Klima-, Energi- og Forsyningsudvalget 2021-22
KEF Alm.del Bilag 521
Offentligt
2628203_0001.png
BEATE 2020
Benchmarking af affaldssektoren
Deponering
1
Rapporten er udarbejdet af Viegand Maagøe
Redskabet til indsamling af data er stillet til rådighed af Energistyrelsen
KEF, Alm.del - 2021-22 - Bilag 521: Benchmarking af forbrændingsanlæg og deponier for dataåret 2020
1
2
3
4
5
RESUME OG INTRODUKTION .................................................................................3
AFFALDSMÆNGDER...............................................................................................8
ØKONOMI............................................................................................................11
MILJØ ..................................................................................................................22
OM BEATE ...........................................................................................................24
2
KEF, Alm.del - 2021-22 - Bilag 521: Benchmarking af forbrændingsanlæg og deponier for dataåret 2020
1
Resume og introduktion
Denne benchmarking omfatter økonomi og miljø på danske deponeringsanlæg for
2020. Benchmarkingen er baseret på en model, som var frivillig for årene 2008 og
2009, men som fra 2010 blev obligatorisk. Data er indsamlet i efteråret 2021.
Baggrunden for at indføre obligatorisk benchmarking var blandt andet at gøre
økonomien i forbrændings- og deponeringsanlæggene mere gennemsigtig.
Benchmarking skal således anvendes til at måle branchens økonomiske effektivitet
samt miljø- og energieffektivitet, og kan anvendes til at synliggøre udviklingen i
affaldssektorens kvalitet og effektivitet. Hermed er det et redskab, der kan medvirke
til at sikre, at deponeringsanlæg gennemgår en løbende effektiviseringsproces.
Siden implementeringen af EU’s deponeringsdirektiv i 2009 er der sket en stor
reduktion i antallet af deponeringsanlæg i Danmark, da mange anlæg ikke
ønskede, eller kunne, fortsætte driften efter de nye regler. Benchmarkingen
omfatter 38 deponeringsanlæg. To af disse anlæg modtog i 2020 ikke affald til
deponering.
Benchmarkingen omfatter således 38 deponeringsanlæg, der er godkendt til at
modtage affald efter kravene i bekendtgørelsen om deponeringsanlæg. I
benchmarkingen indgår ikke deponeringsanlæg for havbundsmaterialer. Af de 38
anlæg, som indgår i benchmarkingen, er 36 offentligt ejede, og de resterende to er
privatejede.
I rapporten anvendes faste 2020 priser. Dette betyder, at der er nogle afvigelser i
forhold til benchmarkingen for 2018 og 2019, som var angivet i 2019 priser.
Affaldsmængderne til deponering (ekskl. jord) har haft en faldende tendens fra
2011 til 2015, fra ca. 600.000 ton til ca. 450.000 ton. Affaldsmængderne har ligget
stabilt fra 2015 og frem. Inkluderes jord varierer de deponerede mængder mellem
næsten 2,5 mio. ton til næsten 3,5 mio. ton i perioden 2011-2020. Udsvingene kan i
nogen grad forklares med diverse større anlægsarbejder
fx Københavns Metro
Cityring. Det skal desuden bemærkes, at ren jord ikke nødvendigvis optager
deponeringskapacitet.
Indtægterne på deponierne ligger nogenlunde stabilt med et gennemsnit siden
2011 på mellem ca. 300-425 mio. kroner (eksklusive afgifter), dog med en stigning i
2020 pga. stigende takst på et enkelt stort anlæg. Indtægterne dækker over
varierende priser på forskellige affaldstyper, hvor blandet og mineralsk affald er
dyrest (omkring 425 kr.pr. ton, eksklusive afgifter og sikkerhedsstillelse) og ren jord
er billigst (60 kr. pr. ton, eksklusive afgifter og sikkerhedsstillelse). Før 2011 blev
jord, der er affald, behandlet som en samlet fraktion til samme deponeringstakst.
Der er stor spredning på taksten for ren og forurenet jord i dag. Den lave takst på
ren jord skyldes bl.a. fraværet af miljøkrav for denne fraktion, samt at der er anlæg
som kun deponerer ren jord og derfor kan gøre det billigere.
Sikkerhedsstillelsen varierer fra 3 til 781 kr. pr. ton i 2020. Det vægtede gennemsnit
for sikkerhedsstillelse var på ca. 10 kr. pr. ton i 2020. Fyldhøjden har stor betydning
for sikkerhedsstillelsen og varierer fra 3 op til 30 meter.
Mængden af opsamlet gas faldt markant fra 2011 til 2013
fra cirka 7 mio. m3 i
2011 til cirka 2 mio. m3 i 2013. Fra 2013-2017 har den opsamlede gas på
3
KEF, Alm.del - 2021-22 - Bilag 521: Benchmarking af forbrændingsanlæg og deponier for dataåret 2020
2628203_0004.png
deponeringsanlæggende været konstant omkring 2 mio. m³ gas. I 2018 steg den
opsamlede gas dog til lidt over 3 mio. m
3
gas, mens der i 2020 blev opsamlet 2,8
mio. m
3
.
Figur 1: Kort over deponeringsanlæg i BEATE
Note 1: Bemærk at BOFA (Bornholm) ikke fremgår af kortet, men indgår i modellen.
Note 2: De turkise anlæg er enten kommunalt ejet, fælles kommunalt ejet (I/S) eller offentlige ejet A/S,
mens de lilla anlæg er privatejet.
Note 3: Anlæggene er skaleret efter deponeringskapacitet per 31.12.2020.
4
KEF, Alm.del - 2021-22 - Bilag 521: Benchmarking af forbrændingsanlæg og deponier for dataåret 2020
2628203_0005.png
Figur 2 og tabel 1 viser deponeringsanlæggenes restkapacitet, defineret som den
nuværende samt den forventede deponeringskapacitet til jord/affald som
anlæggene forventer at være i stand til at modtage i slut 2026 og slut 2032. Det ses
af figuren, at anlæggenes restkapacitet i 2020 varierer fra få tusinde ton til over 4
mio. ton.
Figur 2: Nuværende og forventet deponeringskapacitet i mio. ton per anlæg, sorteret efter
nuværende kapacitet
Over 250.000 ton
KMC Nordhavn
Aalborg Portland - Deponi Støvsøen
REFA Miljøcenter (Gerringe)
Reno Djurs I/S
AffaldPlus - Faxe Miljø
AV Miljø
Horsens Deponeringsanlæg
Refa Miljøcenter Hasselø Nor
Nordjyllandsværkets
deponeringsanlæg
Odense Nord Miljøcenter
Nordic Sugar Nakskov
Tønder Deponi A/S
Affalds- og Genbrugscenter Rørdal
I/S Reno-Nord Deponi
Frederikshavn Affald A/S
AffaldPlus - Forlev Miljøanlæg
0
2.000
1.000 ton
4.000
Forventet restkapacitet per 31.12.32 i ton
Forventet restkapacitet per 31.12.26 i ton
Restkapacitet per 31.12.20 i ton
5
KEF, Alm.del - 2021-22 - Bilag 521: Benchmarking af forbrændingsanlæg og deponier for dataåret 2020
2628203_0006.png
Under 250.000 ton
Klintholm I/S
Randers Affaldsterminal
Fredericia Kommunes Deponi
BIOFOS, Renseanlæg Lynetten
Askedepot
Audebo Miljøcenter
Køge Jorddepot v. Køge Kommune
Kåstrup Losseplads
Grindsted Deponi, Deponi Syd I/S
Renovest A/S
Bofa kontrollerede losseplads
SKIBSTRUP AFFALDSCENTER
Genbrugsgården
Miljøanlæg Trynbakke
Affaldscenter Skaarup
Skodsbøl Deponi
Måde Deponi, Deponi Syd I/S
Arwos Deponi A/S
BIOFOS, Renseanlæg Avedøre
Askedepot
Miljøanlæg Stadevej
0
400
1.000 ton
800
1.200
Forventet restkapacitet per 31.12.32 i ton
Forventet restkapacitet per 31.12.26 i ton
Restkapacitet per 31.12.20 i ton
Note: Bemærk at tre anlæg ikke har besvaret spørgsmålet. Disse anlæg inkluderer Affaldscenter
Harpesdal, Feltengård Losseplads og Miljøanlæg Rønnovsdal. Disse anlæg indgår som udgangspunkt
i rapportens øvrige analyser.
6
KEF, Alm.del - 2021-22 - Bilag 521: Benchmarking af forbrændingsanlæg og deponier for dataåret 2020
2628203_0007.png
Tabel 1: Nuværende og forventet deponeringskapacitet i mio. ton
Kommunalt
ejede
Restkapacitet per 31.12.20
i mio. ton
Forventede restkapacitet
per 31.12.26 i mio. ton
Forventede restkapacitet
per 31.12.32 i mio. ton
Note: Baseret på svar fra 34 anlæg.
Privat ejede
anlæg og
askedeponier
Alle anlæg
13,9
9,4
9,3
2,2
1,7
1,2
16,1
11,2
10,5
Figuren nedenfor viser ejerskabsforholdene efter deponeringskapaciteten i
Danmark i 2020. Cirka 76 pct. af den samlede deponeringskapacitet er kommunalt
eller fælleskommunalt ejede.
Figur 3: Ejerskabsforhold over deponi vægtet efter restkapacitet 31.12.2020
Privatejet
14%
Andet
0%
Offentligt ejet A/S
10%
Kommunalt ejet
43%
Fælles kommunalt
ejet (I/S)
33%
Note: Bemærk at ikke alle anlæg har oplyst deres restkapacitet i 2020.
7
KEF, Alm.del - 2021-22 - Bilag 521: Benchmarking af forbrændingsanlæg og deponier for dataåret 2020
2628203_0008.png
2
Affaldsmængder
Deponeringsanlæg kan modtage affald i fire affaldsklasser ekskl. jord: Blandet
affald, inert affald, mineralsk affald og farligt affald. Hvilke klasser og
affaldsfraktioner, der kan modtages på det enkelte anlæg, fremgår af dets
miljøgodkendelse. Kun få anlæg har faciliteter til at deponere alle affaldsfraktioner,
ligesom der er betydelig variation i, hvor store mængder affald anlæggene
modtager i de forskellige klasser.
Det fremgår af figur 4, at affaldsmængderne til deponering (ekskl. jord) har haft en
faldende tendens fra 2011 til 2015, fra ca. 600.000 ton til ca. 450.000 ton.
Affaldsmængderne har ligget stabilt fra 2015 og frem.
Figur 4: Mængde endeligt deponeret affald ekskl. jord, mio. ton, 2011-2020
0,7
0,6
0,5
Mio. ton
0,4
0,3
0,2
0,1
0,0
2011
2012
2013
2014
2015
2016
2017
2018
2019
2020
Deponeret mængde affald ekskl. jord
Figur 5a viser, at den samlede mængde affald til deponering (inkl. jord) har varieret
betydeligt over perioden. Mængden af jord til deponering er meget afhængig af
bygge- og anlægsaktiviteten, især i byområder, hvor jorden i højere grad er
forurenet. Meget store anlægsarbejder som Københavns Metro Cityring, vil have
stor indflydelse på mængderne. Mængden af jord til deponering afhænger
endvidere af tilgængeligheden af alternative afsætningsmuligheder, herunder til
støjvolde, vej- og jernbaneanlæg osv. En betydelig mængde jord anvendes
endvidere til terrænregulering og såkaldt jordforbedring.
8
KEF, Alm.del - 2021-22 - Bilag 521: Benchmarking af forbrændingsanlæg og deponier for dataåret 2020
2628203_0009.png
Figur 5a: Affaldsfraktioner inkl. jord, 2011-2020
4,0
3,5
3,0
2,5
Mio. ton
2,0
1,5
1,0
0,5
0,0
2011
2012
2013
Ren jord
2014
2015
2016
2017
2018
2019
2020
Forurenet jord
Blandet affald
Mineralsk inkl. Inert
Farligt affald
Figur 5b viser de samlede mængder affaldsfraktioner ekskl. jord, som har ligget
stabilt siden 2015.
Figur 5b: Affaldsfraktioner ekskl. jord, 2011-2020
0,7
0,6
0,5
Mio. ton
0,4
0,3
0,2
0,1
0,0
2011
2012
2013
2014
2015
2016
2017
2018
2019
2020
Blandet affald
Mineralsk inkl. Inert
Farligt affald
9
KEF, Alm.del - 2021-22 - Bilag 521: Benchmarking af forbrændingsanlæg og deponier for dataåret 2020
2628203_0010.png
Tabel 2 viser den overordnede fordeling af de endeligt deponerede affaldsmængder
i 2020 (inkl. jord) på anlæggene. Fordelingen kan variere betydeligt fra anlæg til
anlæg.
Forurenet jord udgør 76 pct. af den deponerede mængde, og ren jord udgør 9 pct.
af den deponerede mængde i 2020. En del af den rene jord bliver brugt som
driftsmiddel til daglig afdækning samt slutafdækning og til reetableringsformål på
deponeringsanlæggene.
8 pct. af den deponerede mængde er blandet affald, der typisk stammer fra de
kommunale genbrugspladser.
Mineralsk affald udgør 5 pct. af den samlede deponerede mængde, mens inert
affald kun udgør 0,2 pct. Inert og mineralsk affald stammer typisk fra restprodukter
fra kulfyrede kraftværker samt bygge- og anlægsaktiviteter
1
.
Endelig udgjorde farligt affald 3 pct. af den samlede deponerede mængde i 2020.
Tabel 2: Endeligt deponerede mængder affald (ekskl. havbundsmateriale), 2020
Affaldsklasse
Forurenet jord
Ren jord
Blandet affald
Mineralsk affald
Inert affald
Farligt affald
Total
Mængde (1.000 ton)
2020
Andel (pct.)
2020
2.268
260
233
136
5
78
2.980
76%
9%
8%
5%
0,2%
3%
100%
Note: Tallene er afrundede til hele 1.000 ton. Asbestaffald er opgjort under mineralsk affald og blandet
affald.
Havbundsmateriale er ligeledes kategoriseret som mineralsk affald, men indgår ikke i
denne opgørelse. I stedet bliver havbundsmateriale deponeret på særskilte anlæg
(spuleanlæg).
1
10
KEF, Alm.del - 2021-22 - Bilag 521: Benchmarking af forbrændingsanlæg og deponier for dataåret 2020
2628203_0011.png
3
Økonomi
Det er ikke muligt inden for rammerne af denne rapport at kortlægge økonomien for
de privatejede deponeringsanlæg, da de alene modtager eget affald, og derfor ikke
har separate økonomioplysninger for anlæggene.
De privatejede anlæg samt askedeponierne BIOFOS, Renseanlæg Lynetten
Askedepot og BIOFOS, Renseanlæg Avedøre Askedepot indgår derfor ikke i dette
afsnit om anlæggenes økonomi, på nær i figur 16 om fyldhøjde.
Figur 6 viser den totale takstindtægt på kommunale, fælleskommunale og offentligt
ejede anlæg (ekskl. statslig affaldsafgift).
Figur 6: Total takstindtægt for deponeret affald, ekskl. afgifter (uden sikkerhedsstillelse), 2011-2020
(kommunale anlæg, faste priser)
450
400
350
300
Mio. DKK
250
200
150
100
50
0
2011
2012
2013
Ren jord
2014
2015
2016
2017
2018
2019
2020
Forurenet jord
Blandet affald
Mineralsk inkl. Inert
Farligt affald
Note: Taksterne følger bruttoværditilvæksten (BVT-deflatoren) med basisår i 2020.
Figur 7 og tabel 3 viser udviklingen i takst pr. ton for alle affaldsfraktioner for
perioden 2011-2020. Fra og med udgivelsen af BEATE 2017 er der anvendt en ny
beregningsmetode for den gennemsnitlige årlige takst for mineralsk inkl. inert affald.
Dette betyder, at taksten ikke kan sammenlignes med BEATE rapporter før 2017.
Deponeringstaksterne for jord og blandet affald har generelt ligget stabilt over
perioden, dog med en stigning for forurenet jord i 2020 grundet et enkelt anlægs
stigende takst. Deponeringstaksten for farligt affald har ligeledes ligget stabilt i
perioden, dog med en stigning i 2016, der dog ikke har været muligt at finde en
forklaring på. Deponeringstaksten for mineralsk inkl. inert affald steg fra 2016 til
2018 med over 60 pct. og er herefter steget let.
11
KEF, Alm.del - 2021-22 - Bilag 521: Benchmarking af forbrændingsanlæg og deponier for dataåret 2020
2628203_0012.png
Figur 7: Gennemsnitlig årlig takst i kr./ton for forskellige affaldstyper, ekskl. afgifter (uden
sikkerhedsstillelse), 2011-2020 (kommunale, fælleskommunale og offentligt ejede anlæg, faste
priser)
500
450
400
350
300
250
DKK per ton
200
150
100
50
0
2011
2012
2013
2014
2015
2016
2017
2018
2019
2020
Forurenet jord
Mineralsk inkl. Inert
Ren jord
Farligt affald
Blandet affald
Note 1: Tallene for mineralsk inkl. inert for perioden 2011 - 2016 afviger fra det der fremgik af BEATE
2016-rapporten. Dette skyldes en ny beregningsmetode. I den nye beregningsmetode vægtes de to
fraktioner lige.
Note 2: Taksterne følger bruttoværditilvæksten (BVT-deflatoren) med basisår i 2020.
Tabel 3: Gennemsnitlig årlig takst i kr./ton, ekskl. afgifter (uden sikkerhedsstillelse), 2011-2020
(kommunale, fælleskommunale og offentligt ejede anlæg, faste priser)
Blandet
affald
2011
2012
2013
2014
2015
2016
2017
2018
2019
2020
413
401
404
417
420
412
399
436
432
420
Mineralsk
inkl. inert
343
310
321
317
358
255
318
411
420
426
Farligt
affald
258
235
217
212
215
337
211
224
241
235
Forurenet
jord
71
70
75
79
78
76
75
75
70
110
Ren jord
24
25
32
48
47
58
29
43
59
60
Note 1: Tallene for mineralsk inkl. inert for perioden 2011 - 2016 afviger fra det der fremgik af BEATE
16-rapporten. Dette skyldes en ny beregningsmetode. I den nye beregningsmetode vægtes de to
fraktioner lige.
Note 2: Taksterne følger bruttoværditilvæksten (BVT-deflatoren) med basisår i 2020.
12
KEF, Alm.del - 2021-22 - Bilag 521: Benchmarking af forbrændingsanlæg og deponier for dataåret 2020
2628203_0013.png
Figur 8 nedenfor viser gennemsnitstakster pr. ton for de forskellige typer affald i
2020. Affaldstyperne inert og mineralsk er her opdelt på to separate fraktioner.
Figur 8: Gennemsnitlige vægtede deponeringstakster i kr./ton modtaget affald, ekskl. afgifter (uden
sikkerhedsstillelse), 2020 (kommunale, fælleskommunale og offentligt ejede anlæg, ekskl. askedeponier,
faste priser)
500
450
DKK per ton modtaget affald
400
350
300
250
200
150
100
50
0
Blandet affald
Inert
Mineralsk
Farligt affald Forurenet jord
Ren jord
Note 1: Det skal bemærkes, at de to fraktioner, inert og mineralsk, er adskilt i denne figur, modsat
foregående år.
Note 2: Taksterne følger bruttoværditilvæksten (BVT-deflatoren) med basisår i 2020.
Figur 9 til figur 13 viser deponeringstaksterne for hvert anlæg for hhv. fraktionerne
ren jord, forurenet jord, blandet affald, farligt affald samt mineralsk- og inert affald
for 2020. Antallet af søjler illustrerer antallet af anlæg, der har oplyst en takst for
den angivne affaldstype. Der kan dermed være anlæg, der har en takst for
affaldstypen, selvom de i det givne år ikke har modtaget affaldstypen.
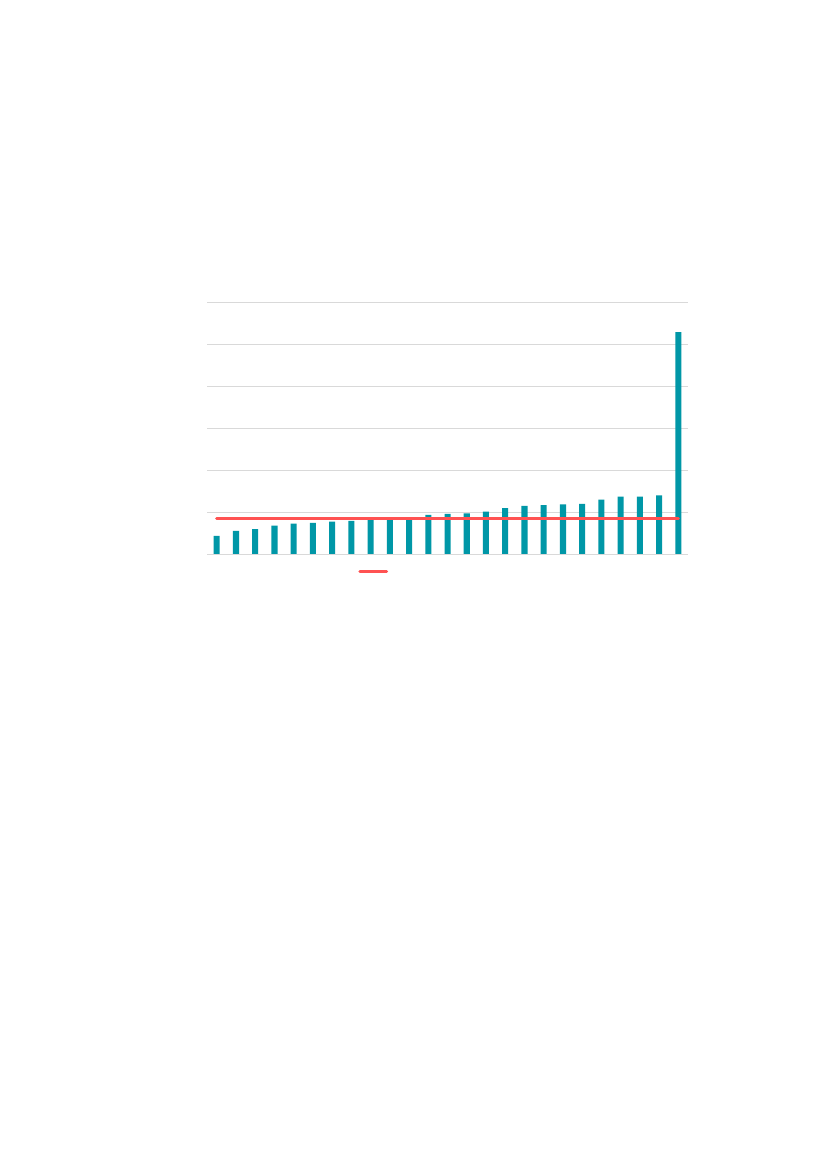
I figur 9 ses det, at deponeringstaksterne for ren jord, ekskl. afgifter, varierer
mellem 15 og 111 kr. pr. ton i 2020, med et vægtet gennemsnit på ca. 60 kr. pr. ton.
13
KEF, Alm.del - 2021-22 - Bilag 521: Benchmarking af forbrændingsanlæg og deponier for dataåret 2020
2628203_0014.png
Figur 9: Deponeringstakster i kr./ton for ren jord, ekskl. afgifter (uden sikkerhedsstillelse), 2020,
(kommunale
,
fælleskommunale og offentligt ejede anlæg ekskl. askedeponier, faste priser)
(Den røde streg angiver det vægtede gennemsnit på ca. 60 kr./ton)
120
100
80
DKK pr. ton
60
40
20
0
Vægtet gns. takst
Note 1: For en række af de anlæg, der modtager små mængder ren jord, er taksten 0.
Note 2: Taksterne følger bruttoværditilvæksten (BVT-deflatoren) med basisår i 2020.
Note 3: Antallet af søjler illustrerer antallet af anlæg, der har oplyst en takst for den angivne
affaldstype. Der kan dermed være anlæg, der har en takst for affaldstypen, selvom de i det givne år
ikke har modtaget affaldstypen.
Figur 10 viser, at taksten for modtagelse af forurenet jord varierer ret betydeligt fra
mellem ca. 40 til 577 kr. pr. ton i 2020. Det skyldes blandt andet, at anlæg, der har
specialdepoter kan håndtere forurenet jord billigere.
Figur 10: Deponeringstakster for forurenet jord, ekskl. affaldsafgifter (uden sikkerhedsstillelse), 2020,
(kommunale, fælleskommunale og offentligt ejede anlæg ekskl. askedeponier, faste priser)
(Den røde streg angiver det vægtede gennemsnit på ca. 110 kr./ton)
700
600
500
DKK pr. ton
400
300
200
100
0
Vægtet gns. takst
Note 1: Taksterne følger bruttoværditilvæksten (BVT-deflatoren) med basisår i 2020.
Note 2: Antallet af søjler illustrerer antallet af anlæg, der har oplyst en takst for den angivne
affaldstype. Der kan dermed være anlæg, der har en takst for affaldstypen, selvom de i det givne år
ikke har modtaget affaldstypen.
14
KEF, Alm.del - 2021-22 - Bilag 521: Benchmarking af forbrændingsanlæg og deponier for dataåret 2020
2628203_0015.png
Af figur 11 fremgår det, at et enkelt deponeringsanlæg har en væsentlig højere
deponeringstakst for blandet affald end de øvrige anlæg. Det skyldes, at anlægget
kun modtager få ton affald årligt. Dette anlæg påvirker derfor kun det vægtede
gennemsnit i et begrænset omfang.
Figur 11: Deponeringstakster for blandet affald ekskl. affaldsafgifter (uden sikkerhedsstillelse), 2020,
(kommunale, fælleskommunale og offentligt ejede anlæg ekskl. askedeponier, faste priser)
(Den røde streg angiver det vægtede gennemsnit på ca. 420 kr./ton)
3.000
2.500
DKK pr. ton
2.000
1.500
1.000
500
0
Vægtet gns. takst
Note 1: Taksterne følger bruttoværditilvæksten (BVT-deflatoren) med basisår i 2020.
Note 2: Antallet af søjler illustrerer antallet af anlæg, der har oplyst en takst for den angivne
affaldstype. Der kan dermed være anlæg, der har en takst for affaldstypen, selvom de i det givne år
ikke har modtaget affaldstypen.
Figur 12 viser, sammenholdt med figur 11, at taksten er forholdsvis lav for at
deponere farligt affald i forhold til taksten for at deponere blandet affald. Det
skyldes, at der hovedsageligt er tale om 2 anlæg, som modtager store mængder
farligt affald og dermed kan udnytte stordriftsfordele og holde taksten nede. Der er
hovedsageligt tale om shredderaffald.
15
KEF, Alm.del - 2021-22 - Bilag 521: Benchmarking af forbrændingsanlæg og deponier for dataåret 2020
2628203_0016.png
Figur 12: Deponeringstakster for farligt affald ekskl. affaldsafgifter (uden sikkerhedsstillelse), 2020,
(kommunale, fælleskommunale og offentligt ejede anlæg ekskl. askedeponier, faste priser)
(Den røde streg angiver det vægtede gennemsnit på ca. 235 kr./ton)
900
800
700
600
DKK pr. ton
500
400
300
200
100
0
Vægtet gns. takst
Note 1: Taksterne følger bruttoværditilvæksten (BVT-deflatoren) med basisår i 2020.
Note 2: Antallet af søjler illustrerer antallet af anlæg, der har oplyst en takst for den angivne
affaldstype. Der kan dermed være anlæg, der har en takst for affaldstypen, selvom de i det givne år
ikke har modtaget affaldstypen.
Note 3: I 2020 har tre anlæg modtaget affald, hvorimod 5 anlæg har oplyst en takst som det fremgår af
figuren.
Figur 13a og figur 13b viser deponeringstaksterne for hhv. inert og mineralsk affald.
Af figur 13a fremgår det, at kun to anlæg har modtaget inert affald i 2020.
Figur 13a: Deponeringstakster for inert affald, ekskl. affaldsafgifter (uden sikkerhedsstillelse), 2020,
(kommunale, fælleskommunale og offentligt ejede anlæg ekskl. askedeponier, faste priser)
(Den røde streg angiver det vægtede gennemsnit på ca. 358 kr./ton)
450
400
350
DKK pr. ton
300
250
200
150
100
50
0
Vægtet gns. takst
Note 1: Taksterne følger bruttoværditilvæksten (BVT-deflatoren) med basisår i 2020.
Note 2: Antallet af søjler illustrerer antallet af anlæg, der har oplyst en takst for den angivne
affaldstype. Der kan dermed være anlæg, der har en takst for affaldstypen, selvom de i det givne år
ikke har modtaget affaldstypen.
16
KEF, Alm.del - 2021-22 - Bilag 521: Benchmarking af forbrændingsanlæg og deponier for dataåret 2020
2628203_0017.png
Figur 13b: Deponeringstakster for mineralsk affald, ekskl. affaldsafgifter (uden sikkerhedsstillelse),
2020, (kommunale, fælleskommunale og offentligt ejede anlæg ekskl. askedeponier, faste priser)
(Den røde streg angiver det vægtede gennemsnit på ca. 437 kr./ton)
1.200
1.000
DKK pr. ton
800
600
400
200
0
Vægtet gns. takst
Note 1: Taksterne følger bruttoværditilvæksten (BVT-deflatoren) med basisår i 2020.
Note 2: Antallet af søjler illustrerer antallet af anlæg, der har oplyst en takst for den angivne
affaldstype. Der kan dermed være anlæg, der har en takst for affaldstypen, selvom de i det givne år
ikke har modtaget affaldstypen.
Figur 14a og 14b viser fordeling af anlæggenes omkostninger i kr. for 2020. Figur
14a viser de samlede omkostninger under 6 millioner kr., mens figur 14b viser for
omkostninger over 6 millioner kr. Opdelingen i to figurer foretages af hensyn til
visningen af alle anlæg, da spredningen i samlede omkostninger er stor.
Da anlæggene har forskellig opbygning og alder er der variation i omkostningerne.
En del af variationen kan også skyldes forskelle i spildevandsafgifter og særbidrag
for de anlæg, der afleder perkolat til det kommunale rensningsanlæg. Af de
samlede driftsomkostninger i 2020 udgør omkostningerne til håndtering af perkolat
(og gas) i gennemsnit 25 pct. Men det varierer dog mellem anlæggene fra få
procent til over 70 pct.
Enkelte af anlæggene har haft ekstraordinære omkostninger. Det er ikke muligt at
identificere disse omkostninger yderligere og de indgår derfor ikke i figurerne. Dette
gør, at omkostningerne ikke er helt sammenlignelige.
17
KEF, Alm.del - 2021-22 - Bilag 521: Benchmarking af forbrændingsanlæg og deponier for dataåret 2020
2628203_0018.png
Figur 14a: Fordeling af omkostninger på deponeringsanlæg, 2020 (kommunale, fælleskommunale
og offentligt ejede anlæg ekskl. askedeponier, faste priser), samlede omkostninger under 6 millioner
kr.
7
6
5
Mio. DKK
4
3
2
1
0
Driftsomkostninger
Finansielle omkostninger
Hensættelser
Henlæggelser
Afskrivninger
Note 1: Ekstraordinære omkostninger fremgår ikke af figuren.
Note 2: Taksterne følger bruttoværditilvæksten (BVT-deflatoren) med basisår i 2020.
Figur 14b: Fordeling af omkostninger på deponeringsanlæg, 2020, (kommunale, fælleskommunale
og offentligt ejede anlæg ekskl. askedeponier, faste priser), samlede omkostninger over 6 millioner
kr.
25
20
15
Mio. DKK
10
5
0
-5
Driftsomkostninger
Finansielle omkostninger
Hensættelser
Henlæggelser
Afskrivninger
Note 1: Ekstraordinære omkostninger fremgår ikke af figuren.
Note 2: Taksterne følger bruttoværditilvæksten (BVT-deflatoren) med basisår i 2020.
18
KEF, Alm.del - 2021-22 - Bilag 521: Benchmarking af forbrændingsanlæg og deponier for dataåret 2020
Som en del af deponeringsanlæggenes omkostninger indgår omkostninger til
sikkerhedsstillelse. Det indebærer, at alle deponeringsanlæg, der modtager affald,
under anlæggets driftsperiode skal opkræve et beløb via taksten til en
sikkerhedsstillelse, som:
i nedlukningsperioden omfatter slutafdækning og reetablering af arealet,
i efterbehandlingsperioden omfatter bl.a. monitering af perkolat,
overfladevand og grundvand, perkolatbortskaffelse og diverse
omkostninger.
Beløb til dækning af uforudsigelige omkostninger (forureningsskader som følge af
brand, eksplosion, utæt membran m.v.) er ikke omfattet af sikkerhedsstillelsen.
Størrelsen af omkostningerne ved at nedlukke og efterbehandle et
deponeringsanlæg vil være betinget af forhold vedr. det deponerede affald og
øvrige forhold på det konkrete anlæg. Således vil størrelsen af
nedlukningsomkostningerne afhænge af blandt andet:
Affaldsmængder
Affaldsklasse og affaldets vægtfylde
Deponeringsenhedernes fyldhøjde
Mængden af perkolat
Omfanget og arten af reetablering af arealet og efterbehandlingsperiodens
varighed m.m.
Anlægstekniske vilkår, som er indeholdt i miljøgodkendelsen af det enkelte
deponeringsanlæg.
Nedlukningsomkostninger kan derfor variere meget fra anlæg til anlæg. Som følge
heraf indgår de ikke i opgørelserne af deponeringstaksterne.
Figur 15 viser, at sikkerhedsstillelsen generelt varierer fra 3 til ca. 200 kr. pr. ton
med en enkelt outlier på 781 kr. pr. ton i 2020. Det vægtede gennemsnit var på ca.
10 kr. pr. ton i 2020.
19
KEF, Alm.del - 2021-22 - Bilag 521: Benchmarking af forbrændingsanlæg og deponier for dataåret 2020
2628203_0020.png
Figur 15: Sikkerhedsstillelse, kr./ton, vægtet for alt affald, ekskl. ren jord, 2020, (kommunale,
fælleskommunale og offentligt ejede anlæg ekskl. askedeponier, faste priser)
900
800
DKK pr. ton
700
600
500
400
300
200
100
0
Vægtet gns.
Både mængder deponeringsegnet affald og anlæggenes samlede kapacitet har stor
betydning for økonomien. Den samlede kapacitet afhænger i høj grad af den
godkendte fyldhøjde. Fyldhøjden angiver højden af affaldet, for alle typer affald.
Figur 16 viser den godkendte fyldhøjde på anlæggene uanset affaldstype. Den
gennemsnitlige fyldhøjde på de respektive anlæg varierer fra 3 meter og op til 30
meter.
Figur 16: Gennemsnitlig godkendt fyldhøjde på anlæggene i meter, 2020 (Den røde streg angiver
det vægtede gennemsnit på 14 m)
35
30
25
Meter
20
15
10
5
0
Gns. fyldhøjde
Figur 17 viser udviklingen i den vægtede gennemsnitlige godkendte fyldhøjde
uanset affaldstype på anlæggene.
20
KEF, Alm.del - 2021-22 - Bilag 521: Benchmarking af forbrændingsanlæg og deponier for dataåret 2020
2628203_0021.png
Figur 17: Udvikling i den vægtede gennemsnitlige godkendte fyldhøjde på anlæggene i meter,
2011-2020
16
14
12
10
Meter
8
6
4
2
0
2011
2012
2013
2014
2015
2016
2017
2018
2019
2020
21
KEF, Alm.del - 2021-22 - Bilag 521: Benchmarking af forbrændingsanlæg og deponier for dataåret 2020
2628203_0022.png
4
Miljø
Miljøkravene til deponering handler først og fremmest om at beskytte drikke-/
grundvandsressourcer samt kvaliteten af overfladevandet. Derfor opsamles al
perkolat (forurenet vand), som stammer fra nedbør samt fra væskeindhold i
affaldet, hvorefter det renses on-site eller ledes til behandling på et
rensningsanlæg. Endvidere udføres et passende antal moniteringsboringer, hvorfra
der udtages grundvandsprøver til kemisk analyse, med henblik på at afdække
hvorvidt perkolat finder vej fra deponiet til grundvandet. Overvågningen fortsætter
efter ophør af deponering i efterbehandlingsperioden, som i udgangspunktet er 30
år. Herefter vil deponeringsanlægget overgå til en passiv tilstand, der betyder, at de
miljøbeskyttende foranstaltninger ikke længere drives aktivt.
Figur 18 viser hvordan anlæggene håndterer perkolatet i 2020 fordelt på
affaldstyper. Af figuren fremgår det, at størstedelen af perkolatet håndteres uden for
deponeringsanlægget. Flere af de anlæg, der renser perkolat uden for
deponeringsanlægget, anvender også andre håndteringsmetoder eller
forbehandling, fx recirkulation eller delvis rensning på anlægget, før det sendes til
rensning uden for anlægget. Dette kan fx være for at transportere mindre perkolat
eller for at reducere udgifterne ved ekstern rensning. Desuden er der flere
håndteringsmetoder for anlæg, der renser perkolat på eget anlæg, fx recirkulation
eller rodzonebehandling.
Der er til BEATE 2020 indsamlet data om anlæggenes generelle
perkolathåndtering. Datagrundlaget vurderes dog uegnet til at drage større
konklusioner på baggrund af, eftersom anlæggene har besvaret spørgeskemaet
forskelligt. Dette vil blive revideret i BEATE 2021.
Figur 18: Fordeling af anlæg baseret på deres håndtering af perkolat
25
20
Antal anlæg
15
10
5
0
Blandet
Inert
Renses uden for anlæg
Mineralsk
Renses på anlæg
Farligt
Derudover kan der på deponeringsanlæg ved nedbrydning af deponeret organisk
affald under anaerobe forhold dannes metan, der er en kraftig drivhusgas. Danmark
indførte den 1. januar 1997 et forbud mod at deponere forbrændingsegnet affald,
herunder organisk affald. Derfor bliver der i dag deponeret yderst begrænsede
mængder organisk affald på deponeringsanlæggene i Danmark. På gamle
22
KEF, Alm.del - 2021-22 - Bilag 521: Benchmarking af forbrændingsanlæg og deponier for dataåret 2020
2628203_0023.png
deponeringsanlæg produceres der fortsat metan, som i nogle tilfælde opsamles og
udnyttes til produktion af el og/eller varme.
Figur 19 viser hvor meget gas, der er blevet indvundet på deponeringsanlæggene i
perioden fra 2011 til 2020. Mængden af opsamlet gas faldt markant fra 2011 til
2013
fra cirka 7 mio. m3 i 2011 til cirka 2 mio. m3 i 2013. Fra 2013 til 2017 har
den opsamlede gas på deponeringsanlæggende været konstant omkring 2 mio. m³
gas. I 2018 steg den opsamlede gas dog til ca. 3 mio. m
3
gas, hvorefter den
sidenhen kun er faldet lidt. Der indvindes gas på 10 aktive anlæg, som alle udnytter
gassen til energiproduktion. I flere tilfælde indvindes gassen kun på dele af
anlæggene.
DTU har undersøgt effektiviteten på enkelte anlæg og vurderede, at der var
potentiale for at effektivisere gasopsamlingen, primært med sigte på at reducere
udledningen af drivhusgasser.
2
Som et alternativ til aktiv opsamling foreslog man at
indføre biocovers.
Figur 19: Opsamlet gas (m
3
) på deponeringsanlæggene, 2011-2020
8
7
Mio. m³ opsamlet gas
6
5
4
3
2
1
0
2011
2012
2013
2014
2015
2016
2017
2018
2019
2020
"Etablering og monitering af biocoversystemer på affaldsdeponeringsanlæg"
Miljøstyrelsen, 2016.
2
23
KEF, Alm.del - 2021-22 - Bilag 521: Benchmarking af forbrændingsanlæg og deponier for dataåret 2020
5
Om BEATE
Alle danske deponeringsanlæg, der er godkendt til at modtage affald efter kravene i
bekendtgørelsen om deponeringsanlæg, skal deltage i benchmarkingen. Dette
gælder dog ikke anlæg for havbundssedimenter.
Energistyrelsen har stillet et spørgeskema i Excel format til rådighed for indsamling
af data. Dette spørgeskema er blevet valideret og kvalitetssikret af Viegand
Maagøe før udsendelse af spørgeskemaerne til anlæggene ifm. med dette års
BEATE indsamling. Spørgeskemaet til indsamling af data er stillet til rådighed af
Energistyrelsen (i perioden 2007-2013 blev redskabet stillet til rådighed af
Miljøstyrelsen).
Viegand Maagøe har samlet data for alle anlæg fra årene 2011-2020 i en Excel
model, som er blevet anvendt til at opstille figurer og behandle data. Kvalitetssikring
af data er blevet udført af Viegand Maagøe i samarbejde med brancheforeningerne.
Brancheforeningerne har haft adgang til data fra de anlæg, der er medlem af de
respektive foreninger, og har bistået med kvalitetssikringen af data. Anlæggene har
igennem en årrække indberettet data i denne form, og det er erfaringen, at
benchmarkingen løbende bliver mere præcis. Det er således indtrykket, at
anlæggenes tal er blevet mere sammenlignelige i takt med, at der er opbygget en
praksis omkring benchmarking.
24