennem-
skuelig for ansøgerne, jf. boks 12.2.
Boks 12.2 Eksempler på ansøgningsprocedurer for vinteroptagelsen
Der er forskel på hvornår ansøgningsfristen til vinteroptagelsen ligger, samt hvordan
ansøgerne bliver optaget på forskellige uddannelsessteder og på forskellige uddannel-
ser. Herunder er eksempler på optagelsesprocedurer for vinteroptagelsen på forskellige
uddannelser. Ansøgningsproceduren foregår ikke gennem Optagelse.dk som ved som-
meroptagelsen, men derimod direkte mellem ansøger og uddannelsesstedet.
Uddannelser med vinteroptagelse på Danmarks Tekniske Universitet
Frist:
Ansøgerne kan søge fra 1. oktober. Kvote 1 ansøgere har frist 1.december mens
kvote 2 ansøgere har frist 15. oktober.
Optagelsesmetode:
Som ved kvote 1 og kvote 2 i sommeroptagelsen.
Miljøteknolog med vinteroptagelse på CPH Business
Frist:
Ansøgerne kan søge fra 15.september. Fristen er 29. september for ikke-EU bor-
gere og 15. november for EU-borgere, herunder danske ansøgere.
Optagelsesmetode:
Som ved kvote 2 i sommeroptagelsen.
Designteknolog på Professionshøjskolen VIA
Frist:
10. januar.
Optagelsesmetode:
Optagelsesprøve som ved sommeroptagelsen.
Flere videregående uddannelsesinstitutioner har i de kvalitative analyser, der ligger bag
nærværende rapport, udtrykt ønske om at øge koordineringen af efteroptagelsen og
vinteroptagelsen. Det er dog ikke alle institutioner, som benytter sig af andet end som-
meroptagelsen, og det er derfor ikke alle institutioner, som vil få gavn af en central ko-
ordinering af de to optagelsesrunder.
Idet der er markant færre ansøgere og optagne i efteroptagelsen og vinteroptagelsen,
vil en central koordinering ikke være lige så ressourceeffektiv som koordineringen af
sommeroptagelsen. Der optages således omkring 10.000 ansøgere i vinter- og efterop-
tagelsen, hvoraf omkring 2.000 er udløste standby-pladser, mens der optages omkring
65.000 ansøgere i sommeroptagelsen, jf. figur 12.1.
Uddannelses- og Forskningsministeriet
233
BUU, Alm.del - 2021-22 - Endeligt svar på spørgsmål 219: Spm. om børn og unges trivsel, til børne- og undervisningsministeren
2583011_0234.png
Evaluering af optagelsessystemet til de videregående uddannelser
Figur 12.1
Optagne i sommer-, efter- og vinteroptagelsen, antal, 2016-2018
Antal
70.000
60.000
50.000
40.000
30.000
20.000
10.000
0
sommeroptagelsen
Antal
70.000
60.000
50.000
40.000
30.000
20.000
10.000
0
2016
efteroptagelsen
2017
vinteroptagelsen
2018
udløste standbypladser (Efter- og vinteroptagelsen)
Anm.: Udløste standby-pladser dækker over optagne, som får tilbudt en standby-plads ved sommerop-
tagelsen og enten ved efteroptagelsen eller vinteroptagelsen får vekslet standby-pladsen til en
studieplads. Ansøgere kan blive optaget i mere end en optagelsesrunde og kan derfor indgå i alle
tre søjler.
Kilde: Uddannelses- og Forskningsministeriet på baggrund af data fra Den Koordinerede Tilmelding.
12.2 Uddannelsesinstitutionernes oplevelse af fordeling af
uddannelsespladser
Måden, optagelsessystemet fordeler ansøgerne på, har en betydning for graden af ad-
ministration på uddannelsesinstitutionerne. Det samme har typen af ansøgere og deres
adgangsgrundlag, samt brugen af kvoter på uddannelserne.
12.2.1 Kvote 1 bliver oplevet som let og effektivt at administrere
I kvote 1 sorteres ansøgerne efter faldende karaktergennemsnit fra den gymnasiale ek-
samen. Det betyder, at institutionerne ikke skal bruge ressourcer på at lave en yderli-
gere individuelvurdering af ansøgerne i kvote 1. De skal således ikke læse motiverede
ansøgninger, vurdere erhvervserfaring, afholde test m.m., men kan forlade sig på den
vurdering, som ansøgerens gymnasiale uddannelse har givet i form af en vurdering af
ansøgeren over længere tid og ved flere eksaminer på tværs af fag, udtrykt i et endeligt
karaktergennemsnit på eksamensbeviset fra den gymnasiale eksamen.
At rangering af ansøgningerne sker på baggrund af de gymnasiale uddannelsers vurde-
ring af ansøgerne betyder dog ikke, at der ikke er sagsbehandling forbundet med an-
søgningerne i kvote 1 for de videregående uddannelsesinstitutioner. Således skal det
stadig vurderes, om ansøgningen lever op til adgangskravene – har ansøgeren de kræ-
vede fagniveauer og karakterer og hvis ikke, har de så suppleret, eller er de i gang med
234
Uddannelses- og Forskningsministeriet
BUU, Alm.del - 2021-22 - Endeligt svar på spørgsmål 219: Spm. om børn og unges trivsel, til børne- og undervisningsministeren
2583011_0235.png
Evaluering af optagelsessystemet til de videregående uddannelser
det, har ansøgeren søgt inden fristen mm. Endelig skal alle ansøgere, som lever op til ad-
gangskravene, rangeres i karaktergennemsnitsrækkefølge.
For langt de fleste ansøgere i kvote 1 kræves der ikke yderligere sagsbehandling. Der er
dog mindre grupper af ansøgere, som kræver særlige ressourcer. En gruppe er ansøgere,
som søger om dispensation af den ene eller den anden slags – f.eks. pga. særlige forhold
under den gymnasiale uddannelse, som påvirkede deres karaktergennemsnit. En anden
gruppe er ansøgere, med udenlandske eksamensbeviser, som udgør ca. 10 procent af
det samlede ansøgertal, jf. figur 12.2 og figur 12.3.
Figur 12.2
Ansøgere med en udenlandsk adgangsgi-
vende eksamen, antal, 2009-2019
Antal
30.000
25.000
20.000
15.000
10.000
5.000
0
Antal
30.000
25.000
20.000
15.000
10.000
5.000
0
Figur 12.3
Andel ansøgere med en udenlandsk ad-
gangsgivende eksamen, procent, 2009-2019
Procent
16
14
12
10
8
6
4
2
2009
2010
2011
2012
2013
2014
2015
2016
2017
2018
2019
0
Procent
16
14
12
10
8
6
4
2
0
2009
2010
2011
2012
2013
2014
2015
2016
2017
2018
Ansøgninger
Ansøgere
2019
Ansøgninger
Ansøgere
Anm.: Ansøgere er opgjort som 1. prioritetsansøg-
ninger. Adgangsgrundlag er selvrapporteret
af ansøgerne i forbindelse med ansøgningen
via optagelse.dk.
Kilde: Uddannelses- og Forskningsministeriet på
baggrund af data fra Den Koordinerede Til-
melding.
Anm.: Ansøgere er opgjort som 1. prioritetsansøg-
ninger. Adgangsgrundlag er selvrapporteret
af ansøgerne i forbindelse med ansøgningen
via optagelse.dk.
Kilde: Uddannelses- og Forskningsministeriet på
baggrund af data fra Den Koordinerede Til-
melding.
Ansøgere med udenlandske eksamensbeviser kræver yderligere sagsbehandling, da de-
res eksamensbeviser skal vurderes ift., om de lever op til adgangskravene om fagni-
veauer og karakterer, og deres karaktergennemsnit skal omregnes til et dansk karakter-
gennemsnit, når ansøgeren er ansøgningsberettiget i kvote 1. Denne omregning af eksa-
mensbeviser foregår på den eller de institutioner, som ansøgeren har søgt ind på. Et ek-
samensbevis bliver derfor omregnet flere gange, hvis ansøgeren har søgt flere steder, jf.
boks 12.3.
Uddannelses- og Forskningsministeriet
235
BUU, Alm.del - 2021-22 - Endeligt svar på spørgsmål 219: Spm. om børn og unges trivsel, til børne- og undervisningsministeren
2583011_0236.png
Evaluering af optagelsessystemet til de videregående uddannelser
Boks 12.3 Omregningen af udenlandske eksamensbeviser til brug i kvote 1
Ansøgere med udenlandske eksamensbeviser fra EU/EØS-lande får omregnet deres ka-
raktergennemsnit, således at de kan søge optagelse i kvote 1. Omregningen foretages
på institutionerne, som ikke deler omregningsresultater. Omregningerne foregår på bag-
grund af vejledninger og omregningstabeller fra Styrelsen for Forskning og Uddannelse.
Den lokale håndtering af omregningen betyder både, at ansøgere, som søger flere for-
skellige institutioner vil blive omregnet flere gange, samt at det bliver svært for institu-
tionerne at opbygge en ekspertise i alle typer eksamensbeviser. Den lokale håndtering
af omregningen af udenlandske eksamensbeviser er således både ineffektivt og medfø-
rer en risiko for, at ansøgernes beviser ikke bliver behandlet ens på alle de uddannelser
ansøgeren har søgt. Vurderingen af, om ansøgeren lever op til adgangskravene, foregår
på tilsvarende vis.
12.2.2 Kvote 2 opfattes som mindre effektivt af institutionerne
I modsætning til kvote 1 kræver kvote 2, at de videregående uddannelsesinstitutioner
bruger ressourcer på individuelt at vurdere ansøgerne i en rangering, hvorfor kvote 2 helt
grundlæggende er mere ressourcekrævende end kvote 1. Fra 2009 til 2019 er andelen af
ansøgerne, som bliver behandlet i kvote 2, på mindst én af deres prioriteter steget fra
39 procent af ansøgerne til 46 procent af ansøgerne.
Figur 12.4
Optagne behandlet i kvote 2, fordelt på hvilken kvote de er optaget i, procent, 2009-2019
Procent
100
90
80
70
60
50
40
30
20
10
0
2009
2010
2011
2012
2013
2014
2015
2016
2017
2018
Procent
100
90
80
70
60
50
40
30
20
10
0
2019
Optaget kvote 2
Optaget kvote 1
Optaget på udd med alle optaget
Kilde: Uddannelses- og Forskningsministeriet på baggrund af data fra Den Koordinerede Tilmelding.
Det betyder, at uddannelsesinstitutionerne skal bruge flere ressourcer på at behandle
kvote 2-ansøgninger end tidligere. Samtidig ender ca. halvdelen af de optagne, som
søgte i kvote 2, med at blive optaget i kvote 1 eller på en uddannelse med alle optaget.
236
Uddannelses- og Forskningsministeriet
BUU, Alm.del - 2021-22 - Endeligt svar på spørgsmål 219: Spm. om børn og unges trivsel, til børne- og undervisningsministeren
2583011_0237.png
Evaluering af optagelsessystemet til de videregående uddannelser
Behandlingen af ansøgere, som alligevel ikke optages i kvote 2, er ikke ressourceeffek-
tivt. Set fra uddannelsesinstitutionernes synspunkt, er der både fordele og ulemper for-
bundet med effektiviteten i det nuværende kvotesystem, jf. boks 12.4.
Boks 12.4 Uddannelsesinstitutionernes oplevelse af vurdering i kvote 1 og kvote 2
Der er gennemført en række interview med repræsentanter fra uddannelsesinstitutioner.
På tværs af interviewene udtrykker informanterne, at den centrale koordinering af op-
tagelsen og fordeling af pladserne er meget effektivt set fra deres synspunkt.
Repræsentanter fra uddannelserne vurderer i interview, at brugen af kvote 2 er mere
ressourcekrævende. Det kræver mere tid og flere ressourcer at administrere. Samtidig
oplever de, at en af fordelene ved udvælgelse i kvote 2 er, at man kan tilpasse ressour-
ceforbruget til det behov, man har. Uddannelserne kan vælge at have en omfattende
optagelsesprocedure via kvote 2 eller en mindre omfattende, afhængigt af det konkrete
behov. Uddannelserne oplever, at den type af fleksibilitet gør det muligt at skræddersy
den optagelsesprocedure, de vurderer bedst egnet.
Uddannelses- og Forskningsministeriet
237
BUU, Alm.del - 2021-22 - Endeligt svar på spørgsmål 219: Spm. om børn og unges trivsel, til børne- og undervisningsministeren
Evaluering af optagelsessystemet til de videregående uddannelser
Denne side er med vilje efterladt uden indhold.
238
Uddannelses- og Forskningsministeriet
BUU, Alm.del - 2021-22 - Endeligt svar på spørgsmål 219: Spm. om børn og unges trivsel, til børne- og undervisningsministeren
Evaluering af optagelsessystemet til de videregående uddannelser
13. Bilag
13.1 Bilag 1. Organisering af evaluering
Til evalueringen har været knyttet en referencegruppe med repræsentanter for de vide-
regående uddannelsesinstitutioner, samt en følgegruppe med øvrige interessenter. Ud-
dannelses- og Forskningsministeriet har løbende holdt møder med reference- og inte-
ressentfølgegruppen for at diskutere og kvalificere de igangværende undersøgelser.
Rapportens konklusioner har også været diskuteret med fire forskere.
Medlemmer af referencegruppen:
Birthe Friis Mortensen, Rektor, University College Syd
Hanne Leth Andersen, Rektor, Roskilde Universitet
Kristian Thorn, Vicedirektør, Aarhus Universitet
Lene Dammand Lund, Rektor, Det Kongelige Danske Kunstakademis Skoler for Arkitek-
tur, Design og Konservering (KADK)
Lone Dalsgaard André, Prorektor, Designskolen Kolding
Ole Gram-Olesen, Rektor, Cphbusiness (Copenhagen Business Academy)
Per Gad-Hansen, Studie- og karrierevejleder, Københavns Erhvervsakademi
Pia Ankerstjerne, Direktør, MARTEC
Rasmus Weinreich Holm, Studiechef, Københavns Professionshøjskole
Torben Faarup Theilgaard, Centerleder, Studievalg Danmark.
Danske Erhvervsakademier, Danske Professionshøjskoler og Danske Universiteter har
hver deltaget med en observatør til de afholdte møder.
Medlemmer af interessentfølgegruppen:
Anette Berentzen, Uddannelsespolitisk konsulent, Dansk Magisterforening
Anja Møller Pedersen, eVejleder, eVejledning
Anne Katrine Bojsen, Chefkonsulent, IDA
Birgit Bangskjær, Chefkonsulent, Akademikerne
Bjarke Tarpgaard Hartkopf, Evalueringskonsulent, Danmarks Evalueringsinstitut
Christopher Ammentorp, Formand, Studenterforum UC
Jannik Schack, tidl. Politisk chef, Tænketanken DEA
Kristine Wiberg Plougsgaard, Chefkonsulent, Kommunernes Landsforening
Martin Flindt Nielsen, Næstformand, Erhvervsskolernes Elev Organisation
Martin Liebing Madsen, Uddannelsespolitisk konsulent, Fagbevægelsens Hovedorgani-
sation
Maya Ryevad Lauritsen, Konsulent, Danske Regioner
Mette Ramsing Lindhardtsen, Koordinerende uddannelsesleder, ASE
Rasmus Dahl, Chefkonsulent, Dansk Industri
Signe Dreyer Skjoldan, Juridisk chefkonsulent, Danske Gymnasier
Signe Tolstrup, Uddannelsespolitisk næstforkvinde, Danske Studerendes Fællesråd
Wenche Marit Quist, Forsknings- og uddannelsespolitisk chef, DJØF.
Forskere:
Alexander Christopher Sebald, Lektor, Økonomisk Institut, Københavns Universitet
Arnt Louw, Lektor, Institut for Kultur og Læring, Aalborg Universitet
Kristian Bernt Karlson, Lektor, Sociologisk Institut, Københavns Universitet
Tommy Andersson, Professor, Økonomisk Institut, Lunds Universitet.
Uddannelses- og Forskningsministeriet
239
BUU, Alm.del - 2021-22 - Endeligt svar på spørgsmål 219: Spm. om børn og unges trivsel, til børne- og undervisningsministeren
Evaluering af optagelsessystemet til de videregående uddannelser
13.1 Bilag 2. Tidslinje over større ændringer i optagelsessystemet
Tidslinjen er afgrænset til at dække perioden fra, at Den Koordinerede Tilmelding opstår,
til de tiltag, der er politisk besluttet, men først indføres i de kommende år. Fokusset er
primært på ændringer i de sidste 15 år, hvilket til dels også afspejler, at det er her, de
fleste politiske tiltag om optagelsessystemet er.
13.1.1 Tidslinje over større ændringer i optagelsessystemet
1977: KOT opstår.
Optagelse af studerende på de videregående uddannelser bli-
ver koordineret i Den Koordinerede Tilmelding (KOT).
– KOT indføres som konsekvens af adgangsbegrænsning på de videregående ud-
dannelser i takt med flere og flere uddannelser har langt flere ansøgere end ud-
dannelsespladser. Tidligere var der frit optag på næsten alle uddannelser, og i
stedet førsteårsprøver, som var et instrument til at sortere studerende fra uddan-
nelsen.
– KOT opstår ud af loven om adgangsregulering ved de videregående uddannelser
fra 10. juni 1976, som fik virkning ved optagelsen i 1977.
– KOT dækkede primært universiteter, men ikke kun, da andre videregående ud-
dannelser som f.eks. seminarerne også er med i KOT fra starten af.
– KOTs formål er at sikre, at hver ansøger bliver optaget på den højest mulige an-
søgte prioritet – afhængig af kvalifikationerne. Formålet er at fordele pladserne
til flest mulige ansøgere på højest muligt prioritet.
– KOT løste problemet med dobbeltoptagelse, der især var en udfordring for de ud-
dannelser, hvor der allerede inden 1977 var indført adgangsbegrænsning.
– For ansøgerne var KOT ikke en samlet ansøgningsportal, som vi kender det fra
Optagelse.dk i dag. I stedet skulle ansøgeren sende en ansøgning til hver uddan-
nelsesinstitution de søgte, og et prioriteringsskema til deres 1. prioritet. Uddan-
nelsesinstitutionerne sendte efterfølgende prioriteringsskemaerne ind til KOT,
som derefter stod for at fordele ansøgerne ud på uddannelserne. Dengang som i
dag er praksis, at ansøgerne samtidigt får svar på deres ansøgninger, og de får
højst et pladstilbud eller et afslag. Er der tale om et pladstilbud, får de svar direkte
fra uddannelsesinstitutionen, mens ansøgere, der ikke kan tilbydes plads på no-
gen af de søgte uddannelser, får et samlet afslag fra KOT.
– Kvoter: Optagelsen blev tilrettelagt sådan, at den primært skulle ske på baggrund
af karaktergennemsnit ved den adgangsgivende eksamen (kvote 1) og på bag-
grund af erhvervsarbejde (kvote 2). I kvote 2 blev karaktergennemsnittet multipli-
ceret med en faktor bestemt af længden af godkendt erhvervsarbejde. Derudover
var der særlige optagelsesmuligheder for dispensater, udlændinge, ansøgere over
25 år, m.m. Fordelingen mellem kvoterne blev fastlagt på forhånd.
– I 1977 blev 92,7 procent optaget på deres førsteprioritet.
2004: Samlet adgangsbekendtgørelse for de videregående uddannelser.
I 2004
samles de videregående uddannelser (universitetsuddannelser) under Ministeriet
for Videnskab, Teknologi og Udvikling, og de får en samlet adgangsbekendtgø-
relse.
2004: Karakterkrav.
Universiteterne kan fra den første samlede bekendtgørelse
fastsætte et bestemt karaktergennemsnit som minimum for uddannelsen eller at
enkelte fag har en bestemt minimumskarakter højere end 02.
2005: Optagelsessamtaler og –prøver i kvote 2.
Institutionerne kan anvende op-
tagelsessamtaler og –prøver i kvote 2, men skal have ministerens tilladelse hertil.
Dette ændres i 2011, hvor ministerens godkendelse ikke længere kræves.
240
Uddannelses- og Forskningsministeriet
BUU, Alm.del - 2021-22 - Endeligt svar på spørgsmål 219: Spm. om børn og unges trivsel, til børne- og undervisningsministeren
2583011_0241.png
Evaluering af optagelsessystemet til de videregående uddannelser
2005: Globaliseringsrådet nedsættes.
Globaliseringsrådet har til formål at råd-
give regeringen om en samlet strategi, som skal ruste Danmark til at blive et fø-
rende vækst-, viden- og iværksættersamfund. Globaliseringsrådet vil bl.a. sætte
fokus på universiteterne. Det fører til en lang række tiltag:
2006: Målsætning om at 50 procent gennemfører en videregående uddannelse
2
.
Fokus på at Danmarks skulle være et videnssamfund førte til en målsætning om,
at 50 procent af en ungdomsårgang skulle gennemføre en videregående uddan-
nelse, og en uofficiel målsætning om, at 20 % skulle gennemføre en lang videre-
gående uddannelse.
2007: Den Koordinerede Tilmelding,
som hidtil har hørt under Undervisningsmini-
steriet ressort flyttes til Videnskabsministeriet.
2008: En overordnet målsætning om en 90:10-fordeling mellem kvote 1 og kvote
2 på universiteterne
3
. Tidligere var der ingen målsætning om kvotefastsættelsen
og ej heller en national koordinering af det. I praksis var fordelingen tidligere, at op
til 50 procent blev optaget i kvote 2, på universiteterne dog typisk en større kvote
1 end kvote 2. Medicin på SDU og Veterinærmedicin på KU fik dispensation til at
have en kvote 2 på 50 procent, hvor de kunne optage studerende på et bredere
grudlag end alene karaktergennemsnit.
– 90:10-målsætningen var udtryk for regeringens øgede krav til kvalitet på univer-
siteterne, idet karakterer og ikke indsamling af point til kvote 2 via erhvervsar-
bejde, højskoleophold mv. blev anset som primært kvalificerende for at læse på et
universitet.
2008: Øgede krav om fagspecifikke adgangskrav.
Tidligere var det tilstrækkeligt,
at man havde haft de fag, som blev vurderet at være forudsætninger for at læse
en given uddannelse. Kravene blev skærpet, således at der nu også blev stillet
krav til bestemte fagniveauer og krav om, at disse fag skulle være bestået. Typisk
A-niveau i de bærende forudsætningsfag på en given uddannelse. F.eks. engelsk
A for at læse engelsk etc. Derudover indføres Dansk A og Engelsk B som fagkrav
generelt til universitetsuddannelserne. Formålet er at bidrage til at sikre dels styr-
ket faglighed og mindsket frafald på universiteternes bacheloruddannelser, dels
sammenhæng mellem en styrket faglighed i de nye gymnasiale uddannelser og
indgangsniveauet til universiteternes bacheloruddannelser.
4
2008: De fagspecifikke adgangskravensrettes,
så ens og beslægtede uddannel-
ser har de samme krav. Formålet var at understøtte muligheden af at kvalificere
sig til flere uddannelser uden at skulle supplere fagniveauer.
2009: 1,08-reglen (kvikbonus) indføres.
Regeringen ønskede at få de studerende
tidligere i gang med en videregående uddannelse og dermed hurtigere ud på ar-
bejdsmarkedet. Incitamentsstrukturen bag pointsamling i kvote 2 havde ført til en
kultur, hvor flere og flere tog mange års sabbat. Undersøgelser viste endvidere, at
de færdigheder de unge havde tillært sig på ungdomsuddannelserne lå langt væk,
hvis man havde været ude i mere end 1-2 år. Derfor blev der indført en regel om,
at man kunne gange sit snit med 1,08, hvis man startede inden for 2 år efter af-
sluttet gymnasial uddannelse.
– 1,08-reglen er den første politisk indførte regulering af optagelsessystemet, der
regulerer på adfærd og ikke kvalifikationer.
– Den nye bonusregel gælder kun ansøgere, der afslutter deres gymnasiale uddan-
nelse i 2007 eller senere.
Aftale om udmøntning af globaliseringspuljen (2006)
følgebrev til adgangsbekendtgørelsen (maj 2005)
4
følgebrev til adgangsbekendtgørelsen (maj 2005)
2
3
Uddannelses- og Forskningsministeriet
241
BUU, Alm.del - 2021-22 - Endeligt svar på spørgsmål 219: Spm. om børn og unges trivsel, til børne- og undervisningsministeren
2583011_0242.png
Evaluering af optagelsessystemet til de videregående uddannelser
2009: Bonus A-fag indføres.
En ansøger kunne gange sit gennemsnit med 1,03,
hvis personen havde fem A-fag, og 1,06, hvis personen havde seks A-fag. Reglen
indføres som led i det politiske fokus på kvalitet og det excellente. Formålet er at
belønne de ansøgere, der har gjort en ekstra indsats på ungdomsuddannelserne.
2009:
”Turbosupplering”
indføres fra optagelsen i 2009.
Ansøgere til bachelor-
uddannelser fra optagelsen 2009 kan supplere via gymnasiale suppleringskurser
og aflægge prøver, herunder skriftlige prøver, frem til studiestart, men karakterer
fra skriftlige prøver behøver først at foreligge ”senest 15 dage efter studiestart”.
5
2009: Lodtrækning af ansøgere med samme optagelseskvotient indføres på uni-
versiteterne.
Tidligere var praksis at optage ældre studerende før yngre, hvis det
ikke var muligt at optage alle studerende med samme optagelseskvotient, men
fordi dette er i strid med § 3, stk. 2, i Beskæftigelsesministeriets lov om forbud
mod forskelsbehandling på arbejdsmarkedet m.v., jf. lovbekendtgørelse nr. 1349 af
16. december 2008 (forskelsbehandling pga. alder) ændres udvælgelsesmåden fra
optagelsen 2009 til lodtrækning.
6
– Lodtrækning sker kun på universitetsuddannelser de første par år, hvorefter de
erhvervsrettede og kunstneriske uddannelser kommer efter. På de erhvervsret-
tede og kunstneriske uddannelser var praksis i stedet princippet om ”lige kvotien-
ter”: var grænsekvotienten f.eks. 9,5, men der var plads til 5 med en kvotient på
9,4 optog man enten alle med 9,4 (maksimalt 5 ekstra ansøgere), eller man optog
5 færre, end hvad institutionen havde indstillet var deres kapacitet.
2011: De videregående uddannelser samles under et ministerium.
Siden er prak-
sis mellem uddannelsesinstitutionerne forsøgt tilpasset og harmoniseret.
2011: Adgangsprøver.
Institutionerne kan fastsætte, at beståelsen af en ad-
gangsprøve kan forudsætte optagelse. Tidligere havde uddannelser som musik og
idræt en praktisk prøve, som ansøgerne skulle bestå, før de kunne optages.
2011: Optagelsessamtaler og –prøver i kvote 2 skal ikke længere godkendes.
In-
stitutionerne behøver ikke længere ministeriets godkendelse før de kan anvende
optagelsessamtaler og –prøver i kvote 2
7 8
.
2012: Kvotefordelingen frigives.
Pejlemærket er ikke længere 90:10 mellem kvote
1 og kvote 2, og fordelingen kan ændres, hvis uddannelserne har en konkret faglig
begrundelse for ændringen. Regeringen opfordrer institutionerne til at arbejde
mere uddannelsesspecifikt med deres optag
9
.
2013: Læreruddannelsesforlig.
I 2012 indføres et politisk vedtaget karakterkrav
på mindst 7, ellers skal ansøgeren bestå en test. Forliget indføres uden varsel, og
er gældende for optaget i 2013.
10
2015: Resultatet af en prøve kan sidestilles med karakterkrav.
Universiteterne
får mulighed for at sidestille resultatet af en prøve med opfyldelse af et karakter-
krav. Det vil sige, at resultatet af en prøve aflagt på universitetet kan erstatte et
eventuelt krav om, at den adgangsgivende eksamen er gennemført med et be-
stemt eksamensgennemsnit som minimum.
11
2016: Optagelse i kvote 2 via karakterkrav.
Reglen giver institutionerne mulighed
for at fastsætte karakterkrav i kvote 1, eller to forskellige karakterkrav men både
følgebrev til adgangsbekendtgørelsen (januar 2009)
følgebrev til adgangsbekendtgørelsen (januar 2009)
7
følgebrev til adgangsbekendtgørelsen (marts 2011)
8
følgebrev til adgangsbekendtgørelsen (marts 2011)
9
https://ufm.dk/uddannelse/videregaende-uddannelse/sogning-optag-og-vejledning/optag-nyheder-og-pressemed-
delelser/universiteterne-far-storre-frihed-til-at-tilrettelaegge-optagelsessyste-
mete8103057f13c49f092f9dd47f2e16dcf
10
https://ufm.dk/lovstof/politiske-aftaler/reform-af-laereruddannelsen
11
høringsbrev til adgangsbekendtgørelserne (februar 2015)
5
6
242
Uddannelses- og Forskningsministeriet
BUU, Alm.del - 2021-22 - Endeligt svar på spørgsmål 219: Spm. om børn og unges trivsel, til børne- og undervisningsministeren
2583011_0243.png
Evaluering af optagelsessystemet til de videregående uddannelser
et i kvote 1 og i kvote 2. SDU har f.eks. et minimumskarakterkrav i kvote 2 på 7,0
for medicin. Uddannelsesinstitutionerne kan altså kræve, at den adgangsgivende
eksamen er gennemført med et bestemt eksamensgennemsnit som minimum,
men også at enkelte fag er bestået med en bestemt minimumskarakter, der er
højere end karakteren 02.
12
2018: Kvotefordelingen kan variere
for samme uddannelse på forskellige institu-
tioner og mellem internationale og nationale uddannelser/udbud
2019: Institutionerne kan indføre adgangsprøver
som et specifikt adgangskrav
ansøgeren skal bestå, før de kan optages på uddannelsen.
2019: Supplerende overbygningsforløb i hf-uddannelsen.
En hf-eksamen eller en
højere forberedelseseksamen med overbygning er fra og med sommeroptag 2019
en grundlæggende betingelse for adgang til universitetsuddannelser.
2020: Afskaffelse af bonus for hurtig studiestart (1,08-reglen).
Med lov om
mere fleksible uddannelser vedtaget i april 2019 er 1,08-reglen afskaffet fra og
med optagelsen 2020.
12
følgebrev til justering af fremdriftsreformen m.m. (juli 2016)
Uddannelses- og Forskningsministeriet
243
BUU, Alm.del - 2021-22 - Endeligt svar på spørgsmål 219: Spm. om børn og unges trivsel, til børne- og undervisningsministeren
2583011_0244.png
Evaluering af optagelsessystemet til de videregående uddannelser
13.2 Bilag 3. Evalueringens analysedesign
I dette bilag beskrives evalueringens undersøgelsesspørgsmål, afgrænsning af evalue-
ringen, samt evalueringens analysedesign, der er opdelt i tre spor.
13.2.1 Undersøgelsesspørgsmål
Uddannelses- og Forskningsministeriet har gennemført evalueringen af optagelsessy-
stemet ud fra en række overordnede undersøgelsesspørgsmål – et for hvert af de seks
temaer, jf. boks 13.1.
Boks 13.1 Undersøgelsesspørgsmål
Tema 1. Sammenhæng
I hvilken grad giver det nuværende optagelsessystem ansøgerne incitament til dybde-
læring på de gymnasiale uddannelser?
Tema 2. Informeret ansøgning
I hvilken grad påvirker det nuværende optagelsessystem i sig selv den måde, ansøgerne
søger information om og vælger uddannelse?
Tema 3. Udvælgelse
I hvilken grad understøtter det nuværende optagelsessystem, at kvalificerede ansøgere,
som har de faglige forudsætninger og er motiverede for uddannelsen og dens jobsigte,
bliver optaget?
Tema 4. Social mobilitet
I hvilken grad understøtter det nuværende optagelsessystem social mobilitet målt ved
uddannelsesmobilitet?
Tema 5. Gennemsigtighed
I hvilken grad er det nuværende optagelsessystem gennemsigtigt for ansøgerne?
Tema 6. Effektivitet
I hvilken grad er det nuværende optagelsessystem ressourceeffektivt?
Til de konkrete analyser er hvert undersøgelsesspørgsmål blevet operationaliseret i en
række, mere detaljerede hypoteser.
13.2.2 Afgrænsning af evalueringen
Evalueringen er afgrænset til at undersøge den optagelse, der sker gennem Den Koordi-
nerede Tilmelding (KOT). Det vil sige ansøgninger til og optagelse på erhvervsakademi-
uddannelser, professionsbacheloruddannelser og bacheloruddannelser på Uddannelses-
og Forskningsministeriets ressortområde.
Evalueringen inkluderer ikke vejledningsindsatsen i det omfang, hvor den handler om
valg af uddannelsen. Vejledning om valg af uddannelse er en vigtig del af det, at vælge
244
Uddannelses- og Forskningsministeriet
BUU, Alm.del - 2021-22 - Endeligt svar på spørgsmål 219: Spm. om børn og unges trivsel, til børne- og undervisningsministeren
2583011_0245.png
Evaluering af optagelsessystemet til de videregående uddannelser
sin kommende uddannelse på et oplyst grundlag. Samtidig er vejledning om uddannel-
sesvalg en afklaringsproces, der kommer forud for det, at søge om optagelse på en kon-
kret uddannelse. Analyserne er derfor afgrænset til at kun at se på den del af vejled-
ningsindsatsen, der handler om optagelsesvejledning, dvs. vejledning om regler, krav,
udvælgelseskriterier, frister osv., da det siger noget om optagelsessystemet.
Præferencer for uddannelse påvirkes af en lang række faktorer, som ikke i sig selv rela-
terer sig til optagelsessystemet. Analyserne fokusere alene på den del af præference-
dannelsen, der kan sættes i direkte relation til indretningen af optagelsessystemet.
Generelt fokuserer analyserne på optagelsessystemet som helhed. Der er dog store for-
skelle i f.eks. brugen af kvote 2 og adgangskrav på forskellige institutioner og uddannel-
ser. Derfor indeholder evalueringen eksempler på optagelsen på enkeltinstitutioner og
uddannelser for at undersøge særlige tendenser eller at eksemplificere generelle pointer.
13.2.3 Analysespor
Analyserne er udarbejdet i tre spor, jf. figur 13.1. Analyserne i de tre spor er forløbet
sideløbende, og viden fra analyserne er blevet brugt løbende til at kvalificere hele ana-
lysedesignet.
Figur 13.1
Evalueringens analysedesign
Kilde:
Uddannelses- og Forskningsministeriet.
Indholdet i de tre spor bliver uddybet i de følgende afsnit.
Uddannelses- og Forskningsministeriet
245
BUU, Alm.del - 2021-22 - Endeligt svar på spørgsmål 219: Spm. om børn og unges trivsel, til børne- og undervisningsministeren
Evaluering af optagelsessystemet til de videregående uddannelser
13.2.4 Spor 1. Kortlægning af eksisterende viden
Kortlægning af tal og fakta ud fra Uddannelses- og Forskningsministeriet
Spor 1 består af en kortlægning af den eksisterende viden om optagelsessystemet. Her
er status og udviklingen inden for ansøgning, tilgang, optagelse og søgemønstre på de
videregående uddannelser på baggrund af data fra Den Koordinerede Tilmelding be-
skrevet. Eksisterende viden fra Uddannelses- og Forskningsministeriets egne analyser
er også inddraget eller opdateret/genberegnet, hvor relevant.
Intern erfaringsopsamling
Viden og erfaring, som Uddannelses- og Forskningsministeriet allerede har, er blevet
kortlagt gennem løbende og tæt kontakt med sektoren og ansøgere. Dette er sket gen-
nem en struktureret indsamling af oplevede fordele og ulemper ved optagelsessystemet
på baggrund af behandling af borgerhenvendelser, klagesager og erfaringer i den til-
knyttede referencegruppe og interessentfølgegruppe.
Litteraturgennemgang af eksisterende undersøgelser
Herudover er der foretaget en litteraturgennemgang af eksisterende undersøgelser af
optagelsessystemet i Danmark. Der er både tale om analyser, undersøgelser og forsk-
ningslitteratur.
Indhentning af viden om optagelsessystemerne i en række udvalgte lande
Det er indhentet viden om optagelsessystemerne i Holland, Israel, Norge, Storbritannien
og Sverige, dels gennem desk research og dels gennem casebesøg. Landene er udvalgt,
fordi de repræsenterer meget forskellige måder at indrette et optagelsessystem på. Ho-
vedfokus har være på, hvordan landene udvælger ansøgere til de videregående uddan-
nelser og viden om hvilke effekter, der er af den pågældende fremgangsmåde.
13.2.5 Spor 2. Kvalitativ undersøgelse
Undersøgelse af gymnasieelever og ansøgeres oplevelse af optagelsessystemet
Spor 2 består af en kvalitativ undersøgelse baseret på to spørgeskemaundersøgelser til
hhv. gymnasieelever og ansøgere, samt en række interview med gymnasieelever. Den
kvalitative undersøgelse belyser bl.a., hvordan elever og ansøgerne tænker, når de søger
om optagelse på en uddannelse. Hvordan forstår de optagelsessystemet, hvordan på-
virker systemet deres studieadfærd i gymnasiet, og hvilke søgestrategier har de.
Undersøgelse af uddannelsesinstitutionernes oplevelse af optagelsessystemet
En del af den kvalitative undersøgelse belyser institutionernes incitamenter og præfe-
rencer, når de fastlægger kapacitet på uddannelserne og optager nye studerende. Ana-
lysen er foretaget gennem kvalitative interview med henholdsvis ledere og medarbej-
dere på uddannelsesinstitutionerne, der arbejder med optagelse. Lederne har leveret in-
put om institutionernes strategiske tilgang til udbud og optagelse, mens medarbejderne
har leveret input til deres vurderinger af det nuværende optagelsessystem.
Den kvalitative undersøgelse er foretaget af konsulentfirmaerne /KL.7 og Realize. For
yderligere information om metoden i den kvalitative undersøgelse henvises til selv-
stændigt metodebilag udarbejdet af /KL.7 og Realize til evalueringsrapporten. Begge
spørgeskemaundersøgelser kan ligeledes ses i deres fulde længde i disse bilag.
246
Uddannelses- og Forskningsministeriet
BUU, Alm.del - 2021-22 - Endeligt svar på spørgsmål 219: Spm. om børn og unges trivsel, til børne- og undervisningsministeren
Evaluering af optagelsessystemet til de videregående uddannelser
13.2.6 Spor 3. Kvantitative analyser og simulering
Deskriptive registeranalyser
I spor 3 er der lavet en række deskriptive analyser af blandt andet karaktergennemsnit-
tets betydning for ansøgernes muligheder, social mobilitet m.m. Data i analyserne byg-
ger på en kombination af registerdata fra Danmarks Statistik og data fra Den Koordi-
nerede Tilmelding.
Dybdegående registeranalyser
I Spor 3 er der gennemført dybdegående registerbaserede analyser på udvalgte områ-
der. Det er eksempelvis analyser af effekten af udvælgelseskriterierne i kvote 1 og
kvote 2 målt på karakterer på 1. studieår, studieskift og frafald, gennemførselstid og
bruttoledighed.
Betydningen af præferencer og simulering af den Koordinerede Tilmelding
I Spor 3 er simuleringer af et kontrafaktisk optagelse brugt at undersøge betydningen af
afskaffelsen af 1,08-reglen, samt belyse kvote 2's betydning for social mobilitet og be-
tydningen af antallet af uddannelsespladser. Simulering af Den Koordinerede Tilmelding
(KOT) har givet viden om det nuværende optagelsessystem og de rammebetingelser,
som ansøgernes søgeadfærd sætter. Simuleringer afdækker bl.a., hvordan præferencer
og udbud bestemmer fordelingen af studerende, og hvor følsom denne fordeling er mht.
ændringer i antallet af uddannelsespladser, søgeadfærd etc.
Til simuleringerne er der opbygget en model af Den Koordinerede Tilmelding. Modellen
bygger på data fra alle ansøgningerne i KOT, uddannelsesinstitutionernes rangering af
ansøgerne, samt antallet af uddannelsespladser. Alle simulationer er lavet på 2018-
data. Modellen er ikke fuldstændig identisk med KOT, bl.a. tildeles der ikke nye lodtræk-
ningsnumre i hver kørsel, simuleringerne er derfor ikke 100 pct. identisk KOT, afvigel-
serne er dog meget begrænsede. For at mindske denne simuleringsusikkerhed er alle
baselines i simuleringesanalyserne også simulerede.
Modellen giver mulighed for at simulere ændringer i forskellige parametre f.eks. antallet
af pladser på givne uddannelser eller kvoter. Da modellen bygger på data fra KOT, her-
under data for ansøgernes præferencer af uddannelser, som de har givet udtryk for i
deres ansøgninger, er alle simulationerne udført under antagelsen om at de simulerede
ændringer ikke påvirker ansøgernes valg af uddannelse. Dette er mest realistisk for
mindre ændringer, mens større ændringer sandsynligvis også i væsentligt omfang vil
påvirke søgeadfærden. Se de konkrete beskrivelser af metoderne løbende i rapporten.
Uddannelses- og Forskningsministeriet
247
BUU, Alm.del - 2021-22 - Endeligt svar på spørgsmål 219: Spm. om børn og unges trivsel, til børne- og undervisningsministeren
Evaluering af optagelsessystemet til de videregående uddannelser
13.3 Bilag 4. Litteraturliste
Albæk, Karsten (2017):
Optimal Admission to Higher Education,
Education Economics,
2017, vol. 25, nr. 1, s. 60-83.
Biesta, Gert J. J. (2010):
Good education in an age of measurement: ethics, politics, de-
mocracy,
Journal of the International Society for Teacher Education, vol. 17, nr. 2, s. 81-
83.
Björklund, Anders; Salvanes, Kjell G. (2010):
Education and family background: Mecha-
nisms and policies,
IZA Discussion Papers, No. 5002, Institute for the Study of Labor
(IZA), Bonn.
Børne- og Undervisningsministeriet (2019): Trivselsmåling, tilgængelig på www.uddan-
nelsesstatistik.dk.
Danmarks Evalueringsinstitut (2015a):
Den sociale profil i optagesystemet.
Danmarks Evalueringsinstitut (2015b):
Det svære uddannelsesvalg.
Danmarks Evalueringsinstitut (2015c):
Gymnasiale karakterers betydning for gennem-
førselstid på universiteterne.
Danmarks Evalueringsinstitut (2018):
Studievalg og frafald på de videregående uddan-
nelser.
Danmarks Evalueringsinstitut (2019):
Kortlægning af kvote 2-systemet på de videregå-
ende uddannelser.
Danmarks Evalueringsinstitut (2020):
Forsøg med karakterfri 1.g.
Dubins, Lester E. & David A. Freedman (1981):
Machiavelli and the Gale-Shapley algo-
rithm,
The American Mathematical Monthly.
Gale and Shapley (1962):
College Admissions and the Stability of Marriage,
The Ameri-
can Mathematical Monthly, vol. 69, nr. 1 (jan., 1962), s. 9-15, Mathematical Association of
America.
Geisler and Santelics (2007):
Validity of High-School Grades In Predicting Student Suc-
cess Beyond The Freshman Year: High-School Record vs. Standardized Tests as Indica-
tors of Four-Year College Outcomes,
Berkeley: Center for Studies in Higher Education.
Kang, Jerry, and Banaji, Mahzarin R. (2006):
Fair Measures: A Behavioral Realist Revision
of Affirmative Action,
94 Cal. L. Rev. 1063.
Katznelson, N., and Louw, A. V. (2018):
Karakterbogen: Om karakterer, læring og elev-
strategier i en præstationskultur,
(1 udg.), Aalborg Universitetsforlag. Ungdomsliv.
Haeringer, Guillaume and Flip Klijn (2009):
Constrained School Choice: An Experimental
Study,
Journal of Economic Theory. 144, nr. 5, 1921-1947.
248
Uddannelses- og Forskningsministeriet
BUU, Alm.del - 2021-22 - Endeligt svar på spørgsmål 219: Spm. om børn og unges trivsel, til børne- og undervisningsministeren
Evaluering af optagelsessystemet til de videregående uddannelser
Heckman, James J. (2006):
Skill Formation and the Economics of Investing in Disad-
vantaged Children,
Science, vol. 312, nr. 5782.
Møller Nielsen, M. (2017):
Evaluering af optagelsessystemets betydning for social
mobilitet på CBS,
Frederiksberg: Copenhagen Business School, CBS.
OECD (2019):
Education at a Glance 2019.
Thomsen, Jens Peter (2016):
Test-Based Admission to Selective Universities: A Lever
for First-Generation Students or a Safety Net for the Professional Classes?,
vol. 52,
nr. 2, s. 333-350.
Tænketanken DEA (2018):
Hvad driver unges uddannelsesvalg – Opsamlingsrapport.
Uddannelses- og Forskningsministeriet (2018a): Frafald og studieskift – Spørgeskema-
undersøgelse blandt frafaldne studerende ved videregående uddannelser.
Uddannelses- og Forskningsministeriet (2018b): Uddannelses- og Forskningspolitisk
Redegørelse 2018.
Uddannelses- og Forskningsministeriet (2019): Uddannelses- og Forskningspolitisk Re-
degørelse 2019.
Uddannelses- og Forskningsministeriet (2020): Undersøgelse af Uddannelsesguiden
(endnu ikke udgivet).
Van de Mortel, Thea F. (2008):
Faking it: social desirability response bias in self-report
Research,
Australian Journal of Advanced Nursing, vol. 25, nr. 4, s. 40-48.
Vonsild, Maria Cecilie, Agner Holmberg Schibler og Birgitta Wallstedt (2016):
Testbase-
ret optag til videregående uddannelser,
Dansk universitetspædagogisk tidsskrift, årg. 11,
nr. 20.
Uddannelses- og Forskningsministeriet
249
BUU, Alm.del - 2021-22 - Endeligt svar på spørgsmål 219: Spm. om børn og unges trivsel, til børne- og undervisningsministeren
2583011_0250.png